Matemáticas e imaginación
Edward Kasner y James Newman
A R. G. sin cuya desinteresada ayuda y comprensión no hubiera habido libro
Agradecimientos
Estamos agradecidos a muchos libros, que por ser muy numerosos nos vemos imposibilitados de mencionar.Deseamos expresar particularmente nuestro agradecimiento a Mr. Don Mittleman de la Columbia University, cuya ayuda en la preparación del original ha sido generosa e inapreciable.La moda en materia de libros, en las últimas décadas, ha tendido de forma creciente a la ciencia popular. Hasta los periódicos, en sus suplementos dominicales, y las revistas han dado cabida, en sus columnas, a temas relacionados con la relatividad, la física atómica y las más recientes maravillas de la astronomía y de la química. Aunque esto es síntoma del creciente deseo de saber tanto lo que ocurre en los laboratorios y observatorios, como en los cónclaves de hombres de ciencia y de matemáticos, quienes inspiran cierto temor reverente, una gran parte de la ciencia moderna permanece oculta por un velo de misterio aparentemente impenetrable. Predomina la sensación de que la ciencia, al igual que la magia y la alquimia en la Edad Media, es practicada y sólo puede ser comprendida por un reducido y esotérico grupo de personas El matemático es considerado todavía como el ermitaño que sabe poco de las formas de vida fuera de su celda y que invierte su tiempo creando teorías incomprensibles e increíbles en una jerga extraña, árida e ininteligible.
Sin embargo, las personas inteligentes, hastiadas del ritmo nervioso de su propia existencia —el agudo impacto de los acontecimientos del día— están ávidas de saber algo de los conocimientos adquiridos por vidas más contemplativas y sosegadas, reguladas por un reloj más lento y más acompasado que el suyo propio.
La Ciencia, particularmente la Matemática, aunque parezca menos práctica y menos real que las noticias contenidas en los últimos despachos de los boletines de televisión y radio, parece estar construyendo el único edificio permanente y estable en una época en que todos los demás se desmoronan o vuelan hechos pedazos. Esto no quiere decir que la Ciencia no haya experimentado también cambios revolucionarios. Pero ello ha tenido lugar tranquila y honorablemente. Lo que ha dejado de ser útil, se ha descartado sólo después de una madura reflexión y el edificio ha sido erigido con constancia sobre las realizaciones creadoras del pasado.
Así, en cierto modo, la popularización de la ciencia es un deber que se debe cumplir, el deber de infundir valor y de proporcionar satisfacciones a todos los hombres y mujeres de buena voluntad que en todas las partes del mundo están perdiendo paulatinamente su fe en la vida de la razón. En la mayoría de las ciencias se ha descorrido gradualmente el velo de misterio, pero las matemáticas, en gran parte, permanecen aún sin divulgar.
Lo que los libros más populares sobre matemáticas han tratado de hacer es: o discutirlas filosóficamente o aclarar las ideas aprendidas alguna vez y ya olvidadas.
Sobre este particular el propósito que nos ha guiado al escribir este libro ha sido algo diferente. Los franceses aplican el término "haute vulgarisation" al feliz resultado que ni desagrada por su condescendencia ni confunde en una masa de verbosidad técnica.
Nuestra finalidad ha consistido en extender el proceso de "haute vulgarisation" de aquellas avanzadas de las matemáticas que se mencionan, si se lo hace, sólo con un murmullo y a las que se alude sólo por su nombre, para demostrar, por su misma variedad, algo del carácter de las matemáticas, de .su espíritu osado y libre de trabas y de cómo, en su doble aspecto de arte y ciencia, han continuado guiando a las facultades creadoras más allá aún de la imaginación y de la intuición. En la medida que permite un volumen tan reducido sólo puede haber instantáneas y no retratos.
No obstante, esperamos que aun en este calidoscopio pueda haber un estímulo para despertar un interés más amplio y un mayor reconocimiento hacia la reina más arrogante del mundo intelectual.
«No iré tan lejos como para afirmar que construir una historia del pensamiento humano sin un profundo estudio de las ideas matemáticas de las épocas es como omitir a Hamlet en el drama que recibe su nombre Eso se ría pretender demasiado Pero es, por cierto, análogo a excluir el papel de Ofelia. Este símil es singularmente exacto, pues Ofelia es esencial al drama, es muy encantadora —y un poco loca. Admitamos, pues, que el estudio de las matemáticas es una locura divina del espíritu humano, un refugio ante la urgencia aguijoneante de los sucesos contingentes.»
Alfred North Whitehead
Science and the Modem World
Capítulo 1
Nombres nuevos para conceptos viejos
Así como de los viejos campos ve el hombre, año tras año venir el nuevo trigo, del mismo modo, de los viejos libros, viene toda esta nueva ciencia para que el hombre aprenda
Chaucer
Mientras avanzamos por el camino de la ciencia podemos irnos pasando sin nombres nuevos, hasta que nos hacemos con nuevas ideas y creamos conceptos nuevos.
Una de las peculiaridades del lenguaje matemático es que no se vale de tantos nombres largos y difíciles de pronunciar como otras ciencias. Es además un lenguaje conservador, que se apega con firmeza a los vocablos viejos. Los términos empleados por Euclides en sus Elementos siguen siendo corrientes hoy en geometría. Pero a uno de los físicos jónicos, el vocabulario de la física moderna le parecería, por hacer un fácil juego de palabras, "griego puro".
En Química, sustancias no más complicadas que el azúcar, el almidón o el alcohol tienen nombres como éstos: ácido metilpropenilenedihidroxicinamenilacrílico ó 0-anhidro- sulfaminobenzoína ó protocatechuicaldehidometileno.
Resultaría muy incómodo tener que emplear tales términos en nuestra conversación diaria ¿Quién podría imaginarse aun a un aristócrata de la ciencia, en la mesa del desayuno diciendo "Alcánceme, por favor, el ácido 0-anhidrosulfa minobenzoico", cuando todo lo que necesitaba era azúcar para su café?
La Biología tiene también retorcidos trabalenguas: pero el propósito de estas largas palabras no consiste en asustar a la gente, sino en describir, en forma científicamente concisa, lo que el literato expresaría en media página.
En Matemáticas hay muchas palabras corrientes, tales como "grupo", "familia", "anillo", "curva simple", "límite", etc. Pero a estas palabras comunes se les atribuye, algunas veces, un significado muy particular y técnico. En efecto, he aquí una verdad de perogrullo: La matemática es la ciencia que usa palabras sencillas para expresar ideas difíciles. En esto difiere de cualquier otra ciencia. Existen 500 000 especies conocidas de insectos y cada una de ellas tiene un largo nombre en latín. En las matemáticas somos más modestos. Hablamos de "cuerpos", "grupos", "familias", "espacios", aunque atribuyendo a estas palabras mucho más significado del que las mismas implican en la conversación común. A medida que su uso se hace más y más técnico, nadie puede adivinar el sentido matemático de una palabra, así como uno no podría adivinar por qué una "farmacia" [En Estados Unidos las drugstores o farmacias expenden además de productos medicinales, gran variedad de artículos de uso común] es un lugar donde venden helados y paraguas. Nadie podría acertar con el significado de la palabra "grupo" tal como se la emplea en matemáticas. Sin embargo, es de tal importancia, que se dictan cursos enteros sobre teoría de "grupos" y se escriben centenares de libros sobre este tema.
Debido a que los matemáticos se las arreglan con palabras comunes, se dan muchas ambigüedades divertidas. Por ejemplo, la palabra "función" expresa probablemente la idea más importante en toda la historia de las matemáticas. Sin embargo, la mayoría de las personas, al oírla, pensarán que una "función" significa un acontecimiento social nocturno, mientras que otras, menos dispuestas socialmente, pensarán en su hígado. La palabra "función" tiene, por lo menos, una docena de significados, pero poca gente sospecha su acepción matemática. Este significado (del cual nos ocuparemos detalladamente más adelante) se expresa, en su forma más simple, con una tabla. Dicha tabla da la relación existente entre dos cantidades variables cuando el valor de una de ellas está determinado por el valor de la otra. Así, una cantidad variable puede expresar los años transcurridos desde 1800 hasta 1938, y la otra el número de hombres que en los Estados Unidos usaban bigotes de guías: o una variable puede expresar en decibelios la cantidad de ruido producido por un orador político y la otra las unidades de presión sanguínea de sus oyentes. Usted probablemente no adivinaría jamás el significado de la palabra "anillo' tal como se la emplea en matemáticas, pues fue introducida en el álgebra moderna en los últimos cincuenta años. La teoría de anillos es mucho más reciente que la teoría de grupos. Se la encuentra en la mayoría de los libros de álgebra y nada tiene que ver con compromisos matrimoniales.
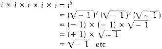
Otras palabras comunes empleadas en matemáticas, con un sentido muy particular, son "dominio", "integración", "diferenciación". Un lego jamás podría adivinar lo que representan: sólo los matemáticos lo sabrían. La palabra "trascendente", en matemáticas, no tiene el mismo significado que en filosofía. Un matemático diría: El número π igual a 3,14159..., es trascendente, porque no es la raíz de ninguna ecuación algebraica con coeficientes enteros.
Trascendente es nombre muy elevado para un número pequeño; fue inventado cuando se creía que los números trascendentes eran tan raros como los quintillizos. La obra de Georg Cantor en el reino del infinito ha demostrado que, de todos los números de las matemáticas, los trascendentes son los más corrientes, o, para usar el término con un sentido ligeramente distinto: los números trascendentes son los menos trascendentes. Hablaremos de esto último cuando nos refiramos a otro famoso número trascendente, e, la base de los logaritmos naturales. Cuando se usa la palabra trascendente, la gente culta podría pensar en la "epistemología trascendente de Manuel Kant", pero, en ese sentido, nada tiene que ver con las matemáticas.
Por otra parte, tomemos la palabra "evolución", usada en matemáticas para denotar el procedimiento, aprendido por muchos de nosotros en la escuela primaria (y prontamente olvidado), de extraer raíces cuadradas, cúbicas, etc. Spencer, en su filosofía, define la evolución como «una integración de la materia y una disipación del movimiento, desde una homogeneidad indefinida e incoherente a una heterogeneidad definida y coherente», etc. Pero eso afortunadamente, nada tiene que ver con la evolución matemática.

Figura 1
Como vemos, las matemáticas se valen de palabras simples para expresar ideas complicadas. Ejemplo de palabra simple usada en forma complicada lo da el vocablo "simple". "Curva simple" y "grupo simple" representan conceptos importantes en matemáticas superiores.La curva que aparece en la Figura 1, no es una curva simple. Una curva simple es una curva cerrada que no se corta a sí misma, y puede ser como la de la figura 2, por ejemplo.

Figura 2
Hay muchos teoremas importantes sobre tales figuras que hacen que la palabra valga la pena. Más adelante hablaremos de una extraña clase de matemáticas, llamada "geometría de la lámina elástica", y tendremos mucho más que decir de las curvas simples y no simples. Un matemático francés, Jordán, dio el teorema fundamental: Toda curva simple del plano, tiene un interior y un exterior. Es decir, toda curva simple divide al plano en dos regiones, una, dentro de la curva y otra, fuera de ella.Hay en matemáticas ciertos grupos llamados grupos "simples". La definición de "grupo simple" es, realmente, tan difícil, que no puede darse aquí. Si quisiéramos tener una idea clara de lo que es un grupo simple tendríamos que invertir, probablemente, largo tiempo estudiando muchos libros y luego, sin suficientes antecedentes matemáticos, posiblemente no comprenderíamos su verdadero sentido. Antes que nada, tendríamos que definir el concepto de "grupo". Luego tendríamos que dar una definición de "subgrupo" y posteriormente de subgrupo autoconjugado, y sólo entonces estaríamos capacitados para definir qué es un grupo simple. Un grupo simple es, sencillamente, un grupo sin ningún subgrupo autoconjugado, simple, ¿verdad?
A menudo se alude erróneamente a la Matemática como a la ciencia del sentido común, pero la realidad es que puede sobrepasar al sentido común e ir más allá de la intuición y de la imaginación. Se ha convertido en una materia muy extraña y quizás aterradora, desde el punto de vista ordinario; mas quien penetre en ella se encontrará en un verdadero país de hadas, un país de hadas extraño, pero que tiene sentido, ya que no sentido común. Desde el punto de vista ordinario las matemáticas se ocupan de cosas raras. Le demostraremos a usted que si bien de vez en cuando tratan de cosas extrañas, casi siempre se ocupan de cosas familiares en una forma extraña. Si usted se mira en un espejo normal, sin hacer caso de sus atributos físicos, podrá usted encontrarse risible, pero no extraño: un viaje en subterráneo al parque de atracciones, y una nueva contemplación de su persona en uno de los espejos deformantes le convencerán que, desde otro punto de vista, usted puede ser extraño además de risible. Depende mucho de lo que uno esté acostumbrado a ver. Un campesino ruso, que visitó Moscú por vez primera, asistió a diversos espectáculos públicos. Fue también al zoológico y vio las jirafas. Quizás usted encuentre en su reacción una moraleja, como en las fábulas de La Fontaine: «Mire, dijo, lo que los bolcheviques han hecho de nuestros caballos.» Eso es lo que las matemáticas modernas han hecho de la aritmética y de la geometría tradicionales.
Existen otras palabras y expresiones, no tan familiares, que han sido inventadas aún más recientemente. Tómese, por ejemplo, la palabra "turbina". Por supuesto que la misma ya era empleada en ingeniería, pero en cambio es completamente nueva en geometría. La acepción matemática de esta palabra se aplica a cierto diagrama. (La geometría, contra lo que puedan muchos pensar, se ocupa del estudio de diferentes formas, muchas de ellas hermosas, y que poseen, además, armonía, gracia y simetría. Por supuesto que se han escrito libros voluminosos sobre geometría abstracta y espacio abstracto en los cuales no aparece ni un diagrama, ni siquiera una forma. Constituye ésta una rama muy importante de las matemáticas, pero no es la geometría estudiada por los egipcios y los griegos. La mayor parte de nosotros, si sabemos jugar al ajedrez, nos conformamos con hacerlo sobre un tablero con piezas de madera, pero hay algunas personas que lo juegan con los ojos vendados y sin tocar el tablero. Sería una acertada analogía decir que la geometría abstracta es como el ajedrez a ciegas, es un juego sin objetos concretos.)

Figura 3. Turbinas.
Una turbina consiste en un número infinito de "elementos" insertados con continuidad. Un elemento no es simplemente un punto: es un punto con una dirección asociada, como en una lima de hierro. Una turbina está compuesta por un número infinito de estos elementos, acomodados de una manera particular: los puntos deberán estar dispuestos en un círculo perfecto y la inclinación de los filetes debe formar el mismo ángulo a todo lo largo del círculo. Hay, pues, un número infinito de elementos de igual inclinación con respecto a las tangentes del círculo. ¿Qué sucedería en el caso especial en que el ángulo formado por la dirección de un elemento y la dirección de la tangente fuese igual a cero? Pues que la turbina se convertiría en un círculo. En otras palabras, la teoría de las turbinas es una generalización de la teoría del círculo. Si el ángulo antes citado mide 90°, los elementos señalan hacia el centro del círculo y en ese caso especial estamos ante una turbina normal (véase el diagrama de la izquierda).
Existe una geometría de las turbinas en lugar de una geometría de los círculos. Es una rama relativamente técnica de las matemáticas que se ocupa de la resolución de los grupos continuos de transformaciones relacionadas con ecuaciones diferenciales y con la geometría diferencial. La geometría relacionada con las turbinas tiene el nombre, algo raro, de "giros y deslizamientos".
El círculo es una de las figuras más antiguas en matemáticas. La línea recta es la línea más simple, pero el círculo es la más simple de las curvas. Se le considera, a menudo, como el límite de un polígono regular, de un número infinito de lados. Usted mismo podrá observar que a medida que se inscribe en un círculo una serie de polígonos, en la que cada uno de éstos tiene más lados que su predecesor, cada polígono tiende a asemejarse más y más a un círculo[1].
Los griegos ya estaban familiarizados con la idea de que, a medida que aumenta el número de lados de un polígono regular, éste difiere cada vez menos del círculo en el cual está inscrito.

Figura 4. El círculo como límite de polígonos inscritos.

Figura 5
Los griegos fueron especialistas en el arte de plantear problemas que ni ellos, ni las generaciones de matemáticos que los sucedieron, fueron capaces de resolver. Discutiremos más adelante los tres problemas más famosos de este tipo: la cuadratura del círculo, la duplicación del cubo y la trisección de un ángulo.
Muchos matemáticos bien intencionados, autodesignados y autoungidos, y una gran cantidad de locos y maniáticos, desconocedores tanto de la historia como de las matemáticas, aportan, cada año, una abundante cosecha de "soluciones" a estos problemas insolubles. Sin embargo, algunos de los problemas clásicos de la antigüedad han sido resueltos Por ejemplo, la teoría de los ciclos fue empleada por Laguerre en la solución del problema de Apolonio que se enuncia así: Dados tres círculos fijos, hallar otro círculo tangente a los tres. Resulta ser una cuestión de geometría elemental de escuela secundaria, aunque implica inventiva y cualquier estudiante aventajado podría intentar resolverlo. Tiene ocho soluciones, como se indica en la figura 6(a).

Figura 6(a). Las ocho soluciones del problema de Apolonio. Cada círculo en trazo fino es tangente a los otros tres dibujados con un trazo más grueso.

Figura 6(b). Las ocho soluciones de Apolonio reunidas en un solo diagrama.
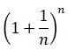
Aún hemos hecho otra alteración en el concepto de círculo, introduciendo con ello otra palabra y un nuevo diagrama, Tómese un círculo y en lugar de quitarle un punto destáquese uno de ellos como punto inicial. Esto se llamará un "reloj" y ha sido usado en la teoría de funciones poligénicas. "Poligénica" es una palabra adoptada en la teoría de funciones complejas allá por el año 1927 Existía ya una noción importante, la de función monogénica, propiciada en el siglo XIX por el famoso matemático francés Augustin de Cauchy y usada en la teoría clásica de funciones. Se la emplea para indicar funciones que tienen una sola derivada en un punto, como en el cálculo diferencial. Pero la mayor parte de las funciones, en el dominio complejo, tienen un número infinito de derivadas en un punto. Si una función no es monogénica jamás podrá ser bigénica o trigénica. La derivada tiene, o bien un único valor, o un número infinito de valores, será monogénica o poligénica, pero nunca intermedia. Monogénica, implica una única variación de crecimiento: poligénica, en cambio, muchas variaciones La derivada completa de una función poligénica está representada por una congruencia (un doble infinito) de relojes, todos ellos con distinto punto de origen, pero con la misma rapidez uniforme de rotación. Sería inútil intentar dar una explicación simplificada de estos conceptos. (El neófito tendrá que ser indulgente con nosotros, en algunos breves intervalos como éste, en atención al lector matemático más experimentado.)
El paso ha sido relativamente difícil en el último párrafo, y por si algunas de las olas poligénicas lo han arrastrado al agua, le arrojaremos un salvavidas hexagonal. Podemos pasar a considerar una palabra muy simple, que ha sido utilizada en la geometría elemental para designar cierta clase de hexágono. La palabra sobre la cual deberá usted fijar su atención es "parhexágono".

Figura 7. El parhexágono
Si los lados opuestos de un cuadrilátero son iguales y paralelos se le llama paralelogramo. Con el mismo razonamiento que aplicamos para la palabra parhexágono. podríamos haber llamado "parcuadrágono" a un paralelogramo.
Damos a continuación un ejemplo de un teorema sobre el parhexágono; tómese un hexágono irregular cualquiera, no necesariamente parhexágono, ABCDEF. Trácense las diagonales AC, BD, CE, DF, EA y FB formando los seis triángulos, ABC, BCD, CDE, DEF, EFA y FAB.

Figura 8. ABCDEF es un hexágono irregular es un parhexágono.
Todos conocen el significado de radical: es decir, raíz cuadrada, cúbica, cuarta, quinta, etc. Combinando con ésta una palabra ya definida, podríamos decir que la extracción de una raíz es la evolución de un radical. La raíz cuadrada de 9 es 3; la raíz cuadrada de 10 es mayor que 3: y la más famosa, a la vez que la más simple de todas las raíces cuadradas, el primer número inconmensurable descubierto por los griegos, la raíz cuadrada de 2 es 1,414... Hay también radicales compuestos, expresiones como:
![]()
Encontramos por primera vez estos ultrarradicales al tratar de resolver ecuaciones de quinto grado. Los egipcios resolvieron las ecuaciones de primer grado hace quizá 4.000 años. Es decir, encontraron que la solución de la ecuación:
ax + b = 0
representada en geometría por una línea recta, es:x = -b/a
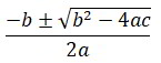
La ecuación de segundo grado:ax2 + bx + c = 0
fue resuelta por los hindúes y los árabes, con la fórmula:
Luego, en el siglo XVI, los italianos resolvieron las ecuaciones de tercero y cuarto grados, mediante fórmulas explícitas que utilizaban raíces cúbicas y cuárticas. De manera que, allá por el año 1550, pocos años antes del nacimiento de Cervantes, habían sido resueltas las ecuaciones de primero, segundo, tercero y cuarto grados. Hubo luego una pausa de 250 años, porque los matemáticos estaban luchando con la ecuación de quinto grado, la "quíntica general". Finalmente, en los comienzos del siglo XIX, Ruffini y Abel demostraron que las ecuaciones de quinto grado no podían ser resueltas con radicales. La quíntica general no es, pues, como la ecuación cuadrática, cúbica o bien bicuadrática general. Sin embargo, dicha ecuación plantea un problema algebraico, que teóricamente puede ser resuelto mediante operaciones algebraicas. Sólo que estas operaciones son tan difíciles, que no pueden expresarse con los símbolos utilizados para los radicales. Estos nuevos elementos superiores se denominan "ultrarradicales" y también ellos tienen sus símbolos especiales (indicados en la Figura 9).
Combinando esos símbolos con los radicales podemos resolver ecuaciones de quinto grado. Por ejemplo, la solución de: x5 + x = a, podría escribirse
![]()

Figura 9. Un retrato de dos ultrarradicales
Nos permitiremos dar ahora algunos conceptos algo más fáciles que los que hasta aquí nos han ocupado. Estas ideas fueron expuestas, hace algún tiempo, a un cierto número de niños de un jardín de infancia. Fue sorprendente comprobar cuán bien comprendieron todo lo que se les dijo, hasta el punto de que es realmente razonable afirmar que a los niños de jardín de infancia pueden gustarles las disertaciones sobre matemáticas para graduados, siempre que se les presenten en forma clara los conceptos.
Estaba lloviendo y se preguntó a los niños cuántas gotas de lluvia caerían sobre Nueva York. La respuesta más alta fue 100. Nunca habían contado más allá de 100 y lo que querían decir, al usar dicho número, era simplemente algo muy, muy grande, lo más grande que ellos podían imaginarse. Se les preguntó cuántas gotas de lluvia caían sobre la azotea, cuántas sobre la ciudad de Nueva York y cuántas sobre todo el estado de Nueva York en 24 horas. Pronto tuvieron una noción de la magnitud de estos números aun cuando no conocían los símbolos para representarlos. Al cabo de un rato estaban seguros de que el número de gotas de agua era muchísimo mayor que cien. Se les pidió que pensaran en el número de granos de arena de la playa de Coney Island y determinaron que el número de granos de arena y el de gotas de agua era aproximadamente el mismo. Pero lo importante es que los niños se dieron cuenta de que el número era finito y no infinito.
A este respecto demostraron su clara superioridad sobre muchos científicos que en el día de hoy aún usan la palabra infinito para indicar algún número grande, como por ejemplo un billón de billones.
Algo que dichos científicos no comprenden, evidentemente, es que el contar es una operación exacta [Nadie afirmaría que 1 + 1 es "casi igual a 2". Esto es tan disparatado como decir que un billón de billones no es un número infinito, simplemente porque es grande. Cualquier número que puede ser nombrado o concebido mediante números enteros, es finito. Infinito significa algo completamente diferente, como lo veremos en el capítulo sobre el gúgol]. Puede ser maravillosa, pero no hay nada misterioso ni incierto al respecto. Si se cuenta algo, el resultado que obtendrá será entero y exacto, o estará mal, No existe término medio. Es como coger un avión O lo alcanza, o lo pierde; y si lo pierde por una fracción de segundo es lo mismo que si hubiese llegado al aeropuerto una semana después de la salida.
Hay una famosa cita que ilustra esto; "Cuánto se gana con un poco más y ¡cuánto se pierde con un poco menos!".
Un número grande es grande, pero es definido y es finito. Por supuesto que en poesía, lo finito termina alrededor de 3.000; cualquier número mayor es infinito. En muchos poemas, el poeta hablará del número infinito de estrellas, pero si alguna vez hubo una hipérbole, ésta lo es, ya que nadie, ni siquiera el poeta, ha visto alguna vez más de 3.000 estrellas en una noche clara, sin el auxilio de un telescopio.
Para los hotentotes el infinito comienza en tres [Aunque con toda justicia debe señalarse que algunas de las tribus del Congo Belga pueden contar hasta un millón y aún más]. Pregúntele a un hotentote cuántas vacas posee y si tiene más de tres responderá "muchas". El número de gotas de lluvia que caen sobre Nueva York es también "muchas". Es un número finito grande, pero no en modo alguno, cercano al infinito.
Pues bien, he aquí el nombre de un número muy grande; Gúgol [No tiene nada que ver, ni de lejos, con un autor ruso]. Mucha gente diría; "Un gúgol es tan grande que no se puede nombrar o hablar de él, es tan grande que es infinito " Por lo tanto, hablaremos de él, explicando exactamente qué es y demostrando que pertenece a la mismísima familia que el número 1.
Un gúgol es el número que uno de los niños del jardín de infancia escribió en el pizarrón:
10000000000000000000000000000000000000000000000000000000000000000000000000000000000000000000000000000
La definición de un gúgol es: un 1 seguido de cien ceros. Se resolvió, después de cuidadosas investigaciones matemáticas en el jardín de infancia, que el número de gotas de lluvia que caían en Nueva York, en el término de 24 horas, o en un año. o aun en un siglo, es mucho menor que un gúgol. En realidad, el gúgol es un número más grande que los mayores números usados en física o en astronomía. Todos estos números requieren menos de cien ceros. Si bien es cierto que conocimientos como éste son, por supuesto, asequibles a todo el mundo, parecen constituir, sin embargo, un gran secreto en muchos sectores científicos.Una publicación científica muy distinguida, apareció con la revelación de que el número de cristales de nieve necesarios para formar la era glacial era un billón a la billonésima potencia. Esto es muy sorprendente, y también muy tonto: Un billón a la billonésima potencia, se escribe así [Sabido es que, en algunos países se llama billón a mil millones y no a un millón de millones como se hace entre nosotros (N del T)]:
1.000.000.0001.000.000.000
Una apreciación más razonable y un número algo más pequeño, habría sido 1030. En efecto, se ha estimado que si el universo entero, que usted admitirá que es un poquito más grande que la Tierra, estuviese lleno de protones y electrones, de manera que no quedase espacio libre, el número total de protones y electrones sería 10110 (es decir un 1 seguido de 110 ceros).Desgraciadamente, tan pronto como la gente habla de números grandes, pierde la chaveta. Parecen hallarse bajo la impresión de que, ya que cero es igual a nada, pueden agregar a un número tantos ceros como les plazca sin que ello traiga consecuencias serias. Tendremos que ser un poco más cuidadosos, pues, al hablar de números grandes.
Volviendo a Coney Island, el número de granos de arena de su playa es aproximadamente igual a 1020, o, en forma más descriptiva: 100000000000000000000. Éste es un número grande, aunque no tanto como el mencionado por la divorciada, en un reciente juicio de divorcio, que había telefoneado que amaba a su esposo "un millón de billones de billones, y ocho veces la vuelta al mundo". Era el mayor número que ella podía concebir y demuestra qué clase de cosas pueden incubarse en un nido de amor.
Si bien la gente habla mucho, la producción total de palabras pronunciadas, desde que comenzó a usarse la palabra, hasta la fecha, incluyendo toda el habla de los niños, los cantos de amor y los debates del Congreso, totaliza aproximadamente 1016. Es decir diez mil billones. Contrariamente a la creencia popular, éste es un número mayor de palabras que el que se habla, en promedio, en una velada de "bridge".
Mucha de la veneración hacia la autoridad de la palabra impresa se desvanecería si uno fuese a calcular el número de palabras que se han impreso desde que apareció la Biblia de Gutenberg. Es un número algo mayor que 1016. Una reciente y popular novela histórica, es la responsable de la impresión de varios cientos de miles de millones de palabras.
El mayor número visto en las finanzas (aunque se están estructurando nuevas marcas) representa la cantidad de dinero en circulación en Alemania en el punto álgido de la inflación. Era menor que un gúgol, simplemente:
496.585.346.000.000.000.000
Un distinguido economista responde por la exactitud de esta cifra. E! número de marcos en circulación era casi igual al número de granos de arena de la playa de Coney Island.El promedio del número de átomos de oxígeno contenidos en un dedal es muchísimo mayor. Estaría representado quizá por
1000000000000000000000000000.
El número de electrones, cuyo tamaño es muchísimo más pequeño que el de los átomos, es mucho más grande. El número de electrones que pasan a través del filamento de una lámpara eléctrica común, de sesenta watts, en el término de un minuto, iguala al número de gotas de agua que caen por las cataratas del Niágara en un siglo.Uno podría también calcular el número de electrones contenidos, no sólo en una habitación, sino en toda la Tierra y fuera de ella, en las estrellas, en la Vía Láctea y en todas las nebulosas. La razón que nos guía al dar todos estos ejemplos de números muy grandes es destacar el hecho de que, por muy grande que sea el conjunto a contarse, un número finito bastará. Tendremos ocasión de referimos, más adelante, a conjuntos infinitos, pero aquellos que se encuentran en la naturaleza, si bien a veces son muy grandes, son todos, por descontado, finitos.
Un celebrado hombre de ciencia afirmó recientemente, con toda seriedad, que creía que el número de poros (por los cuales respiran las hojas) de todas las hojas, de todos los árboles en todo el mundo, sería, sin duda alguna, infinito. Es innecesario decir que no era un matemático. El número de electrones de una sola hoja es muchísimo mayor que el número de poros de todas las hojas de todos los árboles de todo el mundo, y sin embargo, el número total de electrones, en el universo entero, puede determinarse por medio de la física relativista. Es muchísimo menor que un gúgol —quizás un 1 seguido de 79 ceros, 1079, según lo calculado por Eddington.
Palabras de sabiduría pronuncian los niños, por lo menos tan a menudo como los hombres de ciencia. El nombre "gúgol" fue inventado por un niño (sobrino del doctor Kasner, de nueve años de edad), a quien se le pidió que propusiera un nombre para un número muy grande, a saber: un 1 seguido de cien ceros. Estaba muy seguro de que este número no era infinito y, por lo tanto, igualmente en lo cierto de que tenía que tener un nombre. Al mismo tiempo que indicó la palabra "gúgol", sugirió e! nombre para otro número aún mayor: "Gúgolplex". Un gúgolplex es mucho mayor que un gúgol, pero continúa siendo finito, como se apresuró a señalar el inventor de su nombre. Primero se sugirió que un gúgolplex sería un 1 seguido por tantos ceros que uno se cansase de escribirlos. Esto es una descripción de lo que sucedería si uno tratara realmente de escribir un gúgolplex, pero distintas personas se cansan en tiempos diferentes y no consideraríamos a Camera [Se hace referencia al famosos boxeador (N. del R)] mejor matemático que al doctor Einstein, sencillamente porque tuviera más resistencia. El gúgolplex es, pues, un número finito determinado, formado por tantos ceros después de la unidad, que el número de ceros sea igual a un gúgol. Un gúgolplex es muchísimo mayor que un gúgol, muchísimo mayor aún que un gúgol de veces un gúgol. Un gúgol de veces un gúgol sería un 1 seguido de doscientos ceros, mientras que un gúgolplex es un 1 con un gúgol de ceros. Usted podrá formarse alguna idea de la magnitud de este número grandísimo, pero finito, por el hecho de que no habría lugar suficiente para escribirlo si usted se dirigiese a la estrella más lejana, recorriendo todas las nebulosas y llenando de cada centímetro de camino.
Cuesta creer que un número tan grande pudiera tener realmente aplicación alguna vez. pero quien así pensara no sería matemático. Un número de la magnitud del gúgolplex podría tener un uso real en problemas de combinaciones El tipo de problema en el cual podría aparecer científicamente sería el siguiente: Considere que este libro está compuesto de carbono, nitrógeno y otros elementos. La respuesta a la pregunta: ¿Cuántos átomos hay en este libro? sería, por cierto, un número finito, menor aún que un gúgol. Ahora imagínese que el libro está suspendido por un cordel cuyo otro extremo usted sostiene. ¿Cuánto tiempo será necesario esperar antes de que el libro salte hasta su mano? ¿Concibe usted que ello pueda suceder alguna vez? Una respuesta sería: No, eso jamás ocurrirá, a menos que intervenga alguna fuerza exterior." Pero eso no es correcto. La contestación correcta es que eso sucederá, casi con certeza, en algún momento, antes de que transcurra un gúgolplex de años —quizá mañana.
La explicación de esta respuesta podemos hallarla en la química-física; la mecánica estadística, la teoría cinética de los gases y la teoría de la probabilidad. No podemos desarrollar todos estos temas en unas pocas líneas, pero lo intentaremos. Las moléculas están en perpetuo movimiento. El reposo absoluto de las moléculas implicaría cero grados de temperatura absoluta y esta temperatura no sólo no existe, sino que es imposible de obtener. Todas las moléculas del aire circundante bombardean el libro. Por ahora el bombardeo desde arriba y desde abajo es aproximadamente el mismo y la gravedad ejerce también su acción sobre el libro Es necesario, pues, esperar el momento favorable en el que un enorme número de moléculas bombardee el libro por debajo y muy pocas por encima. La gravedad será entonces vencida y el libro se elevará. Sería algo similar al efecto conocido en física como movimiento browniano, que describe el comportamiento de las pequeñas partículas en un líquido, que danzan por todos lados debido al impacto de las moléculas. Sería análogo al movimiento browniano. a inmensa escala.
Pero la probabilidad de que esto suceda en un futuro próximo o en cualquier ocasión determinada que podamos mencionar, está comprendida entre 1/gúgol y 1/gúgol gúgolplex.
En otras palabras, para estar razonablemente seguros de que el libro se elevaría, tendríamos que esperar entre 1 gúgol y 1 gúgolplex de años.
Cuando se hacen trabajos de investigación sobre electrones o sobre problemas de análisis combinatorio, como el del libro, necesitamos números mayores que los usados comúnmente. Por esta razón, nombres como gúgol y gúgolplex, aunque parezcan simples bromas, tienen un valor real. Sus nombres contribuyen a fijar en nuestras mentes el hecho de que todavía estamos tratando con números finitos. Repetimos: un gúgol es 10100; un gúgolplex es 10 elevado a la potencia gúgol, el cual podemos escribir así: 10100 exp(100) = 10gúgol.
Hemos visto que el número de años que habría que esperar para ver el milagro del libro elevándose, sería menor que un gúgolplex. En ese número de años la Tierra bien podría convertirse en un planeta frío y muerto como la Luna, o quizá deshacerse en una cantidad de meteoros y cometas. El verdadero milagro no será que el libro se eleve, pero sí que con la ayuda de las matemáticas podremos proyectamos en el futuro y pronosticar, con exactitud, cuándo probablemente se elevará: es decir, algún día comprendido entre hoy y el año gúgolplex.
Hemos mencionado unos cuantos nombres completamente nuevos en matemáticas —nombres nuevos para conceptos viejos y nuevos.
Existe aun otro nuevo nombre que es conveniente citar antes de concluir. El popular divulgador científico Watson Davis nos ha dado la palabra ‘Matescopio’’.
Con el auxilio de los magníficos microscopios y telescopios modernos, el hombre, equidistante entre las estrellas y los átomos se ha aproximado un tanto a ambos. El matescopio no es un instrumento físico, es un instrumento puramente intelectual: la visión, siempre creciente, que las matemáticas proporcionan de ese país de hadas que queda más allá de la intuición y de la imaginación. Los matemáticos, a diferencia de los filósofos, nada dicen acerca de la verdad final, sino que pacientemente, como los constructores de los grandes microscopios y telescopios, pulen sus lentes. En este libro le haremos ver a usted a través de los lentes más nuevos y más poderosos que los matemáticos han pulimentado. ¡Prepárese pues, para contemplar visiones extrañas a través del matescopio!
Capítulo 2
Más allá de los gúgoles
Si no esperáis lo inesperado, no lo encontraréis, dado que es penoso descubrirlo, y además, difícil
Heráclito
Contar es hablar el lenguaje de los números. Contar, sea hasta un gúgol, o tan sólo hasta diez, es las dos veces un mismo proceso; hasta el gúgol, más difícil de pronunciar. Lo esencial es comprender que el gúgol y diez son parientes, como lo son electrones y estrellas gigantes La aritmética, el lenguaje para contar, emparenta a todos, lo mismo en espacio que en tiempo.
Para comprender el significado e importancia de las matemáticas, para apreciar su belleza y valor, es preciso, ante todo, comprender la aritmética, pues, en su mayor parte, desde sus comienzos, las matemáticas han sido aritmética, con atavíos más sencillos o complicados. La aritmética ha sido reina y criada de las ciencias desde los tiempos de la astrología caldea y de los hierofantes egipcios hasta nuestros días, los días de la mecánica relativista, la teoría cuántica y el florecer de la informática. Podrán los historiadores disentir sobre el significado de los antiguos papiros, podrán los teólogos argumentar sobre la exégesis de las Escrituras, podrán los filósofos especular sobre las doctrinas pitagóricas, pero todos habrán de convenir en que los números que aparecen en los papiros, en las Escrituras, y las obras pitagóricas son los mismos números que usamos hoy. Las matemáticas, hechas aritmética, han ayudado al hombre a hacer horóscopos y calendarios, a pronosticar las crecidas del Nilo. a medir terrenos, a calcular la altura de las Pirámides, a determinar la velocidad de caída de una piedra al caer desde una cierta torre de Pisa, o de una manzana, al caer de un árbol, en Woolsthorpe; gracias a ella se han podido pesar las estrellas y los átomos, marcar con hitos el correr del tiempo, y hallar la curvatura del espacio Y aunque el cálculo infinitesimal, la teoría de probabilidades, el álgebra lineal o la topología también sean matemáticas, éstas son aún, en gran medida, el arte de contar.
Todos los lectores de este libro saben contar. Sin embargo ¿saben qué es contar? Las definiciones que dan los diccionarios recuerdan a la que daba el de Johnson para red, que rezaba, "una serie de intersticios reticulados Saber contar es saber comparar. Los números son algo muy posterior, como abstracción y artificio que son. Las facultades de contar y comparar son tan connaturales al hombre como sus dedos.
Y sin unas y otros, sería muy difícil que hubiese llegado a los números.
Para comparar dos colecciones de objetos y averiguar en cuál hay más y en cuál menos, no se precisa conocer ningún método formal de recuento. Sin saber nada de los números, se puede determinar si dos colecciones de objetos tienen la una tantos elementos como la otra; por ejemplo (salvo accidentes) es fácil demostrar que hay en cada mano igual número de dedos que en la otra; basta juntarlas, y observar su exacto emparejamiento.
Para describir este proceso de emparejamiento, fundamento del contar, los matemáticos utilizan un nombre pintoresco. Lo llaman "definir una correspondencia biunívoca entre clases, o con lenguaje algo más moderno, "establecer una biyección" entre los conjuntos. En realidad, en ello reside todo el arte de contar, ya lo practiquen pueblos primitivos, nosotros mismos, o Einstein. Con un par de ejemplos lo aclararemos.
En los países donde se practica la monogamia no es necesario contar por separado a los mandos y las mujeres para averiguar el total de personas casadas. Si descontamos el reducido número de bígamos que no acatan la costumbre o la ley, bastará contar a los maridos o a las esposas. Habrá exactamente tantas personas en un conjunto como en el otro. La correspondencia que existe entre ambas clases es biunívoca.
Hay ejemplos más útiles, En un salón están reunidas mu chas personas; hay que darle asiento a todas. El problema es si habrá sillas suficientes, o si sobrarán o faltarán. Costaría trabajo contar las sillas, y más aún, las personas. En este caso sería trabajo perdido. En los jardines de infancia, los niños suelen jugar a "Ir a Sevilla". En la sala, llena de niños, hay una silla de menos. A una señal, cada niño corre a ocupar una silla: quien quede sin ella "se va a Sevilla..." y es eliminado, Se retira entonces una silla, y el juego continúa. He aquí la solución de nuestro problema. Basta pedir a las personas del salón que tomen asiento. Si todos logran sentarse, y no quedan sillas vacías, es evidente que habrá tantas sillas como personas. Con otras palabras, sin conocer ni el número de personas ni el de sillas, se sabe que este número es el mismo. Las dos clases, la de sillas y la de personas, son iguales en número, dado que hay entre ellas una correspondencia biunívoca, o "uno a uno", como también se dice. A cada persona le corresponde una silla, y recíprocamente, cada silla, tiene asignada una persona.
No es otro el procedimiento que se emplea para contar una colección de objetos cualesquiera. Por una parte está el conjunto de objetos a contar; por otra, una colección que siempre tenemos a mano. Esta colección es el conjunto de los números enteros positivos, los "números naturales", que por convenio, consideramos vienen ordenados del modo siguiente: 1, 2, 3, 4, 5, 6, 7,... Emparejando, en correspondencia "uno a uno", los elementos de la primera clase con los números naturales, experimentamos un fenómeno que no por corriente es menos maravilloso, a saber, que el último número natural utilizado para completar el emparejamiento indique cuántos elementos hay.
Para aclarar la idea de contar partimos de la suposición, de la que no hay garantía, de que el concepto de número es comprendido por todo el mundo. El concepto de número puede parecer intuitivamente claro, pero no obstante, se requiere una definición precisa. Si bien la definición puede parecer peor remedio que la enfermedad, no es tan difícil como parece a primera vista. Léala cuidadosamente y verá que es, al mismo tiempo, explícita y económica.
Dada una clase C, que contiene ciertos elementos, es posible encontrar otras clases, tales que los elementos de cada una de ellas puedan ser emparejados, uno a uno, con los elementos de C. (Cada una de estas clases es así llamada "equivalente a C") Todas estas clases, incluyendo a C, cualquiera que sea el carácter de sus elementos, participan de una propiedad común: todas ellas tienen el mismo número cardinal, que se denomina número cardinal de la clase C[4].
Entonces, el número cardinal de la clase C es el símbolo que representa el conjunto de todas las clases que pueden ponerse en correspondencia biyectiva con C. Por ejemplo, el número 5 es simplemente el nombre, o símbolo, asignado al conjunto de todas las clases, cada una de las cuales puede ponerse en correspondencia biyectiva con los dedos de una mano.
De aquí en adelante podemos referimos sin ambigüedad al número de elementos de una clase como al número cardinal de dicha clase, o más brevemente, como "su cardinalidad". La pregunta: "¿Cuántas letras hay en la palabra temáticas?" equivale a preguntar: "¿Cuál es la cardinalidad de la clase cuyos elementos son las letras de la palabra matemáticas?" Empleando el método de correspondencia biyectiva, el siguiente gráfico contesta la pregunta e ilustra el método:
| M | A | T | E | M | A | T | I | C | A | S |
| ↕ | ↕ | ↕ | ↕ | ↕ | ↕ | ↕ | ↕ | ↕ | ↕ | ↕ |
| 1 | 2 | 3 | 4 | 5 | 6 | 7 | 8 | 9 | 10 | 11 |
Es evidente ahora que este método no es ni extraño ni misterioso; no fue inventado por los matemáticos para hacer que algo natural y fácil parezca antinatural y difícil. Es el método empleado cuando contamos nuestras monedas o nuestros pollos, es el método apropiado para contar cualquier clase, no importa qué tan grande, desde diez hasta un gúgolplex, y más allá.
Pronto nos referiremos al "más allá’ cuando volvamos a ocuparnos de las clases que no son finitas. En realidad trataremos de medir nuestro conjunto de medida: los números naturales. Por lo tanto, es preciso comprender a fondo las correspondencias uno-a-uno, pues nos aguarda una revelación sorprendente: los conjuntos infinitos también pueden contarse, y por los mismísimos medios. Pero antes de intentar contarlas practiquemos con algunos números muy grandes, grandes, pero no infinitos.
"Gúgol" ha sido ya incorporado a nuestro vocabulario. Es un número grande un 1 seguido de cien ceros. Mayor aún es el gúgolplex: un 1 seguido de un gúgol de ceros. La mayor parte de los números que se encuentran en la descripción de la naturaleza son mucho más pequeños, aunque algunos pocos son mayores.
En la ciencia moderna suelen aparecer números enormes. Sir Arthur Eddington sostiene que hay, no aproximadamente sino exactamente, 136 x 2256 protones [No hay por qué suponer que sir Arthur los ha contado Pero tiene una teoría para justificar su afirmación. Cualquiera que tenga una teoría mejor puede contradecir a sir Arthur. Pero ¿quién puede ser el juez? He aquí el número exacto, según sostiene, hasta la última cifra 15 747 724 136 275 002.577.605 653 961 181.555 468.044 717 914 527 116 709 366 231 425 076 185 631 031 296], e igual número de electrones, en el Universo. Aunque no es fácil de imaginar, este número, como símbolo escrito en el papel, ocupa poco lugar. Ni siquiera es tan grande como el gúgol y queda completamente empequeñecido ante el gúgolplex. Sin embargo, el número de Eddington, el gúgol y el gúgolplex. son finitos.
Un verdadero gigante es el número de Skewes: mucho mayor aún que el gúgolplex. Sirve para indicar la distribución de los números primos[5] y se escribe así

![]()

Hay en ello algo de verdad. Por una parte, los antiguos y engorrosos métodos de notación matemática hacían muy difícil, cuando no realmente imposible, la escritura de grandes números. Por otra parte, el ciudadano medio de hoy encuentra cifras inmensas similares como expresión de gastos en armamentos y de las distancias estelares, de manera que está completamente familiarizado, e inmunizado, con los grandes números.
Pero había gente inteligente en la antigüedad. Los poetas de toda época podrán haber cantado a las estrellas como infinitas en número, cuando todas las que alcanzaban a ver eran, acaso, tres mil. Sin embargo, Arquímedes no se desconcertaba por un número grande como un gúgol, o aún mayor. Lo dice en un pasaje de introducción a su obra "El arenario", verificando que un número no es infinito por el solo hecho de ser enorme.
Hay algunos, Rey Gelon, que piensan que el número de granos de arena es infinito en multitud y yo me refiero a la arena que existe, no sólo en las proximidades de Siracusa y en el resto de Sicilia, sino también a la que se encuentra en otras regiones, ya sean habitadas o no. Por otra parte, hay algunos que, sin considerarlo como infinito, piensan que aún no se ha fijado un número lo suficientemente grande, como para exceder su multitud. Y es claro que aquellos que sostienen este punto de vista, se imaginasen una masa formada por "arena, tan grande como la masa de la Tierra, incluyendo en ella todos los mares y las depresiones, llenos hasta una altura igual a la de la montaña más alta, tendrían todavía mayores dificultades para reconocer que podría expresarse algún número, lo suficientemente grande, como para exceder la multitud de la arena así tomada. Pero trataré de probar mediante demostraciones geométricas que vos podréis seguir, que, de los números nombrados por mí e indicados en la obra que envié a Zeuxippus, algunos exceden, no sólo el número de la masa de arena igual en magnitud a la Tierra rellenada en la forma descrita, sino también la de una masa igual en magnitud al Universo".Los griegos tenían ideas muy definidas acerca del infinito. Así como les estamos reconocidos por muchos de nuestros juicios y de nuestra ciencia, así también les debemos muchos de nuestros sofismas respecto al infinito. En realidad, si hubiéramos conservado siempre su claridad de visión, no habrían surgido jamás muchos de los problemas y paradojas relacionados con el infinito.
Ante todo, debemos damos cuenta de que, "muy grande" e "infinito", son completamente distintos [No hay un punto donde lo muy grande comience a confundirse con el infinito. Usted puede escribir un número tan grande como le plazca, no estará más cerca del infinito que el número 1 o el número 7. Asegúrese que usted entiende muy claramente esta distinción y habrá dominado muchas de las sutilezas del transfinito.].
Teóricamente, por el método de la correspondencia uno a uno, los protones y los electrones del Universo pueden contarse con la misma facilidad que los botones del chaleco. Suficientes y más que suficientes para esta tarea o para la tarea de contar cualquier colección finita son los números enteros. Pero medir la totalidad de los números enteros es otro problema. La medición de este conjunto exige un más elevado punto de vista. Además de ser, como lo pensó el matemático alemán Kronecker, obra de Dios, lo que requiere fe para apreciarla, la clase de los números enteros es infinita, lo cual es muchísimo más inconveniente. ¡Es más que herejía, pretender medir nuestra propia e interminable vara de medir!
Los problemas del infinito han desafiado la mente del hombre, y encendido su imaginación como ningún otro problema de la historia del pensamiento humano. El infinito nos parece, a un mismo tiempo, tan extraño como familiar. Algunas veces, más allá de nuestra comprensión; otras, natural y fácil de entender. Al conquistarlo, el hombre rompió las cadenas que lo aprisionaban a la Tierra. Para esta conquista se requirieron todas sus facultades: su capacidad de raciocinio, su fantasía poética y su afán de saber Para establecer la ciencia del infinito se requiere el principio de inducción matemática. Este principio afirma la fuerza del raciocinio por recurrencia o repetición. Simboliza casi todo el pensamiento matemático, todo lo que hacemos cuando construimos agregados complejos partiendo de elementos simples. Es, como lo destacó Poincaré, "a la vez, necesaria al matemático, e irreductible a la lógica". El enunciado del principio reza así:
"Si una propiedad es cierta para el número 1 y si demostramos que será verdadera para n + 1, siempre que lo sea también para n [donde n es cualquier numero entero, positivo], la propiedad será verdadera para la totalidad de los números naturales."La inducción matemática no deriva de la experiencia, sino que más bien constituye una propiedad de la mente, intuitiva, inherente y casi instintiva: "Lo que hemos hecho una vez lo podemos hacer nuevamente."
Si podemos formar números hasta diez, hasta un millón, hasta un gúgol, llegamos a la conclusión de que no hay barrera, de que no hay fin. Convencidos de esto, no necesitamos proseguir eternamente, la mente llega a comprender lo que nunca ha experimentado: el infinito mismo. Sin ninguna sensación de discontinuidad, sin transgredir los cánones de la lógica, el matemático y el filósofo han tendido un puente sobre el golfo que separa lo finito de lo infinito. Las matemáticas del infinito constituyen una confirmación completa del poder innato de razonar por recurrencia.
Probablemente todo el mundo comprende el significado de "infinito" en la acepción de "sin fin, sin límites", sencillamente, de "no finito". En tanto no se requiera una definición precisa, ello no plantea dificultades. No obstante, y a pesar del famoso aforismo según el cual la matemática es la ciencia en la que no se sabe de qué estamos hablando, ni si lo que se dice es cierto, será necesario, al menos, ponemos de acuerdo para hablar sobre lo mismo. Como es obvio, incluso personas de temperamento científico pueden polemizar agriamente, y llegar, a veces, hasta la difamación personal, sobre toda clase de cuestiones, desde el marxismo y el materialismo dialéctico, hasta la teoría de grupos y el principio de indeterminación, para descubrir, próximos ya al agotamiento y el fallo cardiaco, que se encuentran del mismo lado de la valla. Tales discusiones son muchas veces consecuencia de una terminología vigorosa. Suponer que todo el mundo está familiarizado con la definición matemática precisa de "infinito" equivale a construir nuevamente la Torre de Babel.
Antes de intentar dar una definición, haríamos bien en volver la mirada, y ver cómo enfocaron el problema los matemáticos y filósofos de otras épocas.
Hay en lo infinito dos facetas, lo infinitamente grande y lo infinitamente pequeño. Se han propuesto, para demostrar o refutar su existencia, multitud de razonamientos y demostraciones, luego descartados y más tarde vueltos a resucitar. Pocos de estos razonamientos han sido rebatidos alguna vez; han ido quedando enterrados bajo la avalancha de otros. Feliz resultado de todo ello ha sido que el problema nunca ha llegado a resolverse [Nadie ha escrito más brillante e ingeniosamente a la vez sobre este tema que Bernard Russell. Véase particularmente sus ensayos en e! volumen Mystisym and Logic].
La lucha, que comenzó en la antigüedad, con las paradojas de Zenón, jamás ha cesado. Los puntos dudosos, fueron discutidos con un fervor digno de los primeros mártires cristianos, pero sin una décima parte del cacumen de los teólogos de la Edad Media. Hoy en día algunos matemáticos opinan que el infinito ha sido reducido a un estado de vasallaje. Otros están todavía preguntándose qué es.
Los rompecabezas de Zenón pueden ayudar a enfocar mejor el problema. Zenón de Elea, como se recordará, dijo algunas cosas inquietantes sobre el movimiento al referirse a una flecha, a Aquiles y a la tortuga. Esta extraña asociación fue empleada en defensa del principio de la filosofía eleática. de que todo movimiento es una ilusión. Algunos, probablemente "críticos contrariados", han sugerido que "Zenón mismo no hablaba en serio cuando propuso sus rompecabezas"
Prescindiendo del motivo de los mismos, baste decir que son extraordinariamente sutiles y. quizá por eso, desafían aún hoy toda solución [Es indudable que se han dado para las paradojas diversas explicaciones En último análisis las explicaciones de los acertijos se basan en la interpretación de los fundamentos de las matemáticas. Matemáticas como Brouwer. que descartan el infinito no aceptarían probablemente, ninguna de las soluciones dadas.].

