
Considerando algunos de ellos, se referirá paso al problema concerniente al significado general de las palabras "resolver el problema".
La exposición no presupone conocimientos previos cualesquiera que salgan fuera de los límites del programa previsto por la escuela de ocho grados, excepto la definición y designación de la potencia de exponente nulo. Se debe conocer exactamente que todo número distinto de cero, elevado a la potencia cero, se considera (por definición) igual a una unidad: a 0 = 1 cuando a ≠ 0.
PROBLEMA DE LA VIII OLIMPÍADA
En la VIII Olimpíada matemática de Moscú (1945), a sus participantes, alumnos de los grados 9 10, fue prepuesto el siguiente problema:
Se tiene una red de caminos (Figura 1). Desde el punto A parten 2 1000 hombres. Una mitad de ellos se encaminan en la dirección l , otra, en la m . Al llegar al primer cruce cada grupo se divide: una mitad sigue la dirección l , la otra, la m . Lo mismo ocurre en cada cruce. ¿Cuántos hombres llegarán a todos los cruces de la milésima serie?

Figura 1
Anunciemos, ante todo, que todavía no conocemos si es resoluble el problema, es decir, si pueden moverse los hombres como lo requiere la condición del problema. En efecto, si a un cruce cualquiera, en que va a dividirse por mitad la afluencia de gente, llega un número impar de hombres, el movimiento se detendrá. Por consiguiente, para que el problema tenga solución, es necesario y suficiente que a cada cruce de cualquiera de las primeras mil series (filas), de 0 hasta 999, llegue un número par de hombres. De que esto es así, nos cercioraremos resolviendo el problema.

