
Un viaje a las ideas
Andrés Navas
A la memoria de mi primer gran maestro, Cecilia Saavedra Herrera (de la Escuela D174 República de Francia), quien, siendo heredera de la tradición del profesorado normalista, concebía la educación como un doble oficio de rigor y entrega sin límites. Mis agradecimientos por todas esas lecciones de las cuales era simplemente imposible olvidar nada, incluida una peculiar enseñanza matemática: «Para saber si un número es divisible por 7, basta dividirlo por 7».A la memoria de Ramón Correa Soto (uno de los valientes del Congreso de Catapilco; capítulo 23), quien a lo largo de toda su carrera trabajó incansablemente por el desarrollo de la matemática chilena, al punto de hacerme llegar, a pesar de la enfermedad que lo aquejaba, su lista de observaciones al original de este libro tan solo unos días antes de su partida.
A la memoria del matemático francés Jean-Christophe Yoccoz, un científico gigante (recompensado con una Medalla Fields en 1994) cuya extraordinaria humildad y gentileza desviaron el rumbo hacia nuestro país, el cual visitó en diversas ocasiones para dictar cursos, organizar conferencias y guiar estudiantes de doctorado (Juan Rivera-Letelier y Mario Ponce). Mis agradecimientos por esas tensas tardes de invierno en 2003 contemplando el volcán Licancabur por la ventana de un café en San Pedro de Atacama mientras mi tesis de doctorado se iba lentamente llenando con sus amables anotaciones en tinta de color rojo…
A la memoria de José Balmes (Premio Nacional de Artes Plásticas 1999), quien, en 1995, a petición del entonces presidente de la Sociedad de Matemática de Chile —Samuel Navarro—, pintó un cuadro[1] de inspiración matemática para promocionar la Olimpiada Iberoamericana de Matemáticas en Viña del Mar (uno de los ganadores de esa competencia para adolescentes fue Artur Ávila, quien diecinueve años más tarde se convertiría en el primer latinoamericano en ganar una Medalla Fields). En dicha ocasión, Balmes accedió a realizar tan curiosa obra argumentando que «tanto matemáticos como artistas estamos igual de locos». Unos días antes de su fallecimiento, dio su autorización para que su obra (reproducida abajo) pudiese aparecer en este libro.
«Gracias a la vida, que me ha dado tanto,
me dio el corazón, que agita su marco,
cuando miro el fruto, del cerebro humano…»
Violeta Parra

Difícil labor para nosotros. Atrapados en la vorágine de las reglas que rigen hoy la administración universitaria, con la eterna presión para publicar más y más artículos en revistas indexadas, y con la siempre urgente necesidad de adjudicarnos proyectos, de redactar informes, de evaluar y autoevaluarnos, de acreditar y acreditarnos, aquella que debiese ser una labor primordial —la difusión del conocimiento— ha ido quedando relegada cada vez más al estricto espacio otorgado a nuestras horas de clase. Increíble paradoja: en el período de la historia en que tenemos más medios para conectarnos unos con otros, la subvaloración de toda instancia comunicativa que rompa las reglas estandarizadas del trabajo académico es abismante. Así, nos resulta mucho más cómodo escribir extensos textos de estudio o largas guías de ejercicios para los estudiantes (por los que seguramente seremos recompensados) que grabar un video que contenga todo esto y subirlo a Vimeo o YouTube para hacerlo accesible a todo el mundo (acción por la cual un estigma de falta de seriedad caerá seguramente sobre nosotros). La divulgación científica se ve así empantanada por perniciosos elementos de la vida académica, a los que se suman la desidia de los estamentos involucrados.
Sin embargo, científicos de todo el mundo han tomado conciencia de este problema, y han incorporado la tarea divulgadora como una de sus misiones primordiales. Contraviniendo las convenciones que supuestamente debieran guiar sus carreras, desafiando la incredulidad e incomprensión de muchos colegas, y «sacrificando» una parte valiosa de su tiempo, han comprendido que son ellos quienes más tienen que decir sobre su propio saber y que, sobre todo, son ellos quienes mejor pueden transmitir su pasión, motor esencial de la ciencia.
¿Vale la pena replicar estas experiencias a escala local? Ciertamente que sí, pero con algo de prudencia. En el ejercicio de la divulgación científica, instintivamente se tiende a reproducir modelos que, pudiendo funcionar perfectamente en otras latitudes, no siempre contribuyen de igual manera en nuestro entorno más cercano. En un país de poca tradición científica como el nuestro, las teorías más elaboradas nos pueden parecer a veces un poco ajenas, especialmente si estas son el producto del trabajo realizado en regiones distantes. Así, para propiciar un acercamiento no basta solo con hablar de «la ciencia», sino que también es necesario hablar de «nuestra ciencia», sin olvidar que los actores principales de esta obra, los científicos, no somos entes inmaculados a través de los cuales se devela la verdad científica, sino que vivimos inmersos en una sociedad cambiante a la que debemos nuestro trabajo.
La tan vilipendiada matemática no ha escapado a esta ola divulgativa. Así lo constatan el trabajo pionero de Hassler Whitney y Martin Gardner en Estados Unidos y de los grandes equipos de divulgadores de la Rusia soviética (muchos de ellos cobijados bajo el alero de la labor descomunal ejecutada por Nikolay Konstantinov a lo largo de varias décadas). Más recientemente, así lo corroboran el trabajo de Hannah Fry, John Barrow, John H. Conway, Marcus du Sautoy y Simon Singh en Inglaterra; de Tadashi Tokieda en Japón; de Tianxin Cai en China; de Ali Nesin en Turquía; de Étienne Ghys y Cédric Villani en Francia; de Nikolai Andreyev en Rusia; de Marta Macho Stadler y Eduardo Sáenz de Cabezón en España; de Pablo Amster y Adrián Paenza en Argentina, y de tantos, tantos otros. Cada uno con su propio estilo, sello local y personalidad, y apuntando a audiencias diferentes, ha sido artífice de las primeras alegrías de cientos de jóvenes que en el futuro seguirán una carrera ya sea técnica o científica, así como del asombro de un público variopinto que se creía completamente ajeno a estos quehaceres. ¡Nada podría ser más gratificante!
Transmitir matemática no es una tarea sencilla, pues suele gozar de la peor reputación. Oscura, aburrida e inútil, son solo algunas de las cualidades que a menudo se le atribuyen. Sin embargo, nada de eso se condice con la realidad. La matemática es diáfana, pues es fuente reveladora de una verdad profunda, inmutable e inamovible. También es entretenidísima, pero lamentablemente es enseñada muchas veces en la escuela —y a veces incluso en la universidad— sobre la base de la mecanización y la memorización, las que aniquilan toda curiosidad, y no de la comprensión ni del encantamiento a través de la práctica. Finalmente, es quizás la más útil de todas las ciencias, pues, por una parte, sus métodos, conceptos y lenguaje son usados por todas las otras ciencias y, por otra, es utilizada cotidianamente en las más variadas instancias, que van desde un simple cálculo de vuelto en un almacén hasta el envío de satélites al espacio, pasando por el acontecimiento rutinario más sagrado en estos días: el funcionamiento del teléfono celular.
Este libro es un aporte más a la gigantesca tarea divulgativa de la matemática. Una parte importante de las 33 historias que siguen fueron publicadas en forma de columnas en el diario electrónico El Mostrador, aunque aquí son transcritas con un ligero trabajo editorial, el cual incluye actualizaciones, complementación de datos y algunas notas explicativas y comentarios anexos (encerrados en recuadros sombreados en celeste) para los más entendidos. Muchos de los relatos restantes se articulan en torno a los primeros y, en general, tienen una extensión mayor por ser más informativos; además, ellos aparecen por primera vez en este libro, salvo excepciones ya publicados en otros medios más especializados, como los sitios electrónicos de divulgación RedCiencia (dependiente de Conicyt, Chile) e Images des Mathématiques (dependiente del CNRS, Francia). Aunque la organización tiene un carácter temático (y no sigue necesariamente el orden cronológico de la publicación y/o producción original), los capítulos son esencialmente independientes unos de otros, por lo que pueden ser leídos casi en cualquier orden (varias referencias cruzadas entre ellos son explícitamente mencionadas). Hay capítulos para todos los gustos: algunos largos y otros muy cortos, unos novelescos y otros un poco más técnicos, unos cuantos sencillos y otros más complejos, varios divertidos (o, al menos, espero que lo sean) y algunos bastante duros y trágicos. La lectura puede hacerse, además, en distintos niveles de profundidad, por lo que no debe desanimarse en el camino: a través de las siguientes páginas, entre muchas otras cosas, usted podrá sorprenderse con la geometría escondida en los diseños de la bandera de la Independencia de Chile, los balones de fútbol y el Estadio Olímpico de Múnich, aprenderá de embaldosados, cuasicristales y obras de Escher, vislumbrará teorías matemáticas modernas (como la geometría no euclidiana, la topología o la teoría del caos), se enterará de qué se hace en una conferencia de matemática y por qué no existe un Premio Nobel para esta ciencia, y sobre todo, descubrirá que muchos matemáticos han vivido (y a veces sufrido) intensamente la época en que les tocó existir.
Si bien algunos pasajes del libro pueden parecer un poco densos, aquello no necesariamente es atribuible a mi falta de capacidad para transmitir ideas de manera coloquial. En efecto, a menudo estas ideas no son infinitamente simplificables, pues hay un nivel mínimo desde el cual un concepto primario debe ser reconocido. Por esta razón, haber tratado de rebasar cierto límite didáctico hubiese puesto en riesgo la sustancia del texto. Como consecuencia, no es esperable que absolutamente todo lo aquí escrito sea comprendido en una primera lectura, e incluso en una relectura. De hecho, la elaboración de varios capítulos me significó, en algunas ocasiones, largos procesos de estudio y reflexión. En este sentido, sería más bien esperable que este libro despierte su curiosidad animándolo a investigar más allá de lo expuesto. No existe excusa: con un simple clic de búsqueda en internet, se puede rastrear un tema por medio de un par de «palabras clave», y un vendaval de información estará a disposición. A modo de ejemplo, y en relación con el primer capítulo, pruebe con «división áurea», y —al año 2016— tendrá nada menos que 371 000 entradas en Google, incluyendo 155 000 relacionadas con banderas, y 25 400 específicas para la bandera de Chile, incluyendo la página de Wikipedia.
Para orientar un poco la navegación virtual en torno al libro, hemos añadido a nuestras referencias varios de estos documentos, incluyendo —entre otros— artículos accesibles en la web y videos en Vimeo y YouTube. Evidentemente, no reclamo autoría sobre ninguno, sino que simplemente me he servido de ellos en el espacio de libertad que nos confiere la red. Muy probablemente, habrá quienes teman por la eventual caducidad de estos archivos y critiquen este estilo poco ortodoxo para dar referencias. Para soslayar este problema, un repositorio quedará disponible desde el sitio de Facebook «Un viaje a las ideas», al cual dejo extendida una invitación abierta a adherirse y discutir en mayor profundidad los contenidos aquí presentados.
Capítulo 1
La dimensión hermosa y desconocida de la primera bandera de Chile



Por mandato de Bernardo O’Higgins, la elaboración de la bandera de la Patria Nueva fue responsabilidad de José Ignacio Zenteno, quien al parecer encargó el diseño al español Antonio Arcos (hay quienes señalan que este fue realizado por otro español: Gregorio de Andía y Varela), siendo la confección de la primera de ellas obra de Dolores Prats de Huici (algunos mencionan a las hermanas Pineda de Concepción). Si bien la estructura y los colores son similares a los de hoy, varios detalles distintivos llaman la atención. Primeramente, constaba de dos escudos diferentes al centro (uno por cada lado). Por otra parte, dentro de la estrella pentagonal incorporaba una de ocho puntas, la guñelve, que en la tradición mapuche representa al planeta Venus y que fue usada por Lautaro en su pendón de guerra. Pero las diferencias no se detienen allí: las dimensiones de esta bandera eran muy distintas a las de la actual, pues estaba concebida en función de la razón áurea. Si bien no se dispone de ningún documento oficial al respecto, algunas personas se han interesado en el tema. Una de ellas es Gastón Soublette, quien exhibió varios de estos aspectos en su hermoso libro La estrella de Chile (1984). Sin embargo, consideraciones conceptualmente más actualizadas y mediciones más acabadas permiten corregir algunos errores y desentrañar completamente el diseño, de una belleza y elegancia geométricas deslumbrantes.
En primer lugar, el alto de la bandera se divide horizontalmente en dos partes iguales: la inferior para el campo rojo, y la superior para los campos blanco y azul. La proporción entre los largos de los campos blanco y azul es exactamente φ. En el campo azul, la proporción entre el alto y el largo es igual a


Si se traza ahora la horizontal media del campo azul, por el centro del rectángulo pasarán cinco líneas que forman consecutivamente ángulos de 36°. De esta forma, eligiendo alternadamente cinco puntos en estos trazos sobre una circunferencia basada en el centro, tendrá los vértices de una estrella pentagonal totalmente regular, con una inclinación dinámicamente sugerente hacia los vértices del campo azul. Un último detalle: la magnitud de la circunferencia parece haber sido escogida de modo que la razón entre el alto del campo azul y el diámetro de esta sea nuevamente igual a φ.


«Una chingana», ilustración del naturalista francés Claudio Gay en su obra Atlas de la historia física y política de Chile, publicada en Francia en 1854. Si bien la bandera carece de los escudos y la guñelve, su diseño geométrico parece ser el mismo del de la bandera de la Independencia.
Nacía así una bandera que, comparada con la original, no puede sino parecernos rígida, simplista y despojada de simbolismo. Desaparecía con esto la «primera estrella de Chile», aquella diseñada magistralmente como un emblema del portentoso destino que para nuestra patria soñaron nuestros próceres. ¿No será esto una pequeña metáfora de nuestra historia?

A la izquierda: fotografía de la bandera elaborada y portada por el obrero Enrique Rhodes Illescas, quien se enroló en el Ejército para la Guerra del Pacífico y participó en varias batallas. A la derecha: fotografía de la bandera que portaban las huestes que tomaron el Morro de Arica. La primera bandera es conservada en el Museo Marítimo Nacional de Valparaíso, y la segunda en el Museo Histórico y de Armas de Arica. Claramente, el diseño geométrico de ambas corresponde al de la bandera de la Independencia, lo que muestra que este era un conocimiento que aún perduraba hacia el año 1880.

La bandera de la Independencia se conserva en el Museo Histórico Nacional. En 1980 fue secuestrada por el Movimiento de Izquierda Revolucionaria (MIR), simbolizando con ello el secuestro del ideario republicano que llevó a cabo la dictadura. Fue devuelta en 2003 por la Agrupación de Familiares de Detenidos Desaparecidos —con intermediación del equipo de The Clinic— y restaurada en 2009. Lamentablemente, ninguna de las restauraciones a las que ha sido sometida —y de las cuales no se cuenta con una bitácora completa— ha tenido especial cuidado con su extraordinario valor geométrico, de modo que sus dimensiones actuales son ligeramente diferentes a las de su concepción original.

La bandera de la Independencia tal cual es conservada hoy en el segundo piso del Museo Histórico Nacional (ubicado frente a la Plaza de Armas de Santiago y de acceso gratuito).
Apéndice: para los amantes del olvidado arte de la regla y el compásCon la ayuda de un aprendiz y una simple cuerda, todo buen maestro constructor suele ejecutar las dos maniobras básicas de la geometría euclidiana: trazar rectas (extendiendo la cuerda) y dibujar circunferencias (haciendo girar una cuerda extendida y manteniendo uno de sus extremos fijo). Fueron estos simples procedimientos los que permitieron que culturas ancestrales pudieran erigir, con gran exactitud, templos, pirámides y otros monumentos en pacientes faenas que solían durar siglos e involucraban a varias generaciones. De allí nació con toda naturalidad la «geometría de la regla y el compás», hoy en día injustamente desdeñada y ausente de la formación escolar. Para quienes sienten nostalgia de ella, estos serían los pasos para construir la bandera de la Independencia usando tan nobles herramientas:
- Sea AB un trazo horizontal de un largo cualquiera, el cual será considerado como nuestra unidad de medición.
- Levante la perpendicular a AB en A y sobre esta marque P, de modo que AP = AB/2.
- Sobre la prolongación de AP marque el punto Q, de modo que PQ = PB (no es difícil constatar que la longitud de AQ es igual a φ veces la de AB).
- Sean B’, B’ puntos sobre la extensión de AB tales que AB’ = BB’ = AQ.
- Sea R el punto en que se intersecan la circunferencia de centro A y radio AQ con la circunferencia de centro B’ y radio AB y que está por encima de la recta AB.
- Sea C el punto de intersección de AR con la perpendicular a AB levantada en B.
- Sea D el punto de intersección de AQ con la perpendicular a BC por C.
- Sea O el punto de intersección de AC con BD.
- Trace la paralela a AB y CD pasando por O. Denote S1 y S2 los puntos de intersección de esta paralela con AD y BC, respectivamente.
- Refleje copiando el ∢ AOS1 sobre el lado AO con vértice 0, y llame T1 al punto de intersección del lado libre con AB. Haga lo mismo con el ∢ BOS2, llamando T2 al punto de intersección del lado libre con AB.
- Llame T3 y T4 a los puntos de intersección con CD de las prolongaciones de T 1O y T2O, respectivamente.
- Marque Q1 en AC, de modo que AQ 1 = AD.
- Una B’ con Q1 y trace la paralela a B'Q1 pasando por B. Denote por Q 2 al punto de intersección de esta paralela con AC.
- Marque el puntó medio Q3 de AQ 2. Luego, trace la circunferencia de centro O y radio AQ3, y llame R 1, R2,…, R10 a los puntos de intersección de esta con OS2, OC, OT3, OT4, OO, OS 1, OA, 0T1, 0T2 y OB, respectivamente.
- Una R2 con R6, luego R6 con R10, posteriormente R10 con R4, luego R4 con R8, y finalmente R8 con R2 (la estrella se obtiene de estos segmentos eliminando los trazos centrales).
- Prolongue DC hacia la derecha y marque el punto P 1, de modo que DP1 = AB’.
- Una P1 con B’ y, en la prolongación del trazo, marque el punto P2 tal que P 1B’ = B’P2.
- Trace la perpendicular a P1 P 2 en P2, e interséctela con la prolongación de DA en un punto P3.
- Para concluir, pinte de rojo el rectángulo AB’P 2P3 y de blanco el rectángulo BB’P1C y la estrella determinada por R2, R4, R6, R 8, R10. Finalmente, pinte de azul el rectángulo ABCD menos la estrella.
Capítulo 2
Sobre ángeles y demonios:
Matemática, arte y placer


La sala de las Camas del Baño de Comares, en la Alhambra, está plagada de diseños geométricos (no olvidemos que la palabra «azulejo» proviene del árabe: al-zillij). Lleva, además, la siguiente inscripción: «No hay vencedor sino Allah».

Iconografía diaguita, tomada del libro Arte y Cultura Diaguita Chilena: Simetría, Simbolismo e Identidad, de la arqueóloga Paola González (Ucayali Editores Ltda, Santiago, 2013; p. 117).
En 1891, el científico ruso Evgraf Fedorov describió la lista de todos los grupos de repetición posibles, constatando la existencia de exactamente diecisiete. Este resultado fue redescubierto por el matemático húngaro George Pólya en 1924, quien en un artículo de investigación lo ilustró de una manera muy especial y con una nomenclatura no menos llamativa. Observe que cada decoración presenta elementos que la hacen intrínsecamente distinta a las otras. Por ejemplo, si bien la última admite rotaciones de 60°, la penúltima solo admite rotaciones en 120°: los grupos subyacentes son, por lo tanto, diferentes.



El «mundo hiperbólico» se reduce a un disco en el cual el borde está «en el infinito», y donde los caminos más cortos entre dos puntos (las «líneas geodésicas») son arcos de circunferencia como los que aparecen en el logo de editorial Planeta. Girando este disco en torno a su centro obtendrá más de estas geodésicas.
Arte y matemática tienen una sincronía muchísimo más rica que lo que se suele creer, la cual ha sido explorada a lo largo de la historia por diversas culturas. Por ejemplo, en el mundo islámico, el desarrollo artístico de la geometría nació naturalmente como un camino para acercarse a la divinidad; esto como resultado del impedimento político-religioso de representar la figura humana, la de seres vivos y, muy especialmente, la de Dios.
Pero no se trata solo de historia, sino también de presente y de futuro, pues la interacción entre arte y matemática puede dar lugar a una infinitud de experimentaciones. Es así como incluso el arte erótico ha comenzado a apoderarse de la idea de repetitividad, tal como queda ilustrado en la reproducción de más abajo de la obra Siluetas de amor a la luz de la luna, del artista brasileño Fernando de la Rocque (que no deja de tener ciertas reminiscencias de las esculturas de Kahurajo en la India). Por simple deleite, se exhibe también una versión en geometría hiperbólica, obtenida a partir del original mediante un programa computacional ideado y gentilmente ejecutado para este artículo por el matemático, ingeniero y diseñador belga Jos Leys. Ciertamente, nuevas experimentaciones con esta técnica son aún posibles…


Arriba: Siluetas de amor a la luz de la luna, de Fernando de la Rocque. Abajo: la misma obra modificada computacionalmente, a través de la geometría hiperbólica, por Jos Leys. Una versión simplificada del programa empleado está disponible en este link. Mediante este, usted puede transformar, por ejemplo, su foto de perfil de Facebook o de WhatsApp en un precioso «mandala hiperbólico» y sorprender a sus «contactos».
Capítulo 3
El triunfo de los hexágonos

Increíblemente, lo que para Pappus y Darwin era evidente (y estaba anclado en la vida de las abejas desde tiempos milenarios) no tuvo confirmación científica cabal sino hasta hace muy poco. En 1943, un avance fundamental fue logrado por el húngaro László Fejes Tóth, quien probó la imbatibilidad de los hexágonos regulares en comparación con cualquier combinación de regiones convexas (es decir, regiones en las que todo trazo que une dos puntos queda enteramente contenido en ellas). Pero, eventualmente, podían haber regiones aun mejores que fuesen no convexas. Esta posibilidad fue descartada recién en 1999 por Thomas Hales, por aquel entonces en la Universidad de Michigan.

A la izquierda: la Calzada del Gigante. A la derecha: el salar de Uyuni, en Bolivia.

En fin, mientras nadamos en este tormentoso mar de dudas, desde el fondo seguirán emergiendo los hexágonos, con una leve sensación de triunfo. Y si este tipo de divagaciones no le estimula no importa: de todas formas, continuará viendo hexágonos en su diario vivir por bastante tiempo, ya sea en construcciones, enrejados u ornamentaciones. Para comenzar a convencerse, tan solo mire atentamente esta fotografía (le será familiar):

El uso —más bien reciente— de patrones hexagonales en mallas permite ahorrar material, de acuerdo con la sabia «inteligencia de las abejas». Además, para los arcos de fútbol, evita de mejor manera que la pelota atraviese la red (en caso de gol, ciertamente).
Capítulo 4
El regreso de los pentágonos



Arriba: puesto que la suma de los ángulos internos de cualquier triángulo es 180°, una disposición adecuada de este permite tapizar el plano. Abajo: embaldosados por cuadriláteros, el segundo de los cuales se obtiene gracias a una feliz «coincidencia total de cóncavo y convexo».

En el «embaldosado de El Cairo»: grupos de cuatro pentágonos se ensamblan formando hexágonos.

En esta familia de pentágonos se cumple b = c, d = e, y los ángulos en B y D miden 90°.
El resultado anunciado se revelaba entonces incorrecto. Pero la historia daría para mucho más. La nota de Gardner llegó también a las manos de Marjorie Rice, quien no tenía ningún tipo de formación científica, pero sí una curiosidad colosal. Las llamativas ilustraciones de la revista (dirigida por correo a su hijo) llamaron poderosamente su atención, inspirándola y motivándola a trabajar para entender lo propuesto allí. Recurriendo solo a los vagos recuerdos de sus lecciones de geometría del liceo, desarrolló técnicas y notaciones especiales para tratar el problema. El resultado fue espectacular: entre 1976 y 1977, logró descubrir nada menos que otros cuatro grupos de pentágonos que no estaban en la lista de Kershner. Con esto, íbamos ya en trece familias pentagonales.
Algunos años más tarde, en 1985, Rolf Stein dio con un embaldosado pentagonal más. La particularidad del pentágono asociado es que no pertenece a una familia grande, sino que tiene medidas angulares muy precisas (A = 90°, B ~ 145,34°, C ~ 69,32°, D ~ 124,66°, E ~ 110,68°). Hasta ese instante, la lista llegaba a los catorce tipos de pentágonos. El problema quedaría prácticamente enterrado y sin ningún avance por mucho tiempo.

El pentágono de Rolf Stein.


La lista de las quince familias de pentágonos que embaldosan el plano conocidas hasta hoy. La cuarta es aquella a la que pertenece el embaldosado de El Cairo y la última es la del pentágono descubierto recientemente. A principios del 2017, Michaël Rao, de la Escuela Normal Superior de Lyon, anunció haber corroborado computacionalmente (capítulo 32) que no existe ningún pentágono convexo que embaldose el plano que no esté contemplado en esta lista de quince familias. Sin embargo, su trabajo no ha sido validado aún por la comunidad internacional.
Se trata, sin duda alguna, de otro acertijo intimidante en un camino que, hasta ahora, ha estado plagado de muchos aciertos y demasiados errores.

Un mismo pentágono puede embaldosar de manera periódica (a la izquierda) y no periódica (a la derecha). Observe, sin embargo, la simetría rotacional para la configuración de la derecha.
Capítulo 5
Los cuasicristales: una historia de química, matemática, meteoritos, arte islámico y papel tisú

Una imagen obtenida por difracción a partir de uno de estos cuasicristales está ilustrada al inicio de este capítulo. Observando con atención, notará que la imagen no se copia a sí misma bajo ninguna traslación. Es más, si dispusiéramos de una imagen que cubra una porción mayor del material, seguirá cumpliéndose esta propiedad de no replicación por traslación, sin importar el tamaño de la muestra.
Sin embargo, los motivos de la muestra sí se repiten infinitas veces de manera «cuasiperiódica». Más precisamente, la configuración de cualquier porción finita de la imagen aparecerá copiada dentro de toda región que tenga un tamaño lo suficientemente grande. Es como si la imagen quisiera «autocopiarse» en infinitas direcciones, pero no lo lograra nunca.
Las estructuras geométricas abstractas que verifican esta propiedad eran conocidas en matemática desde antes del descubrimiento de Shechtman. En particular, tras el trabajo pionero de 1961 del especialista en lógica Hao Wang, cinco años más tarde, Robert Berger descubrió una familia de 20 426 polígonos que no logran cubrir el plano con repetición traslacional, pero sí cuasiperiódicamente. Esta construcción fue brillantemente simplificada por el célebre físico y matemático Roger Penrose, quien, entre 1973 y 1974, construyó embaldosados cuasiperiódicos usando tan solo dos piezas (los cuales fueron descubiertos independientemente por el matemático aficionado Robert Ammann unos meses después). En uno de ellos —ilustrado más abajo— las piezas tienen formas rómbicas: una está formada por dos triángulos de ángulos 36°, 72° y 72° (triángulos áureos) pegados a lo largo del lado menor; la otra, por dos triángulos de ángulos 36°, 36° y 108° (gnómones áureos) pegados a lo largo del lado mayor (capítulo 1). Estas dos figuras están escaladas adecuadamente para que sus lados iguales midan exactamente lo mismo, de modo que puedan acoplarse unas con otras siguiendo reglas muy precisas.

A la izquierda: los rombos utilizados en el embaldosado de Penrose. A la derecha: las reglas de encaje del embaldosado de Penrose prohíben la aparición de esta configuración regular, la cual es reminiscente del diseño de la bandera de la Independencia de Chile (capítulo 1).

Embaldosado de Penrose: configuración cuasiperiódica formada por solo dos piezas. No intente encontrar una dirección de desplazamiento en la cual la figura se repita: cada vez que crea haber hallado una, notará después que hay piezas que rompen la simetría traslacional. De hecho, puede pasar horas contemplando porciones cada vez más grandes de este embaldosado, pero constatará la no repetición traslacional de cada una de ellas.
Este aspecto no es menor pues, de acuerdo con una ley llamada «restricción cristalográfica», si una configuración que cubre el plano se repite traslacionalmente en varias direcciones, entonces solo puede tener simetrías rotacionales de orden 2, 3, 4 o 6. De este modo, las rotaciones de orden 5 están prohibidas para los cristales, pero autorizadas para los cuasicristales.
Hasta el día de hoy no se ha encontrado ningún cuasicristal sobre la faz de la Tierra y oriunda de ella. Sin embargo, dichas estructuras existen en el universo de manera natural, tal como lo revelaron los restos descubiertos en 2012 de un meteorito caído en las montañas de Koryak en Siberia. De alguna manera, condiciones similares a las del laboratorio de Shechtman son (o, al menos, fueron) replicadas en alguna región del espacio exterior.
De la misma forma que la propia naturaleza había anticipado el trabajo de Shechtman, la invención de Penrose estuvo precedida por la sabiduría de tiempos ancestrales. Así lo reveló el trabajo del año 2007 del entonces estudiante Peter J. Lu, en conjunto con el físico Paul Steinhardt, quienes constataron que en ciertos períodos de la cultura islámica fueron elaboradas en Persia —actual Irán— configuraciones que cumplen las propiedades de cuasiperiodicidad y no repetitividad por traslaciones. Sin duda alguna, el ejemplo más espectacular corresponde a la del templo Darb-i Iman («la puerta del profeta»), ubicado en la hermosa ciudad de Isfahán, cuya construcción y decoración datan del siglo XV. Sorprendentemente, quienes realizaban este tipo de obras de decoración eran considerados simples obreros y figuraban en lo más bajo del escalafón social.

Decoración del templo Darb-i Iman: configuración cuasiperiódica que, si bien evidencia una simetría de reflexión respecto de la línea central, no presenta ninguna simetría traslacional.
De manera más terrenal, podemos preguntarnos también a quién «pertenecen» estas estructuras. Paradójicamente, el mismo Penrose se vio envuelto en una insólita discusión al respecto. En 1995, ante el otorgamiento de una patente comercial al experto en computación Roger Schlafly por el descubrimiento de dos nuevos números primos y sus eventuales aplicaciones prácticas, había reaccionado molesto señalando que «la matemática existe para todos». Sin embargo, distinta fue su reacción cuando en 1997 llegó a sus manos un rollo de papel tisú Kleenex, cuyo diseño replicaba uno de sus embaldosados (supuestamente, esto lo hacía más llamativo pues evitaba que los pliegues del papel mullido se superpusieran uno sobre otro de manera repetitiva, creando una impresión ligeramente desagradable a la vista y al tacto). Insólitamente, se produjo una disputa en la corte de justicia por derechos de propiedad intelectual, en la que se enfrentaron Penrose y su propia firma, Pentaplex Limited, contra la empresa Kimberly Clark Limited, que había tomado el control de la producción del papel Kleenex. Por fortuna, al final primó la cordura y ambas partes llegaron a un acuerdo de colaboración. Gracias a esto, podremos seguir disfrutando de minutos placenteros contemplando la no repetitividad de un bello papel tisú.

Capítulo 6
Cortando y pegando (y comiendo) chocolate






Muchos otros argumentos sencillos permiten probar el teorema de Pitágoras. Uno de ellos es obra nada menos que de Leonardo da Vinci, y otro del presidente de Estados Unidos James Garfield. En el sitio Pythagorean Theorem , usted hallará más de un centenar; muy recomendable es la explicación número 117.
El argumento de Bolyai, Gervien y Wallace puede ser fácilmente implementado en situaciones concretas, como lo muestra el sitio interactivo Scissors Congruence . Así, guillotinando una esvástica (símbolo iconográfico de diversas culturas ancestrales, incluida la mapuche) y jugando con las piezas resultantes, podemos rápidamente formar una hermosa paloma.

He aquí otra preciosa fórmula de áreas (creada por el matemático austríaco Georg Alexander Pick) que data de 1899, pero que lamentablemente está ausente de nuestra bitácora escolar (aunque sería de gran utilidad para la PSU). Según Pick, si un polígono tiene «puntos enteros» como vértices (mejor dicho, puntos de coordenadas enteras), entonces su área es igual a la cantidad de puntos enteros en su interior menos uno, más la mitad de los puntos enteros que quedan en su borde:Área = interiores − 1 + borde/2
Si no lo cree, haga la prueba con las figuras expuestas abajo. Si se convenció, ahora resta saber por qué es cierta: en el número 1 del año 3 de la Revista del Profesor de Matemática(disponible gratuitamente) hallará una demostración.
Hasta aquí solo nos hemos detenido a analizar figuras planas. Una interrogante surge entonces de manera natural: ¿puede hacerse algo similar con cuerpos geométricos tridimensionales? Sorprendentemente, esta pregunta inocente en apariencia resulta no ser tan sencilla.


A la izquierda: el área de un triángulo es la mitad del producto de su base por su altura, pues coincide con la mitad del rectángulo correspondiente. A la derecha: la fórmula análoga del volumen de un poliedro no puede ser establecida por un método similar; la verificación de su validez requiere inexorablemente el uso del cálculo diferencial (o de alguna herramienta similar).
¿Y si volvemos entonces al mundo bidimensional pero consideramos cortes no necesariamente rectos? En este contexto, nos encontramos cara a cara con una verdadera pesadilla de los matemáticos de la antigüedad: el problema de la cuadratura del círculo (esto es, construir, usando solo una regla —no numerada— y un compás, un cuadrado de área igual a la de un círculo dado). En la antigua Grecia se había hecho un progreso que se creía llevaría a su solución. En efecto, aunque no se conserve ninguna de sus obras, se sabe que Hipócrates de Quíos (no confundir con Hipócrates de Cos, el padre de la medicina) había observado lo siguiente: si sobre la hipotenusa de un triángulo rectángulo de catetos iguales se construye una lúnula como en la figura siguiente, entonces su área es igual al área del triángulo.

En la construcción de la lúnula de Hipócrates, la circunferencia externa debe estar centrada en el punto medio del cateto: las áreas pintadas de azul son iguales.

