Planeta matemático
Miquel Albertí
Todos los pueblos y culturas se caracterizan por haber desarrollado unas creencias y ritos propios, una filosofía de la vida, un modo de organización social, un lenguaje, una literatura, una gastronomía, unas manifestaciones artísticas, un sistema de comercio, una tecnología, una arquitectura y, ¿por qué no?, unas matemáticas.
Entendemos nuestras matemáticas como un producto cultural que nuestra cultura occidental crea a diario en sitios específicos como son universidades y centros de investigación. Pero también se hacen matemáticas en otros ámbitos, profesionales o no, y cuyo conocimiento se ha desarrollado al margen de las perspectivas académica y occidental.
La historia de las matemáticas que conocemos es occidental. Pero, aún así, sus cimientos se hallan en contextos extraacadémicos previos a nuestra cultura. La investigación antropológica se ha preocupado poco de los aspectos matemáticos. Por lo general, no ha ido más allá de la documentación anecdótica de sistemas de numeración y conteo. La colonización occidental tampoco se ha preocupado demasiado por las ideas matemáticas autóctonas, las cuales han permanecido ocultas y han visto su desarrollo limitado a las actividades prácticas de su cultura.
No nos referimos a unas matemáticas más atrasadas, sino a unas matemáticas que se han producido de forma independiente con objetivos específicos, sobre todo prácticos. En todas las culturas es necesario hacer cosas con calidad, rigor y precisión. Todos los pueblos cuentan, miden, localizan y diseñan. Las etnomatemáticas son las matemáticas vernáculas que los pueblos y culturas desarrollan para responder a sus necesidades. Si en todas partes se llevan a cabo actividades así, es lógico pensar que ahí se hallen las raíces del pensamiento matemático de una cultura. Evidentemente, no debe esperarse encontrar matemáticas como las de un contexto académico. Cabe esperar unas matemáticas en bruto, sin pulir ni tallar con relación a la perspectiva académica, ideas cuyas justificaciones se basen más en la experiencia y la práctica que en la demostración. Sin embargo, y por eso mismo, no están exentas de lógica.
A grandes rasgos, la investigación etnomatemática tiene por objetivo sacar a la luz las matemáticas autóctonas de los pueblos y culturas, valorar su uso e incorporación al cuerpo de conocimiento matemático formal, desarrollarlas y utilizarlas como recurso educativo. ¿Dónde buscar etnomatemáticas? ¿Cómo hallarlas? ¿Qué hacer con ellas?
Este trabajo es un recorrido matemático por el mundo a través del tiempo y de las culturas. Veremos que diversos pueblos han desarrollado sistemas de numeración propios y mecanismos autóctonos de cálculo. Fruto de ello son los instrumentos antecesores de las calculadoras: los quipus incas y el ábaco chino.
La organización espacial, bidimensional y tridimensional es fundamental en la arquitectura y en la ornamentación. Su importancia matemática es capital por el uso riguroso que se hace en ambos casos de patrones, tanto figurativos como de reproducción. Tanto es así que un pueblo o una cultura pueden ser fácilmente identificados mediante un diseño geométrico. Desde la prehistoria hasta hoy, y a lo largo de todo el globo, la simetría constituye un paradigma universal de expresión cultural.
El juego desempeña un papel fundamental, pues compromete a la aceptación, conocimiento y seguimiento de la serie de reglas que lo configuran. Ahí reside la lógica del juego y la base de la justificación de sus resultados y acontecimientos. Es en el juego donde una cultura expresa su modo de comprender el azar.
No todos los pueblos separan lo matemático de otros aspectos culturales. En un ritual o en una ceremonia pueden desarrollarse actos que ojos ajenos interpreten como teatro, danza, música o geometría y que, para quienes lo ejecutan, no sean sino una misma cosa. Pero no es éste el objetivo. No discutiremos sobre si una persona nativa cree que hace matemáticas, sino que hablaremos de las que nosotros creemos que hace desde nuestra perspectiva.
Al final encontraremos las respuestas a las cuestiones planteadas antes con relación al conocimiento etnomatemático. Somos una especie matemática, y lo matemático del mundo es, de hecho, etnomatemático.
No es posible conocer qué matemáticas surgen en determinados ámbitos sin interpelar a quienes las realizan. Por ello quiero agradecer a la señora Ibu Ketut su colaboración en lo referente a la confección de ofrendas en la isla de Bali (Indonesia). Un agradecimiento muy especial para Kamini Dandapani, de Chennai (Tamil Na- du, India), cuyas fotografías ilustran y explican ideas matemáticas subyacentes en los kolams. Una colaboración más cercana, como la de Dolors Guixá y la de Joan Serra, de L’art ORL Vitrall (Sabadell, España), permite apreciar la actividad matemática que se lleva a cabo en el mundo del vitral. Gracias a todos ellos por permitirme iluminar ideas y actividades matemáticas que suelen hacerse a oscuras.
Capítulo 1
Orígenes étnicos de las matemáticas
§. Donde hay cultura hay matemáticas
§. Piedras, huesos y arcilla
§. Pirámides y papiros
§. Matemáticas con eme mayúscula
§. Aproximaciones sucesivas
§. Etnomatemáticas: las matemáticas como fenómeno cultural.
§. Donde hay cultura hay matemáticas
Matemáticas se escribe con eme mayúscula en todo el mundo. Nos referimos así a la disciplina que se estudia en todas partes según métodos y contenidos prácticamente idénticos. En todas las escuelas, institutos y universidades del planeta se enseña y aprende a calcular, se explica el teorema de Tales y el de Pitágoras, se resuelven problemas mediante ecuaciones y sistemas y se desarrollan modelos matemáticos de los fenómenos más diversos. Esa idea de las Matemáticas abarca también sus aplicaciones a otras disciplinas, estén o no relacionadas con el ámbito científico.
En las Matemáticas, los métodos hacen uso de herramientas cada vez más sofisticadas. Si la perspectiva platónica y constructivista se desarrollaba limitándose a la regla y el compás, hoy en día no se entiende el desarrollo matemático sin el manejo de tecnología avanzada, desde la calculadora al más sofisticado software informático.
Este panorama ilustra la universalidad de las Matemáticas. Pero dicha universalidad es, sobre todo, institucional y apriorística. Se plantea desde las instituciones y se coordina mediante los proyectos educativos de todos los países. Matices aparte, las Matemáticas que se enseñan y aprenden, tanto en Oriente como en Occidente, al norte y al sur del ecuador, son prácticamente las mismas.
Sin embargo, existe otra universalidad de las Matemáticas enraizada en todos los pueblos y culturas del mundo, pues el desarrollo de ideas y métodos matemáticos para resolver problemas es una cuestión universal. Desde esta perspectiva, las matemáticas son un producto y un fenómeno pancultural cuyo nombre debería escribirse así, con minúscula. Fue Alan Bishop quien acuñó la idea en 1991. A partir de su Enculturación matemática, todos somos más conscientes del papel de las matemáticas como aspecto cultural y como elemento fundamental de la transmisión de la cultura.
Ya debería ser cosa del pasado esa imagen estereotipada de la persona culta cuyo conocimiento matemático es casi inexistente o evitable. La idea de cultura conlleva implícitos muchos contextos entre los que no puede faltar el matemático. ¿Puede existir o comprenderse un pueblo o una cultura sin matemáticas? La respuesta a esta pregunta es negativa.
Cultura es la serie de conocimientos que la gente desarrolla a lo largo del tiempo y que son los que facilitan y caracterizan su modo de vida. Grupos de gente aislados unos de otros pueden desarrollar culturas distintas cuyas diferencias podrán manifestarse en los lazos de cohesión de las comunidades, en su vivienda, en sus hábitos de alimentación, sus labores de supervivencia, creencias, mitos, temores, etc. Con el tiempo, cada cultura puede llegar a desarrollar sistemas de organización social y político, un lenguaje, una filosofía de la vida y de la existencia, unos ritos y creencias, una tecnología y manifestaciones culturales de la más diversa índole: música, danza, ornamentación, etcétera.
Todo esto ha ocurrido en el mundo en que vivimos, en diferentes lugares y en tiempos distintos. La cultura occidental predominante sólo ha tenido conocimiento de ello desde hace unos centenares de años. Hasta el siglo XV nada se sabía del continente americano y apenas se conocía algo fuera de la región que hoy denominamos Europa. De más allá de la India sólo se sabía lo que el viajero Marco Polo había relatado al regreso de su viaje a Cipango, la actual China. No se tenía conocimiento de Oceanía ni del Pacífico. El primer nombre que se dio a Australia, la isla continente, fue el de Terra Incógnita.
Sin embargo, hacía milenios que esas tierras desconocidas por los europeos estaban habitadas por gentes que habían desarrollado sistemas de conocimiento. Se comunicaban mediante lenguas propias, algunas con signos de escritura. Vivían en casas construidas con herramientas y utensilios con los que transformaban los materiales de su entorno: madera, bambú, barro, hojas, etc. Pasaban ratos jugando con guijarros que distribuían ordenadamente en cavidades labradas en tablas de madera. Viajaban y comerciaban con sus vecinos, tierra o mar adentro.
Esos pueblos sabían cómo hacer las cosas. Nadie pondría en duda que sabían cazar, organizarse, construir, cocinar, navegar, seleccionar, localizar, diseñar, hablar, escribir o jugar. También contaban, calculaban y medían. Pero si cada pueblo es capaz de desarrollar aspectos culturales propios y distintos de otros como son unas creencias, una filosofía de la vida, una arquitectura, un sistema de intercambio comercial o unas manifestaciones artísticas, ¿no puede ocurrir lo mismo con las matemáticas?
Las Matemáticas vernáculas que cada pueblo, cultura o grupo de personas es capaz de desarrollar se conocen como Etnomatemáticas. El término fue acuñado por Ubiratan d’Ambrosio, matemático y educador brasileño, a finales de la década de 1980. En el mundo han existido y existen multitud de pueblos y culturas. Sus ideas matemáticas propias son las que hacen de él un mundo etnomatemático.
Padres y madres de las etnomatemáticasLa relación entre Matemáticas y cultura se remonta a los primeros estudios antropológicos, entre los que destacan los trabajos de Gay y Colé con el pueblo kpelle de Liberia, en África.
Pero la gestación del concepto y del cuerpo de conocimiento con el que hoy en día se conocen las Etnomatemáticas hay que atribuirlo a los profesores Alan Bishop (Reino Unido) y Ubiratan D'Ambrosio (Brasil), aunque también tienen gran parte de mérito e inspiración los trabajos de Paulus Gerdes (Mozambique), Marcia Ascher (Estados Unidos) y Claudia Zaslavsky (Estados Unidos).
Ubiratan D'AmbrosioD'Ambrosio nació en Sao Paulo y se licenció y doctoró en Matemáticas en la universidad de dicha localidad. Realizó un postdoctorado sobre investigación en el Departamento de Matemáticas de la Brown University de Providence, Richmond (Estados Unidos).
Alan Bishop es profesor emérito de educación en la Facultad de Educación de la Universidad Monash, en Australia. Sin embargo, su vida profesional comenzó en Cambridge (Reino Unido). Aconseja a la UNESCO sobre temas de educación matemática, técnica y científica.
Los orígenes de las Matemáticas, con mayúscula, tal y como las conocemos en nuestra cultura, se remontan a miles de años. Como la totalidad de nuestra cultura en sí, se fraguaron con ideas de diferentes partes y de diferentes pueblos. Nuestra forma de ser y de pensar la hemos heredado de los sumerios, de los antiguos egipcios y griegos, del mundo árabe y de la India, y de China. Lo mismo puede decirse de las Matemáticas, cuyos orígenes son, de hecho, etnomatemáticos. Nuestras matemáticas son producto de intercambios culturales muy antiguos y se encuentran dispersas por todo el planeta. Nada comenzó al mismo tiempo ni en el mismo sitio.
Basta con salir de casa para ver que la actividad matemática se realiza en cualquier parte y con elementos no siempre pertenecientes al mundo académico. Una inspección ocular del vestigio cultural documentado en la siguiente fotografía podría dar lugar a muchos comentarios. Algunos de ellos tendrían carácter matemático.

Una papelera en la localidad de Morella, Castellón (foto: MAP).
La imagen muestra un muro de piedra junto al cual hay un objeto metálico que reconocemos como una papelera. Tiene forma cilíndrica, con un abombamiento en su parte inferior. Presenta dos series de perforaciones a lo largo de su perímetro a modo de ornamentación. En la parte superior, los agujeros son circulares; en la inferior, hexagonales. Se han practicado siguiendo un patrón de intervalos regulares, con un ritmo o proporción de dos hexágonos por cada círculo. Hay además unas inscripciones hechas con tiza. Se trata de siete series de cuatro líneas paralelas cruzadas por otra línea transversal.
De la observación visual de este objeto podemos aventurar hipótesis. Una es que la cultura capaz de confeccionar un objeto como éste dispone de tecnología capaz de trabajar los metales duros, de moldearlos y perforarlos de modo riguroso según formas y patrones predeterminados. El objeto no parece hecho a mano, sino de manera mecánica, lo que garantizaría su reproducción en copias exactas. En cambio, las inscripciones parecen manuales. Quien las practicó debió de contar hasta cinco por lo menos siete veces, totalizando un recuento de 35 unidades. Lo qué contó jamás lo sabremos. También existe la posibilidad de que no se trate de un recuento, sino de la plasmación de un ritmo inconsciente, como cuando golpeamos el suelo con el pie repetidas veces sin contar los tiempos ni los compases de la música que escuchamos. En situaciones así lo que hacemos es, simplemente, llevar el ritmo.
En cualquier caso, estas afirmaciones se basan en una sintonía cultural. Nosotros reconocemos ese objeto como papelera. Pero ¿quiénes somos nosotros? ¿Los habitantes de Morella, en Castellón, donde fue tomada la imagen? ¿Los de toda España? ¿Los europeos? ¿Identificaría este objeto como una papelera un tuareg de Mali, un inuit de Laponia o un cosechador de arroz de la isla de Luzón, en Filipinas? Probablemente, no. Lo que seguramente reconocerían serían la naturaleza metálica del objeto, su forma cilíndrica y sus perforaciones circulares y hexagonales. Sabrían contar también cuántos agujeros hay de cada tipo, aunque es probable que sus términos y recuentos no se correspondieran con los nuestros. Quizá porque no los hayan aprendido en la escuela, sino de sus progenitores.
Círculos concéntricos de hace 6.000 añosEl poblado prehistórico de Los Millares (Almería, España) es un yacimiento arqueológico de la Edad del Cobre correspondiente a una cultura que se desarrolló en toda la franja sur de la Península Ibérica. Las cerámicas halladas presentan ornamentaciones de tipo geométrico, como este cuenco con trazos circulares concéntricos a modo de óculos y varias series de rayas paralelas y equidistantes. Los óculos parecen constituir la marca de este pueblo, pues se trata de un diseño presente en la mayoría de vestigios hallados en dicho yacimiento.
Cuenco de Los Millares, Almería (foto: José Manuel Benito Álvarez).
Otra cosa distinta es indagar en el significado de los signos de la siguiente fotografía. La imagen fue tomada a la entrada de una casa cueva del pueblo de Galera, Granada. Nuestra cultura reconoce esos símbolos como cifras. Y pese a no haber ningún signo operativo, su disposición se corresponde con el método de multiplicación manual aprendido por todos nosotros en la escuela. Que se trata de una multiplicación lo corrobora el hecho de que si la efectuamos, si multiplicamos 150 por 12, efectivamente el resultado es 1.800.

Entrada a una casa cueva en Galera, Granada (foto; MAP).
¿Y qué decir de esta otra fotografía de la fachada del hotel Catalonia Plaza, en la plaza de España de Barcelona?

La observación de la imagen invita a plantear la hipótesis de que las losas que configuran la fachada fueron diseñadas en base a una célebre identidad notable, pues el cuadrado que conforma cada ventana se descompone como suma de dos cuadrados menores y dos rectángulos iguales. Si a es el lado del cuadrado más pequeño y b es el lado del cuadrado mediano, entonces los rectángulos tienen dimensiones a × b, y la ventana entera es un cuadrado de lado a + b. Por lo tanto:
(a + b)2= a2 + 2ab + b2
Pero no sólo en ámbitos como el diseño o la arquitectura una cultura manifiesta sus ideas matemáticas. Las matemáticas pueden hacerse explícitas en muchas otras manifestaciones culturales; las principales se muestran en la tabla siguiente:
| Manifestaciones culturales | ||
| 1. | Comunicación | Lenguaje, escritura, símbolos... |
| 2. | Creencias | Filosofía, cosmología, religión, ritos, interpretación de los sueños... |
| 3. | Entorno | Localización, fauna, flora, geología. |
| 4. | Labor | Agricultura, ganadería, caza, pesca... |
| 5. | Tecnología | Herramientas, artesanía, armas, sistemas de unidades... |
| 6. | Arquitectura | Vivienda, lugares de culto, tumbas, urbanismo... |
| 7. | Alimentación | Comida, bebida, gastronomía... |
| 8. | Indumentaria | Vestimenta, complementos... |
| 9. | Intercambio | Comercio, economía, mercado, divisas... |
| 10. | Arte | Música, danza, literatura, pintura, escultura... |
| 11. | Ocio | Juegos, apuestas, deportes... |
| 12. | Relaciones | Sociales, de parentesco... |
Las manifestaciones culturales de cualquier pueblo se llevan a cabo por medio de prácticas que llamaremos prácticas culturales. En muchas de ellas existen ideas matemáticas implícitas, a menudo ocultas o congeladas, como las califica el profesor mozambiqueño Paulus Gerdes. Desvelando y descongelando dichas ideas conoceremos las matemáticas de un pueblo o cultura. Además de estas matemáticas ocultas, puede haber ideas matemáticas más evidentes, identificables en el pensamiento que los autores de dichas prácticas ponen en juego durante su realización. Veremos que tanto unas como otras son inseparables de la cultura en la que se desarrollan.
Varios son los rastros que hay que seguir para desvelar o identificar las etnomatemáticas de una cultura. Puesto que algunos rasgos de las matemáticas son la objetividad, el rigor y la precisión tanto en la cantidad como en la forma, estudiando prácticas culturales o manifestaciones en las que estos aspectos estén presentes o sean de importancia podemos aventurarnos a hallar ideas matemáticas vernáculas.

Grandes construcciones arquitectónicas del mundo antiguo basadas en el círculo, el cuadrado y el trapecio.
Una primera aproximación conduce a la arquitectura, la artesanía, la tecnología, el comercio y el juego. Centrándonos en las actividades prácticas necesarias para llevarlas a cabo, Alan Bishop concreta seis universales de actividad matemática presentes en todas las culturas: contar, medir, localizar, diseñar, jugar y explicar. Ahí donde se cuenta, se mide, se localiza, se diseña, se juega o se explica, es plausible que quienes lo hacen pongan en práctica ideas matemáticas propias o autóctonas de su grupo, pueblo o cultura. Conocerlas es conocer sus Etnomatemáticas.
En torno a las Etnomatemáticas se plantea la cuestión de si merecen la pena o bien no son más que anécdotas curiosas con las que ilustrar un recorrido exótico por el mundo. La respuesta a dicha cuestión pasa por varías consideraciones capitales. Se verá que algunas ideas matemáticas vernáculas no sólo facilitan la resolución de problemas matemáticos tradicionales, sino que además la mejoran en el contexto cultural en el que se desarrollan, permitiendo una concepción más clara de otras ideas matemáticas propias del ámbito académico. Además, debemos tener presente que las Etnomatemáticas no han disfrutado del trato otorgado a las Matemáticas académicas. Como ya observaron el profesor Gerdes y otros, la colonización occidental tiene parte de responsabilidad en el silencio de gran parte de las Etnomatemáticas y en las dificultades que han encontrado para desarrollarse.
Nuestra concepción de lo que es matemático no tiene por qué coincidir con lo que considera como matemático un nativo navajo, shuar o maorí. Es posible que en esas culturas no exista la categorización de lo que es matemático y, en caso de existir, podría ser que sus rasgos no se correspondiesen exactamente con los que les atribuye la nuestra. Lo mismo ocurre con otras manifestaciones culturales. Unas danzas dedicadas a la divinidad pueden ser tomadas por los nativos como un rezo, una plegaria o una muestra a de agradecimiento y no como una simple expresión artística.
Cuando hablemos de Etnomatemáticas lo haremos tomando como matemático aquello que nuestra cultura considera como tal, que se caracteriza, en su nivel elemental, por la objetividad, el rigor, la precisión, la cantidad y la geometría.
§. Piedras, huesos y arcilla
Los orígenes de las matemáticas se hallan en las ideas matemáticas de algunos pueblos prehistóricos. No podemos saber qué pensaba el hombre de Cro-Magnon, el de Neanderthal o sus antecesores. Tan sólo podemos aventurar qué ideas matemáticas pudieron tener en mente en base a los vestigios que nos han llegado de su existencia.
En 2003, se halló en la Cueva de Biombos, en Sudáfrica, un fragmento de ocre de hace unos 72.000 años en el que se había labrado un diseño geométrico, tal como se muestra en la fotografía:

Petroglifo de la Cueva de Blombos, Sudáfrica (foto; Chenshilwood).
Se trata de un diseño de unos 60 mm de longitud y una anchura máxima de unos 2 mm. Su carácter geométrico proviene de las dos series de triángulos que lo conforman y que son el resultado de trazar una serie de paralelas. Reproduciendo el diseño de la superficie que lo contiene se aprecia mejor su trasfondo geométrico:

Quizá la superficie irregular de la piedra y una tecnología no desarrollada suficientemente impidieron al autor o autora labrar con mayor rigor y más precisión lo que el observador actual describiría como una retícula triangular:

Por los trazos del diseño se diría que los triángulos no se dibujaron separadamente, sino que aparecen como consecuencia de la intersección de tres series de segmentos paralelos. La primera serie está formada por tres segmentos horizontales paralelos; la segunda, por ocho segmentos paralelos inclinados hacia la izquierda; y la tercera, por nueve segmentos paralelos inclinados hacia la derecha.
Jamás sabremos si la persona autora del diseño tuvo en mente las ideas de línea recta, segmento, ángulo, paralelismo o simetría. Tampoco sabemos si esa talla era un emblema o un signo de algo o alguien, si tenía alguna utilidad práctica o si tan sólo respondía a un deseo de belleza. Pero de su acción debemos concluir que, consciente o inconscientemente, su objetivo era realizar una figura con esas ideas. Los imponderables de la realidad y la ausencia de una tecnología apropiada se lo impidieron. En cualquier caso, estamos ante un vestigio prehistórico del que se puede inferir la existencia de pensamiento matemático.
Mucho más reciente es el hueso de babuino tallado que se encontró en la zona de Ishango en 1960, en el entonces Congo Belga y actual República Democrática del Congo. Se le atribuye una antigüedad de unos 20.000 años. Al principio se pensó que el hueso hacía las veces de vara de contar, pues presenta diversas series de muescas talladas a intervalos regulares, como se aprecia en la imagen:

Dos perspectivas del hueso de Ishango (Museo de Ciencias de Bruselas).
El hueso contiene tres columnas de marcas agrupadas de la siguiente manera:
| Columna A | 11 + 13 + 17 +19 = 60. |
| Columna B | 3 + 6 + 4 + 8 + 10 + 5 + 5 + 7 = 48. |
| Columna C | 11+21 + 19 + 9 = 60. |
La serie de la columna A está formada por los números primos entre 10 y 20. Su suma da como resultado 60, un número que sería de gran importancia como base de numeración en las culturas mesopotámicas que habitaron las tierras entre los ríos Tigris y Éufrates 15.000 años más tarde. El 60 es un número muy práctico porque posee doce divisores, entre ellos los seis primeros números naturales: 1, 2, 3, 4, 5, 6, 10, 12, 15, 20, 30, 60. En la columna B encontramos una serie de múltiplos y divisores (3 y 6, 4 y 8, 5 y 10) que se completa con el 7 para dar como resultado otro múltiplo de 12 como es 48. Forman la columna C una serie de números impares, aunque no primos, cuya suma es también 60.
¿Hay que considerar un hecho casual que la suma de las tres columnas de muescas dé como resultados 60, 48 y 60? ¿Significa que quienes realizaron esas marcas tenían ya ideas de multiplicidad y divisibilidad manifiestas en las parejas 3 y 6, 4 y 8, 5 y 10? ¿Cabe deducir de ello que también tenían una idea acerca de los números indivisibles o primos como son 3, 5, 7, 11, 13 y 19? Difícil responder a estas cuestiones, más aún teniendo en cuenta que las rayas en el hueso no son todas de la misma longitud y que algunas son discontinuas. Una raya discontinua ¿es signo de una o de dos unidades? ¿Es un error en la ejecución del corte?
El fenómeno matemático más plausible que puede deducirse de las marcas del hueso de Ishango es el establecimiento de una correspondencia 1-1 entre las marcas y otros objetos, lo que constituye la base de un recuento.
Ésta es una diferencia sustancial con relación al petroglifo de la Cueva de Biombos sudafricana. Las marcas en el hueso de Ishango no parecen obedecer a un espíritu geométrico, sino numérico. En cambio, el espíritu del diseño de Biombos no es numérico, sino geométrico.
Mucho después del petroglifo sudafricano y del hueso congoleño, encontramos en el continente europeo una construcción en la que se citan el número y la geometría. Se trata de las ruinas megalíticas de Stonehenge, en la llanura de Salisbury, Reino Unido. La estructura de Stonehenge es circular y está conformada por cuatro círculos concéntricos trazados por menhires de varios metros de altura. Sin duda, se trata de la obra megalítica más sofisticada, puesto que en ella se conjugan la erección de menhires y la composición de dólmenes para dar lugar a una obra mayor.

Planta circular concéntrica de Stonehenge (Reino Unido).
La circunferencia exterior del monumento, de un diámetro de 30 m, está formada por enormes piedras con forma de prisma recto cuya parte superior estaba originalmente cerrada por dinteles. En el interior de este círculo hay otro determinado por bloques menores que encierran a su vez una estructura abierta en herradura. Dentro de esta última se halla la losa conocida como el altar. Un foso circular de poco más de 100 m de diámetro rodea el monumento, levantado hacia el 2.500 a.C., aunque la parte más antigua del recinto data del 3.100 a.C.
Se desconoce el objetivo de esta construcción, pero entre las funciones que se le atribuyen destacan tres como las más probables: recinto de culto, monumento funerario u observatorio astronómico. En este sentido merece la pena destacar que por aquella época, y en el solsticio de verano, el Sol salía marcando el diámetro principal de la construcción. Al ocaso del mismo día, el Sol se ocultaba señalando el eje del llamado Woodhenge, un lugar cercano a Stonehenge en el que se han hallado muchos huesos de animales y otros objetos que pueden indicar la celebración de ceremonias religiosas o de culto a los antepasados.
La geometría de Stonehenge se diferencia de lo tratado hasta aquí en que es circular. Sin embargo, algo tiene en común con los casos anteriores, y es que su estructura se basa en una serie de repeticiones, en un patrón fijo que es lo que confiere a la construcción su carácter. En el petroglifo de Biombos se repetían triángulos; en el hueso de Ishango, las marcas equidistantes. Ahora, lo que se repite es el círculo. Y la repetición se hace conservando un orden estructural poderoso como es el de mantener un mismo centro.
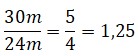
Podríamos ir más allá y aventurar suposiciones a raíz de la proporción entre los diámetros de los dos círculos concéntricos de Stonehenge, de aproximadamente 30 m y 24 m:

Pero las medidas de dichos círculos muy bien podrían ser de 30, 4 m y 24, 1 m. La proporción sería entonces de:

Puesto que 1, 26 es una aproximación excelente de la raíz cúbica de 2, ¿deberíamos concluir que quienes levantaron Stonehenge tenían conocimientos de proporcionalidad y que trazaron dichos círculos concéntricos según la raíz cúbica de 2? La respuesta a esta pregunta debe ser negativa en tanto que no existe ningún indicio que apoye tal hipótesis.
Los aspectos que vale la pena destacar de este monumento megalítico son tres: su estructura geométrica plasmada en sus círculos concéntricos, su relación con la astronomía y el hecho de relacionar las creencias de una cultura con el rigor geométrico.
Antes de que se construyese Stonehenge, en la tierra mediante entre los ríos Tigris y Éufrates de Asia Menor, la cultura babilónica plasmaba sus pensamientos en tablillas de arcilla. Pese a tratarse de petroglifos y tener un aspecto geométrico, los signos marcados en esas tablillas de arcilla casi 2.000 años antes de nuestra era pueden calificarse de escritura. De ahí que muchas de las cosas que sabemos de los pueblos que habitaron Mesopotamia no sean meras hipótesis e intuiciones, sino lecturas de sus escritos.
En la misma zona, unos 3.000 años antes de nuestra era, la cultura sumeria comenzó a escribir su lengua con ideogramas. Éstos fueron retinándose con el tiempo hasta que unos 1.000 años más tarde habían dado paso a los caracteres de la llamada hoy en día escritura cuneiforme. Fue una escritura que adoptaron otros pueblos y que dio lugar al antiguo alfabeto persa.
Se conocen unos dos mil caracteres de dicha escritura, aunque en periodos más tardíos el uso se redujo a unos 600. Los siguientes son los caracteres para escribir los primeros 59 números naturales y en cuyas expresiones se pone de manifiesto el uso de la base 10 en el sistema de numeración decimal babilonio:

Símbolos de la numeración sexagesimal babilonia.
Sin embargo, el sistema de numeración babilónico no se limitó a la base decimal. La tablilla YBC 729 es una tabla pequeña en la que se ha trazado un cuadrado con sus dos diagonales. En ésta y otras tablillas se hace evidente que los babilonios usaron los números para mucho más que para contar.

