¿Qué es la vida?
Erwin Schrödinger
Homo liber nulla de re minus quam de morte cogitat; et ejus sapientia non mortis sed vitae meditatio est.[1]
Spinoza, Ética, P. IV. prop. 67
El científico debe poseer un conocimiento completo y profundo, de primera mano, de ciertas materias. En consecuencia, por lo general, se espera que no escriba sobre tema alguno en el cual no sea experto, siguiendo una conducta de noblesse oblige. Sin embargo, por esta vez, pido poder renunciar a la «nobleza» y quedar dispensado de las consiguientes obligaciones. Mi excusa es ésta: Hemos heredado de nuestros antepasados el anhelo profundo de un conocimiento unificado y universal. El mismo nombre, dado a las más altas instituciones de enseñanza, nos recuerda que, desde la Antigüedad y a través de los siglos, el aspecto universal de la ciencia ha sido el único que ha merecido un crédito absoluto. Pero la propagación, tanto en profundidad como en amplitud, de las múltiples ramas del conocimiento humano durante los últimos cien años nos ha enfrentado con un singular dilema. Por un lado, sentimos con claridad que solo ahora estamos empezando a adquirir material de confianza para lograr soldar en un todo indiviso la suma de los conocimientos actuales. Pero, por el otro, se ha hecho poco menos que imposible para un solo cerebro dominar completamente más que una pequeña parte especializada del mismo. Yo no veo otra escapatoria frente a ese dilema (si queremos que nuestro verdadero objetivo no se pierda para siempre) que la de proponer que algunos de nosotros se aventuren a emprender una tarea sintetizadora de hechos y teorías, aunque a veces tengan de ellos un conocimiento incompleto e indirecto, y aun a riesgo de engañarnos a nosotros mismos.
Sea esta mi justificación. Las dificultades de lenguaje son importantes. El habla nativa de cada uno es como un traje hecho a medida; nadie se siente cómodo cuando no puede emplearlo y tiene que sustituirlo por otro. Debo dar las gracias al doctor Inkster (Trinity College, Dublín), al doctor Padraig Browne (St. Patrick’s College, Maynooth) y, por último, aunque no el menos importante, al señor S. C. Roberts. Todos ellos tuvieron grandes problemas para ajustarme el nuevo traje y, especialmente, para vencer mi ocasional resistencia a renunciar a alguno de mis «originales» modismos. Si, a pesar de todo, alguno de estos ha sobrevivido a las tendencias atenuantes de mis amigos, soy yo, y no ellos, el único culpable.
En un principio, los títulos de las numerosas secciones estaban destinados a servir de resúmenes marginales; el texto de cada capítulo debería leerse sin interrupciones.
Erwin Schrödinger
Dublín, septiembre de 1944
Capítulo 1
Perspectiva desde la física clásica
Cogito, ergo sum
Descartes
1.1. Características generales y propósito de la investigación1.1. Características generales y propósito de la investigación
2.2. Física estadística. La diferencia fundamental en estructura
1.3. La perspectiva del físico ingenuo
1.4. ¿Por qué son tan pequeños los átomos?
1.5. Pues bien, ¿por qué son tan pequeños los átomos?
1.6. El funcionamiento de un organismo requiere leyes físicas exactas
1.7. Las leyes físicas se basan en la estadística atómica y, por lo tanto, son solo aproximadas
1.8. El gran número de átomos que interviene es la base de su precisión. Primer ejemplo (paramagnetismo)
1.9. Segundo ejemplo (movimiento browniano, difusión)
1.10. Tercer ejemplo (límites de precisión en la medida)
1.11. La regla de la √ n
Este pequeño libro es el resultado de una serie de conferencias pronunciadas por un físico teórico ante un auditorio de unas cuatrocientas personas, número que no mermó apreciablemente a pesar de haber sido advertido desde un principio de que el tema resultaría difícil y de que las conferencias no serían precisamente populares, incluso renunciando a utilizar el arma más temida del físico, la deducción matemática. No es que el tema fuera lo bastante sencillo como para explicarlo sin recurrir a las matemáticas; más bien al contrario, resultaba excesivamente complejo para ser plenamente accesible a esa ciencia. Otra característica, que al menos prestaba una apariencia de popularidad al asunto, fue la intención del conferenciante de exponer claramente al físico y al biólogo la idea fundamental, que oscila entre la Biología y la Física.
Porque, en efecto, a pesar de la variedad de temas implicados, toda la empresa pretende transmitir una sola idea: hacer un breve comentario a un problema amplio e importante. Con el objeto de no desviarnos de nuestro camino, puede ser útil presentar de antemano un breve esbozo del plan que vamos a seguir.
El problema vasto, importante y muy discutido, es éste:
¿Cómo pueden la Física y la Química dar cuenta de los fenómenos espacio-temporales que tienen lugar dentro de los límites espaciales de un organismo vivo?
La respuesta preliminar que este librito intentaría exponer y asentar puede resumirse así:
La evidente incapacidad de la Física y la Química actuales para tratar tales fenómenos no significa en absoluto que ello sea imposible.1.2. Física estadística. La diferencia fundamental en estructura
Esta observación sería muy trivial si lo único que pretendiera fuese alimentar la esperanza de lograr en el futuro lo que no se ha conseguido en el pasado. Pero su sentido es mucho más positivo, porque esta incapacidad, hasta el presente, está ampliamente justificada.
Hoy en día, gracias al ingenioso trabajo realizado durante los últimos treinta o cuarenta años por los biólogos, especialmente por los genetistas, se conoce lo suficiente acerca de la estructura material y del funcionamiento de los organismos para afirmar que, y ver exactamente por qué, la Física y la Química actuales no pueden explicar lo que sucede en el espacio y en el tiempo dentro de un organismo vivo.
La disposición de los átomos en las partes más esenciales de un organismo, y su mutua interacción, difieren de modo fundamental de todos aquellos casos que hasta ahora han ocupado, teórica o experimentalmente, a físicos y químicos. Ahora bien, la diferencia que yo acabo de denominar fundamental tiene tal naturaleza que fácilmente podría parecer insignificante a todo aquel que no sea físico, y que no esté, por tanto, profundamente compenetrado con el conocimiento de que las leyes físicas y químicas son esencialmente estadísticas.[2] Es en relación con el punto de vista estadístico donde la estructura de las partes esenciales de los organismos vivos se diferencia de un modo absoluto de cualquier otra porción de materia que nosotros, físicos y químicos, hayamos manejado físicamente en nuestro laboratorio o mentalmente frente a nuestro escritorio. Resulta casi inimaginable que las leyes y regularidades así descubiertas puedan aplicarse inmediatamente al comportamiento de sistemas que no presentan la estructura en la que están basadas esas leyes y regularidades.[3]
No puede esperarse que alguien ajeno a la física capte el sentido (y mucho menos aprecie el alcance) de esta diferencia en la estructura estadística si se expresa, como yo lo he hecho, en unos términos tan abstractos. Con el fin de dar vida y color a la afirmación, permítaseme anticipar lo que será explicado posteriormente con mucho más detalle, concretamente, que la parte más esencial de una célula viva (la fibra cromosómica) puede muy bien ser denominada un cristal aperiódico. En Física, solo hemos tratado hasta ahora con cristales periódicos. Para la mente de un humilde físico, estos últimos son objetos muy complicados e interesantes; constituyen una de las más complejas y fascinantes estructuras materiales que confunden su comprensión de la naturaleza, pero, comparados con el cristal aperiódico, resultan bastante sencillos y aburridos. La diferencia entre ambas estructuras viene a ser como la existente entre un papel pintado de pared, en el que el mismo dibujo se repite una y otra vez en períodos regulares, y una obra maestra del bordado, por ejemplo, un tapiz de Rafael, que no presenta una repetición tediosa, sino un diseño elaborado, coherente y lleno de sentido, trazado por el gran maestro.
Cuando hablo del cristal periódico como uno de los objetos de investigación más complejos, me refiero a la Física propiamente dicha. La Química orgánica, en efecto, al tratar moléculas cada vez más complicadas, se ha acercado mucho más al «cristal aperiódico» que, en mi opinión, es el portador material de la vida. Por esta razón, no es sorprendente que el químico orgánico haya contribuido ya de modo amplio e importante al problema de la vida, mientras que el físico apenas haya aportado nada.
1.3. La perspectiva del físico ingenuo
Una vez esbozada brevemente la idea general de nuestra investigación (o más exactamente su objetivo último), procedamos a describir la línea de ataque.
Propongo desarrollar en primer lugar lo que podríamos llamar «las ideas del físico ingenuo sobre los organismos», es decir, las ideas que podrían surgir en la mente del físico que, después de haber aprendido su física y, más especialmente, la fundamentación estadística de su ciencia, empieza a pensar en los organismos y en cómo funcionan y se comportan, llegando a preguntarse conscientemente si él, basándose en lo que ha aprendido, puede hacer alguna contribución relevante al problema desde el punto de vista de su ciencia, tan simple, clara y modesta en comparación.
Resultará que sí puede hacerlo. El caso siguiente deberá ser comparar sus anticipaciones teóricas con los hechos biológicos. Pero, entonces, resultara que sus ideas (a pesar de parecer bastante razonables en conjunto) necesitan ser reestructuradas sustancialmente. De esa manera, iremos acercándonos al punto de vista correcto o, para decirlo con más modestia, al que yo propongo como correcto. Aun en el caso de tener razón en este sentido, no sé si mi manera de plantearlo es la mejor y la más sencilla. Pero, en resumen, es la mía. El físico ingenuo soy yo mismo. Y no sabría encontrar otro camino hacia esa meta mejor o más claro que el tortuoso que yo he encontrado.
1.4. ¿Por qué son tan pequeños los átomos?
Un buen método para desarrollar las ideas del físico ingenuo consiste en partir de una pregunta curiosa, casi ridícula: ¿por qué son tan pequeños los átomos? De entrada, diremos que efectivamente son muy pequeños. Cualquier trozo de materia que manejamos en la vida cotidiana contiene un enorme número de ellos. Se han imaginado muchos ejemplos para familiarizar al público con esta idea, pero ninguno es más impresionante que el empleado por lord Kelvin: supongamos que pudiéramos marcar las moléculas de un vaso de agua; vertamos entonces el contenido del vaso en el océano y agitemos de forma que las moléculas marcadas se distribuyan uniformemente por los siete mares; si después llenamos un vaso de agua en cualquier parte del océano, encontraremos en él alrededor de un centenar de moléculas marcadas.[4]
El tamaño real de los átomos[5] está entre 1/5000 y 1/2000 de la longitud de onda de la luz amarilla. La comparación es significativa, ya que la longitud de onda indica, aproximadamente, las dimensiones del grano más pequeño observable con el microscopio. De esta manera, se comprueba que un grano de este tipo contiene todavía miles de millones de átomos.
1.5. Pues bien, ¿por qué son tan pequeños los átomos?
Es evidente que la pregunta es una evasiva porque no se trata, de hecho, del tamaño de los átomos, sino que se refiere al tamaño de los organismos, particularmente a nuestro ser corporal. Por supuesto que el átomo es pequeño, si nos referimos a nuestra unidad cívica de medida, sea la yarda o el metro. En Física atómica, se acostumbra a usar el Angstrom (abreviado Å) que es la diez mil millonésima (1/1010) parte de un metro, o en notación decimal 0,00000000001 metros. Los diámetros atómicos oscilan entre 1 y 2 Å. Esas unidades cívicas (en relación con las cuales los átomos son tan pequeños) están estrechamente relacionadas con el tamaño de nuestros cuerpos. Existe una leyenda que remonta el origen de la yarda al capricho de un rey ingles al que sus consejeros preguntaron acerca de la unidad de medida que convenía adoptar; el rey, entonces, abrió los brazos diciendo: «Tomad la distancia desde el centro de mi pecho hasta la punta de mis dedos; y esa será la medida que necesitáis». Verdadero o falso, este relato tiene significado para nuestro propósito. El rey indicaría, naturalmente, una longitud comparable con la de su propio cuerpo, sabiendo que otra cosa no sería práctica. Con toda su predilección por el Angstrom, el físico prefiere que le digan que, para su nuevo traje, necesita seis yardas y media en lugar de sesenta y cinco mil millones de Angstroms de tela.
Una vez visto que nuestro problema se refiere realmente a la relación de dos longitudes (la de nuestro cuerpo y la del átomo) con una incontestable prioridad de existencia independiente por parte del átomo, la pregunta de hecho es: ¿por qué han de ser tan grandes nuestros cuerpos comparados con el átomo?
Imagino que más de un entusiasta estudiante de Física o Química habrá lamentado el hecho de que cada uno de nuestros órganos sensoriales, que forman una parte más o menos importante de nuestro cuerpo y, en consecuencia, están compuestos a su vez por innumerables átomos (en vista de la magnitud de la mencionada relación), resultan demasiado toscos para ser afectados por el impacto de un solo átomo. No podemos ver, sentir u oír un átomo. Nuestra hipótesis sobre ellos difiere ampliamente de los datos obtenidos con nuestros burdos órganos sensoriales y no pueden someterse a pruebas de inspección directa.
¿Debe ser esto así? ¿Existe alguna razón intrínseca para ello? ¿Podemos remontar este estado de cosas a algún tipo de principio, con el fin de cercioramos y comprender por qué ninguna otra cosa es compatible con las leyes de la Naturaleza?
Por una vez, este es un problema que el físico puede aclarar completamente. La respuesta a todas estas interrogaciones es afirmativa.
1.6. El funcionamiento de un organismo requiere leyes físicas exactas
De no ser así, si fuéramos organismos tan sensibles que un solo átomo, o incluso unos pocos, pudieran producir una impresión perceptible en nuestros sentidos, ¡cielos, como sería la vida! Por ejemplo: un organismo de este tipo con toda seguridad no sería capaz de desarrollar el tipo de pensamiento ordenado que, después de pasar por una larga serie de estados previos, finalmente desemboca en la formación, entre otras muchas, de la idea de átomo.
Al margen de que seleccionemos este punto en concreto, las consideraciones que siguen podrían aplicarse también al funcionamiento de otros órganos además del cerebro y del sistema sensorial. Claro está que la única cosa realmente importante respecto a nosotros mismos es que sentimos, pensamos y percibimos. Con respecto al proceso fisiológico responsable de los sentidos y del pensamiento, los demás entes desempeñan un papel auxiliar, por lo menos desde el punto de vista humano, aunque no desde el de la Biología estrictamente objetiva. Además, nos facilitara mucho el trabajo elegir para la investigación el proceso que va estrechamente acompañado por acontecimientos subjetivos, incluso aunque desconozcamos la verdadera naturaleza de este estrecho paralelismo. En realidad, me parece que está situado fuera del ámbito de la ciencia natural y, muy probablemente, incluso fuera del alcance del entendimiento humano.
Nos enfrentamos, por tanto, con la siguiente pregunta: ¿por qué un órgano como nuestro cerebro, con su sistema sensorial asociado debe necesariamente estar constituido por un enorme número de átomos para que pueda existir una correspondencia íntima entre su variable estado físico y un pensamiento altamente desarrollado? ¿Por qué motivo es incompatible la función de dicho órgano (como un todo o como alguna de sus partes periféricas con las cuales interrelaciona directamente el ambiente) con la posibilidad de ser un mecanismo suficientemente refinado y sensible como para registrar el impacto de un átomo individual del exterior?
La razón es que lo que llamamos pensamiento 1) es en sí algo ordenado y 2) solo puede aplicarse a un tipo de material, como son percepciones o experiencias, que tengan cierto grado de regularidad. Esto tiene dos consecuencias. En primer lugar, una organización física, para estar en estrecha correspondencia con el pensamiento (como mi cerebro lo está con mi pensamiento), debe ser una organización muy ordenada, y esto significa que los acontecimientos que suceden en su interior deben obedecer leyes físicas estrictas, al menos hasta un grado de exactitud muy elevado. En segundo lugar, las impresiones físicas que recibe este sistema físicamente bien organizado de otros cuerpos del exterior se deben evidentemente a la percepción y experiencia del pensamiento correspondiente, constituyendo lo que he denominado su material. En consecuencia, las interacciones físicas entre otros sistemas y el nuestro deben poseer, por regla general, cierto grado de ordenación física, es decir, que también ellos deben someterse con cierta exactitud a leyes físicas rigurosas.
1.7. Las leyes físicas se basan en la estadística atómica y, por lo tanto, son solo aproximadas
¿Por qué no pueden cumplirse todas estas condiciones en el caso de un organismo compuesto únicamente por un número discreto de átomos y sensible ya al impacto de uno o algunos pocos átomos?
El motivo radica en que, como sabemos, todos los átomos siguen continuamente un movimiento térmico completamente desordenado y hace imposible que los acontecimientos que tienen lugar entre un reducido número de átomos puedan ser unificados en unas leyes comprensibles. Solo a partir de la cooperación de un número enorme de átomos las leyes estadísticas empiezan a ser aplicables, controlando el comportamiento de estos conjuntos con una precisión que aumenta en la medida que aumenta la cantidad de átomos que intervienen en el proceso. De esta manera, los acontecimientos toman un aspecto realmente ordenado. Todas las leyes físicas y químicas que desempeñan un papel importante en la vida de los organismos son de tipo estadístico: cualquier otro tipo de ordenación que pueda imaginarse está perpetuamente perturbado y hecho inoperante por el movimiento térmico incesante de los átomos.
1.8. El gran número de átomos que interviene es la base de su precisión. Primer ejemplo (paramagnetismo)
Intentaré ilustrar esto mediante algunos ejemplos, escogidos más o menos al azar entre varios miles. Probablemente no sean los más apropiados para atraer al lector que este aprendiendo esta propiedad de las cosas por primera vez, una propiedad que, para la Física y la Química modernas, es tan fundamental como, por ejemplo, para la Biología el hecho de que los organismos estén compuestos de células, o como la ley de Newton en Astronomía o, incluso, la serie de los enteros, 1, 2, 3, 4, 5,… para las Matemáticas. Un profano no debe esperar que las pocas páginas que siguen le aporten una comprensión completa de este tema, que va unido a los nombres ilustres de Ludwig Boltzmann y Willard Gibbs y es tratado en los libros de texto bajo la denominación de termodinámica estadística.
Si llenamos un tubo oblongo de cuarzo con oxígeno, y lo sometemos a un campo magnético, el gas queda magnetizado.[6] La magnetización se debe a que las moléculas de oxígeno son pequeños imanes que tienden a orientarse paralelamente al campo magnético, como una brújula. Pero no se debe pensar que realmente se ponen todas paralelas, ya que, si duplicamos la intensidad del campo, obtendremos una magnetización doble en el mismo cuerpo de oxígeno, y esa proporcionalidad continúa hasta valores de campo muy altos, aumentando la magnetización en proporción a la intensidad del campo aplicado.
Éste es un ejemplo especialmente claro de una ley puramente estadística. La orientación que el campo magnético intenta provocar es contrarrestada de continuo por el movimiento térmico, que trata de imponer una orientación al azar. El efecto de esta tensión solo es, de hecho, una ligera preferencia por los ángulos agudos sobre los obtusos entre los ejes de los dipolos y la dirección del campo magnético.

Figura 1. Paramagnetismo
A pesar de que los átomos individuales cambian su orientación incesantemente, manifiestan por término medio (debido a su enorme número) una pequeña preponderancia constante de la orientación en la dirección del campo magnético, proporcional a la intensidad de éste. Esta ingeniosa explicación se debe al físico francés P. Langevin.
Puede comprobarse de la siguiente forma: si la magnetización observada es realmente la resultante de dos tendencias opuestas, a saber, el campo magnético, el cual trata de poner todas las moléculas paralelas, y el movimiento térmico, el cual provoca la orientación al azar, entonces debería ser posible aumentar la magnetización debilitando el movimiento térmico, o lo que es lo mismo, disminuyendo la temperatura, en lugar de reforzar el campo. Experimentalmente se ha comprobado que la magnetización es inversamente proporcional a la temperatura absoluta, en concordancia cuantitativa con la teoría (ley de Curie). Los equipos modernos han hecho posible incluso que, disminuyendo la temperatura, se llegue a reducir el movimiento térmico a valores tan insignificantes que la tendencia orientadora del campo magnético puede imponerse, si no completamente, sí al menos lo suficiente como para producir una fracción sustancial de la «magnetización completa». En este caso, ya no esperamos que, al duplicar la intensidad del campo, se duplique la magnetización, sino que esta se incremente cada vez menos al aumentar el campo, acercándose a lo que se denomina «saturación». Esta suposición también ha sido confirmada cuantitativamente por los experimentos.
Téngase en cuenta que este comportamiento depende enteramente del gran número de moléculas que cooperan en la producción de la magnetización que, fluctuando en forma irregular de un segundo a otro, mostraría las vicisitudes del antagonismo entre movimiento térmico y campo magnético.
1.9. Segundo ejemplo (movimiento browniano, difusión)
Si llenamos de vapor, formado por minúsculas gotas, la parte inferior de un recipiente de cristal cerrado, veremos que el límite superior del vapor se hunde gradualmente con una velocidad bien definida, determinada por la viscosidad del aire y el tamaño y peso específico de las gotitas. Pero, si observamos una de estas partículas con un microscopio, veremos que no baja continuamente a una velocidad constante, sino que sigue un movimiento muy irregular, el llamado movimiento browniano,[7] que corresponde a un descenso regular solo cuando se considera el término medio de todas las partículas.

Figura 2. Vapor sedimentándose y movimiento browniano seguido por una partícula de vapor.
Estas gotitas no son átomos, pero sí son lo suficiente pequeñas y livianas como para no resultar insensibles al impacto de una molécula de las que martillean su superficie con continuos golpes. De esta forma, las gotitas son empujadas de un lado a otro y solo por término medio pueden seguir la influencia de la gravedad.
Este ejemplo nos muestra lo extrañas y curiosas que serían nuestras sensaciones si nuestros sentidos fueran sensibles al impacto de unas pocas moléculas. De hecho, existen bacterias y otros organismos tan pequeños que están seriamente afectados por este fenómeno. Sus movimientos están determinados por los caprichos térmicos del medio que les rodea; no tienen iniciativa propia. Si poseyeran alguna forma de locomoción propia, podrían conseguir desplazarse de un punto a otro, aunque con dificultad, ya que el movimiento térmico les zarandea como un bote en un mar agitado.
Un fenómeno muy similar al movimiento browniano es la difusión. Imaginemos un recipiente lleno de un fluido, por ejemplo agua, en el que introducimos una pequeña cantidad de sustancia disuelta, por ejemplo permanganato potásico, en concentración no uniforme, sino más bien como en la figura 3, donde los círculos indican las moléculas de la sustancia disuelta (permanganato) y la concentración disminuye de izquierda a derecha. Si dejamos este sistema en reposo, se inicia un proceso muy lento de «difusión», en el cual el permanganato se extiende de izquierda a derecha, es decir, de los lugares con mayor concentración a los de concentración menor, hasta que su distribución en el agua se hace uniforme.

Figura 3. Difusión, de izquierda a derecha, en una disolución de concentración variable.
El aspecto notable de este sencillo y en apariencia no demasiado interesante proceso es que no se debe en modo alguno, como se podría pensar, a una tendencia o fuerza que empuje las moléculas del permanganato desde la región densa a la menos densa, como la población de un país que se dispersa hacia las zonas con más espacio vital. Lo que le ocurre a nuestras moléculas de permanganato es totalmente distinto. Cada una de ellas actúa de forma relativamente independiente con respecto a las demás, con las cuales se encuentra muy raramente. Cada una de ellas, tanto en una zona densa como en otra vacía, sufre el mismo destino de ser continuamente golpeada por las moléculas de agua que la rodean, por lo que se mueve continuamente en direcciones imprevisibles, ora hacia la zona más concentrada, ora hacia la zona más diluida, y a veces de forma oblicua. El tipo de movimiento que lleva a cabo se ha comparado muchas veces al recorrido de una persona con los ojos vendados que tuviera «ganas» de andar, pero sin preferencia por dirección particular alguna, cambiando así de trayectoria continuamente.
El hecho de que este movimiento al azar del permanganato potásico, idéntico para todas sus moléculas, provoque un flujo regular hacia las zonas de concentración inferior y en último término una distribución uniforme, es, a primera vista, sorprendente (pero tan solo a primera vista). Si, en la figura 3, consideramos franjas estrechas de concentración aproximadamente constante, las moléculas de permanganato, que en un momento dado se encuentran dentro de una franja, se desplazarán con igual probabilidad tanto hacia la derecha como hacia la izquierda. Pero, por este mismo motivo, el plano que separa dos franjas vecinas será atravesado por más moléculas en el sentido de izquierda a derecha que al revés, por la sencilla razón de que, en la franja de la izquierda, se encuentra una mayor cantidad de moléculas moviéndose al azar que en la de la derecha. Y, mientras esta situación se mantenga, el balance total será de un flujo de izquierda a derecha, hasta que se alcance una distribución uniforme. Traduciendo estas consideraciones al lenguaje matemático, la ley de difusión se expresa exactamente en forma de una ecuación diferencial parcial:

No molestare al lector explicándola, a pesar de que su significado es claro, si se expresa en lenguaje común.[8] El motivo de que mencione aquí la austera ley «matemáticamente exacta» es el de resaltar que su exactitud física debe ser probada en cada aplicación particular. Al estar basada en el puro azar, su validez es solo aproximada. Si, por regla general, es una aproximación muy buena, se debe solo al enorme número de moléculas que cooperan en el fenómeno. Cuanto menor sea el número de moléculas mayor será la desviación debida al azar que debemos esperar (y esta desviación podrá ser observada bajo condiciones favorables).
1.10. Tercer ejemplo (límites de precisión en la medida)
El último ejemplo que citaremos es muy similar al segundo, pero tiene un interés especial. Los físicos usan a menudo un cuerpo liviano suspendido en equilibrio de un hilo fino, para medir fuerzas débiles que lo desplacen de su posición de equilibrio. Se pueden aplicar fuerzas eléctricas, magnéticas o gravitacionales para hacerlo girar sobre su eje vertical. (Evidentemente, el cuerpo debe ser elegido con las condiciones apropiadas para cada caso). Se ha encontrado un límite, muy interesante por sí mismo, en el continuo esfuerzo por aumentar la precisión de este aparato de uso tan frecuente, «la balanza de torsión». Al escoger materiales siempre más livianos y usar hilos más delgados y más largos (con la intención de que la balanza fuera sensible a fuerzas cada vez más débiles) se alcanzó un límite en el momento en que el cuerpo suspendido llego a ser observablemente sensible a los impactos debidos al movimiento térmico de las moléculas del ambiente que lo rodeaba. Entonces, presentaba una «danza» incesante e irregular alrededor de su posición de equilibrio, de forma similar al temblor de la gotita del segundo ejemplo. A pesar de que este hecho no señala un límite absoluto a la precisión de las mediciones obtenidas con la balanza de torsión, sí supone un límite práctico. El efecto incontrolable del movimiento térmico entra en competencia con el efecto de la fuerza que se intenta medir y hace que la desviación provocada sea insignificante. La única solución para eliminar el efecto del movimiento browniano en el aparato consiste en repetir muchas veces la observación. En mi opinión, este ejemplo es especialmente esclarecedor en nuestra investigación. Después de todo, nuestros sentidos son cierto tipo de instrumentos. Podemos pensar lo inútiles que resultarían si fuesen excesivamente sensibles.
1.11. La regla de la √n
Dejemos, por ahora, los ejemplos. Para terminar, añadiré que, entre todas las leyes físicas y químicas que tienen importancia para los organismos o para sus interacciones con el ambiente, no existe una sola que no hubiera podido tomar como ejemplo. Las explicaciones detalladas podrían ser más complicadas, pero la conclusión siempre sería la misma, lo que haría monótona la descripción.
Añadiré, no obstante, una puntualización cuantitativa muy importante acerca del grado de inexactitud que debemos esperar en cualquier ley física, la llamada ley de la √n. La ilustrare primero con un ejemplo sencillo, para después generalizarla.
Si afirmo que un gas determinado, bajo condiciones de presión y temperatura dadas, tiene cierta densidad y si expreso esto diciendo que, en un volumen dado (de un tamaño adecuado para la experimentación), hay bajo esas condiciones exactamente n moléculas del gas, podemos estar seguros de que, si pudiéramos comprobar esta afirmación en un momento dado, encontraríamos que resulta inexacta, siendo la desviación del orden de √n. Por lo tanto, si el número n = 100, hallaremos una desviación de aproximadamente 10, o sea, un error relativo del 10%. Pero, si n = 1 000 000, la desviación que probablemente encontraríamos sería aproximadamente 1000, es decir, un error del 0,1%. Simplificando, podemos decir que esta ley estadística es bastante general. Las leyes físicas y fisicoquímicas son inexactas dentro de un probable error relativo del orden 1 /√n, donde n es el número de moléculas que cooperan en la formación de la ley, para dar lugar a esa validez en las regiones de espacio o tiempo (o ambos) que nos interesan en vista de determinadas consideraciones o para algunos experimentos particulares.
Podemos ver con esto, una vez más, que un organismo debe tener una estructura comparativamente grande para poder beneficiarse de leyes relativamente exactas, tanto para su funcionamiento interior como para las relaciones con el mundo externo. De otra manera, el número de partículas que interviene sería excesivamente pequeño, y la ley demasiado inexacta. La condición particularmente exigente es la raíz cuadrada, pues, si bien un millón es un número razonablemente grande, una exactitud de 1 sobre 1000 no es nada extraordinario, y menos si algo pretende alcanzar la dignidad de ley de la Naturaleza.
Capítulo 2
El mecanismo de la herencia
Das Sein ist ewig; denn Gesetze Bewahren die lebendigen Schätze, Aus welchen sich das Ah geschmückt.[9]
Goethe
2.1. La suposición del físico clásico, lejos de ser trivial, es errónea2.1. La suposición del físico clásico, lejos de ser trivial, es errónea
2.2. El mensaje cifrado de la herencia (cromosomas)
2.3. Crecimiento del cuerpo por división celular (mitosis)
2.4. En la mitosis se duplica cada uno de los cromosomas
2.5. División reductora (meiosis) y fertilización (singamia)
2.6. Individuos haploides
2.7. La extraordinaria importancia de la división reductora
2.8. Entrecruzamiento. Localización de los caracteres
2.9. Tamaño máximo de un gen
2.10. Números pequeños
2.11. Permanencia
Hemos llegado a la conclusión de que un organismo, y todos los procesos biológicos importantes que experimente, deben tener una estructura marcadamente «multi-atómica» y tienen que ser protegidos de los acontecimientos «monoatómicos» aleatorios que pudieran alcanzar una importancia excesiva. Esto, según el «físico ingenuo», es esencial para que el organismo pueda poseer leyes físicas suficientemente precisas en las que apoyarse para elaborar su maravillosamente regular y bien ordenado funcionamiento. Ahora bien, ¿cómo encajan estas conclusiones obtenidas, hablando biológicamente, a priori (es decir, desde una perspectiva puramente física) con los hechos biológicos reales?
A primera vista, uno se inclinaría a pensar que estas conclusiones son poco más que triviales. Hace treinta años, un biólogo podría haber dicho que, aun siendo oportuno que en una conferencia de divulgación se hiciera notar la importancia, en el organismo o en cualquier parte, de la Física estadística, tratábase en realidad de un lugar común familiar. Porque es evidente que tanto el cuerpo adulto de un organismo de cualquier especie superior como cada una de las células que lo componen contienen un número cósmico de átomos de todos los tipos. Y todo proceso fisiológico particular que observamos, ya sea en el interior de la célula o en la relación de esta con el ambiente, aparenta (o aparentaba al menos hace treinta años) abarcar cantidades tan enormes de átomos y procesos atómicos individuales que respetarían todas las leyes físicas y fisicoquímicas importantes, incluso teniendo en cuenta las estrictas exigencias de la Física estadística por lo que afecta a los grandes números. Exigencias que acabo de ilustrar con la regla de la √n.
Hoy en día sabemos que esta opinión habría sido errónea. Como veremos en breve, grupos increíblemente pequeños de átomos, excesivamente reducidos para atenerse a las leyes estadísticas, desempeñan de hecho un papel dominante en los ordenados y metódicos acontecimientos que tienen lugar dentro de un organismo vivo. Controlan las particularidades macroscópicas observables que el organismo adquiere en el curso de su desarrollo. Determinan importantes características de su funcionamiento, y en todo esto se manifiestan leyes biológicas muy definidas y exactas.
Debo empezar haciendo un breve sumario de la situación en la Biología, concretamente en la genética; en otras palabras, debo resumir la situación actual del conocimiento de un tema en el cual no soy experto. Esto no puedo remediarlo y pido disculpas, especialmente a los biólogos, por el carácter superficial de mi resumen. Por otra parte, permítaseme exponer las ideas básicas de forma más o menos dogmática. No puede esperarse que un pobre físico teórico haga nada parecido a una revisión competente de la evidencia experimental, que está formada por largas series, magníficamente entrelazadas, de experimentos de cruzamientos, logrados con una ingenuidad realmente sin precedentes por un lado, pero disponiendo, por el otro, de observaciones directas de la célula viva llevadas a cabo con todo el refinamiento de la microscopia moderna.
2.2. El mensaje cifrado de la herencia (cromosomas)
Permítaseme el usar el término esquema (pattern) de un organismo en el sentido en que el biólogo lo haría al decir el esquema en cuatro dimensiones, refiriéndose no solo a la estructura y funcionamiento de ese organismo en el estado adulto, o en cualquier otra fase particular, sino al conjunto de su desarrollo ontogénico, desde el huevo fertilizado al estado de madurez, cuando el organismo empieza a reproducirse.
Ahora bien, todo este esquema en cuatro dimensiones esta determinado en la estructura de esa célula única que es el huevo fertilizado. Más aún, sabemos que está determinado esencialmente por solo una parte de esta célula, su núcleo. Este núcleo, en el «estado de reposo» normal, aparece, por regla general, como una masa de cromatina.[10] Pero, en los procesos de división celular, de vital importancia (denominados mitosis y meiosis, como veremos más adelante), se observa que está constituido por un conjunto de partículas, en general con forma de fibras o bastones, llamados cromosomas, que pueden ser 8, 12, etc.; en el hombre son 46. En realidad, debería haber escrito estos ejemplos como 2×4, 2×6…, 2×23…, y tendría que haber hablado de dos conjuntos o dotaciones, para utilizar la expresión tal como lo hacen los biólogos. Ya que, aunque los cromosomas individuales son a veces claramente diferenciables por tamaño y forma, existen dos conjuntos que son prácticamente idénticos. Como veremos en seguida, un conjunto proviene de la madre (ovulo) y el otro del padre (espermatozoide fertilizador). Son estos cromosomas, o probablemente solo una fibra axial de lo que vemos bajo el microscopio como cromosoma, los que contienen en alguna forma de clave o texto cifrado el esquema completo de todo el desarrollo futuro del individuo y de su funcionamiento en estado maduro. Cada dotación completa de cromosomas contiene toda la clave; de este modo, por regla general son dos copias de esta las que encontramos en el huevo fertilizado, el cual constituye el primer estadio del individuo futuro.
Al decir que la estructura de las fibras de los cromosomas son un texto cifrado queremos significar que la inteligencia absoluta, imaginada por Laplace, para la que cualquier relación causal sería evidente, podría averiguar, partiendo de su estructura, si de un huevo, bajo determinadas condiciones, se desarrollaría un gallo negro o una gallina moteada, una mosca o una planta de maíz, un rododendro, un escarabajo, un ratón, o una mujer. A esto podríamos añadir que el aspecto de las distintas células-huevo es muy similar; y que, aun cuando no lo sea, como en el caso de los gigantescos, en comparación, huevos de reptiles y aves, la diferencia no radica en las estructuras importantes, sino en la cantidad de material nutritivo que se añade en estos casos por razones obvias.
Pero el término clave, o texto cifrado, es demasiado limitado. Las estructuras cromosómicas son al mismo tiempo los instrumentos que realizan el desarrollo que ellos mismos pronostican. Representan tanto el texto legal como el poder ejecutivo; para usar otra comparación, son a la vez los planos del arquitecto y la mano de obra del constructor.
2.3. Crecimiento del cuerpo por división celular (mitosis)
¿Cuál es el comportamiento de los cromosomas a lo largo de la ontogenia?[11] El crecimiento de un organismo se lleva a cabo por divisiones celulares consecutivas. Cada división celular de este tipo se denomina mitosis. En la vida de una célula, este es un acontecimiento menos frecuente de lo que cabría esperar, considerando la enorme cantidad de células que componen nuestro cuerpo. Al principio, el crecimiento es rápido. La célula-huevo se divide en dos «células hijas», que darán lugar, en la siguiente etapa, a una generación de cuatro células, después 8, 16, 32, 64, etc. La frecuencia de división no se mantiene constante en todas las partes del individuo en crecimiento, y así se altera la regularidad de estos números. Pero de su rápido aumento deducimos, por un cálculo fácil, que por término medio bastan solo 50 o 60 divisiones sucesivas para producir el número de células[12] que encontramos en un hombre adulto, o incluso un número diez veces mayor, considerando también la renovación de células a lo largo de su vida. Así pues, una célula de mi cuerpo es, como media, tan solo el quincuagésimo o sexagésimo descendiente de la célula huevo que yo fui.
2.4. En la mitosis se duplica cada uno de los cromosomas
¿Cómo se comportan los cromosomas en la mitosis? Se duplican; las dos dotaciones, las dos copias de la clave, se duplican. El proceso ha sido minuciosamente estudiado bajo el microscopio y es de gran interés, pero excesivamente complicado como para exponerlo aquí con detalle. El principal hecho es que cada una de las «células hijas» recibe una dotación completa de cromosomas exactamente igual a la de la «célula madre». De este modo, todas las células del cuerpo son idénticas por lo que se refiere a su tesoro cromosómico[13].
Por poco que sepamos de este sistema, es evidente que debe de resultar muy importante para el funcionamiento del organismo, ya que todas y cada una de las células, incluso la menos importante, debe poseer una copia completa (doble) del texto cifrado. El general Montgomery, en su campana africana, consideraba fundamental que cada uno de los soldados de su ejército estuviera meticulosamente informado de sus planes. Si esto fue así (y probablemente lo fuera, considerando el nivel de inteligencia y fiabilidad de sus tropas), encontramos una analogía con el caso que nos ocupa, en el que el hecho se cumple literalmente. Lo más sorprendente es que la dotación cromosómica sea doble, manteniéndose así a través de las divisiones mitóticas. Que esto es la característica más destacada de un mecanismo genético queda revelado, de la manera más sorprendente, por la única excepción a la regla, como veremos a continuación.
2.5. División reductora (meiosis) y fertilización (singamia)
Muy poco después de empezar el desarrollo del individuo, un grupo de células queda reservado para producir, en un estadio posterior, lo que llamamos gametos, los espermatozoides u óvulos, según sea el caso, que son necesarios para la reproducción de un individuo en la madurez. Al decir reservado, nos referimos al hecho de que estas células no son utilizadas entretanto para otras finalidades y sufren muchas menos divisiones mitóticas que las demás células. La división excepcional o reductora (denominada meiosis) es aquella por la cual, cuando el organismo alcanza la madurez, se producen los gametos a partir de las células reservadas; por lo general, solo poco tiempo antes de que tenga lugar la singamia. Por la meiosis, la doble dotación de cromosomas de la célula madre se separa y cada una va a parar a una célula hija, los gametos, que se forman siempre de cuatro en cuatro. En la meiosis se produce una duplicación del número de cromosomas, pero estos se reparten entre cuatro células, por lo que cada una de las cuatro recibe solo la mitad, es decir, solo un ejemplar completo de la clave en lugar de dos. Por ejemplo, en el hombre, los gametos tienen 23 cromosomas, y no 2×23 = 46. Las células con solo una dotación cromosómica se llaman haploides (del griego απλους, único). Por lo tanto los gametos son haploides, y las células comunes del cuerpo diploides (del griego διπλους, doble). A veces, se encuentran individuos con tres, cuatro… o muchas dotaciones cromosómicas en todas las células de su cuerpo; se les denomina triploides, tetraploides… o poliploides.
En el acto de la singamia, el gameto masculino (espermatozoide) y el gameto femenino (óvulo), ambas células haploides, se reúnen para formar la célula huevo fertilizada, que, en consecuencia, es diploide. Una de sus dotaciones cromosómicas proviene del padre y la otra de la madre.
2.6. Individuos haploides
Se nos presenta otro punto que requiere una rectificación. Aunque para nuestro objetivo no es indispensable, resulta muy interesante, ya que permite ver que en una sola dotación cromosómica se encuentra realmente de forma completa el texto cifrado del esquema del individuo.
Hay casos en los que la meiosis no es seguida poco después de la fertilización, y la célula haploide sufre numerosas divisiones mitóticas, lo cual da lugar a un individuo haploide completo. Así ocurre, por ejemplo, en la abeja macho, el zángano, que es producido partenogenéticamente, es decir, a partir de óvulos no fertilizados, y por lo tanto haploides, de la reina. ¡El zángano no tiene padre! Todas las células de su cuerpo son haploides. Podría decirse que es un espermatozoide exageradamente grande; y, de hecho, como todo el mundo sabe, esa es su única misión en la vida. Sin embargo, tal vez sea este un punto de vista algo cómico, ya que el caso no es único. En algunos grupos de plantas, la célula haploide, producida por meiosis y denominada espora, cae al suelo y da lugar, como si fuera una semilla, a una planta completa, haploide, de tamaño comparable al de la diploide. La figura 1 es el esquema de un musgo bien conocido en nuestros bosques. La parte inferior, foliada, es la planta haploide, denominada gametofito, ya que en su parte superior desarrolla órganos sexuales y gametos, que por mutua fertilización producen en forma habitual la planta diploide, que es el tallo desnudo con una capsula en el extremo.

Figura 1. Alteración de generaciones.
Esta parte se denomina esporofito, porque produce, por medio de la meiosis, las esporas que la capsula contiene. Cuando la capsula se abre, las esporas caen al suelo y dan lugar al tallo foliado. Y así sucesivamente. A esa sucesión de acontecimientos se la ha llamado, de forma muy apropiada, alternación de generaciones. Si quisiéramos, también podríamos hablar en estos términos del caso más común del hombre y los animales. Pero entonces el «gametofito» sería una breve generación unicelular, espermatozoide u óvulo, según el sexo. Nuestro cuerpo correspondería al esporofito, nuestras «esporas» las células reservadas de las que, por meiosis, se origina la generación unicelular de gametos.
2.7. La extraordinaria importancia de la división reductora
El hecho importante y realmente decisivo en la reproducción del individuo no es la fertilización, sino la meiosis. Una colección de cromosomas proviene del padre, otra de la madre. Ni la casualidad ni el destino pueden alterar ese hecho. Cada hombre[14] debe a su madre exactamente la mitad de su herencia genética y a su padre la otra mitad. El hecho de que a menudo parezca que domine una u otra parte se debe a otras razones, como veremos más adelante. (El sexo es, de hecho, el aspecto más simple y constante de tal predominio.)
Pero, cuando seguimos la pista de nuestra herencia hasta nuestros abuelos, la situación es distinta. Fijémonos, por ejemplo, en mi colección paterna de cromosomas, en particular en uno de ellos, digamos el número 5. Éste es una réplica fiel del número 5 que mi padre recibió de su padre o del número 5 que recibió de su madre. El resultado fue decidido con una probabilidad de un 50% en la meiosis que tuvo lugar en el cuerpo de mi padre en noviembre de 1886, la cual produjo el espermatozoide que unos días después se haría efectivo al engendrarme a mí. Podríamos repetir la misma historia para el cromosoma 1, 2, 3,…, 23 de mi colección paterna, y mutatis mutandis para cada uno de mis cromosomas maternos. Por otra parte, cada una de las 46 soluciones es independiente de las otras. Es decir, incluso sabiendo que mi cromosoma paterno número 5 proviene de mi abuelo Josef Schrödinger, el número 7 sigue teniendo la misma probabilidad de venir o bien de él, o bien de su mujer, Marie Bogner.
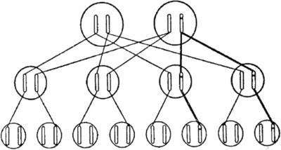
2.8. Entrecruzamiento. Localización de los caracteres
Sin embargo, el azar tiene aún más recursos para mezclar la herencia recibida por el nieto de sus abuelos que los que hemos visto hasta ahora. Hasta aquí hemos supuesto tácitamente, o incluso dicho, que un cromosoma determinado proviene como un todo del abuelo o de la abuela: es decir, que los cromosomas se transmiten indivisos, de una sola pieza. En realidad, no es así, o por lo menos no siempre es así. Antes de ser separados por la división reductora, por ejemplo la del cuerpo del padre, cada pareja de cromosomas «homólogos» entra en estrecho contacto, durante el cual intercambia a veces trozos enteros, como podemos ver en la figura 2. Por este proceso, denominado entrecruzamiento (crossing-over), dos propiedades que estaban situadas en dos partes diferentes de un mismo cromosoma estarán separadas en el nieto, que será como el abuelo en una parte y como la abuela en otra. La existencia del entrecruzamiento, que no es muy frecuente pero tampoco excepcional, nos ha suministrado inapreciable información acerca de la localización de los caracteres en los cromosomas. Para hacer una exposición completa, deberíamos profundizar en conceptos que no introduciremos hasta el próximo capítulo (por ejemplo, heterozigosis, dominancia, etc.); pero, como esto nos llevaría más allá de lo que se pretende en este pequeño libro, permítaseme indicar solo el aspecto principal ahora mismo.

Figura 2. Crossing-over. Izquierda: los dos cromosomas homólogos en contacto. Derecha: separación tras el intercambio.
Si no hubiera entrecruzamiento, dos caracteres de los que fuera responsable un mismo cromosoma se transmitirían siempre juntos y ningún descendiente recibiría uno sin el otro. Por otra parte, dos caracteres debidos a cromosomas distintos, o bien tendrían una probabilidad de un 50% de estar separados o bien estarían siempre separados (esto último en el caso de estar situados en cromosomas homólogos de un mismo antepasado, los cuales no podrían reunirse nunca).
El entrecruzamiento altera reglas y probabilidades. En consecuencia, registrando cuidadosamente el porcentaje de la composición de la prole en experimentos con abundantes cruces experimentales, y convenientemente preparados, podremos conocer la probabilidad del fenómeno. Analizando los resultados estadísticos, se acepta la sugestiva hipótesis de trabajo según la cual el ligamento (linkage) entre dos caracteres situados en el mismo cromosoma se rompe, por entrecruzamiento, tanto menos frecuentemente cuanto más cerca están los caracteres entre sí. Esto se debe a que el punto de intercambio tiene una menor probabilidad de encontrarse entre ellos, mientras que los caracteres que estén localizados cerca de los extremos opuestos del cromosoma serán separados por todos los entrecruzamientos que se produzcan. (Con la recombinación de caracteres, situados en cromosomas homólogos del mismo antecesor, ocurre algo parecido.) De esta forma, se puede esperar que, a partir de las «estadísticas de ligamiento», se obtenga una especie de «mapa de caracteres» dentro de cada cromosoma.
Estas suposiciones se han confirmado plenamente. En los casos en que se han hecho ensayos cuidadosos (principal pero no exclusivamente, en la mosca del vinagre, drosophila), los caracteres analizados se reparten en grupos independientes, sin que haya ligamiento entre un grupo y otro, correspondiendo cada grupo a los diferentes cromosomas (cuatro en drosophila). Dentro de cada grupo, puede elaborarse un mapa lineal de los caracteres dando una valoración cuantitativa del grado de ligamiento entre dos cualesquiera de ese grupo, de modo que no haya duda acerca de los puntos en los que se localizan realmente, a lo largo de una línea, tal como sugiere la forma de bastón del cromosoma.
Por supuesto, el esquema del mecanismo de la herencia que hemos esbozado hasta aquí es bastante vacío y descolorido, incluso ingenuo. Por ejemplo, no hemos dicho que entendemos exactamente por «carácter». No parece posible ni adecuado diseccionar en «caracteres» la estructura de un organismo que es esencialmente una unidad, «un todo». Ahora bien, lo que decimos en cada caso particular es que un par de antepasados se diferenciaba en algún aspecto bien definido (por ejemplo, uno tenía ojos azules y el otro castaños) y que su descendencia se parece en este aspecto a uno o a otro. Lo que situamos en el cromosoma es la localización de esta diferencia. (En lenguaje técnico, lo llamaríamos un locus, o, si pensamos en la hipotética estructura material que lo constituye, un gen.) Desde mi punto de vista, la diferencia en el carácter es el concepto fundamental, más que el carácter en sí, a despecho de la aparente contradicción lingüística y lógica de tal afirmación. Las diferencias entre los caracteres son en realidad discretas, tal como se verá en el próximo capítulo cuando hablemos de las mutaciones; espero que, entonces, el árido esquema presentado hasta ahora, adquirirá más vida y color.
2.9. Tamaño máximo de un gen
Acabamos de presentar el gen como el hipotético transportador material de una determinada característica hereditaria. Ahora debemos hacer notar dos puntos que resultaran de gran importancia para nuestra investigación. El primero es el tamaño (o más exactamente, el tamaño máximo) de dicho transportador. En otras palabras, ¿hasta qué diminuto volumen podemos detectar su localización? El segundo punto será la permanencia de un gen, que inferiremos de la durabilidad de la estructura hereditaria.
Por lo que hace al tamaño, se dispone de dos estimaciones totalmente independientes, una basada en pruebas genéticas (cruces experimentales) y la otra en pruebas citológicas (inspección microscópica directa). La primera es, en principio, bastante sencilla. Comenzamos situando en el cromosoma, por el sistema descrito antes, un número considerable de caracteres diferentes (por ejemplo, los de la mosca drosophila). Para obtener la estimación que se busca, en un cromosoma en concreto, bastara con dividir la longitud medida de ese cromosoma por el número de características y multiplicarla por la sección transversal. Evidentemente, consideraremos solo como diferencias aquellas características que alguna vez son separadas por entrecruzamiento, de forma que no puedan ser debidas a la misma estructura (microscópica o molecular). Está claro, por otra parte, que nuestra estimación solo podrá dar un tamaño máximo, ya que el número de características individualizadas por el análisis genético aumenta continuamente a medida que avanza la investigación.
La otra estimación, a pesar de estar basada en observaciones microscópicas, es mucho menos directa. Algunas células de Drosophila (concretamente las de las glándulas salivares de las larvas) están, por algún motivo, enormemente aumentadas, y lo mismo ocurre con sus cromosomas. En ellos se distingue un apretado esquema de bandas oscuras transversales. C. D. Darlington observó que el número de estas bandas (2000 en el caso que el estudio) es, aunque considerablemente mayor, de aproximadamente el mismo orden de magnitud que el número de genes localizados en aquel cromosoma por los cruces experimentales. Lo cual le hace considerar las bandas como indicadores de los propios genes (o de la separación entre ellos). Dividiendo la longitud del cromosoma de una célula de tamaño normal por ese número (2000) se encuentra que el volumen de un gen es el de un cubo de 300 Å de arista. Teniendo en cuenta el carácter aproximado de las estimaciones, es el mismo resultado que el obtenido por el primer método.
2.10. Números pequeños
Más adelante discutiremos a fondo la relación de lo visto hasta aquí con la Física estadística, o quizá, debería decir, la relación de estos hechos con la aplicación de la Física estadística a la célula viva. Pero permítaseme hacer notar el hecho de que 300 Å son solo unas 100 o 150 distancias atómicas en un líquido o en un sólido, de forma que un gen con toda seguridad no contiene más que un millón o unos pocos millones de átomos. Esta cifra es demasiado pequeña (desde el punto de vista de la √n) para suponer un comportamiento regular y ordenado según la Física estadística (y esto equivale a decir que según toda la Física). Es excesivamente pequeño, incluso si todos estos átomos desempeñaran funciones idénticas, como ocurre en un gas o en una gota de líquido. Y evidentemente el gen es algo más que una homogénea gota de líquido. Probablemente se trata de una gran molécula de proteína, en la que cada átomo, cada radical, cada anillo heterocíclico, tiene un papel individual y más o menos distinto del que tiene cualquiera de los otros átomos, radicales o anillos. Ésta es, al menos, la opinión de genetistas de vanguardia como Haldane y Darlington, y pronto haremos referencia a experimentos genéticos que lo demuestran[15].
2.11. Permanencia
Vayamos ahora al segundo punto importante: ¿cuál es el grado de permanencia que encontramos en los caracteres hereditarios y que conclusiones debemos sacar sobre las estructuras materiales que los transportan?
La respuesta podemos darla sin ninguna investigación especial. El mero hecho de que hablemos de propiedades hereditarias indica que reconocemos esta permanencia como prácticamente absoluta. No debemos olvidar que lo que se transmite de padres a hijos no es esta o esa peculiaridad concreta, nariz aguileña, dedos cortos, tendencia al reumatismo, hemofilia o polidactilia. Éstas son características que podemos seleccionar para estudiar las leyes de la herencia. Pero, en realidad, es la estructura completa (en cuatro dimensiones) del fenotipo, la naturaleza visible y manifiesta del individuo, lo que se reproduce sin cambios apreciables a través de las generaciones, permanente a lo largo de los siglos (aunque no a lo largo de decenas de miles de años) y aportada en cada transmisión por la estructura material de los núcleos de las dos células que se unen para formar el huevo fertilizado. Eso es una maravilla, solo superada por otra, la cual, si bien íntimamente relacionada con ésta, se encuentra a otro nivel. Me refiero al hecho de que nosotros, que estamos en todo nuestro ser basados en unas relaciones prodigiosas de este tipo, tenemos además el poder de adquirir un considerable conocimiento de ello. Creo posible que este conocimiento llegue muy cerca de una comprensión completa de la primera maravilla. La segunda probablemente se encuentre fuera del alcance de la mente humana
Und was in shwankender Erscheinung schwebt, Befestiget mit dauernden Gedanker.[16]
Goethe
3.1. Mutaciones discontinuas: material de trabajo de la selección natural
3.2. Las mutaciones se heredan perfectamente
3.3. Localización. Recesividad y dominancia
3.4. Introducción de un poco de lenguaje técnico
3.5. Efecto perjudicial de los cruces consanguíneos
3.6. Consideraciones históricas y generales
3.7. La mutación debe ser un acontecimiento poco frecuente
3.8. Mutaciones inducidas por los rayos X
3.9. Primera ley. La mutación es un acontecimiento aislado
3.10. Segunda ley. Localización del acontecimiento
3.1. Mutaciones discontinuas: material de trabajo de la selección natural
Los hechos generales que acabamos de exponer sobre la duración atribuida a la estructura del gen son quizá demasiado familiares como para sorprendernos o incluso para considerarlos convincentes. Esta vez, al menos, el refrán, según el cual la excepción confirma la regla, se convierte en realidad. Si el parecido entre padres e hijos no presentara excepciones, no solo no dispondríamos de todos esos brillantes experimentos que nos han revelado el detallado mecanismo de la herencia, sino que no se daría ese experimento a gran escala de la Naturaleza, realizado algunos millones de veces ya, que forja las especies por selección natural y supervivencia del más apto.
Tomemos este importante punto como principio para presentar los hechos principales, de nuevo pidiendo excusas y recordando que no soy biólogo. Hoy sabemos con certeza que Darwin estaba en un error al considerar las variaciones pequeñas y continuas que se presentan incluso en la población más homogénea como los fenómenos sobre los que actúa la selección natural. Se ha demostrado que esas variaciones no se heredan. El hecho es suficientemente importante como para ilustrarlo con brevedad. Si tomamos la recolección de una raza pura de cebada, medimos una por una la longitud de las espigas y construimos una gráfica con los resultados, obtendremos una curva acampanada como la de la figura 1, donde en ordenadas se indica el número de espigas de una determinada longitud y en abscisas las diversas longitudes de espiga posible. En otras palabras: domina una longitud media definida, existiendo desviaciones con determinadas frecuencias en cada dirección. Elijamos un grupo de espigas (indicado en negro en la figura) con longitudes considerablemente mayores que la media, pero cuyo número es suficiente para que puedan ser sembradas y den una nueva cosecha. Al hacer la estadística correspondiente, Darwin habría esperado encontrar que la curva se hubiese desplazado hacia la derecha. En otras palabras, se habría esperado producir por selección un aumento de la longitud media de las espigas.

Figura 1. Gráfico estadístico de la longitud de las barbas de las espigas de una raza pura de cebada. Seleccionaremos para la siembra de semillas, del grupo indicado en negro. (Los datos del grafico no se refieren a un experimento real, pero sirven de ejemplo).
Esto no ocurre si se ha empleado una raza de cebada verdaderamente pura. La nueva curva estadística obtenida de la cosecha seleccionada es idéntica a la primera, y habría ocurrido lo mismo en caso de seleccionar para la siembra las espigas especialmente cortas. La selección resulta ineficaz porque las diferencias pequeñas y continuas no se heredan. Es obvio que no radican en la estructura del material hereditario, sino que, evidentemente, son accidentales. No obstante, el holandés Hugo de Vries descubrió hace unos cuarenta años que incluso en la descendencia de cepas realmente puras un número muy pequeño de individuos, algo así como dos o tres entre varias decenas de miles, aparece con cambios pequeños, pero que suponen una especie de «salto».
La expresión «salto» no quiere significar que el cambio sea especialmente importante, sino que supone una discontinuidad, en el sentido de que no hay formas intermedias entre la forma inalterada y los pocos individuos que han cambiado. Tras su observación, De Vries les dio el nombre de mutaciones. El hecho significativo es la discontinuidad. Al físico le recuerda la teoría cuántica, según la cual no hay energías intermedias entre dos niveles energéticos contiguos. Podríamos llamar la teoría de la mutación, de forma figurada, la teoría cuántica de la Biología. Más adelante veremos que tal denominación es mucho más que figurativa. Las mutaciones se deben, de hecho, a saltos cuánticos en las moléculas del gen. Pero la teoría cuántica solo tenía dos años cuando de Vries publicó su teoría de la mutación, en el año 1902. No es, pues, extraño que se necesitase una generación más para descubrir la íntima relación entre ambas.
3.2. Las mutaciones se heredan perfectamente
Las mutaciones se heredan tan perfectamente como los caracteres inalterados originales. A modo de ejemplo, en la primera cosecha de cebada que veíamos antes, unas pocas espigas podían tener una longitud de barbas o aristas considerablemente alejada del nivel de variabilidad dado en la figura 1: digamos que están totalmente desprovistas de aristas. Podríamos representar una mutación de De Vries y en tal caso se reproducirían realmente, lo cual significa que todos los descendientes carecerían de aristas. Una mutación es, claramente, un cambio en el tesoro hereditario y debe atribuirse a algún cambio en la estructura material de la sustancia de la herencia. De hecho, la mayoría de los cruces experimentales de importancia, los cuales nos han revelado el mecanismo de la herencia, consisten en el análisis detallado de la descendencia obtenida al cruzar, de acuerdo con un plan preconcebido, individuos mutados (o, en muchos casos, múltiplemente mutados) con individuos no mutados o mutados de otra forma.

Figura 2. Mutante heterozigótico. La cruz señala el gen mutado.
Además, en virtud de su legítima transmisión, las mutaciones son un material apropiado sobre el cual puede operar la selección natural y producir las especies, según describió Darwin, eliminando los menos dotados y dejando sobrevivir a los más aptos. Basta con sustituir en la teoría de Darwin «pequeñas variaciones accidentales» por «mutaciones» (de la misma forma que la teoría cuántica sustituye «transferencia continua de energía» por «salto cuántico»). Por lo demás, se requieren muy pocos cambios más en la teoría de Darwin, siempre que yo este interpretando correctamente el punto de vista de la mayoría de biólogos[17].
3.3. Localización. Recesividad y dominancia
Debemos revisar ahora otros hechos y nociones fundamentales referentes a las mutaciones, y de nuevo de forma algo dogmática, sin revelar directamente cómo se infieren, uno por uno, a partir de la evidencia experimental.
Podríamos esperar que una determinada mutación fuera causada por un cambio en una región determinada de uno de los cromosomas. Y así es. Es importante señalar que sabemos positivamente que se trata de un cambio en solo un cromosoma, pero no en el locus correspondiente del cromosoma homologo. La figura 2 indica esto esquemáticamente, representando la cruz el locus mutado. El hecho de que solo se vea afectado un cromosoma se revela cuando el individuo mutado (llamado frecuentemente «mutante») se cruza con un individuo no mutado: exactamente la mitad de la descendencia presenta el carácter mutante y la otra mitad el carácter normal. Esto es lo esperable como consecuencia de la separación de los cromosomas en la meiosis del mutante, tal como se ve en la figura 3 de forma muy esquemática. En ella se ve un árbol genealógico que representa cada individuo (de tres generaciones consecutivas) simplemente por el par de cromosomas en cuestión. Tómese nota de que, si el mutante tuviera los dos cromosomas alterados, todos los hijos recibirían la misma herencia (mezclada), distinta de la de cualquiera de ambos padres.

Figura 3. Herencia de una mutación. Las líneas rectas indican la transferencia de un cromosoma, las dobles, de un cromosoma mutado. Los cromosomas incorporados en la tercera generación proceden de las «paredes» de la segunda generación, que no se incluyen en el diagrama. Se supone que serán no relativos, ajenos a la mutación.
Pero la experimentación en este campo no es tan sencilla como cabría esperar a partir de lo dicho hasta aquí. Viene complicada por un segundo hecho importante, a saber, que las mutaciones están a menudo latentes. ¿Qué significa esto? En el mutante las dos «copias del texto cifrado» ya no son idénticas; presentan dos diferentes «lecturas» o «versiones» de un mismo lugar. Puede ser útil señalar de entrada que sería erróneo, aunque tentador, el considerar la versión original como «ortodoxa» y la mutante como «herética». Debemos verlas, en principio, con igual derecho (ya que los caracteres normales también han surgido de mutaciones).
Lo que en realidad ocurre es que el «esquema» del individuo, por regla general, sigue una u otra versión, que puede ser la normal o la mutante. La versión elegida es llamada «dominante», y la otra «recesiva»; dicho de otro modo, la mutación se llama dominante o recesiva según consiga o no cambiar inmediatamente la estructura. Las mutaciones recesivas son incluso más frecuentes que las dominantes y revisten gran importancia, a pesar de que no se muestren desde un principio. Para alterar la estructura, deben estar presentes en ambos cromosomas (véase la figura 4). Tales individuos se pueden producir cuando dos mutantes igualmente recesivos se cruzan entre ellos o cuando un mutante se cruza consigo mismo; esto último puede darse en plantas hermafroditas donde ocurre incluso espontáneamente. Es fácil comprender que, en estos casos, aproximadamente un cuarto de la descendencia será de este tipo, y por consiguiente mostrará la mutación de forma visible.
3.4. Introducción de un poco de lenguaje técnico
Creo que para mayor claridad vale la pena explicar aquí algunos términos técnicos. Para lo que he llamado «versión del texto cifrado» (sea la original o la mutante), se ha adoptado el término «alelo».

Figura 4. Homozigótico en una cuarta parte de los descendentes, bien por auto fertilización de un heterozigótico mutante (ver figura 2), bien por cruce entre un par de estos.
Cuando las versiones son diferentes, tal como se indica en la figura 2, se dice que el individuo es heterozigótico con respecto a aquel locus. Cuando son iguales, como en el caso del individuo no mutado o en el de la figura 4, los individuos se denominan homozigóticos. Así, pues, un alelo recesivo solo afecta la estructura cuando pertenece a un individuo homozigótico, mientras que un alelo dominante produce el mismo efecto tanto en individuos heterozigóticos como en homozigóticos.
La presencia de color es muy a menudo dominante sobre la falta de color (o blanco). Así, por ejemplo, un guisante tendrá flores blancas solo cuando posee «el alelo recesivo causante de blanco» en ambos cromosomas en cuestión, cuando es «homozigótico para el blanco»; al autofecundarse, todos sus descendientes serán blancos. Pero basta con un «alelo rojo» (si el otro es blanco, «heterozigoto») para que la flor sea roja, e igual ocurrirá cuando los dos alelos son rojos («homozigoto»). La diferencia entre estos dos últimos casos solo se manifiesta en la descendencia, cuando el heterozigoto rojo produce algunos descendientes blancos, y el homozigoto rojo siempre los produce rojos. El hecho de que dos individuos puedan ser exactamente iguales en su apariencia externa y diferir en su herencia es tan importante como para justificar una diferenciación exacta. El genetista dice que tienen el mismo fenotipo pero distinto genotipo. El contenido de los párrafos anteriores podría resumirse con esta afirmación, breve pero muy técnica:
Un alelo recesivo solo afecta al fenotipo cuando el genotipo es homozigótico.
Pocas veces usaremos estas expresiones técnicas, pero recordaremos su significado al lector donde sea necesario.
3.5. Efecto perjudicial de los cruces consanguíneos
Las mutaciones recesivas, mientras estén en heterozigotos, no presentan, desde luego, un material de trabajo para la selección natural. Aunque sean perjudiciales, cosa que ocurre muy a menudo con las mutaciones, no resultan eliminadas, ya que se encuentran latentes. En consecuencia, se puede acumular una cantidad considerable de mutaciones desfavorables, sin suponer un perjuicio inmediato. Pero, evidentemente, son transmitidas a la mitad de la descendencia, y esto tiene importantes consecuencias para el hombre, para el ganado, aves domésticas, y cualquier otra especie, allí donde nos interese mantener o aumentar las buenas cualidades físicas. En la figura 3, suponemos que un individuo macho (digamos, en concreto, yo) lleva heterozigóticamente una mutación perjudicial, de forma que no se manifiesta. Supongamos que mi mujer no la lleva. Entonces, la mitad de nuestros hijos (segunda línea) también los llevaran (otra vez heterozigóticamente). Si todos ellos se casan con parejas no mutadas (que hemos omitido en el diagrama para evitar confusiones), un cuarto de nuestros nietos, por término medio, estará afectado de la misma forma.
No hay peligro de que el mal aparezca a menos que se crucen dos individuos afectados, momento en el que podemos ver fácilmente que un cuarto de sus hijos, por ser homozigóticos, manifestará la alteración. Además de la autofertilización (solo posible en organismos hermafroditas), el mayor peligro sería un matrimonio entre uno de mis hijos con una de mis hijas. Teniendo cada uno una probabilidad de un medio de ser portador, un cuarto de estas uniones incestuosas serían peligrosas y de la misma forma un cuarto de sus hijos presentarían la alteración. En consecuencia, el factor de peligro para un hijo de incesto es 1/16.
De la misma forma, el factor de peligro resulta ser 1/64 para la descendencia de una unión entre dos de mis nietos que son primos hermanos. Esta probabilidad no parece ser excesiva y en efecto el segundo caso se tolera por regla general. Pero no olvidemos que hemos analizado las consecuencias de solo una malformación latente en uno de los miembros de la pareja inicial (mi mujer y yo). De hecho, es bastante probable que ambos sean portadores de varias deficiencias latentes de este tipo. Si alguien se sabe portador de una determinada deficiencia de esta clase, puede contar con que uno de cada ocho primos hermanos también lo es. Experimentos realizados con plantas y animales parecen indicar que, además de algunas deficiencias importantes, relativamente raras, existe una multitud de deficiencias menores que, combinando sus probabilidades, deterioran globalmente la descendencia de los cruces consanguíneos. Siendo así que ya no eliminamos los errores en la forma drástica en que lo hacían los lacedemonios en el Monte Taigeto, debemos considerar este tema muy seriamente en el caso del hombre, donde la selección natural del más apto se ha disminuido grandemente, o incluso invertido. El efecto anti selectivo de las modernas matanzas sobre la juventud sana de todo el mundo muy difícilmente puede considerarse compensada por la apreciación de que, en condiciones más primitivas, la guerra pudo haber tenido un valor positivo al permitir la supervivencia de la tribu más apta.
3.6. Consideraciones históricas y generales
Es sorprendente el hecho de que el alelo recesivo, en un heterozigoto, sea totalmente superado por el dominante y no produzca efecto visible alguno. Debería mencionarse al menos que existen excepciones de este comportamiento. Cuando una planta de «boca de dragón» (antirrhinum majus) homozigótica blanca se cruza con una roja, también homozigótica, todos los descendientes inmediatos tienen un color intermedio, son rosados (no rojos, como cabría esperar). Un caso mucho más importante de dos alelos que presentan sus efectos simultáneamente lo tenemos en los grupos sanguíneos, pero no podemos entrar en el tema aquí. No me sorprendería si resultara que la recesividad presentara distintos grados y dependiera de la sensibilidad de las pruebas que utilizamos para analizar el fenotipo.
Éste es quizá el momento apropiado para hacer un breve comentario sobre la historia de la Genética. La base de la teoría, la ley de la herencia, la transmisión a generaciones sucesivas de propiedades distintas de los padres, y, más especialmente, la significativa distinción entre recesivo y dominante, se deben al fraile agustino, hoy en día mundialmente famoso, Gregor Mendel (1822-1884). Mendel no supo nada de mutaciones ni cromosomas. En los jardines de su convento en Brno (Brünn), experimento con el guisante (pisum sativum), cultivando distintas variedades, cruzándolas y observando su descendencia en la primera, segunda, tercera… generaciones. Podría decirse que experimento con mutantes que encontró ya preparados en la Naturaleza. Publicó sus resultados en la temprana fecha de 1866 en los Verhandlugen naturforschender Verein in Brünn (Informes de la Sociedad para el estudio de la Naturaleza de Brno). Parece que nadie se interesó por la ocupación de aficionado del fraile y, a buen seguro, nadie tuvo la menor idea de que aquel descubrimiento se convertiría en el siglo XX en la piedra angular de toda una nueva rama de la Ciencia, probablemente la más interesante de nuestros días. Su trabajo quedo olvidado y no fue redescubierto hasta 1900, de forma simultánea e independiente, por Correns (Berlín), De Vries (Ámsterdam) y Tschermak (Viena).
3.7. La mutación debe ser un acontecimiento poco frecuente
Hasta aquí hemos dedicado nuestra atención a las mutaciones perjudiciales, que son, probablemente, las más abundantes; pero debe quedar claro que también se encuentran mutaciones beneficiosas. Si consideramos la mutación espontánea como un pequeño paso en el desarrollo de las especies, podemos imaginar que algún cambio ha sido «probado» de forma bastante aleatoria y con el riesgo de resultar perjudicial, en cuyo caso es eliminado automáticamente. Esto nos coloca frente a un aspecto muy importante del asunto. Para que las mutaciones puedan constituir un material apropiado para el trabajo de la selección natural, deben ser acontecimientos raros, poco frecuentes, como efectivamente ocurre. Si fueran tan frecuentes que hubiera una probabilidad de presentarse, por ejemplo, una docena de mutaciones en un mismo individuo, las mutaciones perjudiciales predominarían, en general, sobre las beneficiosas y la especie, en lugar de mejorar por selección, permanecería inalterada o perecería. La relativa estabilidad que resulta del alto grado de permanencia de los genes es esencial. Podríamos buscar una analogía en el funcionamiento de una fábrica. Para desarrollar métodos mejores, innovaciones que no se conocen, deben hacerse pruebas. Pero, para averiguar si las modificaciones aumentan o disminuyen el rendimiento, es imprescindible que sea introducida una sola cada vez, manteniendo constantes las demás partes del mecanismo.
3.8. Mutaciones inducidas por los rayos X
Veamos ahora, brevemente, una serie de trabajos de investigación genética extremadamente ingeniosos que nos mostrarán la característica más significativa de nuestro análisis.
El porcentaje de mutaciones en la herencia, la frecuencia de mutación, puede incrementarse muchas veces con respecto a lo normal irradiando los padres con rayos X o rayos γ. Las mutaciones producidas de esta forma no se diferencian de las espontáneas (excepto por el hecho de ser más numerosas), y de ahí que uno tenga la impresión de que cada mutación «natural» puede también ser inducida por los rayos X. En cultivos experimentales grandes de drosophila muchas mutaciones definidas vuelven a aparecer repetidamente de manera espontánea; esas mutaciones se han localizado en los cromosomas, tal como se describe en las páginas anteriores, y se les ha dado nombres especiales. Se han encontrado incluso los denominados «alelos múltiples», es decir, dos o más «versiones o lecturas», diferentes además de la normal, no mutada, del mismo lugar de la clave cromosómica. Esto significa que no solo se dan dos, sino tres o más alternativas en aquel locus particular, y que dos cualesquiera de estos están en relación «dominancia-recesividad» cuando aparecen simultáneamente en sus correspondientes loci de los dos cromosomas homólogos.
Los experimentos con mutaciones producidas por rayos X dan la impresión de que cada «transición» particular, por ejemplo del individuo normal a un mutante determinado, o al revés, tiene su «coeficiente de rayos X», individual, el cual indica el porcentaje de la descendencia que resulta haber mutado de aquella forma determinada, cuando se le ha aplicado una dosis unitaria de rayos X a los padres, antes de engendrar a los descendientes.
3.9. Primera ley. La mutación es un acontecimiento aislado
Las leyes que gobiernan la frecuencia de mutación inducida son extremadamente simples e ilustrativas en extremo. Sigo aquí el informe de N. W. Timofeeff, en Biological Reviews, vol. 9, 1934. Gran parte del mismo hace referencia al brillante trabajo del propio autor. La primera ley dice:
1. El aumento es exactamente proporcional a la dosis de rayos, de forma que puede hablarse realmente de un coeficiente de aumento.
Estamos tan acostumbrados a la proporcionalidad simple que corremos el riesgo de menospreciar las consecuencias de largo alcance de esta simple ley. Para captarlas, podemos recordar que el precio de un artículo, por ejemplo, no es siempre proporcional a su valor. En condiciones normales, un tendero puede quedarse tan impresionado por el hecho de que se le hayan comprado seis melones que, al solicitarle una docena, puede que la ofrezca por menos del doble de precio. En tiempos de escasez, puede ocurrir lo contrario. En el caso que nos ocupa, llegamos a la conclusión de que la primera mitad de la dosis provoca, por ejemplo, la mutación de un descendiente de cada 1000, pero no influye en absoluto sobre el resto, ni predisponiéndolos ni inmunizándolos contra la mutación. De no ser así, la segunda mitad de la dosis no provocaría igualmente un mutante de entre mil. La mutación no es, pues, un efecto acumulativo, causado por pequeñas porciones de variación consecutivas que se refuerzan mutuamente. La mutación debe consistir, de hecho, en algún acontecimiento único que se da en un cromosoma durante la irradiación. ¿De qué tipo de acontecimiento se trata?
3.10. Segunda ley. Localización del acontecimiento
Encontraremos la respuesta en la segunda ley, que dice:
2. Si variamos la cualidad (longitud de onda) de los rayos dentro de un amplio margen, desde los relativamente débiles rayos X a los rayos γ más fuertes, el coeficiente permanece constante, siempre que se aplique la misma dosis.
O sea, siempre que se mida la dosis, contando la cantidad total de iones producidos por unidad de volumen en una sustancia estándar adecuada, en el lugar y durante el tiempo en que se exponen los padres a la radiación.
Como sustancia estándar se escoge el aire, no solo por comodidad, sino también porque los tejidos orgánicos están constituidos por elementos del mismo peso atómico, por término medio, que el aire. Un límite inferior para la cantidad de ionizaciones o procesos relacionados[18] (excitaciones) en el tejido se obtiene simplemente multiplicando el número de ionizaciones en el aire por la proporción de las densidades. Es, pues, bastante evidente, y ello queda confirmado por una investigación más rigurosa, que el hecho individual que provoca una mutación es una ionización (o un proceso similar) que tiene lugar en un volumen «crítico» de la célula germinal. ¿Qué tamaño tiene este volumen crítico? Puede estimarse a partir de la frecuencia observada de mutación por una deducción de este tipo: si una dosis de 50.000 iones por cm³ produce solo la probabilidad de 1:1000 de que cualquier gameto particular (que se encuentre en la zona irradiada) mute de una determinada manera podemos concluir que el volumen crítico, el «blanco» que debe ser «alcanzado» por una ionización para que se produzca la mutación, es solo 1/1000 de 1/50.000 de cm³, es decir, una cincuenta millonésima de cm³. Estas cifras no son las verdaderas, las citamos solo a modo de ilustración. En el cálculo real seguiremos a Max Delbrück, N. W. Timofeeff y K. G. Zimmer [19], artículo que será también la principal fuente de la teoría desarrollada en los dos próximos capítulos. Delbrück propone el tamaño de un cubo de solo diez distancias atómicas medias de arista, lo que equivale a un millar de átomos. La interpretación más sencilla de este resultado es que hay una gran probabilidad de producir una mutación cuando una ionización (o excitación) no se produce a más de «10 átomos de distancia» de algún lugar determinado del cromosoma. Lo discutiremos con más detalle a continuación.
El informe de Timofeeff contiene un comentario práctico que no puedo dejar de mencionar, aunque no guarde relación con nuestra investigación. En la vida moderna se presentan muchas ocasiones en las que un ser humano tiene que estar expuesto a los rayos X. Son bien conocidos los peligros directos que esto supone, como por ejemplo quemaduras, cáncer producido por esas radiaciones, esterilización; por ello se recurre a la protección con pantallas de plomo o delantales de plomo, especialmente para enfermeras y médicos que deben manejar los rayos con regularidad. De todas formas, el problema es que, incluso cuando esos peligros inminentes para el individuo se evitan de forma eficaz, parece existir el peligro indirecto de que se produzcan pequeñas mutaciones perjudiciales en las células germinales (mutaciones parecidas a las que citábamos al hablar de los resultados desfavorables de los cruces consanguíneos). Para decirlo con más crudeza, aunque tal vez de forma ingenua, el peligro de un matrimonio entre primos hermanos puede incrementarse por el hecho de que su abuela haya trabajado durante un período suficientemente largo como enfermera de rayos X. No es un problema que tenga que preocupar a nadie personalmente. Pero cualquier posibilidad de estar infectando gradualmente la raza humana con mutaciones latentes, no deseadas, debería ser un tema de preocupación para la comunidad.
Capítulo 4
La evidencia según la mecánica cuántica
Und deines Geistes höchster Feuerflug Hat schon am Gleichnis, hat am Bild genug[20].
Goethe
4.1. Permanencia inexplicable por la Física clásica4.1. Permanencia inexplicable por la Física clásica
4.2. Explicable por la teoría cuántica
4.3. Teoría cuántica. Estados discretos, saltos cuánticos
4.4. Moléculas
4.5. La estabilidad de las moléculas depende de la temperatura
4.6. Interludio matemático
4.7. Primera corrección
4.8. Segunda corrección
Con la ayuda del instrumento maravillosamente sutil de los rayos X (el cual, según recuerdan los físicos, reveló a principios de siglo la detallada estructura atómica reticulada de los cristales), los esfuerzos conjuntos de biólogos y físicos han conseguido reducir el límite superior del tamaño de la estructura microscópica responsable de una característica macroscópica del individuo (el tamaño de un gen) reduciéndola a tamaños mucho menores que las estimaciones indicadas en el capítulo 2. Ahora debemos enfrentamos seriamente con esta pregunta: ¿cómo podemos, desde el punto de vista de la Física estadística, reconciliar los hechos de que la estructura del gen parece comprender solo un número pequeño de átomos (del orden de 1000, y posiblemente menor) a pesar de lo cual despliega una actividad muy regular y ordenada (con una durabilidad o permanencia que raya en lo milagroso)? Permítaseme destacar de nuevo esta situación verdaderamente asombrosa. Diversos miembros de la dinastía de los Habsburgo presentan una desfiguración particular del labio inferior (labio de los Habsburgo). Su herencia ha sido cuidadosamente estudiada, publicándose los resultados, completados con retratos históricos, por la Academia Imperial de Viena, bajo el patrocinio de la familia. Ese carácter distintivo demuestra ser un genuino alelo mendeliano de la forma normal del labio. Si fijamos nuestra atención en los retratos de un miembro de la familia perteneciente al siglo XVI, y uno de sus descendientes del siglo XIX, podemos suponer sin dudar que la estructura material del gen, responsable del carácter anormal, ha sido transportada de generación en generación a través de los siglos, reproducida fielmente en cada una de las no muy numerosas divisiones celulares que ocurrían mientras tanto. Por otra parte, el número de átomos que integran el gen responsable es probablemente del mismo orden de magnitud que en los casos comprobados con los rayos X. El gen fue conservado a 36,5 °C durante todo el tiempo. ¿Cómo explicar, entonces, que se haya mantenido durante siglos imperturbado ante la tendencia desordenante del movimiento calorífico?
Un físico de finales del siglo se habría visto en apuros para contestar esta pregunta, si intentaba basarse solo en aquellas leyes de la naturaleza que él podía explicar y que realmente comprendía. Tal vez, después de una breve reflexión sobre la situación estadística, habría respondido (y con acierto, como veremos): Esas estructuras materiales no pueden ser otra cosa que moléculas. En aquella época, la Química había ya adquirido un extenso conocimiento acerca de la existencia y gran estabilidad de esas asociaciones de átomos. Pero ese conocimiento era puramente empírico. No se comprendía entonces la naturaleza de la molécula (el fuerte enlace mutuo de los átomos que mantiene la forma de la molécula era un completo misterio para todos). En realidad, la respuesta era correcta. Pero tenía un valor limitado, ya que la enigmática estabilidad biológica solo podía remontarse a una estabilidad química igualmente enigmática. La evidencia de que dos características, de apariencia similar, están basadas en el mismo principio es siempre precaria mientras que el principio en sí permanezca desconocido.
4.2. Explicable por la teoría cuántica
La respuesta en este caso nos la proporciona la teoría cuántica. A la luz de los conocimientos actuales, el mecanismo de la herencia está íntimamente relacionado, si no fundamentado, sobre la base misma de la teoría cuántica. Esta teoría fue descubierta por Max Planck en 1900. La genética moderna se inicia con el redescubrimiento del artículo de Mendel por De Vries, Correns y Tschermak (1900) y con el trabajo inicial de De Vries sobre las mutaciones (1901-1903). De esta forma, casi coincide el nacimiento de esas dos grandes teorías, y poco puede extrañarnos que ambas tuvieran que alcanzar cierta madurez antes de que se estableciera la conexión entre ellas. Se necesitó más de un cuarto de siglo para que, en 1926-1927, W. Heitler y F. London desarrollasen los principios generales de la teoría cuántica del enlace químico. La teoría de Heitler y London incluye los conceptos más sutiles e intrincados del último desarrollo de la teoría cuántica (que se denomina mecánica cuántica o mecánica ondulatoria). Su presentación sin utilizar el cálculo matemático es poco menos que imposible, o, al menos, requeriría otro librito como éste. Pero, afortunadamente, ahora que todo el trabajo está hecho y que ha servido para clarificar nuestro pensamiento, parece posible señalar de manera más directa la conexión existente entre saltos cuánticos y mutaciones para elegir, por el momento, el punto más destacado. Esto es lo que intentamos hacer aquí.
4.3. Teoría cuántica. Estados discretos, saltos cuánticos
La gran revelación de la teoría cuántica fue el descubrimiento de estados discretos en el libro de la Naturaleza, en un contexto en el cual todo lo que no fuera continuidad parecía absurdo, de acuerdo con los puntos de vista mantenidos hasta entonces.
El primer caso de este tipo se refería a la energía. Considerado macroscópicamente, un cuerpo cambia su energía de modo continuo. Un péndulo, por ejemplo, después de ser puesto en movimiento, es retardado gradualmente por la resistencia del aire. Por extraño que parezca, resulta necesario admitir que un sistema, cuyas dimensiones son del orden de la escala atómica, se comporta de modo diferente. Por razones que no podemos detallar aquí, tenemos que suponer que un sistema pequeño de tal índole solo puede, por su propia naturaleza, poseer ciertas cantidades discretas de energía, denominadas sus niveles energéticos peculiares. La transición de un estado a otro es un acontecimiento bastante misterioso y se llama habitualmente salto cuántico.
Pero la energía no es la única característica de un sistema. Tomemos de nuevo nuestro péndulo, pero pensemos en uno que pueda hacer diferentes tipos de movimiento, como una bola pesada suspendida del techo por una cuerda. Puede hacerse que oscile en dirección norte-sur, o este-oeste, o en cualquier otra, o girar describiendo un círculo o una elipse. Soplando con un fuelle sobre la bola, puede conseguirse que esta pase continuamente de un estado de movimiento a cualquier otro.
En los sistemas de dimensiones muy reducidas, la mayoría de esas o similares características (no podemos entrar bien en detalles) cambian de forma discontinua. Están cuantizados, lo mismo que la energía.
El resultado es que cierto número de núcleos atómicos, incluyendo sus acompañantes, los electrones, cuando se encuentran cerca unos de otros, formando un sistema, son incapaces por su misma naturaleza de asumir cualquier configuración arbitraria imaginable. Su propia índole les deja solo una serie, numerosa pero discreta, de estados para escoger[21], a los que denominamos simplemente niveles o niveles energéticos, porque la energía es una parte muy destacada de su caracterización. Pero debe tenerse presente que una completa descripción comprende muchas otras cosas además de la energía. Es virtualmente correcto imaginar un estado como una determinada configuración de todos los corpúsculos. La transición de una de esas configuraciones a otra es un salto cuántico. Cuando la segunda configuración tiene mayor energía (es un nivel superior), el sistema debe recibir del exterior al menos la diferencia entre esas dos energías para hacer posible la transición. El cambio puede hacerse espontáneamente cuando es hacia un nivel inferior, gastando en radiación el exceso de energía.
4.4. Moléculas
Entre el conjunto discreto de estados de una selección dada de átomos puede existir, aunque no necesariamente, un nivel inferior a todos, lo cual implica un estrecho acercamiento de los núcleos entre sí. En tal estado los átomos forman una molécula. Es importante resaltar que la molécula tendría necesariamente cierta estabilidad; la configuración no puede cambiar, a menos que se le suministre desde el exterior un mínimo de energía equivalente a la diferencia que se necesita para elevarla al nivel energético inmediatamente superior. Por consiguiente, esta diferencia de nivel, que es una característica bien definida, determina cuantitativamente el grado de estabilidad de la molécula. Puede observarse lo íntimamente que está ligado este hecho a la base misma de la teoría cuántica, es decir, con el esquema de niveles discretos.
Debo pedir al lector que admita sin dudar que este orden de ideas ha sido exhaustivamente comprobado por fenómenos químicos; y que ha demostrado su utilidad en la explicación del hecho básico de la valencia química y en muchos detalles sobre la estructura de las moléculas, sus energías de enlace, sus estabilidades a diferentes temperaturas, etc. Me refiero solo a la teoría de Heitler-London, la cual, como ya he dicho, no puede ser examinada con detalle en este lugar.
4.5. La estabilidad de las moléculas depende de la temperatura
Tendremos que contentamos con examinar el punto de máximo interés para nuestro problema biológico, que es la estabilidad de una molécula a diferentes temperaturas. Supongamos que nuestro sistema de átomos está realmente en su estado de menor energía. El físico lo denominaría una molécula en el cero absoluto de temperatura. Para elevarlo al estado o nivel inmediatamente superior, se requiere un definido aporte de energía. El modo más simple de intentar hacerlo es calentar la molécula. Puede ponérsela en un ambiente de mayor temperatura (baño térmico), permitiendo así que otros sistemas (átomos, moléculas) golpeen sobre ella. Debido a la completa irregularidad del movimiento térmico, no existe un límite preciso de temperatura al cual se logre la elevación con certeza y de inmediato. En vez de ello, a cualquier temperatura (distinta del cero absoluto) existe cierta probabilidad más o menos grande de que se produzca la elevación, y esta probabilidad aumenta con la temperatura del baño térmico. La mejor manera de expresar esta probabilidad es indicar el tiempo medio que debe esperarse hasta que se produce el ascenso, el tiempo de expectación.
Según una investigación, debida a M. Polanyi y E. Wigner[22], el tiempo de expectación depende en gran manera del cociente entre dos energías, siendo la primera la diferencia misma de energía requerida para efectuar la elevación (simbolicémosla como W), mientras que la segunda caracteriza la intensidad del movimiento térmico a la temperatura en cuestión (simbolicemos la temperatura absoluta como T y la energía característica como kT)[23]. Se sobreentiende que la probabilidad de efectuar una elevación será menor, y en consecuencia que el tiempo de expectación será mayor, cuanto mayor sea la elevación comparada con la energía térmica media, es decir, cuanto mayor sea el cociente W/kT. Lo que es sorprendente es lo mucho que depende el tiempo de expectación de cambios comparativamente pequeños del cociente W/kT. Podemos expresarlo con un ejemplo (tomado de Delbrück): para W treinta veces kT, el tiempo de expectación podría ser tan breve como 1/10 de segundo, pero se elevaría a 16 meses cuando W fuera cincuenta veces kT y ¡a 30 000 años cuando W fuera sesenta veces kT!
4.6. Interludio matemático
También con lenguaje matemático (para los lectores que gusten de él) puede expresarse la razón de esta enorme sensibilidad a los cambios del valor W o de la temperatura, T, agregando unas pocas precisiones físicas de índole similar. La razón es que el tiempo de expectación, llamémoslo t, depende del cociente W/kT según una función exponencial, que es
t = τeW/kT (4.1)
(donde t y es una cierta constante pequeña del orden de 10−13 o 10−14 segundos). Ahora bien, esta función exponencial particular no es un hecho accidental. Vuelve a aparecer una y otra vez en la teoría estadística del calor, constituyendo algo así como su columna vertebral. Es una medida de la improbabilidad de que una cantidad de energía tan grande como W se acumule accidentalmente en una parte particular del sistema, y es esta improbabilidad la que aumenta tan enormemente cuando se requiere un múltiplo considerable de la energía media kT.
En la realidad, un W = 30 kT (véase el ejemplo citado anteriormente) es ya muy raro. Si, a pesar de ello, esto no determina un tiempo de expectación enormemente largo (en nuestro ejemplo, solo 1/10 de segundo), se debe, por supuesto, a la pequeñez del factor τ. Este factor tiene un significado físico. Es del orden del período de las vibraciones que en todo momento tienen lugar en el sistema. Este factor podría describirse, de un modo muy general, como significando que la probabilidad de acumular la cantidad requerida W, aunque muy pequeña, vuelve una y otra vez con cada vibración, o lo que es lo mismo, unas 1013 o 1014 veces cada segundo.
4.7. Primera corrección
Al presentar estas consideraciones como una teoría de la estabilidad de la molécula, se ha admitido tácitamente que el salto cuántico al que llamábamos elevación conduce, si no a una completa desintegración, sí al menos a una configuración esencialmente diferente de los mismos átomos, a una molécula isomérica, como dirían los químicos, es decir, a una molécula compuesta por los mismos átomos con diferente distribución (lo cual, al aplicarlo a la Biología, representaría un alelo diferente en el mismo locus; y el salto cuántico, una mutación).
Para poder admitir esta interpretación, deben corregirse en nuestra explicación dos puntos que yo había simplificado para hacerla más inteligible. Por la manera en que lo dije, podría imaginarse que solo en los estados más bajos nuestros átomos muestran lo que llamamos moléculas, y que el estado inmediatamente superior es ya otra cosa. Esto no es así. En realidad, el estado más bajo viene seguido de una numerosa serie de niveles que no implican cambios en la configuración global, sino que corresponden a aquellas pequeñas vibraciones entre átomos que hemos mencionado en el apartado anterior. También ellas están cuantizadas, pero con saltos comparativamente pequeños entre un nivel y el siguiente. En consecuencia, los impactos de las partículas del baño térmico pueden bastar para provocar vibraciones ya a una temperatura bastante baja. Si la molécula es una estructura extensa, podemos imaginar esas vibraciones como ondas sonoras de alta frecuencia que cruzan la molécula sin alterarla.
La primera corrección no es, pues, muy seria: debemos pasar por alto la micro estructura vibratoria del esquema de niveles. El término nivel inmediatamente superior debe entenderse como indicación del próximo nivel que corresponde a un cambio significativo de configuración.
4.8. Segunda corrección
La segunda corrección es mucho más difícil de explicar, porque hace referencia a ciertas características esenciales, pero harto complicadas, del esquema de los niveles significativamente diferentes. La libre transición entre dos de ellos puede ser obtenida de forma totalmente independiente del requerido suministro energético. En efecto, puede ser obstruida incluso desde un estado más elevado a un estado más bajo.
Empecemos por los hechos empíricos. Los químicos saben que el mismo grupo de átomos puede unirse de más de una manera para formar una molécula.

Figura 1.
Tales moléculas son denominadas isómeros (formadas por las mismas partes; ισος = igual, μερος = parte). La isomería no es una excepción, sino la regla. Cuanto mayor es la molécula, más alternativas isoméricas se le ofrecen. En la figura 1 se muestra uno de los casos más simples, los dos tipos de alcohol propílico o propanol, cuyas moléculas tienen ambas 3 carbonos (C), 8 hidrógenos (H), y un oxígeno (O). Este último puede ser interpuesto entre cualquier hidrógeno y su carbono, pero solamente los dos casos mostrados en la figura son sustancias diferentes. Y lo son en la realidad. Todas sus constantes físicas y químicas son claramente diferenciables. También sus energías son distintas, representan niveles diferentes.
El hecho notable es que ambas moléculas son perfectamente estables, comportándose ambas como si fueran los estados más bajos. No existen transiciones espontáneas de un estado al otro.
La razón estriba en que las dos configuraciones no son configuraciones vecinas. La transición de una a otra puede tener lugar solo a través de configuraciones intermedias que tienen una energía mayor que cualquiera de ellas. Para expresarlo rotundamente: el oxígeno tiene que ser extraído de una posición e insertado en la otra. No parece existir un medio de hacer eso sin pasar a través de configuraciones con energías considerablemente superiores. Lo que sucede se ilustra a veces como en la figura 2, en la cual 1 y 2 representan los dos isómeros, 3 el umbral entre ellos y las dos flechas las elevaciones, es decir, los aportes de energía requeridos para producir la transición del estado 1 al estado 2, o viceversa. Ahora podemos proceder ya a nuestra segunda corrección, consistente en que las transiciones de este tipo isomérico son las únicas que nos interesan para la aplicación biológica. Eso era lo que pensábamos al explicar la estabilidad en las págs. 31 y 32. El salto cuántico al que nos referimos es la transición desde una configuración molecular relativamente estable a otra. El aporte energético requerido para la transición (cantidad que indicamos por W) no es la verdadera diferencia de niveles, sino el paso desde el nivel inicial hasta el umbral. (Véanse las flechas de la figura 2.)

Figura 2. Umbral de energía entre los niveles isoméricos 1 y 2. Las flechas indican los mínimos de energía.
Las transiciones en las que no existe un umbral interpuesto entre los estados inicial y final carecen totalmente de interés, y no solo para nuestra aplicación biológica. De hecho, no tienen nada con que contribuir a la estabilidad química de la molécula. ¿Por qué? Porque su efecto no es duradero, pasan inadvertidas. Porque, cuando se producen, son seguidas casi inmediatamente por una vuelta al estado inicial, ya que nada impide su retroceso.
Capítulo 5
Discusión y verificación del modelo de Delbrück
Sane sicut lux se ipsam el tenebras manifestat,
sic ventas norma sui et falsi est.[24]
Spinoza, Ética, P. II, prop. 43
5.1. Imagen general de la sustancia hereditaria5.1. Imagen general de la sustancia hereditaria
5.2. Unicidad de esta imagen
5.3. Algunos errores tradicionales de interpretación
5.4. Los diferentes estados de la materia
5.5. La distinción que en realidad importa
5.6. El sólido aperiódico
5.7. Variedad de contenido encerrada en la clave en miniatura
5.8. Comparación con los hechos: grado de estabilidad y discontinuidad de las mutaciones
5.9. Estabilidad de los genes seleccionados de forma natural
5.10. La menor estabilidad de los mutantes
5.11. La temperatura influye menos en los genes inestables que en los estables
5.12. Cómo producen mutaciones los rayos X
5.13. La eficacia de los rayos X no depende de la mutabilidad espontánea
5.14. Mutaciones reversibles
A partir de los hechos expuestos en el capítulo anterior surge una respuesta muy sencilla a nuestra pregunta: ¿estas estructuras, compuestas por, comparativamente, pocos átomos, son capaces de resistir durante largos períodos la influencia perturbadora del movimiento térmico a la cual está continuamente expuesta la sustancia hereditaria? Supongamos que la estructura de un gen es la de una molécula enorme, capaz de realizar solamente cambios discontinuos, consistentes en una reorganización que produce una molécula isomérica[25]. La reorganización puede limitarse a afectar solo una pequeña región del gen, por lo que se ofrece la posibilidad de diferentes reorganizaciones. Los umbrales de energía, que separan la configuración existente de cualquier otra configuración isomérica posible, tienen que ser bastante altos (en comparación con la energía térmica media de un átomo) para hacer que los cambios sean un acontecimiento raro. Identificaremos estos acontecimientos raros con las mutaciones espontáneas. Dedicaremos la última parte de este capítulo a verificar este cuadro general del gen y de la mutación (debido principalmente al físico alemán Max Delbrück), comparando sus detalles con los hechos genéticos. Antes de proceder a ello, será conveniente hacer algunos comentarios acerca de los fundamentos y de la naturaleza de la teoría.
5.2. Unicidad de esta imagen
¿Era absolutamente esencial para el problema biológico escarbar hasta las raíces más profundas y basar el cuadro expuesto en la mecánica cuántica? Me atrevo a decir que hoy en día la suposición de que un gen es una molécula está en la mente de todos. Pocos biólogos, se encuentren o no familiarizados con la teoría cuántica, dejarían de estar de acuerdo. En páginas anteriores nos aventuramos a ponerlo en boca de un físico pre cuántico, como única explicación razonable para la constancia observada. Las siguientes consideraciones acerca de la isomería, la energía de umbral, el destacado papel de la relación W/kT en determinar la probabilidad de una transición isomérica, todo eso bien podría ser introducido sobre una base puramente empírica, sin recurrir a la teoría cuántica. ¿Por qué insistí, entonces, con tanto ahínco en el punto de vista de la mecánica cuántica, a pesar de no poder explicarlo con toda claridad aquí y haber aburrido probablemente a muchos lectores con él?
La mecánica cuántica es el primer aspecto teórico que, partiendo de principios primordiales, explica toda clase de agregados de átomos que se encuentran en la Naturaleza. El enlace de Heitler-London es una característica única y singular de la teoría, y no una invención hecha para explicar el enlace químico. Éste es completamente independiente, en una manera muy interesante y complicada, y nos es impuesto por consideraciones enteramente diferentes. Demuestra su correspondencia exacta con los hechos químicos observados y, como dije, es un aspecto único y bastante bien comprendido como para que pueda asegurarse que tal cosa podría no volver a ocurrir en el desarrollo futuro de la teoría cuántica.
En consecuencia, podemos afirmar con seguridad que no existe alternativa para la explicación molecular de la sustancia hereditaria. El aspecto físico no deja otra posibilidad que justifique su constancia. En el caso de que fallara el cuadro de Delbrück, tendríamos que renunciar a esfuerzos futuros. Éste es el primer punto que deseo señalar.
5.3. Algunos errores tradicionales de interpretación
Pero podría hacerse la pregunta: ¿no existen realmente otras estructuras duraderas, compuestas de átomos que no sean las moléculas? ¿Acaso no es cierto que una moneda de oro, por ejemplo, enterrada en una tumba durante dos mil años conserva los rasgos del retrato grabado en ella? Es cierto que la moneda está compuesta por una cantidad enorme de átomos, pero con seguridad no tendemos, en este caso, a atribuir la mera preservación de la forma a la estadística de los grandes números. La misma observación sirve para unos cristales nítidamente desarrollados que encontramos incrustados en una roca, donde deben de haber estado sin cambiar durante períodos geológicos.
Así llegamos al segundo punto que deseo resolver. Los casos de una molécula, un sólido, un cristal, no son en realidad diferentes. A la luz de los conocimientos actuales, son prácticamente lo mismo. Por desgracia, la enseñanza escolar sigue manteniendo ciertos puntos de vista tradicionales, lo cual resulta anticuado y oscurece la comprensión del verdadero estado de los hechos.
En efecto, lo que hemos aprendido en la escuela acerca de las moléculas no aporta la idea de que se parecen más al estado sólido que al líquido o al gaseoso. Por lo contrario, nos han ensenado a distinguir cuidadosamente entre a) un cambio físico, tal como la fusión o la evaporación, en el cual son preservadas las moléculas (el alcohol etílico, por ejemplo, ya sea en forma sólida, líquida o gaseosa, siempre está compuesto por la misma molécula, C2H5OH) y b) un cambio químico, como por ejemplo la combustión del mismo alcohol,
C2H5OH + 3O2 → 2CO2 + 3H2O (5.1)
donde una molécula de alcohol y tres moléculas de oxígeno son sometidas a una reorganización para formar dos moléculas de dióxido de carbono y tres moléculas de agua.
Respecto a los cristales, nos han enseñado que forman redes espaciales periódicas en las cuales a veces puede reconocerse la estructura de una molécula aislada, como en el caso del alcohol y de la mayoría de los compuestos orgánicos, mientras que en otros cristales no. Por ejemplo, en la sal gema o común (NaCl), las moléculas de NaCl no pueden ser delimitadas en forma inequívoca, porque cada átomo de Na está simétricamente rodeado por seis átomos de Cl y viceversa, de manera que sería arbitrario decidir cuales entre las parejas, si es que hay alguna, forman la molécula.
Por último, nos enseñaron que un sólido puede ser cristalino o no y que, en este último caso, lo llamamos cuerpo amorfo.
5.4. Los diferentes estados de la materia
Ahora no me atrevería a decir que todas esas afirmaciones y distinciones son enteramente falsas. A veces, resultan útiles para fines prácticos. Pero, en lo que se refiere a la verdadera estructura de la materia, los límites deben trazarse de una manera por completo diferente. La distinción fundamental está entre las dos líneas del siguiente esquema de ecuaciones:
molécula = sólido = cristal gas = líquido = amorfo
Debemos explicar brevemente estas equivalencias. Los llamados sólidos amorfos, en realidad, o no son amorfos o no son sólidos. En la fibra amorfa del carbón vegetal, los rayos X han revelado la estructura rudimentaria del cristal de grafito. Por lo tanto, el carbón es un sólido y también cristalino. Donde no encontremos una estructura cristalina, deberemos considerar el objeto como un líquido de viscosidad (fricción interna) muy elevada. Tal sustancia manifestará, por la ausencia de una temperatura de fusión bien definida y de un calor latente de fusión, que no es un sólido autentico. Cuando es calentada, se ablanda gradualmente, y llega a licuarse sin discontinuidad. (Recuerdo que, hacia el final de la I Guerra Mundial, nos proporcionaron en Viena, para reemplazar el café, una sustancia con aspecto de asfalto. Era tan dura que habría tenido que emplear un cincel o un hacha para romper en pedazos el pequeño ladrillo. Sin embargo, pasado algún tiempo, se hubiera comportado como un líquido, llenando por completo la parte inferior de un vaso donde imprudentemente lo hubiera dejado durante un par de días).
La continuidad del estado líquido y gaseoso es un hecho bien conocido. Es posible conseguir la licuación de cualquier gas sin discontinuidad, eligiendo el camino que lleva alrededor del llamado punto crítico. Pero aquí no entraremos en ese tema.
5.5. La distinción que en realidad importa
De esta forma, hemos justificado todo el esquema anterior, menos el punto principal, o sea, el que deseamos considerar una molécula como un sólido = cristal.
La razón de ello estriba en que los átomos que forman una molécula, ya sean muchos o pocos, están unidos por fuerzas de naturaleza idéntica a la de los numerosos átomos que constituyen un sólido autentico, un cristal. Recordemos que, precisamente en esta solidez, hemos basado la permanencia del gen.
La distinción realmente importante en la estructura en cuestión, consiste en establecer si están o no ligados los átomos por esas fuerzas solidificantes de Heitler-London. En un cuerpo sólido y en una molécula, todos ellos lo están. En un gas de átomos individuales (como, por ejemplo, el vapor de mercurio), no es así. En un gas compuesto por moléculas, solo los átomos dentro de cada molécula están ligados de esa manera.
5.6. El sólido aperiódico
Una molécula pequeña podría ser denominada el germen de un sólido. Partiendo de uno de esos pequeños gérmenes sólidos parecen existir dos caminos diferentes para construir asociaciones cada vez mayores. Uno de ellos, bastante rudimentario en comparación, consiste en repetir una y otra vez la misma estructura en tres direcciones. Es el elegido en el caso de un cristal en crecimiento. Una vez establecida la periodicidad, no se presenta un límite definido para el tamaño del agregado. El otro camino consiste en ir construyendo un agregado cada vez más extenso sin el torpe recurso de la repetición. Éste es el caso de las moléculas orgánicas, cada vez más complicadas, en las cuales cada átomo, y cada grupo de átomos, desempeñan un papel individual, no enteramente equivalente al de muchos otros (como en el caso de la estructura periódica). Con pleno fundamento, podríamos llamarlo un cristal o sólido aperiódico y expresar nuestra hipótesis diciendo: creemos que un gen (o tal vez toda la fibra del cromosoma[26]) es un sólido aperiódico.
5.7. Variedad de contenido encerrada en la clave en miniatura
A menudo se ha preguntado cómo, en esta diminuta mancha de materia, el núcleo de un óvulo fertilizado, puede estar contenida una clave elaborada y que contiene todo el desarrollo futuro del organismo. Una asociación bien ordenada de átomos, capaz de mantener permanentemente su orden, parece ser la única estructura material concebible que ofrece una variedad de posibles organizaciones (isoméricas) y que es suficientemente grande como para contener un sistema complicado de determinaciones dentro de reducidos límites espaciales. En efecto, el número de átomos de una estructura tal no necesita ser muy grande para producir un número casi ilimitado de posibles combinaciones. Como ejemplo, pensemos en la clave Morse. Los dos signos diferentes del punto y raya, en grupos bien ordenados de no más de cuatro, permiten treinta especificaciones diferentes.
Ahora bien, si agregamos un tercer signo, usando grupos de no más de diez, podríamos formar 88 572 letras diferentes; con cinco signos y grupos de hasta 25, el número asciende a 372 529 029 846 191 405. Podría objetarse que la comparación es deficiente, ya que los signos Morse pueden tener una composición diferente (por ejemplo: — y...—), constituyendo por tanto una analogía defectuosa de la isomería. Para remediar este defecto, escojamos, en el tercer ejemplo, solamente las combinaciones de 25 símbolos y solo aquellos que contengan exactamente 5 de cada uno de los 5 tipos supuestos (5 puntos, 5 rayas, etcétera). Un cálculo aproximado da un número de 62 330 000 000 000 combinaciones, representando los ceros a la derecha las cifras que no me he tomado el trabajo de calcular.
Desde luego, en el caso real, de ninguna manera cada una de las disposiciones del grupo de átomos representara una posible molécula; por otra parte, no se trata de adoptar arbitrariamente una clave, puesto que su contenido debe ser por sí mismo el factor determinante del desarrollo. Pero, por lo demás, el número elegido en el ejemplo anterior (25) es todavía muy reducido, y hemos considerado únicamente las disposiciones sencillas en una sola línea. Lo que deseamos ilustrar es sencillamente que, con la imagen molecular del gen, ya no es inconcebible que la clave en miniatura corresponda con exactitud a un plan altamente complejo y especificado de desarrollo, y que contenga, en alguna forma, los medios para hacerlo funcionar.
5.8. Comparación con los hechos: grado de estabilidad y discontinuidad de las mutaciones
Procedamos ahora por fin a comparar la imagen teórica con los hechos biológicos. La primera cuestión, evidentemente, debe ser si la teoría puede explicar el alto grado de permanencia que observamos. ¿Son razonables los valores de umbral de la magnitud requerida, correspondiente a múltiplos elevados a la energía térmica media kT?; ¿están dentro de la gama de valores conocida de la química común? Estas preguntas son triviales y pueden ser contestadas de forma afirmativa sin consultar las tablas. Las moléculas de cualquier sustancia que el químico es capaz de aislar a una temperatura dada, deben tener, a esa misma temperatura, una existencia de unos minutos como mínimo. (Diciéndolo de manera prudente, pues, por regla general, permanecen mucho más tiempo.) De esta forma, resulta que los valores de umbral encontrados por el químico son necesariamente del orden de magnitud requerido para explicar cualquier grado de permanencia que el biólogo pudiera encontrar, según lo expuesto en la página 31, recordaremos que los umbrales que varían dentro de un margen de 1:2 garantizan tiempos de vida que van desde una fracción de segundo a decenas de miles de años. Pero mejor sería que especifiquemos algunos valores para futuras referencias. Los cocientes W/kT mencionados como ejemplo anteriormente, que eran W/kT = 30, 50, 60 y que producen tiempos de vida de 1/10 segundos, 16 meses, 30 000 años, respectivamente, corresponden, a temperatura ambiente, a valores de umbral de 0,9; 1,5 y 1,8 electrón-voltios.
Debemos explicar la unidad electrón-voltio, bastante conveniente para el físico porque puede captarse fácilmente. Así, por ejemplo, el tercer número (1,8) significa que un electrón, acelerado por un voltaje de unos 2 voltios, adquiriría la energía suficiente para efectuar la transición por medio de un impacto. (Como ejemplo comparativo, recordemos que la batería de una linterna de bolsillo tiene 3 voltios.)
Estas consideraciones hacen comprensible el que un cambio isomérico de configuración en alguna parte de nuestra molécula, producido por una fluctuación fortuita de la energía de vibración, pueda constituir un acontecimiento suficientemente raro como para ser interpretado como una mutación espontánea. De este modo, debido a los principios mismos de la mecánica cuántica, explicamos el hecho más sorprendente relacionado con las mutaciones, el hecho por el cual fue atraída por vez primera la atención de De Vries: que son variaciones a saltos, sin que existan formas intermedias.
5.9. Estabilidad de los genes seleccionados de forma natural
Tras descubrir el aumento de la frecuencia de mutación por medio de cualquier clase de rayos ionizantes, podría pensarse en atribuir el valor de esa frecuencia a la radiactividad del suelo y del aire, y a la radiación cósmica. Pero una comparación cuantitativa, con resultados objetivos con los rayos X, muestra que la radiación natural es demasiado débil, pudiendo atribuírsele tan solo una pequeña fracción de la frecuencia natural de mutación.
Si hemos acordado que tenemos que explicar las raras mutaciones naturales mediante fluctuaciones del movimiento térmico, no debemos extrañarnos mucho de que la Naturaleza haya logrado crear una serie tan sutil de valores de umbral como la necesaria para hacer que la mutación sea un fenómeno poco frecuente. Porque, en una parte anterior de este libro, hemos llegado a la conclusión de que las mutaciones frecuentes son perjudiciales para la evolución. Los individuos que, por medio de la mutación, adquieren una configuración génica de insuficiente estabilidad, tendrán pocas oportunidades de que su descendencia ultra-radical y rápidamente mutante sobreviva mucho tiempo. Las especies serán libradas de ellos, y de este modo los genes estables serán atesorados por medio de la selección natural.
5.10. La menor estabilidad de los mutantes
Por lo que respecta a los mutantes que se producen en nuestros experimentos genéticos, y que seleccionamos precisamente en su carácter de mutantes para estudiar su descendencia, no muestran una estabilidad muy elevada. Porque todavía no han sido ensayados, o, si lo han sido, se les ha rechazado en los cruces normales, posiblemente debido a su elevada mutabilidad. Como quiera que sea, no nos asombra enterarnos de que algunos de estos mutantes tienen realmente una variabilidad mucho más alta que los genes salvajes normales.
5.11. La temperatura influye menos en los genes inestables que en los estables
Este hecho nos permite probar nuestra fórmula de mutabilidad, que era
t = τeW/kT (5.2)
(Debe recordarse que t significa el tiempo de expectación para una mutación con la energía de umbral W). Nos preguntamos: ¿cómo cambia t con la temperatura? Es fácil de encontrar, con ayuda de la fórmula precedente, una buena aproximación de la razón del valor de t a la temperatura T + 10, con respecto a su valor a la temperatura T:
tT + 10 /tT= τe−10W/kT² (5.3)
Como el exponente es negativo, la razón resulta, naturalmente, inferior a 1. El tiempo de expectación disminuye a medida que se eleva la temperatura; por consiguiente, la mutabilidad aumenta. Esto puede verificarse, y así se hizo en el caso de la mosca drosophila, dentro del margen de la temperatura que soportan los insectos. El resultado fue, a primera vista, sorprendente. La baja mutabilidad de los genes salvajes fue aumentada de modo claro, pero la mutabilidad relativamente alta presentada por algunos de los genes ya mutados no acuso incremento, o, en todo caso, uno mucho más pequeño. Esto es justamente lo que esperamos al comparar nuestras dos fórmulas. Un valor elevado de W/kT el cual se requiere, de acuerdo con la primera fórmula, para hacer t grande (gen estable), dará, de acuerdo con la segunda, un valor pequeño del cociente. En consecuencia, en los genes estables, los pequeños aumentos en la temperatura producirían incrementos considerables de la mutabilidad. (Los valores reales del cociente parecen oscilar entre 1/2 y 1/5. El reciproco, 2,5, es lo que en las reacciones químicas comunes llamamos factor de Van’t Hoff.)
5.12. Cómo producen mutaciones los rayos X
Volviendo ahora a la frecuencia de mutación inducida por los rayos X, de los experimentos genéticos hemos deducido lo siguiente: primero (de la proporcionalidad entre el grado de mutación y la dosis), que algún acontecimiento aislado produce la mutación. Segundo (de los resultados cuantitativos y del hecho de que el grado de mutación es determinado por la densidad de ionización e independiente de la longitud de onda), que este acontecimiento aislado debe de ser una ionización, o un proceso similar, y que, a fin de producir una mutación determinada, ha de tener lugar dentro de cierto volumen no mayor de unas diez distancias atómicas cubicas. De acuerdo con nuestro cuadro, la energía necesaria para sobrepasar el umbral debe ser aportada por un proceso parecido a una explosión, la ionización o excitación. Digo parecido a una explosión porque la energía invertida en una ionización (no invertida por los rayos X mismos, sino por un electrón secundario que ellos producen) es bien conocida y llega al valor comparativamente enorme de 30 electrón-voltios. Esta energía debe convertirse en un movimiento térmico enormemente elevado alrededor del punto en el que se descarga, para luego dispersarse desde allí en forma de onda de calor, una onda de intensas oscilaciones de los átomos. Por lo tanto, resulta concebible que esta onda de calor pueda aun poseer la capacidad de suministrar la energía de umbral requerida de 1 o 2 electrón-voltios dentro de un radio de acción medio de unas diez distancias atómicas, aunque bien pudiera ser que un físico imparcial hubiese anticipado un radio levemente inferior. En muchos casos, el efecto de la explosión no es una verdadera transición isomérica, sino una lesión del cromosoma, lesión que se convierte en letal cuando, por medio de cruzamientos adecuados, el cromosoma dañado se reúne con otro cuyo gen correspondiente es mórbido por sí mismo. Todo eso cabe dentro de lo esperado y es exactamente lo que puede observarse en la realidad.
5.13. La eficacia de los rayos X no depende de la mutabilidad espontánea
A partir de la imagen general expuesta, podemos, si no predecirlas, al menos comprender fácilmente ciertas otras características. Así, por ejemplo, un mutante inestable no suele acusar una frecuencia de mutación frente a los rayos X mucho más alta que otro estable. Ahora bien, con una explosión que aporta una energía de 30 electrón-voltios, no se puede suponer, desde luego, que exista mucha diferencia si la energía de umbral requerida es un poco mayor o un poco menor, por ejemplo 1 o 1,3 voltios.
5.14. Mutaciones reversibles
En algunos casos, una transición ha sido estudiada en ambas direcciones, digamos desde cierto gen salvaje a un mutante determinado y, de nuevo, desde ese mutante al gen salvaje. En tales casos, la frecuencia de mutación natural resulta ser unas veces casi la misma, y otras muy diferente. A primera vista, este hecho nos deja perplejos, pues el umbral que debe ser sobrepasado parece ser el mismo en ambos casos. Pero, desde luego, no es necesario que sea así, ya que el umbral tiene que ser medido desde el nivel de energía de la configuración inicial y este puede ser diferente para el gen salvaje y el mutado. (Véase la figura 2 del capítulo anterior, donde 1 podría referirse al alelo salvaje y 2 al mutante, cuya estabilidad inferior sería indicada por la flecha más corta.)
A mi parecer, el modelo de Delbrück, visto en conjunto, responde muy bien a los experimentos y su empleo queda justificado en las consideraciones siguientes.
Capítulo 6
Orden, desorden y entropía
Nec corpus mentem ad cogitandum nec mens corpus ad motum, neque ad quietem nec ad aliquid (si quid est) aliud determinare potest.[27]
Spinoza, Ética, P. III, prop. 2
6.1. Una notable conclusión general del modelo6.1. Una notable conclusión general del modelo
6.2. Orden basado en orden
6.3. La materia viva elude la degradación hacia el equilibrio
6.4. La vida se alimenta de entropía negativa
6.5. ¿Qué es entropía?
6.6. Significado estadístico de la entropía
6.7. Organización mantenida extrayendo orden del entorno
Permítaseme volver a la frase en la que trataba de explicar que la estructura molecular del gen hacía concebible, por lo menos, que la clave en miniatura pudiera corresponder punto por punto con un plan de desarrollo altamente complicado y especificado, y contener, de alguna forma, los medios para ponerlo en ejecución. Eso está muy bien, pero ¿cómo lo hace?, ¿cómo podemos convertir un hecho concebible en algo realmente comprensible?
El modelo molecular de Delbrück, dado su carácter totalmente general, no parece que contenga indicio alguno de cómo actúa el material hereditario. En efecto, no creo que de la Física provenga información detallada alguna a este respecto en un futuro cercano. El avance prosigue y continuará, estoy seguro, a partir de la Bioquímica bajo las directrices de la Fisiología y la Genética.
Ninguna información detallada acerca del funcionamiento del mecanismo genético puede venir de una descripción de una estructura tan general como la que he aportado anteriormente. Esto es obvio. Pero, aunque parezca extraño, de ella puede extraerse una sola conclusión general, y confieso que este ha sido el único motivo por el que he escrito este libro.
De la descripción general de Delbrück del material hereditario resulta que la materia viva, si bien no elude las leyes de la Física tal como están establecidas hasta la fecha, probablemente implica otras leyes físicas desconocidas por ahora, las cuales, una vez descubiertas, formarán una parte tan integral de esta ciencia como las anteriores.
6.2. Orden basado en orden
Ésta es una línea de pensamiento bastante sutil, que se presta al equívoco en más de un aspecto. Todas las páginas que quedan están dedicadas a aclararla. Una apreciación preliminar de esa línea, burda pero no del todo errónea, puede encontrarse en las siguientes consideraciones:
En el capítulo 1, se ha explicado que las leyes de la Física, tal como las conocemos, son leyes estadísticas[28]. Y tienen mucho que ver con la tendencia natural de las cosas de ir hacia el desorden.
Pero, para reconciliar la elevada durabilidad del material hereditario con su diminuto tamaño, tuvimos que evitar la tendencia al desorden inventando la molécula. Esta molécula era, en realidad, algo infrecuentemente grande, obra maestra de un orden altamente diferenciado, protegido por la varita mágica de la teoría cuántica. Las leyes del azar no quedan invalidadas por esta invención, pero su resultado final se modifica. El físico está familiarizado con el hecho de que las leyes clásicas de la Física son modificadas por la teoría cuántica, especialmente a bajas temperaturas. Hay muchos ejemplos de ello. La vida parece ser uno de ellos, y, por cierto, particularmente notable. La vida parece ser el comportamiento ordenado y reglamentado de la materia, que no está asentado exclusivamente en su tendencia de pasar del orden al desorden, sino basado en parte en un orden existente que es mantenido.
Espero hacer mi punto de vista más claro a los físicos (aunque solo a ellos) diciendo: el organismo vivo parece ser un sistema macroscópico cuyo comportamiento, en parte, se aproxima a la conducta puramente mecánica (en contraste con la termodinámica) a la que tienden todos los sistemas cuando la temperatura se aproxima al cero absoluto y se elimina el desorden molecular.
El que no es físico encuentra difícil de creer que las leyes comunes de la Física, que él considera como un prototipo de precisión inviolable, estén basadas realmente en la tendencia estadística de la materia a ir hacia el desorden. He dado ya ejemplos en el capítulo 1. El principio general que interviene es la famosa segunda ley de la termodinámica (principio de la entropía) y su igualmente famoso fundamento estadístico. En el resto de este capítulo, tratare de establecer el significado del principio de entropía en el comportamiento a gran escala de un organismo vivo, prescindiendo, por el momento, de cuanto se sabe acerca de cromosomas, herencia, etc.
6.3. La materia viva elude la degradación hacia el equilibrio
¿Cuál es el rasgo característico de la vida? ¿Cuándo puede decirse que un pedazo de materia está vivo? Cuando sigue haciendo algo, ya sea moviéndose, intercambiando material con el medio ambiente, etc., y ello durante un periodo mucho más largo que el que esperaríamos que siguiera haciéndolo un pedazo de materia inanimada en circunstancias similares. Cuando un sistema no viviente es aislado, o colocado en un ambiente uniforme, todo movimiento llega muy pronto a una paralización, como resultado de diversos tipos de fricción; las diferencias de potenciales eléctrico o químico quedan igualadas, las sustancias que tienden a formar un compuesto químico lo hacen y la temperatura pasa a ser uniforme por la transmisión del calor. Después, todo el sistema queda convertido en un montón muerto e inerte de materia. Se ha alcanzado un estado permanente, en el cual no ocurre suceso observable alguno. El físico llama a esto estado de equilibrio termodinámico, o de máxima entropía.
En la práctica, un estado de este tipo se alcanza, por regla general, con mucha rapidez. En teoría, muy a menudo aún no se ha alcanzado un equilibrio absoluto, ni el verdadero máximo de entropía. Pero, entonces, la aproximación final al equilibrio resulta muy lenta. Puede tardar horas, años, siglos… Para citar un ejemplo en el que la aproximación es bastante rápida: si se colocan juntos un vaso lleno de agua pura y otro lleno de agua azucarada en una caja herméticamente cerrada a temperatura constante, a primera vista parece que nada ocurre y da la impresión de un equilibrio completo. Pero, pasado un día, más o menos, puede notarse que el agua pura, debido a su más alta presión de vapor, se evapora lentamente y se condensa sobre la solución de azúcar. Esta última se derrama. Solo después de que el agua pura se haya evaporado por completo, el azúcar habrá alcanzado su objetivo de distribuirse uniformemente por toda el agua disponible.
Estas últimas aproximaciones lentas al equilibrio nunca pueden confundirse con la vida y no las consideraremos aquí. Me he referido a ellas con el fin de evitar ser tachado de inexacto.
6.4. La vida se alimenta de entropía negativa
Un organismo vivo evita la rápida degradación al estado inerte de equilibrio, y precisamente por ello se nos antoja tan enigmático; tanto es así que, desde los tiempos más remotos del pensamiento humano, se decía que una fuerza especial, no física o sobrenatural (vis viva, entelequia), operaba en el organismo, y algunas personas todavía piensan así.
¿Cómo evita la degradación el organismo vivo? La contestación obvia es: comiendo, bebiendo, respirando, foto sintetizando, etc. El término técnico que engloba todo eso es metabolismo. La palabra griega de la que deriva (µεταβαλλειν) significa cambio o intercambio. ¿Intercambio de qué? Originariamente, la idea subyacente es, sin duda alguna, intercambio de material. (Por ejemplo, la palabra alemana para metabolismo es Stoffwechsel, de Stoff materia, y Wechsel, cambio.) Es absurdo suponer que el intercambio de material sea el punto esencial. Cada átomo de nitrógeno, oxígeno, azufre, etc., es tan bueno como cualquier otro de su tipo; ¿qué se ganaría intercambiándolos? Por algún tiempo, en el pasado, se silenció nuestra curiosidad con la afirmación de que nos alimentamos de energía. En algún país muy avanzado (no recuerdo si en Alemania o en Estados Unidos, o en ambos), podían encontrarse cartas de restaurantes indicando, además del precio, el contenido energético de cada plato. Es innecesario decir que, considerado literalmente, esto es absurdo. Para un organismo adulto, el contenido energético es tan estacionario como el contenido material. Como todas las calorías tienen el mismo valor, no puede comprenderse que utilidad puede tener su mero intercambio.
¿Qué es, entonces, ese precioso algo contenido en nuestros alimentos y que nos defiende de la muerte? Esto es fácil de contestar. Todo proceso, suceso o acontecimiento (llámese como se quiera), en una palabra, todo lo que pasa en la Naturaleza, significa un aumento de la entropía de aquella parte del mundo donde ocurre. Por lo tanto, un organismo vivo aumentará continuamente su entropía o, como también puede decirse, produce entropía positiva (y por ello tiende a aproximarse al peligroso estado de entropía máxima que es la muerte). Solo puede mantenerse lejos de ella, es decir, vivo, extrayendo continuamente entropía negativa de su medio ambiente, lo cual es algo muy positivo, como en seguida veremos. De lo que un organismo se alimenta es de entropía negativa. O, para expresarlo menos paradójicamente, el punto esencial del metabolismo es aquel en el que el organismo consigue librarse a sí mismo de toda la entropía que no puede dejar de producir mientras está vivo.
6.5. ¿Qué es entropía?
¿Qué es entropía? En primer lugar, debo subrayar que no se trata de un concepto o de una idea vagos, sino de una cantidad física medible como la longitud de un palo, la temperatura en cualquier lugar del cuerpo, el calor de fusión de un determinado cristal o el calor específico de cualquier sustancia dada. En el cero absoluto de temperatura (aproximadamente −273 °C) la entropía de cualquier sustancia es cero. Cuando se lleva esa sustancia a cualquier otro estado mediante pasos pequeños, reversibles (incluso si con ello la sustancia cambia su naturaleza física o química o si se disgrega en una o más partes de diferente naturaleza física o química), la entropía aumenta en una cantidad que se calcula dividiendo cada pequeña porción de calor que tenía que suministrarse en este procedimiento por la temperatura absoluta a la que fue suministrado, y sumando luego todas esas pequeñas contribuciones. Por ejemplo, cuando se funde un sólido, su entropía aumenta en un valor igual al calor de fusión dividido por la temperatura en el punto de fusión. De ello se deduce que la unidad con la que se mide la entropía es cal/°C (al igual que la caloría es la unidad de calor o el metro la de longitud).
6.6. Significado estadístico de la entropía
He decidido exponer esta definición técnica simplemente para librar a la entropía de esa atmosfera de nebuloso misterio que frecuentemente la envuelve. Mucho más importante para nosotros aquí es su aportación al concepto estadístico de orden y desorden, vinculación revelada por las investigaciones de Boltzmann y Gibbs en la Física estadística. Esto también es una relación cuantitativa exacta que se expresa por
entropía = k log D (6.1)
en donde k es la llamada constante de Boltzmann (= 3,2983 × 10−24 cal/°C) y D una medida cuantitativa del desorden atómico del cuerpo en cuestión. Resulta casi imposible explicar esta cantidad D en términos breves y sin tecnicismos. El desorden que indica es, en parte, el del movimiento térmico y, en parte, el que deriva de la mezcla aleatoria de diferentes clases de átomos y moléculas, en vez de estar nítidamente separados, como las moléculas de azúcar y agua del ejemplo citado antes. La ecuación de Boltzmann queda bien ilustrada por ese ejemplo.
La difusión gradual del azúcar por toda el agua disponible aumenta el desorden D y, por consiguiente (puesto que el logaritmo de D aumenta con D), la entropía. También está muy claro que en cualquier suministro de calor aumenta la agitación del movimiento térmico, es decir, aumenta D y, por lo tanto, la entropía. Cuando se funde un cristal, esto resulta especialmente manifiesto, puesto que se destruye la ordenación definida y permanente de los átomos y las moléculas, y la red cristalina se convierte en una distribución aleatoria que cambia sin cesar.
Un sistema aislado o un sistema en un medio uniforme (que para la presente consideración es mejor incluirlo como parte del sistema que estudiamos) aumenta su entropía y se aproxima, más o menos rápidamente, al estado inerte de entropía máxima. Reconocemos ahora que esta ley fundamental de la Física no es más que la tendencia natural de las cosas a acercarse al estado caótico (la misma tendencia que presentan los libros de una biblioteca o los montones de papeles sobre un escritorio si nosotros no lo evitamos. En este caso, lo análogo a la agitación térmica irregular es la repetida manipulación de estos objetos sin preocuparnos de devolverlos al lugar adecuado).
6.7. Organización mantenida extrayendo orden del entorno
¿Cómo podríamos expresar, con términos de la teoría estadística, la maravillosa facultad de un organismo vivo de retardar la degradación al equilibrio termodinámico (muerte)? Hemos dicho anteriormente que se alimenta de entropía negativa, como si el organismo atrajera hacia sí una corriente de entropía negativa para compensar el aumento de entropía que produce viviendo, manteniendo así un nivel estacionario y suficientemente bajo de entropía.
Si D es una medida del desorden, su recíproco, 1/D, puede considerarse como una medida directa del orden. Como el logaritmo de 1/D es igual a menos el logaritmo de D, podemos escribir la ecuación de Boltzmann así:
−entropía = k log (1/D) (6.2)
De este modo, la burda expresión entropía negativa puede reemplazarse por otra mejor: la entropía, expresada con signo negativo, es una medida del orden. Por consiguiente, el mecanismo por el cual un organismo se mantiene así mismo a un nivel bastante elevado de orden (= un nivel bastante bajo de entropía) consiste realmente en absorber continuamente orden de su medio ambiente. Esta conclusión es menos paradójica de lo que parece a primera vista. Más bien podría ser tildada de trivial. En realidad, en el caso de los animales superiores, conocemos suficientemente bien el tipo de orden del que se alimentan, o sea, el extraordinariamente bien ordenado estado de la materia en compuestos orgánicos más o menos complejos que les sirven de material alimenticio. Después de utilizarlos, los devuelven en una forma mucho más degradada (aunque no enteramente, de manera que puedan servir todavía a las plantas; el suministro más importante de entropía negativa de éstas es, evidentemente, la luz solar).
Nota a todo este capítulo:
La expresión entropía negativa ha encontrado oposición y sembrado la duda entre algunos colegas físicos. Permítaseme decir, en primer lugar, que, si hubiera estado hablando solo para ellos, habría discutido sobre energía libre. Es la noción más familiar de este contexto. Pero este término, técnico en exceso, se asemeja lingüísticamente demasiado al de energía para lograr despertar en el lector medio el sentido del contraste entre las dos cosas. Ese lector tomara libre más o menos como un epitheton ornans sin significado propio, siendo así que, en realidad, el concepto es bastante intrincado; y la relación de ese concepto con el principio del orden-desorden de Boltzmann es menos clara que la de la entropía y entropía expresada con signo negativo, las cuales, dicho sea de paso, no son de mi invención, sino precisamente las cuestiones que reveló la argumentación original de Boltzmann. Pero F. Simon me ha indicado oportunamente que mis simples consideraciones termodinámicas no pueden explicar que tengamos que alimentarnos de materia en un estado muy ordenado de compuestos orgánicos más o menos complejos, en vez de poder hacerlo de carbón vegetal o de pulpa de diamantes. Tiene razón. Pero para el lector no iniciado debo explicar que un trozo de carbón o de diamante, junto con la cantidad de oxígeno necesario para su combustión, están también en un estado muy ordenado, tal como lo ve el físico. Prueba de lo dicho es que, si dejamos que se produzca la reacción, la combustión del carbón, se origina gran cantidad de calor. Al comunicarlo al medio, el sistema elimina el gran aumento entrópico ocasionado por la reacción y alcanza un estado en el que tiene, en la práctica, aproximadamente la misma entropía que antes.
Pero seguimos sin poder alimentarnos con el dióxido de carbono producido en la reacción. Y por consiguiente, Simon tiene razón al indicarme que, en realidad, el contenido energético de nuestro alimento sí que importa; de modo que mi burla de las cartas de restaurante que lo indicaban no tenía razón de ser. La energía de los alimentos se necesita para reemplazar, no solo la energía mecánica de nuestra actividad corporal, sino también el calor que continuamente comunicamos al ambiente. Y esta donación de calor no es accidental, sino esencial, ya que es precisamente el modo por el que eliminamos el exceso de entropía que producimos en los procesos físicos vitales.
Esto parece sugerir que la mayor temperatura de los animales homeotermos (de sangre caliente) implica la ventaja de capacitarlos para librarse de su entropía a mayor velocidad de modo que puedan asumir unos procesos vitales más intensos. No estoy seguro de la veracidad de ese argumento (del cual soy yo el responsable, no Simon). Puede aducirse en contra que, por otra parte, muchos homeotermos están protegidos de la rápida pérdida de calor por capas de pelo o pluma. De modo que el paralelismo entre temperatura corporal e intensidad de vida, el cual creo que existe, puede ser explicado más directamente por la ley de Van’t Hoff, mencionada anteriormente: La mayor temperatura acelera por si misma las reacciones químicas de la vida. (El hecho de que, en la realidad, es así ha sido confirmado experimentalmente en especies que tienen la temperatura del medio externo.)
Capítulo 7
¿Está basada la vida en las leyes de la Física?
Si un hombre nunca se contradice, será porque nunca dice nada.
Miguel de Unamuno (Tomado de una conversación.)
7.1. Nuevas leyes que pueden esperarse en el organismo7.1. Nuevas leyes que pueden esperarse en el organismo
7.2. Revisión de la situación biológica
7.3. Resumen de la situación física
7.4. El sorprendente contraste
7.5. Dos modos de producir orden
7.6. El nuevo principio no es ajeno a la Física
7.7. El movimiento de un reloj
7.8. El trabajo de un reloj es estadístico
7.9. Teorema de Nernst
7.10. El reloj de péndulo está virtualmente a temperatura cero
7.11. Relación entre mecanismo de relojería y organismo
Lo que deseo dejar claro en este último capítulo es, expresado brevemente, que, a partir de todo lo que hemos aprendido sobre la estructura de la materia viva, debemos estar dispuestos a encontrar que funciona de una manera que no puede reducirse a las leyes ordinarias de la Física. Y esto no se debe a que exista una nueva fuerza, o algo por el estilo, que dirija el comportamiento de cada uno de los átomos de un organismo vivo, sino a que su constitución es diferente de todo lo que hasta ahora se ha venido experimentando en un laboratorio de física. Un ingeniero familiarizado solo con máquinas de vapor, después de examinar la constitución de un motor eléctrico, estará dispuesto a decidir que este funciona de acuerdo con principios que todavía no entiende. Hallará el cobre, que le es familiar como componente de las calderas, utilizado aquí en forma de larguísimos hilos arrollados en bobinas; el hierro, igualmente familiar por las bielas, barras y pistones, lo encontrará aquí rellenando el interior de aquellas bobinas de hilo de cobre. Estaría convencido de que se trata del mismo cobre y del mismo hierro, sujetos a las mismas leyes de la Naturaleza, y está en lo cierto. Pero la diferencia en la constitución es suficiente para advertirle de que se trata de un funcionamiento muy diferente. Por el hecho de que se ponga a girar conectando un conmutador, sin tener caldera ni vapor, no supondrá que un motor eléctrico está impelido por un fantasma.
7.2. Revisión de la situación biológica
La sucesión de acontecimientos en el ciclo vital de un organismo exhibe una regularidad y un orden admirables, no rivalizados por nada de lo que observamos en la materia inanimada. Encontramos esta sucesión controlada por un grupo de átomos muy bien ordenados, que representan tan solo una pequeñísima fracción del conjunto total de cada célula. Además, a partir del concepto que nos hemos formado del mecanismo de la mutación, concluimos que la dislocación de tan solo unos pocos átomos del grupo de los átomos gobernantes de la célula germen basta para producir un cambio bien definido en las características hereditarias del organismo.
Estos hechos son probablemente los más interesantes que la Ciencia ha revelado en nuestros días. Después de todo, podemos estar inclinados a no encontrarlos completamente aceptables. La asombrosa propiedad de un organismo de concentrar una corriente de orden sobre sí mismo, escapando de la descomposición en el caos atómico y absorbiendo orden de un ambiente apropiado parece estar conectada con la presencia de sólidos aperiódicos, las moléculas cromosómicas, las cuales representan, sin ninguna duda, el grado más elevado de asociación atómica que conocemos (mucho mayor que el cristal periódico común) en virtud del papel individual que cada átomo y cada radical desempeñan en ellas.
Para decirlo con brevedad, somos testigos del hecho de que el orden existente puede mantenerse a sí mismo y producir acontecimientos ordenados. Esto parece bastante razonable, aunque, para encontrarlo así, nos basamos en la experiencia concerniente a la organización social y a otros sucesos que implican la actividad de los organismos. Por lo que puede parecer que caemos en un círculo vicioso.
7.3. Resumen de la situación física
Como quiera que sea, el punto que hay que subrayar una y otra vez es que, para el físico, el estado de cosas no solo es razonable, sino que resulta sobremanera estimulante, puesto que carece de precedentes. Contrariamente a la creencia general, el curso regular de los acontecimientos gobernados por las leyes de la Física nunca es consecuencia de una bien ordenada configuración de átomos (a menos que esta configuración de átomos se repita a sí misma gran número de veces, ya sea como en cristal periódico o como en un líquido, en un gas compuesto por gran número de moléculas idénticas). Incluso cuando un químico maneja in vitro una molécula muy compleja, se enfrenta siempre con un enorme número de moléculas iguales. A ellas aplica sus leyes. Él podría decirnos, por ejemplo, que un minuto después de iniciar alguna determinada reacción habrá reaccionado la mitad de las moléculas y, al cabo de un segundo minuto, habrán hecho lo mismo las tres cuartas partes. Pero no puede predecir si una molécula determinada, suponiendo que pueda seguirse su curso, estaría entre las que han reaccionado ya o entre las que todavía se encuentran intactas. Esto es una cuestión de azar.
No se trata de una conjetura puramente teórica. No es que no podamos observar nunca el destino de un solo grupo reducido de átomos o incluso de un solo átomo. En ocasiones podemos hacerlo. Pero, cuando lo hacemos, nos encontramos siempre con una compleja irregularidad, que contribuye a producir una regularidad solo en el promedio. En el capítulo primero, lo hemos ilustrado con un ejemplo. El movimiento browniano de una partícula pequeña, suspendida en un líquido, es completamente irregular. Pero, si hay partículas similares, estas producirán, con su movimiento irregular, el fenómeno regular de la difusión.
La desintegración de un solo átomo radiactivo es observable (emite un proyectil que produce un centelleo visible en una pantalla fluorescente). Pero, dado un átomo radiactivo individual, la probable longitud de su vida es mucho más incierta que la de un gorrión sano. En efecto, no puede decirse nada más que esto: mientras vive (y esto puede ser durante miles de años) la probabilidad, sea grande o pequeña, de estallar en el próximo instante, permanece la misma. Esta patente falta de determinación individual ocasiona, sin embargo, la ley exponencial exacta de desintegración de un gran número de átomos radiactivos del mismo tipo.
7.4. El sorprendente contraste
En Biología, nos enfrentamos con una situación completamente diferente. Un único grupo de átomos, del que existe una sola copia, produce acontecimientos ordenadamente, armonizados entre sí de modo maravilloso y con el ambiente siguiendo las leyes más sutiles. He dicho que existe una sola copia, ya que tenemos los ejemplos del huevo y del organismo unicelular. En los grados de organización superiores, las copias se multiplican, es cierto. Pero ¿hasta qué punto? Tengo entendido que hasta algo así como 1014en un mamífero adulto. ¡Qué es esto! solo una millonésima parte del número de moléculas en una pulgada cúbica de aire. Aunque son comparativamente voluminosas, esas copias no formarían, por coalescencia, más que una minúscula gota de líquido. Y obsérvese la forma en que están distribuidas en la realidad. Cada célula alberga solo una de ellas (o dos, si pensamos en un organismo diploide). Puesto que conocemos el poder que esta minúscula oficina central posee en una célula aislada, ¿no se parecen a estaciones de gobierno local dispersas por todo el cuerpo, que se comunican entre sí con suma facilidad gracias a una clave común para todas ellas?
Bien, esta es una descripción fantástica y quizá más propia de un poeta que de un científico. Sin embargo, no se necesita una imaginación poética, sino solo una clara y seria reflexión, para reconocer que estamos frente a unos sucesos cuyo desarrollo regular y reglamentado está dirigido por un mecanismo completamente diferente del mecanismo de probabilidades de la Física. Es un simple hecho de observación que el principio director de cada célula está contenido en una asociación atómica única existente solo en una copia (o algunas veces en dos copias), y un hecho de observación el que todo ello produce sucesos que constituyen un modelo de orden. Tanto si nos parece extraño como si nos parece evidente que un grupo pequeño, pero altamente organizado, de átomos sea capaz de actuar de esta manera, la situación no tiene precedentes, solo se da en la materia viva. El físico y el químico, al investigar la materia inanimada, nunca han presenciado fenómenos que hubieran tenido que interpretar de esta manera. Por consiguiente, nuestra teoría no explica los hechos vitales (nuestra preciosa teoría estadística, de la que estuvimos tan justamente orgullosos porque nos permitía echar una mirada detrás del telón para contemplar el magnífico orden de las leyes físicas exactas procedente del desorden atómico y molecular; porque nos revelaba que la ley más importante, la más general, la ley del aumento de entropía que lo abarca todo, podía entenderse sin ninguna suposición especial ad hoc pues, como vemos, no es otra cosa que el propio desorden molecular).
7.5. Dos modos de producir orden
El orden encontrado en el desarrollo de la vida procede de una fuente diferente. Según esto, parece que existen dos mecanismos distintos por medio de los cuales pueden producirse acontecimientos ordenados: el mecanismo que produce orden a partir del desorden y otro nuevo, que produce orden a partir del orden. Para una mente sin prejuicios, el segundo principio parece mucho más simple, mucho más lógico. Y sin duda lo es. Por eso los físicos están tan satisfechos de haber dado con el otro, el principio del orden a partir del desorden, que es el que sigue la Naturaleza y el único que hace posible la comprensión de las líneas maestras de los acontecimientos naturales, en primer lugar la de su irreversibilidad. Pero no podemos esperar que las leyes de la Física, derivadas del mismo, basten para explicar el comportamiento de la materia viva, cuyos rasgos más fascinantes están visiblemente basados en el principio del orden a partir del orden. No podría esperarse que dos mecanismos enteramente diferentes pudieran producir el mismo tipo de ley, como tampoco se esperaría que la llave de nuestra casa abriera también la puerta del vecino.
Por lo tanto, no debe desanimarnos que tengamos dificultad en interpretar la vida por medio de las leyes ordinarias de la Física. Eso es lo que cabía esperar de lo que hemos aprendido sobre la estructura de la materia viva. Debemos estar preparados para encontrar un nuevo tipo de ley física que la gobierne. ¿O tendremos acaso que denominarla ley no-física, o incluso super-física?
7.6. El nuevo principio no es ajeno a la Física
No, no creo que tengamos que llamarla ley no-física. Porque el nuevo principio subyacente es genuinamente físico. En mi opinión, no es otra cosa que el mismo principio de la teoría cuántica. Para explicarlo debemos ser algo prolijos y afinar, por no decir corregir, nuestro anterior aserto, o sea, que todas las leyes físicas están basadas en la estadística.
Esta afirmación, nuevamente repetida, no podía por menos que llevar a contradicciones. En efecto, existen fenómenos cuyas características están visiblemente basadas, en forma directa, en el principio del orden a partir del orden y que parecen no tener relación con la estadística ni con el desorden molecular.
El orden del sistema solar, el movimiento de los planetas, es mantenido por un tiempo casi indefinido. La constelación de este momento está en relación directa con la constelación de cualquier momento dado del tiempo de las pirámides; puede ser proyectada hacia el pasado o viceversa. Se han calculado eclipses de tiempos históricos, comprobándose que estaban en estrecha concordancia con algunos documentos; en algunos casos, han servido incluso para corregir la cronología aceptada. Tales cálculos no implican estadística alguna, están basados únicamente en la ley de Newton de la atracción universal.
Tampoco parece que el movimiento regular de un buen reloj o de cualquier mecanismo similar tenga nada que ver con la estadística. En suma, todos los acontecimientos puramente mecánicos parecen seguir en forma clara y directa el principio del orden a partir del orden. Y, al decir mecánicos, es preciso interpretar el término en un sentido amplio. Como se sabe, cierta clase muy útil de relojes se basa en la transmisión y recepción regular de pulsaciones eléctricas.
Recuerdo un interesante artículo de Max Planck sobre el tema Leyes de carácter estadístico (Dynamische und Statistische Gesetzmássgkeit). Esta distinción es precisamente la que hemos denominado orden a partir del desorden y orden a partir del orden. La finalidad de aquel trabajo era demostrar cómo el tipo estadístico de ley que controla acontecimientos de gran escala está constituido por las leyes dinámicas que se supone gobiernan los acontecimientos de pequeña escala, o sea, la interacción de los átomos y moléculas individuales. Ejemplifican este último tipo los fenómenos mecánicos de gran escala, tales como el movimiento de los planetas o de un reloj, y muchos otros.
En esta forma, parecería como si el nuevo principio, el del orden a partir del orden, al cual hemos señalado con gran solemnidad como la verdadera clave para comprender la vida, no fuera del todo nuevo para la Física. La actitud de Planck incluso reclama prioridad para él. Al parecer, llegamos a la ridícula conclusión de que la clave para el entendimiento de la vida es que está basada en un puro mecanismo, una especie de máquina de relojería en el sentido del artículo de Planck. Esta conclusión ni es ridícula ni, en mi opinión, del todo equivocada, pero solo debe ser aceptada tras adecuada ponderación.
7.7. El movimiento de un reloj
Analicemos con exactitud el movimiento de un reloj. No se trata en absoluto de un fenómeno puramente mecánico. Un reloj puramente mecánico no necesitaría que se le diese cuerda. Una vez puesto en movimiento, andaría para siempre. Sin cuerda, un reloj se para después de escasas oscilaciones del péndulo o del volante; su energía mecánica se transforma en calor. Éste es un proceso atómico infinitamente complicado. La imagen general que el físico se forma de él le obliga a admitir que el proceso inverso no es del todo imposible: un reloj sin cuerda podría echar a andar de repente, a expensas de la energía térmica de sus propias ruedas y del medio circundante. El físico tendría que decir: el reloj experimenta un acceso excepcionalmente intenso de movimiento browniano. En el capítulo primero hemos visto que, con una balanza de torsión muy sensible (electrómetro o galvanómetro), este hecho ocurre de continuo. En el caso del reloj, resulta, por supuesto, infinitamente improbable.
Si el movimiento de un reloj debe ser asignado al tipo dinámico o al estadístico de los acontecimientos regidos por leyes (para emplear la expresión de Planck), depende de nuestra actitud. Al llamarlo un fenómeno dinámico, fijamos nuestra atención sobre su marcha regular, que puede ser mantenida por una cuerda relativamente débil, la cual supera las pequeñas perturbaciones debidas al movimiento térmico de las partículas, de manera que no necesitamos tener en cuenta estas perturbaciones. Pero, si recordamos que, sin duda, un reloj se detiene poco a poco, a causa de la fricción, comprobaremos que este proceso solo puede ser interpretado como un fenómeno estadístico.
Por insignificante que resulten, desde el punto de vista práctico, los efectos de la fricción y del calor en un reloj, no puede dudarse de que la segunda interpretación, que no los descuida, es la más fundamental, aun cuando nos encontremos frente al movimiento regular de un reloj que funciona gracias a una cuerda. Pues no debe creerse que el mecanismo motor elimina realmente la naturaleza estadística del proceso. La verdadera imagen física incluye la posibilidad de que hasta un reloj con funcionamiento regular pueda invertir de repente su movimiento y, trabajando en el sentido contrario, volver a darse cuerda a sí mismo, a expensas del calor del ambiente. Este suceso solo es un poco menos probable que el acceso browniano de un reloj desprovisto de mecanismo motor.
7.8. El trabajo de un reloj es estadístico
Volvamos a considerar la situación. El caso sencillo que acabamos de analizar es representativo de muchos otros (de todos aquellos que parecen evadirse del principio universal de la estadística molecular). Los mecanismos de relojería, hechos de materia física real (en contraste con los imaginados), no son auténticamente tales. El elemento azar puede ser más o menos reducido, e infinitesimal la probabilidad de que de súbito el reloj funcione mal del todo, pero siempre existe. Hasta en el movimiento de los cuerpos celestes no faltan influencias irreversibles, tanto de fricción como térmicas. Así, por ejemplo, la rotación de la Tierra es ligeramente retardada por efecto de la fricción que originan las mareas y, junto con esta reducción, la Luna retrocede gradualmente de la Tierra, cosa que no podría suceder si nuestro planeta fuese una esfera giratoria completamente rígida.
En todo caso, queda siempre el hecho de que los mecanismos de relojería físicos muestran de modo visible prominentes características del tipo orden a partir del orden, el tipo que motivó la excitación del físico al encontrarlo en el organismo. Parece probable que, al fin y al cabo, los dos casos tengan algo en común. Queda por comprobar en qué consiste esta semejanza, y cuál es la asombrosa diferencia que transforma el caso del organismo en algo novedoso y sin precedentes.
7.9. Teorema de Nernst
¿Cuándo un sistema físico (cualquier clase de asociación de átomos) exhibe leyes dinámicas (en el sentido de Planck), o caracteres de mecanismo de relojería? La teoría cuántica ofrece una contestación muy breve para esta pregunta: en el cero absoluto de temperatura. Al aproximarse a dicha temperatura, el desorden molecular deja de tener influencia alguna sobre los acontecimientos físicos. Digamos, de paso, que este hecho no fue descubierto por la teoría, sino mediante la cuidadosa investigación de reacciones químicas, a lo largo de un amplio margen de temperaturas y extrapolando los resultados para la temperatura del cero absoluto, la cual, en la práctica, no puede ser alcanzada. Éste es el famoso teorema del calor de Walther Nernst, teorema al cual, no sin razón, se le da a veces la presuntuosa denominación de tercera ley de la termodinámica (siendo la primera el principio de la energía y la segunda, el de la entropía). La teoría cuántica proporciona fundamento racional a la ley empírica de Nernst, permitiéndonos, asimismo, comprender cuánto debe acercarse un sistema al cero absoluto para poder exhibir un comportamiento aproximadamente dinámico. ¿Cuál es la temperatura que, en cada caso particular, puede ser considerada prácticamente equivalente a cero?
No debe creerse que esta temperatura tenga que ser siempre muy baja. En realidad, el descubrimiento de Nernst fue suscitado por el hecho de que, hasta a temperatura ambiente, la entropía desempeña un papel asombrosamente insignificante en muchas reacciones químicas. (Permítaseme recordar que la entropía es una medida directa del desorden molecular, es decir, su logaritmo.)
7.10. El reloj de péndulo está virtualmente a temperatura cero
¿Qué pasa con el reloj de péndulo? Para un reloj de esta clase, la temperatura ambiental equivale prácticamente a cero. Ésta es la razón por la cual funciona en forma dinámica. Continuara andando lo mismo si se lo enfría (¡siempre que se haya eliminado todo rastro de aceite!). En cambio, no seguirá andando si se lo calienta por encima de la temperatura ambiente, pues llegaría a fundirse.
7.11. Relación entre mecanismo de relojería y organismo
Parece una cosa trivial, pero en mi opinión da en el blanco. Los mecanismos de relojería pueden llegar a funcionar dinámicamente, por estar constituidos de sólidos, mantenidos en su estado por las fuerzas de London-Heitler, lo bastante poderosas como para descartar la tendencia desordenada del movimiento térmico a la temperatura ordinaria. Ahora bien, creo que unas pocas palabras más bastan para explicar el punto de semejanza entre un mecanismo de relojería y un organismo. Se parecen sencilla y únicamente porque la base de este último también es un sólido, el cristal aperiódico que forma la sustancia hereditaria, el cual está protegido del desorden que proviene del movimiento térmico. Pero que no se me acuse de llamar a las fibras cromosómicas los dientes de rueda de la maquina orgánica, al menos no sin hacer referencia a las profundas teorías físicas en las cuales se basa el símil.
Porque, en efecto, se necesita menos retórica todavía para mencionar la diferencia fundamental entre ambas y justificar los epítetos, antes empleados, de novedoso y sin precedentes del caso biológico.
Las características más notables son: en primer lugar, la singular distribución de los dientes en un organismo pluricelular, respecto a la cual permítaseme remitir al lector a la descripción algo poética hecha en la página 51, y, en segundo lugar, la circunstancia de que el diente aislado no es resultado del burdo trabajo humano, sino la más fina y precisa obra maestra conseguida por la mecánica cuántica del Señor.
Epílogo
Sobre el determinismo y el libre albedrío
Como recompensa por las molestias que me causo el exponer sine ira et studio el aspecto puramente científico de nuestro problema, solicito ahora anuencia para añadir mi propia, y necesariamente subjetiva, visión de las simplificaciones filosóficas del mismo.
De acuerdo con la evidencia expuesta en las páginas precedentes, los acontecimientos espacio-temporales del cuerpo de un ser vivo que corresponden a la actividad de su mente, a su autoconciencia y otras acciones, son, si no estrictamente deterministas, en todo caso estadístico-terministas (teniendo en cuenta su estructura compleja y la aceptada explicación estadística de la Fisicoquímica). Frente al físico, deseo resaltar que, en mi opinión, y contrariamente a lo defendido en algunos círculos, la indeterminación cuántica no desempeña en esos acontecimientos un papel biológicamente importante, excepto, tal vez, el de que acentúa su carácter puramente accidental en fenómenos como la meiosis, la mutación natural y la inducida por los rayos X, etc. En todo caso, esto es obvio y bien reconocido.
En apoyo a mi argumento, permítaseme considerar esto como un hecho, como creo lo haría cualquier biólogo imparcial, si no fuera por esa bien conocida y desagradable sensación de tener que declararse a uno mismo un mecanismo puro. Pues se supone que semejante declaración se opone al libre albedrío, tal como lo garantiza la introspección directa. Pero las experiencias inmediatas, por variadas y dispares que sean, no pueden lógicamente de por si contradecirse entre ellas. Veamos, pues, si es posible llegar a la conclusión correcta, y no contradictoria, de las dos premisas siguientes:
I) Mi cuerpo funciona como un mecanismo puro que sigue las leyes de la Naturaleza.
II) Sin embargo, mediante experiencia directa incontrovertible, sé que estoy dirigiendo sus movimientos, cuyos efectos preveo y cuyas consecuencias pueden ser fatales y de máxima importancia, caso en el cual me siento y me hago enteramente responsable de ellas.
La única conclusión posible de estos dos hechos es que yo (es decir, yo en el sentido más amplio de la palabra, o sea, toda mente consciente que alguna vez haya dicho o sentido Yo) soy la persona, si es que existe alguna, que controla el movimiento de los átomos, de acuerdo con las leyes de la Naturaleza.
Dentro de un ambiente cultural (Kulturkreis), donde ciertas concepciones (que alguna vez tuvieron o tienen todavía un significado más amplio entre otra gente) han sido limitadas y especializadas, resulta osado dar a esta sencilla conclusión la expresión que requiere. Decir en la terminología cristiana: Por lo tanto, yo soy Dios Todopoderoso, resulta a la vez blasfemo y extravagante. Pero dejemos a un lado este aspecto, por el momento, y consideremos si la deducción anterior no es acaso la más aproximada que un biólogo pueda alcanzar para comprobar a la vez la existencia de Dios y la inmortalidad.
Esta penetración no es nueva. Las primeras noticias referentes a ella que conozco datan de hace unos 2500 años o más. A partir de las primeras grandes Upanishad, la identificación ATHMAN = BRAHMAN (el yo personal equivale al eterno Yo omnipresente que lo abarca todo), lejos de constituir una blasfemia, era considerada en el pensamiento hindú como representación de la quintaesencia de la más honda penetración en los acontecimientos del mundo. El anhelo de todos los discípulos del Vedanta era similar en sus mentes, después de haber aprendido a pronunciarlo con sus labios, este pensamiento supremo.
Más tarde, los místicos de todos los siglos, cada uno en forma independiente pero en completa armonía entre sí (algo así como las partículas de un gas perfecto), han descrito su experiencia única en términos que pueden condensarse en la siguiente frase: DEUS FACTUM SUM (me he convertido en Dios).
Para la ideología occidental, esta noción ha seguido siendo extraña, a despecho de Schopenhauer y de otros que la defendieron, y a pesar, también, de aquellos verdaderos amantes que, al contemplarse uno en los ojos del otro, se dan cuenta de que su pensamiento y su alegría son numéricamente uno, no meramente similares o idénticos. Sin embargo, suelen estar demasiado ocupados emocionalmente para dedicarse a pensar con claridad, con lo cual, en este aspecto, se parecen mucho a los místicos.
Séame permitido añadir unos pocos comentarios. La conciencia nunca ha sido experimentada en plural, sino solo en singular. Hasta en los casos patológicos de conciencia desdoblada o doble personalidad, las dos personas alternan; nunca se manifiestan simultáneamente. En sueños, desempeñamos varios papeles al mismo tiempo, pero no en forma indistinta: nosotros somos uno de ellos; en él, actuamos y hablamos de manera directa, mientras que a menudo esperamos con ansia la contestación de otra persona, sin darnos cuenta de que somos nosotros mismos los que dominamos sus movimientos y su lenguaje tanto como el nuestro propio.
¿Cómo puede formarse entonces la idea de pluralidad (a la que con tanta energía se oponen los escritores Upanishad)? La conciencia se encuentra en íntima conexión con el estado físico de una región limitada de materia, el cuerpo, del cual depende. (Considérense los cambios de la mente durante el desarrollo del cuerpo, como la pubertad, el envejecimiento, la decrepitud, o bien los efectos de la fiebre, la intoxicación, la narcosis, las lesiones del cerebro, etc.) Ahora bien, existe una gran pluralidad de cuerpos similares. Por lo tanto, la pluralización de conciencias o mentes parece ser una hipótesis muy sugestiva. Es probable que la hayan aceptado todos los pueblos simples, al igual que la gran mayoría de los filósofos occidentales.
Esto conduce casi inmediatamente a la invención de almas, tantas como cuerpos, y al problema de si ellas son mortales como el cuerpo, o bien inmortales y capaces de existir por sí mismas. La primera alternativa es desagradable, mientras que la segunda olvida, ignora o niega deliberadamente los hechos en los cuales está basada la hipótesis de la pluralidad. Todavía se han hecho preguntas mucho más estúpidas como ¿tienen alma los animales? Hasta se ha llegado a preguntar si también las mujeres, o solo los hombres, poseen almas.
Tales conclusiones, aunque solo sean tentativas, deben hacernos sospechosa la hipótesis de la pluralidad, común a todos los credos occidentales oficiales. Pero ¿no nos inclinamos a disparates mucho mas grandes si, al descartar las supersticiones de los mismos, mantenemos su ingenua idea de la pluralidad de almas, aunque remediándola declarando que las almas son perecederas, que serían aniquiladas con los cuerpos respectivos?
La única alternativa posible es sencillamente la de atenerse a la experiencia inmediata de que la conciencia es un singular del que se desconoce el plural; que existe una sola cosa y que lo que parece ser una pluralidad no es más que una serie de aspectos diferentes de esa misma cosa, originados por una quimera (la palabra hindú: MAJA). La misma ilusión se produce en una galería de espejos y, en forma análoga, el Gaurisankar y el Monte Everest parecen ser una misma cima vistos desde valles diferentes.
Por supuesto, existen historias de espíritus, cuidadosamente elaboradas, que nos fueron grabadas en la mente con el fin de entorpecer nuestra aceptación de un reconocimiento tan sencillo. Entre otras cosas, se ha dicho que fuera de mi ventana hay un árbol pero que, en realidad, no estoy viendo ese árbol. Mediante algún artificio astuto del que solo se han explorado las simples etapas iniciales, el verdadero árbol proyecta su imagen sobre mi conciencia, y esto es lo único que yo percibo. Si alguien está a mi lado mirando el mismo árbol, este también llegara a proyectar una imagen sobre su alma. Yo veo mi árbol, y la otra persona el suyo (notablemente parecido al mío), pero ambos ignoramos lo que es el árbol en sí. Kant es el responsable de esta extravagancia. En el orden de ideas que considera la conciencia como un singulare tantum, conviene reemplazar esa extraña idea por la afirmación de que, evidentemente, no hay más que un solo árbol y que todo el asunto de las imágenes es un cuento de hadas.
Sin embargo, cada uno de nosotros tiene la indiscutible impresión de que la suma total de su propia experiencia y memoria forma una unidad, muy distinta de la de toda otra persona. Nos referimos a ella con la palabra yo. ¿Qué es ese Yo?
Analizándolo minuciosamente, se verá que no es más que una colección de datos aislados (experiencias y recuerdos), o sea, el marco en el cual están recogidos. En una introspección detenida, se encontrará que lo que en realidad se quiere decir con Yo es ese material de fondo sobre el cual están coleccionados. Puede usted llegar a un país lejano, perder de vista a sus amigos, olvidarlos casi del todo; gana nuevos amigos y comparte la vida con ellos con tanta intensidad como jamás lo había hecho con los anteriores. Cada vez será menos importante que, mientras usted vive su nueva vida, se acuerde todavía de la antigua. El joven que yo fui puede usted decir de él en tercera persona. El protagonista de la novela que usted está leyendo probablemente esté más cerca de su corazón, y con seguridad viva para usted con más intensidad y le resulte más familiar. Sin embargo, no se ha producido una ruptura inmediata, ni muerte alguna. Incluso si un hábil hipnotizador consiguiera borrar todas las reminiscencias anteriores, usted no tendría la impresión de que le han matado a usted. En ningún caso habría que deplorar la pérdida de una existencia personal.
Ni jamás habrá que deplorarla.
Nota al epílogo
El punto de vista expresado aquí se empareja con el que Aldous Huxley ha denominado, de forma muy apropiada, Filosofía perenne. Su bello libro (Perennial Philosophy, Londres, Chatto and Windus, 1946) es adecuado para explicar no solo la situación del tema, sino también por qué es tan difícil captarlo y tan fácil encontrar oposición al plantearlo.
Notas: