
En el curso de dos siglos la química atravesó un enorme camino, convirtiéndose en una ciencia bien desarrollada que posee un acopio colosal de información y se basa en profundas y precisas premisas teóricas. En los últimos decenios se hizo evidente que toda una serie de nuevas ciencias no puede pasar sin recurrir a los conceptos y métodos de la química, y las que en primer término deben mencionarse en este caso son la medicina y la biología molecular.
El libro de G. B. Shulpin está estructurado en forma de capítulos-ensayos independientes. Cada capítulo relata acerca de un campo determinado de la ciencia química, acerca de un concepto clave, acerca de una sustancia a la que pertenece un papel importante. Parafraseando el proverbio se puede decir que para el entendimiento más profundo de la esencia de cualquier concepto científico más vale realizar un experimento que cien veces leer acerca de este concepto.
La particularidad característica de este libro que ofrecemos a la atención del lector consiste en que el relato sobre las bases de la química moderna viene acompañado de descripción de experimentos elementales. Estos experimentos son fáciles de realizar en el laboratorio químico de casa y en cuanto a los «reactivos» y el equipo necesarios, el lector podrá encontrarlos entre sus enseres domésticos o comprar en la farmacia o en las tiendas de artículos de uso doméstico o para fotografía. Como utensilios químicos el autor, en la mayoría de los casos, propone utilizar vasos comunes y corrientes. Tan sólo varios experimentos más complicados requerirán un equipo especial y reactivos químicos relativamente raros.
Los experimentos de este tipo deben realizarse en el laboratorio químico de escuela o en el círculo químico.
La actividad cotidiana del químico-científico incluye no solamente manipulaciones con sustancias, con matraces y con tubos de ensayo. Los datos experimentales obtenidos sirven, únicamente, de base para cálculos matemáticos, a veces, complejos, y sólo después de estos cálculos pueden hacerse deducciones profundas. Por fin, la química moderna dispone de una teoría sólida basada en los enunciados de la mecánica cuántica. El autor da a conocer al lector varios principios de elaboración de los datos experimentales que, como resultado, dan la posibilidad de vaticinar las propiedades de los compuestos todavía no obtenidos o no investigados.
Al verificar algunos cálculos no complicados, el lector tendrá la posibilidad de «cerciorarse» de que el orbital s tiene la forma de esfera, mientras que el orbital p se parece a una haltera. Después de confeccionar modelos de orbitales de las moléculas con arcilla plástica y alambre, el lector comprenderá por qué son posibles unas reacciones en tanto que otras resultan prohibidas. De esto modo, la finalidad principal del autor es conseguir que la asimilación del material sobre los campos y los problemas de la química sea activa y que el lector se convierta en partícipe del proceso creativo.
Este libro no está destinado para leerlo en el transporte urbano o en cama antes de conciliar el sueño. El que quisiera abordar la lectura del mismo debe proveerse de algunas sustancias y vasija fácilmente accesibles.
Por lo demás, no es obligatorio realizar 100 experimentos, limitándose tan sólo a leer sobre los mismos. Sin embargo, lo que sí es indispensable es tener a mano un lápiz y una hoja de papel, pues para comprender muchos razonamientos será preciso construir gráficos, dibujar fórmulas y realizar algunas transformaciones matemáticas no complicadas.
Desde luego, el libro está lejos de abarcar todos los apartados de la ciencia química. Una de las causas de esta circunstancia radica en el pequeño volumen de la edición. Otra razón consiste en que era imposible combinar el relato sobre algunos campos de química con exposición de experimentas sencillos. Por ejemplo, la química de la radiación está relacionada con emisiones peligrosas para la vida, y cualesquiera compuestos organometálicos representan sustancias de difícil alcance en la vida cotidiana. Pero sea como fuera, el libro trata de la mayoría de las ramas de la química moderna. En éste se hace referencia de la química orgánica y la química inorgánica, de la química física y química coloidal, de la química biológica y química analítica, de la estereoquímica. Capítulos especiales están dedicados a tipos individuales de sustancias, a saber, a las proteínas, a los hidrocarburos, a los colorantes y a los medicamentos.
El autor de este libro, candidato a doctor en ciencias químicas G. B. Shulpin trabaja en el Instituto de Físico-Química de la Academia de Ciencias de la URSS y se ocupa de química de los compuestos orgánicos y organometálicos, de complejos metálicos y de catálisis homogénea, de modo que conoce muchos de los temas expuestos un el libro no sólo por la literatura especial. Como ejemplos de algunos tipos de reacciones químicas el autor utiliza los más recientes logros de la química y propone experimentos expuestos en las revistas científicas de distintos países publicadas en los últimos afros.
El libro será útil a todos aquellos quienes quieren conocer los conceptos básicos de la ciencia química y está dirigido, en primer lugar, a los aficionados de la química, a los maestros y a los escolares de los grados superiores.
A. E. Shilov
Miembro correspondiente de la
Academia de Ciencias de la URSS
Capítulo 1
Química, ciencia sobre las transformaciones de las moléculas
Pues, ¿qué son las propiedades químicas? Se trata de la modalidad de una sustancia de entrar en reacción con alguna otra sustancia. Y la reacción química de por sí es el proceso de transformación de unas moléculas en otras. En estas transformaciones se destruyen tan sólo las moléculas (las cuales, a su vez son integradas por los átomos); en cuanto a los propios átomos, éstos no experimentan cambios. La cuestión reside en que los procesos de transformaciones mutuas de los átomos se estudian ya no por la química, sino por la física, más exactamente, por la física atómica y física nuclear. Pero, como ya hemos señalado, las transformaciones de las sustancias en las cuates no tiene lugar la destrucción de los átomos ni de las moléculas también se estudian por la física. De aquí resulta que la física parece como si «asediases a la química por dos lados: tanto desde «abajo» (nivel atómico), como desde «arribas (nivel sobremolecular).
En este caso cabe hacer dos observaciones. Las propias sustancias en el estado en que no reaccionan, así como su estructura despiertan cada vez menor interés entre los químicos modernos. Por supuesto, en este campo han quedado todavía problemas sin resolver, sin embargo, su resolución ya forma parte del círculo de intereses de los físicos. Segundo, existen bastantes zonas limítrofes entre la física y la química cuando los procesos químicos se estudian con la ayuda de la física, y viceversa, cuando de los procesos, en general físicos, se ocupan los químicos. Por ejemplo, un proceso químico, el acto elemental de interacción de dos o de varias moléculas, puede analizarse desde el punto de vista del físico. Ahora bien, semejante rama de la ciencia que se ocupa de la física de una transformación química lleva el nombre de física química, Por otra parte, las propiedades físicas de los coágulos de muchas moléculas en disoluciones que se denominan coloides son de incumbencia de la química coloidal la cual no es sino un apartado de la química física.
Tanto la física química, como la química física estudian las propiedades de todos los tipos de sustancias, literalmente. La clasificación de los apartados de estas ciencias se basa ya sea en los métodos de estimulo de las reacciones químicas (por ejemplo, electroquímica, foto química, química de la radiación), o bien, en los métodos de estudio de compuestos y procesos (por ejemplo, espectroscopia magnética y espectroscopia óptica, métodos cinéticos, etc.).
Sin embargo, existe también otra clasificación de los apartados de la química que toma en consideración los tipos de sustancias las cuales investiga la rama dada. Todas las sustancias se dividen en inorgánicas y orgánicas. Los compuestos orgánicos son diferentes derivados de los hidrocarburos; dichos compuestos, indispensablemente, contienen carbono. Los compuestos inorgánicos son sustancias cuyas moléculas contienen cualesquiera otros elementos en cualesquiera combinaciones. Por cuanto los átomos de carbono poseen la capacidad única en su género de ligarse en cadenas, anillos y otras figuras diferentes y, además, de tal modo que una sola molécula puede integrarse por un centenar de átomos de carbono, no es de extrañar que se conozcan muchas veces más sustancias que contienen carbono en comparación con los compuestos inorgánicos. El interés que representan los compuestos orgánicos reside en que éstos constituyen la base de los organismos vivos. La ciencia que se ocupa del estudio de las sustancias .y de los procesos quo se operan en los organismos es la bioquímica. En los últimos decenios se ha creado, además, otra ciencia, la química biorgánica, que considera todas las reacciones desarrolladas en la célula bajo el ángulo del químico orgánico. En un organismo vivo las funciones más importantes corren a cargo de los iones de distintos metales los cuales, al combinarse con moléculas orgánicas, forman catalizadores biológicos (enzimas), la hemoglobina que es portadora de oxigeno, así como otras sustancias necesarias. Del estudio de estos compuestos se ocupa una ciencia muy joven denominada química bioinorgánica. Se conocen también otros campos limítrofes de la química que la relacionan con la biología, con la medicina y con la agricultura: se trata de la química farmacéutica, la química toxicológica y la química agrícola. Es necesario también hacer mención de un campo muy importante más de la ciencia, a saber, de la química de compuestos macromoleculares, de polímeros. Las moléculas de estos compuestos, tanto orgánicos, como inorgánicos, vienen integradas por un número grande e indefinido de eslabones iguales.
Hemos relatado de modo muy conciso sobre uno de los problemas filosóficos de la química, o sea, sobre el objeto de esta ciencia y sobre las relaciones mutuas entre la química y la física. Cabe señalar que hasta la fecha los científicos no han llegado a la idea común acerca de qué considerar objeto de química. Más detalladamente sobre los problemas filosóficos de la química moderna se puede leer, por ejemplo, en los libros y artículos [1] (véase la bibliografía al final del libro).
Hemos enumerado algunos (lejos de todos) apartados y campos de la química moderna. Nuestro relato que seguirá se dedica a las diversas ramas de la química, a los más importantes conceptos, sustancias y métodos de esta ciencia.
Capítulo 2
Velocidad de transformación química
El tirador oprimió el gatillo, la pólvora en el cartucho se inflamó y los gases formados expulsaron la bala desde la escopeta. La reacción química entre los componentes de la pólvora arrolló en fracciones de segundo contadas. Y he aquí otra reacción, la de transformación de la madera, de los troncos de los árboles muertos en carbón de piedra. Este proceso químico para consumarse, requiere millones de años. Así, pues, las reacciones se distinguen por sus velocidades. Más ¿qué es la velocidad de un proceso químico?
Probablemente, lo más simple sea definir qué es la velocidad de un cuerpo en movimiento: Es el cociente obtenido al dividir el camino recorrido por el cuerpo por el tiempo durante el cual el cuerpo salvó el camino dado. Se sobreentiende, que en el caso de esta división obtuvimos la velocidad media con la cual el cuerpo se desplazó por todo este trecho. Si se quiere determinar la velocidad del cuerpo en el momento muy breve dado, es necesario disminuir cada vez más el lapso en que se mide la velocidad, es decir, hacer que ésta tienda a cero. En este caso, matemáticamente, la velocidad se expresará por la derivada del camino respecto al tiempo.
Ahora figurémonos el siguiente caso: un equipo de albañiles construye una casa de ladrillos. ¿Cómo se puede determinar la velocidad de la construcción? Una de las variantes es medir la velocidad de «desaparición» de los ladrillos preparados para las obras de mampostería. Al dividir el número total de ladrillos por el tiempo de toda la construcción obtendremos la velocidad media. Sin embargo, la velocidad real de la construcción iba variándose constantemente: al principio ésta fue grande, luego, los obreros tenían que subir los ladrillos a los pisos cada vez más altos y el ritmo de trabajo comenzó a hacerse más lento. Por esta razón, para calcular la velocidad de las obras de mampostería en el momento dado, es necesario calcular la cantidad de ladrillos un poco antes de este momento y un poco después, dividir esta cantidad por el intervalo de tiempo desde una medición hasta la otra y, luego, hacer que el intervalo de tiempo tienda a cero.
Los químicos, al determinar la velocidad de reacción, proceden aproximadamente de la misma manera. La única diferencia consiste en que en lugar de ladrillos ellos tratan con las moléculas que entran en la reacción. Sin embargo, hacer el cómputo de las moléculas en cada momento de tiempo es un asunto que dista mucho de ser cómodo. Esta es la razón por la cual los científicos miden la concentración de las sustancias, es decir, cierto número muy grande de moléculas de sustancia en una unidad de volumen. Con el fin de determinar la velocidad de la reacción los químicos toman la concentración de la sustancia inicial en cierto momento inicial de tiempo t1, (supongamos que sea igual a c1) y, después, miden la concentración en el momento t2 (ésta resulta ser igual a c2). La diferencia de concentraciones c1 - c2 = ∆c se divide por el intervalo de tiempo t1 – t2 = ∆t, haciendo que este intervalo tienda a cero. La velocidad de la reacción W es igual a

¿De qué depende la velocidad de la reacción? Vamos a realizar un experimento. Se conoce que durante la reacción entre al tiosulfato de sodio y el ácido acético tiene lugar la separación del azufre coloidal que precipita de la disolución en forma de un sedimento blanco opalescente [2]. La ecuación de la reacción tiene la siguiente forma:
Na2S2O3 + 2CH3COOH = H2O + SO2↑ + S↓ + 2CH3COONa
Disuelvan en un vaso de agua de temperatura ambiente, 2 cucharaditas de tiosulfato de sodio (éste se denomina también hiposulfito y se aplica ampliamente en la fotografía como fijador, esta sustancia se puede comprar en cualquier tienda de artículos para fotografía). Ahora hay que tomar 4 vasos y medir las siguientes cantidades de nuestra disolución: al primer vaso, 2 cucharaditas de la misma; al segundo, 4 cucharaditas; al tercero, 8 cucharaditas, y al cuarto, 16 cucharaditas. Añadan a los primeros tres vasos agua hasta el volumen igual al volumen de la disolución en el cuarto vaso. Se han obtenido 4 disoluciones de distintas concentraciones. La concentración en el segundo vaso es dos veces mayor que en el primero; en el tercero, cuatro veces mayor que en el primero y dos veces mayor que en el segundo. Añadan a la primera disolución, rápidamente, una cucharadita de esencia de vinagre (ácido acético) y fíjense en el tiempo que transcurrirá desde el momento de mezclarse las disoluciones hasta la aparición de la turbiedad. Tengan presente, obligatoriamente, que es necesario remover la disolución con la cucharita. Supongamos que hasta la aparición de la turbiedad blanca pasaron 90 s. Añadan consecutivamente sendas cucharaditas de esencia de vinagre a las demás disoluciones, midiendo el tiempo de aparición de la turbiedad. Supongamos que para el segundo vaso éste resultó igual a 40 s; para el tercero, 22 s, y para el cuarto, 12 s. Tomen ahora una hoja de papel cuadriculado o milimetrado y tracen el gráfico de variación del tiempo de la reacción con la concentración del tiosulfato. Marquen por el eje de abscisas la concentración (ésta puede expresarse en cucharaditas de disolución inicial) y por el eje de ordenadas, el tiempo de reacción hasta la aparición de la turbiedad ts en segundos. Se puede advertir que la curva trazada por los cuatro puntos tiene la forma de hipérbola. Ahora bien, la hipérbola representa la expresión gráfica de una relación inversamente proporcional. Por esta razón, al marcar por el eje de ordenadas no el tiempo ts sino una magnitud inversa a éste, los puntos experimentales se situarán sobre una recta que pasa por el origen de coordenadas. Pero es que la magnitud inversa al tiempo ts es proporcional a la velocidad de la reacción en el momento inicial W∼ 1/ts. Esto significa que la velocidad de la reacción es tanto mayor, cuanto más alta es la concentración de la sustancia inicial. En el caso general la velocidad de la reacción se determina por la siguiente ecuación:![]()
Como vemos, la velocidad da la reacción disminuye a medida que se consumen las sustancias reaccionantes. Acuérdense de nuestros albañiles que a medida que se erigen las paredes las construyen cada vez más lentamente. Por lo demás, esta analogía no es muy profunda. Con mayor precisión podemos simular el fenómeno que discutimos ateniéndonos al... juego de billar. En primer término supongamos que la reacción química transcurre entre dos moléculas solamente en el caso de que las moléculas choquen. Seguidamente, figurémonos que tenemos dos tipos de moléculas que vienen representadas por bolas blancas y negras. Las moléculas están en constante movimiento térmico, por lo tanto, hagamos rodar las bolas por la mesa de billar en cualquier orden y en cualquiera dirección. Cuando la bola blanca y la negra hayan chocado, quitémoslas de la mesa: la reacción transcurrió y las moléculas se transformaron en moléculas de productos. Pues, ahora figúrense que sobre la mesa se encuentran 100 bolas blancas y 100 bolas negras. Por supuesto, éstas chocarán con frecuencia y se retirarán rápidamente de la mesa. Otra situación se presentará cuando en la mesa se queden nada más que una bola blanca y una bola negra: habrá que hacerlas rodar durante mucho tiempo antes de que éstas entren en colisión. Está claro cuál es la razón de que la reacción se desarrolla muy lentamente cuando las concentraciones de las sustancias reaccionantes son pequeñas.
El juego de billar sugiere también la respuesta a la siguiente pregunta: ¿por qué en la ecuación para la velocidad de la reacción entra el producto de concentraciones y no, por ejemplo, su suma? Ya hemos mencionado que para lograr que la reacción se desarrolle, dos partículas reaccionantes deben chocar, es decir, encontrarse simultáneamente en el mismo punto del espacio. La probabilidad de que en el punto dado se encuentre la molécula de sustancia reaccionante dada, es proporcional a su concentración, mientras que la probabilidad de que en el punto dado se encuentren de una vez dos moléculas es igual al producto de probabilidades de toparse aquí con las moléculas de cada sustancia reaccionante, o sea, es proporcional al producto de concentraciones.
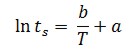
Vamos a ver qué otros factores ejercen su influencia sobre la velocidad de la reacción. Pongan en un vaso dos cucharaditas de tiosulfato de sodio y añadan una mitad de vaso de agua. Decanten la disolución obtenida en cuatro vasos, vertiendo a cada uno de los vasos dos cucharaditas la misma, y añadan agua de modo que el volumen de las disoluciones en los vasos llegue a La mitad de éstos. Viertan a la primera disolución cuya temperatura es de 20 °C (la temperatura puede medirse con un termómetro para baños) una cucharadita da esencia de vinagre y midan el tiempo al cabo del cual aparezca la turbiedad (la disolución debe agitarse constantemente). Supongamos que este lapso es igual a 75 s. Calienten la disolución en el segundo vaso hasta 30 °C y midan el intervalo de tiempo necesario para que aparezca la turbiedad. El lector advertirá que este tiempo se redujo aproximadamente 2 veces (en nuestro caso, hasta 35 s). A la temperatura de 40 °C la turbiedad aparece dentro de 20 s, y a la de 50 °C, dentro de 10 s.
Procuremos procesar matemáticamente los resultados obtenidos. Si se traza un gráfico marcando por los ejes la temperatura y el tiempo de la reacción se obtendrá cierta curva cuyo sentido es difícil de entender. Sin embargo, resulta que si por el eje de abscisas se marca la magnitud inversa a la temperatura absoluta (esta magnitud se debe hallar como 1/T, donde T = 273 + t °C, siendo t la temperatura en grados Celsius) y por el eje de ordenadas, el logaritmo natural del tiempo de la reacción, entonces los puntos experimentales es situarán sobre una recta (para calcular los logaritmos pueden utilizarse las correspondientes tablas o una microcalculadora). Desde el punto de vista matemático esta recta puede describirse por la siguiente ecuación:

![]()
El tiempo de la reacción ts está relacionado con la constante de velocidad de la reacción k mediante proporcionalidad inversa. Teniendo en cuenta esta circunstancia no es difícil llegar a la expresión para k:
![]()
Es evidente que la interacción de las moléculas se realiza tan sólo durante sus colisiones. No obstante, los experimentos muestran que no cada impacto provoca la reacción. La interacción se produce solamente en el caso de que la energía de las moléculas que chocan no es menor que cierta magnitud determinada para cada reacción. Designemos esta magnitud como Ea. Si se conoce su valor, así como la temperatura absoluta T de la mezcla reactiva, es posible calcular el número de moléculas n que son capaces, durante el impacto, de entrar en interacción química. Este número se determina por medio de la exponente:
![]()
![]()
Pz = A
Ea = b
Si se mide la constante de velocidad de la reacción para varias temperaturas, entonces, a partir de la ecuación de Arrhenius es posible calcular la magnitud Ea que lleva el nombre de energía de activación de la reacción. Gráficamente, Ea se halla del siguiente modo. Por el eje de abscisas se marca la magnitud 1/T y por el eje de ordenadas, los valores del logaritmo de la constante de velocidad de la reacción. La tangente del ángulo de inclinación de la recta obtenida es igual a Ea/RCabe señalar que la energía de activación es una característica muy importante de la reacción. Cuanto menor es la energía de activación con tanta mayor facilidad se desarrolla la reacción.
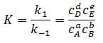
Hasta el momento nos referimos a las reacciones que se desarrollan hasta el final, es decir, a las reacciones en las cuales durante cierto tiempo a partir de las sustancias A y B se obtienen por entero las sustancias D y E (aunque, por supuesto, desde el punto de vista teórico, para la total consumación de la reacción se necesita un tiempo muy largo). Pero, se conocen también casos en que los compuestos D y E pueden reaccionar entre sí, formando las sustancias A y B. En este caso se trata de reacciones reversibles. La ecuación general de estas reacciones es:
aA + bB W
dD + eE
![]()
![]()

FeCl3 + 3NH4SCN
W Fe(SCN)3 + -3NH4Cl

Capítulo 3
Acerca de la catálisis
¿Cómo se desarrolla una reacción química? Examinemos un ejemplo del siguiente tipo: a partir de la sustancia A — B (A y B son partes de la molécula) y del compuesto X — Y, durante su interacción, se forman productos A — X y B — Y. En una palabra, parece como si las moléculas intercambiasen sus partes. Trazamos un gráfico en el cual por el eje de abscisas se van a marcar, en ciertas unidades convencionales, las distancias entre los átomos de las moléculas reaccionantes (esto se denomina coordenada de reacción, su camino). Por el eje de ordenadas se marcará la energía que poseen las partículas. La porción izquierda del gráfico reflejará el estado de nuestro sistema en el caso en que las distancias A — B y X — Y son pequeñas, mientras que las distancias A — X, B — X, A — Y y B — Y son grandes (fig. 1). Esto significa que en el sistema sólo están presentes las moléculas A — B y X — Y. Dichas moléculas poseen una reserva de energía potencial igual a E1. La porción derecha del gráfico reflejará el estado del sistema que consta de las moléculas A — X y B — Y. Estas sustancias vienen caracterizadas por la energía E2. Supongamos que E2 es menor que E1. Por esta razón el estado E2 es más ventajoso, y las sustancias A — B y X —Y, una vez mezcladas, tienden a transformarse en A — X y B — Y.

Figura 1. Diagrama energético de la reacción entre las moléculas AB y XY. La línea de trazos indica la variación de la energía a lo largo del curso de la reacción en caso de proceso catalítico. E’a es la energía de activación de la reacción catalizada.
Para lograr que la reacción se verifique, el sistema debe trasmontar la barrera energética y las moléculas deben adquirir una energía complementaria llamada energía de activación Ea = E* — E1. La velocidad de la reacción depende de la energía de activación: cuanto menor es esta magnitud con tanta mayor rapidez se desarrolla la reacción. Acuérdense de la relación exponencial entre Ea y la constante de velocidad de la reacción k. Si la energía de activación es muy grande, las moléculas no pueden salvar la barrera energética y la reacción, prácticamente, no transcurre.
Entonces, ¿qué hace el catalizador? Este se «inmiscuye» en el proceso y forma con las sustancias iniciales un complejo intermedio para cuya obtención es suficiente superar la barrera energética no tan alta. Para pasar a productos finales es necesario salvar una «montaña» tampoco muy alta. Como resultado, en presencia de un catalizador la reacción se desarrolla mucho más rápidamente.
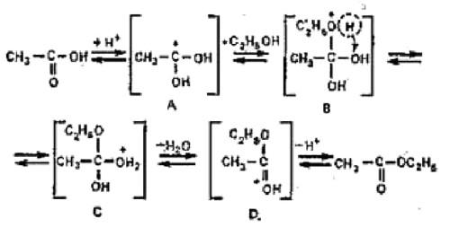
Retornemos a la reacción de esterificación del alcohol mediante el ácido, o sea, a la reacción por la cual empezamos. Esta transcurre en varias etapas. La primera etapa consiste en la adición del protón H+ proveniente del ácido sulfúrico al oxígeno carbonílico del ácido acético.

Como vemos, el protón que en la primera etapa se incorporó al vértice de las transformaciones químicas, en la última etapa salió de éste sano y salvo. Precisamente por esta razón podemos afirmar que en este caso se trata de una reacción catalítica. La particularidad característica de cualquier reacción de este tipo reside en que para su realización se necesita una cantidad mucho menor de catalizador que se infiere de la ecuación de la reacción, o, más exactamente, de la ecuación de cualquier etapa. Es que el protón que unió dos moléculas: la de ácido y la de alcohol, inmediatamente, se pone a «coser» otro par de moléculas.
Se distinguen dos tipos de catálisis. Si el catalizador y las sustancias reaccionantes participan en la reacción encontrándose en distintos estados físicos (por ejemplo, una reacción entre gases se cataliza con una sustancia sólida), se trata de catálisis heterogénea. Precisamente la catálisis heterogénea se presenta en los procesos sumamente importantes de transformación de los hidrocarburos del petróleo. Como catalizadores en estas reacciones se utilizan metales o sus óxidos. Debido a catalizadores heterogéneos se logra obtener, a escala ingente, amoníaco a partir de nitrógeno e hidrógeno.
Como catalizador puede intervenir también un líquido. Mezclen sobre una placa metálica polvos de aluminio (éste se utiliza como pintura «argentina») y de yodo. Con mucho cuidado añadan a la mezcla una gota de agua; ésta provocará una reacción muy violenta de combinación del aluminio y del yodo. Tendrá lugar una inflamación. Este es un ejemplo de proceso catalizado de formación de un compuesto complejo a partir de dos sustancias simples. Ahora hay que realizar un experimento para la descomposición catalítica de una sustancia. Echen a un tubo de ensayo una pulgarada de dióxido de manganeso (este polvo negro es fácil obtener al mezclar disoluciones de permanganato de potasio y de cloruro de manganeso Bivalente) y añádanle, con cuidado, una disolución de peróxido de hidrógeno. Se produce una descomposición violenta del peróxido y se libera oxígeno que se puede descubrir introduciendo en el tubo de ensayo una astilla casi apagada; ésta, inmediatamente, comenzará a arder.
Ahora realicemos la descomposición del peróxido de hidrógeno por medio de un catalizador que, al igual que la sustancia reaccionante, se encuentra en disolución (este tipo de catálisis lleva el nombre de catálisis homogénea). Viertan a un vaso la disolución de cromato de potasio en agua de color amarillo claro. Añadan a esta disolución varias gotas de peróxido de hidrógeno. La disolución se torna violeta (esta coloración corresponde a los compuestos intermedios del proceso) y se desprenden burbujas de oxigeno. La reacción de descomposición del peróxido de hidrógeno se acelera también por los iones hierro. Este proceso es complejo y se desarrolla en varias etapas [3]. La primera etapa da lugar a la formación del radical hidroxilo de muy alta reactividad, con la particularidad de que este radical lleva un electrón no apareado:
Fe2+ + H3O2 → Fe3+ + OH- + OH*
Este radical entra en interacción con otra molécula de peróxido, formándose un nuevo radical:OH* + H3O2 → H2O + HO2*
El radical se descompone en un protón y en un radical-anión de oxígeno:HO2*↔ H++O2-*
Este último reacciona con el ion del hierro trivalente, reduciéndolo, mientras que se transforma en molécula de oxígeno:Fe3+ + O2-* → Fe2+ + O2
Hoy en día los científicos, con gran interés, estudian los procesos catalíticos sumamente insólitos en los cuales la concentración de una de las formas del catalizador, en el curso de la reacción, ora disminuye, ora aumenta. Semejantes reacciones se han llegado a conocer relativamente hace poco. Por lo demás, antes de comenzar la conversación acerca de fenómenos tan inusitados, será útil retornar otra vez al abecé de la cinética química. Así, pues, tenemos una reacción química de transformación de la sustancia A en sustancia B. En el momento inicial del tiempo el químico dispone de sustancia pura A, el 100% de ésta. Pero he aquí que comienza a calentar la sustancia y ésta empieza a transformarse en producto B. Si trazamos el gráfico de semejante proceso, marcando por el eje de abscisas el tiempo de la reacción, y por el eje de ordenadas, la cantidad x (en tanto por ciento, pero también se puede tomar la concentración) de sustancia A y de producto B, resultará que veremos dos curvas. La curva correspondiente al contenido de A decrecerá suavemente desde 100% en el momento inicial hasta 0% para un tiempo infinitamente grande. La curva B representará como si fuera una reflexión especular de la curva A, de modo que incrementará desde 0% para t = 0 hasta 100% para t = ∞. La cantidad de sustancia A en cualquier momento de tiempo t se puede hallar por la fórmula que incluye la relación exponencial que ya conocemos:xA = 100e-kt
Aquí k es la constante de velocidad de la reacción.Como ya hemos mencionado, la reacción puede transcurrir también del siguiente modo: a medida que cada vez mayor cantidad de moléculas A se transforma en B, cada vez con mayor intensidad comienza a realizarse el proceso inverso, o sea, el de transformación de B en A. Al fin y al cabo, el sistema pasado un lapso muy grande llega al equilibrio. Por ejemplo, si durante tal equilibrio en la masa reactiva hay 75% de sustancia B y 25% de sustancia A las curvas cinéticas del proceso tienen la forma representada en la fig. 2, a.