Tablilla de arcilla babilónica YBC 729.
Los números que acompañan la figura podrían referirse a la longitud del segmento junto al que se escribieron. Sin embargo, las cifras 42, 25 y 35 parecen estar lejos del lado y de la diagonal. ¿Qué relación guardan 30, 1, 24, 51, 10, 42, 25 y 35? ¿De dónde salen esas cantidades?
Supongamos que 30 unidades es la longitud del lado c del cuadrado. Calculemos la longitud D de su diagonal:
D = 30×√2 = 42, 4264068
Aparece una de las cifras, el 42. Pero los babilonios usaban el sistema de numeración sexagesimal. Transformemos a ese sistema el resultado obtenido. La calculadora lo hace automáticamente:
30×√2 → 42° 25' 35, 06"
He ahí el 42, 25 y 35. No parece exagerado pensar que quien grabó esa tablilla o quien la encargó tuviese en mente el cálculo de la diagonal del cuadrado de lado 30 unidades y que escribiese el resultado de su excelente aproximación en notación sexagesimal: 42° 25' 35".
Pero todavía falta por justificar las cifras 1, 24, 51 y 10. ¿Y si se tratase del cociente, de la proporción existente entre la diagonal y el lado del cuadrado? Veamos cuál es dicha proporción en notación sexagesimal:

Por lo tanto, el número en notación sexagesimal grabado encima de la diagonal es una aproximación extraordinaria de la raíz cuadrada de dos. Esto confirma la hipótesis de que los babilonios tenían conocimientos geométricos y de que, aunque no tuviesen una demostración del teorema de Pitágoras, sabían cómo calcular la diagonal de un cuadrado. Lo que no se deduce de la tablilla es cómo llegaron a obtener esos resultados. Según se desprende de otra tablilla, la Plimpton 322, conocían ternas pitagóricas y calcularon proporciones entre ellas, o lo que podrían ser los lados de triángulos rectángulos, lo que hoy en día conocemos como razones trigonométricas (tangente o cosecante). Pero eso no garantiza que tuviesen conocimiento del teorema de Pitágoras y mucho menos una demostración. ¿Cómo obtuvieron pues los resultados anteriores? ¿Usaron quizás un procedimiento iterativo convergente hacia una aproximación tan buena de la raíz cuadrada de 2?
Un problema del sistema de numeración babilónica era la ausencia de un símbolo para el cero. Sin el cero, ¿cómo distinguir entre los números 106 y 16? Al principio, se dejaba un espacio en blanco, pero el problema subsiste. ¿Cómo diferenciaríamos nosotros los tres espacios en blanco de 10.006 de los dos de 1.006? Los babilonios resolvieron la cuestión insertando a veces símbolos de separación, aunque esto dificultaba mucho las operaciones.
§. Pirámides y papiros
Un milenio y medio antes de Stonehenge y casi un milenio antes de las tablillas de arcilla con escritura cuneiforme se levantaron las pirámides de Egipto:

Orientaciones de las pirámides de Guiza (Egipto).
Es posible que las dudas de cómo se erigieron no se disipen nunca, pero su forma, orientación y dimensiones invitan a pensar en la intervención de ideas matemáticas en el proyecto. Las pirámides constituían monumentos funerarios en los que reposaría el faraón gobernante, quien poseía poder total y absoluto sobre su pueblo.
La más antigua de las pirámides, la del faraón Zoser, en Saqqara, es escalonada y fue diseñada por el arquitecto Imhotep hacia el 2, 700 a.C. Unos 500 años más tarde, en el valle de Guiza, junto a El Cairo, se erigieron las tres grandes pirámides, la de Keops, la de Kefrén y la de Mikerinos. Las características de la de Keops son:
| Forma: | Pirámide de base cuadrada |
| Caras: | Triángulos isósceles |
| Altura: | 147 m |
| Lado base: | 230 m |
| Inclinación de las caras: | 52° |
| Inclinación de las aristas: | 42° |
| Dirección: | N - S |
Conociendo el lado de la base y la altura de la pirámide resulta fácil calcular las inclinaciones de las caras y de las aristas. Pero eso lo hacemos merced a conocimientos de trigonometría de los que carecían los egipcios de aquella época. ¿Cómo lograron ellos dar a la pirámide la forma y las dimensiones que posee?
Vamos a tratar de esclarecer tres cuestiones matemáticas con relación a las tres grandes pirámides:
- ¿Cómo se tallaron bloques de piedra hasta transformarlos en prismas rectos?
- ¿Cómo se trazó en el suelo el ángulo recto de la base cuadrada de la pirámide?
- ¿Cómo se levantaron las caras triangulares con inclinación de 52 o?
Para transformar un bloque de piedra informe en un prisma de ángulos rectos lo primero que hace el artesano es marcar una guía rectilínea en el bloque. Para ello puede atar una cuerda tensa impregnada de tinta, que pellizcará como si de la de un arco se tratase. La cuerda señala sobre la superficie rugosa la dirección a seguir, que puede ser verificada con un listón de madera y con la visual desde un extremo. Una vez hecho esto, se repite la operación en otro extremo de la piedra, pero de tal modo que las dos líneas guías marcadas sean paralelas, lo que se determina a ojo. Cuando esto se ha logrado, ya tenemos la base para tallar el primer lado plano de la piedra. En la actualidad, algunos constructores siguen considerando la línea determinada por la visual como más precisa que un cordel tenso.
Con escuadras se puede completar el trabajo en la que va a ser la otra cara del bloque, y así sucesivamente, hasta terminarlo. La tarea no es sencilla. Manos inexpertas pueden dejar un bloque reducido a la mitad de su tamaño original.
Quizá nos preguntemos ahora cómo construye el artesano su escuadra. ¿Cómo asegura la perpendicularidad de sus dos lados? Esto nos conduce a la segunda cuestión, la de trazar en el suelo un ángulo recto. ¿Cómo construían los egipcios de hace 4.000 años un ángulo recto?
El triángulo de lados 3 m, 4 m y 5 m se conoce como triángulo egipcio. Se supone que ya en la época de los faraones era usado para construir ángulos rectos. Incluso hoy en día se continúa empleando para este cometido en diferentes partes del mundo, como España, Argentina o Suecia, aunque en versiones más reducidas pero proporcionales, como 30 cm, 40 cm y 60 cm. Este pudo ser el método con el que se trazaron los ángulos rectos de las esquinas de la base de la gran pirámide.
Otro procedimiento plausible sería utilizar el método euclidiano. Euclides vivió mucho después de que se construyesen las pirámides, unos 2.000 años más tarde, pero el método del trazado de una perpendicular a un segmento podía ser conocido mucho antes de que él ofreciese la demostración. Lo mismo ocurrió con el célebre teorema que lleva su nombre. Así que los egipcios de hace 4.000 años pudieron situar el vértice del ángulo recto de la base de una pirámide en un punto P. Luego trazarían una línea recta r que pasase por P siguiendo la dirección deseada para el lado. A continuación señalarían en r dos puntos Q y Q' equidistantes de P (lo que puede lograrse con un cordel) .Y, finalmente, con este mismo cordel y con esta misma medida PQ = PQ' (aunque podría ser otra cualquiera) trazaron dos arcos circulares cuyo punto de corte estaría sobre la perpendicular, como se observa en la figura:

Sin embargo, algunos especialistas en la construcción, como Peter Hodges, que han estudiado los métodos egipcios, ven más probable otro procedimiento. Una razón reside en el hecho de que en el antiguo Egipto el ángulo recto era primordial, apenas se pensaba en círculos. Recordemos, por ejemplo, las bases reticulares de sus frescos y que sus construcciones fueron rectangulares hasta mucho tiempo después.
Desde esa perspectiva se plantea la construcción del ángulo recto de la siguiente forma. Primero se procede como antes, trazando una línea recta r que pase por el punto P donde va a situarse el vértice del cuadrado y marcando en ella dos puntos Q y Q' equidistantes de P. Después, marcamos un punto R en un cordel s ligado a P por su extremo. Cuando la distancia RQ se iguale con la distancia RQ el cordel 5 será perpendicular a la primera línea r. Es decir, el ángulo a será recto:

Esta idea se basa en la construcción de un triángulo isósceles del cual la línea PR traza su altura.
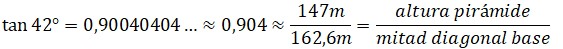
Por último, ¿cómo levantaron los egipcios caras con pendiente de 52°? No se pretende responder literalmente a esta pregunta. La pregunta se formula en términos numéricos contemporáneos, aunque su sentido es conocer cómo dieron a las caras la inclinación que tienen realmente. Tal y como sugieren los especialistas, las inclinaciones se refieren más en términos de relación entre la altura y la base que en términos del ángulo. Teniendo en cuenta que la tangente de un ángulo precisamente relaciona estas dos longitudes,

¿Significa esto que se construyó la gran pirámide sabiendo que las caras tendrían esta inclinación? Acaso lo primordial fuera que las aristas tuviesen una inclinación de 42°:

Y, de ser así, ¿por qué esos ángulos y no otros? ¿Están esas cantidades relacionadas con las unidades de medida egipcias de entonces? ¿Se trata de múltiplos de dedos, palmos o codos? Difícil saberlo, puesto que los equivalentes de estas medidas difieren bastante según los intérpretes. Por ejemplo, al parecer el codo imperial egipcio utilizado en la pirámide de Keops equivalía a 52, 4 era, mientras que otros valores atribuidos al codo en los milenios siguientes van desde los 31, 6 cm a los 51 cm. Tomando como buena la equivalencia del codo imperial, la gran pirámide tendría una altura de 280 codos y una base de lado de 440 codos. La proporción entre ambas es 7/11.
El motivo de dicha proporción es un misterio. Lo que sí podemos asegurar es que en el periodo del antiguo Egipto en el que se construyeron las grandes pirámides se desarrollaron conocimientos y métodos matemáticos rigurosos para el trazado de líneas rectas, paralelas y perpendiculares que permitieron erigir monumentos extraordinarios. Por suerte, han llegado hasta nosotros papiros escritos por los que sabemos que resolvían problemas matemáticos.
La cultura del antiguo Egipto poseía una escritura jeroglífica que se expresaba en las paredes de las tumbas de los faraones. Con el tiempo, esos signos se transformaron en una escritura más simbólica, la hierática. Desarrollada a finales del periodo de las grandes pirámides, se utilizó para documentar toda una serie de aspectos de la vida y de la cultura egipcia. El soporte de escritura eran rollos de hojas de papiro. Gracias a ellos sabemos que los egipcios tenían una notación numérica decimal y que resolvían problemas de geometría y de cálculo con fracciones de la unidad.
De todos los papiros que han sobrevivido al paso del tiempo hay uno que destaca por su alto contenido matemático. Es el papiro Rhind, hallado en Tebas a mediados del siglo XIX cerca del mausoleo de Ramsés II. También se le conoce como papiro de Ahmes, aludiendo al nombre del copista del escrito, quien declara estar copiando un texto más antiguo cuyo escriba autor o autores son desconocidos. La copia de Ahmes se data alrededor del año 1.600 a.C., mientras que el texto original podría ser tres siglos más antiguo.
El papiro Rhind contiene 87 problemas matemáticos. Los seis primeros se dedican a la división de números por 10. Hay 16 problemas de sumas de fracciones, 18 problemas de tablas y ecuaciones, 8 problemas de repartos, 14 problemas referentes al cálculo de volúmenes de prismas y pirámides truncadas, 5 problemas sobre cálculo de áreas de terrenos y volúmenes de sólidos circulares y 15 problemas de economía. La forma del escrito es prácticamente idéntica a la que hoy en día se escriben las matemáticas. Pocas diferencias se encontrarán comparando los apuntes de un estudiante de matemáticas de cualquier nivel educativo con el papiro Rhind.

El papiro Rhind, uno de los textos antiguos de matemáticas mejor conservados.
Los egipcios construyeron también graneros cilíndricos cuya capacidad calculaban a partir del área circular de la base. Su regía para hacerlo era: «resta al diámetro su novena parte y eleva el resultado al cuadrado».

Ilustración que acompaña el problema 41 del papiro Rhind.
En el problema 41 del papiro de Ahmes se pide calcular el volumen de un granero cilíndrico de altura 10 cúbitos y diámetro 9 cubitos. El resultado se obtiene multiplicando el área de la base por la altura. Para calcular ésta se aplica la regla egipcia. La novena parte de 9 cúbitos es 1 cúbito. La diferencia es de 8 cúbitos. Elevando este valor al cuadrado se obtienen 64 cúbitos cuadrados, que multiplicados por 10 dan un total de 640 cúbitos cúbicos. Sin embargo, la solución exacta es:

El resultado egipcio es una aproximación por exceso de tan sólo el 0, 6% y está ligada al valor implícito de π en su fórmula, puesto que es lo único que difiere de la actual. Algunos historiadores valoran el método egipcio con relación a esa aproximación implícita del número π. Si comparamos la fórmula implícita en la regla egipcia con la fórmula del área del círculo que conocemos hoy vemos que la equivalencia determina un valor de 3, 16 para la proporción entre el perímetro y el diámetro de un círculo, esto es, π:

Pero hay dos cuestiones que merecen atención y que vale la pena valorar quizá más que una buena aproximación decimal. Por una parte, los egipcios interpretaron y cuantificaron los volúmenes multiplicando el área de la base por la altura. Por otra, ¿cómo llegaron a esa fórmula? ¿Qué pensamientos no escritos en los papiros egipcios fueron los que condujeron al establecimiento de una fórmula semejante? Una hipótesis es la que relaciona la regla egipcia para el cálculo del área de un círculo con el área de un octógono irregular inscrito en el cuadrado de lado nueve unidades.
En la búsqueda de una figura rectangular de área semejante al círculo es evidente que la del cuadrado inscrito es demasiado pequeña, y la del cuadrado circunscrito, demasiado grande. La media aritmética de ambas no proporciona una buena estimación del área real del círculo, ya que equivale a tomar 3 como valor de pi, π, lo que, de hecho, se hizo a lo largo de varios siglos en el antiguo Egipto y en Mesopotamia. Pero basta hacer que una rueda dé un giro completo para ver que la relación entre su perímetro y el diámetro es claramente mayor que 3.
Teniendo en cuenta que las áreas, a diferencia de las longitudes, no se pueden medir sobre el terreno, otro modo de hacerlo sería trazar un círculo, medir su perímetro y calcular después dicho perímetro para comparar ambos resultados. ¿Qué fórmula emplear para calcular el perímetro? ¿Es razonable tomar como perímetro del círculo la media aritmética de los perímetros del cuadrado inscrito y circunscrito al círculo? Tal vez sí. Pero entonces nos encontramos con otro problema, y es que sin el teorema de Pitágoras no podemos calcular el perímetro del cuadrado inscrito en el círculo.
Una hipótesis es que construyeron un octágono irregular que tomaron como equivalente al círculo. Para ello dividirían en tres partes iguales los lados de un cuadrado de lado nueve unidades. Luego conectarían los ocho tercios para obtener un polígono irregular de ocho lados cuya área es visualmente indistinguible de la del círculo:

El área del círculo es de 63, 6 u2. La del octágono irregular difiere de ella menos de un 1 %:

Otra hipótesis se desprende del problema número 50 del papiro de Ahmes. Aquí se da por sentado que el área de un campo circular de 9 unidades de diámetro es la misma que la de otro cuadrado de lado 8 unidades, y se remite al problema número 48 para su justificación. El problema 48 se acompaña de una figura en la que aparece un polígono irregular inscrito en un cuadrado. En el centro de ambas figuras está escrita la cifra 8. Sin embargo, el diseño es bastante impreciso. El polígono inscrito no tiene ocho, sino siete lados. Además, uno de los lados del polígono no coincide exactamente con otro del cuadrado. En cualquier caso, ¿por qué pensaban los egipcios que un círculo de diámetro 9 equivale a un cuadrado de lado 8?
Desde la perspectiva actual, es verdad que ambas áreas son similares:

Visualmente se aprecia la similitud:

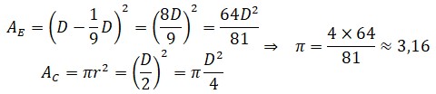
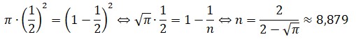
Según Robins y Shute, la respuesta puede que esté en el modo en que el diámetro de este círculo puede relacionarse con el lado del cuadrado. Uniendo un vértice del cuadrado con el punto medio de un lado se crea un triángulo rectángulo cuya hipotenusa es √80. Este valor es muy parecido a √81 = 9, que es el diámetro del círculo:

Lo curioso es que con esta última estimación, tomando 9 como hipotenusa de un triángulo rectángulo de lados 8 y 4 se consigue un resultado todavía más preciso del área del círculo que haciendo el valor correcto √80, ya que 64 está más cerca de 63, 617 que de 62, 83:
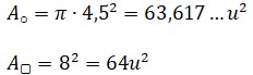
Hipotenusa incorrecta: 82 = 64
Valor exacto: π ∙ 4,52 = 63, 617... u2.
Hipotenusa correcta: π∙(√89/2)2 = 62, 8318... u2.
En todo caso, se comete un error menor tomando 64∙u2 como área del círculo de diámetro 9u que tomando las 63∙u2 que tenía el octógono irregular de antes.
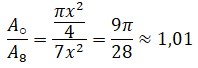
No es extraño que se tomase un cuadrado de lado de 9 unidades para llevar a cabo el procedimiento, pero ¿por qué no partir de un lado de 3, 6 o 12? Si partimos de un cuadrado de lado 3 encontramos que el octógono es de 7 u2, y no se puede encontrar un cuadrado equivalente sin recurrir a los números irracionales. Incluso las áreas de los cuadrados de lado entero más cercanas, como son 4 y 9, están demasiado lejos. Lo que sí pudieron hacer es partir de un cuadrado de lado múltiplo de 3 para poder hacer la división. Pero, ¿qué múltiplo de 3 es el más adecuado? La proporción entre el área del círculo inscrito (A○) a un cuadrado de lado 3x y la del octógono irregular (A8) correspondiente es:

Son extraordinariamente similares. Encontrar un cuadrado de un área parecida al octógono significa encontrar un número c tal que c2 = 7x2. Es imposible para c entero, pero quizá se puede encontrar alguna aproximación, c ≈ x√7, como, por ejemplo, c = 8. Éste es el valor dado por los egipcios y que da lugar a resultados muy parecidos: 7x2 = 63 y c2≈ 64.
Rey Pastor y Babini opinan que la regla egipcia se basa en la habilidad adquirida por ese pueblo en el cálculo con fracciones de la unidad. Si la regla habla de restar la novena parte al diámetro, cabe preguntarse qué fracción entera del diámetro del tipo 1/n, siendo n natural, debería tomarse para conseguir el lado del cuadrado equivalente. Pongamos que el diámetro del círculo es D - 1. Restándole la fracción 1/n y calculando cuál debe ser el valor de n para que elevando el resultado al cuadrado se obtenga el área del círculo de diámetro 1, vemos que el resultado está cerca de 9:

§. Matemáticas con eme mayúscula
Gran parte de las matemáticas tal y como las conocemos hoy en día son herencia directa de la pauta establecida en los Elementos de Euclides. Esta obra no sólo documenta problemas y resoluciones, sino que se pone de manifiesto un modo de pensar matemáticamente que se convirtió en paradigmático hasta que a mediados del siglo XX Bertrand Kussell socavó sus cimientos. Valga como prueba del carácter filosófico y lógico del libro el método de demostración por reducción al absurdo.
La crítica a los Elementos ataca a su primera línea, la definición de que un punto es lo que no tiene partes. Hoy en día un punto se define como un elemento de un espacio afín o topológico. Pero vamos a una crítica sobre la primera de las proposiciones, la que versa sobre la construcción de un triángulo equilátero y que suele ofrecerse a menudo como paradigma del proceder euclidiano, esto es, enunciado del teorema y demostración mediante la aplicación de los axiomas establecidos. Se trata del procedimiento con el que los egipcios pudieron trazar en el suelo las esquinas perpendiculares de sus pirámides.
La proposición 1 dice cómo construir un triángulo equilátero sobre un segmento. Para ello se parte del segmento AB. Se traza con el compás un círculo de radio AB y centro en A. Luego se repite la operación con el centro en B. Los dos círculos trazados crean dos puntos de corte P y Q, cada uno de los cuales se halla a la misma distancia de A que de B. Luego los triángulos de vértices ABP y ABQ son equiláteros:

La crítica moderna a esta demostración alude al hecho de que da por supuesto un axioma de continuidad de las líneas ausente en los postulados euclidianos, lo que no garantizaría que los dos círculos vayan a cortarse en un punto.
Por tanto, los Elementos no son la obra matemática definitiva, sino un producto cultural que recoge y plasma los conocimientos de una época cuyos orígenes se hallan en diferentes culturas. Algunos se atreven a afirmar incluso que nos han enseñado a pensar matemáticamente. Pero el pensamiento matemático no se limita a la tríada axioma, teorema y demostración.
Existen, de hecho, otras formas de pensamiento matemático. Pese a que en los Elementos aparece un procedimiento algorítmico como el del cálculo del máximo común divisor de dos números naturales, no puede afirmarse que el pensamiento algorítmico forme parte verdaderamente del pensamiento matemático de esa obra. No encontraremos en el libro sobre álgebra procesos iterativos convergentes hacia la solución de un problema. Estas ideas son posteriores y características de las culturas china, árabe e india. Eudoxo, que quizá fue contemporáneo de Euclides, realizó trabajos en esa línea de pensamiento, pero no fueron recogidos en los Elementos. Arquímedes, que vivió un siglo después de Euclides, fue quizás el primero que usó la idea de aproximación sucesiva convergente para calcular con la mayor precisión hasta el momento el área de un círculo. Antes que él, los trabajos de Eudoxo fueron en esa línea, pero la idea de sucesión y el control de su convergencia dieron lugar, casi 2.000 años más tarde, al cálculo infinitesimal. Cabe preguntarse si el cálculo infinitesimal habría sido considerado como un proceso o idea matemática por Euclides.
Bertrand Russell llevó las cosas más lejos, hasta el punto de decir que las matemáticas son deducibles de la lógica. Pero que sean deducibles de la lógica no significa que ésta sea su esencia. A diario tomamos decisiones que la lógica puede justificar, pero no las tomamos por una cuestión lógica. Decidimos lo que decidimos por múltiples causas, entre ellas la lógica. Pero gran parte de nuestras decisiones las tomamos en base a la experiencia, la intuición, la imitación, el consejo y a un sinfín de motivos que a posteriori un pensamiento racional puede validar. Pero no pensamos únicamente de esta forma. Tampoco el pensamiento matemático ni el desarrollo de las matemáticas son esto ni se reducen a ello.
§. Aproximaciones sucesivas
Los Shulba Sutras son los únicos documentos matemáticos indios del periodo védico, entre los siglos n y VIH a.C. Incluyen instrucciones para construir rigurosamente altares de culto cuyas formas podían ser cuadradas o circulares en el ámbito doméstico. Pero en el dominio público los altares tenían que ser más sofisticados, llegando a incluir formas triangulares, romboidales y trapezoidales. Uno de ellos combinaba esos polígonos elementales para crear una figura en forma de ave, suponiendo tal vez que ofreciendo un sacrifico sobre él dicho pájaro llevaría en volandas el alma del solicitante.
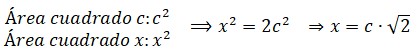
Un problema era la construcción de altares de área doble que otro dado. Éste es un sencillo problema geométrico que puede resolverse de dos formas. Una, visual; la otra, numérica. Esta última es importante cuando se quiere prever la cantidad de material necesario para su construcción. La solución visual es inmediata: basta trazar un cuadrado sobre la diagonal del primero que contendrá exactamente cuatro mitades del cuadrado precedente:

La solución numérica pasa por la aplicación del teorema de Pitágoras o por la búsqueda de un número que elevado al cuadrado sea 2. En efecto, ¿qué lado x tiene el cuadrado que duplica el área de otro de lado c? Veámoslo:

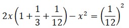
Los Shulba Sutras contienen las instrucciones de un procedimiento algorítmico para calcular la raíz cuadrada de 2 mediante aproximaciones sucesivas. Lo que hay que hacer es añadir a la medida del lado su tercio, después añadir la cuarta parte del tercio y, finalmente, quitarle la trigésima cuarta parte del cuarto del tercio. Dicho de otro modo, y siendo c la medida del lado del cuadrado que se quiere duplicar:

Resumiendo esta operación, vemos que el resultado es una aproximación extraordinaria de la raíz cuadrada de 2, pues coincide con el valor exacto en los cinco primeros decimales:

Posteriormente, en el siglo XV se añadieron dos términos más a esta aproximación para hacerla exacta en siete cifras decimales:
{1, 1, 33333, 1, 41467, 1, 4142157, 1, 4142135} →√2
De dónde salen estas fracciones y el número 34 nada dicen los Shulba Sufras. Como en tantos escritos de carácter matemático, se documentan los resultados, pero no el proceso creativo que conduce a la resolución. Existe la hipótesis de que ese algoritmo indio para el cálculo de la raíz de 2 estaba basado en el procedimiento usado por los babilonios. Ya hemos visto que también este pueblo había logrado calcular la diagonal de un cuadrado con asombrosa aproximación, pero carecemos de evidencias acerca del método que siguieron. Desconocemos incluso si fueron ideas de tipo algebraico o geométrico.
¿Cómo elaboran los matemáticos una teoría del proceso creativo de la resolución de un problema? Nos vemos obligados a trazar un camino hipotético tomando como origen el punto final del recorrido por la persona que resolvió el problema. Saber qué pensó el autor de la resolución documentada en los Shulba Sufras significa dar sentido a esas fracciones y a los números que intervienen en ellas.
Entre las teorías más plausibles está la elaborada por Datta, matemático indio del primer tercio del siglo XX. Comencemos pensando que la aproximación se obtiene siguiendo los pasos de una sucesión numérica que comienza con la longitud unidad del lado de un cuadrado:
En un cuadrado de lado unidad; esa unidad es también el área. Puesto que el primer paso consiste en añadir un tercio, dividimos el cuadrado en tres partes iguales para obtener tres cintas rectangulares. Llamamos A y B a las dos primeras y dividimos la tercera en tres partes iguales. Cada una de ellas será un cuadrado. Al superior lo llamamos C y dividimos los dos inferiores en cuatro partes cada uno. El proceso da lugar a la siguiente configuración:

Disponemos ahora de once cintas (A, B, C y las ocho más pequeñas), que colocamos alrededor del cuadrado original de la siguiente manera:

Completando la esquina vacía cerraremos un cuadrado cuya área superará precisamente en la de esta esquina a la duplicación que queríamos obtener, pues las cintas añadidas suman exactamente el área del cuadrado original. Pero observemos que si se añade la esquinita, la longitud del cuadrado resultante es precisamente la dictada en los Shulba Sufras:

Datta explica la incorporación de la fracción 1/(3 - 4 - 34) desde una perspectiva algebraica más occidental. Según él, la justificación reside en que esa esquina vacía es un exceso que se reparte entre los dos lados que la provocan. Eso quiere decir que el área de la esquina, que es 1/122, se distribuirá en dos rectángulos y en una nueva esquina de lado x que se quitarán a los lados superior y lateral derecho de la pieza:

Llegados a esta igualdad, el argumento de Datta es que el área de la nueva esquina que quedará vacía, ese cuadradito de lado x, es despreciable por diminuta, y entonces:

Quizá fue así como pensó el autor indio, pero ese argumento algebraico y ese razonamiento de despreciar cantidades extremadamente pequeñas no sintonizan demasiado con la búsqueda de valores cada vez más precisos. Ponerse en la piel del autor indio o, mejor dicho, en su mente, significa buscar la razón geométrica de ese raro factor del denominador que es, a priori, el número 34. El problema es dividir la esquinita cuadrada de lado 1/12 en tantas partes como cabe ésta en los lados superior y lateral derecho de la pieza, que son 16 + 16-32 partes. Quitando una amplitud de 1/(12-32) en cada uno de los 16 cuadraditos que forman el perfil de la pieza obtendremos otro polígono inscrito en un cuadrado cuyo lado será:

El área de este cuadrado se aproxima mucho más al valor deseado:

