La constelación del Centauro, visible en el Hemisferio Sur de la Tierra, fuera de su tamaño y la belleza de sus estrellas tiene una distinción especial: su estrella alfa, esto es, la más brillante de la constelación, es también la más cercana a nosotros. Sólo nos separan de ella cuatro años luz, un año luz es la distancia que recorre la luz en ese periodo a la velocidad de 300 000 km por segundo, el equivalente a nueve billones de kilómetros. Esta proximidad relativa ha movido a los astrónomos a tomar Alfa del Centauro como la primera escala en la conquista del espacio por el hombre. Los cohetes con que se cuenta en la actualidad distan una infinidad de alcanzar la velocidad de la luz, lo que no ha impedido que se formulen los planes de vuelo y las circunstancias que influirían en el trayecto. Así, si el vuelo se efectúa casi a la velocidad de la luz, el viaje de ida y vuelta duraría ocho años, medidos en la Tierra. Sin embargo, debido a la contracción del tiempo entre dos sistemas de referencia inercial, uno de los postulados relativistas, para los audaces cosmonautas habrán, transcurrido sólo algunos días.
La existencia de un tiempo absoluto, independiente de quien lo mide, es resultado de nuestra experiencia cotidiana. Estamos acostumbrados a que el tiempo transcurre siempre en la misma forma y así sincronizamos nuestros relojes para determinar el momento en que ocurre cada suceso. Nadie se atrevería a afirmar que el tiempo transcurre más rápida o más lentamente en un lugar o en otro del Universo. Al menos esto se pensaba hasta que llegó Einstein.
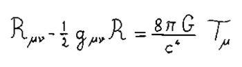
Las ideas que, además del tiempo, se tenían sobre la materia y la energía, el espacio y la gravitación, han cambiado radicalmente a partir del cataclismo o que, para la física, significó Einstein. En Relatividad para principiantes, el doctor Shahen Hacyan aclara y explica muchos de los problemas nuevos que afrontan los científicos de nuestros días y, sobre todo, siembra en el lector la inquietud por conocerlos y entenderlos.
El doctor Hacyan es licenciado en física por la UNAM y obtuvo su doctorado en física teórica en la Universidad de Sussex. Es investigador y maestro en la Facultad de Ciencias y en el Instituto de Astronomía de la UNAM. Este es su tercer libro en la colección La Ciencia Desde México y se suma a El descubrimiento del Universo y Los hoyos negros.
Capítulo 1
La Relatividad de Galileo
La Tierra se mueve en el espacio como un grano de polvo en un vendaval: gira alrededor del Sol a 30 kilómetros por segundo, y este astro se mueve a su vez a 30 000 kilómetros por segundo alrededor del centro de la Vía Láctea, que es sólo una galaxia entre los millones de galaxias que efectúan un baile cósmico enlazadas por sus mutuas atracciones gravitacionales. Y, sin embargo, no percibimos ninguno de estos movimientos; la Tierra parece ser lo único firme e inmutable a nuestro alrededor. La distancia entre dos puntos fijos de la Tierra o la altura de otro con respecto a la superficie son tipos de medición bien definidos, que pueden repetirse tantas veces cuanto sea necesario, sin incertidumbre, pues la Tierra es un excelente sistema de referencia.

Figura 1. Trayectoria de una piedra.
La Tierra constituye el ejemplo más obvio de lo que es un sistema de referencia con respecto al cual se efectúan la mayoría de las mediciones. Podemos estudiar, por ejemplo, el movimiento de una piedra que se deja caer desde lo alto de un poste: la experiencia demuestra que la piedra cae exactamente alo largo de una línea recta vertical (si no soplan vientos fuertes que la desvíen). Del mismo modo, si la piedra es arrojada con una cierta velocidad horizontal, la piedra cae siguiendo una trayectoria curva y llega al suelo a cierta distancia del pie del poste (Figura 1). Se puede demostrar que la trayectoria es una curva geométrica llamada partí bola, y la distancia entre el pie del poste y el punto de caída es simplemente la velocidad inicial de la piedra multiplicada por el tiempo que dura la caída. De hecho, esto sería exactamente lo que sucedería si el experimento se realizara en un lugar sin aire (en una campana de vacío o en la Luna; por ejemplo); en la práctica, la fricción del aire con la piedra influye ligeramente en su movimiento.
Pero la Tierra no es el único sistema de referencia disponible. ¿Qué pasa si se repite el experimento de la piedra que cae en un barco en movimiento? Supongamos que la piedra se suelta desde lo alto de un mástil. ¿Caerá la piedra justo al pie del mástil o quedará rezagada debido al movimiento del barco? Esto en un problema filosófico que, en la época de Galileo, se trataba de resolver estudiando los escritos de Aristóteles y otros pensadores de la Antigüedad. No sabemos si Galileo realizó el experimento en un barco o en el laboratorio de su casa, pero podemos afirmar que él comprendió por primera vez las profundas implicaciones de ese problema.
En el ejemplo del barco, la piedra caería justo al pie del mástil sino fuera por el aire que la empuja hacia atrás. Para evitar complicaciones innecesarias, se puede realizar el experimento en el interior del barco, donde el aire está en reposo. En este caso; la caída de la piedra ocurre exactamente como si el barco no se moviera.

Figura 2. Trayectoria de una piedra vista desde dos sistemas de referencia.
La trayectoria de la piedra, vista en el sistema de referencia que es el barco, es una línea recta vertical. En cambio, en el sistema de referencia de la tierra firme, la trayectoria es una parábola. Estas dos descripciones de un mismo fenómeno físico son perfectamente compatibles entre sí: un observador en tierra firme ve una piedra que se arroja con una velocidad horizontal que es precisamente la velocidad del barco y ve la piedra caer siempre pegada al mástil, que se mueve con la misma velocidad; un observador en el barco ve simplemente una caída vertical (Figura 2). Tanto el barco como la tierra firme son sistemas de referencia aceptables, y es sólo una cuestión de conveniencia escoger el más apropiado.
Hasta ahora hemos insistido en que el movimiento del barco (o cualquier sistema de referencia) debe ser sin cambios de velocidad y en línea recta. Sin embargo, sabemos por experiencia que la marcha de un vehículo se nota cuando su velocidad varía; en un automóvil que toma una curva hacia la derecha, los pasajeros son empujados hacia la izquierda, al frenar son arrojados hacia adelante y al acelerarse hacia atrás. Este tipo de fuerzas se debe a la inercia de los cuerpos masivos; todo objeto tiende a moverse en línea recta, con la misma velocidad, y opone resistencia a cualquier cambio de velocidad o trayectoria. Los pasajeros de un autobús que frena bruscamente son arrojados hacia el frente del vehículo porque intentan mantener la velocidad que poseían antes del frenazo: en otras palabras, es el autobús el que se ha detenido mientras que sus ocupantes prosiguen su viaje.
Las fuerzas que surgen en un sistema de referencia únicamente por el cambio de velocidad o de trayectoria, y no por factores externos, se deben a la inercia de los cuerpos masivos; por esta razón, se les llama fuerzas inerciales. Un sistema de referencia inercial es aquel que se mueve en línea recta sin variar su velocidad; evidentemente en tal sistema de referencia no surgen fuerzas inerciales. De acuerdo con el principio de relatividad de Galileo, las leyes de la física son las mismas en cualquier sistema de referencia inercial. En particular, no se puede distinguir un sistema de referencia inercial de otro por medio de experimentos físicos; cualquier sistema es válido y sólo es una cuestión de conveniencia escoger el más apropiado para describir un fenómeno físico. Mientras un autobús se mueve en línea recta y sin variar su velocidad, la única manera que tienen sus ocupantes de saber si avanzan o no es asomarse por la ventana. (El caso de los sistemas de referencia no inerciales es más complicado; volveremos a ellos en el capítulo 7.)
La relatividad de los sistemas inerciales choca en un principio con el sentido común. Si no hay manera de determinar el movimiento, los ocupantes de un autobús pueden postular que ellos están parados y que es la Tierra la que se mueve.
En realidad, nada impide tal afirmación, a no ser que, en la práctica, cualquier frenazo, curva o bache en el pavimento recuerde a los pasajeros que su sistema de referencia no es idealmente inercial.

Figura 3. Galileo Galilei (1564-1642).
Si nunca se detecta el movimiento de la Tierra en la experiencia cotidiana, es justamente por el principio de relatividad de Galileo. Recordemos, sin embargo, que la Tierra no es un sistema de referencia adecuado para observar el curso de los astros.
En efecto, los planetas giran alrededor del Sol, por lo que sus movimientos tienen una forma más simple, vistos desde un sistema de referencia en el que el Sol está fijo. Vistos desde la Tierra, los planetas parecen moverse de manera tan complicada que desafiaron durante siglos los intentos de los astrónomos antiguos de racionalizarla. Y no olvidemos que el Sol gira alrededor del centro de nuestra galaxia, la Vía Láctea, y así sucesivamente...
(Debido a su rotación, la Tierra ejerce una ligera fuerza inercial sobre los cuerpos en su superficie empujándolos en dirección perpendicular a su eje de rotación; este efecto es casi imperceptible, pero se puede medir con instrumentos suficientemente precisos.)
El hecho que un cuerpo masivo tiende a moverse en línea recta y a la misma velocidad, si ninguna fuerza actúa sobre él, es una ley fundamental de la mecánica, descubierta por el gran físico inglés Isaac Newton y llamada, en su honor, primera ley de Newton. A pesar de su sencillez, nadie la había descubierto porque, una vez más, parecía contradecir la experiencia común. Así, Aristóteles enseñaba que un cuerpo se mantiene en reposo si no actúan fuerzas sobre él, y se mueve con la misma velocidad si se le empuja con una fuerza constante. En efecto, una carreta de bueyes avanza a la misma velocidad mientras los bueyes la jalan y al dejar de hacerlo la carreta se detiene. Sin embargo, esto se debe a la fricción de las ruedas con sus ejes; si éstas estuvieran lubricadas en forma perfecta, la carreta rodaría con cualquier empujón inicial.

Figura 4. Isaac Newton (1642-1727).
Una nave espacial a la deriva es un ejemplo perfecto de un sistema de referencia inercial. Sus tripulantes no tienen ningún medio para determinar si se mueven o si están en reposo, a menos que puedan observar las estrellas en el exterior.
El espacio absoluto de Isaac Newton
Galileo (Figura 3) fue sin duda el fundador de la física como ciencia que estudia las leyes de la naturaleza para aprender a servirse de ellas; contribuyó, más que nadie, a romper con los viejos esquemas aristotélicos que, en su época, se habían vuelto dogmas de fe. Galileo insistió en que el mejor camino al conocimiento era la experimentación y la observación directa de los fenómenos naturales, y no la interpretación de los textos escritos en la Antigüedad. Como es bien sabido, esta actitud le acarreó serios problemas con las instituciones de su época... pero eso ya es otra historia.
Si bien Galileo contribuyó notablemente a aclarar muchos conceptos que antes permanecían en la oscuridad (la relatividad del movimiento es sólo un ejemplo), hacía falta un sistema preciso, basado en axiomas claros, que permitiera estudiar matemáticamente todos los fenómenos físicos en forma unificada. Tal fue la obra de Isaac Newton (Figura 4), nacido en 1642, el mismo año en que murió Galileo.
Los fundamentos de la física teórica aparecieron por primera vez en la obra cumbre de Newton, los Principios matemáticos de la filosofía natural (1687), donde Newton expone los principios básicos de la mecánica (sus famosas tres leyes) la ley de la gravitación universal y un eficacísimo sistema matemático que permitía resolver los problemas más importantes de la mecánica. El resultado más espectacular que obtuvo fue, sin duda, la deducción exacta del movimiento de los planetas, en perfecto acuerdo con las observaciones astronómicas, a partir de la ley de la gravitación universal. Al parecer, el Universo había revelado finalmente sus secretos; todos los cuerpos materiales, desde un grano de polvo hasta las estrellas, se movían por el espacio de acuerdo rigurosamente con las leyes de la mecánica descubiertas por Newton. El Universo era una inmensa máquina cuyas piezas interactuaban entre sí a través de la fuerza universal de la gravitación.
La primera ley de Newton, que afirma que todos los cuerpos se mueven en línea recta y con velocidad constante mientras no actúen fuerzas externas sobre ellos, es otra manera de expresar el principio de relatividad de Galileo. Newton nunca rechazó este principio, pero insistió en postular la existencia de un espacio absoluto, que equivaldría a un sistema de referencia especial y único, con respecto al cual el Universo en su conjunto estaría en reposo.
Hay que insistir en que la existencia de un sistema de referencia universal no contradice el principio de relatividad de Galileo. Este principio únicamente postula que las leyes de la física son las mismas en cualquier sistema de referencia inercial, sea éste un sistema universal y absoluto, o cualquier otro: no se puede determinar por medio de experimentos físicos si uno se encuentra en reposo o en movimiento con respecto al hipotético espacio absoluto.
Por otra parte, la existencia de un espacio absoluto parece bastante natural. Después de todo, el sistema de referencia en el que las estrellas están fijas es un sistema universal, desde el cual el comportamiento global del Universo debe tener una apariencia más simple que desde otro sistema de referencia en movimiento, como la Tierra.
Existe otra razón, relacionada con el problema de la gravitación, por la que Newton recurrió a un espacio absoluto. A pesar que toda su mecánica funcionaba a la perfección, Newton siempre estuvo insatisfecho por lo que consideraba un hueco importante de su teoría: la ausencia de una explicación física del fenómeno de atracción gravitatoria.
La ley de la gravitación de Newton precisa cómo se comporta cuantitativamente la fuerza gravitacional entre los cuerpos masivos, pero no aclara la naturaleza de dicha fuerza. Los Principios matemáticos de Newton contestan brillantemente la pregunta ¿cómo se atraen dos cuerpos?, Pero no a ¿por qué se atraen?
Newton propuso, como solución transitoria, la existencia de una acción a distancia entre los cuerpos masivos, pero insistió en que dicha acción era un concepto provisional, en espera de una mejor teoría. Incluso llegó a sugerir que la atracción gravitacional, sin causa mecánica aparente, demostraba la existencia de Dios, pues de otra forma un cuerpo no podía conocer la presencia de otro para interactuar con él. En un plano menos místico, Newton especuló que el vacío no está realmente vacío, sino que todo el espacio está permeado por una sutil sustancia, el éter, imperceptible para los humanos, pero a través del cual se produce la atracción gravitacional.
La idea de un éter que llena todo el Universo había sido propuesta por diversos filósofos antes de Newton. Así, el filósofo francés René Descartes había intentado explicar el movimiento de los planetas por medio de torbellinos en el éter: los planetas serían arrastrados en círculos alrededor del Sol tal como corchos que flotan en un remolino de agua. Por supuesto, los torbellinos de Descartes fueron desechados a favor de la atracción gravitacional propuesta por Newton, pero el éter siguió seduciendo a los sucesores de Descartes y Newton.
Una vez aceptada la existencia del éter, era natural suponer que existe un sistema de referencia único en el Universo, que es el sistema en el que el éter está en reposo. Todos los movimientos de los cuerpos celestes pueden referirse, en última instancia, a ese sistema cósmico.
En realidad, el problema del éter y, junto con él, el de la acción a distancia, siguió presente en la física hasta principios del siglo XX, cuando Einstein los liquidó definitivamente. Como sucede comúnmente con las revoluciones científicas, las nuevas teorías no resuelven todos los viejos enigmas, sino que vuelven irrelevantes algunos de ellos; tal fue el caso del éter, como veremos en los siguientes capítulos.
El concepto del espacio absoluto permaneció anclado en la física más de dos siglos después de Newton a pesar de no constituir un axioma esencial de la mecánica. Además, junto con el espacio absoluto, Newton introdujo el tiempo absoluto. Tampoco necesitaba la mecánica de un tiempo así, pero parecía lógico que, independientemente de las fórmulas matemáticas que describen el Universo, exista una manera única de medir el tiempo, algo así como un reloj cósmico... acaso el reloj de Dios.
La existencia de un tiempo absoluto independiente de quién lo mide, es una consecuencia de nuestra experiencia cotidiana. Estamos acostumbrados a la idea que el tiempo transcurre siempre en la misma forma, pues de lo contrario no tendría sentido sincronizar nuestros relojes y determinar, así, el momento en que ocurre u ocurrirá cada suceso. Nadie se atrevería a afirmar que el tiempo transcurre más rápido o más lentamente en un lugar o en otro del Universo. Al menos eso era evidente hasta que llegó Einstein.
Capítulo 2
Éter, Luz y Electromagnetismo
Además de la mecánica, la otra gran contribución de Newton a la física es la óptica, el estudio de la luz. De hecho, uno de sus primeros trabajos científicos fue analizar la luz que pasa por un prisma y descubrir que la luz blanca está compuesta, en realidad, de una mezcla de todos los colores del arco iris. Unos veinte años después de la publicación de los Principios matemáticos, Newton publicó su segundo libro: óptica, dedicado casi exclusivamente al fenómeno de la luz. La descomposición de la luz en sus colores primarios y la trayectoria de los rayos luminosos a través de lentes transparentes fueron estudiadas exhaustivamente por Newton y sus contemporáneos. Sin embargo, quedaba pendiente de comprender la naturaleza misma de la luz.
¿Qué es la luz? El mismo Newton pensaba que la luz está constituida por partículas que se mueven en el espacio a gran velocidad, como proyectiles, rebotando o absorbiéndose en los cuerpos materiales, o penetrando en los cuerpos transparentes, como el vidrio. Otros notables físicos de esa época, como el holandés Huygens, pensaban que la luz era una onda, análoga a las olas en el agua o al sonido en el aire. Pero, si la luz es realmente una onda, es decir una vibración de algún medio, ¿cuál es el equivalente del agua o del aire?, ¿qué medio transporta a una onda luminosa? Evidentemente, ese medio debería ser el éter, esa sustancia que llena y permea todo el Universo. Una vez más era necesario invocar al éter, fenómeno físico, aunque no existiera ninguna observación directa de tan misteriosa sustancia.
La controversia sobre la naturaleza de la luz, partícula u onda, persistió aún después de Newton y Huygens, hasta que en el siglo XIX la balanza se inclinó, al parecer definitivamente, a favor de la teoría ondulatoria (victoria efímera, como veremos más adelante).
El avance más trascendental de la física del siglo XIX lo constituyó, sin duda, la comprensión de los fenómenos eléctricos y magnéticos y su relación con la luz, lo que abrió las puertas a la física moderna e hizo posible la teoría de la relatividad.
Electricidad y magnetismo
La gravitación no es la única fuerza que actúa a distancia. También los cuerpos cargados eléctricamente se atraen o se repelen, y asimismo los imanes interactúan entre sí o con el hierro.
En el siglo XVIII, el físico francés Coulomb demostró que dos cuerpos eléctricamente cargados ejercen una fuerza de atracción o repulsión entre sí, similar a la fuerza gravitacional: proporcional a la magnitud de la carga e inversamente proporcional al cuadrado de la distancia entre ellas. Pero, a diferencia de la fuerza gravitacional, que siempre es atractiva, la fuerza eléctrica puede ser repulsiva o atractiva, si las cargas de los cuerpos son del mismo signo o de signo contrario. (Existen en la naturaleza cargas eléctricas positivas y negativas: por ejemplo, un átomo está constituido por un núcleo con carga positiva, rodeado de electrones de carga negativa; en condiciones normales, las dos cargas se compensan exactamente entre sí y la carga total de un átomo es cero.)
Aproximadamente por la misma época, Benjamín Franklin, en Estados Unidos, demostró que los rayos que se producen durante las tormentas son gigantescas chispas eléctricas que saltan entre las nubes y el suelo.
El estudio de la electricidad cobró un auge muy especial cuando se inventaron las pilas, que en un principio se consideraron botellas que contienen un misterioso fluido eléctrico. Las pilas producen una corriente eléctrica en un cable de metal; hoy en día, sabemos que la corriente eléctrica es efectivamente un flujo de partículas llamadas electrones.
El hecho que el magnetismo está relacionado con la electricidad se hizo evidente cuando el físico danés Hans Christian Oersted descubrió, a principios del siglo XIX, que las corrientes eléctricas producen fuerzas magnéticas que influyen sobre los imanes: una brújula tiende a alinearse perpendicularmente a un cable por donde pasa una corriente eléctrica suficientemente fuerte. Posteriormente, el científico francés Jean-Marie Ampère encontró una ley que relaciona la corriente eléctrica con la fuerza magnética que genera.
Pero el fenómeno más importante que pone de manifiesto la relación entre electricidad y magnetismo fue descubierto por el físico inglés Michael Faraday en 1831. Faraday notó que el movimiento de un imán puede inducir una corriente eléctrica en un cable, sin necesidad de pilas. En su época, este fenómeno parecía tener poca importancia, pero un siglo después el efecto de Faraday sirvió para generar y utilizar la energía eléctrica.
Tal era la situación de la electricidad y el magnetismo hasta mediados del siglo XIX: una serie de fenómenos y leyes aislados que relacionaban entre sí la electricidad y el magnetismo. Hacía falta una formulación unificada de estas leyes que permitiera una comprensión más profunda de la naturaleza de estas fuerzas. Tal obra fue realizada por Maxwell.
James Clerk Maxwell (Figura 5) nació en 1831, en Escocia. Su primera incursión en la física fue un estudio teórico de la estabilidad de los anillos del planeta Saturno: demostró que éstos no podían ser cuerpos sólidos, ya que la fuerza gravitacional del planeta los rompería con rapidez. Posteriormente, se interesó en la teoría molecular de los gases y llegó a ser uno de los pioneros de la llamada física estadística. Pero su obra más importante consiste en la formulación matemática de las leyes del electromagnetismo, los fenómenos unificados de la electricidad y el magnetismo. Maxwell logró expresar las leyes descubiertas por Coulomb, Faraday y Ampère en un conjunto de fórmulas (ecuaciones diferenciales, en lenguaje técnico) que relacionan matemáticamente las distribuciones de cargas y corrientes con las fuerzas eléctricas y magnéticas que generan en cada punto del espacio.

Figura 5. James Clerk Maxwell (1831-1879).
Un aspecto común entre la gravitación y el electromagnetismo es la existencia de una aparente acción a distancia entre los cuerpos, acción que tanto disgustaba a Newton. Maxwell no resolvió ese problema, pero inventó un concepto que desde entonces se ha utilizado constantemente en la física: el campo electromagnético. Según esta interpretación, en todo punto del espacio alrededor de una carga existe una fuerza electromagnética, cuya intensidad y dirección están definidas por medio de unas fórmulas matemáticas. En realidad, más que un concepto, el campo es una definición que da cierta consistencia a la idea que una carga eléctrica actúa sobre otra lejana, sin tener que recurrir a una acción a distancia. Sólo en el siglo XX se pudo encontrar cierta base física a este concepto, pero en tiempos de Maxwell el campo electromagnético era una noción matemática sumamente útil, descrita por ecuaciones, pero cuya realidad física trascendía toda interpretación teórica.
El primer éxito, y el más notable, de la teoría de Maxwell fue la elucidación de la naturaleza de la luz. Maxwell demostró, a partir de sus ecuaciones matemáticas, que la luz es una onda electromagnética que consiste en oscilaciones del campo electromagnético. Así quedaba establecida, más allá de cualquier duda, la naturaleza ondulatoria de la luz, tal como lo pensaba Huygens y en contra de la opinión de Newton.

Figura 6. La longitud de onda.
Pero ¿qué sustenta a una onda en el espacio? Este problema no parecía haber avanzado más allá de las primeras suposiciones de Newton. No quedó más recurso a Maxwell que recurrir a la existencia del misterioso éter como un medio físico que transporta las ondas electromagnéticas y da cierto sustento al concepto del campo. Pero el problema del éter estaba relacionado con otro aspecto, enigmático, de la teoría de Maxwell: la aparente necesidad de un espacio absoluto.
Como mencionamos en el capítulo anterior, las leyes de la física deben ser independientes de todo sistema de referencia, de acuerdo con el principio de relatividad de Galileo. Sin embargo, las leyes del electromagnetismo, tal como las planteaba Maxwell, no cumplían este principio: al pasar de un sistema de referencia a otro las ecuaciones de Maxwell tomaban una forma distinta, lo que implicaba leyes de la física diferentes. De hecho las ecuaciones del electromagnetismo en la forma deducida por Maxwell sólo podían ser válidas en un sistema de referencia muy especial, y los físicos especularon que ése no podía ser otro que el espacio absoluto.
Ilustremos lo anterior con un ejemplo simple: el campo magnético actúa sobre una partícula cargada si ésta se encuentra en movimiento: la fuerza ejercida es directamente proporcional a la velocidad (y perpendicular a la dirección del movimiento). De acuerdo con la ley de Ampère, una corriente eléctrica produce un campo magnético, el cual puede actuar sobre una partícula cargada que se mueve paralelamente a la corriente; se puede ver que la partícula es atraída hacia el cable conductor con una fuerza proporcional a su velocidad (Figura 7). Pero ¿qué pasa en un sistema de referencia que se mueve junto con la partícula cargada? En ese sistema, la partícula está en reposo y, por lo tanto, la corriente eléctrica no debe ejercer ninguna fuerza sobre ella, ya que el campo magnético no actúa sobre partículas en reposo. Este es un claro ejemplo de la no-invariancia de las leyes físicas con respecto al sistema de referencia: aparentemente, hemos llegado al resultado contradictorio que una partícula es atraída por una corriente eléctrica según desde donde la miremos. La única solución evidente de la paradoja es postular que las leyes del electromagnetismo tienen una forma muy especial en un cierto sistema de referencia privilegiado, cuya existencia objetiva se puede determinar por medio de experimentos físicos. Por ejemplo, en el caso de la partícula que se mueve a lo largo de una corriente eléctrica, debe influir no sólo la velocidad de la partícula con respecto al cable, sino también su velocidad con respecto a ese sistema de referencia privilegiado.

Figura 7. Una partícula cargada en movimiento resiente una fuerza de atracción (o repulsión) producida por una corriente eléctrica.
Este hecho se utilizó en el primer intento de medir la velocidad de la Tierra en el éter, como veremos. Así, el espacio absoluto parecería tener una realidad física, más allá de la necesidad subjetiva que exista un punto de referencia en el Universo con respecto al cual se puedan definir en forma única todos los movimientos.
La búsqueda del éter
La situación en el siglo XIX era tal que ningún físico dudaba de la existencia del éter, pero nadie tenía la más remota idea de qué clase de sustancia podía ser. Si todo lo penetraba sin que nada pudiera influir sobre él, ¿cómo detectarlo? Se pensaba que la única posibilidad real de confirmar, aun indirectamente, su existencia era a través de experimentos con la luz.
Si la luz tiene una velocidad bien definida con respecto al éter, entonces esta velocidad debe variar según el movimiento de quien la mida. Si un barco se mueve con una cierta velocidad fija con respecto al agua en reposo, ese mismo barco navegando por un río se moverá con respecto a la tierra firme con mayor o menor velocidad según si sube o baja la corriente. Para un observador en tierra firme, la velocidad del barco será menor si se mueve río arriba porque hay que restar la velocidad del agua a la del barco, mientras que si el barco se mueve río abajo, las dos velocidades se adicionan.

Figura 8. La velocidad de la luz debería variar según la dirección de un rayo luminoso, debido al movimiento de la tierra.
La velocidad de la luz es de aproximadamente 300.000 kilómetros por segundo; evidentemente, la medición de la velocidad luminosa debe ser extremadamente precisa para poder detectar una variación de sólo 60 kilómetros por segundo. Tal era el reto para los físicos experimentales del siglo XIX.
El primer experimento confiable para medir la velocidad de la Tierra con respecto al éter fue realizado en 1887 por los norteamericanos Albert Abraham Michelson y Edward W. Morley. El aparato que utilizaron fue un interferómetro, que permite medir distancias y velocidades con enorme precisión utilizando haces de luz en interacción [1].
El experimento consistía en dividir, por medio de un espejo semitransparente, un haz luminoso en dos haces perpendiculares, que se reflejaban en sendos espejos para volver a unirse y calibrar, así, el aparato. Luego se giraba todo el aparato: cualquier cambio en la velocidad de la luz debería producir una interferencia entre los dos haces luminosos que podía detectarse directamente (Figura 9).

Figura 9. El interferómetro utilizado por Michelson y Morley.
¿Cómo explicar el resultado negativo del experimento? Tanto Michelson y Morley, como otros físicos, propusieron varias hipótesis: quizás la Tierra arrastra consigo al éter en su movimiento; quizás los cuerpos se contraen en la dirección de su movimiento, cancelando así el efecto debido a la diferencia de velocidades de los dos haces luminosos del experimento; quizás la velocidad de la luz es constante con respecto a la fuente que la emite, etc. Durante algunas décadas, el resultado negativo del experimento de Michelson-Morley fue uno de esos detalles molestos que no encajan en ninguna teoría bien establecida, y que no cobran verdadera importancia hasta que se produce una revolución científica. En este caso, la revolución científica fue la teoría de la relatividad.
Capítulo 3
La Relatividad de Einstein
Cuando llegó a la edad de escoger profesión, Einstein decidió estudiar física en el Instituto Tecnológico de Zurich, donde logró ingresar no sin haber sido rechazado en su primer intento por tener calificaciones mediocres en todas las materias, excepto en matemáticas. En ése Instituto se graduaría finalmente en 1900.

Figura 10. Albert Einstein en la oficina de patentes de Berna, alrededor de 1905.
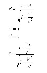
Uno de los problemas que más le interesaba en aquella época era la aparente incompatibilidad entre el principio de relatividad galileano y la teoría electromagnética de Maxwell. Sobre este tema, y antes de Einstein, habían trabajado el físico holandés Hendrik Lorentz y el matemático francés Henri Poincaré.
El problema que se habían planteado era el siguiente: Las ecuaciones de Maxwell describen el comportamiento del campo electromagnético en cada punto del espacio y en cada instante de tiempo (o, en términos un poco más matemáticos, dicho campo depende de tres coordenadas espaciales, digamos x, y, z y el tiempo t) Ahora bien ¿se pueden cambiar la posición y el tiempo en las ecuaciones de Maxwell sin alterar su forma?
En el caso de las ecuaciones de la mecánica newtoniana, la respuesta es afirmativa debido al principio de relatividad de Galileo: se puede pasar de un sistema de referencia a otro sin cambiar la forma de las ecuaciones (las leyes de la física son invariantes), si el tiempo medido en cada sistema es el mismo. Evidentemente, en el caso del electromagnetismo, el problema es más complicado porque, no se puede recurrir a la relatividad galileana. Sin embargo, Lorentz demostró que existe una transformación matemática que deja invariante la forma de las ecuaciones de Maxwell, siempre y cuando se cambie no sólo la posición de un punto sino también el tiempo. El mismo resultado fue obtenido y generalizado por Poincaré. (Ver Apéndice).
En su época, el trabajo de Lorentz fue considerado una curiosidad matemática, ingeniosa pero desprovista de sentido físico. En efecto; ¿cómo puede el tiempo transcurrir en forma diferente en sistemas de referencia distintos? La misma experiencia diaria y el sentido común parecen negar tal posibilidad.
Tal era la situación cuando Einstein publicó en 1905 el famoso artículo intitulado Sobre la electrodinámica de los cuerpos en movimiento, en una prestigiosa revista alemana de física; con ese trabajo nació la teoría de la relatividad.
Einstein postuló que las ecuaciones de Maxwell deben tener la misma forma en cualquier sistema de referencia inercial y que, por lo tanto, es imposible distinguir, a partir de experimentos electromagnéticos, un sistema de referencia inercial de otro. Para que este principio de relatividad se cumpla, es necesario que las transformaciones de Lorentz sean físicamente válidas; en consecuencia, el tiempo medido entre dos sucesos depende del movimiento de quien lo mide.
Einstein postuló que no existe un tiempo absoluto, ni un espacio absoluto y, por lo tanto, tampoco un éter. Pero, si no existe el éter ¿con respecto a qué debe medirse la velocidad de la luz? La respuesta fue tajante: la velocidad de la luz (en el vacío) es la misma en cualquier sistema de referencia inercial. Después de todo, eso es lo que indicó el experimento de Michelson y Morley.
La invariancia de la velocidad de la luz parece contradecir toda experiencia. Si la velocidad de la luz es de 300.000 kilómetros por segundo, se esperaría que al correr tras una señal luminosa ésta parecería tener una velocidad menor. Sin embargo, según Einstein, no importa cómo se mueva un sistema de referencia, pues la velocidad de la luz medida en él será siempre de 300.000 kilómetros por segundo. En la teoría de la relatividad, las velocidades no se adicionan o sustraen simplemente, pues hay que tomar en cuenta también cómo se mide el tiempo en un sistema de referencia dado. (Ver Apéndice A)
En resumen, la velocidad de la luz en el vacío es una constante fundamental de la naturaleza, independiente de quién la mida. Es una velocidad extremadamente alta en comparación con nuestra experiencia cotidiana (un rayo luminoso sólo necesita dos segundos para ir de la Tierra a la Luna y volver). ¿Por qué la luz tiene esa velocidad y no otra? Esta pregunta no la puede responder la física; lo único que se puede afirmar es que, de ser otra la velocidad de la luz, el Universo sería muy distinto al que conocemos y no existiríamos nosotros para formulamos tales preguntas.
El tiempo y el espacio relativos
El hecho que el tiempo no transcurre en forma igual para observadores distintos es una de las predicciones más sorprendentes de la teoría de Einstein. Nuestro sentido común, basado en la práctica cotidiana, indica que los relojes funcionan de la misma forma, sin importar cómo se mueven. ¿No es entonces absurdo pretender que el tiempo medido es relativo al observador? Es importante señalar que el efecto predicho por Einstein sólo es perceptible a velocidades cercanas a la de la luz.
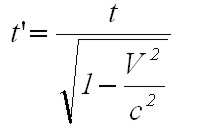
Para ser más precisos, supongamos que, en un cierto sistema de referencia, dos sucesos ocurren en el mismo lugar y con un intervalo de tiempo t. En otro sistema de referencia que se mueve con velocidad V con respecto al primero, los dos sucesos ocurren con un intervalo de tiempo t’ dado por la fórmula:
[01]
[02]
Así, la razón por la que no percibimos variaciones de tiempo en nuestra experiencia diaria es que estamos acostumbrados a movemos a velocidades extremadamente pequeñas con respecto a la velocidad de la luz. Si la velocidad de la luz fuera muchísimo menor de lo que es, estaríamos acostumbrados a variaciones del tiempo, y no hubiera sido necesario un Einstein para convencernos que el tiempo es relativo a quien lo mide.
Pero entonces, ¿es imposible determinar en forma única la duración de un fenómeno?, ¿nos condena la relatividad a perder el concepto del tiempo? Nada de eso. El tiempo que marca un reloj es un concepto perfectamente bien definido. De acuerdo con la teoría de la relatividad, el tiempo de ese reloj no coincide con el que marca otro reloj que se mueve con respecto al primero, pero la relación entre los dos tiempos se puede determinar perfectamente.
Todos los fenómenos físicos tienen su tiempo asociado: los relojes de cuarzo que se utilizan en la actualidad miden el tiempo contando el número de vibraciones electromagnéticas emitidas por los átomos en un cristal de cuarzo, y ese tiempo es el mismo para todos los relojes del mundo. Si un cosmonauta realizara un viaje por el espacio a una velocidad cercana a la de la luz, no percibiría nada de particular con respecto a su propio tiempo, pero al regresar a la Tierra notaría que su reloj no coincide con el de los que se quedaron en ella. Como veremos más detalladamente en el siguiente capítulo, el tiempo transcurrido para el cosmonauta será menor que el transcurrido en la Tierra, aunque ambos tiempos se pueden medir sin ambigüedades.
En conclusión, si queremos medir el tiempo transcurrido entre dos sucesos, nos conviene hacerlo en un sistema de referencia en el que los dos sucesos ocurren en el mismo punto. Al tiempo así medido, los físicos llaman tiempo propio. En otro sistema de referencia que se mueve con respecto al primero, los dos sucesos no parecen ocurrir en el mismo sitio y el tiempo transcurrido entre ellos difiere del tiempo propio por un factor de Lorentz. (Figura 11.)

Figura 11. Gráfica del factor de Lorentz g en función de la velocidad v.
[03]
Es importante, sin embargo, no confundir esta contracción del tamaño con la apariencia visual de un objeto en movimiento. Cuando vemos un objeto, percibimos en cada instante la luz que fue emitida por distintas partes del cuerpo a tiempos distintos, porque la luz no se propaga instantáneamente. Este efecto debe tomarse en cuenta, en combinación con la contracción mencionada más arriba, para deducir la apariencia de un cuerpo en movimiento. Volveremos a este tema en el siguiente capítulo.
Materia y energía
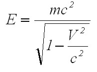
Además de la contracción del tiempo y del espacio, la teoría de la relatividad predice un efecto que, en un principio, parecía un resultado puramente formal, pero que algunos años más tarde modificó fundamentalmente el curso de la historia. Einstein se dio cuenta que la masa y la energía de un cuerpo aparecen siempre unidas de una manera muy conspicua en las ecuaciones de su teoría. Esto le condujo a afirmar que existe una equivalencia entre la masa y la energía expresada por la fórmula:
E = mc2
donde E es la energía de un cuerpo, m su masa y e2 la velocidad de la luz elevada al cuadrado.En la mecánica newtoniana, un cuerpo de masa m que se mueve con velocidad V posee, en virtud de su movimiento, una energía igual a 1/2 mV2. En la teoría de la relatividad, la energía de movimiento del cuerpo resulta ser:
[04]
La fórmula de Einstein E = mc2 afirma que un solo kilogramo de materia equivale aproximadamente a toda la energía que se consume en la Tierra en una hora. Obviamente surge la pregunta de si se puede extraer, en la práctica, la enorme energía almacenada en la materia. Al principio Einstein y los demás físicos pensaban que eso era sólo una ilusión; pero la situación empezó a cambiar en los años treinta...
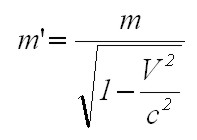
Algunas veces, la fórmula de Einstein se interpreta en el sentido que un cuerpo que se mueve aumenta su masa, adquiriendo una nueva masa m’ dada por la fórmula:
[05]
Por último, hay que notar que según la fórmula anterior la energía de un cuerpo aumenta indefinidamente a medida que su velocidad y tiende a la velocidad luminosa (recuérdese el factor Lorentz, Figura 11). Para que un cuerpo alcance la velocidad de la luz, se necesita una energía infinita. Por esta razón, la velocidad de la luz es una barrera natural a todas las velocidades en la naturaleza: todo cuerpo masivo está restringido a moverse más lentamente que la luz.
La naturaleza de la luz
Como señalamos anteriormente, la teoría de la relatividad cortó de raíz el concepto del éter como sistema absoluto de referencia. Fue un alivio para la física, pues no había modo de explicar la naturaleza de una sustancia tan intangible. Sin embargo, al desaparecer el éter resurgía con más fuerza el problema de la propagación de la luz: si la luz es una onda, como indican todos los experimentos, ¿en qué medio se propaga? Para responder a esta pregunta, fue necesaria otra revolución científica: la mecánica cuántica, en cuya fundación también participó Einstein en forma decisiva.
Todo cuerpo caliente radia energía en forma de luz; por ejemplo, un hierro incandescente emite principalmente luz roja, pero también luz de otras longitudes de onda. La cantidad de energía emitida en cada longitud de onda depende fundamentalmente de la temperatura del cuerpo emisor y se puede medir experimentalmente. A fines del siglo XIX, los físicos se enfrentaban al problema de explicar teóricamente lo que observaban en el laboratorio, pero algo parecía no funcionar con los conceptos bien establecidos de la física.
Finalmente, el físico alemán Max Planck demostró que se podía explicar la forma de la radiación emitida por un cuerpo si se postulaba, que la luz se propaga en paquetes de energía, siendo la energía de cada paquete inversamente proporcional a la longitud de la onda. De acuerdo con la hipótesis de Planck, la energía transportada por una onda luminosa es un múltiplo de la energía:
hv
donde h es la llamada constante de Planck, su valor es 6.547 X 10-27 erg/seg, y v, es, la frecuencia de la onda (el número de vibraciones por segundo; la frecuencia v y la longitud de onda están relacionadas por la fórmula v = c/l).La hipótesis de Planck, formulada en 1900, explicaba los experimentos pero no parecía tener ninguna base física. Después de todo, una onda luminosa puede tener cualquier energía, del mismo modo como una onda de sonido puede ser débil o fuerte. En 1916 Einstein propuso una solución revolucionaria; ¡la luz está compuesta de partículas!, siendo la energía de cada partícula hv; de acuerdo con la hipótesis de Planck.
Una vez más, Einstein contradecía las ideas bien establecidas de su época. Cuando finalmente los físicos se habían convencido que la luz es una onda, ¡Einstein postulaba que es una partícula! Sin embargo, esta dualidad onda-partícula resultó ser una propiedad fundamental de la naturaleza a nivel atómico. Todos los fenómenos atómicos están regidos por la mecánica cuántica, que es radicalmente distinta de la mecánica newtoniana. Uno de los postulados básicos de la mecánica cuántica es que las partículas elementales, que constituyen la materia, están dotadas de propiedades tanto de onda como de partícula.
La partícula de la luz es el fotón, que también se comporta como una onda, y la relación entre la energía del fotón y su frecuencia está dada por la fórmula de Planck. Evidentemente, el fotón viaja siempre a la velocidad de la luz. Para ello, su masa debe ser exactamente cero, ya que, como señalamos más arriba, una partícula masiva necesita energía infinita para moverse a la velocidad de la luz [2]; sólo una partícula sin masa puede viajar a esa velocidad y poseer una energía finita.
Einstein postuló la existencia del fotón en otro famoso artículo publicado en 1905, en el que explicaba el efecto fotoeléctrico. Este fenómeno consiste en que algunos materiales producen una corriente eléctrica al absorber la luz, lo cual es el principio del funcionamiento de las celdillas fotoeléctricas; muy utilizadas actualmente (para hacer que cierre la puerta de un elevador, por ejemplo). El trabajo de Einstein sobre el efecto fotoeléctrico (y no la teoría de la relatividad) le valió el premio Nóbel de física de 1921.
Por supuesto, el fotón no necesita de ningún éter para propagarse. En el lenguaje de la física moderna, el campo electromagnético posee energía, y esta energía está cuantizada: aparece sólo en paquetes de energía. El fotón se interpreta como un quantum (cantidad mínima indivisible) de campo electromagnético. A quien no es matemático le sobrecoge un misterioso escalofrío cuando oye hablar de objetos cuatridimensionales como si se tratara de conceptos ocultos. Y, sin embargo hay afirmación más trivial que decir que nuestro mundo es un espacio-tiempo continuo cuatridimensional.
A. Einstein
La teoría de la relatividad de Einstein alteró básicamente nuestros conceptos de espacio y tiempo, que dejaron de ser categorías independientes para fusionarse en un solo concepto: el espacio-tiempo.
El espacio posee tres dimensiones: esto quiere decir que, para determinar la posición de un punto, se necesita un sistema de referencia y tres números (llamados coordenadas) (Figura 12). O, dicho de otro modo, que todo cuerpo posee altura, anchura y profundidad. El tiempo, por otro lado, es unidimensional y sólo se necesita un número para precisar un intervalo de tiempo.

Figura 12. Un sistema de coordenadas permite localizar un punto en el espacio usando tres números: x, y, z.
Incluso, el espacio-tiempo de cuatro dimensiones posee propiedades geométricas bien establecidas. Esto lo demostró en forma convincente el matemático Herman Minkowski, poco después que apareciera la teoría de la relatividad. Los fenómenos físicos ocurren en el espacio-tiempo que los físicos y matemáticos llaman espacio de Minkowski, un espacio de cuatro dimensiones en el que cada punto es un suceso y en el que se puede, incluso, definir la distancia entre sucesos.
La contracción del tiempo
Evidentemente, la contracción relativista del tiempo es muy importante en el caso de las partículas que se mueven a velocidades cercanas a la de la luz. Los físicos que estudian las partículas elementales utilizan aceleradores de partículas, que son aparatos que imprimen una velocidad, cercana a la de la luz, a electrones, protones o núcleos atómicos. Estas partículas, al chocar entre sí, se rompen, o, más precisamente, producen nuevas partículas al transformar su energía en masa. En este tipo de experimentos, el uso de la mecánica relativista es tan común como lo es el uso de la mecánica newtoniana a un ingeniero que construye edificios o puentes.
Tendremos oportunidad de regresar a las partículas elementales en el capítulo 5. Por ahora, vamos a ofrecer al lector una aplicación de la teoría de la relatividad a un tema que, si bien no es de uso práctico por ahora, podrá ser muy importante en el futuro y es bien conocido a través de los libros y películas de ciencia ficción: los viajes interestelares.
Supongamos que, alguna vez en el futuro, la humanidad llega a disponer de naves espaciales capaces de viajar a una velocidad cercana a la de la luz. Los dos sistemas de referencia a considerar son, entonces, la Tierra y la nave espacial. ¿Cómo se relacionan entre sí los tiempos medidos en esos dos sistemas? La fórmula siguiente permite calcularlo.
[06]
Supongamos, por ejemplo, que una nave espacial viaja a la estrella más cercana, Alfa Centauro, que se encuentra a cuatro años luz de distancia. Al tratar distancias cósmicas utilizaremos el año luz como unidad de medida: es la distancia recorrida por la luz en un año y equivale a unos nueve billones de kilómetros. Los tripulantes de la nave no sentirán nada en particular con respecto a su tiempo pues sus relojes marcharán normalmente. Será a su regreso a la Tierra cuando notarán que los relojes terrestres y los de la nave no coinciden: el tiempo medido en la nave, desde que salió hasta que regresó, será un factor, veces más corto que el mismo periodo de tiempo medido en la Tierra.
Algunos ejemplos cuantitativos ilustrarán este efecto: Si la nave espacial viaja a una velocidad de sólo 100.000 kilómetros por hora, por ejemplo, tardará unos 80.000 años en llegar a Alfa Centauro y regresar a la Tierra: el tiempo transcurrido en la nave será sólo unas tres horas más corto que el registrado en la Tierra. Pero si la velocidad de la nave espacial es cercana a la de la luz, la contracción del tiempo se manifestará en toda su magnitud: si la nave viaja a 299.000 kilómetros por segundo, transcurrirán poco más de ocho años, medidos en la Tierra, desde el momento en que despega la nave hasta que regresa, pero para los tripulantes habrán pasado ¡solamente siete meses!, y si el viaje se realiza al centro de nuestra Galaxia; distante 30.000 años luz, a la misma velocidad de 299.000 kilómetros por segundo, entonces pasarán 60.000 años en la Tierra, pero ese mismo viaje durará sólo 4.400 años para los tripulantes de la nave espacial; quizás puedan permanecer en hibernación durante ese tiempo, pero cuando regresen, la Tierra será muy distinta a como la dejaron.
Los vehículos espaciales lanzados en la actualidad están muy lejos de alcanzar velocidades cercanas a la luminosa. Para ellos, el efecto de la contracción del tiempo es extremadamente pequeño, pero no despreciable si se quieren realizar mediciones de muy alta precisión. Las variaciones relativistas del tiempo se toman en consideración, como parte de la rutina para guiar los satélites artificiales y determinar su posición con gran exactitud.
La contracción del tiempo que ocurre en un viaje interestelar a gran velocidad parecería conducir, a primera vista, a una contradicción con el principio de la relatividad. En efecto, consideremos el caso de dos gemelos, uno de los cuales se queda en la Tierra y el otro realiza un viaje a las estrellas con una velocidad cercana a la de la luz. Como indicamos anteriormente, el gemelo viajero regresará a la Tierra más joven que su hermano que se quedó. Pero, de acuerdo con el principio de relatividad, el tripulante de la nave espacial puede afirmar que él está en reposo y es la Tierra la que se mueve; ningún experimento físico puede demostrarle lo contrario. Sin embargo, de acuerdo con esta interpretación, el gemelo que permaneció en la Tierra debe ser el más joven, cuando la Tierra se vuelva a unir con la nave espacial. ésta es la llamada Paradoja de los gemelos.
La situación anterior se puede ver más claramente si suponemos que una cámara y un receptor de televisión se encuentran en la nave espacial. ¿Cómo se verían mutuamente los que se quedan en la Tierra y los que viajan? Hay que tomar en cuenta que, además de la contracción relativista del tiempo, también influye el hecho que la distancia entre la Tierra y la nave aumenta gradualmente, por lo que las señales luminosas tardan cada vez más en llegar de un sistema al otro. Si se toman en cuenta estos dos efectos combinados, contracción del tiempo y retraso de la luz, resulta que el tiempo en un sistema se ve transcurrir más rápidamente o más lentamente en otro sistema según si ambos sistemas se acercan o se alejan. Así, mientras la nave espacial se aleja, veremos que los relojes, y todos los procesos físicos en él, caminan más lentamente, como si estuviéramos observando el interior de la nave en cámara lenta. Durante el recorrido de regreso, mientras la nave se acerca a la Tierra, sucederá lo contrario: el tiempo en la nave visto desde la Tierra, o viceversa, parecerá transcurrir más rápidamente, y cada observador, en la Tierra y en la nave espacial, verá al otro como en cámara rápida. Al llegar el vehículo espacial a la Tierra, podrán comparar sus calendarios y restará que, de todos modos, el tiempo transcurrido en la nave es menor por un factor
[06]
Hasta aquí hemos considerado sólo viajes interestelares a velocidad constante. En esa situación, los pasajeros de una nave espacial no podrían percatarse, mediante la observación de efectos físicos, si se mueven o si se encuentran varados en el espacio: mientras la velocidad de la nave no cambie, sus pasajeros permanecerán flotando ingrávidamente en él. Pero en un viaje más realista, la velocidad del vehículo espacial debe empezar desde cero, acelerarse para aumentar progresivamente su velocidad y, en algún momento, empezar a frenarse para llegar a su destino con velocidad cero. Hay muchas maneras de lograr un viaje con estas características, pero el recorrido más sencillo es uno en el que la velocidad se aumenta uniformemente, es decir, se mantiene una aceleración constante. En la física clásica, un cuerpo que se acelera constantemente aumenta indefinidamente su velocidad; pero cuando la velocidad empieza a acercarse a la de la luz, surgen efectos relativistas que hay que tomar en cuenta: se puede demostrar que la velocidad del cuerpo se acerca gradualmente a la velocidad de la luz, pero sin alcanzarla nunca.
Para los tripulantes de un vehículo espacial, lo más cómodo es que la aceleración sea de unos 9.8 m/seg2 (es decir, la velocidad aumenta 9.8 metros por segundo cada segundo), o sea; 1 g, la aceleración con que los cuerpos caen en la superficie terrestre debido a la gravedad.
De esa forma, los tripulantes se sentirán en cada momento como si estuvieran en la Tierra, en lugar: de flotar ingrávidamente (recuérdese que en un vehículo que se acelera, aparece una fuerza inercial que atrae a los ocupantes hacia la parte trasera del vehículo).
Así, un posible itinerario de viaje para ir de la Tierra a una estrella lejana podría ser el siguiente: la nave espacial se acelera uniformemente, aumentando cada vez más su velocidad hasta que, a la mitad del trayecto, el vehículo rota 180 grados y, a partir de ese momento, los motores de la nave la desaceleran (en la segunda parte del trayecto, el techo y el piso del vehículo espacial deben intercambiarse); finalmente, la nave llega a su destino con velocidad cero y sus tripulantes pueden aterrizar en algún planeta de la estrella a la que se dirigieron. El viaje de regreso es semejante: en la primera mitad del trayecto la nave se acelera y en la segunda mitad se desacelera, llegando a la Tierra con velocidad cero para poder aterrizar.
Veamos ahora cuánto tarda un paseo como el descrito. A la aceleración de 1 g, un viaje de ida y vuelta a Alfa Centauro, a cuatro años luz de distancia, tardaría unos 11 años y cuatro meses para los que se quedan en la Tierra, pero sólo siete años para los pasajeros de la nave espacial, debido a la contracción del tiempo. Si el viaje es más largo la diferencia de los tiempos es más notable: por ejemplo, al centro de nuestra galaxia, que se encuentra a 30.000 años luz, el viaje de ida y vuelta tardaría 60.000 años medidos en la Tierra y sólo 40 años para los viajeros cósmicos; la nave espacial alcanzaría una velocidad máxima que sólo difiere una 2 000 millonésima de la velocidad de la luz; sus tripulantes regresarán cuando quizás ya no exista el género humano. Para otras distancias, véase la Tabla 1.
En conclusión, parecería que los viajes interestelares son más factibles de realizarse gracias al efecto relativista de la contracción del tiempo.
TABLA 1. | |||
| D (años luz) | Vmax / c | t (años) | t (años) |
| 10 | 0.986 | 11.8 | 4.9 |
| 100 | 0.99981 | 101.9 | 9.2 |
| 1000 | 0.999998 | 1002 | 13.7 |
| Características de un vuelo interestelar que empieza desde el reposo, aumenta su velocidad con aceleración 1 g, alcanza una velocidad máxima Vmax y se desacelera 1 g hasta llegar con velocidad cero a una distancia D; t es el tiempo recorrido medio en la tierra y t es el tiempo transcurrido en la nave espacial. En los viajes de ida y vuelta, los tiempos simplemente se duplican. | |||
Desgraciadamente, el problema de la energía requerida para un viaje cósmico no es de fácil solución, como veremos en el capítulo siguiente. Pero sigamos por ahora sin preocuparnos por la energía y veamos si existe alguna una esperanza, de traspasar la velocidad de la luz.
¿Más rápido que la luz?
Hemos señalado anteriormente que la velocidad de la luz es una barrera natural a la velocidad que puede adquirir cualquier cuerpo o señal; la energía necesaria para alcanzar esa velocidad es infinita para una partícula masiva, y sólo una partícula sin masa, como el fotón, puede alcanzarla.
Para nuestras necesidades prácticas, la velocidad de la luz es un límite sumamente generoso. La luz tarda sólo 0.13 segundos en dar una vuelta a la Tierra, por lo que la comunicación terrestre no representa ningún problema en cuanto a rapidez. Sin embargo, la limitación impuesta por la velocidad de la luz empieza a manifestarse a escala cósmica. Por ejemplo, la luz tarda entre cuatro y 20 minutos en ir de la Tierra a Marte, dependiendo de las posiciones que estos planetas ocupen; hasta 50 minutos en llegar a Júpiter y una hora y cuarto para alcanzar Saturno. Por esta razón, los vehículos espaciales lanzados a explorar los planetas exteriores del Sistema Solar no pueden teledirigirse instantáneamente desde la Tierra, lo cual dificulta considerablemente su manejo. Y, cuando se envíe una misión tripulada a Marte, la comunicación con los tripulantes no podrá ser directa, sino con retrasos de varios minutos entre recepción y emisión de mensajes. La situación es aún peor para las comunicaciones con las estrellas; nuestra vecina más cercana, Alfa Centauro, se encuentra a cuatro años luz de distancia por lo que un mensaje enviado a una supuesta civilización alrededor de esa estrella tardaría al menos ocho años en ser contestado. El tamaño de nuestra Galaxia es de cien mil años luz, de modo que una vida humana no puede bastar para conversar con civilizaciones extraterrestres.
En cuanto a viajar a estrellas lejanas, la contracción relativista del tiempo puede beneficiar a los tripulantes de la nave espacial, acortando el tiempo de un trayecto; pero el transcurrido en la Tierra puede ser de siglos o milenios.
Por todo lo anterior, la imposibilidad de rebasar la velocidad de la luz parece que nos condena a permanecer eternamente en nuestro pequeño rincón de la Galaxia, separados por enormes distancias de otros astros, salvo unos cuantos muy cercanos y, quizás, de civilizaciones extraterrestres. Por eso, la posibilidad de viajar, o al menos comunicarse, a una velocidad superior a la luz es una ilusión muy cara; sin embargo, las dificultades no son simplemente técnicas, sino que están relacionadas con la misma geometría del espacio-tiempo.
En primer lugar, si bien es cierto que se necesita una energía infinita para alcanzar la velocidad de la luz, cabe preguntarse si no existe algún mecanismo desconocido, quizás relacionado con efectos cuánticos, que permita rebasar esa barrera en alguna forma no prevista por la física actual. Además podrían existir partículas que, desde que nació el Universo, posean una velocidad superior a la luminosa; a tales hipotéticas partículas incluso se les ha dado un nombre: taquiones (del griego tachys: velocidad). Si existieran, los taquiones resolverían el problema de las comunicaciones interestelares, al permitir enviar mensajes más veloces que las señales luminosas. Por otra parte, en algunos libros o películas de ciencia ficción los personajes se tele-transportan, o viajan a través de un supuesto hiperespacio, o cualquier cosa que implique su desaparición en un punto y su aparición en otro muy lejano. Pero veremos a continuación que la posibilidad de viajar o enviar señales más rápidamente que la luz equivale a un viaje aparentemente muy distinto, pero más difícil de concebir: ¡un viaje al pasado!
El tiempo transcurrido entre dos sucesos depende de la velocidad de quien lo mide. Supongamos que en algún lugar se produce el suceso A, consistente en la emisión de una partícula material, o de una señal luminosa; tal partícula o señal es recibida en otro punto en algún momento: llamemos suceso B a esa recepción distante. El tiempo transcurrido entre los sucesos A y B depende del sistema de referencia en el que se observan esos dos sucesos y varía, por lo tanto, de acuerdo con la velocidad del observador. Sin embargo, se puede denostar que, debido a la estructura geométrica del espacio-tiempo, el tiempo transcurrido entre A y B no puede nunca invertirse: no existe ningún observador para quien la recepción de la señal (suceso B) preceda su emisión (suceso B). éste es, el principio de causalidad, fundamental en la física: si el suceso A es la causa de suceso B, entonces A sucede antes que B en cualquier sistema de referencia: el orden causa-efecto es invariante.
Sin embargo, para que los dos sucesos considerados tengan una relación causal, es decir que A pueda influir sobre B, es necesario que la acción de A viaje a una velocidad menor o igual que la velocidad de la luz.
Por ejemplo, lo que ocurre en la Tierra a la 1 P.M. puede ser un suceso conectado causalmente con el suceso que ocurre en la Luna a las 2 P.M. ya que una hora es suficiente para ir o mandar una señal a la Luna, incluso a velocidades menores a la de la luz. Por otra parte, lo que sucede en este instante en la estrella Alfa Centauro no puede tener relación causal con ningún suceso presente en la Tierra; si Alfa Centauro explotara en este momento, tendríamos que esperar al menos cuatro años para enterarnos de ello.
Ahora bien, el principio de causalidad no se aplica a las partículas que se mueven más rápidamente que la luz. Si el suceso A es la emisión de un taquión y el suceso B la recepción de ese taquión, entonces puede existir un sistema de referencia en el cual B antecede a A, es decir, el receptor parece emitir al taquión y el emisor recibirlo: se puede demostrar que eso ocurre en cualquier sistema de referencia que se mueva con respecto al emisor y al detector con una velocidad superior a c2/vT, donde vT es la velocidad del taquión (la velocidad del sistema de referencia mencionado es menor que c porque vT es mayor que c). Dicho de otro modo, el concepto de pasado y futuro para un taquión es relativo. Un taquión viaja hacia el futuro o hacia el pasado, según la velocidad de quien lo observa.
Así, de existir los taquiones, o cualquier posibilidad de desplazarse más rápidamente que la luz, sería posible, viajar al pasado. Por ejemplo, se podría utilizar un dispositivo consistente en dos emisores-receptores de taquiones que se alejan uno de otro a velocidad lo suficientemente grande. El primer aparato emite una señal taquiónica, que el segundo aparato recibe y contesta inmediatamente con otra emisión de taquiones. ¡La respuesta llegaría al primer aparato antes que haya emitido su primera señal! (Figura 13.)
O bien, imaginémonos que en el futuro se inventara un tele-transportador tal que permitiera a un viajero espacial desaparecer en la Tierra y materializarse en algún lugar lejano, implicando un desplazamiento a mayor velocidad que la luz. Nuestro viajero podría llevarse un tele-transportador consigo para poder regresar a la Tierra. Pero, en ese caso, cabe la posibilidad que el viajero inicie su retorno desde un planeta en movimiento tal que ¡regrese antes de haber salido!
¿Es posible viajar al pasado? Independientemente de cualquier restricción impuesta por las leyes de la física, el hecho de regresar en el tiempo implica una situación sumamente contradictoria. En efecto, si una señal taquiónica puede regresar antes de ser emitida, ¿qué pasaría si en el lapso entre su recepción y su emisión se decide destruir el emisor de taquiones? Más aún, si una persona pudiera regresar al pasado ¿qué ocurriría si se encontrara consigo mismo de niño... y decidiera asesinarse?
Invertir el sentido del tiempo no parece ser factible, más por razones lógicas que por motivos físicos. Lo que, no es tan evidente, y queremos subrayarlo, es que, debido a la peculiar geometría del espacio tiempo, un viaje en el espacio a mayor velocidad que la luz es enteramente equivalente a un viaje hacia atrás en el tiempo, con todo y sus contradicciones inherentes. Al parecer, estamos efectivamente condenados a vivir en una pequeña región periférica de nuestra Galaxia, y sólo contemplar la inmensidad del Universo a través de la luz que las galaxias lejanas nos enviaron hace millones de años.

Figura 13. Un sistema de emisores y detectores de taquiones podría permitir que una señal taquiónica regrese antes de salir.
De acuerdo con la teoría de la relatividad, se podría pensar que un cuerpo en movimiento sufre una contracción; sin embargo, ha habido mucha confusión sobre este efecto. En primer lugar, no se trata de una contracción real, en el sentido que un cuerpo que se mueve se comprime realmente. Más bien, se trata de cómo se percibe el tamaño de un cuerpo en un sistema de referencia en el que éste aparece en movimiento.
Medir la longitud de una barra equivale a medir la distancia entre sus dos extremos. Es evidente que si la barra se mueve, la posición de sus dos extremos debe determinarse simultáneamente para que la medición tenga sentido (obviamente no se puede medir el largo de un coche en movimiento marcando en el suelo la posición de su parte delantera primero, y más tarde la posición de su parte trasera). Lo anterior es trivial en mecánica clásica, pues no hay ambigüedad sobre la medición del tiempo, pero la situación se complica si la velocidad de la barra es suficientemente alta para que aparezcan los efectos relativistas. Si en un sistema de referencia determinamos la posición de los dos extremos de la barra al mismo tiempo, ese mismo par de mediciones no habrán ocurrido simultáneamente en otro sistema de referencia que se mueve con respecto al primero.
En la teoría de la relatividad, la simultaneidad es un concepto relativo.
Dos sucesos que ocurren a la misma hora para un observador, pueden ocurrir a horas distintas para otro. Por lo tanto, si insistimos en definir la longitud de una barra como la distancia entre sus dos extremos, medida simultáneamente, esa longitud debe ser distinta para quien ve la barra en movimiento. Se puede demostrar que el efecto neto es una reducción de la longitud de la barra por un factor
[06]
con respecto a la longitud de la barra en reposo. Debemos insistir, sin embargo, en que esta contracción se debe más bien a la definición misma de longitud y a la relatividad del tiempo, y no a la contracción real, en la que los átomos de la barra se comprimen. La supuesta contracción de los cuerpos en movimiento ha sido fuente de muchas confusiones y es el tema favorito de los aficionados a la física que intentan refutar la teoría de la relatividad buscándole contradicciones.
Es curioso que pasaran varias décadas, desde la aparición de la teoría de la relatividad, para que se planteara un problema relativamente simple: ¿cómo se ven los cuerpos que se mueven a velocidades muy altas? La apariencia óptica de un cuerpo en movimiento, es decir lo que se observa directamente, no debe confundirse con la contracción mencionada más arriba. Incluso si no se toman en cuenta efectos relativistas de contracción del tiempo, un cuerpo que se mueve con una velocidad comparable con la de la luz debe verse deformado. Esto se debe a que la luz recibida simultáneamente de un objeto en movimiento no partió simultáneamente de todas sus partes. Si, por ejemplo, el cuerpo se aleja, la luz necesita un poco más de tiempo para viajar del extremo delantero al observador que del extremo trasero; en consecuencia, como puede verse en la figura 14, el cuerpo se ve más corto de lo que es realmente. Del mismo modo, un cuerpo que se acerca se ve más largo de lo que es en realidad.
El efecto anterior debe combinarse con la contracción relativista del tiempo para deducir qué apariencia tiene un cuerpo cuya velocidad es cercana a la luminosa.
El resultado es muy curioso, aunque de poca relevancia práctica. Se puede demostrar, por ejemplo, que una esfera en movimiento sigue viéndose como esfera, pero una barra recta aparece doblada.

Figura 14. La apariencia óptica de un cuerpo en movimiento se ve afectada por el tiempo desigual que tarda la luz en llegar de diferentes partes.

Figura 15. Apariencia del cielo estrellado desde una nave espacial.
Cuando Einstein dedujo por primera vez su famosa fórmula E = mc2, estaba muy lejos de imaginarse que un resultado aparentemente tan formal pudiera cambiar tan drásticamente el curso de la historia. Las primeras sospechas que en la naturaleza existe una fuente misteriosa de energía hasta entonces desconocida surgieron por el lado de la astronomía. En efecto, uno de los mayores problemas de los astrónomos era explicar de dónde proviene la enorme cantidad de energía producida por el Sol y las demás estrellas. Ningún proceso físico conocido a principios del siglo XX era capaz de hacer brillar al Sol por más de unos cuantos años.
En 1911, el físico inglés Ernest Rutherford sugirió por primera vez que un átomo está constituido por un núcleo con carga eléctrica positiva, rodeado de una nube de electrones con cargas negativas. Unos años después, el mismo Rutherford y James Chadick descubrieron el protón, la partícula cargada positivamente que están hechos todos los núcleos atómicos (el neutrón, la otra partícula que constituye al núcleo, no fue descubierta sino hasta 1932).
Hoy en día sabemos que los núcleos atómicos están formados por protones y neutrones, y que el tipo de elemento químico está enteramente determinado por el número de protones. Así, el núcleo de hidrógeno consta de un único protón; el núcleo de hidrógeno pesado o deuterio está formado por un protón y un neutrón; el núcleo de helio consta de dos protones y dos neutrones; y así sucesivamente hasta el uranio, cuyo núcleo consta de 92 protones y 146 neutrones. Pero la masa de todos los núcleos atómicos es algo menor que la suma de la masa de sus protones y neutrones por separado: el déficit de masa corresponde justamente a la energía necesaria para mantener los protones y neutrones unidos. De otra forma, la fuerza de repulsión, eléctrica entre los protones (que poseen carga eléctrica) no permitiría que se mantuvieran unidos.
La energía de las estrellas
En un artículo publicado en 1920 sobre la estructura interna de las estrellas, el gran astrofísico inglés Arthur 5. Eddington escribió:
[...] la masa de un átomo de helio es menor que la masa de los cuatro átomos de hidrógeno [3] que la forman [...] Ahora bien, la masa no puede aniquilarse, y el déficit sólo puede representar la energía liberada en la transmutación [...] Si sólo un cinco por ciento de la masa de una estrella consiste inicialmente de átomos de hidrógeno, que se combinan gradualmente para formar elementos más complejos, el calor total liberado es más que suficiente para nuestros requerimientos, y no necesitamos buscar, otra fuente de energía de las estrellas [...] Si, realmente, la energía subatómica es utilizada libremente en las estrellas para mantener sus grandes hogueras, se ve un poco más cercano el cumplimiento de nuestro sueño de controlar este poder latente para el beneficio de la raza humana, o para su suicidio.Y casi dos décadas después de esta profética visión, los físicos Carl Friedrich von Weizsacker y Hans Bethe, entre otros, lograron explicar el origen de la energía en las estrellas: la transformación de masa en energía al fusionarse el hidrógeno para producir helio.
Figura 16. El ciclo de fusión nuclear que ocurre en el centro del sol.
En el Sol, como en la mayoría de las estrellas, el principal proceso es el siguiente: un protón y un neutrón se fusionan para formar un núcleo de deuterio, un protón y un neutrón unidos, y el deuterio se fusiona con otro protón para formar un núcleo de helio 3 (dos protones y un neutrón); por último, el núcleo de helio 3 se fusiona, ya sea con otro núcleo de helio 3 para formar un núcleo de helio y dos protones libres, ya sea con un núcleo de helio para formar berilio (Figura 16). En cada una de estas funciones se producen partículas adicionales (fotones, positrones y neutrinos) y, lo más importante, energía en forma de calor, que proviene de la transformación en energía de aproximadamente un 0.5% de la masa de las partículas que se fusionaron.Cuando la estrella agota el hidrógeno en su centro se pueden producir otras reacciones, en las que se fusionan núcleos de carbono, nitrógeno y oxígeno, formándose núcleos cada vez más pesados. El ciclo, con el tiempo, termina finalmente cuando todo el combustible ha sido “quemado” y sólo quedan núcleos de hierro, elemento más estable de la naturaleza. El destino final de la estrella depende de su masa. Si ésta no excede unas seis veces la masa solar, la estrella arrojará al espacio sus capas externas y quedará un núcleo sumamente compacto (ver capítulo 8). En el caso contrario, si la estrella es muy masiva, se destruye en una gigantesca explosión llamada supernova, en la que una parte importante de su masa se transforma en energía; durante algunas semanas la estrella brilla más que millones de soles juntos, y luego se apaga lentamente. Durante esa explosión, se pueden fabricar los núcleos atómicos más pesados que el hierro, y toda la materia cocinada por la estrella es desparramada por el espacio, para formar alguna vez nuevas estrellas, planetas y quizás habitantes.
La transmutación de los elementos
El sueño de los antiguos alquimistas de transformar unos elementos en otros no era tan descabellado, excepto que, para lograr tal transmutación, se necesitan temperaturas de centenares de millones de grados, que sólo se dan en forma natural en el centro de las estrellas. Pero en el caso de algunos elementos muy pesados, como el uranio y el plutonio, éstos se pueden desintegrar espontáneamente, o con una mínima inversión de energía. Para, comprender la situación veamos la figura 17, donde se ha graficado para cada elemento químico su déficit de masa por cada protón o neutrón del núcleo. Vemos que el hierro es el elemento con mayor déficit de masa, o sea con la mayor energía de amarre: por esta razón el hierro es el elemento más estable de la Naturaleza.
Para los elementos más ligeros que el hierro, vemos que, mientras menos protones tenga el elemento, menor es su energía de amarre; esto implica que al transmutarse un elemento en otro más pesado se libera energía, como en el caso típico de la transmutación del hidrógeno en helio (la excepción es el berilio que tiene menos energía de amarre que sus elementos vecinos); ésta es la situación en el interior de las estrellas.
En cambio, para los elementos más pesados que el hierro se produce la situación contraria. Se libera energía si un núcleo pesado se rompe, o fisiona, en núcleos más ligeros. (O inversamente, hay que proporcionar energía para fabricar elementos pesados a partir de otros más ligeros; esto sucede en una explosión de supernova.) El elemento, más pesado que se encuentra en la Naturaleza es el uranio y es el mejor candidato para proporcionar energía por el proceso de fisión nuclear.

Figura 17. Gráfica de la energía de amarre (negativa) de los núcleos en función del número atómico.
La idea básica de la fisión nuclear es romper un átomo de uranio para liberar parte de su energía de amarre. ¿Cómo lograrlo? Los protones y neutrones de los núcleos atómicos están amarrados entre sí por la fuerza nuclear, pero los protones poseen además una carga eléctrica. Esto implica que si un núcleo atómico es arrojado contra otro, es repelido por su carga eléctrica; sólo si posee una velocidad muy grande puede superar esa barrera repulsiva y llegar al otro núcleo. En la práctica, para romper un núcleo de uranio es necesario arrojarle neutrones, ya que estas partículas no poseen carga eléctrica y pueden llegar directamente al núcleo sin ser afectadas por la barrera eléctrica.
En los años treinta, el gran físico italiano Enrico Fermi y sus colaboradores realizaron numerosos experimentos en los que bombardeaban núcleos atómicos con neutrones para producir nuevos elementos. Pero cosas extrañas sucedían con los núcleos de uranio... Al principio, Fermi se resistió a creer que el núcleo se fisionaba, pero al final tuvo que aceptar las evidencias. Hay que precisar que la primera fisión nuclear identificada como tal se produjo en 1938 en la Alemania nazi, cuando los químicos Otto Hahn y Fritz Strassman descubrieron que el uranio bombardeado por neutrones se transformaba en bario.
La posibilidad que la energía nuclear pudiera ser aprovechada con fines militares por los nazis era tan apremiante que los físicos decidieron llamar la atención del gobierno de los Estados Unidos sobre el tema. Es famosa la carta que Einstein, quién se había refugiado en los Estados Unidos, envió al presidente Roosevelt para urgirle que su gobierno impulsara la investigación sobre la energía nuclear, antes que los nazis lograran utilizarla en su propio beneficio.
El principio básico de la producción de energía por fisión nuclear es el siguiente: cuando un núcleo de uranio se rompe por el impacto de un neutrón, se produce un núcleo de yodo y uno de bario, además de varios neutrones; éstos, a su vez, pueden golpear a otros núcleos de uranio, y así sucesivamente, produciendo una reacción en cadena. En una explosión nuclear, la energía es liberada en unos cuantos segundos, porque los neutrones emitidos en cada fisión producen otras dos fisiones, y así sucesivamente. En cambio, para el aprovechamiento pacífico de la energía nuclear en un reactor, cada fisión produce por lo general sólo otra fisión, y rara vez más de una, lo que permite que la producción de energía sea controlada.
Pero por muy eficiente que sea la fisión nuclear, la cantidad de energía liberada por el rompimiento de un núcleo de uranio es mucho menor que la liberada por el proceso de fusión por el que el hidrógeno se transforma en helio. Sin embargo, el problema fundamental de la fusión del hidrógeno es lograr que dos protones se unan, venciendo, su repulsión eléctrica. Para lograrlo es necesario que los protones posean una altísima energía, lo que es equivalente microscópicamente a que la temperatura del hidrógeno sea muy alta, del orden, de millones de grados. Tales temperaturas se dan normalmente en el centro de las estrellas, pero lograrlas en un laboratorio terrestre evidentemente no es nada fácil.
Al poco tiempo que explotaran las primeras bombas de uranio, los físicos de los Estados Unidos (y los de la URSS poco después) lograron fabricar la bomba de hidrógeno, mucho más poderosa que su predecesora, cuyo modelo inicial se hizo estallar el primero de noviembre de 1952. Las altísimas temperaturas necesarias para desencadenar la fusión nuclear se alcanzaron utilizando la explosión inicial de una bomba de uranio.
Las posibilidades de utilizar la energía de fusión son tan atrayentes que numerosos físicos se han dedicado a ese problema desde los años cincuenta. La manera más factible de lograrlo en la Tierra es a través de la reacción:
deuterio + deuterio —> helio 3 + neutrón
aunque el problema fundamental es darle suficiente energía a los núcleos de deuterio para que puedan vencer sus mutuas repulsiones eléctricas y logren fundirse. Una manera de lograrlo es mantener un gas con núcleos de deuterio a temperaturas de varios millones de grados; como ningún recipiente puede resistir tales temperaturas, es necesario tener el gas flotando por medio de campos magnéticos. Obviamente la tecnología para lograrlo es sumamente compleja y aún no se puede afirmar, con toda certeza, si algún día se podrá generar energía de fusión en la Tierra en forma controlada, como se hace con la de fisión para usos pacíficos. De lograrlo, se daría un avance tecnológico muy importante, ya que la fusión tiene enormes ventajas sobre la fisión nuclear: es relativamente más limpia, en el sentido que produce menos radiación; y el deuterio abunda en los mares (forma el agua pesada), mientras que las reservas mundiales de uranio estarán agotadas probablemente a mediados del siglo XXI, si se sigue con el ritmo actual de consumo. La fusión controlada es uno de los grandes sueños de la física y la tecnología modernas, pues es la única esperanza de disponer de grandes cantidades de energía para las generaciones futuras.Más sobre los viajes interestelares
Dejemos por un momento las aplicaciones inmediatas de la energía nuclear y echemos otra vez a volar la imaginación para regresar a un tema que empezamos a tratar en el capítulo anterior: los viajes interestelares. Vimos que las enormes distancias entre las estrellas implican serias dificultades para desplazarse por el Universo debido a lo prolongado de cualquier viaje, incluso recurriendo a la contracción del tiempo. Ahora veremos que existe una dificultad aún más seria: la energía necesaria para efectuar cualquier viaje cósmico.
Independientemente del tipo de propulsión que utilice un vehículo, es obvio que debe transportar cierta cantidad de combustible para quemar en el camino. Mientras más combustible cargue un vehículo, más lejos podrá llegar, pero la relación entre la masa de combustible y la distancia recorrida no es directa. En efecto, al cargar más combustible aumenta el peso del vehículo y, por lo tanto, se necesita más energía para moverlo. Este efecto es casi imperceptible en un automóvil, porque el peso de un tanque lleno de gasolina es sólo una pequeña fracción del peso total del vehículo, pero en los cohetes utilizados en la actualidad, más del 90% del peso inicial corresponde al combustible. Para poner en órbita un satélite es necesario quemar cientos de toneladas de carburante, almacenadas en contenedores que se desechan a medida que se vacían.

Figura 18. Mecanismo de propulsión de un cohete o un globo.
Para propulsar un vehículo en el espacio, es necesario disponer de algún medio por el que éste arroje hacia atrás una cierta cantidad de materia; tal como lo hace un globo inflado que, al perforarse, vuela arrojando el aire de su interior. Los aviones de hélice arrojan aire hacia atrás para volar, y los aviones modernos utilizan turbinas que realizan la misma función más eficientemente. Del mismo modo, los vehículos espaciales transportan su propio combustible, que eyectan por sus turbinas (Figura 18).
Un cálculo simple de mecánica newtoniana permite ver que, en condiciones muy generales, la velocidad que alcanza un vehículo espacial depende fundamentalmente de la cantidad de materia arrojada de sus turbinas y de la velocidad de eyección de ésta, y que es prácticamente independiente del material que alimenta a las turbinas, del mecanismo de generación de energía o de la tasa de eyección. En la figura 19 se presenta una gráfica de la velocidad final alcanzada en función de la masa inicial del vehículo: se puede ver que un aumento considerable de la masa inicial de combustible repercute muy levemente en aumentar la velocidad final, ya que casi todo el combustible se destina a moverse a sí mismo [4].

Figura 19. Gráfica de la velocidad final alcanzada por un cohete en función de la fracción de combustible quemado y arrojado por las turbinas.
Se podría pensar que aumentando el combustible que transporta la nave ésta alcanzaría velocidades mayores. Sin embargo, un vehículo de combustible químico tendría que iniciar su recorrido con unos ¡quinientos millones de toneladas de combustible! para alcanzar una velocidad de 10 kilómetros por segundo, en lugar de los tres kilómetros, por segundo del ejemplo anterior. Evidentemente, no es factible realizar viajes interestelares con la actual tecnología espacial.
Un motor más eficiente sería uno que funcione usando la fusión nuclear. Un vehículo espacial del futuro podría transportar hidrógeno, que transformaría en helio para producir energía. Según los cálculos, esa energía podría utilizarse para arrojar el helio de desecho por las turbinas del vehículo con una velocidad de unos 30.000 kilómetros por segundo, una décima de la de la luz.
Se puede calcular que un vehículo espacial con un motor de fusión nuclear y una masa útil de una tonelada (cabina con tripulantes y motor) tendría que consumir unas 8 000 toneladas de hidrógeno para alcanzar una velocidad de 270.000 kilómetros por segundo. A esa velocidad, la nave espacial tardaría poco más de cuatro años, medidos en la Tierra, en llegar a Alfa Centauro, mientras que la travesía duraría aproximadamente la mitad para los tripulantes. Pero para alcanzar una velocidad de 294.000 kilómetros por segundo, la nave espacial debería iniciar su viaje con más de ¡diez mil billones de toneladas de hidrógeno!, más del que existe en toda la Tierra.
Para acabar de comprender la magnitud del problema de los viajes interestelares, echemos a volar aún más lejos la imaginación y pensemos en un vehículo espacial con el motor más eficiente que pueda existir: uno que transforme toda la masa del combustible en energía en forma de fotones, los cuales se emiten por las turbinas. No tenemos la menor idea de cómo fabricar un motor con esas características; excepto que el combustible debe ser una mezcla de materia y antimateria en igual proporción; pero supongamos que alguna civilización extraterrestre lo llegara a concretar.
Para ser un poco más realistas, debemos tomar en cuenta que cualquier nave espacial debe iniciar su viaje desde el reposo, acelerarse, luego invertir el sentido de sus motores y desacelerarse, para llegar a posarse suavemente en un planeta lejano. En el capítulo anterior describimos una travesía de esa naturaleza: en la tabla 1 se dan algunos ejemplos de los tiempos de vuelo y de la cantidad de combustible necesaria cuando la aceleración y posterior desaceleración, de la nave es de 1 g.
Veamos, como ejemplo, el requerimiento energético de una nave con motor de materia y antimateria que realiza un viaje a un planeta distante 10 años luz. Según la tabla, el viaje durará para los tripulantes poco menos de cinco años. Sin embargo, la masa de materia y antimateria consumida sería de unas 140 toneladas para poder transportar un peso útil de una tonelada.
Es imposible concebir un procedimiento para producir antimateria en toneladas y almacenarla, por razones que veremos en el capítulo 6. Por ahora, basta señalar que 70 toneladas de antimateria producen, al aniquilarse, tanta energía como la que se consumiría en la Tierra durante cien años, al ritmo actual de consumo energético. Y esa cantidad de energía sería a su vez la necesaria para producir industrialmente unas 70 toneladas de antimateria.
Dejamos al lector que saque sus propias conclusiones sobre la viabilidad de los viajes interestelares más allá de una diminuta región de nuestra Galaxia, en la que se localizan el Sol y unas cuantas estrellas vecinas.
Capítulo 6
Relatividad y Mecánica Cuántica
Así como la teoría de la relatividad introdujo conceptos que chocaron con el sentido común, la mecánica cuántica expuso una descripción del mundo microscópico que en nada se parecía al de la experiencia diaria. De acuerdo con la mecánica cuántica, las partículas atómicas no se comportan como los objetos del mundo macroscópico, sino que tienen propiedades a la vez de partículas y de ondas.
El lector recordará que ya tuvimos ocasión de conocer una partícula con esta característica: el fotón, que a veces se manifiesta como onda y a veces como partícula. Esta es una propiedad de todas las partículas elementales, electrones, protones, neutrones, etc. que constituyen los átomos, por lo que los fenómenos en ese nivel se producen de acuerdo a leyes muy peculiares. Por principio de cuentas, es imposible caracterizar una partícula elemental por su posición y su velocidad, tal como ocurre en la física newtoniana. AL contrario, en la mecánica cuántica sólo se puede calcular la probabilidad de encontrar una partícula en cierto estado físico. Tal probabilidad se obtiene a partir de una expresión matemática, la función de onda.
En la mecánica newtoniana se calcula la posición y la velocidad de una partícula a partir de ecuaciones matemáticas, que relacionan el movimiento de la partícula con la fuerza que se le aplica de acuerdo con la segunda ley de Newton (fuerza = masa x aceleración).
En cambio, en la mecánica cuántica se calcula la probabilidad de encontrar una partícula en cierto estado físico, utilizando ecuaciones matemáticas, en particular la ecuación deducida por el físico alemán Erwin Schrödinger en 1926, que relaciona la función de onda de la partícula con la fuerza aplicada sobre ella.
Gracias a esta ecuación, los físicos lograron resolver un gran número de problemas relacionados con los átomos y las partículas que los componen. Un nuevo nivel de la realidad se había revelado, donde regían leyes totalmente distintas las de nuestro mundo macroscópico.
La ecuación de Schrödinger tiene un rango de validez muy amplio, pero restringido a fenómenos en los que no se involucran velocidades cercanas a la de la luz. La mecánica cuántica nació como una extensión de la mecánica newtoniana al mundo atómico y, por ello precisamente llevaba inherentes las limitaciones básicas de ésta. En los años treinta, los fenómenos relativistas aún no tenían cabida en la nueva física cuántica. Era necesario, pues, unir la mecánica cuántica y la relatividad.
P. A. M. Dirac y el anti-mundo
La ecuación de Schrödinger es compatible con el principio de relatividad de Galileo, pues está basada en los principios de la mecánica newtoniana. Generalizar esa ecuación para hacerla compatible con la relatividad de Einstein no parecía, en principio, demasiado difícil. Ya en 1926, los físicos Klein y Gordon propusieron una ecuación con esas características que tenía una forma matemática relativamente simple, mas no describía adecuadamente los fenómenos cuánticos. Uno de sus principales defectos era que las partículas supuestamente descritas podían poseer cualquier energía, incluso negativa; como todo cuerpo en la naturaleza tiende a pasar, cuando se le deja libre, de un estado de mayor energía a otro de menor energía, resultaría que todas las partículas del Universo tenderían a un estado con energía infinitamente negativa, como si cayeran en un pozo sin fondo. Evidentemente, una ecuación que predice tal comportamiento no puede corresponder al mundo real.
El problema de unir adecuadamente la mecánica cuántica y la teoría de la relatividad parecía estancado hasta que, en 1930, el físico inglés Paul Adrian Maurice Dirac logró deducir una ecuación que describe adecuadamente los fenómenos cuánticos y es compatible con el principio de la relatividad. Si existe algo así como una estética matemática, la ecuación de Dirac es una verdadera obra de arte, por la manera tan ingeniosa con la que el físico inglés resolvió un problema aparentemente irresoluble.
Sin entrar en detalles técnicos, que rebasarían los propósitos del presente libro, señalaremos que la ecuación de Dirac permite calcular la función de onda de un electrón, y de otras partículas elementales, tomando en cuenta todos los efectos relativistas. Sin embargo, adolecía del mismo defecto que mencionamos anteriormente: de acuerdo con esta ecuación, un electrón podía tener una energía infinitamente negativa. Pero lo que parecía una dificultad técnica resultó ser, gracias al ingenio de Dirac, la clave para descubrir un aspecto insospechado de la Naturaleza.
Para evitar que todos los electrones del Universo cayeran a estados con energías infinitamente negativas, Dirac propuso que todos los estados con energía negativa estaban ocupados ya por electrones, aunque éstos no se puedan detectar directamente (¡el vacío de la mecánica cuántica resulta ser un mar infinito de partículas!, y esta aparente contradicción es todavía uno de los problemas más complejos de la física moderna). Pero si llegara a faltar uno de estos electrones de energía negativa, su ausencia, se detectaría como la presencia de una partícula con energía positiva y con la carga eléctrica contraria a la del electrón. Esa nueva partícula, predijo Dirac, sería un electrón; tendría la misma masa que un electrón y todas las demás propiedades, excepto el signo de la carga eléctrica, que sería positivo, razón por la que esa nueva partícula fue bautizada positrón. Más aún, Dirac predijo, con base en su modelo, que al ponerse en contacto un electrón con un positrón los dos se aniquilarían, transformando la totalidad de sus masas en energía en forma de dos rayos gamma (fotones de altísima energía). Además, el argumento de Dirac podía aplicarse a cualquier partícula, por lo que predecía que existen en la Naturaleza antiprotones, antineutrones, e incluso antiátomos, compuestos de positrones y anti-núcleos.
La hipótesis de Dirac fue confirmada definitivamente poco tiempo después de haber sido formulada. En 1932, se detectaron positrones en el flujo de rayos cósmicos que llegan a la superficie terrestre, con las características predichas por la teoría: carga positiva y misma masa que los electrones. Incluso se descubrió posteriormente que algunos elementos radiactivos emiten positrones al decaer sus núcleos. Y en los años cincuenta, cuando empezaron a funcionar los grandes aceleradores de partículas para estudiar el mundo subatómico, se logró producir antiprotones, antineutrones y todo tipo de antipartículas.
Con las antipartículas se pueden formar, en principio, antiátomos, anti-moléculas e incluso anti-mundos, estrellas y planetas, habitados por seres de antimateria. Los fenómenos naturales en esos anti-mundos serían idénticos a los que conocemos, con la única diferencia que el signo de todas las partículas atómicas estaría invertido; esto se debe a que las leyes de la física son (casi) iguales para la materia y la antimateria [6]. La apariencia visual de estos anti-mundos sería indistinguible de un mundo de materia, pues la luz (y en general los fenómenos electromagnéticos) no hace distinción entre materia y antimateria. Pero si un día nos visitara un ser de antimateria las consecuencias serían catastróficas para todos: se aniquilaría totalmente al pisar tierra, produciendo una explosión mucho más fuerte que una bomba atómica.
El mecanismo más eficiente que existe en la Naturaleza para transformar masa en energía es la aniquilación de la materia con la antimateria; la eficiencia del proceso es del 100%, pues la totalidad de la masa se convierte en energía en forma de rayos gamma. Desgraciadamente, no es un proceso aprovechable para usos prácticos pues no existen yacimientos de antimateria en la Tierra: se pueden producir antipartículas en los aceleradores de partículas, a costa de invertir enormes cantidades de energía, pero es imposible almacenarlas, pues se aniquilan al menor contacto con la materia.
Las partículas (y antipartículas) elementales
A pesar de lo que indica su nombre, un átomo no es indivisible, sino que está constituido por electrones, que giran alrededor de un núcleo formado por protones y neutrones. Al principio, los físicos pensaron que los elementos básicos del Universo eran estas tres partículas: electrón, protón y neutrón, y la partícula de la luz: el fotón. Pero él número de las partículas supuestamente elementales empezó a aumentar, primero lentamente y después, en forma alarmante...
Primero, con la teoría Dirac, aparecieron en la escena los positrones, los antiprotones y los antineutrones. Incluso una partícula eléctricamente neutra como el neutrón tiene su antipartícula correspondiente. ¿Cómo distinguir un neutrón de un antineutrón, si no tienen carga eléctrica que los diferencie? La manera más simple es ponerlos en contacto: se aniquilan mutuamente produciendo dos fotones extremadamente energéticos. En cambio, un fotón no puede distinguirse de un anti-fotón, pues dos fotones al ponerse en contacto no producen nuevos fotones, sino que prosiguen su existencia sin inmutarse: por esta razón, el fotón es una partícula que no posee antipartícula, o dicho más precisamente, es indistinguible de ella.

Figura 20. El decaimiento beta: un neutrón se transforma en un protón emitiendo un electrón y un neutrino.
El neutrino es una partícula muy curiosa; se sabe en la actualidad que hay por lo menos dos tipos de neutrinos (muy probablemente tres y quizás más), con sus respectivos antineutrinos. La masa del neutrino parece ser exactamente cero [7], por lo que esta partícula viaja siempre a la velocidad de la luz, tal como el fotón. A diferencia de otras partículas, los neutrinos no tienen ninguna interacción con los fotones [8], razón por la que un neutrino y un antineutrino no se aniquilan al chocar, pues no pueden producir un par de fotones.

Figura 21. Sentido de rotación de un neutrino y un antineutrino con respecto a la dirección de su movimiento.
Otras partículas siguieron apareciendo en escena. En 1935, el físico japonés Hideki Yukawa propuso la existencia de ciertas partículas, que llamaron mesones, para explicar la fuerza nuclear entre protones y neutrones. Los mesones fueron descubiertos una década después.
En los años cincuenta, los físicos habían descubierto todo un zoológico de partículas elementales con masas muy diversas, aunque casi todas eran inestables y se transformaban rápidamente en otras partículas. La única regularidad que se podía notar entre ellas era la carga eléctrica, que siempre es un múltiplo, positivo o negativo, de la carga del electrón. Parecía existir, pues, en la Naturaleza una unidad fundamental de carga eléctrica [10]: el electrón posee una unidad negativa y el protón una unidad positiva; los mesones pueden tener tanto carga positiva como negativa; algunas partículas como el neutrón, el neutrino y el fotón, poseen carga cero, mientras que otras partículas más raras tienen dos o más unidades de carga.
Para poner un poco de orden en la familia de las partículas elementales, el físico estadounidense Murray Gell-Mann sugirió en los años sesenta que las partículas como los mesones, protones, neutrones y otras más pesadas están constituidas por partículas aún más elementales, a las que bautizó cuark. La carga de los cuarks debe ser un tercio o dos tercios de la unidad fundamental de carga, con lo que se pueden explicar las propiedades básicas de las partículas elementales: Por ejemplo, el protón está formado por dos cuarks con carga +2/3 y uno con carga - 1/3, dando una carga neta igual a una unidad; el neutrón consta de dos cuarks con carga -1/3 y uno con carga +2/3, siendo la carga total nula; en cuanto a los mesones, están formados por parejas de cuarks y anti-cuarks, por lo que se desintegran rápidamente en el estado libre.
El modelo propuesto por Gell-Mann era muy ingenioso, y muchos datos experimentales lo confirmaban, excepto el hecho que nadie podía detectar un cuark. Durante años, los físicos trataron de encontrar cuarks aislados en estado natural, sin tener éxito, hasta que se dieron cuenta que los cuarks no pueden existir solos. La razón es que los cuarks se encuentran unidos entre si con una fuerza enorme que, además, aumenta con la distancia. Al contrario de la fuerza eléctrica o la gravitacional, que disminuyen al aumentar la distancia entre los cuerpos que se atraen, los cuarks están ligados entre sí por una interacción que aumenta con la separación, tal como un resorte que, mientras más se estira, atrae con mayor fuerza.
La analogía del resorte puede ilustrar la razón por la que los cuarks no existen aislados. Supongamos que queremos separar dos cuarks ligados entre sí; podemos estirar el resorte que los une más y más hasta que se rompe. Pero para romper un resorte, hay que invertir energía. En el caso de los cuarks esta energía es tan grande que puede transformarse en la masa de dos nuevos cuarks. El resultado es que, al romperse el resorte, se producen dos parejas de cuarks en lugar de dos cuarks aislados, tal como se ilustra en la figura 22.
Figura 22. La interacción entre los cuarks es análoga a un resorte. La energía almacenada en el resorte permite crear un par de cuarks.
Hoy en día, los físicos piensan que los constituyentes básicos de la materia son los cuarks, por una parte, y los llamados leptones (partículas ligeras como el electrón y el neutrino) por la otra. éstas se estudian en los aceleradores de partículas, donde alcanzan velocidades muy cercanas a la de la luz, gracias a las enormes cantidades de energías invertidas. Al chocar entre sí, las partículas forman nuevas partículas. La comprensión de estos fenómenos ha sido posible gracias a la unión de las dos grandes teorías de la física moderna. Capítulo 7
Relatividad y Gravitación
Los años de búsqueda en la oscuridad de una verdad que uno siente pero no puede expresar el deseo intenso y la alternancia de confianza y desazón hasta que uno encuentra el camino a la claridad y comprensión sólo son familiares a aquél que los ha experimentado.
Los orígenes de la teoría general de la relatividad. E. EinsteinSegún el principio básico de la teoría de la relatividad, los fenómenos físicos obedecen leyes que no dependen del sistema de referencia desde el cual se observan. Pero este postulado, tal como hemos visto hasta ahora, se aplica sólo a sistemas inerciales, aquellos que se mueven en línea recta y a velocidad constante. Por el contrario, en un sistema no inercial (como un vehículo que forma una curva o se enfrena) actúan fuerzas que permiten discernir, el movimiento. Y sobre la superficie de la Tierra se puede distinguir entre arriba y abajo observando simplemente la caída de un cuerpo. En realidad, un sistema de referencia inercial perfecto debe estar aislado en el espacio sideral, lejos de cualquier cuerpo que lo atraiga gravitacionalmente.
Para superar estas limitaciones, Einstein investigó durante varios años la posibilidad de modificar la teoría de la gravitación de Newton para hacerla compatible con el principio de relatividad. La clave para él fue la existencia de una profunda relación entre fuerzas inerciales y fuerzas gravitacionales, Citemos sus propias palabras:
Estaba yo sentado en mi sillón de la oficina de patentes de Berna cuando de repente tuve una ocurrencia: Si una persona cae libremente no siente su propio peso. Quedé atónito. Esta idea tan simple me impresionó profundamente. Me impulsó hacia una teoría de la gravitación.La teoría de la gravitación de Einstein empezó a tomar forma en 1907, cuando aún trabajaba en Berna, hasta culminar en su versión definitiva en 1916: la teoría general de la relatividad. La versión primera de la relatividad, aquélla que hemos discutido hasta ahora y que se restringe a sistemas de referencia inerciales, se conoce como la teoría restringida de la relatividad o también, teoría especial de la relatividad.
La piedra angular de la relatividad general es un principio físico que nos remonta una vez más al mismísimo Galileo.
El principio de equivalencia
En la física aristotélica, se creía que los cuerpos pesados caían más rápidamente que los cuerpos ligeros. Cuenta una famosa, leyenda (que bien puede ser verídica) que Galileo Galilei demostró lo contrario al soltar simultáneamente desde lo alto de la Torre de Pisa dos piedras de peso desigual; ante la mirada del público incrédulo, las dos piedras llegaron al suelo exactamente al mismo tiempo (Figura 23). Así, Galileo comprobó que la trayectoria de un cuerpo bajo el influjo gravitacional de la Tierra es independiente de la masa del cuerpo. (En todo caso el movimiento puede depender de la forma del cuerpo, pero únicamente por la resistencia que le opone el aire. Es cierto que una pluma cae más lentamente que una bola de plomo, pero esto se debe exclusivamente a que el aire retarda la caída de la pluma. En una campana al vacío o en la Luna, donde no hay atmósfera; la pluma y la bola de plomo caen exactamente con la misma velocidad.)
En términos más precisos, lo que Galileo demostró fue la equivalencia entre la masa inercial y la masa gravitacional. Expliquemos a continuación estos dos conceptos, que muchas veces se confunden.
Figura 23. El experimento de Galileo.
Pero existe una segunda manera de determinar la masa de un cuerpo, y es por medio de la segunda ley de Newton, según la cual un cuerpo adquiere una aceleración directamente proporcional a la fuerza que se le aplica e inversamente proporcional a su masa. Si empujamos con la misma fuerza un carro que pesa 10 kilogramos y otro que pesa 100 kilogramos, el primero se acelerará 10 veces más que el segundo, de donde podemos deducir que el primer carro es 10 veces menos masivo, que el segundo.
Así, existen dos maneras de determinar la masa de un cuerpo. Una es con la que se mide la masa gravitacional. Otra forma es utilizar la segunda ley de Newton: midiendo la inercia que un cuerpo opone a la fuerza que se le aplique, con lo que se determina la masa inercial. Ahora bien, un principio básico, al que nos hemos acostumbrado tanto que nos parece evidente, es que la masa inercial y la masa gravitacional de cualquier cuerpo son iguales. Este es el principio de equivalencia que Galileo formuló por primera vez y que Einstein utilizó como fundamento de su teoría de la relatividad general.
¿Qué tiene de sorprendente que la masa inercial y la masa gravitacional sean iguales? Para aclarar este punto recordemos que la fuerza gravitacional es sólo una de las fuerzas de la Naturaleza. La fuerza electromagnética es muy distinta de la gravitacional y es la responsable que los cuerpos cargados eléctricamente se atraigan o se rechacen, o que los electrones de los átomos permanezcan unidos a los núcleos atómicos. Existen también otras fuerzas que actúan sólo a distancias subatómicas: la nuclear, que mantiene unidos los protones y neutrones en un núcleo, y débil, que produce el decaimiento beta.
Imaginemos ahora un planeta que posee una carga eléctrica y que, por lo tanto, atrae a los cuerpos en su superficie con una fuerza eléctrica, y no gravitacional. Un Galileo de ese planeta podría repetir el experimento de lanzar dos piedras con cargas eléctricas distintas y preguntarse ¿caerán al mismo tiempo? La respuesta es negativa, porque además de la carga influye la masa inercial en el movimiento de un cuerpo. Si dos piedras tienen la misma carga eléctrica; pero la masa inercial de una es de un gramo y la de otra es de una tonelada, la que se moverá más rápidamente al ser atraída por otra carga será evidentemente la más ligera.
El origen de la confusión entre masa inercial y gravitación es que nos hemos acostumbrado a llamar masa gravitacional a lo que en realidad es la carga gravitacional. Una diferencia fundamental entre la fuerza gravitacional y la electromagnética es que se puede cargar o descargar eléctricamente un cuerpo, pero la carga gravitacional de un cuerpo está fijada por su masa inercial y no se puede descargar gravitacionalmente (excepto en las películas de ciencia ficción donde vemos cuerpos masivos desafiando a la gravedad junto a otros que caen normalmente).
La implicación más inmediata del principio de equivalencia es que todos los cuerpos caen de la misma forma, independientemente de la masa que posean. El mismo Isaac Newton confirmó experimentalmente este principio antes de publicar las leyes de la mecánica que había descubierto. El experimento de Newton, más preciso que el realizado por Galileo en Pisa, consistió en medir el periodo de oscilación de varios péndulos de distintos pesos y materiales: después de un largo tiempo, los péndulos, cuyo movimiento se había sincronizado inercialmente, seguían oscilando con el mismo periodo. Y tres siglos después de los experimentos de Galileo y Newton, el principio de equivalencia se confirmó con técnicas modernas, con un margen de error de apenas una parte en un millón de millones.
La equivalencia entre masa (o carga) gravitacional y masa inercial es un principio básico de la naturaleza, cuyo origen aún estamos lejos de comprender. A finales del siglo XIX, el físico alemán Ernst Mach propuso que la masa inercial de un cuerpo está enteramente determinada por la atracción gravitacional de todos los demás cuerpos en el Universo, de donde la relación entre inercia y gravitación. Una conjetura muy interesante que no se ha podido todavía demostrar (o refutar), pero que inspiró a Einstein para fundamentar su teoría de la relatividad general.
Las cajas de Einstein
Existe una relación muy profunda entre sistemas de referencia no inerciales y sistemas de referencia sometidos a fuerzas gravitacionales, relación que se puede entender con un ejemplo dado por el mismo Einstein.
Supongamos que nos encontramos encerrados en una caja colocada sobre la superficie terrestre. En su interior, sentimos la fuerza gravitacional de la Tierra que nos atrae al suelo, al igual que todos los cuerpos que se encuentran a nuestro alrededor. Al soltar una piedra, ésta cae al suelo aumentando continuamente su velocidad, es decir acelerándose a razón de 9.81 metros por segundo cada segundo, lo que equivale, por definición, a una aceleración de 1 g. Por supuesto, en el interior de la caja la fuerza que actúa sobre un cuerpo es proporcional a su masa gravitacional (Figura 24).

Figura 24. El pasajero en un vehículo que cae libremente no siente ninguna fuerza gravitacional.

Figura 25. El pasajero en un vehículo acelerado puede pensar que un planeta lo atrae gravitacionalmente.
Podemos imaginamos otra posible situación. Esta vez la caja es un elevador que se encuentra en un edificio terrestre, pero su cable se rompe y cae libremente. Sus ocupantes caen junto con la caja (Figura 24) y, mientras dura la caída, no sienten, ninguna fuerza gravitacional, exactamente como si estuvieran en el espacio extraterrestre.
Otra situación, que se ha vuelto familiar en los últimos años, es la de los cosmonautas que vemos flotar ingrávidos dentro de sus vehículos colocados en órbita alrededor de la Tierra. Si no perciben ninguna fuerza, gravitacional no es porque estén tan alejados de la Tierra que no resientan su atracción, es porque él vehículo espacial y sus tripulantes se encuentran en caída libre. Esto puede no coincidir con la idea, común de Luna caída; pero hay que recordar que, estrictamente hablando, un cuerpo se encuentra en caída libre si se mueve únicamente bajo el influjo de una fuerza gravitacional sin otro tipo de restricción. Un satélite terrestre efectivamente está en caída libre, pero nunca choca con la Tierra por la curvatura de ésta, como se puede ver en la figura 26.

Figura 26. Un satélite en órbita es un caso extremo de proyectil de caída libre.
Así, un sistema de referencia inercial es equivalente a un sistema de referencia en caída libre, y del mismo modo un sistema no inercial es equivalente a un sistema de referencia sometido a la fuerza gravitacional. En consecuencia, se puede extender el principio de relatividad a sistemas no inerciales si se toma en cuenta a la gravitación. Pero Einstein fue más allá de esta simple comprobación.

Figura 27. Manifestación de la fuerza gravitacional en una caja en caída libre suficientemente grande.
El experimento anterior implica que la equivalencia entre sistema inercial y sistema en caída libre debe formularse con más precisión: Los dos sistemas son equivalentes en una región pequeña del espacio, pero pueden distinguirse uno del otro si se realizan experimentos físicos sobre distancias suficientemente grandes.
Esta comprobación condujo a Einstein a relacionar la gravitación con las propiedades geométricas de una superficie. Por ejemplo, sabemos que la Tierra es redonda, pero su curvatura no se manifiesta en una región pequeña; a escala humana, nuestro planeta parece plano y es sólo sobre distancias de varios cientos de kilómetros que los efectos de la curvatura se vuelven apreciables. Si se trazan dos rectas paralelas sobre la superficie terrestre, estas rectas permanecen paralelas inicialmente manteniéndose constante la distancia entre ellas; pero si las rectas se prolongan cientos de kilómetros empezarán a converger debido a la curvatura de la Tierra, y acabaran por unirse en algún punto (Figura 28).
Figura 28. Dos “paralelas” terminan uniéndose sobre una superficie curva.

Figura 29. Las geodésicas son las curvas de menor longitud sobre una superficie curva.
Ahora bien, las dos paralelas trazadas sobre la superficie de la Tierra, y que terminan por unirse debido a la curvatura de ésta, recuerdan las trayectorias de las dos canicas en el elevador que cae. En el primer caso, se tiene un efecto debido a la curvatura de una superficie, mientras que en el segundo caso se manifiesta una fuerza gravitacional. El primer efecto es geométrico y el segundo gravitacional. Una superficie curva parece plana en una región suficientemente pequeña, y del mismo modo una fuerza gravitacional no es detectable en un vehículo de dimensiones reducidas y en caída libre.
Todas estas analogías condujeron a Einstein a la conclusión que la fuerza gravitacional puede interpretarse como un efecto geométrico. Sólo que, a diferencia de la superficie terrestre, en la teoría de Einstein el espacio-tiempo es curvo y la gravitación es la manifestación de su curvatura.
La curvatura del espacio-tiempo
Consideremos primero el caso más simple de un espacio curvo de dos dimensiones. Un ejemplo es la superficie de una esfera, que es de dos dimensiones porque se necesitan dos números, las coordenadas de longitud y latitud, para localizar un punto sobre ella. Las curvas de menor longitud entre dos, puntos son el equivalente de las rectas y se llaman en lenguaje matemático, geodésicas. A diferencia de las rectas sobre una superficie plana, dos geodésicas inicialmente paralelas se cruzan en algún punto (Figura 29); en general, los postulados y teoremas de la geometría elemental, que se aprende en la escuela, no son válidos sobre superficies curvas donde las geodésicas sustituyen a las rectas.
A mediados del siglo XIX, el matemático alemán Georg Friedrich Bernhard Riemann (1826-1866) tuvo la idea de extender el concepto de superficie curva a un espacio con cualquier número de dimensiones. En un espacio así, cada punto está determinado por medio de n coordenadas; más aún, se puede postular una fórmula para medir la distancia entre dos puntos, lo cual permite construir geodésicas, que sustituyen a las rectas en el espacio ordinario. Es evidente que, en un espacio curvo los postulados y teoremas básicos de la geometría clásica no se cumplen las geodésicas pueden cruzarse en más de un punto, las paralelas no mantienen constante la distancia entre ellas, la suma de los ángulos de un triángulo no da 1800, etcétera.
Riemann demostró que las propiedades básicas de un espacio curvo están determinadas exclusivamente por la fórmula para medir distancias. Escoger una manera de medir esta distancia equivale a definir un espacio riemanniano, que es un espacio curvo de dos, tres, cuatro o cualquier número de dimensiones.
A diferencia de las superficies, que son espacios de dos dimensiones, los espacios curvos de tres o más dimensiones no se pueden visualizar. Sin embargo, es posible definirlos y manejarlos matemáticamente sin ninguna dificultad de principio; los espacios riemannianos son un excelente ejemplo de un concepto que sólo se puede describir en lenguaje matemático.
Como una visión profética, Riemann especuló que podría existir una relación entre las propiedades geométricas del espacio y los procesos físicos que ocurren en él. Sin embargo, sus trabajos fueron considerados durante mucho tiempo como simples curiosidades matemáticas, ajenas al mundo real. No fue sino hasta la segunda década del siglo XX cuando Einstein llegó a la conclusión que el espacio tiempo en el que vivimos es un espacio de cuatro dimensiones
Einstein publicó la versión definitiva de su teoría de la relatividad general en el número de noviembre de 1915 del Boletín de la Academia de Ciencias de Berlín, en plena primera Guerra Mundial. Para la formulación de esta teoría contó con la ayuda de su amigo el matemático Marcel Grossman, quien le había despertado el interés en los trabajos de Riemann. La esencia de la teoría de Einstein es que la masa de un cuerpo deforma el espacio-tiempo a su alrededor. En ausencia de masa, el espacio-tiempo es plano y una partícula se mueve en línea recta porque nada influye sobre su trayectoria, pero en presencia de una masa gravitante, el espacio-tiempo se curva y una partícula se mueve a lo largo de una geodésica. De acuerdo, con esta interpretación de la gravedad, un planeta gira alrededor del Sol porque sigue una trayectoria geodésica en el espacio-tiempo deformado por la masa solar.
En la teoría de la gravitación de Newton, se puede calcular la atracción gravitacional ejercida por una distribución dada de masa por medio de una ecuación matemática. En la teoría de Einstein, se calcula la curvatura del espacio-tiempo, pero la situación es bastante más complicada porque no sólo la masa, sino también, la energía ejerce una acción gravitacional. En su artículo de 1916, Einstein dedujo la ecuación matemática que relaciona la geometría del espacio-tiempo con la distribución de masa y energía: esta fórmula se conoce como ecuación de Einstein y es la base de la relatividad general (Figura 30).

Figura 30. La ecuación de Einstein de la relatividad general.

Figura 31. Einstein en Estados Unidos.
Capítulo 8
La gravitación en el universo
El movimiento del perihelio de mercurio
El primer gran éxito de Newton fue explicar el movimiento de los planetas alrededor del Sol. Tomando en cuenta, sólo la atracción gravitacional del Sol, demostró que las órbitas de los planetas son elipses, tal como había descubierto Kepler en forma empírica. Sin embargo, la atracción de los planetas entre sí, aunque mucho menor que la atracción solar, no es enteramente despreciable y produce ligeras desviaciones en las órbitas planetarias. Estas pequeñas perturbaciones orbitales se han podido calcular y las observaciones confirman los resultados teóricos. De hecho fue así como en el siglo pasado los astrónomos Adams y Le Verrier predijeron la existencia y la posición en el cielo del planeta. Neptuno a partir de las perturbaciones observadas en la órbita de Urano, el planeta más lejano conocido en aquella época.
El mismo Le Verrier fue quien descubrió por primera vez una anomalía en la órbita de Mercurio, el planeta más cercano al Sol. En 1859, anunció que el perihelio [11] de Mercurio avanza 38 segundos de arco por siglo (Figura 32). Este fenómeno fue confirmado posteriormente por otros astrónomos, estableciéndose un valor de 43 segundos por siglo, que es el aceptado en la actualidad.
Le Verrier reconoció que el fenómeno que había descubierto no tenía una explicación simple. Descartó la posibilidad que se debiera a la influencia de Venus o de algún planeta, aún no descubierto, que se encontrara en órbita entre Sol y Mercurio. Sugirió como posible explicación la presencia de una nube de asteroides en órbita intra-mercurial, pero ningún astrónomo detectó tales cuerpos. El avance del perihelio de Mercurio fue durante años una espina clavada en la mecánica newtoniana, pues arrojaba la sombra de la duda sobre la perfección de esta teoría.

Figura 32. Corrimiento del perihelio de Mercurio.
Así Einstein resolvió un problema que mantuvo en jaque a los mecánicos celestes durante seis décadas.
Según contó él mismo, durante los días posteriores a su descubrimiento estuvo fuera de sí por la emoción y llegó a sufrir taquicardia.
La desviación de la luz
¿Actúa la fuerza gravitacional sobre la luz como sobre cualquier partícula material? ¿Es la luz inmune a la gravedad? Isaac Newton pensaba que la luz está constituida por partículas y que por lo tanto un rayo luminoso debe desviarse bajo la acción de la gravedad, al igual que la trayectoria de un proyectil (aunque, esta desviación debe ser prácticamente imperceptible debido a la enorme velocidad de la luz).
Ya en 1911, Einstein, aun cuando no había formulado por completo su teoría de la gravitación, postuló que la luz se comporta como cualquier partícula material. Por lo tanto, predijo que un rayo de luz al pasar, cerca de la superficie del Sol desvía su trayectoria en un ángulo de 0.87 segundos de arco (Figura 33) y propuso medir ese efecto durante un eclipse solar.

Figura 33. Desviación de la luz al pasar cerca del sol.
Sin embargo, en 1915, con la teoría de la relatividad general bien establecida, Einstein volvió a calcular la desviación de un rayo de luz y se dio cuenta que la curvatura del espacio-tiempo y el hecho que la masa del fotón es estrictamente cero, influyen en forma muy particular sobre la trayectoria de la luz. Esta vez dedujo que un rayo de luz debe desviarse en un ángulo de 1.7 segundos al pasar cerca del Sol, exactamente el doble de lo que predice la teoría newtoniana. Así, midiendo ese ángulo se puede comprobar cuál teoría, la de Newton o la de Einstein, es la correcta en el caso de la luz.
El experimento propuesto por Einstein consistía en observar las estrellas muy cerca del disco solar durante un eclipse total de Sol, única oportunidad de ver las estrellas cerca de este astro. Comparando la posición aparente de una estrella con la que tenía cuando el Sol no se hallaba cerca, se puede determinar el ángulo de desviación, aunque este ángulo es tan pequeño que su medición es muy difícil y requiere de una enorme precisión.
Al parecer, el primer intento de confirmar las ideas de Einstein lo realizó una expedición argentina que partió a observar un eclipse en Brasil, en 1912, pero tuvo la mala suerte de encontrar tiempo totalmente nublado. Otra expedición, esta vez alemana, se dirigió a Crimea, en 1914, para observar un eclipse visible desde esa región, pero fue sorprendida por la declaración de guerra entre Alemania y Rusia, por lo que los miembros de la expedición tuvieron que regresar apresuradamente sin presenciar el fenómeno celeste. La primera Guerra Mundial impidió cualquier intento, de medir el efecto calculado por Einstein.
Finalmente, en 1919, ya concluida la guerra, se organizaron dos expediciones británicas para observar un eclipse que tendría lugar el 29 de mayo de ese año. La primera expedición, dirigida por Andrew Crommelin, se instaló en Brasil, y la segunda, a cargo de sir Arthur Eddington, se estableció en una isla frente a la Guinea Española. Esta vez, las observaciones fueron exitosas.
En una sesión científica que tuvo lugar en Londres en noviembre del mismo año, y en medio de enormes expectativas, Crommelin y Eddington anunciaron finalmente el resultado de varios meses de estudio de sus placas fotográficas: dentro de los posibles errores de medición, se confirmaba el valor predicho por la relatividad general. A partir de ese día, Einstein se volvió una figura pública.
La medición de 1919 tenía un margen de error de un 30%. Se han repetido observaciones durante otros eclipses con precisiones de hasta 10% confirmando la predicción de Einstein.
En años más recientes, los astrónomos utilizaron, en lugar de estrellas, fuentes cósmicas de radio (algunas galaxias y cuásares emiten no sólo luz visible sino también ondas de radio), con el fin de medir la desviación de las señales de radio al pasar cerca del Sol. La ventaja de este método es que las fuentes de radio en el cielo se pueden detectar también de día y cerca del Sol, por lo que no es necesario esperar un eclipse. Los resultados más recientes han confirmado la teoría de Einstein con una precisión de 1%.
Una comprobación más espectacular que la luz se desvía por la gravedad surgió recientemente, en 1979, con el descubrimiento de las lentes gravitacionales. Los cuásares son los objetos más lejanos y luminosos que se pueden observar en el Universo. En algunas ocasiones, la luz emitida por un cuasar puede pasar muy cerca o a través de una galaxia que se encuentra a medio camino entre el cuasar y nosotros, la cual desvía la luz, como si fuera una lente gravitacional. En ese caso, puede ocurrir que la luz del cuasar pase tanto de un lado como del otro de la galaxia (Figura 34), y, como resultado, el cuasar se observe doble.

Figura 34. Efecto de lente gravitacional por el que se desdobla la imagen de un objeto lejano.

Figura 35. El cuasar doble.

Figura 36. Formación de un arco por una lente gravitacional.
Cuando se arroja una piedra hacia arriba, llega a cierta altura con una velocidad menor que la inicial. Dicho de otro modo, la piedra tiene que gastar parte de su energía para subir en contra de la atracción gravitacional de la Tierra. ¿Sucede algo similar con la luz?
En 1907, cuando Einstein apenas empezaba a interesarse en la gravitación, dedujo que un fotón debe perder parte de su energía para escaparse de la atracción gravitacional de un cuerpo masivo. Ahora bien, como vimos en el capítulo 2, la energía de un fotón es proporcional a su frecuencia (o inversamente proporcional a su longitud de onda asociada), así que un fotón emitido desde la superficie del Sol, por ejemplo, llega al espacio con una frecuencia ligeramente menor, corrida hacia el lado rojo del espectro, que la que poseía inicialmente.
Figura 37. El famoso arco luminoso que podría deberse al efecto mostrado en la figura 36.
Todos los átomos emiten fotones con frecuencias bien definidas, y estos fotones se pueden observar como líneas sobrepuestas al espectro. De acuerdo con Einstein, los fotones emitidos por los átomos en la superficie del Sol deben producir líneas espectrales corridas ligeramente hacia el lado rojo del espectro. Desgraciadamente, este efecto es demasiado pequeño en el caso del Sol para poderlo identificar sin lugar a dudas. Sin embargo, los astrónomos habían descubierto por esa época que la estrella Sirio posee una extraña compañera, cuya masa es semejante a la del Sol pero cuyo tamaño es extremadamente pequeño, de modo tal que la atracción gravitacional en su superficie es treinta veces más intensa que en la del Sol. Este hecho permitió detectar en 1924 el corrimiento al rojo en el espectro de esta estrella, confirmando la predicción de Einstein.
El corrimiento al rojo gravitacional resurgió en forma inesperada en los años sesenta, cuando los físicos estadounidenses R. V. Pound, G. A. Rebka y J. L. Snider realizaron un experimento tan preciso que pudieron medir el cambio de frecuencia de un fotón emitido desde el suelo hasta el techo de una torre, ¡a 22 metros, de altura! Utilizando el llamado efecto Móssbauer, por el que ciertos materiales emiten rayos gamma (fotones muy energéticos) con una frecuencia perfectamente bien definida, lograron confirmar la predicción de Einstein con un margen de error de sólo 1%, a pesar que el cambio en frecuencia es de apenas una parte en mil billones.
Hoyos negros
La compañera de Sirio que mencionamos anteriormente es un ejemplo de una estrella que, al final de su evolución, se comprime bajo la fuerza de su propia gravedad y alcanza densidades enormes.
En general, cuando una estrella agota su combustible nuclear, la presión interna ya no puede detener su contracción gravitacional. Después de una evolución final bastante complicada, que depende fundamentalmente de la masa de la estrella, ésta arroja al espacio una fracción considerable de su materia, ya sea, en forma lenta, si la masa de la estrella no excede unas seis veces la masa del Sol, ya sea en forma violenta, en una explosión de supernova, si la estrella es muy masiva.
En el primer, caso, la estrella se transforma en una enana blanca, como la compañera de Sirio. La masa de una enana blanca no puede exceder una vez y media la masa del Sol, como demostró en 1938 el astrofísico Chandrasekar.
En el segundo caso, después de la explosión, la mayor parte de la masa estelar se extiende por el espacio y sólo queda el núcleo mismo de la estrella como remanente. Ese núcleo, dependiendo de su masa, se transforma en estrella de neutrones o en hoyo negro.
Una estrella de neutrones tiene una masa algo superior a la del Sol, pero su radio es de apenas unos 10 kilómetros. En tales estrellas, la materia está tan comprimida que los protones y electrones originales se fusionan para formar neutrones. Un centímetro cúbico de una estrella de neutrones pesa unas cien millones de toneladas. Las estrellas de neutrones giran sobre sí mismas dando varias vueltas por segundo; esto junto con el hecho que poseen un campo magnético muy intenso, hace que emitan pulsos de radio con una periodicidad bien definida. Así es como los radioastrónomos las detectaron por primera vez y las llamaron pulsares.
Si la masa de una estrella de neutrones excede unas tres veces la del Sol, entonces la estrella sigue comprimiéndose indefinidamente por su propia atracción gravitacional. El resultado final será un hoyo negro, un cuerpo cuya fuerza gravitacional es tan intensa que nada, ni siquiera la luz, puede escapar de él.
La existencia de los hoyos negros ha sido predicha por la teoría general de la relatividad y astrofísica moderna. Apenas unos meses después que Einstein presentara las ecuaciones básicas de su teoría general, el astrónomo alemán Karl Schwarzschild encontró una solución exacta de ellas que describía el espacio-tiempo alrededor de un cuerpo masivo esférico. Entre otras cosas, la solución de Schwarzschild implicaba que si un cuerpo esférico tiene
una masa M y un radio igual o menor que
GM / 2c2
entonces la luz emitida de su superficie sufre un corrimiento infinito al rojo. Dicho de otro modo, un fotón no podría escapar de la superficie de tal cuerpo, pues toda su energía no sería suficiente para despegarse de él.El radio crítico predicho por Schwarzschild es de tres kilómetros para una masa igual a la del Sol. Es decir, si el Sol se comprimiera a ese tamaño, se volvería lo que ahora se llama un hoyo negro.
En los últimos años muchos astrofísicos se han convencido que las estrellas más masivas terminan sus días transformándose en hoyos negros. Estos objetos no pueden detectarse directamente, pero se manifiestan por los efectos de la enorme fuerza gravitacional a su alrededor. Por ejemplo, si un hoyo negro se encuentra muy cerca de una estrella normal, succiona el gas de ésta; justo antes de penetrar al hoyo, el gas estelar se calienta a varios millones de grados y emite radiación en forma de rayos X. En años recientes se han detectado fuentes cósmicas de rayos X que, podrían corresponder a este proceso.
También, algunos astrónomos, piensan que ciertos fenómenos extraños que ocurren en el centro, de algunas galaxias se deben a la presencia de hoyos negros gigantescos.
El universo en expansión
La relatividad general se aplicó también a la cosmología, el estudio físico del Universo. Con base en su teoría, el mismo Einstein propuso, en 1916, un modelo matemático del Universo. El Universo de Einstein era estático, finito de volumen pero sin fronteras, semejante a la superficie curva de un globo, pero en tres dimensiones espaciales, a diferencia de la superficie que sólo es bidimensional.
Pocos, años después, el físico ruso Alexander Alexandrovich Fridman estudió las ecuaciones de la relatividad general y encontró unas soluciones que describen un universo en expansión, en el sentido que la distancia entre dos galaxias lejanas aumenta con el tiempo.
Al principio, Einstein pensó que la solución de Fridman no era realista. Pero en 1929, el astrónomo estadounidense Edwin Hubble anunció un descubrimiento que habría de revolucionar todas las concepciones sobre el Universo.
Hubble descubrió que las galaxias se alejan unas de otras, con una velocidad proporcional a su separación, ¡tal como lo había predicho Fridman!
La consecuencia inmediata del descubrimiento de Hubble es que el Universo se encuentra en un proceso de expansión. Extrapolando hacia el pasado, resulta que toda la materia del Universo se encontraba comprimida a una densidad prácticamente infinita en algún momento hace aproximadamente quince mil millones de años. A ese estado inicial del Universo, los físicos lo han llamado la Gran explosión. Según la teoría más aceptada actualmente, el Universo se encontraba a densidades y temperaturas extremadamente altas poco después de la Gran explosión, pero la materia cósmica se fue diluyendo y enfriando a medida que el Universo se expandía.
Según los cálculos de los físicos, tres minutos después de la Gran explosión la temperatura había bajado a mil millones de grados y se formaron los primeros núcleos atómicos. La teoría predice que la composición química del Universo en ese momento quedó fijada en aproximadamente 75% de hidrógeno, 25% de helio y apenas una traza de otros elementos. Lo interesante es que las observaciones astronómicas de galaxias lejanas confirman esta abundancia inicial, lo que se considera una prueba importante a favor de la teoría de la Gran explosión.
El Universo siguió enfriándose y unos 300 000 años después de la Gran explosión la temperatura había bajado a 5 000 grados. A partir de ese momento los electrones, libres hasta entonces, se unieron a los núcleos y se formaron los primeros átomos. Los electrones libres interactúan intensamente con los fotones, por lo que impiden el recorrido libre de éstos; pero los átomos no se oponen fuertemente al paso de la luz: en consecuencia, el Universo se volvió transparente cuando se formaron los átomos. En ese momento, todos los fotones quedaron libres y debe ser posible observarlos en la actualidad, a pesar que han perdido la mayor parte de su energía, debido a la expansión y enfriamiento del Universo. Estos fotones fósiles forman justamente la radiación de fondo, que fue descubierta por A. A. Penziar y R. W. Wilson en 1967, y corresponde a una temperatura actual del Universo de unos 2.7 grados Kelvin sobre el cero absoluto (que equivale a -273 grados Celsius).
La radiación de fondo es perfectamente uniforme y posee la misma intensidad en todas las direcciones en el cielo.
En particular, permite definir un sistema, de referencia cósmico, con respecto al cual se pueden medir todos los movimientos en el Universo. Se ha descubierto recientemente, que nuestra Galaxia se mueve a una velocidad de 400 kilómetros por segundo con respecto a la radiación de fondo.
El lector podrá pensar que la existencia de la radiación de fondo contradice el principio de relatividad, pues constituye un sistema de referencia absoluto. En realidad no es así el principio de relatividad estipula, que las leyes de la física son las mismas en cualquier sistema de referencia, sea éste el de la radiación de fondo o cualquier otro, pero no excluye que un sistema de referencia sea más conveniente que otro. La existencia de un sistema de referencia universal es muy apropiada para efectuar mediciones astronómicas a escala cósmica, pero no hay manera de determinar por experimentos físicos locales, encerrados en un laboratorio, si nos movemos con respecto a él. De otro modo, ya nos habríamos dado cuenta desde hace siglos que nos movemos a 400 kilómetros por segundo por el Universo.
El principio de la relatividad permanece incólume.
Apéndice
Las Transformaciones de Galileo y de Lorentz
Las transformaciones de Galileo que permiten pasar de un sistema de coordenadas a otro son:
x’ = x - Vt
y’ = y
z’ = z

Figura 38. Dos sistemas de referencia en movimiento relativo.
[07]
y se reducen a las de Galileo para velocidades V mucho menores que c.
Notas:
V final = V loge [m0 /m final]
donde loge significa el logaritmo natural (base e).