La suma de las áreas de las lúnulas naranjas (L1 y L2) es igual a la suma de las áreas de las semicircunfencias en a y b (S a y Sb, respectivamente) menos la de la semicircunferencia Sc en c más el área Δabc del triángulo. En «fórmulas», esto es: L1 + L2 = Sa + Sb − Sc + Δabc = πa2 + πb2 − πc2 + Δabc
Pobre da Vinci, murió creyendo en un imposible.
Capítulo 7
La multiplicación de los panes y de los peces

• Todo lo anterior es absurdo, pues la cantidad de palabras en cuestión sería infinita y, por lo tanto, el diccionario de todas las palabras no puede tener materialidad alguna.Muy bien, pero, ¿habrá alguna forma de conferir una geometría a esta paradoja? Tal fue la pregunta que se hicieron a inicios del siglo XX el alemán Felix Hausdorff y, posteriormente, los polacos Stephan Banach y Alfred Tarski. Basándose en una idea del primero, los dos últimos dejaron estupefacto al mundo académico cuando, en 1924, anunciaron el siguiente teorema: «Una pelota de cualquier radio puede ser descompuesta en una cantidad finita de partes que, al ser reensambladas, originan dos pelotas del mismo radio que la original». La matemática conseguía probar así que la Biblia tiene razón: ¡el milagro de la multiplicación de los panes y de los peces (o, en nuestra formulación, de las pelotas) es factible!
• Esto es una total estupidez, pues no se puede crear masa a partir de la nada.Sin embargo, en nuestra elucubración debemos desprendernos de toda consideración física. La masa, los átomos, las moléculas, el vacío, la nada, todas son nociones que deben estar ausentes de nuestro raciocinio ya que, en el universo matemático, el espacio está compuesto de puntos que son indistinguibles unos de otros. Es en parte por esta razón que los caminos de la lógica pueden llevar a la matemática hacia terrenos insospechados, los que a veces la alejan de la realidad física.
• Bien, pero el concepto de volumen sí es matemático, y la afirmación de Banach y Tarski implica la creación de volumen, lo cual sigue siendo absurdo.Buen argumento, pero justamente lo que se está revelando es que no se puede asignar un volumen a todos los subconjuntos del espacio. Las partes en que debe ser dividida una bola para equirrepartirla en dos bolas de igual radio a la original son complicadísimas «nubes» de puntos que no poseen volumen. Entiéndase bien: no se trata de que su volumen sea igual a cero, sino de que simplemente ¡no tienen volumen!
• Muy bien, ahora puede parecer verosímil, pero ¿cuáles son, por ejemplo, las partes en las que se descompone una pelota de radio 1 que se reensamblan en dos pelotas del mismo radio?Muy perspicaz pregunta. De hecho, resulta imposible dar una descripción explícita de los conjuntos involucrados. Hacerlo contravendría uno de los cimientos lógicos sobre los cuales reposa gran parte de la matemática y que preferimos no poner en cuestionamiento. Esta piedra angular, a la que denominamos «axioma de elección», corresponde a una cierta potestad huidobriana de «pequeños dioses» que nos autoconferimos y que dice simplemente que, si tenemos familias de conjuntos, entonces podemos escoger un miembro de cada una de ellas. A grandes rasgos, las partes involucradas en la descomposición de Banach-Tarski de una pelota corresponden a elecciones abstractas en familias de puntos infinitas, lo cual les da un aspecto «nebuloso» e impide que se las pueda describir verbalmente. Hacerlo provocaría, simplemente, un colapso del universo lógico…
Aunque el axioma de elección puede parecer evidente, lo cierto es que no lo es cuando hay infinitas familias de conjuntos involucradas, y ellas son además infinitas. De hecho, ha habido quienes —los así llamados «intuicionistas»— lo han puesto en cuestionamiento y han desarrollado una matemática «paralela» en la cual deja de tener validez, y en la que la descomposición de Banach-Tarski es imposible.
• Bien —suena intimidantemente convincente—, pero, ¿puede hacerse lo mismo con un círculo del plano en lugar de una pelota?Otra perspicaz pregunta; para ella, la respuesta es negativa. Un aspecto crucial de la construcción de Banach y Tarski consiste en explotar la riqueza de los movimientos rígidos del espacio tridimensional, que son muchísimo más complejos que los del plano. A modo de ejemplo, dos rotaciones del plano centradas en un mismo punto siempre están relacionadas, pues si aplicamos una y luego la otra obtenemos el mismo resultado que si invertimos el orden de aplicación: «el orden de los factores no altera el producto».
Sucede que en el espacio tridimesional esto deja de ser verdad. Si bien las rotaciones con un eje común están relacionadas como anteriormente, existen pares de rotaciones que no tienen relación alguna entre ellas. Es como si, al considerar el diccionario geométrico cuyas palabras corresponden a elecciones al azar entre una y otra rotación, todas esas fuesen distintas, y no se tuviese por ejemplo la relación ab = ba de las rotaciones del plano centradas en un mismo punto. Así, para las rotaciones en tridimensionales, ¡el orden de los factores sí altera el producto!

La rotación de ángulo α en un plano horizontal y de ángulo β en un plano vertical representadas más arriba no verifican ninguna relación algebraica si α y β son bien escogidos (y «poco convencionales»). Esto se cumple, por ejemplo, si α = β coinciden con el ángulo descrito en la figura de abajo, el cual —medido en grados— es irracional.


A la izquierda: Stephan Banach. A la derecha: Alfred Tarski.
Tarski tuvo «mejor» suerte. Pese a que buena parte de su familia pereció en la guerra (su ascendencia era judía), logró emigrar a Estados Unidos en 1939. Dictó clases en Berkeley y Harvard, desde donde cimentó una escuela de lógica y filosofía de enorme trascendencia. Entre sus discípulos se cuenta un chileno, Rolando Chuaqui, quien, aunque defendió una tesis en probabilidades dirigida por el matemático de ascendencia africana David Blackwell, fue profundamente influenciado por su obra. La conjetura de Chuaqui, resuelta por el polaco Piotr Zakrzewski en 1991, era una suerte de afirmación recíproca de la paradoja de Banach-Tarski: someramente, el que un objeto no admita una descomposición paradojal implica que a todos sus subconjuntos se les puede asociar un volumen apropiado. En memoria de Chuaqui se celebran cada año las jornadas homónimas de filosofía. Además, con su nombre fue bautizado el edificio de la Facultad de Matemática de la Pontificia Universidad Católica de Chile, diseñado por Alejandro Aravena.
Fue de esta forma que las ideas de Tarski, al igual que las de un buen maestro y profeta, se fueron multiplicando por el mundo entero como panes y peces.
Capítulo 8
El día en que casi le robaron los decimales a π

Para tan singular relato, recordemos primeramente quién es nuestro personaje. La letra griega π se destina para designar al número que corresponde al largo de una cuerda con forma de una circunferencia perfecta de diámetro 1 si la cortamos en un punto y la disponemos completamente estirada. Si el diámetro de la circunferencia no es igual a 1, no hay mayor complicación: su longitud es π veces su diámetro. Además, el área encerrada por esta circunferencia es π veces el cuadrado de su radio.
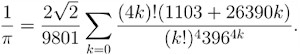
Siendo tan claro el significado de π, resulta natural preguntarse por qué se usa una letra para designarlo, y no se entrega su valor exacto. El problema radica en que para escribir este valor necesitaríamos de infinitas cifras decimales. Peor aún, no hay ninguna regla sencilla que permita producir los decimales de π uno tras otro. Es así como, en la práctica, se trabaja con valores aproximados de este número, siendo 3,14 y 3,1415 los más utilizados. Si quiere una mejor aproximación, pruebe memorizar
π = 3,1415926535897932384626433832795028841971693…
Los antiguos helénicos ya vislumbraban este problema. Así, Arquímedes de Siracusa trabajaba con otra aproximación, esta vez en forma de fracción:22/7 = 3,142857142857142857…
En la India clásica, Aryabhata trabajaba con la aproximación correcta a cuatro dígitos decimales. Sin embargo, tanto Arquímedes como Aryabhata estaban plenamente conscientes de que estos no correspondían al valor exacto de π, aunque sus esfuerzos para entender completamente este número, así como los de cientos de personas en los siglos posteriores, fueron infructuosos. Hubo que esperar hasta el siglo XVIII para que el matemático francés Johan Lambert probara que la expresión decimal de π no puede tener ninguna periodicidad. A los números con esta propiedad la matemática los llama «irracionales», no por sus características «psicológicas», sino porque no son expresables como fracciones (es decir, no son cocientes, o «razones», entre números enteros).Por mucho tiempo, el concepto de número solo abarcaba el ámbito de los racionales. Sin embargo, los pitagóricos pronto notaron algo extraño: si el lado de un cuadrado mide 1, entonces, de acuerdo con el teorema de Pitágoras (capítulo 6), el cuadrado de la medida de su diagonal debe ser igual a 1 2 + 1 2 = 2. No obstante, el cuadrado de ningún número racional puede ser igual a 2. En efecto, si para un par de enteros positivos sin factores en común se tuviese la igualdadm2 / n2 = 2
entonces m tendría que ser par y n impar, y por lo tanto m2 sería múltiplo de 4, pero no así 2 n2 . Sin embargo, esto es absurdo, pues (tal como se deduce de la igualdad de arriba) debe cumplirse m2 = 2 n2 .
Este descubrimiento dejó estupefactos a los pitagóricos. Como en su concepción los números debían ser todos «conmensurables a la unidad» (es decir, racionales), no podían entender qué acontecía. Incluso, se cuenta que prohibieron estrictamente hablar del tema a quienes no formaran parte de su comunidad hasta que no lograran descifrar el misterio; se dice, además, que un miembro de la escuela que no respetó esta orden, un tal Hípaso de Metaponto, fue lanzado al mar desde un barco como castigo, y murió ahogado.
Sea esta historia cierta o no, lo concreto es que la plena comprensión del concepto de la irracionalidad no llegó sino hasta fines del siglo XIX , y fue obra del alemán Richard Dedekind. Por cierto, todos los números √2 , √3 , √5 , √6 , √7 , √8 , √10 ,… son irracionales, pero son, en un sentido muy preciso, los irracionales más sencillos que existen. Aun así, muchas interrogantes existen para estos números: vea, por ejemplo, el capítulo 33.
Un siglo después, Ferdinand von Lindemann probó algo aún más impresionante: π es «trascendente», lo que quiere decir que no es solución de ninguna ecuación «sencilla» (esto es, una ecuación polinomial con coeficientes enteros). Así, π es un número muchísimo más complejo que, por ejemplo, √2 o φ (capítulo 1): es un «irracional trascendente». La virtud del teorema de Lindemann es que echó por tierra una antigua aspiración de la humanidad: la de poder construir, usando solo un compás y una regla sin numeración, un cuadrado cuya área fuese igual a la de un círculo dado (capítulo 6). La tan ansiada «cuadratura del círculo» se revelaba, por fin, como una tarea imposible.
El número √2 es algebraico, pues es solución de la ecuación polinomial x2 = 2. Sin embargo, de acuerdo con Lindemann, π no puede ser solución de ninguna ecuación de este tipo. ¿Qué relación hay con las construcciones con regla y compás? Pues bien, una recta tiene ecuación cartesiana:ax + by = c ,
mientras que una circunferencia se representa por:( x − d )2 + ( y − e )2 = f2.
Hallar puntos de intersección entre rectas y circunferencias corresponde a «intersecar» dichas ecuaciones, lo que en lenguaje algebraico se traduce en resolver sistemas de ecuaciones. Ahora bien, como π no es solución de ninguna de estas ecuaciones, no se puede construir, con regla y compás, un trazo de largo π . Por lo tanto, no se puede cuadrar el círculo.
Pero pese al avance de la ciencia, cada cierto tiempo aparecen personas que, por razones (o sinrazones) difíciles de enumerar y explicar, pasan por alto todo el conocimiento acumulado, proponen soluciones delirantes a este tipo de problemas, y —como si esto no bastara— se ufanan de haber hecho un descubrimiento revolucionario. Tengo el vago recuerdo de una de ellas apareciendo en la televisión chilena en los años noventa para promover su «solución» al problema de la cuadratura del círculo. Un recuerdo más nítido es el de un señor que recorría las universidades del país portando un libro autoeditado de nombre Cuadrado del círculo, con el que trataba de convencer al mundo de que su contenido era no solo correcto, sino además de relevancia mundial. Dicho texto llegó por azar a mis manos (de hecho, hasta el día de hoy lo guardo preciosamente en mi biblioteca personal). En una paciente jornada de lectura, en medio de muchas incoherencias logré detectar el error, el cual no deja de ser interesante: mediante una aventurada aseveración relacionada con la figura ilustrada abajo, el autor daba por hecho que π/2 debía ser igual a
![]()

En la figura, si el radio de la circunferencia es 1, entonces la longitud del arco que une C y Q es igual a π /2 y el trazo PR mide 1 + √3/3 . Inspirado en esto, en la Olimpiada Chilena de Matemáticas del año 2008 se les preguntó a los estudiantes cuál de estos largos es mayor, o si son iguales. Como no se les permitía usar calculadora, ocurrió lo esperable: aparecieron respuestas en las tres direcciones posibles.

La configuración errada de Goodwin: si el radio de la circunferencia es igual a 5 (y por lo tanto su diámetro es 10), entonces el valor «7» arriba debiese ser reemplazado por 5√2 = 7,071…, y el «8» por 2,5π = 7,8539.
Así, gracias a Waldo, el 14 de marzo de 2015, los habitantes del estado de Indiana pudieron también celebrar el día de π. Dicen que fue una gran fiesta.

Capítulo 9
Platón, Arquímedes y la cachaña

Confeccionar un balón de fútbol no es tarea sencilla, y lo era aun menos hace unas décadas. Nuestros mayores suelen decir que los jugadores de antaño eran mil veces mejores que los de ahora porque, entre otras cosas, debían patear pelotas varias veces más pesadas, de esas que dolía atajar o cabecear, especialmente cuando llovía. Y mucho de eso es cierto, pues los primeros balones eran muy distintos a los actuales. La tecnología estaba recién desarrollándose, y se hacía muy difícil, por ejemplo, dar la última costura. Tan solo observe el siguiente diseño: así era la pelota del primer Mundial de Fútbol (1930), aquel cuya final enfrentó a Uruguay y Argentina y que Gardel «no quiso ver».


En orden correlativo: los balones de los mundiales de 1930, 1934, 1938, 1950, 1954, 1958, 1962 y 1966.

A la izquierda: el primer satélite Telstar dio inicio a la era de las comunicaciones modernas. A la derecha: el balón Telstar con el que se disputó el Mundial de México 1970.


Si los polígonos de las caras tienen m lados, entonces sus ángulos internos miden ( m − 2)180°/ m . La suma de los ángulos que concurren a cada vértice del poliedro debe ser inferior a 360°, para que así exista el espacio suficiente para acoplar los polígonos «hacia adentro». Por lo tanto, si en cada vértice concurren n polígonos, entonces se debe cumplirDividiendo por 180 cada lado de esta desigualdad, deducimos quen ( m − 2) < 2m,es decir,nm < 2n + 2m,y por lo tanto,(n − 2)(m − 2) < 4.Las únicas posibilidades para esto son las siguientes: n = 3, m = 4 (cubo); n = 3, m = 3 (tetraedro); n = 4, m = 3 (octaedro); n = 5, m = 3 (icosaedro) y n = 3, m = 5 (dodecaedro).
Los centros de las caras de un cubo son los vértices de un octaedro, y viceversa. Se dice entonces que el cubo y el octaedro son poliedros «duales». Los centros de las caras de un tetraedro son los vértices de un nuevo tetraedro; por lo tanto, este poliedro es dual a sí mismo. El dodecaedro y el icosaedro, por su parte, son duales uno del otro.

Los poliedros regulares y sus duales.

Un icosaedro construido a partir de tres rectángulos áureos.

La pelota Telstar no es sino la versión esférica de un icosaedro truncado, en el que las veinte caras triangulares devienen hexágonos y doce caras pentagonales nacen de los vértices tras el truncamiento. Surge así la mítica configuración del «balón de los treinta y dos cascos» (y sesenta vértices).


A la izquierda: una imagen de da Vinci en "La divina proportione", de Luca Paccioli (capítulo 1). A la derecha: La última cena, obra de Salvador Dalí.


A la izquierda: la Biósfera. A la derecha: el Proyecto Edén.

Una molécula de futboleno.
Capítulo 10
El Bayern de Münich y la geometría de un estadio

De manera similar a nivel local, desde hace ya algunos años, muchos espacios públicos de nuestro país como terminales de pasajeros, pabellones de exposición, restaurantes y recintos de espectáculos, han sido cubiertos por membranas semitraslúcidas que, a simple vista, parecen simples carpas, pero que en realidad son muchísimo más sofisticadas. Estas operan siempre sobre la base del mismo principio: a grandes rasgos, sobre un esqueleto metálico rígido y sinuoso se extiende una membrana flexible, la cual es tensionada mediante cables de modo que alcance su forma «natural». Así se origina una estructura que destaca no solo por su ligereza, eficiencia y economía, sino también por la elegancia de sus formas, muy alejadas de las clásicas pautas ortogonales de la arquitectura tradicional. De cierta manera, estas formas se adaptan al medio en lugar de imponerse a él, creando espacios que, además de unificados y correlacionados, son altamente sostenibles, sanos y diversos. Todo esto está muy acorde con una filosofía arquitectónica, el «organicismo», la que, de manera aun más ambiciosa, promueve la armonía entre el hábitat humano y el mundo natural.

A la izquierda: la estación Del Sol del Metro de Santiago. A la derecha: el Estadio Regional de Antofagasta.

Para la matemática, una superficie es, someramente, un objeto bidimensional sin puntas. Si la superficie logra conectar sus bordes usando la menor cantidad de material posible, es decir, si corresponde a la membrana de menor área que empalma a las mismas orillas, entonces es llamada mínima. Por ejemplo, un plano es la superficie mínima que llena un anillo con forma de circunferencia perfecta. Sin embargo, si cambiamos los bordes entonces aparecen formas diferentes. Entre las más sencillas figuran la catenoide (ilustrada a la izquierda a continuación), que corresponde a la membrana mínima que une dos anillos bien dispuestos uno en posición paralela a otro, y el helicoide (al centro), que es la superficie que traza una hélice al girar y simultáneamente subir a lo largo de un eje a velocidad constante. Un ejemplo más sofisticado es la superficie de Costa (a la derecha), denominada así en honor a quien la descubrió en 1984, el matemático brasileño Celso José da Costa.
Si quiere seguir disfrutando de tan sinuosas formas, puede acceder a un pequeño festival de superficies mínimas desde el video «berlin math film festival minimal discrete surfaces 2008 tom» en YouTube.

Otto se enfrentó a todos estos problemas para cubrir el coliseo de Múnich, y a ellos debió añadir uno más: dada la magnitud de su proyecto, este no podía consistir en envolver el estadio con carpas, sino que debía construir una cubierta de material más sólido cuya forma fuese exactamente igual a la de una estructura tensada, de modo que pudiese soportar de la mejor manera posible las condiciones ambientales y, a su vez, presentara formas estéticamente llamativas.
Recordó entonces los experimentos del físico belga Joseph Plateau en el siglo XIX, quien trabajó con películas de jabón para obtener superficies mínimas. El proceso es muy sencillo: se toma uno o varios trozos de alambre de borde tan sinuoso como se quiera y luego se «cierran», es decir, se unen sus puntos de inicio y final. Posteriormente, se los sumerge en una solución jabonosa y se los retira suavemente. Al sacarlos, la forma mínima y curvada «hacia afuera» será automáticamente producida por la naturaleza (una presentación interactiva de este experimento aparece en el video «Soap Film Demonstrations» en YouTube).

Otto, uno de los arquitectos más influyentes del siglo XX, fue galardonado el año 2015 con el premio Pritzker (equivalente al Óscar en el área, el mismo que en 2016 fue otorgado al chileno Alejandro Aravena). Lamentablemente, su deceso se produjo solo días después de su nominación, convirtiéndose así su caso en el único premio póstumo de este tipo que ha sido conferido.
En cuanto al estadio, inició una lenta agonía hacia mediados de la década pasada: no fue sede del Mundial de Fútbol del 2006, y el propio Bayern se trasladó por esos años a su nuevo estadio, el Allianz Arena. Aun así, tanto el coliseo como toda la villa alrededor son un símbolo de la ciudad de Múnich: sus dependencias son utilizadas para conciertos y otras actividades, además de ser objeto de visitas guiadas. Recorrer estos parajes es un doble placer. Por un lado, están la arquitectura formidable y la sofisticada geometría que esconde. Por otro, la historia deportiva —en especial futbolística— que allí se guarda es de ensueño. Es como si se pudiese respirar el ambiente de aquella tarde de final de Mundial en 1974 (disponible in extenso en www.dailymotion.com), en que una ordenada selección alemana derrotó limpiamente a la temible Naranja Mecánica de Johan Cruyff. O de esa tarde de final de Eurocopa en 1988, en que el cuadro naranja se reivindicó frente a la URSS gracias a un sublime gol de volea de Marco van Basten: «Marco Van Basten Mejor gol de Volea de la Historia» en YouTube. Sin embargo, a pesar de tan recordadas gestas, el deleite de muchos será por siempre ese singular e irreverente partido entre filósofos ideado por el genial grupo de humoristas ingleses Monty Phyton: «Partido de Filósofos - Final» en YouTube. Ciertamente, no podía haber un espacio más apropiado que el Estadio Olímpico de Múnich para recibir a dos equipos con tan selectas alineaciones.
Capítulo 11
Todos los mapas del mundo

Lamentablemente, las desmedidas ansias de aumentar la visibilidad de las notas de divulgación han llevado incluso al extremo de «contaminar» episodios que, si bien son dignos de todo elogio, son presentados de manera distorsionada. Este fue el caso del mapa mundial propuesto por el japonés Hajime Narukawa en 2016, respecto del cual erróneamente se mencionó que «refleja fielmente las proporciones entre regiones y países» y «resuelve el espinoso problema de proyectar un planeta esférico a un mapa plano»: ver el video «BBC: el extraordinario mapa que muestra al mundo tal como es realmente» en www.latercera.com.

El mapa de Narukawa, denominado «AutoGraph».
El punto conflictivo radica en la forma como fue presentada la noticia en la mayoría de los medios —de lo cual debe excluirse de responsabilidad a Narukawa y su equipo—. En efecto, decir que este o cualquier otro mapa constituye una representación fiel del globo terrestre es simplemente una aberración, para cuya constatación basta una simple visita a Wikipedia: en la entrada «Theorema egregium». Allí se señala clara y categóricamente que la existencia de un «mapa perfecto» entraría en contradicción con uno de los resultados más importantes de la matemática: el teorema egregium.
Estudiar la geometría de las superficies no es tarea sencilla. Para ello, los viejos métodos de la geometría del plano aprendidos en la escuela no resultan suficientes, y se requiere del uso del cálculo diferencial. En este camino, un concepto fundamental es el de curvatura. Instintivamente, tendemos a decir que una superficie está «curvada» si no puede ser extendida sobre un plano. Así, por ejemplo, un cilindro o un cono no están curvados, pues al abrirlos apropiadamente se desenrollan a la perfección. Sin embargo, esto se hace imposible con un balón o con la campana de una trompeta: sin importar dónde ni cuántas veces los cortemos, nunca será posible extender una porción de ellos en el plano.
Ahora bien, el «tipo» de curvatura de un balón es ciertamente distinto al de la campana de la trompeta. El primero tiende a «cerrarse», pues se curva «hacia adentro», esto es, en cada posición, todas las direcciones apuntan en el mismo sentido. La segunda, en cambio, tiende a «abrirse», pues se curva «hacia afuera», esto es, en cada posición hay algunas direcciones que apuntan en un sentido y otras que apuntan en el sentido contrario. En el primer caso, la curvatura es positiva, mientras que en el segundo es negativa. Pero esto está lejos de ser una simple convención de signos, pues la curvatura es un número claramente definido mediante el cálculo infinitesimal. Así, la curvatura de cualquier punto de un plano, un cilindro o un cono es igual a cero, mientras que la de los puntos de un balón es igual al inverso del cuadrado de su radio. De esta forma, mientras más grande es el balón, menos curvado está (esto explica por qué nuestro planeta es «casi plano»). En cuanto a la campana de la trompeta, su curvatura ciertamente dependerá del modelo específico, pero hay uno en particular que es geométricamente muy elegante (aunque no de mucho interés musical): aquel en que todo punto tiene curvatura exactamente igual a -1 y cuya superficie, por analogía, es llamada «seudoesfera».

Seudoesfera impresa con tecnología 3D.
Un aspecto sumamente interesante es que Gauss llegó a su teorema egregium no solo como resultado de una investigación teórica en matemática de vanguardia, sino también motivado por una necesidad muy concreta. En efecto, el gobierno prusiano le había encomendado importantes tareas de geomensura. Así, mientras elaboraba las respectivas cartas geográficas, comenzó a tomar conciencia de que, mientras más territorio éstas abarcaban, mayor distorsión iban exhibiendo.
De este modo, gracias a la genialidad de Gauss y su teorema egregium, sabemos que transformar una esfera —cualquiera sea su radio— en un plano, preservando las distancias, es sencillamente imposible, pues sus curvaturas son diferentes. Y si bien nuestro planeta no es una esfera perfecta, su curvatura es positiva en todas partes. Por lo tanto, nunca existirá un mapa perfecto de la Tierra, no importa cuál sea la escala empleada. Ciertamente, el viejo y popular mapa de Mercator admite mejoras que permiten corregir, entre otros aspectos, la excesiva distorsión de las regiones próximas a los polos (como Groenlandia o todo el continente antártico). Pero, necesariamente, esto involucrará nuevas imprecisiones en otras regiones. Por ejemplo, si se observa con atención el mapa de Narukawa, se constatará que el posicionamiento de varias partes del globo (especialmente África) es bastante incómodo. De cierta forma, lo que hace esta carta geográfica es «distribuir» la distorsión de manera más equilibrada, pero —repetimos— no es perfecta. Más aun, insinuar que este o cualquier otro mapa «resuelve el espinoso problema de proyectar un planeta esférico en un plano» es un despropósito comparable a afirmar que «se acaba de resolver el milenario problema de la cuadratura del círculo» (capítulo 8).
Si bien el teorema egregium descarta toda posibilidad de un mapa perfecto de la Tierra, el hecho de que una esfera completamente redonda no pueda ser proyectada apropiadamente a un plano era conocido desde mucho antes. Para explicar esto, conviene recordar en primer lugar que la manera más rápida de desplazarse de un punto a otro sobre una esfera con velocidad constante consiste en seguir el arco de la circunferencia que la divide en dos mitades exactamente iguales y pasa por dichos puntos. Este tipo de circunferencias son, por lo tanto, análogas a las rectas del plano y, como tales, son llamadas «geodésicas».
Aunque en curvatura negativa también existen geodésicas (es decir, caminos que minimizan la distancia) entre dos puntos cualesquiera, estas son más difíciles de describir. Ahora bien, un trío de geodésicas que se intersecan de a pares conforma una figura que, por analogía, llamamos «triángulo». En una figura tal, tiene sentido referirse a los «ángulos» entre los lados. Sucede que, en curvatura positiva, dichos triángulos tienden a «ensancharse» (de modo que la suma de los ángulos es mayor que 180°), mientras que en curvatura negativa, estos se «adelgazan» (y los ángulos suman menos que 180°).
Para realizar cálculos en el plano se utiliza una vieja disciplina conocida como trigonometría. Por su parte, para hacer los cálculos de la geometría en la esfera y en la seudoesfera se recurre, respectivamente, a dos técnicas análogas desarrolladas desde tiempos remotos: la trigonometría esférica y la hiperbólica (la primera era conocida desde la antigüedad y, la segunda, desde fines del siglo XIX).
Estas dos herramientas otorgan, por ejemplo, versiones ad hoc del teorema de Pitágoras (capítulo 6), las que tienen como consecuencia un hecho relevante: si a, b son los lados de un triángulo Δ que delimitan un ángulo recto y c es el otro lado, entonces se cumplea2 + b2 > c2si Δ está en una esfera ya2 + b2 < c2si Δ está en una seudoesfera.
Para visualizar lo anterior, considere, por ejemplo, la figura que resulta de una esfera al cortarla en ocho casquetes iguales. Pues bien, este «octante» es un triángulo cuyos lados miden lo mismo y sus ángulos son rectos. Corresponde, entonces, a un triángulo equilátero y rectángulo a la vez; ciertamente, para este, carece de sentido hablar de catetos y de hipotenusa.
Y si estos argumentos que involucran ángulos no lo convencen, considere la siguiente situación: se dan cuatro puntos A1, A2, B, C en el plano, con B al lado izquierdo de la recta A1 A2 y C al lado derecho. Esto determina las distanciasa = A1 A2, b2 = BA2, c1 = CA1, c2 = CA2, c2 = CA2 y d = BC.Pues bien, si consideramos una configuración de cuatro puntos en la esfera para la cual las distancias análogas a a, b1, b2, c1 y c2 sean las mismas, entonces la distancia d entre los puntos B y C del plano será necesariamente mayor que la de los puntos correspondientes en la esfera. Y si hacemos lo mismo sobre la seudoesfera, entonces d será menor que la distancia entre los nuevos puntos.
Así que ya lo sabe: si desea una representación fidedigna de la Tierra, tenga claridad de que siempre lo mejor será invertir en un globo terráqueo. Definitivamente, vale la pena.
Lamento, con este capítulo, desencantar a muchas personas que habían reaccionado entusiastamente frente al anuncio desmesurado de la BBC y otros medios —si bien algunos difundieron la información de manera certera—, y habían compartido la noticia del «mapa perfecto» de Narukawa en las redes sociales. Pero así como en ciencia se trabaja incansablemente en la búsqueda de la verdad, la prensa de divulgación científica debiese velar porque este aspecto prime en sus contenidos, y que no sea el número de likes en Facebook el aspecto decisivo para una decisión editorial en torno a un artículo.
No siempre la verdad es lo más popular.
Apéndice: mapas, mapas y más mapas
Existe una gran variedad de mapas del mundo, cada uno de los cuales se ajusta a una u otra necesidad (muchos de ellos aparecen desplegados en Wikipedia. El más popular de todos, aquel ideado por Gerardus Mercator en 1569, resulta de proyectar horizontalmente cada punto de un globo terráqueo apoyado en el polo sur hacia un cilindro que lo rodea, para luego «abrir» dicho cilindro a lo largo de un meridiano. En este proceso, ambos polos literalmente «explotan», y la Antártica deviene una suerte de monstruo blanco en el sur. De esta manera, pese a que este mapa tiene algunas propiedades geométricas muy agradables, la distorsión de superficies en las regiones alejadas del ecuador lo hace, al menos, «políticamente incorrecto».Si se desea restaurar la proporción entre las áreas de las diversas regiones, un método natural consiste en «achatar verticalmente» el mapa hacia los extremos inferior y superior. Esta idea fue desarrollada por Johann Lambert en 1772. Sin embargo, hoy es más popular una implementación ideada por James Gall en 1875 y «redescubierta» por Amo Peters en 1973.


A la izquierda: mapa de Mercator. A la derecha: mapa de Gall-Peters.

Si bien el mapa de Narukawa no respeta fielmente las proporciones entre las áreas de los territorios, tampoco las distorsiona demasiado. Esto permite, a su vez, no incurrir en severas distorsiones de las formas de los continentes, como ocurre con el mapa de Gall-Peters. Es justamente este equilibrio lo que hace tan notable esta nueva carta geográfica.
Matemáticamente, podría pensarse en establecer un sistema de medición del grado de imperfección de un mapa. Determinar, bajo este parámetro, cuál es el mejor mapa deviene entonces un problema planteado sin ambigüedad. Su solución, lamentablemente, no parece en absoluto sencilla. ¿Será que alguna vez podamos decir «a ciencia cierta» que hemos encontrado el mejor mapa de todos? Permítanme ser optimista al respecto.
Capítulo 12
La célula de su teléfono y la geometría de La Haya

Pero, al margen de esta y muchas otras sofisticaciones científicas y tecnológicas, permítame plantearle una interrogante muchísimo más banal: ¿sabe usted por qué se le llama «celular» a su teléfono móvil? Para vislumbrar la respuesta, observe con atención la siguiente fotografía con microscopio de un tejido humano y luego imagine que, en el «núcleo» de cada célula, usted colocara una barra vertical: ¿a qué se asemejaría la imagen resultante?

Distribuir antenas de manera óptima se vuelve entonces un problema matemático. De hecho, este tipo de problemas ya había sido considerado en geometría plana por el ruso Georgy Voronói hace poco más de un siglo, cuando los viejos teléfonos eran la máxima novedad. Fue él quien acuñó el término «célula» para la región de proximidad. En el caso de la geometría plana, esta corresponde a un polígono convexo cuya forma y número de lados dependen del posicionamiento de los nodos de referencia (las «antenas»). La razón de la forma poligonal se halla en un viejo conocido del liceo: la mediatriz (también conocida como simetral). Si bien esta recta es usualmente presentada como la perpendicular en el punto medio de un trazo, tiene la particularidad de que sus puntos están exactamente a la misma distancia de los extremos de este. La mediatriz determina dos semiplanos, cada uno de los cuales contiene los puntos más cercanos a uno u otro extremo. Así, cada región celular en un diagrama de Voronói queda determinada por las mediatrices asociadas a pares de nodos de referencia «vecinos».

Existe un precedente interesante al trabajo de Voronói: más de medio siglo antes, y con fines estrictamente teóricos, el alemán Gustav Dirichlet había considerado una construcción análoga, aunque ¡en geometría hiperbólica! (capítulo 2). Además, la misma idea fue introducida en meteorología casi contemporáneamente a Voronói por Alfred Thiessen.

Mapa de las estaciones pluviométricas en la costa oeste de Estados Unidos y la división de Thiessen asociada.
El viejo adagio se cumple una vez más: cuando una buena idea aparece, suele ocurrírsele a varias personas a la vez.
Si en lugar de puntos consideramos «zonas» de referencia, la discusión se complica bastante. Primeramente, cuando hablamos de la distancia que nos separa de una franja o una región (como un límite territorial o una ciudad), nos referimos a la distancia al punto de dicha zona que está más cerca de nosotros (si bien puede haber más de un punto que está a distancia mínima). Podemos considerar, entonces, el conjunto equidistante entre dos zonas, es decir, el conjunto de los puntos que están a la misma distancia de ambas. Como hemos visto, si cada una de las zonas es un punto, dicho conjunto es una mediatriz; sin embargo, para zonas con geometría más elaborada, aparecen configuraciones más interesantes y complejas.

De izquierda a derecha: una elipse, una hipérbola y una parábola aparecen como conjuntos equidistantes.

¿Qué sucede si las zonas consideradas son regiones? Si bien el conjunto equidistante puede ser aún una curva, hay situaciones en que este corresponde a un área con interior (esto último puede darse cuando las regiones tienen una frontera común).

En fin, si quiere averiguar más propiedades sobre conjuntos equidistantes, puede consultar el hermoso artículo «On equidistant sets and generalized conics: the old and the new», disponible en http://arxiv.org. En virtud de este trabajo, sus autores, los matemáticos chilenos Mario Ponce (actual decano de la Facultad de Matemáticas de la Pontificia Universidad Católica de Chile) y Patricio Santibáñez (en ese entonces, profesor del Instituto Nacional), fueron galardonados en 2015 con el prestigioso Premio Paul Halmos-Lester R. Ford de la Asociación Matemática Americana (MMA).

Mario Ponce (al centro) y Patricio Santibáñez (a la derecha) recibiendo el Premio Paul Halmos-Lester R. Ford de manos de Francis Su, entonces presidente de la MAA.
En el diferendo marítimo entre Chile y Perú zanjado el año 2015, la posición peruana consistía precisamente en una aplicación de la lógica de conjuntos equidistantes. La posición chilena, en cambio, insistía en mantener el paralelo a la altura del famoso Hito 1 como línea demarcatoria dentro del espacio marítimo de las doscientas millas.

La curva en rojo representa el límite pedido por Perú; la azul, el solicitado por Chile.
Nuestro límite marítimo con Perú es, entonces, la consecuencia de una decisión geométricamente salomónica.