Que siga sin aparecer el valor 34 puede deberse a que quizá se hicieron intentos de mejora, pero existe aún otra posibilidad más plausible. En lugar de reducir los lados del polígono irregular anterior, recortemos el cuadrado de lado 1 +1/3 + 1/12 en sus lados superior y lateral derecho. En cada uno de ellos el lado de la esquinita cabe precisamente 17 veces:

Dividámosla pues en 34 cintas para quitar 17 del lado superior y otras tantas del lateral derecho del cuadrado grande. Haciendo esto habremos quitado un exceso en forma de esquina cuadrada minúscula, de lado:

La pieza resultante volverá a ser un polígono irregular inscrito en un cuadrado que tiene por lado precisamente la aproximación dada en los Shulba Sufras:

Del juego entre el exceso de quitar 34 esquinas y la escasez de reducir 33 parece proceder la alternancia entre las cifras 33 y 34 que caracterizan las siguientes aproximaciones del procedimiento indio:

Sin embargo, y siguiendo una línea de pensamiento paralela a la india, la división del cuadrado original en cinco partes proporcionaría una primera aproximación mejor a la duplicación que la división en tercios.
Esta línea de pensamiento no es euclidiana. Pese a ser lógica y deductiva, no se basa en unos axiomas que aplicar para llegar a demostrar un resultado previsto de antemano. Aquí no hay teorema, demostración y conclusión, sino la búsqueda de algo cuyo carácter conocemos a medida que nos acercamos a ello.
§. Etnomatemáticas: las matemáticas como fenómeno cultural
El pensamiento matemático se hace más complejo y profundo en aquellas culturas que poseen un lenguaje escrito y está directamente asociado a esa capacidad. De aquellas culturas de las que tenemos documentos escritos sabemos cómo pensaban, pero no absolutamente porque en sus escritos matemáticos no se refleja todo. De hecho, lo que falta se parecería bastante a lo que sí escribió Euclides en los Elementos. Es decir, los actos de pensamiento que relacionan causa y efecto.
En las pirámides de Egipto vemos el cuadrado y no el círculo. En Stonehenge vemos el círculo y no el cuadrado. ¿Será el cuadrado una forma para los monumentos relacionados con la muerte como fueron las pirámides? ¿Será que el círculo se relaciona más con cuestiones astronómicas y ritos vinculados al Sol o la Luna?
Las culturas de las que hemos hablado en este primer capítulo dejaron de existir hace mucho. Sus ideas matemáticas fueron desarrolladas mucho antes de lo que ahora llamamos cultura occidental. Su desarrollo fue un fenómeno local: cada pueblo hizo sus matemáticas y resolvió de modo autónomo y autóctono los problemas a los que se enfrentó; fueron Etnomatemáticas.
Tenemos una idea de lo que son las matemáticas y de cómo se han generado muy ligada a la idea de un recorrido bastante continuo en el espacio y en el tiempo. Por lo visto, en la prehistoria no fue así.
Así comenzó todo en nuestra cultura. ¿Qué hay y qué ha habido fuera de ella? Antes de que Colón descubriese América, existían culturas que habían desarrollado importantes conocimientos matemáticos. Y después del descubrimiento del nuevo continente y en la actualidad existen culturas diferentes de la occidental que también han desarrollado conocimientos matemáticos gracias a los cuales son como son y han sobrevivido. De esto hablaremos a continuación.
Matemática ruralA finales de la década de 1980 la profesora Guida de Abren estudió los procedimientos matemáticos usados por los campesinos del noreste de Brasil. Las discrepancias entre los métodos escolares y los autóctonos del mundo rural constituían un obstáculo para la implementación de nuevas técnicas agrícolas. El cálculo del área de un triángulo, por ejemplo, se efectuaba multiplicando el promedio de la longitud de dos de sus lados por la mitad del otro. Es decir, (x + y) ∙ z/4.
Este método tiene sus riesgos. En el caso de un triángulo equilátero de lado x, la superficie obtenida así sería S = x2/2, que es distinta del valor real de (x2√3)/4. En el caso del triángulo rectángulo de lados 30 m y 40 m e hipotenusa 50 m, las tres opciones posibles dan lugar a tres áreas distintas. El valor real es de 600 m2. Los valores por el procedimiento rural son S1 = 800 m2, S2 = 875 m2 y S3 = 675 m2.
Puesto que este último valor es el más próximo al correcto y se ha obtenido tomando el promedio de los dos lados más largos, invita a pensar que la observación de dicha norma proporcione resultados más precisos. Cierto es que resulta mucho más práctica que el cálculo trigonométrico. Además, el sistema de unidades de medida utilizado en este contexto agrario se basaba en la braça, el cubo y la conta. La medida de la braça podía variar entre 2 m y 2, 20 m, y se correspondía con la medida estándar tomada en un bastón de madera. El cubo era la superficie de un cuadrado de lado una braça. La conta era la superficie de un cuadrado con 10 braças de lado.
Capítulo 2
Contar y calcular más y mejor
§. Numeración y cálculo escritos
§. Contar en y con otros lugares
§. El sistema de numeración yoruba (Nigeria)
§. En un mercado de Mozambique
§. En un autobús indio
§. El regateo: una estrategia numérica comercial
§. El ábaco
§. El quipu
§. Numeración y cálculo escritos
¿Qué pensaríamos sí paseando por una calle nos encontrásemos un papel en el suelo como el siguiente?

Ésta es una reproducción libre de una tablilla sumeria de hace más de 4.600 años hallada en Suruppak (Irak). Según Georges Ifrah (Marrakech, 1947), puede tratarse de la división más antigua jamás escrita. Este matemático e historiador ha escrito obras ingentes y muy meticulosas acerca de los sistemas de numeración y de cálculo de todo el mundo. Sistemas desarrollados mucho antes de que las matemáticas recibieran ese nombre.
La tablilla trata sobre la distribución de cebada entre varios hombres. La columna izquierda habla de la cantidad de cebada que hay que repartir, un granero y siete silas (un granero equivalía a 1.152.000 silas). La columna derecha contiene los cálculos necesarios para determinar el reparto. La interpretación del texto de la tabilla es que al repartir un granero de cebada entre varios hombres han correspondido 7 silas a cada uno de ellos. Siendo éstos 164.571, han sobrado 3 silas.
En la tablilla original se hace uso de figuras geométricas trazadas a mano para representar las cifras de la división. Con bolas y conos, unos pequeños y otros mayores, se representaban los números. El cono pequeño era la unidad; una bola correspondía a 10 unidades; un cono grande, a 60 unidades; un cono grande perforado eran 600; una bola, 3.600, y la bola perforada, 36.000 unidades.
El proceso de división en la tablilla se desarrolla de la manera siguiente. El dividendo es 1.152.000. Su descomposición en potencias de 60 es:
1.152.000 = 5 × 603 + 2 × 10 × 602.
Pero, en lugar de expresarla así, y puesto que no se conocen objetos representantes de cantidades mayores, lo que pudo hacerse fue utilizar la mayor unidad de la época, es decir, 36.000. Si queremos expresar 1.152.000 con bolas perforadas, deberemos tomar 32:
1.152.000 = 32 - 36.000.
Al distribuir 32 bolas de éstas en 7 partes iguales, vemos que tocan a 4 y sobran otras 4. Las 4 que tocan a cada hombre constituyen el cociente y son las bolas perforadas que aparecen en la parte superior derecha de la tablilla. Las 4 que sobran son el resto de este primer reparto. Hay que dividirlas de nuevo en otras 7 partes. Puesto que son 4 × 36.000 silas, en piezas inferiores son:
4 × 36.000 = 144.000 = 40 × 3.600.
Es decir, 40 bolas sin perforar. Las repartimos en grupos de 7 para obtener un cociente de 5 y un resto igual de 5 bolas. Estas bolas restantes, equivalentes a 5 - 3.600 unidades, se descomponen en conos grandes perforados de 600 unidades cada uno:
5 × 3.600 = 18.000 = 30 × 600.
Son 30 conos grandes perforados a repartir entre siete. El cociente es 4 y el resto, 2. Sobran, pues, 2 conos grandes perforados de 2 600 = 1.200 unidades que hay que repartir de nuevo entre 7. Utilizamos para ello el «cálculo» o piedra inmediatamente inferior, que es el cono sin perforar de 60 unidades:
1.200 = 20 × 60.
Estos 20 conos se dividen a su vez entre 7, lo que da de cociente 2 y resto 6. Sobran, pues, 6 × 60 = 360 unidades. Estas equivalen a 36 bolas de 10 unidades cada una:
360 = 36 × 10.
Cálculos sumeriosLos cálculos fueron pequeños objetos de piedra o arcilla cuyas formas y tamaños sirvieron para representar cantidades. Su uso dio nombre a la actividad de-«calcular». Un cálculo era cada una de esas piezas. Los súmenos usaron como cálculos pequeños conos y bolas que perforaban para distinguir su significado numérico.
Los llamados hoy en día «cálculos renales» son pequeñas concentraciones de materiales sólidos en el riñón. Generalmente, los cálculos renales son calcificaciones y las molestias que ocasionan están directamente relacionadas con su tamaño.
La división de 36 entre 7 proporciona un cociente de 5 sobrando una bola de 10 unidades o, lo que es lo mismo, 10 conos pequeños. Para terminar, los dividimos entre 7 y obtenemos el último resto de 3 unidades o conos pequeños. En la tabla siguiente se resume todo el proceso:

Las que aparecen en la casilla superior de la columna derecha de la tablilla se corresponden con la tercera columna de la tabla. Debajo de esas piezas están los 3 conos pequeños correspondientes al resto de la división (cuarta columna de la tabla). Desde luego, es una división en toda regla.
A los egipcios del año 2.000 a.C. les resultaba fácil multiplicar o dividir por 10, pues para ello bastaba con sustituir cada símbolo de las cifras del número en cuestión por los símbolos de las superiores o inferiores correspondientes. Véanse, por ejemplo, las expresiones de 48 y de 480 de la figura siguiente (recordemos que los egipcios escribían de derecha a izquierda):

A la hora de multiplicar por otras cantidades no se aplicaba un algoritmo como el nuestro, sino que se seguía un procedimiento basado en la duplicación o multiplicación por 2. Para efectuar el producto de 117 por 14 se formaban dos columnas. En la de la izquierda se anotaban las sucesivas potencias de 2, y en la de la derecha, las duplicaciones de 14. Las columnas terminaban justo antes de que las potencias de 2 superasen la cantidad por la que se multiplicaba 14, es decir, 117:

Ahora se busca en la columna de la izquierda una combinación cuya suma sea 117:
1 + 4+16 + 32 + 64-117.
Entonces, el resultado de la multiplicación es la suma de los números en la columna de la derecha correspondientes a esos sumandos:
14 + 56 + 224 + 448 + 896 = 1.638.
Lo que se hace en la columna de la izquierda equivale a buscar la expresión en base 2 del mayor de los factores del producto (en base 2):
117 = 1∙26 + 1∙25+1∙24 + 023 +1 22 + 0 21 + 1 20 = 1110101.
Esta expresión determina el resultado. Los egipcios de hace 4.000 años, al parecer de forma inconsciente, efectuaban un cambio de base numérica para multiplicar. El éxito de su procedimiento se basa en que siempre es posible hallar una suma en la columna izquierda que coincida con el valor deseado, esto es, expresar un número natural en base 2. Experimentalmente vemos cuál es la causa:
12 = 22∙3 = 22 (2 + 1) = 23 + 22.
15 = 3∙5 = (2 + 1) (22 + 1) = 23 + 22 + 2 + 1.
Los primeros números naturales cumplen esa propiedad:
1 = 20
2 = 21
3 = 21 + 20
4 = 22
5 = 22 + 1
6 = 22 +2
7 = 22 + 21 + 20, ...
Si n es un número natural que la cumple, entonces su siguiente, n+ 1, también la verifica. En efecto, si n es par, ninguno de los sumandos que lo componen es 20 = 1. Por lo tanto, ésta será la potencia de 2 a añadir para formar su siguiente n + 1. De este modo, n + 1 será suma de potencias de 2. En cambio, si n es impar, su descomposición como suma de potencias de 2 acaba con 20. El número siguiente n + 1 se forma añadiendo una unidad, esto es, otro sumando 20. Junto al otro que ya poseía, se crea uno de valor 20 + 20 = 1 + 1 = 2 = 21. Si un sumando 21 ya aparecía en la descomposición, entonces se sumará al nuevo formando otro sumando de valor 22. En cualquier caso, el resultado será una suma de potencias de 2.
Señalando las potencias con las que se escriben en base 2 los 10 primeros números naturales se aprecia el patrón de formación:

La división egipcia de aquella época se hacía de manera similar, sólo que aplicando el proceso a la inversa, planteando la división como si de una multiplicación se tratara. Por ejemplo, en la división de 92 entre 9 la cuestión sería por cuál número hay que multiplicar 9 para obtener 92. Primero construimos las columnas correspondientes. A la izquierda, las sucesivas potencias de 2; a la derecha, las duplicaciones de 9 hasta justo antes de superar el valor 92:

Buscamos ahora en la columna derecha una suma que dé 92. Como no la hay, la división no es exacta. La suma más próxima es 18 + 72 = 90. Luego el cociente de la división es 2 + 8 = 10 (la suma de potencias de 2 correspondientes a los valores 18 y 72), y el resto es 2.
§. Contar en y con otros lugares
Para contar hace falta tener nombres para las cantidades. Todos los idiomas y lenguas los tienen, aunque los hay que carecen o carecían de escritura propia para representarlos. Hoy en día los símbolos de las cifras se han hecho prácticamente universales y se utilizan en cualquier rincón del planeta. Los términos con los que la gente cuenta y nombra los números también son equivalentes. Sin embargo, la fidelidad de una traducción puede no corresponderse con la fidelidad del concepto.
Muchos europeos de hace un par de siglos pensaban que los africanos eran apenas capaces de contar hasta más de diez. Esa creencia fue desmentida por informes de algunos comerciantes del siglo XVIII y por estudios antropológicos llevados a cabo a lo largo del siglo XX.
Algunos podrían pensar que el pueblo kpelle de Liberia central y Guinea, en África, carece de habilidades numéricas por el mero hecho de ayudarse de pilas de guijarros para realizar operaciones aritméticas. Sin embargo, en un estudio llevado a cabo por Gay y Colé, los kpelle nativos obtuvieron mejores resultados en la estimación del número de guijarros en pilas de varios tamaños que los estudiantes de la universidad americana de Yale.
Contamos y calculamos con un sistema de numeración decimal que expresamos de forma oral y escrita. Nuestra sociedad no ve con buenos ojos que una persona adulta se ayude de los dedos para contar, algo solamente tolerado en el periodo de aprendizaje de los niños.
Escribimos y verbalizamos nuestros números con símbolos y fonemas en los que se pone de manifiesto la base decimal de nuestro sistema.
Gesticulación numérica en ÁfricaEl pueblo zulú es la mayor de las etnias de África septentrional. Se encuentran, sobre todo, en Sudáfrica, pero también existen grupos zulúes en Zimbabwe, Zambia y Mozambique. El kamba es una lengua perteneciente a la familia bantú que se habla en Kenia y Tanzania, en África oriental. La tabla siguiente muestra los gestos de ambos pueblos para indicar los numerales del 1 al 10.
Tenemos uno distinto para cada número del 1 al 10. A partir del 10, las raíces fonéticas determinan la expresión verbal de cada cantidad. Por ejemplo, del 11 al 19:

Lo mismo ocurre en las sucesivas potencias de 10, base del sistema, en las que las primeras sílabas señalan su número: treinta (30), cuarenta (40), cincuenta (50), doscientos (200), trescientos (300), cuatro mil (4.000), cien mil (100.000). Una expresión como «siete mil trescientos cincuenta y dos» lleva implícita la descomposición decimal de la cantidad a la que nos referimos:
7∙1.000 + 3∙100 + 5∙10 + 2.
Dentro de nuestra cultura occidental existen diferencias. Pese a utilizar el mismo sistema de numeración decimal, en francés la expresión oral de las decenas superiores a cincuenta se construye tomando veinte como referente. Ochenta son «quatre-vingt», esto es, cuatro veces veinte. Ochenta y cinco se dice «quatre-vingt cinq», o sea, 4∙20 + 5.
Claudia Zalavsky (Nueva York, 1917-2006) fue pionera en el estudio de ideas matemáticas vernáculas, contribuyendo a la gestación de las Etnomatemáticas. Su obra Africa Counts (África cuenta) es un estudio en el que anticipa muchos de los aspectos que años más tarde conformarían lo que el profesor brasileño Ubiratan D'Ambrosio llamó Etnomatemáticas. Zalavsky recopiló multitud de ideas matemáticas gestadas en el seno de culturas africanas: sistemas de numeración de base no decimal, cálculo digital y patrones geométricos, tanto de construcción como de ornamentación.
Fuera de nuestra cultura occidental son corrientes las expresiones orales en las que se toma como referente el número cinco para denotar cantidades superiores a los dedos de una mano. En algunas variedades lingüísticas del bantú (África central), la raíz para el número 5 es taño y determina los términos para el 6, el 7, el 8 y el 9. Estos se construyen añadiendo a dicha raíz correspondiente a las 5 unidades las terminaciones 1 (-mwe), 2 (-valí), 3 (-tatú) y 4 (-ne). De esta forma se obtienen los términos para el 6 (tano-na-mwe), el 7 (tano-na-vali), el 8 (tano-na-tatú) y el 9 (tano-na-ne).
En Guinea-Bissau y África Central se usan también sistemas basados en el cinco y en el veinte, entendiéndose el cinco como los dedos de una mano, y el veinte, como el total de dedos de una persona, manos y pies. De esta forma se habla de «dos manos» para referirse al 10 o de «un hombre completo» para el 20. Una expresión como «cinco hombres enteros» correspondería al 100.
El modo en que un pueblo se refiere a los números denota el modo en que los piensa. Esas terminologías autóctonas resultan prácticas para contar cantidades pequeñas, pero no para realizar operaciones con números grandes. El sistema de numeración del pueblo igbo (Nigeria) se basa en el veinte. Su término para el cuadrado de 20 es nnu. Y el cuadrado de 400 se expresa como nnu khuru nnu, que significa «400 encuentra 400».
Un contexto donde los números desempeñan un papel primordial es el del comercio. Para comerciar es necesario saber medir y pesar, saber calcular y disponer de algún sistema de registro. Ningún comercio es posible sin el intercambio, lo que hace necesaria una unidad de valor. Esto nos lleva a la multiplicación y la división.
En África se han usado como moneda las conchas, las vacas, la sal, los esclavos y el oro. Hoy en día prima el dinero, aunque en mercados locales el intercambio directo de objetos diversos también se practica.
Hace un siglo, el pueblo ewe de la costa de Guinea comerciaba con conchas de cauri. Cuarenta conchas formaban la hoka, la unidad de intercambio ewe. Tierra adentro la hoka no correspondía a 40 conchas, sino a 35. Los ewe eran eficaces multiplicando y lo hacían con rapidez, retirando 20 veces 3 conchas para añadir luego 10 y completar así 2 hokas del interior: 20∙3 + 10 = 70.
¿Significa esto que los ewe buscaban la relación entre ambas hokas? Teniendo en cuenta que 20 es la mitad de 40 y que 10 es su cuarta parte, ¿sabían entonces que con tres mitades y una cuarta parte de su hoka duplicaban la otra? Es más, ¿eran conscientes de que la relación entre ambas divisas era 8:7 y de que el equivalente en hokas interiores de un precio en hokas ewe se obtenía multiplicando éste por 7 y dividiéndolo por 8? Una pregunta de difícil respuesta.

§. El sistema de numeración yoruba (Nigeria)
Mención especial merece el extraordinario y complicado sistema de numeración de los yoruba (Nigeria). Valga decir a modo de ilustración que su término para el número 48 significa, literalmente, 20∙3 - 10 - 2.
El yoruba es un sistema vigesimal, pero, a diferencia de la inmensa mayoría de los sistemas vigesimales, se construye más sobre la resta que sobre la suma. Esto podrá parecer chocante y demasiado complejo, pero no es el único caso de numeración sustractiva; también lo es la notación numérica romana:

¿Cómo expresar un número en el sistema yoruba? Para saberlo analicemos antes las expresiones de todos los números hasta el 20, base del sistema. Del 1 al 10 se utiliza un término distinto para cada cifra. Los términos del 11 al 14 se forman añadiendo la terminación -ha a los términos del 1 al 4. Es en el 15 donde aparece la resta por primera vez para formar los términos cuyo significado literal es 20 - 5, 20 - 4, 20 - 3, 20 - 2 y 20 - 1. El número 20 posee un término nuevo; a partir del 21 se usa de nuevo la notación adicional, que vuelve a cambiar a sustractiva en el 25. El patrón se aplica sucesiva y cíclicamente. Por ejemplo, 105 = 6∙20 - 10 - 5 y 315 = 400∙20 - 4 - 5 (400 posee nombre específico).
En cuanto a la expresión de algunos números grandes:

Las razones que pudieron inspirar este modo de pensar los números hay que buscarlas quizás en el conteo de conchas de cauri. Su recuento se iniciaba formando grupos de cinco y luego de veinte. Cinco grupos de veinte formaban una pila de cien. Al reunir conchas para formar un grupo de cinco, lo que hacemos es contar desde 1 hasta 5. Esto explicaría el hecho de que los yoruba añadan esas unidades al 10 para formar los números 11, 12, 13 y 14. Sin embargo, no explica por qué se produce el cambio en el 15.
Una posible explicación será el hecho de contar con una sola mano. Supongamos que tenemos en mente la decena y extendemos los dedos de una mano sucesivamente para contar 11, 12, 13 y 14. ¿Cómo contaremos con la misma mano los números restantes hasta 20? Primero, extenderemos el quinto dedo para ver nuestra mano abierta. A continuación, iremos cerrando sucesivamente los dedos hasta llegar a la decena siguiente. Por tanto, lo que la extensión de los dedos añade a la primera decena, el cierre de los dedos se lo quita de la siguiente. Así, cuando tenemos el quinto dedo extendido ya pensamos que estamos restando 5 de 20, o sea, 20 - 5 = 15. Cerramos un dedo y estamos en 20 - 4 = 16; cerramos otro y tenemos 20 - 3 = 17. Cuando volvamos a cerrarlos todos estaremos iniciando ya el recuento de la decena siguiente, esto es, 20.
§. En un mercado de Mozambique
Diversos estudios sobre aritmética han analizado el modo en que las personas calculan fuera del ámbito escolar. Uno de esos estudios tenía como objeto conocer cómo las mujeres calculaban mentalmente sumas y restas en su actividad cotidiana. Uno de los lugares de dominio femenino son los mercados. Para restar 5 unidades de 62, más de la mitad de las mujeres de un mercado en Mozambique (África oriental) restaban primero 2 unidades y luego sustraían 3 del resultado:
Con respecto a la misma operación, aproximadamente una tercera parte de ellas restaban 5 de 60 y añadían después dos unidades al resultado:
62 - 5 = (60 - 5) - 2 = 57.
Una minoría restaba 10 de 62 y añadía luego la diferencia entre 10 y 5 al resultado:
62 - 5 = (62 - 10) + (10 - 5) = 57.
A la hora de multiplicar, la mayoría de esas mujeres duplicaban los números hasta obtener aproximaciones al resultado. Por ejemplo, para calcular 6 - 13, una solución sería la siguiente (se trata de un método que guarda cierta similitud con el método egipcio mencionado al principio de este capítulo):

Se desconoce, sin embargo, si esos procedimientos de cálculo eran creación de las mujeres, si eran adaptaciones de otros métodos ya conocidos o si forman parte de alguna tradición cultural o comercial relacionada con su tarea en el mercado. Tampoco se sabe cómo se producía el proceso de enseñanza y aprendizaje, si es que existía alguno.
En Nigeria también se dan casos de cálculo no formal semejantes a los expuestos. Algunos métodos para calcular 18 + 19 son:
18 + 19 = (18 - 1) + (19 + l)=17 + 20 = 37
18 +19 = (20 - 2) + (20 - 1) = 20 + 20 - (2 + 1) = 40 - 3 = 37.
Para dividir 45 entre 3 el hecho de saber que 21/3 = 7 puede resultar muy útil:

Estos procedimientos dejan claro que hay muchos modos de hacer las cosas y de que fuera de la escuela existe pensamiento matemático.
§. En un autobús indio
Chennai, llamada antes Madrás, es la capital del estado de Tamil Nadu, al sureste de la India. Los conductores de autobús de esa localidad se ven obligados a realizar cálculos mentales con agilidad. Por una parte, tienen que determinar el importe a cobrar a cada pasajero, lo que depende de las tarifas entre los diferentes puntos del recorrido. Por otra, al finalizar la jornada, deben calcular lo que se conoce como batía, es decir, su salario correspondiente en base a la tarifación del día. El batta depende de varias variables, como son el tipo de autobús, la cantidad de viajes efectuados y el monto total del dinero recolectado durante la jornada.
Nirmala Naresh, de la State University de Illinois, en Estados Unidos, ha estudiado los procedimientos que usan los conductores para calcular tanto su batta como el importe que debe pagar un pasajero según su trayecto. Para ello necesita tener en mente constantemente la relación entre la divisa india, la rupia, y su centésima parte, la paisa, y, sobre todo, los diferentes billetes y monedas:
| Billetes (Rupias) | Monedas | |
| Paisas | Rupias | |
| 1, 2, 5, 10, 50, 100, 500, 1.000 | 5, 10, 20, 50 | 1, 2, 5 |

Una calle de Chennai, en Tamil Nadu, India (foto: geekandchick.cl).
Los siguientes son los mecanismos mentales llevados a cabo por un conductor de autobús de Chennai para llevar a cabo las multiplicaciones de 3∙293 y 3, 50∙61:
3∙293 - 3300 - (3∙7) = 900 - 21 = 879.
3, 50∙61 = 3∙61 + ½61 =183 + 30, 50 = 213, 5.
Como se aprecia, las multiplicaciones no son directas ni aplican los métodos académicos, sino que se basan en la reducción a productos más sencillos y fáciles de calcular mentalmente. En el primer caso, se busca un número más redondo próximo a 293, que es 300. Es fácil multiplicarlo mentalmente por 3. Pero al hacerlo, el resultado excede del correcto precisamente 3 veces el mismo exceso cometido al tomar 300 en lugar de 293, que son 7 unidades. Por eso hay que restar el triple de 7 a 900. En el segundo caso, se descompone el número decimal, 3, 50, en su parte entera y la decimal. Es decir, en tres unidades y media. Luego se multiplica 61 por 3, que da 183. Por último, sólo falta añadir la mitad de 61, que es 30, 5.
Esos cálculos mentales demuestran una habilidad excelente, no sólo en la descomposición aditiva, sino en el uso real y práctico de la conocida en el ámbito académico como propiedad distributiva del producto con relación a la suma. Aunque esas personas hayan recibido una educación matemática elemental y a pesar de que hayan realizado cálculo mental en la escuela, los procedimientos usados en su práctica laboral y cotidiana no se corresponden con los académicos. Son, por lo tanto, vernáculos.
Separar las partes entera y decimal a la hora de multiplicar un número decimal por un entero es corriente en contextos prácticos donde el cálculo ha de realizarse mentalmente. Una estrategia vernácula desarrollada en el seno del ámbito práctico, no aprendida en la escuela, y que se da en muchas partes del mundo. En este contexto, los billetes y monedas son herramientas auxiliares para el cálculo.
Cálculo mental de cuadradosPuesto que (n ± 1)2 = n2 ± 2n + 1, el cuadrado de un número entero puede calcularse mentalmente a partir del cuadrado de su anterior o del siguiente:
312 = 302 + 2∙30 + 1 = 900 + 60 + 1 = 961.
192 =202-2∙20 + 1 = 400 - 40 + 1 = 361
Puesto que n2 = a2 + n2 - a2 = a2 +(n + a)∙(n - a), también puede calcularse el cuadrado de un entero a partir de su diferencia con otros dos cuyo producto sea fácil de calcular
192 = 1 + (192 - 12) = 1 + (19 + 1)∙(19 - 1) =1 + 20∙18 = 1 + 360 = 361
372 = 9 + (372 -32) = 9+(37 + 3)(37 - 3) = 9 + 40∙34 = 9 + 40∙(30 + 4) = 9 + 40 - 30 + 40∙4 = 9 + 1.200 + 160 = 1.369.
§. El regateo: una estrategia numérica comercial
El regateo ha sido y es todavía una actividad universal del ámbito comercial. En el mundo occidental prácticamente ha desaparecido ya, pero en otros lugares esa práctica continúa viva en mercados tradicionales y en aquellos vinculados al turismo.
El objetivo del regateo es que el vendedor y el comprador de un artículo lleguen a un acuerdo satisfactorio para ambas partes. Suele abrir el tira y afloja el vendedor, quien comienza diciendo un importe que el comprador debería pagar para hacerse con el artículo. Ya forma parte del juego que la primera suma sea exagerada, a veces muy exagerada, por lo que el comprador debe contrarrestar esa primera oferta con un precio bajo. Pero no excesivamente, porque el vendedor podría sentirse ofendido y excluir al comprador, dando por terminado el regateo.
Una regla no escrita de los regateos que se realizan en los mercados tradicionales es que el buen estratega encontrará la manera de regatear la primera oferta del vendedor hasta lograr un acuerdo consistente en pagar la mitad de ésta, aproximadamente. Pero eso puede cambiar si el vendedor invita al comprador a que sea éste el que realice la primera puja.
Lo más corriente es regatear por cantidades fijas, pero también pueden efectuarse regateos por descuentos. Ante una oferta de descuento del 5%, uno no debe esperar conseguir hacerse con el servicio con un descuento del 50%, la mitad del precio. En un caso así regatear hasta duplicar el descuento ofertado y obtener uno del 10% puede considerarse todo un éxito. Cuando se habla de descuentos las cantidades a los que se aplican acostumbran a ser grandes, y una pequeña variación del porcentaje supone mucho dinero. Por eso el regateo con porcentajes no suele ser tan ventajoso.
Un primer modelo matemático del regateo puede ser lineal, es decir, que la variación de los precios ofertados por ambos contendientes siga un patrón de proporcionalidad. Es el más sencillo, pero enseguida nos daremos cuenta de lo inapropiado que resulta, pues en la práctica real los valores ofertados no aumentan o disminuyen a intervalos regulares, sino que varían cada vez menos a medida que se aproximan al acuerdo.
Más adecuado parece un modelo que contemple una variación curvilínea de las ofertas. La correspondiente al comprador, C (x), será creciente y cóncava. Esto significa que el comprador ofrecerá precios cada vez mayores, pero cuyas diferencias irán disminuyendo. Por ejemplo, una serie de valores como 20, 60, 100 y 140 obedecerían a un modelo lineal, mientras que 20, 50, 70 y 75 responderían a este último modelo. Son cuatro valores crecientes, pero cuyas diferencias disminuyen. Por el contrario, la curva del vendedor, V(x), será decreciente y con diferencias también cada vez menores. Dando por buena una pauta por la que el aumento de C(x) y la disminución de V(x) sean proporcionales al último valor ofertado, obtendremos curvas de tipo parabólico, ya que ese aumento o disminución corresponde a las derivadas, V'(x) y C'(x), de cada función. En el caso de la curva del comprador, la derivada es positiva (C(x) es creciente); y en el del vendedor, es negativa (V(x) es decreciente):

V(0) = B es el precio de salida del vendedor. El resultado son dos parábolas de distinta curvatura que se cortan en el punto de acuerdo:

Pero no sabemos si los contendientes del regateo piensan así las cosas. Es decir, si sus ofertas son proporcionales a la última efectuada. ¿No pensarán, tal vez, que cada oferta debe aumentar o disminuir de forma inversamente proporcional a la diferencia que la separa del precio de partida? De ser así, tenemos un nuevo modelo. Y es logarítmico, ya que así es la función que resuelve la ecuación diferencial a la que da lugar este planteamiento. Siendo V el valor inicial del vendedor:

Si la constante k es positiva para el comprador, para el vendedor es negativa:

Pero, ¿qué ocurre en la realidad? ¿Realmente, la gente realiza sus apuestas reflexionando en proporcionalidades semejantes, directas o inversas? Seguramente, no. Veamos los datos correspondientes a tres regateos reales llevados a cabo por el autor en otros tantos establecimientos comerciales directamente ligados al turismo. No estamos en un ambiente de mercadillo ni de mercado tradicional, sino que en los tres casos se trataba de tiendas. Ni tan siquiera mis ofertas se hicieron en base a proporciones o pautas numéricas concebidas de antemano, sino que fueron sopesadas en base a los aspectos que se expondrán a continuación.