2. Curvas cinéticas de las reacciones: a, transición de A a B a condición de reversibilidad del proceso; b, transformación consecutiva de A en B y de B en C.
![]()
¿Cuál es la razón de este comportamiento? La causa de ello radica en que cuando la cantidad de B es pequeña, también es pequeña la velocidad de su transformación en C (es que la velocidad es tanto mayor cuanto mayor es la cantidad existente de sustancia dada). La velocidad de transformación viene determinada por la inclinación de la curva: cuanto mayor es la velocidad en el momento dado, tanto más abrupta es la pendiente de la curva con respecto al eje de abscisas. Prosigamos. Es natural que mientras sea pequeño el consumo de B, también es pequeño el incremento de la sustancia C. Después la situación cambia, la velocidad de aparición de C comienza a crecer. Pero semejante orden de cosas no puede mantenerse infinitamente, ya que las reservas de A y B están limitadas. Como consecuencia, la velocidad de formación de C con el tiempo comienza a disminuir. Debido a ello la curva cinética de acumulación de C tiene la forma de la letra S. No es difícil adivinar que para cada valor del tiempo t la suma de cantidades de todas las sustancias A, B y C debe ser igual a 100%.
Por supuesto, distintas reacciones químicas que se desarrollan según el esquema A — B — C, las diversas etapas pueden tener valores diferentes de las constantes kA B y kB C. Como resultado, para las diferentes reacciones las formas de las curvas de contenido de la sustancia intermedia B se diferenciarán. Pero todas estas contienen nada más que un solo máximo. Pues ¿es posible conseguir que se realice una reacción tal que los máximos de concentración de cierta sustancia formada en las etapas intermedias de reacción sean varios o múltiples? Durante mucho tiempo los químicos no conocían semejantes reacciones, más aún, muchos incluso pensaban quo tales reacciones, en general, no pueden existir. Tan sólo a principios de la década del 50 el bioquímico soviético B. P. Beloúsov descubrió la primera reacción en cuyo curso periódica y múltiplemente varían las concentraciones de las sustancias intermedias. Algunas de estas sustancias con catalizadores de la transformación del compuesto inicial en final.
Si disolvemos en agua (el volumen de la disolución debe ser de 10 ml) ácido cítrico (2,0 g), sulfato de cerio (0,16 g), bromato de potasio (0,2 g) y ácido sulfúrico (2 ml de ácido sulfúrico concentrado diluido al triple con agua), resultará que la disolución, a ratos (al cabo de uno o dos minutos, aproximadamente) varía su coloración desde la amarilla hasta incolora. En este caso se trata de que, periódicamente, el sulfato amarillo del cerio tetravalente pasa a ion incoloro de metal trivalente Ce (III). Los mecanismos de las reacciones «oscilantes» fueron investigados detalladamente por el físico soviético A. M. Zhabotinski, y hoy en día, en todo el mundo estos procesos se denominan reacciones de Beloúsov — Zhabotinski.
No cuesta trabajo realizar la primera reacción de Beloúsov — Zhabotinski incluso en las condiciones domésticas, pero aquí vale notar que el bromato de potasio y, especialmente, el sulfato de cerio no se cuentan entre reactivos químicos al alcance de todos. Es más accesible realizar otra reacción de este tipo descrita hace poco [4]. En cuanto a los reactivos de acceso relativamente difícil aquí se necesitará el acetato de cobalto y el benzaldehído. Ambos reactivos se pueden hallar en el gabinete de química de cualquier escuela, Preparen varias disoluciones iniciales. Prepárense la primera: disuelvan 0,3 g de Co(OCOCH3)2·4H2O en ácido acético diluido con agua (añadan 10 ml de agua hacia 40 ml de ácido glacial anhidro, pero también se puede tomar 50 ml de esencia de vinagre).
La segunda: disuelvan 0,03 g de bromuro de sodio (éste se puede sustituir por el bromuro de potasio que se vende en las tiendas de artículos para fotografía) en 10 ml :de ácido acético al 90% (10 ml de esencia de vinagre). Mezclen ambas disoluciones en un vaso y coloquen el vaso en una cacerola con agua, calentándola en la cocina eléctrica basta la temperatura de cerca de 70 °C. La disolución debe agitarse continuamente. La agitación puede realizarse a mano valiéndose de una varilla de vidrio o, incluso, con una cucharita, pero es mejor construir un agitador mecánico utilizando con este fin el motor de una máquina de coser o de un juego infantil. A través de la disolución hay que dejar pasar una corriente de aire. Con este fin, es necesario bajar al vaso un tubo de vidrio o de goma (que se venden en farmacias), y para crear una corriente de aire a través de este tubo puede utilizarse un secador para el cabello o una aspiradora de polvo. Ahora añadan a esta disolución 5 ml de benzaldehído y, al seguir manteniendo la temperatura al nivel de cerca de 70 °C, remueven enérgicamente la disolución dejando pasar aire a través de ésta. El color de la disolución cambiará al cabo de cierto tiempo (al cabo de varios segundos o minutos) desde rosa hasta negro-marrón, pero al pasar varios minutos se convertirá en rosa claro. Después, una vez más, la coloración variará, pasando a ser pardo-oscura. Este fenómeno puede repetirse por horas.
En el curso de la reacción se produce la variación de la concentración del ion cobalto trivalente: ésta ora aumenta (en este caso la disolución se vuelve negra), ora disminuye a costa de que Co(III) se transforma en ion Co(II), tomando entonces la disolución la coloración rosa. En esta reacción el cobalto interviene como catalizador de oxidación del benzaldehído por el oxígeno del aire. En la primera etapa el ion Co(II) se oxida por el oxígeno a Co(III). Este último reacciona con el benzaldehído, formándose como resultado, otra vez, el Co(II) y el radical benzoilo:
Co(III) + C6H5CHO → Co(II) + C6H5O+ H*
El radical reacciona con el oxígeno:C6H5CO +O2 → C6H5CO3*
C6H5CO3* + C6H5CHO → C6H5CO3H + C6H5CO
Co(II)+ C6H5CO3H → Co(III) + C6H5CO2+ + OH-
Todos estos procesos, al combinarse en el tiempo de un modo sumamente complicado, conducen, precisamente, al hecho de que la concentración del Co(III) y del Co(II) está en constante pulsación.Los libros [3, 5] relatan sobre los principios de la catálisis y sobre distintos procesos catalíticos.
Capítulo 4
¿Cuánto hierro contiene el agua del grifo?
En su primer grupo se dispone la familia de los metales alcalinos. Demostrar por un método químico la presencia de estos elementos en un compuesto es una tarea bastante ardua. La cuestión radica en que los compuestos de los metales alcalinos, de ordinario, no dan reacciones, características acompañadas de coloración de las disoluciones o de formación de precipitados. En cambio, para el reconocimiento de estos elementos resultan muy convenientes los métodos espectrales. Hagan en el extremo de un alambre de nicromo un pequeño lazo. Mojen el extremo en el ácido clorhídrico y calienten el alambre en la llama del mechero de gas hasta que ésta se ponga casi incolora. Ahora saquen con el lazo varios cristales de sal común e introduzcan el alambre en la llama. La intensa coloración amarilla revela la presencia del elemento sodio en la sal.
Es bien conocido que los rayos de luz teñidos de cualquier color son portadores de una determinada energía. Por ejemplo, la energía de los rayos violeta y azul es mayor que la de los rojos o amarillos. En el espectro solar están presentes los rayos de cualquier energía, precisamente por esta razón, si dejamos pasar el rayo solar a través de un prisma de vidrio dicho rayo se va a descomponer en arco iris continuo en el cual unos colores, ininterrumpidamente, pasan a otros. Un cuadro completamente distinto se obtendrá si dejamos pasar a través del prisma la luz de la llama coloreada por la sal de sodio. En este caso, en lugar de arco iris se puede observar tan sólo una franja amarilla luminosa correspondiente a los rayos de luz con la longitud de onda de 0,589 µm. Se trata de: que por acción del calor de la llama el electrón del átomo de sodio se desplaza a un nivel de energía más alto. Sin embargo, este estado no es ventajoso al átomo, el electrón no se retiene durante un plazo prolongado en el nivel con energía más alta y pronto retorna a su «puesto» anterior. Precisamente esta «caída» del electrón al nivel más pobre en energía debe acompañarse, como es natural, de liberación de energía. Esta energía se desprende en forma de luz cuya longitud de onda corresponde a los rayos amarillos.
Los espectros de otros metales alcalinos son más complejos. El litio tiñe la llama de color rojo-carmín; el potasio, el rubidio y el cesio colorean la llama de distintos matices de lila. Es de interés señalar que los dos últimos elementos fueron descubiertos por primera vez precisamente por el método espectral y obtuvieron sus nombres debido a las líneas características en sus espectros (rubidus, de color encarnado; caestus, azul celeste).
En un mismo grupo con los elementos alcalinos se disponen el cobre, la plata y el oro, tan disímiles en comparación con los primeros. La identificación de estos metales en los compuestos químicos no es un asunto muy complicado. De ordinario, las sales del cobre divalente están teñidas de azul y al añadirles hidróxido de amonio se forman amoniacatos de color azul-violeta.
También se puede mencionar la siguiente reacción de identificación. Añadan al tubo de ensayo que contiene varias gotas de disolución de vitriolo azul 2 ó 3 gotas de ácido sulfúrico y varios cristales de tiosulfato de sodio. Durante el calentamiento en la llama de un mechero se forma el precipitado pardo del sulfuro de cobre monovalente. El cobre es un metal no activo y, por lo tanto, se desaloja con facilidad a partir de sus sales por el hierro y por el cinc. Si sumergimos en la disolución de sal de cobre un clavo, sobre éste se forma una capa roja de cobre desalojado. Las sales de cobro con halógenos tifien la llama de verde. La plata también da reacciones específicas, las sales de plata forman con los álcalis un precipitado pardo de óxido de plata, y en el caso de cloruro de sodio se forma un precipitado blanco de cloruro de plata.
Demostrar la presencia en una sustancia de algunos metales del segundo grupo —berilio, magnesio, cinc y cadmio—, no es algo sencillo. Estos elementos no forman sales coloreadas y no tiñen la llama. En cambio, el calcio, el estroncio y el bario pueden distinguirse con facilidad de otros elementos. Al añadir ácido sulfúrico a sus sales, se forman precipitados blancos de sulfatos, y al tratar sus sales con disolución de hidróxido de sodio o de potasio (o sea, con disolución de sosa o potasa) se forman precipitados blancos de carbonatos solubles en ácidos diluidos. La tiza, o sea, el carbonato de calcio, se disuelve en ácidos desprendiendo burbujas del gas carbónico. Estos tres elementos tiñen la llama: el calcio le da el color rojo-ladrillo, el estroncio, rojo-carmín, y el bario, amarillo-verde. El mercurio puede identificarse en la disolución de la siguiente manera. Tomen una placa o una moneda de cobre, límpienla con papel de lija y con ácido nítrico y sumérjanla en la disolución de sal de mercurio. Al cabo de varios minutos el cobre se cubrirá de una capa brillante de mercurio metálico. ¡No olviden que tanto el propio mercurio, como sus sales son muy venenosos!
Pasemos a los representantes del tercer grupo. Primero, el boro. Demostremos su presencia en el ácido bórico o en el bórax. Mezclen en un vidrio o en un platillo varios cristales pequeños de una de estas sustancias con una cucharadita de alcohol etílico, añadan 2 ó 3 gotas de ácido sulfúrico concentrado, vuelvan a agitar la mezcla e incéndienla. El éter boroetilico formado comunica a la llama el color verde. Las sales de aluminio no dan reacciones coloreadas muy específicas, pero no es difícil distinguir el aluminio metálico entre otros metales. Realicen con éste varios experimentos. Coloquen una placa a alambre de aluminio en un vaso con ácido clorhídrico. Se desprenden burbujas de hidrógeno. Ahora saquen la placa, lávenla con agua y para un lapso breve sumérjanla al vaso con ácido nítrico concentrado, después vuelvan a lavar la placa con agua y bájenla al vaso con ácido clorhídrico.
Ahora el hidrógeno no se desprende. El asunto reside en que el ácido nítrico concentrado pasiva el aluminio. El segundo experimento consiste en lo siguiente: viertan al vaso ácido sulfúrico diluido, echen a éste un pedacito de aluminio y añadan una disolución concentrada de permanganato potásico. La coloración violeta de la disolución desaparece con rapidez. Ahora, he aquí el último experimento. Tomen un tubo de ensayo con un pedacito de aluminio, añádanle la disolución de álcali y calienten el contenido. El aluminio se disuelve.
El más interesante y el más importante representante del cuarto grupo es el carbono. Entre los derivados inorgánicos del carbono se encuentran con frecuencia las sales de ácido carbónico, los carbonatos. No es difícil distinguirlos de otras sales. Apliquen una gota de ácido acético sobre un pedacito de tiza y se desprenderán burbujas de gas carbónico. El carbono puro se separa de los compuestos orgánicos durante su combustión o carbonización debida a un fuerte calentamiento. Se puede calentar un terrón de azúcar en una lata hasta que éste se carbonice. El carbono puro puede separarse del compuesto orgánico también sin recurrir al calentamiento. Apliquen una gota de ácido sulfúrico concentrado sobre un terrón de azúcar o sobro una tira de papel de filtro; tanto el azúcar, como el papel se ponen negros. En la vida cotidiana utilizamos ampliamente diferentes compuestos de un representante más del cuarto grupo: del silicio; uno de tales compuestos es, por ejemplo, el vidrio común y corriente. Entre los derivados solubles- de este elemento el más accesible es el silicato de sodio o de potasio denominado también vidrio soluble y que se aplica como cola. Al tratar la disolución de silicato con ácidos diluidos (por ejemplo, con ácido sulfúrico) se forma el precipitado dé ácidos silícicos. Si a la disolución de una cola de silicato se añade la disolución de cloruro de bario, se forma él precipitado blanco de silicato de bario. El ácido silícico pertenece a los débiles, sus sales se hidrolizan en disolución acuosa y por esta causa acusan reacción alcalina; la cola de silicato es resbaladiza a tiento.
En el quinto grupo se encuentran dos elementos de extraordinaria importancia; el nitrógeno y el fósforo. En la mayoría de los casos estos elementos entran en la composición de los ácidos inorgánicos. El anión del ácido nítrico puede descubrirse por dos procedimientos. Añadan al tubo de ensayo que contiene varias gotas de disolución de nitrato de potasio o de sodio igual cantidad de ácido sulfúrico concentrado, echen un pedacito pequeño de cobre y calienten la mezcla. Se libera un gas amarillo que es el dióxido de nitrógeno. Apliquen sobre un vidrio una gota de disolución de nitrato de potasio o de sodio y añádanle varios cristales pequeños de vitriolo verde (o sea, sulfato de hierro) y una gota de ácido sulfúrico concentrado. Alrededor del cristal aparece el anillo pardo de sal compleja. Ahora realicen dos reacciones de identificación para el anión del ácido fosfórico. Tomen dos tubos de ensayo con disolución de alguna sal soluble de ácido fosfórico y añadan al primero la disolución de cloruro de bario, y al segundo, la de nitrato de plata (piedra infernal). En el primer caso se forma un precipitado blanco soluble en ácidos (a excepción del ácido sulfúrico), y en el segundo, un precipitado amarillo de fosfato de plata que se puede disolver en el ácido nítrico.
Entre los representantes del sexto grupo sólo nos detendremos en el azufre; el elemento más conocido de este grupo —el oxígeno—se contiene casi en toda sustancia, pero en cuanto a la demostración de en presencia, esto es un asunto nada fácil. En los compuestos inorgánicos el azufre se encuentra con mayor frecuencia en forma del ion del ácido sulfúrico. El ácido sulfúrico y sus sales forman con la disolución de cloruro de bario y con la de nitrato de plata precipitados blancos. El sulfato de bario no se disuelve en ácidos, mientras que el sulfato de plata es soluble en el ácido nítrico.
El nitrato de plata es un buen reactivo para las sales de ácidos formadas por los elementos del séptimo grupo: el cloro, el bromo y el yodo. Si mezclamos en un vidrio varias gotas de disoluciones de piedra infernal (nitrato de plata) y de sal común, se formará un grumoso precipitado blanco que no se disuelve en ácidos pero si es soluble en el hidróxido de amonio. En este caso se forma una sal compleja que se descompone al tratarla con ácido nítrico, separando el precipitado de cloruro de plata. Con el bromuro de potasio el nitrato de plata forma un precipitado amarillento, poco soluble on el hidróxido de amonio.
Las sales de metales dispuestos en el octavo grupo, o sea, las sales de hierro, de cobalto y de níquel, se pueden distinguir por su aspecto exterior. El hierro divalente, habitualmente, forma compuestos de color verde (por ejemplo, vitriolo verde), y el hierro trivalente da sales amarillos. Los compuestos del cobalto en la mayoría de los casos tienen coloración rosa, y los del níquel, verde. El ion del hierro trivalente da una reacción específica con el prusiato amarillo de potasio (ferrocianuro de potasio); (este reactivo se vende on las tiendas de artículos para fotografía). En esta reacción se forma el precipitado azul del azul de Berlín. Demuestren la presencia de hierro en la hemoglobina de la sangro. Con este fin, una gota de sangre echada sobre una placa de porcelana se hace evaporar hasta sequedad y se quema, tratándola con 2 ó 3 gotas de ácido nítrico concentrado. Después de obtenerse polvo seco, la placa de porcelana se enfría, el polvo se raspa sobre el vidrio y se le añaden varias gotas de ácido clorhídrico y una gota de disolución de prusiato amarillo de potasio. El lector, sin duda, se acuerda de otro reactivo específico para el hierro: el tiocianato de amonio. La intensa coloración roja sanguínea del tiocianato de hierro permite valerse de esta reacción no sólo para la identificación cualitativa del hierro, sino también para la determinación de su cantidad.
Ya nos hemos acercado de lleno a la conversación sobre el análisis cuantitativo. Los representantes de las más diversas especialidades: los-médicos, los trabajadores de la industria alimenticia, los hidrólogos, los geólogos, los metalúrgicos, etc., necesitan, a veces, conocer no solamente la composición cualitativa de alguna sustancia, disolución o aleación, sino también la cuantitativa. En efecto, del ' contenido de carbono y manganeso en el acero, de hierro y calcio en el agua, de hidratos: de carbono y proteínas en el pan, depende la calidad tanto del metal, como del agua potable y del pan. También en el laboratorio de casa no es difícil conocer los principios del análisis cuantitativo, utilizando las; sustancias que casi siempre están al alcance de la mano. Sin embargo, resultan absolutamente indispensables dos cosas: balanza para pesar y probetas graduadas para medir los volúmenes de las disoluciones: Este «equipo» es posible adquirir en las tiendas de artículos para fotografía; pero, en cuanto a la 'balanza, ésta la puede montar el mismo lector, sin dificultad, utilizando alambre, cartulina e hilos (como pesas pueden emplearse monedas de cobra), y los volúmenes se pueden medir ,con: vasos aforados que se venden en las tiendas de artículos de uso doméstico o con botellitas para alimentar a. los bebés.
Resultarán muy útiles para su laboratorio las buretas. Estas se pueden hacer a partir de un tubo de vidrio cuyo diámetro es de un dedo. Calienten este tubo en el mechero de gas y estiren de modo, quo su extremo tenga el diámetro de cerca de 7 mm. Introduzcan en un tubo de goma con un diámetro de 7 mm, aproximadamente y de 5 a 10 cm de longitud una cuenta de vidrio (ésta debe pasar con dificultad al tubo) y pongan este rabillo» de goma con un extremo sobre el extremo estrecho del tubo de vidrio que hace las veces de bureta, y con el otro, sobre el extremo grueso de una pipeta para gotas para los ojos. La bureta obtenida se debe comprobar. Al verter agua al tubo, ésta no debe escurrir. Pero si se oprime ligeramente la goma alrededor de la bolita-cuenta, no será difícil lograr que desde la bureta gotee la cantidad necesaria de líquido. Es preciso también graduar la bureta. Con este fin viertan desde la probeta graduada de a 5 ml de agua y marquen en la bureta el nivel del líquido (utilizando, por ejemplo, una tira de papel pegada a la bureta). Dividan cada distancia entre dos marcas de 5 ml en 5 partes iguales y tracen marcas más pequeñas. Ahora se podrá medir el volumen de las disoluciones con una precisión de hasta de medio mililitro.
He aquí el problema que con mayor frecuencia debe resolverse recurriendo al análisis químico cuantitativo. Supongamos que tenemos que averiguar cuánto álcali contiene el revelador fotográfico, o el abono, o el detergente... Adoptemos el siguiente plan de acción: añadimos a la disolución de álcali un ácido hasta la total neutralización. Al conocer qué cantidad de ácido se consumió para esta operación, se puede calcular la cantidad de álcali valiéndose de la ecuación
H+ + OH- = H2O
Al principio es necesario preparar la disolución de ácido de concentración conocida. Viertan, con cuidado, 10 ml de ácido sulfúrico concentrado a 1 litro de agua fría. Se ha obtenido una disolución que contiene 0,018 g de H2SO4, en 1 ml, por cuanto el peso específico del ácido es de 1,8 g/ml y 10 ml pesan 18 g. Viertan esta disolución a la bureta y ocúpense en preparar mientras tanto la disolución de sustancia que se investiga. Si esta sustancia contiene mucho álcali, se sobreentiende que es necesario pesar menor cantidad de la misma o disolverla en un volumen mayor de agua. Supongamos que hemos disuelto 10 g de detergente que contiene NaOH, en 1 litro de agua, y después, hemos vertido 100 ml de esta disolución al vaso. Hay que añadir a la disolución 1 ó 2 gotas de disolución de fenolftaleína (esta sustancia con el nombre comercial de «purgeno» se expende en las farmacias) en alcohol o en agua de colonia. La disolución alcalina se tornará de color carmesí. Agitando constantemente con una varilla de vidrio vamos a añadir a esta disolución, gota a gota, la disolución de ácido sulfúrico desde la bureta. En el instante en que la disolución, de súbito, se convierte en incolora hay que cesar el goteo y determinar el volumen del ácido sulfúrico invertido en la neutralización. Sea que este volumen es igual a 7 ml. Esto significa que para la neutralización se han gastado7 · 0,018 g = 0,126 g
de H2SO4. La ecuación de la reacción es como sigue:2NaOH + H2SO4 = Na2SO4 + 2H2O.
Por cuanto las masas moleculares son iguales a 40 para NaOH y 98 para H2SO4 compongamos una proporción:para la neutralización de 2 · 40 g de NaOH se invierten 98 g de H2SO4;
para la neutralización de x g de NaOH se invierten 0,126 g de H2SO4.
x = (80 · 0,126)/98 = 0,1 g.
Así, pues, 100 ml de disolución alcalina contienen 0,1 g de NaOH, por consiguiente, en 1 litro tenemos 10 · 0,1 = 1 g. La misma cantidad la contienen 10 g de nuestro detergente, o sea, éste contiene 10% de NaOH.La valoración puede aplicarse no sólo para realizar las reacciones de neutralización. Disuelvan un pedacito de clavo de hierro en ácido sulfúrico diluido. Se obtiene la disolución de sulfato de hierro o vitriolo verde. La concentración de este compuesto en la disolución se determina del siguiente modo. Hay que añadir a esta disolución, gota a gota, desde la bureta una disolución muy débil, en agua, de permanganato de potasio hasta que dicha disolución obtenga una coloración rosa pálida. La ecuación del proceso que transcurre es como sigue:
10FeSO4·2KMnO4 + 8 H2SO4 = = 5Fe2 (SO4)3 + 2MnSO4 + K2SO4 + 8H2O.
El lector debe comprender claramente el curso del cálculo.En general, puede haber muchísimas maneras de abordar la resolución del problema de determinación del contenido cuantitativo de cualquier componente químico. Procuremos resolver el siguiente problema: determinar cuánto hierro (III) contiene, por ejemplo, el agua del grifo. Aquí, precisamente, es necesario recurrir una vez más a la reacción muy sensible del hierro (III) con el ion tiocianato. Sin embargo, en este caso, para la determinación cuantitativa del hierro, la valoración es inaplicable: no existe una transición nítida alguna de las coloraciones cuando las concentraciones de Fe (III) y de SCN- son iguales, además, como recordará el lector, la reacción es reversible. Pero ¿qué será si comparamos el color de la disolución que investigamos con el de la disolución cuyo contenido en hierro se conoce? Pesen una cantidad determinada de gramos de cloruro de hierro y disuelvan esta cantidad en un volumen también determinado de agua. Haciendo uso de esta disolución inicial, preparen varias disoluciones de distinta concentración con un contenido pequeño dé hierro. Con este fin viertan a varios vasos, a cada uno, 100 ml de agua destilada. Añadan a estos vasos, desde una pipeta para los ojos 1, 2, 3, etc. gotas de disolución inicial de cloruro de hierro. Para calcular las concentraciones de las disoluciones obtenidas es necesario conocer el volumen de una gota. Con este fin, desde la misma pipeta, echen a la probeta graduada 20 (ó 100) gotas y hallen el volumen que éstas ocupan.
Una gota tiene el volumen 20 (ó 100) veces menor: De este modo, tenemos una serie de disoluciones para cada una de las cuales se conoce la concentración de Fe(III). Añadan a cada vaso una gota de ácido clorhídrico puro y una cantidad determinada de disolución de tiocianato de amonio. En este caso no es obligatorio, ni mucho menos, saber su concentración. Ahora lo único que se necesita es comparar la intensidad de la coloración en el vaso que contiene agua del grifo con la coloración de las disoluciones patrón, y podremos determinar al instante cuanto hierro contiene el agua del grifo.
Aquí cabe hacer dos observaciones.
En primer término, la determinación lo suficientemente exacta de la cantidad de hierro puede verificarse .tan sólo en el caso de que esta cantidad es relativamente grande, por ejemplo, si el agua procede de tubos fuertemente tomados de herrumbre. En cambio, si el agua es pura, la coloración con el tiocianato de amonio resultará muy débil. En este caso sólo podremos decir que la cantidad de hierro en la muestra investigada es menor que un cierto valor.
Y el segundo. Para preparar muestras patrón no es obligatorio utilizar el cloruro de hierro trivalente. Se puede tomar el sulfato del metal divalente u otra sal del mismo, por ejemplo, o cloruro que se obtiene al disolver un clavo de hierro (determinan previamente su peso) en el ácido clorhídrico. No es difícil transformar el hierro divalente en trivalente, basta con añadir algún oxidante, por ejemplo, el peróxido de hidrógeno.
Capítulo 5
Reacciones químicas y corriente eléctrica
Pero, he aquí que hemos sumergido los pedacitos de cinc en la disolución de una sal de cobre. Como se conoce, el cobre es un metal menos activo que el cinc. Por esta causa los electrones procedentes del cinc pasan a los iones cobre; los iones positivamente cargados del cinc van a parar a la disolución y las partículas del cobre metálico se depositan en la superficie del cinc. Como resultado, se obtiene cinc con incrustaciones de partículas de cobre. Pero el cinc tiene más electrones libres y éstos se desprenden con mayor facilidad de sus átomos. Debido a ello, el cinc, de buena gana, cede sus electrones al cobre. Pues, ya desde el cobre los electrones pasan a los iones hidrógeno, transformándolos en moléculas. Las funciones de los átomos de cinc y de cobre son diferentes: los átomos de cinc deben tan sólo solubilizarse en forma de iones, mientras que la única misión de los átomos de cobre es reducir H+ a H2. En el cinc puro estas dos funciones las tienen que cumplir sólo los átomos de este metal. Su superficie, con rapidez, se cubre de moléculas de hidrógeno y el proceso de disolución se hace más lento.
Así, pues, hemos aclarado que los electrones de buena gana migran del cobre al cinc. Pero, si separamos estos dos metales y, después, los conectamos mediante un conductor, los electrones se desplazarán por el conductor, es decir, por éste ¡comenzará a fluir la corriente eléctrica! Hornos llegado a la comprensión del principio do funcionamiento de la fuente química de corriente eléctrica. En adelante, no discutiremos con detalle su estructura. Más vale realizar otros experimentos en los cuales utilizaremos una fuente química, ya fabricada, de corriente eléctrica, a saber, una pila seca para linterna de bolsillo.
Fijen a los polos de la pila seca dos conductores de cobre aislados de cerca de 30 cm de longitud cada tuno. Arrollen los extremos de los conductores, en dos o tres espiras, sobre unas monedas de cobre de 1 cm de diámetro, aproximadamente. Conecten al circuito en serie una lamparilla para la linterna de bolsillo. Viertan al vaso, hasta la tercera parte de su altura, aproximadamente, agua pura y bajen a ésta las monedas que sirven de electrodos, pero obligatoriamente de modo que los mismos no entren en contacto. La lamparilla no se enciende y no se observa fenómeno alguno. Sustituyan el agua pura por una disolución de azúcar. El efecto, o, más exactamente, la falta de cualesquiera efectos, es el mismo Ahora vuelvan a verter al vaso agua pura, sumerjan en ésta las monedas y añadan varias gotas de ácido sulfúrico. La lamparilla se enciende y desde ambas monedas comienzan a subir burbujas de gas.
El siguiente experimento consiste en lo siguiente. Viertan aun vaso la disolución de sal común, añadiendo a ésta 2 ó 3 gotas de disolución de fenolftaleína en alcohol. Sumerjan en el vaso las monedas-electrodos. Se puede observar un cuadro muy hermoso: sobre ambas monedas, inmediatamente, aparecen burbujas de gas, y en torno a la moneda conectada al polo negativo de la pila seca (cátodo) se forma una nubecilla de color carmesí que se extiende poco a poco a toda la disolución. La lamparilla luce. ¿Cómo se puede explicar lo que observamos? Desde el polo negativo de la pila seca al cátodo llegan electrones, éstos se acumulan en la moneda y la cargan negativamente. El polo positivo de la pila «succiona» los electrones del ánodo que se carga positivamente. Entre las monedas se tiene una capa de agua pura. Por cuanto el agua no conduce corriente eléctrica los electrones no son capaces de fluir desde el cátodo hacia el ánodo. Es natural que la lamparilla no se encienda.
Cabe señalar que el agua sí que posee candidatos al papel de transmisor de cargas eléctricas. Estos son iones H+ y OH-. Sin embargo, en agua pura su concentración es muy pequeña y precisamente por esta causa el agua, en la práctica, no conduce la corriente eléctrica. Después de habernos cerciorado de la poca conductibilidad eléctrica del agua, hemos colocado los electrodos en la disolución de azúcar. El cuadro ha sido el mismo: las moléculas de esta sustancia, en disolución, no se descomponen on iones cargados. Pero he aquí que hemos tomado la disolución acuosa de ácido sulfúrico. La situación ha cambiado, ya que la disolución de ácido se ha mostrado como un buen conductor de la corriente eléctrica. El asunto reside en que, en disolución, las moléculas de ácido se descomponen en iones hidrógeno y en aniones de carga negativa. Aquí vale subrayar que este proceso se opera independientemente de si están sumergidos o no en la disolución los electrodos y si se deja pasar o no a través de la disolución la corriente eléctrica. Al cátodo cargado negativamente se acercan los iones H+ que llevan carga positiva (fig. 3, a). Como es natural, la disolución de ácido contiene muchos de estos iones. En el cátodo cada protón H+ gana un electrón, formándose átomos de hidrógeno. Dos átomos constituyen la molécula de H2 y las moléculas forman burbujas de gas. De este modo, los electrones abandonan el cátodo y la pila se ve obligada a suministrarle cada vez nuevas porciones de cargas negativas. Por lo tanto, por el circuito comienza a circular la corriente eléctrica y ésta es la razón de que la lamparilla se enciende.
Ahora ¿qué se opera en el ánodo? Los acontecimientos expuestos de forma simplificada se desarrollan del siguiente modo. Las moléculas de agua ceden al electrodo sus electrones y se transforman en moléculas de oxigeno y protones. Como resultado tenemos que por acción de la corriente eléctrica el agua acidulada se descompone en sus elementos constituyentes (véase la fig. 3, a). Cabe señalar que en la realidad la electrólisis de la disolución de ácido sulfúrico se desarrolla mucho más complicadamente dando lugar a la formación de diversos derivados de azufre y de peróxido de hidrógeno. Al añadir al agua cualquier electrólito, o sea, una sustancia que en agua se disocia en iones, aumentamos la conductibilidad eléctrica del agua. También es posible añadir álcalis. Por ejemplo, en la industria, el agua se descompone por la corriente eléctrica en hidrógeno y oxígeno adicionando al mismo hidróxido de sodio (sosa cáustica).
Fig. 3. Esquema de electrólisis: a, del agua acidulada; b, de la disolución de cloruro de sodio.
Entonces, ¿qué procesos provoca la corriente eléctrica al pasar por la disolución de sal común? El cloruro de sodio se descompone en la disolución en iones Na+ y Cl-. Los primeros, como es natural, se desplazan hacia el cátodo, y los segundos migran hacia el ánodo. A todas luces, en el cátodo, los iones sodio deberían adquirir electrones y transformarse en sodio metálico. Sin embargo, tal cosa no sucede. El sodio es un metal demasiado activo y no puede subsistir junto al agua. Por esta razón, los electrones desde el cátodo pasan no a los iones Na+, sino a los iones hidrógeno H+ que siempre están presentes en disolución acuosa. Como resultado, en el cátodo se desprende hidrógeno (fig. 3, b). La segunda parte integrante del agua la constituyen los iones OH-. Estos se acumulan junto al cátodo. Justamente por este motivo se pone de color carmesí la disolución alrededor de la moneda-cátodo, si en la misma está presente la fenolftaleína. Como se conoce, la fenolftaleína es un buen indicador para los álcalis.En el ánodo se acumulan los iones cloruro, entregan sus electrones al ánodo y se transforman en cloro molecular gaseoso. Mientras tanto, en la disolución quedan los iones Na+ y OH-, es decir, las partes integrantes del hidróxido de sodio. Por lo tanto, no es de extrañar que el paso de la corriente eléctrica a través de la disolución acuosa de sal común es un procedimiento industrial racional de obtención simultánea de tres importantísimas sustancias: hidrógeno, sosa cáustica y cloro.
Acabamos de exponer el abecé de una importante rama de la .química física. Esta rama lleva el nombre de electroquímica y se dedica a investigar las reacciones químicas que se desarrollan por acción de la corriente eléctrica. A esta ciencia le interesan también las reacciones que tienen por resultado el engendramiento de la corriente eléctrica. No se debe pensar que la electro-química opera tan sólo con compuestos inorgánicos. Para los electroquímicos revisten interés cualesquiera sustancias orgánicas. En los últimos años se desarrollan intensamente los métodos electroquímicos de síntesis de sustancias orgánicas. Sobre algunos aspectos de electroquímica se puede leer en los libros de divulgación científica [8].
Capítulo 6
Herrumbre desde el punto de vista de un químico
En el primer caso la reserva de energía que se encuentra en los productos de reacción es menor que en las sustancias iniciales, y en el segundo caso tenemos una situación contraria. ¿De qué modo se pueden apreciar, cuantitativamente, semejantes cambios en la reserva de energía? Con este fin se introduce el concepto de energía libre que se designa con la letra G. Se considera que el decremento de esta magnitud ΔG para la reacción que se desarrolla a temperatura y presión constantes es igual al trabajo máximo que puede realizarse a costa de esta reacción. La variación de la energía libre ΔG se calcula por la siguiente fórmula:
ΔG = SΔG0 (productos) — SΔG0 (sustancias reaccionantes)
Aquí ΔG0 es la variación de la energía libre para cada producto o sustancia reaccionante durante su formación a partir de elementos que se opera en las condiciones normales, es decir, a la temperatura de 25 °C y la presión de 1 atm. El signo Σ denota la suma de estas magnitudes para todas las sustancias reaccionantes o productos. La energía libre tipo de cualquier elemento se toma igual a cero.De todo lo expuesto se desprende que las reacciones para las cuales ΔG0 es una magnitud negativa transcurren con liberación de energía, que los productos, en este caso, poseen menor reserva de energía que las sustancias reaccionantes y que, por consiguiente, semejantes reacciones se desarrollan espontáneamente, a semejanza de como una piedra rueda de modo espontáneo cuesta abajo. Ahora vamos a ver cuáles son los valores de ΔG0 para las reacciones de algunos metales con el oxígeno. Como es natural, estos procesos conducen a la obtención de óxidos de los metales. Entre paréntesis se dan las variaciones de la energía libre (en kcal por mol de sustancia) que corresponden a la formación de algunos de estos compuestos:
| CuO (-31) | NiO (-51) | ZnO (-76) |
| SnO2 (-124) | MgO (-136) | Fe2O, (-177) |
| Cr2O3 (-253) | Al2O3 (-378). |
¿Qué salta a la vista cuando uno analiza estos números? Todas las variaciones de la energía libre son negativas lo que significa que el óxido de cualquier metal mencionado aquí es más estable que el propio metal. En este caso se advierte bien que el que más gustosamente debe formar el óxido es el aluminio, mientras que el cobre es menos propenso a tal transformación. Así, pues, la deducción que deriva del análisis termodinámico realizado es la siguiente: todos los metales, con muy poca excepción, no son estables en estado libre y en una atmósfera que contiene oxígeno deben pasar a óxidos.
Sin embargo, todos conocemos perfectamente que tanto las vigas de acero de los puentes, como jarros de aluminio y alambres de cobre no se transforman en cúmulos de óxidos, sino existen durante un plazo muy largo. ¿Cuál es la razón de ello? Retornemos a nuestra comparación del metal libre que se encuentra en la atmósfera de oxigeno con la piedra subida a las montañas. Si, tiende a ir a parar al pie de le montaña, de transformarse en óxido. Pero no todas las piedras que se encuentran en las alturas de las montañas, ni mucho menos, se deslizan cuesta abajo. Hay varias causas de ello, y una de éstas consiste en que la piedra por todos los lados está rodeada de rocas. Para rodar, ésta se ve obligada a salvar una barrera energética, a veces muy alta. Está claro que en semejante estado la piedra puede permanecer en las montañas millones de años, y el metal durante el mismo lapso puede quedar sin oxidarse.
Pero, a pesar de todo de 1 a 1,5% de todo el metal acumulado por el hombre se pierde anualmente como resultado del proceso denominado corrosión. Este término significa la destrucción espontánea de los metales debido a su interacción con el medio ambiente. En este caso, el metal no obligatoriamente se transforma en óxido. Entre los productos de corrosión se encuentran hidróxidos, cloruros, sales de otros ácidos. Sin embargo, en todo caso, el metal pasa a estado de oxidación.
En casa es muy fácil realizar el experimento sobre la corrosión del hierro: basta con dejar un pedacito de hierro en un lugar húmedo, rociándolo con agua para que al cabo de varios días éste se cubra de una capa roja de óxido. En una atmósfera seca no se logrará provocar esta transformación, tampoco podrá obtener óxido a partir del hierro en una atmósfera muy húmeda, pero que no contiene oxígeno. Entonces, para lograr que aparezca herrumbre son necesarios tanto el agua, como el oxigeno. En este caso el hierro cede dos electrones:
Fe = Fe2+ + 2e
Estos electrones reducen el oxigeno, formándose aniones hidróxido:O2 + 2H2O + 4e = 4OH-
El catión del hierro reacciona con el hidróxido produciendo el hidróxido de hierro. Este último compuesto pierde poco a poco agua, transformándose en óxido de hierro divalente:Fe2+ + 2OH- = Fe (OH)2 → FeO + H2O
El hidróxido de hierro divalente puede oxidarse por el oxigeno a Fe(OH), que también se descompone en agua y óxido de hierro (III). Como resultado de todos estos procesos sobre la superficie del metal aparece un «pastel de hojaldre» formado por diferentes óxidos.Tiene amplia difusión la corrosión de otro tipo, la electroquímica. Se trata de que muchas estructuras metálicas se encuentran en contacto constante con los electrólitos, o sea, con las disoluciones de sales, ácidos y bases que contienen distintos iones. Para comprender la esencia de la corrosión electroquímica hay que recordar la estructura de la fuente química galvánica de corriente. Si introducimos en la disolución de electrólito una placa de hierro (o de cinc) y otra placa de cobre, conectándolas al galvanómetro, el instrumento indicará que entre las placas aparece la diferencia de potencial. Al alternar diferentes metales en esta pila, obtendremos distintos valores para la diferencia de potencial. Como uno de los electrodos pueden considerarse los iones hidrógeno que se transforman en hidrógeno gaseoso. Si el potencial de este sistema se toma igual a cero, resultará que con respecto al mismo otros sistemas tendrán las siguientes diferencias de potencial E0, en voltios:
| Na+ + e→ Na | — 2,71 |
| Al3+ + 3e→ Al | — 1,68 |
| Zn2+ + 2e→ Zn | — 0,76 |
| Fe2+ + 2e→ Fe | — 0,47 |
| Cu2+ + 2e→ Cu | + 0,34 |
| Au3+ + 3e→ Au | + 1,50 |
Se ve que las mayores diferencias de potencial puedan obtenerse en las pilas uno de cuyos electrodos sea el sodio o aluminio y de otro serviría cobre u oro. No es difícil advertir, además, que el hierro, en comparación con el cobre, debe oxidarse más fácilmente. Y si colocamos un clavo de hierro en la disolución de sal de cobre, el cobre metálico pronto cubrirá el hierro de una capa roja. Las reacciones que se desarrollan en este caso pueden sumarse:
| Fe = Fe2+ + 2e | E0= + 0,47 V |
| Cu2+ + 2e = Cu | E0= + 0,34 V |
| Fe + Cu2+ = Fe2+ + Cu | E0= + 0,81 V |
Se conoce la fórmula que relaciona el potencial de electrodo E0 y la energía libre del proceso electródico de oxidación-reducción:
ΔG0 = — n·F·E0
Aquí n es el número de moles de electrones transportados en el proceso, y F, la constante de Faraday, que es una magnitud positiva. Para nuestra pila de hierro y cobre el potencial E0es positivo y, por consiguiente, el valor de ΔG0 es negativo. De aquí se desprende que el proceso representado antes por medio de la ecuación total es ventajoso desde el punto de vista termodinámico y se desarrolla con liberación de energía.Pero ¿qué relación existe entre todo lo expuesto y la corrosión? Antes de contestar a esta pregunta realicemos un experimento. Disuelvan en un vaso de agua una pulgarada de sal común, añadan a la disolución un poco de prusiato rojo de potasio (ferricianuro de potasio que se vende en las tiendas de artículos para fotografía) y varias gotas de disolución alcohólica de fenolftaleína. Ahora sumerjan en el vaso dos alambres —uno de hierro y otro de cobre— atados entre sí. Mejor es entrelazarlos para que haya muchos puntos de contacto. Al cabo de varios minutos en torno al alambre de cobre aparecerá la coloración carmesí, y en torno al de hierro, azul. ¿Qué ocurre en este caso? El proceso se parece a la reacción —que hemos examinado— entre el hierro metálico y una sal de cobre. El hierro se solubiliza en forma de iones Fe2+ que con el prusiato rojo de potasio forman el azul de Turnbull. Al mismo tiempo, en el alambre de cobre tiene lugar la reducción del oxígeno a aniones hidróxido. En este caso se utilizan los electrones suministrados por el alambre desde el hierro. La presencia de los iones OH- se descubre por la fenolftaleína. Ahora traten de realizar un experimento análogo pero sin la participación del alambre de cobre. El proceso de oxidación del hierro se desarrolla en este caso mucho más lentamente.
Así, pues, el hierro, bajo la acción del oxigeno y en contacto con el cobre se oxida en la disolución de electrólito, es decir, se somete a corrosión. El cobre en este caso no cambia, por cuanto su potencial tiene un valor positivo demasiado grande. Dos alambres entrelazados: uno de hierro y otro de cobre, son un buen modelo de pedazo de hierro real que tiene en su superficie millares de inclusiones microscópicas que hacen las veces de cátodo de cobre. En la fig. 4 se representa el esquema del proceso de corrosión del hierro en el caso semejante.

Figura 4. Proceso de corrosión del hierro que contiene una impureza de otro metal.
Existen numerosos procedimientos para proteger el metal contra la oxidación. El método más simple lo sugiere la propia naturaleza. La superficie del metal puede cubrirse de película de óxido del propio metal. La película puede ser muy fina. A título de buen ejemplo puede servir el aluminio, un metal muy activo. Pero el aluminio, con rapidez, se cubre de una capa compacta de óxido que protege el metal contra la ulterior oxidación.
Sumerjan un clavo de hierro limpiado con papel de lija en la disolución de vitriolo azul (sulfato de cobre). El clavo, inmediatamente, se cubrirá de una capa roja de cobre. Tomen otro clavo y manténganlo aproximadamente durante un minuto en la llama del mechero de gas, hasta que el clavo adquiera un color amarillento. Si bajamos este clavo a la disolución de vitriolo, el cobre aparecerá sobre el mismo dentro de un lapso algo mayor. Tomen otros varios clavos y antes de sumergirlos en la disolución de vitriolo caliéntenlos en la llama del mechero durante 2, 3 y 5 min, respectivamente. Después del calentamiento los clavos adquieren la coloración roja, o azul o bien verdigrisácea. El tiempo que pasa antes de que el cobre se deposite en estos clavos aumenta en correspondencia con el de su mantenimiento en la llama. El experimento tiene una sencilla explicación: durante su caldeo los clavos se cubren de película de óxido cuyo espesor y color dependen del tiempo de permanencia en la llama. Para aplicar a la superficie del hierro la película protectora se puede recurrir también a otro procedimiento, a saber, someterlo a tratamiento con ácido sulfúrico concentrado o con el ácido nítrico. Limpien dos clavos con papel de lija y coloquen uno de éstos, por varios minutos, en ácido nítrico concentrado. Laven ambos clavos con agua y sumérjanlos en un vaso con ácido sulfúrico diluido. Se advertirá que el clavo tratado con ácido nítrico no reacciona con el ácido sulfúrico, mientras que el dejado sin tratar hace que de éste, enérgicamente, se desprendan burbujas de hidrógeno.
Sobre la corrosión y la protección contra ésta véase [9].
Capítulo 7
Sustancia en la superficie o química del lavado
Al aumentar la superficie hemos aumentado la energía del sistema. Pero, un sistema, no va a aumentar su energía espontáneamente, en cambio, siempre tiende a disminuirla. Precisamente por esta razón una gota de agua dejada a actuar por su libre albedrío toma la forma de una esfera. Es que la esfera tiene la menor área de la superficie para el cuerpo de volumen dado. Una gota de mercurio colocada sobre un vidrio tiene la forma de una esfera algo deformada. Ahora bien, si se vierte un poco de agua sobre un vidrio limpio, no se formará ninguna gota y el agua se extenderá uniformemente por el vidrio. ¿Cuál es la razón de esta diferencia? Se trata de que los átomos de mercurio se atraen mutuamente con mucha mayor fuerza que a las moléculas que entran en la composición del vidrio. Por el contrario, las moléculas de agua son más propensas a adherirse a las partículas de vidrio. La interacción con el vidrio del agua y del mercurio son dos casos extremos; aquí se habla sobre la humectación completa y sobre la no humectación del vidrio, respectivamente. Pero deslicen por el vidrio un dedo. Un poco de grasa pasará al vidrio y si ahora sobre éste se echa un poco de agua se formará una gota que cunde algo por la superficie. La forma de la gota o, más exactamente, el ángulo Θ entre la superficie del sólido y la tangente a la superficie de la gota, tangente trazada a través del punto de contacto de la gota con la superficie del «soporte», se puede determinar por la siguiente fórmula:

En las condiciones de casa la tensión superficial de distintos líquidos puede evaluarse sin dificultad con la ayuda de un aparato hecho por el mismo lector. Monten una balanza utilizando una varilla de vidrio o metal y varios hilos. Uno de los platillos puede confeccionarse con lata u hoja de aluminio y en vez del otro hay que hacer uso de un cuadrado hecho de alambre fino de cobre. Pongan el balancín de la balanza en posición horizontal cargando el platillo con unas pesas cualesquiera, por ejemplo, preparadas de pedacitos de arcilla plástica. Ahora dispongan bajo el cuadrado de alambre un vaso con agua de modo que este «marco» so adhiera a la superficie. Colocando consecutivamente pesas sobre el platillo de la balanza y registrando el momento en que el cuadrado se desprenda de la superficie del líquido, mediremos en unas magnitudes convencionales la tensión superficial. En la práctica, el valor de Σ se mide en ergios por cm2. Para el agua a 20 °C a constituye 73 ergios/cm2. Sustituyan agua por alcohol y verán que la tensión superficial de esté líquido es mucho menor, o sea, es de 22 ergios/cm2. El valor de Σ para la glicerina es casi igual al de agua, constituyendo 62 ergios/cm2.
Disuelvan en un vaso con agua un trocito de jabón y determinen la tensión superficial de esta disolución. El lector verá que el valor de Σ después de haber disuelto el jabón ha disminuido bruscamente. Las moléculas de jabón constan de dos partes que acusan propiedades opuestas. Una parte, el derivado sódico del grupo carboxilo COONa, se «disuelve» perfectamente en agua y, de buena gana, atrae las moléculas de agua. La segunda parte es una especie de «cola larga» que consta de eslabones de hidrocarburos, por ejemplo —(CH2)16CH3. Los grupos CH2 de la cola revelan una tendencia clara de repeler las moléculas de agua. Cuando una molécula de jabón va a parar al agua su parte de carboxilo se rodea de moléculas de agua, mientras que la cola intenta salir de la capa acuosa. Como resultado, la molécula se encuentra en la superficie, su cola yace en la misma superficie de separación agua — aire, mientras que la cabeza de carboxilo viene sumergida en el seno del agua. Resulta que toda la superficie del agua está ocupada por las moléculas do jabón que pertenece a las sustancias tensoactivas. El jabón disminuye la tensión superficial del agua.
Disuelvan en el vaso de agua un pedacito de jabón. La disolución tiene un aspecto algo enturbiado lo que evidencia que dicha disolución es coloidal. Las moléculas de sustancias que constituyen el jabón están acumuladas en agregados, gotas microscópicas. Añadan a esta disolución esencia de vinagre. El líquido va a enturbiarse todavía más y al cabo de cierto tiempo de su seno a la superficie comenzará a aflorar una aceitosa capa blanca. La disolución en este caso se convertirá en más clara. Este proceso se desarrollará aún con mayor rapidez si se toma ácido sulfúrico. El ácido desaloja del estearato de sodio —que constituye la parte principal del jabón— el ácido esteárico libre
C17H35·COOH
Este ácido, precisamente, forma al principio la disolución coloidal blanca, luego coagula formando gotas más grandes las cuales, después, se segregan en forma de aceite. Además, el jabón contiene también ácido oleicoCH3 (CH2)7CH = CH (CH2)7COOH
cuyo interés radica en que su larga cadena incluye también un doble enlace. La presencia del doble enlace puede demostrarse sacudiendo en un tubo de ensayo que contiene los ácidos separados del jabón varias gotas de agua de bromo. El agua de bromo se decolorará por cuanto el bromo se adiciona por el doble enlace. Los ácidos esteárico y oleico son muy débiles; por esta causa, al ir a parar al agua, las sales sódicas de estos ácidos se hidrolizan parcialmente dando lugar a la formación de ácido libre y de hidróxido de sodio.
Figura 5. Idea de la estructura de la balanza de Langmuir.
Investiguemos algunas propiedades físico-químicas de las sustancias tensoactivas.
En una cubeta rectangular llena hasta los bordes de agua se coloca una sustancia tensoactiva que, como es natural, se esparce por la superficie del agua. Por un lado de la cubeta hay un tope que permite cambiar su área. Por el otro extremo de la cubeta se dispone un émbolo móvil unido a un muelle muy fino y a una aguja que refleja la presión ejercida sobre el émbolo. Echen a la superficie del agua en la cubeta una cantidad muy pequeña de sustancia tensoactiva. Esta sustancia puede representarse por una mezcla de ácidos grasos separados del jabón (disuelvan esta mezcla en éter) o un granito de alcanfor. La sustancia tensoactiva se esparcirá instantáneamente por la superficie del líquido, y por cuanto la cantidad de ésta que hemos tomado es muy pequeña el espesor de su capa en la superficie del líquido constituirá tan sólo el de una molécula. Las moléculas procurarán esparcirse por la superficie, pero el émbolo se lo impedirá. Debido a ello, sobre el émbolo se ejercerá una presión que podrá medirse por la desviación de la aguja.
Ahora procedamos a disminuir el área de la cubeta desplazando el tope. Si en un gráfico marcamos por el eje de abscisas el área S ocupada por la sustancia tensoactiva y por el eje de ordenadas, la presión P ejercida sobre el émbolo, entonces resultará que en una porción determinada AB la presión P incrementará proporcionalmente a la disminución del área S (fig. 6). El producto de la presión por el área resulta proporcional al producto de la constante universal de los gases R por la temperatura absoluta
T : P·S ~ R·T
Pero de un modo completamente idéntico se escribe también la ecuación de estado de los gases: P·V = R·T. La única diferencia consiste en que en vez de la superficie S se halla el volumen V. Por consiguiente, en la porción AB parece como si se tratara de un gas bidimensional. En este estado las moléculas de sustancia sobre la superficie se encuentran lejos unas de otras. Sigamos disminuyendo el área S. En el punto B llegamos a la situación en que toda la superficie está ocupada por las moléculas de sustancia tensoactiva.En adelante, con la sucesiva compresión, las moléculas se ven tan apretujadas que algunas de éstas comienzan a «subir sus colas» sobre la superficie del agua. La porción BC corresponde a la situación en que islotes aislados formados por moléculas con «colas subidas» —éstas representan una especie de gotas de líquido— flotan en el mar de moléculas «aplastadas». Al disminuir el área S en esta porción, uniremos las moléculas aplastadas a las gotas, mientras que el número de tales moléculas aplastadas por unidad de área será el mismo. Esto significa que la presión ejercida sobre el émbolo no variará. Finalmente, llegamos al punto C en que todas las moléculas se encuentran apretadas densamente unas a otras y las «colas» de todas ellas están de punta sobre la superficie. Se puede decir que hemos obtenido cierto líquido bidimensional, y como los líquidos son prácticamente incompresibles, una pequeña disminución del área implica un brusco aumento de la presión.

Figura 6. Variación de la presión P sobre el émbolo de la balanza de Langmuir al disminuir la superficie S de su cubeta. Los puntos negros representan los grupos COOH, y los zigzags, las «colas» hidrocarbonadas.
¿Por qué, entonces, el jabón posee propiedades lavadoras tan sorprendentes? Hay varias causas de ello. Ya hemos determinado que las sustancias tensoactivas de un modo brusco, más que al doble, disminuyen la tensión superficial del agua. Este hecho significa que ahora el líquido podrá penetrar en los poros más menudos del tejido y mojar todos los rinconcitos más alejados en que han penetrado las impurezas. No hemos agotado todavía la lista. Supongamos que una gota de impureza consistente en grasa ha caído a una fibra de algodón. Coloquemos esta tela en agua pura. La gota de grasa se esparcirá por las fibras. Ya estamos enterados de que la forma de la gota depende de la relación de las tensiones superficiales en los límites de los medios. Por encima la gota la cubrirá una capa de líquido y con ello el proceso terminará. Ahora añadamos al agua una sustancia tensoactiva. Sus moléculas se esparcirán tanto por la superficie del agua, como por la de la grasa. Entonces, la grasa que acaba de esparcirse por la superficie de las fibras se contraerá en una gota. Al interior de la gota mirarán las «colas» de las moléculas de sustancia tensoactiva, mientas. que las «cabezas» saldrán fuera de la gota rodeándose por las moléculas de agua. Una vez ocurrido esto, las gotitas de grasa manifestarán la tendencia a desprenderse del algodón y pasar al agua. La sustancia tensoactiva no deja que las gotitas de grasa se unan en gotas grandes, por cuya razón se forma una emulsión estable. Y la emulsión es fácil de eliminar con agua, de modo que la tela queda limpia.
Capítulo 8
¿Por qué el cielo es azul?
Sea como sea, también en las condiciones domésticas es posible apreciar, aunque de forma muy aproximada, las dimensiones de las partículas, al construir un aparato relativamente simple. Vamos a sugerir aquí tan sólo la idea de este instrumento, ofreciendo de este modo al lector la posibilidad de demostrar sus capacidades tanto de diseñador, como de mecánico.
Lo fundamental en nuestro experimento es la determinación de la masa del precipitado, por lo tanto, la parte básica del instrumento es una balanza. Podemos utilizar la balanza de laboratorio de la escuela o balanza farmacéutica. No necesitamos determinar la masa absoluta del precipitado en granos, sino solamente su peso relativo. Por esta razón es conveniente utilizar como pesas, cuadrados pequeños de un mismo tamaño cortados de hojalata o de hoja de metal. El principio del experimento es sencillo: sumergimos uno de los platillos de nuestra balanza en la suspensión del polvo en agua, el precipitado se deposita paulatinamente en el platillo y éste, por dicho motivo, baja. Dentro de intervalos determinados de tiempo colocamos sobre el platillo opuesto tantos cuadrados-pesas cuantos se necesitan para poner el balancín en la posición horizontal. El tiempo y la masa se registran en la tabla. Así, pues, sacudan en agua una o dos pulgaradas de polvo dentífrico, viertan esta suspensión al vaso y sumerjan al líquido uno de los platillos de modo que éste resulte más cerca del fondo. Mientras la suspensión se deposite y el lector trate de apreciar si le bastarán pesas y tiempo para realizar el experimento, nos dedicaremos al análisis teórico [10].
So conoce la fórmula que relaciona la velocidad de sedimentación de una partícula de la suspensión con el radio de esta partícula. Esta fórmula que deriva de la ley de Stokes tiene el siguiente aspecto:


Figura 7. Curvas de sedimentación del precipitado que consta de una o dos fracciones (a) y del precipitado que representa una mezcla de partículas de cualquier masa (b).
Ahora analicemos un caso más complicado, o sea, el de una suspensión que consta de partículas de dos especies las cuales se diferencian por su radio y, naturalmente, por su masa. Pueden construirse dos rectas correspondientes a la sedimentación de partículas ligeras y de partículas pesadas. Supongamos que un tipo de partículas nos da la recta AB ya examinada antes, mientras que el segundo tipo se compone de partículas más ligeras. Está claro que las partículas más ligeras se sedimentan más lentamente. Por esta razón a las mismas debe corresponder el segmento AD más suave y más largo. Entonces, ¿cómo varía la masa del precipitado cuando en el sistema están presentes partículas de dos tipos? Para obtener el gráfico de semejante variación es necesario sumar las ordenadas de dos curvas ABC y ADE. Como resultado, obtenemos la línea quebrada AFGH. El punto F de esta línea corresponde al tiempo t en que se consume por completo la sedimentación de las partículas de la especie de mayor tamaño. El punto G refleja el cese del proceso de sedimentación de la fracción más ligera. Si continuamos la línea FG hasta su intersección con el eje de ordenadas con t = 0, el segmento MGMB resultará igual al segmento MDA. Pero es que MGA representa la masa de todo el sedimento, mientras que MDA es la masa de la fracción ligera. Por lo tanto, MBA es la masa de la fracción pesada y MGMB es la masa de la fracción ligera. ¿Qué podemos calcular partiendo de este gráfico? Poniendo en la fórmula de Stokes los tiempos t correspondientes a las inflexiones, no es difícil calcular los radios de las partículas de la primera y de la segunda fracciones, y los segmentos correspondientes cortados por el eje de ordenadas nos darán las cantidades en peso relativas de estas fracciones.
Una vez terminado este análisis puramente teórico, retornemos a nuestro experimento. Hay que calcularlo de tal modo que durante la sedimentación del polvo dentífrico logremos hacer 5 ó 6 pesadas, después, todo el polvo se sedimentará sobre el platillo o en el fondo y el peso del platillo se hará constante. Es necesario también tener presente que en las primeras etapas del experimento todos los cambios se operarán más rápidamente que para su final. De las consideraciones generales queda claro que el polvo dentífrico no consta de partículas de un solo tamaño estrictamente fijado y ni siquiera de partículas de dos o tres fracciones. La composición de las partículas de acuerdo con sus radios varía ininterrumpidamente dentro de unos límites determinados. Debido a ello, los valores de tiempo t elegidos determinarán al fin y al cabo los límites de ciertas fracciones convencionales. Los resultados obtenidos se deben anotar en la tabla en la cual han de figurar las siguientes magnitudes:
tiempo, en segundos;
masa del sedimento<
número do pesas
masa del sedimento, en tanto por ciento
masa de la fracción dada M en tanto por ciento respecto a la masa total del sedimento
radio de las partículas r, en metros
la magnitud M/Δρ.
η = 0,001 N·s/m2
Δd = d (tiza) —d (agua)= 2700 — 4000 = 1700 kg/m3
h = 0,1 m.
Tomemos el primer tramo, el inicial 0-1, de la curva de sedimentación. Consideremos que este tramo es rectilíneo y corresponde a la sedimentación de las partículas de mayor tamaño. La sedimentación de estas partículas termina en el punto 1 y el contenido de esta fracción constituye un 5%. Este tramo corresponde a la porción AMB en la fig. 7, a y se obtiene si continuamos la línea 1-2 hasta la intersección con el eje de ordenadas. El contenido de la fracción 1-2 lo obtenemos si continuamos la recta 2-3 hasta la intersección con el eje de ordenadas y restamos el porcentaje de la fracción anterior. Del mismo modo se puede calcular el contenido relativo de todas las fracciones que elegimos. Construyamos la curva diferencial de sedimentación. Con este fin, marcamos por el eje de abscisas los valores de los radios límites de las partículas de la fracción dada, y por el eje de ordenadas, los valores de M/Δr, donde M es el contenido relativo de la fracción, y Δr, el intervalo de los radios de las partículas de la fracción. El área de cada rectángulo es igual al contenido en peso de la fracción. Al unir los puntos medios de las bases de los rectángulos con una línea suave, obtendremos, precisamente, el cuadro diferencial de distribución de las partículas por las fracciones (fig. 8). Ahora se ve bien claro las partículas de qué tamaño prevalecen en esta mezcla tan abigarrada.
Hemos relatado sobre una de las tareas del llamado análisis por sedimentación o precipitación. este es un apartado de la química coloidal que estudia el proceso de sedimentación o precipitación de las partículas que están en suspensión en los líquidos. A estos procesos de sedimentación pertenece un papel importante en la técnica y en la práctica. Es que todo el mundo debe tratar con las mezclas.
Forman parte de éstas tanto las suspensiones de partículas sólidas en líquidos, como las emulsiones, o sea, sustancias en las cuales las partículas del líquido están en dispersión en otro líquido no disolvente, y los aerosoles, es decir, nieblas o humo, suspensión de un líquido o de un sólido en el gas.

Figura 8. Curva diferencial de distribución de las partículas de polvo dentífrico por las fracciones.
Si se examina al microscopio la suspensión de un polvo fino en agua, se puede descubrir un fenómeno muy interesante. Las pequeñas partículas de la suspensión se encuentran en movimiento continuo e infinito. Este efecto fue descubierto por primera vez ya en 1828 por el botánico inglés Brown. ¿Qué explicación tiene el movimiento browniano? Figúrese que en agua flota una partícula bastante grande. En cada instante dado esta partícula es atacada por las moléculas de agua que pululan como abejas en la colmena, chocando entre sí y contra los lados de la partícula. Por cuanto la partícula es grande entra en colisión por cada lado con millares y millones de moléculas simultáneamente. Está claro que en esta situación que nos hace recordar la conocida fábula sobre el cisne, el cangrejo y el lucio tirando cada uno el carro a su lado, le partícula no se moverá. Pero he aquí que hemos disminuido las dimensiones de la partícula y éstas, hasta cierto grado, se han convertido en conmensurables con las dimensiones de las moléculas. En estas circunstancias resulta que se hacen posibles las situaciones en que en el momento dado la partícula, por un lado experimenta impactos, pongamos por caso, de 20 moléculas de agua, y por el otro lado, nada más que de 15 moléculas. Se entiende que, como consecuencia, tendremos el movimiento de la partícula, con la particularidad que este movimiento será completamente caótico e infinito. Semejante irregularidad en la distribución de las moléculas de agua, o sea, cuando en el volumen dado del espacio se encuentra una cantidad algo mayor de moléculas que en el vecino, lleva el nombre de fluctuación. Las fluctuaciones son características para los sistemas que constan de un número grande de partículas, y téngase presente que hasta en una gota de agua el número de moléculas se cuenta por miles de millones. Las concentraciones de las moléculas que rodean la partícula por diferentes lados pueden ser iguales. Pero, por ejemplo, las velocidades de movimiento de las moléculas que lindan con la partícula por el lado izquierdo pueden superar las de las moléculas dispuestas a la derecha. Finalmente, se puede figurar una situación intermedia: las moléculas vecinas de la partícula se diferencian tanto por la concentración, como por la velocidad de movimiento.
En una ocasión, en el examen, un estudiante desidioso, a la pregunta: «¿Por qué el cielo es azul?» después de pensar un poco contestó: «Porque en él se refleja el mar».
Claro que esta respuesta divirtió mucho al profesor. Pero, ¿cómo se puede explicar el color azul del cielo?. Se conoce que la luz que incide sobre cualquier partícula se absorbe por ésta y la calienta. Pero, además, una pequeña cantidad de luz se disipa. El científico inglés Rayleigh dedujo la ecuación para la dispersión de la luz por partículas muy pequeñas. De esta ecuación se deduce que la intensidad de la luz dispersa es inversamente proporcional a la longitud de onda de la luz incidente en la cuarta potencia. En el espectro de la luz solar visible la menor longitud de onda la tienen los rayos violeta y azules. Precisamente por esta razón dichos rayos se dispersan con mucha mayor intensidad que los amarillos o los rojos. Pues, siendo así, el cielo parece azul. Al llegar a este punto, sin duda, surge la pregunta: ¿qué partículas disipan la luz solar? Resulta que el papel de tales «partículas» lo desempeñan las fluctuaciones en la densidad del aire. En la gigantesca masa de las moléculas de gases de la atmósfera cada instante surgen zonas pequeñas con densidad elevada o reducida. La luz, al incidir sobre tales zonas, reacciona con las mismas de modo distinto que con la masa principal y se dispersa con mayor intensidad.
Al principio nos hemos referido a partículas bastante grandes representadas por los granitos del polvo dentífrico y, luego, hemos pasado a las moléculas. ¿Qué será si procedemos a analizar algo intermedio, por ejemplo, partículas cuyas dimensiones tan sólo varias veces superan las de las moléculas? Nos hemos acercado de lleno a la conversación sobre las formaciones más asombrosas llamadas disoluciones coloidales. No es difícil obtener en casa una disolución coloidal y, además, por varios procedimientos. Disuelvan en alcohol un poco de colofonia y vertiendo al vaso una cucharadita de esta disolución añádanle gran exceso de agua. Otro experimento consiste en añadir al agua hirviendo cloruro férrico y, después, seguir hirviendo la disolución obtenida durante varios minutos más. En el tercer experimento, a una disolución muy diluida de prusiato amarillo de potasio se añade paulatinamente, gota a gota y agitando, la disolución diluida de cloruro férrico. En todos los casos se obtendrán disoluciones coloidales teñidas de diferentes colores [10, pág. 271]. Es fácil demostrar que estas disoluciones son precisamente coloidales, y no verdaderas. Iluminen los vasos con estas disoluciones, desde un lado, con un fino rayo de luz. Se observará un cono turbio, una opalescencia, hecho que se debe a la dispersión de la luz por las partículas coloidales.
Para concluir señalemos que los sistemas coloidales están difundidos con extraordinaria amplitud. El conocimiento de las propiedades de tales formaciones es necesario, por ejemplo, tanto durante la depuración de las aguas naturales, como durante la extracción del petróleo [11].
Con mucha frecuencia, para lograr que dos sustancias entren en interacción es necesario calentarlas. El calor es el estimulante más difundido de las transformaciones químicas. Sin embargo, se conocen también otros tipos de energía, por ejemplo, la luminosa. ¿Puedo o no la luz ser causa de reacciones químicas? Acuérdense qué bien es broncearse en un día soleado y ventoso cuando la piel no siente, en nada, el calor del sol y solamente la luz provoca la formación en el cutis del pigmento de color castaño. Asimismo es bien conocido el proceso inverso, el de decoloración de los colorantes de una tela expuesta a luz intensa. La destrucción de los colorantes orgánicos bajo la acción de la luz también es una transformación química. Así, pues, la luz es un perfecto estimulante; de las reacciones químicas. ¿De qué modo, entonces, transcurre la interacción de la sustancia con la luz? Cabe recordar, al principio, que la luz visible representa una banda bastante estrecha en la escala de las ondas electromagnéticas que se extiende desde 4000 hasta 8000 .t. Diferentes regiones de esta banda se perciben por el ojo como luz de un color determinado. Así, por ejemplo, las ondas con una longitud de cerca de 4000 A o de 400 nm representan luz violeta; el flujo de oscilaciones electromagnéticas cuya longitud de onda es de 530 nm, aproximadamente, da la impresión de luz verde, y la luz roja tiene la longitud de onda de 660 nm, aproximadamente. La luz blanca no es sino una mezcla de todos los rayos.
La luz puede considerarse no sólo como ondas, sino también como flujo de partículas que llevan el nombre de cuantos de luz o de fotones. La energía E que transportan consigo los cuantos de luz está enlazada con la frecuencia o con la longitud de onda de esta luz mediante la siguiente relación:
E = h
φ = h·c
Ya a principios del siglo pasado fue descubierta la primera ley de la fotoquímica, es decir, de la ciencia que estudia las transformaciones químicas operadas por acción de la luz. Desde luego, esta ley es lo suficientemente evidente: las reacciones químicas se provocan tan sólo por aquellos rayos que se absorben por la sustancia. Sin embargo, el enunciado inverso no es correcto: no todos los rayos absorbidos, ni mucho menos, provocan las transformaciones químicas. El asunto radica en que la energía de estos rayos puede gastarse para el simple calentamiento de la sustancia. También es fácil comprender la otra ley de la fotoquímica: la acción química de la luz, por regla general, es proporcional a la intensidad de la luz y al tiempo de su acción. Pero la ley más importante la formuló Einstein quien estableció que cada cuanto de luz absorbido produce la transformación tan sólo de una molécula de sustancia. La cantidad de cuantos se puede medir, lo mismo que el número de moléculas se introdujo incluso una unidad especial igual a un mol de cuantos, es decir, 6,02·1023. Esta unidad se denomina einstein. Valiéndose de la fórmula dada con anterioridad, es fácil hallar que la energía de un einstein de luz absorbido cuya longitud de onda es de 400 nm es equivalente a 71 kcal/mol. La energía de un einstein de rayos rojos con λ » 800 nm es equivalente a 36 kcal/mol.
Bueno, el cuanto de luz ha alcanzado la molécula. ¿Qué se opera? En cualquier molécula el enlazamiento de los átomos se realiza debido a los electrones. Estos electrones se disponen en varios niveles (fig. 9). Analicemos cierta molécula con cuatro electrones capaces de reaccionar con la luz y con el mismo número de niveles de energía en los cuales se disponen estos electrones. En el estado más estable de la molécula los electrones se disponen en dos niveles inferiores, dos electrones en cada uno.

Figura 9. Interacción de la luz con la molécula de la sustancia.
También es posible otra variante: el electrón, durante su excitación, no solamente se traslada a un nivel más alto, sino que también, como resultado de una serie de transformaciones, varía la orientación del espín. Se engendra una partícula en estado triplete inestable. La duración de vida de una partícula de este tipo es bastante grande, pudiendo llegar a varios segundos. Sin embargo, también en este caso, con el tiempo, el electrón retorna al nivel más bajo. Este proceso viene acompañado de luminosidad que lleva el nombre de fosforescencia. Si bien la fluorescencia puede observarse por el ojo tan sólo mientras a la sustancia incide la luz, la fosforescencia representa la luminosidad remanente que se observa durante varios segundos después de haber desconectado la fuente de luz.
Insertamos aquí la receta de una mezcla fosforescente que da luminosidad verde. Mezclen meticulosamente los siguientes componentes bien triturados:
10 g de tiza,
0,5 g de sulfato de sodio,
0,4 g de bórax,
3 g de azufre,
0,3 g de azúcar y
0,5 ml de disolución al 5% de nitrato de bismuto.
Hasta el momento hemos hablado sobre los procesos en que el sistema iluminado, con el tiempo, regresa al estado inicial. Pero, en ocasiones, sucede que la excitación provocada por el cuanto de luz resulta suficiente para que se produzca la rotura de los viejos enlaces químicos entre los átomos y que se formen nuevos enlaces, en una palabra, para que se desarrolle una reacción química. En estas circunstancias, el salto del electrón a un nivel más alto no es sino la primera etapa de una reestructuración cardinal de todo el sistema de electrones. Viertan al tubo de ensayo un poco de disolución concentrada de peróxido de hidrógeno (el perhidrol es una sustancia peligrosa para la piel) y expongan este tubo de ensayo a intensa luz solar. Se verán burbujas de oxígeno liberado:
2H2O2 + hφ → 2H2O + O2
Aquí el símbolo hφ designa un cuanto de luz. Esta reacción comienza con la formación del radical hidroxilo:2H2O2 + hφ → 2OH-
La luz puede desintegrar no sólo la molécula de agua oxigenada. Un cuanto de luz incidente sobre el cristal de bromuro de plata constituido por iones positivos de plata e iones negativos de bromo que se alternan, expulsa el electrón del ion bromuro y lo «aloja» en el ion plata. Como resultado, se forma un átomo de metal y un halógeno libre:2AgBr + hφ → 2Ag + Br2
No es difícil simular este proceso que constituye la base de la fotografía moderna. Tomen un vaso y en una habitación oscura añadan a la disolución de nitrato de plata (se puede utilizar la piedra infernal) la disolución de sal común (cloruro de sodio) o de bromuro de potasio. Se forma un precipitado de haluro de plata; recojan este precipitado, aplíquenlo cuidadosamente al papel secante y sequen en un local oscuro. El resultado será aún mejor si, previamente, la «papilla» de haluro de plata se mezcla con gelatina hinchada en agua. Ahora coloquen sobre la «placa fotográfica» obtenida una plantilla de papel negro (se puede cortar cualquier figura) y expongan la placa a una luz brillante. Al cabo de varios minutos quiten la plantilla y examinen la «placa» en una habitación oscura. Verán que en los lugares sobre los cuales cayó la luz apareció una coloración oscura.Cabe señalar que a diferencia del ojo humano el bromuro y, en un grado incluso mayor, el cloruro de plata son sensibles, en mayor parte, a los rayos ultravioleta. Por esta razón, en las emulsiones blanquinegras cuya base forma el haluro de plata se introducen sensibilizadores especiales. De ordinario, éstos son colorantes orgánicos. Los sensibilizadores se apropian de la energía de todos los rayos incidentes y la transmiten a las partículas del haluro de plata. Debido a ello, la película fotográfica moderna por su sensibilidad espectral se asemeja al ojo humano (fig. 10). En cambio, los sensibilizadores no se aplican al papel fotográfico y semejante emulsión es sensible solamente a los rayos azules y violeta; esta es la causa por la cual se puede trabajar con el papel fotográfico a la luz roja.

Figura 10. Sensibilidad espectral de los haluros de plata, de la película fotográfica y del ojo mano.
El esquema general de la fotosíntesis puede representarse de un modo muy sencillo:
CO2 + H2O + hφ → (CH2O)n + O2*
Aquí (CH2O)n designa un carbohidrato (glucosa, almidón, celulosa, etc.). El asterisco muestra que el oxigeno liberado por la planta no proviene de dióxido de carbono, sino del agua que participa en el proceso. Por muy sencilla que parece esta ecuación, el proceso real de fotosíntesis en las plantas es extraordinariamente complicado y, en muchos aspectos, queda todavía incomprensible.El proceso de fotosíntesis puede dividirse en dos etapas. La primera etapa se desarrolla bajo la luz, o sea, para la realización de las reacciones químicas de esta etapa se necesita luz. Aquí, el papel clave pertenece a la clorofila que es un compuesto complejo en el cual el átomo de magnesio está encerrado en un anillo de cuatro ciclos de pirrol que contienen nitrógeno. Por impacto de un cuanto de luz la molécula de clorofila pasa a estado de excitación, o sea, el electrón salta al nivel de energía que ocupa una posición más alta. Después, la molécula puede retornar a su estado fundamental, expulsando un cuanto de luz. La fluorescencia de la disolución de clorofila se observó ya en el experimento descrito antes. El dióxido de carbono no participa en la primera etapa de fotosíntesis, en la etapa de luz. En este período bajo la acción de la luz y por intermedio de la clorofila tiene lugar la descomposición del agua. Del agua se quitan electrones que pasan a un compuesto con un nombre larguísimo: nicotinamidadenindinucleotidfosfato, o, abreviadamente, NADF. Este compuesto pasa a su forma reducida que, convencionalmente, se designa NADF-N. La ecuación de esta etapa es como sigue:
2H2O + 2NADF+ + hφ → 2NADF-N + 2H+ + O2
Simultáneamente, se desarrolla también otro proceso, el de adición del grupo fosfato al adenosindifosfato, abreviadamente, ADP; se forma el adenosintrifosfato, ATP. Aquí la etapa de luz se da por terminada. ¿Qué tenemos nosotros como resultado? En primer término, hemos obtenido un buen reductor biológico NADF-N; en segundo lugar hemos cargado de energía el acumulador bioquímico, o sea, hemos obtenido ATP a partir de ADP. Ahora, ya en ausencia de luz, en la etapa oscura, ambas sustancias se utilizarán para reducir el dióxido de carbono a carbohidrato. La ecuación de la etapa oscura es:6CO2 + 18ATP + 12NADF-N + 12H+ → C6H12O6 + 18 Fosfato + 18ADP +12NADF+ + 6H2O
De este modo, los productos de fotosíntesis son oxígeno y carbohidratos, por ejemplo, almidón. No es difícil demostrarlo. Se toma una ramita de la planta acuática elodea ampliamente difundida en los acuarios domésticos, se coloca en un vaso con agua y se tapa con un embudo sobre cuyo extremo-tubo se pone un tubo de ensayo lleno de agua. Es necesario «alimentar» la planta con dióxido de carbono, con este fin es deseable utilizar agua gaseosa o echar al vaso una pulgarada de bicarbonato (hidrocarbonato de sodio). Expongan el vaso a luz brillante. Poco a poco el tubo de ensayo se llena de gas. Introduzcan en el tubo de ensayo una astilla casi apagada: ésta se inflamará, confirmándose de este modo que el gas obtenido es oxigeno. He aquí el segundo experimento. Dejen en una habitación oscura, por varios días, una planta de salón, por ejemplo, prímula. Después, trasladen esta planta al alféizar, exponiéndola a brillante luz solar, al mismo tiempo escojan una hoja y cúbranla por ambos lados con papel negro opaco en que está cortada cualquier figura. Dentro de varias horas o pasado un día corten la hoja «experimental», colóquenla en una taza con agua hirviendo y, seguidamente, en un vaso con alcohol hirviendo. Cuando la hoja se haya decolorado, lávenla con agua fría y metan en un vaso que contiene la disolución de yodo y de yoduro de potasio en agua. El yodo da con el almidón una coloración azul que se observará solamente en los lugares a los cuales incidió la luz.Sobre la fotosíntesis biológica y au simulación biológica se puede leer en los siguientes folletos y artículos [12].
Capítulo 10
Colorante amarillo a partir del carbón negro
El ácido pícrico es de color amarillo vivo y, en su tiempo, se empleaba como colorante para seda y lana. Nos referiremos a los diferentes caminos de síntesis de este compuesto. Algunas etapas de esta síntesis, pero no todas, el lector podrá realizar en su laboratorio, por cuanto toda la síntesis hubiera requerido un equipo especial. En la primera etapa, en la inicial, es necesario transformar el carbono en alguno de sus derivados a partir del cual, seguidamente, será posible obtener una sustancia orgánica. Como tal reacción puede tomarse la de interacción entre el carbón y el óxido de calcio a temperatura elevada cuyo producto es el carburo de calcio. Por lo visto, el lector ya habrá adivinado la siguiente «jugada» de nuestro partido químico: tratado con agua el carburo de calcio desprende acetileno.
Un aparato simple permite obtener acetileno e investigar algunas de sus propiedades. Cierren un tubo de ensayo con un tapón de goma o de corcho; el tapón debe tener un orificio a través del cual pasa un tubo de vidrio doblado de modo que forma ángulo recto. El segundo extremo de este tubo debe entrar en otro tubo de ensayo llegando casi a su fondo. Coloquen en el primer tubo de ensayo un pedacito pequeño, no mayor que un guisante, de carburo de calcio, viertan sobre éste varias gotas de agua y cierran rápidamente el tubo de ensayo con el tapón a través del cual pasa el tubo de vidrio. Viertan al segundo tubo de ensayo una disolución débil de permanganato de potasio. Pronto, el acetileno que se desprende decolorará la disolución de permanganato de color rosa. Por acción del permanganato de potasio el acetileno se oxida a ácido oxálico, HOOC—COOH, que también reacciona con el permanganato, produciéndose dióxido de carbono y agua. En este caso el permanganato se transforma en sal incolora de manganeso divalente. Ahora repitan el experimento, pero esta vez viertan al segundo tubo de ensayo la disolución de piedra infernal (nitrato de plata) a la cual se ha añadido hidróxido de amonio hasta que se disuelva el precipitado formado al principio. Al dejar pasar acetileno a través de esta disolución, obtendremos el precipitado amarillo de acetiluro de plata AgC ≡ CAg. Pero, en ningún caso, sometan a secado este sedimento, ya que en forma seca explota con facilidad durante el calentamiento o por golpe.
En 1922, los químicos soviéticos N.D. Zelinski y B.A. Kazanski descubrieron que si el acetileno se deja pasar sobre el carbón activado a la temperatura de 500 °C, aquél se trimeriza en benceno. Más tarde fue establecido que semejante transformación puede realizarse también en las condiciones mucho más suaves, valiéndose de catalizadores que representaban compuestos solubles de distintos metales. Así, pues, hemos «obtenido» benceno. En la realidad, en la industria no recurren a este procedimiento, por cuanto el benceno se contiene en el petróleo y se obtiene en grandes cantidades, separando hidrógeno de los hidrocarburos saturados, por ejemplo, del ciclohexano.
Varios caminos conducen desde el benceno hacia el ácido pícrico (fig. 11). Sigamos, primero, por uno de éstos. Obtengamos del benceno el ácido benzolsulfónico [13, pág. 32]. Mezclen en un tubo de ensayo varias gotas de benceno y una cantidad doble de ácido sulfúrico concentrado. Calienten la disolución en una cacerola con agua hirviendo, sacudiendo con cuidado el tubo de ensayo.
Al cabo de varios minutos, cuando la disolución se convierta en homogénea, decanten el contenido del tubo de ensayo al vaso con agua. El ácido sulfónico se disuelve fácilmente en agua, formando una disolución transparente.

Figura 11. Caminos de síntesis del ácido pícrico.
El ácido pícrico puede obtenerse también por otro camino. Al principio, el benceno debe someterse a cloración en presencia de cloruro de hierro como catalizador. El clorobenceno obtenido se somete seguidamente a nitración con ácido nítrico. En esta operación se obtiene el trinitroclorobenceno denominado también cloruro de picrilo. Una propiedad notable del cloruro de picrilo es la alta actividad del átomo de cloro: por acción del agua este átomo se sustituye por el hidroxilo. Un método más de obtención del ácido pícrico consiste en lo siguiente. Primero se sintetiza el ácido fenoldisulfónico. Si la reacción modelo se realiza en las condiciones más suaves se obtiene el ácido fenolsulfónico. Con este fin, echen al tubo de ensayo varios cristales de fenol y añadan una o dos gotas de ácido sulfúrico. Después de calentar el tubo de ensayo en agua hirviendo durante varios minutos, viertan la masa reactiva desde el tubo de ensayo a un vaso con agua. Se obtiene la disolución incolora de ácido fenolsulfónico. El ácido fenoldisulfónico que se obtiene en condiciones algo distintas se somete a nitración con ácido nítrico. En este caso, ambos grupos sulfónicos se sustituyen por grupos nitro, además, en el núcleo entra también un tercer grupo nitro. Como resultado se obtiene el ácido pícrico.
Por fin, el trinitrofenol puede sintetizarse también directamente a partir del benceno, sometiendo este último a nitración con ácido nítrico en presencia de sales de mercurio como catalizador. El lector, inmediatamente, puede exclamar: ¡ése sí que es el mejor de los métodos! ¿Para qué se necesitan otros caminos más largos? Sin embargo, el asunto radica en que el camino más corto no siempre resulta ser el más conveniente en la práctica de laboratorio o industrial. Es que un papel muy importante pertenece al rendimiento con que se forma el producto; es preciso que no se forme una cantidad grande de resina pues cuesta trabajo separar de la misma el producto. De ordinario, hay que elegir cierta variante óptima.
Hemos relatado sobre la obtención de uno de los colorantes amarillos, y el camino hacia esta sustancia es lo suficientemente complicado. Por un procedimiento más sencillo del mismo fenol puede obtenerse otro pigmento de color amarillo vivo cuyo nombre es aurina. Con este fin, a un tubo de ensayo se echan varios cristales de ácido oxálico y, después, se añade una cantidad algo mayor de fenol. Se añaden, además, una o dos gotas de ácido sulfúrico y el tubo de ensayo se calienta con cuidado. El lector observará como la mezcla, paulatinamente, adquiere coloración amarilla. Enfríe la masa, reactive y añádanle agua, cubriendo la mezcla con esta última. Si a la disolución amarilla obtenida se añade un álcali, la disolución se tornará de color anaranjado. La reacción realizada consiste en la condensación del fenol con el ácido fórmico que se forma a partir del ácido oxálico:

De acuerdo con una de las teorías de la cromaticidad compuesto coloreado debe contener la llamada agrupación cromófora de cuyo representante puede servir, por ejemplo, el doble enlace carbono-carbono C = C o el doble enlace nitrógeno-nitrógeno N = N. Es muy útil la presencia en la molécula de un grupo auxocromo que intensifica el color de la sustancia. A título de ejemplo de este grupo se puede tomar el grupo dimetilamino N(CH3)2. A un compuesto le imparte también color la presencia, en la molécula, de fragmentos quinoides similares a aquel que se muestra en la parte inferior de la fórmula de aurina. He aquí, por ejemplo el colorante llamado anaranjado de metilo que es de amplísimo uso como indicador para ácidos. La molécula de este colorante incluye un doble enlace cromóforo entre dos átomos de nitrógeno, el grupo auxocromo dimetilamino, una cadena larga de conjugación de enlaces dobles:



Les compuestos orgánicos que se aplican como colorantes pertenecen a diferentes clases. Se utilizan muy ampliamente los llamados azocompuestos sobre los cuales ya hemos hablado (dos átomos de nitrógeno unidos por el doble enlace se denominan grupo azo). Estos compuestos se obtienen a partir de diazocompuestos y fenoles o aminas aromáticas. A su vez, los diazocompuestos se pueden sintetizar a partir de los derivados de la anilina valiéndose de la reacción de diazotación y de azocombinación [14, pág. 110]. Para realizar esta reacción se necesitarán dos reactivos: anilina y nitrito de sodio que se pueden adquirir en cualquier laboratorio químico. Diluyan al triple, en un vaso, ácido clorhídrico concentrado. Añadan a 3 ó 4 cucharaditas de esta disolución media cucharadita de anilina y enfríen la disolución en una cacerola con hielo triturado. Mientras la disolución de anilina está enfriándose, preparen otras dos disoluciones: de nitrito de sodio y de yoduro de potasio y almidón en agua. La última disolución puede sustituirse por la siguiente: echen ácido ascórbico a la tintura amarilla de yodo diluida con agua hasta su decoloración y, luego, añadan un poco de almidón. Ahora tomen un vaso o un tubo de ensayo y, enfriando con hielo, añadan, gota a gota, a la disolución de anilina (varias cucharaditas de ésta) la de nitrito de sodio. Durante esta adición remuevan la mezcla sacudiendo el vaso. Después de añadir varias gotas hagan un ensayo: mezclen en un vidrio una gota de disolución reactiva con una gota de disolución de yodo y almidón. En cuanto aparezca la coloración azul cesen la adición de la disolución de nitrito de sodio. En la disolución se ha obtenido el cloruro de fenildiazonio. He aquí el quimismo de las reacciones mencionadas. A partir de la anilina y el ácido clorhídrico se forma la siguiente sal:
C6H5–NH2 + HCl → C6H5-+NH3Cl-
Del nitrito de sodio y del ácido clorhídrico se obtiene ácido nitroso libre:NaNO2 + HCl → HNO2 + NaCl
La sal de anilina y el ácido nitroso dan el cloruro de fenildiazonio:C6H5-+NH3·Cl- +HNO2 → C6H5-+N≡N·Cl- + 2H2O
El exceso de ácido nitroso se descubre con facilidad por cuanto este ácido oxida el yoduro de potasio a yodo libre que da con el almidón una coloración azul.Las sales de diazonio son compuestos reactivos. A temperatura elevada éstos reaccionan fácilmente con el agua.
Calienten en un tubo de ensayo o en un vaso un poco de disolución obtenida de cloruro de fenildiazonio, utilizando con este fin una cacerola con agua hirviendo. Se advertirá el desprendimiento de burbujas de nitrógeno y se sentirá el olor a fenol:
C6H5-+N≡N·Cl- + H2O → C6H5-OH + N2 + HCl
Tomen otro tubo de ensayo y mezclen en éste la disolución de fenildiazonio con la de yoduro de potasio, calentando la mezcla en agua hirviendo. Después de cesar la liberación de burbujas de nitrógeno en el fondo del tubo de ensayo se acumulará un líquido pesado. Este líquido es yodobenceno. La más interesante propiedad de los azocompuestos es la capacidad de sustituir el átomo de hidrógeno en las moléculas de fenoles o de anilina. En este caso se forman azocompuestos:
Vemos que la anilina es parte integrante imprescindible de los azocolorantes. Pero de la anilina se pueden obtener también colorantes de otro tipo. Con este fin, la anilina se oxida formándose un colorante negro altamente estable, o sea, la llamada anilina negra. Este experimento puede realizarse en diferentes variantes. Tomen un tubo de ensayo, viertan a éste varias gotas de disolución de anilina en ácido clorhídrico diluido y añadan la disolución de dicromato de potasio o de cloruro de cal. Aparece una coloración azul oscura. Sacudan en el tubo de ensayo una mezcla de anilina con agua, añadiéndole a esta emulsión la disolución de dicromato de potasio en ácido sulfúrico diluido. Al calentar la disolución en agua caliente se forma un precipitado negro. Si un trocito de tela se embebe en la emulsión de anilina, sumergiéndolo después en la disolución de mezcla crómica, o sea, en la disolución ácida de dicromato de potasio, la tela se teñirá de negro.
Un tipo más de colorante puede obtenerse a partir de medicamentos conocidos. Coloquen en un tubo de ensayo una tableta de ftalazol, una pulgarada de resorcina (esta sustancia se emplea en la medicina como antiséptico) y varias gotas de ácido sulfúrico concentrado. Con cuidado, calienten el tubo de ensayo sobre la llama del mechero y dejen que la mezcla se enfríe. Añadan a la masa fundida la disolución de hidróxido de sodio y viertan el contenido del tubo de ensayo al vaso con agua. Se ofrece la posibilidad de observar una fluorescencia amarillo-verde muy hermosa. ¡Para que esta fluorescencia sea todavía visible es suficiente disolver en 40 000 000 partes de agua nada más que una parte de colorante obtenido que lleva el nombre de fluoresceína. Este compuesto se utiliza para determinar el curso que siguen los ríos subterráneos. Se vierte un poco de colorante en un arroyo y después en algunos lugares en que las aguas subterráneas afloran a la superficie se observa una fluorescencia amarillo-verde.
Hemos realizado varias síntesis, pero en ninguna de éstas hemos separado el producto en forma pura. Existen muchos métodos para separar las sustancias a partir de la mezcla reactiva y para depurarlas. Por ejemplo, el mejor método para depurar las sustancias cristalinas es la recristalización. El principio de este procedimiento consiste en lo siguiente: de ordinario, una sustancia contiene una cantidad bastante pequeña de impurezas y éstas no forman una disolución saturada ni siquiera durante el enfriamiento. Por esta razón, si se enfría una disolución saturada caliente de cierta sustancia, suelen precipitar tan sólo los cristales de esta sustancia, mientras que las impurezas quedan en la disolución. Realicen la síntesis de nitronaftaleno. Tomen un vaso en cuyo fondo se encuentran 1 ó 2 cucharaditas de ácido nítrico concentrado, añádanle una cucharadita de naftaleno y sumerjan el vaso para 2 ó 3 min en un recipiente con agua hirviendo. Ahora, decanten el contenido al otro vaso lleno hasta la mitad de agua fría. El α-nitronaftaleno obtenido se separa en forma de una masa amarilla. El producto contiene impurezas y para purificarlo es necesario someterlo a recristalización. Con este fin, primero, hay que decantar el agua y añadir al vaso con la masa amarilla dejada alcohol etílico. Calienten el vaso en un recipiente con agua fría y sigan añadiendo alcohol hasta que casi todo el producto quede disuelto. Ahora decanten la disolución caliente al otro vaso. Al pasar cierto tiempo después del enfriamiento de la disolución, el nitronaftaleno puro se separará en forma de cristales amarillos aciculares. Algunas sustancias sólidas se subliman fácilmente, es decir, pasan a estado de vapor, soslayando el estado líquido. Al volver a condensarse en cristales, la sustancia se libera de impurezas no volátiles. Echen al fondo de un tarro de vidrio una pulgarada de naftaleno y tapen el tarro por encima con una placa metálica. Ahora, desde abajo, calienten el tarro sobre un mechero de gas o con una vela. Los cristales de naftaleno se depositarán sobre la placa metálica fría.
Sobre la síntesis orgánica véanse las publicaciones de divulgación científica [15].
Capítulo 11
Perfume a partir de... naftaleno
Todo el mundo conoce el olor a almendras amargas. Resulta que este aroma lo tienen simultáneamente varias sustancias diferentes. Cuando el benceno se trata con ácido nítrico se forma el nitrobenceno con olor a almendras. Entonces, ¿puede ser o no que la combinación del anillo bencénico con el grupo nitro es la condición necesaria y suficiente para la aparición del aroma a almendras? No, resulta que el aldehído benzoico en que el grupo aldehído está ligado al fenilo tiene el mismo olor. Podemos sacar la siguiente conclusión: la combinación del anillo bencénico con diferentes grupos conduce a que la sustancia adquiera el olor a almendras. Otra vez la conclusión es errónea. El fenolen el cual el anillo bencénico está enlazado con el grupo hidroxilo está muy lejos de oler a almendras. Por otra parte, el propio nitrilo y el ácido cianhídrico que no contienen anillo bencénico poseen el aroma a almendras. He aquí dos sustancias:

Bueno, ¿es posible o no hallar por lo menos algún vínculo entre la estructura de la sustancia y su olor? Actualmente no existe una teoría precisa y comúnmente aceptada sobre el olor, el problema es demasiado complicado (más detalladamente acerca de las teorías del olor y del gusto, véase [16]). Existe la concepción de que cualquier olor puede descomponerse en elementos individuales. Las moléculas de las más variadas sustancias que pertenecen a un mismo tipo de olor deben tener una estructura especial similar. En este caso ya no tiene importancia qué átomos: de carbono, de oxígeno o de nitrógeno, se encuentran en lugar dado de la molécula. Lo principal reside en que sean similares los contornos de las moléculas con un mismo olor. Como se supone, se trata de que en el proceso de oler la molécula de sustancia se acerque a un receptor especial, encajando en una ranura peculiar. Esta ranura tiene una forma específica correspondiente a la de la molécula dada. En una palabra, aquí vale el principio de llave y cerradura. Basándose en esta teoría se verificó la clasificación de los olores. Todos estos fueron reducidos a siete tipos: pútrido, agudo, etéreo, a menta de flores, de almizcle y de alcanfor.
La absoluta mayoría de sustancias poseedoras de los olores enumerados aquí pueden sintetizarse en laboratorios especiales bien equipados o en una empresa industrial. Estas síntesis, de ordinario, son complejas. Pero algunas síntesis no es difícil realizar las también en el laboratorio de casa.
Todo el mundo conoce la sustancia que posee olor pútrido: esta sustancia es el sulfuro de hidrógeno que huele a huevo podrido. El sulfuro de hidrógeno se forma a partir de algunos aminoácidos de la albúmina durante la putrefacción del huevo. Dicho gas puede obtenerse tratando con ácidos sales sulfurosas de metales. El sulfuro de hidrógeno es sumamente tóxico. A título de ejemplo de sustancia con olor agudo puede tomarse el aldehído fórmico. La disolución de este compuesto en agua conocida como formalina es accesible en la vida cotidiana. Otros aldehídos tienen olores más agradables y menos agudos. Por ejemplo, el aldehído acético CH3CHO huele a manzanas pasadas. Este compuesto se produce durante la oxidación del alcohol etílico. Mezclen en un vaso una cucharadita de ácido sulfúrico con un volumen igual de agua. Añadan al ácido sulfúrico diluido que se obtuvo una disolución de dicromato de potasio en agua. Se formó la mezcla crómica. Con cuidado, viertan a esta mezcla varias gotas de alcohol etílico. El color de la disolución varía de amarillo a verde, ya que aparece un derivado del cromo trivalente. Y el alcohol etílico, en este caso, se oxida a aldehído acético que puede reconocerse por el olor a manzanas pasadas. Si en este compuesto el grupo metilo se sustituye por el radical de etileno, obtendremos la acroleína CH2=CH—CHO. La acroleína posee un olor desagradable y penetrante. Dicho compuesto puede obtenerse a partir de la glicerina o de un aceite. Echen a un sartén una pulgarada de hidrosulfato de potasio, añadan dos gotas de aceite de tornasol y calienten la mezcla en el mechero de gas. La acroleína que se desprende es fácil de identificar por su olor que irrita la mucosa.
Todos conocen bien el olor del éter dietílico ya que éste se aplica en la medicina. Hay también otra sustancia que, con su olor, nos hace recordar el gabinete de un médico. Esta sustancia se obtiene del alcohol etílico. Viertan al fondo del vaso 2 ó 3 cucharaditas de aguardiente y echen varios cristales de yodo (en vez de cristales de yodo puede tomarse su tintura diluida con agua). Ahora, añadan a esta disolución la de hidróxido de sodio en agua, de modo que desaparezca la coloración yódica Calienten un poco el vaso en una cacerola con agua caliente. Pasado cierto tiempo después del enfriamiento, precipitarán cristales amarillos de yodoformo CHI3 que se utiliza en la medicina como antiséptico.
Todos los ésteres formados por ácidos orgánicos y alcoholes poseen agradable olor a frutas. Estos ésteres se pueden obtener con facilidad calentando al baño de María una mezcla de ácido orgánico y alcohol en presencia de varias gotas de ácido sulfúrico concentrado. He aquí los olores que tienen algunos ésteres obtenidos de las siguientes sustancias: a partir del alcohol isoamílico y ácido fórmico, olor a ciruelas; a partir del alcohol butílico y ácido acético, olor a piña; a partir del alcohol isoamílico y ácido acético, olor a peras; a partir del alcohol bencílico y ácido fórmico, olor a jazmín; a partir del alcohol feniletílico y ácido fórmico, olor a crisantemos.
El olor específico de los productos naturales suele deberse a cierta sustancia contenida en el producto dado. Por ejemplo, la parte integrante principal de la esencia de trementina (aguarrás) que le confiere su olor específico es el pineno, un compuesto cíclico con doble enlace. La presencia del doble enlace es fácil de confirmar experimentalmente. Añadan a varias gotas de esencia de trementina que se encuentran en el fondo de un vaso un poco do disolución de permanganato de potasio y remuevan la mezcla. La coloración rosa desaparecerá y se formará el precipitado pardo de dióxido de manganeso. A diferencia de la esencia de trementina el olor del pan viene determinado por una mezcla muy complicada de distintas sustancias. Entran en la misma tanto cotonas, como aldehídos y ácidos orgánicos. Pero una de las sustancias fundamentales que forma el olor del pan es el aldehído heterocíclico denominado furfurol. Este puede obtenerse artificialmente a partir de azúcares que contienen cinco átomos de carbono. Dichos azúcares se obtienen al tratar con ácido la madera. Echen a un tubo de ensayo un poco de aserrín y humedézcanlo con ácido clorhídrico diluido. Calienten la mezcla hasta una ligera ebullición. Después del enfriamiento, neutralicen el ácido con sosa (carbonato de potasio), añadan agua y vuelvan a calentar la mezcla.
El furfurol es arrastrado por el vapor de agua y puede identificarse por su olor característico.
Aquellos que tienen alguna experiencia de trabajo en el laboratorio químico (por ejemplo, en el círculo químico de la escuela) pueden realizar una síntesis más complicada de una sustancia aromática, remedando de este modo la producción química. Traten de obtener a partir de naftaleno sustancias que poseen el olor de las flores de acacia y del naranjo. Tomen un vaso de precipitados de paredes finas, echen a éste dos cucharaditas de naftaleno y añadan un cuarto de vaso de ácido sulfúrico concentrado. Calienten la mezcla, agitándola con una varilla de vidrio, sobre una llama débil del mechero de gas hasta obtener una masa homogénea. Enfríen la mezcla reactiva y añadan a ésta un poco de agua. Dentro de un rato precipitarán cristales de ácido β-naftalensulfónico. Si los cristales no se forman, hay que poner la disolución en una nevera, utilizando una vasija cerrada. Decanten la disolución desde los cristales y añadan a los mismos una o dos cucharaditas de potasa cáustica granulada y la misma cantidad de agua. Durante varios minutos calienten esta mezcla sobre la llama del mechero en un vaso de precipitados. Se forma el β-naftol. Con cuidado, viertan la masa gris obtenida al vaso lleno de agua hasta la mitad. Filtren la disolución, separándola del precipitado, y, después, viertan a la misma, gota a gota, ácido sulfúrico concentrado. Sometan a filtrado el precipitado formado del β-naftol y séquenlo al aire sobre el filtro. Raspen este precipitado a un tubo de ensayo, añádanle, hasta cubrir, alcohol etílico, viertan a la mezcla una gota de ácido sulfúrico concentrado y calienten la masa reactiva en un recipiente con agua caliente hasta que el alcohol se evapore. En el residuo se obtendrá el éter etílico del β-naftol que es un compuesto que despide un débil olor agradable que recuerda el olor de las flores de acacia. He aquí el esquema de las transformaciones realizadas en esta síntesis.

Capítulo 12
"Caja negra" de transformación química
Como se advierte, las reacciones se diferencian de modo muy esencial. Mientras que la primera se desarrolla en fracciones de segundo contadas y a temperatura ambiente, la segunda requiere un calentamiento durante varios minutos. El asunto reside en lo siguiente. En la primera reacción se encuentran dos iones, el ion plata y el ion cloruro, e inmediatamente, se forma un compuesto insoluble en agua. Con semejante celeridad se desarrollan casi todas las reacciones de los iones inorgánicos. Ahora analicemos la segunda reacción. En ésta, sometemos el benceno a nitración por ácido nítrico en presencia de ácido sulfúrico. Cuando mezclamos estos dos ácidos se desarrolla una reacción química cuyo resultado es la formación del llamado catión nitronio NO2+:
HNO3 + 2H2SO4 = H3O+ + 2HSO4-+ NO2+
En la disolución reactiva está presente, además, el benceno. Por el hexágono de su molécula vienen distribuidos seis electrones n. Estos electrones interaccionan con el catión nitronio, formándose el llamado complejo π en el cual el grupo NO2+ se encuentra «atado» simultáneamente a todos los seis átomos de carbono del anillo bencénico (fig. 12).Representemos el curso de la reacción en un diagrama energético. Marquemos en el eje vertical de este diagrama la energía del sistema de partículas reaccionante. Es evidente que si pasamos de un punto del diagrama al otro, elevándonos al mismo tiempo a un nivel de energía más alto, esto significa que el sistema, en este caso, adquiere energía de alguna parte. Puede sacarla, por ejemplo, de las reservas de energía del movimiento caótico de las partículas.
En el diagrama energético la transición desde arriba abajo puede realizarse espontáneamente. Por esta razón, cuanto mayor es la altura a que se encuentra el punto en el diagrama, tanto menos estable es el estado correspondiente del sistema. Pues, el sistema puede salir de este estado espontáneamente.

Figura 12. Diagrama energético de la reacción de nitración del benceno por el catión nitronio.
La siguiente etapa de la reacción es el desprendimiento del protón H+ desde el átomo de carbono y la formación del complejo π con protón. El protón no se retiene para un lapso prolongado en el complejo π, formándose pronto el nitrobenceno. Con tanta complicación se desarrolla la reacción —a primera vista simple— de sustitución del átomo de hidrógeno en el benceno por el grupo nitro. Esta reacción pertenece a la familia de reacciones de sustitución electrófila bien conocidas en la química. Aquí, como partícula electrófila, es decir, «aficionada a los electrones», interviene el catión nitronio, mientras que el benceno representa la sustancia que suministra electrones. A las reacciones de sustitución electrófila pertenecen la cloruración, la bromuración, la sulfonación del benceno y de otros compuestos aromáticos. Como partículas electrófilas en semejantes reacciones pueden intervenir también los iones mercurio, talio y plomo.
En la molécula de benceno todos los seis átomos de hidrógeno son equivalentes; otro cuadro se tiene en el caso del tolueno. Al atacar el tolueno la partícula electrófila se ve ante una opción: puede sustituir el hidrógeno vecino al grupo metilo (esta posición en el núcleo de benceno se denomina posición orto), también puede ocupar la posición para opuesta a la del grupo metilo. Finalmente, existe una tercera posición, la posición meta:

El grupo metilo posee la capacidad de suministrar, «bombear» la densidad electrónica. Pero esta densidad electrónica complementaria suministrada al anillo bencénico se distribuye en el mismo de forma irregular, no uniforme. Para determinar los lugares con densidad electrónica más alta es racional representar la fórmula del benceno con dobles enlaces tradicionales aunque éstos no reflejan la situación real. He aquí cómo mediante las flechas es posible representar el desplazamiento de la nube electrónica:



Hemos analizado la secuencia de transformaciones que se operan antes de formarse el nitroderivado. Pero, ¿de qué modo han averiguado los científicos qué transformaciones son éstas, qué sustancias intermedias se forman en el curso de la reacción? Es que tenemos sustancias iniciales: benceno y ácidos nítrico y sulfúrico, y obtenemos el producto final: el nitrobenceno. Cada una de estas sustancias se puede coger con las manos, pesar y analizar. Y ¿qué se halla entre las sustancias inicial y final? La situación nos hace recordar la «caja negra», cuando lo único que se conoce de modo fidedigno es aquello que se pone en esta caja y aquello que, al cabo de cierto tiempo, se extrae de la misma. En lo que se refiere a aquello que se opera en la propia caja, a las transformaciones que transcurren en ésta y a los compuestos intermedios que en la misma aparecen, sobre todos estos hechos, con frecuencia, nos vemos obligados a juzgar basándonos en los datos indirectos. Figurémonos que estamos realizando una reacción y, en su curso, medimos la concentración de la sustancia inicial y de la sustancia final. A veces resulta que, al cabo de cierto lapso después del comienzo de la reacción vemos que la sustancia inicial se ha consumido en un grado considerable, mientras que la cantidad de producto final formado es muy pequeña. Semejante hecho significa que en este momento en la mezcla reactiva se encuentra cierto compuesto intermedio.
Siendo así, ¿cómo es posible averiguar la estructura de tal compuesto cuya concentración, muchas veces, es muy pequeña? En este caso acuden en nuestra ayuda los métodos físicos de investigación: la resonancia magnética nuclear , la espectroscopia electrónica y la infrarroja, la resonancia paramagnética electrónica. Estos métodos proporcionan información acerca de la presencia en la sustancia de tales o cuales agrupaciones, así como acerca del orden en que están enlazados los átomos en las moléculas. Por lo demás, a veces, los compuestos intermedios pueden descubrirse incluso visualmente. Tomen un vidrio, viertan a éste una gota de ácido sulfúrico concentrado, añadan naftaleno o fenol y, luego, un granito de nitrato de sodio (es posible utilizar también salitre o piedra infernal). La disolución tomará un intenso color amarillo o verde. Se supone que las sustancias coloreadas no son sino complejos o intermedios en la nitración. Aquí cabe señalar que los científicos soviéticos, recientemente, han establecido que semejantes compuestos coloreados representan el producto de transporte de un electrón desde el compuesto aromático hacia el ion NO2+. Como resultado, se forma el llamado catión radical del hidrocarburo aromático y el radical NO2. En la siguiente etapa el catión radical y el radical se combinan formando el complejo sigma que ya conocemos. Como se ve, el mecanismo que incluye los complejos π y Σ resulta aún más complicado. De este modo resulta que los científicos tienen por delante un trabajo grande antes de enterarse en detalle de cómo, precisamente, se desarrolla la reacción de nitración, esta reacción descubierta hace tiempo y, al parecer, estudiada tan pormenorizadamente.
Capítulo 13
Rompecabezas y paradojas químicos
... Principios de la década del 50 de nuestro siglo, Inglaterra. El biólogo Watson y el físico Crick comienzan a trabajar sobre el problema de estructura del ácido desoxirribonucleico (ADN) el cual, como ellos suponían, es responsable por la transmisión de los rasgos hereditarios de los organismos. Los científicos decidieron valerse del enfoque que, varios años antes, permitiera a Pauling establecer la estructura de las moléculas proteínicas. Este enfoque consistía en que los investigadores, utilizando bolitas, cartulina y alambre, confeccionaron modelos de las partes individuales de la molécula del ADN y, luego, comenzaron a montar a partir de éstas un hilo entero. Al preparar piezas para dichas partes, Watson y Crick, con frecuencia, consultaban con los químicos acerca de la forma de uno u otro heterociclo que entraba en la composición del ADN, así como acerca de las orientaciones posibles de tales o cuales enlaces químicos. ¡Cuántas variantes se comprobaron, cuántas noches de insomnio pasaron en reflexiones antes de que madurara la sencilla y elegante resolución! La molécula del ADN consta de dos hilos que se entrelazan en espiral, con la particularidad de que en el centro, a lo largo de la espiral se disponen pares de moléculas-heterociclos, mientras que por fuera, la armazón de dos cadenas la forman los radicales del ácido fosfórico. Es imposible sobreestimar el valor de este descubrimiento del siglo hecho, por decirlo así, «jugueteando».
Ocuparémonos también de simulación de moléculas de compuestos químicos. Necesitaremos para este propósito un «equipos rudimentario: una cajetilla de fósforos, cartulina y varios trozos de arcilla plástica. En primer término hay que preparar el modelo de la molécula de metano CH3. Con este fin hagan de arcilla plástica negra una bolita con el tamaño de una guinda que representará el átomo de carbono y claven en esta bolita cuatro cerillas, de modo que sus cabezas se dispongan por los ángulos de un tetraedro regular. Las cabezas de las cerillas simbolizarán los átomos de hidrógeno, y las propias cerillas representarán los enlaces carbono—hidrógeno. Desde el metano no es difícil «pasar» hacia el etano CH3CH3. Para hacerlo, confeccionen un segundo modelo de la molécula de metano, paro en vez de una cerilla-enlace carbono—hidrógeno hinquen en la bolita de arcilla plástica negra una de las cerillas —con su cabeza de azufre— del primer modelo. Ahora, de la misma manera, unan al etano otro fragmento de metilo —CH3. De este modo se obtiene el modelo de la molécula de propano CH3CH2CH3.
Procuremos ahora confeccionar el modelo del cloruro de propilo. Con este fin es necesario sustituir en la molécula de propano uno de los átomos de hidrógeno por el átomo de cloro. Sea que el átomo de cloro se representará por una bola grande de arcilla plástica blanca. Sólo nos hace falta clavar una de las cerillas del modelo de propano —con su cabeza de azufre— en esta bola blanca. Pero aquí surge la siguiente pregunta: ¿qué cerilla, precisamente, se debe clavar: la del extremo o la unida al carbono del centro? Resulta que al sustituir por el cloro el hidrógeno unido al átomo extremo de carbono, se llega a cloruro de propilo normal que hierve a 45 °C. En cambio, si el cloro se une mediante la cerilla-enlace al carbono medio, se obtendrá el modelo del cloruro de isopropilo con el punto de ebullición igual a 35 °C (fig. 13, a). Dos o varias sustancias de este tipo que tienen la misma fórmula genérica (en nuestro caso, C3H7Cl) pero que se distinguen por el orden en que los átomos se unen entre sí llevan el nombre de isómeros. Ahora preparen el modelo de la molécula de etileno. Tomen dos bolitas representando el carbono y únanlas por dos cerillas (doble enlace), luego claven en cada bolita dos cerillas más de modo que éstas se encuentren en el plano del doble enlace. Pasemos a «obtener» un derivado del etileno que tiene dos átomos de cloro unidos a diferentes átomos de carbono. En este caso también se pueden dar variantes: los átomos de cloro pueden encontrarse por un lado respecto al doble enlace (isómero cis), o bien, pueden disponerse por distintos lados de éste (isómero trans) (fig. 13, b).
Aquí tenemos que ver con una de las variedades de la isomería, a saber, con la isomería geométrica cis-trans. El isómero cis del dicloroetileno hierve a 60 °C, mientras que su isómero trans lo hace a 48 °C.

Figura 13. Modelos de los isómeros del cloruro de propilo (a) y del dicloroetileno (b).
Retornemos otra vez al metano. Sustituyan en el modelo de su molécula tres átomos de hidrógeno por los siguientes grupos: carboxilo COOH (supongamos que éste se representará por una bola grande de arcilla plástica), hidroxilo OH (una bolita de arcilla plástica blanca o coloreada) y metilo CH, (bola negra grande). Coloquen esta molécula frente a un espejo y, mirando a su reflexión en éste, hagan una copia exacta de la misma. Se obtendrán modelos de dos moléculas que, al parecer, son muy similares, pero no idénticas (fig. 14, a). Se trata de que éstas no se pueden hacer coincidir una con otra, dala misma manera como es imposible hacer coincidir la mano derecha y la mano izquierda, como es imposible poner el guante izquierdo en la mano derecha. Entonces, ¿se diferenciarán o no las sustancias estructuradas de tales moléculas izquierdas y derechas? Sí, se diferenciarán, pero no en lo que se refiere a las temperaturas de ebullición o a la mayoría de sus propiedades químicas. Sin embargo, existe una propiedad que las distingue de un modo muy nítido: es el comportamiento respecto a la luz polarizada. La luz es un flujo de ondas electromagnéticas. En la luz común y corriente los vectores de los campos eléctrico y magnético están orientados perpendicularmente a la línea de propagación del rayo, con la particularidad que esto se manifiesta en cualquier dirección. Ahora bien, si esta luz se deja pasar a través de filtros especiales, el vector del campo magnético (y eléctrico) en el rayo estará orientado a lo largo de la línea y la luz se convertirá en polarizada.
Al dejar pasar la luz polarizada en un plano a través de la disolución de moléculas izquierdas (levó-- giras) o derechas (dextrógiras), advertiremos que el plano de polarización girará formando cierto ángulo. Lo más notable es, que para las moléculas de un tipo éste girará a la izquierda, y para las moléculas antípodas formará un ángulo igual a la derecha.

Figura 14. Modelos de los antípodas ópticos de las moléculas quirales de los ácidos láctico (a) y tartárico (b).
La isomería óptica es un fenómeno difundido en la naturaleza con extraordinaria amplitud. Todos los aminoácidos están presentes en los organismos vivas tan sólo en forma de un enantiómero. Únicamente con esta condición las moléculas de proteínas estructuradas de aminoácidos pueden formar una espiral regular. El azúcar y la glucosa también existen en forma de isómeros ópticos, con la particularidad de que en la naturaleza sólo se utiliza un antípoda. Este hecho no es casual: las enzimas responsables por las reacciones químicas en la célula distinguen con precisión la disposición relativa de los sustituyentes alrededor de los átomos asimétricos de carbono. Es curioso que, a veces, nuestra lengua se presente como un magnifico instrumento que permite discernir los enantiómeros. Así, por ejemplo, uno de los antípodas del ácido tiene sabor dulce, mientras que otro es insípido. Los estereoisómeros del aminoácido isoleucina se diferencian todavía más: uno es dulce y el otro amargo.
Para que aparezca la isomería óptica, a la actividad óptica no es obligatoria la presencia del átomo clásico asimétrico de carbono. Lo único que se necesita es que la molécula no coincida con su imagen especular, es decir, que ésta posea quiralidad. Corten de la cartulina dos hexágonos. Estos representarán las moléculas de benceno.

Figura 15. Modelos de los isómeros de las siguientes sustancias quirales: de los difenilos (a), de los ferrocenos (b) y del complejo π del etileno (c).
Se verá que son posibles dos enantiómeros (fig. 15, b). Preparen la molécula de ácido acrílico, sustituyendo en el modelo de la molécula de etileno un átomo de hidrógeno por una bolita blanca que representa carboxilo —COOH. Fijen en el doble enlace un pedazo grande de arcilla plástica que simbolizará el grupo Fe(CO)4. Otra vez son posibles dos enantiómeros (fig. 15, e).
Peguen una tira de papel formando un anillo, con la particularidad de que antes de engomar los extremos hay que dar vuelta a uno de éstos a 180° alrededor del eje que pasa a lo largo de la tira. Se obtendrá la cinta de Moebius bien conocida por los matemáticos. Esta cinta posee una admirable propiedad: si se quiere pintarla por dos lados se puede hacerlo sin desprender la mano desde la cinta. Resulta que dicha cinta tiene un solo lado. Sin embargo, la cinta de Moebius nos guarda también otra sorpresa. Resulta que la cinta unilateral puede prepararse de una tira de papel por dos métodos. Como consecuencia, se obtienen dos estructuras imposibles de hacer coincidir en el espacio por medio alguno, pero que se relacionan entre sí como un objeto y su imagen especular. En una palabra, la cinta de Moebius posee quiralidad. Si antes de pegar los extremos giramos la tira en 360°, se obtendrán estructuras que también poseen quiralidad y tienen, además, una interesante propiedad (fig. 16, arriba). Para descubrir esta propiedad es necesario clavarla tijera en el centro de las cintas y cortarlas a lo largo del eje. Se obtienen dos anillos entrelazados, con la particularidad que éstos asimismo poseen quiralidad (fig. 16, abajo).
Pero, ¿qué relación existe entre estas cintas y la química? Figúrense que los extremos de estas cintas son cadenas de átomos de carbono o, más exactamente, de grupos —CH2—. De vez en cuando, a lo largo de su extensión, estas cadenas se unen entre si, por ejemplo, por los átomos de azufre, de modo que se obtenga una especie de escalerillas cerradas de cuerda. Ahora vamos a eliminar los «peldaños» de la escalerilla, es decir, los átomos de azufre.
Fig. 16. Cintas quirales en tanto modelos de moléculas
Como resultado se obtendrá una molécula que representa dos anillos entrelazados y que lleva el nombre de «catenano» (en latín catana, cadena). Los catenanos se conocen ya durante unos 20 años, pero el camino de su obtención es muy largo y arduo. Y en cuanto a la idea descrita aquí, ésta hasta la fecha no se ha realizado. Solamente hace muy poco tiempo se ha logrado sintetizar una molécula estructurada en forma de cinta de Moebius (véase [17]).La cortadura de las moléculas estructuradas en forma de cintas es, más bien, algo del dominio de las fantasías de los químicos. Pero en caso de centrar la atención en los modelos de las moléculas de compuestos bien conocidos, se pueden descubrir nuevas propiedades antes ignoradas de estas moléculas. Tomemos, por ejemplo un compuesto de lo más trivial, la glicerina. Su molécula está estructurada de un modo muy simple y «simétrico»:

Hemos examinado dos variantes: los tres vértices son idénticos; dos vértices son idénticos (en B, los negros) y uno se distingue de éstos. Ahora tomemos la tercera variante: todos los tres vértices son diferentes. Supongamos que sus colores son blanco, negro y gris.
Fig. 17. Modelos y fórmulas de las moléculas que permiten comprender qué es la enantiotopía y la enantiomería.
Estos tres colores pueden combinarse de dos maneras, con le particularidad de que ambas estructuras se relacionan como imágenes especulares. Esta es la razón por la cual las estructuras del tipo C y D (véase la fig. 17) pueden denominarse enantiómeras (meros, parte).Antes de abordar el análisis de estructuraciones más complicadas, cabe señalar que todos nuestros juguetes de cartulina tienen prototipos entre las moléculas de compuestos reales y bien conocidos. Por ejemplo, es evidente que le estructura A es el modelo de la molécula de cloroformo, mientras que los «juguetes» quirales C y D reflejan determinadas propiedades del aminoácido alanina que es de importancia vital. Haciendo uso de un vértice de color determinado es posible «cifrar» no sólo un átomo, sino también todo un grupo, por ejemplo, el metilo —CH3. Aunque todas las moléculas tienen la forma de tetraedro, éstas se simulan bien por un triángulo con la cerilla clavada en el mismo, es decir, por una pirámide.
Procuremos combinar de a dos todas nuestras estructuras, formando con las mismas diferentes agrupaciones. Tomemos triángulos y ensartémoslos en una aguja de hacer punto. Las combinaciones de A con B, C y D en cierto sentido revisten poco interés. En todas estas combinaciones se puede figurar que A representa el grupo metilo. Independientemente del vecino que se dispone a su lado en la aguja de hacer punto los vértices del triángulo (o sea, átomos de hidrógeno en —CHO serán equivalentes. Se puede comprobarlo intercambiando los vecinos del triángulo con vértices blancos y haciendo girar los triángulos en la aguja en todas las direcciones. Además, el propio triángulo blanco tampoco ejercerá influencia interesante alguna sobre sus vecinos por la aguja. Hemos analizado, por ejemplo tales moléculas como CH3-CH8, CH8—CH2Cl, CH3—CHBrCl.
Nuestro próximo paso es combinar la estructura B. La primera variante es tomar dos triángulos B. Se obtiene la estructura E que simula, por ejemplo, la molécula de dicloroetano CH2Cl—CH2Cl (fig. 18). Vamos a ver qué relación existe entre los vértices negros. De acuerdo con las condiciones de nuestro juego se puede, sin tropiezo, hacer girar los triángulos en la aguja lo que, tratándose, digamos, de la molécula de dicloroetano, corresponde a la rotación alrededor del enlace C—C. En cuanto a la estructura E aquí, por mucho que se esfuerce, es imposible hallar una disposición tal para el espejo para la cual ambos vértices negros de los dos triángulos resulten mutuamente sustituibles. Pero hagan girar los triángulos uno respecto al otro y se advertirá que a la estructura E' se le puede aplicar un espejo, como esto se ha hecho para B. Por consiguiente, en E los vértices negros (1 y 2, así como 1' y 2') en cada triángulo son enantiótopos. Pero el espejo se puede colocar, además, perpendicularmente a la aguja en el centro del triángulo. De aquí se infiere que existen también otros pares relacionados por la enantiotopía: 1 y 1', como asimismo 2 y 2'.
Pasemos a una variante más complicada: combinaciones B + C = F o B + D = G. Aquí, por mucho que se hagan girar los triángulos, no se logrará «introducir» el espejo de tal manera que, en este caso, los vértices 1 y 2 se reemplacen recíprocamente.

Figura 18. Combinaciones de los modelos correspondientes a la asociación de diferentes fragmentos en una molécula.
En cuanto a todos estos modelos el lector, evidentemente, ya se ha dado cuenta acerca de la relación existente entre los mismos y las moléculas reales. Por ejemplo, las estructuras H, I y J pueden servir de modelos del ácido tartárico. ¿Y si tomamos no triángulos, sino, digamos, pentágonos? Aquí so pueden hallar muchas cosas parecidas. La estructura K (véase la fig. 18) posee quiralidad, más aún, los vértices blancos designados con los números 2 y 5 (como asimismo 3 y 4) son diaestereotopos. Ahora, en el juguete análogo L unan dos pentágonos de cartulina por medio de un puente de alambre blando y pongan sobre este puente un lazo con extremos corto y largo. Este lazo debe correr libremente por el puente. El modelo en cuestión nos permitirá formar una idea sobre una particularidad interesante. Corran el lazo, acercándolo a uno de los pentágonos. Tendremos una estructura que posee quiralidad y en la cual los pares de vértices 2 - 5 y 3 - 4 de un pentágono y 2' - 5' y 3' - 4' del otro son diaestereotopos. Pero sitúen el lazo justamente en el centro del puente, a igual distancia desde cada pentágono. El modelo deja de tener quiralidad (el espejo puede colocarse en el plano perpendicular a la aguja en el cual se encuentra el lazo). Sin embargo, la diaestereotopía de los vértices se conservará.
Seguramente, el lector ya ha acumulado preguntas a las cuales trataremos de contestar. En primer lugar, ¿qué moléculas reales se hallan tras nuestras construcciones de pentágonos? Como prototipos de las estructuras K y L se pueden considerar los derivados del ferroceno del cual ya hemos hablado. He aquí las fórmulas de tales compuestos (aquí «f» designa el radical fenilo

Ahora, por fin, ha llegado el momento de volver a la glicerina. Realicen la siguiente operación. «Sustituyan» en esta molécula el átomo H1 o H2 por el cloro y designen todo el grupo derecho —CH3H4OH por una sola letra R: Si para la molécula obtenida se construyen modelos, éstos vendrán representados por los «juguetes» marcados con las letras H, I y K. En una palabra, llegaremos a los diaestereómeros. Por consiguiente, los átomos H1 y H2 en la molécula de glicerina son diaestereotopos. ¡Es que dicha afirmación estaba lejos de ser evidente!
Ahora contestemos a la pregunta principal: ¿para qué son necesarias todas estas ideas acerca de la diaestereotopía y estas cintas: de papel y de átomos reales? La cuestión reside en que en la naturaleza casi todas las sustancias orgánicas están estructuradas de moléculas que poseen quiralidad. Analicemos, por ejemplo, los aminoácidos que entran en la composición de las proteínas. En la creación de la proteína puede utilizarse tan sólo une de los enantiómeros. Las enzimas que construyen las proteínas comprenden perfectamente las peculiaridades de la estructura de las moléculas. A todas luces, también el químico que realiza en el matraz las más diversas reestructuraciones de las moléculas debe estar al tanto de estas peculiaridades. Hasta las sustancias tan exóticas cómo el derivado del ferroceno del tipo K resultan ser componentes sumamente eficaces de los catalizadores con cuya ayuda se produce sólo un enantiómero necesario del aminoácido en forma pura. En cuanto a las tiras de papel torcidas, únicamente cabe señalar que las moléculas del ADN que representan dos cadenas múltiplemente entrelazadas a veces se arrollan en anillos... Es posible que también en la resolución de este enigma nos presten ayuda los modelos preparados de cartulina. Hemos relatado sobre algunos problemas de la estereoquímica.
Más detalladamente sobre esta ciencia se puede leer en los libros y artículos de divulgación científica [18].
Capítulo 14
Nubes electrónicas hechas de arcilla plástica
La base de las ideas modernas acerca del enlace químico quo aúna átomos individuales en tales o cuales moléculas, la constituyo el concepto de electrón, partícula negativamente cargada que es miles de veces más ligera que el núcleo atómico. Desde hace algún tiempo a esta parte (más exactamente, comenzando por los años 20 de nuestro siglo XX) se considera que el electrón, además de ser partícula, es también, simultáneamente, onda. En efecto, algunas propiedades del electrón (por ejemplo, la difracción) se parecen a las propiedades correspondientes de las ondas de luz y de los rayos X. Tratemos de simular algunas propiedades determinadas del electrón.
Con este fin necesitaremos... una cuerda o una palangana con agua. Fijen la cuerda por un extremo y otro extremo, tómenlo en la mano y produzcan oscilaciones en el plano vertical. Las oscilaciones pueden ser simples, como se representa en la fig. 19, a.
Pero, para esta misma cuerda puede obtenerse un cuadro más complicado de oscilaciones (fig. 19, b). Oscilaciones análogas denominadas ondas estacionarias so producen también en una palangana con agua, si dichas oscilaciones se engendran por una cuchara sumergida en el agua.

Figura 19. Oscilaciones de la cuerda dando lugar a la formación de ondas estacionarias.

No vamos a analizar qué es la diferenciación designada por el operador d2/dx2. Lo único que señalaremos es que con este operador se denota cierta operación matemática, cierto procedimiento, después de cuya realización con la función Ψ(x) obtenemos alguna otra función. Si averiguamos qué forma tiene la función Ψ(x), siendo ésta tal que después de haberla sustituido en la ecuación, dicha ecuación se transformará en identidad, en este caso podremos decir que hemos hallado la definición matemática de nuestro sistema. En otras palabras, nuestra tarea consiste en buscar la función Ψ(x) que posee la siguiente propiedad: su segunda función derivada es igual a la propia función Ψ(x) multiplicada por —4π2/λ2 para cualesquiera valores de x. Resulta que puede haber varias funciones de este tipo que «sirven» tan sólo para algunos valores determinados de x. En nuestro caso, matemáticamente, Ψ se expresa por el seno.
Ahora emprendamos el siguiente paso. Figurémonos que Ψ es una función que define no la onda producida por una cuerda, sino una onda que es el electrón. Denominémosla función de onda. Por cuanto el electrón se encuentra en el espacio tridimensional es necesario hacer esta función dependiente de tres coordenadas variables: Ψ(x, y, z). Ya estamos enterados de cómo se escribe la ecuación para semejante función. Por analogía con el caso en que la onda se engendraba en la cuerda, accionemos sobre Ψ mediante cierto operador ^H que lleva el nombre de operador de Hamilton y que incluye la reiterada diferenciación. Continuando nuestra analogía igualemos la función obtenida como resultado a nuestra función Ψ multiplicada por el valor de la energía del electrón E. Efectivamente, la energía del electrón está relacionada con la longitud de «su» onda: cuanto menor es la longitud de onda, tanto mayor es la energía. De esto modo, obtenemos la expresión ^HΨ = EΨ que se denomina ecuación de Schrödinger. Presten atención a que en esta ecuación no se puede simplificar en Ψ debido a que si bien en el segundo miembro tenemos el producto de E por Ψ, en el primer miembro el signo ^H denota qué manipulación debe realizarse con la función Ψ.
No verificaremos aquí la resolución de la ecuación de Schrödinger ni siquiera para el sistema elemental, el de átomo de hidrógeno, por cuanto dicha resolución requiere un conocimiento profundo de la teoría de las ecuaciones diferenciales y, tratándose de átomos más complejos, ésta, en general, no tiene resolución exacta. Sin embargo, a nosotros es completamente suficiente discutir las funciones Ψ obtenidas al resolver la ecuación para el sistema protón más electrón. ¿Pero qué sentido físico tiene la propia función Ψ? Para la onda estacionaria en la cuerda la función unidimensional representa la amplitud de la onda a lo largo de la cuerda. En la fig. 19, b se advierte que Ψ puede tomar valores negativos y en algunos puntos es igual a cero.
Ahora tomemos una decisión bastante arbitraria: la función de onda Ψ refleja la posición del electrón en el átomo. Pero, ¿cómo se puede comprender esta expresión? Es que si el electrón es una onda, entonces él no puede encontrarse en un punto determinado del espacio, y si es una partícula sus coordenadas deben depender del tiempo, entre tanto, en la ecuación de Schrödinger el tiempo no figura. Y ¿qué será sí «extendemos» el electrón por todo el átomo, transformándolo en una nube, y mediante la función de onda vamos a reflejar el grado de «espesura», de densidad de esta nube? Entonces no nos será necesario el tiempo. Pero hay un tropiezo: la función Ψ, por lo visto, puede tomar también valores negativos, ¿y qué es densidad negativa? De esta situación existe una salida: atribuir la densidad de la nube o, en otras palabras, la probabilidad de encontrar el electrón al cuadrado Ψ2 cuyo valor siempre es positivo.
Ahora, cuando sabemos que 1p es cierta función de tres coordenadas x, y y z cuyo cuadrado es igual a la densidad de la probabilidad de hallar el electrón en un punto con cualesquiera coordenadas prefijadas x1, y1 y z1, desconociendo, sin embargo, todavía la forma de esta función, ahora sí podemos prefijar a ésta ciertas propiedades. Si alguna función no satisface estos requerimientos, la desecharemos. En primer término, Ψ debe ser igual a cero a una distancia muy grande desde el núcleo. Efectivamente, es difícil figurarnos una nube de dimensiones infinitas. En segundo término, por cuanto el electrón siempre existe y se halla obligatoriamente en algún lugar la probabilidad total de encontrarlo debe ser igual a la unidad.
Habitualmente, las ecuaciones diferenciales tienen muchas soluciones. En la fig. 19, por ejemplo, se representan en forma gráfica dos soluciones de la ecuación de la onda estacionaria correspondientes a distintos valores de X. En este sentido, la ecuación de Schrödinger no es ninguna excepción. Resulta que a esta ecuación la satisfacen varias funciones y a cada función correspondo su valor concreto de energía. Designemos estas funciones con signos convencionales a medida de crecimiento de la energía: 1s, 2s, 2p, 3s, 3p, 3d... No discutiremos la razón de elegir semejantes designaciones, precisamente. Al valor mínimo de energía, es decir, al estado más estable del átomo de hidrógeno corresponde la función 1s la cual, matemáticamente, tiene el siguiente aspecto:

![]()

Figura 20. Modelos de los orbitales fabricados de arcilla plástica.
El orbital 2s (el siguiente por su energía) tiene la expresión analítica algo más complicada:

Subiendo un peldaño más por la escalera energética llegamos a la función Ψ(2p). Precisamente aquí nos acecha una sorpresa. Resulta que en este caso a la ecuación de Schrödinger le satisfacen tres funciones a la vez. Todas éstas incluyen un término común



Figura 21. Transición de las coordenadas cartesianas a las polares.
φ = 0° | Ψ = 90° | φ = 90° | |||||
Ψ | senΨ·cosφ | φ | senΨ·cosφ | Ψ | senΨ·cosφ | ||
0° | 0,0 | 0° | 1,0 | 0° | 0,0 | ||
45° | 0,7 | 45° | 0,7 | 45° | 0,0 | ||
90° | 1,0 | 180° | -1,0 | … | … | ||
… | … | … | … | … | … | ||
Ahora tenemos que construir las «secciones» del orbital por tres planos, girando el vector en torno al origen de coordenadas para que forme diferentes ángulos Ψ y φ y marcando en el rayo segmentos iguales a los valores de la función (fig. 22).

Figura 22. Secciones de la funciónΨ(2πx).
En la mente del lector debe surgir la siguiente pregunta: al construir el modelo del orbital, ¿no hemos olvidado acaso la segunda parte de la función Ψ que depende de r? No, no la hemos olvidado, pero, lamentablemente, en nada podemos ayudar: en el espacio tridimensional es imposible combinar ambas componentes. Sin embargo, por cuanto es el segundo término, únicamente, el que determina la forma y la orientación del orbital en el espacio, en muchos casos se considera que éste determina también todo el orbital.
Dejamos al lector la posibilidad de determinar por su cuenta la forma y la orientación de los orbitales 2py y 2pz después de lo cual pasemos a la estructura de la molécula orgánica más simple, la de metano, que consta del átomo central de carbono rodeado por un cuarteto de átomos de hidrógeno. Consideremos que el enlace entre dos átomos se realiza en el caso de que sus orbitales se superponen, se solapan. El átomo de carbono tiene cuatro orbitales susceptibles de solaparse: 2s, 2px, 2py, y 2pz. Cada átomo H posee el orbital 1s. Es aquí donde nos acecha una dificultad: ¿cómo ingeniárselas para que cuatro orbitales de hidrógeno se solapen con los de carbono y, además, de tal modo que todos los átomos H se dispongan a igual distancia de C y unos de otros si el orbital 2s representa una esfera, mientras que los orbitales p son ochos orientados a lo largo de los ejes x, y y z?
Hay que recurrir a un ardid: supongamos que los orbitales de algún modo pueden promediarse, formar ciertos híbridos. En la fig. 23 se ilustra de qué modo es posible realizar semejante hibridación, tomando como ejemplo la hibridación sp. Durante este procedimiento las funciones se adicionan.
Por cuanto la función es positiva en todos los casos, mientras que py tiene tanto lados positivos, como negativos, en una parte del espacio es necesario sustraer las funciones de onda. Como resultado, se obtiene, precisamente, la nube — alargada hacia un lado— del orbital híbrido con partes positiva grande y negativa pequeña.
Ahora ya no será difícil construir el modelo de las nubes electrónicas en la molécula de metano. Los cuatro orbitales híbridos sp3 (debido a que están formados por un orbital s y tres orbitales p) están orientados a los vértices del tetraedro y, en los extremos, se solapan con las esferas de los orbitales 1s del hidrógeno (véase la fig. 20 a la derecha).
Fig. 23. Hibridación de los orbitales s y py.
En las publicaciones de divulgación científica [19] se puede leer acerca de la estructura electrónica de átomos y de moléculas. La química es una ciencia experimental. Desde luego, lo mismo se puede decir de la física, de la geología, de la genética, etc. Mas a pesar de todo, cuando nos referimos a la síntesis de sustancias, el papel relativo del experimento en la química supera el correspondiente para muchas otras ciencias. Lo dicho significa que en la química hay todavía muchas observaciones experimentales que no se pueden «verificar» por la teoría y que en muchas ocasiones la teoría aún no puede predecir con éxito la existencia de nuevos compuestos y de nuevas reacciones. Y como consecuencia los químicos se ven obligados a cifrar sus esperanzas en la pura casualidad. Claro, en ello también se encierra un encanto. Sin embargo, no conviene pensar, de ningún modo, que la química sintética es una ciencia completa mente «ciega» y que los químicos ponen los experimentos al azar. Ya en el siglo pasado aparecieron muchas reglas basadas en la generalización de numerosas observaciones, reglas que permitían pronosticar el camino por el cual se desarrollarla la reacción. La más conocida de estas reglas, la regla de Markovnikov, dice que un haluro de hidrógeno, por ejemplo, HCl, reacciona con el etileno sustituido RCH=CH2 de tal modo que el hidrógeno se adiciona a aquel carbono que lleva más átomos de hidrógeno, es decir, en nuestro caso, a CH2.
Hoy en día los químicos conocen muchos métodos y teorías que permiten no sólo predecir si se desarrollará o no se desarrollará la reacción dada y no sólo adivinar los productos de reacción, sino que también dan la posibilidad de proporcionar parámetros numéricos por ejemplo, de las velocidades de las reacciones. Se conocen bien y se han estudiado detalladamente las reacciones de sustitución electrofílica en los compuestos aromáticos, en particular, en los derivados del benceno. Los productos de estas reacciones son sustancias sumamente valiosas. Entre estas últimas figuran aspirina, sulfamidas, colorantes, etc. La reacción típica de sustitución electrofílica es la nitración. En el capítulo «Colorante amarillo a partir del carbón negro» hemos expuesto la metodología de obtención del nitrofenol. Realicen un experimento análogo con el benceno. Tomen un tubo de ensayo con ácido nítrico diluido y añádanle varias gotas de benceno. Pasados varios minutos viertan el contenido del tubo de ensayo a un vaso con agua y, con cuidado, aspiren el olor. No se percibirá el olor a almendras característico para el nitrobenceno. Por consiguiente, en estas condiciones la reacción no se ha desarrollado (sin embargo, como ya hemos señalado, el benceno reacciona con el ácido nítrico concentrado en presencia del ácido sulfúrico).

Figura 24. Curvas cinéticas de acumulación del nitrofenol y del nitrobenceno.




log W = ρσ
Analicemos una reacción descubierta recientemente. Si el platino metálico se cubre con una capa de agua regia (mezcla de ácidos nítrico y clorhídrico) el metal se disolverá, formándose el ácido cloroplatínico H2PtCl6. Este ácido reacciona fácilmente con bencenos sustituidos durante el calentamiento en una disolución de ácido acético. A partir del benceno C6H5X se forma el derivado H2·[XC6H4PtCl5]. A continuación insertamos las velocidades de las reacciones —obtenidas experimentalmente— de los compuestos aromáticos con el ácido cloroplatínico. Al lado damos los valores de Σ correspondientes a los sustituyentes X:| x | W | Σ |
| OCH3 | 8,5 | —0,27 |
| CH3 | 3,0 | —0,17 |
| H | 1,0 | 0,00 |
| F | 0,30 | 0,06 |
| COOH | 0,09 | 0,36 |
| Cl | 0,08 | 0,37 |
Marquen en una hoja de papel milimetrado los valores de Σ y por el eje de ordenadas los valores log W que les corresponden. Los puntos, bastante bien, se disponen en una recta. Tracen esta recta y a partir de la tangente de su inclinación determinen la magnitud ρ. En este caso, el lector llegará a la siguiente forma de la ecuación de Hammett para nuestra reacción: log W = —3Σ. El carácter negativo de la magnitud ρ indica que la reacción con el ácido cloroplatínico es una típica sustitución electrofílica. Entre los datos de que disponemos falta la velocidad de la reacción con el fenol cuando X = OH. Como por los manuales se conoce que para OH, Σ es igual a —0,37, determinen gráficamente o por la ecuación cuántas veces más rápida es la reacción del fenol con el ácido cloroplatínico en comparación con la reacción del benceno con este mismo ácido.
...Parece más cautivador todavía aprender a vaticinar las transformaciones químicas: cuando no se dispone, en general, de datos experimentales algunos, basándose tan sólo en consideraciones teóricas. En este aspecto presta gran ayuda la química cuántica, en particular, uno de sus apartados llamado método de orbitales moleculares. Antes de pasar a entablar conocimiento con este método importantísimo de la química moderna, es necesario proveerse de trozos de alambre grueso de cobre y de pedazos de arcilla plástica de colores negro y blanco.
La propiedad principal de los orbitales atómicos es su capacidad de solapado reciproco. Como resultado de este solapado se forma el enlace entre los átomos. Las nubes pueden solaparse de dos modos. El primero corresponde al caso en que los núcleos de los átomos y las zonas que se solapan se encuentran en un eje. El segundo consiste en que la zona de solapado no se atraviesa por este eje y no se puede hacer girar, sin obstáculos, todas estas bolitas (hechas, por ejemplo, de arcilla plástica) alrededor del eje y (confeccionado de alambre). El primer tipo de enlace se designa con la letra Σ y el segundo, con la letra π (fig. 25). Ocupémonos ahora de la estructura de la molécula de etileno CH2 = CH2. Tenemos dos átomos de carbono cada uno de los cuales posee cuatro electrones.

Figura 25. Solapado de los modelos —fabricados de arcilla plástica— de los orbitales de acuerdo con el tipo σ y π

Figura 26. Modelos de arcilla plástica de la armazón Σ de la molécula de etileno y de loe orbitales π.
Entonces resulta que dos orbitales pz pueden disponerse de dos maneras distintas (véase la fig. 26). ¿A cuál de las estructuras debe darse la preferencia y, en general, en qué se diferencian éstas? Vamos a reflejar el solapado y la combinación de las nubes en forma matemática por adición de las funciones correspondientes a las mismas. De este modo, como resultado del solapado de dos orbitales atómicos (OA) de los átomos A y B se forman los orbitales moleculares (OM), de acuerdo con la ley:
ΨAB = ΨA + ΨB
¿Qué será si se solapan partes de diferentes signos? Es lógico suponer que en este caso (designando el orbital con el asterisco)Ψ*AB = ΨA + (-ΨB) = ΨAB = ΨA — ΨB
Así pues, para la segunda variante tenemos le diferencia de las funciones. Calculemos la densidad electrónica entre los átomos CA y CB en ambos casos. Esta es igual al cuadrado del orbital molecular (OM):(ΨAB)2 = (ΨA + ΨB)2 = ΨA2 + ΨB2 + 2ΨA·ΨB
Como se conoce, el cuadrado de diferencia será:Ψ*AB2 = (ΨA — ΨB)2 = ΨA2 + ΨB2 — 2ΨA·ΨB
Por consiguiente, en el segundo caso, como resultado de la formación del orbital molecular la densidad electrónica entre los átomos disminuye, y para el etileno ésta es igual a cero, por cuanto ΨA = ΨB. Esta es la razón por la que semejante orbital molecular Ψ* lleva el nombre de antienlazante. En cuanto al primer OM, éste es muy ventajoso para la formación de enlace, y por lo tanto, lleva el nombre de enlazante. No es de extrañar que su energía sea mucho más baja que la de cada OA (fig. 27). Debido a que en cada orbital (molecular o atómico) pueden encontrarse dos electrones (y no más) está claro que en el etileno ambos electrones π se disponen en el orbital más ventajoso, o sea, en el enlazante. En la figura los electrones vienen representados por las flechas.
Figura 27. Energías de los orbitales atómicos (OA) de los átomos A y B y de los orbitales moleculares (OM) formados a partir de éstosΨ y Ψ*
El lector verá que esto se puede hacer de cuatro maneras (fig. 28). El orbital más ventajoso es Ψ1, su energía es mínima (por esta causa la hemos representado en la parte inferior) ya que aquí interactúan eficazmente y se solapan por el tipo a todas las cuatro nubes.

Figura 28. Modelos de los orbitales moleculares (OM) del butadieno.


Figura 29. Solapado de los orbitales durante la ciclodimerizaclón del butadieno con el etileno y de dos moléculas de etileno.


Capítulo 16
Polímeros que existen en el mundo
Hoy día se conoce una multitud inmensa de polímeros. Pues, en esta situación se necesita cierta clasificación. He aquí una de las posibles variantes. En rasgos generales, todos los polímeros pueden dividirse en tres clases: polímeros naturales (separados de los productos naturales), polímeros artificiales (es decir, obtenidos tratando los polímeros naturales con ciertos reactivos químicos) y, finalmente, polímeros sintéticos (obtenidos a partir de monómeros en las plantas químicas). Dentro de cada una de estas clases es conveniente subdividir los polímeros en correspondencia con el tipo de agrupaciones a partir de las cuales vienen construidas las cadenas polímeras. Por supuesto tanto los polímeros naturales, como los sintéticos pueden tener una estructura aproximadamente idéntica. Por esta razón, los polímeros sintéticos, con frecuencia, acusan propiedades similares a las de los materiales naturales. La clasificación de los polímeros puede verificarse también basándose en otros indicios, por ejemplo, los mismos se pueden dividir en fibras y películas. Es posible asimismo referir los materiales a talo cual clase en dependencia de la estabilidad del polímero frente a, digamos, calentamiento.
Examinemos consecutivamente los polímeros más conocidos, eligiendo como baso de su clasificación su estructura química. La estructura más simple la tienen los polímeros que pertenecen a la clase de los llamados compuestos de cadena carbonada: en estos compuestos la cadena es constituida tan sólo por los átomos de carbono. Los átomos de carbono pueden enlazarse solamente con átomos de hidrógeno o de carbono. En este caso se trata de polímeros que representan hidrocarburos saturados: polietileno y polipropileno. He aquí la ecuación de la reacción de formación del polietileno a partir del etileno:
nCH2=CH2 → [—CH2—CH2—]n
El polietileno se aplica ampliamente en la vida cotidiana: de éste se prepara una película blanquecina transparente, el mismo se utiliza para fabricar material aislante para los dispositivos radiotécnicos, con polietileno se impregnan tejidos y papel. Del polipropileno se preparan fibras muy resistentes. A temperatura ambiente estos materiales no se disuelven en ningún disolvente, pero basta con elevar la temperatura hasta 80 °C para que éstos comiencen a hincharse y, después, disolverse en tetracloruro de carbono o en tolueno. El polietileno es fácil de distinguir entre otros materiales polímeros. Introduzcan un pedacito de película de polietileno en la llama del mechero de gas. El polietileno funde, escurre en gotas y, después, comienza a arder, primero con llama azulada y, luego, amarilla. Simultáneamente se percibe el olor a parafina. Este hecho no es de extrañar, ya que el polietileno y la parafina tienen la misma composición.Si en el etileno uno de los átomos de hidrógeno se sustituye por el anillo de fenilo, se obtendrá el estireno que, con facilidad, se polimeriza en poliestireno

En la cadena larga del polietileno algunos átomos de hidrógeno se pueden sustituir por los átomos de un halógeno, de oxígeno, de nitrógeno, obteniéndose polímeros con nuevas propiedades valiosas. Sin embargo, la sustitución de los átomos de hidrógeno directamente en el polietileno constituye un trabajo sumamente difícil e, incluso, imposible en general. En este caso se procede de otra manera: se sustituye uno o varios hidrógenos en el etileno y, luego, se polimeriza el producto obtenido. Ho aquí la más sencilla variante: sustituimos en el etileno un hidrógeno por cloro y sometemos a polimerización el cloruro de vinilo:

Es muy valioso el producto de polimerización del etileno totalmente fluorado, o sea, el politetrafluoroetileno o teflón:
nCF2=CF2 → [—CF2—CF2—]n.
El teflón es un polímero blanco que no se disuelve en ningún disolvente, no cambia durante el enfriamiento hasta —100 °C o el calentamiento hasta +250 °C. El teflón no se destruye ni siquiera al tratarlo con los ácidos clorhídrico, sulfúrico o nítrico. Del teflón se fabrican artículos .electrotécnicos, éste se utiliza en radiotecnia, se emplea para la producción de tubos y bombas altamente resistentes desde el punto de vista químico, del teflón se preparan también fibras. El politetrafluoroetileno es fácil de distinguir por su color blanco y al tacto es «grasoso» como el mármol.El teflón es un producto opaco que guarda poco parecido con el vidrio. El polietileno deja pasar los rayos de luz, y si una película de polietileno se aplica a una hoja con texto impreso, este texto será fácil de leer. Pero, a pesar de todo, el polietileno tampoco se parece mucho al vidrio: a gran distancia, la película hecha de este material tiene aspecto de enturbiada, de modo que, a través de ésta, es imposible ver algo como es debido. Pero si en la cadena polietilénica, en cada segundo átomo de carbono, un hidrógeno se sustituye por metilo y el otro por el grupo de éster —COOCH3, se obtendrá un polímero en alto grado transparente, el polimetacrilato de metilo:

En la cadena hidrocarbonada de una molécula polímera pueden incluirse anillos bencénicos. Añadan a una cucharadita de fenol cristalino que se encuentra en un tubo de ensayo o en el fondo de un vaso un volumen igual de disolución de formaldehido en agua (formalina el 40%). Remuevan el contenido con una varilla de vidrio y añadan a la mezcla varias gotas de ácido clorhídrico concentrado. Inmediatamente, sumerjan el tubo de ensayo en agua fría. Pasados varios segundos, introduzcan en el tubo de ensayo una varilla de madera o de vidrio y trasladen la bolita de masa viscosa adherida a la varilla al otro tubo de ensayo que contiene alcohol. El polímero formado se disuelve en este alcohol. ¿Qué polímero es éste? Por acción del ácido el formaldehido CH2O sustituye en el fenol los átomos orto de hidrógeno:


Pasemos ahora a polímeros de cadena heterogénea cuyos hilos, además de los átomos de carbono, incluyen también átomos de nitrógeno, de oxígeno y de otros elementos. He aquí tres polímeros de cadena heterogénea a partir de los cuales se preparan fibras:

También las fibras naturales: lana, seda, lino, algodón, pertenecen a polímeros de cadena heterogénea. La lana y la soda se componen de proteínas y la proteína, como se conoce, consta de aminoácidos. De este modo, la lana y la seda representan fibras poliamídica. En la composición de la lana entra la proteína llamada queratina que contiene una cantidad bastante grande de azufre. En cambio, las proteínas que integran la seda, prácticamente, no contienen azufre. Esta es la razón por la cual no es difícil distinguir la seda de la lana por el olor, si la fibra a ensayar se introduce en la llama del mechero de gas. La lana arde despidiendo un olor desagradable más manifiesto de pelo quemado. Tomen un hilo blanco de lana y sumérjanlo en un tubo de ensayo con ácido nítrico concentrado, calentando con cuidado el' tubo. La lana tomará un color amarillo vivo. Esta es la reacción de identificación para la proteína. Laven el hilo con agua y sumérjanlo en la disolución acuosa concentrada de amoníaco. La lana tomará el color anaranjado. El lino y el algodón, al igual que el papel constan de celulosa. Por esta causa dichos materiales arden despidiendo olor a papel quemado. La celulosa es un polisacárido, y el fragmento que se repito en ésta múltiplemente es el anillo hexagonal que incluyo un átomo de oxígeno. El polisacárido natural —el algodón— puede someterse a tratamiento químico y modificarse, obteniéndose productos artificiales. Con esto fin, al principio, es necesario preparar la mezcla nitrante: tomen un vaso que contiene ácido nítrico concentrado, sumérjanlo en un recipiente con agua fría y añadan a este vaso, con muchísimo cuidado, un poco de ácido sulfúrico concentrado. Sumerjan en esta mezcla para dos o tres minutos (¡no más!) un pedacito de algodón on rama de tamaño de nuez. Pasado este lapso, saquen el pedacito de algodón con una varilla de vidrio y colóquenlo bajo el chorro de agua del grifo. Dentro de varios minutos expriman el algodón y extiéndanlo en una hoja de papel secante para que se seque al aire. De este modo se ha obtenido el dinitrato de celulosa, sustituyendo los átomos de hidrógeno en los grupos hidroxilo de la molécula poli mera de celulosa por grupos nitro. Después de secarse el dinitrato de celulosa, disuélvanlo on una mezcla de éter y alcohol (on una proporción 2 : 1, aproximadamente). Se obtendrá una disolución viscosa quo lleva el nombro de colodión y se utiliza para hermetizar tapones on los frascos con diferentes líquidos. También es conveniente recurrir al colodión para cubrir pequeñas heridas en la piel. En otro experimento, a la disolución de alcanfor en alcohol (puede utilizarse también alcohol alcanforado) se debe añadir, poco a poco, el dinitrato de celulosa humedecido con alcohol. Remuevan meticulosamente la masa obtenida y aplícanla en una capa uniforme a una chapa metálica. Al cabo de cierto tiempo el alcohol se evapora, dejando una película de material llamado celuloide. Los nitratos de celulosa se emplean para la producción de películas, barnices y materias plásticas. En lugar del ácido nítrico se puede utilizar el ácido acético; en este caso se obtienen acetatos de celulosa quo sirven para la producción de película cinematográfica incombustible y de fibra de acetato.
Sobre los polímeros se puedo leer en los libros de divulgación científica [20].
Capítulo 17
¿Por qué la goma se puede estirar?
Pero, por muy extraño que parezca, la teoría de la «extensibilidad» de la goma sólo fue creada en 1932 por el científico suizo Meyer.
La base de la goma la constituye el caucho. Esta sustancia se compone de largas moléculas polímeras. Algunos átomos de carbono en esta molécula vienen unidos por dobles enlaces. Cada molécula de caucho consta de varios miles de eslabones y la masa molecular de la sustancia llega a centenares de miles. Entonces, ¿cuál es la longitud de le molécula polímera? Si la molécula so estira en un hilo su longitud será del orden de un micrón. El lector puede preparar el »modelo» de semejante molécula. Tomen un hilo de seda de medio metro de longitud: este hilo reflejará la relación entre el espesor de la molécula y su largo. Un poco antes hemos dicho: «si la molécula se estira en un hilo»... Se trata de que en realidad en un sólido o en disolución las moléculas de muchos polímeros se disponen en forma de curvas en zigzag. Echen nuestro modelo de la molécula, o sea, el hilo, sobre la superficie de agua. El hilo tomará le forma de una curva caprichosa. La forma de la molécula puede predecirse teóricamente. Hagan un experimento que recuerda el juego de gallinita ciega. Venden los ojos a un compañero, háganlo dar algunas vueltas y pidan quo haga un paso. Marquen en el papel la dirección de su movimiento. Ahora, otra vez, háganlo dar vueltas y, después, hacer un paso. De este modo se obtendrá una curva quebrada que representa el modelo matemático de molécula polímera. Cuantos mis pasos haga nuestro compañero con tanta mayor precisión nos acercaremos a la forma de cierta molécula media estadística. Resulta que es posible calcular las dimensiones de tal «ovillo». En verdad, cabe señalar que, realmente, las moléculas se disponen en un espacio tridimensional, mientras que nosotros «trabajamos» en un plano, sin embargo, esta circunstancia no altera los principios del análisis. La distancia entre los extremos de la molécula r, es decir, entre el comienzo y el final del camino recorrido por nuestro compañero se expresa mediante la siguiente fórmula:
r = l·√n
donde l es la longitud de su paso, y n, el número de pasos. Por supuesto, de aquí no se infiere que si el lector toma la cinta métrica y mide la distancia r en metros, esta distancia coincida exactamente con la calculada por la fórmula. Pero si el juego se repite múltiplemente, resultará que cuanto mayor sea el número de juegos, tanto más se aproximará. el valor de r al calculado por la fórmula. Precisamente por .esta razón r lleva el nombre de media estadística. En cuanto a la longitud de la molécula, es decir, todo el camino recorrido por nuestro compañero, esta longitud es igual ah = l·n
La relación h/r indicará el grado de «arrollamiento» de la molécula o bien, la escala de «aberraciones» en el itinerario de nuestro compañero. Esta relación es igual a:h/r = √n
es decir, cuanto más larga es la molécula tanto más ésta resulta arrollada.El lector puede hacer la siguiente sugerencia: por lo tanto, la causa de la elasticidad del caucho radica en que cuando lo estiramos resulta que enderezamos las moléculas arrolladas. Si, en efecto, así es, sin embargo, aquí hay una contradicción. Procuremos simular el siguiente proceso. Echemos sobre el agua varios hilos que no estén en contacto entre sí. Tiren de dos hilos en diferentes direcciones. Cuando la «tracción» haya cesado, los hilos no volverán a su posición inicial, o sea, no se obtendrá elasticidad reversible. De este modo, hemos simulado no la goma, sino la parafina blanda y plástica. Ahora hagan lo siguiente. Tomen nueve hilos y átenlos con nudos para que se forme una red regular. Coloquen esta red sobre la superficie del agua y, con cuidado, procurando que los hilos no se adhieran, tiren de un extremo, sujetando ligeramente el otro. Suelten los hilos, y la red, paulatinamente, regresará a su posición inicial. Esta vez sí que hemos obtenido el modelo de la goma. El papel de los nudos que sujetan las moléculas individuales de caucho en la goma lo desempeñan los puentes a partir de átomos de azufre. Estos puentes se introducen durante la vulcanización del caucho, o sea, durante su tratamiento con azufre a temperatura elevada.
Con esta explicación surgen varias preguntas.
Primera pregunta. ¿Qué factor obliga a la red estirada a retornar al estado inicial después de que se ha eliminado el esfuerzo de tracción? La causa reside en que las moléculas poseen energía cinética y se encuentran en movimiento constante. En la goma las «ataduras» no permiten a las gigantescas moléculas desplazarse una respecto a otra por impacto del calor. Pero el movimiento térmico «divorcia» las partes individuales de las moléculas y arrolla las moléculas largas. Precisamente este movimiento térmico hace volver la red a la posición inicial. Si se extiende una tira de goma y, después, se congela hasta una temperatura muy baja, las moléculas perderán una parte considerable de energía cinética y la goma estirada ya no podrá retornar al estado inicial. Sin embargo, caliéntenla hasta la temperatura ambiente y la goma volverá a contraerse. La goma posee una propiedad asombrosa a primera vista. Se conoce que todos los cuerpos y líquidos «normales». se dilatan durante el calentamiento. La goma, por el contrario, se contrae.
Realicen el siguiente experimento. Hinquen en una varilla dos clavos y únanlos con un muelle metálico que lleva atada una tira de goma. Si esta tira de goma se sumerge en agua caliente, advertiremos que se contrae, lo que se nota por el alargamiento del muelle. Se trata de que, al elevar la temperatura, aumentamos la energía cinética de las moléculas y la red tiende a contraerse.
Segunda pregunta. El caucho no tiene ataduras transversales por medio de puentes de azufre y las moléculas individuales no están ligadas entre sí. No obstante, el caucho también se estira reversiblemente (aunque se parece a la parafina). ¿Cuál es la razón de ello? Resulta que en el caucho también existen nudos que unen las moléculas largas. Estos nudos se crean debido a que semejantes moléculas se enmarañan y se entrelazan como hilos individuales en un trozo de algodón en rama. Sin embargo, la ausencia de verdaderos nudos resistentes que ligan las moléculas conduce a que el caucho es menos elástico que la goma. Por esta misma causa el caucho se disuelve en gasolina, mientras que la goma tan sólo se hincha en ésta (compruébenlo).
Tercera pregunta. ¿Cuál es la razón de que muchos materiales polímeros, por ejemplo, el polietileno, se estiran irreversiblemente, es decir, no se contraen una vez desaparecida la fuerza de tracción? En este caso, el asunto radica en que, a diferencia del caucho, las moléculas de polietileno se empaquetan ordenadamente en cristales. Semejantes moléculas únicamente, pueden deslizarse unas respecto a otras.
Hemos hablado acerca de la masa molecular de los polímeros y acerca de que los científicos conocen los valores de la masa molecular de los materiales polímeros. También hemos mencionado que la extensión real de una molécula es menor que su longitud en estado estirado. ¿Cómo los científicos averiguan semejantes cosas? Por cuanto el microscopio no da la posibilidad de examinar ni siquiera una molécula grande y larga de polímero, se aplican métodos indirectos. El método más sencillo de determinar la masa molecular de una sustancia es medir la elevación de la temperatura de ebullición de su disolución. Disuelvan en agua sal común, viertan la disolución en un matraz y caliéntenla hasta ebullición. Calienten en las mismas condiciones un volumen igual de agua pura. Se advierte que la disolución comienza a hervir más tarde en comparación con el agua. La disolución de sal se congela a temperatura más baja que el agua. Se puede cerciorarse de ello poniendo los dos líquidos en la nevera. La diferencia en las temperaturas de ebullición o de congelación de la disolución y del disolvente puro depende de la concentración de la sustancia disuelta y de su masa molecular.
Pues ¿de qué modo puede averiguarse la forma de las moléculas en la disolución? En este caso ayuda la medición de la viscosidad de la disolución. Cuanto más largas son las moléculas, cuanto más están extendidas en una cadena, con tanta mayor facilidad pueden entrelazarse y tanta mayor resistencia oponen a las moléculas «fluyentes» de agua. He aquí una analogía muy aproximada: es mucho más fácil dejar pasar a través de un embudo cónico arena de río integrada por partículas menudas que «trefilar» un trozo de algodón en rama que consta de largas fibras entrelazadas.
Para concluir este capítulo vamos a sugerir una idea perteneciente ya al ámbito de ciencia-ficción. El principio de elasticidad de la goma puede representarse de la siguiente manera:


En cierto sentido, el organismo humano puede compararse con el motor de combustión interna puesto que, a semejanza de éste, transforma la energía química de las sustancias suministradas con los alimentos en movimiento y calor. Los alimentos los constituyen las proteínas, los hidratos de carbono, las grasas; las vitaminas, las sales, el agua. Todos estos componentes son de vital importancia, son imprescindibles, y cada uno desempeña animación, en el organismo. De «combustible» para el hombre y los animales sirven los hidratos de carbono, carbohidratos. Estos compuestos contienen como si fuera varias moléculas de agua y unos átomos de carbono, razón por la cual, precisamente, los mismos recibieron su nombre. Por ejemplo, la fórmula del hidrato de carbono más conocido y más importante que es la glucosa es C6H12O6 o C6(H2O)6. ¿Cómo, pues, está estructurada la molécula de glucosa? Esta representa, simultáneamente, tanto un alcohol que con tiene cinco grupos hidroxio OH, como un aldehído (con el grupo CHO). La molécula de glucosa: puede existir en tres formas: dos cíclicas y una de cadena abierta, que se encuentran en equilibrio constante. La presencia en la glucosa de los grupos —OH y —CHO es fácil de demostrar por medio de los siguientes experimentos. Viertan al fondo de un vaso varias gotas de disolución acuosa de glucosas y añádanle 2 ó 3 gotas de disolución de sosa cáustica (hidróxido de sodio). Ahora añadan gota a gota la disolución de sulfato de cobre hasta que se forme un enturbiamiento que no desaparece. Calienten el vaso en una cacerola con agua caliente. Aparece una coloración amarilla y, seguidamente, se forma un precipitado. Esta reacción consiste en la oxidación del grupo aldehídico de la glucosa a grupo carboxilo —COOH. El oxidante: el hidróxido cúprico, se reduce en este caso a óxido cuproso Cu2O representado, precisamente, por el precipitado de color amarillo.
He aquí otro experimento análogo. Disuelvan en varias gotas de agua un pedacito de piedra infernal (nitrato de plata) y añadan hidróxido de amonio hasta la disolución del precipitado y, luego, un poco de glucosa. Al calentar el vaso en el baño de María la plata se reduce y precipita en forma de sedimento negro. Los experimentos expuestos se realizaron para confirmar la existencia del grupo aldehídico. Ahora llega el turno de las reacciones en las cuales participarán los hidroxilos. Echen al fondo de un vaso o a un vidrio varias gotas de disolución de sulfato de cobre y añadan la disolución de hidróxido de sodio. Se forma el precipitado de hidróxido de cobre al cual se debe añadir, gota a gota, la disolución de glucosa. Se forma un compuesto de cobre por los oxígenos de los grupos hidroxilo de la glucosa y, como resultado, la disolución toma coloración azul.
La glucosa es un compuesto muy difundido en la naturaleza, pero, con mucha frecuencia la misma se halla en estado combinado. Vamos a referirnos aquí a los derivados más conocidos de la glucosa. La molécula de azúcar ordinario (sacarosa) consta de dos partes: glucosa y fructosa. Pero éstas están enlazadas de tal modo que el grupo aldehídico de la glucosa es incapaz de reducir el hidróxido de cobre (compruébenlo). Sin embargo, los grupos hidroxilo revelan fácilmente su presencia (realicen la correspondiente reacción). El azúcar puede descomponerse en sus partes integrantes: la glucosa y la fructosa, al hervirlo con ácido. Echen a un tubo de ensayo un poco de disolución de azúcar y varias gotas de ácido sulfúrico diluido. Después de hervir el contenido durante 2 ó 3 minutos y neutralizarlo con disolución de álcali, en la disolución puede descubrirse la glucosa. El azúcar representa un damero cuya molécula consta de dos unidades de carbohidratos elementales. Sin embargo, la glucosa puede también formar cadenas polímeras largas. En dependencia del modo de unirse los eslabones se obtiene ya sea el almidón, o bien, la celulosa. Añadan a la disolución de almidón (engrudo de almidón) una gota de tintura de yodo. La coloración azul se debe a que la molécula de almidón que representa un cilindro largo y hueco absorbe las moléculas diatómicas de yodo formándose el llamado compuesto de inclusión (clatrato). Añadan a la disolución de sulfato de cobre que se encuentra en el fondo de un vaso gran cantidad de hidróxido de amonio. Echen a la disolución obtenida un pedazo de algodón. Al cabo de cierto tiempo éste se disolverá. Si ahora añadimos al vaso ácido clorhídrico diluido la celulosa vuelve a separarse de la disolución. Tanto el almidón, como la celulosa, al calentarlos con las disoluciones de ácidos, se descomponen en moléculas de glucosa individuales.
Así, pues, los alimentos sirven de fuente de energía. Bueno ¿de qué modo se consume este «combustible» y cómo se utiliza la energía que contienen? Supongamos que estamos almorzando y hemos metido en la boca unos pedacitos de pan y de patatas cocidas. El pan contiene cerca de 50% de almidón y las patatas, aproximadamente, 20 % de éste. Hemos comido arroz o arroz con leche. El arroz contiene 80% de almidón. Para terminar, hemos tomado un vaso de té con azúcar. Por consiguiente, al almorzar, hemos introducido en el organismo una porción de carbohidratos. Ya en la boca los alimentos comienzan a transformarse. Sobre el almidón, la celulosa y el azúcar actúan catalizadores orgánicos llamados enzimas. Estas desintegran los sacáridos complejos en eslabones de glucosa. El proceso que requiere ebullición en ácido durante muchos minutos, las enzimas lo realizan en varios segundos. Cada cadena de almidón o de celulosa se desintegra en muchos miles de moléculas de glucosa. La descomposición de los polímeros se consume en el estómago por acción del jugo ácido. A través de las paredes del intestino la glucosa se absorbe a la sangre y es transportada por ésta por todo el organismo. Gracias a la sangre cada célula obtiene regularmente su porción de glucosa. Pero las células consumen la glucosa de modo no uniforme, ya que durante un trabajo arduo se necesita mayor cantidad de energía que durante el reposo. Si la sangre contiene más glucosa que necesitan las células en el momento dado, el exceso de azúcar, junto con la sangre, llega al hígado donde vuelve a polimerizarse en moléculas largas de glicógeno, almidón animal. Pero ¿de qué modo la sangre «adivina» que el exceso de glucosa debe reservarse para el futuro? Para hacerlo existe una hormona especial, insulina, producida por páncreas. Si las células necesitan energía complementaria, el glicógeno se desintegra y la glucosa que se forma es transportada por la sangre a las células.
Pero he aquí que la molécula de glucosa ha penetrado en la célula. ¿Qué ocurre una vez sucedido esto? Las transformaciones que se operan son complicadas y de etapas múltiples, pero, actualmente, los científicos ya los conocen en rasgos generales. En estas transformaciones toman parte enzimas especiales y acumulador de energía cuyo nombre es adenosintrifosfato (ATP). Es un compuesto bastante complejo que, al separar un grupo fosfato, se transforma en adenosindifosfato (ADP). En este caso, precisamente, se libera la energía necesaria para la célula. En la primera etapa la molécula de glucosa reacciona con la enzima glucoquinasa y, con la molécula de ATP. La última, en estas circunstancias, cede su energía, transformándose en ADP. Seguidamente, comienza toda una cadena de transformaciones en las cuales la molécula de glucosa se fracciona en fragmentos menores. Como resultado de todos estos procesos se forman moléculas de ATP, es decir, la célula recibe energía. La sustancia intermedia en las transformaciones de la glucosa es el ácido pirúvico CH3COCOOH. Este compuesto se ve arrastrado al remolino de nuevas reacciones y, al reaccionar con el oxígeno (que es suministrado a la célula por la hemoglobina de la sangre), se transforma consecutivamente en ácidos cítrico, oxálico-succínico, succínico, málico y, finalmente, en dióxido de carbono y agua los cuales se evacuan de la célula por la sangre. Todo el proceso de oxidación de glucosa durante la respiración incluye 22 reacciones químicas consecutivas y requiere la participación de dos decenas de enzimas. Por una molécula «consumida» de glucosa la célula recibe 38 moléculas de ATP obtenidas de ADP. El rendimiento de la célula es igual a 45%.
¿A dónde se dirige toda esta energía? En primer lugar, para mantener la temperatura necesaria del cuerpo. Es que muchos procesos en la célula no pueden realizarse a temperatura rebajada. Cualquier proceso operado en la célula requiere energía. Esta energía se libera durante la transición ATP → ADP. Por ejemplo, se conoce que la proteína especial del músculo, la miosina, es capaz de desintegrar la molécula de ATP. A resultas de esta interacción química la molécula de proteína se acorta y el músculo se contrae. Tal es el mecanismo de transformación de la energía química de los carbohidratos de los alimentos en movimiento de los músculos.
En el caso de que se tenga una gran cantidad de oxígeno, el ácido pirúvico formado como producto intermedio en el proceso de oxidación se oxida totalmente a dióxido de carbono y agua. En cambio, cuando falta el oxigeno este compuesto, por acción de sustancias especiales, se reduce a ácido láctico CH3CH(OH)COOH. No es de extrañar que en los músculos de los deportistas que acaban de experimentar un gran esfuerzo físico se observe el contenido elevado de ácido láctico: es que la cantidad de oxigeno es insuficiente para oxidar toda la glucosa, mientras que se requiere mucha energía. Finalmente, cuando sobre la glucosa actúan los microorganismos micóticos: las levaduras, ésta, al igual que durante la respiración ordinaria, se transforma en ácido pirúvico el cual, seguidamente, al desprenderse el dióxido de carbono, da el aldehído acético CH3CHO. Ya a partir de este último la enzima deshidrogenasa de etanol y una sustancia reductora especial «obtienen» el alcohol etílico (fig. 30).
Los carbohidratos no son únicos compuestos que proveen nuestro organismo de energía. El segundo tipo de «combustible» para los organismos vivos son las grasas. Las grasas son ésteres de ácidos orgánicos y de alcohol triatómico, glicerina.

Fig. 30. Caminos de oxidación de los carbohidratos en el organismo.
Se conoce un número ingente de sustancias proteínicas. Pero todas estas constan de partes integrantes parecidas entre sí: aminoácidos. En la molécula de aminoácido conviven dos grupos opuestos por sus propiedades: grupo carboxilo ácido y grupo amino básico. Debido a estos grupos es posible construir cadenas largas uniendo fragmentos de aminoácidos:

Separen la clara de huevo de la yema, batiéndola bien y diluyendo con una cantidad aproximadamente décupla de agua. Ahora filtren la disolución a través de una capa doble de gasa. En la disolución está presente la proteína de huevo llamada albúmina y el residuo lo forma la proteína llamada globulina. La globulina puede disolverse añadiéndole una disolución de sal común. Viertan al fondo de un vaso o a un vidrio varias gotas de disolución de albúmina, añadan la disolución de álcali y una o dos gotas de disolución débil de sulfato de cobre. Aparece una coloración violeta. Los átomos de oxígeno y de nitrógeno de los enlaces peptídicos de la proteína forman complejo con el cobre.
El orden de alternancia de aminoácidos en la cadena larga de la molécula de proteína se denomina su estructura primaria. Actualmente, los científicos saben determinar las estructuras primarias de moléculas proteínicas muy complejas, pero este trabajo es sumamente minucioso y prolongado. Para establecerla estructura primaria de la proteína su molécula, mediante sustancias especiales, se «descose» en fragmentos individuales compuestos de varios aminoácidos. No es difícil determinar la estructura de semejantes fragmentos. A continuación se componen cartas especiales por las cuales se reproduce la estructura de toda la molécula de proteína. Los químicos han aprendido también a sintetizar la proteína artificialmente. Con este fin, la cadena se hace incrementar en un aminoácido, hasta que se obtenga la molécula entera.
Los átomos de hidrógeno de los grupos amino de la cadena proteínica pueden trabar los llamados enlaces de hidrógeno con los oxígenos de los grupos carbonilo C = O. Cada hidrógeno del grupo NH elige para sí el grupo CO desde el cuarto radical de aminoácido. Como resultado, toda la cadena larga de aminoácidos se dispone en espiral regular. Cada aminoácido puede anotarse por medio de la fórmula H8NCH(R)COOH. Aquí, los grupos —R, o radicales, representan hidrógeno, metilo o formaciones más complejos, por ejemplo: —CH2CH2CH8CH2NH2. Hablando con propiedad, los aminoácidos se diferencian, precisamente, por estos grupos. Cuando la cadena proteínica se dispone en espiral, los radicales resultan por diferentes, lados respecto a este cilindro helicoidal. La espiral se denomina estructura secundaria de la proteína. Los grupos —R dentro de los límites de una molécula proteínica larga también pueden entrar en acción recíproca en determinadas combinaciones, atraerse unos a otros. Esto significa que la molécula helicoidal forma, además, un ovillo. Pero este ovillo no resulta «casual», no «como Dios manda», sino se arrolla de acuerdo con un plan estrictamente prefijado (aquí podemos hacer el parangón con el modo de plegar las camisas de caballero en la respectiva tienda). Deviene claro para qué necesitan las proteínas estos grupos —R y por qué causa obtendremos una proteína completamente diferente, al sustituir tan sólo en un lugar únicamente un grupo —R. La molécula arrollada en ovillo proporciona la estructura terciaria. Pero todavía no hemos terminado. Varios ovillos de moléculas proteínicas pueden juntarse, formándose la estructura cuaternaria. Precisamente de este modo se desarrollan los acontecimientos en el caso de la molécula de hemoglobina. La determinación de las estructuras terciaria y cuaternaria de la proteína cuesta trabajo. Pare eso se recurre a la radiografía de los cristales de proteína mediante rayos X.
Todas las cuatro estructuras de la proteína se pueden simular en rasgos generales del siguiente modo. Tomen un alambre largo y liso, éste representará la estructura primaria de la molécula de proteína. Ahora doblen este alambre como espiral para cocina eléctrica; se ha obtenido el modelo de la estructura secundaria. Compriman la espiral en un ovillo enmarañado ésta será la estructura terciaria. Unan en un conjunto varios de estos ovillos y se sintetizará proteína en estado natural. En efecto, solamente una molécula que posee estructuras terciaria y cuaternaria puede «trabajar» en el organismo. Sin embargo, semejante estructura es fácil de alterar. Un experimento correspondiente lo realizaba cualquier persona al cocer huevos de gallina. ¿Qué ocurre, al fin y al cabo, con, la albúmina del huevo de gallina, una sustancia tranparente líquida y soluble en agua? Resulta que durante el calentamiento se rompen los enlaces de hidrógeno entro los grupos —R que mantienen la molécula proteínica en forma de ovillo compacto. La estructura terciaria se altera. Por supuesto, la proteína cuyas moléculas representan largos hilos entrelazados no se disolverá. La desnaturalización de la proteína, es decir, la destrucción de la estructura terciaria, puede realizarse también por otros procedimientos. Añadan a la disolución acuosa de albúmina del huevo alcohol o acetona y la disolución se pondrá turbia: La desnaturalización todavía no ha ocurrido, simplemente la albúmina ha precipitado. En efecto, es suficiente añadir agua para que ésta se vuelva a solubilizar.
Sin embargo, si dejamos este precipitado permanecer en tal estado durante cierto tiempo, la estructura terciaria se perderá para siempre.
Las proteínas suministradas con los alimentos se desintegran en el estómago en pequeños fragmentos individuales los cuales, en el intestino, se destruyen hasta algunos aminoácidos. Desde el intestino estos compuestos se absorben por la sangre que los transporta por todas las células del organismo. En las células los aminoácidos vuelven a combinarse en proteínas, pero ya otras, necesarias precisamente para dichas células. La síntesis de la proteína en la célula requiere un consumo de energía, y aquí entran en acción las moléculas acumuladoras de ATP que han recibido energía a costa de oxidación de la glucosa. Algunos aminoácidos, por ejemplo, la valina, la leucina y la lisina intervienen como ingredientes imprescindibles de les alimentos. Estos aminoácidos son los llamados aminoácidos insustituibles. Su suministro diario junto con los alimentos debe constituir cerca de 30 g. En cambio, le presencia en los alimentos de otros aminoácidos: la alanina, la asparagina y la glutamina, no es obligatoria, debido a que en caso extremo el organismo, por sí mismo, puede sintetizarlos.
Hemos relatado sobre la química de los alimentos y, de paso, hemos expuesto algunas cuestiones que atañen la bioquímica. Acerca de la bioquímica y de los experimentos que se pueden realizar con las proteínas, los hidratos de carbono y con otras sustancias de los organismos vivos véanse los libros [21].
Capítulo 19
Vitaminas vistas por los químicos
Actualmente contamos con varias decenas de diferentes vitaminas; se conoce su estructura química y casi todas éstas se sintetizan industrialmente. En el organismo las vitaminas entran como partes integrantes en las moléculas de enzimas. El organismo animal es incapaz de producir vitaminas por sí mismo, razón por la cual éstas, obligatoriamente, deben suministrarse con los alimentos. Relatemos ahora acerca de algunas sustancias vitamínicas. Casi todas estas sustancias so designan con letras latinas. Así, pues, vamos a seguir el alfabeto.
Cuando en los alimentos es insuficiente la cantidad de vitamina A se altera el metabolismo, al hombre se le caen los cabellos y él comienza a adelgazar. Pero lo principal en que se manifiesta la escasez de esta vitamina está relacionado con la vista: se observa el reblandecimiento de la córnea y la sequedad en los ojos, se pierde la capacidad de ver en el crepúsculo (hemeralopía). La molécula de vitamina A (llamada también retinol) se compone de una cadena larga de átomos de carbono unidos alternativamente por enlaces simples y dobles. Esta cadena termina con un grupo hidroxilo.
Retinol representa una masa viscosa de color amarillo claro, insoluble en agua, pero bien soluble en grasas. La retina del ojo contiene el derivado de la vitamina A llamado retineno (en su molécula el grupo —CH2OH viene sustituido por el grupo aldehídico —CHO). En los bastoncillos de la retina el retineno se combina con la proteína opsina formando el pigmento óptico rodopsina. Cuando la luz incide sobre el bastoncillo del ojo, la rodopsina se descompone en proteína opsina y en forma cis del retineno. La forma cis, inmediatamente, pasa a isómero trans, hecho que viene acompañado con la transmisión del impulso nervioso al cerebro (fig. 31). Una vez enviado el impulso al cerebro el hombre ve el objeto, y ahora el trans-retineno otra vez debe pasar a forma cis. Este proceso puede compararse con el rebobinado de la película fotográfica en un cuadro, cuando frente al objetivo se pone un sector de película todavía no velado. En el ojo, semejante «rebobinado» se realiza en la oscuridad de acuerdo con el esquema siguiente: por acción de la enzima y del reductor biológico el trans-retineno se reduce a trans-retinol (o sea, vitamina A), y este último por medio de la enzima específica isomerasa se transforma en cis-retinol. Seguidamente, este compuesto se oxida a cis-retineno. El ojo está listo para «fotografiar» el siguiente cuadro.
La vitamina A se contiene en el aceite de hígado de bacalao. Su presencia en éste puede demostrarse del modo siguiente.
Viertan al fondo de un vaso o a un vidrio una gota de aceite de hígado de bacalao fresco, añadan 5 gotas de cloroformo y una gota de ácido sulfúrico concentrado. La disolución toma la coloración roja. En los productos naturales está ampliamente difundido el caroteno. La molécula de este compuesto se compone como si fuera de dos mitades: moléculas de vitamina A. En el organismo el caroteno so transforma en retinol. Trituren la pulpa del escaramujo junto con la arena darlo., echen la mezcla a un vaso o a un, tubo de ensayo y añadan varias gotas de, cloroformo. El caroteno pasa al cloroformo. Decanten esta disolución a otro vaso y añadan varias gotas de ácido sulfúrico concentrado. La capa superior de cloroformo se tiñe dé verde y, luego, de azul.

Figura 31. Representación esquemática simplificada de las transformaciones de los derivados de la vitamina A durante la percepción de la luz por el ojo. Los puntos negros designan los grupos metilo.
La disolución de yodo se descolora: el yodo se reduce y el ácido ascórbico se oxida a ácido deshidroascórbico. Tomen un tubo de ensayo con disolución fuertemente diluida de colorante conocido como azul de metileno, añádanle una o dos gotas de disolución do sosa y varias gotas de extracto de escaramujo. Durante el calentamiento el colorante pierde su color. En otro tubo de ensayo o en un vaso añadan a una gota de prusiato rojo do potasio una gota de extracto de escaramujo. Se forma el precipitado azul de azul de Berlín. Se sobreentiende que todos estos experimentos pueden realizarse con la disolución de ácido ascórbico puro.
El aceite de hígado de bacalao al que ya nos hemos referido es un producto muy útil. Además de la vitamina A este aceite contiene también otra vitamina valiosa, la vitamina D cuyo segundo nombre es calciferol. La vitamina D regula el transporte de calcio y de fosfatos en el organismo. La escasez de esta vitamina provoca raquitismo do los niños. Viertan a un tubo de ensayo varias gotas de aceite de hígado de bacalao, de cloroformo y de anilina y una gota de ácido clorhídrico concentrado. Durante el calentamiento sobre llama el líquido se tiñe de rojo, revelando la presencia de la vitamina D. Al sacudir la disolución de vitamina D en aceite con cloroformo y ácido sulfúrico concentrado aparece la coloración roja.
En 1936 el bioquímico húngaro Szent Gyirgyi llegó a la conclusión de que existe una sustancia especial: factor de penetrabilidad o vitamina P, que ejerce una influencia sobre la penetrabilidad de los vasos sanguíneos, propiedad con la cual está relacionada la capacidad de hemorragias. Actualmente se conoce que a las sustancias que ejercen esta influencia pertenecen la rutina, la gesperidina, las catequinas, etc. La rutina contiene hidroxilos fenólicos y, por consiguiente, da una coloración específica con el cloruro de hierro. Mezclen en un tubo de ensayo o en el fondo de un vaso la disolución saturada de rutina (se expende en las farmacias) con varias gotas de disolución de cloruro de hierro. El líquido se tiñe de verde. La rutina puede reducirse. Añadan a varias gotas de disolución de vitamina P un pedacito de cinc y dos o tres gotas de ácido clorhídrico concentrado. El liquido toma la coloración roja. Las catequinas que integran la vitamina P se contienen en el té. Echen al fondo de un vaso una pulgarada de té y viertan alcohol de modo que esto cubra al té. At cabo de cierto tiempo la disolución se torna amarilla. Decanten el líquido al otro vaso y añadan a éste la disolución alcohólica de cloruro do hierro. Aparece la coloración verde.
La vitamina PP no tiene nada de común con la vitamina P. Por su naturaleza química la vitamina PP se aplica contra pelagra y no es sino amida de ácido nicotínico. Pero no conviene pensar —basándose en el nombre— que esta vitamina es un veneno semejante a la nicotina. Sin embargo, partiendo de la nicotina no es difícil obtener el ácido nicotínico y, desde éste, pasar a la vitamina PP:

Sobre la química de las vitaminas véase [22].
Capítulo 20
Experimentos con los medicamentos
...Desde el principio de nuestro siglo como semiproducto en la fabricación de los colorantes se empleaba la llamada para-aminobencensulfonamida. Pero en una ocasión se fijaron en que esta sustancia ejerce una acción nociva sobre los microorganismos causantes de ciertas enfermedades. Después de numerosos ensayos la para-aminobencensulfonamida llegó a convertirse en medicamento recibiendo un nombre nuevo, el de «prontosil». Calienten sobre una placa metálica una tableta de prontosil. Se produce una masa fundida de color violeta con olor a amoníaco lo que demuestra la presencia en la sustancia del grupo amino. Ahora tomen un tubo de ensayo, echen a éste una tableta de prontosil, hiérvanla junto con ácido nítrico concentrado, diluyan la disolución con agua y añadan a ésta la disolución de cloruro de bario. El precipitado blanco que se forma evidencia que aquí está presente el grupo sulfo —SO2—. ¿Cuál es la causa de esta acción mortífera del prontosil sobre los microorganismos? Resulta que las bacterias para su actividad vital normal necesitan el ácido para-aminobenzoico que lleva, además, otro nombre, el de vitamina H1. El ácido para-aminobenzoico, a su vez, entra en la composición del ácido fólico a partir del cual la bacteria prepara las enzimas que necesita. La vitamina H1 es el factor de crecimiento de la bacteria sin el cual éste no puede crecer ni reproducirse. La molécula de para-aminobencensulfonamida, por sus dimensiones y propiedades químicas, se parece mucho a la molécula de vitamina H1. La bacteria, gustosamente, incluye la para-aminobencensulfonamida en la composición del ácido «fólico» produciendo del mismo la enzima. Mas es precisamente aquí donde se descubre la falsificación: la enzima no funciona. En la célula de la bacteria se trastorna el metabolismo normal y la bacteria perece.
El prontosil es el preparado más simple entre las sulfonamidas (llamadas también sulfamidas y sulfanilamidas). Actualmente se conocen numerosos derivados del prontosil los cuales, al igual que éste, se utilizan con éxito como medicamentos. Dichos preparados son la sulfametazina («sulfadimezin»), el sulfatiazol («noraulfazol»), la sulfaguanidina («sulguín»), el «sulfaethizolum» («etazol»), etc. El ftalilsulfatiazol (conocido también como sulfatalidina o «ftalazol»), por ejemplo, no es sino el prontosil en el cual los átomos de hidrógeno adjuntos a los grupos amino vienen sustituidos por radicales orgánicos de los compuestos complejos. Los sustituyentes impiden que el preparado se absorba a través de las paredes del intestino a la sangre y que se difunda por todo el organismo. Por esta razón dicho preparado actúa con especial fuerza sobre los microorganismos morbíficos que penetran en el estómago y en el intestino.
Tomen un tubo de ensayo y calienten en éste una tableta de sulfatiazol; se forma una masa de color pardo oscuro que huele a sulfuro de hidrógeno. El sulfuro de hidrógeno se obtiene a costa del azufre del ciclo pentagonal que entra en la composición de la molécula de sulfatiazol. Ahora tomen tres tubos de ensayo cada uno de los cuales contiene la disolución de hidróxido de sodio y añadan al primero el sulfatiazol; al segundo, el «etazol», y al tercero, la sulfametazina. Si ahora vertimos a estos tubos de ensayo la disolución de sulfato de cobre, se formarán los siguientes precipitados: en el primer tubo de ensayo, de color violeta sucio: en el segundo, de color verde que, al cabo de cierto tiempo, se torna negro, y en el tercero, de color amarillo verdoso quo pasa a marrón.
En la medicina se emplean también los compuestos del verdadero ácido para-aminobenzoico. Si en esta sustancia el hidrógeno del grupo carboxilo se sustituye por el radical etilo se obtiene la anestesina, y al sustituir el hidrógeno por el radical más complejo CH2CH2N(C2H5)2 llegamos a la novocaína. Ambos compuestos se utilizan como anestésicos locales, como analgésicos. El ácido salicílico guarda cierto parecido con la molécula de ácido para-aminobensoleo. Se trata del benceno en el cual dos hidrógenos vecinos vienen sustituidos por carboxilo e hidroxilo. El ácido salicílico es una sustancia de gran valor para la medicina. Como tal se emplea en calidad de agente bactericida para el tratamiento del reumatismo articular. Su sal sódica es un remedio calmante, antipirético, antiflogístico y antirreumático. Su éter metílico (en vez de —COOH contiene —COOCH3) se emplea en los ungüentos como remedio antiflogístico, calmante y antirreumático. El ácido acetilsalicílico (en éste, en lugar del grupo —OH está presente el grupo —OCOCH3) se conoce bien como aspirina. El éter fenílico de ácido salicílico (salicilato de fenilo) llamado salol (en vez del grupo —COOH contiene el grupo —COOC6H5) es un buen antiséptico y desinfectante. La sal sódica de ácido para-aminosalicílico (este compuesto contiene complementariamente el grupo amino en el núcleo bencénico) es un preparado antituberculoso.
Todos los fenoles dan con la disolución de cloruro de hierro coloración violeta. Aria-dan a la disolución de salol en alcohol una gota de disolución de cloruro de hierro. Ahora realicen el mismo experimento con la aspirina. La coloración no aparece. El asunto radica en que la molécula de ácido acetilsalicilico no tiene un grupo hidroxilo libre y el hidrógeno de éste está bloqueado por el acetilo. Sin embargo, de la aspirina es fácil obtener los ácidos salicílico y acético: para lograrlo, es suficiente hervir en el tubo de ensayo una tableta de aspirina con disolución de hidróxido de sodio. Después del enfriamiento, es necesario acidular la disolución por medio de ácido sulfúrico concentrado, formándose el precipitado del ácido salicílico; al añadir a este precipitado una gota de disolución de cloruro de hierro aparece la coloración violeta.
Si se tiene fiebre se emplea el preparado eficaz llamado fenacetina. La molécula de este compuesto consta de anillo bencénico ligado a los grupos —NHCOCH3 y —OC2H5. Con la fenacetina se pueden realizar los siguientes experimentos. Echen a un tubo de ensayo que contiene ácido nítrico diluido un pedacito de tableta de fenacetina. Aparece una coloración azul y se forma el precipitado amarillo del producto de nitración. Hiervan en un tubo de ensayo ácido clorhídrico diluido con un pedacito de tableta de fenacetina y, después de enfriarse la disolución, añádanle una gota de disolución de dicromato de potasio. Aparece una coloración violeta pero, paulatinamente, la disolución se torna roja.
Otra clase de remedios antipiréticos y calmantes la constituyen los derivados de la llamada pirazolona. A esta clase pertenecen la antipirina, la amidopirina (piramidón) y el «analginum»[1]. Estas sustancias tienen fórmulas parecidas. La antipirina da con la disolución de cloruro de hierro una coloración roja, y al mezclarla con una disolución acidulada de nitrato de sodio se forma un derivado de nitrosa de hermoso color verde. A diferencia de antipirina el piramidón forma con el cloruro de hierro una disolución de color azul que separa un precipitado marrón. Si esta disolución se acidula con ácido clorhídrico, aparece una coloración violeta. El mismo color lo adquiero la disolución de amidopirina al tratarla con nitrato de plata.

