Rompecabezas y paradojas científicos
Christopher Jargocki
A mi madre
Este libro contiene más de 160 acertijos basados en principios científicos, con sus soluciones detalladas. Los problemas tratan de tópicos del espacio y del tiempo, mecánica, líquidos y gases, automóviles, aviones, la ciencia en los deportes, sonido, calor, electricidad y magnetismo, radio, televisión, luz, clima, geofísica, astronomía y ciencia del espacio.Como indica el título, los acertijos son de tres tipos. Son rompecabezas: se coloca un cubo de agua sobre una balanza, ¿variará la lectura por meter un dedo en el agua sin tocar el recipiente?, paradojas: ¿por qué aceleran los conductores profesionales de carreras en las curvas? y sofismas: ¿qué pesa más, el aire seco o el húmedo?
Como veremos en estos ejemplos, la mayoría de los acertijos contienen un elemento de sorpresa. De hecho, el motivo que recorre todo el libro es el contraste entre la conjetura de sentido común y la realidad científica.
Los acertijos difieren en dificultad entre sencillas respuestas “en la punta de la lengua” y sutiles problemas con mucha “miga”. Gran parte de los acertijos no son matemáticos y sólo precisan aplicaciones cualitativas de principios físicos elementales. Todos están pensados para premiar al lector dotado de una buena cantidad de intuición física y comprensión del mundo que le rodea. Quien sea capaz de comprender estos intrincados problemas, resolverá más fácilmente el resto de cuestiones de la Física clásica.
Los alumnos de escuelas superiores e institutos, sus profesores de ciencias y los entusiastas de cualquier tipo de acertijos sacarán un buen provecho de la lectura de este libro.
Algunos de los problemas han sido extraídos de fuentes externas, a las que queremos mostrar nuestro reconocimiento:
1. D. W. Tomer;Muchas personas me han ayudado a escribir este libro. Mi especial agradecimiento a C. L. Stong de Scientific American que, como editor asesor, me ayudó a reducir el manuscrito a un tamaño manejable y me hizo valiosas sugerencias y críticas. También estoy en deuda con mi madre, Stefania Vcala, por su aliento y ayuda en la consecución de ciertas inestimables referencias; a Kristina Gubanski y Mark Pílate por su ayuda en la investigación del libro, y a Susan Isaacs por haber copiado a máquina la mayor parte del manuscrito.
21. atribuido a Lewis Carroll;
28. Richard M. Sutton;
2. Sir Arthur Schuster.
Capítulo 1
La odisea espacio-tiempo
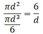
Supongamos una esfera de diámetro d. Su relación superficie-volumen es:


Respuesta 1.
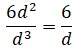
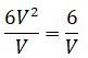
La esfera es el sólido de menor relación superficie-volumen, para un volumen dado. Supongamos V el volumen de la esfera. A partir de la fórmula del volumen V = πd3/6, su diámetro d será (6V/π)y su relación superficie-volumen es:


También se puede invertir el razonamiento para poner de manifiesto que la esfera encierra mayor volumen que el cubo, para una superficie determinada. El lector podrá comprobar que la diferencia es un asombroso 39 %.
Las pompas de jabón son esféricas porque, minimizando su superficie, hacen mínima la energía de su tensión superficial. Mirándolo desde el otro lado, puede demostrarse que será esférico el mayor recinto que puede abarcarse con una superficie determinada de material de cierre.
Desafío 2.
Dos gotas esféricas de mercurio se reúnen en una mayor que resulta estar más caliente que cualquiera de las dos originales. ¿Por qué?
Respuesta 2.
La superficie de la nueva gota es menor que la suma de las dos superficies de las dos gotas originales. El volumen no ha cambiado puesto que la cantidad total de mercurio sigue siendo la misma. La disminución de área significa un descenso de energía de la tensión superficial que obliga al mercurio a encerrarse en forma de esferas. La energía excedente se transforma en calor que eleva la temperatura del mercurio de la gota. (El aumento de temperatura es muy pequeño, del orden de 0,01 ºC [0,01 K] para gotas de 1 cm de diámetro.)
Desafío 3.
El dibujo muestra dos hojas de igual forma.

La distancia entre la punta y el tallo en (b) es tres veces mayor que la correspondiente distancia en (a). Suponiendo, para facilitar las cosas, que las dos hojas son planas, ¿podrías decir algo sobre sus respectivas áreas?
Respuesta 3.
La relación entre las superficies irregulares es de 32 = 9. La relación de volúmenes de dos sólidos semejantes, con independencia de su posible irregularidad, es de n3, siendo n la relación de las correspondientes distancias entre dos puntos cualesquiera de los sólidos.
Desafío 4.
Con 20 metros de tela metálica decides construir una valla que encierre la mayor superficie rectangular posible. ¿Cuál deberá ser la relación entre la longitud y la anchura?
Respuesta 4.
La relación debe ser 1:1, es decir, el rectángulo debe ser un cuadrado.
Rehagamos el problema en términos algebraicos: ¿Cómo puede dividirse un número a en dos partes, de forma que su producto sea máximo?
Sean a/2 + x y a/2 - x las dos partes, siendo x un número comprendido entre 0 y a/2. Su suma será:

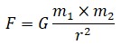
Desafío 5.
La fuerza de atracción entre dos masas puntuales viene dada por la ley de la inversa de los cuadrados:

Respuesta 5.
Una señal emitida por una fuente puntual se extiende en todas direcciones, formando una superficie esférica de radio r. El área de esta superficie, en nuestro espacio de tres dimensiones es de 4πr2. El área de la esfera aumenta en proporción al cuadrado de la distancia entre la superficie y el centro. Piensa en la intensidad de la señal como inversa de esta proporción.
Desafío 6.
¿Cuál fue el primer día del siglo XX?
Respuesta 6.
La mayoría de las personas contestan que el 1 de enero de 1900. Pero el primer día del siglo XX fue el 1 de enero de 1901.
El primer siglo de nuestra Era comenzó el 1 de enero del año 1. El 31 de diciembre del 99 habían transcurrido 99 años del primer siglo; para completar este primer siglo es preciso añadir el año 100 completo, que acaba el 31 de diciembre del 100. De igual forma que el siglo XIX acabó el 31 de diciembre de 1900.
Un posible origen de la confusión yace en que muchos creen que la Era cristiana comenzó el 1 de enero del año 0. Entonces, como sucede con las personas, el 1 de enero del año 1 significaría “un año de edad”; el 1 de enero del año 100 serían “100 años de edad” y así sucesivamente. El problema es que no hubo año 0. El año anterior al 1 DC fue el 1 AC.
Desafío 7.
¿Cuántos años cumple una persona que celebra por 29ª vez el día de su nacimiento?
Respuesta 7.
En la 29ª celebración del día del nacimiento se tienen 28 años, es decir, se han vivido 28 años completos. La primera celebración del día del nacimiento es el día del nacimiento; sólo en la segunda se cumple 1 año y así sucesivamente.
(En los países de habla inglesa no se habla de cumpleaños sino del “día de nacimiento”; en ellos tiene plena aplicación esta incorrección literal de hacer coincidir el número del “día de nacimiento” con el número de años que se cumplen.)
Desafío 8.
Estamos a finales de junio. Un grupo de muchachos de excursión por la provincia de Soria no son capaces de encontrar el camino de vuelta al campamento. Surge una discusión sobre si deben detenerse para pernoctar o deben continuar andando en la oscuridad. La decisión depende de la hora, pero ninguno de ellos lleva reloj. Afortunadamente uno de ellos es astrónomo aficionado. Una ojeada a la Luna en cuarto creciente le dice que ésta se encuentra a dos terceras partes de su camino de descenso hacia el horizonte. Recuerda además que el Sol se pone en la región a las 19:30 hora local en estas fechas. Basándose en esta información el muchacho calcula rápidamente la hora.
¿Cómo lo hace y qué resultado consigue?
Respuesta 8.
En la figura superior estamos contemplando el hemisferio boreal (norte) de la Tierra desde encima: la Tierra gira sobre su eje en sentido contrario de las agujas del reloj. De igual manera, la Luna gira alrededor de la Tierra también en sentido contrario a las agujas del reloj. Las fases de la Luna se ven desde la Tierra como están dibujadas.
Para encontrar las posiciones de la Luna en el firmamento, tomemos una fase, por ejemplo, el cuarto creciente. Con ello fijamos la posición de la Luna.


a) que la Luna en cuarto creciente se alza a mediodía y alcanza su punto más alto en el firmamento en el ocaso, y
b) que se pone a medianoche. Repitiendo este proceso para las otras fases, obtenemos una tabla de las posiciones de la Luna en el firmamento.

En el problema, la Luna se encuentra a dos tercios del camino hacia su posición más alta (cénit) en el ocaso, para alcanzar esta posición a medianoche. El ocaso se producía a las 19.30, por lo que la hora debe estar a dos tercios del intervalo entre las 19.30 y las 24.00, es decir, las 22.30 aproximadamente.
Desafío 9.
El señor X, muy cansado, se acuesta a las 9 de la noche poniendo su despertador para mediodía. Cuando le despierta el timbre, ¿cuántas horas ha dormido?
Respuesta 9.
Tres horas. (Si has pensado en 15 horas, debes leer los problemas más despacio.)
Desafío 10.
¿Por qué los relojes de arena graduados tienen forma cónica?
Respuesta 10.
Para asegurar que la escala de tiempos grabada en el cristal es uniforme, con distancias iguales entre divisiones correspondientes a iguales intervalos de tiempo. Si el reloj de arena no fuese cónico, la parte superior de la columna de arena descendería a velocidad creciente.
Desafío 11.
Si subes a la montaña con tu reloj de cuerda, ¿adelantará o atrasará?
Respuesta 11.
Adelantará. La pieza básica de un reloj es el volante, que oscila exactamente 300 veces por minuto. El momento de inercia real del volante es ligeramente superior en el aire que en el vacío, debido a la viscosidad del aire —el volante debe vencer la resistencia del aire que le rodea—. En las montañas la densidad y la viscosidad del aire descienden ligeramente, permitiendo una oscilación más rápida del volante.Desafío 12.
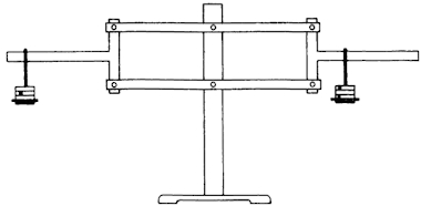
¿Podrá el hombre de la ilustración elevarse, a sí mismo y a la base, por encima del suelo?Respuesta 12.
El hombre parece como si tratara de elevarse por sus propios medios, lo cual es imposible a pesar de los cuentos fantasiosos del Barón de Münchhausen. Pero no lo es en realidad. Se ha podido demostrar con pruebas reales que un hombre de 85 kg (850 N) puede levantar de esta forma, no sólo su propio peso, sino un bloque de 50 kg (500 N) más.
En la figura, el hombre (de peso Mg) estira de la cuerda con una fuerza T, lo cual produce una tensión también T en la cuerda.
Suponiendo sin peso la cuerda y la polea, y esta última sin rozamiento, T se transmite alrededor de la polea y actúa hacia arriba sobre ella. De acuerdo con la tercera ley de Newton, al estirar hacia arriba de la cuerda el hombre ejerce sobre la plataforma una fuerza igual, además de su peso. La plataforma (de peso mg) sufre una fuerza hacia arriba de T + T = 2T, y otra hacia abajo de mg + Mg + T.Si está en equilibrio, estas dos fuerzas deben ser iguales y, por tanto, T = mg + Mg. Cuando el hombre estire de la cuerda con una fuerza mayor que su propio peso más el de la plataforma, comenzará a elevarse del suelo.
Desafío 13.
¿Un cochecito de niño con ruedas de 60 cm será más fácil de empujar que otro con ruedas de 30 cm?
Respuesta 13.
Sí, pero sólo debido a que el camino no es perfectamente liso. Sobre una distancia dada, una rueda de 30 cm gira el doble número de veces que una de 60 cm, lo cual supone mayor trabajo en contra del rozamiento.
Además de no ser lisos, los caminos suelen tener gravilla. El empuje horizontal preciso para que una rueda de 30 cm supere una piedrecilla es mayor que el que requiere una rueda de 60 cm. Por este motivo, las famosas galeras Conestoga, empleadas al principio de la expansión hacia el oeste de los EE.UU., empleaban unas ruedas tan grandes.
Desafío 14.
El dibujo muestra un cuerpo pesado suspendido mediante un cordel delgado. Del cuerpo se hace colgar un tirador ligero suspendido, asimismo, por un cordel similar. ¿Qué sucederá si:
1) estiras del asa lentamente,
2) das un tirón repentino del asa hacia abajo?

Respuesta 14.
1. Se rompe el cordel superior. Debe soportar el peso del cuerpo más el peso del tirador más el esfuerzo hacia abajo ejercido sobre el tirador; el cordel inferior sólo ha de soportar los dos últimos.
2. La inercia del cuerpo pesado retardará su movimiento, en tanto que la fuerza del tirón desarrolla un valor que rompe el cordel inferior.
Desafío 15.
Se apilan ladrillos de forma que cada uno sobresalga del que tiene debajo tanto como sea posible sin que caiga. ¿Puede sobresalir el último ladrillo superior más de su longitud por delante del extremo del ladrillo de base?
Respuesta 15.
Puede. Y no sólo más, sino tanto como queramos.

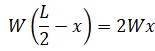
¿Cómo podremos colocar estos dos ladrillos sobre un tercero para obtener la máxima compensación? El centro de gravedad combinado C2 de los dos ladrillos está situado a una cuarta parte de la longitud de un ladrillo antes del fin del segundo. Colocamos C2 sobre el borde final del tercer ladrillo. El segundo ladrillo sobresale del tercero en un cuarto de su longitud.
Para colocar estos tres ladrillos sobre un cuarto, con la mayor compensación, es preciso encontrar su centro de gravedad común C3. El par de vuelco debido al peso combinado de los dos ladrillos superiores en relación a C3 debe ser igual al par debido al peso del ladrillo inferior en relación también a C3.
Sea x el brazo de palanca del peso total 2W de los dos ladrillos superiores, aplicado en C2, con relación a C3. Si L es la longitud de un ladrillo, el brazo de palanca del peso W del ladrillo inferior, con relación a C3 será L - x. Tenemos, así, la ecuación:

De forma similar obtenemos el saliente y del cuarto ladrillo sobre el quinto. La igualdad de pares relativos a C4, centro de gravedad de los cuatro ladrillos superiores, nos da la ecuación:


Desafío 16.
Una varilla de acero puede girar alrededor de un alambre delgado que pasa por un agujero taladrado exactamente en el centro de la varilla, tal como se ve en la ilustración. Si se le da un ligero empujón, ¿en qué posición se parará la varilla?Respuesta 16.
Una varilla suspendida por su centro de gravedad está en equilibrio en cualquier posición.

Desafío 17.
La ilustración muestra dos tornillos idénticos que se mantienen juntos con las roscas engranadas.

Respuesta 17.
Las cabezas de los tornillos se mantendrán a la misma distancia. Y, además, sin importar qué tornillo permanezca quieto.
A lo largo de toda la longitud roscada, un movimiento del tornillo B alrededor del A en el sentido de las agujas del reloj, visto desde la cabeza, significa el mismo movimiento de A alrededor de B, en sentido contrario a las agujas del reloj. Mientras B se desplaza por la rosca de A hacia la cabeza de A, el tornillo A se desplaza por la rosca de B alejándose de la cabeza de B. El movimiento de las dos roscas se anula. (Si no tienes dos tornillos idénticos a mano puedes enterarte de algo mediante la ayuda de un dedo de cada mano.)
Desafío 18.
¿Qué es más fácil, empujar o estirar de una carretilla?
Respuesta 18.
Es más fácil tirar de una carretilla.

Desafío 19.
¿En qué falla esta demostración de que 1 = 2? La Mecánica elemental estudia la fórmula:
v = at, o a = v/t
en la que v es la velocidad, a la aceleración, y t el tiempo.Otra fórmula bien conocida del movimiento dice que:
s = ½at2, o a = 2s/t2
siendo s la distancia. Comparando las dos expresiones equivalentes de a tenemos:v/t = 2s/t2
Ahora multiplicamos ambos términos por t:v = 2s/t
Pero, por la definición de velocidad s/t = v. Luego2s/t = s/t
2 = 1
Respuesta 19.
La ecuación básica del movimiento es:
s = v0t + ½at2
en la que v0 es la velocidad en el instante t = 0. Si esta velocidad inicial es igual a cero, tendremos la ecuación simplificada para el movimiento uniformemente acelerado, partiendo del reposo:s = ½at2
Si, en cambio, a = 0, tendremos la ecuación simplificada del movimiento uniforme, de velocidad constante:s = v0t = vt
La falacia del problema está en tomar ½at2 = vt, porque ambos “son iguales a s”. Son iguales a s en condiciones diferentes —lo cual no los iguala entre sí.Desafío 20.
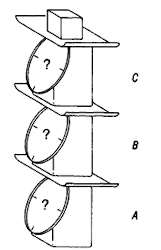
Tres balanzas de muelles. A, B y C. cada una de 2 kg (20 N) de peso, se colocan una sobre otra como muestra la figura. Se coloca un objeto de 30 kg (300 N) sobre el platillo de la balanza superior. El objeto ejerce una fuerza sobre las tres balanzas. ¿Qué peso indicará la escala de cada balanza?Respuesta 20.
La balanza C soporta sólo el objeto, por lo que su lectura es de 30 kg (300 N). La balanza B soporta al objeto y a la balanza C, y su lectura es de 30 + 2 = 32 kg (300 + 20 = 320 N). La balanza A soporta al objeto y a las balanzas B y C, por lo que su lectura es 30 + 2 + 2 = 34 kg (300 + 20 + 20 = 340 N).
Desafío 21.
Se hace pasar una cuerda larga por una polea. Se cuelga un racimo de plátanos de un extremo de la cuerda, mientras un mono del mismo peso sostiene el otro extremo. ¿Qué sucederá con los plátanos cuando el mono comience a trepar por la cuerda?
Debe despreciarse el peso de la polea y de la cuerda, al igual que el rozamiento entre ellas.
Respuesta 21.
El mono comienza a levantarse cogiendo la cuerda por encima de su cabeza y estirando de ella. De acuerdo con la tercera ley de Newton, la cuerda reacciona permitiendo subir al mono. La tensión de la cuerda debe soportar no sólo el peso del mono, sino también la fuerza que le proporcionará aceleración cuerda arriba. Puedes comprobar esta afirmación sosteniendo un peso al final de una cuerda y estirando hacia arriba. Notarás una repentina tensión añadida en la cuerda, como si el peso hubiese aumentado.
Ahora bien, la tensión es la fuerza ejercida por cualquier segmento de cuerda sobre el segmento adyacente.

En el extremo de la cuerda donde se encuentra el mono, el último segmento está sometido al peso del mono mg más el tirón hacia abajo ma, cuando comienza el salto. (El tirón le da una aceleración a. y por tanto su magnitud es ma).
Las fuerzas descendentes establecen una tensión T = -(mg + ma) en la cuerda, que impulsa al mono hacia arriba.
En el otro extremo de la cuerda una fuerza idéntica actúa sobre los plátanos y estira de ellos con la misma aceleración. El mono y los plátanos se elevarán al mismo tiempo.
Desafío 22.
Los dos carritos que se muestran en la figura tienen masas idénticas y se aceleran con fuerzas iguales de 5 kg (50 N), pero el carrito de (a) se acelera más lentamente que el de (b).

¿Cómo salir de esta paradoja?
Respuesta 22.
Sólo son iguales las fuerzas. En (b) la fuerza de la mano acelera sólo el carrito, pero en (a) la fuerza de la gravedad sobre la masa de 5 kg debe acelerar no sólo el carrito sino además los 5 kg.
Desafío 23.
Un hombre permanece sobre una plataforma de madera y golpea uno de sus extremos con una pesada mandarria (véase la ilustración). Probablemente hiciste algo parecido de niño y descubriste que podías avanzar por el suelo por ti mismo.
¿No es esto una violación de la primera ley de Newton? Un cuerpo permanece en reposo o en un estado de movimiento uniforme a menos que actúe sobre él una fuerza exterior. El rozamiento de deslizamiento entre la plataforma y el suelo es la única fuerza exterior de importancia, pero, desgraciadamente, la fuerza de rozamiento actúa en sentido opuesto al movimiento de la plataforma; ¿cómo puede moverse ésta hacia delante?Supón que el hombre y la parte trasera de la plataforma están cubiertos por una gran caja que permite espacio suficiente para que el hombre pueda balancear la mandarria. La caja pega un tirón hacia delante sin ayuda aparente externa.
Respuesta 23.
La primera ley de Newton, como se afirma en el enunciado, se aplica únicamente a las partículas puntuales. Si queremos incluir el movimiento de cuerpos compuestos de piezas diferentes, debe reemplazarse la palabra “cuerpo” por la frase “centro de masa de un sistema”.
Ahora bien, en primer lugar, los componentes de un sistema pueden moverse permaneciendo en reposo su centro de masa. Esto adquiere más interés a la vista si algún componente del sistema permanece oculto. La figura muestra un carrito péndulo: un carro ligero cerrado dispone de un pesado péndulo que se balancea desde el techo. Cuando se suelta el péndulo, el carrito se mueve adelante y atrás y, si no hay rozamiento, vuelve al reposo donde comenzó. Si el péndulo queda escondido de la vista podemos pensar que el centro de masa del sistema se mueve, ya que el carrito se está moviendo. Esto contradiría la primera ley, tal como ha sido modificada anteriormente: pues, en ausencia de rozamiento, no habría ninguna fuerza exterior que explicase el movimiento del carrito. Una ojeada al interior permite ver que cuando el péndulo se balancea hacia la derecha, el coche se mueve hacia la izquierda, mientras su centro de masa permanece en reposo.La segunda posibilidad es que el centro de masa de un sistema se mueve, pero no lo hace la caja que encierra el sistema en su interior. Este es el caso de nuestro “golpemóvil” hasta que la mandarria golpea la plataforma. Cuando el hombre comienza a voltear la mandarria, la plataforma intenta moverse en la dirección de A para mantener el centro de masa en reposo, pero la fuerza externa del rozamiento estático actúa en dirección a B e impide el movimiento de la plataforma. Con ello se obliga al centro de masa del sistema a desplazarse hacia B. Este centro de masa ya está moviéndose aunque la plataforma y la caja estén en reposo.
Cuando la mandarria golpea a la plataforma le transmite su cantidad de movimiento. La fuerza de rozamiento estático ya no actúa y cesa el movimiento interno. De acuerdo con la primera ley de Newton, el centro de masa continúa moviéndose uniformemente hacia B, y continuaría moviéndose así de no ser por la fuerza del rozamiento que actúa hacia A.
La fuerza externa que adelanta el centro de masa del “golpemóvil” hacia B no es el golpe de la mandarria sino el rozamiento estático que actúa cuando la plataforma aún está en reposo.
Desafío 24.
Aunque te encuentres totalmente en reposo sobre una balanza de precisión, la lectura oscila alrededor de un peso promedio. ¿Por qué?
Respuesta 24.
Las fluctuaciones son el resultado de movimientos ascendentes y descendentes del centro de gravedad de la sangre, a medida que el corazón desarrolla su ciclo. Para una persona que pese 75 kg (750 N), la amplitud de esta oscilación es inferior a 40 gramos (0,4 N).
Desafío 25.
Supón que lanzas una piedra directamente hacia arriba y que tarda 3 segundos en alcanzar su máxima altura. Tomando en consideración la resistencia del aire, ¿cuánto tardará la piedra en volver a su posición original: menos de 3 segundos, 3 segundos, o más de 3 segundos?
Respuesta 25.
Más de 3 segundos. La piedra está perdiendo energía constantemente al colisionar con las partículas del aire; por eso, su energía cinética (y su velocidad) debe ser menor en su trayectoria descendente.
Desafío 26.
Se dispone de dos piedras idénticas. Se deja caer una desde una determinada altura sobre el suelo y, al mismo tiempo, se lanza la otra tan lejos como se pueda horizontalmente, desde la misma altura. ¿Qué piedra alcanzará el suelo primero, (1) despreciando la resistencia del aire, (2) teniéndola en cuenta?
Respuesta 26.
1. Las piedras tienen que recorrer el mismo trayecto vertical. Sufren ambas la misma aceleración de la gravedad. Ineludiblemente alcanzarán el suelo al mismo tiempo.
2. La fuerza de la resistencia del aire Fr es proporcional al cuadrado de la velocidad:
Fr ~ v2 = vx2+vy2
en que vx y vy son, respectivamente, las componentes horizontal y vertical de la velocidad. La fuerza vertical que actúa sobre una piedra es la resultante entre la fuerza descendente debida a la gravedad y la fuerza ascendente de la resistencia del aire. Cuando se lanza horizontalmente una piedra su velocidad es mayor y, por tanto, también la resistencia del aire. Así pues, la piedra caerá más lentamente y alcanzará el suelo más tarde.Desafío 27.
Los dos pesos iguales que se muestran en la figura pueden deslizarse libremente por dos barras horizontales unidas a una especie de pantógrafo, construido de forma que los enlaces permanezcan siempre verticales y las barras largas permanezcan siempre paralelas cuando el sistema bascule hacia un lado o hacia otro.

Respuesta 27.
En ambos esquemas las palancas AC y BD permanecen siempre verticales y las barras EF y GH, rígidamente montadas sobre las palancas, están siempre horizontales. Ya que F y G están a la misma distancia del eje central OO' los pesos colocados en EF y GH tienen un mismo desplazamiento (S en el esquema [b]), sin importar el punto en que estén situados sobre las barras.

Si quitamos las barras EF y GH y colocamos platillos en A y en B, conseguimos una balanza con una propiedad muy práctica: no hemos de tomar la precaución de colocar en el centro de los platillos ni los objetos a pesar, ni las pesas. La balanza así construida recibe el nombre de balanza de Roberval en memoria del matemático francés que la inventó en 1669.
Desafío 28.
Hagamos dos sencillos experimentos:
1. Cojamos un bastón y un objeto pesado, como una piedra o un pisapapeles. Coloquemos el objeto en el extremo derecho del bastón y sostengamos éste horizontalmente sobre los dos dedos índices. Retiremos ambos dedos simultáneamente. Podremos ver cómo caen juntos el bastón y el objeto.
2. Repitamos el experimento, pero esta vez mantengamos el índice de la mano izquierda y retiremos el de la derecha, de forma que el bastón tenga que girar alrededor del índice izquierdo, mientras va cayendo. Veremos, ahora, que el bastón cae con más rapidez que el objeto.
Dado que el objeto cae con la aceleración de la gravedad, la aceleración del bastón debe ser mayor que g. ¿Cómo puede ser?
Respuesta 28.
Al evitar que caiga el extremo izquierdo del bastón, parece que el extremo derecho debe descender con una aceleración vertical menor que g, de esta forma el objeto mantendría contacto con el extremo derecho o, incluso, lo adelantaría. Pero no es esto lo que sucede.
La razón por la que el bastón que cae no viola la ley de la gravedad, es que no se encuentra en un estado de caída libre. Si cayese libremente, sin la rotación inicial, su centro de gravedad, y cualquier otro punto, caerían con una aceleración g. Pero hay dos fuerzas que actúan sobre el bastón: una hacia arriba que actúa sobre el extremo izquierdo y otra, la fuerza gravitatoria descendente, que actúa sobre el centro de gravedad. El resultado es un par de fuerzas que tratan de hacer girar el bastón en el sentido del reloj y no hay motivo por el cual este par no pueda producir una aceleración mayor que g.Desafío 29.
La figura muestra dos embalses rematados por una presa; ambos tienen la misma profundidad y anchura y están llenos de agua.

Respuesta 29.
Ambas presas pueden tener la misma resistencia y seguridad. La presión en cualquier punto de un líquido depende sólo de la altura h de la columna de líquido situada encima de ese punto, y vale p = pa + ρgh donde pa es la presión atmosférica, ρ la densidad del líquido y g la aceleración de la gravedad. La fuerza debida a la presión hidrostática es perpendicular a la superficie sumergida en el líquido. Una fuerza única F aplicada en un punto situado a dos tercios de la altura de la presa, medido desde la parte superior de ésta, podrá equilibrar la fuerza total debida a la presión del agua.
Desafío 30.
El frasco de la figura está lleno de agua y se ha sellado por medio de un tapón de goma atravesado por un tubo. ¿Podrá succionarse agua del frasco por medio del tubo?Respuesta 30.
No es posible. Cuando se bebe un líquido mediante una paja lo que se hace es crear en la boca una presión inferior a la del recipiente, expansionando los pulmones; en el caso de frascos abiertos la presión atmosférica empuja al líquido hacia arriba. En este problema la superficie del agua no está sometida a la presión atmosférica y no existe una fuerza que empuje el agua por la paja.
Aun dando la vuelta al frasco apenas podría salir el agua (a menos que se trate de una paja de gran diámetro), porque tan pronto el agua comience a fluir por el interior de la paja se forma un vacío en el interior del frasco, por encima del agua, y la presión atmosférica trata de volver a introducir el agua al frasco venciendo la fuerza de la gravedad. Para eliminar el vacío hay que dejar entrar aire y, simultáneamente, permitir que salga el agua. El aire llenará el espacio vacío dejado por el agua. Por esta razón es preferible hacer dos agujeros en una lata siempre que se pretenda vaciarla con rapidez.
Desafío 31.
Se coloca un cubo de agua en un platillo de una balanza y un peso igual en el otro platillo. ¿Se desequilibrará el sistema por introducir un dedo en el agua sin tocar el cubo?
Respuesta 31.
Sí; el platillo que tiene el cubo descenderá. El agua ejerce sobre el dedo un empuje hacia arriba cuyo valor es ρVg, donde ρ es la densidad del agua, V el volumen de la parte sumergida del dedo y g la aceleración de la gravedad. De acuerdo con la tercera ley de Newton, el dedo debe ejercer sobre el agua una fuerza igual y opuesta. Esta fuerza se transmite al fondo del cubo y. por tanto, al platillo de la balanza, forzándolo al descenso.
Desafío 32.
¿Dónde falla esta demostración de la identidad del cloro y el hidrógeno?
H2 + Cl2 = 2 HCl
Esto es lo mismo que:HH + ClCl = 2 HCl
Pasando todo a un miembro, tenemos:HH + - 2 HCl + ClCl = 0
Puesto en forma de factores:(H-Cl)2 = 0
De aquíH-Cl = 0
o. lo que es lo mismo,H = Cl
Respuesta 32
H2 representa una molécula de hidrógeno que tiene dos átomos de hidrógeno. Por tanto, H2 = H más H, y no H por H. El mismo criterio sirve para Cl2 y HCl.
Desafío 33.
La figura (a) muestra un barco en alta mar. Supongamos que pesa 50.000 toneladas.

¿Flotará el barco en esta fina capa de agua o se irá a tocar fondo expulsando el agua restante?
Respuesta 33.
El barco flotará. Este es un caso de paradoja hidrostática: La presión en cualquier punto del agua depende sólo de la distancia vertical entre el punto y la superficie del agua. Es falsa nuestra tendencia natural a pensar que la presión hidrostática tiene algo que ver con el peso de agua contenida en el depósito. La presión sobre cualquier punto del casco del buque depende sólo de su profundidad; el barco no advierte la diferencia entre estar rodeado por el océano o estar rodeado por una capa de agua de 1 cm. Si el dique contiene agua de mar, el nivel del agua permanecerá donde estaba en el mar.
El empuje horizontal sufrido por el casco tiende a aplastar el barco lo mismo en el dique que en el mar. Un barco que haya de navegar en un pequeño lago ha de tener la misma resistencia estructural que si lo hiciese por el océano (prescindiendo de los efectos de las olas de éste).
Desafío 34.
Un tubo barométrico lleno de mercurio se suspende de una báscula de resorte, como muestra la figura. ¿Mostrará la báscula el peso del tubo o el peso del tubo más el del mercurio que contiene?

Respuesta 34.
El peso del tubo más el del mercurio que contiene.
La fuerza hacia abajo ejercida sobre la parte superior del tubo por la presión atmosférica es prácticamente igual al peso de la columna de mercurio del interior del tubo, pues el mercurio es soportado por la presión atmosférica. Ahora bien, la fuerza hacia arriba ejercida sobre el interior del tubo es nula porque, despreciando la presión del vapor de mercurio, la presión sobre la columna de mercurio es nula. Así pues, el tubo está sometido a dos fuerzas descendentes: su peso y la fuerza no compensada debida a la presión atmosférica.
Desafío 35.
¿Podrá una esponja de plástico seca empapar más agua que su propio volumen?
Respuesta 35.
Sí. La esponja se expande cuando está mojada. Además, el agua ocupa la mayor parte del volumen de la esponja mojada.
Desafío 36.
Cuando un submarino alcanza un fondo arenoso o arcilloso suele ocurrir que no puede ascender por sí mismo, parece haber sido encolado al fondo. ¿Por qué?
Respuesta 36.
Un submarino sumergido está sometido en todo su contorno a fuerzas debidas a la presión hidrostática que son perpendiculares al casco en todos sus puntos y que aumentan con la profundidad, (a).

Cuando un submarino se asienta sobre un fondo de arcilla, la capa de agua puede ser expulsada de debajo del casco, privando al submarino de una parte importante de su empuje ascendente, (b). Las fuerzas hacia abajo siguen actuando como antes y empujan al submarino hacia el fondo.
Desafío 37.
¿Qué pesa más, un kilogramo de plumas o un kilogramo de plomo? (No se permite la respuesta “Pesan lo mismo”.)
Respuesta 37.
Si los kilogramos no pesan lo mismo, es que se trata de kilogramos de masa. Un kilogramo (masa) de plumas tiene mucho mayor volumen que un kilogramo (masa) de plomo. El empuje hacia arriba, igual al volumen por la densidad del aire, es mayor sobre las plumas; por consiguiente, un kilogramo de plumas pesa menos que un kilogramo de plomo.
Desafío 38.
Un acuario tiene dos compartimientos, uno grande y otro muy pequeño, separados por una mampara vertical formada por una fina membrana de goma. El agua del compartimiento pequeño tiene un mayor nivel que el grande. Si se deforma la mampara, ¿hacia qué lado lo hará?Respuesta 38.
Se abombará hacia el lado de mayor volumen de agua. El empuje horizontal sobre la membrana depende sólo de la profundidad del agua, y no de la cantidad que hay en el compartimiento (Respuesta 29). Si piensas en el compartimiento mayor extendido indefinidamente hacia la derecha, ¡un pequeño volumen de agua será capaz de hacer retroceder y contener a todo un océano!
Desafío 39.
En la figura pueden verse dos cafeteras que tienen secciones transversales de igual área. La primera es más alta que la segunda. Si hay diferencia, ¿cuál de las dos contendrá más cantidad de café?Respuesta 39.
Las cafeteras sólo pueden llenarse hasta el nivel de sus picos. En este caso, los picos están situados a la misma altura y por tanto las dos cafeteras contendrán la misma cantidad de café.
Desafío 40.
Una pieza de madera flota en un vaso de agua y el vaso de agua se coloca en un ascensor. Cuando el ascensor comience su movimiento de descenso con una aceleración menor a la de la gravedad, a < g, ¿se elevará la pieza de madera sobre la superficie del agua?
Respuesta 40.
No. Comprueba la distribución de presiones en el vaso de agua que desciende. Para una columna de agua de profundidad h desde la superficie, la ecuación del movimiento es:
pS + ma = mg + p0S
donde p es la presión. S es el área de la sección transversal de la columna y m es la masa de la columna (dada por m = ρSh, siendo ρ la densidad del agua). La ecuación establece que la columna de agua está en equilibrio. Las fuerzas ascendentes son pS (el empuje sobre la cara inferior de la columna) y ma (puesto que se observa una aceleración descendente en la cabina del ascensor, capaz de producir una fuerza de inercia opuesta sobre la columna de agua, haciéndola más ligera). Las fuerzas hacia abajo son el peso mg y la debida a la presión atmosférica sobre la cara superior de la columna, p0S. Despejando la presión en la ecuación, tenemos:p = p0 + ρh (g - a)
Ahora bien, el empuje sobre la pieza de madera es F = ρV [g - a), donde V es el volumen de la parte sumergida; p0 se anula, al dar origen simultáneamente a una fuerza hacia abajo sobre el extremo superior del trozo de madera y a una fuerza equivalente de empuje hacia arriba dentro del agua. La ecuación del movimiento para la madera es:p0S + ρV (g - a) + ma = mg + p0S
en la que están en la izquierda las fuerzas ascendentes y en la derecha las descendentes.Resuelta la ecuación, tenemos V = m/g como el volumen de la parte sumergida, la misma respuesta que hubiéramos obtenido aplicando el principio de Arquímedes en un ascensor en reposo. Por consiguiente, el trozo de madera no aumentará su elevación sobre la superficie del agua en un ascensor en descenso.
Podemos ver intuitivamente que si bien el empuje es disminuido por la aceleración hacia abajo, el peso aparente de la pieza de madera se ha reducido en la misma cantidad, con lo que no cambia la posición de equilibrio
(En esta discusión hemos despreciado los efectos de la tensión superficial. A gravedad nula, la pieza puede flotar limpiamente fuera del líquido o hundirse totalmente bajo la superficie, dependiendo de cuánto moje el agua a la madera.)
Desafío 41.
Un día de verano puede verse muy alto un globo que se desplaza horizontalmente. ¿Notarán los ocupantes del globo algún tipo de viento?
Respuesta 41.
No. Un globo no puede desplazarse horizontalmente si no es empujado por e! viento. Si el viento sopla uniformemente en una dirección, el globo adquiere pronto la misma velocidad que el viento. Al ser nula su velocidad con respecto al viento, los ocupantes no notarán ni la más leve brisa.
Desafío 42.
Se coloca un cubo lleno de agua hasta el borde en un platillo de una balanza. En el otro platillo se coloca otro cubo también lleno de agua hasta el borde, pero con un trozo de madera flotando. ¿Será este segundo cubo más ligero que el primero?
Respuesta 42.
No. Los dos cubos tienen el mismo peso. De acuerdo con el principio de Arquímedes, un cuerpo sumergido en un fluido desplaza con su parte sumergida tanto fluido (en peso) como el peso total del cuerpo.
Desafío 43.
En el interior de un automóvil en movimiento un niño sostiene, por la cuerda, un globo lleno de helio. Todas las ventanillas están cerradas. ¿Hacia qué lado se moverá el globo si el automóvil gira hacia la derecha?
Respuesta 43.
El globo se moverá hacia la derecha, aun cuando el niño tienda a ser empujado hacia la izquierda. Cuando el coche gira a la derecha, está sometido a una aceleración centrípeta que actúa hacia el centro de curvatura del giro. Tanto el aire del interior como el globo, debido a su inercia, intentan continuar su camino rectilíneo. Por eso, para un observador situado en el interior del coche parecen ser lanzados hacia la izquierda, como si fuesen empujados por una fuerza, en este caso, la fuerza centrífuga. De esta forma se origina una presión dirigida hacia el exterior del giro, debida al empuje de cada partícula de aire sobre su vecina de la izquierda. El globo resulta empujado con más fuerza hacia la derecha que hacia la izquierda, dado que la presión de su izquierda es menor que la presión de su derecha. Por lo tanto, existe sobre el globo un empuje neto dirigido hacia la derecha, de características análogas al empuje hacia arriba que actúa en la atmósfera debido al campo gravitatorio terrestre.
Desafío 44.
Conducís un coche que está detenido en el carril de giro a la izquierda. A gran velocidad circula por la derecha gran tráfico de coches. ¿Hacia qué lado se inclinará el vuestro por causa de los coches que pasan: a la derecha, a la izquierda, o a ninguno?
Respuesta 44.
Hacia la derecha. El coche no se bandeará alejándose de los coches que pasan (como podría suponerse) debido al principio de Bernoulli: Cuando un fluido y un canal, por el que circula, están en movimiento relativo, la presión en el fluido es inversamente proporcional a la velocidad relativa del movimiento. Las altas velocidades hacen descender la presión entre los coches, permitiendo que la presión normal del exterior tienda a forzar los coches uno contra otro, creando a veces situaciones peligrosas.
Desafío 45.
¿Qué pesa más, el aire seco o el húmedo?
Respuesta 45.
La mayoría de las personas creen que el aire húmedo es más pesado, pero no es así. En una atmósfera húmeda, parte del aire seco ha sido desplazado por vapor de agua, que es más ligero que el aire. En una relación volumétrica, el aire seco se compone principalmente de 78 % de nitrógeno N2 (de peso molecular 28) y 21 % de oxígeno O2 (de peso molecular 32). El resto de componentes menores es aún más pesado. El peso molecular del vapor de agua H2O es, sólo, 18.
Por supuesto, el agua líquida H2O es más pesada que el aire y caerá inmediatamente.
Desafío 46.
Una lata de agua tiene tres agujeros espaciados a intervalos iguales, estando el agujero central a mitad de la altura de la columna de agua. La figura muestra dos formas en que el agua podría fluir de los agujeros.

Respuesta 46.
La figura (b) es la correcta: el chorro central llega más lejos. De acuerdo con la ley de Torricelli, igualamos la energía cinética de una vena fluida que sale de un agujero con la energía potencial perdida por el nivel de agua que desciende hasta el nivel del agujero:
½mvx2 = mgh
donde m es la masa de agua, vx es la velocidad inicial horizontal, g es la aceleración de la gravedad y h es la distancia inicial desde la superficie del agua hasta el agujero. Despejando vx tenemos:vx= √2gh
Ahora bien, la distancia horizontal recorrida por la vena es:sx = vx t
donde t es el tiempo que requiere la vena líquida para caer a una distancia L - h desde el agujero hasta el fondo de la lata (siendo L la altura total inicial del agua en la lata). PeroL - h = √2gt2
Y por tantosx = 2√h(L - h)
que es máximo cuando h = L - h (véase Respuesta 4), es decir, cuando h = ½L.Desafío 47.
Con un arco se dispara una flecha formando un ángulo por encima de la horizontal. Mientras se desplaza, la flecha consigue girar para mantenerse continuamente tangente a la parábola de vuelo y termina por caer al suelo de punta. ¿Cómo es posible?
Respuesta 47.
Una flecha que se desplaza a lo largo de su trayectoria sufre el efecto de tres fuerzas:
(1) su peso;
(2) la resistencia del aire, y
(3) sustentación en el aire.
Podemos despreciar (3) por ser muy pequeña. (1) actúa en el centro de gravedad y, por tanto, no puede provocar una rotación. Por eliminación, la rotación debe ser provocada por la resistencia del aire. La cola con plumas provoca una mayor resistencia que la punta afilada y de esta forma puede alinear a la flecha a lo largo de la dirección de vuelo, evitando que gire continuamente.
Desafío 48.
Observando cómo las balsas se deslizan río abajo, vemos que las situadas en el centro del río se mueven más rápidas que las cercanas a las orillas. Además, las balsas más cargadas se deslizan a mayor velocidad que las más ligeras. ¿Por qué?
Respuesta 48.
Ambos fenómenos son debidos a una especial forma de rozamiento existente sólo en los líquidos y en los gases. El rozamiento, en su sentido más general, se origina cuando existe una velocidad relativa, o tiende a haberla, entre dos sólidos que están en contacto. En los fluidos, dos capas adyacentes dentro de su masa pueden moverse a velocidades diferentes, dando origen a un rozamiento interno o viscosidad.
Por su acción, la capa más lenta retrasa a la más rápida, y la más rápida acelera a la más lenta. Alcanzado el equilibrio, la energía cinética del movimiento se transforma parcialmente en calor y el movimiento promedio del fluido se hace más lento.
Posiblemente el lector haya notado que una capa de polvo permanece sobre las aspas de un ventilador aun después de haber permanecido varias horas funcionando. Esto es debido a ser nula la velocidad relativa de la capa de fluido inmediatamente adyacente a la superficie de un sólido. El fluido se pega a la superficie y no puede deslizarse con respecto a él. Las partículas más pequeñas de polvo no serán perturbadas aun en el caso de que el aire, separado una fracción de milímetro, se mueva a gran velocidad con respecto a las palas.
La consecuencia más importante de la condición de no deslizamiento es la formación de una capa frontera, es decir, una capa de flujo retardado. El proceso comienza al ejercer la capa frontera sin movimiento una resistencia viscosa sobre la capa vecina y rebajar su velocidad gradualmente. A medida que la segunda capa pierde cantidad de movimiento, ejerce una resistencia viscosa sobre la tercera capa, y así sucesivamente. Los incrementos de velocidad de una capa a otra disminuyen a medida que nos alejamos de la pared debido a que son proporcionales a las diferencias de velocidad entre capas. Alcanzamos así una zona en que el flujo no es prácticamente retrasado por la viscosidad, que sólo actúa cuando hay una diferencia de velocidad entre dos capas adyacentes. La primera ilustración muestra el aspecto del perfil de velocidad para un flujo que circula entre dos paredes.

El aire quieto también ejerce una resistencia viscosa sobre el agua de un río. Por lo tanto, la velocidad del agua no es máxima en la superficie, sino en puntos ligeramente inferiores a ella. (Véase el perfil de la velocidad en la segunda ilustración.) Esto significa que una balsa muy cargada, más profundamente sumergida, será empujada por una corriente más rápida y se desplazará más deprisa que una balsa con poca carga.

Este problema suele ser conocido como la paradoja de Dubuat.
Supón que mantienes un bastón en una corriente que fluye a velocidad v. Luego mueves el mismo bastón con una velocidad v en el interior de agua en reposo. Todo movimiento es relativo, y no importa lo que se mueve, el agua o el bastón, en tanto su velocidad relativa sea la misma.
A partir de esto podría llegarse a la conclusión de que la resistencia del agua será la misma en ambos casos. ¿Es así?
Respuesta 49.
La resistencia del agua suele ser menor cuando se mantiene el bastón en la corriente.
Las corrientes son turbulentas en cierto grado. La turbulencia de una corriente libre induce una transición hacia la turbulencia en la capa frontera que rodea al bastón (véase Respuesta 48). Como resultado de ello, la capa frontera de movimiento lento recibe una energía cinética suplementaria de la corriente libre y puede proseguir alrededor del bastón sin separarse. Se reduce la resistencia de forma y, consecuentemente, la resistencia total, puesto que el rozamiento es insignificante para los cuerpos romos.
Capítulo 4
Viajes por carretera
Los ingenieros de automoción suelen decir que las ruedas delanteras de un coche convencional son mejores, como elementos frenantes, que las ruedas traseras. En muchos modelos de coches los frenos delanteros son mayores y más potentes, o son frenos de disco, que, al permitir la circulación del aire, no se recalientan tanto como los de tambor y, por ello, mantienen durante más tiempo su poder de frenada.
¿Por qué tanta confianza en las ruedas delanteras?
Respuesta 50.
La fuerza de rozamiento entre dos cuerpos es directamente proporcional a la fuerza que los mantiene juntos. Cuando se aplican los frenos el coche cabecea hacia delante, lo cual aumenta la fuerza que actúa sobre las ruedas delanteras y disminuye la que actúa sobre las traseras. Durante un frenazo histérico en un pavimento seco, se añade a las ruedas delanteras una fuerza adicional igual al 10 % del peso del coche. Teniendo en cuenta que estas ruedas ya soportan el 55 % del peso original, tendrán que soportar ahora el 65 %, contra el 35 % en las ruedas traseras. La fuerza de rozamiento entre las gomas delanteras y la carretera es el doble que la de las ruedas traseras.
Desafío 51.
Vas conduciendo por la autopista a gran velocidad cuando, de repente, cae una gran piedra de un camión volquete y se para en tu carril 120 metros delante de ti. Pisas el freno con fuerza y el coche se lanza a un largo y chirriante derrapaje. Mientras el coche se acerca a la piedra te distraes buscando una teoría que explique por qué la parte delantera de tu coche “pica de morro” cuando aplicas los frenos. ¿Se te ocurre alguna idea?
Respuesta 51.
En la actualidad los coches vienen equipados con frenos en las cuatro ruedas. Comencemos con las ruedas traseras.
Si las ruedas giran sin deslizar, el rozamiento entre ellas y la carretera es una pura resistencia a la rodadura. En el momento en que pisas el freno, las ruedas son obligadas a girar con más lentitud y, durante una fracción de segundo, el movimiento de traslación del coche, por su inercia, es un poco más rápido que el movimiento de rotación de las ruedas. Si las ruedas deben permanecer unidas al coche han de deslizar hacia delante para compensar la diferencia de velocidades. En esta situación la fuerza de rozamiento al deslizar se opone al derrapaje, tirando hacia atrás de las gomas. Si se alivia la presión sobre el freno, desaparece el deslizamiento y el coche sigue rodando como antes, pero a menor velocidad.
Para comprender el efecto que tiene sobre un coche el rozamiento de deslizamiento durante la frenada, empleamos un artificio bastante común en Mecánica. Aplicamos en O de la ilustración (centro de gravedad del coche) dos fuerzas opuestas, F1 y F2 iguales en magnitud y paralelas a la fuerza de rozamiento deslizante F. Las tres fuerzas pueden considerarse como una sola fuerza F, y un par F1 y F2, actúa para frenar el coche y el par de fuerzas trata de hacer girar el frente del coche hacia abajo.
La repetición de este análisis para el caso en que se aplican los frenos a las ruedas delanteras vuelve a demostrar la existencia de un par de giro que actúa hacia abajo. Cuando los frenos se aplican a las cuatro ruedas, los pares se suman y el efecto de cabeceo se refuerza.
Desafío 52.
Casi todos nosotros hemos jugado de niños con coches de juguete. Supón que tienes dos modelos idénticos, uno blanco y otro negro. Enclavas las ruedas delanteras del coche blanco y las traseras del negro, por ejemplo, metiendo un trozo de papel entre las ruedas y la carrocería. A continuación sueltas los coches en la parte superior de un tablero deslizante. ¿Puedes predecir lo que va a suceder? ¿Bajará alguno de los coches, o los dos, con el frente hacia delante?
Respuesta 52.
El coche blanco descenderá con su frente hacia delante. El coche negro hará un trompo y descenderá marcha atrás.
La razón básica es que el rozamiento entre unas ruedas que giran y una superficie es un rozamiento estático. (El punto en que una rueda en giro toca al terreno está momentáneamente en reposo y está, por tanto, en el campo del rozamiento estático.) Cuando un neumático patina, como en los coches de juguete con las ruedas enclavadas, el rozamiento estático da paso al rozamiento deslizante. Este último es mucho más bajo —es más fácil mantener un coche en movimiento una vez se le ha puesto en este estado.
Desafío 53.
Los manuales del uso del coche nos aconsejan emplear el motor como un “quinto freno” cuando se baja una larga pendiente. Dicen que el efecto frenante del motor es mayor en segunda que en tercera, y mayor aún en primera. ¿Cuál es la razón?
Respuesta 53.
Un coche que baja por una pendiente está convirtiendo energía potencial en energía cinética. Aplicando los frenos, el conductor puede convertir energía cinética en calor y rebajar así la velocidad de descenso. O bien, puede conseguir el mismo fin acoplando el motor a las ruedas por medio de la caja de cambios; las pérdidas por rozamiento del motor en giro controlan la velocidad de descenso. El motor gira más rápido cuando se tienen puestas marchas cortas. El trabajo hecho contra el rozamiento por unidad de tiempo aumenta con la velocidad del motor; por ello la acción de freno es mayor con las marchas cortas.
Desafío 54.
Un coche que se desplaza a 110 km por hora por una carretera horizontal se pone en punto muerto sin frenar. A pesar de la resistencia del aire, del efecto frenante del motor y de la inercia de la transmisión, después de 1 km el coche aún marcha a 50 km por hora. Este hecho demuestra lo bajo del rozamiento de rodadura frente al rozamiento de deslizamiento. ¿Por qué es tan pequeño?
Respuesta 54.
La resistencia a la rodadura se presenta cuando una rueda, una bola o un cilindro giran libremente sobre una superficie. Los coeficientes de resistencia a la rodadura son de 100 a 1.000 veces menores que los coeficientes de resistencia al deslizamiento, para los dos mismos materiales. Para un neumático que rueda sobre hormigón seco el coeficiente de resistencia a la rodadura varía entre 0,01 y 0,03; el coeficiente de resistencia al deslizamiento, entre 1 y 2.
Hasta mediados de los años 50 muchos científicos opinaban que la resistencia a la rodadura tenía su origen en muy pequeños deslizamientos entre la bola y la superficie sobre la que rodaba. Pero estudios recientes han demostrado que este deslizamiento tiene un papel de muy poca importancia en la resistencia a la rodadura; esta afirmación se apoya en el hecho de que los lubricantes, que disminuyen mucho la resistencia al deslizamiento, tienen muy poco efecto sobre la resistencia a la rodadura.
Veamos lo que sucede cuando una bola de acero rueda sobre una superficie horizontal. A medida que va rodando, recalca el material alrededor y delante de ella, desplazándolo hacia arriba. Si la superficie es blanda, plomo o cobre, por ejemplo, se produce un surco permanente, como puede verse en (a). La fuerza necesaria para hacer el surco es casi exactamente igual a la resistencia a la rodadura observada.

Al rodar, la superficie en contacto sube y baja como un lecho de agua y la mayor parte de la energía puede recuperarse en casi todas las ocasiones. Al deslizar, el movimiento relativo es horizontal y no es posible esta recuperación, aumentando las pérdidas en gran manera.
Desafío 55.
Las locomotoras de vapor y los coches eléctricos no precisan cambio de marcha, pero sí los coches accionados por motores de combustión interna. ¿Por qué?
Respuesta 55.
Una de las razones por las que un motor de gasolina precisa de una caja de cambios es que desarrolla poco impulso rotativo a bajas velocidades. Arranca a una velocidad inferior a 100 rpm, pero su impulso es tan pequeño que cualquier carga apreciable lo calará. Para separar el motor de la caja de cambios se precisa un embrague que le permita girar en libertad hasta alcanzar de 1.000 a 1.500 rpm, velocidad con la que comienza a desarrollar suficiente impulso. (Una máquina de vapor puede desarrollar su plena potencia desde el mismo momento del arranque.)
Desafío 56.
Es raro, pero cierto, que los conductores profesionales de carreras aceleran cuando están trazando una curva. ¿Por qué?
Respuesta 56.
El lector podrá preguntarse: “¿Quién aceleraría en una curva estando en su sano juicio?” Por supuesto, el conductor
reduce lo suficiente antes de girar, para que el coche no se vea lanzado fuera de la carretera al acelerar tomando la curva.En la figura, cuando el coche acelera, las ruedas traseras están dando a las ruedas delanteras un empuje suplementario representado por la fuerza F. Con las ruedas directrices giradas hacia la izquierda, puede descomponerse F en dos componentes perpendiculares: Fy que induce a las ruedas delanteras a un giro más rápido en la dirección hacia la que gira el coche, y Fx, que empuja las ruedas delanteras hacia fuera. El punto en que una rueda en movimiento toca a la carretera está momentáneamente en reposo y por ello debe tenerse en cuenta el rozamiento estático (Respuesta 52). La magnitud del rozamiento estático aumenta con F, alcanzando su valor máximo un instante antes de que el coche comience a deslizar. Por lo tanto, como Fx empuja a las ruedas hacia el exterior, la fuerza de rozamiento estático Ffr actúa en dirección opuesta evitando movimientos laterales. Ffr es la fuerza centrípeta que hace girar al coche. Al no conseguir girar en la dirección x, las ruedas no pueden hacer sino rodar en la dirección y, que es la dirección de la curva.
Obsérvese que Ffr = Fy. Cuando más se acelere tanto más aumentan las fuerzas que se anulan, de las cuales Ffr es la necesaria para tomar la curva. Naturalmente, si se llega al punto en que Ffr alcanza su valor máximo, para el tipo de firme en cuestión, cualquier aceleración adicional lanzará al coche a patinar en la dirección x.
Desafío 57.
La razón del dibujo de las bandas de rodadura de los neumáticos es aumentar su agarre a la carretera. Si estás de acuerdo con esta afirmación, (1) ¿por qué los coches de carreras usan “lisos”, es decir, neumáticos sin dibujo? y (2) ¿por qué los forros de los frenos no tienen dibujos?
Respuesta 57.
El dibujo de los neumáticos reduce ligeramente su agarre a la carretera en condiciones de piso seco. Deja menos goma en contacto con la carretera. La fuerza de rozamiento es independiente del área de contacto en los sólidos rígidos, pero los neumáticos no son rígidos.
También por este motivo los forros de los frenos son lisos y uniformes. (Se supone que permanecerán secos aun en tiempo húmedo.)
Cuando llueve, el neumático ha de penetrar una capa de agua, o agua y aceite, hasta alcanzar la superficie sólida de debajo. Un neumático uniformemente liso hará que el peso del coche sea soportado por la máxima superficie de neumático, disminuyendo su presión sobre la carretera y dificultándole la penetración de la capa de agua, como debe hacer para que el coche no patine. No solamente un neumático con dibujo ejercerá más presión sobre una carretera húmeda, sino que el agua podrá discurrir por el interior de los surcos permitiendo que las partes realzadas lleguen a hacer contacto con el firme de la carretera. Resumiendo, vale la pena sacrificar algo de agarre en las carreteras secas para minimizar el peligro de patinaje en las superficies húmedas. ¡Y no parece una buena idea cambiar de neumáticos cada vez que cambia el tiempo!
Desafío 58.
Supón que chocan dos coches iguales A y B, y que:
1. Los dos coches se desplazan a 30 km por hora.
2. El coche A se desplaza a 50 km por hora y el coche B a 10.
3. El coche A se desplaza a 60 km por hora y el B está parado.
En todos los casos la velocidad relativa de los coches es la misma, 60 km por hora. ¿Serán los daños iguales en los tres accidentes?
Respuesta 58.
No. Suponiendo que los coches pierdan toda su velocidad durante la colisión, el daño es más o menos proporcional a la energía cinética total de los dos coches, disponible para realizar el trabajo de abollar, romper, retorcer, perforar, etc.
La energía cinética es igual a ½mv2, en que m es la masa del coche y v es la velocidad. En el caso 1:
½m(30)2 + ½m(30)2 = ½m × 1800
En el caso 2:½m(50)2 + ½m(10)2 = ½m × 2600
En el caso 3 el daño es máximo:½m(60)2 + ½m(0)2 = ½m × 3600
Desafío 59.
Un coche viaja hacia el norte a gran velocidad. En una salida de la autopista el conductor, sin reducir la velocidad, gira rápidamente hacia el este. Si se despegan del suelo un par de ruedas, ¿serán las de dentro o las de fuera de la curva iniciada?
Respuesta 59.
Mientras el coche gira, una fuerza centrífuga horizontal actúa sobre su centro de masa, que se encuentra a cierta distancia por encima del suelo. Por consiguiente, el coche tiende a inclinarse hacia la izquierda; si el giro es suficientemente rápido, el par de ruedas del interior dejará de tocar la carretera.
Desafío 60.
El Sr. X conduce rápidamente. Sopla fuerte viento de la izquierda, pero, por fortuna, la carretera está seca y por ello el coche no tiene dificultad en mantenerse en su carril. Repentinamente el conductor que antecede al Sr. X reduce su marcha, obligándole a pisar el freno. El Sr. X aplica el freno con excesiva fuerza, las ruedas se bloquean y se deslizan sobre la calzada. Inesperadamente, el viento empuja, ahora, con toda facilidad al coche hacia el carril contiguo, como si la carretera se hubiese convertido en hielo puro.
¿Por qué razón un coche que se desliza hacia delante no puede resistir una fuerza lateral, como la del viento?
Respuesta 60.
En el momento en que las ruedas se bloquean y comienzan a deslizar hacia delante —o si no se bloquean, pero empiezan a deslizar en lugar de rodar—, el rozamiento estático entre los neumáticos y la carretera se transforma en rozamiento de deslizamiento, que es bastante menor (Respuesta 54).
Si se ejerce una fuerza lateral sobre el coche, hacia la derecha por ejemplo, el rozamiento de deslizamiento se descompone en dos: una fuerza que actúa hacia atrás como antes, y otra, perpendicular a la primera, que actúa hacia la izquierda, oponiéndose a que el coche se desvíe a la derecha. Como el rozamiento de deslizamiento resultante actúa en una dirección opuesta a la velocidad instantánea del coche, la fuerza de rozamiento lateral de éste será muy pequeña. Ello es así porque, en comparación con la velocidad de avance, la velocidad lateral del coche es notablemente inferior. Por lo tanto, la carretera apenas ofrece rozamiento hacia los lados y se comporta como el hielo, pero sólo en esa dirección. Queda así explicada una de las razones del derrapaje.
Desafío 61.
Estás conduciendo a excesiva velocidad por una carretera secundaria que muere perpendicularmente contra una autovía. Al otro lado de ésta hay un muro y no se ve ningún coche en ambas direcciones de la autovía. ¿Qué harías para evitar el choque contra la pared: conducir recto hacia ella, aplicando intensamente los frenos, o girar hacia la izquierda en un arco circular al entrar en la autovía empleando toda la fuerza de rozamiento disponible para generar una aceleración centrípeta?
Respuesta 61.
Conducir directamente contra la pared, aplicando los frenos intensamente. Al parar después de esta maniobra, la energía cinética del coche se habrá empleado en trabajar contra el rozamiento:
½mv2 = Fx o bien x = mv2/2F
donde F es la fuerza de rozamiento y x la distancia a que se detiene. Si el coche frena desde una distancia d de la pared, no se estrellará six = mv2/2F ≤ d
es decirF ≥ mv2/2d
Si se gira, en cambio, la fuerza centrípeta es igual a la fuerza de rozamiento:F =mv2/R
El coche no se estrellará si
R = mv2/F ≤ d
o seaF ≥ mv2/d
Dado que la fuerza de rozamiento requerida para girar es el doble de la anterior, podemos afirmar que es preferible frenar a girar, para evitar un choque.Desafío 62.
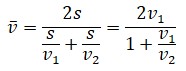
Un coche recorre la primera manga, de dos, a 30 km por hora. ¿A qué velocidad debe recorrer la segunda manga para hacer un promedio de 60 km por hora en ambas?
Respuesta 62.
No se debe intentar resolver el problema de la siguiente forma: siendo x la velocidad de la segunda manga, tendremos:
60 = (30 + x)/2
y x = 90 km/hora.Esto es falso. En realidad el coche debería recorrer la segunda manga a una velocidad infinita para promediar 60 kilómetros/hora entre las dos mangas.
La velocidad promedio v se define mediante la ecuación

Desafío 63.
Compara las ruedas de la figura.

Respuesta 63.
Los radios de las bicicletas, montados tangencialmente, deben soportar dos tipos de carga: una radial, para sostener el buje que, a su vez, soporta al marco y al ciclista; y otra tangencial, para resistir las fuerzas de torsión transmitidas al piñón por la cadena (rueda trasera) y a las ruedas por los frenos (ambas ruedas). Para poder aguantar las fuerzas tangenciales en las dos direcciones, los radios son tangenciales al buje por encima y por debajo.
Las ruedas con radios aparecieron hacia el año 2000 AC en los carros de Siria y Egipto. Pasaron a ser de uso universal en toda clase de carretas y vagones. En ellas la fuerza de locomoción era externa al vehículo y las ruedas soportaban principalmente cargas radiales.
Desafío 64.
En tiempos de los coches de caballos los artistas solían dar la impresión de ruedas en movimiento mostrando de forma clara y distinta los radios por debajo del eje y borrosos e indiferenciados los radios de encima. ¿Es cierto que la parte superior de una rueda que gira se mueve más rápidamente que la inferior?
Respuesta 64.
En relación al terreno, los puntos cercanos a la parte superior de una rueda que gira se mueven más deprisa que los más cercanos a la base.
El movimiento de rodadura puede representarse como la composición de una rotación pura y de una traslación pura. El punto en que toca al terreno está en reposo.

Desafío 65.
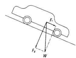
¿Por qué es tan fácil pegar un patinazo al bajar una rampa deslizante?
Respuesta 65.
Los neumáticos tienen menos agarre cuando se encuentran en una pendiente, subiendo o bajando. El agarre de un neumático aumenta proporcionalmente al peso del coche.
Como se ve en la ilustración, cuando un coche baja una pendiente sólo una parte de su peso se aplica sobre la superficie de la carretera. La parte restante tiende a hacer rodar el coche cuesta abajo. (W es el peso del coche; Fg es la fuerza que ejerce sobre la carretera; y Fr es la fuerza que tiende a hacer rodar al coche cuesta abajo.)Desafío 66.Si coges una maleta pesada y la sostienes durante un rato en el aire comenzarás a sudar, a temblar y a jadear más fuerte que si subieses corriendo un tramo de escaleras. Pero, si el trabajo es igual al producto de la fuerza por el recorrido, en sentido físico no estás realizando un trabajo. Podrías ser sustituido por una mesa, con mejores resultados. Esta podrá sostener la maleta tanto tiempo como sea preciso sin esfuerzo y sin necesidad de una fuente de energía externa. Por contraste, los seres humanos precisan de una fuente de energía externa, es decir, alimentos, para hacer lo mismo, lo cual quiere decir que deben estar realizando algún tipo de trabajo.
¿Podrías resolver esta paradoja?
Respuesta 66.
Únicamente es posible realizar un trabajo al mover un objeto en la dirección de una fuerza. En el problema, tanto el brazo como la maleta permanecen estacionarios. Pero no porque el brazo esté quieto significa que sus elementos no puedan moverse y realizar un trabajo interno en el proceso. Los objetos compuestos por partes internas pueden resultar sorprendentes, pero los seres vivos son los más sorprendentes de todos.
Los músculos estriados de un brazo humano están compuestos por fibras que discurren a lo largo del músculo. Una sola célula nerviosa puede controlar la contracción de más de 1.000 fibras, que forman lo que se llama una unidad motriz. Cuando la célula nerviosa descarga un impulso, se contraen todas las fibras musculares de esa unidad motriz. El músculo estriado promedio puede tener unas 300 unidades motrices.
La fuerza desarrollada por un músculo depende del grado de tensión de una unidad motriz dada, el cual viene determinado, a su vez, por la frecuencia del estímulo y, más importante, por la cantidad de unidades motrices que participan en la contracción. En un determinado momento varias unidades motrices del interior de un músculo se encuentran en fases diferentes de su contracción: unas están comenzando, otras terminando, algunas totalmente contraídas, mientras otras aún se encuentran relajadas y en reposo.
Cada unidad motriz pasa por un ciclo completo docenas de veces por segundo. Por si toda esta crispación no fuese suficiente, a nivel molecular tiene lugar un furioso movimiento de cientos de compuestos químicos diferentes que transportan energía y materiales de una célula a otra.
Desafío 67.
Kilo por kilo de carne magra, las mujeres son tan fuertes como los hombres. ¿Cierto o falso?
Respuesta 67.
Cierto. Estudios recientes nos cuentan que por kilogramo de carne magra las mujeres son, en cierta forma, más fuertes que los hombres. La mayor fuerza de los hombres se debe a diferencias en peso y contenido de grasas y no a la fuerza inherente del tejido muscular. Después de la pubertad, el peso corporal de las mujeres está compuesto por un 25 % de materias grasas; el de los hombres es de sólo un 15 %. Pero es de mayor importancia el hecho de que los hombres pesen más y las mujeres tengan menos tejido muscular.
Sin embargo, la masa muscular es de relativa poca importancia; los atletas no emplean más del 20 % de su potencial muscular. Las muchachas de 14 años de hoy nadan más deprisa que Johnny Weissmuller, el Tarzán original, en las Olimpiadas de 1924, a pesar de la clara diferencia de masa muscular. Las mujeres pueden desarrollar una fuerza notable con un entrenamiento de pesas, sin desarrollar abultados músculos. Al parecer, la masa muscular se debe fundamentalmente a la hormona masculina testosterona —que también está presente en las mujeres, pero sólo en pequeñas cantidades.
Desafío 68.
Veamos si puedes hacer este ejercicio. Ponte frente al canto de una puerta abierta, tocándolo con la nariz y el estómago, y sitúa los pies sobrepasándolo ligeramente. Trata ahora de ponerte de puntillas.
¿Por qué no puedes?
Respuesta 68.
Para levantarte de puntillas has de desviar tu peso hacia delante. Con la puerta colocada en tal posición no es posible desplazar hacia delante el peso.
Hay una forma de realizar este ejercicio, si bien se precisa una pequeña trampa. Coge una pesa de 5 kg, o más, en cada mano. Después vuelve a colocarte en la posición prescrita y comienza a balancear los brazos hacia delante. ¡Ahora es posible conseguirlo!
Desafío 69.
El saltamontes es capaz de saltar 10 veces la longitud de su cuerpo en un salto vertical y 20 veces (casi 1 metro) en un salto horizontal. La pulga doméstica puede saltar hasta una altura de 33 cm, ¡100 veces su propia longitud!, desarrollando una aceleración de 140 g. Si un hombre pudiese realizar esa proeza en relación a su altura, podría saltar por encima de un edificio de 50 pisos.
¿Por qué no puede?
Respuesta 69.
Para simplificar las cosas, supongamos un salto vertical sobre el sitio, en el que sólo es cuestión de levantar el centro de gravedad. En la primera fase se acelera desde una posición en cuclillas hasta una posición estirada, elevando el centro de gravedad una distancia s. Cuando los pies abandonan el suelo ya no es posible conseguir más empuje. Por tanto, en este punto el centro de gravedad alcanza su máxima velocidad vmax, que puede deducirse de la conocida fórmula:
![]()
![]()
![]()

Dado que la distancia recorrida s es proporcional a L, obtenemos de (2) que v2max es proporcional a (1 /L)×L = 1, es decir, que la máxima velocidad es la misma siempre, independientemente del tamaño del animal. Según (3), por lo tanto, también la altura h es la misma. Y así una pulga aumentada mil veces de tamaño (3 m de longitud) sigue saltando únicamente 30 cm del suelo.
¿O no puede? Una pulga gigante como ésta es muy probable que se colapse bajo su propio peso antes de poder saltar. Al aumentar su tamaño 1.000 veces, su peso aumenta (1.000)3 y sus músculos y la sección transversal de sus huesos aumentan sólo (1.000)2. La carga por unidad de área del esqueleto es mil veces mayor. Parece ser que los escritores de ciencia-ficción olvidan esto cuando intentan asustarnos con insectos gigantes.
Desafío 70.
Desafía a cualquiera a realizar este ejercicio. Debe permanecer derecho con la espalda y los pies tocando una pared. Pídele que se doble hacia delante y se toque la punta de los pies sin doblar las rodillas. Aun estando en buena forma no podrá hacerlo sin caerse. ¿Por qué no?
Respuesta 70.
Cuando uno se dobla libremente hacia delante, se desplaza el peso en esa dirección de avance y al mismo tiempo se retrasa la pelvis para mantener la vertical del centro de gravedad dentro de los pies, con el fin de no perder el equilibrio. Teniendo una pared en la espalda es imposible desplazar la pelvis hacia atrás.
Desafío 71.
En Oslo un campeón de salto de altura sobrepasó el listón a 2,261 m. En Ciudad de México, un segundo campeón ganó con un salto de 2,264 m. ¿Cuál de los dos hizo el mejor salto?
Respuesta 71.
El mejor fue el del saltador de Oslo, que saltó 3 mm menos. La razón está en la variación de la aceleración de la gravedad a lo largo de la superficie de la Tierra, que depende fundamentalmente de la latitud y de la altitud. A medida que se desplaza uno hacia el ecuador, aumenta la velocidad lineal de un punto que gira con la Tierra, y lo mismo sucede con la fuerza centrífuga que trata de despedirle fuera de la superficie terrestre. Por ello, g en Oslo (altitud cero, 60º de latitud) supone 981,50 cm/seg2; y en la Ciudad de México (2.240 metros de altitud, 19º de latitud), 978,44 cm/seg2, donde se advierte un 0,3 % menos. Este menor porcentaje compensa la diferencia de 3 mm del salto (0,1 % de diferencia).
Desafío 72.
¿Por qué hay que usar complicados equipos de respiración subacuática o pesados y voluminosos trajes de buzo? ¿Por qué no respirar simplemente a través de una manguera (o snorkel, como los submarinos) cuyo extremo superior esté unido a un flotador?
Respuesta 72.
La presión del agua sobre el pecho haría imposible la respiración a través de un tubo durante cierto tiempo, aun a 60 cm de profundidad. La mayor profundidad que puede alcanzar la cabeza para realizar una única inspiración enérgica es de unos 90 cm. Esto demuestra lo agobiante que puede llegar a ser la presión hidrostática, aunque sea a moderada profundidad.
Desafío 73.
¿Puede un saltador de altura sobrepasar el listón, mientras su centro de gravedad se sitúa por debajo de él?
Respuesta 73.
Sí. Es el único recurso que tiene un saltador para salvar el listón situado a 229 cm o más.
Imagina un saltador de 183 cm de altura. Cuando se mantiene erguido, su centro de gravedad se sitúa a 109 cm del suelo. Aun el mejor atleta es incapaz de alzar su centro de gravedad más de 76 cm y, por tanto, llevarlo a más de 185 cm sobre el suelo. Al saltar sobre 229 cm, su centro de gravedad pasará a 44 cm por debajo del listón.

Desafío 74.
El fenómeno de la resonancia suele ilustrarse con el ejemplo del columpio. Si en el punto más alto de su trayectoria se da un empujón suave a un niño que se columpia, casi toda la energía del empujón servirá para aumentar la energía cinética del niño. Pero el niño, con algo de práctica, puede conseguir el mismo resultado sin ayuda exterior, mediante el movimiento conocido como “bombeo”. ¿En qué se basa este bombeo?
Respuesta 74.
Si un niño se monta en un columpio tiene varias formas para “bombearse”: todas ellas tienen en común el doblar las rodillas al final del trayecto de espaldas o de cara (o incluso al final de ambos), y estirarlas en el centro del recorrido de espaldas, de cara, o de ambos a la vez, respectivamente. Con ello se consigue elevar el centro de gravedad en el centro del trayecto y descenderlo al final de éste.
Para elevar su centro de gravedad a mitad de la trayectoria, el niño debe efectuar un trabajo contra dos fuerzas dirigidas hacia abajo:
1) la atracción gravitatoria de la Tierra —que aumenta su energía potencial— y
2) la fuerza centrífuga —que aumenta su energía cinética—.
¿Por qué sucede esto último? Bien, al elevar su centro de gravedad, el niño lo acerca al punto de suspensión del columpio. La cantidad de movimiento angular en relación al punto de suspensión no cambia en el instante en que se eleva el centro de gravedad, puesto que es nulo el impulso debido a una fuerza cuya línea de acción pasa por el punto de referencia. Esta cantidad de movimiento angular es igual a mvl, donde m es la masa del niño, v es su velocidad y l la distancia del centro de gravedad al eje de giro. Cuando l se acorta, v debe aumentar para mantener constante mvl. A medida que aumenta v, aumenta también ½mv2, la energía cinética del niño. Es lo mismo que sucede cuando un patinador, haciendo una pirueta, encoge sus brazos: aumenta su velocidad de giro. Cuando el niño hace descender su centro de gravedad al final de un balanceo, sólo pierde energía potencial. No puede perder energía cinética porque está en reposo por un instante. De esta forma, en un ciclo completo de balanceo existe una ganancia neta de energía, que aumenta la amplitud del balanceo.
Desafío 75.
¿Siguen trayectorias “curvas” las pelotas de béisbol? De ser cierto, ¿cómo lo consiguen?
Respuesta 75.
Los estudios de Lyman J. Briggs, realizados en los últimos años 50, han demostrado que las trayectorias curvas de las pelotas de béisbol no son una ilusión. Un buen lanzador puede conseguir una trayectoria curva de 45 cm en los 18 m que median entre su plataforma y la base de meta. Esta “curva perfecta” se desplaza a unos 100 km/hora y gira alrededor de un eje vertical a 30 rps. La desviación lateral es proporcional a la velocidad de giro y al cuadrado de la velocidad lineal.

Combinando los dos movimientos por adición vectorial, obtenemos el esquema dibujado en (c). En la parte superior, se suman entre sí las velocidades de desplazamiento y de rotación del aire; en la parte inferior se restan. De acuerdo con el principio de Bernoulli, el resultado es que en la parte superior, donde la velocidad es alta, la presión es baja; y en la parte inferior, donde la velocidad es baja, la presión es alta. La fuerza neta, debida a la diferencia de presiones, desvía la pelota hacia arriba. De forma similar, un giro en sentido contrario a las agujas del reloj desvía la pelota hacia abajo.
¿Por qué ha existido una controversia tan fuerte en el béisbol, en tanto que en el tenis o en el golf la curvatura lateral ha sido vista por todo el mundo? Bien, las pelotas de golf y de tenis son más ligeras; se desplazan a mayor velocidad. Una pelota de golf golpeada con el hierro nº 7 puede alcanzar un régimen de 130 rps. Pero la razón más importante es que el tiempo de vuelo de una pelota de béisbol está por debajo de 1 segundo, mientras que las pelotas de tenis y de golf pueden estar volando entre 2 y 5 segundos.
Desafío 76.
Numerosos jugadores y espectadores de béisbol insisten en haber visto el desplazamiento de una pelota lanzada según una trayectoria rectilínea que se curva de repente instantes antes de alcanzar la base de meta. ¿Puede cambiar de dirección, repentinamente, una pelota ya lanzada?
Respuesta 76.
La respuesta es un sí rotundo. Una pelota con efecto se desplaza a velocidad lineal constante y gira a régimen prácticamente constante. Por consiguiente, la fuerza Magnus (Respuesta 75) debida al giro de la pelota, produce una pequeña aceleración constante, que forma ángulo recto con el eje de rotación.
Supongamos un eje de giro vertical y una dirección de vuelo horizontal. Si el ángulo entre el eje de giro y la dirección de vuelo es menor de 90º la fuerza es menor y si el ángulo es de 0º la fuerza de Magnus desaparece.
La distancia recorrida en un movimiento uniformemente acelerado es s = ½at2. donde a es la aceleración. La desviación lateral de una pelota con efecto aumenta con el cuadrado del tiempo. Por tanto, el 75 % de la desviación total tiene lugar durante la última mitad del vuelo, y el 50 % durante los últimos tres décimos.
La velocidad angular con que una pelota con efecto se desvía de una trayectoria rectilínea, vista por el bateador o por el receptor a lo largo de su línea visual, aumenta aún más rápidamente a causa de la distancia decreciente entre la pelota y la base de meta. La ilusión de la perspectiva exagera la rapidez de la desviación.
Desafío 77.
¿Cuál es la razón de los hoyuelos de las pelotas de golf?
Respuesta 77.
Es un error decir que la razón es que las pelotas con hoyuelos vuelan más lejos. Mientras las pelotas de golf ásperas experimentan, paradójicamente, una menor resistencia del aire, la principal finalidad de los hoyuelos es aumentar la fuerza sustentadora de una pelota a la que se ha comunicado un giro hacia atrás.
¿Cómo puede la aspereza reducir la resistencia del aire? A bajas velocidades no lo hace: pero un golpe de lleno es capaz de lanzar una pelota de golf a 250 km/hora. Una pelota, o cualquier objeto que se desplace por el aire, queda envuelta por una fina capa frontera. Si la pelota es lisa, la capa frontera es laminar, es decir, no hay mezcla de las diferentes subcapas. El flujo principal se separa de la pelota, dando origen a una región de flujo inverso y a grandes remolinos hacia abajo.
Pero si la pelota es rugosa, el aire de la capa frontera debe sobrepasar las colinas y valles de la superficie. El flujo pasa a ser turbulento, lo que significa mucha mezcla e intercambio de cantidades de movimiento. Como resultado de ello, el aire a gran velocidad que fluye por el exterior de la capa frontera puede prestar movimiento al aire de baja velocidad existente en el interior de aquélla. Con esta ayuda la capa frontera turbulenta puede fluir más rápido, contra la presión creciente, que la capa frontera laminar. El flujo principal permanece unido a la pelota, haciendo que la zona arremolinada de bajas presiones que circula hacia abajo sea mucho más pequeña que en el caso laminar. Además, la presión de esa zona no es tan baja. Por lo tanto, se reduce la fuerza desequilibrada entre el flujo descendente y el ascendente, es decir, la resistencia de forma.
¿Qué puede decirse de la resistencia por rozamiento? Aumenta en cierto modo con una capa frontera turbulenta; sin embargo, para un cuerpo aerodinámico como una pelota, la resistencia del rozamiento es insignificante comparada con la resistencia de forma.
La razón suprema de los hoyuelos de las pelotas de golf es la creación de una sustentación. La pelota sólo puede comunicar un movimiento de rotación a una fina capa de aire. Además, la capa frontera (laminar) no marcha todo el camino alrededor de la pelota. En lugar de ello se separa, y lo hace primero del lado que gira contra el viento relativo porque en el lado que gira a favor, el viento que fluye al paso de la pelota obliga a la capa frontera a desplazarse hacia delante.
Una capa frontera turbulenta puede cambiar su impulso gracias al viento relativo, mucho mejor que una capa frontera laminar. Por consiguiente, la capa del lado que gira con el viento relativo será empujada con más fuerza que en el caso laminar. Su punto de separación con respecto al punto de separación del lado que gira contra el viento relativo se moverá a mayor distancia alrededor de la pelota. Ello aumenta la fuerza, que se convierte en sustentación en el caso de un giro hacia atrás.
Capítulo 6
La región de los vuelos
En la posición (a) de la figura puede verse un perfil aerodinámico colocado en una corriente de aire que se desplaza hacia la derecha a 300 km por hora, por ejemplo, con su borde cortante encarado a la corriente. En (b) el mismo perfil ha sido volteado, colocado de forma que sea el borde redondeado el que se enfrenta a la corriente.

Respuesta 78.
La resistencia del aire será menor en el segundo caso, al menos con un coeficiente de 2. El sentido común sugiere que un borde de ataque en hoja de cuchillo ofrecerá menor resistencia ya que, si puede decirse así, corta su camino a través del aire. Esto es correcto —pero sólo cuando las fuerzas de viscosidad son importantes, como en el caso de cuerpos que se mueven lentamente en el agua. Por esta razón los barcos tienen generalmente proas afiladas y popas redondeadas. Pero las observaciones de sentido común no pueden tenerse en cuenta cuando entramos en la región de los vuelos a alta velocidad.
Supongamos que se coloca un cilindro circular en la corriente de un fluido ideal no viscoso (ver croquis). Las partículas de este fluido se mueven a lo largo de las líneas de corriente sin pérdidas de energía debidas a rozamiento interno, en lo que suele llamarse flujo aerodinámico o laminar. Podemos ver que el fluido que envuelve al cilindro hace el efecto de que el canal se estrecha gradualmente para volver a ensancharse nuevamente. Si el fluido no debe amontonarse en estos pasos estrechos es preciso que acelere su marcha canal abajo, alcanzando su velocidad máxima en el punto B y reduciendo su velocidad gradualmente a medida que el canal se ensancha. Algo debe empujar al fluido desde detrás mientras acelera entre A y B. Y algo debe detenerle entre B y C. Este algo es la presión. Sin saberlo, hemos redescubierto el principio de Bernoulli, que establece que a lo largo de cualquier línea de flujo, donde la velocidad sea alta la presión será baja y viceversa. Se sobreentiende que nuestros argumentos se aplican igualmente a la parte inferior del cilindro, ADC.Examinando más de cerca la primera figura, vemos que las líneas de corriente son simétricas respecto de la línea BD, de forma que si eliminásemos las flechitas no podríamos saber si el fluido se mueve de izquierda a derecha o de derecha a izquierda. El empuje hacia delante que el fluido comunica a la corriente ascendente de la mitad del cilindro, BAD, debe ser igual al empuje hacia atrás aplicado a la corriente descendente de la mitad del cilindro, BCD, por el fluido que debe moverse contra la presión creciente. Por consiguiente, la fuerza neta ejercida sobre el cilindro es nula, es decir, el cilindro no ofrece resistencia al aire que se mueve. Este fenómeno se conoce con el nombre de paradoja de D'Alembert.
Es muy probable que nuestra última conclusión no pueda aplicarse a los fluidos reales, que se pegan a la superficie de los cuerpos, formando una fina capa a su alrededor. La capa siguiente frota contra la superficie de recubrimiento, la tercera capa contra la segunda, y así sucesivamente, hasta que la velocidad relativa de la última capa es prácticamente igual a la velocidad del fluido envolvente. La fuerza total de rozamiento debida a todo este frotamiento entre capas, recibe el nombre de resistencia por rozamiento y es una de las componentes de la resistencia total que ofrece un cuerpo al aire que se mueve en relación a él. La resistencia por rozamiento está siempre presente, sea cual sea la forma del cuerpo.
Se llama capa frontera a la región en que la velocidad relativa aumenta desde cero hasta el valor de la corriente libre (Respuesta 48). Dado que la capa frontera suele ser muy delgada, una partícula del fluido que se mueva en su interior experimenta la misma diferencia de presión que las situadas en el exterior de ella. Sin embargo, al moverse el fluido en la capa frontera con mayor lentitud, la partícula llega al punto B con una velocidad inferior, a pesar del empuje hacia delante provocado por la caída de presión.
Partiendo de B, la partícula debe soportar no sólo la oposición de las fuerzas de viscosidad en el interior de la capa frontera sino también las fuerzas de desaceleración producidas por la presión en aumento. La partícula recibe ayuda de la capa frontera, de movimiento más lento, que es empujada hacia delante por el fluido del exterior, de movimiento más rápido: pero cuando la presión se eleva demasiado deprisa, como sucede si se vacía el canal de repente, las partículas de la capa frontera pueden quedar atascadas.

Una vez atascada la capa frontera, las partículas de fluido de su interior pueden ser empujadas hacia atrás por la presión creciente. Colisionan con las partículas que van llegando, creando una región turbulenta detrás del cuerpo. El flujo principal se separa del cuerpo y fluye por toda la región turbulenta (véase la segunda figura). La presión allí es menor que en el caso laminar, por lo cual el empuje hacia atrás sobre la porción BCD del cilindro es menor que el empuje hacia delante sobre BAD. La fuerza resultante, que ya no es nula, recibe el nombre de resistencia de forma.
La resistencia de forma puede reducirse hasta un valor prácticamente nulo buscando formas aerodinámicas, en las que se trata de evitar la separación de la capa frontera, reduciendo el ritmo de aumento de presión en la parte trasera. Esto se consigue alargando el cuerpo gradualmente por detrás, afilándolo hasta acabar como el filo de un cuchillo. Ahora vemos por qué la forma de la parte trasera de un cuerpo es más importante que la forma de su parte delantera —algo que el sentido común no hubiese podido sugerir. (A velocidades sónicas adquiere gran importancia la forma de la parte delantera.)
Desafío 79.
Un avión vuela alrededor del perímetro de un triángulo equilátero ABC. No hay viento y el avión vuela a velocidad constante. El viaje de A a B le lleva 1 hora 20 minutos y el viaje de B a C le lleva también 1 hora 20 minutos. ¿Cómo puede llevarle sólo 80 minutos el viaje de C a A?
Respuesta 79.
Porque 80 minutos = 1 hora 20 minutos.
Desafío 80.
La figura muestra un perfil aerodinámico de 25 cm de espesor y un cable redondo de 2,5 cm de diámetro.

Respuesta 80.
El perfil aerodinámico. A pesar de ser 10 veces más grueso que el cable, presenta una resistencia ligeramente menor.
Desafío 81.
Algunos helicópteros disponen de dos rotores que giran sobre ejes verticales en sentidos opuestos; otros tienen un rotor sobre un eje vertical y otro en la cola sobre un eje horizontal perpendicular al fuselaje. ¿Por qué los helicópteros no tienen sólo un rotor?
Respuesta 81.
De acuerdo con la tercera ley de Newton, la rotación de una hélice provoca el giro del fuselaje en la dirección opuesta. Se utiliza una segunda hélice para generar un empuje neutralizante en la dirección opuesta. De forma similar, cuando un avión convencional tiene dos hélices a un mismo lado, se las hace girar en sentidos opuestos.
Desafío 82.
Un avión vuela a favor del viento de A a B y contra el viento, de regreso a A. El piloto ahorra mucho tiempo al volar con el viento de cola, pero lo pierde luego al volar contra él. Por esta razón el viaje completo dura tanto como si hubiese sido hecho sin viento. ¿Estás de acuerdo?
Respuesta 82.
No. Se pierde más tiempo volando contra el viento del que se gana volando a su favor.
Suponte que la velocidad del viento es casi igual a la velocidad del avión sin viento, por ejemplo 195 km/hora frente a 200 km/hora, y que hay 200 km entre A y B. El avión vuela a 395 km/hora a favor del viento y a 5 km/hora en contra. El viaje de A a B precisa media hora más o menos, pero el regreso de B a A requiere ¡40 horas!
Desafío 83.
¿Por qué los aviones suelen despegar contra el viento?
Respuesta 83.
Parece raro que los aviones despeguen contra el viento cuando trabajar contra él reduce su velocidad en relación al terreno. Pero lo importante en el despegue no es la velocidad del avión en relación al terreno sino su velocidad en relación con el aire. Si un avión alcanza 160 km/hora con un viento de cara de 30 km/hora, su velocidad en relación con el aire será de 160 + 30 = 190 km/hora. El avión podría correr más en relación al suelo yendo a favor del viento, por ejemplo a 180 km/hora. Pero en este caso su velocidad relativa al viento sería sólo de 180 - 30 = 150 km/hora.
Desafío 84.
Las turbulencias son regiones de la atmósfera en las que el aire tiene una densidad superior a la normal; las bolsas de aire son zonas con aire de menor densidad. ¿Cierto o falso?
Respuesta 84.
Falso. En realidad, las turbulencias son ráfagas de aire ascendente que temporalmente proporcionan sustentación adicional al avión. Una ráfaga descendente, que produce una aceleración hacia abajo, recibe el nombre de bolsa de aire, porque los pasajeros reciben la impresión de que el avión ha entrado en una región que carece de aire para sustentar el aparato.
Estas ráfagas ascendentes o descendentes tienen lugar generalmente a nivel de las nubes o por debajo de ellas. Sin embargo, también el vuelo puede resultar muy movido en aire sin nubes, en altitudes comprendidas entre 6 y 11 km. Esto es debido a las turbulencias que se forman en atmósferas claras, alrededor de corrientes en chorro, en las que aire de movimiento muy rápido se encuentra cerca de aire de movimiento mucho más lento. Estas turbulencias son muy duras en las zonas montañosas.
Desafío 85.
Un reactor precisa 5 horas para volar de San Francisco a Nueva York. En el viaje de regreso de Nueva York a San Francisco invierte 6 horas. (Sin tener en cuenta los cambios de hora locales.) ¿Cuál es la razón de la diferencia?
Respuesta 85.
El continente norteamericano está situado en una zona de vientos dominantes del oeste, cuya velocidad promedio cerca del suelo es de 8 a 25 km/hora. A mayores altitudes los vientos del oeste soplan a mayores velocidades, siendo frecuentes los valores entre 80 y 160 km/hora.
Desafío 86.
Cuando un avión asciende sobre una capa de nubes se acaban los vaivenes del vuelo (a excepción de las turbulencias del aire). ¿Por qué?
Respuesta 86.
El vuelo bacheado es debido a ráfagas de aire, verticales u horizontales, que tienen lugar especialmente en las borrascas y en las tormentas. Otras ráfagas más débiles pueden tener su origen en corrientes de convección, es decir, corrientes ascendentes de aire caliente o corrientes descendentes de aire frío.
La causa de las corrientes de convección reside en la mayor o menor eficacia de las distintas superficies del terreno en calentar el aire situado inmediatamente encima de ellas. Las tierras cultivadas y las yermas, la arena, los roquedos, el pavimento, los edificios de las ciudades, devuelven gran cantidad de calor, en tanto que el agua y la vegetación tienden a absorberlo y a retenerlo.
A medida que se va enfriando el aire ascendente, aumenta su densidad hasta alcanzar un punto en que se hace más denso que el aire que le rodea y comienza a descender. Por ello las corrientes ascendentes de aire no pueden superar una cierta altitud (que varía según condiciones locales). Por encima de esta altitud el vuelo es tranquilo.Desafío 87.
¿Puede una persona o animal producir sonidos que no pueda oír?
Respuesta 87.
Sí. El saltamontes, frotando sus patas contra el abdomen, puede producir sonidos que varían de 7.000 a 100.000 vibraciones por segundo (Hz, en honor de Heinrich Hertz). Pero sólo puede oír sonidos entre 100 y 15.000 Hz.
La mayor parte de los animales pueden oír una gama de frecuencias mayor que la que pueden producir. Desde el punto de vista de la comunicación sería tonto, por su parte, producir sonidos que no son capaces de percibir. En otro sentido, es importante para los animales poder oír los sonidos producidos por sus depredadores. Por este motivo son capaces de oír muchos sonidos que no están en el rango de los producidos por ellos. En la tabla se dan unos cuantos ejemplos (las frecuencias se dan en Hz, ciclos por segundo: do4 es el do medio).

La mayoría de nosotros al oír una grabación de nuestra propia voz, podríamos jurar que no es la nuestra. ¿Somos víctimas de una ilusión o realmente existe esa diferencia?
Respuesta 88.
La diferencia es real y seguiría siéndolo aunque el aparato de grabar no introdujese distorsiones. Los demás (entre los que se incluyen las personas y las grabadoras) nos oyen de forma diferente a como nos oímos nosotros mismos.
Cuando nos oímos hablar, el sonido nos llega por dos caminos: por el aire y a través del cráneo. Cuando entrechocamos los dientes o mordemos una galleta los sonidos se transmiten principalmente a través de los huesos. Lo mismo sucede cuando cantamos con la boca cerrada. (Si nos tapamos los oídos con los dedos, oímos más grave el canto con la boca cerrada.) En los sonidos de nuestra habla, transmitidos por el aire, algunos de los componentes de baja frecuencia se pierden, por desgracia. Gran parte de la energía vibratoria del habla se encuentra en componentes cuya frecuencia está por encima de unos 300 Hz, habiendo muy pocos en la gama de la baja frecuencia. Esta es la razón de que el sonido de nuestra voz parezca más alto y menos potente a los demás que a nosotros mismos, puesto que tenemos el beneficio de oírnos gracias a la conducción a través de los huesos y a través del aire.
Desafío 89.
¿Por qué tienen dos brazos los diapasones?
Respuesta 89.
Las varillas de un diapasón en vibración se mueven en direcciones opuestas: ambas hacia fuera o hacia dentro. El centro de masas del diapasón permanece en reposo.
Si el diapasón tuviese un solo brazo, su centro de masas se movería con las vibraciones de este brazo. Se precisaría una base de gran masa o una gran fuerza para minimizar la transferencia de energía al soporte. Si alguna vez trataras de sostener en las manos un diapasón de un solo brazo o de montarlo sobre una base pequeña, verías que habría perdido su energía en tus manos o en la base, y sus vibraciones se habrían apagado rápidamente. Disponemos de una analogía utilizando dos bolas. La bola A golpea a la bola B, que estaba en reposo. Si A es mucho más ligera que B, perderá muy poca de su energía y será rechazada casi a la misma velocidad. Sin embargo, si A y B tienen masas idénticas, A transferirá toda su energía a B y se detendrá, mientras B partirá con toda la velocidad original de A.
De esta forma, los dos brazos de un diapasón hacen innecesaria una base pesada. El diapasón puede sostenerse en las manos y transmitir su energía únicamente hacia el aire, produciendo una onda sonora. Dado que el área del diapasón es pequeña, pierde lentamente su energía hacia el aire y, por ello, puede producirse un tono uniforme durante muchos segundos.
Desafío 90.
Un saltamontes emite sonidos que pueden oírse a 800 m de distancia. Dado que la densidad del aire es de 1,293 kg/m3, la masa de aire contenida en un hemisferio de radio de 800 m es algo superior a 1 millón de toneladas. ¿Cómo un diminuto saltamontes puede poner en movimiento a esa enorme masa de aire, accionando sólo una parte de su anatomía?
Respuesta 90.
El saltamontes no mueve a la vez todo el aire que le rodea: comprime el aire próximo a él en cada vibración. Esta compresión no permanece estacionaria sino que se extiende en todas direcciones a partir del saltamontes, debido a la elasticidad del aire. Al ser comprimido se retira, oprimiendo con este acto al aire que se encuentra alrededor. Este también se retira, comprimiendo a su vez al aire más alejado y así se transmite la compresión hacia el exterior. Cuando llega la compresión a nuestros oídos, la percibimos como un sonido.
El valor de esta compresión es muy pequeño. Las variaciones de presión debidas a las ondas sonoras audibles están comprendidas entre 0,0002 y 1.000 dinas/cm2 (2×103 Pa). Como término de comparación téngase en cuenta que la presión atmosférica tiene un valor de 1 millón de dinas/cm2 (0,1 MPa). En la conversación diaria, la presión a 1 m de la boca de quien habla cambia únicamente 1 dina (0,1 Pa) por centímetro cuadrado.
Desafío 91.
¿Cómo una onda sonora que se desplaza a lo largo de un tubo puede ser reflejada en su extremo abierto, es decir, en la nada?
Respuesta 91.
Una onda sonora (o cualquier onda) se refleja en parte y se transmite en parte en el momento en que encuentra un cambio en la resistencia a su movimiento. Una onda sonora se refleja contra una pared maciza debido a un aumento repentino de la densidad. La zona de compresión de la onda se refleja como una compresión y la zona de enrarecimiento como un enrarecimiento. Cuando una compresión que se desplaza a lo largo de un tubo llega a un extremo abierto se expande hacia el exterior, creando así una bajada de presión —es decir un enrarecimiento—. El aire que se encuentra en el tubo antes de este enrarecimiento es succionado para contrarrestarlo. De este modo el enrarecimiento se desplaza hacia el interior aunque el propio aire se desplace hacia el exterior, arrastrando con él a sus moléculas de movimiento aleatorio. De un modo semejante, la parte enrarecida de la onda se refleja en el extremo abierto en forma de compresión.
Desafío 92.
1. ¿Por qué en una noche clara y serena el sonido se transmite anormalmente bien?
2. ¿Por qué el sonido se transmite mejor sobre el agua, especialmente en verano?
3. ¿A qué se debe que los escaladores y tripulantes de globos suelan oír y comprender conversaciones de personas que están en el suelo, incluso 1 km más abajo, en tanto estas personas no son capaces de oírse y entenderse entre ellas?
4. En Londres, el 2 de febrero de 1901, fueron disparados cañonazos en señal de duelo por la muerte de la reina Victoria. El sonido se oyó en toda la ciudad pero no en las comarcas vecinas. Sorprendentemente, los cañonazos fueron oídos con claridad por los asombrados habitantes de pueblos situados a 150 km de distancia. ¿Cómo pudo el sonido saltarse los suburbios londinenses y llegar a 150 km?
Respuesta 92.
1. El sonido se transmite mejor en el aire caliente que en el frío. Ello es debido a que una onda sonora se propaga por el choque de las moléculas contra sus vecinas: en el aire caliente las moléculas se mueven más deprisa, por lo que encuentran antes a sus vecinas, permitiendo que la compresión se desplace a mayor velocidad. La relación entre la velocidad de propagación del sonido en el aire seco y la temperatura viene dada por:

Ahora bien, en una noche tranquila y clara es muy frecuente la inversión de temperaturas, en la que la temperatura aumenta con la altura hasta una cierta altitud, debido a que por la noche el suelo radia su calor hacia el aire y ya no recibe calor del Sol. Además se irradia mucho más calor si no hay nubes que lo eviten. El aire, calentado por el suelo, sube a mayores alturas y permanece allí si no hay viento que lo mezcle con el aire más frío de su alrededor.
Supongamos que la temperatura aumenta rápidamente desde 10 ºC (283 K) en el suelo hasta un máximo de 15 ºC (288 K) a 20 m de altura. Si gritas a un amigo situado a cierta distancia, utilizando las manos como bocina, tu boca genera un haz de sonido con un frente de onda casi plano. Como el haz se propaga formando un ángulo con el suelo, la parte superior del frente de onda se mueve por un aire más caliente que la parte inferior, y por ello se desplaza más rápidamente y sobrepasa a la parte inferior. El resultado es una inclinación del frente de onda hacia abajo.
El fenómeno es el mismo que el desplazamiento de una canoa a remo; si haces más fuerza con el remo de la mano derecha la canoa girará hacia la izquierda. El efecto puede comprobarse en casa haciendo rodar un carrete por una superficie lisa, separada de otra rugosa por una línea oblicua a la dirección del carrete; al llegar a la línea de separación el carrete cambia de dirección, alejándose de la superficie lisa.
De forma parecida, las ondas sonoras se desvían y alejan del aire caliente. El haz de sonido será realmente reflejado desde la parte superior de la capa de inversión y dirigido hacia el suelo, donde vuelve a ser reflejado y enviado hacia arriba con el mismo ángulo que antes. El sonido se limita a desplazarse dentro de una delgada capa de aire —esencialmente en un espacio bidimensional—, por lo que la intensidad del sonido disminuye sólo en proporción a la primera potencia de la distancia en lugar de a la segunda potencia de la distancia, como sería el caso si se hubiese tratado de un espacio ordinario de tres dimensiones. Si el sonido hubiese sido confinado a un haz, espacio de una sola dimensión, su intensidad hubiese disminuido aún más lentamente. (Sin embargo, debido a su longitud de onda más larga, los haces de sonido se dispersan más rápidamente que los de luz.)
2. En verano el agua suele estar más fría que el aire. Esto provoca una inversión de temperatura cuyo resultado es la disminución de temperatura de la capa del aire próxima al agua. Una onda sonora emitida cerca del agua se inclinará hacia ella. La superficie del agua, muy uniforme, es mejor reflector del sonido que el suelo. La onda sonora será reflejada en su mayor parte, devuelta al agua, reflejada, y así sucesivamente.
3. En condiciones atmosféricas normales la temperatura disminuye con la altitud. Como resultado de ello, las ondas sonoras que se originan cerca del suelo se alejan de él acercándose a un globo que se desplace por encima; igualmente las ondas sonoras producidas por los tripulantes del globo se desviarán también, alejándose del suelo, muy frecuentemente sin llegar a alcanzarlo.
Además, los tripulantes producen sus sonidos en un aire de densidad inferior a la del aire del suelo; resulta de ello que la energía de sus ondas sonoras es menor que la energía de las ondas sonoras producidas desde el suelo. El aire siempre encuentra más facilidad para moverse desde regiones de mayor densidad (presiones altas) a regiones de menor densidad (presiones bajas). (Este efecto tiene poca importancia: la diferencia de densidades en el aire es del 10 %. como mucho.)
Finalmente, el tripulante del globo está en una zona de silencio, donde los sonidos débiles pueden oírse con facilidad, en tanto que la gente del suelo está inmersa en un mundo de sonidos, que dificulta hacer resaltar la voz del tripulante de entre los ruidos de fondo. De hecho, el tripulante puede oír a veces el eco de su propia voz procedente de tierra, mientras que la gente de tierra no presta atención a sus llamadas. (El eco es más intenso procedente del agua en reposo y más débil procedente de la nieve recién caída.)
4. Este fenómeno solía ser explicado atendiendo a que los vientos de las capas altas de la atmósfera soplan en dirección opuesta a los de las capas bajas. Si sopla un viento oeste por debajo y un viento este por encima, los puntos al oeste de la fuente del sonido se encontrarán en una zona de silencio (Respuesta 93), debido a que el sonido será desviado hacia arriba. Así, a medida que el sonido alcanza los vientos superiores que soplan del este, el sonido será desviado hacia abajo, hacia el suelo.
Esto es correcto en algunos casos, pero no explica de ningún modo cómo, a veces, la zona de silencio rodea por completo a la fuente de sonido hasta un cierto radio de ella, y luego el sonido puede oírse en varias direcciones más allá de esta zona.
La explicación aceptada hoy día es que la vuelta del sonido es debida casi siempre a una inversión de temperaturas en la parte alta de la atmósfera. El disparo de un cañón produce una onda semiesférica que se expande a medida que se eleva del suelo. Si la temperatura del aire disminuye con la altura, como suele ser normalmente, la onda se aleja del suelo. Una parte importante del sonido suele ser difractada hacia la superficie, en particular las frecuencias bajas, por lo que el disparo del cañón puede oírse con facilidad en un área considerable alrededor de la fuente. Pero, a medida que la onda se desplaza hacia arriba, el sonido difractado encuentra cada vez más difícil alcanzar el suelo debido a la distancia creciente, y a que más allá de un cierto radio alrededor de la fuente existe una zona de silencio.
Cuando la onda sonora alcanza una altitud de 10-15 km se encuentra con un aire cuya temperatura ha dejado de disminuir y comienza a aumentar lentamente hasta alcanzar su máximo a 50 km; la razón reside en la absorción de la intensa radiación ultravioleta del Sol por la capa de ozono —que nos protege la piel de las quemaduras del Sol—. (Una parte de la radiación ultravioleta la atraviesa; de otra forma no podríamos ponernos morenos.)
Al encontrar el aire más caliente, las ondas sonoras se alejan de él y se dirigen nuevamente hacia el suelo. Sólo unas pocas ondas logran sobrevivir a tan largo viaje. La intensidad del sonido decrece continuamente debido a su expansión en el espacio y a su absorción por el aire. Solamente los sonidos de las grandes explosiones y de los disparos de la artillería logran regresar. No obstante, el fenómeno debe mucho a unas condiciones atmosféricas favorables.
Desafío 93.
¿Por qué es tan difícil oír una fuente de sonido situada contra el viento, con independencia del ruido de fondo que produce aquél? ¿Es debido a que el viento “se lleva” el sonido?
Respuesta 93.
El viento no puede “llevarse” el sonido, a menos que tenga la velocidad de propagación del sonido. (Si el viento sopla a 80 km/hora, el sonido será transportado por el viento a una velocidad de 1.240 + 80 = 1.320 km/hora, siendo 1.240 km/hora la velocidad del sonido. En contra del viento la velocidad neta será de 1.240—80 = 1.160 km/hora.)

En la mayor parte de los días la temperatura del aire disminuye con la altitud. (El calentamiento del aire procede principalmente del terreno y no directamente del Sol.) Ya que las ondas sonoras se alejan del aire caliente (Respuesta 92), el esquema de los haces sonoros emitidos por una fuente puntual situada fuera del terreno aparece en la segunda figura, en el supuesto de que no haya viento. Las zonas negras de cada lado representan sombras de sonido, es decir, regiones donde no se percibe sonido, o se percibe muy poco.

Desafío 94.
¿Por qué los altavoces se montan sujetos a un robusto tablero, dejando sólo un hueco para asomar la boca del altavoz, y a veces, incluso, se encierran totalmente en la parte trasera?
Respuesta 94.
Para evitar que el sonido producido en la parte trasera del cono de un altavoz pueda anular al sonido producido en la parte delantera.
Cada vez que el frente del cono se mueve hacia delante, produciendo una compresión de aire, el dorso se mueve hacia atrás produciendo un enrarecimiento. De esta forma las ondas sonoras producidas por ambos lados del cono están en oposición de fase. El sonido de atrás, extendiéndose en todas las direcciones, se propaga alrededor del cono hasta el frente, donde se encuentra con el sonido frontal. En las bajas frecuencias, donde el sonido tiene longitudes de onda de 3 m. la distancia recorrida por el sonido trasero es pequeña comparada con su longitud de onda. Llega al frente casi con la misma fase con la que empezó. En este momento una compresión se enfrenta a un enrarecimiento y los tonos graves desaparecen casi por completo.
Un tablero macizo (un baffle) aumenta la distancia que el sonido debe recorrer para alcanzar el frente. De ello resulta que se reduce la frecuencia a la que se producen interferencias destructoras, recuperando una parte de los tonos graves. Si el orador está situado en el suelo, el sonido trasero no puede extenderse en una de sus cuatro direcciones, reduciendo la anulación del sonido en una cuarta parte.
Desafío 95.
Las personas que viven en un clima frío pueden observar el silencio que sobreviene durante, y después, de una copiosa nevada blanda. ¿Puedes explicar este fenómeno?
Respuesta 95.
La nieve recién caída se comporta como el material absorbente del sonido que podemos ver en los techos de las oficinas; hay miles de millones de agujeros diminutos entre los copos de nieve en los que penetran las moléculas de aire portadoras de la energía sonora y se pierden en un laberinto gigantesco de túneles microscópicos. Las ondas sonoras no pueden encontrar el camino de salida y se desvanecen, transformándose su energía en calor.
El manto de silencio que sobreviene con la nevada puede ser peligroso al acallar los sonidos humanos, haciendo difícil localizar a las personas enterradas en la nieve.
Desafío 96.
Se propone una nueva vía de descongestión de dirección norte-sur, por el exterior de una ciudad. Teniendo en cuenta la salud de sus habitantes como principal argumento, ¿deberá trazarse la autovía por el este o por el oeste de la ciudad?
Respuesta 96.
En las zonas templadas de ambos hemisferios los vientos dominantes proceden del oeste. Si la autovía se construye al oeste de la ciudad los vientos transportarán los gases de escape y los ruidos hasta las ventanas de las viviendas. (Las mismas consideraciones pueden aplicarse a la localización de plantas industriales.)
Los viajeros pueden observar que los barrios caros de las grandes ciudades, como Georgetown (Washington, DC) o Beverly Hills (Los Ángeles) están situados al oeste de las zonas urbanas. En el siglo XIX las fábricas europeas y sus humeantes chimeneas se construían en el centro de las ciudades. La calidad del aire y los niveles de ruido en los barrios del este llegaban a ser intolerables.
Desafío 97.
Si se hace girar lentamente, alrededor de un eje que pase por su mango, un diapasón sostenido cerca de una oreja, se notará cómo el sonido cambia de volumen.
Puede pensarse que la razón está en la mutua interferencia producida por los dos brazos del diapasón. Si éste vibra a 440 Hz, la longitud de la onda producida es:

Respuesta 97.
Los brazos producen ondas sonoras en oposición de fase.
Suponte que el diapasón vibra en un plano perpendicular al plano de la oreja. Mientras un brazo se mueve hacia la oreja, produciendo una compresión, el otro se aleja de la oreja, produciendo un enrarecimiento. Al ser los brazos cortos en relación a la longitud de onda, como ya se ha dicho, las ondas se encontrarán aún en oposición de fases; prácticamente se anularán entre sí, dando como resultado un sonido muy débil.
De igual manera, si el diapasón vibra en un plano paralelo al de la oreja, se comporta como una única fuente de sonido. Los enrarecimientos y las compresiones se refuerzan entre sí para producir un sonido relativamente intenso.
El movimiento rotativo del diapasón pasa por las dos posiciones descritas además de por todas las intermedias. El sonido pasará de intenso a débil, recorriendo uniformemente las intensidades intermedias.
Desafío 98.
¿Cuál es la razón del retumbar de los truenos?
Respuesta 98.
La razón más importante reside en que el rayo recorre un camino sinuoso. Algunos puntos de su trayectoria se encontrarán más cerca del observador que otros y por ello el sonido del trueno se extenderá. Si el punto más cercano se encuentra a 1.700 m del punto más lejano, el trueno retumbará durante 5 segundos, por ser la velocidad de propagación del sonido en el aire de 340 m/s.
Además, el rayo suele consistir en muchos golpes que se siguen uno a otro en rápida sucesión. Se han observado hasta 30 ó 40 golpes a lo largo de la misma trayectoria a intervalos de 0,05 segundos. Las ondas sonoras producidas por los rayos múltiples interfieren una con otra, dando como resultado un trueno que se intensifica y se desvanece.
Igualmente, la onda sonora producida por el rayo es desviada y reflejada por capas de aire de densidades diferentes. El aire caliente (que se encuentra normalmente cerca del suelo durante el día) tiene una densidad menor que el aire frío (Respuesta 45). O bien alternan capas de aire caliente con capas de aire frío, cambiando constantemente su relación, al estar siempre el aire en movimiento. (El sonido de un trueno puede llegar a 40 km, si bien la distancia típica es de 16 km.)
Se ha observado un efecto similar en el cañón del río Colorado, donde el sonido de un motor fueraborda, saliendo fuera de las paredes del cañón, ha podido ser oído 15 minutos antes de que llegase el bote que lo transportaba y 15 minutos después de su paso.Desafío 99.
Se poseen tres vasijas Dewar (termos) idénticas A, B y C. Se dispone además de un recipiente D vacío, de paredes perfectamente conductoras del calor y que puede introducirse fácilmente en los vasos Dewar.
Se vierte 1 litro de agua en A y 1 litro en B, siendo la temperatura del agua 80 ºC y 20 ºC, respectivamente. Utilizando, ahora, los cuatro recipientes, ¿puedes calentar el agua fría, con la ayuda de la caliente, hasta que la temperatura final del agua fría sea superior a la temperatura final del agua caliente? (No está permitido mezclar el agua caliente con la fría.)
Respuesta 99.
Verter la mitad del agua fría en el contenedor D y colocar D en A (que contiene el agua caliente). La temperatura final en ambos, A y D, será de 60 ºC (333 K). Verter ahora el agua a 60 ºC de D en C, y repetir el primer proceso con la otra mitad del agua fría y los recipientes D y A. La temperatura final del agua de D (que contiene el resto del agua originalmente fría) colocada en A, y del agua en A será de unos 47 ºC (320 K). Verter el agua de D en C; la temperatura final de la mezcla será de unos 53 ºC (326 K). El agua fría se ha calentado a 53 ºC enfriando el agua caliente hasta 47 ºC.
Desafío 100.
El punto de ebullición del agua desciende cuando baja la presión atmosférica. Por tanto, ¿por qué no extraer algo del aire que está sobre el agua de una cazuela para conseguir agua hirviente más rápidamente y con menos consumo de energía?
Respuesta 100.
¿Quién necesita agua hirviente a una temperatura de 70 ºC (343 K), por ejemplo? Podrías meter en ella el dedo sin miedo. La carne, los huevos, las verduras necesitarían una eternidad para cocerse a una temperatura tan baja. Los instrumentos médicos no podrían esterilizarse, y así sucesivamente.
Desafío 101.
La temperatura normal del cuerpo humano es de unos 37 ºC; varía alrededor de 0.5 ºC según la hora del día, alcanzando su máximo valor hacia las 16-17 horas.
La temperatura ambiente interior es de unos 18-22 ºC, es decir, entre 15 y 19 ºC inferior a la temperatura corporal. ¿No deberíamos estar temblando constantemente para compensar las enormes pérdidas de calor por radiación?
Respuesta 101.
En primer lugar, 37 ºC (310 K) es la temperatura interior del cuerpo. El ritmo de pérdida de calor por radiación de la piel viene determinado por la diferencia de temperatura entre el aire y la piel, y las temperaturas de la piel son normalmente mucho más bajas (espalda 32 ºC [305 K]; piernas 29 ºC [302 K]; pies 10 ºC [283 K] o menos).
En segundo lugar, el aire en reposo es un mal conductor del calor. Si tocas un objeto metálico situado en el interior de una habitación te parecerá frío aunque tenga la misma temperatura del aire, porque los metales conducen el calor mejor que el aire.
En tercer lugar, se pierde calor por evaporación de agua de la superficie de la piel. Si el aire está en reposo se forma sobre la piel una capa de aire caliente estancado. La capa está saturada de vapor de agua, disminuyendo la velocidad de evaporación. Si una brisa o un ventilador eliminan la capa de aire estancado, la evaporación proseguirá rápidamente, haciéndonos sentir un frío agradable o helado, según el caso. Aun con una suave brisa de 4-5 km/hora la piel se enfría dos veces más rápido que si estuviese expuesta a un airecillo de 2 km/hora. Es lo que se llama “efecto de viento estremecedor”.
Desafío 102.
¿Por qué es tan difícil patinar sobre hielo cuando hace mucho frío?
Respuesta 102.
La mayoría de nosotros piensa en el hielo como algo fundamentalmente resbaladizo. Nuestra ignorancia es comprensible, ya que nadie en su sano juicio va a patinar sobre hielo cuando la temperatura es de -20 ºC (253 K) ó -30 ºC (243 K).
Sólo es posible patinar sobre hielo porque el hielo se funde momentáneamente bajo las afiladas cuchillas, creando una delgada película lubricante de agua entre los patines y el hielo. Presión y rozamiento son los responsables. La presión hace descender la temperatura a la que el agua se congela, haciendo posible la existencia del hielo en forma de agua por debajo de 0 ºC. El rozamiento produce el calor que ayuda a fundir el hielo.
Pero cuando la temperatura está por debajo del punto en que el hielo puede presionarse hasta el estado de agua, no hay efecto lubricante y el patinaje pasa a ser un asunto verdaderamente difícil.
Desafío 103.
Si acostumbras tomar café con leche, éste es tu problema: tienes prisa para tomar el tren de las 7:25, ¿qué podrías hacer para acelerar el enfriamiento de tu café matutino: echar leche fría primero y esperar 5 minutos antes de tomarlo, o esperar 5 minutos antes de añadir la leche?
Respuesta 103.
Esperar 5 minutos antes de añadir la leche. De acuerdo con la ley de enfriamiento de Newton, la velocidad de enfriamiento es proporcional a la diferencia entre la temperatura del cuerpo que se enfría y la del medio que le rodea. La temperatura T en el instante t es:
T = Ta + (T0 + Ta)eAt
donde Ta es la temperatura del aire, T0 es la temperatura del cuerpo en el instante t = 0, y A es una constante que depende del tamaño, forma y composición del cuerpo. La fórmula es sólo aproximada, pero es útil para cálculos prácticos.Si empiezas enfriando el café con la leche, has disminuido la diferencia entre su temperatura y la del aire, y por ello se enfriará más lentamente.
Desafío 104.
Si echas agua caliente en un vaso delgado, la probabilidad de que se rompa ¿es mayor, igual o menor que si se trata de uno de paredes gruesas?
Respuesta 104.
Es más probable que se rompa un vaso grueso. El vidrio es un mal conductor del calor. Cuando viertes agua caliente en un vaso, su cara interior queda expuesta al calor y se dilata inmediatamente, pero la cara externa no comienza a dilatarse hasta que el calor ha traspasado todo el espesor del vaso. Las capas internas se dilatan, mientras las externas continúan con las mismas dimensiones, lo cual da origen a tensiones enormes en la masa del vidrio que sólo desaparecen cuando todo el vaso se ha dilatado por igual. Se da por sentado que el calor tarda más tiempo en traspasar un vidrio grueso.
Desafío 105.
¿Por qué se colocan en la parte superior de las neveras los compartimientos congeladores?
Respuesta 105.
El compartimiento congelador enfría el aire a su alrededor. El aire frío es más denso que el aire caliente; por el principio de Arquímedes pierde su empuje en relación al aire caliente y desciende. El aire caliente es desplazado hacia arriba, es enfriado por el compartimiento congelador y vuelve a descender. De esta forma se establecen corrientes de convección en el interior del refrigerador que transportan el aire frío a las partes inferiores.
Si el compartimiento congelador se colocase en la base, el aire enfriado por él permanecería allí sin enfriar los alimentos de la parte superior.
Desafío 106.
¿Puede el hielo tener una temperatura inferior a 0 ºC?
Respuesta 106.
Indiscutiblemente. El hielo es un sólido y su temperatura puede descender como la de cualquier otro sólido.
Cuando la temperatura del exterior es de -20 ºC (253 Kelvin), la capa superior del hielo de un lago está a -20 ºC. La capa inferior de este hielo está en contacto con el agua. Ahora bien, el agua pasa a ser más ligera cuando su temperatura desciende de 4 ºC (277 K) a 0 ºC (273 K); por lo tanto, la temperatura del agua de un lago varía desde 4 ºC cerca del fondo hasta 0 ºC inmediatamente debajo del hielo. La capa inferior del hielo estará cercana a 0 ºC. Este gradiente de temperatura a través de la corteza del hielo es posible gracias a que el hielo es un mal conductor del calor. (Si fuera buen conductor, ¡los esquimales estarían tiritando en sus iglúes!)
Desafío 107.
Los expertos que diseñan trajes para los climas polares aseguran que se debe usar sombrero en aquellas tierras. ¿Por qué?
Respuesta 107.
Cuando se expone al tiempo frío la superficie de la piel, sus vasos sanguíneos se contraen cortando el paso de la sangre hacia ella y enviándola hacia el interior del cuerpo en mayor cantidad, para reducir la pérdida de calor. Esto ocurre en primer lugar en manos y pies; como medida de protección, el organismo no corta nunca el paso de sangre hacia la cabeza. Por ello, la mayor pérdida de calor del cuerpo tiene lugar a través de la parte superior y trasera de la desprotegida cabeza. Los esquimales saben perfectamente lo que hacen al emplear gruesos gorros forrados de piel.
Desafío 108.
¿Existe alguna diferencia entre un gas y un vapor?
Respuesta 108.
Sí. Un vapor es un gas que está por debajo de su temperatura crítica. El agua tiene su temperatura crítica a 374 ºC (647 K). Por encima de esta temperatura el vapor no podrá condensarse en forma de agua por mucha presión que se le aplique; este vapor sólo existirá como un gas.
Desafío 109.
Cuando un motor se recalienta, muchos conductores paran y quitan el tapón del radiador sin esperar a que se enfríe. Si queda algo de agua suele salir en forma de géiser. ¿Por qué?
Respuesta 109.
Los radiadores de los coches actuales disponen de un tapón hermético que permite desarrollar una presión de vapor en su interior. Cuanto mayor es la presión más sube el punto de ebullición: el agua del radiador no hervirá a 100 ºC (373 K) sino quizá a 120 ºC (393 K). Puesto que la temperatura del agua puede subir con seguridad hasta 100 ºC, por ejemplo, el radiador puede reducirse de tamaño, ya que el agua de su interior no precisa tanto enfriamiento.
Cuando se quita un tapón sometido a presión, desciende básicamente la del sistema hasta alcanzar el valor de la presión atmosférica. Si el agua está ya a 100 ºC se convertirá instantáneamente en vapor, experimentando una expansión en volumen 1.700 veces mayor. Y. en consecuencia, sobreviene una erupción.
Desafío 110.
Tomar una taza de té helado en un día caluroso no hay duda que refresca. ¿Conseguirás refrescarte algo tomando una taza de té caliente?
Respuesta 110.
Sí. La mayor parte del agua del té termina por exudarse a través de los poros de la piel y se evapora. Cada gramo de agua evaporada roba 539 calorías (2,3 kJ) a la piel. Si la temperatura del té caliente es de 85 ºC (358 K), el calor recibido por el cuerpo a medida que el té se enfría en el conducto alimentario hasta la temperatura corporal de 37 ºC (310 K) sólo es una décima parte del calor perdido en la evaporación.
Desafío 111.
¿Por qué rechina la nieve al pisarla en un día frío, pero no lo hace cuando la temperatura es ligeramente inferior a la de congelación?
Respuesta 111.
Por la misma razón de ser casi imposible hacer bolas de nieve en un día muy frío. La presión de tus zapatos hace bajar el punto de fusión del hielo, lo que significa que puede existir agua a temperaturas inferiores a 0 ºC (Respuesta 102). Como consecuencia, los cristales de nieve se recubren de una delgada capa de agua lubricante que elimina el característico sonido rechinante causado por el gran rozamiento entre los cristales de nieve, al tener que frotarse entre sí.
Desafío 112.
Hablando en sentido general, los animales pequeños son más vulnerables al frío que los animales grandes. ¿Por qué?
Respuesta 112.
La cantidad de calor generada por un animal es proporcional a su volumen L3, aproximadamente (siendo L la dimensión lineal del animal), pero la cantidad de calor perdida por un animal es proporcional a su superficie L2. La relación de calor producido al perdido es de L3/L2 = L. Cuanto menor es el animal, mayor es la pérdida de calor.
Esto explica por qué muchas especies árticas son mayores que sus más cercanos parientes de climas cálidos, y por qué las moscas son mayores en invierno.
Los animales pequeños también están en desventaja debido a que son menos capaces de disponer de pieles gruesas. Los animales que no disponen de estas gruesas pieles de invierno, como los ratones o las comadrejas, pasan la estación fría en galerías resguardadas bajo la nieve, saliendo muy rara vez a la superficie.
Desafío 113.
Si echas una cucharada de granos de café a un cazo con agua a temperatura ligeramente inferior a 100 ºC, el agua parece ponerse a hervir repentinamente. ¿Qué crees que se está escapando?
Respuesta 113.
Determinadas sustancias sólidas tienen una fuerte tendencia a atraer moléculas de gases a su superficie (fenómeno llamado adsorción). Cuando se activa un trozo de carbón vegetal (calentándolo para eliminar las materias adsorbidas), es capaz de retener grandes cantidades de venenos o impurezas de una corriente de aire, y por este motivo se emplea en la fabricación de máscaras de gas o de filtros de cigarrillos.
Los granos secos de café son parecidos al carbón vegetal, al tener una superficie porosa, y, por consiguiente, una gran área superficial. La capacidad de adsorción de las sustancias decrece al aumentar la temperatura y por ello al ser introducidos los granos de café en el agua caliente, desprenden una gran parte de los gases adsorbidos en su superficie. El gas se desprende en forma de burbujas y da la impresión de que el agua está hirviendo.
Desafío 114.
Intenta este truco de salón con tus amigos. Coloca un cubito de hielo en un vaso de agua y desafíales a sacar el cubito del agua con una cerilla de papel como única herramienta. Una vez se han rendido todos, dobla la cabeza de la cerilla en ángulo recto, coloca el resto de ella sobre la parte superior del cubito y échale sal hasta dejarla totalmente cubierta. La cerilla, al congelarse, se adherirá rápidamente al cubito y podrás sacar éste del agua asiéndolo por la cabeza de la cerilla.
Intenta explicar este truco.
Respuesta 114.
Cuando se disuelve sal o cualquier otra sustancia en el agua, desciende su punto de congelación. Por este motivo se echa sal en las carreteras y aceras en el invierno. Una mezcla de sal y agua no se congela por encima de -21 ºC (252 K).
Es muy interesante el mecanismo molecular de este fenómeno. Congelación y deshielo coexisten simultáneamente en diferentes partes del sistema. La solubilidad de la sal en el hielo es muy baja; además, un trozo de hielo siempre está recubierto por una delgada capa de agua a temperatura ambiente normal. Por lo tanto, cuando espolvoreamos sal sobre el hielo, ésta permanece casi toda en la capa de agua, formando una disolución de alta concentración.
En la frontera entre el hielo y el agua algunas moléculas H2O van dejando el estado de hielo y transformándose en agua (fundiéndose) y otras van dejando el estado de agua para pasar al de hielo (congelándose). Cuando la sal se disuelve en el agua se disocia en iones de sodio y cloro, Na + y Cl , que son eléctricamente atraídos por los iones hidroxilo e hidrógeno, OH y H+, respectivamente, del agua. Los iones se combinan entre sí; como resultado de ello disminuye el número de moléculas de agua en la solución salina. Entonces, un número menor de moléculas de agua está disponible para convertirse en hielo y el proceso de congelación disminuye en velocidad. Por otro lado, el proceso de fusión se ve poco afectado por la sal. Para acelerar la congelación de forma que equilibre nuevamente la fusión, la temperatura debe descender.
En el truco del salón citado, podemos comprobar que la sal ha fundido una parte del hielo alrededor del borde de la cerilla. Esta fusión requiere energía y la energía se ha obtenido de la película de agua que yace bajo la cerilla (que estaba protegida de la sal cuando se espolvoreó). La extracción de calor del agua origina su congelación, provocando que la cerilla se pegue al cubito de hielo.
Desafío 115.
Los cubitos de hielo de una cubitera tienen una antipática tendencia a pegarse. ¿Por qué?
Respuesta 115.
Un trozo de hielo suele estar recubierto por una delgada capa de agua, aun a temperaturas por debajo del punto de congelación. Cuando las moléculas de agua de esta capa se encuentran entre dos superficies de hielo, muchas de ellas abandonan el medio líquido para unirse al hielo (es decir, se congelan), en mayor número que las que dejan el medio sólido para dirigirse al líquido (es decir, se funden). Se forman, así, uniones entre los cubos de hielo, dando origen a lo que se conoce como sinterización del hielo.
Desafío 116.
Un litro de gasolina fría permite andar más kilómetros que un litro de gasolina caliente. ¿Cierto o falso?
Respuesta 116.
Cierto. El litro es una unidad de volumen. La gasolina, como muchos líquidos y sólidos, se dilata con el calor y lo hace en base a un 0,11 % por cada 1 ºC de aumento. Por tanto, cuando llenas un depósito de gasolina en un caluroso día de verano, cada litro contiene algo menos de gasolina en peso que en un día frío.
Desafío 117.
La figura muestra un vaso de agua hirviendo; sumergido en el agua hay un tubo de vidrio provisto de un pistón móvil. Suponte que al principio el pistón toca la superficie del agua. Si lo levantas lentamente el agua hirviente no subirá, y sin embargo a temperatura ambiente lo haría a causa de la presión atmosférica. ¿Cuál es la razón del cambio?Respuesta 117.
Un espacio cerrado situado sobre la superficie de un líquido contiene su vapor saturado. Cuando el líquido alcanza el punto de ebullición, la presión de vapor iguala a la presión atmosférica. A medida que se levanta el pistón lentamente, el espacio por encima del agua hirviendo se va llenando rápidamente de vapor de agua saturado a la presión atmosférica. Con esto se equilibra la presión ejercida sobre el agua en el exterior del tubo, y el nivel del agua en él continúa sin variación.
Si levantas el pistón rápidamente no se formará vapor de agua con suficiente rapidez para llenar el espacio existente entre el agua hirviendo y el pistón. El vapor se expandirá con violencia, enfriándose en el proceso. Debido a la rápida producción de vapor, la capa superficial del agua del tubo se enfriará. Por consiguiente, la presión de vapor en el tubo será menor que la atmosférica, y el agua se elevará hasta una altura tal que la suma de la presión hidrostática del agua y la presión del vapor saturado iguale a la presión atmosférica.
A medida que se va proporcionando calor al agua, la capa superficial volverá a hervir, elevando la temperatura del vapor saturado a 100 ºC (373 K) y su presión a la atmosférica. Entonces el nivel del agua del tubo descenderá hasta alcanzar el mismo que tiene en el resto del vaso.
Desafío 118.
La densidad del agua aumenta al descender la temperatura hasta 3,98 ºC, en que alcanza su valor máximo de 1.00000 gramos por m3. Hasta aquí, el agua se comporta como casi todas las sustancias; pero entre 3.98 ºC y 0 ºC su densidad desciende hasta 0,99987 g/ml. Después de la congelación la densidad desciende aún hasta 0,9168 g/ml. De esta forma, al transformarse en hielo, el agua se expande alrededor de un 11 %, ejerciendo una fuerza suficiente para reventar tuberías. ¿Es el agua la única sustancia en comportarse de esta forma?
Respuesta 118.
No. En la industria de la imprenta, los metales para tipos, que son principalmente aleaciones de plomo-estaño-antimonio, también se expansionan al solidificarse: por ello rellenan todos los huecos y grietas del molde. También es cierto para las aleaciones de plata de ley, con las que suelen fundirse complicados dibujos, en especial para empuñaduras de cubertería. El silicio y el germanio se expanden también al enfriarse.
El agua es la única sustancia conocida que se expansiona durante los últimos pocos grados por encima del punto de congelación.
Desafío 119.
¿A qué se debe que puedas calentarte las manos soplando ligeramente y enfriarlas soplando fuerte?
Respuesta 119.
La temperatura del aire de tus pulmones es de 37 ºC (310 K), en tanto que la temperatura de tu piel en las manos es de sólo 25-30 ºC (298-303 K). Al soplar suavemente pones el aire caliente de los pulmones en contacto con la piel más fría, consiguiendo una sensación de calor.
Cuando alejas las manos, el aire ambiente a 18-22 ºC (291-295 K) tiene mayor oportunidad de ser succionado en la corriente de aire de los pulmones. Esto tiene lugar por el principio de Bernoulli (Respuesta 44), pues el aire de la corriente está siempre a menor presión. Si soplas fuerte la presión baja aún más, absorbiendo más cantidad de aire ambiente hacia la corriente, de forma que el aire que alcanza las manos estará bien mezclado con el aire frío de la habitación, produciendo una sensación de frío.
También es importante que una corriente de aire rompa la capa de aire estancado por encima de la superficie de la piel, que está saturada de vapor de agua procedente de ésta.
La evaporación se acelera, llevándose grandes cantidades de calor y dando como resultado una sensación de frío. Cuanto más fuerte soplas, mayor es el efecto de frío.
Capítulo 9
Electricidad y magnetismo
Cuando caminas al aire libre en un día claro estás sometido a un campo eléctrico vertical de 100 a 500 voltios por metro. El campo se dirige al centro de la Tierra y está producido por la carga positiva de la atmósfera. Cuando se acerca una nube de tormenta cargada, el campo eléctrico puede subir hasta 10.000 voltios por metro. ¿Por qué razón no te mata esta tensión?
Respuesta 120.
No soportas ninguna tensión. Una persona que permanece en pie en el exterior es un conductor puesto a masa y su piel es una superficie equipotencial como la superficie de cualquier otro conductor. La tensión de su piel es la misma en todos los puntos e igual a la tensión de todo lo que está en contacto con ella. Pero está tocando el suelo, de potencial nulo, y por lo tanto no corre ningún peligro.
Desafío 121.
Dos personas tocan accidentalmente un cable de fase, con una tensión alterna de 110 voltios. Uno de ellos muere; el otro sólo recibe una conmoción leve. ¿A qué puede deberse?
Respuesta 121.
Las lesiones por conmoción eléctrica dependen en gran parte del valor de la intensidad que circula por el cuerpo y no de la tensión que se le aplique. La intensidad es más alta cuanto menor es la resistencia que se opone a su paso interior, a través de las manos, y exterior, a través de los pies, por ello es bueno utilizar zapatos de gruesa suela de goma cuando se trabaja con equipos eléctricos. La goma gruesa opone una resistencia casi infinita al paso de la corriente, que no circulará al no poder cerrar un circuito completo.
La resistencia total del cuerpo humano se descompone en dos partes: resistencia de contacto y resistencia del cuerpo en sí. La resistencia de contacto, que se opone al intento de la corriente de penetrar en el cuerpo, depende en gran parte de la humedad de la superficie de la piel y del grueso de la capa más externa de la piel. Una mano seca y callosa puede ofrecer una resistencia de contacto de 105 ohm/cm2; si está húmeda su resistencia caerá a 1.200-1.500 ohm/cm2. Por este motivo tienen lugar en el baño la mayor parte de las lesiones eléctricas.
La resistencia del propio cuerpo es sólo de 200 ohmios, puesto que el cuerpo está constituido en su mayor parte por agua.
La densidad de corriente también afecta. Los animales pequeños son más susceptibles a las conmociones eléctricas que los grandes, puesto que en estos últimos la corriente se distribuye sobre un mayor volumen. Esto puede explicar la creencia de que las personas delgadas están más expuestas a las conmociones eléctricas.
Por debajo de 1.000 voltios, la corriente alterna es más mortífera que la corriente continua: a mayores tensiones sucede lo contrario. Una corriente alterna es capaz de trastornar el centro de control del corazón, que, o se para, o se encamina a contracciones descoordinadas, estado conocido como fibrilación, y deja de bombear sangre. Una tensión baja también puede producir una contracción muscular continua de los músculos de la mano impidiendo aflojar el agarre. A tensiones altas, las contracciones musculares son tan violentas que puedes ser despedido.
Por otra parte, una línea de 110 voltios no podrá alcanzarte con una descarga, pero una línea de potencia de 50.000 voltios puede hacerte saltar una chispa antes de que la hayas tocado.
Desafío 122.
Supón que haces pasar una corriente por un hilo conductor. Si la intensidad es bastante alta, el hilo se calentará notablemente. Si, a continuación, enfrías una parte del hilo, la otra parte se calentará mucho más que antes del enfriamiento. ¿Por qué?
Supón que se mantiene la misma tensión entre los extremos del hilo en ambos casos.
Respuesta 122.
La resistencia de un conductor disminuye a medida que disminuye su temperatura. Los electrones encuentran más fácil circular a través de una red cristalina cuyos átomos vibran con menos energía.
Resulta de ello que la parte enfriada de la resistencia disminuye, en tanto que la otra parte no lo hace. La resistencia total es menor y por la ley de Ohm (I = V/R) la corriente que circula por el hilo es mayor, puesto que se supone V constante. Ahora bien, el calor generado por una corriente I es I2R por unidad de tiempo. La resistencia R de la parte no enfriada es la misma, pero es mayor la intensidad que circula a su través, y por tanto el calor desarrollado será mucho mayor que antes del enfriamiento. Aún una pequeña diferencia en / tendrá un efecto mesurable, puesto que la cantidad de calor es proporcional al cuadrado de la intensidad.
Desafío 123.
La única diferencia entre dos varillas de acero es que una es un imán permanente y la otra no está magnetizada. Sin utilizar ningún instrumento, ¿puedes decir cuál es cuál?
Respuesta 123.
Coloca las varillas como en la figura. Hay dos posibilidades; en cada una la barra imantada se muestra con una N y una S en sus extremos.

En (b) sí existe porque la fuerza atractiva entre N del imán y la S inducida en la varilla es mucho mayor que la fuerza repulsiva entre la N del imán y la N inducida en la varilla. Las fuerzas entre la S del imán y las inducidas N y S en la varilla casi se anulan, dado que la diferencia relativa de las distancias entre los polos es pequeña.
Desafío 124.
Un visitante continental o americano del Reino Unido quedará asombrado al ver que las antenas de TV en los tejados tienen sus elementos verticales, en lugar de horizontales como en su país. ¿A qué se debe esta diferencia?
Respuesta 124.
La orientación de una antena emisora o receptora depende de la polarización de la onda electromagnética empleada. Si la onda está polarizada horizontalmente, el vector-campo eléctrico vibra en un plano horizontal. El vector-campo magnético, siempre perpendicular al vector-campo eléctrico, vibra en un plano vertical. La orientación del vector-campo eléctrico es la misma que la dirección de la corriente alterna en el conductor de la antena emisora. Si el conductor es horizontal, la onda emitida estará polarizada horizontalmente.
En España y en la mayoría de los países se ha considerado mejor la polarización horizontal de las ondas de televisión y de frecuencia modulada. En el Reino Unido juzgaron preferible utilizar la polarización vertical.
Desafío 125.
Una corriente eléctrica que circula por un conductor induce un campo magnético a su alrededor. La velocidad de desplazamiento de los electrones que forman la corriente es únicamente de unos pocos milímetros por segundo. Si un observador camina a lo largo del conductor en la misma dirección y a igual velocidad que la del desplazamiento de los electrones, éstos, en relación a él, podrán considerarse cargas eléctricas en reposo. ¿Desaparecerá también para este observador el campo magnético que rodea al conductor?
Respuesta 125.
No. Los electrones del conductor están en reposo en relación al observador paseante, pero los iones positivos de la red cristalina se mueven en dirección contraria a la misma velocidad. Puesto que un conductor es neutro, considerado como un todo, el número de iones positivos es igual al de electrones. Además, una carga positiva que se mueva en una dirección origina el mismo campo magnético que igual carga negativa moviéndose a la misma velocidad en dirección opuesta; y, por tanto, los iones positivos que retroceden originan el mismo campo magnético que los electrones que avanzan.
Si andas a la mitad de velocidad que los electrones, por ejemplo, el campo magnético debido a los electrones que avanzan será la mitad de intenso, pero la contribución del campo creado por los iones positivos que retroceden a esa velocidad, dará origen al mismo campo magnético que el experimentado por un observador en reposo. Puedes intentar cualquiera otra velocidad y llegarás a la misma conclusión. No puede uno moverse de forma tal que desaparezca el campo magnético.
Desafío 126.
He aquí un experimento sencillo. Con el receptor de TV en marcha coge una varilla o una regla y hazla oscilar rápidamente frente a la pantalla. Podrás ver varias reglas “congeladas” que parten de tu mano. El experimento funciona aún mejor si cubres toda la pantalla excepto una franja horizontal de pocos centímetros de anchura. Está claro que un receptor de TV podría emplearse como estroboscopio, pero ¿por qué?
(Un tubo fluorescente también sirve como estroboscopio.)
Respuesta 126.
La imagen de una pantalla de TV es producida por un rayo electrónico explorador. En cada instante el rayo golpea la pantalla en un solo punto. (Los aparatos de TV en color tienen tres rayos emitidos por cañones electrónicos independientes, correspondientes a los tres colores primarios; pero aun en los aparatos de color los tres rayos forman sus tres puntos de color dentro de un área triangular tan pequeña que puede considerarse como un único punto.)
A medida que el rayo explora una línea horizontal, su intensidad cambia 435 veces, dando origen a puntos más oscuros o más brillantes sobre la pantalla; la persistencia de la imagen induce al observador a percibirla como una sola imagen en lugar de una serie de puntos.
El efecto estroboscópico nace de la alternancia de iluminación-oscuridad de la pantalla.
Desafío 127.
¿Por qué se reciben mejor las emisiones de onda corta por la noche?
Respuesta 127
El fenómeno tiene su origen en la interacción de ondas electromagnéticas de diferentes longitudes de onda y de varias capas de aire ionizado conocidas colectivamente como ionosfera. La atmósfera terrestre es inundada continuamente por fotones (partículas de luz) procedentes del Sol y por rayos cósmicos. Los fotones de muy alta energía, principalmente los pertenecientes al extremo ultravioleta o a la parte de rayos X del espectro, tienen suficiente energía para separar electrones de los átomos neutros de la atmósfera superior y dejar iones cargados positivamente. Los rayos cósmicos tienen mucha más energía que los fotones, pero están presentes en un número notablemente inferior, por lo que su efecto es menor.
Las diferentes capas ionizadas son:
1) la capa D, que desaparece por la noche;
2) la capa E, que casi desaparece por la noche, y
3) las capas F1 y F2, que se difunden entre sí durante las horas del día. De noche las capas F1 y F2 se mezclan por completo, debido fundamentalmente a la desaparición de la capa F1. La capa F resultante se convierte en un excelente reflector de las ondas cortas.
¿De qué forma afectan estas capas a la propagación de las ondas electromagnéticas? Las ondas de baja frecuencia, hasta 500 kHz penetran muy lejos en el aire ionizado, y son reflejadas por la capa D. Las ondas de frecuencia media, entre las que se encuentran las emisiones de radio de amplitud modulada (AM), no se desvían con facilidad. Sólo son reflejadas por la capa E. Las ondas de alta frecuencia, es decir, las ondas cortas, llegan a alcanzar la capa F antes de ser devueltas hacia la Tierra. Las ondas de frecuencia muy alta y superiores, comprendiendo las de televisión y radar, disponen de tanta energía que escapan hacia el espacio exterior. El resultado es que la televisión y el radar quedan limitados a distancias al alcance de la vista, no superiores a 65 kilómetros.
Desafío 128.
¿A qué se debe que la mayoría de los países hayan cambiado la tensión de alimentación del suministro eléctrico doméstico de 110-125 voltios a 220-240 voltios?
Respuesta 128.
En algunas zonas las viviendas acostumbraban ser abastecidas con corriente continua a 110 voltios. No se consideraba segura una tensión más elevada. Más tarde estos temores pasaron a considerarse exagerados (véase Respuesta 121) en la mayor parte de los países.
Las tensiones altas abaratan la distribución de energía. La potencia suministrada por una corriente eléctrica es igual al producto de la tensión por la intensidad. Si se dobla la tensión, la misma potencia podrá ser suministrada con la mitad de la intensidad, lo que significa la utilización de conductores de la mitad de su sección transversal anterior, con el consiguiente ahorro de cobre y otros metales en vías de desaparición. La mitad de la intensidad, circulando por un conductor cuya sección transversal sea mitad de la anterior, no encuentra cambio en su resistencia.
También se gana rendimiento en términos de pérdida de calor (I2R). Suponte una intensidad inicial de I = 4 amperios y una resistencia en línea de 4 ohmios. La pérdida I2R es igual a 16×4 = 64 vatios (perdidos en el calentamiento del cobre). Doblemos ahora la tensión. La intensidad se ha reducido a la mitad, I = 2 amperios. El área de la sección transversal también se ha reducido a la mitad, aumentando la resistencia a 8 ohmios. Por tanto, las pérdidas pasan a ser de 4×8 = 32 vatios.
Desafío 129.
El esquema muestra un circuito con dos condensadores C1 = C2 = 10 μf, una batería B con una fuerza electromotriz de 20 voltios, y un conmutador S. Supón que el conmutador está inicialmente en la posición 1. El condensador C1 será cargado por la batería y la energía que almacenará será de:

Si se conmuta a la posición 2 los condensadores quedarán conectados en paralelo y la carga almacenada en C1tendrá oportunidad de repartirse entre C1 y C2. La capacidad combinada de los dos condensadores es de 1 μf + 10 μf = 20 μf. Sin embargo, dado que la carga original se ha dividido por igual entre C1 y C2, la diferencia de potencial entre los terminales de este condensador compuesto es sólo de 10 voltios. Por ello la energía combinada en el condensador combinado será de:
Respuesta 129.
No, el principio de conservación de la energía no ha sido violado. Mientras se cargaba el condensador C2, una parte de la energía servía para calentar los cables de conexión y otra parte era radiada en forma de ondas electromagnéticas.
Cuando C2 = Cl, la pérdida de energía es siempre el 50 %, sea cual sea la resistencia de los cables de conexión. (Ni siquiera han entrado en los cálculos.)
Desafío 130.
Si se coloca una aguja magnética sobre la superficie del agua, ella sola se posiciona a lo largo del meridiano magnético (es decir, alrededor de un círculo máximo que une los polos magnéticos de la Tierra), pero no se moverá hacia el norte ni hacia el sur. Pero si la misma aguja se coloca cerca de un imán potente no sólo girará sino que comenzará a moverse en esas direcciones.
¿Cómo puedes explicar esta diferencia?
Respuesta 130.
La diferencia es un buen ejemplo de una de las características más interesantes de los campos magnéticos (y eléctricos). El campo magnético es casi uniforme a lo largo de toda la aguja, es decir, su intensidad permanece constante en dirección y magnitud debido a que la distancia entre los extremos de la aguja es relativamente pequeña en comparación con la distancia existente entre los polos magnéticos de la Tierra. Por ello, la fuerza magnética sobre un extremo de la aguja es anulada prácticamente por la fuerza que actúa sobre el otro. El par resultante sólo puede hacer girar la aguja sobre sí misma, pero tan pronto se alinea con la dirección de la fuerza magnética, la fuerza resultante desaparece casi del todo.
Por el contrario, el campo de un imán es muy poco uniforme en su vecindad. Por lo tanto, las fuerzas que actúan sobre los extremos de la aguja son diferentes y dan una resultante no nula.
Desafío 131.
Cerramos un gran imán de herradura mediante una barra de hierro A (véase la figura). El imán tiene potencia suficiente para sostenerla. A continuación cogemos otra barra B, de hierro dulce, y la colocamos sobre el imán como se muestra. Tan pronto lo hacemos se cae la barra A. Cuando quitamos la barra B el imán puede volver a sostener con facilidad la barra A.¿Cómo explicas este fenómeno?
Respuesta 131.
Cuando la barra B se coloca sobre el imán, algunas de sus líneas de fuerza son “cortocircuitadas”
por la barra B. como se indica en la figura. El resultado es la reducción del número de líneas de fuerza que atraviesan la barra A. Con ello se debilita la fuerza de atracción entre el imán y la barra A. que se cae.Desafío 132.
En la escuela aprendimos que un imán tiene dos polos. Si alguien lograse construir un imán con un solo polo, el siguiente premio Nobel de Física sería suyo. He aquí una modesta propuesta.

Cortar una esfera de acero en trozos de forma irregular como puede verse en la figura (a). Imantar cada trozo de forma que todos los extremos redondeados pasen a ser polos norte y todos los extremos agudos polos sur (o al contrario). Reunir juntos los trozos imantados para volver a formar una esfera (b). ¿Tendrá esta esfera imantada su polo norte en el exterior? ¿Ha desaparecido el polo sur?
Respuesta 132.
Es posible volver a montar la esfera como se ha descrito, pero se verá que esta esfera no tiene propiedades magnéticas. Se desmagnetizará en cuanto quede montada. Puede comprobarse sobre una base teórica: la esfera es totalmente simétrica. Por lo tanto, a través de cada uno de sus puntos pasa el mismo número de líneas de fuerza magnéticas opuestas y la resultante en cada uno de los puntos es nula.Desafío 133.
La figura muestra una lata que se sostiene sobre un espejo. ¿El espejo es de vidrio o de metal pulimentado?

Respuesta 133.
De vidrio. La clave de la respuesta está en el espacio que existe entre el fondo de la lata y su imagen reflejada. La capa especular recubre la parte trasera de la lámina de vidrio en la mayor parte de los espejos.
Desafío 134.
Un rayo estrecho de luz blanca atraviesa un prisma de cristal que dispersa al rayo en sus colores constituyentes. ¿Pueden recombinarse los colores dando luz blanca, si atraviesan un prisma idéntico, pero invertido?
Si el hombre invisible de H. G. Wells existiese, ¿podría ver?
Respuesta 134.
No. La primera figura ilustra esta falacia frecuente, perpetuada hasta hoy en muchos textos. La segunda es correcta.



Si el hombre invisible de H. G. Wells existiese, ¿podría ver?
Respuesta 135.
No. La luz precisa ser absorbida por la retina para ser percibida. La retina de una persona invisible sería transparente y por ello no podría absorber luz.
Además, también la lente de sus ojos sería transparente. Su índice de refracción sería igual al del aire; por ello no podría refractar la luz para formar una imagen en la retina.
Desafío 136.
En ciertas ocasiones es posible ver un “relámpago verde” al amanecer o en el ocaso. En el momento en que la última fracción del disco solar está a punto de desaparecer o, la parte superior del disco, de aparecer, se produce un verde brillante por una fracción de segundo. El efecto solamente puede verse con aire muy limpio y horizonte distintamente visible, generalmente en el mar, en montaña o en un desierto.
¿De qué forma engendra la naturaleza este relámpago verde?
Respuesta 136.
La luz del Sol nos parece blanca, pero si la hacemos pasar a través de un prisma se descompone en todos los colores del arco iris. La atmósfera de la Tierra se comporta como un prisma gigantesco. Provoca la refracción de los componentes de la luz solar, siendo las ondas cortas (violeta, azul) más desviadas que las largas (rojo, naranja, amarillo). El valor de la dispersión de la luz solar blanca aumenta al atravesar mayor cantidad de aire antes de alcanzar al observador, es decir, en la salida y en la puesta del Sol. (Las denominaciones de los rayos de la figura se refieren a los colores de los distintos componentes.)

Por ello el espectro de la luz solar tiene el violeta en la parte superior y el rojo en la inferior. Si una buena parte del disco solar es visible por encima del horizonte, los rayos de luz de sus distintas partes se solapan y no puede observarse el espectro: pero a medida que se pone el Sol, los colores de su espectro deberían desaparecer uno por uno, en teoría, comenzando por los rayos rojos y acabando por los violeta. Sin embargo, deben tenerse en cuenta otros dos fenómenos atmosféricos: la absorción de la luz, debida en su mayor parte al vapor de agua, al oxígeno y al ozono que filtran la mayor parte de la luz naranja y amarilla; y la dispersión de la luz, que afecta más a las longitudes de onda más cortas (violeta y azul). El único color que apenas sufre dispersión es el verde, que es el que recibimos. A mayores altitudes, donde el aire suele ser más claro, las longitudes de onda más cortas aún pueden pasar y el relámpago puede ser azul o violeta en lugar de verde.
Este relámpago perdura más si el Sol se pone relativamente despacio, esto sucede en invierno en cualquier lugar, puesto que la trayectoria aparente del Sol forma entonces el menor ángulo posible con el horizonte; y en cualquier momento cerca de los polos. En Hammerfest, Noruega (79º de latitud Norte) el relámpago en verano dura 14 minutos, 7 minutos durante la puesta del Sol y 7 minutos durante la salida, ¡que se suceden ininterrumpidamente!
Desafío 137.
La Luna y los planetas parecen mayores y más cercanos cuando los miramos a través de un telescopio. Pero las estrellas, aun con el más potente de éstos, siguen mostrándose sólo como un punto fuente de luz. Por tanto, ¿sirven los telescopios astronómicos para algo más que para mirar los planetas?
Respuesta 137.
La principal característica del telescopio astronómico es presentar más luz a la retina, sustituyendo la diminuta superficie de la pupila humana por la gran área de una lente o de un espejo esférico. Si desde una estrella lejana cae sobre la Tierra una corriente de fotones (partículas de luz), el número de éstos por unidad de área es constante. Por consiguiente, un gran telescopio de superficie A1 recoge A1/A2 veces más fotones que otro telescopio de superficie A2. En función de sus diámetros d1 y d2, el telescopio grande recogerá d12/d22 veces más luz que el pequeño. El telescopio de Monte Palomar (d1 = 1.080 mm) recoge 455.000 veces más luz que la pupila humana (d2 = 1,6 mm):



Otra ventaja del uso de un telescopio es su mayor poder de resolución, dado por:
2,52×105λ/d
donde λ es la longitud de onda de la luz y d el diámetro del telescopio. Sin embargo, el poder de resolución queda muy limitado por la atmósfera (Respuesta 168), siendo la menor resolución posible 0,5 segundos de arco, obtenible con un telescopio de 30 cm. Los mayores telescopios sólo consiguen la ventaja de una mayor potencia captadora de luz.Desafío 138.
Al explicar el arco iris suele suponerse que un rayo de luz penetra en una gota de agua en A (véase la figura), sufre una reflexión interna total en B y abandona la gota en C. En A y en C el rayo atraviesa la capa frontera entre el aire y el agua sufriendo una refracción dispersora. El resultado es que la luz emergente en C queda separada en todos los colores del espectro visible, produciéndose el arco iris.
Sin embargo, es fácil demostrar que un rayo de luz que haya sufrido una reflexión interna una vez, jamás logrará salir de la gota.Supongamos que el ángulo 1 de la figura es mayor que el ángulo crítico necesario para que tenga lugar la reflexión interna total. Luego, en B, el rayo de luz sufrirá esta reflexión y se encaminará hacia C. Dado que el triángulo OBC es isósceles, los ángulos 2 y 3 son iguales entre sí. El ángulo de incidencia 1 es igual al ángulo de reflexión 2, y el ángulo de incidencia 3 es igual al ángulo de reflexión 4. Por tanto, los cuatro ángulos son iguales, y, en consecuencia, si el ángulo 1 es mayor que el crítico también lo será el ángulo 3. Entonces tendremos una nueva reflexión total interna en C, y así sucesivamente, por lo que el rayo de luz quedará para siempre en el interior de la gota de agua.
¿Cómo puedes explicar, entonces, la formación del arco iris?
Respuesta 138.
Las gotas de lluvia sólo pueden tomar una perfecta forma esférica si únicamente están sometidas a fuerzas intermoleculares. La forma esférica minimiza la energía de tensión superficial.
Pero la resistencia del aire distorsiona la superficie de una gota, por lo cual adquiere la forma característica de una gota de lluvia. Los argumentos de este problema no se aplican a estas gotas de lluvia, dado que las condiciones de reflexión interna total no son las mismas en todos los puntos. Un rayo de luz puede sufrir reflexión interna en un punto de tal gota y abandonarla en otro punto.
Además, ninguna reflexión interna es completa: una parte de la energía sale siempre hacia el exterior.
Desafío 139.
Desde un avión que sobrevuela el océano el agua parece mucho más oscura cuando se mira hacia abajo directamente que cuando se mira hacia el horizonte. ¿Por qué?
Respuesta 139.
El coeficiente de reflexión para la luz reflejada por el agua disminuye cuando lo hace el ángulo de incidencia.
Al mirar directamente hacia abajo se reciben rayos reflejados con ángulos muy pequeños. Los rayos reflejados desde la superficie del agua cerca del horizonte forman ángulos mayores y por ello son absorbidos en menor cantidad.
Desafío 140.
Las longitudes de onda λ de la luz que atraviesa dos medios distintos están relacionadas a través de la fórmula:

La longitud de onda cambia al pasar de un medio a otro. Por ejemplo, si la longitud de onda es de 0,65 micrómetros en el aire (el rojo), en el agua, cuyo índice de refracción con respecto al aire es de 1,33, la longitud de onda pasará a ser de:

A partir de esto, ¿un buceador verá azul la luz de una lámpara roja?
Respuesta 140.
No. El color que vemos no depende de la longitud de onda sino de la frecuencia de vibración de la onda de luz. Esto es lo que estimula el nervio óptico y nos hace percibir un cierto color.
La frecuencia no cambia al pasar la luz de un medio a otro. La fórmula dada en el problema puede volver a escribirse de la forma:

Desafío 141.
Generalmente, el humo parece gris azulado, pero cuando lo vemos contra el Sol cambia a un gris rojizo. ¿Cuál es su verdadero color?
Respuesta 141.
El humo no tiene color propio. La percepción de color por los seres humanos está determinada no sólo por la frecuencia de las ondas de luz que inciden sobre la retina, sino también por consideraciones psicológicas, entre ellas prejuicios e ignorancia. Así el papel, considerado blanco, nos aparece como blanco aunque sea visto a la luz directa del Sol o a la amarilla de una vela. Por otra parte, una tela de color desconocido puede parecer verdosa a la luz de una lámpara de incandescencia o azulada a la luz de un cielo norteño. El color del humo, cuya composición varía desde partículas de gran poder reflexivo de ciertos alquitranes, a partículas altamente absorbentes de negro de humo, depende de la forma en que estas partículas reflejan la luz y de la pasada experiencia del observador. Las partículas de humo dispersan hacia los lados la luz de longitud de onda más corta (es decir, el violeta y el azul). Por este motivo, la luz blanca que ha traspasado una nube de humo parece rojiza, y, sin embargo, cuando se la observa de lado parece gris azulada.
Desafío 142.
¿Existe alguna forma de distinguir el verdadero paisaje del reflejado en el agua en una fotografía?
Respuesta 142.
Sí. El paisaje reflejado parece tener un punto de vista situado por debajo de la superficie del agua, a una profundidad igual a la distancia entre el objetivo de la cámara y el agua.
Desafío 143.
¿A qué puede deberse que mirando un letrero de neón, las letras rojas parezcan más cercanas que las azules o las verdes?
Respuesta 143.
La longitud focal del ojo, o de cualquier otra lente, depende de la longitud de onda de la luz. Los rayos rojos se desvían menos que los azules. Como consecuencia, el foco de los rayos rojos está más alejado de la lente y ligeramente detrás de la retina. Por ello, su imagen sobre la retina es sensiblemente mayor.
Desafío 144.
¿Por qué la arena húmeda parece más oscura que la seca?
Respuesta 144.
Porque refleja menos luz. La luz penetra en el agua situada entre ios granos de arena, se propaga por el interior sufriendo múltiples reflexiones internas en las capas límite del agua, y es absorbida parcialmente en el interior.
Desafío 145.
Suponte que es de día y que estás mirando la fachada de un edificio. ¿Por qué las ventanas parecen más oscuras que las paredes, aunque éstas estén pintadas de oscuro?
Respuesta 145.
Las paredes, opacas, reflejan siempre mayor cantidad de luz que las ventanas que son transparentes (es decir, permiten el paso de la luz).
Desafío 146.
Los operarios de los hornos de reverbero (de frente parcialmente abierto) suelen utilizar prendas protectoras recubiertas exteriormente con una delgada capa metálica. Esto no parece tener sentido, ya que los metales son excelentes conductores del calor. Explícalo.
Respuesta 146.
Si permaneces cerca de un tocho de metal calentado al rojo recibes la mayor parte del calor por radiación electromagnética, con un máximo de energía radiada en la región del infrarrojo. Los metales son excelentes reflectores de las ondas infrarrojas (como de cualesquiera otras ondas electromagnéticas) y por ello un recubrimiento metálico proporciona una pantalla de gran eficacia contra el calor radiado por un metal al rojo.
Capítulo 11
La nave espacial Tierra
¿Cómo funciona en realidad “echar aceite en aguas turbulentas”? Se supone que la superficie del mar se suaviza al aumentar la tensión superficial de la zona próxima al agua. Pero la tensión superficial del agua es doble que la del aceite; por tanto, ¿en qué puede ayudar el aceite?
Respuesta 147.
La tensión superficial del aceite crece cuando disminuye su espesor, incluso por debajo de una millonésima de milímetro. Como el aceite se extiende a partir del punto en que se ha vertido, aumenta su eficacia como oponente a cualquier tipo de movimiento que tienda a aumentar su extensión superficial. Se convierte en una especie de membrana elástica que presiona hacia abajo sobre el mar.
Desafío 148.
¿Por qué hace espuma el mar?
Respuesta 148.
El agua de mar produce más cantidad de espuma que el agua dulce, en primer lugar, a causa de las sustancias que tiene en disolución, entre ellas las pecinas de materiales orgánicos.
La espuma está formada por burbujas de aire separadas una de otra por una pequeña película líquida. Las burbujas que chocan en agua dulce se unen entre sí. Pero en agua salada se repelen una a otra. Por esta razón las burbujas del mar duran más.
La mayor parte de las burbujas oceánicas son causadas por las olas rizadas por el viento, pero también pueden ser producidas por la lluvia o la nieve. Las burbujas que se forman a lo largo de la costa son muy pequeñas, la mayoría menores de 0,5 mm de diámetro.
Desafío 149.
¿Por qué en Estados Unidos el agua de la costa del Pacífico suele ser más fría que la del Atlántico?
Respuesta 149.
A causa de la fuerza de Coriolis, que, provocada por la rotación de la Tierra, hace que todo se mueva oblicuamente hacia la derecha de su movimiento natural (en el hemisferio norte). Los vientos dominantes que conducen el agua hacia la costa de California son de componente noroeste; esto significa que la fuerza de Coriolis se llevará el agua lejos de la costa hacia el suroeste. El déficit resultante se equilibra con agua fría que asciende de profundidades de varios cientos de metros y que forma una banda de aguas frías a lo largo de la costa. La corriente fría de California fluye desde el norte hacia el sur y hace bajar aún más la temperatura de las aguas costeras.
Desafío 150.
Se aparca un coche cerca de una pared para pasar la noche, a la mañana siguiente las ventanillas cercanas a la pared aparecen secas, en tanto que las del lado opuesto están cubiertas de rocío. Explícalo.
Respuesta 150.
El lado cercano a la pared está expuesto a una menor superficie de cielo abierto que los lados alejados de ella, y por eso el lado cercano a la pared se enfría menos por radiación hacia el cielo que el lado alejado, y es más probable que el vapor de agua se deposite con preferencia en el lado más frío.
Desafío 151.
¿Por qué la hierba y otras plantas de poca altura se humedecen tanto por la noche, aun en verano?
Respuesta 151.
En primer lugar, la cara superior de las hojas radia calor hacia el cielo. Simultáneamente, el calor almacenado en el subsuelo es conducido hasta la base de los tallos. Sin embargo, existe una eficaz capa aislante entre la parte superior y la inferior, consistente en tallos y espacios aéreos, que impide el movimiento ascendente del calor del subsuelo.
En segundo lugar, las plantas transpiran vapor de agua, saturando el aire a su alrededor. En una noche clara y en calma la temperatura de la hierba puede caer por debajo del punto de rocío y, puesto que el aire frío puede contener menos vapor que el aire caliente, el vapor sobrante se condensará, separándose del aire y depositándose en la hierba.
Desafío 152.
¿Por qué la Antártida tiene ocho veces más hielo que el Ártico?
Respuesta 152.
La Antártida es un continente. La tierra es un mal conservador del calor, radiándolo hacia el exterior tan pronto como lo recibe. (Esta es la causa de la mayor dureza de los inviernos en el interior de los países.)
El hielo ártico está sobre un océano, y ya se conoce el gran calor específico del agua, que precisa mucho tiempo para calentarse, pero una vez caliente, pierde su calor con lentitud'. El Ártico almacena calor del verano y vive de sus “ahorros” en invierno.
Desafío 153.
Si no echamos a la sal común una pequeña cantidad de carbonato de sodio, magnesio u otro similar, no podremos emplear el salero en tiempo húmedo. ¿Puedes dar alguna explicación?
Respuesta 153.
La sal es higroscópica, es decir, tiende a coger humedad del aire. Las moléculas de agua se adhieren a la superficie de los cristales de sal y forman puentes entre cristales vecinos, dándole una consistencia pegajosa.
Desafío 154.
¿De qué forma protegen los botes de humo a los huertos durante las heladas?
Respuesta 154.
Los botes de humo impiden la inversión de temperaturas. De ordinario, la temperatura del aire disminuye con la altura a un ritmo de 6 ºC (6 K) cada 1.000 metros. Sin embargo, ciertas condiciones pueden provocar que la temperatura aumente con la altitud. Este fenómeno recibe el nombre de inversión de temperatura.
En las noches de invierno sin nubes, la superficie de la Tierra desprende gran cantidad de calor por radiación infrarroja. La temperatura superficial cae abruptamente, enfriando las capas inferiores del aire mucho más que las superiores. Al amanecer, la helada puede destruir un huerto entero si no se hace nada para evitarlo.
En las noches nubladas los rayos infrarrojos procedentes del suelo son absorbidos por el vapor de agua y las gotitas de las nubes, antes de haber tenido oportunidad de escapar al espacio, y son devueltos nuevamente hacia el suelo. Con ello no se pierde calor y la temperatura no desciende tanto como en las noches sin nubes.
De una forma similar, los botes de humo producen un denso palio de humo que se extiende sobre la zona vecina y reduce la pérdida de calor por radiación. Además del ligero aumento de temperatura del aire superficial, el calor de los botes de humo crea corrientes de convección que rompen la capa de inversión (véase Respuesta 92).
Desafío 155.
Un vagabundo que anda por un camino llega a un cruce de cinco carreteras y encuentra el poste señalizador en la cuneta. No hay nadie cerca, es un día nuboso y no tiene brújula. ¿Cómo puede encaminarse a la ciudad que pretende?
Respuesta 155.
Suponemos que el vagabundo está sobrio, al menos lo suficiente para recordar de dónde procede. Todo lo que debe hacer es volver a colocar la señal de forma que el brazo adecuado apunte hacia el lugar de donde viene. Los cuatro restantes brazos señalarán automáticamente las direcciones correctas.
Desafío 156.
¿En qué lugar de la Tierra la aguja de una brújula apuntará hacia el sur con sus dos puntas?
Respuesta 156.
En el polo norte geográfico. Desde el polo norte, todas las direcciones son sur, incluso la del polo norte magnético.
Desafío 157.
Nieva sobre un suelo húmedo no helado. La hierba seguirá cubierta de nieve mucho después de que el suelo desnudo esté libre de ella. ¿Por qué?
Respuesta 157.
La nieve depositada sobre el suelo desnudo se funde por el calor que asciende del subsuelo. Pero la hierba tiene espacios de aire entre las hojas que impiden la conducción del calor hacia la nieve depositada sobre ella.Desafío 158.
¿Cómo actúa la resistencia del aire sobre un satélite que se desplaza por las capas superiores de la atmósfera: frenándolo o acelerándolo?
Respuesta 158.
¡Acelerándolo!
Considerando una órbita circular, para mayor simplicidad, la fuerza centrípeta iguala a la atracción gravitatoria de la Tierra:


Desafío 159.
¿Por qué las plataformas de lanzamiento al espacio, como Cabo Cañaveral, tienden a estar localizadas cerca de los trópicos?
Respuesta 159.
Es más fácil lanzar un satélite a lo largo del ecuador en la dirección de rotación de la Tierra (de oeste a este). La velocidad de rotación de la Tierra se suma a la velocidad comunicada por los motores del cohete. La velocidad lineal de la Tierra debida a la rotación es máxima en el ecuador.
Desafío 160.
¿Cómo un astronauta puede trasvasar un líquido de un recipiente a otro en condiciones de ingravidez?
Respuesta 160.
La forma más sencilla es emplear bolsas de plástico u otros recipientes elásticos y exprimir el líquido de la misma forma que hacemos con el tubo de pasta dentífrica.
También se puede realizar utilizando la ley de conservación de la cantidad de movimiento, que sigue estando vigente en el estado de ingravidez. El astronauta coloca los extremos de los recipientes de forma que se encaren sus aberturas. Entonces los mueve enérgicamente en dirección opuesta a la de vertido. El líquido adquiere una cantidad de movimiento igual a la del recipiente, pero en sentido contrario. Ahora bien, la masa del líquido es mayor que la del recipiente y su aceleración será menor que la aceleración de los recipientes. En efecto, el astronauta desliza el primer recipiente fuera del líquido y con el segundo recipiente lo recoge.
Desafío 161.
¿Cuándo la Tierra se mueve más rápidamente alrededor del Sol? ¿Cuándo tiene su menor velocidad?
Respuesta 161.
La Tierra se mueve más deprisa en invierno y más despacio en verano (invierno y verano del hemisferio Norte).
La trayectoria de la Tierra alrededor del Sol es ligeramente elíptica, lo que significa que la distancia entre la Tierra y el Sol se modifica de forma constante. Paradójicamente, para los habitantes del hemisferio Norte, la Tierra está más cerca del Sol en invierno y más lejos en verano. De acuerdo con la segunda ley de Kepler, el área barrida por el radiovector de la Tierra debe ser constante. Para barrer igual área la Tierra debe moverse más rápidamente cuando está más cerca del Sol.
Desafío 162.
Un tarro de vidrio, abierto y limpio, lleno de agua es transportado en una nave espacial que al entrar en órbita alcanza el estado de ingravidez. ¿Qué sucede con el agua del tarro?
Respuesta 162.
El agua se remonta por la cara interna del tarro y, doblando su borde, termina recubriendo por igual ambas caras, la interna y la externa.
El agua moja el vidrio tanto si se halla en estado de ingravidez como si no. Liberada de su propio peso, el agua podrá someterse fácilmente a las fuerzas de adhesión entre ella y el vidrio.
Desafío 163.
Una nave espacial orbitando la Tierra libremente está girando de modo continuo. ¿Por qué no son lanzados los astronautas contra las paredes de la nave como les sucede a los ocupantes de un coche cuando se coge una curva a gran velocidad?
Respuesta 163.
Los ocupantes de un coche son lanzados hacia el exterior de la curva porque la aceleración centrípeta del coche es mayor que la de sus ocupantes. El coche es acelerado hacia la parte interna de la curva por la fuerza de rozamiento de la carretera sobre los neumáticos, en tanto que los ocupantes únicamente son acelerados hacia el interior de la curva por la fuerza de rozamiento de los asientos sobre sus cuerpos, que es menor, a no ser que estén sujetos con el cinturón o sentados contra el lado del coche que queda en el exterior de la curva.
En contraste, la nave espacial y sus ocupantes no reciben más aceleración centrípeta que la de atracción gravitatoria de la Tierra, y esta fuerza da a todos los cuerpos la misma aceleración con independencia de sus masas. (Por ejemplo, si empujas algo, cuanto menor sea su masa, mayor será la aceleración con que se mueva.) Si una masa m adquiere una aceleración a como resultado de una atracción gravitatoria producida por una masa M, tendremos:

Dado que el campo gravitatorio de la Tierra proporciona la misma aceleración centrípeta a la nave y a los astronautas, no sentirán aceleración alguna con respecto a la nave; en relación a ella son ingrávidos.
Desafío 164.
¿Por qué la mayoría de los satélites sólo pueden verse 1 a 2 horas después de la puesta del Sol ó 1-2 horas antes de su salida?
Respuesta 164.
Un satélite artificial de la Tierra sólo puede verse si está por encima del horizonte y el Sol lo ilumina desde debajo del horizonte. Cuando el Sol está en el cielo hay excesivo resplandor para permitir la visión del satélite.
Desafío 165.
Un astronauta a bordo de una nave espacial pone una marmita de agua a hervir en un hornillo eléctrico, bajo condiciones de ingravidez. Cuando revisa la marmita una hora después comprueba que el agua de la parte superior aún está fría. ¿A qué se debe?
Respuesta 165.
Sobre la Tierra calentamos el agua principalmente por convección. El agua caliente de la parte inferior de la marmita (cerca de la fuente de calor), al ser más ligera, es desplazada hacia arriba por el agua fría de la parte superior, que se hunde, se calienta y vuelve a ascender. Estas corrientes de convección mezclan con eficacia el agua fría y la caliente.
En condiciones de ingravidez no existen corrientes de convección, puesto que nada es más ligero o más pesado que otra cosa. El agua de la parte superior únicamente es calentada por conducción calórica, un procedimiento más bien lento, en el agua.
Desafío 166.

La figura muestra una parte de la órbita de la Tierra alrededor del Sol con la trayectoria de la Luna alrededor de la Tierra. Además de no estar realizado a escala, ¿hay algo básicamente equivocado en el dibujo?
Respuesta 166.
Sí. La trayectoria de la Luna alrededor de la Tierra siempre es cóncava en relación al Sol, es decir, la Luna siempre tiene una componente de velocidad en dirección hacia el Sol. Su trayectoria parece un polígono regular de trece lados cuyos vértices hubiesen sido redondeados suavemente.
Desafío 167.
Si un cuerpo dista más de 260.000 km de la Tierra es atraído con más fuerza por el Sol que por ella, como puede comprobarse por cálculo mediante la ley cuadrática inversa. Pero 260.000 km representan sólo dos tercios, como mucho, de la distancia promedio de la Tierra a la Luna; por tanto, la Luna es atraída con más fuerza por el Sol que por la Tierra —de hecho más del doble.
¿Por qué, entonces, el Sol no roba la Luna a la Tierra?
Respuesta 167.
El Sol proporciona prácticamente la misma aceleración centrípeta tanto a la Tierra como a la Luna. Como ya sabemos (Respuesta 163), las aceleraciones de los cuerpos en un campo gravitatorio son independientes de sus masas, y por ello cuando comparamos la Luna con la Tierra la única diferencia está en sus distancias relativas al Sol; pero esta diferencia es tan pequeña que puede despreciarse. Por consiguiente, las trayectorias de la Tierra y de la Luna alrededor del Sol se desvían en la misma proporción, y por ello sus distancias mutuas permanecen siendo prácticamente las mismas.
Desafío 168.
¿De qué forma puedes distinguir, a ojo. un planeta de una estrella, sin esperar a que el planeta se mueva en relación a la estrella?
Respuesta 168.
Las estrellas centellean. Los planetas, por lo general, brillan con una luz uniforme excepto cuando están cerca del horizonte.
Las estrellas están tan lejanas que aparecen como puntos aun para los más potentes telescopios. Los planetas visibles a simple vista están tan cercanos que pueden verse como discos a través del telescopio. El diámetro aparente de Venus varía de 10 a 65 segundos de arco (según su posición respecto al Sol), en comparación con los 0.05 segundos de arco para la estrella más cercana. (Para tener una idea de los órdenes relativos de magnitud, téngase en cuenta que el diámetro promedio de la Luna es de 31 minutos de arco.)
La luz de un planeta está constituida por muchos rayos individuales y no por uno solo como en una estrella. Esto significa que la luz de un planeta es relativamente uniforme, porque si un rayo de luz procedente de un punto fluctúa debido a una interferencia atmosférica, hacia la izquierda, por ejemplo, es sustituido por rayos de luz procedentes de otros puntos cercanos del planeta. La intensidad promedio de la imagen sobre nuestra retina permanece constante.
Desafío 169.
Un satélite artificial “moribundo” hace sus últimas apariciones a la misma hora y en la misma parte del firmamento durante varios días antes de su desintegración. ¿Por qué?
Respuesta 169.
Por coincidencia, la órbita del satélite más cercano posible — uno que comienza a rozar la atmósfera— está muy próxima a 90 minutos. Debido a que 90 minutos es exactamente un dieciseisavo de día, ya que la Tierra está girando bajo él, el satélite volverá a estar casi en el mismo lugar del firmamento 24 horas más tarde.
F I N