En el establecimiento 3 los artículos tenían los precios etiquetados, de ahí el símbolo «pm» en la tabla anterior. Esto suele ser signo de precio fijo. El precio marcado en el artículo que inspeccionaba era de 350. Mientras consideraba la opción de preguntar si, como parecía, los precios eran fijos, una dependienta me informó de que podría ofrecerme un descuento.
¿De cuánto sería el descuento?, pregunté. Se lo doy por 300, fue la respuesta. No era una rebaja muy grande, por lo que intuí que, pese a que los precios no fuesen fijos quizá serían bastante aproximados. En cualquier caso, el precio que podría obtener no iba a ser muy bajo. Me tocaba a mí reflexionar sobre cuánto ofrecerle. Consideré un precio inferior a 200, pero me pareció excesivamente pequeño. El mayor por debajo de 200 era 199, así que mi oferta fue 200, para que pareciese más alto. La dependienta me replicó con 280. Esa oferta me desanimó un poco, pues sólo difería 20 de la anterior. Intuí que acabaríamos cerca de 250, pero no quería acercarme a este valor tan deprisa. Le ofrecí 230, un poco más que 225. Ella se puso en 260. Para terminar, concluí diciéndole que mi último precio era 250. Ella insistió en 260, pero yo no cedí. Quedamos en 250.
Tras el regateo, planteé a la propietaria qué margen de regateo toleraba, qué valor mínimo podía aceptar a partir del precio marcado en un artículo. Expresó su respuesta en porcentaje: 25 %. Manifestó que en su tienda era así, pero que en otros ámbitos, como los mercados tradicionales, el margen podía ser muy superior. Siendo así, no estuvo mal obtener un artículo marcado a 350 por 250. La rebaja superó el 28%.
Como consecuencia de estos resultados prácticos puede elaborarse un nuevo modelo matemático del regateo. Hay algo en los valores de la tabla que nos es familiar, una especie de equilibrio subyacente. Además, convergen de forma clara hacia el que al final es el valor del acuerdo. ¿Qué pauta gobierna dicho equilibrio? Formulemos nuestra hipótesis declarando que lo que gobierna ese equilibrio es que cada oferta se realiza calculando el promedio de los dos últimos valores efectuados. Es decir, que la sucesión de números que se generan durante el regateo a partir del valor inicial x0 ofertado por el vendedor y del valor inicial ofertado por el comprador tiene por término general:

Esto no es otra cosa que el promedio, la media aritmética, de los dos últimos valores mencionados en el regateo. Y es una expresión muy similar a la del término general de la sucesión de Fibonacci. ¿Se ajusta este modelo a la realidad práctica? Veámoslo comparando las cifras de los tres regateos anteriores con las de este modelo al que nos referiremos como el modelo promedio del regateo:

El parecido es asombroso. Por tanto, y al menos en el contexto de establecimientos comerciales turísticos, el modelo promedio del regateo puede darse por bueno. La cuestión ahora es determinar hacia qué valor tienden los regateos efectuados siguiendo este modelo. Dicho de otro modo, ¿a qué valor final cabe esperar que se aproximen los regateos realizados en lugares de características similares a los anteriores? Veamos qué ocurre tomando los valores iniciales de los tres regateos precedentes:

¿Qué tienen que ver esos números con los pares de valores iniciales del regateo (45, 20), (80.000, 40.000) y (350, 200)? Si se observan los gráficos correspondientes, se aprecia su semejanza de forma:

Un estudio del término general de este modelo muestra claramente lo que ocurre. El límite X al que converge la sucesión de valores de la sucesión de regateo determinada por los dos valores iniciales del vendedor (x0 y del comprador (x1) es:

El cálculo de X con los valores iniciales correspondientes a los tres regateos anteriores muestra hacia dónde tiende la situación:

Obsérvese que en los tres casos el quinto término se acerca ya tanto al límite que no tiene demasiado sentido ir más allá en el regateo. Quizá por eso los regateos no se extienden más allá de cuatro o cinco valores. He aquí otro aspecto real y práctico que valida el modelo matemático expuesto. Tal y como se ha dicho, los regateos mencionados no se efectuaron siguiendo esas pautas. Sin embargo, el modelo se ajusta tanto a la realidad que no cabe sino admirar esa capacidad humana de sopesar intuitivamente datos numéricos en busca de un equilibrio.
§. El ábaco
El primer registro de datos numéricos y la primera calculadora de mano de la historia fueron las manos del hombre. Esto significa que, en términos contemporáneos, las manos fueron el primer software de la historia. Con los dedos de la mano contamos hasta 5. Con los dedos de las dos, hasta 10. Aprovechando los dedos de los pies podemos llegar hasta 20. Pero usando las falanges como unidades y los dedos como potencias de 10, puede contarse hasta diez mil millones. Es una posibilidad que nadie usa por su impracticabilidad.
Más allá del recuento, las manos se han utilizado en diversas culturas para calcular, sobre todo multiplicaciones. Una práctica extendida por Asia y Europa es la multiplicación digital. Para multiplicar 6 por 8 con los dedos se procede de la manera siguiente: se abren los dedos de una mano hasta contar 6 unidades, por lo que después de la quinta cerraremos un dedo. Esta mano quedará con 1 dedo cerrado y 4 abiertos. En la otra contamos hasta 8 de la misma forma, quedándonos con 3 dedos cerrados y 2 abiertos. Ahora sumamos los dedos cerrados (1 + 3) para obtener 4, que serán decenas, y multiplicamos los dedos abiertos (4 × 2), que serán las unidades. El resultado es 40 + 8 = 48.
Este procedimiento combina el cálculo mental de sumas y productos sencillos con números bajos. El problema simplifica las cosas porque nunca tenemos que sumar o multiplicar números mayores que 5. Digamos que la multiplicación de números menores o iguales a 10 se reduce a una multiplicación módulo 5. Este sistema se utiliza en contextos cotidianos e incluso académicos pertenecientes a países culturalmente relacionados (India, Indonesia, Irak, Siria y norte de África). Sin embargo, no es muy práctico cuando se aplica a números grandes. Se pueden desarrollar ampliaciones de este sistema para multiplicar por cualquier número. Sin embargo, que algo sea teórica y prácticamente posible no quiere decir que sea eficaz o lo suficientemente eficaz como para practicarlo. Para eso es mejor usar instrumentos de cálculo.
Un versículo del capítulo 27 del Tao te Ching de Lao-Tsé dice que quien sabe calcular no usa el chou. El chou era un instrumento de cálculo formado por un tablero de madera y una serie de palillos de bambú. Su uso se remonta a los siglos V y III a.C., por lo que estamos hablando de una de las herramientas de cálculo más antiguas que se conocen.
El chou consistía en un tablero cuadriculado de 8 x 8 casillas en las cuales se colocaban bastoncillos de bambú representando los números. En sus orígenes, éstos se representaban con tantos palillos como unidades correspondía hasta 10, pero luego se adoptó un sistema simplificado en el que bastoncillos transversales representaban 5 o 10 unidades. Así, los números del 1 al 5 se representaban con palillos verticales. El 6, el 7, el 8 y el 9 se hacían con un palillo horizontal (que representaba al 5) al cual se añadían debajo tantos palillos verticales como fuese necesario. El 10 era un palillo horizontal, y las decenas se hacían con más palillos horizontales. Pero en 60, 70, 80 y 90, los palillos verticales se añadían en la parte superior para distinguirlos de 6, 7, 8 y 9. A partir de ahí, era un problema situar palillos para representar centenas, millares y potencias de 10 mayores todavía. Los chinos resolvieron la cuestión con un tablero cuyas líneas de casillas harían las veces de posiciones de las cifras. Eso daba pie a que una casilla vacía simbolizase el 0.

Los números 6.104 y 84.071 representados en el chou.
Las multiplicaciones se realizaban combinando el cálculo mental de pequeños productos y sumas que se representaban en el tablero. Igual que en los mercados africanos de los que se ha hablado antes, su esencia era la descomposición decimal y el uso implícito de una propiedad que por entonces todavía no se llamaba distributiva. Para multiplicar, por ejemplo, 285 por 43 se dejaba entre las líneas de ambos números una línea vacía donde iban situándose los cálculos intermedios. El procedimiento mental era el siguiente:

Se basaba, por tanto, en la descomposición de 285 y 43 en centenas, decenas y unidades:
285∙43 = (200+ 80+ 5)∙(40∙4 - 3) =
= 40∙200 + 40∙80 + 40∙5 +3∙200 +3∙80 + 3∙5 =
= 12.255.
El tablero se usó también para resolver ecuaciones y sistemas. Al chou se le atribuye asimismo el haber inspirado la notación escrita de los números en barras. Hay quienes ven en él un antecedente del ábaco inventado mucho tiempo después, hacia el siglo XIV.
Pese a ser un instrumento muy antiguo, sorprende el uso cotidiano del ábaco en todo el mundo, especialmente en países del Sudeste Asiático (Singapur, Tailandia) y de Asia oriental (China, Corea y Japón). En Japón recibe el nombre de soroban.
El ábaco es un rectángulo alargado, generalmente hecho de madera, con una barra transversal y multitud de varillas verticales en las que hay ensartadas siete bolitas de madera. Dos de éstas están encima de la barra transversal; las otras cinco, debajo de ella. El número de varillas puede variar entre ocho y veinte, aunque puede ser mayor.

Teniendo en cuenta que en cada varilla se representan las unidades desde 0 hasta 10, y que cada una de ellas corresponde a una potencia de 10, en un ábaco de 20 varillas se pueden representar números tan grandes como 1020 - 1.
No en todos los lugares hay bambú o madera con los que construir herramientas de cálculo como el chou o el ábaco. Ya se vio como en la Sumeria de hace miles de años se utilizaban cálculos de piedra para representar las cifras y los números. En América, el sistema de numeración maya es similar al chino y utilizaba la piedra como soporte de talla. Además, los mayas tenían un símbolo para el cero. Mucho más al sur del continente americano encontramos otro instrumento de cálculo insólito muy diferente del chou y del ábaco. Como éstos, era fácilmente transportable, no sólo gracias a su tamaño, sino también a su flexibilidad. Aparte del cuerpo humano, los quipus incas fueron los primeros soportes blandos de registro de datos numéricos.
§. El quipu
Los quipus son haces de cordeles en los que los incas registraban sus cuentas. El análisis de los ejemplares que se han conservado permite ver cómo se llevaba un registro de datos numéricos. Un ábaco consta de piezas de madera ensartadas en un listón o alambre; en el quipu no se ensartan cuentas, sino que se hacen nudos. Un nudo representa una cifra o un número según la posición que ocupa en el cordel y depende también del color de éste.

Quipu inca (foto: Claus Abieiter).
Por lo general, los quipus eran de lana o algodón. Para los incas, los cordeles de cualquier tipo eran muy importantes porque servían para cuestiones relevantes de su vida como, por ejemplo, construir puentes y pagar tributos. Se cree que los quipus se utilizaban para registrar datos de tipo contable relacionados con censos y cosechas, pero no se han descifrado completamente como para poder despejar dudas acerca de su significado.
En un quipu, la manera en que están hechos los nudos, su color y su posición con relación a otros nudos y cordeles de la pieza son determinantes. Extendido, un quipu viene a ser una línea de la que penden toda una serie de cabellos. Peinándola, es decir, separando cada hilo para poder apreciar con claridad lo que contiene, se aprecian los nudos, la configuración de la pieza entera, y puede aventurarse su significado.
Los incas carecían de escritura, por lo que los quipus son lo más parecido a ella que encontramos entre los vestigios de esa cultura. Es posible que algunos quipus hagan referencia a acontecimientos históricos y sociales de la vida y que su significado no sea únicamente matemático.
Un quipu se compone de un cordel principal más grueso que el resto y del cual penden toda una serie de cordeles más finos en los que se han practicado los nudos. Esos cordeles secundarios pueden ramificarse a su vez en otros de tercer, cuarto y órdenes superiores, poniendo así de manifiesto la estructura arbórea de la pieza. Su número puede ser variable, desde unos pocos hasta centenares o miles. Entre los cordeles secundarios los hay que parten del principal en direcciones opuestas. Cuando el quipu se extiende sobre un plano con su cordel principal situado a modo de eje horizontal, hay cordeles secundarios apuntando hacia arriba y otros hacia abajo. La distancia que separa los puntos de conexión de los cordeles del cordel principal facilita su distinción. Lo mismo vale para los secundarios y de otros órdenes. También se distinguen por el color, pues un quipu puede ser monocromo o estar confeccionado con multitud de colores. Así como los nudos acostumbran a representar cifras, los colores pueden referirse a los contextos pertenecientes a ellas, como diferenciar productos o grupos de gente a los que hacen referencia.
La numeración quipu es decimal y posicional, como la nuestra, y se expresa por medio de nudos. Marcia Ascher, matemática estadounidense e investigadora etnomatemática, ha estudiado multitud de quipus y ha clasificado los nudos en tres tipos: simples, compuestos o en ocho. El nudo simple es el más sencillo y lo conoce todo el mundo. El nudo compuesto es una extensión del nudo simple: si en éste el cordel da una vuelta, en el nudo compuesto da dos o más. En el nudo en ocho se dan dos vueltas, pero en sentido opuesto una de la otra. Aquí debería incluirse otro tipo de nudo un tanto especial como es el nudo ausente, pues la ausencia de nudos se interpreta como un cero.

Adaptaremos aquí la simbología con la que la profesora Ascher representa dichos nudos: un punto grueso para el nudo simple y una pequeña cruz para el compuesto. Sin embargo, en lugar de la letra E (inicial del término inglés eight) para el nudo en ocho, utilizaremos la letra O. En cada cordel los nudos se agrupan a intervalos. Cada intervalo está relacionado con la correspondiente potencia entera de 10 contada desde su extremo.

En los extremos no se emplean nudos simples. En un principio, podrían usarse nudos compuestos y nudos en ocho, pero no tendría mucho sentido representar una unidad con un nudo compuesto. Por eso se hace con un nudo en ocho. Así que las unidades, que se ubican en los extremos de los cordeles, se expresan con un nudo en ocho. Con la nomenclatura adoptada se representan varios números en un quipu imaginario:
El quipu es un instrumento de codificación y de numeración decimal posicional, pero se desconoce si se le daba algún uso como herramienta de cálculo.

Capítulo 3
Matemáticas para los dioses
§. Arquitectura asiática
§. Arquitectura vernácula del nuevo continente
§. Arquitectura islámica
§. Ofrendas dignas de la divinidad
§. Rosetones divinos
§. Arquitectura asiática
Durante el milenio de la Edad Media apenas se produjeron avances en Europa. Sólo el Renacimiento italiano y las grandes expediciones lograron despertar al continente del letargo. Gracias a esos viajes supimos que fuera de Europa había muchas otras cosas. Había bienes y riquezas, pero también había algo más. Había otros pueblos y culturas, otras creencias y modos de ver la vida. Había hortalizas y vegetales desconocidos con los que se enriquecería la alimentación de los europeos. Había tejidos, diseños y arquitectura. Y, por lo tanto, pensamiento matemático.
La arquitectura asiática de aquella época giraba en torno al budismo. Más que una religión, el budismo es una filosofía de la vida centrada en cuatro aspectos. Primero, la existencia es sufrimiento; segundo, si sufres es porque deseas algo; tercero, para no sufrir hay que evitar el deseo; y cuarto, el deseo se elimina siguiendo el óctuple camino de Buda.
El Gran Stupa de Sanchi, en la India, es una construcción religiosa budista del siglo I a.C. Los stupas se construían con diversos fines: originariamente fueron sepulcros, pero más tarde se destinaron a albergar reliquias, como huesos o fragmentos del cuerpo de Buda, a señalar un lugar sagrado o a conmemorar un acontecimiento importante. Los peregrinos deben recorrer el perímetro del stupa en el sentido de las agujas del reloj.
La estructura del Gran Stupa es semiesférica, con un diámetro de unos 40 m. Como todos los stupas, está coronado por un cubo o dado de casi 6 m de lado que se alza sobre su cima achatada. Por encima del dado se levanta un cimborrio formado por tres piezas circulares de piedra, de diámetro decreciente, ensambladas en un eje que pasa por sus centros.
No sabemos cómo lograron dar forma a ese Gran Stupa los arquitectos. Una hipótesis es que trazaron la gran circunferencia de la base con un largo cordel a modo de radio, pero ¿cómo obtuvieron la curvatura semiesférica de la cúpula? Hablamos de semiesfera, pero ¿lo es realmente? En una semiesfera las paredes tocan el suelo perpendicularmente. No es el caso del stupa. ¿Cómo dieron forma cuadrada al dado de la cima? Hacerlo supone tener el conocimiento para construir ángulos rectos. ¿Lo hicieron como los antiguos egipcios? Por entonces ya se sabía que un triángulo de lados proporcionales a 3, 4 y 5 poseía un ángulo recto. El uso de esta propiedad para trazar ángulos rectos en el suelo es algo corriente en el mundo de la construcción actual, pues se ha documentado en lugares tan distantes como Argentina, España y Suecia. Otro modo práctico de construir un ángulo recto es trazar un triángulo con dos lados iguales y unir el vértice que los une con el punto medio de la base. Este segmento determina la altura del triángulo. Se trata de un procedimiento similar al expuesto en el capítulo 1 con relación a la construcción del ángulo recto de las bases de las pirámides de Egipto.

Gran Stupa de Sanchi, en Madhya Pradesh, India (foto: Tom Maloney).
En cualquier caso, la estructura del stupa fue desarrollándose hacia versiones más sofisticadas. El stupa de Bodhnath, en Nepal, también es semiesférico, pero se asienta sobre una base que representa un mandala. Los mandalas son representaciones geométricas y astrológicas basadas en la idea de concentricidad. Su estructura suele ser circular o cuadrada, y está formada por polígonos irregulares concéntricos derivados del cuadrado. Así es la base de este stupa, también coronado por un dado.
A diferencia del Gran Stupa de Sanchi, el de Bodhnath culmina con un cimborrio piramidal escalonado formado por una serie de 13 cuadrados superpuestos de lado decreciente. Cada uno de esos 13 niveles representa una etapa del viaje hacia el nirvana.


Izquierda, vista del stupa de Bodhnath, en Nepal (foto: MAP). Derecha, esquema de la planta del edificio.
El cimborrio sobre el dado caracteriza los stupas y las dagabas, que eran monumentos similares. Ya sean circulares, como el de Sanchi, piramidales, como el de Bodhnath, o cónicos, como el de la dagaba de Anuradhapura (Sri Lanka), todos son geométricos y de diámetro decreciente hacia al cielo.
Fue quizás ese final puntiagudo el que inspiró la construcción de pagodas. En ellas el círculo cede el protagonismo al cuadrado y los polígonos regulares. De origen nepalí, estos templos de varios pisos se levantaron también en China y Japón. La pagoda de Dayanta, en Xian (China), es del siglo vil y consta de siete pisos de planta cuadrada. La de Fogongai, en Yingxian, del siglo xi, tiene también siete pisos, pero es de planta octogonal.
La arquitectura del templo de Borobudur, en la isla de Java (Indonesia), responde a tres conceptos. Es a la vez stupa, mandala y una réplica del monte Meru, el lugar que se supone habitado por los dioses. Esto hace de él un templo hinduista y budista a un tiempo. Terminado en el siglo IX, su forma ciertamente rememora la del stupa, pues el templo se erige en una sucesión de niveles conformando una semiesfera. Pero, a diferencia de los stupas, dicha forma no es fruto de una única estructura hemisférica, sino producto de la acumulación de estructuras menores distribuidas en terrazas. También es un mandala porque éste es el diseño que conforman sus 10 terrazas. La primera de ellas todavía permanece enterrada. Corona los 10 niveles un stupa con forma de campana en la que se alojaba una estatua de Buda.

Izquierda: El stupa de stupas en Borobudur, Java. Derecha: planta del templo.
Ascendiendo esos 10 niveles el peregrino se encamina hacia el nirvana por medio de un diálogo de círculos y cuadrados que se desarrolla en el exterior, pues esta montaña escultural carece de interior. El único ritual que puede realizarse es el de circunvalar el monumento con base cuadrada de unos 100 m de lado.
Los números presentes en Borobudur resultan sorprendentes por su estructura multiplicativa. Para empezar, en lugar de edificar un gran stupa, pequeños stupas se multiplican a lo largo de los tres niveles superiores. Lo hacen en círculos ascendentes hacia el stupa culminante en series de 32, 24 y 16. Cada uno de ellos contiene una estatua de Buda; además de éstas, hay otras 504 imágenes del fundador del budismo.
Los relieves tallados en las paredes en los niveles se suceden en series de 120, 128 y 72. En total, hay 2.700 paneles tallados. Si geométricamente el diálogo se centra en el círculo y el cuadrado, numéricamente gira en torno a los números 2, 3, 5 y 7, ya sea tomando esos números como base o como exponente de una potencia:
120 = 23∙3∙5
128 = 27
72 = 23∙32
504 = 23∙32∙7.
Algunos de estos números pueden descomponerse también como producto de números naturales consecutivos:
120 = 4∙5∙6
72 = 8∙9
504 = 7∙8∙9.
Además del paralelismo, la perpendicularidad, el círculo y el cuadrado, en Borobudur está presente la división del círculo en 16, 24 y 32 partes iguales. Inscribiendo un círculo en un cuadrado y trazando, o bien las diagonales, o bien las mediatices de los lados, el círculo queda dividido en 4 partes iguales. Las mediatices y las diagonales dividen el círculo en 8 partes iguales. ¿Fueron éstos los referentes geométricos para situar los elementos arquitectónicos? En tal caso, bastaría añadir las bisectrices, aunque sea de forma aproximada, para conseguir la división en 16 partes y repetir el mismo proceso para obtener las 32.

División del cuadrado y del círculo en 2, 4 y 8 partes iguales.
Dividir el círculo en 24 partes iguales significa ser capaz de dividirlo en 3 o en un múltiplo de 3, como 6 o 12. Existe un modo sencillo de dividirlo en 12 partes sin utilizar conocimientos de trigonometría. ¿Lo aplicarían los arquitectos del siglo IX que levantaron Borobudur? Consiste en inscribir el círculo en un cuadrado, lo que puede hacerse trazando el cuadrado circunscrito al círculo por medio de cuatro tangentes a él y perpendiculares entre sí. Luego se dividen los lados del cuadrado en cuatro partes iguales y se traza la cuadrícula a la que da lugar esta división. Por último, se une cada punto de intersección de la cuadrícula con la circunferencia con su diametralmente opuesto. El resultado es un círculo dividido en 12 sectores idénticos. A partir de aquí basta con trazar las bisectrices de cada sector para tener el círculo dividido en 24 partes iguales:

Una división del círculo en 12 partes iguales.
Sin embargo, este modelo es apropiado en un contexto de papel y lápiz. Es probable que esos 24 stupas del nivel del templo de Borobudur se situasen equidistantes entre sí midiendo la longitud de la circunferencia y dividiéndola después en 24 partes, pensando en la línea y no en el círculo.
El templo de Angkor Wat, en Camboya, que data del siglo xii, representa el punto culminante de la cultura Jemer. Se halla unos kilómetros al norte de la ciudad de Siem Reap. Angkor Wat significa «templo de la capital». Por sus dimensiones, es uno de los mayores templos de todo el mundo. El cuadrado y el rectángulo son sus patrones edificativos. Originariamente estaba destinado a ser la tumba del rey Suryavarnam II, así como al culto al dios hindú Vishnú, si bien se le atribuye un simbolismo cósmico e iconográfico merced a sus dimensiones, orientación, forma y esculturas.
Si el templo de Angkor ha sobrevivido al paso del tiempo es porque fue labrado en piedra. A diferencia de él, otros templos, como las primeras pagodas, se construyeron con madera y desaparecieron en la jungla. El recinto rectangular que encierra la construcción principal de Angkor Wat es un rectángulo de 341 m de largo por 270 m de ancho.

El templo de Angkor Wat, en Camboya.

Planta de Angkor Wat (Camboya).
Puesto que su primera función iba a ser la de monumento funerario, igual que la inmensa mayoría de ese tipo de construcciones alrededor del mundo, Angkor Wat se construyó mirando hacia el Oeste. El templo ilustra el sistema cosmológico hindú, con el monte Meru en el centro de una serie de continentes concéntricos rodeados por el mar. Si se entra en el templo el 21 de junio se aprecia como la torre central señala el camino que recorrerá el Sol en el cielo. Precisamente ése es el día del año nuevo según la astronomía india. La distancia que separa la entrada al altar central del templo es de 1.728 hat, que es la unidad de medida jemer, la cantidad correspondiente a los 1.728 años de la primera edad dorada del universo, también según el sistema indio. Por lo tanto, el templo de Angkor Wat constituye una exhibición de la sabiduría jemer de la época. Más allá del arte de sus relieves escultóricos, en lo concerniente a las matemáticas, representa una clase magistral en la que se citan el diseño, la simetría, el paralelismo y la perpendicularidad, el rectángulo y el cuadrado, la medida y el número.
El budismo se extendió por Asia desde la India, y a través de China llegó a Japón en el siglo VI. En este país ya existía una religión autóctona basada en los aspectos naturales de la vida y a la que, para distinguirla del budismo, se le dio el nombre de sintoísmo. Un japonés no tiene que escoger entre ambas, y se puede ser, y la inmensa mayoría de japoneses lo son, sintoísta y budista al mismo tiempo. Si la primera se ocupa de las cuestiones más vitales, prácticas y realistas (cosechas, economía, éxito laboral), la segunda se dedica a los temas más trascendentales, como, por ejemplo, los ritos funerarios.
La mayoría de las localidades niponas albergan santuarios sintoístas y templos budistas. Por su entrada se distinguen fácilmente unos de otros. El acceso a un santuario sintoísta es un tari, una construcción que consta de dos columnas verticales y dos travesaños en su parte superior. Tradicionalmente fabricado en madera, hace de puerta de entrada al santuario y suele estar pintado de un llamativo color rojo.

Entrada al recinto del santuario sintoísta de Fushimi-Inari Taisha, en Kyoto.
La composición del tori puede ser más compleja en sintonía con su tamaño. La imponente estructura del gran tori de entrada al santuario de Itsukushima-Jinja, en la pequeña isla de Itsukushima, conforma tres planos verticales, uno de los cuales hace las veces de travesado de los otros dos planos paralelos. Añadiendo al conjunto el plano horizontal π del mar del que emerge, la estructura integra cuatro planos π1, π2, π3y π cuyas relaciones de paralelismo y perpendicularidad son:
π1, π2, π3⊥ π
π1 ∥ π3 ⊥ π2
Todo ello definido mediante 12 enormes troncos o segmentos de madera.

Gran tori del santuario de Itsukushima-Jinja.
Para acceder al complejo de santuarios sintoístas de Fushimi-Inari Taisha, en los alrededores de Kyoto, hay que atravesar más de mil toris que se suceden en el sendero de 4 km que recorre la colina. En algunos tramos apenas unos milímetros los separan. Esta sucesión de puertas, esto es, de planos, crea un espacio tridimensional, un prisma de paredes curvas pero paralelas ascendente por la orografía de la colina. La sucesión termina cuando alcanza su límite: el santuario principal.
§. Arquitectura vernácula del nuevo continente
La cultura azteca se desarrolló en Centroamérica entre los siglos I y VI. Teotihuacán, su centro ceremonial, fue una ciudad reticulada de trazado determinado por cuestiones astronómicas, de manera que la ciudad era modelo del cielo y del movimiento de los astros. La avenida central conectaba grandes pirámides escalonadas en cuyas cimas se ubicaban templos a los que se accedía por largos tramos de escaleras y en los que se llevaban a cabo sangrientos sacrificios humanos.
Las pirámides aztecas eran construcciones de base cuadrada y de cuatro niveles. La mayor y más antigua tenía unos 213 m de lado y más de 60 m de altura, y se situó de tal modo que marcase el eje por donde se ponía el Sol el día de su cénit. A excepción de ésta, en la que son inclinadas, las caras de los cuatro niveles de las pirámides de Teotihuacán son verticales.
La cultura maya fue contemporánea de la azteca, pero perduró más. Como los aztecas, el emplazamiento de los edificios mayas obedecía a las observaciones astronómicas. Fue la primera cultura americana que descubrió la técnica abovedada. Sus pirámides también eran escalonadas y llegaron a tener una altura de 70 m. Sin embargo, sus bases no eran exactamente cuadradas. La pirámide conocida como «el castillo», en Chichón Itzá, tiene base cuadrada y nueve niveles escalonados que terminan en un templo con forma de dado. Cuatro tramos de escaleras de 91 escalones, un tramo por cara, conducen al templo. Curiosamente, 4∙91 = 364 son casi los días que tiene un año. Algunos ven en esos escalones un modelo de calendario.
A su llegada al Perú hacia el año 1.500 los conquistadores se encontraron con el imperio de los incas, que por entonces se extendía a lo largo de toda la cordillera de los Andes. La tecnología incaica, quizá porque ésta fue una cultura con intereses más prácticos que otras, fue la más avanzada de Mesoamérica. Elaboraban tejidos, aleaban oro y cobre ya antes del siglo X y disponían de sistemas de riego y agricultura en terrazas.
En el siglo XIII la capital incaica era Cuzco, ciudad que se hallaba en el «camino real de las montañas», bordeado de muros a lo largo de 6.000 km, que conectaba los puntos del imperio y que tanto asombró a los españoles. Su mampostería poligonal de grandes bloques encajados con precisión milimétrica y las formas rectangulares o circulares de sus edificaciones con ventanas y puertas trapezoidales constituyen un sello de identificación cultural de este pueblo.
La arquitectura incaica no muestra especial predilección por el ángulo recto. Los marcos de las ventanas y los dinteles de acceso son trapezoidales. Tampoco la mampostería de sus muros conforma una estructura reticular de ángulos rectos, más bien al contrario, pues se caracteriza por ángulos de todo tipo y un encaje de las piezas tan preciso que se ha convertido en símbolo de identidad cultural. Sin embargo, esa estructura representa una exposición extraordinaria de paralelismo.
Cada cara de cada piedra se amolda a su vecina de modo perfecto, como si las dos caras irregulares que poseían se hubiesen limado por fricción una contra la otra hasta adoptar una forma plana y lisa de la que sólo resulta visible el segmento o filo de contacto. No las vemos, pero las caras y aristas de esos grandes sillares son paralelas, y dicho paralelismo parece fruto de una acción práctica.

Muro inca en Cuzco, Perú (foto: Martin St-Amant).
§. Arquitectura islámica
La gran mezquita de Samarra (Irak) fue construida en el siglo IX. Durante siglos fue la mayor del mundo. Hoy en día sólo quedan restos del recinto rectangular que la rodeaba, de los muros que la componían y el impresionante alminar en espiral de 50 m de altura. El recinto de la mezquita, igual que el de otras de su tiempo, se diseñó de manera que sus dimensiones estuviesen en la proporción 3:2. A lo largo de sus muros, y por su parte exterior, se adosan 44 columnas cilíndricas a modo de contrafuertes. Las de los lados tienen base semicircular; las de las cuatro esquinas tienen por base tres cuartas partes de círculo.
En esta mezquita encontramos elementos geométricos comunes a otros templos mencionados, como el rectángulo, la base cuadrada del alminar, el paralelismo y la perpendicularidad de las columnas del patio. Pero aquí el círculo y el cuadrado se combinan, dando lugar a una composición espiral.
La espiral ya estaba presente como elemento simbólico en los stupas (véase la imagen al inicio de este capítulo), pero el alminar de la mezquita de Samarra es, todo él, una espiral ascendente hacia el cielo. Se llega a la cumbre dando siete vueltas al eje de la hélice de su escalera. La pendiente de la ascensión no es constante, siendo la de la penúltima vuelta la más pronunciada. Tampoco el eje es cilíndrico, sino cónico, cerrándose hacia el vértice.

Planta de la mezquita de Samarra (Irak).
Ascender por la escalera helicoidal del alminar de Samarra plantea un problema. Al carecer de barandillas, subir por la parte exterior de los peldaños es arriesgado y puede provocar sensación de vértigo en algunas personas. La parte interior es más segura. Pero entonces nos damos cuenta de un aspecto curioso de las escaleras de caracol: a diferencia de las escaleras corrientes, que tienen pendiente constante se suba por el lado que se suba, las escaleras de caracol poseen pendiente variable aunque todos sus escalones sean idénticos. Es debido a que los peldaños son más amplios en su parte exterior. En cada escalón se asciende la misma altura (distancia vertical), pero por la parte exterior se avanza más horizontalmente; el cociente entre el ascenso vertical y el horizontal se hace más pequeño, por lo que la pendiente es menor. En cambio, crece la longitud del tramo recorrido. Subiendo por la parte interior de la escalera de caracol se acorta el recorrido, pero es más duro; subir por la parte exterior, lo alarga, pero requiere menos esfuerzo.
§. Ofrendas dignas de la divinidad
Hasta ahora se ha hablado de ideas matemáticas relacionadas con la arquitectura religiosa. A continuación trataremos una cuestión muy importante en todas las religiones y que atañe directamente a sus fieles. Los creyentes de todo el mundo se dirigen a su dios o dioses por medio de plegarias, y en la mayoría de lugares se les ofrecen bienes, alimentos y obsequios en ofrendas cuyo fin es aplacar su ira, apaciguar demonios o espíritus malignos o solicitar buenos augurios en la vida.
Si hay un lugar en el mundo donde prácticamente toda la vida gira en torno a lo religioso, éste es la isla de Bali, en Indonesia. A diferencia de la creencia islámica dominante en el país, Bali heredó la religión hinduista de la India. Más grandes o más pequeños, incontables templos y altares se hallan por doquier. No hay casa sin uno y pueden hallarse en lugares santos y posiblemente peligrosos como cruces de caminos o carreteras.
El día comienza con el sesajen. Se trata de un breve ritual, que por lo general llevan a cabo mujeres tres veces al día antes de las comidas. Además de las oraciones, se disponen en el suelo, junto a los templos domésticos, en las entradas de las casas y en los cruces de calles, una serie de ofrendas en forma de alimentos preparadas el día anterior. Se llaman cana (pronúnciese «chana») y consisten en diminutas porciones de arroz cocido, pizcas de carne, galletitas, flores, incienso y agua bendecida. A la espera de que los dioses que habitan todas las cosas se decidan a probar bocado, los pajaritos dan buena cuenta de este ágape.
Dinero y matemáticasHay una cualidad que deben cumplir los billetes de todos los países: su falsificación tiene que ser muy difícil. Para ello se han ido incorporando al papel otros materiales metálicos en los cuales es posible ocultar códigos para su identificación. En un billete catarí de 1 diñar vemos cadenas de nudos poligonales enlazándose en nudos con simetría de orden ocho, una barca de vela que se reproduce en segundo término proporcionalmente, la simetría presente en los arcos y en los pilares que los sostienen, en las olas y en los sables que las soportan y un hexágono irregular de color blanco obtenido recortando las esquinas de un cuadrado.
Anverso de 1 dinar catarí y moneda de 10 sen de Brunéi.Por otra parte, las monedas de Brunéi reproducen diseños espirales propios de los pueblos que viven en las selvas de Borneo. Lo primero con lo que uno se encuentra al llegar al extranjero es con las matemáticas documentadas en su dinero.
Una ofrenda para un dios no puede estar hecha de cualquier manera. Los dioses merecen respeto y éste debe hacerse explícito no sólo al comunicarse con ellos, sino también en la manera en que se les presentan las ofrendas, y también en los recipientes que las contienen. Por eso los continentes de dichas ofrendas se hacen con esmero: se usan hojas tiernas de cocotero y bananero a las que se da forma geométrica y dimensiones determinadas de antemano.

Cana de un sesajen en Bali, Indonesia.
Las formas de los recipientes pueden ser muy variadas, pero las más comunes son las de la fotografía. No son fruto del azar. A diario se ven mujeres de todas las edades doblando y trenzando hojas para confeccionar esas cajitas y sobres en los que se dispondrán las ofrendas. Al verlas cabe preguntarse cómo se asegura la autora de que las cajitas que confecciona son cuadradas y cómo logra el ángulo del sobre.
No es necesario especular con hipótesis acerca del modo en que se realizan esas formas geométricas; disponemos de información directa de su autora. A continuación se describe e ilustra con imágenes el procedimiento de una mujer balinesa para confeccionar esos recipientes cuadrados.
Primero se cortan hojas tiernas de cocotero en tiras de anchura similar determinada por sus nervaduras. Tomando como unidad de medida la distancia entre el extremo del dedo índice y el pulgar se hacen en la hoja cuatro marcas consecutivas. A continuación, se dobla la hoja de cocotero haciendo coincidir la última señal con la primera. Varias piezas de hoja de bananero ya cortadas con la misma medida se ensamblan para confeccionar una pieza mayor que se inserta en el interior del cuadrilátero de hoja de cocotero. La pieza está lista para llenarse de ofrendas.

Izquierda: 1. La unidad de medida. Derecha: 2. Varillas de hoja de cocotero marcadas con cuatro unidades.

Izquierda: 3. Pliegue de la varilla de cocotero. Derecha: 4. La longitud de la pieza de hoja de bananero es de una unidad.

Izquierda: 5. Varias piezas de bananero se ensamblan para confeccionar el fondo del recipiente. Derecha: 6. Una vez ensamblado el fondo, la pieza está terminada (fotos: MAP).
La autora sabe que el resultado obtenido es un cuadrado porque así lo ve y porque lo ha confeccionado doblando un segmento que tenía cuatro partes iguales. Esto garantiza la igualdad de los cuatro lados, pero no la de sus ángulos. De hecho, el cuadrilátero doblado es un rombo. El cuadrado se fija mediante la inserción de la pieza de bananero. Puesto que ésta tiene la misma longitud que el lado del cuadrado, lo que se consigue es dar al rombo una altura idéntica al lado. De ahí que la pieza sea cuadrada. De la infinidad de rombos (cuadriláteros de lados iguales) posibles, sólo uno es cuadrado, y es, además, el de área mayor:

Algunos de los infinitos rombos de lados iguales.
Un análisis matemático euclidiano nos puede llevar a pensar que la práctica no es suficiente para garantizar la conclusión. Desde esta perspectiva, la mujer pone en práctica la aplicación de un teorema: Un rombo de altura igual al lado es un cuadrado.
La demostración es sencilla. La altura determina un triángulo rectángulo cuyo ángulo opuesto será dicho vértice. Puesto que un cateto de ese triángulo rectángulo (la altura del rombo) es igual a la hipotenusa (el lado del rombo), el otro cateto es nulo. La altura y el lado son paralelos. Luego, los dos lados del vértice son perpendiculares, como es menester en un cuadrado.
Con mismas varillas más pequeñas debidamente preparadas se realizan multitud de diseños para incluirlos en las ofrendas. También son geométricos y algunos recuerdan formas florales y se confeccionan mediante pliegues y giros de idéntica amplitud.
El recipiente cuya confección se muestra en las siguientes imágenes se elabora a partir de una pieza rectangular de hoja de bananero. Su longitud debe ser aproximadamente el doble de su anchura. Se marcan su centro y mediatriz y se dobla de tal modo que las esquinas inferiores se superpongan. Como consecuencia de ello el perfil superior se dobla en una curva y da lugar al hueco en el que se pondrán las ofrendas.

Izquierda: Mediatriz marcada en un rectángulo de bananero con formato 2:1. Centro: Primer pliegue en diagonal del rectángulo. Derecha: El segundo pliegue diagonal crea el espacio a colmar (fotos: MAP).
Esto significa que hay que doblar la pieza siguiendo la línea marcada por las dos diagonales de los cuartos inferiores de los rectángulos, tal y como se muestra a continuación. Puesto que el triángulo rectángulo creado tiene un cateto que es el doble del otro, el ángulo del pliegue será el doble de la tangente de dicha proporción:

Pliegue diagonal de un rectángulo con formato 2:1.
De todos modos, no es ésta la única manera de proceder. Según las costumbres locales o la habilidad de la persona, los recipientes pueden ser muy variados. Tampoco todo lo que se confecciona tiene que ser recipiente, puede tener un carácter más ornamental, como una hélice confeccionada doblando finas fibras vegetales. Las cuatro fibras trenzadas que conforman la siguiente tienen una anchura de 3 mm.

Helicoide trenzada (foto: MAP).
El trenzado gira alrededor del eje. La espiral sólo se apoya en él en sus puntos inicial y final. Los ángulos en los vértices de la hélice son aproximadamente rectos y se han logrado torciendo la fibra media vuelta antes de fijar el pliegue. Estos se trenzan de la forma ilustrada en el siguiente gráfico. El ángulo a determina el que forman dos vértices consecutivos, que será de 180o—a, y el número de sectores de cada vuelta de la hélice:

Ángulo inicial de la hélice.
Iterando el proceso, la superficie va tomando forma:

Configuración de la hélice trenzada.
En Japón es tradición que a las entradas de los santuarios y altares sintoístas los fieles cuelguen tablillas de madera en las que expresan sus deseos de buen augurio y la petición de favores. Lo hacen los estudiantes al llegar el periodo de exámenes finales para obtener buenos resultados. Lo hacen las familias y parejas para tener un buen futuro y los hombres de negocios en busca de éxito.
Durante los siglos XVII y XVIII se produjo en Japón un fenómeno matemático extraordinario, pues en los altares se colgaban grandes tablas de madera en las que se proponían problemas matemáticos, generalmente de geometría. Algunos son sencillos; otros, muy difíciles. Monjes, samuráis y otros grupos sociales participaban del reto que suponía la creación y resolución de dichos problemas. Las tablas con problemas matemáticos se llaman sangaku. El más antiguo data de 1691 y se halla en el altar de Gion de la ciudad de Kyoto. El último sangaku es una tabla descubierta en 2005 en el altar de Ubara de la ciudad de Toyama y data de 1879. Incluye seis problemas, pero otros sangaku tienen más de veinte.
Pese a que dichas resoluciones eran mayoritariamente euclidianas, esa actividad matemática extraacadémica ligada a una manifestación cultural pone de relieve la importancia de los contextos culturales como crisol de creación y de actividad matemática. En este sentido, el núcleo de la actividad, es decir, el planteamiento y las resoluciones ofrecidas tenían un marcado carácter etnomatemático.

Tablillas a la entrada del templo Hida Kukubun-Ji, en Takayama.
La inmensa mayoría de los problemas tratan sobre la cuestión de la inscripción de figuras geométricas en otras. Por ejemplo, determinar la relación entre los radios de tres círculos tangentes entre sí inscritos en otro mayor, hallar las dimensiones de varios cuadrados inscritos en un triángulo equilátero, inscribir una serie de círculos en una elipse o una serie de esferas en otra.
En 1781, Sadasuke publicó un libro titulado Matemáticas al detalle y ayudó a su hijo Kagen a preparar el primer libro dedicado a los sangaku. Se publicó en 1789 y se tituló Matemática sacra. Un problema recurrente en los sangaku es el de la tangencia e inscripción de círculos en otras figuras. Ya en el libro de Sadasuke apareció una versión sencilla del asunto consistente en hallar la distancia que separa los dos puntos de tangencia a una recta de dos círculos tangentes entre sí:

Aplicando el teorema de Pitágoras a los radios R y r de los dos círculos y siendo d la distancia buscada, tenemos:
(R - r)2 + d2 = (R - r)2⟹ d = 2√Rr
El interés va más allá del problema en sí y el motivo está relacionado con los números pitagóricos. Tres números enteros se dice que son pitagóricos si verifican la relación del teorema de Pitágoras, es decir, si el cuadrado de uno es la suma de los cuadrados de los otros dos. Por ejemplo, los tríos (3, 4, 5), (6, 8, 10), (5, 12, 13) y (119, 120, 169) son números pitagóricos. Tres números pitagóricos forman un trío pitagórico primo si los dos menores son primos entre sí. Éste es el caso de (3, 4, 5), (5, 12, 13) y (119, 120, 169), pero no el de (6, 8, 10), ya que 6 y 8 son pares.
Otro problema del libro de Sadasuke pide demostrar que se obtienen tríos pitagóricos primos tomando tres números (a, b, c) de manera que p y q no sean ambos impares y que verifiquen:
a = 2pq
b = p2- q2
c = p2+ q2.
El valor de a se parece mucho a la solución del problema geométrico anterior. Para que sea idéntico basta con que las raíces cuadradas de los radios R y r lo sean también. Supongamos, pues, que los radios de los círculos son cuadrados de números enteros: R = p2 y r = q2. Y supongamos que su diferencia R - r es otro entero s. Entonces el trío siguiente es pitagórico primo:
2pq = d
p2 - q2 = R - r
p2 + q2 = R + r.
Así, el problema algebraico se hace equivalente a uno geométrico. Al parecer, éste era el método vernáculo japonés para hallar tríos de números pitagóricos primos. Por último, en otro problema se pide construir todos las tríos pitagóricos primos para un radio r ≤ 41. Las soluciones son:
(3, 4, 5), (5, 12, 13), (8, 15, 17), (7, 24, 25)
(12, 35, 37), (20, 21, 29), (9, 40, 41).
Insertando otro círculo entre los dos anteriores se crea un problema interesante relacionado con un sangaku de 1873 colgado en el altar de Katayamahiko, en Okayama. ¿Qué relación existe entre los radios de tres círculos tangentes entre sí y la recta sobre la que se apoyan?

De nuevo, el teorema de Pitágoras conduce a la solución. Siendo los radios de los tres círculos r1 > r2 > r3, la aplicación del teorema de Pitágoras permite determinar su relación. Para ello destaquemos el triángulo determinado por sus tres centros y los radios desde éstos a la base:

Aparecen nuevos triángulos rectángulos en los que puede aplicarse el teorema de Pitágoras. Siendo d1 y d2 las bases respectivas de los triángulos rectángulos de hipotenusas r1+ r3 y r2 + r3, puede afirmarse que:
(r1+ r2)2= (r1- r2)2(d1+ d2)2
(r1 + r3)2= (r1 - r3)2 + d12
(r2 + r3)2.= d22 + (r2 - r3)2
Aislando d1 y d2 de la segunda y tercera igualdades y sustituyendo sus valores en la primera se llega a la siguiente expresión:

He aquí la relación entre los radios. Esta es una expresión dual del teorema de Pitágoras cuyo carácter se hace evidente escribiendo las raíces cuadradas como potencias de exponente fraccionario:

¿Cómo hallar los valores de tres radios que verifiquen esta relación? ¿Existe algún trío de soluciones enteras o racionales? En los inversos de los cuadrados de los números naturales se crean círculos con esas características:

He aquí el aspecto del resultado:

§. Rosetones divinos
Los círculos tangentes no han inspirado únicamente a los monjes y samuráis nipones de los últimos siglos. También las catedrales góticas europeas están llenas de figuras basadas en esa composición. Un auténtico alarde geométrico que tiene al círculo como protagonista y que constituye un icono del cristianismo de la época. Su elemento de expresión más imponente es el rosetón, pero también destacan las celosías. Los diseños se caracterizan por la inserción en un círculo ingente, de varios metros de diámetro, de otros círculos y series de círculos. En la mayoría de casos son tangentes entre sí y al círculo mayor. El rosetón de la iglesia de Santa María del Pi, en Barcelona, contiene círculos en los que se han inscrito cuatro círculos tangentes entre sí y tangentes a su vez al círculo que los contiene.

Detalle del rosetón de la iglesia de Santa María del Pi, en Barcelona.
En los rosetones nada es gratuito. Todo tiene una razón de ser y esa razón de ser es simbólica. La geometría es la base que sostiene las representaciones simbólicas. Los rosetones y vitrales originales de las catedrales se han ido restaurando a lo largo de los siglos, pero es en la catedral de Chartres y Notre Dame de París donde las restauraciones han respetado más los originales. Lo femenino se relaciona con el útero, la gestación y, tradicionalmente, con la noche, la luna, el pasado y los colores de tonos azulados. En Chartres, el aspecto femenino está representado en el rosetón de la fachada norte de la catedral, cuyo centro ocupa la virgen. En cambio, lo masculino se asocia con la cara sur, los colores de tonos más vivos como el amarillo y el rojo, el Sol y el presente. De ahí que la imagen de Cristo en la gloria se sitúe en el centro del rosetón de la cara sur.
La geometría es también la base que sostiene las representaciones simbólicas de los personajes. La semejanza geométrica, ya sea de forma o proporción, refleja e indica una relación entre los elementos por ellas relacionados. Nada es caprichoso. Tampoco el hecho de que un rosetón esté dividido en 6, 8, 12, 16 o 24 sectores circulares o que se desarrolle en una serie de varios círculos concéntricos.
En la ciudad de Sabadell (Barcelona) existe un taller dedicado exclusivamente al trabajo de vitrales con plomo. Primero se realizan en papel a escala E1:10 y luego se pasan a tamaño real. Antes, el paso del modelo a la realidad se realizaba a ojo y con pantógrafo, pero hoy en día se usan las nuevas tecnologías. Con un proyector de figuras opacas se puede reproducir un diseño realizado en papel sobre una superficie plana a tamaño natural.
Para conseguir dar a los vitrales las formas geométricas deseadas conviene tener en cuenta que hay que dejar siempre un margen de 1, 2 mm entre zonas adyacentes.
En lugar de perfilar las figuras siempre con este margen mediante una línea paralela trazada a esa distancia, lo que se hace es utilizar una tijera de triple filo que recorta un margen de este grosor de forma automática.

La tijera de triple filo produce una viruta de amplitud constante de 1, 2 mm.

Las dos piezas de recorte se ajustan con el margen deseado de 1, 2 mm.
El transporte de curvas también se automatiza mediante una herramienta llamada flexicurva. Se trata de una pieza de goma flexible con un ánima de metal. Cuando se le da forma, ésta se conserva. Este instrumento facilita la transformación de arcos circulares de figuras en el espacio a segmentos de la misma longitud en el plano.

La flexicurva conserva la forma que se le da.
Otro problema geométrico al que se enfrenta el artesano del vitral es la reproducción de curvas proporcionales. Esta cuestión se resuelve mediante el compás, tal como muestran las imágenes de la página siguiente. La proporcionalidad queda garantizada siempre que la perpendicular a ambas curvas las corte, determinando un segmento de la misma longitud.

Izquierda: El compás señala la distancia entre dos puntos homólogos de curvas similares. Derecha: El compás señala la equidistancia entre otros dos puntos de curvas similares.

El compás recorre los perfiles de dos curvas equidistantes (fotos: MAP).
Esto plantea el siguiente problema: dos curvas paralelas, ¿son proporcionales? Dos curvas proporcionales, ¿son paralelas?
En el caso de curvas poligonales, existe equivalente, puesto que toda curva poligonal es parte del perímetro de un polígono y los polígonos semejantes tienen los lados paralelos. Lo mismo vale para arcos circulares. En estos casos la imagen visual que tenemos de curvas paralelas se corresponde con la idea de curvas proporcionales. Sin embargo, si las cosas se llevan a extremos un poco exagerados, podemos observar que la idea intuitiva de paralelismo no se corresponde con la de proporcionalidad. Por ejemplo, las dos curvas siguientes son paralelas en el sentido de que la perpendicular en cada punto de una lo es a la otra y determina siempre entre ambas un segmento de la misma longitud, lo que significa amplitud constante. Pero la relación entre ambas no es la de copia ampliada o reducida, como es propio en la proporcionalidad.

La curva paralela a una curva dada no conserva los ángulos.
El cambio de carácter entre una curva o perfil de un polígono y su paralela a una distancia determina se observa claramente en la figura siguiente. Existen dos trayectorias o curvas paralelas a la esquina de un rectángulo, una exterior y otra interior. En la paralela exterior la esquina desaparece, mientras que en la interior se crea un bucle:

Paralelas interior y exterior a la esquina de un rectángulo.
El problema se lleva un paso adelante en una celosía de la iglesia de Sant Félix, en la ciudad de Sabadell, donde en cada uno de los cuatro círculos interiores se han inscrito otros tantos. Esto representa una recurrencia de la cuestión.