Figura 2
Al principio introduciremos las designaciones para las cantidades de hombres que dejaron atrás cada cruce de nuestra red de caminos. Numeremos los cruces de cada fila, de izquierda a derecha, partiendo de cero; por lo tanto, los cruces de la n-ésima fila se numerarán de cero hasta n. Denotaremos por H k n el número de hombres que pasaron por el k-ésimo cruce de la n-ésima fila. Puesto que no se sabe todavía si es resoluble el problema, no podemos estar seguros de que existan todos los números H k n , es decir, que exista cada uno de los números H con todo n de 0 hasta 1000 y todo k de 0 hasta n . Es indudable que algunos de ellos existen. De modo que, en virtud de las designaciones introducidas,
Veamos ahora cómo se vinculan entre sí los números H k n ( k = 0, 1, 2,..., n ) y H k n+1 ( k = 0, 1, 2, ..., n+1) a condición de que existan todos. Más tarde veremos que si existen y son pares todos los números H k n , existen también todos los números H k n+1 . Consideremos las filas n y ( n + 1) de los cruces y los tramos de los caminos que los unen; pongamos frente a cada cruce la designación del número respectivo de hombres (véase la figura 2). El número de hombres que salieron del cruce 0 de la fila n (es decir, H 0 n ) se dividirá en dos partes iguales y una mitad llegará al cruce 0 de la fila ( n + 1); por eso,
Otra mitad de H 0 n se aproximará al primer cruce de la fila ( n + 1) y se reunirá allá con la mitad de hombres que han abandonado el primer cruce de la fila n , o sea, con la mitad H 1 n .
De ahí
En general, el número de hombres que llegaron al cruce k de la fila ( n + 1) era la suma de mitad de hombres que partieron del cruce ( k - 1) de la fila n (esta mitad era igual a H k-1 n /2) con la de hombres que partieron del cruce k de la fila n (esta mitad era igual a H k n /2
Por 1 tanto,
Por fin, el número de hombres que alcanzaron el cruce ( n + 1) de la fila ( n + 1) es equivalente a la mitad de hombres que salieron del cruce n de la fila n :
Las relaciones (1.1) - (1.4) permiten establecer que el problema admite realmente su solución. En efecto, de las igualdades (1.2) - (1.4) se deduce que si con cierto n fijo todos los números de la fila a : H 0 n , H 1 n ,..., H n n existen y son divisibles por 2 a , todos los números de la fila ( n + 1): H 0 n+1 , H 1 n+1 ..., H n+1 n+1 también existen y son divisibles por a . Por consiguiente, puesto que todos los números de la fila 0 (Su total es un solo H 0 0 existen y son divisibles por 2 1000 (en virtud de (1.1), todos los números de la primera fila
existen y son divisibles por 2 999 ; todos los números de la segunda fila
existen y son divisibles por 2 998 ; todos los números de la 999-ésima fila
existen (y son divisibles por 2).
Las relaciones (1.2) - (1.4) no sólo demuestran que existe la solución del problema, sino que señalan cómo de una línea de números
Empleando sucesivamente estas relaciones, a partir de la línea cero [es decir, aprovechando la relación (1.1)] podemos calcular, en principio, los valores de H k n para todos los 501501 cruces, que se contienen en las filas hasta el milésimo inclusive, en particular, para todos los cruces de la milésima fila, resolviendo, por lo tanto, el problema. De manera que para las primeras filas por cálculo directo resulta:
H 0 1 = H 0 0 /2 = 2 1000 /2 = 2 999 ; H 1 1 = H 0 0 /2 = 2 1000 /2 = 2 999
H 0 2 = H 0 1 /2 = 2 999 /2 = 2 998 ; H 1 2 = (H 0 1 + H 1 1 )/2 = (2 999 + 2 999 )/2 = 2 999 ;
H 2 2 = H 1 1 /2 = 2 999 /2 = 2 998 ; H 0 3 = H 0 2 /2 = 2 998 /2 = 2 997 ;
H 1 3 = (H 0 2 + H 1 2 )/2 = (2 998 + 2 999 )/2 = 3 x 2 997 ; etc
¿QUE SIGNIFICA RESOLVER EL PROBLEMA?
Por consiguiente, el problema del Capítulo 1 está resuelto...
¿Resuelto?, se sorprenderá un lector inexperto (ya que el experimentado sabe de antemano lo que va a decir el autor y no se sorprenderá por nada). "No he notado que lo hayamos resuelto".
Autor. Está claro que lo hemos resuelto. Es que resolver el problema es hallar su solución. Ya lo hemos hecho.
Lector (perturbado). ¿Acaso es ésta la solución?
Autor (fingiéndose que no entiende en "qué consiste" el asunto) ¿Y qué, es errónea la solución?
Lector. No, es cierta, pero, en general, no es la solución.
Autor. Pues, ¿qué significa la solución?
Lector. Una línea de números que señalen cuántos hombres llegarán a los cruces de la milésima fila.
Autor. Pero, esta línea ha de contener 1001 números. ¿Acaso los organizadores de la VIII Olimpíada tenían esperanza en que alguien les escribiera el número 1001?
Lector (queda pensativo).
Autor. Tengo una proposición. No compliquemos la situación con líneas largas; escojamos uno de los cruces y tratemos de llegar a conocer cuántos hombres lo hayan visitado. ¿De acuerdo?
Lector (se pone de acuerdo).
Autor. Empecemos pues; ¿qué cosa podríamos tener por solución del siguiente problema: cuántos hombres llegarán al tercer cruce de la cuarta fila?
Lector. ¡Cómo qué cosa! Un número.
Autor. ¿Escrito en qué forma?
Lector (con asombro). Que sea en el sistema decimal.
Autor. ¿Y la respuesta "H 3 4 " no será la solución?
Lector. Claro que no. ¡No tiene que ver con la solución!
Autor. Al continuar la cadena de cálculos, que ha sido iniciada al final del capítulo anterior, es fácil cerciorarse de que al tercer cruce de la cuarta fila llegarán 2 998 hombres. ¿Será la solución del problema la respuesta "2 998 "?
Lector (sin esperar chasco). Sí, naturalmente.
Autor. Pero, la expresión "2" no es la representación del número en el sistema decimal. Ella se compone de dos representaciones decimales de los números, o sea, "2" y "998" cuya disposición relativa señala qué operación habrá de efectuarse con estos números a fin de obtener un valor requerido.
Lector. Pero, la expresión "2 998 " es fácil convertirla en la representación decimal.
Autor (con tono ejemplar). No tanto. Pruébese elevar 2 a la potencia 998. Pero, se trata de otra cosa. El problema es que Ud. contradice ahora a sus afirmaciones anteriores. Se conformaba con tener por solución tan sólo un número escrito en el sistema decimal. Desde el punto de vista de esta definición, la expresión "2 998 " no es todavía la solución (es, diríamos, un "producto en bruto" del que ha de obtenerse la solución). Por supuesto, tal punto de vista es posible si se lleve a cabo de una manera sucesiva. Pero, es posible que haya también otro punto de vista conforme al cual 2 998 es la solución. Parece que le gustaría más este punto de vista porque muy a menudo las soluciones de unos u otros problemas matemáticos no se dan directamente en forma de los números escritos en el sistema decimal, sino en la "indirecta" análoga. Pero, ¿cómo se entenderá el término "solución" en este caso, es decir, para el problema sobre el tercer cruce de la cuarta fila?
Lector. En este caso, es imprescindible tener por solución toda expresión (no se trata del número) que designe cierto número para el cual haya un procedimiento que permita pasar de ella a la representación decimal del número respectivo, será, precisamente, la expresión de este tipo. El procedimiento de paso a la representación decimal (997 multiplicaciones sucesivas) a pesar de ser largo, se realiza en principio.
Autor. ¿Por qué, entonces, H 3 4 no es la solución? Aquí también hay procedimiento de paso a la representación decimal que se da por las relaciones (1.1) - (1.4).
Lector (desconcertado)
Autor (contento que ha podido poner al lector en un atolladero, al inexperto, naturalmente, ya que el experimentado podrá poner en el atolladero al mismo autor). El problema es que son posibles, por lo menos, tres interpretaciones de lo que significa resolver el problema sobre el número de hombres que llegaron a un cruce dado.
PRIMERA INTERPRETACIÓN. Se tiene por solución el número escrito en el sistema de numeración decimal.
