Estamos acostumbrados al imán, tratándolo de manera algo condescendiente como un atributo anticuado de las lecciones escolares de física, sin sospechar siquiera, a veces, cuántos imanes nos rodean. He calculado que en mi casa hay decenas de imanes: en la máquina eléctrica de afeitar, en el altoparlante, en el magnetófono y, por último, en la lata con clavos. También yo soy un imán: las corrientes biológicas de mi cuerpo engendran en derredor un fantástico dibujo pulsativo de líneas de fuerza magnéticas. La Tierra, en la que vivimos, es un gigantesco imán azul. El Sol, la esfera amarilla de plasma, es un imán mayor aún. Las galaxias y las nebulosas, apenas visibles con radiotelescopios, son imanes de dimensiones inconcebibles...
No ha nacido aún y, seguramente, jamás vendrá al mundo el hombre que pueda decir: "Sé TODO acerca del imán". La pregunta: "¿Por qué atrae el imán?", inspirará siempre una emoción inexplicable ante la hermosura inagotable de la naturaleza y provocará la sed de conocimientos y descubrimientos nuevos. Tampoco en ese libro encontrará el lector una respuesta cabal a dicha pregunta. Y la principal causa de ello es lo inabarcable del problema del imán.
§1. Peregrinos interestelares
En este capítulo se citan algunos datos de las teorías cosmogónicas, cuyo elemento sustancial es la existencia del campo magnético en las galaxias.
¡Por doquier, visible, eres Tú,
y por doquier, oculto, eres Tú!
¡Lo que sea en lo que se fije mi mirada,
todo eso eres Tú!
Djami. "Libro de la sabiduría"
En las proximidades de la ciudad de Serpujov, en un pinar hay una entresaca de configuración "rara". Mirando desde arriba, se puede ver allí, un gigantesco terraplén anular, que descansa sobre enormes bloques de hormigón que forman un pasillo circular de kilómetro y medio de largo. En este pasillo fue instalado el equipo único en su género del acelerador de partículas atómicas, sincrofasotrón, el más grande de los construidos 'hasta ahora por el hombre.
Alrededor del mismo surgió un poblado científico donde trabajan hombres de ciencia de la Unión Soviética, de otros países socialistas y de Francia.
Los científicos se reunieron en los alrededores de Serpujov para trabajar en el acelerador, sin par por la energía de los protones acelerados. Los protones pueden acelerarse en él hasta 76 mil millones de eV: ¡energía fantástica, récord, nunca vista hasta el presente!
Al mismo tiempo, desde las profundidades misteriosas del espacio cósmico, bombardean la Tierra por todos los lados y en flujo continuo partículas de rayos cósmicos, muchas de las cuales poseen energía miles de millones de veces mayor que la que se ha obtenido en el acelerador de Serpujov.
El académico V. Guinsburg considera que las partículas cósmicas se aceleran hasta energías inconcebibles en colosales aceleradores interestelares. Una tesis importante de su teoría es que en nuestra Galaxia, en otros mundos lejanos y en el espacio intergaláctico existen campos magnéticos en los cuales las partículas pueden acelerarse como en un gigantesco ciclotrón natural.
Pueden servir de fuentes de rayos cósmicos las estrellas corrientes (por ejemplo, semejantes a nuestro Sol), las estrellas magnéticas, capaces de emitir rayos cósmicos mucho más intensivamente que el Sol, así como las estrellas supernovas y, quizás, las novas. Ellas, como se aclaró, aparecen con bastante frecuencia.
Han ayudado a persuadirse de ello, en particular, los anales chinos, en los que en el curso de milenios se anotaba metódica y escrupulosamente todo cuanto el avalista consideraba digno de atención de los descendientes. Así, un analista que vivió hace más de quinientos años, escribió que en el firmamento había aparecido una estrella que brillaba casi tan intensamente como el Sol. Fue la primera anotación que hizo el hombre sobre el estallido de una estrella supernova. Desde entonces, por medio de observaciones, se estableció que los estallidos se producían con relativa frecuencia: una vez cada 50-100 años.
Figura 1. Influencia del campo magnético sobre el espectro de radiación de sustancia: cuanto más intenso es el campo magnético, tanto más notorio es el desdoblamiento de las rayas en el espectro.
¿Con qué se explica la luminancia tan viva de las supernovas en el curso de un período relativamente corto? De acuerdo con la teoría más popular actualmente, la nube de gas y polvo, de la cual posteriormente se forma la estrella, posee cierto campo magnético inicial.
No es intenso: posiblemente, de unas milésimas de gauss. Las líneas de fuerza de ese campo, por cuya densidad se suele caracterizar la magnitud del campo magnético, son extremadamente enrarecidas. La nube, formada por partículas de polvo y átomos de gas, empieza a comprimirse hacia el centro de la misma sometida a la acción de las fuerzas gravitacionales. Los átomos y partículas de polvo, desplazándose hacia el centro de la nube, "arrastran" consigo las líneas de fuerza del campo magnético.
De este modo, en virtud de la gravitación, las líneas de fuerza del campo magnético de la nube se aproximan, aumenta la densidad de éstas y, por consiguiente, crece la intensidad del campo magnético. Mientras tanto, la nube se comprime cada vez más rápidamente, puesto que cuanto más se aproximan las partículas de la sustancia con tanta mayor fuerza, de acuerdo a la ley de la gravitación universal de Newton, se atraen. Ocurre algo parecido a la reacción en cadena. Junto con la nube se comprimen, con rapidez creciente, las líneas de fuerza del campo magnético. Al aproximarse las dimensiones de la nube de gas y partículas de polvo a la esfera del llamado "radio gravitacional crítico", su campo magnético llega ya a unos cuantos miles de millones de gauss
[1]. Los electrones rápidos caídos en ese campo, se frenan bruscamente, emitiendo colosales cantidades de ondas radioeléctricas y rayos de luz visible. En eso, precisamente, radica la causa del brillo tan vivo de las supernovas.
Ayudó a confirmar esa hipótesis un descubrimiento, hecho a finales del siglo pasado por el célebre físico holandés Zeeman. Estudiando los espectros de radiación de diferentes sustancias, Zeeman notó una cosa poco común: apenas la sustancia sometida a prueba se colocaba en un campo magnético, las rayas espectrales empezaban a desdoblarse.
Por consiguiente, cuanto mayor es el desdoblamiento, tanto más intenso es el campo magnético en el que se halla la sustancia en cuestión. De esta manera, al notar el desdoblamiento de las rayas en el espectro de radiación de algún objeto, se puede afirmar sin temor que éste se halla en un campo magnético. Al medir la magnitud del desdoblamiento se puede juzgar de la intensidad del campo magnético.
Al investigar por este método el espectro de radiación de algunas estrellas, el astrónomo norteamericano Hiltner notó que la luz de las estrellas llegaba a veces a la Tierra muy polarizada, como si en su camino se interpusiera un filtro polarizante, que utilizan algunos fotógrafos para evitar los reflejos indeseables. Además, se descubrió que la parte azul-celeste del espectro de la luz estelar se filtraba, lo que, generalmente, sirve de síntoma seguro de que la luz había atravesado nubes de gas y partículas de polvo interestelares.
Al confrontar esas dos particularidades de la radiación estelar, los científicos llegaron a la conclusión de que la polarización de la luz no se debe a las propiedades de la estrella, sino que se adquiere en la peregrinación del rayo durante muchos años por los espacios de la Galaxia.
¿A qué se debe la polarización? Se podría explicarla suponiendo que los espacios interestelares están llenos de partículas de forma no esferoidal, sino alargada en cierta dirección por el efecto del campo magnético galáctico.
Al medir el desplazamiento de las rayas espectrales los astrónomos calcularon que ese campo magnético era de unas millonésimas partes de gauss.
Parecería que este campo es despreciable. Pero es difícil imaginarse siquiera qué colosal papel juega, por lo visto, un campo magnético, incluso tan débil, en la estructura de las galaxias.
¿Cómo lograron las galaxias conservar su forma a lo largo de miles de millones de años?
¿Por qué las titánicas fuerzas gravitatorias, que actúan en el transcurso de un tiempo tan largo, no han logrado aplastar las galaxias ni aglomerarías en un centro único, llevando al colapso gravitacional y a una monstruosa explosión que sería el final lógico de ese proceso?
Como demostraron los astrofísicos alemanes Schlüter y Lust, obstaculiza esos procesos el campo magnético de las galaxias. Más aún, gracias a las fuerzas magnéticas, nuestra Galaxia puede girar como un todo único, sin desintegrarse (desde el momento en que había surgido, nuestra Galaxia dio más de cincuenta revoluciones). Hablando figuradamente, el campo magnético es la armazón que protege las galaxias contra la acción destructora de las fuerzas gravitacionales.
Además, algunas propiedades de las nebulosas, por ejemplo su estructura fibrosa espiriforme, también pueden explicarse por la existencia del campo magnético.
El gas de las nebulosas luminosas, cargado eléctricamente (electrizado por la radiación estelar), se desplaza a lo largo de las líneas de fuerza del campo magnético. Debido a ello, la estructura de las nebulosas, a menudo, hace recordar el cuadro que generalmente se obtiene por medio de limaduras de hierro junto a los polos del imán.
El parecido de la forma de las galaxias y del aspecto acostumbrado del cuadro de limaduras de hierro fue demostrado convincentemente por el profesor B. Vorontsov-Veliamínov, veterano de la astronomía soviética. Reunió una "colección" de galaxias, única en su género, tanto de solitarias, como las en interacción, y las comparó con el cuadro del campo magnético de una bola o una barra imantadas uniformemente y el cuadro del campo de imanes en interacción.
La identidad era casi absoluta. En varios casos se veía claramente cómo el gas, desplazándose a lo largo de las líneas de fuerza, "emanaba" de un polo de la Galaxia para "desembocar" en el otro. Por medio de cálculos se demostró convincentemente que el campo magnético medido anteriormente en nuestra Galaxia, era plenamente suficiente para conservar la forma de cúmulo en el curso de miles de millones de años.
Sin embargo, en los espacios galácticos existen no, sólo campos magnéticos poco intensos. Al estudiar la radiación de algunas estrellas, los físicos, a base del análisis del desdoblamiento de las rayas, han llegado a la conclusión de que algunas estrellas poseen un campo magnético muy intenso. Así, en la estrella ND 215441 se midió un campo magnético de 34,4 mil G. El error de mediciones puede llegar apenas a unos 300 G. Los campos magnéticos intensos se registraron también en estrellas gigantescas de diámetro 100 veces mayores que el del Sol. Los campos magnéticos en estas estrellas resultaron iguales a unos 1000 G. Se ha medido ya el campo magnético de 90 estrellas, y se sospecha la existencia de éste en otras 70.
Los científicos consideran que en algunas latitudes de las estrellas mencionadas, la inducción del campo magnético es igual a 50-100 mil G.
Si esto es cierto, los científicos lograrán aclarar muchos puntos oscuros existentes en las teorías de generación de rayos cósmicos, así como de radioemisión en el Sol y en las estrellas.
Más ¿de dónde proviene el campo magnético de las estrellas?
Intentó contestar a esa pregunta el físico inglés P. Blackett.
§2. Misterios del cilindro de oro
Capítulo dedicado a la intuición contra la cual se sublevó un cilindro de oro, que minó la fe en una de las teorías más hermosas sobre el origen del campo magnético del Sol y de las estrellas.
- Cuando yo digo Norte, declaró el ayudante,
tengo en cuenta el lugar que señala la brújula.
- En cambio, cuando yo digo Norte, le repliqué,
tengo en cuenta el Norte.
Tres cuartos de hora más tarde esta disputa
tomó un cariz terrible.
Rockwell Kent. "Curso N by E"
El curso de los pensamientos de Blackett era bastante interesante. Después de haber analizado muchísimas fórmulas físicas, llegó a la conclusión de que las dependencias más fundamentales de la física se anotaban en una forma bastante simple: recordemos aunque sea la más simple en cuanto a su forma, la relación entre la masa y la energía,
e = mc2
deducida por Einstein. Paul Dirac, que también lo había notado, afirmaba que "cualquier teoría física debía ser elegante matemáticamente". Además, muchas fórmulas, al parecer, de diferentes esferas de la física a menudo se anotan en forma muy parecida (recordemos, por ejemplo, la ley de la gravitación universal y la ley de Coulomb). Partiendo de esas consideraciones, Blackett anotó una ecuación simple, de aspecto bastante lógico desde el punto de vista matemático y que, a su juicio, ligaba el campo magnético con el movimiento del cuerpo. Como suponía Blackett, cualquier cuerpo en movimiento de traslación o giratorio creaba alrededor de él un campo magnético.Para comprobar esas tesis, se fabricó un macizo cilindro de oro puro de 20 kg. Lo trasladaron a las afueras de la ciudad, para evitar el “fondo” de los campos magnéticos industriales, y lo hicieron girar a una velocidad muy grande. No obstante, los experimentadores no lograron descubrir ligazón notoria alguna entro los momentos mecánico y magnético del cuerpo. La fórmula bella y tan "natural" por su anotación, lamentablemente, no fue confirmada por datos experimentales.
Hay que hacerle justicia a Blackett: no es de los que se desconciertan ante los datos experimentales obtenidos por medio de un pequeño cilindro de oro. Él alega a planetas y estrellas.
Allí, realmente, tiene "aliados". Y entro éstos, en primer lugar, nuestra Tierra, Júpiter, el Sol y la estrella enana blanca E 78 de la constelación de la Virgen. En todos estos cuerpos celestes la relación del momento angular al magnético es idéntica y más o menos igual a la magnitud que pronosticaba Blackett.
Sin embargo, existen estrellas, respecto de las cuales se sabe a ciencia cierta que su campo magnético varía continuamente e incluso suele cambiar su signo. Para atar los cabos, Blackett debía reconocer que también el momento mecánico de la estrella cambiaba de signo. Quiere decir que, de vez en cuando, la estrella debe empezar a girar a la inversa. Aunque en las profundidades del Universo, seguramente, existen aún muchos misterios y sorpresas capaces de pasmar la imaginación y dejar perplejo a cualquier investigador, los científicos se muestran escépticos respecto a semejante posibilidad.
Sólo las investigaciones posteriores demostrarán si Blackett tiene razón.
Infunde algunas dudas respecto a la certeza de su teoría el carácter raro del campo magnético del Sol.
El campo magnético del Sol fue descubierto por la metodología de Zeeman, que conocemos ya, hace más de medio siglo. Las mediciones han patentizado que el Sol, por el tipo de su campo magnético, se parece mucho a la Tierra: tiene polos, así como meridianos y ecuador magnéticos. La intensidad del campo magnético del S ' el es de 50-100 veces mayor, aproximadamente, que la del terrestre, siendo igual a un promedio de 25-50 Oe [2].
Pero las investigaciones posteriores del Sol dieron unos resultados absolutamente inesperados. En vez de un cuadro bien ordenado de líneas de fuerza, que repitieran el campo de la esfera imantada uniformemente, los investigadores vieron unos amontonamientos desordenados de regiones imantadas no uniformemente.
La magnitud de la intensidad del campo magnético disminuyó sumamente: era ya igual apenas a 1-2 Oe. En cambio en las manchas solares, el campo es de enorme magnitud, 3 mil Oe y mayor, además, las dos manchas vecinas, generalmente unidas por medio de una grandiosa fácula ígnea, tienen obligatoriamente diferente polaridad. Si en una mancha la imantación era de tipo norte, en la otra, sin falta, de tipo sur. Al estudiar la forma de las fáculas, los científicos llegaron a la conclusión de que éstas repetían exactamente la forma de las líneas de fuerza del campo del imán de herradura. Se ha demostrado ya con gran claridad que a lo largo de esas líneas de fuerza de las manchas solares emana gas candente (el gas está cargado y, por consiguiente, no puede atravesar las líneas de fuerza; las fuerzas magnéticas no actúan sobre la partícula cargada únicamente cuando ésta se desplaza a lo largo de las líneas de fuerza).
Entre los planetas del sistema solar, la mayor intensidad del campo magnético fue descubierta en el Júpiter, en el que, posiblemente, llega a 100 F. Los indicios de un campo magnético muy intenso fueron registrados también en lo, uno de los satélites del Júpiter. Un notorio campo magnético se registró también en el Mercurio.
Un grupo de científicos soviéticos intentó aclarar el papel que juega el campo magnético de nuestro planeta. Al analizar los parámetros del giro de la Tierra, llegaron a la conclusión de que éste está condicionado por el campo geomagnético.
Guiándose por los datos de esa teoría, cabe reconocer que precisamente al campo magnético de la Tierra le debemos la sucesión del día y la noche, así como de las estaciones del año, y además, nada menos que... la vida.
Además de que los rayos cósmicos bombardean nuestra Tierra desde las profundidades estelares, el Sol proyecta sobre los mismos flujos de partículas cargadas. La energía de muchas de ellas supera los 100 MeV.
Por ejemplo, durante las erupciones cromosféricas en el Sol se generan enormes cantidades de protones con energía superior a 100 MeV. En los años de elevada actividad solar (el cielo de la actividad solar es de 11 años) se observan en el Sol más de 3000 erupciones, el 15 % de las cuales son de escala grandiosa.

Figura 2. Una de las primeras brújulas, construida hace milenios. La mano de la figurilla instalada en el carruaje siempre señalaba hacia el Sur.
La densidad de las partículas en la órbita de la Tierra asciende a unas 101 partículas por centímetro cúbico. Estas partículas, en su mayoría, no alcanzan la Tierra, puesto que está apantallada por el campo magnético. Cualquier partícula cargada, al caer en ese campo magnético encorva su trayectoria, como si se enrollara en las líneas de fuerza magnéticas. Debido a ello, las partículas cargadas empiezan a girar alrededor de la Tierra, y sólo una parte ínfima de las mismas alcanza la superficie terrestre.
Si la Tierra no hubiese tenido un campo magnético relativamente intenso, se habría convertido ya hace mucho en un desierto quemado por los rayos cósmicos, tan exánime como la Luna.
Los hombres se enteraron de la existencia del campo magnético de la Tierra hace relativamente poco tiempo, unos trescientos años, a pesar de que lo utilizaban unos cuantos miles de años.
... Por las infinitas arenas de Gobi marchan caravanas. A la derecha e izquierda, por todas partes, adondequiera que se dirija la vista se ven tristes barjanes amarillos. Oculta el Sol un velo amarillo de polvo. Es largo el camino desde las pagodas imperiales, a orillas de Yangtsé-kiang, hasta los minaretes de los Reinos de los Kuehan. Pasarían dificultades los caravaneros si no tuviesen en la caravana un camello blanco con su carga preciosa. Preciosa, a pesar de no ser oro, ni perlas, ni marfil. Protegido por una jaula de madera tallada, entre las gibas de ese camello atravesaba el desierto un recipiente de barro con agua en el que flotaba sobre un corcho un pedacito oblongo de hierro imantado. Los bordes del recipiente estaban pintados de cuatro colores. El rojo designaba el Sur; el negro, el Norte; el verde, el Este; el blanco, el Oeste. El recipiente de barro con el pedacito de hierro era la antigua brújula primitiva que indicaba a los caravaneros el camino en las arenas infinitas.
En los anales chinos se encuentran, además, descripciones de portones magnéticos, por los que no podía pasar un malévolo armado, así como de pavimentos magnéticos y otras aplicaciones de la piedra mágica "chulshi", simplemente, del mineral de hierro magnético.
Una leyenda china narra la victoria militar que el Emperador Huang-ti consiguió hace más de tres mil años. Debía esa victoria a sus artesanos que hicieron carruajes instalando en los mismos figurillas de hombre con una mano extendida hacia delante. Las figurillas podían girar, pero su mano indicaba siempre el Sur.
Valiéndose de esos carruajes y aprovechando la densa niebla, Huang-ti logró atacar al enemigo por la retaguardia y derrotarlo.
En antiquísimas enciclopedias chinas hay datos de que entre los años 300 y 400 a.n.e., en los barcos utilizaban la aguja magnética.
Si uno se aparta de las leyendas dirigiéndose a los hechos firmemente establecidos, la brújula "rejuvenecerá" considerablemente. Así, en un museo hay una brújula china de "apenas" mil años de edad, cuya forma hace recordar nuestra cuchara de Jojlomá [3].
También en Europa se utilizaba, por lo visto, desde hace mucho el magnetismo de la Tierra, empleando para la orientación la piedra magnética que pendía de un hilo o flotaba sobre una tablilla en la superficie tranquila del agua. En la vieja novela francesa "De la Rosa", el imán se describía bajo la denominación "marinette", lo que permite sacar la conclusión de que en los barcos marítimos se utilizaban imanes.
Desde el segundo milenio de nuestra era, todos los descubrimientos de cierto valor referentes al imán y a la brújula, fueron hechos en Europa. Así, por ejemplo, los científicos consideran que los habitantes de la ciudad marítima italiana Amalfi (algunos incluso indican personalmente al joyero Flavio Gioia) hace unos seiscientos años modernizaron la brújula, dotándola de disco giratorio con graduaciones. Con la ayuda de semejante brújula fueron hechos todos los grandes descubrimientos geográficos.
Desde hace bastante tiempo se conocen también las mediciones de la declinación magnética: ángulo formado por los meridianos geográficos y magnéticos. Así, el 13 de septiembre de 1492, en el libro de a bordo de Cristóbal Colón se anotó: "Antes de caer la noche, la brújula indicaba una desviación hacia el Noroeste, que por la mañana era menos considerable". Ese fenómeno provocó gran pánico entre los marineros supersticiosos de Colón los que sabían muy bien que la aguja debía desviarse algo hacia el Este. Maduraba un motín. Colón, furtivamente, corrió la rosa de los vientos de la brújula de modo que la declinación fuese "normal". Luego, para atar los cabos y no contradecir a los datos de las observaciones astronómicas, Colón tuvo que anunciar que "no fue la aguja de la brújula que había cambiado su dirección, sino que se había desplazado la estrella Polar". En nuestros días el cambio de la magnitud y del signo de la declinación de la aguja magnética en el mismo paralelo es un fenómeno bien conocido, que se utiliza ampliamente para determinar la situación de los barcos.
Desde los tiempos de Colón, muchos científicos estudiaban minuciosamente el campo magnético de la Tierra y la declinación de la aguja magnética. No obstante, la explicación de la causa de la atracción de la aguja de la brújula hacia los polos de la Tierra se dio solamente en 1600, año en que se publicó el famoso libro de William Gilbert, médico de cámara de la reina inglesa Isabel, titulado "Del imán, de los cuerpos magnéticos y del gran imán: la Tierra".
En este libro, a base de un enorme número de datos experimentales, Gilbert mostró convincentemente que el campo magnético de la Tierra se asemejaba al campo de una esfera imantada uniformemente tallada de magnetita.
Explicando el magnetismo terrestre, Gilbert consideraba que la Tierra se componía de hierro imantado, que precisamente creaba el campo magnético. Sin embargo, esa suposición suya no es correcta. El mismo Gilbert descubrió que a temperaturas altas que, como se sabe, se registran en el centro de la Tierra, el hierro pierde por completo sus propiedades magnéticas.
El libro de Gilbert dio origen al enfoque científico de los fenómenos magnéticos en general y del magnetismo de la Tierra, en particular. El académico A. Krylov, en su libro sobre el magnetismo de la Tierra, publicado en 1920, refiriéndose a la teoría de Gilbert escribió: "A lo largo de casi dos siglos a esa teoría no se añadió nada sustancial que no estuviese en el libro de Gilbert y no fuese una repetición o desarrollo de lo que había hecho él".
Los observatorios magnéticos, las travesías de goletas no magnéticas, las aventuras dramáticas de John y James Ross en el camino hacia los polos magnéticos Norte y Sur, la expedición de I. Papanin, E. Fiódorov, P. Shirshov y E. Frénkel sobre un témpano de hielo a la deriva, los lanzamientos de cohetes, los satélites artificiales de la Tierra, todo eso estaba encaminado a estudiar el magnetismo terrestre. Se puede afirmar con seguridad que los mapas magnéticos de nuestro planeta no son menos exactos que los geográficos.
§3. La Tierra: el imán azul
En este capítulo dedicado a las posibles causas del magnetismo terrestre, el lector se encontrará con el "antecampo” y la rara afirmación de que la Tierra no es otra cosa que una gigantesca máquina eléctrica.
¡Fluían en arco estrellas:
ya antes de nosotros
¡Brillaban las auroras para los hombres:
ya antes de nosotros!
Omar Khayyam. "Rubaiyat"
Esa teoría, en distinta forma y diferente tiempo, fue formulada por varios físicos eminentes, entro los cuales cabe destacar al científico soviético Ya. Frénkel, al norteamericano Elzasser y al inglés Bullard.
Dicha teoría se basa en el fenómeno descubierto hace más de un siglo y medio por el científico danés Hans Christian Oersted: alrededor de cada conductor de corriente eléctrica hay un campo magnético. Para explicar el magnetismo de la Tierra de ese modo, es necesario suponer que en sus profundidades circulan ciertas corrientes eléctricas. En principio, tales corrientes son posibles, por cuanto está demostrado firmemente que el globo terrestre posee un núcleo electro conductor líquido, por el cual pueden pasar libremente corrientes eléctricas. La cuestión es de dónde provienen éstas.
Aquí, precisamente, aparece en el escenario la teoría: "La Tierra es un dinamo". En el núcleo metálico de la Tierra, que se halla en estado líquido, debido a las diferencias de temperatura en sus distintos puntos, se crean condiciones para el surgimiento de corrientes de convección de material conductor. Si ese movimiento tuviese lugar en algún campo magnético, aunque fuera muy débil, en el material conductor surgiría corriente eléctrica, capaz de engendrar un campo magnético terrestre relativamente intenso. La cuestión de la procedencia de ese campo magnético inicial, aunque fuera débil, queda pendiente. ¿Tal vez sea la huella dejada por los períodos más antiguos del surgimiento de nuestro sistema galáctico? Semejante suposición no está excluida, puesto que las colosales dimensiones de los cuerpos celestes (y como consecuencia, su insignificante resistencia eléctrica) llevan a que los períodos de amortiguamiento de las corrientes eléctricas y de los campos magnéticos en los mismos sean extraordinariamente grandes.
Muchísimos campos magnéticos, registrados por radiotelescopios de los astrónomos, surgieron hace miles de millones de años. Posiblemente, también el "antecampo" de nuestra Tierra que engendró el campo en el que nos hallamos todos, fuese rastro de alguna antigua catástrofe cósmica.
Los campos magnéticos son inherentes también a los átomos, núcleos y electrones. En las profundidades de los átomos, como suponen los científicos, existen campos magnéticos de millones de gauss.
Posee también campos magnéticos la naturaleza viva. Se ha demostrado convincentemente la existencia de corrientes biológicas en los animales y de corrientes vegetativas en las plantas. Teniendo en cuenta que cada corriente crea inevitablemente en torno suyo un campo magnético, se hace evidente que cada hombre, cada arbolillo y los minúsculos seres vivos poseen campos magnéticos. Cierto que son de intensidad muy pequeña. Así, al doblar y desdoblar la mano, el hombre crea en la superficie de ésta un campo magnético con inducción de una cienmilésima parte de gauss.
La existencia del campo magnético del corazón humano se utilizó, en particular, en el primer magneto cardiógrafo ideado en la ciudad de Vorónezh. Por medio de ese aparato que registra cambios mínimos del campo magnético del corazón, los científicos lograron obtener unos datos, nuevos en principio, del funcionamiento del corazón y facilitar el diagnóstico precoz de las enfermedades tan graves como la distrofia cardiaca, la hipertrofia de los músculos cardíacos, etc. El magneto cardiógrafo permite descubrir los defectos del corazón que no puede determinar ni el electrocardiógrafo más sensible.
§4. Descubrimiento del electromagnetismo
Capítulo dedicado al descubrimiento del electromagnetismo atribuido a varias personas concretas, aunque en realidad, habían participado en él miles de personas, una gran parte de las cuales fallecieron hace mucho. A ellos les corresponde, en resumidas cuentas, el mérito de descubrir una de las leyes fundamentales del Universo, que se anota actualmente como la primera línea de la ecuación de Maxwell.
León Tolstoi creó también obras de divulgación científica. He aquí lo que escribió sobre la electricidad.
"Cuando se inventó esta electricidad, empezaron a aplicarla en la práctica: inventaron el método eléctrico de dorar y platear, el alumbrado eléctrico y la transmisión de señales a larga distancia por medio de la electricidad. Para ello se colocan pedazos de diferentes metales en pequeños vasos que llenan de líquidos. En éstos se acumula electricidad, que se conduce al lugar deseado por un alambre que luego se pone a tierra".
Es de suponer que el gran escritor, en la frase "Cuando se inventó esta electricidad", tuvo en cuenta los tiempos relativamente no tan lejanos: unos 100-150 años antes de su época o unos 150-200 años antes de nuestros tiempos.
Los científicos contemporáneos tienen ciertos fundamentos para afirmar que "esta electricidad" se inventó hace unos tres o cuatro milenios y al mismo tiempo "inventaron el método eléctrico de dorar y platear". Posiblemente, pueden servir de prueba unos objetos raros encontrados por arqueólogos en el limo seco y endurecido cerca de las orillas del río Tigris al Sur de Bagdad.
¿Qué eran aquellos objetos raros? Y, ¿por qué, a decir verdad, eran raros? Resulta que durante mucho tiempo los arqueólogos no podían comprender su destino. Pequeños recipientes de barro cocido contenían un relleno muy poco común: cilindros de cobre y barras de hierro corroídos. Al examinar los cilindros, los arqueólogos llegaron a la conclusión de que la corrosión se debía, lo más probable, a la acción de ácidos acético o cítrico, bien conocidos en aquella época. Pero lo más inesperado se hallaba en el fondo de los recipientes: una fina capa de betún, de apariencia insignificante, que hasta hoy día se utiliza a veces como aislamiento eléctrico.
El pensamiento de los científicos trabajaba con precisión: si en el recipiente con ácido se colocaban placas de cobre y de hierro, separadas por aislamiento (betún), quiere decir que no era otra cosa que una antiquísima fuente química de corriente. ¡La misma fuente, el honor de cuyo descubrimiento atribuimos a una persona que vivió tres mil años más tarde!
¡A juicio de algunos científicos, el recubrimiento de oro de los adornos babilónicos fue hecho tan sutilmente que se excluye cualquier método de dorado, excepto el galvánico!
Es probable que los antiguos conocieran acerca de la electricidad mucho más de lo que nos parece a nosotros...
¡El eminente egiptólogo Brugsch bajá estableció que en los templos egipcios había... pararrayos! Eran altos mástiles de madera con revestimiento metálico. Tales pértigas, pero hechas de hierro, las conocían los hindúes antiguos...
Los altos monumentos de cobre de la época de Numa Pompilio y Tulio Hostilio, personajes romanos, servían asimismo para desviar de las cabezas pecadoras de los ciudadanos los golpes de Júpiter tronante...
Durante el reinado de Carlomagno, para "desviar la tormenta" los campesinos instalaban en los campos unas estacas altas. Cabe señalar, no obstante, que el propio Emperador castigaba severamente a esos campesinos bajo una consigna muy actual de lucha contra las supersticiones.
¿Será posible que los antiguos conocieran la naturaleza eléctrica del rayo tan bien como llegó a conocerla Franklin hace relativamente poco tiempo?
Generalmente, se acostumbra considerar que la humanidad conoció la electricidad desde el momento en que la joven hija de Tales de Mileto, notable investigador y filósofo materialista, tratando de quitar de su huso de ámbar pequeñas partículas de polvo e hilitos adheridos al mismo, notó que, una vez quitados, éstos se apresuraban de nuevo a pegarse al huso...
Por lo visto, la propiedad del ámbar de atraer trapitos, hilos y paja se conocía muy bien ya antes de Tales y no sólo en Mileto. Esa atracción explica, posiblemente, también las denominaciones del ámbar que le dieron diferentes pueblos: electrón, que atrae, (Grecia); harpax, saqueador, (Roma); cavuba, que atrae el salvado, (Persia), etc.
Los antiguos sabían asimismo que el jacinto, la flor mágica, podía atraer pequeños objetos.
El ámbar y sus similares tenían otra propiedad misteriosa: al frotar el ámbar en la oscuridad se observaban chispas azuladas, acompañadas de un leve crujido y un susurro que apenas se oía. Ese fenómeno, tan poco perceptible que era casi imposible identificarlo con la grandiosa espada refulgente, el rayo y el trueno, infundía miedo cerval a los antiguos. Se necesitaron milenios para tender un puente entre estos fenómenos tan afines por su naturaleza y tan diferentes por su escala.
Asombra el hecho de que solamente dos milenios después de Tales las propiedades misteriosas del ámbar llamaron la atención del investigador. Este fue William Gilbert
[4], médico inglés de la ciudad de Colchester.
Era un hombre muy estimado por sus contemporáneos, un investigador convencido. Todo el tiempo que le quedaba después del "trabajo principal" lo dedicaba a los experimentos con la electricidad y el magnetismo. La propia palabra "eléctrico" fue introducida en la ciencia por Gilbert.
Su tarea era magna: clasificar la infinidad de hechos conocidos por categorías lógicas. Le tocó la suerte de ser el primero en separar los fenómenos eléctricos de los magnéticos.
Separarlos, para que, pasados dos siglos, con el esfuerzo de numerosos científicos, aquéllos pudiesen reunirse de nuevo, pero ya sobre una base distinta.
¿En qué consistía la tarea de Gilbert? ¿Qué hechos tuvo que analizar?
Cabe señalar que de la época de la Edad Media llegaron hasta Gilbert apenas algunos fragmentos de auténticos conocimientos y, además, en las más fantásticas combinaciones.
Así, los científicos del Medioevo consideraban que en el mundo todo se dividía en "imanes" y "feamedes".

Figura 3. Primeros experimentos con máquinas electrostáticas. Uno de sus primeros investigadores escribió: "Son experimentos terribles, y a nadie aconsejo repetirlos".
A los imanes pertenecen los objetos que se atraen recíprocamente: el imán y el hierro, el ámbar y las partículas de polvo, los moluscos adhesivos y el fondo del barco, la abeja y la flor... A los "feamedes", todo lo que inspira "antipatía" mutua: el imán y la llama de la vela, los polos del mismo signo del imán...
Y he aquí, Gilbert, privándose de entretenimientos y placeres, con recursos propios, realiza un sinnúmero de experimentos, llegando a unas conclusiones sumamente importantes. Una de éstas fue:
las atracciones del imán y del ámbar son de naturaleza distinta.
Con otras palabras, Gilbert logró dividir los fenómenos magnéticos y eléctricos en dos clases que, desde entonces, se investigaban por separado.Está lejos aún el tiempo en que la electricidad y el magnetismo volverán a unirse...
Gilbert descubrió bastantes sustancias que, igual que el ámbar, pueden atraer trocitos de tela y partículas de polvo.
Poniendo a prueba esas sustancias, Otto von Guericke, alcalde de la ciudad alemana de Magdeburgo, ávido de saber, construyó una máquina rara: una esfera de azufre que recibía el movimiento giratorio de un mecanismo sencillo. A la esfera giratoria la rozaba una cadenita metálica sujeta a una barra larga de metal suspensa de unas cuerdas. Si la esfera al girar se tocaba ligeramente con las palmas de las manos, en ella se acumulaba una considerable carga eléctrica que se canalizaba por medio de la cadena hacia la barra. Conectándose a esta última se podía realizar experimentos eléctricos.

Botella de Leiden
Pero incluso con ayuda de la esfera de azufre Otto von Guericke logró realizar experimentos muy impresionantes: al frotar la esfera con las manos, entre éstas y la barra pasaban chispas, algunas de las cuales eran bastante grandes.
Las máquinas de Guericke obtuvieron de inmediato amplia difusión y no hay nada de extraño que por medio de éstas se logró descubrir numerosos efectos eléctricos.
Uno de los casos extraordinarios ocurrió en el famoso Laboratorio de Leiden. El estudiante Caneus utilizó la máquina de Guericke para "cargar de electricidad" el agua en un matraz, que sostenía en las manos. Lo hacía ayudándose de una cadena sujeta a la barra de la máquina. A través del cuello del matraz, la cadena bajaba en el agua. Pasado algún tiempo, Caneus decidió quitar la cadena con la mano libre, es decir, sacarla del recipiente. Al tocarla, recibió una tremenda sacudida eléctrica que por poco lo mató.
Resultó que en los recipientes de ese tipo, la electricidad podía acumularse en cantidades muy grandes. Así se descubrió la llamada botella de Leiden, el condensador simplísimo.
La noticia sobre el nuevo descubrimiento se difundió rápidamente por Europa y América. En todos los laboratorios y salones aristocráticos se realizaban asombrosos experimentos: desagradables, divertidos y misteriosos a la vez.