Detalle del rosetón de la iglesia de Sant Félix, en Sabadell, Barcelona (foto: MAP).
Se aprecia un círculo en el que se inscriben cuatro círculos menores tangentes entre sí y cuyos centros determinan un cuadrado. En cada uno de esos cuatro círculos se inscriben otros tantos siguiendo la misma pauta. Continuando con la misma pauta indefinidamente obtendríamos una serie de círculos cuya cantidad C(n) se obtendría sumando potencias de 4:
C(n) = 1 + 4 + 42 +43 + ... + 4n = (4n-1 -1)/3
Pero a los artesanos no les interesaba tanto esto como la relación entre los radios de los círculos. Si R es el radio del círculo mayor, el radio r de cada uno de los cuatro círculos en él inscritos es:
2R = 2r + 2r√2 ⇒ r = R/(1 + √2)
Este problema está relacionado con uno del último sangaku hallado hasta la fecha (en la ciudad de Toyama en 2005) y del que hemos hablado anteriormente. El problema consiste en determinar las relaciones entre los radios de un anillo de ocho círculos iguales de radio r inscrito en otro círculo mayor de radio R. Una generalización de la cuestión es preguntarse por dicha relación cuando, en vez de cuatro u ocho, sean n los círculos que formen el anillo inscrito en el círculo mayor. Un análisis trigonométrico de la cuestión conduce a la solución:

Como se ha visto, la presencia de arquitecturas extraeuropeas durante la Edad Media pone de manifiesto la existencia de pensamiento matemático fuera de Europa durante ese periodo. Puesto que dichas arquitecturas, como la europea, se basan en el diálogo del círculo y el cuadrado, no existiría arquitectura religiosa alguna sin esas dos figuras geométricas fundamentales. Al igual que las pirámides de Egipto y los zigurates babilonios, los templos, mausoleos y lugares de culto de todo el mundo se han construido en base a esas dos figuras geométricas. Su construcción conlleva implícitas las ideas de paralelismo y perpendicularidad.
La ampliación dimensional de esas figuras lleva a diferentes versiones tridimensionales. Por una parte, las semiesferas de los stupas budistas de la India y Nepal, que culminan con un «dado» (cubo). Por otra, las pirámides escalonadas de la América precolombina. Las mezquitas islámicas de Oriente Medio dieron una dimensión más al círculo como curva para transformarlo en hélice, es decir, espiral ascendente hacia el cielo.
El modo en que se expresan las creencias de una cultura es un aspecto fundamental. Por medio de la arquitectura se hace tangible la relación del hombre con sus dioses. En esa arquitectura es en la que intervienen las matemáticas. En ciertas culturas las matemáticas determinan también la expresión directa de los fieles, sean de la clase que sean. En Bali las mujeres confeccionan a diario recipientes y envoltorios geométricos en los que depositan las ofrendas a los dioses. Al hacerlo ponen en práctica ideas matemáticas aprendidas de sus madres. Un conocimiento que se transmite de generación en generación y que no está vinculado al ámbito académico formal y escolar.
Si se quiere respetar a los dioses no van a hacerse las cosas al tuntún. Los templos y las ofrendas tienen que estar bien hechos y ser, de algún modo, perfectos. Por lo visto hasta ahora se diría que todas las culturas relacionan la perfección con la geometría. Las ideas matemáticas propias y necesarias para tal fin que cada cultura ha desarrollado son Etnomatemáticas.
Capítulo 4
Lo bello, si geométrico, más hermoso
§. Ir de geométrico
§. Variaciones sobre un tema: la simetría
§. Los kolam indios
§. Urdimbres
§. Pelotas de takro
§. Bolas temari
§. Servilletas y papiroflexia
No es verdad que la geometría acreciente la belleza de las cosas. Lo que este título pretende destacar es el valor que en todas las culturas se ha dado a las cosas bien hechas, y que si éstas han merecido tal calificativo ha sido, en muchas ocasiones, gracias al rigor con el que se han realizado. Y el rigor de la forma acostumbra a estar estrechamente relacionado con la geometría. Este es el sentido en el que Ernst Gombrich habla del arte en su obra El sentido del orden con relación a las artes decorativas.
§. Ir de geométrico
Los aeropuertos de todo el mundo se han convertido en pocos años en auténticos centros comerciales. La oferta es amplísima: kioscos, farmacias, bares, restaurantes, relojerías, tiendas de ropa, de regalos, de electrónica... Cualquier producto está a disposición de los pasajeros mientras esperan la salida de sus vuelos o se mueven de una terminal a otra.
Pero la oferta puede ser de otro tipo: existen aeropuertos como el de Changi, en Singapur, que ofrecen a los usuarios pasatiempos culturales gratuitos. Una de esas ofertas la han podido disfrutar los pasajeros que estos últimos años han hecho escala en esta isla-estado del Sudeste Asiático. En uno de los vestíbulos había varios paneles con una exposición titulada Go Geometric. Por una parte, se destacaba la relación entre cultura y geometría; por otra, se invitaba al espectador a realizar actividades en las que podía crear y recrear algunos de los patrones geométricos expuestos y que están presentes en la arquitectura y en la artesanía de diferentes culturas asiáticas.

Go Geometric en el aeropuerto Changi, Singapur (foto: MAP).
Una actividad consistía en imprimir en un papel un sello con un diseño simbólico especial. El nudo eterno es uno de los emblemas de Buda. Se trata de una figura lineal que puede recorrerse por completo de un tirón. Dicha propiedad topológica inspira su nombre. Suele usarse como motivo ornamental de diversos objetos, como la versión simple que decora el perfil del plato que aparece en la siguiente imagen:

La actividad del nudo eterno de Buda del aeropuerto de Changi e impresión en papel del nudo (fotos: MAP).
¿Qué hace eterno al nudo? Evidentemente, el carácter cíclico de la línea que lo define. Si se recorre la línea partiendo de uno cualquiera de sus puntos, volveremos al punto de origen tras haber pasado por todos los restantes. La línea del nudo es continua y cerrada. Todo depende de la configuración de la retícula subyacente y del modo en que se teje el nudo en ella.
Dos figuras son topológicamente equivalentes si la deformación continua de una (sin cortes) da lugar a la otra y no cambia el número de agujeros. Así, un anillo y el marco de un cuadro son iguales topológicamente. Lo mismo ocurre con el nudo eterno impreso en la imagen anterior y el diseño siguiente.
TopologíaLa topología es una rama de las matemáticas que estudia las formas sin atender a sus medidas, ya sean de longitud, ángulos, superficies o volúmenes.
Un cilindro y un anillo son topológicamente iguales.Desde la perspectiva topológica, todas las cosas son blandas y deformables. Si mediante una deformación continua, esto es, que no los rasgue ni estropee, dos objetos se pueden transformar en la misma forma, son topológicamente equivalentes. Por ejemplo, todos los polígonos son topológicamente iguales y equivalentes al círculo, lo mismo puede decirse de los poliedros y la esfera. También son topológicamente iguales una camiseta y un folio con cuatro agujeros. El número de agujeros es un indicador topológico. Un anillo es topológicamente equivalente a una taza, ya que posee el mismo número de agujeros. No así un vaso, que no tiene ninguno. En cambio, una cuchara y un tenedor son iguales por carecer de agujeros.
Además, ambos comparten simetría de giro de orden 2 (180°):

El itinerario cíclico con simetría de giro de orden 2 se concreta mediante los tres vértices de la cuadrícula en cada lado del cuadrado. Lo mismo ocurre si hay sólo uno:

Si el número de vértices de la cuadrícula en cada lado es par, se obtiene otro tipo de ciclo. Uno con simetría de giro de orden 4 (90°):

A excepción del caso de un único vértice sobre el lado, varios ciclos de este tipo (con simetría de giro de orden 4) se crean con cualquier número, par o impar, de vértices encima del lado. Dos, en el caso de una cuadrícula de 4 × 4 celdas, y 3, en una de 7 × 7:

Cuando el número de vértices de la cuadrícula sobre el lado es par (la cuadrícula tiene un número impar de celdas), no existe un ciclo que pase por todos los vértices y sea del tipo original:

Luego para crear un nudo eterno del estilo original que recorra todos los vértices de la cuadrícula es necesario que haya un número impar de vértices de la cuadrícula en cada lado del cuadrado. O, lo que es equivalente, que ésta tenga un número par de celdas:
Teorema 1: Si la cuadrícula consta de un número par de celdas, el nudo es eterno y del tipo original con simetría de giro de orden 2 (180°).
Teorema 2: Sea cual sea el número n2 de celdas de la cuadrícula, con n = 2 ∙ k ó n = 2 ∙ k + 1, pueden crearse k ciclos con simetría de giro de orden 4.
Antes hemos visto que en una cuadrícula de 49 celdas, n = 7 = 2∙3 + 1, se crean 3 ciclos con simetría de orden 4. En una de 16, 16 = (2∙2)2, se crean dos.
§. Variaciones sobre un tema: la simetría
Los diseños de base geométrica son universales. Muy raros son los pueblos que no han creado diseños geométricos para usarlos sistemáticamente como emblemas, símbolos o patrones ornamentales. Así ha sido desde los tiempos más remotos. Tan remotos como el petroglifo geométrico de la cueva de Biombos (Sudáfrica) o la cueva pintada de las islas Canarias (España). Más formales son, aunque anteriores a nuestra era, los del antiguo Egipto, la Grecia clásica y el mundo bizantino. Ya en nuestra era, el mundo romano utilizó patrones geométricos en los mosaicos, alcanzando su máximo esplendor en la Venecia previa al Renacimiento. De aquella época es un diseño romano-bizantino, puramente geométrico, en el que se aprecia un patrón de recurrencia de naturaleza fractal.

Diseño romano-bizantino (hacia 700 d.C.).
Un cuadrado se ha dividido en 16 celdas. La diagonal divide cada celda en dos triángulos rectángulos isósceles. Uno de ellos se ha coloreado de gris, mientras que el otro se ha dividido en otros cuatro triángulos semejantes al anterior. Uno de ellos se ha coloreado de gris claro, y los tres restantes se han vuelto a dividir en otros cuatro triángulos rectángulos isósceles. A continuación cada uno de estos tres triángulos se vería rodeado por otros tres, con lo que se crearían 3∙3∙16 = 9∙16=144 triángulos nuevos. A partir de aquí el proceso podría continuar indefinidamente. En cada etapa nueva el número de triángulos de la etapa anterior se multiplica por tres. Comenzando por los triángulos amarillos:

Se trata de un diseño que posee simetría especular del tipo cm determinada por los ejes de simetría paralelos determinados por las diagonales ascendentes de cada celda.
Pero hay una cultura que ha llevado el diseño geométrico hasta cotas extraordinarias, tanto que se diría que sobre el diseño geométrico ya está todo hecho. Es la cultura islámica. La exhibición de diseños y mosaicos árabes se extiende desde Marruecos hasta la India, y desde España hasta Zanzíbar (Tanzania). El elogio de la simetría que representa la ornamentación árabe se ha hecho corriente no sólo en mezquitas, palacios y medersas, sino también en hoteles, aeropuertos y aviones. Las raíces de los diseños islámicos se hallan en los diseños árabes anteriores al año mil.

Diseño árabe (hacia 1.200 d.C.)
Este diseño árabe consiste en la repetición de una figura hexagonal con simetría de giro de 60°. Su desarrollo produce una teselación o embaldosado de todo el plano. La base es una retícula de triángulos equiláteros, que se combinan para crear la figura fundamental o leitmotiv del diseño.

Unos y otros destacan por el uso de retículas triangulares en lugar de rectangulares, lo que hace que los ángulos de 60° y 120° sean característicos de esta ornamentación. El ángulo recto, aunque presente, ya no es preponderante. En el contexto islámico se sofistica la geometría con la aparición de líneas dobles a modo de cintas que se entrelazan, dando lugar a nudos. El diseño es bidimensional, pero juega con la percepción del espectador, creando un efecto de tres dimensiones. Los triángulos equiláteros de la retícula se combinan para crear un sinfín de formas compuestas en las que destacan las estrellas de seis y doce puntas, como éstas de la Alhambra de Granada:

Diseño nazarí de la Alhambra de Granada (España, siglo IX).
Simetría y mundos imposiblesSabemos que muchas de las calles por las que andamos a diario son rectilíneas y paralelas. Pero no nos sorprendemos cuando vemos sus extremos converger hacia un punto de confusión, allá a lo lejos, en el horizonte. Nuestra visión y la trayectoria rectilínea de la luz reflejada en las cosas hace que las veamos de menor tamaño cuanto más lejos están de nosotros. La simetría y la tecnología pueden combinarse para crear mundos imposibles, aunque con parte de realismo. Basta tomar una fotografía cualquiera, aplicarle una reflexión vertical u horizontal y adosarla al original. La imagen doble muestra dos calles paralelas, una simétrica de la otra.
Una calle de Kanazawa (Japón) y su simétrica.
Desgraciadamente, muy poco se sabe de cómo se realizaron los mosaicos de la Alhambra ni de cómo se trazaron polígonos regulares de nueve lados de los que Gauss demostró su imposibilidad de perfecta construcción, con regla y compás, en el siglo XVIII. Con relación al modo en que se elaboraron todos esos diseños, no podemos sino especular e intuir procedimientos. Sin embargo, veremos a continuación que existen todavía culturas cuyos diseños se realizan a diario con las mismas técnicas de antaño.
§. Los kolam indios
Cada mañana las mujeres del sur de India, especialmente en los estados de Tamil Nadu y de Kerala, llevan a cabo un ritual a las puertas de sus casas que consiste en dibujar a mano y en el suelo una serie de figuras. Los trazos se hacen con polvo de arroz o con tiza y las figuras finales deben ser blancas o estar coloreadas de vivos colores. Se llaman kolam y pueden ser desde pequeñas y sencillas representaciones florales hasta enormes y complejos diseños geométricos.
Los kolam son un arte, pero no tan sólo arte. Las líneas y figuras que los componen suelen tomar como referente una estructura reticular de puntos marcada previamente en el suelo. Dicha estructura actúa como retícula del diseño que se va a trazar. Éste, además, se compone de figuras menores, generalmente simétricas, que se repiten siguiendo un patrón específico determinado también por la forma de la retícula de puntos. En la fotografía siguiente se aprecia un kolam con dos ejes de simetría perpendiculares basado en una retícula de puntos octogonal.

Realización de un kolam en Chennai, Tamil Nadu, India.
Que los kolam los hagan las mujeres no es por causa de reglas establecidas, sino consecuencia de la costumbre y de que la tarea la asumieron ellas, como otra de tantas del ámbito doméstico. Los kolam no están prohibidos para los hombres y puede haber algunos que los hagan simplemente por el placer que ello supone.
Un caso extraordinario en el que la ejecución del kolam corresponde por norma a un hombre es el de un ritual especial dedicado a la diosa madre Bhagavathi, en Kerala. Este ritual, llamado Bhagavathi sevai, sólo puede llevarlo a cabo el sacerdote, que es un hombre, y es quien debe, por tanto, trazar el kolam; éste en concreto recibe el nombre de padman (loto).
Fundamentalmente hay dos tipos de kolam. Unos son como los de la imagen de la página anterior, que están formados por figuras bidimensionales que rellenan los espacios creados por la retícula de puntos. Otros consisten en una o varias líneas continuas que recorren todos los puntos de la retícula, enlazándolos en una o en diversas figuras.
Todos los kolam comienzan situando en el suelo una retícula de puntos. Su distribución depende del espacio disponible, y la configuración puede haberse practicado antes en el papel, sobre todo si se trata de figuras muy complejas o de grandes dimensiones. El trazo de las líneas sorteando los puntos debe hacerse con seguridad. No conviene cometer errores que obliguen a la corrección del kolam. Las figuras no reciben un título específico, sino que para referirse a ellas se les señala con los términos de formas similares, como, por ejemplo, estrellas, lotos, cocoteros, carro del templo, etc. Las líneas de enlace vienen a ser ochos o infinitos ampliados hasta niveles tan ricos como éste:

Kolam compuesto de elementos menores de trazo único (foto: Kamini Dandapani).
El símil con el símbolo infinito no es gratuito, pues en esa región las líneas continuas de este tipo son símbolos del incesante ciclo de la vida: nacimiento, fertilidad y muerte.
Estudiando detenidamente las curvas laterales del kolam anterior veremos qué determina que puedan hacerse de un solo trazo. Las cuatro figuras laterales son rectangulares y se basan en sendas retículas de puntos 2 × 7. Un único trazo recorre toda la retícula, rodeando sus puntos. Lo mismo puede hacerse con retículas 2 × 3 y 2 × 5:

Pero no así con una retícula 2 x 4. En este caso se necesitan dos recorridos, siendo ambos simétricos vertical y horizontalmente el uno del otro:

La posibilidad o imposibilidad de recorrer esas retículas de un solo trazo está determinada por la naturaleza impar o par de su número de columnas. En efecto, numerando las columnas de izquierda a derecha, las series de columnas por las que pasa la curva en cada uno de los recorridos de las retículas 2×3, 2×5 y 2×7 son, respectivamente: {1, 2, 3}, {1, 2, 4, 5} y {1, 2, 4, 6, 7}. Este tipo de patrón no es posible si el número de columnas es par.
Dada una retícula de puntos de dos filas A y B y de N columnas (con N impar: N = 2∙k+ 1), el patrón que hay que seguir para el trazado de la curva que los conecta a todos de un solo trazo es:
N = 2∙k + 1:
k par: {A(1), B(2), A(4), B(6), …, A(2 ∙ k), B(N)};
k impar: {A(1), B(2), A(4), B(6), ..., A(2∙ k), A(N)}.
Algunos kolam constan de una sola curva, siguiendo el ideal de nudo eterno mencionado al inicio de este capítulo, pero la mayoría están hechos de varias, como el siguiente:

Kolam de tres trazos (foto: Kamini Dandapani).
Este kolam se compone de tres curvas. Dos de ellas son idénticas, siendo la relación entre ambas de un giro de 90°. Cada una de estas dos posee simetría de giro de 180°. En cambio, la tercera curva forma una figura con simetría de giro de 90°. La retícula del diseño es doble. Consta de 25 puntos distribuidos en dos cuadrados de 3 × 3 y 4 × 4, el primero dentro del segundo:


Kolam (foto: Kamtni Dandapani).
La realización de kolams en el sur de la India se remonta a varios siglos. Sus orígenes podrían estar relacionados con figuras muy similares que se hacen en África Central. Si se evidencia en ellos pensamiento matemático se debe, más que por la simetría final de las figuras, por el rigor metodológico con el que se elaboran. En este contexto, las mujeres son portadores de una tradición centenaria y de un conocimiento matemático que manifiestan a diario delante de sus casas. El modo de trazar los kolam se transmite de madres a hijas y éstas lo desarrollan y amplían hasta límites que los matemáticos de todo el mundo no dejan de admirar.
§. Urdimbres
El undécimo capítulo del Tao te Ching (atribuido a Lao-Tsé) señala que es de su vacío de donde procede la utilidad de las ruedas, vasijas y ventanas. Ciertamente, encerrar pequeñas porciones del espacio infinito que nos rodea ha sido una tarea a la que se ha dedicado el hombre desde la prehistoria. Pero el problema de limitar el espacio remite a uno previo, pues hace falta crear un marco que lo encierre: la rueda precisa de la circunferencia; la vasija, de la superficie esférica; una ventana, de la pared plana en la que se abre un vacío.
A lo largo del tiempo se han creado espacios planos y curvos con infinidad de materiales y técnicas. Quizás el trenzado de fibras vegetales para crear superficies y volúmenes sea una de las actividades más universales. Entrelazando varías líneas, como son los fragmentos de una rama, se construyen esteras, paredes y tejados. Esto son superficies, pero con esos mismos elementos el hombre ha sido capaz de tejer volúmenes como son los cestos, las jaulas de grillos y de gallos o las pelotas de takro, el voleibol del Sudeste Asiático que se juega con los pies.
La creatividad y habilidad de los artesanos de todo el mundo en la elaboración de piezas de cestería ha merecido elogios desde ambas perspectivas, la tecnológica y la artística. Se trata de una actividad en la que se ponen en práctica muchas ideas matemáticas. Paulus Gerdes, investigador etnomatemático de Mozambique, ha estudiado los patrones y formas derivados de esta labor artesanal. Entre los problemas geométricos vinculados a la cestería destaca el siguiente: una fibra debe rodear otra de idéntica amplitud; ¿cuál es el ángulo de pliegue al que da lugar? La respuesta, 60°, se obtiene mediante un cálculo trigonométrico. En la práctica, este ángulo se obtiene doblando la cinta como muestra la figura:

Creatividad geométrica ornamental en cestería (foto: MAP).
§. Pelotas de takro
Las pelotas de takro se tejen en todo el Sudeste Asiático con cintas de ratán, una caña de palmera que también se usa para fabricar muebles. Se parece al mimbre, pero a diferencia de éste, no es redondeada, sino plana. A pesar de ser flexible, es muy dura y no se rompe fácilmente aunque se la golpee con los pies, como es el caso del juego del takro.

Pelota de takro y su autor (Foto: MAP).
Quien la construyó no realizó ningún esquema, diseño o cálculo. Observando el proceso de elaboración cuesta creer que pueda llegar a hacerse una esfera tan bien hecha sin matemáticas. Pero las matemáticas no sólo son verbales o escritas, sino que también existen tácitamente en la mente de quienes las piensan.
En matemáticas, una esfera está formada por aquellos puntos que se encuentran a idéntica distancia de otro llamado centro. Pero este modelo no se ajusta al modo en que se tejió esta pelota de takro. El artesano siguió un método preciso y eficaz para lograr una pelota perfecta si despreciamos las imperfecciones propias que la realidad impone, tanto desde la perspectiva de la realización del trabajo como de las características del material utilizado. Su esencia no se compone de un centro y un radio, sino que está hecha en base a un poliedro y a su curvatura constante. El trabajo empieza entrelazando cinco cintas de ratán formando un pentágono lo más regular posible. Después, seleccionando algunos de sus extremos el artesano introduce otra cinta en el proceso. Uno de sus extremos ya ha sido anudado en una circunferencia que determinará el diámetro de la pelota.
Siguiendo el rastro de las cintas, las caras pentagonales aparecen, en un principio, como vacíos de la urdimbre. Serán colmados con los extremos restantes de cada cinta a medida que el trabajo avanza. Esencialmente, el objeto es similar al que resulta de recortar los vértices de un icosaedro, que son pirámides de base pentagonal. Cortándolos a media altura creamos en él 20 orificios pentagonales que, al ser tapados por una cara, dan lugar a un poliedro semirregular. Su nombre es icosaedro truncado. Este cuerpo geométrico es lo que el artesano teje realmente, un icosaedro truncado de 60 vértices, 90 aristas y 32 caras, de las cuales 20 son hexagonales y 12, pentagonales. Del esfuerzo del ratán por recobrar su tirantez es de donde la pelota adquiere la constante curvatura. Las intersecciones triples de los seis haces de fibras resultantes, cada haz procedente de una de las fibras utilizadas, determinan las 20 caras hexagonales de la pelota:


§. Bolas temará
Las bolas temari japonesas tienen su origen en China. Al principio se hacían de piel de ciervo y eran de uso restringido a los señores de la corte. Con ellas se practicaban deportes de entretenimiento. Cuando las damas de la corte comenzaron a tejer las bolas con hilos de seda adoptaron un nuevo papel como elemento decorativo. Se hacían concursos para elegir la bola temari más elaborada con relación a los patrones y colores con los que se confeccionaban.
Éste es un arte cuya antigüedad se remonta al año 1.000 y que pasaba de madres a hijas, de generación en generación. Con el tiempo se hizo más y más popular, y se desarrollaron nuevas técnicas de confección. Sin embargo, la aparición de las pelotas de goma hizo declinar su interés durante un largo periodo. Hoy en día, este arte tradicional se ha revalorizado y sofisticado hasta el punto de que se han formado asociaciones en Japón en torno a las bolas temari.

Bolas teman japonesas (foto: MAP).
El núcleo de una bola temari es otra bola de porespán o plástico. Conviene que ésta sea blanda para que se puedan clavar en ella los alfileres. Los diseños del tejido, la mayoría geométricos, son extraordinariamente rigurosos en la ejecución y confieren a la pieza un aspecto final característico.
Una de las herramientas que se considera muy útil en la confección de bolas temari es una regla bífida en forma de «V» cuya abertura es de 72°. De hecho, se trata de dos reglas unidas por sus extremos. La necesidad de esta herramienta es que gran parte de las temari se hacen en base a una teselación de la esfera inspirada en el dodecaedro. Esto significa trabajar con pentágonos regulares y con un sistema de cinco ejes radiales. Dividiendo los 360° de un giro completo entre cinco partes se obtienen los 72° de esa regla.
Una de las primeras tareas que se ha de llevar a cabo en la confección de una temari es la de dividir su superficie en ocho partes iguales. Hacerlo supone poner en práctica una diferencia fundamental entre el plano y una superficie curva como es la esfera. En el plano, la suma de los ángulos de un triángulo es siempre de 180°. En la esfera, y esa división de la superficie de la temari se hace así, la suma de los ángulos de un triángulo puede ser de 270°.
El procedimiento es el siguiente. Primero se marca un punto cualquiera sobre la bola con un alfiler. Partiendo de ese punto se rodea la bola con una cinta, de manera que la vuelta pase también por el alfiler. Se señala el punto en la cinta y ésta se corta por la marca, con lo cual tendrá por longitud el perímetro de la bola. Ahora se dobla la cinta haciendo coincidir ambos extremos y se marca el pliegue. La acción se repite en cada una de las dos mitades. De este modo la cinta presenta marcas correspondientes a su cuarta parte, a la mitad y a sus tres cuartas partes.
Ahora se engancha la cinta en el alfiler de la pelota y se rodea ésta con ella. Clavamos un nuevo alfiler en el punto medio. El anterior será el polo norte, y éste, el polo sur. Dando la vuelta a la bola y situando la cinta en posición perpendicular al eje de los polos marcamos con alfileres los puntos medios. Tendremos así seis alfileres clavados en la bola que serán los vértices de seis triángulos esféricos equiláteros. Sin embargo, los ángulos de esos triángulos esféricos no serán de 60°, sino de 90°. En una superficie como la esfera, los triángulos equiláteros tienen ángulos rectos. Los tres ejes (círculos máximos) perpendiculares que esos seis alfileres determinan sobre la esfera dividen su superficie en ocho partes iguales.

Esos ejes pueden ser la base de un sencillo diseño con hilos de colores. Marcando más meridianos o paralelos a partir de ellos lograremos dividir la esfera en más husos como los de la bola temari situada a la izquierda en la fotografía de la páginas anteriores. Su diseño enfatiza el ecuador de la bola, mientras que desde sus polos parten meridianos de tal modo que crean 24 husos (12 de cada color) de 15° cada uno. Las otras dos bolas de la imagen poseen la estructura pentagonal del dodecaedro.
No sólo el dodecaedro, sino que cualquier sólido platónico vale como base de una bola temari.
§. Música de gamelán
Las orquestas de gamelán son autóctonas de Java y Balr (Indonesia) y se componen de una serie de uno o dos grandes gongs, un par de tambores, al menos cuatro pares de platillos, un par de grupos de gongs pequeños, de entre 8 y 14 unidades cada uno, y de flautas. La sección más característica del gamelán son sus xilófonos metálicos de diferentes dimensiones, cuyo número de piezas varía entre 7 y 12 y que se percuten con martillos especiales.

Las composiciones se dividen en secciones de marcado carácter cíclico, que siguen patrones basados en las potencias de 2 y constan de 2, 4, 8, 16 o 32 tiempos. Eso determina también la velocidad de ejecución. Las ornamentaciones melódicas se ejecutan 4 u 8 veces más rápido que la parte melódica, y ésta, a su vez, lo hace 2, 4 u 8 veces más deprisa que las versiones melódicas más simplificadas. La duplicación favorece la conservación del ritmo, otorgando a la música su característica dinámica.
§. Servilletas y papiroflexia
Hay un estilo de plegar las servilletas de papel común a todos los restaurantes del archipiélago más grande del mundo: Indonesia. De los servilleteros de cualquier warung indonesio uno puede sacar una servilleta plegada de un modo particular, pero en todos, desde el oeste de Sumatra hasta el este de Papúa, las camareras saben cómo plegar una servilleta al estilo indonesio.

Mesa de un warung indonesio (foto: MAP)´

Despliegue de una servilleta en tres establecimientos distintos.
Consiste en doblar la servilleta cuadrada de tal modo que los pliegues dividan en tres partes iguales el ángulo recto de uno de sus vértices. De esta manera se crea un cuadrilátero simétrico con un ángulo recto, otro de 30° y dos ángulos más de 120°.