Figura 10
La paradoja de la tortuga establece que Aquiles, corriendo para alcanzar la tortuga, debe llegar primero al lugar de donde ésta partió. Para cuando Aquiles llegue, la tortuga habrá avanzado un poco. Esta comedia se repite, sin embargo, indefinidamente. A medida que Aquiles llega a cada nuevo punto de su carrera, la tortuga, que había estado allí, ya lo ha abandonado. A Aquiles le resulta tan imposible alcanzarla, como a los jinetes de un carrusel, al jinete que va adelante.
Finalmente, la flecha en vuelo debe estar moviéndose en todo instante de tiempo. Pero a cada instante debe estar en algún lugar del espacio. Sin embargo, si la flecha debe estar siempre en algún sitio, no puede, en cada instante, estar también en tránsito, pues estar en tránsito equivale a estar en ninguna parte.
Aristóteles y otros santos menores, de casi todas las épocas, trataron de destruir estas paradojas, pero no lo hicieron muy hábilmente. Tres profesores alemanes triunfaron donde los santos habían fracasado. A fines del siglo XIX, parecía que Bolzano, Weierstrass y Cantor habían dejado tranquilo al infinito, así como a las paradojas de Zenón.
El método moderno de tratar las paradojas no consiste en descartarlas como simples sofismas, indignos de merecer seria atención. La historia de las matemáticas, en efecto, refiere una poética rehabilitación de la actitud de Zenón. El famoso matemático y filósofo inglés Bertrand Russell ha dicho que Zenón fue "una notable víctima de la falta de juicio de la posteridad". Esa injusticia ha sido reparada. Al ocuparse de lo infinitamente pequeño, Weierstrass demostró que la flecha en movimiento está, realmente, siempre en reposo y que nosotros vivimos en el mundo inalterable de Zenón. La obra de Georg Cantor, como pronto veremos, demostró que si creemos que Aquiles puede alcanzar a la tortuga, debemos estar preparados para admitir una paradoja aún mayor que todas las que Zenón jamás pudo haber concebido: ¡EL TODO NO ES MAYOR QUE MUCHAS DE SUS PARTES!
Lo infinitamente pequeño había sido un engorro durante más de dos mil años. Aun en las mejores circunstancias, las innumerables opiniones que provocó merecieron el lacónico veredicto de los tribunales escoceses: "No probado." Hasta que apareció Weierstrass, el progreso total fue una confirmación del argumento de Zenón contra el movimiento.
Hasta las bromas fueron mejores. Según Carlyle, Leibniz cometió el error de tratar de explicar a una reina, Sofía Carlota de Prusia, el cálculo infinitesimal. Ella le manifestó que la conducta de sus cortesanos la había familiarizado tanto con lo infinitamente pequeño, que no necesitaba un preceptor matemático para que se lo explicara. Pero los filósofos y matemáticos, según Russell, "teniendo menos conocimiento de las cortes, continuaron discutiendo este tópico, aunque sin lograr adelanto alguno".
Berkeley, con la sutileza y humor propios de un obispo irlandés, hizo algunos satíricos ataques a los infinitésimos, durante el periodo de la adolescencia del cálculo, ataques provistos del duro e ingenioso aguijón de la mejor escolástica. Se podía quizá hablar, al menos con fervor poético, de lo infinitamente grande, pero, ¿qué era lo infinitamente pequeño? Los griegos, renunciando a su acostumbrada perspicacia, lo introdujeron al considerar que un círculo difería infinitesimalmente de un polígono que tuviese un gran número de lados iguales. Leibniz lo usó para construir el cálculo infinitesimal. Sin embargo, nadie sabía qué era. Lo infinitesimal tenía propiedades asombrosas. No era cero y sin embargo era menor que cualquier cantidad. No se le podía asignar ni cantidad ni tamaño, y ello no obstante, un número algo grande de infinitesimales forma una cantidad perfectamente definida. Incapaz de descubrir su naturaleza, mas, por fortuna, capaz de hacer caso omiso de ella, Weierstrass la enterró junto al flogisto y demás errores otrora apreciados.
Más obstinada fue la resistencia que presentó lo infinitamente grande. Sea lo que fuere, demostró ser mala hierba. Esta cuestión, sobre la que se han escrito desatinos por resmas, fue analizada por primera vez de modo lógico, completo y sin los prejuicios que serían de temer en un clérigo por el checo Bernhard Bolzano, en un pequeño y extraordinario volumen, titulado Die Paradoxien des Unendlichen (Las paradojas del infinito), publicado en 1851 como obra póstuma.
Lo mismo que la obra de otro sacerdote, el austríaco Gregor Mendel, cuyo notable tratado sobre los principios de la herencia sólo escapó al olvido por casualidad, este importante libro de Bolzano, de redacción encantadora, no produjo gran impresión entre sus contemporáneos. Es la creación de una inteligencia clara, poderosa y penetrante. Por vez primera en veinte siglos, el infinito fue tratado como problema científico, y no teológico. Tanto Cantor como Dedekind están en deuda con Bolzano, por haber dado éste fundamento al tratamiento matemático de lo infinito. Entre las muchas paradojas que Bolzano recopiló y explicó, una de ellas, que databa de la época de Galileo, ejemplifica una típica fuente de confusión.
Constrúyase un cuadrado, ABCD. Tomando como centro el punto A y con una abertura del compás igual al lado, trácese un cuadrante de circunferencia, que intersecte al cuadrado en B y D. Trácese PR paralela a AD, de tal manera que corte a AB en P, a CD en R, a la diagonal AC en N y a la cuarta parte del círculo en M.
Por un teorema de geometría, muy conocido, puede demostrarse que si PN, PM y PR son radios, existe la siguiente relación:

Bolzano comprendió que aquí sólo hay una apariencia de paradoja. Las dos clases de puntos, una compuesta de un solo miembro, el punto A, y la otra de los puntos que hay en la circunferencia de círculo de radio AB, ocupan exactamente la misma cantidad de superficie. ¡El área de cada una de ellas es igual a cero! La paradoja nace de la equivocada noción de que el número de puntos de una figura dada tiene relación con el área de la porción de superficie que ocupa. Los puntos carecen de tamaño y dimensión, y en número finito (e incluso en muchos casos, infinito), no pueden llenar superficie alguna.
En el transcurso de los siglos han ido acumulándose paradojas similares. Nacidas de la unión de ideas imprecisas y de dudosas reflexiones de índole filosófica, fueron desarrollándose, fundadas en nociones imperfectas. Bolzano aclaró en gran medida la confusión, dejando expedito el camino a Cantor. A Cantor debe la matemática de lo infinitamente grande haber alcanzado la mayoría de edad.

Fig. 11. Sustráigase el triángulo APM de la figura. Es fácil ver que sus tres lados son iguales, respectivamente, a los radios de los tres círculos. Luego: R12 - R22 = R32, o bien: πR12 - πR22 = πR32; o bien: las dos superficies sombreadas son iguales.
Tratando la ciencia del infinito. Cantor comprendió que el primer requisito consistía en definir términos. Su definición de "clase infinita", que parafraseamos, se basta en una paradoja: Una clase infinita tiene la singular propiedad de QUE EL TODO NO ES MAYOR QUE ALGUNA DE SUS PARTES.
Esta proposición es tan esencial para las matemáticas del infinito como la que expresa: EL TODO ES MAYOR QUE CUALQUIERA DE SUS PARTES, para la aritmética finita.
Si recordamos que dos conjuntos son equivalentes cuando sus elementos pueden ponerse en correspondencia biunívoca, esta última proposición resulta evidente. Zenón no se habría animado a contradecirla, a pesar de su escepticismo acerca de lo evidente. Pero lo que para lo finito es evidente, es falso para lo infinito; nuestra amplia experiencia con los conjuntos finitos es engañosa. Por ejemplo, puesto que los conjuntos de humanos y de matemáticos son ambos finitos, alguien, al comprobar que algunos hombres no son matemáticos, llegaría correctamente a la conclusión de que la clase de los humanos es la más grande de las dos. También podría inferir que el número de enteros, pares e impares, es mayor que el número de enteros pares. Pero vemos, de acuerdo con el siguiente emparejamiento, que se equivocaría:

Ahora bien, el conjunto de los números naturales es infinito. Ningún número natural, no importa cuán grande sea, puede describir su cardinalidad (o "numerosidad"). Sin embargo, puesto que es posible establecer una correspondencia biyectiva entre la clase de los números pares y la clase de los números naturales, hemos logrado contar la clase de los números pares del mismo modo que contamos una colección finita. Estando perfectamente equiparadas las dos clases, debemos llegar a la conclusión de que tienen la misma cardinalidad. Que su cardinalidad es la misma, lo sabemos, al igual que supimos que las sillas y las personas que había en el salón eran iguales en número cuando cada silla estaba ocupada y nadie quedó de pie. De este modo llegamos a la paradoja fundamental de todas las clases infinitas: Existen partes componentes de una clase infinita que son tan grandes como la clase misma. ¡El TODO NO ES MAYOR QUE ALGUNA DE SUS PARTES!
La clase compuesta por los números enteros pares es un conjunto entresacado de la clase de todos los números enteros. pero, evidentemente el "entresacar" no tiene el más leve efecto sobre su cardinalidad. Además casi no hay límite al número de veces que puede repetirse este proceso. Por ejemplo, hay tantos números elevados al cuadrado y al cubo como números enteros. Los emparejamientos apropiados son:

Cantor llamó contables o numerablemente infinitas a las clases infinitas que pueden ponerse en correspondencia biyectiva con los números naturales y, por lo tanto, ser "contadas". Ya que todos los conjuntos finitos son contables y dado que podemos asignar un número a cada uno de ellos, es natural que tratemos de extender la noción de número, asignando a la clase de todos los números naturales, un número que exprese su cardinalidad. Sin embargo, es evidente, de acuerdo a nuestra descripción de "conjunto finito", que ningún número entero ordinario sería adecuado para describir la cardinalidad de toda la clase de los números enteros. En efecto, sería como pedirle a una culebra que se tragase a sí misma, toda entera. De este modo, fue creado el primero de los números transfinitos para describir la cardinalidad de las clases infinitas numerables. Se sugirió representarlo con un símbolo etimológicamente antiguo, pero matemáticamente nuevo: la primera letra del alfabeto hebreo, À (aleph). Sin embargo, Cantor, decidió finalmente usar el símbolo compuesto Ào (aleph-cero). Si se nos pregunta "¿cuántos números naturales hay?", sería correcto contestar: "Hay Ào números naturales."
Debido a que Cantor sospechó que había otros números transfinitos, más aún, un número infinito de transfinitos y que la cardinalidad de los números naturales era la más pequeña de todas, le añadió a la primera À un cerito como subíndice. La cardinalidad de una clase numerable infinita se indica, por lo tanto con À0 (aleph-subcero). Los números transfinitos que hemos anticipado forman una jerarquía de alephs: À0, À1, À2, À3,...
Todo esto puede parecer muy extraño, y sería completamente disculpable que el lector se encontrase, a esta altura, enteramente desconcertado. Sin embargo, si usted ha seguido el razonamiento precedente, paso por paso, y se toma la molestia de releerlo, verá que nada de cuanto se ha dicho es incompatible con el correcto razonamiento. Habiendo establecido el significado de contar en el dominio de lo finito, y lo que significa número, decidimos hacer extensivo el proceso de contar a las clases infinitas. En cuanto a nuestro derecho para llevar a cabo tal procedimiento, es el mismo, por ejemplo, de aquellos que decidieron que el hombre se había arrastrado bastante sobre la superficie de la Tierra y que ya le había llegado el tiempo de volar Es nuestro derecho a aventurarnos en el mundo de las ideas así como el de ampliar nuestras miras en el universo físico. En estas aventuras de ideas solamente se nos impone una restricción: que procedamos de acuerdo con las reglas de la lógica.
Al extender el proceso de contar, en seguida saltó a la vista que ningún número finito podría describir adecuadamente una clase infinita. Si algún número de la aritmética común describe la cardinalidad de una clase, esa clase tiene que ser finita, aun cuando no haya suficiente tinta, espacio o tiempo para escribir dicho número. Necesitaremos pues, un tipo de número completamente nuevo, que no se encuentre en ninguna parte de la aritmética finita, para describir la cardinalidad de una clase infinita. Por consiguiente, se asignó la cardinalidad "aleph" a la totalidad de los números enteros. Sospechando que había otras clases infinitas, con cardinalidad mayor que la de la totalidad de los números enteros, supusimos toda una jerarquía de alephs de la cual designamos con aleph-cero al número cardinal que representa la totalidad de los números enteros, con lo que se quiso indicar que era el más pequeño de los transfinitos.
Después de este inciso, a modo de resumen, volvamos una vez más a escudriñar los "alephs" para ver si, con un conocimiento más íntimo, resultan más fáciles de comprender.
La aritmética de los alephs tiene poca semejanza con la de los números enteros finitos. El osado comportamiento de À0 es típico.
Un simple problema de suma se presenta así:
À0 + 1 = À0
À0 + gúgol = À0
À0 + À0 = À0
La tabla de multiplicar sería fácil de enseñar, pero más fácil aún de aprender:À0 x 1 = À0
À0 x 2 = À0
À0 x 3 = À0
À0 x n = À0
En la cual n representa un número finito cualquiera. Asimismo,(À0)2 = À0 x À0 = À0
y, por lo tanto(À0)n = À0
donde n es un número natural finito.Parece que no hubiera variación en el tema: la monotonía parece inevitable Pero todo es muy engañoso y traicionero. Seguimos adelante obteniendo el mismo resultado a pesar de todo lo que hagamos con À, cuando de repente probamos:
(À0)À0
Esta operación crea, al fin, un nuevo transfinito. Pero antes de considerarlo hay que decir algo más sobre las clases numerables.El sentido común nos dice que hay muchas más fracciones que números enteros, puesto que entre dos enteros cualesquiera hay un número infinito de fracciones. Pero, ¡ay!, el sentido común ha de ser descartado en el país del infinito. Cantor descubrió una demostración tan sencilla como elegante, según la cual las fracciones racionales forman una sucesión numerablemente infinita, equivalente a la clase de los números naturales. Por consiguiente, esta sucesión debe tener la misma cardinalidad que éstos [Se nos ha sugerido que al llegar aquí, el lector cansado cierra el libro con un suspiro, y se va al cine. Solo podemos adelantarle, para calmarlo que esta demostración, como la que sigue sobre la no numerabilidad de los números reales es difícil. Usted puede rechinar los dientes y tratar de entender lo que pueda de ellas, o bien prescindir de ambas. Lo esencial, antes de retirarse, es saber que Cantor descubrió que las fracciones racionales son numerables, pero que el conjunto de los números reales no lo es. De este modo y a pesar de lo que le dicte el sentido común, no hay más fracciones que números enteros y hay más números reales entre 0 y 1 que elementos en toda la clase de los números enteros.].
Se dispone el conjunto de todas las fracciones racionales, no en el orden de valores crecientes, sino en el orden de los numeradores y denominadores ascendentes, en una tabla como la de la figura 12.
Ya que cada fracción puede escribirse como un par de números enteros, es decir, 3/4 como (3. 4), puede efectuarse la ya muy conocida correspondencia uno a uno con los números naturales tal como se indica mediante flechas en la figura 12 que antecede.

![]()
Pero Cantor intuyó que había otros transfinitos, que había clases que no eran numerables, clases que no podían ponerse en correspondencia biyectiva con los números enteros. Y uno de sus mayores triunfos tuvo lugar cuando demostró que hay clases que poseen una cardinalidad mayor que À0.
La clase de los números reales, compuesta de los números racionales e irracionales [Los números irracionales son aquellos que no pueden expresarse como fracciones racionales Por ejemplo √2, √3, e, π. La base de los números reales está formada de racionales como 1, 2, 3, 1/4, 17/32 e irracionales como los arriba indicados], es una de ellas. Contiene a aquellos irracionales que son algebraicos, así como a los que no lo son. Estos últimos se denominan números trascendentes[8].
En la época de Cantor se conocían dos importantes números trascendentes: π, la relación de la circunferencia de un círculo con respecto a su diámetro, y e, la base de los loga ritmos naturales.
Muy poco más se sabía acerca de la clase de los trascendentes: era un verdadero enigma. Cantor tenía que probar, a fin de demostrar que la clase de los números reales era no numerable (es decir, demasiado grande para poderse contar con la clase de los números enteros), el hecho improbable de que la clase de los trascendentes era no numerable.
Ya que se sabía que los números racionales y algebraicos eran numerables y que la unión de cualquier colección numerable de clases numerables es también una clase numerable, la única clase restante que podía hacer que la totalidad de los números reales fuese no numerable era, por lo tanto, la clase de los trascendentes.
Cantor pudo idear semejante demostración.

Figura 12. Método diagonal de Cantor.
Para poder numerar los números reales comprendidos entre 0 y 1 se requiere que todos ellos sean expresables de modo uniforme, y además, inventar un método para escribirlos en orden, de modo que se puedan ser, uno a uno, biunívocamente emparejados con los números naturales. El primer requisito puede cumplirse, ya que todo número real puede expresarse mediante un número decimal de infinitas cifras. Así, por ejemplo[9]:

Por otra parte, si suponemos un número real, expresado en forma de número decimal de infinitas cifras, emparejado con un determinado número natural, ¿qué método habría para determinar cuál será, en el orden de la sucesión natural, el próximo número real a emparejar? Es suficiente preguntarse cuál será el primero de estos decimales infinitos, el que debe emparejarse con el número natural 1, para vislumbrar la dificultad del problema. Lo que hizo Cantor fue suponer que tal emparejamiento existía, sin tratar de dar su forma explícita. He aquí su plan: asociar al número 1 el decimal 0,a1a2a3...; con el número 2, el decimal 0,b1b2b3... etc. Cada una de estas letras subindiciadas representa un dígito del número decimal en que interviene. La tabla de emparejamientos entre números naturales y decimales infinitos sería así:


- La clase de los números trascendentes es, no sólo infinita, sino, además, no numerable.
- El conjunto de los números reales comprendidos entre 0 y 1 es infinito y no numerable.
- A fortiori, la clase de todos los números reales es no numerable.
La aritmética de C es casi la misma que la de Àn. La tabla de multiplicar tiene la misma cualidad monótona formal. Pero cuando C se combina con lo absorbe por completo. Así:

Estamos ahora en condiciones de resolver nuestro anterior problema relacionado con la elevación a una potencia, pues, en realidad, Cantor encontró que (À0)À0 = C.
Análogamente Cc da origen a un nuevo transfinito, más grande que C. Este transfinito representa la cardinalidad de la clase de todas las funciones uniformes. Es también una de las À pero como vimos anteriormente una À que es desconocida. Se la designa a menudo con la letra F[10]. En general, el proceso de elevar a una potencia, al ser repetido, engendra transfinitos de orden superior.
Así como los números enteros servían de vara de medida para las clases de cardinalidad À0, la clase de los números reales sirve como patrón de medida para las clases de cardinalidad C. En efecto, hay clases de elementos geométricos que no pueden medirse de otra manera que con la clase de los números reales.
Dado que entre dos puntos cualesquiera hay siempre un tercero alineado con ellos, resulta que en todo segmento rectilíneo hay un número infinito de puntos. El conjunto de puntos de un segmento tiene por ello una propiedad llamada "densidad". En el caso que nos ocupa, ello significa que entre cualesquiera dos puntos de un conjunto lineal de puntos hay infinitos puntos del mismo conjunto. La propiedad de ser densos es una de las características esenciales de un continuo. Cantor al tratar la "cardinalidad del continuo", se dio cuenta que es la misma para la clase de los números reales que para el conjunto de puntos de un segmento rectilíneo. Ambos son conjuntos densos, del mismo cardinal, C. En otras palabras, es posible emparejar biunívocamente los puntos comprendidos en un segmento rectilíneo con los números reales.

Figura 13
Sea L la intersección de las rectas AA' y BB'. Si entonces a un punto M de AB le hacemos corresponder el punto M' de A'B', perteneciente a la línea LM, habremos establecido la correspondencia deseada entre los conjuntos de puntos de A'B' y de AB. Es fácil ver intuitivamente, y demostrar geométricamente, que esto es siempre posible y que, por lo tanto, la cardinalidad de los dos conjuntos de puntos es la misma. Así pues, ya que A'B' es menor que AB, puede considerársela una porción de AB, y habremos establecido, una vez más, que una clase infinita, puede contener como partes propias, subclases que le son equivalentes.
Existen en geometría ejemplos más asombrosos que ilustran sobre la potencia del continuo. Aunque es suficientemente asombrosa la afirmación de que una línea de un centímetro de longitud contiene tantos puntos como otra trazada alrededor del Ecuador, o como la de una recta que vaya desde la Tierra hasta las más lejanas estrellas, es fantástico pensar que un segmento de recta de una millonésima de milímetro tiene tantos puntos como los que existen en todo el espacio tridimensional del Universo entero. Y sin embargo, esto es cierto. Una vez que se han entendido los principios de la teoría de los transfinitos de Cantor, dichas proposiciones dejan de parecer las extravagancias de un matemático loco. Las rarezas, como lo ha dicho Russel! "no parecen entonces más extrañas que lo que parecían las personas antípodas, ya que en otros tiempos eran concebidos como imposible, porque se encontrarían muy molestas al tener que apoyarse sobre sus cabezas".
Aun concibiendo que el tratamiento del infinito sea una forma de locura matemática, uno se ve obligado a admitir, como lo hace el duque en Medida por medida:
Si está loca, y no puedo creer otra cosaHasta ahora hemos eludido deliberadamente una definición de "clase infinita". Pero al fin nuestro instrumental nos habilita para hacerlo. Hemos visto que una clase infinita, ya sea su cardinalidad. À0C o mayor, puede ser "entresacada" en una innumerable variedad de modos, sin afectar su cardinalidad. Más brevemente, el todo no es mayor que muchas de sus partes. Ahora bien, esta propiedad no la poseen, en modo alguno, las clases finitas; sólo pertenece a las clases infinitas. En consecuencia, es un método único para determinar si una clase es finita o infinita. Así nuestra definición reza:
su locura tiene el más extraño carácter de razón;
sus palabras poseen un encadenamiento como
no he conocido jamás en palabras de la locura.
Una dase infinita es aquella que puede ponerse en una correspondencia biunívoca con un subconjunto propio de sí misma.Provistos de esta definición y las pocas ideas que hemos recogido, podremos examinar nuevamente algunas de las paradojas de Zenón. La de Aquiles y la tortuga puede expresarse como sigue: Aquiles y la tortuga, por recorrer el mismo camino, habrán cada uno de ellos de ocupar el mismo número de posiciones distintas durante su carrera. Sin embargo, si Aquiles desea apresar a su pausada y voluntariosa competidora, tendrá que ocupar más posiciones que la tortuga, en el mismo período de tiempo transcurrido. Como que esto es manifiestamente imposible, usted podrá apostar su dinero a favor de la tortuga.
Pero no se precipite usted. Hay mejores maneras de gastar el dinero. En efecto, después de todo habría sido mejor apostar a favor de Aquiles porque él es el probable ganador de la carrera. Aun cuando podamos no haberlo comprendido, acabamos de probar que podía alcanzar a la tortuga al demostrar que una línea de una millonésima de milímetro tiene tantos puntos como una recta que se extienda desde la Tierra hasta la estrella más lejana. En otras palabras, los puntos del reducidísimo segmento rectilíneo pueden ponerse en correspondencia biyectiva con los puntos de la recta grande, porque no hay relación entre el número de puntos de una línea y su longitud. Pero esto revela el error de pensar que Aquiles no puede alcanzar a la tortuga. La proposición de que Aquiles debe ocupar tantas posiciones distintas como la tortuga, es correcta. Asimismo lo es la que expresa que debe recorrer una distancia mayor que la tortuga en el mismo intervalo de tiempo La única proposición incorrecta es la deducción de que ya que debe ocupar el mismo número de posiciones que la tortuga, no puede ir más lejos mientras así lo hace. Aun cuando los conjuntos de puntos de cada línea, que corresponden a las diversas posiciones tanto de Aquiles como de la tortuga, son equivalentes, la línea que representa la trayectoria de Aquiles es mucho más larga que la de la tortuga. Aquiles puede andar mucho más lejos que la tortuga sin tocar, sucesivamente, más puntos.
La solución de la paradoja de la flecha en vuelo, requiere una palabra acerca de otro tipo de continuo. Es conveniente, y por cierto habitual, considerar al tiempo como un continuo. El tiempo continuo tiene las mismas propiedades que el espacio continuo: Los instantes sucesivos de cualquier intervalo de tiempo transcurrido, al igual que los puntos de una línea, pueden ser puestos en una correspondencia uno a uno con la clase de los números reales; entre dos instantes cualesquiera pueden interpolarse una infinidad de otros; el tiempo tiene también la propiedad matemática antes mencionada, a saber, es denso.
El argumento de Zenón afirmaba que en cada instante la flecha estaba en alguna parte, en algún lugar o posición y, por lo tanto, no podía, en ningún instante, hallarse en movimiento. Aunque el enunciado de que la flecha tenía que estar, en cada momento, en algún lugar es cierto, la conclusión de que por lo tanto no podía estar moviéndose es absurda. Nuestra tendencia natural a aceptar este absurdo como verdad, nace de nuestra firme convicción de que el movimiento es completamente distinto del reposo.
No tenemos dudas sobre la posición de un cuerpo en reposo —tenemos la sensación de que no hay misterio alguno en el estado de reposo. Deberíamos sentir lo mismo cuando consideramos un cuerpo en movimiento.
Cuando un cuerpo está en reposo, está en una posición en un instante y un instante después está todavía en la misma posición. Cuando un cuerpo se encuentra en movimiento. existe una correspondencia uno a uno entre cada instante y cada nueva posición. A fin de aclarar estos conceptos podemos construir dos tablas: una de ellas describirá un cuerpo en reposo y la otra, un cuerpo en movimiento. La tabla de "reposo" expresará la historia y la geografía de la vida de la Estatua de la Libertad, mientras que la tabla del "movimiento" describirá la odisea de un automóvil.
Las tablas indican que a cada instante corresponde una posición de la Estatua de la Libertad y del taxi. Hay una correspondencia biunívoca entre espacio y tiempo tanto para el reposo como para el movimiento.
No encierra paradoja alguna el rompecabezas de la flecha cuando observamos nuestra tabla. En efecto, lo raro sería que hubiese en ella espacios vacíos; que fuese imposible, en cualquier instante, determinar exactamente cuál es la posición de la flecha.
Casi todos nosotros juraríamos que existe el movimiento, pero no estamos acostumbrados a considerarlo como algo que hace que un objeto ocupe posiciones distintas en diferentes instantes. Somos proclives a admitir que el movimiento dota a un objeto de la extraña facultad de hallarse continuamente en ninguna parte. Trabados por las limitaciones de nuestros sentidos, que nos impiden percibir que un objeto en movimiento ocupa simplemente una posición después de otra, al hacerlo rápidamente, alentamos una ilusión sobre la naturaleza del movimiento y la convertimos en un cuento de hadas. Las matemáticas nos ayudan a analizar y aclarar lo que percibimos hasta el punto en que nos vemos obligados a reconocer, si no deseamos dejamos guiar más por cuentos de hadas, que vivimos, ya sea en el mundo inmutable de Russell o en un mundo donde el reposo no es sino una forma de movimiento. La historia del movimiento es la misma que la del reposo. Es la misma historia contada con un "tempo" más rápido.
La historia del reposo es "está aquí"; la del movimiento es; "está aquí, está allí". El hecho de que, en este sentido, se asemeje al espectro del padre de Hamlet, no es motivo para dudar de su existencia.
La mayoría de nuestras creencias están ancladas a fantasmas menos sustanciales. Quizá no sea fácil para nuestros sentidos comprender el movimiento, pero, con ayuda de las matemáticas puede entenderse correctamente su esencia.

Figura 14. En los tiempos indicados, la Estatua de la Libertad está en el punto señalado, mientras que los pasajeros del taxi contemplan los distintos paisajes de la derecha.
En su famosa obra "Agony in Eight Fits". Lewis Carroll cazó el "snark" ["Snark". palabra formarla por la combinación de snake (culebra] y; shark (tiburón). intentada por Lewis Carroll [Charles I. Dodgson] para designar a un animal absurdo que aparece en su poema The Huntinq of the Snark (1876) una de sus variedades se conoce como "boojum".]. Nadie tenía conocimiento del "snark" ni sabía casi nada de él. salvo que existía, y que era mejor mantenerse alejado de un "boojum" [Boojum, una especie de snark los cazadores del mal desaparecen suave y silenciosamente (Citas del Webster's New International Dictionary of the English Language)]. El infinito también puede ser un "boojum". pero su existencia, en cualquier forma, es una cuestión de considerable duda. "Boojum" o variedad de jardín, el infinito, ciertamente, no existe en el mismo sentido en que decimos: "Hay peces en el mar." Al fin de cuentas la proposición: "Hay un número llamado 7" se refiere a algo que tiene una existencia diferente a la del pez en el mar "Existencia", en la acepción matemática, es completamente distinta de la existencia de objetos en el mundo físico. Una bola de billar puede tener como una de sus propiedades, en adición a su blancura, redondez, dureza, etc. una relación de perímetro a diámetro aproximada al número π. Estamos de acuerdo en que tanto la bola de billar como π existen, debemos también convenir en que la bola de billar y π llevan diferentes clases de vidas.
Ha habido tantas opiniones sobre el problema de la existencia, desde Euclides y Aristóteles, como filósofos. En épocas modernas las diversas escuelas de filosofía matemática, la escuela logística, formalistas, e intuicionistas. han discutido la poco menos que vidriosa esencia de la existencia matemática. Todas estas discusiones van más allá de nuestro saber, finalidad o intención. Una asociación más extraña aún que la tortuga. Aquiles y la flecha, ha defendido la existencia de las clases infinitas —defendido en el mismo sentido en que habrían defendido la existencia del número 7. Los formalistas, que piensan que las matemáticas son un juego sin sentido, pero que no por eso juegan con menos gusto, y la escuela logística, que considera que las matemáticas son una rama de la lógica —ambas se han puesto de parte de Cantor y han defendido los alephs. Su defensa se basa en la noción de autoconsistencia. "Existencia" es una expresión metafísica ligada con la noción de ser, y con otros espantajos peores aun que los "boojums". Pero la expresión "proposición autoconsistente" suena como el lenguaje de la lógica y tiene su mismo aroma de santidad. Una proposición que no es contradictoria consigo misma es, de acuerdo a la escuela logística, un verdadero enunciado de existencia Desde este punto de vista. la mayor parte de la obra matemática de Cantor sobre el infinito es inexpugnable.
Sin embargo, se han descubierto nuevos problemas y nuevas paradojas suscitadas en ciertas partes de la estructura de Cantor, debido a ciertas dificultades intrínsecas de la lógica clásica. Se centran en torno al uso de la palabra "todo". Las paradojas que se encuentran en la conversación ordinaria, tales como "Todas las generalidades son falsas, incluso ésta" constituyen un verdadero problema en los fundamentos de la lógica, como lo fue la paradoja de Epiménides, de donde provienen. En ella, se hace decir a un cretense que todos los cretenses son embusteros, lo cual si es cierto, convierte en mentiroso al que habla por decir la verdad. Para tratar este tipo de paradojas, la escuela logística inventó una "Teoría de Tipos". La teoría de tipos y el axioma de reductibilidad, sobre el cual se basa, deben ser aceptados como axiomas a fin de evitar paradojas de esta clase. Para poder lograr esto se requiere una reforma de la lógica clásica, la cual, por otra parte, ya se ha emprendido. Como ocurre con la mayoría de las reformas, no es del todo satisfactoria —ni aun para los reformadores— pero mediante su teoría de tipos se ha eliminado el último vestigio de inconsistencia de la casa que Cantor construyó. La teoría de los transfinitos puede todavía ser absurda para muchos matemáticos, pero es, sin duda alguna, consistente. La grave acusación de Henri Poincaré, contenida en su aforismo: "La logistique n'est plus stérile; elle engendre la contradiction" fue bien refutada por la doctrina logística en lo que atañe al infinito.
A los alephs de Cantor, pues, podemos atribuir la misma existencia que al número 7. Puede hacerse, con respecto a cualquiera de ellos, una proposición de existencia libre de contradicción en sí misma. En última instancia, no hay razón valedera para confiar más en lo finito que en lo infinito. Es tan permisible descartar al infinito como lo es el negar las impresiones de nuestros sentidos No es ni más ni menos científico proceder así. En último análisis, esto es una cuestión de fe y discernimiento, pero no es comparable a creer o no en los Reyes Magos. Las clases infinitas, al ser juzgadas por normas finitas, engendran paradojas mucho más absurdas y muchísimo menos agradables que la creencia en los Reyes Magos, pero cuando se las juzga con normas adecuadas pierden su rara apariencia y se comportan en una forma tan predictible como cualquier número entero finito.
Al final, en su propio escenario, el infinito ha asumido una posición respetable al lado del finito, tan real y tan segura como la de éste, si bien enteramente distinta en carácter. Sea lo que fuere el infinito, ha dejado de ser una vaca color púrpura.
Capítulo 3
PIE (π, i, e): trascendentes e imaginarios
A fin de alcanzar la Verdad, es necesario, una vez en la vida poner todo en duda —hasta donde sea posible
Descartes
Pero ni tenemos que predicar paradojas, ni que convencer con epigramas. Lo que ocurre es que el estudio de la ciencia, particularmente las matemáticas, lleva a menudo a la conclusión de que basta decir que una cosa es increíble o imposible. para que la ciencia le demuestre que está equivocado. Para el buen sentido común resulta natural que la Tierra sea plana y que esté inmóvil, que los chinos y los antípodas caminen suspendidos por los pies como las arañas de luces, que las rectas paralelas nunca se encuentren, que el espacio sea infinito, que los números negativos sean tan poco reales como las vacas negativas, que -1 no tenga raíz cuadrada, que una serie infinita debe tener una suma infinita, o que debe ser posible, con regla y compás únicamente, construir un cuadrado cuya superficie sea exactamente igual a la de un círculo dado.
Pero, ¿hasta dónde hemos sido conducidos por el sentido común para llegar a estas conclusiones? ¡No muy lejos! Y sin embargo, algunas de esas proposiciones parecen enteramente plausibles, más aún, irreprochables. Sería erróneo afirmar que la ciencia ha demostrado que todas son falsas. Podemos todavía adherirnos a la hipótesis euclidiana de que las rectas paralelas nunca se encuentran y que permanecen siempre equidistantes, mientras recordemos que se trata solamente de una hipótesis, pero las proposiciones acerca de la cuadratura del círculo, la raíz cuadrada de -1 y las referentes a las series infinitas, pertenecen a una categoría distinta.
El círculo no puede ser convertido en un cuadrado equivalente utilizando sólo regla y compás; -1 tiene raíz cuadrada. Una serie infinita puede tener una suma finita. Tres símbolos: π, i, e, han permitido a los matemáticos demostrar estas proposiciones, tres símbolos que representan los frutos de siglos de investigación matemática ¿Hasta qué punto se ajustan al sentido común?
El problema más famoso en toda la historia de las matemáticas es la "cuadratura del círculo". Otros dos problemas que desafiaron a los geómetras griegos, la "duplicación del cubo" y la "trisección del ángulo" pueden ser sucintamente examinados junto con el primero, como temas de interés, aun cuando sólo en la cuadratura del círculo interviene π.
En la infancia de la geometría se descubrió que era posible medir la superficie de una figura limitada por líneas rectas. En realidad, la geometría fue ideada con esa misma finalidad, medir los campos del valle del Nilo, donde cada año las inundaciones provocadas por las crecidas del río arrasaban todas las marcas puestas por el agricultor para delimitar sus campos de los de sus vecinos. La medición de áreas limitadas por líneas curvas presentaba mayores dificultades, y se empeñaron en reducir cada problema de este tipo a uno de medir superficies con lindes rectos Evidentemente, si puede construirse un cuadrado de área igual a la de un círculo dado, midiendo el área del cuadrado, queda determinada la del círculo. La expresión "cuadratura del círculo procede de esta tentativa de solución.
El número π es la razón de la circunferencia de un círculo a su diámetro. El área de un círculo de radio r está dada por la fórmula: πr2. Ahora bien, el área de un cuadrado cuyo lado mide A, es A2. De este modo la expresión algebraica A2 = πr2 indica la equivalencia de área entre un cuadrado y un circulo dados. Extrayendo la raíz cuadrada de ambos miembros de esta ecuación, se obtiene: A = r √π. Como r es una cantidad conocida, el problema de la cuadratura del círculo queda reducido, en efecto, el cálculo del valor de √π.[12]
Puesto que los matemáticos han logrado calcular π con extraordinaria exactitud, ¿qué significa entonces la proposición: "Es imposible convertir un círculo en un cuadrado equivalente?" Desgraciadamente este asunto suscita muchos conceptos erróneos que desaparecerían si el problema fuese comprendido.
Se proclama que la cuadratura del círculo es imposible, pero, ¿qué significa "imposible" en matemáticas; el primer buque a vapor que cruzó el Atlántico, llevaba, entre su cargamento. un libro que "demostraba" que era imposible, para un buque a vapor, cruzar nada, y mucho menos el Atlántico. La mayor parte de los sabios de hace algunas generaciones "demostraron" que sería siempre imposible inventar una máquina voladora más pesada que el aire. El filósofo francés Augusto Comte, demostró que sería siempre imposible, para la mente humana, descubrir la composición química de las estrellas. Sin embargo, poco tiempo después de hecha esta afirmación, se aplicó el espectroscopio para analizar la luz proveniente de las estrellas y hoy sabemos más acerca de su composición química, incluidas las estrellas pertenecientes a las nebulosas más distantes, de lo que sabemos del contenido de nuestro botiquín. Como ilustración diremos que el helio fue descubierto en el Sol antes de serlo en la Tierra.
Los museos y las oficinas de patentes están atestadas de cañones, relojes y desmotadoras de algodón, ya anticuados, cada uno de los cuales dio por tierra con predicciones de que su invención era imposible. Un hombre de ciencia que afirma que una máquina o un proyecto es imposible sólo revela las limitaciones de su época. Cualesquiera que sean las intenciones del profeta, su predicción no tiene ninguna de las cualidades de la profecía. "Es imposible volar hasta las estrellas y es un sinsentido, mientras que "aun no hemos inventado un medio para volar hasta las estrellas" sí lo tiene.
Las proposiciones acerca de la imposibilidad en matemáticas son de un carácter completamente distinto. Un problema en matemáticas que no podrá ser resuelto en los siglos venideros no siempre es imposible. "Imposible", en matemáticas, significa teóricamente imposible y no tiene nada que ver con el estado actual de nuestros conocimientos. "Imposible", en matemáticas no caracteriza al proceso de hacer una bolsa de seda de la oreja de una puerca, o una oreja de puerca de una bolsa de seda; si caracteriza la tentativa de demostrar que 7 por 6 es igual a 43 (a pesar de que las personas que flojean en aritmética logran, a menudo, lo imposible). Por las reglas de la aritmética. 7 por 6 es igual a 42, así como, de acuerdo a las reglas del ajedrez un peón debe efectuar, por lo menos, 5 movimientos antes de que pueda ser convertido en reina.
Cuando se carece de demostración teórica de que un problema no puede ser resuelto, es legítimo buscar una solución. no importa cuán improbable sea la esperanza de buen éxito. Durante siglos la construcción de un polígono regular de 17 lados fue correctamente considerada difícil, falsamente considerada imposible, por cuanto Gauss a los diecinueve años de edad, en 1796, logró hallar una construcción elemental.[13] Por otra parte, muchos problemas famosos, tales como el último teorema de Fermat[14] han desafiado toda solución hasta la fecha, a pesar de heroicas investigaciones. Para determinar si tenemos derecho a decir que la cuadratura del círculo, la trisección del ángulo y la duplicación del cubo son imposibles debemos encontrar demostraciones lógicas, basadas en un razonamiento puramente matemático. Una vez que se han aducido dichas pruebas, continuar buscando una solución equivale a cazar un bípedo de tres pies.[15]
Habiendo determinado lo que los matemáticos entienden por imposible, el simple enunciado 4, es imposible convertir el círculo en un cuadrado equivalente", queda todavía sin sentido. Para dárselo, debemos especificar cómo debe ser convertido el círculo en un cuadrado equivalente Cuando Arquímedes dijo: "Dadme un punto de apoyo y moveré la Tierra" no estaba haciendo alarde de su fuerza física, sino que estaba enalteciendo el principio de la palanca, Cuando se dice que un círculo no puede ser convertido en un cuadrado equivalente, todo lo que ello significa es que esto no puede hacerse con regla y compás solamente, aunque la operación llegue a ser posible con ayuda de un integrador gráfico o mediante curvas de grado superior a dos.
Repitamos el problema: Se pide construir un cuadrado de área igual a la de un círculo dado, mediante un dibujo teóricamente exacto, usando únicamente dos instrumentos: la regla y el compás Se entiende por regla el sencillo instrumento conocido para trazar una línea recta, no para medir longitudes. Por compás entendemos un instrumento con el cual se puede dibujar un círculo, con cualquier centro y cualquier radio. Ambos instrumentos deben usarse un número finito de veces a fin de no tener que recurrir a procesos de límites o de convergencia que requieran un número infinito de pasos.[16] La construcción, de razonamiento puramente lógico y fundada tan sólo en los axiomas y teoremas de Euclides, debe ser absolutamente exacta.
Los conceptos de "límite" y "convergencia" serán explicados con más detalles más adelante[17], pero conviene aquí que nos refiramos brevemente a ellos.
Consideremos la ya conocida serie:

Las analogías geométricas de los conceptos de límite y convergencia son igualmente provechosas. Un círculo puede ser considerado como e! límite de los polígonos con un número creciente de lados que pueden inscribirse sucesivamente en él, o circunscribirse alrededor de él y su área como el límite común de estos dos conjuntos de polígonos.
Ésta no es una definición rigurosa de límite y convergencia. pero a menudo el rigor matemático sólo sirve para provocar otra clase de rigor —el rigor mortis de la creación matemática.
Volviendo a la cuadratura del círculo; los griegos, y los matemáticos que los sucedieron, buscaron una construcción exacta con regla y compás, pero siempre fracasaron. Como

Fig. 15. Un número infinito de términos con una suma finita Si el ancho del primer tramo es un metro, el del segundo 1/2 metro, el del tercero 1/4 de metro el cuarto 1/8 de metro, y así sucesivamente. cabe un número infinito de tramos, que guardan entre si esa relación, en la varilla de dos metros de longitud, es decir
En lo que se refiere a los otros dos problemas, gracias en parte a la obra de "ese maravilloso muchacho... que murió en plena juventud", el joven Galois, de dieciséis años de edad, se estableció, hace aproximadamente cien años, que la duplicación del cubo y la trisección del ángulo son también imposibles con regla y compás. Daremos de ellos una sucinta referencia.
Existe una leyenda entre los griegos, según la cual el problema de la duplicación del cubo se originó en una visita al Oráculo de Delfos. En esa época había una fuerte epidemia y el oráculo anunció que la misma cesaría únicamente si se duplicaba en tamaño un altar cúbico dedicado a Apolo Los albañiles y arquitectos cometieron el error de duplicar la arista del cubo, con lo cual el volumen resultó ocho veces mayor. Por supuesto, el oráculo no quedó satisfecho y los matemáticos griegos, al examinar nuevamente el problema, comprendieron que la solución correcta implicaba, no la duplicación del lado, sino su multiplicación por la raíz cúbica de 2. Pero esto no podía resolverse geométricamente con regla y compás, y sólo finalmente culminaron la tarea con éxito empleando otros instrumentos y curvas de grado superior. El oráculo fue aplacado y la epidemia cesó. Se podrá creer la leyenda o no. como se prefiera, pero no es posible "duplicar el cubo"[19].
La trisección del ángulo ha recibido mucha atención en los últimos años, porque continúan aflorando monografías que pretenden resolver el problema por completo. Las falacias contenidas en estas "soluciones" son de cuatro clases: algunas veces son solamente aproximadas y no exactas; de vez en cuando se usan otros instrumentos además de la regla y el compás, ya sea a sabiendas o inconscientemente; a veces hay un sofisma lógico en la demostración que se intenta y a menudo se consideran únicamente ángulos especiales y no generales Un ángulo puede ser bisecado pero no trisecado por los medios que proporciona la geometría elemental, ya que el primer problema implica simplemente raíces cuadradas, mientras que el segundo se resuelve con raíces cúbicas las que como hemos visto no pueden construirse con regla y compás.
La dificultad para cuadrar el círculo, como se dijo al principio, radica en la naturaleza del número π. Este notable número, como demostró Lindemann, no puede ser raíz de una ecuación algebraica de coeficientes enteros[20]. No es expresable por lo tanto, mediante operaciones racionales o por la extracción de raíces cuadradas, y como sólo estas operaciones admiten una construcción equivalente hecha con regla y compás, es imposible cuadrar el círculo. La parábola es una curva más complicada que la circunferencia, pero, sin embargo, como ya sabía Arquímedes, cualquier área limitada por una parábola y una línea recta puede determinarse mediante operaciones racionales y, en consecuencia, la "parábola puede ser convertida en un cuadrado equivalente".
La demostración de Lindemann es demasiado técnica para ocuparnos de ella aquí. Sin embargo, si consideramos la historia y el desarrollo de π, estaremos en mejores condiciones para comprender su finalidad, sin estar obligados a conocer a fondo sus dificultades.
Si se inscribe un triángulo en un círculo (fig. 16), el área del triángulo inscrito será menor que el área del círculo.

Figura 16. El círculo como límite de polígonos inscritos y circunscritos.
Por métodos geométricos, simples y muy conocidos, empleando solamente regla y compás, puede duplicarse, tantas veces como se quiera, el número de lados de los polígonos inscritos y circunscritos. El área de los polígonos sucesivamente inscritos se aproximará a la del círculo, pero siempre quedará ligeramente menor; el área de los polígonos circunscritos se aproximará también a la del círculo, pero su superficie permanecerá siempre ligeramente mayor. El valor común al que se aproximan ambas es el área del círculo. En otras palabras, el círculo es el límite de estas dos sucesiones de polígonos El valor común a] que se aproximan ambas es el área del circulo, En otras palabras, el círculo es el /imite de estas dos sucesiones de polígonos Si el radio del círculo es igual a 1, su área dada por πr es simplemente igual a π.
Este método de ir aumentando el número de lados de los polígonos, empleado para calcular el valor de π ya era conocido por Arquímedes, quien, mediante polígonos de 96 lados demostró que π es menor que 3 1/7 y mayor que 3 10/71.
En alguna parte, entre ambos, se encuentra el área del círculo. La aproximación dada para π por Arquímedes es considerablemente más perfecta que la dada por la Biblia En el Libro de los Reyes y en las Crónicas, se asigna a π el valor de 3. Los matemáticos egipcios dieron un valor algo más aproximado: 3.16. El conocido decimal: 3.1416, que aparece en nuestros libros escolares, era ya habitual en tiempos de Tolomeo, 150 años después de J. C
Teóricamente, el método de Arquímedes para calcular π aumentando el número de los polígonos, puede extenderse indefinidamente, pero los cálculos necesarios, pronto se hacen muy engorrosos. Ello no obstante, durante la Edad Media dichos cálculos fueron realizados apasionadamente.
Francisco Vieta, el más eminente matemático del siglo XVI,aunque no de profesión, hizo un gran progreso en el cálculo de π determinando su valor hasta diez cifras decimales. Además dio la fórmula

En 1596 el matemático alemán Ludolf van Ceulen, que residió por largos años en Holanda, calculó π con 35 cifras decimales. En lugar del epitafio, "muerto a los 40, enterrado a los 60", a propósito de que la función cerebral cesa precisamente cuando se supone que la vida recién comienza, van Ceulen que trabajó con el número π casi hasta el día de su muerte, ocurrida a los 70 años de edad, pidió que se inscribieran sobre la lápida de su sepulcro, como un digno epitafio, los 35 dígitos con que calculó π. Su deseo fue cumplido. El valor que dio para π es, en parte: 3.14159265358979323846... En recuerdo de su hazaña, los alemanes llaman todavía a π el número ludolfiano. Nosotros proponemos denominarlo el número arquimediano.
El número π alcanzó la madurez con la invención del Cálculo Infinitesimal por Newton y Leibniz. Se abandonó entonces el método griego y estuvieron de moda los recursos puramente algebraicos de series infinitas convergentes, productos infinitos y fracciones continuas. El inglés John Wallis (1616-1703) propuso uno de los más famosos productos:




Fig. 17. Producto de Wallis: 


Figura 18. Serie de Leibniz: 

Por supuesto que estos resultados no tienen uso concebible en las ciencias aplicadas. Aun en los trabajos que requieren mayor precisión no se necesitan ordinariamente más de diez cifras para π. El famoso astrónomo y matemático norteamericano Simón Newcomb hizo notar ocasión: "Diez cifras decimales son suficientes para dar la circunferencia de la Tierna hasta la fracción de una pulgada, y treinta decimales darían la circunferencia de todo el Universo visible hasta una cantidad imperceptible con el más poderoso telescopio.
¿Por qué, entonces, se ha dedicado tanto tiempo y esfuerzo a calcular π? Hay dos razones para justificarlo Primera: los matemáticos tenían la esperanza de que estudiando series infinitas, podrían hallar alguna clave sobre su naturaleza trascendente. Segunda: el Hecho de que π. una razón puramente geométrica, pudiera obtenerse de tantas relaciones aritméticas —de series infinitas con poca o ninguna relación aparente con la geometría— era una interminable fuente de admiración y estímulo a la actividad matemática.
¿Quién podría imaginar —es decir, quién sino un matemático— que el número que expresa una relación fundamental entre el círculo y su diámetro podría resultar de la curiosa fracción comunicada por lord Brouncker (1620-1684) a John Wallis?

