Prólogo
El presente librito pretende dar una idea lo más exacta posible de la teoría de la relatividad, pensando en aquellos que, sin dominar el aparato matemático de la física teórica, tienen interés en la teoría desde el punto de vista científico o filosófico general. La lectura exige una formación de bachillerato aproximadamente y -pese a la brevedad del librito- no poca paciencia y voluntad por parte del lector. El autor ha puesto todo su empeño en resaltar con la máxima claridad y sencillez las ideas principales, respetando por lo general el orden y el contexto en que realmente surgieron. En aras de la claridad me pareció inevitable repetirme a menudo, sin reparar lo más mínimo en la elegancia expositiva; me atuve obstinadamente al precepto del genial teórico L. Boltzmann, de dejar la elegancia para los sastres y zapateros. Las dificultades que radican en la teoría propiamente dicha creo no habérselas ocultado al lector, mientras que las bases físicas empíricas de la teoría las he tratado deliberadamente con cierta negligencia, para que al lector alejado de la física no le ocurra lo que al caminante, a quien los árboles no le dejan ver el bosque. Espero que el librito depare a más de uno algunas horas de alegre entretenimiento. Albert Einstein
Diciembre de 1916.
Primera parte
Sobre la teoría de la relatividad especial
Seguro que también tú, querido lector, entablaste de niño conocimiento con el soberbio edificio de la Geometría de Euclides y recuerdas, quizá con más respeto que amor, la imponente construcción por cuyas altas escalinatas te pasearon durante horas sin cuento los meticulosos profesores de la asignatura. Y seguro que, en virtud de ese tu pasado, castigarías con el desprecio a cualquiera que declarase falso incluso el más recóndito teoremita de esta ciencia. Pero es muy posible que este sentimiento de orgullosa seguridad te abandonara de inmediato si alguien te preguntara: « ¿Qué entiendes tú al afirmar que estos teoremas son verdaderos?». Detengámonos un rato en esta cuestión.
La Geometría parte de ciertos conceptos básicos, como el de plano, punto, recta, a los que estamos en condiciones de asociar representaciones más o menos claras, así como de ciertas proposiciones simples (axiomas) que, sobre la base de aquellas representaciones, nos inclinamos a dar por «verdaderas». Todos los demás teoremas son entonces referidos a aquellos axiomas (es decir, son demostrados) sobre la base de un método lógico cuya justificación nos sentimos obligados a reconocer. Un teorema es correcto, o «verdadero», cuando se deriva de los axiomas a través de ese método reconocido. La cuestión de la «verdad» de los distintos teoremas geométricos remite, pues, a la de la «verdad» de los axiomas. Sin embargo, se sabe desde hace mucho que esta última cuestión no sólo no es resoluble con los métodos de la Geometría, sino que ni siquiera tiene sentido en sí. No se puede preguntar si es verdad o no que por dos puntos sólo pasa una recta. Únicamente cabe decir que la Geometría euclídea trata de figuras a las que llama «rectas» y a las cuales asigna la propiedad de quedar unívocamente determinadas por dos de sus puntos. El concepto de «verdadero» no se aplica a las proposiciones de la Geometría pura, porque con la palabra «verdadero» solemos designar siempre, en última instancia, la coincidencia con un objeto «real»; la Geometría, sin embargo, no se ocupa de la relación de sus conceptos con los objetos de la experiencia, sino sólo de la relación lógica que guardan estos conceptos entre sí.
El que, a pesar de todo, nos sintamos inclinados a calificar de «verdaderos» los teoremas de la Geometría tiene fácil explicación. Los conceptos geométricos se corresponden más o menos exactamente con objetos en la naturaleza, que son, sin ningún género de dudas, la única causa de su formación. Aunque la Geometría se 4 distancie de esto para dar a su edificio el máximo rigor lógico, lo cierto es que la costumbre, por ejemplo, de ver un segmento como dos lugares marcados en un cuerpo prácticamente rígido está muy afincada en nuestros hábitos de pensamiento. Y también estamos acostumbrados a percibir tres lugares como situados sobre una recta cuando, mediante adecuada elección del punto de observación, podemos hacer coincidir sus imágenes al mirar con un solo ojo.
Si, dejándonos llevar por los hábitos de pensamiento, añadimos ahora a los teoremas de la Geometría euclídea un único teorema más, el de que a dos puntos de un cuerpo prácticamente rígido les corresponde siempre la misma distancia (segmento), independientemente de las variaciones de posición a que sometamos el cuerpo, entonces los teoremas de la Geometría euclídea se convierten en teoremas referentes a las posibles posiciones relativas de cuerpos prácticamente rígidos [1]. La Geometría así ampliada hay que contemplarla como una rama de la física. Ahora sí cabe preguntarse por la «verdad» de los teoremas geométricos así interpretados, porque es posible preguntar si son válidos o no para aquellos objetos reales que hemos asignado a los conceptos geométricos. Aunque con cierta imprecisión, podemos decir, pues, que por «verdad» de un teorema geométrico entendemos en este sentido su validez en una construcción con regla y compás.
Naturalmente, la convicción de que los teoremas geométricos son «verdaderos» en este sentido descansa exclusivamente en experiencias harto incompletas. De entrada daremos por supuesta esa verdad de los teoremas geométricos, para luego, en la última parte de la exposición (la teoría de la relatividad general), ver que esa verdad tiene sus límites y precisar cuáles son éstos.
§2. El sistema de coordenadas
Basándonos en la interpretación física de la distancia que acabamos de señalar estamos también en condiciones de determinar la distancia entre dos puntos de un cuerpo rígido por medio de mediciones. Para ello necesitamos un segmento (regla S) que podamos utilizar de una vez para siempre y que sirva de escala unidad. Si A y B son dos puntos de un cuerpo rígido, su recta de unión es entonces construible según las leyes de la Geometría; sobre esta recta de unión, y a partir de A, llevamos el segmento S tantas veces como sea necesario para llegar a B. El número de repeticiones de esta operación es la medida del segmentoAB. Sobre esto descansa toda medición de longitudes [2].
Cualquier descripción espacial del lugar de un suceso o de un objeto consiste en especificar el punto de un cuerpo rígido (cuerpo de referencia) con el cual coincide el suceso, y esto vale no sólo para la descripción científica, sino también para la vida cotidiana. Si analizo la especificación de lugar «en Berlín, en la Plaza de Potsdam», veo que significa lo siguiente. El suelo terrestre es el cuerpo rígido al que se refiere la especificación de lugar; sobre él, «Plaza de Potsdam en Berlín» es un punto marcado, provisto de nombre, con el cual coincide espacialmente el suceso [3].
Este primitivo modo de localización sólo atiende a lugares situados en la superficie de cuerpos rígidos y depende de la existencia de puntos distinguibles sobre aquélla.
Veamos cómo el ingenio humano se libera de estas dos limitaciones sin que la esencia del método de localización sufra modificación alguna. Si sobre la Plaza de Potsdam flota por ejemplo una nube, su posición, referida a la superficie terrestre, cabrá fijarla sin más que erigir en la plaza un mástil vertical que llegue hasta la nube. La longitud del mástil medida con la regla unidad, junto con la especificación del lugar que ocupa el pie del mástil, constituyen entonces una localización completa. El ejemplo nos muestra de qué manera se fue refinando el concepto de lugar:
- Se prolonga el cuerpo rígido al que se refiere la localización, de modo que el cuerpo rígido ampliado llegue hasta el objeto a localizar.
- Para la caracterización del lugar se utilizan números, y no la nomenclatura de puntos notables (en el caso anterior, la longitud del mástil medida con la regla).
- Se sigue hablando de la altura de la nube aun cuando no se erija un mástil que llegue hasta ella. En nuestro caso, se determina mediante fotografías de la nube desde diversos puntos del suelo y teniendo en cuenta las propiedades de propagación de la luz, qué longitud habría que dar al mástil para llegar a la nube.
Este sistema consta de tres paredes rígidas, planas, perpendiculares entre sí y ligadas a un cuerpo rígido. El lugar de cualquier suceso, referido al sistema de coordenadas, viene descrito (en esencia) por la especificación de la longitud de las tres verticales o coordenadas (x, y, z) (cf. Fig. 2, p. 33) que pueden trazarse desde el suceso hasta esas tres paredes. Las longitudes de estas tres perpendiculares pueden determinarse mediante una sucesión de manipulaciones con reglas rígidas, manipulaciones que vienen prescritas por las leyes y métodos de la Geometría euclidiana.
En las aplicaciones no suelen construirse realmente esas paredes rígidas que forman el sistema de coordenadas; y las coordenadas tampoco se determinan realmente por medio de construcciones con reglas rígidas, sino indirectamente. Pero el sentido físico de las localizaciones debe buscarse siempre en concordancia con las consideraciones anteriores, so pena de que los resultados de la física y la astronomía se diluyan en la falta de claridad [4].
La conclusión es, por tanto, la siguiente: toda descripción espacial de sucesos se sirve de un cuerpo rígido al que hay que referirlos espacialmente. Esa referencia presupone que los «segmentos» se rigen por las leyes de la Geometría euclídea, viniendo representados físicamente por dos marcas sobre un cuerpo rígido.
§3. Espacio y tiempo en la Mecánica clásica
Si formulo el objetivo de la Mecánica diciendo que «la Mecánica debe describir cómo varía con el tiempo la posición de los cuerpos en el espacio», sin añadir grandes reservas y prolijas explicaciones, cargaría sobre mi conciencia algunos pecados capitales contra el sagrado espíritu de la claridad. Indiquemos antes que nada estos pecados.
No está claro qué debe entenderse aquí por «posición» y «espacio». Supongamos que estoy asomado a la ventanilla de un vagón de ferrocarril que lleva una marcha uniforme, y dejo caer una piedra a la vía, sin darle ningún impulso. Entonces veo (prescindiendo de la influencia de la resistencia del aire) que la piedra cae en línea recta. Un peatón que asista a la fechoría desde el terraplén observa que la piedra cae a tierra según un arco de parábola. Yo pregunto ahora: las «posiciones» que recorre la piedra ¿están «realmente» sobre una recta o sobre una parábola? Por otro lado, ¿qué significa aquí movimiento en el «espacio»? La respuesta es evidente después de lo dicho en epígrafe 2. Dejemos de momento a un lado la oscura palabra «espacio», que, para ser sinceros, no nos dice absolutamente nada; en lugar de ella ponemos «movimiento respecto a un cuerpo de referencia prácticamente rígido». Las posiciones con relación al cuerpo de referencia (vagón del tren o vías) han sido ya definidas explícitamente en el epígrafe anterior. Introduciendo en lugar de «cuerpo de referencia» el concepto de «sistema de coordenadas», que es útil para la descripción matemática, podemos decir: la piedra describe, con relación a un sistema de coordenadas rígidamente unido al vagón, una recta; con relación a un sistema de coordenadas rígidamente ligado a las vías, una parábola. En este ejemplo se ve claramente que en rigor no existe una trayectoria, sino sólo una trayectoria [5] con relación a un cuerpo de referencia determinado.
Ahora bien, la descripción completa del movimiento no se obtiene sino al especificar cómo varía la posición del cuerpo con el tiempo, o lo que es lo mismo, para cada punto de la trayectoria hay que indicar en qué momento se encuentra allí el cuerpo.
Estos datos hay que completarlos con una definición del tiempo en virtud de la cual podamos considerar estos valores temporales como magnitudes esencialmente observables (resultados de mediciones). Nosotros, sobre el suelo de la Mecánica clásica, satisfacemos esta condición -con relación al ejemplo anterior- de la siguiente manera. Imaginemos dos relojes exactamente iguales; uno de ellos lo tiene el hombre en la ventanilla del vagón de tren; el otro, el hombre que está de pie en el terraplén.
Cada uno de ellos verifica en qué lugar del correspondiente cuerpo de referencia se encuentra la piedra en cada instante marcado por el reloj que tiene en la mano.
Nos abstenemos de entrar aquí en la imprecisión introducida por el carácter finito de la velocidad de propagación de la luz. Sobre este extremo, y sobre una segunda dificultad que se presenta aquí, hablaremos detenidamente más adelante.
§4. El sistema de coordenadas de Galileo
Como es sabido, la ley fundamental de la Mecánica de Galileo y Newton, conocida por la ley de inercia, dice: un cuerpo suficientemente alejado de otros cuerpos persiste en su estado de reposo o de movimiento rectilíneo uniforme. Este principio se pronuncia no sólo sobre el movimiento de los cuerpos, sino también sobre qué cuerpos de referencia o sistemas de coordenadas son permisibles en la Mecánica y pueden utilizarse en las descripciones mecánicas. Algunos de los cuerpos a los que sin duda cabe aplicar con gran aproximación la ley de inercia son las estrellas fijas. Ahora bien, si utilizamos un sistema de coordenadas solidario con la Tierra, cada estrella fija describe, con relación a él y a lo largo de un día (astronómico), una circunferencia de radio enorme, en contradicción con el enunciado de la ley de inercia. Así pues, si uno se atiene a esta ley, entonces los movimientos sólo cabe referirlos a sistemas de coordenadas con relación a los cuales las estrellas fijas no ejecutan movimientos circulares. Un sistema de coordenadas cuyo estado de movimiento es tal que con relación a él es válida la ley de inercia lo llamamos «sistema de coordenadas de Galileo». Las leyes de la Mecánica de Galileo-Newton sólo tienen validez para sistemas de coordenadas de Galileo.
§5. El principio de la relatividad (en sentido restringido)
Para conseguir la mayor claridad posible, volvamos al ejemplo del vagón de tren que lleva una marcha uniforme. Su movimiento decimos que es una traslación uniforme («uniforme», porque es de velocidad y dirección constantes; «traslación», porque aunque la posición del vagón varía con respecto a la vía, no ejecuta ningún giro).
Supongamos que por los aires vuela un cuervo en línea recta y uniformemente (respecto a la vía). No hay duda de que el movimiento del cuervo es -respecto al vagón en marcha- un movimiento de distinta velocidad y diferente dirección, pero sigue siendo rectilíneo y uniforme. Expresado de modo abstracto: si una masa m se mueve en línea recta y uniformemente respecto a un sistema de coordenadas K, entonces también se mueve en línea recta y uniformemente respecto a un segundo sistema de coordenadas K', siempre que éste ejecute respecto a K un movimiento de traslación uniforme. Teniendo en cuenta lo dicho en el párrafo anterior, se desprende de aquí lo siguiente: Si K es un sistema de coordenadas de Galileo, entonces también lo es cualquier otro sistema de coordenadas K' que respecto a K se halle en un estado de traslación uniforme. Las leyes de la Mecánica de Galileo-Newton valen tanto respecto a K' como respecto a K Demos un paso más en la generalización y enunciemos el siguiente principio: Si K' es un sistema de coordenadas que se mueve uniformemente y sin rotación respecto a K, entonces los fenómenos naturales transcurren con respecto a K' según idénticas leyes generales que con respecto a K. Esta proposición es lo que llamaremos el «principio de relatividad» (en sentido restringido).
Mientras se mantuvo la creencia de que todos los fenómenos naturales se podían representar con ayuda de la Mecánica clásica, no se podía dudar de la validez de este principio de relatividad. Sin embargo, los recientes adelantos de la Electrodinámica y de la Óptica hicieron ver cada vez más claramente que la Mecánica clásica, como base de toda descripción física de la naturaleza, no era suficiente. La cuestión de la validez del principio de relatividad se tornó así perfectamente discutible, sin excluir la posibilidad de que la solución fuese en sentido negativo. Existen, con todo, dos hechos generales que de entrada hablan muy a favor de la validez del principio de relatividad. En efecto, aunque la mecánica clásica no proporciona una base suficientemente ancha para representar teóricamente todos los fenómenos físicos, tiene que poseer un contenido de verdad muy importante, pues da con admirable precisión los movimientos reales de los cuerpos celestes. De ahí que en el campo de la Mecánica tenga que ser válido con gran exactitud el principio de relatividad. Y que un principio de generalidad tan grande y que es válido, con tanta exactitud, en un determinado campo de fenómenos fracase en otro campo es, a priori, poco probable.
El segundo argumento, sobre el que volveremos más adelante, es el siguiente. Si el principio de relatividad (en sentido restringido) no es válido, entonces los sistemas de coordenadas de Galileo K, K', K", etc., que se mueven uniformemente unos respecto 8 a los otros, no serán equivalentes para la descripción de los fenómenos naturales. En ese caso no tendríamos más remedio que pensar que las leyes de la naturaleza sólo pueden formularse con especial sencillez y naturalidad si de entre todos los sistemas de coordenadas de Galileo eligiésemos como cuerpo de referencia uno (K0) que tuviera un estado de movimiento determinado. A éste lo calificaríamos, y con razón (por sus ventajas para la descripción de la naturaleza), de «absolutamente en reposo», mientras que de los demás sistemas galileanos K diríamos que son «móviles». Si la vía fuese el sistema K0, pongamos por caso, entonces nuestro vagón de ferrocarril sería un sistema K respecto al cual regirían leyes menos sencillas que respecto a K0. Esta menor simplicidad habría que atribuirla a que el vagón K se mueve respecto a K0(es decir, «realmente»). En estas leyes generales de la naturaleza formuladas respecto a K tendrían que desempeñar un papel el módulo y la dirección de la velocidad del vagón.
Sería de esperar, por ejemplo, que el tono de un tubo de órgano fuese distinto cuando su eje fuese paralelo a la dirección de marcha que cuando estuviese perpendicular. Ahora bien, la Tierra, debido a su movimiento orbital alrededor del Sol, es equiparable a un vagón que viajara a unos 30 km por segundo. Por consiguiente, caso de no ser válido el principio de relatividad, sería de esperar que la dirección instantánea del movimiento terrestre interviniera en las leyes de la naturaleza y que, por lo tanto, el comportamiento de los sistemas físicos dependiera de su orientación espacial respecto a la Tierra; porque, como la velocidad del movimiento de rotación terrestre varía de dirección en el transcurso del año, la Tierra no puede estar todo el año en reposo respecto al hipotético sistema K0. Pese al esmero que se ha puesto en detectar una tal anisotropía del espacio físico terrestre, es decir, una no equivalencia de las distintas direcciones, jamás ha podido ser observada. Lo cual es un argumento de peso a favor del principio de la relatividad.
§6. El teorema de adición de velocidades según la Mecánica clásica
Supongamos que nuestro tan traído y llevado vagón de ferrocarril viaja con velocidad constante v por la línea, e imaginemos que por su interior camina un hombre en la dirección de marcha con velocidad w. ¿Con qué velocidad W avanza el hombre respecto a la vía al caminar? La única respuesta posible parece desprenderse de la siguiente consideración: Si el hombre se quedara parado durante un segundo, avanzaría, respecto a la vía, un trecho v igual a la velocidad del vagón. Pero en ese segundo recorre además, respecto al vagón, y por tanto también respecto a la vía, un trecho w igual a la velocidad con que camina. Por consiguiente, en ese segundo avanza en total el trecho
W = v+ w
respecto a la vía. Más adelante veremos que este razonamiento, que expresa el teorema de adición de velocidades según la Mecánica clásica, es insostenible y que la ley que acabamos de escribir no es válida en realidad. Pero entre tanto edificaremos sobre su validez.§7. La aparente incompatibilidad de la ley de propagación de la luz con el principio de la relatividad
Apenas hay en la física una ley más sencilla que la de propagación de la luz en el espacio vacío. Cualquier escolar sabe (o cree saber) que esta propagación se produce en línea recta con una velocidad de c = 300.000 km/s. En cualquier caso, sabemos con gran exactitud que esta velocidad es la misma para todos los colores, porque si no fuera así, el mínimo de emisión en el eclipse de una estrella fija por su compañera oscura no se observaría simultáneamente para los diversos colores. A través de un razonamiento similar, relativo a observaciones de las estrellas dobles, el astrónomo holandés De Sitter consiguió también demostrar que la velocidad de propagación de la luz no puede depender de la velocidad del movimiento del cuerpo emisor. La hipótesis de que esta velocidad de propagación depende de la dirección «en el espacio» es de suyo improbable.
Supongamos, en resumen, que el escolar cree justificadamente en la sencilla ley de la constancia de la velocidad de la luz c (en el vacío). ¿Quién diría que esta ley tan simple ha sumido a los físicos más concienzudos en grandísimas dificultades conceptuales? Los problemas surgen del modo siguiente.
Como es natural, el proceso de la propagación de la luz, como cualquier otro, hay que referirlo a un cuerpo de referencia rígido (sistema de coordenadas). Volvemos a elegir como tal las vías del tren e imaginamos que el aire que había por encima de ellas lo hemos eliminado por bombeo. Supongamos que a lo largo del terraplén se emite un rayo de luz cuyo vértice, según lo anterior, se propaga con la velocidad c respecto a aquél. Nuestro vagón de ferrocarril sigue viajando con la velocidad v, en la misma dirección en que se propaga el rayo de luz, pero naturalmente mucho más despacio.
Lo que nos interesa averiguar es la velocidad de propagación del rayo de luz respecto al vagón. Es fácil ver que el razonamiento del epígrafe anterior tiene aquí aplicación, pues el hombre que corre con respecto al vagón desempeña el papel del rayo de luz.
En lugar de su velocidad W respecto al terraplén aparece aquí la velocidad de la luz respecto a éste; la velocidad w que buscamos, la de la luz respecto al vagón, es por tanto igual a:
w = c – v
Así pues, la velocidad de propagación del rayo de luz respecto al vagón resulta ser menor que c.Ahora bien, este resultado atenta contra el principio de la relatividad expuesto en epígrafe 5, porque, según este principio, la ley de propagación de la luz en el vacío, como cualquier otra ley general de la naturaleza, debería ser la misma si tomamos el vagón como cuerpo de referencia que si elegimos las vías, lo cual parece imposible según nuestro razonamiento. Si cualquier rayo de luz se propaga respecto al terraplén con la velocidad c, la ley de propagación respecto al vagón parece que tiene que ser, por eso mismo, otra distinta... en contradicción con el principio de relatividad.
A la vista del dilema parece ineludible abandonar, o bien el principio de relatividad, o bien la sencilla ley de la propagación de la luz en el vacío. El lector que haya seguido atentamente las consideraciones anteriores esperará seguramente que sea el principio de relatividad -que por su naturalidad y sencillez se impone a la mente como algo casi ineludible- el que se mantenga en pie, sustituyendo en cambio la ley de la propagación de la luz en el vacío por una ley más complicada y compatible con el principio de relatividad. Sin embargo, la evolución de la física teórica demostró que este camino era impracticable. Las innovadoras investigaciones teóricas de H. A. Lorentz sobre los procesos electrodinámicos y ópticos en cuerpos móviles demostraron que las 10 experiencias en estos campos conducen con necesidad imperiosa a una teoría de los procesos electromagnéticos que tiene como consecuencia irrefutable la ley de la constancia de la luz en el vacío. Por eso, los teóricos de vanguardia se inclinaron más bien por prescindir del principio de relatividad, pese a no poder hallar ni un solo hecho experimental que lo contradijera.
Aquí es donde entró la teoría de la relatividad. Mediante un análisis de los conceptos de espacio y tiempo se vio que en realidad no existía ninguna incompatibilidad entre el principio de la relatividad y la ley de propagación de la luz, sino que, ateniéndose uno sistemáticamente a estas dos leyes, se llegaba a una teoría lógicamente impecable. Esta teoría, que para diferenciarla de su ampliación (comentada más adelante) llamamos «teoría de la relatividad especial», es la que expondremos a continuación en sus ideas fundamentales.
§8. Sobre el concepto de tiempo en la Física
Un rayo ha caído en dos lugares muy distantes A y B de la vía. Yo añado la afirmación de que ambos impactos han ocurrido simultáneamente. Si ahora te pregunto, querido lector, si esta afirmación tiene o no sentido, me contestarás con un «sí» contundente. Pero si luego te importuno con el ruego de que me expliques con más precisión ese sentido, advertirás tras cierta reflexión que la respuesta no es tan sencilla como parece a primera vista.
Al cabo de algún tiempo quizá te acuda a la mente la siguiente respuesta: «El significado de la afirmación es claro de por sí y no necesita de ninguna aclaración; sin embargo, tendría que reflexionar un poco si se me exige determinar, mediante observaciones, si en un caso concreto los dos sucesos son o no simultáneos». Pero con esta respuesta no puedo darme por satisfecho, por la siguiente razón.
Suponiendo que un experto meteorólogo hubiese hallado, mediante agudísimos razonamientos, que el rayo tiene que caer siempre simultáneamente en los lugares A y B, se plantearía el problema de comprobar si ese resultado teórico se corresponde o no con la realidad. Algo análogo ocurre en todas las proposiciones físicas en las que interviene el concepto de «simultáneo». Para el físico no existe el concepto mientras no se brinde la posibilidad de averiguar en un caso concreto si es verdadero o no.
Hace falta, por tanto, una definición de simultaneidad que proporcione el método para decidir experimental-mente en el caso presente si los dos rayos han caído simultáneamente o no. Mientras no se cumpla este requisito, me estaré entregando como físico (¡y también como no físico!) a la ilusión de creer que puedo dar sentido a esa afirmación de la simultaneidad. (No sigas leyendo, querido lector, hasta concederme esto plenamente convencido.) Tras algún tiempo de reflexión haces la siguiente propuesta para constatar la simultaneidad. Se mide el segmento de unión AB a lo largo de la vía y se coloca en su punto medio M a un observador provisto de un dispositivo (dos espejos formando 90° entre sí, por ejemplo) que le permite la visualización óptica simultánea de ambos lugares A y B. Si el observador percibe los dos rayos simultáneamente, entonces es que son simultáneos.
Aunque la propuesta me satisface mucho, sigo pensando que la cuestión no queda aclarada del todo, pues me siento empujado a hacer la siguiente objeción: «Tu definición sería necesariamente correcta si yo supiese ya que la luz que la percepción de los rayos transmite al observador en M se propaga con la misma velocidad en el segmento A - M que en el segmento B - M.
Sin embargo, la comprobación de este supuesto sólo sería posible si se dispusiera ya de los medios para la medición de tiempos. Parece, pues, que nos movemos en un círculo lógico».
Después de reflexionar otra vez, me lanzas con toda razón una mirada algo despectiva y me dices: «A pesar de todo, mantengo mi definición anterior, porque en realidad no presupone nada sobre la luz. A la definición de simultaneidad solamente hay que imponerle una condición, y es que en cualquier caso real permita tomar una decisión empírica acerca de la pertinencia o no pertinencia del concepto a definir. Que mi definición cubre este objetivo es innegable. Que la luz tarda el mismo tiempo en recorrer el camino A - M que en el segmento B - M no es en realidad ningún supuesto previo ni hipótesis sobre la naturaleza física de la luz, sino una estipulación que puedo hacer a discreción para llegar a una definición de simultaneidad».
Está claro que esta definición se puede utilizar para dar sentido exacto al enunciado de simultaneidad, no sólo de dos sucesos, sino de un número arbitrario de ellos, sea cual fuere su posición con respecto al cuerpo de referencia [6]. Con ello se llega también a una definición del «tiempo» en la Física. Imaginemos, en efecto, que en los puntos A, B, C de la vía (sistema de coordenadas) existen relojes de idéntica constitución y dispuestos de tal manera que las posiciones de las manillas sean simultáneamente (en el sentido anterior) las mismas. Se entiende entonces por «tiempo» de un suceso la hora (posición de las manillas) marcada por aquel de esos relojes que está inmediatamente contiguo (espacialmente) al suceso. De este modo se le asigna a cada suceso un valor temporal que es esencialmente observable.
Esta definición entraña otra hipótesis física de cuya validez, en ausencia de razones empíricas en contra, no se podrá dudar. En efecto, se supone que todos los relojes marchan «igual de rápido» si tienen la misma constitución. Formulándolo exactamente: si dos relojes colocados en reposo en distintos lugares del cuerpo de referencia son puestos en hora de tal manera que la posición de las manillas del uno sea simultánea (en el sentido anterior) a la misma posición de las manillas del otro, entonces posiciones iguales de las manillas son en general simultáneas (en el sentido de la definición anterior).
§9. La relatividad de la simultaneidad
Hasta ahora hemos referido nuestros razonamientos a un determinado cuerpo de referencia que hemos llamado «terraplén» o «vías». Supongamos que por los carriles viaja un tren muy largo, con velocidad constante v y en la dirección señalada en la Fig. 1.

Figura 1
Todo suceso que se produce a lo largo de la vía, se produce también en un punto determinado del tren. Incluso la definición de simultaneidad se puede dar exactamente igual con respecto al tren que respecto a las vías. Sin embargo, se plantea ahora la siguiente cuestión: Dos sucesos (p. ej., los dos rayos A y B) que son simultáneos respecto al terraplén, ¿son también simultáneos respecto al tren? En seguida demostraremos que la respuesta tiene que ser negativa.
Cuando decimos que los rayos A y B son simultáneos respecto a las vías, queremos decir: los rayos de luz que salen de los lugares A y B se reúnen en el punto medio M del tramo de vía A-B. Ahora bien, los sucesos A y B se corresponden también con lugares A y B en el tren. SeaM' el punto medio del segmento A-B del tren en marcha. Este puntoM' es cierto que en el instante de la caída de los rayos [7] coincide con el punto M, pero, como se indica en la figura, se mueve hacia la derecha con la velocidad v del tren. Un observador que estuviera sentado en el tren en M', pero que no poseyera esta velocidad, permanecería constantemente en M, y los rayos de luz que parten de las chispas A y B lo alcanzarían simultáneamente, es decir, estos dos rayos de luz se reunirían precisamente en él. La realidad es, sin embargo, que (juzgando la situación desde el terraplén) este observador va al encuentro del rayo de luz que viene de B, huyendo en cambio del que avanza desde A. Por consiguiente, verá antes la luz que sale de B que la que sale de A. En resumidas cuentas, los observadores que utilizan el tren como cuerpo de referencia tienen que llegar a la conclusión de que la chispa eléctrica B ha caído antes que la A. Llegamos así a un resultado importante: Sucesos que son simultáneos respecto al terraplén no lo son respecto al tren, y viceversa (relatividad de la simultaneidad). Cada cuerpo de referencia (sistema de coordenadas) tiene su tiempo especial; una localización temporal tiene sólo sentido cuando se indica el cuerpo de referencia al que remite.
Antes de la teoría de la relatividad, la Física suponía siempre implícitamente que el significado de los datos temporales era absoluto, es decir, independiente del estado de movimiento del cuerpo de referencia. Pero acabamos de ver que este supuesto es incompatible con la definición natural de simultaneidad; si prescindimos de él, desaparece el conflicto, expuesto en epígrafe 7, entre la ley de la propagación de la luz y el principio de la relatividad.
En efecto, el conflicto proviene del razonamiento del epígrafe 6, que ahora resulta insostenible. Inferimos allí que el hombre que camina por el vagón y recorre el trecho w en un segundo, recorre ese mismo trecho también en un segundo respecto a las vías.
Ahora bien, toda vez que, en virtud de las reflexiones 'anteriores, el tiempo que necesita un proceso con respecto al vagón no cabe igualarlo a la duración del mismo proceso juzgada desde el cuerpo de referencia del terraplén, tampoco se puede afirmar que el hombre, al caminar respecto a las vías, recorra el trecho w en un tiempo que, juzgado desde el terraplén, es igual a un segundo. Digamos de paso que el razonamiento del epígrafe 6 descansa además en un segundo supuesto que, a la luz de una reflexión rigurosa, se revela arbitrario, lo cual no quita para que antes de establecerse la teoría de la relatividad, fuese aceptado siempre (de modo implícito).
§10. Sobre la relatividad del concepto de distancia espacial
Observamos dos lugares concretos del tren [8] que viaja con velocidad v por la línea y nos preguntamos qué distancia hay entre ellos. Sabemos ya que para medir una distancia se necesita un cuerpo de referencia respecto al cual hacerlo. Lo más sencillo es utilizar el propio tren como cuerpo de referencia (sistema de coordenadas).
Un observador que viaja en el tren mide la distancia, transportando en línea recta una regla sobre el suelo de los vagones, por ejemplo, hasta llegar desde uno de los puntos marcados al otro. El número que indica cuántas veces transportó la regla es entonces la distancia buscada.
Otra cosa es si se quiere medir la distancia desde la vía. Aquí se ofrece el método siguiente. Sean A' y B' los dos puntos del tren de cuya distancia se trata; estos dos puntos se mueven con velocidad v a lo largo de la vía. Preguntémonos primero por los puntos A y B de la vía por donde pasan A' y B' en un momento determinado t (juzgado desde la vía). En virtud de la definición de tiempo dada en epígrafe 8, estos puntos A y B de la vía son determinables. A continuación se mide la distancia entre A y B transportando repetidamente el metro a lo largo de la vía.
A priori no está dicho que esta segunda medición tenga que proporcionar el mismo resultado que la primera. La longitud del tren, medida desde la vía, puede ser distinta que medida desde el propio tren. Esta circunstancia se traduce en una segunda objeción que oponer al razonamiento, aparentemente tan meridiano, de epígrafe 6. Pues si el hombre en el vagón recorre en una unidad de tiempo el trecho w medido desde el tren, este trecho, medido desde la vía, no tiene por qué ser igual a w.
§11. La transformación de Lorentz
Las consideraciones hechas en los tres últimos epígrafes nos muestran que la aparente incompatibilidad de la ley de propagación de la luz con el principio de relatividad en epígrafe 7 está deducida a través de un razonamiento que tomaba a préstamo de la Mecánica clásica dos hipótesis injustificadas; estas hipótesis son:
- El intervalo temporal entre dos sucesos es independiente del estado de movimiento del cuerpo de referencia.
- El intervalo espacial entre dos puntos de un cuerpo rígido es independiente del estado de movimiento del cuerpo de referencia.
Antes de entrar en ello, intercalemos la siguiente consideración. Hasta ahora solamente hemos hablado de sucesos que se producían a lo largo de la vía, la cual desempeñaba la función matemática de una recta. Pero, siguiendo lo indicado en el epígrafe 2, cabe imaginar que este cuerpo de referencia se prolonga hacia los lados y hacia arriba por medio de un andamiaje de varillas, de manera que cualquier suceso, ocurra donde ocurra, puede localizarse respecto a ese andamiaje. Análogamente, es posible imaginar que el tren que viaja con velocidad v se prolonga por todo el espacio, de manera que cualquier suceso, por lejano que esté, también pueda localizarse respecto al segundo andamio. Sin incurrir en defecto teórico, podemos prescindir del hecho de que en realidad esos andamios se destrozarían uno contra el otro debido a la impenetrabilidad de los cuerpos sólidos. En cada uno de estos andamios imaginamos que se erigen tres paredes mutuamente perpendiculares que denominamos «planos coordenados» («sistema de coordenadas»).

Figura 2
Ese mismo suceso viene fijado espacio-temporalmente respecto a K' por valores correspondientes x', y', z', t', que, como es natural, no coinciden con x, y, z, t. Ya explicamos antes con detalle cómo interpretar estas magnitudes como resultados de mediciones físicas.
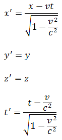
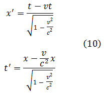
Es evidente que el problema que tenemos planteado se puede formular exactamente de la manera siguiente: Dadas las cantidades x, y, z, t de un suceso respecto a K, ¿cuáles son los valores x', y’, z’, t’ del mismo suceso respecto a K’? Las relaciones hay que elegirlas de tal modo que satisfagan la ley de propagación de la luz en el vacío para uno y el mismo rayo de luz (y además para cualquier rayo de luz) respecto a K y K'. Para la orientación espacial relativa indicada en el dibujo de la figura 2, el problema queda resuelto por las ecuaciones:

Ahora bien, si en lugar de la ley de propagación de la luz hubiésemos tomado como base los supuestos implícitos en la vieja mecánica, relativos al carácter absoluto de los tiempos y las longitudes, en vez de las anteriores ecuaciones de transformación habríamos obtenido estas otras:
x' = x – vt
y' = y
z ' = z
t' = t,
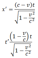
sistema que a menudo se denomina «transformación de Galileo». La transformación de Galileo se obtiene de la de Lorentz igualando en ésta la velocidad de la luz c a un valor infinitamente grande.El siguiente ejemplo muestra claramente que, según la transformación de Lorentz, la ley de propagación de la luz en el vacío se cumple tanto respecto al cuerpo de referencia K como respecto al cuerpo de referencia K'. Supongamos que se envía una señal luminosa a lo largo del eje x positivo, propagándose la excitación luminosa según la ecuación
x = ct,
es decir, con velocidad c. De acuerdo con las ecuaciones de la transformación de Lorentz, esta sencilla relación entre x y t determina una relación entre x' y t'. En efecto, sustituyendo x por el valor ct en las ecuaciones primera y cuarta de la transformación de Lorentz obtenemos:
x' = ct’.
La propagación de la luz, referida al sistema K', se produce según esta ecuación.Se comprueba, por tanto, que la velocidad de propagación es también igual a c respecto al cuerpo de referencia K'; y análogamente para rayos de luz que se propaguen en cualquier otra dirección. Lo cual, naturalmente, no es de extrañar, porque las ecuaciones de la transformación de Lorentz están derivadas con este criterio.
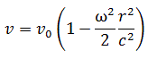
§12. El comportamiento de reglas y relojes móviles
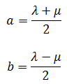
Coloco una regla de un metro sobre el eje x' de K', de manera que un extremo coincida con el punto x' = 0 y el otro con el puntox' = 1. ¿Cuál es la longitud de la regla respecto al sistema K? Para averiguarlo podemos determinar las posiciones de ambos extremos respecto a K en un momento determinado t. De la primera ecuación de la transformación de Lorentz, para t = 0, se obtiene para estos dos puntos:

![]()
![]()
Para la velocidad v = c sería
![]()
Añadamos que este papel de la velocidad c como velocidad límite se sigue de las propias ecuaciones de la transformación de Lorentz, porque éstas pierden todo sentido cuando v se elige mayor que c.
Si hubiésemos procedido a la inversa, considerando un metro que se halla en reposo respecto a K sobre el eje x, habríamos comprobado que en relación a K' tiene la longitud de
![]()
A priori es evidente que las ecuaciones de transformación tienen algo que decir sobre el comportamiento físico de reglas y relojes, porque las cantidades x, y, z, t no son otra cosa que resultados de medidas obtenidas con relojes y reglas. Si hubiésemos tomado como base la transformación de Galileo, no habríamos obtenido un acortamiento de longitudes como consecuencia del movimiento.
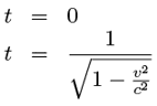
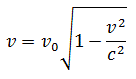
Imaginemos ahora un reloj con segundero que reposa constantemente en el origen (x' = 0) de K'. Sean t' = 0 y t' = 1 dos señales sucesivas de este reloj. Para estos dos tics, las ecuaciones primera y cuarta de la transformación de Lorentz darán:

![]()
Como consecuencia de su movimiento, el reloj marcha algo más despacio que en estado de reposo. La velocidad de la luz c desempeña, también aquí, el papel de una velocidad límite inalcanzable.
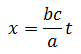
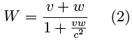
§13. Teorema de adición de velocidades. Experimento de Fizeau
Dado que las velocidades con que en la práctica podemos mover relojes y reglas son pequeñas frente a la velocidad de la luz c, es difícil que podamos comparar los resultados del epígrafe anterior con la realidad. Y puesto que, por otro lado, esos resultados le parecerán al lector harto singulares, voy a extraer de la teoría otra consecuencia que es muy fácil de deducir de lo anteriormente expuesto y que los experimentos confirman brillantemente.
En el epígrafe 6 hemos deducido el teorema de adición para velocidades de la misma dirección, tal y como resulta de las hipótesis de la Mecánica clásica. Lo mismo se puede deducir fácilmente de la transformación de Galileo (epígrafe 11). En lugar del hombre que camina por el vagón introducimos un punto que se mueve respecto al sistema de coordenadas K' según la ecuación
x' =wt’
Mediante las ecuaciones primera y cuarta de la transformación de Galileo se pueden expresar x’ y t’ en función de x y t, obteniendox = (v + w) t.
Esta ecuación no expresa otra cosa que la ley de movimiento del punto respecto al sistema K (del hombre respecto al terraplén), velocidad que designamos por W, con lo cual se obtiene, como en epígrafe 6:W = v + w (1)
Pero este razonamiento lo podemos efectuar igual de bien basándonos en la teoría de la relatividad. Lo que hay que hacer entonces es expresar x' y t' en la ecuaciónx' = wt'
en función de x y t, utilizando las ecuaciones primera y cuarta de la transformación de Lorentz. En lugar de la ecuación (1) se obtiene entonces esta otra:![]()
¿Con qué velocidad se propaga en el tubo R de la figura

Figura 3
Está claro que el problema vuelve a ser el mismo que el de epígrafe 6. El tubo desempeña el papel de las vías o del sistema de coordenadas K; el líquido, el papel del vagón o del sistema de coordenadas K'; la luz, el del hombre que camina por el vagón o el del punto móvil mencionado en este apartado. Así pues, si llamamos W a la velocidad de la luz respecto al tubo, ésta vendrá dada por la ecuación (A) o por la (B), según que sea la transformación de Galileo o la de Lorentz la que se corresponde con la realidad.
El experimento [10] falla a favor de la ecuación (B) deducida de la teoría de la relatividad, y además con gran exactitud. Según las últimas y excelentes mediciones de Zeeman, la influencia de la velocidad de la corriente v sobre la propagación de la luz viene representada por la fórmula (B) con una exactitud superior al 1 por 100.
Hay que destacar, sin embargo, que H. A. Lorentz, mucho antes de establecerse la teoría de la relatividad, dio ya una teoría de este fenómeno por vía puramente electrodinámica y utilizando determinadas hipótesis sobre la estructura electromagnética de la materia. Pero esta circunstancia no merma para nada el poder probatorio del experimento, en tanto que experimentum crucis a favor de la teoría de la relatividad. Pues la Electrodinámica de Maxwell-Lorentz, sobre la cual descansaba la teoría original, no está para nada en contradicción con la teoría de la relatividad. Esta última ha emanado más bien de la Electrodinámica como resumen y generalización asombrosamente sencillos de las hipótesis, antes mutuamente independientes, que servían de fundamento a la Electrodinámica.
§14. El valor heurístico de la teoría de la relatividad
La cadena de ideas que hemos expuesto hasta aquí se puede resumir brevemente como sigue. La experiencia ha llevado a la convicción de que, por un lado, el principio de la relatividad (en sentido restringido) es válido, y por otro, que la velocidad de propagación de la luz en el vacío es igual a una constante c. Uniendo estos dos postulados resultó la ley de transformación para las coordenadas rectangulares x, y, z y el tiempo t de los sucesos que componen los fenómenos naturales, obteniéndose, no la transformación de Galileo, sino (en discrepancia con la Mecánica clásica) la transformación de Lorentz.
En este razonamiento desempeñó un papel importante la ley de propagación de la luz, cuya aceptación viene justificada por nuestro conocimiento actual. Ahora bien, una vez en posesión de la transformación de Lorentz, podemos unir ésta con el principio de relatividad y resumir la teoría en el enunciado siguiente: Toda ley general de la naturaleza tiene que estar constituida de tal modo que se transforme en otra ley de idéntica estructura al introducir, en lugar de las variables espacio-temporales x, y, z, t del sistema de coordenadas original K, nuevas variables espacio-temporales x', y', z', t' de otro sistema de coordenadas K', donde la relación matemática entre las cantidades con prima y sin prima viene dada por la transformación de Lorentz. Formulado brevemente: las leyes generales de la naturaleza son covariantes respecto a la transformación de Lorentz.
Esta es una condición matemática muy determinada que la teoría de la relatividad prescribe a las leyes naturales, con lo cual se convierte en valioso auxiliar heurístico en la búsqueda de leyes generales de la naturaleza. Si se encontrara una ley general de la naturaleza que no cumpliera esa condición, quedaría refutado por lo menos uno de los dos supuestos fundamentales de la teoría. Veamos ahora lo que esta última ha mostrado en cuanto a resultados generales.
§15. Resultados generales de la teoría
De las consideraciones anteriores se echa de ver que la teoría de la relatividad (especial) ha nacido de la Electrodinámica y de la Óptica. En estos campos no ha modificado mucho los enunciados de la teoría, pero ha simplificado notablemente el edificio teórico, es decir, la derivación de las leyes, y, lo que es incomparablemente más importante, ha reducido mucho el número de hipótesis independientes sobre las que descansa la teoría. A la teoría de Maxwell-Lorentz le ha conferido un grado tal de evidencia, que aquélla se habría impuesto con carácter general entre los físicos aunque los experimentos hubiesen hablado menos convincentemente a su favor.
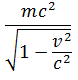
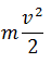
La Mecánica clásica precisaba de una modificación antes de poder armonizar con el requisito de la teoría de la relatividad especial. Pero esta modificación afecta únicamente, en esencia, a las leyes para movimientos rápidos en los que las velocidades v de la materia no sean demasiado pequeñas frente a la de la luz. Movimientos tan rápidos sólo nos los muestra la experiencia en electrones e iones; en otros movimientos las discrepancias respecto a las leyes de la Mecánica clásica son demasiado pequeñas para ser detectables en la práctica. Del movimiento de los astros no hablaremos hasta llegar a la teoría de la relatividad general. Según la teoría de la relatividad, la energía cinética de un punto material de masa m no viene dado ya por la conocida expresión
![]()


![]()
El primer término mc2no depende de la velocidad, por lo cual no entra en consideración al tratar el problema de cómo la energía de un punto material depende de la velocidad. Sobre su importancia teórica hablaremos más adelante. El resultado más importante de índole general al que ha conducido la teoría de la relatividad especial concierne al concepto de masa. La física pre-relativista conoce dos principios de conservación de importancia fundamental, el de la conservación de la energía y el de la conservación de la masa; estos dos principios fundamentales aparecen completamente independientes uno de otro. La teoría de la relatividad los funde en uno solo. A continuación explicaremos brevemente cómo se llegó hasta ahí y cómo hay que interpretar esta fusión.
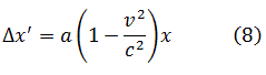
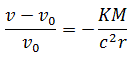
El principio de relatividad exige que el postulado de conservación de la energía se cumpla, no sólo respecto a un sistema de coordenadas K, sino respecto a cualquier sistema de coordenadas K' que se encuentre con relación a K en movimiento de traslación uniforme (dicho brevemente, respecto a cualquier sistema de coordenadas «de Galileo»). En contraposición a la Mecánica clásica, el paso entre dos de esos sistemas viene regido por la transformación de Lorentz.
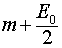
A partir de estas premisas, y en conjunción con las ecuaciones fundamentales de la electrodinámica maxwelliana, se puede inferir rigurosamente, mediante consideraciones relativamente sencillas, que: un cuerpo que se mueve con velocidad v y que absorbe la energíaE0en forma de radiación [11] sin variar por eso su velocidad, experimenta un aumento de energía en la cantidad:


![]()
![]()

El cotejo directo de este postulado con la experiencia queda por ahora excluido, porque las variaciones de energía E0que podemos comunicar a un sistema no son suficientemente grandes para hacerse notar en forma de una alteración de la masa inercial del sistema.
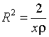
![]()
Una última observación de naturaleza teórica. El éxito de la interpretación de Faraday-Maxwell de la acción electrodinámica a distancia a través de procesos intermedios con velocidad de propagación finita hizo que entre los físicos arraigara la convicción de que no existían acciones a distancia instantánea e inmediata del tipo de la ley de gravitación de Newton. Según la teoría de la relatividad, en lugar de la acción instantánea a distancia, o acción a distancia con velocidad de propagación infinita, aparece siempre la acción a distancia con la velocidad de la luz, lo cual tiene que ver con el papel teórico que desempeña la velocidad c en esta teoría. En la segunda parte se mostrará cómo se modifica este resultado en la teoría de la relatividad general.
§16. La teoría de la relatividad especial y la experiencia
La pregunta de hasta qué punto se ve apoyada la teoría de la relatividad especial por la experiencia no es fácil de responder, por un motivo que ya mencionamos al hablar del experimento fundamental de Fizeau. La teoría de la relatividad especial cristalizó a partir de la teoría de Maxwell-Lorentz de los fenómenos electromagnéticos, por lo cual todos los hechos experimentales que apoyan esa teoría electromagnética apoyan también la teoría de la relatividad. Mencionaré aquí, por ser de especial importancia, que la teoría de la relatividad permite derivar, de manera extremadamente simple y en consonancia con la experiencia, aquellas influencias que experimenta la luz de las estrellas fijas debido al movimiento relativo de la Tierra respecto a ellas. Se trata del desplazamiento anual de la posición aparente de las estrellas fijas como consecuencia del movimiento terrestre alrededor del Sol (aberración) y el influjo que ejerce la componente radial de los movimientos relativos de las estrellas fijas respecto a la Tierra sobre el color de la luz que llega hasta nosotros; este influjo se manifiesta en un pequeño corrimiento de las rayas espectrales de la luz que nos llega desde una estrella fija, respecto a la posición espectral de las mismas rayas espectrales obtenidas con una fuente luminosa terrestre (principio de Doppler). Los argumentos experimentales a favor de la teoría de Maxwell-Lorentz, que al mismo tiempo son argumentos a favor de la teoría de la relatividad, son demasiado copiosos como para exponerlos aquí. De hecho, restringen hasta tal punto las posibilidades teóricas, que ninguna otra teoría distinta de la de Maxwell-Lorentz se ha podido imponer frente a la experiencia.
Sin embargo, hay dos clases de hechos experimentales constatados hasta ahora que la teoría de Maxwell-Lorentz sólo puede acomodar a base de recurrir a una hipótesis auxiliar que de suyo -es decir, sin utilizar la teoría de la relatividad-parece extraña.
Es sabido que los rayos catódicos y los así llamados rayos β emitidos por sustancias radiactivas constan de corpúsculos eléctricos negativos (electrones) de pequeñísima inercia y gran velocidad. Investigando la desviación de estas radiaciones bajo la influencia de campos eléctricos y magnéticos se puede estudiar muy exactamente la ley del movimiento de estos corpúsculos.
En el tratamiento teórico de estos electrones hay que luchar con la dificultad de que la Electrodinámica por sí sola no es capaz de explicar su naturaleza. Pues dado que las masas eléctricas de igual signo se repelen, las masas eléctricas negativas que constituyen el electrón deberían separarse unas de otras bajo la influencia de su interacción si no fuese por la acción de otras fuerzas cuya naturaleza nos resulta todavía oscura [13]. Si suponemos ahora que las distancias relativas de las masas eléctricas que constituyen el electrón permanecen constantes al moverse éste (unión rígida en el sentido de la Mecánica clásica), llegamos a una ley del movimiento del electrón que no concuerda con la experiencia. H. A. Lorentz, guiado por consideraciones puramente formales, fue el primero en introducir la hipótesis de que el cuerpo del electrón experimenta, en virtud del movimiento, una contracción proporcional a la expresión
![]()
Esta hipótesis, que electrodinámicamente no se justifica en modo alguno, proporciona esa ley del movimiento que se ha visto confirmada con gran precisión por la experiencia en los últimos años.
La teoría de la relatividad suministra la misma ley del movimiento sin necesidad de sentar hipótesis especiales sobre la estructura y el comportamiento del electrón. Algo análogo ocurría, como hemos visto en epígrafe 13, con el experimento de Fizeau, cuyo resultado lo explicaba la teoría de la relatividad sin tener que hacer hipótesis sobre la naturaleza física del fluido.
La segunda clase de hechos que hemos señalado se refiere a la cuestión de si el movimiento terrestre en el espacio se puede detectar o no en experimentos efectuados en la Tierra. Ya indicamos en epígrafe 5 que todos los intentos realizados en este sentido dieron resultado negativo. Con anterioridad a la teoría relativista, la ciencia no podía explicar fácilmente este resultado negativo, pues la situación era la siguiente. Los viejos prejuicios sobre el espacio y el tiempo no permitían ninguna duda acerca de que la transformación de Galileo era la que regía el paso de un cuerpo de referencia a otro. Suponiendo entonces que las ecuaciones de Maxwell-Lorentz sean válidas para un cuerpo de referencia K, resulta que no valen para otro cuerpo de referencia K' que se mueva uniformemente respecto a K si se acepta que entre las coordenadas de K y K' rigen las relaciones de la transformación de Galileo. Esto parece indicar que de entre todos los sistemas de coordenadas de Galileo se destaca físicamente uno (K) que posee un determinado estado de movimiento. Físicamente se interpretaba este resultado diciendo que K está en reposo respecto a un hipotético éter luminífero, mientras que todos los sistemas de coordenadas K' en movimiento respecto a K estarían también en movimiento respecto al éter. A este movimiento de K' respecto al éter («viento del éter» en relación a K') se le atribuían las complicadas leyes que supuestamente valían respecto a K'. Para ser consecuentes, había que postular también un viento del éter semejante con relación a la Tierra, y los físicos pusieron durante mucho tiempo todo su empeño en probar su existencia.
Michelson halló con este propósito un camino que parecía infalible. Imaginemos dos espejos montados sobre un cuerpo rígido, con las caras reflectantes mirándose de frente. Si todo este sistema se halla en reposo respecto al éter luminífero, cualquier rayo de luz necesita un tiempo muy determinado T para ir de un espejo al otro y volver. Por el contrario, el tiempo (calculado) para ese proceso es algo diferente ( T ‘) ‘cuando el cuerpo, junto con los espejos, se mueve respecto al éter. ¡Es más! Los cálculos predicen que, para una determinada velocidad v respecto al éter, ese tiempo T ‘ es distinto cuando el cuerpo se mueve perpendicularmente al plano de los espejos que cuando lo hace paralelamente. Aun siendo ínfima la diferencia calculada entre estos dos intervalos temporales, Michelson y Morley realizaron un experimento de interferencias en el que esa discrepancia tendría que haberse puesto claramente de manifiesto. El resultado del experimento fue, no obstante, negativo, para gran desconcierto de los físicos. Lorentz y Fitzgerarld sacaron a la teoría de este desconcierto, suponiendo que el movimiento del cuerpo respecto al éter determinaba una contracción de aquél en la dirección del movimiento y que dicha contracción compensaba justamente esa diferencia de tiempos. La comparación con las consideraciones de epígrafe 12 demuestra que esta solución era también la correcta desde el punto de vista de la teoría de la relatividad. Pero la interpretación de la situación según esta última es incomparablemente más satisfactoria. De acuerdo con ella, no existe ningún sistema de coordenadas privilegiado que dé pie a introducir la idea del éter, ni tampoco ningún viento del éter ni experimento alguno que lo ponga de manifiesto. La contracción de los cuerpos en movimiento se sigue aquí, sin hipótesis especiales, de los dos principios básicos de la teoría; y lo decisivo para esta contracción no es el movimiento en sí, al que no podemos atribuir ningún sentido, sino el movimiento respecto al cuerpo de referencia elegido en cada caso. Así pues, el cuerpo que sostiene los espejos en el experimento de Michelson y Morley no se acorta respecto a un sistema de referencia solidario con la Tierra, pero sí respecto a un sistema que se halle en reposo en relación al Sol.
§17. El espacio cuadridimensional de Minkowski
El no matemático se siente sobrecogido por un escalofrío místico al oír la palabra «cuadridimensional», una sensación no disímil de la provocada por el fantasma de una comedia. Y, sin embargo, no hay enunciado más banal que el que afirma que nuestro mundo cotidiano es un continuo espacio-temporal cuadridimensional.
El espacio es un continuo tridimensional. Quiere decir esto que es posible describir la posición de un punto (en reposo) mediante tres números x, y, z (coordenadas) y que, dado cualquier punto, existen puntos arbitrariamente «próximos» cuya posición se puede describir mediante valores coordenados (coordenadas) x1, y1, z1 que se aproximan arbitrariamente a las coordenadas x, y, z del primero. Debido a esta última propiedad hablamos de un «continuo»; debido al carácter triple de las coordenadas, de «tridimensional».
Análogamente ocurre con el universo del acontecer físico, con lo que Minkowski llamara brevemente «mundo» o «universo», que es naturalmente cuadridimensional en el sentido espacio-temporal. Pues ese universo se compone de sucesos individuales, cada uno de los cuales puede describirse mediante cuatro números, a saber, tres coordenadas espaciales x, y, z y una coordenada temporal, el valor del tiempo t. El «universo» es en este sentido también un continuo, pues para cada suceso existen otros (reales o imaginables) arbitrariamente «próximos» cuyas coordenadas x1, y1, z1, t1 se diferencian arbitrariamente poco de las del suceso contemplado x, y, z, t. El que no estemos acostumbrados a concebir el mundo en este sentido como un continuo cuadridimensional se debe a que el tiempo desempeñó en la física pre relativista un papel distinto, más independiente, frente a las coordenadas espaciales, por lo cual nos hemos habituado a tratar el tiempo como un continuo independiente. De hecho, en la física clásica el tiempo es absoluto, es decir, independiente de la posición y del estado de movimiento del sistema de referencia, lo cual queda patente en la última ecuación de la transformación de Galileo (t' = t). La teoría de la relatividad sirve en bandeja la visión cuadridimensional del «mundo», pues según esta teoría el tiempo es despojado de su independencia, tal y como muestra la cuarta ecuación de la transformación de Lorentz:

Sin embargo, para hacer resaltar del todo este parentesco es preciso sustituir las coordenadas temporales usuales t por la cantidad imaginaria proporcional a ellas. Las leyes de la naturaleza que satisfacen los requisitos de la teoría de la relatividad (especial) toman entonces formas matemáticas en las que la coordenada temporal desempeña exactamente el mismo papel que las tres coordenadas espaciales. Estas cuatro coordenadas se corresponden exactamente, desde el punto de vista formal, con las tres coordenadas espaciales de la geometría euclídea.
Incluso al no matemático le saltará a la vista que, gracias a este hallazgo puramente formal, la teoría tuvo que ganar una dosis extraordinaria de claridad.
Tan someras indicaciones no dan al lector sino una noción muy vaga de las importantes ideas de Minkowski, sin las cuales la teoría de la relatividad general, desarrollada a continuación en sus líneas fundamentales, se habría quedado quizá en pañales. Ahora bien, como para comprender las ideas fundamentales de la teoría de la relatividad especial o general no es necesario entender con más exactitud esta materia, sin duda de difícil acceso para el lector no ejercitado en la matemática, lo dejaremos en este punto para volver sobre ello en las últimas consideraciones de este librito.
Segunda Parte
Sobre la teoría de la relatividad general
La tesis fundamental alrededor de la cual giraban todas las consideraciones anteriores era el principio de la relatividad especial, es decir, el principio de la relatividad física de todo movimiento uniforme. Volvamos a analizar exactamente su contenido.
Que cualquier movimiento hay que entenderlo conceptualmente como un movimiento meramente relativo es algo que siempre fue evidente. Volviendo al ejemplo, tantas veces frecuentado ya, del terraplén y el vagón de ferrocarril, el hecho del movimiento que aquí tiene lugar cabe expresarlo con igual razón en cualquiera de las dos formas siguientes:
- el vagón se mueve respecto al terraplén,
- el terraplén se mueve respecto al vagón.
El principio que nosotros hemos utilizado no se limita a sostener que para la descripción de cualquier suceso se puede elegir lo mismo el vagón que el terraplén como cuerpo de referencia (porque también eso es evidente). Nuestro principio afirma más bien que: si se formulan las leyes generales de la naturaleza, tal y como resultan de la experiencia, sirviéndose
- del terraplén como cuerpo de referencia,
- del vagón como cuerpo de referencia,
Ahora bien, nosotros no hemos afirmado hasta ahora para nada la equivalencia de todos los cuerpos de referencia K de cara a la formulación de las leyes naturales. El camino que hemos seguido ha sido más bien el siguiente. Partimos inicialmente del supuesto de que existe un cuerpo de referencia K con un estado de movimiento respecto al cual se cumple el principio fundamental de Galileo: un punto material abandonado a su suerte y alejado lo suficiente de todos los demás se mueve uniformemente y en línea recta. Referidas a K (cuerpo de referencia de Galileo), las leyes de la naturaleza debían ser lo más sencillas posible. Pero al margen de K, deberían ser privilegiados en este sentido y exactamente equivalentes a K de cara a la formulación de las leyes de la naturaleza todos aquellos cuerpos de referencia K' que ejecutan respecto a K un movimiento rectilíneo, uniforme e irrotacional: a todos estos cuerpos de referencia se los considera cuerpos de referencia de Galileo. La validez del principio de la relatividad solamente la supusimos para estos cuerpos de referencia, no para otros (animados de otros movimientos). En este sentido hablamos del principio de la relatividad especial o de la teoría de la relatividad especial.
En contraposición a lo anterior entenderemos por «principio de la relatividad general» el siguiente enunciado: todos los cuerpos de referencia K, K', etc., sea cual fuere su estado de movimiento, son equivalentes de cara a la descripción de la naturaleza (formulación de las leyes naturales generales). Apresurémonos a señalar, sin embargo, que esta formulación es preciso sustituirla por otra más abstracta, por razones que saldrán a la luz más adelante.
Una vez que la introducción del principio de la relatividad especial ha salido airosa, tiene que ser tentador, para cualquier espíritu que aspire a la generalización, el atreverse a dar el paso que lleva al principio de la relatividad general. Pero basta una observación muy simple, en apariencia perfectamente verosímil, para que el intento parezca en principio condenado al fracaso. Imagínese el lector instalado en ese famoso vagón de tren que viaja con velocidad uniforme. Mientras el vagón mantenga su marcha uniforme, los ocupantes no notarán para nada el movimiento del tren; lo cual explica asimismo que el ocupante pueda interpretar la situación en el sentido de que el vagón está en reposo y que lo que se mueve es el terraplén, sin sentir por ello que violenta su intuición. Y según el principio de la relatividad especial, esta interpretación está perfectamente justificada desde el punto de vista físico.
Ahora bien, si el movimiento del vagón se hace no uniforme porque el tren frena violentamente, pongamos por caso, el viajero experimentará un tirón igual de fuerte hacia adelante. El movimiento acelerado del vagón se manifiesta en el comportamiento mecánico de los cuerpos respecto a él; el comportamiento mecánico es distinto que en el caso antes considerado, y por eso parece estar excluido que con relación al vagón en movimiento no uniforme valgan las mismas leyes mecánicas que respecto al vagón en reposo o en movimiento uniforme. En cualquier caso, está claro que en relación al vagón que se mueve no uniformemente no vale el principio fundamental de Galileo.
De ahí que en un primer momento nos sintamos impelidos a atribuir, en contra del principio de la relatividad general, una especie de realidad física absoluta al movimiento no uniforme. En lo que sigue veremos, sin embargo, que esta inferencia no es correcta.
§19. El campo gravitatorio
A la pregunta de por qué cae al suelo una piedra levantada y soltada en el aire suele contestarse «porque es atraída por la Tierra». La física moderna formula la respuesta de un modo algo distinto, por la siguiente razón. A través de un estudio más detenido de los fenómenos electromagnéticos se ha llegado a la conclusión de que no existe una acción inmediata a distancia. Cuando un imán atrae un trozo de hierro, por ejemplo, no puede uno contentarse con la explicación de que el imán actúa directamente sobre el hierro a través del espacio intermedio vacío; lo que se hace es, según idea de Faraday, imaginar que el imán crea siempre en el espacio circundante algo físicamente real que se denomina «campo magnético». Este campo magnético actúa a su vez sobre el trozo de hierro, que tiende a moverse hacia el imán. No vamos a entrar aquí en la justificación de este concepto interviniente que en sí es arbitrario. Señalemos tan sólo que con su ayuda es posible explicar teóricamente de modo mucho más satisfactorio los fenómenos electromagnéticos, y en especial la propagación de las ondas electromagnéticas. De manera análoga se interpreta también la acción de la gravedad.
La influencia de la Tierra sobre la piedra se produce indirectamente. La Tierra crea alrededor suyo un campo gravitatorio. Este campo actúa sobre la piedra y ocasiona su movimiento de caída. La intensidad de la acción sobre un cuerpo decrece al alejarse más y más de la Tierra, y decrece según una ley determinada. Lo cual, en nuestra interpretación, quiere decir que: la ley que rige las propiedades espaciales del campo gravitatorio tiene que ser una ley muy determinada para representar correctamente la disminución de la acción gravitatoria con la distancia al cuerpo que ejerce la acción. Se supone, por ejemplo, que el cuerpo (la Tierra, pongamos por caso) genera directamente el campo, en su vecindad inmediata; la intensidad y dirección del campo a distancias más grandes vienen entonces determinadas por la ley que rige las propiedades espaciales de los campos gravitatorios.
El campo gravitatorio, al contrario que el campo eléctrico y magnético, muestra una propiedad sumamente peculiar que es de importancia fundamental para lo que sigue.
Los cuerpos que se mueven bajo la acción exclusiva del campo gravitatorio experimentan una aceleración que no depende lo más mínimo ni del material ni del estado físico del cuerpo. Un trozo de plomo y un trozo de madera, por ejemplo, caen exactamente igual en el campo gravitatorio (en ausencia de aire) cuando los dejamos caer sin velocidad inicial o con velocidades iniciales iguales. Esta ley, que se cumple con extremada exactitud, se puede formular también de otra manera sobre la base de la siguiente consideración.
Según la ley del movimiento de Newton se cumple
(fuerza) = (masa inercial) × (aceleración),
donde la «masa inercial» es una constante característica del cuerpo acelerado. Si la fuerza aceleradora es la de la gravedad, tenemos, por otro lado, que
La antigua mecánica registró este importante principio, pero no lo interpretó. Una interpretación satisfactoria no puede surgir sino reconociendo que la misma cualidad del cuerpo se manifiesta como «inercia» o como «gravedad», según las circunstancias.
En los párrafos siguientes veremos hasta qué punto es ese el caso y qué relación guarda esta cuestión con el postulado de la relatividad general.
§20. La igualdad entre masa inercial y masa gravitatoria como argumento a favor del postulado de la relatividad general
Imaginemos un trozo amplio de espacio vacío, tan alejado de estrellas y de grandes masas que podamos decir con suficiente exactitud que nos encontramos ante el caso previsto en la ley fundamental de Galileo. Para esta parte del universo es entonces posible elegir un cuerpo de referencia de Galileo con respecto al cual los puntos en reposo permanecen en reposo y los puntos en movimiento persisten constantemente en un movimiento uniforme y rectilíneo. Como cuerpo de referencia nos imaginamos un espacioso cajón con la forma de una habitación; y suponemos que en su interior se halla un observador pertrechado de aparatos. Para él no existe, como es natural, ninguna gravedad. Tiene que sujetarse con cuerdas al piso, so pena de verse lanzado hacia el techo al mínimo golpe contra el suelo.
Supongamos que en el centro del techo del cajón, por fuera, hay un gancho con una cuerda, y que un ser -cuya naturaleza nos es indiferente- empieza a tirar de ella con fuerza constante. El cajón, junto con el observador, empezará a volar hacia «arriba» con movimiento uniformemente acelerado. Su velocidad adquirirá con el tiempo cotas fantásticas... siempre que juzguemos todo ello desde otro cuerpo de referencia del cual no se tire con una cuerda.
Pero el hombre que está en el cajón ¿cómo juzga el proceso? El suelo del cajón le transmite la aceleración Por presión contra los pies. Por consiguiente, tiene que contrarrestar esta presión con ayuda de sus piernas si no quiere medir el suelo con su cuerpo. Así pues, estará de pie en el cajón igual que lo está una persona en una habitación de cualquier vivienda terrestre. Si suelta un cuerpo que antes sostenía en la mano, la aceleración del cajón dejará de actuar sobre aquél, por lo cual se aproximará al suelo en movimiento relativo acelerado. El observador se convencerá también de que la aceleración del cuerpo respecto al suelo es siempre igual de grande, independientemente del cuerpo con que realice el experimento.
Apoyándose en sus conocimientos del campo gravitatorio, tal y como los hemos comentado en el último epígrafe, el hombre llegará así a la conclusión de que se halla, junto con el cajón, en el seno de un campo gravitatorio bastante constante. Por un momento se sorprenderá, sin embargo, de que el cajón no caiga en este campo gravitatorio, mas luego descubre el gancho en el centro del techo y la cuerda tensa sujeta a él e infiere correctamente que el cajón cuelga en reposo en dicho campo.
¿Es lícito reírse del hombre y decir que su concepción es un error? Opino que, si queremos ser consecuentes, no podemos hacerlo, debiendo admitir por el contrario que su explicación no atenta ni contra la razón ni contra las leyes mecánicas conocidas. Aun cuando el cajón se halle acelerado respecto al «espacio de Galileo» considerado en primer lugar, cabe contemplarlo como inmóvil. Tenemos, pues, buenas razones para extender el principio de relatividad a cuerpos de referencia que estén acelerados unos respecto a otros, habiendo ganado así un potente argumento a favor de un postulado de relatividad generalizado.
Tómese buena nota de que la posibilidad de esta interpretación descansa en la propiedad fundamental que posee el campo gravitatorio de comunicar a todos los cuerpos la misma aceleración, o lo que viene a ser lo mismo, en el postulado de la igualdad entre masa inercial y masa gravitatoria. Si no existiera esta ley de la naturaleza, el hombre en el cajón acelerado no podría interpretar el comportamiento de los cuerpos circundantes a base de suponer la existencia de un campo gravitatorio, y ninguna experiencia le autorizaría a suponer que su cuerpo de referencia está «en reposo».
Imaginemos ahora que el hombre del cajón ata una cuerda en la parte interior del techo y fija un cuerpo en el extremo libre. El cuerpo hará que la cuerda cuelgue «verticalmente» en estado tenso. Preguntémonos por la causa de la tensión. El hombre en el cajón dirá: «El cuerpo suspendido experimenta en el campo gravitatorio una fuerza hacia abajo y se mantiene en equilibrio debido a la tensión de la cuerda; lo que determina la magnitud de la tensión es la masa gravitatoria del cuerpo suspendido».
Por otro lado, un observador que flote libremente en el espacio juzgará la situación así: «La cuerda se ve obligada a participar del movimiento acelerado del cajón y lo transmite al cuerpo sujeto a ella. La tensión de la cuerda es justamente suficiente para producir la aceleración del cuerpo. Lo que determina la magnitud de la tensión en la cuerda es la masa inercial del cuerpo». En este ejemplo vemos que la extensión del principio de relatividad pone de manifiesto la necesidad del postulado de la igualdad entre masa inercial y gravitatoria. Con lo cual hemos logrado una interpretación física de este postulado.
El ejemplo del cajón acelerado demuestra que una teoría de la relatividad general ha de proporcionar resultados importantes en punto a las leyes de la gravitación. Y en efecto, el desarrollo consecuente de la idea de la relatividad general ha suministrado las leyes que satisface el campo gravitatorio. Sin embargo, he de Prevenir desde este mismo momento al lector de una confusión a que pueden inducir estas consideraciones. Para el hombre del cajón existe un campo gravitatorio, pese a no existir tal respecto al sistema de coordenadas inicialmente elegido. Diríase entonces que la existencia de un campo gravitatorio es siempre meramente aparente. Podría pensarse que, independientemente del campo gravitatorio que exista, siempre cabría elegir otro cuerpo de referencia de tal manera que respecto a él no existiese ninguno.
Pues bien, eso no es cierto para cualquier campo gravitatorio, sino sólo para aquellos que poseen una estructura muy especial. Es imposible, por ejemplo, elegir un cuerpo de referencia respecto al cual el campo gravitatorio de la Tierra desaparezca (en toda su extensión).
Ahora nos damos cuenta de por qué el argumento esgrimido al final de epígrafe 18 contra el principio de la relatividad general no es concluyente. Sin duda es cierto que el observador que se halla en el vagón siente un tirón hacia adelante como consecuencia del frenazo, y es verdad que en eso nota la no uniformidad del movimiento. Pero nadie le obliga a atribuir el tirón a una aceleración «real» del vagón. Igual podría interpretar el episodio así: «Mi cuerpo de referencia (el vagón) permanece constantemente en reposo. Sin embargo, (durante el tiempo de frenada) existe respecto a él un campo gravitatorio temporalmente variable, dirigido hacia adelante. Bajo la influencia de este último, el terraplén, junto con la Tierra, se mueve no uniformemente, de suerte que su velocidad inicial, dirigida hacia atrás, disminuye cada vez más.
Este campo gravitatorio es también el que produce el tirón del observador».
§21. ¿Hasta qué punto son insatisfactorias las bases de la Mecánica y de la teoría de la relatividad especial?
Como ya hemos dicho en varias ocasiones, la Mecánica clásica parte del principio siguiente: los puntos materiales suficientemente alejados de otros puntos materiales se mueven uniformemente y en línea recta o persisten en estado de reposo. También hemos subrayado repetidas veces que este principio fundamental sólo puede ser válido para cuerpos de referencia K que se encuentran en determinados estados de movimiento y que se hallan en movimiento de traslación uniforme unos respecto a otros. Con relación a otros cuerpos de referencia K' no vale el principio. Tanto en la Mecánica clásica como en la teoría de la relatividad especial se distingue, por tanto, entre cuerpos de referencia K respecto a los cuales son válidas las leyes de la naturaleza y cuerpos de referencia K' respecto a los cuales no lo son.
Ahora bien, ninguna persona que piense con un mínimo de lógica se dará por satisfecha con este estado de cosas, y preguntará: ¿Cómo es posible que determinados cuerpos de referencia (o bien sus estados de movimiento) sean privilegiados frente a otros (o frente a sus estados de movimiento respectivos)? ¿Cuál es la razón de ese privilegio? Para mostrar claramente lo que quiero decir con esta pregunta, me serviré de una comparación.
Estoy ante un hornillo de gas. Sobre él se encuentran, una al lado de la otra, dos ollas de cocina idénticas, hasta el punto de que podríamos confundirlas. Ambas están llenas de agua hasta la mitad. Advierto que de una de ellas sale ininterrumpidamente vapor, mientras que de la otra no, lo cual me llamará la atención aunque jamás me haya echado a la cara un hornillo de gas ni una olla de cocina. Si entonces percibo un algo que brilla con luz azulada bajo la primera olla, pero no bajo la segunda, se desvanecerá mi asombro aun en el caso de que jamás haya visto una llama de gas, pues ahora podré decir que ese algo azulado es la causa, o al menos la posible causa de la emanación de vapor. Pero si no percibo bajo ninguna de las dos ollas ese algo azulado y veo que la una no cesa de echar vapor mientras que en la otra no es así, entonces no saldré del asombro y de la insatisfacción hasta que detecte alguna circunstancia a la que pueda hacer responsable del dispar comportamiento de las dos ollas.
Análogamente, busco en vano en la Mecánica clásica (o en la teoría de la relatividad especial) un algo real al que poder atribuir el dispar comportamiento de los cuerpos respecto a los sistemas K y K'[15]. Esta objeción la vio ya Newton, quien intentó en vano neutralizarla. Pero fue E. Mach el que la detectó con mayor claridad, proponiendo como solución colocar la Mecánica sobre fundamentos nuevos. La objeción solamente se puede evitar en una física que se corresponda con el principio de la relatividad general, porque las ecuaciones de una teoría semejante valen para cualquier cuerpo de referencia, sea cual fuere su estado de movimiento.
§22. Algunas conclusiones del principio de la relatividad general
Las consideraciones hechas en el epígrafe 20 muestran que el principio de la relatividad general nos permite deducir propiedades del campo gravitatorio por vía puramente teórica. Supongamos, en efecto, que conocemos la evolución espacio-temporal de un proceso natural cualquiera, tal y como ocurre en el terreno galileano respecto a un cuerpo de referencia de Galileo K. En estas condiciones es posible averiguar mediante operaciones puramente teóricas, es decir, por simples cálculos, cómo se comporta este proceso natural conocido respecto a un cuerpo de referencia K' que está acelerado con relación a K Y como respecto a este nuevo cuerpo de referencia K' existe un campo gravitatorio, el cálculo nos informa de cómo influye el campo gravitatorio en el proceso estudiado.
Así descubrimos, por poner un caso, que un cuerpo que respecto a K ejecuta un movimiento uniforme y rectilíneo (según el principio de Galileo), ejecuta respecto al cuerpo de referencia acelerado K' (cajón) un movimiento acelerado, de trayectoria generalmente curvada. Esta aceleración, o esta curvatura, responde a la influencia que sobre el cuerpo móvil ejerce el campo gravitatorio que existe respecto a K'. Que el campo gravitatorio influye de este modo en el movimiento de los cuerpos es ya sabido, de modo que la reflexión no aporta nada fundamentalmente nuevo.
Sí se obtiene, en cambio, un resultado nuevo y de importancia capital al hacer consideraciones equivalentes para un rayo de luz. Respecto al cuerpo de referencia de Galileo K, se propaga en línea recta con velocidad c. Respecto al cajón acelerado (cuerpo de referencia K'), la trayectoria del mismo rayo de luz ya no es una recta, como se deduce fácilmente. De aquí se infiere que los rayos de luz en el seno de campos gravitatorios se propagan en general según líneas curvas. Este resultado es de gran importancia por dos conceptos.
En primer lugar, cabe contrastarlo con la realidad. Aun cuando una reflexión detenida demuestra que la curvatura que predice la teoría de la relatividad general para los rayos luminosos es ínfima en el caso de los campos gravitatorios que nos brinda la experiencia, tiene que ascender a 1,7 segundos de arco para rayos de luz que pasan por las inmediaciones del Sol. Este efecto debería traducirse en el hecho de que las estrellas fijas situadas en las cercanías del Sol, y que son observables durante eclipses solares totales, aparezcan alejadas de él en esa cantidad, comparado con la posición que ocupan para nosotros en el cielo cuando el Sol se halla en otro lugar de la bóveda celeste. La comprobación de la verdad o falsedad de este resultado es una tarea de la máxima importancia, cuya solución es de esperar que nos la den muy pronto los astrónomos [16].
En segundo lugar, la consecuencia anterior demuestra que, según la teoría de la relatividad general, la tantas veces mencionada ley de la constancia de la velocidad de la luz en el vacío -que constituye uno de los dos supuestos básicos de la teoría de la relatividad especial- no puede aspirar a validez ilimitada, pues los rayos de luz solamente pueden curvarse si la velocidad de propagación de ésta varía con la posición.
Cabría pensar que esta consecuencia da al traste con la teoría de la relatividad especial y con toda la teoría de la relatividad en general. Pero en realidad no es así. Tan sólo cabe inferir que la teoría de la relatividad especial no puede arrogarse validez en un campo ilimitado; sus resultados sólo son válidos en la medida en que se pueda prescindir de la influencia de los campos gravita-torios sobre los fenómenos (los luminosos, por ejemplo).
Habida cuenta de que los detractores de la teoría de la relatividad han afirmado a menudo que la relatividad general tira por la borda la teoría de la relatividad especial, voy a aclarar el verdadero estado de cosas mediante una comparación. Antes de quedar establecida la Electrodinámica, las leyes de la Electrostática pasaban por ser las leyes de la Electricidad en general. Hoy sabemos que la Electrostática sólo puede explicar correctamente los campos eléctricos en el caso -que en rigor jamás se da- de que las masas eléctricas estén estrictamente en reposo unas respecto a otras y en relación al sistema de coordenadas. ¿Quiere decir eso que las ecuaciones de campo electrodinámicas de Maxwell hayan tirado por la borda a la Electrostática? ¡De ningún modo! La Electrostática se contiene en la Electrodinámica como caso límite; las leyes de esta última conducen directamente a las de aquélla en el supuesto de que los campos sean temporalmente invariables. El sino más hermoso de una teoría física es el de señalar el camino para establecer otra más amplia, en cuyo seno pervive como caso límite.
En el ejemplo que acabamos de comentar, el de la propagación de la luz, hemos visto que el principio de la relatividad general nos permite derivar por vía teórica la influencia del campo gravitatorio sobre la evolución de fenómenos cuyas leyes son ya conocidas para el caso de que no exista campo gravitatorio. Pero el problema más atractivo de entre aquellos cuya clave proporciona la teoría de la relatividad general tiene que ver con la determinación de las leyes que cumple el propio campo de gravitación. La situación es aquí la siguiente.
Conocemos regiones espacio-temporales que, previa elección adecuada del cuerpo de referencia, se comportan (aproximadamente) «al modo galileano», es decir, regiones en las cuales no existen campos gravitatorios. Si referimos una región semejante a un cuerpo de referencia de movimiento arbitrario K', entonces existe respecto a K' un campo gravitatorio temporal y espacialmente variable [17]. La estructura de este campo depende naturalmente de cómo elijamos el movimiento de K'. Según la teoría de la relatividad general, la ley general del campo gravitatorio debe cumplirse para todos los campos gravitatorios así obtenidos. Aun cuando de esta manera no se pueden engendrar ni de lejos todos los campos gravitatorios, cabe la esperanza de poder deducir de estos campos de clase especial la ley general de la gravitación. ¡Y esta esperanza se ha visto bellísimamente cumplida! Pero desde que se vislumbró claramente esta meta hasta que se llegó de verdad a ella hubo que superar una seria dificultad que no debo ocultar al lector, por estar arraigada en la esencia misma del asunto. La cuestión requiere profundizar nuevamente en los conceptos del continuo espacio-temporal.
§23. El comportamiento de relojes y reglas sobre un cuerpo de referencia en rotación
Hasta ahora me he abstenido intencionadamente de hablar de la interpretación física de localizaciones espaciales y temporales en el caso de la teoría de la relatividad general. Con ello me he hecho culpable de un cierto desaliño que, según sabemos por la teoría de la relatividad especial, no es en modo alguno banal ni perdonable. Hora es ya de llenar esta laguna; pero advierto de antemano que el asunto demanda no poca paciencia y capacidad de abstracción por parte del lector.
Partimos una vez más de casos muy especiales y muy socorridos. Imaginemos una región espacio-temporal en la que, respecto a un cuerpo de referencia K que posea un estado de movimiento convenientemente elegido, no exista ningún campo gravitatorio; en relación a la región considerada, K es entonces un cuerpo de referencia de Galileo, siendo válidos respecto a él los resultados de la teoría de la relatividad especial. Imaginemos la misma región, pero referida a un segundo cuerpo de referencia K' que rota uniformemente respecto a K. Para fijar las ideas, supongamos que K' es un disco circular que gira uniformemente alrededor de su centro y en su mismo plano. Un observador sentado en posición excéntrica sobre el disco circular K' experimenta una fuerza que actúa en dirección radial hacia afuera y que otro observador que se halle en reposo respecto al cuerpo de referencia original K interpreta como acción inercial (fuerza centrífuga). Supongamos, sin embargo, que el observador sentado en el disco considera éste como un cuerpo de referencia «en reposo», para lo cual está autorizado por el principio de relatividad. La fuerza que actúa sobre él -y en general sobre los cuerpos que se hallan en reposo respecto al disco- la interpreta como la acción de un campo gravitatorio. La distribución espacial de este campo no sería posible según la teoría newtoniana de la gravitación [18]. Pero como el observador cree en la teoría de la relatividad general, no le preocupa este detalle; espera, con razón, poder establecer una ley general de la gravitación que explique correctamente no sólo el movimiento de los astros, sino también el campo de fuerzas que él percibe.
Este observador, instalado en su disco circular, experimenta con relojes y reglas, con la intención de obtener, a partir de lo observado, definiciones exactas para el significado de los datos temporales y espaciales respecto al disco circular K'. ¿Qué experiencias tendrá en ese intento? Imaginemos que el observador coloca primero dos relojes de idéntica constitución, uno en el punto medio del disco circular, el otro en la periferia del mismo, de manera que ambos se hallan en reposo respecto al disco. En primer lugar nos preguntamos si estos dos relojes marchan o no igual de rápido desde el punto de vista del cuerpo de referencia de Galileo K, que no rota. Juzgado desde K, el reloj situado en el centro no tiene ninguna velocidad, mientras que el de la periferia, debido a la rotación respecto a K, está en movimiento. Según un resultado de epígrafe 12, este segundo reloj marchará constantemente más despacio -respecto a K- que el reloj situado en el centro del disco circular. Lo mismo debería evidentemente constatar el hombre del disco, a quien vamos a imaginar sentado en el centro, junto al reloj que hay allí. Así pues, en nuestro disco circular, y con más generalidad en cualquier campo gravitatorio, los relojes marcharán más deprisa o más despacio según el lugar que ocupe el reloj (en reposo). Por consiguiente, con ayuda de relojes colocados en reposo respecto al cuerpo de referencia no es posible dar una definición razonable del tiempo.
Análoga dificultad se plantea al intentar aplicar aquí nuestra anterior definición de simultaneidad, tema en el que no vamos a profundizar.
También la definición de las coordenadas espaciales plantea aquí problemas que en principio son insuperables. Porque si el observador que se mueve junto con el disco coloca su escala unidad (una regla pequeña, comparada con el radio del disco) tangencialmente sobre la periferia de éste, su longitud, juzgada desde el sistema de Galileo, será más corta que 1, pues según epígrafe 12 los cuerpos en movimiento experimentan un acortamiento en la dirección del movimiento. Si en cambio coloca la regla en la dirección del radio del disco, no habrá acortamiento respecto a K. Por consiguiente, si el observador mide primero el perímetro del disco, luego su diámetro y divide estas dos medidas, obtendrá como cociente, no el conocido número, pi,
π = 3,14...,
sino un número mayor [19], mientras que en un disco inmóvil respecto a K debería resultar exactamente π en esta operación, como es natural. Con ello queda ya probado que los teoremas de la geometría euclídea no pueden cumplirse exactamente sobre el disco rotatorio ni, en general, en un campo gravitacional, al menos si se atribuye a la reglilla la longitud 1 en cualquier posición y orientación. También el concepto de línea recta pierde con ello su significado. No estamos, pues, en condiciones de definir exactamente las coordenadas x, y, z respecto al disco, utilizando el método empleado en la teoría de la relatividad especial. Y mientras las coordenadas y los tiempos de los sucesos no estén definidos, tampoco tienen significado exacto las leyes de la naturaleza en las que aparecen esas coordenadas.Todas las consideraciones que hemos hecho anteriormente sobre la relatividad general parecen quedar así en tela de juicio. En realidad hace falta dar un sutil rodeo para aplicar exactamente el postulado de la relatividad general. Las siguientes consideraciones prepararán al lector para este cometido.
§24. El continuo euclídeo y el no euclídeo
Delante de mí tengo la superficie de una mesa de mármol. Desde cualquier punto de ella puedo llegar hasta cualquier otro a base de pasar un número (grande) de veces hasta un punto «vecino», o dicho de otro modo, yendo de un punto a otro sin dar «saltos». El lector (siempre que no sea demasiado exigente) percibirá sin duda con suficiente precisión lo que se entiende aquí por «vecino» y «saltos». Esto lo expresamos diciendo que la superficie es un continuo.
Imaginemos ahora que fabricamos un gran número de varillas cuyo tamaño sea pequeño comparado con las medidas de la mesa, y todas ellas igual de largas. Por esto último se entiende que se pueden enrasar los extremos de cada dos de ellas.
Colocamos ahora cuatro de estas varillas sobre la superficie de la mesa, de modo que sus extremos formen un cuadrilátero cuyas diagonales sean iguales (cuadrado). Para conseguir la igualdad de las diagonales nos servimos de una varilla de prueba. Pegados a este cuadrado construimos otros iguales que tengan en común con él una varilla; junto a estos últimos otros tantos, etc. Finalmente tenemos todo el tablero cubierto de cuadrados, de tal manera que cada lado interior pertenece a dos cuadrados y cada vértice interior, a cuatro.
El que se pueda llevar a cabo esta operación sin tropezar con grandísimas dificultades es un verdadero milagro. Basta con pensar en lo siguiente. Cuando en un vértice convergen tres cuadrados, están ya colocados dos lados del cuarto, lo cual determina totalmente la colocación de los dos lados restantes de éste. Pero ahora ya no puedo retocar el cuadrilátero para igualar sus diagonales. Si lo son de por sí, será en virtud de un favor especial de la mesa y de las varillas, ante el cual me tendré que mostrar maravillado y agradecido. Y para que la construcción se logre, tenemos que asistir a muchos milagros parecidos.
Si todo ha ido realmente sobre ruedas, entonces digo que los puntos del tablero forman un continuo euclidiano respecto a la varilla utilizada como segmento. Si destaco uno de los vértices de la malla en calidad de «punto de origen», cualquier otro podré caracterizarlo, respecto al punto de origen, mediante dos números. Me basta con especificar cuántas varillas hacia «la derecha» y cuántas luego hacia «arriba» tengo que recorrer a partir del origen para llegar al vértice en cuestión. Estos dos números son entonces «las coordenadas cartesianas» de ese vértice con respecto al «sistema de coordenadas» determinado por las varillas colocadas.
La siguiente modificación del experimento mental demuestra que también hay casos en los que fracasa esta tentativa. Supongamos que las varillas «se dilatan» con la temperatura y que se calienta el tablero en el centro pero no en los bordes. Sigue siendo posible enrasar dos de las varillas en cualquier lugar de la mesa, pero nuestra construcción de cuadrados quedará ahora irremisiblemente desbaratada, porque las varillas de la parte interior de la masa se dilatan, mientras que las de la parte exterior, no.
Respecto a nuestras varillas -definidas como segmentos unidad- la mesa ya no es un continuo euclidiano, y tampoco estamos ya en condiciones de definir directamente con su ayuda unas coordenadas cartesianas, porque no podemos realizar la construcción anterior. Sin embargo, como existen otros objetos sobre los cuales la temperatura de la mesa no influye de la misma manera que sobre las varillas (o sobre los cuales no influye ni siquiera), es posible, sin forzar las cosas, mantener aun así la idea de que la mesa es un «continuo euclidiano», y es posible hacerlo de modo satisfactorio mediante una constatación más sutil acerca de la medición o comparación de segmentos.
Ahora bien, si todas las varillas, de cualquier clase o material, mostraran idéntico comportamiento termosensible sobre la mesa irregularmente temperada, y si no tuviéramos otro medio de percibir la acción de la temperatura que el comportamiento geométrico de las varillas en experimentos análogos al antes descrito, entonces podría ser conveniente adscribir a dos puntos de la mesa la distancia 1 cuando fuese posible enrasar con ellos los extremos de una de nuestras varillas; porque ¿cómo definir si no el segmento, sin caer en la más crasa de las arbitrariedades? En ese caso hay que abandonar, sin embargo, el método de las coordenadas cartesianas y sustituirlo por otro que no presuponga la validez de la geometría euclidiana [20]. El lector advertirá que la situación aquí descrita se corresponde con aquella que ha traído consigo el postulado de la relatividad general (epígrafe 23).
§25. Coordenadas gaussianas
Este tratamiento geométrico-analítico se puede conseguir, según Gauss, de la siguiente manera. Imaginemos dibujadas sobre el tablero de la mesa un sistema de curvas arbitrarias (véase Fig. 3), que llamamos curvas u y a cada una de las cuales caracterizamos con un número. En la figura están dibujadas las curvas u = 1, u = 2 y u = 3. Pero entre las curvas u = I y u = 2hay que imaginarse dibujadas infinitas más, correspondientes a todos los números reales que están comprendidos entre 1 y 2.
Tenemos entonces un sistema de curvas u que recubren la mesa de manera infinitamente densa. Ninguna curva u corta a ninguna otra, sino que por cada punto de la mesa pasa una curva y sólo una. A cada punto de la superficie de la mesa le corresponde entonces un valor u perfectamente determinado. Supongamos también que sobre la superficie se ha dibujado un sistema de curvas v que satisfacen las mismas condiciones, que están caracterizadas de manera análoga por números y que pueden tener también una forma arbitraria.

Figura 4
P : u, v
P’ : u + du, v + dv
donde du y dv representan números muy pequeños. Sea ds un número también muy pequeño que representa la distancia entre P y P' medida con una reglilla. Según Gauss se cumple entonces:ds2 = g11du2 + 2g12dudv + g22dv2
donde g11, g12, g22son cantidades que dependen de manera muy determinada de u y de v. Las cantidades g11, g12, g22determinan el comportamiento de las varillas respecto a las curvas u y v, y por tanto también respecto a la superficie de la mesa. En el caso de que los puntos de la superficie considerada constituyan respecto a las reglillas de medida un continuo euclidiano - y sólo en ese caso - será posible dibujar las curvas u y v y asignarles números de tal manera que se cumpla sencillamenteds2 = du2+dv2.
Las curvas a y v son entonces líneas rectas en el sentido de la geometría euclidiana, y perpendiculares entre sí. y las coordenadas gaussianas serán sencillamente coordenadas cartesianas. Como se ve, las coordenadas gaussianas no son más que una asignación de dos números a cada punto de la superficie considerada, de tal manera que a puntos espacialmente vecinos se les asigna valores numéricos que difieren muy poco entre sí.Estas consideraciones valen en primera instancia para un continuo de dos dimensiones. Pero el método gaussiano se puede aplicar también a un continuo de tres, cuatro o más. Con un continuo de cuatro dimensiones, por ejemplo, resulta la siguiente representación. A cada punto del continuo se le asignan arbitrariamente cuatro números x1, x2, x3, x4que se denominan «coordenadas». Puntos vecinos se corresponden con valores vecinos de las coordenadas. Si a dos puntos vecinos P y P' se les asigna una distancia ds físicamente bien definida, susceptible de ser determinada mediante mediciones, entonces se cumple la fórmula:
ds2 = g11dx12 + 2g12dx1dx2 +... + g44dx42
donde las cantidades g11, etc. tienen valores que varían con la posición en el continuo.Solamente en el caso de que el continuo sea euclidiano será posible asignar las coordenadas x1...x4a los puntos del continuo de tal manera que se cumpla simplemente
ds2 = dx12 + dx22 + dx32 + dx42
Las relaciones que se cumplen entonces en el continuo cuadridimensional son análogas a las que rigen en nuestras mediciones tridimensionales.Señalemos que la representación gaussiana para ds2que acabamos de dar no siempre es posible; sólo lo es cuando existan regiones suficientemente pequeñas del continuo en cuestión que quepa considerar como continuos euclidianos. Lo cual se cumple evidentemente en el caso de la mesa y de la temperatura localmente variable, por ejemplo, porque en una porción pequeña de la mesa es prácticamente constante la temperatura, y el comportamiento geométrico de las varillas es casi el que exigen las reglas de la geometría euclidiana. Así pues, las discordancias en la construcción de cuadrados del epígrafe anterior no se ponen claramente de manifiesto mientras la operación no se extienda a una parte importante de la mesa.
En resumen, podemos decir: Gauss inventó un método para el tratamiento de cualquier continuo en el que estén definidas relaciones de medidas («distancia» entre puntos vecinos). A cada punto del continuo se le asignan tantos números (coordenadas gaussianas) como dimensiones tenga el continuo. La asignación se realiza de tal modo que se conserve la univocidad y de manera que a puntos vecinos les correspondan números (coordenadas gaussianas) que difieran infinitamente poco entre sí. El sistema de coordenadas gaussianas es una generalización lógica del sistema de coordenadas cartesianas. También es aplicable a continuos no euclidianos, pero solamente cuando pequeñas porciones del continuo considerado se comporten, respecto a la medida definida («distancia»), tanto más euclidianamente cuanto menor sea la parte del continuo considerada.
§26. El continuo espacio-temporal de la teoría de la relatividad especial como continuo euclidiano
Ahora estamos en condiciones de formular con algo más de precisión las ideas de Minkowski que esbozamos vagamente en epígrafe 17. Según la teoría de la relatividad especial, en la descripción del continuo espacio temporal cuadridimensional gozan de privilegio ciertos sistemas de coordenadas que hemos llamado «sistemas de coordenadas de Galileo». Para ellos, las cuatro coordenadas x, y, z, t que determinan un suceso -o expresado de otro modo, un punto del continuo cuadridimensional- vienen definidas físicamente de manera muy simple, como ya se explicó en la primera parte de este librito. Para el paso de un sistema de Galileo a otro que se mueva uniformemente respecto al primero son válidas las ecuaciones de la transformación de Lorentz, que constituyen la base para derivar las consecuencias de la teoría de la relatividad especial y que por su parte no son más que la expresión de la validez universal de la ley de propagación de la luz para todos los sistemas de referencia de Galileo.
Minkowski descubrió que las transformaciones de Lorentz satisfacen las sencillas condiciones siguientes. Consideremos dos sucesos vecinos, cuya posición mutua en el continuo cuadridimensional venga dada por las diferencias de coordenadas espaciales dx, dy, dz y la diferencia temporal dt respecto a un cuerpo de referencia de Galileo K.
Respecto a un segundo sistema de Galileo, sean dx', dy', dz', dt' las correspondientes diferencias para ambos sucesos. Entre ellas se cumple entonces siempre la condición [21]:
dx2 + dy2 + dz2 - c2dt2 = dx'2 + dy'2 + dz'2 -c2dt'2.
Esta condición tiene como consecuencia la validez de la transformación de Lorentz. Lo cual podemos expresarlo así: la cantidadds2 = dx2 + dy2 + dz2 - c2dt2
correspondiente a dos puntos vecinos del continuo espacio-temporal cuadridimensional, tiene el mismo valor para todos los cuerpos de referencia privilegiados (de Galileo). Si se sustituye![]()
ds2 = dx 12+ dx22+ dx3 2 + dx42
es independiente de la elección del cuerpo de referencia. A la cantidad ds la llamamos «distancia» de los dos sucesos o puntos cuadridimensionales.Así pues, si se elige la variable imaginaria
![]()
§27. El continuo espacio-temporal de la teoría de la relatividad no es un continuo euclidiano
En la primera parte de este opúsculo nos hemos podido servir de coordenadas espacio-temporales que permitían una interpretación física directa y simple y que, según epígrafe 26, podían interpretarse como coordenadas cartesianas cuadridimensionales.
Esto fue posible en virtud de la ley de la constancia de la velocidad de la luz, ley que, sin embargo, según epígrafe 21, la teoría de la relatividad general no puede mantener; llegamos, por el contrario, al resultado de que según aquélla la velocidad de la luz depende siempre de las coordenadas cuando existe un campo gravitatorio. En epígrafe 23 constatamos además, en un ejemplo especial, que la existencia de un campo gravitatorio hace imposible esa definición de las coordenadas y del tiempo que nos condujo a la meta en la teoría de la relatividad especial.
Teniendo en cuenta estos resultados de la reflexión, llegamos al convencimiento de que, según el principio de la relatividad general, no cabe interpretar el continuo espacio-temporal como un continuo euclidiano, sino que nos hallamos aquí ante el caso que vimos para el continuo bidimensional de la mesa con temperatura localmente variable. Así como era imposible construir allí un sistema de coordenadas cartesiano con varillas iguales, ahora es también imposible construir, con ayuda de cuerpos rígidos y relojes, un sistema (cuerpo de referencia) de manera que escalas y relojes que sean fijos unos respecto a otros indiquen directamente la posición y el tiempo. Esta es en esencia la dificultad con que tropezamos en epígrafe 23.
Sin embargo, las consideraciones de epígrafe 25 y epígrafe 26 señalan el camino que hay que seguir para superarla. Referimos de manera arbitraria el continuo espacio-temporal cuadridimensional a coordenadas gaussianas. A cada punto del continuo (suceso) le asignamos cuatro números x1, x2, x3, x4(coordenadas) que no poseen ningún significado físico inmediato, sino que sólo sirven para enumerar los puntos de una manera determinada, aunque arbitraria. Esta correspondencia no tiene ni siquiera que ser de tal carácter que obligue a interpretar x1, x2, x3como coordenadas «espaciales» y x4 como coordenada «temporal».
El lector quizá piense que semejante descripción del mundo es absolutamente insatisfactoria. ¿Qué significa asignar a un suceso unas determinadas coordenadas x1, x2, x3, x4que en sí no significan nada? Una reflexión más detenida demuestra, sin embargo, que la preocupación es infundada. Contemplemos, por ejemplo, un punto material de movimiento arbitrario. Si este punto tuviera sólo una existencia momentánea, sin duración, entonces vendría descrito espacio-temporalmente a través de un sistema de valores único x1, x2, x3, x4. Su existencia permanente viene, por tanto, caracterizada por un número infinitamente grande de semejantes sistemas de valores, en donde las coordenadas se encadenan ininterrumpidamente; al punto material le corresponde, por consiguiente, una línea (unidimensional) en el continuo cuadridimensional. Y a una multitud de puntos móviles les corresponden otras tantas líneas en nuestro continuo. De todos los enunciados que atañen a estos puntos, los únicos que pueden aspirar a realidad física son aquellos que versan sobre encuentros de estos puntos. En el marco de nuestra representación matemática, un encuentro de esta especie se traduce en el hecho de que las dos líneas que representan los correspondientes movimientos de los puntos tienen en común un determinado sistema x1, x2, x3, x4de valores de las coordenadas. Que semejantes encuentros son en realidad las únicas constataciones reales de carácter espacio-temporal que encontramos en las proposiciones físicas es algo que el lector admitirá sin duda tras pausada reflexión.
Cuando antes describíamos el movimiento de un punto material respecto a un cuerpo de referencia, no especificábamos otra cosa que los encuentros de este punto con determinados puntos del cuerpo de referencia. Incluso las correspondientes especificaciones temporales se reducen a constatar encuentros del cuerpo con relojes, junto con la constatación del encuentro de las manillas del reloj con determinados puntos de la esfera. Y lo mismo ocurre con las mediciones espaciales con ayuda de escalas, como se verá a poco que se reflexione.
En general, se cumple lo siguiente: toda descripción física se reduce a una serie de proposiciones, cada una de las cuales se refiere a la coincidencia espacio-temporal de dos sucesos A y B. Cada una de estas proposiciones se expresa en coordenadas gaussianas mediante la coincidencia de las cuatro coordenadas x1, x2, x3, x4. Por tanto, es cierto que la descripción del continuo espacio-temporal a través de coordenadas gaussianas sustituye totalmente a la descripción con ayuda de un cuerpo de referencia, sin adolecer de los defectos de este último método, pues no está ligado al carácter euclidiano del continuo a representar.
§28. Formulación exacta del principio de la relatividad general
Ahora estamos en condiciones de sustituir la formulación provisional del principio de la relatividad general que dimos en epígrafe 18 por otra que es exacta. La versión de entonces -«Todos los cuerpos de referencia K, K', etc., son equivalentes para la descripción de la naturaleza (formulación de las leyes generales de la naturaleza), sea cual fuere su estado de movimiento»- es insostenible, porque en general no es posible utilizar cuerpos de referencia rígidos en la descripción espacio-temporal en el sentido del método seguido en la teoría de la relatividad especial. En lugar del cuerpo de referencia tiene que aparecer el sistema de coordenadas gaussianas. La idea fundamental del principio de la relatividad general responde al enunciado: «Todos los sistemas de coordenadas gaussianas son esencialmente equivalentes para la formulación de las leyes generales de la naturaleza».
Este principio de la relatividad general cabe enunciarlo en otra forma que permite reconocerlo aún más claramente como una extensión natural del principio de la relatividad especial. Según la teoría de la relatividad especial, al sustituir las variables espacio-temporales x, y, z, t de un cuerpo de referencia K (de Galileo) por las variables espacio-temporales x', y', z', t' de un nuevo cuerpo de referencia K' utilizando la transformación de Lorentz, las ecuaciones que expresan las leyes generales de la naturaleza se convierten en otras de la misma forma. Por el contrario, según la teoría de la relatividad general, las ecuaciones tienen que transformarse en otras de la misma forma al hacer cualesquiera sustituciones de las variables gaussianas x1, x2, x3, x4; pues toda sustitución (y no sólo la de la transformación de Lorentz) corresponde al paso de un sistema de coordenadas gaussianas a otro.
Si no se quiere renunciar a la habitual representación tridimensional, podemos caracterizar como sigue la evolución que vemos experimentar a la idea fundamental de la teoría de la relatividad general: la teoría de la relatividad especial se refiere a regiones de Galileo, es decir, aquellas en las que no existe ningún campo gravitatorio.
Como cuerpo de referencia actúa aquí un cuerpo de referencia de Galileo, es decir, un cuerpo rígido cuyo estado de movimiento es tal que respecto a él es válido el principio de Galileo del movimiento rectilíneo y uniforme de puntos materiales «aislados».
Ciertas consideraciones sugieren referir esas mismas regiones de Galileo a cuerpos de referencia no galilea-nos también. Respecto a éstos existe entonces un campo gravitatorio de tipo especial (epígrafe 20 y epígrafe 23).
Sin embargo, en los campos gravitatorios no existen cuerpos rígidos con propiedades euclidianas; la ficción del cuerpo de referencia rígido fracasa, pues, en la teoría de la relatividad general. Y los campos gravitatorios también influyen en la marcha de los relojes, hasta el punto de que una definición física del tiempo con la ayuda directa de relojes no posee ni mucho menos el grado de evidencia que tiene en la teoría de la relatividad especial.
Por esa razón se utilizan cuerpos de referencia no rígidos que, vistos como un todo, no sólo tienen un movimiento arbitrario, sino que durante su movimiento sufren alteraciones arbitrarias en su forma. Para la definición del tiempo sirven relojes cuya marcha obedezca a una ley arbitraria y todo lo irregular que se quiera; cada uno de estos relojes hay que imaginárselo fijo en un punto del cuerpo de referencia no rígido, y cumplen una sola condición: la de que los datos simultáneamente perceptibles en relojes espacialmente vecinos difieran infinitamente poco entre sí. Este cuerpo de referencia no rígido, que no sin razón cabría llamarlo «molusco de referencia», equivale en esencia a un sistema de coordenadas gaussianas, cuadridimensional y arbitrario. Lo que le confiere al «molusco» un cierto atractivo frente al sistema de coordenadas gaussianas es la conservación formal (en realidad injustificada) de la peculiar existencia de las coordenadas espaciales frente a la coordenada temporal. Todo punto del molusco es tratado como un punto espacial; todo punto material que esté en reposo respecto a él será tratado como en reposo, a secas, mientras se utilice el molusco como cuerpo de referencia. El principio de la relatividad general exige que todos estos moluscos se puedan emplear, con igual derecho y éxito parejo, como cuerpos de referencia en la formulación de las leyes generales de la naturaleza; estas leyes deben ser totalmente independientes de la elección del molusco.
En la profunda restricción que se impone con ello a las leyes de la naturaleza reside la sagacidad que le es inherente al principio de la relatividad general.
§29. La solución del problema de la gravitación sobre la base del principio de la relatividad general
Si el lector ha seguido todos los razonamientos anteriores, no tendrá ya dificultad ninguna para comprender los métodos que conducen a la solución del problema de la gravitación.
Partimos de la contemplación de una región de Galileo, es decir, de una región en la que no existe ningún campo gravitatorio respecto a un cuerpo de referencia de Galileo K. El comportamiento de escalas y relojes respecto a K es ya conocido por la teoría de la relatividad especial, lo mismo que el comportamiento de puntos materiales «aislados»; estos últimos se mueven en línea recta y uniformemente.
Referimos ahora esta región a un sistema de coordenadas gaussiano arbitrario, o bien a un «molusco», como cuerpo de referencia K'. Respecto a K' existe entonces un campo gravitatorio G (de clase especial). Por simple conversión se obtiene así el comportamiento de reglas y relojes, así como de puntos materiales libremente móviles, respecto a K'. Este comportamiento se interpreta como el comportamiento de reglas, relojes y puntos materiales bajo la acción del campo gravitatorio G. Se introduce entonces la hipótesis de que la acción del campo gravitatorio sobre escalas, relojes y puntos materiales libremente móviles se produce según las mismas leyes aun en el caso de que el campo gravitatorio reinante no se pueda derivar del caso especial galileano por mera transformación de coordenadas.
A continuación se investiga el comportamiento espacio-temporal del campo gravitatorio G derivado del caso especial galileano por simple transformación de coordenadas y se formula este comportamiento mediante una ley que es válida independientemente de cómo se elija el cuerpo de referencia (molusco) utilizado para la descripción.
Esta ley no es todavía la ley general del campo gravitatorio, porque el campo gravitatorio G estudiado es de una clase especial. Para hallar la ley general del campo gravitatorio hace falta generalizar además la ley así obtenida; no obstante, cabe encontrarla, sin ningún género de arbitrariedad, si se tienen en cuenta los siguientes requisitos:
- La generalización buscada debe satisfacer también el postulado de la relatividad general.
- Si existe materia en la región considerada, entonces lo único que determina su acción generadora de un campo es su masa inercial, es decir, según epígrafe 15, su energía únicamente.
- Campo gravitatorio y materia deben satisfacer juntos la ley de conservación de la energía (y del impulso).
La teoría de la gravitación derivada así del postulado de la relatividad general no sólo sobresale por su belleza, no sólo elimina el defecto indicado en epígrafe 21 y del cual adolece la Mecánica clásica, no sólo interpreta la ley empírica de la igualdad entre masa inercial y masa gravitatoria, sino que ya ha explicado también dos resultados experimentales de la astronomía, esencialmente muy distintos, frente a los cuales fracasa la Mecánica clásica. El segundo de estos resultados, la curvatura de los rayos luminosos en el campo gravitatorio del Sol, ya lo hemos mencionado; el primero tiene que ver con la órbita del planeta Mercurio.
En efecto, si se particularizan las ecuaciones de la teoría de la relatividad general al caso de que los campos gravitatorios sean débiles y de que todas las masas se muevan respecto al sistema de coordenadas con velocidades pequeñas comparadas con la de la luz, entonces se obtiene la teoría de Newton como primera aproximación; así pues, esta teoría resulta aquí sin necesidad de sentar ninguna hipótesis especial, mientras que Newton tuvo que introducir como hipótesis la fuerza de atracción inversamente proporcional al cuadrado de la distancia entre los puntos materiales que interactúan. Si se aumenta la exactitud del cálculo, aparecen desviaciones respecto a la teoría de Newton, casi todas las cuales son, sin embargo, todavía demasiado pequeñas para ser observables.
Una de estas desviaciones debemos examinarla aquí con especial detenimiento. Según la teoría newtoniana, los planetas se mueven en torno al Sol según una elipse que conservaría eternamente su posición respecto a las estrellas fijas si se pudiera prescindir de la influencia de los demás planetas sobre el planeta considerado, así como del movimiento propio de las estrellas fijas. Fuera de estas dos influencias, la órbita del planeta debería ser una elipse inmutable respecto a las estrellas fijas, siempre que la teoría de Newton fuese exactamente correcta. En todos los planetas, menos en Mercurio, el más próximo al Sol, se ha confirmado esta consecuencia -que se puede comprobar con eminente precisión- hasta el límite de exactitud que permiten los métodos de observación actuales. Ahora bien, del planeta Mercurio sabemos desde Leverrier que la elipse de su órbita respecto a las estrellas fijas, una vez corregida en el sentido anterior, no es fija, sino que rota -aunque lentísimamente- en el plano orbital y en el sentido de su revolución. Para este movimiento de rotación de la elipse orbital se obtuvo un valor de 43 segundos de arco por siglo, valor que es seguro con una imprecisión de pocos segundos de arco. La explicación de este fenómeno dentro de la Mecánica clásica sólo es posible mediante la utilización de hipótesis poco verosímiles, inventadas exclusivamente con este propósito.
Según la teoría de la relatividad general resulta que toda elipse planetaria alrededor del Sol debe necesariamente rotar en el sentido indicado anteriormente, que esta rotación es en todos los planetas, menos en Mercurio, demasiado pequeña para poder detectarla con la exactitud de observación hoy día alcanzable, pero que en el caso de Mercurio debe ascender a 43 segundos de arco por siglo, exactamente como se había comprobado en las observaciones.
Al margen de esto, sólo se ha podido extraer de la teoría otra consecuencia accesible a la contrastación experimental, y es un corrimiento, espectral de la luz que nos envían las grandes estrellas respecto a la luz generada de manera equivalente (es decir, por la misma clase de moléculas) en la Tierra. No me cabe ninguna duda de que también esta consecuencia de la teoría hallará pronto confirmación.
Tercera Parte
Consideraciones acerca del universo como un todo
Aparte del problema expuesto en epígrafe 21, la Mecánica celeste clásica-adolece de una segunda dificultad teórica que, según mis conocimientos, fue examinada detenidamente por primera vez por el astrónomo Seeliger. Si uno reflexiona sobre la pregunta de cómo imaginar el mundo como un todo, la respuesta inmediata será seguramente la siguiente. El universo es espacialmente (y temporalmente) infinito. Existen estrellas por doquier, de manera que la densidad de materia será en puntos concretos muy diversa, pero en todas partes la misma por término medio. Expresado de otro modo: por mucho que se viaje por el universo, en todas partes se hallará un enjambre suelto de estrellas fijas de aproximadamente la misma especie e igual densidad.
Esta concepción es irreconciliable con la teoría newtoniana. Esta última exige más bien que el universo tenga una especie de centro en el cual la densidad de estrellas sea máxima, y que la densidad de estrellas disminuya de allí hacia afuera, para dar paso, más allá todavía, a un vacío infinito. El mundo estelar debería formar una isla finita en medio del infinito océano del espacio [22].
Esta representación es de por sí poco satisfactoria. Pero lo es aún menos porque de este modo se llega a la consecuencia de que la luz emitida por las estrellas, así como algunas de las estrellas mismas del sistema estelar, emigran ininterrumpidamente hacia el infinito, sin que jamás regresen ni vuelvan a entrar en interacción con otros objetos de la naturaleza. El mundo de la materia, apelotonada en un espacio finito, iría empobreciéndose entonces paulatinamente.
Para eludir estas consecuencias Seeliger modificó la ley newtoniana en el sentido de suponer que a distancias grandes la atracción de dos masas disminuye más deprisa que la ley de
1/r2
Con ello se consigue que la densidad media de la materia sea constante en todas partes hasta el infinito, sin que surjan campos gravitatorios infinitamente grandes, con lo cual se deshace uno de la antipática idea de que el mundo material posee una especie de punto medio. Sin embargo, el precio que se paga por liberarse de los problemas teóricos descritos es una modificación y complicación de la ley de Newton que no se justifican ni experimental ni teóricamente. Cabe imaginar un número arbitrario de leyes que cumplan el mismo propósito, sin que se pueda dar ninguna razón para que una de ellas prime sobre las demás; porque cualquiera de ellas está tan poco fundada en principios teóricos más generales como la ley de Newton.§31. La posibilidad de un universo finito y sin embargo no limitado
Las especulaciones en torno a la estructura del universo se movieron también en otra dirección muy distinta. En efecto, el desarrollo de la geometría no euclidiana hizo ver que es posible dudar de la infinitud de nuestro espacio sin entrar en colisión con las leyes del pensamiento ni con la experiencia (Riemann, Helmholtz). Estas cuestiones las han aclarado ya con todo detalle Helmholtz y Poincaré, mientras que aquí yo no puedo hacer más que tocarlas fugazmente.
Imaginemos en primer lugar un suceso bidimensional. Supongamos que unos seres planos, provistos de herramientas planas -en particular pequeñas reglas planas y rígidas- se pueden mover libremente en un plano. Fuera de él no existe nada para ellos; el acontecer en su plano, que ellos observan en sí mismos y en sus objetos, es un acontecer causalmente cerrado. En particular son realizables las construcciones de la geometría euclidiana plana con varillas, por ejemplo la construcción reticular sobre la mesa que contemplamos en epígrafe 24. El mundo de estos seres es, en contraposición al nuestro, espacialmente bidimensional, pero, al igual que el nuestro, de extensión infinita. En él tienen cabida infinitos cuadrados iguales construidos con varillas, es decir, su volumen (superficie) es infinito. Si estos seres dicen que su mundo es «plano», no dejará de tener sentido su afirmación, a saber, el sentido de que con sus varillas se pueden realizar las construcciones de la geometría euclidiana del plano, representando cada varilla siempre el mismo segmento, independientemente de su posición.
Volvamos ahora a imaginarnos un suceso bidimensional, pero no en un plano, sino en una superficie esférica. Los seres planos, junto con sus reglas de medida y demás objetos, yacen exactamente en esta superficie y no pueden abandonarla; todo su mundo perceptivo se extiende única y exclusivamente a la superficie esférica. Estos seres ¿podrán decir que la geometría de su mundo es una geometría euclidiana bidimensional y considerar que sus varillas son una realización del «segmento»? No pueden, porque al intentar materializar una recta obtendrán una curva, que nosotros, seres «tridimensionales», llamamos círculo máximo, es decir, una línea cerrada de determinada longitud finita que se puede medir con una varilla. Este mundo tiene asimismo una superficie finita que se puede comparar con la de un cuadrado construido con varillas. El gran encanto que depara el sumergirse en esta reflexión reside en percatarse de lo siguiente: el mundo de estos seres es finito y sin embargo no tiene límites.
Ahora bien, los seres esféricos no necesitan emprender un viaje por el mundo para advertir que no habitan en un mundo euclidiano, de lo cual pueden convencerse en cualquier trozo no demasiado pequeño de la esfera. Basta con que, desde un punto, tracen «segmentos rectos» (arcos de circunferencia, si lo juzgamos tridimensionalmente) de igual longitud en todas direcciones. La unión de los extremos libres de estos segmentos la llamarán «circunferencia». La razón entre el perímetro de la circunferencia, medido con una varilla, y el diámetro medido con la misma varilla es igual, según la geometría euclidiana del plano, a una constante π que es independiente del diámetro de la circunferencia. Sobre la superficie esférica, nuestros seres hallarían para esta razón el valor
![]()
Así pues, si nuestros seres esféricos habitan en un planeta cuyo sistema solar ocupa sólo una parte ínfima del universo esférico, no tendrán posibilidad de decidir si viven en un mundo finito o infinito, porque el trozo de mundo que es accesible a su experiencia es en ambos casos prácticamente plano o euclídeo. Esta reflexión muestra directamente que para nuestros seres esféricos el perímetro de la circunferencia crece al principio con el radio hasta alcanzar el «perímetro del universo», para luego, al seguir creciendo el radio, disminuir paulatinamente hasta cero. La superficie del círculo crece continuamente, hasta hacerse finalmente igual a la superficie total del mundo esférico entero.
Al lector quizá le extrañe que hayamos colocado a nuestros seres precisamente sobre una esfera y no sobre otra superficie cerrada. Pero tiene su justificación, porque la superficie esférica se caracteriza, frente a todas las demás superficies cerradas, por la propiedad de que todos sus puntos son equivalentes. Es cierto que la relación entre el perímetro p de una circunferencia y su radio r depende de r; pero, dado r, es igual para todos los puntos del mundo esférico. El mundo esférico es una «superficie de curvatura constante».
Este mundo esférico bidimensional tiene su homólogo en tres dimensiones, el espacio esférico tridimensional, que fue descubierto por Riemann. Sus puntos son también equivalentes. Posee un volumen finito, que viene determinado por su «radio» R (2p2R3).¿Puede uno imaginarse un espacio esférico?
Imaginarse un espacio no quiere decir otra cosa que imaginarse un modelo de experiencias «espaciales», es decir, de experiencias que se pueden tener con el movimiento de cuerpos «rígidos». En este sentido sí que cabe imaginar un espacio esférico.
Desde un punto trazamos rectas (tensamos cuerdas) en todas direcciones y marcamos en cada una el segmento r con ayuda de la regla de medir. Todos los extremos libres de estos segmentos yacen sobre una superficie esférica. Su área (A) podemos medirla con un cuadrado hecho con reglas. Si el mundo es euclidiano, tendremos que A = 4pr2; si el mundo es esférico, entonces A será siempre menor que 4pr2. A aumenta con r desde cero hasta un máximo que viene determinado por el «radio del universo», para luego disminuir otra vez hasta cero al seguir creciendo el radio de la esfera r. Las rectas radiales que salen del punto origen se alejan al principio cada vez más unas de otras, vuelven a acercarse luego y convergen otra vez en el punto opuesto al origen; habrán recorrido entonces todo el espacio esférico. Es fácil comprobar que el espacio esférico tridimensional es totalmente análogo al bidimensional (superficie esférica). Es finito (es decir, de volumen finito) y no tiene límites.
Señalemos que existe también una subespecie del espacio esférico: el «espacio elíptico». Cabe concebirlo como un espacio esférico en el que los «puntos opuestos» son idénticos (no distinguibles). Así pues, un mundo elíptico cabe contemplarlo, en cierto modo, como un mundo esférico centralmente simétrico.
De lo dicho se desprende que es posible imaginar espacios cerrados que no tengan límites. Entre ellos destaca por su simplicidad el espacio esférico (o el elíptico), cuyos puntos son todos equivalentes. Según todo lo anterior, se les plantea a los astrónomos y a los físicos un problema altamente interesante, el de si el mundo en que vivimos es infinito o, al estilo del mundo esférico, finito. Nuestra experiencia no basta ni de lejos para contestar a esta pregunta. La teoría de la relatividad general permite, sin embargo, responder con bastante seguridad y resolver de paso la dificultad explicada en epígrafe 30.
§32. La estructura del espacio según la teoría de la relatividad general
Según la teoría de la relatividad general, las propiedades geométricas del espacio no son independientes, sino que vienen condicionadas por la materia. Por eso no es posible inferir nada sobre la estructura geométrica del mundo a menos que la reflexión se funde en el conocimiento del estado de la materia. Sabemos, por la experiencia, que con una elección conveniente del sistema de coordenadas las velocidades de las estrellas son pequeñas frente a la velocidad de propagación de la luz. Así pues, si suponemos que la materia está en reposo, podremos conocer la estructura del universo en una primera y tosquísima aproximación.
Por anteriores consideraciones sabemos ya que el comportamiento de reglas de medir y relojes viene influido por los campos de gravitación, es decir, por la distribución de la materia. De aquí se sigue ya que la validez exacta de la geometría euclidiana en nuestro mundo es algo que no entra ni siquiera en consideración. Pero en sí es concebible que nuestro mundo difiera poco de un mundo euclidiano, idea que viene abonada por el hecho de que, según los cálculos, incluso masas de la magnitud de nuestro Sol influyen mínimamente en la métrica del espacio circundante. Cabría imaginar que nuestro mundo se comporta en el aspecto geométrico como una superficie que está irregularmente curvada pero que en ningún punto se aparta significativamente de un plano, lo mismo que ocurre, por ejemplo, con la superficie de un lago rizado por débiles olas. A un mundo de esta especie podríamos llamarlo con propiedad cuasi-euclidiano, y sería espacialmente infinito. Los cálculos indican, sin embargo, que en un mundo cuasi-euclidiano la densidad media de materia tendría que ser nula. Por consiguiente, un mundo semejante no podría estar poblado de materia por doquier; ofrecería el cuadro insatisfactorio que dibujamos en epígrafe 30.
Si la densidad media de materia en el mundo no es nula (aunque se acerque mucho a cero), entonces el mundo no es cuasi-euclidiano. Los cálculos demuestran más bien que, con una distribución uniforme de materia, debería ser necesariamente esférico (o elíptico). Dado que la materia está distribuida de manera localmente no uniforme, el mundo real diferirá localmente del comportamiento esférico, es decir, será cuasi-esférico. Pero necesariamente tendrá que ser finito. La teoría proporciona incluso una sencilla relación entre la extensión espacial del mundo y la densidad media de materia en él [23].1. Una derivación sencilla de la transformación de Lorentz (Anexo a §11)
Con la orientación relativa de los sistemas de coordenadas indicada en la Fig. 2, los ejes de abscisas de los dos sistemas coinciden constantemente. Aquí podemos desglosar el problema y considerar primero únicamente sucesos que estén localizados en el eje de las X. Un suceso semejante viene dado, respecto al sistema de coordenadas K, por la abscisa x y el tiempo t, y respecto a K' por la abscisa x' y el tiempo t'. Se trata de hallar x' y t' cuando se conocen x y t.
Una señal luminosa que avanza a lo largo del eje X positivo se propaga según la ecuación
x = ct
o bienx - ct = 0 (1)
Dado que la misma señal luminosa debe propagarse, también respecto a K', con la velocidad c, la propagación respecto a K' vendrá descrita por la formula análogax' — ct' = 0 (2)
Aquellos puntos del espacio-tiempo (sucesos) que cumplen (1) tienen que cumplir también (2), lo cual será el caso cuando se cumpla en general la relación(x' - ct') = λ(x - ct) (3)
donde λ es una constante; pues, según (3), la anulación de x - ct conlleva la de x' - ct'.Un razonamiento totalmente análogo, aplicado a rayos de luz que se propaguen a lo largo del eje X negativo, proporciona la condición
x' + ct' = μ(x + ct) (4)
Si se suman y restan, respectivamente, las ecuaciones (3) y (4), introduciendo por razones de comodidad las constantes
x' = ax - bt (5)
ct' = act - bx
Con ello quedaría resuelto el problema, siempre que conozcamos las constantes a y b; estas resultan de las siguientes consideraciones.Para el origen de K' se cumple constantemente x' = 0 de manera que, por la primera de las ecuaciones (5):


Además, por el principio de la relatividad, está claro que la longitud, juzgada desde K, de una regla de medir unitaria que se halla en reposo respecto a K' tiene que ser exactamente la misma que la longitud, juzgada desde K', de una regla unidad que se halla en reposo respecto a K. Para ver qué aspecto tienen los puntos del eje X’ vistos desde K basta con tomar una "fotografía instantánea" de K' desde K; lo cual significa dar a t (tiempo de K) un valor determinado, p. ej. t = 0. De la primera de las ecuaciones (5) se obtiene:
x' = ax
Así pues, dos puntos del eje X' que medidos en K' distan entre sí x' = 1, tienen en nuestra instantánea la separación:Δx = 1/a (7)
Pero si se toma la fotografía desde K' (t' = 0), se obtiene a partir de (5), por eliminación de t y teniendo en cuenta (6):



x'2 - ct'2 = x2 - c2t2 (11)
La extensión de este resultado a sucesos que ocurren fuera del eje X se obtiene reteniendo las ecuaciones (10) y añadiendo las relacionesy' = y (12)
z' = z
Veamos ahora que con ello se satisface el postulado de la constancia de la velocidad de la luz para rayos luminosos de dirección arbitraria, tanto para el sistema K como también para el K'.Supongamos que en el instante t = 0 se emite una señal luminosa desde el origen de K. Su propagación obedece a la ecuación:
r = √(x2 + y2 + z2) = ct
o bien, elevando al cuadradox2 + y2 + z2 — c2t2 = 0 (13)
La ley de propagación de la luz, en conjunción con el postulado de la relatividad, exige que la propagación de esa misma señal, pero juzgada desde K', ocurra según la fórmula correspondienter' = ct'
o bienx'2 + y'2 + z'2 - c2t'2 = 0 (14)
Para que la ecuación (14) sea una consecuencia de (13), tiene que cumplirse que:x'2 + y'2 +z'2 -c2t2 = σ(x2 + y2 + z2 -c2t2)
Puesto que la ecuación (11) tiene que cumplirse para los puntos situados sobre el eje X, ha de ser σ = 1. Es fácil ver que la transformación de Lorentz cumple realmente la ecuación (15) con σ = 1, pues (15) es una consecuencia de (11) y (12), y por tanto también de (10) y (12). Con ello queda derivada la transformación de Lorentz.Es preciso ahora generalizar esta transformación de Lorentz, representada por (10) y (12). Evidentemente es inesencial que los ejes de K' se elijan espacialmente paralelos a los de K. Tampoco es esencial que la velocidad de traslación de K' respecto a K tenga la dirección del eje X. La transformación de Lorentz, en este sentido general, cabe desglosarla —como muestra un simple razonamiento— en dos transformaciones, a saber: transformaciones de Lorentz en sentido especial y transformaciones puramente espaciales que equivalen a la sustitución del sistema de coordenadas rectangulares por otro con ejes dirigidos en direcciones distintas.
Matemáticamente se puede caracterizar la transformación de Lorentz generalizada de la siguiente manera:
Dicha transformación expresa x', y', z', t' mediante unas funciones homogéneas y lineales de x, y, z, t que hacen que la relación
x'2 + y'2 +z'2 -c2t2 = x2 + y2 + z2 -c2t2 (16)
se cumpla idénticamente. Lo cual quiere decir: si se sustituye a la izquierda x', etc. por sus expresiones en x, y, z, t, entonces el miembro izquierdo de (16) es igual al derecho.2. El mundo cuadridimensional de Minkowski (Anexo a §17)
La transformación de Lorentz generalizada puede caracterizarse de un modo aun más sencillo si en lugar de t se introduce como variable temporal la variable imaginaria √-1 ct. Si de acuerdo con esto ponemos

x'12 + x'22 +x'32 +x'42 = x12 +x22 +x32 + x42 (17)
Con la elección de "coordenadas" que acabamos de indicar, la ecuación (16) se convierte en la (17).De (17) se desprende que la coordenada temporal imaginaria x4 entra en la condición de transformación en pie de igualdad con las coordenadas espaciales x1, x 2, x3. A eso responde el que, según la teoría de la relatividad, el "tiempo" x4 intervenga en las leyes de la naturaleza en la misma forma que las coordenadas espacialesx1, x2, x3.
Minkowski llamo "universo" o "mundo" al continuo cuadridimensional descrito por las "coordenadas" x1, x2, x3, x4, y "punto del universo" o "punto del mundo" al suceso puntual. La física deja de ser un suceder en el espacio tridimensional para convertirse en cierto modo en un ser en el "mundo" cuadridimensional.
Este "mundo" cuadridimensional guarda un profundo parecido con el "espacio" tridimensional de la geometría analítica (euclídea). Pues si en este último se introduce un nuevo sistema de coordenadas cartesianas (x' 1, x'2, x'3) con el mismo origen, entonces x'1, x'2, x'3 son funciones homogéneas y lineales de x1, x2, x3 que cumplen idénticamente la ecuación
x'12 + x'22 +x'32 =x12 + x22 + x32
La analogía con (17) es completa. El mundo de Minkowski cabe contemplarlo formalmente como un espacio euclídeo cuadridimensional (con coordenada temporal imaginaria); la transformación de Lorentz se corresponde con una "rotación" del sistema de coordenadas en el "universo" cuadridimensional.3. Sobre la confirmación de la teoría de la relatividad general por la experiencia
Bajo una óptica epistemológica esquemática, el proceso de crecimiento de una ciencia experimental aparece como un continuo proceso de inducción. Las teorías emergen como resúmenes de una cantidad grande de experiencias individuales en leyes empíricas, a partir de las cuales se determinan por comparación las leyes generales. Desde este punto de vista, la evolución de la ciencia parece análoga a una obra de catalogación o a un producto de mera empírica.
Esta concepción, sin embargo, no agota en modo alguno el verdadero proceso, pues pasa por alto el importante papel que desempeñan la intuición y el pensamiento deductivo en el desarrollo de la ciencia exacta. En efecto, tan pronto como una ciencia sobrepasa el estadio más primitivo, los progresos teóricos no nacen ya de una simple actividad ordenadora. El investigador, animado por los hechos experimentales, construye más bien un sistema conceptual que se apoya lógicamente en un número por lo general pequeño de supuestos básicos que se denominan axiomas. A un sistema conceptual semejante lo llamamos teoría. La teoría obtiene la justificación de su existencia por el hecho de conectar entre sí un número grande de experiencias aisladas; en esto reside su "verdad".
Frente a un mismo complejo de hechos de la experiencia puede haber diversas teorías que difieran mucho entre sí. La coincidencia de las teorías en las consecuencias accesibles a la experiencia puede ser tan profunda que resulte difícil encontrar otras, también accesibles a la experiencia, respecto a las cuales difieran. Un caso semejante, y de interés general, se da por ejemplo en el terreno de la biología, en la teoría darwiniana de la evolución por selección en la lucha por la existencia y en aquella otra teoría de la evolución que se funda en la hipótesis de la herencia de caracteres adquiridos.
Otro caso semejante de profunda concordancia de las consecuencias es el de la mecánica newtoniana, por un lado, y la teoría de la relatividad general, por otro. La concordancia llega hasta tal punto que hasta ahora se han podido encontrar muy pocas consecuencias de la teoría de la relatividad general a las cuales no conduzca también la física anterior, y eso a pesar de la radical diversidad de los supuestos básicos de una y otra teoría. Vamos a contemplar aquí de nuevo estas importantes consecuencias y comentar también brevemente las experiencias acumuladas hasta ahora al respecto.
a. El movimiento del perihelio de Mercurio
Según la mecánica newtoniana y la ley de gravitación de Newton, un único planeta que girara en torno a un sol describiría una elipse alrededor de él (o más exactamente, alrededor del centro de gravedad común de ambos). El sol (o bien el centro de gravedad común) yace en uno de los focos de la elipse orbital, de manera que la distancia sol-planeta crece a lo largo de un año planetario hasta un máximo, para luego volver a decrecer hasta el mínimo. Si en lugar de la ley de atracción newtoniana se introduce en los cálculos otra distinta, entonces se comprueba que el movimiento según esta nueva ley tendría que seguir siendo tal que la distancia sol-planeta oscilase en un sentido y otro; pero el ángulo descrito por la línea sol-planeta durante uno de esos períodos (de perihelio a perihelio) diferiría de 360o. La curva de la órbita no sería entonces cerrada, sino que llenaría con el tiempo una porción anular del plano orbital (entre el círculo de máxima y el de mínima distancia periférica).
Según la teoría de la relatividad general, que difiere algo de la newtoniana, tiene que haber también una pequeña desviación de esta especie respecto al movimiento orbital previsto por Kepler-Newton, de manera que el ángulo descrito por el radio sol-planeta entre un perihelio y el siguiente difiera de un ángulo completo de rotación (es decir, del ángulo 2π, en la medida angular absoluta que es habitual en física) en la cantidad

Los astrónomos han comprobado efectivamente que la teoría de Newton no basta para calcular el movimiento observado de Mercurio con la precisión que pueden alcanzar hoy día las observaciones. Tras tener en cuenta todas las influencias perturbadoras que ejercen los demás planetas sobre Mercurio, se comprobó (Leverrier, 1859, y Newcomb, 1895) que en el movimiento del perihelio de la órbita de Mercurio quedaba sin explicar una componente que no difiere perceptiblemente de los +43 segundos por siglo que acabamos de mencionar. La imprecisión de este resultado empírico, que concuerda con el resultado de la teoría general de la relatividad, es de pocos segundos.
b. La desviación de la luz por el campo gravitacional
En §22 explicamos que, según la teoría de la relatividad general, cualquier rayo de luz tiene que experimentar en el seno de un campo gravitacional una curvatura que es análoga a la que experimenta la trayectoria de un cuerpo al lanzarlo a través de ese campo. De acuerdo con la teoría, un rayo de luz que pase al lado de un cuerpo celeste sufrirá una desviación hacia él; el ángulo de desviación α, para un rayo luminoso que pase a una distancia de Δ radios solares del Sol, debe ser de
α = 1, 7 segundos/Δ
Añadamos que, de acuerdo con la teoría, la mitad de esta desviación es producto del campo de atracción (newtoniano) del Sol; la otra mitad, producto de la modificación geométrica ("curvatura") del espacio provocada por aquel.Este resultado brinda la posibilidad de una comprobación experimental mediante fotografías estelares tomadas durante un eclipse total de Sol. Es necesario esperar a este fenómeno porque en cualquier otro momento la atmósfera, iluminada por la luz solar, resplandece tanto que las estrellas próximas al Sol resultan invisibles. El fenómeno esperado se deduce fácilmente de la Fig. 4.
Si no existiese el Sol S, cualquier estrella situada a distancia practica- mente infinita se vería en la dirección R1. Pero como consecuencia de la desviación provocada por el Sol se la ve en la dirección R2, es decir, separada del centro del Sol un poco más de lo que en realidad esta.La prueba se desarrolla en la práctica de la siguiente manera. Durante un eclipse de Sol se fotografían las estrellas situadas en las inmediaciones de aquel. Se toma además una segunda fotografía de las mismas estrellas cuando el Sol se halla en otro lugar del cielo (es decir, algunos meses antes o después). Las imágenes estelares fotografiadas durante el eclipse de Sol deben estar entonces desplazadas radialmente hacia afuera (alejándose del centro del Sol) respecto a la fotografía de referencia, correspondiendo el desplazamiento al ángulo α.
Hemos de agradecer a la Astronomical Royal Society la contrastación de este importante resultado. Sin dejarse turbar por la guerra ni por las consiguientes dificultades de índole psicológica, envió a varios de sus astrónomos más destacados (Eddington, Crommelin, Davidson) y organizo dos expediciones con el fin de hacer las fotografías pertinentes durante el eclipse de Sol del 29 de mayo de 1919 en Sobral (Brasil) y en la isla Príncipe (África occidental). Las desviaciones relativas que eran de esperar entre las fotografías del eclipse y las de referencia ascendían tan sólo a unas pocas centésimas de milímetro. Así pues, las demandas que se impuso a la precisión de las fotografías y a su medición no eran pequeñas.
El resultado de la medición confirmó la teoría de manera muy satisfactoria. Las componentes transversales de las desviaciones estelares observadas y calculadas (en segundos de arco) se contienen en la siguiente tabla:

En §23 se demuestra que en un sistema K' que rota respecto a un sistema de Galileo K, la velocidad de marcha de relojes en reposo y de idéntica constitución depende de la posición. Vamos a examinar cuantitativamente esta dependencia. Un reloj colocado a distancia r del centro del disco tiene, respecto a K, la velocidad
v = ωr
donde ω designa la velocidad de rotación del disco (K') respecto a K. Si llamamos v0 al número de golpes del reloj por unidad de tiempo (velocidad de marcha) respecto a K cuando el reloj está en reposo, entonces la velocidad de marcha v del reloj cuando se mueve con velocidad v respecto a K y está en reposo respecto al disco es, según §12,




Dado que —juzgado desde el disco— existe un campo gravitacional cuyo potencial es Φ, el resultado obtenido valdrá para campos gravitacionales en general. Y como además un átomo que emite rayas espectrales es posible considerarlo como un reloj, tenemos el siguiente teorema:
Un átomo absorbe o emite una frecuencia que depende del potencial del campo gravitatorio en el que se encuentra.La frecuencia de un átomo que se halle en la superficie de un cuerpo celeste es algo menor que la de un átomo del mismo elemento que se encuentre en el espacio libre (o en la superficie de otro astro menor). Dado que Φ = -KM/r, donde K es la constante de gravitación newtoniana, M la masa y r el radio del cuerpo celeste, debería producirse un corrimiento hacia el rojo en las rayas espectrales generadas en la superficie de las estrellas si se las compara con las generadas en la superficie de la Tierra, concretamente en la cuantía

Que este efecto exista realmente o no es una cuestión abierta en cuya solución trabajan actualmente con gran celo los astrónomos. En el caso del Sol es difícil juzgar la existencia del efecto por ser muy pequeño. Mientras que Grebe y Bachem (Bonn) —sobre la base de sus propias mediciones y de las de Evershed y Schwarzschild en la así llamada banda cyan— así como Perot (sobre la base de observaciones propias) consideran probada la existencia del efecto, otros investigadores, especialmente W. H. Julius y S. Sohn, son de la opinión contraria o no están convencidos de la fuerza probatoria del anterior material empírico.
En las investigaciones estadísticas realizadas sobre las estrellas fijas no hay duda de que existen por término medio corrimientos de las rayas espectrales hacia el extremo de las ondas largas del espectro. Sin embargo, la elaboración que se ha hecho hasta ahora del material no permite todavía ninguna decisión acerca de si esos movimientos se deben realmente al efecto de la gravitación. El lector podrá encontrar en el trabajo de E. Freundli- ch "Prüfung der allgemeinen Relativitatstheorie" (Die Naturwissenschaften, 1919, H. 35, p. 520, Verlag Jul. Spinger, Berlín) una recopilación del material empírico, junto a un análisis detenido desde el punto de vista de la cuestión que aquí nos interesa.
En cualquier caso, los años venideros traerán la decisión definitiva. Si no existiese ese corrimiento al rojo de las rayas espectrales debido al potencial gravitatorio, la teoría de la relatividad general sería insostenible. Por otro lado, el estudio del corrimiento de las rayas espectrales, caso de que se demuestre que su origen está en el potencial gravitatorio, proporcionará conclusiones importantes sobre la masa de los cuerpos celestes.
4. La estructura del espacio en conexión con la teoría de la relatividad general
Nuestro conocimiento sobre la estructura global del espacio ("problema cosmológico") ha experimentado, desde la aparición de la primera edición de este librito, una evolución importante, que es preciso mencionar incluso en una exposición de carácter divulgativo.
Mis iniciales consideraciones sobre este problema se basaban en dos hipótesis:
- La densidad media de materia en todo el espacio es distinta de 0 e igual en todas partes.
- La magnitud (o el "radio") del universo es independiente del tiempo.
La hipótesis 2 me parecía a la sazón inevitable, pues por aquel entonces pensaba que, de apartarse de ella, se caería en especulaciones sin límite.
Sin embargo, el matemático ruso Friedman descubrió, allá por los años veinte, que desde el punto de vista puramente teórico era más natural otro supuesto diferente. En efecto, Friedman se dio cuenta de que era posible mantener la hipótesis 1 sin introducir en las ecuaciones de campo de la gravitación el poco natural termino cosmológico, siempre que uno se decidiese a prescindir de la hipótesis 2. Pues las ecuaciones de campo originales admiten una solución en la que el "radio del mundo" depende del tiempo (espacio en expansión). En este sentido cabe afirmar con Friedman que la teoría exige una expansión del espacio.
Hubble demostró pocos años después, a través de sus investigaciones espectrales en nebulosas extragalacticas, que las rayas espectrales emitidas por ellas muestran un corrimiento al rojo que crece regularmente con la distancia de la nebulosa. Según los conocimientos actuales, este corrimiento solo cabe interpretarlo, en el sentido del principio de Doppler, como un movimiento de expansión del sistema estelar entero, tal y como, según el estudio de Friedman, exigen las ecuaciones de campo de la gravitación. Así pues, en este sentido el descubrimiento de Hubble puede interpretarse como una confirmación de la teoría.
Plantéase aquí, sin embargo, una curiosa dificultad. La interpretación (teóricamente casi indudable) de los corrimientos de las rayas galácticas hallados por Hubble como una expansión obliga a situar el origen de esta hace "tan sólo" unos 109 años, mientras que la astronomía física tiene por probable que la evolución de las estrellas y de los sistemas estelares necesito tiempos mucho mayores. Hoy por hoy no está ni mucho menos claro cómo superar estas incongruencias.
Señalemos también que la teoría del universo en expansión, junto con los datos empíricos de la astronomía, no permite ninguna decisión acerca de la finitud o infinitud del espacio (tridimensional), mientras que la hipótesis estática original del espacio había predicho un carácter cerrado (finitud) para el espacio.
5. La relatividad y el problema del espacio
Es característico de la teoría de Newton el que tenga que atribuir al espacio y al tiempo, y también a la materia, una existencia real independiente. Pues en la ley de movimiento newtoniana aparece el concepto de aceleración, y la aceleración, en esta teoría, solo puede significar "aceleración respecto al espacio". El espacio newtoniano hay que imaginárselo "en reposo", o al menos "no acelerado", para que la aceleración que aparece en la ley del movimiento pueda contemplarse como una magnitud con sentido. Y análogamente para el tiempo, que también entra en el concepto de aceleración. El propio Newton, y aquellos de sus coetáneos que gozaban de más sentido crítico, veían como algo perturbador el hecho de tener que adscribir realidad física al espacio mismo y a su estado de movimiento. Pero por aquel entonces no había otra salida si se quería atribuir a la Mecánica un sentido claro.
El atribuir realidad física al espacio, y en especial al espacio vacío, es ya de por sí una dura osadía. Los filósofos se han resistido una y otra vez, desde los tiempos más antiguos, a cometerla. Descartes argumentaba más o menos así: el espacio es en esencia igual a extensión. Pero la extensión va vinculada a los cuerpos; luego ningún espacio sin cuerpos, es decir, no hay espacio vacío. El punto flaco de esta forma de inferencia reside en primer lugar en lo siguiente: es cierto que el concepto de extensión debe su origen a experiencias relativas a la posición (contacto) de cuerpos sólidos. Pero de ahí no cabe inferir que el concepto de extensión no esté justificado en otros casos que no hayan motivado la formación del concepto. Semejante ampliación de los conceptos puede justificarse también indirectamente por su valor para la comprensión de hallazgos empíricos. Por tanto, la afirmación de que la extensión va ligada a los cuerpos es en sí infundada. Sin embargo, veremos más adelante que la teoría de la relatividad general confirma la concepción de Descartes a través de un rodeo. Lo que llevo a Descartes a una concepción tan curiosamente atrevida fue seguramente la sensación de que a un objeto no "directamente experimentable" [24] como es el espacio no se le podía atribuir ninguna realidad sin que hubiese una necesidad urgente de hacerlo.
El origen psicológico del concepto de espacio, o de su necesidad, no es ni mucho menos tan evidente como pudiera parecerlo si nos dejásemos guiar por nuestros hábitos de pensamiento. Los antiguos geómetras se ocuparon de objetos mentales (recta, punto, superficie), pero no realmente del espacio en sí, como hizo más tarde la geometría analítica. El concepto de espacio viene sin embargo sugerido por determinadas experiencias primitivas. Imaginemos que fabricamos una caja. Dentro de ella se pueden alojar objetos en determinada disposición, de manera que la caja se llene. La posibilidad de semejantes disposiciones es una propiedad del objeto corpóreo caja, algo que viene dado con la caja, el "espacio comprendido" en la caja. Es algo que difiere según las cajas, algo que con toda naturalidad se lo imagina uno independiente de si hay o no objetos en ellas. Cuando no hay objetos en la caja, su espacio aparece "vacío".
Hasta aquí nuestro concepto de espacio va ligado a la caja. Sin embargo, se comprueba que las posibilidades de alojamiento que constituyen el espacio de la caja son independientes de que grosor tengan las paredes. ¿No se puede hacer que el grosor descienda a cero sin que al mismo tiempo se eche a perder el "espacio"? La naturalidad de este proceso de paso al límite es evidente, subsistiendo ahora en nuestro pensamiento el espacio sin caja, una cosa independiente que, sin embargo, parece tan irreal cuando se olvida la procedencia del concepto. Se entiende que a Descartes le repugnase contemplar el espacio como una cosa independiente de los objetos corpóreos y que podía existir sin materia [25]. (Lo cual no le impide, sin embargo, tratar el espacio como concepto fundamental en su geometría analítica.) Una simple indicación al vacío del termómetro de mercurio desarmo seguramente a los últimos cartesianos. Pero no es de negar que incluso en este estadio primitivo haya algo de insatisfactorio en el concepto de espacio, o en el espacio concebido como cosa real e independiente.
Las maneras en que se pueden alojar los cuerpos en el espacio (caja) constituyen el objeto de la geometría euclidiana tridimensional, cuya estructura axiomática hace fácilmente olvidar que se refiere a situaciones experimentables.
Una vez formado de la manera antes esbozada el concepto de espacio, en base a experiencias sobre el "rellenado" de la caja, lo que tenemos es un espacio limitado. Pero esta limitación parece inesencial, porque es evidente que siempre se puede introducir una caja mayor que encierre a la menor. El espacio aparece así como algo que es ilimitado.
No voy a hablar aquí de que las concepciones de la tridimensionalidad y la "euclidicidad" del espacio proceden de experiencias (relativamente primitivas), sino que considerare primero el papel del concepto de espacio en la evolución del pensamiento físico según otros puntos de vista.
Si una caja más pequeña c se halla en reposo relativo en el interior del espacio hueco de otra más grande C, entonces el espacio hueco o cavidad de c es una parte de la cavidad de C, y ambas cajas pertenecen al mismo "espacio" que las contiene. La interpretación es, sin embargo, menos sencilla cuando c se mueve respecto a C. Uno se inclina entonces a pensar que c encierra siempre el mismo espacio, pero ocupando una porción variable del espacio C. Entonces es necesario atribuir a cada caja su espacio particular (no concebido como limitado) y suponer que estos dos espacios se mueven uno respecto al otro.
Antes de percatarnos de esta complicación, el espacio aparece como un medio limitado (continente) en cuyo seno nadan los objetos corpóreos. Ahora, sin embargo, hay que pensar que existen infinitos espacios que se hallan en mutuo movimiento. El concepto de espacio como algo que existe objetivamente, con independencia de las cosas, es propio ya del pensamiento precientífico, pero no asó la idea de la existencia de un número infinito de espacios en mutuo movimiento. Aunque esta idea es lógicamente inevitable, no desempeño durante mucho tiempo ningún papel destacado, ni siquiera en el pensamiento científico.
¿Qué decir, sin embargo, del origen psicológico del concepto de tiempo? Este concepto tiene indudablemente que ver con el hecho del "recordar", asó como con la distinción entre experiencias sensoriales y el recuerdo de las mismas. De suyo es cuestionable que la distinción entre experiencia sensorial y recuerdo (o simple imaginación) sea algo que nos venga dado de manera psicológicamente inmediata. Cualquiera de nosotros conoce la duda entre sí ha vivido algo con los sentidos o si sólo lo ha sonando. Es probable que esta distinción no nazca sino como acto del entendimiento ordenador.
Al "recuerdo" se le atribuye una vivencia que se reputa "anterior" a las "vivencias presentes". Es este un principio de ordenación conceptual para vivencias (imaginadas) cuya viabilidad da pie al concepto de tiempo subjetivo, es decir, ese concepto de tiempo que remite a la ordenación de las vivencias del individuo.
Objetivación del concepto de tiempo. Ejemplo. La persona A ("yo") tiene la vivencia "cae un rayo". La persona A vivencia al mismo tiempo un comportamiento de la persona B que establece una conexión entre este comportamiento y la propia vivencia de "cae un rayo". Es así como A atribuye a B la vivencia "cae un rayo". En la persona A nace la idea de que en ese "cae un rayo" participan también otras personas. El "cae un rayo" no se concibe ya como una vivencia exclusivamente personal, sino como vivencia (o finalmente solo como "vivencia potencial") de otras personas. De este modo nace la idea de que "cae un rayo", que en origen apareció en la conciencia como "vivencia", puede interpretarse ahora también como un "suceso" (objetivo). Pero la esencia de todos los sucesos es aquello a lo que nos referimos cuando hablamos del "mundo real de afuera".
Hemos visto que tendemos a atribuir a las vivencias una ordenación temporal del tipo: Si β es posterior a α y λ posterior a β, entonces β también es posterior a α (seriación de las "vivencias"). ¿Qué ocurre en este aspecto con los sucesos que hemos asignado a las vivencias? Lo inmediato es suponer que existe una ordenación temporal de los sucesos y que esa ordenación coincide con la de las vivencias. Eso es lo que se supuso con carácter general —e inconscientemente— hasta que se hicieron valer ciertas dudas escépticas [26].
Para acceder a una objetivación del mundo hace falta otra idea constructiva: el suceso (event) está localizado también en el espacio, no solo en el tiempo.
En lo que antecede hemos intentado relatar cómo se puede establecer una relación psicológica entre los conceptos de espacio, tiempo y suceso, por una parte, y las vivencias, por otra. Contemplados lógicamente, son creaciones libres de la inteligencia humana, herramientas del pensamiento que deben servir para relacionar vivencias y comprenderlas así mejor. El intento de tomar conciencia de las fuentes empíricas de estos conceptos básicos muestra hasta qué punto estamos realmente ligados a estos conceptos. De este modo nos hacemos conscientes de nuestra libertad, cuyo uso razonable en caso de necesidad es siempre un asunto duro.
A este esquema relativo al origen psicológico de los conceptos de espacio- tiempo-event (los llamaremos brevemente "tipo espacio", en contraposición a los conceptos de la esfera psicológica) tenemos que añadir algo esencial. Hemos conectado el concepto de espacio con vivencias con cajas y con el alojamiento de objetos corpóreos dentro de ellas. Esta formación conceptual presupone ya, por tanto, el concepto de objeto corpóreo (p. ej., "caja"). Y en este contexto también desempeñan el papel de objetos corpóreos las personas que hubo que introducir para la formación de un concepto objetivo de tiempo. Se me antoja, por tanto, que la formación del concepto de objeto corpóreo debe preceder a nuestros conceptos de tiempo y espacio.
Todos estos conceptos "tipo espacio" pertenecen ya al pensamiento precientífico, junto a conceptos de la esfera psicológica, como dolor, meta, propósito, etc. El pensamiento físico, y el de las ciencias naturales en general, se caracteriza por pretender arreglárselas en principio con conceptos "tipo espacio" únicamente y aspirar a expresar con ellos todas las relaciones regulares. El físico intenta reducir colores y tonos a vibraciones; el fisiólogo, pensamiento y dolor a procesos nerviosos, de tal modo que lo psíquico como tal queda eliminado del nexo causal del ser, es decir, no aparece por ningún lado como eslabón independiente en las relaciones causales. Esta actitud, que considera teóricamente posible la comprensión de todas las relaciones mediante el empleo exclusivo de conceptos "tipo espacio", es seguramente lo que se entiende actualmente por "materialismo" (después de que la "materia" haya perdido su papel como concepto fundamental).
¿Por qué es necesario bajar los conceptos fundamentales del pensamiento científico de sus campos olímpicos platónicos e intentar desvelar su origen terrestre? Respuesta: para liberarlos del tabú que llevan colgado y conseguir así mayor libertad en la formación de conceptos. El haber introducido esta reflexión crítica es mérito imperecedero de D. Hume y E. Mach en primera línea.
La ciencia ha tomado los conceptos de espacio, tiempo y objeto corpóreo (con el importante caso especial "cuerpo sólido") del pensamiento precientífico, los ha precisado y los ha modificado. Su primer logro importante fue la creación de la geometría euclidiana, cuya formulación axiomática no debe hacernos olvidar su origen empírico (posibilidades de alojamiento de cuerpos sólidos). De origen empírico es también, en particular, la tridimensionalidad del espacio, así como su carácter euclidiano (es posible llenarlo con "cubos" idénticos sin dejar resquicio).
La sutileza del concepto de espacio se vio acrecentada por el descubrimiento de que no existen cuerpos totalmente rígidos. Todos los cuerpos se deforman elásticamente y cambian de volumen al variar la temperatura. Por eso, los objetos cuyas posibles colocaciones pretende describir la geometría euclídea no se pueden especificar al margen del contenido de la física. Más, dado que la física tiene que hacer uso de la geometría desde el momento en que establece sus conceptos, el contenido empírico de la geometría no puede ser especificado y contrastado sino en el marco de la física como un todo.
En este contexto hay que mencionar también el atomismo y su concepción de la divisibilidad finita, pues los espacios de extensión subatómica no se pueden medir. El atomismo obliga también a abandonar teóricamente la idea de superficies limítrofes neta y estáticamente definidas en cuerpos sólidos. En rigor no existen entonces leyes independientes para las posibilidades de alojamiento de cuerpos sólidos, ni siquiera en el terreno macroscópico.
A pesar de todo, nadie pensó en abandonar el concepto de espacio, porque parecía imprescindible en ese sistema global de la ciencia natural tan magníficamente acreditado. Mach fue el único que en el siglo XIX pensó seriamente en eliminar el concepto de espacio, intentando sustituirlo por el concepto del conjunto de las distancias actuales de todos los puntos materiales. (E hizo este intento con el fin de llegar a una concepción satisfactoria de la inercia.)
El campo. El espacio y el tiempo desempeñan en la mecánica newtoniana un papel doble. En primer lugar, como soporte o marco para el acontecer físico, respecto al cual los sucesos vienen descritos por las coordenadas espaciales y el tiempo. La materia es vista en esencia como compuesta de "puntos materiales" cuyos movimientos constituyen el acontecer básico. Cuando se la concibe como continua es en cierto modo con carácter provisional y en aquellos casos en los que no se quiere o no se puede descubrir la estructura discreta. Entonces se dispensa el tratamiento de puntos materiales a pequeñas partes (elementos de volumen) de la materia, al menos en la medida en que se trate simplemente de movimientos y no de procesos cuya reducción a movimientos no fuese posible o conveniente (p. ej., variaciones de temperatura, procesos químicos). El segundo papel del espacio y del tiempo era el de "sistema inercial". De entre todos los sistemas de referencia imaginables, los inerciales se distinguían por el hecho de que respecto a ellos era valido el principio de inercia.
Lo esencial en esto es que lo "físicamente real", imaginado como independiente de los sujetos que lo vivencian, se interpretaba —al menos en teoría— como compuesto de espacio y tiempo, por un lado, y de puntos materiales permanentemente existentes y en movimiento respecto a aquellos, por otro. La idea de la existencia independiente del espacio y del tiempo cabe expresarla drásticamente así: Si desapareciera la materia, quedarían únicamente el espacio y el tiempo (como una especie de escenario para el acontecer físico).
La superación de este punto de vista resulto de una evolución que al principio no parecía guardar ninguna relación con el problema del espacio- tiempo: la aparición del concepto de campo y su aspiración final de sustituir el concepto de partícula (punto material). En el marco de la física clásica, el concepto de campo se instalo como concepto auxiliar en aquellos casos en que se trataba la materia como un continuo. En el estudio de la conducción del calor en un sólido, por poner un caso, el estado se describe especificando la temperatura en cada punto del cuerpo y en cada instante de tiempo. Matemáticamente quiere decir: la temperatura T es representada como expresión matemática (función) de la coordinación espacial con el tiempo t (campo de temperaturas). La ley de la conducción del calor se representa como una relación local (ecuación diferencial) que comprende todos los casos especiales de aquella. La temperatura es aquí un sencillo ejemplo del concepto de campo: una magnitud (o un complejo de magnitudes) que es función de las coordenadas y del tiempo. Otro ejemplo es la descripción del movimiento de un fluido. En cada punto y en cada instante existe una velocidad que viene descrita cuantitativamente por sus tres "componentes" respecto a los ejes de un sistema de coordenadas (vector). Las componentes de la velocidad en un punto (componentes del campo) son también aquí funciones de las coordenadas (x, y, z) y del tiempo (t).
Los campos mencionados se caracterizan por aparecer únicamente en el interior de una masa ponderable; lo único que pretenden es describir un estado de esa materia. Allí donde no había materia no podía existir tampoco —de acuerdo con la génesis del concepto— ningún campo. En el primer cuarto del siglo XIX se comprobó, sin embargo, que los fenómenos de interferencia y movimiento de la luz admitían una explicación asombrosamente nítida si se interpretaba la luz como un campo de ondas, completamente análogo al campo de oscilaciones mecánicas en un solido elástico. Fue entonces necesario introducir un campo que pudiese existir incluso en ausencia de materia ponderable, en el vacío.
Este estado de cosas creó una situación paradójica, porque el concepto de campo, de acuerdo con su origen, parecía limitarse a describir estados en el interior de un cuerpo ponderable. Lo cual parecía tanto más seguro cuanto que existía la convicción de que todo campo había que concebirlo como un estado mecánicamente interpretable, presuponiendo eso la presencia de materia. Se vio así la necesidad de suponer por doquier, incluso en ese espacio que hasta entonces se reputaba vacío, la existencia de una materia que se denomino "éter".
La forma en que el concepto de campo se sacudió el yugo impuesto por un sustrato material pertenece a los procesos psicológicamente más interesantes en la evolución del pensamiento físico. En la segunda mitad del siglo XIX, y a raíz de las investigaciones de Faraday y Maxwell, se vio cada vez mías claro que la descripción de los procesos electromagnéticos con ayuda de la idea del campo era muy superior a un tratamiento basado en conceptos de puntos mecánicos. Maxwell, gracias a la introducción del concepto de campo en la Electrodinámica, consiguió predecir la existencia de las ondas electromagnéticas, cuya fundamental identificación con las ondas luminosas era indudable, aunque solo fuese por la igualdad de sus velocidades de propagación. Como consecuencia de ello, la óptica quedo absorbida en principio por la Electrodinámica. Uno de los efectos psicológicos de este imponente éxito fue que el concepto de campo adquirió paulatinamente mayor autonomía frente al marco mecanicista de la física clásica.
Pese a todo, se dio en un principio por supuesto que los campos electro- magnéticos había que interpretarlos como estados del éter, y se intento con gran celo explicar estos estados como mecánicos. Tuvieron que fracasar estas tentativas una y otra vez para que se empezara a renunciar poco a poco a la interpretación mecánica, persistiendo sin embargo el convencimiento de que los campos electromagnéticos eran estados del éter. Así estaban las cosas hacia la vuelta del siglo.
La teoría del éter trajo consigo la pregunta de cómo se comporta mecánicamente el éter frente a los cuerpos ponderables. ¿Participa de los movimientos de los cuerpos o están sus partes en reposo mutuo? Muchos fueron los experimentos ingeniosos que se realizaron para dirimir esta cuestión. Como hechos que eran importantes en este contexto entraban también en consideración la aberración de las estrellas fijas como consecuencia del movimiento anual de la Tierra, así como el "efecto Doppler" (influencia del movimiento relativo de las estrellas fijas sobre la frecuencia de la luz que llega hasta nosotros y que posee una frecuencia de emisión conocida). Los resultados de estos hechos y experimentos (salvo uno, el experimento de Michelson- Morley) los explico H. A. Lorentz con la hipótesis de que el éter no participa de los movimientos de los cuerpos ponderables y de que las partes del éter no tienen absolutamente ningún movimiento relativo mutuo. El éter aparecía así en cierto modo como la encarnación de un espacio absolutamente en reposo. Pero la investigación de Lorentz dio además otros frutos. Explico los procesos electromagnéticos y ópticos entonces conocidos en el interior de los cuerpos ponderables, suponiendo para ello que el influjo de la materia ponderable sobre el campo eléctrico (y a la inversa) se debe exclusivamente a que las partículas de la materia portan cargas eléctricas que participan del movimiento de las partículas. En relación con el experimento de Michelson-Morley demostró H. A. Lorentz que su resultado no estaba al menos en contradicción con la teoría del éter en reposo.
Pese a todos estos éxitos tan hermosos, el estado de la teoría no era del todo satisfactorio, por la siguiente razón. La Mecánica clásica, de la cual no cabía dudar que era válida con gran aproximación, postula la equivalencia de todos los sistemas inerciales (o espacios inerciales) para la formulación de las leyes de la naturaleza (invariancia de las leyes de la naturaleza respecto al paso de un sistema inercial a otro). Los experimentos electromagnéticos y ópticos demostraron lo mismo con gran exactitud, mientras que el fundamento de la teoría electromagnética postulaba el privilegio de un sistema inercial especial, a saber, el del éter luminífero en reposo. Esta concepción del fundamento teórico era demasiado insatisfactoria. ¿No cabía alguna modificación de este que respetara —como la Mecánica clásica— la equivalencia de los sistemas inerciales (principio de la relatividad especial)?
La respuesta a esta pregunta es la teoría de la relatividad especial, que toma de la de Maxwell-Lorentz la hipótesis de la constancia de la velocidad de la luz en el vacío. Para hacer que esta hipótesis sea compatible con la equivalencia de los sistemas inerciales (principio de la relatividad especial) hay que abandonar el carácter absoluto de la simultaneidad; aparte de eso, se siguen de ahí las transformaciones de Lorentz para el tiempo y para las coordenadas espaciales, que permiten pasar de un sistema inercial a otro. El contenido entero de la teoría de la relatividad especial se contiene en el postulado siguiente: las leyes de la naturaleza son invariantes respecto a las transformaciones de Lorentz. La importancia de este requisito reside en que restringe de manera muy determinada las posibles leyes de la naturaleza.
¿Cuál es la postura de la teoría de la relatividad especial frente al problema del espacio? Ante todo hay que guardarse de la opinión de que fue esta teoría la que introdujo el carácter cuadridimensional de la realidad. También en la Mecánica clásica vienen localizados los sucesos (events) mediante cuatro números, tres coordenadas espaciales y otra temporal; la totalidad de los "sucesos" físicos se concibe, pues, como inmersa en una variedad continua cuadridimensional. Pero, según la Mecánica clásica, este continuo cuadridimensional se descompone objetivamente en un tiempo unidimensional y en secciones espaciales tridimensionales que solo contienen sucesos tridimensionales. Esta descomposición es la misma para todos los sistemas inerciales. La simultaneidad de dos sucesos determinados respecto a un sistema inercial implica la simultaneidad de estos sucesos respecto a todos los sistemas inerciales. Esto es lo que debe entenderse cuando se dice que el tiempo de la Mecánica clásica es absoluto. En la teoría de la relatividad especial ya no es así La idea del conjunto de sucesos que son simultáneos a otro determinado existe en relación a un determinado sistema inercial, pero ya no con independencia de la elección del sistema inercial. El continuo cuadridimensional no se descompone ya objetivamente en secciones que contienen todos los sucesos simultáneos; el "ahora" pierde para el mundo, espacialmente extenso, su significado objetivo. De ahí que haya que concebir espacio y tiempo, objetivamente indisolubles, como un continuo cuadridimensional si se quiere expresar el contenido de las relaciones objetivas sin arbitrariedades convencionales y prescindibles.
La teoría de la relatividad especial, al demostrar la equivalencia física de todos los sistemas inerciales, puso de manifiesto el carácter insostenible de la hipótesis del éter en reposo. Hubo que renunciar por eso a la idea de interpretar el campo electromagnético como estado de un sustrato material. El campo se convierte asá en un elemento irreducible de la descripción física, e irreducible en el mismo sentido que el concepto de materia en la teoría newtoniana.
Hasta aquí hemos centrado la atención en el tema de hasta qué punto la teoría de la relatividad especial modifica los conceptos de espacio y tiempo. Vamos a fijarnos ahora en aquellos elementos que la teoría toma de la mecánica clásica. Al igual que en esta, en la relatividad especial las leyes de la naturaleza sólo aspiran a validez cuando la descripción espacio-temporal se basa en un sistema inercial. El principio de inercia y el de la constancia de la velocidad de la luz solamente son validos respecto a un sistema inercial. También las leyes del campo aspiran a tener sentido y validez respecto a sistemas inerciales únicamente. Por consiguiente, al igual que en la Mecánica clásica, el espacio es, también aquí, una componente independiente de la representación de lo físicamente real. El espacio (inercial) —o con más exactitud, este espacio, junto con el correspondiente tiempo— es lo que queda al suprimir mentalmente la materia y el campo. Esta estructura cuadridimensional (espacio de Minkowski) se concibe como soporte de la materia y del campo. Los espacios inerciales, con sus correspondientes tiempos, son solo sistemas de coordenadas cuadridimensionales privilegiados que se relacionan entre sí a través de transformaciones de Lorentz lineales. Dado que en esta estructura cuadridimensional ya no hay secciones que representen objetivamente el "ahora", el concepto de "ocurrir" y "devenir" no es que quede eliminado completamente, pero sí se complica. Parece, por tanto, más natural imaginar lo físicamente real como un ser cuadridimensional en lugar de contemplarlo, como hasta entonces, como el devenir de un ser tridimensional.
Este espacio cuadridimensional rígido de la teoría de la relatividad especial es en cierto modo el homólogo cuadridimensional del éter tridimensional rígido de H. A. Lorentz. Para esta teoría vale también el enunciado: la descripción de los estados físicos presupone el espacio como algo que viene dado de antemano y que lleva una existencia independiente. Quiere decirse que esta teoría tampoco elimina el recelo de Descartes en punto a la existencia autónoma, incluso a priori, del "espacio vacío". El mostrar hasta qué punto la teoría de la relatividad general supera estas reservas es la verdadera meta de estas reflexiones elementales.
El concepto de espacio en la teoría de la relatividad general. Esta teoría nació en principio del intento de comprender la igualdad entre masa inercial y masa gravitatoria. Se parte de un sistema inercial Si cuyo espacio está físicamente vacío. Quiere decir esto que en la porción de espacio considerada no existe ni materia (en el sentido usual) ni un campo en el sentido de la teoría de la relatividad especial. Sea S 2 un segundo sistema de referencia uniformemente acelerado respecto a S1. S2 no es, pues, un sistema inercial. Respecto a S2, cualquier masa de prueba se movería aceleradamente, y además independientemente de su constitución física y química. Respecto a S2 existe por tanto un estado que —al menos en primera aproximación— no cabe distinguir de un campo gravitacional. El estado de cosas que se percibe es por tanto compatible con la siguiente concepción: también S2 es equivalente a un "sistema inercial", pero respecto a S2 existe un campo gravitacional (homogéneo) (cuyo origen no nos preocupa en este contexto). Así pues, si se incluye el campo gravitacional en el marco de las consideraciones, entonces el sistema inercial pierde su significado objetivo, siempre y cuando este "principio de equivalencia" se pueda extender a cualquier movimiento relativo de los sistemas de referencia. Si es posible fundamentar en estas ideas básicas una teoría consistente, entonces satisfará de por sí el hecho, empíricamente muy bien fundado, de la igualdad entre masa inercial y gravitatoria.
Cuadridimensionalmente, el paso de Si a S2 se corresponde con una transformación no lineal de las cuatro coordenadas. Se plantea entonces la pregunta: ¿qué transformaciones no lineales deben permitirse?, o bien ¿cómo debe generalizarse la transformación de Lorentz? Para responder a esta pregunta es decisiva la siguiente reflexión.
Al sistema inercial de las teorías anteriores se le atribuye la propiedad de que las diferencias de coordenadas se miden por medio de reglas "rígidas" (en reposo) y las diferencias temporales mediante relojes (en reposo). El primer supuesto se complementa con la hipótesis de que para las posibilidades de colocación relativa de las reglas en reposo valen los teoremas sobre "segmentos" de la geometría euclidiana. De los resultados de la teoría de la relatividad especial se infiere entonces, mediante consideraciones elementales, que esta interpretación física directa de las coordenadas se echa a perder para sistemas de referencia (S2) acelerados respecto a sistemas inerciales (S1). Mas en ese caso las coordenadas sólo expresan ya el orden de lo "yuxtapuesto" (y con ello el grado de dimensiones del espacio), pero no las propiedades métricas del espacio. De esta manera se llega a extender las transformaciones a cualesquiera transformaciones continuas [27]. Esto es lo que implica la teoría de la relatividad general. Las leyes de la naturaleza tienen que ser covariantes respecto a cualesquiera transformaciones continuas de las coordenadas. Este requisito (en conjunción con el de la máxima simplicidad lógica de las leyes) restringe las posibles leyes naturales de un modo incomparablemente más fuerte que el principio de la relatividad especial.
El razonamiento se basa esencialmente en el campo como concepto independiente. Pues las condiciones que prevalecen respecto a S2 se interpretan como campo gravitacional, sin que se plantee la cuestión de la existencia de masas que engendren el campo. Y este razonamiento permite también comprender por qué las leyes del campo gravitacional puro están conectadas más directamente con la idea de la relatividad general que las leyes para campos de clase general (cuando existe un campo electromagnético, por ejemplo). Pues tenemos buenas razones para suponer que el espacio de Minkowski "libre de campo" representa un caso especial permitido por las leyes de la naturaleza, y en concreto el caso especial más sencillo que cabe imaginar. Un espacio semejante se caracteriza, en relación a su propiedad métrica, por el hecho de quedx12 + dx22 + dx32 es el cuadrado de la distancia espacial, medida con una regla unidad, entre dos puntos infinitesimalmente próximos de una sección espacial tridimensional (teorema de Pitágoras), mientras que dx1 es la distancia temporal —medida con una unidad de tiempo conveniente— entre dos sucesos con ( x1, x2, x3) comunes. De aquí se deduce —como es fácil mostrar con ayuda de las transformaciones de Lorentz— que la cantidad
ds2 = dxl2 + dx22 + dx32 - dx42(1)
posee un significado métrico objetivo. Matemáticamente se corresponde este hecho con la circunstancia de que ds2 es invariante respecto a transformaciones de Lorentz.Si, en el sentido del principio de la relatividad general, se somete ahora este espacio a una transformación de coordenadas arbitraria pero continua, esa cantidad objetivamente significativa se expresa en el nuevo sistema de coordenadas por la relación
ds2 = gik dxi × dxk (2)
donde hay que sumar en los subíndices i y k en todas sus combinaciones 11, 12, ... hasta 44. Ahora bien, las gik ya no son constantes, sino funciones de las coordenadas, y vienen determinadas por la transformación arbitrariamente elegida. A pesar de ello, las gik no son funciones arbitrarias de las nuevas coordenadas, sino precisamente funciones tales que la forma (2) pueda transformarse de nuevo en la forma (1) mediante una transformación continua de las cuatro coordenadas. Para que esto sea posible, las funciones gik tienen que cumplir ciertas ecuaciones generalmente covariantes que B. Riemann derivo más de medio siglo antes del establecimiento de la teoría de la relatividad general ("condición de Riemann"). Según el principio de equivalencia, ( 2) describe en forma generalmente covariante un campo gravitacional de tipo especial, siempre que las gik cumplan la condición de Riemann.Así pues, la ley para el campo gravitacional puro de tipo general debe cumplir las siguientes condiciones. Debe satisfacerse cuando se satisface la condición de Riemann; pero debe ser más débil, es decir, menos restrictiva que la condición de Riemann. Con ello queda prácticamente determinada por completo la ley de campo de la gravitación pura, cosa que no vamos a fundamentar aquí con más detalle.
Ahora ya estamos preparados para ver hasta qué punto el paso a la teoría de la relatividad general modifica el concepto de espacio. Según la Mecánica clásica y según la teoría de la relatividad especial, el espacio (espacio-tiempo) tiene una existencia independiente de la materia o del campo. Para poder describir aquello que llena el espacio, aquello que depende de las coordenadas, hay que imaginar que el espacio-tiempo, o el sistema inercial con sus propiedades métricas, viene dado desde un principio, porque si no carecería de sentido la descripción de "aquello que llena el espacio" [28]. Por el contrario, según la teoría de la relatividad general, el espacio no tiene existencia peculiar al margen de "aquello que llena el espacio", de aquello que depende de las coordenadas. Sea, por ejemplo, un campo gravitacional puro descrito por las gik (como funciones de las coordenadas) mediante resolución de las ecuaciones gravitacionales. Si suprimimos mentalmente el campo gravitatorio, es decir, las funciones gik, lo que queda no es algo así como un espacio del tipo (1), sino que no queda absolutamente nada, ni siquiera un "espacio topológico". Pues las funciones gik describen no sólo el campo, sino al mismo tiempo también la estructura y propiedades topológicas y métricas de la variedad. Un espacio del tipo (1) es, en el sentido de la teoría de la relatividad general, no un espacio sin campo, sino un caso especial del campo gik para, el cual las g ik (para el sistema de coordenadas empleado, que en sí no tiene ningún significado objetivo) poseen valores que no dependen de las coordenadas; el espacio vacío, es decir, un espacio sin campo, no existe.
Así pues, Descartes no estaba tan confundido al creerse obligado a excluir la existencia de un espacio vacío. Semejante opinión parece ciertamente absurda mientras uno solo vea lo físicamente real en los cuerpos ponderables. Es la idea del campo como representante de lo real, en combinación con el principio de la relatividad general, la que muestra el verdadero meollo de la idea cartesiana: no existe espacio "libre de campo".
Teoría de la gravitación generalizada. La teoría del campo gravitacional puro, asentada sobre el firme de la teoría de la relatividad general, es fácilmente accesible porque podemos confiar en que el espacio de Minkowski "libre de campo" con la métrica de ( 1) tiene que corresponderse con las leyes generales del campo. A partir de este caso especial se sigue la ley de gravitación mediante una generalización prácticamente exenta de toda arbitrariedad. La ulterior evolución de la teoría no esta tan unívocamente determinada por el principio de la relatividad general; en los últimos decenios ha habido intentos en distintas direcciones. Todos ellos tienen en común la interpretación de lo físicamente real como campo, siendo este una generalización del campo gravitacional y la ley del campo una generalización de la ley para el campo gravitacional puro. Creo que ahora, tras largos tanteos, he hallado la forma más natural para esta generalización [29]; pero hasta la fecha no he logrado averiguar si esta ley generalizada resiste o no la confrontación con los hechos experimentales.
Para las consideraciones generales que anteceden es secundario conocer la ley del campo concreta. La cuestión principal es actualmente la de si una teoría de campo como la que aquí nos interesa puede siquiera llevarnos al objetivo. Nos referimos a una teoría que describa exhaustivamente lo físicamente real (con inclusión del espacio cuadridimensional) mediante un campo. La presente generación de físicos se inclina por contestar negativamente a esta pregunta; opinan, en concordancia con la forma actual de la teoría cuántica, que el estado de un sistema no se puede caracterizar directa sino sólo indirectamente, mediante especificación de la estadística de las medidas realizadas en el sistema; prevalece la convicción de que la naturaleza dual (corpuscular y ondulatoria), confirmada experimentalmente, sólo puede alcanzarse mediante un debilitamiento semejante del concepto de realidad. Mi opinión es que nuestros conocimientos reales no justifican una renuncia teórica de tan largo alcance, y que no se debería dejar de estudiar hasta el final el camino de la teoría de campos relativista.
F I N
Notas:
W = w + v (1- 1/n2),
donde n = c/w es el índice de refracción del líquido.Por otro lado, debido a que vw/c2es muy pequeño frente a 1, se puede sustituir (B) por
W = (w+v) (1- vw/2),
o bien, con la misma aproximación,w+v (1- 1/n2),
lo cual concuerda con el resultado de Fizeau.