Figura 32. Fórmulas de algunos medicamentos.
Para concluir, hablaremos un poco sobre los antibióticos. Estas sustancias se producen por algunos microorganismos y son capaces de actuar perniciosamente sobre los agentes morbíficos de toda una serie de enfermedades. La penicilina, por ejemplo, impide que la bacteria morbífica asimile de los alimentos los aminoácidos necesarios privándola de la posibilidad de construir la membrana de la célula. La terramicina altera el proceso de fosforilación en la bacteria, el proceso debido al cual ésta obtiene energía. En presencia de tetraciclina o estreptomicina la bacteria es incapaz de sintetizar algunas proteínas. Ciertos antibióticos producen reacciones químicas específicas. Añadan a varias gotas de disolución acuosa de estreptomicina una gota de disolución de hidróxido de sodio y hiervan la mezcla durante varios segundos. Viertan al liquido la disolución de ácido clorhídrico y, después, la de cloruro de hierro. Aparece la coloración rojo-violeta. Si a la disolución de terramicina se añade la disolución alcohólica de cloruro de hierro, la disolución toma color marrón. Si varios cristales de terramicina se mezclan con una gota de ácido sulfúrico concentrado, aparece la coloración roja. Disuelvan una tableta de cloromicetina («levomicetina» o cloranfenicol) en la disolución de hidróxido de sodio, con calentamiento. Aparece, primero, la coloración amarilla que, después, se sustituye por roja.
Sobre los medicamentos se puede leer en los libros [22 y 23].
Capítulo 21
¿Por qué los venenos son venenosos?
Cualquier organismo vivo es un sistema abierto -que se encuentra en constante intercambio de sustancias con el medio ambiente. Unas sustancias el organismo las absorbe, transforma y utiliza, las otras —innecesarias—separa. Uno sólo puede admirar el finísimo equilibrio de los procesos más complejos desarrollados en el organismo. Sin embargo, este equilibrio es fácil de alterar, con cuyo fin es suficiente introducir ciertos compuestos químicos. Semejantes sustancias en la vida cotidiana reciben el nombre de venenos y, por desgracia, se conoce un número muy grande de las mismas. ¿De qué modo; pues, actúan los venenos? ¿Cuál es la razón de que unas sustancias casi no influyen en el funcionamiento del organismo, mientras que la introducción de cantidades muy pequeñas de otros compuestos provoca consecuencias gravísimas? Para contestar con plenitud a estas preguntas, es necesario estudiar a fondo las funciones de los más diversos compuestos producidos por muchos órganos y comprender el mecanismo de trabajo de los órganos. Actualmente, los científicos, en rasgos generales, conocen los mecanismos de acción de los venenos, pero; en muchos casos, los pormenores siguen siendo absolutamente incomprensibles.
Analicemos la acción de algunas sustancias venenosas con las cuales, bastante frecuentemente, es necesario encontrarse en la vida cotidiana y al realizar los más simples experimentos químicos. Es conveniente dividir todas las sustancias venenosas en inorgánicas y orgánicas (aunque esta clasificación carece de «carácter científico» cualquiera).
Las sustancias inorgánicas que ejercen influencia nociva sobre el organismo humano pueden encontrarse en cualquier estado físico: en este caso se puede tratar de gases, de líquidos y de compuestos sólidos. Probablemente, lo que mejor se conoce es la causa de la influencia venenosa del monóxido de carbono. El asunto radica en que el monóxido de carbono, con gran facilidad, forma el llamado compuesto complejo con el Ion hierro que entra en la composición de la hemoglobina. Al combinarse con el ion hierro el monóxido de carbono lo bloquea y el hombre parece como si quedase privado de hemoglobina. Se hace imposible el transporte del oxígeno por la sangre y las células dejan de recibir oxígeno. El monóxido de carbono se forma durante la combustión incompleta del carbono, por esta causa los envenenamientos con este gas suelen suceder, con frecuencia, en casas con calefacción por estufa. La concentración de monóxido de carbono admitida como límite constituye 0,02 mg de CO por un litro de aire. Se sobreentiende que el grado de intoxicación depende no solamente de la concentración del monóxido de carbono, sino también del tiempo de inhalación. Los síntomas de intoxicación- con el monóxido de carbono son el vértigo, el dolor de cabeza y la pérdida del sentido. En el caso de intoxicación es necesario inhalar intensamente el aire fresco. Aunque CO se combina con el hierro de la hemoglobina de modo más firme que O2, pero, a pesar de todo, con semejante inhalación, la cantidad de oxígeno que va a parar a los pulmones resulta mayor y, paulatinamente, todo el monóxido de carbono será reemplazado por el oxígeno.
Hemos examinado la acción del óxido de un no metal típico, o sea, del óxido de carbono. Entre los óxidos de metales se conocen sustancias completamente carentes de toxicidad (por ejemplo, el óxido de aluminio), sin embargo, entre éstos existen también venenos fuertes. Con el fin de evaluar de cierto modo, en forma cuantitativa, la toxicidad de la sustancia se introduce el concepto de dosis con la cual, durante 14 días, perece la mitad de todos los animales tomados para el experimento. Por cuanto para los animales, como para el hombre la dosis depende del peso del cuerpo, se procede al cálculo respecto a un kilogramo de peso del animal. Si esta dosis designada como DL50, es menor que 15 mg de veneno por un kilogramo de peso del animal la sustancia pertenece a extraordinariamente tóxicas. Los compuestos para los cuales DL50 es mayor que 1500 mg/kg se consideran como poco tóxicos. A los óxidos tóxicos pertenecen los óxidos de mercurio, de talio y de plomo. En general, cuanto más pesado es el metal tanto más tóxicos son sus compuestos. Aquí existen dos excepciones: los derivados de metales ligeros berilio y cobre también son altamente venenosos. De ordinario, las sales del metal son más tóxicas que sus óxidos.
Uno de los metales más tóxicos es el mercurio. Especialmente lo es su vapor. A raíz de ello, si se ha roto el termómetro de mercurio es necesario recoger minuciosamente todo el mercurio valiéndose de una placa limpiada de cobre (las gotitas de mercurio se adhieren a la superficie del cobre), aniquilando el resto de mercurio con ayuda de la disolución de cloruro de hierro. En este caso el metal se transforma en sal. Las sales de mercurio no son volátiles, pero éstas también acusan fuerte acción tóxica cuando van a parar al organismo, por ejemplo, por vía bucal. No obstante, estas sales se emplean ampliamente en la práctica de laboratorio y hasta en la medicina. ¿De qué modo se pueden distinguir las sales de mercurio? Existen varias reacciones específicas para este metal, precisamente. Si una sal de mercurio monovalente se trata con álcali se forma el precipitado negro-parduzco de protóxido de mercurio. En caso de tomar una disolución de sal mercúrica (o sea, de mercurio divalente), precipita el óxido amarillo de mercurio. Añadan a la disolución de sal de mercurio divalente la disolución de yoduro de potasio. Se forma el precipitado rojo de yoduro de mercurio. Si añadimos un exceso de disolución de yoduro de potasio se forma la disolución de sal compleja incolora.
No cabe pensar que las sales de mercurio poseen una toxicidad fenomenal y que con sólo sostener en las manos un tubo de ensayo con un compuesto del mercurio podemos envenenarnos. Las sales de mercurio se emplean en nuestra práctica con fines medicinales. Así, por ejemplo, el cloruro mercurioso llamado calomelanos se emplea, a veces, como purgante y como colagogo (la máxima dosis admisible es de 0,6 g), y las disoluciones muy diluidas de cloruro mercúrico conocido como sublimado corrosivo se utilizan como desinfectante (al organismo no deben ir a parar más que 0,02 g de sublimado corrosivo). Por esta razón, si el químico trabaja con cuidado y meticulosidad, sin dejar que las sales de mercurio le caigan en le boca, y lava esmeradamente los utensilios químicos y las manos, se excluye la posibilidad de intoxicación. Mas en el caso de un trabajo negligente y descuidado con los compuestos del mercurio, en la boca aparece un sabor metálico, se sienten dolores en el vientre, se observan diarrea y vómitos. Si una persona se ha envenenado con sal de mercurio conviene que tome leche, que se le lave el intestino con una suspensión de carbón en agua y que enjuague la boca con disolución de permanganato de potasio. Es útil también tomar té caliente y hacer un baño caliente. No se permite, de ningún modo, recurrir a la administración de sal común o comer productos salados.
Las sales de cobre son menos tóxicas, sin embargo, si éstas caen dentro del organismo pueden surgir envenenamientos graves. Los derivados del cobre se distinguen con bastante facilidad: en la mayoría de los casos son compuestos de color azul o verde. El objeto de hierro tratado con una disolución de sal de cobre se cubre rápidamente con una capa de este metal. Si a la disolución de sal cúprica se añade la disolución de yoduro de potasio se separa yodo (el cobre divalente se reduce a monovalente) el cual da con el almidón la específica coloración azul, El sulfato de cobre se emplea en la medicina como remedio emético, antiséptico y cáustico. La dosis de sulfato de cobre para una toma no debe superar para una persona adulta 0,5 g.
El veneno más conocido lo forman los derivados del arsénico que se incluye más bien entre los no metales. La intoxicación con arsénico puede ocurrir también en la vida cotidiana, por cuanto sus compuestos se emplean en la medicina y para luchar contra los roedores. Durante la intoxicación aguda con arsénico se siente el decaimiento de fuerzas y la debilidad muscular. Con grandes dosis llega la parálisis y la muerte. El tratamiento de la intoxicación aguda consiste en el lavado del estómago y en la necesidad de provocar vómitos. Es útil beber la suspensión en agua de magnesia calcinada.
El plomo también es un metal sumamente tóxico, pero a diferencia de los envenenamientos con arsénico, cuando se trata de plomo se observan más frecuentemente envenenamientos crónicos con los compuestos de este elemento. Los primeros síntomas de intoxicación crónica de las personas que operan con las aleaciones de plomo, por ejemplo, en las imprentas, es la aparición de un «ribete» gris en las encías y dolores de estómago. Cabe recordar que todos nosotros también tenemos que entrar en contacto con los derivados del plomo por cuanto el tetraetilo de plomo se añade a la gasolina para automóviles. Durante la intoxicación aguda con los compuestos del plomo que viene acompañada de alteración en el funcionamiento del tubo digestivo se debe tomar disolución diluida de ácido sulfúrico. En este caso el plomo pasa a su sal difícilmente soluble. La acción tóxica de los derivados de los metales pesados está relacionada con el hecho de que una vez en el organismo los iones de estos elementos forman complejos estables con las proteínas. Y siendo así, las proteínas (entre las cuales se encuentran tanto las enzimas, como las hormonas y otros compuestos de vital importancia) ya se ven imposibilitadas de cumplir con sus funciones. Se altera el equilibrio ideal de todos los procesos que transcurren en la célula. Se conoce que el vanadio pentavalente influye en la biosíntesis de la colesterina y trastorna el intercambio de los aminoácidos en cuya composición entra el azufre. El cromo hexavalente penetra en los eritrocitos de la sangre, destruyéndolos.
En el organismo, los iones de metales en forma de complejos con las proteínas se transportan por la sangre, con la particularidad de que se retienen algo en aquellos órganos en los cuales están presentes compuestos o agrupaciones capaces de formar con los iones enlaces más estables. Reviste interés el hecho de que cada metal tiene sus órganos «preferidos». Así, por ejemplo, en el tejido óseo se acumulan el plomo, el berilio, el bario y el torio. El mercurio se acumula en los riñones, el arsénico se deposita en la glándula tiroides y el cadmio y el cinc, en el testículo. Se ha advertido que los metales se depositan precisamente en aquellos órganos los cuales en estado normal tienen elevado el contenido de estos microelementos. Por ejemplo, en un organismo sano el porcentaje de mercurio siempre es más elevado en los riñones, y el de plomo, en los huesos.
La toxicidad de un elemento depende en gran medida del estado de valencia en que dicho elemento se introduce en el organismo. Por ejemplo, los compuestos del arsénico trivalente son diez veces más tóxicos que los derivados del arsénico pentavalente. Por desgracia, en al organismo, el arsénico pentavalente se reduce a derivado más tóxico. En cambio, para el cromo y vanadio son tóxicos los compuestos de los metales con el número de valencia más alto, mientras que los de valencia inferior no son tóxicos. Esta es la razón de que en el caso de envenenamiento con los compuestos del cromo, por ejemplo, con el dicromato de potasio (los químicos hacen amplio uso de éste en la mezcla crómica para el lavado de la vasija) se recomienda tomar ácido ascórbico. El siguiente experimento ayuda a comprender qué sucede en este caso. Añudan a la disolución de dicromato de potasio en agua una gota de ácido sulfúrico y una pulgarada o una tableta de vitamina C. El color amarillo del dicromato de potasio pasa a verde debido a que el ácido ascórbico ha reducido el dicromato a un derivado no tóxico del cromo trivalente.
Lamentablemente, entre las sustancias orgánicas la cantidad de venenosas no es menor que entre los compuestos pertenecientes al reino inorgánico. Aquí figuran muchos alcaloides separados de las plantas (por ejemplo, la estricnina y la brucina) y los venenos de naturaleza proteínica (toxinas de las serpientes venenosas y de los alacranes). Son tóxicos casi todos los disolventes orgánicos aplicados ampliamente no solamente en el laboratorio químico, sino también en la vida cotidiana. Entre la clase de disolventes que contienen cloro entran las sustancias bien conocidas como el tetracloruro de carbono (se emplea para eliminar manchas grasosas y para la extinción del fuego); el cloroformo (por ahora, sigue utilizándose todavía en la medicina); el cloruro de vinilo (monómero para la obtención de valioso material polímero); el dicloroetano (se emplea para pegar las materias plásticas). Todas estas sustancias, al inhalarlas, provocan el trastorno del ritmo cardíaco, la degeneración adiposa del hígado, así como su cirrosis y atrofia. Se trastorna el metabolismo. Se supone que al ir a parar al organismo los disolventes que contienen cloro reaccionan con algunas sustancias de tal modo que tenga lugar la ruptura del enlace carbono — cloro. En este caso, a partir del tetracloruro de carbono se forman dos radicales: Cl y CCl3. Estos radicales reaccionan con ácidos grasos no saturados formando nuevos radicales los cuales, a continuación, reaccionan con el oxígeno. Como resultado se obtienen derivados del peróxido de hidrógeno. Estos derivados, a su vez, provocan la destrucción de los ácidos grasos, es decir, en particular la descomposición de las membranas celulares. La acción perniciosa del cloroformo se agrava por el hecho de que por el impacto de la luz del cloroformo se forma fosgeno que no es sino cloruro de ácido carbónico COCl2. Al igual que cualquier cloruro de ácido el fosgeno es un compuesto sumamente activo desde el punto de vista químico y reacciona con facilidad con las moléculas proteínicas y otras de la célula.
El benceno que representa un hidrocarburo aromático utilizado tanto en calidad de disolvente, como en calidad de semi-producto en la síntesis orgánica es una sustancia muy tóxica. Si durante un largo plazo se trabaja con este líquido descuidadamente, se observa la disminución del número de eritrocitos en la sangre, cae el contenido de hemoglobina, se operan cambios considerables en el sistema nervioso y se trastorna la actividad del sistema cardiovascular. La primera asistencia en el caso de envenenamiento con benceno consiste en beber una suspensión del carbón activado en el agua y, después, provocar el vómito. En comparación con el benceno, la gasolina —que es una mezcla de hidrocarburos saturados— acusa menor toxicidad. Sin embargo, siendo prolongado el contacto con la gasolina, en la persona afectada se observan cambios en el sistema nervioso. Una fuerte acción negativa ejerce la gasolina sobre el sistema genital de las mujeres y sobre el desarrollo del feto durante el embarazo.
Ahora hacemos una digresión analizando cómo están estructuradas las células nerviosas y cómo la excitación nerviosa se transmite por estas células. Aún en el siglo XVIII el italiano Galvani estableció que los músculos se contraían por acción de la electricidad que fluía por dos nervios. Más tarde, el físico alemán Helmholtz midió la velocidad de propagación de los impulsos nerviosos por el nervio. Para la rana esta velocidad era igual a 30 m por segundo, o sea, una velocidad muy insuficiente para que se confirmase la hipótesis de que la excitación nerviosa no era sino, únicamente, la corriente eléctrica. Era de suponer que en este proceso tomaban parte, además, ciertas reacciones químicas.
La célula viva, a semejanza de un condensador radiotécnico, lleva la diferencia de potencial. Si conectamos a la célula por sus lados exterior e interior dos pequeños electrodos, entonces, el galvanómetro unido a dichos electrodos indicará la diferencia de potencial llamada potencial de reposo. Para cualquier irritación del nervio la diferencia de potencial varía rápidamente y se transmite por el nervio. Sin embargo, la longitud de los nervios es finita, en tanto que entre las células nerviosas existen «juntas». ¿De qué modo, entonces, el impulso nervioso salta de un nervio a otro? Es precisamente aquí donde intervienen los intermediarios químicos.
La «junta» entre dos células nerviosas lleva el nombre de sinapsis. He aquí que el primer impulso, el llamado potencial de acción, siguiendo por la primera célula (presináptica) ha llegado al punto de su contacto con la segunda célula nerviosa (post-sináptica). Las vesículas especiales dispuestas en la célula presináptica liberan una sustancia especial cuyo nombre es acetilcolina y que llega a la fisura sinóptica. La acetilcolina actúa sobre la célula post-sináptica excitando en ésta un nuevo impulso nervioso el cual vuelve a propagarse. Un proceso análogo tiene lugar en el punto de contacto de la célula nerviosa con el tejido muscular. La acetilcolina liberada desde la célula nerviosa provoca la variación de la diferencia de potencial en las células del músculo, se engendra un impulso y el músculo se contrae. La acetilcolina no debe estimular ininterrumpidamente el impulso nervioso en el músculo o en la célula post-sináptica. El intermediario químico, una vez cumplido su deber, se ve obligado, inmediatamente, abandonar la escena. Pues el que se ocupa de eliminarlo es la enzima especial acetilcolinesterasa. Dicha enzima hidroliza la acetilcolina a colina la cual no acusa actividad biológica.
Cualquier trastorno en el mecanismo —perfectamente organizado— de transmisión del impulso nervioso provoca una repercusión sumamente dramática. Estos trastornos los pueden causar muchos compuestos químicos. Por ejemplo, el veneno curare bloquea los centros de las células nerviosas sensibles a acetilcolina. Debido a ello, la introducción del extracto de la planta curare en el cuerpo provoca la instantánea parálisis (los indios embebían en el veneno curare las puntas de sus flechas mortíferas). Cabe señalar que no todo impulso nervioso se transmite a través del nexo sinóptico, lo atraviesan tan sólo excitaciones lo suficientemente fuertes. Mas el alcaloide estricnina (es un veneno extraído de las plantas) disminuye la resistencia de la sinapsis, de modo que incluso un agente excitante muy débil comienza a provocar convulsiones de los músculos.
También se conocen sustancias que afectan la enzima colinesterasa y éstas, por desgracia, son bastante numerosas. Los que más enérgicamente desactivan la colinesterasa son los compuestos organofosfóricos, es decir, sustancias cuya molécula comprende átomo de fósforo enlazado con el carbono. A estos derivados organofosfóricos pertenecen las sustancias tóxicas bien conocidas: serín, somán, tabún, así como los famosos pesticidas «tiofós», «clorofós» y «mercaptofós». Vale decir que los pesticidas actúan con mucha mayor fuerza sobre los insectos que sobre los animales homeotérmicos, pero, sea como fuese, estas sustancias son tóxicas también para el hombre. Especialmente venenoso es el tiofós, la toxicidad del clorofós es mediana y la del bromofós ya es muy pequeña.
Inhibir la acción de la colinesterasa introduciendo una sustancia venenosa es lo mismo que introducir en el organismo un exceso de acetilcolina. La acetilcolina, a su vez, surte un intensísimo efecto biológico: disminuye la tensión sanguínea y provoca convulsiones.
Con el clorofós relativamente poco venenoso es posible realizar la siguiente reacción característica. Disuelvan varios granos de clorofós en una cucharadita de alcohol, añadan una cucharadita de acetona y media cucharadita de disolución alcohólica de sosa caústica. Al cabo de varios minutos aparecerá la coloración rosa que, luego, pasará a carmesí y, finalmente, a naranja.
Los científicos, después de haber realizado numerosísimos experimentos con los animales, han descubierto compuestos químicos que neutralizan la acción de distintas sustancias venenosas. Por ejemplo, hoy en día se conoce toda una serie de preparados que pueden restablecer o, como se suele decir, reactivar la colinesterasa bloqueada por la sustancia tóxica organofosfórica. Semejantes preparados llevan el nombre de antídotos y se introducen en el organismo afectado. Pero conviene subrayar que el propio organismo, también, trata de combatir al intruso no invitado. El organismo se vale de muchos compuestos biológicamente activos, de enzimas y de oxigeno para complejísimas transformaciones químicas debido a las cuales la sustancia tóxica pasa a productos menos venenosos y se evacua del organismo. Toda sustancia venenosa se evacua del organismo de acuerdo con la ley exponencial, o sea, más activamente sale la masa fundamental, realizándose este proceso en primeros minutos y horas, mientras que la evacuación de los restos se prolonga durante largos días y semanas. Por desgracia, sucede a veces que una sustancia moderadamente venenosa experimenta en el organismo unas transformaciones tales que pasa a un compuesto mucho más tóxico. En este caso, puede servir de ejemplo la oxidación del tiofós a «fosfacol» (paraoxón) tóxico en alto grado. Esta es la razón por la cual el organismo está lejos de lograr vencer a todos los intrusos ponzoñosos.
Para concluir, volvemos a recordar: las sustancias venenosas que se utilizan en la vida cotidiana se deben tratar con extremada precaución. Todos los frascos y cajas deben llevar escrito el nombre de la sustancia, ir provistos de inscripción «veneno» y guardarse en lugares inaccesibles para los niños. Después de trabajar con los venenos es necesario lavar meticulosamente la vasija y las manos. Bueno, ¿y si uno, a pesar de todas las precauciones, siente los síntomas de intoxicación?
Lo primero que conviene hacer es llamar al médico. Entre tanto, en espera de su llegada, es preciso de acostarse de espaldas y evitar movimientos innecesarios. Si no hay vómito hace falta provocarlo. Con este fin a la persona afectada se le dan a beber más de cinco vasos de agua pura o ligeramente salada y presionan con los dedos la base de la lengua. Téngase presente que no se permite provocar vómito en la persona que ha perdido el conocimiento. Otra cosa útil es tomar varias cucharadas soperas de papilla hecha de carbón activado triturado y mezclado con agua.
Sobre los venenos, contravenenos y el mecanismo de su acción véase [24].
| 1 | Kuznetsov V. I. | Tendencias en el desarrollo de la química |
| Dobrotin R. B. | Problemas filosóficos de la química moderna | |
| Viazovkin V. S. | Filosofía materialista y la química. | |
| Kedrov B. M. y Volkov V. A | Sobre el objeto de la química | |
| Vasilieva T. S. y Orlov V. V. | Forma química de la materia | |
| 2 | Ivanova M. A. y Kunonova M. A | Experimento demostrativo químico |
| 3 | Zaikov C. E. y Krltsman V. A. | Cinética química |
| Purmal A. P., Slobodetskaya E. M. y Travin S. O | Cómo se transforman las sustancias | |
| 4 | Jensen J. H. | A New Type of Oscillating Reaction: Air Oxidation of Benzaldehyde. Journal Amer. Chem. Soc., 1983, vol. 105, p. 2639. |
| 5 | Afanasiev V. A. y Zatkov G. E. | Catálisis en las reacciones químicas y En el mundo de la catálisis |
| Boreskov G. N. | Algunos problemas de la catálisis | |
| Griaznov V. M. y Smirnov V.S. | Selectividad de los catalizadores | |
| Shilov A. E. | Catálisis con complejos metálicos y su lugar en la ciencia sobre la catálisis | |
| 6 | Vasilieva Z. G., Granovskaya A. A. y Taperova A. A. | Trabajos de laboratorio de química general o inorgánica. Editorial Mir, 1989, Moscú |
| 7 | Babkov A. V., Gorshkova G. N. y Kononov A. M. | Prácticas de química general con elementos de análisis cuantitativo |
| 8 | Slovetski V. I. | Electrosíntesis en química orgánica |
| Chirkov Yu. G. | Hija predilecta de la electroquímica | |
| 9 | Ivanov E. S. e Ivanov S. S. | Corrosión y protección de metales |
| 10 | Dulitskaya R. A. y Feldman R. I. | Prácticas de química física y coloidal |
| 11 | Babenkov E. D. | El agua la depuran los coagulantes |
| Fux G. I. | Química coloidal del petróleo y de los productos de petróleo | |
| 12 | Yasaite A. A. | Del rayo solar a nuestra conciencia |
| Komissarov G. G | La química y la física de la fotosíntesis | |
| 13 | Averina A. V. y Sneguirlova A. Ya. | Prácticas de laboratorio de química orgánica |
| 14 | Ed. por O. F. Guinsburg y A. A. Petrova | Trabajos de laboratorio de química orgánica |
| 15 | Kochetkov K. N. y Kondratieva G. V. | Síntesis orgánica fina |
| Shulpin G. B. | Esta cautivante química | |
| 16 | Shulpin G. B. | Enigmas del olor |
| Shulpin G. B. | Los científicos discuten sobre los gustos | |
| 17 | Sokolov V. I. | Molécula en tanto cinta de Moebius |
| 18 | Sokolov V. I. | Topología química;; Shulpin G.B. Matemáticas sin números |
| Dmitriev I. S. | Moléculas sin enlaces químicos | |
| Shulpin G. B. | Estereoquímica simulada con los dedos | |
| 19 | Dmitriev I. S. | Electrón visto por el químico |
| 20 | Chertkov I. K. | Experimento con polímeros en escuela media |
| Eskin V. E. | El mundo de gigantes invisibles | |
| Kopylov V. V. | En el mundo de polímeros | |
| 21 | Filippovich Yu. B. | Bioquímica de la proteína y de los ácidos nucleicos |
| Filippovich Yu. B., Egorova T.A. y Sevastianova C. A. | Prácticas de bioquímica general | |
| 22 | Senov P. L. | Química farmacéutica |
| 23 | Makarov K. A. | La química y la medicina |
| Safonova T.S. | Los caminos de desarrollo de la química de las sustancias medicinales | |
| Krylov Yu .P. y Smirnov P. A. | El asombroso mundo de los fármacos | |
| 24 | Oxenguendler G. I. | Venenos y contravenenos |
| Kibiakov A. V. y Sajarov D. A. | Relatos sobro los mediadores |
Notas: