Laplace
Carlos M. Madrid Casado
«Lo que conocemos es muy poco; lo que ignoramos es inmenso... El hombre solo persigue quimeras.» Estas fueron las últimas palabras de Pierre-Simon de Laplace poco antes de expirar a las nueve horas del lunes 5 de marzo de 1827. Exactamente en el mismo mes y en el mismo año, un siglo después, en que murió Isaac Newton, quien falleció el lunes 20 de marzo de 1727. Curiosamente, poco antes de su muerte, Newton pronunció palabras similares: «Lo que sabemos es una gota de agua; lo que ignoramos es el océano».Frecuentemente llamado el Newton de Francia, Pierre-Simon de Laplace (1749-1827) fue él científico por excelencia de finales del siglo XVIII y principios del XIX. Este habilidoso matemático completó la mecánica de Newton, demostró la estabilidad del sistema solar y ofreció una sugerente hipótesis sobre su origen. Fundó la teoría matemática de la probabilidad y postuló una visión determinista del universo. Y junto a Lavoisier y otros jóvenes discípulos, realizó contribuciones decisivas a la química y a la física matemática.
Pero, ¿quién fue realmente el marqués de Laplace? ¿Quién era ese hombre que vio nacer un mundo nuevo, que en sus setenta y ocho años de larga vida viajó al corazón de las luces, conoció a los enciclopedistas, asistió al carnaval revolucionarlo, compartió mesa con los jacobinos, esquivó la guillotina, examinó y trató a Napoleón, se subió al carro de los bonapartistas y, en el último momento, juró lealtad a los Borbones?
Esta obra trata de despejar esa incógnita que toda biografía supone, así como explicar lo esencial de sus múltiples e importantísimas aportaciones científicas. Contar las muchas vidas del marqués de Laplace requiere conectar su obra científica con su papel como figura social y política señera en esos años en que se abrió paso la Edad Contemporánea A diferencia de su compatriota, François-René de Chateaubriand, Laplace nunca escribió unas Memorias de ultratumba, pero perfectamente podría haberlo hecho, porque su turbulenta vida daba para ello. Laplace aprendió a compaginar la vida doméstica con una vertiginosa carrera científica que se vio envuelta en los grandes acontecimientos políticas y sociales que le tocó presenciar y en los que participó activamente: el derrumbe del Antiguo Régimen, los frenéticos vaivenes de la Revolución, el ascenso y la caída del Imperio napoleónico y, finalmente, la Restauración borbónica
Por desgracia, aún persiste en la historia de la ciencia la tendencia a considerar el tiempo que dista entre Newton y Einstein como un periodo de relativa calma, en el que los científicos de la talla de Laplace se dedicaron meramente a perfeccionar la mecánica newtoniana, antes de que el electromagnetismo hiciera su aparición y la teoría de la relatividad lo trastocara todo. Sin embargo, este libro pretende añadir una cierta dosis de inestabilidad a ese remanso de aguas tranquilas que se pretende fue el ambiente científico de esos siglos, el XVIII y el XIX, quiere retratar a personas vivas, inmersas en sus fórmulas y laboratorios, apasionadas, cargadas de Instrumentos, impregnadas de saber práctico y estrechamente vinculadas a un medio social y político amplio y vibrante. En lugar de una pálida y exangüe ciencia, se quiere mostrar que la ciencia que le tocó vivir a Laplace tiene historia, flexibilidad, sangre, en suma.
El marqués fue mucho más que el símbolo de una gloriosa pero tranquila época científica. Destinado por sus padres a ser un vulgar cura de provincias, Laplace se convirtió en un académico precoz en el París de la Ilustración, popularizó la ciencia durante la Revolución francesa, extendió el uso del Sistema Métrico Decimal, renovó las instituciones docentes imperantes en Francia, fue ministro del Interior y ocupó cargos y dignidades desde los que trazó la política científica francesa para toda una generación, precisamente la que desarrolló y modernizó múltiples disciplinas científicas, perfeccionando el método científico, experimentación, modernización, revisión, hasta sus últimas consecuencias y haciendo, en definitiva, de la ciencia un pilar fundamental del nuevo orden social.
La ciencia moderna comenzó con Galileo y Newton en el siglo XVI. Pero hasta finales del XVIII y comienzos del XIX no se convirtió en un factor determinante en la vida cotidiana. Junto con otros científicos, también protagonistas en esta obra (D'Alembert, Condorcet, Carnot, Monge, Fourier, etc.), Laplace contribuyó a que la ciencia comenzara a dejar su huella en los pensamientos y las costumbres de los hombres corrientes, de manera que esos doscientos años de cultura científica transcurridos han resultado más explosivos que cinco mil años de cultura pre-científica. No en vano, comentando las obras de Laplace, Napoleón llegó a escribir que contribuían a la renovación de la nación, porque «el progreso y el perfeccionamiento de las matemáticas están íntimamente ligados con la prosperidad del Estado».
Así pues, las páginas que vienen a continuación no solo analizan la vida personal o los trabajos científicos de Pierre-Simon de Laplace, sino que también exploran la función que desempeñó en la cambiante y convulsa sociedad de su tiempo. En esta semblanza biográfica, la historia personal e intelectual del científico francés se alterna con la historia social y política. Las matemáticas también revolucionaron la faz del mundo en la época.
Asistimos al nacimiento de Laplace en un pequeño pueblo normando. Lo seguimos a través de sus años de infancia y juventud, y en su paso por el colegio y la universidad, cuando decidió abandonar la teología por las matemáticas. Visitamos de su mano el París ilustrado, donde fue apadrinado por D'Alembert e inició una meteórica carrera científica, labrada con tesón, aunque no siempre honestamente. Un periodo de aprendizaje que terminó con la coronación de su ambición más profunda; ganar un sillón en La Academia de Ciencias. Para entonces ya dominaba con soltura las herramientas del análisis matemático; el cálculo y las ecuaciones diferenciales
El académico Laplace, transformado ahora en sabio y filósofo oficial, pondrá enseguida la primera piedra de lo que es su gran contribución al desarrollo de la ciencia: la «progresiva matematización de los cielos y de la tierra», recurriendo, respectivamente, a la mecánica de Newton y a la naciente teoría de la probabilidad. Dos áreas de investigación, la probabilidad y la mecánica celeste (el propio Laplace acuñó el término), a las que consagrará el resto de su vida científica. Su labor de profundización de la mecánica de Newton le permitirá, precisamente, demostrar la estabilidad del sistema solar, ratificando la victoria de Newton sobre Descartes. Sobre este punto, conviene advertir que, tras la muerte del científico inglés, la visión newtoniana del universo todavía estaba, en disputa con la cartesiana, porque quedaban bastantes problemas abiertos en el ámbito de la mecánica celeste. En concreto, Laplace abordó las anomalías que suponían algunos movimientos celestes para la teoría de Newton, como el de algunos planetas y satélites, o el de los cometas. Logró explicarlos uno tras otro con la única ayuda de la ley de la gravitación universal. El «sistema del mundo» era, por tanto, estable. Los nuevos moradores del sistema solar que los telescopios habían ido descubriendo (el planeta Urano, dos satélites más de Saturno y algunos asteroides) no ponían en peligro el orden reinante en el universo conocido. Lejos de ser un simple epígono de Newton, como frecuentemente lo describen los historiadores que saltan de Newton a Einstein, Laplace fue clave en el triunfo póstumo del gran filósofo natural inglés. Fruto del crédito obtenido fue su colaboración con Lavoisier, otro ilustre científico del momento, con el objetivo de extender a la «tierra» los éxitos del programa newtoniano aplicado a los «cielos», en particular en el ámbito de la química.
Pero 1789 fue un año que cambió la historia del mundo. Veremos cómo el ciudadano Laplace vivió ese momento estelar para la humanidad. La Revolución francesa supo movilizar a la Ciencia, con mayúscula, y poner a los científicos en armas.

Laplace en un grabado de Grands hommes et grands faits de la Révolucion Française (1789-1804) álbum del centenario de la Revolución publicado en París en 1889.
A continuación, nos ocuparemos de la gran obra que escribió durante los años revolucionarios: la Exposición del sistema del mundo. Este tratado de alta divulgación ofrece el estado de la cuestión sobre el conocimiento del mundo celeste en la época y, además, proporciona una conjetura más que razonable sobre el origen del sistema solar, la hipótesis nebular. Los sucesivos volúmenes de su monumental Mecánica celeste recogerían los resultados que al respecto iría cosechando durante más de veinticinco años.
También nos detendremos en su otra gran obra de divulgación: el Ensayo filosófico sobre las probabilidades. En ella sienta los cimientas de la teoría moderna de probabilidades y, en especial, formula la archiconocida regla de Laplace para el cálculo de la probabilidad de un suceso. La probabilidad era el núcleo de su concepción del conocimiento. Aunque la distinción aristotélica entre los cielos y la tierra ya no estaba vigente, solo la ciencia del cielo, en cuanto mecánica celeste, habla seguido el seguro camino de las matemáticas. Laplace concebía la probabilidad como una herramienta fundamental para matematizar también los fenómenos terrestres.
Por último, se tratarán los años del declive. Este hijo rebelde de la Revolución supo acercarse en el momento oportuno a la corte borbónica restaurada En sus últimos años, Laplace recibió honores y condecoraciones. Y, lo que más nos interesa, fundó una influyente escuela de matemáticos, encargada de continuar el programa de matematización de toda la física siguiendo el modelo del maestro. La escuela Laplaciana comenzó a aplicar al mundo terrestre la misma forma matemática de proceder en el mundo celeste. Una senda que hoy día, para bien y para mal, aún seguimos.
Pero la buena estrella irá poco a poco apagándose, y sus discípulos pasarán grandes apuros para continuar el proyecto. Con la muerte de Laplace desaparecía el legislador de la vida científica francesa durante casi medio siglo. No obstante, su legado —aunque con luces y sombras— sigue vivo en nuestro presente.
Basta hojear cualquier libro de matemáticas o de física para descubrir mil y un conceptos que llevan su nombre: la regla de Laplace, el desarrollo de Laplace, la transformada de Laplace, la ecuación de Laplace, el laplaciano... Pero la deuda no acaba aquí, los filósofos hablan a menudo del demonio de Laplace y de su hipótesis cosmogónica. E, incluso, deberíamos acordamos del «Newton de la Francia revolucionaria» cada vez que cogemos un metro para medir.
| Cronología | |
| 1749 | El 23 de marzo nace Pierre-Simon de Laplace en Beaumont-en-Auge, un pequeño pueblo de la Normandía, Francia. |
| 1785 | Ingresa en el Colegio de Arte de la Universidad de Caen para iniciar la carrera eclesiástica, pero en 1768 abandona el colegio sin haberse ordenado sacerdote. |
| 1759 | Se muda a París, bajo la tutela de D'Alembert; gracias al cual consigue un puesto de profesor de Matemáticas en la Escuela Militar de París. |
| 1773 | Después de varios intentos, consigue un puesto en la Academia de Ciencias. |
| 1753 | Es presentada ante la Academia Memoria, sobre el calor, obra fruto de la colaboración con Lavoisier; |
| 1784 | Laplace es nombrado examinador de cadetes en la escuela de artillería, lo que le permite entrar en contacto con figuras públicas en ascenso. |
| 1785 | Se presenta ante la Academia Sobre las desigualdades seculares de los planetas y satélites, y al año siguiente, Teoría de Júpiter y Saturno, dos memorias con las que resuelve las anomalías en el movimiento de Júpiter y Saturno. |
| 1787 | Se publica Sobre la ecuación secular de la Luna, memoria con la que resuelve la anomalía del movimiento de la Luna |
| 1790 | Laplace es nombrado miembro de la Comisión de Pesos y Medidas. |
| 1795 | Laplace participa en la fundación del Instituto de Francia, de la Escuela Politécnica y de la Escuela Normal. |
| 1796 | Se publica Exposición del sistema del mundo, una extensa obra en la que Laplace expone su teoría sobre la formación del sistema solar la hipótesis nebular. |
| 1799 | Se publica el primero de los cinco volúmenes del Tratado de mecánica celeste, obra en la que recopila todos los descubrimientos hechos en astronomía. Como Ministro del Interior, Laplace firma el decreto que establece el Sistema Métrico Decimal. |
| 1805 | Napoleón le nombra conde del Imperio |
| 1612 | Se publica Teoría analítica de las probabilidades, el libro que dio lugar al nacimiento de la teoría moderna de probabilidades. |
| 1814 | Publicación de Ensayo filosófico sobre las probabilidades, ensayo en el que Laplace presenta al gran público los principios y resultados más generales de la teoría de la probabilidad sin valerse del análisis matemático. |
| 1817 | Es nombrado marqués del reino de Francia. |
| 1825 | Se publica el quinto y último volumen del Tratado de mecánica celeste. |
| 1827 | Pierre-Simon de Laplace muere en París el 5 de marzo. |
Capítulo 1
La forja de un científico
Laplace destacó, desde muy pequeño, por atesorar grandes cualidades para las matemáticas. Nada más llegar a París, gracias a su talento se granjeó la atención de D'Alembert, quien lo introdujo en los principios del análisis y las aportaciones de Euler y Lagrange. Entre 1769 y 1773, desde su humilde posición de profesor en la Escuela Militar, ofreció los primeros destellos de su prodigiosa habilidad para resolver ecuaciones diferenciales, que le abrieron las puertas de la Academia de Ciencias.Pierre-Simon de Laplace vino al mundo el 23 de marzo de 1749 en una pequeña villa de la Baja Normandía llamada Beaumont, en-Auge, cercana a la desembocadura del rio Sena, en el norte de Francia, entre praderas, orquídeas y manzanos. Nació en la propiedad familiar, en un ambiente sin grandes lujos pero desahogado económicamente para la época.
Algunos hagiógrafos bienintencionados han querido pintar una familia que vivía en una pobreza extrema a fin de engrandecer al personaje, pero sus padres eran acomodados hacendados rurales. Su padre, Pierre Laplace, se dedicaba al comercio de la sidra, y hacia mediados de siglo llegó a la alcaidía de Beaumont. Su madre, Marie Anne Sochon, pertenecía a una familia de granjeros afincada en un pueblo a pocos kilómetros. Los Laplace tenían otro hijo: una niña, llamada como la madre, cuatro años mayor que Pierre-Simon. Tan solo un año antes la pareja había perdido a dos gemelos a los pocos días de nacer. Un año después, en 1750, nacería Olivier, su hermano menor, quien también moriría tempranamente.
Atendiendo a su nacimiento y a sus orígenes normandos, nadie sospecharía que Pierre-Simon de Laplace estaba llamado a ser uno de los científicos más grandes que el mundo ha conocida.
Sin embargo, ya en aquellos años de infancia y juventud se encuentran pistas importantes para comprender al hombre, científico, político, marido, padre y amigo, en que se convertiría.
§. La difícil elección: la teología o las matemáticas
Pierre-Simon aprendió las primeras letras y las cuatro reglas en casa, probablemente bajo la atenta mirada de su tío Louis, más conocido en la comarca como el abate Laplace, un sacerdote católico de buena formación cuya inclinación por las matemáticas pudo haber transmitido a su sobrino casi desde la cuna. Además, desde muy temprano la familia decidió que Pierre-Simon seguiría los pasos del tío Louis, abrazando los hábitos y labrándose un futuro prometedor como eclesiástico.
En 1756, a la edad de siete años, Pierre-Simon comenzó a ir a la escuela. Su padre, con la mediación del tío, logró que fuera admitido como alumno externo en el colegio que los benedictinos mantenían en su convento de Beaumont bajo el auspicio del duque de Orleans. El poco más de medio centenar de alumnos que tenía el colegio se preparaba estudiando intensamente para tomar la carrera de las armas, de las letras o de la Iglesia. Vestido con una larga sotana negra, que lo identificaba entre los últimos, Pierre- Simon mostró estar muy bien dotado para los estudios desde los primeros cursos.
Pierre-Simon permaneció en el colegio de los benedictinos hasta los dieciséis altos. En 1765 tuvo que dejar su Beaumont natal y partir para Caen, donde entró en el Colegio de Artes de la universidad con la intención de seguir la carrera eclesiástica y adquirir una sólida formación en humanidades (latín, griego, filosofía y, en especial, teología). Misteriosamente, solo tres años después, en 1768, dejó la Universidad de Caen sin haberse ordenado sacerdote.
¿Por qué abandonó Laplace la carrera para la que llevaba preparándose desde su más tierna infancia? La respuesta es bien conocida: por su recién descubierto amor por las matemáticas. En esos dos años que estuvo en la Universidad de Caen, de la mano de dos profesores, Christophe Gadbled y Pierre le Canu, Laplace descubrió las matemáticas superiores, su afición por ellas y, lo que es más importante, su talento para la ciencia.
El contraste entre las enseñanzas de Jean Adam, su profesor de Teología, y de Christophe Gadbled, su profesor de Filosofía y Matemáticas, a quien Pierre le Canu asistía como ayudante, tuvo que marcar al joven Laplace. De resultas del choque su vocación religiosa quedó truncada. Buen conocedor de la nueva ciencia surgida al calor del siglo XVII, Gadbled mantenía que la razón humana podía extender su dominio a todos los objetos del mundo natural. Sin quererlo, este sacerdote estaba apoyando la inversión de la tradicional primacía de la religión sobre la filosofía. Decidido a encaminar sus pasos hacia la ciencia, Laplace dejó Caen y aceptó provisionalmente un trabajo como profesor en el colegio de los benedictinos de Beaumont, del que habla sido alumno. Pero esta dedicación tampoco le llenaría y, en 1769, con poco más de veinte años de edad, abandonó los parajes que le vieran nacer y encaminó sus pasos hacia París, la meca de la nueva ciencia.
§. París, la capital de la ciencia ilustrada
París seria el escenario alrededor del cual transitarla el resto de la vida de Laplace. Merece la pena, por tanto, detenerse a explorar el ambiente parisino de mediados del siglo XVIII, el Siglo de las Luces. París era por aquel entonces la capital europea de la Ilustración. Era la ciudad de la luz.
No resulta fácil resumir en unas pocas líneas todo lo que significó para la historia de los estados europeos ese movimiento cultural que aspiraba a disipar las tinieblas de la humanidad mediante la luz de la razón, y que a la postre desencadenó las revoluciones burguesas que acabaron con el Antiguo Régimen, de las que brotaron las nuevas naciones políticas (Estados Unidos en 1776, Francia en 1799, España en 1812). Al principio algunos monarcas acogieron con agrado las nuevas ideas, convirtiéndose en déspotas ilustrados. Federico II en Prusia, Catalina la Grande en Rusia y los Borbones en Francia y en España rivalizaban entre sí por contar en su corte con las mejores cabezas de Europa. «Todo para el pueblo, pero sin el pueblo» era la fórmula. Estaban, sin saberlo, cavando su propia tumba. Los nuevos hombres no serían súbditos del rey, sino ciudadanos de la nación.
Personalidades como François Marie Arouet, más conocido como Voltaire (1694-1778), se mostraban hipercríticas con las tradiciones del pasado, rindiendo únicamente culto a la diosa Razón. El optimismo racionalista se convirtió en la ideología que la ascendente burguesía hizo suya en los salones literarios, en las academias y hasta en sociedades secretas como la masonería.
«Si no nos ayudamos con el compás del matemático y la antorcha de la experiencia, jamás podremos dar un paso hacia delante.»En París los ilustrados discutían, agitaban, probaban y reprobaban todo, desde las ciencias naturales a los fundamentos de la revelación, desde la literatura, a la moral. Pero, además, se interesaban por las ciencias útiles, y de esta manera, paralelamente a su interés por las matemáticas o la mecánica, acometían múltiples trabajos en geografía, náutica, minería e ingeniería. No solo teorizaban. Pertrechados con sus nuevas teorías e instrumentos científicos, contribuían a la mejora en el trazado de mapas y en la construcción de barcos, canales, puertos, minas y fortificaciones. La distinción entre matemáticos puros y aplicados quedaba todavía muy lejos. Se trataba de reformar las condiciones económicas y culturales heredadas. Desde París todas estas nuevas ideas se difundirían por el resto de países europeos y sus colonias.
Voltaire
La elección de París para continuar la formación científica no era, por tanto, sorprendente. A diferencia de Laplace, la mayoría de sus futuros colegas en la Academia de Ciencias ya se habían trasladado a las proximidades de París una vez concluidos sus estudios elementales. Así, por ejemplo, los futuros matemáticos Nicolás de Condorcet (1743-1794} y Lazare Carnot (1753-1823), tras estudiar con los jesuitas y los oratorianos, completaron sus estudios en París, en la universidad y en escuelas especiales bajo el tutelaje de excelentes profesores que enseguida les mostraron los últimas descubrimientos científicos. París era el centro de gravedad de la ciencia ilustrada.

Plano de la Escuela Militar de París elaborado por Ange-Jacques Gabriel en 1751. El centro se inauguró en 1753. Laplace enseñó allí geometría, trigonometría y álgebra elemental desde 1769 hasta 1776.
Jean Le Rond D'AlembertCalificado en la época de milagro de milagros, este amante de la matemática y de la filosofa, tanto como de los salones y de todo tipo de tertulias cortesanas, fue el arquetipo del parisino ilustrado. Nacido en París, D'Alembert (1717-1783) era hijo ilegitimo de un aristócrata, lo que motivó que fuera abandonado al nacer y criado por una familia de vidrieros. De hecho, debe su nombre a que fue abandonado en las escalinatas de la iglesia de Saint Jean le Rond. Pero D'Alembert llegó a ser uno de los filósofos y científicos franceses más conocidos internacionalmente gracias a una esmerada educación. Personalidad muy influyente en la corte, era además secretario perpetuo de la Academia de Ciencias de París. Su nombre ha quedado asociado para siempre al de Denis Diderot (1713-1784) por su participación en la elaboración de la famosa Enciclopedia, síntesis de todos los conocimientos científicos y humanos de la época.
Esta última carta, y no la recomendación que traía consigo desde Caen, fue la que hizo a D'Alembert cambiar de opinión:
Señor Laplace, ved que hago poco caso de las recomendaciones. No tenías necesidad de ellas, os habéis dado a conocer mejor por vos mismo y esto me basta. Os debo mi apoyo.
En su carta de cuatro páginas Laplace mostraba que conocía los fundamentos de la mecánica y también que estaba familiarizado con las obras de Newton y de D'Alembert, lo que lo capacitaba para convertirse en un aspirante a filósofo natural, es decir, a científico (aunque este último término no se hizo de uso corriente hasta mediados del siglo XIX.
Fue el matemático Jean Baptiste Joseph Fourier (1768-1830) quien contó por primera vez esta historia bastantes años después de que sucediera, con ocasión del elogio póstumo que la Academia de Ciencias le dedicara a Laplace. No es descartable que la historia fuera retocada para subrayar esa osadía del joven veinteañero que llama a la puerta del gran pope de las matemáticas francesas para impresionar al patriarca de cincuenta y dos años dando muestras de su talento.
Sea como fuere, y aunque existen otras versiones de la historia (en que es el propio D'Alembert quien entrega un problema al joven para saber si es digno merecedor de su ayuda, y este lo resuelve en una noche), el episodio parece verosímil.
Hecho o ficción, el resultado fue el mismo: en 1769 Laplace comenzó su cartera en París, bajo la protección del ilustre philosophie, quien lo propuso como profesor de Matemáticas en la Escuela Militar de la ciudad.
Laplace había pasado a formar parte de la élite intelectual parisina cuyo centro era D'Alembert, y que incluía a otros matemáticos de renombre como Nicolás de Condorcet, el algebrista Etienne Bézout (1730-1783) o el astrónomo Joseph-Jéróme Lefrançois de Lalande (1732-1807). Pero Laplace muy pronto fijó su vista en otro objetivo: lograr un puesto en la prestigiosa Academia de Ciencias de París.
§. El análisis y las ecuaciones diferenciales
Pero para poder solicitar el ingreso en la Academia, Laplace tenía que prepararse duro. Bajo la supervisión de D'Alembert, pasó horas leyendo y releyendo libros como Introducción al cálculo infinitesimal (1748), Fundamentos del cálculo diferencial (1735) y Fundamentos del cálculo integral (1768) de Leonhard Euler, así como las últimas memorias publicadas por Joseph-Louis Lagrange, a fin de ponerse al día y aprender los últimos avances matemáticos; el análisis y sus técnicas. Pero, ¿qué era el análisis? ¿Por qué era tan importante para un futuro filósofo natural como Laplace?
Durante dos milenios, desde los antiguos pitagóricos y platónicos, el conocimiento de los astros había estado escindido en dos saberes: uno de carácter cuantitativo y otro de carácter cualitativo. Se trataba, por un lado, de la astronomía y, por otro, de la cosmología y la física celeste. El conocimiento del mundo terrestre (la física terrestre) permanecía, por su parte, en un estado meramente cualitativo (la física de herencia aristotélica). En los Siglos XVI y XVII las cosas empezaron a cambiar al hilo de la consolidación de una nueva concepción mecánica de la naturaleza, basada en la práctica del experimento y en el avance del espíritu matematizador.
Siguiendo la estela de bastantes matemáticos anteriores, Isaac Newton se proponía reducir los fenómenos naturales a leyes matemáticas. Intentó modelar matemáticamente las trayectorias de los planetas observadas por Copérnico (1472-1543), Tycho Brahe (1546-1601) y Kepler (1571-1630), así como las trayectorias de los cuerpos terrestres (los «graves») que habla estudiado Galileo (1564-1642). Newton formuló las leyes del movimiento de una forma matemática que relacionaba entre sí las magnitudes físicas y sus ritmos de cambio. Es decir, por ejemplo, el espacio recorrido por el móvil con su velocidad, y la velocidad del móvil con su aceleración. Las leyes físicas quedaron, por tanto, expresadas por medio de ecuaciones diferenciales; estas y las derivadas sirvieron para medir los ritmos de cambio.
Una ecuación diferencial es una ecuación en que la principal incógnita es el ritmo de cambio de una magnitud, esto es, su diferencial o su derivada. Tanto el diferencial como la derivada de una función representan cómo varía el valor de la función si aumenta, disminuye o permanece constante.
Leonhard Euler«Lean a Euler, él es el maestro de todos nosotros.» Estas palabras de Laplace hacen justicia a Leonhard Euler (1707- 1783). Hijo de un pastor calvinista, el matemático suizo ha sido quizás el más prolífico de cuantos han existido. Sus obras matemáticas completas ocupan casi cien volúmenes. Entre ellas, varios manuales de cálculo, donde introdujo la notación moderna para referirse a las funciones, el uso de f(x). El dicho de que todos los libros de texto posteriores son copias de Euler, o copias de copias de Euler, tiene mucho de cierto.
Euler hacía matemáticas sin esfuerzo aparente, como otros hombres respiran o las águilas vuelan. A pesar de que sufrió una ceguera total durante los últimos diecisiete años de su vida, siguió produciendo a un ritmo desenfrenado gracias a su prodigiosa memoria (conocía la Eneida de memoria).
El talento para la filosofía era, sin embargo, mediocre, lo que hizo que Voltaire lo ridiculizara en sus debates ante Federico II el Grande por defender con ternura, en sus Cartas a una princesa alemana, la sencilla fe del carbonero. Pero el ánimo de Euler por las disputas filosóficas no decreció por culpa de las pullas de Voltaire.En una ocasión, en presencia de la zarina Catalina, increpó a Denis Diderot «Señor,
Un filósofo mediocrey por lo tanto, Dios existe. Replique». Según la anécdota apócrifa, Diderot tuvo que retirarse del debate en un embarazoso silencio entre las risas burlonas de quienes sí sabían matemáticas y hablan captado la ironía.
Euler disfrutó de una vida familiar feliz, rodeado de trece hijos, que pasó entre las Academias de Berlín y de San Petersburgo. El 7 de septiembre de 1783, después de charlar sobre los asuntos del día, el cíclope suizo «cesó de calcular y de vivir», según las muy citadas palabras de Condorcet. Suya es la ecuación que pasa por ser la más bella de las matemáticas, por cuanto aúna los números más importantes; eπ+ 1 = 0.
La aceleración, por ejemplo, mide los cambios en la velocidad del móvil, dado que es el cociente de los diferenciales de la velocidad y del tiempo; en otros términos, es la derivada de la velocidad con respecto al tiempo, por lo que expresa, en consecuencia, la variación de la velocidad en el tiempo.
Pero aunque Newton inventó, al mismo tiempo que lo hacía Gottfried Wilhelm Leibniz (1646-1716) de un modo independiente, el cálculo diferencial, o método de fluxiones como él lo llamaba, y lo utilizó para obtener sus resultados, escribió todas las leyes astronómicas y mecánicas contenidas en sus célebres Philosophiae naturalis principia, mathematica (Principios matemáticos de la filosofía natural, 1687) en el lenguaje de la geometría heredada de Euclides y los griegos. Para él, calcular una derivada era determinar una recta tangente a una curva, y calcular una integral (la operación inversa o contraria a derivar), determinar el área encerrada bajo la curva. Basta echar un vistazo a una página cualquiera de los Principia para que nos llevemos una completa desilusión; el libro que pasa por ser el máximo exponente de la revolución científica nos es prácticamente indescifrable. Es a Leibniz a quien debemos los símbolos de derivar («δ») e integrar («∫»), así como las reglas de manipulación de esta notación, que son familiares a cualquier estudiante de matemáticas.
Aunque el asunto de la recepción y difusión de los Principia ha hecho correr ríos de tinta, los newtonianos fueron ganando en número gracias a la significativa labor de autores como Pierre Varignon (1654-1722), un jesuita amigo personal de Leibniz y profesor en París, que tradujeron los conceptos mecánicos y las figuras geométricas de Newton en ecuaciones, empleando esa maravillosa herramienta que era el cálculo diferencial en la versión de Leibniz, el cálculo infinitesimal. Dichos autores hicieron un magnífico favor a Newton al transformar su teoría en algo matemáticamente inteligible. Paralelamente, filósofos como Voltaire y su compañera y amante, la marquesa Émilie de Chátelet (1706-1749), contribuyeron a dar a conocer los principios newtonianos con gran éxito entre el gran público no especialista del continente europeo.
Las leyes de Newton encontraron finalmente su expresión más natural en el lenguaje analítico de las ecuaciones diferenciales. Las figuras fueron sustituidas progresivamente por ecuaciones. Pero la empresa de traducir la filosofía natural de Newton del lenguaje geométrico en que fue escrita al nuevo lenguaje analítico (en el que hoy la conocemos) no fue, curiosamente, llevada a cabo por los matemáticos británicos. Sus artífices fueron los matemáticos del continente, principalmente de París, Berlín y San Petersburgo. La sorda rivalidad que estalló entre Newton y Leibniz a propósito de la paternidad del cálculo se transformó en abierta antipatía y hostilidad entre los defensores de uno y otro, entre los matemáticos británicos y los del continente, de modo que los primeros, discípulos de Newton, se obstinaron en seguir utilizando sus métodos exclusivamente geométricos. Como consecuencia, las matemáticas de las Islas quedarían bastante rezagadas.
La conversión gradual de la mecánica geométrica de Newton en mecánica analítica se produciría por obra y gracia de toda una generación de matemáticos continentales, entre los que se cuentan Euler, D'Alembert y Joseph-Louis Lagrange. Una época heroica para las matemáticas en la que el análisis fue la disciplina reina, y en la que el cálculo diferencial e integral, y la teoría de las ecuaciones diferenciales conocieron un desarrollo extraordinario.
«Tanta es la ventaja de un lenguaje [matemático] bien construido, que su notación simplificada a menudo se convierte en fuente de teorías profundas.»
Pierre-Simon de Laplace
La mecánica analítica supuso un notable avance con respecto a la mecánica de Newton. Al aproximarse la mecánica y el análisis, alejándose de la geometría, estudiar un fenómeno físico y hallar las ecuaciones diferenciales que lo gobiernan se hicieron sinónimos. Así, tras el hallazgo de Newton de la ecuación diferencial «fuerza igual a masa por aceleración», que rige el movimiento de los sistemas de puntos y de los sólidos rígidos, Euler formuló un sistema de ecuaciones diferenciales que describía el movimiento de medios continuos, como el agua, el aire u otros fluidos sin viscosidad.
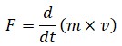
Newton y la primera ecuación diferencialLa ecuación diferencial más célebre es, sin duda, la que debemos a Isaac Newton (1642-1727): «Fuerza es igual a masa por aceleración».
Simbólicamente F = m×a, donde:a = dv/dt
Toda fuerza que actúa sobre un cuerpo produce un impulso, un cambio en el movimiento.
Y si suponemos que la masa del cuerpo es constante (pudiendo entonces sacar m de la derivada), recuperamos la expresión archiconocida F = m×a. Esta expresión apareció por vez primera en un tratado de mecánica, titulado Phoronomia, que fue publicado en 1716 por Jacob Hermann (1678-1733) basándose en la cómoda notación de Leibniz. La fórmula sería popularizada por Euler en su Mecánica o ciencia del movimiento expuesta analíticamente (1736). Sin embargo, durante la mayor parte del siglo XVIII, los matemáticos usaron otra expresión más general planteada por D'Alembert en su Tratado de dinámica (1743) y que lleva con justicia su hombre: el principio de D'Alembert.
Y, más tarde, Lagrange enfocó su atención en las ondas del sonido, en las ecuaciones de la acústica. Según avanzaba el siglo XVIII, los matemáticos fueron extendiendo su dominio sobre el mundo al ir proponiendo nuevas ecuaciones diferenciales para estudiar fenómenos provenientes de cualquier campo. Toda la naturaleza, sólidos, fluidos, ondas, quedaría modelada mediante este tipo de ecuaciones. Él análisis matemático parecía tan extenso como la propia naturaleza.
Ahora bien, una cosa era dar con las ecuaciones del fenómeno en cuestión y otra bien distinta llegar a resolverlas. La resolución de ecuaciones diferenciales, como ocurre con las ecuaciones algebraicas, no siempre es fácil. Es más, casi nunca lo es. Los sucesores de Newton plantearon y resolvieron algunas ecuaciones diferenciales relacionadas con el lanzamiento de proyectiles o el movimiento de un péndulo, pero muchas otras se les resistieron. De manera inevitable, la resolución de problemas físicos exigía la resolución de ecuaciones diferenciales cada vez más complejas.
En principio, hay dos tipos de estas ecuaciones: las lineales y las no lineales. Las del primer tipo se dan cuando la suma de dos soluciones es de nuevo una solución. Además, en una ecuación lineal ni la función incógnita ni su derivada están elevadas a ninguna potencia distinta de cero o uno. Las ecuaciones diferenciales lineales modelan fenómenos en los que el efecto de una suma de causas es la suma de los efectos de cada una de ellas por separado. Por el contrario, en los fenómenos y en las ecuaciones no lineales no se da esta suerte de proporcionalidad entre causas y efectos, de manera que la conjunción de dos causas distintas puede llegar a ser explosiva. Una no-linealidad que, como tendremos ocasión de ver, está siempre detrás de los problemas más complejos de la mecánica que atacó Laplace.
La teoría de las ecuaciones diferenciales lineales fue desarrollada por completo en poco tiempo. Mientras que sus antecesores resolvían cada ecuación diferencial que se presentaba recurriendo al ingenio, Euler y Lagrange enseñaron cómo resolver sistemáticamente todas las lineales. No ocurrió así con la teoría gemela, la de las no lineales. Los problemas no lineales, como, por ejemplo, la ecuación del péndulo, se resolvían linealizándolos, eliminando todos los términos incómodos de la ecuación. En otras palabras, dada una ecuación diferencial no lineal, se resolvía una lineal parecida y las soluciones de aquella se obtenían usando las soluciones de esta como aproximación.
Lagrange: el geómetra que detestaba la geometríaJoseph-Louis Lagrange (1736-1813) nació en Turín y era de ascendencia francoitaliana. Ya desde muy pequeño se le despertó el interés por las matemáticas tras leer un ensayo del astrónomo Edmond Halley glosando las virtudes del cálculo de Newton. Pronto estableció una estrecha relación con Euler, comunicándole sus primeros hallazgos. Con ellos Euler fue capaz de resolver muchos problemas que tenía planteados desde hacia tiempo. Pero, con admirable generosidad, rehusó publicarlos hasta que Lagrange no hiciera lo propio, «para no privarle de ninguna parte de la gloria, que se le debe». Al cabo de los años, en 1756, cuando Euler abandonó Berlín para ir a San Petersburgo, Lagrange ocupó su lugar (se dice que Federico II exclamó que por fin habla podido sustituir a un matemático tuerto por otro con los dos ojos). Allí escribió su obra maestra: Mecánica analítica (1788), una especie de poema científico por su elegancia formal.
Geómetra a la fuerza
Lagrange detestaba la geometría y se preciaba de que su tratado no contenía ni un solo dibujo: «No se encontrarán figuras en esta obra. Los que aman el análisis verán con placer cómo la mecánica se convierte en una nueva rama suya». Y. sin embargo, paradojas de la vida, el mayor honor que recibió en vida fue ser nombrado geómetra del Imperio por Napoleón. Entre sus aportaciones se cuentan una nueva generalización de las ecuaciones del movimiento, así como nuevos métodos para resolver ecuaciones diferenciales (método de variación de constantes). A la muerte de Federico II, aceptarla la invitación de Luis XVI para regresar a París. Allí conocería a Laplace y se vería envuelto en los sobresaltos de la Revolución. De carácter depresivo, las grandes ingestas de té y café para dedicarse a las matemáticas terminaron por minar su salud
Era el llamado método de perturbaciones. Sin embargo, esta técnica pronto se mostró insuficiente, puesto que no funcionaba en múltiples casos. Y los matemáticos ilustrados se lanzaron a una carrera en la búsqueda de métodos concretos que permitieran resolver ecuaciones particulares. Sería en esta tarea donde Laplace cosecharía algunos de sus primeros éxitos, aportando técnicas matemáticas que a lo largo de los años iría mejorando. Exprimió al máximo las técnicas matemáticas que aprendió o que él mismo inventó en esos primeros años, en especial aquellas que tenían que ver con la integración, es decir, con la resolución, exacta o aproximada, de las ecuaciones diferenciales que aparecían en mecánica y en astronomía. Ya desde su primer artículo en prensa, Laplace se interesó por esos métodos de integración por su utilidad.
§. Una carrera de obstáculos: la academia y la joven promesa
La Real Academia de Ciencias de París, creada en 1666 por Luis XIV con sede donde actualmente se encuentra el Museo del Louvre, era el centro que reunía a los grandes científicos de la época.
Para optar a un puesto vitalicio en su seno, el candidato debía ganar antes el reconocimiento de sus miembros. Para ello debía enviar un artículo a uno de ellos, quien lo leía ante el resto de un modo resumido y abreviado, en la sesión que el secretario designaba a tal efecto.
A continuación, hecha la lectura, otros dos miembros escribían un informe para dictaminar la calidad del trabajo. Conseguir un puesto era vital —como sabía Laplace— para labrarse un futuro respetable como científico.

Luis XIV, el Rey Sol, visitando la Academia de Ciencias en 1671, cinco años después de su creación.
La primera memoria enviada por Laplace a la Academia data del 28 de marzo de 1770. Sus evaluadores, entre los que estaba Condorcet, escribieron:
Nos parece que el artículo del señor Laplace revela un mayor conocimiento matemático y una mayor inteligencia en la manipulación del cálculo de la que se encuentra ordinariamente a su edad.No obstante, en 1772, pese a las publicaciones y los elogios constantes, Laplace seguía sin lograr el acceso a la Academia de Ciencias. Frustrado y algo desesperado, pensó en emigrar a Prusia o Rusia emulando a Lagrange y Euler.
Tras postularse reiteradamente para ingresar en la Academia, por fin ganó un puesto en la sección de mecánica en marzo de 1773. El día 31, tras haberse presentado el día anterior a una plaza en geometría, sin éxito, se presentó a otra en mecánica, a la que también concurrían Gaspard Monge (1746-1818) y Adrien María Legendre (1752-1833). Pero esta vez la suerte estuvo de su lado y, tras tres largos años de perseverar, se convirtió en miembro de pleno derecho de la Academia.
La alegría de nuestro protagonista y, por extensión, de su padrino, D'Alembert, tuvo que ser enorme. El ambicioso sueño apenas vislumbrado al ponerse en marcha hacia París se había cumplido con creces.
Capítulo 2
La estabilidad del sistema del mundo
Los matemáticos y los astrónomos del siglo XVIII lidiaban sin éxito con cuatro cuestiones que la mecánica de Newton no había conseguido resolver: la forma de la Tierra, la órbita de los cometas, las anomalías en el movimiento de algunos planetas y satélites, y, en general, la estabilidad del sistema solar. Laplace adivinó que el principio de gravitación era la clave para encajar satisfactoriamente cada una de estas piezas sueltas.Una vez que consiguió entrar en la Academia, Laplace fue poco a poco escalando posiciones. Todos sabían de su talento matemático, aunque no siempre mostrara el debido respeto a Euler, Lagrange o el resto de sus colegas, de quienes a veces tomaba prestados sus resultados sin ni siquiera citarlos, lo que llegó a ser una constante de su carrera. Pera también comenzaron a saber de su difícil carácter, de su firmeza en las discusiones científicas. Un comportamiento colindante con la arrogancia que traspasaría los límites de la institución.
En la década de 1770 comenzó a cobrar forma su gran aportación a la ciencia: la prueba de que el sistema del mundo (esto es, el sistema solar, el universo conocido) era estable y determinista Su maestro D'Alembert había marcado en la agenda de los científicos de la época la necesidad de completar el programa newtoniano. No solo se trataba de lograr un ajuste perfecto entre la teoría y la observación; también había que iluminar por completo el universo recurriendo solo a unos cuantos principios racionales, entre los que brillaba con luz propia el principio de gravitación universal de Newton. Era, al mismo tiempo, una cuestión científica y filosófica. Un problema que necesitaba de sabios —científicos, diríamos hoy— y filósofos, de savants y philosophes. Pero para poder explicar cabalmente las grandes aportaciones de Laplace, necesitamos trazar antes un bosquejo histórico del estado de conocimiento del sistema del mundo a comienzos del último cuarto del siglo XVIII.
§. Del universo en disputa al universo observado y calculado
Los Principios de la filosofía de René Descartes (1644) y los Principios matemáticos de la filosofía natural de Isaac Newton (1687) representan sendos hitos en el establecimiento de un saber acerca del universo alejado del marco aristotélico, dominante hasta entonces. Sin embargo, las mecánicas de estos dos grandes filósofos naturales exhibían profundas diferencias. El tiempo le dio la razón a Newton y relegó las construcciones cartesianas al nivel de fantasías gratuitas. La teoría newtoniana de la gravedad le ganó la partida a la teoría cartesiana de los vórtices, condenándola al desván de las teorías metafísicas. Pero cuando nos adentramos en el siglo XVIII, la superioridad del sistema newtoniano frente al cartesiano no aparece como indiscutible desde el momento mismo de la aparición en escena de los Principia. La concepción del universo estaba en disputa, y el declive del cartesianismo ante el empuje del newtonianismo no fue súbito ni precipitado.
Newton no murió una única vez, sino dos. Falleció en 1727; pero en 1683, poco después de la publicación de su gran obra, sufrió una grave crisis nerviosa que le hizo perder todo interés por las cuestiones de mecánica celeste, dejando en manos de sus discípulos la defensa de la ley de gravitación universal, una tarea nada fácil. La astronomía mecánica, concebida como saber fragmentado de la astronomía observacional, tenía como función realizar los cálculos matemáticos necesarios para explicar con rigor y precisión el sistema solar los movimientos de los planetas y sus satélites en tomo al Sol, las órbitas de los cometas, la forma de la Tierra, las mareas, la interpretación de la gravedad o «pesantez» en términos mecánicos... Este largo etcétera de cuestiones abiertas se convirtió en el banco de pruebas donde verificar las dos grandes mecánicas en litigio: la cartesiana y la newtoniana.
Tanto los partidarios de Descartes como los de Newton compartían una concepción mecanicista de la naturaleza, así como la confianza en poder traducirla al lenguaje de las matemáticas de la época. Los cartesianos se apoyaban en una sugerente imagen: como todo el espacio está lleno, bien de materia sólida, bien de fluidos no siempre perceptibles, cualquier desplazamiento ha de ser en forma de remolino, torbellino o «vórtice», no en línea recta.
Así, aplicado esto al contexto celeste, imaginaban que los planetas orbitaban alrededor del Sol arrastrados por el torbellino de materia circundante. Por contra, los newtonianos cedían todo el protagonismo al Sol. Era este astro el que hacía girar los planetas en tomo suyo, gradas a la fuerza de gravitación, la cual quedaría plasmada en la ley de gravitación universal.
«La fuerza con que se atraen dos cuerpos es proporcional al producto de sus masas e inversamente proporcional al cuadrado de la distancia que los separa.»Los vórtices cartesianos estaban en desacuerdo con muchos fenómenos bien conocidos, pero al menos explicaban la propagación del movimiento recurriendo únicamente al contacto, exclusivamente mediante choques. Por el contrario, la misteriosa fuerza de gravedad de la que hablaba Newton, y que ponía en movimiento los planetas, actuaba a distancia desde el Sol, sin mediar contacto ni solución de continuidad. Una acción a distancia que tenía un cierto tufillo a magia.
Ley de la gravitación universal de Newton
Leibniz, por ejemplo, fue uno de los más conspicuos defensores de los vórtices de Descartes frente a la gravedad de Newton. El filósofo y matemático alemán señalaba la armonía de los vórtices, puesto que explicaban por qué todos los planetas y todos los satélites del sistema solar giran en un mismo sentido y en unas trayectorias muy cercanas al plano. Todos estarían sumergidos dentro de un mismo torbellino en el que serían arrastrados en una misma dirección, como los barcas abandonadas a la corriente del río, y, por tanto, seguirían un sentido común de giro, de Occidente a Oriente.
Este fenómeno tan relevante, nunca explicado por Newton, se convirtió en la objeción permanente de los cartesianos a los newtonianos. Según veremos en el capítulo 4, será el newtoniano Laplace quien consiga explicarlo satisfactoriamente, por medio de su hipótesis cosmogónica de la nebulosa.
Conforme avanzó el siglo, las ideas de Newton fueron convirtiéndose en hegemónicas. De un universo disputado se pasó a un universo calculado y observado bajo las directrices de la mecánica del científico inglés. No obstante, la defensa del cartesianismo llegó a considerarse, concretamente en Francia, una cuestión de Estado (no se olvide que Descartes era francés). Y fue en este escenario geográfico donde se trataron los principales problemas de la mecánica celeste que enfrentaron a uno y otro bando, y en los que Laplace realizó aportaciones decisivas durante el último cuarto de siglo.
§. El ambicioso programa científico: celeste y terrestre
Newton escribió los Principia en dieciocho meses de increíble concentración. Allí estableció los principios básicos de la mecánica teórica o racional, como decía él, para distinguirla de la de los artesanos, es decir, de la ciencia del movimiento. Y a partir de la segunda ley del movimiento («la fuerza es igual a masa por aceleración»), junto a la primera ley de Kepler («la órbita de un planeta es una elipse, en uno de cuyos focos está el Sol»), dedujo la ley de gravitación universal, que recordemos que quedó enunciada así: «La fuerza con que se atraen dos cuerpos es proporcional al producto de sus masas e inversamente proporcional al cuadrado de la distancia que los separa». La fuerza gravitatoria aumentaba con la masa, pero decrecía con la distancia. Esta ley explicaba tanto el movimiento de los planetas como la atracción gravitatoria de los cuerpos sobre la Tierra. Los Principia conmovieron el mundo de las matemáticas y de la filosofía natural.
Desde el comienzo de su carrera, Laplace quedó fascinado por dicha ley. Estaba escrito en los cielos que él seria precisamente quien demostraría que esa ley era, en efecto, «universal», que daba razón de todos y cada uno de los fenómenos celestes.Ajustando todos esos fenómenos bajo un único principio, Laplace esperaba hacer realidad su visión: un universo por completo determinista y estable. No obstante, el proyecto de investigación en que se embarcó no solo tenía por objeto el sistema solar o la mecánica celeste. La física terrestre también estaba en su punto de mira. En este campo trataría de lograr lo mismo que en el celeste: encontrar unas pocas leyes muy generales que gobernaran los fenómenos físicos, químicos e incluso biológicos. Es aquí donde entra en juego su otra gran aportación: la teoría de la probabilidad (de la que trataremos más adelante, en el capítulo 6). La probabilidad era el puente entre las leyes necesarias del universo y las contingencias del conocimiento humano.
«Espero mostrar que, lejos de constituir una excepción al principio de gravitación, estos fenómenos (celestes) son su consecuencia necesaria.»
Laplace, sobre la ley de atracción universal de Newton
§. La forma de la tierra
Ya los griegos habían atribuido a la Tierra una forma esférica, una teoría que quedó demostrada de modo práctico en 1522 con la circunnavegación de Fernando de Magallanes (1480-1521) y Juan Sebastián Elcano (1476-1526), quienes rodearon por vez primera la esfera que imaginara Eratóstenes. Fue Copérnico quien puso en movimiento la esfera terrestre, poniendo sobre el tapete otra cuestión candente para la ciencia ilustrada, la forma que ha de adoptar la Tierra en movimiento. Aquí no cabía negociación entre cartesianos y newtonianos. En los Principia, Newton había planteado que un cuerpo celeste sometido a un movimiento casi circular, como es la propia órbita de la Tierra, adoptaría la forma de un esferoide aplastado, achatado por los poros, es decir, con forma de sandía.

A la izquierda, la Tierra newtoniana, con forma de sandía, y a la derecha, la Tierra cartesiana, con forma de melón.
El análisis de la figura terrestre representaba algo así como un experimento crucial para decidir entre las ideas de Newton y de Descartes. París fue, otra vez, el polo de atracción de los matemáticos europeos.

El señor Maupertuis aplastando un globo terráqueo en homenaje a Newton

Dibujo de los Principios de la filosofía de Descartes para ilustrar la idea de los vórtices.
Por el contrario, Newton, con la ley de gravitación, lo calculaba todo, aunque no explicaba casi nada. El origen de la fuerza de gravedad seguía siendo un misterio, pero el alto balance predictivo a su favor determinó a la larga la victoria de su mecánica frente a la cartesiana. La eficacia sería, desde entonces, uno de los valores en alza de la ciencia.
Sin embargo, la cuestión de la forma de la Tierra no quedó por completo cerrada. Pues, aunque la Tierra estaba achatada por los polos, no adoptaba exactamente la forma de un esferoide. La atracción gravitatoria deformaba continuamente la figura de la Tierra, siendo un ejemplo paradigmático de ello las mareas. A partir de entonces, los estudios sobre la atracción gravitatoria ejercida y padecida por los esferoides fueron una constante.
Un trabajo realmente fructífero al respecto fue el que el joven matemático Adrien Marie Legendre presentó en enero de 1783 ante la Academia. Laplace fue el encargado de leerlo y de informar de su contenido. En marzo presentó a la Academia un informe muy elogioso. No era para menos. De su lectura Laplace salió sin duda estimulado para realizar sus propias investigaciones sobre la atracción gravitatoria de los esferoides. Poco tiempo después presentó una memoria, especialmente reseñable por tratarse de su primera publicación a título individual (Teoría del movimiento y de la forma elíptica de tos planetas, 1784), donde ampliaba los desarrollos de Legendre, pero sin mencionarlo en parte alguna.
Un extracto de las «cartas filosóficas» de Voltaire«Un francés que llega a Londres encuentra las cosas muy cambiadas en filosofía, como en todo lo demás. Ha dejado el mundo lleno; se lo encuentra vacío. En París se ve el universo compuesto de torbellinos de materia sutil en Londres no se ve nada de eso. Entre nosotros, es la presión de la Luna la que causa el flujo del mar; entre los ingleses, es el mar el que gravita hacia la Luna. Entre vosotros, cartesianos, todo sucede por impulso del que nada se comprende; en el señor Newton es por una atracción cuya causa no se conoce mejor. En París, os figuráis la Tierra como un melón; en Londres, está aplastada por los dos lados. He aquí unas furiosas contradicciones
No era la primera vez. Ya le había ocurrido de joven, antes de ingresar en la Academia, con Euler y Lagrange, de quienes tomó ideas sin citarlos. Ni sería la última vez en que Laplace cometería una falta de delicadeza de este calibre.
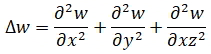
El laplacianoSe conoce como laplaciano un operador que definido sobre una función f(x,y,z,t) de las coordenadas espaciales y del tiempo, calcula la suma de las segundas derivadas respecto de x, y, zLaplace dedicó muchas horas de estudio a resolver las ecuaciones diferenciales de la física matemática en que esta expresión aparecía. Tres de ellas son realmente importantes
1. Δw = 0, la denominada ecuación de Laplace o ecuación de continuidad, que expresa que un fluido perfecto en el que no hay remolinos, es indestructible. Esta ecuación codifica matemáticamente una perogrullada; si el fluido es incompresible, debe salir tanto fluido de cualquier pequeño volumen en un instante de tiempo como fluye dentro de él. Ahora bien, esta ecuación, cuando se la somete a razonamientos matemáticos, proporciona conocimientos imprevistos que ya no son una perogrullada. Permite anticipar la experiencia. A Laplace se le apareció estudiando el potencial gravitatorio (la función que mide la fuerza gravitatoria con que un cuerpo, tenga la forma que tenga, atrae a una masa puntual).
2. La ecuación del calor, que rige su difusión:3. La ecuación de ondas, que describe su propagación:
Para colmo de males, el trabajo de Laplace apareció publicado antes que el de Legendre, quien protestó amargamente: «Debo observar que la fecha de mi memoria es anterior y ha permitido al señor Laplace profundizar sobre el tema».
Pero, ¿qué tenía de especial el trabajo de Legendre para que Laplace lo plagiara con tanta rapidez? En él aparecían los hoy denominados polinomios de Legendre (injustamente llamados funciones de Laplace durante buena parte del siglo XIX), funciones especiales que aparecen en la resolución de ecuaciones diferenciales. En concreto, aparecen en la solución de una ecuación muy importante para la mecánica celeste, que hoy llamamos ecuación de Laplace. Aunque la propia idea de esta ecuación y de la función que aparece en ella (la función potencial, denominada así por su discípulo Simeón Denis Poisson [1781-1844] y por George Green [1793-1841] (mucho más tarde, en 1828) estaba ya implícita en trabajos anteriores que llevaban la firma de Euler y Lagrange, Laplace fue el primero en referirse explícitamente a ambas dentro de sus estudios gravitatorios. Ambas, ecuación y función, serían fundamentales para los trabajos decimonónicos sobre el calor, la electricidad y el magnetismo. Y quién lo iba a decir, pero la ecuación de Laplace y los polinomios de Legendre serían indispensables para describir, dos siglos después, el comportamiento de los electrones en los átomos, porque reaparecen en la ecuación de Schrödinger de la mecánica cuántica.
§. La órbita de los cometas
La tradición aristotélica pretendía que los cometas eran fenómenos puramente atmosféricos; pero, una vez desechada esta hipótesis, los matemáticos newtonianos se enfrentaron al desafío de describir la trayectoria de estos peculiares viajeros celestes, popularmente considerados como augurio de catástrofes y malas noticias. Si la ley de gravitación conseguía aplicarse con éxito a estos cuerpos que viajaban fuera del sistema solar, se habría dado otro importante paso para considerar la fuerza de gravedad como verdaderamente universal. A esto hay que añadir que suponían un poderoso contratiempo a los vórtices cartesianos: si podían atravesar el sistema solar y no se velan arrastrados par la corriente del torbellino, es que posiblemente no existiera ningún vórtice en torno al Sol.
A la sombra de LaplaceAdrien-Marie Legendre (1752-1633) fue, junto a Lagrange y Laplace, la tercera gran «L» de la matemática francesa del momento.Legendre mantuvo una estrecha relación profesional con Laplace, quien solo era tres años mayor. Fue sistemáticamente ocupando los cargos que este iba dejando vacantes. En 1775 ocupó, gracias a D'Alembert, un cargo de profesor en la Real Escuela Militar de París y, en 1783, el puesto en la Academia que Laplace dejó libre al promocionar. Y así unos cuantos más. Sin embargo, no b hizo porque este le ayudara ni un ápice a prosperar. Laplace, que se aprovechó en varias ocasiones de las investigaciones de su colega sin ni siquiera citarlo, vetó su nombramiento para diversos cometidos a lo largo de su vida. Pese a todas esas trabas en su camino, Legendre ganó el premio de la Academia de Ciencias de Berlín en 1782. Tanto fue el éxito que Lagrange preguntaría por él en una carta dirigida al mismísimo Laplace. Se desconoce qué le contestó.
En los Principia Newton habla dejado escrito que los cometas estaban también regidos por la ley de gravitación, lo que significaba que debían describir una trayectoria cónica. De la misma manera que describía el movimiento de los proyectiles mediante parábolas y el movimiento de los planetas mediante círculos y elipses, Newton imaginaba asimilar el movimiento de los cometas con alguna clase de cónica: una circunferencia, una elipse, una parábola o una hipérbola. Si el cometa describía una circunferencia o una elipse, aunque fuera muy excéntrica, seguiría una órbita cerrada Reaparecería cada cierto tiempo. En cambio, si trazaba una parábola o una hipérbola, seguiría una órbita abierta. Tras ser observado en su paso por el sistema solar, se perdería en la inmensidad del universo.
El hecho de que la mayoría de los cometas tardasen en regresar cerca de la Tierra mucho más tiempo que duraba la vida del astrónomo no ayudaba a sospechar que, al igual que los planetas, podían trazar órbitas elípticas, cerradas.
El audaz Edmond Halley habla descubierto en 1682 el cometa que lleva su nombre y conjeturado, a la vista de los datos orbitales, que era el mismo que había sido observado en 1521 y en 1607. El cometa regresaba tras un periodo de unos 75 ó 76 años, recomendó una elipse muy alargada en tomo al Sol (véase la figura).

Todos los planetas se mueven en un mismo plano (el plano de la elíptica) y en un mismo sentido pero el cometa Halley lo hace en una órbita altamente inclinada con respecto este mismo plano y en sentido contrario (retrógrado).
Los cometas estaban en la mente de los parisinos de la época. En 1773 Lalande, quien se consideraba a sí mismo «el astrónomo más famoso del universo» y se ufanaba de «ser tan feo como Sócrates», decidió ocuparse de ellos. Este astrónomo libertino y ateo ferviente, capaz de comer arañas para demostrar que la aracnofobia era irracional, presentó a la Academia un informe acerca de cómo los planetas podían perturbar la órbita de los cometas, haciendo cálculos sobre la posibilidad de que uno devastase la Tierra en 1739. El anuncio hizo revivir el miedo a una catástrofe planetaria en la capital francesa. El arzobispo de París recomendó cuarenta y ocho horas de oración para rebajar el pánico, y pidió que la Academia de Ciencias repudiara el informe. La Academia contestó que no podía repudiar las leyes de la astronomía. Y Lalande intentó paliar la superstición generalizada argumentando que sería un azar extraordinario que dos cuerpos tan pequeños —el cometa y la Tierra— respecto a la inmensidad del espacio en que se mueven llegasen a encontrarse.
Determinar con precisión la órbita de los cometas era un tema de actualidad En 1776, el ex jesuita y astrónomo Rudjer Boskovic (1711-1787) presentó a la Academia un método para calcular la trayectoria de los cometas. Pero terminó enfrentado a gritos con Laplace, quien le recriminó con muy malos modos que su método era intolerable. Mientras lo leía en voz alta, Laplace apostillaba: «¡Falso! ¡Ilusorio! ¡Erróneo!». La Academia hubo de nombrar una comisión que decidiera entre ambos contendientes. El dictamen emitido apuntaba que Laplace tenía razón, pero que esto no le autorizaba a tratar a Boskovic de la manera insultante y vejatoria en que lo había hecho. Al poco tiempo, Laplace se resarció presentando su propio método para calcular la órbita de los cometas.
No pasó mucho tiempo hasta que tuvo la ocasión de volver a demostrar su buen hacer con respecto al tema de los cometas. Británicos de adopción, aunque alemanes de origen, los hermanos Herschel, William (1738-1822) y Carolina (1750-1848), formaron un tándem excepcional en la exploración del espacio profundo ayudados con los modernos telescopios que ellos mismos fabricaban. El 13 de marzo de 1781, William Herschel, infatigable observador de las estrellas, localizó un nuevo astro en el cielo. Primeramente pensó que se trataba de un cometa siguiendo una órbita elíptica o parabólica, ya que, a diferencia de las estrellas lejanas, no estaba fijo. Múltiples astrónomos (Boskovic, Lalande y Laplace, entre otros) se pusieron manos a la obra para calcular su órbita a partir de las tres fugaces observaciones.
Pero a todos les esperaba una sorpresa. No se trataba de un cometa, sino de un nuevo planeta, solo visible por el telescopio. Fue el astrónomo sueco Anders Johann Lexell (1740-1784) quien lo demostró: el nuevo astro seguía una órbita elíptica alrededor del Sol coplanaria con la del resto de planetas. Era el primer planeta telescópico (no visible a simple vista) y el más exterior de los hasta ahora conocidos: Urano. Descubrir un nuevo morador del sistema solar era algo sensacional. Los antiguos griegos habían identificado como planetas (es decir, etimológicamente astros errantes o vagabundos) cinco puntos de luz: Mercurio, Venus, Marte, Júpiter y Saturno, que se distinguían por moverse en el cielo con respecto al fondo de estrellas fijas, y por hacerlo en una estrecha franja (el zodiaco) que rodea la trayectoria por la que transcurre el Sol (la eclíptica). Pero el número de planetas permanecía invariable desde hacía milenios.
Además, Herschel, gran observador de Saturno, su planeta preferido a causa de sus anillos, descubrió otros dos satélites más a añadir a la lista de los cinco ya conocidos. Y en 1787 hizo lo propio con dos de los satélites de Urano: Titania y Oberón. A principios del siglo XIX la lista de cuerpos celestes conocidos se engrosaría con la de los denominados planetoides o asteroides (Ceres, Palas, Vesta y Juno). La vasta extensión que mediaba entre Marte y Júpiter se pobló de pequeños planetas. Sin contar los cometas, se conocían siete planetas mayores y un total de catorce satélites, incluida la Luna. Pero cuantos más moradores tuviera el sistema solar, más posibilidades había de que las perturbaciones gravitatorias entre ellos lo descompensaran y se rompiera en mil pedazos. La cuestión de la estabilidad de dicho sistema era, según avanzaba el siglo, cada vez más urgente.
§. Las anomalías seculares de los planetas y sus satélites
En los Principia, Newton estableció que los planetas gravitan hacia el Sol de la misma manera que los satélites gravitan hacia
sus respectivos planetas.
Pero, recíprocamente, el Sol gravite hacia los planetas, estos hada sus satélites y, en definitiva, todos lo hacen entre sí. Cada cuerpo celeste no solo está sometido a los dictados gravitacionales del Sol, sino también a la interacción gravitatoria con el resto. Tomando en cuenta solo el Sol y un planeta, Newton demostró que este seguía una elipse perfecta en su giro alrededor del astro. Pero si, en aras del rigor y la precisión, tomaba también en cuenta la influencia de los demás planetas sobre aquel objeto de estudio, observó que la órbita había de sufrir ciertas desviaciones o perturbaciones en su trayectoria, con el peligro de salirse de su recorrido natural. Era el problema de las perturbaciones planetarias, principal acicate de las investigaciones en mecánica celeste durante el siglo XVIII. Un ejemplo se ilustra en la figura 1, en la que se muestra la Tierra atraída por el Sol pero a su vez por Júpiter, con la consiguiente desviación de su órbita.Este problema físico estaba a su vez relacionado con otro, que es su contrapartida matemática' el denominado problema de los tres cuerpos a en general, el problema de los n cuerpos, que trajo de cabeza a los matemáticos ilustrados. Puede enunciarse de manera muy sencilla: dados n cuerpos de distintas masas bajo atracción gravitacional mutua, se trata de determinar el movimiento de cada uno de ellos en el espacio. Aunque el problema tiene un enunciado aparentemente de gran simplicidad, su solución no es en absoluto fácil. Newton resolvió geométricamente el problema de dos cuerpos para dos esferas moviéndose bajo atracción gravitacional mutua en los Principia. En 1734, Daniel Bernoulli (1700-1783) lo resolvió
analíticamente en una memoria premiada por la Academia de Ciencias. Y, finalmente, Euler lo resolvió con todo detalle en su tratado Theoria motuum planetarum et cometarum (Teoría del. movimiento de los planetas y de los cometas), de 1744. La solución era que los dos cuerpos se movían necesariamente a lo largo de secciones cónicas: circunferencia, elipse, parábola e hipérbola (figura 2).Tras ser resuelto el problema de los n cuerpos para n = 2, los matemáticos se enfrentaron al problema para n = 3. En parte, porque era el paso siguiente; y en parte, también, porque el conocimiento de los movimientos del sistema formado por el Sol, la Tierra y la Luna lo precisaba. Fue Newton el primero que asestó una estocada al problema. En 1702 accedió a publicar su teoría lunar. En una nota dedicada al lector aclaraba:
La irregularidad en el movimiento de la Luna ha sido largo tiempo la queja de los astrónomos: y ciertamente siempre he contemplado como una gran desgracia que un planeta tan cercano a nosotros como lo está la Luna tenga su órbita tan distinta de una elipse.
Sin embargo, sus cálculos se saldaron con un rotundo fracaso. Newton no estaba en condiciones de poder ofrecerlos con un margen de error aceptable. Según recordaría más tarde con amargura: «La cabeza nunca me dolía salvo con los estudios sobre la Luna». Euler, en la década de 1760, parece que fue el primero en estudiar el problema general de tres cuerpos moviéndose bajo influencia gravitacional mutua, aunque siempre mirando de reojo la Luna:
El problema se reduce a tres ecuaciones diferenciales, que no solo no pueden sor integradas de ninguna forma, sino que también muestran grandes dificultades en el modo de hacer aproximaciones.Clairaut, al igual que Euler, intentó resolverlo de forma exacta, quejándose de la dificultad y recurriendo en última instancia a aproximaciones bastante oscuras. Se iniciaron entonces dos programas de investigación paralelos, dado que parecía que dicho problema no podía resolverse exactamente por su gran complejidad. Por un lado, se buscaron soluciones particulares exactas. Por otro, se buscaron soluciones generales aproximadas que fuesen útiles durante un lapso, aplicando el método de perturbaciones que citamos anteriormente.
En la búsqueda de soluciones particulares exactas Lagrange brilló con luz propia. En 1772, concurrió a un premio de la Academia de Ciencias de París con un trabajo titulado Ensayo sobre el problema de los tres cuerpos. Era consciente de que el tema no podía resolverse por integración —a diferencia de lo que ocurría con el de los dos cuerpos—, es decir, ofreciendo una función analítica que fuera la solución general de las ecuaciones diferenciales del problema. No obstante, en ese trabajo Lagrange obtuvo algunas soluciones particulares muy interesantes. En algunos casos concretos, si los tres cuerpos bajo estudio se encontraban en una determinada configuración espacial y dos de ellos presentaban masas muy grandes en comparación con la del tercero, era posible dar con una solución exacta.
Euler había encontrado una solución particular para el caso en que los tres cuerpos se encuentren en línea recta. Lagrange hizo lo propio para el caso de que los tres cuerpos se encuentren en los vértices de un triángulo equilátero, los llamados desde entonces puntos lagrangianos. Pero para Lagrange estas soluciones no tenían realidad física. No eran más que un divertimento matemático. Sin embargo, en 1906, los astrónomos encontraron que los asteroides troyanos (un enjambre de asteroides situados sobre la órbita de Júpiter) formaban con el Sol y Júpiter la posición descrita por el matemático francés. Las soluciones a este problema particular de los tres cuerpos obtenidas de forma puramente teórica por él tenían su confirmación física más de un siglo después. Sin ser consciente de ello, había resuelto el problema de los tres cuerpos restringido al sistema formado por el Sol, Júpiter y el asteroide Aquiles (véase la figura siguiente).
Pero, aún más, Lagrange también fue pionero en encontrar soluciones generales aproximadas al problema de los tres cuerpos.

En el punto lagrangiano L, se encuentra Aquiles, formando con el Sol y Júpiter un triángulo equilátero (cuyos ángulos midan 60º). En el resto de puntos lagrangianos también se han encontrado asteroides troyanos (L1 y L2, que están sobre una recta, corresponden a la solución que encontró Euler).
Si se atiende exclusivamente al efecto preponderante de la atracción gravitatoria del Sol (por ser el astro de mayor masa), puede afirmarse que la órbita de cada planeta alrededor suyo sigue una elipse. Pero si se toma en consideración la atracción de los demás planetas, la trayectoria elíptica queda perturbada, produciéndose desviaciones o desigualdades; pero, ¿son estas acumulativas o se compensan a lo largo del tiempo?
El objetivo era saber si las perturbaciones en el movimiento elíptico de los planetas eran —por decirlo en los términos que empleaban Lagrange y Laplace, periódicas o seculares. En el primer caso, las desviaciones en la órbita de los planetas irían compensándose y neutralizándose entre sí a la larga, de modo que la órbita permanecería estable sin una variación fundamental, las variaciones de tipo periódico harían, por tanto, que la órbita del planeta variase primero en un sentido y después en el opuesto, con lo que al final quedaría igual. En cambio, si eran seculares, las desviaciones irían acumulándose e incrementándose indefinidamente, aunque con extrema lentitud, hasta sacar al planeta de su órbita elíptica y, en consecuencia, desestabilizar a largo plazo el sistema solar. Las variaciones de tipo secular causarían, por tanto, que la órbita del planeta variase en un solo sentido, terminando por descompensarse. Como estas variaciones no se hacían apreciables sino en el transcurso de los siglos, se las denominaba precisamente seculares.
Laplace tenía la convicción de que las principales perturbaciones que sufren las órbitas de los planetas (las relativas a su forma y posición, es decir, a la excentricidad de la elipse y al plano en que se encuentra confinada la órbita) no eran seculares sino periódicas. Esto es, oscilan alrededor de unos valores medios y permanecen siempre acotadas dentro de unos límites bien determinados. Como enseguida vamos a descubrir, Laplace resolvió el problema que suponían las anomalías observadas en el movimiento de Saturno y Júpiter, así como en el de la luna.
«Al sustituir en ella [la ecuación] los valores numéricos de las cantidades referentes a Júpiter y Saturno, quedé sorprendido al ver que resultaba nula.»Comencemos, pues, estudiando las anomalías en el movimiento de Júpiter y Saturno. Según había constatado Halley en el año anterior, Júpiter aceleraba su movimiento, al tiempo que Saturno lo ralentizaba. El primero estaba sometido a una aceleración aparente, mientras que el segundo parecía frenarse poco a poco. Si estos movimientos continuaban indefinidamente, Júpiter chocaría contra el Sol y Saturno escaparía del sistema solar.
Laplace, sobre la ecuación que demostraría la constancia de los movimientos medios de los planetas
Entre 1785 y 1786, Laplace resolvió el problema en un par de memorias geniales, tituladas Sobre las desigualdades seculares de los planetas y satélites y Teoría de Júpiter y Saturno. Al igual que Lagrange, Laplace era consciente de la imposibilidad de encontrar soluciones analíticas exactas al problema de los tres cuerpos, por lo que tenía que recurrir a soluciones aproximadas, Pero fue Laplace, y no Lagrange, el que logró dar con la verdadera expresión analítica del movimiento secular de los planetas. Consiguió deducir una ecuación donde le aguardaba una grata sorpresa. Había dado con uno de los fenómenos más notables del sistema del mundo; la constancia de los movimientos medios de los planetas.
Las desigualdades seculares de Júpiter y Saturno se derivaban de la ley de la gravitación de Newton y era posible, en principio, predecir tanto los estados pasados como futuros del sistema abarcándolos en una sola mirada a la fórmula. La aceleración del primero y la deceleración del segundo eran consecuencia de su acción recíproca Y, lo que era todavía más importante, ambas desigualdades resultaban periódicas y, por tanto, reversibles. Cada 450 años el comportamiento experimentaba un cambio de sentido: Júpiter se frenaba y Saturno, en cambio, se aceleraba, regresando a las posiciones iniciales cada 900 años. La razón estribaba en que Laplace constató que cinco veces el período de Júpiter era aproximadamente como dos veces el de Saturno (sumando un total de 900 años), precisamente el factor que anulaba la ecuación de sus desigualdades seculares. Las irregularidades eran, por tanto, periódicas, con un período aproximado de nueve siglos. Laplace había explicado la aceleración de Júpiter y el retardo de Saturno que tanto habían atormentado a los astrónomos desde Newton. Pero, ¿qué astrónomo podría advertir una regularidad así, en un período de tiempo tan dilatado?
Intentemos comprender, aunque sea de un modo intuitivo, cómo llegó Laplace a este brillante resultado. Buscó soluciones aproximadas de los problemas del movimiento planetario. Si no hubiese más que un planeta, este seguiría una órbita normal (elíptica) en torno al Sol. Pero como hay más de uno, la órbita real o perturbada puede considerarse, aproximadamente, como la órbita normal a la que se le suma el efecto de una pequeña perturbación (véase la figura), cuyos componentes se trata de identificar.

Pero el análisis de las ecuaciones del movimiento orbital es muy difícil de abordar. Mientras que las ecuaciones diferenciales que describen el movimiento de un sistema formado por dos cuerpos son lineales, las ecuaciones que describen un sistema de tres o más cuerpos son no lineales. Y para hallar sus soluciones hay que emplear métodos de aproximación. Por relacionarlo con los términos matemáticos que empleamos en el capítulo anterior, la solución de la ecuación diferencial no lineal correspondiente al problema real o perturbado se halla calculando la de una ecuación lineal parecida —cuando no se tiene en cuenta el tercer cuerpo— para, a continuación, obtener la solución del problema de partida «perturbando» esta última. En otras palabras, se halla una solución aproximada al problema de los tres cuerpos empleando lo que se sabe con certeza del problema de dos cuerpos. De este modo, se expresa la solución del problema real o perturbado (no lineal) como una variación de la solución del problema normal (lineal).
El meollo de la cuestión estaba en determinar con precisión la cuantía de la perturbación (que se suponía periódica). Laplace estudió detenidamente las perturbaciones que sufrían los planetas en las ecuaciones, quedándose solo con sus componentes principales (con los primeros términos) y despreciando los restantes, por creerlos demasiado pequeños. Las soluciones halladas de esta manera no eran, por tanto, exactas, solo aproximadas. Pero la posibilidad de obtener soluciones útiles mediante un método aproximado se apoyaba en los siguientes factores:
- El sistema solar está dominado por el Sol, que contiene el 99,87 96 de la masa total del sistema. Esto significa que las órbitas de los planetas son casi elípticas, ya que las fuerzas perturbadoras de los planetas son pequeñas en comparación con la atracción ejercida por el Sol.
- Júpiter posee el 7096 de la masa planetaria, y por ello influye sobre el resto de los planetas de un modo apreciable. De modo que en el caso del sistema Sol, Júpiter y Saturno, se considera que el segundo también perturba el movimiento del tercero alrededor del sistema solar. Y recíprocamente, dado que Saturno es el segundo planeta del sistema en tamaño y masa después de Júpiter.
- Se sobreentiende que ni Júpiter ni Saturno perturban al Sol. Y si en lugar de Saturno se tratase de otro planeta menor, podría además despreciarse su efecto gravitatorio sobre Júpiter, lo que simplifica extraordinariamente los cálculos.
El descubrimiento de NeptunoLa teoría de las perturbaciones llevaría, andado el tiempo, al descubrimiento de Neptuno, el octavo planeta, en 1846, y por casualidad de Plutón, en 1930,en las regiones más exteriores del sistema solar. El estudio de las desviaciones en la trayectoria de los planetas jugó un papel fundamental en la predicción de nuevos moradores de nuestro sistema antes de que el telescopio los vislumbrara. Partiendo de una inadecuación entre la posición de Urano predicha por la teoría de la gravitación y la realmente observada, se llegó a la conclusión de que tenía que estar causada por las perturbaciones de otro planeta aún más alejado. La predicción realizada por los astrónomos John Couch Adams (1819-1892} y Urbain Le Verrier (1811-1877) fue confirmada en la noche del 23 de septiembre de 1846 por el astrónomo Johann Gottfried Galle (1812-1910), del Observatorio de Berlín. Habla nacido Neptuno. Curiosamente, Le Verrier siempre pensó que las anomalías en el movimiento de Mercurio también podrían explicarse postulando otro nuevo planeta entre el Sol y Mercurio, llamado Vulcano, que perturbaría la órbita de este último. Sin embargo, la búsqueda sería infructuosa, aunque hubo quien creyó verlo confundido con una mancha solar. Hoy sabemos que para explicar el movimiento anómalo de Mercurio la mecánica de Newton no basta y hay que echar mano de la teoría de la relatividad de Einstein.
Por su cercanía a nosotros, su movimiento era uno de los mejor estudiados. En 1693 Halley había constatado una aparente aceleración de su movimiento medio con respecto al tiempo de los griegos. Nuestro satélite no solo está bajo la acción gravitatoria de la Tierra, sino también del Sol, que continuamente lo desvía de la elipse imaginaria que debería trazar en tomo a la Tierra.
Para cuando Laplace atacó el problema, Lagrange ya habla realizado sustanciosos avances en la aplicación de la ley de gravitación universal a un problema concreto de la mecánica lunar, que le reportó otro premio de la Academia de Ciencias de París (a lo largo de su vida cosecharía hasta cinco veces este distintivo galardón). En 1764 ofreció una explicación, del fenómeno que denominó libración lunar.
La Luna siempre nos presenta la misma cara, su cara visible, pero no la misma porción de ella, dado que experimenta un ligero movimiento de balanceo en el espacio que nos permite ver una pequeña parte de su cara oculta (concretamente, desde la Tierra podemos divisar hasta un 59% de la superficie lunar, es decir, más del 50% esperable). Esta cuestión se inscribía, como es natural, dentro del problema de los tres cuerpos (Sol-Tierra-Luna) y requería un estudio muy cuidadoso de la perturbación que causaban la Tierra y el Sol en el movimiento lunar por medio de la atracción gravitatoria, tarea que Lagrange culminó con acierto. El movimiento de cabeceo de la Luna tampoco era secular. Era periódico.
Para Laplace todas las restantes anomalías del movimiento lunar podían explicarse análogamente. Obtuvo soluciones aproximadas sacando partido del hecho de que el Sol está lejos de la Tierra y de la Luna y suponiendo que solo ejerce una influencia pequeña sobre el movimiento relativo de ambas. Probó que el miedo a que nuestro satélite se precipitara sobre la Tierra o escapara hacia el Sol era infundado, porque la aceleración que se había constatado en su movimiento a lo largo de los últimos siglos era consecuencia de la variación de la excentricidad de la órbita terrestre. Pero, conforme esta última fuera corrigiéndose (pues en el fondo era periódica), nuestro satélite comenzaría a experimentar un movimiento contrario de deceleración. La variación en la velocidad de la Luna era, también, periódica. Empleando sus propias palabras:
Tales irregularidades no son siempre crecientes: son periódicas, como las de la excentricidad de la órbita terrestre de que dependen, y no se repiten sino transcurridos millones de años.Resumiendo, Laplace había llegado a demostrar que las órbitas de los planetas y de sus satélites cambiaban gradualmente, pero siempre dentro de ciertos límites. Las variaciones en las excentricidades e inclinaciones de sus órbitas permanecían siempre pequeñas y acotadas. Los efectos de las perturbaciones eran periódicos, no seculares ni destructivos. Las anomalías observadas en el movimiento del sistema solar en cortos periodos de tiempo desaparecían por completo al considerar periodos largos. Y todo ello gracias al análisis y a la ley de gravitación universal. Newton podía descansar tranquilo. Había vencido.
§. La demostración de la estabilidad del sistema solar
Simultáneamente apareció una cuestión muy relacionada con la del problema de los tres cuerpos y las anomalías orbitales: la cuestión de la estabilidad del sistema solar (compuesto, en la época, de solo ocho cuerpos, el Sol y los siete planetas conocidos, sin contar sus satélites), cuya solución dependía en realidad de la resolución de dicho problema El problema de los n cuerpos se reduce, en el campo astronómico, a preguntarse cuál será el aspecto del cielo dentro de un año, dentro de un siglo o dentro de un billón de años. Como vimos, Newton sabía que para dos cuerpos el problema era resoluble con exactitud para todo tiempo, pero que no ocurría así cuando un tercer cuerpo entraba en interacción. Aunque débiles en comparación con la fuerza de atracción del Sol, las fuerzas entre los planetas no eran ni mucho menos despreciables, por cuanto a la larga podían desviar algún planeta de su órbita e incluso, en el límite, expulsarlo fuera del sistema solar. Las fuerzas interplanetarias podían estropear las bellas elipses keplerianas, sin que fuera posible predecir el comportamiento del sistema en un futuro lejano. De hecho, en su obra De motum corporum in gyrum. (Sobre el movimiento de los cuerpos en órbita, 1684), Newton afirmaba que los planetas no se mueven exactamente en elipses ni recorren dos veces la misma órbita Además, reconocía que definir estos movimientos para todo futuro excedía con mucho la capacidad del intelecto humano.
Por consiguiente, seguía en pie esta acuciante pregunta: ¿es el sistema solar estable o inestable? ¿Permanecerá cada astro dentro de su órbita o se desviará en el futuro? ¿Acaso las anomalías que ya se observan en el movimiento de Júpiter y Saturno, así como en el de la Luna, representan el principio del fin? Para Newton, si el sistema solar se iba desajustando, se necesitaba una solución drástica: era la mano de Dios la que reconducía a cada planeta dentro de su elipse, restableciendo la armonía cada cierto tiempo. Frente a Newton, Leibniz sostenía que el Creador no podía ser un fabricante tan torpe. Para el alemán era un escándalo que el inglés hiciera intervenir a Dios en el sistema solar para garantizar la estabilidad. El Ser Perfecto no podía haber creado una máquina del mundo que tuviera que ser retocada y corregida cada cierto tiempo, como el relojero que diera cuerda a su reloj.
Las últimas décadas del siglo XVIII no fueron ajenas a esta discusión y estuvieron dominadas por un miedo relacionado con la estabilidad del universo, especialmente a raíz de la posibilidad de colisión de un cometa contra 1a Tierra. Como consecuencia de las famosas perturbaciones gravitatorias, podía ser que un cometa, en su paso cerca de la Tierra, fuese capturado por esta, ocasionando un choque de consecuencias dramáticas para la vida humana. (Hoy sabemos, por ejemplo, que la influencia gravitacional de Júpiter ha causado que el periodo de la órbita del cometa Halle-Bopp disminuya de 4200 a 2800 años tras su último paso, en 1997.)
¿Podía la teoría gravitacional de Newton dar razón de la aparente estabilidad del sistema solar y, de paso, ponerla fuera de toda duda para los próximos eones? Para Laplace, las leyes del científico inglés podían predecir las trayectorias de todos los tipos de cuerpos celestes: planetas, satélites y cometas. Y además demostraban que el sistema del mundo era estable. El universo estaba totalmente determinado.
Entre 1785 y 1788, Laplace mostró que ni las excentricidades ni las inclinaciones de las órbitas de los planetas estaban sometidas a variaciones seculares, garantizando —en un cierto orden de aproximación—la estabilidad del sistema:
Sus irregularidades seculares son periódicas y quedan contenidas en estrechos límites, de suerte que el sistema planetario no hace sino oscilar alrededor de un estado medio del que no se aparta nunca salvo en una pequeña cantidad.Las órbitas de los planetas serían siempre prácticamente circulares, sin grandes cambios en su excentricidad. Y el plano en que se mueven nunca oscilaría excediendo de tres grados. Ni Saturno acabaría perdiéndose por el espacio infinito, ni Júpiter caería sobre el Sol o la Luna sobre la Tierra. La aceleración de Júpiter y la ralentización de Saturno estaban ocasionadas por pequeños efectos, de segundo orden, debidos a la posición relativa de ambos planetas respecto al Sol. Y, análogamente, la aceleración del movimiento medio de la Luna estaba causada por pequeños cambios en la excentricidad de la Tierra. Estas perturbaciones solo dependían de la ley de gravitación y tendían a compensarse en el transcurso del tiempo. Seguían ciclos periódicos, pero extremadamente largos. El sistema del mundo formaba así una especie de máquina perfectamente engrasada.
La conclusión de Laplace no era otra que la afirmación de la estabilidad del universo sin necesidad de recurrir a la providencia divina (como Newton había hecho). Casi cien años después parecía que el optimista Leibniz había triunfado sobre el agorero Newton. Dios no era ya una hipótesis necesaria para el buen orden planetario. Ningún cataclismo mecánico amenazaba el equilibrio del sistema. Laplace había demostrado que se trataba de un mecanismo totalmente autorregulado que no precisaba de la intervención de ningún relojero supremo. El universo estaba predeterminado a ser estable por los siglos de los siglos.
Transcurridos más de doscientos años, los confortables y tranquilizadores pronósticos que hiciera Laplace necesitan de más de una revisión Su respuesta dista años luz de ser exacta. Creyó demostrar la estabilidad del sistema solar no solo a corto plazo, sino también a largo plazo e, incluso, sin plazo alguno, hasta la noche de los tiempos. Pero los trabajos en mecánica celeste que hiciera el matemático francés Jules Henri Poincaré (1854-1912) a finales del siglo XIX y, en especial los nuevos descubrimientos que ha arrojado ya en pleno siglo XX la revolucionaria teoría del caos han matizado bastante sus conclusiones. Adelante, veamos por qué.
Laplace pensaba que, si se podía resolver el problema de los tres cuerpos, no sería mediante una función sencilla, sino que la solución de las ecuaciones diferenciales vendría dada por una serie, esto es, por una suma de infinitas funciones (que dependerían de parámetros orbitales como la excentricidad y la inclinación de la órbita o la masa del planeta). Esta serie tendría que satisfacer formalmente las ecuaciones del problema y, además, ser convergente para algunos valores de las variables. Lagrange había aportado soluciones en forma de serie, pero no estaba nada claro que convergiese, es decir, que cuando se sustituyeran las variables por números concretos extraídos de los datos astronómicos, la serie diese al sumar sus infinitos términos un valor concreto y no directamente infinita.
En estas condiciones tan poco propicias para cálculos exactos, Laplace decidió trabajar con aproximaciones, con series «truncadas». Es decir, dada la serie con sus infinitos términos, se quedaba solo con los principales, los que a priori más parecía que sumaban, despreciando el resto. Pensó que así obtendría estimaciones razonables del comportamiento planetario evaluando solo los primeros términos de la inacabable cadena de sumandos algebraicos, bajo el supuesto de que los restantes términos no tendrían mayores efectos. Así determinó soluciones aproximadas para el problema de los tres cuerpos y razonó que, aunque estas no coincidieran totalmente con las reales, las pequeñas diferencias que hubiera entre ambas no ocasionarían cambios significativos. Tenía alguna buena razón para ello.
Las series con que trabajó Laplace eran series de potencias, es decir, sumas de infinitas funciones que dependían de las sucesivas potencias del inverso de la masa del Sol. En el primer término, dicha masa aparecía dividiendo. En el segundo, lo hacía el cuadrado de la masa solar. En el tercero, el cubo. Y así sucesivamente. Dado que la masa solar era muy grande en comparación con la del resto de los planetas o satélites (el cociente de la masa de un planeta entre la masa del Sol es del orden de 0,0001), Laplace se quedó solo con el primer término como solución aproximada, despreciando todos los términos a partir del segundo en adelante, por considerarlos muy pequeños (al elevar la masa solar al cuadrado, el cociente es ya del orden de 0,00000001). Es decir, simplificando, de tener A + B + C +... pasó a tener únicamente A. Este primer término A ofrecía una primera aproximación.

Diagrama que acompaña los Principia donde Newton, intenta explicar cómo el Sol perturba el movimiento de la Luna alrededor de la Tierra.
Sin embargo, los matemáticos del siglo XIX se encargarían de mostrar que por desgracia la mayoría de las series de la mecánica celeste imaginadas por los matemáticos del siglo anterior no convergían (su resultado daba infinito) y, por tanto, no eran soluciones válidas ni daban buenas aproximaciones de las que extraer conclusiones sobre la estabilidad planetaria. Laplace se quedó con A y, aunque los términos restantes B + C +... eran muy pequeños, no eran ni mucho menos despreciables, porque a la larga, en períodos de tiempo enormes, podían crecer y los cambios serían apreciables. A lo largo de la cadena infinitamente larga podían hacer acto de presencia sumandos significativos que diesen al traste con la tendencia que se hubiera establecido a partir de la evaluación de los primeros. Concretamente, en sus ecuaciones del sistema Sol-Júpiter-Saturno (problema de los tres cuerpos), Laplace despreció términos matemáticos que creía muy pequeños pero que, en contra de lo que él suponía, podían crecer hasta desestabilizar el sistema solar. Con palabras que escribiría algunos años después y que dan testimonio de esta forma de operar (Exposición del sistema del mundo, libo IV, cap. II):
El cálculo confirmó la sospecha y me permitió saber que en general, los movimientos medios de los planetas y sus distancias medias al Sol son invariables, al menos si se desprecian las cuartas potencias de excentricidades e inclinaciones de las órbitas, así como los cuadrados de las masas perturbadoras; lo que resulta más que suficiente para las necesidades actuales de la astronomía.Y añade en un pastee algo más adelante (cap. XVI):
La extrema dificultad de los problemas relativos al sistema del mundo obliga a recurrir a aproximaciones que siempre dejan el temor de que las cantidades despreciadas tengan influencia sensible en los resultados.Efectivamente, en 1856, el matemático francés Urbain Le Verrier (1811-1877), célebre por el descubrimiento de Neptuno, repasó los cálculos de Laplace y mostró que los efectos de los términos de orden superior despreciados podían llegar a ser significativos y, por tanto, que sus soluciones aproximadas no podían emplearse para demostrar la estabilidad del sistema solar mis allá de cierto umbral de tiempo, para una duración de tiempo definida.
Sería a caballo entre el siglo XIX y XX cuando la serie de problemas reabiertos en la mecánica celeste precisara de un hombre de talento que arrojara nueva luz sobre ellos: Poincaré. Este matemático francés, a menudo considerado el último universalista (hizo aportaciones en todos los campos de la matemática), mostraría que los resultados de Laplace eran válidos si se aproximaba incluso hasta el segundo orden en la masa de los planetas, pero no ya si se hacía hasta el tercer orden. Esos términos tan pequeños que Laplace despreció en sus cálculos podían crecer sensiblemente hasta desestabilizar la órbita del planeta. Puede ocurrir que los datos prácticos que el astrónomo proporciona al matemático equivalgan, para este, a una infinidad de datos teóricos muy próximos unos a otros, pero sin embargo distintos. Y que, entre esos datos haya algunos que mantengan eternamente a todos los astros a una distancia finita, mientras que otros lancen hacia la inmensidad a alguno de esos cuerpos celestes. Pequeñas perturbaciones en las condiciones iniciales de los planetas pueden engendrar grandes variaciones en los estados finales. De modo que cualquier pequeña perturbación de la solución periódica (correspondiente a la elipse kepleriana) puede a la larga degenerar en una trayectoria inestable y errática. Caótica, en una palabra (figura 3).

Además, en 1988, dos científicos del Massachusetts Institute of Technology (MIT), G. Sussman y J. Wisdom, presentaron evidencia numérica de que el movimiento de Plutón es también caótico. La trayectoria del planeta enano es particularmente interesante, porque su órbita, más excéntrica e inclinada que la de cualquiera de los planetas, se cruza con la de Neptuno (en ocasiones Plutón está más cerca del Sol que Neptuno), y podría ser que en un futuro no muy distante estuvieran lo suficientemente cercanos como para perturbarse mutuamente desencadenando una catástrofe cósmica.

Por otro lado, J. Laskar ha llevado a cabo una estimación de las zonas que podrían llegar a ocupar los planetas interiores del sistema solar en los próximos cinco mil millones de años. Las órbitas actuales corresponden a las líneas en negrita que se muestran en la figura 4, y la zona que puede llegar a visitar cada planeta corresponde a las regiones sombreadas. En el caso de Mercurio y Venus, ambas zonas se superponen, como puede observarse en el trazo más oscuro, lo que depara un futuro incierto. La incertidumbre ha vuelto al seno del sistema del mundo.
§. Investigando codo con codo con Condorcet y Lavoisier
Pero Laplace aspiraba a mucho más. Su ambicioso programa científico no se detenía en estudiar el cielo, también requería explorar el mundo terrestre: la aplicación de las matemáticas a la sociedad humana y a la física de los fluidos imponderables de la época (el calor, la luz, la electricidad y el magnetismo, de los que Newton no había podido ocuparse en los Principia sino solo en la Óptica).
Laplace siempre se movió entre las matemáticas, la física y la química como pez en el agua.
En 1783, formó parte junto a Condorcet de un proyecto que supuso un nuevo avance para los estudios demográficos y estadísticos. Condorcet, quien era ya un decidido partidario de la aplicación de las matemáticas a la toma de decisiones humanas, veía en el cálculo de probabilidades una herramienta de Estado: la estadística. Ambos participaron en un comité académico para investigar el funcionamiento del hospital más grande de París, L'Hôtel-Dieu, y emplearon su destreza en el cálculo de probabilidades para comparar los índices de mortalidad del hospital con los de otros hospitales franceses. Además, en 1785, Laplace terció en el inicio de los estudios demográficos en Francia. Amparándose en los registros de nacimientos que las parroquias llevaban desde antiguo, estimó que podía calcularse la población total del reino multiplicando por 26 el número de nacimientos.
Pero también encontró tiempo para colaborar con otra de las grandes estrellas científicas del momento: Antoine Laurent de Lavoisier (1743-1794). Cuando Laplace entró en contacto con él, Lavoisier era un personaje público. Era jefe de los recaudadores de impuestos, puesto que había logrado tras casarse con su adinerada e inteligente mujer, Marie-Anne Pierrette Paulze (1768-1836). Era, pues, un hombre rico, influyente en la corte, y también un reputado experimentador en su laboratorio del Arsenal de París. Lavoisier había arrinconado la teoría tradicional del flogisto al proponer su teoría de la combustión basada en la porción de aire que hoy llamamos oxígeno. Además, había reformado por completo las bases de la química, asentando una nueva nomenclatura.
Laplace comenzó a colaborar con Lavoisier en 1777, y lo hizo esporádicamente durante más de quince años, junto a Claude- Louis Berthollet (1748-1822), Antoine-François de Fourcroy (1755-1809) y Alessandro Volta (1745-1827). De hecho, Laplace continuaría trabajando con Berthollet durante buena parte del resto de sus días, y sus últimos trabajos abordarían principalmente aspectos particulares de la física y la química. Pero, ¿cómo empezó todo? La razón primordial de que entrara a trabajar con él es muy prosaica. El padre de Laplace, Pierre, seguía explotando sus plantaciones de manzanos en la Baja Normandía, donde fabricaba sidra y se ganaba la vida distribuyéndola. El problema era que la sidra permanecía largos períodos de tiempo en los barriles, y era necesario suministrarle conservantes para mantenerla en buen estado. A veces, las dosis de preparados químicos que se vertían en los barriles eran fatales y producían cólicos a los consumidores. En 1775 un lote de sidra muy adulterada resultó letal para varios frailes de una congregación. Las autoridades civiles decidieron tomar cartas en el asunto, consultando con la recientemente creada Real Sociedad de Medicina de París, de la que Lavoisier era miembro fundador. A fin de sofocar el escándalo, Pierre Laplace estuvo de acuerdo en indemnizar generosamente a la congregación. Pero hubo de viajar a París y obtener un importante préstamo por parte de Lavoisier para superar sus dificultades financieras. Parece probable que como consecuencia de las condiciones del contrato, o quizás en gratitud, Laplace hijo comenzase a ayudar a Lavoisier en sus investigaciones.
No obstante, dentro del quehacer diario, Lavoisier y Laplace se trataron como iguales. El savant experimental y el géométre se coordinaron a las mil maravillas. Generalmente, el primero llevaba la voz cantante en los experimentos, pero era el segundo quien realizaba los cálculos que demandaban. Lavoisier tenía la intención de seguir el «método de los geómetras», una etapa que se cerró con la presentación de la Memoria sobre el calor, leída en la Academia en 1783.