SEGUNDA INTERPRETACIÓN. Se tiene por solución tal expresión designadora del número para la cual se conoce el procedimiento que permite pasar de ella a la representación decimal del número designado por la última (o sea, a la solución en la primera interpretación).
TERCERA INTERPRETACIÓN. Se tiene por solución tal expresión designadora del número que se compone por los números (escritos en el sistema decimal) y ciertas operaciones "universalmente admitidas" (por ejemplo, las aritméticas). Exijamos que cada operación 'universalmente admitida" se acompañe del procedimiento que permita pasar de las representaciones decimales de los números, a los cuales se aplica la operación, a la representación decimal del resultado (tales son, precisamente, las operaciones aritméticas). Entonces, para toda la expresión en total, habrá un procedimiento que permita pasar de las representaciones decimales de los números que en ella participan, a la representación decimal del número que esta expresión designa; por lo tanto, la solución de la tercera interpretación se convertirá automáticamente en la de la segunda.
Con la primera interpretación ni H 3 4 , ni 2 998 constituirán la solución del problema sobre el tercer cruce de la cuarta fila. Para obtener la solución es imprescindible hallar para una representación decimal que, sin embargo, ha de contener más de 300 signos; el autor desconoce si ésta ha sido hecha algún día.
Con la segunda interpretación tanto H 3 4 , como 2 998 , serán las soluciones.
En lo que se refiere a la tercera interpretación es un caso en que todo dependerá de la elección de las operaciones de partida "universalmente admitidas": si éstas incluyen la potenciación, entonces 2 998 será la solución, si no, no. Igualmente, si se incluye en el número de las operaciones "universalmente admitidas", la operación "hache" que calcula por n y k el número H (el procedimiento de tal cálculo se da por las relaciones (1.1) - (1.4) ya que el requisito que se impone a las operaciones "universalmente admitidas" ha sido cumplido en este caso), entonces H será la solución del problema: en caso contrario, no.
Surge una pregunta: ¿se puede escoger arbitrariamente las operaciones "universalmente admitidas"? Formalmente dicho, sí. Por el contrario, en calidad de operaciones "universalmente admitidas", por medio de las cuales se expresa la solución de cualquier problema, es imprescindible escoger tales operaciones que se utilicen en la resolución de muchos problemas, o por lo menos, de problemas importantes. Precisamente tales son las cuatro operaciones aritméticas y algunas otras, por ejemplo, la operación de potenciación y la de cálculo de la factorial (véase la última a continuación, en el Capítulo 6). Si la operación "hache" fuera necesaria para resolver diversos problemas o si nuestro problema sobre los cruces fuese muy importante, tal vez la operación "hache" se referiría a la categoría de las "universalmente admitidas". Sin embargo, la operación "hache" todavía no lo ha merecido y se duda de que lo merezca. En el Capítulo 4 consideraremos una operación semejante a la "hache" que, a nuestro parecer, merece ser incluida en el número de las operaciones "universalmente admitidas".
Y ahora volvamos a nuestro problema inicial sobre los cruces de la milésima serie. Su solución se puede hallar en tres diversas formas correspondientes a tres interpretaciones de la palabra "solución" que se exponen más arriba:
- en forma de una línea compuesta por 1001 números escritos en el sistema decimal; no tratemos de hallar solución en esta forma (no vale la pena, ya que para un cruce de la cuarta fila no hemos hallar la semejante solución);
- en forma de una expresión que permita calcular en principio para cada cruce de la milésima serie (fila) el número (es decir, hallar su representación decimal) de los hombres que llegaron al cruce; tal solución la hemos hallado ya: H k 1000 con la particularidad de que el proceso del cálculo se da por las igualdades (1.1)-(1.4);
- en forma de una expresión que no sólo permita calcular H k 1000 para todo k de 0 hasta 1000, sino que se forme por medio de ciertas operaciones "universalmente admitidas"; hallemos la solución en esta forma; con ello, la exposición sucesiva aclarará cuáles operaciones -se puede considerar como "universalmente admitidas".
TRIÁNGULO DE PASCAL
Consideraremos una de las líneas de números d 0 , d 1 ,..., d n , n = 0, 1, 2,... (Cuando n = 0 esta línea "se degenera" en la compuesta por un solo número d 0 ). Formemos de ella una línea nueva de números s 0 , s 1 , s n+1 , según la siguiente regla:
s k = d k+1 + d k (1 £ k £ n ) (3.2)
s n+1 = d n (3.3)
Diremos, que esta línea nueva ha sido obtenida de la anterior, según la ley de Pascal. Conforme a esta ley de la línea 2, 0, - 2, se obtiene la 2, 2, -2, -2, y, a su vez, de la última, la 2, 4, 0, -4, -2.
OBSERVACIÓN 1. Si la línea b se ha obtenido de la a de acuerdo con la ley de Pascal, la suma de los términos de la primera es equivalente a la suma doblada de los términos de la segunda. En efecto, si se cumplen las relaciones (3.1)-(3.3), entonces
= 2 ( d 0 + d 1 +...+ d n ) (3.4)
OBSERVACIÓN 2 . Llamemos simétrica a la línea de números d 0 ... d n , si con todo k entero de 0 hasta a tiene lugar la igualdad
La línea de números s 0 ... s n- 1 que se obtiene según la ley de Pascal de la línea simétrica d 0 ... d n es también simétrica.
Para afirmarlo es preciso comprobar la igualdad
con k = 0, 1..., n + 1. Pero para k = 0 y k = n + 1 la igualdad (3.6) se deduce de las relaciones (3.1)-(3.3) y de la igualdad d 0 = d n (que se obtiene de (3.5) siendo k = 0). Pero, si 1 £ k £ n, resulta que
Consideraremos ahora la línea compuesta por un número, o sea, una unidad. Llamemos a esta línea como línea cero de Pascal. Según la ley de Pascal, de ella constituyamos una línea nueva que llamaremos la primera línea de Pascal. De ésta formemos, de acuerdo con la ley de Pascal, la segunda línea de Pascal, etc. Puesto que al pasar a cada línea sucesiva el número de términos de la última crece en una unidad, en la n -ésima línea de Pascal habrá número n + 1. Sin efectuar cálculos, tomando tan sólo en consideración las observaciones 1 y 2, se puede afirmar que:
- la suma de los números de la n -ésima línea de Pascal es equivalente a 2 (ya que al pasar de una línea a la siguiente la suma de los términos se dobla y para la línea cero ella es equivalente a 2 0 = 1);
- todas las líneas de Pascal serán simétricas (ya que la propiedad de simetría se conserva al pasar de cada línea a la siguiente, siendo simétrica la línea cero).
Escribamos las líneas de Pascal, partiendo de la de cero, una debajo de la otra, de modo que cada número de cada línea resulte puesto entre los números de la línea anterior la suma de los cuales es este número. Obtendremos una tabla infinita que se llama triangulo aritmético de Pascal, o sencillamente, triangulo aritmético o el de Pascal. Toda la tabla en total parece rellenar la parte interior de cierto ángulo; todo su principio, formado por las líneas 0, 1,..., n , tiene la forma del triangulo. Más adelante se representa el principio del triángulo de Pascal formado por sus primeras 15 líneas, desde 0 hasta 14.
El triángulo de Pascal es simétrico con respecto a su bisectriz. Los números que lo rellenan tienen una serie de propiedades interesantes (por ejemplo, la suma de los cuadrados de los términos de su línea cualquiera siempre es igual al número del mismo triángulo para todo número simple p todos los términos de la p -ésima línea, menos los dos extremos, son divisibles por p.
Está claro que el procedimiento de formación del triángulo de Pascal, se lo podría dar sin recurrir a las nociones "ley de Pascal" o línea de Pascal": el triángulo de Pascal es sencillamente una tabla numérica infinita de "forma triangular" en cuyos lados se encuentran las unidades y todo número, menos estas unidades laterales, se obtiene como suma de dos números que están encima de él, por su izquierda y derecha.