Recapitulando brevemente, el problema de la cuadratura del círculo resulta ser una construcción imposible si únicamente se usan regla y compás Las únicas construcciones posibles con estos instrumentos corresponden a ecuaciones algebraicas de primero y segundo grados. Lindemann demostró que π no solamente no es la raíz de una ecuación algebraica de primero o segundo grados, sino tampoco es la raíz de ninguna ecuación algebraica (con coeficientes enteros), no importa cuán grande sea el grado; en consecuencia, π es trascendente. Aquí, pues, está el fin de toda esperanza para demostrar este problema clásico de la manera deseada Aquí hay imposibilidad matemática.
Cuando los filósofos griegos descubrieron que la raíz cuadrada de 2 no es un número racional[22] celebraron el descubrimiento sacrificando 100 bueyes. El descubrimiento, mucho más profundo, de que π es un número trascendente merece un sacrificio mayor. Una vez más los matemáticos triunfaron sobre el sentido común; π un número finito —la razón de la circunferencia de un círculo a su diámetro— es expresable con exactitud únicamente como la suma o producto de una serie infinita de números totalmente diferentes y aparentemente no relacionados. El área de la más sencilla de todas las figuras geométricas, el círculo, no puede determinarse por medios finitos (Euclidianos).
e
En el siglo XVII, tal vez el más grandioso de todos en lo que al desarrollo de las matemáticas se refiere, apareció una obra que en la historia de la ciencia británica puede colocarse en segundo lugar, a continuación de la monumental Principia de sir Isaac Newton. En 1614, John Napier, de Merchiston, publicó su Mirifici Logarithmorum Canonis Descriptio (Una descripción de la admirable tabla de logaritmos), el primer tratado sobre logaritmos[23]. A Napier, que también inventó el punto decimal, le debemos una invención que es tan importante para las matemáticas como los números arábigos; el concepto de cero y el principio de la notación posicional[24]. Hasta hace muy pocos años, sin éstos, las matemáticas no habrían progresado probablemente mucho más allá del grado que habían alcanzado hace 2.000 años. Sin los logaritmos, los cálculos efectuados con facilidad por cualquier matemático neófito agotarían las energías de los más grandes matemáticos.Ya que e y los logaritmos tienen el mismo árbol genealógico y se desarrollaron juntos, podemos, por el momento, volver nuestra atención hacia los logaritmos para descubrir algo de la naturaleza del número e.
Para confeccionar las tablas trigonométricas empleadas en la navegación y en la astronomía se requerían cálculos desmesurados y, en consecuencia, se le sugirió a Napier que inventara algún artificio para facilitar esos cálculos. Contemporáneos suyos, como Vieta y Ceulen, rivalizaron entre sí para llevar a cabo proezas aritméticas casi increíblemente difíciles, las cuales, aun en el mejor de los casos, resultaban ser una tarea de un trabajo sublime y penoso y una autoinmolación; con frecuencia toda esta labor se perdía como resultado de un pequeño descuido.
Napier tuvo buen éxito en el logro de su propósito: abreviar las operaciones de multiplicación y división, operaciones "tan fundamentales en su naturaleza, que acortarlas parece imposible". Sin embargo, mediante los logaritmos, todo problema de multiplicación y división, no importa cuán complicado sea, se reduce a una suma o resta relativamente sencilla. Multiplicar y dividir gúgoles y gúgolplexes resulta tan simple como sumar una insignificante columna de números.
Al igual que muchas otras de las fecundas y profundas invenciones en las matemáticas, la idea sobre la cual se basaban era tan simple que uno se asombra al pensar que hasta entonces, a nadie se le hubiera ocurrido. Cajón refiere que Henry Briggs (1556-1631), profesor de geometría en Oxford, "quedó tan impresionado al admirar el libro de Napier, que dejó sus estudios en Londres para ir a rendir homenaje al filósofo escocés". Briggs sufrió un atraso en su viaje y Napier se quejaba a un amigo común "Ah, John, Mr. Briggs no vendrá." En ese mismo momento se oyó llamar a la puerta y Briggs fue introducido al gabinete del lord. Ambos se quedaron casi un cuarto de hora contemplándose mutuamente, sin articular palabra alguna. Al final comentó Briggs: "Milord, he emprendido expresamente este largo viaje para conocerlo y saber por qué rasgo de talento o de inventiva llegó usted, antes que nadie, a idear esta excelente ayuda para la astronomía, es decir, los logaritmos; pero, milord, lo que más me maravilla es que nadie los haya descubierto antes, cuando ahora, que los conocemos, resultan tan fáciles."
El concepto que tenía Napier de los logaritmos se basaba en una idea ingeniosa y bien conocida, una comparación entre dos puntos animados de movimiento, uno de los cuales engendra una progresión aritmética y el otro, una progresión geométrica
Las dos progresiones:

20 = 1; 21 = 2; 22 = 4; 23 = 8; 24 = 165 = 32; etc.
Además, para determinar el valor del producto 22 × 23, solamente es necesario sumar los exponentes, obteniendo: 22×3 = 25 que es el producto deseado. Llamando a 2, la base, término de la progresión aritmética es elLOGARITMO del término correspondiente de la progresión geométrica.Napier explicó geométricamente esta noción de la siguiente manera: Un punto S se mueve a lo largo de la línea recta, AB, con una velocidad en cada punto Si proporcional a la distancia restante S1B. Otro punto R se mueve sobre una línea ilimitada, CD, con una velocidad uniforme igual a la velocidad inicial de S. Si ambos puntos parten de A y C al mismo tiempo, el logaritmo del número medido por la distancia S B está dado por la distancia CR

Figura 19. Interpretación dinámica de Napier de los logaritmos.
Uno de los frutos de la educación superior es la opinión luminosa de que un logaritmo es simplemente un número que se encuentra en una tabla. Tendremos que ampliar el plan de estudios. Si a, b y c son tres números relacionados entre sí por la ecuación. ab= c. entonces b, el exponente de a, es el logaritmo de c en base a. En otras palabras, el logaritmo de un número en base a es la potencia a la cual debe elevarse a, para obtener dicho número. En el ejemplo: 23 = 8, el logaritmo de 8 en base 2 es 3. O bien, en 102 = 100, el logaritmo de 100 en base 10 es 2. La manera concisa de expresar esto es: 3 = log2 8; 2 = log10 100. La sencilla tabla que va a continuación resume las propiedades esenciales de los logaritmos:

Pronto se construyeron extensas tablas de logaritmos, en base 10 y en base e, llamada natural o nepereana Estas tablas fueron tan distribuidas, que los matemáticos de toda Europa pudieron beneficiarse con el empleo de los logaritmos al cabo de muy poco tiempo después de su invención. Kepler no solamente vio las tablas de Napier, sino que él mismo promovió su desarrollo: fue así uno de los primeros de la legión de hombres de ciencia cuya contribución al conocimiento fue facilitada, en gran medida, por los logaritmos. Los dos sistemas de logaritmos, en las bases 10 y e (los de Briggs y de base natural respectivamente), son los principales que hoy se usan, prevaleciendo los de base e[26]. Al igual que π, el número e es trascendente y es, como π, lo que P. W Bridgman denomina un "programa de procedimiento" más bien que un número, ya que nunca puede ser expresado completamente:
- con un número finito de dígitos
- como la raíz de una ecuación algebraica con coeficientes enteros
- como un decimal infinito aunque periódico[27].


2,7182818284590452353602874…
Euler, que indudablemente tenía en las matemáticas el tacto de Midas, no sólo inventó el símbolo e y calculó su valor hasta 23 decimales, sino que dio para él varias expresiones muy interesantes, de las cuales estas dos son las más importantes:


Suponga que su banco le paga el 3% de interés anual por sus depósitos. Si este interés se acumula al final de cada año, durante un período de tres años, el monto a su favor, suponiendo un capital original de $1,00, estará dado por la fórmula: (1 + 0,03)3. Si el interés es compuesto semestralmente, al cabo de un período de tres años, el total de capital más interés sería
|
Si el interés se compone semestralmente, el monto será:




La función exponencial: y = ex es el instrumento usado, en una u otra forma, para describir el comportamiento de las cosas que crecen. Es para esto singularmente apropiada: es la única función de x que tiene una razón de cambio, con respecto ax, igual a la función misma[30].
Una función, como se recordará, es una tabla que da una relación entre dos cantidades variables en la que un cambio en una de ellas implica algún cambio en la otra. El costo de una cantidad de carne es una función de su peso; la velocidad de un tren, una función de la cantidad de carbón consumida; la cantidad de transpiración producida, una función de la temperatura. En cada uno de estos ejemplos, un cambio en la segunda variable: peso, cantidad consumida de carbón y temperatura, tiene correlación con un cambio en la primera variable: costo, velocidad y volumen de transpiración El simbolismo de las matemáticas permite que las relaciones funcionales sean expresadas sencillamente y en forma concisa. De este modo: y = x; y = x2.y = sen x: y = cosec x; y = ex son ejemplos de funciones.
Una función no sólo es adecuada para describir el comportamiento de un proyectil en su trayectoria, de un volumen de gas sometido a cambios de presión, de una corriente eléctrica circulando a través de un conductor, sino también otros procesos que suponen cambios, tales como el crecimiento de una población, el desarrollo de un árbol, el crecimiento de una ameba, o, como lo acabamos de ver, el crecimiento de capital e interés. Es privativo de todo proceso orgánico, que la variación de crecimiento sea proporcional al estado de crecimiento. Cuanto más grande es una cosa, tanto más rápidamente crece. En condiciones ideales, cuanto más grande llega a ser la población de un país, tanto más rápidamente aumenta. La variación de la rapidez de muchas reacciones químicas es proporcional a la cantidad de sustancias reactivas que intervienen. O bien, la cantidad de calor cedida por un cuerpo caliente al medio ambiente, es proporcional a la temperatura. La proporción en la cual la cantidad total de sustancia radiactiva disminuye a cada instante, debido a las emanaciones, es proporcional a la cantidad total presente en ese instante. Todos estos fenómenos que son, o se parecen, a los procesos orgánicos, pueden ser descritos, con exactitud, por una forma de la función exponencial (siendo la más simple: y = ex) por cuanto ésta tiene la propiedad de que su razón de cambio es proporcional a la razón de cambio de su variable.
Un universo donde faltaran π y e como lo ha dicho algún espíritu antropomórfico, no sería inconcebible. Difícilmente uno podría imaginarse que el Sol dejaría de salir o que las mareas cesaran por falta de π y e. Pero sin estos artificios matemáticos, lo que sabemos del Sol y las mareas, e incluso nuestra capacidad para describir todos los fenómenos naturales, físicos, biológicos, químicos o estadísticos, quedarían reducidos a dimensiones primitivas
i
Alicia censuraba a Humpty Dumpty por las libertades que se tomaba con las palabras: "Cuando yo uso una palabra" replicó Humpty con tono despreciativo, "ésta significa precisamente aquello que yo quise decir —ni más ni menos". "La cuestión es", dijo Alicia, "si puedes hacer que una palabra signifique tantas cosas diferentes. "La cuestión es", dijo Humpty. "conocer a fondo el asunto, eso es todo".Aquellos que están preocupados (y son muchos), por la palabra "imaginario", tal como se la usa en matemáticas, deberían prestar atención a las palabras de Humpty Dumpty. Por supuesto que, a lo sumo, esto es cosa de poca importancia. Repetidas veces en las matemáticas, a palabras muy familiares se les atribuyen significados técnicos. Pero, como lo ha dicho tan perspicazmente Whitehead, esto sólo es confuso para inteligencias inferiores. Cuando una palabra está definida con precisión y significa solamente una cosa, no hay más razón para criticar su uso que para criticar el uso de un nombre propio. Nuestros nombres de pila pueden no agradamos, o no satisfacer a nuestros amigos, pero ocasionan pocas equivocaciones. La confusión surge únicamente cuando la misma palabra tiene varias acepciones y es lo que Humpty Dumpty llama una "maleta de viaje".
La semántica, una ciencia que hoy día está de moda, se dedica al estudio del uso adecuado de las palabras. Sin embargo, hay mucha mayor necesidad de la semántica en otras ramas de la ciencia que en las matemáticas. En efecto, la mayor parte de los males que aquejan hoy al mundo, provienen del hecho de que algunos de sus más volubles dirigentes son decididamente antisemánticos.
Un número imaginario representa una idea matemática precisa, que se introdujo por la fuerza en el álgebra de la misma manera que con los números negativos. Llegaremos a entender más claramente cómo entraron en uso los números imaginarios si consideramos el desarrollo de sus progenitores, los números negativos.
Los números negativos aparecieron como raíces de ecuaciones tan pronto hubo ecuaciones o, mejor dicho, tan pronto como los matemáticos se ocuparon del álgebra. Toda ecuación de la forma ax + b = 0, en la que a y b son mayores que cero, tiene una raíz negativa.
Los griegos, para quienes la geometría era un goce y el álgebra un mal necesario, descartaron los números negativos. Incapaces de adaptarlos a su geometría, imposibilitados para representarlos gráficamente, los griegos no consideraron, en modo alguno, a los números negativos. Pero el álgebra los necesitaba para desarrollarse. Más sabios que los griegos, más sabios que Ornar Khayyám;[31] los chinos y los hindúes reconocieron los números negativos antes de la era cristiana. Recién eruditos en geometría, no tenían escrúpulos de conciencia con respecto a los números que no podían representar mediante dibujos. En las teorías contemporáneas de la física matemática (relatividad, mecánica cuántica, etc.), que, si bien son comprensibles como símbolos en el papel, desafían diagramas, cuadros o metáforas adecuadas para explicarlas en términos de la experiencia común, hay una repetición de esa indiferencia hacia el deseo de representaciones concretas para ideas abstractas.
Cardano, eminente matemático del siglo XVI,jugador ybribón de vez en cuando ya quien el álgebra le debe muchísimo, fue el primero que reconoció la verdadera importancia de las raíces de números negativos. Pero su conciencia científica lo remordió hasta tal punto que las llamó "ficticias". Rafael Bombelh, de Bologna. prosiguió la obra de Cardano donde éste la había dejado. Este último había hablado de las raíces cuadradas de números negativos, pero no llegó a comprender el concepto de imaginarios. En una obra publicada en 1572, Bombelli señaló que las cantidades imaginarias eran indispensables para la solución de muchas ecuaciones algebraicas de la forma x2+ a = 0, donde a es cualquier número mayor que cero, yque no pueden ser resueltas sino con el auxilio de imaginarios. Tratando de resolver una ecuación sencilla como x2 + 1 = 0 hay dos alternativas. O la ecuación no tiene sentido, lo cual es absurdo, o x es la raíz cuadrada de -1, que también es absurdo. Pero las matemáticas se alimentan de absurdos y Bombelli salió del paso aceptando la segunda alternativa.
Más de cuatrocientos años han transcurrido desde que Bombelli hizo su elección. Filósofos, hombres de ciencia y gentes dotadas de esa cualidad mental, de tono menor, conocida como sentido común, han criticado, en un siempre creciente decrescendo, el concepto de imaginario. Todas estas notabilidades han muerto y la mayoría de ellos han sido relegados al olvido, mientras que los números imaginarios florecen, perversa y desenfrenadamente, por todo el campo de las matemáticas.
A veces, aun los maestros se burlaron. Leibniz pensó: "Los números imaginarios son un excelente y maravilloso refugio del Espíritu Santo, una especie de anfibio entre ser y no ser." Aun el portentoso Euler expresó que números como la raíz cuadrada de menos uno "no son ni nada, ni menos que nada, lo cual necesariamente los hace imaginarios, o imposibles". Estaba en lo cierto, pero omitió decir que los imaginarios eran útiles e imprescindibles para el desarrollo de las matemáticas. Y así, se les asignó un lugar en el dominio de los números con todos los derechos, privilegios e inmunidades pertenecientes a ellos. Con el transcurso del tiempo fueron disipándose los temores y los reparos sobre su naturaleza, de modo que el criterio de Gauss sobre los mismos es el que prevalece en la actualidad:
Nuestra aritmética general, que hasta aquí supera en extensión a la geometría de los antiguos, constituye, por completo, la creación de los tiempos modernos. Comenzando en su origen con la noción de los números enteros absolutos, ha ensanchado gradualmente su dominio. A los números enteros se han agregado las fracciones, a las cantidades racionales, las irracionales; a las positivas, las negativas, y a las reales, las imaginarias. Este progreso, sin embargo, siempre se ha hecho, al principio con pasos vacilantes y tímidos. Los primeros algebristas llamaron raíces falsas a las raíces negativas de las ecuaciones, y éste es, en realidad, el caso cuando el problema al cual se refieren ha sido enunciado de tal manera que el carácter de la cantidad buscada no admite lo contrario. Pero así como en la aritmética general nadie vacilaría en aceptar las fracciones, aunque hay tantas cosas contables para las cuales una fracción no tiene sentido, del mismo modo no desconoceríamos a los números negativos los derechos acordados a los números positivos por la sola razón de que hay innumerables cosas que no los admiten. La realidad de los números negativos está suficientemente justificada, ya que en otros innumerables casos encuentran una adecuada interpretación. Hace tiempo que ya ha sido aceptado, pero las cantidades imaginarias, antiguamente y a veces ahora, impropiamente llamadas imposibles, como opuestas a las cantidades reales —son, todavía, más bien toleradas que completamente naturalizadas; aparecen más como un juego inútil sobre símbolos, a los cuales les niegan, sin vacilar, un sustrato concebible, aun aquellos que no despreciarían la rica contribución que este juego con símbolos ha aportado al tesoro de las relaciones de las cantidades reales.[32]Los números imaginarios, como la geometría de cuatro dimensiones, surgieron de la extensión lógica de ciertos procesos. El proceso de extraer raíces se denomina evolución. Es un nombre a propósito, porque los números imaginarios evolucionaron, literalmente, por la extensión del proceso de extraer raíces. Si √4, √7, √11 tenían sentido, ¿por qué no habrían de tenerlo √-4 , √-7 . √-11? Si x2 - 1 = 0 tenía una solución, ¿por qué no iba a tenerla x2 + 1 = 0? El reconocimiento de los imaginarios era como el reconocimiento de la Rusia Soviética por los Estados Unidos, la existencia era innegable, todo lo que se necesitaba era una sanción formal y su aprobación.
El imaginario más conocido es √-1 Euler lo representó con el símbolo "i" que se usa todavía.[33] Es inútil ocuparse de la pregunta: "¿Qué número al ser multiplicado por sí mismo, es igual a -1?" Al igual que todos los otros números, i es un símbolo que representa una idea abstracta, pero muy precisa. Obedece a todas las reglas de la aritmética, a las que se agrega el convenio de que: i × i = -1. Su obediencia a estas reglas y sus múltiples usos y aplicaciones justifican su existencia.
Las leyes formales de operación para i son fáciles; ya que la regla de los signos estipula que:




La extensión del uso de los imaginarios ha conducido a los números complejos de la forma: a + ib, donde a y b son números reales (para distinguirlos de los imaginarios). Así: 3 + 4i; 1 - 7i; 2 + 3i, son ejemplos de números complejos.
El enormemente fecundo campo de la teoría de funciones es consecuencia directa del desarrollo de los números complejos. Si bien éste es un tema demasiado técnico y especializado, tendremos ocasión de mencionar de nuevo los números complejos cuando expliquemos la representación geométrica de los imaginarios. Con ese fin. debemos ocuparnos por un momento de esa idea matemática que, como dijo Boltzmann en cierta ocasión, parece casi más inteligente que el hombre que la inventó: la ciencia de la Geometría Analítica. La música descriptiva se distingue de la música absoluta, la cual debe su coherencia a la estructura, en que el propósito de la primera es narrar un determinado argumento En cierto sentido, la geometría analítica puede distinguirse de la geometría de los griegos, del mismo modo en que la música descriptiva se distingue de la música absoluta. La geometría, práctica en sus orígenes, fue cultivada y desarrollada por amor a ella misma, como disciplina lógica y como estudio de las formas. La geometría era una manifestación del esfuerzo por lograr un ideal. Los cuerpos ylas formas que eran estudiados ansiosamente. Pero los griegos cultivaron lo práctico solamente hasta donde era compatible con lo hermoso; más allá de ello, sus matemáticas se vieron trabadas por su estética.
Se dejó a Descartes la tarea de escribir la música descriptiva de las matemáticas, de inventar una geometría que relatara una narración. Cuando se dice que toda ecuación algebraica tiene un retrato, estamos describiendo la relación existente entre la geometría analítica y el álgebra. Y así como la música descriptiva es tan importante y significativa en sí misma como el cuento que representa, así la geometría analítica tiene su propia dignidad e importancia —es una disciplina matemática autónoma.
Los padres jesuitas eran, a menudo, muy sensatos. En su escuela situada en La Fléche, permitieron al joven Rene Descartes, a causa de su delicada salud, quedarse en la cama todas las mañanas hasta mediodía. No es difícil imaginarse lo que McGuffey [William Holmes McGuffey (1800-1873) educador norteamericano (N. del T)] habría profetizado sobre el futuro de semejante niño. Pero Descartes no resultó un perdido. En efecto, su delicioso hábito de permanecer en cama hasta mediodía, dio, por lo menos, un fruto notable. La geometría analítica vino a él una mañana mientras estaba acostado plácidamente.
Es portentosa esta idea de una geometría con coordenadas y, sin embargo, tan fácil de comprender. Considérense dos rectas (ejes) en un plano xx', yy' que se cortan formando ángulos rectos en un punto R.
Cualquier punto en todo el plano puede entonces determinarse, de una manera única, por su distancia perpendicular a las rectas xx' y yy'. El punto P por ejemplo, por las distancias m y m'. De este modo, un par de números que representan a los valores de las distancias con respecto a xx' y yy' determinan cada punto en el plano y, recíprocamente, cada punto del plano determina un par de números Estos números se denominan las coordenadas del punto.
Todas las distancias sobre xx' medidas a la derecha de R son consideradas positivas y a la izquierda de R, negativas Análogamente, todas las distancias medidas sobre yy' por encima de R son positivas y por debajo, negativas.

Figura 20. El punto P tiene las coordenadas (m, m')

Figura 21. Los ejes de coordenadas en el plano real.
Relacionando esta noción con la de una función no es difícil de ver cómo puede representarse gráficamente una ecuación en el plano de la geometría analítica Cuando x e y están relacionadas funcionalmente, a cada valor de x le corresponde un valor de y, y estos dos valores determinan la posición de un punto en el plano. La totalidad de dichos pares de números, es decir, de todos los valores de y que corresponden a todos los valores de x, cuando se unen mediante una curva continua, como la figura 22 (a, b, c), determinan el retrato geométrico de una ecuación.
Empleando la geometría analítica, ¿cómo representamos un número imaginario tal como √1? Un teorema de geometría elemental, referente a la media geométrica, nos da la clave (véase la figura 23).
En el triángulo rectángulo ABC, la perpendicular AD divide a BC en dos partes BD, DC. La longitud de la perpendicular AD es igual a √(BD × DC) y se denomina la media geométrica entre BD y DC (figura 23).

Figura 22(a). Representación gráfica de la ecuación, y = x2.

Figura 22(b). Representación gráfica de la ecuación y = sen x. Ésta es la famosa curva ondulada que se emplea para representar muchos fenómenos periódicos y regulares, por ejemplo, la corriente eléctrica, el movimiento de un péndulo, la radio transmisión, las ondas sonoras y luminosas, etc. (Para el significado de sen x, véase la nota 2 en el capítulo sobre el cálculo infinitesimal.)

Figura 22(c). Representación gráfica de la ecuación: y = e2. Esta curva muestra la propiedad común a todos los fenómenos de crecimiento: la razón de crecimiento es proporcional al estado de crecimiento.

Figura 23. Longitud AD = √(BD × DC) media geométrica de BD y DC.

Figura 24. Interpretación geométrica de i.
S = √{(-1)×(+1)} = 1 √-1 = i- 1 = i
Así pues, tenemos ya una representación geométrica de un número imaginario.Extendiendo esta idea, Gauss formó todo el plano complejo. En éste, cada punto representado por un número complejo de la forma x + iy corresponde al punto del plano determinado por las coordenadas x e y. En otras palabras, un número complejo puede ser considerado como un par de números reales, con el agregado del número i. El uso de i aparece solamente al efectuar las operaciones de multiplicación y división. Imagínese una recta que una el punto (a + ib) con el origen R. Entonces la operación de multiplicar por -1 es equivalente a hacer girar esa línea en 180º alrededor del origen y a un cambio de posición del punto desde (+ a + ib) hasta (-a- ib).

Figura 25. La multiplicación por i es una rotación de 90º. Sea P = (a + ib), entonces P × i = (a + ib) × i = (a × i) + (b × i × i) = ia + b × -1 = -b + ia = 0
Por lo tanto, la multiplicación por i es una rotación de sólo 90º.
Los números complejos pueden ser sumados, restados, multiplicados y divididos como si fuesen números reales. Las reglas formales de estas operaciones (la más interesante de las cuales es la sustitución de -1 por i2 se indican en los ejemplos que van a continuación:

En virtud de las propiedades especiales de i, los números complejos pueden emplearse para representar, a un mismo tiempo, magnitud y dirección. Mediante ellos pueden representarse convenientemente algunas de las nociones más importantes de la física, tales como velocidad, fuerza, aceleración, etc.
Ya se ha dicho bastante para indicar la naturaleza de i, su finalidad e importancia en las matemáticas, su desafío y su victoria final sobre los principios arraigados del sentido común. Sin arredrarse ante su paradójica apariencia, los matemáticos le usaron tal como lo habían hecho con π y e. El resultado fue el hacer posible la construcción de casi todo el edificio de la ciencia física moderna [Demos este bálsamo al lector que nos ha acompañado tan valientemente a través de las páginas sobre geometría analítica y números complejos. El promedio de duración de un curso escolar de geometría analítica [sin incluir números complejos] es de seis meses. Es por lo tanto, pretender demasiado que pueda aprenderse en casi cinco páginas. Por otra parte, si se ha fijado la idea básica de que todo número, toda ecuación de álgebra, pueden representarse gráficamente los detalles horripilantes pueden dejarse a aventureros más intrépidos]

Figura 26. El plano complejo
Cuando haya tanta humildad y tanta visión en todas partes, la sociedad será gobernada por la ciencia y no por los sabihondos.
Apéndice
Nacimiento de una curva
| x | y |
| 0 | 0 |
| 1 | 1 |
| 2 | 4 |
| 3 | 9 |
| 4 | 16 |
Es decir: 22 = 4, 32 = 9, etc. Representando estos puntos en el plano cartesiano, obtenemos la figura A



| x | y |
| 1/2 | 1/4 |
| 1 1/2 | 2 1/4 |
| 2,3 | 5,29 |
| 2,7 | 7,29 |
2. Ahora, ¿qué hacemos con respecto a los valores negativos de x? Vemos por ejemplo (-2)2 = (-2) × (-2) = 4. Esto es evidentemente cierto para todos ios valores de x, de manera que a cada punto representado en la figura A, corresponde otro punto que es su imagen especular, siendo el espejo el eje OY. Agregando éstos sale la figura B.
3. La disposición de los puntos sugiere que dibujemos una curva lisa que pase por ellos (fig. C).
Pero, ¿contiene esta curva a otros puntos que aparecen en nuestra tabla funcional? Probémoslo, tabulando algunos valores fraccionarios de x.
Si graficamos estos nuevos puntos podrá verse que todos ellos pertenecen a la curva (figura D). En efecto, si continuásemos así, encontraríamos que todo punto que pueda aparecer en la tabla pertenecerá a la curva. La totalidad de dichos puntos formará la curva conocida con el nombre de parábola.


La parábola está formada por la sección de un cono cortado por un plano paralelo a la generatriz opuesta.

Figura E. Se puede formar una parábola con una linterna sosteniéndola de modo que el límite superior del haz luminoso sea paralelo al piso. Un chorro de agua forma una parábola lo mismo que la trayectoria de un proyectil. Pero la curva formada por un trozo de cuerda, sostenida por sus extremos y que cuelga libremente, no es una parábola sino una catenaria.
Capítulo 4
Otras geometrías: el plano y la fantasía
Dicen que el hábito es la segunda naturaleza ¿Quién sabe sí la naturaleza es sólo el primer hábito?
Pascal
Porque, ¿qué es el tiempo?”, preguntaba san Agustín. “¿Quién puede explicarlo fácil y brevemente? ¿Quién, aun con el pensamiento, puede concebirlo, aun pronunciando una palabra referente a él? Pues, ¿a qué cosa, en el habla, nos referimos más familiarmente y con conocimiento de causa que al tiempo? Y por cierto que lo entendemos al hablar de él; lo comprendemos también cuando oímos que otro habla de él. Entonces, ¿qué es el tiempo? Si nadie me lo pregunta, lo sé. Si deseo explicarlo a quien me lo pregunta, no lo sé.[34]
Y esto también podría decirse del espacio. Aunque el espacio no puede ser definido, hay poca dificultad para medir distancias y superficies, para desplazarse, para hacer cartografías de grandes extensiones, o en ver a través de millones de años luz. Por todas partes está la abrumadora evidencia de que el espacio es nuestro medio natural, que no nos presenta problemas insuperables.
Pero este libro no pretende ser un tratado filosófico, ni tampoco un Manual de Introducción a Teoría del Espacio, escrito en alemán en 14 volúmenes. Nuestro propósito consiste en explicar de la manera más sencilla y general, no el espacio físico que perciben nuestros sentidos, sino el espacio del matemático. A tal fin, todas las nociones preconcebidas deben desecharse y aprender de nuevo el alfabeto.
En este capítulo nos proponemos discutir dos clases de geometrías; las de cuatro dimensiones y las no-euclidianas. Ninguno de estos temas va más allá de la comprensión del no matemático que esté dispuesto a realizar un razonamiento correcto. Es verdad que ambos temas han sido descritos, como la teoría de la relatividad (con la que en cierto modo se relacionan) en forma de un arrogante espantajo. Los sumos sacerdotes de toda profesión idean complicados rituales y lenguaje oscuro, tanto para ocultar su propia inepcia como para infundir terror a los no iniciados. Pero la corrupción del clero no debe desanimarnos. Las ideas básicas sobre las que se fundan las geometrías de cuatro dimensiones y no euclidianas son sencillas y esto es lo que nos proponemos demostrar.
Euclides, al escribir los Elementos tropezó con grandes obstáculos. Partiendo de ciertas ideas fundamentales (presumiblemente entendidas por todos) y que expresó como postulados y axiomas, creó su geometría sobre ellas, utilizándolas como cimientos. Este método, ideal para desarrollar un sistema lógico, jamás ha sido mejorado, aunque a veces ha sido descuidado u olvidado, con tristes consecuencias.
Si bien los Elementos de Euclides constituyen una importante realización intelectual, tienen el defecto de no hacer una importante distinción entre dos tipos de matemáticas —puras y aplicadas—, distinción que sólo ha salido a la luz en los modernos desarrollos teóricos en las matemáticas, la lógica y la física.
Una geometría que trate del espacio de nuestra experiencia, es matemática aplicada. Si nada dice de ese espacio, si, en otras palabras, es un sistema compuesto de nociones abstractas, elementos y clases, con reglas de combinación que obedecen a las leyes de la lógica formal, es matemática pura. Sus proposiciones son de la forma: “Si A es cierto, entonces B es cierto”, haciendo caso omiso de lo que y puedan ser.[35] Si fuese aplicable al mundo físico un sistema de matemáticas puras, el provecho que se obtuviera podría ser considerado, ya como simple casualidad, ya como prueba más amplia de la profunda conexión existente entre las formas de la naturaleza y las de las matemáticas. Sin embargo, en cualquiera de los dos casos debe tenerse presente este hecho esencial, a saber, que la fecundidad de un sistema lógico ni aumenta ni disminuye su validez.
Como matemática aplicada, la geometría de Euclides es una buena aproximación dentro de un campo restringido. Suficientemente buena para dibujar un plano de Madrid; deja de serlo para un mapa de España o de Europa, o para la medida de las distancias atómicas o estelares. Como sistema de matemáticas puras, sus proposiciones son verdaderas en el sentido más general. Es decir, tienen validez únicamente como proposiciones lógicas, si han sido deducidas correctamente de los axiomas. Son, por lo tanto, posibles, otras geometrías con postulados diferentes —en realidad tantas como al matemático se le ocurra idear. Todo lo que se necesita es reunir ciertas ideas fundamentales (clases, elementos, reglas de combinación), declarar los conceptos indefinibles, garantizar que los axiomas no se contradicen, y se habrán fundado los cimientos para un nuevo edificio: una nueva geometría. Al matemático puro no le importa un ápice si esta nueva geometría será provechosa, si resultará ser tan útil para el agrimensor o el navegante como la geometría euclidiana, o si sus ideas fundamentales están a la altura de cualquier otra norma de verdad que no sea la compatibilidad consigo misma. El matemático es el sastre de la clase media de la ciencia. Confecciona los trajes, y a quienes les queden bien, que los usen. Dicho en otras palabras: el matemático hace las reglas del juego y quien lo desee puede jugar mientras las observe. No tiene derecho a quejarse luego alegando que el juego no le haya dejado utilidades.
Si deseamos hacer el máximo cumplido a un sistema matemático, expresar que participa de la misma generalidad y de la misma validez que la lógica, podemos llamarlo “juego”. Una geometría de cuatro dimensiones es un juego, como también lo es la Geometría de Euclides. Poner reparos a la geometría de cuatro dimensiones basándose en que solamente hay tres dimensiones, es absurdo. El ajedrez puede ser jugado tanto por quienes creen en camaradas o dictadores, como quienes se adhieren a la gloria, languideciente, de reyes y reinas. ¿Qué sentido tiene, pues, oponer reparos al ajedrez fundándose en que reyes reinas pertenecen a épocas pasadas y que, sea como fuere, nunca se comportaron como piezas de ajedrez —no, ni siquiera los obispos? [Juego de palabras con el doble significado de bishop que quiere decir alfil u obispo, indistintamente N. del T.] ¿Qué valor tiene entonces el argumento de que el ajedrez es un juego ilógico, porque es imposible concebir que un ciudadano cualquiera pueda ser coronado reina por el solo hecho de avanzar cinco pasos?
Tal vez éstos son ejemplos ridículos, pero no lo son más que las exigencias del pusilánime que dice que las tres dimensiones hacen el espacio y que el espacio hace las tres dimensiones, “eso es todo lo que vosotros sabéis sobre la Tierra y todo cuanto necesitáis saber". Porque no hay demostración de carácter científico, de que el espacio sea de tres dimensiones o, para el caso, de cuatro, cinco, seis o de n dimensiones. La geometría considerada como matemática pura no puede demostrar que el espacio sea de tres dimensiones porque a la matemática pura sólo le interesa su coherencia lógica interna, y no su compatibilidad con el espacio o cualquier otra cosa. Ni tampoco es esta cuestión de la incumbencia de las matemáticas aplicadas, que generalmente no investigan la naturaleza del espacio, sino que suponen su existencia. Todo cuanto hemos aprendido de las matemáticas aplicadas es: resulta conveniente, pero no obligatorio, considerar al espacio de nuestra percepción sensorial como de tres dimensiones.
Al reparo de que una cuarta dimensión está más allá de la imaginación, podemos responder que lo que hoy es sentido común, ayer era razonamiento abstruso —más aún, especulación descabellada. Para que el hombre primitivo imaginara la rueda o un vidrio de ventana, se hubieran requerido mayores esfuerzos de imaginación que para nosotros concebir una cuarta dimensión.
Alguien podría todavía aducir: “Usted me dice que la geometría de cuatro dimensiones es un juego. Quiero creerlo. Pero parece ser un juego al que no le interesa nada real, sino algo que jamás he experimentado". Le responderíamos a la manera socrática, con otra pregunta: “Si una geometría de cuatro dimensiones no trata de nada real, entonces ¿qué estudia la geometría plana de Euclides? ¿Algo más real? ¡Por cierto que no! No describe el espacio accesible a nuestros sentidos, que explicamos en términos de vista y tacto. Habla de puntos que no tienen dimensión, de línea que no tiene anchura y de planos que carecen de espesor —abstracciones e idealizaciones todas ellas que en nada se parecen a cuánto hemos experimentado o encontrado.
La noción de una cuarta dimensión, aunque precisa, es muy abstracta y, para la gran mayoría, está más allá de la imaginación y en la región más pura del conocimiento. El desarrollo de esta idea es debido, en mucho, a nuestro relativamente pueril deseo de compatibilidad que a algo más profundo. En este mismo empeño por la compatibilidad y la generalidad, los matemáticos crearon los números negativos, los imaginarios y los trascendentes. Sin embargo, nadie había visto nunca menos tres vacas o la raíz cuadrada de menos un árbol, y no fue sin lucha como estos conceptos, hoy más bien vulgares, fueron introducidos en las matemáticas. El mismo conflicto se repitió para introducir la cuarta dimensión y todavía quedan escépticos en el campo de la oposición.
Se propusieron todas las alegorías y ficciones posibles para instar y halagar a los que dudaban, a fin de hacer más aceptable la idea de una cuarta dimensión. Hubo novelas que describían cuán imposible parecía un mundo de tres dimensiones a seres que vivieran en un mundo de dos dimensiones, hubo cuentos de aparecidos, de golpecitos en la mesa y del país de los muertos. Para ganar siquiera una victoria parcial hacían falta ejemplos de la tierra de los vivos, que eran, todavía, menos comprensibles que una cuarta dimensión. De esto no debe inferirse que se adoptó un absurdo mayor para sostener otro menor.
Comenzando, como es usual, con Aristóteles, se demostró muchas veces que una cuarta dimensión era inconcebible e imposible Tolomeo señaló que podían trazarse en el espacio tres rectas perpendiculares entre sí, pero una cuarta recta, perpendicular a ellas, carecería de medida o profundidad. Otros matemáticos, no deseando arriesgarse a cometer una herejía mayor aún que la de ir contra la Biblia —esto es, contradecir a Euclides— advirtieron que ir más allá de las tres dimensiones equivalía a ir “contra la naturaleza". Y el matemático inglés John Wallis, de quien podría haberse esperado algo mejor, se refirió a esa “fantasía’' de una cuarta dimensión, como un “monstruo en la naturaleza, menos posible que una quimera o un centauro”.
Inconscientemente, un filósofo. Henry More, vino a redimirlo, aunque los matemáticos de hoy difícilmente reconocerían su ayuda. Su sugerencia no fue una bendición pura. Los espíritus de los aparecidos, dijo More, tienen, con toda seguridad, cuatro dimensiones. Pero Kant asestó un golpe terrenal al formular sus nociones intuitivas sobre el espacio, las cuales difícilmente podían ser compatibles, ni con una geometría de cuatro dimensiones ni con una no euclidiana.
En el siglo XIX varios matemáticos sobresalientes defendieron esta causa en apariencia, perdida, y abrieron un nuevo manantial matemático. La gran memoria de Riemann titulada. Sobre las hipótesis que sustentan los fundamentos de la Geometría, conjuntamente con las obras de Cayley, Veronese. Möbius, Plücker, Sylvester, Bolyai, Grassmann, Lobachevski, crearon una revolución en la geometría. La geometría de cuatro y de aún más dimensiones, llegó a ser una parte indispensable de las matemáticas, relacionadas con muchas otras ramas.
Fue cuando finalmente llegaron a la física matemática, al mundo físico (por alguna razón misteriosa que nunca falta) los usos y aplicaciones directas de la geometría de cuatro dimensiones cuando el niño abandonado fue de pronto reconocido y rebautizado. “¡El tiempo es la cuarta dimensión!" El gozo hizo rebosar la copa. Se dijeron cosas curiosas y maravillosas. La cuarta dimensión resolvería todos los tremendos misterios del Universo y, en última instancia, podría resultar una cura para la artritis. A tal punto se perdieron los matemáticos en el júbilo general, que algunos de ellos comenzaron a hablar de “la cuarta dimensión", como si en lugar de ser simplemente una idea salida de las puntas de sus lápices, sólo la cuarta en una clase de infinitas posibilidades, fuese una realidad física, como un nuevo elemento. De este modo, una lamentable confusión se propagó desde las matemáticas hasta la gramática, desde los principios del 2 + 2 hasta la ciencia de los usos correctos del artículo definido e indefinido.
Los físicos pueden considerar que el tiempo es una cuarta dimensión, pero no así el matemático. El físico, como otros hombres de ciencia, puede encontrar que su máquina más reciente tiene, precisamente, el lugar adecuado para algún nuevo artificio matemático; eso no le interesa al matemático. El físico puede apropiarse de nuevas partes para su máquina cambiante, todos los días, tomándolas de las matemáticas. Si se adaptan, el físico dice que son útiles, que son verdaderas, porque hay un lugar para ellas en el modelo de su mundo en preparación. Cuando ya no le sirven, puede descartarlas o “destruir toda la máquina y construir una nueva, del mismo modo que nosotros compramos un automóvil nuevo cuando el viejo deja de marchar bien”[36].
La costumbre de decir que el tiempo es una dimensión hace ver la necesidad de explicar qué significa esa impertinente palabra. De esta manera, también llegaremos a tener una imagen más clara de la geometría de cuatro dimensiones.

Figura 28(a). Una variedad de dos dimensiones. Cada punto requiere un par de números para ser individualizado: A = 3, 2; B = (-5 1/2, 4); C = (x, y); D = (0, -3), E = (0, 0)
Una variedad tiene una semejanza aproximada con un conjunto. Un plano es un conjunto compuesto por todos aquellos puntos determinados únicamente por dos coordenadas. Es, por lo tanto, una variedad de dos dimensiones.
El espacio estudiado en la geometría analítica de tres dimensiones puede considerarse como una variedad de tres dimensiones, porque se requieren exactamente tres coordenadas para fijar cada punto en él. Generalizando, si se necesitan n números para especificar, para individualizar, cada uno de los miembros de una variedad, ya sea un espacio o cualquier otra clase, se les denomina una variedad de n dimensiones.
De este modo, la palabra dimensión, con sus muchas connotaciones misteriosas e incrustaciones lingüísticas, ha sido sustituida por una idea sencilla —la de coordenada. Y en lugar de la palabra física espacio, el matemático introduce el concepto más general y más exacto, de clase o variedad.

Figura 28(b). El mismo concepto puede hacerse extensivo a una variedad de tres dimensiones (espacio). Cada punto requiere tres números para ser individualizado Así, P = (x, y, z)
El teorema de Pitágoras establece que, en un triángulo rectángulo, la longitud de la hipotenusa es igual a la raíz cuadrada de la suma de los cuadrados de los catetos.
Cuando esto se traslada a la geometría analítica de dos dimensiones, resulta la conocida fórmula de acuerdo a la cual, la distancia entre dos puntos cualesquiera del plano, de coordenadas (x, y) y (x', y'), respectivamente, es √[(x - x')2 + (y - y')2].

Figura 29. El teorema de Pitágoras. En todo triángulo rectángulo:c2 = a2 + b2; o sea 52 = 32 + 42; 133 = 122 + 52
![]()

Figura 30. El teorema de Pitágoras en tres dimensiones, d2 = a2 + b2 + c2. Pues: d2 = c2+ (e)2 y (e)2 = a2 + b2

Por consiguiente, no hay razón para no generalizar la fórmula anterior a 4, 5, 6 ó n dimensiones. De este modo, en una variedad euclidiana de cuatro dimensiones, la distancia de un elemento, por ejemplo, el punto de coordenadas (x, y, z, u) a otro elemento de coordenadas (x', y', z', u') es:
![]()
Una definición abreviada de las variedades de tres y cuatro dimensiones, en términos de la geometría analítica, reza así:[38]
1. Una variedad euclidiana de tres dimensiones es el conjunto de todas las temas de números: (x, y. z)(x', y', z'), (x", y", z"). etc., a dos cualesquiera de las cuales puede asignarse de manera única una medida llamada distancia entre ellos, definida por la fórmula:
![]()
2. Una variedad euclidiana de cuatro dimensiones es la clase de todas las tétradas de números (x, y, z, u)(x', y', z', u'), (x", y", z", u") etc. a dos cualesquiera de las cuales puede asignarse de manera única una medida (llamada distancia entre ellos), definida por la fórmula:
![]()
Nótese que nada se ha dicho, en ambas definiciones, acerca del espacio de nuestras percepciones sensoriales, ni del espacio del físico, ni el espacio del filósofo. Todo cuanto hemos hecho es definir dos sistemas matemáticos que son lógicos y compatibles consigo mismos, que pueden ser jugados como el juego de damas o las charadas, de acuerdo con reglas establecidas. Quienquiera que encuentre una semejanza entre su juego de damas o sus charadas y la realidad física de su experiencia tendrá el privilegio de extraer moralejas, y aprovechar sus sugerencias.
Pero habiendo establecido que estamos en el reino de los conceptos puros, más allá de los límites más elásticos de la imaginación, ¿quién queda satisfecho? Incluso el matemático desearía dar un mordisco a la fruta prohibida, vislumbrar qué le parecería si pudiese, por un instante, introducirse en una cuarta dimensión.
Para empeorar las cosas, los libros de ciencia popular han hecho todo tan ridículamente simple —relatividad, la teoría cuántica, y tantas otras cosas— que estamos avergonzados de nuestra incapacidad para describir una cuarta dimensión como algo más concreto que el tiempo.
Se han intentado representaciones gráficas de figuras de cuatro dimensiones, pero no puede decirse que estos esfuerzos hayan sido coronados de éxito. La figura 31 representa el símil en cuatro dimensiones de un cubo de tres dimensiones, llamado hipercubo o tesseract: Nuestras dificultades para dibujar esta figura no están, en modo alguno, disminuidas por el hecho de que una figura de tres dimensiones puede dibujarse solamente en perspectiva sobre una superficie de dos dimensiones —como esta página—, mientras que el objeto de cuatro dimensiones, sobre una página de dos dimensiones, es sólo una perspectiva de una “perspectiva”.

Figura 31(a). El cubo y el tesseract
Afortunadamente, sin tener que recurrir a diagramas deformados, podemos valernos de otros medios, usando objetos familiares para ayudar a nuestra débil imaginación a representarse una cuarta dimensión.

Figura 32
Geométricamente, se dice que son congruentes (para una definición exacta, véase el capítulo sobre paradojas), queriendo significar que con un movimiento adecuado puede superponerse perfectamente uno de ellos sobre el otro. Evidentemente, ese movimiento puede llevarse a cabo en un plano, es decir, en dos dimensiones, deslizando simplemente el triángulo A sobre el B (En realidad, “deslizarse por encima de" sería imposible en un mundo de dos dimensiones). Pero, ¿qué ocurriría con los triángulos C y D de la figura 33?

Figura 33
Luego, si para la solución de ciertos problemas en dos dimensiones es esencial una tercera dimensión, del mismo modo, una cuarta dimensión haría posible la solución de otros problemas insolubles en tres dimensiones, Por cierto que estamos en el reino de la fantasía y apenas necesitamos señalar que no existe una cuarta dimensión capaz de convertimos a todos en Houdinis. Sin embargo, en estudios teóricos, es de señalada importancia una cuarta dimensión y forma parte de la trama y urdimbre de la física y matemáticas teóricas modernas. Los ejemplos elegidos de estos temas son muy difíciles y estarían fuera de lugar, pero algunos más simples, en dimensiones menores, pueden resultar entretenidos.
Si viviésemos en un mundo de dos dimensiones, como el descrito tan gráficamente por Abbott en su famosa novela Flatland [Que en este libro se tradujo como Planilandia. N. del T], nuestra casa sería una figura plana, como la de la figura 34.

Figura 34. Éste no es un plano, sino una casa real en Planilandia.
Cuando llega el invierno a Planilandia sus habitantes usan guantes.
Hasta ahora la ciencia moderna no ha podido solucionar el problema que se le plantea al hombre que se encuentra con dos guantes de la mano derecha, en lugar de uno de la derecha y otro de la izquierda. El mismo problema existiría en Planilandia. Pero allí, Gulliver, mirando a sus habitantes desde la altura de una tercera dimensión, vería al instante, así como en el caso de los dos triángulos de la figura 33, que todo lo que se necesita para convertir el guante derecho en uno izquierdo es levantarlo y darle vuelta. Por supuesto que nadie en Planilandia podría levantar un dedo para hacer eso mismo, puesto que ello implicaría una dimensión extra.
Así pues, si nosotros pudiésemos ser transportados a una cuarta dimensión, no habría fin a la cantidad de milagros que podríamos realizar, empezando con la rehabilitación de todos los guantes mal apareados. Alce el guante derecho del espacio de tres dimensiones, llévelo hasta la cuarta dimensión, dele vuelta, tráigalo nuevamente, y helo convertido en un guante izquierdo.