La curva en negro representa el límite establecido por la Corte. Para trazarla, se «retiró» del mapa de Chile y Perú todo territorio situado a menos de ochenta millas marinas del punto A (es decir, se «borró» momentáneamente el círculo clareado en la figura), y luego se consideró el conjunto equidistante respecto de lo que quedaba.
Capítulo 13
Reflexiones sobre una mesa coja

En efecto, si la mesa no tiene problemas, entonces su inestabilidad se debe al piso disparejo. En caso de no haber escalones, bordes ni puntas abruptas en el suelo, la ciencia nos dictamina lo siguiente: gire la mesa manteniendo fijo su centro y, antes de dar un cuarto de vuelta, habrá encontrado un punto de equilibrio, es decir, una posición en que las cuatro patas quedan en contacto preciso y simultáneo con el suelo. Haga la prueba…

¿Por qué ocurre esto? Muy simple: en una posición inestable, un par de patas opuestas está en un nivel superior respecto del otro par. Tras un cuarto de giro en torno al centro, estos pares de patas intercambian posiciones; por lo tanto, el par que estaba en un nivel superior pasa a uno inferior y viceversa. Necesariamente, en algún momento durante el giro, ambos pares de patas opuestas deben pasar por el mismo nivel: es este el instante en que la mesa deja de cojear (aunque nadie le garantiza que no quede ligeramente inclinada).
Expuesto así, el equilibrio de la mesa resulta tan obvio como el hecho de que si usted está a un lado de una calle y necesita ir hacia el otro, necesariamente ¡tiene que cruzarla! La razón de esto es muy sencilla: al movernos (o al girar la mesa), lo hacemos de manera continua, es decir, paulatinamente, sin pasar de una posición a otra completamente diferente en un solo instante. Ciertamente, podemos hacer movimientos bruscos, pero incluso estos se ven pausados en cámara lenta: la teletransportación no nos está permitida —aún—.
¿Es todo esto una simple curiosidad o un mero devaneo sobre la obviedad? En lo absoluto. Aunque parezca sorprendente, la comprensión cabal de este concepto de «continuidad» y sus aplicaciones constituye uno de los avances más importantes de la matemática de fines del siglo XIX y principios del XX. En torno a él se articuló la topología, que es la teoría que estudia las propiedades y leyes de los objetos que subsisten bajo deformaciones o movimientos que no involucren quiebres ni rupturas. Una de estas leyes, el importantísimo «teorema del punto fijo» de Luitzen Brouwer, tiene, por ejemplo, la sorprendente consecuencia doméstica siguiente: si usted agita suavemente el café de su taza, entonces, sin importar cómo ni por cuánto tiempo lo haga, inevitablemente, al final, una gota volverá al mismo sitio inicial. ¡Pero atención!: esto deja de ser verdad si usted revuelve el café con una cuchara, pues en tal caso estaría «rompiendo» la «continuidad» del líquido y, con ello, escaparía de los designios de la topología.

A la izquierda: un típico juego de ingenio topológico. Al centro: la visualización geométrica de una red. A la derecha: una red social.
Así, la próxima vez que esté frente a su café servido en una mesa coja, sacará de su bolsillo su libro de Lira o su juego de cuerdas y argollas favorito, pensará en la forma del universo, los robots, los estados de la materia y su cuenta de Facebook, ¡y por ningún motivo cometerá el sacrilegio de usar servilletas para nivelar la mesa! Usted ya lo sabe: si la mesa está coja, escoja.

Capítulo 14
Poincaré, Perelman y el millón de dólares


Mientras los rayos del Sol caen perpendicularmente sobre la superficie en Siena, lo cual se constata por el hecho de que llegan al fondo de un pozo de agua, en Alejandría lo hacen formando un ángulo θ, fácilmente calculable a partir de la sombra de una torre. Este ángulo es el mismo que forman las proyecciones de la torre y el pozo hacia el centro de la Tierra. Conociendo este ángulo y la distancia entre Siena y Alejandría, el radio de la Tierra se calcula sin dificultad.
Pero todo esto se basaba en algo que seguía siendo un supuesto: la redondez de la Tierra. Se atribuye la constatación de ella a Sebastián Elcano, quien comandó el final de la primera vuelta alrededor del mundo emprendida por Hernando de Magallanes. Sin embargo, coincidirá usted en que no solo una forma redonda, sino muchas otras, permitirían que a un cuerpo se le dé una vuelta comenzando y volviendo al mismo lugar. Por ejemplo, esto hubiera sido posible si la Tierra tuviese una forma de dona. Desde este punto de vista extremadamente escéptico, la constatación final de la redondez de nuestro planeta no la habría hecho sino Yuri Gagarin, en 1961, al emprender el primer viaje al espacio y, desde allí, constatar su forma inapelable.
Evidentemente, entreverarse en una discusión de este tipo puede parecer una pérdida de tiempo. Aunque, ¿lo es realmente? A fin de cuentas, si bien tenemos claridad acerca de la forma de nuestro planeta, la situación es mucho más difusa cuando hablamos de la forma del universo. De hecho, en lo que va de este relato, aún no logramos visualizar ni siquiera la visión de Filolao a este respecto.


Una de las nociones básicas de la topología es el concepto de «dimensión», que corresponde simplemente a la cantidad de direcciones independientes en las que es posible moverse. Por ejemplo, un disco circular es, en su interior, un espacio de dimensión dos. Para la topología, este espacio es equivalente a un hemisferio de una esfera. Otro espacio bidimensional particularmente interesante es la famosa banda de Möbius, aquella sobre la que, al dar giro completo, se reaparece en la misma posición, pero sobre la cara opuesta. Observe, sin embargo, que tanto el disco como la banda tienen un «borde». La esfera, en cambio, no posee borde, y también es un espacio bidimensional. Aun así, la banda de Möbius puede venir incorporada a un espacio sin borde; por ejemplo, tal es el caso para la «botella de Klein» (llamada así en honor a Felix Klein, su inventor), un objeto que no puede ser presentado dentro de nuestro universo de tres dimensiones sin incurrir en autointersecciones.

A la izquierda: una banda de Möbius. A la derecha: una botella de Klein.

De izquierda a derecha: un toro, un bitoro, un tritoro y… ¡otro tritoro!

Deformando un lazo cerrado en una esfera.

Si bien el lazo a la izquierda puede ser deformado en un punto, esto no es posible con el de la derecha.

Dos «discos» (casquetes) pegados a lo largo de una circunferencia originan una esfera (bidimensional).
En este camino, la estrategia de Thurston resultó fundamental. Él propuso buscar una geometría «natural» para cada espacio, por muy complicado que este sea. Por ejemplo, la geometría natural para los espacios equivalentes a una esfera es la redonda. Sin embargo, este es un caso muy particular, pues desafiando la imaginación de todos sus contemporáneos, Thurston observó que para muchísimos espacios tridimensionales cerrados, la geometría natural es la hiperbólica (capítulo 2). Esto lo llevó a formular su famosa «conjetura de geometrización», cuya solución tenía como una de sus consecuencias a la de Poincaré, pero que podía ser atacada por métodos diferentes.
En efecto, una geometría se plantea mediante la asignación de longitudes y puede ser modificada mediante un proceso de «evolución» que se describe en términos de complejas ecuaciones sobre esas longitudes. El estudio de este «flujo geométrico» (llamado «flujo de Ricci») fue fuertemente impulsado por Richard Hamilton. Fue justamente al final de esta historia cuando intervino Perelman, quien demostró que este flujo efectivamente llega a su destino y no se detiene antes de originar la forma límite natural. De allí el porqué de la foto de entrada de este capítulo, en la que Perelman aparece lidiando con complicadas ecuaciones y no con figuras geométricas o configuraciones de espacios, como hubiese sido más esperable. Fue gracias a estas que logró probar la conjetura de Thurston y, por extensión, la de Poincaré.
La expectación causada por la solución de Perelman trascendió las esferas del mundo matemático por varias razones. Primeramente, y emulando lo que había hecho Hilbert a inicios del siglo XX (capítulo 6), el Instituto Matemático Clay había elaborado poco antes una lista de siete problemas que guiarían la investigación matemática en el siglo XXI; naturalmente, entre ellos estaba la conjetura de Poincaré. Pero se había añadido un incentivo extra: un premio de un millón de dólares para quienes resolviesen alguno y publicasen un artículo que contuviera la solución, algo totalmente inédito en el mundo de la matemática, donde los premios en dinero suelen ser más bien exiguos, y muchos los consideran superficiales e incluso ofensivos. Pues bien, desde un inicio, Perelman, manifestó su rechazo a esta tentadora oferta, al punto de que decidió no publicar sus artículos, sino solo ponerlos a disposición de la comunidad en el repositorio gratuito www.arxiv.org (capítulo 17).
Más aun, en el Congreso Internacional de Matemáticos en 2006 debía ser anunciada la Medalla Fields que el Comité Científico le había otorgado. Sin embargo, Perelman rechazó también este premio y no se presentó a la conferencia. La noticia se enturbió incluso más cuando se conoció una presunta disputa con el medallista Fields chino Shing-Tung Yau y porque circuló, durante el mismo congreso en Madrid, el famoso artículo «Manifold Destiny» de la revista The New Yorker, donde se trata el caso con tintes de una polémica bastante poco elegante: ver en Wikipedia la entrada «Manifold Destiny». Lo concreto es que, hasta el día de hoy, Perelman sigue alejado del mundo académico en su San Petersburgo natal. En cuanto al millón de dólares, se sabe que fue destinado al Instituto Poincaré de París gracias a la intermediación de Cédric Villani, su director, con lo que se creó la «Cátedra Poincaré», que financia estadías en el instituto de matemáticos jóvenes y excepcionales del mundo entero.
Hace ya un par de siglos, Karl Gauss había dicho: «Los encantos de esta ciencia sublime, las matemáticas, solo se le revelan a aquellos que tienen el valor de profundizar en ella». Y uno de los grandes genios de la geometría del siglo XX, Mijaíl Grómov, dijo respecto al trabajo de Perelman: «Para acometer una gran obra, se debe tener una mente pura, y solo se debe pensar en matemática; cualquier otra cosa es debilidad humana, y aceptar premios es signo de debilidad».
Ciertamente, Perelman seguirá viviendo en el imaginario científico como un ícono de fortaleza matemática, la que le permitió calmar por fin el horror de Poincaré.

Cédric Villani, el inconfundible matemático «de la humita y la araña» (ganador de una Medalla Fields en 2010), en una fotografía tomada durante su visita a Chile para el congreso de celebración del aniversario número cincuenta de la Facultad de Ciencias de la Universidad de Chile (diciembre de 2015). En su compañía —y con una llamativa camisa— aparece Nicolás Libedinsky, impulsor de dicho evento.

Picarte es considerado el primer científico nacido y formado académicamente en Chile. Pese a esto, su historia es muy poco conocida (el único retrato que se dispone de él, reproducido arriba, está digitalizado en el extraordinario repositorio cultural Memoria Chilena). Su padre, también llamado Ramón, es a menudo más reconocido, pero por otras razones: fue un militar que luchó en la Independencia del lado carrerista y que, más tarde, fue degradado del Ejército por Diego Portales debido a su inclinación liberal (una de las avenidas principales de la ciudad de Valdivia lleva el nombre de Ramón Picarte en su honor). Ramón Picarte Mujica, por su parte, compartió aulas en el Instituto Nacional nada menos que con Miguel y Víctor Amunátegui, Diego Barros Arana, Alberto Blest Gana y Eusebio Lillo, en una generación conocida como la de «los notables». Más tarde, fue discípulo de Antonio Gorbea, quien lo guio en su carrera de agrimensor e inspiró su estudio de lo que él llamaba «la ciencia de los números».
Por aquellos años, en los que solo Julio Verne podía ser capaz de imaginar un objeto parecido a una calculadora moderna, en ingeniería y astronomía eran herramientas básicas las famosas «tablas» de cálculo, especialmente las de divisiones, logaritmos y funciones trigonométricas. Si usted visita una librería antigua o una feria de libros usados (como las del persa Biobío en Santiago o de la plaza O’Higgins en Valparaíso), aún puede encontrar algunas a la venta (si ve una a buen precio le recomiendo comprarla, pues se trata de una verdadera reliquia). Pues bien, entre otras cosas, Picarte ideó una sencillísima tabla de divisiones, más exacta que la utilizada en Europa en aquellos años. Tristemente, no obtuvo apoyo en Chile para imprimirla, pese a haber abogado insistentemente ante Antonio Varas (ministro del presidente Manuel Montt), quien, paradójicamente, había sido su rector en el liceo.
Organización de la claseEl profesor de Matemática pura enseñará la Aritmética, los principios de Algebra, la Geometría, y Trigonometría plana, la práctica de estas dos ciencias, como medir distancias, accesibles, é inaccesibles, levantar planos, la nivelación & dará los principales elementos de secciones cónicas. Enseñará los principios del arte de fortificar, defender, y atacar las plazas, y puntos importantes.
El profesor de Matemática mixta enseñará los elementos de Dinámica, y Estática; la Teoría de las fuerzas centrales; los principios de Hydrodinamica, los de Astronomía, y Geografía.
Extracto de las bases para la creación del Instituto Nacional, texto redactado por Camilo Henríquez en 1812 y publicado en la Aurora de Chile el 18 de junio de ese año (copiado del original —respetando la ortografía— disponible en www.auroradechile.cl). Comparado con el actual, el programa destinado a la matemática resulta, por lo menos, curioso.
Con su propio dinero, decidió entonces emprender un viaje a Francia a presentar su obra. Como era de esperar, Picarte fue muy bien recibido por una sociedad extraordinariamente meritocrática, cuna de instituciones de educación de elite concebidas en tiempos posrevolucionarios (como la Escuela Normal Superior o la Escuela Politécnica). Así, en febrero de 1859, expuso su trabajo ante la Academia de Ciencias de París. El informe de esta, datado el día 14 de dicho mes, fue firmado —entre otros— nada menos que por Charles Hermite, uno de los matemáticos más importantes del mundo en la época y que, años más tarde, dirigiría la tesis de doctorado de Henri Poincaré. Picarte pudo finalmente imprimir su tabla en forma de un libro titulado La division réduite à une addition, reproducido parcialmente a continuación en su versión en castellano, de la cual se preserva una copia en la Biblioteca Nacional de Santiago. Esta obra fue traducida y se hizo muy popular en buena parte de Europa, incluyendo Francia, Inglaterra, Portugal, Bélgica y Holanda.

En la tabla de Picarte aparece explícitamente el valor de la división de cada dígito 1,2,…,9 por cada número entre 1 y 10 000, con una exactitud de 10 cifras decimales (es este último aspecto la principal virtud de las tablas). Para ejecutar una división con ellas, por ejemplo, para realizar el cálculo 8.976.795 : 7674 = 1169,7673, se procede como sigue:
Valor (desde la tabla) de: 8 7674 (sin el 0 ni las comas iniciales): 0010424811 9 7674 (valor desplazado 1 espacio): 001172771 7 7674 (valor desplazado 2 espacios): 00091217 6 7674 (valor desplazado 3 espacios): 0007818 7 7674 (valor desplazado 4 espacios): 000912 9 7674 (valor desplazado 5 espacios): 00117 5 7674 (valor desplazado 6 espacios): 0006 Suma de los números listados: 0011697652
Resultado obtenido por simple adición y posicionando la coma decimal (correcto a dos cifras decimales): 1169,7652.
Ahora bien, la elaboración de esta tabla no fue el resultado de realizar mecánicamente cada división (pues hubiese tomado demasiado tiempo), sino que involucra astutos argumentos simplificadores. Estos incluyen, por ejemplo, un lúcido uso de la identidad algebraica

Pasaron décadas y también varios nombres de inmigrantes señeros, como los de Ricardo Poenisch, Francisco Pröschle y Carlos Grandjot, quienes trajeron consigo parte del saber matemático del hemisferio norte. Vino después un período hermoso, una época encabezada por un presidente —Pedro Aguirre Cerda— para quien gobernar era sinónimo de educar, lo que originó una algarabía intelectual de la cual brotaron los primeros nombres chilenos de la matemática, como Guacolda Antoine y Domingo Almendras. Paralelamente, aparecieron los primeros divulgadores de la ciencia, como Arturo Aldunate Phillips, quien, en 1940, publicó un interesantísimo libro: Matemática y poesía. Lamentablemente, los censores literarios de esos años no estuvieron a la altura para juzgarlo; en particular, aquel de mayor autoridad en la época, Hernán Díaz Arrieta (más conocido como Alone), no escribió crítica alguna sobre esta obra (un error menor si lo comparamos con el que repitió dos décadas más tarde con la poesía de Enrique Lihn).

Antiguamente, la ciencia se transmitía mediante libros o tratados; entre los más célebres para la matemática figuran los Elementos de Euclides, los Principios matemáticos de la filosofía natural de Newton o La teoría analítica del calor de Fourier. Por el contrario, la ciencia moderna se transmite principalmente vía publicaciones en revistas especializadas. En este esquema, la entrada de nuestro país al concierto internacional se produjo en 1949 con el artículo de Roberto Frucht, de la Universidad Técnica Federico Santa María, titulado «Graph of degree three with a given abstract group», publicado en la revista Canadian Journal of Mathematics.

El primer teorema de Frucht es una bonita extensión de un resultado del inglés Arthur Cayley, uno de los pioneros de la teoría de grupos.

Representación de una simetría de un grafo en que los nodos 3 y 5 se intercambian, así como los nodos 1 y 2.
El otro gran descubrimiento de Frucht es un precioso objeto geométrico: el grafo más pequeño posible, en el cual todo nodo tiene tres conexiones y no admite ninguna simetría efectiva, es decir, ninguna simetría que cambie algún nodo. Como nuestra percepción tiende a asignar belleza a los cuerpos simétricos, este «grafo de Frucht» (ilustrado más abajo) viene a ser algo así como el monstruo más chico que existe. Obsérvelo bien: trate de intercambiar los nodos y constatará que, necesariamente, tendrá que crear o borrar conexiones, de modo que el grafo no será nunca el mismo. Se trata, simplemente, de la más pequeña de las aberraciones posibles.

Hoy en día nuestro país está a la vanguardia en el área dentro de Latinoamérica, en conjunto con Argentina y México, ligeramente detrás de Brasil, aunque con una producción per cápita mayor (vea «Chile es el país que más estudios de matemática per cápita hace en Latinoamérica» el 14 de agosto de 2014 en: www.latercera.com). La mayoría de las universidades de nivel realiza investigación de punta en el área, y se producen artículos que van a parar a las revistas más prestigiosas del mundo (mención especial merece la tesis de Héctor Pastén, quien se doctoró con apenas veintidós años en la Universidad de Concepción, y cuyo trabajo fue publicado en Inventiones Mathematicae, una de las cinco revistas más importantes de la matemática en la actualidad). Además, en el seno de la Universidad de Chile se creó el Centro de Modelamiento Matemático (CMM), institución cuya misión es «crear nuevas matemáticas y usarlas para resolver problemas provenientes de otras ciencias, la industria y las políticas públicas» y que está asociada al Centro Nacional de Investigación Científica (CNRS) de Francia. Ha sido tal el desarrollo que, para el Congreso Internacional de Matemáticos de 2014 en Seúl, la Unión Matemática Internacional convocó a la directiva de la Somachi a presentar los avances chilenos, como ejemplo para otros países en desarrollo. El video de la presentación, que narra hitos de nuestra historia matemática, presenta datos de actualidad y se ameniza con entrevistas breves, está disponible en YouTube: «Historia de la matemática en Chile».
No debemos, sin embargo, detenernos en esta senda. Muy por el contrario, nuestra matemática, y nuestra ciencia en general, necesita de un nuevo impulso que nos posicione definitivamente como actores relevantes a nivel mundial. Para ello tenemos que aumentar drásticamente el financiamiento que le otorgamos, pues «la ciencia no es un lujo, sino un objeto de primera necesidad». Además, tal como señala certeramente el matemático Alejandro Maass (galardonado con el premio de la Unión Matemática de América Latina y El Caribe en 2009), «debemos multiplicar la masa crítica para desarrollar la ciencia que necesitamos». En efecto, un universo de alrededor de doscientos cincuenta investigadores activos en matemática no es suficiente para competir internacionalmente. Pero, por sobre todas las cosas, debemos propiciar el desarrollo armónico de nuestra ciencia con la sociedad, promoviendo instancias masivas y transversales de colaboración dentro y fuera de la comunidad, como la construcción de un centro de convenciones científicas o la organización sistemática de actividades de divulgación.
No podemos permitir que la historia de Picarte se repita, o que la semilla dejada por Frucht y tantos otros deje de florecer. Así, cualquier niña o niño que sueñe con un futuro ligado a la ciencia podrá tener la certeza de que, en nuestro país, ese sueño es posible.
Capítulo 16
Un problema en dos dimensiones en busca de un final feliz

La gran mayoría de los fenómenos físicos, biológicos, sociales y económicos se modelan matemáticamente mediante las temidas ecuaciones diferenciales. Si usted no sabe de qué se tratan no importa: de todas maneras, hoy sabemos que en su gran mayoría no pueden ser resueltas como esperaríamos, es decir, encontrando la fórmula de la solución a partir de la fórmula de la ecuación. Pero esto no nos intimida: pese a no ser posible resolverlas, sabemos que una solución existe, y de todas formas queremos «aproximarla» o al menos «predecir» algunas de sus propiedades más importantes. Para ilustrar la relevancia de este proceso, basta mencionar que el informe meteorológico que a usted le ayuda a escoger tranquilamente su vestimenta cada día es elaborado aproximando la solución de (una variación de) la famosa ecuación de Navier-Stokes (y otras afines), la cual está lejos de ser completamente dominada por la ciencia y es materia de intenso estudio y controversia.
¿Pero qué es, exactamente, una ecuación diferencial? Aunque las hay de diversos tipos, las que nos conciernen para esta historia tienen lugar en el plano bidimensional y pueden ser fácilmente ilustradas con un dibujo de niños. En efecto, imagine que en cada punto de un plano usted dibuja una flecha que varía suavemente de punto a punto tanto en tamaño como en dirección. Pues bien, esta distribución geométrica «es» una ecuación diferencial, y resolverla no es más que encontrar curvas que sigan tangencialmente las direcciones de estas flechas, de modo que una partícula se mueva a lo largo de ellas a una velocidad variable dependiendo de la longitud de las flechas. Así, un punto en que la flecha desaparece se entiende como un punto estacionario, en el cual la partícula permanece inmóvil.
Una vez «resuelta» la ecuación de esta manera pictórica, nos podemos preguntar qué sucede con las curvas halladas: ¿se alejan más y más, o quedan rondando en espiral dentro de alguna región? La ocurrencia de este último fenómeno tiene interpretaciones relevantes de acuerdo con el ámbito de estudio. De ahí que el borde de cada región de vorticidad merezca un nombre especial: ciclo límite. En la ilustración a continuación se aprecia uno de estos ciclos, pero perfectamente pueden aparecer varios en distintas partes del plano.

A la izquierda: un ciclo límite. A la derecha: portada del texto recopilatorio de «los problemas de Hilbert».
No obstante, durante los años setenta, muchos matemáticos de todas partes del mundo comenzaron a cuestionar los trabajos de Dulac y Petrovski-Landis. No solo se dieron cuenta de que, en realidad, nadie los había leído en detalle, sino que rápidamente pusieron en evidencia graves errores de argumentación. Una estocada certera vino entonces desde China: en 1979-1980, Lan-Sun Chen y Ming Shu Wang e, independientemente, Song Ling Shi, exhibieron ecuaciones que contradecían la predicción de Petrovski-Landis. Tras ochenta años de trabajo y certezas, todo parecía volver a fojas cero.
Eran momentos de angustia, pero una luz de esperanza surgió en Chile. En 1984, mientras las canciones de Los Prisioneros comenzaban a sonar una y otra vez en las radios locales, Rodrigo Bamón (por entonces en el Instituto de Matemática Pura y Aplicada de Brasil) volvió a las raíces del problema lidiando humildemente con distribuciones cuadráticas, es decir, aquellas en que los polinomios involucrados tienen grado a lo más 2. Mezclando conocimientos y conceptos profundos con una portentosa astucia felina —es decir, trabajando como toda persona de ciencia idealmente debiese hacerlo—, logró probar (¡esta vez de manera concisa y correcta!) que el número de ciclos límite debe ser finito en tal caso. Este hallazgo allanó el camino para que, años más tarde (1991), Jean Écalle e, independientemente, Juli Ilyashenko, resolvieran el problema general de la finitud de ciclos límite para distribuciones polinomiales, reivindicando así, aunque solo parcialmente, a Dulac. El número máximo de ciclos que pueden aparecer sigue, sin embargo, siendo un misterio.
A pesar de que los trabajos de Ilyashenko y Écalle son extensos y complejos, la comunidad concuerda en que ambos son correctos. Pero, a la luz de la historia, las dudas son perfectamente lícitas. A final de cuentas, en su debido momento, los trabajos de Dulac y de Petrovski-Landis también habían sido validados y transparentemente publicados en prestigiosas revistas especializadas. ¿Qué significa, entonces, que un trabajo sea correcto? ¿Significa que no hay errores lógicos en su formulación y articulación, sin importar que esto lo haga comprensible apenas para un pequeño grupo de científicos (a veces, tan solo para el autor)? ¿Hasta qué punto un trabajo así es un aporte genuino al conocimiento? Y finalmente, ¿puede un trabajo de este tipo realmente asegurarnos que algo es válido? Personalmente creo que sí, mientras nadie demuestre lo contrario…
Capítulo 17
El festival del caos de Olmué

¿Pero qué es, exactamente, la teoría del caos? No es sencillo responder a esta pregunta, en parte debido a que ni siquiera los especialistas de las distintas ramas científicas han convenido en una definición precisa. Sin embargo, hay un elemento común para todas las visiones. La ciencia moderna, en general, debe su éxito a su capacidad de, a partir de mediciones iniciales, predecir fenómenos mediante la implementación de modelos matemáticos. Por ejemplo, dadas la posición y la velocidad iniciales de una carga lanzada desde un avión, se puede prever dónde caerá; y si los datos iniciales están ligeramente errados, la carga caerá en un punto muy cercano a aquel inicialmente previsto. Por el contrario, los sistemas caóticos son aquellos que, pese a contar con un modelo teórico perfectamente estructurado y aparentemente muy simple, se resisten a estas predicciones debido a que son demasiado sensibles a las condiciones iniciales: una pequeña modificación al principio del proceso puede desencadenar comportamientos completamente diferentes. Tal es el caso del sistema mecánico conocido como «péndulo doble», que consiste simplemente en un péndulo que cuelga del extremo de otro. Si bien su movimiento obedece a leyes perfectamente gobernadas por ecuaciones relativamente sencillas, es totalmente impredecible (vea en YouTube el video «Péndulo doble»). Algo similar ocurre también con el curso de las condiciones meteorológicas, las fluctuaciones de las poblaciones biológicas, el movimiento de los cuerpos de un sistema planetario o las oscilaciones de la bolsa, razón que hace tan complejo su estudio.
El fenómeno anterior ha sido popularizado como «efecto mariposa», según el cual el simple aleteo de un insecto podría desencadenar, en un tiempo posterior, una tormenta a miles de kilómetros de distancia. Ciertamente, se trata de una exageración de la idea, que no deja de tener, sin embargo, cierto asidero. Además, su nombre está inspirado en un hecho matemático concreto. En 1963, el meteorólogo Edward Lorenz obtuvo un modelo climatológico (basado en las ecuaciones de Navier-Stokes) consistente en tres ecuaciones diferenciales acopladas (capítulo 16). Vistas como sistema, dichas ecuaciones tienen una realización geométrica en el espacio tridimensional. Allí, las curvas de las soluciones se organizan de una forma complicadísima, lo que genera un objeto que pareciera estar conformado por las dos alas de una mariposa, tal como aparece ilustrado al inicio de este capítulo.
En fin, si usted quiere tener un acercamiento más serio al concepto, un documento extraordinariamente útil es la película Chaos, de Aurélien Alvarez, Étienne Ghys y Jos Leys, disponible gratuitamente en castellano en www.chaos-math.org/es.
Desde el punto de vista matemático, la rama que se ocupa del estudio del caos es la de los sistemas dinámicos, cuyo origen histórico preciso puede situarse en los trabajos de Henri Poincaré, a fines del siglo XIX. Ahora bien, como la mayoría de las teorías científicas, estuvo precedida de ideas que ya circulaban en la élite cultural. Por ejemplo, en su cuento El misterio de Marie Rogêt, Edgar Allan Poe escribía de manera asombrosamente visionaria lo siguiente: «Así pues, respecto a las dos vertientes de suposiciones, debe ser considerado que la más insignificante variación en los hechos de los dos casos puede dar cabida a los más importantes errores al gravemente desviar los dos cursos de eventos; así como en aritmética, un error que por sí solo puede ser despreciado, produce, por fuerza de multiplicarse, un resultado que dista enormemente de la verdad».
Frente a tanta complejidad e incerteza, el trabajo matemático consiste en la tarea aparentemente paradojal de comprender las «leyes que originan el caos», abandonando, por cierto, la vieja aspiración de gobernarlo. Es por ello que, en general, la comunidad matemática internacional se resiste un poco a usar el término «caos». A fin de cuentas, en muchos momentos de la historia el ser humano se ha visto enfrentado a nuevos problemas surgidos de contextos que, en un principio, parecían caóticos, pero que, mediante un estudio profundo, han derivado en teorías que han facilitado su comprensión. En este sentido, no deja de ser visionaria la frase de otro poeta, el franco-uruguayo Lautréamont, quien, en sus Cantos de Maldoror escribía a propósito de las matemáticas: «El todopoderoso se ha revelado, con todos sus atributos, en ese trabajo memorable que consiste en hacer nacer, desde las entrañas del caos, esos tesoros de teoremas y sus magníficos esplendores».
Ciertamente, algo de este esplendor se respiró en los primaverales días del 2015 de la conferencia en Olmué.
Apéndice: sobre las conferencias y otras peculiaridades matemáticas
La matemática es especial en muchos aspectos. Como no se trata de una ciencia experimental, su desarrollo (al menos en lo referente a las áreas más teóricas) no requiere de grandes instrumentos de laboratorio. Una excepción la constituye la necesaria inversión en equipos computacionales de alta capacidad, cuyo uso ha invadido incluso las ramas que podrían ser calificadas como más «puras» (capítulo 32). No obstante, la mayoría de las simulaciones y experimentos computacionales en la matemática de hoy pueden ser realizados con una máquina no muy sofisticada.Pero entonces, ¿en qué aspectos es necesario concentrar recursos para el desarrollo de esta ciencia? Una respuesta a esta pregunta se impone inmediatamente: las conferencias (además de seminarios especializados y escuelas temáticas) no son solo necesarias, sino imprescindibles para su progreso. Es en este tipo de instancias donde los especialistas de las distintas ramas exponen sus últimos resultados y comparten estrategias y puntos de vista, lo cual desemboca a menudo en trabajos colaborativos. Además, es allí donde los estudiantes se arman de conocimientos de vanguardia y germinan sus primeras ideas, que a menudo son las que marcan toda la carrera científica.
Antiguamente, la mayoría de los trabajos en matemática se hacía en solitario, y eran rarísimos los resultados clásicos de esta ciencia de autoría compartida. Hoy en día, esta situación se ha modificado enormemente, y no es extraño hallar, por ejemplo, artículos con más de tres autores de distintas partes del mundo (algo prácticamente impensable hace un siglo). Ciertamente, las conferencias han potenciado esta colaboración vertiginosa, la cual se ha visto facilitada en los últimos años con el uso de Skype y otras tecnologías de comunicación. Aun así, la matemática mantiene reglas deontológicas particulares: no existe el concepto de «primer» y «segundo autor» de un artículo, y el hecho de ser el «autor correspondiente» (es decir, aquel que gestiona el contacto con la revista especializada) no revela absolutamente nada especial sobre el rol de la persona en cuestión en el trabajo. Es más, salvo rarísimas excepciones, el orden de los autores es siempre alfabético.
Otro aspecto muy valioso para el flujo de las ideas es el hecho de que un altísimo porcentaje de matemáticos cumple con el noble mandato de poner a disposición sus trabajos de manera gratuita —previo a la publicación— ya sea en sus propias páginas de internet o en el repositorio mundial www.arxiv.org. Por lo demás, la ciencia en que se produce —y, por consiguiente, se cita— la menor cantidad de artículos por investigador es la matemática. Para constatar esto, basta visitar el sitio https://scholar.google.com, donde queda consignado que, entre las cien revistas científicas de mayor índice de impacto, ninguna se concentra en la matemática. Obviamente, esto no significa que en esta disciplina se trabaje menos; simplemente, es una consecuencia de la tradición de una comunidad científica que tiende a priorizar la calidad por sobre la cantidad en la producción. Es así como, por ejemplo, el año 2002 le fue atribuida una Medalla Fields al francés Laurent Lafforgue, pese a que hasta esa fecha apenas acumulaba cinco artículos de investigación y cuatro notas de anuncio de trabajos en curso (capítulo 19).
Un último aspecto que ha irrumpido con fuerza en los últimos años, y que sin duda alguna modificará profundamente el sistema de publicación y difusión matemática en el corto plazo, tiene relación con la posibilidad de filmar charlas y hacer videos explicativos masivos. Ha sido tal el impacto de los medios audiovisuales que la mayoría de los grandes centros de investigación en el área ya dispone de canales de YouTube para tornar accesible este tipo de material a todo el mundo. De este modo, hoy en día es posible revisar el contenido expuesto en muchas conferencias apenas unos días después de realizadas, y a veces incluso seguirlas online. Pero a pesar de este avance, nada aún ha podido (y, muy probablemente, nada podrá) reemplazar la posibilidad de dialogar in situ con colegas investigadores, por ejemplo, entre dos charlas de una conferencia, degustando una sagrada taza de café.
Conferencias, seminarios, escuelas temáticas, estadías de trabajo en colaboración. Es tanta la relevancia de este tipo de encuentros que la mayoría de los países de vanguardia en matemática mantiene centros especialmente abocados a su organización y permanente gestión, los cuales suelen estar abiertos a toda la comunidad internacional. Por solo dar algunos ejemplos emblemáticos, podemos citar el Instituto Henri Poincaré en París (Francia), el Instituto Mittag-Leffler en Estocolmo (Suecia), el Instituto Max Planck en Bonn (Alemania), el Instituto de Investigación en Ciencias Matemáticas en Berkeley (Estados Unidos) y la Estación Internacional de Investigación de Banff (Canadá). Recientemente, esta última institución ha abierto una antena en México, la Casa Matemática de Oaxaca, con lo que selló un acuerdo que representa un extraordinario avance para el país latinoamericano del norte.
Lamentablemente, nuestro país no solo no dispone de una instancia específica de este tipo, sino tampoco de un centro de convenciones científicas. Pese a esto, son cada vez más numerosas las conferencias de relevancia mundial que se organizan en Chile. En este sentido, un hito extraordinariamente relevante (y que, lamentablemente, no tuvo mayor repercusión en los medios de prensa) fue la realización en agosto de 2015 en Santiago del Congreso Internacional de Física Matemática, el encuentro más importante a nivel mundial del área, que se efectúa cada tres años de manera itinerante en distintos países del mundo. Sin duda alguna, este evento constituyó un paso importante en la tarea de hacer que «nuestro país sea conocido por la calidad de su investigación científica», tal como expresara el encargado de la organización, Rafael Benguria (Premio Nacional de Ciencias Exactas 2005).
Y es que en matemática (así como en ciencia en general), las conferencias no son un lujo, sino una primera necesidad.
Capítulo 18
Pixar y los fractales: otro óscar para la matemática

La historia de Pixar aparece muy bien descrita en su sitio de Wikipedia. Allí se puede constatar, por ejemplo, que sus orígenes vienen de una empresa de computación orientada a la creación de programas de animación gráfica. La bitácora completa es larga e intrincada, e incluye relaciones con George Lucas, Steve Jobs y finalmente Disney. A lo largo de ella hay, sin embargo, un hito decisivo. Hacia fines de los años setenta, cuando el desarrollo de los algoritmos de animación computacional era aún muy precario, Loren Carpenter, funcionario de Boeing que había realizado estudios de posgrado tanto en matemática como en computación en la Universidad de Washington, trabajaba afanosamente en mejorar estos procesos. Llegó entonces a sus manos un libro del célebre promotor y divulgador de los fractales, Benoît Mandelbrot. Maravillado al descubrir una teoría tan sencilla como profunda y de tanto potencial, Carpenter se preguntó si estas ideas podían ser aplicadas en su propio trabajo. Tras una iluminadora reflexión, modificó sus programas computacionales y produjo una primera animación, Vuelo libre («Vol libre» en Vimeo). Si bien se trata de una cinta de solo un par de minutos de duración y que hoy puede parecernos básica e incluso tosca, lo cierto es que para la época era una auténtica revolución, tanto así que fue aclamada con una ovación en las primeras conferencias en las que fue presentada. De esta forma nació Pixar, con Carpenter como uno de sus socios fundadores y director científico. Desde ese momento, la historia de la animación 3D cambió para siempre.
Seguramente usted se ha topado más de una vez con una imagen fractal. Muy conocida es aquella del «conjunto de Mandelbrot», llamado así en honor al célebre matemático de origen polaco, que de hecho fue quien acuñó el vocablo «fractal» (aunque, dicho sea de paso, este conjunto había sido previamente descubierto por Robert Brooks y Peter Matelski).

A la izquierda: el primer dibujo del conjunto, obra de Brooks y Matelski, realizada con los recursos computacionales de la época (1978). A la derecha: el conjunto tal como se comenzó a popularizar a partir de mediados de la década de los ochenta.

El estudio de los fractales se vincula con varias vertientes de la matemática, y son enormemente gravitantes sus relaciones con los sistemas dinámicos (la «teoría del caos»).

El Ying y el Yang en modelo fractal.
Los fractales tienen también numerosas aplicaciones prácticas. Por ejemplo, son usados en la fabricación de ciertas placas de calor para cocinas (pues permite optimizar la difusión del calor) y en la de paneles aislantes de ruido para carreteras (en los que las ondas sonoras quedan «vagando perpetuamente»). Sin embargo, en las aplicaciones, muchas veces los procesos no son repetidos indefinidamente, sino un número finito pero elevado de veces, de modo de asegurar el comportamiento deseado. Un ejemplo es el sistema usado para los cables de acero, cuyos precedentes más ancestrales se remontan a las cuerdas que sostenían los puentes colgantes incaicos, tal como señala Garcilaso de la Vega en sus escritos del siglo XVI. La idea es sumamente sencilla: las hebras iniciales se acoplan unas con otras, con un leve giro, para así formar hebras de mayor grosor. Con estas nuevas hebras se procede una vez más a acoplarlas con un leve giro a fin de formar hebras aún mayores. El proceso se repite las veces que sea necesario de acuerdo con el peso que se quiere sostener, como se aprecia en la siguiente imagen.



Desde su creación hasta 2016, Pixar acumuló nada menos que dieciséis premios Óscar. La lista empieza con la recordada Toy Story, que es la primera película animada totalmente digital de la historia. De hecho, hay quienes ven en la famosa frase: «¡Al infinito y más allá!», una alegoría a la matemática, específicamente al trabajo de Cantor. En la misma ceremonia de 2016 le fue otorgado un nuevo Óscar por la películaInside Out (presentada en Hispanoamérica con el nombre de Intensa-Mente). Ciertamente, la historia de este gigante es una muestra ejemplar de una feliz cadena de innovación. Por un lado, la comunidad académica produce conocimiento de vanguardia, el cual es transmitido por divulgadores científicos y recogido por especialistas con miras a aplicaciones prácticas más inmediatas, todo esto amparado por emprendedores dispuestos a invertir en el recurso más valioso con que cuenta una nación: las ideas y el talento de sus ciudadanos.
Es de esperar ahora que, de la misma forma que Carpenter, los realizadores de la Historia de un oso reciban en Chile todo el apoyo y financiamiento que merece su enorme creatividad. Tal vez este sería un premio incluso mayor que el trofeo logrado. Aunque, por cierto, tal como señalara Gabriel Osorio en su breve discurso ante la academia de Hollywood, la mejor recompensa sería sin duda alguna que las circunstancias que inspiraron su historia no se produzcan nunca más en nuestro país.
Capitulo 19
Fermat, Wiles y el Nobel de la matemática

No fue sino hasta la década de 1930 que el canadiense John Fields vino a reemplazar al Nobel en el ámbito de la matemática y estableció un premio especial para esta ciencia, la Medalla Fields. Las reglas de este premio son, sin embargo, muy diferentes: se otorgan a lo más cuatro medallas una vez cada cuatro años, con ocasión del Congreso Internacional de Matemáticos organizado por la Unión Matemática Internacional (IMU); además, los laureados no deben superar los cuarenta años al año del congreso.
La Medalla Fields se entrega desde el año 1936 y, como era de esperar, no ha estado exenta de polémica. La más connotada fue sin duda alguna la de 2006, cuando el ruso Gregori Perelman rechazó no solo el premio, sino también el millón de dólares que se había ofrecido a quien resolviera el problema que le valió la presea: la conjetura de Poincaré (capítulo 14). Al margen de esto, una crítica permanente que se hace a la Medalla Fields es el límite tan bajo de edad. Para algunos, este inhibe el desarrollo de investigación de largo plazo. Para otros, pone en clara desventaja a las mujeres, pues el corto período de productividad considerado incluye su edad fértil.

Maryam Mirzakhani (a la derecha) recibiendo la Medalla Fields de manos de Park Geun-Hye, presidenta de Corea del Sur, en el Congreso Internacional de Matemáticos realizado en 2014 en dicho país. Lamentablemente, Maryam falleció en julio de 2017 (a la edad de 40 años) víctima de un cáncer que venía arrastrando desde un largo tiempo, el cual le había impedido incluso dictar la conferencia plenaria que le había sido asignada en aquel congreso.
Así, una nueva distinción —esta vez sin restricción de edad— apareció en escena en 2003. Se trata del Premio Abel, otorgado por el rey de Noruega y llamado de esta manera en honor al célebre matemático de dicho país, Niels Abel, quien en su corta vida (1802-1829) logró probar la inexistencia de una fórmula general para resolver ecuaciones polinomiales de grado cinco o mayor. El premio se entrega una vez al año, en principio a una sola persona, aunque en algunos casos ha sido compartido. El año 2015 uno de los ganadores fue John Nash por sus trabajos en ecuaciones diferenciales parciales, muy distintos de sus trabajos en teoría de juegos que le habían valido el «Premio Nobel de Economía». Trágicamente, tras volver de la ceremonia de entrega del premio en Oslo, Nash sufrió un accidente automovilístico en el trayecto en taxi desde el aeropuerto, producto del cual falleció junto a su esposa: ambos habían olvidado abrocharse el cinturón de seguridad (el conductor salvó ileso).
El Premio Abel 2016 recayó con muy justa razón en Andrew Wiles, quien en los años noventa fue un ícono de la matemática por haber resuelto uno de los problemas más famosos de esta ciencia: la conjetura de Fermat. Como muchas historias en matemática, esta nace en tiempos antiguos, cuando el sabio Diofanto de Alejandría escribió una obra fundamental, llamada Arithmetica. En honor a él fueron bautizadas las así llamadas ecuaciones diofantinas, en las cuales, habiendo varias incógnitas, se buscan solamente soluciones que sean números enteros.
Una de las ecuaciones más señeras de este tipo es la pitagórica, en la que se buscan números naturales que satisfagan la misma relación que, de acuerdo con el teorema de Pitágoras, cumplen las longitudes de los lados de un triángulo rectángulo:
x2 + y2 = z2
Por ejemplo, la famosa combinación x = 3, y = 4, z = 5 cumple esta relación, pues32 + 42 = 9 + 16 = 25 = 52
Lo mismo sucede para x = 5, y = 12, z = 13:52 + 122 = 25 + 144 = 169 = 132
De hecho, es relativamente fácil encontrar una fórmula para todas las combinaciones posibles, las que por cierto son infinitas. A continuación se exhibe la lista de todas aquellas en que los números que aparecen no superan a 500 y que son «primitivas» (es decir, no se obtienen multiplicando cada entrada de otra terna por el mismo número, como sucede, por ejemplo, con x = 6, y = 8, z = 10, que se obtiene multiplicando por 2 cada miembro de la terna x = 3, y = 4, z = 5):
La «fórmula general» para las ternas pitagóricas es la siguiente:x = m2 − n2, y = 2mn, z = m2 + n2,donde m y n son números naturales ym > n. Por ejemplo, para m = 2,n = 1, se obtiene x = 3, y = 4,z = 5, mientras que de la pareja m = 3, n = 2 surge la terna x = 5, y = 12, z = 13.
¿Qué sucede si, en la ecuación anterior, cambiamos el exponente 2 por uno mayor? Allá por el año 1637, Pierre de Fermat escribió en el margen de una hoja de su copia de Arithmetica que tal situación no puede ocurrir. En otras palabras, si n > 2, entonces no hay números naturalesx, y, z, que satisfagan xn + yn = zn.
Él afirmaba haber dado con una prueba sencilla de esto, la cual lamentablemente no cabía en el espacio que tenía en su libro. Lo cierto es que, muy probablemente, nunca tuvo dicha demostración, o al menos su argumento era incorrecto. En efecto, tras esfuerzos de muchas generaciones de matemáticos, entre quienes destaca en particular la francesa Sophie Germain (capítulo 21), la primera prueba fue dada por Wiles recién en 1993, es decir, trescientos cincuenta y seis años después.
En estricto rigor, su prueba data de 1994. Y es que tras el anuncio al cabo de tres míticas conferencias en Cambridge, los especialistas del tema detectaron inmediatamente un punto conflictivo que tardó un año en reparar, para lo cual trabajó con su antiguo estudiante Richard Taylor.
En todo caso, no era de extrañar que se presentara algún inconveniente, pues se trata de un trabajo largo y extraordinariamente complejo, en el cual Wiles resuelve otra conjetura de apariencia muy diferente, formulada por los japoneses Yukata Taniyama y Gorō Shimura, y que no solo implica la validez del enunciado de Fermat, sino que tiene consecuencias muy importantes más allá de este. Sin duda alguna, se trata de una saga apasionante, que fue brillantemente narrada por Simon Singh en El último teorema de Fermat, uno de los libros de divulgación matemática más vendidos en el mundo.

Imagen relativa al teorema de Fermat, realizada por el destacado artista chileno Fernando Krahn (1935-2010), quien solía colaborar ilustrando artículos de divulgación científica —entre otros medios— para The New Yorker, Esquire y The Atlantic Monthly en Estados Unidos, La Vanguardia, El País y Muy Interesante en España, y De Telegraaph en Holanda.
Wiles trabajó en silencio por más de seis años en todos estos complejos temas, y su trabajo es considerado una obra titánica. Sin embargo, no fue galardonado con la Medalla Fields porque las ideas, aunque correctas, le llegaron un poco tarde: cuando halló la solución de la conjetura de Fermat ya tenía cuarenta años… Se creó entonces un premio especial para él, la Placa de Plata de la IMU, que le fue entregada en el Congreso Internacional de Matemáticos de 1998 en Berlín, frente a una concurrencia de miles de personas que lo aplaudieron de pie durante casi un minuto. Sin duda alguna, el Premio Abel vino a poner aun mayor justicia en esta historia.
Capítulo 20
Sofía Kowalévskaya: el heroico gorrión de la matemática

Pese a esto, sus extraordinarios progresos horrorizaron a su padre, quien detestaba a «las mujeres sabias» y sencillamente le prohibió avanzar más en su estudio de las ciencias. Pero Sofía se las arregló para continuar a escondidas y de forma autodidacta. Así era ella: brillante, tímida, rebelde, apasionada y, según cuentan, muy bella. Al leer los relatos originales respecto a esto último, no puede sino venir a mi mente una escena famosa de la novela El idiota, de Fiódor Dostoievski, en la cual el príncipe Myshkin le dice torpemente a Aglaia Ivanovna: «Usted es tan hermosa que da miedo mirarla». Y Dostoievski no es ajeno a esta historia: fue novio de su hermana Anya —quien, según muchos, inspiró el personaje Aglaia de su novela—; además, se dice que Sofía se enamoró de él siendo aún una niña.
Toda la vida de Sofía es un precioso y trágico cuento ruso, parte del cual es relatado con singular maestría por la Premio Nobel de Literatura Alice Munro en su libro Demasiada felicidad, el que, a su vez, está inspirado en la obra Pequeño gorrión: retrato de Sofía Kowalévskaya, de Don Kennedy.
Con apenas dieciocho años, Sofía contrajo matrimonio con el paleontólogo Vladimir Kowalewski, del que tomó su apellido. Se trataba, sin embargo, de un contrato por simple conveniencia: era la única manera que tenía de salir del país y aprender matemática. Viajó a Heidelberg y luego a Berlín, donde estudió bajo la guía de Karl Weierstrass, con quien entabló una relación muy singular: al recibirla, el rígido alemán pensó inmediatamente en deshacerse de la aspirante a aprendiz proponiéndole una lista de problemas muy difíciles. Su sorpresa fue mayúscula cuando Sofía volvió a la semana siguiente con soluciones para todos ellos, muchas de las cuales eran más sencillas y elegantes que las del propio maestro. Desde entonces se convirtió en su mentor personal, debido a que a las mujeres les estaba vedado asistir a las clases comunes. Weierstrass, el más riguroso de los «analistas» (es decir, quienes desarrollan el cálculo diferencial e integral), tuvo que guiar el talento desenfrenado de Sofía, cuya carrera fue muy fluctuante. Cada cierto tiempo, debía sobrellevar el drama de su familia: las muertes primero de su padre, luego de Vladimir —con quien, años después de su matrimonio, había establecido una verdadera relación de pareja y tenido una hija, pero que se suicidó abrumado por las deudas—, y finalmente de su hermana Anya. En otros períodos, se dedicaba a actividades diversas (muchas de ellas consideradas frívolas por la academia), como tertulias intelectuales o negocios. Esto último, unido a su belleza y matizado con su espíritu nihilista y libertario, no le granjearon una muy buena fama.
En 1874, Sofía se doctoró en ausencia, pero con honores, en la Universidad de Göttingen. Si bien esta era «más liberal» que la de Berlín como para permitir el otorgamiento del grado doctoral a una mujer, de todos modos le negó toda posibilidad de ejercer como académica. Inició entonces un largo peregrinar para conseguir trabajo (su Rusia zarista natal por la que deambuló durante varios años nunca se lo ofreció). Casi una década más tarde, amparada por el matemático y mecenas Gustav Mittag-Leffler (quien también había sido alumno de Weierstrass), consiguió recalar en Suecia. Al cabo de un par de años, y siendo recomendada —entre muchos otros— por Charles Hermite (el mismo que firmó el acta de aprobación de las tablas de Picarte; capítulo 15), fue nombrada catedrática de matemáticas de la Universidad de Estocolmo. Se convertía así en la primera mujer en ostentar un cargo de este tipo en ese país, y la tercera en toda Europa. Con más estabilidad, pudo dar rienda a su otra pasión, la literatura, a la vez que comenzó a abogar por los derechos femeninos. Lamentablemente, con apenas cuarenta y un años y en pleno esplendor de su carrera, murió de una neumonía mal cuidada, en medio de una profunda depresión sentimental gatillada por el rompimiento con su nueva pareja, Maxim, quien pretendía que abandonara su carrera para que llevaran una vida conyugal tradicional.
De la obra matemática de Sofía destacan especialmente dos hitos. El primero nace de su tesis de doctorado y trata sobre ecuaciones diferenciales. Un problema central en matemática es determinar si estas tienen o no soluciones, y en el caso de que existan, si son las únicas. El teorema de Cauchy-Kowalévskaya afirma que tal es el caso para algunas ecuaciones muy importantes en que las funciones involucradas son extremadamente suaves (más específicamente, funciones a las que llamamos «analíticas», como los polinomios, las funciones trigonométricas, el logaritmo y la mayoría de las funciones comúnmente utilizadas). Este teorema había sido establecido en casos más particulares por el francés Augustin Cauchy, pero fue Sofía quien dio con la versión general que se esperaba gracias a una demostración que es un verdadero portento de tenacidad y en la que despliega una técnica magistral.
El segundo gran resultado de Sofía consiste en un trabajo particularmente elegante sobre un problema planteado por Leonhard Euler acerca de la rotación de un cuerpo sólido en torno a un punto. Se trataba de un tema muy conocido en la época, tanto así, que en su novela Middlemarch, la escritora inglesa George Eliot (1819-1880) señalaba: «En resumen, la mujer era un problema que (…) no podía ser menos complicado que el de las revoluciones de un cuerpo sólido de forma irregular». El propio Euler lo había resuelto en el caso en que el punto es el centro de gravedad del cuerpo, y Joseph-Louis Lagrange en el caso en que el cuerpo tiene un eje de rotación (como un trompo). La solución de Sofía, que extiende las dos anteriores, consiste en una configuración universalmente conocida como «el trompo de Kowalévskaya», en la cual se explora un nuevo tipo de simetrías. Este trabajo le valió un importante reconocimiento en 1888: el Premio Bordin de la Academia Francesa de Ciencias.
Pero Sofía no solo nos legó su matemática. También incursionó en la física, con un estudio de óptica; en la astronomía, con un trabajo sobre los anillos de Saturno; en la literatura, con una serie de poemas, un libro de memorias y una novela, Mujer nihilista, además de una obra de teatro, La lucha por la felicidad, escrita junto a Anna Leffler, hermana de Gustav; y en la divulgación científica, con decenas de artículos para periódicos. En medio de estos últimos figuran muchos de sus famosos aforismos, entre los cuales destaca uno particularmente inspirador y muy revelador de su espíritu:
«Es imposible ser matemático sin tener alma de poeta (…)
El poeta debe ser capaz de ver lo que los demás no ven,
debe ver más profundamente que otras personas.
Y el matemático debe hacer lo mismo».

A la izquierda: imagen de Kowalévskaya tomada de su libro de memorias. A la derecha: monumento en su casa de niñez en Polibino, transformada hoy en museo (si bien al momento de su muerte, ciertos políticos rusos expresaron que no había nada que lamentar por «la simple desaparición de una mujer nihilista»).
Capítulo 21
La dura carrera de tres mujeres matemáticas

Esta afirmación no es sino una muestra más del estigma que ha debido sobrellevar el género femenino en el mundo intelectual y, en particular, en la ciencia. Un ejemplo emblemático es el de Marie Curie, quien, pese a haber liderado la física y química de su época (ganó un Premio Nobel en ambas disciplinas, algo que no ha logrado ninguna otra persona), se vio enfrentada a diversos obstáculos a lo largo de su carrera por «su condición de mujer». Aunque en el mundo matemático los ejemplos son mucho menos conocidos, esta ciencia no ha estado ajena al problema. Más allá del caso novelesco de Sofía Kowalévskaya (capítulo 20), hay otras historias sencillamente aberrantes. Rápidamente, y en forma de pequeños relatos, me referiré a tan solo tres de ellas, pidiendo disculpas por la omisión de decenas de otras.
Hipatia de Alejandría (siglo IV d. C.): la reina del fin de una época gloriosa
Hipatia es la primera mujer científica en la historia de la cual se tiene antecedentes totalmente fidedignos, aunque su figura ha sido mitificada por la literatura y el cine, incluyendo la película Ágora, producida por Alejandro Amenábar en 2009. Por ejemplo, si bien se tiene certeza de que dirigía la biblioteca de Alejandría, se ha mencionado también que presenció su incendio. Sin embargo, hubo varios atentados contra esta, algunos por soldados romanos y otros por cristianos fanáticos, y no se tiene total claridad de las fechas. Lo concreto es que tanto su muerte como la desaparición de la biblioteca son considerados hitos emblemáticos del inicio del oscurantismo religioso. El incendio de la biblioteca es, sin duda alguna, la mayor pérdida cultural de la humanidad en toda su historia, pues muchísimas obras cumbre de la civilización griega que allí eran conservadas se perdieron para siempre. Entre ellas figuraba un libro de geometría, Los elementos, de Hipócrates de Quíos (capítulo 6). Si hoy consideramos a Euclides el padre de la geometría por su libro homónimo es, en parte, por la desaparición del texto de Hipócrates, del cual se sabe que pasajes completos fueron transcritos en la obra de Euclides. Entre las llamas se perdieron también los libros de la matemática y filósofa Teano (probablemente nacida en Cretona), de quien se suele afirmar que fue discípula y esposa de Pitágoras, y que tomó las riendas de su escuela científica tras la muerte de este. Aun más, se dice que fue ella quien desentrañó la naturaleza geométrica de la división áurea (capítulo 1) y la hizo popular en la antigua Grecia.Hipatia, hija y discípula del astrónomo Teón, llevó una vida ascética y cultivó la filosofía, la física, la astronomía y, por cierto, la matemática. Muchos de sus escritos versan sobre álgebra y geometría, y contienen lúcidas anotaciones sobre textos clásicos. Además, perfeccionó el astrolabio, instrumento de gran utilidad en la época para la navegación, pues facilita la orientación al observar la posición de las estrellas. Entre sus inventos figura el densímetro, aparato que permite determinar la densidad de un líquido sin necesidad de establecer su peso y volumen. El funcionamiento de este se sustenta, obviamente, en el principio de flotación de Arquímedes, cuya terrible muerte (fue decapitado por soldados romanos, no sin antes completar el cálculo que hacía en la arena al momento de ser capturado) se emparenta mucho con la suya.
En la época, la tensión entre corrientes paganas y cristianas estaba ya al límite. Hipatia había participado de la educación de Orestes, a quien apoyaba políticamente como prefecto liberal de Alejandría y cuyo enemigo declarado era Cirilo, patriarca de la ciudad. Se afirma que este último instigó el asesinato de Hipatia, lo que muy probablemente jamás será probado del todo. Lo cierto es que, tal como relata un historiador de la época (Sócrates Escolástico), «una tarde, mientras regresaba a casa en su carro, la bajaron de él, la arrastraron y se la llevaron a la iglesia El Cesáreo, donde la desnudaron completamente y la asesinaron (golpeándola o cortándola) con tejas (o conchas); después de despedazarla, se llevaron sus miembros destrozados a un lugar llamado Cinarón y los quemaron». Cirilo, por el contrario, tuvo mucha mejor suerte, tanto así que fue proclamado santo por las Iglesias católica, luterana, ortodoxa y copta.

Hipatia aparece en el famoso fresco La Escuela de Atenas, pintado por Rafael en uno de los muros del Vaticano.
Sophie Germain (1776-1831): la tenacidad de una mujer que debió esconder que era mujer
Aunque desde temprana edad manifestó un interés inusitado por la matemática, sus padres no querían que siguiera este camino, al punto que la dejaban sin luz ni calefacción por las noches para que no estudiara. Como no estaba permitido a las mujeres asistir a clases superiores, debía pedir prestadas las notas de cursos de la Escuela Politécnica. Más tarde, llegó al extremo de suplantar a un estudiante. Así de simple: fue a clases disfrazada de hombre y estableció correspondencia científica firmando como Antoine Auguste Le Blanc. De esta forma se relacionó con Joseph-Louis Lagrange, hasta que este la citó personalmente por estar muy interesado en su trabajo y se enteró de quién realmente era. También se escribía con Karl Gauss, por quien abogó cuando las tropas de Napoleón invadieron Prusia y entraron en su pueblo (Braunschweig), pues Germain temía que Gauss fuera ejecutado «al igual que Arquímedes». Solo en ese momento, el sabio alemán descubrió que quien le escribía era una mujer. Por cierto, pese a haber sido apoyada por Lagrange, Gauss y muchos otros, ninguna institución académica permitió que enseñara en sus aulas.En el campo matemático, Germain hizo varios aportes. Uno de ellos fue un trabajo acerca de vibraciones sobre superficies elásticas, que le valió un premio de la Academia de Ciencias de Francia, convirtiéndose así en la primera mujer —aparte de las esposas de los académicos— que asistió a una de sus sesiones. Pero, sin duda alguna, fue en la teoría de los números donde hizo sus mayores contribuciones. En particular, realizó avances colosales para la época en torno a la conjetura de Fermat (capítulo 19), la cual logró demostrar, por ejemplo, para todos los exponentes menores que 200. Para ser más precisos, en la primera mitad del siglo XIX ya se sabía que la ecuación xn + yn = zn no tiene soluciones enteras x, y, z si 3 ≤ n < 200, y esto gracias al señor Le Blanc.

A la izquierda: Sophie Germain. A la derecha: Emmy Noether.
Emmy Noether (1882-1935): elegancia a toda prueba
Su historia es con toda seguridad la más emblemática del siglo XX en lo que respecta a la discriminación de la mujer en la matemática. Noether revolucionó el álgebra, transformando un área excesivamente árida, donde los progresos solían involucrar proezas de cálculo, en un área pura y conceptual, donde cada nueva pieza se articula con la anterior en un elegante recorrido lógico. Junto con esto, incursionó en la física, al punto de impresionar a Albert Einstein con su bellísimo teorema que relaciona las simetrías del universo con las leyes de conservación. Noether formaba parte de la elite mundial de la matemática de principios de siglo, y tiene un sitial de honor en toda la historia de esta ciencia.A pesar de esto, el «problema» de ser mujer, al que debía añadir otro más, su origen judío, le impidieron acceder a una posición académica a su altura en una universidad. Por largos períodos debió sobrevivir con trabajos secundarios, como clases de ayudantía o particulares. Incluso, algunas de esas lecciones tuvo que darlas suplantando a David Hilbert. La mancha en la historia de la Universidad de Göttingen por haber rechazado en un inicio su contratación —al igual que la de Kowalévskaya— única y exclusivamente por su género perdurará por siempre (Noether vino a ser aceptada con un contrato respetable recién cinco años después). Aun así, muchos de sus cercanos señalaban que Noether era extraordinariamente generosa con sus ideas, al punto de que varios resultados importantes en distintas líneas de la matemática que, en general, son atribuidos a otras personas, en realidad se incubaron en su extraordinario intelecto. En honor a ella, en cada Congreso Internacional de Matemáticos (capítulo 19) hay una charla especial, la Conferencia Emmy Noether, reservada para honrar a mujeres que hayan realizado contribuciones fundamentales y sostenidas en la ciencia matemática.

Una calle recuerda a Sophie Germain en París, y otra hace lo propio con Emmy Noether en Leverkusen.
Hoy en día, las barreras discriminatorias son muchísimo más sutiles. Muy probablemente, una emisión televisiva en la que se esgrimiese una frase parecida a la de la respuesta de Morovic a Bailey (con una reacción similar a la de ella, quien le cortó inmediatamente la entrevista) generaría una álgida polémica. Sin embargo, pese a los avances, nunca debe escatimarse esfuerzo alguno en concientizar a las distintas generaciones de que la capacidad intelectual no está circunscrita a ningún género, raza u origen social. Durante siglos, la especie humana desperdició el talento de un porcentaje altísimo de su población. No podemos volver a cometer una injusticia y una aberración tan grandes.
Capítulo 22
El trágico destino de cuatro matemáticos que cambiaron nuestra forma de pensar (y el mundo)

Georg Cantor (1845-1918): la edificación de un paraíso
Hasta la aparición de su trabajo, el concepto de «infinito» era considerado un tema filosófico, e incluso teológico; en matemática, solo se osaba emplear dicha palabra para nombrar «algo que no era finito», por ejemplo, el resultado de sumar 1/2 una cantidad arbitrariamente grande de veces (capítulo 28). Pero Cantor penetró en la esencia del infinito y nos reveló su increíble tipología. Su teoría es tan fundamental y, a la luz del entendimiento de hoy, tan simple, que es materia de estudio en cursos habituales de primer año de universidad, y perfectamente podría ser enseñada en el liceo. Constituye, por lo demás, un ejemplo muy ilustrativo de cómo la ciencia va ampliando su campo de acción y se va apoderando de otros espacios de estudio mediante la creación y la adopción de nuevas ideas y conceptos.El problema fundamental que se planteó Cantor es el siguiente: el conjunto de todos los números enteros positivos es infinito, al igual que el de puntos en una recta. ¿Existe, sin embargo, una forma de comparar ambos conjuntos y concluir que el segundo es «más grande» o «más infinito» que el primero? Ciertamente, en general, un conjunto es más grande que otro si lo contiene, pero esta idea es demasiado ingenua: la mayoría de los conjuntos son de naturaleza totalmente diferente, por lo que sería imposible compararlos. Además, si un conjunto contiene a otro debe ser declarado como «no más pequeño», pero no necesariamente como más grande. La genialidad de Cantor para resolver este dilema radica en su forma de comparar conjuntos infinitos: estos son «igual de grandes» si se puede establecer una regla de emparejamiento que asocie cada elemento de uno con un elemento del otro. Por ejemplo, el conjunto de los enteros positivos y el de los números pares son igualmente grandes, pues pese a que el primero contiene al segundo, podemos emparejar el 1 con el 2, luego el 2 con el 4, después el 3 con el 6, etcétera, cubriendo todos los enteros positivos por un lado, y todos los pares por el otro. De hecho, según Cantor, todos los conjuntos de números enteros que constan de infinitos números son igual de grandes.

Y he aquí el más brillante de los resultados de Cantor: el conjunto de los números reales (es decir, de los puntos de la recta numérica) no es igual de grande que el de los números enteros, sino que ¡tiene un «grado de infinitud» mayor! El argumento de la prueba —conocido universalmente como «de la diagonal de Cantor»—, explicado más adelante, es uno de los más extraordinarios de toda la historia de la matemática: su sencillez y profundidad quizás solo sean comparables con aquellas de la prueba del teorema de Pitágoras (capítulo 6) o del teorema fundamental del cálculo de Leibniz y Newton.
Supongamos que se pudiese establecer un emparejamiento entre el conjunto de los números reales y el de los enteros positivos. Los reales podrían, entonces, ser listados, sin excluir ninguno: el primero de la lista es el emparejado con el 1, el segundo con el 2, etcétera. Para simplificar, seleccionemos ordenadamente de esta lista solo aquellos que son mayores que 0 y menores que 1, y escribámoslos hacia abajo en notación decimal. Recordemos que algunos números pueden ser escritos de dos maneras diferentes, debido a que (capítulo 28) 0,9999999999… = 1,0000000000… Sin embargo, esto es irrelevante: para ellos, usamos la notación que termina en 000…
Para concretizar, supongamos que la lista de todos los números reales entre 0 y 1 comienza de la siguiente manera:R1 = 0,30000000927270040…,Vamos a crear un número entre 0 y 1 que no está en ella, demostrando por reducción al absurdo que dicha lista no existe. Para esto, consideremos los dígitos que están pintados de amarillo a lo largo de la diagonal anterior. Cambiemos cada uno de estos dígitos, digamos cada 1 por un 2, cada 2 por un 3,…, cada 8 por un 9, y cada 9 por un 0. Este cambio se realiza, sin embargo, no en la casilla en que aparece, sino de manera ordenada en la expresión decimal de un número R que creamos con tales cambios. Así, el primer dígito decimal de R es 4, pues el dígito en amarillo de R1 es 3 y el 3 cambia en 4; el segundo dígito decimal de R es 7, pues el dígito en amarillo de R2 es 6 y el 6 cambia en 7, etcétera. Resumiendo:
R2 = 0,36498989881864901…,
R3 = 0,73873817917927142…,
R4 = 0,97129862847678686…,
R5 = 0,98370085399300038…,
R6 = 0,95097900912496370…,
R7 = 0,57087020096483866…, etcétera.R = 0,4793103…
Obviamente, este número R difiere de R1 al menos en su primera cifra decimal, de R2 en la segunda, de R3 en la tercera… En general, difiere del k-ésimo número en la k-ésima cifra decimal. Por lo tanto, ¡no puede ser igual a ninguno de los números de la lista!
Pero Cantor no se quedó en este descubrimiento de un nuevo infinito, sino que fue más allá. Descubrió que, así como el conjunto de los números enteros es más pequeño que el de los reales, este a su vez es menor que otro conjunto (para ser concretos, es más pequeño que el conjunto de todos los subconjuntos de puntos de la recta). Por su parte, este último es más pequeño que otro conjunto, y así sucesivamente…¡infinitas veces! Y desde aquí, Cantor fue a parar directo a un pozo sin fondo (reminiscente del que había encontrado Pitágoras al descubrir la irracionalidad de √2; capítulo 8): ya que hay infinitos niveles de infinito, cabe preguntarse: ¿cuál es el nivel de infinito de este conjunto de infinitos? Planteado en otros términos: ¿existe un infinito supremo? Este tipo de disquisiciones lo llevó no solo a él, sino también a otros eminentes matemáticos (como Bertrand Russell), a estrellarse contra una serie de paradojas lógicas, las cuales la comunidad científica tardó un par de décadas en superar.
La otra interrogante que surge naturalmente del argumento de Cantor, y que él tampoco pudo resolver, es la siguiente: ya que el conjunto de los números reales es más infinito que el de los enteros, ¿existirá un conjunto cuyo orden de grandeza se ubique justo en medio? Conocida como la «hipótesis del continuo», esta pregunta fue incluida por David Hilbert como el primero de su lista de veintitrés problemas del siglo XX (capítulo 6). Tiempo después, Kurt Gödel dio las primeras luces para su solución, trabajo que fue concluido años más tarde por el estadounidense Paul Cohen, quien, en 1966, recibió una Medalla Fields por su sorprendente respuesta. En un lenguaje coloquial, esta podría ser enunciada de la manera siguiente: «¡Depende!». Así es: todo está supeditado al universo lógico en que nos movamos: en uno de ellos no hay tal conjunto, y en el otro sí lo hay. Ninguno de los caminos que se escoja llevará a contradicción, así que se es libre de decidir por uno u otro.
Pese a su genialidad, la obra de Cantor fue en un principio muy mal recibida. De hecho, si escarbamos en la historia de la matemática, no existe otro episodio de igual nivel de ostracismo de ideas en el que no haya incidido algún tipo de fanatismo religioso; tal vez, este solo sea emparentable con el castigo (y presunto asesinato) sufrido por Hípaso de Metaponto por comunicar la existencia de los números irracionales (capítulo 8). Lo concreto es que célebres matemáticos de la época, como Henri Poincaré y Luitzen Brouwer, así como respetados filósofos, como Ludwig Wittgenstein, denostaron públicamente la teoría de Cantor. Por ejemplo, el primero se refirió a ella simplemente como «una enfermedad de la cual la matemática debiera rápidamente recuperarse». Pero sin duda, el más virulento fue Leopold Kronecker. Este caudillo de la matemática alemana, de quien se suele resaltar además su atlética estampa, era algo obtuso en sus puntos de vista. Entró en abierto conflicto con Cantor debido a su visión «finitista» de la matemática, según la cual todo objeto matemático debiese ser construido a partir de estos números en una cantidad finita de pasos. Su célebre frase «Dios creó los números enteros, el resto es obra del hombre» refleja muy claramente esta postura. Lo concreto es que a pesar de haber sido profesor de Cantor en Berlín, lo tildó abiertamente de «charlatán científico» y «corrompedor de jóvenes», e hizo todo lo posible para que no progresara en su carrera académica.
Todo lo anterior dañó seriamente la salud de Cantor: la falta de reconocimiento científico sumado, a sus trastornos psiquiátricos (bipolaridad y delirios de persecución), gatillaron en él frecuentes períodos de aguda depresión. A ello se sumaba el hecho de que su intelecto no era en lo absoluto predecible, y a veces tomaba rumbos extraños. Por ejemplo, dedicó grandes esfuerzos a probar que William Shakespeare no había existido, y que sus creaciones eran obra del poeta Francis Bacon, quien habría utilizado dicho seudónimo. Además, como luterano convencido, veía en la posible existencia de un infinito absoluto una manifestación de la divinidad. De hecho, solía decir que su teoría le había sido comunicada por Dios, tanto que llegó a incluir reflexiones filosóficas y teológicas en sus artículos de matemática, razón por la cual algunos fueron rechazados por las revistas especializadas a las que los envió, a pesar de que contenían importantes resultados.
El reconocimiento mundial a la obra de Cantor se fue imponiendo poco a poco, al punto de que Hilbert llegó a afirmar que «nadie podrá expulsarnos del paraíso que él ha creado para nosotros». Lamentablemente, esto no sirvió para aliviar su sufrimiento. Aunque había alcanzado la gloria universal, en sus últimos años de vida —y muy especialmente durante la Primera Guerra Mundial—, Cantor vivió sumido en la pobreza y el hambre.
Su muerte sobrevino en total soledad tras haber pasado varios meses en un sanatorio.
Felix Hausdorff (1868-1942): la armonía del paraíso
Las ideas acaban imponiéndose no solo por ser correctas, sino también porque su profundidad las hace trascender al ámbito en el cual habían sido concebidas originalmente. En matemática, así ha sucedido desde los inicios del siglo XX con teorías como los sistemas dinámicos (capítulo 17) y las probabilidades (capítulo 27), y así sucedió también con la concepción del infinito de Cantor y, más generalmente, con su teoría de conjuntos. Estas fueron poco a poco invadiendo otros espacios, dejando atónitos a sus censores de los primeros años. Las nuevas perspectivas planteadas por el alemán demostraron finalmente no ser el simple fruto de la paranoia de un enfermo, como se había llegado a sugerir al principio, sino que acabaron conquistando a todo el mundo. Uno de los grandes responsables de este triunfo fue el holandés Hausdorff, quien incorporó la «visión cantoriana» a una amplia gama de líneas de la matemática, como el análisis, la topología y la geometría.La aportación de Hausdorff es multifacética: incluye no solo trabajos matemáticos muy variados (algunos de los cuales se enmarcan en líneas más bien clásicas), sino también una interesante producción literaria y filosófica (la que firmaba con el seudónimo Paul Mongré). Sus máximos réditos, sin embargo, llevan todos el sello de Cantor. Por ejemplo, fue pionero en la sistematización formal de la topología, la cual finalmente se edificó a partir de la teoría de conjuntos. Así, en esta disciplina se concibió una noción amplia de «cercanía», que otorgó sentido matemático, entre otras, a una situación en la que un punto A está cercano a B sin que B esté cercano a A. Esta visión ha posibilitado que conceptos topológicos inunden no solo la física, sino también áreas ajenas a las ciencias exactas. Basta señalar que, en 2016, el filósofo coreano Byung-Chul Han (el mismo deLa sociedad del cansancio) publicó una obra muy interesante titulada La topología de la violencia. Ciertamente, también se podría agregar que, a mediados del siglo XX, el célebre psiquiatra Jacques Lacan haya impulsado una corriente psicoanalista-topológica, aunque esta ha sido fuertemente criticada por su falta de rigor (capítulo 25).
Hausdorff también escarbó en los cimientos mismos de la matemática. Redactó un texto monumental, Principios de la teoría de conjuntos, que sistematiza las ideas de Cantor en esta materia y agrega otras, como la de los conjuntos ordenados. Cabe consignar, sin embargo, que el desarrollo de estas ideas llevó también a algunos excesos, de los que, por cierto, debe eximirse de toda culpa a Cantor y Hausdorff. Un ejemplo cercano lo constituye la inclusión excesiva de la teoría de conjuntos en el currículum escolar básico hace un par de décadas, con pésimos resultados. Por lo demás, quienes tengan vagos recuerdos de esta aventura pedagógica quizás puedan testimoniar la enseñanza en nuestras aulas de un «conjunto universo» (usualmente denotado U), que supuestamente era el conjunto que lo contiene todo. Pues bien, este conjunto era una de las pesadillas de Cantor y, sencillamente, no existe. En efecto, si existiese, entonces debiera contener todos sus subconjuntos (pues lo es «todo»), pero el propio Cantor había probado que el conjunto de los subconjuntos de un conjunto tiene un orden de grandeza mayor que el conjunto original.
Hausdorff hizo dos de sus mayores contribuciones mezclando topología y análisis. La primera tiene relación con la «paradoja de Banach-Tarski» (capítulo 7), cuyo crédito se lo llevaron mayormente los autores polacos, aun cuando se apoyaron fuertemente en un trabajo previo del holandés (quien ya había logrado descomponer la esfera en dos pedazos que, al reensamblarse, originan una sola esfera). Sin embargo, el aporte más celebrado de Hausdorff es ciertamente su concepto de dimensión, el cual extiende la noción clásica y puede asumir cualquier valor no negativo. Los conjuntos fractales, que invadieron la geometría a lo largo del siglo XX, fueron el campo natural de aplicación de este concepto. Por ejemplo, para el conjunto de Cantor ternario (capítulo 18), la dimensión es igual a 0,63092… (valor que corresponde a log[2]/log[3]), lo cual encaja con la intuición: se trata de un conjunto muchísimo más grande que una colección finita de puntos (por lo que su dimensión debe ser mayor que 0), pero ciertamente mucho más pequeño que un intervalo (por lo que su dimensión debe ser menor que 1). Cabe señalar que el cálculo de la dimensión de fractales complejos no es en lo absoluto tarea sencilla; de hecho, se trata de un tema de ferviente actividad hoy en día. Por ejemplo, el conjunto de Mandelbrot es tan complicado que, tal como probó el japonés Mitsuhiro Shishikura en 1998, su borde tiene dimensión igual a 2. En otras palabras, su frontera es tan sinuosa que casi llena regiones enteras del plano, pero no consigue llenar completamente ninguna. Solo observe el video de YouTube «Mandelbrot Zoom 10227 [1080 x 1920]».
El portento de la obra de Hausdorff hacía de él uno de los líderes de la matemática mundial de la primera mitad del siglo XX. Su situación, sin embargo, se degradó enormemente a partir del ascenso del partido nazi al poder en Alemania en 1933. Sus esfuerzos por radicarse en Estados Unidos, como lo hizo la mayoría de sus colegas que, como él, tenían ascendencia judía, sencillamente fracasaron.
En 1942, ante la inminencia de que iba a ser trasladado con su familia a un campo de concentración, se suicidó junto a su esposa y su cuñada en Bonn.
Kurt Gödel (1906-1978): el paraíso no lo es todo
Cuenta la historia que, hacia el siglo VI a. C., el filósofo Epiménides pasó una buena parte de su vida meditando en una cueva de la isla de Creta y que, en diversas ocasiones en que se le preguntó en qué estaba pensando, se limitó a responder algo así como: «Yo estoy mintiendo».¿Decía Epiménides la verdad? Si lo hacía, debemos concordar con él y, por lo tanto, corroborar el hecho de que mentía. Si no decía la verdad, entonces debemos admitir que estaba mintiendo sobre el hecho de que mentía y que, en consecuencia, decía la verdad. En ambas situaciones llegamos a una contradicción. Al parecer, Epiménides nunca pudo salir de este embrollo lógico.
La «paradoja del mentiroso» atrajo la atención de los filósofos durante siglos. Y si bien su aparente contradicción fue desestimada de muchas maneras, los matemáticos de principios del siglo XX se hallaron frente a diversas paradojas análogas. Era como si en cada teoría hubiesen detectado una cueva con un Epiménides en su interior burlándose de ellos. Por un momento, todo el edificio matemático estuvo a punto de caer. La salvación provino entonces de un trabajo sistemático de reformulación de los fundamentos de la lógica deductiva, en el que, por primera vez, se tomó conciencia de cuán «contaminada» está ella con nuestro lenguaje.
Para acometer esta tarea, el filósofo alemán Gottlob Frege comenzó creando lo que hoy es conocido como el cálculo proposicional. Este corresponde a una manera algebraica de plantear nuestra lógica deductiva: primeramente, se delimita el lenguaje que se va a emplear; luego, a partir de premisas básicas (denominadas axiomas), se intenta determinar la validez de cualquier otra afirmación que pueda ser formulada en el mismo lenguaje inicial. En este contexto se clarifica por qué el problema que atormentó a Epiménides no es una paradoja, pues establecer el valor de verdad de la afirmación del sabio cretense no es un asunto que le competa al lenguaje con el cual se enuncia dicha frase. Lo mismo ocurre, más generalmente, con muchas otras instancias de la matemática en que una entidad o una afirmación hacen referencia a sí mismas ya sea para ser creada o para que se pueda establecer su veracidad.
Una obra fundamental y particularmente clarificadora de estos aspectos es Principia Mathematica, de Bertrand Russell y Alfred Whitehead, en la cual se intenta replantear la matemática desde su base. En este libro, la «demostración» de la igualdad 1+1=2 aparece recién después de un centenar de páginas, la mayoría de ellas dedicadas a la «construcción» de los números naturales a partir de un número finito de axiomas fundamentales.

Una página de Principia: el intento de reducir toda la matemática a la manipulación lógica de símbolos formales.
En aquella época, en que poco a poco se lograba reconstruir la matemática desde sus cimientos, se planteó la quimérica posibilidad de edificarla completamente a partir de tan solo un número finito de axiomas, utilizando como hilo conductor el cálculo proposicional. Se trataba, ciertamente, de un positivismo científico llevado al extremo, al cual Gödel respondió negativamente y de manera contundente con su «primer teorema de incompletitud». A grandes rasgos, este asevera que, en todo sistema lógico aceptable que se asiente en un número finito de axiomas que no lleven a contradicción, ¡hay una afirmación que no puede ser validada ni refutada por los métodos de la lógica tradicional! En otras palabras, hay una aseveración cuya condición de «verdad» no puede ser establecida lógicamente. Ciertamente, dicha aseveración puede ser añadida a nuestro «dogma inicial» como un axioma más, pero también podemos agregar la negación de esta afirmación: ninguna de estas dos elecciones llevará a contradicción. Pero además, el mismo primer teorema de incompletitud nos dirá que, para cualquier elección que hagamos, habrá nuevas aseveraciones que no podrán ser validadas o refutadas a partir del nuevo conjunto de dogmas. Y así por siempre… ¡Ningún paraíso lógico puede abarcarlo todo!
Gödel no se quedó solo en esto. Atendiendo al tercer problema planteado por Hilbert en su selecta lista, investigó científicamente la pesadilla más temida: ¿será que llegaremos a una contradicción lógica en la matemática?, ¿o será que podremos un día tener la certeza de que dicha contradicción no existe? Ciertamente, evitar las contradicciones es un proceso para el cual los seres humanos podemos moderar nuestra axiomática inicial simplemente evitando los «dogmas» que se contradicen el uno con el otro. Pero el gran problema es que, una vez más, ¡es imposible probar que una axiomática no se contradice a sí misma al interior del mismo lenguaje en que dicha axiomática está formulada! Tal es el contenido del «segundo teorema de incompletitud» de Gödel, sobre el cual André Weil solía bromear diciendo: «Dios existe porque la matemática no se contradice a sí misma, pero el Diablo también existe porque no se puede demostrar que no se contradice».
Resulta sumamente importante señalar que los resultados de Gödel son totalmente rigurosos y que su validez no puede ser objetada en sentido alguno, pues nada en ellos resulta de disquisiciones ambiguas con las cuales uno pueda concordar o no (quizás esta sea la razón de su gran impacto en filosofía). Lamentablemente, es imposible describirlos con total precisión sin entrar en sus aspectos más técnicos. Esto ha motivado el que, muchas veces, hayan sido desvirtuados desde su concepción original. Sin ir más lejos, mientras la comunidad matemática los recibió en un inicio como un duro golpe, Gödel los celebraba de manera muy entusiasta diciendo que «hay muchas matemáticas lógicamente coherentes coexistiendo: ¡la matemática es infinita y siempre lo será!».
Gödel nació en lo que actualmente es la República Checa, pero sus más grandes resultados los produjo trabajando en Viena. Con el advenimiento de la Segunda Guerra Mundial, debió emigrar hacia Estados Unidos. Se cuenta que, para recibir la nacionalidad de ese país, analizó por completo su Constitución. Así, el día de su entrevista, le demostró al juez que dicho texto incurría en contradicciones lógicas que hacían posible la instauración de una dictadura perfectamente compatible con la legalidad (un aspecto de enorme actualidad hoy en día). El juez dudó entonces en otorgar la ciudadanía a tan extraño personaje. Afortunadamente, junto a Gödel se encontraba su gran amigo, Albert Einstein, quien logró persuadir a la autoridad.
Influenciado por el alemán, Gödel incursionó también en física, proponiendo modelos en los cuales los viajes en el tiempo no generan contradicciones lógicas. Ambos solían pasar tardes enteras charlando sobre diversos temas. Según Einstein, este era precisamente el máximo privilegio de trabajar en Princeton. Allí, Gödel compartía una apacible vida junto a su esposa, Adele Nimbursky, con quien sostuvo una curiosa relación sentimental que no puede sino evocarnos la historia de la novela El Ángel Azul, de Heinrich Mann (llevada al cine con una sobresaliente actuación de Marlene Dietrich). En efecto, en su juventud, Adele había sido bailarina de cabaret, y esto le había granjeado la enemistad de toda la familia del matemático.
Gödel no era de fácil trato, y su inestabilidad tanto física como psicológica era difícil de manejar. Hacia sus últimos años, vivía completamente convencido de que intentarían envenenarlo, razón por la cual le pedía a Adele que probara cualquier tipo de alimento que él fuese a comer. Cuando ella enfermó y tuvo que ser hospitalizada por casi seis meses debido a una operación, él dejó de alimentarse y pereció de inanición (al momento de su muerte pesaba apenas 32,5 kg).
El lógico más extraordinario desde los tiempos de Aristóteles murió de la manera más absurda que se hubiese podido imaginar.
Alan Turing (1912-1954): más allá del paraíso, la manzana
En los años inmediatamente posteriores a los de los primeros trabajos de Gödel irrumpió en escena este personaje notable. La tesis de doctorado de Alan Turing es quizás la obra matemática de mayor influencia del siglo XX, pues es el fundamento teórico de la computación moderna: allí se fijan los límites de aquello que es «procesable por una máquina» o «computable». Constituye, además, un ejemplo excepcional de cómo el avance teórico puede a veces adelantarse décadas a la tecnología (los primeros computadores datan recién de fines de los años cuarenta).Como en todo orden de cosas, hubo precursores y contemporáneos que rozaron las ideas de Turing. Entre los primeros se cuenta nada menos que a Gottfried Leibniz, quien ya en el siglo XVII planteaba la posibilidad de que llegase a existir una máquina capaz de corroborar de manera sistemática la validez o falsedad de todas las afirmaciones matemáticas. Este problema fue reformulado en términos más concretos por Wilhelm Ackermann y Hilbert en 1928. Turing probó que, incluso para un ámbito de afirmaciones relativamente sencillas, dicha máquina no puede existir, pues hay restricciones teóricas importantes para el campo de aquello que puede ser programado (es decir, restricciones que no tienen relación con la tecnología de esta eventual máquina, sino con lo que, desde el punto de vista lógico, es capaz de procesar).
Uno de los primeros pasos en el trabajo de Turing consistió en la formalización del concepto de «algoritmo», una noción que había sido vislumbrada a mediados del siglo XIX por la matemática y escritora inglesa Ada Lovelace, hija del poeta Lord Byron, considerada la primera programadora de la historia. Cabe señalar, además, que los resultados de Turing fueron obtenidos simultáneamente, aunque por una vía totalmente diferente, por el estadounidense Alonzo Church. El punto de vista de Turing, aunque equivalente al de Church, acabó imponiéndose debido a la extraordinaria sencillez de su formulación. Aun así, ambas visiones estuvieron fuertemente influenciadas por el trabajo anterior de Gödel.
Sin embargo, Turing no se quedó en esto. Su ambición era mucho más amplia, pues en su afán de establecer los límites de lo procesable por una máquina, imaginó una de gran poder lógico, una que fuera capaz de trabajar con absolutamente todo lo susceptible de ser descrito mediante algoritmos. Logró probar la existencia teórica de este objeto, algo que, en ese entonces, no era en absoluto evidente, pero que hoy en día nos parece totalmente natural. A grandes rasgos, los computadores modernos no son sino implementaciones físicas de lo que Turing imaginó de manera puramente conceptual y que, en este contexto, es llamado una «máquina de Turing universal». Varios años más tarde, Turing se aventuró aun más lejos, estableciendo los rudimentos de lo que hoy es el estudio de la inteligencia artificial.
Durante la Segunda Guerra Mundial, Turing fue requerido por el gobierno inglés para colaborar en la tarea de descifrar los mensajes secretos del ejército nazi. Junto a un enorme equipo de colaboración, y aprovechando el trabajo previo del equipo polaco —encabezado por el matemático Marian Rejewsky—, que le había precedido en esta tarea (y que había logrado recuperar una de las máquinas de encriptación), en 1942 logró romper el cerrojo de la encriptación del Código enigma, un suceso muy bien descrito en la famosa película homónima que pasó por cartelera en nuestros cines en 2014 (y cuyo nombre original en inglés era The Imitation Game). Si bien se afirma que esto logró adelantar el fin de la Segunda Guerra Mundial en al menos un par de años, esta aseveración puede resultar un poco aventurada, pues quizás porte algo del sesgo de la visión occidentalizada del conflicto bélico. Lo concreto es que la acción de Turing y su equipo logró salvar incontables vidas. Los archivos de este trabajo de decriptación no se hicieron públicos sino hasta 1996, año en que se tomó real conciencia de la relevancia histórica de este episodio.
Tras la guerra, Turing volcó su estudio hacia la biología. Intrigado por la formación de patrones geométricos en plantas y animales, sentó las bases de una nueva rama de estudio: la morfogénesis. Fue pionero en utilizar las ecuaciones diferenciales para entender, por ejemplo, la forma de las manchas de muchos animales, las que, según su teoría, resultan de procesos de reacción y difusión intercelulares. Pero sus aportes fueron todavía más lejos: logró predecir patrones de diferenciación celular mediante sus modelos matemáticos, hecho que ha sido constatado y corroborado numerosas veces en décadas posteriores.
La carrera de Turing tuvo un final abrupto en 1954. En un extraño proceso judicial, un par de años antes había sido condenado por homosexualidad, la cual era considerada un delito por la legislación de tipo victoriana aún imperante en la Inglaterra de la época. Le dieron entonces a elegir entre ser encarcelado o someterse a una castración química. Como Turing estaba demasiado ocupado en sus investigaciones y tampoco quería renunciar a otra de sus pasiones —correr el maratón—, prefirió la segunda alternativa. Esto provocó serios cambios en su apariencia física, así como dificultades intelectuales y emocionales. Lo concreto es que, a dos semanas de su cumpleaños número cuarenta y dos, fue hallado muerto en su departamento, muy probablemente como consecuencia de un suicidio materializado al comer una manzana envenenada con cianuro, en una escena que evoca inevitablemente a la que era su película favorita: Blancanieves y los siete enanitos.Se dice que el logo de Apple (la manzana sin un trozo) es una suerte de homenaje al padre de la computación moderna. Aun así, no fue sino hasta 2013 cuando, tras mucha insistencia y presión internacional, el gobierno británico accedió a retirar póstumamente y de manera simbólica la sentencia que había pesado sobre Turing.
Nada podrá borrar, sin embargo, el destino terrible que debió sufrir este gran científico, condenado por la misma sociedad a la cual se empeñó en salvar y orientar hacia la verdad.

De izquierda a derecha, arriba: Cantor y Hausdorff. Abajo: Gödel y Turing.
Apéndice: el otro matemático héroe de la Segunda Guerra Mundial
La historia del conflicto bélico más grande del siglo XX suele llegar mutilada a nuestras latitudes, pues se relevan los sucesos del lado occidental por sobre los del llamado «frente este». De ese lado, el pueblo ruso debió a la vez sufrir la tiranía brutal y desquiciada de Stalin y sostener durante un par de años casi todo el peso de la guerra. Gran parte del aparato de producción soviético fue retirado hacia el oriente, inclusive más allá de los montes Urales, desde donde los productos debían ser enviados hacia las ciudades del frente (en especial, Leningrado y Stalingrado, hoy llamadas San Petersburgo y Volgogrado, respectivamente). Allí, un matemático fue fundamental en la tarea de establecer la forma en que los envíos debían hacerse para minimizar el uso de los escasos recursos con que se contaba: Leonid Kantoróvich. Para ello, reformuló una vieja teoría de fines del siglo XVIII del francés Gaspar Monge: mientras las ideas de este último preveían el envío de productos directamente desde puntos de origen a puntos de destino, Kantorovich planteó la posibilidad de repartir esos productos, de modo que desde el mismo punto de origen pudiesen salir hacia diferentes puntos de destino en porcentajes variados.Pero Kantoróvich no se quedó en la teoría: sabía que sus instrucciones eran complicadas, por lo que se encargó de supervisar personalmente algunos de los envíos. Poniendo en riesgo su propia vida, realizó este ejercicio en varias ocasiones sobre la famosa «ruta de la vida» hacia Leningrado. Así, durante los meses de invierno entre 1941 y 1944, cada mañana circulaban camiones con comida, armas y combustible sobre las aguas congeladas del lago Ládoga hacia la hermosa ciudad del norte de Rusia a la única hora en que el espesor de los hielos lo permitía, siguiendo para ello los caminos que Kantoróvich determinaba a través de los cálculos que se ceñían a la teoría que acababa de desarrollar para esos fines.
En 1975, Kantoróvich fue galardonado con el «Premio Nobel de Economía» (capítulo 19) por su «teoría de la colocación optimal de recursos». En matemática, esta es conocida simplemente como la teoría del transporte óptimo o del transporte de Monge-Kantoróvich. Con este último nombre, si bien no se resta crédito al científico francés, se reconoce implícitamente que la idea de Kantoróvich es más eficaz. Insospechadamente, esta ha encontrado aplicaciones en campos muy diversos, como el tratamiento de imágenes digitales, la dinámica de fluidos y la cosmología.
Pero no debemos engañarnos: durante la guerra, entre los científicos de renombre también hubo villanos, y de los peores. El caso más icónico en la matemática es, sin duda alguna, el de Oswald Teichmüller. Brillante geómetra y analista, durante su corta vida revolucionó varios campos relacionados con estas áreas, y su obra es admirada en el mundo entero. Pero eso es respecto a su obra, pues de su vida nadie puede admirar nada. Como académico, participó activamente —junto a Ludwig Bieberbach— del boicot de numerosos colegas de origen judío, entre los cuales destacan Edmund Landau y Richard Courant. La razón: era un nacionalsocialista convencido, al punto de formar parte del ala paramilitar del partido nazi. En 1939, gracias a una autorización personal de Hitler, se unió al Ejército alemán. Sus días concluyeron en 1943 combatiendo en el frente este, el mismo que Kantoróvich se encargó de salvaguardar usando su teoría del transporte óptimo.
Capítulo 23
El congreso de matemática de Catapilco

Sobrevinieron entonces años difíciles, en que las restricciones a la libertad estancaron el desarrollo cultural y el despegue científico. La terrible imagen de la quema de libros es un ícono de esta época de letargo intelectual: todo material que fuese «peligroso», según el parecer de funcionarios no precisamente muy comprensivos de la actividad académica, debía ir a parar a una hoguera. A esta no escaparon los libros MIR, pues si el nombre de la editorial los hacía ya demasiado sospechosos, su procedencia, la Unión Soviética, los condenaba definitivamente. La situación se agravaba aun más debido a los acápites: Ciencia popular y Lecciones populares de ciencia.

Centenas de profesores, académicos universitarios y científicos sufrieron los avatares de la persecución política. Historias al respecto hay muchísimas, pero una de las más singulares es la que desencadenó que, el 29 de diciembre de 1984, la Sociedad de Matemática de Chile (Somachi) realizara una reunión extraordinaria en una localidad casi desconocida de la V Región: Catapilco.
Hasta el día de hoy este pueblo no alcanza los mil quinientos habitantes, pero arrastra algo de celebridad porque, en 1958, el regidor de la zona y exsacerdote Antonio Zamorano (más conocido como «el cura de Catapilco») se presentó como candidato a las elecciones presidenciales con la única intención de restar votos a Salvador Allende. Hasta ese mismo sitio, el matemático Douglas Fuenteseca, de la Universidad de Antofagasta, fue destinado en calidad de relegado político en 1984. La razón de esta determinación es inverosímil: junto con un par de colegas, Fuenteseca había coordinado la recolección de tres mil ochocientos pesos de la época para seguir ofreciendo almuerzo a treinta y ocho estudiantes becados en el mercado municipal, una vez que las autoridades habían cerrado el casino de la universidad (tirando a la basura lo que quedaba de comida) en represalia por una extensa jornada de paralizaciones en demanda de medidas de democratización.
Así de arbitrarias eran las resoluciones durante la dictadura. Generalmente, la pena de relegación estaba reservada a personas —en general muy ilustradas— consideradas «revoltosas» por sus ideas y capacidad de convocatoria, aun cuando se tuviese plena certeza de su inocencia respecto de cualquier delito. Los lugares de destino eran pueblos y campamentos de regiones extremas (Fuenteseca había sido destinado a Melinka, una localidad casi inaccesible en medio de los canales patagónicos; sin embargo, terminó recalando en Catapilco porque no había recursos para trasladarlo tan al sur). En estos lugares, los relegados eran duramente interrogados y permanecían estrechamente vigilados sin poder salir de sus límites, que devenían así los barrotes de una prisión al aire libre. Separados de sus familias y con sus vidas truncadas, debían, además, sobreponerse al escarnio público.
En 1984, la Somachi estaba presidida por Rolando Rebolledo, académico de la Pontificia Universidad Católica de Chile que tres años antes había regresado al país dejando su cargo de profesor de excelencia en la Universidad de París 11 (Orsay), reputada por tener uno de los mejores departamentos de matemática del mundo (quizás el mejor). Allí había colaborado con la asociación de ayuda humanitaria Sciences Chili, trabajando —entre otros— con Laurent Schwartz, ganador de una Medalla Fields en 1950, reconocimiento que le había sido otorgado por su famosa «teoría de distribuciones» (que generaliza la teoría de funciones y es vital para la resolución de ecuaciones diferenciales). Además de eminente científico, Schwartz era un líder de la comunidad matemática francesa y mantuvo un fuerte compromiso con la defensa de los derechos humanos a lo largo de toda su carrera. Para fines de diciembre de 1984, ya había advertido a todas las sociedades matemáticas de Europa de lo que ocurriría en Catapilco.
A la sazón, el vicepresidente de la Somachi era Ricardo Baeza, quien más tarde, en 2009, sería galardonado con el Premio Nacional de Ciencias Exactas. De la tensa organización del congreso se encargó todo el directorio, el cual incluía, además, a Ramón Correa Soto, por entonces en la Universidad Católica de Talcahuano; Jorge González, de la Pontificia Universidad Católica de Valparaíso; Jorge Soto Andrade, de la Universidad de Chile; Rubí Rodríguez, entonces en la Universidad de Santiago de Chile (Usach), y Jaime Figueroa, quien trabajaba en la misma universidad. Para obtener la autorización especial (necesaria en la época para cualquier reunión oficial de más de dos personas), uno de los requisitos consistía en la entrega previa del programa detallado del encuentro nada menos que en la Gobernación Marítima de Valparaíso. Así, un documento dejó constancia allí de los títulos y resúmenes de cada una de las charlas: ciclos límites, campos de vectores, acciones de grupos, geometría hiperbólica, formas cuadráticas, procesos estocásticos, martingalas, etcétera La sede escogida para el encuentro fue la Escuela Básica F48 de Catapilco, hoy llamada Escuela Mercedes Maturana Gallardo.
El día del encuentro, un grupo de participantes de Santiago viajó en bus desde la Facultad de Ciencias de la Universidad de Chile. Como era de esperar, durante todo el trayecto, este fue seguido de cerca por un automóvil. En la escuela los esperaba, además, un grupo de funcionarios de civil que había, por su parte, desalojado el retén de Carabineros. Cada uno de ellos portaba sus tradicionales gafas oscuras y varios exhibían sus armas de fuego. Se trataba, evidentemente, de agentes de la CNI.
En una primera instancia, el jefe del grupo se negó terminantemente a permitir la realización del encuentro, y cuando se le presentó el documento de la Gobernación Marítima que autorizaba la reunión, argumentó que de todos modos no se podía realizar, pues el local que se había asignado estaba cerrado con candado. Fue necesario que Rebolledo y Figueroa hicieran un viaje relámpago en automóvil hasta La Ligua para obtener una copia de la llave. Al regresar, y tras otra nerviosa discusión, pesó el argumento de la cobertura internacional del evento esgrimido por Rebolledo. Se accedió, entonces, a su realización y a que Fuenteseca participara con la condición de que, durante todo el día, él acudiera cada media hora al retén de Carabineros para firmar el libro oficial y constatar así su presencia. Además, el cabo de Carabineros a cargo de la circunscripción debía asistir a todas las charlas y reportear su contenido.
La conferencia inaugural fue dictada (con cerca de dos horas de retraso) por Gonzalo Riera, quien por esos años era académico de la Universidad de Santiago de Chile. El tema tratado fue la «teoría de grupos fuchsianos», que no es otra cosa que el estudio de las simetrías que dan lugar a embaldosados en geometría no euclidiana (capítulo 2). Tras esta charla, el cabo de Carabineros consideró innecesario presentarse nuevamente en la sala, y se retiró junto a varios colegas que también habían asistido. Aun así, Fuenteseca debió permanentemente seguir saliendo de la sala para atestiguar su presencia. El clima se distendió aún más cuando llegaron los niños de la escuela, que si bien no tenían clases ese día sábado, iban ansiosos por su almuerzo. Se sorprendieron con las curiosas figuras y fórmulas en su pizarra de clases, y comenzaron a jugar a resolver problemas de matemática mientras comían. El presidente del Centro de Padres de la escuela, Carlos Silva, tenía preparado otro relajo para la noche, un asado de camaradería en una taberna de peculiar nombre: «Nunca se supo». Fuenteseca ocupó el puesto de cabecera en la mesa que compartieron los académicos con los carabineros del sector y varios lugareños (los funcionarios de gafas oscuras no aparecieron).
Gracias a este evento, al que se sumaron decenas de muestras de apoyo que vinieron, inclusive, desde la Unión Matemática Internacional, el trato a Fuenteseca en Catapilco se hizo mucho más cordial. Él recuerda que, semanas después, fue invitado a jugar un partido de fútbol: por un lado, el equipo de Carabineros, bautizado obviamente «Santiago Wanderers»; por el otro, su equipo, al que la autocensura varió el nombre de «Los relegados» a «Los regalones». Aunque nadie se acuerda del resultado del partido, todos recuerdan el terremoto ocurrido días después, el 3 de marzo de 1985. Una semana más tarde, previa presentación —entre otros documentos— de la carta reproducida a continuación, Fuenteseca fue liberado.


Niños jugando en los actuales recintos de la escuela de Catapilco.
Obviamente, nadie osó tomar fotografías en el encuentro de 1984. Diez años después, la Somachi se reunió una vez más allí: apadrinó oficialmente la institución, hizo una donación de libros e inauguró un mural alusivo al relegamiento político. Lamentablemente, el muro fue derribado en una remodelación posterior y «nunca se supo» de esta noble y valiente acción de defensa de la dignidad científica y académica.
Capítulo 24
Boris Weisfeiler: la obra imperecedera del matemático desaparecido en Chile en 1985

Boris nació el 19 de abril de 1941 en la Unión Soviética. Pese a su talento temprano, sufrió las injusticias de varias generaciones de científicos de la URSS, a quienes, dada su ascendencia judía, se les castraba su carrera académica mediante diversas trabas. Aunque se las arregló para estudiar en la sede de Leningrado del prestigioso Instituto Steklov, sus problemas se agravaron cuando fue acusado de «antisoviético» por negarse a firmar una carta en contra de un colega. Abandonó la URSS en 1975, y se nacionalizó estadounidense en 1981. Por esos años, realizó una pasantía en el célebre Instituto de Estudios Avanzados de Princeton, invitado por el suizo Armand Borel, uno de los algebristas más influyentes del siglo XX.
Tras la estadía, Boris se incorporó a la Universidad Estatal de Pensilvania. En ese entonces estaba ya en el cenit de su carrera, al punto de que en 1984 publicó un célebre artículo titulado « Strong approximation for Zariski-dense subgroups of semi-simple algebraic groups » en Annals of Mathematics. A juicio de los entendidos, esta es la revista más prestigiosa en matemática, o por lo menos comparte el honor conActa Mathematica, Inventiones Mathematicae,Journal of the American Mathematical Society y Publications Mathématiques de l’IHÉS (aunque cualquier catalogación de este tipo es siempre discutible). Resulta ilustrativo señalar que solo tres matemáticos chilenos que trabajan en nuestro país han publicado en esta revista, y son nada menos que Rafael Benguria en 1992 (Premio Nacional de Ciencias Exactas 2005), Manuel del Pino en 2011 (Premio Nacional de Ciencias Exactas 2013) y el joven académico Giancarlo Urzúa en 2015.
El trabajo de investigación científica de Boris se centraba en una línea árida de la matemática: la teoría de grupos algebraicos. Recordemos que el vocablo «grupo» es utilizado para designar al conjunto de simetrías de un objeto y la manera en que estas interactúan (capítulo 2). Obviamente, el grupo dependerá de la geometría del objeto en cuestión. Ahora bien, la abstracción matemática permite definir la noción de grupo sin un objeto subyacente, y a partir de su estructura interna reconstruir dicho objeto. La relevancia de este proceso radica en que ha permitido descubrir de manera abstracta nuevas e insospechadas geometrías.
Al lidiar directamente con grupos se utilizan métodos algebraicos de gran formalidad. De alguna manera, se trabaja solo con variables e incógnitas pensando siempre en que hay un objeto por detrás, pero sin aferrarse nunca a él. Si mediante estos métodos se logra establecer un resultado, entonces este tendrá consecuencias —a veces inesperadas— sobre estos objetos «nebulosos» y su geometría.
Un bello recuento del trabajo de Boris lo constituye el artículo (en inglés) de Alexander Lubotzky, disponible en www.ma.huji.ac.il «The Mathematics of Boris Weisfeiler». Allí luce destacado su teorema más espectacular, el que puede leerse de la siguiente manera: «Todo subgrupo del grupo de matrices de entradas enteras y determinante 1 que es denso en la topología Zariski es casi denso en la topología de congruencias». Aunque parece un trabalenguas, lo cierto es que este resultado de 1984 es una verdadera joya de la matemática, y tardó años en ser completamente comprendido y asimilado por la comunidad académica.
En ese año de consagración, Boris decidió viajar a Chile. Él era un amante de las travesías por lugares apartados, con una vasta experiencia alrededor del mundo. Así, a pesar de lo inestable de la situación política de nuestro país, se embarcó desde Estados Unidos el día previo a la Navidad. Al llegar partió inmediatamente rumbo al sur: desde la ciudad de Los Ángeles subió a la Laguna del Laja, en la cordillera, y desde allí emprendió rumbo al norte caminando por las montañas. El 4 de enero de 1985 se perdió su rastro.

Se cuenta que Boris era capaz de atravesar ríos mediante una técnica hindú que consiste en fabricar una balsa de madera, recostarse boca abajo sobre ella y dejarse llevar por la corriente. Por eso, en una primera instancia, la versión oficial sobre su desaparición, según la cual se habría ahogado en la confluencia de los ríos Los Sauces y Ñuble al tratar de cruzar el primero, era bastante plausible. Aun más, esta había sido parcialmente corroborada por la Sociedad de Matemática de Chile, que había instaurado una comisión investigadora independiente para el caso, a pesar de las dificultades y el peligro que conllevaba una acción de este tipo en la época.
Sin embargo, poco a poco fueron apareciendo antecedentes que hacían de este un caso escabroso. Lamentablemente, muchos salieron a la luz pública varios años después, pues estaban clasificados como secretos por los servicios de inteligencia estadounidenses. En ellos se menciona a un testigo clave, de nombre de chapa «Daniel», que hasta ahora permanece no identificado. Él habría afirmado que una patrulla de Carabineros, en compañía de militares, secuestró y entregó a Boris en Colonia Dignidad, distante unos pocos kilómetros del lugar. Allí habría sido interrogado, torturado y finalmente ultimado de un balazo en la cabeza. Lo concreto es que hasta el día de hoy no se ha podido establecer qué ocurrió realmente, y los testimonios son, a veces, contradictorios. Esto ha hecho circular una serie de mitos al respecto, varios de los cuales fueron recopilados (y algunos desmentidos) en el agudo libro de investigación periodística El último secreto de Colonia Dignidad, de Carlos Basso, al cual se suma un programa especial de la serie Enigma, de TVN que, lamentablemente, dejó de estar disponible en internet.
Se dijo, por ejemplo, que a Boris se le detuvo pues se creyó que había cruzado la frontera desde Argentina de manera ilegal; que en un inicio se pensó que era un infiltrado del MIR, que por esos años trataba de ejecutar su «Operación Retorno»; que en Colonia Dignidad se pensó que Boris era un agente del Mossad, la agencia de inteligencia israelí, y que también era un cazador de nazis cuya presencia en el sector se debía a que por esos días se esperaba una visita «ilustre» en la Colonia: el «Doctor Muerte» Josef Mengele (esto último es bastante poco verosímil pues, como se constató más tarde, Mengele había fallecido en 1979 en Brasil); que para establecer rápidamente qué había sucedido con este ciudadano estadounidense, la CIA envió como agente encubierto a un antiguo huésped de la Colonia: Michael Townley (aquel que, entre varios otros crímenes, en 1976 cometió uno de los primeros atentados terroristas en Estados Unidos al colocar una bomba en el automóvil que trasladaba a Orlando Letelier —otrora embajador chileno en ese país— y su secretaria, la norteamericana Ronnie Moffitt, y hacerla explotar cuando pasaban a solo metros de la Casa Blanca); que Weisfeiler había sido visto varios años después realizando trabajos forzados en la Colonia, al igual que otro joven desaparecido en 1985, el holandés Maarten Melle Ville, y que podría aún estar vivo.
Sobre la base de antecedentes muy fundamentados, y tras largos años de insistencia y presión, en 2012 el juez Jorge Zepeda decretó procesar, por secuestro calificado y complicidad, a cuatro excarabineros y cuatro exmilitares (ver en YouTube «Por secuestro calificado procesan a uniformados en desaparición de Boris Weisfeiler»). Una luz de esperanza se abría entonces para los colegas y amigos de Boris, su familia, y muy especialmente su hermana Olga, quien desde el inicio tomó las riendas de esta lucha.
Lamentablemente, en marzo de 2016 llegó una sentencia final lapidaria: si bien quedó establecido que Boris fue secuestrado y hecho desaparecer, la pista de Colonia Dignidad fue descartada, su crimen no fue catalogado como de lesa humanidad y, en concordancia con nuestra ley, se aplicó su prescripción.
Este fallo, por lo menos cuestionable a la luz de los antecedentes, causó consternación no solo entre quienes seguían de cerca el proceso, sino también en la comunidad científica tanto nacional como internacional. Tras estudiarlo en detalle, la Sociedad Matemática de Chile hizo una declaración pública al respecto, y paralelamente lanzó una campaña de adhesión dentro de la comunidad académica mundial (www.somachi-weisfeiler.com) a la que se sumó —entre otros— el presidente de la American Mathematical Society, institución que preparó su propia declaración pública. Olga Weisfeiler viajó nuevamente a Chile, esta vez para presentar una apelación a la sentencia.
Es de esperar que esta historia continúe por la senda del esclarecimiento total de la verdad. Por lo pronto, de Boris nos seguirá quedando el tributo a su memoria (http://weisfeiler.com/boris), un manuscrito póstumo rescatado desde su oficina de trabajo y recientemente reescrito por iniciativa de su hermana (http://arxiv.org «On the size and structure of finite linear groups»), y el grueso de toda una obra científica que seguirá encantando a nuevas generaciones de matemáticos de todo el planeta por su belleza y profundidad.
Capítulo 25
Felicidad fraudulenta

Como toda actividad humana, la supuestamente impoluta ciencia ha estado desde siempre sujeta a las vicisitudes del ser humano. A esto debe añadirse un fenómeno relativamente reciente: el exacerbado interés por aumentar la productividad de los investigadores y el impacto cuantitativo de su trabajo. Todo lo anterior ha generado un incentivo perverso, que no solo ha ido en desmedro de la calidad de la producción, sino que, muchas veces, también ha contrariado reglas deontológicas básicas. Paralelamente, y en parte derivado de lo anterior, ha surgido un sinnúmero de agencias comerciales que han distorsionado el proceso de la publicación científica, transformándolo en una actividad netamente comercial en la cual los controles editoriales son mínimos y en la que, en ocasiones, se llega incluso al descaro de cobrar a los propios autores por publicar (sumado al cobro habitual que se hace a las instituciones por el derecho a tener acceso a los documentos ya publicados). Aun más, estas agencias también han incursionado en la organización de conferencias, ideando encuentros de dudosa reputación académica que, a veces, tienen lugar en destinos turísticos paradisíacos y cuyos precios por la participación son escandalosos.
Para poner en evidencia estos problemas, un equipo de estudiantes del Laboratorio de Ciencia de la Computación e Inteligencia Artificial del Instituto de Tecnología de Massachusetts (MIT) realizó un experimento muy ingenioso: ideó un programa computacional —al que denominó SCIgen— que selecciona aleatoriamente frases, gráficos, imágenes e incluso parte de la bibliografía de miles de trabajos que navegan en la red, los articula de manera aparentemente coherente y genera un supuesto artículo de investigación que, a simple vista, da la impresión de ser serio. Sin embargo, con la lectura de unas pocas líneas, cualquier académico podría constatar que su contenido carece absolutamente de sentido. Este programa está libremente disponible al público en el sitio https://pdos.csail.mit.edu/archive/scigen.

Inicio del «artículo» de Aguayo, Krohn y Stribling, de contenido totalmente incoherente. Ahora bien, este no es, en absoluto, el caso más emblemático de ausencia de control editorial. En efecto, el mismo año 2005, David Mazières y Eddie Kohler consiguieron la aceptación, por parte del International Journal of Advanced Computer Technology, de un artículo de varias páginas cuyo texto es una repetición de una única frase que puede ser suavemente traducida como: «Sáquenme de su lista de correos de mierda». Y si bien el artículo finalmente no fue publicado, fue simplemente porque los autores se negaron a pagar el costo económico de la impresión.
Así, en pleno siglo XXI, tienen lugar de manera reiterada versiones modernas de la historia del señor Goodwin, quien a fines del siglo XIX pretendió percibir dividendos económicos de su falso descubrimiento de que π es igual a 3,2 (capítulo 8). Para constatar aquello, basta observar el gráfico ilustrado abajo, el cual evidencia el crecimiento en las últimas décadas de la cantidad de artículos científicos fraudulentos, plagiados, erróneos o duplicados que los respectivos comités editoriales han decidido retirar de los sitios electrónicos de las revistas (una publicación es considerada «duplicada» cuando el mismo autor la hace publicar en al menos dos revistas diferentes, con diferente título, con un ligero trabajo de edición y sin el consentimiento de las editoriales involucradas; todo lo cual, lógicamente, está expresamente prohibido por las revistas especializadas).

Un episodio histórico de este tipo lo constituye la famosa «teoría» topológica del psicoanalista francés Jacques Lacan. Según él, diversas características psicológicas se configurarían de acuerdo con reglas matemáticas. Por ejemplo, todo sujeto sería algo así como aquello que resulta de disponer lo real, lo imaginario y lo simbólico en una configuración anudada como la exhibida más abajo, muy estudiada en topología (capítulo 13). De esta forma, los estados «psicóticos» serían la consecuencia del «desenganche» de uno de los anillos.

Me resulta especialmente difícil extenderme en torno a estas afirmaciones. Por una parte, no podría hacerlo de manera muy entusiasta, pues coincido con la gran mayoría en que aquí no hay más que simple especulación y una llamativa analogía visual. Por otra parte, sin importar la descripción que haga, seguramente los «lacanianos» más acérrimos dirán que esta es incorrecta y que, en realidad, la teoría es muchísimo más profunda, aunque ciertamente impenetrable. A fin de cuentas, tal como señalara certeramente el exlacaniano Dylan Evans, estos discípulos «asumen como verdad cualquier frase que “el maestro” diga… Jamás está en cuestión si él estaba o no en lo correcto. Sus textos son como escritura santa».
El célebre lingüista Noam Chomsky fue también muy ácido en comentar estas ideas. Para él, Lacan «era un charlatán deliberado que solo trataba de jugar con la comunidad intelectual parisina para ver cuántos disparates podía decir sin que dejaran de tomarle en serio». Pero quienes hicieron la crítica más rigurosa y sistemática de la obra de Lacan fueron los físicos Alan Sokal y Jean Bricmont, en su famoso libro La impostura intelectual, de lectura indispensable en el estudio de la filosofía de las ciencias. Allí, atacan duramente al francés —entre varios otros— por usar lenguaje matemático de forma incorrecta y totalmente fuera de contexto para aparentar rigor científico, y se dan el trabajo de describir uno a uno los graves errores conceptuales en los que incurre al respecto (el más notable es aquel en el que simplemente confunde los números irracionales con los imaginarios, también llamados complejos).
Con anterioridad a la publicación de dicho libro, Sokal ya gozaba de gran notoriedad por haber logrado que la revista de estudios culturales Social Text aceptara su artículo titulado «La transgresión de las fronteras: hacia una hermenéutica transformativa de la gravedad cuántica», texto intencionadamente seudocientífico en el que postula nada menos que la gravedad cuántica es un constructo social. Lo cierto es que todo se trataba de una humorada muy seria a través de la cual Sokal intentaba probar que muchas revistas de humanidades están llanas a publicar sinsentidos mientras estos «suenen bien y apoyen los prejuicios ideológicos de los editores». A lo anterior yo agregaría otro punto relevante: el soporte institucional del autor. En efecto, muy probablemente, ese texto nunca habría sido aceptado si hubiese sido firmado por un investigador africano, latinoamericano o de una universidad desconocida del primer mundo.
Si bien el libro de Sokal y Bricmont fue posteriormente contraatacado por Jurdant Baudouin en su libro casi homónimo La impostura científica, lo cierto es que cumplió la refrescante misión de denunciar una práctica malsana en este pantanoso punto de encuentro entre humanidades y ciencias exactas. La lucha de Sokal no se detuvo allí: una de las últimas víctimas a las que dirigió sus críticas se trata nada menos que de un investigador chileno, Marcial Losada, y su «teoría» del Meta Learning (la «ciencia» de los equipos de trabajo de alto desempeño).
Poco antes, en 2011, me correspondió dar una señal de alerta sobre este asunto. Cierto día, me enteré de una persona que, se decía, había revolucionado el mundo de la organización empresarial importando ideas desde la matemática. Me enteré también de que dictaba una charla magistral (a la que solo se podía asistir previo pago) en un concurrido hotel capitalino, la cual era promocionada por el club de lectores de La Tercera con el curioso afiche reproducido abajo.

Contrariado, ese mismo año publiqué mi artículo crítico titulado «Un caso de inconsciencia (¿?)» en Images des Mathématiques, del Centre Nationale la Recherche Scientifique (CNRS) de Francia. Con toda la cortesía que amerita la discusión en francés, allí se hace claramente alusión al carácter seudocientífico de la publicación de Losada. Pero de manera más relevante, se hace hincapié en la cuota de responsabilidad que les compete a los comités editoriales de las revistas científicas al momento de avalar este tipo de trabajos. A final de cuentas, con una validación de este tipo, la teoría de Losada era (y, según entiendo, sigue siendo) enseñada como una verdad plena y transparentemente establecida en varias universidades chilenas (entre ellas, la Universidad del Mar), fue instruida en jornadas de capacitación con miras a la reconstrucción posterior al terremoto de 2010, ha sido tema recurrente de columnas de opinión empresarial en diversos medios de prensa y es difundida en numerosos videos disponibles en internet.
Sin conocer mi escrito, en 2013, Sokal, en conjunto con Nicholas Brown y Harry Friedman, también lanzaron sus dardos contra el artículo de Losada. Sucede que, paralelamente, este había servido de sustento teórico a toda una teoría en psicología conocida como la «positividad», según la cual, someramente, las relaciones interpersonales están supeditadas a un cierto umbral (al que algunos llaman «el número de la felicidad»; vea en www.latercera.com el artículo «Modelo Meta-Learning: construyendo equipos de alto desempeño. Cursos claves en equipos de alto desempeño»): por debajo de este, ellas tienden a ser destructivas, y por encima del mismo, los involucrados tienden a potenciarse mutuamente. En un trabajo sistemático, Brown, Friedman y Sokal fueron derrumbando uno a uno los postulados seudomatemáticos de todos los textos en cuestión. Como resultado, el artículo «Positive Affect of the Complex Dynamics of Human Flourishing», coescrito por Losada y la psicóloga Barbara Fredrickson, fue retirado del sitio de internet de la revista American Psychologist, donde originalmente había sido publicado en 2005. En cuanto al artículo de 1999 de Losada, este sigue siendo visible en el sitio de internet de la revista, si bien una petición de retiro fue formalmente extendida en 2013.
Por cierto, aún quedan defensores del Meta Learning y la «positividad», entre los cuales se cuenta, obviamente, al propio Losada. Sin embargo, esta defensa consiste tan solo en el uso de argumentos retóricos o de autoridad. Para la comunidad científica, en cambio, es claro que estas teorías no cuentan, al menos hasta ahora, con absolutamente ningún sustento matemático. Y si —tal como algunos sostienen todavía— sus lineamientos generales funcionan perfectamente en la práctica, esto no debiese ser entendido sino como una evidencia de algo muchísimo más sencillo: el sentido común.
Capítulo 26
Curiosamente matemáticos

Fotografía (tomada por el propio Carroll) de Alice Liddell, una de las niñas a quienes fue dedicado el cuento. Todos los juegos de tamaños de personajes y objetos en el libro tienen un evidente contenido geométrico, y las discusiones absurdas de diversos pasajes —especialmente los de la famosa escena de la mesa del té— tienen un trasfondo lógico (Carroll era especialista en álgebra, geometría y lógica). Resulta lamentable que estos aspectos hayan sido completamente desdeñados no solo en la última adaptación al cine de la obra (realizada por Tim Burton), sino también por la mayoría de las críticas a ella.
Y si piensa que estas actividades «complementarias» no son tampoco de lo más entretenidas, a continuación le relato dos casos del siglo XX que por motivo alguno podrán dejar de parecerle apasionantes.
Harald Bohr (1887-1951): goleador olímpico
En una de las semifinales de fútbol de las Olimpiadas de Londres en 1908 se enfrentaron Dinamarca y Francia. Aunque se esperaba una presentación contundente de los galos, el resultado fue de 17-1 a favor de los daneses, en la que es hasta hoy la mayor goleada en una cita olímpica. Fue tal la vergüenza de los franceses, que se retiraron del campeonato sin disputar el tercer lugar. Y si bien quienes se llevaron finalmente la presea dorada fueron los locales, esta generación de jugadores daneses (que repetiría el segundo lugar en 1912) sería la más exitosa de su país hasta que, en 1992, otra generación dorada conquistara un gran triunfo: la Eurocopa. La máxima estrella en aquella cita olímpica fue Sophus Nielsen, quien marcó diez goles en aquel mítico partido. Junto a él militaba un joven delantero que, paralelamente, cursaba un Doctorado en Matemática en la Universidad de Copenhague: Harald Bohr. Dos años más tarde tuvo lugar su defensa de tesis, a la cual asistió la selección de fútbol en masa y que acabó no solo con las felicitaciones de la comisión académica, sino también con vítores y cánticos de barra.Esta doble pasión por el deporte y la ciencia le había sido inculcada por su padre, Christian, quien era físico, fisiólogo y futbolista, fundador (en 1889) del Akademisk Boldklub, equipo que hoy milita en la primera división danesa. El hermano de Harald, Niels, llegó a jugar como arquero en equipos de cierta categoría. Sin embargo, cuentan que una vez lo sorprendieron con un gol de media cancha mientras él estaba distraído resolviendo un cálculo mental. Así, su carrera en el fútbol no llegó tan lejos como la de su hermano, pero se convirtió en un célebre físico que aportó significativamente en la confirmación de la mecánica cuántica a través de su modelo atómico. En virtud de ello, le fue adjudicado el Premio Nobel de Física en 1922. Uno de los hijos de Niels, Aage, obtuvo el mismo premio en 1975. Otro de sus hijos, Ernest, llegó —al igual que su tío— a unas Olimpiadas en Londres, esta vez en 1948 y como miembro del equipo de hockey.
Harald hizo importantes aportes al estudio de la relación entre el cálculo diferencial e integral y el comportamiento de los números enteros. Aunque se trata de asuntos altamente técnicos, sus resultados (como el famoso teorema de Bohr-Mollerup) son tema obligado en estas materias. Además, colaboró con el estudio analítico de las así llamadas funciones cuasiperiódicas. Si bien su interés provenía de su uso para la resolución de ciertas ecuaciones diferenciales, hoy en día son muy utilizadas en el tratamiento matemático de los embaldosados cuasiperiódicos (capítulo 4).

La selección de fútbol de Dinamarca, vice campeona olímpica del año 1908, con Harald Bohr «etiquetado».
Hedy Lamarr (1914-2000): estrella de Hollywood
En 1933, la película Éxtasis causó revuelo mundial pues, en ella, la protagonista, interpretada por la actriz de apenas dieciocho años Hedwing Eva Maria Kiesler, incurre abiertamente en actos de infidelidad y protagoniza no solo una larga secuencia en desnudo completo, sino también la primera escena de un orgasmo femenino en el cine. El papa Pío XI condenó públicamente la cinta, que fue prohibida en Alemania por orden expresa de Hitler. Paradójicamente, en Italia participó del Festival de Cine de Venecia a petición de Mussolini. Aun así, debió enfrentar la censura en la mayoría de los países, incluido Estados Unidos, donde, sin embargo, fue nominada a un premio Óscar.Los padres de Eva intentaron salvar su honor casándola a la fuerza con el multimillonario fabricante de armas austriaco Fritz Mandl, quien, durante los años de convivencia, ejerció un tiránico control sobre todas las actividades de ella. En esa época de martirio, Eva ocupó una buena parte de su tiempo en sus estudios de ingeniería, pues desde niña había manifestado un talento excepcional para las ciencias, llegando a ser catalogada incluso como superdotada. Además, dadas las actividades de su esposo, y a pesar de su origen en parte judío, logró entablar relaciones con altos dirigentes tanto del gobierno nazi en Alemania como del fascista en Italia, de quienes obtenía información sobre la tecnología de la época. En 1937, en una cena social con su marido, escapó por la ventana del restaurante portando todas sus joyas. Huyó primero a París y luego a Londres, donde conoció al productor de cine estadounidense Louis Mayer. Acabó entonces recalando en Estados Unidos, y desde ese momento pasó a llamarse Hedy Lamarr.
Lamarr es considerada una de las actrices más hermosas de toda la historia del cine. Y aunque en su carrera no ocupó roles considerados muy sobresalientes, aparte de su papel en Éxtasis se recuerda especialmente el que tuvo en Sansón y Dalila en 1949. De esa época data también una de sus frases satíricas más memorables: «Cualquier chica puede ser glamorosa; lo único que tiene que hacer es quedarse quieta y parecer estúpida» [2].
Pero Lamarr tenía un sinnúmero de otros dones. Al llegar a Estados Unidos, entregó toda la información que había recopilado sobre la tecnología bélica nazi. Además, nunca descuidó su veta creadora. De hecho, si bien era una notable matemática y física, fue en este campo donde más se destacó, tanto así que, honrando su natalicio, cada 9 de noviembre se celebra el Día Internacional del Inventor. Su invento más celebrado, en colaboración con el compositor musical, pianista y también inventor estadounidense George Antheil, consistió en el desarrollo de un sistema de telecomunicaciones secreto con miras a que los misiles teledirigidos no pudiesen ser detectados por el enemigo. Dicho sistema, conocido como de «espectro expandido», ha evolucionado con el tiempo, saliendo del mero campo de aplicación militar y llegando hoy en día a casi todo el mundo, pues es precursor de la tecnología wifi. Así, gracias a la propia Lamarr, ahora usted puede ver tranquilamente la escena que escandalizó al mundo en 1933 (YouTube, «Hedy Lamarr in Ekstase»).

Hedy Lamarr en una fotografía publicitaria de 1940.
Y saliendo un poco del estricto ámbito de la matemática, no puedo dejar de mencionar al que seguramente es el más famoso de todos: el astrofísico Brian May, histórico guitarrista (y, para los entendidos, el «verdadero cerebro») de la banda Queen. Así que no lo olvide nunca: la canción «I want to break free» («quiero liberarme»), aquella del mítico comercial televisivo del automóvil, no es solo el canto de liberación de Freddy Mercury (apropiado como cántico por el Congreso Nacional Africano en su lucha por la libertad en Sudáfrica), sino que es también un pequeño himno a la ciencia, pues no se puede ser científico si no se es —o, al menos, no se intenta ser— libre.

A la izquierda: Brian May en su visita al observatorio de cerro Paranal (al sur de Antofagasta) en septiembre de 2015. A la derecha: Pablo Amster durante su presentación «Tango y Matemáticas: un concierto para números y guitarra», acto de cierre del Primer Festival de Matemáticas del país, realizado en Valparaíso en diciembre de 2016. Abajo: Danica McKellar, muy recordada por su rol de Winnie Cooper en la serie televisiva Los años maravillosos.

Capítulo 27
La blanca flor de la matemática

Pero, sin duda alguna, la más bella de todas estas palabras con contenido matemático es otra: en árabe, al-zahar significa «la flor», y azahar pasó al castellano para designar a toda una gama de flores blancas que incluye las del naranjo, el limonero y el cidro.
¿Y la relación con la matemática? Sucede que los dados con los que se acostumbraba a jugar en torno al siglo XIII d. C. tenían pintada una de estas flores en la cara que corresponde al 1. De allí nació el vocablo azar. Así, en un principio, la expresión «juego de azar» se restringía solo al juego de los dados, pero pronto se extendió a todo tipo de juegos en los que la suerte, y no una estrategia, es la que determina el resultado. No obstante, azar compite con otros dos términos: aleatorio, del latín alea —suerte— (término que proviene del nombre de los huesos de muñecas y rodillas y con los cuales eran fabricados los dados), y estocástico, del griego stokhos —dardo— (de dado a dardo hay una r de diferencia, pero también algo más profundo, pues el juego de los dardos no es totalmente azaroso). El estudio de «las leyes del azar» conforma la teoría de las probabilidades, una de las ramas más fecundas y vistosas de la matemática del siglo XX.
Los orígenes de las probabilidades pueden ser situados en Italia, donde Luca Paccioli (en 1494) y Gerolamo Cardano (en 1550) escribieron tratados sobre el tema. Un par de siglos después, en Francia, Blaise Pascal inició una nutrida correspondencia con Pierre de Fermat sobre el asunto, motivado por una pregunta que le había formulado su amigo, el barón de Méré, quien era aficionado a los juegos de azar. Obviamente, para hacer muchos de los que pueden ser considerados los primeros cálculos de probabilidades, Pascal se valió de su hermoso triángulo numérico. En él, los números en los extremos son todos 1, y los otros se obtienen cada uno como la suma de los dos que le son contiguos hacia arriba. Este arreglo numérico, el más famoso de toda la matemática, tiene muchísimas apariciones en aritmética, álgebra, combinatoria y probabilidades, pues permite realizar muchos conteos en situaciones sencillas.

Una aplicación del triángulo de Pascal: si en una bolsa colocamos 4 naranjas y 4 manzanas, y luego retiramos 4 frutas al azar, la probabilidad de sacar exactamente una manzana es 3/8, pues en la segunda posición de la cuarta fila del triángulo figura un 3, y la suma de los números en esa fila es 8.

A la izquierda: la belleza de la geometría del mausoleo de Omar Jayam en Nishapur (Irán), obra del arquitecto Houshang Seyhoun. A la derecha: ilustración del triángulo de Yang Hui.
Desde los tiempos de Pascal y Fermat, fueron muchísimos quienes colaboraron en el desarrollo de la teoría. Por solo nombrar algunos, podemos citar a George Boole, Daniel y Jacob Bernoulli, Karl Gauss y Abraham de Moivre. Sin embargo, muchas de las ideas probabilísticas fueron juzgadas como «poco serias» e incluso rechazadas por un porcentaje considerable de científicos debido a la corriente determinista que dominó la ciencia durante varios siglos. Según esta, «todo suceso está correlacionado con una causa», lo cual niega de plano el azar. El propio Pierre-Simon Laplace se refería despectivamente a las probabilidades como «el sentido común a través de los números». Al constatar este caso, así como la recepción de las ideas de Cantor en un inicio (capítulo 22) y muchas otras situaciones similares (como el trato a Henri Lebesgue, creador de la teoría moderna del cálculo integral), no podemos dejar de citar una sabia frase de Armand Borel, aquel que invitó a Boris Weisfeiler a Princeton (capítulo 24): «Lo que menos necesitan las matemáticas son esos eruditos que dictaminan recetas y directrices para las mentes supuestamente menos iluminadas».
El azar debió imponerse, entonces, por otras vías. Primeramente, el austriaco Ludwig Boltzmann, férreo defensor de la teoría atómica, usó sus métodos para cimentar la termodinámica. Pese a esto, la mala recepción de sus ideas agudizó su depresión, que lo llevó al suicidio en 1906. Justo un año antes, Albert Einstein maravillaba al mundo al proponer un primer modelo físico para el movimiento browniano, es decir, el movimiento de partículas microscópicas que se desplazan de manera aparentemente desordenada en un fluido (un comportamiento tal había sido descrito para los granos de polen por el botánico escocés Robert Brown en 1827). Este modelo confirmaba la teoría atómica y, de paso, daba origen a una nueva disciplina: la física estadística. Un par de décadas más tarde, Norbert Wiener daba un modelo matemático del mismo fenómeno anclado en las probabilidades, que poco a poco habían ido saliendo de su estancamiento. Pero no sería sino el triunfo de la mecánica cuántica el que haría de las probabilidades una herramienta indispensable para la física teórica.
La formalización y entrada definitiva de las probabilidades en la matemática es obra de la escuela rusa. A fines del siglo XIX, Pafnuti Chebyshev colaboró en hacer rigurosos algunos aspectos empíricos de la teoría, como la «ley de los grandes números», la cual establece, por ejemplo, que la probabilidad de que al lanzar una moneda al aire caiga en cara es igual a 1/2 porque, al lanzar la moneda una cantidad muy grande de veces, muy probablemente se obtendrá una cara un número de ocasiones cada vez más cercano a la mitad del total de lanzamientos. Posteriormente, su estudiante, Andréi Márkov, creó una teoría de procesos en los cuales el futuro depende aleatoriamente del presente, pero es independiente del pasado. Estos «procesos de Márkov» son hoy en día utilizados casi universalmente en ciencia e ingeniería, y sus aplicaciones van desde el modelamiento de los movimientos bursátiles al método de ranking que usa Google para los sitios de internet. Más tarde, en 1933, Andréi Kolmogórov publicó Los fundamentos de la teoría de la probabilidad, donde establece las bases modernas de la teoría axiomática de la probabilidad a partir de la teoría de conjuntos de Cantor (capítulo 22). Y esta fue solo una de las muchas obras que nos dejó este hombre, que ejerció como patriarca de varias generaciones de brillantes matemáticos soviéticos, muchos de ellos formados en escuelas concebidas especialmente para jóvenes talentosos.
Con estos trabajos y otros posteriores, la tarea se ha ido completando poco a poco: las probabilidades han revelado la estructura del azar, de la misma forma que los sistemas dinámicos lo han hecho con el caos (capítulo 17). Así, hoy en día, las probabilidades no solo tienen vida propia, sino que están incrustadas en toda la matemática. Por ejemplo, en muchas situaciones se recurre a modelos que mezclan comportamientos determinísticos y estocásticos. Esto ocurre generalmente en escenarios de alta complejidad en los que se cuenta con información limitada, como aquellos relacionados con el movimiento de personas en una gran ciudad, la navegación en internet, las conexiones neuronales del cerebro, etcétera. Naturalmente, determinar el «grado de aleatoriedad» de un «sistema complejo» se ha vuelto un aspecto fundamental. Y si bien se trata de un concepto muy elaborado, puede ser ilustrado con un ejemplo literalmente mágico.
¿Cuántas veces se debe barajar un juego de cartas para que queden bien revueltas? Sin necesidad de explicar detalladamente los términos utilizados, es claro que lo que deseamos es que el grado de incerteza de la distribución final sea muy alto; de manera más sencilla, queremos que sea muy difícil hacer adivinaciones sobre la posición final de un grupo de cartas específicas. Hacer cálculos explícitos en torno a este problema con barajas de número elevado de cartas es sumamente difícil. De hecho, para una baraja de cincuenta y dos cartas (como las de un juego de naipe inglés retirando los jokers), llevar el registro de todas las posibilidades haría colapsar cualquier computador. Sin embargo, David Bayer y Persi Diaconis abordaron el problema de forma conceptual, y a principios de la década de los noventa sorprendieron al mundo con sus inesperados resultados. En lenguaje coloquial, para un juego de cincuenta y dos cartas, se necesita barajar siete veces para asegurar un grado de aleatoriedad cercano al 30%. Este resultado es particularmente extraordinario por dos razones. Por un lado, la teoría subyacente tiene increíbles aplicaciones en otras áreas, como la física de partículas o el álgebra. Por otro lado, uno de sus autores, Diaconis, llegó a él a través de la magia. Así es: antes de dedicarse a la matemática, Diaconis había sido aprendiz del célebre mago canadiense Dai Vernon, y trabajaba como prestidigitador profesional. Sin embargo, sus propios trucos resultaron tan complejos y novedosos que, irremediablemente, lo llevaron por el camino de la ciencia. En sus conferencias, suele matizar la presentación de sus resultados con trucos de magia que dejan perplejo al público asistente.
Y nada de esto es por azar. A fin de cuentas, ciencia y magia tienen mucho en común.
Para ilustrar el proceso de revolver cartas, considere la baraja más simple de todas las que generan alguna información relevante: una de 3 cartas, las cuales numeramos 1, 2 y 3 y suponemos dispuestas en el buen orden (1, 2, 3) en un comienzo. Tras barajar una vez, podemos llegar a todas las combinaciones, excepto (3, 2, 1).Determinar las probabilidades para llegar a las otras combinaciones no es tarea sencilla. Sin embargo, tras un largo cálculo se comprueba que, con probabilidad 0,5, la combinación de llegada es la misma combinación original, es decir, (1,2,3). Por su parte, con probabilidad 0,125, la combinación de llegada puede ser (1,3,2), (2,1,3), (2,3,1) o (3,1,2).Al barajar una vez más, llegamos a cualquier combinación, pero con distintas probabilidades. Más abajo aparece un cuadro que hace corresponder el número de barajadas con la probabilidad de que la combinación correspondiente aparezca. Tal como se observa, todas las combinaciones tienden a aparecer rápidamente con casi la misma probabilidad. El resultado de Bayer y Diaconis dice entonces que, con una baraja de 52 cartas (instancia en la cual la realización de cálculos explícitos se vuelve impracticable), se debe repetir el proceso siete veces para observar un fenómeno similar.
P1 P2 P3 P4 (1,2,3) 0,500… 0,312… 0,234… 0,199… (1,3,2) 0,125… 0,156… 0,164… 0,166… (2,1,3) 0,125… 0,156… 0,164… 0,166… (2,3,1) 0,125… 0,156… 0,164… 0,166… (3,1,2) 0,125… 0,156… 0,164… 0,166… (3,2,1) 0,000 0,062… 0,109… 0,136…
Capítulo 28
Formas de multiplicar en casa

Es de esta forma como se plantea a menudo la enseñanza: un proceso en que la mecánica oscurece el razonamiento, y la memoria hace lo propio con el pensamiento. Como consecuencia, tendemos a funcionar sobre la base de reglas de operatoria impuestas casi autoritariamente y cuyo origen muy pocos se atreven a cuestionar. Hemos sido programados para ejecutar, no necesariamente para entender.
Volviendo a lo concreto, la razón de la igualdad 3 × 5 = 5 × 3 es sencillísima: la expresión 3×5 representa la cantidad de objetos —digamos, bolitas— que resultan al formar 3 filas horizontales con 5 cada una. Al girar la configuración en 90°, obtendremos 5 filas horizontales con 3 bolitas cada una: obviamente, son las mismas 5 × 3 bolitas.

![]()
¿Y la asociatividad? ¿Por qué, por ejemplo, 5 × (3 × 4) = (5 × 3) × 4? Pues bien, esto resulta nuevamente de un simple conteo de bolitas apiladas en un cubo, con 4 de largo, 3 de ancho y 5 de altura. Si contamos los cinco planos de distinta altura, cada uno con 3 × 4 bolitas, lo que obtenemos es 5 × (3 × 4).
Por otro lado, si contamos los 4 planos de distinta profundidad, cada uno con 5 × 3 bolitas, obtenemos (5 × 3) × 4. Evidentemente, ambos corresponden a las mismas 60 bolitas.


Lo peor es que el martirio que implica el cultivo excesivo de la técnica no se restringe a edades tempranas, sino que subsiste en niveles más elevados de instrucción, incluidos los universitarios. A continuación le doy dos ejemplos con los cuales tal vez usted o algún cercano se sienta en parte identificado.
Sumatorias. Famosa es la historia de un profesor de matemática que, agobiado con la capacidad de un alumno, le pidió sumar todos los números del 1 hasta el 100 para así desentenderse de él por un momento. Lo triste para el maestro es que el niño volvió rápidamente con la respuesta: en lugar de sumar 1 con 2, luego con 3, y así sucesivamente, sumó 1 + 100 = 101, luego 2 + 99 = 101, después 3 + 98 = 10, etcétera A partir de eso, dedujo rápidamente que la suma debía ser 50 veces 101, es decir, 5050.
Es bastante probable que este cuento sea tan solo un mito. Sin embargo, muchos sostienen que es verdadero y que, además, ese niño era nada menos que Karl Gauss, a quien, en consecuencia, se le atribuye la autoría de la más bella fórmula de «sumatorias»:


Pero tal como usted ha comprobado, todo esto puede perfectamente entenderlo un niño. De hecho, la igualdad anterior era conocida mucho antes de la época de Gauss, a partir de una argumentación aun más lúdica. En efecto, tanto los antiguos griegos como el sabio Aryabhata de la India nos enseñaron que sumar 1 + 2 + 3 +… + n es lo mismo que contar el número de bolitas dispuestas en filas de 1, 2, 3,…, n, y este ejercicio lo resolvieron con singular maestría.
Para ilustrar el proceso, hemos pintado de rojo estas bolitas a continuación. Pues bien, si giramos la configuración y la «encajamos» contra ella misma, y además coloreamos las nuevas bolitas de azul para no confundirlas con las anteriores, obtenemos un arreglo rectangular den bolitas horizontales y n + 1;<verticales. En total, son n(n + 1) bolitas. Pero como queríamos contar solo las rojas, debemos considerar apenas la mitad del total, pues las azules aparecen en igual cantidad. Por lo tanto, el valor de 1 + 2 + 3 +… + n es la mitad de n(n + 1).