En tal forma el triángulo de Pascal apareció en el "Tratado sobre el triángulo aritmético" del mismo autor, obra que se editó en 1665 después del fallecimiento de su creador. Más detalladamente, en dicho tratado fue publicada la siguiente tabla en que cada número A es igual a la suma del número anterior puesto en la fila horizontal en que se encuentra A y del número anterior puesto en la fila vertical en que se encuentra también A :

Por lo tanto, nuestro "triángulo de Pascal" difiere del "triángulo" que consideró el mismo Pascal con giro a 45°.
Pascal investigó detalladamente las propiedades y aplicaciones de su "triángulo"; algunas de estas aplicaciones se considerarán en el siguiente capítulo. Ahora, vamos a ofrecer como ejemplo, tan sólo tres propiedades del "triángulo" que halló el mismo Pascal; en este caso (sólo en este lugar de nuestra exposición) partiremos de aquella disposición del 'triángulo" en el plano que indicó Pascal y hablaremos de filas horizontales y verticales.
Propiedad 1. En la tabla cada número A es igual a la suma de los números de la fila horizontal anterior, partiendo de la más izquierda hasta la dispuesta directamente por encima del número A (véase la figura 3 en que las casillas que contienen los sumandos y que dan en suma A, están rayada.



Figuras 3, 4 y 5
Propiedad 2. En la tabla cada número A es igual a la suma de los números de la fila vertical anterior, partiendo de la superior hasta la dispuesta directamente por la izquierda del número A (figura 4).
Propiedad 3. Cada número A de la tabla siendo disminuido en una unidad, es igual a la suma de todos los números que rellenan el rectángulo limitado por aquellas filas verticales y horizontales en cuya intersección se encuentra el número A (las propias filas no se incluyen en el rectángulo que se considera) (figura 5).
Se deja a cargo del lector la demostración de estas propiedades (sugerencia: la tercera propiedad se deduce fácilmente de las primeras dos).
Sin embargo, cien años antes de que naciera el tratado de Pascal, la tabla que es de interés para nosotros, sólo no en la forma "triangular", sino en la "rectangular", fue publicada en el "Tratado general sobre el número y la medida" (1556-1560) que también vio la luz, en parte, después de la muerte de su autor, el distinguido matemático italiano Nicolás Tartaglia. Su tabla tenía la siguiente forma:

En ella la fila superior se compone por unidades; en cada una de las filas restantes el número más izquierdo es una unidad y el que la sigue se forma sumando dos números que le preceden y están por encima. Es natural que la tabla propuesta por Tartaglia se llame "rectángulo de Tartaglia".
Los términos de cada línea de Pascal suelen numerarse de izquierda a derecha partiendo de cero. Así, el cuarto lugar en la quinta línea está ocupado por el número 10. El número que se dispone en el k -ésimo lugar, en la n -ésima línea, se denotará por T n k , de modo que, por ejemplo, T 0 0 = 1, T 4 5 = 10, T 4 14 = 1001. Es evidente, que la expresión T n k ha sido definida con todo n ³ 0 y k = 0, 1,..., n .
Consideraremos una sucesión infinita formada por los números con un k fijo y n variable, es decir, la sucesión
Los términos de esta sucesión son los números que figuran en el triángulo de Pascal «por la izquierda, en la k -ésima línea paralela al lado izquierdo", así como, en virtud de la simetría del triángulo, los números que figuran "por la derecha, en la k -ésima línea paralela al lado derecho". En el rectángulo de Tartaglia estos números rellenan la k -ésima columna y la k -ésima línea.
Cuando k = 0 se obtendrá la sucesión
compuesta exclusivamente por unidades (línea cero o columna cero en el rectángulo de Tartaglia).
Cuando k = 1 tenemos una serie natural
(primera línea o primera columna del rectángulo de Tartaglia).
Cuando k = 2 se obtendrá la sucesión
(segunda línea o segunda columna del rectángulo de Tartaglia). Los términos de esta sucesión se llaman números triangulares: 1 es el primer número triangular; 3, el segundo; 6, el tercero, etc.; el m-ésimo número triangular es igual a T 2 m+1 .
Se llaman números por indicar el número de bolas u otros objetos iguales colocados en forma de un triángulo (véase la figura 6); el m -ésimo número triangular, en particular, señala cuántos términos del triángulo de Pascal se contienen en sus primeras m líneas, de cero hasta la ( m -1)-ésima.

Suponiendo k = 3 obtendremos la sucesión
(tercera línea o tercera columna del rectángulo de Tartaglia). Los términos de esta sucesión se llaman números piramidales o más exactamente, los tetraédricos: 1 es el primer número tetraédrico; 4, el segundo; 10, el tercero, etc.; es que el n -ésimo número tetraédrico es igual a T 3 m+2
Estos números señalan cuántas bolas pueden colocarse en forma de una pirámide triangular (tetraedro) (figura 7).

OPERACIÓN DE PASCAL
En virtud de su definición los números T k n se someten a las siguientes relaciones:
T 0 n+1 = T n+1 n+1 = 1 para n = 0, 1, 2,..., (4.2)
T k n+1 = T k-1 n + T k n para n=0, 1, 2,...
k = 1, 2,..., n . (4.3)
Con estas relaciones se dan por completo los números T k n empleando las igualdades (4.1)-(4,3) se puede construir cualquier cantidad de líneas del triángulo de Pascal.
Se puede dar definición complementaria a la expresión T k n de manera natural para que ella tenga sentido con todo n entero no negativo y todo k entero. Con este fin, supongamos que T k n = 0. si n ³ 0 y k es tal que para él no está cumplida aunque sea una de las dos desigualdades: 0 £ k y k £ n . Por Lo tanto, T k n = 0 para todos los pares ( n, k ) en los cuales n ³ 0, k < 0 y todos los pares ( n , k ) en los cuales n ³ 0, k > n . Ahora la relación T k n = T k-1 n se cumplirá para todos k [no sólo para k de 1 hasta n como en (4.3)] y los números T k n se darán por completo con las siguientes igualdades:
T k 0 = 0 para k ≠ 0 (4.5)
T k n+1 = T k-1 n para todos n ³ 0 y todos k . (4.6)
Lo dicho permite presentar el siguiente cuadro demostrativo de surgimiento del triángulo de Pascal. Consideremos la tabla infinita compuesta por ceros dispuestos al tresbolillo, como se señala a continuación

Por supuesto, para la tabla de esta índole se cumplirá la ley de Pascal que consiste en que cada número es la suma de dos números próximos a la línea anterior. Supongamos ahora que en la línea inicial de esta tabla uno de los ceros se ha sustituido por la unidad. Si exigimos que se cumpla la ley de Pascal, entonces la "perturbación" se extenderá en forma de "ángulo" como si se tratara de las ondas formadas por el palo encorvado puesto en un arroyo, o sea, en forma del triángulo de Pascal:

Dados los valores arbitrarios n y k ( n = 0, 1, 2,...; k = 0, 1,..., n ), se puede hallar T k n si se dispone de tiempo y paciencia suficientes. Con este fin conviene empezar a construir el triángulo de Pascal continuando la operación hasta que se consiga el k -ésimo número de la n -ésima línea, o sencillamente, se puede utilizar las relaciones (4.1) - (4.3) que permiten definir T k n después de ejercer el número finito de adiciones.
Ejercicio . (que se deja a cargo del lector). ¿Cuántas adiciones se efectuarán para calcular T k n utilizando las relaciones (4.1)-(4.3)? (Trátese de disminuir el número de estas adiciones recurriendo a la simetría del triángulo de Pascal).
Llamemos operación de Pascal a la que consiste en hallar el número T k n con números n y k .
La operación de Pascal queda definida para todos n y k para los cuales n ³ 0 , 0 £ k £ n .
Si se sigue definiendo T k n como se señaló más arriba, la operación de Pascal se definirá para todo n entero no negativo y para todo k entero.
Mediante la operación de Pascal se escriben fácilmente los números H k n que sirven de solución para el problema de la olimpíada planteado en el Capítulo 1. A fin de hallar tal representación supongamos (para m = 0, 1,..., 1000; q = 0, 1,..., m )