Benjamín Franklin
La botella de Leiden llegó a ser uno de los atributos más indispensables de numerosas investigaciones. Con su ayuda se pudo obtener chispas eléctricas de varios centímetros de largo.
Al más sagaz se le ocurrió la idea de que el relámpago fulgurante, que atraviesa el cielo tormentoso, también era una chispa eléctrica, mas de escala grandiosa, producida por medio de una colosal botella de Leiden...
Este hombre fue el norteamericano Benjamín Franklin. Es difícil imaginarse una personalidad más destacada y popular de su época.
Nació en 1706 en la ciudad de Boston. Vivió 84 años, de los cuales dedicó a la física solamente siete, de 1747 a 1753, después de haber escuchado una conferencia sobre la electricidad, durante la cual fue exhiba la chispa eléctrica y el efecto desagradable que la descarga de la botella de Leiden ejercía sobre el hombre.
Franklin arraigó en la ciencia la noción de la electricidad positiva y negativa. Al recurrir a las palabras "batería", "condensador", "conductor", "carga", "descarga" y "devanado" es poco probable que recordemos que Franklin fue el primero en denominar esos objetos y fenómenos.
En los últimos años de su vida Franklin llegó a ser una de las figuras más destacadas en la vida política de Norteamérica, luchador activo por la liberación de ésta del yugo colonial de Inglaterra.
A la edad de 27 años era uno de los escritores más populares de su país. Su "Proverbios del viejo Enrique o la ciencia del buen Ricardo" se reeditó innumerables veces. "Yo podría intentar despertar buenos sentimientos hacia mi persona, declarando que escribo esas obras únicamente para el bien de la sociedad; pero no sería franco y, además, mis contemporáneos son demasiado inteligentes para verse engañados de semejante manera La verdad es que soy extremadamente pobre y el editor me prometió una parte considerable de la ganancia escribió sinceramente Franklin respecto a su actividad literaria.
Franklin era uno de los hombres más encantadores y erudito de su tiempo. Alegre y jovial, de constitución atlética, le rodeaban siempre gente interesante, diplomáticos, científicos.
Pero volvamos a los siete años "eléctricos" de la vida de Franklin, más exactamente, a los vinculados con la demostración de la naturaleza eléctrica del relámpago.
Después de haber escuchado, por casualidad, una conferencia Franklin elaboró una teoría bastante simple, más armoniosa y correcta, sobre la electricidad estática y su transmisión de un cuerpo a otro: la teoría que estudiábamos en la escuela al conocer por primera vez la electricidad. Hoy día haríamos una sola enmienda en esa teoría: Franklin aceptó al azar que el cuerpo que acumula electricidad, se carga positivamente. El cuerpo que la pierde, según él, se carga negativamente. Ahora sabemos que el portador de la electricidad en los conductores es el electrón cargado negativamente. Por eso un cuerpo electrizado, a nuestro modo de ver, debe reconocerse como negativo. Naturalmente, Franklin no podía haberle previsto, mas, para no modificar la noción formada desde sus tiempos, en la actualidad, la dirección de la corriente (desde el "más" hacia el "menos") se considera contraria a la dirección del proceso real: el movimiento de los electrones.
Los conceptos claros que Franklin tenía sobre la naturaleza de la electricidad le permitieron crear la teoría, según la cual también el rayo era una chispa eléctrica. En una de sus obras Franklin describió cómo debía realizarse el experimento para demostrarlo.
El francés Dalibard, guiándose por la descripción de Franklin, construyó en Marly una instalación: la varilla metálica, situada en una montaña, podía aproximarse con un extremo a la barra puesta a tierra. Durante la tormenta, desencadenada el 10 de mayo de 1752, Dalibard obtuvo de un nubarrón una gran chispa eléctrica de color azul, acompañada de agudo crujido y olor a ozono. A los ocho días Dalibard mostró ese experimento al rey.
Sin embargo, a pesar de ser Dalibard el primero en obtener "el rayo del cielo", es evidente que el descubridor fue Franklin, que en 1753 realizó su famoso experimento con una cometa.
El mismo año, realizaban experimentos análogos M. Lomonósov [5] y G. Rijman. Este último quería apreciar cuantitativamente el fenómeno de la electrización durante una descarga del rayo. Al inclinarse por descuido demasiado cerca a la barra de su "máquina tronante" fue fulminado por un rayo en la cabeza. He aquí cómo describe M. Lomonósov los intentos de reanimar a Rijman.
"El primer golpe de la línea, suspendida de un hilo, cayó sobre la cabeza, donde se ve una mancha de color rojo-guinda en la frente, mientras que la fuerza eléctrica tronadora salió por sus pies, penetrando en las tablas. Los pies, los dedos se le amorataron y un zapato se desgarró sin quemarse...
J. Kratzenshtein, doctor en ciencias médicas y filosóficas, que llegó al lugar del accidente, frotó el cuerpo del científico con vodka húngara, le hizo sangría, le sopló en la boca, tapando las ventanas de la nariz, para restablecer la respiración. Todo fue en vano. Suspiró y constató la muerte... "
La comprensión correcta de la naturaleza eléctrica del rayo le permitió a Franklin inventar (o, quizás, repetir el descubrimiento antiguo) el pararrayos, que salvó miles de vidas y un gran número de construcciones.
Acerca del rayo circulaban siempre un sinnúmero de cuentos fantásticos y fábulas. Así, el eminente astrónomo francés Flammarion escribió en uno de sus libros ("Atmósfera"):
"A un hombre muy velludo, sorprendido por una tormenta cerca de E., el relámpago le afeitó a rayas todo el cuerpo, enrolló el vello cortado en pequeños ovillos y los incrustó profundamente en los músculos de las pantorrillas..."
"En verano de 1865, un tal Drendinger, médico de las afueras de Viena, regresaba de la estación del ferrocarril a casa. Al bajar del carruaje se dio cuenta de que le habían robado el portamonedas. Era de carey y en una de sus tapas llevaba el monograma de acero del médico: dos "D" entrelazadas.
Dentro de algún tiempo llamaron a ese doctor para asistir a un extranjero "fulminado" por un rayo, al que encontraron sin conocimiento junto a un árbol. Lo primero que vio el doctor fue su propio monograma en la cadera del enfermo, como si fuese fotografiado recientemente. ¡Es fácil imaginarse su asombro! Lo hizo recobrar el conocimiento y lo trasladaron al hospital. Allí, el médico dijo que en uno de los bolsillos del enfermo debía estar su portamonedas de carey, y así fue realmente. El tipo era el mismo ladrón que había robado el portamonedas, y la electricidad lo estigmatizó, fundiendo el monograma metálico".
" ... El 2 de agosto de 1809, en las proximidades de la ciudad de Manchester un rayo cayó en el suelo entre un sótano y una cisterna y movió una pared de 1 m de espesor y de 4 m de alto de tal modo que uno de sus costados se desplazó por más de 1 m y el otro, por 3 m. Además, fueron destrozadas todas las piezas de unión de madera. La parte de la pared desplazada contenía cerca de 7 mil ladrillos que pesaban en total unos 26 mil kg".
En Alemania, en el curso de 33 años (siglo XVIII), fueron fulminados por el rayo 170 campaneros y destruidos 400 campanarios.El número tan elevado de campaneros fulminados no fue, desde luego, una casualidad. La única arma del hombre contra el rayo en aquellos tiempos era la campanada para ahuyentar a los espíritus del mal. Por eso al desatarse una tormenta a los campaneros los enviaban a los campanarios. Ya que estos edificios, por regla general, eran los más altos de los poblados, fue natural que sirvieran de primer blanco de la gigantesca chispa salida de la nube cargada (esta chispa suele llegar a decenas de kilómetros de largo). Por cuanto no se tenía piedad de los campaneros, puesto que se consideraba que "el rayo en las manos de la Providencia servía de arma de castigo y era un pecado oponerle resistencia", aquéllos fueron las principales víctimas del rayo. El hecho de que el pararrayos protege en cierto grado los campanarios contra el rayo lo prueba aunque sea el ejemplo del Templo de Salomón en Jerusalén, que a lo largo de mil (¡!) años no fue destruido por el rayo ni una sola vez: estaba revestido de placas metálicas.
Después de que Franklin instalara en 1760 el primer pararrayos sobre la casa del comerciante West en Filadelfia, Europa y América se dividieron en dos campos: los partidarios fervientes del pararrayos y sus enemigos, igualmente apasionados. En París, durante algún tiempo fabricaban y estaban de moda los sombreros de señora provistos de pararrayos. Al mismo tiempo de Visiere, que instaló sobre su casa en Saint-Operá un pararrayos, fue atacado furibundamente por los vecinos, los que, al fin y al cabo, lo llevaron a los tribunales. Esto ocurrió en 1780. El proceso duró cuatro años. Como defensor del pararrayos intervino Maximiliano Robespierre, abogado desconocido aún. De parte de los enemigos del pararrayos, en calidad de experto, Jean Paul Marat. En resumidas cuentas, de Visiere fue absuelto... No obstante, los franceses durante largo tiempo seguían oponiéndose al pararrayos. Así continuaría, quizás, si no hubiera ocurrido un caso curioso.
En Filadelfia (EEUU), en 1782 fueron instalados 400 pararrayos (en aquellos tiempos, en Filadelfia había 1300 casas). Los tejados de todos los edificios públicos, excepto, naturalmente, los del hotel de la Embajada francesa, fueron coronados con barras metálicas de pararrayos. Durante la tormenta del 27 de marzo de 1782, el rayo cayó precisamente sobre la casa excepción. El hotel fue destruido parcialmente, y un oficial francés que allí vivía, resultó muerto. Después de ese suceso, que tuvo amplia resonancia pública, fueron ya instalados pararrayos en todos los edificios. Incluso Francia los reconoció oficialmente.
Es posible que únicamente después de aquellos procesos y sucesos muy ruidosos, la naturaleza eléctrica del relámpago obtuviera el reconocimiento universal. Nadie dudaba ya de que el relámpago era un fenómeno eléctrico.
La ligazón del rayo con la electricidad fue demostrada convincentemente. Más o menos al mismo tiempo, los científicos empezaron a aproximarse poco a poco a la percepción de la idea de que el rayo estaba vinculado de algún modo con el magnetismo. Mas era extraordinariamente difícil tender semejante puente debido, principalmente, a la insuficiencia de datos sistemáticos respecto al imán.
¿Qué fuerza ignota y misteriosa guía la aguja de la brújula? ¿Quién está en condiciones de comunicar a la piedra inanimada la capacidad de moverse, inherente sólo a lo vivo?
No es asombroso que los filósofos antiguos, al explicar las propiedades insólitas del imán, las consideraran divinas. A los imanes les dedicaban versos y les atribuían centenares de propiedades más inverosímiles. Se consideraba, en particular, que los imanes fueron creados por los demonios para la perdición de la gente, en beneficio de los ladrones y para favorecer el hurto, ya que poseían la propiedad de abrir cerraduras y andados.
Fueron también innumerables las aplicaciones curativas del imán. Una de las recetas nos comunica William Gilbert, el mencionado médico de cámara de la reina Isabel: "El mejor hierro, stomoma o halibs, acero o aciari por medio de un serrucho se reducen a polvo fino; se echa encima del mismo el vinagre, se seca al sol, se vuelve a echar vinagre y a secar, luego se lava con agua de fuente o cualquier otra agua apropiada y se seca otra vez. Acto seguido, pulverizado nuevamente y triturado sobre el pórfido lo hacen pasar por una criba muy tupida y guardan para el uso. Este polvo lo administran en los casos de hígado dilatado o muy húmedo, así como en caso del bazo aumentado. Devuelve salud y belleza a algunas muchachas que padecen de palidez o tienen mal color de la cara, puesto que seca mucho y astringe, sin causar daño". En este fragmento, bajo "hierro", Gilbert da por entendido la magnetita, es decir, de hecho el único imán que se conocía en la Edad Media.
Mas, Gilbert prevenía contra el uso del imán como remedio universal para la cura de todas las enfermedades. Consideraba que la "naturaleza del imán era duplícida: más bien maléfica y dañina". Y si, a veces, "el imán en forma pura puede ser no solamente inofensivo, sino incluso capaz de reponer los órganos internos excesivamente húmedos y en estado de putrefacción, así como mejorar su composición", en la mayoría de los casos "la experiencia diaria, la debilidad y la muerte de enfermos persuadirán, naturalmente, algún día," de la nocividad del imán incluso a los médicos "más negligentes y descuidados".
Sin embargo, los criterios de los médicos antiguos y de Gilbert, así como de los médicos - contemporáneos nuestros - coinciden en que el imán actúa depresivamente en el sistema nervioso y oprime su actividad. Esa propiedad, naturalmente, puede aprovecharse con utilidad. Todavía en los tiempos remotos, los esculapios del Medioevo notaron que la acción del imán calmaba los dolores de los heridos, quitaba el dolor de cabeza y ayudaba a curar las enfermedades debidas a la intensiva actividad del sistema nervioso, por ejemplo, en los casos de epilepsia. En lo que se refiere a la acción del campo magnético sobre la gente sana, las opiniones de los científicos contemporáneos en esa cuestión divergen exactamente igual que hace varios siglos.
Muchos habían visto en los brazos de sus conocidos "pulseras magnéticas" japonesas u oído hablar de "sillones magnéticos", que fabrica una empresa nipona. Los científicos japoneses afirman que las pulseras llevadas en la muñeca bajan la presión sanguínea. Es difícil decir qué influye más en la presión sanguínea en este caso: el campo magnético o la autosugestión. No obstante, al hojear la historia de la medicina se puede encontrar numerosas menciones de que, en la antigüedad remota y en los tiempos relativamente recientes, los médicos recomendaban a los enfermos no sólo llevar pulseras magnéticas, sino también placas magnéticas en los pies, la cabeza, el cuello y el pecho.
Los médicos soviéticos, terapeutas y cardiólogos, al estudiar las propiedades "curativas" de las pulseras, cinturones, sillones, etc., magnéticos fueron los primeros en llegar a la conclusión de que todos esos inventos no eran medios eficientes de cura de la hipertensión. Se atienen a la misma opinión también muchos científicos extranjeros, incluidos los japoneses. Teniendo en cuenta todo eso, el Colegio del Ministerio de Sanidad pública de la URSS propuso cesar las pruebas de las pulseras magnéticas y no recomendó su fabricación y uso.

Figura 4. En el siglo pasado las pecheras magnéticas se fabricaban en grandes cantidades. Llevaban incluso números de medida igual que el calzado y la ropa modernos.
En la antigüedad hubo también otra esfera de aplicación de los imanes. Los utilizaban en gran escala en tiempos antiguos y en el Medioevo los... prestidigitadores.
En la Edad Media estaba bastante difundido el truco ilusionista de los llamados "peces obedientes", hechos de madera. Estos nadaban en una piscina obedeciendo al menor movimiento de la mano del prestidigitador, que los obligaba a desplazarse en todas las direcciones posibles. El secreto del truco era extraordinariamente sencillo: el artista llevaba, escondido en la manga, un imán y en la cabeza de los peces estaban empotrados pedacitos de hierro. Una de las variantes de ese truco se puede comprar en la tienda "Mundo infantil": es un juego para niños que se llama "Pescador de caña". Otra variante moderna son los pequeños, pero intensos imanes que en algunos países se venden para extraer objetos metálicos del fondo de embalses.
Hace unos años, un grupo de buscadores de aventuras bajó semejante imán desde a bordo de su lancha de motor, que realizaba una travesía en las proximidades de las islas Bahamas. De repente, la lancha frenó bruscamente. Los nadadores submarinos que examinaron el fondo en el lugar de la parada descubrieron que el imán se había adherido al ancla de un galeón español, echado a pique por piratas en el siglo XVII cerca de las islas Bahamas. Al revisar el barco, los nadadores submarinos encontraron un cofre con oro y vajilla valiosa de plata, destinada a casas ricas del Nuevo Mundo. Los científicos utilizan semejantes imanes no para buscar tesoros, sino para descubrir huellas de civilizaciones antiguas. Si volvemos a examinar los trucos, los que menos distan de nuestros tiempos fueron las manipulaciones del inglés Johnas. Su mejor truco consistía en que proponía a algunos espectadores poner en la mesa sus relojes y, sin tocarlos cambiaba a su antojo la posición de las agujas. Este truco, naturalmente, se realizaba con la ayuda de un imán.
La encarnación moderna de semejante idea son los embragues electromagnéticos, que conocen bien los electricistas, por medio de los cuales se puede hacer girar mecanismos separados del motor por alguna barrera, por ejemplo, por una pared.
No está claro hasta hoy día el truco con imán que realizaba en su "Templo de fascinaciones, o gabinete mecánico, óptico y físico del Sr. Gamuletski de Kolla" el famoso ilusionista ruso Gamuletski. Su "gabinete", que existió hasta el año 1842, se hizo famoso, entre otras cosas, por el hecho de que los visitantes, subiendo una escalera ornada con candelabros y cubierta con alfombras, ya desde lejos podían ver en el descansillo superior de la misma una figura dorada de ángel, de tamaño natural del hombre, que planeaba en posición horizontal por encima de la puerta del gabinete, no estando suspendida ni sujetada.
Cualquiera que lo deseaba podía cerciorarse de que la figura carecía en absoluto de apoyos.
Apenas los visitantes pisaban el descansillo, el ángel levantaba una mano, llevaba a la boca una trompa y "tocaba, moviendo los dedos de la manera más natural".
"Trabajó diez años, decía Gamuletski buscando el punto y el peso del imán y del hierro para sostener al ángel en el aire. Además de trabajo, gastó en ese milagro no pocos recursos".
Por lo visto, el papel de atributo de los ilusionistas cuadraba de la mejor manera a la misteriosa piedra imán.
En distintos tiempos fueron propuestas muchísimas explicaciones de por qué el imán y el hierro sentían un apego recíproco tan raro.
Así, por ejemplo, en las canciones de Orfeo hay líneas que rezan que el hierro es atraído por el imán exactamente igual que la novia por el novio.
El célebre filósofo Epicuro da la siguiente explicación:
"Las figuras de los átomos y de los cuerpos indivisibles, procedentes de la piedra y del hierro, congenian tanto que se enganchan fácilmente de modo que, estrellándose contra las partes duras de la piedra y del hierro, saltan luego al centro, se unen y, simultáneamente, arrastran el hierro".
El filósofo-idealista Platón escribió:"... debido a que no existe vacío alguno, esos cuerpos se empujan mutuamente desde todos los lados y, cuando se separen y unan, intercambiando los lugares, todos pasarán a su sitio habitual. Seguramente los que realicen un estudio justo quedarán sorprendidos de esas relaciones embrolladas".
Es obvio que al narrar esas "relaciones embrolladas", Platón fue muy perspicaz. Los descubrimientos posteriores persuadieron a los científicos de que la naturaleza del magnetismo era mucho más compleja que las ideas mecanicistas de los filósofos antiguos, que reducían todo al "enganche" de las partículas.
Igual que en el caso de la electricidad, el rayo dio una orientación correcta al pensamiento de los científicos sobre la naturaleza del magnetismo. A comienzos del siglo XIX, el científico francés Arago
[6] publicó un libro titulado "Trueno y Relámpago". Este contiene varias notas curiosísimas, algunas de las cuales, tal vez, fueron las que condujeron a que su amigo, el físico francés Ampère
[7], diera por primera vez una explicación justa al magnetismo.
He aquí algunos extractos del libro "Trueno y Relámpago".
"...En julio de 1681, el barco "Quick" fue alcanzado por un rayo. Al caer la noche resultó que, respecto a la posición de las estrellas, de las tres brújulas... dos, en lugar de indicar el Norte, como antes, indicaban el Sur, y la anterior punta Norte de la tercera brújula estaba dirigida hacia el Oeste...
Y también:" ... En junio de 1731, un comerciante colocó en un rincón de su habitación en Wakefield un gran cajón lleno de cuchillos, tenedores y otros objetos de hierro y acero... Un rayo penetró en la habitación justamente por el rincón donde se hallaba el cajón, destrozándolo y desparramando todos los objetos que éste contenía. Todos esos tenedores y cuchillos resultaron... muy magnetizados...
Era cada vez más evidente a los investigadores que existía una estrecha ligazón entre el rayo y el magnetismo. Teniendo en cuenta que la relación existente entre el rayo y la electricidad a la sazón se conocía bien, deviene claro que no estaba lejos el día en que el más sagaz vería la ligazón existente entre la electricidad y el magnetismo. Muchos estaban ya a punto de adivinar esa ligazón, faltaba únicamente un pequeño esfuerzo para superar la cresta que separaba esas dos magnas fuerzas de la naturaleza.
Así, Franz Ulrieh Teodor Epinus, académico de San Petersburgo, en la asamblea general de la Academia, celebrada el 7 de septiembre de 1758, dio lectura al tratado "La similitud de las fuerzas eléctrica y magnética", abordando casi de lleno la solución de ese problema. Faltaba algún puentecito, algún hilo de unión... Estaba a punto de resolver el problema el eminente físico inglés Davy
[8], quien logró establecer que el arco eléctrico se desviaba bajo la acción del imán. Era ya una ligazón, pero tímida y débil, a la que no se prestó debida atención.
La solución podía ocurrírsele solamente al más insistente y firme en alcanzar la meta. Lo fue el físico danés Hans Christian Oersted
[9]. Investigó la ligazón existente entre la electricidad y otros fenómenos conocidos: la luz, el calor, el sonido, etc. Sólo no lograba encontrar la ligazón de la electricidad con el magnetismo. Parecía que nada unía esas dos fuerzas y ellas existían por separado sin alguna relación...
¿Y el rayo entonces? ¡He aquí, al parecer, un fenómeno en el que se entrelazan de la manera más estrecha la electricidad y el magnetismo! Oersted buscaba continuamente esa conexión imperceptible. Dicen que llevaba siempre consigo un imán que debía recordarle su ardua tarea. Pasaban los años... Los esfuerzos resultaban vanos... Y de repente todo cambió. Por poco el problema se resuelve en un solo día: el 15 de febrero de 1820.
Aquel día, el profesor Oersted daba una conferencia a los estudiantes de la Universidad de Copenhague sobre la ligazón de la electricidad con el calor. Los bien conocidos hoy día hornillos, calentadores e incluso mantas eléctricos, en los cuales se aprovecha el efecto térmico de la corriente eléctrica, en aquella época, naturalmente, se desconocían por completo, de modo que el calentamiento del alambre, bajo la acción de la corriente que pasaba por éste, despertaba una entusiástica curiosidad.
Fue una magnífica casualidad: al lado del alambre que se calentaba se hallaba accidentalmente una brújula. Hubo también otra casualidad excelente: un estudiante curioso, cuyo nombre ignoramos, echó durante la conferencia una mirada a la brújula, que no tenía nada que ver con el tema. Al mirarla, vio con estupefacción que al pasar la corriente eléctrica por el alambre, la aguja de la brújula se desviaba.
¡La corriente eléctrica engendraba un campo magnético! A continuación los acontecimientos se desarrollaban vertiginosamente. Ya a los pocos días, los científicos franceses Arago y Ampère lograron construir un instrumento por medio del cual se podía obtener un campo magnético idéntico al de imán permanente, hecho de magnetita o de hierro imantado. Ese instrumento, denominado después solenoide, era simplemente una espiral por la cual pasaba la corriente.
La semejanza existente entre el imán y el solenoide que representa un conjunto de numerosas espiras por las que pasa la corriente, condujo a Ampère a una conjetura genial: el imán contiene un gran número de pequeños circuitos eléctricos. Esa teoría se ha confirmado brillantemente: los electrones, girando en torno a los núcleos, forman circuitos eléctricos. Así, en la comprensión del magnetismo sobrevino una nueva era.
§5. Desfile de imanes
Capítulo en el que se narra la emulación entre los constructores de imanes de diferentes países

Figura 5. Primeros electroimanes construidos por el mecánico inglés Sturgeon.
Joule [10] (en cuyo honor se denominó la unidad de energía), discípulo de Sturgeon, haciendo experimentos con el primer imán de su maestro, logró aumentar la fuerza de sustentación hasta 20 kgf. Ese acontecimiento tuvo lugar en el mismo año: 1825.
Más Sturgeon no estaba dispuesto a perder la primacía en la explotación de su invento. En 1830, por su encargo, se fabricó un electroimán ¡capaz de levantar 550 kgf!
Para aquel tiempo apareció en ultramar un adversario muy serio de Sturgeon. En abril de 1831, Henry, profesor de la Universidad de Yale (en cuyo honor se denominó la unidad de inductancia), construyó un electroimán que pesaba 300 kgf y levantaba 1 t aproximadamente.

Figura 6. Uno de los electroimanes antiguos.
Al mismo tiempo, Joule diseñó un imán de construcción absolutamente nueva: la carga que se atraía estaba sometida a la acción no de dos polos, como siempre, sino de muchos más, lo que permitió aumentar considerablemente la sustentación. Ese imán pesaba 5,5 kgf y mantenía en suspenso 1,2 t. Los electroimanes aparecieron en gran número en laboratorios físicos, salones aristocráticos y consultorios médicos. Empezaron a utilizarlos incluso en fábricas de confección (en las máquinas) y en Sociedades filarmónicas (como elemento del "órgano magnético").

Figura 7. Electroimán de suspensión.
Poco después de haberse construido unos cuantos imanes grandes más y todos se hayan convencido de que eran potentes, seguros, compactos y cómodos, se propuso utilizar los electroimanes para levantar piezas de hierro y de acero en fábricas metalúrgicas y de maquinado de metales.
En Rusia, la Sociedad de tranvías de caballo y ómnibus utilizaba hasta la Revolución imanes para limpiar de clavos de hierro la avena con que se alimentaban los caballos. En Europa y América, los imanes se empleaban ampliamente en molinos para la limpia del grano.
En los años treinta de nuestro siglo se construyó uno de los imanes más grandes para un dispositivo por medio del cual se destruía la fundación defectuosa. En ese dispositivo se utilizaba como peso un martinete de hierro de 20 t. En este caso el electroimán tiene grandes ventajas, puesto que al llegar el momento de arrojar el martinete éste se suelta, girando simplemente un interruptor. Al poco tiempo se fabricaron imanes más grandes aún, ¡capaces de levantar 50 t! La potencia de los imanes crecía a ojos vistas.
En nuestros días la limpia magnética del grano en los molinos se convirtió en prototipo de una de las aplicaciones extraordinariamente importantes del imán. Se trata de los llamados separadores magnéticos. El principio de su funcionamiento radica en que la mezcla de sustancia útil y de ganga pasa sobre la cinta transportadora ante los polos de un imán. Si la ganga es magnética, se eliminará de la mezcla. El principio del separador fue propuesto todavía en el año 1792, es decir, antes de que se inventara el electroimán.
El método magnético de separación de la roca útil de la ganga se aplica hoy día en muchas ramas de la industria minera y, en particular en la industria hullera, en la cual empieza a competir con el método de concentración húmeda.
Hoy día, casi en todas partes la hulla se enriquece en las instalaciones de cribado o de flotación. Ambos métodos son húmedos, puesto que el proceso de concentración transcurre en el agua, por lo que tanto la roca como el concentrado se humedecen y deben secarse. Ambos métodos requieren gran consumo de agua (miles de metros cúbicos), planteando el problema de purificar el agua y evitar la congelación de las partículas en las regiones de clima frío.
En la hulla casi todas las impurezas nocivas son magnéticas, lo que permito evitar los procesos húmedos, instalando al paso de la cinta transportadora de roca triturada un rodillo magnético nervado. El rodillo capta las impurezas y las elimina de la roca. Semejante método de depuración permite disminuir el contenido de cenizas en los menudos de hulla del 12 - 17 al 7 - 8%. Ese método fue propuesto y probado por primera vez en la URSS.
¿Y cómo depurar la roca, por ejemplo, de pirita, que no es magnética? También para esto encontraron los científicos una solución: la pirita se elabora en el medio de vapor y aire a temperaturas de 270 300 °C y se cubre de una capa de óxidos magnéticos.
Otro tipo de separador fue inventado por Edison [11] en los años ochenta del siglo pasado.
Dicen que esto ocurrió durante el paseo diario matutino de Edison. Paseando por la orilla de Long Island, notó que la arena de la playa contenía partículas de óxido férrico. Echando semejante arena entre los polos de los imanes se podría separar fácilmente del óxido férrico las partículas amagnéticas. Esa idea de Edison resolvió uno de los problemas de aquel tiempo: ¿qué hacer con los yacimientos de poco contenido de hierro?
Edison propuso elaborar la roca de tal modo que ésta se asemejara a la arena de la playa fácilmente separable, es decir, sencillamente triturarla. Una vez desmenuzada en la trituradora, la roca se canaliza a una torre y se echa desde la cima de la misma. Al caer, las partículas de roca tropiezan con campos magnéticos cada vez más fuertes de varios potentes imanes. El óxido férrico magnético se sedimenta en los imanes y se quita periódicamente de sus terminales, mientras que la ganga sigue cayendo libremente. No es asombroso que la ciudad surgida en el lugar de yacimientos "pobres" fuese denominada Edison City.
Los separadores magnéticos se utilizan también en la agricultura para separar las semillas de trébol, lino y alfalfa de las hierbas malas. Los ingenieros aprovecharon para ello el arma del enemigo, dirigiéndola contra él mismo. Resulta que las semillas de las malezas (pierena y ballico), por regla general, son más ásperas y su superficie está cubierta de minúsculos aguijones que les permiten adherirse a la piel de animales, a la ropa, etc., facilitando así la rápida difusión de las malezas y su lucha por la existencia. Echando luego fina limadura de hierro sobre las semillas mezcladas con las de hierbas malas, sobre las semillas de estas últimas se acumulará gran cantidad de limadura, mientras que las semillas lisas de las gramíneas quedarán limpias.
Acto seguido se puede limpiar fácilmente el grano de las semillas de malezas en un aparato tipo separador magnético.
Un método muy similar se utiliza ahora también para... capturar a los delincuentes. Las huellas digitales sudoroso-grasientas, que los criminales suelen dejar en el lugar del delito, son muy débiles y, además, se hallan en un material de factura áspera: tablas, madera contrachapada, cartón. El criminalista V. Sorokin, en vez del método de pulverizar las huellas con polvos de colores, propuso utilizar en semejantes casos la "brocha magnética". Se trata de un pequeño imán de polo estrecho que se pasa sobre la superficie a investigar en varias direcciones.
Previamente, el imán se introduce en un recipiente con finísima limadura de hierro, la que se pega al polo formando la llamada "barba" del imán. Está, precisamente, juega el papel de finísimas cerdas de la brocha. Al pasar la brocha magnética por la superficie sucia, las partículas de hierro de la "barba" se pegan a la sustancia sudoroso-grasienta de la huella, y la tiñen de característico color gris oscuro. La superficie limpia no sufre cambios. Las huellas digitales teñidas con el polvo férrico se reproducen muy bien en la película dactiloscópica.
No es la única aplicación del imán en la criminalística. La revista "Legalidad Socialista" informó sobre un fuerte electroimán portátil destinado a extraer las pruebas materiales del fondo de embalses. En el mismo número de la revista se describe cómo un juez instructor, utilizando semejante electroimán, logró encontrar en el fondo de un estanque abandonado el hacha con la que se había perpetrado un crimen.
Los imanes de grúa se emplean ahora ampliamente en la industria, así como en algunas otras ramas en las cuales se necesitan atracciones singularmente fuertes. Por ejemplo, en el famoso batiscafo del profesor Piccard, que examinaba profundísimas depresiones oceánicas, un potente electroimán sostenía el lastre de hierro.
Los electroimanes se utilizan también en el transporte.
Así, para que las ruedas de las vagonetas se adhieran mejor a los rieles (aumento del roce), los ingenieros, todavía en 1910, montaban las ruedas por medio de electroimanes. Utilizando el electroimán, so logró aumentar el coeficiente de rozamiento y, por consiguiente, triplicar el peso de la carga transportada. Experimentos análogos se realizaron en amplia escala en los ferrocarriles de la URSS en 1960.
A esto, naturalmente, no se limitan las posibilidades de la aplicación de imanes en el transporte. Existe, por ejemplo, el conocido proyecto de vía magnética del ingeniero Veinberg: los pequeños vagones, desplazándose en el vacío por un tubo y estando suspendidos en el campo magnético, podrían desarrollar una enorme velocidad (unos 1000 km/h).
Los minúsculos modelos del sistema de Veinberg fueron construidos y se utilizaban durante algún tiempo para el transporte de cargas, por ejemplo, en la Oficina Central de Correos de Moscú.
Se proyecta asimismo emplear los electroimanes para el acoplamiento de naves en el cosmos. Otra aplicación de no poca importancia de los electroimanes será, por lo visto, el calzado magnético para los cosmonautas.
Sin embargo, hacer un imán, además bueno, potente y con las características necesarias, no es tarea fácil. En primer lugar, es necesario calcularlo correctamente. Tampoco esto vino de golpe.
Antes de que los electroimanes comenzaran a aplicarse ampliamente en la industria, en el transporte y, en otras muchas ramas, naturalmente fueron experimentados en laboratorios.
Los primeros imanes fueron hechos "a la buena de Dios". Empero, no cualquier forma daba resultados buenos. Fue una mera casualidad que Sturgeon hallase en su primer imán una forma muy acertada: los imanes de herradura siguen fabricándose hasta nuestros días.
La falta de experiencia y de elementales métodos de cálculo de producción de imanes condujeron a que algunas de sus formas, que se fabricaban en aquel entonces, eran, desde el punto de vista actual, simplemente absurdas.
Por ejemplo, un imán de tres barras no podría trabajar eficientemente, puesto que los flujos magnéticos de cada barra se oponen en sumo grado unos a otros: el flujo de una barra debe cerrarse por la segunda, en la cual actuará en sentido inverso al flujo propio de la segunda barra.
Al modo de ver actual, resulta también inservible la construcción que antes se utilizaba muy frecuentemente, en la cual un imán se componía de tres imanes más pequeños, devanados por separado. Está claro que en los espacios entre esos imanes pequeños los campos magnéticos de dos barras contiguas se anularán recíprocamente.
Los imanes de laboratorio de aquel período se fabricaban a ojo. No existía teoría alguna que pudiera pronosticar oportunamente las' propiedades de los imanes. El primer aporte a la teoría del imán lo hicieron E. Lenz [12] y B. Yakobi, científicos rusos, que señalaron la relación entre la sustentación del electroimán y el producto de la intensidad de la corriente en las bobinas por el número de espiras en éstas. Siguiendo a esos científicos, hicieron una gran aportación a la teoría del cálculo de imanes los hermanos Hopkinson, proponiendo el método de registrar la saturación, fenómeno que los proyectistas de imanes, habían notado desde hace tiempo. Este fenómeno consiste en que en un imán de forma determinada, después de cierto límite, ningún aumento de corriente en las bobinas puede aumentar su fuerza de sustentación.
La teoría moderna relaciona ese fenómeno con que al alcanzar cierto límite de corriente magnetizante, todos los imanes de hierro elementales diminutos, dispuestos antes desordenadamente, quedan orientados en un solo sentido.
El aumento ulterior de la corriente magnetizante no eleva el número de pequeños imanes orientados en el mismo sentido.
La saturación del acero conducía a que la intensidad del campo magnético de los primeros imanes no superara los 20 mil G.
Sobrevino la nueva era de incremento de la potencia de los imanes, pero no a expensas del aumento de sus dimensiones, sino a costa del perfeccionamiento de su forma y de la lucha contra la saturación. No se puede decir que esa lucha fuese muy exitosa. En cien años de intensa guerra de los físicos contra el indócil hierro saturable, la inducción del campo magnético en los imanes aumentó apenas dos veces y media.
Se ocuparon de ese problema eminentes físicos y electrotécnicos: Faraday [13], Becquerel [14], Thomson [15].

Michael Faraday (1791-1867)
Los imanes “aumentan rápidamente de peso" ahora, en mayor grado, debido al aumento del peso de las bobinas. Si en 1881, el imán de laboratorio, el mayor del mundo, pesaba cerca de 1 t, en 1930, su peso ascendió ya a 120 t.
No obstante, ni por ese procedimiento se lograría aumentar la inducción de los electroimanes digamos, hasta 1 millón de F. Incluso hoy día, tal campo es el sueño irrealizable de los físicos.
Y la culpa de ello la tiene, en primer lugar, la saturación.
En el extranjero y en la URSS, los imanes se fabrican ahora en serie. No son imanes récord, no obstante, siendo de poco peso (unas cuantas toneladas), con su ayuda se puede obtener, en un volumen bastante considerable, un campo de 40-50 mil G necesario para las investigaciones.
¿Para qué sirven los imanes en los laboratorios físicos modernos?
Se necesitan para estudiar el comportamiento de sustancias colocadas en campos intensos; para indagar los fenómenos galvano magnéticos, termo magnéticos y magnetoestrictivos; para obtener temperaturas ultra bajas (apenas en una milésima de grado superior al cero absoluto) por el procedimiento de desimantación adiabática. Se utilizan para los amplificadores cuánticos máser y para analizar las partículas por su masa en espectrómetros de masa magnéticos, para estudiar la interacción de partículas atómicas, así como para investigaciones médicas y biológicas.
Los imanes se utilizan ampliamente para las investigaciones de partículas elementales. No nos referiremos ahora a los aceleradores, sino a los aparatos que permiten estudiar los productos del bombardeo de blancos por el haz de partículas de los aceleradores.

Figura 8. Potente cámara de burbujas. Se ven bien la culata (a la izquierda) y las bobinas de electroimán.
La cámara de Wilson permite observar la colisión de partículas, la formación de partículas nuevas, y es un instrumento insustituible de los físicos especialistas en la estructura atómica.
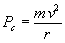
Pero, igual que por la huella del avión de reacción en el cielo es imposible determinar el tipo de avión, en la cámara de Wilson, guiándose por la huella, es imposible decir con exactitud qué partícula la había dejado. La salida de esa situación fue encontrada por el físico soviético P. Kapitsa [16], que en 1923, publicó en la revista de la Sociedad Filosófica de Cambridge un pequeño artículo describiendo algunos experimentos que permitían observar las "trazas" de las partículas en la cámara de Wilson. La peculiaridad del equipo de P. Kapitsa consistía en que la cámara de Wilson fue colocada en un intenso campo magnético. ¿Qué daba eso? En el campo magnético cualquier partícula cargada se desplaza por una curva cuyo radio es:
![]()
donde m es la masa de la partícula; v, su velocidad; H, la intensidad del campo magnético.
De modo que, conociendo la intensidad del campo magnético y midiendo el radio de la huella de la partícula en la cámara de Wilson, podemos conocer su impulso (mv) y, conociendo la masa, determinar también la energía de la partícula.
La cámara de Wilson era un dispositivo de laboratorio insustituible mientras las energías de las partículas que se estudiaban en la misma eran relativamente pequeñas. Más, en los años cincuenta, en la URSS, los EEUU y otros países fueron puestos en servicio varios aceleradores gigantescos capaces de comunicar a las partículas una energía colosal. Esta era tan grande que la partícula atravesaba sin impedimentos la cámara de Wilson; el campo magnético casi no la desviaba. Esto no sorprende: las cámaras de Wilson están llenas de gas que casi no representa obstáculo para las partículas. Para investigar las partículas era necesario estudiarlas de otra manera.
Fue propuesta la "cámara de burbujas", que puede ser denominada "anticámara de Wilson". Si en la cámara de Wilson la huella de la partícula está formada de pequeñas gotas de líquido sedimentadas en los átomos ionizados, en la cámara de burbujas, por el contrario, está compuesta de burbujas de gas formadas en el medio líquido a costa del calor desprendido durante la formación de iones cargados por una partícula "enérgica". Como líquido se utilizan, generalmente, líquidos orgánicos o gases licuados. Los volúmenes útiles de las cámaras de burbujas son diferentes: desde partes de un litro hasta centenares de litros. Se distinguen respectivamente también los imanes que se utilizan en esas cámaras de burbujas. Por ejemplo, para una cámara de freón soviética de 115 cm de diámetro y 50 cm de profundidad fue fabricado un imán con el campo de 26.500 Oe que pesaba 72 t.
Hay cámaras de imanes más grandes aún. En la Unión Soviética, en Dubna, funciona una cámara de propano de 2 m de diámetro. Fue instalada en uno de los canales antiprotónicos del sinerotrón de Dubna. En la "salida" del acelerador de Sérpujov se ha instalado ahora la cámara "Mirabel", la mayor cámara de burbujas francesa, cuyo diámetro de trabajo es de 5 m.
Mientras tanto, los físicos confeccionan proyectos nuevos, y en las mesas de los científicos espera su turno la cámara de hidrógeno líquido de 7 m de diámetro, destinada para estudiar el neutrino, partícula omnipenetrante.
§6. Electroimanes sin núcleo de hierro
Capítulo dedicado a los imanes cuyo campo es medio millón de veces superior al campo magnético de nuestra Tierra, a las cataratas y la separación del uranio, y a las fuerzas que se anulan mutuamente.
En la historia de la creación de potentes electroimanes, un lugar de honor le corresponde al físico norteamericano Francis Bitter. Nació en la ciudad de Weehawken del Estado de Nueva Jersey, en 1902. A la edad de veintiocho años obtuvo el título de doctor en filosofía por sus investigaciones de las propiedades magnéticas de los gases. Después entró a trabajar en el consorcio eléctrico Westinghouse, donde estudió los problemas teóricos y técnicos del magnetismo. Más tarde pasó a trabajar de profesor en el Instituto Tecnológico de Massachusetts, donde construyó solenoides "de Bitter", que se hicieron luego famosos. Toda su vida estuvo consagrada al estudio del magnetismo y de los imanes. Incluso durante la guerra no quiso abandonar su profesión favorita y se ocupó de minas magnéticas y de la protección contra las mismas.
Bitter logró construir los electroimanes más potentes de su tiempo.
En los años treinta, para investigar sutiles fenómenos magnéticos en los gases, Francis Bitter necesitó un intenso campo magnético de unos 100 mil Oe. Tenía que construir en breve plazo un imán que, en el curso de un largo tiempo, durante varias horas, aseguraba ese grandioso campo, 20 mil veces mayor que el campo magnético de la Tierra.
Antes de abordar la solución del problema, Bitter decidió estudiar todo lo que se había hecho anteriormente en la esfera de intensos campos magnéticos.
En aquel tiempo funcionaban ya electroimanes para investigaciones científicas muy potentes con núcleo de hierro en Belleville, en las afueras de París (con el campo hasta 60 mil Oe) y en la universidad de Upsala, en Suecia, con el campo de unos 70 mil Oe. Eran enormes construcciones con circuito magnético de acero y culata: imanes clásicos de unas 100 t. Al mismo tiempo, Bitter sabía perfectamente que el aumento del campo hasta 60-70 mil Oe costó bastante. En comparación con los compactos imanes corrientes, con el campo de 30-40 mil Oe y el peso de 1 t, aproximadamente, los de Upsala y de París, por sus dimensiones, se parecían a unos monstruos desaparecidos. Ni pensar se podía siquiera en obtener un campo de 100 mil Oe por medio de un electroimán con núcleo de hierro, aunque teóricamente era fácil mostrar que, pese a la saturación, en los sistemas magnéticos con acero era posible obtener un campo tan grande como se quiera. El campo resultará infinito en el caso de que todo el Universo, a excepción del punto en que se crea el campo magnético, esté ocupado por el hierro imantado...
Francis Bitter comprendía perfectamente que, para lograr 100 mil Oe, tendría que llenar de acero saturado, si no el Universo, por lo menos su laboratorio. La variante con el núcleo de hierro no era apropiada.
El otro camino se conocía desde el descubrimiento por los científicos franceses Arago y Ampère del electroimán sin núcleo de hierro, denominado más tarde solenoide: espiral por la cual circula corriente eléctrica. Las propiedades negativas de ese método fueron formuladas por el electrotécnico francés Fabry y expresadas en la "fórmula de Fabry" publicada en 1898, en la revista "Alumbrado eléctrico".
He aquí esta fórmula, que resistió la impetuosa ofensiva del siglo XX:
![]()
donde H es la intensidad del campo magnético del solenoide, en Oe; G, el coeficiente, igual a 0,1-0,29; W, la potencia consumida por el solenoide en watt; λ, la relación entre el volumen de los alambres desnudos y el volumen global del devanado; ρ, la resistencia eléctrica específica del material de arrollamiento, en W-cm; α, el radio interior del solenoide, en cm.
¿De qué habla la fórmula de Fabry? Que si se quiere aumentar el campo magnético, por ejemplo, 10 veces, se debe aumentar 102, es decir, 100 veces, la potencia eléctrica, consumida en el solenoide. Para obtener campos magnéticos fuertes, se necesitarán centrales eléctricas enteras. El académico P. Kapitsa, quien ya en los años 1923-1927 obtuvo un campo de 500 mil Oe, no tuvo que superar esa dificultad: creaba campos que duraban sólo 0,001 s. Mas tampoco el método encontrado por P. Kapitsa convenía a Bitter, por cuanto él necesitaba campos de larga duración.

Figura 9. Principio de construcción de los solenoides de Bitter.
En efecto, el imán consumía una potencia de 1,7 Mw. Casi toda esa potencia se convertía en calor que era necesario evacuar inmediatamente para evitar la elevación de la temperatura del imán.
Bitter creó un imán de original construcción propia. Resultó tan acertada que a los solenoides, fabricados a base de un principio análogo, los denominan hasta hoy día imanes de Bitter. El original solenoide de Bitter, por medio del cual se obtuvo por primera vez un campo magnético duradero con la intensidad de 100 mil Oe, representaba discos de cobre estampados con ranura radial y 600 orificios para el agua refrigeradora. Las ranuras servían para unir los discos que, previamente doblados algo, formaban una espiral continua por la cual pasaba la corriente.
El primer solenoide de Bitter con el campo de 100 mil Oe, siendo en aquel entonces el más potente del mundo, trabajó ininterrumpidamente "para la ciencia" hasta que se precisaron campos más grandes aún y de mayor volumen. El único intervalo se hizo para realizar el proyecto de Manhattan, cuando por medio de un imán de Bitter se realizaron en Oak Ridge experimentos de separación de isótopos del Uranio. Para la bomba atómica se necesitaba el U235, cuyo contenido en el uranio natural llega tan sólo al 0,7%. Para separarlo de la mezcla natural se utilizó el potente imán de Bitter.
El impetuoso desarrollo de muchas ramas de la física en los años 60 del siglo XX, en particular, tales como el encerrado del plasma, las investigaciones de la superconductividad, del antiferromagnetismo, de la óptica cuántica y de las partículas elementales, condujo a que los campos magnéticos superpotentes se hicieran vitalmente necesarios, y, para obtenerlos, se abrieron varios laboratorios e institutos de investigación científica en la Unión Soviética, EEUU e Inglaterra.

Figura 10. Electroimán más potente del mundo.
Un campo de 250 mil Oe fue obtenido en el Laboratorio Magnético Nacional de EE.UU. por medio de un solenoide triple, construido por Kolm según los cálculos de Montgomery. El imán, con diámetro interior de 10 cm, consta de tres solenoides coaxiales. Consume en total 16 mil kw. La sección exterior está devanada con una barra hueca de cobre de sección cuadrada. Las secciones interiores están hechas de discos de cobre en cuya superficie fueron decapadas químicamente ranuras radiales para la refrigeración.
Para construir este imán se gastaron más de 3 t de cobre, y la presión del campo magnético sobre las secciones interiores era tan grande que el cobre empezaba a "fluir". Esa presión supera más de tres veces la del agua en el fondo de la sima oceánica más honda.
Es interesante el sistema de refrigeración de ese imán. En él se utilizaron los últimos logros de la técnica de construcción de reactores atómicos. En el solenoide calculado por Montgomery fue utilizado el principio de "ebullición en capas". En este caso la temperatura de la espiral de cobre a enfriar superaba los 100°C, lo que tuvo por efecto la aparición de numerosas burbujas de vapor que, en milésimas fracciones de segundo, se disolvían en la enorme cantidad de agua relativamente fría que caía de catarata [17] sobre el solenoide. Dado que el calor específico de vaporización del agua es muy elevado, al aparecer burbujas en la superficie de la espiral, el metal pierde una energía considerablemente mayor de la que perdería simplemente a costa del calentamiento del agua refrigeradora. Este principio de ebullición "local" o "en capas" se utilizó por primera vez en un pequeño imán de Kolm, que engendraba un campo de 126 mil Oe. En comparación con el solenoide de Bitter de 100 mil Oe, este imán parecía un enano (su volumen era 25 veces menor).
En este mismo principio de enfriamiento se basan los proyectos del imán norteamericano de 400 mil Oe, y del soviético, de 700-1000 mil Oe. La potencia que consumirá este último será enorme: 1 millón de kw, es decir, la potencia de dos generadores de la central hidroeléctrica de Krasnoyarsk.
El campo de enorme magnitud, obtenido por Kolm en su imán de 250 mil Oe, ocupaba un volumen relativamente pequeño, a pesar de que su diámetro superaba 1 m. En ese solenoide era difícil realizar investigaciones de gran escala, por tanto los constructores buscaban nuevos caminos de obtener intensos campos en volúmenes considerables.
¿Tal vez habría que utilizar otra sustancia refrigeradora?
Un experimento interesante fue realizado en la Universidad de California. Todavía en el año 1959, se construyó allí un solenoide con refrigeración por kerosén. ¿Por qué se eligió el kerosén? Resulta que el agua, sobre todo con impurezas, no es un aislador ideal y, a partir de cierta tensión, se dejan sentir sus propiedades electrolíticas. El devanado enfriado por agua se somete a la corrosión.
El análisis de otros líquidos, que podrían aprovecharse para el enfriamiento, mostró que, desde el punto de vista de la capacidad calorífica, del costo y de la necesidad para el devanado, lo mejor era el kerosén refinado, encerrado en un recipiente lleno de un gas neutral.
El solenoide de "kerosén" con diámetro interior de 10 cm y devanado de barra de cobre consumía 6 mil kw, 100 kg/s de kerosén refinado y engendraba un campo magnético de 100 mil Oe. El solenoide fue instalado en una galería especial de 2,5 m de ancho y 23 m de largo. Todas las sujeciones: los tornillos, tuercas, bastidores y otras piezas en el radio de 5 m del imán fueron hechos de materiales no magnéticos. Para evitar la explosión, toda la galería fue llenada de gas inerte.
El kerosén no era el único candidato al papel de mejor agente refrigerador. Todavía al principio del siglo XX, Kamerlingh Onnes y sus colaboradores del Laboratorio criogénico de Leiden estudiaron la dependencia entre la temperatura y la resistencia eléctrica de diversos materiales al bajar la temperatura. En una de las conferencias de aquel tiempo este grupo manifestó la seguridad de que en los años próximos se podría construir un solenoide con campo de 1 millón de Oe, aproximadamente, si se empleara la refrigeración profunda de los conductores. Desde entonces ha pasado más de medio siglo, no obstante, los científicos no han logrado aún obtener un campo estacionario de 1 millón de Oe.
¿Cómo razonaban Onnes y sus colaboradores? Estudiaban la resistencia eléctrica de diferentes metales a temperaturas muy bajas (-100 –250°C, ó 170 – 20°K, aproximadamente) y descubrieron que al bajar la temperatura, la resistencia disminuía bruscamente. En cambio, en la fórmula de Fabry, conocida ya en aquella época, la resistencia eléctrica figuraba en el denominador. Si colocamos en la fórmula la resistencia nueva, más baja, resultará que el campo magnético, sin cambiar el consumo de potencia, aumentará. De esta manera Onnes y su grupo, al parecer, tenían pleno fundamento para suponer que el logro de un campo de 1 millón de Oe no estaba lejos.

Figura 11. Se puede disminuir sustancialmente las pérdidas eléctricas en los solenoides, colocándolos en ambiente de temperatura baja. En este caso disminuye considerablemente la resistencia de los devanados del conductor.
Los investigadores subestimaron dos circunstancias: primero, no es fácil obtener temperaturas bajas, para eso se necesita consumir una energía considerable y, segundo, con el crecimiento del campo magnético a costa del fenómeno denominado reluctancia, aumenta también la resistencia eléctrica del metal y, además, a temperaturas bajas se deja sentir sobremanera el efecto de reluctancia.
En uno de sus artículos, el académico P. Kapitsa expuso los resultados de la comprobación de la idea formulada en su tiempo por Perrin: refrigerar los solenoides por aire líquido.
Resultó que, para enfriar un solenoide con el campo de 100 mil Oe, creado en la zona de 1 cm de diámetro, se necesitaría hacer pasar por éste 24 l/s de aire líquido. Para asegurar el funcionamiento del solenoide habría que construir una fábrica de producción de aire líquido.
Quizá debido a esa circunstancia o, tal vez, por otras causas, el desarrollo de los imanes de temperatura baja, mas no superconductores o, como llamamos a veces, "criogénicos" se frenó sumamente.
La primera tentativa de aprovechar la temperatura baja para disminuir la resistencia eléctrica fue la construcción en 1961 de un solenoide de aluminio de 100 mil Oe, refrigerado por neón líquido (la temperatura de ebullición: 27°K). El diámetro interior del solenoide era de 30 cm y su largo, de 200 cm. Fue uno de los solenoides mayores del mundo, si no el más grande, teniendo en cuenta su campo colosal. Se destinaba a investigaciones termonucleares y, por tanto, estaba provisto en sus extremos de tapones magnéticos, en los cuales la intensidad del campo magnético llegaba a 200 mil Oe.
Mas, ese solenoide puede funcionar sólo durante 1 minuto, en el transcurso del cual, toda la reserva de neón líquido acumulado en los criostatos se convierte en gas. Los devanados de aluminio pesan 5 t.
Después de haber construido ese solenoide, se hicieron numerosos intentos de superar su campo magnético utilizando otras sustancias refrigeradoras (por ejemplo, el nitrógeno o el hidrógeno líquidos), así como otros materiales para el devanado (por ejemplo, el sodio encajado bajo la presión en un fino tubo de acero). Pese a los resultados prometedores de esos experimentos, nadie ha logrado superar por ahora los logros mencionados.
Con mayor frecuencia, tales imanes se alimentan de su propia instalación energética, que genera corriente continua con potencia de varios miles de kilovatios. Cuando esa potencia es insuficiente (como ocurrió con el solenoide récord de Kolm), sobre el eje de las máquinas se instalaba un volante. Al acumular en éste una energía suficiente, se puede, igual como lo hizo hace muchos años P. Kapitsa, en el transcurso de un tiempo corto obtener de los generadores una potencia varias veces mayor que la nominal.

Figura 12. Imán no construido aún: el hidroimán de Kolm. Como devanado se utilizará un chorro de plata o de sodio líquidos.
En el Centro Real de Radares, en Inglaterra, sirven de fuente de alimentación de los solenoides potentes baterías de acumuladores, sacadas de un submarino.
Buscando nuevos caminos, Kolm construyó un modelo de solenoide, que denominó hidroimán. Este solenoide consta de tubos coaxiales entre los cuales corre en sentido radial algún líquido de buena conductividad, por ejemplo, el sodio o la plata líquidos. Ambos tubos se hallan en un pequeño campo magnético de excitación.
El líquido suministrado atraviesa las líneas de fuerza del campo de excitación, lo que tiene por efecto la inducción en el líquido de la fuerza electromotriz. Bajo la acción de esa f.e.m., en el líquido empieza a circular la corriente eléctrica en sentido que coincide con la corriente que crea el campo de excitación. De esa manera, el propio líquido se convierte en una especie de devanado del solenoide. La intensidad del campo magnético que se puede obtener por medio de ese "devanado" depende de la velocidad del líquido, de su electroconductibilidad y de la magnitud del campo de excitación. Kolm calculó que en el hidroimán, lleno de plata derretida, a temperatura de 1000'C, en el campo magnético do excitación de 60 mil Oe, con la potencia consumida de 70 mil kw y velocidad de suministro de plata igual a 200 l/s se podría obtener un campo magnético de 400 mil Oe.
Sin embargo, abstrayéndose de las demás dificultades, el logro de campos tan enormes lleva a que, bajo la presión del campo magnético, los materiales del devanado empiezan a fluir. En el solenoide de Kolm de 250 mil Oe, la presión, como se había dicho ya, superaba en el triple la existente en el fondo de la depresión oceánica más profunda. Se sabe que la presión crece en proporción al cuadrado de la intensidad del campo. Al aumentar la intensidad del campo algo más del triple, obtendremos una presión décupla.

Figura 13. Devanados arrollados de este modo casi no sufren de la terrible plaga, de los electroimanes potentes: en ellos se disminuyen los esfuerzos que surgen debido a la presión del campo magnético.
Siendo el campo de 1 millón de Oe, los esfuerzos magnéticos equivalen a los que se desarrollan en la boca de un cañón al disparar. Mantener semejante campo es lo mismo que detener un proyectil, estallado en la culata del cañón, de tal manera que el proyectil no salga ni explote el cañón.
Pero, ¿acaso es obligatorio que el crecimiento de la intensidad del campo esté relacionado con el aumento de la presión? La fuerza electromagnética se crea siempre a costa del producto vectorial de la densidad de la corriente en el devanado por la inducción del campo magnético (es la misma fuerza de Lorentz que desvía las partículas en los aceleradores). El producto vectorial es máximo cuando el sentido de la corriente es perpendicular a la dirección del campo magnético e igual a cero cuando las direcciones del campo y de la corriente coinciden. Varios científicos, aprovechando esa ley, elaboraron una configuración de devanados y de solenoides casi sin esfuerzos. Tales devanados y solenoides se denominan "sin esfuerzos". Hace poco se ha construido un gran sistema sin esfuerzos, destinado a investigar las reacciones termonucleares, que funciona sobre la base de un principio algo distinto: los esfuerzos se trasladan de los arrollamientos del solenoide a un macizo pedestal de acero.
Al estudiar la posibilidad de crear devanados sin esfuerzos, los científicos soviéticos y norteamericanos llegaron a la conclusión de que ese problema no era de los que no tenían solución, ni mucho menos.
Examinemos, por ejemplo, un devanado hecho en forma de una larga espiral con paso grande. Tal arrollamiento crea dos campos (desde luego, hay un solo campo, mas para la comodidad, lo descomponen a menudo en componentes axial y radial, cuya suma forma el campo real): el campo sumario, orientado a lo largo del eje y el campo que rodea cada alambrito por separado. El campo axial del devanado tiende a desgarrarlo, mientras que el campo circundante, al contrario, trata de comprimirlo. De modo que los esfuerzos, actuando en sentidos contrarios, se eliminan recíprocamente.
Es posible que resulte más apropiado otro tipo de arrollamiento. Se puede hacerlo de varias capas de modo que el devanado en la capa interior sea casi paralelo al eje, mientras que en la exterior, casi perpendicular a éste. En tal devanado el paso del campo axial al campo anular se realiza gradualmente y los esfuerzos de compresión se desarrollan uniformemente en todas las capas. Este sistema es el prototipo de potentes sistemas del futuro, en los cuales los colosales campos magnéticos se combinarán con la construcción elegante y afiligranada.
§7. Sobre una superarma frustrada
Este capítulo juega el papel de la escala por medio de la cual se puede apreciar la enorme magnitud del campo magnético obtenido por los científicos soviéticos.
Los tubos de hierro de los obuses se convirtieron instantáneamente en núcleos de un enorme electroimán. Según la idea del autor, el campo magnético de semejante imán debía "engañar" a las brújulas de los barcos enemigos, llevándolos al alcance del fuego de las baterías costeras o encallándolos.
La idea no se justificó: las agujas de las brújulas de los barcos, desde luego, no sintieron el engaño. Los "temibles" imanes se hallaban demasiado lejos del enemigo. Más, a distancia de dos metros, nadie pudo ya retener los pequeños objetos de hierro que se hallaban en los bolsillos y en la ropa. Del cañón del obús-imán ¡pendían de un gigantesco racimo cinco balas de unos 200 kg cada una!
El cañón se parecía a una fantástica montaña magnética de las "Mil y una noches" en miniatura, que sacaba clavos de los barcos. El campo del imán-cañón llegaba a unos 500 Oe. Teniendo en cuenta que la fuerza del campo magnético, siendo las demás condiciones iguales, es proporcional a la magnitud de la intensidad del campo en cuadrado, ¿qué se puede decir entonces de la acción del campo cuya intensidad es igual a 25 millones de Oe, obtenido por los científicos soviéticos? ¡Esta fuerza supera diez veces la presión existente en el centro de nuestro planeta!
Es una fuerza que se puede utilizar provechosamente.
He aquí por qué al referirse a los problemas más importantes que se plantean a la ciencia, M. Kéldish, Presidente de la Academia de Ciencias de la URSS, en su discurso ante el XXIII Congreso del PCUS, hizo hincapié en esa cuestión. La importancia de este problema lo prueba también el hecho de adjudicar el Premio Lenin de 1966 a un grupo de físicos soviéticos que habían demostrado teóricamente nuevas posibilidades de obtener campos magnéticos superpotentes.
§8. Todo comenzó por la anguila eléctrica
En este capítulo se rinde tributo más bien simbólico al "gran encuadernador", por cuanto el académico P. Kapitsa fue el primero que entreabrió las puertas al nuevo país de la física: los campos magnéticos superpotentes.
En las investigaciones científicas contemporáneas se utilizan ampliamente los campos magnéticos impulsivos, a los que dieron principio los experimentos realizados por P. Kapitsa en los años veinte.
Pero vale la pena dirigirse a los tiempos más lejanos para mostrar los orígenes antiguos que, probablemente, habían conducido a dichos experimentos.
En la famosa disputa entre Volta y Galvani venció, como se sabe, el primero: las patas de las ranas se contraían merced a la fuerza electromotriz que surgía en una fuente creada artificialmente. La patita de la rana era simplemente un sensible instrumento eléctrico de medida.
Más, también Galvani tenía razón en cierto grado. Su tesis sobre la electricidad inherente a todos los seres vivos, en el curso de los siglos se convirtió en la doctrina, bien conocida, sobre las corrientes biológicas. Todos los seres vivientes, sin excepción, tienen corrientes biológicas. Por ejemplo, el corazón humano crea en la superficie del cuerpo la tensión eléctrica de una milésima de voltio, y el cerebro, una tensión diez veces menor. Un gigantesco torpedo es capaz de producir una descarga eléctrica de 50-60 V, con la que puede matar fácilmente a un pez grande.
La anguila eléctrica, que habita los ríos sudamericanos, es capaz de desarrollar en la superficie de su cuerpo la diferencia de potencial igual a 500 V.
Al inventar la pila electroquímica, Volta supuso que los órganos eléctricos de la anguila funcionan a base de un principio análogo.
Sin embargo, como se aclaró más tarde, los órganos eléctricos de los peces son análogos no a una pila galvánica, capaz de generar durante largo tiempo la corriente continua, sino más bien a un condensador en el cual el impulso potente va precedido de una acumulación más o menos larga de cargas.
... Los electricistas se atienen a una regla de oro: antes de escribir sobre un descubrimiento nuevo, leer atentamente a Faraday. En 99 casos de los 100 resulta que "el gran encuadernador" bien había hecho tal descubrimiento, bien había propuesto trabajar en ese sentido, bien simplemente había pensado en ello.
El autor, al empezar a escribir el capítulo sobre los campos magnéticos impulsivos también hojeó el libro de color marrón con el perfil de Faraday estampado en la cubierta. E, inesperadamente, descubrió que... las primeras investigaciones clásicas de la naturaleza de la electricidad de la anguila las había realizado Faraday. Informó sobre los resultados de sus experimentos ante la Sociedad Real el 6 de diciembre de 1838. Faraday se valió de dos electrodos metálicos, tocando con los mismos al pez. A los extremos opuestos de los electrodos conectó conductores de cobre, que, a su vez, iban conectados a un pequeño solenoide: una espiral de alambre dentro de la cual se hallaba un alambre de hierro. Durante la descarga de la anguila, el solenoide creaba un campo magnético relativamente fuerte, que imantaba el alambre. Por la disposición de los polos magnéticos del alambre Faraday determinaba la polaridad de la tensión de la anguila. Este experimento permaneció durante largo tiempo como un exótico recuerdo en la historia de la física. Y sólo muchos años después de Faraday, empezó a dominar en serio los campos magnéticos impulsivos el notable físico soviético, académico P. Kapitsa.
Piotr Kapitsa nació en el año 1894, en la ciudad de Kronstadt. Se graduó en el Instituto Politécnico de Petersburgo, y en 1921 fue enviado a practicar en el laboratorio de Cavendish, en Cambridge, donde trabajaba el célebre físico inglés Rutherford.
Kapitsa trabajó con Rutherford, en Cambridge, unos 14 años. Sus primeras investigaciones se referían a la física nuclear, mas, al cabo de algún tiempo, el joven científico descubrió un campo de actividad completamente nuevo.
Todo comenzó por la proposición de P. Kapitsa de colocar la cámara de Wilson en un campo magnético para estudiar las propiedades de las partículas alfa. En el campo magnético, la trayectoria de la partícula cargada se encorva y el radio de la curvatura depende de la velocidad de la partícula. Tras una serie de experimentos en campos hasta 43 mil Oe, Kapitsa decidió extender las mediciones a los campos magnéticos más potentes. Para eso necesitaba idear solenoides con el campo que casi decuplicara el anterior.
Las principales dificultades al crear campos potentes radican en que se necesita una fuente de corriente de enorme potencia y existe el peligro de que el solenoide al calentarse se destruya. Para resolver estos dos problemas, Kapitsa propuso crear potentes campos magnéticos por un plazo muy corto durante el cual fuera posible realizar las mediciones necesarias y, al mismo tiempo, evitar la destrucción del solenoide.
Se sabe que cualquier devanado posee inercia térmica. No puede calentarse de súbito hasta la temperatura de fusión, incluso sometido a la acción de una corriente muy fuerte.
Por otro lado, en los sistemas de corto funcionamiento, se simplifica el problema de la fuente de corriente fuerte: ésta se necesita sólo durante un tiempo muy breve. Por eso, pueden utilizarse como fuente los dispositivos capaces de producir una descarga potente instantánea, que sigue a un período de carga relativamente duradero.
Tales dispositivos son bastante numerosos. Se podría, por ejemplo, utilizar la energía eléctrica acumulada en la batería de condensadores o de acumuladores que, durante la descarga, funcionan en el régimen de cortocircuito.
Se puede también aprovechar la energía magnética, acumulada en el campo magnético del transformador. Según los cálculos de Kapitsa, para obtener un campo magnético de 500 mil Oe se necesitaría un transformador con pocas espiras en el arrollamiento secundario, con núcleo de 2-3 m de largo y de 30-40 cm de diámetro.
Tal experimento en pequeña escala Kapitsa lo realizó en colaboración con el eminente físico inglés Blackett. El experimento fracasó. Resultó que era casi imposible abrir mecánicamente el circuito primario del transformador: la apertura iba acompañada de arco eléctrico y la energía del hierro magnetizado, en vez de desplomarse en avalancha sobre el circuito secundario, retornaba al circuito primario y se desprendía en el arco.
Tampoco servían los condensadores, puesto que en aquellos tiempos eran muy imperfectos y voluminosos.
P. Kapitsa recurrió a las baterías de acumuladores. También tuvo que construirlas especialmente para que su capacidad y resistencia óhmica fuesen mínimas. Con su ayuda, cortocircuitándolas, se logró obtener valores de corriente instantánea de 7 mil A y de potencia instantánea de 1000 kw. Descargando la batería sobre uno de los solenoides con diámetro interior de 1 mm, Kapitsa obtuvo durante tres milésimas de segundo (hasta que el solenoide se destruyera) un campo magnético de 0,5 x 106 Oe. Por medio de esta batería se experimentó gran número de solenoides de las más diversas construcciones. En uno de los solenoides, devanado con cinta de cobre, se podía realizar mediciones en un campo de 130 mil Oe. Al sumergir simultáneamente ese mismo solenoide en nitrógeno líquido, se logró realizar regularmente mediciones en un campo magnético de 250 mil Oe. Fue el máximo logrado en aquel tiempo por medio de acumuladores. Para crear campos más intensos era necesario buscar otra fuente de energía eléctrica, más potente, capaz de desarrollar una potencia del orden de 50 mil kw, mientras el devanado se calentase hasta 150 °C (límite térmico de aislamiento eléctrico), es decir, en el transcurso de 0,01 s.
Como potente fuente de corriente Kapitsa se valió de un generador eléctrico con potencia nominal de 2 mil kw que, en el régimen de cortocircuito, no se fundía como los generadores corrientes, sino que producía normalmente durante 0,01 s una potencia de 50 mil kw. Ese generador fue fabricado por la firma "Metropolitan Vickers" a base de los cálculos de M. Kostenko, P. Kapitsa y Miles Walker. Accionaba el generador un motor eléctrico especial que se alimentaba a partir de baterías de acumuladores.
El rotor pesaba 2,5 t y tenía 50 cm de diámetro. El gran momento de inercia del rotor permitía prescindir de un volante especial. El generador producía corriente alterna. Era una circunstancia muy sustancial, puesto que la corriente fuerte del cortocircuito se precisaba únicamente para breves instantes. Si el generador hubiese producido corriente continua, habría sido necesario desconectar esa corriente enorme al cabo de 0,01 s, lo que era un problema complicadísimo. En cambio la corriente alterna, como se sabe, pasa dos veces por el cero durante cada período, y desconectar el generador al pasar su corriente por el cero no es nada difícil. Sólo se debe sincronizar estrictamente el momento en que la corriente pasa por el cero con los momentos de conexión y desconexión del generador para el cortocircuito. Hacerlo con la precisión absoluta es imposible: el momento de desconexión puede coincidir con el tiempo en que la corriente en el devanado no llegue aún a cero. Por eso Kapitsa tuvo que construir, "por si acaso", un interruptor para 5 mil A (la amplitud de la corriente era de 30 mil A) que abriera el circuito en 0,0001 parte de segundo que ya de por sí era una obra de arte ingenieril.
El solenoide, sobre el cual se desplomaba la enorme corriente del cortocircuito del generador, era una bobina de alambre de cobre de sección cuadrada. En los últimos experimentos, el cobre fue sustituido por una aleación de cobre y cadmio, de mayor resistencia mecánica y la resistencia eléctrica algo elevada. Al pasar la corriente del generador por la bobina, en ésta se desarrollaban colosales esfuerzos mecánicos, alcanzando varias decenas de toneladas. Para que esos esfuerzos no destrozaran el devanado, éste se reforzaba por fuera con una resistente cinta de acero, que recibía los esfuerzos.
Más esto no fue todo. Bajo la acción de potentes fuerzas, la bobina se desenrolla algo y sus extremos se desprenden de las entradas de corriente eléctrica a través de las cuales se alimenta la bobina. De este modo las bobinas se destruían una tras otra, debido a un fenómeno secundario, después de que, al parecer, se habían superado todas las dificultades principales. En la superación de esa "pequeñez" se tardó varios meses. Al fin y al cabo la solución se halló. Kapitsa creó un devanado capaz de "respirar”, es decir, dilatarse automáticamente. Uno de sus contactos era móvil y después de unos cuantos experimentos, ocupaba la posición que "más le gustaba".
Otra dificultad, grave consistía en que el tiempo disponible para realizar las mediciones era muy corto, puesto que el campo magnético existía en el solenoide apenas 0,01 s y en ese lapso debían empezarse y terminarse todos los experimentos.
Además, complicaban los trabajos los microterremotos que se producían al frenarse bruscamente el generador en el momento en que su devanado se cortocircuitaba. A pesar de que el generador estaba instalado en un fundamento macizo, que descansaba sobre una base rocosa en una almohada vibrorresistente, la onda del microterremoto alteraba los resultados de las mediciones. Para evitarlo, Kapitsa propuso una solución muy elegante. Instaló el solenoide con el objeto de investigación en el otro extremo de la sala, a 20 m del generador. La onda del terremoto, que en el medio dado se desplazaba a velocidad del sonido, recorría 20 m en 0,01 s y alcanzaba al solenoide después de haber sido terminadas ya las mediciones.
Durante el cortocircuito, en el devanado surgen temperaturas locales muy altas, que se van igualando gradualmente. Los cálculos muestran que esas temperaturas locales debían haber superado la temperatura en el Sol lo que dio motivo al profesor Eddington para decir en broma que los trabajos de Kapitsa y Rutherford, encaminados a la fisión del átomo, condujeron a que, pese a que las temperaturas en las profundidades de las estrellas llegaban, quizás, a millones de grados, éstas eran un lugar bastante frío en comparación con el Laboratorio de Cavendish.
He aquí lo que Kapitsa escribió sobre sus experimentos a Rutherford, que a la sazón se encontraba en El Cairo
"Cambridge, 17 de diciembre de 1925.
Le remito esta carta a El Cairo para comunicar que logramos obtener campos mayores de 270 mil en un volumen cilíndrico de 1 cm de diámetro y 4,5 cm de altura. No hemos podido seguir adelante por haber reventado una bobina con un ruido tan atronador que, sin duda, le causaría gran placer si Ud. lo oyese...
Mas la explosión dio como resultado solamente el ruido, puesto, que, excepto la bobina, ningún otro dispositivo sufrió daños. La bobina no estaba reforzada con abrazadera exterior, que proyectamos hacer ahora.
... Me siento muy feliz de que todo, en general, pasó bien y, a partir de ahora Ud. puede estar seguro de que el 98 por ciento del dinero no se gastó en vano y todo funciona normalmente.
La avería fue la parte más interesante del experimento y afianza definitivamente la fe en el éxito, puesto que ahora sabemos a ciencia cierta qué es lo que ocurre al explotar una bobina. Ahora también sabemos qué aspecto tiene el arco de 13 mil A. Seguramente, este fenómeno, en general, no encierra peligro alguno para los equipos y ni siquiera para el experimentador, si éste se mantiene a considerable distancia.
Con gran impaciencia espero verle de nuevo en el laboratorio para referirle con todos los detalles, algunos de los cuales eran graciosos, ese choque con las máquinas".
Analizando las perspectivas de obtener campos magnéticos más potentes aún, P. Kapitsa señalaba en uno de sus artículos que ya en aquel entonces (es decir, en los años veinte) el estado de la técnica permitía crear baterías de condensadores capaces de producir impulsos de 2-3 millones de Oe.
Mas las dificultades técnicas resultaron ser tan grandes que sólo ahora, pasados cuarenta años, se ha logrado obtener por ese método los campos de los cuales hablaba P. Kapitsa.
Los récords de magnitud de la intensidad del campo magnético, establecidos por P. Kapitsa, permanecieron "intactos" más de veinte años y fueron batidos únicamente en los años cincuenta.
§9. El imán y la explosión
En este capítulo se describe cómo se obtuvo el campo magnético más grande de los que el hombre disponía alguna vez.
Debido a la necesidad de investigar las propiedades de las partículas elementales en las emulsiones fotográficas de capa gruesa, los grupos de físicos en los EEUU y en la URSS se ocuparon del problema de potentes campos magnéticos. Los físicos del Laboratorio Ciclotrónico de la Universidad de Harvard, por ejemplo, querían crear un campo que pudiese encorvar notoriamente las trayectorias de las partículas que caían en las emulsiones. Para eso se necesitaba un campo con intensidad máxima de 200 mil Oe.

Figura 14. Espiras por medio de las cuales se crearon campos magnéticos impulsivos de 800 (a), 1000 (b) y 1600 (e) mil Oe.
Pronto se obtuvieron resultados superiores a los que se esperaban. Por medio de potentes baterías de condensadores, que en el transcurso de 0,00001 s podían desarrollar una potencia eléctrica de 1 millón de kw ó de 1 mil millones de w (la potencia de la central hidroeléctrica de Dnieprogués es de 600 mil kw), se logró obtener un campo magnético mayor de 1 millón de Oe. El desprendimiento instantáneo de la enorme energía iba acompañado de un ruido parecido al trueno.
A toda esa avalancha de energía se la hacía entrar en la única espira maciza. Como lo había demostrado Kapitsa, los solenoides de tipo corriente, enrollados con alambre de cobre, "subsistían" únicamente en los campos hasta 300-350 mil Oe. Los de tipo "Bitter", hechos de discos de cobre, resultaron más resistentes, pero tampoco resistían campos magnéticos con intensidad máxima de 500-700 mil Oe. El solenoide es incapaz de oponer resistencia a los enormes esfuerzos que surgen en tales campos. El punto más débil fue el aislamiento entre espiras. Para poder prescindir del mismo hubo que pasar a una sola espira maciza que, junto con el soporte, se fabrica de cobre, de acero templado o de bronce de berilio.
Ante todo, el objetivo de los experimentos consistía en aclarar en qué grado los diversos materiales podían contrarrestar las consecuencias mecánicas y térmicas de los campos impulsivos superpotentes.


Figura 15. Muestras de diferentes metales que han estado en el campo magnético con intensidad de 600 mil Oe: (a) cobre; (b) acero; (c) acero especial; (d) latón; (e) tungsteno; (f) latón revestido de plata; (g) aluminio.
Los experimentos demostraron que ningún metal podía resistir, sin destruirse, los esfuerzos que surgen en un campo magnético igual a 1 millón de Oe. Podría parecer que esa cifra, precisamente, limitaría los éxitos de la física de los campos superpotentes. Sin embargo, los científicos, por lo visto, han encontrado ahora una salida de esa situación difícil, consistente en utilizar devanados "sin esfuerzos", a los que nos hemos referido más extensamente en uno de los capítulos anteriores.
Fue creado un gran número de devanados sin esfuerzos y de pocos esfuerzos. Los devanados sin esfuerzos son la última esperanza de los físicos en obtener campos potentes estables en devanados indestructibles, en el caso de que no se descubran materiales más resistentes y refractarios.
El método de obtener intensos campos magnéticos, descargando potentes baterías de condensadores sobre el solenoide de Bitter, cubierto, a veces, con la cerámica sinterizada para que sea más resistente, o sobre una espira se ha difundido ahora ampliamente para crear campos de 200-700 mil Oe. En la Unión Soviética hay tales instalaciones en la Universidad de Moscú, en el Instituto de Física de la Academia de Ciencias de la URSS, en la ciudad de Sverdlovsk y en otras ciudades.
¿A lo mejor existen algunos métodos de obtener campos magnéticos potentes, basados no en la repentina descarga sobre el solenoide de enorme energía, sino en algún otro principio?
Los electrotécnicos soviéticos G. Babat y M. Lozinski publicaron en 1940 un artículo, expresando por primera vez la idea del "concentrador" de flujo.
Esta idea es fácil de comprender. Imaginémonos un tubo cortado por el cual circula corriente. El lado del corte del tubo está cerrado por un émbolo metálico. La corriente crea en el tubo un campo magnético, cuya magnitud se caracteriza por la densidad de las líneas de fuerza magnéticas, es decir, por su número correspondiente a una unidad de superficie de la sección interior del tubo. ¿Qué ocurrirá si el émbolo se introduce de súbito en el tubo? Entonces la sección interior de éste se achicará bruscamente. Dado que el número de líneas de fuerza, adheridas al tubo, no puede, cambiar instantáneamente, su densidad en la sección reducida aumentará también en flecha. Por consiguiente, la inducción magnética, y la intensidad del campo magnético crecerán.
De esa manera, el principio de la "concentración" de flujo consiste en que primero se obtiene un campo de magnitud relativamente insignificante por métodos corrientes en un volumen grande; luego la sección del flujo magnético se disminuye bruscamente por uno u otro procedimiento y, entonces, el campo aumenta de la misma manera.