Calorímetro reproducido a partir de un grabado aparecido en el Tratado elementa! de química (1789) de Lavoisier. Para medir el calor de un cuerpo, este se colocaba en el depósito interior de rejilla a une temperatura concreta. El calor que desprendía fundía el hielo. La cantidad de agua resultante, que lo recogía a través del grifo del depósito inferior, era proporcional al calor específico del cuerpo en cuestión.
§. Reputación y prestigio social
En 1783 murieron Euler y D'Alembert. El anciano philosophe francés, artífice de muchos de los cambios que habrían de venir, no llegó a verlos, pues murió en octubre de ese año. Lagrange quedó entonces como decano de la nueva generación de matemáticos que luchaba por abrirse paso; Laplace, Condorcet, Monge, Legendre, Carnot...
Lagrange llegó a París en 1787, donde se incorporó a la Academia y se instaló en el Louvre, lugar en que le hospedó la reina María Antonieta, quien en su frivolidad disfrutaba de invitar al silencioso sabio a eventos sociales. Ese año Lagrange conoció personalmente a Laplace. Ya no era un discípulo prometedor de D'Alembert, sino una figura que brillaba con luz propia por haber demostrado «fuera de toda duda» la estabilidad del sistema del mundo. En la Academia, según dejó escrito un testigo de la época, «se pronunciaba sobre cualquier cosa». De resultas parece que incluso su relación con D'Alembert se resintió, porque Laplace relegaba su trabajo al pasado. Su ego le llevaba a creerse, no sin razón, el mejor matemático vivo de Francia.
Si en 1773 Laplace era un humilde miembro de la sección de Mecánica de la Academia, en 1776 era ya miembro de la sección de Geometría, la especialidad más noble. Y, finalmente, en 1785, tras el fallecimiento de un miembro de la gerontocracia, fue promovido a pensionado. En doce años Laplace ascendió los peldaños que llevaban del cargo más bajo al más alto. Pero su fortuna no acabó ahí. En 1784, consiguió presentar su candidatura en el ministerio y ser nombrado examinador de cadetes. Sería el sucesor de Bézout a la hora de examinar a ios alumnos de las escuelas de artillería, aunque Monge copó el cargo de examinador para las escuelas navales. Monge y Laplace aseguraban así su cartera profesional, sobre todo económicamente. Y de rebote políticamente, pues gracias a ello entrarían en contacto con la mayoría de las figuras públicas en ascenso. Eran los primeros coqueteos con la política.
Por esas fechas, y solo cuando había asegurado su cartera, Laplace —que ya rozaba la cuarentena— decidió casarse. Eligió para ello a una esposa veinte años más joven, algo que provocó murmullos en los salones parisinos. El 15 de mayo de 1788 contrajo matrimonio con Marie-Charlotte Courty de Romange (1769-1862), una jovencita de buena familia, que le permitió trepar en la clase social y le dio rápidamente dos hijos: Charles-Émile, nacido un año después, que se dedicaría a la carrera militar y llegaría a obtener el grado de general, y Sophie-Suzanne, que fue su ojo derecho, pero que murió trágicamente en 1813 durante el parto de su primer hijo.
A finales de la década de 1780, Laplace era ya el nuevo Newton. No en vano recibió el honor de ser nombrado miembro de la Royal Society de Londres. En esta década produjo sus resultados más profundos, aquellos que le convirtieron en uno de los científicos más importantes e influyentes que han existido. Laplace siempre tuvo a gala ser un decidido newtoniano y haber demostrado que la ley de gravitación era el único principio necesario para explicar la forma de los planetas, los movimientos de los fluidos que los recubren, sus órbitas, así como las de los satélites y cometas, y, por último, la estabilidad del sistema solar. Puso a los astros en su sitio, y disolvió las dudas acerca del movimiento de Júpiter, Saturno y, en especial, la Luna. Francia y, en particular, París podían respirar tranquilos: la Luna no se estrellarla contra la Tierra, ni saldría despedida hacia el Sol.
Hacia 1789, Laplace creía probada la estabilidad del universo (aunque la elaboración de su modelo cosmológico fue posterior). Se sentía lo suficientemente respaldado como para escribir:
Por virtud de su constitución y de la ley de la gravedad, el sistema del mundo goza de una estabilidad que solo puede ser destruido por causas externas, y estamos seguros de que su acción no ha sido detectada desde la época de las más antiguas observaciones hasta nuestros días. La estabilidad del sistema del mundo, que asegura su duración, es uno de los fenómenos más notables, en que se muestra en los cielos la misma intención de mantener el orden del universo que la naturaleza observa admirablemente sobre la tierra a fin de preservar los individuos y perpetuar las especies.El mundo parecía un lugar tranquilo y en orden. Sin embargo, ni el sistema astronómico era estable, ni lo era el sistema político y social en que los cortesanos giraban alrededor del rey como los planetas alrededor del Sol. En 1789 comenzó el proceso revolucionario que cambiaría para siempre la historia.
Capítulo 3
Libertad, igualdad y matemáticas
La Revolución francesa conforma el trasfondo sobre el que maduró la ciencia moderna. Laplace ancló su destino a la estrella de un general emergente, Napoleón Bonaparte, y colaboró en el establecimiento de los pilares de un mundo nuevo. Con su firma en calidad de ministro del Interior, decretó el uso obligatorio del Sistema Métrico Decimal y dejó su impronta en dos instituciones educativas surgidas al calor de la Revolución: la Escuela Politécnica y la Escuela NormalEl año 1789 está marcado con letras mayúsculas en la historia. Ese año el régimen absolutista fue derrocado por la Revolución. Pero una revolución no depende del azar. A finales de 1788, Francia era víctima de una sucesión de malas cosechas y de una coyuntura económica calamitosa que agravó la ruina del reino. Los crujidos eran perceptibles por doquier. Hacía falta un gran rey y Francia solo tenía a Luis XVI. Además, los despilfarros de la reina María Antonieta no ayudaban a mejorar su imagen a ojos del pueblo. Aunque ocultos detrás del esplendor de Versalles, los reyes fueron lentamente dándose cuenta del malestar que se instalaba en los tres estamentos sociales (nobleza, clero y tercer estado). Todos estaban descontentos, aunque cada uno por razones diferentes. Las reformas eran más necesarias que nunca. Y la ideología Ilustrada que predicaba la separación de poderes, la igualdad y la libertad parecía darles alas. El Siglo de las Luces llegaba a su precipitado y sangriento final.
El rey convocó los Estados Generales para discutir la gravísima situación, cuya apertura solemne se produjo el 5 de mayo de 1789. A la izquierda, el tercer estado, la burguesía. A la derecha, la nobleza y el clero, es decir, el trono y el altar (de ahí deriva precisamente el uso de izquierda y derecha en sentido político). Tras vanas tentativas de conciliación, el 16 de junio los representantes del tercer estado, junto con algunos nobles y clérigos, se constituyeron en Asamblea Nacional. Los diputados juraron en la sala del juego de pelota del palacio de Versalles no disolverse hasta haber votado una constitución.

El juramento del juego de la pelota según el pintor Jacques Louis David (1748-1825). En el centro, Bailly lee el manuscrito levantando el brazo pidiendo silencio a la multitud
Era el aldabonazo de la Revolución francesa, un periodo histórico que sentó las bases del Estado moderno y dio el impulso definitivo a la ciencia moderna Una oleada de cambios institucionales recorrería el país. Los súbditos de la corona pasarían a ser ciudadanos. Francia dejaría de ser una monarquía para convertirse en una república. Y la sociedad estamental dejaría de existir para transformarse en una sociedad burguesa. Desde el primer momento, los científicos tomarían parte entusiasta en el proceso revolucionario, a la vez que lo sufrirían. No todos pertenecían a los mismos grupos, sino que había un amplio espectro, desde moderados como Condorcet y Lavoisier hasta radicales como Carnot y Monge, pasando por escépticos como Lagrange y Legendre y por oportunistas como Laplace.
Durante la Revolución, los savants de la Academia dejarían de servir al reino para comenzar a hacerlo al Estado y la nación. Su trabajo sería nacionalizado.
El 14 de julio de 1789 el pueblo se puso en marcha. Ante el miedo a una vuelta atrás, la muchedumbre parisina tomó la fortaleza de la Bastilla y se hizo con las armas y la pólvora apilada allí por los soldados reales. «¿Es una rebelión?-, preguntó el rey al enterarse de la noticia. «No, es una revolución, le respondieron. Al día siguiente, Bailly fue elegido primer alcalde de París y días después, entregó una escarapela tricolor, símbolo de los nuevos tiempos, al monarca. El 26 de agosto la Asamblea Constituyente proclamó la Declaración de los derechos del hombre y del ciudadano. El Antiguo Régimen había muerto. Libertad, igualdad y soberanía nacional son las palabras que resumen el año 1789.
Pero el camino hasta la Constitución de 1791 sería largo. A la moda de los tres colores, presente en faldas y sombreros, se sumó la impaciencia popular, que cuajó en gestos sangrientos que terminaron con alguna que otra cabeza pendiendo de una pica.

Toma de la Bastilla, obra del pintor Jean-Pierre Houël (1735-1813) realizado en 1789. En el centro se muestra el arresto del marqués Launay, gobernador del a Bastilla
Pese a este cielo con nubarrones que hemos pintado, Laplace, al igual que el resto de sus colegas académicos, vivió estos momentos de cerca, con una mezcla de miedo y esperanza. Los matemáticos de la Revolución francesa no fueron, ni mucho menos, ajenos a ella. Mientras el discreto Lagrange contemplaba los sucesos subversivos con manifiesto rechazo y antipatía, porque perturbaban el sosiego y la tranquilidad que tanto amaba, el honesto Legendre lo hacía con interés, aunque solo como espectador. En cambio, Condorcet, Monge y Carnot participaban en las peripecias revolucionarias de forma apasionada. El caso de Laplace contrasta con los anteriores: participó en los acontecimientos a favor de la Revolución, pero con más cálculo que pasión, como de hecho hizo toda su vida. Como buen oportunista en el ámbito político, se sirvió de la Revolución para medrar y perseguir sus fines; convertirse en el patrón de la ciencia francesa.
Si en la mente de casi todos ellos estaba la urgente necesidad de introducir reformas en todas las esferas de la vida pública. No solo en la política y la sociedad, sino también en la técnica y la ciencia. La nueva sociedad nacida al calor de 1789 era propicia para ello. Así, en 1790 la Asamblea ratificó una de las propuestas más notables de la Academia, la adopción de un sistema decimal de pesos y medidas, cuyas principales unidades serían el metro, el litro, el gramo, el área y el estéreo. Era otro camino, más pacífico, para lograr la igualdad y la unificación entre las provincias de un país demasiado diverso, haciendo desaparecer el más antiguo de los particularismos, el de las medidas. Pero a la vez era un problema físico y matemático de gran calado, que se constituye por derecho propio como el núcleo del contenido científico del presente capítulo.
§. A la sombra de la guillotina: Robespierre, Laplace y el terror
En un antiguo convento de jacobinos, un grupo de patriotas, encabezados por el abogado Maximilien Robespierre (1758-1794), apodado «El Incorruptible», tenían la costumbre de reunirse. Entre sus próximos estaba el médico Jean-Paul Marat (1743-1793). Algunos sabios como Carnot y Monge también asistieron con regularidad a las sesiones del club. En la Asamblea estos diputados ocuparon los bancos más altos. Eran la «Montaña», sinónimo de las horas sangrientas que habrían de venir. En oposición a los radicales jacobinos, se encontraban los moderados girondinos (llamados así por proceder del departamento de la Gironda), conducidos por el diputado y activo periodista Jacques-Pierre Brissot (1754-1793). En sus filas se contaba Condorcet. Finalmente, había un tercer grupo, la «Llanura», que se sentaba en los escaños más bajos y se inclinaba por unos u otros en función de sus intereses. Esta era la composición de la Asamblea Legislativa cuando en abril de 1792 estalló la guerra, que el rey Luis alentaba secretamente. En agosto los diputados apostrofaron de traidor y cobarde al monarca. Se produjo, entonces, la caída definitiva de la monarquía, formándose un gobierno provisional, en el que Monge y Carnot acapararían grandes responsabilidades en la organización de la marina y del ejército. A propuesta de Condorcet, Monge tomó la cartera de Marina, y Carnot la de Guerra.
Simultáneamente, el pueblo, encendido en su lucha contra los viles déspotas y los reyes conjurados (según rezaba La Marsellesa), protagonizó una insurrección popular en que las masas ocuparon el Ayuntamiento y formaron la Comuna de París. Y con la histeria asesina comenzaron los ajustes de cuentas. En la Academia de Ciencias, el químico y jacobino Fourcroy, discípulo de Lavoisier, propuso depurar la institución de aquellos miembros conocidos por su incivismo ciudadano. El tiempo en que los ilustres académicos proseguían despreocupados con sus hábitos de lectura e investigación estaba muy cerca de cambiar.
Carnot, el geómetra jacobinoCuando prendió la chispa de la Revolución, el ingeniero Lazare Carnot (1753- 1823) se convirtió en uno de los jacobinos más implicados en la organización del ejército. Conocido como el «Gran Carnot» o el «Organizador de la victoria» (según le apodó Robespierre), los logros de los ejércitos franceses se debieron, desde luego, a su capacidad planificadora, tanto en el campo de batalla como en la retaguardia, donde reforzó la disciplina y dispuso levas obligatorias en masa.
Napoleón dijo de él que «era el hombre más horrado y honesto de los que han figurado en la Revolución». Aunque dedicado a la defensa nacional, Carnot encontró tiempo para dedicarse a las matemáticas. En 1797, durante una breve etapa de exilio político, escribió Reflexiones sobre la metafísica del cálculo infinitesimal, donde meditaba en la cuestión de los fundamentos del análisis, en si este debía construirse sobre las fluxiones de Newton, los diferenciales de Leibniz o los limites de D'Alembert. Pero su gran obra es, sin duda, la Geometría de posición (1603), por la que es considerado, junto a Monge, como uno de los creadores de la geometría pura moderna. Además, fue el primero de una saga familiar de la que saldrían grandes físicos (su hijo, Sadi Carnot. célebre por sus estudios en termodinámica), químicos y hasta presidentes de Francia
No obstante, hasta que se llegó a ese punto de no retomo, Laplace desarrolló una actividad asombrosa, participando en múltiples comisiones y organismos a fin de atender las iniciativas emanadas de la Asamblea. Así, por ejemplo, en 1791 había entrado a formar parle de la Oficina de Consultas de Artes y Oficios, encargada de juzgar el aluvión de inventos y patentes que continuamente se recibía. Al final, solo una inesperada victoria permitió una imprevisible distensión. El 20 de septiembre de 1792, primer día de la República y de la Convención Nacional, las tropas francesas lograron detener el avance de los prusianos en Valmy. Una nueva época en la historia del mundo se abrió ese día en que los soldados franceses gritaron al vencer «¡Viva la nación!». La Revolución había sobrevivido.
La Convención arrancó dominada por los girondinos, pero sufrió el acoso continuo de los jacobinos y, en especial, del diputado más votado de París, Robespierre. Con treinta y cuatro años, frío y elegante, desdeñoso y susceptible, de costumbres irreprochables, Robespierre era uno de los vértices del triunvirato que formaba junto al ardiente Georges-Jacques Danton (1759-1794), orador sin igual, aunque menos honesto que el primero, y al terrible Marat, responsable de las masacres y capaz de publicar en su periódico las direcciones particulares de los diputados enemigos a fin de que las masas pudiesen darles alcance. No obstante, las disensiones entre girondinos y jacobinos no fueron todavía decisivas en este año I de la República. Por lo demás, en esas fechas, el doctor Joseph-Ignace Guillotin (1738-1814) estaba poniendo a punto una ingeniosa máquina con ayuda del doctor Antoine Louis (1723-1792). Todos los ciudadanos debían ser iguales entre sí, no solo en vida, sino también a la hora de morir. Se habían acabado los privilegios de los nobles en el momento de subir al cadalso. La louisette, llamada más tarde guillotine, estaba lista. Y el 21 de enero de 1793 Luis XVI fue guillotinado. La cuchilla cayó y el verdugo mostró la cabeza al pueblo.
La ejecución del rey sumió a Europa y a Francia en el desasosiego. A la guerra contra el extranjero se unió una violenta lucha en el interior entre girondinos y jacobinos. Los primeros, representantes de la floreciente burguesía de propietarios y comerciantes, defendían un federalismo moderado de tintes económicos. Pero los segundos, empujados por el pueblo (los sans-culottee, que vestían un pantalón distintivo opuesto al calzón aristocrático), sostenían un centralismo igualitario. Ambos partidos se dirigían hacia el abismo. A la revolución de las pelucas empolvadas iba a seguir la de los gorros rojos. El 31 de mayo las campanas tocaron a rebato y las masas, excitadas por Marat, sirvieron de palanca al golpe de Estado jacobino. La guardia nacional detuvo a Brissot y al resto de jefes girondinos. Y varios días después los jacobinos se hicieron con el poder en la Convención. Era el primer naufragio de la democracia moderna. A partir de ese momento, la salvación pública primó sobre el parlamentarismo. Era el Terror. Un paréntesis sangriento, entre junio de 1793 y julio de 1704, dominado por dos hechos principales: la victoria de Francia contra la Europa coaligada en el exterior y las purgas sucesivas en el interior. Este año II de la República es inseparable de la guillotina.
El 13 de julio Marat fue apuñalado en la bañera, donde pasaba horas a fin de aliviar una dermatitis crónica, por una exaltada girondina, lo que sirvió de coartada al Comité de Salvación Pública, liderado por Robespierre, para desatar la persecución de los enemigos del pueblo. El terror estaba en el orden del día. Nadie escapaba a él.
Y el 8 de agosto de 1793 se ordenó la supresión de la Academia de Ciencias. «La República no necesita sabios», se dijo en pleno delirio a la búsqueda del enemigo interior. Tres meses más tarde se procedió a la depuración de varios miembros de la Comisión de Pesos y Medidas que venía funcionando desde 1790. Entre ellos, Laplace, Condorcet y Lavoisier. Defenestrados por no ser buenos ciudadanos, bajo la acusación de «indignos de confianza por lo que se refiere a sus virtudes republicanas y su odio a los reyes». Pero, curiosamente, se mantuvo a Lagrange como presidente de la misma. Aunque nunca fue partidario de la Revolución, Lagrange carecía de toda ambición política.
No todos los científicos tendrían su suerte. La guillotina tiró por tierra las cabezas de quienes aún defendían las viejas ideas feudales, pero también la de algún que otro revolucionario y científico. En 1794 varios de renombre conocerían la muerte: Condorcet, Bailly y Lavoisier. El primero de ellos, secretario permanente de la Academia, perdió la vida a causa de la revolución cuyos cambios él mismo había sinceramente demandado. Tras un tiempo oculto, fue arrestado por haber militado en las filas girondinas. Y pese a haber sido presidente de la Asamblea, este desdichado, incansable optimista respecto al progreso humano, vería la muerte en prisión el 24 de marzo, donde se suicidó para evitar ser guillotinado.
El segundo, el astrónomo Jean-Sylvain Bailly, había sido presidente de los Estados Generales y alcalde de París. Pero fue acusado de complicidad con los monárquicos. Bailly, quien trabajaba en el Observatorio de París, era un buen amigo de Laplace, con quien había colaborado en la evaluación de los proyectos de reforma de los hospitales de París. Intentando quitarse de en medio, abandonó París y se dirigió a Melun, donde Laplace permanecía retirado y (supuestamente) a salvo de los vientos de cambio. Madame Laplace intentó disuadirle y le escribió una carta en la que le indicaba, bajo expresiones encubiertas, que tampoco Melun era ya un lugar seguro. Sin embargo, haciendo caso omiso, Bailly se presentó en casa de los Laplace. Desafortunadamente, fue visto y reconocido a los pocos días por un soldado revolucionario. Arrestado y juzgado de vuelta en París, fue condenado a muerte.
«Ha bastado un instante para hacer rodar su cabeza por el suelo, y tal vez se necesiten cien años para procuramos otra cabeza semejante.»Finalmente, el tercero, Lavoisier, sería guillotinado el 8 de mayo de 1794. Ocupaba el cargo de jefe de los recaudadores de impuestos del reino y concentraba gran parte del odio del pueblo por ser parte del sistema que favorecía las fortunas escandalosas.
Lagrange, sobre la muerte de Lavoisier
Era una cabeza visible del Antiguo Régimen (de hecho, uno de los hombres más ricos) y, a pesar de sus tendencias liberales y reformistas, y de haber saludado la llegada de la Revolución, sucumbió como el resto de asentistas, cuando los jacobinos tomaron el poder. La fortuna de Laplace contrasta con la de sus antiguos colegas académicos y, en especial, con la de su amigo Bailly. Cuando la Academia fue cerrada y, a continuación, Laplace fue expulsado de la Comisión de Pesos y Medidas, así como relevado del cargo de examinador de artillería por no mostrar suficiente ardor republicano a ojos de los jacobinos, se retiró a Melun, una pequeña ciudad cercana a París, a cincuenta kilómetros al sureste. Lo hizo con su mujer y sus dos hijos pequeños. Prudencia de sabio y cautela de político. Laplace temía las acciones de algunos radicales como Marat y de algunos agitadores como Brissot, a quienes no les gustaba nada aquel científico del Antiguo Régimen que tan bien nadaba en las aguas revolucionarias. Con ambos había mantenido una fuerte polémica doce años antes, en 1782. Marat, que era médico de formación, tenía un campo de investigación preferido, el de la luz, sobre el que presentó varías memorias a la Academia de Ciencias. Pero las teorías y los experimentos ópticos de Marat horrorizaron a los académicos, incluyendo a Laplace, por cuanto tenían la osadía de disentir del gran Newton. Brissot, que llegaría a ser el dirigente más destacado de la facción girondina y, paradójicamente, enemigo acérrimo de Marat, sacó la disputa extramuros de la Academia, publicando un panfleto en forma de diálogo en el que parodiaba el quehacer diario de los académicos y su despotismo sabihondo En él se presentaba a Laplace como el arquetipo de newtoniano dogmático que, apoltronado en su sillón, desprecia con gesto arrogante los experimentos de muchos de sus colegas, porque desbordan el plano estrictamente matemático en el que permanece enclaustrada
«Cuántos deben sus fortunas a los manejos de sus castas mitades.»Con la llegada de la revolución, Marat rescató la polémica del olvido y escribió, en 1791, una encendida diatriba contra los académicos titulada Los charlatanes modernos, donde descalificaba furibundamente a Laplace y, de manera muy especial, a Lavoisier. En concreto, Marat escribía que Laplace era famoso por «su bonita mitad», aludiendo claramente a su esposa. El matrimonio de Laplace con esta bella mujer veinte años más joven y pertenecientes la baja nobleza era visto por Marat como una artimaña para medrar social y económicamente. Exactamente lo mismo se había dicho años antes del matrimonio de Lavoisier con su joven mujer. Llovía sobre mojado. Es muy probable que el recuerdo de estas rencillas con los trapaceros Marat y Brissot empujara a Laplace a tomar la decisión de alejarse de París durante el Terror.
Marat, en Los charlatanes modernos, en referencia a Lavoisier y Laplace.
No obstante, ni siquiera en Melun pudo sustraerse a todas las obligaciones. Gozaba de demasiada reputación como científico como para que el Comité de Salvación Pública prescindiera gratuitamente de sus servicios. Ocasionalmente se pidió su opinión experta sobre el nuevo calendario que quería establecer la Revolución.
El 24 de octubre de 1793 se decidió la suspensión del calendario gregoriano, de origen religioso, y su sustitución por uno nuevo ideado por el matemático Charles-Gilbert Romme (1750-1795) y el poeta Fabre d'Églantine (1750-1794). Mientras que el primero impulsó la adopción de una nueva manera de medir el tiempo que siguiera la base decimal (al igual que lo harían los pesos y medidas), el segundo buscó secularizar el cómputo (trocando el antiguo santoral por toda una panoplia de nuevas advocaciones, donde los nombres de los meses eran neologismos poéticos relacionados con la naturaleza: Vendimiado, Brumano, Frimario.,,). Romme planteó, contando con el consejo del astrónomo Lalande, que cada uno de los doce meses del año se dividiera en tres semanas de diez días cada una llamadas (décadas) A los 360 días resultantes (12×30 = 360), se sumarian 5 días suplementarios al final (también festivos y dedicados a la conmemoración de la Revolución), hasta hacer un total de 365. Y tras cada franciada o período de cuatro años, se añadiría un año de 366 días. Puestas así las cosas, el calendario republicano establecía un sistema de cómputo del tiempo análogo en todo al del antiguo calendario juliano (llamada así en honor a Julio César, (quien lo instauró en el siglo I y que se sabía que al cabo de los años mostraba un sensible desfase como consecuencia del cálculo inexacto del año trópico, es decir, del número de días que tarda el Sol en retornar a la misma posición dentro del ciclo de las estaciones (debido a la precesión de los equinoccios esta duración no coincide con la del año sideral, es decir, con la del tiempo que tarda la Tierra en completar una vuelta al Sol, que es de veinte minutos más). Por esta razón, el calendario republicano asumió las mismas disposiciones que el calendario gregoriano (denominado así por la reforma apadrinada por el papa Gregorio XIII en el siglo XVI) que deseaba abolir introducir un año bisiesto (esto es, de 366 días) cada cuatro años, pero dejando de añadir tres cada 400 años (precisamente, los años múltiplos de 100 cuyo número de centenas no sea múltiplo de 4). Además, tras mucho pensarlo, se convino que el día 1 del año I coincidiera con el 22 de septiembre de 1792, cuando fue proclamada la República y, como no dejó de señalar Lalande, día del equinoccio de otoño.
Laplace no estaba muy convencido de la utilidad del nuevo calendario, por cuanto la duración que proponía para el año no encajaba mejor con los datos astronómicos que la del calendario gregoriano. Iba, de hecho, a remolque de este, por lo que consideraba la reforma como gratuita. Pero hizo bien en guardarse su opinión para sí. Buena prueba de ello es que logró mantener la cabeza sobre los hombros. Sin embargo, la vida del nuevo calendario sería muy corta, y el 1 de enero de 1806 seria abolido. Laplace haría valer su influencia ante el nuevo dirigente de Francia (Napoleón Bonaparte) para que acabase con él, ordenando la restauración del calendario gregoriano. Tras poco más de trece años de existencia real, el nuevo calendario se extinguió la medianoche de un 10 de Nivoso del año XIV.
Mientras tanto, Carnot, elegido miembro del Comité de Salvación Pública, continuó ocupándose con éxito do las operaciones militares, hábil desempeño que le permitió esquivar la guillotina, pues Robespierre lo había amenazado con que perdería la cabeza al primer desastre militar. Ni siquiera los propios jacobinos escapaban al temor desatado por Robespierre: Danton, para sorpresa de todos, fue ejecutado sumariamente. Cada vez más irritado, Carnot fue el auténtico animador de la conspiración que culminó, el 9 de Termidor del año II (28 de julio de 1794), con Robespierre víctima de su amada guillotina. La Convención termidoriana marcó el punto en que la burguesía moderada volvió a hacerse con el control frente a los excesos de las masas. Al año siguiente, 1705, se aprobaría una nueva Constitución, se disolvería la Convención y se establecería el Directorio, un comité de cinco miembros al que se confiaba ejercer el poder ejecutivo (el omnipresente Carnot se reservaría, sin discusión, el Ministerio de la Guerra). Hay que poner mucho en el haber de los termidorianos, a pesar de lo poco que estuvieron en el poder (apenas un año de transición). Pusieron en pie una nueva organización de la enseñanza. Si los jacobinos se centraron en la educación primaria (decretando una enseñanza gratuita, laica y obligatoria para todos los niños), los termidorianos lo hicieron en la secundaria. La confiaron a una serie de escuelas centrales de gran calidad que; junto a las humanidades, dejaban sitio a las ciencias, y que vinieron a sustituir la enseñanza tradicional de los colegios religiosos, suprimidos por la Revolución. Por último, se puso la educación superior en manos de grandes escuelas: las escuelas normales y las escuelas especiales, como la Escuela Normal Superior y la Escuela Politécnica. Y donde los profesores serían, como veremos, sabios consagrados: Laplace, junto a Lagrange y Monge, enseñaban matemáticas.
§. La república de las ciencias
Solo en este momento, cuando el reinado del Terror tocó a su fin y soplaban nuevos vientos, Laplace se arriesgó a regresar a París acompañado de su familia El año largo de retiro en Melun no había sido en balde. Volvía a la capital, según se cuenta con frecuencia, con un extenso manuscrito bajo el brazo, del que nos ocuparemos en el próximo capítulo.
En este año de 1795, pasadas las horas más sangrientas de la Revolución, el Directorio creó un organismo científico que jugase un papel semejante al de la extinta Academia Real. Se trataba del Instituto Nacional de Ciencias y Artes. La Constitución del año III estipulaba la creación de un centro encargado de reunir a los hombres más sobresalientes en las ciencias y en las artes, de tal modo que constituyera una suerte de Enciclopedia viviente. El Instituto se concibió dividido en tres clases (ciencias físicas y matemáticas, ciencias morales y políticas, literatura y bellas artes), cada una de las cuales constaba de varias secciones. Los matemáticos se repartían entre la sección de geometría (a la que pertenecían Lagrange, Laplace y Legendre), la de mecánica (con Monge) y, en tercer lugar, la de astronomía (Lalande). Laplace fue uno de los matemáticos fundadores y se dedicó a organizar el Instituto desde sus inicios. De hecho, su primer discurso político lo pronunciaría en 1796 con ocasión de la presentación del primer informe anual de la actividad del Instituto ante la Asamblea. Allí concluiría con retórica: «La existencia del hombre está íntimamente ligada al progreso de las ciencias y de las artes, sin las cuales no hay libertad ni felicidad duraderas». Poco después recibiría el encargo de dirigir la Oficina de Longitudes en su conexión con el Observatorio de París, donde había ejercido el malogrado Bailly. La intención de mejorar la seguridad de la navegación y de competir con el predominio naval inglés llevó a reabrir el antiguo Observatorio como apéndice de la Oficina de Longitudes. La vida pública de Laplace no había hecho más que comenzar a relanzarse.
§. Laplace tecnócrata: el sistema métrico decimal
La infinita variedad de medidas disponibles en Francia escapaba a toda comprensión Las medidas variaban no solo dentro de cada provincia, sino también dentro de cada comarca y casi de cada villa o ciudad. Se estima que había unos 800 nombres de medidas y, teniendo en cuenta su diferente cuantía en diferentes ciudades, unas 250000 medidas en realidad distintas. Cada noble podía fijar en su feudo un sistema de unidades completamente diferente al de su vecino. El deseo de una medida general para todo el territorio era una vieja aspiración. En abril de 1789, el astrónomo Lalande propuso sin éxito al rey que tomara las medidas empleadas en París como patrón para todo el reino. Era un primer intento de estandarización, aunque no de racionalización. En Francia no hubo «estandarización racional» hasta la Revolución.
La estandarización de las medidas sería una de las primeras exigencias en los Estados Generales. El 17 de junio de 1789, mientras los representantes del Tercer Estado se autoproclamaban Asamblea Nacional en la sala del juego de pelota del palacio de Versalles, los miembros de la Academia de Ciencias, entre ellos Laplace, se reunían en una sala del palacio del Louvre para formar una comisión que hiciera una propuesta en firme sobre la uniformización de los pesos y las medidas.
Un lío monumentalEn La medida del mundo, el matemático y escritor francés Denis Guedj (1940- 2010) narra el arduo trabajo que supuso la medición de la cuarta parte da un meridiano terrestre con el fin de establecer el patrón de la unidad de medida conocida como «metro». El siguiente extracto da una idea de la confusión que reinaba antes de la instauración del Sistema Métrico Decimal y la necesidad de implantar unidades de referencia universales:
Se reprochaba a la multiplicidad de dialectos lo que se reprochó a la diversidad de pesos y medidas: la leña se vendía por cuerdas, el carbón vegetal por cesto, el carbón de piedra por sacos, el ocre por toneles y la madera de construcción, por marcas o vigas. Se vendía la fruta para sidra por barricas; la sal por moyos, sextarios, minas, minotes y celemines: y el mineral a espuertas. Se despachaba el vino por pintas, chatos, jarras, galones y botellas. El aguardiente, por cuartillos. Los paños, cortinas y tapices se compraban por alnas o varas cuadradas; los bosques y prados se contaban en pértigas cuadradas: la viña en cuarteras. Los boticarios pesaban por libras, onzas, dracmas y escrúpulos: la libra valía doce onzas, la onza ocho dracmas, la dracma tres escrúpulos y el escrúpulo veinte granos. Las longitudes se medían en toesas y pies del Perú, que equivalían a una pulgada, una loña y ocho puntos de pie de rey. ¡Qué confusión! La Revolución decidió uniformarlo todo. Instaurará un sistema de medidas único y uniforme, asegurando la facilidad en los intercambios y la integridad en las operaciones comerciales.
La revolución métrica acababa de arrancar, aunque tardaría más de una década en llegar a buen puerto. El proyecto conoció desde su origen un desarrollo zigzagueante, sujeto a los vaivenes políticos. Muchos fueron los avatares de la revolución científica de la época.
El 27 de marzo de 1790, el obispo Talleyrand elevó a la Asamblea Nacional una propuesta al respecto emitida por Condorcet en nombre de la Academia: Memoria sobre la necesidad y los medios de volver uniformes, en todo el reino, todas las medidas de longitud y de peso. Talleyrand, asesorado por los científicos de la Academia, propuso a la Asamblea la adopción de un revolucionario sistema de pesos y medidas basado en tres únicos principios:
- El sistema seguiría la escala decimal.
- Todas las unidades se definirían a partir de la unidad de longitud.
- La unidad fundamental de longitud se extraería de la naturaleza.
La Academia, la primera institución depositarla del encargo de elaborar el Sistema Métrico Decimal, apostó desde el principio por un sistema de unidades en que los diferentes múltiplos y submúltiplos de las unidades fundamentales se determinasen multiplicando y dividiendo por potencias de 10 (siguiendo el primer principio). Por ejemplo, la unidad fundamental de longitud, que, según propuso el propio Laplace (aunque otros autores adjudican la ocurrencia a Auguste-Savinien Leblond, un profesor de Matemáticas), recibió el nombre de metro (medida, en griego), tendría los siguientes múltiplos: el decámetro (10 metros), el hectómetro (100 metros) y el kilómetro (1000 metros). Así como los siguientes submúltiplos: el decímetro (la décima parte del metro, es decir, 0,1 metros), el centímetro (la centésima parte, 0,01 metros) y el milímetro (0,001 metros). El Sistema Métrico sería, al igual que la aritmética, decimal.
El segundo principio establecía que las unidades formarían un sistema ligado. Todas las unidades de superficie, volumen, capacidad y peso se definirían a partir de la unidad fundamental de longitud. Se derivarían del metro. La unidad de superficie recibiría el nombre de área, y equivaldría al cuadrado de diez metros de lado. La unidad de volumen se llamaría estéreo, equivalente a la cantidad de madera entrante en un cubo de un metro de arista, El litro sería la unidad básica de capacidad, igual a la cantidad de agua que cabe en un cubo cuya arista mide la décima parte del metro. (Como era tradición, se hablaba de volumen para los sólidos y de capacidad para los líquidos). Por último, el gramo sería la unidad básica de peso, siendo equivalente al de la cantidad de agua pura a temperatura de deshielo que puede verterse en un cubo cuya arista mide la centésima parte del metro.
Y el metro, la unidad fundamental de longitud, tendría un valor neutral que se tomaría, de acuerdo al tercer principio, de la naturaleza. Al principio se definió el metro como la longitud de un péndulo segundero, es decir, de un péndulo que bate segundos (aquel cuyo período es exactamente de dos segundos). El problema era que la longitud de este péndulo depende de dónde se realice el experimento, ya que la fuerza de gravedad terrestre que mueve el péndulo varía con la latitud. Tomar la correspondiente al paralelo 46, que justamente pasa por Francia, no parecía una decisión muy universal para un sistema que se reclamaba internacional. En Estados Unidos, se prefería el paralelo 38. Y en Inglaterra, por descontado, el paralelo que cruzaba Londres. La consecuencia fue que tanto Inglaterra como Estados Unidos se descolgaron de la iniciativa.
Tras meses de discusión en la recién formada Comisión de Pesos y Medidas, que presidía Lagrange, y de la que era miembro Laplace, se encontró una solución. El astrónomo y marino Jean- Charles Borda propuso emplear la longitud de la diezmillonésima parte de la distancia entre el polo boreal y el ecuador. En otras palabras, la diezmillonésima parte del cuadrante de un meridiano terrestre. Tomar otra potencia de diez haría el metro demasiado grande o demasiado pequeño. La diezmillonésima parte daría una unidad de longitud semejante a la vara, la toesa del Norte y la toesa del Perú o toesa de la Academia (llamadas así porque se emplearon en las mediciones geodésicas de la figura de la Tierra en los años treinta del siglo XVIII), medidas tradicionales de curso aún legal. Era necesario, por tanto, como decretó la Asamblea en 1791, medir un arco de meridiano, por ejemplo entre Dunkerque y Barcelona, para poder determinar la longitud del metro con suficiente precisión. Esta medida parecía a priori mucho más natural y universal, porque se refería a las propias dimensiones del globo que habitamos. No cabe duda de que el péndulo era más fácil de medir, pero este dependía de la gravedad, la latitud y, adicionalmente, del tiempo.
Provisionalmente, mientras daba comienzo la aventura de medir el arco de meridiano entre Dunkerque y Barcelona, Borda, Lagrange y Laplace calcularon un valor aproximado del metro empleando los datos tomados en 1740 por Cassini III.
La revolución de los «savants»La creación del Sistema Métrico Decimal, sancionada por la Asamblea Nacional, fue, junto a los derechos del hombre y del ciudadano, uno de los legados inmortales de la Gran Revolución. Los sabios franceses, como sus homólogos políticos, buscaban la igualdad, en este caso mediante «unas medidas iguales para todos», si todos los ciudadanos debían ser iguales ante la ley y tener los mismos derechos, también debían disponer de las mismas medidas, deducidas de un fenómeno natural universal, y que no fuesen arbitrarias en el sentido de basarse en la pulgada o el pie del señor principal. Unificación del espacio, del tiempo y de la lengua, pero también de los pesos y medidas. Igualdad política e igualdad metrológica. Quizás esta conexión entre ciencia y política no sea fortuita.
Una revolución también científica
La Revolución movilizó a los científicos, y viceversa. De hecho, sorprende descubrir el gran número de científicos que estuvieron involucrados en los acontecimientos políticos; Bailly, el astrónomo, los geómetras Condorcet, Monge y Laplace. el ingeniero Carnot, los químicos Lavoisier. Fourcroy y Berthollet. Algunos filósofos e historiadores de la ciencia proponen que la relación no es casual y que los políticos aplicaron a su campo los mismos principios que los científicos venían aplicando al suyo.De igual manera que un gas se concentra ahora como un conjunto de moléculas, o un ser vivo como un conjunto de células, el Estado pasó a verse como un conjunto de ciudadanos; la nación. Lejos quedaba ya el tiempo en que Luis XIV, el Rey Sol, exclamaba; «¡El Estado soy yo!».
Una de les 16 placas de «metro» que colocó la Oficina de Pesos y Medidas en la ciudad de París.
El tercer miembro de esta fecunda dinastía de astrónomos midió el meridiano de Dunkerque a Perpiñán para mediar en la polémica sobre la forma de la Tierra (era un cartesiano convencido) y, de paso, rediseñar el mapa de Francia. Borda, Lagrange y Laplace consideraron la longitud de un grado del meridiano medido por Cassini III. Multiplicaron ese número por 90 (los 90 grados del cuadrante o cuarto de meridiano), y luego, lo dividieron por 10 millones. Este valor se implantó en 1793 y, tomándolo como patrón, se fabricaron prototipos en latón de una barra de un metro y de una pesa de un kilogramo que enseguida se despacharon con destino a Estados Unidos (Inglaterra ya era abiertamente hostil a la reforma).
En 1795, pasado el paréntesis del Terror (donde, al igual que otros, Laplace fue purgado de la Comisión), se fundaría, a instancias de Carnot, la Oficina de Longitudes, que relanzó los trabajos para la reforma de los pesos y las medidas, contando con Lagrange y Laplace como fundadores. La Ley del 18 de Germinal del año III (7 de abril de 1795) instituiría definitivamente el Sistema Métrico Decimal se daba la primera definición aproximada del metro como fracción del meridiano terrestre y se fijaba la nomenclatura de las unidades. Además, se decretaba la unidad monetaria: el franco sería la moneda oficial, equivaliendo a cinco gramos de plata. Paralelamente, se planteó la decimalización en la medida de la temperatura, naciendo la escala Celsius, donde un grado es la centésima parte de la temperatura necesaria para pasar hielo fundido a agua hirviendo. Pero, pese a todos estos avances, los comisionados para medir el arco de meridiano y definir exactamente el metro todavía no estaban de regreso...
Los astrónomos designados para la medición del meridiano entre Dunkerque y Barcelona fueron Pierre Méchain (1744-1804) y Jean Baptiste Joseph Delambre (1749-1822). Ambos eran viejos conocidos de Laplace. Méchain era un apasionado cazador de cometas, que había colaborado con Laplace en la determinación de la órbita de alguno de estos escurridizos cuerpos celestes. Delambre, por su parte, había realizado a instancias de Laplace algunas de las cuidadas observaciones planetarias que demandaban los cálculos en mecánica celeste. Los dos intrépidos astrónomos se pusieron en camino, en medio del caos revolucionario, en 1792. Delambre fue rumbo norte, hacia Dunkerque; y Méchain, rumbo sur, hacia Barcelona. No obstante, sus ánimos eran muy distintos. El enérgico y entusiasta Delambre contrastaba con el meticuloso y atormentado Méchain. Pero compartían un objetiva: medir el metro, es decir, la diezmillonésima parte de la distancia entre el Polo Norte y el ecuador.
Medir un arco de meridiano no es tarea fácil No consiste en extender una cinta métrica desde Dunkerque hasta Barcelona, porque la Tierra no es plana, tiene relieve. Se trata, por tanto, de medir la distancia entre esos dos puntos sin que dependa de la configuración del terreno, de las montañas o los valles, haciéndolo sobre una imaginaria línea recta (el meridiano). Para ello hay que recurrir al método de triangulación: gracias al uso de la trigonometría, se pueden medir distancias inaccesibles, tomando como referencia las torres de iglesias o castillos fáciles de localizar. Los triángulos que Delambre y Méchain trazaron fueron poco a poco extendiéndose entre Dunkerque y Barcelona. Conforme triangulaban, realizaban mediciones gracias a ese instrumento de precisión que era el círculo repetidor de Borda. Este aparato permitía al geodesta efectuar múltiples lecturas del mismo ángulo hasta eliminar prácticamente cualquier error de medida Si en lugar de medir una única vez un ángulo, lo medimos, pongamos por caso, diez veces y sumamos los diez resultados, tomar como valor real del ángulo la suma total dividida entre diez minimiza notablemente el error.
La Academia estimaba que las mediciones no durarían más de dos años, pero se prolongaron más de seis, por culpa de problemas políticos y personales. Francia entró en guerra con media Europa, incluyendo los Países Bajos y España. Delambre terminó sus medidas y triangulaciones el 27 de agosto de 1797 en Rodez. Pero, pese a lo pactado, Méchain no apareció por ninguna parte. A la guerra en suelo hispano se unió un accidente del que Méchain salió muy malherido, con un brazo inútil. Para cuando logró llegar a Rodez desde Barcelona, había cometido un grave error. Como consecuencia del conflicto bélico, Méchain tuvo que abandonar el castillo barcelonés de Montjuic, dado que era zona militar, y, para completar sus mediciones, tomó la Fontana de Oro de Barcelona como referencia, pensando que ambos puntos, al ser tan cercanos, tendrían latitudes prácticamente similares.
Método de triangulaciónImaginemos, simplificando, que Delambre y Méchain quisiesen medir la distancia entre una ciudad A y otra ciudad B, pero entre ellas existiese un obstáculo inamovible: la montaña C, como se observa en la figura.Empleando el teodolito o, para mayor precisión, el circulo de reflexión de Borda, pueden medirse los ángulos bajo los que se contempla la cima de la montaña desde ambas ciudades, es decir, los ángulos del triángulo en A y en B. Además, gracias a un barómetro, que mide las diferencias de presión con la altitud, se puede medir la altura de la montaña, es decir, la distancia entre H y C Aplicando la trigonometría a esos datos, sabemos que la tangente del ángulo A es igual a la altura HC dividida entre la distancia AH. Análogamente, la tangente del ángulo B es igual a la altura HC dividida entre la distancia HB. Despejando en ambas expresiones AH y HB, y luego sumando se obtiene:
AB = AH + HB = HC/tan(A) + HC/tan(B),
esto es, el valor de la distancia real entre las ciudades A y B.
Pero no era así. Existía una diferencia de tres segundos. Y el error se contagió al resto de los cálculos. Y, en consecuencia, a la determinación de la longitud del metro.
En 1798, tras casi siete años de peripecias, Delambre y Méchain remitieron los datos recogidos al Instituto de Francia.