O bien, podría separar los dos eslabones de una cadena sin romperlos. Todo esto y mucho más le resultaría absurdamente sencillo, y contemplaría nuestra impotencia con la misma diversión y lástima con que nosotros miramos a los desdichados seres de Planilandia.
Nuestra novela debe terminar Si la misma ha ayudado a algunos lectores a hacerles más real una cuarta dimensión y ha satisfecho un común anhelo antropomórfico, habrá cumplido su finalidad. En lo que a nosotros se refiere, confesamos que las fábulas jamás han aclarado los hechos.
Una idea asociada en sus orígenes con duendes y espíritus requiere, para ayudar a la ciencia, ser despojada, dentro de lo posible, de todo pensamiento confuso. Debe ser encarada clara y valientemente si se desea descubrir su verdadera esencia. En caso contrario, es aún más estúpido rechazarla y ridiculizarla que glorificarla y guardarla como reliquia. Ningún concepto salido de nuestras mentes o de nuestras plumas ha señalado un mayor avance de nuestro pensamiento, ninguna idea religiosa, filosófica o científica rompió más bruscamente con la tradición y los conocimientos comúnmente aceptados, que la idea de una cuarta dimensión.
Eddington lo ha expresado muy bien.[39]
Por muy satisfactoria que pueda ser la teoría de un mundo de cuatro dimensiones, es difícil no prestar atención a una voz que dentro de nosotros nos dice al oído "En el fondo de tu mente, sabes que una cuarta dimensión es toda una insensatez". Me imagino que esa misma voz ha estado a menudo muy activa en la historia pasada de la física ¡Qué disparate decir que esta mesa sólida sobre la cual estoy escribiendo es una colección de electrones que se mueven con prodigiosa velocidad en espacios vacíos, que, con relación a las dimensiones electrónicas son tan extensos como los espacios entre los planetas del Sistema Solar! ¡Qué desatino afirmar que el tenue aire está tratando de aplastar mi cuerpo con una carga de 1 kilogramo por centímetro cuadrado! ¡Qué absurdo pretender que el grupo de estrellas que estoy viendo a través del telescopio, evidentemente allí ahora es un reflejo de una época pasada de hace 50.000 años! No nos dejemos engañar por esta voz. Está desacreditadaHemos subrayado el hecho de que la geometría pura está divorciada del espacio físico que percibimos a nuestro alrededor y ahora estamos en condiciones de atacar un concepto algo más difícil. No está de más, sin embargo, tratar de distinguir primero, en forma distinta a como lo hicimos antes, la diferencia entre el espacio tal como se le concibe ordinariamente y las variedades, que son los espacios de las matemáticas. Quizás esta distinción contribuirá a que nuestro nuevo concepto —las geometrías no euclidianas— parezca menos extraño.
Hemos encontrado una huella extraña en las playas de lo desconocido. Hemos ideado teorías profundas, una después de otra para explicar su origen. Al fin hemos logrado reconstruir al ser que dejó esa huella. Y, ¡he aquí! Es la nuestra.
Estamos muy acostumbrados a considerar al espacio como infinito, no en el sentido matemático técnico de los conjuntos infinitos, sino simplemente para significar que el espacio no tiene límites, que es sin fin. Por cierto que la experiencia cotidiana no nos enseña nada de eso. Los límites de un ciudadano particular, raramente llegan más allá de la extremidad de su brazo derecho. Las fronteras de una nación, como saben muy bien los contrabandistas de tabaco, no van más allá de la frontera de las doce millas.
La mayor parte de nuestras creencias acerca de la infinitud del espacio nos vienen de haberlas oído y, otra parte, de lo que pensamos que vemos. Así, por ejemplo, las estrellas parecen estar a millones de kilómetros, aunque en una noche oscura, una vela, a medio kilómetro de distancia, produciría la misma impresión Además, si imaginamos que nuestro cuerpo se reduce hasta el tamaño de un átomo, entonces un guisante, a la distancia de dos o tres centímetros, nos parecería mucho más enorme y mucho más distante que el Sol.
La distinción entre el espacio del individuo y el “espacio público" pronto resulta evidente. Nuestro conocimiento personal del espacio no nos demuestra que sea infinito, homogéneo o isótropo. No sabemos que es infinito, porque nos arrastramos, saltamos o volamos sólo en reducidas regiones. No lo sabemos homogéneo porque un rascacielos, visto a distancia, parece mucho más pequeño que la punta de nuestra nariz y el peinado de la dama que está sentada delante de nosotros en el cine, nos impide ver la pantalla en su totalidad; y sabemos que no es isotrópico, es decir, que “no posee las mismas propiedades en todas direcciones”[40], porque hay puntos ciegos en nuestra vista y nuestro sentido visual nunca es igualmente bueno en todas direcciones.
La noción de espacio físico o “público”, que abstraemos de nuestra experiencia individual, tiene por objeto liberamos de nuestras limitaciones personales. Decimos que el espacio físico es infinito, homogéneo, isótropo y euclidiano. Estas galanterías son fáciles de dedicar a una entidad ideal sobre la cual muy poco se sabe en realidad. Si preguntásemos al físico o al astrónomo: “¿Qué piensa usted acerca del espacio?” podría respondernos: “A fin de realizar medidas experimentales y describirlas con mayor comodidad, el físico opta por ciertos convenios con respecto a sus aparatos de medida y a las operaciones ejecutadas con los mismos. Se trata, hablando rigurosamente, de convenios relativos a objetos físicos y a operaciones físicas. Sin embargo, para fines prácticos, es conveniente atribuirles una generalidad que trasciende de cualquier conjunto concreto de objetos u operaciones. Entonces llegan a ser, como decimos, propiedades del espacio.
Esto es lo que significa espacio físico, que podemos definir, brevemente, como la construcción abstracta que posee aquellas propiedades de los cuerpos rígidos que son independientes de su contenido material. El espacio físico es aquel en que se basa la casi totalidad de la física y es, por supuesto, el espacio de las acciones cotidianas".[41]
Por otra parte, los espacios, o más generalmente las variedades que consideran los matemáticos, están construidas sin referencia alguna a las operaciones físicas tales como la medición. Poseen sólo aquellas propiedades expresadas en los postulados y axiomas de la geometría particular en cuestión, así como todas las otras propiedades que se deducen de los mismos.
Bien puede ser que los postulados sean sugeridos, en parte o en su totalidad, por el espacio físico de nuestra experiencia, pero debemos considerarlos como completamente desarrollados e independientes. Si los experimentos demostrasen que algunas, o todas nuestras ideas sobre el espacio físico son erróneas (como, en efecto, lo ha hecho la teoría de la relatividad), tendríamos que escribir de nuevo todos nuestros textos de física, pero no nuestras geometrías.
Pero esta aproximación al concepto del espacio, así como al concepto de geometría, es comparativamente reciente. No ha habido movimiento más arrollador en toda la historia de la ciencia, que el desarrollo de la geometría no euclidiana, un movimiento que estremeció hasta sus cimientos las creencias, proveniente de épocas remotas, de que Euclides había expresado verdades eternas. Capaz y exacta como instrumento de medida desde la época de los egipcios, intuitiva y plena de sentido común, santificada y apreciada como uno de los más neos legados intelectuales de Grecia, la geometría de Euclides se irguió, durante más de veinte siglos en solitaria, resplandeciente e intachable majestad. Estaba verdaderamente defendida por la divinidad y si Dios, como dijo Platón, alguna vez hizo geometría, con toda seguridad que consultó a Euclides las reglas. Los matemáticos que de vez en cuando tenían dudas, pronto expiaban su herejía con ofrendas votivas, bajo la forma de nuevas demostraciones que corroboraban a Euclides. Ni siquiera Gauss, el “Príncipe de los Matemáticos”, se atrevió a exponer sus críticas por temor al vulgar denuesto de los “Beocios" [Beocio. Perteneciente a una región de Grecia antigua y también significa ignorante, tonto estúpido, según el Diccionario de la R. A. Esp. (N del R )].
¿De dónde vinieron las dudas? ¿De quién provino la inspiración de quienes se atrevieron a profanar el templo? ¿No eran acaso los postulados de Euclides evidentes en sí mismos y claros como la luz del día? ¿Y sus teoremas, no eran tan inexpugnables como 2 + 2 igual a 4? El centro de la siempre creciente tormenta que estalló, al fin, en el siglo XIX, fue su famoso quinto postulado sobre las líneas paralelas.
Este postulado puede enunciarse así: “Por cualquier punto del plano puede trazarse una, y sólo una, recta paralela a una recta dada.”
Existe algún indicio para demostrar que el mismo Euclides no consideró a este postulado “tan evidente en sí mismo" como los demás[42]. Los filósofos y los matemáticos que intentaron reivindicarlo, pretendieron demostrar que se trataba en realidad de un teorema y, de este modo, que podía deducirse de sus premisas. Pero todas estas tentativas fracasaron por la sencilla razón de que Euclides, mucho más sabio que quienes lo sucedieron, había ya reconocido que el quinto postulado era simplemente una suposición y, por lo tanto, no podía demostrarse matemáticamente.
Más de dos mil años después de Euclides, un alemán, un ruso y un húngaro, vinieron a hacer añicos dos “hechos” incontestables. El primero, que el espacio obedecía a Euclides: el segundo, que Euclides obedecía al espacio. Gauss nos merece fe. No conociendo el alcance de sus investigaciones, en deferencia tanto a su grandeza como a su integridad, somos receptivos a su declaración de que había llegado, independientemente a conclusiones semejantes a las del húngaro Bolyai, algunos años antes que el padre de Bolyai informara a Gauss acerca de la obra de su hijo.
Lobachevski, el ruso, y Bolyai, ambos en 1830, presentaron sus notables teorías al muy apático mundo científico de la época. Sostuvieron que no podía demostrarse el tan perturbador postulado y que tampoco podía deducirse de otros axiomas, porque sólo era un postulado. En su lugar, podía ser reemplazado por cualquier otra hipótesis sobre las paralelas y, como consecuencia de ello, surgiría una geometría diferente, tan compatible como “verdadera". Se conservarían todos los demás postulados de Euclides sólo que, en lugar del quinto, debía procederse a una sustitución: “A través de cualquier punto del plano, pueden trazarse dos rectas paralelas a una recta dada."
Del día a la noche las matemáticas se habían desprendido, pues, de las cadenas que las aprisionaban y había nacido una nueva línea de investigación teórica y práctica, ricamente fecunda.
En la figura 39 hay dos rectas paralelas: ¿Cómo es posible, podrá usted preguntar, que otra recta distinta de BC y sin embargo, paralela a DE pueda trazarse por A?

Figura 39
Podemos presentar a la geometría de Lobachevski de la siguiente manera: En la figura 40 la recta AB es perpendicular a CD. Si la hacemos girar alrededor de A, en sentido levógiro, cortará a CD en varios puntos a la derecha de B hasta .alcanzar una posición límite EF, en la cual será paralela a CD.
Continuando la rotación, comenzará a cortar a CD a la izquierda de B. Euclides supuso que hay solamente una posición para la recta, a saber la EF, en la cual sería paralela a CD.

Figura 40
Ahora bien, esto es una suposición y no tiene sentido alegar, fundados en el diagrama, que es evidente que si A'B' o C'D' fuesen prolongadas lo suficiente entonces llegarían, finalmente, a cortar a CD. Si como ha señalado el profesor Cohen, confiamos por entero en nuestra intuición del espacio, que es finito, habrá siempre un ángulo θ cada vez más pequeño a medida que nuestro espacio se extiende, pero que nunca desaparece, y ninguna de las rectas comprendidas dentro de θ llegan a cortar a la recta dada.[43]
¿Qué le sucede a la geometría de Euclides cuando su postulado sobre las paralelas es reemplazado por el de Lobachevski? Muchos de sus teoremas importantes, los que en modo alguno dependen del quinto postulado, son válidos en ambas geometrías. Así por ejemplo:
1. Si dos líneas rectas se cortan, los ángulos opuestos por el vértice son iguales:

Figura 41. Ángulo = ángulo 2 (porque cada uno es igual a 180º menos el ángulo 3).
3. Desde un punto puede trazarse sólo una perpendicular a una recta dada:

Figuras 42 y 43. Si AB = AC, entonces el ángulo 1 = ángulo 2. Desde el punto A puede trazarse una y sólo una perpendicular a CD
Así, en la geometría euclidiana, la suma de los ángulos de todo triángulo es igual a 180°; mientras que en la geometría de Lobachevski, la suma de los ángulos de un triángulo es menor que 180°.
Las rectas paralelas en la geometría euclidiana nunca se cortan y quedan separadas a una distancia constante, por más que se prolonguen. Las rectas paralelas en la geometría de Lobachevski nunca se encuentran, pero se aproximan una a otra asintóticamente, es decir, la distancia entre ellas se hace cada vez menor a medida que se prolongan.
Citemos un teorema más interesante. En la geometría euclídea, dos triángulos pueden tener, respectivamente, ángulos iguales, pero áreas diferentes; uno puede ser, por así decirlo, ampliación fotográfica del otro. En cambio, en la geometría de Lobachevski, al aumentar el área del triángulo, la suma de sus ángulos disminuye; así pues, sólo los triángulos de una misma área pueden tener ángulos iguales.
El talentoso Riemann, en su famosa tesis doctoral: Sobre las hipótesis que son los fundamentos de la Geometría, propuso aún otro sustituto para el quinto postulado de Euclides, distinto del de Lobachevski y Bolyai. Esta proposición sostiene que; “Desde un punto del plano no puede trazarse ninguna recta paralela a una recta dada.” En otras palabras, cada par de rectas en el plano deben cortarse. Debe notarse que esto contradice la tácita suposición de Euclides de que una línea recta puede prolongarse indefinidamente. A propósito de esto, Riemann señaló la importante distinción entre infinito y no acotado: Así, el espacio puede ser finito aunque no acotado. Moviéndonos en una dirección dada, como las agujas de un reloj, podemos mantenemos por siempre en marcha volviendo eternamente sobre nuestros pasos. Como era dable esperar, la hipótesis de Riemann también afecta a aquellos teoremas de Euclides que dependen del quinto postulado. Tanto la geometría de Euclides como la de Lobachevski establecen que solamente puede trazarse una perpendicular a una recta, desde un punto dado. Pero en la geometría de Riemann puede trazarse cualquier número de perpendiculares, desde un punto cualquiera a una recta dada. Ahora, la suma de los ángulos de un triángulo es mayor que 180° en la geometría de Riemann, y los ángulos aumentan a medida que el triángulo se agranda (véase la figura 47[a]).
Tenemos, pues, tres sistemas de postulados; el de Euclides, el de Lobachevski y el de Riemann. De los mismos se han desarrollado tres geometrías, la primera, euclidiana, las otras dos, no euclidianas. Las geometrías no euclidianas deben mucho, por supuesto, a los postulados y métodos de Euclides. En lo que se refiere a los postulados, sólo difieren con respecto al postulado de las paralelas, Los teoremas en cambio, difieren en muchos aspectos.
Poco antes expusimos el criterio para todo sistema matemático: que sus postulados deben ser compatibles, es decir, no deben conducir a contradicciones. Pero, ¿cómo vamos a descubrir si las geometrías no euclidianas de Lobachevski y de Riemann son compatibles? Más aún, bien podría uno preguntarse, ¿cómo estamos ciertos de que los postulados de Euclides no dan lugar a contradicciones? Evidentemente, podemos acumular teorema tras teorema sin encontrar contradicción alguna, pero eso no constituye una prueba de que no pueda surgir ninguna en un tiempo futuro. ¿Acaso no estamos nosotros en mejores condiciones que si estuviésemos verificando una hipótesis de la física o de cualquier otra ciencia experimental?
Afortunadamente los matemáticos han ideado un recurso que satisface su conciencia sobre el particular. Consiste en demostrar, por ejemplo, en la geometría no euclidiana, que un conjunto de entidades que existen en la geometría euclidiana satisfacen los teoremas no euclidianos. Se supone que estas entidades, en sí mismas, están “libres de contradicciones y que, en efecto, incluyen, por completo, a los axiomas"[44] y se demuestra que estos últimos no implican incompatibilidades. Tomemos, separadamente, ejemplos de las geometrías de Lobachevski y de Riemann para aclarar el significado de todo esto.
La figura 44 representa la superficie engendrada por la revolución de una curva denominada tractriz alrededor de un eje horizontal.
La tractriz misma puede obtenerse de la siguiente manera: Sobre un par de ejes perpendiculares entre sí, como en la geometría cartesiana, imaginemos una cadena tendida a lo largo de YY'.

Figura 44. La seudoesfera.
Beltrami llamó seudoesfera a esta superficie. Encontramos que la geometría aplicable sobre una seudoesfera es la de Lobachevski. Por ejemplo, sobre la seudoesfera, desde un punto dado, pueden trazarse dos líneas paralelas a una tercera, que se aproximan asintóticamente a ella sin llegar a cortarla[45]. De este modo, la geometría de Lobachevski queda satisfecha por una entidad de la geometría de Euclides, cumpliendo, así, con el criterio de compatibilidad.

Figura 45(a). Una forma de engendrar la tractriz. La locomotora de juguete está atada al reloj W, quedando la cuerda perpendicular a la vía. Cuando la locomotora se pone en marcha, la trayectoria del reloj es una tractriz.

Figura 45(b). La tractriz también es la curva que es perpendicular a una familia de círculos de igual radio cuyos centros pertenecen a una misma línea recta.

Figura 45(c). La curva formada por una cadena que cuelga libremente se denomina catenaria. Si se trazan las tangentes a una catenaria, la curva normal a ellas y que encuentra a la catenaria en su punto más bajo es, de nuevo, la tractriz.
Aunque la Tierra es algo achatada por lo polos, podemos considerarla esférica, para los fines de esta discusión.

Figura 46
Además, dos líneas rectas trazadas -sobre la superficie de la Tierra, si se las prolonga suficientemente, encerrarán siempre una superficie. Es conveniente recordar, a esta altura del texto, la importante distinción notada por Riemann de que una superficie puede ser finita pero no acotada, de manera que las líneas rectas trazadas sobre la superficie de la Tierra pueden extenderse en forma indefinida aunque es evidente que la superficie no es infinita, sino simplemente no acotada.

Figura 47(a). El triángulo A es pequeño comparado con la esfera, por lo tanto, casi es un triángulo plano y la suma de sus ángulos se aproxima a 180°. Pero a medida que crece y llega a convertirse en el triángulo B, cuyos lados pertenecen a tres círculos máximos perpendiculares entre sí, vemos que la suma de sus ángulos llega a ser: 90° + 90° + 90° = 270° En el triángulo C, mayor aún que el anterior, los ángulos, que son todos obtusos, dan una suma mayor que 270°.

Figura 47(b). Esto es lo contrario de lo que ocurre en una esfera, figura 47(a). En una seudoesfera, a medida que el triángulo crece, resulta menor la suma de sus ángulos.
Nuestra breve exposición sobre la geometría no euclidiana despertará en la mente del lector muchas preguntas que no son de nuestra incumbencia, pero la literatura al respecto, aun la literatura popular, es tan extensa, que nadie suficientemente interesado necesita andar mendigando respuestas.
Sin embargo, tal vez sea conveniente considerar una pregunta muy natural que podría asumir la siguiente forma: “Sobre una esfera, dos líneas rectas, aunque paralelas en un lugar, indudablemente se cortan (si se las prolonga suficientemente) y pueden encerrar una superficie. ¿Por qué, entonces, llamar "rectas" a dichas líneas? ¿No son acaso realmente curvas?”
En principio, es evidente que depende de la definición de “recta” afirmar que una línea lo sea o no. Se ha encontrado conveniente, en las matemáticas, formular dicha definición sólo con referencia a la superficie particular que se considera. Una manera de definir una línea recta consiste en decir que es la distancia más corta entre dos puntos. Por otra parte, todo el mundo sabe, por lo mucho que se ha hablado en tiempos recientes de las proezas aeronáuticas, que la ruta más corta entre dos puntos de la superficie terrestre puede cubrirse siguiendo el arco del círculo máximo que pasa por ellos. Felizmente, a través de cada dos puntos de la superficie de una esfera, pasa, en efecto, un círculo máximo.
Luego, el círculo máximo sobre la esfera, corresponde a la línea recta en el plano —es la distancia más corta entre dos puntos de él. Pueden encontrarse curvas adaptables a otros tipos de superficies, por ejemplo, la seudoesfera o una superficie en forma de silla de montar, o galápago, que desempeñan el mismo papel.
Generalizando esta noción puede afirmarse que una curva que sea la distancia más corta entre dos puntos {análoga a la línea recta en el plano) sobre cualquier clase de superficie, se denomina geodésica de esa superficie.

Figura 48. Curvatura.
En el plano, si adoptamos la hipótesis de Euclides, un par de geodésicas distintas se encuentran en un punto, a menos que sean paralelas, en cuyo caso no se cortan. Sobre una esfera, un par de geodésicas (arcos de círculos máximos), aun siendo paralelas, siempre se cortan en dos puntos y, por lo tanto, la esfera obedece a la geometría de Riemann. Sobre una seudoesfera, que obedece a la geometría de Lobachevski, las geodésicas paralelas pueden aproximarse una a otra asintóticamente, pero nunca se cortan.
Las geodésicas de una superficie quedan determinadas por su curvatura. La curvatura no es fácil de explicar aunque todos nosotros tenemos una noción intuitiva de su significado. Un plano tiene curvatura nula. Una superficie como la de una esfera o un elipsoide es de curvatura positiva, mientras que de una superficie en forma de silla de montar o de la seudoesfera se dice que son de curvatura negativa Podemos imaginar superficies más complicadas, parte de las cuales pueden tener curvatura positiva, otras partes, negativa y finalmente, algunas otras partes de curvatura nula. Las geodésicas de una superficie, así como su geometría más adecuada, dependen de dicha curvatura, positiva, negativa o nula. De ahí que 3a geometría de una superficie de curvatura negativa constante es lobachevskiana, la de una superficie de curvatura positiva constante, es riemanniana y la de una superficie de curvatura nula, es euclidiana.
Todo cuanto se ha dicho acerca de la geometría no euclidiana si bien es bastante evidente cuando hablamos de geometría, tiende a tomarse confuso al querer aplicarlo a nuestra experiencia cotidiana. Estamos inclinados a compadecer a los habitantes de un mundo de dos dimensiones, tanto por su ignorancia como por sus limitaciones físicas. Ellos no pueden ni siquiera soñar en hacer cosas que para nosotros son perfectamente vulgares. Sin embargo, tendemos a mostrar las mismas limitaciones intelectuales para representamos el mundo a nosotros mismos. En realidad, vamos más lejos porque deliberadamente rechazamos nuestra propia experiencia. Nuestra experiencia nos dice que el espacio es finito pero no acotado y que las líneas rectas que podemos trazar en la superficie sobre la cual vivimos nunca pueden ser realmente rectas, sino que deben ser curvas. (Por supuesto, ya que la curvatura de la Tierra es distinta de cero.) Pero continuamos confundiendo infinito y no acotado, descartando este último que constituye nuestro verdadero conocimiento del espacio y admitiendo el primero por razones religiosas y estéticas. Y, aunque toda persona inteligente sabe que la superficie de la Tierra es curva y todo marino conoce la navegación sobre círculos máximos, la mayoría de nosotros se comporta como los Adventistas del Séptimo Día al razonar que nuestras líneas rectas están trazadas en un plano de curvatura nula —o, lo que es lo mismo, en un mundo plano. De aquí hay sólo un paso para creer que el quinto postulado de Euclides es sagrado y cualquier sustituto al mismo está “contra la naturaleza”. Una pequeña curvatura, más aún que una instrucción reducida, tiene sus desventajas.

Figura 49.
Las geometrías que hemos tratado son sólo tres entre un infinito número de posibles. Cualquier geometría, sean cuales fueren sus postulados (siempre que no conduzcan a contradicciones), será tan “verdadera" como la geometría de Euclides. Para cada superficie, por compleja que sea su curvatura, hay siempre una geometría que la satisface particularmente Es exacto que comenzamos nuestras geometrías como estructuras puramente lógicas, pero, así como en otras ramas de las matemáticas, descubrimos que la naturaleza se nos ha anticipado y que una superficie sirve, a menudo, a nuestra inventiva. Por esa razón, las matemáticas no euclidianas han encontrado campos de aplicación enormemente importantes en la intrincada física moderna.
Mientras que nosotros hemos considerado las aplicaciones de las geometrías no euclidianas de dos dimensiones a las superficies usuales, los fisicomatemáticos estudian la aplicación de geometrías no euclidianas de más dimensiones a las variedades del espacio pluridimensionales. Al tratar de descubrir en qué clase de espacio vivimos realmente, los hombres de ciencia han obtenido resultados que los inducen a creer que el espacio es más bien curvado que recto. Habiéndonos liberado de la idea primitiva de que vivimos en una superficie plana, no sería tan difícil aceptar que el espacio es curvo.
Hay todavía un punto final: Si consideramos a las geometrías de Euclides. Lobachevski y Riemann como matemáticas aplicadas y no como puras y si preguntamos cuál de ellas es más apropiada para el espacio que nos rodea y para la superficie sobre la cual vivimos, ¿cuál deberá ser nuestra respuesta? Solamente el experimento y la medición pueden responder a esa pregunta. Se desprende que la geometría de Euclides es la más conveniente y la única, en consecuencia, que seguiremos usando para construir nuestros puentes, túneles, rascacielos y carreteras. Las geometrías de Lobachevski y de Riemann, tratadas adecuadamente, también servirían[46]. Nuestros rascacielos las admitirían (y otro tanto pasaría con nuestros puentes, túneles y carreteras), nuestros ingenieros quizá no. La geometría de Euclides es más fácil de enseñar, se ajusta más fácilmente con el extraviado sentido común, pero, por sobre todas las cosas, es más fácil de usar. Y, en esas cosas, después de todo, nos interesan más nuestras necesidades que la lógica.
Sin embargo, nuestros puntos de vista se han ampliado y nuestra visión es más clara Las matemáticas nos han ayudado a superar aquellas impresiones sensoriales de las que ahora podemos decir: “nunca nos engañan, aunque mienten siempre.
Capítulo 5
Pasatiempos de épocas pasadas y recientes
El trabajo consiste en todo lo que un cuerpo está obligado a hacer y el juego consiste en todo lo que un cuerpo no está obligado a hacer.
Mark Twain
Los rompecabezas y las paradojas han sido populares desde la antigüedad y, entreteniéndose con estos juguetes, los hombres aguzaron su ingenio y estimularon su inventiva Pero no fue únicamente por entretenimiento por lo que Kepler, Pascal, Fermat, Leibniz, Euler, Lagrange, Hamilton, Cayley, y muchos otros, dedicaron tanto tiempo a los rompecabezas.
Las investigaciones en las matemáticas recreativas nacieron del mismo deseo de saber, fueron guiadas por los mismos principios y requirieron el ejercicio de las mismas facultades que las investigaciones que condujeron a los más profundos descubrimientos en las matemáticas y en la física matemática. En efecto, ninguna rama de la actividad intelectual es tema más a propósito para la discusión, que los rompecabezas y las paradojas.
El campo es enorme. Se han planteado rompecabezas desde la época de los egipcios y probablemente desde antes. Desde las expresiones secretas del oráculo de Delfos, pasando por la época de Carlomagno, hasta la edad de oro de los crucigramas, las paradojas y los rompecabezas, al igual que los seres de la Tierra, han asumido todos los tamaños y formas, y se han reproducido. Podemos examinar únicamente unas pocas de las especies que predominan, aquellas que han sobrevivido de una u otra manera y continúan prosperando en forma estilizada.
La mayoría de los famosos rompecabezas inventados antes del siglo XVII pueden hallarse en el primer gran libro sobre el particular titulado: Les problémes plaisants et délectables, qui se font par les nombres cuyo autor fue Claude-Gaspard Bachet, Sieur de Meziriac. Aunque apareció en 1612, es decir, dos años antes que la obra de Napier sobre los logaritmos, sigue siendo aún hoy un libro deleitable y un filón de informaciones. Desde entonces han aparecido muchas colecciones[48], que han aumentado el contenido del volumen de Bachet, ampliándolo a casi cinco veces su tamaño original.
Todo lo que esperamos poder hacer, es seguir el ilustre ejemplo de Mark Twain en un caso similar, en que trató de reducir todos los chistes a una docena de formas primitivas o elementales (suegra, hija del granjero, etc.) Intentaremos presentar algunos de los rompecabezas típicos que servirán de ejemplo con respecto a las ideas básicas comunes a todos ellos. Limitaremos nuestro interés a los mismos y a algunos problemas, reservando para otro capítulo algunas de las más celebradas paradojas lógicas y matemáticas. Aunque no siempre pueda ser fácil establecer una distinción entre rompecabezas y paradoja, para nuestra finalidad es suficiente considerar aquéllos como un juego de ingenio o un problema, y a una paradoja, como una demostración o enunciado aparentemente engañoso y contradictorio.
A menudo los rompecabezas parecen difíciles porque no es fácil interpretarlos en términos precisos. Al intentar la solución de un problema, el método de tantear, a ver si atinamos, no sólo es más natural, sino generalmente más fácil que el ataque matemático. La experiencia diaria nos enseña que, frecuentemente, las ecuaciones algebraicas más formidables resultan más fáciles de resolver que algunos problemas formulados con palabras. Esos problemas deben traducirse primero en símbolos y luego, con estos símbolos, deben formarse ecuaciones para poder resolver el problema en sí.
Cuando Flaubert era muy joven escribió una carta a su hermana Caroline, diciéndole: "Ya que ahora estudias geometría y trigonometría, te propondré un problema. Un barco se hace a la mar desde el puerto de Boston, llevando un cargamento de lana. Desplaza 200 toneladas y tiene por destino el puerto de El Havre. Se rompe el palo mayor, el camarero está sobre cubierta, hay 12 pasajeros a bordo, el viento sopla en el cuadrante E.N.E., el reloj señala las tres y cuarto de la tarde. Es el mes de mayo. ¿Qué edad tiene el capitán?" Flaubert no solamente bromeaba, sino que estaba expresando una queja compartida por ese respetable y numeroso grupo de personas "que no son fuertes en rompecabezas" y que consideran que la mayoría de éstos confunde y abruma con palabras superfluas[49]. Por esa razón los siguientes rompecabezas han sido despojados de todos los elementos innecesarios a fin de presentar su estructura matemática fundamental Entendemos por el término "estructura matemática" algo no expresado necesariamente por números, ángulos o líneas, sino la relación interna esencial entre los elementos componentes del rompecabezas. Porque, en el fondo, eso es todo lo que el análisis matemático puede revelar, todo lo que las matemáticas significan en sí.
Entre los problemas más antiguos están aquellos que se refieren a personas que, con una embarcación, efectúan travesías de una a otra orilla de un río en condiciones más bien difíciles. Alcuino, amigo de Carlomagno, sugirió un problema que desde entonces ha sido planteado y complicado de muchas maneras. Un viajero llega a la orilla de un río llevando como únicos bienes: un lobo, una cabra y un repollo. El único bote disponible es muy pequeño y no puede llevar más que al viajero y uno de sus bienes. Desgraciadamente, si los deja juntos, la cabra se comerá el repollo y el lobo devorará a la cabra. ¿Cómo transportará el viajero sus pertenencias a la otra orilla del río, manteniéndolas intactas?[50]
Puede intentarse la solución con ayuda de una caja de fósforos, que represente al bote y cuatro tiras de papel que son sus ocupantes.
Una versión más complicada de este problema fue sugerida en el siglo XVI por Tartaglia. Tres hermosas desposadas, con sus celosos maridos, llegan también a un río. El pequeño bote que deben tomar para efectuar el cruce sólo tiene cabida para dos personas. Para evitar cualquier situación comprometedora deben disponerse las travesías de tal manera que no se deje a ninguna mujer con un hombre, a menos que su esposo esté presente. Para ello se necesita once travesías; para dos parejas hacen falta cinco; mientras que con cuatro o más parejas sería imposible efectuar la travesía en las condiciones establecidas.

Figura 50.
La familia de Simeón Poisson trató de que éste fuese de todo, desde cirujano a abogado, esto último en la teoría de que no servía para nada mejor.

Figura 51. Solución del problema de las 3 jarras.
Dos amigos que tienen una jarra con 8 litros de vino desean repartírselo en partes iguales. Disponen también de dos jarras vacías, una con capacidad igual a 5 litros y la otra, 3. La figura demuestra cómo pudieron dividir en dos partes de cuatro cuartos cada una[52].
Esto nos recuerda otro "problema de verter líquidos", quizá no muy relacionado con el precedente, pero que constituye un buen ejercicio de rigor lógico y de refresco líquido.
El rompecabezas del bebedor internacional de cerveza
En cierta ciudad situada en la frontera entre México y los EE UU, de Norteamérica existe, en lo que se refiere al dinero en circulación, una situación peculiar. En México, un dólar norteamericano vale sólo 90 centavos de su moneda, mientras que en Estados Unidos el valor del peso mexicano es de sólo 90 centavos de dólar. Cierto día un vaquero entra en una cantina mexicana y pide diez centavos de cerveza, que paga con un peso mexicano, recibiendo de vuelta un dólar norteamericano que vale allí, precisamente, noventa centavos. Después de beber su cerveza, cruza la frontera y penetra en una taberna norteamericana donde pide lo mismo. Paga con un dólar norteamericano y recibe un billete de un peso mexicano de vuelta. Cruza nuevamente la frontera y repite el procedimiento, bebiendo alegremente cerveza todo el día y terminando tan rico como empezó, con un peso mexicano. Se pregunta: ¿quién pagó la cerveza?
Moraleja: Visite el alegre país mexicano en sus vacaciones
La naturaleza desconcertante de todo ardid aritmético radica, como ya lo hemos indicado, en su estructura, no en su contenido. Con un colador para separar las ideas esenciales, ocultas entre docenas de inútiles, todo hombre podría ser su propio mago. Nos viene a la memoria una inocente adivinanza, repetida frecuentemente entre los matemáticos: "¿Cómo podría uno cazar leones en el desierto?" se pregunta. Como hay tanta arena y tan pocos leones, sencillamente ¡tómese un colador, cuélese la arena y quedarán los leones! Luego se necesita semejante colador o tal vez un escalpelo, para poder llegar a lo esencial. Una vez eliminada la verbosidad, el esqueleto del rompecabezas sucumbe ante la simple aritmética o el álgebra. Los juegos de salón consistentes en adivinar números que otros han elegido o naipes que alguien ha escogido, parecen casi maravillosos como ejemplos de "percepción extrasensorial". Pero después que hemos aprendido a separar los leones de la arena, enjaularlos es relativamente sencillo.
Los ardides hechos con naipes son habitualmente rompecabezas aritméticos disfrazados. Generalmente son tratables con el análisis matemático y no son, como se cree comúnmente, ejecutados por juegos de manos. Un principio importante pasado por alto fácilmente, es que. "al cortar una baraja de naipes nunca se alteran las posiciones relativas de las cartas, a condición que, si es necesario, consideremos a la carta que queda en la parte superior, como siguiente inmediata de la que está en el fondo de la baraja"[53]. Una vez que se ha comprendido esto, muchas tretas dejan de ser desconcertantes.
Siete jugadores de póquer se disponen a jugar con una nueva baraja. De conformidad con la tradición, en la primera mano se cortan las cartas, no se mezclan. El tallador, fingiendo defraudar a sus compañeros, toma su segunda y cuarta cartas del final de la baraja. Todos los presentes se dan cuenta de esta falta intencional. Sin embargo, cuando los demás jugadores recogen sus cartas no están dispuestos a exigir una nueva distribución, puesto que cada uno encuentra que tiene "full". Pero temerosos todavía de que el tallador se haya arreglado una mejor mano para sí, insisten en que descarte sus cinco naipes y tome los cinco primeros de la parte superior de la baraja. Fingiendo indignación, accede y gana con una runfla de cinco naipes del mismo palo. Pruébelo. De cien veces, noventa y nueve, usted logrará engañar a sus amigos, pero no podrá defraudar a un hombre honrado.
Frecuentemente, los ardides aritméticos de acertar un número elegido por otro dependen de la "base de numeración"
Cuando se expresa un número en el sistema denario, o decimal, como, por ejemplo. 3.976, lo que quiere decirse realmente es:
(3 × 103) + (9 × 102) + (7 × 101) + (6 × 100)
La tabla[54] siguiente da algunos ejemplos más, de otros números escritos en base 10:| Ejemplo | 100 | 101 | 102 | 103 | 104 |
| 469 = | 9 × 100 | 6 × 101 | 4 × 102 | ||
| 469 = | 9 | + 60 | + 400 | ||
| 7.901 = | 1 × 100 | 0 × 101 | 9 × 102 | 7 × 103 | |
| 7.901 = | 1 | + 0 | + 900 | + 7000 | |
| 30.000 = | 0 × 100 | 0 × 101 | 0 × 102 | 0 × 103 | 3 × 104 |
| 30.000 = | 0 | + 0 | + 0 | + 0 | + 30.000 |
| 21.148 = | 8 × 100 | 4 × 101 | 1 × 102 | 1 × 103 | 2 × 104 |
| 21.148 = | 8 | + 40 | +100 | + 1.000 | +20.000 |
Entre la amplia variedad de problemas que surgen con el uso del sistema decimal, los siguientes son algunos de los más interesantes:
Un recurso útil para verificar la multiplicación, es el conocido con el nombre de "prueba del nueve"
Consideremos el producto 1 234 × 5.678 = 7.006.652. Sumemos los dígitos del multiplicando, del multiplicador y del producto, obteniendo así 10, 26 y 26, respectivamente. Como cada uno de estos números es mayor que 9, sumemos los dígitos de cada suma individual una vez más (así 10 = 1 + 0 = 1; 26 = 2 + 6 = 8. etc.), obteniendo 1, 8 y 8. (Si después de la primera repetición queda una suma mayor de 9, deben sumarse los dígitos una vez más.) Ahora tomemos el producto de los números enteros correspondientes al multiplicando y al multiplicador, es decir 1 × 8, y comparémoslo con el número entero correspondiente a la suma de los dígitos del producto, que también es ocho. Como son iguales, el resultado de la multiplicación original seguramente es correcto.
Usando la misma regla comprobemos si el producto de 31.256 por 8.427 es 263.395.312 Nuevamente, las sumas de los dígitos del multiplicando, del multiplicador y del producto son, respectivamente: 17, 21 y 34, repitiendo la suma de estos dígitos obtenemos 8, 3 y 7. El producto de los dos primeros es 24, la suma de cuyos dígitos es 6. Pero la suma de las cifras del producto es 7. De este modo tenemos dos residuos diferentes, 6 y 7, y, en consecuencia, la multiplicación debe estar mal.
El siguiente ardid está estrechamente relacionado con la "prueba del nueve", lo cual pone en evidencia una notable propiedad común a todos los números.
Tomemos un número cualquiera y cambiemos el orden de sus dígitos, a voluntad, para formar otro número. La diferencia entre el primero y el segundo números es siempre divisible por 9.[55]
Otro tipo de problema que depende de la base de numeración decimal consiste en encontrar números que puedan obtenerse multiplicando sus retrógrados por números enteros. Entre tales números de 4 dígitos, 8.712 es igual a 4 veces 2.178 y 9.801 equivale a 9 veces 1.089.
La notación binaria o diádica (que emplea la base 2) no es un concepto nuevo, pues se encuentran referencias a la misma en un libro chino que se cree ha sido escrito, 3.000 años antes de Jesucristo. Cuarenta y seis siglos después descubrió nuevamente Leibniz las maravillas de la base binaria y se admiraba ante ella como si fuese una nueva invención, procediendo en forma semejante a aquel ciudadano del siglo XX que, cuando le mostraron por primera vez un reloj de sol, y le explicaron su funcionamiento, exclamó espantado: "¡Dios mío, lo que no inventan en estos tiempos...!" Por valerse de sólo dos símbolos Leibniz vio, en el sistema binario, algo de gran significación religiosa y mística: Dios podía estar representado por la unidad y la nada por el cero, y ya que Dios había creado todas las formas de la nada, cero y uno combinados podían representar al Universo entero. Ansioso de impartir esta joya de sabiduría a los paganos, Leibniz la comunicó al jesuita Grimaldi, presidente del Tribunal de Matemáticas en China, en la esperanza de que éste pudiera demostrar al emperador de ese país el error que cometía al seguir en el budismo, en vez de adoptar a un Dios capaz de crear el Universo de la nada.
Mientras que la notación decimal requiere de diez símbolos: 0, 1, 2, 3, 4,..., 9, la binaria usa solamente dos: 0 y 1. A continuación se indican los primeros 32 números enteros dados en la escala binaria:
Ya que 20 = 1 se verá fácilmente que cualquier número puede expresarse como la suma de potencias de 2, así como cualquier número en el sistema decimal puede ser expresado como la suma de potencia de 10. Por ejemplo, el número expresado en el sistema decimal como 25, se indica en el sistema binario usando sólo dos símbolos 1 y 0, resultando 11001.

El sistema binario hace fácilmente comprensible la solución de problemas como los siguientes:
I. En muchas regiones de Rusia, los campesinos empleaban hasta hace poco lo que parece ser un método de multiplicación muy extraño. En esencia, el mismo sistema se usó en una época lejana en Alemania, Francia e Inglaterra y es similar a un método usado por los egipcios 2 000 años antes de la Era Cristiana.



45 = (1 × 25) + (0 × 24) + (1 × 23) + (1 × 22) + (0 × 21) + (1 × 20) = 101101
= 32 + 0 + 8 + 4 + 0 + 1
Por lo tanto:45 × 64 = (25 + 23 + 22 + 20) × 64
= (25 × 64) + (23 × 64) + (22× 64) + (20 × 64)
Ya que 24 y 21 no aparecen en la expresión binaria para 45, los productos (24 × 64) y (21 × 64) no están incluidos en los números que deben sumarse en (B). De este modo, lo que el campesino hace al multiplicar 45 × 64 es multiplicar 25, 23, 22, 20 sucesivamente, por 64, y luego tomar su suma.II. Otro problema muy conocido, ya mencionado por Cardano, consiste en quitar un cierto número de anillos de una varilla. Este rompecabezas puede analizarse mejor usando el sistema binario, aunque el manejo real de los anillos es siempre sumamente difícil.

Figura 52. El rompecabezas de los anillos chinos.
III. El problema de la Torre de Hanói tiene un principio análogo. El juego consiste en una tabla con tres clavijas, como indica la figura 53. En una de estas clavijas se coloca un número determinado de discos de varios tamaños, dispuestos de tal manera que el disco mayor quede abajo y los demás se superpongan por diámetros decrecientes, hasta llegar al disco más pequeño, que quedará en la parte superior. El problema consiste en traspasar todo el conjunto de discos a una de las otras dos clavijas, moviendo solamente un disco por vez y sin que ninguno de ellos quede colocado sobre otro de menor diámetro.

Figura 53.

En el gran templo de Benarés, debajo de la cúpula que marca el centro del mundo, está colocada una placa de bronce, sobre la cual están fijadas tres agujas de diamante, cada una de las cuales tiene un codo de altura y su espesor es como el cuerpo de una abeja. En una de estas agujas, cuando se creó el mundo, Dios colocó sesenta y cuatro discos de oro puro, el mayor de los cuales se apoya sobre la placa de bronce y los demás, por orden de tamaño decreciente, descansan sobre él. Esto constituye la torre de Brahma. Día y noche, incesantemente, los sacerdotes traspasan los discos de una de las agujas de diamante a la otra, de acuerdo a las leyes fijas e inmutables de Brahma, que exigen que el sacerdote mientras cumple su obligación, no debe mover más de un disco por vez y que lo debe colocar en una aguja de modo que no quede debajo de él ningún disco de menor diámetro. Cuando los sesenta y cuatro discos hayan sido traspasados de esta manera, de la aguja donde Dios los colocó, en la creación, a una de las otras dos agujas, torre, templo y brahmanes, por igual, se desmenuzarán en polvo y en medio de un fragoroso trueno, el mundo desaparecerá.
El número mínimo de traspasos que se requieren para cumplir la profecía es 264 - 1. es decir: 18.446 744.073.709.551.615. Si los sacerdotes efectuasen un traspaso por segundo y trabajasen 24 horas diarias durante los 365 días del año[59], el cumplimiento de esa hazaña les exigiría: 58.454.204.609 siglos más escasamente seis años, suponiendo que no cometiesen ningún error —puesto que un pequeño desliz anularía todo su trabajo.
IV. Puede mencionarse otro juego relacionado con el sistema binario: el denominado Nim. En el mismo, dos personas juegan por turno, con cierto número de fichas colocadas en varios montones. En su tumo, un jugador retira de uno de los montones tantas fichas como le plazca. El jugador que toma la última ficha, pierde. Si se expresa en la base binaria el número de fichas de cada montón, el juego se presta fácilmente al análisis matemático. El jugador que pueda efectuar cierta distribución en el número de fichas de cada montón, puede ganar[60].

Figura 54. Este diagrama da un ejemplo de cómo se gana una jugada de Nim. Supóngase que cada jugador, en su turno, debe retirar un fósforo como mínimo y cinco como máximo. La regla del juego estipula que el jugador que levanta el último fósforo pierde. Por ejemplo, imagínese que el montón original consiste en 21 fósforos. En ese caso, el que juega primero puede ganar dividiendo mentalmente los fósforos en grupos de 1, 6, 6, 6 y 2 (como se indica en 6). Ya que juega primero levanta dos fósforos. Luego, por muchos que su contrario levante, el primer jugador toma el complemento de 6. Esto está indicado en A: Si el segundo jugador toma 1, el primero toma 5; si el segundo toma 2, el primer jugador toma 4 y así sucesivamente. Cada uno de los tres grupos de 6 se termina de esta manera y el segundo jugador queda con el último fósforo. Si hubiese habido, por ejemplo, 47 fósforos, el agrupamiento para que el primer jugador ganara, habría sido: 1, 6, 6, 6, 6, 6, 6, 6 y 4 Pueden formularse fácilmente las reglas para cualquier otra variante de Nim.
De acuerdo a una vieja fábula, el rey hindú Shirham concedió una dádiva al Gran Visir Sissa Ben Dahir por haber inventado el ajedrez. Sabiendo que éste se juega sobre un tablero de 64 cuadrados, Sissa se dirigió al rey diciéndole: "Majestad, dadme un grano de trigo para colocar en el primer cuadrado, dos para colocar en el segundo, cuatro granos de trigo para colocar en el tercero y ocho para poner en el cuarto y así, ¡Oh, Rey!, dejadme cubrir cada uno de los 64 cuadrados del tablero."
"¿Y, eso es todo lo que deseas, Sissa?", exclamó el rey estupefacto. "Oh, Señor", repuso Sissa "he pedido más trigo que el que hay en todo vuestro reino, más aún, más trigo que el que hay en todo el mundo, en verdad, suficiente para cubrir toda la superficie de la Tierra hasta una altura igual a la vigésima parte de un codo"[61].
Ahora bien, el número de granos de trigo que Sissa pedía es 264 -1, exactamente el mismo que el de los traspasos de discos que se requerían para cumplir la profecía de Benarés ya relatada.
Otra forma notable en la que aparece 264 es al calcular el número de los antepasados de cada persona, desde el comienzo de la Era Cristiana —precisamente alrededor de 64 generaciones. En ese lapso, suponiendo que cada persona tiene 2 padres, 4 abuelos, 8 bisabuelos, etc., excluyendo las uniones ilegítimas, cada persona tiene, por lo menos 264 antepasados, o poco menos que diez y ocho y medio trillones de parientes ¡Una reflexión de lo más desalentadora!
El problema de Josefo es uno de los más famosos y, sin duda, uno de los más antiguos. Generalmente narra la historia de cierto número de personas que iban a bordo de un barco, algunas de las cuales debían ser sacrificadas a fin de evitar que naufragara la embarcación. Según las distintas épocas en que se escribió la versión de este problema, los pasajeros eran cristianos y judíos, cristianos y turcos, holgazanes y estudiosos, negros y blancos, etc. Algún alma ingeniosa, con conocimientos de matemáticas, siempre se arreglaba para proteger al grupo favorito. Para ello disponía a todos en un círculo y, contando desde determinado punto, progresivamente, cada n-ésima persona debía ser arrojada al mar, siendo n un número entero especificado.

Figura 55. C = Cristianos. T = Turcos
En sus orígenes, esta fábula se atribuyó a Josefo, quien se encontró en una caverna con otros 40 judíos, resueltos a autoexterminarse para escapar a una suerte peor si caían en manos de los romanos Josefo decidió salvar su persona. Colocó a todos en círculo y convino con ellos en que cada tercera persona, contando alrededor, debía matarse. Colocándose él y otra alma privilegiada en las posiciones 16 y 31 del círculo de 41, lograron salvarse, pues habiendo quedado al último pudieron eludir convenientemente el camino al martirio.
Una versión posterior de este problema, coloca a 15 turcos y a 15 cristianos a bordo de un barco, sorprendidos por una gran tormenta y que se hundirá a menos que la mitad de sus pasajeros, sean arrojados al mar. Después de colocarse formando un círculo, los cristianos propusieron, ad majorem Dei gloriam, que cada novena persona fuese sacrificada.

Figura 56. El problema de Josefo, de la obra Shojuisu de Miyake Kenryu. (Tomado del libro A History of Japanese Mathematics de Smith y Mikami.)
Entre los japoneses, el problema de Josefo se presenta en otra forma: Treinta niños, 15 del primer matrimonio y 15 del segundo, se ponen de acuerdo en que la herencia de su padre es muy pequeña para ser dividida entre todos ellos. Entonces la segunda esposa propone que todos los niños se coloquen formando un círculo a fin de determinar los herederos de su esposo mediante un proceso de eliminación. Siendo una prudente matemática, así como una proverbialmente malvada madrastra, dispone los niños de tal manera que uno de los suyos resulte elegido. Una vez que se han eliminado 14 de los niños del primer matrimonio, el que queda, evidentemente matemático más astuto que su madrastra, propone comenzar de nuevo el recuento, pero en sentido contrario. Segura de las ventajas adquiridas y dispuesta, por lo tanto, a un rasgo de generosidad, ella accede, pero descubre, aterrada, que todos sus 15 hijos son eliminados, quedando solamente el del primer matrimonio que resulta entonces único heredero[63].
Soluciones matemáticas más completas de versiones más difíciles y generalizadas del problema de Josefo, fueron dadas por Euler, Schubert y Tait.
Ningún estudio sobre rompecabezas, por breve que sea, puede omitir la mención del más conocido entre los muchos que inventó Sam Loyd. "El rompecabezas del 15", "le Jeu de Taquín" son algunos de sus nombres. Durante varios años después de su aparición en 1878, este rompecabezas disfrutó de una popularidad, principalmente en Europa, mayor que la que hoy gozan el "rock" y el "bridge" juntos. En Alemania lo jugaban en las calles, en las fábricas, en los palacios reales y en el Reichstag. Los patronos se vieron obligados a colocar carteles prohibiendo a sus empleados jugar "El rompecabezas del 15" durante las horas de trabajo, so pena de multa o despido. Los electores, careciendo de dichos privilegios, tenían que resignarse a contemplar a sus representantes jugar al "15" en el Reichstag mientras Bismarck también lo jugaba. En Francia, el "Jeu de Taquin" se jugaba en los "boulevards" de París y en toda aldea insignificante desde los Pirineos hasta la Normandía. Según un periodista francés de la época, el "Jeu de Taquin" era un azote de la humanidad —peor que el tabaco y el alcohol— "y el origen de incalculables dolores de cabeza, neuralgias y neurosis".
Durante un tiempo, el "rompecabezas del 15" fue la locura de toda Europa. Se realizaron torneos y se ofrecieron premios fabulosos por la solución de problemas aparentemente sencillos. Pero lo raro fue que nadie pudo ganar alguno de estos premios y los problemas, aparentemente simples, quedaron sin resolverse.
El "rompecabezas del 15" (ver la siguiente figura), consiste en una caja cuadrada, de madera o metal, poco profunda, que contiene 15 pequeños bloques cuadrados numerados del 1 al 15. En realidad hay lugar para 16 bloques, de manera que, habiendo solamente 15, los mismos pueden moverse e intercambiar sus posiciones. El número de posiciones concebibles es: 16! = 20.922.789.888.000. El problema consiste en efectuar un determinado arreglo de los bloques partiendo de una posición inicial dada, que frecuentemente es la denominada normal y que se indica en la figura 57.
Poco tiempo después de la invención de este rompecabezas, dos matemáticos norteamericanos[64] demostraron que, a partir de un orden inicial dado, sólo podían obtenerse realmente la mitad de todas las posiciones concebibles. De este modo, hay siempre aproximadamente diez billones de posiciones que el poseedor de un "rompecabezas del 15" puede realizar y otras tantas que no puede.
El hecho de existir posiciones imposibles permite comprender fácilmente el porqué de los tan generosos premios en efectivo ofrecidos por Loyd y otros, ya que los problemas para los cuales se ofrecían las recompensas, siempre implicaban posiciones imposibles.

Fig. 57. El rompecabezas del 15 (también rompecabezas Boss o ‘ Jeu de Taquín") en la posición normal.
En la posición normal (figura 57), el espacio vacío está en la esquina inferior derecha. Cuando se realiza un análisis matemático del rompecabezas, es conveniente considerar que un cambio en el orden de los bloques no consiste en otra cosa que en mover el espacio vacío según una trayectoria especificada, asegurándose siempre que termine su recorrido en la esquina inferior derecha de la caja. A fin de que esto suceda, el espacio vacío debe recorrer el mismo número de casillas, tanto a la izquierda como a la derecha y a través del mismo número de casillas hacia arriba que hacia abajo. En otras palabras, el espacio vacío debe moverse a través de un número par de casillas. Si partiendo de la posición normal, puede obtenerse la que se desea obrando de acuerdo con este requisito, la posición es posible, en caso contrario es imposible.
Basándose en este principio, el método para determinar si una posición es posible o imposible, es muy sencillo. En la posición normal, cada bloque aparece en su correspondiente orden numérico, es decir, mirando las casillas, fila por fila, de izquierda a derecha, ningún número precede a otro menor que él. Para obtener una posición diferente de la normal, debe cambiarse el orden numérico de los bloques. Algunos números, quizá todos, precederán a otros menores que ellos. Cada vez que un número precede a otro menor que él, se denomina una inmersión. Por ejemplo, si el número 6 está delante de los números 2, 4 y 5, esto constituye una inversión a la que asignaremos el valor 3, por cuanto 6 precede a tres números menores que él. Si la suma de los valores de todas las inversiones en una posición dada es par, la posición es posible, es decir, puede obtenerse de la posición normal. Si la suma de los valores de las inversiones es impar, la posición es imposible y no puede obtenerse de la configuración normal.
La posición indicada en la figura 58 puede producirse partiendo de la posición normal ya que la suma de los valores de las inversiones es 6, un número par.

Figuras 58 y 59.

Figura 60 (a, b, c)
A principios de 1981 fue puesto a la venta en Europa y Estados Unidos el "cubo de Rubik", rompecabezas sumamente ingenioso, y de gran dificultad, semejante en ciertos aspectos al rompecabezas de Loyd, particularmente, en la característica necesidad de sacrificar logros parciales para poder alcanzar otros mayores. Durante dos o tres años, el cubo de Rubik provocó una fiebre similar al "Jeu de Taquin". No obstante, y a pesar de haberse creado modelos reducidos, de bolsillo, no hay constancia de que se jugara en el Parlamento, mostrando los diputados manifiesta preferencia por la lectura de periódicos.
Problema de la araña y de la mosca
La mayoría de nosotros hemos aprendido que una línea recta es la distancia más corta entre dos puntos. Al aplicar esta proposición a la Tierra sobre la cual vivimos, vemos que es, al mismo tiempo, inútil y falsa. Como ya hemos visto en el capitulo anterior, los matemáticos del siglo XIX, Riemann y Lobachevski, discernieron que esa proposición, si acaso es cierta, sólo puede aplicarse a superficies especiales. No tiene aplicación para una superficie esférica en la cual la distancia mínima entre dos puntos es el arco de un círculo máximo. Ya que la forma de la Tierra es aproximadamente la de una esfera, la menor distancia entre dos puntos, en cualquier lugar de la superficie terrestre, nunca es una línea recta, sino una porción del arco de un círculo máximo (ver capítulo anterior).
Sin embargo, para todos los fines prácticos, aun en la superficie de la Tierra, la distancia más corta entre dos puntos está dada por una línea recta. Es decir, al medir distancias corrientes con una cinta métrica o una regla graduada, el principio enunciado es sustancialmente correcto. Sin embargo, para distancias que superan unos pocos centenares de metros, debe tenerse en cuenta la curvatura de la Tierra. Cuando se construyó recientemente en una gran fábrica de automóviles de Detroit una barra de acero de más de 600 pies de longitud (más de 180 metros), se vio que era imposible la medición exacta de su longitud sin tener en cuenta la curvatura de la Tierra. Ya hemos señalado que la determinación de una geodésica es muy difícil para superficies complicadas. Pero podemos plantear un rompecabezas que nos demostrará cuán engañoso puede ser este problema, aun tratándose del caso más sencillo: la superficie plana.
En un cuarto de 30 pies de longitud, 12 de ancho y 12 de altura hay una araña en el centro de una de las paredes menores, a un pie del cielo raso y también hay una mosca en el medio de la pared opuesta, a un pie del piso. La araña tiene intenciones fáciles de concebir con respecto a la mosca. ¿Cuál es la ruta más corta posible según la cual la araña puede arrastrarse para alcanzar su presa?

Figura 61. Habiendo la mosca rechazado su cordial invitación, la araña se pone en marcha para almorzar siguiendo la ruta más corta posible. ¿Qué trayectoria representa la geodésica para la famélica araña?
Hay varias maneras de recortar la hoja de papel y, de acuerdo a ellas, hay varias rutas posibles, pero la de 40 pies es la más corta y, lo que es más extraordinario, como puede verse en el corte D de la figura 61, este recorrido obliga a la araña a pasar por 5 de las 6 caras que forman el cuarto.
Este problema revela gráficamente el punto sobre el cual siempre insistimos —que nuestras nociones intuitivas acerca del espacio, nos conducen, casi invariablemente, por el mal camino.
Parentescos
Ernesto Legouvé[65], el bien conocido dramaturgo francés, relata en sus memorias que, mientras se bañaba en la playa de Plombières, propuso a sus compañeros el siguiente problema: "¿Es posible que dos hombres, sin parentesco alguno entre sí, puedan tener la misma hermana?" "No, eso es imposible", dijo al instante un escribano. Un abogado que no se apresuró tanto a dar su respuesta, decidió, después de cierta deliberación, que el escritor tenía razón. Al punto, los demás convinieron rápidamente en que eso era imposible. "Pero es posible", hizo notar Legouvé, "y nombraré a dichos hombres. Uno de ellos es Eugenio Sue y el otro soy yo". En medio de exclamaciones de asombro se le pidió que lo explicara; llamó al bañero pidiéndole una pizarra sobre la cual anotaba los nombres de los bañistas y escribió:

La mayor parte de los rompecabezas que hasta aquí hemos tratado, han requerido cuatro pasos para su solución:
1. Separar los hechos esenciales.
2. Traducir estos hechos en símbolos adecuados.
3. Formar ecuaciones con estos símbolos.
4. Resolver las ecuaciones.
Para resolver los problemas de parentesco deben modificarse dos de estos pasos. Un simple diagrama reemplaza a la ecuación algebraica, y las deducciones que del mismo se hagan, reemplazan a la solución algebraica. Sin los símbolos y diagramas los problemas pueden resultar sumamente confusos.
Alexander MacFarlane, un matemático escocés, desarrolló un "álgebra de parentescos" que se publicó en las actas de la Real Sociedad de Edimburgo, pero los problemas a los cuales aplicó su cálculo podían resolverse fácilmente sin él. MacFarlane utilizó el muy conocido retintín:
Ni hermanos y hermanas no tengo yo;Un viejo cuento de hadas hindú crea una intrincada serie de parentescos que probablemente habrían puesto a prueba al álgebra de MacFarlane. Un rey, destronado por sus parientes, se vio obligado a huir con su esposa y su hija. Durante su fuga fueron atacados por salteadores y mientras se defendían el rey fue muerto, aunque su esposa y su hija se las ingeniaron para escapar. Pronto llegaron a un bosque en el cual el príncipe del vecino país y su hijo estaban cazando. El príncipe (que era viudo), y su hijo (soltero y buen partido) advirtieron las huellas de la madre y la hija y decidieron seguirlas. El padre declaró que se casaría con la mujer de la huella más grande —indudablemente la de más edad— y el hijo afirmó otro tanto con respecto a la mujer de huellas más pequeñas y que, seguramente, era la menor. Pero al regresar al castillo el padre y su hijo descubrieron que el pie más pequeño era el de la madre y que el pie grande pertenecía a la hija. Sin embargo, sobreponiéndose a su desengaño, se casaron tal como lo habían planeado. Después de las bodas, tanto la madre, nuera de su hija, como la hija, suegra de su madre, tuvieron hijos e hijas. La tarea de desenmarañar los parentescos resultantes se la confiamos al lector, así como la explicación del siguiente verso hallado en una vieja lápida sepulcral de Alencourt, cerca de París:
pero el padre de este hombre es el hijo de mi padre
como cobayo para su cálculo, aunque el método de los diagramas da la solución mucho más rápidamente.
Aquí yace el hijo; aquí yace la madre;En el famoso cuadro "Melancolía" de Albrecht Dürer, aparece un dibujo acerca del cual se ha escrito mucho más que sobre cualquier otro pasatiempo matemático. Dicho dibujo representa un cuadrado mágico.
aquí yace la hija; aquí yace el padre;
aquí yace la hermana;
aquí yace el hermano;
aquí yacen la esposa y el esposo;
y a pesar de eso, aquí sólo hay tres personas.
Un cuadrado mágico consiste en una disposición de números enteros en un cuadrado que, al ser sumados en renglones, diagonales o columnas, dan el mismo resultado total.
Los cuadrados mágicos datan, por lo menos, de la época de los árabes. Grandes matemáticos como Euler y Cayley descubrieron que eran entretenidos y dignos de ser estudiados. Benjamín Franklin admitió como disculpándose, que había invertido algún tiempo en su juventud en estas "bagatelas" —tiempo "que", se apresuraba a añadir, "lo podía haber empleado en algo más útil". Los matemáticos jamás han pretendido que los cuadrados mágicos fuesen algo más que entretenimientos, por mucho tiempo que hayan invertido en ellos, aunque el continuo estudio dedicado a esta forma de rompecabezas pueda haber arrojado alguna luz, incidentalmente, sobre las relaciones entre los números. Su móvil principal es, todavía, místico y recreativo (Recientemente se ha encontrado, en la investigación agronómica, y más generalmente en el diseño de experimentos para análisis estadístico por el método de bloques equilibrados incompletos, una importante aplicación a los cuadrados mágicos Véase el capítulo 14 de New Mathematical Diversions, de Martin Gardner. del que hay edición española. "Nuevos pasatiempos matemáticos". Alianza Editorial. 1972).
Existen otros rompecabezas de considerable interés, que aquí no discutimos porque los tratamos más extensamente en un lugar adecuado[66]. Entre éstos hay problemas relacionados con la teoría de la probabilidad, el coloreado de mapas y las superficies de una sola cara, como la banda de Möbius.
Queda solamente un extenso grupo de problemas, aquellos relacionados con la teoría de los números. La teoría moderna de los números, representada por una vasta literatura, atrae la atención de todo matemático serio. Es una rama del estudio, muchos de cuyos teoremas, aunque sumamente difíciles de demostrar, pueden enunciarse de manera sencilla y son fácilmente comprensibles por todos. Dichos teoremas son, por lo tanto, más ampliamente conocidos entre legos cultos que teoremas de mucha mayor importancia en otras ramas de las matemáticas, teoremas que requieren conocimientos técnicos para ser comprendidos. Cada libro referente a entretenimientos matemáticos está lleno de rompecabezas simples o ingeniosos, astutos o maravillosos, fáciles o difíciles, que se basan en el comportamiento y propiedades de los números. El espacio de que disponemos nos permite mencionar sólo uno o dos de estos teoremas significativos sobre los números, los cuales, a pesar de su profundidad, pueden entenderse fácilmente.
Desde que Euclides demostró[67] que la cantidad de números primos es infinita, los matemáticos han estado buscando una prueba para determinar si un número dado es o no primo. Pero no se ha encontrado una prueba aplicable a todos los números. Aunque es extraordinariamente curioso, hay razones para creer que ciertos matemáticos del siglo XVII, que dedicaron muchísimo tiempo a la teoría de los números, poseían medios para reconocer los números primos que nos son totalmente desconocidos. El matemático francés Mersenne y su mucho más grande contemporáneo Fermat tenían un misterioso sistema para determinar los valores de p,para los cuales: 2p - 1 es un número primo. Aún no se ha determinado claramente hasta qué punto habían desarrollado su método, o en realidad, qué método emplearon exactamente. Por consiguiente, sigue siendo todavía un motivo de asombro que Fermat contestara, sin un momento de vacilación, a una carta en la que se le preguntaba si el número 100.895.598.169 era primo, que éste era el producto de 898.423 por 112.303 y que cada uno de estos números era primo[68]. Careciendo de una fórmula general para todos los números primos, un matemático invertiría años para dar una respuesta correcta.
Uno de los teoremas más interesantes sobre la teoría de los números es el de Goldbach, que expresa que todo número par mayor que 2 es la suma de dos números primos. Es fácil de comprender y existen todas las razones para creer que es cierto, pues no se ha encontrado todavía un número par que no sea la suma de dos números primos: sin embargo, nadie ha logrado hallar una demostración válida para todos los números pares.
Pero quizá la más famosa de todas esas proposiciones consideradas ciertas, pero jamás demostradas, sea el "Último teorema de Fermat". En el margen de su ejemplar de la Aritmética, de Diophanto, Fermat escribió: "Si n es un número mayor que 2, no hay números enteros, a, b, c, tales que an + bn = cn. He hallado una demostración verdaderamente maravillosa, que no cabe en este margen." ¡Qué lástima! Suponiendo que Fermat tuviese realmente una demostración (y su talento matemático era de tan alto rango que, por cierto, es posible) habría evitado a las generaciones de matemáticos que lo siguieron interminables horas de labor si hubiese tenido lugar para escribirla en el margen. Casi todo gran matemático, después de Fermat, ha intentado una demostración, pero ninguno lo ha logrado.
Se conocen muchos pares de números enteros, la suma de cuyos cuadrados es también un cuadrado, así:
32 + 42 = 52; ó, 62 + 82 = 102
pero nunca se han hallado tres números enteros para los cuales la suma de los cubos de dos de ellos sea igual al cubo del tercero. El argumento de Fermat era que esto sería cierto para todos los números enteros cuando la potencia a la cual estaban elevados era mayor que 2. Mediante cálculos extensos, se ha demostrado que el teorema de Fermat es cierto para valores de n hasta 617 (Es muy fácil demostrar que si el teorema de Fermat es verdadero para un exponente n lo es también para todos los múltiplos de n. Por consiguiente, la dificultad está en demostrar el teorema cuando n sea número primo o cuando n = 4. El caso n = 4 fue establecido por el propio Fermat. En 1847, Kummer dio una condición suficiente para que un exponente primo cumpliera el teorema de Fermat, y supuse que existirían infinitos de tales números primos. Todos los esfuerzos por demostrar que así es, han fracasado En 1978, las condiciones suficientes conocidas permitían asegurar que el teorema de Fermat es cierto para todos los exponerles primos menores que 125 000.)Pero Fermat dijo para todo valor de n mayor que 2. De todas sus grandes contribuciones a las matemáticas, el legado más famoso de Fermat es un rompecabezas que tres siglos de investigación matemática no han logrado resolver, y que muchos escépticos creen que el mismo Fermat jamás resolvió.
Con un poco de mala gana debemos despedimos de los rompecabezas. De mala gana, porque hemos alcanzado a ver sólo un resplandor fugaz de un tema rico y entretenido y porque los rompecabezas, en un sentido, mejor que ninguna otra rama simple de las matemáticas, reflejan su espíritu siempre juvenil, vigoroso, puro e investigador. Los rompecabezas están hechos de las cosas con que juega el matemático, no menos que el niño con sus juguetes, y sueña y se maravilla con ellos porque están hechos de las cosas y circunstancias del mundo en que vive.
Capítulo 6
Paradojas perdidas y paradojas recuperadas
¡Cuán curioso es el comportamiento de la paradoja y cómo se moja alegremente del sentido común!
W. S. Gilbert
Sin embargo, hay tres tipos distintos de paradojas que se presentan en las matemáticas. Hay proposiciones contradictorias y absurdas, que surgen de razonamientos falaces. Hay teoremas que parecen raros e increíbles, pero que, siendo lógicamente inexpugnables deben ser aceptados aunque trasciendan los límites de la intuición y de la imaginación. La tercera y más importante de las clases, consiste en aquellas paradojas lógicas que se presentan relacionadas con la teoría de conjuntos y que han tenido por resultado un examen de los fundamentos de las matemáticas. Estas paradojas lógicas han creado confusión y consternación entre los lógicos y los matemáticos y han dado lugar a problemas referentes a la naturaleza de las matemáticas y de la lógica que aún no han hallado una solución satisfactoria.
Paradojas extrañas pero exactas
Esta sección se dedicará a proposiciones aparentemente contradictorias y absurdas, pero, sin embargo, ciertas[69]. Anteriormente examinamos las paradojas de Zenón. Casi todas ellas fueron explicadas por medio de series infinitas y de las matemáticas transfinitas de Cantor. Hay, sin embargo, otras, que implican movimiento, pero que a diferencia de las paradojas de Zenón no consisten en demostraciones lógicas de que el movimiento es imposible. No obstante ello, ilustran gráficamente cuán falsos pueden ser nuestros conceptos sobre el movimiento; cuán fácilmente, por ejemplo, uno puede ser engañado por la trayectoria de un objeto animado de movimiento.
En la figura 62 hay dos monedas idénticas. Si hacemos rodar la moneda de la izquierda a lo largo de la mitad de la circunferencia de la otra, siguiendo la trayectoria indicada por la flecha, podemos sospechar que en su posición final, al llegar al extremo de la derecha, aparece con la cabeza invertida y no en la posición inicial.

Figura 62
El siguiente enigma es similar.

Figura 63
El círculo más pequeño, situado dentro del mayor, ha efectuado también una rotación completa recorriendo la distancia CD. Ya que la distancia CD es igual a la AB y cada distancia es aparentemente igual a la circunferencia del círculo que la ha desarrollado, nos hallamos ante el absurdo evidente de que la circunferencia del círculo más pequeño es igual a la circunferencia del círculo mayor.
A fin de explicar estas paradojas y varias otras de naturaleza similar, debemos dedicar nuestra atención, por un momento, a una curva famosa: la cicloide (véase Figura 64).

Figura 64. La cicloide.

Figura 65. Cuando la rueda se encuentra en la posición punteada, ha dado un cuarto de vuelta y el punto ha pasado de A a A en tanto que B sólo lo ha hecho de a S2. El círculo sombreado indica que la rueda ha completado tres cuartos de vuelta.
Este extraño comportamiento de la cicloide explica el hecho de que, cuando una rueda está en movimiento, la parte más alejada del suelo, en cualquier instante, se mueve realmente, a lo largo y en horizontal, más rápidamente que la parte que se encuentra en contacto con el suelo.
Puede demostrarse que, a medida que el punto de una rueda, en contacto con el camino, se pone en movimiento, viaja más y más rápidamente, alcanzando su máxima rapidez horizontal cuando su posición es la más alejada del suelo.
Otra interesante propiedad de la cicloide fue descubierta por Galileo. Ya se indicó en el capítulo 3 que el área de un círculo sólo podía expresarse con ayuda de π, número trascendente. Como el valor numérico de π sólo puede calcularse aproximadamente (aunque con tanta aproximación como queramos, tomando tantos términos de la serie infinita como nos plazca), el área de un círculo puede también expresarse, únicamente, como una aproximación. Lo notable es que, sin embargo, mediante la cicloide, podemos construir una superficie exactamente igual al área de un círculo dado. Basándose en el hecho de que la longitud de una cicloide, de extremo a extremo, es igual a cuatro veces la longitud del diámetro del círculo generador, puede demostrarse que el área comprendida por la cicloide entre los dos extremos y la línea recta que los une, es igual a tres veces el área del círculo.

Figura 66. Cuando el círculo rodante se encuentra en la posición indicada, las superficies sombreadas que quedan a cada uno de sus lados son exactamente iguales al área del círculo.
La paradoja que resulta de la seudodemostración de que la circunferencia del círculo pequeño es igual a la del círculo grande, puede explicarse con ayuda de otro miembro de la familia de la cicloide: la cicloide acortada (Figura 67). [Se conoce con el nombre de trocoides tanto a las cicloides alargadas como a las cicloides acortadas. N. del R.]

Figura 67. La cicloide acortada está engendrada por el punto P, el cual pertenece al círculo pequeño, a medida que el círculo mayor rueda sobre la recta MN.
Considerando los problemas que surgen al rodar una rueda sobre una línea recta, hemos estudiado la trayectoria de un punto situado sobre la circunferencia de la misma y vimos que esta trayectoria era una cicloide; al considerar la curva trazada por un punto del interior de la rueda, descubrimos la cicloide acortada. Además es interesante mencionar la trayectoria determinada por un punto situado fuera de la circunferencia, tal como un punto extremo de la pestaña de una rueda de vehículo ferroviario. Dicho punto no está en contacto con el riel sobre el cual gira la rueda y la curva que engendra es una cicloide alargada (Figura 38). Esta curva explica la curiosa paradoja de que, en cualquier instante, el tren nunca se mueve por completo en el sentido en que lo arrastra la máquina. ¡Hay siempre partes del tren que se mueven en el sentido opuesto!
Entre las innovaciones, en matemáticas, del primer cuarto de siglo, ninguna eclipsa en importancia al desarrollo de la teoría de los conjuntos de puntos y la teoría de las funciones de una variable real. Basándose totalmente en los nuevos métodos del análisis matemático, se logró un rigor y una generalidad en la geometría, mayores de lo que podría haberse imaginado si la ciencia se hubiese desarrollado enteramente por medios intuitivos. Se encontró que todos los conceptos geométricos convencionales podían ser definidos nuevamente con acrecentada exactitud, basándose en la teoría de los conjuntos y en los nuevos y poderosos instrumentos del análisis.

Figura 68. La cicloide alargada. Un punto perteneciente a la pestaña de una rueda de ferrocarril, en movimiento, da origen a esta curva. La parte del tren que se mueve hacia atrás cuando el tren marcha hacia delante es la porción sombreada de la rueda.
También se emprendieron estudios intensivos de ciertas clases de puntos —como los puntos en el espacio— y se examinó la noción de dimensión. En relación con este estudio, uno de los grandes éxitos de los últimos años ha sido el de asignar un número: 0, 1, 2 ó 3, a cada configuración, para denotar su dimensión. Prevalecía la creencia de que ésta era una cuestión simple y evidente, que no requería análisis matemático y que podía resolverse intuitivamente. Así, podía decirse de un punto, que tenía dimensión nula, una recta o una curva: una dimensión, un plano o una superficie: dos dimensiones y un sólido: tres dimensiones. Debe admitirse que el problema de determinar si un objeto tiene 0, 1, 2 ó 3 dimensiones no parece muy formidable. Sin embargo, una notable paradoja que fue descubierta es suficiente, en sí misma, para demostrar que no es así y que nuestras ideas intuitivas acerca de dimensión, así como sobre áreas, no sólo carecen de precisión, sino que a menudo son completamente engañosas.
La paradoja apareció al tratar de determinar si podía asignarse a cada figura del plano un único número (llamada medida) de manera tal que pudieran satisfacerse las tres condiciones siguientes:
1. Si se atribuye a la palabra “congruente" la misma acepción que se le dio en la geometría elemental[70], dos figuras congruentes deben tener la misma medida.
2. Si una figura fuese dividida en dos partes, la suma de las medidas asignadas a cada una de las dos partes debe ser exactamente igual a la medida asignada a la figura original.
3. Como modelo para determinar el método de asignar una medida a cada figura del plano, se acordó que debía asignarse la medida 1 al cuadrado cuyos lados tienen por longitud una unidad.
¿Qué es este concepto de medida? De acuerdo a lo anterior, parecería deducirse que la medida que se asigna a cada figura en el plano, no es otra cosa que el área de esa figura. En otras palabras, el problema consiste en determinar si el área de toda figura en el plano haciendo caso omiso de su complejidad, puede determinarse sin ambigüedad. Inútil señalar que fue propuesto como un ejercicio teórico y general y no como la enorme y evidentemente imposible empresa de medir realmente toda figura concebible. El problema podía considerarse resuelto si se diera una demostración teórica de que, a toda figura, podía serle asignada una única medida. Pero debe notarse que la finalidad principal era liberar a esta investigación de los conceptos tradicionales de la geometría clásica: la noción de área, entendida del modo antiguo, era desterrada y se excluían específicamente los métodos usuales para determinarla; la aproximación debía ser analítica (por medio de conjuntos de puntos) antes que geométrica. Cumpliendo tales restricciones se demostró que por complicada que sea una figura, y por mucho que su contorno se cruce y se vuelva a cruzar, puede asignársele una única medida.
Entonces vino el desastre, pues se descubrió el hecho sorprendente de que el mismo problema, al ser generalizado a superficies en el espacio, no sólo era insoluble, sino que conducía a las más graciosas paradojas. En efecto, los mismísimos métodos que habían sido tan fecundos en las investigaciones sobre el plano, cuando se aplicaban a la superficie de una esfera, eran inadecuados para determinar una medida única.
¿Significa esto realmente que el área de la superficie de una esfera no puede determinarse de una manera única? ¿No da, acaso correctamente, el área de la superficie de una esfera la fórmula habitual, 4πr2?
Desgraciadamente no podemos contestar estas preguntas en detalle, porque ello nos llevaría muy lejos y exigiría muchos conocimientos técnicos. Admitimos que el área de una superficie esférica, determinada por los viejos métodos clásicos, es 4πr2. Pero los viejos métodos carecían de generalidad, eran inadecuados para determinar la superficie de figuras complejas; además, ya advertimos que el concepto intuitivo de área debía omitirse deliberadamente en la tentativa de medida. Al mismo tiempo que el progreso en la teoría de las funciones y los nuevos métodos del análisis superaron algunas de estas dificultades, introdujeron también nuevos problemas estrechamente relacionados con el infinito; y como los matemáticos saben desde hace mucho tiempo, la presencia de ese concepto no constituye, en modo alguno, una bendición. Aunque ha permitido a los matemáticos realizar grandes adelantos, éstos han estado siempre a la sombra de la incertidumbre. Uno puede continuar empleando fórmulas tales como 4πr2 por la magnífica razón de que resuelven un problema, pero si se desea ir al mismo paso que el audaz e inquieto espíritu matemático, se ve obligado a hacer frente a las desalentadoras alternativas de abandonar la lógica para retener los conceptos clásicos, o la de aceptar los resultados paradójicos del nuevo análisis y hacer a un lado al sentido común práctico.
Las condiciones para asignar una medida a una superficie son análogas a las que se presentan cuando se trata de las figuras en el plano:
1) Debe asignarse una misma medida a superficies congruentes.
2) La suma de las medidas asignadas a cada una de las dos partes componentes de una superficie deberá ser igual a la medida asignada a la superficie original.
3) Si S indica toda la superficie de una esfera de radio r, la medida asignada a S deberá ser: 4πr2.
El matemático alemán Hausdorff demostró que este problema no tiene solución, que no puede asignarse una medida única a las partes de la superficie de una esfera de modo tal que se satisfagan las condiciones que anteceden. Demostró que si la superficie de una esfera fuese dividida en tres partes separadas y distintas: A, B, C, de manera que A sea congruente con B y B sea congruente con C surge una extraña paradoja, que nos recuerda vívidamente algunas de las paradojas de la aritmética transfinita con las cuales está, en realidad, relacionada. Hausdorff demostró que no solamente A es congruente con C (como podía esperarse), sino también que A es congruente con B + C. ¿Cuáles son las complicaciones de este alarmante resultado?
Si se asigna una medida a A, a la misma medida debe asignarse a B y a C, ya que A es congruente con B, B con C y A con C. Pero, por otra parte, como A es congruente con B + C, la medida asignada a A tendría también que ser igual a la suma de las medidas asignadas a B y a C. Evidentemente dicha relación sólo podría cumplirse si las medidas asignadas a A, B y C fuesen todas iguales a 0. Pero eso es imposible por la condición 3), de acuerdo a la cual la suma de las medidas asignadas a las partes de la superficie de una esfera debe ser igual a 4πr2. ¿Cómo es posible entonces asignar una medida?
Desde un punto de vista ligeramente distinto, vemos que si A, B y C son congruentes entre sí y reunidas forman la superficie de toda la esfera, la medida de cualquiera de ellas debe ser la medida de un tercio de la superficie de toda la esfera. Pero si A es, no solamente, congruente con B y C, sino también con B + C (como lo demostró Hausdorff), la medida asignada a A y la medida asignada a B + C, deben ser, cada una, igual a la mitad de la superficie de la esfera. Así, de cualquier manera que lo encaremos, asignando medidas a porciones de la superficie de una esfera, nos enredamos en una contradicción sin remedio.
Dos distinguidos matemáticos polacos, Banach y Tarski, han hecho extensivas las deducciones del paradójico teorema de Hausdorff al espacio de tres dimensiones, con resultados tan sorprendentes e increíbles que no tienen igual en todas las matemáticas. Y las conclusiones, aunque rigurosas e intachables, son casi tan increíbles tanto para el matemático como para el lego.
Imaginemos dos cuerpos en el espacio de tres dimensiones: uno muy grande, como el Sol; el otro muy pequeño, como un guisante. Indiquemos el Sol con S y el guisante con S'. Recordemos ahora que nos estamos refiriendo, no a las superficies de estos dos objetos esféricos sino a la totalidad de las esferas sólidas tanto del Sol como del guisante. El teorema de Banach y Tarski afirma que puede llevarse a cabo, teóricamente, la siguiente operación:
Dividamos al Sol S en muchísimas partes pequeñas. Cada parte debe ser separada y distinta y el número total de partes será un número finito. Las mismas podrán designarse por S1, S2, S3... Sn y, al ser reunidas, estas pequeñas partes formarán toda la esfera S. Análogamente S' —el guisante— debe dividirse en igual número de partes mutuamente excluyentes: s'1, s'2, s'3,... s'n, que reunidas formarán el guisante. Luego, la proposición prosigue diciendo que si el Sol y el guisante han sido cortados de una manera tal que la pequeña porción s1 del Sol sea congruente con la pequeña porción s'1 del guisante, s2 congruente con s'2, s3 congruente con s'3, hasta sn congruente con s'n, este proceso acabará, no sólo con todas las pequeñas porciones del guisante, sino también con todas las pequeñas porciones del Sol.
En otras palabras, el Sol y el guisante pueden ser divididos en un número finito de partes desunidas de manera que cada parte simple de uno sea congruente con una única parte del otro, y de tal modo que después que cada pequeña porción del guisante ha sido equiparada con una pequeña porción del Sol, no quede libre ninguna de éstas. [Reconocemos aquí, por supuesto, que se trata de una simple correspondencia biunívoca entre los elementos de un conjunto que forman el Sol y los elementos de otro conjunto que constituyen el guisante. La paradoja reside en el hecho de que cada elemento se equipara con otro que le es completamente congruente (a riesgo de repetir que congruente significa idéntico en tamaño y forma) y que hay bastantes elementos en el conjunto que forma el guisante como para equipararlos exactamente con los elementos que constituyen el Sol.]
Para expresar esta gigantesca explosión de bomba en términos comparables al estallido de un pequeño cohete, diremos: Hay una manera de dividir una esfera grande como el Sol, en partes separadas, de manera que no haya dos de esas partes que tengan puntos comunes y, sin comprimir ni deformar parte alguna, todo el Sol puede colocarse, cómodamente, en el bolsillo del chaleco.
Además, podrán disponerse de tal manera las partes componentes del guisante que, sin expansión ni deformación, no teniendo puntos comunes ningún par de sus partes, llenarán sólidamente todo el Universo no quedando ningún espacio vacío, ya sea en el interior del guisante, o en el Universo.
Ciertamente que ningún cuento de hadas, ninguna fantasía de las Mil y una noches, ningún sueño febril, puede competir con este teorema de inflexible y rigurosa lógica. Aunque los teoremas de Hausdorff, Banach y Tarski no pueden, actualmente, tener aplicación práctica alguna, ni aun para aquellos que esperan acomodar su voluminoso equipaje en un maletín de fin de semana, quedan como un magnífico desafío a la imaginación y como un tributo a la concepción matemática[71].
Se distinguen de las paradojas consideradas hasta ahora, aquellas que se refieren, más propiamente, a los sofismas matemáticos. Se presentan tanto en aritmética como en geometría y se les encuentra, a veces, aunque no muy a menudo, en las ramas superiores de las matemáticas como, por ejemplo, en el cálculo o en las series infinitas. Algunos sofismas matemáticos son demasiado triviales para merecer atención; sin embargo, el tema tiene derecho a que le dediquemos nuestra consideración porque, aparte de su aspecto entretenido, muestra cómo un encadenamiento de razonamientos matemáticos puede ser viciado totalmente por un solo paso en falso.
Sofismas aritméticos
I. A casi todos nosotros nos resulta familiar una demostración según la cual 1 es igual a 2. Dicha prueba puede hacerse extensiva a la demostración de que dos números o expresiones cualesquiera son iguales. El error común a todas esas falacias consiste en dividir entre cero, operación estrictamente prohibida. Sabido es que las reglas fundamentales de la aritmética exigen que todo proceso aritmético (suma, resta, multiplicación, división, elevar a una potencia y obtener las raíces de un número) produzca un resultado único. Evidentemente este requisito es esencial, porque las operaciones de la aritmética tendrían poco valor o significado, si los resultados fuesen ambiguos. Si 1 + 1 fuese igual a 2 ó a 3; si 4 × 7 fuese igual a 28 ó a 82; si 7/2 fuese igual a 3 ó a 3½, las matemáticas serían el Sombrerero Loco de las ciencias. Al igual que la buenaventura o la frenología serían asunto apropiado para explotar en una concesión de parque de atracciones.
Ya que los resultados de la operación de división deben ser únicos, la división entre cero debe ser excluida, por cuanto el resultado de esta operación es cualquier cosa que a usted se le ocurra. En general, la división está definida de tal modo que si a, b y c son tres números, a/b = c, solamente cuando c × b = a. De acuerdo a esta definición, ¿cuál es el resultado de 5/0? No puede ser ningún número de cero a infinito, puesto que ningún número, al ser multiplicado por cero, es igual a 5. Por lo tanto, 5/0 no tiene sentido y más aún, 5/0 = 5/0 es una expresión que carece de significado.
Por supuesto que los sofismas resultantes de dividir por cero, rara vez se presentan de manera tan simple como para ser descubiertos a primera vista. El siguiente ejemplo nos da una idea de cómo surgen las paradojas cuando dividimos por una expresión cuyo valor es cero:
Supongamos que: A + B = C y admitimos que A = 3 y B = 2.
Multipliquemos ambos miembros de la ecuación A + B = C por (A + B).
Obtenemos:
A2 + 2AB +B2 = C(A + B)
Cambiando el orden de los términos tenemos:A2 + AB - AC = -AB - B2 + BC
Al sacar factor común (A + B- C), tenemos:A(A + B - C) = -B(+A +B -C).
Dividiendo ambos miembros entre (A + B - C), es decir, dividiendo entre cero, obtenemos: A = -B, o A + B = 0, que es evidentemente absurdo.II. Al extraer raíces cuadradas, es necesario recordar la regla algebraica que dice que una raíz cuadrada de un número positivo es un valor negativo, y otra, un valor positivo. Así, las raíces cuadradas de 4 son -2 y +2 (lo cual puede escribirse √2 = ± 2) y las raíces cuadradas de 100, +10 y -10 (o sea, √100 = ± 10). El no observar esta regla puede dar lugar a la siguiente contradicción[72]:
(a) (n + l)2 = n2 + 2n + 1
(b) (n + l)2 - (2n + 1) = n2
(c) Restando: n(2n + 1) de ambos miembros y sacando factor común, tenemos:
(d) (n + l)2 - (n + 1) (2n + 1) = n2 - n (2n + 1)
(e) Sumando: -¼(2n + l)2 a ambos miembros de (d) se obtiene:
(n + l)2 - (n + 1) (2n + 1) + ¼(2n + l)2 = = n2 - n (2n + 1) + ¼ (2n + l)2,
que puede escribirse así:(f) [(n + 1) + (2n + l)]2 = [n + (2n + l)]2. j
Extrayendo la raíz cuadrada de ambos miembros:
(g)n + 1 - ½(2n + 1) = n -½(2n + 1)
y, por lo tanto:
(h)n = n + 1.
III. El lector podrá desenredar por su cuenta el siguiente sofisma aritmético[73]:
(1) √a × √b = √a ×b → → → → verdadero
(2) √- 1 x √-1 = √(-1 × -1)→ → → → verdadero
(3) Por lo tanto: (√-1)2= √-1; es decir, -1 = 1 → → → → ?
IV. Una paradoja que no puede resolverse con el empleo de matemáticas elementales es la siguiente: Supongamos que log (-1) = x; en consecuencia, por la ley de los logaritmos:
log (-1)2 = 2x log (-1) = 2x
Pero, por otra parte, log (-l)2 = log (1) que es igual a 0. En consecuencia, 2x = 0 y, log (-1) = 0, que evidentemente no es cierto. La explicación reside en el hecho de que la función que representa el logaritmo de un número negativo, o complejo, no tiene un solo valor, sino muchos valores. Es decir, si fuésemos a construir la habitual tabla funcional para los logaritmos de los números negativos y de los complejos habría una infinidad de valores correspondientes a cada número[74].V. El infinito, en matemáticas, es siempre indómito, a menos que se le trate correctamente. Ya vimos ejemplos de esto al desarrollar la teoría de los conjuntos y veremos más todavía cuando tratemos las paradojas lógicas. Consideramos oportuno citar a continuación un nuevo ejemplo al respecto.
Así como la aritmética transfinita tiene sus reglas propias que difieren de las de la aritmética finita, se requieren reglas especiales para operar con series infinitas. Si se las ignora o no se las observa, se originan contradicciones. Por ejemplo, consideremos la serie equivalente al logaritmo natural de 2:




Alterando el orden de los términos de una manera ligeramente

= 3/2 × 0,69315
ó, en otras palabras,log 2 = 3/2 × log 2.
Una serie famosa, que preocupó a Leibniz, es la aparentemente sencilla: + 1 - 1 + 1 - 1 + 1 - 1... Al ordenar en distinta forma sus términos, se obtiene una variedad de resultados; por ejemplo: (1 - 1) + (1 - 1) + (1 - 1)+… = 0, pero: 1 - (1 - 1) + (1 - 1)... = 1.Sofismas geométricos
Las ilusiones ópticas referentes a figuras geométricas explican muchos engaños y confusiones. Nos limitaremos a considerar sofismas no causados por limitaciones de nuestra fisiología[75], sino de errores en el raciocinio matemático. Una “demostración" geométrica muy conocida es la de que todo triángulo es isósceles. Supone que la bisectriz de un ángulo del triángulo y la recta mediatriz del lado opuesto a dicho ángulo, se cortan en un punto interior del triángulo.
La siguiente es también una demostración falsa que expresa que un ángulo recto es igual a un ángulo mayor que un recto[76].

Figura 69
Como AE es por construcción igual a DC, los tres lados del triángulo ODC son iguales, respectivamente, a los tres lados de triángulo OAE. En consecuencia, los dos triángulos son iguales y, por lo tanto, el ángulo ODC es igual al ángulo OAE. Pero el ángulo ODA es igual al ángulo OAD, porque el lado AO es igual a OD en el triángulo OAD y los ángulos adyacentes a la base en el triángulo isósceles son iguales. En consecuencia, el ángulo JDC, que es igual a la diferencia de ODC y ODJ, es igual a JAE que es la diferencia entre OAE y OAJ. Pero el ángulo JDC es recto mientras que el ángulo JAE es mayor que un ángulo recto y, por lo tanto, el resultado es contradictorio. ¿Puede usted encontrar el fallo? Le sugerimos dibujar la figura exactamente.
Paradojas lógicas
Como los cuentos populares y las leyendas, las paradojas lógicas tuvieron sus precursores en tiempos remotos. Habiéndose ocupado de la filosofía y los fundamentos de la lógica, los griegos formularon algunos de los acertijos lógicos que, en épocas recientes, han vuelto a ser plaga de matemáticos y filósofos. Los sofistas crearon una verdadera especialidad en el arte de proponer preguntas o problemas difíciles, con los que dejaban perplejos y confundían a sus oponentes en los debates, aunque la mayor parte de ellos se basaban en pensamientos torpes y vicios dialécticos.
Aristóteles los destruyó al establecer los fundamentos de la lógica clásica, una ciencia que ha visto envejecer y que ha sobrevivido a todos los sistemas filosóficos de la antigüedad y que en casi todas sus partes es aún hoy perfectamente válida.
Pero hubo acertijos difíciles que resistieron porfiadamente todo intento de aclaración[77]. La mayor parte de ellos se origina en lo que se ha dado en llamar “la falacia de petición de principio" que es “debida al hecho de descuidar el principio fundamental de que lo que involucra al todo, en una totalidad dada, no puede, en sí mismo, ser parte de la totalidad"[78]. Ejemplos sencillos de esto son aquellas frases pontificales, familiares a todo el mundo, que parecen tener muchísimo significado, pero que, en realidad no tienen ninguno, tales como: “nunca digas nunca", o “toda regla tiene excepciones" o “toda generalidad es falsa". Consideraremos algunas de las paradojas lógicas más desarrolladas, que implican el mismo sofisma básico y luego discutiremos su importancia desde el punto de vista matemático.
(A) Cazar en el vedado de un poderoso príncipe se castigaba con la muerte, pero el príncipe decidió posteriormente que aquel que fuera sorprendido cometiendo ese delito tendría el privilegio de elegir entre ser ahorcado o decapitado. Se permitía que el delincuente formulara una proposición — si era falsa, se le ahorcaba; si era verdadera, se le decapitaba. Un bribón, ducho en lógica, se valió de esa dudosa prerrogativa —ser ahorcado si no acertaba y ser decapitado si lo hacía— diciendo: “Seré ahorcado." Aquí se presentó un dilema imprevisto, puesto que el reo agregó: “Si ustedes me ahorcan ahora, infringen las leyes hechas por el príncipe, puesto que mi proposición es verdadera y debería, por lo tanto, ser decapitado; pero si ustedes me decapitan, también violan las leyes, porque entonces lo que yo dije era falso y debía, en consecuencia, ser ahorcado."
Como en el relato de Frank Stockton, de la dama y el tigre, el final se lo dejamos a usted. Sin embargo, el delincuente probablemente no sufrió peor suerte en manos del verdugo que la que habría padecido en manos de un filósofo, porque hasta este siglo, los filósofos tuvieron poco tiempo para ocuparse en esas triviales adivinanzas —especialmente de aquellas que no podían resolver [Véase en el Quijote, capítulo LI, la paradoja del puente].
(B) El barbero de la aldea afeita a todos los hombres de la misma que no se afeitan a sí mismos. Pero este principio pronto lo complica en una situación dialéctica análoga a la del verdugo. ¿Se afeitará a sí mismo? Si lo hace, afeita a alguien que se afeita a sí mismo y quiebra su propia regla. Si no lo hace, además de quedar con barba, también quiebra su regla al no afeitar a una persona de la aldea que no se afeita a sí misma.
(C) Fijémonos en que cada número entero puede expresarse, en idioma inglés, sin usar cifras. Así,
(a) 1400 puede escribirse: “one thousand, four hundred" o
(b) 1769823, como, “one million, seven hundred and sixty-nine thousand, eight hundred and twenty-three".
Es evidente que ciertos números requieren más sílabas que otros; en general, cuanto mayor es un número, tantas más sílabas se necesitan para expresarlo. Así (a) requiere 6 sílabas, y (b) 21.
Ahora bien, puede establecerse que ciertos números requerirán 19 sílabas o menos, mientras que otros necesitarán más de 19. Además no es difícil demostrar que entre aquellos números enteros que requieren exactamente 19 sílabas para ser nombrados en idioma inglés, debe haber uno que sea el más pequeño. Bien, “es fácil ver"[79] que “the least integer not nameable in jewer than nineteen syllables" es una frase que debe denotar al número específico, 111777. Pero la expresión en cursiva que antecede es, en sí misma, un medio inequívoco de denotar al número entero más pequeño que se puede expresar en diecinueve sílabas en idioma inglés. Sin embargo, ¡la frase de referencia (en inglés) tiene sólo dieciocho sílabas! De este modo caemos en una contradicción, pues el menor número entero expresable en diecinueve sílabas puede expresarse con dieciocho sílabas.
A continuación damos un ejemplo equivalente en español:
(C) Consideremos el caso de que cada número entero se puede expresar, en español, sin el uso de símbolos. Así.Es evidente que ciertos números requieren más sílabas que otros; en general, cuanto mayor es un número, tantas más sílabas se necesitan para expresarlo. Así, (a) requiere de 5 sílabas, y (b) 21. Ahora bien, puede establecerse que ciertos números requerirían de 21 sílabas o menos, mientras que otros necesitarán más de 21. Además no es difícil demostrar que entre aquellos números enteros que requieren exactamente de 21 sílabas para ser nombrados en español, debe haber uno que sea el más pequeño Bien, "es fácil ver" que “el menor entero que se expresa con veintiún silabas", es una frase que debe denotar al número específico 444.441. Pero la expresión en cursiva que antecede es, en sí misma, un medio inequívoco de denotar al número entero más pequeño que se puede expresar en veintiuna sílabas en español. Sin embargo, la frase de referencia tiene sólo ¡dieciocho sílabas! Lo cual es una contradicción, pues el menor entero que expresamos en veintiuna sílabas se puede expresar con dieciocho sílabas. N del R.)
- 1.400 se puede escribir: mil cuatrocientos, o
- 1.779.823, como un millón setecientos setenta y nueve mil ochocientos veintitrés.
(D) La forma más sencilla de paradoja lógica que surge a raíz del uso indistinto de la palabra todo, puede verse en la figura 70.

Figura 70
Una forma más fina aparece en la famosa paradoja de Russell acerca de la clase de todas las clases que no son miembros de sí mismas. Su argumento es algo escurridizo, pero recompensará la cuidadosa atención que se le preste:
(E) Usando la palabra clase en su acepción ordinaria podemos decir que hay clases formadas por mesas, libros, personas, números, funciones, ideas, etc. Por ejemplo, la clase de todos los presidentes de Estados Unidos tiene por miembros a todas las personas, vivas o difuntas, que hayan sido presidentes de Estados Unidos. Todo lo demás en el mundo, exceptuando la persona que haya sido o sea presidente de Estados Unidos, incluyendo el concepto de la clase misma, no es un miembro de esta clase. Luego éste es un ejemplo de una clase que no es parte (miembro) de sí misma. Asimismo, la clase de todos los miembros de la Gestapo, o sea la policía secreta [Se refiere a la época de la Alemania nazi. N del R] la cual contenía a algunos, ya que no a todos, de los truhanes que había en Alemania; o bien la clase de todas las figuras geométricas en un plano acotado por líneas rectas; o la clase de todos los números enteros desde 1 hasta 4.000 inclusive, tienen por miembros las cosas descritas, pero las clases no son miembros de sí mismas.
Ahora bien, si consideramos una clase como un concepto, la clase de todos los conceptos en el mundo es, en sí misma, un concepto y, de este modo, constituye una clase que es miembro de sí misma. Nuevamente, la clase de todas las ideas presentadas a la atención del lector de este libro es una clase que se contiene a sí misma como miembro, ya que al mencionar esta clase es una idea que traemos a la atención del lector. Teniendo presente esta distinción, podemos dividir a todas las clases en dos tipos: Aquellas que son parte de sí mismas y aquellas que no lo son. En realidad, podemos formar una clase compuesta de todas aquellas clases que no forman parte (miembros) de sí mismas (nótese el peligroso empleo de la palabra “todas"). La cuestión se presenta así: ¿Es esta clase (compuesta de aquellas clases que no son elemento de sí mismas) un miembro de sí misma o no? Tanto una contestación afirmativa como negativa nos enreda en una contradicción sin salida. Si la clase en cuestión es miembro de sí misma, no debería serlo por definición, pues sólo debería contener a aquellas clases que no son miembros de sí mismas. Pero si no es miembro de sí misma, debería serlo por la misma razón.
No nos cansaremos de insistir que las paradojas lógicas no son ardides inútiles o tontos. No fueron incluidos en este volumen para hacer reír al lector, aunque sólo fuese ante las limitaciones de la lógica. Las paradojas son como las fábulas de La Fontaine, que fueron ataviadas para asemejarse a cuentos inocentes sobre la zorra y las uvas, los guijarros y las ranas. Pues, al igual todos los conceptos éticos y morales fueron hábilmente bordados en su trama, del mismo modo, todo lo que hay de pensamiento lógico y matemático, filosófico y especulativo, está entretejido en estas pequeñas bromas.
Las matemáticas modernas al tratar de evitar las paradojas de la teoría de los conjuntos, se vieron enfrentadas a la alternativa de adoptar un escepticismo aniquilador con respecto a todo el razonamiento matemático, o de reconsiderar y reconstruir tanto los fundamentos de las matemáticas como los de la lógica. Debería ser claro que si las paradojas pueden surgir de un razonamiento aparentemente legítimo sobre la teoría de los conjuntos también pueden surgir en cualquier otra parte de las matemáticas. De este modo, aun si las matemáticas pudiesen reducirse a la lógica, como esperaban Frege y Russell, ¿a qué propósito servirían si la lógica misma era insegura? Al proponer su “Teoría de tipos" Whitehead y Russell, en Principia Mathematica, lograron evitar las contradicciones por medio de un recurso formal. Las proposiciones que eran gramaticalmente correctas, pero contradictorias, fueron declaradas desprovistas de sentido. Además, se formuló un principio que establece específicamente qué forma debe tomar una proposición para tener sentido; pero esto sólo resolvió a medias las dificultades, pues aunque las contradicciones podían ser reconocidas, los argumentos que conducían a las contradicciones no podían ser invalidados sin afectar ciertas partes aceptadas de las matemáticas. Para superar esta dificultad, Whitehead y Russell postularon el axioma de reducibilidad, que no tratamos aquí por ser demasiado técnico. Pero queda en pie el hecho de que dicho axioma no es aceptable para la gran mayoría de los matemáticos y que las paradojas lógicas, después de haber dividido a los matemáticos en bandos inalterablemente opuestos, quedan aún por resolver[80].
Se ha insistido en que el matemático se esfuerza siempre por poner sus teoremas en la forma más general posible. A este respecto los fines perseguidos por el matemático y el lógico son idénticos —formular proposiciones y teoremas de la forma: si A es cierto, entonces B es cierto, donde A y B abarcan mucho más que coles y reyes. Pero si ésta constituye una elevada finalidad, es también peligrosa, lo mismo que el concepto de infinito. Cuando el matemático dice que tal y cual proposición aplicada a una cosa es cierta, esa proposición puede ser interesante e indudablemente es segura. Pero cuando trata de extender su proposición a todo, aunque es mucho más interesante, es también mucho más peligroso. En la transición de uno a todo, de lo particular a lo general, las matemáticas han realizado su mayor progreso y sufrido sus más serios reveses, entre los cuales, las paradojas lógicas forman la parte más importante. Porque si las matemáticas desean progresar sin riesgos y confiadamente, deben primero poner en orden sus asuntos en su propia casa.
* * * *

Figura 71. ¿Son paralelas las tres rectas horizontales?

Figura 72. Por supuesto que el cuadrado blanco es más grande que el negro. ¿O será más pequeño?

Figura 73. Las dos regiones sombreadas tienen la misma área.

Figura 74. ¿Cuál de los dos lápices es más largo? Mídalos y lo determinará.

Figura 75. ¿Qué ve usted? Ahora mire otra vez.
Había una vez un mandril inteligente, que solía tocar el fagot, puesto que decía: "Me parece que dentro de billones de años, lograré, ciertamente, dar con el tono. "
Sir Arthur Eddington
- "¿De manera, Watson", dijo de pronto, "que no se propone usted invertir su dinero en acciones de minas de África del Sur?".
- Di un salto de asombro. Aún acostumbrado como estaba a las curiosas facultades de Holmes, esta repentina intrusión en mis pensamientos más íntimos era completamente inexplicable.
- "¿Cómo es posible que sepa usted eso?", le pregunté.
- Hizo girar su sillón, sosteniendo en una mano un tubo de ensayo que emitía espesos vapores y, con un destello de alegría en sus ojos hundidos, se dirigió a mí en los siguientes términos:
- "Ahora, Watson, confiese que ha quedado asombrado.
- "Efectivamente.
- "Debería hacerle firmar un papel en ese sentido.
- "¿Por qué?
- "Porque dentro de cinco minutos usted dirá que todo esto es absurdamente sencillo.
- "Estoy seguro de que no diré nada parecido."
- "Mire, mi querido Watson", dijo dejando su tubo de ensayo en el portatubos y comenzando a disertar con el aire de un profesor que se dirige a su clase: "No es en realidad difícil escalonar una serie de deducciones, cada una de las cuales depende de la que la precede y, que en sí misma, es sencilla. Si, después de proceder así, uno enlaza todas las deducciones centrales y presenta al auditorio el punto de partida y la conclusión, puede llegar a provocar alarma o, posiblemente, un efecto de mal gusto. Ahora bien, no era realmente difícil, pues me bastó observar el surco comprendido entre el índice y el pulgar de su mano izquierda para estar seguro de que usted no se propone invertir su pequeño capital en los campos auríferos."
- "No veo relación alguna."
- "Probablemente no, pero puedo demostrarle rápidamente que existe una relación muy estrecha. He aquí los eslabones perdidos del muy sencillo encadenamiento:
- Usted tenía tiza entre el dedo índice y el pulgar de la mano izquierda cuando regresó del club anoche.
- Usted se pone tiza allí cuando juega al billar a fin de asentar el taco.
- Usted nunca juega al billar excepto con Thurston.
- Usted me dijo, hace 4 semanas, que Thurston tenía un plazo para decidirse en alguna concesión sudafricana, que expiraría al cabo de un mes y en la que tenía deseos de hacerlo participar a usted.
- Su libreta de cheques está dentro del cajón de mi escritorio y usted no me ha pedido la llave.
- En consecuencia, usted no se propone invertir su dinero de ese modo."
- "¡Pero eso es absurdamente sencillo!", dije.
- "Completamente", me contestó un poco irritado. "Todo problema resulta infantil una vez que se lo han explicado..."[81]
Razonamientos del siguiente tipo [Cohen y Nagel. op. cit.]:
A. Ningún fósil puede reproducirse.
Una ostra puede reproducirse.
Luego, las ostras no son fósiles.
Ningún pato baila el vals.
B. Ningún oficial se niega a bailar el vals.tienen gran poder de convicción. Son claros, exactos y precisos y aseguran para nuestros pensamientos el máximo de validez formal. Al igual que en las matemáticas, se formulan ciertas suposiciones fundamentales y de ellas se deducen conclusiones. Pero la mayor parte de nuestros pensamientos no son matemáticos, la mayoría de nuestras creencias no son seguras, sino solamente probables. Como escribió Locke en una ocasión, "En la mayor parte de nuestra ansiedad, Dios nos ha deparado solamente el crepúsculo, como lo llamaría, de la Probabilidad, adaptable, presumo, a ese estado de Mediocridad y Noviciado en el que le plugo colocarnos aquí."
Todas mis aves de corral son patos.
Por lo tanto, mis aves no son oficiales.
Es, pues, la relación de probabilidad y no la de certidumbre la que prevalece en la mayoría de nuestras premisas y conclusiones. Estamos seguros que una moneda caerá después de arrojarla al aire. Estamos igualmente seguros de que no puede retirarse una bolilla negra de una urna que sólo contiene bolillas blancas. Pero la mayoría de nuestras creencias son deficientes en certidumbre, aunque puedan fluctuar desde muy inseguras hasta muy firmes. De este modo, estamos casi seguros que una moneda no caerá "cara" 100 veces seguidas. O podemos creer, sin mayor fundamento, que ganaremos el gran premio en las próximas carreras hípicas.
Quizá sea posible explicar esta actitud. Algunas cosas en el mundo suceden de conformidad con leyes naturales, las cuales (a menos que creamos en milagros) se cumplen inexorablemente. Así, debido a la fuerza de la gravedad, las monedas, al ser arrojadas en el aire, caerán. El Sol saldrá mañana porque los planetas siguen cursos regulares. Todos los hombres son mortales porque la muerte es una necesidad biológica —y así sucesivamente.
Pero acerca de la mayoría de los fenómenos que nos rodean sabemos muy poco. No conocemos ni las leyes a que obedecen, ni si en realidad obedecen a ley alguna. Los dados a hacer ver moralejas sobre las limitaciones humanas, no tendrían que ir más allá de algunos casos triviales para encontrar confirmaciones alarmantes. Podemos predecir los movimientos de planetas alejados a millones de kilómetros en el espacio, pero nadie puede pronosticar el resultado de arrojar una moneda o de tirar un par de dados. Acontecimientos de esta categoría y otros innumerables, los atribuimos a la casualidad. Pero la casualidad es simplemente un eufemismo para la ignorancia. Decir que un acontecimiento está determinado por la casualidad equivale a decir que no sabemos cómo está determinado. No obstante ello, aun dentro del dominio del azar, tenemos la sensación de cierta regularidad, de una cierta simetría —un orden dentro del desorden— y así, aun en torno a acontecimientos que atribuimos a la casualidad, formamos varios grados de creencia racional. La teoría de la probabilidad considera lo que paradójicamente se denomina "las leyes del azar". Parte de su análisis crítico es una tentativa para formular reglas sobre cuándo y cómo pueden emplearse las matemáticas para medir la relación de probabilidad. Sin embargo, debemos aclarar el significado intrínseco de la probabilidad antes de que sea posible entrar a considerar sus reglas.
Aunque la mayor parte de nuestros juicios se basan más sobre la probabilidad de que sobre la certidumbre, rara vez se piensa cuidadosamente en la mecánica de este método de razonamiento. En el laboratorio, en los negocios, como jurados, o en la mesa de bridge, los juicios se forman por inferencia probable. Pocos tienen las facultades de un Sherlock Holmes o pueden presumir de tan afortunadas deducciones. Y sin embargo, en casi todo nuestro pensamiento cotidiano, nos vemos obligados a desempeñar el papel de detectives aficionados, lógicos y matemáticos.
Cuando está nublado y hace calor, decimos: "Probablemente lloverá." El meteorólogo puede exigir mejores pruebas antes de aventurarse a formular una predicción. Necesitará conocer la presión barométrica, las isóbaras y las tablas de precipitación pluvial. Pero el hombre de la calle hace su predicción con mucho menos. El dinero ganado rápidamente y en forma abundante y misteriosa durante la vigencia de la ley seca era probablemente el fruto del contrabando de licores. El hombre que recibe unos pocos golpes con el pie debajo de la mesa de bridge deduce que probablemente está jugando mal, ya sea un hombre de negocios o de ciencia.
Y así razonamos sobre cuestiones que van de lo más trivial a lo más importante haciendo frecuente empleo de palabras y expresiones tales como: "probable", "la probabilidad es" o "los riesgos son", sin tener, no obstante, una idea precisa de lo que significa probabilidad. Y sin embargo, no es precisamente por falta de definiciones. En verdad que los hombres de ciencia prácticos han dejado, por lo común, la tarea de definir e interpretar la probabilidad a los filósofos, atentos quizás al aforismo galo que expresa que la ciencia está continuamente haciendo progresos porque nunca tiene certeza en sus resultados. Pero mientras los hombres de ciencia han quedado satisfechos con extender los usos de la probabilidad matemática y perfeccionar sus métodos, los filósofos y los matemáticos han intentado definirla.
Sobre la base de muchas opiniones y teorías contradictorias, han cristalizado tres interpretaciones principales.
El punto de vista subjetivo de la probabilidad, aunque ahora algo pasada de moda, en una época (especialmente en el siglo pasado) tuvo una posición muy respetable. Uno de sus principales defensores y comentadores fue Augustus de Morgan, el célebre lógico y matemático. Pensaba que la probabilidad se refería a un estado de la mente, al grado de certidumbre o de incertidumbre que caracteriza nuestras opiniones. Este punto de vista no es del todo erróneo; las principales dificultades que ocasiona surgen cuando intentamos justificar, sobre dichas bases, un cálculo de probabilidad.
Una proposición es verdadera o falsa[82], pero nuestro conocimiento es, para la mayor parte de las proposiciones, tan limitado que no podemos estar racionalmente seguros de su verdad o falsedad. Para formarnos una creencia racional debemos tener algún conocimiento sobre el particular. A veces dicho conocimiento puede ser suficiente para justificar nuestra certidumbre de que la proposición es verdadera o falsa. Así, por ejemplo, estamos seguros de que Sócrates no era ciudadano norteamericano e igualmente estamos seguros de que Hitler debió haber seguido siendo un pintor de casas. Por otra parte, entre los extremos de la certidumbre, hay una gama de opiniones que corresponden al grado de nuestros conocimientos.
En un sentido, es indudablemente cierto que nuestras opiniones racionales son subjetivas. A pesar de eso, si estamos convencidos de la verdad o falsedad objetiva de todas las proposiciones, no podemos, si es que queremos ser racionales, dejarnos guiar por la sola intensidad de la creencia. Como principio, las conclusiones imperfectas basadas en conocimientos limitados y razonamientos correctos, son infinitamente preferibles a los resultados correctos obtenidos por razonamientos defectuosos. Es únicamente así como nos aproximamos, débilmente, a la vida de la razón.
Además, creemos que si la noción de probabilidad es tratada matemáticamente, debe proporcionamos un mejor material para medir, más adecuado que la simple fuerza de la creencia. En la mayor parte de los casos no puede asignarse una magnitud numérica a la relación de probabilidad; sin embargo, la probabilidad sólo puede ser considerada por el matemático cuando es medible y contable. Si la probabilidad debe servir para describir ciertos aspectos del mundo mediante fracciones, debe ser expresable como un número. Cuando una cosa no puede suceder, su probabilidad es 0; si es indudable que ocurrirá, su probabilidad es 1. Toda probabilidad comprendida entre estos extremos puede expresarse como una fracción que varía entre 0 y 1. Pero formar estas fracciones implica medición y recuento; ¿y de qué dispone el matemático para medir la "intensidad de una creencia"? Éste es un problema para el psicólogo. Aun cuando pudiera inventarse un instrumento para medir la intensidad de las opiniones, su valor sería poco mayor que el del detector de mentiras, esa joya de la jurisprudencia. Las personas difieren mucho en sus pareceres sobre el mismo conjunto de hechos. Lo que para un hombre es perfectamente evidente, para otro no resulta de manera alguna convincente; y nuestras opiniones, a menudo vagamente concebidas y relacionadas sin cohesión alguna, están demasiado vinculadas a nuestras emociones y prejuicios como para considerarlas aisladamente.
Una de las dificultades que surgen del punto de vista subjetivo de la probabilidad, resulta del principio de razón insuficiente. Este principio, que constituye la base lógica sobre la cual debe asentarse el cálculo de probabilidades desde el punto de vista subjetivo, sostiene que, si ignoramos completamente los diferentes modos en que puede ocurrir un suceso y no tenemos, por lo tanto, ninguna base razonable de preferencia, es tan probable que ese suceso ocurra de una manera como de otra. Desde que por vez primera este principio fue enunciado por Jacques Bernoulli, ha sido detenidamente analizado por los matemáticos. Como el principio se basa sobre la ignorancia, parecería deducirse que el cálculo de la probabilidad será más efectivo cuando lo usen aquellos que tengan una "ignorancia igualmente equilibrada". Por mucho que los hombres se aproximen a este ideal, los filósofos y los matemáticos se tienen en más alta estima y, así, el principio ha caído en desuso.
Sin embargo, contiene un elemento de verdad y no puede desarrollarse ningún cálculo de probabilidad compatible, sin depender de él en cierto modo. Principalmente, tiene valor como criterio negativo en el sentido de que no puede decirse que dos acontecimientos son igualmente probables si hay fundamentos para preferir uno al otro.
Cuando se usa sin gran cautela, el principio de razón insuficiente da lugar a contradicciones. Dos ejemplos: Tómese el caso de un mono al que se le da una cantidad de tarjetas, cada una de las cuales lleva impresa una palabra. ¿Es igualmente probable que, de cualquier manera que las ordene, producirá o no una frase con sentido? Esto, aunque evidentemente absurdo, es lo que parecería deducirse del principio de razón insuficiente. Del mismo modo, no teniendo evidencia de si Marte está habitado o no, podríamos llegar a la conclusión de que la probabilidad de que esté exclusivamente habitado por nazis es ½, y podríamos asimismo concluir que la probabilidad de cada una de las proposiciones: "Marte está exclusivamente habitado por necios" y "Marte está exclusivamente habitado por hormigas blancas" es también ½. Pero esto nos pone frente al caso imposible de tres alternativas que se excluyen, todas tan probables así como no probables[83].
Una teoría mucho más aplicable y difundida, que evita algunas de estas dificultades, es la frecuencia relativa o interpretación estadística. Puede atribuirse, en gran medida, a este punto de vista el adelanto registrado en la aplicación de la probabilidad, no sólo a la física y a la astronomía, sino también a la biología, a las ciencias sociales y a los negocios. La interpretación estadística está estrechamente relacionada con el punto de vista expresado por Aristóteles: lo probable es aquello que ocurre usualmente.
Se considera a la probabilidad como la frecuencia relativa con la cual ocurre un suceso en cierta clase de acontecimientos. Así, la probabilidad de un suceso está expresada como una relación matemática definida que se fija hipotéticamente. La hipótesis puede ser verificada ya sea racionalmente, demostrando, por ejemplo, que en base a nuestro conocimiento de las causas mecánicas, una moneda o un par de dados deben caer de cierta manera; o experimentalmente, demostrando que la moneda o el par de dados caen, efectivamente, de esa manera.
Supongamos que se arroja al azar una moneda. No teniendo conocimientos especiales, no hay razón para predecir cómo caerá la moneda, si cara o cruz. Si es arrojada muchísimas veces y se registra la relación entre cara y cruz, supongamos que se obtienen las siguientes frecuencias:
| Número de tiradas | Resultados |
| 15 | 6 caras; 9 cruces |
| 20 | 9 caras; 11 cruces |
| 30 | 16 caras; 14 cruces |
| 40 | 21 caras; 19 cruces |
| 80 | 41 caras, 39 cruces |
| 150 | 74 caras; 76 cruces |
Notamos que la relación de caras y el número total de tiradas, a medida que éste aumenta, se aproxima más y más a la fracción ½, que representa la frecuencia relativa del conjunto de caras en el conjunto mayor de tiradas. Anticipamos entonces una predicción general, obtenida de un gran número de casos particulares y suponemos que el futuro será consistente con el pasado.
Sin embargo, consideremos por ahora: ¿Qué justificación hay para dar semejante paso? Habiendo realizado nuestro experimento y determinado la frecuencia relativa, decimos ahora que la probabilidad de obtener una cara es ½. Evidentemente, esa proposición es una hipótesis. Con nuevos experimentos podremos reforzar nuestra creencia en esa hipótesis, o bien servirán para que la modifiquemos o la abandonemos. La suposición (basada en nuestro experimento) es que en un gran número de casos, las caras aparecerán tantas veces como las cruces. Si los resultados no corroboran esta hipótesis, llegamos a la conclusión de que la moneda es, quizá, más pesada de un lado que de otro. Pero es importante recordar que ya que la demostración no es lógica, sino solamente experimental, nunca es completa, pues está sujeta siempre a ulteriores experimentos. Una demostración lógica es solamente posible si se conocen todas las causas que afectan a un evento. Evidentemente, fuera de las matemáticas mismas, no puede aparecer una ocasión semejante. De este modo, la verificación de una hipótesis por la experimentación, sólo puede demostrar que, en la práctica real, la frecuencia relativa se aproxima a la probabilidad pronosticada, esto es, que nuestras suposiciones son confirmadas por la experiencia.
Es oportuno señalar en qué forma el método lógico o deductivo difiere del experimental. "El proceso de inducción, que es básico en todas las ciencias experimentales, está desterrado para siempre de las matemáticas rigurosas..."[84] A fin de demostrar una proposición en matemáticas, ni siquiera un enorme número de casos donde se apreciara su validez sería suficiente, por cuanto una excepción bastaría para invalidarla. Las proposiciones de matemáticas son solamente verdaderas si no conducen a contradicciones. Pero fuera de las matemáticas, en todas las demás actividades humanas tal restricción tendría un efecto paralizador. El procedimiento científico se apoya sobre la misma regla empírica conveniente que nos sirve de guía en los asuntos prácticos: Una hipótesis es valedera si con más frecuencia nos lleva a resultados correctos que a resultados incorrectos; las verificaciones experimentales son completamente decisivas —hasta que el experimento llevado a cabo al día siguiente las invalide.

Figura 76
La solución de la mayor parte de los criptogramas depende muchísimo de cierto conocimiento estadístico, como asimismo de deducciones perspicaces. Holmes dedujo su método de solución de otro ya indicado por Edgar Allan Poe en The Gold Bug.
"Sin embargo, habiendo ya conocido que los símbolos representan letras y habiendo aplicado las reglas que nos guían en todas las formas de las escrituras secretas, la solución era bastante fácil. El primer mensaje que me fue presentado era tan breve que me resultaba imposible decir con seguridad que el símbolo X representaba una E. Como usted sabe, la letra E es la más común del alfabeto inglés y predomina de tal modo que aun en una frase corta es dable encontrarla frecuentemente. De los quince símbolos contenidos en el primer mensaje, cuatro eran iguales, de manera que era razonable suponer que representaban la letra E. Verdad es que en algunos casos la figura sostenía una bandera y en otros no, pero era probable, de acuerdo a la manera en que estaban distribuidas las banderas, que las mismas habían sido utilizadas para dividir la frase en palabras. Acepté esto como una hipótesis, anotando que la letra E estaba representada por el símbolo X.
Pero ahora surgió la verdadera dificultad en la investigación. El orden de las letras inglesas después de la E, no está, en modo alguno, bien definido y cualquier preponderancia que se observe en el promedio de una hoja impresa puede trastocarse en una sencilla frase corta. Hablando en términos generales: T, A, O, I, N, S, H, R, D y L es el orden de más frecuente aparición de las letras, pero T, A, O e I están casi igualadas y sería una tarea interminable ensayar cada combinación hasta llegar a dar con un significado. Por lo tanto, esperé obtener material fresco. En mi segunda entrevista con Mr. Hilton Cubitt, pudo proporcionarme otras dos frases breves y un mensaje que parecería estar formado por una sola palabra, puesto que no tenía bandera alguna. Ahora bien, en la palabra única ya he conseguido las dos E, segunda y cuarta en un vocablo de cinco letras. Podría ser "sever" (separar), "lever" (palanca) o "never" (nunca). No puede haber duda alguna de que esta última acepción, considerada como una respuesta a un llamado, es, con mucho, la más probable y las circunstancias la señalaban como una respuesta escrita por la dama. Aceptándolo así, podemos afirmar ahora que los símbolo
Pero, con todo, aún hallaba una dificultad considerable, cuando una idea feliz me puso en posesión de varias otras letras. Se me ocurrió que si estos requerimientos provenían, como lo esperaba, de alguien que había sido amigo íntimo de la dama de su juventud, una combinación que contenía dos veces E, con tres letras intercaladas, podría muy bien significar el nombre "ELSIE". Al examinarlo, observé que dicha combinación constituía la terminación del mensaje y que se repetía tres veces. Se trataba, evidentemente, de algún llamado a "Elsie". De esta manera conseguí mi L, S, e I. Pero, ¿qué clase de llamado podría ser? Había sólo cuatro letras en la palabra que precedía a "Elsie" y terminaba en E. Con toda seguridad la palabra debía ser "COME" (Venga). Ensayé todas las palabras de cuatro letras que terminan con E, pero no pude encontrar una que se adaptara a este caso. Luego, estaba ya en posesión de C, O y M y en condiciones, por lo tanto, de atacar al primer mensaje una vez más, dividiéndolo en palabras y colocando puntos en el lugar de cada símbolo aún desconocido. De esta manera obtuve:
.M .ERE .E SL. NE.
Ahora bien la primera letra sólo puede ser A, lo cual constituye un descubrimiento muy útil, puesto que se repite no menos de tres veces en esta breve frase y también es evidente la H en la segunda palabra. Queda entonces:AM HERE A. E SLANE.
Y llenando los vacíos evidentes en el nombre resulta: AM HERE ABE SLANEY (Estoy aquí, Abelardo Slaney).A pesar de los brillantes éxitos alcanzados por el método estadístico, el mismo es susceptible de serias objeciones.
Mientras que algunas de sus dificultades pueden remediarse sin perjudicar en gran parte su utilidad, otras no pueden eliminarse tan fácilmente.
El concepto de límite, que desempeña un papel tan importante en muchas ramas de las matemáticas, se usa también en estadística, aunque aquí su empleo apenas puede ser defendido, puesto que este concepto se presenta, con propiedad, en relación a procesos infinitos. El estadístico lo usa diciendo que las frecuencias se aproximan a una razón límite, pero ni el estadístico ni el físico tratan con el infinito, sino más bien con fenómenos que, por grandes y complejos que sean, son finitos y limitados. El hecho de que un experimento produzca el mismo resultado 1.000 veces seguidas no constituye una prueba de que los resultados subsiguientes serán compatibles con los anteriores. Incluso Scherezade pudo haber contado un cuento muy desagradable en la noche mil dos.
Difícilmente puede decirse que las frecuencias relativas se aproximan a un límite matemático. El concepto de límite, tal como se le emplea en la teoría de la frecuencia relativa tiene, en términos generales, la misma relación con el concepto matemático de límite como el razonamiento por inferencia probable con respecto al silogismo.
Frecuentemente se hacen referencias a la probabilidad de acontecimientos del pasado, aunque semejante probabilidad, en función del punto de vista de la frecuencia relativa no tiene, aparentemente, significado alguno: "Es poco probable que John Wilkes Booth escapara de los soldados federales después del asesinato de Lincoln", o "Enrique VIII probablemente no estaba tan interesado en la Reforma, cuando rompió con el Papa, como en librarse de Catalina de Aragón". ¿Cómo serán evaluadas tales proposiciones, si la probabilidad es la frecuencia relativa de un suceso dentro de una clase de acontecimientos? En realidad, tratándose de un suceso pasado o futuro, ¿qué quiere decir la probabilidad de un solo suceso?
Cualquiera que sea la interpretación de la probabilidad que se anticipe, este problema es particularmente difícil. La opinión más acreditada es que la probabilidad no tiene significado alguno cuando se aplica a un único suceso, ya sea pasado o futuro.
De acuerdo a la interpretación estadística, la probabilidad se puede referir a un único suceso solamente en relación a una clase de acontecimientos similares. Pero esto, a menudo, lleva a confusiones. Todo el mundo estará de acuerdo en que el siguiente razonamiento es absurdo: En cierta comunidad, el registro de nacimientos en los últimos 10 años, acusa una relación de 51 niñas a 50 niños. Las primeras 35 criaturas nacidas en un mes determinado son niñas. El señor Gómez, que está esperando ser padre, está, por lo tanto, seguro de que las probabilidades están a su favor y que su esposa le obsequiará con un niño, debido a la "ley de los promedios" [Para no dejar al lector en suspenso, aclaremos que el Sr Gómez está en la misma situación que si no hubieran sucedido los nacimientos de las primeras 35 criaturas].
Por otra parte, es un error muy común de la misma naturaleza y en el cual todavía incurrimos intuitivamente, que si X saca siete cinco veces seguidas al tirar los dados, la probabilidad de obtener otro siete en la próxima tirada es mucho menor que para cualquier otro número particular. Nos resulta difícil creer que la probabilidad matemática, el azar de un futuro suceso, donde los acontecimientos son independientes, no es afectada, para nada, por lo que ya ha sucedido.
En nuestra vida diaria rechazamos instintiva y deliberadamente este principio. Cuando la lógica dice "se debe", contestamos frecuentemente: "Ahora no." El famoso pragmático Charles S. Peirce describe muy bien este punto: "Si un hombre tuviese que elegir entre retirar una carta de un juego de naipes que contiene 25 cartas rojas y una negra, o de un juego de naipes constituido por 25 cartas negras y una roja; y si por retirar una carta roja su destino lo transportase a la eterna felicidad mientras que si extrae una carta negra le está deparado el eterno infortunio, sería insensato negar que preferiría elegir del juego de naipes que contiene la mayor proporción de cartas rojas, aunque dada la naturaleza del riesgo, no podría repetirlo. No es fácil conciliar esto con nuestro análisis de la concepción del azar. Pero supongamos que haya elegido el juego de naipes rojo y que haya extraído la carta negra. ¿Qué consuelo tendría? Podría decir que procedió de acuerdo con la razón, pero ello sólo demostraría que su razón carecía absolutamente de valor. Y si hubiese elegido la carta roja, ¿de qué otra manera podría considerarlo sino como un accidente feliz? No podría decir que si hubiese elegido del otro juego de naipes podría haber sacado la tarjeta nefasta, porque una proposición hipotética tal como: "Si A, entonces B", nada significa con respecto a un único caso.[85]
Para finalizar, una breve alusión a una interpretación de la probabilidad, que se atribuye principalmente a Peirce y que parece evitar algunas de las dificultades inherentes a las interpretaciones ya examinadas.[86]
Peirce sostiene que la probabilidad se refiere no a acontecimientos sino a proposiciones. Con algunas modificaciones, se adhiere a este punto de vista John Maynard Keynes en su notable Tratado sobre la Probabilidad. Según Peirce, la probabilidad nada tiene que ver con la intensidad de creencia ni con las frecuencias estadísticas. En lugar de hablar de un suceso tal como "caras", la teoría de la frecuencia verdadera discute proposiciones tales como "Esta moneda al ser arrojada caerá cara". La probabilidad de la verdad de esta proposición debe ser la misma que la frecuencia relativa con la cual tiene lugar el suceso "cara" en una serie de tiradas.
Esta interpretación de la probabilidad es mucho más adecuada para estimar los acontecimientos aislados. La proposición "Probablemente lloverá mañana" significa que las proposiciones sobre el estado del tiempo, temperatura, presión barométrica, etc., nos inducen a formular esa expresión. En otras palabras, si de nuestro conocimiento del tiempo, inferimos esta última proposición, estaremos, más a menudo, en lo cierto que en lo erróneo.
Antes de entrar a considerar unos pocos de los teoremas del cálculo de probabilidades, es menester una advertencia previa. Todo cuanto se ha dicho hasta ahora señala un hecho inequívoco: Ninguna proposición tiene una verdad probable, excepto en relación a otro conocimiento. Decir que una proposición es probable, cuando el conocimiento sobre el que se basa es oscuro o inexistente, es absurdo. A menudo hacemos, indudablemente, afirmaciones tácitas acerca de la probabilidad, donde se comprende claramente a qué conjunto de conocimientos nos referimos. Esto es tan permisible como decir que San Francisco está a 3.000 millas siendo evidente que lo que se quiere decir es que "San Francisco está a 3.000 millas de Nueva York". Como ya se ha destacado, es más loable adherirse a una proposición que resulta errónea, en tanto que, la evidencia en virtud de la cual llegamos a nuestra conclusión es la mejor aprovechable, que adelantar una proposición verdadera en base a un razonamiento defectuoso o hechos incorrectos. Heródoto dice: "Nada hay más provechoso al hombre que tomar buen consejo de sí mismo; porque aun si el acontecimiento resulta contrario a sus esperanzas, la resolución de uno sigue siendo correcta aun cuando no haya sido favorecida por la fortuna; mientras que si un hombre procede contrariamente al buen consejo, aunque sea afortunado, y consiga lo que no tenía derecho a esperar, no por eso su resolución era menos engañosa."
El cálculo del azar
Tomado con moderación, el juego por dinero tiene virtudes innegables. Sin embargo, presenta un curioso espectáculo lleno de contradicciones. Mientras quienes palidecen por temor a las llamas del infierno no se entregan jamás a sus placeres, los grandes laboratorios y las respetables compañías de seguros se levantan como monumentos a una ciencia que tuvo sus orígenes en el cubilete de dados.
El Caballero de Méré, eufemísticamente llamado el "filósofo jugador" del siglo XVII, deseoso de obtener algunos informes sobre el reparto de riesgos en los juegos de dados, se dirigió a uno de los matemáticos más talentosos de todos los tiempos —el apacible y pío Blaise Pascal. Pascal, a su vez, escribió a un matemático aún más célebre, el Consejero Parlamentario de la Ciudad de Toulouse, Pierre de Fermat, y, en la correspondencia que se sucedió, vio por primera vez la luz del día la teoría de la probabilidad.
Pascal no pudo reprimirse ante un leve reproche de De Méré, no porque éste fuese un jugador, sino por la razón más seria de que De Méré no era matemático: "Car, il a trés bon esprit" (escribió a Fermat), "mais il n'est pas geométre; c'est, comme vous savez, un grand défaut". En realidad, el Caballero merecía algo peor, puesto que la respuesta a su pregunta, que evidentemente estorbó a sus negocios, le impulsó a escribir una diatriba sobre la inutilidad de todas las ciencias, en particular la aritmética. Y ésa fue la suerte de la primera asociación de cerebros.
El interés por la probabilidad aumentó, estimulado por las investigaciones de eminentes matemáticos como Leibniz, Jacques Bernoulli, De Moivre, Euler, el marqués de Condorcet y. sobre todo. Laplace. La obra de este último hizo época, pues en su teoría analítica de la probabilidad, llevó el cálculo a un punto tal que Clerk Maxwell pudo decir que es "matemática para hombres prácticos" y Jevons pudo afirmar, en forma completamente lírica (citando al obispo Butler sin declararlo), que las matemáticas de la probabilidad son "la verdadera guía de la vida y difícilmente podemos dar un paso o adoptar una decisión sin hacer, correcta o incorrectamente, un cálculo de probabilidad". Y estas opiniones fueron emitidas aun antes de que el cálculo hubiese alcanzado sus más brillantes éxitos en física y en genética, o en esferas más prácticas[87]. Era en verdad notable, como escribió Laplace, que "una ciencia que se inició con las consideraciones del juego, se hubiese elevado a los objetos más importantes de la sabiduría humana".
Al desarrollar un cálculo de probabilidades es necesario hacer ciertas suposiciones ideales. En particular, dado que muchísimas cosas a las que desearíamos aplicarlo no son susceptibles de medida, debemos ser doblemente cuidadosos en que los axiomas y postulados que formulemos sean precisos, de modo que su campo de aplicación pueda establecerse fácilmente. Ya nos hemos referido al hecho de que la probabilidad matemática de un acontecimiento oscila entre 0 y 1. La probabilidad de un acontecimiento imposible es 0 y la de uno seguro es 1.
Debemos ahora definir qué significa "equiprobable" (igualmente probable). Esto constituye una tarea relativamente difícil; pero, para nuestros propósitos, podemos acortar el camino empleando una definición aproximada.
Dos acontecimientos contingentes serán considerados equiprobables si, ya sea por falta de evidencia, o después de considerar todas las circunstancias que hagan al caso, no es de esperar que se dé un acontecimiento con preferencia al otro.Quizás el lector descubra una incongruencia. ¿No se le había advertido, acaso, que no puede apreciarse probabilidad alguna donde falta un conocimiento relevante o apropiado? Sin embargo, aquí se dice que dos proposiciones, o dos acontecimientos, pueden ser igualmente probables, aun si carecemos de conocimiento alguno, cualquiera que sea. ¡Pero ahí está la clave! Un poco de conocimiento es peligroso, mientras que carecer de él por completo es mucho más satisfactorio. Para nuestros fines invocamos el principio de razón insuficiente, de acuerdo al cual, a falta de un conocimiento sobre dos acontecimientos, los consideramos igualmente probables. El lector no debe olvidar que nuestra definición es sólo aproximada —muy burda. Y también que es posible saber que dos cantidades son iguales sin saber qué son. Así, alguien que tenga un conocimiento general sobre los juegos puede saber que en el ajedrez ambas partes comienzan con fuerzas iguales, sin saber cuáles son éstas, o cualquier otra cosa acerca del juego.
Si suponemos, entonces, que una moneda es simétrica, es equiprobable que caerá cara o cruz, ya que no hay razón alguna para anticipar un resultado u otro.
Si hay un número de modos equiprobables en que puede ocurrir un suceso y un número de modos equiprobables en que no puede suceder, la probabilidad de que ocurra el suceso es la relación existente entre el número de modos en que el suceso puede acontecer, con respecto al número total de modos en el que puede y no puede suceder. La moneda puede caer cara o cruz. La probabilidad de que sea cara es pues, la relación:
Cara/Cara + Cruz = ½
En general, si llamamos favorables a los modos en que un acontecimiento puede suceder y desfavorables a los modos en que no puede ocurrir, la probabilidad de un suceso está dada por la fracción F/F + D.Incumbe a la combinatoria, rama de las matemáticas que se ocupa de las permutaciones y las combinaciones, determinar el número de modos diferentes en que un acontecimiento puede suceder. Es el estudio de la posibilidad matemática y proporciona un marco ideal para las matemáticas de la probabilidad.
Los problemas típicos de permutaciones y combinaciones tienen un aspecto árido y monótono. Al principio cuesta trabajo creer que los conocimientos que se adquieren al resolver problemas de este tipo puedan servir de mucho en otros estudios: "Cuatro viajeros llegan a un pueblo donde hay 5 hosterías. ¿De cuántas maneras distintas pueden alojarse, cada uno, en un hotel diferente?" Tampoco parece que una teoría que sirve para determinar de cuántas maneras diferentes se pueden ordenar las letras de la palabra Mississippi[88], pueda ser útil ya sea para determinar la física del átomo o para fijar las tasas de seguros. Sin embargo, los teoremas del análisis combinatorio son la base del cálculo de la probabilidad. Tenemos que saber calcular el número total de modos diferentes en que un evento puede suceder, antes de aspirar a predecir cómo es probable que suceda.
Nuestra moneda, con la que ya hemos trabajado tanto, nos proporciona nuevamente un ejemplo. Para ello la arrojamos tres veces seguidas, siendo posibles los resultados de la figura 77.
Estos ocho resultados posibles contestan todas las preguntas que podrían formularse en permutaciones y combinaciones. Pero además, cualesquiera otras que surjan en el cálculo de la probabilidad, podrían también responderse con ayuda de este diagrama. Así, la probabilidad de obtener 3 caras, la da la relación:
F/F + D = 1/8
La probabilidad de conseguir 2 caras y 1 cruz es la relación de los casos 2, 3, 5, a todos los casos posibles, vale decir 3/8.
Figura 77. Los resultados posibles de tirar tres veces una moneda. Las flechas indican los casos en que se producen dos caras y una cruz.
Sucesos que se excluyen mutuamente
I. Habiendo cuatro ases en un juego de naipes, la probabilidad de retirar un as de 52 cartas, es 4/52 = 1/13. Pero cuál es la probabilidad de retirar ya sea un as o un rey de un juego de naipes, en una sola vez? Ésta es la probabilidad de sucesos que se excluyen mutuamente o alternativos; si uno de los dos sucesos ocurre, el otro no puede acontecer. Un teorema del cálculo expresa que la probabilidad de que ocurra uno entre varios sucesos que se excluyen mutuamente, es la suma de las probabilidades de cada uno de los sucesos aislados. La probabilidad de obtener un as o un rey es, por lo tanto:
1/13 + 1/13 = 2/13
¿Cuál es la probabilidad de sumar 6 ó 7, al tirar un par de dados? Podemos enumerar la totalidad de casos favorables de 6 ó 7 y luego verificar nuestros resultados con el teorema.
Si hubiésemos aplicado el teorema, habríamos tomado la suma de las probabilidades por separado, es decir: 5/36 + 6/36
Sucesos independientes
II. Se dice que dos sucesos son independientes uno de otro, si el acontecer de uno no está, en modo alguno, relacionado con el acontecer del otro. Se tira dos veces una moneda. ¿Cuál es la probabilidad de obtener 2 veces cara? El teorema correspondiente establece que la probabilidad de que ocurran a la vez dos sucesos independientes es el producto de las probabilidades individuales de cada uno de los sucesos.La probabilidad de obtener dos caras seguidas es, por lo tanto:
1/2 × 1/2 = 1/4

Figura 78. Cada cuadrado representa un resultado equiprobable. Por ejemplo, el cuadrado señalado con la letra A representa la obtención de un 4 con un dado y 5 con el otro. De las treinta y seis posibilidades, cinco resultan con 6 y seis resultan con 7.
1/2 × 1/2 × 1/2 = 1/8
Consideremos ahora un problema de forma ligeramente distinta:Al tirar una moneda dos veces seguidas, ¿cuál es la probabilidad de obtener, por lo menos, una cara? Este problema puede resolverse fácilmente sin enumeración, determinando la probabilidad del suceso deseado que no sucede y restando de 1 esta fracción. Ya que la probabilidad de obtener dos cruces seguidas, que es la única alternativa de sacar, por lo menos, una cara, es ¼, la probabilidad de por lo menos una
1 - ¼ = 3/4
D'Alembert, en su artículo sobre probabilidad en la famosa Encyclopédie, reveló que no comprendía el teorema de multiplicar probabilidades independientes. Dudaba que la probabilidad que acabamos de indicar fuese 3/4 razonando que si una cara aparecía en la primera tirada el juego habría terminado, pues no era necesario continuar con una segunda. Enumerando sólo tres casos posibles: Cara, Cruz-Cara y Cruz-Cruz, llegó a la probabilidad 2/3. Pero le faltó considerar que la primera alternativa no era, en sí misma, más probable que la alternativa de obtener una cruz.Aun cuando D’Alembert entendió decididamente mal los fundamentos de la probabilidad, algunas de sus ideas anunciaron la interpretación estadística. Sugirió que haciendo experimentos, podrían estimarse aproximaciones de probabilidades deseadas.
Mucho antes de la ola de entusiasmo por la estadística, que barrió Europa a mediados del siglo XIX, se llevaron a cabo experimentos de la naturaleza sugerida por D’Alembert. Un naturalista del siglo XVIII, el conde Buffon, realizó muchos experimentos, el más famoso de los cuales es su "Problema de la Aguja".
Veamos en qué consiste: una superficie plana está dividida por líneas paralelas (como en la figura 79), separadas entre sí por una distancia H; tomando una aguja de longitud L, menor que H.

Figura 79. Problema de la aguja del conde Buffon.
Experimentos más completos fueron realizados en el año 1901 por un matemático italiano, Lazzerini, quien, dejando caer la aguja 3.408 veces, obtuvo para π un valor igual a 3,1415929, con un error de sólo 0,0000003. Difícilmente podría uno esperar hallar un mejor ejemplo de la interrelación de todas las matemáticas. Hasta aquí hemos visto a π de tres maneras: como la relación de la circunferencia de un círculo a su diámetro, como el límite de una serie infinita y como una medida de la probabilidad.
Probabilidad compuesta
III. El teorema que trata de la probabilidad de acontecimientos independientes, puede, algunas veces, ser extendido provechosamente para tratar casos en que las probabilidades no son realmente independientes.
Una bolsa contiene una bola blanca (B) y dos negras (N); la probabilidad de retirar una bola negra es 2/3 y la de una bola blanca es 1/3. Supongamos dos extracciones sucesivas de la misma bolsa, reemplazando la bola después de cada extracción. Ahora, la probabilidad de retirar dos B seguidas, 1/3 × 1/3 =1/9 y de retirar dos N seguidas es 2/3 × 2/3 =4/9.
Sin embargo, si después de cada extracción no se reemplazan las bolas, las extracciones dejan de ser independientes y dependen una de la otra. Después de cada extracción debe calcularse la nueva probabilidad a fin de formar la probabilidad compuesta correcta. Después de haber retirado una bola, la probabilidad de extraer dos N seguidas, sin haber habido reemplazos, es 2/3 × 1/2 = 1/3.
Que la probabilidad de la segunda extracción depende del resultado de la primera, se demuestra también por el hecho de que la probabilidad de sacar dos B es cero, si no se hace un reemplazo, mientras que es 1/9 si la B es reemplazada en el caso de haber sido retirada la primera vez.
IV. Hasta ahora hemos considerado la probabilidad de sucesos: que se excluyen mutuamente, dependientes e independientes. Si se hacen variar y se combinan estos factores, resultan nuevos métodos interesantes.
Una bolsa contiene 6 bolas blancas (B) y 6 negras (N). Si se retira una bola, son equiparables dos acontecimientos, ya sea B o N.
Esto puede indicarse así:
(a) (1) B, (2)N = 21
Los resultados posibles, en dos extracciones, son:
(b) (1) BB. (2) BN. (3) NB. (4) NN = 22
En tres extracciones hay ocho resultados posibles:

En cuatro extracciones hay dieciséis:

Entonces, en general, para n extracciones hay 2n resultados posibles. ¡Pero este conocimiento es la clave de un método muy valioso! Aprovechémonos de un teorema importante de otra rama de las matemáticas: el teorema del binomio.
Si indicamos con B la extracción de una bola blanca y con N la de una negra, al desarrollar la expresión (B + N)2, de acuerdo al teorema del binomio, obtenemos:
B2 + 2BN + N2
Ahora bien, esta expresión algebraica indica lo que ya se señaló explícitamente en el apartado (b), es decir: todos los resultados posibles de dos extracciones practicadas en una bolsa que contiene el mismo número de bolas negras y blancas. Así[89]:
B3 + 3B2N + 3BN2 + N3
pues, nuevamente:
1/8,3/8, 3/8 y 1/8
Para n extracciones seguidas, el teorema general del binomio da[90]:
Ahora bien, para cada extracción la probabilidad de una B es 3/5 y la de una N es 2/5. Desarrollando:
(B + N)5= B5 + 5B4N + 10B3N2- + 10B2N3 + 5BN4 + N5
El resultado, cuya probabilidad buscamos, es B3N2 ya que representa 3B y 2N. Hay diez resultados posibles puesto que el coeficiente del término B3N2, es 10. La probabilidad buscada, que es compuesta, debe ser, por lo tanto:
La equiprobabilidad es, en el mundo físico, simplemente una hipótesis. Podemos emplear el mayor cuidado y usar los instrumentos científicos más exactos para determinar si una moneda es o no simétrica. Si estamos satisfechos en que lo es y nuestras pruebas en ese sentido, es concluyente, nuestro conocimiento, o mejor aún nuestra ignorancia, con respecto al enorme número de otras causas que afectan la caída de la moneda es tan insondable, que la simetría de la misma es un mero detalle. Luego la proposición "cara y cruz son equiprobables" es, en el mejor de los casos, una suposición.
Sin embargo, el cálculo de la probabilidad solamente es útil una vez que hemos hecho una suposición —una suposición que, como todas las hipótesis en la ciencia, debe justificar su existencia por su utilidad y que, además, debemos estar preparados para modificar o descartar cuando la experiencia deja de corroborarla.
Siguiendo tan atrevido procedimiento, las matemáticas de la probabilidad han tenido notable éxito en la ciencia y en el comercio. En los siglos XVIII y XIX, cuando la ciencia y la filosofía estaban casi por completo bajo el influjo de ideas mecanicistas, se supuso con entusiasmo que el cálculo de la probabilidad supliría toda "ignorancia y flaqueza de la mente humana". El cálculo ayudaría a iluminar aquellas regiones del conocimiento donde el faro de la ciencia no alumbraba aún muy brillantemente.
Es fácilmente comprensible que se hiciera popular una filosofía materialista, conveniente y dogmática, en un mundo que había sido testigo de una sucesión de proezas científicas, desde Kepler a Galileo y desde Newton a Laplace. El concepto materialista está basado en una fe intuitiva en la regularidad y el orden periódico en que se cumplen los fenómenos naturales, desde el comportamiento de los átomos hasta el nuestro al levantamos por la mañana. Los hombres esperaban, y la historia de la ciencia hasta hacía muy poco los alentaba a creerlo, que la ciencia explicaría todos los milagros y revelaría todos los secretos, que el futuro estaba contenido en el pasado y que, por lo tanto, debía parecerse a él, y en consecuencia, las experiencias del pasado ayudarían a predecir el futuro.
Como representante sobresaliente de estos puntos de vista, Laplace depositaba mucho mayores esperanzas en los límites de los conocimientos que en el modesto crepúsculo de la mediocridad en el que la mente humana, según opinaba Locke, tendría que andar siempre a tientas.
"Es nuestro deber entonces’', escribió Laplace, "considerar el estado actual del Universo como un efecto de su anterior estado y como la causa de uno que lo sucederá. Si fuera dable tener por un instante una inteligencia que pudiera abarcar todas las fuerzas que animan a la naturaleza y la situación respectiva de los seres que la componen —una inteligencia suficientemente enorme como para someter al análisis estos datos— comprendería en la misma fórmula el movimiento de los cuerpos más grandes del Universo y el del átomo más liviano; para ella nada sería incierto y el futuro, así como el pasado, se presentarían ante sus ojos"[91].
Cuando Napoleón le preguntó a Laplace en qué lugar de su obra monumental Mécanique Céleste había alguna referencia a la Divinidad, se dice que le respondió: "Señor, no tengo necesidad de esa hipótesis." Oyendo a Napoleón relatar esta anécdota, Lagrange hizo notar: "Esa, Excelencia, es una hipótesis maravillosa." La física moderna, y en realidad toda la ciencia moderna, es tan humilde como Lagrange y tan agnóstica como Laplace. No creyendo en Dios, no se atribuye a sí misma ni omnisciencia divina, ni la posibilidad de alcanzarla.
Allá por el siglo XVIII se tenía la convicción de que la utopía de la perfección moral y política estaba cercana, y más todavía, la perfección en las ciencias físicas. Aunque no se hubieran descubierto todavía las leyes naturales exactas que gobernaban estos campos, nadie dudaba de que existieran. Entre tanto, el cálculo de probabilidades supliría la deficiencia. Cierto era que no se conocían con tanta precisión los fenómenos sociales como los movimientos de los planetas, pero se daba por seguro que al ser estudiados a gran escala presentarían las mismas regularidades que aquéllos. La probabilidad iba a ser un recurso provisional, a modo de mapa de artillería, que los hombres de ciencia completarían a su debido tiempo.
Las esperanzas eran muchas y entre aquellos que más esperaban se contaba el marqués de Condorcet. La teoría de la probabilidad, pensaba, podría aplicarse eficazmente a los juicios de los tribunales a fin de reducir a un mínimo el peligro de fallos erróneos. Con ese propósito sugirió que, aumentando el número de jueces en cualquier tribunal, se asegurarían muchísimas opiniones independientes que, al ser aunadas, constituirían una salvaguardia de la verdad, neutralizando las opiniones extremas y los puntos de vista perjudiciales. Desgraciadamente Condorcet olvidó tomar en consideración otros numerosos factores, de los cuales no era el menor la lógica de los devotos de la guillotina, y precisamente fue a ésta a la que lo envió finalmente, como una ironía y una tragedia a la vez, el juicio de un tribunal revolucionario, compuesto por muchos jueces, todos los cuales sostenían las mismas opiniones extremas.
En la atmósfera menos caldeada del siglo XIX, fueron vindicados algunos de los puntos de vista de Condorcet —ya que no en la moral ni en la política, por lo menos en la ciencia y en la industria. La consideración estadística de la naturaleza alteró el mapa de la ciencia en los siglos XIX y XX, tanto, quizá, como los inventos y los descubrimientos del laboratorio. En realidad (y no nos cansamos de destacar este punto), la consideración estadística se ha difundido y ha penetrado tanto en el pensamiento científico moderno y en el método, que ha llegado mucho más allá de lo que Condorcet podría haberse imaginado. Pero el materialismo fundamental de su tiempo, que acompañó a esta fe en la probabilidad, se ha desvanecido por completo.
En lugar de servir como un recurso, como un sustituto para las leyes naturales aún no reveladas, la deducción estadística ha llegado a tiempo para suplantarlas casi completamente. Esto significa un cambio en la interpretación de la realidad física, comparable en importancia intelectual al Renacimiento. Teniendo esto bien presente, los físicos contemporáneos se refieren frecuentemente al Renacimiento de la Física Moderna.
En su gran obra sobre la Teoría Analítica del Calor, Fourier enunció el principio que mejor sirve de ejemplo a lo que ya hemos mencionado como el punto de vista clásico de la física, y en realidad de todas las leyes naturales: "Las causas fundamentales nos son desconocidas, pero están sometidas a leyes simples y constantes, que pueden descubrirse mediante la observación; el estudio de ellas constituye el objeto de la filosofía natural." Y continuó, agregando: "El estudio profundo de la naturaleza es la fuente más fecunda en descubrimientos matemáticos... No puede haber un idioma más sencillo, más libre de errores y de oscuridades, es decir, más digno para expresar las relaciones de las cosas naturales... Reúne fenómenos de lo más diversos y descubre las analogías ocultas que los relacionan."
El hombre de ciencia de la actualidad, particularmente el físico, estaría de completo acuerdo con la última parte de esa cita. Convendría en que las matemáticas constituyen el idioma ideal para expresar los resultados de sus observaciones y aun las incertidumbres de sus predicciones. Sin embargo, disentiría sensiblemente con Fourier, cuando éste dice que las leyes que rigen los fenómenos naturales son "simples" y "constantes".
++En lugar de sostener la opinión de que la naturaleza obedece a leyes perfectas y seguras, que es tarea del hombre de ciencia descubrir y explicar, el físico se contenta con formular hipótesis y realizar experimentos para llevar una especie de teneduría de libros científica, con ayuda de la cual hace un balance de tiempo en tiempo. Ese balance no tiene relación alguna con las verdades eternas. Se refiere únicamente a activos y pasivos. En lugar de aplicar su fe a descubrir en todos los fenómenos naturales un orden general, regular y periódico, se contenta con la esperanza de que haya un método casual en la locura del mundo físico; que en lo grande, ya que no en lo pequeño, haya alguna apariencia de un plan.
El viejo dogmatismo materialista parecía excluir ulteriores especulaciones metafísicas acerca de la naturaleza de la realidad y era "cómodo y completo". Tenía el "poder compulsivo de la vieja lógica". El plan general del mundo era riguroso y seguro y los misterios del Universo, sus aparentes incertidumbres, eran las confesiones de nuestra propia incapacidad, de nuestras propias limitaciones. Cuando decíamos que la caída de una moneda estaba determinada por el azar "considerábamos esta confesión de incertidumbre como debida a nuestra propia ignorancia y no a las incertidumbres de la naturaleza".
Pero la nueva física y la nueva lógica han cambiado nuestros puntos de vista tan profundamente como han alterado nuestra distinción básica entre materia y energía. "Comenzamos teniendo prejuicios contra la probabilidad, considerándola como un sustituto, y predispuestos en favor de la causalidad" y terminamos convencidos de que los contornos del mundo "no son definidos, sino vagos" y que nuestras leyes científicas más exactas son sólo aproximadas, aunque bastante buenas para nuestros rudimentarios sentidos. Así, en lugar del silogismo y las leyes de la lógica formal, nuestras ideas sobre el universo físico deben estar formadas enteramente por las reglas de la inferencia probable. Hemos de traducir: "Sócrates es un hombre; todos los hombres son mortales, por lo tanto, Sócrates es mortal", como una proposición sobre el mundo de los hechos, en "Sócrates probablemente morirá, porque de acuerdo con todo lo que sabemos hasta ahora, todos los hombres antes que él han muerto". "Las incertidumbres del mundo las atribuimos ahora, no a las incertidumbres de nuestros pensamientos, sino más bien al carácter del mundo que nos rodea. Es un punto de vista más sensato, más maduro y comprehensivo."[92]
Aquí recordamos las patéticas palabras de Charles Peirce: "Todos los asuntos humanos descansan sobre las probabilidades y la misma cosa es verdadera en todas partes. Si el hombre fuese inmortal, podría estar perfectamente seguro de ver el día en que todo aquello en que había confiado traicionaría su fe, y, en suma, de llegar, con el tiempo, a una miseria sin esperanza. Se derrumbaría, al final, como todas las grandes fortunas, las dinastías y las civilizaciones. En lugar de esto tenemos la muerte.
"Pero lo que, sin la muerte, sucedería a cada hombre, con la muerte debe ocurrirle a algún hombre... Me parece que somos conducidos a ésta, que la lógica requiere inexorablemente que nuestros intereses no serán limitados. No deben detenerse ante nuestro propio destino, sino que deben abarcar a toda la sociedad."
Apéndice
Una discusión sobre la teoría de la probabilidad, mal puede omitir algunas aplicaciones. Son, sin embargo, generalmente muy técnicas, pero el lector más perseverante encontrará, con seguridad, que estas pocas, elegidas al azar, son interesantes.La teoría cinética de los gases y la curva de probabilidad del error
La ley de los gases fue determinada experimentalmente por el físico y químico inglés Robert Boyle (1627-1691), cuya obra más importante lleva el título: El Químico Escéptico: o Dudas y Paradojas Químico-Físicas concernientes a los experimentos mediante los cuales vulgares Espagíricos tratan de demostrar que la Sal, el Azufre y el Mercurio son los verdaderos Principios de las Cosas.
Su ley de los gases establece que la presión de un gas es inversamente proporcional a su volumen. Así: Presión × Volumen = Constante. Pero cualquier volumen de un gas está constituido por un enorme número de moléculas en movimiento, cada una de las cuales posee una velocidad proporcional a su energía. Naturalmente, las colisiones moleculares tienen lugar en gran número, a cada instante.
Se ha estimado que en "el aire ordinario cada molécula choca con alguna otra cerca de 3.000 millones de veces por segundo y que recorre una distancia media de cerca de 1/160 000 pulgadas, unas 0.16 milésimas de milímetro entre dos choques sucesivos." [Sir James Jeans. The Universe Around Us. New York: Macmillan. 1929.]
Suponiendo que estos choques se produzcan con perfecta elasticidad, es decir, sin pérdida de energía, puede deducirse que en cualquier instante habrá algunas moléculas moviéndose en todas direcciones y con todas velocidades.
Matemáticamente demostraron, primero Clausius y posteriormente Maxwell y Boltzmann que P = 1/3 nmV2, donde P es la presión, n, el número de moléculas en la unidad de volumen, m, la masa, de cada una de ellas y V2, el valor promedio del cuadrado de la velocidad.
Al problema de la distribución de las velocidades entre las moléculas, Maxwell aplicó la ley del error de Gauss (de mucha importancia en todas las ramas de la investigación científica) y que se deduce de la teoría de la probabilidad.

Figura 80. Curva normal de la probabilidad.
"La teoría (cinética) demuestra que las moléculas sometidas al riesgo de chocar pueden dividirse en dos grupos, cada uno de los cuales se mueve con cierta variación de velocidad, en la forma ilustrada en el diagrama"(Sir William Dampier. AHistory of Science and its Relations with Philosophy and Religion (New York Macmillan. 1936) (véase la fig. 81).

Figura 81. Velocidad de las moléculas de un gas.
"Las abscisas miden las velocidades y las ordenadas el número de moléculas que se mueven a esa velocidad. Se toma como unidad la velocidad más probable. Se verá que el número de moléculas que se mueven con una velocidad sólo tres veces mayor que la más probable, es casi insignificante.