Figura 16. Principio de funcionamiento del generador magnetocumulativo MC-2 (la carga de trilita se utilizó para la compresión de la zona que contiene flujo magnético): CD - cápsula detonante; E - explosivo.
Si los conductores del arrollamiento poseyesen superconductividad, el campo aumentado podría subsistir durante un lapso indefinido, mientras que en los conductores comunes, en los cuales las corrientes inducidas se amortiguan rápidamente, el salto de la intensidad del campo dura breves fracciones de segundo.
Howland y Foner, aprovechando la idea de G. Babat y M. Lozinski, construyeron un concentrador en el cual la zona de trabajo del imán no se reducía mecánicamente. Se aclaró que, colocando dentro del solenoide una espira maciza de pequeño diámetro interior, se podía asimismo lograr el efecto de concentración: el impulso de la corriente en el devanado exterior induce en la espira maciza corrientes Foucault, que desplazan el flujo magnético hacia el orificio central de esta última. Mediante concentradores se logró obtener un campo magnético con amplitud de 450 mil Oe, mientras que en el solenoide sin espira maciza, el campo era igual a 300-350 mil Oe.

Figura 17. Conjunto de generadores magnetocumulativos MC-1 y MC-2, por medio de los cuales se obtuvo la intensidad récord del campo magnético de 25 millones de Oe.
En otros experimentos se logró obtener un campo magnético de 200 mil Oe en un volumen bastante considerable, aproximadamente igual al de un vaso, en el cual se consiguió colocar emulsiones fotográficas de capa gruesa con fines de investigar los procesos nucleares. La batería de condensadores para estas investigaciones pesaba más de 30 t.
Las investigaciones en la esfera de campos magnéticos superpotentes fueron coronadas por una serie de experimentos realizados hace unos años por los físicos soviéticos.
Analizando la idea de concentrar el flujo magnético y comprendiendo que la concentración sería tanto más eficiente cuanto más rápidamente se opera la "reducción" de la zona de concentración, los científicos soviéticos llegaron a la conclusión de que dicho efecto tendría más éxito si la “reducción" se lograse por medio de explosivos.
Si dentro de una espira cerrada se crea de algún modo un campo magnético, comprimiendo luego la espira mediante una explosión cumulativa, se puede lograr que la densidad de las líneas de fuerza y, por consiguiente, la magnitud del campo magnético dentro de la espira comprimida aumente en sumo grado. Esto ocurre debido a que el flujo magnético, adherido a cierto circuito, no puede cambiar instantáneamente. Unas ideas análogas fueron comprobadas también por físicos norteamericanos en el Laboratorio de Los Álamos.

Figura 18. Instalación para estampar piezas metálicas por el método magnetoimpulsivo
El anillo-espira metálica de 7,5-10 cm de diámetro se rodea por 4-8 kg de material explosivo. Tan pronto el campo exterior alcance el máximo, se hace estallar el explosivo, y el anillo se "reduce" hasta el diámetro de unos milímetros. La "reducción" se produce a velocidad aproximada de 0,5 cm por 0,000001 s (4 km/s).
Durante el proceso de "reducción", los físicos soviéticos midieron un campo monstruoso de 25 millones de Oe [18] mientras que los norteamericanos, de 14,6 millones de Oe. Las mediciones ulteriores del campo fueron imposibilitadas puesto que durante la "reducción", el diámetro del anillo disminuía tanto que éste aplastaba al transductor, por medio del cual se realizaban las mediciones. Todo el proceso duraba unas millonésimas fracciones de segundo.
Muchos eminentes físicos consideran que el campo obtenido no es el límite, pronosticando la creación por ese método de campos magnéticos de 100 millones de Oe y más. Tales campos inconcebibles existen solamente en las entrañas de planetas y estrellas. Por cuanto la presión del campo magnético crece en proporción al cuadrado de su intensidad, al lograr campos tan intensos se desarrollan también presiones correspondientes (de miles de millones de atmósferas).
La realización de experimentos con combinación simultánea de campos y presiones tan potentes tiene una importancia extraordinaria para el estudio, por ejemplo, de los procesos que se operan en los planetas y estrellas, durante el colapso gravitacional de las superestrellas, etc.
¿Se aplican los campos impulsivos en la técnica? Aunque la aplicación técnica de tales campos da por ahora sus primeros pasos, tiene perspectivas muy prometedoras.
En la actualidad, por ejemplo, mediante un campo magnético impulsivo se remachan tubos metálicos de protección sobre cables de acero. La presión que desarrolla semejante campo es tan grande que el tubo se aplasta contra la superficie áspera del cable con tal fuerza que es imposible obtener por ningún otro procedimiento.
Asimismo pueden aprovecharse los esfuerzos electromagnéticos, surgidos en potentes campos magnéticos, para estampar piezas, encajar a presión elementos conductores en casquillos aislantes y para otros fines técnicos.
Los campos magnéticos superpotentes encontrarán, seguramente, aplicación en la radiocomunicación cósmica a gran distancia, en el estudio de las partículas elementales y de las propiedades del plasma.
El proyecto más grandioso y audaz de aplicación de los campos impulsivos para investigaciones físicas es, quizás, el de utilizar un gran generador magnetocumulativo para obtener partículas cargadas con una energía colosal. Para acelerar las partículas hasta la energía de 1012 eV hará falta aprovechar, como carga un dispositivo atómico. Se propone producir el estallido en una cámara con volumen de 104 m3 ubicada en el fondo de un pozo de 1 km de profundidad. Asombra el que, este dispositivo, al parecer fabulosamente caro, resultaría mucho más barato que un acelerador corriente que confiere a las partículas igual energía.
§10. A la ciencia moderna, potentes imanes
Capítulo dedicado a los imanes más grandes construidos por el hombre: gigantescos monstruos de acero entre cuyos polos pulidos valsea impetuosamente un enjambre de partículas atómicas tan diminutas que es difícil de imaginarse.
El primer ciclotrón construido por Lawrence en el año 1932 costó 1000 dólares. El sincrotrón norteamericano de 6 mil MeV costó ya 30 mil dólares. El del Laboratorio de Brookhaven de 30 mil MeV requirió recursos enormes (34 millones de dólares). Los aceleradores de mayor potencia que se construyen actualmente cuestan más aún, invirtiéndose más de la mitad de los gastos en la construcción de grandiosos imanes para aceleradores: son los imanes más grandes y costosos del mundo. Son los elementos imprescindibles de la mayoría de los aceleradores de partículas cargadas. Y aunque el campo magnético en los aceleradores no supera los 15-17 mil Oe, los aceleradores ostentan los récords entre las máquinas más grandes que se utilizan en las investigaciones físicas y en la técnica.
Los físicos crearon los aceleradores con dos fines principales: para descubrir partículas nuevas o investigar la estructura de los objetos del micro mundo (es decir, las propias partículas).
Las partículas desconocidas anteriormente pueden obtenerse en el acelerador durante la interacción de las partículas aceleradas con los núcleos de diversos elementos. El estudio de las pequeñísimas estructuras del micro mundo en los aceleradores se funda en que el flujo de partículas aceleradas, de acuerdo con las leyes de la mecánica cuántica, se puede presentar como ondas de determinada longitud. Cuanto mayor es la energía de la partícula acelerada, tanto menor es la longitud de la onda. De la física se conoce que son visibles solamente los 'objetos, cuyas dimensiones lineales superan la longitud de la onda (las ondas luminosas tienen una longitud relativamente grande y, por eso, las posibilidades del microscopio corriente de observar objetos pequeños son muy limitadas).
Las partículas aceleradas al máximo tienen la menor longitud posible de onda y, por tanto, son apropiadas para estudiar los objetos ultra pequeños del micro mundo.
Para resolver los problemas relacionados con las investigaciones de la estructura del espacio (a lo mejor, ¿si se estudia la estructura del espacio en la gama de distancias de 10-15 cm y menos, resultará que éste posee propiedades cuánticas?), así como la estructura del tiempo (¡puede ser que también el tiempo no transcurre ininterrumpidamente, sino en ciertas porciones con intervalos de 10-25 S y menos!) se necesitan aceleradores de partículas de una energía hasta 1 millón de MeV (casi un millón de veces mayor que la obtenida por Lawrence en el año 1932).
Tales aceleradores (sus proyectos se discutieron en la Conferencia Internacional dedicada a los aceleradores de altas energías, celebrada en Dubna) tendrán imanes anulares de 3-5 km de diámetro.
Con la ayuda de nuevos aceleradores potentes, los científicos esperan contestar a muchas preguntas: ¿por qué la naturaleza escogió precisamente el hidrógeno como el elemento del que están sintetizados todos los demás? ¿Por qué el protón es 1836 veces, exactamente, más pesado que el electrón? ¿Existe relación entre los fenómenos electromagnéticos y gravitacionales, así como entre éstos y las interacciones nucleares "fuertes" y "débiles"? ¿Existe o no en la naturaleza una "quinta fuerza" además de las indicadas anteriormente? ¿Quizás a esta quinta fuerza se deba la alteración de la paridad durante algunas reacciones nucleares? ¿Existen o no en la naturaleza los monopolos: partículas de un solo polo magnético y equivalentes a las cargas eléctricas?
En fin, ¿existen o no los "quark" de los cuales, probablemente, se componen todas las partículas elementales?
De este modo, hay que aumentar continuamente la energía de las partículas. ¿Cómo lograrlo?
En el libro de E. Komar, uno de los más famosos creadores de los aceleradores soviéticos, únicos en su género, "Aceleradores de partículas cargadas", se cita una interesante comparación de diferentes métodos de aceleración de la sustancia. En efecto, ¿qué quiere decir acelerar una partícula, conferirle energía? Significa aumentar su velocidad. Al tirar una piedra, se aceleran las partículas cargadas que forman parte de los átomos de ésta. Existen también otros métodos de acelerar las partículas, por ejemplo, disparándolas de escopeta.
Analicemos este caso. Supongamos que una bala con masa de 100 g vuele a la velocidad de 1 km/s, ¿Qué energía cinética posee la bala? Se puede calcularlo por medio de la conocida fórmula
![]()
¿Tal vez se puede aumentar la velocidad de la bala? En la fórmula para la energía, la velocidad se halla al cuadrado e influye sumamente en el grado de aceleración. Los cálculos, sin embargo, patentizan que el aumento de la velocidad, incluso hasta la cósmica, tampoco confiere a las partículas elementales energía suficiente.
¿Quizá, para acelerar las partículas, se pueda aprovechar la idea en la que se basa el funcionamiento de todos los motores eléctricos? Supongamos que tenemos un electroimán muy largo de varios kilómetros, con el campo en el entrehierro de unos 20 mil Oe. Si colocamos ahora en el entrehierro de este imán un conductor de corriente, éste comenzará a moverse. Hacia el final de su movimiento puede adquirir una energía considerable, naturalmente, si no se funde (cuanto mayor aceleración deseamos lograr, tanta mayor densidad de corriente en el conductor debemos asegurar). Un conductor común se funde ya al alcanzar la velocidad de 107 cm/s, lo que es evidentemente insuficiente para la aceleración a energías altas.
Las esperanzas de llevar a la práctica este método de aceleración renacieron en 1961, después del descubrimiento de los superconductores capaces de conservar su resistencia nula en potentes campos magnéticos (mayores de 100 mil Oe) y al pasar por ellos corriente de alta densidad (superior a 1000 A/mm2). Al desplazarse un superconductor de corriente de densidad j por rieles guía en el campo magnético H, 1 cm3 de ese superconductor está sometido a la acción de la fuerza
p = 0,1 Hj
La aceleración provocada por esa fuerza es:![]()
![]()
![]()
El método más eficiente de aceleración de partículas cargadas es su aceleración en el campo eléctrico. Bajo la acción de la diferencia de potencial de 1 millón de V, el electrón adquiere
una energía de 1 MeV. Por cuanto la técnica moderna opera bastante fácilmente con tensiones del orden de 5-10 millones de V, está claro que semejante método de aceleración no tiene iguales.
Sin embargo, con mayor frecuencia se aplica el método de aceleración repetida: la partícula pasa reiteradas veces por el mismo "espacio acelerador", en el cual la diferencia de potencial llega a 100-400 mil V. Precisamente tal método de aceleración reiterativa propuso Lawrence: para hacer volver las partículas a los mismos espacios aceleradores utilizó el campo magnético, puesto que, como se sabe, en éste cualquier partícula cargada se desplaza por circunferencia.
Justamente en dos puntos de tal circunferencia ubicó Lawrence los espacios aceleradores.
Con el aumento de la energía de las partículas, obtenidas en aceleradores, crece asimismo el radio de las órbitas por las cuales giran las partículas y, junto con éste, también el diámetro de los imanes. He aquí por qué los imanes más grandes del mundo son los de los aceleradores.
En un ciclotrón, la partícula cargada está sometida a la acción de dos fuerzas: la centrífuga, que tiende a "expulsarla" del ciclotrón, y la centrípeta, la de Lorentz, que obliga a la partícula moverse por circunferencia.
Como se sabe, la fuerza centrífuga se expresa con la relación siguiente:
![]()
La fuerza de Lorentz puede calcularse por medio de la fórmula:
![]()
Las relaciones citadas muestran que en el ciclotrón el campo magnético debe ser uniforme, es decir, tener la misma magnitud e intensidad en todos los puntos de la órbita. Si en algún punto de la órbita el campo, digamos, baja bruscamente hasta el cero, la partícula en este punto, no detenida por la fuerza centrípeta de Lorentz, saltará fuera del ciclotrón.
Partiendo de esas consideraciones, la intensidad del campo en la órbita del ciclotrón se establece estrictamente constante.
La igualdad de las fuerzas centrífuga y centrípeta en la órbita estable asegura la llamada estabilidad "horizontal" de la partícula. ¿Qué significa eso?
Supongamos que, bajo la acción de algunas fuerzas, la partícula pasa de la órbita estable a la de un radio mayor. En este caso, la fuerza centrípeta de Lorentz será mayor que la centrífuga debido a lo cual, la partícula empezará a desplazarse hacia la, órbita de un radio menor hasta que alcance la órbita estable.
Al disminuir el radio de la órbita de la partícula, se observa un proceso inverso. ¿Y qué ocurrirá si la partícula pasa a una órbita más baja o más alta? Si las zapatas de polo del imán son paralelas entre sí y las líneas de fuerza magnéticas, que deben ser perpendiculares a las superficies de acero, son unas rectas paralelas, al desplazarse la órbita hacia arriba o abajo, la partícula no "notará" cambio alguno en el campo magnético. Todas las órbitas, la media, la más baja o la más alta, serán iguales para la partícula, lo que tendrá por efecto que, al fin y al cabo, debido a la fabricación no ideal de las superficies de los polos, las partículas "se perderán" en los polos del imán. Para que eso no ocurra o, como suele decirse, para asegurar la "estabilidad vertical" del movimiento de la partícula, los polos de los imanes se achaflanan de tal modo que hacia el extremo el entrehierro del polo sea mayor.
En realidad, sin embargo, se achaflanan, no los polos, sino las tapas magnéticas de la cámara de vacío, en la cual se efectúa la aceleración.
En este caso, el campo del imán del acelerador cambiará: si directamente bajo el centro del polo, las líneas de fuerza siguen siendo rectas y perpendiculares a los planos de los polos, en el extremo exterior del polo, se encorvarán hacia fuera, formando el llamado pandeo "acubado" de las líneas de fuerza. El campo acubado se caracteriza por el hecho de que en su “aro ecuatorial", el campo es mínimo, aumentándose a medida de subir y bajar. La partícula que se desplaza en semejante campo no puede “caer" sobre los polos del imán puesto que, en tal caso, tendría que pasar de la zona de campo débil a la de campo fuerte, es decir, consumir cierta energía.
Los polos tienen forma, cónica, por cuanto a la altura del polo se desprenden de éste líneas de fuerza magnéticas del flujo de dispersión. De este modo, cuanto más lejos se aparta de la zona de trabajo a lo largo del polo tanto mayor flujo magnético lo atraviesa.
¿Qué ocurriría si el polo fuese cilíndrico y su sección, de altura constante? En este caso, la inducción en la parte del polo junto a la zona de trabajo
B = Φ/S
(Φ es el flujo magnético; S la sección de la trayectoria del flujo magnético) sería muy baja, mientras que lejos de esa zona, excesivamente alta. Resultaría que el polo estaría cargado desigualmente en sus secciones diferentes y, lo principal, de un modo irracional. Para que esto no ocurra se imprime a los polos la forma cónica. Entonces, al menor flujo lo corresponderá la menor sección y la inducción será igual en todas las partes, en tanto que el polo se cargaría uniformemente. Se procura igualar la inducción en el polo y en la zona de trabajo, es decir, que sea de 14-17 mil γ.¿Por qué no se puede elegir una inducción mayor? En principio es posible, pero, siendo las inducciones mayores, el núcleo del circuito magnético estará muy "saturado" y, para hacer pasar por éste el flujo magnético, se necesitaría una fuerte corriente magnetizante. Además, si los polos están saturados, es difícil asegurar la apropiada ley de distribución del campo magnético en la zona de trabajo.
Los polos cónicos del electroimán del ciclotrón se hacen con mayor frecuencia de una sola pieza forjada.
En los polos se fijan las bobinas principales que crean un fuerte campo magnético. Las bobinas principales se fabrican generalmente de una barra gruesa (con sección de 50-100 mm2) de cobre o de aluminio con un orificio interno a través del cual se suministra el agua de enfriamiento.
Además del devanado principal, los ciclotrones van provistos de arrollamiento adicional, ubicado junto al entrehierro que, como regla, consta de dos bobinas colocadas junto a la superficie del polo. Estas bobinas sirven para “orientar" las partículas en el blanco, mejor dicho, para ajustar la altura del plano, por el cual las partículas se mueven en el ciclotrón.
Ese plano, pese a lo que se esperaba, generalmente, no se halla en el centro entro los polos debido a distintos factores casuales. Una caja fuerte, una puerta de acero o un balón de gas que se encuentran en las inmediaciones, pueden provocar el desplazamiento del plano medio.
Uno de los mayores electroimanes tipo "acorazado", descrito ya, está instalado en el sincrociclotrón de 660 MeV del Instituto Unificado de Investigaciones Nucleares, en Dubna. Los polos de este imán tienen 6 m de diámetro y pesan 7 mil t. El sincrociclotrón de la ciudad de Berkeley es de dimensiones algo menores.
El peso de los imanes de los ciclotrones se puede calcular mediante la fórmula aproximada de:
![]()

Figura 19. Cubreplacas y devanados adicionales, por medio de los cuales un ciclotrón se puede transformar en "ciclotrón isócrono", aumentando 20 veces la energía de las partículas aceleradas.
Los ciclotrones se emplean principalmente para investigaciones científicas. Sin embargo, en los últimos tiempos, sirven también para obtener isótopos radiactivos, necesarios a la industria y la agricultura. En la actualidad, en varios países hay ciclotrones en los cuales no se realizan investigaciones científicas algunas y que juegan solamente el papel de equipo tecnológico para la producción de isótopos.
Resulta que la energía de las partículas aceleradas en el ciclotrón tiene un límite. Lo determina la teoría de la relatividad.
Se sabe que, de acuerdo con esa teoría, la masa de cualquier partícula crece a medida de aproximarse su velocidad a la de la luz. Mas la partícula de mayor masa es menos "ágil": comienza a quedarse atrás de las partículas con energía menor y se retrasa en llegar al espacio acelerador, es decir, lo alcanza en el momento en que el campo eléctrico acelerador es débil o está dirigido contra el movimiento de la partícula.
Los cálculos indican la magnitud de 25 MeV como el límite superior de la energía de los protones obtenidos en un ciclotrón común. Cuanto mayor es la intensidad del campo magnético, tantas más revoluciones hace la partícula cargada en una unidad de tiempo. Surge una pregunta: ¿no sería posible hacer que el campo magnético crezca desde el centro hacia el extremo de los polos? En este caso el aumento de la masa de la partícula y, por consiguiente, su "torpeza" a medida de crecer su energía, podrían compensarse, y la energía de las partículas obtenidas en el ciclotrón, crecerá.
Más en los ciclotrones se hace al revés: se disminuye el campo magnético hacia el extremo del polo, realizando así el "enfoque vertical". ¿Cómo conciliar estas dos exigencias opuestas? ¿Cómo obtener simultáneamente el enfoque vertical y el crecimiento del campo desde el centro del polo hacia la periferia?
Este problema atrajo la atención desde hace mucho. Todavía en el año 1938, el científico norteamericano Thomas propuso una fórmula de acuerdo a la cual se debía cambiar el campo magnético en el entrehierro del ciclotrón isócrono, a fin de que estas dos exigencias se asegurasen simultáneamente. Mas la forma del polo resultó ser demasiado complicada. Por eso, en aquel tiempo, la idea de un ciclotrón isócrono contaba con pocos partidarios.
Sin embargo, más tarde, la situación cambió. Los “ingenieros-físicos” propusieron, en vez de los complejos polos de Thomas, aprovechar polos cilíndricos corrientes con piezas polares de acero de forma sencilla. Como se aclaró, tales piezas aseguraban al mismo tiempo el aumento del campo según el radio y el enfoque vertical. Para corregir el campo en el entrehierro del ciclotrón isócrono se aplica, generalmente, un complejo sistema de devanados y piezas correctores concéntricos o sectoriales.

Figura 20. Semejante forma ingeniosa de polos contribuye a aumentar le energía de las partículas que se obtienen en el ciclotrón.
Los sistemas magnéticos de tipo ciclotrónico se utilizan también en otro modelo de aceleradores, denominados sincrociclotrones. El sincrociclotrón, o fasotrón, se distingue de un ciclotrón corriente por el hecho de que, a medida del aumento de la energía de las partículas, la frecuencia de la tensión aceleradora disminuye, lo que permite a las partículas agravadas atravesar a tiempo el espacio acelerador. Tal variación de frecuencia es equivalente a la variación de campo en el ciclotrón isócrono. El límite de la energía de las partículas obtenidas en los sincrociclotrones asciende también a 700-800 MeV.
Los imanes de tipo ciclotrónico se instalan asimismo en los microtrones destinados a la aceleración de resonancia de los electrones en el campo eléctrico de frecuencia de microonda. En los imanes de los microtrones se utiliza, generalmente, una inducción del campo magnético pequeña: diez veces menor, aproximadamente, que en los ciclotrones.
Debido a varios factores de carácter físico y técnico, de algunos de los cuales hemos hablado ya, es imposible crear ciclotrones corrientes con energía superior a 25 MeV, así como los ciclotrones isócronos y sincrociclotrones, con energía superior a 800 MeV. Pero, además, existen factores económicos que limitan la construcción de aceleradores superpotentes.
Calculemos, por ejemplo, cuánto pesaría un acelerador cíclico de energía de 10 mil MeV ó de 10 GeV. Si el campo magnético en la órbita terminal llega a 14,5 mil Oe, su radio debe tener unos 25 m. Al colocar este radio en la expresión para el peso del imán, citada anteriormente
![]()
¿Por qué ocurre esto? ¿Por qué un ciclotrón de gran energía pesa tanto? La primera causa consiste, por lo visto, en haber elegido un valor no alto de intensidad del campo magnético. Si se lograra aumentar esta intensidad varias veces, el mismo número de veces se podría reducir el radio y en igual número, elevado a la potencia 2,5, reducir el peso del imán. Sin embargo, en los ciclotrones es imposible aumentar el campo magnético en grado considerable, puesto que el acero estará muy saturado magnéticamente.
Otra causa que provoca la necesidad de hacer imanes de elevado peso se explica por el propio principio de funcionamiento del ciclotrón. Por cuanto su campo magnético es constante en el tiempo, la partícula que adquiere en el espacio acelerador una nueva "porción" de energía, comenzará a desplazarse por una órbita de radio mayor y la trayectoria de su movimiento se parecerá a una espiral. Precisamente esa órbita espiriforme obliga a tener en el ciclotrón un juego completo de diversos radios: desde el cero hasta el de la órbita terminal. Con otras palabras, el polo del ciclotrón debe ser cilíndrico, es decir, macizo y pesado.
Sin embargo, no hay, por lo visto, necesidad ineluctable de tener en el acelerador un juego completo de órbitas de radios diferentes. Si la magnitud del campo magnético en el acelerador cambiara a medida de aumentar la energía de las partículas, de acuerdo con la fórmula
![]()
En este caso sería posible, en vez de los polos cilíndricos, dejar un anillo estrecho al borde del polo, quitando por completo la parte central del mismo. Sólo tales aceleradores permiten ahora obtener, a precio relativamente bajo (en comparación con un ciclotrón hipotético de igual energía), haces de partículas con energías enormes. Semejantes aceleradores, denominados anulares, incluyen los sincrotrones y sincrofasotrones: los aparatos físicos más grandes y caros de todos los que se hallaban alguna vez a disposición de los científicos.
| Tabla 1 Datos de algunos sincrotrones en funcionamiento | ||
| Sede Serpujov Brookhaven Ginebra Dubna | Energía del Haz x 103 MeV 76 33 27 10 | Radio de la Órbita m 236.0 128.5 100.0 28.0 |
El sistema magnético de los aceleradores anulares consta, por regla general, de varios imanes sectoriales aislados que forman en el plano un anillo. Entre estas secciones se dejan espacios aceleradores. El costo de los imanes de los sincrotrones (y de los sincrofasotrones, puesto que la diferencia entre estos dos tipos de aceleradores no es muy notoria) asciende a la mitad del costo total de la instalación. Eso es lógico, teniendo en alienta que el diámetro del imán anular de los aceleradores mide decenas y, a veces, centenares de metros.
Según muestra la tabla, el sincrotrón más potente con el electroimán de tipo anular, mayor del mundo por sus dimensiones, es el de Serpujov.
¿Cómo se efectúa el enfoque vertical en los sincrotrones? El principio es el mismo que en los ciclotrones: los imanes se fabrican de modo que el campo magnético en el radio exterior sea menor que en el interior. Entonces cada partícula que sale del plano medio estará sometida a la acción de las fuerzas del campo acubado que la obligarán a retornar.
Tal principio de enfoque se llama "blando". En los sincrotrones con enfoque blando se puede obtener una energía hasta 15 mil MeV, aproximadamente. La máquina de Dubna, por lo visto, ha sido y seguirá siendo la mayor instalación de ese tipo en el mundo (la energía de las partículas es de 10 mil MeV y el peso del imán, 36 mil t).
¿Por qué no se puede alcanzar mayores valores de energía de las partículas aplicando el enfoque blando? Resulta que al aumentar la energía de las partículas debe crecer, naturalmente, también el radio del acelerador. Ese aumento del radio se efectúa de acuerdo a la fórmula
E = 300 x H x r
donde E es la energía, en eV; H, la intensidad del campo magnético, en Oe y r, el radio, en cm.Pero cuanto mayor sea el radio tanto mayor será la amplitud de las oscilaciones de la partícula en torno a su órbita estable. Las moléculas casuales del gas en el tubo de vacío pueden desviar la partícula de su órbita, así como las fluctuaciones de la tensión aceleradora y de la frecuencia. Por eso se debe aumentar la zona de trabajo (la apertura del haz), para que la partícula no se pierda en el metal del imán durante su camino que, en el acelerador, mide 0,5 millón de km, aproximadamente. Esto cuesta muy caro, puesto que un acelerador de 30 mil MeV con enfoque blando pesaría 100 mil t. Para reducir hasta el mínimo todas las oscilaciones de la partícula alrededor de la órbita estable y disminuir la sección del haz, se debe aplicar un enfoque más duro, es decir, obligar a las partículas a desviarse lo mínimo posible de su órbita estable.
Hasta el año 1951 nadie sabía cómo hacerlo. La resolución del problema fue propuesta por un grupo de físicos de Brookhaven, compuesto de E. Courant, M. Livingston y G. Sryder.
M. Livingston propuso calcular cómo se portaría una partícula acelerada en un sistema de varios imanes, si en cada imán siguiente, cambiaría la dirección en la cual el campo disminuye. El cálculo realizado por medio de una computadora electrónica puso de manifiesto que, en este caso, la partícula se desplaza por una órbita estable y, además, era objeto de grandes esfuerzos enfocadores. En el sector donde los polos están inclinados hacia adentro, se efectúa el enfoque vertical intenso y el desenfoque horizontal; en el sector siguiente, en el que los polos están inclinados hacia afuera, el enfoque es inverso. Para el asombro del grupo de Brookhaven, el efecto en su conjunto consistía en que a determinada disposición de los sectores, el haz se enfocaba intensamente y las partículas se desviaban muy poco de la órbita estable. En este sentido los imanes actúan como dos lentes, cóncava y convexa, que, colocadas una tras otra, en suma dan el efecto de concentración de rayos.
Esa idea resultó muy fructífera. A base de ella se construyeron los aceleradores de Brookhaven y de Ginebra con energía de unos 30 mil MeV. En el acelerador de Brookhaven se consiguió un resultado muy valioso. Se logró observar por primera vez el antideuterón: no una antipartícula elemental, sino un átomo de antimateria.
A base del principio de enfoque duro funciona el acelerador de Serpujov de 76 GeV, puesto en marcha hace poco. He aquí lo que escribió después de haberle visitado uno de los mejores propagadores soviéticos de la ciencia: "Para describir el aspecto del sincrofasotrón de Serpujov de 76 mil millones de eV, el mayor del mundo, no basta ya con la pluma de arquitecto. Se precisa el pincel de paisajista capaz de pintar este panorama.

Figura 21. Dimensiones comparativas del imán de acelerador con enfoques blando (a) y duro (b).

Figura 22. Sincrofasotrón de Serpujov, en construcción.
Un fino ornamento arquitectónico oculta verdaderas fortificaciones. Encontramos allí paredes, pisos y puertas de una solidez tan colosal que ante ellos inclinarían la cabeza hasta los constructores más altivos de los castillos. Salta a la vista el aspecto de los palacios fortificados de Su Majestad, el átomo, de acuerdo a las exigencias de la seguridad contra la radiación. Es también de naturaleza fortificante el cerro anular, parecido a un cráter lunar: fue levantado para proteger contra las radiaciones mortíferas. Por primera vez en la historia, un aparato físico, el acelerador de protones, de energía casi tres veces mayor que la de sus hermanos europeos y de ultramar, ha alcanzado las dimensiones de un poblado, de un complejo industrial".

Figura 23. Maqueta del sincrofasotrón de 300 GeV. El diámetro del imán es de 2,4 km.
El principio de enfoque duro comenzó a aplicarse ampliamente no sólo en los aceleradores. Por ejemplo, para enfocar el haz y canalizarlo a la mesa del experimentador se utilizan ampliamente imanes giratorios y lentes cuadripolares, que funcionan a base de ese principio.
La creación de aceleradores con enfoque duro permitirá aumentar la energía de las partículas obtenidas, reduciendo el peso del sistema magnético. Sin embargo, también en este caso, podrán construir sincrotrones, digamos, de 300 mil MeV, sólo los estados poderosos económicamente. El problema de la construcción de tal máquina se abordará en la escala nacional como, por ejemplo, el problema de fundar una ciudad nueva. En este caso la comparación con la ciudad es muy oportuna, puesto que alrededor de cada acelerador grande inevitablemente se levanta un centro científico: toda una ciudad de hombres de ciencia, personal técnico, etc.
Los gastos de construcción de aceleradores de mayor potencia serán más considerables aún.
Por ejemplo, un acelerador de 1000 GeV costará cerca de 1 mil millones de rublos; su imán anular seccionado tendrá unos 7 km de diámetro. En la construcción de tal acelerador participarán miles de personas y centenares de organizaciones. Sin embargo, en caso de aplicar el enfoque duro de las partículas, el peso del imán de tal energía será muy moderado: "solamente" 30 mil t. Para protegerse contra la radiación habrá que levantar alrededor del acelerador muros de hormigón de 12 m de espesor.
La construcción de semejante acelerador requerirá ciertos esfuerzos incluso de los países como la URSS y EEUU y, además, no solamente financieros, sino también "intelectuales". Al nuevo acelerador ligarán sus destinos de tal o cual manera, cerca de 2 mil especialistas candidatos a doctor en ciencias y doctores en ciencias, todo un ejército de científicos. Por eso, en la prensa extranjera se expresa a menudo la opinión de que los aceleradores de energías tan grandes deben construirse con los esfuerzos mancomunados de todos los países desarrollados, incluidos los estados europeos, EE.UU. y la URSS.
En la conferencia dedicada a los aceleradores de altas energías, celebrada en Dubna en 1963, los científicos norteamericanos y europeos presentaron proyectos de aceleradores con enfoque duro de 150 y 300 GeV, y los soviéticos, de 500 y 1000 GeV. Mas el aumento de la energía hasta los valores tan elevados acarrea nuevas dificultades en cuanto al enfoque. Es que el diámetro de un acelerador de 1000 GeV mide unos 7 km y, para que la partícula no se desvíe de la órbita estable ni se pierda en los polos del imán, es necesario montar el imán con una precisión hasta una décima de milímetro. Los sistemas magnéticos de esos aceleradores gigantescos funcionan a base del principio cibernético. Cualquier error en el cambio de la dirección del haz se registra inmediatamente por los instrumentos, y desde el centro computador se transmite al sistema de aceleración el mando de cambiar sus parámetros con el fin de hacer volver el haz infractor a su órbita.
No se sabe cómo se resolverá ese problema: construirán tales aceleradores los estados por separado, o grupos de éstos o, por último, uniendo los esfuerzos de "todo el mundo". ¿A lo mejor, los físicos encontrarán alguna solución más elegante, que permita obtener nuevas energías colosales con gastos relativamente pequeños?
Hace poco, por ejemplo, para crear aceleradores superpotentes fueron formuladas unas ideas completamente nuevas. Una de ellas consiste en que el núcleo y el objetivo, la partícula y el blanco "se disparan" uno contra el otro por medio de aceleradores relativamente pequeños y se estrellan con una fuerza colosal, sin precedentes.
Entre los laureados con el Premio Lenin de 1967 figuran los físicos de la ciudad de Novosibirsk, G. Búdker, A. Naúmov, A. Skrinski, V. Sídorov y V. Panasiuk. Fueron los primeros en llevar a la práctica la idea de los haces chocantes de electrones y positrones. En la instalación ВЗПП-2, cuyos imanes tienen apenas 3 m de diámetro, los físicos de Novosibirsk lograron obtener la energía de interacción de partículas ¡igual a 2 millones de MeV! No en cualquier estado europeo podría caber un acelerador lineal corriente de semejante energía.
La idea de prescindir de imanes en el acelerador se debe a Enrique Fermi, quien, desde luego tenía en cuenta prescindir precisamente de los imanes, pero no del campo magnético; de lo contrario el acelerador tendría una longitud colosal. Fermi propuso aprovechar en vez del campo de los imanes el campo magnético de la Tierra. El acelerador tipo sincrotrón debería ser un tubo de vacío que circunda el globo terrestre a lo largo del ecuador magnético. Aunque la realización de semejante proyecto permitiría obtener haces de partículas con energías muy altas, el costo del acelerador, por lo visto, sería enorme, puesto que la órbita de las partículas debe ser anular, mientras que la Tierra está lejos de ser una esfera perfecta. Para asegurar una circunferencia ideal habría que perforar túneles y tender viaductos sobre océanos, etc. ¡Y el problema de garantizar la hermeticidad y un alto vacío del dispositivo que circunde el globo terráqueo!
¿Qué energía de las partículas se puede obtener por medio de aceleradores? Es natural que el acelerador más grande posible en nuestro planeta deba situarse por el ecuador de la Tierra. La magnitud del campo en este enorme imán determinada por la saturación del acero, sería igual, digamos, a 20 mil Oe. En estas condiciones a los protones a acelerar se les podrá conferir la energía máxima de 1010 MeV.
A la era cósmica le son inherentes también proyectos cósmicos. Tal es el proyecto de "lunatrón". El acelerador puede ubicarse en varios satélites que giren en torno a la Tierra. En los mismos se podrá instalar los imanes de enfoque, las placas aceleradoras y los inyectores. Por medio de tal sistema se podría obtener energías del orden de 108 MeV. La gran ventaja de semejante sistema consiste en que no hay necesidad de vaciar la zona de trabajo, puesto que el "lunatrón" se situaría fuera de la atmósfera (es decir, en las condiciones de alto vacío natural).
El físico soviético, académico G. Búdker, ha propuesto un modelo de acelerador singularmente interesante: crear por medio de un débil campo inductor un potente haz anular de electrones, que, de hecho, haría el papel del flexible cordón por el cual pasa corriente eléctrica muy fuerte. La corriente eléctrica siempre crea un campo magnético que tiende a estrechar la sección del conductor (astricción o “pinch effect”). Pero cuanto menor sea el diámetro del cordón tanto mayor será, siendo igual la corriente, el campo magnético creado en la superficie del cordón. G. Búdker propone aprovechar este campo magnético muy intenso como campo de trabajo del acelerador. En un haz de electrones con 6 m de diámetro se puede lograr confinar protones con energía hasta 104 MeV inclusive.
Los físicos cifran también grandes esperanzas en la superconductividad. La inducción de saturación del acero (cerca de 20 mil Γ) limita el campo magnético de los aceleradores. Pero si de los aceleradores se elimina el acero, surgen muchos problemas de otra índole. Uno de éstos consistirá en que aumentaría la resistencia al flujo magnético del acelerador. Para mantener el flujo invariable es necesario elevar considerablemente la potencia de alimentación de los devanados, la que en el acelerador de acero ya era enorme. La potencia de alimentación del sincrofasotrón norteamericano "Bevatrón" ascendía a 100 mil kw. Semejante potencia consume una ciudad de cien mil habitantes.
Al examinar el proyecto de ese acelerador, la Compañía de Gas y Electricidad de la Costa del Pacífico se ocupó especialmente de la cuestión: si bajará o no la tensión del alumbrado en las ciudades Berkeley y Oakland mientras se acelere un haz de protones.
Hay que tener en cuenta que el "Bevatrón" es un acelerador relativamente pequeño y, además, con acero. En los aceleradores sin acero de 300 mil - 1 millón de MeV, el consumo de energía eléctrica será mucho mayor. El propio acelerador resultará correspondientemente más caro y voluminoso. Pero, analizándolo bien, la mayor parte de esta colosal energía se gastaría en vano. Para mantener el campo magnético no hace falta energía: el imán permanente no recibe energía de ninguna parte y su campo magnético no se gasta al atraer algo. La energía se necesita sólo para crear el campo: si en esta zona del espacio no existía antes campo magnético, y ahora existe, quiero decir que se ha consumido cierta energía. El resto de la energía eléctrica se consume para calentar los devanados, que poseen resistencia eléctrica. Si no la tuviesen, las pérdidas desaparecerían. Si calculásemos qué parte de energía se utiliza provechosamente en los aceleradores, resultaría que es despreciable.
Precisamente con esa circunstancia están ligadas las tentativas de aprovechar como material para los devanados de los imanes de los aceleradores al superconductor. Este carece de resistencia óhmica y, por consiguiente, tampoco habrá pérdidas de energía. Otro aspecto positivo de la aplicación de devanados superconductores sería la posibilidad de aumentar en sumo grado el campo magnético y, por lo tanto, disminuir el radio del acelerador. Si se logra obtener un campo magnético de 100 mil Oe, las dimensiones del acelerador disminuirán cinco veces.
De cualquier modo, los aceleradores e imanes grandes se construirán. Se sabe que todos nuestros proyectos atómicos y conocimientos en la esfera de la naturaleza de las partículas elementales se fundan en los datos obtenidos por medio de aceleradores. Los aceleradores nuevos, de mayor potencia ayudarán, por lo visto, a esclarecer los misterios más recónditos de la materia y aprovechar los datos obtenidos para crear la técnica del futuro.
§11. Trampas magnéticas para investigaciones termonucleares
Capítulo narra cómo los imanes ayudan a "domar" la reacción termonuclear.
Por primera vez en la historia,
los hombres utilizarán la energía
que no procede del Sol.
A. Einstein
La reacción de fisión del uranio puede considerarse ahora bien dominada, y el costo de la energía eléctrica atómica se torna ya comparable con el de la energía de las centrales termoeléctricas. Las reservas de los elementos radioactivos fisibles no son ilimitadas. La energía del uranio y torio, que yacen en la tierra, supera 100 veces la de los combustibles comunes. En cuanto al agua, el combustible para las reacciones de fusión, la hay en la tierra tanta como se quiera. El académico I. Tamm escribió que del deuterio contenido en 1 litro de agua se puede obtener una cantidad de energía equivalente a la obtenida de 350 litros de gasolina. De modo que, desde el punto de vista energético, los cuatro océanos terrestres equivalen a los 1400 océanos de gasolina. Incluso si el consumo aumentase cien veces, tal reserva de energía le alcanzaría a la humanidad para miles de millones de años.
Es muy importante también que los desechos de las centrales eléctricas nucleares corrientes sean muy radiactivos. Por ejemplo, si toda la energía eléctrica de EEUU se generase en centrales eléctricas nucleares, la radiactividad de los desechos ascendería a una cifra colosal y equivaldría a la de doscientos mil bombas atómicas estalladas. En el año 2000, la radiactividad de los desechos equivaldría a la radiación de 8 millones de bombas atómicas al año. Es, por lo visto, una paga excesiva por la energía. En cambio, las reacciones de fusión o, como suelen llamarlas termonucleares, son "puras" en cuanto a la contaminación radioactiva.
Pero dominar la esfera de las reacciones termonucleares controladas (precisamente controladas, puesto que la bomba de hidrógeno en la que se produce la fusión termonuclear es un ejemplo de la reacción realizada hace mucho, pero no controlada) es mucho más difícil de lo que parecía al principio. Una de las dificultades serias que tienen planteadas los físicos es la "efluencia" del plasma de las "botellas magnéticas" que lo contienen. ¿Qué son las "botellas magnéticas" y para qué sirven?
Como resultado final, una reacción termonuclear controlada debe facilitar al hombre la energía eléctrica. Esta, en comparación con otros tipos de energía, tiene la ventaja de que puede transformarse con gran eficiencia y facilidad en cualesquiera otros tipos de energía.
La energía eléctrica se puede obtener durante una explosión termonuclear controlada a costa de la energía cinética de los gases candentes, de la energía de la ráfaga de luz y de la energía térmica.
Una reacción termonuclear se producirá si los núcleos de los átomos de deuterio o tritio en colisión adquieren una energía tan alta que logren vencer las fuerzas electrostáticas de repulsión, choquen y entren en interacción. Esto será posible únicamente si el gas se calienta hasta la temperatura de varios millones de grados. A tal temperatura las sustancias existen en forma de gas muy ionizado o de plasma.
¿Qué recipiente podrá resistir una temperatura tan alta? Apenas el plasma, calentado hasta millones de grados, toca las paredes del recipiente, bien se enfriará hasta la temperatura a la cual la reacción será imposible, bien sublimará la pared como había hecho con la torre de acero y la arena durante la explosión termonuclear en Bikini. Ningún material puede resistir temperaturas tan altas y por eso la cuestión "¿En qué guardar el plasma?", atrajo gran atención de los científicos del mundo entero en los años cincuenta.
Los físicos de la Unión Soviética, EEUU e Inglaterra, el "trío atómico" de aquel tiempo separados por las barreras impenetrables de confidencia empezaron a estudiar este problema más o menos al mismo tiempo. Cuando esas barreras fueron quitadas, se aclaró que los físicos de los tres países diferentes habían llegado a la misma conclusión: la única posibilidad de guardar el plasma y no permitirle enfriarse consiste en utilizar el campo magnético. Este campo, invisible e impalpable, por medio de una imperceptible red de líneas de fuerza, retendrá el plasma lejos de las paredes de cualquier recipiente, las que podría reducir a cenizas.
La idea de termoaislamiento magnético del plasma se basa en la conocida propiedad de las partículas cargadas eléctricamente que se desplazan en el campo magnético, de encorvar su trayectoria y moverse por espiral a lo largo de las líneas de fuerza del campo. Esa curvatura de la trayectoria en un campo magnético heterogéneo conduce a que la partícula sea expulsada a la zona donde el campo magnético es más débil. La tarea consiste en rodear el plasma por todos los lados con un campo más intenso. Este problema se está resolviendo en muchos laboratorios del mundo.
La expulsión de las partículas (el plasma representa infinidad de partículas cargadas: átomos cargados positivamente, carentes de sus capas electrónicas y, aparte, las capas electrónicas sin átomos) a la zona del campo magnético más débil, sigue jugándoles unas malas pasadas a los físicos. Debido a esa expulsión, los primeros dispositivos termonucleares basados en la astricción resultaron relativamente poco eficientes.

Figura 24. Efecto de estricción (pinch effect). La corriente que circula por el plasma crea alrededor un campo magnético que comprime al plasma en un fino cordón en medio del recipiente. En principio, esto debería facilitar el despegue del plasma de las paredes del recipiente, realizando así su aislamiento térmico
Cada corriente crea en torno a él un campo magnético, cuyas líneas de fuerza circundan el cable por el cual esa corriente pasa. Una de las propiedades importantes de las líneas de fuerza es la tendencia, que les es inherente, de seguir el camino más corto, su elasticidad y tensión maxwelliana, que conduce a que las líneas de fuerza tienden a comprimir el conductor de corriente que rodean. En el caso de los cables de cobre comunes, la elasticidad de las líneas de fuerza no puede reducir el diámetro del cable, por cuanto la red cristalina de los cuerpos sólidos es un esqueleto fuerte, bastante resistente a la deformación. Pero, si la corriente circula por un cordón de plasma, la elasticidad de las líneas de fuerza que lo rodean conduce a que la sección del cordón disminuye y éste se aparta de las paredes de la cámara. Este fenómeno, denominado astricción, al parecer, resuelve íntegramente el problema de termoaislamiento magnético del plasma. Podría parecer que bastaría hacer pasar la corriente por el plasma para que éste se aparte de las paredes por cuenta propia y se comprima en un fino cordón en el centro del recipiente.
Mas aquí empieza a actuar la propiedad de las partículas cargadas (por consiguiente, del plasma en su conjunto) de expulsarse a la zona del campo más débil, en el cual hay menos líneas de fuerza y éstas no se hallan dispuestas tan densamente. Esa propiedad conduce a que el más pequeño defecto del cordón de plasma una curvatura o estrechamiento local, en fin de cuentas, degenera en un proceso de avería. Supongamos, por ejemplo, que, debido a algunas circunstancias casuales, en el cordón se haya formado una flexión pequeña. En la parte convexa del cordón encorvado, las líneas de fuerza del campo magnético se enrarecen, mientras que en la cóncava, se vuelven más densas. El cordón de plasma empieza a expulsarse de la zona donde las líneas de fuerza están dispuestas más densamente hacia fuera, hacia las paredes del recipiente. Como resultado, la flexión del cordón de plasma aumenta y el plasma, por último, toca las paredes de la cámara. Ocurre lo mismo que en un largo muelle comprimido que, como se sabe, es inestable respecto a las deformaciones transversales. Exactamente igual un estrechamiento local del cordón de plasma conduce a su estrechamiento mayor aún y, acto seguido, a la ruptura.
Contra ese fenómeno se puede luchar mediante el campo magnético. Si a lo largo del cordón de plasma pasan las líneas de fuerza del campo magnético creado por una fuente ajena, la elasticidad de esas líneas conducirá a que cualquier flexión casual del cordón se liquide igual que un estrechamiento accidental del mismo. Algo parecido ocurrirá si dentro del muelle se hacen pasar cordones elásticos extendidos.

Figura 25. Cuadros de la inestabilidad de plasma. Lamentablemente, de momento no se ha logrado hallar tal forma de campo magnético que permita al plasma mantener durante mucho tiempo su forma sin tocar las paredes del recipiente.
De otro método eficaz de superar las curvaturas del cordón de plasma, sobre todo de las de radio grande, puede servir la utilización de una funda metálica más o menos maciza el recipiente -, que contiene el plasma. Entre la funda y el cordón de plasma pasa cierto flujo magnético, es decir, existe un campo magnético con sus líneas de fuerza convencionales, Si el cordón de plasma cambia su posición, el campo magnético entro éste y la funda se alterará y se deformará. En un lugar las líneas de fuerza quedarán estrechadas, en otro, extendidas. Si, para mayor claridad, se comunica de nuevo a las líneas de fuerza magnéticas la propiedad de elasticidad, estará claro que éstas tratarán de obligar al cordón de plasma a recuperar su posición en el eje de la cámara.
La estabilización del plasma por medio de un campo longitudinal es singularmente eficiente cuando se logra hacer que éste exista sólo en el plasma, mientras que fuera del plasma, es decir, en el espacio entre las paredes de la cámara y el cordón no exista. Esto se puede hacer en el caso de que el cordón de plasma, que se comprime al pasar una corriente fuerte, arrastre consigo todas las líneas de fuerza del campo longitudinal creado en el volumen total de la cámara. Al desprenderse de las paredes de la cámara, el cordón de plasma arrastra consigo todas las líneas de fuerza magnéticas que existían antes en la cámara, creando entre las paredes de esta última y el cordón un vacío magnético respecto al campo longitudinal.
Todas estas ideas empezaron a aplicarse en la práctica tan sólo en los años cincuenta. Cierto que también antes, en las postrimerías de la guerra, se realizaban experimentos del confinamiento magnético del plasma. Perseguían fines militares y los dirigían en EE.UU. Enrique Fermi y Edward Teller, unos de los creadores de la bomba atómica norteamericana.
Los intensos trabajos en la esfera de la fusión termonuclear controlada comenzaron casi simultáneamente en la URSS, EE.UU. e Inglaterra. Las primeras instalaciones eran cámaras toroidales de vidrio, de porcelana o de cuarzo (más tarde, las cámaras, por regla general, se construían de fino acero inoxidable no magnético) dentro de las cuales se ubicaban las cámaras de trabajo de gruesas paredes de cobre, denominadas, a veces, forros. Sobre la cámara se enrollaba el devanado que creaba el campo magnético longitudinal estabilizador con intensidad hasta 500 Oe. La cámara toroidal interior se llenaba de gas. Esa espira anular de gas servía de devanado secundario del transformador. El papel de devanado primario, que se alimentaba de una potente batería de condensadores, lo cumplía la funda metálica exterior de la cámara. Para mejorar el acoplamiento magnético, dentro del toro se instaló un núcleo de hierro. A veces se utilizaba como devanado primario un arrollamiento de cobre común.
En una de las primeras instalaciones "Zeta", el transformador se componía de dos núcleos aislados, provistos de orificios interiores redondos a través de los cuales pasaba la cámara de descarga. Los núcleos de 1,5 m de diámetro interior y 3 m de diámetro exterior fueron devanados con acero en bandas para transformadores. Al aplicar un potente impulso de corriente de la batería de condensadores al devanado primario de semejante transformador, surge también corriente en la espira de gas secundaria. Esa corriente, atravesando el gas, lo calienta hasta una temperatura alta y lo transforma en plasma. Sometido a la acción de la corriente el cordón de plasma se comprime y se desprende de las paredes.
De construcción similar eran también algunas otras instalaciones experimentales, "Sceptr", "Alpha", "Perhapstron" en las cuales se realizaron numerosos experimentos, cuyos resultados, sin embargo, provocaron pesimismo en los científicos. Se aclaró que el campo longitudinal estabilizador, pese a los pronósticos iniciales, resultó insuficiente para que el cordón de plasma fuera estable ante toda una clase de perturbaciones casuales. El campo magnético longitudinal era demasiado débil respecto al propio campo del plasma. Los cordones elásticos dentro del muelle resultaron débiles para protegerlo contra las flexiones de avería.
Para eludir esa dificultad, fue necesario aumentar considerablemente el campo longitudinal y disminuir el campo propio del cordón. Ese problema fue resuelto con las instalaciones tipo "Tokamak". Para crear un intenso campo longitudinal en ese sistema se utilizaron potentes bobinas que resistían la presión de un campo magnético de 100 atm. Fue necesario alimentar esos enormes solenoides por medio de potentes generadores de impulsos, que comúnmente se usan para excitar sincrotrones. A pesar de que el campo magnético creado por semejantes sistemas es impulsivo (un impulso dura 1/5 s, aproximadamente), supera centenares de veces por su duración el tiempo de descarga y, prácticamente, es constante para éste.
El campo magnético longitudinal de las instalaciones tipo "Tokamak" llega a 35-50 mil Oe, o sea, es centenares de veces mayor que el de las instalaciones tipo "Zeta" y "Alfa".
¿Y cómo impedir la reducción del radio del cordón durante la astricción? Es que al disminuir el, radio, aumenta el campo propio del cordón y las ventajas, logradas mediante la utilización de un potente campo magnético longitudinal, serán reducidas a cero. Más, si el campo del cordón es pequeño, éste quedará demasiado ancho. Tocará las paredes de la cámara y se enfriará. Para superar esa contradicción, los diseñadores de las instalaciones tipo "Tokamak" decidieron aplicar en la cámara toroidal diafragmas con orificios, pequeños en comparación con el diámetro de la cámara. Los experimentos mostraron que esa construcción aseguraba la formación de un cordón de sección limitada por las dimensiones de los orificios del diafragma. En la instalación "Tokamak-3", puesta en funcionamiento en 1962 en el Instituto de Energía Atómica "I. Kurchátov", el diámetro del orificio del diafragma tenía 20 cm, el de la sección transversal del forro, 40 cm y el de la funda exterior, 50 cm. El toro tenía 2 m de diámetro. El campo magnético longitudinal con intensidad hasta 40 mil Oe lo crean ocho bobinas con diámetro exterior de 1 m, aproximadamente. Cada bobina es un monolito de 352 espiras de cobre sintetizadas en la resina epóxica. Las bobinas se alimentan de un generador de impulsos, es decir, de funcionamiento breve, de unos 75 mil kw de potencia. En 1964 fue puesta en marcha la instalación perfeccionada "Tokamak-5" de control automático de la posición del cordón de plasma en la cámara.
Los resultados de los experimentos de la serie "Tokamak" son muy alentadores y semejantes sistemas, por lo visto, se aplicarán ampliamente en las investigaciones ulteriores.
Se han obtenido resultados bastante buenos también con la instalación tipo "Levitron", construida en el Laboratorio de Livermore bajo la dirección de Colgate. La idea de semejante instalación, formulada por los científicos soviéticos todavía en el año 1951, consiste en que el plasma, comprimido por el campo propio, está sometido a la contracción adicional por el campo magnético de un conductor especial colocado en el centro del cordón de plasma (y, claro está, aislado de éste). En el "Levitron", el cordón de plasma tiene en sección la forma de anillo y posee alta estabilidad. Al mismo tiempo, la necesidad de aislar del plasma el conductor anular estabilizador y fijarlo en el centro de la cámara reduce las posibilidades de utilizar ampliamente ese sistema en la práctica.
Una dirección completamente distinta de los trabajos de confinamiento magnético del plasma trazaron los trabajos de los académicos soviéticos, quienes en 1950 propusieron confinar el plasma en las llamadas trampas magnéticas (o, como las llaman a menudo, "botellas magnéticas"), encomendando en este caso al campo magnético propio del plasma un papel secundario. La primera trampa era una cámara toroidal con el campo magnético longitudinal. Cualquier partícula cargada, que caía en la cámara, debía desplazarse de tal modo que sus trayectorias "se enrollasen" sobre las líneas de fuerza magnéticas. Más, poco después, los mismos autores descubrieron en su sistema un serio defecto. Resultó que en la cámara toroidal, donde las líneas de fuerza magnéticas estaban encorvadas, la intensidad o la inducción del campo magnético (la densidad de las líneas de fuerza) era mayor junto a la pared interior del tubo que junto a la exterior. Esto se explica por la elasticidad de las líneas de fuerza y su tendencia de contraerse lo más posible. Como resultado, junto a la pared interior, donde el camino es más corto, se acumula un número mayor de líneas de fuerza que junto a la exterior.
Esa heterogeneidad del campo magnético cambia el carácter espiral de las órbitas de las partículas. En las inmediaciones de la superficie interior, donde el campo es mayor, las partículas deberían desplazarse por una órbita de radio menor que cerca de la superficie exterior. En consecuencia, las partículas cargadas "derivan" a través de las líneas de fuerza del campo magnético, chocando los núcleos cargados positivamente con el "techo" del tubo, en tanto que los electrones, con su "fondo".
Esa deriva de las partículas es bastante desagradable de por sí, mas el efecto indirecto de ese fenómeno es verdaderamente catastrófico. La separación de las cargas por su signo provoca el surgimiento en el espacio de la cámara de un campo eléctrico imprevisto, que deforma completamente las órbitas de las partículas, lanzándolas contra las paredes de la cámara.
¿Cómo evitar esa heterogeneidad del campo magnético?
¿Qué hacer para que todos los caminos de las líneas de fuerza en la cámara toroidal sean equivalentes?
Se podría lograrlo, si se obligara a la línea de fuerza que pasa a lo largo de la superficie interior de la cámara a intercambiar en cierto tramo de lugar con la línea que se desplaza junto a la superficie exterior. Entonces, el largo de todas las líneas de fuerza sería igual y todas se verían en condiciones iguales; cada una de ellas, al dar una vuelta completa, en vez de volver al punto anterior, formaría una superficie, denominada superficie magnética.
Se podría lograr tal efecto encorvando las líneas de fuerza alrededor del eje del toro. En este caso, las líneas de fuerza tendrían una forma más o menos parecida a la de los hilos aislados de una cuerda torcida.

Figura 26. Los físicos cifran grandes esperanzas en el stellarator: sistema en el cual la línea de fuerza magnética describe una superficie especial que se llama superficie magnética.
Las partículas, que se desplazan rápidamente a lo largo de las líneas de fuerza y, de esa manera, contornean continuamente el eje de la cámara, no pueden caer sobre la pared inferior o la superior. Cuando una partícula que deriva hacia arriba se halla por debajo del eje, tiende, naturalmente, a apartarse de éste; mientras que al hallarse abajo, la propia deriva hacia arriba compensa el desplazamiento anterior de la partícula, acercándola al eje. Como resultado, la distancia media entre la partícula y el eje permanece invariable. Mas para lograr ese efecto es necesario conseguir que la línea de fuerza magnética, que describe en el toro un anillo, al mismo tiempo giro constantemente alrededor del eje de la cámara. Esto se puede lograr usando devanados de gran paso, helicoidales, tales, por ejemplo, como los representados en la figura 26. Semejantes arrollamientos se han aplicado en el stellarator tipo "C", construido relativamente hace poco en EE.UU. Su cámara tiene en el plano el aspecto de la pista en un estadio. El radio interior de la cámara tiene 20 cm, el largo axial, 12 m, la intensidad del campo magnético, unos 50 mil Oe. La potencia de la instalación eléctrica de alimentación es de 15 mil kw.
El otro método de "transformación giratoria" o de "torsión" de las líneas de fuerza magnéticas fue propuesto por el físico norteamericano L. Spitzer y el físico soviético, académico L. Artzimovich.
Hemos dicho ya que un campo magnético longitudinal corriente "no torcido" posee heterogeneidades, lo que conduce a que las partículas negativas chocan contra el "piso", mientras que las positivas, contra el "techo" de la cámara. ¿Y qué pasará si dejando una mitad del toro intacta, confundir el "piso" y el "techo" en la otra mitad o, en pocas palabras, transformar el toro, la rosca, en un ocho? Entonces, empezando a caer en la primera mitad del antiguo toro, la partícula deberá "caer para arriba" en su otra mitad y, de esa manera, por término medio permanecerá a una distancia invariable del eje de la cámara.
Apreciando las cámaras toroidales tipo "stellarator" con devanado helicoidal y las transformadas en un ocho, se puede sacar la conclusión de que los stellaratores son actualmente unos sistemas magnéticos muy perfectos para el confinamiento del plasma. Su desventaja consiste en la dificultad de fabricación y la carestía.

Figura. 27. Trampa ПР-5.
La cámara de vacío de la "ОГРА-I " tiene 19 m de longitud y su diámetro interior es de 1,4 m.

Figura 28. "ОГРА-II", una de las colosales trampas termonucleares
Sin embargo, como se aclaró, el sistema magnético tipo "taponotrón" en su forma "pura" tiene serias deficiencias. En ese sistema, el campo magnético más débil surge en medio del canal, junto a las paredes. Hacia allá precisamente se precipita el plasma al producirse la descarga y en menos de 0,001 s entra en contacto con las paredes de la cámara.
Un nuevo paso hacia el perfeccionamiento del taponotrón se dio en 1963, cuando en el Instituto de Energía Atómica "I. Kurchátov" fue puesta en funcionamiento la instalación denominada ПР-5. La idea de esa instalación fue formulada por B. Kadomtsov, quien, habiendo analizado las causas de los fracasos de los taponotrones puros, descubrió que para encerrar el plasma con más eficiencia era necesario complicar la configuración del campo magnético. Propuso completar el sistema de tapones magnéticos, asegurando a lo largo de las generatrices del cilindro activo un devanado más, de modo que, por los conductores contiguos la corriente pasara en sentidos opuestos. Esto debería conducir a que junto a las paredes del cilindro se creara un campo magnético suplementario que obstaculizara el acercamiento del plasma a las paredes.

Figura 29. Esquema de la trampa de plasma superconductora:
1 - alimentación de helio gaseoso a presión; 2 - alimentación de helio líquido; 3 - intercambiadores de calor en espiral; 4 - devanado superconductor; 5 - pantallas de nitrógeno; 6 - zona de trabajo; 7 - salida de helio gaseoso.
Al efectuarse la superposición de los campos de los conductores rectilíneos sobre el campo de los "tapones" se obtiene un cuadro, muy complicado de campo magnético. Por ejemplo, si el tubo de las líneas de fuerza en medio de la cámara es en su sección un círculo, en los extremos de ésta es ya un triángulo curvilíneo.Construyeron la instalación físicos soviéticos, encabezados por. M. Ioffe. Los conductores rectilíneos fueron ubicados debajo de las bobinas que creaban el campo magnético de los tapones. La intensidad del campo magnético longitudinal en el centro de la cámara era de 8 mil Oe, y en la zona de los tapones, de 12 mil Oe. El valor de la intensidad del campo magnético de los conductores rectilíneos cerca de las paredes era de 8 mil Oe. La longitud del volumen de trabajo era de 1,5 m y el diámetro, de 40 cm.
Ya los primeros experimentos infundieron esperanzas a los físicos. La estabilidad del plasma aumentó 35 veces en comparación con los experimentos realizados con los taponotrones puros, y el plasma vivió varios centésimos de segundo.
En 1964 fue puesto en explotación el equipo "ОГРА-II" también basado en el principio de los campos magnéticos combinados.

Figura 30. Reactor termonuclear del futuro. La maqueta expuesta en el pabellón soviético de la Exposición Mundial de Montreal.
¿Cómo será el generador termonuclear? La trampa magnética, por lo visto, resultará muy voluminosa; sólo en este caso la potencia que consumirá no será grande en comparación con la potencia del generador. Esto ocurre debido a que la potencia de este último se halla en dependencia cúbica de la dimensión lineal del sistema, mientras que la potencia que consumen los devanados es proporcional a la dimensión lineal.
Partiendo de consideraciones relativas a la potencia que consume la trampa magnética, se puede suponer que el diámetro del generador termonuclear, forzosamente, tendría unos cuantos metros y su largo llegaría a varias decenas de metros. Sólo en este caso, la potencia útil del generador será mayor que la que consume el sistema magnético.
No está excluido, sin embargo, que se logre crear devanados superconductores enormes. Entonces, el rendimiento de los generadores crecerá bruscamente.
El costo de la energía eléctrica que generarán las centrales termonucleares será muy bajo, debido a la baratura de la materia prima (el agua). Llegará el momento en que las centrales eléctricas generen, literalmente, océanos de energía eléctrica. Con la ayuda de ésta, será posible, tal vez, no sólo cambiar radicalmente las condiciones de vida en la Tierra (hacer correr a la inversa los ríos, secar los pantanos e irrigar los desiertos), sino también cambiar el aspecto del espacio cósmico circundante: poblar y "animar" la Luna y rodear de atmósfera el Marte.
El académico L. Artzimovich escribió: "Es poco probable que quepan dudas algunas de que, a fin de cuentas, el problema de la fusión termonuclear será resuelto".
Una de las principales dificultades en ese camino, como es de suponer, radica en la creación de un campo magnético de geometría y valor necesarios. A pesar de que campos magnéticos en las actuales trampas termonucleares son relativamente débiles y teniendo en cuenta los enormes volúmenes de las cámaras, la ausencia del núcleo ferromagnético, así como las exigencias especiales que se presentan a la forma del campo magnético que dificultan la creación de semejantes sistemas, debe reconocerse que las trampas existentes constituyen ya un gran logro técnico. Y las trampas que las relevarán serán el orgullo de una nueva rama de la física: la física de los campos magnéticos potentes y superpotentes.
§12. Los colosos deben desaparecer
El principal objeto de ese capítulo consiste en mostrar que la máquina eléctrica de afeitar no es el único mecanismo en el cual se emplean electroimanes, y que los colosales imanes modernos provocan ya en algunos ingenieros una leve irritación y, a veces, no tan leve.
Al investigar las circunstancias sumamente misteriosas de todas esas averías cósmicas se esclareció lo siguiente. En julio de 1962 los militaristas atómicos norteamericanos hicieron explotar a la altura de 400 km sobre la isla de Johnston el artefacto nuclear "Starfish" de 195 megatoneladas de potencia. A consecuencia de esa explosión, que provocó indignación en todo el mundo, se formó un cinturón artificial de radiación en cuya parte central la dosis horaria de radiación superaba 500 veces la dosis mortífera para el hombre. Potentes flujos de electrones surgidos durante esa explosión nuclear, estropearon los aparatos de radio de los satélites artificiales.
El mismo efecto, más de escala mayor aún, debe tener lugar también en los cinturones naturales de radiación de la Tierra.
El peligro ligado con la existencia de cinturones de radiación, atrae especial atención, precisamente en los últimos tiempos, puesto, que el hombre salió al cosmos.
El problema de protegerse contra la radiación, a primera vista, puede parecer no tan complicado, con más razón de que la misma naturaleza da un brillante ejemplo de su exitosa resolución. En efecto, si en el espacio circunsolar existe radiación tan peligrosa, ¿por qué entonces la humanidad sigue existiendo? ¿Por qué la Tierra Do se convirtió en una llanura desierta y exánime?
De eso hemos hablado ya más arriba: la Tierra está protegida contra la radiación por su propio campo magnético. Apenas una partícula cargada penetra en ese campo, su trayectoria se encorva y ella empieza a girar en torno a la Tierra, arrollándose sobre las líneas de fuerza del campo magnético.
De modo que, para protegerse de la radiación en una nave cósmica, se puede utilizar el imán. Es evidente que sus dimensiones deben ser más o menos iguales al diámetro de la nave y el campo, lo suficientemente potente para repeler las partículas peligrosas.
Podría parecer que tampoco ese problema es tan difícil: en el curso de un siglo y medio, transcurridos desde el momento en que Sturgeon construyera el primer electroimán, los ingenieros aprendieron a hacer electroimanes de dimensiones adecuadas y con campos de suficiente intensidad. Desde que los eminentes físicos franceses Arago y Ampère establecieron que la espiral por la que pasa la corriente eléctrica continua, se porta de manera exactamente igual que el imán natural permanente al atraer trocitos de hierro, los electroimanes modernos se construyen, precisamente, a base de ese principio: todos contienen obligatoriamente una espiral (como regla, de cobre o de aluminio) por la cual circula la corriente.
Teóricamente, por la intensidad y la inducción del campo magnético los electroimanes no tienen límite. El único obstáculo para obtener campos magnéticos superpotentes es la potencia que se pierde en la resistencia eléctrica de la espiral (del devanado). Esa potencia crece al cuadrado del valor de la intensidad del campo magnético a obtener. Así, el electroimán permanente récord (construido recientemente en EE.UU.) que es una espiral de cobre refrigerada por agua, crea un campo magnético con la inducción de 250 mil Γ y consume 80 mil kw. Uno de los proyectos propuestos de electroimán con el campo de 1 millón de γ prevé su alimentación de generadores ¡cuya potencia total es de 1 millón de kw!
Para disminuir de algún modo la potencia que consume el electroimán, dentro de la espiral por la que circula la corriente se introduce un núcleo de acero, tal como lo había hecho por primera vez Sturgeon. De esa manera se puede disminuir sustancialmente la potencia que consume el imán, mas... su peso aumenta centenares de veces, debido al blindaje de acero que rodea la espiral por fuera y por dentro.
Tales imanes se emplean cuando se necesita un campo pequeño (hasta 20 mil γ) con la uniformidad dada, por ejemplo, en sistemas magnéticos de los aceleradores de partículas atómicas.
Es absolutamente evidente que en las naves cósmicas los imanes pesados son inaplicables. Incluso si se tratara de la protección magnética contra radiación, sólo podrían utilizarse sistemas relativamente ligeros sin núcleo de hierro. Al parecer, precisamente en ese camino habría que buscar la solución.
Sin embargo, los cálculos muestran que no es así. Un electroimán que tiene la forma del devanado de cobre refrigerado por agua, para responder a las exigencias determinadas, debe pesar varias decenas de toneladas y para su funcionamiento habría que llevar a bordo de la nave cósmica nada menos que una central eléctrica y un depósito de agua...
Está claro que se necesitan imanes de nuevo tipo: ligeros, compactos y muy económicos, que no se parezcan en absoluto a los monstruos de cobre y acero que pesan muchas toneladas, ocupan enormes laboratorios físicos o se alojan en las cuevas subterráneas de gigantescos sincrofasotrones.
Cuesta imaginarse cuán difícil era la tarea de crear nuevos imanes. Hoy en día se puede decir "era", puesto que sus primeros modelos se han experimentado ya en laboratorios.
Esos imanes, desde luego, están destinados no solamente al cosmos. Se sabe que muchas" decenas de ramas de la ciencia y la técnica terrestres están ligadas de una u otra manera con la aplicación de campos magnéticos.
Quizás sea oportuno explicar de qué imanes se tratará en adelante. Con la utilización de ¡manos tropezamos a menudo incluso en la vida cotidiana. Los imanes trabajan en la máquina eléctrica de afeitar y en el magnetófono, en el aspirador de polvo y en el aparato de radio, en la enceradora eléctrica y en el televisor. Mas son imanes relativamente débiles: su campo no llega siquiera a 10 mil γ, y la esfera de acción se limita a milímetros cúbicos.
No se tratará de tales imanes. En la física y en la técnica del siglo veinte se aplican ¡manos que por sus dimensiones y valor de inducción superan centenares de veces a los pequeños artefactos mencionados.
En los generadores que producen océanos de energía eléctrica giran a enorme velocidad rotores de 10-15 metros. Son imanes.
Los científicos estudian las propiedades de sustancias en campos magnéticos cuya intensidad supera medio millón de veces la del campo terrestre. ¡En tales campos actúa una fuerza de más de dos toneladas por centímetro cuadrado de superficie del devanado! La instalación destinada para crear un campo tan intenso ocupa toda una nave de laboratorio. También es un imán.
Se puede mencionar centenares y miles de diferentes tareas físicas, técnicas e ingenieriles puramente prácticas, agrupadas por una sola circunstancia común: para su realización se necesitan imanes ligeros, potentes y económicos. Se trata de crear nuevos generadores, efectuar trabajos de buzo para poner a flote barcos hundidos, construir fábricas atómicas y materializar reacciones termonucleares controladas...
Un imán potente, he aquí la clave para estos y otros muchos problemas. Mas los científicos no podían encontrar durante mucho tiempo una llave para solucionar el problema de crear imanes necesarios.
¿Y por qué no les convienen a los ingenieros y a los científicos los imanes existentes?
Para comenzar, esos imanes, como hemos dicho ya, son terriblemente voraces.
Si los electroimanes de laboratorio de 20 mil γ consumen una potencia de centenares de kilovatios, al proyectar imanes con campos decenas de veces mayores, se debe tener una fuente de potencia centenares de veces mayor que la inicial, ¡es decir, del orden de varias decenas de miles de kilovatios!
Tampoco es mejor la situación en cuanto a las dimensiones (lo imanes tan potentes. Se sabe que en los imanes con acero es difícil obtener campos mayores de 20 mil r' y, por tanto, los constructores, con el fin de lograr el efecto deseado, a menudo se ven obligados a aumentar las dimensiones de los imanes. A eso se debe precisamente que los diámetros de los imanes para los aceleradores llegan a centenares de metros, ¡y los de las instalaciones de artillería nuclear más potentes en proyección y en construcción, se miden por kilómetros!
Este no agota las deficiencias de los imanes "tradicionales". Son, naturalmente, muy pesados (en lo fundamental a costa del blindaje de acero del núcleo por medio del cual se trata, aunque sin gran éxito, de reducir la potencia consumida). Por ejemplo, el gigantesco imán del sincrofasotrón de Dubna pesa 36 mil t ¡el peso de varios trenes cargados!
¿Y qué pasará luego con el peso, las dimensiones y la voracidad de los imanes potentes? Está claro que, a medida de la complicación de los problemas científicos o ingenieriles y del desarrollo de la industria, las cifras, enormes ya de por sí, que patentizan los serios inconvenientes de tales imanes, seguirán aumentando.
Mas eso, por lo visto, no ocurrirá. Y he aquí por qué.
§13. ¡Error o descubrimiento!
Capítulo en el que un eminente científico holandés, tras largas dudas, anuncia al mundo un nuevo descubrimiento.
Un eminente físico dijo en una oportunidad que los científicos contemporáneos que se dedicaban al estudio de los imanes superconductores, "lo han robado a Onnes el pastel y lo devoran ávidamente". En realidad entre los imanes superconductores modernos y las ideas de Heike Kamerlingh Onnes existe la misma diferencia que entre el pastel y la receta de su preparación En efecto, ya en 1911, trabajando en el Laboratorio de Leiden el científico holandés Onnes tropezó por casualidad con el fenómeno de la superconductividad., tomándolo al principio por error del experimento.
Onnes tardó bastante en comprender que la superconductividad no era un error del experimento ni la confirmación de su errónea teoría de resistencia eléctrica, sino un fenómeno completamente desconocido e inexplicable, que abría una nueva era en la electrotecnia.
He aquí las etapas que condujeron a la obtención de temperaturas ultrabajas y al descubrimiento de la superconductividad:
| año 1877 | el francés L. Cailletet obtiene el oxígeno líquido en forma de gotitas de niebla (90,2 °K) [19]; |
| año 1883 | los polacos Z. Wroblewski y K. Olszewski licuan el nitrógeno (77,4 °K); |
| año 1898 | el inglés S. Dewar licua el hidrógeno (20,4 °K); |
| año 1908 | el holandés H. Kamerlingh Onnes obtiene por primera vez el helio líquido en forma de nubecilla de niebla (4,2 °K); |
| año 1911 | H. Kamerlingh Onnes descubre la superconductividad del mercurio |
Hasta 1911 no estaba claro cómo debía cambiar la resistencia eléctrica de los metales al bajar su temperatura.
Respecto a eso, los científicos se atenían a tres puntos de vista diferentes.
La teoría clásica del electromagnetismo enseña que la resistencia del conductor disminuye al bajar la temperatura. Ese fenómeno puede explicarse bastante fácilmente. La corriente eléctrica es un flujo de electrones libres que atraviesa la red cristalina del metal. A temperaturas altas, debido a la oscilación térmica de los átomos de la red cristalina, la probabilidad de colisión de los electrones con la red es grande, lo que obstaculiza el movimiento de los electrones y crea la resistencia a la corriente. A temperaturas bajas, cuando la amplitud de las oscilaciones de los átomos en la red disminuye, la probabilidad de colisión de los electrones con ésta se reduce y de esa manera la resistencia a la corriente es menor. A la temperatura de cero absoluto, estando ya la red inmóvil, la resistencia del conductor es igual a cero.
Habrá también resistencia a la corriente a la temperatura de cero absoluto, puesto que algunos electrones chocarán con la red, con más razón de que las redes cristalinas, como regla, no son ideales: siempre tienen defectos e inclusiones de impurezas.
A medida de aproximarse a cero absoluto, la resistencia de los metales debe crecer, ya que, debido a la condensación de los electrones en la red (una analogía aproximada: la formación de pequeñas gotas de agua en una cuchara fría que se acerca al té caliente) su número irá disminuyendo continuamente, lo que tiene por efecto que la electroconductibilidad (determinada por el número de electrones libres) disminuye (la electroconductibilidad es la magnitud inversa a la resistencia).
En primavera de 1911 H. Kamerlingh Onnes congeló el mercurio en el frasco Dewar que contenía helio líquido. Acto seguido hizo pasar a través del mercurio la corriente eléctrica y observaba las agujas de los instrumentos de medición que indicaban la resistencia que, como se esperaba, disminuía gradualmente a medida de bajar la temperatura. Tal correlación entro la resistencia y la temperatura se mantenía hasta que ésta bajara a 4,12 °K. Repentinamente, la resistencia eléctrica del mercurio desapareció; no quedó siquiera la resistencia determinada por los choques de los electrones con los defectos y las impurezas de la red.
H. Kamerlingh Onnes repitió el experimento. Tomó un mercurio muy impuro, cuya resistencia residual, provocada por las impurezas, debía manifestarse muy claramente. Más al aproximarse a la misma temperatura de 4,12 °K, la resistencia del mercurio desapareció casi de la misma manera inesperada. ¿Cómo aumentar la resistencia de la columna de mercurio hasta el valor que puedan registrar los instrumentos? Por lo visto hay que aumentar la longitud de la columna y disminuir su sección. H. Kamerlingh Onnes hizo una columna de mercurio de espesor menor que el pelo humano y de 20 cm de largo. Al medir entonces la resistencia quedó asombrado: las agujas de los instrumentos permanecieron inmóviles.
El científico hizo de mercurio un anillo y lo suspendió horizontalmente de un hilo fino. Si en tal anillo se induce corriente (por ejemplo, desconectando un electroimán de las cercanías), el hilo torcerá en un ángulo que se podrá medir con gran precisión, fijando en el hilo un espejo y observando la posición del reflejo. Si en el anillo existe cierta resistencia, la corriente se amortiguará gradualmente, lo que conducirá a que la torsión del hilo disminuya y el reflejo se desplace. El científico realizó ese experimento, pero el reflejo quedó inmóvil.
Esto podía significar una cosa: la resistencia eléctrica del anillo era igual a cero, es decir, el mercurio a una temperatura próxima a cero absoluto se convierte en superconductor.
Sin embargo, se necesitó más de medio siglo para que la superconductividad, de una curiosidad de laboratorio, se transformara en una base segura para los físicos e ingenieros.
§14. Algunas propiedades de los superconductores
El contenido de este capítulo corresponde en gran medida al título y, de paso, se menciona el Universo así como las teorías misteriosas bajo títulos cifrados: BCSch y GLAG
La propiedad más conocida y, por lo visto y la más valiosa de los superconductores es su resistencia eléctrica nula a la corriente continua.
A decir verdad, establecer por medio de un experimento que la resistencia es nula es imposible, sólo se puede hablar de que la resistencia del superconductor no supera cierto valor, determinado por la precisión de las mediciones. En la actualidad se toma por límite superior de la resistencia eléctrica específica del superconductor el valor de 3 x 10-23Ω x cm [20]. Partiendo de esa cifra, se puede calcular que la corriente excitada en un circuito superconductor, disminuirá en un valor que puede observarse en un experimento que dure 100 mil años, como mínimo. Ahora está claro por qué en uno de los experimentos realizados en el período de marzo de 1954 a septiembre de 1956, los investigadores no pudieron notar el menor indicio de amortiguamiento de la corriente en un anillo de plomo superconductor. Hay datos también sobre un experimento que duró diez años con el mismo resultado.
Sin embargo, al investigar el amortiguamiento del flujo magnético dentro de un tubo de niobio y circonio (el 25% de circonio) se descubrió que, pese a todo, el flujo se amortiguaba. Ese amortiguamiento se produce con arreglo a la ley logarítmica: en el primer segundo el flujo disminuye en 1 %, en los 10 s subsiguientes, en 1 % más, etc. El flujo se amortiguará por completo en ese tubo (es decir, disminuirá hasta el valor que ya no se podrá medir con instrumentos modernos) en 1092 años. Los resultados de tales experimentos, sin embargo, se deben aceptar con circunspección. Se sabe que cualquier anillo que crea un campo magnético está sometido a la acción de fuerzas que tienden a aumentar sus dimensiones, es decir, simplemente a romperlo. El aumento del diámetro del anillo aunque sea en una millonésima parte se manifestará enseguida en la disminución del campo, que puede atribuirse a que en el superconductor existe resistencia eléctrica.
Si la primera propiedad fundamental de los superconductores, la falta de la resistencia fue descubierta en 1911, la segunda propiedad importantísima, solamente pasados 22 años. En 1933 el físico alemán Meissner descubrió que los superconductores eran materiales diamagnéticos ideales. ¿Qué significa esto?
Nosotros, por ejemplo, nos hallamos constantemente en el campo geomagnético. Las líneas de fuerza de este campo atraviesan todos los objetos y seres en la Tierra. Si las líneas de fuerza tropiezan con un material ferromagnético, por ejemplo, un pedazo de hierro, en éste las líneas de fuerza parecen densificarse. Si tropiezan con un material diamagnético, en éste, por el contrario, se crea un enrarecimiento, un vacío de líneas de fuerza. En el superconductor, las líneas de fuerza no penetran en absoluto. Con otras palabras, el superconductor es absolutamente diamagnético. El interior del superconductor está apantallado en forma ideal contra los campos magnéticos exteriores (el efecto de Meissner) por medio de las corrientes que circulan en la fina capa superficial del superconductor. En esta capa penetra también el campo magnético, debido a lo cual la profundidad de esa capa se denomina profundidad de penetración y se designa por λ. El diamagnetismo de los superconductores puede aprovecharse, por ejemplo para atribuir a las líneas de fuerza del campo magnético la configuración dada. El campo contorneará el superconductor, mientras que las líneas de fuerza adquirirán la configuración que reproduce el contorno del superconductor.
El superconductor difiere sustancialmente de un conductor ideal con resistencia Γ = 0. En un conductor ideal puede penetrar el campo, en cambio de ningún modo se puede obligar al campo magnético a penetrar en un superconductor. Aunque sí, existe un método: al alcanzar la intensidad del campo magnético en algún punto del superconductor una magnitud que supere cierto valor crítico, en ese punto el superconductor pierde la superconductividad. Los campos magnéticos críticos de los metales puros son débiles; no superan centenas de Oersted, lo que puede verse en la tabla 2.
La corriente que pasa por el superconductor también puede provocar la pérdida de la superconductividad. La magnitud de esa corriente en los superconductores puros está relacionada con el campo magnético crítico por la regla de Silsbee: la superconductividad se anula por tal valor de la corriente en el conductor, que crea en la superficie del superconductor un campo igual al crítico. La magnitud del campo en la superficie del conductor se puede determinar con arreglo a la ley de la corriente total.
Cada superconductor tiene, además, su propia temperatura crítica (Tc), es decir, pasando la cual pierde a salto sus propiedades de superconductor. Estas temperaturas son muy variables.
Sobre la temperatura crítica influyen, aunque débilmente, las tensiones mecánicas en la probeta. Como regla (mas no siempre), el aumento de las tensiones mecánicas en la probeta acarrea la elevación de la temperatura crítica y únicamente los métodos muy sensibles permiten establecerlo.
Una dependencia análoga existe entre las tensiones mecánicas y el campo magnético crítico. Se demostró, en particular, que el campo crítico de una probeta de estaño, que a temperatura de 2 °K es de 210 Oe, después de haber creado artificialmente en el estaño fuertes tensiones mecánicas, aumentó hasta 15 mil Oe.
| Tabla 2 | ||||||
| Elemento | Temperatura Crítica Tc (°K) | Campo Magnético Crítico Hc’ en Oe | Elemento | Temperatura Crítica Tc (°K) | Campo Magnético Crítico Hc’ en Oe | |
| Ti | 0,40 | 100 | Rn | 1.70 | 201 | |
| Ru | 0.49 | 66 | Tl | 2.39 | 171 | |
| Zr | 0.55 | 47 | In | 3.40 | 278 | |
| Cd | 0.56 | 30 | Sn | 3.72 | 309 | |
| U | 0.60 | ~2000 | Hg | 4.15 | 411 | |
| Os | 0.71 | 65 | Ta | 4.40 | 780 | |
| Zn | 0.82 | 52 | V | 5.30 | 1310 | |
| Ga | 1.10 | 51 | La | 5.95 | 1600 | |
| Al | 1.20 | 99 | Pb | 7.17 | 803 | |
| Th | 1.37 | 162 | Nb | 9.22 | 1944 | |
La reducción de las dimensiones de la probeta ensayada hasta un micrón, aproximadamente, provoca un cambio sustancial de las propiedades del superconductor. Tal probeta no será ya diamagnética, en tanto que su campo crítico y la corriente aumentarán notoriamente.
Reduciendo el espesor de la muestra, se puede aumentar centenares de veces su campo crítico. Una película de plomo superconductora de 20 Å de espesor tendrá un campo crítico igual a 400 mil Oe.
Aumentará también sustancialmente la densidad de la corriente crítica en las películas superconductoras finas, llegando en las capas de espesor del orden de 100 Å, a 107 – 108 A/cm2.
Al aumentar la frecuencia del campo magnético o la corriente, el superconductor empieza a adquirir gradualmente resistencia. Sin embargo, a frecuencias hasta 107 Hz inclusive, prácticamente, todavía es igual a cero.
El físico norteamericano Pippert determinó en 1950 que para el estaño, la banda de frecuencias críticas se halla dentro del marco de (1,2 - 9,4) x 109 Hz.
Según el joven científico norteamericano Cooper, en el estado de superconductividad, los electrones forman pares. La formación de esos pares se hace posible en el caso de que la interacción entre los electrones de conducción de los spines antiparalelos (a grosso modo, los que giran en diferentes sentidos) y la red, [21] conduce a que entre ellos surjan fuerzas de atracción que superan las de repulsión eléctrica.
El tamaño de los pares de Cooper es bastante grande; es mayor que la profundidad de penetración en los superconductores puros y algo menor, en las aleaciones.
A base de la suposición de Cooper fueron elaboradas la teoría de superconductividad BCSch, denominada con las letras iniciales de los apellidos de sus autores Bardeen, Cooper y Schrieffer, y la teoría de N. Bogoliúbov.
Para fisionar los pares de Cooper se debe consumir cierta energía, debido a lo cual la energía de los electrones superconductores es algo menor que la de los electrones normales. Esa diferencia se denomina banda prohibida o laguna.
Los superconductores puros (a excepción del niobio) pertenecen a los superconductores del 1er tipo (grupo).
La mayoría de los superconductores, se han descubierto ya cerca de un mil, pertenecen a los superconductores de 2do tipo. El término “superconductores de 2do tipo" fue introducido en 1952 por el científico soviético A. Abrikósov, quien desarrolló la teoría de superconductividad de Guinsburg - Landau. El término resultó indispensable para determinar los superconductores con energía superficial negativa como contrapeso a los de 1er tipo, la energía superficial de los cuales en el límite de las fases superconductora y normal es positiva. La energía superficial negativa puede tener lugar en el caso de que el llamado parámetro de Guinsburg – Landau
![]()
son en su mayoría diferentes aleaciones superconductoras. De la teoría GLAG (V. Guinsburg - L. Landau - A. Abrikósov - L. Gorkov) se deduce que los campos y las temperaturas críticas de los superconductores de 2do tipo deben ser muy elevados. El descubrimiento por Kunzler en 1961 de la superconductividad de la Nb3Sn en un campo de 88 mil Oe confirmó brillantemente esa conclusión de la teoría. Más tarde se aclaró que los campos críticos de muchas aleaciones (por ejemplo, de Nb3Sn, V3Ga y otras) superaban los 200-250 mil Oe. Estos superconductores, en comparación con los de 1er tipo, poseen campos y temperaturas críticos más altos. Es posible que en un futuro próximo se descubran superconductores con propiedades superconductoras mejores aún. Sin embargo, los físicos teóricos consideran que las propiedades de los superconductores tienen un límite. Así, el límite de la temperatura crítica se considera hoy día 40 °K. Esa limitación corresponde al tipo de superconductividad que se conoce actualmente, en la cual la formación de un par de electrones capaz de atravesar la red sin rozamiento, está determinada por el campo de oscilaciones de la red. En este campo, un electrón emite un cuanto de oscilación, mientras que el otro, lo absorbe, debido a lo cual no se registran pérdidas de energía, y la resistencia eléctrica es nula.Si el mecanismo de la superconductividad fuese distinto, se podría obtener temperaturas críticas más altas. Así, en la prensa norteamericana se discutió la posibilidad de la existencia de la superconductividad en los polímeros lineales hasta la temperatura crítica de 1000 °K inclusive.
Las propiedades de los superconductores de 1er y 2do tipos difieren notoriamente; por ejemplo, la transición al estado de superconductividad de los superconductores de 2do tipo transcurre muy paulatinamente en amplia gama de valores del campo magnético. El superconductor de 1er tipo es fácil convertir en el de 2do tipo, introduciendo en él algunos átomos ajenos (bastan unos cuantos por ciento) o alterando por algún procedimiento, por ejemplo, mediante la acción mecánica, su red cristalina. La conclusión es algo paradójica: ¡cuánto peor es la red tanto mayor es la corriente crítica del superconductor!
Con arreglo a la teoría GLAG, las aleaciones deben tener no un campo crítico, sino dos. Hc1 es la magnitud de la intensidad del campo magnético por debajo del cual el superconductor queda absolutamente diamagnético. Al seguir aumentando la intensidad, el campo magnético empieza a penetrar en el superconductor en forma de hilos finos, paralelos al campo exterior, que contienen un cuanto de flujo magnético.
En el campo Hc2, el superconductor no representa ya un obstáculo para las líneas magnéticas de fuerza. El campo Hc2 se puede aumentar, elevando la concentración de los defectos en el superconductor. En los superconductores de 2do tipo muy uniformes, la histéresis (el lazo en la curva de imanación), según la teoría, no existe.
No obstante, para las aleaciones compuestas de grandes sectores con distinta concentración de defectos (de distinta composición), las correlaciones de la teoría GLAG no se observan, y ellas poseen una histéresis bien acentuada. Tales aleaciones superconductoras se denominan, a veces, superconductores de 3er tipo.
Las heterogeneidades de las aleaciones determinan, en sumo grado, su corriente crítica y no influyen en absoluto en el valor Hc2.
Dado que los superconductores de 2do tipo son penetrables para los campos magnéticos y poseen, siendo su composición heterogénea, la histéresis, su alimentación con corriente alterna o su colocación en un campo magnético alternativo provoca pérdidas. Se ha demostrado que la magnitud de esas pérdidas, a frecuencia de 50 Hz, para una aleación de niobio y circonio (25% de circonio) llega a 0,3 kw, si por el superconductor de 1 m de largo pasa una corriente de 10 kA. Es posible disminuir considerablemente estas pérdidas, reduciendo las dimensiones del superconductor, por ejemplo, separándolo en hilos finos o empotrándolo a presión en un material poroso.
Tales superconductores "sintéticos" poseen dos ventajas por lo menos: la primera, al disminuir las dimensiones del superconductor mejora sus propiedades de superconductividad; la segunda, disminuyen las pérdidas por corrientes de Foucault en las partes no superconductoras del superconductor sintético.
§15. Efecto de Bryan J. Josephson
Pequeño capítulo que narra un nuevo descubrimiento hecho por medio de un extraordinario instrumento: una estilográfica. Es posible que lo referido en este capítulo se convierta en una nueva sensación técnica o, tal vez, quede simplemente un pétalo del ornamento que adorna el bello templo de la física teórica.
¿Qué fue eso: una clarividencia? ¿El resultado de una ardua y larga labor? ¿O un suave roce de ligeras alas de la fortuna?
En eso, por lo visto, hubo de todo. Bryan J. Josephson, estudiante que preparaba a la sazón su tesis de graduación en la universidad de Cambridge, publicó hace unos años en la revista "Cartas Físicas" ("Physics Letters") un pequeño artículo que despertó un vivo interés entre los físicos.
Por lo visto Josephson se daba prisa: recurren a esa revista quienes necesiten declarar urgentemente los derechos de prioridad sobre el estudio de una de las manchas todavía blancas de la física: ¡es que el plazo de publicación de artículos en "Physics Letters" es apenas de un mes y medio o dos meses! En efecto, había que darse prisa: posiblemente, tan sólo unas semanas decidirían qué nombre llevaría el nuevo efecto asombroso.
¿A qué se debía el especial interés que despertó el artículo de Josephson? ¿Tienen los efectos de Josephson alguna aplicación práctica o son un pétalo más del ornamento que adorna el bello templo de la física teórica?
El efecto de Josephson es el efecto de túnel en los superconductores, misteriosa circulación de corriente superconductora, es decir, no amortiguada, a través de la capa no superconductora que separa dos superconductores.
Empecemos por el efecto de túnel. ¿Qué es esto? Para ponerlo en claro realicemos un pequeño experimento.
El lector, seguramente, conoce bien que el vacío es un aislador ideal. Por más fina que sea la capa de vacío, aísla con seguridad los elementos cargados eléctricamente uno del otro. Tomemos ahora un condensador con dos armaduras a las cuales está aplicada una diferencia de potencial constante. ¿Cómo cambiará la corriente en el circuito al acercar las armaduras una a la otra? Podría parecer que la respuesta es evidente. Mientras las armaduras estén separadas aunque sea por un angstrom, en el circuito no habrá corriente. El experimento, no obstante, muestra lo contrario. A distancia igual, aproximadamente a 100 Å (en este momento no importa de qué modo lo hayamos logrado) a través de las armaduras empezará a pasar corriente eléctrica. ¿Qué es esto? ¿Una infracción de nociones evidentes? Puede ser que sí. Acercando las armaduras a distancias extremadamente pequeñas, pasamos de nuestro macromundo clásico a un mundo donde rigen leyes completamente distintas: las de la mecánica cuántica, con arreglo a las cuales los portadores de electricidad los electrones poseen en plena medida las propiedades ondulatorias, es decir, exactamente iguales a las, digamos, de la luz visible. Y ahora, del comportamiento del electrón se debe juzgar ya a tenor con las leyes vigentes para la luz.
Todos sabemos bien qué es la reflexión interna total. Si el ángulo de incidencia de la luz sobre la superficie de separación, por ejemplo, entre el cristal y el aire, es menor que el crítico, la onda incidente desde el interior del cristal sobre su superficie no saldrá al espacio circundante, sino que se reflejará de la frontera de separación entre el cristal y el aire. De modo que la onda no saldrá al espacio circundante. Con otras palabras, no está en el aire. En efecto, al principio no veremos en el aire ningunos indicios de luz. ¿Mas qué es esto? Acercando cada vez más otra placa de cristal a la superficie de separación de la primera, empezamos a notar en aquélla una débil luminiscencia. ¿De dónde proviene? ¡Se sabe que la onda se había reflejado del borde sin salir al aire circundante! Aproximando cada vez más la placa nos convenceremos de que en el segundo cristal se forma una onda in amortiguada, igual que en el primer cristal. Si resolvemos para este caso la ecuación de Maxwell, el resultado será igualmente inesperado: resulta que también fuera del cristal existe un campo electromagnético que mengua rápidamente al aumentar la distancia. Analizando ahora la causa de la luminiscencia en el segundo cristal, se puede decir que la onda luminosa ha pasado de un pedazo de cristal a otro a costa del efecto de "túnel".
Casi lo mismo ocurre al aproximar las armaduras del condensador. Pese a la aparente reflexión total de las ondas electrónicas de la línea de separación entre el metal del condensador y el vacío, en este último existe un campo eléctrico, que disminuye a medida de alejarse de las placas. Acercando las armaduras, realizamos el llamado "efecto de túnel".
El efecto de túnel no es una novedad en la física. Fue estudiado a fondo en los semiconductores y se investiga intensamente entre los metales. El efecto de túnel se conoce entre los superconductores.
¿Qué le quedó, entonces, a Josephson? ¡Los superconductores! Él descubrió teóricamente el efecto de túnel entre los superconductores. ¡Perdone! ¡Si éste se conoce! No. Todos los efectos de túnel descubiertos anteriormente suponían que entre las placas había resistencia eléctrica, en cambio el efecto de Josephson no lo presupone. La barrera de Josephson era superconductora de por sí.
Igual que Leverrier, Josephson hizo su descubrimiento en la "punta de la pluma". Para comprender el curso de sus razonamientos conviene recordar algunos hechos relativos a la teoría de la superconductividad. Y lo primero que, tal vez, valdría la pena recordar es el famoso anillo superconductor, es decir, el anillo hecho de un superconductor en el cual la corriente no se amortigua en absoluto.
Está demostrado en forma experimental que la magnitud del flujo "congelado" en el anillo superconductor puede variar únicamente por escalones. Esto corresponde al postulado de Bohr de que el impulso del electrón puede adquirir sólo valores digitales estrictamente determinados. Los cálculos realizados para electrones aislados que se desplazan a lo largo de la red cristalina, mostraron que la magnitud de cada escalón debe ser igual a 4,14 x 10-7 M [22]. Deaver y Fairbanck, quienes determinaban experimentalmente la altura de este escalón, llegaron a una conclusión inesperada: el cuanto de flujo resultó igual a 2,07 x 10-7 M, es decir, era dos veces menor que la magnitud pronosticada. Esa diferencia sólo se podría explicar, suponiendo que el portador de la corriente superconductora tiene una carga doble, es decir, que es un par de electrones.
¡El par de electrones! ¿Cómo es posible? Se sabe que los electrones son partículas cargadas negativamente y, por consiguiente, ¡deben repelerse recíprocamente! ¿Qué puede detenerlas juntas? ¿Qué es lo que las une?
El físico norteamericano Fritz London fue el primero en resolver ese problema. Fecundó la teoría de la superconductividad con una idea absolutamente inesperada que, al fin de cuentas, condujo a Josephson a su descubrimiento.
¿Cómo razonaba London? En el metal, la corriente se crea a costa del movimiento de los electrones en una dirección preferente a través de la red cristalina del metal compuesta, en términos generales, de iones positivos. El electrón, desplazándose en las proximidades de tal ion, lo atrae, lo que tiene por efecto la deformación de toda la red: en una zona el número de iones cargados positivamente aumenta, mientras que en otra, disminuye. La zona con exceso de iones positivos es capaz de atraer otro electrón. En suma, resulta que dos electrones se atraen por intermedio de la red si no uno hacia el otro, por lo menos, hacia un solo lugar, formando un par. El grado de la ligazón en el par depende de cuán intensamente interaccionen los electrones con la red. En los metales, considerados como los mejores conductores eléctricos (el cobre y la plata), esta relación es débil, por tanto, en esos metales no se forman pares. Tampoco surge en ellos la superconductividad: consecuencia de la formación de pares. Pero no es todo. Si los pares se moviesen por cuenta propia, aisladamente, se dispersarían, no obstante, en la red cristalina. La particularidad de la corriente superconductora radica en que todos los pares están estrechamente unidos, se mueven en fila única, a ritmo único, estrechamente entrelazados. Es imposible detener un solo par: sus amplios vínculos llevarían a la parada total de los electrones en todo el volumen del metal. En este sentido, un pedazo de superconductor puede compararse con una molécula gigantesca. Por eso, al superconductor sólo pueden ser inherentes dos estados: bien la corriente en éste no pasa en absoluto, bien circula sin amortiguarse. En principio, el superconductor no puede tener resistencia eléctrica.
De modo que el superconductor es una molécula gigantesca, un organismo único con un ritmo único al que están subordinados todos los pares de electrones. De la mecánica cuántica se sabe que cualquier partícula posee propiedades ondulatorias. En este sentido, el superconductor es un océano único de ondas, además, esas ondas, como dicen los electrotécnicos, son "sincrónicas y cofásicas". Dicho de otro modo, las ondas son de igual longitud y, además, se hallan en fase, es decir, coinciden entre sí. Esa circunstancia, precisamente, tiene singular importancia para explicar el efecto de Josephson.
El mérito de Josephson consistía en que quiso estudiar más a fondo el concepto de fase en el superconductor. Hemos dicho ya que en el superconductor todas las ondas electrónicas se hallan en fase. ¿Qué fase es? Lamentablemente los físicos no pueden contestar concretamente a esa pregunta. En un pedazo de superconductor todas las ondas se hallan en fase. En otro pedazo, también. Esto es indiscutible. La cuestión consiste en lo siguiente: ¿son estas fases iguales o no?
Josephson no ha podido encontrar pruebas de que esas fases debían ser iguales. Quiere decir que pueden ser también desiguales. Resulta el cuadro siguiente: en un pedazo grande de superconductor, a costa de una potente influencia mutua de los pares, se establece una sola fase. Al cortar este superconductor en dos y separando las partes a considerable distancia (digamos, a un centímetro: distancia enorme en la escala atómica), podemos obtener en éstas las fases diferentes, ya, puesto que en este caso no existe en absoluto la influencia recíproca. ¿Tal vez existe algún estado intermedio en el cual se conservan las fases diferentes y la influencia mutua de los pares de electrones? Josephson decidió que esto era plenamente posible. Al acercar dos pedazos de superconductor a una distancia ínfima, que por su magnitud es menor que las dimensiones del par de electrones (digamos, de 10-20 Å), entonces entre dos superconductores con fases diferentes es posible el intercambio de pares de electrones debido a las propiedades ondulatorias corrientes de los electrones, es decir, debido al efecto de túnel común. Y dado que el intercambio se efectúa por medio de los pares de electrones, la barrera entre dos superconductores no debe oponer resistencia eléctrica al movimiento de los pares, es decir, la barrera (el vacío en el caso más simple) resulta superconductora. Esto es, precisamente, lo nuevo que ha notado Josephson. Supuso, además, que en caso de "organizar" por algún procedimiento diferentes fases en dos superconductores el intercambio de pares de electrones, estando los superconductores lo suficientemente próximos uno a otro, se producirá en una dirección más intensamente que en la otra. Con otras palabras, en la barrera de Josephson debe circular una corriente eléctrica in amortiguada.
Por lo visto, Josephson no estaba demasiado seguro de que su descubrimiento teórico podría ser comprobado, en un futuro próximo, al menos. En efecto, es fácil decir: separar dos pedazos de superconductores a la distancia de 10 Å, pero es mucho más difícil hacerlo.
Sin embargo, un año después de haberse publicado el artículo de Josephson, en una de las revistas físicas apareció un artículo de Anderson y Rowell que empezaba con las siguientes palabras:
"Hemos logrado descubrir una anomalía del efecto de túnel en la corriente continua con tensiones iguales a cero (¡sic!: ¡la superconductividad! V. K.) o próximas a cero en una barrera muy delgada, una capa de óxido estánnico entre plomo y estaño superconductores, la que no podemos atribuir a la formación de casuales puentes superconductores y que, en algunos aspectos, se porta tal como podría portarse la corriente de Josephson..."
Fue la primera confirmación experimental de la existencia del efecto descubierto por medio de un instrumento asombroso: la estilográfica. Anderson y Rowell sustituyeron la capa de vacío por la de óxido, que puede prepararse de manera incomparablemente más fácil. Una revisión minuciosa patentizó que el efecto descubierto experimentalmente era precisamente el de Josephson. Jugó el papel de árbitro en la disputa el campo magnético. Investigando por medio del aparato de la mecánica cuántica la dependencia entre la corriente en la barrera y el campo magnético aplicado, Josephson llegó a la conclusión de que esta dependencia debía recordar la dependencia entre la intensidad de las rayas de Fraunhofer y la distancia hasta el centro del cuadro. Las investigaciones experimentales de esa dependencia mostraron la justeza absoluta de la hipótesis de Josephson, mientras que la semejanza de la curva con el cuadro de las rayas de difracción de Fraunhofer a través de un orificio, que copia el contorno de la barrera, demostró una vez más el carácter cuántico-mecánico del efecto que se manifiesta en escala perceptible de los instrumentos de medida corrientes: los amperímetros y voltímetros.Así pues, fue la primera demostración del primer efecto. Llegó el turno de comprobar experimentalmente el segundo efecto de Josephson.
Hemos dicho ya que, de hecho, Josephson descubrió dos efectos, aunque el segundo es la consecuencia y la continuación lógica del primero. En el primer efecto la barrera seguía siendo superconductora, es decir, carecía en absoluto de tensión. ¿Y qué ocurrirá si se aplica a la barrera cierta tensión U? En este caso, el par de electrones que ha pasado de un superconductor a otro, debe aumentar su energía en 2eU, donde e es la carga del electrón. Mas el intercambio de pares de electrones entre dos superconductores es un intercambio superconductor en el cual el par no debe variar su energía. Por eso, ante el par que pasa de un superconductor a otro, surge la necesidad de liberarse de esa energía recientemente adquirida. Tal liberación se produce mediante la radiación de fotones, es decir, de cuantos de radiación electromagnética de alta frecuencia. La frecuencia de esta radiación se puede determinar por la fórmula
![]()
El campo electromagnético de alta frecuencia es el campo de cierta corriente alterna. Por consiguiente, aplicando la diferencia de potencial constante a la barrera de Josephson obtenemos en el circuito de la barrera una corriente alterna de frecuencia muy alta, cuyos efectos en el espacio exterior se pueden observar por la radiación electromagnética que emite la barrera. En eso, precisamente, consiste el segundo efecto, cuya existencia había establecido Josephson.
La comprobación de la existencia del segundo efecto resultó inconmensurablemente más complicada que la del primero. Se trataba, ante todo, de que la potencia de esta radiación era extremadamente pequeña y se hallaba en una banda de ondas muy incómoda, la que los físicos no dominaban aún suficientemente.
Debido a estas circunstancias los físicos siguieron otro camino, en el que el lugar de honor lo ocupó un cañón de órgano, más exactamente, la analogía con el principio de su funcionamiento. Cada cañón de órgano está sintonizado a una frecuencia determinada, la misma que habían tenido en cuenta Bach o Buxtehude al escribir en el pentagrama una nota determinada. El cañón de órgano posee una propiedad interesante: se hace eco a su frecuencia (resuena), independientemente de dónde ésta llegue. El cañón separa la débil señal de su frecuencia y la convierte en un sonido fuerte y hermoso.
Lo mismo ocurre cuando excitan el cañón las frecuencias múltiples de la frecuencia principal, los llamados sobretonos.
Precisamente esta circunstancia es la que aprovecharon los científicos. Decidieron aplicar a la barrera de Josephson oscilaciones electromagnéticas de una fuente ajena. El aparato fue construido de tal modo que se podía cambiar la frecuencia de emisión. A algunas frecuencias, en el circuito se observaba un brusco aumento de corriente. Al medir estos valores de frecuencias, resultó que estaban conformes exactamente con la fórmula citada más arriba. Aunque fue una demostración bella, mas indirecta de la existencia del segundo efecto de Josephson.
Decidieron comprobar directamente la existencia del efecto I. Yanson, V. Svistunov e I. Dmitrienko, colaboradores de la Academia de Ciencias de la RSS de Ucrania, así como los norteamericanos Scalapino, Taylor y Eck. Acercaron a la barrera un guíaondas: un tubo metálico de sección rectangular en el cual la onda electromagnética se podía propagar, prácticamente, sin amortiguarse. El otro extremo del guíaondas fue conectado a un detector de emisión supersensible. ¡Mediante tal detector se podría medir en el ojo humano la potencia electromagnética emitida por una lámpara eléctrica de 100 vatios, ubicada a quinientos kilómetros del observador!
Los aparatos supersensibles cumplieron con su misión. La existencia del segundo efecto de Josephson fue establecida firmemente.
A. Mitskévich, candidato a doctor en ciencias físico-matemáticas (conocido más bien como escritor A. Dneprov), en uno de sus artículos predijo que todos los efectos físicos, al fin de cuentas, iban a encontrar su aplicación. La esfera de aplicación de los efectos de Josephson se ve ya; es singularmente bella.
El efecto de Josephson es un fenómeno físico rarísimo y único en su género en el que los efectos de la mecánica cuántica, invisibles e imperceptibles debido a su pequeñez efímera, se dejan sentir en nuestra escala macroscópica humana. No le cabe a menudo en suerte a un científico semejante éxito. Midiendo simultáneamente la tensión y la frecuencia de emisión en la barrera, se puede medir la constante física universal e/h con una precisión con la que ni soñar se podía antes. La carga de un electrón, ¡de un solo electrón!, y la constante de Planck, necesarias a cada paso, se medirán con los más comunes instrumentos terrestres.
Unas posibilidades fantásticas se presentan también ante la medición superprecisa de los campos magnéticos con ayuda de las barreras de Josephson. Es que cada escalón en la característica de voltios-amperios de la barrera debe su origen al cambio de flujo magnético que atraviesa la barrera, ¡tan sólo en un cuanto de flujo! Hay que vivir para ver: ¡medir el número de cuantos de flujo! Se sabe que un cuanto de flujo es una magnitud ínfima, igual tan sólo a 2,07 x 10-7 M (el flujo de un imán de herradura escolar mide cientos de miles de maxwell). ¡Aquí, igual que en el primer caso, los fenómenos cuánticos pueden medirse con ordinarios instrumentos de laboratorio! ¡Por medio de barreras de Josephson, se han medido ya campos magnéticos de millonésimas partes de gauss!
De este modo, los efectos de Josephson, producto de la física teórica, coadyuvarán al desarrollo ulterior de las teorías de la mecánica cuántica, sobre todo, en la esfera de la teoría de estado de superconductividad.
Los efectos de Josephson encontrarán, tal vez, aplicación también en la técnica. La sensibilidad excepcionalmente alta de las barreras de Josephson hacia el campo magnético y la señal de salida relativamente potente sugirieron a los científicos la idea de construir, a base de esta barrera, el elemento lógico de CE (computadora electrónica). La barrera común, estaño-óxido-estaño, sometida a la acción del campo magnético de 0.5 γ, produce una señal de salida hasta 1 mV. En este caso se ha batido incluso el récord del famoso criotrón. Se sabe que para conmutar el criotrón se necesita un campo de 5 a 50 γ, mientras que la tensión de salida del mismo es 10 veces menor.
Otra posibilidad muy atrayente es utilizar el segundo efecto de Josephson para generar ondas electromagnéticas milimétricas. Lamentablemente, el espectro electromagnético con longitudes de ondas desde un centímetro hasta centésimas de milímetro se emplea en la física y en la técnica relativamente poco, debido a que obtener esas ondas resulta sumamente difícil y bastante caro. La barrera de Josephson nos parece una fuente barata, cómoda y no complicada de emisión coherente de pequeña potencia (todas las ondas se hallan en fase) y monocromática (todas las ondas son de igual longitud) en la banda de ondas milimétricas.
Por último, otra posibilidad más, de momento fantástica. La sensación que recorrió el mundo entero hace unos años no se ha materializado. Los superconductores que pronosticó Little moléculas orgánicas largas que no pierden la superconductividad a cientos de grados centígrados, debido a una serie de circunstancias resultaron irrealizables. En la Conferencia Internacional dedicada a temperaturas bajas, celebrada en Moscú en septiembre de 196,9 subió a la tribuna el propio Little y comunicó que, gracias a la ayuda de colegas soviéticos, había logrado descubrir un error en sus cálculos. Sin embargo la propia idea de una larga molécula orgánica superconductora - un circuito cerrado que poseo propiedades asombrosas -, resultó correcta. Ha quedado pendiente un problema: ¿cómo aprovechar tal molécula? Se sabe que no tiene extremos: es un circuito cerrado. ¿Quién necesita esta “cosa en sí" superconductora? ¿Cómo aprovecharla? En la sala se produjo un momento de silencio... hasta que se levantara I. Dzialoshinski, joven doctor en ciencias soviético para preguntar en broma: “¿Tal vez... el efecto de Josephson?”
§16. Segunda vida del descubrimiento
En este capítulo el lector se enterará del valor del prestigio científico, así como realizará un viaje a uno de los laboratorios holandeses, en el que fue descubierto el fenómeno de la superconductividad, y donde las esperanzas se desvanecían, cediendo el lugar a la desanimación, y luego volvían a renacer...
Para conocer la verdad es necesario,
una vez en la vida, poner todo en tela de juicio.
Descartes
En 1913 Onnes decidió construir un electroimán superconductor de 100 mil γ, que no consumiera energía. Por cuanto la resistencia del superconductor es nula, razonaba Onnes, la corriente en un anillo superconductor circulará eternamente sin amortiguarse. Cualquier corriente, como se sabe, crea un campo magnético. ¿Por qué no hacer, entonces, del alambre superconductor un potente electroimán que no necesite de energía para su alimentación? Sería toda una revolución en la electrotecnia y la humanidad economizaría millones de kilovatios que se gastan inútilmente no sólo en los devanados de los imanes, sino también en los de las máquinas eléctricas y transformadores. Por último, sería posible transmitir la energía eléctrica por líneas superconductoras sin pérdidas.
Lamentablemente, el sueño de Onnes con un solenoide superconductor de 100 mil γ no tuvo la suerte de realizarse, por lo menos en su vida. Tan pronto intentaba Onnes hacer pasar por el superconductor una corriente considerable, la superconductividad desaparecía. Pronto se aclaró que incluso un campo magnético débil, a lo sumo, de unos cientos de gauss, también anulaba la superconductividad. Por cuanto era mucho más fácil obtener tales campos débiles por medio de imanes permanentes, nadie se ocupó en serio, a la sazón, de la idea de crear imanes superconductores. Así pasaron unos 20 años.
Las esperanzas de construir potentes imanes superconductores renacieron a principio de los años treinta, cuando los físicos holandeses de Haas y Voogd, continuadores de Onnes en la cátedra de Leiden (Onnes falleció en 1926, sin llegar a ver que su descubrimiento comenzara a aplicarse en la práctica) establecieron que la aleación de plomo y bismuto seguía siendo superconductora en campos magnéticos mayores de 15 mil γ. Este descubrimiento permitió, por lo menos, construir imanes superconductores con tal campo. Mas nadie se dedicó a construir imanes semejantes. El eminente físico Keesom, que también trabajó en el Laboratorio de Leiden, declaró que las corrientes máximas que en presencia de un campo magnético anulan la superconductividad en la aleación de plomo y bismuto, eran ínfimas. La sentencia fue pronunciada.
En la historia de los imanes superconductores ocurrió, tal vez, el acontecimiento más dramático. Posteriormente resultó que Keesom había hecho lo que no tenía derecho de hacer: hizo la extrapolación de los datos obtenidos por él en campos débiles, a la esfera de los campos potentes. Desgraciadamente, Keesom era demasiado prestigioso. Apenas los físicos conocieron sus resultados, abandonaron las esperanzas de construir imanes superconductores y se ocuparon de otros asuntos. Entretanto, actualmente se sabe que la corriente crítica para la aleación plomo - bismuto en los campos hasta 20 mil γ es suficientemente alta para crear imanes superconductores potentes y muy económicos. El prestigio de Keesom le costó a la física muy caro: la construcción de imanes superconductores se aplazó casi por 30 años.
En 1961 Kunzler y sus colaboradores en el laboratorio de la firma norteamericana "Bell Telephone" anunciaron que un pedacito de alambre de aleación basada en niobio y estaño Nb3Sn, seguía siendo superconductor en un campo de 88 mil γ, incluso cuando pasaba por este alambre una corriente con densidad de 1000 A/mm2.
A pesar de su carácter sensacional, este descubrimiento no fue una sorpresa para la física: la existencia de altos campos críticos en aleaciones de tal tipo había sido pronosticada por el físico soviético A. Abrikósov todavía en 1957 (aquí es oportuno recordar que en 1966, por elaborar la teoría de las aleaciones superconductoras y las propiedades de los superconductores en potentes campos magnéticos, a los físicos soviéticos A. Abrikósov, L. Gorkov y V. Guinsburg se les adjudicó el Premio Lenin).
Las propiedades de superconductores recientemente descubiertos hicieron realidad los planes de su aplicación en la técnica. La superconductividad, al parecer, ha empezado su segunda vida, mas esta vez no como un curioso fenómeno de laboratorio, sino como un hecho que abre a la práctica ingenieril perspectivas muy serias.
§17. Extraño mundo frío de los superconductores
Al principio se describen brevemente algunos materiales superconductores y luego se menciona un fenómeno bastante raro, y, además, desagradable que por poco aguó la alegría con motivo del "segundo" nacimiento de los superconductores.
Si las cosas tomaron un cariz tan favorable, cabe la pregunta, ¿por qué no han caído hasta ahora en desuso los tradicionales imanes enormes? ¿Por qué los imanes superconductores no han ocupado aún el lugar que les correspondo por derecho?
Esto se explica en primer lugar, tal vez, por el hecho de que los superconductores con buenas propiedades resultaron ser materiales muy caprichosos. Su empleo obligó a los científicos buscar nuevas soluciones tecnológicas y nuevos conceptos de la naturaleza de la superconductividad. Actualmente se ha creado ya un gran número de materiales electrotécnicos superconductores que pueden ser aprovechados exitosamente en los electroimanes. Entro éstos figuran, por ejemplo, las aleaciones como niobio-circonio y niobio-titanio, que se labran fácilmente y con relativa facilidad permiten obtener alambre. Cierto que las malas lenguas bromean que el coste de este alambre es muy elevado, puesto que, de momento, lo hacen los propios científicos. Mas la producción del alambre superconductor se organiza ya en fábricas, lo que, sin duda alguna, repercutirá positivamente en su coste.
Sin embargo, los materiales superconductores de mayor perspectiva, las aleaciones de niobio y estaño y de vanadio y galio, son extremadamente frágiles (por ejemplo, la aleación de vanadio y galio se tritura fácilmente entre los dedos). Por esa razón tales aleaciones se deben embutir en tubos flexibles o empastarse sobre cintas elásticas. Mas, incluso la tecnología tan compleja se justifica. He aquí un solo hecho. ¡En los solenoides superconductores devanados con cinta de acero recubierto de una capa de aleación de niobio y estaño se obtuvieron campos magnéticos de hasta 170 mil γ! ¡Y esto se consiguió aunque el imán pesaba varias decenas de kilogramos en vez de decenas de toneladas y el consumo de la energía eléctrica era prácticamente nulo en lugar de miles kilovatios necesarios para el funcionamiento de un imán no-superconductor con parámetros iguales!
Los solenoides superconductores pueden funcionar casi sin consumir energía, puesto que la corriente, una vez excitada en ellos, no se amortigua.
La energía consumida en el condensador de helio, necesaria para mantener la temperatura baja, no tiene ni punto de comparación con las enormes cantidades de energía que se consume en los imanes no superconductores.
Desde luego, la construcción de los imanes superconductores dista mucho de ser una tarea fácil. Una de las dificultades serias e inesperadas con que tropezaron los diseñadores de imanes superconductores, fue el llamado problema de degradación del alambre superconductor en los solenoides.
Para comprender la esencia de ese fenómeno, recordemos cómo se determina, por ejemplo, la carga que puede resistir una viga. Para eso, desde luego, no hace falta someterla a pruebas, ni mucho menos. Hay que conocer solamente de qué material está hecha la viga y el carácter de su carga durante el trabajo. Por cuanto la resistencia del material se conoce, fue medida durante las pruebas de pequeñas probetas, todo se reduce a unos cálculos sencillos. En términos generales, en cuantas veces la sección de la viga es mayor que la probeta, en tantas veces mayor carga puede resistir la viga. En una palabra, sean cuales fueran el largo o el grueso de la viga, sus propiedades pueden calcularse a priori de manera más o menos exacta, siempre que se conozcan las propiedades de una pequeña probeta de mismo material.
En cambio para las aleaciones superconductoras no existen tales relaciones simples. Si la sección de un alambre es diez veces mayor que la de otro alambre de mismo material, esto no significa, ni mucho menos, que por el primero se puede hacer pasar una corriente diez veces mayor. Además, las características de un superconductor medidas en un pedacito de alambre, no coinciden con las de largos pedazos de alambre devanados en las bobinas. Las bobinas calculadas para un campo, en realidad, engendran otro campo, considerablemente menos intenso.
Ese fenómeno se explica ahora por el hecho de que el campo magnético penetra en el superconductor en forma de cuantos de flujo. Dado que el flujo penetra a saltos y cualquier cambio del campo en el tiempo provoca la aparición de f.e.m. (fuerza electromotriz), en algunos sectores del alambre surgen corrientes de Foucault que lo calientan y hacen pasar prematuramente al estado normal. Por eso es necesario aumentar el volumen y el peso de la bobina en comparación con los que habría tenido, si las características de los pedazos de alambre corto y largo hubieran coincidido. Esto es muy inconveniente y, en primer lugar, por razones financieras: el alambre superconductor cuesta por ahora muy caro (mil rublos, aproximadamente, por un kilogramo).
El problema de degradación se estudia hoy día intensamente. A veces se logra superarla. Coadyuva a disminuir la degradación, por ejemplo, el recubrimiento del alambre superconductor con cobre. Se aclaró que, a medida de aumentar el grosor de la capa de cobre, las propiedades de los solenoides superconductores mejoran considerablemente. Por eso, algunos investigadores han llegado a la conclusión de que el mejor material para los imanes superconductores es... ¡el cobre con un superconductor empaquetado a presión en su interior! En tales sistemas, el efecto de degradación no se manifiesta en absoluto.
Por más raro que parezca, otro problema considerado como uno de los de solución más difícil, en la práctica resultó relativamente fácil. Se trata de lo siguiente: la superconductividad de los compuestos conocidos hasta el momento existe únicamente a temperaturas muy próximas al cero absoluto. Así, ninguno de los superconductores conocidos puede permanecer en estado de superconductividad a temperatura superior a 21 °K. Tampoco son alentadores los pronósticos de los físicos teóricos, quienes establecieron que para el conocido mecanismo de superconductividad, en principio, es imposible obtener un material que siga siendo superconductor a temperaturas superiores a 40 °K, es decir, más altas de –233 °C.
Para obtener temperaturas bajas se utiliza el helio que pasa al estado líquido a 4.2 °K. Dado que incluso las cantidades más insignificantes de calor, penetrando en un recipiente con helio líquido, pueden provocar su evaporación rápida, el helio líquido deba guardarse en recipientes especiales con termoaislamiento singularmente bueno.
Los diseñadores de los imanes superconductores, de hecho, no tuvieron que resolver ese problema. Aprovecharon el fruto de las investigaciones realizadas por quienes se ocupan de los problemas de exploración del cosmos. Los éxitos de los científicos o ingenieros de la URSS y EEUU que se dedicaban al problema de almacenamiento del combustible de propulsión en recipientes crióstatos, condujeron a la creación de un modelo seguro de tal recipiente y de un procedimiento eficaz de su aislamiento. El helio líquido puede guardarse en ellos durante varios meses.

Figura 31. Si el frasco Dewar, en el cual se almacena helio líquido tiene forma tubular, el campo magnético del devanado superconductor que se halla a temperatura de helio líquido puede utilizarse también a temperatura ambiente: 1. helio líquido; 2. espacio vaciado; 3. devanados superconductores.
La victoria sobre la degradación y la solución del problema técnico de mantenimiento de los superconductores a temperaturas ultrabajas permitieron a los científicos idear sistemas magnéticos superconductores, únicos en su género, destinados a la investigación del plasma, instalaciones MHD (magnetohidrodinámicas) de cámaras de burbujas. A título de ejemplo, mencionemos el imán superconductor construido en EEUU, en el cual puede crearse un campo magnético de 40 mil γ en un volumen cilíndrico de 20 cm de diámetro y 1,5 m de largo. En un imán superconductor para la cámara de burbujas se logró obtener un campo de 70 mil γ en un volumen de 18 cm de diámetro. Se hallan en la etapa de fabricación y de prueba sistemas magnéticos superconductores con campo magnético de 30 mil γ, aproximadamente, y hasta 5 m de diámetro de trabajo.
§18. ¡Atención! Funcionan dispositivos, en principio, irrealizables"
En este capítulo el autor no intenta convencer al lector de que el perpetuum mobile existe, mas no puede resistir a la tentación de decir unas palabras acerca de dispositivos "imposibles". El capítulo que contiene un fragmento de la obra "Viajes de Gulliver" termina con la descripción de un transformador de corriente continua en funcionamiento que, según la conclusión de muchos expertos en el derecho de patentes, hace poco aún no podía existir.
Al conquistar el nuevo mundo frío de los superconductores, los científicos se vieron obligados a resolver otra vez muchísimos problemas que se consideraban resueltos ya. Por ejemplo, ¿qué fuente de corriente sirve para alimentar un dispositivo superconductor? Si se trata de unas corrientes relativamente pequeñas, en principio, sirven las baterías, generadores o acumuladores habituales. Pero, a través de un superconductor de 1 mm2 de sección se puede hacer pasar una corriente de 1000 A, lo que supera 100 veces, aproximadamente, la que se puede pasar por un conductor de cobre de igual sección. Esa ventaja colosal de los superconductores se convirtió en una nueva dificultad para los ingenieros. Es sabido que esos mil amperios se deben obtener de un generador que funcione a temperatura ambiente y se transmitan luego por cables al crióstato con helio líquido en el que se halla el imán superconductor. La sección de los cables conductores de corriente (y éstos no son superconductores) debe ser 100 veces mayor, por lo menos, que la sección del superconductor. Por una sección tan grande, como a través de un portón abierto de par en par, el calor se precipitará en avalancha desde el cuarto (en plena correspondencia con la ley de Fourier), al crióstato, el helio enseguida se evaporará y la superconductividad desaparecerá.
He aquí por qué ante los diseñadores se planteó el problema de idear dispositivos que generasen grandes corrientes no fuera del crióstato, sino dentro de éste. Se logró conseguirlo, aprovechando las diferentes propiedades singulares de los superconductores, por ejemplo, su diamagnetismo. El diamagnetismo, precisamente, explica el experimento con "el imán planeador" que se exhibe a veces en laboratorios físicos. Las descripciones del "imán planeador" no desaparecen de los libros dedicados a la física de temperaturas bajas. Dicho sea de paso, no sólo de éstos...
"... Caminé un poco entre rocas. El cielo estaba absolutamente despejado y el sol quemaba tanto que me vi obligado a volverlo la espalda. De repente se oscureció, pero no así como suele ocurrir cuando una nube oculta el Sol. Miré atrás y vi en el aire un cuerpo grande no transparente que, tapando el Sol, se desplazaba hacia la isla... A medida de su aproximación, empezó a parecerme que el cuerpo era sólido; su base plana y lisa brillaba intensamente, reflejando la superficie del mar iluminada por el Sol...”
Lo que vio Gulliver, "primero cirujano y luego capitán de navíos", era una isla volante. En la misma, sobre soportes diamantíferos se hallaba un imán, que, repulsándose de cierta sustancia que se encontraba en el grueso de la Tierra, creaba la fuerza de sustentación.Es dudoso que Swift supusiera que pasados doscientos años el físico moscovita V. Arkádiev plasmaría esta idea "loca" casi exactamente, aunque en escala algo diferente. Durante su experimento un pequeño imán pendía en el aire sobre una placa de plomo, sin soporte alguno. Ese experimento, que llaman a veces "ataúd de Mahoma" (según la leyenda el ataúd con el cuerpo del profeta pendía en el espacio sin soporte alguno), se realizó a temperatura muy próxima a cero absoluto, a la que el plomo se convierte en superconductor. Para nosotros, lo más importante en ese experimento es el hecho de que muestra el diamagnetismo ideal de algunos superconductores. En un cuerpo diamagnético no pueden penetrar líneas de fuerza del campo magnético: un cuerpo diamagnético es para las líneas de fuerza del campo magnético un obstáculo infranqueable, un muro, un plano impenetrable. Mas es suficiente que no haya diamagnetismo aunque sea en un solo punto de dicho plano para que éste se convierta, respecto al campo magnético, en un anillo, al hacer pasar por el cual la corriente eléctrica obtendremos un electroimán.
La diferencia de las propiedades magnéticas del conductor en estados superconductor y normal es tan notoria que hay plena razón para hablar de dos materiales diferentes. De ahí se deduce, en particular, que el anillo superconductor, por ejemplo, no debe tener obligatoriamente un hueco, es decir, un orificio en sentido mecánico común. La placa superconductora carente de orificios, puede considerarse, desde el punto de vista magnético, un anillo, si la superconductividad está alterada aunque fuese en un solo punto que no toca el borde.
La zona no superconductora o "normal" en un superconductor se puede crear por procedimientos diferentes: calentándolo en algún punto hasta una temperatura superior a la crítica, aplicando un intenso campo magnético local o alumbrando con un estrecho haz luminoso una pequeña zona del superconductor (en el último caso, la superconductividad desaparece también a costa del desprendimiento de calor).
Aprovechando el hecho de que la posición de la zona normal (del "orificio") en la superficie del superconductor es fácil de cambiar, se puede crear un acumulador de flujo magnético o, como suelen llamarlo, generador topológico. Supongamos que en una placa superconductora exista realmente el hueco 1, en el cual se haya creado el flujo magnético Φ1 y en la zona 2 de la placa, sin destruirla mecánicamente, por algún procedimiento se altere simultáneamente la superconductividad. Esta región no superconductora jugará el papel de hueco para las líneas de fuerza magnéticas engendradas por la corriente que circula en el anillo recién formado. Cambiando ahora la situación del orificio 2, se puede crear una situación en la cual el flujo Φ2 del segundo hueco se unirá con el flujo del orificio real, que es la zona de trabajo de la espira conductora de corriente. Como resultado, el flujo en el orificio 1 aumentará, lo que equivale al crecimiento de la corriente en la espira que rodea el hueco 1. De esta manera se logra obtener en el circuito superconductor una corriente tan grande como se quiera, sin su contacto eléctrico con el circuito que se halla a temperatura ambiente. Es posible desplazar el hueco por medio de un pequeño imán suficientemente intenso, pasándolo por encima de la superficie de la placa superconductora. Bajo la acción del campo del pequeño imán, la superconductividad y el diamagnetismo desaparecerán y se formará un hueco que se desplazará junto con el imán. Lo más notorio en esa construcción es que la corriente continua se toma de la parte inmóvil del dispositivo. En realidad, ese dispositivo es un generador de corriente continua sin colector, que según se demostró repetidas veces no pudo existir en principio. En laboratorios soviéticos, norteamericanos y holandeses ya funcionan ahora varias decenas de dispositivos "irrealizables".
Es interesante señalar que incluso muchos científicos eminentes hayan reconocido reiteradamente como irrealizable la idea de un generador de corriente continua, en el cual la tensión se tomó de la parte inmóvil de la máquina. Hay que subrayar, sin embargo, que el error de esos científicos consistía únicamente en la afirmación de que para la toma de corriente eran necesarias escobillas deslizantes.
Entre los dispositivos considerados irrealizables figura también el transformador de corriente continua. Obtener corriente continua en el devanado secundario de un transformador no superconductor es realmente imposible. Si se aplica al devanado primario la corriente continua, en el secundario aparecerá un débil impulso de corriente, mas éste se amortiguará rápidamente debido a la resistencia eléctrica del devanado secundario.
Si el circuito secundario del transformador es superconductor, al aplicar corriente al devanado primario, en el secundario se inducirá la f.e.m., provocando una corriente que no puede amortiguarse incluso cuando no exista ya la f.e.m. que la había inducido. Por medio de tales transformadores de corriente continua se logró, suministrando por finos conductores al crióstato con helio líquido una débil corriente, transformarla, elevando su intensidad hasta 25 mil A.
De esta manera, las propiedades especiales de los superconductores fueron aprovechadas para luchar contra las dificultades originadas por las mismas propiedades. Gracias a tal enfoque, ¡se han elaborado generadores y transformadores con ayuda de los cuales el electroimán superconductor puede alimentarse de corrientes de miles de amperios! Y esas enormes corrientes circulan por el devanado superconductor, mientras que desde la zona con temperatura ambiente se suministra al generador o transformador una corriente de tan sólo unos cuantos amperios.
Estos dispositivos permiten también reducir el consumo de helio líquido por los imanes superconductores, es decir, hacerlos más económicos aún.
¿Qué pronósticos se puede hacer ya hoy en día respecto al futuro de los imanes superconductores? La incertidumbre completa, que existía en esa cuestión hace varios años, ha dado lugar ahora a un optimismo firme. No está lejos, por lo visto, el día en que tendremos imanes superconductores ¡con el campo de unos 250 mil γ y zona de acción que se medirá por metros! Desde luego, los imanes superconductores con tales parámetros tendrán dimensiones de varios metros, pesarán cientos y miles de kilogramos y para su enfriamiento consumirán decenas de kilovatios. Mas hablando de semejantes cifras no pequeñas ya, se debe tener en cuenta que en comparación con los imanes no superconductores, esos metros sustituyen a los kilómetros; los kilovatios, a los miles de kilovatios y los kilogramos, a las toneladas...
Últimamente se escribe mucho acerca de la posibilidad de la existencia de superconductividad de algunos polímeros lineales a temperatura ambiente. Las opiniones de los científicos respecto a la posibilidad de la síntesis de tales superconductores divergen. Sin embargo, una cosa está clara: por cuanto la teoría sugiere que en este caso se podrá obtener, prácticamente, cualesquiera campos magnéticos, las posibilidades de utilizar imanes superconductores serán verdaderamente ilimitadas...
¿Dónde se aplicarán los imanes superconductores? La respuesta a esa pregunta la contiene en cierta medida el capítulo que sigue.
§19. Los superconductores en filas
Ese largo capítulo narra lo que se ha hecho ya con ayuda de los superconductores, así como lo que se puede hacer aún.
El empleo de los superconductores en los equipos energéticos (transformadores, generadores, motores y líneas de transmisión) tiene dos aspectos positivos, por lo menos. Primero, las pérdidas de energía en los conductores se reducen a cero y segundo, un aumento sustancial de la densidad de la corriente y de la intensidad del campo magnético permite reducir las dimensiones de los equipos.
Se fabricaron ya y pasaron las pruebas varias decenas de transformadores superconductores (el primero de ellos fue construido en 1961 por el norteamericano McFee; el transformador funcionaba al nivel de 15 kVA). Existen proyectos de transformadores superconductores con potencias hasta 1 millón de kVA. Teniendo potencias suficientemente grandes, los transformadores superconductores pesarán un 40-50% menos que los corrientes, siendo las pérdidas más o menos iguales a las de los transformadores comunes (en estos cálculos se tuvo también en cuenta la potencia del condensador).
He aquí algunos datos del proyecto del transformador superconductor trifásico acorazado de 120 mil kVA destinado a elevar la tensión de 13,2 a 115 kV. Los devanados del transformador son de hoja de niobio de 0,0025 cm de espesor; el aislamiento se realiza por medio de papel impregnado cuyo espesor es de 1 cm; los terminales del devanado están hechos de niobio recocido y protegidos contra la acción del intenso campo magnético por pantallas de niobio. El transformador pesa 4 t y su rendimiento es de 99,98% contra los 99,5% del transformador común. Cada par de devanados está colocado en un crióstato toroidal (por consiguiente, en total, hay tres crióstatos) y el circuito magnético funciona a la temperatura ambiente habitual. El transformador es un cilindro de 2 m de diámetro y de 5 m de largo, es decir, sus dimensiones son sustancialmente inferiores a las de un transformador corriente.
Los transformadores superconductores ideados hasta el presente pueden dividirse en cuatro grupos grandes.
La clase a: transformador de construcción corriente con devanados hechos de un superconductor de 2do tipo o de una película superconductora y, por lo tanto, deben enfriarse hasta la temperatura de 4,2 °K. El circuito magnético se halla a temperatura ambiente para que las pérdidas en él no creen cargas adicionales al refrigerador que elimina las pérdidas provocadas por la corriente alterna y procedentes del exterior.
La clase b difiere de la clase a, en que las capas de los devanados de alta y baja tensiones se alteran a fin de disminuir la dispersión. En este caso los campos magnéticos de los devanados primario y secundario se compensan mutuamente y el superconductor se halla en un campo magnético de dispersión muy débil, lo que permite utilizar como material para devanados a los superconductores de 1er tipo (por ejemplo, el plomo) en los cuales la corriente alterna provoca menos pérdidas que en los superconductores de 2do tipo.
La clase c se distingue por la falta de núcleo ferromagnético y, por consiguiente, tampoco se registran pérdidas en el acero para transformadores. Por lo común, en los transformadores sin núcleo surgen fuertes flujos de dispersión y el cos φ disminuye. Para evitarlo, en la clase b están previstas pantallas diamagnéticas superconductoras, que canalizan el flujo en la dirección necesaria.
En la clase d (esa clase de transformadores no tiene núcleo ferromagnético) para disminuir la dispersión, colocan los devanados uno dentro del otro, enrollando ambos sobre armazones toroidales no magnéticas.
Sin embargo, no se logra evitar por completo la dispersión en los transformadores sin núcleo, debido a lo cual el cos φ de los transformadores de las clases e y d es bastante bajo (0,4-0,5).
Las pérdidas en los devanados de los transformadores superconductores de 30 - 100 mil kVA son del orden de 30 W, lo que impone la necesidad de utilizar los condensadores con potencia de 15-30 kw.
Los transformadores superconductores tienen deficiencias sustanciales, que en la actualidad impiden empezar a construir tales transformadores, por ejemplo, de 1 millón de kVA. Esas deficiencias se deben a la necesidad de proteger el transformador superconductor contra la pérdida de la superconductividad en caso de sobrecargas, cortocircuitos y sobrecalentamientos, cuando el campo magnético, la corriente o la temperatura puedan llegar a valores críticos.
Si en este caso el transformador no se destruye, se necesitarán varias horas para volver a enfriarlo y restablecer la superconductividad. Para las grandes redes eléctricas, semejante interrupción en el suministro de energía eléctrica es inadmisible. Por eso, antes de hablar de la fabricación en serie de transformadores superconductores, es necesario elaborar las medidas de protección contra los regímenes de avería y asegurar el suministro de la energía eléctrica a los consumidores durante las paradas de tal transformador.
Los éxitos logrados en osa esfera permiten suponer que el problema de la protección de los transformadores superconductores se solucione en un futuro próximo y éstos ocupen su lugar en las centrales eléctricas.
En 1963, en la URSS se fabricó la primera máquina eléctrica de corriente continua con devanado de excitación superconductor. Consta de dos partes: la de temperatura baja, refrigerada hasta 4,2 °K (temperatura de ebullición del helio líquido) y la de temperatura alta, que se halla a temperatura ambiente. La primera parte se compone de un frasco metálico de Dewar de forma cilíndrica, cuyo diámetro es de 41 mm, con paredes dobles de cobre entre las cuales se mantiene alto vacío. El espesor total del aislamiento térmico es de 5 mm. Dentro del frasco de Dewar se halla una bobina cortocircuitada de aleación de niobio y estaño, bañada por el helio líquido. El eje magnético de la bobina es perpendicular al eje del frasco de Dewar.
La bobina excitadora superconductora de esta máquina estaba hecha de aleación Nb3Sn y tenía 400 espiras. En esta bobina, por medio de un imán que creaba un campo de 20 mil Oe, estaba “congelado" un flujo magnético constante. La congelación se realizaba de modo siguiente: el frasco de Dewar se colocaba entre los polos de un potente electroimán de manera que el eje de la bobina coincidiera con la dirección de las líneas de fuerza en el entrehierro. En el frasco no había helio. De modo que la bobina tenía la temperatura de la camisa de nitrógeno del frasco de Dewar (77 °K) y no era superconductora (la temperatura de transición Tc para la aleación Nb3Sn es de 18 °K). Luego el frasco de Dewar con la bobina se llena de helio (la temperatura de ebullición es de 4,2 °K) y ésta se convierte en superconductora. Si se desconecta el electroimán, con arreglo a la ley de Lenz, en la bobina superconductora se inducirá corriente que mantendrá constante el flujo magnético, adherido a la bobina. De esta manera, la propia bobina superconductora se convierte en un electroimán.
El flujo magnético de la bobina que circula por el circuito magnético atraviesa los conductores del devanado del rotor giratorio. La toma de tensión del rotor se efectúa por medio de escobillas corrientes.
Por cuanto el volumen de la máquina eléctrica, en la primera aproximación, es inversamente proporcional a la intensidad del campo magnético de la máquina, el aumento de la intensidad del campo permitirá reducir las dimensiones de la máquina. Disminuirá bruscamente el equipamiento del circuito de excitación. El hecho de que en los superconductores no existen pérdidas óhmicas, permitirá aumentar el rendimiento de la máquina. Además, con arreglo a la ley de conservación del flujo adherido al circuito superconductor cerrado, en las máquinas eléctricas de superconductores la tensión o la velocidad de rotación se autorregularán y durante el funcionamiento de la máquina permanecerán constantes, puesto que el flujo no varía. Si hace falta regular la tensión y la velocidad, en el circuito de excitación superconductor se puede introducir, además, una zona no superconductora.
Por cuanto los campos magnéticos que pueden crearse por medio de superconductores superan la inducción de saturación del acero, surge la posibilidad de excluir de las máquinas superconductoras el acero como material magnético, lo que conducirá al aumento mayor aún del rendimiento y a la reducción del peso.
En publicaciones extranjeras se describe el proyecto de un turbogenerador de 600 mil kw con devanado de excitación superconductor. El devanado de excitación ubicado en el estator crea un campo con intensidad de 100 mil Oe. A temperatura normal, en ese campo gira el rotor del cual, por medio de baños de mercurio, se toma tensión. La densidad de la corriente en el rotor es de 0,5 A/mm2, la tensión inducida, 1 kV por metro del devanado y las pérdidas en el rotor, 60 kw.
En el rotor no se utiliza acero como circuito magnético, lo que permite ubicar sobre el rotor un devanado de cobre adicional. El rotor tiene 2 m de largo y 1 m de diámetro (la longitud del rotor de potentes turbogeneradores llega a 10-12 m y el diámetro, a 1,2 m). La potencia del condensador de helio, necesaria para mantener el devanado de excitación de ese generador a temperatura de 4,2 °K, es despreciablemente baja puesto que en el superconductor no hay pérdidas por efecto de Joule y el helio se consume únicamente para evacuar el calor de flujos térmicos provocado por la imperfección del aislamiento térmico. El rendimiento del turbogenerador es de 99,9%.
El proyecto descrito no es tan fantástico. Los solenoides superconductores con diámetro de 2 m funcionan ya en laboratorios científicos. Se ha logrado ya un campo de 140 mil Oe, es cierto que no en un volumen tan grande. Se está resolviendo exitosamente también el problema de toma de potencia de la parte giratoria de la máquina. Se han construido ya máquinas eléctricas superconductoras con potencia de miles de kilovatios.
La reducción de las dimensiones de potentes máquinas eléctricas es un problema importante.
Los ferroviarios miran ya de reojo a los enormes estatores y rotores que les ofrecen transportar. El gálibo ferroviario es muy riguroso: todos los objetos que se transportan por ferrocarril no deben rebasar ciertas dimensiones, de lo contrario habrá que ensanchar los túneles, elevar los puentes, etc. Las potentes máquinas eléctricas con gran dificultad caben en el marco del gálibo ferroviario. ¿Y qué será si se necesitarán máquinas más potentes aún?
Por otra parte, las dimensiones máximas de las máquinas dependen del tamaño de las piezas forjadas que puede producir la industria metalúrgica. Así, el rotor de un turbogenerador de 12 m de largo y hasta 1,2 m de diámetro se hace de una sola pieza forjada. Es muy difícil forjar piezas de gran tamaño. ¿Cómo aumentar entonces la potencia unitaria de la máquina?
Estas consideraciones evidencian que ha madurado la necesidad de crear potentes máquinas con excitación superconductora.
En los últimos años se está haciendo cada vez más real el viejo sueño con líneas de transporte de energía superconductoras. La demanda de energía eléctrica, siempre creciente, hace muy atrayente la idea de transmitir gran potencia a distancias largas. Los científicos soviéticos han demostrado convincentemente que las líneas de corriente continua tienen perspectiva. Se ha puesto en explotación y funciona con éxito la primera en el mundo línea Volgogrado - Donbás, de corriente continua con tensión de 800 mil V.
Las pérdidas por corriente alterna en los superconductores privan, por lo visto, de perspectiva, para un futuro inmediato, a las líneas de corriente alterna superconductoras. Unos cálculos sencillos muestran que para explotar una línea de corriente alterna superconductora se necesitará una potencia mucho mayor de la que se transmite.
En la actualidad se estudia intensamente la posibilidad de disminuir las pérdidas por corriente alterna en los superconductores. Es posible que los materiales sintéticos superconductores, empaquetados a presión en vidrio poroso o algún otro material poroso, hagan algún día factible transmitir energía eléctrica por línea de corriente alterna superconductora. Desde luego, la producción de los superconductores sintéticos eficientes tiene sus dificultades.
Las impurezas, la elaboración defectuosa, las tensiones mecánicas y los gases adsorbidos por la superficie empeoran sumamente sus propiedades.
En lo que se refiere a las líneas de corriente continua superconductoras, las perspectivas son más alentadoras. Los cálculos muestran que por medio de superconductores de 2do tipo se podrá, por ejemplo, con un cable de espesor de la mano transmitir una potencia igual a la de todos los consumidores de energía de EEUU El coste de las líneas superconductoras será, aproximadamente, el mismo que el de las líneas aéreas de transmisión comunes (el coste del superconductor, teniendo en cuenta su alto valor de la densidad crítica de corriente en comparación con la densidad económicamente conveniente en los cables de cobre o de aluminio, no es muy elevado) y algo más bajo del de las líneas de cables.
He aquí cómo se proyecta llevar a la práctica las líneas superconductoras: entre los puntos finales de la transmisión se tiende en la tierra una tubería con nitrógeno líquido. Dentro de ésta se coloca otra tubería con helio líquido, en la cual se fija la línea superconductora. El helio y el nitrógeno corren por las tuberías a costa de la diferencia de presiones de varias atmósferas que se crea entre los puntos inicial y final. De esta manera, sólo en los extremos de la línea habrá instalaciones de liquidación y bombeo.
Citemos algunos datos del cálculo de una línea de transmisión superconductora de 10 millones de kw (la potencia de la central hidroeléctrica Dnieprogués es de 600 mil kw). Esta potencia se transmitirá por dos conductores colocados en distintos conductos. La tensión entre los conductores es de 150 mil V, la corriente en los conductores, 67 mil A. Como superconductor sirve una aleación, cuyo campo crítico a temperatura de 4,2 °K y densidad de la corriente de 1000 A/mm2, es igual a 10 mil Oe. Al suponer que el coeficiente de seguridad es de 2,5, resulta que el campo en el superconductor no debe superar 4 mil Oe. El radio del conductor se determina con arreglo a la ley de corriente total
![]()
R = 0,318 cm
Para cada metro de la línea se gastarán 1,14 kg de aleación superconductora.Entre los conductores de corriente y la tierra deben colocarse aislamientos eléctrico y térmico. El nivel de carga del refrigerador de helio disminuye considerablemente al utilizar un con objeto con nitrógeno líquido, que efectúa el apantallamiento térmico.
Otro tipo de aislamiento térmico apropiado es únicamente el alto vacío en el cual están colocadas numerosas pantallas reflectores. Pero el sistema a vacío no garantiza un aislamiento eléctrico seguro, mientras que la capacidad eléctrica de numerosas pantallas puede ser muy grande, lo que es indeseable por consideraciones de los fenómenos transitorios y de la seguridad. Por eso las paredes exteriores del aislamiento por vacío deben tener igual potencial eléctrico.
En el sistema de nitrógeno líquido, este último puede utilizarse simultáneamente como material dieléctrico. El conducto de nitrógeno, aislado por medio de aislamiento por vacío con pantallas tiene el potencial de la tierra y contiene nitrógeno a presión de 12-15 atm. El conducto de helio se mantiene dentro del conducto de nitrógeno por medio de montantes dieléctricos de mylar o de teflón (las propiedades dieléctricas de la mayor parte de los aisladores se mejoran a temperaturas bajas). El conducto de helio tiene aislamiento por vacío. La superficie interior del conducto de helio líquido está revestida de una capa superconductora.
El cálculo de las pérdidas de semejante línea, teniendo en cuenta las inevitables pérdidas en los extremos de la línea, donde el superconductor tendrá que salir a la superficie, muestra que son iguales a 1,2%. Es una cifra muy baja. Las pérdidas de las líneas de transmisión corrientes llegan a 1,5-2%.
Por último, es menester señalar que la transmisión de potencia mediante superconductores a tensiones más bajas y corrientes más intensas puede presentar interés en el caso de que sea imposible tender líneas aéreas (lugares muy poblados o comunicaciones de fuerza subacuáticas).
Unas perspectivas completamente nuevas se han abierto ahora también ante los diseñadores de micromáquinas de la energética pequeña. Las micromáquinas superconductoras construidas hasta el presente no se parecen en absoluto a las corrientes.
El campo magnético creado por una bobina de alambre superconductor, puede retener suspendido un disco de niobio a costa de su diamagnetismo. Los experimentos muestran que 1 cm2 de superficie "suspendida" puede retener un peso de 300 g. Empleando ese procedimiento, fueron suspendidos ya objetos bastante considerables. Fue descrito, por ejemplo, un cilindro de plomo de 5 kilogramos que planeaba por encima del devanado.
El principio de "espejo magnético" puede aprovecharse para fabricar cojinetes que permitan al eje planear en el vacío sin estar en contacto con el apoyo. Numerosos modelos de semejantes cojinetes han sido construidos y probados ya.
Ofrecen interés las máquinas eléctricas construidas en uno de los laboratorios estadounidenses, en las cuales trabajan a base del principio de "espejo magnético" no sólo los cojinetes, sino que en este principio se basa también la interacción electromagnética del estator y el rotor.

Figura 32. El diamagnetismo de los superconductores se puede usar para crear cojinetes sin rozamiento, en los cuales el eje no toca los apoyos, sino que las líneas de fuerza del campo magnético lo mantienen en suspenso.
En EE.UU. se construyó un modelo de motor que funcionaba a base de ese principio, su velocidad de rotación llegaba a 20 mil rpm y se limitaba a esa cifra únicamente porque a una velocidad mayor el vaso de niobio de 26 g podía haber sido desgarrado por los esfuerzos centrífugos. En esta máquina, para crear el campo giratorio, se utilizaron impulsos de corriente continua que corrían por el estator o las tensiones de dos fases, desfasadas a cierto ángulo.
La deficiencia de las máquinas eléctricas de semejante construcción consiste en la complejidad de su acoplamiento mecánico con los dispositivos que se hallan a temperatura normal. El eje que une el motor, que funciona a temperatura de 4,2 °K, con el dispositivo que se halla a temperatura ambiente (300 °K), provocaría una ebullición rápida del helio a costa de la transferencia de calor. Por eso, el campo de aplicación de semejantes máquinas es todavía limitado: se emplea en el accionamiento de dispositivos de temperaturas bajas de las bombas, así como en giroscopios de gran precisión superconductores.
Analicemos las perspectivas de aplicación de la superconductividad en una esfera completamente nueva de la energética: los generadores magnetohidrodinámicos de energía eléctrica.
El principio de los generadores MHD (la sigla de los generadores magnetohidrodinámicos) es conocido: en un medio conductor que se desplaza entre los polos del imán, de acuerdo a la ley de la inducción electromagnética de Faraday, se induce la fuerza electromotriz. Como medio conductor en los generadores MHD se utiliza el plasma con temperatura de 2000-3000 °K. Teniendo en cuenta que la temperatura del vapor en las calderas y turbinas modernas no sobrepasa 700 °C y el rendimiento de transformación de la energía térmica en la eléctrica es tanto mayor, cuanto más elevada es la temperatura del fluido de trabajo, es fácil demostrar que el rendimiento de una central eléctrica MHD será considerablemente mayor que el de una central común. El rendimiento de las centrales con generador magnetohidrodinámico puede alcanzar, teóricamente, el 70% (el rendimiento de las termocentrales corrientes no supera el 40%).
En realidad, el rendimiento de la central eléctrica MHD será considerablemente inferior, debido a que el propio generador MHD consume cierta potencia para alimentar el imán que crea el campo magnético necesario para el funcionamiento. Los cálculos muestran que para la central eléctrica MHD de 25 mil kw, la potencia que consume el imán sin núcleo es de 20 mil kw. El imán con núcleo consumirá una potencia menor, pero el gasto de material aumentará hasta 150 kg contra 1-5 kg por kilovatio en los turbogeneradores corrientes.
La potencia que consume el electroimán de una central eléctrica MHD de 500 mil kw se elevará a 60 mil kw, aproximadamente. Un consumo de energía tan grande es, por lo visto, inadmisible y los generadores MHD serán económicos sólo en el caso de que sus sistemas magnéticos lleguen a ser superconductores.
¿Pero acaso pueden utilizarse los superconductores que funcionen generalmente a temperatura de 4,2 °K en una instalación, cuyo fluido de trabajo tiene la temperatura de 2500 °K? ¿Es real eso?
Plenamente real. Los tipos modernos de aislamiento permiten separar 2500 °K y 4,2 °K con una pared de tan sólo 1,5-2 cm de espesor.
Es fácil imaginarse qué aspecto tendría el sistema magnético superconductor de un generador MHD. Dos arrollamientos superconductores están ubicados a los lados del canal con plasma, separado de los devanados por un termoaislamiento de capas múltiples. Los devanados se fijan en cajas portadoras de titanio y entre éstas se colocan espaciadores de titanio. Dicho sea de paso, estas cajas y espaciadores deben ser tremendamente resistentes, puesto que las fuerzas electrodinámicas en los devanados tienden a desgarrarlos y atraer mutuamente. Esas fuerzas son bastante grandes, por ejemplo, en un campo de 50 mil Oe, los elementos de la construcción estarán sometidos a una presión de 100 atm.
Por cuanto en el arrollamiento superconductor el calor no se desprende, el refrigerador necesario para el funcionamiento del sistema magnético superconductor tendrá que evacuar sólo el calor suministrado al crióstato con helio líquido a través del aislamiento térmico y los conductores de corriente. Las pérdidas por el suministro de corriente, prácticamente, pueden reducirse a cero, si se utilizan bobinas superconductoras cortocircuitadas que se alimentan de un transformador de corriente continua superconductor.
El condensador de helio que recuperará las pérdidas de helio, evaporado a causa de la afluencia de calor a través del aislamiento, debe producir, según los cálculos, unos 5-10 litros de helio líquido por hora. La industria fabrica tales condensadores que caben en un cuarto de tamaño mediano.
En la actualidad se están fabricando varios generadores MHD con devanados superconductores. Unos cuantos generadores, cierto que no grandes, han pasado ya las pruebas.
Hasta los últimos tiempos, para crear "botellas magnéticas" y devanados estabilizadores, en las investigaciones plásmicas se utiliza la técnica corriente de obtención de intensos campos por medio de arrollamientos de cobre, refrigerados por aire, agua o kerosén. Más todos estos imanes, en los experimentos de gran escala deben ser muy voluminosos y consumir mucha energía. Los cálculos han mostrado que la energía necesaria para alimentar tales imanes superará la potencia de salida de los generadores termonucleares o, en el mejor de los casos, para ponerlos en marcha, se necesitará una potente central eléctrica especial.
Hoy en día pocos dudan que el único medio para resolver este problema consiste en utilizar bobinas superconductoras. En este caso la potencia necesaria para mantener el campo magnético será despreciablemente pequeña. Esa pequeña potencia se necesitará sólo para el funcionamiento del condensador de helio o del refrigerador.
Se ha construido ya una instalación para investigaciones termonucleares, cuya zona de trabajo tiene 20 cm de diámetro y 120 cm de largo; todos sus devanados están hechos de alambre superconductor de niobio y circonio (el 25% de circonio) con 0,25 mm de diámetro. El campo en el centro del solenoide es de 30 mil Oe.
Para la fabricación del solenoide se gastaron tan sólo 50 kg de alambre superconductor. El sistema superconductor puede funcionar a base del principio de anillo superconductor cerrado. Primero el sistema se alimenta de una red común de corriente alterna a través de un rectificador.
Para que el deterioro de una bobina no provoque la avería de todo el sistema, este último está dividido en 24 secciones, cada una de las cuales se alimenta por separado. La densidad de corriente en los devanados superconductores llega a 400 A/mm2. El peso total del sistema asciende a 230 kg. El sistema consume 0,5 I/h de helio líquido. El condensador de helio de tal rendimiento puede caber en una mesa.
Es también un problema dificilísimo para los físicos la separación de isótopos de diversos elementos. Los isótopos, como se sabe, son átomos de un mismo elemento cuyos núcleos contienen igual número de protones, más diferente número de neutrones. Por consiguiente, las masas de los núcleos de los isótopos son distintas, lo mismo que sus órbitas de desplazamiento en el campo magnético. Las trayectorias del movimiento de los núcleos más pesados están menos encorvadas, debido a lo cual los núcleos ligeros y pesados se desplazan en el campo magnético por órbitas diferentes. En un campo magnético intenso pueden incluso separarse isótopos muy similares. Sin embargo, semejante método no se aplicaba ampliamente porque para una separación de isótopos eficiente se necesitan enormes imanes. Las bobinas superconductoras pueden producir, literalmente, una revolución en esa rama de la industria atómica.
No está excluida la posibilidad de que los imanes superconductores provoquen una revolución técnica también en los aceleradores de partículas cargadas. Resulta que a medida del crecimiento de energías de las partículas que se obtienen en aceleradores, aumentan también las dimensiones de éstos. Los sincrofasotrones modernos pesan decenas de miles de toneladas y tienen cientos de metros de diámetro. Los proyectos de aceleradores de 500-1000 mil millones de eV prevén la creación de imanes dispuestos por una circunferencia con diámetro de 2-5 km. El coste de esos aceleradores, lógicamente, es fabuloso. Es muy difícil hacer aceleradores de dimensiones menores, puesto que la inducción en el núcleo de hierro de los imanes está limitada por la saturación de acero, y el diámetro del acelerador es inversamente proporcional a la inducción de su imán. Así, los cálculos muestran que el gigantesco acelerador de Berkeley podría caber en una mesa de comedor, si fuera posible elevar la intensidad de su campo magnético de 16 a 300 mil Oe.
Puede servir de ejemplo de la utilización combinada de las valiosas propiedades de los superconductores el sistema magnético elaborado por Gioffi para los máseres. Para el funcionamiento de estos últimos se necesita un campo magnético extremadamente uniforme. Gioffi decidió interceptar los caminos por los cuales habitualmente se cierra el flujo de dispersión del electroimán con hojas diamagnéticas de capas múltiples de superconductor. También los devanados del imán eran superconductores. El campo magnético del imán de Gioffi era sumamente uniforme. En los devanados de este imán no había pérdidas por efecto de Joule; pesaba 70 veces menos que un imán corriente.
Los imanes superconductores podrán encontrar aplicación también en las cámaras de burbujas. Por cuanto en éstas se emplea, generalmente, el hidrógeno líquido (20 °K) o el helio líquido (4,2 °K), la utilización en ellas de superconductores se facilita debido a la simplificación sustancial del aislamiento térmico de los crióstatos. En 1967 a unas firmas norteamericanas se encargó 50 t de barra superconductora con el objeto de construir imanes de las cámaras de burbujas de 2 y 5 m de diámetro y el campo hasta 30 mil Oe. Dichos imanes se han construido ya y están pasando las pruebas.
El consumo despreciable de energía eléctrica, así como el peso y dimensiones pequeñas de las instalaciones superconductoras las hacen muy cómodas para la futura utilización en la técnica cósmica. En efecto, allí donde se lleva la cuenta de cada joule de energía eléctrica, de cada gramo de peso y cada metro de superficie, los superconductores deben ser insustituibles. Si en la Tierra se puede todavía sacrificar estas características a favor de algunas otras consideraciones (por ejemplo, la aplicación de los superconductores complicará la fabricación del dispositivo), en un cohete, un satélite o una nave espacial no se puede dejar de tomarlo en cuenta: a bordo no debe haber aparatos voluminosos, pesados y de gran consumo de energía.
En la revista norteamericana "Astronáutica y aeronáutica" se describen las valiosas propiedades de los sistemas superconductores de protección magnética contra la radiación. En nuestros días es posible ya fabricar solenoides superconductores de grandes dimensiones. A pesar de su elevado coste, determinado en lo fundamental por el coste del superconductor [un kilogramo de aleación de niobio y circonio (el 25% de circonio) cuesta 100 dólares], la pantalla superconductora tiene grandes ventajas frente a otros tipos de pantallas, por cuanto pesará poco y consumirá para su enfriamiento una potencia despreciable dado que en las condiciones del frío cósmico, las exigencias que se presentan a las instalaciones refrigeradores disminuyen bruscamente, ya que la afluencia de calor desde afuera, debido a la baja temperatura del espacio interplanetario, unos grados sobre cero absoluto, es muy pequeña. La afluencia de calor será elevada sólo del lado del crióstato calentado por los rayos solares. A fin de que el helio líquido no se evapore inútilmente en el crióstato por el calor solar, se están proyectando actualmente los “parasoles" cósmicos, que reflejen los rayos solares y no permitan que la nave se caliente. Tales "parasoles", hechos de mylar de capas múltiples, revestido de capa de aluminio, se inflan por helio y estiran en bastidores especiales.
Para la construcción del devanado superconductor han sido propuestos: el toroide hueco, el solenoide de espiras múltiples y varios solenoides toroidales. Mientras se discute el mejor tipo de construcción, en el laboratorio de la firma "Lockheed" se ha hecho un solenoide superconductor de espiras múltiples tipo toroidal con diámetro de 1,8 m para proteger las naves espaciales orbitales. Ese solenoide, ideado con el fin de investigar la eficiencia de la protección superconductora, puede proteger contra las partículas con energía de centenares de megaelectrónvoltios un volumen de varios metros cúbicos.
Ese solenoide crea en la superficie interior del toroide un campo de 15 mil Oe. El solenoide junto con el crióstato y el sistema de refrigeración pesa 85 kg. Asegura la refrigeración del sistema la reserva de helio líquido, suficiente para su funcionamiento en las condiciones de ingravidez durante 5-10 días. En las condiciones terrestres, así como en el sector de puesta en órbita, el tiempo de funcionamiento del sistema disminuye debido a que el aislamiento térmico de capas múltiples del crióstato se comprime bajo la acción del peso del devanado y su resistencia térmica baja. El diámetro interior de este solenoide superconductor tiene 1,8 m y el campo en el centro, 1000 Oe.
Para calcular el sistema de protección se utiliza el concepto del llamado radio de Störmer, que físicamente es el radio de la órbita circular de la partícula en el plano ecuatorial del solenoide. Fue introducido por el físico Störmer al investigar la naturaleza de las auroras polares. Este radio determina el diámetro de la zona en la que no cae ninguna partícula cargada con energía dada. Para proteger eficazmente un volumen de 144 m3 contra los protones con energías inferiores a 1 mil millones de eV en el caso de que el radio de Störmer tenga 10 m, es necesario que el peso total del sistema sea de 150 t, aproximadamente, incluyendo el peso de la estructura sustentadora, del devanado superconductor y del equipo de refrigeración.
Más de 0,9 del peso de la pantalla magnética corresponde a la estructura sustentadora, que sirve para proteger el solenoide contra su destrucción por esfuerzos electrodinámicos. Estos esfuerzos son muy grandes: en un campo de 500 Oe, la presión magnética es de 1 atm, mientras que en uno de 100 mil Oe, es de cerca de 400 atm.
Otras variantes de pantallas, por ejemplo de aluminio, son mucho más posadas (en más de tres veces) y tienen el inconveniente de que durante el bombardeo de partículas de energías altas pueden formarse neutrones secundarios que hacen una aportación sustancial en la radiación resultante detrás de la pantalla maciza y las paredes de la nave. Y menos segura será, por lo visto, la protección individual contra la radiación: escafandras dobles, el espacio entre las cuales se llena de agua potable, que detiene las partículas.
El empuje que desarrollan los motores de cohete modernos se mide en miles de toneladas. El empuje del "Saturn-V", potentísimo cohete norteamericano que se utiliza para los vuelos hacia la Luna, totaliza 3400 mil kg. Tal empuje permite al cohete vencer las fuerzas de atracción terrestre. Pero después de salir de la esfera de acción de los intensos campos de gravitación, el cohete no necesita más semejante empuje: debido a que la resistencia del ambiente es insignificante, para acelerar el cohete se puede utilizar un empuje del motor mucho menor, digamos, de varios... gramos.
Semejantes motores de plasma se emplearon por primera vez en la estación interplanetario soviética "Zond-2". Esos motores se denominan magnetohidrodinámicos (MHD). No en vano la palabra "magneto" fue colocada en este término en primer lugar. Todo lo referido acerca de los solenoides superconductores del sistema de protección contra radiación, es aplicable en plena medida a los imanes de los motores MHD. Únicamente el imán superconductor hará factible que los motores MHD sean potentes, ligeros y económicos.
Una parte importantísima del sistema de mando automático del vuelo de la nave espacial es el giroscopio: instrumento que en la mayoría de los casos consta de un disco de giro rápido, colocado sobre un eje. Sea cual fuere el cambio de la posición de la astronave en el espacio, la dirección del eje del giroscopio no varía. Hablando más rigurosamente, la posición del eje del giroscopio en el espacio sería absolutamente invariable sólo en el caso de que en el giroscopio no existiese rozamiento, que conduce a ciertos errores en el trazado del rumbo de la nave. Por eso los diseñadores hacen todo lo posible para disminuir el rozamiento en los apoyos del giroscopio. En un giroscopio sobre "almohada magnética", basado en propiedades diamagnéticas ideales de los superconductores, existe la posibilidad de reducir sustancialmente la fricción y aumentar la exactitud.
En caso de "suspensión magnética", el rozamiento existirá solamente entre el elemento giratorio del giroscopio y el helio gaseoso, que se halla siempre en el crióstato.
Los primeros giroscopios superconductores han sido construidos y probados ya. El rozamiento en ellos resultó menor que en todos los demás tipos de giroscopios conocidos.
La gran dificultad que surge al construir giroscopios superconductores consiste en la necesidad de elaborar minuciosamente la esfera giratoria superconductora, puesto que en el caso contrario los defectos de la superficie de la esfera “arrastrarán consigo" el flujo magnético, provocando la deriva cero.
Presenta gran interés la posible aplicación de los sistemas magnéticos superconductores come elementos de la unidad de retrocohetes de la nave cósmica.
Se sabe bien que el peso (más exactamente, la masa) de las estaciones interplanetarias podría reducirse sustancialmente, si fuera posible aprovechar, al entrar en la atmósfera de los planetas, el rozamiento con esa atmósfera para disminuir la velocidad. La nave que entra en la atmósfera sin frenar se calienta mucho a costa del roce y del calentamiento de la atmósfera en la onda de proa junto a la cabeza de la nave. Cuanto mayor es la velocidad de la nave, tanto más se calienta ésta.
El calentamiento de la nave al entrar en la atmósfera de los planetas se puede disminuir únicamente por medio de dispositivos magnetohidrodinámicos. Mas los dispositivos MHD son eficaces sólo a temperaturas muy elevadas de los gases. Esto se logra a gran velocidad de la nave, cuando la electroconductibilidad del plasma detrás de la onda de proa aumenta hasta tal grado que puede ya utilizarse como medio de trabajo del dispositivo MHD.
Si se aplica a ese plasma un campo magnético, el plasma y la nave se frenarán uno respecto a otra, sin entrar en contacto, con la particularidad de que opondrán resistencia al flujo no tanto las superficies frontales como las fuerzas magnéticas.
Eligiendo el grado apropiado de interacción del plasma con el campo magnético, se puede conseguir que el flujo se desprenda por completo del cuerpo. Esto significa que la presión del flujo y la transferencia calórica al cuerpo desaparecen totalmente. En estas condiciones, las fuerzas de frenado se manifiestan sólo en el devanado que crea el campo magnético. Por cuanto la zona en la cual se puede crear el campo magnético es bastante grande, la sección eficaz de frenado del cuerpo aumenta considerablemente.
De este modo, por medio de la aerodinámica magnética de tal tipo, se puede lograr un frenado más eficaz sin calentar al mismo tiempo la propia nave. Presenta también una ventaja el hecho de que se pueda empezar el frenado desde las capas atmosféricas más enrarecidas.
Aunque la entrada en la atmósfera dure apenas unos minutos la utilización de los superconductores para el frenado es evidentemente ventajosa, por cuanto la fuente de potencia, necesaria para mantener el campo magnético aunque sea durante ese tiempo corto, aumenta sustancialmente el peso de la nave, mientras que el consumo de energía eléctrica por los devanados superconductores es varios órdenes inferior que el consumo en los devanados corrientes.
El número cada vez mayor de problemas tanto de carácter cósmico como terrestre requieren ahora tal potencia instantánea que sólo se puede obtener por medio de su acumulación gradual. En la actualidad, con mayor frecuencia para ese fin se utilizan baterías de acumuladores y... dinamita. Esta última, sin embargo, puede ser utilizada sólo cuando se necesite una potencia mecánica de corta duración; en todos los demás casos se utilizan baterías de condensadores. Las baterías de condensadores de energía considerable son muy voluminosas y no pueden emplearse en una serie de dispositivos para los cuales el peso es el factor decisivo.
Como mostraron las investigaciones, los sustitutos más apropiados de los condensadores pueden ser las bobinas inductoras sin núcleo, en las cuales también puede acumularse gran energía. Mientras que en la batería de condensadores, la densidad de la energía acumulada es de 0,4 MJ/m3, en las bobinas inductoras es cien veces mayor. Las ventajas de las bobinas inductoras aumentan a medida del crecimiento de la potencia acumulada.
El problema principal del almacenamiento de energía en un campo magnético son las pérdidas de energía en la resistencia eléctrica de las bobinas. Así, almacenando un millón de joules en un campo de 100 kOe en devanado de cobre refrigerado por agua, se perderá una potencia de 1000 kw. Esta variante es evidentemente irracional.

Figura 33. El imán superconductor más grande del mundo. Sti largo es de 3 m; diámetro interior, 30 cm y el campo magnético, 40 mil Oe. Las pérdidas de energía eléctrica en ese imán son incomparablemente menores que en los imanes no superconductores de parámetros idénticos.
Comparando el peso que en tales sistemas corresponde a un millón de joules de energía acumulada (el peso de la bobina se determina, en lo fundamental, por el peso de los elementos que la protegen contra la ruptura), con el mismo parámetro para la dinamita (0,24 kg para un millón de joules) se puede notar algo curioso: la fuerza explosiva del depósito magnético de energía es sólo 10 veces menor que la de la dinamita. Más, a diferencia de la dinamita, la energía almacenada en un campo magnético es incomparablemente más cómoda: en cualquier momento puede ser transformada en energía eléctrica y de ésta, en la luminosa, la mecánica, la térmica, etc. Además, se puede controlar la velocidad del desprendimiento de la energía magnética.
Todas estas cualidades de los depósitos magnéticos de energía les asegurarán una amplia aplicación, en particular, para alimentar las lámparas de impulsos que encienden los máseres. Son singularmente atrayentes las perspectivas de utilizar los depósitos magnéticos en el cosmos, donde el medio de vacío puede aprovecharse para aislamiento térmico y, además, utilizando un apantallamiento adecuado, es posible mantener temperaturas bajas, empleando instalaciones refrigeradores de pequeña potencia.
La circunstancia de que los depósitos de energía superconductores son dispositivos con corrientes fuertes y bajas tensiones también es una ventaja en el cosmos, por cuanto la mayoría de los transformadores de energía de las naves especiales son dispositivos de baja tensión, lo que permite conectar directamente la fuente de energía al depósito.
Los dispositivos arriba enumerados no agotan, desde luego, las posibilidades del empleo de los superconductores en la técnica cósmica. Existen, por ejemplo, proyectos de acoplamiento de naves en el cosmos por medio de imanes superconductores; proyectos de "talleres" cósmicos, en los cuales, por medio de los superconductores se podrá labrar metales, así como proyectos de construir en la Luna una red de distribución eléctrica, montada íntegramente de elementos superconductores. Cabe señalar, sin embargo, que estos proyectos se hallan aún en la etapa de estudio previo.
Todo esto son por ahora sueños. Mas la realidad facilita a estos sueños una base sólida: hace apenas unos años, los científicos han obtenido la llave para resolver un importantísimo problema: el del imán. Esta llave es la superconductividad. Y puede ser que precisamente ella abrirá nuevas perspectivas, más fantásticas aún, y entonces todo con lo que sólo soñaba el autor en este capítulo, será nada más que una línea corriente en la lista de éxitos logrados con la ayuda de la superconductividad.
§20. Obtención, almacenamiento y transporte de helio líquido
Capítulo cuyo título habla por sí mismo.
Hemos dicho ya que la superconductividad, que promete perspectivas tan brillantes a la técnica de campos magnéticos intensos, sólo puede existir a temperaturas muy bajas, próximas a cero absoluto. Generalmente, para obtener temperaturas bajas se emplea el helio líquido, puesto que en el intervalo de temperaturas de 1 a 10 °K es la única sustancia que no pasa al estado sólido.
El procedimiento más progresivo hasta ahora de refrigerar el helio gaseoso es su licuación mediante la máquina de expansión de émbolo, creada en 1934 por el académico P. Kapitsa. La esencia de ese método consiste en que el helio gaseoso se expande en un recipiente especial, la máquina de expansión, empujando el émbolo, es decir, realiza cierto trabajo, cediendo energía.
En este caso el helio se enfría. Repitiendo el cielo, se puede lograr, en principio, que el helio se enfría hasta 4,2 °K y se transforme en líquido. Sin embargo, con mayor frecuencia, el enfriamiento del helio en la máquina de expansión de émbolo se combina con otros procedimientos de refrigeración, por ejemplo, con la estrangulación.
Al estrangular el helio, previamente comprimido y enfriado, pasa por una ranura estrecha estrangulador, expandiéndose luego. La esencia física del enfriamiento por medio de la estrangulación (efecto de Joule-Thomson) consiste en que, al aumentar el volumen del gas durante su expansión en el estrangulador, las distancias intermoleculares en el gas crecen y se realiza cierto trabajo contra las fuerzas de atracción. El gas pierde su energía interna y, por consiguiente, se enfría.
Una de las mejores máquinas modernas de expansión para licuar el helio "Г-3" fue creada en el Instituto de Problemas Físicas de la Academia de Ciencias de la URSS. He aquí el principio de su funcionamiento.
Un compresor de émbolo comprime el helio que se suministra desde gasómetros y lo hace pasar al condensador, en el que entran por hora unos 350 m3 de helio gaseoso comprimido hasta 22-23 atm. Primeramente el helio se enfría en un baño de nitrógeno líquido (70 °K). Luego, una parte de helio enfriado pasa a la máquina de expansión de émbolo, donde se expande, haciendo moverse al émbolo, y la temperatura de helio baja hasta 11-12 °K. A continuación, el helio frío se utiliza para enfriar nuevas porciones de helio. La otra parte de helio gaseoso enfriado entra al llamado escalón de estrangulación, en el cual lo hacer pasar por el estrangulador. El gas, enfriado ya considerablemente, se enfría más aún, transformándose, parcialmente, en líquido (se licua cerca del 10% de la cantidad inicial de helio).
El rendimiento del aparato llega a 45 l/h y el consumo de energía eléctrica, a 2,5 kwh/l de helio enfriado. Tal productividad no es el límite. En los últimos años, en EEUU se han construido condensadores de helio con rendimiento de 200 litros de helio líquido por hora y más. ¿Es grande o pequeño ese rendimiento?
El calor de la evaporación del helio líquido es tan bajo (4,8 kcal/kg) que una bombilla eléctrica de 4 W, encendida en el helio líquido, ¡evaporizaría más de 50 l de helio líquido por hora! No obstante, la falta absoluta de resistencia en los devanados superconductores y, por consiguiente, de desprendimiento de calor permite plenamente conformarse con semejantes cantidades de helio líquido incluso para los arrollamientos más grandes. Basta con asegurar un termoaislamiento muy bueno de la zona en la que se halla el devanado superconductor para que el calor no penetre en esa zona de afuera.
El mejor aislamiento térmico es el vacío (la presión remanente es de 10-5,-10-6 mm de la columna de mercurio). La conductividad térmica del gas residual es, en este caso, demasiado pequeña para asegurar una transferencia calórica algo perceptible. En el caso de utilizar el aislamiento por vacío, adquiere importancia decisiva la transferencia calórica por medio de la radiación. Para suprimir o, por lo menos, disminuir sustancialmente la transferencia calórica desde la zona de temperatura alta a la de temperatura baja es necesario colocar en el camino de la radiación, en el vacío, pantallas reflectoras enfriadas por algún agente frigorífico. El enfriamiento de la pantalla es necesario porque la transferencia calórica es proporcional a la diferencia de las cuartas potencias de las temperaturas de las superficies. Disminuyendo esa diferencia, se puede lograr un efecto mayor aún de aislamiento térmico. Basta decir que la colocación de una pantalla enfriada por el nitrógeno líquido, ¡disminuye 200 veces la afluencia de calor a la zona de temperatura baja!
El helio líquido se conserva en frascos Dewar especiales, generalmente de forma esférica, puesto que la esfera de volumen dado tiene la menor superficie, mientras que cada centímetro adicional de superficie ¡supone una afluencia de calor sobrante! En el recipiente que más se usa, СД-10Г, caben 10 l de helio líquido. El helio se guarda en un recipiente esférico ubicado dentro de un baño de nitrógeno que a su vez se halla dentro de un cuerpo esférico con temperatura ambiente. Entre el cuerpo exterior y los recipientes con el nitrógeno y el helio se crea un alto vacío. En semejante recipiente se pierde diariamente el 2% de helio, como máximo.
Hay recipientes estandarizados de mayor capacidad, por ejemplo, de 50, 80 y 100 l. Es posible que el desarrollo de la técnica superconductora conduzca a la creación de recipientes mucho más grandes aún. En EE.UU., para el suministro centralizado de helio, se utilizan cisternas de helio con capacidad de 10-30 mil l. En estos dispositivos gigantescos se aplican ya los principios de aislamiento térmico algo distintos: se utiliza el llamado aislamiento de múltiples capas de pantallas en vacío. Es un espacio de vacío lleno de gran número de capas de hojas de aluminio alternadas con materiales termoaisladores, por ejemplo, el tejido de lana de vidrio o el papel de vidrio. El número de esas pantallas puede ser muy elevado: más de cien.
Puede considerarse resuelto, en principio, también el problema de transporte de helio líquido por tuberías mediante el bombeo, problema que preocupa singularmente a los constructores de las líneas de transporte de energía superconductoras. El principio en que se basan esas tuberías-crióstatos, prácticamente, es el mismo que se utiliza en los frascos Dewar. Es un tubo interior con helio líquido rodeado de una pantalla concéntrica de nitrógeno, colocada, a su vez, en una funda exterior que se halla a temperatura ambiente. La superficie interior del tubo de helio está revestida de una película superconductora que es precisamente el conductor de esa línea de momento exótica de transporte de energía.
Los primeros experimentos en la esfera de la creación de grandes sistemas de refrigeración dan resultados alentadores. Podemos estar seguros de que en un futuro próximo seremos testigos de nuevos éxitos asombrosos en esta rama.
Notas:
Gilbert descubrió que muchas sustancias tenían la capacidad de atraer objetos ligeros cuando se frotaban y aplicó el término eléctrica para la fuerza que ejercen estas sustancias después de ser frotadas. Fue el primero en utilizar términos como “energía eléctrica”, “atracción eléctrica” y “polo magnético”. Quizá su aportación más importante fue la demostración experimental de la naturaleza magnética de la Tierra. También fue el primer defensor en Inglaterra del sistema de Copérnico sobre la mecánica celeste y planteó que no todas las estrellas fijas están a la misma distancia de la Tierra. Su obra más importante fue De Magnete (1600), quizá la primera gran obra científica escrita en Inglaterra.
Después de estudiar en Alemania en las universidades de Marburgo y Freiberg, volvió a San Petersburgo en 1745 para enseñar química y allí creó, cuatro años más tarde, un laboratorio de enseñanza e investigación.
Considerado en numerosas ocasiones como fundador de la ciencia rusa, Lomonósov fue un innovador en muchos campos.
Como científico rechazó el flogisto, teoría de la materia aceptada en su tiempo, y anticipó la teoría cinética de los gases. Consideró el calor como una forma de movimiento, sugirió la teoría ondulatoria de la luz y formuló la idea de conservación de la materia.
Fue el primero que registró la congelación del mercurio y observó la atmósfera de Venus durante un tránsito solar. Interesado en fomentar la educación en Rusia, Lomonósov ayudó a fundar la Universidad Estatal de Moscú en 1755, y en el mismo año escribió una gramática que reformaba el lenguaje literario ruso combinando el eslavo antiguo religioso con la lengua vulgar.
En 1760 publicó la primera historia de Rusia, e inventó un nuevo sistema de medir su poesía que constaba, sobre todo, de elocuentes odas. También restableció el arte del mosaico ruso y creó una fábrica de mosaicos y vidrios de colores. La mayor parte de sus logros, sin embargo, fueron desconocidos fuera de Rusia hasta mucho después de su muerte, acaecida el 15 de abril de 1765 en San Petersburgo.
Davy nació el 17 de diciembre de 1778, en Penzance, Cornualles. En 1798 comenzó los experimentos sobre las propiedades médicas de los gases, durante los cuales descubrió los efectos anestésicos del óxido nitroso (gas hilarante). Davy fue designado profesor adjunto de química en la recién fundada Institución Real de Londres en 1801 y al año siguiente se le nombró profesor de química en esa misma institución.
Durante los primeros años en dicha institución, Davy comenzó sus investigaciones sobre los efectos de la electricidad en los compuestos químicos. En 1807 recibió el premio Napoleón del Instituto Francés por su trabajo teórico y práctico iniciado el año anterior. Fabricó la mayor batería construida hasta entonces, con 250 células y pasó una corriente eléctrica potente a través de soluciones de varios compuestos sospechosos de contener elementos químicos no descubiertos. Davy aisló rápidamente con este método electrolítico el potasio y el sodio. También preparó calcio con el mismo método. En experimentos posteriores, no descritos, descubrió el boro y demostró que el diamante está compuesto de carbono. Davy mostró, asimismo, que las llamadas tierras raras eran óxidos de metales en lugar de elementos. Sus experimentos con los ácidos indicaron que es el hidrógeno, y no el oxígeno, el que produce las características de los ácidos. Davy también realizó descubrimientos notables sobre el calor.
En el campo de la ciencia aplicada, Davy inventó la lámpara de seguridad para los mineros en 1815. Por esto y por las investigaciones descritas recibió las medallas de oro y plata de Rumford de la Sociedad Real. En 1823 propuso un método para evitar la corrosión de los fondos de cobre de los barcos que consistía en hacer revestimientos de hierro y cinc. Fue nombrado sir en 1812 y fue elevado al rango de baronet en 1818. En 1820 fue presidente de la Sociedad Real. Davy murió el 29 de mayo de 1829 en Ginebra.
Utilizando muchos métodos independientes, Joule determinó la relación numérica entre la energía térmica y la mecánica, o el equivalente mecánico del calor. La unidad de energía denominada julio se llama así en su honor; equivale a 1 vatio-segundo (véase Unidades eléctricas). Junto con su compatriota, el físico William Thomson (posteriormente lord Kelvin), Joule descubrió que la temperatura de un gas desciende cuando se expande sin realizar ningún trabajo. Este fenómeno, que se conoce como efecto Joule-Thomson, sirve de base a la refrigeración normal y a los sistemas de aire acondicionado.
Joule recibió muchos honores de universidades y sociedades científicas de todo el mundo. Sus Escritos científicos (2 volúmenes) se publicaron en 1885 y 1887 respectivamente.
Nació en Milán (Ohio) el 11 de febrero de 1847. Sólo fue a la escuela durante tres meses en Port Huron (Michigan). Cuando tenía 12 años empezó a vender periódicos en una estación de ferrocarril, dedicando su tiempo libre a la experimentación con imprentas y con distintos aparatos mecánicos y eléctricos. En 1862 publicó un semanario, el Grand Trunk Herald, impreso en un vagón de mercancías que también le servía como laboratorio. Por salvar la vida del hijo de un jefe de estación, fue recompensado con la realización de un curso de telegrafía. Mientras trabajaba como operador de telégrafos, realizó su primer invento destacado, un repetidor telegráfico que permitía transmitir mensajes automáticamente a una segunda línea sin que estuviera presente el operador.
A continuación, Edison consiguió un empleo en Boston (Massachusetts) y dedicó todo su tiempo libre a la investigación. Inventó una grabadora que, aun teniendo muchas cualidades, no era lo suficientemente práctica como para justificar su utilización. Más tarde, mientras trabajaba en la compañía de telégrafos Gold and Stock de Nueva York, introdujo grandes mejoras en los aparatos y en los servicios de la empresa. Con la venta de accesorios telegráficos, Edison ganó 40.000 dólares, con los que montó su propio laboratorio en 1876. Posteriormente concibió un sistema telegráfico automático que hacía posible una mayor rapidez y calidad de transmisión. El logro supremo de Edison en la telegrafía fue el invento de unas máquinas que permitían la transmisión simultánea de diversos mensajes por una línea, lo que aumentó enormemente la utilidad de las líneas telegráficas existentes. El invento de Edison del transmisor telefónico de carbono fue muy importante para el desarrollo del teléfono, que había sido inventado recientemente por el físico estadounidense Alexander Graham Bell.
Edison anunció en 1877 el invento de un fonógrafo mediante el cual se podía grabar el sonido en un cilindro de papel de estaño. Dos años más tarde exhibió públicamente su bombilla o foco eléctrico incandescente, su invento más importante (véase Iluminación eléctrica). Este invento tuvo un éxito extraordinario y, rápidamente, Edison se ocupó del perfeccionamiento de las bombillas y de las dinamos para generar la corriente eléctrica necesaria. En 1882 desarrolló e instaló la primera gran central eléctrica del mundo en Nueva York. Sin embargo, más tarde, su uso de la corriente continua se vio desplazado ante el sistema de corriente alterna desarrollado por los inventores estadounidenses Nikola Tesla y George Westinghouse.
En 1887 Edison trasladó su fábrica de Menlo Park a West Orange (Nueva Jersey) donde construyó un gran laboratorio de experimentación e investigación. (Su casa y su laboratorio fueron convertidos en museo en 1955). En 1888 inventó el kinetoscopio, la primera máquina que producía películas mediante una rápida sucesión de imágenes individuales (véase Historia del cine). Entre sus posteriores inventos dignos de mención se encuentra el llamado acumulador de Edison (un acumulador alcalino de hierro-níquel), resultado de miles de experimentos (véase Pila eléctrica).
Otros descubrimientos de Edison fueron el microtasímetro (se utiliza para la detección de cambios de temperatura) y un método de telegrafía sin hilos para comunicarse con los trenes en movimiento. Cuando estalló la I Guerra Mundial, proyectó, construyó y dirigió factorías para la fabricación de benceno, fenol y derivados de la anilina. En 1915 fue nombrado presidente del Consejo Asesor de la Marina de Estados Unidos y en calidad de ello hizo muchos descubrimientos valiosos. Su trabajo posterior consistió fundamentalmente en mejorar y perfeccionar inventos anteriores. En total, Edison patentó más de mil inventos. Fue más un tecnólogo que un científico y aportó poco al conocimiento científico original. Sin embargo, en 1883, observó la emisión de electrones por un filamento caliente (el llamado efecto Edison), cuyas implicaciones profundas no se comprendieron hasta varios años más tarde.
En 1878 fue nombrado caballero de la Legión de Honor Francesa y en 1889 comendador de la misma. En 1892 fue galardonado con la Medalla Albert de la Sociedad Real de las Artes de Gran Bretaña y en 1928 recibió la Medalla de Oro del Congreso de Estados Unidos “por el desarrollo y la aplicación de inventos que han revolucionado la civilización en el último siglo”. Edison murió el 18 de octubre de 1931 en West Orange.
El sentido de la corriente o de la fuerza electromotriz inducida es tal que sus efectos electromagnéticos se oponen a la variación del flujo del campo magnético que la produce.
Así, si el flujo del campo magnético a través de una espira aumenta, la corriente eléctrica que en ella se induce crea un campo magnético cuyo flujo a través de la espira es negativo, disminuyendo el aumento original del flujo.
Por ejemplo, si se aproxima el polo sur de un imán a una espira, ésta crea una fuerza electromotriz inducida que se opone a la causa que la produce, y la corriente circula por ella de manera que la espira se comporta como un polo sur frente al imán, al que trata de repeler.
En realidad, la ley de Lenz es otra forma de enunciar el principio de conservación de la energía. Si no fuera así, la cara de la espira enfrentada al polo sur del imán se comportaría como un polo norte, atrayendo al imán y realizando un trabajo sobre él, a la vez que se produce una corriente eléctrica que origina más trabajo. Esto sería creación de energía a partir de la nada. Sin embargo, para acercar el imán a la espira hay que realizar un trabajo que se convierte en energía eléctrica.
Nació el 22 de septiembre de 1791 en Newington (Surrey). Era hijo de un herrero y recibió poca formación académica. Mientras trabajaba de aprendiz con un encuadernador de Londres, leyó libros de temas científicos y realizó experimentos en el campo de la electricidad. En 1812 asistió a una serie de conferencias impartidas por el químico Humphry Davy y envió a éste las notas que tomó en esas conferencias junto con una petición de empleo. Davy le contrató como ayudante en su laboratorio químico de la Institución Real y en 1813 le llevó con él a un largo viaje por Europa. Faraday entró en la Sociedad Real en 1824 y al año siguiente fue nombrado director del laboratorio de la Institución Real. En 1833 sucedió a Davy como profesor de química en esta Institución. Dos años más tarde le fue concedida una pensión vitalicia de 300 libras anuales. Faraday recibió numerosos galardones científicos.
Realizó sus primeras investigaciones en el campo de la química bajo la dirección de Davy. Un estudio sobre el cloro le llevó al descubrimiento de dos nuevos cloruros de carbono. También descubrió el benceno. Faraday investigó nuevas variedades de vidrio óptico y llevó a cabo con éxito una serie de experimentos de licuefacción de gases comunes (véase Criogenia).
Sin embargo, las investigaciones que convirtieron a Faraday en el primer científico experimental de su época las realizó en los campos de la electricidad y el magnetismo. En 1821 trazó el campo magnético alrededor de un conductor por el que circula una corriente eléctrica (la existencia del campo magnético había sido observada por vez primera por el físico danés Hans Christian Oersted en 1819). En 1831 Faraday descubrió la inducción electromagnética, y el mismo año demostró la inducción de una corriente eléctrica por otra. Durante este mismo periodo investigó los fenómenos de la electrólisis (véase Electroquímica) y descubrió dos leyes fundamentales: que la masa de una sustancia depositada por una corriente eléctrica en una electrólisis es proporcional a la cantidad de electricidad que pasa por el electrolito, y que las cantidades de sustancias electrolíticas depositadas por la acción de una misma cantidad de electricidad son proporcionales a las masas equivalentes de las sustancias. También demostró que un recinto metálico (caja o jaula de Faraday) forma una pantalla eléctrica.
Sus experimentos en magnetismo le llevaron a dos descubrimientos de gran importancia. Uno fue la existencia del diamagnetismo y el otro fue comprobar que un campo magnético tiene fuerza para girar el plano de luz polarizada (véase Óptica) que pasa a través de ciertos tipos de cristal.
Además de muchos artículos para publicaciones especializadas, Faraday escribió Manipulación química (1827), Investigaciones experimentales en electricidad (1844-1855) e Investigaciones experimentales en física y química (1859). Murió el 25 de agosto de 1867, cerca de Hampton Court (Surrey).
Nació en París y fue profesor del Museo de Historia Natural en 1892 y de la École Polytechnique en 1895. En 1896 descubrió por accidente el fenómeno de la radiactividad en el transcurso de su investigación sobre la fluorescencia. Tras colocar sales de uranio en una placa fotográfica en una zona oscura, Becquerel comprobó que la placa se había ennegrecido. Esto demuestra que el uranio debe emitir su propia energía, a la que posteriormente se denominó radiactividad.
Becquerel también dirigió investigaciones importantes sobre la fosforescencia (véase Luminiscencia), espectroscopia y la absorción de la luz. En 1903, Becquerel compartió el premio Nobel de Física con los franceses Pierre y Marie Curie por su trabajo sobre la radiactividad, término acuñado por Marie Curie. Entre sus obras se encuentran Investigación sobre la fosforescencia (1882-1897) y Descubrimiento de la radiación invisible emitida por el uranio (1896-1897).
Nació en Belfast el 26 de junio de 1824 y estudió en las universidades de Glasgow y Cambridge. Desde 1846 hasta 1899 fue profesor de la Universidad de Glasgow.
En el campo de la termodinámica, Kelvin desarrolló el trabajo realizado por James Prescott Joule sobre la interrelación del calor y la energía mecánica, y en 1852 ambos colaboraron para investigar el fenómeno al que se conoció como efecto Joule-Thomson (véase Criogenia). En 1848 Kelvin estableció la escala absoluta de temperatura que sigue llevando su nombre. Su trabajo en el campo de la electricidad tuvo aplicación en la telegrafía. Estudió la teoría matemática de la electrostática, llevó a cabo mejoras en la fabricación de cables e inventó el galvanómetro de imán móvil y el sifón registrador. Ejerció como asesor científico en el tendido de cables telegráficos del Atlántico en 1857, 1858, 1865 y 1866. Kelvin también contribuyó a la teoría de la elasticidad e investigó los circuitos oscilantes, las propiedades electrodinámicas de los metales y el tratamiento matemático del magnetismo. Junto con el fisiólogo y físico alemán Hermann Ludwig von Helmholtz, hizo una estimación de la edad del Sol y calculó la energía irradiada desde su superficie. Entre los aparatos que inventó o mejoró se encuentran un dispositivo para predecir mareas, un analizador armónico y un aparato para grabar sonidos en aguas más o menos profundas. También mejoró aspectos de la brújula marina o compás náutico.
Muchas de sus obras científicas se recopilaron en su Ponencias sobre electricidad y magnetismo (1872), Ponencias matemáticas y físicas (1882, 1883, 1890) y Cursos y conferencias (1889-1894). Kelvin fue presidente de la Sociedad Real de Londres en 1890, y en 1902 recibió la Orden del Mérito. Murió el 17 de diciembre de 1907.