Izquierda. Mapa de las triangulaciones llevadas a cabo por Delambre y Méchain desde Dunkerque hasta Barcelona. Derecha. Estampa de 1800 utilizada para ilustrar cómo emplear las nuevas medidas decimales.
Finalmente, en la primera mitad de 1799, a iniciativa de Laplace, se convocó un encuentro, el primer congreso científico internacional de la historia, para presentar el nuevo sistema de pesos y medidas, reemplazando los valores provisionales y dejándolo tal y como hoy lo conocemos. En nombre del Directorio, Talleyrand invitó a todas las potencias aliadas o neutrales. Nueve países participaron (entre ellos, los Países Bajos y España). Enviaron a París a algunos de sus sabios para conocer la labor realizada y transmitir los resultados a sus países de origen. En la comisión francesa figuraron las tres L (Lagrange, Laplace y Legendre), así como, lógicamente, Delambre y Méchain. Las grandes estrellas, los prototipos en platino del metro y del kilogramo patrón, fueron presentados en sociedad al resto de naciones. Estos patrones aún se conservan hoy en el Observatorio de París (aunque actualmente se define el metro no como la diezmillonésima parte del cuadrante de un meridiano terrestre, sino como la longitud del trayecto recorrido por la luz en el vacío durante 1/299792458 de segundo). «Las conquistas van y vienen», proclamó Napoleón Bonaparte, «pero este logro permanecerá para siempre».
No obstante, introducir las nuevas medidas era más fácil de decir que de hacer. El pueblo llano no entendía el significado de esos extraños prefijos griegos y latinos, como son kilo- y centi-, y se hizo necesario enseñar compulsivamente su uso mediante campañas publicitarias y en las escuelas. En septiembre de 1801 se prohibiría el uso de otras medidas distintas a las decimales. Pero esta ley sería papel mojado. Y al cabo del tiempo, en 1812, se terminaría regresando a las medidas tradicionales. Como satirizaba un poeta de la época: «Para beber un cuartillo de vino o cortar un alna de paño, o ajustar las agujas en el reloj familiar, ¿era realmente necesario medir el arco del meridiano?». Sin embargo, aunque el Sistema Métrico Decimal no se impuso en Francia, las conquistas de Napoleón tuvieron el efecto de extenderlo allende sus fronteras. Una gesta que triunfó a pesar de su fracaso. Y así, aunque en Francia no se usaba, los Países Bajos y Bélgica lo adoptaron en 1820 y 1830, respectivamente. Francia, la nación que lo patentó, no lo haría teóricamente hasta 1840. Ese año, Charles Émile, el hijo de Laplace, presidiría la comisión que presentaría la petición de recuperar el Sistema Métrico Decimal, en consonancia con los deseos de su padre (extinto hacía años). El tiempo le dio la razón. Por su parte, Alemania lo haría en 1868, coincidiendo con su unificación. Estados Unidos e Inglaterra lo legalizarían, pero sin desplazar sus antiguas medidas. En suma, la estandarización de las medidas y las pesas fue, desde luego, uno de los frutos que trajo la Revolución. Ofrecido por los científicos franceses a todos los hombres y a todos los tiempos, urbi et orbe, el metro simboliza a los más de dos siglos de su creación los logros de aquella «globalización».
§. Laplace pedagogo: la Escuela Politécnica y la Escuela Normal
Entre 1789 y 1794 todo el entramado educativo del Antiguo Régimen se había venido abajo. Los colegios clericales estaban desiertos y vacíos. En 1795 se dieron los primeros pasos para institucionalizar la educación pública. De este modo se legisló la creación de una Escuela Central de Obras Públicas o Escuela Politécnica. Una gran escuela preparatoria de todos los estudios de ingeniería, de la que saldrían los futuros ingenieros civiles y militares. Y, de paso, el grupo de científicos más sólido que ha tenido Francia en toda su historia. Monge fue el padre putativo de la escuela. Pero terminó eclipsado por Laplace, quien no impartió docencia en ella pero pergeñó los temarios, dado que fue nombrado examinador de final de carrera. Aunque concebida con una finalidad práctica inmediata, ligada a las campañas militares y a la incipiente industrialización del país, la escuela combinó, junto a la enseñanza de ciencias aplicadas (metalurgia, fortificación, construcción de puentes y cartografía), la enseñanza de física y matemáticas.
Ciudadano MongeGaspard Monge (1745-1818), gran creador de la geometría descriptiva y prestigioso profesor de Matemáticas, era hijo de un simple tendero. Desde muy pequeño dio muestras de ser un «niño de oro» por las buenas notas que obtenía en la escuela. De hecho, Monge conservó con orgullo algunos de esos boletines durante toda su vida. Acabó ingresando en la Real Escuela de Ingenieros Militares de Mézières, pero sus orígenes humildes le impidieren progresar.
El problema de la desenfilada
Su talento para la geometría, sin embargo, le brindó la posibilidad de darse a conocer entre sus superiores al resolver geométricamente el problema de la desenfilada, es decir, el problema de decidir cómo construir una fortificación para proteger del fuego enemigo una determinada posición, por lo que le concedieron un puesto de profesor. Aplaudió vivamente la llegada de la Revolución, dado que de esta forma caía el régimen que lo había discriminado por su origen social. Pero, además, fue un hombre comprometido hasta la médula con ella, y un bonapartista convencido: «Este furioso republicano, capaz de declarar desde la tribuna de los jacobinos al estallar la guerra que ofrecía sus dos hijas a los dos primeros soldados que fuesen heridos, era el más dulce da los hombres y tenía una verdadera adoración para conmigo», escribió de él, Napoleón. La caída del emperador, de quien recibió mil y un honores, marcó el propio declive de Monge. Moriría desengañado en 1818, al ver cómo se desmoronaba el mundo por el que habla luchado. En diciembre de 1989, coincidiendo con el bicentenario de la Revolución, sus restos mortales fueron trasladados al Panteón de Hombres Ilustres de París.
En el mismo período se creó la Escuela Normal, destinada a la formación de nuevos cuadros de maestros y profesores con el fin último de lograr una enseñanza lo más uniforme posible en toda Francia. Su apertura tuvo lugar el primero de Pluvioso del año III (20 de enero de 1795) en el anfiteatro del Museo de Historia Natural. Hasta el 30 de Floreal del mismo año, Laplace, Lagrange y Monge, entre otros, enseñaron a los maestros de los futuros ciudadanos de la nación. Estos tres grandes sabios explicaron matemáticas elementales a sus poco instruidos pero entusiastas 1200 alumnos. Sin embargo, el proyecto de la Escuela Normal solo sobrevivió durante cuatro meses, aunque su influencia se dejó sentir en la renovación educativa corolario de los nuevos tiempos.
Laplace dictó la lección inaugural en un anfiteatro abarrotado. Su propósito era presentar los descubrimientos matemáticos más importantes. De las diez lecciones, la aritmética, el álgebra, la resolución de ecuaciones, la geometría elemental y la geometría analítica completaban las ocho primeras. La novena era para exponer el nuevo Sistema Métrico Decimal, y la décima, para la teoría de la probabilidad. En esta última lección Laplace presentaba, por fin, uno de los tópicos que había compartido con el malogrado Condorcet la aplicación de las matemáticas a la sociedad mediante el cálculo de probabilidades. Casi dos décadas después, Laplace aprovecharía el borrador de su lección sobre probabilidad, publicándolo como introducción a uno de sus trabajos más importantes: la Teoría analítica de las probabilidades. Sería el llamado Ensayo filosófico sobre las probabilidades, del que nos ocuparemos en el capítulo 5.
§. Tras los pasos de Napoleón: el imperio de las ciencias
En 1785 Laplace examinó a un joven aspirante a teniente de artillería, un cadete de nombre Napoleón Bonaparte (1769-1821). No parece que pasar por las manos pedagógicas de Laplace fuese una experiencia fácil de olvidar y, bastantes años después, el joven general aún recordaba aquel encuentro en que hubo de examinarse ante el prestigioso matemático de los conocimientos adquiridos estudiando los manuales de Euler, Bézout y Monge. Laplace examinó rutinariamente a ese jovencísimo cadete de dieciséis años; quedó en el puesto cuarenta y dos de los cincuenta y ocho candidatos, un resultado suficiente para que pudiera iniciar una carrera prometedora. Este encuentro tendría un peso decisivo el resto de su vida.
El Directorio pronto se vio aquejado por una serie de problemas económicos y sociales de difícil solución. En 1796 puso al frente del ejército francés en Italia a un joven general: Napoleón Bonaparte. Nada más llegar, el mequetrefe corso demostró ser un genio. Tras una impresionante campaña cuajada de victorias más allá de los Alpes, se apoderó del norte de Italia, arrebatándoselo a los austríacos. Sus hazañas le valieron el nombre de geómetra de las batallas y mecánico de la victoria. Lo acompañaban dos ilustres científicos. Por un lado, el geómetra Monge. El joven general aún recordaba un encuentro previo que Monge había olvidado:
Un joven oficial de artillería visitó el Ministerio de Marina en 1792 puede que no recordéis la ocasión, puesto que había más personas, pero aquel desconocido oficial siempre recordará vuestra amabilidadEstas palabras marcaron el inicio de la gran amistad que siempre les uniría. Por otro lado, el químico Berthollet. Ambos se dedicaban a seleccionar las obras de arte y ciencia que los tratados de paz concedían a los ejércitos franceses victoriosos.
La popularidad de Bonaparte no dejó de aumentar, dentro y fuera del ejército, gracias al botín que llenaba las arcas francesas y a los importantes tesoros que continuamente enviaba en dirección a París. Tanto fue así que el 25 de diciembre de 1797 el Instituto de Francia lo admitió como miembro de la clase de ciencia; matemáticas, en sustitución del jacobino Carnot (que había partido al exilio). Desde luego fue elegido por motivos políticos: Laplace había propuesto su candidatura con la esperanza de aliar el Instituto con la estrella política en auge. Sería con ocasión de la ceremonia de acceso al cargo cuando Laplace y Napoleón volvieron a verse las caras. Berthollet y Laplace lo acompañaron en la recepción. No fue casual que fuesen sus padrinos. Con el primero le unía una grata amistad. Con el segundo, una profunda admiración. Durante la cena de gala, Napoleón habló con los comensales científicos de un problema de geometría sobre el que había estado pensando en Italia. Laplace exclamó con adulación «¡General, esperábamos cualquier cosa de vos menos una lección de matemáticas!».

Ceremonia de ingreso de Napoleón en el Instituto de Francia, con Laplace y Berthollet escoltándote (25 de diciembre de 1797).
Pero la salvación de la República pasaba por una dictadura militar que reimpusiera el orden en un momento en que el peligro contrarrevolucionario acechaba. Napoleón tenía que regresar cuanto antes. Pese a su pasado jacobino, su innegable prestigio lo designaba como el elegido. Ayudado por Talleyrand y Fouché («el vicio apoyado en el crimen», diría Chateaubriand al verlos paseando juntos en referencia a la aguda cojera del primero), Napoleón escapó de Egipto de vuelta a Francia. Era el 18 de Brumario del año VIII (9 de noviembre de 1799). Bonaparte fue recibido a gritos de «¡Abajo el dictador!» y zarandeado a su entrada a la Asamblea. Pero contaba con una fuerza irresistible: sus soldados. Obligó al nombramiento de tres cónsules provisionales, siendo él uno de ellos. Había nacido el Consulado. En 1802, Napoleón se proclamaría cónsul único y vitalicio; y, finalmente, en 1804, se harta coronar emperador por el papa Pío VII. Era el Imperio, una etapa que veía su denominación certificada con la expansión territorial de los ejércitos napoleónicos por media Europa, desde España a Rusia.
Aunque la fortuna lo abandonaría en 1814, Napoleón impondría su huella en la historia política y científica de Francia. El nuevo dueño de los destinos en Francia honraría a Laplace y sus colegas científicos como ningún otro dirigente lo había hecho antes ni lo haría después. Aunque los conocimientos científicos del general no pasaban de ser los elementales adquiridos en los manuales para las escuelas de artillería, profesaba verdadera devoción por las matemáticas y los matemáticos.
Conocía a Monge de los tiempos revolucionarios. Ambos se harían inseparables y mantendrían una sincera amistad. Fourier, que era más o menos de su misma edad, también contó con una buena relación. A Carnot, que no dudó en oponerse al emperador cuando se excedía dictatorialmente, siempre lo consideró íntegro y equilibrado, contando con él para desempeñar diversos cargos (obviamente, fue ministro de Guerra durante el Consulado).
Y con Lagrange siempre fue afectuoso, y más de una vez se les vio reír a costa de su común amigo Monge. Para complacer al jacobino Monge, Napoleón solía ordenar a la orquesta que tocara La Marsellesa, mientras Lagrange y el propio Napoleón sonreían viéndolo cantar a pleno pulmón.
En lo que toca a Laplace, Napoleón lo conocía desde adolescente, como examinador de la Escuela de Artillería. Nunca les unió una estrecha amistad, pero el político admiró al científico y este se mantuvo cerca del político. En virtud de ello, Napoleón lo catapultó a la cima y Laplace emergió como el máximo exponente de la ciencia napoleónica. No en vano, Napoleón dejó escrito a propósito de los sucesivos volúmenes del Tratado de mecánica celeste de Laplace que fueron apareciendo durante sus años de esplendor:
Deseo con ardor que las generaciones futuras, cuando lean la Mecánica celeste, no olviden el sustento y la amistad que he dispensado a su autor. Esta obra me parece destinada a dar un nuevo lustre a la edad en que vivimos.Finalmente, mientras el imperio francés comenzaba a resquebrajarse, escribió en una carta a Laplace—fechada el 12 de agosto de 1812—tras recibir su Teoría analítica de las probabilidades
Hubo un tiempo en que hubiera leído con interés vuestro tratado sobre el cálculo de probabilidades. Pero actualmente he de limitarme a expresaros la satisfacción que siento cada vez que ofrecéis al mundo nuevos trabajos que sirven para mejorar y extender la más importante de las ciencias, lo que contribuye a la gloria de la nación, el progreso y el perfeccionamiento de las matemáticas están íntimamente ligados con la prosperidad del Estado.Resumiendo, la relación cercana que Napoleón mantuvo con el círculo científico se tradujo en una simbiosis muy fructífera: su labor como uno de los ejes de las reformas bonapartistas. La ciencia era un arma revolucionaria, porque contribuía a hacer la nación más segura y civilizada. Napoleón inventó la manera moderna de mecenazgo científico: a través del Estado.
§. Laplace hombre de estado: Ministro del interior y canciller del senado
Nada más llegar al poder durante el Consulado, Napoleón nombró ministro del Interior a Laplace. Esta cartera se ocupaba del transporte, el comercio, la industria, la higiene y la instrucción pública. En una carta conservada, Laplace firmaba como «el ministro de Ciencias y Artes», como si su nuevo desempeño fuera un apéndice ejecutivo del Instituto de Francia. Entre las acciones notables emprendidas por Laplace durante el tiempo en que estuvo al frente del Ministerio destaca la concesión de una generosa pensión de viudedad a la mujer de Bailly. Asimismo, aprovechó el cargo para acometer la reorganización de la Escuela Politécnica y relanzar redobladamente la adopción del Sistema Métrico Decimal. Suyo fue el decreto del 17 de Primario del año VIII (10 de diciembre de 1799) que establecía oficialmente los prototipos en platino de la longitud y del peso, y que exhortaba al uso de las nuevas medidas. No obstante, posteriormente recularía y permitiría que el decímetro fuese rebautizado como palma, el centímetro como anchura, del dedo y el milímetro como traza para no asustar a la gente común con la nueva nomenclatura. Laplace tranquilizó a sus colegas académicos diciendo que este retroceso era en la forma, pero no en el contenido. Sin embargo, como ya vimos, seguirían otras retiradas. Sus sucesores relajarían, para su disgusto, la implantación del sistema.
Laplace permaneció en su puesto apenas seis semanas. El 26 de diciembre de 1799 fue destituido. Napoleón eligió a su hermano Lucien para sustituirlo. En verdad, Napoleón tenía el ojo puesto en su hermano para el cargo desde su llegada al poder, pero al principio decidió disimular a fin de que no le acusaran de nepotismo. Bastantes años después, cautivo ya en la isla de Santa Elena, el general menospreció la labor de Laplace. Aquí pesaba, naturalmente, la actitud posterior del científico para con él, apoyando la restauración monárquica. Napoleón escribió irritado:
Laplace, geómetra de primer rango, era un administrador mediocre. Nombrado ministro del Interior, no presentaba cuestión alguna bajo su verdadero punto de vista; buscaba sutilezas en todo, no tenía sino ideas problemáticas, y pretendía en fin aplicar el cálculo infinitesimal a los asuntos de Estado.Rencores aparte, no parece que Laplace tuviera grandes dotes para la administración pública. Pero en la práctica no se trató de una dimisión, ya que nada más entregar la cartera fue promocionado a otro cargo más acorde con sus aptitudes. Napoleón le otorgó inmediatamente la dignidad de senador. Al igual que a Lagrange, Monge y Berthollet. Posteriormente, sería presidente y canciller del Senado. En su nombre, Laplace encabezaría el cortejo en la coronación de Napoleón como emperador en 1804 y le dirigiría estas laudatorias palabras recordándole sus inicios:
Acabo de proclamar emperador de Francia al héroe a quien tuve la suerte, hace veinte años, de abrir la carrera que él ha recorrido con tanta gloria y felicidad para Francia.Aún más, en 1806 recibiría la más alta distinción: la Legión de Honor. «Os envidio, científicos, debéis estar dichosos de convertiros en famosos sin mancharos de sangre», dijo Napoleón.
Y poco más tarde pasó a formar parte de la aristocracia del Imperio. En 1806 el emperador Napoleón I concedió a Laplace, así como a Lagrange, Monge y Carnot, entre otros altos dignatarios, el título de conde del Imperio. Otros matemáticos como Fourier (barón) y Legendre (caballero) también recibieron honores. Napoleón dispensó un grado de devoción inusitado a los matemáticos: seis de los grandes formaron parte de la nobleza del Imperio napoleónico.
§. Calcular y gobernar
Durante la década que transcurrió entre la toma de la Bastilla y el golpe de Estado que aupó a Napoleón Bonaparte al poder (1789- 1799), Laplace mantuvo, salvando la relativa marginación durante el bienio jacobino de 1793-1794, una intensa actividad pública que incluyó su participación en la Comisión de Pesos y Medidas y en la posterior Oficina de Longitudes, al frente de la cual estuvo con el encargo de dirigir el Observatorio de París y mejorar las observaciones astronómicas y geodésicas, contribuyendo de esta forma a la reforma del Sistema Métrico Decimal. Asimismo, fue nombrado miembro dentro de la clase de ciencias físico-matemáticas del Instituto de Francia, institución que sustituyó a la disuelta Real Academia de Ciencias de París. Además, formó parte de dos centros docentes que revolucionaron la enseñanza de las ciencias. Por un lado, fue profesor de Matemáticas en la Escuela Normal, donde impartió diez lecciones de alta divulgación científica a los futuros profesores de la nación. Por otro, desempeñó una importante labor de liderazgo en la Escuela Politécnica, donde se formaron las élites científicas francesas durante todo el siglo XIX.
Pero su influencia no decayó cuando Napoleón tomó las riendas como primer cónsul y, luego, como emperador. Laplace se convirtió en una figura política, llegando a ser nombrado ministro del Interior. Durante estos años de frenética actividad pública, Laplace continuó dedicándose a la ciencia. Lo hizo en un sentido amplio, del que ya hemos dejado constancia: organizando la vida científica francesa a su imagen y semejanza. La madurez científica de Laplace coincidió, por tanto, con el ascenso de Napoleón. El primero se sirvió del segundo de la misma manera que el segundo lo hizo con el primero. Dos perfectos simbiontes.
Capítulo 4
El origen del sistema del mundo
En 1796 se publicó Exposición del sistema del mundo, una extensa obra en la que Laplace explicaba al gran público los distintos hilos de su grandiosa visión: un universo estable y regido por el principio de gravitación de Newton. Además, se aventuraba a explicar la formación del sistema solar sin recurrir a Dios. Aunque con mucho mayor detalle y refinamiento, esta teoría permanece en nuestros días como el fundamento básico de la formación estelar.Siempre se ha especulado con que Laplace comenzó a escribir las dos obras capitales a las que está dedicado este capítulo (la Exposición del sistema del mundo y el Tratado de mecánica celeste) durante su retiro en Melun. Más verosímil parece que la escritura de la primera de ellas, la Exposición, coincidiera con la preparación de las clases en la Escuela Normal Este libro de alta divulgación supuso el broche perfecto a las diez lecciones que impartió, puesto que debido al poco tiempo de que dispuso apenas pudo desarrollar ante el auditorio los temas de astronomía y mecánica que tanto le atraían. Publicada en 1796, se convirtió pronto en un texto clásico que conoció múltiples reediciones en francés (cuatro de ellas en vida del autor: 1799, 1808, 1813 y 1824), fue traducido al alemán en 1797 y al inglés en 1809, e incluso apareció en ruso y en chino. Tuvo, en suma, una extraordinaria difusión.
Esta elegante obra tenía por objeto presentar ante el público cultivado, pero no necesariamente especialista en la materia, los progresos en el campo de la mecánica celeste. Laplace daba cuenta de los principales resultados sin recurrir a la ayuda de ninguna fórmula ni de ninguna figura. Una idea fija, no obstante, vertebraba toda la exposición: la posibilidad de abordar por completo el estudio del sistema del mundo, es decir, del universo conocido, el sistema solar, bajo el prisma del principio de gravitación universal de Newton, el título de la obra traía a la memoria inmediatamente el Libro III de los Principia de Newton, que llevaba por nombre «Sistema del mundo (tratado desde el punto de vista matemático)».
Laplace sobre las novas y las supernovasLas estrellas variables, cuyo brillo varía visiblemente en poco tiempo, han sido observadas desde antaño. Por ejemplo: los astrónomos chinos registraron en el año 1054 la aparición repentina de una estrella que durante varias semanas fue visible incluso de día. Pero tal vez la nova o supernova, por emplear la terminología al uso, más célebre sea la que observó Tycho Brahe en 1572.
En la Exposición, Laplace escribió:
«En ocasiones se ha visto a algunas estrellas aparecer casi de golpe y desaparecer tras haber brillado con el más intenso resplandor. Tal sucedió con la famosa estrella observada en 1572 en la constelación de Casiopea. En poco tiempo aventajó en claridad a las más hermosas estrellas y al mismo Júpiter; a continuación su luz se debilitó, y desapareció 16 meses después de su descubrimiento.»
Remanente de la supernova observada por Tycho Brahe en 1572.
Laplace logró una síntesis admirablemente estructurada, un sistema del mundo en que nada sucede sin razón. Se trata, por tanto, de un libro tardío pero heredero del espíritu divulgador ilustrado. Una llave para acceder al fascinante mundo de la astronomía y la mecánica de Newton tal y como quedan configuradas en el Siglo de las Luces.
Tras expresar el plan general de la obra, Laplace comienza con un bello pasaje. Si durante una hermosa noche despejadas se sigue el espectáculo del cielo, se ve cómo cambia a cada instante. Entre ese infinito número de puntos rutilantes de luz que salpica la bóveda celeste hay un puñado de astros que cada noche se mueven con respecto al fondo de estrellas fijas y cuyo movimiento está siempre comprendido en una franja estrecha de la esfera celeste denominada zodiaco. Son los planetas (etimológicamente; los astros errantes o vagabundos). A los visibles a simple vista (Mercurio, Venus, Marte, Júpiter y Saturno), se unía uno nuevo descubierto recientemente con ayuda del telescopio (Urano). Y a la lista de los planetas telescópicos, solo visibles con lentes potentes, se unirían a principios del XIX los planetoides o asteroides.
Laplace se remonta desde los movimientos aparentes de los planetas a sus movimientos reales. Y subraya que únicamente gracias a la teoría del sistema del mundo ha logrado el espíritu humano ascender esta empinada escalera, elevarse a través de las ilusiones de los sentidos, pasando del geocentrismo al heliocentrismo. A continuación, repasa algunos sucesos celestes extraordinarios, como la aparición de cometas, que se mueven en todos los sentidos, sin adoptar el plano ni la dirección común en que lo hacen todos los planetas. También se interesa por las estrellas, apuntando que esa luz blanca de figura irregular que rodea el cielo en forma de cinturón es la Vía Láctea, es decir, una nebulosa o enjambre de estrellas. En resumen, Laplace hace recuento de todos los objetos celestes, desde los más pequeños a los más grandes.
Tras presentar la ley de gravitación universal, advierte: «Veremos que esta gran ley de la naturaleza representa todos los fenómenos celestes hasta en los menores detalles». Pero remite al lector a su Tratado de mecánica celeste para los detalles matemáticos, recalcando que lo que va a exponer lo hace sin recurrir al análisis. Los planetas no solo responden a la permanente atracción del Sol, sino también a la de sus vecinos. La competitiva atracción de esos compañeros celestes añade una serie inconstante de pequeñas oscilaciones a un movimiento básico dominado por el Sol. A lo que parece una sinfonía perfecta se suman, pues, una serie de disonancias desafinantes. Pero que, como Laplace se ha encargado de demostrar (según se vio en el capítulo 2), no hacen peligrar la estabilidad del sistema del mundo.
§. El origen del sistema solar: la hipótesis nebular
En la primera edición de 1796, Laplace concluía el corto último capítulo de la obra, titulado «Consideraciones sobre el sistema del mundo y sobre los progresos futuros de la astronomía», conjeturando cuál podría haber sido el origen del sistema solar. En ediciones posteriores, Laplace desplazó su conjetura a una nota (la nota séptima y última del libro), siguiendo el ejemplo de Newton, quien relegó muchas de sus especulaciones en la Óptica a modo de apéndice. Sin embargo, para la tercera edición de 1813, esta nota se había convertido en una teoría en regla sobre el origen del sistema solar. En el espacio de unas pocas páginas, Laplace se aventuró en el terreno de la cosmología.
No es de extrañar el impacto que produjo, por cuanto su autor era la mayor autoridad viva en mecánica celeste y las explicaciones paramente racionales del origen del mundo no abundaban. Sin embargo, Laplace difícilmente podía imaginar en 1796 lo famosa y fructífera que iba a ser su especulación de salón. Su «fábula del mundo», por decirlo a la manera de Descartes, trataba de llegar allá donde no lo había conseguido Newton: comprender la estructura del universo conocido a partir de su historia, de su génesis.
Su hipótesis cosmogónica ha dado en llamarse la hipótesis de Kant-Laplace, pero conviene advertir que esta vez Laplace nocopió sin citar. En 1755 el filósofo Immanuel Kant publicó Historia general de la naturaleza y teoría del cielo, obra en la que intentaba explicar cómo pudo originarse el mundo conocido: lo hacía de una manera análoga a la de Laplace, a partir de una nebulosa primitiva.

Retrato de Immanuel Kant quien también formuló una hipótesis similar a la de Laplace sobre la formación del sistema del mundo.
Más presente tenía Laplace la hipótesis que el naturalista Georges-Louis Leclerc (1707-1788), conde de Buffon, había publicado en 1778 dentro de su obra Historia natural. Este científico francés fue uno de los primeros sabios que pusieron en duda la cronología bíblica. Pensaba que la configuración actual del sistema solar era consecuencia de que en el pasado remoto un cometa había chocado o pasado cerca del Sol, haciendo saltar fragmentos que habían comenzado a girar a su alrededor y que al enfriarse habían dado lugar a los planetas y sus satélites. Laplace conocía bien esta segunda hipótesis, pero de ningún modo la primera (la kantiana).
La hipótesis laplaciana pretendía aclarar un hecho bien atestiguado por la observación y que Newton nunca había logrado explicar frente a los cartesianos: todos los planetas y todos los satélites conocidos giran en el mismo sentido y en órbitas que están confinadas casi en el mismo plano; además, dichas órbitas tienen muy poca excentricidad (son prácticamente circulares) y se distinguen bien de las de los cometas (que son bastante excéntricas, de giro a veces retrógrado y poseen diferentes inclinaciones con respecto al plano en el que se mueven los planetas y satélites). Para Laplace, este fenómeno era altamente improbable y no podía deberse al mero azar, sino que tenía que tener una causa bien definida. Aún más, dado que todos los cuerpos celestes, a excepción de los cometas, compartían unas características similares, argumentaba que tenía que ser porque compartían un origen común. Pero criticaba a Buffon que su teoría catastrofista solo explicaba por qué los planetas habían de moverse en el mismo sentido y en el mismo plano, pero no por qué tenían que hacerlo en órbitas escasamente excéntricas.

Retrato del conde de Buffon, cuya hipótesis de la formación del sistema solar era conocida por Laplace.
Conforme las moléculas más exteriores de la atmósfera solar fueron enfriándose, formaron anillos circulares en torno a su estrella, que se condensaron en globos y originaron los distintos planetas.
Así, a causa del propio movimiento de rotación de la atmósfera solar, se explicaría que todos los planetas y sus satélites girasen en el mismo sentido y en el mismo plano. Además, según fuese perdiendo masa, esta atmósfera iría girando cada vez más rápido sobre sí misma, de modo que era natural que los planetas más exteriores girasen más lentamente que los interiores alrededor del Sol.

Recreación de la hipótesis nebular de Laplace.
A partir de 1811, con la presentación por parte de William Herschel de sus primeros trabajos sobre la evolución de las nebulosas, el estatuto filosófico de la hipótesis cosmogónica de Laplace cambió radicalmente, de ser una mera especulación ilustrada pasó a ser un modelo plausible. Probablemente, el primer modelo cosmológico científico. Por un lado, Herschel estableció fuera de duda que algunas nebulosas eran enormes nubes gaseosas de aspecto lechoso y con un núcleo luminoso, lo que se avenía muy bien con la idea de un Sol y una atmósfera solar gigantes. Por otro, mantuvo que ciertas estrellas pasaban a través de varias etapas de condensación nebular como resultado de la atracción gravitatoria. Estimulado por el descubrimiento, Laplace inmediatamente lo reseñó para el periódico oficial del gobierno, Le Moniteur Universel (Laplace y Herschel se hablan conocido en París en 1801, y el científico francés siempre tuvo en gran estima los descubrimientos del astrónomo británico). Como consecuencia, durante muchos años la hipótesis laplaciana se conoció también por el sobrenombre de hipótesis de Laplace-Herschel. Hasta que, a finales del siglo XIX, el físico alemán Hermann von Helmholtz (1821-1894) rescató la aportación kantiana y la rebautizó como la hipótesis de Kant-Laplace.
Agujeros negrosEn la edición de 1796 de la Exposición, Laplace realizó una curiosa digresión, postulando el fenómeno que hoy conocemos como agujero negro. Laplace afirmó que la fuerza de gravedad producida por un cuerpo luminoso que fuese 250 veces más grande que el Sol provocaría que los rayos de luz no pudiesen escapar de su superficie, siendo reabsorbidos y determinando que la estrella fuera en realidad invisible.En la cuarta edición de la obra Laplace eliminó su atrevida especulación: pero, a petición de un astrónomo alemán, publicó los cálculos matemáticos que le habían llevado a hacer esa suposición.
Simulación de lo que se vería al observar un agujero negro de unos diez soles de masa desde 600 km de distancia» con la Vía Láctea justo detrás.
Una expresión que hizo fortuna, paralelamente al proceso por el cual fueron elevándose voces críticas con la hipótesis (un argumento de peso es que no todos los planetas y satélites del sistema solar giran en el mismo sentido: Tritón, el satélite de Neptuno descubierto en 1846, no gira en sentido directo sino retrógrado).
§. El «Tratado de mecánica celeste» (1799-1825)
Durante los años de actividad política y didáctica, Laplace continuó dedicándose a la ciencia de primera línea.

Una doble página del Traité de Mecanique Celeste, una de las obras de Laplace con más repercusión.
Esta obra monumental incorpora descubrimientos y resultados de Newton, Clairaut, D'Alembert, Euler, Lagrange y, por descontado, el propio Laplace, aunque este descuidó frecuentemente reconocer la fuente de muchos de ellos, dejando la impresión de que todos eran suyos. La Mecánica es un tratado matemático para especialistas. Sin embargo, a diferencia de los Principia de Newton, no está organizado a la manera de la geometría euclídea, sino del moderno análisis, en el que Laplace se había educado. Se trataba de sintetizar todos los resultados alcanzados durante el siglo XVIII de una forma sistemática y racional: se plantea la ecuación diferencial que describe el problema y, a continuación, se resuelve, ofreciendo la solución, generalmente en forma de serie de potencias. Ahora bien, muchas veces Laplace se salta pasos de las demostraciones, como si una vez convencido de la veracidad de un resultado, no le importara demasiado ofrecer con rigor todas las pruebas de dio.
Un doble objetivo animaba a Laplace a escribir este sesudo tratado. El interés por la mecánica celeste tenía en la época unas raíces socioeconómicas muy claras: el cálculo cada vez más preciso de las «efemérides», esto es, de las tablas con las posiciones de los planetas, muy útiles para determinar la posición de los barcos cuando la tierra firme estaba fuera de la vista. Por otro lado, se buscaba averiguar si todos los fenómenos celestes podían explicarse mediante la ley de gravitación y deducirse de ella. Una letanía acompaña cada página del tratado: el principio de gravitación es la ley de la naturaleza que gobierna el sistema solar.
Al mismo tiempo, la obra constituye un libro de texto, una colección de investigaciones punteras, un manual de referencia, un almanaque. En el prefacio al tercer volumen, Laplace resume con sonoridad el alcance de sus resultados:
Hemos dado los principios generales del equilibrio y del movimiento de los cuerpos, la aplicación de estos principios a los movimientos de los cuerpos celestes nos condujo, por razonamiento geométricos [analíticos], sin ninguna hipótesis, a la ley de atracción universal, de la que son casos particulares la acción de la gravedad terrestre y el movimiento de proyectiles. Consideramos después un sistema de cuerpos sometido a esta gran ley de la naturaleza; obtuvimos, mediante un análisis apropiado, las expresiones generales de sus movimientos, de sus formas y de las oscilaciones de los fluidos que los cubren. A partir de esas expresiones hemos de deducido todos los fenómenos conocidos del flujo y reflujo de la mareas, la variación de la gravedad en fuerza sobre la superficie de la Tierra, la precesión de los equinoccios, la libración de la Luna y la forma y rotación de los anillos de Saturno. Hemos deducido además, a partir de la misma teoría de la gravedad, los principios de ecuaciones de los movimientos de los planetas, en particular, lo de Júpiter y Saturno, cuyas grandes anomalías tienen períodos de más de 900 años.En resumen, Laplace plasmó todos los problemas astronómicos que había resuelto en los veinte años previos. Ahora bien pese a su enfoque profundamente teórico, el Tratado de mecánica celeste precisó de la realización de numerosas observaciones que fueron llevadas a cabo diligentemente por Delambre, Alexis Bouvard (1767-1843) y otros jóvenes discípulos. Además, Jean-Baptiste Biot (1774-1862) y Simeón Denis Poisson, dos jóvenes matemáticos salientes de la Escuela Politécnica, fueron los encargados de leer las pruebas de imprenta y verificar los cálculos del maestro. Fue una síntesis magistral, tan completa que sus inmediatas sucesoras poco pudieron añadir. Tras su publicación, su autor fue comparado con Ptolomeo y Newton; y su obra, con el Almagesto o los Principia. El Tratado de mecánica celeste fue traducido rápidamente al alemán, y un poco más adelante al inglés (la traducción, comentada por el navegante estadounidense Nathaniel Bowditch, data de 1829). Soto con el paso de las décadas empezaron a aparecer los primeros elementos que chirriaban. Aunque el Tratado dominó el panorama durante buena parte del siglo XIX, algunos de sus resultados tuvieron que ser revisados, tanto en el plano teórico (resolución en falso de la cuestión de la estabilidad del sistema solar) como en el plano práctico. En este último caso, la explicación dada por Laplace de las anomalías seculares de la Luna (causadas supuestamente por la oscilación de la excentricidad de la órbita terrestre) solo explicaba una porción de la aceleración del movimiento medio de nuestro satélite. En vida Laplace tuvo que volver una y otra vez sobre la cuestión (lo hizo en 1809, 1811, 1820 y 1827, el año de su óbito). Pero la sucesiva corrección de las fórmulas no logró zanjarla. El Newton de la era napoleónica no pudo tomarse un respiro. De hecho, en una carta fechada en 1826, Legendre se congratulaba irónicamente de que se probara que «nuestro inmortal colega está equivocado».
La edad de oro de la mecánica celeste se cerraría con la gran obra de otro matemático francés: Los nuevos métodos de la mecánica celeste, de Jules Henri Poincaré. Las nuevas técnicas matemáticas permitieron retinar la aplicación de la mecánica de Newton a la astronomía. Era, no obstante, el canto del cisne de la mecánica celeste de raigambre newtoniana. A principios del siglo XX, un joven físico alemán llamado Albert Einstein construyó un marco teórico alternativo, que reformuló por completo el concepto de gravedad y posibilitó elaborar una nueva teoría del universo.
§. Dios en la obra de Laplace
Cuentan que cuando Laplace le entregó a Napoleón un ejemplar de los primeros dos tomos del Tratado de mecánica celeste, este le comentó:
«Monsieur Laplace, me dicen que habéis escrito este extenso tratado sobre el sistema del mundo sin haber mencionado a su Creador, ¿es cierto?». Pregunta a la que Laplace contestó: «Sire, no he tenido necesidad de esa hipótesis».Cuando supo de esta conversación, dicen que el escéptico Lagrange —agnóstico, diríamos hoy día— añadió-. «En todo caso no deja de ser una bella hipótesis». Pero, ¿por qué Laplace hizo esta profesión de ateísmo?
Napoleón sabía perfectamente que Newton había apelado a Dios para explicar tanto la estabilidad como el origen del sistema del mundo, y le extrañaba que Laplace no lo citara ni una sola vez a lo largo del Tratado. Era algo sorprendente. Al final de la Óptica, Newton había escrito:
Un destino ciego jamás podría hacer que todos los planetas se mantuvieran así, con algunas irregularidades apenas apreciables que pueden proceder de la acción mutua entre planetas y cometas, y que probablemente se harán mayores con el paso de un largo período de tiempo hasta que al cabo ese sistema se vea precisado de que su autor lo vuelva aponer en orden.Una reforma o ajuste que, según Newton, había de realizar el propio Creador. La «mano de Dios» tenía que conducir cada planeta de vuelta a su órbita. Enojado, Leibniz había criticado vivamente la intervención de la divinidad para reordenar el sistema solar, por parecerle que eso era tener una idea más bien estrecha de la sabiduría y potencia divinas. La respuesta del newtoniano Clarke había sido que, si así fuera, si el reloj siguiese funcionando siempre sin la asistencia del relojero, bien podría prescindir del relojero, o sea, de Dios.
Tanto Lagrange como Laplace habían intentado evitar la conclusión entresacada por Newton, y seguida más tarde por Euler, de que la providencia divina tenía que intervenir cada cierto tiempo para restablecer el orden en el universo. Lagrange inició el programa, analizando algunas excentricidades y probando que ningún planeta podía escapar al espacio infinito. Laplace analizó el resto y las inclinaciones, concluyendo que tampoco podían abandonar el plano en que se mueven. Además, las expresiones matemáticas de las desigualdades seculares que afectaban a Júpiter y Saturno, así como a la Luna, no contenían, cuando sí aproximaba hasta el primer orden en la masa de los planetas, según vimos en el capítulo 2, términos exponenciales que pudiesen crecer indefinidamente desestabilizando a largo plazo el sistema. Ni Saturno abandonaría el sistema solar, ni la Luna se precipitaría contra la Tierra. La obra más célebre de Laplace coronaba el trabajo de Newton en mecánica, explicando las anomalías orbitales que tanto preocuparon al inglés como meras perturbaciones que solo dependían de la ley de gravitación y tendían a compensarse en el transcurso del tiempo.
Laplace explicaba la estabilidad del sistema del mundo sin recurrir a Dios. Ahora bien, para demostrarlo hacía que todos los planetas girasen en órbitas casi circulares, en el mismo sentido y en el mismo plano. En el capítulo 2 del Libro IV de la Exposición del sistema del mundo podemos leer:
He logrado demostrar que sean cuales sean las masas de los planetas, por el mero hecho de moverse todas en el mismo sentido y en órbitas poco excéntricas y poco inclinadas entre sí, sus desigualdades seculares son periódicas y están contenidas en unos estrechos límites, de suerte que el sistema planetario no hace sino oscilar alrededor de un estado medio del que no se aparta nunca sino en una pequeña cantidad.Quedaba, por tanto, un fleco pendiente. Explicar por qué los planetas se mueven todos en el mismo sentido y en órbitas coplanares casi circulares. Newton, por descontado, apelaba al Creador. En ediciones posteriores de los Principia, introdujo un escollo final en el que dejó constancia de este singular fenómeno:
Todos esos movimientos tan regulares no tienen causas mecánicas, puesto que los cometas se mueven en todas las partes del cielo y en órbitas muy excéntricas [...]. Esa admirable disposición del Sol, los planetas y los cometas no puede ser sino obra de un Ser inteligente y omnipotenteY en la Óptica reprodujo la misma idea siendo aún más expreso, tras haberse convencido de que la disposición de los planetas era precisamente aquella que aseguraba su estabilidad. «El ciego destino nunca podría haber hecho que todos los planetas se moviesen en una y la misma dirección».
Mediante la hipótesis cosmogónica de la nebulosa primitiva Laplace logró explicar el origen del sistema solar y, sobre todo, su buen orden (el giro común en órbitas aproximadamente circulares y coplanarias) sin recurrir a la divinidad. Jubiló al Creador en su papel de mantenedor de la armonía del universo, agradeciéndole los servicios prestados. Laplace había demostrado que el concurso divino no era necesario para explicar la estabilidad ni el origen del sistema del mundo. Las dos razones astronómicas que habían llevado a Newton a postularlo.
Capítulo 5
Probabilidad y determinismo
Mucho más que cualquier otro matemático anterior, Laplace contribuyó a domesticar el azar. Recopiló y sintetizó las ideas de sus predecesores, definiendo con precisión qué entendía por probabilidad.El cálculo en los juegos de azar que conoció el siglo XVII acabó dando sus frutos a Anales del siglo siguiente, cuando a partir de él se desarrollaron la teoría de la probabilidad y la estadística teórica o matemática. No deja de tener su gracia, como no dejó de señalar Laplace, que una ciencia que comenzó con consideraciones sobre monedas, dados, urnas y barajas se convirtiera pasado el tiempo en uno de los objetos más importantes del conocimiento humano. A mediados del siglo XVI el matemático renacentista Gerolamo Cardano (1501-1576) había escrito el Libro de los juegos de azar. Este astrólogo y jugador empedernido (capaz de predecir su propia muerte) empleaba el término probabilidad (que viene de probare, esto es, de probar o aprobar) para cuantificar el grado de credibilidad de una opinión y, de paso, la posibilidad de ocurrencia de una apuesta. Habría que esperar a 1654, cuando Blaise Pascal (1623-1662) y Pierre de Fermat (1601-1665) entablaron correspondencia, para asistir al nacimiento del cálculo de probabilidades como tal. Instigados por la obsesión por el juego de Antoine de Gombaud (1607-1684), caballero de Méré, estos dos matemáticos franceses resolvieron el llamado problema de los puntos: si dos jugadores acuerdan jugar a tres rondas pero se les interrumpe antes de que puedan terminar (presuntamente por la policía, ya que el juego estaba prohibido), ¿cómo deberían repartirse el dinero apostado sobre la mesa si uno ha ganado dos partidas y el otro solamente una? Este problema relativo a los juegos de azar, propuesto por un hombre de mundo a un austero jansenista y a un abogado amante de las matemáticas, señala el origen del cálculo de probabilidades, de la «geometría del azar».
Emparejó el cálculo de probabilidades con el análisis, dando lugar a la teoría moderna de la probabilidad.
Y fusionó esta teoría con la estadística, aplicándola a nuevos dominios, a problemas demográficos, sociales, jurídicos y, por descontado, astronómicos.
Los primeros cultivadores del cálculo en los juegos de azar acabaron viendo en él un modelo para inferir conocimiento acerca de otras porciones del mundo. Así, en 1657, Christiaan Huygens (1629-1695) publicó Calculando en los juegos de azar, obra en la que aplicó sistemáticamente el álgebra al cálculo de apuestas e introdujo la noción de esperanza o ganancia más probable —la ganancia media si el juego se repite muchas veces— para determinar si un juego era o no justo (lo era si el valor de la apuesta coincidía con el valor de la esperanza del juego). Pero, además, en colaboración con su hermano, acuñó el concepto de esperanza de vida. A partir de las tablas de mortandad de la ciudad de Londres que publicó John Graunt —padre de la aritmética política—, los hermanos Huygens y Edmond Halley calcularon probabilidades de vida futura, como si vivir o morir se tratara de un juego a cara o cruz. Se decía, por ejemplo, que el 36% de los londinenses vivía una media de 3 años. Era como si al nacer los padres sacasen al azar una papeleta de una urna en que 36 de las 100 papeletas llevasen la frase «Su hijo no va a vivir más de 3 años». Un macabro experimento mental, pero que recoge bastante bien esta analogía pionera entre juegos de azar y estadística.
El siguiente gran hito en esta panorámica de la historia de la probabilidad que estamos trazando es el Ars conjectandi (Arte de conjeturar), de Jakob Bernoulli. Este tratado inconcluso vio la luz en 1713 con carácter póstumo. En él se extiende el uso de la combinatoria para determinar todas las posibilidades de ocurrencia de un suceso y, de este modo, calcular más fácilmente su probabilidad. Pero más importante es que se ataca por vez primera el problema de la probabilidad inversa, es decir, inferir la probabilidad de un suceso a partir de la experiencia (a posteriori) cuando no puede deducirse a priori (antes de la experiencia, mediante razonamientos lógicos o psicológicos). Jakob Bernoulli estableció el teorema áureo (hoy conocido como teorema de Bernoulli); la frecuencia relativa de un suceso tiende a aproximarse a un número fijo (la probabilidad del suceso) conforme aumenta el número de repeticiones del experimento aleatorio.
Teorema áureoSupongamos que tenemos un cierto suceso A que tiene una probabilidad de ocurrencia que llamaremos p, y que repetimos n veces el experimento para determinar la ocurrencia o no-ocurrencia de A. Si el suceso A ha aparecido m veces, mediante m/n podemos hallar la frecuencia relativa de aparición de A, es decir, la proporción de veces que ha aparecido dicho suceso. La diferencia, en términos absolutos, entre la probabilidad p y la frecuencia relativa m/n mide el error que cometeríamos si usásemos la frecuencia relativa como aproximación de la verdadera probabilidad. Bernoulli demostró que, si repetimos el experimento las veces suficientes, la probabilidad de esa diferencia puede hacerse tan pequeña como queramos, es decir, que la probabilidad de esa diferencia tiende a cero al tender n a infinito. En términos matemáticos esto se expresa diciendo que si ε es un número positivo tan pequeño como queramos, se verifica que:Este teorema formalizaba la ley del azar o ley de la estabilidad de la frecuencia: hay, por decirlo con un término de la época, «certeza moral» de que a la larga la frecuencia relativa de un suceso no se desvía significativamente de su probabilidad. Se trataba de la ley de los grandes números, empleando el nombre acuñado en el siglo XIX por Poisson, discípulo de Laplace, en su forma más sencilla.
Para Jakob Bernoulli este teorema posibilitaba calcular empíricamente las probabilidades desconocidas. Permitía definir la probabilidad de una forma objetiva, invirtiendo el teorema. En efecto, si la frecuencia se aproxima a la probabilidad según crece el número de observaciones, ¿por qué no definir la probabilidad a partir de la frecuencia? Mediante el recurso a la inducción parecía factible definir la probabilidad como el límite de la frecuencia; y no ya hacerlo de una forma meramente lógica o subjetiva (como un grado de creencia).
La familia BernoulliJakob Bernoulli (1654-1705) estudió teología por insistencia de su padre, pero pronto la abandonó para ser profesor de Matemáticas en la Universidad de Basilea hasta su muerte. El hermano más Joven de Jakob, Johann (1667-1748), también quedó fascinado por las matemáticas, sucediendo a su hermano en el cargo ocupado en la universidad, aunque en vida las fricciones con él fueron constantes. Ambos hermanos tenían una naturaleza quisquillosa que les llevaba a enfrentarse por ser el primero en resolver los acertijos matemáticos. Así, el problema de la braquistócrona (la curva del descenso más rápido), planteado como un desafío para los matemáticos europeos, degeneró en una agria polémica sobre quién lo habla resuelto antes: si Jakob, Johann, Leibniz o Newton (quien lo resolvió tras un fatigado día de trabajo en la Casa de la Moneda londinense y lo hizo público anónimamente, pese a que, como dijera uno de los hermanos, al león se le reconoce por sus garras). Johann, el más pendenciero de los dos, terminaría echando de casa a su hijo Daniel (1700-1772), por haber obtenido un premio de la Academia Francesa al que aspiraba él mismo.
No obstante, Abraham de Moivre (1667-1754), matemático francés afincado en Inglaterra (por su irredento calvinismo, era hugonote), famoso por su tratado La doctrina del azar (1718), defendía que la regularidad estadística que postulaba el teorema áureo necesitaba obligatoriamente del concurso de Dios para funcionar.
Laplace, como enseguida tendremos ocasión de explicar, heredó esta crisis abierta en el fundamento de la probabilidad. Pero hay algo más que lleva la firma de Jakob Bernoulli. Éste dedicó la última parte de su enjundioso tratado a la aplicación ó cálculo de probabilidades a cuestiones civiles, morales y económicas. Con sus propias palabras:
Ars conjectandi se define como el arte de medir lo más exactamente posible la probabilidad de las cosas, para que en nuestros juicios o acciones podamos siempre elegir o seguir lo que será encontrado como lo mejor [...]. En esta unidad se resume toda la sabiduría del filósofo y toda la prudencia del político.No había que relegar, por tanto, el uso de la probabilidad a los juegos de azar. Este será, junto a definir correctamente la probabilidad y acercar el cálculo de probabilidades al análisis, uno de los ejes principales de la aportación de Laplace.
§. De los efectos a las causas
Antes de Laplace no había «teoría de la probabilidad», sino «teoría o doctrina del azar» y, en todo caso, «cálculo de probabilidades». En sus manos, la probabilidad cobró carta de naturaleza como ciencia matemática.

Retrato de Thomas Bayes, el único que se conoce del matemático inglés.
A juicio de Laplace, no se trataba ya de calcular la probabilidad de los sucesos, sino de sus causas. Las situaciones en que interviene el azar son, generalmente, de dos tipos. En el primero, el azar aparece en los resultados; por ejemplo, cuando conocemos la composición de una urna en que hay bolas blancas y negras, y nos planteamos cuál será el resultado de una extracción. A partir de las causas (la composición de la urna, que sí conocemos), calculamos la probabilidad de los resultados, de sacar blanca o negra. Hay, en cambio, un segundo tipo de situación en que el azar no aparece en los resultados, sino en las causas. Conocemos el resultado de la extracción (ha salido una bola negra) y queremos calcular la composición de la urna, que nos es desconocida. A partir de los resultados (ha salido negra), determinamos la probabilidad de las causas, de cada posible composición de la urna. Pasamos, de los efectos a las causas (véase la figura).

En la primera situación a la izquierda, no sabemos qué bola sacamos, pero se supone que conocemos la composición de la urna. En cambio en la segunda situación (derecha), la duda estriba en conocer la composición de la urna, que nos es desconocida, a partir de la bola extraída.
Las dos causas que han podido originar el suceso «sacar bola negra» son, precisamente, las dos posibles composiciones de la urna. Si se supone a priori que ambas composiciones son igualmente probables (50% para cada una de ellas), la utilización de la fórmula de Bayes lleva a que la probabilidad de la primera composición ha subido, tras la extracción de la bola negra, al 60%, mientras que la probabilidad de la segunda composición ha bajado al 40%. Las probabilidades a priori (50% y 50%) han sido rectificadas a posteriori (60% y 40%). Un resultado incontrovertible, puesto que en la primera composición hay más bolas negras que en la segunda y, por lo tanto, cabe esperar una mayor probabilidad de que la bola haya sido extraída en esas condiciones.
Para Laplace, al igual que para Bayes, este poderoso teorema posibilitaba aprender de la experiencia y, en el límite, legitimar la inducción. Sirva como ilustración que Laplace se planteó, como y hiciera el conde de Buffon, calcular la probabilidad de que el Sol salga mañana, teniendo en cuenta el número de días que ha venido amaneciendo ininterrumpidamente. Aplicando el teorema de Bayes, Laplace llegó a la llamada regla de sucesión.
«Si un hecho se repite seguidamente cualquier cantidad de veces, la probabilidad de que ocurra una vez más es igual a este número más 1 y dividido por este mismo número más 2.Así, si suponemos que el Sol ha salido invariablemente durante 5000 años, o sea, 1826213 días (Laplace pensaba que la Tierra era muy joven), la probabilidad de que salga mañana es (1826214/1826215 (≈ 99,9999 %).
Regla de sucesión de Laplace
El teorema de BayesEste teorema establece que la probabilidad de cada causa, conocido el suceso, es igual a una fracción con un numerador, que es el producto de la probabilidad del suceso que se sigue de esta causa por la probabilidad de la causa, y un denominador, que es la suma de los productos de la probabilidad del suceso, dada cada una de las causas por la probabilidad de cada causa. Este enunciado que parece un trabalenguas tiene hoy día una expresión simbólica muy precisa que puede encontrarse en cualquier libro de texto:donde P(Ai|B) es la probabilidad a posterior! (es decir, la de la causa conocido el suceso); P(B|Ak) es la probabilidad del suceso supuesta la causa: y, finalmente, P(Ak) es la probabilidad a priori (es decir, la de la causa antes de que ocurra el suceso). Gracias a la fórmula de Bayes las probabilidades a priori pueden rectificarse a posteriori. En otras palabras, podemos tomar mejores decisiones basándonos en la experiencia.
El quid de la cuestión está en que por esta regla, cuanto más mayores nos vayamos haciendo, mayor resultará la probabilidad de vivir más. De modo que una persona de ochenta años tendrá mayor probabilidad de vivir un día más que una de solo veinte años, lo que carece de sentido. La otra dificultad que sale al paso de Bayes, de Laplace y de todos los seguidores de la inferencia bayesiana es la manera en que se asignan probabilidades des a priori. En el ejemplo que hemos puesto parece plausible suponer que las dos posibles composiciones de la urna sean en principio equiprobables, es decir, que tengan exactamente la misma probabilidad (50%). Pero puede ser dudoso que en todas la situaciones en las que hay incertidumbre, uno admita que debe asignar a los sucesos la misma probabilidad o una que dependa de estado de información en que se encuentre cada uno (probabilidad subjetiva). ¿Es posible, por otra parte, determinarla objetivamente? ¿Acaso de modo inductivo, como aproximación de la frecuencia, según quería Bernoulli? La vitalidad de esta controversia arrastró a Laplace y aún es patente en el siglo XXI, donde matemáticos y filósofos siguen discutiendo la validez de cada enfoque.
En 1780 Laplace presentó Memoria sobre las probabilidades, en la que refina su estudio de la cuestión. Comienza señalando que hay tres maneras de determinar la probabilidad: a priori, es decir, por razonamientos lógicos; a posteriori, esto es, a partir de la experiencia, y, una tercera forma, que muchas veces parece indistinguible de la primera, mediante razonamientos que nos permitan juzgar la mayor o menor verosimilitud de la ocurrencia de los sucesos. En el caso de la competición entre dos jugadores, con el primer método estableceríamos la equiprobabilidad (ambos tienen un 50% de oportunidades de ganar). Mediante el segundo método, conjeturaríamos las probabilidades respectivas de ganar a partir de los resultados de algunas de sus partidas (si el primer jugador ha ganado siete de diez partidas, diríamos que su probabilidad de ganar es del 70%). Finalmente; mediante el tercer método, si sabemos que el primer jugadores mucho más habilidoso y diestro en el juego que el segundo, se puede suponer que su probabilidad de ganar sea, por ejemplo, de 80%. En el primer caso determinamos, según Laplace, la probabilidad «absoluta» (hoy se dice probabilidad lógica). En el segundo, la probabilidad «aproximada» (probabilidad objetiva), y en el tercero, la probabilidad «relativa» a nuestros conocimientos o creencias (probabilidad subjetiva). Además, Laplace distinguía entre azar y probabilidad. El azar no tiene, según su filosofía determinista, realidad en sí mismo. Nada sucede sin causa y, por esto, el azar únicamente expresa nuestro desconocimiento de causa subyacente a un suceso, siendo la probabilidad el medio adecuado para solventar esta ignorancia de los principios y de causas que actúan detrás de los fenómenos.
«Los problemas fundamentales de la vida no son más que problemas de probabilidades [...]. En el fondo la teoría de la probabilidad es solo sentido común reducido a cálculo.»Pero Laplace no solo se dedicó a diseccionar el corazón de la probabilidad, sino que también centró su atención en mostrar su extrema utilidad para la estadística y la demografía. En su disquisición, analiza las probabilidades de nacimientos según el sexo, recurriendo a los datos de las parroquias francesas para determinar las probabilidades a priori que necesita para aplicar el teorema de Bayes. Infiere, de acuerdo a los hechos que venían ocurriendo, que la probabilidad de que nazca un niño es muy ligeramente superior a la de que nazca una niña, y afirma que es razonable esperar que d número de niños nacidos supere al de niñas en París durante los próximos 179 años. Todo un ejemplo de inferencia estadística.
Laplace.
Pero sus aplicaciones de la probabilidad a otros campos contaba, pese al apoyo de Condorcet, con un enemigo acérrimo: su propio padrino, D'Alembert, quien una y otra vez había reiterado sus dudas sobre la utilidad del cálculo de probabilidades. Laplace fue más allá que sus predecesores y pondría continuamente de relieve la utilidad de esa parte del cálculo de probabilidades que va de los efectos a las causas para las ciencias observacionales y experimentales, donde frecuentemente se conocen los resultados pero no sus causas. La aproximación bayesiana a la inferencia estadística que defendió, se transformó, a caballo entre los siglos XIX y XX, en una más entre las herramientas puestas al día por los estadísticos Karl Pearson (1857-1936), Ronald A. Fisher (1890-1962), Egon Pearson (1895-1980, hijo del primero) y Jerzy Neyman (1894-1981). Estos cuatro matemáticos interesados por la genética, la eugenesia y la biología, y que compartían un talante claramente anti-bayesiano, pusieron a punto los métodos estadísticos modernos, Pero fue gracias a la contribución de Laplace que la estadística dejó de ser una ciencia meramente descriptiva para transformarse en una ciencia inductiva, capaz de hacer predicciones (aunque, por su método, sea puramente deductiva, matemática). Una nueva estrella brillaba en el firmamento.
El error de D'AlembertEn la Enciclopedia, D'Alembert se encargó de escribir el artículo dedicado a la probabilidad. Su hostilidad para con esta noción contrastaba con el entusiasmo que mostraban Condorcet y Laplace. Pero hay más, D'Alembert calculó la probabilidad de obtener una cara (c) y una cruz (+) al tirar dos monedas y se equivocó. Afirmaba que la probabilidad es 1/3, dado que supuestamente solo hay un caso favorable (cara y cruz) entre los tres posibles (dos caras, dos cruces, y cara y cruz). Su error fue que no reparó en que puede obtenerse una cara y una cruz de dos formas distintas: cara-cruz (c+) y cruz-cara (+c). Por tanto, la probabilidad real es 2/4, puesto que hay dos casos favorables entre los cuatro posibles (cc, ++, c+, +c). Laplace no dejó escapar la ocasión de mostrar el error de su antiguo maestro.
§. La regla de Laplace
La teoría de la probabilidad que propuso Laplace se articula en torno a la célebre regla de Laplace. Aunque definiciones más menos similares pueden encontrarse en trabajos anteriores de Bernoulli y De Moivre, esta regla para determinar la probabilidad de un suceso aparece formulada expresamente en una memoria suya fechada en 1774.
«La probabilidad de un suceso es igual al número de casos favorables dividido por el número de todos los casos posibles.»La probabilidad de un suceso es, en consecuencia, un número entre 0 y 1. Cuando vale 1, la probabilidad se transforma en certeza Estamos ante un suceso seguro. En cambio, cuando vale 0 se habla de un suceso imposible. En este caso estamos en una situación genuina de incertidumbre. Por ejemplo, si una urna contiene siete bolas, de las que cinco son blancas y dos son negras, la probabilidad de extraer una bola negra es, aplicando dicha regla, de 2/7(≈ 29%), puesto que hay dos bolas negras (2 casos favorables) ente las siete bolas que contiene la urna (7 casos posibles).
Regla de Laplace
La regla de Laplace supone que todos los casos, favorables y posibles, son entre sí igualmente probables. En caso de que haya alguno que tenga una probabilidad mayor o menor que el resto de ocurrir, la probabilidad del suceso ha de determinarse con ayuda de la regla de la suma, que también se encuentra en Laplace: si un suceso puede ocurrir de dos o más formas incompatibles entre sí, la probabilidad del suceso es igual a la suma de cada una de las probabilidades de cada caso favorable. Por ejemplo, la probabilidad de sacar un as o un rey al extraer una carta de una baraja española es la suma de la probabilidad de sacar un as (que es 4/40, porque hay cuatro ases en las cuarenta cartas) y de la probabilidad de sacar un rey (4/40, puesto que solo hay cuatro reyes en la baraja): 4/40 + 4/40 a 8/40 (= 20%).
Además, puede ocurrir que el suceso del que queremos calcular la probabilidad no sea simple sino compuesto. En este caso, la regla de Laplace tampoco sirve y hay que echar mano de la regla del producto, que también se halla en Laplace: si para que un suceso se verifique han de hacerlo a su vez dos sucesos que dependen uno del otro, la probabilidad del suceso de partida es igual al producto de la probabilidad del primer suceso por la probabilidad del segundo suceso supuesto que ha ocurrido el primero.
El reparto de las apuestasSegún ideó el caballero de Méré, dos jugadores A y B apuestan uno contra otro, 32 monedas de oro, lo que hace un total de 64, que se llevará el primero de los jugadores que gane tres partidas. Pero ambos jugadores tienen que interrumpir el juego antes de terminar, ¿cómo deberían repartirse el dinero apostado si uno ha ganado dos partidas y, el otro solamente una? Este problema había sido resuelto en falso por Luca Pacioli en el siglo XV, quien propuso que los jugadores debían repartirse el dinero de las apuestas en función del número de victorias: como han jugado tres partidas, dos de las cuales las ha ganado A y B solo una, 2/3 del dinero seria para A y 1/3 para B. Cardano llegó a la conclusión de que esta solución no podía ser correcta, porque no tenía en cuenta el número de partidas que le faltaban a cada jugador para hacerse con el premio en su totalidad.
Una solución compartida
Fueron Pascal y Fermat quienes llegaron a la solución correcta, aunque per métodos diferentes: «Ya ve [le escribió el primero al segundo] que la verdad es la misma en Toulouse que en París» Si se supone que A y B son igual de duchos o habilidosos en el juego (esto es, la probabilidad de que cada uno gane al otro es de 1/2), la probabilidad de que A gane la tercera partida antes de que lo haga B es de 3/4, dado que tiene dos opciones para ello: o bien gana a la primera (con probabilidad 1/2, quedando el tanteo 3-1), o bien gana a la segunda perdiendo la primera (con probabilidad 1/2 × 1/2 = 1/4, quedando el tanteo 3-2). La suma de las probabilidades de ambas opciones da, efectivamente, 3/4. En cambio, la probabilidad de que B gane es de solo 1/4, dado que ha de hacerlo dos veces seguidas (1/2 = 1/2 = 1/4). Por tanto, el reparto justo serla de 3/4 para A (48 monedas) y 1/4 para B 16 monedas). Laplace generalizó el «problema de los puntos» bajo el supuesto de que ambos jugadores no tuviesen la misma probabilidad de ganar.
Esquema de las distintas posibilidades de acabar el juego.
Es lo que hoy día se conoce como la fórmula de la probabilidad condicionada. Pongamos un ejemplo: la probabilidad de sacar un seis con un único dado es 1/6, ¿cuál será la probabilidad de obtener dos seises seguidos? Por la regla del producto sabemos que será la multiplicación de la probabilidad de obtener el primer seis (1/6) por la probabilidad de obtener el segundo seis (que vuelve a ser 1/6, dado que estos dos sucesos son independientes entre sí).
1/6 ×1/6=(1/6)2 = 1/36 (≈ 2,8%).
§. La «teoría analítica de las probabilidades» (1812)La primera edición de esta obra tardía, Laplace contaba ya con sesenta y dos años cumplidos, fue publicada en 1812, acompañada de una dedicatoria sumamente elogiosa a Napoleón, donde se apuntaba que «el cálculo de probabilidades se aplica a las cuestiones más importantes de la vida, que en su mayor parte no son más que problemas de probabilidad». Napoleón contestaría refiriéndose a la probabilidad como «la primera de las ciencias». Tras décadas dedicado en cuerpo y alma a la mecánica celeste, Laplace recuperó sus tempranos trabajos sobre la probabilidad y envió » la imprenta un tratado que ponía orden en la materia.
Como el propio título de la obra indica, el objetivo de Laplace era ofrecer una teoría analítica de la probabilidad, es decir, acerca esas dos disciplinas (el análisis y el cálculo de probabilidades) que hasta la fecha discurrían por caminos independientes. Si antes de su intervención el cálculo de probabilidades se servía del álgebra, a partir de él lo haría básicamente del análisis (gracias a las denominadas funciones generatrices).
Destaca que Laplace discute el teorema central del límite, un elemento fundamental para la estadística y la teoría de la probabilidad. Averigüemos por qué. En su memoria de 1773 Laplace se había planteado un problema muy interesante. Un astrónomo quiere determinar la posición real de una estrella tras haber realizado una serie de observaciones. Se trata de estimar esa magnitud a partir del conjunto de mediciones. No basta con tomar la media aritmética de los resultados, porque hay que demostrar que el valor elegido es aquel que precisamente minimiza la probabilidad de error, siendo este, como es natural, la diferencia entre el valor real y el valor observado. Laplace interpretó que la posición real de la estrella funcionaba como causa de las posiciones observadas, dependiendo los errores del azar. En estos términos, mediante una utilización ingeniosa del teorema de Bayes, llegó a la conclusión de que existe una curva que representa la distribución del error en torno al valor real.



Gauss fue el primer astrónomo en calcular la órbita del asteroide Ceres, descubierto el primer día del siglo XIX, el 1 de enero de 1801. Estudiando la serie de observaciones del recorrido de Ceres en el cielo, el alemán obtuvo su órbita y predijo dónde surgiría de nuevo, Para ello empleó un método de su invención: el de mínimos cuadrados, aunque lo mantuvo en secreto en su diario. El método sirve para ajustar una trayectoria en una serie de puntos, de forma que minimice la suma de los cuadrados de los errores, es decir, de las diferencias entre los valores observados y los valores de la trayectoria (los cuadrados se toman para dar el mismo valor a una discrepancia por defecto que por exceso).
En 1809 Gauss hizo su entrada triunfal en el mundo de la astronomía con la obra Teoría del movimiento de los cuerpos celestes, donde exponía el método de los mínimos cuadrados dentro de la teoría de errores. Gauss demostró que la distribución de los errores está conectada con el método de los mínimos cuadrados. En efecto, una vez determinada la curva que minimizaba el error cuadrático medio, Gauss observó que los errores cometidos en la aproximación se distribuían aleatoriamente alrededor de un valor medio. Esta distribución simétrica con forma de campana no era otra que la «normal» o «campana de Gauss» (figura 3), una función que responde a la siguiente expresión:


Obra de 1804 de Louis Léopold Boilly (1751-1845) representa a Jean Antoine Houdon, en su taller esculpiendo el busto de Laplace.
La lectura de la obra de Gauss sirvió a Laplace de estímulo para que desarrollara la Teoría analítica de las probabilidades, importando varios de los descubrimientos del matemático alemán (método de mínimos cuadrados, distribución normal) al dominio de la probabilidad. Se trataba del teorema central del límite: si una medida es el resultado de la suma de un gran número de factores sometidos a error, se distribuye normalmente con independencia de cómo lo haga cada uno de los factores en particular. Con otras palabras, este teorema justifica que, bajo ciertas condiciones bastante generales, es plausible modelar una característica bajo estudio como si proviniese de una distribución normal. No podemos predecir el comportamiento individual de una variable o individuo, pero sí el comportamiento promedio de una población.

Por último, la Teoría analítica recoge una larga lista de aplicaciones de la probabilidad en astronomía y geodesia (teoría de errores), estadística y demografía (esperanzas de vida) e, incluso, en cuestiones legales (matemática electoral). Como resultado curioso digno de señalarse, anotemos que Laplace calculó que la erradicación de la viruela incrementaría la esperanza de vida en Francia en tres años.
En resumen, Laplace fusionó el cálculo de probabilidades y la estadística con el análisis, dando lugar a la teoría moderna de probabilidades, que tendría un gran predicamento durante los dos siglos siguientes. Sin embargo, la Teoría analítica fue un libro árido, de modo que sus logros tuvieron un impacto limitado, y muchos de ellos de hecho tuvieron que ser redescubiertos a mediados del siglo XIX. La fundamentación de la teoría de la probabilidad sobre el análisis que practicó Laplace perduró hasta 1933, cuando el matemático soviético Andréi Kolmogórov (1903-1987) reasentó el cálculo de probabilidades sobre la teoría de la medida. Kolmogórov propuso una serie de axiomas que respetasen las intuiciones fundamentales plasmadas en la definición clásica (en concreto, la regla de Laplace, solo aplicable a casos equiprobables) y en la definición frecuentaste, (en particular, el teorema de Bernoulli, solo aplicable a fenómenos susceptibles de repetirse) de la probabilidad. Por su parte, la interpretación subjetiva de la probabilidad (como grado de creencia en una proposición o de adhesión a la verificabilidad de un suceso, variable en cada persona) fue formalizada en 1937 por el estadístico italiano Bruno de Finetti (1906-1986) y difundida por Leonard J. Savage (1917-1971) en 1954, quien resucitó la «inferencia bayesiana» que tanto debe al propio Laplace.
§. El «ensayo filosófico sobre las probabilidades» (1814)
Este popular ensayo, concebido a partir de la décima lección dictada en la Escuela Normal en 1795, fue publicado originalmente como introducción a la segunda edición de la Teoría analítica de las probabilidades, pero muy pronto, en 1814, fue editado por separado.
La apuesta de PascalBlaise Pascal (1623-1662) aplicó los razonamientos probabilísticos a la toma de decisiones en el ámbito teológico. Su argumento era el siguiente: Dios existe o no existe.Si no existe, lo mismo da creer en él como que no. Pero si existe creer que no existe provoca la condenación eterna, mientras que creer trae la salvación y la gloria. Como la salvación es preferible a la condenación (la ganancia esperada es mucho mayor), una persona razonable actuará como si Dios existiera, aunque crea que la probabilidad de que exista es pequeña. La razón es que, aun cuando la probabilidad de la existencia de Dios sea extremadamente pequeña, tal pequeñez será supuestamente compensada por la gran ganancia que se obtendrá, o sea, la gloria eterna. En términos probabilísticos: mientras que la esperanza de no creer es siempre cero la esperanza de creer es positiva (porque el valor pequeño de la probabilidad de existencia de Dios se compensa al multiplicarlo por la ganancia infinita que se obtiene al creer).
Un razonamiento falaz
En el Ensayo, Laplace expresó sus dudas sobre la apuesta de Pascal, apuntando que este razonamiento era falaz. A su juicio, la esperanza de creer no era positiva sino cero, porque la probabilidad de existencia de Dios era infinitamente pequeña, y al multiplicarla por la ganancia infinita de creer no salía ya una cantidad positiva sino evanescente (como si dijéramos: 0×∞ = 0), unas declaraciones que no pasaron sin levantar ampollas y suscitar las réplicas de otros dos matemáticos de prestigio, Augustin Louis Cauchy y Paolo Ruffini (ambos católicos y detractores de la aplicación de la probabilidad a las ciencias morales).
El objetivo de su autor era presentar, sin valerse del análisis, los principios y resultados más generales de la teoría de la probabilidad. Le animaba el mismo espíritu divulgador que le llevó a escribir la Exposición del sistema del mundo. Había una buena razón para ello, pues a su juicio, la vida misma, sus problemas, no escapan a la esfera de las probabilidades. Lo más atractivo es que Laplace pone continuamente al lector ejemplos de aplicación del cálculo de probabilidades a las ciencias políticas y morales.

Alegoría del retorno de los Borbones el 24 de abril de 1814: Luis XVIII restableciendo a Francia de sus ruinas, obra de Louis-Philippe Crépin (1772-1851).
Así, comienza estudiando la probabilidad de los testimonios. Imaginemos, por ejemplo, que un hecho llega a nuestro conocimiento a través de veinte testigos, de modo que el primero lo ha comunicado al segundo, este al tercero y así sucesivamente. Si la probabilidad de que cada testigo transmita al siguiente el hecho sin deformarlo es de 9/10 (es decir, del 90%, una probabilidad bastante alta), la probabilidad de que el hecho llegue a nosotros sin mancha a través de los veinte testigos es, en cambio, de (9/10)20 ≈ 0,12 (una probabilidad muy baja). ¡Solo hay un 12% de posibilidades de que el hecho haya llegado hasta nosotros sin remiendos ni añadiduras!
A continuación se ocupa de las elecciones, las decisiones de las asambleas y las sentencias de los tribunales. Laplace equipara los procesos de toma de una decisión con la extracción de una bola de una urna, representando las bolas blancas las decisiones justas, y las negras, las injustas. Por medio de complejos cálculos determinó cuál sería la probabilidad de error en el veredicto de un tribunal en función del número de jueces que lo formaran y del número de votos que hiciesen falta para condenar al acusado.
El cálculo de probabilidades le servía a Laplace incluso para analizar la posible existencia de Dios.
§. La fe del ateo Laplace
Entre los historiadores y filósofos de la ciencia, Laplace es generalmente recordado por su gráfica reafirmación en el determinismo, que ha sido denominada como demonio de Laplace, por la súper-inteligencia que postulaba.

Retrato obre de Paulin Guerin (1783-1855) que representa a Laplace ataviado como canciller del Senado.
Debemos, pues, considerar el estado presente del universo como el efecto de su estado anterior y como la causa del siguiente, Una Inteligencia que, en un instante dado, conociera todas las fuerzas de que se halla animada la naturaleza, así como la situación respectiva de los seres que la componen, si, además, fuera lo suficientemente amplia como para someter estos datos a análisis, podría abarcar en una sola fórmula los movimientos de los cuerpos más grandes del universo y los del átomo más pequeño: nada le resultaría incierto y, tanto el futuro como el pasado, se hallarían presentes a sus ojos. La mente humana ofrece en la perfección que ha sabido dar a la astronomía un débil esbozo de esta inteligencia. Sus descubrimientos en mecánica y en geometría, junto al de la gravitación universal, han puesto a su alcance comprender en las mismas expresiones analíticas los estados pasados y futuros del sistema del mundo.Esta era la fe del ateo Laplace. Todo, arriba y abajo, en los cielos y en la Tierra, obedece a un pequeño número de leyes naturales que se cumplen invariablemente. En la Exposición escribía: «Todo deriva de ellas tan necesariamente como el regreso de las estaciones». «La curva trazada por una simple molécula de aire o de vapor está determinada de una forma tan exacta como las órbitas planetarias», aduce en el Ensayo. En el campo de la mecánica celeste el sueño de una Inteligencia Suprema se había hecho realidad. Sin embargo, según Laplace, cuando descendemos a la Tierra la ignorancia de las múltiples causas que producen los sucesos nos previene de hacer aserciones con la misma certeza. Dada la imposibilidad de un conocimiento total, el hombre lo compensa determinando los diferentes grados de posibilidad. En consecuencia, debemos a la debilidad de la mente humana una de las más delicadas e ingeniosas teorías matemáticas, la ciencia del azar o de las probabilidades, donde el azar no es más que la medida de nuestra ignorancia de las causas.
Como el universo es determinista, en el sentido de que todo acontecimiento está enlazado causalmente, la previsibilidad no es exclusiva de los fenómenos celestes. Pero los hechos terrestres, aunque estrictamente predecibles, no lo son más que de forma probabilística. La verdadera originalidad de Laplace descansa en impulsar esa rama nueva de las matemáticas, que abarcaría no solo la matemática de los juegos y de las urnas hipotéticas, sino también la estimación de los errores científicos, la estadística, la cuantificación de las evidencias e incluso la causalidad filosófica.
Hoy, dos siglos más tarde, sabemos que Laplace acertó al sugerir la fecundidad de la ciencia de las probabilidades, pero también que se equivocó al creer que el sueño de la Inteligencia Suprema estaba prácticamente cumplido en el campo de la mecánica celeste. El universo newtoniano parecía constituir el mejor ejemplo de un mecanismo perfecto de relojería: en él todo estaba predeterminado, y conociendo con precisión los detalles de una causa podían predecirse, con igual exactitud, los efectos de la misma. Pero el sistema del mundo albergaba, como vimos en el capítulo 2, la semilla del caos.
La mecánica y las leyes de la física son en realidad mucho más ricas de lo que Laplace soñó que fuera posible. Él creía firmemente que un sistema determinista, un sistema que siguiera las leyes de Newton, tenía que ser necesariamente predecible. Sin embargo, como descubriera Poincaré, un sistema que obedezca las leyes de Newton puede convertirse en caótico e impredecible.
Una de las consecuencias más revolucionarias y dramáticas de la teoría del caos es, precisamente, que refuta la ecuación «determinismo => predictibilidad» que Laplace sustentara. En 1908, en Ciencia y método, Poincaré escribió:
Si conociésemos exactamente las leyes de la naturaleza y la situación del universo en el Instante inicial, podríamos predecir con exactitud la situación del universo en un instante ulterior. Pero, aun cuando las leyes naturales no guardaran más secretos para nosotros, no podemos conocer la situación inicial más que aproximadamente. Si esto nos permite predecir la situación ulterior con la misma aproximación, que es todo lo que necesitamos, decimos que el fenómeno ha sido predicho, que está regido por leyes. Pero no acaece siempre así, puede suceder que pequeñas diferencias en las condiciones iniciales produzcan algunas muy grandes en los fenómenos finales. Un pequeño error al inicio engendrará un error enorme al final. La predicción se vuelve imposible.Aun conociendo las leyes con absoluta precisión, cualquier pequeño error de medida o de cómputo le impediría al demonio de Laplace predecir el futuro del sistema del mundo más allá de cierto umbral de tiempo. Las palabras de Poincaré simbolizan la muerte de este demonio sabelotodo a manos del caos.
Capítulo 6
La estrella se apaga
Con la caída de Napoleón y el regreso de los Borbones, Laplace dejó de ser conde y senador para convertirse en marqués y par de Francia. En plena reacción política monárquica siguió dirigiendo la ciencia del reino como lo hiciera durante la república y el imperio. A su alrededor aglutinó una floreciente escuela de físicos matemáticos, basada en dos pilares fundamentales: la matematización y la mecanización de la naturaleza. La muerte le encontraría aquilatando su legado científico, cuyo brillo aún hoy nos fascina.El año 1810 marcó el cénit del esplendor napoleónico. Pero los sucesivos reveses en la campaña de Rusia y el desgaste continuo de la guerra de guerrillas en España aceleraron el desplome del Imperio francés. A finales de marzo de 1814 loe ejércitos enemigos convergían a toda prisa hacia París. Como las cosas no estaban claras, Laplace decidió abandonar la capital francesa. Así, mientras Talleyrand negociaba la paz con las potencias vencedoras, el Senado votó el 2 de abril, con la ausencia de Laplace, el destronamiento de Napoleón I. Dos días después, tras su regreso a París, Laplace ratificó con su firma la decisión del Senado. El 6 de abril Napoleón abdicaba y se retiraba a la isla de Elba.
Luis XVIII, hermano del defenestrado Luis XVI, fue nombrado nuevo rey de Francia. En nombre del Senado, del que aún era su canciller, Laplace le dio la bienvenida a París. Laplace había sobrevivido a Napoleón. Había sabido traicionarlo a tiempo. No obstante, las relaciones entre ambos se habían ido enfriando poco a poco. En 1813, según cuenta el químico Chaptal (quien, por cierto, también ocupó el cargo de ministro del Interior), Napoleón había comentado lo siguiente tras reencontrarse con Laplace: «Oh, observo que habéis adelgazado». Laplace contestó: «Sire, he perdido a mi única hija [murió dando a luz)». A lo que el emperador respondió con sequedad: «Pero no hay razón para que perdáis peso. Sois un matemático, poned este suceso en una ecuación y encontraréis qué hay que sumar para que salga cero».
La monarquía borbónica recién restaurada estableció una carta otorgada o constitución que confirmaba bastantes de los logros del código civil napoleónico, de espíritu muy liberal. Pero en febrero de 1815 Napoleón escapó de Elba y reconquistó el poder, dando inicio al Imperio de los Cien Días. Con la vuelta de Napoleón, Laplace corrió a alejarse de París. Monge y Carnot, en cambio, se apresuraron a ponerse de nuevo bajo sus órdenes. El segundo, por no variar, tomó la cartera de Guerra. Fourier, por su parte, permaneció distante al principio, aunque terminó sumándose a la aventura. Pero Napoleón fue derrotado por Wellington en la batalla de Waterloo y desterrado definitivamente a la isla de Santa Elena.
El regreso de Luis XVIII en julio de 1815 desató un «terror blanco» que se manifestó en la purga de científicos bonapartistas. Monge, por ejemplo, fue expulsado tanto de la Escuela Politécnica como de la Real Academia de Ciencias (que sustituía al Instituto de Francia). Tras la depuración, el sillón de Monge lo ocuparía ese fanático realista que fue Augustin Louis Cauchy (1789-1857), padre del análisis moderno, que medró a su costa. Algunos colegas le retirarían el saludo.
En lo que respecta a Laplace, este vería generosamente recompensada su fidelidad, siendo nombrado par de Francia, es decir, miembro del nuevo Senado borbónico, la Cámara de los Pares. Además, sería nombrado marqués en 1817. No es de extrañar, por tanto, que en la edición de 1820 de la Teoría analítica de las probabilidades no se encontrara rastro de la servil dedicatoria a Napoleón Ni que en 1826 se negara a firmar una declaración de la Academia en pro de la libertad de prensa. El camaleónico Laplace demostró gran versatilidad para pasar del ardor republicano al monarquismo servil. A la acusación de oportunista o chaquetero descarado hubiera podido responder «No es eso, porque, si bien cambié de lealtad, me mantuve firme a mi principio, que es el de vivir y morir como mandamás de la ciencia francesa». En el fondo fue, como suele decirse, pragmático.
§. La escuela laplaciana
En 1806, animado por su esposa, Laplace había adquirido una pequeña mansión en Arcueil, una localidad cercana a París. No tardaron en instalarse y pasar largas temporadas en la propiedad En la vecindad vivía el químico Berthollet, a quien Laplace conocía de los tiempos del Arsenal de Lavoisier. Berthollet había montado en su casa una biblioteca y un laboratorio. Ambos comenzaron a patrocinar, a sus expensas, a un grupo de jóvenes talentos. A partir de esta colaboración informal surgió la Sociedad de Arcueil, el germen de la escuela laplaciana de física matemática, que durante más de una década marcaría el rumbo y el ritmo de la ciencia francesa.
Un año antes, en 1805, Laplace había terminado el prefacio del cuarto volumen del Tratado de mecánica celeste con estas palabras proféticas: «Nada más me resta». Desde ese momento fueron la probabilidad y, en especial, la física los temas en los que volcó su genio. Laplace dio un gran empujón al movimiento de matematización de numerosas disciplinas físicas que hasta entonces habían permanecido como especulaciones más bien cualitativas y metafísicas. Trató de llevarlas al grado de perfección de la astronomía. Aunque la aplicación de la geometría a la óptica venía de antaño, otros campos físicos aún no habían sido abordados matemáticamente. Así, atacó los dominios de la capilaridad (fenómeno por el cual los líquidos ascienden hasta cierta altura por tubos de sección muy pequeña), el sonido, el calor, etc. Estos trabajos acabaron agrupados en el tomo V del Tratado de mecánica celeste (1825).
En el capítulo 2 dejamos constancia de que la gran osadía de Galileo y Newton había sido unificar cielo y tierra tras más de veinte siglos de divorcio. Laplace aspiraba a hacer realidad un sueño que no parecía descabellada. Quería mostrar que no solo era posible una mecánica celeste, sino también una «mecánica terrestre» hasta el mínimo detalle. Para ello relanzó una idea que ya había sugerido en la Exposición del sistema del mundo: existen fuerzas entre las moléculas inversamente proporcionales a una potencia de sus distancias. Unas fuerzas que siguen, por tanto, una ley de estructura similar a la ley de gravitación de Newton. No en vano, el conocimiento de la ley de Coulomb sobre la fuerza eléctrica reforzó su fe en una ley según el inverso del cuadrado de la distancia. Se trataba, por tanto, de continuar el programa newtoniano por otros medios. De estudiar la luz, el calor, la electricidad, el magnetismo y la afinidad química siguiendo la especulación microfísica del propio Newton en la «cuestión 31» de la Óptica.
Esta ambición de explicar todo mediante fuerzas atractivas y repulsivas es lo que los historiadores de la ciencia han designado con el nombre de programa mecánico-molecular de la física laplaciana. Este programa conducía a una visión del mundo coherente y armoniosa, donde las leyes de la física establecidas a nuestra escala de percepción se transferían a los últimos constituyentes de la materia guardando una notable semejanza matemática. Todos los fenómenos físicos eran reductibles a materia y fuerza, a corpúsculos en movimiento. Este reduccionismo mecanicista era indisociable de la formulación laplaciana del determinismo que vimos en el capítulo anterior.
Entre 1805 y 1820 el programa laplaciano dominó la física francesa gracias al poder que Laplace ostentaba en sus instituciones. Entre los que se hicieron asiduos a la Sociedad de Arcueil, destacan Gay-Lussac (1778-1850), Ampère (1775-1836), Malus (1775-1812), Biot y, sobre todo, Poisson, el discípulo más fiel. También Cauchy y Arago (1786-1853), aunque este último se distanció precipitadamente por rencillas con Poisson a la hora de ingresar en el Instituto. E, incluso, el viajero y naturalista Alexander von Humboldt (1769-1859).
La física laplaciana se anotó unos cuantos éxitos. Sin embargo, aunque tuvo una influencia decisiva sobre la física matemática francesa del siglo XIX, esta escuela goza hoy de mala reputación. En efecto, Laplace y los laplacianos se opusieron tanto a la teoría del calor de Fourier como a la teoría de la luz de Fresnel (1788-1827). Fueron a contracorriente de ciertas etapas que han marcado la evolución de la física
Fourier, por ejemplo, elaboró su teoría sobre la difusión del calor al margen de los planteamientos laplacianos.
La ley de CoulombEn 1785, el ingeniero y académico francés Charles-Augustin Coulomb (1736-1806) tuvo el mérito de medir la fuerza eléctrica entre dos esferas cargadas, que era directamente proporcional a sus cargas e inversamente proporcional al cuadrado de la distancia que las separa. Como vemos, una ley por completo análoga a la de gravitación. Para lograrlo construyó un instrumento realmente original: una suerte de balanza capaz de medir la fuerza de atracción o repulsión entre dos cargas eléctricas.
Balanza de torsión
El invento se compone de una base de madera que sostiene una caja cilíndrica de cristal, cerrada en su parte superior por una cubierta atravesada en su centro por un cilindro hueco, también de cristal.Alrededor de la caja hay una cinta graduada colocada a media altura. El cilindro, a su vez, se cierra en su extremo superior por el micrómetro, que puede girar y también está graduado, y del que pende un hilo muy fino de plata, que se prolonga hasta el interior de la caja de cristal, donde sostiene una aguja o varilla horizontal. Por un orificio en la cubierta de cristal se introduce una bolita aislada, con un mango de vidrio, que puede ser electrizada desde el exterior. El proceso consistía en medir los ángulos de torsión que experimentaba la varilla móvil sujeta por el hilo como resultado de la fuerza de atracción o repulsión con la esferita fija previamente electrizada. A partir de estos datos se deducían las fuerzas existentes entre ambos elementos debido a la carga eléctrica. En su honor la unidad de carga eléctrica lleva el nombre de culombio.
La balanza de torsión de Coulomb
Durante años trabajó en una teoría matemática que explicase la propagación del calor desde una perspectiva fenomenológica, sin comprometerse con ninguna de las dos hipótesis físicas en boga (el calor como fluido repartido por toda la naturaleza, como mantenía Laplace, o como resultado del movimiento de las partículas de materia). Cuando en 1807 Fourier presentó su memoria en el Instituto, Lagrange, que junto a Laplace y Legendre había sido designado para juzgarla, la tachó de imprecisa y fue rechazada.
Afortunadamente, Fourier no se desanimó y en 1811 presentó otra memoria más elaborada para optar a un prendo propuesto por el Instituto que sería asignado al año siguiente, en 1812.
Durante el transcurso de la lectura de la memoria, donde Fourier anticipaba su gran idea de las series trigonométricas, Lagrange, que de nuevo formaba parte del jurado, se levantó al instante gritando: «¡eso es imposible, eso es imposible!».
Aunque Fourier fue premiado, debido a sus resultados físicos, su trabajo no fue publicado debido a sus «errores matemáticos» hasta 1822, cuando Lagrange ya había muerto y Fourier era secretario perpetuo de la Academia Real (gracias al voto de Laplace).
Fourier, un matemático acaloradoJean-Baptiste Joseph Fourier (1768- 1830), hijo de un modesto sastre, no pudo ingresar en el cuerpo de ingenieros del rey por no pertenecer a la nobleza.
Pronto sobresalió como profesor de Matemáticas, pero también de Filosofía, Historia o Retórica. Seleccionado como alumno de la Escuela Normal en el año III de la Revolución, Monge percibió rápidamente sus cualidades y lo nombró su asistente en la Escuela Politécnica. Excelente físico matemático, fue amigo de Napoleón y, al igual que Monge, lo acompañó en su expedición a Egipto. A su regreso se convirtió en prefecto de Grenoble, mandando drenar las marismas a fin de extirpar el paludismo. Fourier mantenía la curiosa opinión de que el calor del desierto era el ambiente ideal para una vida sana y. de acuerdo con ello, se envolvía en ropas como una momia y vivía en habitaciones demasiado calientes, Murió a los sesenta y dos años, en 1830.
Pudo, por fin, dar a la imprenta la famosa ecuación contenida en la Teoría analítica del calor. Laplace, aunque no comulgaba con el enfoque de Fourier y seguía anclado en la anticuada teoría de ese fluido sutil e imponderable que era el «calórico», apreció enseguida el progreso matemático que representaban las series trigonométricas o de Fourier, frente a las clásicas series de potencias.
Otra muestra de la fragmentación del programa laplaciano nos la ofrece el desarrollo de la teoría ondulatoria de la luz por parte de Fresnel, en abierta oposición a la teoría corpuscular aceptada por su escuela. Este ingeniero depositó su trabajo en la Academia en 1815, pero hasta 1819 no fue premiada. Frente a Newton (que defendía que la luz era un chorro de corpúsculos), Fresnel argumentaba, al igual que hiciera Huygens, que la luz era una onda El astrónomo François Arago, quien había trabajado sobre la refracción de la luz bajo la supervisión de Laplace, tomó partido por la concepción ondulatoria, que explicaba ciertos fenómenos de difracción inexplicados desde la óptica corpuscular. Para desmayo y consternación de Biot y Poisson, Fresnel ganó el premio de la Academia en 1819. Al final, se formó un pequeño grupo anti-laplaciano, acaudillado por el beligerante Arago, que aspiraba a tomar el relevo de Laplace como político de la ciencia. Su estandarte era la defensa de la teoría ondulatoria de la luz de Fresnel frente a los discípulos de Laplace.
Las reuniones de la Sociedad de Arcueil fueron constantes y regulares entre 1806 y 1813, pero a partir de 1814 prácticamente cesaron. Un mal augurio. Las señales de aislamiento e indiferencia comenzaron a multiplicarse entre 1815 y 1820, de modo que en el decenio siguiente la escuela laplaciana se vio progresivamente desbancada de su posición preeminente. Berthollet murió en 1822 y la influencia de Laplace decayó exponencialmente. Aunque nunca perdió el respeto público, su fijación en un tipo de matemática tributaria del análisis ilustrado y su newtonianismo militante fueron factores que le impidieron captar la importancia de los nuevos desarrollos en física.
§. El legado del Newton de Francia
No es fácil describir las sutilezas de un personaje multifacético como Laplace. Ante sus contemporáneos aparecía serio, estirado y arribista. No son pocos los testimonios conservados de su arrogancia. Por no recordar las críticas que levantaron sus manifestaciones acerca del ateísmo. Siempre quería imponer su opinión en toda clase de discusiones. Además, Laplace no reconocía la autoría de las numerosas ideas de otros que utilizó y mezcló con las suyas. Una conducta recalcitrante durante toda su vida. De joven le sucedió con Euler y Lagrange, Más tarde, con Legendre, a quien «tomó prestados» sus polinomios. Y, finalmente, con Bayes. Laplace era una especie de zorro que borra con la cola sus propias huellas.
«El hombre más insolente y malévolo que conozco.»A Laplace se lo vincula frecuentemente con Lagrange, pero no se parecen ni en cualidades personales ni en su trabajo. La humildad de este último contrasta con la vanidad y altanería del primero. Adicionalmente, Lagrange es un matemático muy cuidadoso en sus escritos, muy claro y elegante. Laplace creó métodos matemáticos nuevos, pero nunca se preocupó de presentarlos con rigor, sino de usarlos, ciertamente, con gran destreza e ingenio para estudiar la naturaleza. Para Laplace, la matemática era un medio, no un fin en sí misma. Era esencialmente un virtuoso en la manipulación de expresiones matemáticas por encima de su rigor. Formulaba y aproximaba series para resolver ecuaciones diferenciales con gran velocidad, capaz de realizar tediosos cálculos con ellas que ocupaban hojas y más hojas. Como matemático puro, siempre estuvo a la sombra de Lagrange. En cambio, como matemático aplicado, físico y hombre de mundo, lo superó ampliamente.
El astrónomo Lalande sobre Laplace.
Cuando se encontraba un problema matemático en sus investigaciones, Laplace solía resolverlo casi de pasada, sin molestarse en mostrar cómo había obtenido el resultado. Nathaniel Bowditch (1773-1838), el marino y astrónomo estadounidense que tradujo cuatro de los cinco volúmenes del Tratado de mecánica celeste al inglés, añadiendo explicaciones, contó que cada vez que se encontraba con la frase «es fácil ver que...» sabía que le esperaban horas de duro trabajo para rellenar las lagunas.
Pero estas manchas en su expediente no deben ensombrecer su genio. La física y, en general, la ciencia comenzaron una nueva etapa, sobre cuyos cimientos se construiría el mundo moderno, con la publicación en 1687 de los Principia de Newton. Pero, pese a lo que se suele creer, la física newtoniana no nadó completa, perfecta. Nació inacabada. Tres matemáticos, Euler, Lagrange y Laplace se distribuyeron entre sí el mundo cuya existencia había descubierto Newton. Se internaron en terrenos que habían sido considerados impenetrables y pusieron de modo definitivo, y en esto reside su fama merecida, bajo el dominio de un único principio, de una ley unificada, todo lo que de confuso y misterioso había en los movimientos de los cuerpos celestes. Esa ley era, cómo no, la ley de gravitación universal. Antes de Laplace nuestro sistema solar parecía destinado a perder Saturno, a ver a este planeta, acompañado de sus anillos, hundirse gradualmente en regiones desconocidas. Júpiter, por su parte, ese globo al lado del cual la Tierra es tan poca cosa, se hundiría en la materia incandescente del Sol. Finalmente, los hombres verían la Luna precipitarse sobre la Tierra. Laplace demostró, dentro de un orden de aproximación, que el sistema del mundo era estable y que ninguna de estas catástrofes cósmicas sucedería.
Pierre-Simon de Laplace fue, en suma, uno de los más grandes newtonianos de todos los tiempos. Más que un innovador fue un vindicador de Newton. Nunca fue revolucionario, como lo fue el propio Newton o lo sería Einstein. Jamás cuestionó el marco que heredó. Aunque esto no quiere decir ni mucho menos que no hiciera grandes descubrimientos: la ecuación de Laplace, el carácter cíclico de las de singularidades seculares de Júpiter y Saturno, así como de la Luna, la estabilidad del sistema del mundo, la hipótesis nebular, la teoría analítica de la probabilidad, la regla de Laplace, las bases de la inferencia estadística, la transformada de Laplace, el desarrollo de Laplace para calcular determinantes, etc.
La transformada de LaplaceLa mayoría de matemáticos, físicos e ingenieros actuales se acuerdan del científico francés cuando emplean la «transformada de Laplace» para resolver ecuaciones diferenciales. Aunque una idea similar se encuentra en Euler, fue él quien la formalizó en una serie de memorias entre 1782 y 1785. Este método consiste básicamente en «transformar» la ecuación diferencial en una suerte de ecuación algebraica más fácil de resolver. Sin embargo, no se haría popular hasta finales del siglo XIX cuando el ingeniero eléctrico Oliver Heaviside (1850-1925) propusiera una especie de cálculo operacional para resolver ecuaciones diferenciales usando la transformada. En el periodo que abarca la Segunda Guerra Mundial, los manuales y las tablas de transformadas de Laplace conocerían una notable difusión, ya que se usaron con asiduidad en la investigación del radar. No hay duda de que Laplace, siempre tan sensible a las necesidades del Estado, hubiera apreciado el esfuerzo.
Por no contar su decidido impulso al Sistema Métrico Decimal o su defensa filosófica del determinismo y la causalidad. Un currículum al alcance de muy pocos. Las creaciones que portan su nombre siguen siendo herramientas científicas inestimables doscientos años después. No es de extrañar, por tanto, que su figura haya recibido tantos honores, desde un promontorio de la Luna que lleva su nombre hasta una placa entre las de los setenta y dos científicos franceses conmemorados en la Torre Eiffel.

El pintor Franz Josef Sandmann (1805-1856) representa a Napoleón en su último exilio en la isla Santa Elena.
Siempre mantuvo buenas relaciones con el poder de turno, de modo que las cambiantes circunstancias políticas francesas no fueron un obstáculo para su ambición personal ni sus planes y programas científicos. Es así que puede decirse que fue el último filósofo natural y el primer científico moderno, porque pensaba la naturaleza en términos exclusivamente matemáticos, excluyendo cualquier disquisición metafísica.
William Whewell (1794-1866) popularizó el término científico (scientist) a mediados del siglo XIX, en la década de 1840, pero no fue quien lo acuñó. Lo hizo el sanguinario Jean-Paul Marat, quien en 1792 fue la primera persona que etiquetó a los sabios (savants) como científicos (scientifiques), al referirse burlonamente a su proyecto de medir la Tierra para crear un sistema de pesos y medidas uniformes. Laplace vivió a caballo entre esos dos mundos y, de facto, lideró gran parte del proceso revolucionario por el que los sabios dieciochescos se transformaron en los científicos decimonónicos. Los primeros pertenecían aún al Antiguo Régimen; los segundos, a la nueva sociedad surgida al calor de la Revolución, donde los matemáticos no eran ya servidores del rey sino de la nación. La ciencia adquirió nuevos roles en el servicio público, tanto en la educación como en la resolución de problemas sociales. El nuevo mundo político sustentaba al nuevo profesionalismo científico que Laplace ayudó a alumbrar.
Asimismo, él fue probablemente el primer positivista. Fue la ciencia del cielo, en cuanto mecánica celeste, la que gozó de un estatuto privilegiado debido a su capacidad para expresarse en el lenguaje de las matemáticas y para predecir con gran exactitud acontecimientos futuros. Y fue esta ciencia la que, con Laplace como punto de inflexión, proporcionó los ingredientes metodológicos de la nueva ciencia contemporánea que comenzó su andadura con la Revolución francesa y llega hasta nuestros días. Para Laplace la mecánica celeste era el paradigma de lo que tenía que ser una ciencia. El modelo que debía marcar las pautas de la investigación científica. La receta era simple: calcular y predecir. Había que aplicar al mundo terrestre la misma forma de proceder en el mundo celeste. Toda una lección de filosofía positivista de la ciencia. En cierto modo, Laplace anticipó la doctrina del filósofo decimonónico francés Auguste Comte (1798-1857), para quien la astronomía mecánica era la primera de las ciencias, el espejo en el que el resto habían de mirarse. Convencido de la universalidad y la potencia de las matemáticas, Laplace partió a la conquista de múltiples territorios que hasta entonces se habían escapado, como la teoría de la probabilidad, la estadística, la demografía, la matemática electoral, la teoría del calor, etc. Y contribuyó con su tenacidad a forjar una extraña convicción, fortalecida a la vez por la cultura de los ingenieros, según la cual las matemáticas están en la base de todo conocimiento y toda acción. Una senda por la que aún hoy caminamos.
§. Los últimos años
En marzo de 1823 se cumplió el cincuenta aniversario de la entrada de Laplace en la Academia. La celebración, realizada el 24 de abril, fue un acto muy especial en que se le rindió tributo como gran patrón de la ciencia francesa. De los colegas académicos que le habían dado la bienvenida a la Academia en 1773 apenas si quedaba alguno vivo. Condorcet, Lavoisier y Bailly habían sido víctimas de la Revolución. Lagrange, Monge, Delambre y Berthollet habían muerto, respectivamente, en 1813, 1818 y, por partida doble, en 1822. Solo Legendre, con quien le unía un acendrado antagonismo, vivía todavía.
Laplace se mantuvo mentalmente activo hasta prácticamente él final de sus días, pese a que diversos achaques le fueron ruinando la salud. Fue en este tiempo cuando comenzó a interesarse por la vida privada de su admirado Newton, con quien ya le comparaban en vida. Trataba de comprender qué podía haber llevado al ilustre inglés a abandonar la ciencia por la teología y a dar a Dios un papel tan central en el sistema del mundo. Y, sin embargo, él, el Newton de la Francia revolucionaria y napoleónica, había imaginado un universo por completo determinista.
Un frío día de finales de febrero de 1827 Laplace se sintió mal llegar a casa tras una sesión en la Oficina de Longitudes. La fiebre le obligó a guardar reposo. Al día siguiente su condición empeoró. Nunca más se levantaría del lecho.

Laplace fue inicialmente enterrado en al cementerio parisino de Père-Lachelse, pero en 1888 sus restos fueron trasladados a un mausoleo (en la imagen) de Saint-Julien-de-Mailloc, en la baja Normandía.
Unas palabras que no pudieron sino recordar a los presentes aquellas otras de Newton: «Veo que he sido como un niño pequeño, jugando en la orilla del mar mientras el gran océano de la verdad se extendía inexplorado ante mí».
Laplace murió a las nueve de la mañana del lunes 5 de marzo de 1827. Newton lo había hecho exactamente una centuria antes, el lunes 20 de marzo de 1727. - Bell, E.T., Los grandes matemáticos, Buenos Aires, Losada, 2010.
- Bebgasa, J., Laplace, el matemático de los cielos, Madrid, Nivola, 2003.
- Boyer, C., Historia de la matemática, Madrid, Alianza Editorial, 2007.
- Ferris, T., La aventura del universo, Barcelona, Critica, 2007.
- Gillispie, Ch. C., Pierre-Simon Laplace, 1749-1827: A life in exact Science, Princeton UP, 1997.
- Kragh, H., Historia de la cosmología, Barcelona, Critica, 2008.
- Laplace, P. S., Ensayo filosófico sobre las probabilidades, Edición de Pilar Castillo, Madrid, Alianza, 1985. — Exposición del Sistema del Mundo, Edición de Javier Ordóñez y Ana Rioja, Barcelona, Crítica, 2006
- Rioja, A. y Ordoñez, J., Teorías del Universo, Vol. III; de Newton a Hubble, Madrid, Síntesis, 2006
- Stewart, I., Historia de las matemáticas, Madrid, Critica, 2008.
Calificado en la época de milagro de milagros, este amante de la matemática y de la filosofa, tanto como de los salones y de todo tipo de tertulias cortesanas, fue el arquetipo del parisino ilustrado. Nacido en París, D'Alembert (1717-1783) era hijo ilegitimo de un aristócrata, lo que motivó que fuera abandonado al nacer y criado por una familia de vidrieros. De hecho, debe su nombre a que fue abandonado en las escalinatas de la iglesia de Saint Jean le Rond. Pero D'Alembert llegó a ser uno de los filósofos y científicos franceses más conocidos internacionalmente gracias a una esmerada educación. Personalidad muy influyente en la corte, era además secretario perpetuo de la Academia de Ciencias de París. Su nombre ha quedado asociado para siempre al de Denis Diderot (1713-1784) por su participación en la elaboración de la famosa Enciclopedia, síntesis de todos los conocimientos científicos y humanos de la época.


Y si suponemos que la masa del cuerpo es constante (pudiendo entonces sacar m de la derivada), recuperamos la expresión archiconocida F = m×a. Esta expresión apareció por vez primera en un tratado de mecánica, titulado Phoronomia, que fue publicado en 1716 por Jacob Hermann (1678-1733) basándose en la cómoda notación de Leibniz. La fórmula sería popularizada por Euler en su Mecánica o ciencia del movimiento expuesta analíticamente (1736). Sin embargo, durante la mayor parte del siglo XVIII, los matemáticos usaron otra expresión más general planteada por D'Alembert en su Tratado de dinámica (1743) y que lleva con justicia su hombre: el principio de D'Alembert.
Joseph-Louis Lagrange (1736-1813) nació en Turín y era de ascendencia francoitaliana. Ya desde muy pequeño se le despertó el interés por las matemáticas tras leer un ensayo del astrónomo Edmond Halley glosando las virtudes del cálculo de Newton. Pronto estableció una estrecha relación con Euler, comunicándole sus primeros hallazgos. Con ellos Euler fue capaz de resolver muchos problemas que tenía planteados desde hacia tiempo. Pero, con admirable generosidad, rehusó publicarlos hasta que Lagrange no hiciera lo propio, «para no privarle de ninguna parte de la gloria, que se le debe». Al cabo de los años, en 1756, cuando Euler abandonó Berlín para ir a San Petersburgo, Lagrange ocupó su lugar (se dice que Federico II exclamó que por fin habla podido sustituir a un matemático tuerto por otro con los dos ojos). Allí escribió su obra maestra: Mecánica analítica (1788), una especie de poema científico por su elegancia formal.

Legendre mantuvo una estrecha relación profesional con Laplace, quien solo era tres años mayor. Fue sistemáticamente ocupando los cargos que este iba dejando vacantes. En 1775 ocupó, gracias a D'Alembert, un cargo de profesor en la Real Escuela Militar de París y, en 1783, el puesto en la Academia que Laplace dejó libre al promocionar. Y así unos cuantos más. Sin embargo, no b hizo porque este le ayudara ni un ápice a prosperar. Laplace, que se aprovechó en varias ocasiones de las investigaciones de su colega sin ni siquiera citarlo, vetó su nombramiento para diversos cometidos a lo largo de su vida. Pese a todas esas trabas en su camino, Legendre ganó el premio de la Academia de Ciencias de Berlín en 1782. Tanto fue el éxito que Lagrange preguntaría por él en una carta dirigida al mismísimo Laplace. Se desconoce qué le contestó.
en las regiones más exteriores del sistema solar. El estudio de las desviaciones en la trayectoria de los planetas jugó un papel fundamental en la predicción de nuevos moradores de nuestro sistema antes de que el telescopio los vislumbrara. Partiendo de una inadecuación entre la posición de Urano predicha por la teoría de la gravitación y la realmente observada, se llegó a la conclusión de que tenía que estar causada por las perturbaciones de otro planeta aún más alejado. La predicción realizada por los astrónomos John Couch Adams (1819-1892} y Urbain Le Verrier (1811-1877) fue confirmada en la noche del 23 de septiembre de 1846 por el astrónomo Johann Gottfried Galle (1812-1910), del Observatorio de Berlín. Habla nacido Neptuno. Curiosamente, Le Verrier siempre pensó que las anomalías en el movimiento de Mercurio también podrían explicarse postulando otro nuevo planeta entre el Sol y Mercurio, llamado Vulcano, que perturbaría la órbita de este último. Sin embargo, la búsqueda sería infructuosa, aunque hubo quien creyó verlo confundido con una mancha solar. Hoy sabemos que para explicar el movimiento anómalo de Mercurio la mecánica de Newton no basta y hay que echar mano de la teoría de la relatividad de Einstein.


Su talento para la geometría, sin embargo, le brindó la posibilidad de darse a conocer entre sus superiores al resolver geométricamente el problema de la desenfilada, es decir, el problema de decidir cómo construir una fortificación para proteger del fuego enemigo una determinada posición, por lo que le concedieron un puesto de profesor. Aplaudió vivamente la llegada de la Revolución, dado que de esta forma caía el régimen que lo había discriminado por su origen social. Pero, además, fue un hombre comprometido hasta la médula con ella, y un bonapartista convencido: «Este furioso republicano, capaz de declarar desde la tribuna de los jacobinos al estallar la guerra que ofrecía sus dos hijas a los dos primeros soldados que fuesen heridos, era el más dulce da los hombres y tenía una verdadera adoración para conmigo», escribió de él, Napoleón. La caída del emperador, de quien recibió mil y un honores, marcó el propio declive de Monge. Moriría desengañado en 1818, al ver cómo se desmoronaba el mundo por el que habla luchado. En diciembre de 1989, coincidiendo con el bicentenario de la Revolución, sus restos mortales fueron trasladados al Panteón de Hombres Ilustres de París.

Jakob Bernoulli (1654-1705) estudió teología por insistencia de su padre, pero pronto la abandonó para ser profesor de Matemáticas en la Universidad de Basilea hasta su muerte. El hermano más Joven de Jakob, Johann (1667-1748), también quedó fascinado por las matemáticas, sucediendo a su hermano en el cargo ocupado en la universidad, aunque en vida las fricciones con él fueron constantes. Ambos hermanos tenían una naturaleza quisquillosa que les llevaba a enfrentarse por ser el primero en resolver los acertijos matemáticos. Así, el problema de la braquistócrona (la curva del descenso más rápido), planteado como un desafío para los matemáticos europeos, degeneró en una agria polémica sobre quién lo habla resuelto antes: si Jakob, Johann, Leibniz o Newton (quien lo resolvió tras un fatigado día de trabajo en la Casa de la Moneda londinense y lo hizo público anónimamente, pese a que, como dijera uno de los hermanos, al león se le reconoce por sus garras). Johann, el más pendenciero de los dos, terminaría echando de casa a su hijo Daniel (1700-1772), por haber obtenido un premio de la Academia Francesa al que aspiraba él mismo.

Si no existe, lo mismo da creer en él como que no. Pero si existe creer que no existe provoca la condenación eterna, mientras que creer trae la salvación y la gloria. Como la salvación es preferible a la condenación (la ganancia esperada es mucho mayor), una persona razonable actuará como si Dios existiera, aunque crea que la probabilidad de que exista es pequeña. La razón es que, aun cuando la probabilidad de la existencia de Dios sea extremadamente pequeña, tal pequeñez será supuestamente compensada por la gran ganancia que se obtendrá, o sea, la gloria eterna. En términos probabilísticos: mientras que la esperanza de no creer es siempre cero la esperanza de creer es positiva (porque el valor pequeño de la probabilidad de existencia de Dios se compensa al multiplicarlo por la ganancia infinita que se obtiene al creer).
Pronto sobresalió como profesor de Matemáticas, pero también de Filosofía, Historia o Retórica. Seleccionado como alumno de la Escuela Normal en el año III de la Revolución, Monge percibió rápidamente sus cualidades y lo nombró su asistente en la Escuela Politécnica. Excelente físico matemático, fue amigo de Napoleón y, al igual que Monge, lo acompañó en su expedición a Egipto. A su regreso se convirtió en prefecto de Grenoble, mandando drenar las marismas a fin de extirpar el paludismo. Fourier mantenía la curiosa opinión de que el calor del desierto era el ambiente ideal para una vida sana y. de acuerdo con ello, se envolvía en ropas como una momia y vivía en habitaciones demasiado calientes, Murió a los sesenta y dos años, en 1830.