Servilleta plegada al estilo indonesio.
Durante mucho tiempo creí que el referente necesario para hacer un buen plegado tendría que ser el que habría tomado yo y que consistía en acercar un vértice de la servilleta al punto medio de uno de sus lados adyacentes:

Pliegue de la servilleta llevando un vértice lateral sobre la mediatriz manteniendo fijo el vértice inferior
Eso da lugar a un triángulo rectángulo con un cateto cuya longitud es la mitad que la hipotenusa y, por tanto, con un ángulo de 30°. Cuando tuve la oportunidad de ver cómo algunas camareras realizaban esa tarea no pude sino confirmar ese modelo, pues evidentemente dirigían un vértice del papel hacia el punto medio del lado opuesto de la servilleta.
Sin embargo, estaba equivocado. Interpelando a quienes realizaban la tarea supe que el referente que tomaban era geométrico, pero no consistía en el mismo que yo había vaticinado y observado, sino que consistía en buscar doblar el papel de tal modo que el lado marcase la tercera parte del ángulo del vértice. En lugar de dirigir el vértice hacia el punto medio del lado opuesto, lo que hacían era dirigir el lado hacia la mitad de la parte sin doblar de la servilleta. Es decir, buscaban la bisectriz del resto del pliegue. Una resolución visualmente indistinguible de la mía y que sólo la interpelación a las autoras había conseguido desvelar.
La idea matemática subyacente al proceso es que 3 = 1 + 2. Llamando R al ángulo correspondiente al resto del pliegue A efectuado, tenemos que:
90° = R + 2∙A.
Y puesto que lo que se quiere es que el ángulo doblado coincida con el ángulo del resto, el resultado es la trisección del ángulo recto de la esquina de la servilleta:

Una proyección matemática consiste en atribuir matemáticas a fenómenos cuya realidad no tiene por qué ser matemática o que, aun siéndolo, no se ajusta a las matemáticas que se le atribuyen. Nada nos impide proyectar matemáticas, pero hacerlo en lo que piensa o hace alguien conlleva peligros que hay que evitar, no sea que por medio de nuestra proyección declaremos como matemáticamente incompetente a alguien que no sólo no lo es, sino que quizá sea incluso más competente que quienes proyectan en otros su propio conocimiento.
Capítulo 5
Etnomatemáticas en la vida cotidiana: Lógica popular
§. Los dayak (Borneo)
§. Un recuento exhaustivo (Indonesia)
§. Los kiowa (Estados Unidos)
§. Relaciones de parentesco
§. El sistema de parentesco de los warlpiri (Australia) .
§. Apuestas equitativas
§. Daddu (Indonesia y Malasia)
§. Bola adil (Nusa Lembongan)
§. Un juego kpelle
§. Habitar la geometría
§. Tecnología y pensamiento matemático
§. Reparto de hiladas en la construcción
§. Nuevas funciones, nuevos gráficos
§. Los dayak (Borneo)
Alfred Russel Wallace fue un naturalista británico que, a mediados del siglo XIX, recorrió el archipiélago malayo. Coetáneo de Charles Darwin, estudió la flora y la fauna de las Islas de la Sonda, y elaboró una teoría de la evolución muy similar a la de Darwin. Su obra Viaje al archipiélago malayo es a la vez un informe de investigación y un documento antropológico sobre la vida y costumbres de algunas tribus y pueblos de la zona. Los encuentros con nativos relatados por el naturalista nos dan a conocer algunos aspectos de la forma de pensar de aquéllos.
Wallace menciona un encuentro con miembros de las tribus dayak del interior de la isla de Borneo. Por aquel entonces, la caza de cabezas era una costumbre muy extendida entre las tribus del Sudeste Asiático, pero esto no impedía la existencia de confianza y honestidad entre los miembros de las tribus. Una práctica bastante habitual todavía hoy en el Sudeste Asiático, especialmente en Malasia, Tailandia e Indonesia, es que los nativos respondan afirmativamente a cuestiones de las que desconocen las respuestas. Wallace señala lo difícil que resulta conseguir de los dayak información precisa u opiniones personales. Según ellos, el motivo era que si le dijesen lo que no sabían, ¡podrían incurrir en una mentira! El quid de la cuestión está en si se sabe o no que se conoce o se desconoce algo:

§. Un recuento exhaustivo (Indonesia)
Wallace dedica un capítulo entero a explicar cómo el rajá de Lombok, una de las islas del archipiélago de la Sonda, realizó un censo de su población. Desde la perspectiva matemática, un censo consiste en establecer una correspondencia 1-1 entre los números naturales y los habitantes de una localidad o región. Es decir, contarlos. Llevar este problema a la práctica real no es nada fácil. El rajá quería saber exactamente cuántos súbditos tenía bajo su dominio. Y no quería saberlo estadísticamente, sino tenerlos contabilizados uno por uno. La importancia y precisión de la cuestión estaba relacionada con los impuestos, que se calculaban por persona. Nadie iba a quedar libre de pagar y, en tal caso, el rajá debería saberlo.
Lo que hizo el rajá fue buscar un modo en que la gente se contase a sí misma y de que el recuento fuese verdaderamente exhaustivo. Para ello se valió del contexto cultural, y en él hay una observación fundamental: no podía ordenar a la gente de cada casa o familia que se contasen. ¡El censo debía llevarse a cabo sin que la gente supiese que se trataba de un censo y, menos aún, cuál era el motivo por el que se hacía! Sólo así los datos obtenidos serían fiables.
El rajá convocó a todos los jefes, sacerdotes y príncipes y les hizo saber que el gran espíritu del volcán se le había aparecido en sueños. Deberían ordenar abrir caminos en la montaña para que pudiese ascender a escuchar lo que el gran espíritu iba a decirle. Así se hizo y el rajá acudió al encuentro en la cima de la montaña mientras toda una procesión de dignatarios le esperaba abajo. Al cabo de tres días, el rajá volvió y convocó de nuevo a los jefes y sacerdotes para informarles de lo que le había dicho el espíritu.
Según el gran espíritu, terribles plagas y enfermedades amenazaban a toda la población de la isla. Sólo siguiendo sus instrucciones podrían sobrevivir a ellas. Las órdenes del gran espíritu eran que deberían hacer doce krises sagrados (puñales de hoja ondulada típicos en todo el Sudeste Asiático). Para ello, cada pueblo de cada distrito enviaría un haz de agujas de plata con una aguja por cada persona de la localidad. Cuando la plaga o la enfermedad apareciesen en un pueblo, uno de los doce krises sería enviado allí, y si cada casa de ese pueblo hubiese enviado el monto correcto de agujas, la plaga o enfermedad cesaría de inmediato; pero en caso de que la cantidad fuese inexacta, el puñal sagrado no tendría poder alguno. Así se hizo. Y cuando algún desastre ocurría en un pueblo se enviaba uno de los krises para eliminarlo. Si la desgracia desaparecía, era virtud del puñal sagrado. Si la desgracia continuaba, era por culpa de un erróneo recuento de las agujas.
No hay duda de que si el recuento fue exhaustivo fue gracias a la manipulación religiosa y mitológica llevada a la práctica por medio de amenazas indirectas. Por último, la lógica que atribuye la culpa al inocente. Si las cosas van bien es gracias a la divinidad; si van mal, la culpa es del hombre. En este caso, culpable de un incorrecto recuento.
§. Los kiowa (Estados Unidos)
Los indios norteamericanos fueron conocidos en todo el mundo a raíz de las películas del Oeste, los famosos western. La cultura del hombre blanco le hace verse como amo del territorio que habita y por encima de la naturaleza, que transforma a su antojo. El mundo y el universo están, de algún modo, a su servicio, y deben responder a sus deseos. Las culturas indias ven las cosas de un modo completamente diferente. La perspectiva india es que el hombre pertenece al mundo y al territorio, y su relación con la naturaleza debe basarse en un principio de equilibrio. Animales, accidentes orográficos, ríos y lagos, todo tiene una esencia vital que hay que respetar. Los elementos naturales son sagrados y merecen el mayor respeto.
¿Significa esto que la lógica del hombre blanco y la indígena son distintas? Es posible que así sea en algunos aspectos, pero la dualidad de enfoques filosóficos no implica necesariamente un cambio de lógica. El siguiente texto es una adaptación de un cuento kiowa acerca de un personaje peculiar, al que llamaremos S, cuya característica es el engaño:
S se topó con un desconocido X. Éste le dijo a S:
—No te conozco. Pero he oído hablar de ti. Eres el que engaña a todo el mundo.
—Sí, lo soy. Pero he dejado mi medicina en casa y no puedo engañarte.
—¿Y qué? Si eres el que engaña, podrás hacerlo sin tu medicina.
—No, no puedo sin ella. Si la tuviese, te engañaría. Si quieres, préstame tu caballo para ir a buscarla y regresaré para engañarte.
—Te lo prestaré. Pero debes volver con tu medicina.
S montó el caballo de X y, cuando se alejaba, le golpeó sigilosamente para que se detuviese. Se dirigió de nuevo a X:
—Este caballo no quiere andar. ¿Será que me tiene miedo? Préstame tu sombrero.
X le prestó el sombrero, pero el caballo volvió a plantarse. Entonces S dijo a X:
—Este caballo me teme. Déjame tu abrigo.
Como volvió a suceder lo mismo, S le pidió la manta, y luego, el látigo.
Mientras se alejaba, S se volvió para decirle a X:
—Ya tengo todas tus cosas. Ya te he engañado. No preciso ninguna medicina.
El cuento es una lección de lógica. Algunas expresiones pueden ser analizadas desde la perspectiva formal. Comencemos definiendo lo que entendemos por una persona que engaña. Si mentirosa es aquella persona que nunca dice la verdad, la que engaña a veces dice la verdad y a veces no. S dice la verdad cuando reconoce ser el que engaña a todo el mundo, pero miente al afirmar que precisa de una medicina para hacerlo y que se la ha dejado en casa.
¿Contradice esto lo que S dice a continuación, que sin medicina no puede engañar? Esta es una implicación lógica:
p: sin medicina ⇒ q: no puedo engañar.
Elaborando la tabla de verdad de esa implicación lógica vemos que es siempre cierta a excepción del caso en que la premisa sea cierta (1) y la conclusión falsa (0):

X, el interlocutor de S, parece darse cuenta de ello al replicarle que si es el que engaña no necesita ninguna medicina para hacerlo, lo que significa que la implicación expresada por S es falsa. He aquí la clave del cuento y de su lógica. Sin embargo, S insiste en que no puede engañar sin medicina. La ingenuidad de X al creerle da pie a los siguientes acontecimientos del relato.
§. Relaciones de parentesco
La simetría no sólo se manifiesta o percibe en el campo visual; también está implícita en la coexistencia de los miembros de una comunidad, y especialmente en las relaciones de parentesco, ya sea éste consanguíneo o político. La igualdad de sus miembros no se entiende sin una simetría en la relación. La ausencia de simetría en la relación entre padres e hijos determina la desigualdad social entre unos y otros. Si A es padre o madre de B, entonces B no es padre o madre de A. No ocurre lo mismo entre hermanos. Si X es hermano o hermana de Y, entonces Y es hermano o hermana de X. Los hermanos se hallan en el mismo estrato generacional y merecen, por parte de sus progenitores y de nuestra sociedad, o al menos se presupone, un trato de igualdad, tanto en el terreno afectivo (aprecio, apoyo, cobijo, alimento) como en el social y político (educación, derechos y responsabilidades legales).
En las matemáticas académicas del mundo occidental se estudian las relaciones porque con ellas se definen clases. Los elementos de una clase se caracterizan precisamente por compartir rasgos comunes, entendiendo por éstos los determinados en la relación. Pongamos por caso la relación definida mediante la expresión «es más viejo que». Decimos que un sujeto A está relacionado con otro B y lo escribimos A ~ B si «A es más viejo que B». ¿Qué propiedades verifica esta relación? Para empezar, ¿está un sujeto A relacionado consigo mismo? Es decir:
¿A ~ A?
No, puesto que es falso que una persona sea más vieja que ella misma. La relación no es reflexiva. Si un sujeto A está relacionado con otro B, ¿está B relacionado con A? Esto es:
¿A ~ B ⟹ B ~ A?
Tampoco, puesto que si «A es más viejo que B», no puede ser que «B es más viejo que A». Por tanto, la relación tampoco es simétrica. Y si un sujeto A está relacionado con otro B y éste lo está con otro C, ¿qué puede decirse de la relación entre el primero y el tercero?, ¿están relacionados? Es decir:
¿A ~ B y B ~ C ⟹ A ~ C?
Ahora la respuesta es afirmativa, porque si A es más viejo que B» y «B lo es más que C», es verdad que «A es más viejo que C». Eso hace que la relación sea transitiva. Podemos concluir que la relación «ser mas viejo que» no es reflexiva ni simétrica, pero sí transitiva.
Un ejemplo de relación reflexiva, simétrica y transitiva es la de «tener la misma edad». Evidentemente, es reflexiva, puesto que uno tiene la edad de uno mismo. Es simétrica, porque si A tiene la misma edad que B, entonces B tiene la misma que A. También es transitiva: si A tiene la edad de B y éste o ésta la de C, entonces A tiene la misma edad que C.
La mayoría de las relaciones que verifican esas tres propiedades (reflexiva, simétrica y transitiva) son relaciones de igualdad. Por eso, los sujetos o elementos que están relacionados mediante una relación así se unen en lo que se llaman clases de equivalencia.
En un principio puede parecer extraño hablar de clases de equivalencia, pero se trata de algo que hace todo el mundo a diario en su vida cotidiana, sólo que no utiliza el lenguaje técnico, sino el corriente. Cuando decimos manzana, estamos hablando de un tipo de fruta, pero nos referimos a ella como una clase de equivalencia dentro de las frutas. Si especificamos manzana reineta, estamos haciendo una clase de equivalencia dentro de las manzanas. Ser manzana y ser reineta son relaciones de equivalencia en el conjunto de las frutas y de las manzanas, respectivamente.
¿Existen relaciones de equivalencia en el ámbito del parentesco? La tabla siguiente muestra las propiedades que verifican las relaciones de parentesco por consanguinidad y por cuestión política (sombreadas). No se tiene en cuenta el sexo. En este sentido, ser hermano o hermana se toma como una misma relación.

Puesto que ninguna relación verifica las tres propiedades, ninguna de ellas es una relación de equivalencia. La que más cerca está de serlo es la de «ser hermano de»; es simétrica y transitiva, pero no reflexiva.
En nuestra cultura el modelo geométrico de parentesco fundamental es el árbol genealógico. En él se representan las relaciones generacionales de consanguinidad y matrimonio. En el siguiente árbol se indican los matrimonios mediante conexiones horizontales:

El eje del sistema de parentesco consanguíneo es la línea generacional marcada por las relaciones de abuelos, padres, hijos y nietos que configuran la línea vertical del sistema. Las relaciones consanguíneas de cada nivel generacional, es decir, presentes en las líneas horizontales del diagrama, son las de hermanos y primos. Las políticas son las de esposos y cuñados.
La composición de las relaciones de consanguinidad y políticas crea otras relaciones de tipo transversal que constituyen las diagonales del árbol generacional. Son las relaciones de tíos y sobrinos, suegros y yernos y nueras.
Al margen del sexo, nuestro sistema es dual en el sentido de que las relaciones que no son simétricas (la mayoría) poseen un término con el que se complementan. Esto no es necesario con los hermanos ni con los primos en el caso consanguíneo, ni con los esposos o cuñados en el político. Si A es hermano, primo, esposo o cuñado de B, entonces B es hermano, primo, esposo o cuñado de A. No ocurre así en las relaciones antisimétricas:
Abuelo — Nieto
Padre — Hijo
Suegro — Nuera, yerno
Tío — Sobrino.
El árbol genealógico constituye un modelo geométrico de la relación de parentesco tal y como se entiende en Occidente. También puede realizarse un modelo algebraico. La tabla siguiente responde a esa idea. Elaboramos un primer modelo algebraico de las relaciones de descendencia por consanguinidad (excluyendo hermanos, tíos, primos y sobrinos) correspondiente a cinco generaciones (abuelos, padres, nosotros, hijos y nietos) en una tabla. Las cifras representan sujetos de distintas, pero sucesivas, generaciones. El 0 corresponde al origen, a la generación de la persona lectora que interpreta la tabla. Las cifras negativas señalan generaciones anteriores a ella (-1: padres;-2: abuelos), mientras que las positivas son generaciones siguientes (1: hijos; 2: nietos).
Así las cosas, supongamos que el lector se sitúa en la generación 0. Entonces, la operación (—1)*(1) significa «abuelo de mi nieto», que soy yo, es decir, 0. Obedeciendo este argumento se completa la tabla:

Se observa que la operación * definida en esta tabla se corresponde con la suma de las cifras que hay en ella.
La composición de relaciones consigo mismas, representada con el símbolo (°), puede dar lugar a otras o bien conservarse. Por ejemplo, el padre del padre es el abuelo:
Padre ° padre = Abuelo.
Hijo ° hijo = Nieto.
Hermano ° hermano = Hermano.
§. El sistema de parentesco de los warlpiri (Australia)
Los warlpiri son un pueblo nativo del Territorio del Norte, en Australia, con un sistema de parentesco bastante complejo. Su sistema determina el modo en que se comportan, relacionan y organizan social y políticamente. También determina la organización y desarrollo de sus rituales. Al igual que otros pueblos del mundo, para los warlpiri todo aquello que existe está conectado y forma parte de un sistema de vida establecido por sus antepasados mitológicos que ordenaron el mundo e hicieron en él las montañas y los ríos, la flora y la fauna y les dieron nombre. Sus antepasados dictaron también lo que sería sagrado y los ritos y ceremonias que debían realizar.
El sistema de parentesco de los warlpiri está basado en ocho secciones y gobernado por una serie de reglas. Toda persona warlpiri pertenece a una de ellas. Los hijos de un matrimonio estarán en una sección distinta a la de sus padres, y ésta depende de la de la madre. Representando con las cifras 1, 2, 8 las diferentes secciones, la hija una mujer de la sección 4 está en la sección 2; la hija de ésta, en la sección 3, y la de ésta última, en la 1. Del mismo modo se establecen las relaciones en las secciones 5, 6, 7 y 8. Hay, por tanto, dos ciclos matrilineales de orden cuatro: {1, 4, 2,3} y {5, 7, 6, 8} que no se solapan:

Ciclos matrilineales en el sistema de parentesco warlpiri, en Australia.
Otra norma es que no puede haber matrimonios dentro de una misma sección. En el siguiente modelo geométrico del sistema, los matrimonios se representan con líneas discontinuas:

Matrimonios en el sistema de parentesco warlpiri.
Puesto que las secciones masculinas se derivan de las femeninas, si un hombre de la sección 1 se casa con una mujer de la sección 5, su hijo pertenecerá a la sección 7. Entonces, éste se casa con una mujer de 3 y su hijo estará en la sección 1. Por lo tanto, hemos regresado a la misma sección. Los ciclos patrilineales son cuatro y tienen orden dos: {1, 7}, {2, 8}, {3, 6} y {4, 5):

Ciclos patrilineales en el sistema de parentesco waripiri.
Tenemos pues dos ciclos matrilineales de orden cuatro, y cuatro ciclos patrilineales de orden dos que recorren las ocho secciones del sistema. La complejidad del sistema no termina aquí: las ocho secciones pueden agruparse de modos distintos para formar conjuntos con relación a los cuales se determinan cuestiones sociales relevantes. Por ejemplo, las agrupaciones que rigen los derechos hereditarios son diferentes de las de los matrimonios legales o de las asociaciones para acometer alguna tarea.
Una descripción matemática formal y occidental de este sistema diría que no es otra cosa que una aplicación práctica de lo que en teoría de grupos se conoce como grupo de isometría de orden ocho. Ilustremos esa idea viendo como las isometrías de un cuadrado constituyen un grupo de isometría de orden ocho.
Una isometría es una transformación que no cambia ni la forma ni el tamaño de las cosas. En el plano las isometrías son tres: traslaciones, giros y reflexiones (simetrías). Una traslación simplemente cambia una figura de un sitio a otro. Un giro la hace girar en torno a un punto llamado centro. Una reflexión consiste en reflejar una figura con relación a un segmento o espejo. En los tres casos, las dimensiones de la figura son idénticas. ¿Cuáles de estas transformaciones pueden aplicarse a un cuadrado de manera que su aspecto sea idéntico al original?
La geometría en la medida del tiempo y el espacio[ilegible…] en segundos, minutos, horas días, semanas meses y años, y los múltiplos y divisores de esas unidades. No nace mucho también las distancias se medían con el tiempo necesario para recorrerlas. Algunos navegantes construían artilugios para medir unidades de tiempo más cortas que el día, una mañana o una tarde. Uno de ellos era un coco vacío seccionado en el que se había practicado un pequeño orificio en la parte inferior. Haciéndolo flotar en un barreño con agua ésta penetraba poco a poco en la cavidad hasta colmarla y sumergirla por completo. El proceso duraba aproximadamente una hora.
Otro sistema todavía perdura; se trata del reloj de arena. En su versión ideal los granos de arena caerían de uno en uno a través de la estrechez que separa. Son dos conos de cristal. Eso invitaría a pensar el tiempo como una magnitud discreta y computable grano a grano. Sin embargo, tenemos una percepción continua del tiempo más acorde con el giro de un radio alrededor del centro de su círculo. La medida del tiempo está íntimamente ligada con el círculo y con su división angular sexagesimal. Es un sistema heredado de las culturas mesopotámicas, usado también en la orientación espacial.
El menor giro que deja un cuadrado invariable es el de 90°. Este es un giro de orden cuatro porque si se repite cuatro veces devuelve cualquier figura a su posición inicial. Si lo representamos con la letra I (identidad), los cuatro giros son: G41, G42, G43 y G44= I. El cuadrado también permanece invariable bajo una de las siguientes reflexiones o simetrías especulares con relación a un espejo: (a) vertical; (b) horizontal; (c) diagonal ascendente; y (d) diagonal descendente. Observemos ahora que cada una de esas reflexiones es de orden dos, ya que sí se aplican dos veces consecutivas volvemos al punto de partida. Llamando S a estas simetrías especulares, tenemos: SH, SV, SD1 y S D2. Puesto que todas ellas son de orden dos, la composición de cada una consigo misma proporciona la situación inicial I:
SH°SH = I, SV°SV = I, SD1°SD1 = I y S D2°S D2 = I.
No sólo no son infinitas, sino que no escapan del sistema de orden ocho. He aquí la sintonía entre el sistema de parentesco warlpiri y el grupo de isometría mencionado. Los dos ciclos matrilineales de orden cuatro se corresponden también con sendos giros de orden cuatro. Por su parte, los cuatro ciclos patrilineales de orden dos equivalen a las cuatro simetrías especulares también de orden dos.
Puede que los warlpiri no sean conscientes de que su sistema de parentesco se corresponde con lo que en las matemáticas occidentales se denomina grupo de isometría de orden ocho. Sin embargo, ellos se han creado uno y viven y se relacionan de acuerdo con él. Así conciben y han organizado sus relaciones sociales, políticas, religiosas y de parentesco. Desde una perspectiva realista, su sistema no es una aplicación práctica de la matemática occidental. Ellos existían y tuvieron un sistema isométrico mucho antes de que en occidente ciertas relaciones se clasificasen de este modo. Su sistema no sólo está ligado a su cultura, sino que la define.
§. Apuestas equitativas
Los juegos de apuestas son comunes a todas las culturas y constituyen un modo de relación social. Se apuesta sobre uno de los múltiples resultados posibles de un fenómeno cuyo desarrollo, al menos en parte, está sometido al azar, es decir, a la incertidumbre de no saber de antemano qué va a pasar realmente. Es lo que sucede en las carreras de caballos, en los juegos de dados y en incontables juegos de apuestas, Por el mero hecho de tomar parte en el juego, un participante se declara conocedor de sus límites y reglas y acepta, además, su carácter azaroso. De hecho, sin margen para el azar el juego no existiría realmente. Las grandes sumas se logran precisamente cuando se apuesta a un resultado poco posible, ya sea en un sentido probabilístico y matemático del término o en un sentido social del mismo (nadie o casi nadie opta por esa posibilidad).
¿Se entiende el azar del mismo modo en todas partes? Esta es una cuestión de difícil respuesta. En algunas culturas el azar puede estar en manos de los dioses y constituir, de hecho, su modo de expresión. Los adeptos consultarán oráculos lanzando unas piedras, unos huesos o interpretando el aspecto de las entrañas de un animal. En otras, la cuestión puede reducirse a una cuantificación de las posibilidades de los resultados determinada por el carácter o la forma de los elementos que intervienen en el fenómeno, como sucede en la lotería y en los dados. En cualquier caso, los juegos de apuestas están más allá del determinismo o indeterminismo dominante en una cultura, ya que ese tipo de juegos y convenciones se dan prácticamente en todas ellas.
La siguiente fotografía muestra un par de dados procedentes de la isla de Lombok, en Indonesia. No tienen seis caras; en realidad son peonzas a las que se han tallado cuatro caras a modo de dado. Cuando se hacen rodar acaban reposando sobre una de sus cuatro caras. Sin embargo, las cuatro caras no son todas distintas, sino que en un par de caras opuestas hay incrustada una moneda; en las otras dos hay incrustaciones iguales de nácar. Al lanzar cada uno de los dados, sólo pueden salir dos resultados distintos, llamémoslos nácar (N) o moneda (M).

Dados de Lombok, Indonesia (foto: MAP).
En uno de los dados las caras M tienen incrustada una pieza adicional de cobre, una protuberancia. Los posibles resultados ¿son equiprobables? Se puede aventurar una respuesta negativa analizando su geometría. Tal vez esas caras pesan más que las otras y confieren al objeto una esencia alargada que la forma cúbica no refleja. Pero la respuesta definitiva se obtiene realizando una serie de lanzamientos para observar los resultados que se producen. De una serie de 20 lanzamientos, sólo en dos ocasiones apareció M.
Quien apuesta a favor de la cara M lo hará pocas veces. Tras unos lanzamientos se dará cuenta de que ese dado no cumple un requisito fundamental del juego como es el del equilibrio de la probabilidad de resultados. Jugar o apostar con dados así no tiene sentido porque ya se sabe, con una certeza del 80 %, qué va a ocurrir.
§. Daddu (Indonesia y Malasia)
El daddu es un juego de dados y apuestas que se practica en Indonesia y Malasia, donde es conocido con el nombre de selebor. Se juega con dos dados iguales cuyas seis caras están pintadas de la manera siguiente:

Participan en el juego cuatro jugadores que llamaremos A, B, C y D. Los dados pasan de jugador en jugador siguiendo el sentido de las agujas del reloj. Según el resultado, la tirada puede ser ottong (ganadora: G), mate (perdedora: P) o elang (juega el siguiente: X):

Comienza el jugador A tirando los dados. Si A gana (G), vuelve a tirar. Si A no gana, es decir, si pierde (P) o ni gana ni pierde (X), entonces los dados pasan a B. Este lanza los dados. Si B gana (G), A pierde; si B pierde (P), entonces A gana (G). Y si B ni gana ni pierde (X), los dados vuelven a manos del jugador A. Así se juega hasta que uno de los dos, A o B, pierde. Entonces, entra a jugar C y el ganador juega con él. Una vez terminado el juego con C, el ganador pasa a jugar con D. Y así sucesivamente. El juego no tiene fin; su final depende de los límites que quieran imponer los participantes. Por lo tanto, los perdedores no quedan excluidos y pueden volver a entrar en la rueda. El juego se desarrolla con apuestas, generalmente todas de la misma cuantía.
Así las cosas, las probabilidades de que quien abre el juego gane (G), pierda (P) o que deba ceder los dados al siguiente jugador son:
P(G) = 5/36 ≈ 14%
P(P) = 5/36 ≈ 14%
P(X) = 26/36 ≈ 72%
Se genera un diagrama en árbol de probabilidades:

Se trata de un juego en el que la probabilidad de que A gane tiende a estabilizarse en torno al 50% a medida que va desarrollándose. Para ello resulta fundamental la relación entre las tres probabilidades:
P(G) = 5/36 = P(P) ⟹ p = q
P(X) = 26/36 ⟹ r = 1-2p
La probabilidad de que A gane se aproxima al 50% cuanto más se extiende el juego:

§. Bola adil (Nusa Lembongan)
Éste es un juego de azar con apuestas. Se juega en un tablero cuadrado de 7 × 7 = 49 casillas de superficie cóncava. Una bola se echa a rodar encima del tablero rebotando contra sus bordes hasta detenerse, estabilizándose en el hueco de una casilla, que será la ganadora. La casilla central está marcada con el número 20. En cada una de las 48 casillas restantes hay dibujada una figura (círculo, triángulo, cruz) cuyo color (negro, amarillo, verde o rojo) varía siguiendo un patrón en diagonales, tal y como se muestra en la fotografía siguiente:

Tablero de bola adil.
Cada forma aparece repetida cuatro veces con el mismo color y lo hace en los cuatro colores. Por tanto, en las 48 casillas hay 16 círculos (4 negros, 4 rojos, 4 amarillos y 4 verdes), 16 triángulos y 16 cruces. Las apuestas se hacen en un tablero adicional de 3 × 4 = 12 casillas numeradas del 1 al 12, como se muestra en la fotografía:

Panel de apuestas de bola adil.
El dinero apostado a la casilla ganadora se multiplica por 10. Las apuestas pueden hacerse a una o más casillas. El premio que se obtiene es multiplicar por 10 veces la parte asignada a la opción correspondiente al lugar donde se haya detenido la bola. Por ejemplo, supongamos que alguien apuesta 30.000 rupias a caballo de las casillas 4 (triángulo negro) y 8 (círculo negro). Si la bola se detiene en una casilla con un círculo negro, el jugador obtendrá 150.000 rupias, diez veces la suma de su apuesta correspondiente a dicha figura (15.000 rupias). La probabilidad de cada casilla es:
P = 1/49 = 2,04%
Cuando la bola se detiene en la casilla central, marcada con el número 20, todo el dinero apostado es para la banca. Éste es un resultado posible que no ve el jugador al realizar sus apuestas, pues las hace sobre un tablero con opciones del 1 al 12. Desde su perspectiva, y puesto que las apuestas se hacen sobre 12 casillas, la probabilidad de ganar es, aparentemente:
P = 1/12 = 8,33 %
Sin embargo, la probabilidad real es algo menor, pues el tablero de apuestas no contempla la posibilidad de que gane la banca:
P = 4/49 = 8,33
A la vista del tablero de apuestas podemos formularnos la pregunta de ¿qué es más probable, apostar a dos números en horizontal o hacerlo en vertical? Por ejemplo, ¿qué es más probable, la combinación 1-2 o la 1-5? La combinación 1-2 significa ganar si sale un triángulo, ya sea rojo o verde. La combinación 1-5 es ganadora si sale un triángulo o un círculo, pero sólo si son rojos. Pero puesto que hay tantos triángulos rojos como verdes (4 de cada) como círculos negros y triángulos negros (4 de cada), la probabilidad es la misma:
P(1,2) = P(1,5) = 8/49 = 16,3 %
Que los jugadores son conscientes de que apostar a un único resultado es demasiado arriesgado lo prueba el hecho de que la apuesta más corriente es la que se realiza a dos números del 1 al 12 del tablero de apuestas.
Un par de cuestiones relevantes sobre este juego tiene que ver con el tablero por el que se mueve la bola. Una se refiere la su forma: ¿por qué es un cuadrado? La otra, a su número de casillas: ¿por qué consta de 7 × 7 casillas? ¿Qué problema habría en hacer un tablero rectangular, triangular, hexagonal o circular? ¿No sería posible realizar el juego en tableros cuadrados de 25, 36 o 100 casillas?
La forma del tablero incide en el recorrido de la bola, determinado por la dirección de lanzamiento y sus rebotes en los lados. La forma es una cuestión geométrica. En teoría, podrían existir lanzamientos considerados poco aleatorios, como aquellos en los que la bola trazase el perfil del cuadrado determinado por los puntos medios de los lados del tablero. Éste sería el resultado teórico de impulsar la bola desde el punto cualquiera de un lado del tablero con un ángulo de 45°. Sin embargo, todo eso es tan sólo teoría, porque debido a la concavidad de las celdas, cada vez que la bola pasa por encima de ellas sin hacerlo exactamente por su centro, la concavidad la desvía de su trayectoria, dándole ese aire aleatorio que justifica el juego. De ahí que itinerarios tan geométricamente previsibles como la siguiente poligonal negra marcada en un tablero gris claro nunca lleguen a producirse:

Una modelización únicamente matemática del recorrido de la bola no es posible, pues debe contemplar aspectos físicos como el rozamiento y la dinámica de fuerzas derivadas de las concavidades de las celdas, que pueden hacer que el trayecto de entrada y salida en una de ellas sean distintos. La cantidad de variables que deben tenerse en cuenta hacen el problema sumamente complejo. Comprender esto es comprender de dónde procede el sentido aleatorio de juego y de las apuestas.
La cantidad de celdas del tablero es un asunto numérico. Contando que disponemos de tres formas y cuatro colores que se combinan para crear 12 posibilidades y que hay que añadir siempre una más para que la banca pueda hacerse con todo el dinero, el número de casillas C debe superar en una unidad a un múltiplo de 12:
C=12∙k + 1, k ∈ N
Teniendo en cuenta su forma cuadrada, C debe de ser además el cuadrado de un número natural. Y esto se consigue tomando los cuadrados de los múltiplos de 6 más o menos una unidad:
(6∙λ ± 1)2 = 36∙λ2 ± 12∙λ + 1 = 12∙λ∙(3∙λ ± 1) + 1 =1 + múltiplo de 12
Así que el tablero podría tener otra cantidad de casillas, aunque eso haría las probabilidades demasiado pequeñas (C > 49) o demasiado grandes (C= 25):

§. Un juego kpelle
En su obra África cuenta, Claudia Zaslavsky comenta un juego practicado por los kpelle. El juego consiste en distribuir 16 guijarros en dos hileras de ocho cada una. Se selecciona una de las piedras y otra persona a la que se le ha ocultado dicha selección tiene que adivinar cuál de los guijarros es el seleccionado. Para ello puede preguntar hasta cuatro veces en cuál de las dos hileras se halla la piedra seleccionada. Tras cada respuesta dicha persona puede reorganizar las piedras en las dos hileras.
No es imprescindible que las piedrecitas sean todas iguales e indistinguibles unas de otras. Pueden ser de colores distintos para seguir los movimientos.

