¿Tan solo una ilusión?
Iliya Prigogine
Muchas personas deploran la imparable especialización de la ciencia. John Ziman, por ejemplo, advierte el inquietante éxito de la consigna: saber cada vez más, aunque de menos cosas. Una cierta (mucha) filosofía moderna se escora curiosamente en sentido inverso; tiende a convertirse en una especie de periodismo de lujo que simpatiza con el lema: saber cada vez menos pero de más cosas. Ambas tendencias tienen un límite patético: saber todo de nada —o sea nada— en el caso de la ciencia, o bien saber nada de todo —o sea igualmente nada— en el caso de la filosofía. Un vistazo al sumario del texto que presentamos es suficiente para percibir cómo el autor, Ilya Prigogine (Premio Nobel de Química 1977 por sus trabajos en física con sugerentes consecuencias en otros dominios del pensamiento), tiende una mano desde la ciencia para comprender la vida y la cultura. Digamos que ofrece alimento físico a la filosofía o bien, en nuestra particular jerga, que se mueve en un territorio genuinamente metatémico.No se trata de usar la presentación para adelantar, elogiar o resumir el texto que sigue, pero sí convienen dos comentarios en cuanto a forma y contenido. En primer lugar, y dado el carácter de esta selección de ensayos (conferencias y artículos), el texto presenta algunas fugaces insistencias o la repetición de cierta glosa, ejemplo o anécdota. Bien, esto es más bueno que malo. Es consecuencia de la espontaneidad del material, es el equivalente de las toses y de los rumores en una grabación en directo. Son ocasionales redundancias (toda redundancia protege alguna información) que no hubiera sido lícito eliminar y que ayudan a subrayar ciertos conceptos e ideas.
El segundo comentario se refiere a la presentación del contenido. Es bien sabido que diagramas y fórmulas matemáticas no son sino las muletas del científico y suponen, entre otras cosas, una ayuda para mejorar o para hacer posible la expresión de una idea. Pero también es cierto que fórmulas y diagramas son el terror del no científico que, con sólo verlas, se hace la reflexión de «esto no es para mí». Las muletas no suelen ser armas ofensivas, pero, mientras esto no se aclare, digamos que este libro tiene dos partes. La primera parte no recurre a las matemáticas por lo que puede ser leída confiadamente por todo el mundo. Y, para aquél que esté más próximo a la ciencia, para el científico o para el esforzado y voluntarioso lector, existe también una parte segunda en la que los nuevos conceptos e ideas se presentan, desarrollan y discuten según el rigor científico. Destaquemos el capítulo noveno que contiene una buena perspectiva general de los fundamentos físicos utilizados en la primera parte.
Jorge Wagensberg.
PARTE I
§ 1. Tan sólo una ilusión[1]
1.
Empezaré con una anécdota del joven Werner Heisenberg,2 en cierta ocasión, cuando paseaba con Niels Bohr durante una visita al castillo de Kronberg.[3] Heisenberg pone en boca de Bohr la siguiente reflexión:« ¿No es extraño cómo cambia este castillo al rememorar que Hamlet vivió en él? Como científicos, creemos que un castillo es una simple construcción de piedra y admiramos al arquitecto que lo proyectó. Las piedras, el tejado verde con su pátina, las tallas de la capilla, es lo que forma el castillo. Nada debería cambiar por el hecho de que Hamlet viviera en él y, sin embargo, cambia totalmente. De pronto, muros y almenas hablan otro lenguaje… Y, en definitiva, de Hamlet sólo sabemos que su nombre figura en una crónica del siglo XIII … pero nadie ignora los interrogantes que Shakespeare le atribuye, los arcanos de la naturaleza humana que con él nos abre, y para ello tenía que situarle en un lugar al sol, aquí en Kronberg».Esta historia plantea sin más una cuestión tan vieja como la humanidad: el significado de la realidad.
Cuestión indisociable de otra: el significado del tiempo. Para nosotros, tiempo y existencia humana y, en consecuencia, la realidad, son conceptos indisociables. Pero ¿lo son necesariamente? Citaré la correspondencia entre Einstein y su viejo amigo Besso.[4] En sus últimos años, Besso insiste constantemente en la cuestión del tiempo. ¿Qué es el tiempo, qué es la irreversibilidad? Einstein, paciente, no se cansa de contestarle, la irreversibilidad es una ilusión, una impresión subjetiva, producto de condiciones iniciales excepcionales.
La correspondencia quedaría interrumpida por la muerte de Besso, unos meses antes que Einstein. Al producirse el óbito, Einstein escribió en una emotiva carta a la hermana y al hijo de Besso:
«Michele se me ha adelantado en dejar este extraño mundo. Es algo sin importancia. Para nosotros, físicos convencidos, la distinción entre pasado, presente y futuro es sólo una ilusión, por persistente que ésta sea».«Sólo una ilusión»… Debo confesar que la frase me impresionó enormemente. Creo que expresa de un modo excepcionalmente notable el poder simbólico de la mente.
En realidad, Einstein, en la carta, no hacía más que reiterar lo que Giordano Bruno escribiera en el siglo XIV y que, durante siglos, sería el credo de la ciencia:[5]
«El universo es, por lo tanto, uno, infinito e inmóvil. Uno, digo; es la posibilidad absoluta, uno el acto, una la forma del alma, una la materia o el cuerpo, una la cosa, uno el ser, uno lo máximo y lo óptimo, lo que no admite comprensión y, aún, eterno e interminable, y por eso mismo infinito e inacabable y, consecuentemente, inmóvil. No tiene movimiento local, porque nada hay fuera de él que pueda ser trasladado, entendiéndose que es el todo. No tiene generación propia, ya que no hay otra cosa que pueda desear o buscar, entendiéndose que posee todos los seres. No es corruptible, ya que no hay otra cosa en la que pueda tornarse, entendiéndose que él es toda cosa. No puede disminuir ni aumentar, entendiéndose que es infinito, y, por consiguiente, aquello a lo que nada puede añadirse y nada sustraerse, ya que el universo no tiene partes proporcionales. No es alterable en ninguna otra disposición, porque no tiene nada externo por lo que pueda sufrir y a través de lo cual pueda ser afectado».Durante mucho tiempo la concepción de Bruno dominaría el pensamiento científico de Occidente, del que se derivaría «el concepto mecanicista del mundo» con sus dos elementos básicos:[6]
- sustancias inmutables, átomos, moléculas o partículas elementales;
- locomoción.
La Odisea representa el contrapunto dialéctico de La Ilíada.[8] Odiseo puede elegir, y su fortuna es poder optar entre la eterna juventud y la inmortalidad, siendo para siempre amante de Calipso, o el regreso a la humanidad y, en definitiva, a la vejez y la muerte. Sin embargo, elige el tiempo por la eternidad, el destino humano por el destino de los dioses.
Sigamos con la literatura, pero más próximos a nuestra época. Paul Valéry, en su Cimetière marin, describe la lucha del hombre que se enfrenta al tiempo duración que, ilimitado, se extiende ante nosotros. En sus Cahiers[9] —esa serie de volúmenes de notas que el poeta solía redactar al amanecer—, vuelve una y otra vez sobre el problema del tiempo: Tiempo, ciencia por construir. Hay en Valéry un profundo sentimiento por lo inesperado; ¿por qué las cosas suceden así? Está claro que no podían satisfacer a Valéry simples explicaciones como los esquemas que implican un determinismo universal en el que se da por supuesto que en cierto modo todo está dado . Escribe Valéry:[10]«Le déterminisme —subtil anthropomorphisme— dit que tout se passe comme dans une machine telle qu’elle est comprise par moi. Mais toute loi mécanique est au fond irrationnelle, expérimentale. (…) Le sens du mot déterminisme est du même degré de vague que celui du mot liberté.
»(…) Le déterminisme rigoureux est profondément déiste. Car il faudrait un dieu pour apercevoir cet enchaînement infini complet. Il faut imaginer un dieu, un front de dieu pour imaginer cette logique. C’est un point de vue divin. De sorte que le dieu retranché de la création et de l’invention de l’univers est restitué pour la compréhension de cet univers. Qu’on le veuille ou non, un dieu est posé nécessairement dans la pensée du déterminisme et c’est une rigoureuse ironie».[11]La observación de Valéry es importante, y volveré a ella. El determinismo sólo es concebible para un observador situado fuera del mundo, cuando lo que nosotros describimos es el mundo desde dentro.
Esta preocupación de Valéry por el tiempo no es un fenómeno aislado a comienzos de nuestro siglo. Podemos citar, sin orden ni concierto, a Proust, Bergson,[12] Teilhard, Freud, Pierce o Whitehead.[13]
Como hemos dicho, el veredicto de la ciencia parecía inapelable. A pesar de ello, una y otra vez se formulaba la pregunta ¿cómo esto es así? ¿Debemos realmente elegir dramáticamente entre la realidad atemporal que conduce a la alienación humana y la afirmación del tiempo que parece desafiar la racionalidad científica?
Casi toda la filosofía europea desde Kant a Whitehead se nos muestra como un intento de superar de una u otra forma el imperativo de esta elección.[14] No podemos entrar en detalles, pero resulta evidente que la distinción kantiana entre el mundo del numen y el mundo del fenómeno fue un paso en este sentido, del mismo modo que el concepto de Whitehead sobre filosofía del proceso. Ninguno de estos intentos ha alcanzado un éxito definitivo. Como consecuencia, hemos asistido a una decadencia progresiva de la «filosofía de la naturaleza». Estoy totalmente de acuerdo con Leclerc cuando dice:
«En el siglo actual, sufrimos las consecuencias del divorcio entre ciencia y filosofía que siguió al triunfo de la física newtoniana en el siglo XVIII. Y no es sólo el diálogo entre ciencia y filosofía el que se ha resentido».Ésta es una de las raíces de la dicotomía en «dos culturas». Existe una oposición irreductible entre la razón clásica, que es una visión atemporal, y nuestra existencia, con la consiguiente interpretación del tiempo a modo del torbellino descrito por Nabokov en Mira los arlequines .[15] Pero algo realmente espectacular está sucediendo en la ciencia, algo tan inesperado como el nacimiento de la geometría y la grandiosa visión del cosmos, expresada en la obra de Newton. Poco a poco, somos cada vez más conscientes del hecho de que, a todos los niveles, desde las partículas elementales hasta la cosmología, la ciencia redescubre el tiempo.
Aún estamos inmersos en el proceso de re conceptualización de la física y todavía no sabemos adónde nos llevará. Pero sin duda se abre con él un nuevo capítulo del diálogo entre el hombre y la naturaleza. En esta perspectiva, el problema de la relación entre ciencia y valores humanos, el tema central de este ciclo de Conferencias Tanner, puede contemplarse desde una nueva óptica.
Un diálogo entre ciencias naturales y ciencias humanas, incluidas arte y literatura, puede adoptar una orientación innovadora y quizá convertirse en algo tan fructífero como lo fuera durante el período griego clásico o durante el siglo XVII con Newton y Leibniz.
2.
Para entender los cambios que se avecinan en nuestra época, puede servirnos efectuar un balance previo de la herencia científica del siglo XIX . Considero que este legado contenía dos contradicciones básicas o, cuando menos, dos cuestiones básicas que quedaron sin respuesta.Como es sabido, el siglo XIX fue fundamentalmente el siglo del evolucionismo. Baste con citar los trabajos de Darwin en biología, de Hegel en filosofía o la formulación en física de la famosa ley de la entropía.
Empecemos por Darwin, de cuya muerte se cumple este año el centenario. Aparte de la importancia de El origen de las especies, publicado en 1859, en el ámbito estricto de la evolución biológica, existe un elemento general implícito en el enfoque darwiniano que quiero poner de relieve.[16] En su concepción se combinan dos elementos: por un lado, la asunción espontánea de fluctuaciones en las especies biológicas, las que posteriormente, merced a la selección del medio, conducen a la evolución biológica irreversible . Por lo tanto, su modelo combina dos elementos que mencionaremos con frecuencia: la idea de fluctuaciones o azar, de procesos estocásticos y la idea de evolución, de irreversibilidad . Pongamos de relieve que, a nivel biológico, de esta asociación resulta una evolución que corresponde a una complejidad creciente y a la autoorganización.
Es totalmente lo contrario al significado que generalmente se atribuye a la ley de aumento de entropía, tal como la formuló Clausius en 1865. El elemento básico en dicha ley es la distinción entre procesos reversibles e irreversibles. Los procesos reversibles ignoran una dirección privilegiada del tiempo. Piénsese en un muelle que oscila en un medio libre de fricción o en el movimiento planetario. Por el contrario, los procesos irreversibles implican una flecha temporal. Si juntamos dos líquidos, tienden a mezclarse, pero esta mezcla no se observa como un proceso espontáneo. Toda la química se basa en procesos irreversibles. Esta distinción se halla contenida en la formulación de la segunda ley, que postula la existencia de una función, la entropía (entropía, en griego, significa evolución), que, en un sistema aislado, sólo puede aumentar debido a la presencia de procesos irreversibles, mientras que se mantiene constante durante los procesos reversibles. Por lo tanto, en un sistema aislado, la entropía alcanza al final un valor máximo cuando el sistema llega al equilibrio y cesa el proceso irreversible.
El trabajo de una vida de uno de los más grandes físicos teóricos de todos los tiempos, Ludwig Boltzmann,[17] fue hacer la primera interpretación microscópica de este aumento de entropía. Estudió la teoría cinética de los gases, convencido de que el mecanismo de cambio, de «evolución», se describiría en términos de colisión molecular. Su principal conclusión fue que la entropía S está estrechamente relacionada con la probabilidad P. Todos han oído hablar de la célebre fórmula:
S = k ln P
grabada en la lápida de Boltzmann tras su trágico suicidio en 1906. En ella, k es una constante universal a la que Planck[18] asoció el nombre de Boltzmann. De igual modo que en el caso de Darwin, evolución y probabilidad, azar, están estrechamente relacionados. Sin embargo, el resultado de Boltzmann es distinto al de Darwin, e incluso contradictorio. La probabilidad alcanza el máximo cuando se llega a la uniformidad . Piénsese en un sistema constituido por dos recipientes que se comunican por un pequeño orificio. Es evidente que el equilibrio se alcanza cuando en cada compartimento hay igual número de partículas. Por lo tanto, la aproximación al equilibrio corresponde a la destrucción de condiciones iniciales prevalentes, al olvido de las estructuras primitivas; contrariamente al enfoque de Darwin, para quien evolución significa creación de nuevas estructuras.Por lo tanto, con esto, volvemos a la primera cuestión, a la primera contradicción heredada del siglo XIX: ¿cómo pueden tener razón a la vez, Boltzmann y Darwin? ¿Cómo podemos describir a la vez la destrucción de estructuras y los procesos que implican autoorganización? Sin embargo, como he señalado antes, ambos procesos contienen elementos comunes: la idea de probabilidad (expresada en la teoría de Boltzmann en términos de colisiones entre partículas) y de irreversibilidad que se desprende de esta descripción probabilística. Antes de explicar cómo tanto Boltzmann como Darwin tienen razón, veamos en qué consiste la segunda contradicción.
3.
Entramos ahora en una problemática mucho más arraigada que la oposición entre Boltzmann y Darwin. El prototipo de la física clásica es la mecánica clásica, el estudio del movimiento, la descripción de trayectorias que trasladan un punto de la posición A a la posición B. Una de las propiedades básicas de la descriptiva dinámica es su carácter reversible y determinista. Dadas unas condiciones iniciales apropiadas, podemos predecir con exactitud la trayectoria. Además, la dirección del tiempo no desempeña papel alguno.[19] Predicción y retro predicción son idénticas. Por lo tanto, en el nivel dinámico fundamental no parece existir lugar para el azar m la irreversibilidad. Hasta cierto punto, la situación es la misma en física cuántica. En ella ya no se habla de trayectorias, sino de funciones de onda. También aquí la función de onda evoluciona con arreglo a leyes reversibles deterministas.Como consecuencia, el universo aparece como un vasto autómata. Ya hemos mencionado que, para Einstein, el tiempo, en el sentido de tiempo direccional, de irreversibilidad, era una ilusión. En términos bastante generales, la actitud clásica en relación con el tiempo era una especie de desconfianza, como puede comprobarse en numerosos libros y publicaciones. Por ejemplo, en su monografía, The ambidextrous Universe, Martin Gardner[20] dice que la segunda ley únicamente hace improbables ciertos procesos, pero no imposibles. En otras palabras, la ley de aumento de entropía sólo se referiría a una dificultad práctica sin fundamento profundo. De igual modo, en su famoso libro El azar y la necesidad, Jacques Monod[21] expone la tesis de que la vida es un simple accidente en la historia de la naturaleza. Es decir, sería un tipo de fluctuación que, por algún motivo no muy claro, es capaz de mantenerse.
Es cierto que, independientemente de nuestra apreciación final de estos complejos problemas, el universo en que vivimos posee un carácter plural y complejo. Desaparecen estructuras, como en los procesos de difusión, pero aparecen otras estructuras, como en biología y, con mayor claridad aún, en los fenómenos sociales. Por lo que sabemos, algunos fenómenos están adecuadamente descritos por ecuaciones deterministas, como sucede con los movimientos planetarios, pero otros, como la evolución biológica, implican procesos estocásticos. Incluso un científico convencido de la validez de las descripciones deterministas dudaría seguramente en inferir que, desde el momento primigenio de la Gran Explosión cósmica, esta conferencia estaba ya escrita en las leyes de la naturaleza.
¿Cómo superar, entonces, la aparente contradicción entre estos conceptos? Vivimos en un universo único . Como veremos, comenzamos a apreciar el significado de estos problemas; se empieza a ver que la irreversibilidad, la vida, están inscritas en las leyes básicas, incluso a nivel microscópico. Además, la importancia que atribuimos a los diversos fenómenos que observamos y describimos es bastante distinta, yo diría incluso que opuesta, a lo que sugiere la física clásica. En ella, como dije, los procesos básicos se consideraban deterministas y reversibles .
Los procesos que implican azar o irreversibilidad eran considerados excepciones, meros artefactos. Hoy, vemos por doquier el papel de los procesos irreversibles, de las fluctuaciones . Los modelos considerados por la física clásica nos parecen corresponder únicamente a situaciones límite que nosotros podemos crear artificialmente, como es el ejemplo de introducir materia en un recipiente y esperar que alcance el equilibrio.
Lo artificial es determinista y reversible. Lo natural contiene elementos esenciales de azar e irreversibilidad. Esto llama a una nueva visión de la materia en la que ésta ya no sea pasiva como la descrita en el mundo del concepto mecánico, sino asociada a actividad espontánea. Este cambio es tan profundo que creo que podemos hablar con justicia de un nuevo diálogo del hombre con la naturaleza .
4.
Desde luego que, para recorrer el camino que separa la descripción clásica de la naturaleza hasta la nueva que empieza a esbozarse, han sido necesarios numerosos hallazgos sorprendentes tanto teóricos como experimentales. Podemos decir que buscábamos esquemas globales, simetrías, leyes generales inmutables y hemos descubierto lo mutable, lo temporal, lo complejo. Los ejemplos son abundantes. Como sabemos, la teoría cuántica postula una notable simetría, la existente entre materia y antimateria, pero nuestro mundo carece de esta simetría. Predomina sobradamente la materia sobre la antimateria, y es una feliz circunstancia, porque, si no, la aniquilación entre materia y antimateria significaría el fin de todas las partículas con masa. El descubrimiento de un gran número de partículas inestables es otro ejemplo; puede que incluso todas las partículas sean inestables. De cualquier modo, la idea de un sustrato inmutable, permanente, de la materia ha sufrido un duro golpe.Es de esperar (en oposición a las tesis de Giordano Bruno) que el concepto de evolución sea aplicable al mundo globalmente; en realidad, los descubrimientos en astrofísica, particularmente la famosa radiación residual del cuerpo negro, disipan notablemente la duda en la afirmación de que el mundo ha experimentado globalmente una notable evolución.
¿Cómo puede, entonces, hablarse de leyes inmutables, eternas? Por supuesto que no podemos hablar de leyes bióticas para un momento en que no existía la vida. El propio concepto de ley que surge en la época de Descartes y Newton, época de monarquías absolutistas, debe ser revisado.
De especial importancia en el contexto de esta conferencia son los experimentos relativos a la física macroscópica, la química, es decir, la naturaleza a nuestra propia escala. La tesis clásica (recuérdese la discusión sobre la interpretación de Boltzmann al segundo principio de la termodinámica) centró su interés en la transición del caos al orden. Actualmente hallamos por todas partes transiciones del caos al orden, procesos que implican la autoorganización de materia. Si hace unos años le hubieran preguntado a un físico qué es lo que la física permitía explicar y qué cuestiones había pendientes, habría contestado que, naturalmente, nuestros conocimientos sobre partículas elementales eran insuficientes y no conocíamos bien globalmente las características cosmológicas del universo, pero que, con excepción de estos extremos, podíamos estar bastante satisfechos de lo que sabíamos. Actualmente va cobrando importancia una minoría (entre la que me incluyo) que no comparte este criterio optimista. Estoy convencido, por el contrario, de que nos hallamos tan sólo al principio en la profundización de nuestros conocimientos sobre la naturaleza que nos rodea, y esto me parece de una importancia capital para la inserción de la vida en la materia y del hombre en la vida .
5.
Tracemos a continuación una breve panorámica de cómo pueden enfocarse actualmente las dos contradicciones de que hemos hablado. Primero, ¿cómo describir el origen de estructuras, de la autoorganización? Se ha tratado este problema en innumerables publicaciones,[22] y voy a ser breve. Una vez atribuida entropía a un sistema físico, distinguiremos, por una parte, entre equilibrio y no equilibrio y, por otra, situaciones que están lejos del equilibrio . Se ha visto que, en efecto, en la proximidad del equilibrio, la materia cumple el paradigma de Boltzmann, las estructuras se destruyen. Si perturbamos tal sistema, éste responde restableciendo su condición inicial; por lo tanto, estos sistemas se denominan estables. En cierto modo, siempre son capaces de desarrollar mecanismos que los hacen inmunes a perturbaciones . Sin embargo, estas propiedades no son aplicables en condiciones alejadas del equilibrio. Las palabras clave son « no linealidad », «inestabilidad » y «bifurcaciones ». Esto no significa más que, si llevamos un sistema lo bastante lejos del equilibrio, entra en estado inestable en relación con la perturbación. El punto exacto en que esto sucede se denomina punto de bifurcación . En este punto, al volverse inestable la solución primitiva, se producen nuevas soluciones que pueden corresponder a un comportamiento muy distinto de la materia. Un ejemplo de suma espectacularidad es la aparición de relojes químicos en condiciones alejadas del equilibrio. La demostración experimental de la existencia de relojes químicos es actualmente un experimento rutinario que se realiza en casi todos los cursos de química en colegios y universidades. Por lo tanto, es una demostración sencilla que, sin embargo, considero como uno de los experimentos más importantes del siglo. Explicaré por qué.En la prueba intervienen básicamente dos clases de moléculas. Las llamaremos especie A (moléculas rojas) y especie B (moléculas azules). A continuación, pensemos en cualquier tipo de colisiones caóticas que se producen al azar. En consecuencia, lo lógico es que el intercambio entre A y B produzca un color uniforme con eventuales retazos de rojo y azul. Esto no es lo que sucede con productos químicos idóneos en condiciones alejadas del equilibrio, sino que todo el sistema se vuelve rojo, luego azul y de nuevo rojo. Esto demuestra que las moléculas se comunican a grandes distancias y en tiempos macroscópicos. Cuentan con medios para señalarse recíprocamente su estado y reaccionar al unísono. Desde luego es algo muy sorprendente. Siempre se había pensado que las moléculas interactuaban únicamente al estar sometidas a fuerzas de corto alcance y que cada una de ellas sólo estaba en contacto con sus vecinas. En este caso, por el contrario, el sistema actúa como un todo. Era tradicional asociar este comportamiento a los sistemas biológicos y ahora comprobamos que también se produce en sistemas no vivos relativamente simples.
Otro aspecto que quiero poner de relieve es la idea de ruptura de simetría asociada a determinadas bifurcaciones. Las ecuaciones de reacción y difusión son enormemente simétricas; si sustituimos las coordenadas geométricas x, y, z, por −x, −y, −z, que corresponden a la inversión espacial, las ecuaciones no cambian. Pero, tras la bifurcación, hallamos soluciones distintas, cada una de éstas con ruptura de simetría. Naturalmente que, si tenemos, pongamos por caso, una solución «izquierda», tendremos también una solución «derecha», pero sucede que en la naturaleza, por el motivo que sea, sólo se observa una de las soluciones. Cualquiera habrá observado que las conchas suelen tener un dibujo prevalente. Pasteur llegó incluso a ver en la ruptura de simetría la auténtica característica de la vida. De nuevo observamos, en un ejemplo no relativo a un ser viviente, un antecedente de dicha propiedad. Quiero hacer hincapié en que las soluciones de ecuaciones simétricas presentan menos simetría que las propias ecuaciones. Constituirá un punto fundamental cuando hablemos de las raíces del tiempo en la naturaleza.
Finalmente, la aparición de bifurcaciones en condiciones alejadas del equilibrio conduce a un elemento azaroso estocástico irreductible a nivel macroscópico. Las teorías deterministas no nos sirven para predecir qué rama de las que se producen en el punto de bifurcación será elegida. Tenemos aquí un ejemplo del papel esencial de las probabilidades . Se recordará que, en mecánica cuántica, las probabilidades desempeñan ya un papel esencial, cual es la esencia de la famosa relación de incertidumbre de Heisenberg. A esto se le podría objetar que los seres humanos estamos formados por tal número de partículas elementales que los efectos cuánticos se desvanecen en función de la ley de los grandes números. Sin embargo, no podemos decir lo mismo hablando de bifurcaciones en sistemas químicos alejados del equilibrio. En este caso, los efectos probabilísticos irreductibles aparecen a nuestro propio nivel . Es evidente que existe una relación con el papel de las fluctuaciones y la teoría darwiniana del origen de las especies. Se comprenderá por qué antes me refería a que, en la actual perspectiva, la vida no parece un fenómeno tan aislado, puesto que está mucho más arraigada en las leyes básicas de la naturaleza.
6.
Abordaremos ahora el segundo problema que, de inmediato, debo decir es muchísimo más difícil. La segunda ley de la termodinámica pertenece por tradición al terreno de la física macroscópica, pero es curioso que su significado presente ciertos aspectos comunes con las teorías microscópicas como la teoría cuántica y la de la relatividad. Efectivamente, todas estas definiciones teóricas tienen un elemento común: marcan ciertos límites a nuestra manipulación de la naturaleza. Por ejemplo, la existencia de la velocidad de la luz como constante universal indica que no podemos transmitir, en el vacío, señales a mayor velocidad que la de la luz. De igual modo, la existencia, en mecánica cuántica, de la constante de Planck, h, indica que no podemos medir a la vez el momento lineal y la posición de una partícula elemental. En el mismo espíritu, la segunda ley de la termodinámica indica que no podemos realizar cierta clase de experimentos, a pesar del hecho de que sean compatibles con todas las demás leyes físicas conocidas. Por ejemplo, no podemos conducir un motor térmico con el calor de una única fuente calorífica, como el mar. Éste es el significado de la imposibilidad de un «móvil perpetuo de segunda especie».Sin embargo, no creo que esto signifique que la física actual se convierta en una física subjetivista, resultado en cierto modo de nuestras preferencias o convicciones, pero sí que es una física sujeta a constricciones intrínsecas y que a nosotros nos identifica como parte del mundo físico que describimos. Es esta física la que presupone un observador situado en el mundo que confirma nuestra experiencia. Nuestro diálogo con la naturaleza sólo logrará éxito si se prosigue desde dentro de la naturaleza.
Pero ¿cómo entender la irreversibilidad, no ya en términos de física macroscópica, sino en términos de las leyes básicas, sean clásicas o cuánticas? Ya mencioné al principio el audaz ensayo de Boltzmann para relacionar la irreversibilidad con la teoría de la probabilidad. Pero, a la inversa, ¿qué puede significar probabilidad en un mundo en que las partículas o las funciones de onda evolucionan con arreglo a leyes deterministas? Popper, en su preciosa obra Unended Quest, [23] describe la trágica lucha de Boltzmann y el modo en que finalmente se vio obligado a retractarse y admitir que no existía una flecha intrínseca de tiempo en la naturaleza. De nuevo volvemos a la conclusión lapidaria de Einstein: el tiempo es una ilusión. Actualmente podemos continuar la búsqueda de Boltzmann porque conocemos mejor la dinámica, gracias a los trabajos de grandes matemáticos como Poincaré, Lyapunov y, en techa más reciente, Kolmogoroff.[24] Sin su esfuerzo, este problema seguiría siendo una conjetura más. Señalemos en primer lugar que la irreversibilidad no es un universal . Ya he dicho que hay sistemas, como el caso de un muelle aislado, para los que la entropía no es relevante, porque su movimiento es totalmente reversible. Por lo tanto, no cabe esperar que la irreversibilidad sea una propiedad de todos los sistemas dinámicos. Lo que hay que hacer es identificar los sistemas dinámicos de complejidad adecuada para los que es posible una formulación de la segunda ley a nivel macroscópico.
Desde luego que no podemos ahora entrar en detalles técnicos. Sin embargo, el punto principal es el reciente descubrimiento de sistemas dinámicos altamente inestables . En ellos, las trayectorias que se inician en dos puntos tan próximos como deseemos, divergen de forma exponencial con el tiempo. Luego pierde sentido el concepto de trayectoria y sólo podemos aspirar a una exactitud finita.
A pesar del hecho de que comencemos con ecuaciones deterministas, las soluciones que obtenemos son «caóticas». Algunos autores hablan de «caos determinista». Lo cierto y curioso es que, en el núcleo de la dinámica, aparecen elementos probabilísticos.
Sólo podemos hablar del comportamiento medio. Tales sistemas pueden denominarse de «azar intrínseco», porque, como han demostrado mis colegas Misra y Courbage, y yo mismo, su comportamiento es tan estocástico que puede trazarse dentro de un proceso probabilístico denominado proceso de Markov, en el que se alcanza el equilibrio para t → +∞ en el futuro lejano o para t → −∞ en el pasado lejano.[25]
Hemos justificado ya una de las intuiciones básicas de Boltzmann. Efectivamente, tiene sentido hablar de probabilidades incluso en el marco de la mecánica, pero no pura todos los sistemas, sólo para sistemas en los cuales el concepto de trayectoria pierde sentido . Veamos cómo seguir y pasar de azar intrínseco a sistemas intrínsecamente irreversibles .
Para ello son necesarias unas condiciones suplementarias. Necesitamos representaciones dinámicas con menor simetría que la simetría constantemente invertible de las ecuaciones básicas.
Por ejemplo, en esferas sólidas, una situación posible es aquélla en la que las velocidades en el pasado lejano de un grupo de partículas fueran realmente paralelas y en el futuro lejano la distribución se volviera aleatoria como requisito de equilibrio. La simetría de inversión temporal exige que se dé también una situación en la que las velocidades del pasado lejano sean al azar y, en el futuro lejano, tiendan a ser paralelas. Una situación así se obtiene mediante la inversión de la velocidad de la otra. De hecho, sólo se observa la primera y no la segunda. La segunda ley de la termodinámica para el nivel macroscópico postula precisamente la exclusión de una de estas dos situaciones en la que una tiene las velocidades invertidas con respecto a la otra.
La irreversibilidad cobra significado microscópico sólo si hay representaciones dinámicas que no sean invariantes respecto a la inversión temporal, pese al hecho de que las ecuaciones iniciales sí lo sean.
Destaquemos la notable analogía entre estas situaciones y las bifurcaciones que rompen la simetría que antes mencionábamos. También podemos obtener en ciertos casos de una ecuación simétrica dos soluciones, una «izquierda» y otra «derecha», cada una de las cuales, tomada separadamente, rompe la simetría espacial de la ecuación. Ahora tenemos que puntualizar lo que la segunda ley significa a nivel microscópico. Postula que sólo las situaciones camino del equilibrio futuro pueden prepararse u observarse en la naturaleza. Esto significa que la segunda ley es un principio de exclusión que descarta las situaciones en las que las velocidades del pasado lejano de las esferas en colisión están distribuidas uniformemente, mientras que, en el futuro lejano, tenderán a ser paralelas.[26] Por el contrario, la situación en la que se empieza con partículas en el pasado lejano y velocidades casi paralelas, que luego se convierten en azarosas por efecto de las colisiones, es un experimento de fácil realización.
He recurrido a imágenes físicas, pero lo importante es que la existencia de estas representaciones dinámicas con ruptura de simetría temporal puede demostrarse rigurosamente en sistemas altamente inestables.
En tales sistemas puede asociarse a cada condición inicial, expresada por una función de distribución del espacio de las fases, un número que mide la información necesaria para preparar dicho estado. Las condiciones iniciales que se excluyen son aquéllas para las que dicha información sería infinita.
Obsérvese igualmente que el principio de la entropía no puede deducirse de la dinámica, sino que aparece como una condición suplementaria que hay que comprobar experimentalmente como cualquier otra ley física. El punto crucial es, sin embargo, que este principio de exclusión no es contradictorio con la dinámica; una vez admitido en un momento determinado, es propagado por la dinámica.
La interpretación probabilista de Boltzmann sólo es posible porque existe este principio de exclusión que nos provee de una flecha temporal.
La irreversibilidad, tal como está implícita en la teoría de Darwin, o incluso en la teoría de Boltzmann, es una propiedad aún mayor del azar. Yo lo encuentro natural, porque ¿qué puede significar irreversibilidad dentro de un concepto determinista del universo en el que el mañana ya está potencialmente en el hoy? La irreversibilidad presupone un universo en el que hay limitaciones para la predicción del futuro. Quiero insistir de nuevo, en concordancia con el espíritu de esta explicación, en que la irreversibilidad no es una propiedad universal . Sin embargo, el mundo en conjunto parece pertenecer a esos complejos sistemas de azar intrínseco para los que la irreversibilidad es significativa, y es a esta categoría de sistemas con ruptura de simetrías temporales a la que pertenecen todos los fenómenos vitales y, por consiguiente, la existencia humana.
Puede que sorprenda que no me haya extendido sobre teorías cosmológicas. Es cierto que el estado unívoco de nuestro universo desempeña un papel primordial, ya que aporta el medio inestable que posibilita la formación de estructuras. Pero no creo que la existencia del universo en expansión y de la Gran Explosión inicial sirvan para explicar la irreversibilidad. Se observan, como ya he señalado, procesos reversibles e irreversibles a pesar de que todos los procesos, reversibles o no, están insertos en el universo en expansión.
7.
La interpretación microscópica de la segunda ley es muy reciente. Personalmente estoy convencido de que causará profundos cambios en nuestra concepción de la materia. Mis colegas y yo hemos desarrollado algunos resultados preliminares, pero lo que quiero decir es en cierto modo una anticipación que puede ser confirmada, o no, por ulteriores trabajos.Si consideramos seriamente la segunda ley de la termodinámica con su interpretación probabilista, tenemos que asociar el equilibrio a la máxima probabilidad. Pero la máxima probabilidad, en términos de partículas, significa movimiento incoordinado, caótico, similar a la modalidad con que los atomistas griegos imaginaban el mundo físico. A la inversa, definimos las partículas como las unidades incoordinadas que actúan de forma caótica en el equilibrio termodinámico. ¿Cuál es, entonces, el efecto del no equilibrio? Crear correlaciones entre esas unidades, crear orden a partir de los movimientos caóticos que se originan en el estado de equilibrio. Esta descripción de la naturaleza, en la que el orden se genera a partir del caos a través de condiciones de no equilibrio aportadas por el medio cosmológico, nos lleva a una física bastante similar en espíritu al mundo de «procesos» imaginado por Whitehead.[27] nos lleva a concebir la materia como algo activo, un estado continuo del devenir.
Este esquema se aparta notablemente de la descriptiva clásica de la física, del cambio en términos de fuerzas o campos. Es un paso crucial divergente de la vía real abierta por Newton, Maxwell y Einstein. Pero creo que la unificación de la dinámica y la termodinámica prepara el camino a una descripción radicalmente nueva de la evolución temporal de los sistemas físicos, una descripción que, para mí, insisto, es más próxima a lo que observamos a nivel macroscópico, ya sea en el mundo inanimado o en el viviente.
Podemos poner como ejemplos la distribución notablemente coordinada de los nucleótidos entre las moléculas biológicas fundamentales, e incluso, quizás, en la distribución de las letras que se aúnan en las palabras del lenguaje.
8.
Durante toda mi carrera científica he adoptado la actitud de considerar la ley del aumento de entropía, la segunda ley de la termodinámica, como una ley básica de la naturaleza. Con ello seguía la visión que Planck expone en el siguiente texto:[28]«La impracticabilidad del movimiento perpetuo de segunda especie está establecida, a pesar de lo cual se contesta su absoluta imposibilidad, debido a que nuestros limitados aparatos experimentales, suponiendo que fueran posibles, resultarían insuficientes para llevar a cabo los procesos ideales que requiere la línea de la demostración. Sin embargo, esta postura es insostenible. Sería absurdo asumir que la validez de la segunda ley depende en cierto modo de la habilidad del químico o del físico para observar o experimentar. La enjundia de la segunda ley nada tiene que ver con la experimentación: la ley afirma en esencia que, en la naturaleza, existe una cantidad que cambia siempre en el mismo sentido en todos los procesos naturales. La proposición enunciada de esta manera general puede ser correcta o incorrecta; pero, sea lo que fuere, ahí está, independientemente de que en la tierra existan, o no, seres pensantes y mensurantes y, asumiendo que existan, independientemente de que sean capaces de medir los detalles de los procesos físicos o químicos con una precisión de uno, dos o cien decimales mayor que la nuestra. Las limitaciones de la ley, si acaso, residen en la misma región que su idea esencial, en la naturaleza observada, y no en el Observador. Que sea necesaria la experiencia humana para deducir la ley, es inmaterial; porque, en realidad, es nuestro único modo de llegar a conocer la ley natural».A pesar de ello, la opinión de Planck no encontró adeptos. Como hemos señalado, la mayoría de los científicos consideraba la segunda ley como un resultado aproximativo, o una intrusión de tesis subjetivas en el estricto campo de la física. Nuestra actitud es la contraria: hemos estudiado los límites que la segunda ley aporta al mundo de la dinámica.
En otras palabras, nuestra meta es unificar la dinámica y la termodinámica. Está claro que, en este propósito, el azar, las fluctuaciones y la irreversibilidad desempeñan un papel fundamental a nivel microscópico, bastante distinto al papel marginal que desempeñaron en las descripciones tradicionales de la naturaleza. La meta queda lejos, pero el camino nos ha llevado a una serie de hallazgos sorprendentes, algunos de los cuales he citado en esta conferencia.
Es asombrosa la diversidad de estructuras de no equilibrio que se han descubierto experimentalmente. Describiremos algunas de ellas teóricamente, aunque sólo nos hallemos a nivel taxonómico.
Hemos hablado ya del trabajo de los grandes matemáticos, como Poincaré y Kolmogoroff, en mecánica clásica. Gracias a ellos, sabemos que la mecánica clásica puede llevarnos a situaciones en las que el concepto de trayectoria pierde sentido y en las que sólo podemos establecer definiciones probabilísticas. Es curioso que la química esté experimentando actualmente una reconceptualización parecida. En muchos casos se ha llegado más allá del enfoque determinista de la cinética química, y se toman en consideración la fluctuación y el azar, incluso en sistemas formados por un gran número de moléculas. A este nivel microscópico, la irreversibilidad aparece como ruptura de simetría en sistemas que alcanzan un grado suficiente de azar.
La segunda ley limita lo observable, y es como un principio de exclusión propagado por la mecánica clásica o cuántica.
Quizás el aspecto más inesperado es que, a todos los niveles de orden, aparece la coherencia del caos para condiciones de no equilibrio: un mundo en equilibrio sería caótico, el mundo de no equilibrio alcanza un grado de coherencia que, para mí al menos, es sorprendente.
9.
En esta conferencia, he hablado de algunos pasos dados en el redescubrimiento del tiempo en las ciencias físicas. Hemos visto que el tiempo, en el sentido de duración, de irreversibilidad, está básicamente relacionado con el papel del azar, en plena concordancia con la genial intuición de Boltzmann.Desde el descubrimiento de la mecánica cuántica, en la que la probabilidad desempeña un papel esencial, el significado de azar ha suscitado numerosas controversias. Actualmente, parece que los esquemas deterministas que hacen predicciones válidas en cada caso particular no son válidos en una amplia gama de fenómenos, desde la física microscópica hasta el nivel molecular y biótico. Naturalmente, esta situación puede cambiar, pero no vemos signo de que así vaya a suceder en los próximos años.
En este contexto, quiero poner de relieve que no sabemos describir la realidad tal como se presentaría para un observador que en cierto modo se hallara situado fuera del mundo. Sólo podemos tratar el problema del determinismo, o del azar, del mismo modo que se tratan los esquemas que formulamos para describir nuestra experiencia con el mundo con el que interactuamos.
Me viene a la mente el diálogo entre Einstein y Tagore.[29] En la interesante conversación sobre la naturaleza de la realidad, Einstein pone de relieve que la ciencia debe ser independiente respecto a la existencia de cualquier observador. Como mencioné al principio, el realismo de Einstein le condujo a ciertas paradojas. El tiempo y, en consecuencia, la existencia humana son ilusorios. Por el contrario, Tagore hace hincapié en que, incluso si la verdad absoluta tuviera un significado, sería inaccesible para la mente humana. Considero tan interesante este diálogo que lo he incluido como anexo a este trabajo.
La controversia entre Einstein y Tagore sólo cobra sentido si suponemos al hombre separado de la naturaleza. Si tenemos en cuenta la inserción del hombre en la naturaleza, las verdades humanas se convierten en verdades de la naturaleza. Es curioso que la ciencia actual se oriente en el sentido a que aludía el gran poeta hindú. Independientemente de lo que denominamos realidad, sólo accedemos a ella a través de síntesis mentales. D. S. Kothari[30] lo ha expresado concisamente: «El simple hecho no es mensurable, no hay experimento u observación posible sin un marco teórico relevante».
De un modo más sofisticado lo encontramos recogido en la teoría cuántica, que postula la intervención de «operadores» asociados a cantidades físicas.
Los problemas de los límites del determinismo, del azar y de la irreversibilidad y la noción de realidad están estrechamente vinculados, y comenzamos a ver cómo se relacionan.
Conforme somos capaces de hallar en la naturaleza las raíces del tiempo, éste deja de ser el concepto que separa al hombre de la misma. Ahora expresa nuestra pertenencia a la naturaleza, no nuestra alienación.
La visión del mundo que nos rodea converge con la del mundo interior. Ya que doy esta conferencia en Delhi, ¿por qué no subrayar esa clase de convergencia, de síntesis del mundo externo que nos rodea con el mundo interior, puesto que es uno de los temas tradicionales de la filosofía hindú?
Hemos superado la tentación de rechazar el tiempo como ilusión. Lejos de ello, volvemos a la premonición de Valéry: «Durée est construction, vie est construction».[31] En un universo en el que el mañana no está contenido en el hoy, el tiempo tiene que construirse. La frase de Valéry expresa nuestra responsabilidad en esta construcción del futuro, no sólo de nuestro futuro, sino del futuro de la humanidad. Con esta conclusión, el problema de los valores humanos, de la ética, del arte incluso, cobra nueva dimensión. Podemos considerar la música, con sus elementos de expectación, de improvisación, con su flecha temporal, como una alegoría del devenir, de la física en su significado etimológico griego.
Probablemente continúe para siempre la dialéctica entre lo que está en el tiempo y lo que está fuera del tiempo. Pero quizás estemos ahora en un momento favorable en el que comenzamos a percibir mejor la convergencia, la transición entre reposo y movimiento, el tiempo detenido y el tiempo en decurso.
Es este momento con sus incertidumbres, sus cuestiones pendientes, pero también con sus esperanzas de un mundo de mayor integración humana, lo que he tratado de describir en esta conferencia.
ANEXO:
La naturaleza de la realidad
(Versión autorizada)
E. — ¿Cree usted en lo divino aislado del mundo?
T. — Aislado no. La infinita personalidad del Hombre incluye el Universo. No puede haber nada que no sea clasificado por la personalidad humana, lo cual prueba que la verdad del Universo es una verdad humana.
He elegido un hecho científico para explicarlo. La materia está compuesta de protones y electrones, con espacios entre sí, pero la materia parece sólida sin los enlaces interespaciales que unifican a los electrones y protones individuales. De igual modo, la humanidad está compuesta de individuos conectados por la relación humana, que confiere su unidad al mundo del hombre. Todo el universo está unido a nosotros, en tanto que individuos, de modo similar. Es un universo humano.
He seguido la trayectoria de esta idea en arte, en literatura y en la conciencia religiosa humana.
E. — Existen dos concepciones distintas sobre la naturaleza del Universo:
- El mundo como unidad dependiente de la humanidad, y
- El mundo como realidad independiente del factor humano.
E. — Ésta es una concepción del universo puramente humana.
T. — No puede haber otra. Este mundo es un mundo humano, y la visión científica es también la del hombre científico. Por lo tanto, el mundo separado de nosotros no existe; es un mundo relativo que depende, para su realidad, de nuestra conciencia. Hay cierta medida de razón y de gozo que le confiere certidumbre, la medida del Hombre Eterno cuyas experiencias están contenidas en nuestras experiencias.
E. — Esto es una concepción de entidad humana.
T. — Sí, una entidad eterna. Tenemos que aprehenderla a través de nuestras emociones y acciones. Aprehendimos al Hombre Eterno que no tiene limitaciones individuales mediadas por nuestras limitaciones. La ciencia se ocupa de lo que no está restringido al individuo; es el mundo humano impersonal de verdades. La religión concibe esas verdades y las vincula a nuestras necesidades más íntimas, nuestra conciencia individual de la verdad cobra significación universal. La religión aplica valores a la verdad, y sabemos, conocemos la bondad de la verdad merced a nuestra armonía con ella.
E. — Entonces, la Verdad, o la Belleza, ¿no son independientes del hombre?
T. — No.
E. — Si no existiera el hombre, el Apolo de Belvedere ya no sería bello.
T. — No.
E. — Estoy de acuerdo con esta concepción de la Belleza, pero no con la de la Verdad.
T. — ¿Por qué no? La Verdad se concibe a través del hombre.
E. — No puedo demostrar que mi concepción es correcta pero es mi religión.
T. — La Belleza es el ideal de la perfecta armonía que existe en el Ser Universal; y la Verdad, la comprensión perfecta de la mente universal. Nosotros, en tanto que individuos, no accedemos a ella sino a través de nuestros propios errores y desatinos, a través de nuestras experiencias acumuladas, a través de nuestra conciencia iluminada; ¿cómo, si no, conoceríamos la Verdad?
E. — No puedo demostrar que la verdad científica deba concebirse como verdad válida independientemente de la humanidad, pero lo creo firmemente. Creo, por ejemplo, que el teorema de Pitágoras en geometría afirma algo que es aproximadamente verdad, independientemente de la existencia del hombre. De cualquier modo, si existe una realidad independiente del hombre, también hay una verdad relativa a esta realidad; y, del mismo modo, la negación de aquélla engendra la negación de la existencia de ésta.
T. — La Verdad, que es una con el Ser Universal, debe ser esencialmente humana, si no aquello que los individuos conciban como verdad no puede llamarse verdad, al menos en el caso de la verdad denominada científica y a la que sólo puede accederse mediante un proceso de lógica, es decir, por medio de un órgano reflexivo que es exclusivamente humano. Según la filosofía hindú, existe Brahma, la Verdad absoluta, que no puede concebirse por la mente individual aislada, ni descrita en palabras, y sólo es concebible mediante la absoluta integración del individuo en su infinitud. Pero es una verdad que no puede asumir la ciencia. La naturaleza de la verdad que estamos discutiendo es una apariencia —es decir, lo que aparece como Verdad a la mente humana y que, por tanto, es humano, se llama maya o ilusión.
E. — Luego, según su concepción, que es la concepción hindú, no es la ilusión del individuo, sino de toda la humanidad…
T. — En ciencia, aplicamos la disciplina para ir eliminando las limitaciones personales de nuestras mentes individuales y, de este modo, acceder a la comprensión de la Verdad que es la mente del Hombre Universal.
E. — El problema se plantea en si la Verdad es independiente de nuestra conciencia.
T. — Lo que llamamos verdad radica en la armonía racional entre los aspectos subjetivos y objetivos de la realidad, ambos pertenecientes al hombre supra-personal.
E. — Incluso en nuestra vida cotidiana, nos vemos impelidos a atribuir una realidad independiente del hombre a los objetos que utilizamos. Lo hacemos para relacionar las experiencias de nuestros sentidos de un modo razonable. Aunque, por ejemplo, no haya nadie en esta casa, la mesa sigue estando en su sitio.
T. — Sí, permanece fuera de la mente individual, pero no de la mente universal. La mesa que percibo es perceptible por el mismo tipo de conciencia que poseo.
E. — Nuestro punto de vista natural respecto a la existencia de la verdad al margen del factor humano, no puede explicarse ni demostrarse, pero es una creencia que todos tenemos, incluso los seres primitivos. Atribuimos a la Verdad una objetividad sobrehumana, nos es indispensable esta realidad que es independiente de nuestra existencia, de nuestras experiencias y de nuestra mente, aunque no podamos decir qué significa.
T. — La ciencia ha demostrado que la mesa, en tanto que objeto sólido, es una apariencia y que, por lo tanto, lo que la mente humana percibe en forma de mesa no existiría si no existiera esta mente. Al mismo tiempo, hay que admitir que el hecho de que la realidad física última de la mesa no sea más que una multitud de centros individuales de fuerzas eléctricas en movimiento es potestad también de la mente humana.
En la aprehensión de la verdad existe un eterno conflicto entre la mente universal humana y la misma mente circunscrita al individuo. El perpetuo proceso de reconciliación lo llevan a cabo la ciencia, la filosofía y la ética. En cualquier caso, si hubiera alguna verdad totalmente desvinculada de la humanidad, para nosotros sería totalmente inexistente.
No es difícil imaginar una mente en la que la secuencia de las cosas no sucede en el espacio, sino sólo en el tiempo, como la secuencia de las notas musicales. Para tal mente la concepción de la realidad es semejante a la realidad musical en la que la geometría pitagórica carece de sentido. Está la realidad del papel, infinitamente distinta a la realidad de la literatura. Para el tipo de mente identificada a la polilla, que devora este papel, la literatura no existe para nada; sin embargo, para la mente humana, la literatura tiene mucho mayor valor que el papel en sí. De igual manera, si hubiera alguna verdad sin relación sensorial o racional con la mente humana, seguiría siendo inexistente mientras sigamos siendo seres humanos.
E. — ¡Entonces, yo soy más religioso que usted!
T. — Mi religión es la reconciliación del Hombre Suprapersonal, el espíritu humano Universal y mi propio ser individual. Ha sido el tema de mis conferencias en Hibbert bajo el título de «La religión del hombre».
§ 3. La lectura de lo complejo [33]
1.
Nuestra época se caracteriza, más que ninguna otra, por una diversificación creciente de conocimientos, técnicas y modalidades de pensamiento. Sin embargo, vivimos en un mundo único en el que cada ámbito de actividad implica a los demás; por ello considero esencial esclarecer ciertas concomitancias.Un posible punto de partida para esta búsqueda es la convicción de que todo saber conlleva una construcción. Tanto en ciencias físicas, como, a fortiori, en las ciencias humanas, ya no es admisible[34] la idea de realidad como algo dado.
Quizá sea en las ciencias físicas donde más patente es la evolución del concepto de nuestra relación con lo real, evolución cargada de consecuencias que desbordan ampliamente el terreno científico propiamente dicho.
Durante varios siglos —prácticamente desde la fundación de la física por Galileo, Descartes y Newton—, la idea de simplicidad, la búsqueda de un universo fundamental, estable a través de las apariencias, ha predominado en las ciencias naturales.[35]
Hoy día hay que rendirse a la evidencia de que a cualquier nivel que nos sea accesible, desde las partículas elementales hasta la cosmología, la naturaleza ya no se aviene a este paradigma clásico[36].
Las ciencias físicas están inmersas en un proceso de reconceptualización, y es significativo que éste se haya iniciado en un marco que, a partir de la explosión demográfica (y de otros procesos sociales, como el auge experimentado por las técnicas informáticas), nos llevará tarde o temprano al desmoronamiento de los conceptos a veces simplistas con los que se pretendía describir las sociedades humanas.
Reconocer la complejidad, hallar los instrumentos para describirla y efectuar una relectura dentro de este nuevo contexto de las relaciones cambiantes del hombre con la naturaleza son los problemas cruciales de nuestra época.
En esta conferencia abordaré, en primer lugar, nuestra relación con el mundo tal como debe interpretarse a la luz de los recientes adelantos en ciencias físicas para, a continuación, destacar las principales modificaciones que se imponen en lo que a la posición de las ciencias en la problemática global de nuestra época se refiere. El hecho primordial es el acercamiento que se busca entre ciencias físicas y ciencias humanas, del que presentaremos algunos ejemplos.
Es evidente que no se trata de llegar a la totalidad, ni de examinar exhaustivamente todos los aspectos de los problemas. Quisiera simplemente expresar un punto de vista que consideramos se deduce con toda objetividad de la confluencia de numerosas corrientes de pensamiento, a la par que de los inesperados resultados —convergentes, no obstante— que se obtienen en la experimentación científica.
2.
Esbozaré en primer lugar lo que, a mi entender, constituye lo fundamental de esta reconceptualización en curso en las ciencias físicas.[37]Los modelos que adoptamos para el estudio del mundo natural deben necesariamente presentar un carácter pluralista que refleje la variedad de fenómenos que observamos.
Tradicionalmente, clasificamos los fenómenos según sean reversibles o irreversibles, y deterministas o aleatorios.
Todo el mundo conoce estas categorías. Nadie ignora que un péndulo exento de fricción es reversible y determinista; la difusión térmica o química es determinista e irreversible, los movimientos susceptibles de descripción en términos de trayectorias son deterministas, y cualquiera califica de casual el número que resulta al arrojar los dados.
Sería difícil aceptar una visión del mundo que excluyera una categoría de fenómenos en favor de otra. Hay fenómenos reversibles y hay fenómenos irreversibles. Hemos aislado procesos deterministas, pero es difícil, dado el número de especies vivas (superior a un millón), creer que la evolución biológica —por no hablar de la evolución cultural— estuviera programada desde los primeros segundos, de existencia del universo.
Por consiguiente, el problema estriba en apreciar la importancia que atribuimos a cada una de estas categorías. Y es aquí donde interviene la modificación del punto de vista de la que hablábamos: para la física clásica, los sistemas reversibles y deterministas constituían el modelo conceptual por excelencia. Hallamos aquí el punto de partida histórico de la ciencia occidental, cuyos primeros trabajos estuvieron fundamentalmente dedicados al estudio del movimiento y en particular de los movimientos planetarios. El triunfo de la concepción newtoniana orientó durante varios siglos la evolución de la visión científica: lo casual y lo irreversible se admitían sólo como casos excepcionales, casi a modo de artefactos introducidos por el hombre en una naturaleza simple, reversible y determinista.
Actualmente ha cambiado la situación, y sobre todo después de producirse tres correcciones de gran repercusión.
Las partículas elementales han resultado ser casi todas, inestables, y distan mucho de constituir el soporte permanente de las apariencias cambiantes, como auguraban las doctrinas atomistas.
La cosmología contemporánea nos sitúa frente a una historia del universo, y un subsiguiente despliegue de estructuras, cada vez más complejas.
Finalmente, los fenómenos macroscópicos tradicionales y en particular los que se estudian en química, biología e hidrodinámica, han cambiado de imagen.[38] Por todas partes descubrimos lo casual y lo irreversible.
En tales circunstancias, los procesos reversibles y deterministas que constituían la médula de la descriptiva clásica, actualmente se nos evidencian como idealizaciones desmesuradas, y podríamos decir que adolecen de artificiosidad.
Son necesarias innumerables precauciones para obtener un péndulo determinado que mantenga su estado de movimiento reversible y determinista sin disipación de energía.
De igual modo, el movimiento de un planeta alrededor del sol es, desde la época de Newton, un modelo de trayectoria predeterminado; pero se plantean problemas de estabilidad y de predictibilidad en cuanto pasamos de este caso simple al caso de los tres cuerpos.[39] Por lo tanto, nos hallamos ante una inversión de perspectivas: lo legal y lo reversible son hoy en día la excepción.
Más adelante volveremos sobre la evolución de las ideas científicas contemporáneas, pero quiero desde ahora insistir en el progresivo deterioro de nuestras posiciones epistemológicas.
Se ha señalado en numerosas ocasiones que, según la concepción clásica, el hombre se hallaba frente a un universo autómata. Este universo podía manipularse prescribiendo condiciones iniciales apropiadas. En cierto modo, el hombre aparecía como un ser todopoderoso, dueño, en principio, de un universo controlable hasta en sus más mínimos detalles.
Este omnímodo poder tenía un precio: la inquietante extrañeza del ser humano en relación al universo que describía. Volvemos con ello al tema central del libro que he escrito en colaboración con Isabelle Stengers, La nueva alianza .
La vida, fenómeno irreversible, la cultura y sus avatares, no podían constar sino como extrañas al mundo físico de la ciencia clásica.[40]
En las concepciones actuales, lo casual y lo irreversible desempeñan un papel a todos los niveles. A partir de ahora, la ciencia puede dar una imagen del universo compatible con la que imponen la biología y la historia de las culturas.
Por ello mismo, la ciencia deja con pleno derecho de ser la expresión de una fase cultural aislada, la del siglo XVIII europeo.
Muchos investigadores han subrayado el carácter históricamente localizado del concepto de ley natural.[41] Actualmente la ciencia desborda el contexto cultural particular que la vio nacer. Son aceptables otros discursos sobre el mundo, elaborados en contextos culturales distintos.
Por ejemplo, una preocupación fundamental de la filosofía hindú ha sido siempre la visión interior, el descubrimiento del mundo a través del retorno a uno mismo.[42] La visión occidental miró con ojos epistemológicos y críticos al mundo externo, pero actualmente es viable un diálogo entre ambas concepciones.
La ciencia china, con su compleja visión de la armonía espontánea de los diversos componentes del mundo, puede, quizá mejor que nosotros, interpretar estos fenómenos de auto estructuración que ahora podemos describir.[43]
Sobre conceptos fundamentales que parecían suficientes para describir la realidad, como son la idea de trayectoria o de función de onda, pesa actualmente el reproche de idealización excesiva. En los sistemas dinámicos inestables, por ejemplo, por muy cercanas que se consideren en el momento inicial las trayectorias, pueden divergir en el tiempo.
Además, y en contra de la analogía que sugería el estudio de sistemas dinámicos simples, sabemos que existen sistemas en los que todas las condiciones iniciales no son realizables, y que las que se adoptan deben formar parte del conjunto de los estados accesibles al sistema. En este caso, la condición inicial forma parte de la dinámica del sistema.
Van surgiendo las raíces del tiempo;[44] la irreversibilidad no es una propiedad universal, como lo demuestra la existencia de movimientos reversibles muy simples, pendulares o planetarios. Presentimos que es un mero efecto, un resultado de la complejidad microscópica.
En definitiva, descubrimos una jerarquía de propiedades: inestabilidad (clásica o cuántica) que conduce a un comportamiento nuevo que hace que las propiedades del sistema puedan describirse en términos de proceso aleatorio (en terminología técnica; del tipo de las cadenas de Markov) y de ruptura de simetría como consecuencia de la no integración de las condiciones iniciales. Esta ruptura de simetría expresa, en términos matemáticos, la sensación intuitiva que constantemente tenemos del tiempo: que no es manipuladle a voluntad.
El mundo físico, tal como lo conocemos actualmente, es menos manipuladle de lo que preveía su lectura clásica. Sucede igual, a fortiori, con las sociedades humanas. En cualquier modelo en el que se trate de evitar la descriptiva estricta y que finalmente desemboque en la represión para mantener las condiciones establecidas, deben necesariamente tenerse en cuenta las fluctuaciones y las posibilidades de autoorganización. En mi visita a Brasilia, he visto un modelo urbano estereotipado: diseñar una ciudad, a modo de un pájaro que aterriza, es inmovilizarla y despreciar la creatividad de las generaciones futuras.
También los modelos a que aludía comprueban constantemente la estabilidad de su propio estado organizativo para, así, captar los cambios estructurales que surgen con nuevos tipos de comportamiento, o cuando los parámetros o tendencias característicos cambian (por ejemplo, el desarrollo de «suburbios» alejados, la aparición espontánea de centros comerciales, de satélites industriales o de guetos, etc.). Es precisamente en estos momentos cuando los modelos habituales deben «recalibrarse» sobre la marcha para compensar su incapacidad de predecir el comportamiento del sistema.
Por lo tanto, las citadas ecuaciones suponen una constante renegociación del espacio humano y permiten explorar la evolución a largo plazo de cada centro urbano que se halle sometido a diversas constricciones, tales como renovación específica, coste energético y de transportes, impacto de una nueva tecnología relativa al tratamiento y a la comunicación de datos, modificaciones específicas de la red de transportes, etc…
El equilibrio termodinámico, el expresado por el máximo de la función entrópica, es caótico. Un ejemplo muy sencillo es el de un gas formado por moléculas. En estado de equilibrio, las moléculas son independientes y no se observa correlación alguna entre sus movimientos.
El no equilibrio es fuente de orden, de coherencia; entre las unidades surgen correlaciones. El no equilibrio como origen de orden se presenta ya como uno de los principios más generales que podemos formular actualmente. Parece posible aplicarlo a los distintos niveles de descripción accesibles hoy día: partículas elementales, movimiento molecular, fenómenos macroscópicos descritos en termodinámica.[45]
Concebido como la entropía máxima accesible a un sistema dado, el equilibrio se convierte en sinónimo de desorden, de caos, como ya había anticipado Boltzmann. Es el no equilibrio el origen de toda coherencia, y esto parece ser cierto a todos los niveles actuales de descripción accesibles: si calentamos una barra metálica, a largo plazo aparecen correlaciones entre sus moléculas. ¿Cómo no pensar en las relaciones de orden a distancia que existen en las secuencias de nucleótidos del DNA o entre las palabras del lenguaje?
A todos los niveles hallamos este dualismo: en el equilibrio, unidades incoherentes que pueden en sí mismas ser complejas, pero olvidadizas unas en relación a otras. Si no temiera los neologismos, me atrevería a denominarlas hipnones, en parangón con los sonámbulos que deambulan, ajenos al mundo externo. ¿Cómo no pensar en las mónadas de Leibniz? El elemento nuevo es que actualmente lo que se introduce es el no equilibrio que establecen las correlaciones entre unidades, en el lugar que Leibniz atribuía a una armonía preestablecida. La materia vuelve finalmente a ser activa en un inundo de no equilibrio; la actividad es una propiedad interna y no un elemento impuesto desde fuera.
3.
El cambio de perspectiva que acabo de exponer nos obliga a utilizar una serie de nuevos conceptos: bifurcaciones, no linealidad, fluctuaciones. Muchos de ellos se conocían hace tiempo, pero su importancia y significación se revaloriza como consecuencia de los recientes descubrimientos. Examinemos, por ejemplo, el trinomio flujo/función/estructura.
Resulta evidente que una sociedad es un sistema no lineal en el que lo que hace cada individuo repercute y amplifica por efecto del socius . Esta no linealidad característica ha aumentado espectacularmente como consecuencia de la intensificación de intercambios de todo tipo. Acabo de mencionar el trinomio del flujo, la función y la estructura, que se observa en todos los sistemas, desde los más elementales hasta los más complejos, con la salvedad de que, en sistemas complejos como los sistemas humanos, el flujo no es algo establecido, sino que alterna y lo relanza la sociedad, por lo tanto, está contenido en el proceso de humanización de la naturaleza como ha descrito Serge Moscovici.
En sus apasionantes Entretiens avec Georges Charbonnier, Claude Lévi-Strauss distingue entre sociedades «reloj» y sociedades «máquinas de vapor».[46] Ni que decir tiene que, con el término reloj, alude a la repetición, al determinismo, al carácter casi cristaloide de esas sociedades, mientras que, con el epíteto «máquina de vapor», evoca la desigualdad y la degradación.
Cabe preguntarse si realmente existen las formas fuertes de este binomio. Podemos dirigir nuestra vista hacia sociedades consideradas muy próximas al ideal tipo «reloj» que no se da en la sociedad humana: son las sociedades de insectos. Confieso que estas sociedades siempre me han apasionado, sobre todo desde que supe que las de hormigas cuentan en su haber con un éxito ecológico esplendoroso, pues se calcula que el número existente de estos insectos es del orden de 10[15], lo que nos da un millón de hormigas por cada ser humano.
Lo cierto es que algunos aspectos del comportamiento de estas sociedades pueden hacemos pensar en la sociedad «reloj». Un reciente experimento ilustra uno de estos aspectos.[47] Sucede efectivamente que, al modo determinista, el aumento de dimensión de un hormiguero causa una ruptura de simetría entre las densidades de utilización respectivas de las dos rutas equivalentes que conducen desde el hormiguero a las fuentes de alimentación, y el complejo efecto gregario que desplaza la mayor parte de las hormigas a uno de los dos caminos en detrimento del otro, se deriva necesariamente de la interacción semiológica cuyo soporte químico aportan las feromonas.
Pero hay que evitar cualquier extrapolación imprudente Si el experimento corrobora la idea de reloj, otras comprobaciones demuestran que, en realidad, la parte del azar, la parte de las probabilidades en el comportamiento de los insectos sociales, es mucho más importante de lo que hasta ahora se creía. Particularmente sus estrategias de caza y recolección son exponente de una enorme variabilidad del comportamiento en la que intervienen distintas modalidades de lo aleatorio.[48]
El índice de error admitido en cada uno de estos comportamientos constituye para las hormigas «la imaginación de la colonia» y mantiene un flujo de innovaciones exploratorias, amplificado también, e incluso regulado, por el sistema de comunicación. Esta imaginación de paso variable parece relacionada con los parámetros ambientales y sociales.
Las especies, cuya estrategia consiste en explotar hasta agotar las fuentes de aprovisionamiento descubiertas, presentan en sus operaciones de recolección un grado de ruido bastante elevado, que a su vez se relaciona con el grado de dispersión de las fuentes. Por el contrario, las especies que funcionan en base a la rapidez de explotación pueden ser mucho más deterministas, a la par que presentan diversos niveles de ruido en su comunicación.
Vemos que azar y necesidad cooperan ya a nivel de es tas sociedades tan simples y que la imagen del reloj dista mucho de agotar la serie compleja de relaciones que intervienen entre las sociedades de insectos y su entorno.
¿Es más exacta la imagen de máquina de vapor? Ruego se me permita dar un salto y referirme a las sociedades humanas, mejor equipadas por los recientes progresos de la informática.
Hablé al principio de la problemática de la complejidad, y ahora nos encontramos con que se halla relanzada por el volumen contemporáneo de flujo de energía, de materia y de información, tanto dentro de cada país como entre amplias regiones a nivel internacional. André Danzin[49] estudia en un reciente informe las consecuencias del veloz aumento de información a escala internacional, que sitúa en un 14% anual. ¿Cómo interpretar esta situación en términos de la física de no equilibrio que mencionábamos anteriormente?
El trinomio flujo/función/estructura implica una retroalimentación ( feed-back ) evolutiva: pueden surgir nuevas estructuras que, a su vez, modifiquen el flujo, lo que, a su vez, posibilitaría la emergencia de nuevas estructuras. Por lo visto nos hallamos en una coyuntura en la que las estructuras creadas en un período precedente han generado nuevos flujos, sin que éstos hayan encontrado su inserción social en forma de estructuras adecuadas para procesarlos. De ahí el malestar y la angustia que se observa a todos los niveles. Lo que ha construido la generación anterior aparece por todas partes en forma de nuevos flujos de intercambio, los cuales inducen a reanudar las construcciones históricas precedentes.
Se suele hablar de crisis. Por supuesto, la palabra se aplica en múltiples sentidos, y uno de ellos remite probablemente al hecho de que cada individuo siente que nuevas estructuras proporcionales deben abrirse paso a nuevas escalas temporales o espaciales, unas cortas y otras largas, con arreglo a la especificidad de los flujos correspondientes El mundo no ha alcanzado ese pluralismo que permite el nivel de flujos. Esto casi encierra una paradoja, porque, contrariamente a la tendencia habitual que interpreta la circulación de flujos como un proceso cuyo término debe set la uniformización más estacionaria, creo que estos flujos son fuente de diferenciación vinculada a la actividad del hombre.
Estos procesos de diversificación van surgiendo muy claramente en diversos ámbitos, como sucede en literatura, en la que el aumento global del número de libros permite editar obras de gran especialización; e igual observación podría hacerse respecto a la música.
La diversidad cultural, tal como la conocemos, era un dato de la historia, un sedimento de la dispersión de grupos sobre el mapa mundial. Esta diferenciación, en cierto modo mecánica, podría ceder su puesto a nuevos procesos en los que las prácticas culturales fueran libres de diferenciarse de forma ampliamente descentralizada.
Es evidente que se dan dos fenómenos simultáneos. Por un lado, el desplazamiento de la imagen del hombre medio, y por otro, la definición siempre cambiante de las fluctuaciones a partir de esta media. Quizá, tanto en física como en química, norma y fluctuación constituyen dos aspectos complementarios. La física clásica ignoraba norma y fluctuaciones: se registraba la perturbación de un movimiento planetario sin vuelta de hoja. En este mundo nuestro existen atractores (por ejemplo, la posición de reposo del oscilador amortiguado), y en él fluctuaciones y atractores sólo se definen necesariamente de forma correlativa.
4.
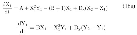
Voy a señalar a continuación algunos puntos del diálogo renovado con las ciencias humanas, posibilitado actualmente por la reciente evolución de las ciencias físicas. Citaré un solo ejemplo relativo a dinámica urbana.[50]Mi colaborador, P. Allen, y su equipo han desarrollado modelos sobre evolución estructural del sistema urbano para explorar los efectos a largo plazo de las decisiones aplicadas al transporte, costes energéticos y cambios tecnológicos o socioeconómicos.
Los métodos tradicionalmente empleados para evaluar los efectos de distintas políticas (aunque basadas en ecuaciones econométricas, análisis de tipo input/output, métodos de simulación o técnicas de programación lineal) consisten, en realidad, en describir la estructura de los flujos existentes en el sistema. No integran un mecanismo explicativo sobre la génesis de la estructura, por lo que no pueden mostrar si persistirá realmente, o no, el estado momentáneo del sistema, o si se avecinan ciertos cambios.
Estos métodos, muy utilizados a corto plazo, pueden ser totalmente erróneos si se aplican a períodos más largos durante los cuales el sistema y sus problemas pueden cambiar cualitativamente.
Las repercusiones macroscópicas de las estrategias de los distintos agentes pueden analizarse en el curso de un período prolongado durante el cual los actores urbanos responden a las circunstancias nuevas mediante un conjunto de reacciones en cadena de sucesivas respuestas.
Por ejemplo, si se reduce la accesibilidad del transporte ligero al centro de la ciudad, tal vez se produzca una revitalización del mismo si los empleados se instalan en zonas renovadas que fomenten el crecimiento de servicios locales en esos puntos, o, por el contrario, una reubicación de oficinas y comercios en el extrarradio urbano, con lo que se acelera la decadencia del centro.
Si he citado este ejemplo es porque lo considero típico, en el sentido de que cualquier intento por modelizar las actividades complejas (demografía, circulación urbana, etc.) incluye necesariamente dos aspectos: uno monográfico, en el que cuentan conceptos como flujo, no linealidad y bifurcaciones, aparte de otras nociones que fundamentalmente se derivan de los últimos adelantos de las ciencias físicas y matemáticas; y un aspecto fenomenológico, que describe el comportamiento de los protagonistas y que sólo puede entenderse experimentalmente mediante una encuesta social. En otras palabras, para descifrar el comportamiento humano en esta perspectiva, debemos situarlo dentro de un modelo, el cual no es válido si no se equipara a la auténtica diversidad de los comportamientos reales.
Se trata, por lo tanto, de lograr un diálogo próximo al que las ciencias físicas siempre han propiciado, aunque, en este caso, el marco intelectual sea infinitamente más complejo. Insistimos en el hecho de que, en modo alguno, hay que sustituir el modelo por una decisión, sino, al contrario, el modelo debe servir para facilitar la explicación de las motivaciones de la decisión.
5.
No puedo silenciar el problema de la política científica europea. Desde 1974, el Consejo de las Comunidades Europeas ha adoptado el acuerdo de abrir el conjunto del campo científico y técnico a la actividad comunitaria.[51] Gracias a diversos coloquios y trabajos[52] se ha llegado a esclarecer la problemática del fomento comunitario a la investigación en Europa.[53] En las reuniones se han expuesto diversos factores de la difícil situación por la que actualmente atraviesa la investigación europea: envejecimiento demográfico de las poblaciones de investigadores, dispersión de esfuerzos, coordinación insuficiente, más las correspondientes secuelas, siendo la principal que Europa está sub representada, en términos relativos y absolutos, en el concierto científico internacional. Esta situación es tanto más inaceptable cuanto que, como todos sabemos, el estímulo a la actividad económica europea debería ir unido a la vitalidad de su investigación científica.Personalmente, soy muy sensible a dos aspectos de esta fase crítica.
En primer lugar, el problema de los jóvenes. Estoy convencido de que la creatividad de las jóvenes generaciones está hoy por hoy sacrificada. Es fundamental que aseguremos las condiciones de una movilidad internacional e interinstitucional que permita a los jóvenes científicos explorar los recursos del área científica europea.
En segundo lugar, será determinante que nos aprestemos a establecer un contacto directo entre los medios científicos y las autoridades de la comunidad europea. Hasta ahora la Fundación Europea de la Ciencia no ha podido desempeñar más que un papel consultivo, por no disponer de un presupuesto propio conveniente. Debemos meditar sobre las iniciativas institucionales de que ha hecho gala Norteamérica, como es la National Science Foundation y el National Research Council, aparte del auge del presupuesto científico ante el propio Congreso.
Actualmente parecen abrirse ciertas esperanzas, a la vista de que la comisión ha logrado que los estados miembros aprueben una resolución para emprender un esfuerzo especial de estímulo a la investigación de vanguardia a escala comunitaria. Se ha creado un comité de especialistas de alto nivel para seguir los pasos de esta experiencia, el denominado Comité para el Desarrollo Europeo de la Ciencia y la Tecnología (CODEST).
La empresa exige fórmulas estructurales originales, susceptibles de relanzar el pluralismo institucional y la flexibilidad de programas y equipos que debieran ser nuestras mejores cartas.
Y llegamos al final. ¿Cómo juzgar nuestro siglo? Es una pregunta que recientemente tuve el privilegio de debatir con J. M. Domenach.[54] «Demasiados horrores, demasiados errores», decía él.
Es cierto. Cuántas convulsiones, cuántas amenazas para el futuro. Sin embargo, quizá nuestro siglo siga siendo, a pesar de todo, el siglo de la esperanza.
Vivimos una doble revolución: a nivel de las relaciones del hombre con la naturaleza, como he expuesto en esta comunicación; pero también en las relaciones del hombre con el hombre. Es una transformación que se inicia al término del colonialismo y con la aparición del doble movimiento de descentralización y de unificación que tiene lugar en innumerables regiones del planeta.
El tiempo es construcción y no basta con redescubrirlo, ni tampoco con redescubrir la libertad en pintura o en música. Al redescubrir el tiempo asumimos una responsabilidad ética. Cuando menos, somos capaces de hacer que el peso de nuestra historia no nos resulte una carga inexorable. Otras bifurcaciones son imaginables y accesibles, al precio de otras fluctuaciones en el camino de la exuberante humanidad del mañana. El redescubrimiento del tiempo es también el redescubrimiento de la utopía.
§ 4. Naturaleza y creatividad[55]
(En colaboración con I. Stengers[56])
«Afirmación frente a…». Una de las dimensiones fundamentales de la creatividad es probablemente esa oposición, en definitiva maniqueísta, entre orden trastornado y «dinamismo creador» que lo trastorna; de sobra conocemos el vocabulario, esencialmente moderno, de alienación, opresión, conformismo, dominación anónima, cantidad contra calidad . Palabras que hacen referencia a este convencimiento propio de nuestra época de que el hombre sólo es hombre rompiendo, alzándose contra un medio que necesariamente niega su poder creativo. Pero es también este vocabulario el que acude a nuestra pluma cuando se trata del hombre frente a la naturaleza; también en este caso el hombre histórico, el hombre en devenir, potencia de superación y de proyecto, debe romper con la naturaleza identificada con una materia pasiva, sometida a leyes deterministas, carente de toda posibilidad de innovación y transformación.
No es una casualidad, claro. Veremos cómo, en el seno de la naturaleza descrita por la física clásica, es inconcebible la posibilidad de que algo nuevo se produzca. «Todo está dado», toda evolución que no pueda reducirse a una equivalencia más fundamental queda excluida. ¿Cómo concebir que el hombre pertenezca a semejante mundo? La creatividad, afirmada como privilegio del hombre, no será muchas veces más que lo opuesto a lo que se rechaza que él sea: la ciencia se nos ofrece a imagen de la naturaleza.
Afirmación de la diferencia del hombre, muchas veces tanto más teñida de sacralidad por su cariz abstracto, puramente oposicional; o, por el contrario, intento de resucitar esa naturaleza naturante que produce la naturaleza naturada, es decir, el conjunto de los objetos de nuestro conocimiento, y al cual la propia experiencia de nuestra creatividad manifiesta nuestra pertenencia. Estamos aludiendo a las Filosofías de la Naturaleza[57] de principios del siglo XIX y también, desde luego, al pensamiento bergsoniano del impulso creador. Sería un error sonreír al oír evocar lo que muchas veces ha sido calificado de revueltas estériles contra el progreso de las ciencias. Ciertamente, nos parece que estas filosofías corren el riesgo de trascender, en el propio seno de la naturaleza, la oposición abstracta que, como hemos dicho, subyace en la descripción del hombre frente a la sociedad, del hombre frente a la naturaleza. Sin embargo, sería un error pensar que la crítica filosófica esté actualmente más desviada que en la época en que Laplace imaginaba a un demonio calculando el destino del universo a partir de la descripción de uno de sus estados momentáneos; podemos leer, en el prólogo al brillante análisis del estado actual de la investigación biológica, «De la bacteria al cerebro humano»; «Las funciones de comparador o de simulador, el pensamiento reflexivo, ponen en marcha conjuntos de neuronas e intrincados circuitos de conexiones, cuyo enmarañamiento se resiste todavía a un análisis objetivo. El conocimiento del estado inicial requerido para predecir un comportamiento tropieza de momento con múltiples obstáculos. Pero es una dificultad estrictamente práctica. En el plano teórico, no existen impedimentos. Hay una incompatibilidad total de principio entre el determinismo más absoluto y la aparente imprevisibilidad de un comportamiento».[58]
Aparente imprevisibilidad. Hoy como ayer, la ciencia parece oponer a la evidencia de lo cualitativamente nuevo el arma de la explicación que disuelve el fenómeno; hoy como ayer, habrá filósofos que se alcen para denunciar la contradicción de un pensamiento humano calculador que se arroga el poder, nada menos que infinito, que supone esa reductibilidad del pensamiento a un conjunto contingente de circuitos neuronales.
Sin embargo, a pesar de lo que digan inconscientemente ciertos biólogos, nuestra ciencia, a la que ellos creen invocar, no es ya la de Laplace, ni la de Kant. Y, por consiguiente, la creatividad que fuera exponente de la cuestión crítica (el hombre no halla su lugar en el mundo que describe, la creatividad que fuera la encarnación de la protesta contra las pretensiones de una ciencia que sólo sabe explicar por reducción a la insignificancia) encontrará —creemos que lo encuentra ya— un puesto nuevo, central, en el pensamiento científico.
Una ciencia que dé sentido a la noción de creatividad y, en términos más generales, al concepto de innovación no puede ser más que una ciencia profundamente distinta a aquélla clásica, de la que Meyerson hizo tan fiel descripción mostrándola únicamente satisfecha cuando había logrado reducir un cambio, una novedad, a simple apariencia, retrayéndola a la identidad de un nivel más fundamental. El modelo de esta ciencia es la descripción de la trayectoria de los astros que no tiene ni principio, ni diversidad y cuya perpetuación idéntica está contenida en la descripción de cada uno de sus estados instantáneos. El triunfo de esta ciencia es la reducción de la diversidad cualitativa al análisis cuantitativo, es el devenir (la evolución durante la cual, sin embargo, algo se produce, en sentido literal) convertido en apariencia, en una descripción aproximativa ligada a nuestra ignorancia. Por el contrario, la ciencia auténtica actual, la ciencia de un habitante de este mundo que explora el medio a que pertenece, está ligada a una profunda conmoción de estos modelos ideales de explicación. Se deriva de nuevos conceptos que, a lo largo de nuestro siglo, hemos tenido que ir introduciendo para esclarecer una serie de paradojas científicas; estas paradojas, ligadas todas ellas al problema de la medida, nos han forzado a reconocer, dentro de las propias teorías científicas, una adscripción al mundo que describimos y cuya descripción newtoniana, en su exterioridad, creyó poder eludir. Esta ciencia es también consecuencia de la imposibilidad cada vez más patente de describir este mundo, en el que explotan supernovas, en el que nacen y mueren partículas elementales, como un mundo estático, y, por tanto, producto del abandono del interés exclusivo por las situaciones estables e inmutables.
Nuestro mundo es un mundo de cambios, de intercambios y de innovación. Para entenderlo, es necesaria una teoría de los procesos, de los tiempos de vida, de los principios y de los fines: necesitamos una teoría de la diversidad cualitativa, de la aparición de lo cualitativamente nuevo. Creemos que actualmente podemos entrever su esbozo, sus primeras orientaciones. Para mejor entender su doble vinculación a esa ciencia que implicaba la soledad del hombre en un universo muerto y a la protesta contra esa investigación que reduce todo lo que toca a la identidad plana y a la obcecación por la insignificancia, vamos a examinar con mayor detenimiento la situación histórica de donde creemos procede el concepto moderno de creatividad. Luego, intentaremos mostrar cómo este concepto se sitúa dentro de la ciencia de los procesos.
Se ha dicho muchas veces que el siglo XIX es el siglo durante el cual se plantea por vez primera en su complejidad el problema del tiempo, tanto en ciencia como en filosofía. A finales del siglo XVIII, La crítica del juicio de Kant sirvió de fuente de inspiración para lo que podemos denominar la reacción romántica, que sería la primera en contrastar la oposición entre naturaleza inerte, regida por un determinismo ciego de la física matemática, con creatividad, la manifestación armoniosa y multicolor del devenir natural .
El siglo XVIII descubrió el cuerpo organizado, discutiendo la posibilidad de describir lo vivo como un reloj y, al mismo tiempo, de describir el reloj desde el punto de vista de su mecanismo, puramente físico, o desde el punto de vista, intencionado, de su constructor. El siglo XIX descubre el organismo . La organización del relojero concienzudo, que sometía la naturaleza a la intención calculadora, a la economía juiciosa y bien ordenada de los fines naturales, se sustituye por una naturaleza espontánea, creadora de formas, artística. El hombre creador, el artista, ha sustituido al relojero. Estas dos figuras, el organizador y el creador, están en La crítica del juicio representadas en el juicio teleológico y el juicio estético.
El juicio teleológico nos lleva a concebir que nada es vano dentro de la naturaleza. «Un producto organizado de la naturaleza es aquél en el que todo es finalidad y, recíprocamente, también medio. No hay nada en tal producto que sea superfluo, sin finalidad o susceptible de ser atribuido a un mecanismo ciego».[59] Por otra parte, nos vemos inducidos a constatar una concordancia, contingente, entre las producciones de la naturaleza y lo que juzgamos bello. Desde el punto de vista del conocimiento de la naturaleza, juicio estético y juicio teleológico presentan, no obstante, muy distintas condiciones. Cierto que ninguna de ellas es determinante y que sólo el principio del mecanismo de la causalidad es constitutivo de los fenómenos naturales. Sin embargo, el principio de las causas finales puede servirnos de hilo conductor para estudiar los cuerpos organizados, aunque, desde luego, sin que ello pueda contradecir nunca el verdadero conocimiento de estos cuerpos que está sometido a las categorías del entendimiento, en términos generales, las de la ciencia newtoniana. Por el contrario, sería inútil buscar una finalidad a la naturaleza productora de belleza; «somos nosotros quienes acogemos con favor la naturaleza, mientras que ella no nos hace favor alguno».[60] Entre la armonía subjetiva y espontánea de nuestras facultades y las formas producidas por la naturaleza, la concordancia es contingente, el sentido de lo bello corresponde al sujeto. La naturaleza no es artista. De este modo. Kant establece un equilibrio precario —que resultará aniquilado por el idealismo post-kantiano— entre la ciencia moderna, matematizada y mecanicista, y esa «nueva» evidencia de que la naturaleza es fuente de analogías para el organizador y fuente de inspiración para el artista. Esta forma de coexistencia sería destruida por la filosofía romántica que, en sí misma, constituye una reacción contra la ciencia. Y es el devenir de la naturaleza, el impulso armonioso de su creatividad, lo que será afirmado, y no ya la economía prudente pero estática de su finalidad. Adscripción del hombre creador a la naturaleza creadora y del artista a la naturaleza productora de formas.
Actualmente, mucho mejor que la afirmación de los filósofos post-kantianos, conocemos la de las fuerzas creativas de la naturaleza, contraria a las descripciones de la física, enunciada por pensadores más próximos a nosotros, cuyas referencias científicas nos son más conocidas, como es el caso de Nietzsche y Bergson.
Ha quedado muy atrás la tranquila naturaleza, económica y bien ordenada. Para Nietzsche, la naturaleza es creadora, pero el creador es también, por definición, un destructor; la naturaleza creadora es una naturaleza cruel, en la que los débiles, que son también los más numerosos, luchan contra los fuertes, quienes afirman su diferencia y cuyo eventual triunfo destruye a los que no pueden contemporizar con esta afirmación. El devenir es conflicto; «los individuos más fuertes serán los que sepan resistir a las leyes de la especie sin perecer, los aislados. Es a partir de ellos de donde se forma la nueva nobleza; pero, mientras se forma, ¡gran número de aislados tendrán que perecer!, porque, aislados, perderán la ley que conserva y el aire habitual».[61] Por doquier hallamos lucha y no armonía, lucha de células, de tejidos, de órganos, de organismos.[62]
Gilles Deleuze ha visto en Nietzsche a un agudo crítico del modo de explicación mecanicista por la conservación y la invariancia, y de la descripción termodinámica como anulación progresiva de diferencias. « ¿Qué significa esta tendencia a reducir las diferencias de cantidad? Expresa, en primer lugar, el modo en que la ciencia participa en el nihilismo del pensamiento moderno. El esfuerzo por negar las diferencias forma parte de esa empresa más general consistente en negar la vida, en depreciar la existencia, en prometer una muerte (calórica o no) en la que el universo se abisme en lo indiferenciado».[63] La ciencia mecanicista, al igual que la ciencia termodinámica, niegue o afirme el Eterno Retorno, es incapaz de concebirlo; eterno retorno de lo diferente, eterna repetición de la producción de lo diverso como tal. «La idea mecanicista afirma el Eterno Retorno, pero dando por supuesto que las diferencias de cantidad se compensan o se anulan entre el estado inicial y el estado terminal de un sistema reversible. El estado final es idéntico al estado inicial, al que se supone indiferenciado respecto a los intermedios. La idea termodinámica niega el Eterno Retorno, pero porque descubre que las diferencias de cantidad se anulan sólo en el estado final del sistema, en función de las propiedades del calor. Se acomoda así la identidad al estado final indiferenciado, oponiéndola a la diferenciación del estado inicial. Las dos concepciones concuerdan en la misma hipótesis, la de un estado final o terminal, estado terminal del devenir».[64]
«No entendemos el Eterno Retorno si no lo oponemos en cierta manera a la identidad»,[65] ni tampoco la ciencia del siglo XIX, termodinámica de equilibrio o física dinámica.
También es esta ciencia contra la que Bergson exclama «el tiempo es invención, o no es nada».[66] No es nada, es decir, es el tiempo espacializado de la física que describe todo devenir como una sucesión de estados instantáneos, yuxtapuestos en exterioridad. La física «se limita a contar las simultaneidades entre los acontecimientos constitutivos de ese tiempo y las posiciones del móvil T en su trayectoria. Desgaja estos acontecimientos de todo lo que revista en cada instante una nueva forma y le transmita algo de su novedad. Los considera en estado abstracto, como lo serían fuera del ámbito de lo vivo, es decir, en un tiempo desarrollado en espacio. Sólo retiene los acontecimientos, o sistemas de acontecimientos, que puedan aislarse sin hacerles sufrir una deformación excesiva, porque sólo éstos se prestan a la aplicación de su método. Nuestra física data del día en que se supo aislar tales sistemas».[67]
La creatividad bergsoniana ya no es esa explosión destructora de totalidades, ese desmembramiento del Dios danzante nietzscheano; las metáforas han cambiado: es el impulso, la elaboración continua de novedades, el dinamismo armonioso, aunque divergente, «como el viento que penetra en un callejón y se divide en corrientes de aire divergentes que son todas un mismo y único soplo».[68]
Como la filosofía romántica, Bergson evoca el organismo, la totalidad, pero se opone a toda concepción de finalidad predeterminada que, como el mecanicismo, desembocaría en la negación de la creatividad. «Totalidad en proceso», organismo esencialmente abierto, en evolución, sin objetivo predeterminado.
«En vano intentaríamos asignar un propósito a la vida, en el sentido humano del término. Hablar de propósito es pensar en un modelo preexistente al que sólo falta realizarse. Es, por lo tanto, suponer que, en el fondo, todo está dado, que el futuro puede leerse en el presente. Es creer que la vida, en su movimiento y en su integralidad, procede como nuestra inteligencia, que es una simple visión inmóvil y fragmentaria sobre aquélla y que siempre se sitúa naturalmente fuera del tiempo. La vida progresa y dura».[69] La vida es continuidad, invención. La inteligencia fragmenta, aísla, inmoviliza, disocia en elementos manipulables y calculables. La inteligencia no puede comprender la vida, la biología tan sólo puede caricaturizarla; únicamente la intuición puede entenderla, «visión directa del espíritu por el espíritu»;[70] «el cambio puro, la duración real, es cosa espiritual, o impregnada de espiritualidad. La intuición es lo que el espíritu alcanza, la duración, el cambio puro».[71] Espíritu contra materia, inteligencia utilitaria que construye el cambio a partir de inmovilidades yuxtapuestas, contra intuición, vinculada a una duración creciente en la que percibe una «continuidad ininterrumpida de imprevisible novedad»:[72] Bergson no critica un estadio históricamente determinado del pensamiento científico, sino la propia ciencia; separa sus ámbitos, diferencia los reinos. Por ello repite lo que quizá fuera una de las causas del fracaso de las Filosofías de la Naturaleza a principios del siglo XIX . Filosofías del devenir y de la creatividad que, sin embargo, quisieron congelar el devenir de la ciencia, amarrarlo a una forma de conocimiento utilitario, cuyo alcance habría de quedar restringido a los únicos dominios en que esta utilidad se evidencia; inteligencia industriosa del hombre que entiende la naturaleza a través de su doble papel de legislador y experimentador, pero que deja escapar un dinamismo creador que sólo la intuición estética es capaz de experimentar.
Situación paradójica la de las filosofías de la creatividad instituyéndose en contra de una ciencia que ellas mismas congelan e identifican. Situación tanto más extraña cuanto que la ciencia parece constituir exactamente el tipo mismo de la actividad creadora fuente de novedades conceptuales, de puntos de vista inesperados, de estrategias imprevistas. Tal vez podamos comparar, en este sentido, la ciencia con la Medusa que fascinaba a sus víctimas convirtiéndolas en mineral. Al parecer, por defender su cuerpo, algunos filósofos quedan a tal punto impresionados por el estado de la ciencia en su época que acaban compartiendo la convicción de muchos científicos según la cual la historia de las ciencias no es más que ese progreso que conduce hasta ellos mismos, congelando así ese estado de la ciencia, identificándolo con la ciencia en general y haciendo de él un ser substancial, una realidad estática, el Adversario. Es en este contexto donde la creatividad se convierte en lo que al hombre escapa, y está eternamente destinado a escapar a la investigación científica.
Por lo tanto, podemos decir que la crítica de Bergson es totalmente pertinente. Cuando dice que en física lo cualitativamente nuevo, la innovación, no tienen lugar, expresa una de las consecuencias esenciales del tipo de postulado que instauraron los fundadores de la ciencia moderna para lograr su ambición: matematizar la naturaleza, descubrir, más allá de la diversidad de los fenómenos, las leyes matemáticas que constituyen la propia esencia del cambio. Pero nosotros afirmamos al mismo tiempo que estos postulados no están vinculados a la naturaleza de la ciencia, que no son definitivos y que, muy al contrario, su fin se acerca. Por lo tanto, si el diagnóstico de Bergson nos parece justificado, su remedio —un nuevo tipo de saber en ruptura con el tipo de inteligencia vigente en la ciencia— nos parece una muestra del «efecto Medusa».
Dicho esto, parecerá que ya podemos hacer burla de la crítica bergsoniana, y la mayoría de las teorías científicas actuales pueden perfectamente hacerlo. De ahí deriva el auténtico diálogo de sordos entre Bergson y Einstein: por muy aventurada que sea la parte matemática de su exposición, Bergson no estaba equivocado frente a Einstein: el tiempo de la relatividad es producto de una idealización, no se presta a la descripción de la naturaleza y los seres vivos; el tiempo de la relatividad sigue siendo el tiempo espacializado de la física, nada tiene en común con el tiempo del que hablaba Bergson, que es más próximo al tiempo termodinámico, puesto que mide el devenir intrínseco, el proceso.
Bergson nos ha dicho que nuestra física data del día en que supimos aislar sistemas, considerándolos independientemente del mundo a que pertenecen, aislar una causa de su cambio de estado e identificar este cambio al efecto necesario de dicha causa. Creemos, efectivamente, que es el paso decisivo con el que se origina la ciencia moderna, el paso general de la ciencia clásica.
En la física aristotélica, el aislamiento de un fenómeno no podía tener sentido. En ella todo movimiento es proceso, devenir que afecta intrínsecamente al cuerpo. Además, el movimiento no puede describirse sin referencia al cosmos del que forma parte el cuerpo, porque el movimiento puede responder, o no, a las tendencias esenciales del cuerpo, permitirle, o no, alcanzar su ubicación natural: el cuerpo realiza espontáneamente los movimientos «naturales» y se resiste a los movimientos forzados, impuestos por la acción de un motor.
La física medieval, que aprendió a explicar, por el impetus, el movimiento de un proyectil —movimiento forzado, aunque sin contacto con un motor— aprendió las virtudes de una explicación sin referencia al cosmos, cualitativo y local, del recurso a una causa contenida en el cuerpo en movimiento que a la vez permite hacer abstracción de la naturaleza del cuerpo en movimiento, de su tendencia a alcanzar su ubicación natural, puesto que, en cada punto de la trayectoria, la velocidad del proyectil es una función simple —muy pronto matemática— del grado de desgaste del impetus .
Es a los físicos del impetus del siglo XIV a quienes debemos los primeros intentos de calcular la variación de la velocidad del proyectil y dar una descripción geométrica de su trayectoria; descripción que implica la posibilidad de tratar el espacio, no ya como un cosmos cualitativamente diferenciado, sino como un espacio geométrico, homogéneo e isótropo, que contiene cuerpos que poseen en sí mismos la causa de su movimiento.
Pero el acta de nacimiento de la ciencia moderna es la exclusión realizada por Galileo de ese efecto sin causa, de ese movimiento continuamente cambiante que constituye el movimiento de caída acelerada: la causa de la caída es el peso del cuerpo, que es constante. Sin embargo, la velocidad de caída varía; variación que no puede reducirse a la identidad de una causa y que, por consiguiente, no puede integrarse en la igualdad de una relación matemática. La matematización del cambio implica una equivalencia cuantitativa entre causa y efecto; la velocidad del grave no es uniforme, por lo tanto no puede tener una causa constante; por el contrario, la aceleración, la variación de la velocidad de caída sí que es constante. Fue Galileo quien llevó a cabo la más radical de las revoluciones conceptuales: el peso determina no la velocidad, sino su variación; la velocidad es un estado del móvil y, de igual modo, el reposo, el estado de movimiento, libre de perturbación, se mantiene ad infinitum .[73]
El objeto de la física será, para Galileo y sus sucesores, el único cambio matematizable, la variación del estado de movimiento, la aceleración. La exigencia de cuantificación, la ambición de alcanzar la inteligibilidad matemática de los fenómenos, destruyó finalmente la física de las tendencias naturales, de los procesos finalizados. Pero hizo algo más, algo que sólo se iría viendo paulatinamente durante el siglo XVIII, cuando el proceso de colisión quedara a su vez prácticamente eliminado por la inteligibilidad de la física matemática naciente. De hecho, quedaron eliminados de la física todos los procesos que afectan intrínsecamente los cuerpos, todos los procesos que evidencian una actividad espontánea de dichos cuerpos, todos los procesos durante los cuales sucede algo, durante los cuales se produce una transformación que no es trivialmente similar a la transformación inversa, porque la causa no es trivialmente equivalente al efecto.
El tiempo físico es, a partir de entonces, el tiempo de la aceleración, las matemáticas de esta física son las matemáticas infinitesimales que Galileo había oscuramente previsto y utilizado. A este respecto, se ha hablado de armonía preestablecida, puesto que los entes matemáticos infinitesimales fueron explícitamente introducidos por Newton como fluentes o cantidades matemáticas que fluyen y permiten tratar matemáticamente el cambio en el curso del tiempo.
Pero el movimiento dinámico es, como señala Koyré,[74] «un movimiento sin relación con el tiempo, o lo que es aún más extraño, un movimiento que se desarrolla en un tiempo intemporal, noción tan paradójica como la de un cambio sin modificación». Y es que, como dice Bergson, todo está perfectamente dado, el cambio no es más que el devenir negado, el tiempo no es más que un parámetro homogéneo indiferente a la transformación que permite describir. El análisis infinitesimal descompone un movimiento en estados cuya sucesión, que se extiende en el tiempo —tanto hacia el pasado como hacia el futuro—, se rige por una ley matemática totalmente determinista. Según esta ley, la descripción de un sistema «que se remonta en el tiempo» es estrictamente equivalente a la del mismo sistema en el que todas las velocidades se hubieran invertido instantáneamente: se postula que las leyes dinámicas son invariantes en relación a un cambio de signo del parámetro tiempo. ¿Qué mejor confirmación a la crítica de Bergson? Basta con invertir el sentido del movimiento del proyector cinematográfico y veremos rejuvenecer a los viejos, hundirse los árboles en tierra, reincorporarse espontáneamente los líquidos vertidos a su recipiente.
En este universo newtoniano, toda actividad coherente es milagro, el caos parece ser la regla, y, sin embargo, las especies vivas se han diversificado progresivamente, los seres vivos se han hecho más complejos, vinculados entre sí por múltiples interacciones delicadamente dispuestas. A pesar de todo, la misma actividad del científico, actividad de inquirir, de experimentación, de estrategia exploratoria, supone ese devenir que la ciencia niega.
Sabemos que la explicación darwiniana trata de asumir la dificultad; con la selección del mutante, producido por el azar, la ciencia moderna ha ido sin duda alguna lo más lejos posible en el extraño intento de reintegrar al hombre a este mundo del que había sido excluido al principio, al resultar inmateriatizable la actividad coherente, el devenir.
Como hemos señalado ya en otro texto,[75] «la protesta vitalista se origina en el materialismo más radical. No es por una espiritualidad imprecisa por lo que reclama Diderot que la materia sea definida como capaz de una actividad intrínseca coherente, poniendo en duda que la física matemática heredada de Galileo y de Newton pueda ocuparse del problema de la vida, sino, al contrario, para otorgar verosimilitud a esta afirmación revolucionaria: el hombre pertenece a la naturaleza, el pensamiento lo produce la materia sensible y organizada.
»Extraña inversión de situación para quienes, como nosotros, han aprendido a ver en el triunfo sobre el vitalismo, proclamado por la biología contemporánea, y en la afirmación de que, por la muy improbable evolución, de milagro estadístico en milagro estadístico, el autómata cibernético humano ha podido surgir sin contravenir las leyes de la física… triunfo de la racionalidad científica sobre el oscurantismo espiritualista. Es más, extraño contraste entre el optimismo de Diderot y el sentido trágico de Monod, tan significativamente cercano al sentido trágico cristiano de Pascal…: “Es preciso que el hombre despierte de su sueño milenario y descubra su absoluta soledad, su extrañeza total. Ahora sabe que, cual cíngaro, se halla al margen del universo en que tiene que vivir. Universo sordo a su música, indiferente a sus anhelos, a sus sufrimientos y a sus crímenes”. Independientemente de que el badajo que la golpea sea ateo o cristiano, la campana fundida por Galileo y Newton produce siempre el mismo sonido, la misma gloriosa humildad, la misma marginalidad orgullosamente asumida».
Algunos biólogos actuales citan con frecuencia a Camus.[76] Es, efectivamente, la asunción del absurdo, el reconocimiento por el hombre de su propia insignificancia, lo que la transmuta, lo que sirve para franquear el Reino a ese extraño ganador de una lotería cósmica en la que casi todas las apuestas pierden.
Nosotros rechazamos esta transmutación trágica que, en definitiva, no es sino la repetición «naturalizada» de la ruptura entre el alma humana, imagen de Dios creador, y el cuerpo, sometido a las leyes mecánicas: ruptura gracias a la cual el hombre de ciencia del siglo XVII pudo matematizar la naturaleza, reducirla a un mundo inerte, desprovisto de actividad intrínseca, sin por ello poner en peligro su propia identidad. Sin embargo, tampoco hay que olvidar las críticas de Monod al vitalismo, que coinciden con las de Judith Schlanger: «Cualquier pesadilla antes que la insignificancia. Es sobre este fondo repelente sobre el que puede entenderse el inmenso éxito de las filosofías del organismo».[77] Y. ciertamente, la afirmación de la naturaleza como totalidad insignificante, del tiempo como devenir de una racionalidad operante en la naturaleza, responde demasiado bien al problema del estatuto del hombre y de la sociedad en el seno de esa naturaleza, y es demasiado exactamente lo opuesto a la naturaleza dispersión pasiva para no constituir sino la expresión imaginativa del problema, Schlanger dice: «El espíritu acepta tanto más fácilmente el discurso cuanto que esta concepción (según la cual toda realidad es de tipo orgánico) sugiere que este discurso se adhiere con mayor fuerza a la motivación que le subtiende. Cree entregarse al examen de razones, y cede a Ja suposición de ventajas».[78] Ahí radica precisamente la debilidad, y la seducción, de concepciones que priman intuición frente a inteligencia conceptual, imaginación frente a entendimiento.
Cierto que la exigencia de matematización constituyó, en los siglos XVII y XVIII, el «lecho de Procusto» en el que la naturaleza fue simplificada hasta hacer incomprensible la propia posibilidad de innovación; sin embargo, esta exigencia va unida a un estadio históricamente nato del pensamiento matemático. Toda concepción que rechace por principio el cálculo y la modelización matemática en nombre de una forma más o menos exaltada y mística de participación en el gran movimiento de la naturaleza, puede parecer un pensamiento reaccionario, producto del rechazo y del miedo más que de la necesidad intelectual de formular positivamente un problema.
Por ello conviene, a propósito de la crítica de la ciencia clásica, establecer una sensible diferencia entre la insatisfacción intelectual profunda, que suscita el tipo de explicación que esta ciencia nos propone, y la inquietud, la nostalgia, que en algunos pueda evocar, de un cosmos armonioso en el que cada cual tuviera su puesto, estuviera previsto y contribuyese a la finalidad del todo; naturalmente, este sentimiento es legítimo, pero sólo el primero puede engendrar una aproximación intelectual fecunda.
El movimiento de los planetas es conservador y no introduce innovaciones. El movimiento pendular no aporta novedades; en el vacío, las piedras que caen no manifiestan creatividad. La simplificación operada por la ciencia corresponde a ciertas situaciones reales, y ningún cuestionamiento debería obligarnos a abandonar este tipo de descripción. No basta con sustituir un universo muerto por otro vivo, un universo conservador por otro innovador.
Pero las nuevas teorías matemáticas, que llevan nombres tan evocadores como «teoría de las bifurcaciones», «teoría de la estabilidad estructural», nos permiten ya superar las simplificaciones de la física dinámica, abordando ámbitos que ésta sólo podía describir mutilándolos. Por lo tanto, no es contra la ciencia contra la que pueda realizarse la inteligibilidad de los procesos coherentes de la naturaleza en devenir, sino de la ciencia liberada por su propio desarrollo de los presupuestos que posibilitaron sus primeros pasos y que, desde entonces, constituyen un obstáculo. Se concibe el reto tanto intelectual como emotivo de esta afirmación: podemos desde ahora esperar la matematización de las condiciones de innovación, modelizar de algún modo los factores que hacen posible la creatividad.
Naturalmente, no pretendemos modelizar la actividad creadora de un artista, ni esos otros tipos de actividad que son el símbolo mismo de lo «sublime» creativo. Pero precisamente porque la creación ya no nos parece el máximo atributo del hombre, sino una dimensión de la propia naturaleza, creemos que la actividad humana más abstracta, más intelectual, no es inseparable, ni esencialmente distinta, de las actividades que cabe esperar puedan algún día modelizarse. Toda invención, «humana» o natural, introduce en el mundo entidades que no existían, realizaciones y problemas nuevos; ¿en qué condiciones se producirán estas invenciones, en qué condiciones podrán mantenerse y provocar la destrucción o la conmoción del sistema en que se produzcan? Éstas son las preguntas que plantean los mutantes producidos por la naturaleza y los inventos técnicos e intelectuales del ser humano. Para quienes, petrificados en su rechazo de la ciencia, han hecho de la creatividad el máximo privilegio del hombre, aquello que le distingue de la naturaleza sometida y pasiva, esto significará un contrasentido grosero o la mayor afrenta; para otros, será la manifestación de que la ciencia ha cambiado profundamente, que desde ahora puede intentar matematizar el tiempo del proceso que su impotencia le había inducido a negar en principio.
Desde ahora resulta claro que tiempo y creatividad están estrechamente vinculados; sólo una teoría para la que el tiempo no sea algo más que un parámetro puede esperar cubrir una noción, por simplificada que sea, de la creatividad. A partir de esto sería lógico pensar en la termodinámica como punto de partida para la elaboración de semejante teoría. Todos sabemos que, en termodinámica, el tiempo tiene un sentido y que los procesos que incrementan la entropía nunca pueden invertirse, son irreversibles.
En realidad, la situación dista mucho de ser tan sencilla, y hasta los termodinámicos trataron de eludir el problema del tiempo que planteaba su propia teoría. Clausius, por ejemplo, enunció, dramáticamente desde luego, el segundo principio ( Die Entropía der Welt strebt einem Maximum zu ).[79] Pero, desde entonces, se atrincheró y, con él, todos los termodinámicos del siglo XIX en el estudio de una situación límite en la que, tras haber alcanzado la entropía su valor máximo, ya no es posible proceso irreversible productor alguno de entropía. Por lo tanto, se atrincheró en el estudio del estado de equilibrio, situación final de toda la evolución termodinámica dentro de un sistema aislado. De esta manera, la termodinámica se especializó precisamente en el estudio de estos estados en los que la asimetría fundamental de los procesos físicos ya no se manifiesta.
Podemos decir que, para los termodinámicos, el no equilibrio, el aumento de entropía, eran temas de mala reputación.
Es comprensible la fascinación que ejerció el estado de equilibrio sobre el científico. El estado de equilibrio establecía, en realidad, una aparente continuidad entre dinámica y termodinámica. Confirmando el diagnóstico de Bergson, podemos decir que tanto dinámica como termodinámica de equilibrio niegan cualquier «creatividad» del sistema; el estado de equilibrio está también estrechamente determinado por sus condiciones en los límites, tan estrechamente sometido al control de quien pueda manipular estos parámetros, como el sistema dinámico por sus condiciones iniciales y sus leyes de desarrollo. En ambos casos, el científico es el Dios de su objeto, y conocer es controlar; en ambos casos, se establece el control sobre un sistema en el que no sucede nada, en el que nunca ha sucedido nada en dinámica, en el que ya nada sucede en termodinámica, porque toda la energía disponible se ha degradado.
Cierto que, en termodinámica de equilibrio, el determinismo es sólo estadístico; las condiciones en los límites sólo permiten describir el sistema promedio, y éste en realidad fluctúa constantemente y de forma incontrolable en torno a estos valores medios Pero este determinismo, aunque estadístico, no por ello es menos total. La ley de aumento de la entropía postula que toda fluctuación próxima al equilibrio está condenada a remitir, a desaparecer; por lo tanto, afirma el regreso al estado descrito por las leyes termodinámicas.
Sólo en el siglo XX, con los trabajos de Théopile De Donder y de Onsager, se inician los primeros intentos de estudiar la producción de entropía determinada por los procesos irreversibles.
Es muy significativo que Théopile De Donder, cuando trataba de caracterizar positivamente la irreversibilidad termodinámica, se interesase por los procesos químicos . Efectivamente, comprendía hasta qué punto estos procesos, estos «amoríos moleculares», escapaban a las leyes diáfanas de la física, y fue así como un físico, que soñaba con la alquimia, llevó la termodinámica a su derrotero original, restaurando esta ciencia de los procesos que el triunfo de la termodinámica de equilibrio había relegado al olvido.
Sin embargo, no bastaba con explicitar la significación física del aumento de entropía cuando la evolución descrita es la de un sistema camino del equilibrio. Porque esta evolución es sin duda irreversible, pero hace aún más enigmático el problema del tiempo: el único devenir admitido por la termodinámica del siglo XIX, esa evolución hacia el equilibrio, es desorganización constante, olvido progresivo de las condiciones iniciales. El tiempo dinámico, era el tiempo de la caída de graves. Según la expresión de Serres,[80] el tiempo termodinámico es el tiempo de otra caída, no en el espacio, sino en el tiempo, caída hacia la inmovilidad y la impotencia de los motores construidos para producir un trabajo, pero, en seguida también, por una peligrosa extrapolación, caída de todo lo activo hacia la pasividad, porque todo lo activo produce entropía y, con ello, acelera la carrera hacia el reino de la muerte.
Nietzsche había concluido con justicia que, en tanto que la termodinámica no puede describir la evolución de un sistema si no es desde el punto de vista del equilibrio, en el que las diferencias se anulan y los procesos se detienen, tampoco puede describir el universo que conocemos; en este universo, efectivamente, el equilibrio es una situación bastante excepcional, la evolución de un sistema hacia el equilibrio es una evolución muy rara, posible únicamente en un planeta como el nuestro, a la vez lo bastante alejado del sol para hacer concebible el aislamiento de un sistema parcial —no hay «recipiente» posible a temperatura solar: ahí radica todo el problema de la fusión nuclear— y lo bastante próximo para que se produzcan procesos irreversibles. Se observan pocos «muertos térmicos», salvo en nuestros sistemas locales que aislamos artificialmente. Más bien, lo que vemos, lo que parece ser la regla, son intercambios continuos de energía y de materia entre sistemas, estructuras que se crean, estructuras que mueren.
El interrogante que la termodinámica de los procesos irreversibles ha de plantearse es: ¿en qué condiciones pueden aparecer estructuras, desarrollarse, ser destruidas? Como resultado de los trabajos de nuestro grupo[81] en Bruselas y en Austin, estamos en posición de responder a esta pregunta, y la clave del problema estriba en el equilibrio que resulta ser origen de orden.
En los sistemas en que se producen constantemente intercambios de energía y de materia con el medio, el equilibrio no es posible, por darse procesos disipativos que continuamente producen entropía. El segundo principio de la termodinámica permite prever la evolución del sistema hacia un estado estacionario, cuyas propiedades constituyen de hecho la extrapolación de las propiedades del estado de equilibrio: inercia máxima, y no total como en el equilibrio, olvido de las condiciones iniciales, desorganización. No obstante, a partir de cierta distancia del equilibrio, de cierta intensidad de los procesos disipativos, el segundo principio ya no sirve para garantizar la estabilidad de este estado estacionario. Al contrario, podemos definir para ciertos sistemas un «umbral», una distancia crítica respecto al equilibrio, a partir de la cual el sistema se hace inestable, a partir de la cual una fluctuación puede eventualmente no remitir, sino aumentar.
Una de las consecuencias más notables de la termodinámica de los sistemas alejados del equilibrio es que este umbral existe siempre en sistemas químicos en los que las reacciones están acopladas, y en los que existen circuitos de realimentación ( feed back ).
Hemos denominado «orden por fluctuaciones» al orden generado por el estado de no equilibrio. Efectivamente, cuando, en vez de desaparecer, una fluctuación aumenta dentro de un sistema, más allá del umbral crítico de estabilidad, el sistema experimenta una transformación profunda, adopta un modo de funcionamiento completamente distinto, estructurado en el tiempo y en el espacio, funcionalmente organizado. Lo que entonces surge es un proceso de auto-organización, lo que hemos denominado «estructura disipad va». Podemos decir que la estructura disipativa es la fluctuación amplificada, gigante, estabilizada por las interacciones con el medio; contrariamente a las estructuras en equilibrio, como los cristales, la estructura disipativa sólo se mantiene por el hecho de que se nutre continuamente con un flujo de energía y de materia, por ser la sede de procesos disipativos permanentes.
Creemos que este progreso de la termodinámica es de suma importancia. Por primera vez, una teoría física nos permite describir y prever un acontecimiento que responde a las exigencias más generales de una teoría de la creatividad. En el marco del estudio de la estabilidad de los estados alejados del equilibrio —y el estado estacionario de que hemos hablado no es el único que puede ser inestable: a su vez, las estructuras disipativas pueden tener umbrales de inestabilidad— vemos que coexisten la descripción del funcionamiento macroscópico de una estructura, descripción propiamente continua e independiente del detalle de los comportamientos individuales, junto al elemento discontinuo, abrupto, de la amplificación de la fluctuación, de la destrucción de la estructura, la aparición de un modo de funcionamiento cualitativamente nuevo.
Creemos que se cumplen las condiciones mínimas para que, sin un grosero contrasentido, podamos afirmar que la termodinámica describe la génesis propiamente histórica de estructuras activas; parece ser que, por primera vez, el objeto de la física ya no es radicalmente distinto al de las ciencias llamadas humanas y que, por consiguiente, es posible un intercambio real entre estas disciplinas. Así, en el estudio de las propiedades de estabilidad de los sistemas termodinámicos, la física podrá inspirarse en conceptos y métodos de las ciencias humanas, del mismo modo que éstas, en los modelos y en las matemáticas que comienzan a ponerse a punto.
Nietzsche decía que los grandes números favorecen a los débiles, que los fuertes deben ser protegidos contra este modo de selección que hace triunfar a los timoratos y perseguir a los innovadores. Son los grandes números los que permiten deducir la estabilidad del estado de equilibrio y la propia de los estados estacionarios más allá de la estabilidad; pero esta deducción no es válida sino en tanto sea válida la hipótesis según la cual todos los estados compatibles con las condiciones en los límites son equivalentes y poseen la misma importancia estadística. En los límites de validez de esta hipótesis, las fluctuaciones son insignificantes, la norma es única y todopoderosa.
Lejos del equilibrio, por el contrario, la actividad de las unidades constitutivas del sistema se hace esencial. Ya no es posible establecer una media sobre el conjunto de los estados, ya que algunos de ellos se amplifican y predominan a escala macroscópica, mientras que, próximos al equilibrio, habrían quedado condenados por la ley de los grandes números. Las matemáticas, que corresponden a esta situación física, la teoría de las bifurcaciones, la de las catástrofes, están en las antípodas de la física matemática del siglo XIX: para unas condiciones en unos límites determinados, el sistema puede hallarse en muchos estados distintos, y es la fluctuación la que selecciona el que se alcanzará en definitiva.
Los estados que pueden aparecer lejos del equilibrio tras la amplificación de una fluctuación son estables y reprodúceles. Son previsibles, pero no en el sentido en que es previsible la evolución de un sistema pasivamente sometido a una ligadura externa, sino porque el número de soluciones posibles al problema de la estabilidad, que se plantea lejos del equilibrio, es calculable y porque los estados hacia los que un sistema puede evolucionar son finitos en número.
Por consiguiente, un elemento irreductible de indeterminación caracteriza la evolución de un sistema más allá del umbral de la inestabilidad. No todo está dado cuando se especifican las condiciones en los límites y la composición del sistema. Naturalmente, son calculables los distintos estados estables posibles, pero hay que esperar y observar la evolución del sistema para saber qué fluctuación se producirá y se amplificará, y hacia qué estado estable se dirigirá el sistema. No se trata del simple problema de concretar una descripción. La fluctuación y las leyes macroscópicas pertenecen a dos modalidades de descripción mutuamente excluyentes: aunque fuera posible una descripción mecanicista, que pretendiese poder predecir la fluctuación, resultaría inútil para dar un sentido al concepto de sistema, de condiciones en los límites. Para poder plantear el problema de la estabilidad, se requieren a la vez y simultáneamente las condiciones en los límites macroscópicos y las fluctuaciones elementales. Se impone una descripción plural que ponga en juego puntos de vista y modos de descripción distintos, que, en consecuencia, no suscite ya la ilusión de que la física busca el nivel definitivo fundamental de descripción, a partir del cual todo estaría dado.
No pretendemos haber llegado a la intuición bergsoniana de la duración. Los sistemas que describimos son producto del cálculo y la observación, y no los hemos experimentado intuitivamente; lo que sucede es que la descripción a que llegamos no contradice las exigencias de Bergson, exigencia que Deleuze nos recuerda hablando del impulso vital: «Es necesario que el Todo cree las líneas divergentes a partir de las cuales se actualiza y los medios disímiles que utiliza en cada línea. Hay finalidad porque la vida no opera sin dirección, pero no hay “meta” porque estas direcciones no están de antemano previstas y se van creando “conforme” el acto las recorre».[82]
La descripción termodinámica no nos dice lo que es el «Todo»; en este sentido, no es bergsoniana y está muy lejos de cualquier organicismo; pero nos muestra una evolución a la vez continua, por estar parcialmente determinada por leyes macroscópicas que caracterizan globalmente al sistema, y creadora, por conducir a situaciones totalmente nuevas. Para nosotros esta evolución es, junto con su imbricación característica de parámetros macroscópicos y de factores individuales que se amplifican apoderándose de todo el sistema, el auténtico modelo del proceso innovador en la naturaleza.
Los sistemas en los que se producen transformaciones químicas acopladas constituyen un campo de exploración muy fecundo y variado para el estudio de las estructuras disipativas. La conclusión más general que podemos extraer de estos estudios es la de que, mientras que, en estados próximos al equilibrio, la desorganización y la inercia son normales, más allá del umbral de inestabilidad la norma es la autoorganización, la aparición espontánea de una actividad diferenciada en el tiempo y en el espacio. Las formas de esta organización disipativa son muy diversas. Ciertos sistemas se hacen espontáneamente inhomogéneos en el espacio, otros adquieren un ritmo temporal periódico, cual auténticos relojes químicos; algunos asocian estructuraciones espaciales y temporales, finalmente, otros adquieren auténticas fronteras naturales, dimensiones determinadas por los parámetros que caracterizan la actividad del sistema.[83]
Hasta ahora las fluctuaciones, cuya posible amplificación hemos examinado, se referían a concentraciones de unidades activas, constitutivas del sistema. Sin embargo, la estabilidad de un sistema puede peligrar de otra manera: por «mutaciones» que afecten a determinadas unidades, o bien por otros tipos de unidades introducidas en el sistema que establezcan e impliquen un nuevo tipo de relaciones entre los constituyentes. Se produce entonces una verdadera competencia entre los distintos modos de funcionamiento posible del sistema; los mutantes o los intrusos, al principio poco numerosos, serán eliminados y se conservará el funcionamiento «ortodoxo», a menos que su presencia determine la inestabilidad del mismo. En tal caso, en vez de ser destruidos, se multiplicarán y todo el sistema adoptará un nuevo modo de funcionamiento a costa de la destrucción de los que ya no desempeñan papel alguno. En este caso, es la estabilidad de la misma estructura del sistema, de la «sintaxis» de las operaciones que en ella se producen, lo que se explora.
Veamos un ejemplo simple, el de una población de macromoléculas autoreplicativas: en este caso, analizado por Eigen,[84] la población está dominada por las macromoléculas capaces de catalizar con más eficacia y precisión su propia síntesis. Como consecuencia de copias «erróneas», aparecen constantemente macromoléculas «mutantes» de distinta secuencia; sin embargo, estos errores no acarrean consecuencias, y estos «monstruos» no se multiplicarán mientras no se reproduzcan más deprisa que la molécula dominante «normal». Pero, sí uno de esos monstruos se reproduce más deprisa y mejor que ésta, la eliminará constituyéndose a su vez en norma.
El estudio de la estabilidad estructural permite plantear cuestiones esenciales a propósito de los mecanismos de evolución y de la diferenciación de un ecosistema o de una población. ¿Qué innovadores lograrán perturbar el sistema en el que hacen intrusión? ¿Qué sistemas lograrán resistir y eliminar estos peligrosos creadores? Empiezan a estudiarse modelos relativos a las más diversas situaciones. Por ejemplo, la subdivisión de una especie en castas: ¿en qué condiciones de competencia entre poblaciones existirán ventajas para que una fracción de determinada población se especialice en una actividad belicosa e improductiva (los soldados entre los insectos sociales)? En relación, por ejemplo, con la especialización de las actividades depredadoras: ¿en qué tipo de medio resultará ventajoso para una especie restringir la gama de sus recursos alimenticios, y en cuál vale más explotar el mayor número posible de recursos distintos? En el caso de la dinámica de evolución de una población de presas y depredadores, la aparición de una presa más hábil en la fuga, de un depredador más eficaz en la captura, constituyen factores de inestabilidad estructural. La exigencia de estabilidad del ecosistema permite la previsión de tendencias evolucionistas a largo plazo, que ciertos datos empíricos parecen confirmar ya.
Los notables desarrollos de la teoría de la estabilidad estructural establecen que el problema de la creatividad presenta dos dimensiones: la actividad de los individuos innovadores y la respuesta del medio. La innovación es una fluctuación aceptada por el medio y no sería posible en un universo excesivamente coherente en el que ninguna fluctuación perturbase la tranquila identidad, ni en un universo incoherente en el que todas las fluctuaciones fueran equivalentes y, por lo tanto, intrascendentes, y en el que pudiera producirse cualquier cosa.
Aún sabemos poco sobre los mecanismos de ampliación de las fluctuaciones, pero conocemos ciertos resultados generales relativos a los parámetros que determinan el fenómeno.
Lejos del equilibrio, la ley de las fluctuaciones depende de la dimensión de la zona fluctuante; podemos concebir la amplificación en relación con un mecanismo de nucleación. Dentro de la zona fluctuante, los procesos disipativos tienden a reforzar la fluctuación, pero los intercambios con el medio tienden a amortiguarla, y es la competencia entre estos dos factores lo que determina el destino de la fluctuación: la invasión de todo el sistema, o su desaparición. La difusión de los productos procedentes del medio que no ha fluctuado es tanto más eficaz para eliminar la fluctuación cuanto más pequeña es la zona fluctuante, y sólo a partir de una dimensión crítica puede la fluctuación resistir y desarrollarse.
Es sorprendente comprobar que, independientemente del sistema, el medio externo siempre desempeña igual papel y trata de eliminar la novedad que lo perturba. Esta novedad sólo puede desarrollarse en la medida en que el mundo externo pierda importancia. Y. sin embargo, esta zona fluctuante, innovadora, no está aislada —recordémoslo— como el resto de la estructura disipativa; únicamente vive merced a los intercambios con el medio que pone en peligro.
En esto, encontramos de nuevo esa evolución mediante conflictos, esa lucha a muerte entre una sociedad constituida y los que aportan novedad, diferencia y muerte, de las que habla Nietzsche. Recordamos también a Whitehead, de quien Erich Jantsch citaba recientemente este pensamiento: « It is the business of the future to be dangerous… The major advances in civilization are processes that all but wreck the societies in which they occur ».[85]
Procesos de organización y, por consiguiente, de totalización, pero también de muerte y destrucción. Entendemos perfectamente que la evolución de los sistemas vivos haya podido inspirar a la vez la violencia nietzschiana y la armoniosa duración bergsoniana. La fluctuación que se amplifica constituye una totalización, el establecimiento de una unidad de régimen en armonía con el medio, pero significa también la muerte y la destrucción del sistema que invade, que domina y el cual trata en vano de reducirla.
Quizás el análisis del mecanismo de nucleación sea susceptible de esclarecer una de las cuestiones que preocupa a los especialistas de la ecología matemática. La cuestión del límite de la complejidad . Un resultado general del estudio matemático de la estabilidad de los sistemas consiste en que ésta decrece al aumentar el número de interacciones entre los constituyentes. Según este resultado, todo sistema complejo debería desaparecer, y la existencia de medios ecológicos complejos como la jungla virgen, la existencia de biosistemas, particularmente de sociedades humanas desarrolladas, parece incomprensible.
Ahora entendemos por qué la afirmación de que estos sistemas son inestables y siguen existiendo no es contradictoria. Basta que en ellos los intercambios entre todas las partes sean lo bastante rápidos como para que la dimensión crítica a partir de la cual la fluctuación puede amplificarse y destruir el sistema sea enorme, y por lo tanto su posibilidad muy reducida, de manera que el sistema puede persistir durante tiempos prolongados. En este sentido, podemos considerar que ninguno de los sistemas que conocemos es realmente estable, sino solamente meta estable, y que vive debido a que pocas perturbaciones son capaces de superar su «poder de integración», pero que en ningún caso su existencia es prueba de la armoniosa estabilidad cerrada sobre sí misma que, por ejemplo, algunos análisis funcionalistas en sociología querrían presentarnos como el estado ideal a alcanzar.
Llegamos, por consiguiente, a la idea de sistemas en evolución indefinida, al concepto de que, por definición, ningún sistema complejo es jamás estructuralmente estable. Desembocamos en la imposibilidad de hablar de final de la historia, sino sólo de fin de historias. En definitiva, llegamos a una concepción bastante próxima al Eterno Retorno, en el sentido en que la doble crítica de Nietzsche —a la termodinámica y a la mecánica— podía hacernos entender. Imposibilidad de hablar de una evolución finalizada, hacia un estado estable, un estado en el que «el futuro ya no sea peligroso». Evolución que deja de ser búsqueda de identidad, de reposo, para hacerse creación de problemas nuevos, proliferación de nuevas dimensiones. La innovación hace más complejo el medio en que se produce, planteando problemas inauditos, creando nuevas posibilidades de inestabilidad y conmoción.
También nos unimos a esa idea de Whitehead en la que afirmaba que todo lo que existe se crea, unificando el medio desde su punto de vista, si bien, al unirse a ese medio, aumenta su complejidad y multiplicidad para quienes, a continuación, vayan a crear una nueva síntesis: « The many become one and are increased by one ».[86]
El Dios del científico del siglo XVII era el creador que, en un acto único, instauró la totalidad de lo que existe y existirá; el Dios de Whitehead es un experimentador. Quizás incluso lo fuera el Dios de los judíos por el modo en que instituyó las condiciones de existencia del mundo y observó su evolución: «Veintiséis tentativas preceden a la Génesis actual, y todas han sido abocadas al fracaso. El mundo del hombre surgió del seno caótico de estos restos anteriores, pero ni él mismo cuenta con una etiqueta de garantía: también él está expuesto al riesgo del fracaso y al regreso a la nada. “Con tal que aguante” ( Halways héyaamod ), exclama Dios al crear el mundo, y a este deseo sigue la ulterior historia del mundo y de la humanidad, subrayando desde el principio que esta historia está marcada por el signo de una inseguridad radical».[87]
§ 5. Neptunianos y vulcanianos[88]
(En colaboración con I. Stengers.)
No es que el problema de la importación de modelos y analogías físicas en economía sea un fenómeno nuevo. Todo lo contrario, uno de los temas esenciales de Perroux es su impugnación del empleo de modelos inspirados en la dinámica de Lagrange. Estos modelos, al dar por supuesto que hay que asimilar la afirmación del individuo a fuerzas conservadoras, deducibles de una función potencial, conducen no sólo a una simplificación drástica del objeto de las ciencias, sino a una descripción del sistema económico, que excluye el planteamiento de interrogantes fundamentales, y en particular el del poder, el de la asimetría en las relaciones de intercambio. «El régimen de propiedad y las reglas de juego social, las relaciones entre poderes sociales, quedan excluidas del ámbito del economista: los precios y las cantidades son lo que son, de forma que basta con hacerlos superficialmente inteligibles y groseramente previsibles».[89] Este modelo, que da por sentado un espacio económico homogéneo y agentes que sólo se comunican a través del mercado, corresponde exactamente al modelo lagrangiano de equilibrio. El modelo ostenta realmente una importancia esencial en física, dado que, efectivamente, generaliza la idealización galileana que constituye la base de la física instituida en el siglo XVII: la identificación del objeto físico con el apoyo inerte de fuerzas conservadoras. Es precisamente esta identificación la que el desarrollo de la termodinámica y, posteriormente en el siglo XX, el auge de la descripción cuántica pusieron radicalmente en tela de juicio sin que, por otra parte, lograran reemplazarla por un concepto de generalidad equiparable, por no haber tenido en cuenta lo que la dinámica había negado con su propia constitución: el proceso, la transformación que afecta a un cuerpo de tal modo que es imposible atribuirla a la identidad oculta de un nivel más fundamental de realidad. Es precisamente la física de los procesos lo que constituye el centro de interés de la escuela de termodinámica y mecánica estadística de Bruselas.
El alegato de François Perroux, según el cual la relación de intercambio económico no es un intercambio de mercancía dentro de un espacio homogéneo, asume para nosotros resonancias muy concretas. No necesitamos subrayar que los agentes son hombres, que los bienes intercambiados están humanizados, es decir, empleados, transformados por agentes, para concluir la imposibilidad de aplicar en economía el modelo dinámico lagrangiano. El mundo de los fenómenos físico-químicos, de los procesos de colisión, de descomposición de partículas inestables, de las interacciones disipativas, requiere también un modo de descripción radicalmente distinto. Por ello, hemos juzgado altamente significativo que, en los conceptos desarrollados en la termodinámica de sistemas alejados del equilibrio, que imponen la asunción positiva de procesos disipativos, François Perroux pudiera ver la promesa de un lenguaje matemático adecuado a la expresión de ciertas propiedades esenciales de la teoría económica.
Hay otras perspectivas en las que el ejemplo de François Perroux puede resultar inapreciable: desde el punto de vista del problema de las relaciones interdisciplinarias. Estas relaciones están sujetas a una doble amenaza. Por una parte, aquélla contra la que ya François Perroux alzaba su protesta: la transferencia de modelos mecanicistas que, de simplificadores en física, llegan a destruir virtualmente el objeto de la ciencia que los adopta. Pero existe otro peligro, que es la notoria tentación actual de resolver el problema de la circulación interdisciplinaria recurriendo a analogías y metáforas verbales, buscando en el concepto de «sistema» un común denominador de las ciencias naturales y de las ciencias «humanas». ¿No se habla tranquilamente de sistema solar, de sistema de proposiciones? ¿No se asimila cualquier objeto a un conjunto de elementos en interacción, transformando de este modo la ciencia en teoría «general» de los sistemas? Para que una teoría de los sistemas tenga sentido, habría que atribuir al término sistema un significado más concreto. François Perroux, por ejemplo, describe los sistemas económicos en términos de elementos acoplados unilateralmente: «Considerando dos únicas unidades económicas, diremos que A ejerce un efecto de dominación sobre B cuando, haciendo abstracción de cualquier intención particular de A, ésta ejerce una influencia determinada sobre B sin que exista reciprocidad o sin que ésta sea de igual grado»[90]. La naturaleza asimétrica de esta relación vinculante, cuyo carácter esencial señala Perroux, nos sirve para diferenciar los sistemas acoplados de aquéllos en que toda interacción es recíproca y simétrica, como sucede en los de la dinámica clásica. François Perroux describe la vida económica en términos de cabalgamientos, colisiones, rivalidades, de efectos de amplificación entre estos acoplamientos. Describe los fenómenos de crecimiento de un conjunto activo a expensas de las regiones que domina; los espacios económicos, no en términos geográficos o nacionales, sino con arreglo a las relaciones de acoplamiento, lo cual le sirve para concebir la multiplicidad de espacios económicos en comunicación, las actuaciones eventualmente conflictivas, las rupturas y reajustes de funcionamiento.
Citaremos un párrafo de un trabajo reciente de René Thom[91]: «Al principio, con notable ingenuidad, muchos teóricos de las ciencias humanas pensaban poder introducir en ellas los métodos precisos y cuantitativos de las ciencias exactas. Está claro que hay que abandonar esta esperanza, y, por el contrario, podría suceder que se infiltraran en las ciencias exactas —en un futuro no muy lejano— los métodos de sutil análisis, cualitativos y un tanto difusos, de las ciencias humanas. No obstante, las ciencias humanas adolecen de graves lagunas: muchas de ellas son incapaces de precisar su objeto. ¿Qué es, por ejemplo, un hecho histórico? La teoría estructural… no cuenta con ningún fundamento epistemológico. El sabio elige tal o cual estructura con arreglo a sus necesidades, y no puede justificar esta elección si no es por concordancia a posteriori del esquema abstracto con la morfología empírica. De ahí el ambiguo estatuto de un concepto como el de causalidad, concepto de renuncia imposible si queremos comprender, pero que es irreductible a una interpretación puramente estructural (o morfológica)».[92] Por lo tanto, el problema consiste en buscar un terreno en el que las ciencias naturales y las ciencias «humanas» puedan encontrarse útilmente. Y es el caso en que procede pensar en una teoría de los sistemas, a condición de precisar considerablemente este término. Si calculamos las situaciones del ámbito de la biología o de la sociología en las que nos gustaría aplicar nuevos métodos de análisis, veremos que presentan ciertas características generales comunes, de las que enumeraremos algunas:
- Son situaciones caracterizadas por un comportamiento coherente. Los sistemas correspondientes están formados por un gran número de unidades. Comportamiento coherente significa, pues, que ciertas actividades características requieren la cooperación de estas unidades. Ya en la propia física se dan estas situaciones: si calentamos un estrato líquido por abajo, se forman células de convección que transportan la energía desde la pared caliente a la pared fría. Cada célula de convección está formada por un número inmenso de moléculas. El contraste es total con un gas en equilibrio, en el que la energía se halla toda en el movimiento caótico de las moléculas que componen la agitación térmica. En el ámbito biológico, recordemos que incluso el organismo celular más simple utiliza en su metabolismo millares de enzimas. Su acción química debe estar altamente coordinada tanto en el espacio como en el tiempo. Finalmente, pensemos en el cerebro, cuya actividad pone en juego una increíble cantidad de neuronas.
- En todos estos casos, el problema de los límites del sistema desempeña un papel importante. En ningún caso se trata de sistemas aislados. Al contrario, los ejemplos que hemos citado son todos sistemas que intercambian energía, materia e información con el mundo externo.
- En las situaciones señaladas, el problema de intercambio temporal cobra nuevos aspectos. En todo momento el sistema cambia en el sentido de que una parte de sus constituyentes se renueva; pero, aparte de este cambio banal, existen generalmente puntos singulares, instantes privilegiados que marcan la aparición de una nueva estructura espacio-temporal.
Debemos resumir brevemente la diferencia entre estructura en equilibrio y estructura disipativa. Un cristal es una típica estructura en equilibrio. Una vez formada, esta clase de estructuras no requiere para mantenerse flujo de energía alguno procedente del mundo externo, pues posee todas las características del estado de equilibrio. En particular, le está vedada toda actividad generadora de entropía. Por el contrario, una estructura disipativa no puede existir al margen del mundo externo. Aislada de este mundo, es decir, de los aportes permanentes de energía y materia que mantienen los procesos disipativos, desaparece, y el sistema alcanza el estado de equilibrio. Sin embargo, podemos decir que, mientras que el estado de equilibrio está absolutamente determinado por su relación con el medio, por las condiciones que en sus límites le definen macroscópicamente, la estructura disipativa no puede disolverse en lo que Ganguilhem[93] denomina «el anonimato del medio mecánico, físico y químico»; como él sostiene, la estructura disipativa, «centro de organización, de adaptación y de invención», no se resuelve en su entorno, no se reduce a una encrucijada de influencias. Hasta en los modelos de gran simplicidad que han podido estudiarse hasta la fecha, la estructura disipativa es capaz de reaccionar en respuesta a las condiciones en los límites que le impone el medio, y especialmente de crear sus propios límites alcanzando una dimensión «natural», determinada por el funcionamiento del propio sistema; en el interior de la estructura, el espacio se halla organizado en función del régimen disipativo.
Podemos estudiar, por ejemplo, la organización creada por el funcionamiento de los ciclos bioquímicos.[94] Estos sistemas pueden evolucionar espontáneamente hacia situaciones no homogéneas, pasando de la isotropía a la polaridad. De este modo, puede observarse, pese a las condiciones en los límites homogéneos, una distribución periódica de materia con una longitud de onda ligada a la cinética química y a la difusión; mientras que una estructura en equilibrio, un cristal por ejemplo, carece de cualquier longitud característica aparte de la dimensión molecular. Fuera del estado de equilibrio, puede aparecer un amplio espectro de longitudes características. Una piedra puede estar cortada indistintamente en partes cada vez más reducidas, el canto rodado en el agua adquiere forma esférica y la forma de la pompa de jabón está impuesta por la interacción con el medio externo. Por el contrario, los conceptos morfológicos de umbral, dimensión crítica, diferenciación, canalización, bifurcación, captación, se imponen como vocabulario idóneo para describir la evolución de las estructuras disipativas. Los problemas nuevos que plantea a la física la posibilidad de que, a partir de una determinada distancia del equilibrio, de cierto umbral crítico, el estado estacionario que permitían prever las leyes puramente macroscópicas pueda dejar de ser estable, de que las perturbaciones locales, en vez de remitir, puedan, en estas condiciones, invadir todo el sistema transformando su funcionamiento, son de una naturaleza susceptible de modificar profundamente la definición misma de objeto físico. El propio concepto de estabilidad, en la medida en que recurre a la vez a los procesos moleculares y a las fluctuaciones, así como a las condiciones en los límites que determinan macroscópicamente al sistema, está a caballo sobre los dos modos de descripción y hasta nos impide que esperemos, o que incluso concibamos, la reducción de uno en el otro; por primera vez, la inteligibilidad de un fenómeno propiamente físico excluye tanto al ideal reduccionista tradicional como al pluralismo tranquilo del positivismo.
La descripción de las estructuras disipativas supera la distinción clásica entre necesidad y contingencia. Lejos de las inestabilidades, las leyes deterministas se satisfacen con alta precisión. Por el contrario, en proximidad a la inestabilidad, las fluctuaciones desempeñan un papel fundamental: en general, existen varios estados que el sistema puede adoptar más allá de una inestabilidad y son las fluctuaciones las que determinan el que ha de prevalecer. Por lo tanto, la idea de historia se introduce desde el nivel de las estructuras disipativas. Aún de mayor importancia es señalar que la inestabilidad, portadora del hecho histórico, está vinculada a la actividad de las unidades que forman el sistema. Estas conclusiones presentan, naturalmente, ecos familiares para los sociólogos. Abriéndose a los procesos disipativos, abandonando la arcaica idealización galileana de un mundo concebido según el modelo de la física celeste, de un mundo de trayectorias dinámicas que, según la expresión de Burtt,[95] se despliegan en un silencio regular y solemne desde un pasado muerto hacia un futuro no nato, la física se abre a los problemas que, desde hace tiempo, preocupan a los especialistas de ámbitos en los que la idealización galileana no podía en modo alguno dar la ilusión de verdad ontológica. No es que la física pueda aportar la verdad sobre las controversias que desde tiempo atrás laceran las otras ciencias; si hay que abandonar una ilusión, es precisamente la de una verdad general, universalmente aplicable: si hay que extraer una conclusión de la extrema especificidad de las descripciones lejanas al equilibrio, es precisamente la legitimidad de la multiplicidad de los puntos de vista complementarios. Pero precisamente la influencia que en el pasado ha ejercido la física sobre las demás ciencias, y, sobre todo, la idea que se hacían los investigadores de lo que debía ser una ciencia, forma parte a tal punto de la historia de estas ciencias que consideramos interesante examinar ciertos debates fundamentales a la luz de los nuevos conceptos de la física ampliada. Naturalmente, este examen es competencia de los especialistas de las disciplinas en cuestión; sin embargo, quisiéramos revisar brevemente, a título de ejemplo, ciertos aspectos de una controversia, famosa por demás, la que enfrentó a Emile Durkheim con Gabriel Tarde.
Lo que más llama la atención en la obra de Durkheim es hasta qué punto las consideraciones metodológicas dominan el campo de investigación, hasta qué punto las disyunciones exclusivas delimitan las cuestiones a las que puede atribuirse un sentido sociológico. Porque, si la física nos ha dado una lección, somos nosotros quienes debemos desconfiar de las disyunciones y de las opciones inflexibles. En Durkheim, abundan las evidencias dicotómicas: las propiedades del bronce no son las del estaño, ni las del cobre, ni las del plomo: la vida es una, y sólo puede residir en la sustancia viva en su totalidad; la síntesis sui generis que constituye toda sociedad, libera fenómenos nuevos de los hechos específicos que residen en la misma sociedad que los produce, y no en sus partes, es decir, en sus miembros, y estos hechos no pueden reabsorberse en sus elementos sin contradecirse, ya que, por definición, trascienden algo más que el contenido de estos elementos.
El carácter nuevo de la síntesis química en relación con sus constituyentes fue durante mucho tiempo la panacea a la que recurrían tanto reduccionistas (la química cuántica hace ininteligibles ciertas propiedades del todo, en términos de la asociación de sus partes) como anti reduccionistas. El recurso a la biología es igualmente ambiguo: en realidad, lo esencial consiste en asegurarse el carácter exclusivo del punto de vista de la sociología. La física, la química, la biología son, para Durkheim, ciencias «definitivamente constituidas», que han llegado a adquirir una «personalidad independiente» y que tienen por objeto, «de hecho, un orden que no estudian las otras ciencias». El carácter peculiar de la molécula, de una aleación, del ser vivo, se fundamenta en la ideología positivista, en la autonomía de las ciencias. Por consiguiente, los hechos sociales se explican mediante causas sociales, se definen en función de propiedades sociales. Aún donde parezca menos evidente, se mantendrá la más tajante distinción entre un concepto social y aquél cuya inteligibilidad haría intervenir demasiado directamente a los individuos cuya asociación engendra la sociedad. De este modo, para explicar la división del trabajo, se evitará hablar de «densidad material», número de habitantes y desarrollo de las vías de comunicación; se hablará de «densidad dinámica», apretamiento de la masa social, que caracterizan la vida común de los miembros del grupo, la individualidad distinta al todo social. La postura de Gabriel Tarde se fundamenta también en una reflexión sobre el progreso científico, pero muy distinta: el conocimiento de las cosas ha adquirido mayor calidad científica a medida que se ha «pasado de semejanzas y repeticiones masivas, complejas y confusas, a semejanzas y repeticiones de detalle, más difíciles de entender, pero más precisas, elementales e infinitamente numerosas en tanto que infinitesimales».[96] La sociología persigue así oscuramente el «hecho social elemental» que debe alcanzar para prosperar.[97] Explicar «las semejanzas de conjunto por acumulación de pequeñas acciones elementales, lo grande por lo pequeño, lo general por el detalle»,[98] éste es el método que Tarde contrapone a Durkheim, un método que haga de la sociología una ciencia de igual rango que la astronomía, la físico-química, la química o la biología.[99] Pasar de lo elemental a lo global, de lo molecular a lo macroscópico, es para nosotros un problema de estadística, pero tampoco es Tarde el único en hablar de estadística; Durkheim alude también a los grandes números, pero para justificar la insignificancia de lo individual a nivel global: «… el fenómeno social no depende de la naturaleza personal de los individuos, pues, en la fusión de la cual resulta, todos los caracteres individuales, al ser divergentes por definición, se neutralizan y se anulan mutuamente. Sólo las propiedades más generales de la naturaleza humana destacan; y precisamente por su extrema generalidad, no sirven para encarnar las formas especiales y muy complejas que caracterizan los hechos colectivos».[100] Por lo cual, Durkheim concluye que los individuos, tomados de forma aislada, no son más que las condiciones mediatas y lejanas de los hechos sociales; «los sentimientos privados sólo se convierten en sociales al combinarse por acción de las fuerzas sui generis que desarrolla la asociación; como consecuencia de estas combinaciones y alteraciones mutuas resultantes, se convierten en otra cosa ».[101].Tarde, por el contrario, describe minuciosamente los procesos de interacciones elementales. Dice que son estos procesos los que producen, por su repetición, el fenómeno global. En otras palabras, Tarde define la sociedad como un sistema que funciona lejos del equilibrio, más allá del umbral que define como insignificante la actividad de los elementos del sistema; el comportamiento del individuo puede transformar el funcionamiento global de la sociedad, no a causa de una ola de exigencia espiritualista —se trata tanto de amebas y hormigas como de sociedades humanas—, sino porque el régimen global se halla en un estado de inestabilidad estructural en relación con este tipo de comportamiento, más allá de un umbral determinado y calculable con arreglo a modelos simples. La termodinámica de los sistemas químicos alejados del equilibrio químico, permite precisar en qué tipos de sistema se producen estos umbrales de estabilidad. Son sistemas en los que ciertas etapas químicas configuran curvas de retroacción, tanto de inhibición como de activación. ¿Cómo no recordar el hecho elemental de psicología interindividual que Tarde sitúa en la base de la psicología: el fenómeno de imitación (y de contra-imitación)? «El estado social, como estado hipnótico, no es más que una modalidad de sueño, sueño de mando y sueño de acción. Contar sólo con ideas sugeridas y creerlas espontáneas: ésta es la ilusión propia del sonámbulo y también del hombre social».[103] No consideremos ahora si la hipótesis psicológica está, o no, fundamentada. Quizá los nombres de Wittgenstein (cómo aplicar una técnica, seguir o enseñar una regla, hablar) y de Thomas Kuhn (papel de los «ejemplos compartidos» en la educación científica) sirvan para no tomar demasiado a la ligera las descripciones de Tarde. Lo esencial aquí es que la imitación aparece como el mecanismo tipo no lineal (de retroacción) para la propagación del comportamiento individual y su imposición a nivel de toda una sociedad.
Si la sociología debe tratar de psicología, ha de ser lógicamente una psicología especial, irreductible a la psicología individual. En último extremo, «la psicología colectiva es la sociología total»[102] … a condición de que el individuo descrito sea el individuo social, soporte de las relaciones sociales que le definen y le desbordan «como el todo desborda a la parte» y, por lo tanto, esencialmente incapaz de influir a su vez sobre estas relaciones. Lo que esta argumentación da por supuesto, y Maxwell no lo habría negado porque define muy concretamente la situación de equilibrio, es que el pequeño acontecimiento, por definición, es insignificante a nivel global. Así pues, sólo puede decirse que la macro-descripción, por definición, únicamente retiene lo general, lo que es independiente del detalle y de la propia naturaleza de los procesos elementales, y sólo entonces podemos concluir, con Durkheim, la necesidad de otras leyes
Recurramos a un ejemplo simple: la dinámica de compra. Supongamos que Ford y General Motors fabrican dos coches, semejantes desde el punto de vista, precio y calidad, y planteémonos la pregunta de saber cuántos coches del tipo 1 y del tipo 2 van a venderse. Naturalmente, habrá personas que adopten una decisión por sí mismas, con arreglo a una modalidad de compra «espontánea», pero existe también una modalidad «inducida», sugerida por la interacción social. La compra inducida puede motivarse por medio de la publicidad, pero igualmente por imitación o contra-imitación. Algunos comprarán el coche porque los vecinos han comprado el mismo; otros, al contrario, no lo comprarán si lo ven en el barrio. Por lo tanto, existen aportaciones no lineales positivas y negativas en las ecuaciones diferenciales que describen el proceso de compra. De hecho, tenemos dos ecuaciones idénticas ya que ambos coches son idénticos. Estas ecuaciones tienen una solución que consiste en que, en cada momento, el número de coches tipo 1 que se vendan será igual al número de coches tipo 2 vendidos. Si dominan las aportaciones lineales, esta solución describirá una situación estable; si, por el contrario, la modalidad de compra inducida o cooperativa se hace dominante, la mínima fluctuación resultará amplificada por las componentes no lineales y se alcanzará otro estado estacionario que puede estar muy alejado del estado estacionario simétrico. Por consiguiente, una compañía puede perfectamente arruinarse por efecto de esta no linealidad imprevista que predomina en el proceso. En este ejemplo, según las descripciones de Tarde, el mecanismo de no linealidad está constituido por la influencia que ejerce un comportamiento sobre otro. Es interesante señalar que, en las sociedades animales, esta interacción elemental, que garantiza la difusión y propagación de un comportamiento elemental, parece ser viable merced a una comunicación química. Por ejemplo, el fenómeno de agregación de las amebas slime molds (acrasiales); estas amebas viven, durante ciertos períodos de su vida, en microorganismos unicelulares y, durante otros, se unen formando un organismo pluricelular. En realidad, son muy «ingeniosas», ya que viven en régimen unicelular mientras disponen de alimento suficiente y, cuando éste escasea, forman un agregado, con lo que su superficie es mínima; a continuación, el organismo se pone en movimiento hasta encontrar una nueva fuente de alimentación, para seguidamente dispersarse. Hemos discutido ya en otros textos la formulación cuantitativa de estos fenómenos de agregación por comunicación química. Desde entonces, se han discutido otros fenómenos de mayor complejidad, tales como la construcción del termitero y la estabilidad de las sociedades de abejas.[104]
Aparte de la imitación. Tarde describe otro hecho social elemental. «… Sólo algunos espíritus indómitos, ajenos, en su batiscafo en medio del fragor del océano social, rumian de vez en cuando problemas extraños, totalmente carentes de actualidad. Son los inventores del futuro».[105] La descripción de Tarde articula, como hemos dicho, lo elemental a lo global; los fenómenos elementales de imitación e innovación son indispensables para entender la aparición y la propagación de comportamientos y de técnicas nuevas promotores de evolución social. El grupo es incapaz de innovar, sólo el individuo es capaz de adoptar un comportamiento nuevo, una necesidad nueva, una creencia nueva. No se trata de una convicción espiritualista, sino de una distinción que determina la diferencia entre niveles de descripción. Los mecanismos de imitación propagan o frenan la inventiva individual, ahogándola o permitiéndola transformar la vida social con arreglo a las interferencias —oposición o adaptación— entre las diversas corrientes imitativas. Interferencias infinitesimales que Durkheim no puede admitir y de las que dice, en oposición a Tarde, que, si un hecho es imitado y tiene tendencia a generalizarse, es porque es social, siendo su potencial expansivo, no la causa, sino la consecuencia de su carácter social.[106] Innovación e imitación son complementarias en el mismo sentido en que, más allá del umbral de inestabilidad, son complementarias la fluctuación y los mecanismos químicos susceptibles de amplificarla y estabilizarla. Obligan, articulando lo local y lo individual a lo social, a distinguir la estructura y el acontecimiento de su institución, a esclarecer las circunstancias que han permitido que comportamientos, en un principio sectarios o monstruosos en el marco del orden instituido, se impongan al conjunto de la sociedad. Como hemos aludido a la importancia que atribuye Kuhn a la imitación en el funcionamiento de una comunidad científica, recordemos que este funcionamiento «normal» puede hacerse crítico cuando un individuo, o un grupo reducido de investigadores, descubre un nuevo modo de describir los fenómenos y, consecuentemente, un nuevo comportamiento para el científico. La tajante distinción entre lo que es capaz de hacer un individuo y lo que puede hacer un grupo le sirve a Tarde para describir la inestabilidad intrínseca del orden social, su eventual vulnerabilidad ante la amplificación de un comportamiento rupturista respecto al comportamiento social medio. De ella se vale para hacer a Durkheim el reproche de eludir la violencia esencial al devenir de una sociedad que evoluciona mediante ruptura de estabilidad: «El señor Durkheim nos ahorra estas terribles estampas. Con él no hay guerras, genocidios, anexiones brutales. Leyéndole, se diría que el río del progreso discurre sobre un lecho de musgo, sin espuma ni saltos bruscos… Además, es evidente que muestra tendencia a juzgar la historia como un neptuniano, y no como un vulcaniano, para ver en ella formaciones sedimentarias en lugar de erupciones ígneas. No concede lugar a lo accidental, a lo irracional, esa faz gesticulante del fondo de las cosas».[107]
No se trata de juzgar la polémica entre Tarde y Durkheim desde el punto de vista de la sociología. Sin embargo, desde la perspectiva del físico que intenta reflexionar sobre su objeto en términos nuevos de estabilidad, hay que poner de relieve la enorme actualidad de los problemas que Tarde plantea. Hay que recordar también que la historia de las ciencias naturales, en los últimos cien años, es la historia del desmoronamiento de las barreras que separaban las disciplinas, la historia del descubrimiento de que las cuestiones científicas fecundas son muchas veces las que están a caballo entre disciplinas distintas y ponen en contacto terrenos que el positivismo habría deseado confinar. Las evidencias metodológicas de Durkheim ya no son vigentes en física desde que, como deseaba Tarde, el problema del reduccionismo, de la relación del todo con la parte, dejara de ser un problema de método para convertirse en una cuestión propiamente científica. La física secunda a Tarde en su oposición a Durkheim, porque plantea la misma pregunta que aquél: ¿cómo una estructura macroscópica organizada puede proceder de la asociación de elementos ajenos a la totalidad en la que participan, y cuyo comportamiento no suponga una referencia a la organización del conjunto?
Hemos hablado al principio sobre el peligro y la prolijidad de la traslación metafórica. En este caso, las concepciones de Tarde inducen a una evocación nada forzada de ciertos resultados logrados en relación con la evolución temporal de las estructuras disipativas. Por ejemplo, el estudio de la amplificación de fluctuaciones más allá del umbral de inestabilidad, permite postular la generalidad y la importancia del fenómeno de nucleación: la interacción del resto del sistema en la pequeña región en que se produce una fluctuación tiende siempre a amortiguarla. La amplificación de la innovación que se forma en la pequeña región depende fundamentalmente de la dimensión de la región fluctuante. Sólo resisten a la difusión homogeneizante las fluctuaciones cuya dimensión excede una dimensión crítica. Por lo tanto, en este enfoque del fenómeno de nucleación, intervienen parámetros de la velocidad de difusión de los productos del sistema y parámetros de la intensidad de las complejas interacciones susceptibles de causar aumento de la inestabilidad. Podemos establecer[108] un hecho muy notable, el de que cuanto mayor número de elementos haya en interacción, mayores son las posibilidades de inestabilidad. En último extremo, un sistema suficientemente complejo estaría en estado meta estable, amenazado siempre por una categoría de fluctuaciones que excede su potencia de integración.
Sin duda el lector pensará en los interesantes análisis de Tarde, tales como los relativos a la diferencia entre muchedumbre, sujeta a tumultos bruscos y violentos, y público, creado por los órganos modernos de difusión.
Pensará en el papel político que este autor atribuye a la conversación, en tanto que interacción sutil y compleja. «En los lugares en que el poder ha permanecido muy estable, podemos, en general, estar seguros de que la conversación ha sido muy tímida y restricta. Por lo tanto, para restituir al Poder su antigua estabilidad, propia de las épocas en que no se charlaba fuera del estrecho círculo familiar, habría que empezar por instaurar el mutismo universal ».[109] Al extremo opuesto de la conversación desestabilizadora, está el chismorreo homogeneizante, enemigo de toda diferencia con respecto al orden establecido, de toda innovación: «El papel social del chisme es inmenso. Suponed que, en una ciudad pequeña de la Antigüedad o de la Edad Media, no se hubiera chismorreado, ¿habrían podido mantenerse las instituciones y los prejuicios hereditarios que constituían la médula y la fuerza de aquellos pequeños Estados?… El chismorreo es una interrogación constante y recíproca, un espionaje y una vigilancia de todos por todos, a cualquier hora del día y de la noche. Gracias a él todos los muros de las casas son de cristal… Lo que hace que las grandes ciudades y, sobre todo las modernas capitales, sean antros de corrupción moral y de degeneración de las costumbres o de las instituciones nacionales, es que no se chismorrea».[110] ¿Qué mejor metáfora para describir la amortiguación de las fluctuaciones por la interacción del medio descrito en términos de valores medios, que ese chisme que, convirtiendo en vidrio las paredes, impide cualquier nucleación, borra todo apartamiento en relación con la situación global homogénea o estructurada? Junto con el chismorreo, factor de integración, las civilizaciones jerarquizadas, de fuertes constricciones sociales, cuentan también, según Tarde, con potencialidades de inestabilidad que no se dan en las sociedades modernas; por ejemplo, la acentuada diferencia social: «Yo creo que los apologistas de la aristocracia han omitido su mejor justificación. El papel principal de una nobleza, su marca distintiva, es su carácter iniciador, si no inventivo. La invención puede surgir en los estratos más bajos del pueblo, pero, para que se difunda, hace falta una cima social destacada, una especie de arca de agua social de la que brote la cascada de la imitación».[111]
Pero dejémonos de citas. Al futuro de los estudios sobre estabilidad corresponde decidir si las categorías fundamentales que Tarde propuso para los fenómenos de imitación y sus interferencias —repetición, oposición, adaptación— pueden integrarse en una formulación matemática concreta. Lo único que pretendíamos en estas páginas era mostrar que los nuevos conceptos en física, puestos a punto por la descripción de los sistemas alejados del equilibrio termodinámico, parecen susceptibles de extrapolación al ámbito de la sociología. Por otra parte, el resultado es paradójico, pues se comprueba que son formulables de una manera matemáticamente rigurosa ciertas dimensiones de un pensamiento que fue precisamente calificado de espiritualista porque, según la expresión de Deleuze, «la alternativa de los datos impersonales o de ideas de grandes hombres, la sustituía por pequeñas ideas de hombres pequeños, pequeñas invenciones e interferencias entre corrientes imitativas».[112]
Sabemos que, en el siglo XVII, el descubrimiento de que el mundo físico está «regido» por leyes matemáticas se pagó a costa de una separación radical entre realidad «espiritual» y naturaleza identificada a una materia inerte sometida a fuerzas matematizables. La descripción elaborada por la física clásica se presenta fundamentalmente como exclusiva; constituye la verdad única en el mundo, tal como éste sería accesible desde una posición privilegiada, sobrenatural. El desarrollo de la física de los procesos, y especialmente los estudios sobre estructuras disipativas, hacen saltar este marco epistemológico excesivamente rígido.
Abrirse al problema de los procesos es admitir la multiplicidad irreductible de puntos de vista, la necesidad de elegir las preguntas, de seleccionar las condiciones en los límites. Una vez elegido el punto de vista, no se trata ya de intentar hacer inteligible la totalidad del mundo, sino de establecer una relación coherente entre el problema planteado, la definición de las unidades y el método de análisis. Ciencia de selección, de elección, de separación, dice Michel Serres, y, según él, Leibniz ya había opuesto a la revolución copernicana de la ciencia clásica, la revolución fina, plural, local, de la multiplicidad de puntos de vista. «El progreso del saber únicamente puede llevarnos a la duplicación infinita de revoluciones copernicanas; el punto de vista heliocéntrico es ordenador del sistema planetario, pequeño cantón del universo, muestra arquitectónica del mundo; y nosotros, allí situados, somos pequeños dioses en nuestra región, contamos con una distinción local respecto a una confusión local, pero seguimos en la confusión ante la infinitud de las estrellas, es decir, en lo esencial».[113]
Ciencia perspectivista, pues, que admite la multiplicidad de puntos perceptivos, de los puntos de vista que descubren el mundo; no existe ningún centro de perspectiva situado fuera del mundo, en relación con el cual desaparezca toda sombra. La termodinámica también ha tenido que renunciar a la ilusión de una descripción global homogénea. Los sistemas alejados del equilibrio no admiten función potencial que determine las «geodésicas» en un espacio dado de una vez por todas. El espacio es irreductiblemente múltiple, inseparable de la estructura que lo organiza; las descripciones se dan en términos de evoluciones zonales, de ritmos locales de desarrollo, de diferenciación de espacios organizados por cierto tipo de traslación y de comunicación, de puesta en relación entre espacios desconexos, nociones todas que no implican ya referencia alguna a un punto de vista único, posible sólo para un mundo homogéneo, problema matemático único susceptible de resolución una vez por todas. La naturaleza, multiplicidad de espacios surcados por procesos morfo genéticos, definidos en términos de umbrales de inestabilidad, de competencia, de captura, de dimensiones generadas, de organización espontánea, no es ya la naturaleza que el hombre «espiritual» podía describir negándola, oponiéndose a ella. Sin embargo, no es habitable para el viejo ciudadano de un mundo armonioso, por no ser ya ni centro ni medida única. La ciencia liberada de la ilusión del nivel fundamental de descripción y del referencial unidireccional, apela a un pensamiento del hombre, libre del fantasma del centro referencial fijo, del lastre de la verdad sobrenatural o cogito fenomenológico. Es lo que entiende Michel Serres cuando dice que, en nuestra época, se inicia el programa de una estética plural.
En nuestra exposición, hemos pasado de la economía política a la estética; ambas se complementan más de lo que se cree, y nos inducen a meditar sobre el enigma mallarmiano:[114]
«Mejor cierta deferencia por el laboratorio apagado de la gran obra, que consistiría en reanudar, sin atanor, las manipulaciones, las pócimas cristalizadas, no precisamente en piedras preciosas, para continuar con la simple inteligencia. Del mismo modo que no hay abiertas a la investigación mental más que dos vías, en definitiva, en las que se escinde nuestra necesidad, es decir la estética, por una parte, y también la economía política: es principalmente desde esta visual que la alquimia fue la precursora gloriosa, prematura y turbia».
§ 6. Tiempo, vida y entropía[115]
1.
En mis anteriores conferencias dentro de este ciclo, me he referido al papel constructivo de los procesos irreversibles. Podemos comprobar numerosos ejemplos de autoorganización en sistemas alejados del equilibrio en las interesantes comunicaciones de Lefever, Babloyantz y otros conferenciantes. Por ello, no entraré en más detalles sobre autoorganización y su relación con los sistemas biológicos, pero abordaré un tema distinto. Jacques Monod ha calificado a los sistemas vivos como extraños, y es cierto que ya son bastante peculiares por el hecho de ser autónomos, aparte de su interacción activa con el medio. Es evidente que uno de los objetivos finales de la actual reconceptualización de la física es entender la generación de la vida en el universo, hombre incluido. Desde esta perspectiva, el relieve de la irreversibilidad, del azar, es ciertamente algo importante a tener en cuenta. Pero existe una característica adicional. La vida no es meramente el resultado pasivo de la evolución cosmológica, ya que introduce un proceso de retroalimentación ( feed-back ) suplementario. En otras palabras, la vida es el resultado de procesos irreversibles, pero a su vez puede inducir nuevos procesos irreversibles. Cierto que el viejo axioma predica: la vida sólo se origina en la vida. Pero, en términos más generales, podemos decir que la irreversibilidad genera irreversibilidad. Y éste es el problema que voy a abordar.En primer lugar, hay que aclarar un poco lo que entendemos por irreversibilidad. Actualmente, sabemos que hay muchas «flechas temporales»: el tiempo cosmológico relacionado con la expansión del universo, uno microscópico relacionado con la denominada violación de la invariancia T, y podríamos ampliar la lista, ya que cada vez que se dan clases de acontecimientos asimétricos, podemos hablar de una flecha. Sin embargo, no es éste el sentido de la irreversibilidad termodinámica. En ella, el concepto de entropía desempeña un papel primordial. Los procesos irreversibles pueden encauzarse por un aumento monotónico de entropía, al menos mientras consideremos sistemas cerrados. Desde el punto de vista macroscópico, el significado de la segunda ley es muy sencillo: con él se introduce una especie de principio selectivo que complementa la información que nos aportan otras leyes termodinámicas, como las de la conservación de la energía o de la masa. Desde el punto de vista de la conservación de la energía, el calor y el trabajo desempeñan un papel idéntico. Sin embargo, y como todos sabemos, es fácil transformar trabajo en calor, pero lo contrario no es tan sencillo. Los denominados móviles perpetuos de segunda especie, en los que utilizamos la energía térmica contenida en el mar para mover un barco, quedan explícitamente excluidos de la segunda ley de la termodinámica. Por lo tanto, podemos afirmar que la segunda ley limita nuestra acción sobre la materia, y aún limita los tipos de procesos observables en la naturaleza. Sólo permite los procesos que conducen a una producción positiva de entropía.
Respecto a estas concepciones macroscópicas no existe gran controversia. Pero la pregunta fundamental que se plantea es: « ¿Podemos extrapolar el concepto de entropía al mundo microscópico y podemos atribuir un significado a los procesos irreversibles a nivel de la dinámica, ya sea clásica, ya sea cuántica?».
2.
Incluso hoy, después de un siglo, nos remitimos para contestar a esta pregunta a los trabajos de Boltzmann. Como se sabe. Boltzmann demostró que la entropía se define en términos de la evolución de una población de moléculas. Hay que señalar que el propio Boltzmann estaba convencido de que su obra en física era, en cierto modo, paralela a la de Darwin en el campo de la biología. La idea verdaderamente importante de la evolución biológica es que la selección natural enunciada en la teoría de Darwin no puede definirse para un solo individuo, sino para una población numerosa. Es, por lo tanto, un concepto estadístico. Siguiendo este criterio conceptual y recurriendo a un modelo de gases diluidos, Boltzmann enunció su transcendental fórmulaS = k log P
que relaciona la entropía con la probabilidad. El aumento de entropía queda así descrito en términos de un proceso probabilístico que expresa que la probabilidad tiende a su valor máximo con el tiempo. Es un hallazgo fundamental, y Boltzmann ha establecido un vínculo definitivo entre entropía y probabilidad.Sin embargo, quedaban pendientes muchas cuestiones. En el siglo transcurrido desde que Boltzmann desarrolló sus ideas, la literatura sobre el tema es muy abundante y no procede ahora hacer un resumen. Existen textos con la información pertinente. No obstante, quiero poner de relieve dos puntos: en primer lugar, el fracaso de Boltzmann en definir una flecha del tiempo.
Boltzmann pensó al principio que sería capaz de demostrar que la flecha del tiempo estaba determinada por la evolución de los sistemas dinámicos hacia estados de mayor probabilidad, pero, como consecuencia de las objeciones que le plantearan Poincaré, Zermelo y Loschmidt, cambió de parecer y desistió de su proyecto de demostrar que existía una flecha objetiva de tiempo y, en lugar de ello, introdujo un punto de vista subjetivista que, en cierto modo, reducía la ley de la entropía a una pura tautología. La flecha del tiempo sólo sería una especie de convenio que nosotros (o quizá todos los seres vivos) introducimos en un mundo en el que no existe distinción objetiva entre pasado y futuro. En nuestros días, es difícil aceptar esta opinión, ya que no sólo la física, sino la historia, parecen indicar la importancia del cambio unidireccional. Como ha dicho Popper:[116]«La idea de Boltzmann es insostenible, al menos para un realista. Moteja de ilusión el cambio unidireccional, lo que convierte en ilusión el desastre de Hiroshima. Y con ello, son ilusión nuestro mundo y nuestros esfuerzos por ampliar nuestros conocimientos sobre el mismo». Hay un segundo punto, relacionado con la limitación del experimento de Boltzmann en la dilución de gases. Es cierto que, si comprimimos las moléculas de un gas en una pequeña porción de un recipiente, hallamos que, con el transcurso del tiempo, deben estar uniformemente distribuidas. Esto corresponde a la idea de desorden progresivo postulada por Boltzmann. Pero la situación no es siempre tan sencilla. Podemos realizar un experimento con un ordenador, haciendo que unos centenares de moléculas interactúen en un sistema bidimensional mediante los potenciales habituales de atracción y repulsión. En el momento inicial, situamos las moléculas en posiciones al azar con velocidades al azar. En condiciones adecuadas, vemos que se produce una cristalización, que las partículas se ordenan. Incluso podemos observar la aparición de núcleos de cristales y las dislocaciones en la red final. Desde el punto de vista dinámico, el sistema evoluciona hacia el orden, pero la segunda ley requiere una evolución hacia el desorden. ¿Cómo se soluciona este enigma?
3.
Comenzamos a disponer de algunas respuestas a este interrogante gracias a los esfuerzos que se llevan a cabo hace algunos años en Bruselas y en Austin. En una comunicación reciente, «Tiempo, probabilidad y dinámica», Misra y el autor llegaban a la siguiente conclusión:«Por lo tanto, las anteriores consideraciones nos llevan a la perspectiva de que la irreversibilidad expresada por la segunda ley es consecuencia de una forma especial de ruptura de simetría a nivel dinámico, que nos obliga a “concebir” el grupo dinámico como un semigrupo disipativo, asociado a un proceso probabilístico que integra una función H. El origen físico de esta ruptura de simetría es una limitación de los estados físicos observables. Procede esta limitación, en primer lugar, de una (fuerte) inestabilidad del movimiento dinámico, como consecuencia de la cual el concepto de trayectorias del espacio de fase pierde su significado físico y nos obliga a describir los estados físicos verificables del sistema en términos de funciones de distribución (de Gibbs)[117]Hay que decir que se trata de una conclusión un tanto abstracta, y voy a hacer unos comentarios. La dinámica clásica o la cuántica pueden transformarse, para ciertos sistemas, en procesos probabilísticos. Esta transformación conlleva siempre una ruptura de simetría. Un proceso probabilístico es unidireccional. Conduce al estado más probable, en el futuro o en el pasado. Por el contrario, el proceso dinámico inicial es invariable respecto a la inversión temporal. Y es precisamente en este punto donde surge la flecha del tiempo. Tenemos que entender por qué sólo uno de los procesos probabilísticos se verifican en la naturaleza. En el siguiente apartado, daremos un ejemplo. Además, la transformación de descripción dinámica en descripción probabilística implica un cambio de representación. En la descriptiva dinámica, la cantidad básica es la función de densidad descrita en los conjuntos de Gibbs (o la matriz de densidad en mecánica cuántica). En el proceso probabilístico, es una nueva función de distribución que satisface el tipo de ecuación de Markov y que denota nuevas entidades. Por ello, los procesos dinámicos pueden conducir al orden en términos de las unidades consideradas, mientras que los procesos probabilísticos conducen a un creciente desorden.
Pero la existencia de ruptura de simetría en cuestión es la expresión de otra limitación: no todas las distribuciones, sino sólo un subconjunto realmente idóneo de ellas corresponde a estados físicos accesibles. Hemos presentado argumentos en apoyo de que esta segunda limitación es consecuencia del hecho de que ciertos tipos de correlaciones “orientadas hacia el futuro” no pueden existir en los sistemas físicos, por lo que únicamente aquellas distribuciones que no contienen estas correlaciones “orientadas hacia el futuro” pueden representar estados físicos accesibles.
»Por lo tanto, la segunda ley, que implica a nivel macroscópico una limitación de las posibilidades de “manipulación” de la materia (por ejemplo, la imposibilidad de máquinas perpetuas de segunda especie), implica un límite a la manipulación que hagamos también a nivel microscópico. Expresándolo de otro modo: la segunda ley explícita a nivel macroscópico una estructura básica, relacionada con el nivel microscópico. Expresa un nuevo elemento esencial, ajeno a las leyes de la dinámica, pero, desde luego, compatible con ellas. La analogía con la estadística cuántica quizá clarifique lo que queremos decir. La limitación a las funciones de ondas simétricas (o antisimétricas) no es, desde luego, una consecuencia de la ecuación de Erwin Schrödinger.[118] Sin embargo, una vez formulada una restricción de la simetría de las funciones de ondas, ésta se propaga por efecto de las leyes de la mecánica cuántica».
Orden y desorden no son necesariamente conceptos mutuamente excluyentes. Pueden corresponder a distintas descripciones. Voy a ilustrar estas conclusiones generales en términos de un modelo más físico. Muchos sistemas dinámicos pueden describirse en términos de «colisiones» y «correlaciones». Consideremos una nube de partículas que se dirige hacia un blanco (una gruesa partícula inmóvil). En la figura 1, se describe esta situación. En un pasado lejano, no existían correlaciones entre las partículas. Ahora, la dispersión produce sus efectos. Esparce las partículas (haciendo más simétrica la distribución de velocidad) y, además, produce correlaciones entre las partículas dispersadas y el dispersor. La aparición de correlaciones puede esclarecerse más, aplicando una inversión de velocidad (por ejemplo, colocando un espejo esférico). Vemos esta situación en la figura 2 (las líneas onduladas representan las correlaciones). Por lo tanto, el papel de la dispersión es el siguiente: en el proceso directo, hace más simétrica la velocidad de distribución y crea correlaciones; en el proceso inverso, la velocidad de distribución se hace menos simétrica y desaparecen las correlaciones. Por lo tanto, con la consideración de las correlaciones, introducimos una distinción fundamental entre procesos directos e inversos.

Figura 1 (izquierda). Dispersión de partículas. Tras la colisión las dispersiones permanecen correlacionadas con el dispersor (líneas onduladas). Figura 2 (derecha). Inversión de velocidad tras una colisión. Las correlaciones se destruyen tras el impacto con el dispersor.

Figura 3. Origen de correlaciones post-colisionales.

Figura 4. Destrucción de correlaciones pre-colisionales.
Para sistemas cuya evolución puede describirse en términos de estas correlaciones dinámicas, podemos atribuir un significado simple a la ruptura de simetría introducida por la segunda ley de la termodinámica y la elección del semigrupo pertinente. Supongamos que preparamos una función de distribución (de la velocidad de una partícula, por ejemplo) a un tiempo dado t0. Podemos aplicar las ecuaciones dinámicas para observar la desviación del equilibrio que se producirá en el futuro lejano o en el pasado lejano. Es evidente que pueden darse los cuatro tipos de situaciones representadas en la figura 5. En la situación A, la distribución de velocidad no alcanzará el equilibrio ni para t → +∞ ni para t → −∞ Por el contrario, en la situación B, se alcanza el equilibrio en ambas direcciones del tiempo. En la situación C. se alcanza el equilibrio para t → +∞, pero no para t → −∞; finalmente, en la situación D, se alcanza para −∞ y no para +∞. El tipo de situación verificable depende de las condiciones iniciales. Ahora podemos demostrar, y es un punto importante, que los casos A y D sólo pueden producirse si, en el momento inicial, tenernos entre las partículas correlaciones persistentes de largo alcance que impidan que el sistema alcance el equilibrio mediante sucesivas colisiones. En B y C, también pueden existir correlaciones, pero son correlaciones post-colisión que no impiden que el sistema vaya hacia el equilibrio. En A y en D, tenemos partículas que vienen del infinito y que están correlacionadas antes de colisionar. En B y en C, tenemos correlaciones únicamente después de las colisiones (figura 5).

Figura 5. Evolución de la desviación del equilibrio. Con arreglo a las condiciones iniciales pueden darse cuatro casos (V. texto).
4.
Volvamos a la relación entre tiempo y vida. Primero, quiero señalar que la segunda ley de la termodinámica expresa tal vez la ruptura de simetría más fundamental en el mundo físico que a su vez posibilita otras rupturas de simetría, incluida la de materia y antimateria. En principio, podemos imaginar el mundo poblado por dos tipos de seres, unos que viven hacia el futuro y otros hacia el pasado. Algunas divertidas consecuencias de esta situación se exponen en el maravilloso libro de Martin Gardner El universo ambidiestro . Podemos reconocer tales sistemas físicos o biológicos porque para nosotros su evolución sería la opuesta a la que estamos acostumbrados. El análisis microscópico nos mostraría que estos sistemas transforman las correlaciones en colisiones, mientras que los sistemas que conocemos proceden en sentido contrario.La segunda ley es una afirmación de la unidad del mundo físico. Sólo existe una flecha del tiempo. Ahora, en esta perspectiva, hablaremos de la relación entre tiempo y vida. La vida es ciertamente una de las manifestaciones más sorprendentes de esta flecha universal del tiempo. Desde este punto de vista, podemos considerarla como una consecuencia de la existencia de procesos irreversibles, pero lo que quiero poner de relieve es que la vida transmite, a su vez, esta situación propia, intrínseca de ruptura de simetría, a objetos del mundo físico que, sin su intervención, tendrían un comportamiento temporal simétrico. Si volvemos a la situación B de la figura 5. interpretaremos tal situación como la que da origen a una aproximación al equilibrio en nuestro futuro. Los seres que vivan en la dirección opuesta interpretarían, por el contrario, esta situación como la generadora de una aproximación al equilibrio en su futuro, que es nuestro pasado. En cierto sentido, transformamos una situación fundamentalmente simétrica en una situación temporalmente asimétrica por la utilización de nuestra propia asimetría temporal. Como he señalado, suele decirse que la vida produce vida, pero nosotros vemos la vida como transmisora de irreversibilidad; la duración originando duración.
Actualmente se especula mucho sobre cosmología. Es evidente que algunos de los conceptos que hemos expuesto coinciden con lo que suele denominarse cosmología estándar. En sus primeros tiempos, el universo estaba desvinculado de la causalidad. Desde el horizonte de cada observador, sólo podían verse elementos sin correlación. El decurso del tiempo en la interacción de estos elementos introduce correlaciones suplementarias. La evolución general del mundo físico, en esta perspectiva, empieza a interpretarse como una progresiva ampliación de correlaciones a través de la materia, que entra en contacto directo o indirecto, o a través de campos intermedios. Pero la historia a gran escala de nuestro universo sigue en gran parte inexplicada. Aunque hay que tener en cuenta dos características primordiales: la gravitación y la entropía. Nos hallamos aún muy lejos de una concepción sintética que englobe estos dos conceptos, por consiguiente aún existen muchas posibilidades.[119] De mis estudios sobre sistemas complejos a una escala mucho más modesta, he sacado la impresión firme de que es difícil siquiera llegar a imaginar o enumerar todas las posibilidades que presentan los sistemas no lineales alejados del equilibrio. Y esto me resulta aún más evidente si consideramos el universo como un todo con las sorprendentes no linealidades descritas polla ecuación de Einstein y con las enormes desviaciones del equilibrio que debieron predominar en su fase pretérita de formación. Por consiguiente, finalizaré con una apostilla optimista: la historia no tiene final.
Bibliografía
- B. Misra y I. Prigogine, «Time, probability and dynamics», Proceedings of the Workshop on Long-Time Prediction in Nonlinear Conservative Dynamical Systems, editado por C. W. Horton, Jr., L. E. Reichl y V. Szebehely, de próxima publicación por Wiley-Interscience, Nueva York.
- I. Prigogine, From Being to Becoming, W. H. Freeman and Co., San Francisco, 1980.
- I. Prigogine y C. George, PNAS, 1982.
- K. Popper, Unended Quest, La Salle, Illinois, Open Court Pub. Co., 1976.
- M. Gardner. El nuevo universo ambidiestro, RBA, Barcelona, 1994.
- F. W. Dewette, R. E. Allen, D. S. Hughes y A. Rahman, Physics Letters, 29A, 1969, 548-549.
§ 7. Einstein: triunfos y conflictos[120]
Es para mí un privilegio participar en esta sesión que la Real Academia belga consagra a la memoria de Albert Einstein. Quizá se deba este honor a que los primeros trabajos de Einstein, en 1902-1903, están relacionados con la termodinámica. De todas formas, no es tarea fácil, pues se han publicado tantos libros con motivo del aniversario del nacimiento de Einstein, se le han dedicado tantas conferencias, tantas emisiones de televisión, que poco queda por decir. Qué duda cabe de que el mito Einstein sigue vivo entre nosotros y es, con gran diferencia respecto a otras figuras, el científico más famoso de nuestro siglo.¿Cómo se explica esta fama extraordinaria? Después de todo, el siglo XX ha dado otros eminentes científicos cuya obra ha ejercido influencia perdurable; bastaría con citar a Rutherford, a Bohr,[121] a Dirac,[122] en lo que a física se refiere, y a Pauling, a Crick o a Watson con el ámbito de la biología. Sin embargo, ninguno de ellos alcanzó semejante popularidad. Tampoco en el siglo XIX encontramos a un físico de celebridad comparable. Sólo la gloria de Darwin podría compararse a la de Einstein. Pero, en la época de Darwin, el interés científico estaba volcado en el problema de la biología.
El caso de Einstein es muy distinto: es de dominio público la creencia de que sus trabajos son de tamaña dificultad que sólo contados físicos pueden entender y argumentar sobre sus conclusiones. ¿Por qué, entonces, esta fama? ¿Estamos ante un caso de culto a la personalidad? ¿Es una moda pasajera? ¿O existe, quizás, una razón más profunda? Para contestar a estas preguntas hay que situar primero el trabajo de Einstein en su perspectiva histórica.
* * * *
Ojeando los manuales de física publicados a principios de siglo, cuesta reconocer que versen sobre la misma ciencia que se practica hoy en día. ¿Seguimos describiendo el mismo universo? ¿Tenemos idéntica concepción [123] de nuestro objetivo? En su discurso académico de 1865, «Sobre los objetivos de las ciencias de la naturaleza». Kirchhoff[124] afirmaba que el propósito final de la ciencia era reducir los fenómenos observables a las leyes del movimiento, ya que éste puede ser descrito por la mecánica teórica. Por lo tanto, las ciencias naturales, según su criterio, tratarían de reducir los fenómenos observables a las leyes formuladas por Newton y generalizadas por ilustres físicos y matemáticos como Lagrange o Hamilton. No cabe preguntarse por qué aparecen tales masas y fuerzas en las ecuaciones de Newton, ya que no puede entenderse lo que son. Basta con que nos limitemos a describir sus diversas manifestaciones por medio de las leyes de la dinámica. La pregunta sobre el «por qué» de la naturaleza de estas masas y fuerzas quedará para siempre sin respuesta. En una célebre conferencia pronunciada por la misma época, Dubois Reymond[125] caracterizaría esta concepción con la apostilla lapidaria de Ignoramus, ignorabimus. La ciencia impide el acceso a los misterios del universo.¿Qué es, pues, la ciencia? Citaremos la opinión de un físico influyente de nuestra época, Ernst Mach,[126] cuyas ideas causaron gran impacto en el joven Einstein: la ciencia nos ayuda a organizar nuestra experiencia. Forma parte de la lucha darwiniana por la vida, puesto que nos ayuda a definir protocolos de manipulación más eficaces. Mach lo expresa en una concisa definición: «La función biológica de la ciencia es dotar al individuo plenamente desarrollado de unos medios de orientación lo más perfectos posibles. No existe otro ideal científico; cualquier otro carecería de sentido».
La ciencia es útil porque permite una economía de reflexión. Tal veredicto encierra sin duda una parte de verdad, ¿pero todo se reduce a esto? ¡Qué lejos de Newton, Leibniz y todos cuantos participaron en la creación de la ciencia occidental con la ambición de descubrir el marco conceptual que vertebrase la inteligibilidad del universo físico! La concepción, según la cual la ciencia sería estrictamente útil, sólo sirve para obtener una formulación de las relaciones interesantes sin más; es fundamentalmente lo que se denomina concepción positivista de la ciencia. ¿Somos positivistas? A este respecto puedo hablar a título de mí experiencia personal. Con frecuencia, los momentos en que, durante un congreso científico, la excitación crece son aquellos en que se plantean cuestiones que pocas veces tienen una repercusión utilitaria y que en nada van a servir para acrecentar nuestra capacidad de supervivencia; por ejemplo, las interpretaciones posibles de la mecánica cuántica o el papel del universo en expansión, en lo que a nuestro concepto del tiempo se refiere. Y es en este contexto en el que podemos comprender el papel eminente, único, desempeñado por Einstein. Fue precisamente su trabajo sobre la relatividad, en 1905, el punto de partida de una evidencia nueva: la ciencia es algo más que una economía de pensamiento, puesto que lleva a resultados inesperados y nos abre el camino que conduce al descubrimiento de estructuras ocultas del universo físico.
En sus notas autobiográficas, escribe Einstein que el asombro es elemento esencial en la creatividad científica. Y creo que esto es cierto en cada caso particular; el trabajo de Einstein nos ha revelado un mundo desconocido, mostrándonos que estábamos en los albores de una nueva época llena de promesas, pero también del riesgo de nuevos derroteros.
Es fascinante seguir la transformación que acabo de esbozar a través de la obra del propio Einstein, y ver cómo este hombre nacido en el siglo XIX llegó a conceptos y resultados, algunos de ellos contradictorios con los presupuestos más fundamentales de su propio trabajo. Es esta concomitancia entre éxito y tensiones intelectuales lo que me ha impulsado a titular esta conferencia «Triunfos y conflictos».
* * * *
Examinemos a grandes rasgos algunas etapas notables de la evolución del pensamiento de Einstein.En 1905, publica su Teoría de la relatividad restringida . El título exacto de la obra era más técnico: «Sobre la electrodinámica de los cuerpos en movimiento». Se trataba, efectivamente, de una cuestión concreta: ¿cómo satisfacer el principio de relatividad galileano —que afirma que cualquier observador, en traslación uniforme en relación con los fenómenos naturales, los describirá mediante ecuaciones de idéntica forma— cuando intervienen no sólo cuerpos materiales, sino también la luz? No entraremos en detalles, pero lo esencial es que, en lugar de considerar que este problema llevaba a la elaboración de un capítulo suplementario en el que se asociasen campos tradicionales de la física, como son mecánica y electrónica, Einstein centró su análisis en la revisión de los conceptos espacio y tiempo. Y es aquí donde descubrimos lo que constituye la modernidad singular de la obra creativa de Einstein. En cierto sentido, su enfoque es similar y muy contemporáneo al de Cézanne en pintura y de Schoenberg en música. En lugar de continuar la tradición pictórica occidental, Cézanne opta por el retorno a la cuestión fundamental: ¿cómo representar la existencia del objeto en el espacio en que se encuentra? Cada objeto tiene existencia propia, determinada por los límites, pero a la vez está inmerso en un espacio común. Tampoco Schoenberg intentaría mejorar la escala «bien temperada» que, desde la época de Bach había sido el instrumento fundamental de trabajo de la música occidental, sino que creó un sistema nuevo con la atonalidad seriada. Quisiera subrayar dos puntos. La velocidad de la luz en el vacío, c, aparece en la obra de Einstein no sólo como una constante universal, sino como la magnitud que limita la velocidad con que puede transmitirse cualquier información desde un punto a otro del espacio. Es la existencia de este límite lo que conduce a la transformación de la estructura espacio-tiempo y, finalmente, a un tiempo local correspondiente a cada observador particular. Esta conclusión puede parecer controvertible desde el punto de vista lógico, ya que ¿por qué preocuparse de un límite superior a la velocidad de transmisión de una información? Nos basta con imaginar a un observador «deslocalizado» que, de una forma u otra, estuviera «en todas partes» al mismo tiempo. En el siglo XVII, algunos identificaban a Dios con el espacio; un observador como Dios no tendría necesidad de transmitir información, y por ello formularía las leyes físicas dentro del marco de la relatividad galileana que acepta la transmisión a velocidad infinita y conduce a un tiempo universal único. La opción entre el espacio-tiempo galileano y el einsteniano no puede zanjarse sobre la base de la lógica formal. Hay que recurrir a la experimentación y, como sabemos, la experimentación hasta el momento ha dado la razón a las ideas de Einstein. ¿Qué podemos concluir? El propio Einstein pensaba que la imposibilidad de transmitir una información a velocidad superior a la de la luz, le había facultado para dar un paso similar al contenido en los principios termodinámicos a partir de la exclusión del perpetuum mobile, es decir, la imposibilidad de construir un dispositivo que convirtiera, por ejemplo, calor en trabajo utilizando una sola fuente de energía. Sin embargo, los contemporáneos, y con mayor motivo la generación de físicos posterior a Einstein, entendieron una lección muy distinta en el éxito de la relatividad. Para ellos, la relatividad enseñaba que es imposible describir la naturaleza desde el exterior: la física está hecha por el hombre para el hombre. Tal es la interpretación que Heisenberg trasladó a la mecánica cuántica y, si se me permite citar algo personal, ésta es la interpretación que yo mismo trato de introducir en lo que atañe al problema de la irreversibilidad en su relación con la dinámica. Volveré sobre ello más adelante. Si recordamos la convicción profunda de Einstein de que «la física es el intento de captar la realidad tal cual es, independientemente del hecho de que se la observe», podemos entender el triunfo de Einstein y los conflictos de interpretación que desencadenó.
Quisiera subrayar otro punto. Una vez introducida la diferencia entre los tiempos múltiples utilizados por los observadores en traslación para comparar la duración de los acontecimientos, podemos plantear la siguiente pregunta: ¿cómo hacer explícita esta diferencia?[127]
Es posible cuando dos observadores, que han sincronizado sus relojes, vuelven a encontrarse en un momento ulterior. Semejante situación supera realmente la relatividad restringida, ya que, para que tenga lugar un segundo encuentro, al menos una de las trayectorias tiene que hallarse sometida en algún punto a una aceleración. Con rara intuición, Einstein consideró, ya en 1905, esta posibilidad. Entre dos encuentros, el tiempo transcurrido es distinto para cada observador. Es la famosa «paradoja de los gemelos». Esta conclusión, por inesperada que parezca, ha sido objeto de confirmaciones experimentales cuantitativas. ¿Cómo interpretar de manera positivista, como simple economía de pensamiento, o mejora de las posibilidades de supervivencia, una ciencia que conduce a resultados tan inesperados, que reclama tan palpablemente que pensemos de forma nueva la naturaleza que nos rodea? La relatividad general acentúa aún más esta dimensión anti positivista que Einstein confirió a la física.
Es sabido que Einstein partió de la observación de que las fuerzas gravitatorias tienen un estatuto muy especial. Si enunciamos la ley de Newton como masa por aceleración = fuerza, podemos distinguir en principio dos tipos de masa, la inercial, que aparece a la izquierda de la ecuación, simultánea a la aceleración, y la masa gravitatoria que aparece con la fuerza. Pero sucede —y quedó demostrado por los muy precisos experimentos de Eötvos— que ambas masas coinciden: en consecuencia, estas masas se compensan en la ecuación, y el campo gravitatorio adquiere una especie de estructura geométrica universal. Ya Galileo había enunciado que todos los cuerpos caen en el vacío con igual velocidad. Esto sirvió a Einstein de punto de partida para formular su relatividad general, esa teoría que Landau y Lifschitz denominan, en su famoso tratado de física, la más hermosa de las teorías físicas. Como se sabe, la idea básica es que la materia crea una curvatura del espacio-tiempo. En seguida concibió Einstein la idea de ampliar la aplicación de esta teoría a todo el universo; era una empresa de audacia inusitada: el universo como objeto geométrico único. En un ya célebre artículo de 1917, propone Einstein el primer modelo cosmológico del universo. Como puede imaginarse, por el origen de su teoría, se trataba de un universo estático, intemporal; la realización de una idea casi Spinozista trasladada al campo de la física. Y aquí se produjo lo inesperado. En seguida se vio que las ecuaciones cosmológicas de Einstein admitían otras soluciones dependientes del tiempo. Citaré los nombres del astrofísico ruso Friedman y de nuestro compatriota George Lemaître, que fue miembro de esta Academia. Por la misma época, Hubble[128] y sus colaboradores establecían, a propósito del movimiento de las galaxias, la famosa «Ley de Hubble» que enuncia una relación de proporcionalidad entre la velocidad de las galaxias y su alejamiento. La relación entre esta ley y el universo «en explosión» de Friedman y Lemaître era evidente. Sin embargo, la mayoría de los físicos se mantuvieron durante bastante tiempo reticentes a esta descripción de un universo histórico. El propio Einstein no la apreciaba mucho. Lemaître, a quien conocí bien, me contó que, en cierta ocasión, en que intentó discutir con él sobre la posibilidad de concretar más el estado inicial del universo para quizá determinar la radiación cósmica. Einstein no mostró gran interés y le dijo: «Eso recuerda demasiado al Génesis, ¡se nota que es usted sacerdote!».
Actualmente disponemos de un dato nuevo, la famosa energía residual de cuerpo negro, que nos ilumina con la misma luz que iluminara la explosión de la bola ígnea hiperdensa que marca el inicio del universo. En cierto modo Einstein se ha convertido en el Darwin de la física. Darwin nos enseñó que el hombre forma parte de la evolución biológica, y Einstein que pertenecemos a un universo en evolución. Las ideas de Einstein le conducirían a un nuevo continente, tan inesperado para él como América para Cristóbal Colón.
Citaré otro ejemplo. En 1900, Max Planck introducía una nueva constante universal, h, en su trabajo fundamental sobre el equilibrio entre materia y luz. Sin embargo, el interés general de este descubrimiento no era patente, y parecía, por el contrario, de utilidad estrictamente técnica, una simple fórmula de interpolación para representar los datos de la experiencia. Fue Einstein quien intuyó que había algo muy distinto, mucho más importante, en juego. Tradicionalmente se atribuía a la radiación electromagnética una naturaleza ondulatoria. Einstein comprendió que la existencia de h nos permite introducir corpúsculos de luz, «fotones». Efectivamente, a cada valor de la energía podemos asociar, por mediación de h, una frecuencia y, a cada longitud de onda, una cantidad de movimiento. Por lo tanto, la radiación electromagnética es a la vez de naturaleza ondulatoria y corpuscular. Esta audaz concepción dualista resultó pasmosamente verificable en efectos experimentales como el efecto fotoeléctrico. Esta comprobación marca la fecha de nacimiento de la segunda gran revolución de las ciencias físicas de nuestro siglo: la mecánica cuántica. Unos veinte años más tarde. Louis de Broglie, invirtiendo el enfoque de Einstein, asocia a la materia, tradicionalmente considerada como corpuscular, un nuevo tipo de onda, las ondas de materia. Los trabajos de Heisenberg. Schrödinger y Dirac dotarían acto seguido a estas ideas de un marco matemático nuevo. Sin embargo, la dualidad onda/partícula de la materia ponía inevitablemente en tela de juicio el concepto de causalidad física. Podemos asociar un punto material a una velocidad y posición muy determinadas; pero una onda es de localización difusa, ¿cómo asociarle posición y velocidad? En consecuencia, también la mecánica cuántica recurriría a elementos estadísticos. Como continuación principalmente a las discusiones mantenidas con Bohr con ocasión de las Reuniones Solvay de Física en Bruselas, Einstein admitió que la mecánica cuántica aportaba una noción no contradictoria de la naturaleza. Pero hasta el final de su vida negaría qué idea pudiera considerarse la solución definitiva al problema cuántico. Citaré una carta famosa de Einstein a Born:[129] «Usted cree en un Dios que juega a los dados, y yo en una ley y un orden completos en un mundo que existe objetivamente y que trato de representarme de un modo francamente especulativo. Creo en ello firmemente, y espero que alguien lo descubra con un método más realista, o mejor dicho, estableciendo unos fundamentos más tangibles de lo que a mí el destino me ha permitido. Incluso el gran éxito inicial de la teoría cuántica no me impulsa a creer en un juego de dados primordial, aunque soy muy consciente de que nuestros jóvenes colegas interpretan esta convicción como signo de senilidad».
¿Por qué adoptó Einstein una postura tan radical respecto al tiempo y al azar? ¿Por qué prefirió el aislamiento intelectual a todo compromiso?
* * * *
Uno de los documentos más emocionantes sobre Einstein es la serie de cartas que intercambió con su viejo amigo Michele Besso.[130] Einstein solía ser muy discreto sobre sus cosas íntimas, pero con Besso mantenía una relación distinta. Se conocían desde jóvenes, cuando Einstein tenía diecisiete años y Besso veintitrés. Besso ayudó a la primera mujer y a los hijos de Einstein cuando éste tuvo que dejar la familia en Zürich para trabajar en Berlín. Les unía un gran afecto a pesar de que, con los años, sus respectivos intereses llegaran a discrepar. Besso fue inclinándose progresivamente hacia la literatura, la filosofía, profundizando en el significado mismo de la existencia humana; sabía que, para que Einstein respondiera, había que plantearle problemas de índole científica, pero a él su investigación le iba llevando cada vez más lejos de la simple ciencia. Es una amistad que duró toda una vida, hasta la muerte, en 1955, de Besso, pocos meses antes de la de Einstein. Por el tema que tratamos, lo que más nos interesa es la última parte de esta correspondencia, que abarca el período de 1940-1955.Por aquel entonces, Besso no cesaba de insistir sobre el problema del tiempo. ¿Qué es la irreversibilidad? ¿Qué relación tiene con las leyes de la física? Y Einstein, pacientemente, le respondía una y otra vez que la irreversibilidad era una ilusión, una impresión suscitada por unas condiciones iniciales improbables. Pero Besso no acaba de considerarse satisfecho. Su último artículo, a los 80 años, sería una colaboración, para Archives des Sciences de Ginebra, en un intento de conciliar la relatividad general con la irreversibilidad del tiempo. Pero Einstein apenas valoraría este empeño, y su comentario fue; «Estás pisando terreno resbaladizo. No hay irreversibilidad en las leyes fundamentales de la física. Debes aceptar la idea de que el tiempo subjetivo, con su insistencia sobre el ahora, no posee significación objetiva». Al morir Besso, Einstein escribió a la hermana y a los hijos de éste: «Michele se me ha anticipado en dejar este mundo absurdo. Es algo que no tiene importancia. Para nosotros, físicos convencidos, la distinción entre pasado, presente y futuro es sólo una ilusión, por persistente que sea».
Einstein creía en el Dios de Spinoza, un Dios identificado a la naturaleza, un Dios racional. Según esta concepción, no hay lugar para la contingencia ni para la libertad. Lo que nos parece contingencia, azar, es tan sólo una apariencia; sólo creemos libres nuestros actos porque ignoramos su verdadera causa.
Así, podemos decir que Einstein pertenece a la tradición occidental que, desde Platón, no ha cesado de subrayar la diferencia entre el mundo sensible, el mundo de apariencias que ilumina la luz del sol y el mundo que, según la hermosa expresión del propio Platón, ilumina el sol de lo inteligible. Para Platón la filosofía era el camino que conducía de un mundo a otro, para Einstein este camino fue la ciencia. Einstein era un solitario que escribía a Besso: «Lo que tanto admiro de ti es que te entiendas bien con tu mujer, mientras que yo no lo he podido conseguir con ninguna de mis dos esposas». Sus relaciones con los dos hijos habidos del primer matrimonio fueron tensas y, más que esto, vivió un período histórico siniestro, marcado por el antisemitismo, latente y luego declarado, y por las dos guerras mundiales. No es de extrañar que, para él, como sucediera antaño con Demócrito y Epicuro, el conocimiento, la ciencia, fuera el medio para liberarse de un mundo turbulento y acceder a un mundo de razón, belleza y paz.
* * * *
Los interrogantes que planteaba Einstein siguen en pie. He mencionado la famosa discusión entre Einstein y Bohr a propósito de las bases de la mecánica cuántica. Einstein no pudo evidenciar contradicción en la mecánica cuántica, y en este sentido fue Bohr quien venció, pero no es menos cierto que cada vez es mayor el número de físicos que disienten de lo que se denomina «la interpretación de Copenhague». Bohr quería, en cierto modo, aceptar la mecánica cuántica tal cual, mostrándonos que era inútil buscar una interpretación «más profunda» del formalismo. Desde este punto de vista, el triunfo es para Einstein. Hoy, transcurridos más de cincuenta años muchas publicaciones científicas incluyen artículos en los que se discuten las variables ocultas, el problema de la medida en mecánica cuántica, la significación de su irreversibilidad. Esta afluencia de artículos, que no parece tener fin, sería probablemente más intensa si muchas revistas respetables no trataran de limitar su difusión. Las dudas de Einstein, sus interrogantes a propósito del azar y el tiempo, siguen siendo temas fundamentales de nuestra época.¿Podemos, al menos, saber en qué dirección caminamos? Sólo puedo dar mi opinión personal. Creo que cada vez nos alejamos más del ideal clásico y de su concepción de causalidad, expresada mediante leyes deterministas, en el marco de las cuales no puede hacerse distinción entre pasado y futuro. Mi convicción se basa primordialmente en los recientes trabajos en mecánica clásica. El prototipo de objeto totalmente regido por una ley determinista es sin paliativos la trayectoria definida por la mecánica clásica. Una vez dadas las condiciones iniciales, puede seguirse una trayectoria tanto en el futuro como en el pasado, puede calcularse la posición y la velocidad de un móvil en cualquier momento, pasado o futuro. Pero se ha visto que los estudios actuales demuestran que, salvo en casos muy simples, la situación dista mucho de estar ciara. En uno u otro sentido, la mayoría de los sistemas dinámicos en cuestión son inestables, lo que esencialmente significa que unos puntos, tan próximos como queramos en un momento inicial, pueden pertenecer a trayectorias divergentes o, mejor dicho, a trayectorias de distinto tipo . Lo que se plantea, es saber qué significación puede conservar el concepto de trayectoria cuando ninguna observación, por precisa que sea, puede darnos información sobre el tipo de trayectoria que sigue un objeto dinámico. ¿No deberíamos tal vez aplicar la lección de Einstein, eliminando en física cualquier concepto al que no pueda atribuirse contenido con una experimentación racional? Como ya he señalado, esta regla estipula que el científico pertenece a la naturaleza que describe. La supresión del concepto de trayectoria nos permite construir un formalismo estadístico, aun en el marco de la dinámica clásica.[131] En resumen: podemos concluir que la distancia entre la descriptiva determinista y la probabilista es menor de lo que creían la mayor parte de los coetáneos de Einstein. En lo que respecta a Poincaré, él había señalado ya que, cuando se arroja un dado, no nos fundamos en la idea de que el concepto de trayectoria no sea aplicable, sino en el criterio de que, en esta clase de sistema, a partir de cada intervalo de condición inicial, por pequeño que sea, existe igual número de trayectorias que parten hacia cada cara del dado. Es una versión simplificada del problema de inestabilidad al que acabo de referirme.
¿Qué significa, entonces, la expresión de Einstein: «Dios no juega a los dados?». ¿Querrá decir que calcula las trayectorias? Pero esto no modificaría el resultado del juego, porque llegaríamos a las mismas frecuencias de los diversos estados finales. El título de una de las conferencias pronunciadas por mi amigo, el matemático Marc Kac, How random is Random? (¿Cuán aleatorio es el azar?), expresa perfectamente cuán sutil es la distinción entre descripciones deterministas y probabilistas. En lo que respecta al Dios de Einstein, para conocer algo más que las frecuencias, tendría que fijar una condición inicial de manera exacta, a modo de un punto único sobre una línea. Esta forma de proceder es imposible aplicarla a otro que no sea Él, ya que toda observación humana es de precisión finita, por muy precisa que sea. Por lo tanto, volvemos a la lección de la relatividad restringida: ¿podemos utilizar conceptos que describan la física desde fuera? Hemos dicho que no, y nos es difícil renunciar a esta postura.
Evidentemente, Einstein pensaba en la mecánica cuántica. Pero ahí, la situación no es tan sencilla. Por mi parte, considero que el empleo de conceptos probabilistas exige, como opinaba Einstein, explicaciones suplementarias que, en consecuencia, irían más allá de la propuesta de la escuela de Copenhague. De hecho, lo que necesitamos es una mejor comprensión del papel de la constante de Planck en el campo de la dinámica. En cierto sentido, como expusimos recientemente, h introduce un movimiento colectivo, fuerza de trayectorias próximas a permanecer coherentes, al menos durante cierto tiempo.
Generalmente, se intentaba comparar la descripción en términos de trayectorias clásicas con la descripción de ondas cuánticas, método que el comportamiento tan distinto de trayectorias y ondas dificulta enormemente. Por ello, quizá sea interesante comparar la teoría clásica de los conjuntos con la teoría cuántica, para entender cómo la presencia de h nos impide aperar el paso en el límite de un conjunto a una trayectoria.[132] Hecho esto, vemos con mayor claridad que la teoría cuántica se sitúa en un «nivel intermedio». Es «más» determinista que la teoría clásica de los conjuntos y «menos» que la teoría clásica de las trayectorias. La mecánica cuántica puede definirse como una teoría clásica «super determinada», en la que pueden eliminarse la mitad de las variables. Naturalmente, esto desemboca en la idea de coherencia y, finalmente, en el dualismo onda-partícula.
Quizás Einstein no habría desaprobado esta orientación investigatoria, que descarta cualquier recurso a interpretaciones subjetivistas (papel del observador, perturbaciones incontrolables…).
Lo que actualmente parece definitivo es que la transición de la descriptiva determinista a la probabilista no implica necesariamente procedimientos aproximativos como el coarse graining, [133] o la «descripción truncada», que adolecen inevitablemente de una pérdida de información e introducen en la descripción un elemento subjetivo. Por otra parte, parece existir más de un camino entre la descripción determinista y la probabilista; acabamos de describir dos de ellos: la inestabilidad del movimiento en mecánica estadística clásica y la coherencia introducida por h en la teoría cuántica.
Sean cuales fueren las respuestas exactas pendientes, somos testigos de un auge del papel que desempeñan el azar y la irreversibilidad en el contexto de las ciencias físicas, y cada vez nos alejamos más de la concepción estática y determinista propia de la física clásica.
A principios de siglo, la física, y sobre todo la física teórica, aparecía como un grandioso edificio, una construcción monolítica, sin parangón con ninguna otra ciencia. Sin embargo, había exterminado la intriga por lo desconocido y la capacidad de sorpresa. «Sin color, sin olor; un asunto estúpido», decía Whitehead hablando de la naturaleza descrita por la física clásica. Hoy día, la situación ha cambiado de forma radical, y, antes que ninguno, ha sido Einstein quien más ha contribuido a esta transformación. No por casualidad gira su obra en torno a las constantes universales, la velocidad de la luz, c, la constante de Boltzmann, k, la constante de Planck, h, y la constante gravitatoria. La intrusión de estas constantes en la formulación monolítica universal de la física clásica, es una conmoción sin paralelo en la historia de las ciencias. Las leyes de Newton eran universales, porque no establecían distinción alguna entre lo lento y lo rápido, lo ligero y lo pesado, pero c nos permite distinguir entre lento y rápido, h entre pesado y ligero. En lugar de una estructura única para todos los objetos físicos, hallamos una pluralidad de estructuras.
Nos hallamos apenas en los albores de una nueva era de la tísica. No tenemos la mínima idea de cómo explicar los valores numéricos de las constantes universales, a pesar de que éstos determinan características esenciales del universo. Por ejemplo, la estabilidad del átomo de hidrógeno está determinada por la combinación me[4]/h2 de tres constantes, la masa m del propio electrón, su carga e y la constante de Planck. En un mundo más «clásico», en el que h fuera más pequeña, los átomos y las moléculas serían más estables, y es difícil concebir cómo podrían sintetizarse moléculas más complejas como son las proteínas y los ácidos nucleicos esenciales para la vida. De igual modo, la relación entre las masas de protones y neutrones desempeña un papel esencial en las primeras fases del universo,[134] y unos cambios no muy apreciables de esta relación serían la causa de modificación de las proporciones de hidrógeno en el universo. Y resulta que el hidrógeno es el combustible principal en las reacciones termonucleares de las estrellas. Vemos que la vida no habría sido posible sin estas reacciones que aportan el flujo energético necesario en nuestra biosfera.
Comenzamos, pues, a descubrir las conexiones que operan entre las constantes universales y a comprender este universo un poco a la manera de una sociedad moderna de sectores económicos y sociales distintos, aunque con una misma entidad. Con esto llegamos al final de la charla.
* * * *
He tratado de destacar que, en nuestro tiempo, nos hallamos muy lejos de la visión monolítica de la física clásica. Ante nosotros se abre un universo del que apenas comenzamos a entrever las estructuras. Descubrimos un mundo fascinante, tan sorprendente y nuevo como el de la exploración en la infancia. Einstein insistió sobre la creatividad del espíritu humano, llegando a escribir:[135] «Todo nuestro pensamiento posee la naturaleza de un juego libre con los conceptos; la justificación de este juego radica en el grado de ayuda que pueda aportarnos para comprender la experiencia de nuestros sentidos». Pero lo que él logró va mucho más lejos. Darwin hizo que el hombre comprendiera su solidaridad con la vida; con Einstein comenzamos a entender una solidaridad con un cosmos, cuya evolución generó condiciones aptas para la vida. Sentimos que esta creatividad del hombre, que acentuó Einstein, no es un factor de oposición a la naturaleza, sino que es parte integrante de nosotros, porque también pertenecemos a la naturaleza.Albert Einstein merece nuestra profunda gratitud por llevarnos a un punto desde el que podemos observar este mundo nuevo. Quizá la realidad que él tanto deseara alcanzar no es ni el mundo de apariencias que quería superar, ni el mundo intemporal spinoziano a que intentó acceder. Tal vez la realidad sea más sutil y conlleve a la par leyes y juegos, tiempo y eternidad. Nuestro siglo es una época de exploración de nuevas formas en las artes —pintura, música, literatura— y en la ciencia. El desarrollo demográfico, las condiciones sociales y económicas renovadas, exigen de nosotros una nueva evaluación de la postura del hombre, de su sociedad y de sus relaciones con la naturaleza. En ciencia, esta evaluación se inicia con Einstein. Hoy día, casi a finales del siglo, seguirnos siendo incapaces de prever adonde nos llevará este nuevo capítulo de la historia humana, pero podemos estar seguros de que, con él, se abre un nuevo diálogo entre el hombre y la naturaleza.
§ 8. El orden a partir del caos[136]
1. Introducción
Quiero dar las gracias en primer lugar al comité organizador, y en especial al profesor Girard, por concederme la oportunidad de comparar las diversas nociones sobre la relación entre desorden y orden en una amplia gama de disciplinas.Es evidente que la relación entre desorden y orden es uno de esos interrogantes que cada generación se plantea y resuelve con arreglo al vocabulario y los intereses de su época. Los atomistas griegos se plantearon el problema de la generación de orden a partir de las trayectorias caóticas de ciertas unidades elementales.
En innumerables ocasiones. Michel Serres ha puesto de relieve la estrecha relación entre el clinamen de los atomistas griegos y el más reciente concepto de inestabilidad. Todos conocemos también la metáfora del reloj, en el que el orden se produce por efecto del engranaje de diversos elementos independientes. El orden es el resultado de un plan preconcebido. Pero, en realidad, como actualmente comprobamos, el problema de la diferencia entre desorden y orden presenta perspectivas inesperadas que dificultan aún más su exacta formulación.
Es evidente que, en el universo, se dan estrechas correlaciones entre estructura microscópica, definida por partículas elementales, y estructura macroscópica que es directamente aprehensible. Por ejemplo, la relación entre las masas del neutrón y del protón desempeña un papel fundamental en la cosmología moderna, y probablemente es el factor determinante en la conservación de la suficiente cantidad de protones que constituye en definitiva el carburante nuclear de las estrellas. Está claro que no habría vida —orden, en un sentido más complejo— sin las reacciones nucleares que se producen en las estrellas. Nos encontramos ante una dificultad similar cuando intentamos formular el problema desorden-orden en un contexto social. No podemos definir al hombre en estado de aislamiento, puesto que su conducta depende de la estructura de la sociedad de que forma parte y viceversa. Esta estructura cambia como consecuencia de las acciones individuales, y quizá sea en la sociedad humana en la que la interacción entre unidades y estructura global sea más clara.
Me han preguntado muchas veces por qué me interesan los problemas humanos. Sin duda una de las razones principales consiste en que ellos son los que mejor reflejan la compleja dialéctica entre unidades y estructura global. La construcción de un puente afecta la conducta de la gente que vive en sus inmediaciones, y ello repercute a su vez sobre el desarrollo futuro del sistema de comunicación. Pienso que este mismo tipo de interacción, química o biológica, se da a todos los niveles de la evolución, pero sólo a nivel social se evidencia más claramente esta interacción al concretarse en una escala cronológica, naturalmente mucho más restringida que la escala de tiempo astronómica o biológica. Yo mismo, a lo largo de mi vida, he sido testigo de profundas transformaciones sociales, mientras que la evolución biológica durante este período —a excepción de la intervención, fundamentalmente destructiva, del hombre en la biosfera— ha sido insignificante. En cualquier caso, me limitaré a considerar el problema del desorden y el orden en el plano de la dialéctica entre unidades concretas (sean partículas, moléculas o insectos) y estructuras globales formadas por gran cantidad de estas unidades. Es una problemática que, aun en este contexto limitado, cobra gran actualidad en nuestros días. En las últimas décadas, el aspecto del universo ha sufrido cambios espectaculares. Se constata una tendencia incuestionable hacia lo múltiple, lo temporal, lo complejo. Este profundo cambio de aspecto no es consecuencia de una decisión preconcebida ni de una nueva moda. Nos viene impuesto por toda una serie de descubrimientos inesperados.
Desde la Grecia clásica, la ciencia se ha venido orientando al descubrimiento de elementos estables, ya sea el agua, como proponía Tales, ya sean moléculas, átomos o partículas elementales. Pero, como sabemos, uno de los descubrimientos más extraordinarios de nuestro siglo es el hecho de que las partículas elementales suelen ser inestables. Fenómeno que puede ser válido hasta para el protón. Mi colega Weinberg dio hace poco una conferencia con el título de «El final de todo», lo que, en mi opinión, suena excesivamente pesimista, pero no cabe duda de que la ancestral idea de la estabilidad de la materia ha encajado un duro golpe. Nos hemos dedicado a buscar esquemas generales, globales, a los que pudieran aplicarse definiciones axiomáticas inmutables, y lo único que hemos logrado, en todos los campos, ha sido encontrar tiempo, acontecimientos y fenómenos de evolución. El ejemplo más célebre es el descubrimiento de la radiación residual del cuerpo negro, que sólo puede explicarse en el contexto de un universo en evolución.
Han cambiado tanto nuestros conceptos que creo perfectamente viable una nueva concepción de la historia de la ciencia. En lugar de la definición tradicional compendiada en la tríada Newton-Maxwell-Einstein, podemos describir la historia de la ciencia, paralelamente a la difusión del concepto tiempo, a partir de las humanidades, primero en biología y luego en física y química. Podríamos retrotraerlo a la época del Renacimiento, en que Occidente entró en contacto con otras civilizaciones en distintos estadios de desarrollo. El tiempo en las sociedades humanas aparece como elemento fundamental en Condorcet y Malthus. De allí a Darwin no es muy largo el camino y, más tarde, en física, queda vinculado principalmente a la cosmología moderna y, lógicamente, a los nombres de Hubble y Einstein.
Dije que buscábamos constancia. Pero también buscábamos simetría, y aquí también se produjeron sorpresas al ir descubriendo, a todos los niveles, procesos de ruptura de simetría. Los ejemplos más sobresalientes son seguramente los relacionados con partículas y antipartículas. Como saben, a cada partícula con carga corresponde, según los físicos cuánticos, una antipartícula de carga opuesta: a los electrones, positrones; a los protones, antiprotones. Las ecuaciones de mecánica cuántica siguen básicamente una pauta simétrica a la relación entre partículas y antipartículas. En consecuencia, al parecer, debería existir igual número de partículas y antipartículas; afortunadamente no sucede así, porque, si no, chocarían entre sí aniquilándose para convertirse en fotones (las partículas sin masa que componen la luz). No se excluye la posibilidad de que existan galaxias remotas formadas por antimateria, pero no existe prueba alguna en apoyo de esta teoría. Además, parece inferirse una estrecha relación en la simple existencia de la materia en tanto que proceso de ruptura de simetría y las condiciones de inestabilidad que existieron en el protouniverso.
Quizá sea una característica natural el hecho de que la evolución tienda a destruir la simetría. Acabo de regresar de un viaje a Brasilia que, como saben es una ciudad de estructura planificada a modo de un gigantesco avión a punto de aterrizar; pero, por lo visto, es bastante difícil mantener esta planta tan estrictamente simétrica, y, sin la constante intervención de un activo comité urbanístico, la simetría prevista habría sido destruida hace tiempo.
Como consecuencia de estos sorprendentes descubrimientos, se está produciendo a todos los niveles una redefinición. Los conceptos de ley y de «orden» no pueden ya considerarse inamovibles, y hay que investigar el mecanismo generador de leyes, de orden, a partir del desorden, del caos. Voy a desarrollar dos de los ejemplos con los que estoy más familiarizado. El primero es el de la formación de «estructuras disipativas» en condiciones muy alejadas del equilibrio, y en el que la estructura surge a partir del caos térmico, del azar molecular. Veremos cómo la irreversibilidad produce la formación de estructuras. Sin embargo, cabría preguntarse cuál es el origen de la irreversibilidad. Sobre ello versará mi segundo ejemplo. Intentaré la demostración de cómo la irreversibilidad, el tiempo unidireccional, surge a partir del caos de trayectorias dinámicas. Son cuestiones que trascienden el propio ámbito de la ciencia. Karl Popper ha escrito al respecto:
«La realidad del tiempo y del cambio me parecía la clave del realismo. (Aún lo considero así, y también así lo han considerado algunos adversarios idealistas del realismo, como Schrödinger y Gödel)».Es de señalar la notable contribución del progreso científico de las últimas décadas a esta problemática de realidad, tiempo y cambio.
2. Estructuras disipativas[138]
Muchos de ustedes estarán familiarizados con la fórmula de la segunda ley de la termodinámica. La fórmula expone la diferencia entre procesos reversibles e irreversibles. Procesos reversibles son los que no resultan afectados por la flecha del tiempo. Por el contrario, los procesos irreversibles denotan la existencia de flecha temporal. Todos conocemos procesos irreversibles tales como la conducción térmica, la difusión y la reacción química. La segunda ley explícita esta diferencia mediante la introducción de la entropía, una función con propiedades bastante notables y específicas. Podemos dividirla en dos partes, de las que una corresponde a un cambio reversible de entropía entre el sistema y el mundo externo, y otra enunciada por el incremento de entropía por efecto de procesos irreversibles (figura 1). En sistemas aislados, el flujo de entropía se desvanece y la entropía aumenta incesantemente.
Figura 1. La segunda ley de la termodinámica introduce una función S, llamada entropía, para describir los procesos irreversibles. El cambio de entropía de un sistema puede desdoblarse en dos partes: deS, correspondiente al intercambio de entropía con el mundo externo; y diS o producción de entropía, debida a procesos irreversibles del sistema, diS siempre es mayor o igual a cero. Para un sistema aislado, deS = 0, por lo que la entropía aumenta indefinidamente como muestra la figura inferior.

Una estructura disipativa típica es un «ciclo límite», es decir una especie de reloj químico en el que los componentes oscilan periódicamente sincronizados. Supongamos que una de las moléculas es azul y la otra roja. Veremos una alternancia periódica de colores. Pero, desde el punto de vista químico, esto es bastante improbable. Las reacciones químicas siempre han sido asociadas a movimientos caóticos, pero, en nuestro caso, todas las moléculas reaccionan simultáneamente produciendo estructuras coherentes. En otras palabras, las moléculas en estos procesos «se comunican» en tiempos y distancias macroscópicas. Es un fenómeno de sumo interés que podemos considerar como precursor de métodos complejos de comunicación tan evidentes en problemas ecológicos o biológicos. Hay además una gran multiplicidad de bifurcaciones que provocan diversas posibles estructuras espacio-temporales. Debido a ellos, leves cambios del medio pueden determinar la selección de un patrón en lugar de otro. Un fenómeno también muy interesante, porque nos permite concebir la existencia de algún tipo de mecanismo rudimentario de adaptación. En una palabra: la materia en equilibrio es ciega, mientras que la materia muy alejada de él detecta las minúsculas diferencias, esenciales a la construcción paulatina de sistemas altamente coherentes y complejos. La existencia de estructuras disipativas no es comprensible a partir del planteamiento del principio de orden de Boltzmann, por el que se asocia evolución a ocurrencia del estado más «probable». Corresponde más bien a una compleja competitividad entre fluctuaciones, un proceso que desemboca en lo que yo denominaría «orden por fluctuaciones».
La bifurcación puede introducir nuevos tiempos y extensiones característicos, siempre de dimensiones macroscópicas. La superposición de un gran número de estas escalas espacio-temporales puede volver a adoptar el aspecto de turbulencia o caos, pero es un caos macroscópico distinto al caos microscópico térmico. Diremos que los últimos hallazgos sobre situaciones no lineales muy inestables nos facilitan un magnífico ejemplo sobre la transición de desorden térmico a estructuras macroscópicas, ya sea «orden» o «caos» macroscópico.
Esta especialidad experimenta actualmente un auge fantástico, y no sabemos a ciencia cierta hasta dónde podremos llegar, pero es de esperar que habrá un momento en que podamos entender los complejos patrones espacio-temporales de los sistemas vivientes en tanto que manifestaciones macroscópicas de los procesos químicos que se dan en el interior de la materia viva.
Las estructuras disipativas son la consecuencia de procesos irreversibles. Mas ¿cómo integrar la irreversibilidad en la física? Es la cuestión que trato a continuación.
3. La flecha del tiempo
Expresamos la estructura básica del tiempo con arreglo a la consabida tríada: pasado, presente y futuro. El tiempo fluye unidireccionalmente desde el pasado hacia el futuro. No podemos manipularlo, no podemos viajar hacia atrás en el tiempo. El viaje a través del tiempo es un tema que siempre ha atraído a los literatos, desde Las mil y una noches hasta La máquina del tiempo de H. G. Wells. En época más reciente, en el relato Mira los arlequines[139] Nabokov describe el suplicio de un novelista incapaz de cambiar de dirección en el espacio, de igual modo que no puede «invertirse el tiempo». En el quinto volumen de Ciencia y civilización en China, Needham, hablando sobre el ideal de los alquimistas chinos,[140] dice que su objetivo supremo no era lograr la transmutación de los metales en oro, sino actuar sobre el tiempo, alcanzar la inmortalidad aminorando radicalmente el proceso de envejecimiento.¿Cómo entender este flujo unidireccional del tiempo? Martin Gardner ha escrito un libro magnífico. The Ambidextrous Universe, sobre «simetría especular y mundos de inversión temporal», en el que trata el significado de las flechas del tiempo. En un párrafo dice:
«Como las leyes fundamentales de la física (salvo las raras anomalías que hemos señalado) son reversibles respecto al tiempo, ¿qué es lo que hace que la naturaleza se mueva siempre en la misma dirección? ¿Por qué hay tantas cosas en la naturaleza que sólo se producen unidireccionalmente? La respuesta parcial, quién sabe si completa, se hunde en las leyes de la probabilidad. Ciertos acontecimientos son unidireccionales, no porque no puedan ir en otro sentido, sino porque es enormemente improbable que retrocedan».[141]Por lo tanto, la irreversibilidad se fundamentaría en las leyes de la probabilidad.
Es la idea básica introducida hace casi un siglo por Boltzmann, y que podemos ilustrar con un sencillo modelo ideado por Ehrenfest.[142] Consideremos dos cajas que contienen un total de N bolas numeradas (figura 2).

Figura 2. E modelo de Khrenfest ilustra la relación entre irreversibilidad y probabilidad. Dos recipientes con un número N de bolas, k en uno y (N−k) en otro. Cada segundo se elige al azar un número entre 1 y N, y la bola correspondiente se traslada al otro recipiente. A partir de una distribución inicial arbitraria, el número de bolas en uno de los recipientes aparece como una función del tiempo en la Figura inferior. Vemos aquí una aproximación monotónica de la distribución de equilibrio (N/2) con algunas fluctuaciones.


Figura 3. La función de Boltzmann para el modelo de Ehrenfest como función temporal.
Hemos vivido en nuestro siglo la renovación de la física teórica, y a ello volveremos al final de la charla. Uno de los logros más notables de las últimas décadas es la redefinición de la dinámica clásica, de la mano de los trabajos pioneros de Poincaré y Lyapunov a finales del siglo XIX . Con ellos, cambiaron radicalmente nuestros conceptos sobre la relación entre dinámica y determinismo. Actualmente sabemos que la dinámica es compatible con el azar intrínseco, y es lo que a continuación quisiera tratar sucintamente. Empecemos por el concepto de conjuntos de Gibbs. En vez de considerar un sistema dinámico simple, consideraremos un número mayor de sistemas, un conjunto. Representaremos el estado de este conjunto mediante una gran serie de puntos en su espacio correspondiente, que denominamos espacio de las fases . Como podemos llegar al límite de un número infinito de sistemas, consideraremos también una distribución continua que denominaremos dentro del espacio de las fases (figura 4). Podemos pasar en todo momento de sistemas dinámicos individuales al espacio de las fases, pero lo contrario no se cumple necesariamente. Lo único que podemos saber por medio de una medición de precisión finita, es que el sistema se halla en alguna región finita del espacio de las fases. Para poder llegar al límite de un punto en este espacio de las fases, se requieren ciertas condiciones en la estabilidad del movimiento. Consideremos la figura 4a. El tiempo discurre, la función de distribución se deforma, pero, en el ejemplo de esta figura, todos los puntos permanecen «juntos». En situaciones tales, no existe especial dificultad en ir al límite de regiones tan pequeñas como queramos, es decir, trayectorias individuales.

Figura 4. Evolución temporal de un conjunto de Gibbs: (a) Evolución de un sistema estable en el que los puntos de una determinada región se mantienen unidos; (b) Evolución de un sistema inestable en el que la región inicial se escinde en dos regiones.

Figura 5. Transformación del panadero. Véase el texto.

Figura 6. Una distribución arbitraria como la ilustrada en esta Figura no tiene una edad bien definida, pero puede determinarse un promedio de edad recurriendo a un operador temporal.
ρ = 1 + ρ
Además, supongamos que la distribución ρ que consideramos pueda definirse en términos de «funciones simples», es decir de funciones que sólo adoptan el valor +1 ó −1. Estas funciones simples se denominan también porciones. Supongamos que la distribución p, representada en la figura 7a, tiene una edad de 1, entonces la función de distribución representada en 7b tendrá una edad de 2, puesto que necesitaríamos una transformación de panadero más para pasar de a a b .
Figura 7. Edad interna de un sistema que evoluciona con arreglo a la transformación panadero: (a) tiene una edad 1, (b) edad 2, pero la distribución que se observa en (c) es una combinación de (a) y (b) y, por lo tanto, la edad es un promedio entre 1 y 2.
Disponiendo de un tiempo interno, ya estamos a un paso de la entropía y, efectivamente, podemos introducir una función «operador» creciente de T que denominaremos M(T), representada esquemáticamente en la figura 8. Durante la evolución dinámica del sistema, el valor medio de esta función M(T) sigue aumentando, independientemente de la distribución; luego, M desempeña justamente el papel de entropía. Vemos que, a partir de la dinámica, hemos producido una situación que recuerda enormemente la situación de las cadenas de Markov. Se trata ya de un proceso dinámico en el que se da un aumento de entropía.
Y lo más notable es que aún podemos ir más lejos y, utilizando la M(T) operadora, perfilar la distribución ρ dinámica sobre una probabilidad tipo cadena Markov PM. Sin embargo, para ello, primero tenemos que introducir esta cantidad M(T) que rompe la simetría entre pasado y futuro. Como se indica en la figura 8, el pasado y el futuro desempeñan distinto papel en la definición de M(T); M(T) tiende a cero en el futuro definido en términos de tiempo interno. Por lo tanto, podemos decir que es la simetría del tiempo fragmentado lo que conduce a la cadena de Markov. Llegamos a una conclusión bastante similar a la de Boltzmann, pero de orden inverso: primero la dinámica, tiempo interno (para sistemas dinámicos que presenten azar intrínseco), simetría de tiempo fragmentado, procesos de probabilidad. El tiempo genera probabilidad, y no a la inversa.

Figura 8. Representación esquemática del operador de aumento monotónico M(T) función del operador temporal T.

Figura 9. Dispersión de partículas. Invirtiendo las velocidades de las partículas esparcidas, pongamos por caso con un «espejo», como se ve en (b), las partícula dispersas pueden convertirse en un haz coherente.

Figura 10. Colisiones y correlaciones. En las dos Figuras las líneas ondulantes indican correlaciones y las líneas discontinuas trayectorias. (a) Las partículas A, B y C están correlacionadas en su movimiento, debido a las colisiones que han experimentado. En este caso, las colisiones han generado correlaciones; (b) Si las posiciones iniciales y las velocidades de A, B y C están adecuadamente correlacionadas, A y B colisionarán como puede verse. En este caso, las correcciones se han convertido en colisiones.
Ha llegado el momento de concluir.
4. Conclusiones
Los problemas que he tratado de describir siguen pendientes en su mayor parte y están cambiando la imagen de muchos campos de la ciencia. Podemos citar como ejemplo la química y las matemáticas. La química clásica se centraba fundamentalmente en las reacciones químicas que se elegían lo más sencillas posible para conseguir alguna información sobre las moléculas correspondientes. Actualmente, cada vez se investiga más a fondo sistemas químicos complejos, estudiando el patrón de formación y otros tipos de estructuras disipativas. En matemáticas, la teoría de las bifurcaciones de los sistemas inestables ha cobrado enorme auge en los últimos años y, aun así, considero que es tan sólo una fase preliminar.Todo esto ilustra la complejidad de la historia de la ciencia. Por un lado, como dije, vamos hacia una perspectiva pluralista. Por otro, existe una tendencia a encontrar una nueva unidad en aspectos aparentemente contradictorios de nuestra experiencia.
Creo que los dos ejemplos que he citado son muy ilustrativos al respecto. El aspecto más interesante de las estructuras disipativas es, en mi opinión, que, con ello, las raíces de la biología penetran más profundamente de lo que se creía en las propiedades de la materia. De igual modo, la unificación de la dinámica y la termodinámica nos servirá para entender mejor la descriptiva física y química. En física, hablábamos de trayectorias o de funciones de onda, en química de procesos. Como veremos, ambas descripciones están relacionadas por el azar intrínseco de los sistemas dinámicos y la descripción probabilista que es una consecuencia de este azar.
A finales de nuestro siglo, comenzamos a entender mejor el significado de la historia de la ciencia desarrollada en las últimas décadas. Tanto la mecánica cuántica como la relatividad se iniciaron con el siglo. En cierto modo, pretendían ser «simples» correcciones de la mecánica clásica, necesarias una vez reconocido el papel de las constantes universales c y h . Actualmente, adquieren de nuevo un relieve bastante inesperado. El principal interés de la mecánica cuántica estriba en la descripción de la transformación de partículas elementales, y la relatividad se ha nutrido de la teoría geométrica convirtiéndose en el enfoque normativo para la descripción de la protohistoria térmica del universo. Desde este punto de vista, también la reciente historia de la ciencia es un redescubrimiento del tiempo.
Resulta evidente que este nuevo enfoque aúna ciencias y humanidades. Tradicionalmente, las ciencias se ocupaban de universales, y las humanidades de acontecimientos. Actualmente, es la interpretación humanista de la naturaleza en términos de acontecimientos lo que se difunde en la propia ciencia. Por lo tanto, no es sorprendente que algunos conceptos que recientemente hayan sido puestos de relieve encuentren explicación simultáneamente en las ciencias y en las humanidades. Mencionaré el caso del concepto de «no linealidad». Es fundamental en el proceso de las estructuras disipativas, pero está claro que también lo es para entender cualquier forma de sociedad, ya sea de insectos o de seres humanos. Probablemente el único modo de definir la sociedad sea por medio de la existencia de procesos de realimentación no lineales, lo que significa que todo lo que hace un miembro de la sociedad repercute en el conjunto del sistema social. Estas no linealidades constituyen actualmente el centro de interés de quienes estudian las sociedades de insectos. Se están realizando experimentos críticos para concretar el punto en que la dimensión de una sociedad de insectos, junto con la no linealidad aportada por la comunicación química, produce un nuevo patrón de comportamiento. El comportamiento imitativo no lineal constituye igualmente la base de la descripción de la sociedad humana, según la tesis del profesor Girard, y, por consiguiente, no necesito entrar en detalles.
Al principio de la conferencia, dije que la transición entre orden y desorden tiene un fondo complejo, a tal punto que, muchas veces, es difícil, si no imposible, definir independientemente los elementos a partir de los cuales se genera el orden. Estos elementos dependen de características globales, y las características globales de los elementos. No vivimos en el mundo unitario de Parménides ni en el universo fragmentario de los atomistas. Es la coexistencia de los dos niveles de descripción lo que nos aboca a la conflictiva situación que percibimos en las ciencias e incluso, diría yo, en nuestras propias vidas. Qué duda cabe que, en nuestra época de explosión demográfica, no existe un solo problema de mayor entidad que la relación global entre individuo y sociedad. Es significativo que algunas de las mejores obras de la literatura de nuestra época reflejen esta dicotomía. ¿Acaso nos encaminamos hacia una época en la que el destino de la vida individual sea una fluctuación insignificante destruida por la estructura homeostática de la sociedad? ¿No aumentará la diversidad con arreglo al crecimiento demográfico? ¿Cómo podemos identificar las fluctuaciones alentadoras? Tal vez deba concluir esta charla de un modo más optimista, ya que el hecho de estar aquí reunidos no es, después de todo, más que el resultado de una fluctuación. No hay sistema estable para todas las fluctuaciones estructurales, no existe fin para la historia.
PARTE II
§ 9. Exploración del tiempo[146]
1.
Es un honor para mí la oportunidad de pronunciar esta conferencia, y habría deseado que fuera un tributo adecuado a la memoria de este gran científico, pero soy consciente de que no estaré a su altura. Aharon fue un hombre de múltiples talentos cuya inquietud científica abarcaba una amplia gama de saberes. Fue para todos nosotros maestro y amigo. Un rasgo innegable de su personalidad era su anhelo por elaborar una síntesis entre las ciencias físicas y humanísticas. La ciencia era para él parte integral del esfuerzo humano, y esto creo que explica su profundo interés por el concepto tiempo. La actividad humana, sea a nivel del sujeto cognitivo o al nivel de la sociedad, sólo puede entenderse en términos de evoluciones temporales, en términos de historia. Era su profunda convicción.Es un hecho que, tres siglos después de Newton, la ciencia experimenta un cambio radical de perspectiva. Los grandes fundadores de la ciencia occidental hicieron hincapié en la universalidad y el carácter eterno de las leyes de la naturaleza. Formularon esquemas generales que coincidieran con la definición de racionalidad más absoluta. Como decía concisamente Isaiah Berlin, «buscaron esquemas globales, marcos unificadores universales en los que todo lo existente apareciera interrelacionado sistemáticamente, es decir, lógica o causalmente, en los que cupieran las vastas estructuras sin dejar fisura alguna por la que se introdujera lo espontáneo, los episodios inesperados; marcos en los que cualquier cosa que ocurriera fuera absolutamente explicable, al menos en principio, en términos de leyes generales inmutables». Actualmente estamos muy lejos de haber logrado estos propósitos. Nuestro interés se orienta cada vez más hacia sistemas complejos, hacia su dinámica y su evolución temporal.
Hoy en día, el concepto de evolución guarda claramente una estrecha relación con el concepto de irreversibilidad. Si el futuro fuera idéntico al pasado, no habría propiamente evolución. Esto fue en esencia el punto de vista que adoptó la física clásica. El universo se nos presenta como una especie de autómata; una vez dadas las condiciones iniciales, el futuro está determinado. En la imagen clásica del universo, el futuro está contenido en el pasado. Esto no sólo es cierto en la descriptiva clásica del mundo en términos de trayectorias, sino que continúa siendo un principio en mecánica cuántica. También en ella la ecuación de Schrödinger no establece distinción fundamental entre pasado y futuro, y el tiempo es un simple parámetro. Este conflicto entre universo estático y evolucionista queda bien ilustrado en la correspondencia de Einstein con su gran amigo de juventud en Zürich, Michele Besso.[147]
Creo que hoy en día la situación ha cambiado. El papel del tiempo, de la irreversibilidad, se perfila con mayor claridad que unos años atrás. No puedo hacer ahora un detallado resumen de la historia de este cambio de perspectiva, pero citaré al menos dos experimentos básicos que cobran enorme significación en este contexto.
2.
Hablaré brevemente de dos experimentos que me vienen a la mente. El primero es el descubrimiento de un reloj químico obtenido a través de la reacción de Belousov-Zhabotinski.[148] El asombroso resultado de Zhabotinski se logró a finales de la década de los sesenta, y recuerdo muy vívidamente el entusiasmo con que Aharon y yo hablamos de su importancia. Actualmente, la descripción de estos relojes químicos figura en muchos textos y artículos de divulgación, por lo que limitaré mis explicaciones al mínimo.Idealmente tenemos una reacción química, cuyo estado controlamos mediante la adecuada inyección de productos químicos y la eliminación de productos de desecho. Supongamos que dos de los componentes intermedios están formados por moléculas rojas y azules respectivamente en cantidades equivalentes. Lo lógico es que se produzca una mezcla confusa quizá con algún retazo de manchas rojas o azules. Sin embargo, no sucede así. En condiciones idóneas, vemos que todo el recipiente se torna sucesivamente rojo, azul y rojo otra vez. Esto es un reloj químico.
En cierto sentido, esto viola nuestro concepto sobre reacciones químicas. Estamos habituados a pensar que éstas son el resultado del movimiento desordenado de unas moléculas que colisionan al azar. Sin embargo, la existencia de un reloj químico demuestra que, en vez de ser caótico, el comportamiento de las especies intermedias es altamente coherente. En cierto sentido, estas moléculas tienen que ser capaces de «comunicarse» para sincronizar su cambio periódico de color. En otras palabras, nos encontramos ante nuevas escalas supra moleculares, tanto temporales como espaciales, producidas por su actividad química, lo que no deja de ser inesperado.
Parece ser que los experimentos de reacciones químicas periódicas se remontan posiblemente a un siglo atrás, pero fueron «suprimidos» porque parecían contravenir todas las teorías sobre la naturaleza de las reacciones químicas. Y, efectivamente, observamos en estos procesos la intervención de un elemento nuevo, y el ejemplo demuestra que los procesos de no equilibrio pueden ser origen de orden.
El segundo experimento básico a que quiero referirme es el descubrimiento de la radiación residual del cuerpo negro que tuvo lugar en 1965. Sabemos que el universo está lleno de fotones que corresponden a temperaturas de 3 °K.
Y lo extraordinario de este descubrimiento es que el tiempo interviene en la descripción de la materia. La tesis tradicional postulaba que el tiempo era fundamental para entender los sistemas vivos, incluidas las sociedades, pero la existencia de una historia de la materia a escala cósmica, que de una forma u otra ha hecho que prevalezca la materia sobre la antimateria, es una característica nueva y sorprendente. También este descubrimiento podría haber acaecido mucho antes; en realidad, ya en 1947 mis amigos Ralph Alpher y Robert Hermán predijeron la existencia de esta radiación, pero nadie estaba entonces en condiciones de realizar el experimento.[149]
No es sorprendente que hoy los procesos irreversibles constituyan el centro de interés de gran parte de la comunidad científica. Las ideas de no linealidad, inestabilidad y fluctuaciones, se difunden a un amplio campo del pensamiento científico y hasta social. El estudio de los procesos irreversibles se efectúa a nivel de la investigación en tres direcciones principales: 1) en la termodinámica fenomenológica que enuncia y estudia las ecuaciones macroscópicas, especialmente cuando nos situamos lejos de las condiciones de equilibrio; 2) a nivel de las fluctuaciones, en el que se estudia el desarrollo de pequeñas perturbaciones de origen interno o externo; y 3) al nivel «básico», en el que se intenta identificar los mecanismos microscópicos de la irreversibilidad. Éste es quizás el aspecto de mayor incentivo, ya que la irreversibilidad parece ser, en cierto modo, un límite a la validez de los conceptos básicos sobre los que se fundamentan la mecánica clásica y la cuántica. Cada uno de estos niveles nos ha dado sorpresas singulares, pero la historia aún no está conclusa y subsisten no pocas lagunas, aunque es muy posible que en años sucesivos se produzcan hallazgos inesperados.
3.
Consideremos, en primer lugar, el nivel termodinámico. La característica nueva de mayor relieve es que, cuando nos apartamos mucho de las condiciones de no equilibrio, se originan nuevos estados en la materia. Llamo a estos casos «estructuras disipativas», porque presentan estructura y coherencia, y su mantenimiento implica una disipación de energía. Es curioso que los mismos procesos que, en situaciones próximas al equilibrio, causan la destrucción de estructuras, en situaciones lejanas al equilibrio generan la aparición de una estructura. Las estructuras disipativas generan transiciones de fase hacia el no equilibrio, algo parecido a las conocidas transiciones de fase hacia el equilibrio.Concretando el problema, recordemos la segunda ley de la termodinámica. Como todos sabemos, la segunda ley se basa en la distinción entre procesos reversibles e irreversibles. En breve: los procesos irreversibles corresponden a evoluciones temporales en las que pasado y futuro desempeñan distinto papel, como sucede en la conducción térmica, la difusión y las reacciones químicas. La segunda ley postula la existencia de una entropía funcional S, cuya evolución temporal podemos dividir en dos fases: una, el flujo de entropía deS y la otra, la producción de entropía diS. De lo que obtenemos:
dS = deS + diS (3.1)
La característica importante es que la producción de entropía está determinada por los procesos irreversibles que se producen dentro del sistema. Es positiva cuando hay procesos irreversibles y desaparece en el equilibrio.diS ≥ 0 (3.1')
Gran parte de los trabajos modernos, llevados a cabo en termodinámica se basan en la simple expresión de la producción de entropía por unidad de tiempo.[150]
Ahora podemos distinguir tres fases en el desarrollo de la termodinámica. Primero, la fase de equilibrio en la que tanto fuerzas como flujos desaparecen. En esta escala se obtienen los habituales diagramas de fase que implican la transición de sólido a líquido, líquido a vapor y así sucesivamente. La interpretación de sus correspondientes estructuras no es nada equívoca, y podemos representarla convenientemente en términos de la bien conocida energía libre:
F = E - TS[151]
Las estructuras de equilibrio corresponden a la competitividad entre energía y entropía. A continuación, está el régimen de «cuasi» equilibrio en el que los flujos son proporcionales a las fuerzas. Es la región en la que son aplicables las famosas relaciones de reciprocidad de Onsager. Lo que caracteriza estas dos regiones es la estabilidad del equilibrio, o los estados estacionarios de no equilibrio; las pequeñas fluctuaciones siempre se desvanecen. Con ello, tenemos una descripción del mundo físico fundamentalmente homeostático. La nueva característica es que, en la situación alejada del equilibrio, o tercera región, ya no sucede lo mismo, y en ella las fluctuaciones se amplifican y finalmente modifican el patrón microscópico del sistema.Hay dos conceptos fundamentales a considerar en las situaciones alejadas del equilibrio: la posibilidad de bifurcaciones y el papel de las fluctuaciones. En los últimos años se han dedicado innumerables trabajos al arquetipo reacción-difusión. Las ecuaciones diferenciales típicas que se han estudiado se ajustan a la forma siguiente:


F(XS, λ) = 0 (3.5)
El modo más sencillo de poner a prueba la estabilidad del estado estacionario es escribir:X = Xs + x (3.6)
y buscar la evolución temporal de la «pequeña» perturbación x. Si el sistema es estable (más precisamente, asintóticamente estable), x tiende a cero. Esto es precisamente el caso en las situaciones de equilibrio y en las próximas a él. En condiciones alejadas del equilibrio, por el contrario, tendremos inestabilidad y la aparición de nuevos tipos de soluciones. En la figura 1, se ilustra un típico diagrama de bifurcación.
Figura 1. Diagrama de bifurcación típica (v. texto).

Figura 2. Estructuras «izquierdas» o «derechas» correspondientes al diagrama de bifurcación de la Figura 1.
Sigamos ahora con la descripción de las bifurcaciones.
La primera bifurcación introduce un parámetro simple o espacial que ya es susceptible de romper la simetría temporal o espacial del sistema. Pero no queda ahí todo: podemos observar bifurcaciones secundarias, o de orden más alto. En la figura 3. se representan las bifurcaciones sucesivas que se inician en la ramificación termodinámica. No es difícil demostrar que todas las bifurcaciones sucesivas, salvo la primera, se originan en ramas inestables, pero pueden estabilizarse a una distancia suficiente de la rama termodinámica. Esto sucede, por ejemplo, en los sistemas cuya primera bifurcación corresponde a un reloj químico. La siguiente, corresponde a ondas químicas rotatorias. De nuevo, en una geometría simple, como la anular, podemos observar unas ondas químicas que siguen el movimiento de las agujas del reloj y otras en sentido contrario. Se han observado en la reacción de Zhabotinski. Al aumentar la distancia respecto al equilibrio, son posibles muchos tipos de comportamiento.

Figura 3. Bifurcaciones primarias sucesivas (v. texto).
Contrastemos este comportamiento con la «tranquila» descripción de los diagramas de equilibrio. En este caso, por el contrario, pequeños cambios del mundo externo modifican radicalmente el comportamiento espacio-temporal del sistema. El orden, la coherencia, parecen ser un estado intermedio entre el caos molecular, que se observa en el equilibrio, y el caos microscópico obtenido en condiciones muy alejadas del equilibrio, en las que múltiples bifurcaciones contribuyen al comportamiento espacio-temporal.

Figura 4. Bifurcaciones sobre un modelo de la reacción abierta de Belousov-Zhabotinski.
Entre los numerosos ejemplos que se han estudiado desde este punto de vista, citaremos en primer lugar la agregación de amebas acrasiales ( Dictyostelium discoideum ). Este proceso es un caso limítrofe interesante entre la biología unicelular y pluricelular. Cuando el medio en que viven y se reproducen se empobrece en nutrientes, las amebas experimentan una transformación espectacular, y de una población de células individuales pasan a formar una masa compuesta por varias decenas de millar. A continuación, este «pseudoplasmodio» experimenta una diferenciación y cambia de forma continuamente. Se forma un pedúnculo, constituido por un tercio aproximadamente de las células, que contiene celulosa en abundancia. Este pie aguanta una masa esférica de esporas que se separan y dispersan, multiplicándose en cuanto entran en contacto con un medio de alimentación, volviendo a formar una nueva colonia de amebas. Es un ejemplo muy espectacular de adaptación al medio, de nomadismo de una población que ocupa un nicho hasta que agota sus recursos, seguido de metamorfosis, gracias a la cual adquiere una movilidad que le permite invadir otro hábitat.
La investigación de la primera fase de la agregación nos revela que se inicia con la aparición en la población de amebas de ondas de desplazamiento, de un movimiento impulsor de convergencia de las amebas hacia un «centro de atracción», que parece espontáneo. Las investigaciones experimentales y la modelización han demostrado que esta migración es la respuesta de las células a la existencia en el medio de una concentración de gradiente en una sustancia clave, el AMP cíclico, producido periódicamente por el centro atractor y, más tarde, también por otras células merced a un mecanismo de conexión. Vemos aquí, de nuevo, el papel esencial que desempeñan los relojes químicos sobre las ondas químicas, ya que aportan, como hemos señalado, nuevos medios de comunicación. En el caso que nos ocupa, el mecanismo de autoorganización desemboca en la comunicación intercelular.
Hay otro aspecto que quiero poner de relieve. La agregación de las amebas es un ejemplo típico de lo que podemos denominar «orden por fluctuaciones»; la formación de un centro de atracción que segrega el AMP es indicativo del hecho de que el régimen metabólico correspondiente a un medio nutritivo normal se ha hecho inestable, es decir, del agotamiento del entorno alimenticio. El hecho de que, en estas condiciones de escasez de alimento, cualquier ameba sea la primera en emitir el AMP cíclico, convirtiéndose con ello en el centro de atracción, corresponde al comportamiento aleatorio de las fluctuaciones. Después, esta fluctuación se amplifica y organiza el medio.
Otro ejemplo que citaré, aunque a grandes rasgos, es el comportamiento constructivo de las termitas.[153] Un termitero se caracteriza por una complejidad y una escala muy distinta a la de una simple termita. Los termiteros pueden albergar millones de insectos. El comportamiento constructivo parece aportar un comportamiento coherente en el que el papel de las moléculas lo desempeñan las termitas. Hace años ya que Grassé presentó una teoría basada en su observación del comportamiento constructivo, a la que denominó theory of stigmergy .[154] Lo que observó fue la existencia de dos fases en dicho comportamiento. Primero, una fase de actividad descoordinada, durante la cual las obreras exploran el recipiente en que se hallan y, al cabo de cierto tiempo, empiezan a depositar piedrecitas. Cuando, en determinado lugar, el material depositado alcanza un valor crítico, actúa a modo de atractor y se produce una fase coordinada en la que los puntos en que se ha acumulado el material se convierten en columnas. Si hay dos columnas muy próximas, construyen un arco.
En cierto modo, la descripción de Grassé corresponde a la evolución de un estado inestable homogéneo hacia un estado no homogéneo. El mecanismo de atracción es la incorporación a las piedrecitas de sustancias químicas características, las feromonas. La teoría de Grassé se ha difundido mucho en los últimos años, fundamentalmente gracias a Brunsma, y se empieza a entender cómo se efectúa esta complicada actividad sin que exista un cerebro rector y con una información mínima a nivel del insecto como unidad.
Un ejemplo aún más sencillo, en el que puede seguirse admirablemente la formación de bifurcaciones, es el problema de la formación de las rutas que abren las hormigas. El experimento básico, realizado recientemente por Pasteels, junto con mi colega Deneuburg y otros, se representa esquemáticamente en la figura 5.[155]

Figura 5. Experimento sobre la formación de rutas (v. texto).

Figura 6. Bifurcación correspondiente a la probabilidad de utilización de una sola ruta; en las ordenadas, probabilidad, en las abscisas, población de la colonia de hormigas.
4.
Consideremos dos ejemplos característicos estudiados recientemente. Uno corresponde a la influencia de la gravitación en una selección de patrón, y el otro a la influencia de las ondas electromagnéticas.La gravitación modifica evidentemente el flujo de difusión en la ecuación de reacción-difusión (3.3). Los cálculos detallados demuestran que este efecto puede ser muy espectacular próximo a un punto de bifurcación del sistema no perturbado. Vamos a considerar de nuevo un sistema unidimensional con condiciones limítrofes de flujo cero, y supongamos que tenemos un diagrama de bifurcaciones como el representado en la figura 1. Se supone que, en estado exento de gravitación, g = 0, tenemos, como en la figura 1. un patrón simétrico «arriba/abajo», así como su imagen especular «abajo/arriba». Ambos son igualmente probables, pero, para g = 0, las ecuaciones de bifurcación se modifican porque el flujo de difusión contiene un término proporcional a g. Como consecuencia, se obtiene un nuevo diagrama de bifurcaciones representado en la figura 7. En él, la rama bifurcadora superior correspondiente, por ejemplo, al patrón «arriba/abajo» es la preferida. Por lo tanto, podemos afirmar que existe un medio para seleccionar formas «arriba» y «abajo».

Figura 7. Influencia de la gravitación en la bifurcación (v. texto).

mgh/kT
Como esta razón suele ser muy pequeña, la adopción de la raíz 1/3 amplifica enormemente el efecto. En cierto modo, el hecho de que los efectos gravitatorios resulten amplificados por las condiciones de no equilibrio ya está implícito en el clásico experimento de Bénard en el que se calienta por abajo un estrato líquido y se produce la convección a determinado valor crítico del gradiente adverso de temperatura. El experimento de Bénard puede efectuarse con un estrato de pocos milímetros de espesor. El efecto de la gravitación sobre un estrato tan fino es negligibleen situación de equilibrio. Hay que escalar una montaña para sentir la diferencia de presión atmosférica, pero, debido al no equilibrio inducido por la diferencia de temperatura, los efectos macroscópicos se hacen visibles (a causa de la gravitación), incluso en este estrato. El no equilibrio amplifica el efecto de la gravitación.Naturalmente, podemos hacer similares consideraciones a propósito de los campos eléctricos. Por ejemplo, en sistemas bidimensionales, se produce una nueva posibilidad de notable interés cuando el campo eléctrico E lo produce un campo electromagnético polarizado. La geometría más sencilla es el anillo (condiciones periódicas en los límites) sometido a iluminación polarizada circular que se propaga en dirección perpendicular al plano anular. En semejante anillo podemos tener dos tipos de ondas, unas en sentido de las agujas del reloj, las otras en dirección contraria. Si el momento angular que imprime la onda actúa sobre el eje positivo (polarización en sentido contrario a las agujas del reloj), se induce una selección preferencial de una onda química en sentido contrario a las agujas del reloj. Se llega así a la selección de un tipo de ondas, por ejemplo, las que van en sentido contrario a las agujas del reloj.
El Dr. Herschkowitz ha realizado recientemente experimentos numéricos en nuestro laboratorio de Bruselas,[156] con los que se ha confirmado esta selección preferencial de una bifurcación. De este modo, podemos inducir una estructuración preferente en un medio o, en otras palabras, disponemos de un mecanismo generador de un medio asimétrico. En un medio de esta clase, la reacción química procede del modo al que estamos acostumbrados y que verosímilmente conduce a la síntesis preferencial de moléculas asimétricas.
Todo esto demuestra que las situaciones químicas lejanas al equilibrio conducen a una posible «adaptación» de los mecanismos químicos a las condiciones externas. Esto contrasta con las situaciones de equilibrio, en las que esencialmente existe un tipo de estructura y son necesarios electos amplios para que dicha estructura se modifique. Esta descripción esquemática se refiere al nivel fenomenológico macroscópico, pero los resultados del análisis estocástico y microscópico de la irreversibilidad han sido igualmente muy fructíferos, y voy a tratar de ello en la última parte de esta charla.
5.
La descripción de las fluctuaciones presenta una evidente importancia. Después de todo, son la causa de la elección de una rama específica en la bifurcación, y determinan las escalas temporales pertinentes para alcanzar un estado final asintóticamente estable. Las fluctuaciones de equilibrio se estudian desde la época de los trabajos clásicos de Gibbs y Einstein. Einstein demostró que la probabilidad de una variable estocástica correspondiente, por ejemplo, al número de partículas de un componente X próximo al equilibrio, puede expresarse en términos de cantidades macroscópicas. De este modo, obtuvo la distribución de Poisson para la probabilidad P(X):
<δX2> = <X> (5.2)
Esta relación es característica en todos los sistemas que satisfagan la ley de los grandes números y demuestra que el valor relativo de las fluctuaciones, medido en función del cociente
<δX2> ~ O(V) (5.3)[158]
tengamos<δX2> ~ O(V2) (5.4)
En realidad, la propia distinción entre valores promedios y fluctuaciones desaparece.Podemos considerar las bifurcaciones como fluctuaciones gigantes alimentadas por flujos adecuados de materia y energía. ¿Cuál es el comportamiento de <δX2> en proximidad a la bifurcación λ = λc? Tendremos un comportamiento intermedio expresado por la fórmula:

Pero hay otro aspecto que es el alcance de las fluctuaciones. Un ejemplo investigado minuciosamente por Nicolis y Malek Mansur, y que puede resolverse con exactitud, corresponde al conjunto de ecuaciones:




Lo que interesa poner de relieve es el hecho de que las correlaciones de no equilibrio tienen un origen y un significado totalmente distinto a las correlaciones de equilibrio. En lugar de estar relacionadas con las constantes de las fuerzas o con potenciales intermoleculares, se expresan en términos de constantes cinéticas y de coeficientes de transferencia. Esta competitividad entre difusión y reacciones químicas en la formación de correlaciones de largo alcance da lugar a predicciones muy interesantes que me gustaría explicar brevemente en términos cualitativos.
Introduzcamos primero un tiempo característico para la difusión en un volumen V. Los argumentos dimensionales demuestran fácilmente que este tiempo característico está relacionado con la dimensionalidad d del sistema mediante una relación de forma



Modifiquemos ahora una dimensionalidad crítica para la cual los tiempos característicos reacción-difusión sean los mismos. Si examinamos las ecuaciones (5.11) y (5.12), vemos que esta dimensionalidad crítica se expresa
![]()
Empezamos a entender que, para lograr un reloj químico, hay que impedir el efecto de la difusión en nuestro espacio tridimensional. Generalmente, se logra agitando el medio, pues, si no lo hacemos, el reloj químico se desfasa. Sin embargo, no es absolutamente necesario. Si la no linealidad es lo bastante alta, k = 5, la difusión puede hacerse dominante y no habrá que agitar. En medios bidimensionales, el efecto de difusión es aún mayor y, en realidad, no se han observado relojes químicos bidimensionales. En medios unidimensionales, las bifurcaciones quedan totalmente destruidas por los efectos de difusión, y sólo se producen dos suaves transiciones, igualmente muy parecidas a las del clásico problema de las transiciones de fase.
Creo que estas reflexiones demuestran la complejidad de la situación en la vecindad de una bifurcación, desde el punto de vista molecular, y aún queda mucho trabajo por desarrollar en este fascinante terreno.
6.
Examinemos ahora el tercer aspecto de los procesos irreversibles: la relación con el nivel básico descrito por las leyes de la mecánica clásica o de la cuántica. Es un antiguo problema pendiente. Todos conocemos la fundamental contribución de Boltzmann. Sin embargo, actualmente suele admitirse que el enfoque cinético de Boltzmann está basado en presupuestos fenomenológicos adicionales. Para obtener procesos irreversibles, Boltzmann introdujo el concepto de probabilidad. Pero ¿cómo justificar su intervención en el marco de la teoría dinámica? Para subsanar esta dificultad, Gibbs y Einstein desarrollaron la teoría de colectividades. Pero no podía establecerse una relación entre la función de distribución en el espacio de las fases y la existencia de cantidades monotónicamente crecientes, como es el caso de la entropía. Por este motivo, la opinión predominante es que la irreversibilidad procede de aproximaciones suplementarias que introducimos en la descripción física mediante técnicas tipo coarse graining[159] u otro tipo de modificación de las ecuaciones exactas. Somos nosotros quienes introducimos la irreversibilidad en un mundo estático, dominado por ecuaciones temporales reversibles.Es difícil dar crédito a este concepto en un momento en que la irreversibilidad desempeña tan relevante papel en una amplia gama de disciplinas desde las partículas elementales hasta la biología, y quisiera volver a referirme al problema desde otro punto de vista. Un tema recurrente en la historia de la física del siglo XX es el análisis de las condiciones en que podemos actuar respecto al mundo que nos rodea. Como se sabe, la existencia de la velocidad de la luz limita nuestras posibilidades de transmitir información y nos obliga a replanteamos el significado del espacio y del tiempo según lo percibirían observadores móviles. También es sabido que la constante de Planck limita las posibilidades de medición simultánea de variables dinámicas, tales como coordenadas y momentos. Incluso antes de esta gran revolución del pensamiento científico, la segunda ley de la termodinámica expresaba ya cierta limitación en relación con los sistemas complejos.
Si cogemos un cuerpo macroscópico, un líquido, pongamos por caso, lo sometemos a diversas manipulaciones experimentales y luego lo aislamos, no podemos evitar que el sistema, al cabo de cierto tiempo, alcance el equilibrio termodinámico. Independientemente de la preparación inicial, el calor específico del líquido será el mismo. Podemos decir que es una limitación a las posibles manipulaciones, en el sentido de que, hagamos lo que hagamos, el sistema, independientemente de nuestra acción, tiende al mismo estado final. Podemos entender la irreversibilidad a escala molecular en términos muy semejantes.
Tanto la mecánica clásica como la cuántica presentan un aspecto bivalente, en relación con las condiciones iniciales que se suponen arbitrarias en una muestra determinada de espacio y a las que se da un valor empírico, y en relación con las leyes del movimiento. ¿Se trata de dos elementos realmente independientes? ¿Podemos realmente prescribir siempre condiciones iniciales arbitrarias? Como veremos, no siempre es posible y, de hecho, la irreversibilidad aparece cuando, como consecuencia de esta imposibilidad, el concepto de trayectoria o de función de onda corresponde a una descripción idealizada.
Consideremos en primer lugar un ejemplo simple del terreno de la mecánica clásica. Consideremos la secuencia de operaciones indicadas en la figura 5 del capítulo anterior. Empezamos con una unidad cuadrada que transformamos en rectángulo. Luego, superponemos la segunda mitad a la primera y obtenemos el resultado final. Puede verificarse inmediatamente en la figura que, si el cuadrado inicial está medio lleno, la aplicación de la transformación del panadero causa una distribución que incluye dos rectángulos llenos. Por repetición, obtenemos una distribución cada vez más fragmentada. Este cambio suele denominarse «transformación del panadero». Es un ejemplo un tanto simplificado que ilustra las características a que me refiero.
En la transformación del panadero, tenemos una modificación punto a punto perfectamente determinista expresada por la fórmula

Sin embargo, supongamos que, en lugar de un punto, consideramos una pequeña región. Entonces, se demuestra que esta región, tras cierto número de transformaciones, se escinde en dos regiones que, a su vez, se escinden y así sucesivamente hasta que queda cubierta toda la superficie del cuadrado.
Es importante comparar estos dos comportamientos. Sin embargo, cada región, por pequeña que sea, contiene varios tipos de trayectorias, y únicamente pueden hacerse predicciones estadísticas sobre el «destino» de esta región. Entonces, ¿cuál es la descripción «correcta»? Es evidente que la descripción de trayectoria corresponde a un conocimiento «infinitamente» preciso de las condiciones iniciales que nunca pueden alcanzarse en la práctica. Esto es de suma importancia si, al incrementar la precisión de las condiciones iniciales, llegásemos cerca del comportamiento de la trayectoria; pero no sucede así. Sea cual fuere la precisión, tenemos una región, y esta región se difunde por todo el cuadrado. Desde luego, no siempre sucede así. Es necesaria la inestabilidad dinámica, en el sentido de que dos puntos cercanos se comporten de forma distinta con el tiempo. En terminología técnica, se dice que la transformación del panadero es un ejemplo de las denominadas «transformaciones de Bernoulli». Esta nomenclatura nos recuerda que, incluso aunque conozcamos el pasado de semejante sistema, su futuro es tan indeterminado como el resultado del movimiento de una ruleta.
El objeto de la física es tratar situaciones que puedan comprobarse experimentalmente, estudiando cómo evolucionan estas situaciones con el tiempo. Este punto de vista, que tan importante fue tanto en la relatividad como en la mecánica cuántica, es perfectamente aplicable en este caso y fundamentalmente nos hallamos ante un nuevo tipo de descripción, en la que el objeto de la dinámica no es la trayectoria individual, sino la función de distribución en el espacio de las fases. La evolución temporal de esta distribución se caracteriza, en cierto modo como en mecánica cuántica, por operadores que actúan sobre dicha función de distribución, y no hay dificultad en introducir en este marco, como han demostrado Misra, Courbage y yo mismo, cantidades que son una analogía microscópica de la entropía.[160] Hay que poner de relieve que en modo alguno existe un coarse graining, o pérdida de información. La irreversibilidad es consecuencia del hecho de que, en este tipo de sistema, la trayectoria es un concepto irreal.
En mecánica cuántica se da una situación más complicada, aunque en igual sentido. No obstante, en mecánica cuántica el problema de la irreversibilidad es más complejo, porque todos los sistemas mecánicos cuánticos de valor finito poseen un comportamiento casi periódico. Sólo en el límite de los grandes sistemas aparece la irreversibilidad, pero la consideración de grandes sistemas mecánicos es bastante natural. Por el contrario, los sistemas mecánicos cuánticos finitos pueden considerarse aproximaciones de los grandes. Por ejemplo, sólo en los grandes sistemas se dan fenómenos como la emisión espontánea de Einstein. Pero vemos este fenómeno, vemos la influencia de números infinitos de grados de libertad, en el comportamiento de la materia a través de diversos efectos, tales como la emisión espontánea de Einstein o el famoso desplazamiento de Lamb.
Por lo tanto, llegamos a la pregunta: ¿hay una limitación a las posibles condiciones iniciales de los sistemas infinitos? Para simplificar el problema, piénsese en un estanque al que arrojamos una piedra. Observamos ondas centrífugas. Probablemente, un buen ingeniero lograría que las ondas convergieran en la piedra y haría que ésta saltara fuera del agua. Un ingeniero más hábil lo lograría, desde una distancia mayor, pero no hay ingeniero capaz de hacerlo desde distancias infinitas. En otras palabras, para tiempos lo bastante largos, sólo observamos ondas centrífugas. Esto demuestra también un límite a nuestras posibilidades de manipular estos sistemas e implica una limitación de las condiciones iniciales. Se dice a menudo que el problema de las ondas centrífugas y centrípetas es que son simétricas, y se añade que las ondas centrípetas asintóticas son de probabilidad cero. Sin embargo, esto encubre el auténtico problema: para sustituir la premisa de condiciones iniciales arbitrarias por afirmaciones probabilistas, necesitaríamos una teoría adicional que nos diera alguna información que la dinámica no nos facilita. Actualmente, no existe semejante teoría. La misma conclusión es aplicable a muchas situaciones, como sucede con la dispersión en mecánica cuántica. También en este caso, únicamente son posibles ondas centrífugas asintóticas. La solución de inversión temporal que corresponde a ondas centrípetas asintóticas requeriría correlaciones entre acontecimientos infinitamente distantes.
Es muy interesante que podamos entender la irreversibilidad y formular una teoría detallada, basándonos en la percepción de que, tanto a nivel macroscópico como microscópico, existe un límite a las manipulaciones. No podemos producir constantemente trabajo a partir de un simple baño de calor. No podemos evitar que la transformación panadero cubra todo el plano. No podemos evitar que las ondas centrífugas sean asintóticamente las únicas posibles de verificar. En resumen: no podemos manipular la naturaleza a voluntad. Existe una flecha temporal, y no pueden crearse situaciones que conduzcan a resultados contradictorios debidos a la presencia simultánea de dos flechas en conflicto. El propósito de esta conferencia no me permite desarrollar en extensión este enfoque.[161] Quizás uno de los conceptos más interesantes que de él se derivan es el de tiempo interno, producto de la evolución del sistema, por oposición al tiempo externo de la física tradicional.
7.
Para concluir, diremos que, en condiciones alejadas del equilibrio, la materia adquiere nuevas propiedades, tales como «comunicación», «percepción» y «memoria», propiedades que hasta ahora sólo se atribuían a los sistemas vivos.Como consecuencia, muchas de las distinciones tradicionales, como es la dualidad azar-necesidad, se hacen mucho más sutiles. Los pequeños efectos permiten pasar de un tipo de comportamiento a otro, mediante el mecanismo de bifurcaciones secundarias. El tiempo cobra nuevo significado. Ya no es un parámetro introducido para la comunicación entre diversos observadores, sino que también se relaciona con la evolución interna del sistema.
Siguiendo el ideario humanístico de Aharon Katzir-Katchalsky, me permitirán que llegue incluso a afirmar que nos lleva quizás a un nuevo concepto de realidad. La concepción tradicional establece una especie de identidad entre lo racional y lo real. Por ejemplo, una trayectoria entre dos puntos, A y B, cumple el mínimo de acción posible. Podemos construir prácticamente trayectorias «imaginarias» en torno a la única trayectoria real posible. En el mundo de las bifurcaciones, ya no es tan sencilla la situación. Si un sistema se halla en un estado correspondiente a una bifurcación determinada, es debido a su desarrollo histórico. También son «racionales» otras posibilidades. En cierto sentido, lo real no es más que una parte de lo posible.
La renovación de la ciencia es en gran medida la historia del redescubrimiento del tiempo. Tras nosotros queda la concepción de la realidad objetiva que reclamaba que la novedad y la diversidad fueran negadas en nombre de leyes inmutables y universales. Ya no nos fascina la racionalidad que describe el universo y el saber como algo que se va haciendo. El futuro ya no está determinado; no está implícito en el presente. Esto significa el fin del ideal clásico de omnipotencia. El mundo de los procesos en que vivimos y que forma parte de nosotros mismos ya no puede rechazarse como si lo constituyeran apariencias o ilusiones determinadas por nuestro modo de observación.
Este mundo, que aparentemente ha renunciado a la seguridad de las reglas estables y permanentes, es, sin lugar a dudas, un mundo de riesgo y aventura. No puede inspirar confianza ciega, a lo sumo, quizás, el mismo sentimiento de discreta esperanza que ciertos textos talmúdicos parecen atribuir al Dios del Génesis.[162]
§ 10. La evolución de la complejidad y las leyes de la naturaleza[163]
1. Introducción
En un trabajo titulado Mankind in Transition: the Evolution of Global Society, E. Laszlo se pregunta: «Nuestra época de cambio rápido, y muchas veces imprevisible, ¿es una aberración en la historia de la evolución de la especie, un acontecimiento sin precedentes, o podemos discernir el impulso general del cambio situándolo en un contexto histórico?». Analizando los patrones de evolución de la complejidad, Laszlo señala que «hay indicios crecientes de que tanto la evolución biológica como socio-cultural son aspectos del mismo proceso fundamental de evolución de la naturaleza». Es precisamente esta observación el tema que nos proponemos analizar más a fondo en el presente ensayo. Empecemos por algunas observaciones previas.Nuestra era es testigo de grandes progresos en el conocimiento de las ciencias naturales. Las dimensiones del mundo físico que actualmente podemos explorar han crecido en proporción realmente fantástica. A escala microscópica, la física de partículas elementales revela procesos que implican dimensiones físicas del orden de 10[15] cm. y tiempos del orden de 10[22] segundos. La cosmología, por otra parte, nos confronta con tiempos del orden de 10[10] años (edad del universo) y, en consecuencia, con distancias del orden de 10[28] cm. (distancia del horizonte de los acontecimientos, es decir, la distancia máxima desde la cual podemos percibir señales físicas). De mayor importancia quizá que esta ampliación dimensional es el cambio subsiguiente del carácter de comportamiento del mundo físico descubierto recientemente.
A principios de siglo, la física parecía hallarse a punto de reducir la estructura básica de la materia a unas cuantas «partículas elementales», como son los electrones y protones. Actualmente, nos hallamos bien lejos de una descripción tan simplista. Independientemente del futuro de la física teórica, las «partículas elementales» resultan de tan magna complejidad que el antiguo axioma «la simplicidad de lo microscópico» ha perdido sentido.
También en astrofísica ha cambiado nuestro punto de vista. Mientras que los grandes iniciadores de la astronomía occidental pusieron de relieve la regularidad y el carácter eterno de los movimientos celestes, ahora vemos que semejante definición es únicamente aplicable, si acaso, a aspectos realmente limitados como son los movimientos planetarios. En lugar de hallar estabilidad y armonía, dondequiera que miremos descubrimos procesos evolutivos, origen de diversificación y complejidad crecientes. Este cambio de nuestra visión del mundo físico es un estímulo para la investigación de ramas de la física teórica y de las matemáticas de muy probable interés en el nuevo contexto.
La mecánica clásica conoció un éxito sin par con su tratamiento de los problemas sobre trayectorias, tales como las órbitas planetarias del sistema solar. El objeto de la mecánica clásica ha experimentado una notable ampliación con la formulación de la mecánica cuántica y la teoría de la relatividad. No obstante, sigue habiendo una laguna entre las consideraciones del ámbito de la dinámica (aun incluyendo los efectos cuánticos o relativistas) y el tipo de problemas que atañen a evolución, diversificación e innovación, objetivo primordial del presente ensayo.
La dinámica clásica «reduce», fundamentalmente, el mundo físico a trayectorias («líneas del mundo»), como se indica en la figura 1, para el caso de un universo unidimensional.

Figura 1. Líneas del mundo.
Es evidente la necesidad de nuevos instrumentos. En este sentido, en los últimos años, se han realizado notables progresos. La termodinámica del no equilibrio nos facilita importantes conceptos para indagar los procesos de formación de nuevas estructuras.[164] Los recientes hallazgos en el terreno de la teoría de las fluctuaciones[165] proporcionan información sobre el modo en que la autoorganización puede producirse en sistemas fuera del equilibrio, generando un nuevo tipo de orden. Hemos descrito este orden como «orden por fluctuaciones»,[166] en contraste con el orden de los sistemas en equilibrio. Hay ramas de las matemáticas, como la teoría de la estabilidad[167]y la teoría de las bifurcaciones,[168] que en los últimos tiempos han atraído notablemente la atención de los investigadores.
Nuestra pretensión en este ensayo es presentar una panorámica preliminar de los progresos alcanzados últimamente[169] en el ámbito de estos nuevos conceptos y métodos que parecen ser los adecuados para describir fenómenos tales como evolución, incremento de complejidad y diversificación.
Sin embargo, existe un aspecto importante que no discutiremos aquí. Nos referimos a la relación entre la irreversibilidad y las leyes de la mecánica clásica o cuántica. También en este campo, se han llevado a cabo notables progresos, pero el carácter altamente técnico del tema nos impide tratarlo. Baste con decir que la irreversibilidad no está ni mucho menos en contradicción con las leyes de la dinámica, sino que, al contrario, se deduce de las mismas, siempre que se alcance un grado suficiente de «complejidad»[170] (¡en dinámica clásica este grado de complejidad surge ya con el problema de los tres cuerpos!).
Esperamos que, e pesar de esta limitación, nuestro trabajo ayude al lector a valorar los problemas de la evolución biológica y socio-cultural en su propio contexto.
Para evitar malentendidos, hagamos hincapié en que no tratamos en ella de «reducir» la evolución socio-cultural a las leyes de la física. Bien al contrario, el análisis de los ejemplos más simples de autoorganización demuestra una sorprendente riqueza de aspectos, aunque, desde luego, quede excluida cualquier simple extrapolación «automática» a situaciones en que intervenga la sociología humana. No obstante, es importante señalar que la vida, con sus correspondientes aspectos biológicos y socio-culturales, ya no parece ser una excepción a las leyes de la naturaleza, y no logra su propósito gracias a la intervención exclusiva de un ejército de demonios de Maxwell en lucha con las leyes de la naturaleza. Estos aspectos de la vida parecen estar más bien de acuerdo con tales leyes, si se tienen debidamente en cuenta las importantes características de la «inestabilidad» y de la «no linealidad».[171]
2. El principio de orden de Boltzmann
Es curioso observar que la idea de evolución fue formulada casi simultáneamente en el siglo XIX tanto en física (Carnot,[172] Clausius,[173] Thomson), como en biología (Darwin[174]) y en sociología (Spencer[175]), aunque su interpretación difiriera según los diversos campos. Como veremos, en física, evolución e irreversibilidad quedaron asociadas a «olvido de las condiciones iniciales» y a la disolución de estructuras, mientras que, en biología y en sociología, se relacionaron con el inicio de una complejidad creciente.
En física, hay que establecer una distinción básica entre procesos «reversibles» e «irreversibles». Un ejemplo sencillo de proceso irreversible es la conducción térmica. Por ejemplo, una barra metálica aislada, caliente inicialmente en un extremo y fría en el otro, alcanza paulatinamente, por efecto de la transmisión calórica, una distribución uniforme de temperatura (figura 2).

Figura 2. Conducción térmica en una barra.

Figura 3. Sistema aislado.

Figura 4. Sistema cerrado.

Figura 5. La tierra es prácticamente un sistema cerrado.

Figura 6. Una ameba fagocitando su alimento es ejemplo de sistema abierto.

Figura 7. Una ciudad: sistema abierto.
dS = deS + diS (1)
La característica fundamental de la producción de entropía es su identificación con los procesos irreversibles. La segunda ley de la termodinámica asume que la producción de entropía es positiva y consecuencia directa de la irreversibilidad de los procesos, o seadiS ≥ 0 (2)
Imaginemos la mezcla de gases a distinta temperatura (figura 8) en un sistema aislado; en este caso tendremos:S2 − S1 = ΔS = ∫diS > 0 (3)

Figura 8 Proceso irreversible.
Si diS = 0, sólo pueden producirse procesos reversibles. Un ejemplo de estos procesos son las ondas de pequeña amplitud que se difunden por la superficie de un estanque al tirar una piedra. Haciendo abstracción de los pequeños efectos de fricción, las ondas no aumentan la entropía.
La entropía es una magnitud muy especial. Hemos visto que la energía se conserva. Otras magnitudes, que no se conservan, pueden ser creadas o destruidas, aumentadas o disminuidas durante la evolución. Por el contrario, la producción de entropía sólo puede ser positiva, o cero. Por lo tanto, el segundo principio encama una ley universal de la evolución macroscópica, ya que la cantidad de entropía perteneciente al sistema y a su entorno sólo puede aumentar con el tiempo. Consideremos ahora qué puede significar este aumento de entropía en términos de las moléculas implicadas. Para responder a este planteamiento, hay que indagar en el significado microscópico de la entropía. Volvamos al supuesto de un gas o un líquido y preguntémonos qué puede significar la entropía en tal sistema físico. Fue Boltzmann[176] el primero en señalar que la entropía era una medida del desorden molecular, concluyendo que, en consecuencia, la ley del aumento de entropía era simplemente una ley del aumento de desorganización. Consideremos un ejemplo sencillo: un recipiente dividido en dos partes por una membrana (figura 9).

Figura 9. Distribución de las moléculas entre ambos compartimentos.

Partiendo de cualquier valor inicial para N1 y N2, tras un tiempo suficientemente prolongado, observamos que se ha alcanzado una situación de estabilidad en la que, salvo pequeñas fluctuaciones, hay una equidistribución de moléculas en ambos compartimentos
(N1 ≃ N2 ≃ N/2).
Se ve fácilmente que esta situación corresponde al valor máximo de P y que durante la evolución ha aumentado P. Este tipo de consideración condujo a Boltzmann a identificar el número de configuraciones P, con la entropía, mediante la relaciónS = k log P (5)
en la que k es la constante universal de Boltzmann. Esta relación indica claramente que un aumento de entropía expresa el aumento del desorden molecular, reflejado en el incremento de configuraciones posibles. En esta evolución, se han «olvidado» las condiciones iniciales. Si, en el estado inicial, se prima uno de los compartimentos con mayor número de partículas, esta asimetría acaba siempre por desaparecer.En el ejemplo anterior, hemos considerado un sistema aislado. Veamos ahora el caso de sistemas cerrados a una temperatura determinada. La situación es la misma, salvo que, en lugar de la entropía 5, la función importante que ahora debemos considerar es la energía libre F, definida como:
F = E–TS (6)
donde E es la energía del sistema y T la temperatura en grados Kelvin. La evolución del sistema está ahora determinada por la disminución de energía libre. En estado de equilibrio, la energía libre alcanza su valor mínimo. La estructura de la ecuación (6) refleja una competencia entre la energía E y la entropía S. A bajas temperaturas, el segundo término es despreciable, y el valor mínimo de F impone estructuras correspondientes a la energía mínima y generalmente a baja entropía. Sin embargo, a temperaturas cada vez más altas, el sistema se desplaza hacia estructuras de una entropía cada vez mayor.La experiencia confirma estas consideraciones, ya que, a bajas temperaturas, hallamos el estado sólido caracterizado por una estructura ordenada a baja entropía, mientras que, a mayores temperaturas, hallamos el estado gaseoso de alta entropía. La formación de ciertos tipos de estructuras ordenadas, en física, es una consecuencia de las leyes de la termodinámica aplicadas a un sistema cerrado en equilibrio.
Boltzmann estableció también las leyes que rigen la distribución molecular entre los niveles energéticos de un sistema estable. La fórmula de Boltzmann para la probabilidad Pr de ocupación de un determinado nivel energético es
PT ∝ e−E1/kT (7)
en la que k es también la constante de Boltzmann, T la temperatura y E1 la energía a un determinado nivel. Supongamos ahora un sistema simplificado con tres únicos niveles energéticos. La fórmula de Boltzmann, ecuación (7), nos diría la probabilidad de encontrar una molécula en cada uno de estos tres estados de equilibrio. A muy bajas temperaturas, la única probabilidad significativa es la correspondiente al nivel energético más bajo, y llegamos al esquema de la figura 10, en el que virtualmente todas las moléculas se hallan en el estado energético más bajo E1, puesto quee−E1/kT » e−E2/kT, e−E3/kT (8)

Figura 10. Distribución a baja temperatura.
e−E1/kT ≃ e−E2/kT ≃ e−E3/kT (9)
y, por lo tanto, los tres estados están casi igualmente poblados (figura 11).
Figura 11. Distribución a alta temperatura.

Figura 12. Cristales típicos de hielo.
Incluso en las células más sencillas, la función metabólica implica varios millares de reacciones químicas relacionadas, lo que, naturalmente, requiere un refinado mecanismo de coordinación y regulación. En otras palabras, es necesaria una organización funcional enormemente sofisticada. Además, las reacciones metabólicas requieren catalizadores específicos, las enzimas, que son grandes moléculas con una organización espacial, aparte de que el organismo sea capaz de sintetizar estas sustancias. Un catalizador es una sustancia que acelera una determinada reacción química sin consumirse en ella. Cada enzima, o catalizador, desempeña un papel específico y, si consideramos la forma en que la célula lleva a cabo tan compleja secuencia de operaciones, veremos que está organizada de modo idéntico al de una moderna «cadena de montaje» (figura 13).

Figura 13. Modelo en mosaico de reacción multienzimática. El sustrato S, se transforma a través de sucesivas modificaciones en producto P por la acción de las enzimas «prisioneras».
Mientras subsistan estas dificultades, los procesos «vitales» quedan en cierto sentido «expulsados de la naturaleza» y de las leyes físicas. En consecuencia, se ve uno tentado a atribuir carácter accidental a los organismos vivientes y a imaginar el origen de la vida como consecuencia de algún acontecimiento altamente improbable, tal como la formación «espontánea» del DNA.
En efecto, la dinámica clásica establece una clara distinción entre «acontecimientos y regularidades». Las leyes de la dinámica tratan de la regularidad entre acontecimientos, pero no de los propios acontecimientos. Los acontecimientos son las condiciones iniciales sobre las que nada afirma la dinámica clásica. Podemos, a lo sumo, recurrir a la interpretación probabilística de Boltzmann de la segunda ley de la termodinámica y atribuir de este modo una probabilidad a cada condición inicial posible. Una vez conocida esta condición inicial, la física prevé un proceso irreversible que conduce al sistema hasta su estado más probable.
La vida, considerada como un resultado de condiciones iniciales «improbables», es, según nuestra perspectiva, compatible con las leyes físicas (¡las condiciones iniciales son arbitrarias!), pero no se deduce de las leyes de la física (que no prevén las condiciones iniciales). Éste es el criterio que sostiene, por ejemplo, Monod en su conocida obra El azar y la necesidad .[179] Además, el mantenimiento de la vida correspondería, según esta visión, a una lucha constante de un ejército de diablillos de Maxwell enfrentándose a las leyes de la física para conservar las condiciones altamente improbables que permiten su existencia.
Nuestro punto de vista es totalmente distinto, en el sentido de que los procesos vitales, lejos de funcionar al margen de la naturaleza, siguen, por el contrario, las leyes de la física adaptadas a interacciones no lineales específicas y a condiciones que distan mucho del equilibrio. Estas características específicas pueden permitir el flujo de energía y materia necesario para construir y mantener el orden funcional y estructural.
Existe una notable diferencia entre la composición química de la célula más simple y la de su entorno. Recordemos que el promedio del peso molecular de una proteína es de ∼ 10[5], mientras que el del agua es de ¡18! En cierto sentido la situación se parece a la de un visitante de otro mundo que se encuentra con una vivienda del suburbio y trata de entender su origen. Desde luego, la casa no está en contradicción con las leyes de la mecánica, pues, sino, se habría hundido. Pero esto es lo de menos; lo que interesa es la tecnología utilizada por sus constructores, los materiales empleados, las necesidades de los habitantes, su sentido estético, etc. No se puede entender la casa al margen de la cultura que la ha producido. Además, la casa es un sistema abierto y sería incomprensible como fenómeno aislado. El mismo principio es válido para biomoléculas como las proteínas y los ácidos nucleicos. Su arquitectura se ajusta estrictamente a las leyes de la química física. Pero aún es preciso entender la estructura del entorno en que se forman las proteínas. En otras palabras, creemos que debe entenderse la estructura biológica y social como fenómenos que resultan influenciados por, y que a la vez actúan sobre el entorno, y como fenómenos que se producen espontáneamente en sistemas abiertos mantenidos en condiciones muy distintas del equilibrio.
Estructuras disipativas
La principal conclusión de las anteriores consideraciones es que la organización biológica y social implica un nuevo tipo de estructura de origen distinto, y que requiere una explicación distinta a la de las estructuras de equilibrio como los cristales. Una característica común a las estructuras sociales y biológicas es que nacen en sistemas abiertos y que su organización depende fundamentalmente del intercambio de materia y energía con el medio ambiente. Sin embargo, el requisito de sistema abierto no es condición suficiente para garantizar la aparición de tal estructura. Como vamos a ver, esto sólo es posible si el sistema se mantiene «muy lejos del equilibrio» y si existen ciertos tipos de mecanismos «no lineales» que actúen entre los distintos elementos del sistema.
Un sistema abierto puede existir en tres regímenes distintos. Está, primero, el sistema de equilibrio termodinámico, en el que flujos y corrientes han eliminado diferencias de temperatura o de concentración; la entropía ha alcanzado un nuevo y mayor valor, se ha alcanzado la uniformidad. Para los sistemas aislados, se trata del estado de máximo desorden molecular, entropía máxima, y el estado de equilibrio está regido en tales sistemas por el principio de orden de Boltzmann. El segundo régimen posible difiere poco del estado de equilibrio, pero en él las pequeñas diferencias de temperatura o de concentración se mantienen dentro del sistema para que permanezca en un ligero desequilibrio. Si la perturbación del equilibrio es lo bastante pequeña, podemos analizar el sistema añadiendo únicamente una leve corrección al estado de equilibrio, y por ello denominaremos tal situación «estado lineal de no equilibrio». Sin embargo, puede demostrarse en este caso que el sistema se mueve lo más cerca posible del estado de máximo desorden molecular y que es imposible la aparición de una nueva estructura u organización.
La situación es muy distinta en el tercer régimen posible, que es el resultante de unas ligaduras exteriores mantenidas en unos valores tales que obligan al sistema a alcanzar un estado lejos del equilibrio. Es en estas condiciones cuando pueden aparecer espontáneamente nuevas estructuras y tipos de organización que se denominan «estructuras disipativas».
La otra característica básica necesaria para que aparezcan las estructuras disipativas es la existencia de ciertos tipos de mecanismos de interacción no lineal que actúen entre los elementos del sistema. Por ejemplo, las ecuaciones hidrodinámicas que describen el comportamiento de un fluido, sujeto a gradientes de temperatura, presentan esta no linearidad. Un notable ejemplo de estructura disipativa es el de un recipiente con líquido calentado uniformemente por la parte inferior. Cuando está moderadamente caliente, el líquido se encuentra en el segundo régimen de inestabilidad no lineal, y el calor pasa a través del líquido por conducción. Conforme se intensifica el calor, y a un determinado gradiente de temperatura bien definido, comienzan a aparecer espontáneamente células de convección. Como se ve en la figura 14, las células son muy regulares. Esto corresponde a un alto nivel de organización molecular en el que la energía se transfiere desde la agitación térmica a corrientes de convección macroscópicas.

Figura 14. Patrón de células de convección, vistas desde arriba en un líquido calentado por abajo. (Convección de Bénard)
Si volvemos a las reacciones químicas, observamos una gama aún más amplia de estructuras disipativas. Intentemos ver por qué. Consideremos una reacción química simple:
A + X → B + Y (10)
Esta ecuación establece que, si una molécula A entra en colisión con una molécula X, pueden reaccionar para formar las moléculas Y y B (figura 15).
Figura 15. Modelo de reacción química.

Y + B → X + A (12)
y, si denominamos k + a la constante química para la reacción (10) y k − a la de la reacción inversa, tendremos:


Figura 16. Modelo de reacción química catalítica.
X + Y → 2X
corresponde a la producción de 2 moléculas X a partir de una molécula X y de una Y. En este caso, la ecuación de la velocidad química esdX/dt = kXY
En este caso especial, si mantenemos Y en concentración constante, obtenemos la conocida ecuación que describe el aumento exponencial de X. Cuando una sustancia X, pongamos por caso, produce otra Y que, a su vez, produce X, tenemos lo que se denomina «catálisis cruzada». Es el caso del esquema cinético siguiente, tan estudiado en los últimos años:[180]
Un importante resultado general de la termodinámica del no equilibrio radica en que las estructuras disipativas en los sistemas químicos sólo se producen si existen etapas catalíticas. La importancia de esta observación se deriva del hecho de que, en prácticamente todas las reacciones bioquímicas, así como en los fenómenos sociales, se presentan estas fases. Volveremos a ello más adelante. Consideremos en primer lugar el tipo de estructuras disipativas que se producen como consecuencia del esquema (15). Tendremos en cuenta la simple situación límite en la que se prescinde de las reacciones inversas (15), esto es:


Figura 17. Modelo de dos compartimentos.


X1 = X2 = A; Y1 = Y2 = B/A (16c)
Hemos demostrado que el sistema adopta este estado en la región I de la figura 18a. En las regiones II, III y V, las concentraciones oscilan en el tiempo. Finalmente, en la región IV, el sistema tiende a un estado estacionario en el que X1 ≠ X2 e Y1 ≠ Y2. Analicemos más detalladamente la situación en esta región (figura 18b).
Figura 18. Comportamiento del modelo de dos compartimentos: a) Diagrama de fase. b) Efecto de la perturbación correspondiente a la región IV.
En un sistema real, en vez de darse en dos compartimentos separados, los efectos se producen en tres dimensiones y las concentraciones varían continuamente a través del sistema, en lugar de adoptar simplemente dos valores distintos. El tratamiento matemático es más complejo y no vamos a exponerlo aquí. Describiremos simplemente algunas de las posibles organizaciones y estructuras que pueden originarse de las ecuaciones (15), teniendo en cuenta el efecto de difusión. Con ello, obtenemos las siguientes ecuaciones diferenciales:

X = A, Y = B/A (18)
correspondientes a la uniformidad a través del sistema. Sin embargo, para una gama de valores de las cantidades A, B, con el coeficiente de difusión D, ésta no es la solución estable adoptada por el sistema.- Son varios los casos posibles: Si los coeficientes de difusión son muy grandes, el sistema permanece homogéneo, aunque puede cambiar del estado estacionario constante a una oscilación sostenida de las concentraciones X e Y[182].Esta clase de comportamiento se conoce como «ciclo límite» y se ilustra en la figura 19.
Independientemente del estado inicial, el sistema tiende a una sola solución periódica bien definida, impuesta por las ligaduras exteriores. En este caso, obtenemos lo que podríamos perfectamente denominar un reloj químico.
Figura 19. Oscilaciones estacionarias estables de los intermedios x e y. - Si la difusión no es lo bastante alta, el sistema no mantiene la homogeneidad y adopta una organización espacio-temporal correspondiente a la propagación de ondas de concentración u ondas químicas estacionarias (figura 20)[183].

Figura 20. Propagación repetida de las ondas de concentración según la secuencia de acontecimientos 1-8. - Una tercera posibilidad es la aparición de un nuevo estado estacionario en el que X e Y se distribuyen de forma no homogénea. En la figura 21, ilustramos una distribución no homogénea de X en función del espacio.
Un aspecto muy interesante de una solución de este tipo es la posibilidad de que genere espontáneamente polaridad en un sistema que hasta este momento era uniforme. Esta observación es de gran importancia, por ejemplo, para entender la morfogénesis —la aparición de forma— durante el desarrollo del embrión a partir del huevo inicialmente homogéneo. Cuando el estado uniforme estacionario se hace inestable, la «polaridad» que adopta el sistema depende de la perturbación que se produzca dentro del mismo.
Figura 21. Distribución no homogénea del intermedio X. - De este modelo químico pueden derivarse estructuras localizadas, si se tiene en cuenta que las sustancias iniciales A y B, ver ecuación (15’), deben en realidad difundirse a través del sistema. La distribución espacial de estas sustancias dentro del sistema se convierte en no uniforme, aunque sus valores en los límites se mantengan constantes en el tiempo y uniformes más allá de estos límites.

Figura 22. Una estructura disipativa que posee su propia escala de longitud característica.
En todos los casos, las estructuras disipativas se caracterizan por un comportamiento coherente a nivel supra molecular. Este comportamiento coherente puede manifestarse por la aparición de una periodicidad temporal, como sucede en el reloj químico o en las longitudes características de la situación ilustrada en la figura 22. En ambos casos, el tiempo (o la longitud) característico, es grande en relación con los tiempos (o dimensiones) moleculares. Pueden corresponder típicamente a la fracción de un segundo o a un milímetro, mientras que los tiempos y dimensiones moleculares característicos son del orden de 10−13 segundos y 10−7cm.
Estudiando éste y otros modelos químicos, los matemáticos han podido describir el comportamiento de las estructuras disipativas que se desarrollan, y explorar sus propiedades. Conforme el sistema es conducido fuera de la situación de equilibrio, una solución simple puede ramificarse en varias soluciones posibles y cada una de éstas, a su vez, ramificarse también, apartándose aún más de la situación de equilibrio. Este tipo de comportamiento se describe en matemáticas como «bifurcaciones» o «catástrofes», y también se ha denominado «matemáticas del caos».[184] En el siguiente apartado, discutiremos el mecanismo a través del cual el sistema abandona una rama para desplazarse hacia otra.
Algunas veces, se ha aducido que la biología y la física son irreconciliables por la «imposibilidad», en base a las leyes físicas, de deducir una estructura macroscópica con características y dimensiones propias y cierta autonomía con respecto al mundo externo. Un cristal, por ejemplo, no posee ni dimensiones características ni autonomía en este sentido. La biología, por el contrario, parece abundar en entidades de dimensiones bien definidas que muestran capacidad de elección de comportamiento. Nuestro modelo químico sencillo puede facilitamos una versión rudimentaria de tales características biológicas.
Actualmente se conocen ejemplos de estructuras disipativas tanto en química como en física. La llamada reacción de Belousov-Zhabotinski[185] reúne todas las características que hemos señalado. Recientemente se han investigado otras muchas reacciones fluctuantes que actúan a modo de relojes químicos. En física, la producción de intensos rayos luminosos coherentes, como en el caso de los rayos láser, nos facilita otro caso espectacular de estructura disipativa.[186] Sin embargo, no analizaremos una organización de este cariz en física y química, puesto que lo que aquí interesa es examinarla en sus implicaciones biológicas y sociales.
Por lo tanto, consideremos el vínculo entre los modelos simples que hemos mencionado, por una parte, y las estructuras y funciones biológicas, por otra. En otras palabras, examinemos de qué modo las estructuras disipativas pueden intervenir en los sistemas vivientes.
Si examinamos las reacciones fundamentales que se producen en las células vivas, hallamos sofisticados mecanismos de control que garantizan la intervención de reacciones químicas vitales, a la velocidad adecuada y en el momento oportuno. Un tipo de control impide, por ejemplo, la producción excesiva de moléculas ricas en energía como el ATP (trifosfato de adenosina). Esto se lleva a cabo a través de un control de la tasa de determinada reacción específica. Una de las cadenas bioquímicas mejor estudiadas desde este punto de vista es la glucólisis, proceso de gran importancia en el balance energético de las células vivas. Los experimentos demuestran que las concentraciones de las sustancias químicas que intervienen en la reacción, presentan oscilaciones temporales sostenidas, de períodos y amplitudes perfectamente reproducibles[187]. Podemos construir un modelo matemático, basado en los datos sobre las fases de reacción, y los anteriores resultados experimentales pueden identificarse con oscilaciones del tipo de ciclo límite que se produce cuando el estado estacionario uniforme ya no puede mantenerse. En otras palabras, la glucólisis es una estructura disipativa temporal[188].
Un segundo tipo de mecanismo de control en las células vivientes afecta a la tasa de síntesis de las distintas moléculas proteicas dentro de la célula. Jacob y Monod han propuesto varios modelos ingeniosos al respecto: o los productos de la acción metabólica de las enzimas actúan sobre el material genético inhibiendo la síntesis, o los metabolitos iniciales, añadidos al medio, actúan activando parte del material genético.[189] También en este caso pueden construirse modelos matemáticos que demuestran que los regímenes de activación y de inactivación corresponden a dos ramas distintas de la solución y que, como explicaremos más adelante, están separados por una estabilidad.
Cierto número de otro tipo de procesos biológicos vitales se fundamentan en la capacidad de ciertas membranas celulares para pasar bruscamente de un estado de baja permeabilidad iónica a un estado de excitación de alta permeabilidad. El primero es un estado polarizado, originado en el mantenimiento de distintas densidades de carga iónica a ambos lados de la membrana. En el estado excitado, la despolarización se produce casi instantáneamente. Esto puede interpretarse también como un cambio abrupto de la solución de las ecuaciones cinéticas de una rama a la otra, como consecuencia de que el sistema ha sido llevado lejos del estado de equilibrio por efecto de la densidad de carga.[190]
Una observación importante, al considerar el papel de las estructuras disipativas en biología y sociología, radica en que las ecuaciones que rigen el crecimiento, el declive y la interacción de las poblaciones biológicas y de los sistemas sociales son muy análogas a las de la cinética química. Las ecuaciones del crecimiento y de la decadencia de un ecosistema, habitado por una población de una especie depredadora Y y por su presa de la especie X, pueden servimos como ejemplo. El modelo clásico que vamos a presentar es el asociado a los nombres de Volterra y Lotka.[191] Supongamos que la población de presas se multiplica con una tasa constante por individuo, en ausencia de depredadores, expresada matemáticamente según la fórmula:
dX/dt = kX (19)
Esta ecuación corresponde a la reacción auto catalítica A + X → 2X que mencionábamos antes. Podemos representamos A como la reserva alimenticia de la presa X. Sin embargo, tenemos que tener en cuenta también el factor de que la población de presas X va disminuyendo según el número que de ellas capturan los depredadores por unidad de tiempo. Podemos suponer que es proporcional a la densidad de depredadores multiplicada por la de las presas, y que es similar a la probabilidad de la reacción X + Y → 2Y. Como resultado de ambos procesos, tendremos para las presas la siguiente ecuación:dX/dt = kX - SXY (20)
Por otra parte, el depredador tiene una tasa de mortalidad individual D por unidad de tiempo, pero su población aumenta por efecto de las capturas de presas. Si volvemos a tener en cuenta los dos procesos anteriores, tendremos:dY/dt = -DY + S'XY (21)
La gran semejanza con los sistemas químicos nos lleva a preguntamos si, a este nivel de descripción de las poblaciones biológicas, pueden producirse estructuras disipativas que originen una autoorganización similar a la que hemos visto en las reacciones químicas.La respuesta es afirmativa y, hasta la fecha, se han analizado varios ejemplos. Ciertos organismos unicelulares existen en dos formas de organización: como individuos aislados o como agregados, en los que se observa una modalidad de diferenciación celular. Los ejemplos mejor estudiados corresponden a los acrasiomicetes. Su agregación está controlada por el APM cíclico (adenosina mono fosfato), secretado por las propias células. El inicio de la agregación puede explicarse considerando que tiene lugar cuando la atracción química del AMP cíclico vence al movimiento aleatorio de difusión de la ameba.[192] La uniformidad de la distribución espacial de la ameba en este momento se hace inestable, y todas las amebas se mueven con mayor proximidad unas de otras, formando un agregado centrado en el punto en el que se produjo la primera fluctuación de densidad. Este fenómeno, por el que una sustancia química, liberada en el sistema, atrae o repele a una población celular o de organismos, se denomina quimiotaxis.
Si ascendemos aún más en la escala de complejidad biológica, llegamos a los insectos sociales. Entre los insectos, la organización social alcanza su máxima complejidad en los himenópteros y en las termitas, especies en las que la supervivencia individual es prácticamente imposible fuera del grupo. La regulación por castas, construcción del hormiguero, formación de itinerarios, transporte de materiales o de presas, son otros tantos aspectos de la organización por la que se rige la colonia. Recientemente, se han estudiado dos de estos aspectos según las técnicas matemáticas expuestas anteriormente. Por ejemplo, la formación de itinerarios en el caso de las hormigas soldado, en la que puede observarse el movimiento colectivo de varios miles de individuos y en la que aparece una estructura macroscópica de rutas con características específicas a cada especie[193] (figura 23)

Figura 23. Dos formas características de las rutas que trazan distintas especies de hormigas (según E. O. Wilson).
Podemos analizar de igual modo los problemas relativos a la construcción del hormiguero de las termitas, que se realiza en dos fases.[195] Primero, hay una fase descoordinada, caracterizada por una deposición aleatoria del material constructivo. Pero, cuando casualmente uno de estos depósitos se hace excesivamente grande, comienza la segunda fase. Las termitas depositan material preferentemente en el depósito correspondiente a esta fluctuación y elevarán una columna o un muro, según la disposición inicial del depósito. Si se aíslan estas unidades, la construcción se detiene, pero, si están próximas, se forma un arco. De nuevo, con un modelo matemático simple, podemos explicar el modo de aparición de las estructuras en función de una simple sustancia química de atracción que las termitas mezclan con el material de construcción.[196] Cuando la densidad del material depositado alcanza un determinado valor, la distribución uniforme deja de ser una solución estable de las ecuaciones que rigen la densidad de material de construcción y de atractor químico. Se producen estructuras espaciales y, aunque el análisis diste mucho de prever ninguno de los minuciosos detalles de un hormiguero de termitas concreto, nos facilita una explicación sencilla y muy plausible sobre el origen de la estructura constructiva de los hormigueros de esta especie de insectos.
La característica común de todos estos ejemplos es que el sistema está formado por numerosas subunidades en interacción, y que los sistemas se hallan abiertos a un flujo de materia y energía. La no linealidad de los mecanismos de interacción, en determinadas condiciones, da lugar a la formación espontánea de estructuras coherentes.
4. Orden por fluctuaciones
Para analizar más a fondo los mecanismos de la autoorganización, hemos de introducir el concepto de estabilidad.
Un ejemplo trivial nos lo facilita un bloque triangular que descanse sobre una mesa. Si lo colocamos sobre uno de sus lados, como si fuera la base, obtenemos un estado estable, ya que, si lo desplazamos ligeramente, el triángulo regresa a su estado original. Si, por el contrario, intentamos que el bloque se equilibre sobre una punta, aunque teóricamente es un estado de equilibrio posible, la mínima perturbación hace que el triángulo pase de su estado inicial a otro estable, es decir que descanse sobre uno de sus lados (figura 24).

Figura 24. Un bloque, inicialmente en estado estacionario inestable (a), evoluciona (b) hacia uno estable (c).
En los sistemas químicos en equilibrio, por ejemplo, el origen de las fluctuaciones locales de las concentraciones es el movimiento molecular. Sin embargo, como hemos señalado, en un estado cercano al equilibrio, el sistema se desplaza hacia el estado de mínima energía libre, hecho que garantiza la estabilidad de este estado. Cualquier pequeña fluctuación queda contrarrestada por una respuesta del sistema que le hace regresar al estado de mínima energía libre.
Analicemos el efecto que ejercen las pequeñas perturbaciones sobre un estado de referencia determinado. Como consecuencia de la suposición de pequeñas perturbaciones, las ecuaciones explicativas del cambio pueden linearizarse. Estas ecuaciones lineales admiten soluciones exponenciales
eωτ (22)
donde ω es una «frecuencia» que puede ser compleja, por ejemplo, ω = ω1 − i×ω2. Si tenemos m unidades interactuando, obtenemos m valores de ω que son las raíces de otra ecuación de orden mmo (la denominada ecuación «secular»), Se produce estabilidad si las partes reales de las m raíces son todas negativas o se anulan. La solución exponencial derivada de la perturbación (22) desaparece con el tiempo o, cuando menos, no aumenta. Al contrario, si una de las raíces posee una parte real positiva, la perturbación eωτ se amplifica. Es el tipo de situación predominante al producirse las primeras estructuras disipativas.Consideremos un ejemplo simple para ilustrar el problema de la estabilidad. Supongamos que x satisface la ecuación diferencial
dx/dt = ax - bx 2 (23)
donde a y b son números reales. Hay dos estados estacionarios:
ω = a − 2bx0 (25)
Por esta relación vemos que la estabilidad del estado x0 = 0 depende del signo de a. Es estable cuando es positivo, e inestable cuando es negativo. Por el contrario, el estado x0 = a/b nos lleva a ω = −a. Por lo tanto, es estable para a > 0 e inestable para a < 0. Puede originarse una estructura disipativa en el estado en que la estabilidad se convierte en inestabilidad. En nuestro ejemplo, esto sucedería cuando a = 0.Hemos hecho ya hincapié en la estrecha relación entre estabilidad y fluctuaciones. Una estructura disipativa puede, efectivamente, considerarse como una fluctuación gigante estabilizada por intercambios de materia y energía.
Este mecanismo contrasta con el principio de orden de Boltzmann que rige en el equilibrio. En este caso, es la situación correspondiente al máximo número de configuraciones moleculares la que determina las características macroscópicas. Por el contrario, el orden macroscópico, que se origina tras una inestabilidad, está determinado por la fluctuación de más rápido desarrollo. Por lo tanto, este nuevo tipo de orden puede denominarse «orden por fluctuaciones». Vamos a ilustrar estas condiciones con los ejemplos anteriores. En el caso del esquema (15’), correspondiente al modelo de los dos compartimentos, vemos en la figura 18 cómo una pequeña fluctuación conduce el sistema a un estado completamente nuevo con distintas concentraciones de las clases X e Y en los dos compartimentos. Sin embargo, es necesaria una gran perturbación para cambiar este nuevo estado, que es estable ante pequeñas fluctuaciones. Por lo tanto, este sistema registra las pequeñas fluctuaciones que se produjeron anteriormente y presenta ciertas características que se asemejan a una memoria rudimentaria. De hecho, Thomas y sus colaboradores[197] han observado un comportamiento de este tipo en reacciones químicas «reales».
En todos estos ejemplos biológicos anteriormente citados, desde las oscilaciones glucolíticas hasta la construcción del termitero, el mecanismo de autoorganización es el «orden por fluctuaciones», por el que un estado uniforme diferenciado se desestabiliza en pequeñas desviaciones de la uniformidad.
La evolución de cada sistema se desglosa en dos fases. Primero, el régimen existente entre las inestabilidades, que es determinante en el sentido de que ecuaciones, tales como las de cinética química o de dinámica de población, determinan el proceso de las variables del sistema. Sin embargo, la segunda fase es el comportamiento del sistema próximo a la inestabilidad. Se trata de un fenómeno «estocástico», o «al azar», ya que la evolución del sistema está determinada por la primera fluctuación que se produzca y que conduzca el sistema a un nuevo estado estable.
El comportamiento puede resumirse en el siguiente esquema:

Sólo en los últimos años se ha iniciado un estudio cuantitativo de las fluctuaciones que se originan en estos sistemas, y los resultados son muy interesantes y sorprendentes. Para entender estos nuevos aspectos de la teoría de la fluctuación, vamos a considerar otra vez un ejemplo simple como
A ⇆ X ⇆ F (26)
De acuerdo con los esquemas anteriores, la ecuación química para X es (véase tercer apartado):dX/dt = A + F - 2X (27)
en la que todas las constantes químicas de tasa cinética están igualadas con la unidad.Hay que tener en cuenta que estas ecuaciones sólo son válidas como promedio . En cada elemento de volumen, el número de colisiones fluctúa del mismo modo que fluctúa el número de partículas A y X. Para incluir el efecto de las fluctuaciones, hay que ir más allá de las ecuaciones químicas, por ejemplo, la ecuación (27), y estudiar la distribución de probabilidad del número de partículas del tipo X. Denominaremos esta función de distribución P(X). En este caso simple, podemos demostrar que la distribución del estado estacionario está representada por una distribución de Poisson:
(28)
(29)
<δ X2> = <(X − <X>)2>
es igual a la media, es decir,<δ X2> = <X> (30)
Podemos subrayar algunas consecuencias importantes de este resultado:- La desviación cuadrática media no introduce parámetro nuevo alguno, puesto que es idéntica al promedio macroscópico X;
- Las fluctuaciones son pequeñas en los grandes sistemas, puesto que la fluctuación cuadrática media viene dada por
(31)
La distribución de Poisson implica una ley universal de las fluctuaciones, puesto que es aplicable tanto a fluctuaciones grandes como pequeñas. Si introducimos la concentración x = X/V, siendo V el volumen, el primer término de la ecuación (31) se hace proporcional a 1/√V. La distribución de Poisson es de suma importancia en cinética química por ser aplicable a todas las situaciones estables, o casi estables, independientemente de la complejidad del esquema de reacción química.
¿Qué sucede, entonces, con las situaciones inestables en las que pueden originarse estructuras disipativas? Cabe esperar que no se verifiquen en ellas las características que hemos puesto de relieve. Las fluctuaciones, en lugar de estar determinadas por el estado macroscópico, pueden llevar en este caso el promedio a un nuevo valor, siempre que el estado estacionario se desestabilice. En este sentido, la ley de los grandes números debe violarse. Además, la magnitud de las fluctuaciones es fundamental en este caso. La distribución de probabilidad es notablemente distinta para fluctuaciones pequeñas y grandes. La situación es muy similar a la que se da en la teoría clásica de la nucleación de una gota líquida en un vapor sobresaturado. Por debajo de un volumen crítico (denominado dimensión «embrionaria»), una gota es inestable, mientras que, por encima de este volumen, aumenta y transforma el vapor en líquido (figura 25).

Figura 25. Nucleación de una gota líquida en vapor sobresaturado. (a) Gota por debajo de la dimensión crítica. (b) Gota por encima de la dimensión crítica.

Figura 26. Nucleación de una estructura disipativa.
Analicemos ahora con más detalle el tipo de fluctuaciones que nos ocupa. Se trata de un requisito indispensable para introducir el concepto de estabilidad estructural, básico, a su vez, en la evolución de los ecosistemas (estudiados en el apartado 5).
El primer tipo corresponde a fluctuaciones de la composición, como las tratadas en los ejemplos sobre sistemas químicos. De igual modo, según el problema considerado, podemos tener fluctuaciones de temperatura, presión, densidad, etc. También los parámetros que hemos supuesto constantes en nuestros esquemas de reacciones (por ejemplo, las «concentraciones dadas») pueden fluctuar. En los ecosistemas que contienen poblaciones biológicas, tales fluctuaciones corresponden a fluctuaciones del medio. Por ejemplo, podemos considerar las fluctuaciones de los recursos disponibles como un problema de evidente importancia en la descripción de la evolución biológica.
Un segundo tipo de fluctuación importante es la relacionada con la «estabilidad estructural» del sistema. A título de ejemplo, vamos a examinar una forma simplificada de las ecuaciones de Lotka-Volterra relativas al antagonismo depredador-presa:
(32)

Figura 27. Véase el texto
(33)

Figura 28. La interpretación se da en el texto.
Este ejemplo puede parecer algo artificial, pero considérese un esquema químico en el que se describa un determinado proceso de polimerización, en el que los polímeros se forman a partir de moléculas A y B liberadas en el sistema. Supongamos que el polímero tiene la siguiente configuración molecular:
ABABAB…
Supongamos que las reacciones que produce este polímero son auto catalíticas. Si sucede un error y aparece un polímero modificado comoABAABBABA…
entonces, puede multiplicarse en el sistema como consecuencia de la modificación del mecanismo de auto catalización. Eigen ha presentado un modelo que reúne estas importantes características, demostrando, en casos simples, que el sistema evoluciona hacia una estabilidad óptima en relación con la ocurrencia de errores de replicación de los polímeros. Es decir, que los nucleótidos producen proteínas que, a su vez, producen nucleótidos.[199]
Hemos introducido en los apartados 1-4 los conceptos básicos de la autoorganización en sistemas no lineales lejos del equilibrio. Ahora vamos a considerar la evolución de los ecosistemas en los que las fluctuaciones y la estabilidad estructural desempeñan un papel fundamental.
5. La evolución de los ecosistemas
Como hemos señalado anteriormente, las ecuaciones que describen la variación de las poblaciones biológicas, como consecuencia del nacimiento, muerte e interacción con otras especies, son notablemente similares a las de la cinética química. La ecuación más sencilla que representa el aumento de la especie X, por ejemplo, es la «auto catalítica» (apartado 3), correspondiente a A + X → 2X, siendo A el «alimento» que da origen a X. Esto nos lleva a la ecuación (19), correspondiente al crecimiento exponencial (figura 29).

Figura 29. Crecimiento exponencial.
(34)

Figura 30. Crecimiento limitado.
- Reproducción
- Selección
- Variación

En el caso de la ecuación simple (34), cada especie se caracteriza por los parámetros K, N y d. Una mutación genera una especie que poseerá un conjunto distinto de valores para estos parámetros ecológicos (obsérvese que, en el marco del modelo que nos ocupa, dos especies con idénticos valores K, N y d serían «indiferenciables»).
Ahora vamos a examinar dos pasos sucesivos. Primero, la aparición de un mutante como resultado de cierto «accidente» o «acontecimiento de baja probabilidad», que, como hemos señalado, puede considerarse una fluctuación en marcha. Además, el azar sigue siendo de suma importancia mientras sólo existan unos cuantos mutantes, ya que el cambio de su número en el tiempo, se regirá por la dinámica estocástica: el individuo que nazca, o vive o muere, ¡pero no puede hacer un poco de cada! También en esto la magnitud de la fluctuación desempeña un papel importante.
Sin embargo, el segundo paso se inicia cuando, y si, un mutante logra multiplicarse lo bastante para constituir una «población» cuyo crecimiento o decadencia pueda describirse mediante una ecuación del «comportamiento medio» que se añada a las ecuaciones macroscópicas ya existentes. Ahora hay que plantearse la cuestión: ¿crecerá la nueva población hasta un valor finito, o será rechazada por el ecosistema? Volvemos a los dos aspectos que discutíamos anteriormente: la entrada en juego de «mutaciones» o «innovaciones», regidas por el azar, y la respuesta determinista del sistema.[200]
Examinemos con detalle cómo se producen los procesos evolucionistas, en este caso tan simple de una sola especie, en un sistema de recursos limitados. La situación se resume de nuevo mediante la ecuación
(36)
x10 = N1 − d1/K1.
Este estado representa un equilibrio dinámico entre los x1 que nacen y los que mueren. Sin embargo, supongamos que, por determinado «accidente», uno de los «x» nacidos en cierto momento es distinto. Digamos que aparece un individuo x2. Al cabo de cierto tiempo, quizás haya suficiente número de x2 para poder representar su multiplicación o extinción con la siguiente ecuación:
(37)

x10 = N1 − d1/k1; x20 = 0 (39)
La respuesta del sistema a esta pequeña cantidad de mutación es determinista y puede calcularse siguiendo el mismo método que hemos utilizado en el apartado 4 para determinar la condición para que una raíz de la ecuación secular tenga una parte real positiva. Por lo tanto, ésta es la condición para que se produzcan el «crecimiento» y el paso evolutivo.Si se da el siguiente caso:
N2 − d2/k2 > β(N1 − d1/k1) (40)
el mutante crecerá hasta un valor finito y ocupará un «nicho» en el sistema. (Similar análisis puede hacerse en el caso de una especie diploide que se reproduzca sexualmente con igual tendencia).Son posibles varios casos. Si la especie x2 es un mutante que ocupa exactamente el mismo nicho que x, para el que β = 1, vemos que x2 crece si
N2 − d2/k2 > N1 − d1/k1 (41)
y reemplaza totalmente x1. El sistema total evoluciona hacia el estado estacionario estable x10 = 0; x20 = N2− d2/K. La especie x, se ha extinguido. Sucesivas mutaciones en el mismo nicho serán rechazadas para valores de «N − d/K» inferiores a los preexistentes, mientras que reemplazarán a este tipo si «N − d/K» es superior al preexistente. Podemos concluir que la evolución conducirá a una explotación creciente y constante de cada nicho y que la población, alimentada por cada tipo de recursos, aumentará. La evolución presenta el aspecto descrito en la figura 31.
Figura 31. Un nicho ecológico ocupado sucesivamente por especies de eficacia creciente.

Figura 32. Efecto de la evolución sobre el sistema de ecuaciones depredador-presa.
N2 − d2/k2 > 0 (42)
Por lo tanto, si x2 es viable en este nicho, crecerá hasta alcanzar una población estacionaria x20 = N2 − d2/K2 y coexistirá con x10 = N1 − d1/K1. Comprobamos de nuevo que la evolución conduce a una mayor explotación del medio. Si consideramos el caso intermedio de la superposición en la explotación de recursos, se dan otras posibilidades. Si, además de la condiciónN 2 − d 2 /k 2 > β(N 1 − d 1 /K 1 ) (43)
tenemosβ(N2 − d2/k2) < N1 − d1/K1 (44)
entonces, x2 reemplaza a x1 y la población final es mayor que la inicial N1 − d1/K1.El segundo caso se da cuando las condiciones son
N2 − d2/k2 > β(N1 − d1/K1) (45)
yβ(N2 − d2/k2) < N1 − d1/K1 (46)
En este caso, x2 crece en coexistencia con x1 y el estado final se representa por:x10 = {N1 − d1/K1 − β(N2 − d2/k2)} / (1 − β2) (47)
x20 = {N2 − d2/K2 − β(N1 − d1/k1)} / (1 − β2),
y la población total será:x10 − x20 = {N1 − d1/K1 + (N2 − d2/K2)}/(1 + β) > N1 − d1/K1, (48)
En resumen, vemos que, si existe cierta «plasticidad» de la materia genética, sólo puede darse una mayor explotación del medio.En este sencillísimo sistema, la evolución conduce a una mayor cobertura del espectro de recursos disponibles y a un aumento de eficacia de la explotación de cada recurso. Desde luego, hemos elegido el caso expuesto por su particular simplicidad. Sin embargo, podemos deducir un criterio matemático para el caso general de poblaciones de n genotipos que interactúan, perturbadas por la aparición de pequeñas cantidades de varias poblaciones mutantes.[201] (Tal criterio es necesario cuando se considera la evolución genética, puesto que un solo alelo mutante puede originar más de un genotipo mutante). Tales consideraciones nos llevan a una interpretación de la evolución de los ecosistemas en términos de un «diálogo» entre las fluctuaciones que desencadenan innovaciones y las respuestas deterministas de las especies interactuantes que ya existen en el ecosistema. El aspecto fundamental es la ventaja selectiva que se introduce con los nuevos valores de parámetros (como K, N y d) que forman parte de las ecuaciones que describen la dinámica de poblaciones. Obsérvese que el mecanismo exacto de fluctuación no se ha especificado. En términos generales, el darwinismo acepta un origen de las fluctuaciones basado en la variación genética al azar que, desde luego, puede ser válido para muchos aspectos de la evolución genética, mientras que el lamarckismo da por supuesto un mecanismo de «aprendizaje» en los individuos que intentan adaptarse al medio. La evolución sociocultural correspondería mejor a esta segunda interpretación.
Sin embargo, el mecanismo exacto desempeña un papel crucial si queremos calcular la escala temporal de la evolución. La evolución socio-cultural «lamarckiana» posee una escala temporal determinada por la velocidad de innovaciones, mientras que la evolución «darwiniana» se halla claramente relacionada con la fidelidad y la rapidez de replicación del material genético.
Se ha dicho muchas veces que la «supervivencia del más apto» de Darwin es una tautología. No es cierto. Sin embargo, la dificultad de definir al «más apto» sólo puede salvarse mediante un análisis adecuado del tipo de ecuaciones de población que describen ecosistemas como los descritos anteriormente.
Examinemos ahora algunos ejemplos suplementarios. Depurando la argumentación, podemos determinar si un ambiente dado favorece la evolución hacia especies que exploten tan sólo una estrecha parcela del espectro de recursos, es decir, las «especialistas», o especies que explotan una amplia gama de recursos, las «generalistas». Para ello, es necesario describir la dependencia pormenorizada de los parámetros K y N de una especie con respecto a los distintos recursos distribuidos por el sistema. Empleando argumentos desarrollados por Maynard-Smith,[202] podemos explicitar esta dependencia en el caso en que los recursos consisten en diversos tipos de partículas esparcidas por el espacio accesible al sistema y que se renueven constantemente. No daremos aquí los detalles del cálculo; nos limitaremos a exponer los resultados. Los sistemas ricos en todo tipo de recursos (en los que cada tipo de éstos está ampliamente distribuido) tienden a favorecer la evolución de especies que sólo explotan una reducida parcela de tipos de recurso, las «especialistas», mientras que los sistemas en los que cada recurso está tenuemente difundido, fomentan la evolución de especies «generalistas».
Puede llegarse a deducir cuántas especies pueden habitar un ecosistema completamente desarrollado con un determinado espectro de recursos. El agolpamiento de especies está determinado por el nivel de la fluctuación del medio,[203] y en particular por el volumen y la coherencia de la fluctuación de recursos. Cuanto mayor es la fluctuación, mayor es la separación por nichos para la coexistencia a largo plazo de especies simpátridas. Conociendo la amplitud del nicho en base a nuestra teoría evolutiva, podemos afirmar que los ecosistemas, ricos en recursos y que no experimenten grandes fluctuaciones, contarán con mayor número de especies. Las fluctuaciones ambientales reducirán este número. Un sistema con recursos escasos dispersos, estará, si sus densidades no fluctúan enormemente, poblado por especies «generalistas» con una notable superposición de nichos, mientras que un sistema pobre con recursos fluctuantes estará habitado por unas cuantas especies «generalistas».[204]
Estos resultados se manifiestan en términos muy generales mediante la variación y la diversidad de especies desde el polo al ecuador. El espectro de energía solar se sitúa en todas partes en la misma gama de longitud de onda. Lo que difiere es la cantidad de energía disponible en cada longitud de onda. La diversidad de flora y fauna aumenta notablemente conforme disminuye la latitud, culminando en la extraordinaria riqueza y diversidad de la selva ecuatorial. En el ejemplo pormenorizado de la distribución de las especies del pinzón (pinzones de Darwin) en las islas Galápagos, vemos resultados concordantes con estas predicciones.
Como veremos, la cuestión del origen y de la regulación de la división del trabajo en las colonias de insectos puede estudiarse aplicando estas técnicas. Una observación importante es que, a efectos de la argumentación evolucionista, la «unidad» sobre la que actúa la selección no es la hormiga o la abeja aislada, sino la colectividad: la colonia. Hallamos que la aparición de una división del trabajo, las «castas», dentro de las sociedades de insectos, es consecuencia de la evolución de grandes colonias que habitan un entorno rico, en el que los miembros relativos de cada casta están regulados por efecto de la acción de sustancias químicas que reprimen o aceleran la formación de «soldados», por ejemplo.[205]
También se ha estudiado la evolución de un ecosistema depredador-presa, basado en las ecuaciones de Lotka y Volterra. La presa evoluciona conforme hemos explicado en nuestro sistema cerrado, según la ilustración de la figura 33, encaminada a explotar los recursos disponibles con mayor eficacia. Además, evoluciona también con el fin de evitar su captura y destrucción por el depredador. Por el contrario, el depredador evoluciona para aumentar su frecuencia de captura de presas y disminuir su propia tasa de mortalidad.



Figura 33a.



Figura 33b.



Figura 33c.
Figura 33. Un nicho ocupado sucesivamente por especies de creciente eficacia.
(49)
![]()
![]()
El proceso evolutivo favorece al depredador, porque «utiliza» a la presa para que explote por él los recursos primarios. Por lo tanto, la evolución de los medios, con los cuales la presa hace esto, favorece al depredador del mismo modo que la mejora de una herramienta favorece al usuario.
Examinemos un último ejemplo. En otro anterior hemos visto la evolución debida a las modificaciones de los parámetros K, N y d, presentes en la ecuación (36). Pero hemos dicho ya que pueden darse distintos tipos de inestabilidad. Por ejemplo, estudiemos un sistema de ecuaciones como éste:
(50)

No hay un límite para el tipo de fluctuaciones que pudiéramos considerar, y ninguna ecuación ecológica puede ser estructuralmente estable a cualquier posible innovación. Por ello, hay que esperar una continua diversificación correspondiente a esta expansión hacia un área de «libertad no utilizada».[206] Por lo tanto, no hay «fin» para la historia; cuando unas tendencias acaban, empiezan otras. Como han observado Starr y Rudman en relación con la evolución tecnológica,[207] «un examen histórico del proceso de crecimiento de las opciones técnicas específicas nos revela dos características sobresalientes. Primero, si establecemos un gráfico, en relación con el tiempo, sobre el empleo de un instrumento o un sistema, obtenemos una curva sigmoide (…) Segundo (…) que el crecimiento total de un campo tecnológico específico, muestra muchas veces un patrón exponencial». Si comparamos esta observación con la figura 33, vemos que la evolución socio-cultural y biológica sigue efectivamente patrones similares. Estamos muy lejos del mundo cerrado de la física clásica.
Desde que surgió la mecánica cuántica se han realizado no pocos intentos por relacionar la indeterminación microscópica, es decir, el famoso principio de indeterminación de Heisenberg, con el comportamiento macroscópico. Actualmente, vemos que la situación es mucho más sencilla, en cuanto que las propias ecuaciones macroscópicas contienen el elemento de estocasticidad que conduce a una «indeterminación macroscópica». Problemas como el de la autoorganización en sistemas de no equilibrio requieren ambos aspectos —el determinista, según el cual las medias representan con exactitud el estado del sistema, y el estocástico, que cobra importancia en la proximidad a los puntos de bifurcación y de inestabilidad. Sólo la conjunción de estos dos aspectos nos facilita una representación real de algunos de los aspectos básicos de los sistemas en evolución.
6. Hitos de la evolución socio-cultural
Arnold Toynbee dedicó su vida entera a intentar comprender las fuerzas que configuran la historia humana. Por ello juzgamos oportuno iniciar este apartado con una cita extraída de su A Study of History,[208] en el que habla de su búsqueda de un «factor positivo», responsable de la «diferenciación de la Historia»; dice así:
«Hasta la fecha he venido tratando de introducir en mi investigación el influjo de fuerzas sin alma —fuerza de inercia, más raza y ambiente— y he pensado en términos deterministas de causa-efecto. Ahora que he llegado al límite de estos intentos sucesivos, frente a mi esbozo en blanco, me inclino a reflexionar si mis fallos sucesivos no serán debidos a algún error metodológico. Quizás haya sido víctima de la “falacia apática” contra la que traté de ponerme en guardia al iniciar mi investigación. ¿No me habré esquivado al aplicar al pensamiento histórico, que es un estudio de seres vivos, un método científico pensado para la naturaleza inanimada? ¿Y no me habré equivocado además al tratar los resultados de las conjunciones entre personas como casos del principio de causa y efecto? El efecto de una causa es inevitable, invariable e imprevisible. Pero la iniciativa que adopta cualquiera de las partes vivas en un encuentro, no es una causa: es un reto. Su consecuencia no es un efecto: es una respuesta. Reto y respuesta parecen causa y efecto sólo en tanto que representan una secuencia de acontecimientos. Pero es una secuencia de distinto cariz. A diferencia del efecto de una causa, la respuesta a un reto no está predeterminada, no es necesariamente uniforme en todos los casos y, por lo tanto, es intrínsecamente imprevisible. A partir de ahora, consideraré el problema con una nueva visual. Veré a “personas” allí donde, hasta ahora, he visto “fuerzas”. Describiré las relaciones entre personas como retos que suscitan respuestas. Seguiré el consejo de Platón: alejándome de las fórmulas de la ciencia para prestar oído al lenguaje de la mitología».El resultado de nuestra discusión indica que ya no necesitamos establecer la transición entre «ciencia» y «mitología». El mecanismo de reto y respuesta puede integrarse en un marco científico.
No pretendemos extendernos en una discusión pormenorizada sobre evolución socio-cultural como la expuesta en el texto de Laszlo, pero queremos hacer algunas observaciones. Creemos que la interacción entre
función ⇆ estructura ⇆ fluctuación
(véase apartado 4) es fundamental para entender las estructuras sociales y su evolución.La propia existencia de sistemas complejos, como la selva tropical o una sociedad moderna, plantean un importante problema inicial. ¿Existe un límite a la complejidad? Es un problema discutido infinidad de veces en la literatura; encontramos una excelente exposición en la monografía de May. Cuantos más elementos entran en interacción, mayor es el grado de la ecuación secular que determina las frecuencias características del sistema (véase apartado 4) y, por lo tanto, mayores las posibilidades de obtener, como mínimo, una raíz positiva y, por consiguiente, inestabilidad.
Diversos autores han sugerido que la evolución ecológica selecciona ciertos tipos particulares de sistemas que sean estables. No obstante, es difícil dar forma cuantitativa a semejante aserto. Nuestro enfoque nos lleva a una respuesta distinta. Un sistema suficientemente complejo se hallará generalmente en estado meta estable. El valor del umbral de metaestabilidad depende de la competencia entre crecimiento y amortiguamiento a través de los «efectos de superficie». Muchos sistemas complejos son también sistemas en los que las interacciones con el entorno (que en los problemas sociales corresponde a mecanismos como el flujo de la información) son también acusadas. Desde luego, la sociedad actual se caracteriza por un alto grado de complejidad y una rápida difusión de la información, por comparación con las sociedades primitivas. La pregunta « ¿existe límite a la complejidad?», posiblemente tenga una respuesta menos taxativa que las cuestiones a las que hasta ahora la humanidad ha dado respuesta. Según nuestros resultados, un aspecto importante de la respuesta consistiría en saber que la complejidad resulta limitada por la estabilidad que, a su vez, está limitada por la potencia de imbricación sistema-ambiente. No podemos entrar aquí en detalles, pero vemos que la idea de «progreso» o de aumento continuo de complejidad dista mucho de ser sencilla.[209]
Hablemos ahora de la estabilidad estructural. Cameiro, siguiendo a Herbert Spencer, ha puesto de relieve la diferencia entre cambios culturales cuantitativos y cualitativos,[210] distinguiendo el desarrollo cultural, en el que se configuran nuevos rasgos culturales del crecimiento cultural. En nuestra terminología el desarrollo cultural correspondería a inestabilidades en las que los efectos estocásticos desempeñan un papel fundamental, mientras que crecimiento cultural corresponde a «desarrollos deterministas». Adams[211] discute en detalle las oscilaciones «verticales» y «horizontales» que se producen en puntos de desarrollo cultural.
Ya en 1922, Lotka formulaba su ley del flujo máximo de energía. En terminología termodinámica corresponde a la ley de aumento de la producción de entropía por individuo. Esta ley parece coincidir con las leyes de evolución tecnológica. Como ha escrito Lerou-Gourhan:[212]
«En el ámbito técnico, las únicas características que se transmiten son las que representan una mejora de procedimiento. Puede adoptarse un lenguaje menos flexible, una religión menos desarrollada, pero nunca se cambia un arado por un azadón.»Aunque esta afirmación pueda parecer razonable, conviene ser cauto a la hora de establecer conclusiones. No debe inferirse, por ejemplo, que el paso del «azadón al arado» sea inevitable. Su ocurrencia depende de la naturaleza específica de la sociedad humana estudiada (su disposición para adoptar nuevas técnicas, por ejemplo), así como del tipo y la disponibilidad de los recursos naturales implicados en el cambio.
Hay que distinguir como mínimo tres tipos distintos de recursos naturales. Primero, aquéllos cuyo empleo no ejerce incidencia en su futura disponibilidad (por ejemplo, la energía solar), pero cuya intensidad puede fluctuar de manera incontrolable. Segundo, los recursos que presentan posibilidad de regeneración a breve plazo, y en los que un uso restringido, y quizás un programa de reciclaje, puede servir para hacer un acopio inagotable (alimento, leña). El tercer tipo de recursos presenta, a escala humana, un tiempo de regeneración infinito y, en consecuencia, sus reservas están en constante disminución (combustibles fósiles).
El carácter múltiple de los recursos introduce una dualidad en las tendencias evolucionistas de un sistema. Se produce una selección de las innovaciones a corto plazo, en la que la opción se supedita al ambiente y a las reservas de recursos del momento, pero también se produce una selección a largo plazo de sociedades capaces de sobrevivir a las modificaciones del entorno o de conservar reservas de recursos.
La ley de Lotka corresponde, por lo tanto, a la evolución de las sociedades occidentales en una situación en la que las reservas de recursos energéticos no sean un factor limitante. Volviendo al ejemplo del arado y el azadón, vemos que aquél conduce necesariamente a un aumento de la explotación de recursos naturales y, en consecuencia, a un mayor consumo de energía por individuo. Esto coincide con la ley de Lotka, que representa una tendencia selectiva a corto plazo propia de una situación de grandes reservas de energía no consumida. La ley de Lotka halla su interpretación natural en una serie de inestabilidades estructurales en tales condiciones.
Tampoco debemos olvidar que, desde el principio, surge la dificultad de aplicar la estabilidad estructural a los problemas humanos. Hay que determinar las variables significativas. En algunos casos, como sucede con los problemas relativos al flujo de tráfico de vehículos, es relativamente sencillo.[213] Sin embargo, en otros problemas, hay que introducir variables tan ambiguas como la «calidad de vida», que son mucho más difíciles de controlar de forma cuantitativa. Expongamos ahora sucintamente dos ejemplos de esta perspectiva.
El primero se refiere a la urbanización progresiva de una región. Sabemos que existen varios factores que influyen en la formación de una jerarquía urbana en el área. Primero, está la riqueza natural de cada localidad; luego, como Christaller fue el primero en sugerir, la ubicación de las funciones económicas en una «situación central» que atiende a sus respectivas regiones complementarias.[214] El número y la escala de las funciones económicas que pueda ocupar una determinada localidad están sujetos a diversas influencias. Hay una agrupación de ciertas industrias con «suministros» o «producción» complementarios, así como el hecho de que los umbrales de mercado obligan a que ciertas funciones económicas tan sólo existan en centros urbanos ya densamente poblados. Esto aumenta la capacidad de empleo y, a su vez, permite un mayor aumento de población. Añadamos la acción del «multiplicador urbano», por el que un aumento de puestos de trabajo en el «sector de exportación» de un centro urbano genera una mayor demanda local de bienes y servicios, creando más puestos de trabajos en estos sectores y provocando una multiplicación cíclica de los puestos iniciales y de la población; los efectos son bien conocidos y se han tratado en numerosos manuales de geografía.[215]
Nuestro modelo se basa en la idea de que una ecuación logística (como la 36), cuando se aplica a la población humana de una determinada localidad, debe modificarse para dar margen a un posible aumento de la «capacidad de asimilación», si esta localidad es sede de una función económica. El modelo acepta la proposición básica de que, a largo plazo, las poblaciones locales aumentan, o disminuyen, con arreglo a las oportunidades de empleo.[216]
El modelo estudia el impacto de las sucesivas innovaciones sobre una población inicialmente homogénea. Es decir, una nueva función económica aparece espontáneamente en el sistema y, en consecuencia, los empresarios intentan poner en marcha esta nueva actividad económica en diversos puntos del sistema, a intervalos casuales, pero relativamente cortos, característicos de un mecanismo imitativo.
Cada innovación económica se caracteriza por parámetros que expresan demanda individual e interindustrial, merced a cierta escala de producción y sus correspondientes economías proporcionales, mediante el umbral de mercado correspondiente al funcionamiento de una sola unidad de producción y en función de los costes de transporte característicos de la naturaleza del producto o del servicio en cuestión. Cuando sucesivamente se lanzan las funciones económicas, los mecanismos de interacción no lineal entre densidad de población y la oportunidad de empleo, entonces ocurre la formación de una estructura espacial en la distribución de población y se produce una jerarquía urbana. En la figura 33, se ilustra una secuencia típica de acontecimientos y la aparición gradual de centros urbanos, a pesar de que la probabilidad de aparición de funciones económicas fuese especialmente uniforme.
Esta técnica puede aplicarse al estudio de los efectos que ejercen los cambios en el sector de los transportes, al cambio de escalas de producción y al estudio del problema del lanzamiento de una «nueva ciudad» en una jerarquía urbana determinada, de modo que sea autosuficiente y no sufra una decadencia constante. El método nos revela igualmente la importancia de los accidentes históricos en la formación de una estructura concreta. Tenemos un elemento casual en el tiempo y en la ubicación del lanzamiento de funciones económicas, mientras que su supervivencia y su crecimiento están regidos por las presiones económicas deterministas del mercado disponible. En esta perspectiva, en vez de empresarios capaces, que conocen perfectamente las condiciones del mercado y su extensión (como propugna la economía clásica). Debería hablarse de la aparición casual de nuevas funciones.
Los métodos de estabilidad estructural que hemos utilizado en nuestro modelo sobre crecimiento urbano se han aplicado también al estudio de la notable organización social de las tribus kachin del altiplano birmano. Su complejo sistema social se caracteriza por la existencia de diversos estados estacionarios y las correspondientes transiciones entre estos estados. En The Political Systems of Highland Burma de E. Leach,[217] puede apreciarse una excelente descripción de estos fenómenos. En el estudio de los distintos subsistemas e inestabilidades que caracterizan los diversos estados, hay que tener en cuenta las interacciones entre los distintos tipos de términos y factores, constantes, cambios lineales, evoluciones cíclicas y variables aleatorias. La monografía de Leach muestra cómo integrar una sociología de élites políticas en sistemas económicos, de parentesco, religiosos e internacionales. Sometido durante siglos a un condicionante externo permanente (es decir, al sistema feudal local, de origen hindú, representado por los pueblos shan de los valles y las rutas de comercio chino que atraviesan el país), el sistema político de los kachin (algo más de 300.000 almas) consta de un gran número de demarcaciones ( möng ) que oscilan entre dos modalidades de integración. Una es un tanto «aristocrática» ( gumsa ) y, en ella, las aldeas se agrupan bajo la autoridad de un jefe, mientras que la otra es más «democrática» ( gumlas ), y cada aldea se administra de forma autónoma mediante un consejo de ancianos.
Según Leach, estos dos tipos representan «distintos aspectos de un solo tipo “cíclico” de sistema, contemplado en distintas fases de su desarrollo». Representan distintas perspectivas y acciones adoptadas por las élites políticas de aquella compleja sociedad, que sólo en raras ocasiones (en ciertos lugares o en determinados momentos) presenta la encamación inequívoca de una de estas fases. Cada una de estas formas puras contiene, efectivamente, consecuencias internas que inevitablemente hacen que el sistema retroceda en la otra dirección.
Se ha construido un modelo imitando algunos aspectos del modelo de Leach. Éstos se limitan a las interacciones que, dentro de uno de los dominios políticos ( möng ), provocan la oscilación de la estrategia política de la población entre los dos extremos citados anteriormente, suscitando una infinidad de estructuras sociales distintas que, para simplificar, hemos reducido a tres: autócrata feudal (F), rebelde igualitaria (R) y legalista formal (L). Las interacciones son los micro acontecimientos que afectan a los individuos por efecto de mecanismos como imitación, cooperación, querellas y alianzas de índole económico, político y/o matrimonial. Se establecen relaciones deterministas entre estas tres variables y otras dos: P (el prestigio del jefe) e I (la insatisfacción causada por su ascenso).
Sin embargo, en este modelo puramente funcional, hemos introducido elementos estocásticos relacionados con la diversidad del comportamiento humano. Por lo tanto, incluso en un estado de pura «F» (autocrático), en momentos casuales hemos introducido números reducidos de individuos que «piensan distinto» a sus congéneres. La cuestión estriba en si su presencia compromete, o no, la existencia del estado feudal «F» pura.

Figura 34. Fracción de la población en régimen gumsa F (feudal).
De este modo, puede estudiarse el comportamiento a largo plazo del sistema en el que pueden producirse varios tipos de evolución cualitativamente distintos. Uno de ellos, quizás el más interesante, es el que exhibe oscilaciones entre la estructura feudal y revolucionaria con un período «irregular». Con frecuencia, se hace la objeción de que los modelos funcionalistas son conservadores. Pero la afirmación sólo es válida si no se tienen en cuenta las fluctuaciones. Incluso en las situaciones simples descritas anteriormente, hallamos la necesidad de incorporar el aspecto dual que desempeña en los sistemas humanos el «azar» y el «determinismo».
Volviendo a la evolución socio-cultural en general, R. Adams[218] escribe en un reciente ensayo Energy and Structure: «… la relación particular del hombre con el medio es fundamentalmente similar a la de cualquier otra especie, en el sentido de que supone un esfuerzo constante por ejercer el suficiente control para extraer energía del entorno. Sin embargo, particularmente típico del hombre es el carácter cultural de su comportamiento que le impulsa a buscar su certeza de control a través de una continua redefinición de sí mismo y del ambiente, lo que le permite desarrollar su sociedad en un sistema siempre en expansión. Esta argumentación sugiere que la expansión constante es inherente al papel humano de utilización de la energía dentro del sistema termodinámico, ¡y que no hay nada especialmente “antinatural” en dicho comportamiento!».
Aunque esto sea cierto, señalaremos que ello no significa necesariamente que este «comportamiento natural» corresponda a las optimistas implicaciones de la palabra «progreso». La evolución ha adquirido algo así como rango de principio teológico. Según palabras de Leach,[219] «hace un siglo, se pensaba que Darwin y sus amigos eran peligrosos ateos, pero su herejía simplemente sustituyó a una deidad personal magnánima llamada Dios por una deidad impersonal benevolente llamada evolución. A su manera, tanto el obispo Wilberforce como T. H. Huxley creían en el Destino. Esta actitud religiosa es la que aún domina el pensamiento científico en relación con el desarrollo futuro».
«Las ideas de Darwin pertenecen al mismo período del siglo XIX de la economía del “ laisser faire ”, la doctrina de que, en la libre competencia, el mejor siempre triunfa. Pero, si los procesos naturales de la evolución deben siempre conducir a la supervivencia del mejor, ¿por qué preocuparse? La intervención consciente de un hombre inteligente sólo serviría para empeorar las cosas. Es mucho mejor, sin duda, mantenerse al margen y ver lo que acontece». Leach es partidario, sin embargo, de una actitud distinta, y afirma: «El cambio no es algo que nos da la naturaleza, sino algo que nosotros podemos decidir provocar en la naturaleza, ¡y en nosotros mismos!».
Está claro, según esta perspectiva, que uno de los principales objetivos de la ciencia moderna es comprender la dinámica del cambio. El tipo de enfoque que hemos adoptado en nuestro trabajo corresponde totalmente a este objetivo.
También aquí coincidimos con las ideas de Margalef,[220] quien, al discutir lo que él denomina el «barroco del mundo natural», señala que los ecosistemas contienen muchas más especies de las «necesarias» si la eficacia biológica fuera el único principio organizativo. Esta «sobre-creatividad» de la naturaleza se desprende sin objeciones del tipo de descripción propuesta en estas páginas, en la que «mutaciones» e «innovaciones» se producen de forma estocástica y se integran en el sistema en función de las relaciones deterministas predominantes en ese momento. Por lo tanto, según esta perspectiva, existe generación constante de «nuevos tipos» y «nuevas ideas» que van incorporándose a la estructura del sistema, causando su continua evolución.
Agradecimientos
Doy las gracias a mis colegas de la Universidad Libre de Bruselas, del Centro de Mecánica Estadística de la Universidad de Texas (Austin), del Laboratorio de Investigación de la General Motors y de la Universidad de California (Berkeley) por sus estimulantes y valiosas críticas. En Bruselas, a los profesores A. Babloyantz, J. L. Deneubourg, P. Glansdorff, R. Lefever, G. Nicolis y la señorita I. Stengers; en Austin, al profesor A. Adams y al Dr. J. Turner; en la General Motors, a A. V. Butterworth y al Dr. P. F. Chenea; y, en Berkeley, al profesor E. Jantsch.
§ 11. La termodinámica de la vida[221]
Cualquier discusión sobre la posición que ocupa la biología en relación con las ciencias físicas nos lleva, antes o después, al problema de la situación de los sistemas vivos en relación con las grandes leyes de organización de la física. En particular, es tema constante de controversia desde hace muchos años la relación entre origen y mantenimiento del orden biológico y la termodinámica. Desde Bergson hasta Monod, muchos autores han abordado el problema para afirmar, como Bergson y Polanyi, la originalidad esencial de la vida, o para decir que el dilema constituía un falso problema y que la unidad de las leyes de la naturaleza era incuestionable.Veremos cómo actualmente podemos situar mejor el orden biológico, precisando con mayor exactitud su dependencia respecto a las leyes de la física. El concepto de orden, de estructura, de acuerdo con la perspectiva actual, aun siendo una de las características esenciales de los sistemas biológicos, dista mucho de ser tan simple y «monolítico» como se creía. Antes de discutir la relación entre biología y física, conviene trazar un breve compendio de las grandes leyes de organización y evolución de la física según el concepto moderno. Entre ellas, las leyes de la termodinámica, y en especial el segundo principio, siguen desempeñando un papel primordial.
El segundo principio de la termodinámica, o principio de orden de Boltzmann
El primer principio de la termodinámica postula la conservación de la energía en todos los sistemas. El aumento de energía dentro de un sistema es igual a la energía que recibe. El segundo principio afirma que un sistema aislado evoluciona espontáneamente hacia un estado de equilibrio que corresponde a la entropía máxima, es decir, al mayor desorden. Estos dos principios constituyen la base de la termodinámica clásica y permiten describir, dentro de la física, la mayor parte de los sistemas.
Consideremos un sistema macroscópico, es decir, un sistema con un gran número de N partículas, u otro tipo de subunidades. Supongamos que estas partículas están contenidas en una porción del espacio separada del mundo externo por una superficie geométrica ficticia, de forma que la densidad numérica, es decir la relación N /volumen, sea finita. Varios ejemplos nos servirán para ilustrar este concepto fundamental. Un centímetro cúbico de gas, a temperatura y presión ordinarias, es un sistema macroscópico que consta de unas 10[20] unidades en interacción débil, que son las moléculas del gas. El cromosoma de una bacteria, que puede constar de unas 10[6] moléculas, puede considerarse también un sistema macroscópico. Finalmente, a muy distinta escala, una célula viva que contenga 10[4] macromoléculas puede considerarse, en relación con ciertas propiedades globales, un sistema que obedece a las leyes de la mecánica de los medios continuos.
Para todos estos sistemas, la termodinámica postula leyes de una validez extremadamente general, que enunciaremos después de exponer algunas definiciones.
En general, un sistema macroscópico está acoplado a su entorno, al que denominaremos frecuentemente «mundo externo», por fuerzas que actúan sobre cada uno de sus puntos internos (por ejemplo, fuerzas de gravitación o fuerzas procedentes de un campo eléctrico). Denominamos sistema aisladoaquél cuyas interacciones con el entorno son tales que no existe intercambio de materia o de energía con el mundo externo. Un sistema cerradoes aquél que sólo puede intercambiar energía con el mundo externo, y sistema abierto el que puede intercambiar energía y materia con el mundo externo. La tierra, por ejemplo, es globalmente un sistema cerrado que recibe energía de la radiación solar (si hacemos abstracción de los intercambios de materia causados por las caídas de meteoritos, etc.). Por el contrario, una célula de la bacteria Escherichia coli, en un entorno que contenga glucosa, es un sistema abierto.
El primer principio de la termodinámica postula la conservación de la energía para todos los sistemas. El aumento de energía dentro del sistema es igual a la energía que éste recibe.
El desorden molecular
El segundo principio introduce una nueva función del estado del sistema, la entropía, relacionada con los intercambios calóricos con el mundo externo. Pero, contrariamente a la energía, la entropía no se conserva. Así pues, representaremos el aumento de entropía por una suma de dos términos relacionados; uno, deS, con el aporte externo de entropía, y el otro, diS, con la producción de entropía dentro del propio sistema: dS = deS + diS. El enunciado del segundo principio se resume en la desigualdad diS ≥ 0, lo que significa que los fenómenos irreversibles que se desarrollan dentro del propio sistema (conducción de calor a través de un sólido, deslizamiento viscoso, etc.) sólo pueden generar entropía. Para un sistema aislado, el flujo de entropía dcS es nulo, y volvemos al enunciado clásico dS ≥ 0. El signo de igualdad se alcanza en un estado particular, el estado de equilibrio a que llega el sistema al cabo de un largo plazo de tiempo. Por lo tanto, el segundo principio implica que, para un sistema aislado, existe una función del estado instantáneo del sistema, la entropía S, que inevitablemente aumenta en el transcurso del tiempo. Esta ley nos provee de un principio universal de evolución macroscópica . ¿Pero qué sentido tiene a nivel microscópico? ¿Qué significa el aumento de entropía a escala molecular? La incógnita ha quedado ampliamente despejada con las investigaciones clásicas de Boltzmann: la entropía es una medida del «desorden molecular». La ley de aumento de la entropía es, por lo tanto, una ley de desorganización progresiva, de alejamiento de unas condiciones iniciales concretas. Veamos un ejemplo simple: consideremos un recipiente formado por dos compartimentos iguales que se comunican. Un razonamiento elemental nos demuestra que el número P de modos con que podemos repartir N moléculas en dos grupos N1, N2, está en función de N = N!/N1!N2! Sean cuales fueren los números N1, N2 de que partamos en el momento inicial, cabe esperar que, para un N muy grande y al cabo de un tiempo lo bastante largo, se alcance, pequeñas fluctuaciones aparte, una situación de equilibrio correspondiente al reparto equitativo de moléculas en ambos compartimentos (N1 ≃ N2 ≃ N/2). La figura 1 ilustra un ejemplo de distribución realizada con ayuda de una computadora.

Figura 1. En estas Figuras obtenidas con un ordenador, vemos la evolución hacia una distribución uniforme de un sistema de 40 partículas en interacción débil dentro de un recipiente. Las partículas están situadas inicialmente en la mitad izquierda del recipiente (esquema 40) y tienen velocidades casuales. Al cabo de un tiempo, ocupan las posiciones señaladas en el esquema 14.
Hemos considerado un ejemplo relativo a un sistema aislado. Si consideramos un sistema cerrado a una temperatura T determinada (sistema inserto en un termostato), la situación sigue siendo análoga, pero debemos tener en cuenta, en lugar de la entropía, la energía libre F, definida según F = E − TS, en la que E y S son la energía y la entropía del sistema respectivamente. En estado de equilibrio, la energía libre F es mínima. La propia estructura de esta fórmula expresa una competencia entre la energía E y la entropía S. A baja temperatura, podemos despreciar el segundo término, siendo estructuras con energía mínima y entropía débil (ya que la entropía es función creciente de la temperatura) las que se desarrollan. A temperatura más elevada, pasamos, por el contrario, a estructuras de entropía cada vez más elevada. Es exactamente lo que la experiencia nos demuestra, ya que, a baja temperatura, tenemos un estado sólido de baja entropía que es una estructura ordenada, mientras que, a temperatura suficientemente elevada, obtenemos el estado gaseoso de entropía más elevada. Por lo tanto, vemos cómo la formación de ciertos tipos de estructuras ordenadas es, en física, una consecuencia de las leyes de la termodinámica aplicadas a un sistema no aislado en estado de equilibrio.
Para saber cuál es el estado de equilibrio de un sistema no aislado, podemos también abordar el problema de otro modo y, en lugar de considerar las funciones de estado F y S, preguntamos cuál es la probabilidad de que el sistema se encuentre en el estado de energía en equilibrio. Es también Boltzmann quien ha resuelto el problema demostrando que esta probabilidad nos la da: P ∝ exp [−EnkT]. A baja temperatura, sólo los niveles «bajos» (con En pequeño) estarán poblados, mientras que, a temperatura suficientemente elevada, las poblaciones tienden a igualarse a todos los niveles. Es el principio de orden fundamental de los estados de equilibrio, que podemos denominar principio de orden de Boltzmann, el cual determina si dos líquidos son miscibles, si ciertas moléculas adoptarán el estado sólido, líquido o gaseoso, y que rige las leyes que determinan los cambios de fase en todos sus detalles.
El orden biológico y la termodinámica
Las estructuras biológicas altamente ordenadas ¿pueden describirse como estados de equilibrio regidos por el segundo principio de la termodinámica? Antes de responder a esta pregunta, conviene establecer los caracteres importantes de los sistemas vivos: éstos presentan un orden arquitectónico (estructuras macromoleculares) y un orden funcional (metabolismo) enormemente sofisticados. ¿Podemos interpretar todas las estructuras que nos rodean, y especialmente las estructuras biológicas, en términos del principio de orden de Boltzmann? Es el punto fundamental de la discusión. Algunas definiciones y observaciones de orden general nos ayudarán a mejor situar el problema. Es especialmente delicada la calificación tajante de orden biológico. Atribuiremos aquí al término una definición intuitiva, basada en los caracteres comunes relevantes que se observan al estudiar los sistemas vivos:
- Incluso en las células más sencillas, la actividad normal del metabolismo implica varios miles de reacciones químicas acopladas. De ello se deduce la imperiosa necesidad de que todos estos procesos respondan a una coordinación. Los mecanismos de coordinación constituyen un orden funcional extremadamente sofisticado.
- Además, las reacciones metabólicas requieren catalizadores específicos, las enzimas, que son macromoléculas con una organización espacial muy compleja. Por lo tanto, el organismo tiene que sintetizar estas sustancias, estas estructuras.
Ahora bien, lo que sabemos sobre constitución física y química de los seres vivos parece indicar que las interacciones internas de la célula (o entre varias células en organismos más desarrollados) son interacciones habituales a corto plazo, análogas a las interacciones débiles que existen entre las partículas de los sistemas en equilibrio termodinámico que se estudian en física. La naturaleza de las fuerzas internas de la célula no es incompatible con las leyes de la termodinámica clásica que hemos expuesto. Sin embargo, ¿permiten éstas determinar las estructuras biológicas? Es lo que veremos a continuación.
Las estructuras disipativas: orden y fluctuaciones
Para abordar el tema central de nuestra exposición, el problema del orden biológico, tenemos que introducir un nuevo concepto: el de estructura «disipativa», del que, en hidrodinámica, la «inestabilidad de Bénard» nos facilita un buen ejemplo.
Por consiguiente, vamos a abordar el tema central del orden biológico. Es muy curioso que, en la misma época en que se formulaba la termodinámica, se introdujeran también las teorías sobre evolución biológica y sociológica. Aunque, contrariamente a la idea termodinámica de evolución, en biología y sociología este concepto va asociado a un crecimiento de la organización, a la formación de estructuras y funciones cada vez más complejas. Spencer llegó a hablar de «la inestabilidad de lo homogéneo» y de una fuerza diferenciante creadora de organización. En efecto, la multiplicación de estructuras altamente ordenadas parece incompatible con el segundo principio de la termodinámica que postula, como hemos visto, la evolución de todo sistema macroscópico a condición de que haya aumento de entropía, es decir, por degradación del orden que le caracteriza. Es cierto que los biólogos insisten actualmente en el hecho de que el teorema de crecimiento de entropía, se aplique al sistema completo, es decir, al sistema viviente, más su entorno. En otras palabras, un sistema vivo no puede compararse con un sistema aislado, en el que es válida la desigualdad dS ≥ 0, sino más bien con un sistema abierto, es decir, un sistema que intercambie energía y materia con el mundo externo. A partir de esta condición, el aumento de entropía en el sistema completo es perfectamente compatible con la disminución dentro del sistema vivo de la entropía que ha tenido que producirse durante la formación de las estructuras organizadas. Pero este modo de ver las cosas nada nos aclara sobre la evolución del propio sistema vivo, sobre los mecanismos que conducen a una organización molecular. No nos basta con saber que la evolución de los sistemas vivos puede corresponder a un aumento de entropía del universo (en el supuesto de que lo consideremos un sistema cerrado) y cumplir el segundo principio de la termodinámica. Debemos buscar, si existe, una descripción termodinámica de los procesos de evolución del propio sistema vivo, por estar vinculados estos principios a los estados que se hallan fuera del equilibrio termodinámico.

Figura 2. Diagrama de control de la glucólisis.
Consideremos ahora, en lugar de un sistema aislado, un sistema abierto que pueda intercambiar simultáneamente energía y materia con el mundo externo. En tal caso, y siempre que las reservas externas de energía y materia sean suficientemente grandes para que el estado sea permanente, el sistema puede tender hacia un régimen constante distinto al de equilibrio. Mientras que un sistema aislado en equilibrio está asociado a estructuras «en equilibrio» —un cristal, por ejemplo—, un sistema abierto «fuera de equilibrio» irá asociado a lo que se denomina estructuras disipativas; estructuras que vamos a describir. El principio de orden de Boltzmann, que nos procura una buena descripción de los estados de equilibrio, ya no es aplicable en este caso. Las estructuras disipativas van asociadas a un principio de orden totalmente distinto que podríamos denominar «orden mediante fluctuaciones».

Figura 3. El orden biológico comprende realmente dos tipos de orden enormemente sofisticados: el orden funcional y el orden arquitectónico. En las células, el desarrollo normal del metabolismo requiere una coordinación entre millares de reacciones químicas. Los mecanismos de coordinación constituyen el orden funcional. Las reacciones que intervienen en la glucólisis son ejemplo de ello. Algunas moléculas sintetizadas activan o inactivan, mediante sistemas de contra-reacción más o menos complejos, las enzimas que intervienen en otras reacciones. Estas reacciones requieren en especial catalizadores específicos, las enzimas, que son macromoléculas con una organización espacial muy compleja. Este orden arquitectónico determinado por el código genético, permite una especialización muy sutil de las enzimas, las cuales inducen ciertas reacciones concretas. En la imagen vemos una carboxipeptidasa que hidroliza el enlace peptídico situado en el terminal carboxílico de una cadena polipeptídica (esquema según R. E. Dickerson y J. Geis, The Structure and Action of Proleins, Harper and Row).
Antes de esbozar la teoría termodinámica de las estructuras disipativas, veamos un ejemplo particularmente sencillo del ámbito de la hidrodinámica: la inestabilidad de Bénard.[222]
Calentemos un estrato líquido por abajo. La consecuencia de aplicarle esta constricción es que el sistema se aparta del estado de equilibrio correspondiente al mantenimiento de una temperatura uniforme en el estrato. Para pequeños gradientes de temperaturas, el calor se difunde por conducción, pero, a partir de un gradiente crítico, se produce además un transporte por convección. La figura 4 es una foto de las células de convección captadas verticalmente. Obsérvese la disposición regular de las células hexagonales.

Figura 4. Ejemplo de estructura disipativa en hidrodinámica: la inestabilidad de Bénard. Se calienta una capa líquida por debajo. Como consecuencia de la aplicación de esta ligadura el sistema se aparta del estado de equilibrio correspondiente al mantenimiento de una temperatura uniforme. Para pequeños gradientes de temperatura, el calor se transfiere por conducción, pero, a partir de un gradiente crítico, se observa además un transporte por convección. La Figura muestra las células de convección del espermaceti fotografiadas verticalmente. Obsérvese la disposición regular de las células de con Figuración hexagonal.
Es evidente que el principio de Boltzmann no puede aplicarse en un caso como éste. Nos daría una probabilidad prácticamente nula de corriente macroscópica. Sólo debido a que existe una constricción externa —en este caso, el gradiente de temperatura— y a que el sistema está suficientemente apartado del estado de equilibrio, es posible la aparición de una nueva estructura cooperativa.
Puede demostrarse que esta estructura se origina como consecuencia de una inestabilidad del sistema próximo al equilibrio termodinámico. Podríamos representar la situación física del modo siguiente: pequeñas corrientes de convección aparecen constantemente como fluctuaciones, pero, por debajo del valor crítico del gradiente, estas fluctuaciones remiten. Entretanto, por encima de este punto crítico, ciertas fluctuaciones se amplifican y dan origen a una corriente macroscópica. Aparece un nuevo orden, correspondiente esencialmente a una fluctuación gigante, estabilizada por los intercambios de energía con el mundo externo. Es el orden por fluctuación .
Termodinámica generalizada
Para explicar cómo se origina una estructura disipativa, hay que tener en cuenta las fluctuaciones capaces de generarla en una termodinámica de los fenómenos irreversibles. Esto es lo que sucede en el marco de la «termodinámica generalizada» desarrollada por el autor. Estructuras disipativas espaciales o temporales aparecen cuando el medio externo mantiene un estado de inestabilidad tal que posibilita la amplificación de las fluctuaciones y conduce a estados macroscópicos más organizados.
El ejemplo de inestabilidad de Bénard demuestra que, para entender la generación de una estructura inestable, es necesario incorporar a la termodinámica de los fenómenos irreversibles las fluctuaciones que puedan generar esta estructura. Más adelante estudiaremos en detalle la relación entre estructuras disipativas y estructuras y funciones responsables del mantenimiento del orden biológico. Pero ya desde este momento podemos señalar que la diferenciación entre las estructuras y las funciones que caracterizan al orden biológico sugiere que el funcionamiento de los seres vivos se lleva a cabo en condiciones de desequilibrio.
Durante estos últimos años ha tenido lugar el desarrollo de una termodinámica «generalizada» por parte del autor y sus colegas de Bruselas, especialmente P. Glansdorff. Expondremos brevemente las bases de esta teoría siguiendo un enfoque intuitivo, basado en la teoría de las fluctuaciones. Hemos visto que la entropía de un sistema aislado es máxima en el estado de equilibrio termodinámico. Pero, a causa de la estructura molecular del sistema, cabe esperar fluctuaciones. Un sistema macroscópico homogéneo deja de serlo a escala molecular. Sus fluctuaciones conducen a un alejamiento a nivel de la entropía máxima.
Podemos desarrollar la entropía del estado fluctuante en tomo a su valor de equilibrio S0 y tendremos, por términos de orden superior, S = S0 + ρδS − 1/2 δ2S. Como estamos cerca de un máximo, tendremos δS = 0 y δ82S < 0. Para que el estado de referencias S0 sea estable, es necesario también que la entropía de exceso δ2S crezca con el tiempo: (d/dt) δ2S > 0, sin lo cual la fluctuación se amplificaría y el sistema se apartaría de su estado de referencia.
La termodinámica generalizada permite expresar esta condición en términos de fluctuaciones de la velocidad de los fenómenos irreversibles y de las fuerzas generalizadas. Vemos, efectivamente, que
(d/dt) δ2S = ΣδJρXρ
donde los Jρ son las velocidades de los fenómenos irreversibles, como velocidad de las reacciones químicas y de la difusión, y las Xρ las fuerzas correspondientes, denominadas afinidades en el caso de las reacciones químicas.En proximidad al equilibrio termodinámico, se demuestra fácilmente que la desigualdad
(d/dt) δ2S > 0
siempre se cumple. El sistema es estable, lo rige el principio de Boltzmann, aunque esté temporalmente perturbado por una fluctuación. Pero, en un estado alejado del equilibrio termodinámico, ya no sucede necesariamente lo mismo. En presencia de no linealidades apropiadas, la desigualdad (d/dt) δ2S > O puede dejar de ser válida y el sistema evoluciona hacia un nuevo régimen, principalmente un régimen que genere estructuras ordenadas.Durante los cuatro últimos años, nuestro grupo ha estudiado en detalle el comportamiento de los sistemas abiertos de las reacciones químicas y de los fenómenos de transporte, y la posibilidad de alcanzar estados de «desequilibrio» termodinámico correspondiente a estructuras ordenadas. En estos casos, es la termodinámica no lineal (para estados alejados del equilibrio, ya no existen leyes lineales entre corrientes y fuerzas que se desarrollan en el interior del sistema) la que rige los fenómenos observados.
La elección de este tipo de sistema estuvo motivada por el hecho de que el comportamiento de un sistema vivo depende en gran parte de cierto tipo de reacciones químicas no lineales (reacciones que constan de etapas de catalización por medio de enzimas, control de la actividad de las mismas mediante procesos de activación o de inhibición, etc.) y de fenómenos de transporte (paso de iones a través de las membranas, difusión de los ARN de transferencia en proximidad a los ribosomas, etc.). Pudo demostrarse, primero en modelos químicos que constaban de etapas no lineales, que, efectivamente, pueden darse posibilidades de no equilibrio. Mientras que, en el equilibrio termodinámico y para alejamientos leves del mismo (aproximación lineal), se observa una homogeneidad espacial y temporal, puede preverse, para tales sistemas y para alejamientos sucesivamente mayores del estado de equilibrio, un umbral de inestabilidad (según el valor de los parámetros cinéticos y de las constantes de difusión) por encima del cual el sistema puede presentar un comportamiento periódico en el tiempo, una ruptura espontánea de la homogeneidad espacial, o fenómenos aún más complejos.
Señalemos que este comportamiento lejano al equilibrio no es universal. La aparición de comportamientos coherentes de este tipo exige condiciones particulares, mientras que, en proximidad al equilibrio, es el principio de Boltzmann el que siempre es válido (para las fuerzas a las que se aplica la termodinámica).
La existencia de estructuras disipativas
La aparición de estructuras disipativas en los sistemas no lineales y suficientemente apartados del equilibrio no sólo ha sido establecida por medio de simulaciones por ordenador en sistemas modélicos; recientemente se han llevado a cabo numerosos experimentos de laboratorio que demuestran la existencia de estas estructuras. Antes de abordar los aspectos biológicos, es interesante presentar un ejemplo que pertenece al ámbito de la química no biológica.
Un caso particularmente bien conocido es el de la reacción de Zhabotinski, [223] relativa a la oxidación del ácido malónico por efecto del bromato potásico en presencia de iones de cerio. En las figs. 5 y 6 se ilustran algunas etapas de la evolución del sistema. Las líneas oscuras corresponden a un exceso de Ce3+ y las zonas claras a un exceso de Ce4+. Para ciertos valores de concentración se observan al principio oscilaciones, agitaciones, y luego la formación de una estructura espacial que persiste durante varias horas.
Como la experiencia se realiza en un sistema cerrado, éste evoluciona necesariamente hacia el equilibrio termodinámico, caracterizado en particular por la homogeneidad. En un momento dado, el sistema evoluciona bruscamente y todo el fenómeno de estructuración desaparece en unos segundos. Tenemos aquí un excelente ejemplo de comportamiento coherente, posible gracias a un alejamiento suficiente del equilibrio termodinámico.
Estructuras disipativas en biología
¿Qué papel desempeñan las estructuras disipativas en el funcionamiento de los seres vivos actuales y en los estadios pre biológicos? En lo que respecta al primer punto, se ha demostrado que las reacciones metabólicas, o las ondas cerebrales, por ejemplo, pueden analizarse en términos de estructuras disipativas temporales. En lo que atañe a los estadios prebiológicos, los trabajos de Eigen pueden aportar una contribución fundamental, pues, efectivamente, Eigen ha demostrado que, en un sistema formado por proteínas y poli nucleótidos, las interacciones le permitirían alcanzar un estado final caracterizado por un código genético y una estabilidad notable.
![]() | Figuras 5 y 6. Ejemplos de estructuras disipativas en química: caso de la reacción de Zhabotinski, correspondiente a la oxidación del ácido malónico por efecto del bromato de potasio en presencia de iones de cerio. Las líneas oscuras corresponden a un exceso de Ce1−, y las zonas claras a un exceso de Ce4−. La Figura 5 muestra la evolución del sistema por oscilaciones hacia una estructura disipativa espacial. En la Figura 6, vemos la estructura disipativa espacial que se obtiene al cabo de un tiempo y que persiste durante varias horas. En dicha estructura, los iones C3+ y C4+ están agrupados alternativamente en capas horizontales. Por tratarse de un experimento en sistema cerrado, evoluciona necesariamente hacia el equilibrio termodinámico caracterizado por la homogeneidad. En un momento determinado, el sistema evoluciona bruscamente y todos los fenómenos de estructuración desaparecen en pocos segundos. |
Ahora podemos examinar cómo se relaciona el orden biológico con las estructuras disipativas. Un sistema biológico, que metaboliza y se reproduce, debe, efectivamente, intercambiar energía y materia con el entorno; por lo tanto, funciona como sistema abierto. Por otra parte, como ya hemos puesto de relieve, el mantenimiento de la vida y el crecimiento dependen de un sinnúmero de reacciones químicas y de fenómenos de transporte, cuyo control implica la intervención de factores altamente no lineales (activación, inhibición, auto catalización directa, etc.). Finalmente, el aporte de energía o de materia se efectúa generalmente en condiciones inestables, ya que los productos de reacción son expulsados del sistema vivo o enviados a otros lugares de la célula para que desempeñen otras funciones. En resumen: el funcionamiento de los sistemas biológicos parece cumplir las condiciones necesarias para que aparezcan las estructuras disipativas. El interés de este punto de vista radica fundamentalmente en que puede verificarse experimentalmente. Conviene distinguir dos clases de problemas:
- ¿Desempeñan las estructuras disipativas un papel en el funcionamiento de los actuales seres vivos? Es una pregunta que concierne al papel de las estructuras disipativas en el mantenimiento de la vida.
- ¿Han participado las estructuras disipativas en modo esencial en los estadios pre biológicos? Es problema del origen de la vida.
Metabolismo y estructuras disipativas
Algunas reacciones enzimáticas importantes han sido objeto de estudio pormenorizado desde el punto de vista de su cinética, y en particular la reacción glucolítica. Los datos experimentales de que actualmente disponemos, indican que las concentraciones de los componentes químicos que intervienen en estas reacciones presentan oscilaciones persistentes (véase artículo de Th. Vanden Driessche, La Recherche, n.° 10, marzo de 1971). Por otra parte, conocemos el mecanismo reaccional y las propiedades de las enzimas de este sistema lo bastante bien como para poder elaborar modelos matemáticos que describan la glucólisis. El estudio detallado de estos modelos indica que estas oscilaciones pueden interpretarse como ciclos límite estables en el tiempo (oscilaciones de período y amplitud constantes), que se originan más allá de la inestabilidad de un estado estacionario de no equilibrio. En otras palabras, la glucólisis es una estructura disipativa temporal. Como se trata de reacciones esenciales para la energética de las células vivientes, es un hallazgo importante.
Actualmente contamos con otros ejemplos de oscilaciones persistentes, tanto en el caso de reacciones metabólicas, como en el de la síntesis proteica a nivel celular. No entraremos en detalles, dado que los mecanismos reaccionales no se conocen tan bien como los de la glucólisis.
Sistemas nerviosos y estructuras disipativas
Se han obtenido resultados interesantes a dos distintos niveles: al nivel elemental, relativo al fenómeno fundamental de la excitabilidad membranosa y, a nivel supra celular, relativo al fenómeno de la actividad rítmica.
Una membrana excitable, como lo es la de una célula nerviosa, puede existir en dos estados permanentes como mínimo: un estado de polarización (causado por la persistencia de cargas iónicas distintas sobre ambos lados de la membrana) y un estado despolarizado que resulta del primero, como consecuencia de un cambio de permeabilidad. Blumenthal, Changeux y Lefever demostraron recientemente[224] que este estado de despolarización, que se presenta como un fenómeno discontinuo en el tiempo, se alcanza tras una inestabilidad del estado de polarización, que es un estado de «no equilibrio». En el estado «polarizado», la diferencia de concentración iónica a ambos lados de la membrana desempeña el papel de constricción, manteniendo el sistema lejos del equilibrio; por consiguiente, puede producirse una inestabilidad que genera un estado de despolarización cíclica.
Desde el punto de vista del comportamiento global, está establecido hace tiempo que el sistema nervioso central es sede de fenómenos rítmicos persistentes con frecuencias características reproducibles. Boyarsky[225] ha realizado un interesante estudio sobre esta actividad rítmica. En fecha más reciente, Cowan y Wilson[226]
han deducido las ecuaciones diferenciales no lineales que describen la dinámica y los acoplamientos entre poblaciones neuronales localizadas que contienen a la vez células excitatorias e inhibitorias. Demuestran que este sistema puede presentar comportamientos rítmicos, cuya frecuencia fundamental depende del estímulo aplicado. Estas conclusiones, así como el resultado teórico de que un comportamiento periódico en el tiempo surge necesariamente más allá de una inestabilidad del estado de no equilibrio, significarían que las ondas cerebrales pueden analizarse en términos de estructuras disipativas temporales. Citaremos finalmente los trabajos de Moore[227] que han puesto en evidencia la influencia de los procesos metabólicos de no equilibrio sobre la modulación de la actividad rítmica de un conjunto de neuronas.
Crecimiento y desarrollo: estructuras disipativas
Uno de los problemas más apasionantes de la biología moderna es el análisis de los mecanismos del desarrollo: la complejidad del fenómeno para un organismo relativamente avanzado parece ser enorme. ¿Qué mecanismos rigen tan minuciosamente el principio y el fin del crecimiento? ¿Cómo coordina la organización en el espacio y en el tiempo, y hasta en los más mínimos detalles, las diversas etapas del desarrollo? ¿Cómo entender la diferenciación en células, tejidos y órganos, con formas y funciones bien precisas pero diferentes (morfogénesis)? En gran medida, el problema estriba en entender los mecanismos intercelulares de comunicación y de asociación. Efectivamente, si no hubiera vinculaciones intercelulares, los organismos superiores se descompondrían en células individuales, confundiéndose con las formas de vida unicelular. Y, en ausencia de especificidad y selectividad de estos vínculos, no habría tejidos ni órganos especializados, sino simplemente una masa amorfa de células.
Actualmente parece imposible entender cómo se comunican millones o billones de células para formar, por ejemplo, una estructura como el sistema nervioso central de un mamífero. Afortunadamente, se da el caso de que ciertos organismos unicelulares alcanzan, en el curso vital, un nivel de organización en el que las células individuales forman colonias en las que se observa una diferenciación intercelular primitiva. Este nivel de organización se ha observado en una familia de amebas, las acrasiales. Estas amebas, durante su ciclo vital, pueden agregarse espontáneamente formando un cuerpo multicelular. Actualmente está admitido que este proceso se haya mediado por una sustancia química, la acrasina, que es, en realidad, AMP cíclico excretado por las células.
Recientemente, Keller y Segel[228] han demostrado que el inicio de esta agregación puede interpretarse como una inestabilidad en la distribución uniforme (por lo tanto, correspondiente a una ausencia de agregación) de las células individuales. Para establecer este resultado, postulan que la producción de acrasina de las células es un proceso que implica dos etapas prácticamente irreversibles, es decir alejadas del equilibrio termodinámico. En otras palabras: las primeras etapas de la agregación, al menos, podrían interpretarse como una estructura disipativa espacial. Es tentador extrapolar estas consideraciones y esperar que los fenómenos observados en las acrasiales sirvan para facilitar indicaciones sobre el desarrollo de organismos superiores. Si así fuera, la interpretación en términos de estructuras disipativas nos proveería de un principio unificador sobre estos procesos extremadamente variados y complejos.
En conclusión: parece estar establecido que algunos procesos biológicos importantes implican inestabilidades que sólo son posibles lejos del estado de equilibrio termodinámico.
Pasemos al problema de los estadios prebióticos. El posible papel de las estructuras disipativas en la síntesis abiótica de los polipéptidos por condensación en superficies catalíticas ha sido puesto de relieve por Katchalsky y sus colaboradores.[229] Pero el problema más fundamental es sin duda el estudiado por Eigen,[230] relativo a la evolución de poblaciones moleculares de interés biológico y la formación espontánea de un «código genético» por una sucesión de inestabilidades.
Hay que distinguir como mínimo dos tipos de problemas:
- La formación de polímetros de interés biológico que cumplen funciones que los monómeros no pueden desempeñar. Un ejemplo conocido es la síntesis de los polímeros capaces de hacer el papel de molde o «patrón» para su propia replicación o para la síntesis de otras macromoléculas.
- Suponiendo que ya existen poblaciones moleculares de interés biológico capaces de replicarse, ¿cuál será la ulterior evolución de este sistema?
Si se confirma la teoría de Eigen, contaríamos sin duda con un terreno de investigación fundamental, ya que, por vez primera, un estado altamente organizado, correspondiente a un código genético, emergería de forma concreta a partir de leyes físicas.
Es posible que el problema del origen de las fluctuaciones más «nobles» de nuestro cerebro, como es la del lenguaje (véase artículo de Irène Lézine, La Recherche, n.° 15, septiembre de 1971), pueda formularse en la misma línea que la teoría de Eigen. Este resultado constituiría una síntesis inesperada entre el punto de vista estático estructuralista, que suele ser el de la biología molecular, y el punto de vista histórico, que es el de la termodinámica. Principio de orden de Boltzmann, estructuras disipativas, código, son los eslabones de una cadena que nos lleva del equilibrio termodinámico al orden biológico.
El azar y la necesidad cooperan en vez de enfrentarse
Resumiendo nuestras conclusiones, diremos que, lejos de escapar a las leyes de la física, o de aparecer como obra de unos diablillos de Maxwell en enfrentamiento constante con el segundo principio, la vida parece seguir las leyes físicas con una plasticidad particular debido a su composición química y a las leyes cinéticas que de ella se desprenden. Esto no es óbice para que, al situar las estructuras biológicas, se estime esencial apartarse del principio de orden de Boltzmann y tener en cuenta que los fenómenos biológicos característicos se desarrollan lejos de un estado de equilibrio termodinámico. Por lo tanto, existiría un auténtico umbral entre vida y no vida, pero hay que huir de ideas excesivamente simplistas. No es la inestabilidad, sino una sucesión de inestabilidades lo que ha permitido franquear la tierra de nadie entre vida y no vida. Apenas comenzamos a esclarecer sus etapas.
Esta concepción del orden biológico conduce automáticamente a una apreciación más matizada de lo que pueda ser el papel del azar y la necesidad, por volver al título del famoso libro de Jacques Monod. La fluctuación que permite al sistema abandonar los estados próximos al equilibrio termodinámico, representa el elemento aleatorio, la parte del azar, mientras que la inestabilidad del medio, el hecho de que esta fluctuación vaya en aumento, representan una necesidad. Azar y necesidad se complementan en vez de oponerse.
Recurramos a un ejemplo de Monod, «consideremos el guijarro que tengo en la mano». En lo esencial, la estructura de este guijarro puede deducirse de los principios de la termodinámica y de la mecánica de medios continuos, es decir, del principio de orden de Boltzmann. Cierto que, con este principio, no podemos calcular la posición exacta en un momento dado de los átomos que lo constituyen, ¿pero qué interés podría tener semejante cálculo?
Pienso que la situación de la biosfera es análoga. La introducción de estructuras disipativas, la sucesión de inestabilidades que ello implica, nos permite esperar que, en su esencialidad, la vida sea deducible de los «primeros principios».
Desde luego, en otros planetas, las formas que pueda adoptar la vida pueden diferir, puesto que las estructuras disipativas conservan el recuerdo de las fluctuaciones que las originan. Pero no parece descabellado considerar que el fenómeno vida es tan previsible como el estado cristalino o el estado líquido.ILYA PRIGOGINE (25 de enero de 1917 Moscú – 28 de mayo de 2003, Bruselas) fue un físico, químico, sistémico y profesor universitario belga de origen ruso, galardonado con el Premio Nobel de
Química en el año 1977 por sus investigaciones que lo llevaron a crear el concepto, en 1967, de estructuras disipativas.Autor de numerosos libros como Estudios termodinámicos de fenómenos irreversibles (1947), Tratado de termodinámica química (1950), Termodinámica de no-equilibrios (1965), Estructura, disipación y vida (1967) o Estructura, estabilidad y fluctuaciones (1971). Al lado de Isabelle Stengers escribió: El Fin de las certidumbres y el clásico La nueva alianza .
Notas