Figura 82. Esta curva de distribución indica las medidas de los perímetros torácicos de soldados escoceses. Incidentalmente sirve también para describir fenómenos tan variados como los siguientes: 1. Distribución de las edades de los jubilados de una gran empresa. 2. Jugadas en la ruleta. 3. Distribución de los impactos en el tiro al blanco.
La estadística en la antropología
El astrónomo belga, L. A. J. Quételet (1796-1874) de mostró que la teoría de la probabilidad podría también aplicarse a los problemas humanos. Así, la misma distribución se encuentra en las jugadas a la ruleta que en la de las balas alrededor del centro de un blanco, en la medida del perímetro torácico de los soldados escoceses o en las velocidades de las moléculas de un gas [ibid].
Uno de los problemas más antiguos en probabilidad se refiere a la disminución gradual de la probabilidad de un acontecimiento pasado a medida que aumenta la duración de la tradición por la cual está establecido. Quizá la solución más famosa de ello es la respuesta dada por Craig en su Theologiae Christianae Principia Mathematica, publicada en 1699. Demuestra en ella que los escépticos de cualquier historia varían en la razón duplicada de los tiempos tomados desde el comienzo de la historia de una manera tal que ha sido descrita como una clase de parodia de la obra Principia de New- ton. «Craig», dice Todhunter, «llegó a la conclusión de que la fe en el Evangelio, en todo lo que dependiera de la tradición oral, expiró allá por el año 880, y mientras dependiera de la tradición escrita, expiraría por el año 3150. ¡Peterson, adoptando una ley de disminución diferente, llegó a la conclusión de que esa fe terminaría en 1789!»
En el Budget of Paradoxes, De Morgan cita a Lee, el orientalista de Cambridge, al efecto de que los escritores mahometanos, en respuesta al argumento de que el Corán no tiene la evidencia proveniente de los milagros cristianos, afirman que la evidencia de los milagros cristianos se debilita diariamente y al fin deberá llegar el tiempo en que dejarán de proporcionar la seguridad de que hubo milagros y de ahí la necesidad de otro profeta y otros milagros. [John Maynard Keynes. A Treatise on Probabihty (New York and London Macmillan. 1921]
La estadística de las muertes provocadas por incursiones aéreas
El profesor J. B. S. Haldane, en una comunicación a Na- ture (octubre 29 de 1938), analizó las matemáticas de la protección contra incursiones aéreas. Sería muy difícil encontrar un comentario más audaz sobre la sociedad contemporánea, aun cuando su tono y propósito son fríamente desapasionados y puramente científicos en su esencia:
"En vista de las discusiones que se suscitan sobre este tema, parece conveniente tener alguna medida cuantitativa acerca del grado de protección que depara un refugio antiaéreo dado. A fin de limitar el problema, podemos considerar solamente los riesgos de muerte y concretamos a bombas altamente explosivas. Las bombas incendiarias han demostrado constituir un peligro insignificante para la vida, en España, y las de gas son también insignificantes salvo para los niños de corta edad y para aquellos a quienes no ajusta bien la máscara antigás.
"Considérese un tipo determinado de bomba, digamos por ejemplo, de 250 kg que se ha utilizado comúnmente en las zonas centrales de las ciudades españolas, y un hombre en una situación dada, ya sea en la calle o en un refugio. Sea n el número de bombas que se espera caerá en su vecindad (por ejemplo 1 kilómetro cuadrado) durante toda la guerra. La distribución de bombas sobre esta superficie la consideraremos uniforme ya que la puntería es muy deficiente cuando se bombardean ciudades. Sea p la probabilidad de que una sola bomba, que caiga en el punto de coordenadas (x, y) de esta superficie, lo mate. Entonces, la probabilidad de que sea muerto en el curso de la guerra es: P = ∫(n/A)pdxdy, tomando la integral sobre toda la vecindad de área A.
"Los valores de n y p serán, por supuesto, diferentes para cada tipo de bomba y habrán de sumarse las distintas expresiones que se obtengan. Además, el hombre estará en distintos lugares durante la guerra y, de este modo, se hace necesaria una nueva suma. Finalmente, debe sumarse P para toda la nación.
"El sistema de evacuación tiene por finalidad reducir el valor de n aun cuando pueda aumentar el de p, como cuando un niño es evacuado de una casa bastante sólida para llevarlo a una endeble casita de campo. La tendencia a la dispersión dentro de una zona peligrosa, no reduce, por supuesto, ni a n ni a p. Garantiza, simplemente, que una sola bomba no matará a un gran número de personas, mientras que aumenta la probabilidad de que cualquier bomba mate, por lo menos, a una persona. Es probable salvar unas pocas vidas compensando los números de heridos a ser tratados en diferentes hospitales; y el efecto sicológico de tener 20 muertos en cada una de las 10 zonas puede ser menor que el de 200 en una sola zona. Pero como, en realidad, ello puede aumentar el valor medio de p, al alentar a las personas a permanecer en un número de construcciones endebles antes que en un edificio sólido es, al menos, tan probable aumentar el número total de muertes como el disminuirlas. El argumento de que cierta cantidad de personas no debe ser concentrada en un lugar a fin de que una sola bomba no mate a centenares de ellas, es claramente falso cuando se aplica a una guerra en la que el número de muertes totales será elevado. Sin embargo, es cierto que en un pequeño número de hombres-clave, cada uno de ellos puede reemplazar a otro, éstos no deben ser agrupados juntos."
Capítulo 8
Geometría de la lámina elástica
Se e-s-t-i-r-a.
Anuncio publicitario
Problemas aparentemente triviales han dado origen al desarrollo de diversas teorías matemáticas. La probabilidad nació del cubilete de dados de los jóvenes nobles de Francia; la geometría de la lámina elástica fue urdida en el apacible ambiente de las tabernas de Königsberg. Sencillos ciudadanos alemanes, no eran jugadores; pero les gustaba disfrutar de sus paseos. En tomo a sus jarros de cerveza se preguntaban: "¿Cómo planear el paseo del domingo por la tarde, de modo que se cruce una sola vez cada uno de los siete puentes?"
Repetidos tanteos les llevaron a la convicción de que era imposible; pero una demostración matemática no debe basarse en creencias, ni en ensayos.
Lejos, en San Petersburgo, el gran Euler tiritaba, rodeado de honores y emolumentos como matemático de la corte de Catalina la Grande. A Euler, nostálgico y hastiado de tanta pompa y protocolo, le llegaron de su patria, de manera algo extraña, noticias de ese problema. Lo resolvió con su extraordinario cacumen; la Topología o Análisis Situs quedó fundada cuando Euler presentó la solución del problema de los puentes de Königsberg ante la Academia Rusa de San Petersburgo, en el año 1735. Esta célebre memoria demostró que el viaje por los siete puentes, en la forma exigida por el problema, era imposible.
Euler simplificó el problema reemplazando las zonas de tierra (de la Figura 83) por puntos, y los puentes, por líneas que unían estos puntos. Una vez efectuada esta simplificación, ¿puede dibujarse la figura 84 con un trazo continuo del lápiz, sin levantarlo del papel? Porque esto es equivalente a atravesar físicamente los siete puentes en un paseo. Matemáticamente el problema se reduce al de recorrer un grafo. Un "grafo", con la acepción que aquí le damos, es simplemente una configuración que consiste en un número finito de puntos llamados vértices y en un número de arcos. Los vértices son los puntos extremos de los arcos y dos arcos cualesquiera carecen de puntos comunes excepto, quizá, vértices.
Un vértice es impar o par, según sea impar o par el número de arcos que a él concurren.
Se recorre un "grato" pasando por todos sus arcos exactamente una vez. Euler descubrió que esto puede hacerse, comenzando y terminando en el mismo punto, si la gráfica sólo contiene vértices pares.

Figura 83
En general, si la gráfica contiene 2n vértices impares, en la que n es cualquier número entero, se necesitarán exactamente n rutas distintas para recorrerla[93].

Figura 84. Una gráfica con cuatro vértices y siete arcos, correspondiente a los puentes de Königsberg.
Si, como en la figura 85, se dibuja un arco adicional de A a C, que representa otro puente y se retira el arco BD, todos los vértices serán pares: A, B y C del orden 4 y D del orden 2 y, en consecuencia, la gráfica podrá ser recorrida con una sola ruta.
Si no se retira el arco BD, el peatón podrá realizar su paseo, cruzar todos los puentes de una sola vez, pero verá que no puede terminarlo en el punto desde donde partió. Así, si sale de D, terminará en 8 y viceversa. (Nota: debe iniciar su paseo desde un vértice impar.)

Figura 85. Una gráfica con cuatro vértices y ocho arcos.

Conocida de los mahometanos y los hindúes, los pitagóricos y los cabalistas, se la grababa frecuentemente en las camitas de los niños para ahuyentar al mal, mientras que, en países más prácticos, se la pintaba en los establos. Es posible recorrer esta estrella, volviendo al punto de partida, con un solo trazo de lápiz.
La regla de Euler explicar por qué la figura 87 no puede ser recorrida mediante un solo trazo de lápiz, puesto que tiene cinco vértices, cuatro de los cuales son los puntos terminales de tres arcos, en otras palabras, de un orden impar y, por lo tanto, se necesitan dos rutas.

Figura 88

Figura 89
Aun en el caso de la figura 89 se reduce a un recorrido simple pasando, por ejemplo, por: A-B-C-c-c-C-D-E-e-e'-E-F-A-a-a'-A-b-B-D-d-E-f-F-B-b’-C-d'-D-F-f-A.Al abordar el problema de ios siete puentes, Euler hizo mucho más que resolver un simple rompecabezas, puesto que reconoció la existencia de ciertas propiedades fundamentales de las figuras geométricas que no dependen para nada del tamaño o de la forma. Estas propiedades son funciones únicamente de la posición general de las líneas y puntos de una figura. Por ejemplo, sobre una línea ABC, el hecho de que el punto sí esté comprendido entre los puntos A y C es tan importante como el de que la línea ABC sea recta, o curva, o tenga cierta longitud. Nuevamente (figura 90) cuando un punto interior de un triángulo se une con un punto exterior, la línea que determinan debe cortar a un lado del triángulo, hecho que es tan importante como el de que los ángulos de un triángulo sumen 180º. El estudio de dichas propiedades, que no quedan afectadas cuando se deforma la figura, es lo que constituye la ciencia de la Topología. La topología es una geometría del lugar, de la posición (lo que explica su otra denominación de Análisis Situs), y que se distingue de las geometrías métricas de Euclides, Lobachevski, Riemann. etc., que tratan de longitudes y ángulos.
En topología nunca preguntamos "¿Qué longitud?", o "¿A qué distancia?" o "¿De qué magnitud?", sino que inquirimos "¿Dónde?", "¿Entre qué?", "¿Interior o exterior?" Un viajero, en un camino desconocido, no preguntaría, "¿A qué distancia se encuentra la granja de Juan?" si no sabe la dirección, ya que la respuesta: "A siete kilómetros", nada le significaría. Es más probable que pregunte "¿Cómo se va a la granja de Juan?" y entonces una respuesta como: "Siga este camino hasta llegar a una bifurcación y luego doble hacia la derecha", le dirá con precisión cuanto necesita saber.
Como esta respuesta nada dice de distancias y no describe si el camino es recto o curvo, podrá parecer no matemática y sin embargo, tiene la misma relación, con respecto a la primera pregunta que la topología con relación a la geometría métrica.
La topología es una geometría no cuantitativa. Sus proposiciones serían tan verdaderas en figuras hechas de goma como en las figuras rígidas que se encuentran en la geometría métrica. Por esa razón ha sido denominada, en forma pintoresca, Geometría de la lámina elástica.

Figura 90. La línea que une el punto interior A con el punto exterior B corta al triángulo en C. No importa cómo ha sido trazada la línea: debe cortar al triángulo en algún punto.
El primer tratado sistemático apareció en 1847, la obra del matemático alemán Listing, intitulada Vorstudien zur Topologie. Hoy esta materia, si bien se ocupa de lo mismo que cuando Euler la inventó, ha adquirido una terminología más abstrusa, como cuadra a una ciencia ya desarrollada. Se la define ahora como el estudio de las propiedades de los espacios, o sus configuraciones, invariantes bajo transformaciones bicontinuas y biyectivas; sigue siendo el estudio de la posición y relación de las partes de un figura con respecto a otra sin tener en cuenta la forma o el tamaño. En realidad, aunque la topología fue destetada con puentes, hoy se alimenta con buñuelos, así como con otros objetos más curiosos y menos digeribles.
Aun cuando sólo se trate de una ojeada a uno o dos de los teoremas de esta caprichosa rama de las matemáticas, se requiere la introducción de una nueva terminología.

Figuras 91 y 92. Un triángulo plano. Su gemelo surrealista.
En la figura 91, el punto D está situado entre los puntos A y C y el E entre A y B. En la figura 92 se mantiene ese orden. El orden de los puntos, es, por lo tanto, invariante bajo la transformación que produjo esa deformación. La figura 91 pudo haber sido transformada de alguna otra manera. Si hubiese sido recortada de una lámina de goma fina y ese triángulo hubiese sido retorcido, estirado o deformado de todas las maneras posibles, sin romperlo, el orden de sus puntos continuaría siendo invariante.
Los invariantes de los cuerpos rígidos, en condiciones de movimiento ordinario, son aún más familiares, pero forman parte de nuestras vidas hasta tal punto que jamás reflexionamos sobre ellos. Sin embargo, nuestra existencia sería completamente inconcebible sin los mismos. Un cuerpo rígido no sufre cambios en tamaño o forma cuando se mueve. Sus propiedades métricas son invariantes. En términos más sencillos, el movimiento no tiene efecto deformante. El sombrero comprado en Londres sigue sentando bien cuando lo transportamos a Nueva York. Una vara de medir tiene la misma longitud tanto si nos encontramos en la cumbre de una montaña como si nos sumergimos en el fondo del mar. Una llave se ajusta a la cerradura, tanto cuando la puerta está cerrada como cuando se encuentra abierta. Un buque parece más pequeño cuando está en el horizonte; pero nadie afirmaría que se contrae a medida que se aleja. Y el sillón del filósofo le sirve lo mismo en cualquier rincón del cuarto, sin tener en cuenta cómo cambia su posición o su filosofía.
Damos por conocidos esos invariantes. Al matemático, sin embargo, las cosas evidentes le resultan claves valiosas y raramente las descarta, como carentes de importancia. Se fija cuidadosamente en que el tamaño y la forma de los cuerpos rígidos no son afectados por el movimiento, y afirma, en lenguaje técnico, que las propiedades métricas de los cuerpos son invariantes bajo la transformación del movimiento. Se fija después en aquellos cuerpos que no son rígidos y que cambian de tamaño y forma cuando se mueven, buscando sus invariantes geométricos. La topología se ocupa de estos invariantes y forma con ellos un sistema matemático.

Figura 93. Únase 1 con 1, 2 con 2 y 3 con 3 mediante líneas que no se corten. Figura 94. Trátese de unir dos números correspondientes por medio de rectas que no se corten.
Eso era sencillo. Pero no obstante, la hija del califa no fue ganada tan fácilmente, puesto que su padre insistió, además, en que los aspirantes sobrevivientes uniesen los números correspondientes de la figura 94.
A menos que el califa cediera, podemos suponer que su hija murió solterona, por cuanto este problema no puede ser resuelto. Pueden trazarse dos líneas que unan dos números cualesquiera correspondientes, pero no puede trazarse la tercera sin cruzar a una de las otras dos. Una vez más, vemos por qué el matemático nunca descarta lo evidente. El problema de la figura 93 es fácil. El de la figura 94 parece igualmente fácil y sin embargo es realmente imposible. ¿En qué aspectos esenciales difieren ambos?
Ya a comienzos del siglo XIX el físico Kirchhoff reconoció la importancia de las investigaciones en topología, a fin de contribuir a la solución de los problemas relacionados con la ramificación y el entrelazamiento de los alambres y otros conductores de corriente eléctrica. Y, aunque parezca muy extraño, muchos efectos importantes en la física han sido hallados exactamente análogos a las relaciones espaciales expuestas en el problema del califa.
El primer paso real en el ataque sistemático a todos esos problemas, fue dado en el siglo XIX por el matemático francés Jordán. Su teorema es tan fundamental e importante para la topología, como el teorema de Pitágoras lo es para la geometría métrica. No se parece, en modo alguno, a los teoremas matemáticos hasta ahora enunciados. Dice simplemente que: "Toda curva cerrada en el plano, que no se corta a sí misma, divide al plano en una parte interior y en otra exterior."
Sin duda alguna que esto produce la impresión de ser, o idiota o maravilloso. ¿Habrán trabajado los matemáticos durante siglos, para producir semejante cosa? Pero el teorema de Jordán sólo parece idiota, porque expresado en términos no formales, resulta tan evidente que no valdría la pena repetirlo. Pero la verdad es que se trata de un teorema maravilloso, porque es tan simple, tan modesto y al mismo tiempo tan importante.

Figura 95
En cambio las de las figuras 96a, 96b y 97 no lo son.
Las curvas de las figuras antes citadas no caen dentro de la definición de Jordán de conexión simple. La primera tiene dos interiores y un exterior; la segunda, varios interiores y un exterior y el área encerrada por la curva más pequeña de la figura 97 es también considerada "exterior" y no interior.

Figura 96(a) y 96(b)

Figura 97. Ni tampoco ésta
Cuando el teorema de Jordán se extiende a tres dimensiones, se enuncia diciendo que cualquier superficie cerrada, cualquier variedad de dos dimensiones[96], que no se corta a sí misma, divide al espacio en una parte interior y en otra exterior.
Piense usted en el cuarto donde se encuentra. El aire del mismo, todos sus muebles y usted están adentro. El resto de todo el Universo, desde el Vesubio hasta el centro de la Tierra, desde la plaza Times Square hasta los anillos de Saturno y más allá, están afuera. El gas en un globo está adentro, mientras que todo lo demás, en todas las direcciones posibles, incluyendo las esperanzas y los temores que bullen en la cabeza del astronauta, son exteriores. El sistema circulatorio humano es una variedad de dos dimensiones difícil de concebir. Sin embargo, es simplemente conexo. Divide al espacio en una parte interior y en otra exterior. Interiormente circula el torrente sanguíneo, exteriormente están las innumerables células del cuerpo que se tejen y entretejen con los vasos sanguíneos y, más allá, todo el Universo.
La restricción de que la variedad de dos dimensiones no se debe cortar a sí misma, no trae a la memoria ninguna que lo haga. Sin embargo, dichas variedades son centro de atracción en el Instituto de Estudios Superiores, en Princeton, donde matemáticos eruditos y famosos discurren, en forma extraña, casi como la morsa de Alicia, sobre rosquillas, nudos y buñuelos.
La rosquilla es un objeto de interés, no sólo por sus propiedades gastronómicas, sino también por las topológicas. Es un ejemplo de una variedad de dos dimensiones que no obedece al teorema de Jordán, puesto que se cruza a sí misma.

Figura 97(a, b, c, d). Estas raras figuras no son ni creaciones de Walt Disney ni las impresiones de Picasso sobre el divino género humano, sino tema de serias lucubraciones matemáticas en Princeton.
La figura 98 muestra un anillo: la parte de un plano limitada por dos círculos concéntricos.
Un anillo es una figura que no es simplemente conexa ya que su frontera consiste de dos curvas en lugar de una. ¿Cómo podemos distinguir el interior del exterior?

Figura 98
Los términos puramente relativos, tales como "interior" y "exterior", pueden confundir tanto al matemático como al melancólico caminante. El único recurso consiste en convenir en una definición formal. Viene fácilmente a la mente una analogía familiar. Todas las partes de la ciudad de Nueva York que quedan a un lado de la 5.a Avenida son rotuladas "Este", mientras que a las que quedan del lado opuesto se las designa "Oeste".
Intuitivamente, todo el mundo conoce la diferencia que existe entre el interior y el exterior de un círculo. ¿Pero puede traducirse a términos precisos esta noción intuitiva? Ya que nadie tiene la más leve dificultad para distinguir entre izquierda y derecha, y las nociones de sentido de avance de las agujas del reloj y sentido contrario al avance de las agujas de un reloj tampoco ocasionan confusiones, podemos definir nuevamente a "interior" y "exterior", en función de izquierda y derecha, sentido de avance de las agujas del reloj y sentido contrario al avance de las agujas del reloj. Así, por ejemplo, partiendo de la circunferencia del círculo y marchando en sentido contrario al avance de las agujas del reloj, el "interior" se define como la región que queda a la izquierda y el "exterior" como la que se deja a la derecha.

Figura 99. El hombre marcha en sentido contrario al avance de las manecillas del reloj sobre el contorno de la curva. A la izquierda queda el interior y a la derecha el exterior.

Figura 100. Interior y exterior del anillo cortado.

Figura 100(a). Una curva triplemente conexa. Necesita tres cortes para ser simplemente conexa.

Figura 101. La rosquilla se convierte en una salchicha.
Así como en dos dimensiones cualquier variedad simplemente conexa es equivalente a un círculo, en tres dimensiones, cualquier superficie simplemente conexa, es equivalente á una esfera. Mediante una deformación gradual, sin rupturas, cualquier objeto de tres dimensiones, simplemente conexo, puede ser transformado en una esfera. Una rosquilla no se puede transformar así, de donde se deduce que no es simplemente conexa.

Figura 102. Variedades topológicas rarísimas. Complicaciones derivadas de las rosquillas.
La rosquilla, junto con otros objetos que aparecen en la figura 102 son algunas de las variedades más difíciles que se estudian en topología. Ninguno de ellos es simplemente conexo y, por lo tanto, ninguno puede ser transformado en una esfera. Pero con un número de cortes, análogos a los ejecutados en el anillo y en la rosquilla, estas complicadas variedades pueden transformarse en figuras simplemente conexas. Así, con un número suficiente de cortes, es posible transformar, aun a la rosquilla más tortuosa, en el equivalente de una esfera.
El número de cortes necesario para efectuar dicha transformación no depende de la casualidad, sino que está perfectamente determinado y depende del orden de conexión de la variedad. Puede formularse una regla general, que se aplicará tanto a los objetos fantásticos como a los fáciles. Como en todas las investigaciones matemáticas, sólo dicha regla revelará el principio fundamental. Consecuentes con ello, los topólogos no se detienen ante la consideración de las variedades de tres dimensiones, por complicadas y prohibitivas que sean, puesto que van más allá de los límites de la imaginación e idean teoremas válidos aun para rosquillas de n dimensiones.
Una de las curiosidades de la topología es la cinta de Möbius, que se construye muy fácilmente. Tómese un rectángulo de papel, alargado, ABCD (Figura 103), retuérzasele media vuelta y únanse sus extremos de manera que C caiga en B y D en A (Figura 104). Ésta es una superficie de un solo lado; si un pintor conviniese en pintar solamente un lado de la misma, su sindicato se interpondría, puesto que al pintar un lado estaría, en realidad, pintando los dos[97]. Si la faja no hubiese sido retorcida antes de pegar los extremos, hubiera resultado un cilindro —que es, evidentemente, una superficie de dos lados. Sin embargo, la media vuelta eliminó uno de los lados. ¿Increíble? Usted puede convencerse de ello. Trace una línea recta a lo largo del centro de la cinta, continuándola hasta volver al punto de partida.

Figuras. 103 y 104. La cinta de Möbius, una superficie unilátera y bilátera.
Hay mucho de divertido e interesante en esta cinta.

Figura 105
Cuando usted haya estudiado las propiedades descritas, córtela por la mitad con unas tijeras, a lo largo de una línea trazada por el centro. ¡El resultado será sorprendente! Y usted puede continuar, doblando y cortando algunas veces más, para obtener nuevas sorpresas.Dos anillos de hierro unidos en la forma indicada en la figura 105 no pueden ser separados a menos que se rompa uno de ellos. Pero siendo esto perfectamente evidente, ¿cómo lo demostraremos? Antes de que se inventara la topología ninguno de los recursos de las matemáticas se adaptaban para esa tarea. Sólo la creación de recursos especiales hizo posible dar una demostración analítica de un hecho tan evidente.
Aquí hay un problema similar. Ate un trozo de cordel a sus muñecas. Ate otro a las muñecas de un compañero de tal manera que enlace al primero (Figura 106).

Figura 106

Figura 107. Esta es la marca de fábrica de un conocido cervecero.
Los tres anillos tienen entre sí esta extraña relación. Si se retira uno de los anillos los otros dos quedan libres. De este modo, dos anillos cualesquiera no están unidos, pero los tres, sí. Dicho de otra manera, los anillos no están unidos dos a dos pero cada uno sostiene a los dos restantes.Con un topólogo y un par de tijeras a mano (en previsión de accidentes), puede usted tratar de sacarse el chaleco sin quitarse la chaqueta. No se requiere ninguna cuarta dimensión. Recuerde simplemente las condiciones del problema. La chaqueta puede estar desabotonada, pero en ningún momento, durante la remoción del chaleco, podrán salirse los brazos fuera de las mangas.
La topología es uno de los miembros más jóvenes de la familia matemática, por cuyo motivo tiene también su problema infantil. Mientras algunos matemáticos se han contentado con dedicarse a las rosquillas, nudos y rosquillas del analysis situs, un bando determinado de matemáticos pediatras, ha enfocado exclusivamente su atención al Problema de los Cuatro Colores. Por breve tiempo, en el siglo XIX, se pensó que el niño había sido curado y su problema resuelto, pero estas esperanzas fueron vanas y el problema de los cuatro colores continúa desconcertando a los más distinguidos topólogos.
En una época o en otra, todos hemos tenido cierta experiencia en colorear mapas. Los mapas que representaban el Santo Imperio Romano, los estados algodoneros del sur antes de la Guerra de Secesión o la organización de Europa por el Tratado de Versalles, son penosamente delineados todos los días en la escuela. Recientemente, este asunto se ha tornado más agitado que nunca. Debe tenerse siempre a mano gruesos lápices de colores y una buena goma. Pronto descubren los estudiantes, en su curso de cartografía, que si se va a colorear un mapa, para los países que tienen fronteras comunes, tales como Francia y Bélgica, deben emplearse colores distintos a fin de poderlos distinguir de una ojeada.
La generalización de esa idea condujo a la pregunta: "¿Cuántos colores son necesarios para pintar un mapa, con cualquier número de países, de manera que dos estados adyacentes no tengan el mismo color?" Este problema ha trastornado a los cartógrafos durante muchos años.
La figura 108 representa una isla. Cada uno de los dos países es dueño de una parte de ella. Para este mapa se necesitan tres colores —uno para el mar y los otros dos para cada uno de los países.

Figuras. 108, 109 y 110

Figura 111. Una isla que es propiedad de cinco países requiere sólo de tres colores para pintar su mapa.

Figura 112. Una isla con diecinueve países. Solamente bastan cuatro colores para su correspondiente mapa.
El problema del mapa de cuatro colores quedó resuelto en 1976: cuatro colores bastan. Así lo declara, ufano, el matasellos del Departamento de Matemáticas de la Universidad de Illinois, al que pertenecían los matemáticos Kenneth Appel y Wolfgang Haken, quienes llevaron a cabo tal proeza. Pero la demostración de que cuatro colores son suficientes para colorear mapas planares cualesquiera, aunque es una demostración matemática, difiere mucho de las tradicionales, tanto por la enorme extensión de los cálculos requeridos, como por valerse para ejecutarlos de computadores digitales en forma que no tiene precedentes.
De hecho, es materialmente imposible comprobar la veracidad de la demostración sin valerse de un computador. Más importante aún, ciertas ideas cruciales de la demostración fueron perfeccionadas mediante experimentos computarizados. Dicen Appel y Haken: "Terminamos la construcción de un conjunto inevitable de configuraciones irreducibles en junio de 1976. El teorema de los cuatro colores estaba demostrado. Habíamos utilizado 1.200 horas de funcionamiento de tres computadores distintos"... "Para desarrollar el procedimiento fue preciso examinar manualmente unos 10.000 entornos de vértices de carga positiva y analizar, mediante máquina, más de 2.000 configuraciones. Considerable parte de este material, incluida la reducción de 1.428 configuraciones, fue utilizada en la demostración final. Y aunque el procedimiento de descarga (sin las reducciones) puede ser revisado manualmente en un par de meses, sería virtualmente imposible comprobar los cómputos de reducción en esta forma."
Los modernos computadores de alta velocidad habían sido utilizados ya para trabajos matemáticos de carácter numérico, por ejemplo, el cálculo de millones de cifras del número π, o la verificación del carácter primo de ciertos números muy grandes, tales aplicaciones no pasaban de ser aplicaciones de métodos y algoritmos bastante breves, cuyo análisis teórico entraba de lleno dentro de la capacidad intelectual humana. No había en ello discontinuidad con la concepción tradicional de demostración matemática. Hacia finales del siglo pasado, los matemáticos habían logrado construir potentes teorías con las que resolvieron multitud de difíciles cuestiones. Se fortaleció la creencia de que toda cuestión formulable en lenguaje matemático podría llegar a ser matemáticamente resuelta creando conceptos nuevos lo suficientemente potentes. Se creía además, que un matemático competente podría revisar por sí mismo las soluciones en un tiempo razonable. El problema de los cuatro colores era una de tales cuestiones. Si no había sido resuelto aún era por no haberse creado el instrumental matemático adecuado.
Pero la decimonónica fe en la completitud de las matemáticas quedó conmocionada en el decenio de 1930, en razón de ciertos descubrimientos en la lógica formal. Entre otras cosas, quedó demostrado que el sistema lógico en apariencia más natural, el de la aritmética ordinaria, contenía enunciados verdaderos cuya veracidad no puede ser demostrada dentro del sistema. Hay, además, teoremas de enunciados breves, pero cuyas demostraciones son tan largas que sería imposible consignarlas en tiempos razonables. Dificultades similares surgieron, hacia 1950, en otras ramas de las matemáticas. No faltaron quienes empezasen a conjeturar que el teorema de los cuatro colores pudiera ser uno de esos teoremas tan imposibles de demostrar como de refutar. Otros especialistas opinaron que de existir una demostración, sería imposible presentarla, por su enorme longitud.
Sabemos ahora que existe una demostración. Pero lo que no sabemos (y tal vez no lleguemos a saber nunca) es si existe una demostración que sea elegante, concisa, y completamente comprensible por una mente matemática humana.
Appel y Haken están convencidos de que existen teoremas de gran interés matemático que sólo podrán demostrarse por medios computarizados. Y aun cuando el teorema de los cuatro colores no fuera uno de ellos, sí es buen ejemplo de lo que podría hacerse para demostrar los que sí lo fueran. De no existir ninguna demostración breve del teorema de los cuatro colores, habría nacido una nueva categoría de teoremas, que podrían llamarse "intrínsecamente complejos", teoremas que carecen de demostración en el sentido tradicional.
Y aunque resulte paradójico, se han dado demostraciones breves para superficies mucho más complicadas, tales como el toro (la rosquilla) y la esfera con asas.
A. B. Kempe, matemático y abogado inglés, autor de un célebre librito que llevaba el provocativo título "Cómo trazar una línea recta", ofreció en el año 1879 una demostración de que cuatro colores eran tanto necesarios como suficientes para pintar cualquier mapa sobre una esfera. Desgraciadamente, hoy se sabe que la demostración de Kempe contenía un error lógico fatal.
Que cinco colores son suficientes para dibujar cualquier mapa sobre una esfera, o sobre un plano, es, en sí mismo, notable y vale la pena ver por qué. La demostración se basa en el aún más notable teorema de Euler sobre sólidos simplemente conexos que establece: que la suma de los vértices más las caras de cualquiera de dichos sólidos, es igual a la suma de las aristas más 2:
V+ C = A + 2
El teorema de Euler constituye la más simple proposición universal sobre los sólidos. La idea fundamental le era familiar a Descartes, pero muy probablemente su demostración le era desconocida a Euler.Sabemos que cualquier sólido de tres dimensiones, simplemente conexo, es topológicamente equivalente a una esfera. De este hecho y del teorema de Euler surge una interesante consecuencia: Considérese un cubo hueco, hecho de goma. Está limitado por seis caras, doce aristas y ocho vértices. Inflemos este cubo hasta que parezca una esfera. Las caras del cubo serán entonces regiones de la esfera y sus aristas los límites de estas regiones. Los vértices serán los puntos donde se encuentran tres regiones. Se ve entonces que el ejercicio de colorear la esfera es gobernado por el teorema de Euler; puesto que si cada región representa un país, cada línea curva, la frontera entre dos países, y cada vértice la unión de tres países, el número de éstos, más el número de puntos en los cuales concurren tres países, es igual al número de líneas divisorias más dos. De esta manera vemos cómo el teorema de Euler se hace extensivo a las figuras curvas.
Para un sólido con un agujero, tal como el toro, el teorema no se cumple. En realidad no se cumple para sólidos no simplemente conexos. Resumiendo: el teorema de Euler se aplica en topología solamente cuando cada una de las caras de las figuras es simplemente conexa y toda la figura también lo es.

Figura 113. Los puntos 1 y 2 son comunes a los tres países A, B, C.
Entre quienes han hecho contribuciones esenciales a la topología, el holandés L. J. Brouwer es uno de los más famosos. Particularmente en la teoría de los conjuntos de puntos, los teoremas topológicos de Brouwer han demostrado ser de señalada importancia. Pero no es de sus contribuciones técnicas de las que aquí nos ocuparemos. En el año 1910 publicó un problema basado en una idea del matemático japonés Yoneyama que sirve de hermoso ejemplo acerca de las dificultades y sutilezas de la topología. La solución de este problema quizá no le deje satisfecho, pero no por ello dejará de desafiar a su imaginación.La figura 113 es un mapa de tres países. Los puntos señalados con 1 y 2 son un tanto singulares, porque en cada uno de ellos se encuentran los tres países. Manifiestamente, dichos puntos son raros en cualquier mapa, no importa cuán complicado sea, pues no hay muchos casos geográficos de tres naciones que se toquen en un solo punto. Pero aun cuando hubiese muchos de esos puntos, si fuese un mapa muy extraño, su número siempre sería reducido comparado con la totalidad de puntos a lo largo de todas las líneas limítrofes.
Es razonablemente cierto que un punto frontera, elegido al azar, en cualquier mapa, será el punto de unión de, a lo sumo, dos países.
Ahora bien, Brouwer ideó un ejemplo, a primera vista completamente increíble, de un mapa de tres países, en el cual, cada punto simple, a lo largo de la frontera de cada nación, es un punto de unión de los tres países[98].
Consideremos el mapa de la figura 114. Las franjas que separan a cada dos naciones y toda la porción blanca del mapa, representan territorio no reclamado. De conformidad con el espíritu del Lebensraum [El espacio vital.N del R], el país A decide extender su esfera de influencia sobre la tierra no reclamada, posesionándose de una porción sustancial de la misma.

Figura 114. Los países A, B y C están separados por corredores no ocupados y D es una tierra no reclamada.

Figura 115

Figura 116

Figura 117

Figura 118
Podemos suponer a fin de que este afiebrado programa se complete en un intervalo finito de tiempo ("Plan Bienal"), que la construcción del primer corredor del país A llevó un año, el primer corredor de B, medio año, el primer corredor de C, un trimestre, el segundo corredor de A un mes y medio y así sucesivamente; cada corredor requiere exactamente la mitad del tiempo que su inmediato anterior. El tiempo total empleado, da lugar a la conocida serie:

¿Qué pasaría con el nuevo mapa que quisiese representar estas fronteras? Realmente resulta imposible dibujarlo, pero supongamos que tratamos de concebir qué aspecto presentaría. Este mapa conceptual está constituido por partes de matemáticas serias y fantasía pura, puesto que ¡cada simple punto limítrofe del mapa sería un punto de encuentro no de dos, sino de los tres países!
En un mundo evidentemente dinámico e incesantemente variable, donde la innovación es perpetua, la búsqueda de cosas que no cambian constituye uno de los principales objetivos de la ciencia. Los filósofos, desde la época anterior a Sócrates, han estado escudriñando en busca de la esencia inalterable de la realidad. Hoy, esa es la tarea del hombre de ciencia.
En topología, así como en otras ramas de las matemáticas, ese empeño toma la forma de una búsqueda de invariantes. Repetidas veces en el transcurso de esa investigación, surge la necesidad de abandonar la intuición, de trascender los límites de la imaginación. Los invariantes de 4, 5, 6 y n dimensiones son puramente conceptuales. Adaptarlos a nuestras vidas, encontrarles aplicación en el laboratorio, darles forma para servirse de ellos en las ciencias aplicadas, parece imposible. Nada hay en la experiencia con qué compararlos, ni siquiera un sueño en el que pudieran representar un papel.
Sin embargo, lo que los matemáticos recogen lenta y dolorosamente, poco a poco, en el fantasmagórico mundo de lo increíble, es, en realidad, una porción del mundo de cada día, de las mareas, las ciudades, los hombres, los átomos, los electrones y las estrellas. De pronto, todo cuanto vino de un mundo de n dimensiones, halla aplicación en el de tres. O acaso descubrimos que, al fin y al cabo vivimos en una tierra de n dimensiones. Es la recompensa del valor, la laboriosidad, el fino y libre sentido poético e imaginativo, común al matemático, al poeta y el filósofo. Es el cumplimiento de la visión de la ciencia.
Capítulo 9
Cambio y mutabilidad: el cálculo
La siempre giratoria rueda del Cambio que rige a todas las cosas mortales.
Spenser
La gente solía creer que cuando una cosa cambia, debe estar en un estado de cambio y que cuando una cosa se mueve, está en un estado de movimiento. Hoy se sabe que esto es un error.
Bertrand Russell
¿Por qué esta rama de las matemáticas se adapta tan particularmente bien a la formulación precisa de los fenómenos naturales? ¿Qué virtudes pueden atribuirse al cálculo de las que no participan ni la geometría ni el álgebra?
Nuestra impresión más común del mundo, sea errónea o no, es su aspecto constantemente variable. La naturaleza, así como los artificios que hemos inventado para dominarla, parecen hallarse en un perpetuo flujo. Aun los “absolutos” —espacio y tiempo— se contraen y se dilatan incesantemente. El día y la noche varían de continuo, explicando las vicisitudes de las estaciones. Por todas partes hay movimiento, fluctuaciones, ciclos de nacimiento, muerte y regeneración.
Por alguna extraña razón, los temas hasta aquí considerados, los muchos dominios de las matemáticas que hemos examinado, han hecho caso omiso de este dinamismo. Con excepción de la función exponencial, no hemos hablado aún de la variación de una cantidad conocida o desconocida. En realidad, hasta aquí, con nuestra preparación, no podríamos haber tratado este concepto. Afortunadamente, cada problema era esencialmente estático. Las geometrías de cuatro dimensiones y las no euclidianas trataban configuraciones inalterables; los rompecabezas y las paradojas se resolvían con ayuda de la inventiva, la lógica y la estática aritmética; la topología buscaba los aspectos invariantes de las formas geométricas, independientes del tamaño y de la forma, y los conceptos desarrollados en los capítulos referentes a PIE, el gúgol y la probabilidad, con una o dos excepciones, estaban exentos del ingrediente “cambio”. La conclusión es, pues, inevitable: hemos olvidado al único medio indispensable para atacar la enorme mayoría de los problemas; en otras palabras, nuestra investigación se ha limitado a aspectos periféricos de la escena del mundo.
La palabra “cálculo”, que significó originalmente una piedrecilla o guijarro, ha adquirido una nueva connotación. El cálculo puede ser considerado como aquella rama de la investigación matemática que trata del cambio y de la razón de cambio. La comodidad con la que se viaja en un automóvil, es posible en parte al menos, gracias al cálculo. Y si bien los planetas seguirían sus trayectorias sin el cálculo, Newton lo necesitó para demostrar que las órbitas de los planetas alrededor del Sol son elipses. Reduciéndonos de lo celestial a lo atómico, la solución de la mismísima ecuación usada por Newton para describir el movimiento de los planetas, determina la trayectoria de una partícula alfa que bombardea un núcleo atómico [Esto sólo es válido para las panículas alfa que se mueven con velocidades relativamente pequeñas].
Por medio de la fórmula que relaciona la distancia recorrida por un cuerpo en movimiento, y el tiempo transcurrido, el cálculo permite determinar la velocidad del cuerpo, así como su aceleración en cualquier instante.
Todos los ejemplos que anteceden, sean sencillos o complejos, implican cambio y rapidez de cambio. Sin su exacta enunciación matemática, ninguno de los problemas descritos tendría sentido y mucho menos podría ser resuelto. De esta manera, se ha creado una teoría matemática que toma conocimiento de los cambios inmanentes y omnipresentes del tema bajo estudio y emprenden su examen y explicación. Esa teoría es el cálculo diferencial.
Pero, ¿no habíamos declarado antes, casi fervientemente, que vivimos en un mundo inmóvil? ¿Y no habíamos demostrado extensamente, empleando las paradojas de Zenón, que el movimiento es imposible, que la flecha en vuelo se encuentra realmente en reposo? ¿A qué atribuiremos este aparente cambio de posición?
Además, si cada nueva invención matemática se basa en fundamentos establecidos desde mucho antes, ¿cómo es posible extraer de las teorías del álgebra y la geometría estáticas, una nueva matemática capaz de resolver problemas que impliquen entidades dinámicas?
En cuanto a lo primero, no ha habido cambio en nuestro punto de vista. Estamos todavía firmemente aferrados a la creencia de que éste es un mundo en el que el movimiento, así como el cambio, son casos especiales de un estado de reposo. No hay estado de cambio, si cambio implica un estado cualitativamente distinto del reposo; lo que distinguimos como cambio es simplemente, según señalamos ya una vez, una sucesión de muchas imágenes estáticas diferentes, percibidas en intervalos de tiempo relativamente breves. Con un ejemplo aclararemos esta idea: En el cinematógrafo, una serie de cuadros estáticos se proyectan sobre una pantalla, uno después del otro, en rápida sucesión; cada cuadro difiere sólo ligeramente del que le precede y la impresión que producen es tal, que no queda la más ligera duda en la mente del más inteligente espectador, de que se ha representado un movimiento en la pantalla. Una exhibición completamente convincente de cambio, se presenta por medio de una serie de imágenes completamente estáticas. Sigamos esto con un ejemplo más técnico. Una varilla de acero, fijada por un extremo en posición horizontal, sostiene un peso por el otro extremo. Estando este sistema en reposo, se dice que el conjunto de elementos que lo componen se encuentra en equilibrio. Si, cuando lo volvemos a examinar, después de cierto intervalo de tiempo, comprobamos la misma disposición, la varilla flexionada de la misma cantidad, es evidente que no ha habido cambio. Sin embargo, si observamos una nueva posición de la varilla, habrá tenido lugar, evidentemente, una alteración: es decir, un cambio. Es verdad que el equilibrio sólo podría haber sido perturbado, alterando la posición de la varilla, por un cambio que se hubiese operado en el peso que sostiene. No es difícil convencemos de que un peso adicional habría flexionado más la varilla y que dichas adiciones, hechas gradualmente, y en forma rápida como los cuadros en movimiento que se proyectan en la pantalla, nos habrían producido la impresión de que la varilla está animada de un movimiento.

Figura 119. Cada aumento de peso flexiona la varilla un poco más.
Intuitivamente convencidos de que hay continuidad en el comportamiento de un cuerpo en movimiento, ya que no vemos realmente a la flecha en vuelo pasar por cada punto de su trayectoria, hay una inclinación irresistible a abstraer la idea de movimiento como algo esencialmente distinto del reposo. Pero debe buscarse el origen de esta abstracción en las limitaciones fisiológicas y psicológicas pues no se encuentra, en modo alguno, justificada por el análisis lógico. El movimiento es una correlación de posición con tiempo. El cambio es simplemente otro nombre para designar una función, otro aspecto de esa misma correlación.
En cuanto a lo demás, el cálculo, como descendiente de la geometría y del álgebra, pertenece a una familia estática y no ha adquirido característica alguna que ya no poseyeran sus progenitores. Las alteraciones no son posibles en las matemáticas. De este modo, inevitablemente, el cálculo tiene las mismas propiedades estáticas que la tabla de multiplicar y la geometría de Euclides. El cálculo no es sino otra interpretación, aunque debe admitirse que muy ingeniosa, de este mundo inmutable.
El desarrollo histórico del cálculo no siguió un método claro. Las discusiones filosóficas sobre el significado de ese tema sólo vinieron una vez que se hubo demostrado, indiscutiblemente, su utilidad. Con anterioridad a eso, los filósofos no se habrían dignado considerar que valiera la pena atacarlo. Desgraciadamente no podemos relatar (aunque sería muy divertido) las trampas que cada filósofo y matemático analista, desde Newton hasta Weierstrass, cavaba para sus adversarios y en las que prontamente caía él mismo. Podemos, sin embargo, describir a grandes rasgos, los pasos que precedieron a la teoría, tal cual se la acepta hoy en día.
El cálculo no difiere de otras teorías matemáticas; no surgió completamente desarrollado de la mente de un solo hombre. Más bien se desarrolló en base a la consideración de numerosos problemas ensayados y resueltos con éxito por los predecesores de Newton y Leibniz. “Cada gran época en el progreso de la ciencia, va precedida por un período de preparación y previsión... Las ideas que entraron en acción en esa gran época, habían estado en preparación desde largo tiempo antes.”[99]
El advenimiento de la geometría analítica proporcionó un poderoso estímulo a la invención del cálculo, puesto que la representación gráfica de una función reveló muchas características importantes.

Figura 120. La razón de cambio de una cantidad variable es más pequeña en el punto máximo que en cualquier otra parte.
En el diagrama de la figura 120, los valores que toma una cantidad variable se miden por la distancia comprendida entre una línea recta (el eje de las x) y la curva. El valor máximo de la cantidad variable (la distancia máxima desde eje x a la curva), se alcanza en el punto señalado con A; al moverse levemente, ya sea a la derecha o a la izquierda de A, por ejemplo al punto B, el cambio en el valor de la cantidad variable es muy pequeño y está medido por P. Si nos movemos a la derecha o a la izquierda de algún otro punto E con la misma amplitud en que nos movimos de A a B. de manera que la distancia EF sea igual a la distancia AB, el cambio en el valor de la cantidad variable, en la vecindad de E, está medido por Q. Pero evidentemente, esta segunda anchura Q. es mayor que la primera P. En esto, que es contribución de Kepler, tenemos un ejemplo geométrico del principio de los máximos y mínimos: la tasa de variación de una cantidad variable es más pequeña en las cercanías de su valor máximo (o mínimo) que en cualquier otra parte. En efecto, en los valores máximos y mínimos, dicha razón de cambio es nula.
Pierre de Fermat, que comparte, con Descartes, del honor de haber descubierto la geometría analítica, fue uno de los primeros matemáticos que ideó un método general aplicable a la solución de problemas que implican máximos y mínimos. Su método, que usó ya en 1629, es sustancialmente el mismo que hoy se aplica a problemas de este tipo. Se pide dibujar un rectángulo tal, que la suma de sus lados sea cuatro pulgadas y que su área sea máxima [El área de un rectángulo está dada por el producto de dos lados adyacentes.]
Si llamamos x a un lado del rectángulo máximo, el lado adyacente, como se verá en la figura 121 será 2 - x; y el área del rectángulo será: x(2 - x).

Figura 121. Usando la escala, el perímetro del rectángulo es, evidentemente, igual a 4 unidades.
x(2 - x) = (x + E)(2 - x - E)
de donde:2x - x2 = 2x - x2 - Ex + 2E - Ex - E2.
Restando: 2x - x2 de ambos miembros de esta ecuación y factorizando:0 = 2E - 2Ex - E2 0 = E(2 - 2x - E)

Figura 122. El perímetro de cada uno de los siete rectángulos: AAAA, BBBB, CCCC, etc., es el mismo. Pero, evidentemente, el rectángulo de área máxima es el cuadrado DDDD.
0 = 2 - 2 x - E.
A medida que se toman para E valores más y más pequeños (es decir, a medida que el rectángulo modificado se aproxima más y más al rectángulo máximo original), la expresión situada a la derecha de la ecuación se acerca más y más a la expresión que se obtiene haciendo E = 0, o sea 2 - 2x. Resolviendo esta ecuación:0 = 2 - 2x
encontramos que: x = 1; o. en los términos del problema original: el rectángulo de área máxima es un cuadrado.Es conveniente notar que el área del rectángulo es una función de las longitudes de los lados y que esta función puede representarse gráficamente mediante una curva (figura 123).

Figura 123. Esta curva es una parábola que representa las áreas de todos los rectángulos cuyo perímetro tiene una longitud igual a 4 unidades. Levántese una perpendicular en cualquier punto n del eje de las x, que llegue hasta la curva. La longitud de esta perpendicular será el área del rectángulo, uno de cuyos lados es igual a n. El área máxima corresponde al punto A de la gráfica, es decir, a la perpendicular levantada por x = 1. De este modo el rectángulo de área máxima, con perímetro = 4, tiene un lado = 1 y es, por lo tanto, un cuadrado.

Figura 124. Las líneas horizontales son tangentes en los máximos y mínimos relativos de la curva.
Sir Isaac Newton y el barón Gottfried Wilhelm von Leibniz comparten el mérito, en la historia de las matemáticas, de haber descubierto, independientemente, el cálculo diferencial e integral. Sus antagónicas reclamaciones a tal honor dieron lugar a una controversia que apasionó a Europa durante más de un siglo. Esta monumental invención, hecha simultáneamente por estos hombres, se recomienda ahora, por sí misma, a nuestra atención.
Una tenue llama, encendida por Arquímedes y sus predecesores, resplandeció con inigualable fulgor en el clima intelectualmente hospitalario del siglo XVIII, para proyectar su luz sobre todo el futuro de la ciencia. El fecundo concepto de límite reveló sus plenos poderes, por vez primera, en el desarrollo del cálculo diferencial.
Estamos ya familiarizados con el límite de una cantidad variable. La sucesión de los números 0.9, 0.99, 0.999, 0.9999 converge al valor límite 1. La serie
1 + 1/2 + 1/4 + 1/8 + 1/16…
converge al valor límite 2. Ni tampoco dejan de sernos familiares los ejemplos geométricos. Si se inscribe un polígono regular en un círculo, la diferencia entre el perímetro del polígono y la circunferencia del círculo puede hacerse tan pequeña como se quiera con sólo tomar un polígono de suficiente número de lados. La figura límite es el círculo, el área límite, el área del círculo.En estos ejemplos no hay dificultad alguna para determinar el límite; sin embargo, esto es la excepción y no la regla. Por lo general, se requieren formidables procedimientos matemáticos para determinar el límite de una cantidad variable. Consideremos esto: Trácese un círculo de radio igual a la unidad; inscríbase en él un triángulo equilátero. En este triángulo inscríbase otro círculo; en el segundo círculo, un cuadrado. Continúese con un círculo en este cuadrado y sígase con un pentágono regular inscrito en el nuevo círculo. Repítase este procedimiento, aumentando cada vez, en uno más, el número de lados del polígono regular.
A primera vista, uno podría suponer que los radios de los círculos, que van disminuyendo, se aproximan a cero como valor límite.
Pero no es así; los radios convergen a un valor límite definido, distinto de cero.

Figura 125. Los radios, al disminuir, tienden a un límite, que es aproximadamente 1/12 del valor correspondiente al radio del primer círculo.

Aquí parecería que los radios debieran crecer superando todo límite, hasta hacerse infinitos.

Figura 126. Los radios, al aumentar, tienden a un límite, aproximadamente 12 veces mayor que el del círculo original.

Ya nos hemos ocupado bastante del límite de una cantidad variable. Vayamos ahora al límite de una función, recordando, someramente, el significado de función [Aunque esto ya lo hemos hecho antes, la noción de función es tan importante, tan frecuente su presencia en las matemáticas, que bien vale la pena volver nuevamente sobre la misma].
Se encuentra a menudo, que dos cantidades variables están relacionadas entre sí de tal manera que a cada valor de una corresponde un valor de la otra. En estas condiciones se dice que las dos cantidades variables son funciones una de la otra, o que se relacionan funcionalmente. Así, la fuerza de atracción (o repulsión) entre dos imanes, es una función de la distancia que los separa. Cuanto mayor sea la distancia entre los imanes, menor será la fuerza; a menor distancia, mayor será la fuerza. Si se hace que la distancia tome valores arbitrarios, se la podrá considerar como una variable independiente La fuerza, entonces, resultará la variable dependiente, dependiente de la distancia (y la relación funcional) y queda determinada de manera única, asignando valores a la variable independiente. En las relaciones funcionales, la letra x indica habitualmente la variable independiente, en tanto que la letra y, la variable dependiente. La dependencia “y es una función de x”, se escribe simbólicamente:
y = f(x)
La representación gráfica de un punto ha sido ya tratada en el capítulo sobre geometría analítica.
Figura 127. Representaciones de tres funciones diferentes.
Al discutir el concepto de “límite de una función”, estudiemos específicamente la función: y = 1/x representada gráficamente en la figura 128.

Figura 128. Gráfica de la función y = 1/x
Para la función: y = 1/x, tómense dos puntos vecinos, x =1/4 y x = 1/2. A medida que la variable independiente se mueve a lo largo del eje de las x, desde el punto x = 1/4 hasta x = 1/2, “obliga" a la variable dependiente, a lo largo de la curva, desde el punto y = f(1/4) = 4 hasta y = f(1/2) = 2.
En otras palabras, a medida que la variable independiente x se acerca al valor 1/2 considerado como límite, la variable dependiente —la función— se aproxima al valor 2, como límite. Generalizando, a medida que una variable independiente xse aproxima a un valor A, su variable dependiente y (la función de x) se aproxima a un valor B. De este modo, el límite de f(x), a medida que x se acerca al valor de A, es B. Esto es lo que significa el “límite de una función”.
Recordando el ejemplo de la varilla de acero flexionada por el peso, podemos construir un diccionario paralelo de términos:

Consideremos la determinación de la rapidez de un cuerpo que se mueve en un instante dado. Se arroja una bomba desde una aeronave estacionaria a una altura de 400 metros. Cuando llega al suelo han transcurrido cinco segundos. Su rapidez media es, pues, 400 metros/5 segundos = 80 metros/segundo. En consecuencia, el promedio de la razón de cambio de la distancia con respecto al tiempo, es 80. Pero sabemos, sin embargo, de acuerdo a los más elementales conocimientos de física, que un cuerpo adquiere mayor velocidad a medida que cae.
Mientras cae, la bomba no se mueve a una velocidad constante de 80 metros por segundo; la rapidez de su caída varía de punto a punto, aumentando en cada instante sucesivo (despreciando la resistencia del aire). Supongamos, para mayor facilidad, que nos limitamos a considerar la velocidad de la bomba en el preciso momento de chocar contra el suelo. Evidentemente, su velocidad durante el último segundo constituirá una razonable aproximación de la que posee en el instante del choque. La distancia cubierta durante este último segundo es de 144 metros, y la razón de cambio de la distancia con respecto al tiempo es 144. Si ahora tomamos intervalos de tiempo cada vez menores, podemos obtener aproximaciones más y más ajustadas a la velocidad del proyectil en el momento del impacto. En el último medio segundo, la distancia recorrida fue de 76 metros, de modo que la velocidad llegó a ser de 152 metros por segundo. En la tabla siguiente se consignan los intervalos de tiempo, la distancia recorrida en esos intervalos y la velocidad media en cada uno de ellos. Se ve fácilmente que a medida que el intervalo se acerca a cero obtenemos la aproximación a la velocidad del cuerpo en el instante en que golpea en el suelo.

Figura 129. El dibujo muestra la distancia recorrida por un proyectil que cae, al final del 1°, 2°, 3°, 4° y 5° segundos.

Podemos tratar el mismo ejemplo desde un punto de vista algebraico. La distancia recorrida por un cuerpo que cae, está dada por la función: y = 16x2, en la cual y es la distancia y x es el tiempo transcurrido. Partiendo de esta fórmula, con sólo sustituir 5 (segundos) en lugar de x, hallamos que y es igual a 400 metros. ¿Cómo haremos uso de esta fórmula para determinar la velocidad al cabo de cinco segundos? Fijaremos nuestra atención en un breve intervalo de tiempo, antes de que el objeto que cae choque contra el suelo, y en el consiguiente intervalo reducido de distancia recorrido en ese período de tiempo. Llamaremos Δx [Léase ‘‘incremento de x” y no "delta veces x", porque Δ es solamente un símbolo, una indicación para efectuar cierta operación, a saber, tomar una pequeña porción de x], a este pequeño intervalo de tiempo y Δy a la distancia recorrida en ese período. Sabiendo que el valor de Δx ha sido elegido arbitrariamente, el problema consiste en determinar el valor de Δy. Al comienzo del intervalo de la distancia, Δy, el tiempo exacto transcurrido desde que el cuerpo que cae abandonó la aeronave fue de (5 - Δx) segundos. La distancia cubierta en el tiempo (5 - Δx) segundos, es de (400 - Δy) metros. Nuestra relación funcional indica que:
Distancia = 16 (tiempo transcurrido)2

Figura 130
400 = 16 (5)2,
y para el recorrido incompleto(400 - Δy) = 16(5 - Δx)2
que puede simplificarse así:400 - 16(5 - Δx)2 = Δy 400 - 16(25 - 10Δx + Δx2) =
= Δy 400 - 400 + 160Δx - 16Δx2 = Δy 160Δx - 16Δx2 = Δy
La última ecuación de la distancia Δy en términos de unidades de Δx. Para hallar la velocidad media durante todo el intervalo de tiempo Δx, debemos formar la fracción:velocidad media = intervalo de distancia/intervalo de tiempo
o sea:

En términos técnicos:

Detengámonos por un instante, para no confundimos. ¿Qué hemos logrado? Podrá parecer trivial que, con toda la compleja maquinaria a nuestra disposición, sólo hayamos conseguido averiguar la velocidad instantánea de un cuerpo que cae, en el momento en que toca la tierra. Sin embargo, si nuestro éxito es trivial, el movimiento también lo es, porque, ya sea queriéndolo o no, hemos atrapado la flecha de Zenón durante su vuelo y establecido la inmutabilidad de nuestro Universo. Con ayuda de los conceptos de límite y función, hemos hecho comprensible las nociones de cambio y de razón de cambio. Cambio es una tabla funcional. A medida que varía un ítem (variable independiente) en un lado de la tabla, su ítem correspondiente (variable dependiente), del otro lado, acusa una variación correlativa. La tasa de variación, es decir, la razón límite de las dos variaciones, se denomina razón de cambio. Todas las extravagancias, misterios e incertidumbres indisolublemente ligadas a la idea del movimiento, se disipan de esta manera o, con más propiedad, se transforman en unos pocos aspectos precisos y definibles del concepto de función.
El límite de una función está ejemplificado muy sencillamente por la razón Δy/Δx cuando Δx tiende a cero. Es fácil ver que Δy/Δx, es una función de Δx; en otras palabras, que esta razón es una función de la variable independiente Δx. A medida que le asignamos valores arbitrarios a Δx, su variable dependiente Δy asume un correspondiente conjunto de valores y, como hemos visto, esa razón tiende a un límite. De ello se deduce que no solamente hemos revelado el significado del límite de una función, sino que ya hemos hecho uso práctico de este concepto.
Ahora es posible definir el proceso fundamental del cálculo diferencial, calculando el límite de la razón de cambio de una función o, lo que es lo mismo, determinando su derivada. Pues, en efecto, la razón de cambio de una función es a su vez una función de esa función y, al obtener al límite de la razón de cambio, es decir a la derivada, llegamos al corazón de la maquinaria de nuestra función primitiva.
Supongamos que se desea determinar la variación de una función, y = f(x) en un punto arbitrario x0. El cambio promedio de la función f(x) en un intervalo que se extiende desde x0 hasta x0 + Δx es la diferencia en el valor de la función y = f(x) en los dos puntos extremos. x0 y x0 + Δx. dividida entre la longitud entre estos dos puntos extremos (x + Δx) - x0. Así:
y0 = f(x0)
yy0 + Δy = f(x0 + Ax)
Por consiguiente, un cambio en una función, desde el punto de vista puramente algebraico, está dado por:Δy = f(x0 + Δx)- f(x0),
y la tasa de variación media de una función, obtenida dividiendo el cambio, Δy, entre la longitud del intervalo en el cual se considera ese cambio, Δx, esΔy/Δx= [f(x0 + Δx) -f(x0)]/Δx
A fin de obtener mejores aproximaciones a la razón de cambio “instantánea” en el punto x0, sólo es necesario tomar intervalos más pequeños, es decir, hacer que Δx tienda a cero.A medida que Δx tiende a cero, la expresión [f(x0 + Δx) -f(x0)]/Δx se aproxima, tanto como se quiera a la razón de cambio instantánea en x0. Así, en el límite, cuando Δx tiende a cero, el cociente [f(x0 + Δx) -f(x0)]/Δx tiende a un valor límite, indicado Δx, por dy/dx. Éste es el valor numérico que se llama derivada de la función f(x) en el puntox0. Pero ya que x0 es un punto arbitrario, puede decirse que la derivada representa la razón de cambio instantánea de una función a medida que la variable independiente pasa por un conjunto completo de valores.
En obsequio a la claridad, puede resultar útil una interpretación geométrica de la derivada. Cronológicamente, la interpretación geométrica precedió a la analítica. Uno de los problemas principales del siglo XVII consistía en trazar la tangente a una curva en un punto arbitrario. Fue resuelto por el predecesor y profesor de Newton en Cambridge, Isaac Barrow. En base a las investigaciones geométricas de Barrow. Newton desarrolló el concepto de la razón de cambio sobre curvas definidas analíticamente. La íntima relación entre el álgebra y la geometría, resumida por el hecho de que cada ecuación tiene su gráfica y cada gráfica una ecuación, dio sus frutos una vez más. Sea la gráfica de la función y = f(x), en el plano cartesiano, la curva indicada en la figura 131.
Consideremos los puntos P1 y P2 de esta curva; sus abscisas están indicadas por x0 y x0+Δx, donde Δx es la distancia entre la proyección de los dos puntos sobre el eje de las x. Las ordenadas de los puntos P1 y P2 están entonces determinadas por la ecuación de la curva y son f(x0) y f(x0 + Δx), respectivamente.
La pendiente[102] de la recta que une P1 y P2 (la tangente del ángulo θ, es precisamente el cociente:
[f(x0 + Δx) -f(x0)]/Δx

Figura 131

Podemos ahora volver a recordar nuestra proposición de que los valores para los cuales una función alcanza su máximo o su mínimo, corresponden a los puntos de curva en los cuales la tangente es horizontal. La pendiente de una recta horizontal es, por supuesto, igual a cero. Ya que la derivada es idéntica a la pendiente de la tangente, llegamos a la conclusión de que los valores máximos y mínimos de una función, son aquellos para los cuales la derivada de la misma es igual a cero. De esta manera pueden resolverse muchos problemas interesantes.
El problema que tratamos anteriormente y que consistía en determinar el rectángulo de área máxima para un perímetro dado, cae dentro de esta categoría. Indicábamos con x un lado del rectángulo, el lado adyacente con (2 - x) y el área y, por x(2 - x). Siendo el área una función de x, su derivada será igual a cero cuando la función alcance su valor máximo. Hallar el rectángulo de área máxima por medio del cálculo implica los siguientes pasos:
(1) derivar la función, es decir, hallar su derivada;
(2) igualar a cero esta derivada;
(3) despejar x en la ecuación resultante.


Al considerar la derivada en cada punto del intervalo sobre el cual está definida, hemos visto que la derivada es, a su vez, una función de la variable independiente. La derivación no necesita detenerse aquí, puesto que la función derivada puede también tener una derivada, la segunda derivada de la función original. La notación empleada para indicar la segunda derivada de y = f(x), es d2y/dx2. La derivada n-ésima de una función se obtiene derivando la función n veces. Su símbolo es: dny/dxn. ¿Qué significan estas derivadas de orden superior?
Habitualmente, suele darse a la segunda derivada una interpretación física y una geométrica. Si la función: y = f(x) representa la distancia recorrida por un cuerpo que cae, en el tiempo x. la primera derivada representa la razón de cambio de la distancia con respecto al tiempo. La segunda derivada es la razón de cambio de la velocidad con respecto al tiempo y se la conoce generalmente como la aceleración del cuerpo. Para un cuerpo que cae, la distancia (en pies) y = 16x2, debe derivarse una vez para obtener la velocidad y de nuevo, otra vez más, para obtener la aceleración. Los detalles matemáticos de ambas derivaciones son:


Veamos ahora la interpretación geométrica de la segunda derivada. Para curvas dibujadas en el plano, en cada punto, la curvatura es directamente proporcional a la segunda derivada. Para determinar la curvatura de un arco dado, dibujamos el círculo que mejor se adapte a ese arco.
El radio de ese círculo es el radio de curvatura y su valor recíproco, la curvatura.
Veamos cómo se aplica, por ejemplo, a la línea recta. La curvatura de una línea recta es igual a cero. Cualquier función cuya gráfica sea una línea recta, tiene una ecuación de la forma: y = mx + b, donde m y b son constantes.
La derivación da: dy/dx = m. Cuando se deriva m, su razón de cambio o derivada es igual a cero, ya que m es una constante.

Figura 132
No existen interpretaciones físicas o geométricas, simples, de la tercera, cuarta y demás derivadas. Las derivadas de orden superior aparecen, sin embargo, en muchos problemas de física. A los ingenieros de automóviles les interesan mucho las derivadas terceras porque les informan acerca de la calidad de marcha de un coche. Los ingenieros civiles, que se ocupan de la elasticidad de las vigas, la resistencia de las columnas y todos los aspectos de la construcción donde aparecen esfuerzos de corte y compresión, necesitan las derivadas primera, segunda, tercera y cuarta; existen otros innumerables ejemplos en los campos de las ciencias físicas y las aplicaciones estadísticas a las ciencias sociales.
Los problemas resueltos por el cálculo integral tienen su origen en una época muy anterior a los del cálculo diferencial. Pero esto no quiere decir que los recursos matemáticos usados en uno de ellos precedieran a los del otro, pues los conceptos de límite, función y límite de una función, tal como aparecen en el cálculo, fueron desarrollados al mismo tiempo para sus dos ramas. Pero el tipo de problema que el cálculo integral trata de resolver es más fácil de proponer y, por lo tanto, no es sorprendente encontrar en los escritos de los matemáticos griegos problemas que hoy identificamos como pertenecientes a la integración.
Mucho más sorprendente es la estrecha relación que existe entre las dos divisiones del cálculo, el cálculo diferencial y el cálculo integral. Una cosa es determinar la razón de cambio de una función o la pendiente de la tangente a una curva y otra, que parece ser de un orden totalmente distinto, calcular el área limitada por una curva. Por maravilloso que pueda parecer el eslabón entre estas dos investigaciones, aparentemente inconexas, es secundario con respecto a la satisfacción que experimenta el matemático ante el carácter complementario de tan poderosos recursos.
“La cuadratura del círculo” había desafiado a los matemáticos griegos. Otro aspecto de este problema, quizá no tan bien conocido, pero de igual importancia, es la rectificación del círculo. Consiste en la determinación de la longitud de la circunferencia de un círculo, en función de la longitud de su radio.

Figura 133. Representación de la ecuación: y = mx + b.
La exposición de sus métodos revelaría más del genio de Arquímedes que de la teoría general del cálculo integral. Indudablemente el plan de Arquímedes fue anticipo de la técnica del cálculo, pero en los siglos comparativamente estériles que siguieron, la semilla que plantó no alcanzó a germinar.

Figura 134. Cuadratura de la parábola. La superficie sombreada es igual a 2/3 del área del rectángulo.
Haciendo girar alrededor de su eje la sección longitudinal del barril, se obtendría un cuerpo de volumen igual al del tonel. El plan de Kepler fue dividir dichos sólidos de revolución en un infinito número de partes elementales y sumarlas y, en su Stereometria, aplica este método a unos noventa casos especiales. Kepler consideró a los arcos infinitamente pequeños como segmentos rectilíneos, a los rectángulos planos infinitamente estrechos, como líneas y a los cuerpos infinitamente delgados como planos. El concepto de las magnitudes infinitamente pequeñas que manejaba era aquel que los antiguos habían eludido, por lo general, pero que poco después serviría de base al método de Cavalieri.”
Tal vez convendría destacar, a esta altura de nuestra exposición sobre el cálculo, que toda referencia al infinito, ya sea pequeño o grande, ha sido cuidadosamente eludida. Gracias a Weierstrass, supo dominar al “fantasma” infinitesimal, el cálculo se asienta firmemente sobre fundamentos comprensibles, y no metafísicos, como límite, función y límite de una función. Nada impide hacer extensivos estos conceptos al cálculo integral. En realidad, la eliminación de lo infinitamente pequeño es más importante aún para el cálculo integral que para el diferencial. Fue precisamente este refinamiento del pensamiento el que elevó al cálculo a la categoría de ciencia exacta.
La obra de Cavalieri marcó rumbos nuevos por su mayor generalidad, merced a un método más abstracto que el de Kepler. Uno de los teoremas principales todavía lleva su nombre. Si dos sólidos tienen la propiedad de que al ser cortados por planos sus áreas quedan en proporción constante, sus volúmenes estarán en la misma proporción.
La cuestión inicial, pues, para calcular las áreas delimitadas por curvas, estuvo en vías de solución tan pronto la rudimentaria maquinaria lo hizo posible. Sin embargo, la disposición de la maquinaria era inadecuada para el cálculo de la longitud de una línea curva. Se requería, en consecuencia, un artificio diferente.
Todos los problemas sencillos, en matemáticas, participan de un rasgo común: no se puede anticipar qué dificultades pueden ocultar. Por cierto, que nada parece más fácil que medir la longitud de una línea. Tómese una hoja de papel y márquense en ellas dos puntos. Si se unen estos dos puntos con una línea recta, todo lo que se necesita para determinar su longitud, es una regla graduada. Ni siquiera necesitamos desviarnos por el mal camino al que nos conduciría el raciocinio filosófico: Qué medios se emplearán para medir la longitud de la regla; qué medios se emplearán para medir la varilla de medida que medirá la regla, etc.

Figura 135. Aproximándose a la longitud de una curva mediante segmentos rectilíneos.
Ahora bien, podrían sugerirse otros medios para medir las curvas. Se ha recurrido con frecuencia, principalmente en este capítulo, a métodos de aproximación. De este modo, podemos dividir al arco en un gran número de partes pequeñas y unir los puntos extremos de los pequeños arcos con líneas rectas. La suma de las pequeñas líneas rectas diferirá de la suma de los pequeños arcos en menos de lo que difiere una línea recta de la longitud de toda la curva.
En otras palabras, la suma de las longitudes de las pequeñas líneas rectas se aproximará a la longitud de la curva. Eligiendo un número suficientemente grande de tramos rectos (cada uno de ellos, muy pequeño) lograremos hacer que la suma de sus longitudes difiera de la longitud de la curva tan poco como se quiera. Cuanto más numerosas son las pequeñas rectas, tanto más exacta será la aproximación.
Si concebimos que el número de líneas rectas aumenta indefinidamente, puede decirse que su suma tiende a un límite, la longitud de la curva. Tratemos de formular esto en función de límites, y de límites de funciones.
Supongamos que y = f(x) es la ecuación de la curva que une los dos puntos A y B en un plano cartesiano. Subdividamos a la porción de eje x, situada bajo la curva, en n partes iguales. La abscisa del punto inicial A es a0; la abscisa del punto siguiente será a1, del tercer punto a3, y así sucesivamente, de manera que la abscisa del último punto, o sea B, es an. La diferencia entre dos valores adyacentes de x la indicaremos con Δx, la diferencia entre dos valores adyacentes de y (obtenida levantando perpendiculares de los valores adyacentes sobre el eje de las abscisas) es Δy

Figura 136. Aproximándose a la longitud de una curva mediante las hipotenusas de triángulos rectángulos. La base de cada triángulo es Δx y su altura Δy.

Figura 137. Se determina la superficie de este polígono irregular, formando los triángulos indicados y calculando el área de cada uno de ellos.
Calcular el área de una figura limitada por líneas rectas, por irregular que sea, es comparativamente fácil. Sólo se necesita trazar líneas auxiliares que dividan a la figura original en cierto número de triángulos. Sumando las áreas de estos triángulos se obtiene la superficie de la figura dada.
Cuando la frontera de una figura no es recta sino curva, este procedimiento es inadecuado y debe recurrirse, nuevamente, a la imaginación. Si dividimos los lados curvos de la figura en un gran número de partes, uniendo sus puntos extremos con líneas rectas, exactamente como lo hicimos antes, la figura resultante, un polígono acotado por lados rectilíneos, tiene un área que puede determinarse por medios elementales. Aumentando el número de lados del polígono, puede hacerse diferir su área del área de la figura original, tan poco como se quiera, y obtener, así, una aproximación tan perfecta como se pida.
Pero un medio más efectivo de dividir a una figura curvilínea, consiste en valerse de rectángulos. Precisamente, este artificio fue inventado por Arquímedes. En la figura 138 vemos, por ejemplo, un círculo dividido en fajas rectangulares. De acuerdo al método de construcción de estas fajas, se verá que puede obtenerse no sólo una sino dos aproximaciones. La primera da el área de los rectángulos inscritos en el círculo y la segunda, la de los circunscritos. La discrepancia entre ambas superficies de rectángulos disminuye a medida que aumenta el número de ellos, en otras palabras, a medida que disminuye la anchura de los mismos. Su límite común, a medida que la superficie interior aumenta y la exterior disminuye, es el área del círculo.
En lugar de limitamos a este ejemplo especial, si tratamos el problema general de determinar el área encerrada por un segmento de una curva arbitraria, el método que acabamos de describir, puede, quizás, aclararse más.

Figura 138. Aproximación del área de un círculo mediante rectángulos.

Figura 139

Figura 140
Repitiendo este proceso para cada subintervalo y tomando la suma de las áreas de los rectángulos promedio, se obtiene una aproximación de toda el área encerrada por la curva. Valiéndonos, una vez más, del concepto de límite, puede verse que a medida que aumenta el número de subintervalos tomados sobre el eje de las x, la suma de las áreas correspondientes, tiende, necesariamente, al área de la figura sombreada (Figura 139). En el límite, esta suma de los muy pequeños elementos de área se denomina, la integral definida de la funcióny = f(x) entre los valores de x = A y de x = B, y con la notación de Leibniz se indica:

Nuestra interpretación de la integral definida es que representa a un área. Atribuirle ese significado es siempre posible, pero existen integrales de ciertas funciones que tienen, además, un significado físico distinto. Esto se debe principalmente a que la integral definida es un número, una suma, además de un área. Todas las veces que, en la ciencia, se sume una función hasta el límite, la integral definida desempeña un papel. Una de las conquistas del cálculo integral ha sido la determinación del momento de inercia de todos los sólidos. Una vez más, es a la integral definida a la que los ingenieros civiles deben estar agradecidos, puesto que el puente Golden Gate, por ejemplo, depende más de ésta que del hierro y del hormigón. Resistir los esfuerzos de nuestras gigantescas presas, con sus caras curvas e irregulares, supone otro problema de integración de funciones. Determinando la presión del agua en un punto arbitrario y sumándola en todo el paramento del dique, queda determinada la fuerza total. El baricentro, es decir el centro de gravedad de una figura plana o de un sólido, se determina fácilmente por medio del cálculo integral cuando se aplica a la función particular que define esa figura y podrían multiplicarse indefinidamente ejemplos semejantes.
Más allá del concepto de integral definida, con sus múltiples usos y su extraordinario campo de aplicación, está la noción de integral indefinida, cuyo valor intrínseco para el matemático es aún mayor. Su principal interés teórico consiste en que nos permite comprobar la asombrosa relación existente entre la derivada y la integral.
Consideremos la función y = f(x). En lugar de limitar el intervalo, como lo hicimos antes, de x = A a x = B, imaginemos que se extiende desde x = A, hasta x = x0, donde x0 puede asumir cualquier valor. Para diferentes valores de x0, la integral definida tomará, también, diferentes valores. En realidad, no estamos considerando ya un área limitada, sino que disponemos de todo lo necesario para formar una tabla funcional. Por un lado tendremos registrados valores de x0 y del otro, los valores correspondientes de la integral definida. Esta correspondencia entre los valores de x0 y los de la integral definida, constituye una función llamada “la integral indefinida” de la función y = f(x). Aquí radica lo esencial del asunto: la integral definida de la función y = f(x) es un número determinado por un intervalo de longitud definida y una porción de la curva y = f(x), definida en ese intervalo. Cuando el intervalo se extiende desde un punto fijo a través de una sucesión de otros, a cada uno de éstos corresponde un valor de la integral definida. Esta correspondencia, esta función, es la integral indefinida de la función original y = f(x) y se representa simbólicamente así:
∫f(x)dx
De todo esto podrá usted adivinar, quizá, lo que tienen de común las dos ramas del cálculo, aparentemente tan diversas, puesto que la relación entre derivación e integración nos trae reminiscencias de la aritmética elemental. Es la misma relación que existe entre la adición y la sustracción, la multiplicación y la división, el elevar a una potencia y el extraer raíz. Una de las operaciones es la inverso de la otra. Partiendo de la función y = f(x), por derivación obtenemos dy/dx. ¿Qué obtenemos al integrar dy/dx? Aquí se revela el motivo del cálculo puesto que obtenemos la función original y = f(x). Una integral indefinida de la función y = f(x) es otra función de x que indicaremos así: y = F(x). Por supuesto que la derivada de y = F(x) es f(x). En consecuencia, toda función puede ser considerada como la derivada de su integral, y como una integral de su derivada.Anteriormente aludimos a la función exponencial, y = ex y a su utilidad para describir los fenómenos de crecimiento. Es la única función cuya razón de cambio es igual a la función misma. Derivando y = ex, se obtiene: dy/dx = ex.
Integrando sale el mismo resultado. Se deduce entonces que la biografía de la población de cualquier organismo —ameba, hombre o pino californiano, de cualquier fenómeno que presente propiedades de crecimiento orgánico— puede describirse adecuadamente mediante la integral de ex. Esta idea, un tanto inquietante, no es difícil de comprender. La proporcionalidad de la razón de cambio de crecimiento con respecto al estado de crecimiento puede sintetizarse mediante la función exponencial. Si ésta es integrada, el crecimiento total registrado en cualquier período determinado está dado por la integral definida y el carácter general del crecimiento está sucintamente explicado mediante la integral indefinida.
Para concluir, examinemos nuevamente el problema de un cuerpo que cae. Habíamos comenzado considerando la distancia desde la cual cayó el cuerpo en un período de tiempo y establecimos su velocidad, en cada instante, por derivación. La aceleración en cada instante fue obtenida, a su vez, por derivación de la primera derivada, hallando la rapidez de cambio de la velocidad con respecto al tiempo. Galileo y Newton hicieron lo mismo, pero a la inversa. Supusieron, sagazmente, que la aceleración de un cuerpo que cae era constante, la constante de gravitación. Integrando la función que expresa esta hipótesis, hicieron el descubrimiento clásico de las leyes del movimiento:
1. La rapidez de un cuerpo que cae es igual a gt, en la que g es la aceleración de la gravedad (9,81 m/seg2 ó 32 pies/seg2) y t el tiempo transcurrido desde que se arrojó el cuerpo.
2. La distancia recorrida por el cuerpo que cae es: 1/2 gt2.
Éstas y las demás leyes del movimiento que rigen a todas las partículas del Universo, se deducen, sencilla y elegantemente, por medio del cálculo. Pero esto no es todo, puesto que el cálculo no sólo ayudó a elevar algunos de los secretos más íntimos de la naturaleza, sino que le dio al matemático más nuevos mundos por conquistar que aquéllos por los que suspiró Alejandro el Grande.
Apéndice
Curvas patológicas

Figuras. 141, 142, 143, 144. El círculo considerado como curva límite de una sucesión de curvas.
C3 es el dodecágono regular formado al dividir en dos partes iguales a los seis arcos de la figura 143 y uniendo, en ese orden, los doce vértices. Repítase este proceso dividiendo a los arcos y duplicando el número de lados. La curva a la que se acercan, como límite, estos polígonos es el círculo.
Así, la circunferencia, puede ser definida como la curva límite de una sucesión de curvas o polígonos.
1. La curva Copo de Nieve. Se comienza con un triángulo equilátero de lado igual a la unidad. Este triángulo es la curva C1 (Figura 145).

Figura 145. La primera etapa de la curva copo de nieve, C1.

Figura 146. La segunda etapa de la curva copo de nieve, C2.

Figura 147. La tercera etapa, C3.
Su nombre se deriva de la forma que asume en las sucesivas etapas de su desarrollo. Su carácter patológico lo confirma este increíble rasgo: Aunque se concibe fácilmente que la curva límite cabe en una hoja de papel, es difícil imaginar que esto sea posible, porque, si bien el área es finita, ¡la longitud de su perímetro es infinita!
Pero es evidente que en cada etapa de la construcción el perímetro aumenta, y ya que la sucesión de números que representan a la longitud del perímetro en cada etapa no converge, el perímetro supera toda cota prefijada. Estamos, pues, ante un hecho sorprendente: una curva de longitud infinita puede dibujarse en una pequeña hoja de papel —por ejemplo, en un sello de correos.

Figura 148. La cuarta etapa C4

Figura 149. La quinta etapa C5

Figura 150. La sexta etapa C6
El hecho de que la curva no se sale del papel, prueba que el área del copo de nieve es finita. Explícitamente, el área de la curva final es l 3/5 veces mayor que la del triángulo original y por si esto no fuese bastante misterioso, considérese que no es posible indicar en ningún punto de la curva límite la dirección en la que ésta varía, es decir, no existe tangente.
2. La curva anticopo de nieve. Se obtiene dibujando los triángulos hacia dentro, no hacia fuera, y participa de muchas de las propiedades de la que acabamos de considerar. Su perímetro es infinito, mientras que su área es finita y tampoco se le puede trazar tangente alguna en ningún punto (figuras 151-154).

Figuras 151, 152, 153, 154. Las primeras cuatro etapas de la curva anticopo de nieve.

Figuras 155-158. (a) La curva que entra y sale, etapa C1. (b) Etapa C2. (c) Etapa C3. (d) Etapa C2.
Divídase luego cada arco en tres partes iguales y dóblese la parte media hacia el exterior, si ya está doblado hacia el interior y recíprocamente si lo está hacia el exterior. Esta nueva curva es C3. Su perímetro es también igual al del círculo original. Además, el área de C3 es la misma que la de C2 porque hemos añadido y sustraído, alternativamente, segmentos de igual tamaño (Figura 157).
Repitamos este proceso. La curva límite tiene un perímetro igual al perímetro del círculo. Su área es igual a la de C2, que, a su vez, es igual al área de un hexágono regular. Esta curva, al igual que la de copo de nieve y la anticopo de nieve, tiene también sus características patológicas.
Mientras que la curvatura de un círculo se calcula sin dificultad, la curva que entra y sale presenta un aspecto distinto. Consideremos un punto cualquiera de ella. ¿En qué sentido, hacia el centro del círculo o hacia fuera del centro, mediremos su curvatura? Descubrimos que no hay curvatura definida. La segunda derivada, por lo tanto, no existe.
4. Curvas que llenan el espacio. Uno de los principios fundamentales de la geometría es que un punto no tiene dimensiones y que una curva es de una dimensión y no puede, por lo tanto, llenar un espacio dado. Esta férrea convicción debe, también, ser quebrantada. Pues contemplad el supremo ejemplar patológico, la curva que llena el espacio, la que no sólo ocupará el interior de un cuadrado, sino que se tragará el espacio de una caja cúbica.
Las etapas sucesivas de dicha curva se indican en las figuras 159-164. Elíjase cualquier punto en el cuadrado o cubo. Puede demostrarse que finalmente, cuando se haya completado la curva, llegará a pasar por ese punto. Ya que este razonamiento puede hacerse extensivo a todos los puntos, se deduce, lógicamente, que la curva debe llenar todo el cuadrado o el cubo.



2.º paso: Continúese el proceso para cada uno de los tres triángulos restantes, como en la figura 166.
3º paso: hasta el paso n: Repítase este proceso indefinidamente (la Figura 167 es la 5ª etapa). Únanse entonces los puntos del triángulo original que quedaron sin sombrear y defórmesele de manera que los tres puntos A. B y C se junten.
Tendremos entonces la curva cruzada o entrelazada.
Epílogo
La matemática y la imaginación
No hay conclusión. ¿Qué cosa ha concluido, con respecto a la cual podamos llegar a una conclusión? No hay fortunas que puedan predecirse, ni consejos que puedan darse. Adiós.
William James
“Minino de Cheshire”, comenzó ella algo tímidamente... "Me dirás por favor, ¿qué camino debo tomar para irme de aquí?"
“Eso depende mucho de dónde quieras ir", dijo el gato."
"Poco me preocupa dónde ir", contestó Alicia.
"Entonces, nada importa qué camino tomes", replicó el gato.
Lewis Carroll
Aquí, pues, en matemáticas, tenemos un idioma universal, válido, útil e inteligible en todas partes, en el espacio y en el tiempo —en los bancos y compañías de seguros, en los pergaminos de los arquitectos que levantaron el templo de Salomón y en las copias heliográficas de los ingenieros que, con sus cálculos, dominan los vientos. Aquí hay una disciplina para centenares de ramas, fabulosamente rica, literalmente sin límites en su esfera de aplicación, cargada de honores por una ininterrumpida “relación” de magníficas realizaciones. Aquí hay una creación de la mente, a la vez mística y filosófica en recursos. Rígida e imperiosa como la lógica, es todavía suficientemente sensitiva y flexible para satisfacer cualquier nueva necesidad. Sin embargo, este enorme edificio descansa sobre los fundamentos más simples y más primitivos, está forjado por la imaginación y la lógica de un puñado de reglas infantiles. Aun cuando hasta ahora ninguna definición ha abarcado sus fines o su naturaleza, ¿puede ser que la incógnita: “Qué es la matemática” quede sin respuesta?
No es sorprendente que las matemáticas disfruten de un prestigio inigualado por ningún otro vuelo del pensamiento. Han hecho posibles tantos adelantos en las ciencias, son a la vez tan indispensables en los asuntos prácticos, y son tan fácilmente obra maestra de abstracción pura, que el reconocimiento de su preeminencia entre todas las conquistas intelectuales del hombre no es otro que el debido.
A pesar de esta preeminencia, la primera estimación significativa de las matemáticas tuvo lugar recientemente con motivo del advenimiento de las geometrías no euclidianas y de más de tres dimensiones. Esto no quiere decir que deban menospreciarse los progresos logrados por el cálculo, la teoría de la probabilidad, la aritmética del infinito, la topología y otros temas que hemos tratado. Cada uno de ellos ha ampliado el dominio de las matemáticas y ha profundizado su significación así como nuestra comprensión del universo físico. Sin embargo, ninguna de ellas ha contribuido a la introspección matemática, al conocimiento de la relación entre sí y con respecto al todo de las partes que constituyen las matemáticas, tanto como las herejías no euclidianas.
Como resultado del espíritu valerosamente crítico que originó estas herejías, hemos superado la noción de que las verdades matemáticas tienen existencia independiente y aparte de nuestras propias mentes. Todavía nos resulta extraño que semejante noción pudiera haber existido alguna vez. Sin embargo, esto es lo que Pitágoras debió haber pensado —y Descartes, como asimismo centenares de otros grandes matemáticos anteriores al siglo XIX. Hoy las matemáticas son ilimitadas: han roto sus cadenas. Cualquiera que sea su esencia, reconocemos que son tan libres como la mente y tan prensiles como la imaginación. La geometría no euclidiana es una demostración de que las matemáticas, a diferencia de la música de las esferas, es el artificio propio del hombre sometido sólo a las limitaciones de las leyes del pensamiento.
La filosofía que lleva el nombre de positivismo lógico ha preparado un formidable programa: primero, eliminar la metafísica de la filosofía; y segundo, presentar las relaciones mutuas entre las leyes del pensamiento (es decir, la lógica) y las matemáticas. Algunos creen que en la evaluación de la naturaleza de las matemáticas el positivismo lógico representa un progreso mayor que el realizado por la geometría no euclidiana. Aunque muy modestamente, se ha expresado la esperanza de que aquí hay, al menos, una doctrina que encara con toda equidad las dificultades esenciales e inherentes que obstruyen el camino hacia la cumbre.
Purificando a la filosofía matemática de la metafísica, ha habido (a nuestro juicio), una ganancia real. Ya no se considerará más a las matemáticas como una clave de la verdad con V mayúscula. Ahora puede ser considerada como una guía desastrosamente incompleta, aunque enormemente útil, de un país que en su mayor parte permanece inexplorado. Se han fijado algunas señales. La vasta red de caminos es parcialmente comprensible; hay señales para el perplejo viajero.
Por otra parte, uno no puede reprimir la sensación de que esta nueva apreciación de las matemáticas es tan incompleta, tan desprovista de colorido, que resulta casi trivial e inconsecuente. Al considerarlas simplemente como un puñado de proposiciones primitivas e indefinidas, unidas con una metodología para crear otras nuevas, parece que se ha perdido algo del espíritu, del gusto y del color de las matemáticas. Mientras tanto, quienes se oponen al positivismo lógico, admiten que sirve alguna finalidad, pero atacan el aturdimiento del raciocinio y la limitación de horizontes que inevitablemente impone. Nosotros compartimos la opinión de que las matemáticas, más que una fábrica de tautologías, constituyen un vehículo para llevar a cabo las más elevadas aspiraciones del intelecto creador.
En pocas palabras, he aquí lo que dice el positivista: La lógica se ocupa de las reglas formales para manejar los símbolos del idioma. Las matemáticas sólo se ocupan de las ecuaciones; es decir, literalmente, de proposiciones de equivalencia de números.
Todas las relaciones de significado, esenciales e internas, son de incumbencia de la ciencia matemática. Un ser omnisciente no necesitaría, pues, ni lógica ni matemáticas, ya que las relaciones entre todas las entidades serían, para él, evidentes en sí mismas. Aun cuando pudiera encontrar todavía útiles a otras ciencias, como, por ejemplo, la biología para proveerle de un catálogo de seres vivientes, o una guía telefónica para ayudarle a encontrar a sus amigos, habría desaparecido su necesidad de la lógica y de las matemáticas. Porque una vez que todo el significado y todas las relaciones fuesen plenamente descubiertas, estas disciplinas resultarían superfluas.
¿No existe, acaso, razón para pensar que en semejante interpretación, aun cuando nos hemos flagelado despiadadamente y ahuyentado el confuso espíritu de la metafísica, podemos también haber empobrecido la vitalidad de las matemáticas? ¿No podemos haber perdido también “el espíritu en la palabra”?
Como ya lo hemos señalado, la creación de la geometría no euclidiana singularizó la verificación de que las matemáticas en ningún sentido dependen de nuestro medio ambiente. Aunque existen muchas semejanzas entre el comportamiento de los fecundos y pequeños símbolos que escribimos sobre el papel o que juegan en nuestras cabezas y aquellos fenómenos que tienen lugar en el mundo físico, las matemáticas deben ser reconocidas como una disciplina autónoma, restringida sólo por las reglas formales del pensamiento. El desarrollo de las matemáticas es una imagen de la lucha eterna por mayor entendimiento y mayor libertad: de lo particular a lo general; desde las figuras limitadas por líneas rectas hasta las curvas patológicas; de las propiedades de ésta o aquella figura determinada a las propiedades de todas las figuras; de una dimensión a n dimensiones; desde lo finito hasta lo infinito. En esta marcha la imaginación ha desempeñado un notable papel. Porque la imaginación tiene el valor pragmático de adelantarse a la lenta caravana del pensamiento bien ordenado y frecuentemente reconoce la realidad antes que su pesado amo. En eso consiste su contribución esencial a una de las más extrañas colaboraciones del pensamiento: las sosegadas matemáticas y el vuelo de la imaginación.
Las matemáticas constituyen una actividad regida por las mismas reglas impuestas a las sinfonías de Beethoven, las pinturas de Da Vinci y las poesías de Homero. Así como las escalas, las leyes de la perspectiva y las reglas del metro parecen carecer de vitalidad y ardor, podrá parecer que las reglas formales de las matemáticas son tediosas. Sin embargo, finalmente, las matemáticas alcanzan pináculos tan elevados como los logrados por la imaginación de sus más osados exploradores. Y aquí se encierra, quizá, la última paradoja de la ciencia, puesto que en su prosaico tráfago, tanto la lógica como las matemáticas dejan atrás, frecuentemente, a su avanzada y muestran que el mundo de la razón pura es más extraño aún que el mundo de la fantasía pura.

Fig. 27. Sea AB la longitud dada Extiéndasela hasta C de manera que BC = 1. Trácese un semicírculo cuyo diámetro sea AC. Levántese una perpendicular por B, la cual cortará al semicírculo en D. El segmento BD es la raíz cuadrada de L requerida.
(Un número primo es aquel que sólo es divisible por sí mismo o por el uno. De este modo 2, 3, 5, 7, 11, 13 y 17 son ejemplos de números primos. Una famosa prueba de Euclides que aparece en sus Elementos demuestra que el número de números primos es infinita.
Es un hecho verdaderamente sorprendente que de todos los polígonos posibles cuyo número de lados es un número primo solamente los cinco ya indicados pueden construirse con regla y compás
a 0 xn + a1xn-1 +a2xn-2+…+a nx0 = 0
Los coeficientes de una ecuación son los números que aparecen delante de la cantidad o cantidades desconocidas. En la ecuación3x4 + 17x2 -√2x - ix +π =0
en que 3, 17, -√2, -i, π, son los coeficientes. Éste es un ejemplo de una ecuación algebraica con coeficientes muy extraños. Al definir una ecuación algebraica se exige que n sea un número entero positivo y que las a sean números.
Axioma 1. Si A y B son dos puntos distintos entre sí, en un plano hay entonces, por lo menos, una recta que contiene a A y a B.
Axioma 2. Si A y B son dos puntos distintos entre sí en un plano entonces no hay más que una recta que contiene a A y B
Axioma 3. Dos rectas cualesquiera del plano tienen por lo menos, en común, un punto de éste.
Axioma 4. Hay por lo menos una recta en el plano.
Axioma 5. Toda recta contiene, por lo menos, tres puntos del plano.
Axioma 6. No todos los puntos de un plano pertenecen a la misma recta.
Axioma 7. Ninguna recta contiene más de tres puntos del plano.
Estos axiomas parecen referirse evidentemente a puntos y rectas de un plano. En efecto, si omitimos el séptimo, constituyen las suposiciones hechas por Vehlen y Young para una "geometría proyectiva" sobre un plano, en su tratado clásico sobre esa materia. No es necesario que el lector sepa algo sobre geometría proyectiva para comprender la discusión subsiguiente. Pero, ¿qué son los puntos, las rectas y los planos?
El lector puede pensar que "sabe" lo que son. Puede "dibujar" puntos y rectas con lápiz y regla y quizá también convencerse de que los axiomas expresan realmente las propiedades y relaciones de estos entes geométricos. Esto es sumamente dudoso, ya que las propiedades de las marcas hechas sobre el papel pueden diferir notablemente de las que se han postulado Pero, de cualquier modo, la cuestión de si estas marcas reales concuerdan o no, es de la competencia de las matemáticas aplicadas y no de las puras.
Debe notarse que los axiomas mismos, no indican qué son "realmente" los puntos, las rectas, etc. Con el objeto de descubrir las deducciones de estos axiomas, no es indispensable saber qué debemos comprender por puntos, rectas y planos. Estos axiomas implican varios teoremas, no en virtud de la representación visual que el lector pueda asignarles, sino en virtud de su forma lógica. Los puntos, las rectas y los planos pueden ser entidades cualesquiera, indeterminadas por completo, salvo por las relaciones que expresan los axiomas. Eliminemos, por lo tanto, toda referencia explícita a puntos, rectas y planos y con ello suprimiremos toda exhortación a la intuición del espacio al deducir algunos teoremas de los axiomas.
Supongamos, entonces, que en lugar de la palabra "plano", empleamos la letra S y en vez de la palabra "punto" usamos la frase "elemento de S". Evidentemente si se considera al plano (S) como una colección de puntos (elementos de S), una recta puede ser considerada como una clase de puntos (elementos) que es una subclase de los puntos del plano (S). Sustituiremos, por lo tanto, la palabra "recta" por la expresión "clase L" Nuestro conjunto original de axiomas se leerá como sigue.
Axioma 1. Si A y B son elementos distintos de S. hay por lo menos, una clase L que contiene a A y a B.
Axioma 2. Si A y B son dos elementos distintos de S no hay más que una clase L que contiene a A y a B.
Axioma 3. Dos clases L, cualesquiera, tienen por lo menos, en común, un elemento de S.
Axioma 4. Hay por lo menos una clase L en S.
Axioma 5. Toda clase L contiene, por lo menos, tres elementos de S.
Axioma 6. Todos los elementos de S no pertenecen a la misma clase L.
Axioma 7. Ninguna clase L contiene más de tres elementos de S.
En esta serie de suposiciones no se hace referencia explícita a ninguna entidad específica. Las únicas nociones requeridas para establecerlas, son de un carácter completamente general. Las ideas de "clase", "subclase", "elementos de una clase", la relación de "pertenecientes a una clase" y la relación recíproca de una "clase que contiene a elementos", la noción de "número", son partes del equipo fundamental de la lógica Por lo tanto, si logramos descubrir las deducciones de estos axiomas, no puede ser a causa de las propiedades del espacio como tal. (En realidad, ninguno de estos axiomas puede ser considerado como proposición: ninguno de ellos es, en sí mismo, verdadero o falso, puesto que los símbolos S, clase L, A, B. etc., son variables.
Cada una de las variables denota alguna clase de entidades posibles; la única restricción que se les hace es que deben "satisfacer" a, o concordar con, las relaciones formales expresadas en los axiomas. Pero hasta que a los símbolos se les asignen valores específicos, los axiomas son funciones proposicionales, pero no son proposiciones.) Nuestras "suposiciones", por lo tanto, consisten en relaciones consideradas para ser válidas entre términos indefinidos.
Pero el lector notará que aunque ningún término es definido explícitamente, se ha hecho de ellos una definición implícita. Pueden denotar cualquier cosa con tal que lo que ellos denoten concuerde con las relaciones que expresan. Este procedimiento caracteriza la técnica matemática moderna. En Euclides, por ejemplo, se dan definiciones explícitas de puntos, rectas, ángulos, etc. En un tratado moderno de geometría, estos elementos son definidos, implícitamente mediante los axiomas. Como veremos este último procedimiento permite dar una variedad de interpretaciones a los elementos indefinidos y exhibir así una identidad de estructuras en diferentes aspectos concretos...
IDENTIDAD ESTRUCTURAL O ISOMORFISMO
Tenemos que demostrar ahora que un conjunto abstracto, como el tratado precedentemente, puede tener más de una representación concreta y que estas diferentes representaciones, aunque sumamente distintas en contenido material, serán idénticas en estructura lógica.
Supongamos que hay una firma bancaria constituida por siete socios. A fin de asegurarse una información experta en lo referente a los diversos valores con que operan, deciden formar siete comisiones, cada una de las cuales estudiará una actividad especial. Convienen, además, que cada socio actuará como presidente de una comisión y que cada uno de ellos participará en tres y solamente en tres comisiones. A continuación damos una lista de las comisiones y sus miembros, el primero de los cuales actúa como presidente:


Pueden idearse otros ejemplos de variedades tal de cuatro dimensiones, partículas de aire, 3 dimensiones para fijarlas en el espacio y 1 para fijar sus radios.
W Lietamann. Lustiges und Merkwürdiges von Zahlen und Formen. Breslau, Hirt, 1930
Helen Abbot Merrill. Mathematical Excursions Boston Bruce Humphries. 1934
W. Ahrens, Mathematische Unterhaltungen und Spiele. Leipzig B G Teubner. 1921. vols I y II
H. E. Dudeney. Amusements in Mathematics. London Thomas Nelson. 1919
E. Lucas, RécréationsMathématiques. Paris. Gautier-Villars, 1883-1894. vers 1, 11. III y IV
LOS ARTESANOS
Hay tres hombres. John. Jack y Joe, cada uno de los cuales tiene dos profesiones. Sus ocupaciones son las siguientes chófer, contrabandista de licores, músico, pintor, jardinera y barbero
En base a los siguientes hechos determínese el par de profesiones que corresponde a cada hombre
- El chófer ofendió al músico riéndose de su cabello largo
- El músico y el jardinero solían ir a pescar con John
- El pintor compró al contrabandista un litro de ginebra
- El chófer cortejaba a la hermana del pintor
- Jack debía $16 al jardinera
- Joe venció a Jack y al pintor jugando al tejo.

a) Un vaso contiene vino hasta la mitad y otro vaso la misma cantidad de agua. Del primer vaso se saca una cucharadita de vino y se vierte en el vaso que contiene agua. De la mezcla se toma una cucharadita y se echa en el vaso de vino ¿Es ahora mayor o menor la cantidad de vino en el vaso de agua que la cantidad de agua en el vaso de vino? Para dar término a todas las discusiones: es la misma
b) El siguiente rompecabezas agitó no hace mucho tiempo, a los delegados a una distinguida asamblea de expertos en problemas difíciles. Un moro está colgado del extremo de una cuerda que pasa por una polea y está en equilibrio merced a una pesa atada en el otro extremo. El mono decide trepar por la cuerda ¿Qué sucede? Los astutos congresales se empeñaron en toda clase de vanas conjeturas y especulaciones que iban desde la duda de si el mono podía trepar par la cuerda hasta angustiosas demostraciones matemáticas de que no podía [Cedemos avergonzados al impulso probablemente superfino, de señalar la solución, ¡la pesa sube igual que el mono!)
c) Imaginemos tener una cuerda de 40 000 kilómetros de largo longitud suficiente para poder rodear exactamente al globo terrestre por el ecuador. Tomemos la cuerda y adaptémosla ajustadamente a su alrededor, sobre océanos, desiertos y junglas. Desgraciadamente, cuando hemos completado nuestra tarea descubrimos que al confeccionar la cuerda se ha cometido un ligero error, pues sobra 1 metro. Para salvar el error decidimos unir los extremos de la cuerda y distribuir uniformemente ese metro en los 40.000 kilómetros. Naturalmente (nos imaginamos) nadie lo notará. ¿A qué distancia le parece a usted que la cuerda quedará separada del suelo por el simple hecho de sobrarle 1 metro?
La respuesta correcta parece increíble, pues la cuerda quedará a 16 cm de la Tierra a todo lo largo de sus 40 000 km.
Para que esto le resulte más razonable usted puede preguntarse. Caminando alrededor de la superficie terrestre, ¿cuánto más recorre su cabeza que sus pies?

Los invariantes aparecen en otras ramas de las matemáticas. La teoría de los invariantes algebraicos, desarrollada por Clebsch, Sylvester y Cayley, está en la memoria de todos los que han estudiado ecuaciones de 2 grado. Por ejemplo, el discriminante de la ecuación de 2º grado ax2 + bx + c = 0, es el caso clásico de un invariante algebraico. Una ecuación de segundo grado sometida a una transformación lineal, mantiene inalterada una cierta relación entre sus coeficientes expresada por el discriminante b2 - 4ac. El discriminante de la ecuación transformada queda igual al de la ecuación original multiplicado por un factor que sólo depende de los coeficientes de la transformación.
En el triángulo rectángulo que aparece a continuación, las razones trigonométricas (funciones de un ángulo) son las siguientes

Figura 168

El concepto de tangente tiene aplicación inmediata en la geometría analítica y en el cálculo En el diagrama que aparece a continuación, la pendiente de la recta AB es la razón P/Q. que no es otra cosa que la tangente del ángulo θ
Pero la palabra tangente tiene otro significado muy distinto del ya indicado Este nuevo significado es esencial para el cálculo
Dibújese en el plano cartesiano la curva ABC Considérense dos puntos P1y P2 de esta curva, unidos por una línea recta (véase la figura 131) A medida que P2 se mueve a lo largo de la curva acercándose a P1. la recta que une estos puntos se aproxima a un valor límite llamado la tangente a la curva ABC en el punto P1. La pendiente de esta recta tangente en el punto P1 es la derivada de la función, cuya gráfica es la curva ABC.

Figura 169. La pendiente de una línea recta es la razón: P/Q.