Convergencia y divergencia.
A menudo se trunca la curiosidad de los estudiantes señalándoles que la suma de series infinitas es materia reservada para un duro curso de cálculo diferencial e integral. Sin embargo, muchas de las fórmulas fundamentales de esta materia son accesibles con un mínimo de conocimientos. Por ejemplo, para justificar la conocida igualdad


Una «demostración sin palabras». En este sitio electrónico (lamentablemente, no traducido aún) usted puede hallar muchos de estos argumentos gráficos que lo dejarán estupefacto por su sencillez.

0,99999… = 1.
Durante la Edad Media, la matemática tuvo un desarrollo vertiginoso en el mundo árabe y en Persia, donde, por ejemplo, Al-Juarismi escribió sus famosos tratados de álgebra. En Europa, en cambio, hubo muy pocos progresos en esta época. Uno de ellos fue obra del sacerdote, matemático y astrónomo Nicolás Oresme (uno de los primeros y más férreos opositores a la astrología que consigna la historia), y corresponde a la igualdad:


Una de las maravillas de la matemática es que, como en todo ámbito de cosas, los problemas pueden ser encarados y resueltos de muchísimas maneras diferentes. Es más, incluso en la investigación de vanguardia, es posible llegar a percibir la personalidad de los científicos observando la forma como se enfrentan a los problemas.
Por otra parte, numerosos avances importantes han nacido de trabajos en los que se ha reinvestigado algo ya conocido, pero desde una nueva perspectiva.

A la izquierda: Nicolás Oresme (retrato tomado de su obra titulada Tratado de las esferas). A la derecha: Al-Juarismi, el mítico rostro que aparecía en el libro de Baldor (texto que, dicho sea de paso, ha sido en parte tristemente responsable de la mecanización de la enseñanza del álgebra en Latinoamérica).
La multiplicación ruso-etíope y egipcia.
Con este método no es necesario conocer las tablas de multiplicación, sino tan solo saber sumar, además de multiplicar y dividir por 2. El proceso ruso-etíope es muy sencillo. Para hallar el producto de dos números, el primero de ellos se divide por 2 si es par, o bien se le resta 1 y luego se divide por 2 si es impar; el otro número, por su parte, se multiplica por 2. Se prosigue de esta manera hasta que el primer número llegue a 1. Cuando esto ocurre, se suman los resultados de la duplicación sucesiva del segundo número, que corresponden a resultados impares en el proceso de división del primero. Por ejemplo, el cálculo 225 × 17 = 3825; resulta como sigue:

Este sencillo método era usado en algunas regiones del campo ruso hasta hace unas décadas, y es empleado aún en Etiopía. Increíblemente, con una ligera variación, era ya conocido en el antiguo Egipto.
La multiplicación japonesa y china.
El precioso método descrito a continuación era conocido en la India y el mundo árabe hace ya más de un milenio. Actualmente, es enseñado en las escuelas de Japón y, con una ligera variación, en China. El punto de partida es el siguiente hecho evidente: si tenemos un grupo de m rectas paralelas y las intersecamos con otro grupo de n rectas paralelas pero que apuntan en una dirección diferente, entonces el número de puntos de corte entre todas ellas es igual a m × n.


En el caso de que alguno de los grupos contenga más de 9 puntos, este debe cederle unidades al siguiente a su izquierda, al igual como hacemos en nuestro sistema de multiplicación habitual.

Este método no se restringe a multiplicaciones de números de dos cifras, sino que se puede aplicar a cualquier par de números. A modo de ejemplo, abajo se ilustra la multiplicación 123 × 213 = 26 199.

¿Por qué estos métodos mágicos funcionan? A decir verdad, estos procedimientos son igual de mágicos que aquel que utilizamos normalmente. Tanto este como los exhibidos más arriba se fundamentan en la propiedad distributiva de la adición respecto de la multiplicación. Por lo demás, el método chino-japonés no es sino una forma geométrica de ver un procedimiento muy similar al que empleamos habitualmente. Estos dos métodos están, además, ligados en su esencia al carácter decimal de nuestra notación de los números (es decir, al hecho de que contamos de 10 en 10). Por ejemplo, al multiplicar 23 por 31, el proceso que realmente ejecutamos al operar «a la chino-japonesa» es:
23 × 13 = (2 × 10 + 3) × (1 × 10 + 3)Si bien el método ruso-etíope-egipcio también se fundamenta en la distributividad, es esencialmente diferente, pues su naturaleza es binaria. Así, cuando multiplicamos 225 por 17, como en el ejemplo desarrollado más arriba, lo que estamos haciendo es, en estricto rigor, lo siguiente:
= 2 × 1 × 100 + 2 × 3 × 10 + 3 × 1 × 10 + 3 × 3
= 2 × 100 + 6 × 10 + 3 × 10 + 3 × 3
= 200 + 90 + 9
= 299.
225 × 17 = (1 + 32 + 64 + 128) × 17Sorprendentemente, este método es muy parecido al que ejecuta internamente una computadora, pues esta trabaja con códigos binarios. Así es: hace miles de años, los egipcios desarrollaron un sistema de multiplicación muchísimo más adelantado que el que hoy solemos utilizar y enseñar en la escuela.
= 1 × 17 + 32 × 17 + 64 × 17 + 128 × 17
= 17 + 544 + 1088 + 2176
= 3825.

Fragmento del «papiro de Rhind» (también conocido como «papiro de Ahmes», en honor a su escriba). Este texto, que data del siglo XVI a. C., es considerado el primer libro de matemática de la historia, y contiene el grueso del conocimiento matemático del antiguo Egipto hasta esa época. Sorprenden los cálculos trigonométricos de las alturas de las pirámides contenidos en él.
Y si nos referimos a cosas más concretas, no puedo dejar de mencionar un trabajo que tiene en ascuas a toda la comunidad matemática internacional por estos días. Este versa sobre la famosa «conjetura ABC», la cual fue propuesta a mediados de la década de los ochenta por el francés Joseph Oesterlé y el inglés David Masser. Dicha conjetura, uno de los problemas más importantes de la matemática actual, tiene relación con la duplicidad de la estructura aditiva y multiplicativa de los números, tal como señala lúcidamente en el video de YouTube, «An introduction to the ABC conjecture», el matemático chileno Héctor Pastén (actualmente profesor en la Universidad de Harvard y recientemente galardonado con el Premio del Consejo Matemático de las Américas MCA). De acuerdo con ella, si A, B y C son números enteros positivos sin divisores en común tales que A + B = C, entonces el producto de todos los números primos distintos que dividen al producto ABC debiese ser casi tan grande como C (para ser precisos, para cada número positivo ε, debiera ser mayor que C1/(1+ε), salvo eventualmente por un número finito de excepciones). Por ejemplo, si A = 128 = 27 y B = 81 = 34, entonces A y B aportan pocos factores primos (tan solo el 2 y el 3). Según la conjetura, esto forzaría a que su suma debiera aportar nuevos factores primos con escasa repetición. Y tal es el caso, pues en A + B = C = 209 = 11 × 19 no hay repetición de factores primos.
En 2013, el japonés Shinichi Mochizuki propuso una demostración ininteligible para la conjetura ABC; en ella, utiliza métodos en los que los números aparecen dotados de esta corporeidad geométrica que hace que las reglas de la aritmética cobren un nuevo sentido. «Es como estar frente a un trabajo venido del futuro», han dicho algunos. Y si bien hoy en día los especialistas del tema concuerdan en que la prueba de Mochizuki es, por lo menos, incompleta, también coinciden en que su trabajo contiene muchas ideas novedosas y útiles. Lo cierto es que no puedo decir más al respecto, pues ni siquiera los más versados en el tema han podido entender completamente lo que está escrito en esta portentosa obra de más de quinientas páginas. Será quizás tarea para las generaciones venideras de matemáticos terminar de descifrar este trabajo monumental.
Capítulo 29
Las infinitas maneras de seguir adelante


Si voltea el dibujo en 180°, la solución le será evidente. Por cierto, la sucesión 2, 10, 12, 16, 17, 18, 19,… ilustrada más arriba también tiene una regla curiosa: los números listados son aquellos que comienzan con la letra «d», por lo que el siguiente es el 200.


La receta de Lagrange: en nuestro caso, permite «cocinar» el polinomioUn largo cálculo algebraico transforma esta expresión en la dada anteriormente, mostrando así que esta no tiene nada de misteriosa. El procedimiento en un caso general debiese ser evidente a partir del que aquí se exhibe.
Si bien todo esto puede parecer un poco artificial, hay ocasiones en que estas secuencias inesperadas surgen naturalmente. Consideremos la siguiente situación: si se escoge una cantidad de vértices sobre una circunferencia y se dibujan todos los trazos que unan pares de estos vértices, ¿en cuántas regiones puede, a lo máximo, quedar dividido el círculo? Ciertamente, el número máximo se obtendrá cuando la posición de los vértices sea tal que no haya tres trazos que pasen por el mismo punto.

Más allá de juegos y curiosidades, la ciencia matemática está repleta de secuencias numéricas de enorme interés (y perfectamente definidas por medio de reglas claras). De hecho, hay tantas secuencias interesantes que, después de haber escrito dos libros de recopilación, el matemático británico Neil Sloane decidió crear un repositorio virtual, el Online Encyclopedia of Integer Sequences (OEIS).

1, 1, 2, 3, 5, 8, 13, 21, 34, 55, 89, …,
y su regla de formación es muy sencilla: comenzando con dos cifras iguales a 1, a partir del tercer término, cada elemento es igual a la suma de los dos anteriores. Por ejemplo:
2 = 1 +1, 3 = 2 + 1, 5 = 3 + 2, 8 = 5 + 3, 13 = 8 + 5, …
Aunque esta secuencia aparece en textos de la India que datan del siglo II a. C., su descubrimiento es generalmente datado en el siglo XI y atribuido al italiano Leonardo de Pisa, más conocido por su apodo: Fibonacci. El interés de este matemático por esta secuencia se originó de un modelo sencillo que buscaba entender el crecimiento de una población de conejos, aunque se aplica de manera más nítida al estudio de los árboles genealógicos de las abejas. En efecto, como los machos (zánganos) no tienen padre y las hembras tienen padre y madre (más precisamente, el zángano proviene de un óvulo no fecundado y la abeja de uno que sí lo es), dicho árbol es bastante peculiar: si observa con atención, notará que el número de ascendientes en cada generación corresponde a un término entre 1, 1, 2, 3, 5, 8, 13,…



![]()
que aparece en la posición n-ésima:

Si quiere seguir disfrutando de las maravillas de esta cadena de números, le recomiendo el bello documental «Fibonacci Sequence -Documentary» en YouTube, o, si dispone de un poco menos de tiempo, esta breve charla TED de Arthur Benjamin: «The magic of Fibonacci numbers». Ahora bien, si todo esto le resulta indiferente y piensa que nunca más en su vida verá esta secuencia, lamento informarle que es muy probable que la tenga frente a usted cotidianamente. Incluso, puede que en este mismo instante sus proporciones estén secretamente desplegadas en la pantalla de su computador o teléfono celular. Solo observe con atención los siguientes distintivos:

Capítulo 30
Ramanujan: el hindú al que los números le soplaban sus secretos

Srinivasa Ramanujan nació en Erode, India, el 22 de diciembre de 1887. De familia pobre y devota de la diosa Mahalakshmi de Namakkal, no cursó una escolaridad regular. Sin embargo, se cuenta que, siendo aún un niño, cayó en sus manos un libro de matemática que solo contenía fórmulas y teoremas sin mayor explicación. Intrigado, Ramanujan comenzó a descifrarlas una a una. Sentado, de piernas cruzadas y en actitud meditativa, se pasaba el día garabateando trazos en la tierra intentando entenderlas, descubriendo, maravillándose. Y esto es lo extraordinario: Ramanujan nunca aprendió ni concibió la matemática como un profesional. Su mente funcionaba de otra manera. Para él, lo importante no era la estructura, sino la revelación. Nunca una demostración, nunca una explicación, solo centenas de fórmulas disparatadas que, con el correr de los años, han resultado casi todas ciertas, y que poco a poco hemos podido ir colocando dentro del edificio matemático occidental. Por lo menos aquellas que llegaron a nosotros, pues muchas se perdieron en la tierra: el papel era demasiado caro para los escasos recursos de los que disponía.
Tres fórmulas de Ramanujan:
La primera de ellas, presente en su primer artículo, anunciaba ya de algún modo la originalidad de la obra que vendría. Puede ser obtenida con apenas los conocimientos de la escuela (y una cuota de astucia extraordinaria). La segunda figuraba, en medio de muchas otras, en una carta que envió a Hardy, y pese a que no iban acompañadas de ninguna explicación, este y su colega Littlewood estimaban que todas debían ser correctas simplemente porque eran tan bellas y originales que nadie podría ser capaz ni siquiera de formularlas sin una motivación profunda. En cuanto a la tercera, permítanme exhibirla sin mayor explicación; solo diré que se trata de una joya delirante que permite calcular con gran exactitud los dígitos del esquivo número π.
Ramanujan reprobó dos veces sus exámenes para entrar a la universidad: no tenía tiempo para prepararlos, pues estaba demasiado ocupado haciendo matemática. Sobrevivió trabajando en la oficina de contabilidad de Madrás, donde día a día convivía con centenas de números. Se cuenta que, años después, estando ya enfermo, un amigo fue a visitarlo en taxi.
—¿Qué número de patente tenía? —preguntó Ramanujan.
—Uno sin importancia: 1729 —recibió como respuesta.
—¡No, 1729 es un número muy interesante! Es el menor número que puede ser escrito como suma de dos cubos de dos maneras diferentes:
13 + 123 = 1729 = 93 + 103
Ese amigo, que quedó pasmado ante su respuesta, era nada menos que el célebre matemático inglés Godfrey Hardy. Fue él quien lo acogió en Cambridge tras haber sostenido una intensa correspondencia, después de que el talento de Ramanujan había sido por fin detectado por Ramachandra Rao, uno de los fundadores de la Sociedad de Matemática de la India. Hardy decía que Ramanujan hallaba las soluciones a los problemas mediante un proceso que mezclaba intuición e inducción, y del cual era incapaz de dar un relato coherente. Por eso, tuvo que acometer una singular tarea: para tratar de entender lo que él pensaba y de dónde nacían sus ecuaciones, primeramente debía «enseñarle matemática» o, al menos, debía transmitirle un lenguaje común en que ambos pudieran entenderse. Tenía que instruir al maestro, en quien veía a un nuevo Euler, con el talento suficiente para escalar hasta las alturas de Newton. Y esta extraña relación profesional debía obrar pese a las distancias siderales que separaban a este gentleman inglés, amante del cricket, homosexual y profundamente ateo, del genio pobre hindú, quien solía señalar que los teoremas le venían a la mente por simple inspiración divina.
A la izquierda: una serie de números en los cuadernos de Ramanujan. A la derecha: otra hoja de cálculos (observe las igualdades abajo a la derecha).
1, 2, 3, 5, 7, 11, 15, 22, 30, 42, 56, 77, 101, 135, 176, 231, 297, 385, 490, 627, 792, 1002, 1255, 1575, 1958, 2436, 3010, 3718,…
En ella, el término que aparece en la posición n corresponde al número de maneras de escribir n como suma de enteros positivos. En otras palabras, es la cantidad de maneras distintas de «partir» el número n en piezas aditivas, sin distinguir particiones en las que aparecen los mismos sumandos pero dispuestos en distinto orden. Así, en la tercera posición aparece un tres, pues 3 admite tres particiones:3 = 2 + 1 = 1 + 1 + 1.
De igual forma, en la cuarta posición aparece un cinco, pues 4 admite cinco particiones:4 = 3 + 1 = 2 + 2 = 2 + 1 + 1 = 1 + 1 + 1 + 1.
Por su parte, las siete particiones de 5 son:5 = 4 + 1 = 3 + 2 = 3 + 1 + 1 = 2 + 2 + 1 = 2 + 1 + 1 + 1 = 1 + 1 + 1 + 1 + 1.
Junto con Hardy, Ramanujan estableció la siguiente fórmula de aproximación para el término n-ésimo (la letra «e» se usa para denotar un número muy especial: la constante de Euler 2,71728…):
24 061 467 864 032 624 306 850 057 158 656
particiones diferentes, y la expresión anterior para n = 1000 nos predice una cantidad (muy cercana) de24 061 467 864 032 723 386 041 859 309 568.
Más allá de la matemática misma, este «teorema de aproximación de Hardy-Ramanujan» halló importantes aplicaciones en física estadística, comenzando con un modelo propuesto por Niels Bohr (capítulo 26) para funciones de partición cuánticas de núcleos atómicos.Sería imposible describir en unas pocas líneas todo el portento de la obra de Ramanujan. En apenas cinco años en Cambridge, produjo más de una treintena de artículos seminales trabajando por su cuenta, además de varios otros en colaboración con Hardy. Sus descubrimientos siguen influenciando la matemática hasta el día de hoy. Solo por dar un ejemplo, formuló una conjetura que fue corroborada décadas más tarde por el belga Pierre Deligne, trabajo por el cual este fue galardonado con la Medalla Fields en 1978. En fin, no podría hablarse hoy en día de matemática sin mencionar su nombre ni referirse a algunos de sus legados: los grafos de Ramanujan, las sumas de Ramanujan, la constante de Ramanujan, la forma cuadrática ternaria de Ramanujan, el teorema maestro de Ramanujan, etcétera.

La casa de niñez de Ramanujan es lugar de visita turística en Kumbakonam.
En 1991, Robert Kanigel publicó El hombre que conocía el infinito: la vida del genio Ramanujan, obra de carácter biográfico que inspiró la película casi homónima estrenada en 2016. En ella, Dev Patel juega el papel de Ramanujan y Jeremy Irons el de Hardy. Lamentablemente, esta producción nunca llegó a las carteleras de cine de nuestro país. Si puede verla desde internet se la recomiendo plenamente, no como el fino catador de cine que ciertamente no soy, sino simplemente porque, sin ser un documental, es de las producciones cinematográficas sobre la vida de un científico más ajustada a la realidad que se ha hecho. En cuanto a la matemática presente en la película, no hay absolutamente nada que corregir: uno de los asistentes fue nada menos que el matemático (de ascendencia india) Manjul Bhargava, uno de los ganadores de la Medalla Fields en 2014 y gran conocedor de la obra de Ramanujan, su inspirador.

El tablero mágico de Ramanujan: en este arreglo, los números de cada fila suman 139, al igual que los de cada columna, los de ambas diagonales, los de las esquinas, los del cuadrado central, los de las casillas coloreadas en azul y los de las pintadas de rosado. ¿Reconoce los números de la primera fila? Veintidós de diciembre de mil ochocientos ochenta y siete, día del nacimiento de Ramanujan. En 2011, en el aniversario 125 de su natalicio, el gobierno indio proclamó el 22 de diciembre como el Día Nacional de la Matemática.
Capítulo 31
La soledad de un nuevo número primo

Recordemos primeramente que un número (entero y positivo) es «primo» si no puede ser expresado como producto de enteros mayores que 1. Así, 13 es primo, pero 15 no lo es, pues 15 = 3 × 5. La lista de los primeros primos empieza entonces con 2, 3, 5, 7, 11, 13, 17, 19, … Estos números son los «átomos» de la aritmética, pues a partir de ellos se puede obtener cualquier otro número por medio de multiplicaciones (recuerde la «factorización en números primos» aprendida en la escuela). De hecho, el nombre «primo» deriva de esto, pues se trata de los «números primarios».
¿Cómo listar los números primos? El sabio helénico Eratóstenes ideó un proceso muy sencillo para descubrir sistemáticamente todos los primos: «Escriba todos los números (más bien, los que pueda) de manera ascendente a partir del 2 (que es el menor primo). A continuación, borre todos los números mayores que son múltiplos de 2, es decir, pares. El primer número que sobrevive en la lista es 3: este número es necesariamente primo. Ahora borre todos los múltiplos de 3 mayores que 3. Sobrevive entonces el próximo primo, el 5. Borre todos los múltiplos de 5 mayores que 5 y obtenga el 7… Con paciencia, irá descubriendo lentamente todos los primos». Para una bonita animación explicativa de este proceso, vea en Wikipedia «File: sieve of Eratosthenes animation.gif».
¿Cuántos números primos hay? El proceso de Eratóstenes no responde a esta pregunta, pues se trata más bien de un método para detectar primos a medida que estos aparecen. Hubo que esperar un tiempo hasta que otro sabio helénico, Euclides, diera con un argumento tan contundente como elegante para demostrar que la cantidad de primos es infinita: «Si se multiplican todos los números primos hallados hasta cierto momento y al resultado se le añade 1, entonces el número obtenido no puede ser dividido por ninguno de estos primos, por lo que debe existir al menos un primo más».
Así, los números primos «son pocos, pero son». De hecho, debiésemos esperar que los primos menores que 10n (el número formado por un dígito 1 seguido de n dígitos 0) sea algo así como 10n/n. Este hecho es una consecuencia del teorema de los números primos, una de las piezas más importantes de la «teoría de números», la rama de la matemática que se ocupa de estos temas y que se conecta con otras líneas de estudio de mucha aplicación.
Una conclusión más potente que el teorema de los números primos es, probablemente, el problema abierto más importante de la matemática: la conjetura de Riemann. Formulada por el alemán Bernhard Riemann en el siglo XIX, admite diversas versiones, de las cuales quizás la más concreta es la siguiente: si denotamos por ϑ(n) la cantidad de números primos menores que n, entonces existe una constante C tal queSería imposible explicar en unas cuantas líneas la relevancia y dificultad de esta afirmación. Riemann pronosticó que pasarían más de trescientos años antes de que fuese corroborada, y ya se ha cumplido más de la mitad de este plazo. De hecho, una vez preguntaron al célebre matemático David Hibert qué haría si se durmiera y despertara quinientos años más tarde, y su respuesta fue que inmediatamente correría a preguntar si alguien ya había resuelto la conjetura de Riemann.
Entre las aplicaciones de la teoría de números destaca especialmente la criptografía, que es utilizada cotidianamente, pues otorga el sustento teórico que permite la encriptación de datos, la cual nos da seguridad, por ejemplo, para realizar operaciones bancarias en internet. Aunque parezca sorprendente, la dificultad para decodificar información de esta naturaleza de manera fraudulenta se debe al simple hecho de que es extremadamente lento para un computador escribir números grandes como productos de primos. Así, una información codificada corresponde a uno de estos números inmensos; y si bien esta información puede eventualmente ser «robada» desde internet, su decodificación solo es posible conociendo a priori los factores primos de este, información con la que solamente cuenta la institución involucrada (por ejemplo, su banco).
Por diversas razones (vea, por ejemplo, el capítulo 33), una familia de primos particularmente interesante y fácil de trabajar es la de los «números de Mersenne», llamados así en honor al teólogo, musicólogo y matemático francés del siglo XVII Marin Mersenne. Esta está constituida por los primos iguales a una potencia de 2 menos 1. La lista de los siete primeros primos de este tipo es:

Hasta ahora, el número primo más grande conocido (descubierto en 2013) pertenecía a esta familia: 257 885 161 − 1. Su detección la logró un equipo de investigación en línea formado por voluntarios, el Great Prime Internet Research (fundado por George Woltman). Sin embargo, a inicios de 2016, este mismo grupo anunció el descubrimiento de un nuevo primo del mismo tipo: 274 207 281 − 1.
Si bien este hallazgo fue celebrado en el mundo entero —y ciertamente merece ser aplaudido—, es sano señalar que no se trata de un avance especialmente «importante» para la teoría. Contrariamente a lo que se suele pensar, la matemática no es una ciencia de cálculo, sino de comprensión. En este sentido, mucho más relevante que el descubrimiento de nuevos números primos es el estudio de las relaciones entre ellos: ¿qué tan regularmente aparecen estos números?, ¿por qué a veces tienden a desaparecer, para luego reaparecer en pares?, ¿cómo se combinan bajo operaciones distintas a la multiplicación?
Cada una de las preguntas anteriores se puede ejemplificar con descubrimientos relativamente recientes. Por ejemplo, hasta el día de hoy se desconoce si existen infinitos primos para los cuales el número impar inmediatamente siguiente también es primo (los llamados «primos hermanos»). Sin embargo, hace un par de años, el hasta entonces desconocido matemático chino Yitang Zhang sorprendió al mundo académico al demostrar que, al menos, ¡hay infinitos primos que distan a lo más setenta millones de unidades del primo que les sigue! Rebajar ahora la distancia desde 70 000 000 a 2 parece una tarea abordable. De hecho, el proyecto en colaboración Polymath ya logró bajar la distancia inicial a 4680. Sabemos entonces que hay infinitos primos que «ya no están tan solos».
Otro problema de larga data (planteado por el húngaro Paul Erdös) fue resuelto la década pasada por Ben Green y Terence Tao, y constituyó el resultado clave para que a este último (muy probablemente, el matemático más brillante de la actualidad) le fuese otorgada la prestigiosa Medalla Fields el año 2006. Este se trata de la existencia de cadenas ascendentes de números primos arbitrariamente largas en las que la distancia entre uno y el que le sigue es siempre la misma. Si bien es un resultado puramente teórico (de hecho, estas cadenas de números debiesen en general comenzar con primos extraordinariamente grandes), su valor radica en lo profundo de su revelación: la secuencia de los números primos alterna largos momentos de gran caoticidad con lagunas en las que algún grado de estructura muy regular emerge. De cierta manera, esto concuerda con el hecho de que no existe ninguna fórmula matemática suficientemente «útil» que entregue todos los números primos.
Finalmente, no puede dejar de mencionarse la solución a un problema planteado hace casi trescientos años por Christian Goldbach: tras avances preliminares a principios del siglo XX del ruso Ivan Vinográdov y más recientemente de Terence Tao, Harald Helfgott logró probar que todo número impar puede ser escrito como la suma de no más de tres números primos (vea en www.elmostrador.cl el artículo «Matemático peruano resolvió un problema de 271 años de antigüedad»). Este avance notable es especialmente destacable por el hecho de que Helfgott es de nacionalidad peruana y frecuente colaborador con matemáticos de nuestro país, al punto de que una de las primeras presentaciones de su resultado la hizo en Valparaíso: http://ima.ucv.cl «Finaliza minicurso dictado por Harald Helfgott». Cabe señalar, sin embargo, que se desconoce todavía si todo número par mayor que 2 puede ser escrito como la suma de dos primos. Esta «conjetura de Goldbach fuerte» parece estar lejos de ser resuelta.
Al margen de estos progresos, existen muchas preguntas relacionadas aparentemente muy sencillas. Por ejemplo, no se sabe si hay infinitos primos cuyo producto por 2 más 1 sea nuevamente un primo. Estos números, estudiados por primera vez por la matemática francesa Sophie Germain (capítulo 21) hace más de doscientos años (y llamados «primos de Germain» en su honor), tienen hoy mucha importancia en criptografía.
Tres récords sobre números primos:
- La mayor pareja de primos hermanos conocida hasta septiembre de 2016 es la de los números 2 996 863 034 895 × 21 290 000 − 1 y 2 996 863 034 895 × 21 290 000 + 1, los cuales constan de 388 342 dígitos cada uno.
- Hasta enero del 2017, no se conoce ninguna cadena explícita de veintisiete números primos en que la diferencia entre cada uno y el siguiente sea la misma, a pesar de que el teorema de Green y Tao afirma su existencia. El descubrimiento de la primera cadena de este tipo, pero con veintiséis números primeros, data de 2010.
- El mayor número primo de Germain conocido al mes de septiembre de 2016 es igual a 2 618 163 402 417 × 21 290 000 − 1.
Al igual que el firmamento, el universo de los números es un cosmos de gran belleza y complejidad, en el cual los primos «titilan» (¿azules?) «como astros a lo lejos». Sin duda alguna, mientras nuestra especie subsista, habrá quienes apunten sus telescopios imaginarios para seguir descubriendo uno a uno estos preciosos cuerpos y revelarnos sus secretos. A fin de cuentas, los números no dejan de ser una de las invenciones humanas más notables, y como tales nos acompañarán hasta nuestro último día.
Capítulo 32
Bienvenido el computador

Pero la computación ha ido incluso más allá, llegando a reemplazar al propio ser humano en el campo intelectual. Es así como, desde la década de los setenta a la fecha, una nueva ola, la de las «demostraciones (asistidas) por computador», ha comenzado a inundar todas las ramas de la matemática y ha generado una álgida discusión sobre nuestro rol en ella.

A la izquierda: un mapamundi simplificado pintado con solo cuatro colores en el cual ningún par de países limítrofes tiene el mismo color. Señalemos que, en estricto rigor, el hecho de que este mapa pueda ser pintado de esta manera no resulta del teorema, pues existen países «no conexos» en un mismo continente (como Rusia, que posee un territorio —Kaliningrado— del lado oeste de Lituania). A la derecha: un «mapa» que es imposible pintar con solo cuatro colores de modo que las dos regiones marcadas con A (que simulan pertenecer a un mismo país) tengan el mismo color y ningún par de regiones limítrofes tenga el mismo color.

A la izquierda: la construcción de un toro y de un mapa sobre él que no puede ser pintado con 6 colores sin coincidencia entre vecinos. A la derecha: la construcción de un mapa sobre una banda de Möbius que no puede ser pintado con 5 colores sin coincidencia entre vecinos.
La inquietud que surgió no fue la reducción del problema general a estos 1939 mapas; de hecho, esta tiene una argumentación totalmente rigurosa y perfectamente entendible (aunque por escrito abarca más de cuatrocientas páginas). El gran problema que se suscitó es que, para colorear cada uno de los 1939 mapas «especiales», se debió programar una computadora, que demoró más de un centenar de horas en realizar la tarea. Y esta tarea es imposible que sea corroborada por un ser humano en el lapso de tiempo que dura una vida…
Una serie de cuestionamientos fueron entonces esgrimidos: ¿se puede confiar en que la computadora no cometió un error?, ¿puede el producto final ser considerado una prueba? El primero es más inmediato de abordar. De hecho, tanto en este caso como en posteriores, se ha propiciado la creación de otro programa que sirva de test para dar validez al primero (si bien esto deja aún un margen de incerteza, esta se ve enormemente reducida con este mecanismo). Respecto al segundo, no deja de recordarnos algunos casos de demostraciones extremadamente elaboradas y perfectamente hechas por humanos pero que nadie, aparte del autor, ha podido descifrar (por ejemplo, la de Karl Reinhardt; capítulo 3). Esto no hace sino llamarnos a reivindicar la esencia misma de la actividad matemática, en la cual lo que se pretende no es hacer un catastro de todas las posibles afirmaciones ni determinar cuál es correcta y cuál no, sino que más bien se quiere estructurar el pensamiento de acuerdo con patrones comunes. Tal como decía Henri Poincaré: «La ciencia se construye a partir de hechos al igual que una casa de ladrillos, pero un conjunto de ladrillos no forma una casa». Por lo demás, no debemos subvalorar jamás la importancia de plantear nuevas situaciones, en concordancia con lo que decía Georg Cantor: «En matemática, el arte de hacer preguntas debiese ser puesto en mayor consideración que el de resolverlas». Por último, tampoco debemos sobrevalorar el rol de las demostraciones, tal como William Thurston sentenciaba: «La matemática no se trata de probar, sino de entender». Ciertamente, para resultar airosos en esta misión, la imaginación y la creatividad humanas son imprescindibles. Pero justamente, esto último es quizás lo que nos interpela a plantearnos una disyuntiva aún más intimidante: ¿llegarán algún día las máquinas a reemplazar al ser humano en toda forma de actividad intelectual (o, al menos, matemática)? Se trata, evidentemente, de una pregunta que nos reenvía a otros contextos, y para la cual no podemos ofrecer una respuesta satisfactoria hoy.

Mientras tanto, las computadoras siguen ganando terreno en matemática, al punto de que una revista especializada, Experimental Mathematics, solo publica artículos en los que el uso del computador sea fundamental, sin importar si todos los argumentos o solo una parte de ellos han podido ser establecidos con todo rigor y/o son verificables por un ser humano. La matemática ha adquirido así cierto carácter empírico gracias a estos «experimentos» ejecutados por máquinas. Ciertamente, este punto de vista ha dado y seguirá dando muchos frutos. A continuación me referiré solo a otros tres problemas tratados por esta vía dentro de una larga lista que no cesa de crecer.
La conjetura de Kepler.
La pregunta es muy sencilla y natural: ¿cuál es la mejor manera de colocar en el espacio un conjunto muy grande de esferas del mismo diámetro, es decir, la manera en que queda menos espacio entre ellas?


La demostración de esta conjetura es obra de la misma dupla de la prueba de la afirmación de Pappus sobre la forma de los panales de las abejas (capítulo 3): László Fejes Tóth y Thomas Hales. El primero constató en 1953 que el problema geométrico puede ser transformado en un cálculo explícito. Décadas más tarde, el segundo emprendió estos cálculos, lo cual lo llevó a considerar el valor de una cierta cantidad que depende nada menos que de 150 variables y buscar su mínimo posible. Para acometer esta colosal tarea utilizó un computador, el que le arrojó los valores esperados en 1999. La conjetura de Kepler quedaba así establecida, aunque dejando un pequeño espacio para la duda. Solo en enero de 2015, una prueba completamente formal fue propuesta por el mismo Hales y su equipo de colaboradores, pero hacia fines de 2016 esta no había sido totalmente validada por los especialistas.
Una de las razones que hacía sospechar sobre la validez del resultado de Hales es que un problema muy similar, propuesto por lord Kelvin, resultó tener una respuesta contraria a la intuición. Se trata de hallar la estructura poliédrica que logre cubrir todo el espacio ensamblándose consigo misma de manera repetitiva, de modo que la superficie de contacto entre una y otra sea la mínima posible en relación con el volumen de la estructura. Por más de un siglo se pensó que dicha estructura debía ser un octaedro truncado, el cual llena el espacio de la forma ilustrada más abajo.

Sin embargo, en 1993, el joven estudiante Robert Phelan y su orientador, Denis Weaire, hallaron (usando un programa computacional) una estructura que mejora la proporción entre superficie y volumen del octaedro truncado en alrededor de 0,3%. Hasta el día de hoy, no se sabe si hay algo mejor que la «estructura de Weaire-Phelan».