La respuesta al enigma se obtiene en el modo en que se redistribuyen los guijarros una vez conocida cada respuesta a las preguntas formuladas. Supongamos que se ha escogido la piedra número 1.3, pero que nosotros no lo sabemos. Así que al ver las dos hileras, preguntamos: ¿En qué hilera está la piedra escogida? La respuesta será que se halla en la fila de abajo. Entonces, permutamos las piedras impares de ambas filas:

Al repetir la cuestión, obtendremos como respuesta que la piedra seleccionada se encuentra ahora en la fila superior. Puesto que ha cambiado de posición, sabemos que es una del grupo {9,11,13,15}. Procedemos a permutar ahora la mitad de ellas, por ejemplo la 9 con la 1 y la 11 con la 3:

La nueva respuesta a la pregunta será que la piedra sigue en la primera hilera. Luego se trata de la 13 o la 15. Así que permutamos ahora solamente una de las dos. Por ejemplo, la 13 con la 5:

La última respuesta nos dirá sin duda alguna cual es la piedra que se había seleccionado, ya que ha vuelto a la segunda hilera. Por lo tanto, se trata de la número 13.
La estrategia del juego consiste precisamente en ir permutando la mitad de las piedras a medida que se van conociendo las respuestas. Primero, cuatro; luego, dos, y finalmente, una. La cuarta respuesta determina la solución. Es así porque las dos hileras ya separan las ocho piedras que representan la mitad de las que intervienen en el juego. Al decirnos en qué fila está la elegida, la mitad ya queda excluida. Por lo tanto, si nuestra estrategia garantiza que cada respuesta se refiera a la mitad de las anteriores, llegaremos indefectiblemente a una conclusión única porque:

Hace decenas de miles de años que el hombre dejó de habitar los abrigos naturales y decidió asegurarse un cobijo al amparo de la geometría. En lugar de vivir en cuevas transformó los elementos naturales de su entorno para construirse una vivienda. Eso supuso establecer un orden y forma que ha perdurado y se ha ido desarrollando con el paso del tiempo.
La mayor parte de los habitáculos del hombre moderno son poliedros, y la mayoría de ellos, prismas rectangulares. Decenas o centenares de familias se agrupan para habitar hexaedros colosales que se apiñan en ciudades de todo el mundo. También se habitan o se han habitado hasta hace muy poco formas derivadas o inspiradas en el círculo, como cilindros, conos e incluso esferas. Lo fundamental del hexaedro habitable es el ángulo recto. Las paredes de esas casas son perpendiculares al suelo y perpendiculares entre sí. En las habitaciones y espacios de una casa también se replica este modelo. La mayor parte del mobiliario del que nos rodeamos también posee esta forma. Muchas mesas, sillas, estanterías, armarios y camas se diseñan con forma de hexaedro; así se adaptan perfectamente al suelo y a las paredes donde se colocan. Otros enseres, como las lámparas, pueden diseñarse con mayor libertad.
Además del aspecto individual de las viviendas, es característico de los pueblos y culturas el modo en que éstas se agrupan para crear comunidades. Las hay de forma rectangular y circular, pero también las hay que no tienen forma específica porque se han desarrollado sin un patrón predeterminado.
En todo el mundo encontramos ejemplos de viviendas circulares. De forma cónica son los trullos italianos de Alberobello, al sureste de Italia, las chozas de muchos pueblos africanos, los tipi de los indios nativos de Norteamérica o las casas de los pueblos cumbi (isla de Flores) y atoni (Timor). Hemisféricos son los iglús esquimales, construidos con hielo. Otras viviendas combinan la forma cilíndrica con el tejado cónico, como es corriente en muchas zonas de África.
Claudia Zalavsky explica cómo se construían las casas tradicionales de la etnia chagga, que vive en las laderas del monte Kilimanjaro. Lo primero que se hacía era convocar al hombre más alto que se conoce. Este se tumbaba en el suelo con los brazos extendidos. El radio de la casa sería entre dos y tres veces su envergadura. Esta longitud se tomaba en una cuerda que se ataba a una estaca. Dando una vuelta completa alrededor del poste se marcaba la circunferencia en el suelo. La altura de la puerta era la envergadura del hombre, y su anchura, el perímetro de su cabeza medido con un cordel. Los kikuyu de Kenia, en cambio, hacían casas de base cilíndrica y tejado cónico recubierto de hojas.
Pese a que lo corriente es referirse a los tipis de los indios de Norteamérica como construcciones de forma cónica, lo cierto es que su esencia es poliédrica. Su forma es, de hecho, piramidal. Una serie de largos postes clavados en el suelo en círculo (determinando los vértices de un polígono bastante regular) se encuentran en el aire. Estos postes constituyen las aristas de la pirámide que conforman las pieles que los recubren. Los tipis son fácilmente desmontables y pueden trasladarse cuando se considera oportuno.

El tipi es la vivienda tradicional de las tribus norteamericanas.
En realidad, es el tejado lo que da a la casa su forma cónica. Las casas tradicionales de las islas de Flores y Timor, en Indonesia, son conos perfectos porque el tejado cónico desciende hasta prácticamente el suelo. Cierto es que la estructura de esa cubierta es piramidal, pero el recubrimiento a base de hojas suaviza el contorno y la superficie, otorgando a la vivienda su aspecto definitivo.
Las culturas africanas suelen crear sus pueblos y comunidades agrupando las casas según su forma. Aquellas que son rectangulares suelen agruparse en poblados de forma oblonga; las circulares se apiñan siguiendo un patrón de tipo circular o elíptico.
Algunas de las casas tradicionales africanas presentan ornamentaciones en los marcos de sus puertas y en las paredes interiores. También en las pieles de los tipis indios se trazaban símbolos y diseños identificativos de la tribu. El hielo no facilita tanto las cosas: los iglús esquimales se erigen con bloques de hielo moldeado que se ensamblan para crear espacios esféricos. Sin embargo, su cúpula se levanta en helicoide, cerrando el radio de la curva a medida que se asciende. La cúpula del iglú se cierra con bloques mayores que aquellos con los que se inicia la construcción.
La configuración de la ciudad antigua de Bagdad es perfectamente circular. El califa Al-Mansur ordenó su construcción en el siglo VIII. En el centro estaban el palacio y la mezquita. La doble muralla de adobe que la rodeaba tenía cuatro puertas abiertas hacia los cuatro puntos cardinales. No fue ésta la única ciudad circular de Oriente Medio. Posiblemente Al-Mansur se inspiró en otras ciudades circulares anteriores, como la ciudad de Gur (actual Firuzabad) que fundó el rey sasánida Ardashir I en Irán durante el siglo I.
Un caso distinto es el del pueblo toraja en Sulawesi, Indonesia. Sus casas tradicionales son rectangulares y se caracterizan por tres niveles bien diferenciados. Pero el carácter se lo da el tejado en forma de silla de montar; ésa es su forma. Sin embargo, lo fundamental de la casa toraja es su emplazamiento y su significado como símbolo familiar, social y cultural. Una casa toraja es mucho más que un habitáculo para guarecerse. Todas las casas tradicionales toraja se orientan hacia el norte, de ahí que en los poblados toraja éstas se alineen en batería, una junto a la otra y paralelas, todas mirando al Norte. Enfrente de cada casa se sitúan los graneros (uno o varios) para guardar el arroz. Puesto que las casas miran al Norte, los graneros lo hacen hacia el Sur, cara a cara con la casa. El espacio que se crea en medio es el lugar donde se celebran las ceremonias y rituales. Cada familia está asociada a la casa familiar, constituye su punto de reunión y asamblea y el lugar donde reposarán los restos de sus muertos hasta que se les dé la sepultura definitiva.

Estructura de un poblado toraja (Sulawesi, Indonesia).
Las dimensiones de las casas y graneros tradicionales toraja se determinan de antemano y obedecen a una razón de proporcionalidad de 7:3. El constructor Marheen Madoi explicó por escrito cómo determinarlas:

Explicación autógrafa de las dimensiones de una casa tradicional toraja.
La interpretación de esta explicación se hace más clara incorporando aspectos no escritos en el documento del constructor, quien sigue una línea de pensamiento asociada a unos valores y pautas que tiene en mente y que garantizan el éxito de su labor:
Anchura = 300 cm
7 - 1 = 6
6∙22 cm = 132 cm ⟹ 300-132 = 168 ⟹ 168/6 = 28
28 + 22 = 50
Módulos fachada: 50 +150 + 300 +150+50 = 700 cm.
De modo similar reproduce este procedimiento para calcular las dimensiones de una construcción de 4 m de ancho, aunque ahora utiliza un valor de 24 cm en vez de 22 cm:
Anchura = 400 cm
6∙24 cm = 144 cm ⟹ 400 - 144 = 256 ⟹ 256/6 = 42,6
42,6 + 24 = 66,5 (sic)
Módulos fachada: 66,5 + 200 + 400 + 200 + 66,5 = 933 cm.
Una explicación más clara parte de la idea de que tanto la casa como el granero tienen plantas rectangulares cuyas dimensiones obedecen a la razón de 7:3. Dicho rectángulo se organiza en una cuadrícula de 14×6 módulos. Los 14 de las fachadas más largas se agrupan en 1 + 3 + 6 + 3 + 1. Sila construcción va a tener 3 m de ancho, su longitud debe ser de 7 m:

Esto significa que cada celda es un cuadrado de 50 cm de lado, y que las 14 unidades de las secciones de las dos fachadas más largas tendrán longitudes:
50 + 150 + 300+150 + 50.
Lo mismo vale para una anchura de 4 m. Entonces, la longitud total será de 9,33 m y los módulos se distribuirán así:
66,6 + 200 + 400 + 200 + 66,6.
El pueblo shuar habita la parte de selva amazónica del sureste de Ecuador, en Sudamérica. Una de sus características son sus casas redondeadas. Aunque su base es cuadrada, el añadido semicircular a dos de sus lados opuestos le da una apariencia alargada como se observa en la figura siguiente. La altura es la misma que la de la cumbrera, el poste horizontal que sirve de eje al techado.

Pero la casa shuar es mucho más que un lugar del que guarecerse de la lluvia o donde guardar las pertenencias y utensilios. Viene a ser, como la casa toraja de Indonesia del otro lado del mundo, una reproducción del cosmos a escala, una representación del universo. Su espacio interior se divide según los dos sexos y el papel que, según creen los shuar, les tiene reservado la vida. Al mismo tiempo pone de manifiesto el papel que debe desempeñar cada miembro de la familia en el ámbito social de la comunidad. Según ese dictado, el poste principal que sostiene el techado, además de desempeñar una función práctica evidente, constituye una expresión del vínculo entre la tierra y el cielo, el mundo de abajo con el de arriba. Alrededor de dicho poste se desarrollan las celebraciones shuar.
§. Tecnología y pensamiento matemático
Hoy en día la actividad laboral en la mayor parte del mundo desarrollado se realiza mediante la misma herramienta: el ordenador. La diferencia estriba en el software que se maneja, pues cada profesión precisa de programas informáticos concretos y, muy a menudo, específicos. El uso del ordenador se ha hecho casi imprescindible. Tanto es así que muchos usuarios han aprendido a manejarlo de forma autónoma. Hay quienes han desarrollado incluso subrutinas y pequeños programas con el fin de agilizar y facilitar las labores de cálculo.
Prácticamente la mitad de los profesionales en nuestro país utilizan hojas de cálculo de Excel. No existe profesión en la que no deban rendirse cuentas, preparar facturas, cerrar balances o calcular los términos de una relación en base a su cuantificación. Muchos profesionales aprenden a trabajar con hojas de cálculo, descubriendo las matemáticas años después de haber dejado sus estudios. Unos estudios, por cierto, en los que ni tan siquiera vieron un ordenador. El mundo del diseño y de la gastronomía son ejemplos donde se llevan a cabo actividades matemáticas de este tipo.
§. Reparto de hiladas en la construcción
Una hilada es una serie de ladrillos entre dos columnas o paredes. Hacer bien el reparto de los ladrillos supone que desde el suelo hasta el techo tiene que haber un número entero de hiladas (la altura de los ladrillos no se recorta) cuyas juntas (la masilla que las une) deben ser de idéntico espesor. Esto se calcula con multiplicaciones y divisiones. La junta suele ser de 1 cm, pero puesto que el ladrillo no se ve mermado ni ampliado, la operación se hace flexible gracias a la junta. Con ella se puede ganar o perder 1 mm si es necesario.
En la práctica, se procede del modo siguiente. Se toman las medidas de la altura del ladrillo (h) y de la junta (j) y se hace una marca en un listón de madera a una distancia d = h + j de uno de sus extremos. A continuación se realizan marcas consecutivas correspondientes a los valores siguientes, obtenidos con la calculadora: [d] + d, [d + d] + d, [d + d + d] + d,... El listón marcado con esas señales equidistantes es la galga que sirve de guía para las hiladas. Se hace así para no tener que medir cada vez el valor d en cada hilada. El albañil considera que si el resultado de los cálculos es un resultado del tipo 5,8 cm, ir sumando cada vez ese número en la cinta métrica se haría muy complicado. Es mucho más cómodo tomarla una sola vez y transportarla de forma consecutiva y automática sobre el listón.
La figura siguiente representa la situación. Los datos iniciales son: H (altura de la luz), h (altura del ladrillo), x (altura de la junta) y n (el número de hiladas que se han de realizar para cubrir la luz). El valor de x acostumbra a estar en torno a 1 cm, pero como se ha dicho, hay cierto margen de tolerancia de 1 mm aproximadamente.

Reparto de hiladas.
Debe cumplirse la siguiente relación:

Una hoja de cálculo permite conocer automáticamente los resultados (número de ladrillos y grosor de la junta). La tabla siguiente corresponde al caso H= 3 m y h = 5 cm. Se destacan en ella los valores más próximos a los usados en la práctica de la construcción.

§. Nuevas funciones, nuevos gráficos
Los problemas del mundo contemporáneo no son los de hace décadas o siglos. Una preocupación de nuestro tiempo es el medio ambiente. Los científicos han constatado que si no limitamos las emisiones de CO2 acabaremos empeorando el planeta que habitamos. Un problema de difícil solución, pues la mayor parte de la economía mundial gira alrededor de los medios de transporte, y éstos, del petróleo.
Los fabricantes de automóviles se han sensibilizado en este aspecto. Los coches de ahora son mucho más respetuosos con el medio ambiente que antaño. La publicidad en la venta de automóviles hace hincapié en ello. Por eso los catálogos automovilísticos incluyen gráficos con el fin de explicar al comprador o usuario cuán respetuoso es un automóvil con el medio ambiente. La cuestión ha dado lugar a la creación de gráficos como el siguiente:

Comparativa emisiones/potencia de nuevos modelos de automóviles (círculos blancos) con los modelos anteriores (círculos grises).
Lo mejor sería fabricar un modelo de gran potencia y escasas emisiones cuyos datos estén en la parte superior izquierda del gráfico. Lo peor es la situación opuesta, un automóvil de poca potencia que emita mucho CO2 a la atmósfera; los datos estarían en la parte inferior derecha. En la situación representada, los nuevos modelos son mejores que los precedentes porque aúnan mayor potencia y menores emisiones (la nube de círculos blancos está más arriba y más a la izquierda que la nube de círculos grises). Por otra parte, cada nuevo modelo en particular supone una mejora de su precedente (cada letra con fondo claro está más a la izquierda o más arriba que su homologa con fondo oscuro).
Comenzamos la andadura hace decenas de miles de años analizando las características geométricas de un petroglifo sudafricano. Desde entonces hasta hoy han vivido en el planeta incontables pueblos y culturas caracterizadas por su idea del mundo y de la vida, su manera de hacer las cosas, sus creencias y ritos, su arquitectura y, en definitiva, lo que se conoce como manifestaciones culturales.
Uno de los aspectos comunes a muchas de las manifestaciones culturales de todos los pueblos es el interés en hacer las cosas bien y en la capacidad de reproducirlas. No es descabellado pensar que en aquellas manifestaciones culturales que posean esta característica pueda haber conocimiento matemático. Tanto es así que el profesor Alan Bishop señaló seis actividades matemáticas comunes a todas las culturas relacionadas con sus manifestaciones culturales: contar, medir, localizar, diseñar, jugar y explicar.
Hemos dado una vuelta al mundo pasando, en mayor o menor intensidad, por todas ellas. La conclusión general es que todas las culturas cuentan, calculan, miden, localizan, diseñan, juegan y explican. Pero, a menudo, lo hacen con ideas, símbolos, técnicas y tecnología distintos. Un aspecto a destacar en este sentido es que fuera del mundo occidental las matemáticas no se aíslan del contexto cultural en el que se desarrollan. La construcción de una casa toraja (Indonesia), un stupa budista (India, Nepal) o una pirámide escalonada (México) conlleva pensamiento y actividad matemática, pero es un medio para conseguir un fin superior. Además de moradas, templos o mausoleos, tienen un significado cultural y social que es su auténtica razón de ser.
La consideración de un cuerpo específico de conocimiento al que se llama matemáticas es una idea relativamente reciente en la historia e inexistente en muchas de las culturas tradicionales. En Occidente se distingue el arte de las artes decorativas, la arquitectura de la ingeniería y de la religión. En otros lugares, estas clasificaciones no se dan. Seleccionar el conocimiento matemático implícito en una manifestación sociocultural puede verse como una mutilación por parte de quienes la llevan a cabo. Desde la perspectiva cultural vernácula una disociación así carecería de sentido, pues la expresión cultural nunca es unidimensional.
Los hombres y mujeres de muchos pueblos se comunican y muestran respeto a sus dioses mediante plegarias y ofrendas. Por eso los ritos deben seguir una pauta, un orden, y poseer el rigor que la deidad merece. En Bali (Indonesia), las ofrendas se ponen en bandejitas de hojas de cocotero y bananero. Son materiales modestos y al alcance de cualquiera, pero se les da forma geométrica. La responsabilidad corre a cargo de las mujeres, y la confección de los recipientes es un conocimiento que pasa de madres a hijas. Algo similar ocurre en los estados de Kerala y Tamil Nadu, en el sur de la India, con los kolam.
En todas partes se cuenta y se calcula, pero la realidad del contexto fomenta la creación de técnicas autóctonas para contar. La actividad comercial es foco del cálculo mental. Los vendedores en los mercados africanos y los conductores de autobuses de la India desarrollan estrategias de multiplicación y división que no precisan de papel ni de lápiz. Algunas de ellas constituyen aplicaciones de propiedades algebraicas aprendidas o inspiradas en el mundo matemático académico, pero otras se desarrollan en el contexto cotidiano.
¿Existe alguna cultura que no se haya interesado por la simetría? La simetría es un rasgo humano. Quizá por ello todo lo que hace el hombre, por lo menos en un contexto más tradicional, tienda a ser, o haya sido en algún momento, simétrico. Poseen simetría las casas de todo el mundo, los templos, muchas de las ciudades concebidas de antemano, los diseños ornamentales, las herramientas... Vivimos en un mundo de simetría del que incluso las corrientes de diseño más vanguardistas apenas pueden escapar. Tradicionalmente, la simetría es la cara de la belleza. Desde esta perspectiva, lo que no es simétrico no puede ser bello. Y es así por una cuestión de equilibrio, pues simetría y equilibrio son ideas íntimamente relacionadas. De ahí que todos los pueblos y culturas hayan hecho uso de dicha relación para plasmar los rasgos y símbolos que los caracterizan.
Otros aspectos de los que no escapa ningún pueblo son la lógica, el juego y las apuestas. El parentesco viene a ser una lógica congénita determinante en las relaciones sociales. Por su parte, el juego y las apuestas son modelos de mundos inciertos e inventados en los que el riesgo desempeña el papel principal. El anhelo de la victoria y el temor a perder son pulsiones vitales. Para recrearías en situaciones controladas se hace uso del azar. No sabemos si el azar existe o es desconocimiento, pero los juegos de apuestas no tendrían sentido sin ese factor de incertidumbre que es el que, a la postre, cuantifica el riesgo. El diseño de situaciones azarosas está ligado a las matemáticas. Los dados son hexaedros de caras equiprobables, los elementos de la bola adil son puramente geométricos. La geometría, en este caso la simetría, contribuye a la creación de situaciones aleatorias que fomentan entre los participantes la aceptación y la comprensión del azar.
Viendo todas estas actividades en marcha uno no puede sino pensar en las ideas matemáticas necesarias para llevarlas a cabo. El interés por conocerlas es el mismo que mueve a conocer el mundo. ¿Por qué buscar ideas matemáticas fuera de nuestra cultura? Porque, como hemos visto, fuera de nuestro entorno se producen cosas diferentes y enriquecedoras. Las camareras de todo el archipiélago malayo doblan servilletas dividiendo el ángulo recto de un vértice en tres partes iguales. Pero no lo hacen siguiendo un método geométrico propio del contexto matemático académico, sino que utilizan un procedimiento vernáculo más eficaz y práctico.
Mediante las Etnomatemáticas conocemos pueblos, culturas, técnicas, herramientas y métodos que enriquecen el conocimiento matemático de otras culturas como la nuestra. Dicho enriquecimiento no se fragua sólo en las nuevas o diferentes ideas, sino en los nuevos problemas matemáticos identificados o planteados precisamente en la interacción cultural.
¿Cómo hallar Etnomatemáticas? De un petroglifo milenario se pueden formular hipótesis acerca de las ideas matemáticas que lo inspiraron. Son hipótesis de confirmación imposible, puesto que no se puede preguntar a su autor o autora ni se dispone de las herramientas con las que se llevó a cabo la labor. Las hipótesis acerca del conocimiento matemático necesario para crear un producto cultural como una talla de madera o una prenda textil son más plausibles cuando tenemos la oportunidad de observar el proceso de elaboración. Los métodos utilizados, la tecnología empleada y el lenguaje con el que los autores se refieren a las cosas que hacen nos dan pistas muy fiables de lo que piensan.
Sin embargo, puede ocurrir que, pese a observar de cerca un proceso, erremos nuestro modelo matemático de lo que está pensando quien lo lleva a cabo. Así ocurrió con el pliegue de las servilletas, ya que las acciones visibles del proceso eran indistinguibles de las necesarias para llevar a cabo el modelo matemático elaborado por el observador. La solución es interpelar a los responsables de la tarea. Sólo entonces (y aún así puede haber reservas) tendremos una certeza casi definitiva acerca de lo que están pensando.
Hay animales que construyen maravillas arquitectónicas. Las abejas, las arañas, los pájaros o el escarabajo pelotero son capaces de crear bolas casi perfectas, entramados geométricos muy regulares y celdas hexagonales. A la vista de sus obras y de la observación de su labor se diría que sus celdas, telas, nidos y pelotillas de excrementos son fruto de ideas matemáticas. Es posible, pero existe una diferencia fundamental entre ellos y el ser humano: a ellos no se les puede interrogar; por lo tanto, sólo podemos formular hipótesis acerca de lo que hacen.
Una vez se ha identificado conocimiento matemático, ¿qué hacer con él? La respuesta podría ser mejorar ambas prácticas matemáticas, la vernácula de donde surge y la ajena que lo identifica. Y esto en ambos sentidos: del contexto extraacadémico al académico y viceversa. Ahí reside la importancia de la educación. Pertenecer a una cultura significa apropiarse de sus aspectos característicos, aprender su lengua, sus costumbres, su filosofía de la vida, sus ritos y creencias, sus métodos de intercambio, vivir en casas levantadas con su arquitectura, alimentarse de su gastronomía, participar de sus juegos y, ¿por qué no?, de forma natural, aprender sus matemáticas. Acabamos de ver que no existe cultura sin matemáticas. Tampoco pertenecemos a ninguna sin que aprendamos sus matemáticas.
Vivimos en un mundo cada vez más globalizado cuya globalización viene, en su mayor parte, determinada por la tecnología. Que no exista tecnología sin matemáticas no debe hacernos pensar que fuera de nuestro mundo extraordinariamente tecnológico no existan matemáticas de las que podamos aprender. La universalidad de las matemáticas no es una idea apriorística de rango platónico, sino consecuencia del conocimiento etnomatemático desarrollado por todos los pueblos y culturas. Parte de él lo hemos conocido en la odisea matemática que finaliza justo en este punto.
- Ascher, M., Ethnomathematks. A multicultural View of Mathematical Ideas, Nueva York, Chapan & Hall/CRC, 1998.
- Bishop, A., Enculturación matemática. Las matemáticas desde una perspectiva cultural, Barcelona, Editorial Paidós, 1999.
- Datta, B., The Science of the Sulbas: A Study in Early Hindú Geometry, Calcutta University Press, 1932.
- Gombrich, E.H., El sentido del orden. Estudio sobre la psicología de las artes decorativas, Barcelona, Editorial Debate, 2004.
- Hidetoshi, E, Rothman, T., Sacred Mathematics. Japanese Temple Geometry, Nueva Jersey, Princeton University Press, 2008.
- Hodges, R, Cómo se construyeron las pirámides, Edición ampliada y anotada por Julián Keable, Madrid, Tikal Ediciones, 1994.
- Honour, EL, Fleming, J., A World History of Art, Londres, Laurence King Ltd., 1991.
- Ifrah, G., Historia universal de las cifras. La inteligencia de la humanidad contada por los números y el cálculo, Madrid, Editorial Espasa Calpe, 1997,
- Naresh, N., Workplace Mathematics of the Bus Conductors in Chennai, India, Ph.D., Illinois State University, 2008.
- Rey-Pastor, J., Babini, J., Historia de la Matemática, Barcelona, Editorial Gedisa, 1985.
- Robins, G., Shute, C., The Rhind Mathematical Papyrus, Londres, British Museum Publications, 1990.
- Zalavsky, C., Africa Counts. Number and Pattem in African Cultures, Chicago, Lawrence Hill Books, 1973.