de manera que
de donde
Igualmente de (1.4) tenemos
de donde
Por fin, de (1.3) resulta
de donde
Las igualdades (4.10) - (4.12) indican que cada línea
donde n = 0, 1, ..., 999 se obtiene de la anterior
Por consiguiente, en virtud de (4.8), siendo cada m = 0, 1, ... 1000 y cada k = 0, 1,..., m
De ahí se desprende que la cantidad de hombres que llegaron a los cruces de la milésima fila no es otra cosa que los miembros de la milésima línea de Pascal. Si la operación de Pascal se tiene por "universalmente admitida", la igualdad (4.15) ofrecerá la solución para el problema del Capítulo 1 (en la tercera interpretación indicada al final del Capítulo 2). En los siguientes dos capítulos veremos cómo se logra hallar las soluciones de dos problemas importantes por medio de la operación de Pascal.
COEFICIENTES BINOMIALES
En este capítulo señalaremos cómo se puede expresar los así llamados coeficientes binomiales por medio de la operación de Pascal. Los últimos se definen como sigue.
Tomemos el binomio 1 + x y empecemos a elevarlo a las potencias 0, 1, 2, 3, etc., disponiendo los polinomios que se obtengan según los exponentes crecientes de la letra x . Tenemos
(1 + x ) 1 = 1 + x (5.2)
(1 + x ) 2 = (1 + x )(1 + x ) = 1 + 2 x + x 2 (5.3)
(1 + x ) 3 = (1 + x ) 2 (1 + x )= 1 + 3 x + 3 x 2 + x 3 (5.4)
En general, para cualquier número n entero no negativo
donde a 0 , a 1 , a 2 , ... a p , son ciertos números. Si se quiere, no costaría mucho trabajo para cerciorarse de que p = n y a 0 = a p = 1. Sin embargo, no es eso lo que se necesita ahora, Esto se conseguirá como consecuencia de una fórmula más común. En esta etapa basta saber, que el resultado de elevación del binomio (1 + x ) a la potencia n (donde n es un número entero no negativo) puede ser escrito en forma de un polinomio con coeficientes numéricos, ordenado según los exponentes crecientes de la letra x como se señala en la relación (5.5). El polinomio que figura en el segundo miembro de esta relación, se denomina desarrollo del binomio para el exponente n . Sus coeficientes (su número es p ) dependen, naturalmente, de n . Para subrayar esta dependencia, se utilizan frecuentemente unas designaciones especiales para estos coeficientes de los cuales forma parte n . Precisamente, el coeficiente de x k en el desarrollo del binomio para el exponente u se designa por ( n k ). Tales números se llaman coeficientes binomiales.
La relación (5.5) puede ser escrita ahora en forma de
y de las relaciones (5.1) - (5.4) se deduce
( 1 0 ) = 1, ( 1 1 ) = 1
( 2 0 ) = 1, ( 2 1 ) = 2, ( 2 2 ) = 1
( 3 0 ) = 1, ( 3 1 ) = 3, ( 3 2 ) = 3, ( 3 3 ) = 1
Escribamos para los miembros primero y segundo de esta fórmula los desarrollos según los exponentes crecientes de la letra x . Sustituyendo n por n + 1, la fórmula (5.6) ofrecerá para el primer miembro:
donde q es cierto número. Para el segundo, debido a la misma fórmula (5.6), se obtendrá:
= ( n 0 ) + ( n 1 ) x +...+ ( n k ) x k +...+ ( n p ) x p + ( n 0 ) x ...+ ( n k-1 ) x k + ( n p-1 ) x p + ( n p ) x p+1 =
= ( n 0 ) + [( n 0 ) + ( n 1 )] x +...+ [( n k-1 ) + ( n k )] x k +...+ [( n p-1 ) + ( n p )] x p + ( n p ) x p+1 (5.9)
En virtud de (5.7) los miembros segundos de las relaciones (5.8) y (5.9) son equivalentes. Por eso q = p + 1; igualando los coeficientes de la letra x con iguales exponentes, se deduce
( n+1 0 ) = ( n 0 ) (5.10)
( n+1 k ) = ( n k-1 ) + ( n k ) (5.11)
( n+1 n+1 ) = ( n p ) (5.12)
Observación. A la pregunta "¿con qué coeficientes integran x -3 y x 20 en el desarrollo del binomio para el exponente 5?"' se podría responder: "con coeficientes equivalentes a cero". Es natural que se siga definiendo la expresión ( n k ), para los casos k < 0 y k > n , suponiendo que ( n k ) = 0. Entonces, la igualdad (5.13) en virtud de la definición complementaria hecha en el párrafo anterior para el símbolo T k n será válida para todos a no negativos y todos k enteros.
Por lo tanto, han sido expresados los coeficientes binomiales por medio de la operación de Pascal. Se podría escribir ahora la relación (5.6) en la siguiente forma:
A veces la fórmula (5.14) se denomina fórmula del binomio de Newton o, sencillamente, binomio de Newton. Otra forma, más tradicional, de esta fórmula se ofrecerá en el Capítulo 7.
Puede admitirse que en el presente capítulo hemos considerado el siguiente "problema sobre los coeficientes binomiales": hallar la expresión para ( n k ). Como conocemos del Capítulo 2 se puede comprender de distinta manera lo que es la solución para el problema de este tipo. Si, por ejemplo, se tiene por solución la expresión que permite pasar de n y k al coeficiente binomial correspondiente (en representación decimal), entonces ( n k ) será de por sí la solución. Exijamos que la solución exprese ( n k ) por medio de los números n , k y las operaciones "universalmente admitidas"; tal interpretación de la solución dependerá de la elección de las últimas. Si la operación de Pascal se considera como "universalmente admitida", la fórmula (5.13) ofrecerá la solución para el problema sobre los coeficientes binomiales. Otra solución de este problema, recurriendo a otras operaciones "universalmente admitidas", se ofrecerá en el Capítulo 7.
NÚMERO DE PARTES DE UN CONJUNTO DADO
En las matemáticas se llama conjunto a toda colección de objetos. Por ejemplo:
- la de todas las páginas del presente folleto:
- la de todos los números enteros;
- la de todos los números pares;
- la de todos los lápices puestos en una cajetilla dada.
Si están señalados un objeto y cierto conjunto, puede haber dos casos:
- el objeto pertenece al conjunto que se considera;
- el objeto no pertenece al conjunto que se considera.
En el primer caso el objeto se llama elemento del conjunto a considerar. Por ejemplo, el número 3 es el elemento del conjunto de todos los números enteros sin que lo sea para el conjunto de todos los números pares.
Puede suceder que todos los elementos de cierto conjunto A sean simultáneamente los elementos de un otro conjunto B (por ejemplo, todos los elementos del conjunto de todos los números pares son los elementos del conjunto de todos los números enteros). En este caso, el conjunto A se llama parte o subconjunto del conjunto B . Es evidente que cada conjunto es parte de sí mismo. Si el conjunto A es una parte del conjunto B y el último es la del conjunto A , esto quiere decir que A y B se componen por los mismos elementos, es decir, coinciden (constituyen "el mismo conjunto").
Los conjuntos pueden ser finitos [los de los ejemplos citados más arriba, en los puntos a) y d) e infinitos (los de los ejemplos señalados en los puntos b) y c)]. Los conjuntos finitos (sólo éstos serán considerados en este párrafo) constituyen el objeto de estudio de una disciplina matemática especial que se llama teoría combinatoria.
Entre los conjuntos finitos se distingue uno especial, a saber, un conjunto que no contiene ningún elemento; tal conjunto se llama vacío. Por lo tanto, no se excluye la posibilidad de que al abrir la cajetilla, se revele que el conjunto de lápices que ésta contiene, esté vacío.
He ahí lo que escribe sobre el conjunto vacío Alexandrov P. S.
" Al género de conjuntos finitos se refiere también el conjunto vacío, es decir, el conjunto que no contiene ningún elemento; el número de elementos del conjunto vacío es cero. La conveniencia de considerar el conjunto vacío se debe a que cuando se define, de la forma que sea, el conjunto, es posible que no se sepa de antemano si éste contiene por lo menos un elemento. Por ejemplo, es probable que el conjunto de avestruces que en actualidad se hallan tras el círculo polar, esté vacío; sin embargo, no se lo puede afirmar acertadamente, ya que puede ser que algún capitán haya llevado allá un avestruz ". El conjunto vacío se tiene por parte de todo conjunto.
Si el conjunto es finito, sus elementos pueden contarse hallando, por lo tanto, el número de los elementos del conjunto. El conjunto compuesto por n elementos se llama "el de n elementos". El conjunto de páginas de este libro es, por ejemplo, el de 39 elementos, el conjunto vacío es el de 0 elementos.
Ejemplo . Consideraremos un conjunto compuesto por tres objetos: lápiz, pluma y goma de borrar. Hallemos todas sus parles. Se tiene exactamente una parte de cero elementos, o sea, un conjunto vacío. Hay exactamente tres partes de un elemento:

Figura 8
Hay exactamente tres partes de dos elementos:

Figura 9
Por fin, hay exactamente una parte de tres elementos (que coincide con todo el conjunto):

Figura 10
Por consiguiente, en total, este conjunto tiene ocho partes.
Que esté dado un conjunto compuesto por n elementos. Toda su parte de k elementos se llama combinación de n elementos dados por k . (Son las mismas combinaciones que se exponen en el curso escolar de álgebra, en el apartado "Ordenación"). Es evidente que el número de combinaciones de n elementos dados por k no depende de cuáles son los n elementos que se han dado, sino solamente de los números n y k , motivo por el cual este número se llama brevemente como número de combinaciones de n elementos por k y se designa mediante
En otras palabras, C k n es el número de partes k del conjunto de n elementos. Suele considerarse que C k n tiene sentido cuando n = 0, 1, 2,..., 0 £ k £ n.
El número de todas las partes del conjunto de k elementos se denotará por C n así que
¿A qué son equivalentes, pues, los números C n , C k n ? A algunas de estas preguntas se les podría dar una respuesta inmediata. Del ejemplo recién examinado se desprende que C 3 = 8, C 0 3 = C 3 3 = 1, C 1 3 = C 1 3 = 3.
Luego tiene lugar lo siguiente.
Primera propiedad del número de combinaciones:
Demostración . Efectivamente, el conjunto de m elementos tiene exactamente una parte de 0 elementos (conjunto vacío) y exactamente una parte de m elementos (el propio conjunto E ).
Establezcamos ahora, sin calcular los propios números C k n , otras dos propiedades de estos números. El establecimiento de la segunda propiedad será un ejercicio útil para la asimilación de las nociones expuestas en este párrafo; en lo que se refiere a la tercera propiedad, es precisamente ella que junto con la primera constituirá la base para los cálculos de los números C k n .
Segunda propiedad del número de combinaciones:
Demostración . Consideremos cierto conjunto M compuesto por n elementos. Debe demostrarse que el número de sus partes de k elementos es equivalente al de sus partes de ( n - k ) elementos. Imaginemos la siguiente construcción. Cortemos en papel tantos cuadrados cuantas partes de k elementos haya en este conjunto (es decir, C k n ) representando por cada uno de ellos una de estas partes de modo que cada parte de k elementos esté representada en uno de los cuadrados. A continuación, cortemos en papel, círculos y expresemos cada una de las partes de ( n - k ) elementos exactamente por uno de estos círculos. Nos basta ahora revelar que hay igual cantidad de círculos y cuadrados. Con este propósito coloquemos todos los cuadrados sobre la mesa poniendo sobre cada cuadrado un círculo conforme a la siguiente regla: si por medio del cuadrado está representada cierta parte del conjunto M compuesta por k elementos, se ha de colocar sobre este cuadrado el circulo que represente la parte del conjunto M compuesta por los demás n - k elementos, es decir, por todos aquellos elementos del conjunto M que no hayan integrado la parte representada en el cuadrado (la figura 11 ofrece varios cuadrados junto con compuesto por cinco elementos ( a, b, c, d, e ). Es evidente que sobre cada cuadrado se pondrá exactamente un círculo y cada círculo se colocará exactamente sobre un cuadrado. Esto significa que el número de círculos es equivalente al de cuadrados.
Antes de pasar a la tercera propiedad demostremos el siguiente lema.
LEMA. Escojamos en el conjunto de (n + 1) elementos cierto elemento. El número de las partes de k elementos de este conjunto que contienen este elemento escogido, es equivalente a C k-1 n
Demostración . Volvamos a efectuar el experimento mental con círculos y cuadrados.

Figura 11
Cortemos de papel tantos cuadrados cuanto haya partes de k elementos, que contengan el elemento escogido y representemos en cada uno de ellos una parte tal que estén expresadas todas las partes. Cortemos de papel C k-1 n círculos y representemos en cada círculo una de las partes de ( k - 1) elementos del conjunto de todos los elementos no separados de modo que todas tales partes estén representadas (hay C k-1 n elementos no escogidos, motivo por el cual hay exactamente C k-1 n tales partes). Pongamos sobre cada cuadrado un círculo conforme a la siguiente regla: si el cuadrado representa cierto conjunto A , ha de colocarse sobre él un círculo que tenga representado el conjunto obtenido de A eliminando el elemento escogido. Es evidente que sobre cada cuadrado se pondrá exactamente un círculo y cada círculo se colocará exactamente sobre un cuadrado. Esto significa que el número de cuadrados es equivalente al de círculos, es decir, C k-1 n . Pero, han sido cortados exactamente tantos cuadrados, cuantas partes de k elementos del conjunto de (n + 1) elementos contienen el elemento escogido. Por lo tanto, el número de tales partes es equivalente a C k-1 n , lo que queda demostrado.
Pasemos ahora a la tercera propiedad del número C k n .
Tercera propiedad del número de combinaciones :
Pero, según el lema, X = C k-1 n . En lo que atañe a Y , esto es el número de combinaciones por k de n elementos no escogidos, es decir, C k n . Por eso,
La tercera propiedad igual como la primera señala que la línea
C 0 n+1 , C 1 n+1 ,..., C n+1 n+1 (6.7)
se obtiene de la
C 0 n , C 1 n ,..., C n n (6.8)
de acuerdo con la ley de Pascal. Puesto que con n = 0 la línea
coincide, en virtud de (6.2), con la línea cero de Pascal, también para n arbitrario la línea (6.8) coincidirá con la n -ésima línea de Pascal, y por eso,
C k n = T k n (6.10)
Por consiguiente, ya sabemos calcular el número de las partes de k elementos del conjunto de n elementos: por lo tanto, el número de combinaciones de n elementos por k (la fórmula (6.10) da la solución del "Problema sobre el número de combinaciones" a condición de que la operación de Pascal se tenga por "universalmente admitida".
En lo que se refiere al número de todas las partes del conjunto de n elementos, las relaciones (6.]) y (6.10) señalan que este número es equivalente a la suma de los términos de la n-ésima línea de Pascal, la cual, como se sabe, es equivalente a 2".
Definitivamente,
VÍNCULO CON FACTORIALES
En el Capítulo 4 se dan dos procedimientos para calcular el número T k n con n y k prefijados: el procedimiento más "mecánico" (pero, que lleva a cálculos adicionales) de construcción gradual del triángulo de Pascal y el más "económico" por la cantidad de operaciones (pero, que exige una organización determinada de cálculos) que consiste en utilizar las relaciones (4.1) - (4.3). Ambos procedimientos son muy semejantes y, en lo fundamental, se deducen directamente de los números dados T k n por medio de la ley de Pascal.
Sin embargo, existe también otro procedimiento para hallar T k n que se señala a continuación.
Introduzcamos al principio una designación. Supongamos que
Por consiguiente, cuando m > 0
La expresión m ! se lee así: "factorial del número m " o en forma más breve: " m factorial".
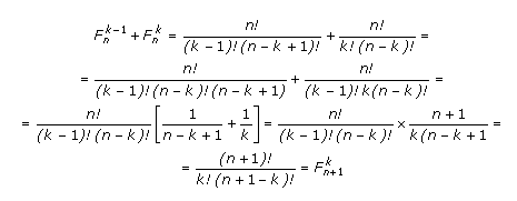
Expresemos ahora la operación de Pascal por la de cálculo de la factorial y las operaciones aritméticas. Con este propósito se considerará la siguiente expresión:

Designemos esta expresión por F q m . Es evidente que la expresión F q m , tiene sentido con m ³ 0 , 0 £ q £ m . Anotemos que

Luego:

Por fin,

Así pues, la línea
es la línea cero de Pascal, y la "( n + 1)"-ésinia línea
se obtiene de la " n "-ésima
coincide con la m -ésima línea de Pascal y

Por consiguiente, hemos expresado la operación de Pascal por las operaciones de cálculo de la factorial, la sustracción, multiplicación y división en el sentido de que hemos encontrado para T q m , la expresión que contiene, además de n y q , sólo los signos de las operaciones señaladas. Esto otorga la posibilidad de calcular T q m ya que sabemos calcular las factoriales, las diferencias, los productos y cocientes.
De la fórmula recién hallada para T q m , se puede sacar una serie de consecuencias.
Consecuencia 1 . Simplificando en la expresión hallada para T q m , el numerador y denominador en ( m - q )! resulta

Consecuencia 2 . Que sea m ³ 1, 1 ³ q . El producto de q factores m ( m - 1)... [ m - ( q - 1)] se divide siempre por el producto de q multiplicadores 1x2x...x q .
Efectivamente, en virtud de la consecuencia 1, la relación de estos productos es equivalente a T q m , y T q m es un número entero.
Consecuencia 3. De la relación (4.15) se deduce

Esta es la nueva forma, para la resolución del problema del capítulo 1
Consecuencia 4. De la relación (5.13) se obtiene

Esta es la expresión "escolar" tradicional para el coeficiente binomial.
Consecuencia 5. De la relación (5.14) y la consecuencia 1 se deduce que -

Esta es la forma "escolar" tradicional de la fórmula del binomio de Newton.
Consecuencia 6. La relación (6.10) ofrece la fórmula "escolar" tradicional para el número de combinaciones