Jugando con el cubo Rubik.
Si bien pareciera ser una tontera que puede interesar solo a los amantes del juguete inventado por el húngaro Ernö Rubik en 1974, lo cierto es que tiene conexiones con áreas profundas de la matemática. En efecto, el conjunto de todas las configuraciones del cubo mágico tiene la estructura matemática de un grupo (capítulo 2), y la descripción de todas las posibilidades subyacentes se enmarca dentro del problema de entender las configuraciones de grupos con finitos elementos y el número mínimo de «pasos» para acceder a ellos. De manera más geométrica, imagine un grafo (capítulo 15) cuyos nodos corresponden a configuraciones distintas del cubo, de modo que dos de ellos están unidos por una arista si las configuraciones respectivas pueden ser obtenidas una de la otra por un movimiento simple (cuarto de giro de una cara). ¿Qué tan grande es este objeto?
En el caso del cubo mágico, el número de configuraciones es igual a la friolera de 43 252 003 274 489 560 000, cifra superior a, por ejemplo, la cantidad de millonésimas de segundo que han transcurrido desde que existe la especie humana hasta la fecha. Pero lo que queremos medir acá es el largo de los «caminos» del grafo asociado, no la cantidad de nodos. En términos concretos, el problema se trata de determinar el menor número N, de modo que, a partir de cualquier configuración del cubo mágico, se pueda llegar a la configuración correcta (con cada cara de un solo color) en un número de movimientos menor o igual que N. Pues bien, después de grandes esfuerzos de mucha gente, y con la asistencia de un computador en la fase final del proceso, Tomas Rokicki y Morley Davidson lograron probar, en 2014, que dicho número es igual a 26. Es por ello que los fanáticos de este juego suelen llamar al veintiséis el «número de Dios». Además, muchos de ellos visitan periódicamente el sitio www.worldcubeassociation.org, de la Asociación Mundial del Cubo, que regula todos los campeonatos y récords oficiales al respecto.

Un «movimiento» del cubo Rubik corresponde a un cuarto de rotación de una de sus caras (en un giro completo se vuelve a la configuración original).
Pintando ternas pitagóricas.
El tratamiento computacional ha permitido desestimar fenómenos que, sobre la base de los datos conocidos, se creía que formaban parte de una estructura. El computador, al permitir el manejo de una mayor cantidad de datos, ha mostrado que tal estructura era en realidad ilusoria.
El ejemplo reciente más espectacular en torno a esto tiene relación con las ternas pitagóricas (capítulo 19), es decir, los números enteros positivosx, y, z que satisfacen la igualdad x2 + y2 = z2. Pues bien, durante más de dos décadas se planteaba la posibilidad de dividir los números enteros en dos grupos, digamos el de los números «rojos» y el de los «azules», de modo que en cualquier terna pitagórica deba aparecer al menos un número rojo y uno azul. Se tenía antecedentes de que esto era posible para números pequeños. Sin embargo, una computadora permitió constatar que, si bien esto es posible hasta el 7824, ya no lo es para 7825.

Arriba, cada número hasta el 7824 aparece pintado de uno de tres colores. Se puede pintar cada uno que aparece en blanco ya sea de rojo o de azul; con cualquier elección que se haga, en ninguna terna pitagórica los números tendrán todos el mismo color. Por ejemplo, el 3 aparece en azul y el 5 en rojo, por lo que cualquier color que se escoja para el 4 (que aparece en blanco) hace que la terna 3, 4, 5 sea bicoloreada. La terna 5, 12, 13 aparece en azul, rojo y rojo. Con mucha paciencia, usted podría chequear el bicoloramiento de todas las ternas listadas en el capítulo 19.
Debido a la cantidad de memoria empleada, esta es considerada hasta la fecha la mayor demostración computacionalmente asistida que ha sido ejecutada. Sin embargo, no debiera sorprendernos que este récord sea batido sistemáticamente en los próximos años. Los computadores llegaron para quedarse, independientemente de que esto pueda o no gustarnos.
Capítulo 33
Siete problemas inocentes que nadie ha podido resolver aún

Junto con lo anterior, sobreviven sin solución problemas aparentemente muy sencillos pero que han sido un gran dolor de cabeza para generaciones de matemáticos. En general, estos tienen conexiones profundas con líneas de investigación de vanguardia, aunque sus enunciados son tan simples que los hacen accesibles con tan solo unos pocos conocimientos básicos (incluso a veces no se precisa saber absolutamente nada para entenderlos). Para cerrar este libro, a continuación le presento una lista de siete de estos problemas con un mínimo de explicación, de modo que el campo quede abierto para que usted se anime a resolverlos. Nada pierde con intentarlo, aunque por experiencia, le recomiendo no hacerlo mientras baja alguna escalera, pasea en bicicleta o conduce un automóvil.
De más está decir que, si resuelve alguno (o varios) de ellos, me complacería enormemente conocer su solución.
Los números perfectos y los primos de Mersenne
Un número (entero y positivo) es «perfecto» si es igual a la suma de sus divisores que son menores que él. Por ejemplo, 6 es perfecto, pues sus divisores son 1, 2, 3 y 6, y se cumple
1 + 2 + 3 = 6.
Igualmente, 28 es perfecto, ya que sus divisores son 1, 2, 4, 7, 14 y 28, y
1 + 2 + 4 + 7 + 14 = 28.
Con «un poco» de paciencia, usted podría chequear que los próximos números perfectos son 496 y 8128.
Dos preguntas sobre estos números siguen sin respuesta desde los tiempos de la antigua Grecia. De hecho, podría decirse que estos son los problemas más longevos de la matemática que continúan sin solución:
—¿Existe algún número perfecto impar?
—¿Existen infinitos números perfectos pares?
Hay cierto consenso en que no debieran existir números perfectos impares. Sobre los perfectos pares, se sabe que deben ser del tipo 2n−1(2n − 1), siempre y cuando (2n − 1) sea un número primo. El problema es que se desconoce si existen infinitos primos de la forma (2n − 1) (a la fecha, solo se sabe de 49 números de este tipo). Recuerde que estos son llamados «primos de Mersenne», y el más grande que se conoce es, de hecho, el mayor número primo conocido a la fecha (capítulo 34): 274 207 281 − 1.
Los primos de Fermat
Otra familia interesante de números es aquella formada por los primos que son de la forma
22n + 1,
conocidos como «primos de Fermat». Con n igual a 0, 1, 2, 3 y 4 obtenemos respectivamente los primos 3, 5, 17, 257 y 65 537. ¿Existe algún otro primo de Fermat? ¿Existen infinitos? Contrariamente a lo que sucedió con su «conjetura» (capítulo 22), Pierre de Fermat no aventuró respuesta alguna. De hecho, cometió un error: aseguró que para n = 5, la expresión dada más arriba origina un número primo. Sin embargo, años después, Leonhard Euler observó que
225 + 1 = 4 294 967 297 = 641 × 6 700 417.
A la fecha, lo mejor que se sabe es que para todo entero n entre 5 y 32, la expresión no origina un número primo. Como es de esperar, esto ha podido ser establecido gracias a la ayuda computacional (capítulo 36), pues se trata de números extraordinariamente grandes.
El problema 3n + 1
Comencemos con un número entero positivo cualquiera. Si es par, dividámoslo por 2; si es impar, multipliquémoslo por 3, y añadamos 1 al resultado. Obtenemos así un nuevo número, al que podemos aplicar otra vez la operación. Por ejemplo, comenzando con 4, obtenemos el ciclo infinito
4 → 2 → 1 → 4 → 2 → 1 → 4 →…
Si empezamos con 5 obtenemos
5 → 16 → 8 → 4 → 2 → 1 → 4 → 2 → 1 → 4 →…
y a partir de 7 surge
7 → 22 → 11 → 34 → 17 → 52 → 26 → 13 → 40 → 20 → 10 → 5 → 16 → 8 → 4 → 2 → 1 → 4 →…
En los tres casos descritos, hemos caído en el ciclo 4 → 2 → 1 → 4 →… La pregunta es: ¿sucede lo mismo si empezamos con cualquier otro número? Ciertamente, puede que tardemos muchísimo en caer en el ciclo, incluso comenzando con números relativamente pequeños. Por ejemplo, si empezamos con 27, se debe ejecutar la operación 108 veces antes de llegar al ciclo. Sin embargo, se cree que, inexorablemente, todo número será «atraído» en algún momento por la combinación 4 → 2 → 1 → 4 →…
Este problema fue propuesto por primera vez por el alemán Lothar Collatz en 1937. Hay quienes creen que su solución caerá (¿de un árbol?) muy pronto.

Recuerde que un número irracional tiene una expresión decimal que nunca se torna periódica (capítulo 8). Tal es el caso del más famoso de todos: π. La expresión decimal de este número comienza con
3,14159265358979323846264338327950…
Hasta aquí, todos los dígitos 0, 1,…,9 han aparecido. ¿Aparecen infinitos dígitos 0 en la expresión decimal infinita de π? ¿Aparecen infinitos dígitos 1, 2, 3, etcétera? Hasta el día de hoy, se desconoce la respuesta.
Se cree que no solo cada dígito tiene que estar incluido infinitas veces, sino que, además, cada dígito tiene que aparecer en la misma proporción. Por ejemplo, entre las primeras diez millones de cifras decimales de π, debiese haber alrededor de un millón de 0, 1, 2, etcétera. Y este es el caso, pues hasta este nivel de desarrollo hay:

0,1121113111141111151111116111111117111111118…
no es normal, pues a pesar de que utiliza infinitas veces todas las combinaciones posibles, el dígito 1 aparece en mucho mayor proporción que todos los demás. En cambio, en un número normal, la combinación 123 456 789 debe aparecer con una proporción cada vez más cercana a 1 sobre mil millones (1 sobre 109). Y cosas muchísimo más sorprendentes son válidas. Imagine que cada letra del alfabeto sea codificada con un número del 1 al 29 diferente de 10 y 20, que se usa otros números (28, 29,…, evitando el 30, 40, etcétera) para codificar los signos de puntuación y todo otro símbolo necesario para la escritura en castellano, y se reserva el 0 para indicar el paso de un carácter a otro. Una vez establecidas estas reglas, todo texto puede ser codificado en un gran número; por ejemplo, la palabra «boca» se codifica en el 20 170 301 (el 2 inicial corresponde a la letra «b», el 0 indica que viene otra letra, el 17 es la «o», el 0 indica que viene una nueva letra, el 3 es la «c», el 0 da paso a otra letra más, y el 1 final es la «a»). Pues bien, en un número normal, aparecerá infinitas veces la codificación numérica de cada obra literaria que ha sido escrita a lo largo de la historia, y estará codificada además cada una de las que serán escritas en el futuro. La poesía de Gabriela Mistral, el teatro de Shakespeare, las novelas de Dostoievski y los chistes de Condorito, todos están codificados en los dígitos de cualquier número normal. Y si agregamos nuevos números a nuestra simbología, también habrán versiones de todas ellas en todos los idiomas (tanto existentes como futuros). Sin duda alguna, Borges hubiese adorado los números normales.Es posible probar con total rigor matemático el asombroso hecho de que «casi todo número» es normal, en el sentido de que si escogemos un número «al azar», muy probablemente el elegido lo será. Sin embargo, todos los esfuerzos para probar la normalidad de π han resultado infructuosos.
Más allá de la interrogante planteada de manera particular para π, entender la distribución de los dígitos de números irracionales específicos es un problema mayor en matemática. Por ejemplo, hasta el día de hoy, también se desconoce si todos los dígitos aparecen infinitas veces en la expresión decimal de √2. Se conjetura, sin embargo, que se trata de un número normal.
Coloreando el plano
¿Cuántos colores son necesarios para pintar el plano de modo que no haya dos puntos del mismo color que estén a distancia exactamente igual a 1? Tal como se observa en la figura, esto es posible con apenas siete colores: basta embaldosar el plano con hexágonos cuya diagonal mayor sea ligeramente menor que 1 y, luego, pintarlos apropiadamente (observe que cada hexágono está circundado por otros seis hexágonos, todos los cuales están pintados de colores diferentes; además, para ir de un hexágono de un color a otro del mismo color se debe atravesar al menos otros dos hexágonos).


Grafo de los hermanos Leo y William Moser: en él, los vértices aparecen engrosados de modo de poder visualizarlos. Todas las aristas dibujadas tienen longitud 1. Como se observa, estos vértices se pueden colorear con cuatro colores de manera que no haya arista que una dos del mismo color. Sin embargo, con algo de paciencia, podrá constatar que esto es imposible usando tan solo tres colores.
Sin levantar el lápiz sobre una hoja de papel, haga un trazo que comience y termine en el mismo punto, y asegúrese de que no pase dos veces por ningún otro punto. Curiosamente, a la figura resultante los matemáticos solemos llamarla «curva» (pese a que puede perfectamente contener trozos de rectas) y le añadimos los epítetos «continua» (por trazarse sin saltar de una posición a la otra levantando el lápiz), «cerrada» (por comenzar y terminar en la misma posición) y «simple» (por no tener autointersecciones).

Un par de cuadrados con vértices en la curva.
Se sabe que la respuesta es afirmativa para curvas «suaves», por ejemplo para aquellas formadas por trozos de rectas, círculos, parábolas, etcétera Lo mismo sucede para curvas que encierran una región convexa. No obstante, la respuesta, en general, sigue siendo un misterio.
La cajita feliz
Euler pasó una parte de su vida buscando un paralelepípedo de ángulos diedros rectos en el cual todos los lados tienen longitudes enteras, al igual que las diagonales de las caras y la diagonal espacial. En otras palabras, persiguió una caja recta como la ilustrada más abajo, para la cual los valores de las longitudes a, b, c, d, d, f, g son todos enteros positivos.

a2 + b2 = d2,
a2 + c2 = e2,
b2 + c2 = f2,
a2 + b2 + c2 = g2.
En 1719, Paul Halcke casi dio con una caja perfecta: si a = 44,b = 117 y c = 240, entonces se debe tener d = 125, e = 244, f = 267 y g = √73 225 = 5√29 × 101 = 270,60118…Lamentablemente, este último no es un número entero (de hecho, es un número irracional; capítulo 8).
Hasta el día de hoy se ignora si alguna «cajita feliz de Euler» existe. Se sabe sin embargo que, en caso de existir, la longitud de al menos un lado debe ser mayor que tres billones. Y no se sabe mucho más.
Epílogo
La ciencia de la esencia
«La matemática consiste en sacar conceptos desde la oscuridad»
Esquicios de un programa
Alexander Grothendieck
«Porque de la palabra que se ajusta al abismo surge un poco de oscura inteligencia»
«Porque escribí»
La musiquilla de las pobres esferas
Enrique Lihn
La capacidad de abstracción fue la habilidad necesaria para edificar los cimientos de la matemática a partir de dos problemas básicos: contar y orientarse.
Muy probablemente, la idea de cuantificar surgió a partir de una necesidad elemental: comparar cantidades de objetos. Difícilmente sabremos algún día exactamente cómo y dónde surgieron, en este proceso, los números. Lo concreto es que, en varias comunidades del mundo actual, se dispone de vocablos solo para designar cantidades pequeñas, y a todo lo que está por sobre cierto límite se le llama, simplemente, «mucho». Y aunque esto pueda parecer «primitivo», no deja de revelarnos el valor del poder de la abstracción, ya que es solo en el mundo abstracto donde tiene sentido, por ejemplo, una cifra como 274 207 281 − 1 (el número primo más grande descubierto hasta la fecha; capítulo 31), pues, muy probablemente, esta sea mayor que la cantidad de partículas elementales de todo el universo observable. Por esta misma razón, el proceso de construcción de los números no fue en lo absoluto sencillo. No es de extrañar, entonces, que el surgimiento del cero haya sido un suceso relativamente reciente, posterior a la cultura helénica (los griegos nunca pudieron conferir mayor sentido a «algo» que representa la «nada») y obra de —entre otras— la civilización maya.
La necesidad de orientarse fue importantísima en los procesos migratorios. La observación de los astros en el cielo y la medición de las distancias sobre la base del tiempo necesario para recorrerlas deben haber conferido algunos de los elementos para constituir nociones geométricas elementales. Una vez sedentarizadas, las comunidades debieron seguir estudiando el firmamento para desarrollar una de las actividades más importantes de la civilización: la agricultura. Ciertamente, la observación en paralelo de pequeños fenómenos como el simple rodar de una piedra (y la posterior invención de la rueda), además de la necesidad de construir moradas, deben haber gatillado también parte de este pensamiento geométrico. Lo concreto es que los primeros vestigios de figuras geométricas abstractas, hallados en unas rocas de Sudáfrica, datan de setenta mil años de antigüedad.
Contar, orientarse y entender, sobre la base de la abstracción. Según el matemático francés Étienne Ghys, son estas tres necesidades mínimas las que, hasta el día de hoy, no solo configuran la matemática, sino que también la hacen imprescindible. En torno a ellas se han ido articulando las distintas disciplinas de esta ciencia, comenzando con las más básicas y antiguas —aritmética, geometría y lógica—, pasando por las intermedias —álgebra, cálculo y probabilidades— y llegando a las modernas —teoría de conjuntos, topología, sistemas dinámicos, entre otras—. Aun así, el entrelazamiento de todas estas ramas es intrincado, pues en cada una de ellas se mezclan diversos procesos. Además, definir los orígenes de cada teoría es un ejercicio peligroso. Por ejemplo, si bien el análisis armónico —esto es, el estudio mediante el cálculo diferencial de los procesos que tienen cierta «circularidad»— no se institucionalizó sino hasta fines del siglo XVIII e inicios del XIX con los trabajos de Fourier sobre la propagación del calor, sus rudimentos eran dominados por las antiguas civilizaciones en su afán de predecir el movimiento de los cuerpos celestes.
Ante este mapa difuso cabe entonces preguntarse: ¿qué es, exactamente, la matemática? Para Aristóteles, era la «ciencia de las cantidades: la aritmética se ocupa de las cantidades discretas y la geometría de las continuas». Concordando con esto, pero en directa relación con lo anteriormente mencionado, René Descartes decía que «la matemática es la ciencia del orden y la medida, de bellas cadenas de razonamientos, todos sencillos y fáciles». Más recientemente, en 1941 —durante su autoexilio de la Europa nazi—, el alemán Richard Courant escribió, junto a Herbert Robbins, un libro titulado justamente ¿Qué es la matemática? Una exposición elemental a las ideas y métodos . La introducción de este clásico y apasionante texto concluye con una frase contundente: «Solo la experiencia activa en matemáticas puede responder a esta pregunta». De hecho, el propio Courant consideraba que su título era «un poco deshonesto», pues la razón fundamental de este fue aumentar el impacto de su obra (el nombre estaba inspirado en ¿Qué es el arte?, de León Tolstoi, y fue decidido tras conversaciones con el escritor Thomas Mann).
Muy probablemente, cada persona que ha cultivado la ciencia ha tenido su propia respuesta a la pregunta de Courant. Un síntoma es el hecho de que, en la versión en inglés de Wikipedia, hay una entrada especial para «definiciones de la matemática». Y habiendo ya tantas acepciones, nada se pierde con arriesgar una más.
Los antiguos griegos tuvieron una perspicacia notable en casi todas las actividades nobles del ser humano. Sin ir más lejos, fueron ellos quienes dieron origen a la palabra «matemática». Y a partir de esta es que, aún hoy, pueden enseñarnos algo nuevo. En efecto, etimológicamente, esta palabra proviene del vocablo máthema, que se refiere a «lo que se enseña, aprende y comprende». Increíble revelación de la perspicacia del pueblo helénico: la matemática podría ser entendida como el conocimiento estable, aquel que no se modifica en el tiempo por el devenir de los procesos naturales. Cobra mayor sentido entonces lo que afirmaba Godfrey Hardy en su celebrado libro La apología de un matemático: «La matemática griega es permanente, incluso más que la literatura griega; cuando Esquilo ya haya sido olvidado, Arquímedes será aún recordado». Así, sencillamente, «Las matemáticas son para siempre», tal como señala el título de una de las conferencias de divulgación más difundidas hoy en día, en la cual Eduardo Sáenz de Cabezón exhibe una brillante mezcla de humor y sagacidad que merecen ser disfrutados (disponible en YouTube).
Pero, ¿de dónde proviene esa estabilidad única de la matemática?, ¿por qué la obra de Pitágoras, Arquímedes y Euclides sigue siendo, a más de dos milenios de su creación, igual de relevante y trascendental para nosotros, y la defendemos como si se tratase de materia sagrada?, ¿por qué nuestros patrones son los mismos que los de los sabios helénicos de la antigüedad e insistimos, por ejemplo, en dictar clases armados solo de un trozo de tiza frente a un pizarrón?, ¿por qué, cuando —en pleno siglo XX— Alexander Grothendieck tuvo en su mente una idea revolucionaria, la plasmó en una colección de monografías titulada Los elementos de la geometría algebraica, emulando el título del famoso libro de Euclides?
La comunidad matemática es increíblemente cohesionada. Por ejemplo, la matemática es la única ciencia que realiza un encuentro periódico (su «Congreso Internacional»; capítulo 19) en el cual participa absolutamente toda la comunidad mundial, ya sea de modo presencial o a distancia. La lista de todos los expositores desde la primera versión de este evento (realizada en 1897) hasta la fecha está celosamente custodiada en www.mathunion.org. En torno al contenido de estas charlas ha girado todo el desarrollo de la matemática de los últimos ciento veinte años. Pero, lamentablemente, su historia ha sido tradicionalmente escrita sobre la base de criterios que priorizan logros individuales de personajes señeros, contraviniendo de este modo el proceso simbiótico que da real sustento al progreso del conocimiento. Tal como señalaba William Thurston, así como en el fútbol tendemos a recordar solo a quienes marcan goles, en la matemática tendemos a reconocer solo a quienes logran el puntapié final de una demostración, despreciando con ello el rol de todo el equipo que impulsó las ideas y orientó los objetivos. Algo similar ocurre en todas las ciencias. Por lo mismo, urgen más relatos historiográficos que expongan a estas como un flujo permanente, un viaje de ideas e información de época en época, de comunidad en comunidad, de persona a persona. Al mismo tiempo, urge un análisis exhaustivo que ponga de relevancia el rol de la educación desde las edades más tempranas en el desarrollo científico de las naciones. Imagine por un momento que, desde 1818 a la fecha, en las escuelas de Chile se hubiese enseñado sistemáticamente la composición geométrica de la bandera de la Independencia, con todos los triángulos y gnómones áureos de su campo azul (capítulo 1). ¿No es razonable pensar que, de haber sido así, el embaldosado de Penrose, basado en los mismos triángulos (capítulo 5), habría sido descubierto décadas antes en nuestro país, tal vez por niños jugando con esas piezas triangulares a modo de rompecabezas en un aula?
Al igual que los músicos, los matemáticos somos particularmente agradecidos con nuestros maestros, así como con los maestros de generaciones pasadas. Es tal esta tradición que el sitio de internet de la American Mathematical Society maneja un repertorio genealógico de más de doscientos mil registros, el cual comienza en los tiempos modernos (https://genealogy.math. ndsu.nodak.edu/). En este, la condición de ancestro directo se concede por haber dirigido una tesis de doctorado. Al apreciar este gigantesco árbol de nombres podemos dimensionar en parte el carácter colectivo del trabajo matemático, que forma parte de la labor más grande que ha emprendido la especie humana desde sus orígenes en su incansable búsqueda de la verdad: el desarrollo de la ciencia. Como diría nuestro poeta Gonzalo Rojas, en esta gran familia, cada persona no es sino «uno más en el coro infinito». Un coro al que, sin duda alguna, se contempla con cierta admiración, y al que no dejamos de experimentar un pequeño y humilde orgullo de pertenecer.

Pero, según la concepción helénica, no basta con que algo sea cierto para que trascienda: también se requiere que sea hermoso. Tal como decía Bertrand Russell, «las matemáticas poseen no solo la verdad, sino cierta belleza suprema, una belleza fría y austera, como la de una escultura», mientras que para Albert Einstein, la matemática no era sino «la poesía de las ideas lógicas». Y esto no solo lo testimonian los científicos, sino también los artistas. Sin ir más lejos, el célebre poeta portugués Fernando Pessoa afirmaba: «El binomio de Newton es tan bello como la Venus de Milo; lo que hay es poca gente que se dé cuenta de ello».
La persecución de esta belleza es un elemento ineludible para entender la actividad matemática. Muchas veces, en el curso de una investigación, la intuición nos guía por un camino en lugar de otro simplemente porque su derrotero es «más hermoso». No resulta extraño entonces que, al enterarnos de un nuevo gran resultado, nuestra primera expresión ante este no sea un «¡qué impresionante!» de asombro, sino simplemente un «¡qué lindo!», o un «¡qué elegante!», envuelto en emoción. Como decía Henri Poincaré, «no se estudian las matemáticas puras porque sean útiles» (y por cierto que lo son); «se estudian porque, en ese proceso, se experimenta placer, y ese placer proviene del hecho de que son hermosas». En este sentido, no debemos olvidar nunca que, en cierta época, dos ramas de la matemática (la aritmética y la geometría) no solo eran consideradas ciencias, sino que también formaban parte de las siete artes liberales.
Verdad y belleza se han ido confabulando en el saber matemático que, a lo largo de los siglos, se ha revelado como el lenguaje de la naturaleza. Y aunque podamos discurrir eternamente en torno a este último punto, nadie osaría poner en cuestionamiento el conocimiento que, en el curso de apenas algunos milenios, ha permitido sacar al ser humano de las cavernas para llevarlo a explorar los misterios del universo, todo siguiendo el sabio precepto de Galileo Galilei.
Pero la matemática no ha alcanzado, sus máximos límites (y de hecho, nunca lo hará). El siglo XXI será, muy probablemente, el de la consagración de los métodos matemáticos en sociología y, quizás, también en biología. De allí en adelante, resulta muy arriesgado aventurar algo. ¿Cómo serán las matemáticas dentro de cinco mil años? ¿Denotaremos los números tal cual lo hacemos hoy en día, de diez en diez, supeditados a los diez dedos de nuestras manos dada nuestra condición humana? ¿O habremos descubierto un nuevo sistema, mucho más astuto, basado —por ejemplo— en la distribución de los números primos, el cual revele por sí mismo algunos aspectos de la aritmética que, hasta el día de hoy, son un total misterio? ¿Habremos desarrollado habilidades cognitivas que nos permitan ver en más de tres dimensiones o percibir naturalmente la hiperbolicidad de la geometría a gran escala del universo?
Con toda seguridad, dentro de un par de milenios, miraremos hacia atrás y juzgaremos como primitivos algunos de nuestros avances presentes, tal como lo hacemos actualmente con varios de los de nuestros antepasados. Por ejemplo, hoy nos causa una tierna hilaridad el hecho de que, en la mayoría de las antiguas culturas, los números no solo representaban cantidades, sino que también estaban provistos de género: los pares eran femeninos y los impares masculinos (la razón de esta distinción —claramente influenciada por la anatomía sexual— debiese ser obvia). Sin ir tan lejos, no deja de sorprendernos amargamente que el mismísimo Platón haya desviado tan equivocadamente su rumbo al postular que esos cinco objetos prístinos, los sólidos regulares, estaban asociados a los supuestos cinco elementos de la naturaleza (capítulo 9).
Pero hay una gran diferencia entre esto último y lo que sucederá en el futuro, pues el teorema de Pitágoras (capítulo 6) permanecerá inalterado por siempre, al igual que el triángulo numérico de Jayam y Pascal (capítulo 27), el infinito de Cantor (capítulo 22) y la geometrización de Poincaré, Thurston y Perelman (capítulo 14). Porque si hoy renegamos del género en el número o del éter en el dodecaedro, se debe a que trastocan la naturaleza última de los conceptos al añadir elementos ajenos a ellos, mientras que la verdad más antigua, la de Pitágoras, al igual que todas las verdades matemáticas posteriores, fue revelada tras decantar absolutamente todo lo accesorio en su camino.
Y de esto, precisamente, se trata la matemática. De desprender cada instancia de lo superfluo, de retirar la corteza para llegar a la médula y, una vez capturada en lo más profundo, vislumbrar su universalidad. No es simplemente la ciencia de las cantidades, medidas y formas. Es el producto del minimalismo racional llevado a un extremo que, por fuerza de descubrir lo sustancial, genera un saber estable e imperecedero.
La matemática es la ciencia de la esencia, y lo será eternamente.Este libro no hubiese jamás existido de no haber sido por personas que impulsaron el proyecto desde un inicio y colaboraron permanentemente con él. Es entonces un deber placentero agradecer a todo el equipo de El Mostrador, y muy especialmente a Héctor Cossio, por el espacio abierto no solo a mí, sino a todo el mundo académico llano a debatir —una pequeña odisea en el periodismo chileno actual—; a Juan Manuel Silva, por haber volcado su sensibilidad hacia la matemática y haberme guiado hacia editorial Planeta —aunque lo primero debe ser considerado una victoria póstuma de Ramanujan (capítulo 30), en torno a quien gira uno de sus poemas—; a Pablo Véliz, por su confianza y por haberme asistido técnicamente con paciencia, diligencia y amabilidad en un principio; a Nicolás Libedinsky, por su trabajo «liresco» de recomposición (por tachadura y reescritura) de muchos de estos relatos —incluyendo sus títulos—, por el cual quizás debiese considerarme a la vez «halagado y ofendido»; a Mario Ponce —un apasionado por la promoción de la matemática en Chile—, por haberme gentilmente entregado muchas ideas y sugerido varios temas que quedaron plasmados a lo largo del texto; a Gladys Bobadilla, por su histórico artículo en la Revista del Profesor de Matemática sobre la dura historia de —entre otras— Hipatia, Germain, Kovalévskaya y Noether, el cual inspira en parte los capítulos 20 y 21 de este libro; a Christian Bonatti, por aquellas viejas discusiones en Lima, París y Olmué de las que brotó el concepto de «matemática y esencia»; a Hernán Aburto, por haber compartido conmigo sus elucubraciones matemáticas desde los ancestrales tiempos de liceo hasta el día de hoy y, en particular, por haberme instruido sobre el sorprendente episodio geométrico ligado a nuestra bandera; y a Víctor Navas y Yanina Piñones, por su trabajo sistemático de edición en inspiradas reuniones que usualmente devenían en conversaciones sobre la civilización griega, el valor cultural del fútbol o la importancia de la enseñanza de la gramática para la estructuración del pensamiento matemático…
Muchas de las ilustraciones que amenizan estas páginas fueron tomadas directamente (y con la debida autorización) de la web (muchas veces desde Wikipedia); otras fueron ya sea enteramente producidas o bien modificadas por Carolina Muñoz a partir de un original disponible en internet; finalmente, las imágenes de corte más netamente matemático fueron producidas por Alejandro Astudillo. Mención especial merecen ciertas ilustraciones tomadas de la obra de Alison Haltenhof, Paola González, Fernando de la Rocque, Jos Leys y Pasquale D’Silva, así como algunas fotografías realizadas por Geir Da Silva y Dante Yovane. Todos ellos accedieron gentilmente a que sus imágenes fuesen incluidas en este libro, y mis agradecimientos van también para cada uno.
Por razones de espacio, resulta imposible enumerar aquí a todos quienes, en columnas específicas, me señalaron imprecisiones, mejoras, correcciones y reelaboraciones. La lista de estas personas es extraordinariamente larga, especialmente porque en la frenética etapa final de confección del libro, cada nuevo capítulo fue subido a mi cuenta de Facebook para someterlo al más implacable escrutinio público. Y si bien no todas las sugerencias fueron implementadas, el simple ejercicio de afirmación de lo ya escrito, en contraposición a lo sugerido, fue un trabajo de singular valor. Por lo mismo, aun cuando no siempre estuve de acuerdo (y corro el riesgo de haber cometido numerosos errores por ello), les estoy profundamente agradecido a todos.
No puedo, sin embargo, dejar de agradecer explícitamente y de manera especial a Rafael Benguria, Cecilia Biott, Mariela Carvacho, Miguel Castillo Didier, Paulina Cecchi, Víctor Cortés, Alicia Dickenstein, Antonieta Emparán, Jessica Fuentealba Quilodrán, Jessenia Fuentes, Sandra Garrido, Étienne Ghys, Harald Helfgott, Laura Iñón, Rafael Labarca, Daniel Navas, Rodrigo Navas, Valentina Norambuena, Héctor Pastén, Scarlett Plaza, Gonzalo Robledo, Anita Rojas, Mariel Sáez, Andrés Susaeta, Ferrán Valdez, Jaime Vergara y Julio de Villegas, así como a mis antiguos compañeros de aulas del liceo, por todos sus permanentes comentarios sobre varios pasajes del libro. Adicionalmente, agradezco nuevamente a Juan Manuel Silva por su paciente trabajo de reelaboración y edición final, así como a Ian Campbell por su diseño de portada.
En nuestra vida científica, los matemáticos debemos sobrellevar permanentemente el terror a dejar por escrito una afirmación falsa. Añádase a esto, en el contexto de la divulgación, el malestar de haber ocultado por ignorancia una forma de verdad. Por todo ello, agradezco a Mahdi Teymuri Garakani por indicarme (a propósito de «El triunfo de los hexágonos», capítulo 3) que, contrariamente a lo que figura en gran parte de la literatura (incluida mi columna original en El Mostrador), Reinhardt no fue alumno de David Hilbert, sino de Ludwig Bieberbach. Mis agradecimientos van también para Jash Lodha, por hacerme notar la relevancia del trabajo matemático de Aryabhata de la India, perfectamente comparable (y a veces superior, aunque unos siglos posterior) al de los antiguos griegos (capítulo 7). De la misma forma, agradezco a Mahsa Allahbakhshi por hacer lo propio en torno al impresionante trabajo de Omar Jayam, matemático y poeta persa, cumbre de la época dorada de la cultura musulmana en tiempos en los que el oscurantismo religioso ensombrecía a Europa. Agradezco igualmente a Cristóbal Rivas, por informarme que, en estricto rigor, el Premio Nobel de Economía no existe, y que el galardón que suele ser presentado con este nombre en realidad lo otorga el Banco de Suecia (capítulo 22). Mención especial merece Carlos Basso por señalarme, a propósito del caso de Boris Weisfeiler (capítulo 26), que su obra de periodismo de investigación ya permitía descartar un par de pistas falsas, a la vez de corroborar algunas hipótesis lúgubres. Finalmente, quisiera agradecer a Fanny Espinoza, del Museo Histórico Nacional, por su interés y amabilidad en mi investigación sobre la geometría de la bandera de la Independencia de Chile (capítulo 1), así como a Nelda Jaque, María José Moreno y —nuevamente— a Rafael Labarca, por haberme impulsado a continuar este estudio más allá de mi columna original. Sin duda alguna, este episodio desconocido y casi secreto de nuestra historia no solo merece ser ampliamente difundido, sino que requiere además de mayor investigación y análisis por parte de historiadores profesionales. Es una feliz coincidencia que mi escrito al respecto salga a la luz pública en formato impreso y de manera masiva el mismo año del bicentenario de nuestra bandera.
Las columnas de divulgación que dieron origen a este libro fueron parcialmente financiadas por los proyectos Fondecyt 1 120 131 y 1 160 541, así como por los proyectos Anillo 1103 (Centro de Sistemas Dinámicos y Temas Relacionados) y 1415 (Geometría en La Frontera). Agradezco a Conicyt no solo por este apoyo, sino también por haber abierto un espacio a la divulgación científica en muchos proyectos de investigación.
En consideración a que las sociedades científicas de nuestro país no reciben aportes permanentes del Estado, la mitad de las entradas percibidas por este libro serán donadas a la Sociedad de Matemática de Chile para actividades de difusión a la comunidad.
El Ingenio (Cajón del Maipo),
enero de 2017
Notas:









