
Los paisajes de este mu mío nuevo se diferencian rotundamente de la configuración del mundo a que estamos acostumbrados; tan rotundamente que, en algunas ocasiones, los físicos «no encuentran palabras» para describirlos. La mecánica cuántica se vio obligada a crear ideas nuevas sobre las cosas superpequeñas, representaciones que parecían extrañas, que eran «imposibles de ver con nuestros propios ojos».
En este nuevo mundo dejan de cumplirse frecuentemente las leyes ordinarias de la física. Las partículas pierden sus dimensiones y adquieren propiedades de ondas, y las ondas, a su vez, empiezan a comportarse como partículas. Los electrones y otros ladrillos elementales de la materia pueden penetrar a través de barreras infranqueables y pueden desaparecer por completo, dejando en su lugar fotones.
Estos asombrosos fenómenos fueron brillantemente explicados por la mecánica cuántica, a cuya aparición y desarrollo se dedica este libro. En él se trata de los conceptos fundamentales de la mecánica cuántica, de cómo la nueva teoría esclareció los secretos de la estructura de los átomos, moléculas, cristales y núcleos atómicos y de cómo intenta resolver el problema de la propiedad más fundamental de la materia: las interacciones de las partículas, las acciones mutuas entre la materia y el campo.
La obra se orienta a los amplios círculos de lectores que se interesan por los adelantos de la física moderna.
Capítulo 1
De la mecánica clásica a la mecánica cuántica
- A modo de introducción
- Contornos del nuevo mundo
- El templo de La mecánica clásica
- El templo se desploma
- Sobre el nombre de la nueva teoría
- Los físicos como modelistas
- No a todo se le puede inventar un modelo
- Un mundo impalpable e invisible
- ¡Difícil..., pero interesante!
Energía atómica. Isótopos radiactivos. Semiconductores. Partículas elementales. Generadores cuánticos. Estas palabras son hoy de todos conocidas. Su existencia se debe a la física del siglo XX.
En nuestro tiempo los conocimientos humanos se desarrollan con una rapidez fantástica.
Y cada adelanto descubre a los hombres nuevos mundos.
Las antiguas ciencias han llegado a una segunda juventud. Literalmente ante nuestros ojos se lanzó rauda hacia adelante la física y ocupó la primera línea de ataque a lo desconocido.
Y prosigue esta ofensiva en un frente cada vez más amplio, cada vez con mayor empuje, cuyo avance sólo se retarda con objeto de reagrupar fuerzas para un nuevo y decisivo salto adelante.
Para descubrir los secretos de la naturaleza la física necesitaba un arma poderosa. Y la física forjó esta arma. Su arsenal cuenta ya con la poderosa artillería de los experimentos exactos y convincentes. Su estado mayor, con centenares y millares de teóricos que trazan el camino por el cual se lleva a cabo la ofensiva, estudiando minuciosamente los trofeos logrados en los experimentos. La física no desarrolla a ciegas esta ofensiva. Alumbra el campo de batalla contra lo desconocido con los reflectores de las poderosas teorías físicas. Los más potentes reflectores de la física moderna son: la teoría de la relatividad y la mecánica cuántica.
La mecánica cuántica es coetánea de nuestro impetuoso siglo (siglo XX). Coetánea en el sentido estricto de la palabra, porque la historia de las ciencias cuenta la edad de la teoría cuántica a partir del 17 de diciembre de 1900. Este día el científico alemán Max Planck dio a conocer en la sesión de la Sociedad Física de la Academia de Ciencias de Berlín su intento de vencer una de las dificultades de la teoría de la radiación térmica.
En la ciencia surgen dificultades a cada paso. Y cada día tratan de superarlas los científicos. Pero el intento de Planck tuvo una importancia transcendental: predeterminó el desarrollo de la física en un futuro de muchos años.
De la semilla de la nueva concepción de las radiaciones expuesta por Planck creció el árbol gigantesco de los nuevos conocimientos de hoy. De esta misma semilla nacieron también admirables descubrimientos, que ni la fuerza imaginativa de los novelistas de ciencia ficción más perspicaces pudo prever. De la hipótesis de Planck surgió la mecánica cuántica que expuso a la observación de los hombres un mundo absolutamente nuevo. Un mundo que hasta entonces columbraban vagamente y que con más vaguedad aún se figuraban: el mundo de las cosas súper pequeñas, de los átomos, de los núcleos atómicos y de las partículas elementales.
Contornos del nuevo mundo
¿Acaso no sabía nada la humanidad de la existencia del mundo de los átomos antes del siglo XX? Sí, lo sabía, o mejor dicho, lo sospechaba.
A la inteligencia humana, por su carácter investigador, le es propio meditar sobre cosas desconocidas, prever lo que se hará realidad sólo al cabo de muchos siglos.
En tiempos remotos, mucho antes de que los primeros caminantes emprendieran su marcha por las intransitadas sendas de nuestro planeta, el hombre suponía ya que, más allá de los límites del pequeño mundo en que transcurría su existencia, había otros hombres, y animales, y tierras.
Y mucho antes de que el hombre empezara a conocer el mundo de las cosas súper pequeñas, se figuraba ya que ese mundo existía. Para buscar este mundo nuevo no había que emprender largos viajes, estaba al alcance de la mano, rodeando a los hombres, en todas las cosas.
A los antiguos pensadores les llamó mucho la atención cómo, de algo al parecer absolutamente disforme, logró la naturaleza crear el mundo que nos rodea y poblarlo de cosas tan diversas. ¿No hará la naturaleza como los albañiles, que construyen grandes casas con ladrillos pequeños?—se preguntaban. Si es así, ¿cómo serán esos ladrillos?
Enormes montañas, al ser destruidas por la acción de las aguas, de los vientos y de las fuerzas misteriosas de los volcanes, se convierten en bloques de piedra. Las piedras, con el tiempo, se fragmentan en guijarros. Y pasan centenares y millares de años, y ya no hay guijarros: de ellos no queda más que arena y polvo fino.
¿Tiene límites la fragmentación de la materia? ¿Existen acaso corpúsculos tan extraordinariamente pequeños que la propia naturaleza sea ya incapaz de dividir? Sí, existen, afirmaban los antiguos filósofos Epicuro, Demócrito y otros. El nombre de «átomos» refleja su principal propiedad: la de no poder seguir fraccionándose. Porque «átomo», en griego, significa eso, «indivisible».
Pero, ¿qué aspecto tienen los átomos? Esta pregunta quedaba en aquellos tiempos sin respuesta convincente. Es posible que los átomos tengan la forma de bolitas duras e impenetrables, pero también pueden tener un aspecto completamente distinto. Y, ¿cuántas clases de átomos hay? Pueden ser mil, y puede ser sólo una. Algunos filósofos (como el griego Anaximandro, por ejemplo) consideraban que lo más probable es que fueran cuatro. Suponían que el mundo en su totalidad estaba constituido por cuatro «elementos»: agua, aire, tierra y fuego, y que estos elementos estaban formados a su vez por átomos.
Con este bagaje de conocimientos no se va lejos, pueden decir nuestros contemporáneos.
Y tendrán razón, y no la tendrán. Los primeros pasos de la ciencia son más bien de ensanchamiento, que de profundización. ¡Cuántas cosas rodean al hombre! Lo primero es comprender cómo están relacionadas entre sí estas cosas. Después podrá plantearse el problema de cómo están hechas.
En los tiempos en que la ciencia aún estaba en pañales, la idea sobre la existencia de los átomos era indudablemente una conjetura genial. Pero, a pesar de todo, sólo era una conjetura que no había sido deducida de ninguna observación, ni confirmada por experimento alguno.
Luego se olvidaron de los átomos por mucho tiempo.
Volvieron a recordarlos, o mejor dicho, a «inventarlos» de nuevo, a principios del siglo XIX e hicieron esto no los físicos, sino los químicos.
El comienzo del siglo XIX fue una época interesante, tanto para el historiador en general, corno para el historiador de la ciencia. Bajo el estruendo de los cañones napoleónicos no sólo cambiaban las fronteras de los Estados europeos. En el silencio de los laboratorios, tan escasos en aquella época, cambiaban también resueltamente las ideas sobre la naturaleza de las cosas, ideas que hasta entonces parecían absolutamente inmutables.
Young en Inglaterra y Fresnel en Francia crearon las bases de la teoría ondulatoria de la luz. Abel en Noruega y Galois en Francia pusieron las primeras piedras del fuerte edificio del álgebra moderna. El francés Lavoisier y el inglés Dalton demostraron con sus trabajos que la química es capaz de penetrar profundamente en la esencia de las cosas. Los químicos, físicos y matemáticos de aquel tiempo hicieron no pocos descubrimientos relevantes que prepararon el florecimiento impetuoso de las ciencias exactas durante la segunda mitad del siglo XIX.
El poco conocido científico inglés Prout expresó en el año 1815 una hipótesis sobre la existencia de partículas pequeñísimas que, sin destruirse ni restituirse, pueden aún tomar parte en las más diversas reacciones químicas, es decir, la hipótesis sobre los átomos.
Y en aquellos mismos años el eminente científico francés Lagrange dio una forma acabada y elegante a la mecánica clásica, en la cual, como después se aclaró, no quedó sitio para los átomos.
El templo de la mecánica clásica
En la ciencia nada surge de la nada.
La mecánica cuántica, puede decirse con toda razón, es hija de la mecánica clásica, la cual tiene su origen «oficial» en Newton.
Es cierto que atribuir el mérito de la creación de la mecánica clásica sólo a Newton no es enteramente justo. Muchos grandes talentos de la época del Renacimiento se ocuparon de los problemas que después constituyeron la osamenta de la mecánica clásica: los italianos Leonardo de Vinci y Galileo Galilei, el holandés Simón Stevin, el francés Blaise Pascal. Con todas las dispersas investigaciones del movimiento de los cuerpos creó Newton la base de una teoría armoniosa única.
Se conoce también la fecha «oficial» del nacimiento de la mecánica clásica. Fue el año 1687, cuando en Londres salió a la luz el libro de Newton « Philosophiae Naturalis Principia Malhematica». En aquellos tiempos las ciencias naturales se consideraban aún como parte integrante de la filosofía.
En este libro Newton enunció por vez primera los tres principios fundamentales de la mecánica clásica, que más larde recibieron el nombre de leyes de Newton. Hoy día las conoce todo el que cursa la enseñanza media.
El edificio de la mecánica de Newton es mucho más amplio que estas tres «entradas principales». Su construcción, en lo fundamental, se terminó hace ya mucho tiempo. Hoy, desde las cimas de la ciencia moderna, podemos observar este edificio «a vista de pájaro».
...En un enorme espacio vacío, poblado de multitud de objetos diversos, desde estrellas gigantescas hasta partículas minúsculas, reinaba la quietud más absoluta. El mundo se hallaba en inalterable re poso.
Poro un buen día, Dios, recuperado ya del asombro que le produjo su propia creación, dio el primer «impulso» e infundió vida al mundo.
Después de esto, hablando claramente, la misión de Dios se puede considerar cumplida.
Una vez puestos en movimiento por la diestra divina, todos los cuerpos del mundo siguieron moviéndose e interaccionando unos con otros según ciertas leyes. Estas leyes son muchas, pero todas se pueden resumir, en fin de cuentas, a varias principales. Entre ellas figuran las tres leyes de Newton.
Desde este instante en el mundo no existen ni pueden existir casualidades de ningún género. Todo está predeterminado. Es imposible toda arbitrariedad. La sintonía del mundo se interpreta como por notas y en la orquesta mundial reina la más perfecta armonía desde que el mundo es mundo.
Más de un siglo después de Newton, esta súper ordenación del mundo de la mecánica newtoniana aún proporcionaba a los físicos la máxima satisfacción. Estos últimos solamente se sentían tranquilos cuando conseguían hacer entrar en el marco de esta teoría alguna parle nueva del mundo desconocida hasta entonces. Y la naturaleza permitió sumisa durante cierto tiempo que la metiesen en el lecho de Procusto de las ideas clásicas.
Pero esto no podía continuar indefinidamente. Los científicos se convencieron con el tiempo de que no hay nada menos sólido que los dogmas petrificados. De una forma absolutamente inevitable fueron produciéndose hechos que ya era imposible introducir en el marco que tenían predestinado.
A finales del siglo XIX estalló la crisis de la mecánica newtoniana. Poco a poco se hizo evidente que esta crisis significaba el derrocamiento de la predeterminación general en el mundo, llamada científicamente principio del determinismo mecánico. Todo en el mundo resultó que no era tan simple ni había sido ordenado para siempre.
La mecánica cuántica no sólo condujo al conocimiento del nuevo mundo, sino que además interpretó de un modo completamente nuevo los fenómenos que en él ocurren. Por vez primera en la ciencia fue admitida con plenitud de derechos la casualidad.
Y es posible que no fuera culpa de los físicos su desconcierto al encontrarse con este huésped inesperado. Lo único que se derrumbaba era la predeterminación secular que ellos mismos habían inventado. Pero a los físicos les pareció que se desplomaba en general toda precisión, que en el mundo reinaba una anarquía absoluta, que las cosas no obedecían ningunas leyes exactas.
Transcurrió mucho tiempo antes de que la física saliera de esta profunda crisis.
El templo se desploma
La curiosidad mató al gato.
Este refrán es aplicable a cualquier teoría. Incluso si hasta el día de hoy dicha teoría parece absolutamente justa y que todo lo explica.
En una etapa determinada del desarrollo de la ciencia, una vez que se ha estudiado cierto grupo de fenómenos, nace una teoría. Esta teoría sirve para explicar los fenómenos estudiados desde un punto de vista.
Pero esta misma teoría resulta insuficiente e incluso falsa cuando se descubren nuevos hechos que no quieren dejarse introducir en los estrechos límites de la vieja teoría.
La mecánica clásica fue enteramente satisfactoria mientras la física fue solamente mecánica. Sin embargo, el siglo XIX ya empezó a ser testigo de la impetuosa irrupción de la física en un enorme grupo de fenómenos nuevos. Empezaron a desarrollarse rápidamente las ramas dedicadas al estudio de los procesos térmicos, La termodinámica; de los fenómenos luminosos, la óptica; y de los fenómenos eléctricos y magnéticos, la electrodinámica. Hubo un tiempo en que en la física todo marchaba más o menos bien. Todos los fenómenos que se descubrían entraban tranquilamente en los marcos reservados para ellos.
A medida que se construía el edificio de la física clásica, su monumental fachada iba siendo surcada por amenazadoras grietas. El edificio se resquebrajaba bajo el cañoneo de los nuevos hechos.
Uno de estos hechos importantes fue la sorprendente constancia de la velocidad de la luz. Los experimentos más minuciosos y parciales demostraron que la luz se comporta de manera radicalmente distinta de lo que se había observado en todos los demás fenómenos conocidos hasta entonces.
Para encajar el comportamiento de la luz en el marco de la física clásica hubo que inventar cierto medio, el éter, que poseía unas propiedades completamente fantásticas desde el punto de vista de la propia física clásica. Pero el éter no podía salvar, y en efecto no salvó a la antigua física.
Otro obstáculo para la física clásica resultó ser la radiación térmica de los cuerpos calientes.
Y, finalmente, el abismo más profundo a que tuvo que asomarse la física clásica en los últimos años de su reinado absoluto, fue el descubrimiento de la radiactividad. En los procesos misteriosos de la radiactividad no sólo se destruían los núcleos atómicos. Se destruían también las hipótesis de la física antigua, que parecían evidentes desde el punto de vista del sentido común. Y a través de las grietas de su edificio brotaron rápidamente las semillas de las nuevas teorías: la teoría de la relatividad y la teoría de los cuantos.
Sobre el nombre de la nueva teoría
Así, en el umbral del siglo XX, nació la mecánica cuántica.
En primer lugar, ¿por qué se llama así? En esencia esta denominación refleja muy débilmente el contenido de las cosas de que se ocupa la nueva física.
Hay que decir, que ninguna rama de la física se ha librado de la ambigüedad en los términos. Las causas de esto son muchas, y en primer lugar están las de carácter histórico.
Como ejemplo bastará recordar la gran variedad de «fuerzas» que existe. La mayoría de ellas no tienen absolutamente nada que ver con una fuerza en su propio sentido. Así tenemos el caballo de fuerza o de vapor (que no es fuerza, sino potencia), la «fuerza viva» (que es energía cinética) y otras muchas «fuerzas».
La física se va liberando de ellas. Pero este proceso es muy lento.
Lo mismo ocurrió con el nombre de «mecánica cuántica». En primer lugar, ¿por qué se llama mecánica? La nueva teoría no tiene nada de mecánica, es más, como veremos más adelante, no puede tenerlo. La única justificación posible consiste en que la palabra «mecánica» se utiliza en este caso en su sentido más general. En el sentido que tiene cuando decimos, por ejemplo: «el mecanismo de este reloj es bueno» o «el mecanismo estatal», dándole a dicha palabra la significación de aparato o de sistema de funcionamiento. El grupo de los conceptos de la mecánica cuántica encuadra mejor bajo la amplia denominación de la propia física.
En segundo lugar, ¿por qué se llama cuántica? «Quantum», en latín, significa «porción», «cantidad». La nueva ciencia, como veremos más adelante, tiene en realidad como uno de sus conceptos fundamentales el que afirma que las propiedades de todo el mundo que nos rodea se manifiestan en «porciones». Claro que es preferible hablar no de las «porciones», sino de la discontinuidad de estas propiedades. Por otra parte, como veremos, esta discontinuidad dista mucho de ser general y no existe siempre en todas partes.
Además esta discontinuidad sólo es una cara de la medalla. La otra cara, no menos peculiar, es la dualidad de las propiedades de la materia. Esta dualidad consiste en que en un mismo objeto siempre van juntas las propiedades de las partículas y las propiedades de las ondas.
Una denominación más adecuada de la nueva ciencia es la de mecánica ondulatoria. Pero en este caso también se refleja únicamente la «mitad» de su contenido, porque no se mencionan los cuantos.
De esta forma resulta que ninguna de las denominaciones de la nueva teoría física se puede considerar satisfactoria. ¿Es posible que no pueda idearse algo más en consonancia con su contenido?
Idear un nombre en la ciencia es asunto embarazoso e ingrato. Las denominaciones nuevas entran en uso lentamente y se cambian con mayor lentitud aún. Para los físicos está claro el sentido nuevo que encierran estas palabras. Para nosotros, aún es cosa por conocer.
Los físicos como modelistas
¿Es fácil imaginarse el movimiento de una bola que, sujeta por una cuerda, hacemos girar con la mano? Naturalmente que sí.
Resulta hasta ridículo hablar aquí de imaginarse esto. El movimiento de la bola lo podemos ver con nuestros propios ojos. La física clásica nació de la observación de los objetos que nos rodean directamente y de los fenómenos que ocurren en ellos.
Usted lanza una bola sobre una mesa horizontal lisa. La bola continua moviéndose aún después de cesar la acción de su mano sobre ella, es decir, cuando la fuerza deja de actuar. De ésta y de otras observaciones semejantes se dedujo la ley de la inercia, que después introdujo Newton como primer principio fundamental de su mecánica.
La bola no se pone en movimiento mientras no se la empuja con la mano o se hace chocar con ella otra bola. El movimiento de la bola por la mesa lisa y su permanencia en reposo tienen de común el hecho de que en ambos casos y durante este tiempo no actúan sobre la bola ningunas fuerzas.
Pero cuando la bola gira sujeta con la cuerda actúa sobre ella durante todo el tiempo una fuerza que la aparta del camino rectilíneo característico del movimiento libre. Esta misma bola, si se halla inmóvil sobre la mesa, por la acción de la fuerza de la mano sale de su estado de reposo y adquiere velocidad, la cual será tanto mayor cuanto mayor sea la fuerza que actúe sobre ella. De esta observación nace la segunda ley de Newton.
Mas he aquí que el investigador, que en este caso es el mismo Newton, se sale del marco de lo cotidiano terrenal. Vuelve su vista hacia el cielo e intenta descifrar la «armonía de las esferas celestes», sobre la cual se rompieron ya la cabeza los antiguos filósofos. ¿Qué obliga a los planetas a moverse así alrededor del Sol, y no de otra forma?
La propia palabra «armonía» supone un orden, la acción de una ley reguladora del movimiento de los cuerpos celestes. De «esferas» no hay que hablar. Pero la ley según la cual giran los planetas, y entre ellos la Tierra, alrededor del Sol, y los satélites en torno a sus planetas, esa ley indudablemente debe existir.
Y al pensar esto viene a la memoria del científico la bola que gira sujeta por la cuerda. El movimiento de los planetas alrededor del Sol se parece realmente a la rotación uniforme de la bola, aunque es más lento, y naturalmente, sin cuerda. Ahora bien, si en un caso actúa una fuerza, es lógico suponer que también actuará en el otro.
Sentir directamente la acción de la fuerza que rige el movimiento de los planetas es imposible: ¡no se trata de una cuerda que se tiene en la mano! Pero la fuerza existe. Y Newton la descubrió. Hoy sabemos que ésta es la fuerza de atracción mutua de los cuerpos. Su genial clarividencia permitió a Newton hallar lo que había de común entre el movimiento de la bola y la rotación de los planetas.
No obstante, para nuestra exposición lo esencial es otra cosa. La bola con la cuerda es quizá uno de los primeros modelos físicos. La comprensión de un fenómeno de la naturaleza tan grandioso como el movimiento de los planetas se logra estudiando un fenómeno cuya escala es incomparablemente menor. Partiendo, naturalmente, de la audaz suposición de que ambos fenómenos se supeditan a leyes semejantes.
¿Se puede proceder de esta forma siempre y en todas partes? ¿Es justo aplicar las leyes de un fenómeno a otro cuya escala es inconmensurablemente mayor o menor?
Si estas preguntas se hacían en la época de Newton, la respuesta era la «habitual». Como las observaciones confirman el cuadro del transcurso del fenómeno grande calculado previamente basándose en el pequeño, o al contrario, todo está bien.
Aproximadamente esta misma respuesta puede oírse también en nuestros días. Aunque se entiende de otro modo. Newton consideraba que, en primer lugar, el Universo es finito y, en segundo, que las leyes que rigen su vida, tanto en el mundo a que estamos acostumbrados como en el gran mundo de las estrellas, son las mismas.
Con lo primero, hoy, desde las cumbres de la ciencia moderna, estamos totalmente de acuerdo.
Con lo segundo... Está claro que no puede hacerse la deducción de que fenómenos que ofrezcan el mismo aspecto exterior deban tener obligatoriamente un mismo tipo de resortes internos.
El loro repite las palabras del hombre. Pero sería demasiado ingenuo pensar que el loro, cuando pronuncia estas palabras, también piensa.
Toda la dificultad en la comprensión consiste en que en las distintas jerarquías de los mundos de los objetos, súper pequeño, ordinario y súper grande, actúan leyes diversas, y las leyes del mundo de unos objetos sólo en un grado muy limitado pueden hacerse extensivas a los mundos de otras escalas.
Las lamentaciones de muchos de los físicos, que chocaron con la antedicha insumisión de los objetos súper pequeños, se explican por su incomprensión de esta importante deducción. Cuando se convencieron de que las partículas microscópicas se niegan a entrar en el marco de los conceptos ordinarios, los físicos comenzaron a gritar sobre la anarquía y la carencia de leyes en la naturaleza. Está claro que, como veremos, no ocurre nada semejante.
Las representaciones por medio de modelos han jugado y continúan desempeñando un enorme papel en el desarrollo de las ciencias naturales. Con ayuda de modelos construidos por las manos del hombre o, lo que es aún más frecuente, que sólo existen en su imaginación, por ser imposibles de realizar, se han hecho los descubrimientos más importantes.
La bola sujeta con la cuerda es un modelo muy simple. Con el tiempo, los modelos utilizados por los físicos se fueron haciendo más complicados, más extraordinarios. Pero por muy extraordinarios que sean estos modelos, todos tienen una propiedad común. Están constituidos por elementos del mundo ordinario que nos rodea, que vemos con los ojos y que tocamos con las manos.
Esta es una peculiaridad de la inteligencia humana. Sus abstracciones y generalizaciones más insólitas parten siempre de una base real, aunque pueden «remontarse» y alejarse tanto de esta base que empiezan a parecer fantasías puras.
No a todo se le puede inventar un modelo
Desde finales del siglo XIX la aplicación del antiguo enfoque modelista a la investigación de los nuevos fenómenos de la naturaleza comenzó a fallar una y otra vez. Así ocurrió, por ejemplo, con el modelo del éter. La idea de sus creadores era de asignarle el papel de salvavidas de la física clásica, la cual se «hundía» al no poder explicar la sorprendente constancia de la velocidad de la luz.
¿Cómo debe ser el éter? Absolutamente rígido y al mismo tiempo absolutamente transparente. Esto se parece en algo al vidrio irrompible. Pero, a pesar de su rigidez, dentro del éter pueden moverse sin dificultad todos los cuerpos. Es más, estos cuerpos al moverse pueden arrastrar al éter y crear el «viento» etéreo. Con la particularidad de que este viento es mucho más suave que aquel «céfiro nocturno» que esparcía el «éter» en el famoso verso de Pushkin.
Los físicos intentaron durante varios años comprender de algún modo estas propiedades tan fantásticas del éter. Pero no pudieron conseguirlo. El éter resultó ser una fantasía absoluta, exenta de toda base real.
Y así ocurrió no sólo con la representación del éter. Ningún modelo de la física clásica para los átomos podía explicar la misteriosa emisión de energía por el uranio, el radio y otros elementos químicos, emisión que a veces se prolongaba ininterrumpidamente durante muchos miles y millones de años sin ningún suministro externo de energía.
Otro golpe a las antiguas representaciones modelísticas fue el asestado por la hipótesis de los fotones de Einstein, sobre la cual pronto hablaremos con detalle. Naturalmente que, aunque con dificultad, es posible acostumbrarse al modelo clásico que representa la luz como ondas electromagnéticas que desde su origen se propagan en todas las direcciones.
Estamos acostumbrados a que una onda es siempre un movimiento determinado de un medio material. Por ejemplo, este medio es el agua para las ondas del mar; el aire, para las ondas sonoras. Pero he aquí que las ondas electromagnéticas se pueden propagar en el vacío absoluto.
En este sentido es más fácil intentar imaginarse la luz, como lo hizo Newton, en forma de flujos de diminutas partículas luminosas. Estas partículas son emitidas por los cuerpos incandescentes, salen lanzadas en todas las direcciones, y al llegar al ojo excitan los nervios ópticos y producen la sensación de la luz. En este caso podemos ya imaginarnos sin dificultad cómo estas partículas pasan a través del vacío.
Pero imaginarnos la luz poseyendo al mismo tiempo las propiedades de las ondas y de las partículas, como afirma Einstein, es cosa que, por mucho que nos empeñemos, no podemos lograr.
En el modelo del átomo, creado por Bohr y Rutherford, puede apreciarse, a pesar de todo, cierta evidencia. Unas partículas pequeñas, electrones, giran por determinadas órbitas alrededor de un núcleo tan minúsculo como ellas. Las dimensiones de estas órbitas son decenas de millares de veces mayores que las dimensiones de los electrones y los núcleos.
Haciendo un esfuerzo mental es posible imaginar esta estructura «hueca» del átomo. Porque nosotros mismos vivimos en un sistema planetario en el cual las dimensiones de los «electrones», planetas, son millares de veces menores que sus órbitas alrededor del «núcleo», el Sol.
No obstante, pocos años después, de Broglie «embrolló» por completo esta representación al exponer la idea de que los electrones, los núcleos y en general todos los «ladrillos» materiales de nuestro mundo tienen la misma propiedad que Einstein atribuyó a los fotones, es decir, que también poseen simultáneamente propiedades de ondas y de partículas. Como resultado de esto, lo mismo que ocurría antes con las partículas de la luz, sucede ahora con las partículas de la materia, incluidos los átomos, que pierden toda evidencia.
Un mundo impalpable e invisible
A los físicos les empezó a ser difícil trabajar. Antes abrían las sendas hacia el nuevo mundo sabiendo de antemano que esto mundo sólo se diferenciaba en algunos detalles del ordinario para ellos, pero no en su esencia. Ahora se hallaban en la misma situación que los antiguos viajeros, quienes emprendían temerosos su largo camino en espera de terribles encuentros con monstruos medio fieras, medio hombres. Porque, ¡la fantasía sobre lo desconocido no tiene límites!
Los físicos sufrían más aún que estos viajeros. Al descubrir nuevos países, los viajeros recibían siempre desilusiones agradables, porque encontraban allí hombres como ellos mismos, y tierras, montañas y mares como los suyos. Con la única diferencia de que todo estaba «montado» de otra manera. Los físicos, en cambio, cada vez con más certeza veían en el nuevo mundo tales «monstruos», que ni nombres podían idearles.
Pero, ¡para qué hablar de nombres! ¡Lo extraordinario de este mundo era incluso difícil de representar!
Y sin embargo, la ciencia en desarrollo exigía la elaboración de las nuevas representaciones por muy insólitas que fueran. Crear la mecánica cuántica era difícil, pero hacía falta.
No cabe duda de que es mucho más fácil crear una teoría teniendo delante modelos gráficos a imagen del mundo circundante. Pero, ¿y si el mundo de las cosas súper pequeñas está constituido de tal modo que es imposible representarlo por ningún modelo semejante? ¿Qué hacer, levantar los brazos y rendirse?
¡No! Si se imposible idear un modelo evidente, habrá que trabajar con uno que no lo sea. Transcurrieron algunos años y, efectivamente, estos modelos se hicieron tan «queridos» [1] tan caros para los físicos, que ahora no renunciarían a ellos por nada del mundo. Y es una lástima, porque, adelantándonos un poco, podemos decir que, por lo visto, al cabo de cierto tiempo habrá que renunciar de algunos de estos modelos y sustituirlos por otros aún más extraordinarios, y más difíciles de comprender. ¡Qué le vamos a hacer! ¡Esa es la ley del desarrollo de la ciencia!
En esto consiste la grandiosa hazaña de los físicos de nuestro siglo, en que pudieron llegar a unos objetivos que se encontraban en lo más intrincado de la abstracción, en un mundo cuyos modelos no tienen ni la más lejana semejanza con las cosas a que estamos acostumbrados, en que pudieron crear una teoría armoniosa del nuevo mundo de las cosas súper pequeñas. Es más, los físicos han podido, basándose en esta teoría, lograr los adelantos más relevantes de la historia de la humanidad. Han descubierto el secreto de la liberación del poderoso genio —energía intranuclear — de la botella en que vivía desde hacía siglos sin llamar la atención de nadie.
Sí, la energía atómica y la electrónica hubieran sido imposibles sin la existencia de la mecánica cuántica.
¡Difícil...pero interesante!
Lo extraordinario y la falla de evidencia de las ideas de la mecánica cuántica hicieron difícil su comprensión. De estas dificultades es «culpable» en parte la propia mecánica cuántica. El problema no está solamente en que cada vez abarca más y más temas, en que sus métodos se perfeccionan sin interrupción, y es más difícil escribir sobre una teoría que se desarrolla que sobre teorías ya estabilizadas. El problema consiste además en que, entre los físicos, aun no se han calmado las discusiones en torno al sentido mismo de la mecánica cuántica, sobre qué partes del mundo de las cosas súper pequeñas son definidas por ella.
La humanidad se halla en el umbral de la era cósmica. Para enseñarle al hombre las «reglas de conducta» en el cosmos, hace falta que éste conozca muy bien la física. Pero la física del espacio cósmico se diferencia mucho de la «terrenal» precisamente porque en aquélla destaca resueltamente en primer plano el mundo de las cosas súper pequeñas.
En el cosmos se confirma plenamente la antigua idea de que lo grande y lo pequeño se tocan. Las enormes estrellas y los diminutos átomos no sólo se tocan, sino que existen como un todo único.
Es difícil, y hasta imposible, escribir en una forma popular sobre una ciencia sin representaciones gráficas. Por esto, al hablar de la mecánica cuántica emplearemos, si no modelos, analogías con los fenómenos que ocurren en el mundo a que estamos acostumbrados. Poro estas analogías no tienen un sentido profundo y menos aún exacto. Sirven únicamente para facilitar la comprensión.
Por ejemplo, como podremos comprobar, las palabras «el electrón gira alrededor del núcleo atómico» en realidad no tienen más sentido que el que tendría para un habitante de los trópicos las palabras «la nieve es una cosa blanca, parecida a la sal, que cae del cielo». El movimiento del electrón en el átomo, y la propia esencia del electrón, es inconmensurablemente más complejo de lo que nos imaginamos y sabemos hoy acerca de ellos. Y no sólo hoy, sino también mañana y dentro de mil años.
Y en efecto, el desarrollo de la mecánica cuántica confirma la idea de la diversidad ilimitada, de las verdaderamente inagotables propiedades del electrón. Pero, ¿acaso únicamente del electrón?
Hoy todavía no conocernos muy bien la naturaleza que nos rodea. Solamente comenzamos a penetrar de verdad en la corteza terrestre, en el océano, en la atmósfera, sólo empezamos a comprender la vida de los campos, bosques, montañas, ríos y desiertos.
¿Se puede acaso exigir un conocimiento semejante del mundo, mucho más difícil de observar, de los átomos, de los núcleos atómicos y de las partículas elementales? Aquí la ciencia tiene trabajo intenso y suficiente para muchos siglos y milenios. Por ahora a penas nos hallamos en las fuentes de este poderoso río de la sabiduría.
Sin embargo, ¡qué fenómenos tan asombrosos se desarrollan ante los ojos del investigador de este mundo recién descubierto! ¡Qué perspectivas tan animadoras, tan verdaderamente fantásticas abre la nueva ciencia a la técnica, la industria, la agricultura y la medicina!
Centrales eléctricas atómicas, isótopos radiactivos, baterías solares (veneradores cuánticos de luz y ondas radioeléctricas, es decir, láseres y máseres... vísperas de la liberación de la energía termonuclear con fines pacíficos. Todas estas grandiosas realizaciones del presente luminoso y del futuro cegador nacieron en nuestro siglo de una pequeña semilla sembrada por Max Planck hace setenta años en el fecundo campo de la ciencia y cultivada cuidadosamente por toda una pléyade de insignes científicos.
Capítulo 2
Primeros pasos de la nueva teoría
- Calor y luz
- El cuerpo negro
- En vez de «a ojo», una ley exacta
- La catástrofe ultravioleta
- La física clásica en un callejón sin salida
- La salida del callejón
- Cuantos de energía
- Los cuantos son «inatrapables»
- Un fenómeno incomprensible
- Los fotones
- ¿Qué es la luz?
- «Tarjetas de visita» de los átomos
- ¿Por qué emiten luz los cuerpos?
- Biografía del átomo, escrita por Niels Bohr
- ¿Cómo medir la energía?
- Átomos excitados
- Primeros fracasos
Calor y luz
¡Qué agradable es, en las tardes de invierno, estar sentado junto a la chimenea! Cruje la leña, humea un poco...
Pero, ¿por qué hace calor junto a la chimenea? Una chimenea caliente se nota a varios metros de distancia aún sin ver su hogar, que tan confortablemente ilumina la habitación con su luz temblorosa.
La chimenea emite, además de luz, rayos invisibles que crean la sensación de calor. Estos rayos se llaman térmicos o infrarrojos.
Prestando atención no es difícil convencerse de que la radiación térmica está muy extendida en la naturaleza, irradian calor y luz una bujía pequeña, una hoguera grande y el Sol enorme, incluso las estrellas muy alejadas envían rayos térmicos a la Tierra.
Si un cuerpo calentado brilla, emite también forzosamente rayos térmicos. La radiación de la luz y del calor es un mismo proceso. Por esta razón los científicos le dieron el nombre de térmica a toda radiación de los cuerpos que se produce al calentar éstos, tanto si es luminosa como si es térmica propiamente dicha.
Los físicos advirtieron ya en el siglo pasado las leyes fundamentales de la radiación térmica. Para usted estas leyes no son una novedad. Recordemos dos de ellas.
Primera, cuanto más intensamente se calienta un objeto, más brilla. La cantidad de radiación emitida por el cuerpo cada segundo varía mucho al variar su temperatura. Si la temperatura del cuerpo se eleva al triple solamente, su radiación será casi cien veces más intensa.
Segunda, a medida que se eleva la temperatura del cuerpo varía el color de la luz. Observe usted un trozo de tubo de hierro sobre el cual incide la llama de una lámpara de soldar. Al principio estará oscuro totalmente, pero luego aparece una débil luminosidad carmesí, que después pasa a ser sucesivamente roja, anaranjada, amarilla, y por fin, el trozo do tubo caldeado comienza a emitir una luz blanca cegadora.
Un fundidor experimentado podría determinar a ojo, con bastante exactitud, la temperatura del tubo incandescente por el color de su luminosidad. Este fundidor diría que el color carmesí débil corresponde a una temperatura de cerca de 500 grados centígrados; el amarillo, a la de cerca de 800 grados, y el blanco claro, a la de más de 1000 grados.
A los físicos no les satisface la sola definición cualitativa de un fenómeno, a ojo; necesitan cifras exactas. La anotación en el diario «el día fue frío» le dice a los físicos tan poca cosa como a cualquiera de ustedes la frase «aquel hombre tenía la cara grande». Ustedes querrían que les describieran los rasgos peculiares do esta cara, su nariz, sus labios, la frente.
Los físicos so encontraron con una diversidad considerable do cuerpos y condiciones en las cuales éstos emiten radiación térmica. Pero esta diversidad de condiciones era precisamente lo que no les convenía en absoluto. Les hacía falta cierto cuerpo «normal» en el cual fuera más fácil establecer las leyes de la radiación de los cuerpos calentados. En este caso la emisión de luz por otros cuerpos podrían considerarla como una desviación o discrepancia de esta «norma». A ustedes les parecerá extraña una descripción de este tipo: «La nariz de aquel hombre era más larga que la normal, su frente más estrecha, su mentón más saliente, sus ojos más verdes de lo común, pero de tamaño menor que la norma». Un físico, por el contrario, se consideraría satisfecho con esta descripción. Veamos por qué.
El cuerpo negro
Intente elegir varios objetos que tengan, si es posible, exactamente el mismo color. Colóquelos delante de usted y procure establecer si se diferencian entre sí en algo por su coloración.
Examinándolos atentamente notará usted diferencias. Uno de los objetos tendrá cierta coloración pálida, otros, por el contrario, un color profundo e intenso.
Esta diferencia depende de la cantidad de luz que incide sobro el objeto y es absorbida por él y de la cantidad de dicha luz que refleja. Las relaciones entre estas dos «cantidades» pueden variar dentro de límites muy amplios. He aquí dos casos extremos: la superficie brillante de un metal y un trozo de terciopelo negro. El metal refleja casi toda la luz que incide sobre él, mientras que el terciopelo absorbe casi toda esta luz y no refleja casi ninguna.
Los ilusionistas aprecian mucho esta propiedad del terciopelo. Porque si un objeto casi no refleja la luz, es prácticamente invisible. Un cajón forrado de terciopelo negro no se distingue en la escena del fondo de ésta, también negro, y con su ayuda so pueden hacer los trucos más asombrosos con apariciones y desapariciones de pañuelos, palomas o incluso del propio ilusionista.
Para los físicos también resultó ser muy valiosa esta propiedad de los cuerpos negros. En sus búsquedas del mencionado cuerpo «normal» la elección recayó precisamente en el cuerpo negro. Porque éste absorbe la mayor cantidad de radiación y, por consiguiente, es calentado por ella hasta la mayor temperatura, en comparación con los demás cuerpos.
Y al contrario: cuando el cuerpo negro, después de calentado hasta una temperatura elevada, se convierte en fuente de luz, a una temperatura de calentamiento dada irradia con mayor intensidad que todos los demás cuerpos. Con ayuda de un radiador de este tipo es muy cómodo establecer las leyes cuantitativas de la radiación térmica.

Figura 1
Entonces los físicos idearon el cuerpo «más negro». Este cuerpo resultó ser... una caja. Esta caja, como puede comprenderse, es peculiar y sirve para un equipaje especial: la radiación térmica. Su estructura debe ser particular: con nervios, y con las paredes internas recubiertas, por ejemplo, de hollín. Mire usted la figura: el rayo de luz que penetra en la caja por un orificio pequeñísimo que hay en su pared, ya nunca saldrá al exterior. Es apresado para siempre.
El físico dice que esta caja absorbe toda la energía radiante que penetra en ella.
Y ahora hacemos que la propia caja sea una fuente luminosa, que es para la que en realidad está destinada. Cuando el calentamiento es suficiente las paredes de la caja se caldean y esta comienza a emitir luz visible. A una temperatura dada la radiación térmica y luminosa de una caja de este tipo, como ya dijimos, será la más intensa en comparación con la de todos los demás cuerpos. A estos últimos, para diferenciarlos de nuestra caja, se les dio la denominación convencional de grises.
Las leyes de la radiación térmica do que vamos a hablar fueron establecidas precisamente para las cajas «más negras». Estas «guardadoras de radiación» recibieron el nombre genérico de cuerpo negro. Con las correcciones pertinentes, estas leyes se lograron aplicar también a los cuerpos grises.
En vez de "a ojo", una ley exacta
¿Qué leyes son éstas? Ya las mencionamos antes. Pero, «a ojo». Enunciémoslas ahora en el lenguaje de la física.
La primera de ellas dice que el poder emisor del cuerpo negro, es decir, la energía emitida por él en forma de luz y calor cada segundo, es proporcional a la cuarta potencia de su temperatura absoluta [2] . Esta ley fue descubierta a finales del siglo pasado por los científicos austríacos Stefan y Boltzmann.
La segunda ley dice que, al elevarse la temperatura del cuerpo negro, la longitud de onda correspondiente al brillo máximo de la luz emitida por él deberá hacerse cada vez más corta, desplazándose hacia la parte violeta del espectro. Esta ley recibió el nombre de ley de desplazamiento de Wien-Golitzin en honor de los físicos alemán y ruso que la descubrieron.
Así, a disposición do los físicos se pusieron dos leyes de la radiación térmica. La primera define justamente el aumento del brillo de la radiación a medida que se calienta el cuerpo. Puede parecer que la ley de Wien-Golitzin no concuerda con las observaciones. Puesto que a medida que se eleva su temperatura el cuerpo emite luz de color cada vez más blanco. ¡Blanco, y no violeta!
Pero examinemos atentamente lo que ocurre en este caso. La ley de Wien-Golitzin habla solamente del color correspondiente a brillo máximo do la radiación de luz, y nada más. Esta ley supone tácitamente que junto a esta radiación permanecen las que ya habían comenzado antes, a menor temperatura, de mayor longitud de onda, es decir, de otro color. Al calentar el cuerpo, la radiación del mismo amplía su composición espectral, como si se quitara un biombo (o descorriera una cortina) de aquellas zonas del espectro que hasta entonces no se habían puesto de manifiesto. Y como resultado de ello, cuando la temperatura es suficientemente alta, aparece completo el espectro visible de la luz.
Esto se asemeja a cuando los instrumentos de una orquesta van entrando uno a continuación de otro y tocando unas notas cada vez más altas. Y, por fin, la orquesta da un poderoso acorde, desde los profundos bajos «rojos» de los trombones hasta los altos y penetrantes sonidos «violetas» de las flautas. Pero el espectro con todos los colores «sonando» simultáneamente es la luz blanca.
Por lo tanto, la ley de Wien-Golitzin es correcta. Sin embargo, la naturaleza dio un golpe a los investigadores de la radiación térmica, y en un frente distinto.
La catástrofe ultravioleta
Los físicos sienten una inclinación irresistible hacia las leyes universales. En cuanto se aclara que un mismo fenómeno es definido en sus distintos aspectos por varias leyes, se intenta unificar estas con una ley general que abarque al mismo tiempo todos estos aspectos.
Los físicos ingles Rayleigh y Jeans realizaron intentos de este tipo en relación con las leyes de la radiación térmica. La ley unificada obtenida por ellos dice que la intensidad de la radiación emitida por un cuerpo calentado es directamente proporcional a su temperatura absoluta e inversamente proporcional al cuadrado de la longitud de onda de la luz que emite.
Esta ley, al parecer, concordaba con los datos experimentales. Pero inesperadamente se aclaró que el acuerdo existía únicamente en la parte de las ondas largas del espectro visible, es decir, allí donde se encuentran los colores amarillos y rojos. A medida que se acercaban a los rayos azules, violetas y ultravioletas la concordancia era cada vez menor.
De la ley de Rayleigh-Jeans se deducía que cuanto más corta fuera la longitud de onda, tanto mayor debería ser la intensidad de la radiación térmica.
En la práctica no se observaba nada semejante. Es más, lo peor consistía en que esta intensidad de la radiación, al pasar a ondas cada vez más cortas, debería crecer sin límites en absoluto.
¡Pero esto no ocurre! No, y no puede existir ningún crecimiento ilimitado de la intensidad de la radiación. Si alguna ley física conduce a la palabra «ilimitado», se produce su ruina. En la naturaleza existe lo grande, lo muy grande, lo inimaginablemente grande, pero no hay nada ilimitado.
La situación creada en la teoría de la radiación fue bautizada metafóricamente por los físicos con el nombre de «catástrofe ultravioleta». Ninguno de ellos podía suponer entonces, a finales del siglo XIX, que esto no era simplemente la catástrofe de una ley, bastante parcial en general. No obstante, resultó ser la catástrofe de toda la teoría generadora de dicha ley, es decir, ¡de la física clásica!
La física clásica en un callejón sin salida
En aquellos años, a algunos de los físicos les pareció que el obstáculo con que había tropezado la física clásica, representado por su teoría de la radiación, no tenía importancia. ¡Era una nube do verano! Pero para la teoría cualquier obstáculo es importante. En ella todo está ligado entre sí. Si la teoría da una explicación errónea a algo, esto hace que se pongan en duda las explicaciones dadas a otros fenómenos. Si una teoría no puede salvar un obstáculo pequeño, ¡qué ocurrirá con uno grande!
Los físicos hicieron numerosos intentos para salvar las dificultades do la teoría de la radiación. Hoy en estos intentos se puede notar poca consecuencia lógica lo que no es de extrañar.
La teoría, cuando se halla en una situación crítica, es como un gato en una casa ardiendo cuya única salida da a un río. El gato corre inútilmente de un rincón a otro, pero no se le ocurre tirarse al agua. ¡Eso significaría la quiebra total de sus instintos felinos!
Algo parecido les ocurre a los científicos cuando empieza a quemarse la «casa» en donde estuvieron creando durante toda su vida. La casa que para ellos es tan habitual y clara como el aire. Los físicos procuraron apagar el «incendio», pero, cuando no lo consiguieron, ni pensaron en abandonar su «casa».
Sin embargo, los científicos más clarividentes comprendieron que la física clásica se había metido en un callejón sin salida. La teoría de la radiación térmica no era el único callejón de este tipo. Durante estos mismos años se desplomó la teoría del éter.
¡Con qué rapidez se vino abajo todo esto!
Entre los físicos reinó el desconcierto. ¿Qué se podía hacer?
Si los hechos no quieren amoldarse a la teoría, ¡peor para ellos! ¡La naturaleza no se somete a ninguna ley! ¡La naturaleza es incognoscible! — gritaron algunos científicos impresionables.
Si los hechos no se explican por la teoría, ¡peor para la teoría! ¡Tanto más resueltamente hay que reconstruirla desde su base!— declararon los científicos materialistas.
Y la historia demostró una vez más que las grandes necesidades crean grandes hombres. La salida del callejón en que se encontraba la física clásica con sus dogmas inmutables fue hallada por Max Planck en el año 1900, quien introdujo en la ciencia el concepto sobre los cuantos, y por Albert Einstein en 1905, quien creó la teoría de la relatividad.
La salida del callejón
¿En qué consistió el descubrimiento de Planck?
A primera vista, hasta cuesta trabajo llamarlo descubrimiento. Existían dos leyes de la radiación térmica de los cuerpos calentados que, cada una en su ámbito, eran totalmente justas. De la unificación de estas dos leyes resultó la «catástrofe ultravioleta». Algo así como si dos personas que piensan aproximadamente del mismo modo se encontrasen, hablasen y... ¡llegasen a cosas «absurdas»!
Planck tenía ya más de cuarenta años. Había dedicado muchos años a investigar la radiación térmica. Ante sus ojos se metió la teoría en el callejón sin salida, y él lo mismo que sus colegas, estuvo buscando atentamente la salida de este callejón. Ya ha comprobado todo el curso de los razonamientos, y se ha convencido definitivamente de que no se ha cometido ningún error. Planck continúa buscando también en otra dirección.
Nunca— recordaba Planck muchos años después — había trabajado con una inspiración tan realmente juvenil como en estos años, en vísperas del nuevo siglo. Las cosas más inverosímiles empezaban a parecerle posibles; con la tenacidad de un apasionado calculaba Planck una tras otra las variantes de la teoría.
Al principio guió a Planck una idea bastante sencilla. Rayleigh y Jeans habían unificado dos leyes de la radiación térmica y el resultado obtenido era absurdo para las ondas cortas. ¿No sería posible «juntar» las leyes de Wien-Golitzin y Rayleigh-Jeans de otro modo, para evitar el absurdo?
Planck procuró encontrar para el material experimental alguna fórmula general que no estuviera en contradicción con dicho material. Después de ciertas búsquedas halló la fórmula. Su forma es bastante compleja. En ella entran expresiones que carecen de sentido físico evidente, como la combinación, casual al parecer, de magnitudes no relacionadas entro sí. Pero, ¡no es sorprendente que esta fórmula, que parecía «soñada», concordara tan bien con la experiencia!
Es más, a partir de ella es posible deducir la ley de Stefan-Boltzmann y la de Wien-Golitzin. Y en su conjunto, en esta fórmula no hay ya ninguna «ilimitación». Como dicen los físicos: la fórmula era totalmente correcta.
¿Significaba esto la victoria?, ¿la salida del callejón?
No, todavía era pronto para alegrarse. Planck, como corresponde a un científico de verdad, se inclinó a dudar del valor de la fórmula hallada.
Si las teclas de un piano se pulsan veinte veces con un dedo, puede producirse casualmente una melodía. Pero, ¿cómo demostrar que se produjo según una ley?
Hace falta además deducir de algo la fórmula obtenida. Para la ciencia no existe la regla: a los vencedores no se les juzga. Se juzgan, ¡y con qué parcialidad! Mientras no se fundamenta cada paso del vencedor en su lucha con la naturaleza, no se cuenta la victoria.
Y precisamente aquí es donde Planck no consigue nada. La fórmula no se deja deducir de las leyes de la física clásica. Pero, por otra parte, responde perfectamente a los datos experimentales.
¡Qué situación tan dramática! ¿Qué partido tomará Planck? ¿Con la teoría clásica, contra los hechos, o con los hechos, contra la vieja teoría? Planck se pronuncia en favor de los hechos.
Cuantos de energía
¿Qué era lo que en la física clásica impedía obtener de ella la fórmula de Planck? Ni más ni menos que uno de sus principios fundamentales. El principio, habitual e inmutable para los físicos de entonces, de la continuidad de la energía.
¿Qué significación tiene este principio? A primera vista parece que incluso contradice el espíritu de la física clásica, que desde el momento de su aparición se apoyó en el reconocimiento de la discontinuidad de las cosas. En efecto, si en el mundo existe el espacio vacío, todos los objetos deberán tener sus límites. Las cosas no se transforman continuamente unas en otras, cada una de ellas termina en algún sitio.
Pero ¿y dentro de las cosas? Aquí tampoco Se ve discontinuidad. La física clásica de finales del siglo XIX se vio obligada a reconocer la existencia de las moléculas y del espacio vacío entre ellas. Las moléculas poseen unos límites claros, lo único continuo es el vacío, en el cual «flotan» aquéllas.
Por otra parte, las moléculas se las ingenian de cierto modo para influir unas sobre otras a través del espacio. La física clásica desde los tiempos de Faraday trató de explicar esta interacción con la existencia de cierto medio intermolecular a través del cual se transmite la influencia mutua entre las moléculas.
¿Y la energía? Se considera que las moléculas durante sus colisiones mutuas hacen intercambio de ella en las más diversas cantidades. Este intercambio de energía so realiza de acuerdo exactamente con las mismas leyes que los choques de bolas de billar. Llega una molécula, choca con otra que está inmóvil, le cede parte de su energía cinética y las dos moléculas salen lanzadas en direcciones distintas. Si el choque es central, la molécula que choca puede pararse: entonces la que recibe el golpe sale lanzada con la velocidad de la primera. Y las moléculas intercambian energía constantemente.
Se descubre otra forma de la energía, no relacionada explícitamente con el movimiento de las moléculas; la energía del movimiento ondulatorio. Desde que Maxwell demostró que la luz son ondas electromagnéticas, la energía de la radiación luminosa, y en particular la de procedencia térmica, debe someterse a las leyes generales para todas las ondas.
Y esta energía también es continua. Se propaga junto con la onda en movimiento. Esta energía corre lo mismo que el agua que sale de un grifo, y una cantidad medida de energía se gasta tan continuamente como el agua, mientras ésta no llena el recipiente.
Si cortamos un trozo de mantequilla en partes, no pensamos en la continuidad de este trozo. Suponemos que de él se puede separar incluso una porción tan pequeña como se desee. Cuando en la ciencia fue admitida la idea de las moléculas quedó claro que una porción de mantequilla menor que su molécula no se conseguirá «cortar».
Sin embargo, con relación a la energía no existía una idea semejante sobre su fraccionamiento. Parecía que la estructura atomizada de la materia no implicaba la atomización de la energía.
En efecto, veamos lo que ocurre con una bujía encendida. Alumbra la habitación emitiendo energía luminosa regular y continuamente. Con la misma tranquilidad y sin vacilaciones alumbra el Sol. Aumenta en forma continua la velocidad, y con ella la energía, del tren que baja una pendiente o de la piedra que cae en un precipicio. En filas regulares avanzan, por el mar, las olas, a las cuales transmite su energía el viento.
Pero, ¿qué ocurriría si los cuerpos adquirieran y cedieran la energía no continuamente, sino en determinadas porciones? En este caso todo lo que observamos en la realidad cambiaría bruscamente, pasaría lo mismo que en la pantalla de un cine antiguo. La bujía parpadearía, ya encendiéndose, ya apagándose. El Sol también brillaría destellando: lanzaría una porción de energía luminosa y se apagaría hasta el destello siguiente. A impulsos se movería el tren por la pendiente y la piedra cayendo al precipicio adquiriría velocidad a tironazos.
¡Qué disparate! ¡Nunca en la vida se ha visto nada semejante!
Es posible que fuera así como le respondiese a Planck la primera persona a la que él dio a conocer su idea. La idea de que la energía de radiación, lo mismo que la materia, está atomizada, y que no se cede y adquiere continuamente, sino discontinuamente, por «átomos» aislados, a porciones. Planck dio a estas porciones el nombre de cuantos, palabra que en latín (quantum) significa simplemente «cantidad». ¡Si él hubiera sabido en qué calidad se iba a convertir esta «cantidad»!
Para la fórmula de Planck los cuantos tenían una importancia vital: sin ellos se hubiese marchitado como árbol sin agua y hubiera sido necesario entregarla al polvoriento archivo de la ciencia. En este archivo hay muchas fórmulas a las cuales no se consiguió encontrar el fundamento necesario.
Con la proposición de los cuantos de energía la fórmula de Planck recibió la base que necesitaba. Pero esta base... pendía en el aire: ¡carecía de sitio en el terreno de la física clásica!
Esta circunstancia preocupaba mucho a un científico como Planck. ¡Oh, qué difícil es abandonar la «casa» en que se ha trabajado toda la vida, para «quedar pendiendo en el aire»!
Los cuantos son "inatrapables"
El cuanto de luz es una porción de energía extraordinariamente pequeña. Percibirla es tan difícil como pesar un átomo. En la partícula de polvo más pequeña hay millones de millones de átomos. En la cantidad insignificante de energía que emite una pequeña luciérnaga hay millones de millones do cuantos.
¿Qué magnitud tienen estas porciones independientes de energía? Planck hace el importantísimo descubrimiento siguiente. Establece que estas porciones son distintas para las diversas formas de radiación. Cuanto más corta es la longitud de onda de la luz, es decir, cuanto más elevada es su frecuencia (o, dicho en otras palabras, cuanto más «violeta» es la luz), mayores son las porciones de energía.
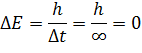
Matemáticamente esto se expresa por medio de la conocida relación de Planck entro la frecuencia y la energía del cuanto:
E = hv
Aquí E es la energía transportada por el cuanto; v, la frecuencia de éste, y h desempeña el papel de coeficiente de proporcionalidad. Este coeficiente resultó ser el mismo para todas las formas de la energía conocidas hasta ahora. Recibió el nombro de constante de Planck o «cuanto de acción». Su importancia para la física es extremadamente grande, mientras que su magnitud, extremadamente pequeña: es igual aproximadamente a... ¡6-10-27 ergios por segundo!Por la insignificancia de la magnitud del cuanto nos parece que la bujía o el Sol, y en general todas las fuentes de luz a que estamos acostumbrados, arden «continuamente». Calculemos, por ejemplo, la cantidad de cuantos que contiene la energía emitida en un segundo por una lámpara de 25 vatios. Considerando que la lámpara emite luz amarilla, hallamos por la relación de Planck el número 6 x 1019, es decir, 60 trillones de porciones de energía por segundo. ¡Y una lámpara de 25 vatios no es una fuente tan brillante de luz!
¿Quiere esto decir que no podemos percibir el parpadeo real de una lámpara o bujía porque el ojo es insensible a porciones tan pequeñísimas de energía? No, esto sería una idea errónea.
El ojo es un aparato increíblemente sensible. Esto fue demostrado con toda evidencia por los experimentos del físico soviético S. I. Vavílov. Manteniendo al observador un tiempo suficiente en la oscuridad (para elevar la sensibilidad de sus ojos), Vavílov conectaba después una fuente de luz extraordinariamente débil, que producía contados cuantos por segundo, ¡Y el ojo los registraba casi uno a uno!
El problema no está en la magnitud de los cuantos, sino en la enorme velocidad con que se suceden unos a otros. Ya hemos visto que incluso una lámpara débil emite trillones de ellos por segundo.
El ojo humano lo mismo que cualquier aparato, tiene cierta inercia. No puede registrar separadamente los fenómenos que se suceden entre sí muy de prisa. En esta inercia del ojo se funda, en particular, el cinematógrafo. Para el público, el movimiento que se ve en la pantalla es continuo, aunque sabe perfectamente que ha sido filmado con intermitencia, cuadro a cuadro.
Los cuantos de energía que emiten las fuentes de luz se suceden unos a otros con una rapidez incomparablemente mayor que los fotogramas. Precisamente por esto las reacciones del ojo a cada cuanto de energía se confunden en una sensación continua de luz.
S. I. Vavílov hizo sus experimentos en los años treinta de nuestro siglo, cuando la idea de Planck sobre los cuantos ya hacía tiempo que había sido aceptada por todos. Pero el mismo Planck no pudo demostrar con un experimento directo la veracidad de su descubrimiento.
El hecho de que una fórmula se verifique en la práctica, pero no se deduzca de la teoría, parece siempre dudoso al principio. Tanto más si la fórmula ha sido obtenida partiendo de ideas que se hallan en franca contradicción con un punto de vista generalmente admitido. Por esto, cuando Planck dio a conocer en la Academia de Ciencias de Berlín su hipótesis, ésta no produjo gran entusiasmo en los círculos científicos. Los hombres de ciencia son hombres como los demás. También necesitan tiempo para comprender lo que se sale de la regla.
El mismo Planck se daba cuenta perfecta de la insolencia de su atentado a la física clásica y buscaba con energía una justificación a este intento. Pero él, como es natural, no podía imaginarse las grandiosas realizaciones que varios años después habían de cambiar radicalmente toda la física.
... 1901, 1902, 1903, 1904... La teoría de los cuantos no llama mucho la atención de los físicos.
Un fenómeno incomprensible
Pero he aquí que en el año 1905 un tal Einstein, desconocido hasta entonces, empleado de la oficina de patentes suiza, publica en la «Revista de Física» alemana su teoría del efecto fotoeléctrico en los metales.
Cuando Einstein empezó a estudiarlo, este efecto tenía ya, desde el punto de vista de la ciencia, una «edad» bastante respetable. Este fenómeno, llamado abreviadamente «fotoefecto», fue descubierto en el año 1872 por el profesor de la Universidad de Moscú A. G. Stoliélov y más tarde estudiado por los físicos alemanes Hertz y Lenard.
En un matraz, del que se había extraído el aire, colocó Stoliétov dos láminas metálicas y las puso en comunicación con los polos de una pila eléctrica. Como era de suponer, la corriente no pasaba a través del espacio sin aire. Pero en cuanto se hizo incidir sobre una de las láminas la luz de una lámpara de vapor de mercurio, en el circuito eléctrico se produjo corriente. Se apagó la luz, y en el acto se interrumpió la corriente.
Stoliétov dedujo justamente que en el matraz habían aparecido portadores de corriente (que después se aclaró que eran electrones), y que éstos surgían solamente cuando se iluminaba la lámina.
Era evidente que estos electrones se desprendían del metal iluminado lo mismo que las moléculas saltan al aire cuando se calienta un líquido. Sin embargo, en este caso las palabras «lo mismo que» significan más bien que no hay nada de semejanza, que el desprendimiento de los electrones del metal es de una naturaleza totalmente distinta, y, además, incomprensible en aquel tiempo.
En efecto, la luz es una onda electromagnética. No es fácil comprender cómo una onda puede arrancar electrones del metal. Porque en este caso no se trata del choque de una molécula poseedora de energía con otra, como resultado del cual una de ellas puede ser lanzada fuera de la superficie del líquido.
Se constató además una circunstancia interesante. Para cada uno de los metales estudiados resultó que existe cierta longitud de onda límite de la luz de iluminación. En cuanto la luz adquiría mayor longitud de onda, los electrones desaparecían de repente del matraz y la corriente en el circuito se interrumpía, aunque al mismo tiempo se aumentase mucho el brillo de la luz.
Esto era ya más que extraño. Estaba claro que los electrones se desprenden del metal porque la luz les cede energía de cierto modo, Cuanto más brillante sea la iluminación, más intensa deberá ser la corriente. Al ocurrir esto, entra más energía en el metal y el número de electrones que puede desprenderse de él debe ser mayor.
Cualquiera que sea la longitud de onda de la luz, en el metal entra energía. Si al aumentar la longitud de onda es menor la energía, del metal se desprenderán menos electrones. Pero corriente, aunque sea pequeña, debe haber. En la práctica se interrumpía la corriente. ¡Parecía que los electrones dejaban de asimilar la energía luminosa!
¿Cómo era posible entender estos inesperados caprichos de los electrones para con su «alimento» energético? Los físicos se encogían de hombros: ¡esto era superior a su entendimiento!
Los fotones
Einstein abordó el fenómeno del efecto fotoeléctrico de otra forma. El intentó figurarse el propio proceso de arranque del electrón del metal por la luz.
En condiciones normales sobre el metal no existen nubes de electrones. Esto quiere decir que los electrones están ligados en el metal por ciertas fuerzas. Para liberarlos del cautiverio del metal hay que comunicarles determinada energía. En los experimentos de Stoliétov esta energía era transportada por las ondas luminosas.
Pero la onda luminosa tiene una longitud apreciable, del orden de una fracción de micra, mientras que su energía parece concentrarse en el volumen insignificante que ocupa un electrón. Resulta que la onda luminosa se comporta en el efecto fotoeléctrico de modo semejante a una pequeña «partícula», la cual, al chocar con el electrón, lo arranca del metal.
¿Cómo figurarnos esta partícula? Evidentemente será una partícula de luz, un corpúsculo, como la llamó Newton (que supuso que la luz no eran ondas, sino un flujo de partículas luminosas). ¿Qué energía tiene una partícula de estas? Los cálculos demuestran que es una energía muy pequeña. ¿Y por qué no suponer que sea igual a aquel cuanto que «inventó» Planck hace cinco años?
Y Einstein hace la siguiente suposición: la luz no es más que un flujo do cuantos de energía, con la particularidad de que para una longitud dada de onda luminosa todos sus cuantos son exactamente iguales, es decir, transportan iguales porciones de energía. Los cuantos de energía luminosa recibieron más tarde el nombre de fotones.
E inmediatamente se consiguió explicar todo con facilidad. El fotón lleva consigo una energía muy pequeña. Pero al «chocar» el fotón con un electrón, esta energía es suficiente para romper los enlaces del electrón en el metal y lanzarlo fuera.
Por otra parte, es evidente que si la energía del fotón no basta para romper estos enlaces, los electrones del metal no se desprenderán y no habrá corriente. De acuerdo con la fórmula de Planck, la energía del cuanto se determina por su frecuencia, y ésta es tanto menor cuanto mayor es la longitud de onda de la luz. Con esto se comprende inmediatamente la existencia de límites del efecto fotoeléctrico. Sencillamente, si la longitud de onda de la luz es demasiado grande, los fotones resultan ser poco enérgicos para arrancar electrones del metal.
En este caso no importa qué brillo tiene la iluminación: sean miles o un solo fotón de estos los que incidan sobre el metal y bombardeen sus electrones, estos electrones permanecerán indiferentes a todos ellos. Otra cosa ocurre si los fotones tienen suficiente energía. Entonces, cuanto más brillante es la iluminación, tanto más fotones entran en el metal por segundo, tanto más electrones se arrancan de él en el mismo tiempo, y tanto más intensa es la corriente. [3]
De esta forma pudo explicarse el extraño fenómeno. Pero esta explicación, lo mismo que la hipótesis de Planck, socava las bases fundamentales de la física clásica. Porque para ella la luz son ondas electromagnéticas, y no esos fotones de «última hora». La teoría de Einstein vuelve a encender entre los físicos el debate de dos siglos sobre la esencia de la luz.
¡Qué es la luz!
Este debate en realidad no se interrumpió nunca en la física. El problema de la naturaleza de la luz se planteó en los albores de la física clásica y tuvo una vida agitada. La pregunta a responder es: ¿qué es la luz, un movimiento ondulatorio o un flujo de partículas?
Estas dos ideas sobre la luz aparecieron en la física casi simultáneamente. Los cuerpos dan luz —suponía Newton— lanzando flujos de partículas luminosas. Los cuerpos emiten la luz pulsando y originando ondas en el éter que los rodea — afirmaba el holandés Huygens, contemporáneo de Newton.
Tanto una como otra explicación encontraron partidarios. Desde los primeros años de existencia de ambas teorías se entabló entre ellas una lucha a muerte. Unas veces la preponderancia estaba de un lado, y otras, de otro. Así continuó durante más de cien años.
Por fin, a principios del siglo XIX, los experimentos de Joung, Fresnel y Fraunhofer traen, al parecer, la victoria definitiva a la teoría ondulatoria de la luz. Se descubren los fenómenos de la interferencia, difracción y polarización de la luz, que se explican perfectamente por la teoría de Huygens y que son totalmente incomprensibles desde el punto de vista de la teoría de Newton.
Desde este momento empieza un impetuoso desarrollo de la óptica. Se crea la teoría, brillante por su armonía, de los fenómenos ópticos y se calculan instrumentos ópticos extraordinariamente complejos. Y, finalmente, Maxwell acaba de construir el edificio de la óptica demostrando el carácter electromagnético de las ondas luminosas. El triunfo de la teoría ondulatoria es total e indiscutible.
Pero antes de que transcurriera medio siglo vuelve a levantar cabeza la teoría corpuscular de la luz. El efecto fotoeléctrico, en el cual se rompe los dientes la teoría ondulatoria — ¡qué manchita, al parecer, tan pequeña y enojosa sobre un fondo tan solemne! —, es explicado magníficamente por su rival.
Y estalló de nuevo el debate que se había apaciguado hacía un siglo. Pero ahora la lucha de las teorías se desarrolla en un nuevo terreno.
Ambos contrincantes están cansados y desean hacer las paces. En los cerebros de los físicos se va afirmando paulatinamente una idea sorprendente y al mismo tiempo inevitable: ¡la luz está constituida simultáneamente por ondas y partículas!
Sin embargo, ¿por qué la luz no se manifiesta nunca con esta «bilateralidad» de esencia? ¿Por qué en unos fenómenos interviene sólo como partículas y en otros únicamente en forma de ondas? En este importantísimo problema nos detendremos un poco más adelante.
El segundo problema que se planteó al aparecer la teoría de Einstein tampoco es fácil. En el efecto fotoeléctrico los caprichosos electrones no asimilan, ni mucho menos, cualquier porción de la energía que se les da. Mientras esta porción no se hace igual o mayor que una magnitud determinada la energía luminosa no encuentra a su consumidor.
¿Siempre ocurre esto? No, si un electrón no está ligado por ninguna fuerza a sus vecinos, deja de ser caprichoso y asimila cualquier porción de energía. Pero en cuanto este electrón se encuentra en el metal, so manifiestan sus caprichos.
¿A qué se debe esto? La respuesta fue hallada más de veinte años después.
Tarjetas de visita de los átomos
Mientras tanto, el joven físico danés Niels Bohr intentaba aplicar las hipótesis, poco conocidas aún, de los cuantos a una rama de la ciencia tan acreditada ya en aquel tiempo como era la espectroscopía. Los trabajos en esta rama a comienzos del siglo XX sumaban muchos centenares. El análisis espectral avanzaba a pasos agigantados, prestando grandes servicios a la química, astronomía, metalurgia y otras ciencias.
El descubrimiento de los espectros se debe al genio multifacético de Newton. Pero el análisis espectral nació hace solamente un siglo. En el año 1859 el eminente químico alemán Bunsen repitió el antiguo experimento de Newton, quien interpuso un prisma de vidrio en el camino de los rayos solares y los descompuso en un espectro. En el experimento de Bunsen el papel del Sol lo desempeñó un trapo ardiendo, humedecido en una disolución de sal. Newton descubrió que el rayo de luz solar se alargaba formando una banda de diversos colores. Bunsen no vio banda alguna. En el caso en que en el trapo había sal común, halló en el espectro varias rayas estrechas y nada más. Entre estas rayas había una amarilla brillante.
Bunsen interesó en esto a otro gran científico alemán, Kirchhoff. Ambos llegaron a la justa conclusión de que el papel del prisma se reduce únicamente a «seleccionar» los rayos que inciden sobre él según sus longitudes de onda. La banda alargada del espectro solar quería decir que en ella existen todas las longitudes de onda de la luz visible. La raya amarilla, en el caso en que se empleaba como fuente luminosa el trapo ardiendo, indicaba la existencia en el espectro de la sal común de una longitud de onda de luz correspondiente a ella sola.
La fórmula de la sal común —NaCl— es bien conocida. ¿A cuál de sus elementos pertenecía la raya amarilla, al sodio o al cloro? Esto resultó muy fácil de comprobar. El sodio de la sal común se puede sustituir por hidrógeno. Entonces se obtiene cloruro de hidrógeno HCl, que al disolverse en agua da ácido clorhídrico. Mojaron el trapo en ácido clorhídrico, lo sometieron a la llama del mechero de gas y volvieron a sacar el espectro. La raya amarilla desapareció sin dejar rastro. Quiere decir, pues, que esta raya pertenecía al sodio.
Hicieron otra comprobación. Tomaron otra sustancia en la cual no había cloro, pero sí sodio, la sosa cáustica NaOH. En su espectro notaron inmediatamente la raya conocida. No cabía duda. En todo cuerpo en cuya composición entraba el sodio, éste llevaba consigo su «tarjeta de visita», una raya espectral amarilla brillante.
Más tarde se esclareció que el sodio no es una excepción en este sentido. Carla elemento químico tiene un espectro característico, exclusivamente suyo. Estos espectros, por lo general, eran más complejos que el del sodio, constaban no de una, sino a veces de multitud de rayas. Pero cualquiera que sea la composición en que entre el elemento o las sustancias en que se hallan sus átomos, su espectro siempre se puede distinguir.
En una muchedumbre se puede buscar a una persona determinada comprobando los pasaportes de cada una, como hacen los químicos cuando buscan en las probetas los elementos por los métodos del análisis químico. Pero es mucho más fácil buscar a una persona por su fotografía.
Precisamente así es cómo se buscan, los elementos con ayuda del análisis espectral. Con la particularidad de que en esa forma se pueden encontrar allí donde es imposible conseguir el «pasaporte» del elemento, donde éste no se puede palpar por los procedimientos químicos, por ejemplo, en el Sol y en otras estrellas, en los altos hornos caldeados, en el plasma.
Como es lógico, para hallar todas las personas que hagan falta es necesario tener una cantidad suficiente de fotografías de ellas. Hoy se conocen más de cien elementos químicos. Desde hace ya mucho tiempo se tienen las «fotos» de los espectros característicos de casi todos ellos.
¿Por qué emiten luz los cuerpos?
Los éxitos del análisis espectral eran colosales, pero el coloso tenía los pies de barro.
El edificio de la espectroscopía levantado sobre la base de la teoría de la radiación térmica llevaba en sí el sello del fallo principal de esta teoría: el fracaso en sus intentos de responder a la pregunta de por qué los cuerpos comienzan a dar luz al calentarlos.
¿Qué es lo que emite esta luz? Evidentemente las partes que componen el cuerpo, los átomos y las moléculas. La elevación de la temperatura provoca un movimiento más intenso de las moléculas. Estas comienzan a chocar con más fuerza unas con otras, a vibrar más de prisa después do los choques y, al realizar estas vibraciones bastante frecuentes, a emitir luz. Así decía la física antigua. Pero entonces, ¿por qué no despiden luz, aunque sea débil, los cuerpos a la temperatura ambiente, puesto que incluso a esta temperatura no cesan ni el movimiento de las moléculas ni sus choques? La explicación hubo que aplazarla.
Cuando en el año 1898 el científico inglés Thomson creó el primer modelo de átomo, la explicación de la luminosidad de los cuerpos parecía estar próxima. En este modelo se admite que los átomos consisten en nubes de carga positiva en las cuales flotan los electrones negativos que compensan dicha carga. Los electrones son atraídos por las nubes positivas y su movimiento se frena.
Pero de acuerdo con la física clásica las partículas cargadas, al retardarse su movimiento, deben emitir obligatoriamente radiación electromagnética. Esta radiación es, por lo visto, la luz que emiten los cuerpos calentados. A primera vista esta explicación puede parecer verosímil. Cuanto más caliente está el cuerpo, con tanta más energía se mueven los electrones en sus átomos, tanto más bruscamente son frenarlos por la atracción de las nubes de carga positiva y tanto más intonsa es su radiación.
Todo esto podría ser así si los electrones, al radiar, no gastaran su energía. Pero, al emitir luz, los electrones tienen que frenarse con una rapidez extraordinaria. Al cabo de unas insignificantes fracciones de segundo tendrían que «quedarse atascados» en las nubes positivas lo mismo que las pasas en un «pudín».
La explicación fracasó. Transcurrieron varios años y cada vez se hacía más evidente que el modelo de átomo de Thomson era falso también en otros sentidos. Son demasiadas las preguntas a que este modelo no podía responder, y ante todo a ésta: ¿por qué los electrones no se funden con la nube positiva, neutralizando totalmente su carga? Y las respuestas que a pesar de todo se lograban obtener gracias a este modelo estaban, en la mayoría de los casos, en franca contradicción con la práctica.
En 1911 el gran físico inglés Ernest Rutherford propuso un nuevo modelo de átomo. Rutherford bombardeó átomos de algunos cuerpos con rayos alfa, recién descubiertos entonces, emitidos por sustancias radiactivas. Ya se sabía que estos rayos están constituidos por partículas cargadas positivamente.
Estudiando las figuras de dispersión de las partículas alfa por los átomos, Rutherford se vio obligado a llegar a una conclusión que había de tener consecuencias trascendentales. La dispersión de las partículas alfa se producía como si éstas fueran repetidas no por toda la nube positiva del átomo de Thomson, sino únicamente por cierta parte minúscula del átomo concentrada en su centro. Con la particularidad de que en esta parte insignificante del átomo resultaba estar encerrada toda su carga positiva.
Rutherford dio a esta parte del átomo el nombre de nucléolo. En esto caso, ¿qué sitio ocupan los electrones en el átomo? La idea anterior de que los electrones están ligados a la carga positiva del átomo por las fuerzas eléctricas de atracción no se ponía en duda. Pero si los electrones se encuentran a una determinada distancia del nucléolo, esto quiere decir que debe haber cierta fuerza que se oponga a la eléctrica de atracción mutua entre los electrones y el núcleo.
Está claro que la acción de esta fuerza no puede ser instantánea. Los átomos existen durante un tiempo bastante largo, de modo que esta fuerza de reacción no puede ser menos constante que la fuerza de atracción eléctrica entre los electrones y el núcleo.
Es lógico suponer que se trata de una fuerza centrífuga. Esta fuerza aparece si los electrones giran alrededor del nucléolo atómico. Se puede calcular si es suficientemente grande para impedir que los electrones se acerquen al núcleo. El cálculo demuestra que es completamente suficiente si los electrones giran alrededor del núcleo con velocidades del orden de muchas decenas de millares de kilómetros por segundo y a una distancia de él del orden de la cienmillonésima parte de un centímetro.
Así nace el modelo de átomo de Rutherford. La rotación de la bola sujeta a la cuerda, que indujo indirectamente a Newton a la idea de la atracción entre los planetas, conduce ahora, también indirectamente, a Rutherford a la idea ingeniosa y justa, como se demostraría el tiempo posterior, de la estructura «planetaria» del átomo.
Ahora se puede volver a la pregunta de antes, sobre por qué emiten luz los cuerpos, y buscar la respuesta en el nuevo modelo de átomo. En efecto, el nuevo modelo ofrece amablemente sus servicios. El movimiento de los electrones alrededor del núcleo es acelerado (los electrones giran por una curva cerrada). Esto significa que debe existir una radiación electromagnética de los electrones. Las leyes clásicas son igualmente aplicables a los modelos de átomo de Thomson y de Rutherford. Pero, desgraciadamente, su aplicación reporta el mismo «éxito». ¡Al emitir luz, el electrón gasta su energía! Su rotación se retarda y muy pronto, en el lapso de una millonésima de segundo, debe invariablemente caer en el núcleo. Lo mismo que un sputnik que, frenado por la atmósfera, cae en la Tierra. Para el electrón esto es una catástrofe igual que la del sputnik. Primero cae un electrón en el núcleo, después, otro, y... ¡el propio átomo deja de existir!
Pero, como sabemos, en el mundo que nos rodea los átomos viven mucho tiempo y no dan muestras de querer morir. Por lo tanto, para que el átomo pueda vivir, sus electrones no deben gastar energía, es decir, no deben emitir luz. No obstante, ¿de dónde procede la luz que omiten los cuerpos al calentarse?
Biografía del átomo, escrita por Niels Bohr
La física clásica volvió a entrar en un callejón sin salida. Y este callejón era más perdido de lo que podía parecer. Además de no conseguir nada en el problema de la emisión de la luz por los cuerpos calentados, no pudo explicar la existencia de los espectros.
Recordemos el trapo humedecido en la disolución de sal. El espectro de esta sal —una raya amarilla única— indica que en la radiación de los átomos de sal hay solamente una longitud de onda.
Si admitimos que esta raya es emitida por un electrón frenado en el átomo, nos encontramos inmediatamente con una nueva dificultad. Según las leyes de la física clásica este electrón debe emitir no una raya, sino todo un espectro de rayas con todas las longitudes de onda, sin ninguna interrupción en este espectro. ¡El espectro del electrón no debe distinguirse del espectro del Sol! Pero en nuestro caso... ¡una sola raya amarilla!
Bohr medita. Aquí hay gato encerrado. ¿Será falso el modelo de átomo de Rutherford? No, aún es pronto para renunciar a este modelo. Lo mismo opina su maestro Ernest Rutherford. Hay que intentar modificar, corregir de alguna manera este modelo para que el electrón, al girar alrededor del núcleo, pueda emitir luz sin caer en este último.
Transcurría el año 1912 y en la mente de todos los físicos se conservaba fresca la sensación que produjo Einstein con sus fotones. Y sólo tres años antes el mismo Einstein había acabado de crear su teoría de la relatividad, que produjo no menos furor. Es natural que todos estos atentados a la física clásica animasen a los físicos jóvenes e infundiesen decisión a sus pensamientos.
Bohr siguió reflexionando. Y por fin se le ocurrió una idea. ¿Por qué tienen los electrones que emitir la luz continuamente? ¿Por qué se mueven aceleradamente todo el tiempo? Renunciemos a esta idea. ¡El electrón, aunque se mueva aceleradamente en el átomo, puede no emitir luz!
¿Cómo es posible esto? Resulta que para esto el electrón debe moverse en el átomo no de cualquier modo, sino por determinados caminos —órbitas— alrededor del núcleo. Sin emitir luz en ellos, el electrón puede vivir en el átomo el tiempo que sea necesario.
De la física clásica esta hipótesis no se puede deducir de ningún modo. Tampoco se deduce de ninguna otra teoría. Por esto, Bohr no pudo demostrarla entonces. Y al no estar demostrada, Bohr le da a esta hipótesis el modesto nombre de postulado. Señalaremos que Bohr no consiguió demostrar esta hipótesis dentro de los marcos de su teoría. La demostración llegó un decenio después y resultó totalmente inesperada. Pero de esto ya hablaremos luego. Mientras tanto: ¿pueden ser muchas las órbitas en que el electrón se mueva sin emitir luz? Sí, pueden ser muchas, calculó Bohr, incluso muchísimas. ¿En qué se diferencian? En la distancia media hasta el núcleo: hay órbitas próximas al núcleo y las hay lejanas. Pero lo principal no es tanto la distancia como la energía que posee el electrón en la órbita. Está claro que cuanto más cerca está el electrón del núcleo, con tanta más energía deberá moverse por la órbita para no caer en éste. Y viceversa, un electrón lejano es atraído débilmente por el núcleo, por lo tanto puede moverse con menos energía para mantenerse en su órbita.
De aquí se deduce claramente que los caminos por los cuales se mueve el electrón en el átomo se diferencian por la energía del electrón. Hasta ahora el electrón no hace más que moverse, sin emitir luz. Mientras el electrón se halla en una órbita, la radiación es «tabú» para él.
Y ahora Bohr sigue adelante, hacia su segundo postulado. El electrón se mueve por una órbita y de repente salta a otra, en la cual su energía es menor. ¿A dónde va a parar el exceso de energía? La energía no puede desaparecer ni transformarse en nada.
¡Hay que buscarla fuera del átomo! —dice Bohr.
Se separa del átomo en forma de cuanto, ¡de ese mismo cuanto de energía luminosa que introdujo Einstein y que más tarde se llamó fotón!
Y el electrón, después de radiar, se mueve por su órbita, que ahora es otra, y de nuevo no emite luz. Lanzó el fotón en el brevísimo instante en que saltaba de una órbita a otra.
El fotón, mientras tanto, se desliza por entre los demás átomos y por fin se escapa de la sustancia. Puede llegar directamente a nuestro ojo. Se puede captar, a través del prisma de vidrio de un aparato espectral, sobre una placa fotográfica. ¡Cuántas transformaciones experimenta la energía contenida en los fotones hasta que vemos su imagen materializada en forma de raya negra en la placa fotográfica!
¿Qué nos dice esta raya? En primer lugar, midiendo su posición en la placa fotográfica se puede saber la longitud de onda del fotón o su frecuencia. Luego se torna la relación de Planck entre la frecuencia y la energía de los fotones y se determina la energía del fotón. ¡Esta energía es igual precisamente a la diferencia entre las energías del electrón en las órbitas vieja y nueva dentro del átomo!
Y el ennegrecimiento de la placa fotográfica en el sitio de esta raya espectral indica cuántos fotones incidieron sobre este sitio: cuanto mayor sea su número, más negra será la raya. Y habrá tantos más fotones cuanto mayor sea el brillo del cuerpo que los emite.
¡Qué explicación de los espectros tan fácil y tan bonita!
Todos los átomos de cualquier tipo se parecen entre sí como dos gotas de agua. Esto quiere decir que los electrones viven en ellos en iguales condiciones. Por esto son iguales los fotones emitidos por ellos al saltar desde una misma órbita vieja a una misma órbita nueva. Todos los saltos de los electrones entre estas dos órbitas dan, en fin de cuentas, una raya espectral única.
Orbitas viejas y nuevas de este tipo hay muchas para cada uno de los electrones en los átomos. El electrón puede encontrarse sucesivamente en cualquiera de ellas.
Cada uno do estos saltos de una órbita de mayor energía a otra de la menor irá acompañado del nacimiento de un fotón. Pero como la diferencia de energías entre distintas órbitas no es la misma, los fotones producidos tendrán respectivamente energía y frecuencia distintas. En la placa fotográfica aparecerá en este caso toda una serie de rayas espectrales estrechas.
Así precisamente se manifiesta, por ejemplo, el espectro del hidrógeno gaseoso. En él hay varias decenas de rayas de diversas longitudes de onda.
En general, un espectro tan simple como el de los átomos de sodio antes mencionado, constituido por una sola raya (más tarde se aclaró que eran dos rayas muy próximas entre sí), es más bien una rareza. De ordinario los espectros cuentan con muchas decenas de rayas, y no es raro que tengan millares. La figura espectral que producen algunas composiciones químicas es con frecuencia tan complicada, que ni el mismo diablo podría desembrollarla. Claro que al diablo se le puede permitir esto, porque él desconoce las leyes a que obedece la formación de este espectro.
Los físicos, antes de la aparición de la teoría de Bohr, se rompían la cabeza intentando descifrar los espectros complejos. Pero cuando Bohr demostró que el espectro es la biografía de los átomos, o mejor dicho, de los electrones atómicos, los científicos se sintieron aliviados. ¡Ya no había más que combinar las diversas órbitas de los electrones en el átomo, hasta conseguir la «combinación» de las rayas que se observan en el espectro!
Y viceversa, hacer, por el espectro observado, las deducciones necesarias sobre las condiciones en las cuales se hallan los electrones atómicos. ¡Y esto es muy importante! En realidad, casi todo lo que sabemos acerca de las capas electrónicas de los átomos ha sido acumulado a trocitos estudiando meticulosa y detenidamente sus espectros.
¿Cómo medir la energía?
Así, gracias a los trabajos de Bohr, consiguieron los físicos comprender cómo el átomo emite luz. Después del «cómo» hay que responder al «por qué». ¿Por qué empiezan los cuerpos a emitir luz solamente a altas temperaturas y no a la temperatura ambiente?
Antes de responder a esta pregunta tendremos que apartarnos un poco del tema. El cuadro tan convincente de la vida del átomo que hemos pintado antes, tenemos que ponerlo... patas arriba. No, no se asusten, ¡todo está bien descrito! Todo menos el orden de observación de las órbitas del electrón.
Hasta ahora hemos considerado enérgicas las órbitas próximas al núcleo, y no enérgicas a las alejadas de él. De aquí se deducía que el fotón es emitido cuando el electrón salta a una órbita más lejana del núcleo. En realidad ocurre lo contrario. Veamos por qué.
Cavemos en la tierra un hoyo y pongamos en él una bola. Y junto a este hoyo pongamos una segunda bola. ¿Cuál de estas dos bolas tendrá más energía?
Una persona de experiencia no pica en el anzuelo de este interrogante. Nos dirá: «En su pregunta hay dos cosas que no están claras. Primera, ¿de qué energía se trata, de la energía potencial o de la cinética? Segunda, ¿desde qué nivel se mide la energía potencial? Si es desde el nivel de la superficie de la tierra, la energía potencial de la bola que hay junto al hoyo se puede considerar igual a cero, pero en este caso la bola que está dentro del hoyo debe tener una energía potencial menor que cero, es decir, negativa. Si la energía potencial se mide desde el fondo del hoyo, la bola que está arriba tendrá una energía potencial mayor que cero. Y como ambas bolas están en reposo, sus energías cinéticas, en los dos casos, serán nulas». Aceptamos el primer procedimiento de medición.
¿Y si la bola no está en reposo? Si la bola se mueve, a su energía potencial se suma la energía cinética. Pero la suma de estas dos energías, llamada energía total, es evidente que seguirá siendo negativa si la bola no sale del hoyo. Y al contrario, se hará positiva si la bola salta hacia arriba y además rueda por la superficie de la tierra.
Rogamos a nuestros lectores que nos dispensen este pesado razonamiento, pero lo hacemos porque es importante para nuestra explicación ahora, y lo será también después. El caso es que, desde el punto de vista de la energía, el electrón en el átomo es la bola en el hoyo, mientras que un electrón libre es la bola en la superficie de la tierra. Los físicos decidieron medir la energía de estos electrones tomando igual a cero la energía total del electrón libre en reposo.
¿Qué puede haber de común entre un electrón y una bola? Casi nada... Salvo que el uno y la otra están sujetos, tienen limitados sus movimientos. La bola no puede salir por sí misma del hoyo, y el electrón no se puede escapar del átomo. Precisamente por esto existen los átomos.
Cuanto más cerca esté la bola de la salida del hoyo, cuanto más lejos se encuentre de su fondo, tanto mayor será su energía total (y. por consiguiente, tanto menor será esta energía por su magnitud negativa). Lo mismo ocurre con el electrón. Cuanto más lejos se encuentra del núcleo, tanto más elevadas es su energía total: cuanto más cerca está del núcleo, tanto menor es su energía (aunque, se sobreentiende, es mayor en magnitud negativa).
Ahora ya está claro que un electrón, al saltar a una órbita más próxima al núcleo, pierde energía. Los fotones son emitidos precisamente durante estos saltos. Y viceversa, cuanto más alejada está la órbita del núcleo, y más próxima a la «salida» del átomo, tanto más energía tiene el electrón en ella. Y, dicho esto, podemos volver a nuestro tema.
Átomos excitados
A pesar de todo, la bola no quiere dejarnos. Descansa sobre la tierra y nos pregunta inocentemente: ¿por qué no caigo?
¿Y, a decir verdad, a dónde va a caer? Si la lanzamos por una escalera entonces sí, caerá.
En la situación de esta bola se halla el electrón cuando la temperatura no es elevada. No tiene adonde saltar. Se encuentra en la órbita más próxima al núcleo, desde ella sólo hay un camino, al núcleo. Este camino es tan imposible de recorrer, como lo es para la bola hundirse a través de la tierra/
La energía del electrón en esta órbita es la menor posible. Desde ella no tiene nada que perder. Por consiguiente, no puede radiar luz.
De esto resulta que el electrón debe caer antes en una órbita alejada del núcleo, desde donde pueda saltar a otra más próxima a él. ¿Cómo puede llegar el electrón a una órbita alejada? Y la bola, ¿cómo llega a lo alto de la escalera? La subieron, es decir, le comunicaron cierta energía.
Exactamente lo mismo, para lanzar el electrón a una órbita lejana hay que comunicarle cierta energía. Aunque «cierta» no es la palabra adecuada. La energía que hay que comunicarle al electrón no puede ser menor que la diferencia de energías entre la órbita en que él se encontraba y la órbita adonde vaya a parar.
Esta energía se puede comunicar al electrón de diversos modos. Lo más frecuente es que la transmisión de energía ocurra cuando un átomo, que haya tomado impulso o entrado en vibración a consecuencia de un movimiento térmico, «choque» enérgicamente con otro. A la temperatura ambiente estos choques no son raros, pero no influyen en los electrones atómicos. La energía del choque es demasiado pequeña. Pero si la temperatura es de centenares o millares de grados, la cosa varía. En este caso, durante los choques se comunica al electrón la energía suficiente para su salto.
El electrón está por fin en una órbita alejada. Las preocupaciones han terminado, al parecer, y el electrón puede girar por esta órbita, alrededor del núcleo, tanto tiempo como se desee. Pero no: el electrón no puede permanecer mucho tiempo en la nueva órbita. No se lo permite el núcleo. Este tiende a atraer otra vez al electrón prófugo, el cual se somete dócilmente. Se produce el salto del electrón hacia las profundidades del átomo, y aparece un fotón. Ese mismo fotón que, al llegar al ojo, nos hace decir: «el cuerpo emite luz».
Sí, el cuerpo ha comenzado a emitir luz. Continuemos elevando la temperatura y veamos lo que ocurre. El movimiento térmico de los átomos se hace cada vez más intenso, los choques entre éstos son cada vez más frecuentes y enérgicos. El tiempo que puede permanecer el electrón en su órbita más profunda es cada vez menor.
Los átomos entran cada vez con más frecuencia en el estado que los físicos llaman «excitado». Y con más frecuencia retornan después a su estado «normal», para al instante abandonarlo de nuevo.
Los fotones empiezan a nacer no uno por uno, sino a millares y millones por segundo. Su tenue corriente se transforma pronto en potente flujo a medida que aumenta la temperatura (recuérdese la ley de Stefan-Boltzmann).
Pero no solo crece el número de fotones. Aumenta también la longitud de sus saltos, los primeros tímidos saltitos a las órbitas contiguas y viceversa son reemplazados por saltos récord a las órbitas más distantes del núcleo. Y, al saltar hacia atrás, los electrones generan fotones cada vez más enérgicos. Pero, como ya sabemos, cuanto más elevada es la energía del fotón, tanto mayor es su frecuencia y tanto menor su longitud de onda. La luz se hace no solamente más brillante, sino que toma un color cada vez más «violeta» (recuérdese la ley de desplazamiento de Wien-Golitzin).
De este modo la teoría de Bohr pudo explicar inmediatamente las leyes principales de las teorías de la radiación térmica y de la espectroscopía. Después de este enorme éxito, la naturaleza cuántica de la luz y el carácter cuántico de los procesos que tienen lugar en los átomos se hicieron evidentes. Poco tiempo más tarde esto fue reconocido por la mayoría de los científicos.
Primeros fracasos
Sin embargo todavía era pronto para hablar del triunfo total de la teoría de Bohr.
Al levantar la vista se observa que los peldaños de la escalera parece que se van aproximando unos a otros hasta que llegan a juntarse. La diferencia está en que la aproximación de los escalones de la escalera real es una ilusión óptica, provocada por la perspectiva, mientras que en el átomo esta aproximación tiene lugar verdaderamente.
Pero la altura de un escalón energético corresponde a la energía del fotón o a la longitud de onda de su raya espectral. Por lo tanto, las rayas de onda larga del espectro, correspondientes a los saltos de los electrones entre las órbitas alejadas del núcleo, deberán encontrarse muy próximas entre sí. Y... ¡Esto ya parece un espectro casi continuo!
Esto quiere decir, que la zona de ondas largas del espectro «cuántico» no debe en la práctica diferenciarse esencialmente de la zona análoga del espectro «clásico». En esta zona puede intentarse calcular, según la física clásica, el brillo del primero de los espectros antedichos. Después, el cálculo puede hacerse extensivo a todo el espectro «cuántico». En esto consiste el principio de correspondencia.
La idea era ingeniosa. Pero cuando los físicos quisieron aplicarla en la práctica... fracasaron. El experimento daba con frecuencia unos brillos de las rayas, y la teoría, otros completamente diferentes.
En realidad, no se podía esperar otra cosa. No es muy sólida una teoría que, sin recurrir a la ayuda de otra, es incapaz de explicar algún fenómeno. ¡Máxime si requiere ayuda de la teoría que ella misma recusó!
Introducir en la mecánica cuántica las ideas de la física clásica es algo así como profesar los cómo calcular el número de fotones en el espectro.
¡Era pronto todavía para festejar la victoria de la teoría de Bohr sobre la física clásica! Después de echar a la «clásica» por la puerta principal, la teoría de Bohr se vio obligada a dejarla entrar por la puerta de servicio. Esto tuvo que hacerlo el mismo Bohr con ayuda del llamado principio de correspondencia.
¿En qué consiste este principio? La física clásica sabía calcular el brillo de los espectros, aunque no pudiera explicar su origen. La mecánica cuántica, al contrario, explicó la esencia de los espectros, pero no sabía calcular el brillo de las rayas espectrales. Por esto decidió Bohr que había que unir ambas teorías, la vieja y la nueva. Esta unión debía hacerse allí donde las dos teorías coincidieran, aunque sólo fuera aproximadamente.
Pero, ¿dónde puede ocurrir esto? Porque, según la física clásica, el electrón, al girar alrededor del núcleo, se va acercando a éste hasta que por fin cae en él. En este caso, como ya dijimos, el electrón irradia un espectro continuo en el cual no hay ni indicios do rayas aisladas.
Y de acuerdo con la mecánica cuántica, el electrón del átomo irradia rayas separadas, o, como suele decirse, un espectro discreto. ¿Qué puede haber de común entre estos dos espectros? Pues sí, a pesar de todo hay algo común.
Los peldaños de la escalera energética que forman las órbitas electrónicas tienen diversas alturas. Esta altura es tanto menor, cuanto más alejado está el escalón, es decir, cuanto mayor es la distancia del núcleo a la órbita. La escalera energética en el átomo tiene el mismo espectro que cualquier escalera larga si se mira desde
Los diez años que siguieron a su aparición se caracterizaron por un desarrollo impetuoso do la teoría. Esta amplía rápidamente los fenómenos abarcados. Entre ellos se cuentan los más delicados procesos de emisión y absorción de la luz por los átomos, los detalles de la estructura de los átomos y de las moléculas. En el año 1914 Kossel pone los cimientos de la química cuántica, esos mismos cimientos en que se basan ahora todos los textos de química. En 1916 Sommerfeld da a conocer una teoría más exacta del origen de los espectros atómicos, la cual hasta el día de hoy ayuda a descifrar los más complejos de ellos. La nueva teoría explica también las propiedades magnéticas y eléctricas, recién descubiertas en aquel tiempo, de los átomos y de las moléculas.
Y al mismo tiempo se ponen al descubierto una multitud de escollos para la teoría de Bohr. Cada vez se va haciendo más evidente su insuficiencia para explicar nuevos hechos. Hechos que ella misma contribuyó a descubrir.
La primera dificultad resultó estar en los espectros. ¡Pero si la teoría do Bohr fue la primera en explicar el origen de los espectros! Sí, efectivamente. Y sin embargo, como veremos, esta explicación era incompleta.
Ya hemos dicho que las rayas espectrales se caracterizan no sólo por su longitud de onda, sino también por su brillo. Por la teoría de Bohr se consiguió hallar la distancia entre los peldaños de la escalera energética de las órbitas electrónicas en el átomo, es decir, la longitud de onda de los fotones que nacen al saltar los electrones de un escalón a otro de esta escalera. Pero en cuanto a la determinación del brillo de las rayas espectrales esta teoría no daba ningunas indicaciones. Quedaba sin esclarecer lunes, miércoles y viernes la «religión clásica», y los martes, jueves y sábados, la «religión cuántica». Así se expresaba bromeando el físico inglés Bragg. Aunque en la ciencia no se considera criminal semejante «diteísmo», que a veces incluso es fructífero, a pesar de todo es un «pecado» para la teoría, una manifestación de su debilidad.
Prestando atención se comprueba que el principio de correspondencia no es el único «pecado» de la teoría de Bohr. En realidad, desde su mismo comienzo, y en todos sus postulados principales, llevaba una clara huella de la física clásica.
La teoría de Bohr renunció a las ideas clásicas sobre el movimiento del electrón. Pero al mismo tiempo introdujo el concepto de las órbitas electrónicas en el átomo. Consideraba con toda seriedad que el electrón giraba alrededor del núcleo y le infundía a todo esto el mismo sentirlo físico que, por ejemplo, a la rotación de la Tierra alrededor del Sol.
Bohr «prohibió» al electrón irradiar en la órbita, pero no pudo fundamentar seriamente esta prohibición. La teoría de Bohr explicó verídicamente cómo aparecen los fotones en los átomos, pero el proceso de esta aparición siguió siendo para ella enigmático. Este proceso no se deducía de ninguno de sus postulados.
Y este carácter indefinido de la teoría de Bohr no tardó en ponerse de manifiesto. Tuvo que retroceder ante muchos hechos nuevos que no querían entrar en el marco reservado para ellos. Pero rindámosle homenaje.
La teoría de Bohr fue un gigantesco paso adelante para el conocimiento del mundo de los átomos. Y, no obstante, un paso limitado. Ella explicó mucho de lo que era incomprensible e inabordable para la física clásica. Pero no fue menos lo que no pudo explicar.
Llegó la hora de dar nuevos pasos, y éstos no se hicieron esperar.
El primero de ellos se debe al Físico Francés Louis de Broglie.
Capítulo 3
De la teoría de Bohr a la mecánica cuántica
- Un artículo sorprendente
- Algo sobre las ondas ordinarias
- Primer encuentro con las «ondas de materia»
- ¿Por qué no notamos las ondas de De Broglie?
- ¡La onda existe!
- Partículas de dos caras
- La «onda piloto»
- ¿Juntos o uno a uno?
- Vamos al campo de tiro
- Ondas de probabilidad
- Cómo se admitió la probabilidad en la física
- Predicciones prudentes
- Ondas do partículas y partículas de ondas
- Hacia la ley ondulatoria
- Habla un aparato tic medición
- Principio de incertidumbre
- ¿Quién tiene la culpa, el aparato o el electrón?
- Un intento con medios «semi inútiles»
- Otro «prodigio»
- Otra vez el principio de incertidumbre
- De nuevo las «ondas de materia»
- Función de onda
- Las ondas y los cuantos se unen
En el número de setiembre de la revista inglesa de física «Philosophical magazine» del año 1924 apareció un artículo firmado con un nombre poco conocido: Louis de Broglie. El autor de este artículo exponía algunas tesis de su disertación, dedicada a fundamentar la posible existencia de ondas de materia.
¿Ondas de materia? ¿No son estas acaso las sonoras, luminosas y demás ondas semejantes, a las cuales ya hace mucho que los físicos designaron «por sus nombres», ondas completamente materiales, que perciben nuestros sentidos o son captadas por aparatos?
No, no se refería a ésas. En el artículo se hablaba de otras, absolutamente distintas. Las ideas expresadas por de Broglie eran tan extraordinarias y paradójicas, que podían competir perfectamente con la expuesta un cuarto de siglo antes por Planck sobre los cuantos de energía. Y no sólo por su significación para la física, sino también por la desconfianza con que fueron acogidas al principio por muchísimos físicos.
¿Qué ondas de materia son éstas?
Antes de empezar a hablar de ellas tendremos que detenernos un poco en las «ondas ordinarias». En la época en que Louis de Broglie publicó su artículo, estas ondas ya habían sido bastante bien estudiadas.
Algo sobre las ondas ordinarias
Deje caer una piedra al agua y verá como de ella parten círculos. Estos círculos son ondas superficiales en el agua. A propósito, las ondas superficiales son prácticamente el único tipo de ondas cuyo movimiento se puede ver directamente.
Puede parecer que con los círculos que provoca la piedra se aleja también el agua. Pero esto no es así. ¿Quién no ha probado en su niñez acercar a la orilla un barquito demasiado adentrado en una charca? La inteligencia infantil dictaba lo que había que hacer: tirar piedras al agua por detrás del barquito.
Las ondas producidas por las piedras pasaban por debajo del barquito, pero él no hacía más que mecerse en ellas subiendo y bajando, sin moverse casi de su sitio. Esto quiere decir, que el agua después de caer la piedra no se mueve del sitio donde cayó ésta, sino que simplemente oscila en la onda subiendo y bajando.
En las ondas altas provocadas por la caída de grandes piedras al agua, a pesar de todo, se aleja de la piedra, aunque cada vez a una distancia insignificante. Con paciencia y una buena reserva de piedras, se puede conseguir que el barquito vuelva a la orilla.
Esta propiedad «portadora» de las ondas superficiales altas es aprovechada con gran maestría por los aficionados a un deporte singular muy extendido en Australia y en las Islas Hawai. Los deportistas se hacen a la mar cuando en ésta se producen olas grandes y regulares. Desde la lancha se ponen de pie sobre una tabla ancha flotante y esperan el instante en que se presenta una ola alta. Y «dominando» esta ola, se lanzan hacia la costa a la velocidad de un tren expreso. Pero al menor movimiento mal hecho el deportista se encuentra no en la cresta, sino en valle, y la ola le azota de arriba a abajo.
En este arriesgado y apasionado deporte la ola desempeña el papel de portadora del deportista, se comporta como si lo pilotara hacia la costa. Recuerde esta combinación de palabras: «onda piloto». Volveremos a hablar de ella más adelante.
En el siglo pasado los físicos esclarecieron que el sonido es también un movimiento ondulatorio. Las ondas sonoras pueden propagarse en el aire, en el agua y en los sólidos. ¿Qué es lo que vibra en las ondas sonoras? Las partículas del medio por el cual se propaga el sonido: las moléculas del aire, del agua..., y los átomos de las sustancias sólidas.
Pero suprima usted el aire, el agua, la tierra, y las ondas sonoras desaparecen. En el espacio sin aire no existe sonido. Los futuros cosmonautas verán sin duda un espectáculo incomparable: grandiosas erupciones de volcanes en planetas lejanos carentes de atmósfera, ¡erupciones en un silencio sepulcral! ¡Únicamente tiembla el suelo bajo los pies! El zumbido de los motores de los cohetes cósmicos, tan insoportable para los oídos humanos en la Tierra, desaparece por completo en la Luna.
En el siglo pasado también consiguieron los físicos comprender la naturaleza electromagnética de las ondas creadas por el movimiento de las cargas eléctricas.
A la Tierra llegan la luz y las ondas radio-eléctricas de estrellas y nebulosas lejanas. Emprendieron su viaje hace millares y millones de años. Durante su camino recorren espacios interestelares enormes y casi vacíos. En la Luna, en un silencio absoluto, los astronautas verán los chorros cegadores de fuego lanzados por la cola del cohete cósmico.
Esto quiere decir que es posible ver donde nada se oye, en el vacío. En esto consiste la principal diferencia entre las ondas electromagnéticas y las mecánicas, incluidas las sonoras. Para la propagación de las ondas electromagnéticas no es necesaria la presencia de un medio. Al contrario, este medio no hace más que retardar el movimiento.
Primer encuentro con las "ondas de materia"
Pero volvamos a las «ondas de materia».
De Broglie afirmaba en su trabajo que estas ondas son generadas por el movimiento de cualquier objeto, sea un planeta, una piedra, una partícula de polvo o un electrón. Estas ondas, lo mismo que las electromagnéticas, pueden propagarse en el vacío absoluto. Es decir, no son ondas mecánicas.
Sin embargo pueden producirse cuando se mueven cuerpos cualesquiera, incluso si no tienen carga eléctrica. O sea, ¡tampoco son ondas electromagnéticas!
En aquel tiempo la física no conocía otras ondas. Resultaba, pues, que las «ondas de materia» eran realmente unas ondas desconocidas hasta entonces. «Esto es un perfecto absurdo» — decían los viejos físicos moviendo la cabeza.
Estaban profundamente convencidos de que todas las ondas que pueden existir ya las conocía la física. Este joven Louis de Broglie habla de ondas de materia, ¿acaso las ondas mecánicas y electromagnéticas no son ondas de materia?
Sin materia no sólo no hay ondas, ¡sin materia no existe nada!
En efecto, De Broglie ideó un nombre poco afortunado para sus ondas. Pero, ¿qué hacer? A los fenómenos que se descubre» se les suele poner la «etiqueta» mucho antes de que los propios científicos comiencen a comprender bien la esencia de sus descubrimientos.
Esto lo ocurrió a De Broglie. La esencia de sus «ondas de materia» resultó ser tan extraordinaria, tan complicada, que los físicos rompieron no pocas lanzas discutiendo sobre ella. ¡Y hasta hoy las siguen rompiendo!
La idea de De Broglie sirvió de base a la mecánica cuántica moderna.
¡Por qué no notamos las ondas de De Broglie!
Lo más probable es que fuera ésta una de las primeras preguntas que le hicieron al De Broglie los físicos asombrados. Para responder, lo mejor sería empezar preguntando: ¿y cómo notamos las ondas en general? Nos referimos, claro está, no sólo a nuestros órganos sensoriales, los cuales, en este sentido, no brillan por su potencia.
Nuestro oído percibe los sonidos con frecuencias desde 20 hasta 16.000 vibraciones por segundo, aproximadamente. Estas frecuencias corresponden a las longitudes de las ondas sonoras, en el aire, desde 17 metros hasta 2 centímetros, aproximadamente. Nuestro ojo reacciona a las ondas luminosas de longitud desde 0.4 hasta 0,8 micras. Estas son las «ventanas» que nos ha dado la naturaleza para que conozcamos las ondas (si se excluyen las ondas superficiales, como, por ejemplo, las olas del mar).
Con ayuda de aparatos especiales los físicos transforman ondas que directamente no podemos percibir, en otras cuyas longitudes se hallan en la zona de las dos «ventanas» antes mencionadas. Esto amplía considerablemente el campo accesible a nuestro conocimiento de los fenómenos oscilatorios. Por medio de receptores de radio se pueden captar y estudiar las ondas radioeléctricas, de varios metros y centímetros de longitud, que llegan a la Tierra desde las profundidades del Universo. Los contadores de centelleo [4] dan la posibilidad de descubrir los rayos gamma que emiten los núcleos atómicos, ondas electromagnéticas de longitudes de milmillonésimas de milímetro.
Como puede verse, la gama de longitudes de onda que pueden captarse es realmente bastante grande. ¿Por qué entonces no se ha conseguido captar las ondas de De Broglie?
Y, ¿con qué captarlas? Las ondas mecánicas, por ejemplo, las sonoras de varios metros de longitud de onda las podemos percibir con el oído. Pero estas mismas ondas no se pueden captar con ningún receptor de radio, incluso si se sintoniza para la longitud de onda necesaria. Estos receptores sólo detectan ondas radioeléctricas. Y, al contrario, las ondas radioeléctricas, incluso si su longitud es de varios metros, no pueden ser percibidas por el oído ni por ningún otro aparato mecánico.
Cada tipo de receptor responde solamente a «su» tipo de ondas: el oído, a las sonoras; el ojo, a las electromagnéticas. En este caso, ¿con qué captar las ondas de De Broglie, que no son de un tipo ni de otro?
Esta es, si se quiere, la primera respuesta a la pregunta planteada. Una contestación más completa se dará más adelante.
La segunda respuesta se deduce si intentamos conocer la longitud de las «ondas de materia». De Broglie obtuvo la fórmula que relaciona la longitud de las nuevas ondas con la masa y la velocidad de los cuerpos en movimiento. Su forma es la siguiente:

Su aparición aquí es muy significativa. Esto quiere decir que las ondas de De Broglie tienen en realidad un carácter particular, cuántico. Sobre esta cuestión nos detendremos más tarde; por ahora veamos qué longitudes de onda corresponden, según de Broglie, al movimiento de los objetos que nos rodean. Haremos un sencillo cálculo para un planeta, una piedra y un electrón.
Antes de recurrir a las cifras se ve que la longitud de estas ondas debe ser extraordinariamente pequeña, puesto que en el numerador de la relación de De Broglie figura la constante de Planck, cuyo valor es excepcionalmente pequeño: 6,6 x 10-27 ergios por segundo.
Tomemos la Tierra como ejemplo de planeta. Su masa es de 6 x 1027 gramos, la velocidad de su movimiento por la órbita alrededor del Sol es aproximadamente de 3 x 106 centímetros por segundo. Poniendo estas cifras en la relación de De Broglie, hallamos que la longitud de onda de la a Tierra es
centímetros.
Veamos cuál es la situación con la longitud de onda de la piedra. Supongamos que una piedra de 100 gramos de peso se lanza con una velocidad de 100 centímetros por segundo. Por la formula de De Broglie tenemos:
centímetros.
Y ahora recurramos al electrón. Su masa constituye aproximadamente 10-27 gramos. Si el electrón empieza a moverse en un campo eléctrico con una diferencia de potencial de 1 voltio, después de pasar por él adquirirá una velocidad de cerca de 6 x 107 centímetros por segundo. Haciendo la sustitución de estas cifras en la relación de De Broglie, ésta da:
centímetros.
¡La onda existe!
Pero, ¿cómo se puede conseguir esto?
La cosa no es tan fácil. Parafraseando un conocido proverbio, se puede decir; ¡«La razón ve, pero el ojo no percibe»! La onda de De Broglie existo en teoría, pero ningún «ojo», ningún aparato conocido parece ser que pueda captarla. Porque, como ya hemos dicho, por su propio carácter debe escapar a cualquier receptor.
Más no hay que desanimarse. Una onda es una onda. Tiene que descubrirse necesariamente un fenómeno en el cual la onda, cualquiera que sea su naturaleza, ponga de manifiesto sus propiedades. Los científicos decidieron intentar «cazar» la onda de De Broglie en el fenómeno de la difracción.
La difracción es un fenómeno puramente ondulatorio. Consiste en que la onda, al encontrar cualquier obstáculo en su camino, lo rodea. Al ocurrir esto, la onda se desvía del camino rectilíneo de su propagación y penetra parcialmente en la zona de «sombra» que hay detrás del obstáculo.
La figura de difracción de una onda en un obstáculo circular o en el orificio circular de una pantalla opaca a la onda tiene la forma característica de un sistema de anillos oscuros y brillantes alternados. Estos anillos se pueden notar, por ejemplo, mirando un farol del alumbrado público a través de un vidrio empolvado. Las noches que hiela se forman en torno a la Luna varios anillos
brillantes y oscuros: es la luz de la Luna que experimenta la difracción en los diminutos cristales de hielo que flotan en el aire.
Allí donde se descubre una difracción se puede decir con seguridad: «aquí hay una onda». Precisamente el descubrimiento de la difracción de la luz a principios del siglo XIX fue uno de los argumentos más convincentes en pro de la teoría ondulatoria de la luz.
Sin embargo, las longitudes de las ondas luminosas son centenares y millares de veces mayores que las que debían tener las ondas de De Broglie de los electrones. Los dispositivos ideados para crear la difracción de la luz —todas esas rendijas, pantallas y redes de difracción— naturalmente, son demasiado burdos. Porque las dimensiones de los obstáculos en los cuales se observa la difracción de una onda deben ser comparables con la longitud de ésta o ser menores que ella. Lo que vale para la luz no sirve para las ondas de De Broglie.
¿En qué objetos se podía intentar descubrir la difracción de las ondas de De Broglie de los electrones? Hacia el año 1924 estos objetos eran ya conocidos. Veinte años antes el científico alemán Laue descubrió la difracción de los rayos X en los cristales. En la placa fotográfica irradiada con los rayos X que habían pasado por el cristal, descubrió Laue unas manchas brillantes y oscuras. Y varios años después Debye y Scherrer, repitiendo el experimento de Laue con muestras de polvos de cristales pequeñísimos, obtuvieron los propios anillos de difracción, La difracción resultó ser posible en estos casos porque los intervalos entre los átomos en los cristales (una especie de «rendijas» en una «pan-talla» opaca para los rayos X) eran del mismo orden de magnitud que la longitud de onda de los rayos X: 10-8 centímetros.

Figura 3. Roentgenograma y Electronograma
Veinte años después de haber expuesto su idea De Broglie, los científicos norteamericanos Davisson y Germer y el físico soviético P. S. Tartakovski la comprobaron en un experimento directo, haciendo ensayos de difracción de electrones en un cristal.
La simple analogía entre los rayos «electrónicos» y los X resultó ser insuficiente para esto. La organización del experimento exigió de los científicos gran inventiva e ingenio.
Los rayos X atravesaban el cristal casi sin dificultades. Los electrones, por el contrario, eran totalmente absorbidos por una capa de cristal de espesor igual a una fracción de milímetro. Por esto se planteaba el problema siguiente: utilizar láminas cristalinas muy delgadas, por ejemplo, hojas metálicas, o, como dicen los físicos, trabajar no al trasluz, sino a la reflexión. En este último caso el haz de electrones se dirigía formando un ángulo pequeño con la cara del cristal, de manera que los electrones casi se deslizaban por ella, sin penetrar mucho en el cristal, y se reflejaban. Como resultado de esto los electrones experimentaban la difracción solamente en los átomos de las capas más externas del cristal. Para registrar los electrones que sufrían la difracción se utilizaron placas fotográficas [5].
Tartakovski hizo incidir el haz de electrones sobre una hoja metálica muy delgada, constituida por una multitud de diminutos cristales...
La placa expuesta al haz de electrones se trasladó al cuarto oscuro y se introdujo en el revelador. Despacito, lentamente empezaron a aparecer en ella los contornos de la imagen. La impaciencia de los científicos crecía. Sin esperar que se revelase hasta el fin, sacaron la placa del agua y la acercaron a la luz...
¡Había! ¡Había anillos de difracción!
Débiles, apenas visibles, estos anillos alegraban los corazones de los científicos. Como tesoros de incalculable valor se remitieron estas primeras placas a los laboratorios de física más importantes del mundo. Las fotografías fueron estudiadas atenta y rigurosamente, pero, ¡no cabía duda!
La hipótesis extraordinariamente audaz de De Broglie sobre las «ondas de materia» se confirmó brillantemente por el experimento. ¡Los electrones ponen de manifiesto, además de sus propiedades de partículas, sus propiedades de ondas!
Partículas de dos caras
Los científicos son impacientes. Intentaron comprender la esencia de las ondas de De Broglie incluso antes de que se realizaran estos experimentos definitivos. ¿Cómo imaginarse este comportamiento «anfibológico» de las partículas, incluidos los electrones?
Para los físicos de aquel tiempo estaba claro lo que ellos entendían por la palabra «electrón». Una partícula muy pequeña y muy ligera, de materia, portadora de una carga eléctrica también muy pequeña. Hasta cierto tiempo no se planteó el problema de qué forma tiene esta partícula y qué ocurre dentro de ella. Los científicos no disponían de medios para ver con sus propios ojos el electrón y mucho menos para estudiar su estructura interna.
Pero si el electrón es una partícula, pues, ¡qué tenga sólo las propiedades de partícula! ¿De dónde ha sacado el electrón otras propiedades completamente distintas y, por añadidura, exclusivas de las primeras, como son las ondulatorias?
El primer intento de comprender la esencia de las «ondas de materia» se debe al propio de Broglie. Este intento demuestra claramente que, al penetrar en el mundo de los objetos súper pequeños, los físicos, por costumbre, siguen «ateniéndose» a las representaciones gráficas. En la teoría de Bohr-Rutherford el átomo se podía imaginar como algo semejante a un sistema planetario en el cual los planetas-electrones giran alrededor del sol-núcleo, con la sola diferencia de que los electrones pueden cambiar de órbita de vez en cuando y los planetas no.
Pero, ¡he aquí el cuanto de luz, el fotón! Como demostró Einstein, el fotón también posee propiedades de onda y de partícula. ¿Cómo comprender esta imagen biforme? En este caso es inútil pretender imaginarse un modelo gráfico.
Así hizo su aparición en la física el primer objeto «irrepresentable». Ahora, con el descubrimiento hecho por De Broglie había que extender esta « irrepresentabilidad» a las partículas de materia, ¡desde el insignificante electrón hasta los enormes cuerpos celestes! ¡Había motivo para preocuparse!
Y, ¿cómo es posible imaginar que un electrón, lanzado hacia un obstáculo, lo rodea gracias a la difracción y aparezca detrás de él? No, la onda y la partícula son dos entidades que se excluyen entre sí: ¡o una, u otra!
Sin embargo, las ondas de De Broglie existen. Esto quiere decir que no hay «o, o» sino «y, y». Hay que juntar de algún modo lo incompatible. Y no sólo en el caso aislado del electrón que se difracta. Porque si el electrón tiene propiedades ondulatorias, también deben tenerlas necesariamente todos los objetos de nuestro mundo, tanto los más pequeños como los más grandes.
¿Por dónde empezar esta extraordinaria síntesis? De Broglie propone la idea de la «onda piloto».
La "onda piloto"
Recordemos el apasionante deporte del patinaje sobre las olas. El deportista salta sobre la cresta de una alta ola y se desliza con ella hacia la costa. La ola parece que conduce, que pilota la tabla con el deportista.
La idea de De Broglie consiste en que la «onda de materia» pilota la partícula en movimiento de una manera semejante exteriormente a la ola: como si la partícula fuera montada en la ola, lo mismo que sentada en un sillón, y se moviera hacia donde la lleva la «onda de materia».
De Broglie supone que la longitud de esta onda puede ser relativamente muy grande. Cuando las velocidades con que se mueve el electrón no son grandes, la longitud de su onda resulta ser muchos millares de veces mayor que las «dimensiones» del propio electrón. A medida que se hace más rápido el movimiento, la partícula parece que absorbe la onda, esta última se hace más corta. Poro, incluso cuando las velocidades son colosales, la longitud de onda del electrón sigue siendo mucho mayor que las «dimensiones» de éste.
Lo esencial no es quién conduce a quién, el electrón a la onda o la onda al electrón. Lo importante es que esta onda está asociada al electrón para siempre y en forma indisoluble. El electrón no es como el deportista, que puede «montarse» en la ola y saltar de ella en cualquier instante. La onda electrónica solamente desaparece cuando se para el electrón. En este instante el denominador de la relación de De Broglie se anula y la longitud de onda se hace infinita. En otras palabras, las crestas y los valles de la onda se apartan tanto entre sí, que la onda electrónica deja de ser onda.
No se puede negar que la idea de De Broglie es clara hasta cierto punto. El electrón, montado en su onda hasta se puede representar en el papel. Pero, ¿de dónde sale esta onda? Si existe junto con la partícula incluso cuando ésta se mueve en el vacío absoluto, quiere decir que esta onda sólo puede ser generada por la propia partícula. ¿Cómo se produce esta generación?
La hipótesis de De Broglie no puede dar ningún dato sobre esto. Bueno, pero, ¿es posible que explique cuál es la interacción entre la partícula y su onda, cómo la onda se muevo junto con la partícula, cómo comparte la suerte de la partícula cuando ésta interacciona con otras partículas y campos, por ejemplo, cuando las partículas se topan con un obstáculo o cuando van a parar a una placa fotográfica? No, la hipótesis tampoco explica esto de manera bastante convincente.
Buscando la salida de esta situación, De Broglie intenta eliminar del juego a la partícula. ¡Por qué no suponer que la propia onda es la partícula! Es decir, que la partícula es de por sí una especie de formación compacta de sus ondas, un «paquete de ondas», como le llamaron los físicos. El «paquete» debe constar de un número pequeño de ondas bastante cortas, por esto, cuando se encuentran dos o más «paquetes» se comportan como las partículas. ¡Exactamente igual que un fotón de onda corta cuando arranca un electrón del metal! En este caso, por muy compacto que sea el «paquete» y por mucho que se asemejen sus propiedades a las de una partícula, estará formado por ondas. Por lo tanto, habrá fenómenos en los cuales pueda poner de manifiesto su esencia ondulatoria «primordial».
Sin embargo, la inexorable naturaleza rechaza también esta suposición. Resulta que con «paquetes de ondas», por muy compactos que sean, es imposible en principio constituir una partícula. El caso es que estos paquetes, incluso en el vacío absoluto, se esparcirían rápidamente con el tiempo, ¡En un intervalo de tiempo insignificante el paquete se extendería tanto en el espacio, que lo que fue una partícula compacta se transformaría en una verdadera disolución «homeopática»! No obstante, como sabemos, las partículas son completamente estables y no existen ni los menores indicios de que se esparzan con el tiempo.
De esta forma, también hay que renunciar a este modelo «gráfico». El intento de unir mecánicamente en una imagen conceptos que se excluyen entre sí, como la onda y la partícula, fracasó. Como se esclareció más tarde, esta unión no era factible. Sin embargo, De Broglie continuaba defendiendo a su «centauro» con cabeza de partícula y cuerpo de onda.
Pasaron dos años. El verano de 1927 los físicos de todo el mundo se reunieron en Bruselas en el Congreso Solvay. En este congreso las ideas de De Broglie sobre la ligazón de las ondas y las partículas fueron rechazadas total y contundentemente. Triunfó por muchos años una idea completamente distinta sobre estas relaciones, que expusieron en el congreso los jóvenes físicos alemanes Werner Heisenberg y Erwin Schrödinger.
¡Juntos o uno a uno!
Heisenberg y Schrödinger al enterrar las ideas de De Broglie pronunciaron un discurso «fúnebre» tan violento, que determinó todo el desarrollo ulterior de la mecánica cuántica.
La idea fundamental de De Broglie sobre las ondas que acompañan al movimiento de los cuerpos fue apoyada rápidamente por los científicos de una serie de países. Aún no había transcurrido un año desde el día en que apareció el primer artículo de De Broglie, cuando el físico alemán Max Born propuso su concepción de las ondas de De Broglie.
En este problema se interesó además un discípulo de Born, Heisenberg, que en aquel tiempo iniciaba su camino en la ciencia. Los trabajos de De Broglie se discutían también animadamente en el pequeño círculo de físicos al que asistía Schrödinger.
Y he aquí... Pero antes pedimos a nuestro lector que no se queje si en nuestra narración no seguimos el orden cronológico de los acontecimientos. A veces los episodios finales de una película proyectados al principio de la misma ayudan a comprender mejor lo que ocurre y le comunican un dramatismo especial a la acción.
Recordemos el experimento que demostró la difracción de los electrones. En él incidía el haz electrónico sobre un cristal (o sobre una hoja metálica muy delgada). Los electrones del haz, después de experimentar la difracción en los átomos del cristal, iban a parar en una placa fotográfica y la impresionaban. En esta placa se formaban anillos de difracción.
A lo dicho se puede añadir que el haz de electrones era creado por un filamento metálico incandescente y se lo daba una forma especial. Entre la fuente de electrones y el cristal se interponía un diafragma con un pequeño orificio circular. Como resultado de esto, el haz de electrones, después de pasar por el diafragma, tenía unas dimensiones transversales perfectamente definidas.
¿Qué ocurriría si interrumpiésemos este experimento inmediatamente después de empezarlo, cuando el número de electrones que lograran pasar por el diafragma no excediera aún de varias docenas? En la placa fotográfica revelada veríamos algo semejante a un blanco sobre el que hubiese disparado un tirador inexperto. Las manchitas oscuras correspondientes a los impactos de los electrones aislados estarían dispersas por la placa de un modo casual.
Prolongando la duración del experimento notaríamos que cada vez se pondría de manifiesto más claramente la regularidad en la distribución de impactos de los electrones. Y después de varios miles de impactos, en la placa fotográfica aparecerían con nitidez los anillos oscuros y brillantes que descubrieron los investigadores.
¡Qué hecho más interesante! Se impone la idea de que mientras en la difracción toman parte pocos electrones, estos no revelan ninguna propiedad ondulatoria; estas propiedades aparecen únicamente cuando el número de electrones es grande. En otros términos, se podría pensar que las propiedades ondulatorias de las partículas sólo se ponen de manifiesto cuando éstas forman grandes «colectividades». ¿Es verdad esto? La respuesta la da el experimento. Se trata del mismo experimento con la difracción de electrones, pero resulta que se puede hacer de otra forma. Se puede utilizar una poderosa fuente de electrones y exponer la placa a estos últimos durante poco tiempo. En este caso la figura de difracción se forma rápidamente.
Pero se puede usar una fuente de electrones débil y prolongar proporcionadamente la exposición. Si en ambos casos incide sobre la placa el mismo número de electrones, se obtienen figuras de difracción exactamente iguales.
Esto es muy importante. En el primer caso, cuando los electrones experimentan la difracción en el cristal «todos a la vez», aún se puede hablar de cierta «colectividad» de ellos. Pero en el segundo caso, cuando los electrones inciden en el cristal casi uno a uno, el concepto de «colectividad» no es el más apropiado para designarlos.
¡No se puede llamar brigada a varios obreros, si uno de ellos suelda la junta de la vía hoy, otro traslada la traviesa al cabo de una semana, y el tercero aprieta los tornillos dentro de un mes!
La figura resulta igual cuando los electrones experimentan la difracción por millares al mismo tiempo y cuando lo hacen individualmente. De esto se puede sacar una sola conclusión: cada electrón pone de manifiesto sus insólitas propiedades independientemente de los demás. Lo mismo que si estos electrones no existieran en absoluto.
Vamos al campo de tiro
Retornemos a nuestro «blanco estropeado». Este blanco fue originado por el pequeño número de electrones que incidió sobre la placa fotográfica. Al parecer, estos electrones chocaban con la placa en cualquiera de sus partes, de un modo totalmente casual.

Figura 3
Y hay algo más interesante aún. Observando atentamente la placa fotográfica se puede notar que los electrones, a pesar de todo, no inciden sobre ella de un modo totalmente casual. Incluso cuando el número de impactos en el blanco es todavía pequeño, pueden verse en él sitios en los cuales no hay ni un solo impacto, y otros en los que éstos se agrupan más o menos estrechamente. Si por estos sitios se hacen pasar líneas, estas líneas parecerán anillos. Surge el primer anillo, el segundo, el tercero...
Es verdad que aún están trazados casi «a ciegas». Se harán verdaderos anillos visibles cuando el número de electrones que incidan en la placa sea muchas veces mayor.
Ideemos una pequeña treta. Traslademos los impactos de los electrones a un blanco de tiro ordinario, hagamos los correspondientes agujeros y llevémoslo a un campo de tiro donde se entrenen tiradores expertos. Enseñémosles nuestro blanco. La reacción de los tiradores será extraordinaria.
Su primer gesto de incomprensión se tornará pronto en risa: «¡Mire, qué tirador más gracioso! Tiene buena puntería, puesto que ha metido muchas balas en la diana. Pero, ¿por qué no hay ni un sólo impacto en el nueve, ni en ocho? Su tirador, por lo visto, prefiere colocar las balas únicamente en el diez, en el siete, en el cuatro y en el uno. ¿Lo hace adrede?
Nosotros, por ahora, no queremos descubrir nuestro secreto. Ahora es el entrenador quien observa nuestro blanco. Arruga la frente, pensativo. Escuchemos lo que dice.
«¡Esto es absurdo! Por mucho que se esmere, no hay ningún tirador que haga blancos como éste. ¿Por qué? Pues mire:
Si el que dispara es un tirador sin experiencia, los impactos se reparten de cualquier forma, pero siempre con más o menos regularidad por todo el blanco. El blanco de un buen tirador tiene otro aspecto completamente distinto. Aquí lo tiene: los impactos se hallan agrupados más densamente cerca de la diana, mientras que en los anillos externos hay muy pocos. Contemos los impactos que hay en cada uno de los anillos y hagamos un diagrama.
Tomemos sobre uno de sus ejes el número del anillo (o, lo que es lo mismo, su distancia al centro del blanco), y sobre el otro, el número de impactos entre cada dos anillos. Vea usted el resultado. La curva desciende suavemente a medida que se aleja hacia los bordes del blanco.
Y ahora hagamos el diagrama de su blanco. Mire. Su curva, en lugar de descender suavemente desde el centro del blanco basta sus bordes, oscila hacia arriba y hacia abajo. En realidad desciende, pero no como nuestra curva.
Para nosotros, los tiradores de experiencia, rigen, a pesar de todo, las leyes de la casualidad. Y la curva que he trazado se llama curva de distribución de los errores casuales o curva de Gauss. Para ustedes, por lo visto, también rige la casualidad. Pero la ley a que está sometida es otra. En el campo de tiro nunca nos hemos encontrado con una ley semejante. ¡Esto es algo nuevo!»
Bueno, démosle las, gracias al entrenador y volvamos a nuestro «blanco».
Ondas de probabilidad
El entrenador tenía razón. La curva ondulada que él dibujó en realidad no se ha obtenido hasta ahora en la práctica del tiro al blanco, y jamás aparecerá. Los electrones no son balas. La bala tiene una masa demasiado grande para que en la práctica puedan manifestarse sus propiedades ondulatorias.
Precisamente esta curva de distribución de las huellas de los electrones en las placas fotográficas después de reflejarse en el cristal, propuso Born que fuera considerada como la onda de De Broglie.
¡Espere un momento! ¿Qué tiene que ver esa onda de «papel» con la onda real que debe existir en las condiciones reales? Esta última se mueve junto con el electrón, mientras que la nuestra «descansa» en el papel.
Sin embargo existe una relación. El diagrama de los impactos de los electrones en la placa fotográfica no ha sido inventado, sino que refleja en cierto modo la existencia de la onda real, ligada al movimiento del electrón. Pero el sentido que tiene esta onda es muy distinto del que le atribuía De Broglie.
¿Cómo interpreta el movimiento del electrón la física clásica newtoniana? De una forma completamente clara: el electrón que sale del orificio del diafragma debe moverse en línea recta hasta que incida en el cristal. Después el electrón se refleja en un átomo del cristal, de un modo aproximadamente igual a como es rechazada una bola de billar lanzada hacia la banda de la mesa bajo cierto ángulo. Por fin, el electrón sigue desde el cristal otra recta hasta que llega a la placa fotográfica y deja su huella.
Aquí no hay tirador, a quien le pueda temblar la mano o cansársele la vista. Tampoco hay vientos ni corrientes de aire caliente, procedentes de la tierra, que puedan influir en la exactitud de la puntería. En este caso se dan unas condiciones ideales para el tiro y, por consiguiente, la puntería debe ser ideal y todos los impactos, «dianas». En otras palabras, los electrones deben reproducir en la placa fotográfica el contorno exacto del orificio del diafragma. Si este orificio es un agujero pequeñísimo, en la fotografía también deberá obtenerse un punto pequeño y nada más.
Pero los electrones no desean cumplir la ley clásica. En lugar de un punto pequeño, producen en la placa todo un grupo de anillos brillantes y oscuros. Y en este caso no se trata de mala puntería, incluso admitiendo por un instante que podría ser así, los electrones se esparcirían por la placa siguiendo la ley de Gauss. No obstante, se dispersan en realidad de un motín completamente distinto, de acuerdo con la ley «ondulatoria».
Y el parecido que tiene la onda con el diagrama de la distribución de los electrones por la placa fotográfica no es simple externo. Esta misma forma tiene el diagrama de las intensidades de la figura de difracción de la luz, y de los rayos X, que sin duda, ¡son realmente ondas!
De esta forma, las propiedades ondulatorias de los electrones se manifiestan de un modo más sutil de lo que pensaba De Broglie. La onda electrónica no es un avión en el cual viaja el electrón. En nuestro caso la onda define la probabilidad de que el electrón haga impacto en un sitio cualquiera de la placa fotográfica. Por esta razón es lógico llamarlo «onda de probabilidad» como propuso Max Born.
Cómo se admitió la probabilidad en la física
En la física clásica la palabra «probabilidad» no apareció hasta hace poco tiempo. El movimiento de cualquier partícula o de cualquier cuerpo se considera predeterminado con absoluta rigurosidad y precisión por las fuerzas que sobre él actúan. La posición del cuerpo y su velocidad en cualquier instante, ya sea al cabo de un segundo o de un millón de años, se puede predecir con toda exactitud conociendo estas fuerzas y la posición del cuerpo en el instante a partir del cual comenzamos a medir el tiempo.
Pero he aquí que a mediados del siglo XIX la física concentra su atención en el estudio del movimiento interno en los gases. E inmediatamente se pone en claro que la aplicación directa de la ecuación de Newton al movimiento de las moléculas de un gas carece de sentido.
Figúrese que, en volúmenes pequeños de gas ya hay una cantidad colosal de moléculas, trillones. Para resolver exactamente el problema de su movimiento habría que plantear las ecuaciones del movimiento para cada una de las moléculas. Las moléculas no están quietas: se mueven rápidamente por el recipiente, chocan con otras moléculas, son rechazadas por ellas, vuelven a chocar y así sucesivamente millones de veces por segundo.
¿Resulta, pues, que hay que escribir tantas ecuaciones de Newton como moléculas de gas hay, y resolver todas ellas? ¿Hasta pensar en eso es absurdo! ¡Nada más que para escribir estas ecuaciones se necesitarían millares de millones de años! Y al cabo de otros millones de años se obtendrían sus soluciones. ¿Poro a quién le harían falta ya, si el movimiento definido por ellas se habría transformado muchísimos años antes en otro completamente distinto?
Al buscar un enfoque razonable a este problema, comprendieron los físicos que a ellos no les debía importar el movimiento de cada molécula de gas por separado, que a causa de los choques con las demás moléculas cambia con extraordinaria rapidez. Más bien debían interesarse por el estado de toda la masa del gas: su temperatura, densidad, presión y otras características. No hay necesidad de determinar la velocidad de cada una de las moléculas. Todas las características del estado deben referirse a todo el sistema de moléculas en conjunto. Pero estas características vienen determinadas principalmente por la velocidad media de las moléculas del gas. Cuanto mayor es esta velocidad, tanto mayor es la temperatura. Si en este caso no varía el volumen del gas, al aumentar su temperatura se eleva también su presión.
Para conocer exactamente esta dependencia había que aprender a determinar la velocidad media de las moléculas. Cuando las cosas estaban así planteadas, en ayuda de los físicos vino la teoría de probabilidades.
Esta teoría decía: «No hay ni que pensar que todas las moléculas del gas tienen en cada instante la misma velocidad. Al contrario, tienen velocidades distintas, que además cambian rápida y desordenadamente en los choques. Sin embargo, a pesar del carácter casual de estas variaciones de la velocidad, en cada instante existe cierta velocidad media estable de las moléculas para unas condiciones dadas. Lo que parece casual para una molécula se convierte en ley para un gran número de ellas. Esto lo asegura la ley de los grandes números. Y como el número de moléculas que hay en los volúmenes de gas considerados es tan grande en realidad, es indudable que esta ley se les puede aplicar».
Así es como los físicos empezaron a calcular el comportamiento de las grandes «colectividades» de moléculas en forma estadística, según las leyes de la teoría de las probabilidades. Pero los físicos no quisieron ponerse de acuerdo con esta teoría en otra cosa. Ellos decían: ¡En el movimiento de las moléculas no hay nada casual! ¡Cada choque de una molécula con otra, cada movimiento de la molécula está definido por las leyes de Newton, y si quisiéramos resolver millares de millones de ecuaciones podríamos expresar este movimiento con absoluta exactitud, sin necesidad de valores medios! Naturalmente, no vamos a hacer esto. ¡Pero en principio, podemos hacerlo! Nosotros definimos el movimiento del gas valiéndonos de las probabilidades, de las leyes estadísticas, pero a éstas les sirven de base leyes exactas, las leyes de Newton.
En esto consistía la «presunción» de la física clásica. No existía ningún fundamento para generalizar las leyes de Newton, para hacerlas extensivas al movimiento de las moléculas aisladas. El desarrollo ulterior de la física demostró esto. ¡Las moléculas no son bolas de billar, las moléculas se mueven y chocan de acuerdo con leyes completamente distintas)
Predicciones prudentes
Estas son leyes nuevas. Leyes a las cuales se someten las partículas súper pequeñas, los electrones, los átomos, las moléculas.
Los primeros en manifestar su «insumisión» fueron los electrones. Estos se negaron a entrar en el marco del «comportamiento decoroso» que les había preparado la física clásica. En lugar de ir a parar a los sitios que tenían reservados en la placa fotográfica, los electrones empezaron a moverse...
—... ¡Como quisieron, como los dictaba su «libre albedrío»!— gritaron algunos científicos, heridos en el mismo corazón por la desobediencia de los electrones.
No es difícil comprender adonde se vieron arrastrados estos científicos por su débil preparación filosófica. Si el electrón posee «libre albedrío», para él, como anarquista, no se escriben las leyes. Y entonces, ¿para qué sirve la ciencia, que busca las leyes, si estas leyes no existen? Dios, con su providencia, le concedió al electrón (y en este caso a todos los objetos del mundo) libertad de acción y lo libró de todas las leyes menos de una: la ley divina de su existencia. Pero a la ciencia no le es dable conocer esta ley, a ella solamente conduce la fe. ¿No es verdad que la doctrina del «libre albedrío» del electrón conduce a un buen pantano idealista?
—... ¡Como les dictan las nuevas leyes, justas allí donde dejan de serlo las leyes de la física clásica!— dijeron los científicos que mantenían posiciones materialistas.
Esta situación fue en su tiempo prevista genialmente por Lenin. Veinte años antes de los acontecimientos que relatamos, Lenin advirtió a los científicos que por muy sorprendentes que sean las propiedades de los electrones con las cuales tengan que encontrarse, estas propiedades significarían una sola cosa: que el conocimiento por el hombre del mundo que le rodea se ha hecho más profundo y exacto.
Los electrones se niegan a seguir las leyes de la física clásica, pero en cambio, se someten a las leyes de la nueva, de la mecánica cuántica.
¿Qué leyes son éstas? En primer lugar, las leyes de las probabilidades.
¿Qué nos dicen los anillos brillantes de la placa fotográfica (negativo) en el experimento de difracción de los electrones? Que los electrones no inciden sobre estos puntos de la placa. Esto significa que los electrones, a pesar de todo, no tienen «libre albedrío», puesto que existen sitios donde ellos no pueden incidir.
En la placa se observan también anillos oscuros, donde se encuentra la mayoría de los impactos de electrones. Pero a estos no van a parar todos los electrones. En la placa hay también zonas «grises» de transición entre las más oscuras y las más brillantes, a las cuales llega un número «medio» de electrones. Esto se ve bien en el diagrama de distribución de los impactos que dibujó el entrenador.
Y ahora pasamos a lo más importante.
De la fuente salió un electrón, pasó por el diafragma, se reflejó en el cristal y siguió hacia la placa fotográfica. ¿En qué sitio de placa incidirá precisamente este electrón?
«Aquí»—dice la física clásica, después de hacer unos cálculos minuciosos de los ángulos, de las distancias y de las velocidades. Y con bastante frecuencia... errará el tiro.
«Exactamente no lo sé —dice la mecánica cuántica —, pero lo más probable es que incida sobre un anillo oscuro, la probabilidad de que caiga en las zonas grises será menor, y la probabilidad de que vaya a parar a los anillos brillantes será mínima».
¡Qué predicciones más prudentes! Resulta extraño oír una respuesta así de una ciencia que pretende ser exacta. ¿Acaso es ciencia esto?
Efectivamente, a los físicos de entonces les impresionaban más las predicciones «absolutamente exactas» de la física clásica. Pero, pensándolo bien, ¡qué pedantería se ocultaba tras estas previsiones! Pedantería... e ignorancia.
¿Qué se puede decir, si no, de una ciencia que apenas empieza a comprender el mundo infinitamente complejo, que no conoce aún ni una parte insignificante de los fenómenos que en él ocurren, pero que se atreve a hacer declaraciones terminantes?
Bueno, me parece que estamos juzgando demasiado rigurosamente a la física clásica. Porque, no obstante, hay que reconocer sus méritos: en el mundo de los grandes objetos a que estamos acostumbrados la física clásica cumple su misión bastante bien. Y, ¿cómo podía ella darse cuenta de su ignorancia autos del descubrimiento de los cuantos, de las propiedades ondulatorias de las partículas y de otras muchas cosas asombrosas?
Como es natural, cualquier ciencia tiende a conocer lo más exacta y detalladamente posible el objeto a cuyo estudio se dedica. Esto es su objetivo y divisa fundamental. Sin embarco, nunca llegará el día en que los científicos puedan decir: «Ya lo conocemos todo», y la ciencia se quede mano sobre mano.
Tío aquí lo que quieren decir las predicciones prudentes en la ciencia, todos estos «posibles» y «probables». Ahora pierde la física la «arrogancia» de su período clásico. Estos «probables» significan para ella el reconocimiento de que por ahora no conoce los fenómenos total y exactamente.
Con qué maliciosa sonrisa mirarían ustedes a un meteorólogo que dijera: «Mañana hará calor todo el día y no lloverá; la temperatura a las 9 de la mañana será de 23,8 grados, a las 12 del día, de 29,0 grados, y a las 4 de la tarde, de 27,4 grados. Exactamente a la 1 de la tarde aparecerán nubes en el cielo de tales y tales zonas que cubrirán durante tanto tiempo tal superficie. A las 5 de la tarde las nubes se irán en dirección nordeste con la velocidad de 12,3 kilómetros por hora».
Y esta sonrisa será comprensible, porque en la formación del tiempo toman parte decenas de factores. Tener en cuenta exacta y coordinadamente todos estos factores, para poder responder con la cabeza de la absoluta veracidad de la predicción del tiempo, es cosa que no puede hacer la meteorología actual. ¡Desgraciadamente no son pocas sus equivocaciones incluso en predicciones mucho menos detalladas!
¡Qué decir entonces de la mecánica cuántica, que tiene que habérselas con el mundo, incomparablemente más difícil de abordar, de los objetos súper pequeños!
Ondas de partículas y partículas de ondas
Quedamos en que las ondas de De Broglie determinan el movimiento de los electrones. Pero lo determinan no de un modo absolutamente exacto, sino probable. En el experimento de difracción de los electrones estas ondas indican en qué sitios de la placa fotográfica es más probable que incidan los electrones.
Pero, ¿no se equivocaría Max Born al tomar estas «ondas de probabilidad» por ondas de De Broglie? ¿No serán las ondas de De Broglie algo completamente distinto? Esto no es difícil de comprobar.
Recordemos la relación de De Broglie. En ella se ve que al aumentar la velocidad del electrón, debe disminuir la longitud de su onda. Los físicos ya sabían que cuanto más duros sean los rayos X, y más corta su longitud de onda, tanto más comprimida se obtiene su figura de difracción. Fue estudiada la difracción de electrones cuyas velocidades eran distintas. ¿Y qué? Pues, ¡quedó claramente establecida la compresión de los anillos de difracción a medida que aumenta la velocidad de los electrones!
Finalmente, de la longitud de onda pudieron los físicos pasar a la distancia entre los anillos de la figura y viceversa. El cálculo demostró que, si la longitud de las orillas electrónicas se determinaba por la distancia de los anillos, se obtenían unos valores que coincidían exactamente con los hallados por la relación de De Broglie.
Ya no cabía duda. Las «ondas de probabilidad» resultaron ser las mismas «ondas de materia» que predijo De Broglie.
Estas ondas se ponen de manifiesto no sólo en los fenómenos de difracción de los electrones en los cristales. Las ondas de De Broglie son universales, acompañan a los electrones y demás partículas de la materia literalmente en cada paso.
Pero no siempre se puede descubrir la presencia de estas ondas. Al crecer la masa y la velocidad de las partículas, la longitud de las ondas de De Broglie disminuye rápidamente y se sale de los límites en que puede ser registrada por los aparatos. Entonces se revelan únicamente las propiedades corpusculares de las partículas.
Recordemos lo dicho sobre las propiedades de las ondas. Las ondas electromagnéticas, por ejemplo, tampoco manifiestan su segunda naturaleza, es decir, la corpuscular, hasta cierto límite: se comportan como corresponde a las ondas, interfieren entre sí, experimentan difracción en los obstáculos, etc. Pero en cuanto su longitud se hace suficientemente pequeña, empiezan a realizar acciones características precisamente de las partículas, por ejemplo, arrancar electrones del metal.
Con especial claridad se ponen de manifiesto las propiedades de las partículas en las ondas electromagnéticas más cortas de las conocidas en la actualidad, en los rayos gamma. ¡Estos rayos arrancan partículas de materia con suma facilidad!
El descubrimiento de De Broglie vinculó el mundo de los fenómenos físicos tendiendo un puente entre dos entes contrarios y que, al parecer, se excluyen mutuamente: las partículas y las ondas. Pero si es bien cierto que se descubrió esta unidad, sería erróneo pensar que desaparecieron las contrariedades.
Más bien pudiera parecer que se sumieron en lo profundo de las cosas y determinaron de por sí la extraordinaria fisonomía del micro-mundo. A la descripción de esta fisonomía dedicaremos en lo sucesivo muchas páginas de nuestra narración. En ellas descubriremos los secretos de muchos fenómenos sorprendentes, que son posibles en el mundo de los objetos súper pequeños y que se definen perfectamente por las «ondas de probabilidad».
Hacia la ley ondulatoria
Estas ondas definen el movimiento de los electrones y de otras partículas del micromundo. Pero, concretamente, ¿qué entendemos por la palabra «definen»?
Cualquier objeto o fenómeno se puede definir cualitativa y cuantitativamente. En general hacemos principalmente lo primero. Basta decir: «Hoy lloverá», para que cojamos el paraguas al salir de casa. En este caso puede no interesarnos cuánto tiempo durará la lluvia, a qué altura pasarán las nubes y decenas de otros detalles.
La ciencia, sobre todo si es exacta como la física, no se conforma generalmente con una definición cualitativa. Exige cifras, y que sean lo más exactas posible.
La figura de difracción de los electrones en la placa fotográfica la hemos definido hasta ahora en lo fundamental cualitativamente, como una sucesión de anillos oscuros y brillantes. También se puede definir cuantitativamente, midiendo el grado de ennegrecimiento en varios puntos de la placa y dibujando el diagrama. Este diagrama es el que dibujó el entrenador en el campo de tiro.
Ahora, al parecer, se podría dar la teoría de este fenómeno y descansar tranquilamente. Pero, ¿y los demás fenómenos, cómo explicarlos? ¡Buena sería la ciencia, si para cada fenómeno ideara una teoría independiente!
La fuerza de la auténtica ciencia consiste en eso, en que crea teorías que abarcan con una cadena única centenares de fenómenos que no se parecen entre sí. Las teorías más poderosas son a la vez, las más amplias, las «universales».
En la física la construcción de las grandes teorías nuevas empezaba frecuentemente por la búsqueda de una fórmula muy importante. Esta fórmula es la de ley del movimiento.
Una de las leyes es bien conocida: la segunda ley de Newton, que relaciona la aceleración que adquiere un cuerpo con la magnitud y la dirección de la fuerza que actúa sobre él. Pero nosotros no vemos directamente las fuerzas y las aceleraciones. Para nosotros el movimiento, por la acción de las fuerzas, consiste en la traslación visible de los cuerpos en el espacio en el transcurso del tiempo.
Esto es lo que se puede hallar con la ley de Newton. La aceleración es la variación de la velocidad del movimiento con el tiempo. Y la propia velocidad es la variación que experimenta la posición del cuerpo con el tiempo. Así, pues, en definitiva la ley de Newton relaciona la fuerza con la traslación del cuerpo precisa-mente. Resolviendo la ecuación de Newton se halla también el tipo del movimiento que tiene el cuerpo, el cual se expresa por cierta curva que describe el cuerpo al transcurrir el tiempo. Esta curva se llama trayectoria.
Hay en la física otra ley tan general y amplia como ésta. A ella se supedita no el movimiento de los cuerpos, sino la propagación de las ondas. Matemáticamente se escribe en la forma llamada ecuación de onda o ecuación de D’Alembert, en honor de su descubridor, el eminente científico francés del siglo XVIII Jean le Rond D’Alembert.
Estas dos ecuaciones — de Newton y de D’Alembert — no se deducen de ninguna ley más general. Pudiéramos decir que fueron inventadas. ¡Inventadas, pero no imaginadas! Porque estas leyes no fueron simplemente sacadas de la cabeza, sino que son de por sí la generalización teórica de numerosos experimentos y observaciones realizadas por los antecesores de Newton y de D’Alembert.
El genio de un científico no consiste en imaginar algo o sacárselo de la cabeza. No, genio es aquel que en los complicadísimos entrelazamientos de los sucesos prevé la acción de la fuerza oculta de cierta ley importante, quien saca esta ley a la luz y le quita la escoria de multitud de manifestaciones casuales, de pormenores sin importancia, la pule y la ofrece a la humanidad agradecida después de escribirla expresada en palabras o, como en las ciencias exactas, en una fórmula. Así la nueva ley parece una gema del conocimiento, que alegra el corazón de las gentes con la elegancia de sus líneas y el brillo de sus facetas.
¿Con qué ley había de comenzar la construcción del fundamento de la mecánica cuántica? Está claro que la nueva ley de la mecánica cuántica, al pretender al puesto que las leyes de Newton y de D’Alembert ocupaban en la física clásica, debía ser no menos general ni menos amplia. Es más, esta ley, dedicada al mundo dualístico de los objetos súper pequeños, debía por sí misma sustituir las dos leyes de la física clásica. ¡Ella sola debía definir el movimiento de las partículas y la propagación de las ondas! ¡A Newton le fue más fácil! El ya tenía a mano muchos datos experimentales. ¿Y ahora? Ni un solo experimento. Transcurría aún el año 1925 y casi tres años separaban a los físicos del experimento decisivo de difracción de los electrones. La relación de De Broglie ya existía, pero, aunque hablaba de la longitud de onda de las partículas, no podía decir nada sobre la ley de sus movimientos.
No obstante, los físicos teóricos estaban tan convencidos de que iban por buen camino, que emprendieron la tarea de crear la nueva teoría sin esperar la comprobación experimental de la hipótesis de De Broglie.
¿Cómo empezar? ¿Modificando la ecuación de Newton de modo que abarcara también las propiedades ondulatorias de las partículas? No, la historia creyó necesario obrar de otra forma. Los físicos, siguiendo a De Broglie, intentaron modificar la ecuación de onda para que reflejara las propiedades corpusculares de las ondas. Esto resultó muy fácil.
Los primeros éxitos fueron logrados por Erwin Schrödinger y Werner Heisenberg. Los caminos que condujeron a ambos físicos a la solución de este problema fundamental fueron totalmente diferentes. Hasta es posible que el uno no supiera casi nada de los trabajos del otro. Y solamente cierto tiempo después de haber sido publicados sus trabajos pudo Schrödinger demostrar que estas dos soluciones del problema, a pesar de no parecerse exteriormente entre sí, eran totalmente iguales por su sentido físico.
Heisenberg ideó la llamada forma matricial de la mecánica cuántica. Como es muy complicada, aquí no es posible hablar de ella. Schrödinger, por el contrario, modificó la ecuación de onda de tal modo que ésta tuvo en cuenta el «gusto» corpuscular de las ondas de De Broglie. En su honor, la nueva ecuación recibió el nombre de ecuación de Schrödinger. Entre los físicos ésta es la ecuación más popular de la mecánica cuán tica.
De esta forma la ley ondulatoria se hizo la ley fundamental de la mecánica cuántica.
Habla un aparato de medición
Volvamos a las ondas de De Broglie. De acuerdo con la interpretación que les dio Born y que en fin de cuentas encarnó en la ecuación de Schrödinger, es las ondas, en particular, se ponen de manifiesto en la distribución ondulada de los impactos de los electrones en la placa fotográfica. Pero, para que esta figura aparezca claramente, hacen falta, como ya vimos, muchos electrones.
Pero, ¿qué sentido tiene la onda de De Broglie para un solo electrón? Esto también lo sabemos: desvía el electrón del «camino a seguir» clásico. Sin este desvío la figura de difracción no se podría producir en absoluto.
Parece que está claro. Sin embargo esta explicación no satisface por completo. Después de las repetidas observaciones sobre las rarezas del mundo de los objetos súper pequeños sería de desear que las propiedades ondulatorias de las partículas se manifestaran con mayor claridad, que fueran «más raras aún».
Muy bien, el micromundo puede satisfacer fácilmente este deseo. Supóngase que vamos a hacer en él una medición. A nosotros no nos va a interesar qué forma concreta tiene el aparato de medición. Su misión será seguir los electrones y medir su velocidad y posición en el espacio en cada instante.
El electrón es una partícula muy pequeña. Para vigilarlo sería necesario un microscopio «ultrapotente». Pero supongamos por un momento que este microscopio se puede hacer.
Primera pregunta: ¿cómo hacer la medición? Para ver un objeto cualquiera hay que iluminarlo. En la oscuridad absoluta no se ve nada.
Y, ¿con qué se puede iluminar? Esto depende de las dimensiones del objeto. Porque la primera condición para obtener la imagen clara de un objeto consiste en que la longitud de la onda de iluminación sea menor que las dimensiones del objeto. El microscopio óptico ordinario funciona con ondas luminosas cuya longitud aproximada es de 0,4 a 0,8 micras, por lo que produce imágenes claras de objetos con dimensiones no menores de dos o tres micras.
Pero, por ejemplo, los objetos cuyas dimensiones sean iguales a media micra se verán borrosos en este microscopio. Cuando estas dimensiones se hacen del mismo orden de magnitud que la longitud de la onda de iluminación, se produce una fuerte difracción de la luz. Y en lugar de la imagen clara del objeto se obtiene una figura de difracción, es decir, una sucesión de franjas oscuras y brillantes.
Si se intenta observar un objeto todavía más pequeño, su imagen desaparece por completo: la luz pasa por alto el objeto como si éste no existiera en absoluto.
El electrón no es una partícula de polvo, ni una bacteria, sus dimensiones (más adelante veremos que de ellas sólo se puede hablar convencionalmente) son casi mil millones de veces menores que la longitud de las ondas luminosas. ¿Con qué iluminarlo? Felizmente existen rayos gamma con longitud de onda muy pequeña.
Elegimos un electrón para observarlo y lo iluminamos con un rayo gamma... ¡y no vemos nada! Absolutamente nada: había un electrón y desapareció. No dejó ni siquiera anillos de difracción. Y cuantas veces intentamos ver la imagen del electrón no conseguimos nada.
¿Por qué? Porque el electrón efectivamente no es una partícula de polvo, ni el rayo gamma es un fotón luminoso. La partícula de polvo tiene un peso apreciable, y el cuanto de luz transporta muy poca energía y, por consiguiente, tiene poca impulsión [6].
¿De dónde procede la impulsión del fotón? Ahora lo veremos. Como es sabido, el fotón se puede comportar como una partícula, según demostró Einstein en su teoría del efecto fotoeléctrico. Imagínese usted: el fotón en el vacío siempre tiene la misma velocidad, es decir, la velocidad de la luz, pero su longitud de onda puede ser diferente. Apliquemos al fotón la relación de De Broglie:
![]()


El fotón luminoso choca con la partícula de polvo y, después de transferirle su impulsión y de reflejarse en ella, pasa por el sistema óptico del microscopio y llega al ojo. Y la partícula de polvo ni se mueve al recibir el golpe. Estaba en reposo y continúa en reposo, y si hubiera estado en movimiento, el choque no habría cambiado casi nada este movimiento.
El electrón es otra cosa. Su masa es absolutamente insignificante en comparación con la de la partícula de polvo; su impulsión, como veremos más adelante, incluso si el electrón es extraordinariamente rápido, es muy pequeña. Y enviamos sobre él un fotón gamma, cuya impulsión es casi mil millones de veces mayor que la de su colega luminoso. Si un fotón gamma de este tipo choca con el electrón, ¡adivina quién te dio! Había aquí un electrón, pero voló quién sabe adónde. Por esto, ¡ya puede usted esperar que se forme su imagen o los anillos de difracción!
La cosa toma mal cariz. Por ejemplo, sabemos que el electrón se mueve, pero no podemos decir con qué velocidad lo hace: iluminamos el electrón con un fotón gamma y esto hizo que cambiara la velocidad de aquél. O, supongamos, se sabe que la velocidad del electrón es nula, es decir, se encuentra en reposo en cierto lugar. Pero hallar el sitio en que se encuentra es imposible: en cuanto lo iluminamos, salta y se pierde.
¡Con el viejo microscopio el trabajo es más fácil! Si por su campo visual se mueve una partícula de polvo o una bacteria, en cualquier instante podemos decir dónde se encuentra y cuál es su velocidad. Pero si intentamos establecer la situación del electrón, no podemos determinar su velocidad, y si pretendemos hallar su velocidad, perdemos la propia partícula. ¡Qué cosas más raras ocurren en el mundo!
Principio de incertidumbre
Sí, aquí todo se ha descrito aproximadamente como es en realidad. Para convencernos de esto haremos un sencillo cálculo tomando como ejemplo la misma partícula de polvo y el electrón.
Supongamos que la partícula de polvo tiene la dimensión de 1 micra (10-4 centímetros), está constituida por una sustancia cuya densidad es de 10 gramos por centímetro cúbico (esta densidad es un poco mayor que la del hierro) y se mueve en el campo del microscopio con una velocidad muy pequeña, igual a 1 micra por segundo. En esto caso su peso será de 10-11 gramos y su impulsión, de 10-15 gramos centímetro por segundo. Si sobre esta partícula se dirige una luz cuya longitud de onda sea, por ejemplo, de media micra (como la luz verde del espectro), sus fotones tendrán una impulsión de 10-22 gramos centímetro por segundo solamente, es decir, decenas de millones de veces menor que la de la partícula. ¡Está claro que los choques de estos fotones no causarán a la partícula la menor impresión!
En el caso del electrón la situación es diferente. Incluso si este se mueve con una velocidad próxima a la de la luz, de 1010 centímetros por segundo, su impulsión será igual solamente a 10-17 gramos centímetros por segundo. Mientras que el fotón gamma de longitud de onda muy corta, por ejemplo, de 6 x 10-13 centímetros, que se utiliza para su iluminación, tendrá una impulsión de 10-14 gramos centímetro por segundo, es decir, millares de veces mayor que la del electrón. Naturalmente que al chocar uno de estos fotones con el electrón lo barrerá de su camino, ¡Esto es matar gorriones a cañonazos!
En consecuencia, como podemos persuadirnos, las posibilidades de los aparatos de medición cambian mucho en el mundo de los objetos súper pequeños. El aparato parece que es incapaz de medir simultáneamente y con una exactitud tan alta como sea necesaria la posición y la velocidad de las partículas en movimiento.
¿Qué inexactitudes, o mejor dicho indeterminaciones (siga leyendo y comprenderá por qué) de medición son éstas? La respuesta la da el conocido «principio de incertidumbre», (o de indeterminación), deducido por Heisenberg, en el año 1927, de las leyes generales de la mecánica cuántica. Su forma es la siguiente:

Las «cosas raras» de que hemos hablado antes tan detalladamente consisten en lo siguiente. Si se intenta medir con absoluta precisión la posición de una partícula, la indeterminación de su coordenada Δx deberá ser, como es lógico, igual a cero. Pero entonces, de acuerdo con las inmutables leyes matemáticas, la indeterminación de su velocidad será

¿Qué hacer en este caso? ¿Aceptar un compromiso y medir la posición y la velocidad del electrón con cierta inexactitud, que en total no sea muy grande?
Veamos qué inexactitudes serán estas en los casos de la misma partícula de polvo y del electrón. Para la partícula de polvo la magnitud que figura en el segundo miembro de la relación de Heisenberg es igual aproximadamente a 10-15. Elijamos los valores de «compromiso» de las indeterminaciones: Δx = 10-8 centímetros, Δvx = 10-7 centímetros por segundo (multiplicándolos obtenemos que el segundo miembro es igual a 10 -15).
La magnitud Δvx con respecto a vx constituye 10-7 : 10-4 = 10-3, es decir, la milésima parte. Esta indeterminación al medir la velocidad puede satisfacernos por completo: ¡un velocímetro cualquiera no es capaz de proporcionar esta exactitud!
En cuanto a la indeterminación de la posición de la partícula de polvo Δx, constituye con relación a las dimensiones de la propia partícula 10-8 : 10-4 = 10-4, es decir, 1 diezmilésima parte. ¡Esta inexactitud corresponde a las dimensiones de 1 átomo de la partícula!
He aquí por qué, al medir la velocidad y la posición de las partículas de polvo, y de objetos con mayor masa, es imposible incluso sospechar la existencia del principio de incertidumbre.
Otra cosa es lo que ocurre con el electrón. Su «dimensión» (volvemos a recordar que es convencional, en el espíritu de la física clásica, que suponía al electrón en forma de bolita cargada) es aproximadamente igual a 10-13 centímetros; su masa, 10-27 gramos; la velocidad de un electrón no muy rápido, al pasar por un campo eléctrico cuya diferencia de potencial sea de 1 voltio, es del orden de 107 centímetros por segundo. La magnitud del segundo miembro de la relación de indeterminación será en este caso igual a 10.
Esta magnitud se puede «componer» de Δx y Δvx en diversas formas. Supongamos, por ejemplo, que deseamos determinar la velocidad del electrón con la misma exactitud con que lo hicimos en el caso de la partícula de polvo, es decir, 10-3. Entonces nuestras indeterminaciones serán: Δv x = 104 centímetros por segundo (104 : 107 = = 10-3), Δx — 10-3 centímetros. ¡La indeterminación de la posición del electrón será ni más ni menos que millares de millones de veces mayor que sus «dimensiones»!
Probemos a ceder en la exactitud de medición de la velocidad, reduciéndola, por ejemplo, hasta el 100 por ciento, o sea, hasta la magnitud de la propia velocidad. Esto da, como dicen los físicos, el orden de la magnitud que se mide. En este caso Δvx = 107, y Δx = 10-6 centímetros, es decir, sigue siendo millones de veces mayor que las «dimensiones» del electrón.
¡La naturaleza del mundo de los objetos súper pequeños no acepta el compromiso!
¡Quién tiene la culpa, el aparato o el electrón!
Con un hecho semejante no se había encontrado nunca la física clásica. Ella consideraba que la posición y la velocidad de cualquier partícula en un instante cualquiera se puedo medir, en principio por lo monos, con una exactitud absoluta. Esto precisamente sirve de base a sus predicciones «absolutamente exactas» del movimiento de las partículas por sus posiciones y velocidades en cierto instante inicial.
Ahora resulta que, incluso en principio, no es posible ni hablar de la absoluta exactitud de las mediciones. ¿Por qué? ¿Por culpa del aparato de medida?
En realidad no hay ningún aparato capaz de medir ninguna magnitud con exactitud absoluta. Se puede decir que la historia del desarrollo de la técnica de mediciones la historia del aumento ininterrumpido de la precisión de los aparatos. La exactitud de las mediciones en muchas ramas de la ciencia y de la técnica está hoy a una altura fenomenal. Y continúa elevándose.
Pero he aquí que el principio de incertidumbre establece, al parecer, un límite a la elevación de la exactitud de los aparatos de medida. Este principio parece que dice: por mucho que los hombres perfeccionen los aparatos, de esto límite no lograrán pasar.
La culpa de la situación creada la tiene el aparato de medición, aseguraba Heisenberg y tras él muchos físicos. El aparato de medida en el micromundo no es como el telescopio en el Universo. Aunque los dos son necesarios. Nuestros órganos sensoriales, a través de los cuales conocemos el mundo, tienen unas posibilidades limitadas. Por esto necesitamos el aparato, para que traduzca los fenómenos que puede captar al «lenguaje» de las sensaciones humanas.
Pero si el telescopio no ejerce ninguna influencia sobre el movimiento de los cuerpos celestes que con su ayuda se observan, en el micro-mundo todo es diferente. Aquí el aparato (nuestro «supermicroscopio» ideal, por ejemplo) interviene activamente en el fenómeno que se observa con su ayuda y cambia su curso «natural». Con la particularidad de que, por desgracia, lo cambia tan incontroladamente que resulta imposible aislar el fenómeno puro. Los límites de «pureza» de la observación los establece el principio de incertidumbre.
El responsable de la situación creada es el electrón, opinaban otros físicos. Y para confirmar esto citaban argumentos no menos convincentes. El mundo de los objetos súper pequeños vive de acuerdo con sus propias leyes y, a decir verdad, no necesita mediciones para existir. ¿Qué significa el hecho de que el electrón tenga propiedades ondulatorias?
En efecto, no se puede decir: la frecuencia de las oscilaciones del péndulo en un instante dado es tal. Para determinar esta frecuencia hay que observar dichas oscilaciones durante cierto tiempo. Análogamente, tampoco se puede decir: la longitud de onda en un punto dado es tal. La longitud de onda, por su propio sentido, es característica de una larga (estrictamente hablando, infinitamente larga) serie de ondas. Cualquiera que sea la naturaleza de estas ondas, su longitud no puede depender de la posición de cualquier punto en la onda.
Recordemos la relación de De Broglie, pero escribámosla de manera que quede en el primer miembro la velocidad de la partícula:

De los fallos del aparato tienen la culpa precisamente las propiedades ondulatorias del electrón.
¿Quién tiene la razón, los que culpan al aparato de «inadaptado» al micromundo o los que acusan a esto último de ser «inaccesible» a las mediciones?
Resulta que tienen la razón unos y otros, pero sólo a medias. La verdad consiste en que en la relación de Heisenberg se pone de manifiesto la «culpa» conjunta de aparato y del electrón. Pero no sólo ellos son culpables.
Un intento con medios "semiinútiles"
¿Qué exigimos del aparato? En primer lugar, que nos proporciono los datos que deseamos conocer. El aparato carece de toda independencia, es un ejecutor sumiso de la voluntad del hombre.
El aparato con ayuda del cual queremos ver el micromundo es, en cierto modo, «diferente» Tiene, pudiéramos decir, dos extremos, uno de «entrada» y otro de «salida». En el de entrada tienen lugar los fenómenos que cumplen las leyes cuánticas, y en el de salida se obtienen los datos escritos en el «lenguaje» clásico, puesto que nuestros órganos sensoriales no comprenden otro «idioma».
Nosotros exigimos del aparato que nos comunique la posición y la velocidad del electrón en cada instante. El reconoce honradamente que no puede hacer esto. Puede darnos datos acerca de las velocidades, sin indicar la posición en el instante de medir la velocidad, o acerca de las posiciones, pero sin decir nada de las velocidades en este instante.
Pensándolo bien, los culpables de todo esto son en primer término los propios físicos. Ellos querían que el aparato transmitiera información sobre la velocidad del electrón en dependencia de su posición, pero, inesperadamente, ¿estas dos magnitudes^ resultaron no estar relacionadas entre sí!
En esto consiste una de las «rarezas» del micromundo, una de las manifestaciones de la naturaleza ondulatoria de las partículas. Resulta que las antiguas ideas y magnitudes clásicas, utilizadas tranquilamente por los físicos durante centenares de años, ¡son inútiles cuando se irrumpe en el mundo de los objetos súper pequeños!
Mejor dicho, son «semiinútiles». Estas ideas continúan sirviendo también en el micromundo, pero ahora se hace evidente su independencia, su limitación. Los límites hasta donde se pueden utilizar, los establece el principio de incertidumbre.
El electrón se podría considerar como una partícula puntual y hablar con seguridad de que tiene una posición exacta en el espacio, si con él no estuviera asociada inseparablemente la onda. Esta se comporta como si se esparciera la posición del electrón: puesto que él se puede hallar en cualquier sitio de su propia onda.
Y, como resultado, para el electrón en reposo la longitud de su onda crece hasta el infinito, y al ocurrir esto deben fracasar todos los intentos de encontrarlo en cualquier sitio determinado. Por otra parte, cuanto más rápidamente se mueve el electrón, con más exactitud está «localizado» en su onda, pero incluso a las velocidades máximas posibles el «esparcimiento» continúa siendo muchas veces mayor que las «dimensiones» propias del electrón.
En el mundo de los objetos súper pequeños resultan insuficientes no sólo las ideas clásicas concernientes a la posición y a la velocidad del electrón. Esta misma suerte la comparten magnitudes como el tiempo, la energía de las partículas y otras muchas.
En este caso podría preguntar usted, ¿porqué no desecharon los físicos las ideas y magnitudes clásicas, que eran insuficientes para el trabajo en el micromundo, y las sustituyeron por otras nuevas, más en consonancia con las extraordinarias propiedades de dicho mundo?
Pero es probable que ni se imagine lo difícil que es responder a esta pregunta. Esta cuestión concierne a la propia naturaleza del conocimiento humano. Sobre ello hablaremos con más detenimiento al final de nuestro libro. Por ahora diremos que el cambio de ideas y representaciones en la física, lo mismo que en cualquier otra rama de la ciencia, es un proceso extraordinariamente largo, difícil y pesado. Tuvieron que pasar muchos miles de años para que el hombre cambiara sus primeras ideas simplistas del Universo, de la esencia de la vida, de la naturaleza inanimada y de la estructura de los átomos. ¡Y qué ingenuos parecerán nuestros conceptos a los lejanos descendientes que vivan dentro de centenares de años!
En nuestra época los conocimientos humanos se desarrollan con una velocidad asombrosa. Pero, a pesar de todo, el proceso de comprensión de la esencia de los nuevos mundos, de los nuevos fenómenos, no sólo persiste, sino que se hace más difícil y contradictorio. Este proceso fue profunda y acertadamente caracterizado por Einstein como «un drama de las ideas».
Así ocurrió también al emprender el viaje al mundo de los objetos súper pequeños con el «equipaje» clásico.
Otro "prodigio"
La costumbre infantil de ir por manzanas a las huertas de los vecinos provocó una medida preventiva: aparecieron las vallas altas cerradas. Y aquí tenemos a un niño travieso ante este «obstáculo artificial» y deseando colarse en la huerta. Pero la valla, alta, lisa y sin ningún boquete, hace casi impracticable este deseo.
¿Qué hacer? ¿Buscar una escalera o unos cómplices desde cuyos hombros pueda escalar la valla, o es mejor tomar carrera y encaramarse lo mismo que un gallito? ¡Es tan seductora la fruta prohibida!
Nuestro pilluelo se asombraría o incluso olvidaría las codiciadas manzanas si nos acercáramos a él y le dijésemos: «¡Es una lástima!
Si fueras más ligero, no tendrías ni que mover un dedo y ya estarías al otro lado de la valla».
Los niños de hoy no creen en los cuentos. ¡Y hacen mal! Porque en el mundo de los objetos súper pequeños ocurren cosas verdaderamente fabulosas. Una de ellas es la penetración de las partículas a través de paredes totalmente «ciegas».
Observémosla atentamente. ¿Qué significa en realidad escalar o saltar una valla? Desde que estábamos en la escuela sabemos que cuanto más bajo se encuentra un cuerpo cualquiera tanto menor es su energía potencial. Si está usted de pie en la tierra, su energía potencial es menor que si estuviera sentado en la valla, incluso sabemos en qué cantidad es menor, puesto que dicha cantidad viene dada por el producto del peso de su cuerpo por la diferencia de alturas de su centro de gravedad en estas dos posiciones; la diferencia de alturas es aproximadamente igual a la altura de la valla menos un metro.
La valla se puede escalar si de un modo cualquiera se acumula temporalmente la energía que falta. Esto se puede conseguir bien a expensas del trabajo de sus propios músculos, o bien ayudado por el trabajo de los músculos de sus cómplices, que ponen las espaldas. En cualquier caso este trabajo se invierte en aumentar su energía potencial, y puede usted subirse a la valla.
Lo demás no es difícil. Para bajar de la valla no hay que hacer fuerza. Más bien al contrario, tendrá usted que sujetarse para que la bajada por la acción de la fuerza de atracción de la tierra no sea demasiado rápida y no termine con un roto en los pantalones. Y por el otro lado de la valla vuelve a disminuir La energía potencial y recobra el valor que tenía antes de saltar la valla.
Si se representa en un diagrama la dependencia de su energía potencial al escalar la mencionada valla, se obtiene un «montículo». En física este «montículo» recibe el nombre de barrera de potencial.
En el mundo de los átomos también existen «vallas». Por ejemplo, en los metales existe una multitud de electrones casi libres, débilmente ligados a sus átomos.

Figura 4

Figura 5
Los electrones en el trozo de metal nos recuerdan la bola en el hoyo de que hablamos al referirnos a la teoría de Bohr, Dentro del metal los electrones se mueven con bastante facilidad, pero no pueden salir de sus límites, lo mismo que le ocurre a la bola en el hoyo. Por esto las condiciones en las cuales se encuentran los electrones en el metal recibieron el nombre de pozo de potencial.

Figura 6
Usted quizá se haya dado cuenta de que la barrera para los electrones en el metal no se parece del todo a una valla: tiene parte delantera, pero no trasera; se asemeja más a un peldaño que a una valla. Para la bola que está en el hoyo se puedo hacer una valla cavando la tierra por detrás del borde de aquél. En el caso de los electrones en el metal esta operación de «zapa» se puede hacer aplicando al trozo de metal un campo eléctrico potente.
En este caso, ambas barreras, la de la bola en el hoyo y la del electrón en el metal, se asemejan entre sí. Pero después comienzan unas divergencias bastante importantes.
Si resolvemos la ecuación de Newton para la bola en el hoyo, tenemos que dicha bola se quedará para siempre en el hoyo si no se le comunica la energía precisa para salvar la barrera. Esto está claro sin necesidad de ecuaciones. ¡Dónde se ha visto que una bola salte de un hoyo o que un niño, sin hacer ningún movimiento, pase de por sí una valla!
No, la mecánica clásica declara terminantemente: la bola no saldrá del hoyo de ninguna manera. La probabilidad de que ocurra un «prodigio» y la bola resulta fuera del hoyo es exactamente igual a cero, ¡eso es imposible, inverosímil!
Pero si resolvemos la ecuación de Schrödinger para el electrón en el metal, situado en un campo eléctrico, obtenemos un resultado totalmente inesperado. ¡La probabilidad de que el electrón salga del metal ya no es igual a cero y, estrictamente hablando, no se anula en ninguna parte! Esta probabilidad no es grande, puede ser hasta extraordinariamente pequeña, ¡pero no es nula!
Da la sensación de que los electrones adquirieron la posibilidad de «infiltrarse» a través de la barrera de potencial. Y aparecen al otro lado de ésta como si quisieran reírse de las previsiones terminantes de la física clásica. Ocurre como si unas fuerzas invisibles hicieran en la barrera un «túnel» por el cual puede pasar el electrón sin el menor esfuerzo. Por esto los físicos llamaron a este fenómeno «efecto túnel».
Otra vez el principio de incertidumbre
Y mientras nosotros esperamos con paciencia que la mecánica cuántica nos explique el nuevo «prodigio», vuelve a salir a la escena el aparato de medida y pide otra vez la palabra. Y de nuevo su discurso está lleno de lamentaciones.
En efecto, le encomendaron vigilar cómo el electrón se infiltra a través de la barrera de potencial. Porque esta infiltración contradice los principios fundamentales de la física clásica. ¿Comprende usted la importancia que tiene convencerse de que esto no es más que invención absurda de los teóricos?
Como ya dijimos, la energía total de la bola en el hoyo, igual a la suma de sus energías cinética y potencial, es negativa. Esto ocurre porque la energía potencial de la bola (que medimos desde lo alto del hoyo, es decir, desde el punto más alto de la barrera de potencial) es negativa y por su magnitud es mayor que su energía cinética.
Está claro que dentro de los límites de la barrera la energía total de la bola debe permanecer negativa; porque al «infiltrarse» la bola no cambia la magnitud de su energía total. Pero en este caso disminuye la energía potencial, hasta que en el punto más alto de la barrera no se anula.
De aquí se puede hacer una sola deducción: dentro de los límites de la barrera la energía cinética de la bola se hace negativa. Pero, ¿qué magnitud es ésta? Escribámosla:

¡Qué tontería! Y para cerciorarse de que esto es en realidad un disparate, se montó el aparato para que vigilara al electrón.
El aparato descubrió el electrón y empezó a seguirlo. Y el electrón llegó al límite de la barrera de potencial. Para cogerlo «in fraganti» en el instante de su infiltración a través de la barrera, el aparato no tiene que determinar exactamente la posición del electrón: basta comprobar que el electrón está en algún sitio dentro de los límites de la barrera.
Pero esto no es todo. El aparato debe conocer además la velocidad del electrón en este instante, para cerciorarse de que en realidad su energía cinética sea negativa. Y al llegar aquí el aparato se ve obligado a reconocer su impotencia. Entra en escena la relación de indeterminación de Heisenberg.
Porque para determinar la posición del electrón dentro de los límites de la barrera hay que iluminarlo con fotones: de pequeña longitud de onda: la posición del electrón debe determinarse con una exactitud no menor que el espesor de la propia barrera y este espesor, en el mundo atómico, es pequeño. Pero el choque de un fotón de este tipo con el electrón aporta una indeterminación considerable a su velocidad.
¿Cómo es esta indeterminación? ¡Es ni más ni menos tal, que la indeterminación que provoca en la energía cinética del electrón resulta ser más elevada que el punto más alto de la barrera!
En otras palabras, coger «in fraganti» la partícula mientras pasa no clásicamente por debajo de la barrera, es imposible. Durante el propio proceso de la «demostración» se le comunica la energía suficiente para que la partícula pueda saltar la barrera por un procedimiento clásico completamente legal y decoroso, ¡Algo como sí el policía ayudara al delincuente ocultando el cuerpo del delito!
Esta situación es característica de muchos fenómenos del mundo de los objetos súper pequeños. La mecánica cuántica puede afirmar las cosas más inverosímiles desde el punto de vista de la física clásica. Pero demostrar la falsedad de estas afirmaciones, utilizando aparatos «clásicos», es imposible en principio. Buscar la partícula debajo de la barrera es inútil, no estará. El propio concepto de partícula dentro de una barrera de potencial carece de sentido tanto en la mecánica cuántica como en la física clásica.
¡Y sin embargo la partícula se infiltra a través de la barrera! La explicación de este «prodigio» se encuentra, a fin ele cuentas, en las propiedades ondulatorias de los electrones y de las demás partículas del micromundo.
De nuevo las "ondas de materia"
Estas propiedades ondulatorias, como ya dijimos, conducen a que la velocidad de las partículas deja de depender de sus posiciones. En el mundo de los objetos súper pequeños no existen trayectorias. No obstante, de la posición de las partículas depende su energía potencial, y de la velocidad, la energía cinética.
De esta forma resulta que, hablando en rigor, simultáneamente no se pueden medir con exactitud las energías cinética y potencial de la partícula. Estas energías no dependen una de otra en cada instante. Y los límites de la utilización de estos conceptos clásicos de la energía en el mundo de los átomos los da también el principio de incertidumbre.
La partícula que se halla en el pozo de potencial tiene, pues, cierta probabilidad de salir de él por sí misma y, por consiguiente, existe también la probabilidad de que se quede en el pozo. Si disponemos, por ejemplo, de mil electrones y diez de ellos se infiltran a través de la barrera, la probabilidad del efecto túnel constituyo un 1 por ciento, y la probabilidad de que este efecto no se produzca será de un 99 por ciento. Los físicos dieron a estas probabilidades los nombres respectivos de transparencia y poder reflector de la barrera de potencial.
¡Transparencia, reflexión... son palabras conocidas! Con ellas se caracterizan diversas sustancias con respecto a la transmisión de las ondas luminosas. En el límite de separación de dos sustancias distintas la luz siempre pasa parcialmente al segundo medio, y parcialmente se refleja. Y la barrera de potencial, ¿no es acaso el límite entre dos medios? Si, pero no para las ondas electromagnéticas (incluyendo las luminosas), sino para las ondas de De Broglie.
Esta analogía resulta ser bastante profunda. Las leyes del efecto túnel coinciden perfectamente con las leyes de reflexión y transmisión de las ondas de luz a través de los límites entre sustancias diversas.
No es casual que hayamos elegido para nuestra exposición una barrera en forma de «valla», es decir, con un espesor finito determinado. Si esta barrera tiene sólo pared delantera, como, por ejemplo, el peldaño de una escalera, el efecto túnel desaparece por completo. Las partículas no pueden construir túneles en barreras infinitamente gruesas, aunque sean muy bajas. En este caso entra en vigor la prohibición establecida por la física clásica.
En efecto, ahora podría el aparato de medición celebrar su «mezquina» victoria: el hecho de encontrarse la partícula debajo de la barrera, si es que estaba allí, se podría establecer con certeza, aunque la indeterminación en la medida de su posición fuera muy grande. Y siendo así, por el principio de incertidumbre se podría hallar exactamente la velocidad, y con ella la energía cinética de la partícula. Esta energía, sin duda alguna, resultaría ahora negativa.
Pero la naturaleza no está dispuesta a contradecirse a sí misma. La existencia de energía cinética negativa es imposible. Por consiguiente desaparece el propio efecto túnel.
A posar de esto, quizá alguien no haya quedado convencido con las explicaciones dadas. ¿Es posible que todo lo dicho no sean más que razonamientos teóricos abstractos? Resuelva usted mismo. De un filamento metálico caldeado los electrones se desprenden en legiones, la energía térmica que se les cede es suficiente para que ellos salten la barrera en el límite del trozo de metal. Pero por mucho que esperemos junto a un trozo de metal frío, de él no saldrá ni un solo electrón.
Sin embargo, en cuanto este trozo de metal se introduce en un campo eléctrico potente, comienzan a desprenderse de él electrones en abundancia. Este fenómeno, llamado emisión fría, confirma magníficamente que el efecto túnel no es una invención de los físicos teóricos.
Función de onda
Hasta ahora nadie ha planteado una ecuación por gusto. Las ecuaciones se plantean para resolverlas. La ecuación de Schrödinger, de la que ya hablamos, no es una excepción en este sentido. Hay ecuaciones simples y complejas. La de Schrödinger pertenece indudablemente a la categoría de las complejas. Es una ecuación diferencial en derivadas parciales de segundo orden. Diez palabras de las cuales seis requieren una explicación cada una. En nuestro libro no podemos hacer esto. Diremos solamente que las ecuaciones de este tipo definen, por ejemplo, magnitudes que varían en el espacio y en el tiempo.
En estas ecuaciones se pueden ocultar bajo la máscara de incógnita las más diversas magnitudes: la forma de la superficie del líquido en un recipiente, las coordenadas de un «sputnik»
en el cielo, la intensidad de una señal radiotelegráfica en camino hacia el receptor, la velocidad de corte de una máquina herramienta y muchas cosas más. La solución de la ecuación da en forma directa la dependencia, que interesa a los científicos, de la magnitud buscada respecto de otras magnitudes. Los matemáticos agrupan todas estas dependencias bajo la denominación de función.
¿Qué magnitud incógnita y sujeta a determinación figura en la ecuación de Schrödinger? Una magnitud a la cual llamaron los físicos función de onda. Su sentido exacto no está aún claro para los físicos, a pesar de que con ella se han realizado millares de cálculos magníficos. Ya dijimos que sobre esto todavía discuten entre sí los científicos.
Pero puede decirse que todos ellos están de acuerdo en que el cuadrado de la función de onda tiene el sentido de la probabilidad. Su dependencia de las coordenadas y del tiempo da la probabilidad de que la partícula se encuentre en un lugar cualquiera del espacio en un tiempo dado. Y si nos expresamos con más exactitud, la probabilidad de que la partícula se pueda descubrir en tal lugar y en tal instante por la acción que ella produce allí. Por ejemplo, por su interacción con nuestro aparato de medición. Esta probabilidad es aquella «onda de probabilidad» de que hablamos al describir el experimento de difracción de los electrones.
Resolver la ecuación de Schrödinger en el caso general es un problema extraordinariamente difícil, incluso si para este fin se utilizan los procedimientos más perfectos de las matemáticas superiores. Sin embargo existe un amplio campo de fenómenos que permito simplificar la solución. Nos referimos a los llamados problemas estacionarios, en los cuales la función de onda buscada oscila únicamente en torno a una forma «media», y esta misma forma no cambia con el tiempo.
Fácil es comprender que estos problemas no se refieren a procesos (naturalmente, no periódicos). Porque en todo proceso hay obligatoriamente algo que está dirigido en cierto sentido y que varía con el tiempo. Los problemas estacionarios se refieren a la estructura de los sistemas en los cuales pueden desarrollarse los procesos. Y conocer la estructura tiene mucha importancia: porque no se puede decir nada de un proceso si se desconoce en qué medio ocurre.
Los elementos de este «medio» en el mundo de los objetos súper pequeños son los núcleos, los átomos, las moléculas, los cristales, etc. Sabemos que su estructura se caracteriza por una constancia admirable. A ellos se aplicó en primer lugar la ecuación estacionaria de Schrödinger. De los interesantísimos resultados que se obtuvieron hablaremos en el capítulo siguiente.
Las ondas y los cuantos se unen
En la mecánica cuántica los problemas estacionarios poseen además una propiedad notable. Para comprenderla recordaremos que la relación de incertidumbre abarca no sólo, digamos, la posición y la velocidad de la partícula, sino también su energía y el tiempo.
En este último caso la relación de Heisenberg dice que "la exactitud con que se mide la energía de la partícula puede ser tanto mayor, cuanto más tiempo dure la medición. Esta relación se escribe de una forma muy parecida a la que citamos autores:
![]()
Y ahora, atención. Estacionario quiere decir que la energía de la partícula no varía con el tiempo. Por lo tanto se puede medir en principio durante toda una eternidad: aquí la indeterminación del instante en que se hace la medida, como es lógico, no desempeña ningún papel.
Según esto, podemos suponer tranquilamente que Δt = ∞. Pero entonces, de acuerdo con las leyes de las matemáticas:

En la ecuación de Schrödinger el valor de esta energía toma parte muy activa. Mientras la magnitud E es positiva (y esto, como puede recordarse, responde al movimiento libre de las partículas), la ecuación de Schrödinger tiene una solución que no se anula cualesquiera que sean los valores de E.
Por consiguiente, el cuadrado de esta solución, es decir, la probabilidad, tampoco será igual a cero para ningún valor de E. Traducido al lenguaje ordinario, esto significa que la partícula libre tiene derecho a poseer cualquier energía, cualquier velocidad de movimiento (aunque, claro está, no mayor que la velocidad de la luz) y a encontrarse en cualquier punto del espacio.

Figura 7. Cuadrado de tu función de onda
Estos valores de E se llaman niveles de energía permitidos de la partícula. Observa la figura. En ella se ve que la probabilidad de que esté la partícula es casi nula en todas parles a excepción de los estados en los cuales posee la energía permitida. En estos estados la probabilidad antedicha se diferencia sensiblemente de cero. Los físicos llaman a este estado de cosas discontinuidad de los niveles de energía.
Pero prestemos atención. ¿No le recuerda en algo esta figura de los niveles permitidos de energía el modelo de átomo de la teoría de Bohr? Naturalmente que sí. Es más, son la misma cosa. ¡Las órbitas electrónicas de Bohr son precisamente los estados energéticos en los cuales la probabilidad de que esté el electrón es bastante diferente de cero!
Sin embargo Bohr «inventó» sencillamente estas órbitas, pero no pudo demostrar de alguna forma por qué debían existir. Y he aquí que la mecánica cuántica sienta las bases de esta hipótesis.
También es el fundamento del segundo postulado de Bohr sobre el carácter cuántico de los saltos de los electrones en los átomos. El electrón, como se deduce de la solución de la ecuación de Schrödinger, solamente se puede encontrar en el átomo en los estados en los cuales posee la energía permitida. Por lo tanto, durante los saltos de uno de estos estados a otro, su energía no cambia arbitrariamente, sino en una magnitud exactamente determinada. Esta magnitud es simplemente igual a la diferencia de aquellos dos niveles de energía entre los cuales tiene lugar el salto.
¡Esta diferencia de energía es aquel cuanto de Planck, a partir del cual comenzó el desarrollo de la nueva física! La mecánica cuántica unificó dos hipótesis magníficas — la de Planck, sobre los cuantos de energía, y la de De Broglie, sobre las ondas de materia — demostrando su profunda correlación.
¡Sin las ondas de De Broglie no podrían existir los cuantos de Planck!
Los dos arroyos, estrechos al nacer, de las nuevas hipótesis confluyeron por fin en un caudaloso y único río de conocimientos.
Sigamos el curso de este anchuroso río y contemplemos los admirables paisajes del nuevo mundo que se abre a sus orillas.
Capítulo 4
Átomos, moléculas, cristales
- Nubes en vez de órbitas
- Acerca de la monotonía y la diversidad
- Otra maravilla, pero sin explicación por ahora
- El «arquitecto atómico» trabaja
- Átomos «anómalos»
- Los átomos y la química
- Nacimiento del espectro
- Hayas gruesas y rayas gemelas
- «Casamientos» fie átomos
- Los sólidos son «huesos duros»
- Armazones y pisos de los crista les
- ¡Los aisladores también conducen la corriente!
- ¿Cómo pasa la corriente por el metal? ....
- Una «medianía» admirable
- Una «suciedad» útil
- Átomos generosos y átomos tacaños
Quizá ninguna rama de la física haya conocido unos ritmos de desarrollo tan rápidos Como la mecánica cuántica. En unos cinco años desde el momento en que fue concebida la idea de De Broglie se elaboraron en lodos sus rasgos importantes los métodos y el formalismo matemático de la mecánica cuántica, se obtuvieron resultados de enorme importancia científica y se hicieron intentos profundos de interpretar estos resultados.
En 1928 la mecánica cuántica aparece ante la vista de los admirados contemporáneos como una ciencia completamente formada, madura, armoniosa y fundamentada en medida no menor que la mecánica clásica. Pero para el desarrollo de esta última se necesitaron más de dos siglos, mientras que la mecánica cuántica fue creada en pocos años. ¡Estos son los ritmos del siglo veinte!
Y lo mismo que un torrente impetuoso después de romper un dique se esparce tranquilamente y forma un lago cada vez más amplio, así la mecánica cuántica después de su época quinquenal «de tempestad y empuje» entra en el marco de un desarrollo más tranquilo. Su esfera de acción abarca nuevos grupos de fenómenos, dominándolos y dando una explicación correcta de ellos.
Y, claro está, la primera presa de la mecánica cuántica fue el átomo. Con el átomo comenzó el desarrollo de la nueva física de Planck y de Bohr.
Por él se interesa también en primer lugar la mecánica cuántica.
Ante todo ésta tiene que volver a estudiar cómo está estructurado el átomo. Bohr introdujo la idea de las órbitas electrónicas. Esto, como sabemos, no es consecuente y huele a física clásica. Para la mecánica cuántica el concepto de órbita es inadmisible en general. La órbita es en esencia la trayectoria del movimiento del electrón en el átomo, pero la mecánica cuántica afirma, no sin fundamento, que la idea de las trayectorias de las partículas en el micromundo carece de sentido.
¿Con qué pueden sustituirse las órbitas? Sólo con las distribuciones de las probabilidades de la posición del electrón en el átomo. Ya sabemos que la energía total del electrón en el átomo está definida por su distancia del núcleo. El conjunto de las energías permitidas responde al conjunto de las distancias permitidas del núcleo.
Pero a la órbita, en cierto modo, no queremos renunciar: ¡es tan clara! Y la mecánica cuántica, condescendiendo a las debilidades humanas, permite hacer esto: «Bueno, si tanto lo necesitan, conserven la idea de la órbita. Tracen una línea curva por aquellos puntos en los cuales es mayor la probabilidad de que se encuentre el electrón con la energía permitida dada. Y consideren que esta línea es su órbita. Pero recuerden que el electrón no es un punto, sino que lo extiende su propia onda. Por esto también su órbita tiene sólo un sentido convencional».
Está bien, tenemos que agradecer esto a la mecánica cuántica. Trazamos las órbitas y nos alegramos de ver el sistema armonioso de sus líneas curvas. Y la condescendiente mecánica cuántica agrega entonces: «¿Saben ustedes qué tienen de interesante estas órbitas? Pues resulta que todas ellas son tales, que en su longitud cabe exactamente un número entero de ondas electrónicas de De Broglie. En la primera, y más próxima al núcleo, órbita, cabe una onda, en la segunda, dos, en la tercera, tres, y así sucesivamente».
Esto es en efecto muy interesante y nos sirve de nueva demostración de la esencia «universal» de las ondas de de Broglie.
Pero la mecánica cuántica no permite pararnos en contemplaciones. «Basta — nos dice—, se han deleitado ya con las órbitas intuitivas y basta. Ahora olvídense de ellas, porque en realidad no existen. En vez del electrón en una órbita tendrán que figurarse una «nube de probabilidad». Así precisamente es cómo se representa el electrón en el átomo. En aquellos sitios donde la probabilidad de que se encuentre el electrón es mayor, la nube será más densa, y en otros sitios, más transparente. Vean las fotografías de estas nubes».
¿Fotografías? Entonces, ¿se ha conseguido fotografiar los inatrapables electrones? No hay que alegrarse antes de tiempo: las relaciones de indeterminación no pueden soslayarse. Estas fotografías no son de átomos, sino de modelos de humo especiales, que exteriormente se asemejan a la distribución de las densidades en las «nubes de probabilidad» de los electrones atómicos.
En estas fotografías se ve que las nubes electrónicas tienen formas diversas. Unas son esféricas, otras alargadas, como un cigarro puro. Esta diversidad de formas se debe a que la energía de los electrones en los átomos depende no sólo de las distancias a que se encuentran del núcleo.

Figura 8
Como sabemos, esta interacción so define por la ley de Coulomb. La energía de esta interacción sólo depende de la distancia entre el electrón y el núcleo. Esto explica por qué la nube del electrón del átomo de hidrógeno tiene la forma de capa esférica: porque los puntos de la superficie de la esfera equidistan todos del centro de ésta, es decir, en este caso, del núcleo. Todos los puntos de la nube electrónica responden por esto a una misma energía del electrón.
Pero cuando en el átomo aparecen electrones adicionales, el cuadro de las interacciones eléctricas entre sí y con el núcleo pierdo esta forma «primitiva» que tiene en el átomo de hidrógeno. Va que los electrones ahora no sólo son atraídos por el núcleo, sino que se repelen también entre sí.
Está claro que en la numerosa familia de un átomo complejo, todos los electrones, aunque estén disgustados entro sí, sienten un cariño irresistible por el centro de la familia, por el núcleo. La naturaleza juega sabiamente con estas relaciones mutuas y pronto establece un orden riguroso en las familias' atómicas.
La forma que toma este orden podemos figurárnosla aproximadamente por las fotografías que se reproducen. Las formas de las nubes electrónicas se complican considerablemente, penetran unas en otras. Aparece la filigrana de sus entrelazamientos. Si esta figura pudiera representarse en tres dimensiones y pintarla en distintos colores, nos asombraríamos de su belleza cambiante.
El cuadro rayado de las órbitas electrónicas, ¡qué lejos está de ella!
Acerca de la monotonía en la diversidad
Lo que alegra la vista hace que trabaje la inteligencia. ¿Cómo aclarar lo que ocurre en los complicadísimos entrelazamientos de las delicadas nubes electrónicas?, ¿cómo establecer dónde termina una nube y comienza otra?
Para esto tendremos que echar una ojeada al taller del «arquitecto atómico» — la naturaleza — y comprender cómo levanta edificios tan minúsculos y al mismo tiempo tan bellos y sólidos como son los átomos.
El material de construcción que utiliza la naturaleza para hacer los átomos es bien conocido: los electrones y el núcleo. También sabemos cuál es el cemento que los une: la fuerza de atracción de los electrones por el núcleo, cuya carga es de signo contrario.
Y henos ya en el taller de nuestro arquitecto. Lo primero que atrae nuestra atención es una tabla enorme, que ocupa todo un testero: el sistema periódico de los elementos, la tabla de D. Mendeleiev. Hasta hoy están ocupadas 104 casillas de esta tabla, es decir, se conocen 104 elementos químicos.
Según estos ciento cuatro «proyectos estándar», la naturaleza construye en serie miríadas de edificios atómicos en todo el Universo. ¡Más de cien «proyectos», no es poco!
Pero... no nos apresuremos a envidiar la diversidad atómica, porque sólo es así a primera vista. La naturaleza construye de un modo mucho más económico que el arquitecto más sensato.
Ante todo explicaremos el principio fundamental por el que se guía el arquitecto atómico cuando pone los ladrillitos del edificio del átomo. Este principio fue descubierto por el científico austro-suizo Wolfang Pauli, en los años en que aparecía la mecánica cuántica, y ha recibido su nombre.
Es aplicable no sólo a los átomos, sino también a otras muchas colectividades de partículas del micromundo. El principio de Pauli dice: en toda colectividad de electrones, cada estado de energía permitida puede estar ocupado nada más que por una partícula.
Es verdad que, posteriormente, se demostró que este principio no es absolutamente universal, correcto para todos los tipos de micropartículas. Las objeciones necesarias las iremos haciendo durante la marcha de nuestra exposición, y por ahora indicaremos que este principio es aplicable siempre a los electrones, cualesquiera que sean las «colectividades» que formen.
Aquí la «colectividad» de electrones es un átomo. Otro átomo será otra «colectividad». Pero en todos los átomos de un elemento químico dado, las familias electrónicas son semejantes unas a otras como dos gotas de agua. (Comprendemos perfectamente que esta comparación no es acertada. ¡A dónde va la igualdad de las gotas de agua en comparación con la identidad de dos átomos! Algún día se dirá: se parecen como una pareja de electrones).
Otra maravilla, pero sin explicación por ahora
Retornemos al «arquitecto atómico». Aunque tendremos que desviar nuestra atención una vez más para hablar del llamado espín del electrón.
El sentido que tiene el espín lo expondremos dos capítulos más adelante. Por ahora indicaremos brevemente que el espín es imposible de comprender desde las posiciones de la física clásica. Sus descubridores supusieron ingenuamente que el espín podía estar ligado de cierta forma con la «rotación propia» del electrón («spin» significa en inglés «trompo»).
¿La Tierra, gira alrededor del Sol? Gira. Pero además gira alrededor de su propio eje.
El electrón gira alrededor del núcleo, Pero, exactamente lo mismo, puede a la vez girar alrededor de su propio eje.
¿Ha comprendido usted esta «clara explicación»? ¿Si? Pues ahora hay que dejarla.
¿Que el electrón gira alrededor del núcleo? ¡Ni mucho menos! El movimiento del electrón en el átomo es mucho más complicado, intentar representarlo valiéndose del concepto «clásico» de rotación es dar una copia lamentable y desfigurada de la realidad.
¿Que el electrón gira alrededor de su propio eje? Ni remotamente ocurre nada semejante. Porque la mecánica cuántica se figura el electrón no como una esfera, sino como un punto [7]. Pero, ¿qué es el «eje» del electrón? ¿.Que el punto, que carece de dimensiones, «giro» alrededor de sí mismo?, ¡esto es algo que no se concibe!
Así, pues, resulta que de! espín del electrón es imposible dar una representación más o menos gráfica. Pero tampoco son más gráficos los «centauros» que hasta ahora conocemos, es decir, la partícula-onda (electrón) y la onda-partícula (fotón).
La existencia del espín se manifiesta en el electrón atómico en que al momento de la cantidad de movimiento (momento cinético o de impulsión) del electrón, que éste posee en su movimiento en el átomo en torno al núcleo, se añade cierta magnitud, correspondiente ya al movimiento intrínseco del electrón. En otras palabras, esta magnitud no depende de si el electrón se mueve alrededor del núcleo o viaja «semilibre» por un trozo de metal o, por fin, se mueve prácticamente en completa libertad por el espacio interestelar. El espín del electrón tiene siempre la misma magnitud y sólo existe «sin separarse» de él.
El espín del electrón en el átomo puede sumarse al momento cinético del electrón, que responde a su movimiento alrededor del núcleo, o restarse de él. Esto se puede expresar en otras palabras: ambos valores del momento cinético total del electrón responden como a movimientos intrínsecos opuestos del electrón, que en esencia no difieren en nada uno de otro. Esto «en esencia» tiene un sentido exacto: en un átomo que no esté sometido a ninguna acción exterior, los dos movimientos señalados tienen la misma energía.
Como resultado, cada nivel de energía permitido puede estar ocupado en el átomo no por uno, sino por dos electrones cuyos espines tengan sentidos opuestos.
El "arquitecto atómico" trabaja
Y ahora retornamos definitivamente al taller del «arquitecto atómico». Vamos a recorrer la exposición de «proyectos estándar».

Figura 9. Exposición de los proyectos del arquitecto atómico
«Proyecto estándar» Nº 2. Átomo de helio. Al parecer, en él tampoco puede haber nada interesante. Acabamos de explicar que cada nube electrónica puede estar formada por dos electrones. Por lo tanto el átomo de helio, al parecer, no diferirá considerablemente del átomo de hidrógeno. Veamos el «modelo acabado»: efectivamente así es, sólo que la nube electrónica es dos veces más densa y se encuentra más próxima al núcleo. Ahora está formada no por uno, sino por dos electrones.
En el átomo de litio («proyecto estándar» Nº 3) notamos la formación de una segunda nube electrónica esférica, dentro de la cual se encuentra la primera, la del helio. Esto está claro: el principio de Pauli no permite que en cada «apartamento» energético del átomo vivan más de dos electrones.
El segundo vecino del «apartamento del segundo piso» se presenta en el átomo que sigue al de litio, es decir, en el de berilio. Hasta ahora la casa atómica va siendo ocupada con orden y decorosamente.
Pero nos dirigimos al «proyecto estándar» Nº 5, al átomo de boro. Por lo visto nuestro «arquitecto atómico» tuvo que cavilar mucho para poder instalar a un nuevo inquilino. Había que reducir el volumen de la casa atómica y aposentar de tal modo al electrón-inquilino, que se encontrase lo menos posible con los que se habían domiciliado antes. Porque los vecinos atómicos se llevan muy mal unos con otros. Sienten mutua repulsión y, aunque vivan en un mismo apartamento, prefieren no verse y se mueven como si fueran en sentidos opuestos.
El «arquitecto atómico» halló una solución completamente modernista: hizo un apartamento que pasaba a través de todos los pisos de la casa atómica y en él aposentó al quinto inquilino. Por lo visto, al «arquitecto» le gustó tanto esta solución, que en el «proyecto» siguiente — átomo de carbono — aposentó en este apartamento «vertical» un segundo vecino.
Los cuatro «proyectos estándar» que van a continuación no nos ofrecen nada nuevo. El «arquitecto» dominó seriamente la idea de los apartamentos de «entrepisos» y practicó otros dos, que forman ángulos de 120 grados con el primer apartamento y entre sí.
Ahí tiene los artificios a que tuvo que recurrir la naturaleza para alojar a estos huraños vecinos en el pequeño volumen de la casa atómica. Eso sí, ahora ya no riñen ni exigen cambio de domicilio, cosa que tiene mucha importancia para la solidez de la casa en que viven.
Porque la naturaleza no construye los átomos para que duren un día.
Y aquí se revela ante nosotros, tras el principio de Pauli, un segundo principio tan general como aquél, por el cual se rige la naturaleza al construir los átomos. Este principio es el de la ventaja energética.
La repulsión mutua de los electrones debe aumentar mucho la energía potencial del átomo. Pero en la naturaleza cualquier formación es tanto más segura y estable cuanto menor es su energía potencial. Si usted se cae desde un décimo piso a la calle, la impasible naturaleza no se condolerá en absoluto, pero en cambio se apresurará a decirle: «ahora se siente usted más estable».
Esta misma tendencia a la estabilidad se pone de manifiesto también en el mundo de los átomos. Será estable el átomo que tenga la energía potencial menor posible. Y la naturaleza, al elaborar sus «proyectos estándar» de los átomos, ha gastado no poco esfuerzo en vencer la mutua antipatía de los electrones, compensándola magistralmente con la atracción común de los electrones por el núcleo.
Hasta ahora el principio de la ventaja energética sólo se ha manifestado en los átomos en la caprichosa planificación interna de las estructuras atómicas. Pero aguarde y verá como se pone también de manifiesto en la no menos original distribución de la «superficie habitable» de los átomos.
Átomos "anómalos"
Ya hemos encontrado dos principios fundamentales de la construcción y ocupación de los edificios atómicos. Son éstos el principio de Pauli y el principio de la ventaja energética.
¿Y en qué se revela la naturaleza ondulatoria de los electrones?, ¿sólo en que en vez de las órbitas electrónicas existen en el átomo «nubes de probabilidad» con carga?
No. Resulta que las ondas de De Broglie en el átomo tienen otra notable manifestación. Ellas determinan la «capacidad» de las construcciones atómicas.
Recordaremos que las nubes electrónicas se caracterizan porque a lo largo de ellas cabe un número entero de ondas de De Broglie. Resulta que este número define no sólo el «número» de la ex-órbita, sino también la densidad de la nube electrónica formada por todos aquellos electrones para los cuales cabe en la nube un mismo número de sus ondas de De Broglie.
A esta nube electrónica «unificada» (que ya nos imaginamos que está compuesta por una serie de nubes «apareadas») le dieron los físicos el nombre, no muy afortunado, de capas. La mecánica cuántica ha establecido la relación que existe entre la capacidad de una capa, es decir, el número máximo de electrones que puede haber en ella, N, y el «número» de la capa, o sea, el número de ondas electrónicas que caben en ella, n. Esta relación tiene una forma muy simple:
N = 2 n2
Así, en la primera capa (que se designa con la letra K) pueden encontrarse 2 x 11 = 2 electrones; en la segunda (designada por L), 2 x 22 = 8 electrones; en la tercera (M), 2 x 32 = 18 electrones; en la cuarta (N), 2 x 42 = 32; en la quinta (O), 2 x 5 2 = 50 electrones y así sucesivamente.
Mantengamos estos números en la memoria y retornemos a la arquitectura de los átomos. Vemos que primera se ocupa la capa K, que es la más pequeña y la que tiene menor capacidad. Su ocupación termina ya en el átomo de helio. Puede decirse que esta capa es un piso con un apartamento para dos.
La segunda capa es de estructura más compleja. Esta capa ocupa no sólo el segundo piso, sino que además tiene tres «entrepisos», cada uno de los cuales es también un apartamento para dos. Su ocupación acaba en el átomo de neón («proyecto estándar» Nº 10, o décima casilla de la tabla periódica de D. Mendeleiev).
Luego comienza la ocupación de la tercera capa para 18 habitantes. Hasta el argón (N 18) todo transcurre como en la capa anterior. Primero se ocupa el propio tercer piso y después tres «entrepisos» o apartamentos que cruzan. Pero he aquí que en el átomo que sigue al argón, el potasio, se altera este orden.
Ahora hay que ocupar otros cinco apartamentos «entrepisos», pero planificados de otro modo. A diferencia de los tres primeros, estos apartamentos son aún más estrechos y alargados. Y el nuevo inquilino se niega a ocupar un apartamento tan incómodo y exige que le den una vivienda de condiciones normales.
Y se sale con la suya. El «arquitecto» lo aposenta en un buen apartamento del cuarto piso. Y para que no se aburra estando solo, en el átomo que va detrás del potasio, es decir, en el de calcio, añade a él otro electrón.
¡Aquí es donde se manifiesta plenamente el principio de la ventaja energética! Porque la cuestión no está, como es natural, en los antojos del electrón-inquilino y en la falta de genio de la naturaleza-arquitecto. Todo consiste en que la instalación del electrón en el piso siguiente, cuando el anterior aún no está ocupado en su totalidad, le da al átomo más estabilidad que si la ocupación se hiciera «como indica la ley». La energía potencial de repulsión de los electrones en este átomo resulta ser menor.
Pero después, como si se diera cuenta de improviso, la naturaleza restablece con mano dura el orden anterior de ocupación del átomo. En nuevo átomos — desde el escandio (N 21) hasta el cobre (N 29) — los «nuevos» inquilinos se van estableciendo en aquellos mismos apartamentos largos, estrechos e incómodos.
Estos átomos, en los que ya están habitados los apartamentos «de arriba», cuando los «de abajo» aún siguen vacíos, debido a la alteración del orden acostumbrado durante su ocupación, adquieren toda una serie de propiedades peculiares. Por esto se les llama átomos «anómalos». En nuestro deambular por el taller del «arquitecto atómico» nos encontraremos con ellos más de una vez.
Así, pues, en rigor, la capa tercera debería terminarse de ocupar en el níquel (N 28). Pero como la naturaleza, antes de llenar por completo una capa, comenzó a poblar otra, las capas se confundieron, y la tercera va siendo «sigilosamente» ocupada hasta el fin cuando la cuarta ya ha comenzado a ser habitada — en el zinc (N 30).
En adelante las cosas no mejoran. En cuanto hay que ocupar los apartamentos «entrepisos» estrechos y largos, la naturaleza no puede oponerse a las exigencias de los electrones, y antes aposenta un par de inquilinos en el piso siguiente, es decir, en la capa que sigue. Sólo después, como encubierta demostrativamente por ellos, va llenando poco a poco los incómodos apartamentos del piso de abajo.
La misma historia que en el grupo que va del escandio hasta el cobre, se repite en los grupos de átomos que comprenden desde el itrio, (N 39) hasta el paladio (N 46) y desde el lantano (N 57) hasta el iterbio (N 70). Y en lo sucesivo todos los átomos, hasta llegar al último que ha sido descubierto — el kurchatovio (N 104)—, van con defectos de ocupación. En éstos no es ya una, sino dos o tres las capas que esperan a sus habitantes. Los esperan, pero éstos no llegarán nunca, por causas que explicaremos en el capítulo siguiente.
Esto puede parecer que carece de armonía, pero en cambio es ventajoso desde el punto de vista energético. Así es cómo construye la naturaleza.
De este modo resulta que la ley ondulatoria que determina la población y el orden de ocupación de los edificios atómicos, no es omnipotente. Con frecuencia es corregida por otra ley no menos importante y poderosa: la de la estabilidad de los átomos que la naturaleza crea.
Los átomos y la química
A punto ya de terminar nuestra excursión por el taller del «arquitecto atómico», detengámonos finalmente ante la tabla del sistema periódico de D. Mendeleiev. Esta tabla la conocemos desde la escuela.
En su parte izquierda está la columna «Períodos» y en ella se dan unas cifras. ¿Cuántas en total? Siete. ¿Cuántos elementos diferentes hay en cada período (es decir, cuántas construcciones atómicas)? En el primero, 2; en el segundo, 8; en el tercero, también 8; en el cuarto y en el quinto, 18 en cada uno; en el sexto, 32 (no se olvide de contar los elementos lantánidos, que están al pie de la tabla), y en el séptimo, hasta ahora hay 18 (las causas de esto, como ya se dijo, se explicarán en el capítulo siguiente).
Ahora recordemos las cifras que caracterizan la «capacidad» de las capas electrónicas en orden creciente: 2, 8, 18, 32, etc. Comparemos estas cifras con las antes citadas: son iguales. Pero hay una cosa que no está clara: ¿por qué algunas cifras se repiten dos veces en la tabla periódica (2, 8, 8, 18, 18, 32)? (El último período no lo tendremos en cuenta por ahora).
Esta repetición de cifras es el resultado de aquellas alteraciones del orden de ocupación de los átomos por los electrones a que nos referimos antes. Por esto el tercer período, en vez de terminarse en el níquel (N 28), termina ya en el argón] (N 18). Y después’ este «desplazamiento», sobre el que se superponen los «desplazamientos» debidos a otras alteraciones del orden de ocupación de los átomos, continúa hasta el final de la tabla periódica.
Como resultado de esto, la correspondencia entre las capas y los períodos no es tan simple. Sin embargo, la «capacidad» del período nunca supera la «cabida» de las capas correspondientes. De esta forma la representación cuántica de la ocupación de los átomos explica un rasgo importante del sistema periódico.
Miremos ahora el encabezamiento de la tabla. Con letras grandes vemos escrito: «Grupos», y debajo números romanos del I al VIII y, en el extremo derecho, 0. ¿Qué significan estas cifras? Cualquier escolar responderá inmediatamente: «Estas son las valencias de los elementos».
Seremos rigurosos y le corregiremos. En primer lugar, no son simplemente las valencias, sino las valencias con respecto al flúor (o, como a veces se dice, con respecto al hidrógeno). Y, segundo, ¿qué es la valencia?
Nuestro escolar continuará diciendo en seguida que la valencia es el número de átomos de otro elemento con los que puede unirse... etc. Pero hoy este concepto sólo se conserva quizá en la química descriptiva («lo ponemos en un recipiente, lo calentamos, observamos, añadimos otro reactivo, precipita...»). La química teórica hace ya mucho tiempo que se apoya en otro fundamento, en el físico.
La valencia, o más exactamente, la valencia con respecto al flúor, es el número de electrones que hay en la capa del átomo más externa, es decir, más apartada del núcleo. Con esta definición la valencia coincide siempre con el número del grupo, excepto en las dos últimas columnas de la tabla periódica. Sería más correcto poner la cifra VIII sobre la última columna, y sobre la penúltima poner tres: 0, 1 y 2. Para esto, como veremos, hay razones importantes.
Pero, ¿por qué no hay nunca más de ocho electrones en la capa externa del átomo? Esto es fácil de comprender si recuerda el orden de distribución de la «superficie habitable» de los átomos. En la primera capa sólo hay dos electrones; en la segunda, 8; en la tercera debería haber 18, pero su ocupación se detiene temporalmente en el argón, cuando en ella hay 8 electrones. Después de esto la capa exterior es la cuarta, mientras la tercera, convertida así en interna, se acaba de poblar debajo de ella. Lo mismo ocurre a su vez con la cuarta y así sucesivamente.
En cuanto la capa exterior llega a ser ocupada por ocho electrones, resulta no ser ventajoso que se siga llenando. Pero después de esto aparece una nueva capa, y la inacabada queda dentro del átomo. La cuestión de si se acaba de poblar o no, ahora no nos importa: las propiedades químicas del átomo las define físicamente su capa externa.
De este modo son posibles ocho tipos de comportamientos químicos de los átomos, de acuerdo con el número de electrones que hay en su capa exterior. Antes de seguir adelante hay que señalar, que la capa de ocho electrones, cuando está poblada totalmente, posee una energía potencial considerablemente menor que cuando los apartamentos que hay en ella están vacíos o semivacíos. Siendo esto así, el átomo que tenga esta capa llena poseerá gran estabilidad, incluso desde el punto de vista químico.
Los átomos que tienen las capas externas totalmente ocupadas pasan «como nobles» por entre la multitud de la «plebe» química, y muy raras veces entra en contacto con ella. Estos elementos recibieron el nombre de «nobles» o inertes. Todos ellos figuran en la última columna de la tabla de Mendeleiev.
Los «aristócratas» del mundo atómico se pasean a la vista de la multitud, y esta los envidia e intenta imitarlos en la medida de sus fuerzas. Todos los átomos «innobles» ponen de manifiesto más o menos claramente una marcada tendencia a crearse una capa exterior de ocho electrones.
Pero como solos no pueden conseguirlo, buscan socios. Claro está que si uno tiene una aristocrática casaca y el otro un elegantísimo calzón, esto es poco para vestir a dos, no se puede vestir más que uno.
En estas condiciones ocurre lo que los químicos llaman una reacción y nosotros, figuradamente, llamaremos «sacrificio»: el uno le da al otro sus calzones y sigue tras él desnudo. Poro éste no es el «rey desnudo»: cuando se quita su ropa descubre que llevaba debajo galas verdaderamente aristocráticas. (Es verdad que esto sólo se refiere a los átomos que siguen al neón).
En efecto, veamos, por ejemplo, la reacción entre el sodio y el cloro, que como sabemos ocasiona la formación de la «salada» molécula NaCl. El átomo de sodio tiene el «calzón»: en su órbita exterior, es decir, tercera, sólo habita un electrón. El átomo de cloro es propietario de la «casaca»: en su tercera órbita hay siete electrones. El sodio se sacrifica gustoso y le cede al cloro su único electrón, y el cloro adquiere así una «noble» capa de ocho electrones.
Pero el sodio tampoco se perjudica. Después de quitarse el «calzón» pone al descubierto... el grupo completo de ocho electrones del gas noble neón. Así logran dos «villanos» convertirse en «aristócratas», ahora bien, a diferencia de los verdaderos «aristócratas», esto sólo es posible mientras vayan juntos, ligados entre sí formando una molécula.
Los átomos, de esta forma, se dividen en «dadores» y «aceptadores». Aquéllos que tienen en su capa exterior menos de cuatro electrones, los dan fácilmente. Y aquéllos en los cuales es mayor este número, los toman. En efecto, es más fácil adquirir dos electrones que dar seis (esta situación se presenta en el átomo de oxígeno).
En el grupo número IV se encuentran los «villanos perezosos». Tienen cuatro electrones en la capa exterior y a veces dudan entre «aceptar» o «dar». Estos elementos recibieron el nombre de anfóteros, que en el dialecto químico significa aproximadamente «ni carne ni pescado». De estos elementos puede esperarse en realidad cualquier comportamiento químico.
Y en el grupo VIII se hallan nuestros átomos «anómalos». Están en él, hablando en general, no por derecho propio. En la capa exterior tienen uno o dos electrones, pero nunca más. Sin embargo, la población de la capa que hay debajo de aquélla ejerce una influencia considerable y muy compleja sobre el comportamiento de los electrones de la capa exterior.
Como resultado de esto los átomos «anómalos» son capaces de hacer cualquier truco. Por ejemplo, por regla general tienen valencia variable: en una reacción una, en otra, otra. El hecho de que les hayan puesto bajo el número VIII sólo significa que la valencia más alta con respecto al oxígeno puede ser en ellos igual a 8, en otras palabras, cada átomo fie éstos puede unirse con cuatro átomos de oxígeno.
Pero no piense que los otros átomos «anómalos», que se ocultan en otras casillas de la tabla periódica, se comportan con mayor corrección. ¡Ni mucho menos! Son tan capaces de hacer extravagancias como sus colegas del grupo VIII.
La tabla de Mendeleiev no refleja esta circunstancia, ni puede exigírsele que no haga, porque cuando fue creada nadie conocía aún la estructura del átomo. Y los científicos de hoy tampoco se apresuran a rehacer radicalmente la tabla. En comportamiento de los elementos anómalos hay todavía muchas cosas incomprensibles. Cuando todo se aclare...
Nacimiento del espectro
Ahora, cuando ya hemos visto el átomo «a la luz» de la mecánica cuántica, debemos conocer su radiación. Usted recordará sin duda que la teoría de Bohr, al explicar el origen de los espectros de los átomos, no pudo definir correctamente sus regularidades. La mecánica cuántica tuvo que introducir las correcciones necesarias en el cuadro dibujado por Bohr.
La mecánica cuántica está de acuerdo, en principio, con la explicación fiel origen de los espectros que da la teoría de Bohr. Cuando los electrones atómicos saltan fie un estado con una energía a otro estado con otra energía, la diferencia de estas energías encarna en forma de cuanto de energía electromagnética, es decir, de fotón. Pero en esta explicación se introduce después una corrección.
¿De dónde y a dónde salta el electrón? Mientras en la teoría existen órbitas electrónicas, es fácil de comprender. El electrón iba por su órbita como por una vía y, de improviso, saltaba a otra vía. Si al dar este salto disminuía su energía, se engendraba un fotón. En cambio, si en la nueva vía su energía era mayor, quiere decir que el fotón había sido absorbido antes del salto.
Pero la mecánica cuántica renuncia a las órbitas y las sustituye por nubes electrónicas. El proceso de los saltos de electrones pierde claridad. Ahora hay que interpretarlo como una variación instantánea de la forma y de la posición de la nube electrónica en el átomo. La emisión o la absorción de un fotón actúan como si sacudiera la «jalea» atómica y ésta tomara otra forma.
La mecánica cuántica prescinde de la evidencia e introduce, para definir los saltos electrónicos, una nueva cualidad, la probabilidad. En la teoría de Bohr, el salto del electrón de una órbita a otra es posible siempre y su probabilidad no depende de cuáles son las órbitas. En esta conclusión reside la raíz de su fracaso.
La mecánica cuántica demuestra que esta deducción no es correcta. Los saltos electrónicos tienen una probabilidad que depende esencialmente de la forma de las nubes electrónicas que corresponden al electrón antes del salto y después de él. Con la particularidad de que la probabilidad del salto, en términos aproximados, será tanto mayor cuanto más se sobrepongan estas nubes entre sí, cuanto más considerable sea su penetración mutua.
Hablando figuradamente, el electrón puede saltar al nuevo estado como un pasajero que sallase de un tren a otro, que por un instante pasase junto al primero. Está claro que para esto no basta comunicarle al pasajero la energía necesaria para el salto. Hace falta además que los trenes marchen juntos. Y, completando nuestra analogía, indicaremos que, cuanto más largos sean los dos trenes, cuanto mayor sea la «región del espacio» en que están cerca el uno del otro, tanto más fácil le será al pasajero saltar del primer tren al segundo.
Algo parecido ocurre en el átomo. En él los «trenes» tienen la forma de nubes electrónicas. Como ya sabemos, esta forma puede ser muy diversa, tanto esférica como de cigarro puro (fusiforme).
El estudio de la forma de las nubes electrónicas sugiere leyes elementales (claro que sólo de palabra). Dos nubes esféricas con un centro común (en el núcleo del átomo) prácticamente penetran muy débilmente la una en la otra; puede decirse con toda la razón que no se tocan. Por lo tanto, entre los estados a que estas nubes responden, el salto electrónico no puede efectuarse. Ahora, si introducimos un cigarro puro en una esfera, no es difícil convencerse de que se corlarán tanto más, cuanto más grueso y más corto sea el puro. Dos puros también pueden cortarse, pero en este caso el cálculo es ya más complicado. Sólo está claro que un puro grueso y corto y otro delgado y largo penetran más el uno en el otro que un puro delgado en una esfera.
De acuerdo con esto serán las probabilidades de los saltos de electrones de la nube esférica a la fusiforme o entre dos nubes fusiformes. Las regularidades que hacen que los saltos electrónicos en los átomos se dividan en más probables y menos probables han recibido en la mecánica cuántica el nombre de reglas de selección.
Estas reglas las formuló la mecánica cuántica de un modo muy terminante, permitiendo unos saltos y prohibiendo otros, mucho menos probables. Pero la naturaleza no obedeció esta prohibición.
Las reglas de selección sólo se cumplen más o menos bien en los átomos ligeros, en los cuales hay todavía pocos electrones, porque sus nubes aún se cortan entre sí con bastante poca frecuencia. Pero en los átomos mult¡electrónicos pesados, en los cuales se produce un verdadero «revoltijo» de nubes, las prohibiciones de la mecánica cuántica pierden su fuerza en gran medida.
Así, en los saltos de electrones durante el caprichoso y rápidamente variable palpitar de las nubes electrónicas, se engendran fotones. Cuando llegan a un aparato espectral y son sometidos en él a «clasificación», los fotones producen rayas espectrales de todos los colores del iris. Cuanto más fotones emita el átomo cada segundo, tanto más brillante será la raya que le corresponde.
Y si el número de átomos no varía, la brillantez de las rayas espectrales podrá depender únicamente de la frecuencia de los saltos electrónicos en los átomos. Y esta frecuencia, como ya sabemos, está determinada por la probabilidad de los saltos. A diversas nubes, diferentes probabilidades: unas grandes, otras insignificantes.
A cada energía del fotón, a cada raya espectral le corresponde su probabilidad y su brillo. Así se origina el espectro del átomo, compuesto por una serie de rayas de diversa brillantez.
Sin embargo, es más fácil hablar de todo esto que calcular la penetración de las nubes electrónicas unas en otras y que calcular las probabilidades de los saltos electrónicos. Pero la mecánica cuántica resolvió brillantemente este problema y consiguió una magnífica concordancia con los espectros observados. Ahora el edificio de la espectroscopia se asienta sobre un fundamento verdaderamente de granito.
Rayas gruesas y rayas gemelas
Al parecer, los especialistas en espectroscopía deberían estar satisfechos. Pero ocurrió lo contrario. La técnica del análisis de los espectros se desarrollaba rápidamente y sus aparatos eran cada vez más potentes y sensibles.
Y los especialistas en espectroscopia les hicieron a los físicos teóricos dos nuevas y difíciles preguntas.
¿A un fotón, le corresponde una raya de una frecuencia, de una longitud de onda? Sí. Pues entonces, ¿por qué en la placa fotográfica del aparato espectral no salen las rayas infinitamente delgadas, sino que tienen cierta anchura, a veces bastante considerable?
Antes de la aparición de la mecánica cuántica podían los físicos haberse roto la cabeza durante diez años en resolver este problema, tan elemental a primera vista. Ahora sólo so requirió una meditación relativamente breve.
Culpables de este hecho resultaron ser también las propiedades ondulatorias del electrón con su atributo invariable, la relación de indeterminación.
Ya dijimos que el electrón en el átomo tiene una energía exactamente determinada. Entonces, ¿qué indeterminación puede haber? La energía inicial está determinada, la final, también; entonces, su diferencia, que responde a la energía del fotón, también deberá ser una magnitud absolutamente exacta.
No obstante, resulta que aquí existe una pequeña complicación. Los niveles exactos de energía responden, como se recordará, a los estados estacionarios de los electrones, es decir, a los estados que no varían «nunca». Pero, ¿qué es un salto electrónico si no una alteración del estado estacionario? El electrón estaba en un estado y saltó a otro, por lo tanto ya no existe el estado «eterno». E inmediatamente entra en vigor la relación de Heisenberg.
¿Cuánto tiempo «vive» un electrón en el átomo tranquilamente, hasta el salto de turno? Este tiempo no es siempre el mismo. Llamémosle Δt. Y entonces, por comparación con la fórmula de páginas anteriores, se obtiene inmediatamente el valor de la incertidumbre en la energía del fotón:
ΔE ~ h/Δt
Y a partir de ella, por la fórmula de Planck para los cuantos de energía, es fácil pasar a la incertidumbre en la frecuencia del fotón. Esta resulta estar ligada simplemente con el tiempo «de vida sedentaria» del electrón en el átomo:Δω ~ 1/Δt
En otras palabras, cuanto más «sedentaria» sea la vida del electrón en el átomo, tanto más estrechas serán las rayas que responden a sus transiciones a otros estados y viceversa. Precisamente por esto, cuando las temperaturas y presiones son altas y muchos electrones llevan en el átomo una vida «de gitanos», las rayas espectrales son muy gruesas y están fuertemente difuminadas.La segunda pregunta difícil fue motivada por el hecho de que muchas rayas espectrales que respondían al parecer a una longitud de onda, en realidad resultaron estar formadas por una serio de rayas muy próximas entre sí. Esta estructura «fina» de las rayas espectrales sólo pudo descubrirse ya en nuestro siglo XX, gracias a los éxitos de la técnica espectral.
Resultaba que en los saltos electrónicos entre unos mismos estados pueden generarse fotones con energías que difieren, aunque sea un poco. Según esto, los físicos no habían hecho más que jactarse de que podían determinar exactamente la energía de los electrones en los átomos.
Los físicos desmintieron con indignación esta sospecha. No obstante, para esto tuvieron que «idear» ... el espín. Sí, el espín se descubrió precisamente en virtud de estas «finuras» de los espectros.
El estado común de dos electrones con espines en sentidos opuestos, del que ya hablamos al visitar el taller del «arquitecto atómico», resulta que, al producirse los espectros, no es del todo «común». Aquí nos es imposible explicar la compleja interacción del momento de impulsión ordinario y del espín del electrón; algo acerca de esto se dirá más adelante.
Por ahora señalaremos que esta interacción es precisamente la que hace que las energías de los electrones resalten un poco diferentes para los distintos sentidos de los espines. Esto provoca el desdoblamiento de las rayas espectrales: en vez de una raya, aparece una pareja de rayas mellizas.
Es cierto que estas «mellizas» sólo se generan en aquellos casos en que en la capa electrónica exterior habita un solo electrón. Pero si el número de electrones que hay en esta capa, aumenta, pueden originarse «trillizas», «cuatrillizas» e incluso «descendencias» aún más numerosas de la antigua raya espectral. En el mundo atómico, a diferencia del humano, este es un fenómeno muy corriente.
Así, honrosamente, respondió la mecánica cuántica a las dos preguntas difíciles que le hicieron los especialistas en espectroscopia.
Con esto terminamos nuestro relato acerca de los átomos. A continuación conoceremos la vida de las «familias» atómicas —moléculas— e incluso de «ejércitos» atómicos enteros — cristales.
"Casamientos" de átomos
¿Recuerda lo que hicieron los átomos-«villanos» que querían imitar a los átomos «aristócratas» de los elementos inertes? Se vistieron como nobles, pero «juntos». Y a veces tienen que compartir el traje entre tres, cuatro e incluso más socios.
Si esta picardía se mira desde lejos, puede pasar. Una molécula entera es capaz algunas veces de pasar a través de una multitud de átomos tan independientemente como el átomo de un elemento inerte. Pero de cerca se descubre el engaño.
En vez de átomos, en la molécula se albergan tanto «seres» demasiado bien vestidos, como «seres» desnudos, los cuales se llaman iones positivos y negativos. El proceso de redistribución de los trajes electrónicos no transcurre en balde para ellos. El átomo que se apoderó de la ropa electrónica de su socio, se aforra a ella y no quiere soltarla. Pero el socio desnudo no quiere que le quiten sus prendas para siempre. Y así subsisten en un estado de «coherencia», que científicamente se llama molécula iónica.
Las fuerzas de cohesión de estas moléculas son en lo fundamental las fuerzas de la atracción eléctrica ordinaria entro iones con cargas de signo contrario. La mecánica cuántica casi nada tiene que hacer aquí por ahora.
Existe una gran variedad de moléculas iónicas. En ellas se «casan» átomos, de los cuales uno pertenece necesariamente a la mitad izquierda de la tabla de Mendeleiev, y el otro, a la mitad derecha. Cuanto más lejos se encuentren en la tabla el uno del otro, tanto más unida será la «familia». Y viceversa, para los átomos cuyos grupos están próximos en la tabla, su «casamiento» no es tan «anhelado» y la «familia» resulta menos unida.

Figura 10
Para explicar su existencia hubo que recurrir a la mecánica cuántica. En efecto, figúrese que un átomo de hidrógeno se acerca a otro. Hasta ahora ni el uno ni el otro han constituido su «familia» y, como suele ocurrirles a los solteros, envidian a los casados. El primer átomo le dice al otro:
— Deme sus prendas y nos uniremos formando una molécula.
— Lo mismo puedo proponerle yo, con no menos derecho — le responde orgullosamente el segundo.
— Entonces, ¿quiere que cambiemos de vestidos?
—¿Para qué, si con ellos nada varía? ¿No son acaso iguales nuestros vestidos?
Durante esta conversación está presente, como es natural, el «arquitecto atómico» — sólo que ahora quiero construir no átomos, sino moléculas—, el cual dice a sus dos orgullosas creaciones:
—A pesar de todo junten sus prendas. De todas formas no podrán hacer con ellos una indumentaria «aristocrática» de ocho electrones, por no haber suficiente material. Dejen que un electrón viva un poco en un átomo y luego en el átomo socio y que el otro electrón haga lo mismo.
— ¿Y qué cambia con esto? Nosotros ya nos propusimos mutuamente trocar nuestros electrones—, le respondieron los orgullosos.
— Están en un error. No tuvieron en cuenta que llegará un momento en que los dos electrones estarán en un átomo, mientras que en el otro, no habrá ninguno. Y entonces ustedes se parecerán a dos iones con cargas de signo contrario. La diferencia con una molécula iónica consistirá en que en ella un átomo cede electrones y el otro los acepta, de manera, que en esta molécula, los átomos están en la práctica ionizados constantemente. En el caso de ustedes sólo tendrá lugar un intercambio de electrones. Uno de ustedes se cubrirá de electrones y el otro se desnudará, o al contrario.
— Y, ¿con cuánta frecuencia tendremos que hacer el intercambio? — preguntaron los átomos cediendo.
— Con bastante — les respondió el «arquitecto»—. Si yo hablara en la «lengua semiclásica» de la teoría de Bohr, diría que, aproximadamente después de cada sexta vuelta por la órbita, el electrón de un átomo debe pasar al otro, de forma que su órbita se parezca a un ocho.
— ¿Qué, probamos? — se interrogaron entre sí los átomos.
Hicieron la prueba y... formaron una «familia» admirablemente unida. Descubrir este ingenioso artificio de la naturaleza y, tanto más, calcular lo que de él se obtiene, sólo podía hacerlo la mecánica cuántica. A la interacción de átomos iguales que ocasiona la formación de moléculas, le llamó justamente la mecánica cuántica interacción de intercambio. La física clásica no podía ni pensar en semejante interacción.
¿Cómo se produce este intercambio de electrones, según lo concibe la mecánica cuántica? Mientras los átomos se hallan lejos uno de otro, las nubes de sus electrones no se superponen prácticamente entre sí. Pero en cuanto estos átomos se aproximan lo suficiente, en virtud de la mutua penetración de las nubes electrónicas, surge una apreciable probabilidad de que el electrón de cada uno de los átomos se encuentre junto al núcleo del átomo-socio, es decir, la probabilidad del intercambio.
¿Es muy grande esta probabilidad? En la molécula de hidrógeno, de cerca de un 15 por ciento. En otras palabras, diez minutos cada hora se reúnen en un átomo de hidrógeno los dos electrones y en el otro no queda ninguno.
¿Es esto suficiente para asegurar que los átomos enlacen fuertemente en la molécula? El cálculo, realizado por los científicos ingleses Heitler y London valiéndose de la mecánica cuántica, respondió que sí. Y, en efecto, en esta cuestión la teoría coincide magníficamente con la experiencia.
La unión de los vestidos electrónicos de los átomos «pobres» o, al contrario, demasiado ricos en ellos, mediante el intercambio, es muy corriente en el mundo de las moléculas.
Por ejemplo, en el átomo de nitrógeno («proyecto estándar» Nº 7) hay en total siete electrones. Dos de ellos están en la capa interna y no participan en el intercambio. Pero en las capas externas de los átomos «casados» se reúnen cinco electrones en cada una.
En el átomo de oxígeno, que sigue al de nitrógeno, en el intercambio toman parte ya seis electrones de cada átomo, formando una molécula de dos átomos de oxígeno ordinario. Y en la molécula del oxígeno triatómica — ozono — la unificación incluye 18 electrones.

Figura 11
Esta construcción molecular no recuerda ya por su arquitectura a los átomos que la componen. Varía el alojamiento de sus habitantes y la propia forma de los apartamentos. Por esto las propiedades de las moléculas difieren sensiblemente de las de los átomos que las constituyen.
Los sólidos son "huesos duros"
Llegamos al siguiente recodo del camino de nuestra narración y ante nosotros se abre un nuevo paisaje. Es el más habitual, porque casi todo lo que nos rodea en la tierra son cuerpos sólidos. Pero aunque exteriormente nos sean tan familiares, encierran en sí gran cantidad de enigmas, no todos descifrados hasta hoy.
A principios del siglo veinte la física había acumulado ya un imponente material acerca de las propiedades de los sólidos. Sabía que los sólidos pueden ser cristalinos y amorfos, que conducen de un modo distinto el calor y la electricidad y que en grado diferente dejan pasar la luz y el sonido. Pero aún no puede explicar convincentemente una siquiera de estas propiedades de los sólidos.
Sin embargo, esto hace mucha falta. La técnica en su impetuoso desarrollo incluye en el consumo cada vez más materiales naturales nuevos. En muchos casos estos no pueden satisfacer las condiciones que aquélla impone, y la técnica espera con impaciencia materiales artificiales poseedores de cualidades extraordinariamente elevadas, como gran dureza, conductibilidad eléctrica, resistencia al calor y otras muchas.
¿Cómo conseguir estos materiales? ¿Por «arte de magia», haciendo infinidad de combinaciones con materiales conocidos y con las condiciones de su elaboración, hasta conseguir lo que hace falta? No, éste era el procedimiento de los alquimistas. La ciencia moderna tiene que ir por otro camino.
Y otra vez entra en función la mecánica cuántica. Y una vez más, en pocos años, logra resultados considerables. Empezó por intentar comprender la estructura de los cristales y en primer lugar la de los metálicos.
Efectivamente, empezar por los cristales es más fácil. Un cristal es una disposición ordenada y periódica de los átomos en el espacio, que recuerda una estructura reticular. Sólo que a diferencia de una red ordinaria, el cristal no tiene dos, sino tres dimensiones. En la red del cristal se hallan los átomos a distancias constantes unos de otros, que se llama períodos de la red. En el caso general los períodos pueden ser tres, según las tres dimensiones de la red: de longitud, de anchura y de altura.
En la naturaleza lo más corriente no son los elementos puros, sino sus combinaciones. Las redes de estos cristales las forman átomos de varios tipos. Un ejemplo sencillo de esto son los cristales de hielo. En ellos hay dos tipos de átomos, de hidrógeno y de oxígeno, siendo, de acuerdo con la fórmula del agua, dos veces mayor el número de átomos de hidrógeno que el de átomos de oxígeno.
U otro ejemplo, la red de los cristales de la sal común, NaCl. En los puntos de intersección de los eslabones de la red, llamados nodos, se encuentran alternativamente iones de sodio y de cloro. Precisamente iones, y no átomos. Tiene mucha importancia el hecho de que, al quedar «aprisionadas» las moléculas de sal en el sólido, se conserva el carácter iónico del enlace de sus átomos.
Pero la molécula como tal deja con esto de existir. Ahora es imposible separarla. En efecto, cada ion de sodio está rodeado de iones de cloro, y cada ion de cloro, rodeado de iones de sodio. ¡Intente hallar dónde está aquí la antigua molécula!
Entre los iones de este cristal actúan las fuerzas eléctricas ordinarias. El ion de sodio atrae a los iones de cloro que lo rodean directamente, y éstos atraen a su vez a nuevos iones de sodio, pero repelen a los iones de cloro vecinos. Como resultado del juego de estas fuerzas de atracción y repulsión, se origina cierto orden de equilibrio de los iones. Este es la red cristalina.
Esta disposición es en realidad de equilibrio y estable. En cuanto un ion se desvía de su posición, disminuye la fuerza con que lo atraen los iones del otro tipo, pero aumenta la fuerza con que lo repelen los iones de su tipo. La acción mancomunada de estas fuerzas obliga al ion a retornar a su posición anterior.
En rigor, el ion oscila todo el tiempo en torno a su posición estable, debido a los casuales «impulsos» térmicos, lo mismo que una bola sujeta simultáneamente por varios resortes. Las oscilaciones térmicas de los iones en la red determinan muchas propiedades importantes de los sólidos.
Y como en el caso de las moléculas iónicas, aquí, en el caso de los cristales iónicos, la mecánica cuántica tampoco tiene por ahora mucho que hacer. La física presta atención a los cristales metálicos, que son los más importantes para la técnica moderna.
Aquí la situación es completamente diferente. Supongamos que toda la red está construida de un solo metal, es decir, de átomos de un mismo tipo. Es fácil comprender que, en este caso, no pueden existir iones con cargas de signo contrario. Si un átomo cede voluntariamente un electrón, ¿por qué los demás no pueden hacer lo mismo?
¿Puede ocurrir esto en realidad? En la «memoria» de la mecánica cuántica aún está fresca la victoria obtenida sobre la molécula de hidrógeno. ¿Y si el cristal metálico es en efecto una «molécula» covalente gigantesca, compuesta de muchos billones de átomos?
Esta ingeniosa idea resultó ser cierta. La naturaleza no había ideado nada nuevo. El «truco» con el intercambio de electrones entre dos átomos le salió bien, y la naturaleza extendió esta experiencia a un «auditorio» electrónico mucho más numeroso.
Y a pesar de todo, esto, en realidad, no es tan fácil. Los sólidos demostrarán aún, en más de una ocasión, que pueden ser huesos duros hasta para los agudos colmillos de la mecánica cuántica.
Armazones y pisos de los cristales
Los átomos de los metales, al unirse en un cristal, socializan en realidad sus electrones de valencia, es decir, los superficiales. Como resultado aparece una arquitectura «con armazón», específica de estos cristales. En los nodos de la red se encuentran los pesados iones rodeados de la nube electrónica común, ligera y móvil. Esta nube desempeña el papel de cemento que sujeta y une a los hostiles iones con cargas de igual signo. Los iones son, a su vez, el cemento que retiene a los electrones, que tienden a escapar en todas las direcciones.
Los electrones en el metal, como ya dijimos, son «casi» libres. En efecto, cuando cada átomo echa su parte en la «olla común», el electrón deja de pertenecer sólo a él y se convierte en criado de billones de amos.
Conviene decir que esta libertad no se concede a todos los electrones y ni siquiera a todos los de valencia. Cada uno de los átomos sólo cede a la posesión en común uno o dos de sus electrones externos, mientras los demás siguen «encerrados bajo el poder de su «amo». Pero, aun así, el ejército de los electrones casi libres es colosal: en un centímetro cúbico de metal su número es del orden de 1022 a 1023,
El cristal metálico podría decirse que tiene una organización «social» más perfecta que la del cristal iónico. Este último es una especie de sociedad esclavista: todos los electrones llevan una existencia de esclavos dentro de sus átomos. El metal es más bien una sociedad feudal, donde cada señor libera a una parte de sus esclavos, con la condición de que le paguen gabelas.
Este perfeccionamiento no tardó en influir sobre las propiedades del cristal. El metal obtuvo la posibilidad de conducir la corriente eléctrica.
Si se aplica un campo eléctrico ordinario a un cristal iónico, aquél sólo redistribuye un poco, como si alargase, las nubes electrónicas de sus átomos. Consecuencia de esto es la llamada polarización eléctrica del cristal. Pero ni un solo electrón de los iones se libera y los propios iones permanecen en sus nodos. Y como no hay portadores de carga libres, no hay corriente eléctrica. Los cristales iónicos son aisladores.
En los metales, en cambio, hay portadores de carga casi libres —electrones— más que suficientes. Por esto conducen bien la corriente eléctrica.
¿Y qué sitio ocupan los semiconductores? Esto lo determinaremos más adelante.
Ahora vamos a examinar una importante condición establecida por la mecánica cuántica para los metales. ¿Qué energías poseen los electrones «socializados» en el metal? La respuesta parece fácil. Estos electrones se liberaron de los átomos y por lo tanto pueden tener, al parecer, cualesquiera energías. Recordaremos que para los electrones libres desaparece el carácter cuántico de sus niveles de energía.
Pero no nos apresuremos a sacar esta conclusión. Los electrones se han ido efectivamente de los átomos, pero no han abandonado aún el trozo de metal. Ahora no están sometidos a las leyes atómicas, pero en el metal existen leyes generales que rigen el comportamiento no ya de un solo electrón, sino de todo el ejército electrónico.
¿Qué leyes son éstas? Como recordará, las leyes atómicas se hallaron resolviendo la ecuación de Schrödinger. Cuando quisieron saber las leyes de la vida de los electrones en los cristales metálicos, los físicos procedieron de un modo análogo. Resolvieron la ecuación de Schrödinger para el movimiento de los electrones en el campo eléctrico periódico de los iones positivos situados regularmente en los nodos de la red cristalina del metal.
Aquí conviene hacer un pequeño paréntesis. Hasta ahora, cuando hablábamos de cómo influye un átomo sobre otro situado cerca de él, señalábamos, como si dijéramos, sólo la parte externa de esta influencia.
¿Pero qué ocurre al mismo tiempo dentro de los propios átomos? En ellos las nubes electrónicas varían su configuración. Esto se consiguió saber gracias a un fenómeno descubierto por el físico alemán Stark antes de que apareciera la mecánica cuántica en su forma actual. Sometiendo una sustancia a un potente campo eléctrico, Stark descubrió que se producía un desdoblamiento de las rayas espectrales que dicha sustancia emitía.
Esto recuerda en algo el fenómeno que describimos antes al referirnos a las rayas gemelas. Pero no, estos dos fenómenos no tienen nada de semejanza. He aquí lo que indudablemente les es común y pudo demostrar la mecánica cuántica: el desdoblamiento de las rayas espectrales responde al de los niveles de energía de los electrones atómicos.
Así, pues, un campo eléctrico aplicado desde fuera a un átomo, desdobla los niveles energéticos de sus electrones. La acción del campo eléctrico de un átomo que se aproxima hasta una distancia suficientemente pequeña a otro átomo (en cuyo caso el campo será bastante considerable), en esencia no diferirá en nada de lo antes expuesto.
Y, en efecto, cuando se forma la molécula, los niveles de energía que responden a los distintos átomos que entran en ella, desaparecen. Desdoblándose, mezclándose, desplazándose hacia arriba y hacia abajo por la escala de energías, dan como resultado los niveles de energía moleculares. Estos responden ya a toda la molécula en conjunto.
Pero lo que ocurre en la molécula se manifiesta aun más claramente en el cristal, donde en una proximidad inmediata, que se repite a todo lo largo del cristal, se encuentra una enorme cantidad de átomos. Un cristal es una especie de molécula gigante «congelada».
El campo eléctrico unificado de todos los átomos de esta «molécula» desdobla los niveles de energía de cada uno de ellos en un número colosal de subniveles muy próximos entre sí. El carácter discreto, el aislamiento mutuo de los niveles de energía permitidos del electrón, desaparece prácticamente por completo. Parece que el electrón adquiere la posibilidad de tener cualquier energía.
Y aquí se puso en claro un hecho importante. Mire la figura. La conclusión antes sacada, acerca de que el electrón puede tener cualquier energía en el metal, parece que se confirma, pero con una excepción considerable. ¿Ve las franjas blancas que hay entre las rayadas?

Figura 12
Pero incluso en las mismas franjas rayadas, denominadas bandas permitidas, tampoco tiene el electrón cualquier energía. Si el cuadro verdadero pudiéramos reproducirlo en el papel y observarlo, veríamos que en estas franjas existen distintos niveles de energía. Pero en cada franja hay tantos (recordemos que en cada centímetro cúbico de metal hay unas huestes innumerables de electrones), que se confunden en una sucesión prácticamente continua.

Figura 13
En cada nivel de energía de una banda permitida del metal pueden estar solamente dos electrones, dice el principio de Pauli. Hay sitio para todos, hay niveles suficientes e incluso más que suficientes. En el metal siempre hay «viviendas» desocupadas. En condiciones normales todos los electrones pueden alojarse en una sola banda, en la más baja permitida, en el primer «piso».
¿Qué hay debajo de él? Debajo de él está el «sótano», en cual viven los electrones no socializados, que pertenecen a los distintos átomos, pero no a todos los átomos del metal en conjunto. El aislamiento del sótano y primer piso no es absoluto: entre ellos hay una escalera con un solo escalón, igual por su altura a la primera banda prohibida. Un electrón del sótano puede saltar al primer piso únicamente si se le da un buen «capirotazo»: quedarse en la banda prohibida por falta de energía no puede, no tiene derecho.
Los físicos llamaron al sótano energético banda de valencia, y a todas las bandas permitidas las reunieron bajo la denominación común de bandas de conducción. El origen de estas denominaciones no es difícil de comprender: en el sótano viven los electrones exteriores, determinantes de la valencia, pero que todavía no son libres, y en el primer piso y en los otros más altos, los electrones que participan en la conducción de la corriente eléctrico.
¡Los aisladores también conducen la corriente!
En los aisladores, claro está, todos los electrones sin excepción están encerrados en el sótano. En las condiciones normales su banda de conducción está vacía: la primera banda prohibida es demasiado ancha y los electrones no tienen suficiente energía para poder saltarla.

Figura 14
Para explicarlo no hacía falta en realidad recurrir a la mecánica cuántica. Porque el hecho de que un electrón entre en la banda de conducción, sólo significa que éste se ha escapado del estrecho mundo atómico en que vivía hasta entonces y so ha convertido en casi libre. Y la energía necesaria para su liberación es simplemente igual a la anchura de la banda prohibida que separa el sótano del primer piso.
Podemos figurarnos todo esto como si un «impulso» térmico lanzara el electrón fuera del átomo, ionizando a éste. Y el electrón desprendido del átomo, pero que aún no tiene la posibilidad de abandonar el trozo de aislador, se mueve por él de un modo casi completamente libre.
Pero resulta que si a un aislador se le aplica un campo eléctrico muy potente, se hace también conductor de la corriente eléctrica. ¡Alto! ¡Pero si esto es algo muy conocido! Pues claro que sí, la emisión fría de electrones por los metales, de que hablamos en el capítulo precedente. Pero allí se trataba de un metal, mientras que aquí, de un cristal iónico. Allí los electrones se escapaban al «exterior», mientras que aquí sólo saltan de la banda de valencia a la de conducción.
Y, a pesar de estas diferencias, el fenómeno, en ambos casos, es el mismo. Tanto allí como aquí se produce un «prodigio»: el efecto de túnel.
En efecto, ¿qué es la banda prohibida si no una barrera de potencial de longitud prácticamente infinita (para el electrón, claro está)?
Este es aquel mismo escalón que sólo tiene lado «derecho». El campo eléctrico, igual que antes, lo tuerce, crea en él un lado «trasero». Y como resultado toma la barrera una longitud finita.
Después todo se repite como de costumbre. Los electrones comienzan a infiltrarse de la banda de valencia, pasando por esta barrera, a la banda de conducción. Al principio aparece una corriente eléctrica pequeña, porque la probabilidad de infiltración es pequeña y a la banda de conducción pasan pocos electrones. Pero esta corriente, al pasar por el cristal, lo calienta, como lo hace el alambre arrollado en espiral de un hornillo eléctrico. Este calentamiento a su vez agrega nuevos destacamentos de electrones a la banda de conducción. De este modo parece que, en el aislador la corriente se impulsa a sí misma.
Y al cabo de un instante se produce la ruptura eléctrica del aislador. Esta va acompañada de la ruptura por calor: el aislador se funde. Después de esto el aislador puede desecharse tranquilamente: ya no sirve más.

Figura 15
Estas corrientes son muy débiles y no pueden dañarlos. Este procedimiento consiste en iluminar los cristales iónicos. Los fotones, al incidir sobre el cristal, arrancan de él electrones de la banda de valencia y los hacen pasar a la de conducción. Se trata de un efecto fotoeléctrico verdadero, pero ahora no «externo», sino «interno». Este fenómeno ya no es pernicioso, sino muy útil para muchas aplicaciones prácticas.
¿Cómo pasa la corriente por el metal?
¡Hasta de vergüenza hacer estas preguntas en nuestro culto siglo! — puede decir el lector con reproche. — Los electrones que proceden del manantial de corriente entran por un extremo del conductor, el campo eléctrico los impulsa por el metal, y salen por el otro extremo. Lo mismo que el agua impelida por una bomba pasa por un tubo».
Pero nosotros no sentirnos vergüenza. Que nuestro docto crítico procure explicarnos en este caso por qué se produce la resistencia eléctrica. El conductor no es un tubo, ni sus paredes son rugosas. ¿Por qué, entonces, el metal, repleto de portadores de corriente, se resiste a que ésta pase?
Esta es una de esas preguntas «ingenuas» cuya respuesta nada tiene de ingenua. La corriente eléctrica se conoce desde hace más de siglo y medio, pero la respuesta a la pregunta planteada sólo pudo darse hace cerca de treinta años.
La física clásica intentó explicar la resistencia eléctrica así: el movimiento dirigido de los electrones — es decir, la corriente eléctrica — sufre alteración debido a las vibraciones térmicas de los iones en la «armazón» del metal. Estas oscilaciones desvían los electrones de su camino.
Como resultado, el movimiento de éstos empieza a parecerse al que tendrían las personas que anclasen por una casa en la cual se balancean las paredes y tiemblan los suelos.
Está claro que mientras menores sean las oscilaciones de las paredes y los suelos, más fácil será andar por la casa. A la temperatura del cero absoluto, cuando las vibraciones térmicas de los iones cesan totalmente, la resistencia eléctrica cae hasta cero.
Esto se parece a la verdad, por lo menos para los metales muy puros, exentos prácticamente de toda sustancia extraña. El quid reside precisamente en las impurezas. La resistencia de los metales «impuros», al descender la temperatura no tiende a cero, sino a otro valor distinto de él, que depende de la cantidad y tipo de impurezas que contenga el metal. Cuanto mayor sea la cantidad de impurezas, más alta será la resistencia residual.
¿Y qué dice, a propósito de esto, la física clásica? Nada. A ella le da igual un átomo de metal que un átomo de impureza: a igual temperatura ambos vibran con la misma energía y dificultan el andar por casa con igual actividad.
La mecánica cuántica, en cambio, resultó ser mejor «observadora»: para ella los átomos «nuestros» y «extraños» que hay en la red se diferencian con la misma claridad que si estuvieran pintados de distintos colores. ¿Y cómo explica la resistencia eléctrica?
Para comprenderlo tendremos que recordar el célebre experimento con que dimos comienzo a nuestro relato sobre la mecánica cuántica, el experimento acerca de la difracción de los electrones en un cristal. En él los electrones incidían sobre las capas externas de los átomos del cristal, se reflejaban parcialmente en ellas y producían en la placa fotográfica los anillos de difracción.
¿No puede, acaso, considerarse la corriente electrónica en el metal como un haz de electrones? Claro que sí. En este caso los electrones también se mueven en filas alineadas en una dirección común, con la única diferencia de que el haz es más ancho y ocupa toda la sección del trozo de metal. Pero de esto se deduce inevitablemente que el paso de los electrones por el metal debe ir acompañado de una «difracción interna» de los electrones en los iones de la red. Si dentro del trozo de metal se consiguiera poner una placa fotográfica, en ella también podría producirse una figura de difracción.
La difracción posee una propiedad interesante. En cuanto se altera la regularidad en la disposición de los objetos que dispersan las ondas, desaparece la figura nítida y la placa fotográfica resulta velada casi uniformemente, La dispersión de las ondas se hace, como dicen los físicos, homogénea.
Precisamente un desorden, de este tipo en la estructura regular del cristal metálico es el que introducen las vibraciones de sus iones en presencia de átomos de sustancias extrañas. Y, como resultado, las ondas de los electrones que participan en la corriente, se dispersan en todas las direcciones.
Los átomos de las impurezas suelen tener, por regla general, otras dimensiones, completamente distintas, y otra capa electrónica que el átomo del metal. Al introducirse en su red, los átomos de las impurezas la deforman. Siguiendo con nuestra comparación, el átomo de impureza puede equipararse por su acción con un corredor torcido o con un hundimiento inesperado del suelo. Está claro que estos defectos de la casa se conservan cuando las paredes y el suelo dejan de balancearse. En efecto, las deformaciones que introducen en la red del metal los átomos de la impureza, no dependen de la temperatura y se conservan incluso en el cero absoluto. La dispersión de las ondas electrónicas en estas deformaciones de la red es la causa de la resistencia eléctrica residual de los metales, que desde el punto de vista de la física clásica era inexplicable.
Así, pues, resulta que los metales, aunque conducen bien la corriente, distan mucho de lo ideal. Sin embargo, no todos y no siempre. La naturaleza, como si estuviera descontenta de su obra, decidió demostrar que era capaz de hacer más. Y creó los superconductores.
Una serio de metales y aleaciones a temperaturas muy bajas comienzan a comportarse de un modo muy extraño. Cuando las temperaturas son aún una buena decena de grados superiores al cero absoluto, la resistencia eléctrica de estas sustancias se anula de improviso, de golpe. Este fenómeno, descubierto hace medio siglo, recibió el nombre de superconductibilidad.
La física clásica no pudo explicar este fenómeno. Conviene advertir que incluso la «poderosísima» mecánica cuántica tuvo que dedicarle tres largas decenas de años a este problema para poder resolverlo. ¡Era demasiado «intrincado» el fenómeno!
La solución del enigma de la superconductibilidad se encontró hace pocos años. Una aportación considerable a esta solución fueron los trabajos del físico soviético N. Bogoliúbov y colaboradoras. Hablar de esto detenidamente en las páginas del presente libro es imposible. Nos limitaremos a hacer una pequeña comparación que, aunque comprensible, es bastante burda.
El truco de la superconductibilidad consiste en que, a temperaturas ultrabajas, próximas al cero absoluto, en una serie de metales, y debido a peculiaridades de sus estructuras, la interacción de la nube electrónica con los iones de la «armazón» cambia radicalmente. Si hasta entonces cada «soldado» del «ejército electrónico» combatía por su cuenta, a la temperatura en que aparece la superconductibilidad los electrones se agrupan formando parejas.
Esto no tarda en reflejarse en el carácter que toma la «guerra» que dentro del metal se hacen los electrones y los iones. Si antes cada electrón participaba individualmente en los choques con los iones y era fácil ponerlo fuera de combate, ahora las parejas de electrones avanzan sin responder a los ataques de los iones aislados con que se topan a su paso. Los electrones se comportan como si hubieran dejado de ver el cerco agresivo de iones en que se encuentran.
Es natural que con esto disminuyan considerablemente las dificultades que encuentra en su camino el «ejército electrónico». Y como resultado desciendo la resistencia eléctrica del metal.
El nuevo procedimiento de hacer la «guerra», expresándonos en el lenguaje de los físicos, consiste en que ahora las longitudes de onda que corresponden al movimiento de los electrones en el metal, tienen magnitudes de un orden que supera en millares y decenas de millones de veces las distancias que hay entro los iones. Si ha leído usted atentamente este capítulo, podrá inmediatamente descubrir el secreto de la nueva «táctica»: la longitud de onda de la pareja electrónica resulta sor tan grande en comparación con los obstáculos iónicos que hay en su camino, que desaparece la difracción de los electrones aislados que acompaña el paso de la corriente por el metal en las condiciones ordinarias. Y con ella desaparece también la resistencia a la corriente.
Pero esta formación ideal sólo la tiene el «ejército electrónico» mientras que los ataques de los iones no son suficientemente enérgicos. Cuando la temperatura pasa de cierto límite, los choques con los iones deshacen instantáneamente las parejas en soldados aislados. Y entonces los soldados se baten otra vez individualmente con el enemigo y la resistencia eléctrica del metal se restablece.
¿Qué? ¿Valía la pena hablar de cómo pasa la corriente por el metal?
Una "medianía" admirable
Usted, por lo visto, se imagina a qué medianía nos vamos a referir ahora. En la naturaleza, en realidad, la inmensa mayoría de las sustancias no pertenecen a los conductores de corriente eléctrica ni a los aisladores, sino a los semiconductores.
Sus propiedades intermedias resultaron de tanto valor, que los semiconductores, llamados a la vida activa durante las últimas décadas, han promovido una verdadera revolución en la técnica. Estas propiedades, que quizá usted ya conozca, son: los semiconductores, a diferencia de los aisladores, conducen ya la corriente a la temperatura ambiento, y, a diferencia de los conductores, su resistencia eléctrica no aumenta con el calor, sino so disminuye.
La naturaleza no ha interpuesto un precipicio intransitable entre los aisladores, los semiconductores y los conductores. En rigor, ya conocemos esta sima. Es la primera banda prohibida entre la banda de valencia, llena de electrones, y la banda de conducción, en la cual hay muchos estados electrónicos desocupados.
En los aisladores, para salvar el escalón que separa el angosto sótano del primer piso, los electrones necesitan tener una gran energía, porque este escalón es muy alto. Esta energía únicamente pueden obtenerla a altas temperaturas (recordemos la ruptura por calor).
En los semiconductores este escalón es mucho más bajo. La energía correspondiente a él pueden adquirirla los electrones, que habitan en el sótano, a temperaturas del orden de la del medio ambiente. Por eso el primer piso en los semiconductores empieza a ser ocupado por los electrones antes, y a la temperatura ordinaria estas sustancias, aunque no muy bien, conducen la corriente.
En otras palabras, cuando se aplica un campo eléctrico pequeño a un semiconductor, en él se produce un movimiento dirigido de los electrones de la banda de conducción. Veamos lo que ocurre en el sótano mientras tanto.
Allí también pasan cosas interesantes. Es el caso que el electrón que se muda al primer piso deja tras sí un apartamento libre. En el angosto sótano comienza inmediatamente un reparto. Pero el apartamento sólo puede ser ocupado por un electrón. Uno cualquiera de los electrones que se hallan más cerca lo ocupa. Pero a su vez deja libre el apartamento que antes ocupaba, al cual se muda otro electrón.
Saltando de un apartamento a otro, los electrones del sótano parece que quieren imitar al electrón que corre por el primer piso. Es algo así como si un canguro quisiera imitar a un corredor.
El corredor da saltos relativamente pequeños y frecuentes, que desde lejos no se ven, y parece que su velocidad aumenta de un modo completamente suave. El canguro, en cambio, se mueve a saltos grandes y poco frecuentes.
Si se considera que el primer apartamento electrónico se queda libre en el centro de la ciudad, las mudanzas de los electrones hacen que el apartamento, al fin y a la postre, se «aleje a saltos» hacia los suburbios de la ciudad.
A este apartamento electrónico viajero le llamaron los físicos «hueco». Está claro que éste se comporta al contrario que el electrón que lo abandonó. Si el electrón se mueve en el campo eléctrico de izquierda a derecha, el hueco que él deja se desplaza en sentido contrario, de derecha a izquierda, es decir, se comporta en el campo como si fuera una partícula cargada positivamente. Y, además, a diferencia del electrón, se mueve a saltos grandes y poco frecuentes.
Sin embargo, a bajas temperaturas todos los electrones están encerrados aún en el sótano. A medida que crece la temperatura se va liberando un número de electrones cada vez mayor, aumenta la corriente y la resistencia del semiconductor disminuye. En comparación con un metal, todo ocurre al contrario.
Hasta ahora nos hemos referido a los semiconductores puros. El mecanismo que hemos descrito de la corriente en ellos se llamó de conducción verdadera o intrínseca. Pero los semiconductores puros, en general, ofrecieron poco interés para la técnica. Todas las maravillas de que son capaces los semiconductores sólo se ponen de manifiesto cuando se les añaden impurezas.
Una "suciedad" útil
La suciedad no sólo es fea, sino también perniciosa para la salud.
Sin embargo, ¡cuántas personas hay que se curan con lodo! Este simple ejemplo muestra que la suciedad «casual» es perjudicial casi siempre, mientras que una suciedad «determinada» y estrictamente dosificada puede ser útil.
Los semiconductores también se «ensucian» con facilidad, puesto que no están solos en el mundo. Sobre los cristales de las sustancias semiconductoras se depositan, y después penetran en ellas mismas, átomos de «suciedad» o impurezas. Y estas impurezas, si son casuales, como ocurre por regla general, son nocivas para las aplicaciones técnicas de los semiconductores. ¡La naturaleza no previó que los semiconductores le harían falta al hombre!
Pero algunas impurezas, en cantidades rigurosamente dosificadas, son muy útiles. Precisamente con ellas empiezan a producirse las maravillas que son capaces de hacer los semiconductores.
Lo que es útil para una cosa es pernicioso para otra. Si se quiere tener un metal de alta conductibilidad, cualesquiera impurezas le serán perjudiciales.
La causa de esto ya la conocemos. Los átomos de impurezas que penetran en la red cristalina del metal, la deforman. Estas deformaciones dispersan fuertemente las ondas de los electrones que transportan la corriente. Como resultado de esto disminuye la conductibilidad del metal y su resistencia aumenta.
Pero estas mismas deformaciones de la red son la llave del éxito de los semiconductores. Esto se explica porque la estructura de las bandas energéticas del cristal es extraordinariamente sensible a la forma que tiene la red cristalina. A otro cristal, otro sistema de bandas de energía.
Sin embargo, los átomos de impureza que se introducen cambian no la forma de toda la red cristalina, sino únicamente la de algunas de sus zonas lindantes con los átomos de impureza. El cuadro de las bandas, general para todo el cristal, cambia sensiblemente de forma en estas zonas, a saber: en la banda prohibida que separa la banda de valencia de la banda de conducción, aparecen niveles de energía adicionales, permitidos para los electrones.
Estos niveles aparecen, no obstante, sólo allí donde hay átomos de impureza. Para diferenciarlos de los niveles que existen en todo el cristal de semiconductor, recibieron el nombre de niveles locales.
Por consiguiente, variando el número de estos átomos, puede regularse la conductibilidad de los semiconductores. En esto consiste su magnífica peculiaridad.
En el metal también influye en la conductibilidad la cantidad de impurezas, pero siempre en un sentido: cuanto más impurezas, menor conductibilidad, siendo relativamente pequeños los límites en que puedo variar. En cambio, en los semiconductores puede variarse la conductibilidad no sólo con el número de átomos de impureza, sino también con el tipo de estos y en muchos millares y millones de veces.
Átomos generosos y átomos tacaños
Los semiconductores de impurezas o extrínsecos más difundidos en la actualidad se basan en los elementos químicos germanio y silicio.
¿Qué elementos son estos? Veamos la tabla periódica de Mendeleiev. El silicio (Nº 14) y el germanio (Nº 32) se encuentran en el IV grupo. De este grupo dijimos en otra ocasión que no era «ni carne ni pescado». Y así es en efecto. El germanio y el silicio no son conductores ni aisladores: son semiconductores típicos.
En la capa externa de estos átomos hay cuatro electrones. Cuando los átomos se unen en un cristal, todos estos electrones van a formar los enlaces mutuos entre los átomos. Llevan vida de esclavos en el sótano. Por esto, cuando las temperaturas son bajas, el silicio y el germanio no conducen la corriente.

Figura 16
En la capa externa del átomo de arsénico hay cinco electrones. Cuatro de ellos los entrega para compensar los enlaces químicos que tenía el antiguo dueño de este puesto en la red, es decir, el germanio. ¿Y el quinto? Se queda sin trabajo.
El cálculo demuestra que la energía de este electrón responde precisamente a un nivel de la banda prohibida, pero que está cerca de su «techo». Para que este electrón pase a la banda de conducción hay que comunicarle una energía adicional muy pequeña. Esta energía es 10 a 15 veces menor que la altura de la propia banda prohibida.
El átomo de arsénico, que cede generosamente su átomo al cristal-amo, recibe el nombre de donador. Y los correspondientes niveles electrónicos se llaman niveles donadores.
Pero en vez del arsénico puede tomarse cualquier elemento del grupo que está a la izquierda del germanio, por ejemplo, el boro (Nº 5). Este elemento se encuentra en el III grupo y, por consiguiente, en la capa externa de sus átomos sólo hay tres electrones. Al ocupar en la red el puesto del átomo de germanio, el de boro sólo puede compensar tres de los cuatro enlaces químicos que tenía su poseedor anterior.
¿Qué hacer? El átomo de boro se mete a «ladrón». Roba un electrón al átomo de germanio que es vecino de él en la red. El ejemplo de este átomo de boro resulta contagioso: a un robo le sigue toda una serie de ellos. El átomo de germanio «robado» por el átomo de boro le quita un electrón a otro átomo de germanio vecino, éste, al siguiente, y así sucesivamente. Aparece un apartamento electrónico libre que se va desplazando cada vez más lejos del átomo de germanio que fue el primero en «robar» a su vecino.

Figura 17
Al mismo tiempo en la banda prohibida, junto a su mismo «fondo», se forman también niveles de energía locales. Pero ahora estos niveles pueden ser ocupados no por electrones, sino por huecos.
Los átomos como el «ladrón»-boro se denominaron aceptores. Y los niveles de huecos que a ellos responden, se llamaron niveles aceptores.
Según cuáles sean los átomos introducidos en la red de germanio o de silicio, en estos elementos resultan posibles dos formas ríe conducción eléctrica: por electrones y por huecos.
Una vez más rogamos al lector que se figure claramente que el hueco sólo es una designación convencional, aunque en realidad muy conveniente, del movimiento de los electrones. El hueco es la representación del electrón que, en la banda de valencia llena, salta de átomo en átomo lo mismo que el canguro. Mientras que el electrón en la banda de conducción se parece más a un corredor que se desplaza suavemente. Mejor dicho, a un corredor a «trote corto», aunque corra mucho más deprisa que el hueco. Ya dijimos antes que los niveles electrónicos en la banda de conducción también están separados unos de otros, pero estas distancias entre niveles son tan insignificantes, que los niveles prácticamente se confunden entre sí.
Retornemos a nuestro relato. Hagamos la prueba de adicionar al germanio átomos de boro y de arsénico. ¿Qué tipo de conductibilidad eléctrica aparecerá en el germanio? Es evidente que esto dependerá de la relación que exista entre el número de átomos de ambas impurezas. Si hay más arsénico que boro, la conductibilidad será electrónica; si es al contrario, será por huecos.
¿Para qué hace falta todo esto? Porque resulta que la relación de ambos tipos de conducción hace posible aplicaciones muy importantes de los semiconductores. Y todo debido a la diferencia en la «facilidad» de la corriente que efectúa el movimiento de los electrones y los huecos.
Los semiconductores con estas impurezas «dobles» son capaces de bloquear casi por completo las corrientes en un sentido, pero en cambio las dejan pasar perfectamente en el sentido opuesto. En otras palabras, los semiconductores pueden funcionar como rectificadores.
Son capaces de convertir las pequeñas tensiones que se les aplican, en altas, también en virtud de la posibilidad de regular su resistencia. Esto significa que los semiconductores pueden desempeñar la función de amplificadores.
Son pequeños, compactos, económicos, seguros en su funcionamiento, todas estas cualidades de los semiconductores han asegurado su victoria sobre las grandes y pesadas válvulas electrónicas.
Los fotones, al incidir sobre un semiconductor, hacen que los electrones de la banda de valencia pasen a la de conducción. Cuando se ilumina un semiconductor, se produce corriente eléctrica. Por lo tanto, los semiconductores pueden transformar directamente la energía luminosa en eléctrica. Y no sólo pueden, sino que lo hacen y con mucha más eficacia que los metales.
En la creación de estos magníficos dispositivos corresponde un papel destacado a los científicos soviéticos encabezados por A. Ioffe.
Las baterías de silicio convierten en los desiertos los flujos destructores de rayos solares en electricidad. La electricidad hace que funcionen los motores de los sistemas de regadío que conducen las aguas a los rincones abrasados de la Tierra. ¡Así consiguió el hombre que el Sol trabajara contra su propia obra! Las baterías eléctricas de semiconductores funcionan también en los cohetes cósmicos y en los satélites artificiales de la Tierra.
Los semiconductores también convierten de un modo directo la energía calorífica en corriente. Se hace innecesario el complejo y en esencia desproporcionado sistema de las centrales eléctricas de vapor, en las cuales el calor convierte primero el agua en vapor, y éste hace que gire la turbina a que está acoplado el rotor de la dinamo. Algún día este sistema desaparecerá de la faz de la tierra. Por ahora los semiconductores funcionan eficazmente como generadores termoeléctricos, convirtiendo en corriente eléctrica el calor de las lámparas de petróleo, y como frigoríficos, en los cuales no hay ningún elemento móvil.
Esto sólo es por ahora. Porque aún es difícil prever todo el esplendoroso porvenir que aguarda a estos magníficos cristales.
Capítulo 5
En las profundidades del núcleo atómico
- En el umbral
- El primer paso
- Segundo paso
- Búsqueda del misterioso mesón
- Las fuerzas más intonsas que existen
- Más sobre la estabilidad de los núcleos
- Túneles en los núcleos
- El núcleo, ¿está formado por capas?
- Cómo «aparecen los rayos gamma
- El núcleo, ¿es una gota?
- El núcleo-gota se divide
- Secretos de la fisión nuclear
- ¿Cuántos núcleos puede haber en total?
- El núcleo son capas y es una gota
- ¡Del núcleo se escapan partículas que no existen en él
- El electrón tiene un cómplice
- Los electrones nacen en los núcleos
- Núcleo-glotón
El átomo, lo molécula, el cristal... ¿Qué les sigue ahora?
Ahora la mecánica cuántica tiene que hacer una difícil exploración en las profundidades de los átomos, donde se ocultan los núcleos atómicos, cuyas dimensiones son todavía más insignificantes. Tiene que penetrar en un mundo aún más maravilloso.
En los años veinte ningún físico sospechaba a que conduciría esto. Los movía exclusivamente una simple, pero insaciable curiosidad.
El núcleo atómico promete dar alimento abundante a la curiosidad. En los años en que la mecánica cuántica celebra sus primeras victorias sobre et mundo de los átomos, aún no se sabe casi nada do) mundo de los núcleos atómicos.
No obstante, la ciencia ya sabe algo acerca de los núcleos. Por esto tiene que empezar la mecánica cuántica.
En las postrimerías del siglo XIX el físico francés 11. A. Becquerel descubrió casualmente que ciertas sustancias son capaces de velar las placas fotográficas, María Sklodowska y Fierre Curie, siguiendo las huellas de este descubrimiento, establecen que esta propiedad la poseen tres elementos químicos que se encuentran al final de la tabla periódica de Mendeleiev, a saber: el radio, el polonio y el uranio.
Al fenómeno descubierto se le da el nombre de radiactividad. Su carácter inexplicable desde las posiciones de la física clásica perturbó a los teóricos de aquel tiempo. Pero la experiencia arroja nuevos hechos sobre la misteriosa radiación. Resulta que está compuesta de tres tipos de radiaciones, que se designaron con las tres primeras letras del alfabeto griego: alfa, beta y gamma.
Los rayos alfa, como pudo aclararse, están formados por partículas con carga positiva. Esta carga es, por su magnitud, dos veces mayor que la del electrón, y la masa de las partículas es aproximadamente cuatro veces mayor que la del átomo de hidrógeno. Los rayos beta no difieren en nada de los electrones. Y los rayos gamma son, como dicen los físicos, una radiación electromagnética muy dura. Su poder de penetración es muchas veces mayor que el de unos campeones de penetración a través de las sustancias como son los rayos X.
Pasan unos cuantos años y el físico inglés E. Rutherford propone su modelo planetario fiel átomo, en el cual los electrones, como si fueran planetas, giran alrededor de su «sol», es decir, del núcleo atómico. Poco a poco se va esclareciendo que el responsable de la radiactividad es el núcleo.
Con respecto a las partículas de los rayos alfa esto se evidencia inmediatamente: en el átomo no hay sitio para ellas en ninguna parte, si no es en el núcleo, en el cual se halla concentrada prácticamente toda la masa del átomo. Por otra parle, existen electrones en las capas del átomo. De estas capas también suelen desprenderse felones, o sea, cuantos de energía electromagnética. ¿Será posible que los rayos beta y gamma nazcan precisamente en la envoltura electrónica del átomo?
No, esto resulta ser imposible. Al emitir rayos beta el átomo no se ioniza, no adquiere carga eléctrica. Por lo tanto, su envoltura electrónica no se ha deteriorado. El cálculo de la energía correspondiente a los fotones de luz visible y de los rayos X, relacionados con los saltos en las capas electrónicas, demuestra también que esta energía es muchas veces menor que la energía de los fotones de los rayos gamma. Así se fortalece la idea de que el responsable de estos dos tipos de emisiones radiactivas es el núcleo atómico.
Transcurrieron varios años y Rutherford dio a los físicos teóricos nuevo pábulo para reflexionar. Interpuso en el camino de los rayos alfa, emitidos por el radio, una botella con nitrógeno purísimo y, al cabo de cierto tiempo, descubrió en ella... ¡oxígeno! El sueño de los alquimistas se realizó: de un elemento químico se obtuvo otro. Poro, eso sí, por un procedimiento que no era químico en absoluto.
El mismo año en que Rutherford observó la primera transformación nuclear, se puso en claro que los núcleos de los átomos de un mismo elemento químico pueden tener masas distintas. El cálculo demuestra que estas masas difieren entre sí en una magnitud múltiple o muy aproximada a la masa del núcleo del átomo de hidrógeno. Estos núcleos recibieron el nombre de isótopos.
El primer paso
La radiactividad, la transmutación mutua de los núcleos, los isótopos... Al parecer podía darse el primer paso en la creación de la teoría del núcleo atómico. Existen los hechos iniciales de partida y la mecánica cuántica, que ya ha demostrado su fuerza.
Pero los físicos teóricos no se dan prisa. Se encuentran como en los linderos de un bosque virgen, perciben sus ruidos y aromas, pero aún no penetran en él. Piensan que todavía es pronto para someter el «vehículo de todo terreno» de la mecánica cuántica a las fatigas de un camino inexplorado.
Les piden a los físicos experimentadores que abran, en este bosque virgen, aunque sólo sea un pequeño claro en el cual pueda maniobrar dicho «vehículo». Y los experimentadores no se hacen esperar: en 1932 el físico inglés J. Chadwick descubre el neutrón.
Ahora se puede emprender la marcha.
Hasta aquí se desconocía lo principal: de qué partículas se compone el núcleo. De que es compuesto hacía ya mucho tiempo no cabía duda: recuerde la radiactividad, durante la cual se desprenden partículas del núcleo, sin que éste deje de existir. Por otra parte, se conocía con certeza una partícula nuclear, el protón.
Podía suponerse que el núcleo está formado por aquellas partículas que se descubren en su desintegración radiactiva, es decir, de partículas alfa y electrones. Pero esta simple suposición era inadmisible, porque las partículas alfa no difieren en nada por sus propiedades de los núcleos de helio, y, sin embargo, existen núcleos más ligeros, como el de hidrógeno. Por lo tanto, precisamente el núcleo de hidrógeno debe ser el ladrillo más pequeño del edificio nuclear. Este núcleo es el más simple y por esto recibió el nombre correspondiente en griego, el de protón.
Ahora puede comenzarse la construcción mental de los núcleos. Al hacerlo hay que tener presente la regla fundamental: la carga del núcleo debe ser igual en magnitud al conjunto de las cargas de todos los electrones que hay en las capas del átomo, pero de signo contrario a ella (positivo). Precisamente por esto el átomo en su conjunto es neutro. Además, se conocen las masas de los núcleos: son iguales aproximadamente a las masas de los respectivos átomos menos las masas de sus capas electrónicas.
Así, pues, tenemos la hipótesis inicial: el núcleo está formado por protones y electrones. Eli el núcleo de hidrógeno hay un protón y ningún electrón. En el núcleo de helio hay cuatro protones y dos electrones; como resultado, su carga es igual a
4 - 2 = +2
y su masa es un poquito mayor que la del núcleo de hidrogeno multiplicada por cuatro. Porque, como es sabido, el electrón casi no pesa en comparación con el protón, puesto que es casi dos mil veces más ligero.Sigamos. El núcleo del litio, de masa 7 y carga +3, está compuesto por 7 protones y 4 electrones; el núcleo de boro, de masa 11 y carga +5, por 11 protones y 6 electrones; el de nitrógeno (respectivamente, de 14 y +7), por 14 protones y 7 electrones; el de oxigeno (16 y +8), por 10 protones y 8 electrones, y así sucesivamente.
Parece que la construcción de los núcleos marcha perfectamente. Pero la naturaleza le inflige un golpe por una parte inesperada, a partir de este «y así sucesivamente». En efecto, todo está muy bien, pero solo cuando se trata de construcciones relativamente pequeñas, es decir, de núcleos ligeros. Pero a medida que nos adentramos en la región de las construcciones medianas y grandes, el acuerdo se altera cada vez más. Compruébelo usted mismo. Para el hierro, de masa nuclear (que en adelante llamaremos más exactamente número de masa o número rnásico del núcleo, y que indica cuantas veces es mayor la masa del núcleo que la del protón) 50 y carga +20, se necesitan 50 protones y 30 electrones; y para el núcleo del uranio, de número de masa 238 y carga +92, se requieren 238 protones y 146 electrones.
Según esto, un cada nuevo núcleo coloca la naturaleza no un protón más, como era de esperar, sino varios de una vez. Si se desecha esta idea, comienzan inmediatamente los contratiempos con las masas y con las cargas de los núcleos. Como resultado de esto desaparece la regularidad en la construcción de los núcleos y no es posible comprender cómo se producen los isótopos. En nuestro procedimiento de construcción de los núcleos hay, en realidad, algo que falla.
Sí, así es en efecto. Los electrones deben en el núcleo, como puede comprenderse, no sólo «ajustar» la carga del núcleo a la que se observa en la experiencia. Su misión es mucho más importante. Como los protones son partículas con cargas de igual signo, contienden entre sí, lo mismo que los electrones en las capas. Para impedir que se dispersen, hay que aherrojar los protones unos a otros con la cadena de atracción a los electrones.
Un simple cálculo demuestra que, para esto fin, en el núcleo tiene que haber mucho más cemento electrónico que el que se obtiene según nuestro procedimiento de construcción. Existe además toda una serie de diversas objeciones convincentes que se oponen a la presencia de electrones en los núcleos. Sobre ellas hablaremos después más detenidamente.
Sea como fuere, los físicos teóricos se inclinan a dudar de que el núcleo esté constituido por protones y electrones. Y he aquí que en su campo visual aparece el neutrón. El pensamiento de los teóricos entra en juego rápidamente: en el mismo año de 1932, Werner Heisenberg, a quien conoce usted, y el físico soviético Dmitri Ivanenko lanzan una hipótesis, apoyada en cálculos persuasivos, según la cual el núcleo está construido exclusivamente con protones y neutrones. El primer paso está dado.
Segundo paso
En la construcción de los núcleos atómicos fue la naturaleza tan económica como en la de las capas electrónicas del átomo. Pero en este caso disponía ya de dos tipos de ladrillos: los protones y los neutrones.
Añadiéndole al núcleo cada vez un nuevo protón, la naturaleza está muy atenta a que el núcleo no sea destruido por la acción de las fuerzas de repulsión mutua de los protones. En los núcleos ligeros (aproximadamente hasta el calcio, N° 20) los números de protones y de neutrones que hay en los núcleos son aproximadamente iguales. Después, el aumento del número de neutrones aventaja al aumento del de protones, y cuanto más adelante, la ventaja es mayor. En el átomo de uranio, cuyo número másico es 238, a 92 protones corresponden ya 146 neutrones.
Una vez convencida de que el edificio nuclear aguantará, la naturaleza diversifica un poco su arquitectura: aquí añade y allá quita uno o varios neutrones de cada núcleo. Así resulta que muchos núcleos tienen varios isótopos. Se encuentran incluso núcleos «montados» tan diversamente, como el de estaño, que tiene toda una decena de isótopos estables.
Fácil es observar que la hipótesis de W. Heisenberg y D. Ivanenko permite perfectamente satisfacer los datos acerca de las masas y cargas de los núcleos. Así, de acuerdo con esta hipótesis, el núcleo del hidrógeno está formado por un solo protón; el núcleo del helio, cuyo número másico es 4 (helio-4), consta de 2 protones y 2 neutrones: el del litio-7, de tres protones y 4 neutrones; el del boro-11, de 5 protones y 6 neutrones; el del nitrógeno-14, de 7 protones y 7 neutrones: el de oxígeno-16, de 8 protones y 8 neutrones, y así sucesivamente.
Sólo que ahora en este «y así sucesivamente» no hay ya ningún chasco.
¿Qué se sabe del neutrón? Que es una partícula cuya masa es casi exactamente igual que la masa del protón y que no tiene ninguna carga eléctrica. El neutrón justifica su nombre: es eléctricamente neutro.
¿En qué se funda que ocupe él en el núcleo el puesto que se le negó al electrón? Este último podía al menos cumplir una función importante: ligaba los protones contendientes en el núcleo e impedía que se dispersasen. Pero, ¿cómo puede hacer esto el neutrón, que no tiene carga?
Es verdad que con sólo las fuerzas eléctricas de atracción es imposible explicar la solidez de los núcleos. Estos son en verdad huesos duros. Ni un solo intento de romper el núcleo por medios químicos, presiones y temperaturas enormes y campos eléctricos colosales, es decir, con todo el arsenal de las armas que actúan sin fallos sobre las capas electrónicas del átomo, ha dado resultados positivos.
Esto quiere decir, concluyen los físicos, que el neutrón se encuentra en el núcleo no casualmente. Precisamente él debe hacer las veces de cemento que aglutine los protones en un todo único.
¿Pero con qué fuerzas? Está claro que con fuerzas no eléctricas, puesto que el neutrón no tiene carga.
Los teóricos reflexionan tenazmente. Y tres años después de descubrirse el neutrón fue resuelto el problema. El físico japonés Hideki Yukawa lanzó la idea de que entre los protones y los neutrones actúan unas fuerzas nucleares específicas muy grandes, fuerzas de intercambio de atracción.
¿Fuerzas de intercambio? Ya las conocemos. Precisamente son ellas las que enlacen los dos átomos de hidrógeno, de nitrógeno, de oxígeno y de otros muchos elementos en moléculas bastante estables. En estas moléculas los átomos intercambian durante todo el tiempo sus electrones, lo que hace que los átomos se aproximen el uno al otro.
Pero, ¿de qué intercambio puede hablarse en el caso del núcleo? El protón y el neutrón son partículas diferentes. En el núcleo no hay electrones ¿Qué intercambian el protón y el neutrón?
La idea, al toparse con este obstáculo, tiene ante sí dos caminos: replegarse, reconociendo que la hipótesis inicial acerca del intercambio era falsa, o dar un salto extraordinariamente audaz: reconocer que, a pesar de la disparidad externa del protón y el neutrón, estas partículas no son tan distintas como parece y que son de naturaleza común. Y si esto es así, pueden transformarse la una en la otra: el protón en neutrón y el neutrón en protón.
Efectivamente, esta idea es muy audaz. En 1935, cuando Yukawa hace pública su hipótesis, el fenómeno de la intertransmutación de las partículas más simples que componen la sustancia no se había observado todavía. Bien es verdad que, tres años antes, quedó establecida la transmutación del electrón y el positrón en fotones de rayos gamma. Pero este fenómeno es de naturaleza completamente diferente.
La idea sigue adelante. Si dos partículas se transforman una en otra, tendrán que intercambiar algo. Al adquirir este «algo» el protón se convierte en neutrón y, viceversa, al perder este «algo» el neutrón toma la forma de protón. Está claro que, a la vez que éste, puede existir el cambio inverso, en el cual adquiere «algo» el neutrón y lo pierde el protón.
Partiendo del hecho de la gran solidez de los núcleos y de la observación de que las fuerzas de intercambio entre el protón y el neutrón deben actuar solamente a distancias extremadamente pequeñas entre ellos — no en balde los núcleos son tan minúsculos—, Yukawa diseña la imagen del misterioso «algo». Se trata de una partícula material. Puede tener carga positiva o negativa igual en magnitud a la carga del protón (o del electrón) y una masa aproximadamente 200 a 300 veces mayor que la carga del electrón.
Las masas del protón y del neutrón son aproximadamente 1800 veces mayores que la del electrón. La misteriosa partícula, por su masa, se halla en un lugar intermedio entre ellas. Por eso se le da el nombre de mesón (de la palabra griega μeσος, que significa «medio»).
Ahora el cuadro del intercambio nuclear se presenta del modo siguiente. El protón, emitiendo un mesón positivo, debe perder con él su carga eléctrica y convertirse en un neutrón. Y el neutrón, acoplando este mesón, se convierte a su vez en protón, Y, viceversa, el neutrón puede emitir un mesón negativo y convertirse en protón por otro camino. Y este mesón, al ser capturado por el protón, lo transforma en neutrón por otro camino.
Búsqueda del misterioso mesón
Pero, ¿dónde están esos mesones? Volvieron a estudiarse atentamente los experimentos con núcleos radiactivos. La respuesta fue categóricamente negativa: incluso si los mesones existen en los núcleos, de allí no salen. Parece que los mesones prefieren desempeñar modestamente su importante función sin mostrarse a los ojos del hombre.
Entonces los físicos recurrieron a otro medio de información acerca de las partículas nucleares, a los rayos cósmicos. Y la espera no llegó al año: ¡el mesón fue descubierto! De acuerdo con los cálculos de Yukawa, tenía una masa 207 veces mayor que la del electrón.
Los teóricos podían festejar su triunfo. Cómo no: ¡se confirmaba la idea, sorprendente por su audacia, de la semejanza del protón y el neutrón, y el mesón se descubría literalmente en la punta de la pluma! Era éste uno de los mayores éxitos de la física en toda su historia.
Sin embargo la alegría fue prematura. El mesón se negaba a entrar en íntimo contacto con los núcleos atómicos, poniendo de manifiesto una grandísima indiferencia para con los neutrones e inclinándose sólo levemente ante los protones—dentro de los límites de la interacción de carácter eléctrico. ¿Y ésta es la partícula que intercambian el protón y el neutrón y que, por lo tanto, debe, de la forma más «desconsiderada» y más enérgica, actuar recíprocamente con ellos? — se preguntaban asombrados los físicos. Y resolvieron unánimemente: no, este «echadizo» de la naturaleza no es la partícula aquella, hay que seguir buscando.
Y esta vez la naturaleza fue aún con menos deseos al encuentro de los físicos. Pasaron bastantes años, se hicieron muchos relevantes descubrimientos en la estructura de los núcleos atómicos, se descubrió el secreto de la liberación de la energía intra nuclear, se construyeron reactores y bombas atómicas, pero la tal esperada partícula no aparecía. Sólo en el año 1948 consiguió «cogerla por el rabo» el conocido investigador de los rayos cósmicos C. Powell.
Esta partícula también resultó ser mesón, pero otro, cuya masa no era ya 207 veces mayor que la del electrón, sino 273 veces. Ahora no cabía equivocación. El nuevo mesón (que se llamó mesón p (pi), para diferenciarlo del «indiferente» mesón m (mu)) actuaba recíprocamente con las partículas nucleares con mucha energía. En aquellos casos en que su energía es grande, puede hasta destruir los núcleos que se encuentran en su camino.
Entonces la suposición hecha por la mecánica cuántica de que la causa de las fuerzas nucleares debe ser el intercambio mesónico entre protones y neutrones se confirmó brillantemente. Por otra parte, los físicos estaban tan convencidos de que esta suposición era correcta, que continuaron adentrándose en la espesura del «bosque» nuclear, sin tener aún pruebas materiales de la existencia del mesón «necesario».
Así marcha «sin bagaje» el juez de instrucción, seguro de la veracidad de sus suposiciones, al descubrimiento de un delito, y le sirven de recompensa aquellas mismas pruebas materiales que, como sorpresa, aparecen el último día de instrucción de la causa. Así también, aunque con retraso, fue una recompensa para los físicos, por la audacia de sus ideas, el descubrimiento del mesón p.
Las fuerzas más intensas que existen
Los físicos empezaron a estudiar con toda energía las recién descubiertas fuerzas nucleares. Y lo primero que encontraron fue que estas fuerzas tienen un radio de acción extraordinariamente pequeño, como ya dijimos antes. En las moléculas las fuerzas de intercambio comienzan a actuar a distancias entre los átomos del orden de las dimensiones de los propios átomos, es decir, de cienmillonésimas de centímetro. En cambio las fuerzas de intercambio nucleares actúan a distancias que son decenas de millares de veces menores aún. En la práctica sólo pueden descubrirse a distancias del orden de las dimensiones de las propias partículas nucleares. Por lo tanto está claro que sólo existen prácticamente dentro de los núcleos y fuera de ellos no es manifiestan.
Las fuerzas nucleares son las más intensas de cuantas se conocen hasta hoy. Estas fuerzas no sólo neutralizan totalmente la mutua antipatía entre los protones que, como puede comprenderse, es bastante grande a distancias tan pequeñas, sino que los unen formando una familia extraordinariamente fuerte.
¿Qué puede servir de característica de la solidez de los núcleos? Los físicos utilizan para esto un concepto universal, apto para cualesquiera cuerpos, moléculas, átomos o incluso núcleos: la energía de enlace. Esta energía es aquélla que de un modo cualquiera hay que comunicarle al sistema de partículas para dividirlo en las partículas libres que lo componen.
Está claro que cuantas más partículas formen el sistema, tanto mayor deberá ser esta energía. Por esto para caracterizar la solidez se toma generalmente la energía de enlace referida a una partícula. Para expresar esta energía suelen utilizarse unidades especiales, llamadas electrón-voltios. Esta es la energía que adquiere un electrón al pasar por un campo eléctrico cuya diferencia de potencial es de 1 voltio. Para nuestro mundo de las cosas grandes, esta unidad es muy pequeña, pero para el mundo atómico es bastante considerable.
Los enlaces entre las moléculas de muchas sustancias se rompen ya a la temperatura ambiente, de manera que estas sustancias en las condiciones normales existen en forma de gases. La energía de enlace entre estas moléculas es del orden de una centésima de electrón-voltio por molécula.
Para descomponer estas moléculas en átomos independientes se necesita ya una energía mayor, aproximadamente de hasta una decena de electrón-voltios por átomo. Esto responde a temperaturas considerables, de millares y decenas de millares de grados.
Desintegrar un átomo en electrones aislados y el núcleo «desnudo» es aún más difícil. Ya sabemos que los electrones atómicos tienen diversa energía, que responde a sus enlaces con los núcleos. La región de estas energías se extiende desde decenas hasta millares de electrón-voltios.

Figura 18. Número mágico del isótopo (número de partículas en el núcleo)
Los físicos, cuando estudiaban el trabajo del «arquitecto nuclear», hallaron la solidez de los diversos núcleos y la representaron en una gráfica en dependencia del número másico del núcleo. Veamos esta gráfica. Lo primero que notamos es su carácter «dentado». La curva de la gráfica parece una cordillera. Este parecido es aún mayor porque los picos de la curva sobresalen a primera vista de una forma irregular.
Pero antes de pasar adelante, fijémonos en la gráfica inferior. Esta es la gráfica de la abundancia de los elementos químicos en la naturaleza. Para construirlo recurrieron los físicos a la colaboración de geólogos, astrónomos y hasta biólogos. Es evidente que la abundancia de un elemento responde a la frecuencia con que se encuentran en la naturaleza los núcleos de sus átomos. Como es natural, entendemos aquí por naturaleza no sólo la Tierra, sino todo el Universo visible en general, adonde no ha llegado el martillo del geólogo, pero ha penetrado la mirada del aparato espectral del astrónomo.
Comparemos ambas gráficas. No es difícil descubrir que tienen algo de común.
En primer lugar, en el ángulo izquierdo de las gráficas puede notarse que los picos más altos de la curva superior responden a los núcleos de helio-4, carbono-12, oxígeno-16 y otros más. Todos los números másicos citados son múltiplos de cuatro, como si estos núcleos no estuvieran constituidos por protones y neutrones por separado, sino directamente por partículas alfa. En la gráfica inferior, a estos núcleos les corresponden las más altas abundancias relativas en la naturaleza (en comparación con los otros isótopos de estos elementos), próximas al ciento por ciento.
Si continuamos nuestro viaje por la «cordillera» vemos que las quebraduras más notables de la curva superior corresponden precisamente a los picos de la inferior. Cuanto más sólidos son los núcleos, tanto más abundan en la naturaleza.
Se impone una conclusión evidente. En el mundo de los núcleos atómicos, la naturaleza también parece haber establecido cierta ley de «selección natural». Perviven únicamente aquellos núcleos que son más estables, más sólidos. Y los más abundantes de ellos son los que tienen el número de protones y neutrones iguales a 2, 8, 20, etc. Más adelante, cuando se trate de las capas nucleares, nos detendremos a explicar este último fenómeno.
Por ahora indicaremos que considerar el núcleo como compuesto «directamente» de partículas alfa no es totalmente correcto. Pero el fenómeno ha sido advertido correctamente, porque el grupo de dos protones y dos neutrones posee en realidad una solidez extraordinaria incluso en el mundo de los núcleos atómicos. Dicen los físicos que las fuerzas nucleares que actúan entre este número de partículas parece que «se saturan». Si a este grupo se intenta añadirle un solo protón o neutrón, no se consigue nada: el núcleo de helio se niega a admitir en su familia al recién llegado. Este núcleo es, en efecto, el menos hospitalario de la naturaleza: núcleos con número másico 5 (es decir, de dos protones y tres neutrones o de tres protones y dos neutrones) no existen en absoluto.
Pero, no admitiendo huéspedes, la familia del helio no hace más que fortalecer su cohesión. En efecto, el núcleo de helio es el más sólido de la naturaleza, si no se tiene en cuenta el de hidrógeno, que consta de un solo protón y en el cual no actúa ninguna fuerza nuclear.
La saturación es una propiedad nueva, desconocida hasta entonces, propia exclusivamente de las fuerzas nucleares. Igualmente nueva y extraordinaria es también la propiedad de su independencia de carga. Con estas palabras se designa la «indiferencia» de las fuerzas nucleares, que actúan con igual intensidad entre un protón y un neutrón, como entre un par de protones o un par de neutrones. La causa de esta «indiferencia» aún no ha sido comprendida hasta el fin por los físicos.
Más sobre la estabilidad de los núcleos
Las fuerzas de intercambio, que ocasionan la formación de los solidísimos edificios nucleares, son fuerzas de atracción entre los protones y neutrones. ¿Hasta qué punto es posible esta atracción? Es fácil comprender que tiene un límite, de lo contrario todas las partículas nucleares se fundirían en una.
La naturaleza, como es lógico, no consiente esta posibilidad y a las poderosas fuerzas de atracción opone, cuando las partículas nucleares se aproximan demasiado, fuerzas de repulsión no menos intensas, que impiden a las partículas penetrar unas en otras.
Esto puede decirse que es el límite inferior del radio de acción de las fuerzas nucleares. Del límite superior ya hemos hablado. Este responde, evidentemente, a la distancia máxima a que pueden alejarse unas de otras las partículas nucleares para experimentar aún la acción retenedora de las fuerzas nucleares. Este radio es del orden de las dimensiones de las propias partículas nucleares.
Esa circunstancia es muy importante. Ella precisamente puede explicar la tendencia general de la gráfica de las energías de enlace: su descenso a medida que crece el número másico de los núcleos. En efecto, en un núcleo ligero, en el cual hay pocos protones y neutrones, cada partícula puede ser ligada por las fuerzas nucleares con todas las demás.
¿Pero qué hacer con la saturación, que indica que las fuerzas nucleares prefieren enlazar solamente tétradas de partículas? La respuesta no es difícil. Las partículas nucleares son indistinguibles unas de otras y es imposible destacar entre ellas determinados grupos de cuatro partículas marcados de una vez para siempre. Intente en un cristal de iones de sodio y cloro separar las parejas correspondientes a las «antiguas» moléculas. Unos mismos iones de sodio y de cloro de la red cristalina de sal común pueden entrar en la composición de diversas moléculas «antiguas» del NaCl, como ya se dijo con anterioridad.
Pero a medida que el núcleo abarca un mayor número de partículas, aumentan sus dimensiones. Ahora cada partícula sólo puede estar ligada por medio de las fuerzas nucleares con sus vecinas inmediatas. En vez de un enlace «común» resulta una especie de cadena de enlaces. Y los núcleos empiezan a perder paulatinamente su solidez, tanto más, cuando con el crecimiento del número de protones aumentan las fuerzas de reacción a las nucleares, o sea, las de repulsión de los protones.
Los núcleos más grandes y pesados, que se encuentran al final del sistema periódico, son ya bastante inestables. Y la naturaleza les obliga a que ellos mismos se reestructuren en núcleos más estables. Pero esto sólo es posible si el núcleo se libera de las partículas nucleares que le «sobran», lo mismo que un navío arroja el lastre para conservar su flotabilidad. Las partículas sobrantes que arrojan los núcleos son las emisiones radiactivas.
No obstante, como usted probablemente sabrá, existe una multitud de núcleos radiactivos al principio y a la mitad del sistema periódico. Pero casi todos ellos no son obra de la naturaleza, sino de las manos del hombre. Bombardeando núcleos inicialmente estables con partículas nucleares (principalmente con neutrones), los físicos alteran su reposo y hacen que estos núcleos pasen a un estado inestable recargándolos de partículas.
Estos núcleos retornan al estado de equilibrio no por el camino que salieron de él, e incluso el estado final estable a que llegan se diferencia por regla general del que tenían inicialmente. El núcleo se sacó del reposo con un neutrón, y él responde emitiendo electrones y fotones gamma y convirtiéndose en un núcleo completamente distinto.
Este fenómeno, llamado radiactividad artificial, se basa también en la tendencia de los núcleos a la estabilidad cueste lo que cueste. Las cosas inestables no pueden existir mucho tiempo en la naturaleza. Recordemos la gráfica de la abundancia de los núcleos en la naturaleza. Esta gráfica dice claramente: cuanto más estable es un núcleo, tanto más tiempo existe y, por lo tanto, más abunda en la naturaleza el elemento correspondiente.
Túneles en los núcleos
Las leyes que rigen la estabilidad de los núcleos son muy complejas. De ellas se ocupan los científicos hace ya más de treinta años y aún no han sido comprendidas hasta el fin. Sin embargo, de algunas de estas leyes se tienen ciertos conocimientos. Hablaremos de ellas más detenidamente.
Primero se descubrió el secreto de la radiactividad alfa o, como suele decirse, de la desintegración alfa de los núcleos, incluso antes de que fuera descubierto el neutrón. Cierto es que el secreto se descubrió, pero que de las causas que servían de base a la estabilidad de las partículas alfa aún no se sabía nada.
Así, pues, hay que responder a dos preguntas: ¿por qué se desprenden del núcleo las partículas alfa? y ¿por qué son ellas precisamente, y no protones y neutrones por separado?
Comencemos por la pregunta más difícil, por la segunda. Cuando estudiamos la gráfica de la energía de enlace, nos convencimos de que los núcleos formados por tétradas de partículas — pares de protones y neutrones, como, por ejemplo, el helio-4, el carbono-12, el oxígeno-16 —, son más estables que sus vecinos en la gráfica. Ahora vemos que la desintegración de los núcleos radiactivos pesados se produce precisamente por estas tétradas de partículas. ¿Cómo se explica este comportamiento ambiguo de las partículas alfa?
Nuestras dificultades aumentan todavía más si recordamos que las fuerzas nucleares alcanzan la saturación en la tétrada y es imposible añadir una quinta partícula a las cuatro que ya hay. En este caso, ¿cómo pueden existir núcleos más pesados que el helio?
Para obtener la respuesta a estas preguntas hay que prestar más atención a la existencia de las partículas alfa y a cómo se produce en ellas el intercambio de mesones. Sabemos que una de las variantes del intercambio consiste en que el neutrón emite un mesón p con carga negativa, transformándose en protón, y el protón absorbe este mesón y al cabo de un insignificante intervalo de tiempo se transforma en neutrón.
Así viven todo el tiempo en la tétrada, por término medio, dos protones y dos neutrones. Pero figúrese que el mesón emitido por un neutrón en una tétrada cualquiera sea capturado por un protón de la tétrada vecina. Entonces se cometen a la vez dos «delitos»: en la primera tétrada habrá tres protones y un neutrón, y en la vecina, al contrario, tres neutrones y un protón.
¿Por qué es «delito» esto? Porque de acusador interviene el ya conocido principio de Pauli. Los protones y los neutrones, por su espín, no difieren del electrón, y por lo tanto están sometidos a todas las prohibiciones que rigen para el electrón. Pero el principio de Pauli prohíbe que en cada estado se encuentre más de una partícula con un sentido dado del espín.
Por esto es tan sólida la partícula alfa, porque en ella dos protones y dos neutrones ocupan cada uno un nivel de energía, el más bajo de los posibles. Dos protones se hallan en un nivel, y en este mismo nivel se encuentran dos neutrones. Esto es posible porque en cada instante el protón y el neutrón tienen en el núcleo distinta fisonomía, es decir, son, a pesar de todo, partículas distintas. Pero si en la tétrada hay tres protones, uno de ellos, quiéralo o no, tiene que faltar a la rigurosa prohibición de Pauli u ocupar un estado de energía más alta, es decir, con menor energía de enlace.
Las partículas nucleares no desean cometer «delitos». Tampoco se conforman con los estados poco sólidos. Devuelven rápidamente el mesón, y otra vez existen dos tétradas ordinarias. Pero el intercambio instantáneo entre las tétradas no transcurre en balde, sino que conduce al establecimiento de una ligazón recíproca entre ellas. Así disminuye el aislamiento de las tétradas entre sí.
Cuanto más nos alejamos de los núcleos ligeros, tanto más débilmente se manifiestan las huellas de las tétradas en su estabilidad. Sin embargo, en los núcleos pesados vuelve a verse claramente la huella de las tétradas. En la periferia de estos núcleos, las partículas, como ya hemos dicho, sólo pueden accionar recíprocamente con sus vecinas más próximas, ya que el núcleo se ha hecho muy grande. Y, por lo visto, cerca de la superficie de los núcleos, se produce cierto aislamiento de tétradas de partículas, por ser las más estables.
Precisamente por esto es por lo que, al parecer, los núcleos pesados emiten no protones o neutrones, sino únicamente tétradas de ellos, o sea, partículas alfa. ¿Pero cómo pueden éstas desprenderse de los núcleos? El núcleo es un sistema de partículas ligado o, como lo llamamos de otra forma, un pozo de potencial, aislado de la existencia libre de las partículas por una alta barrera. La profundidad de este pozo (o altura de la barrera) se conoce y es igual a la energía de enlace.
Pero la barrera nuclear se diferencia de las que conocimos antes, en que a ella no hay ya que aplicarle ningún esfuerzo para «torcerla». La barrera nuclear no es ya el «peldaño de escalera», que sólo tiene «pared anterior», sino una «tapia». Esta «tapia» tiene poca anchura, pero es muy alta. Aproximadamente, la anchura de la barrera está determinada por el radio de acción de las fuerzas nucleares, y la altura, por la magnitud de estas fuerzas.
Ahora entra otra vez en acción la mecánica cuántica. El escape de partículas alfa de los núcleos radiactivos es un efecto de túnel, dice ella, que por su naturaleza no difiero del escape por túnel de los electrones de un metal o de la penetración por túnel de los electrones en la banda de conducción de los semiconductores y aisladores. Tanto allí como aquí actúan las propiedades ondulatorias: allí, las de los electrones; aquí, las de las partículas alfa.
Se hace comprensible el comportamiento «bifronte» de las tétradas. Comportamiento que en esencia no es bifronte, ya que todo está determinado por las probabilidades cuánticas. Teóricamente una partícula alfa puede escaparse también del núcleo de oxígeno, pero la probabilidad de este escape es absolutamente insignificante.
En los núcleos ligeros la altura de la barrera es demasiado grande (es muy grande la energía de enlace) para el escape de las partículas alfa, mientras que en los núcleos pesados las barreras no son tan alfas (la energía de enlace es considerablemente menor). La probabilidad del efecto de túnel depende en alto grado de la altura de la barrera, disminuyendo rápidamente con su crecimiento. Este es el quid de la cuestión.
Por otra parte, la altura de la barrera para el escape de partículas alfa es en los núcleos pesados mucho más baja que la barrera para el escape «individual» de los protones y neutrones. Por esto sólo se escapan tétradas, y no partículas aisladas.
El núcleo, ¡está formado por capas!
El núcleo, a diferencia del átomo, carece del cuerpo central, alrededor del cual, en el átomo, hacían corro las nubes electrónicas. Durante varios años después del descubrimiento de la estructura protono-neutrónica del núcleo, los físicos se figuraron el núcleo como materia nuclear, más o menos uniformemente esparcida por un espacio pequeñísimo, en forma de nubes de protones y neutrones.
Pero el descubrimiento de la saturación de las fuerzas nucleares y el fenómeno de la desintegración alfa indicaban, al parecer, que la materia nuclear no es completamente disforme, sino que en ella se revelan los contornos de pequeñas «células», las partículas alfa. Y a medida que la mecánica cuántica y la experiencia se adentraban en el bosque nuclear, quedaba más claro que en este bosque podían distinguirse grupos completos de árboles, que no era tan disforme como parecía al mirarlo de lejos, cuando el bosque impedía ver los árboles aislados.
Ya sabemos que la tétrada de partículas ocupa la posición energética más baja en el núcleo, que ella es la más estable de todos los bloques nucleares. A esta posición responde un nivel común de energía en el que se encuentran dos protones y dos neutrones con espines de sentidos opuestos.
La segunda tétrada de partículas ocupará en el núcleo dado otro nivel de energía; la tercera, un tercero, y así sucesivamente. Al aumentar el número de tétradas de partículas se van llenando niveles de energía cada vez más altos en el núcleo, de un modo hasta cierto punto semejante a como esto ocurre con los electrones de los átomos.
¡Pero no todos los núcleos están formados por tétradas! Efectivamente. Por lo tanto, en los núcleos en que el número de partículas no es múltiplo de cuatro, los correspondientes niveles de energía no estarán ocupados totalmente.
El núcleo empieza a parecerse al átomo. En aquel están las capas electrónicas llenas, cerradas, estables (recuérdense los gases inertes). En éste, las «capas» nucleares de tétradas, llenas, estables en particular, y un gran número de partículas nucleares.
Pero la sola analogía externa era poco. Había que tener pruebas más evidentes de la existencia de capas en el núcleo. Bueno, pues recurramos a nuestras gráficas de la estabilidad y de la abundancia de los núcleos. Tomemos en consideración varios de los picos más altos y calculemos cuántos protones y neutrones hay en los núcleos de cada uno de ellos.
El primero de los picos es el helio-4; su núcleo, una partícula alfa, está formado por dos protones y dos neutrones. Después va el oxígeno-16, con ocho protones y ocho neutrones; detrás de él está, el calcio-40 con 20 protones y 20 neutrones, y así sucesivamente. Finalmente, en el extremo derecho de la gráfica, el último pico elevado pertenece al plomo-208, cuyo núcleo tiene 82 protones y 126 neutrones. (A ellos hay que añadir también el núcleo del estaño, con 60 protones, que es tan estable, que sobre la base de esta «estructura» pudo la naturaleza crear toda una decena de isótopos estables, mientras que para otros números de protones sólo se conocen de 2 a 5 isótopos estables.)
Por lo tanto, los núcleos más estables tienen los siguientes números de protones y neutrones: 2, 8, 20, 50, 82 y 126. Cabe suponer que estos núcleos tienen cierta analogía con los átomos de los elementos inertes con 2, 10, 18, 36, 54 y 86 electrones. Unos y otros, cada cual en su mundo, son «campeones» de estabilidad.
Estos números de protones y neutrones recibieron el nombre de «mágicos». Y, en efecto, hay algo de mágico en el hecho de que los núcleos y las capas electrónicas de los átomos — dos mundos que viven según las leyes completamente distintas — pongan de manifiesto cierta analogía en sus estructuras.
Es cierto que la comparación de los números mágicos con los números de los electrones que hay en los átomos más estables, demuestra que entre ellos existe una diferencia notable. Estos números sólo coinciden en el helio, que mantienen los «récord» de estabilidad en ambos mundos simultáneamente. La discrepancia de estos números no es casual. Al contrario, sería demasiado sorprendente que coincidieran ambas series de números; porque, ¡son tan poco semejantes las condiciones de vida en el núcleo y en las capas electrónicas del átomo!
Sin embargo, en el núcleo existe algo semejante a las capas. Esto se confirma por otra analogía obtenida de la experiencia. Consideremos, por ejemplo, el átomo de potasio (N° 19). Este átomo es monovalente, es decir, tiene un electrón más que el átomo inerte de argón, cuyas capas están completas y cerradas. El espín total de las capas electrónicas del átomo de potasio es igual al espín de este electrón de valencia. En efecto, los espines de todos los demás electrones tienen sentidos opuestos por parejas, con lo cual se compensan entre sí, de manera que su suma es nula.
Comparemos con este átomo el núcleo del isótopo de oxígeno-17, en cual, además de la capa saturada compuesta por cuatro tétradas de partículas, hay un neutrón, De acuerdo con lo dicho anteriormente era de esperar que el espín del núcleo del oxígeno fuera igual al espín de este neutrón «fuera de plantilla». Y así es en realidad.
Esta coincidencia no es única. Los espines de los núcleos medidos en los experimentos suelen estar en perfecto acuerdo con los que predice el modelo nuclear de capas.
Cómo aparecen los rayos gamma
La semejanza que hemos indicado de las capas electrónicas del átomo con las capas nucleares se hace todavía más evidente si se presta atención al origen de la tercera forma de emisión radiactiva, es decir, los rayos gamma.
Lo mismo que por las frases aisladas que nos llegan de una casa podemos hacernos idea de cómo se llevan sus habitantes, los físicos, estudiando los rayos gamma, pudieron establecer hechos importantes de la vida de las familias nucleares.
En primer lugar llamó la atención de los científicos una circunstancia interesante. Los espectros de los rayos gamma resultaron estar formados por rayas aisladas. Nosotros ya sabemos lo que esto quiere decir: las partículas nucleares sólo pueden tener una energía rigurosamente determinada, en otras palabras, pueden encontrarse en estados determinados. Los saltos de las partículas entre estos estados deben originar los rayos gamma.
¿Cuáles son los niveles de energía nucleares y como los ocupan las panículas? Aquí, en el plano trazado por los físicos, hay muchas «manchas blancas» lamentables. Que en el núcleo existan determinados niveles de energía no debe extrañarnos. La existencia de estos niveles la predice la ecuación de Schrödinger para cualquier colectividad de partículas ligadas, incluidas, claro está, las colectividades nucleares.
En el caso del átomo, la fórmula que define la interacción de las partículas es conocida: es la ley de Coulomb para la repulsión recíproca de los electrones y su atracción por el núcleo. Esta ley se introduce en la ecuación de Schrödinger. Pero la ley de las fuerzas nucleares aun no se conoce exactamente.
Los físicos se ven obligados a resolver el problema inverso, o sea, observando los espectros de los rayos gamma, calcular por ellos los niveles de energía que hay en los núcleos y su orden de ocupación. Un trabajo similar tuvieron que hacer los físicos antes, combinando los niveles de energía en los átomos. Recurriendo además a los datos acerca del «brillo» de las distintas rayas de los rayos gamma y a otras características de éstos, los científicos intentan conocer la ley a la cual se subordina la interacción de las partículas en los núcleos.
Pero resulta ser un problema extraordinariamente pesado. En su totalidad aún no está resuelto. Desde hace mucho tiempo está claro que tal problema no podrá resolverse mientras no se conozca la propia naturaleza de las partículas nucleares. En el capítulo siguiente hablaremos de algunos procedimientos por medio de los cuales pretenden los científicos abordar dicho problema.
A pesar de todo, la hipótesis acerca de los niveles de energía en el núcleo y acerca de las capas de «nubes de probabilidad» protónicas y neutrónicas es muy útil. Esta hipótesis permite explicar no sólo la generación de los rayos gamma, sino también muchas de sus peculiaridades interesantes.
Ante todo es evidente que, para emitir un fotón gamma, el núcleo tiene que pasar primero de su estado estable, con la energía mínima posible, a un estado cuya energía sea más elevada y que, por analogía con el átomo, se llama excitado. Cuando el núcleo retorna a su estado inicial o a otro estable, emite un fotón gamma.
Las fuerzas nucleares son millones de veces más intensas que las eléctricas. Por esto las distancias entre los niveles de energía en el núcleo son mucho mayores, por lo general, que las distancias energéticas que existen en la capa electrónica. Se comprende por esto que los fotones gamma tienen que ser la misma cantidad de veces más enérgicos que los fotones luminosos y, por consiguiente, deben tener respectivamente menor longitud de onda. Esto se observa en realidad. Los rayos gamma tienen las longitudes de onda más cortas de cuantas radiaciones se conocen.
Ahora queda claro por qué los rayos gamma son compañeros inseparables de muchas transformaciones radiactivas de los núcleos. Porque estas transformaciones no son otra cosa que la transición de núcleos del estado menos estable al más estable. A veces la completa estabilidad no se consigue con una sola reconstrucción del edificio nuclear, expulsando de él las partículas «que están de más». El nuevo núcleo, aunque sea más estable que antes, se forma en estado «excitado». En este caso la etapa final de la reconstrucción es la emisión de un fotón gamma, después de lo cual el núcleo deja de ser radiactivo.
El núcleo puede con frecuencia ceder su energía sobrante por un procedimiento más «ingenioso», desconocido en las capas electrónicas del átomo. En vez de lanzar un fotón gamma, el núcleo transmite «paulatinamente» la energía de su excitación a la capa electrónica, de un modo directo. Esta energía es tan grande, que el «donativo» nuclear es percibido más bien como un golpe poderoso dado a todo el edificio atómico. Este no llega a derrumbarse por completo, pero algunos de sus habitantes —electrones — salen lanzados del átomo con velocidades considerables. Este fenómeno, que concurre eficazmente con la emisión directa de rayos gamma, se llama conversión interna.
El núcleo, ¡es una gota!
Las capas en el núcleo, los núcleos mágicos... A los amantes de la belleza de las teorías científicas, este modelo del núcleo podía reportarles un verdadero placer. Sin embargo, en todo barril de miel puede poner la naturaleza una cucharadita de brea. Refiriendo esto al caso de que hablamos, puede decirse que el modelo nuclear es más bien una cucharadita de miel en un barril de la más negra opaca brea, como es el núcleo.
Una enorme cantidad de hechos experimentales se negaban a entrar en el marco del modelo de capas. Esto no debe extrañarnos.
En primer lugar, las capas nucleares, si es que existen, no se parecen en nada a las electrónicas. El mismo concepto de capa tiene en el núcleo, como hemos visto, un sentido estrictamente convencional. En el núcleo no hay un centro que se «envuelva» con las partículas nucleares. Además, los grupos cerrados que hay en el núcleo constan de números de partículas completamente distintos que los del átomo. Finalmente, en los núcleos, las capas deben ser de dos tipos, protónicas y neutrónicas.
Así resulta que la palabra «capa», trasladada del mundo del átomo al mundo del núcleo, no refleja más que el conocido carácter cerrado, estable, «saturado», de determinados grupos de partículas nucleares. Y esto no siempre ni en todas partes.
De las capas sólo puede hablarse con más o menos fundamento en el caso de los núcleos ligeros, formados por no muchas partículas nucleares. A medida que los núcleos van siendo mayores, en ellos se pierde cada vez más la «individualidad» de los distintos estados energéticos y los núcleos, por su estructura, se hacen cada vez más «disformes». Las partículas nucleares son ya tantas y sus nubes se sobreponen tan intensamente, que el movimiento de las partículas pierde certidumbre y parece que deja de cumplir las leyes cuánticas.
Como resultado de esto, el núcleo pierde todo rasgo de semejanza con el átomo. Hay que abandonar el modelo nuclear de capas. Pero, ¿qué nuevo modelo de núcleo puede idearse?
Poco antes de la segunda guerra mundial, por razones que se dirán más adelante, los científicos proponen el siguiente modelo: el núcleo es una gota de «líquido» nuclear. El núcleo es como cierta masa homogénea exteriormente, carente de toda formación ordenada del tipo de las partículas alfa o las capas. Las diversas partículas nucleares — moléculas del líquido nuclear— se encuentran en esta gota en continuo movimiento caótico.
El líquido nuclear adquiere en consecuencia cierta fluidez. El núcleo, lo mismo que una gota, tiene límites, pero estos límites son móviles, variables, pueden deformarse por la acción de diversas causas externas o internas. Sin embargo, la superficie del núcleo no se rompe: esto lo impide la tensión superficial del líquido nuclear en los límites de la gota. Y esta tensión superficial se explica exactamente lo mismo que la tensión superficial de los líquidos ordinarios: las partículas nucleares están ligadas por fuerzas de atracción, las cuales fuera de la gota no son contrarrestadas por ninguna otra fuerza. Por esto las fuerzas nucleares ciñen el líquido nuclear en la gota.
Pero la analogía no va más allá de este parecido externo. Comparemos aunque sólo sea la densidad de ambos líquidos. Un simple cálculo nos dice que las partículas están empaquetadas en los núcleos con una densidad millares de millones de veces mayor que las moléculas en un líquido. Una gota nuclear de las dimensiones de la que puede pender de un grifo, pesaría una buena decena de millones de toneladas.
Esta cifra es inimaginable. No obstante, es bien conocido que las propiedades de los cuerpos dependen mucho de su densidad. Auméntela un millar de veces, y un gas se convertirá en cristal, que obedecerá leyes totalmente distintas. Está claro, pues, que no puede hablarse de ninguna semejanza interna entre un líquido ordinario y el líquido nuclear: sus densidades se diferencian demasiado, lio ya en millares, sino en millares de millones de veces; difieren mucho las fuerzas entre las partículas nucleares de las fuerzas entre las moléculas.
Pero la semejanza externa... Pongamos una gota de mercurio sobre un vidrio y démosle a éste un golpe ligero. La gota temblará, su superficie se cubrirá de ondas. Si golpeamos con más fuerza el vidrio, la bolilla de mercurio se disgregará en varias gotas más pequeñas.
¿No le recuerda esto uno de los más grandes descubrimientos físicos recientes? En 1939 una noticia sensacional dio la vuelta al mundo científico. Su sentido, terrible en aquellos años, pudieron comprenderlo entonces únicamente los físicos. ¡Se había descubierto la fisión de los núcleos de uranio!
Los teóricos de todos los países se dieron prisa en explicar este nuevo fenómeno extraordinario del mundo de los núcleos atómicos. Los primeros en lograr éxito, independientemente uno de otro, fueron Niels Bohr y el científico soviético J. I. Frenkel. Ellos consiguieron explicar la fisión de los núcleos de uranio proponiendo para esto el modelo nuclear de la gota.
El núcleo-gota se divide
Bohr y Frenkel razonaban aproximadamente así: el núcleo vive tranquilamente, hasta se nota cierto orden en el movimiento de las partículas nucleares. Si el edificio nuclear es estable, sus habitantes llevan una vida mesurada y cerrada.
Pero he aquí que llega al núcleo un «huésped» inesperado, una partícula extraña. Esta produce en él un gran revuelo. Los «curiosos» habitantes del núcleo corren a «conocer» al «huésped», a «saludarle». En la casa atómica empieza un ajetreo de verdad.
Pronto es imposible distinguir la partícula recién llegarla de las habitantes iniciales del núcleo. La energía que ella trajo consigo se distribuye rápidamente entro las partículas nucleares y como resultado de esto no pueden salir del núcleo ni la partícula que llegó a él ni sus propias partículas. Se forma un núcleo nuevo, que Bohr llamó compuesto.
A pesar de todo, al cabo de algún tiempo, en este ajetreo una cualquiera de las partículas recibe por casualidad un empujón suficientemente fuerte, y salvando la barrera de potencial en el límite del núcleo, se escapa de él. Si la partícula que se escapa difiere de la que llegó, el conjunto de estos sucesos recibe el nombre de reacción nuclear. De base para esta denominación sirve la circunstancia de que el núcleo inicial es diferente del final. Exactamente lo mismo que en química, donde las sustancias iniciales su diferencian de las que resultan en las reacciones químicas.
El ajetreo de las partículas en el núcleo compuesto recuerda mucho el movimiento térmico caótico que existe en la gota de un líquido. De vez en cuando de la gota se evaporan moléculas aisladas. A esto se parece la «evaporación» de las partículas del núcleo, «calentado» por el choque con él de la partícula extraña.
Lo que ocurre entonces en el núcleo se desconoce en realidad. Pero puede considerarse que se comporta como una gota caliente. Veamos lo que sucede en la superficie de esta gota. Todo el tiempo está moviéndose, oscila, el puesto que deja una molécula al escaparse es ocupado por otras.
Hace ya mucho tiempo se advirtió que la amplitud de las oscilaciones en la superficie de un líquido depende mucho de la tensión superficial del mismo, en la gota, aumentando al disminuir dicha tensión. La tensión superficial en la gota de líquido nuclear, como ya dijimos, está determinada por las fuerzas nucleares de atracción. Cuanto más grande es el núcleo y mayor su masa, cuanto menores son estas fuerzas y tanto más débilmente ligan las partículas nucleares. Y en los núcleos pesados, hasta choques relativamente poco fuertes son capaces de hacer que las oscilaciones de su superficie tomen una amplitud amenazadora.
En el caso de los pesados y no muy estables núcleos de uranio (recordemos que por ser inestables son radiactivos) puede servir de impulso la irrupción de un neutrón en el núcleo. A veces basta un impulso muy pequeño: el núcleo del uranio-235 se destruye si incide sobre él un neutrón térmico, es decir, un neutrón con energía centenares de millones de veces menor que la característica de las partículas nucleares.
¿Cómo se divide una gota ordinaria? La filmación ultrarrápida permite observar esto con todos los detalles. Sometida a impulsos de una fuerza determinada, la gota parece que entra en resonancia, en su superficie se originan ondas extraordinariamente altas. En un momento dado la gota toma forma alargada, después, aproximadamente en su parte media, se forma un estrechamiento. Este estrechamiento se hace cada vez más visible y, por fin, la gota se divide en dos.
De un modo semejante pueden observarse otros casos más complejos de división de gotas, en los cuales éstas se dividen no en dos, sino en un número mayor de gotas menores y generalmente de dimensiones distintas.
Bohr y Frenkel supusieron que la fisión de los núcleos se produce a consecuencia de una deformación semejante de la superficie nuclear, cuando los núcleos pesados inestables sufren el impacto de neutrones.
Secretos de la fisión nuclear
¿Por qué son precisamente los neutrones los que provocan la fisión nuclear? ¿Por qué los núcleos de gran masa prefieren dividirse en partes grandes, y no «evaporar» partículas aisladas, como ocurre con la radiactividad artificial en los núcleos de masa pequeña y media?
Empezaremos respondiendo a la primera pregunta. El caso que la «tapia» con que el núcleo se aisló del mundo exterior tiene, como ya dijimos, dos lados. Pero se parece poco a una tapia de verdad, porque sus dos lados son muy asimétricos.
Por la parte interna, la «tapia» nuclear es menos pendiente para los protones que para los neutrones. Su altura, determinada por las fuerzas nucleares, para los protones se hace menor por debido a las fuerzas de repulsión mutua. A la existencia de esta «tapia» se debe que las partículas, en las condiciones normales, no abandonen el núcleo y que el núcleo sea relativamente estable.
Pero por la parte externa de la «tapia» la situación es otra. Para los protones sigue existiendo la barrera. Su existencia refleja el hecho de que los protones del núcleo, aunando sus fuerzas, repelen a todos sus colegas no invitados. En cambio, para los neutrones no existe ninguna barrera por fuera, porque eléctricamente son neutros. Para ellos en vez de una barrera hay un pozo en el cual pueden caer: los neutrones que irrumpen en el núcleo generalmente se quedan en él.
Por esto, para que un protón pueda penetrar en un núcleo, sobre todo si este es pesado, multiprotónico, tiene que poseer una energía enorme, de centenares de millones de electrón-voltios. El neutrón, en cambio, no necesita para esto ninguna energía. Por esto pueden entrar en el núcleo hasta neutrones de energía muy pequeña, térmica, de centésimas de electrón-voltio.
Ahora podemos responder a la segunda pregunta. Podría pensarse que un neutrón, al irrumpir en el núcleo de uranio-235, lo recarga tanto, que éste se rompe. Sin embargo, en la gota de este núcleo, el neutrón no es «la última gota» que colma la medida de su estabilidad. Este núcleo, sin detrimento apreciable de su estabilidad, puede dar cabida a tres neutrones más y formar un núcleo de uranio-238.
Así, pues, el neutrón recién llegado no sobrecarga el núcleo, ni aporta una energía algo considerable, ni «choca» violentamente con la gota. ¿En qué consiste entonces el secreto de la fisión del núcleo de uranio-235?
La cuestión resulta ser más «ingeniosa» y en ella vuelven a asomar los cuantos. Es el caso que el núcleo de uranio-235 no lo fisiona cualquier neutrón ni incluso de cualquier energía térmica. La energía del neutrón capaz de provocar la fisión está encerrada dentro de unos límites muy estrechos. Estos límites concuerdan con la distancia entre los niveles de energía que responden al estado estable y al excitado más próximo a él del núcleo de uranio-235. Por esto los neutrones cuya energía corresponde a la diferencia de energías entre los dos estados mencionados, son los que con más eficacia excitan los núcleos de uranio.
En el núcleo de uranio-235 la distancia energética entre el estado excitado y el estable es muy pequeña. Al entrar en el estado excitado, este núcleo debería, al parecer, comportarse lo mismo que los núcleos ligeros, es decir, emitir un fotón gamma y alguna partícula y retornar al mismo estado de equilibrio o a otro. Pero esto no ocurre.
Veamos por qué. Ya hemos dicho que los núcleos pesados prefieren lanzar no partículas aisladas, sino tétradas enteras de ellas, es decir, partículas alfa. Esto se explicó por el hecho de que la barrera de potencial para la emisión de partículas alfa es mucho más baja que para la emisión de partículas nucleares aisladas. Y resulta que la barrera para «bloques» aún más grandes, como los fragmentos del núcleo después de la fisión, es muy baja para el uranio-235.
Cuando este núcleo se encuentra en estado excitado, tiene la posibilidad de pasar la pequeña barrera para la fisión y encontrarse al otro lado de ella... pero ya en forma de fragmentos separados.
Una situación completamente semejante existe en el caso de las moléculas. La energía necesaria para arrancar de una molécula aunque sólo sea un electrón, es bastante considerable. Pero la energía de escisión de la molécula en átomos separados es mucho menor. Precisamente por esto, por ejemplo, en las reacciones químicas se dividen las moléculas no en electrones, sino en átomos o en grupos enteros de ellos, como son los radicales.
La fisión de los núcleos de uranio-238 por neutrones transcurre de un modo totalmente análogo a la fisión de los núcleos de uranio-235. Pero en este núcleo, entre el estado excitado y el estado estable inicial, hay un intervalo energético bastante ancho, de un buen millón de electrón-voltios. Por lo tanto, para «elevar» estos núcleos al nivel excitado hacen falta electrones enérgicos, es decir, rápidos.
¡Cuántos núcleos puede haber en total!
Ya se figurará el lector que no puede decirse «tantos como se quiera». Porque cuanto más pesado es un núcleo, menos es su estabilidad. Pero incluso el núcleo del uranio existe, por término medio, millares de millones de años hasta que espontáneamente se libra de la partícula alfa que le «sobra» y entra en un estado más estable. No es difícil calcular que núcleos considerablemente más pesados que el de uranio pueden vivir también bastante tiempo, en promedio, antes de lanzar la partícula alfa.
Sin embargo, el límite de las «categorías de peso» de los núcleos lo establece otro fenómeno. Acabamos de ver que, con respecto a la división en grandes «bloques», los núcleos pesados pusieron una barrera muy baja. Pero entonces— me parece que ya empieza usted a sospechar lo que pasa—... entonces el núcleo deberá tener una probabilidad considerable de pasar por debajo de esta barrera.
No hace falta ningún neutrón, ninguna excitación: un núcleo puede escindirse espontáneamente infiltrándose por un «túnel» a través de su propia barrera. ¿Ocurre esto en realidad? Sí, en aquel mismo año de 1939 la naturaleza movió afirmativamente la cabeza a los físicos: sí, así ocurre en realidad. La fisión espontánea de los núcleos pesados, descubierta por los físicos soviéticos Flerov y Petrjak, no es una fantasía de la mecánica cuántica, sino un hecho irrefutable.
Y cuanto más pesado es un núcleo, cuanto más recargado de partículas está, tanto más probable es esta fisión. En los núcleos de uranio nos encontramos con ella rarísimas veces aún, porque su probabilidad es prácticamente casi nula. Pero ya en el californio (N° 98), la vida media de los núcleos, con respecto a la fisión espontánea, no es de millares de millones de «años, sino de años; y en el nobelio (N° 102), este tiempo debo ser ya del orden de segundos.
Finalmente, en un núcleo determinado, la barrera, con respecto a la fisión, desaparecerá por completo. Este núcleo deberá ser totalmente inestable con respecto a la fisión. No podrá ni formarse, porque en el mismo instante se desmoronará en partes. En la última página del álbum de «proyectos estándar» figura como aproximado el número 120. Esto significa que, en cualquier condición, en la naturaleza no pueden existir núcleos, y por consiguiente los átomos correspondientes, que tengan la cantidad de 120 protones o más.
El número de protones es el que precisamente determina en definitiva la estabilidad de los núcleos con respecto a su fisión. En los núcleos pesados aumentan bruscamente las fuerzas de repulsión entre los protones y al mismo tiempo disminuyen las fuerzas de atracción nucleares entre las partículas periféricas alejadas entre sí.
Como resultado de esto, cerca de la superficie nuclear se hacen los amos de la situación los protones enemistados, mientras que los neutrones se «retiran» modestamente a la sombra. Las fuerzas de repulsión «desgarran» esta superficie, y el núcleo se desintegra en grandes «bloques».
El núcleo son capas y es una gota
Hemos conocido dos modelos del núcleo atómico. Según uno de ellos el núcleo tiene una estructura de capas que recuerda un poco la del átomo, de acuerdo con el segundo, el núcleo se parece más a una gota líquida. ¿Cuál de estos modelos es más correcto?
La respuesta más razonable es ésta: son correctos los dos, pero cada uno en su esfera de fenómenos. El modelo de las capas describe mejor la «calma», cuando el núcleo está tranquilo y sin excitar por causas externas. El modelo de la gota representa mejor el núcleo en «tempestad», cuando todo hierve en él, los choques de las partículas entre sí se intensifican, éstas se evaporan de él y hasta se dan casos en que los propios núcleos se desintegran.
¿No podrían unirse estos modelos en uno, que sirviera para describir con la misma corrección una y otra esfera de fenómenos? Sí, pero en el ejemplo de la teoría de los cuantos de Planck pudimos convencernos de que estas uniones, empalmes de teorías, no son simples operaciones de sastre.
El modelo unificado del núcleo, llamado modelo colectivo, fue propuesto hace aproximadamente quince años por el hijo de Niels Bohr, el conocido físico danés Aage Bohr. A esta teoría le quedaron como herencia ciertos rasgos de los que fueron sus «progenitores», pero, a pesar de todo, difiere mucho de ellas.
De base de la teoría colectiva del núcleo sirve la afirmación de que el núcleo se comporta «como formado por capas» cuando el número de protones y neutrones que hay en él es igual a los números mágicos o se aproxima a ellos. En el caso contrario, el núcleo se comporta «como una gota», manifestándose muy claramente este último comportamiento cuando el número de partículas que hay fuera de las capas completas, cerradas, alcanza aproximadamente los 2/3 del número total de partículas que hay en la siguiente capa completa.
De este modo resulta que las partículas que están fuera de las capas nucleares completas son las responsables de todo lo que ocurre en el núcleo, comenzando por el escape de partículas aisladas y terminando por el desmoronamiento del mismo núcleo. En cambio, las partículas que forman parte de las capas completas se comportan más modestamente y no toman parte directa en esta actividad del núcleo.
Otra vez se impone la comparación con las capas electrónicas de los átomos. Recuerde cómo los electrones de las capas cerradas de los átomos inertes estaban llenos de «indiferencia aristocrática». Mientras que los electrones que había en las capas incompletas establecían activamente relaciones con los átomos vecinos, formando moléculas, cristales y tomando parte en las reacciones químicas.
Pero al mismo tiempo, en el modelo colectivo se considera que la interacción directa de las partículas nucleares entre sí no es demasiado grande y que la «cara de la medalla» que se refiere a las capas no es la principal. Además de las interacciones «por parejas» de las partículas en el núcleo, por lo visto, existen también interacciones «colectivas» de aquéllas, más propias de la «cara de la medalla» referente a la gota. Estas últimas se ponen de manifiesto en las deformaciones de la superficie nuclear, a consecuencia de las cuales el núcleo no tiene una distribución esférica de la carga de protones, y una serie de otras peculiaridades de los núcleos.
Las predicciones, basadas en el modelo colectivo, de las propiedades eléctricas, magnéticas y otras de los núcleos, concuerdan frecuentemente con los datos de los experimentos.
Con esto puede darse por terminada nuestra exposición de los modelos por medio de los cuales intentan los físicos describir las propiedades de los núcleos atómicos. Los modelos de que hemos hablado no son todos los que suelen utilizar los científicos.
¿Es bueno que existan tantos modelos diferentes de núcleos? No, es más bien malo. El núcleo, a pesar de su apariencia «multifacética», en realidad sólo tiene una faz, y no muchas. La abundancia de modelos, cada uno de los cuales es bueno a su manera e insatisfactorio a su modo, nos dice que, aunque el núcleo sólo tenga una faz, ésta es muy extraña y difícil de comprender.
Ocurre algo así como si se tuviera una decena de fotografías, tomadas con diferente iluminación y desde ángulos diferentes, representando pequeños trozos de un cuadro, y se quisiera apreciar el cuadro entero.
En el caso de los núcleos atómicos la dificultad principal consiste, claro está, en que por ahora no se conoce a fondo el carácter de las fuerzas nucleares.
Estas fuerzas no dependen de que las partículas estén cargadas o no lo estén, actúan únicamente cuando las distancias entre éstas son muy pequeñas, pero al mismo tiempo son bastante considerables. Puede añadirse que estas fuerzas, como todas las de intercambio, dependen de los sentidos mutuos que tienen los espines de las partículas que interaccionan.
El conocimiento exacto de las fuerzas nucleares será posible únicamente cuando los físicos puedan penetrar con su mirada dentro de las propias partículas nucleares y puedan comprender su estructura. Ahora la física sólo se encuentra a la entrada de este enorme tema de futuras investigaciones, que no es menos estrecho, sino mucho más amplio, que el estudio de los propios núcleos atómicos.
¡Del núcleo se escapan partículas que no existen en él!
Ya conocemos el secreto de cómo se escapan de los núcleos las partículas alfa y los fotones gamma. Nos queda por descorrer la cortina del secreto de cómo se escapan del núcleo las partículas beta, es decir, los electrones.
Cuando hace treinta años emprendieron la resolución de este problema, los físicos rebosaban optimismo. Hacía poco que la mecánica había dado explicación de las radiaciones alfa y gamma de los núcleos y parecía que ante ella no podría mantenerse el secreto de la radiación beta. Pero en este caso no se dio prisa la naturaleza a revelar su secreto.
El hecho de que la mecánica cuántica no pudiera salir del callejón en que se encontraba al intentar explicar este fenómeno, era tanto más lamentable por cuanto la radiación beta es quizá el procedimiento más difundido de desintegración de los núcleos atómicos. Desde que en el año 1934 Irene Curie y Frédéric Joliot-Curie descubrieron la radiactividad artificial que se producía bombardeando núcleos con neutrones, y, sobre todo, después que la creación de los reactores nucleares permitió efectuar este bombardeo en masa, los núcleos radiactivos nuevos, inexistentes en las condiciones de la tierra, fueron cayendo en manos de los físicos como si se derramaran de un saco.
Durante el último cuarto de siglo se consiguió hacer artificialmente más de mil isótopos radiactivos nuevos. Y la inmensa mayoría de ellos emite no partículas alfa, sino beta precisamente.
La primera y principal dificultad para explicar la desintegración beta consistía en que en el núcleo no pueden existir electrones. Antes, al hablar del modelo nuclear protono-neutrónico, mencionamos algunos de los fundamentos para llegar a esta conclusión. Ahora daremos a conocer el argumento principal contra la presencia de electrones en los núcleos atómicos.
El caso es que el electrón «no cabe» en el núcleo. Un electrón podría considerarse que estaba en el núcleo, si fuera posible «meter» en éste toda su nube electrónica de probabilidad. Pero incluso si las velocidades del electrón son extraordinariamente altas y su energía es del orden de las energías nucleares, la longitud de la onda de de Broglie electrónica sería aún centenares de veces mayor que las dimensiones de los núcleos. Y las dimensiones de la nube electrónica, como ya convencimos basándonos en el ejemplo del átomo de hidrógeno, son del mismo orden que la longitud de onda del electrón.
Tampoco se halló sitio en el núcleo para el electrón, porque su espín, sumándose a los espines de las partículas nucleares, tendría que ocasionar valores incorrectos de los espines de los núcleos.
Convencidos de todo esto, los físicos privaron al electrón de asilo en el núcleo, sin derecho a apelación. Pero, si esto es así, ¿cómo puede escaparse del núcleo lo que en él no hay? En el núcleo habitan partículas pesadas, pero de él sale a la luz el ligerísimo electrón. Ocurre como si de un cañón que se cargase con un proyectil pesado, saliese disparada una balita de fusil.
En efecto, el núcleo les ofreció a los físicos una nueva sorpresa. Advertiremos, además, que el electrón escapado del núcleo cometía dos «delitos» contra las leyes fundamentales de la física. Contravenía dos leyes: la de conservación de la energía y la de conservación del momento de impulsión.
El electrón tiene un cómplice
Hay en la física leyes en las cuales, como en un cimiento, se apoya todo el edificio de esta ciencia. Estas leyes son justas para todos los mundos y para todos los fenómenos.
Dicen así: el movimiento ni se produce de la nada ni se transforma en la nada. Una forma de movimiento puede generar otra, el movimiento puede cambiar su forma, hasta puede dejar de ser perceptible, pero nunca desaparece.
Cuando la física clásica estaba aún en sus albores, los físicos necesitaron ya una medida del movimiento. Había que hablar no sólo del tipo de movimiento, sino también contar su «cantidad» Entonces introdujeron los físicos dos magnitudes: la energía y el impulso.
Y el principio acerca de que el movimiento no nace ni muere halló su encarnación en la invariabilidad de la energía y el impulso totales de los cuerpos que toman parte en una acción recíproca. El retroceso de un cañón cuando dispara, el calentamiento de un motor cuando funciona, la hincadura de un pilote cuando se golpea con un martillo pesado y una infinidad de fenómenos muy diversos, obedecen absolutamente todos ellos las dos grandes leyes de conservación, de la energía y del impulso. Para el movimiento de rotación resultó ser no menos universal la ley de conservación del momento de impulsión. Esta ley precisamente es la que aplican, por ejemplo, los patinadores sobre hielo, cuando encogen los brazos y comienzan a girar sobre un punto a una velocidad verdaderamente «vertiginosa».
Fácil es comprender la conmoción que sufrieron los físicos cuando se puso en claro que las partículas beta pueden poseer cualquier energía (o, más exactamente, desde cero hasta cierto valor máximo). El núcleo, esto ya estaba completamente claro en aquel tiempo, es un sistema cuántico que tiene unos determinados niveles de energía.
En otras palabras, todo proceso en el núcleo, en particular el que hace que salgan despedidas las partículas beta, sólo puede marchar de tal modo, que el núcleo pase de un nivel a otro con determinada energía. Por lo tanto, la diferencia entre estas dos energías, es decir, la energía que se lleva la partícula beta, no puede ser cualquiera.
No obstante, el espectro de las energías de los electrones en la desintegración beta no revelaba, ni en el grado más mínimo, indicios de «rayas» que respondieran a determinadas energías. Esto podía significar que, a pesar del testimonio de todos los demás procesos, el núcleo no cumple en resumidas cuentas las leyes cuánticas, o que en la desintegración beta los núcleos no cumplen la ley de conservación de la energía.
Y no solo esta ley. El electrón, además de su energía, se lleva del núcleo su espín ligado indisolublemente con la misma esencia del electrón. Sin embargo, resulta que después de emitir la partícula beta, el espín del núcleo sigue siendo el mismo que antes de emitirla. ¿Y no puede ser que el electrón deje su espín en el núcleo? No, esto es totalmente imposible, lo mismo que deje un electrón sin carga, un piano sin teclas o un sabio sin cabeza.
Aunque algunos científicos, al encontrarse con esta nueva perfidia de la naturaleza, en realidad, perdieron la cabeza. Creyentes inmutables de las leyes cuánticas de la vida de los núcleos, estos científicos propusieron sacrificar la ley de la conservación de la energía, a la que llamaron con desprecio «clásica».
Pero esta idea absurda tuvo que ser pronto abandonada. ¿Dónde estaba entonces la salida de esta situación crítica? La salida fue propuesta por nuestro ya conocido Wolfgang Pauli, quien afirmó: el «delincuente»-electrón tiene un cómplice. ¿Qué señas tiene? No es difícil establecerlas.
El núcleo, en la desintegración beta, adquiere una carga positiva adicional, igual exactamente en magnitud a la carga del electrón emitido. El núcleo parece que se ioniza. Por lo tanto, el cómplice del electrón no tiene carga, es decir, debe ser eléctricamente neutro.
Además, el cómplice debe tener espín, igual que el del electrón, pero dirigido en sentido contrario. Así los dos espines se compensan uno a otro dando una suma nula. En este caso el espín del núcleo, cuando este emite el electrón y su cómplice, permanece invariable, como debe ser.
Y, finalmente, el electrón y su cómplice se llevan entre los dos una energía que es precisamente igual a la energía máxima que pueden tener los electrones en la desintegración beta del núcleo.
Esta energía máxima está cuantificada, es decir, es igual exactamente a la diferencia entre los dos niveles de energía en que se encuentra el núcleo antes de la desintegración beta y después de ella. Pero esta energía puede distribuirse entre el electrón y su cómplice arbitrariamente. En el reparto de su «botín» no les impone condición alguna la mecánica cuántica.
En estas condiciones se cumple la cuantificación de la energía de los núcleos y la ley de conservación de la energía no se infringe. ¡Qué salida más ingeniosa le encontró Pauli al callejón!
Pero... el electrón-«delincuente» se descubre con facilidad, mientras que a su cómplice no lo ha visto nadie. ¿Cómo puedo ocurrir esto? — preguntan los escépticos. Y los físicos, valiéndose de pruebas indirectas, calculan la última seña personal importante del cómplice del electrón: su masa. Es imposible hacer un cálculo exacto, pero puede decirse con seguridad que tiene que ser por lo menos mil veces menor que la masa del electrón.
¡El cómplice del electrón es fenomenal! No tiene carga, casi carece de masa y lo único que posee es energía y espín. Por la ausencia de carga se parece al neutrón, que no hacía mucho había sido descubierto. Con la diferencia de que es millones de veces más liviano. Esto dio origen a su nombre apreciativo: neutroncito, no, neutrino.
Entre ellos no hay otra semejanza. Los neutrones interaccionan activamente con los protones, chocan entre sí, forman familias estables, los núcleos atómicos. ¿Y el neutrino? Este es un alma sin cuerpo. En efecto, los cálculos demuestran que un neutrino puede recorrer toda la región gigantesca del Universo que vemos por nuestros telescopios, sin acusar su presencia. Al parecer nunca interacciona con nada.
Anticipándonos un poco diremos que, por fin, la existencia del neutrino, por pruebas indirectas pero irrefutables, pudo confirmarse hace varios años. Con la teoría de la desintegración beta, en esencia, la cuestión estuvo planteada durante una serie de años lo mismo que con la teoría de las fuerzas nucleares. Esta última estuvo «pendiente del aire» más de diez años, hasta que fueron halladas pruebas materiales de que era correcta, es decir, los mesones pi. La teoría de la desintegración beta, propuesta por Pauli y por el físico italiano Fermi, «pendió» todavía más tiempo, ¡un cuarto de siglo!
Pero por ahora retrocedamos un poco. A pesar de todo hay que comprender de dónde salen los electrones que, sin existir en el núcleo, se escapan, no obstante, de él en la desintegración beta.
Los electrones nacen en los núcleos
En más de una ocasión nos hemos convencido ya de que en el mundo de las cosas ultra-pequeñas ocurren a cada paso acontecimientos sorprendentes. En el capítulo siguiente se erguirá ante nosotros un acontecimiento completamente universal de este mundo, la transformación de unas de sus partículas en otras. Veremos que, para el micromundo, este fenómeno es tan natural y ordinario como la relativa constancia e invariabilidad de las cosas en nuestro mundo habitual.
Con una de estas transformaciones ya hemos trabado conocimiento. Se trata de la transformación mutua de los protones en neutrones y de los neutrones en protones, que sirve de base a las fuerzas nucleares. En este proceso el protón, emitiendo un mesón pi positivo, se transforma en neutrón, y el neutrón, capturando este mesón, se transforma en protón. Pero, como se recordará, el neutrón puede de por sí emitir un mesón pi negativo y transformarse en protón.
¿No será este mesón el que se escapa del núcleo en la desintegración beta? No, las mediciones exactas de la masa demuestran que esto no ocurre. Del núcleo no se escapa un mesón pi, sino un electrón, que es unas doscientas veces más liviano. En las condiciones en que ocurre la desintegración beta, de los núcleos nunca se escapan mesones.
Tendremos que adelantarnos otra vez. Al cabo de varios años de haberse descubierto el neutrón, establecieron los físicos que esta piedra angular de los núcleos atómicos es una partícula inestable. En estado libre, es decir, cuando no se encuentra en el núcleo, el neutrón, al cabo de un tiempo medio aproximado de 12 minutos de haber aparecido, se transforma en protón. Al ocurrir esta transformación, el neutrón emite... ¡un electrón y un neutrino!
Ahora ya nos parece que el descubrimiento del secreto de la desintegración beta está cerca. Porque precisamente esta pareja de partículas es la que se escapa del núcleo. Sí, esto es así. Pero el neutrón que está dentro del núcleo, no es un neutrón libre. El neutrón nuclear tiene que transformarse en protón de un modo completamente distinto.
Sin embargo, ¡qué pocas ganas hay de soltar el cabo que, con tanto trabajo, se había palpado en el laberinto de la desintegración beta! ¿No podría ocurrir que, de algún modo, el neutrón quedara libre «por un minuto» dentro del núcleo?
No, de la libertad del neutrón, siquiera sea «por un minuto», que no ya por 12, no puede ni hablarse. Pero recordemos que los núcleos que emiten las partículas beta son de por sí inestables (como, por ejemplo, los núcleos pesados de los elementos que hay al final del sistema periódico) o han sido hechos pasar a un estado inestable por bombardeo con neutrones. Y la emisión de la partícula beta no es otra cosa que el intento del núcleo de pasar de su estado inestable a otro más estable.
Si una construcción ordinaria pierde su estabilidad, se puede salvar por algún tiempo poniéndole puntales. En la mampostería ya nada puede cambiarse. Pero la naturaleza no tiene puntales que puedan reforzar «por fuera» una construcción nuclear que se derrumba. Ella hace esto «por dentro», por un procedimiento que puede envidiar cualquier constructor infortunado.
Antes hemos comparado los protones con los ladrillos del edificio nuclear, y los neutrones con el cemento que une estos ladrillos de la forma más sólida. Pero, ¿qué puede hacerse si la construcción resulta ser poco estable de por sí, o si sufre un golpe exterior fuerte, como, por ejemplo, el impacto de un neutrón en el núcleo?
La naturaleza restablece el equilibrio perdido por su creación, convirtiendo el cemento en ladrillos, si es que hay demasiado cemento, o al contrario, transformando los ladrillos en cemento, si el exceso de aquéllos amenaza destruir el edificio nuclear.
Estas transformaciones ocurren precisamente lanzando del núcleo el «exceso» o la «falta» de carga. El ladrillo-protón, al transformarse en cemento-neutrón, se desprende de su carga lanzándola en forma de positrón («sosia» con carga positiva del electrón). El neutrón, al transformarse en protón, lanza un electrón y con esto aumenta la carga total del núcleo.
¿Cuánto tardan en producirse estas transformaciones? En general, no ocurren en 12 minutos. Ya hemos dicho que la situación del neutrón en el núcleo es radicalmente distinta de las condiciones en que vive su colega libre. A veces las condiciones de vida en el núcleo son tales, que éste no aguanta el estado inestable ni siquiera unas milésimas de segundo.
En algunos casos estas mismas condiciones frenan la desintegración del neutrón o del protón. Entonces el núcleo se conserva durante un período considerable de tiempo hasta que se produce la desintegración beta, pudiendo vivir mucho, hasta centenares y millares de años por término medio. En esto no hay nada que pueda extrañar: las «condiciones de vida» de las partículas en los edificios nucleares son tan diversas como «proyectos estándar» hay.
Predecir exactamente la vida media de los núcleos radiactivos beta es cosa que aún no puede hacer la mecánica cuántica. Esto se debe no sólo al carácter aproximativo de nuestros conocimientos de la «arquitectura» nuclear, es decir, de los valores de las fuerzas nucleares en resumidas cuentas, sino también a que la mecánica cuántica no puede aún explicar claramente el hecho mismo de la desintegración del neutrón libre.
De base de esta desintegración sirven unas fuerzas extraordinarias que durante los últimos años han revolucionado muchas ideas de los físicos. Pero de ellas hablaremos en el capítulo siguiente.
Núcleo-glotón
Retornemos a ciertas peculiaridades muy interesantes de la desintegración beta. Una de ellas consiste en que el núcleo no lanza siempre electrones solamente.
A veces de los núcleos escapan «sosias» especulares de los electrones. Estas se diferencian de los electrones únicamente en el signo de la carga eléctrica, que en ellas es positivo. Explicar esta forma de desintegración beta (que se da con menos frecuencia que la ordinaria con emisión de electrones) es más difícil. El neutrón no puede lanzar electrones positivos. Esto podría hacerlo el protón, convirtiéndose de este modo en neutrón. Pero el protón, a diferencia del neutrón, es absolutamente estable con respecto a la desintegración beta.
Y otra vez se nos plantea la pregunta: ¿cómo pueden escaparse del núcleo partículas que en él no existen? Ahora la situación es incluso más difícil. De dónde salen los electrones, aún puede comprenderse: su progenitor es el neutrón nuclear. Pero, ¿de dónde aparecen los electrones positivos, es decir, los positrones?
Esto se ha conseguido comprender, pero, aunque se impaciente el lector, hablaremos de ellos en el capítulo siguiente. Si se enfada, tiene razón: ¡cuántas veces puede aplazarse la explicación, cuando sólo queda un minuto para conocer el desenlace! ¡Esto parece una novela de aventuras!
Tenga paciencia. Y sepa mientras tanto que el desenlace de esta «aventura» es muy interesante.
Por ahora, para mitigar su enfado, le daremos a conocer casos sorprendentes, en los cuales el núcleo devora electrones de las capas del propio átomo. Los físicos denominaron este «feroz» comportamiento de los núcleos con el término, bastante suave, de «captura electrónica».
Pero, ¿cómo es posible esto? Al principio del libro dijimos que las leyes cuánticas de la vida del átomo, que ya Bohr descubrió, reflejan indirectamente la imposibilidad del «suicidio» de los átomos. Para estos fueron introducidas las órbitas, en las cuales pueden vivir los electrones sin perder su energía en radiación y sin caer por esto en el núcleo.
En los átomos ligeros, en los cuales la carga del núcleo es pequeña y hay pocos electrones, la prohibición de la mecánica cuántica se cumple rigurosamente: la «nube de probabilidad» electrónica casi no penetra en la región ocupada por el núcleo. Pero en los núcleos pesados, los electrones más profundos, es decir, los que se encuentran en las capas más cercanas al núcleo, están ya en otras condiciones.
Desde fuera son repelidos por muchos electrones y desde dentro son atraídos, con no menos fuerza, por el núcleo, que tiene gran carga positiva. Y los electrones no resisten esto doble empuje: las nubes electrónicas comienzan a penetrar en la zona antes prohibida para ellos. Aparece cierta (aunque no muy grande) probabilidad de que los electrones atómicos se encuentren en el núcleo. Y puesto que existe esta probabilidad, más tarde o más temprano, en uno u otro átomo, la naturaleza la realiza. En esto consiste la captura del electrón por el núcleo.
¿Y qué ocurre cuando el electrón cae en el núcleo? La carga del núcleo, claro está, disminuye en una unidad, lo mismo que en la desintegración beta positrógena. ¿Y el espín? El espín del núcleo, a pesar de recibir la adición del espín del electrón, permanece invariable.
De aquí sólo puede hacerse una deducción: el espín aportado por el electrón se lo lleva del núcleo otra partícula. Esto lo hace el viejo cómplice del electrón, el neutrino. Sólo que ahora no es emitido formando pareja con un electrón, sino al contrario, hace su aparición cuando el electrón desaparece en el núcleo.
En consecuencia, el único testigo de la «tragedia» que se desarrolla en las entrañas del átomo es el neutrino, esta alma sin cuerpo. Citar a este «testigo» para un interrogatorio, como ya sabemos, es extraordinariamente difícil.
No obstante, esto se ha conseguido durante los últimos años. Es el caso que nuestro «testigo», al incidir sobre otro núcleo, puede provocar en él la transformación de un protón en un electrón positivo y un neutrón, que es el proceso inverso de aquél cuya explicación aplazamos para el capítulo siguiente. Este proceso se llama precisamente así, desintegración beta inversa.
Hacer el experimento para observar este proceso partiendo de neutrinos aislados, es una tarea que carece de sentido. El neutrino, con fenomenal facilidad, escapa a todos los intentos de atraparle. Por lo tanto, hay que reunir todo un ejército de estos «testigos», resolvieron los científicos. En este caso quizá se logren coger aunque sólo sean unos pocos.
Este problema era ya relativamente fácil de resolver. En los reactores nucleares, como resultado de las reacciones de fisión, aparecen potentes flujos de neutrones. Al ser absorbidos por el material de las paredes del reactor, estos neutrones provocan en él radiactividad artificial. A ella hacen una aportación no pequeña los núcleos excitados, es decir, los fragmentos de los núcleos desintegrados.
Esta radiactividad es radiactividad beta. Un reactor nuclear emite cada segundo nubes enteras de neutrinos. A través del blindaje del reactor, que retiene magníficamente a los neutrones y rayos gamma, el neutrino pasa con mucha más facilidad que un cuchillo a través de la mantequilla.
Junto al reactor colocaron los investigadores un gran contador de centelleo, lleno de una sustancia que responde bien a la acción del neutrino, una solución de cadmio. Al absorber el neutrino, los núcleos de cadmio lanzaban de buen grado positrones, que producían destellos en la sustancia del contador (por ejemplo, en un hidrocarburo líquido).
¡Y los positrones aparecieron de verdad! La causa de su generación sólo podía ser una: la incidencia del neutrino sobre los núcleos de cadmio, de este modo, al cabo de un cuarto de siglo de haber expuesto Pauli su hipótesis, fue reconocida una partícula más del mundo de las cosas ultra pequeñas, una partícula nacida en la punta de la pluma del teórico.
Posteriormente quedó demostrado que el neutrino es en realidad una de las partículas más extraordinarias del micromundo. Pero de esto se hablará más adelante.
Con esto terminamos nuestra excursión con la mecánica cuántica por el mundo de los núcleos atómicos. Junto con ella ya nos hemos topado con las dificultades que hay que vencer en las espesuras del «bosque» nuclear. Y el fin de estas espesuras aún no se divisa.
Ahora vamos a adentrarnos en el mundo, aún más encubierto, de las partículas elementales de la sustancia, en el mundo en que más claramente se ponen de manifiesto aquellas regularidades que encontraron su reflejo en las propiedades ondulatorias de las partículas de la materia y en las propiedades materiales de las ondas.
Capítulo 6
De los núcleos atómicos a las partículas elementales
- El descubrimiento del nuevo mundo
- Una frontera invisible
- Algo más sobre la teoría de la relatividad
- Primeras dificultades
- Un descubrimiento inesperado
- Otro descubrimiento aún más inesperado
- Nacimiento de los «huecos»
- Configuraciones del vacío
- El vacío, ¿es un lugar desierto?
- ¡El vacío depende de los cuerpos!
- Materia y campo
- ¡El vacío no existe!
- ¿Sobre qué se apoyan las ballenas?
- Las partículas cambian de aspecto
- El mesón p¡ es bifronte
- El secreto del intercambio mesónico empieza a aclararse
- El secreto de la interacción
- El reino de las virtualidades
- Lo virtual se hace real
- A la caza de nuevas partículas
- Elaboración de los trofeos de caza
- Las antipartículas tienen la palabra
- Las partículas se desintegran
- Los físicos clasifican las interacciones
- El secreto de los mesones K
- ¿Difiere lo izquierdo de lo derecho?
- Aquí está la salida y... ¡qué sorprendente!
- Mundo y antimundo
- ¿Qué ocurre dentro de las partículas?
- La vieja carga tira hacia atrás
- El reverso de la evidencia
- Cuantos hay siempre y están en todas partes.
Al parecer, ¿qué puede haber más sólido que los núcleos atómicos? Sobre ellos no actúan altas presiones y temperaturas ni enormes campos eléctricos y magnéticos. Los edificios más sólidos que ha construido la naturaleza son los núcleos. Así pensaban al principio los físicos.
El desarrollo de la ciencia introdujo correcciones importantes en esta apreciación. La mayoría de los núcleos pesados resultaron ser inestables. Entre los núcleos ligeros y medios también se encontraron muchos que son poco resistentes. Paulatinamente comenzó a esclarecerse cómo la naturaleza pone los ladrillos de los edificios nucleares, cómo la menor alteración de la proporción entre el número de protones y el número de neutrones que hay en un núcleo, hace que éste sea inestable.
Al mismo tiempo, para explicar la emisión de partículas, inexistentes en el núcleo, que se observa en su desintegración, hubo que suponer que el neutrón puede transformarse en protón y viceversa. Esto condujo a la idea de la existencia del neutrino.
La propia solidez de los núcleos resultó estar ligada también con una nueva partícula, desconocida hasta entonces, el mesón p. Cuando buscaban esta partícula, los físicos descubrieron de paso el mesón mu.
Los científicos fueron comprendiendo poco a poco que el mundo de los ladrillos de que están hechos los átomos y sus núcleos no es, ni mucho menos, tan invariable y estable como parecía al principio. En las profundidades del átomo y en las aún más íntimas del núcleo atómico, los físicos fueron testigos de acontecimientos tan sorprendentes, que ante ellos palidecían las maravillas que con anterioridad había predicho la mecánica cuántica.
Pero la mecánica cuántica también aquí se encontró a la altura debida. En el mundo de las partículas más simples se manifestó completamente la talla de su magnífica capacidad de predicción. Los escépticos no hacían más que mover la cabeza aterrados, mientras que, unas detrás de otras, estas predicciones se iban confirmando brillantemente en la experiencia. Y esto era tanto más admirable, por cuanto aquí, en este mundo ultramicroscópico, cada nuevo paso contradecía el sentido común.
¡Oh, el sentido común! ¡Si este sentido común fuera tan propio de los científicos como de los demás hombres, la ciencia avanzaría a pasos de tortuga!
Los descubrimientos más sobresalientes se hacen, precisamente, cuando el sentido común se pone cabeza abajo. La verdadera esencia de muchísimas cosas no se encuentra en la superficie, sino oculta en las profundidades. Lo ordinario, lo que está claro de por sí, es engañoso con frecuencia. Y este «con frecuencia» se convierte en «siempre», cuando entra la ciencia en el mundo de las cosas ultrapequeñas.
...Pero por ahora corre el año 1928. Del nuevo mundo es poco lo que aún se conoce. Acaba de entreabrirse un poco y ha dado la posibilidad de ver dos partículas: el protón y el electrón. La mecánica cuántica sólo tiene tres años. Bien, es verdad que, con gran éxito, va descifrando uno tras otro los antiguos secretos. Han empezado a comprenderse el átomo de hidrógeno y la formación de las moléculas de este elemento y valiéndose de la hipótesis del efecto de túnel acaba de ser explicada la emisión de partículas alfa por los núcleos radiactivos. Pero sobre las partículas nucleares y demás, sobre su esencia, en realidad, aún no se sabe nada.
Y el joven físico inglés Paul Dirac (sí, que jóvenes son todos ellos: el mayor de todos es Erwin Schrödinger, con 38 años; Werner Heisenberg tiene 28 años y Dirac, 25) piensa que los éxitos de la mecánica cuántica pueden resultar inconsistentes, ya que esta teoría nació basándose en la física clásica, que sólo define los movimientos relativamente lentos de los cuerpos.
Pero, ¿puede acaso llamarse lento el movimiento del electrón en el átomo, incluso según la vieja teoría de Bohr, donde alrededor del núcleo da aquél muchos billones de vueltas por segundo? En los núcleos ligeros, la velocidad del electrón es del orden de millares de kilómetros por segundo, y en los pesados, del orden de centenares de millares.
No, está claro que estos movimientos no son lentos. Entonces, hay que hacer que la mecánica cuántica pase también a movimientos tan rápidos como los de las partículas atómicas. ¿Cómo se puede hacer esto?
Veinte años antes, aproximadamente, del tiempo a que nos referimos, apareció una teoría dedicada a los movimientos muy rápidos de los cuerpos ordinarios. Esta teoría, cuyo creador fue Albert Einstein, recibió el nombre de teoría especial de la relatividad.
Dirac llegó a la conclusión de que el camino para el paso de la mecánica cuántica a los movimientos rápidos de las micropartículas era su unificación con la teoría especial de la relatividad.
Una frontera invisible
En un libro de volumen limitado como el nuestro es imposible dar a conocer la teoría de la relatividad de un modo algo detallado: el tema requeriría por lo menos otro libro igual que éste. Por eso vamos a detenernos únicamente en aquellas de sus partes que tienen relación directa con nuestra narración.
En primer lugar hay que aclarar qué es lo que se entiende por movimientos rápidos y lentos. En la vida ordinaria nadie duda del sentido que tienen estas palabras. Un caracol se arrastra lentamente, mientras que un avión de reacción vuela con mucha rapidez.
No es difícil comprender que nuestra idea acerca de la velocidad es completamente subjetiva. De medida para ella sirve la velocidad con que se mueve el hombre. Consideramos que un movimiento es rápido o lento en comparación con la velocidad con que se anda o se corre o se mueven las manos.
Pero si desde un avión en vuelo se observa cómo se mueve un tren expreso, parecerá que se arrastra lentamente. Y si desde un satélite artificial de la Tierra viéramos cómo vuela un avión de reacción, su velocidad nos parecería despreciable. Los conceptos de rapidez y lentitud son realmente muy relativos.
Los físicos no pueden conformarse con estos conceptos. Necesitan cierta medida de la velocidad que no esté ligada al hombre y que sea suficientemente constante, para que con ella puedan valorarse las velocidades de los movimientos más diversos.
¿No podría tomarse con este fin la velocidad de la Tierra por su órbita alrededor del Sol? En general, esta medida no sería mala. Pero como el hombre, valiéndose de los aparatos astronómicos, ha penetrado profundamente en el Universo, sería preferible buscar una medida que no estuviera relacionada con la Tierra ni con el Sol ni con ningún cuerpo celeste determinado. Lo mejor sería disponer de una medida de la velocidad que fuera universal para toda la región del Universo que se ve con los telescopios.
La naturaleza nos brindó amablemente esta medida. Se trata de la velocidad de propagación de las ondas electromagnéticas en el vacío, es decir, de la velocidad de los fotones luminosos en el vacío. Esta velocidad es igual, aproximadamente, a 300 mil kilómetros por segundo y es la mayor de todas las velocidades conocidas.
Ya no hay nada más rápido que esta velocidad; con respecto a cómo se mueve la luz, todos los demás movimientos son más lentos. De entre todos estos movimientos, los físicos separaron aquéllos cuyas velocidades se aproximan a la de la luz y los llamaron rápidos. Esta división de los movimientos nos puede parecer convencional, pero tiene profundo sentido.
El caso es que, a medida que la velocidad con que se mueven los cuerpos se aproxima a la de la luz, las propiedades de los cuerpos comienzan a variar considerable o inesperadamente. Por ahora nos referimos a cuerpos formados por multitud de partículas, en los cuales estas variaciones de las propiedades resultaron ser más fáciles de tener en cuenta.
Una de estas claras variaciones es el aumento de la masa de los cuerpos, que es tanto más brusco cuanto más próximas están sus velocidades a la de la luz. Exteriormente esto se pone de manifiesto en el hecho de que el cuerpo empieza a oponer una resistencia cada vez mayor a la fuerza que le obliga a aumentar su velocidad. Como resultado de esto, para aumentar la velocidad del cuerpo hay que ejercer sobre él una fuerza cada vez mayor.
Pero, a pesar de todo, no hay fuerza capaz de comunicarle al cuerpo una velocidad exactamente igual que la de la luz. La teoría de la relatividad afirma que ningún cuerpo material puedo tener una velocidad igual que la de la luz. Por material se entiende aquí cualquier cuerpo (o cualquier partícula de él) que pueda encontrarse en reposo. A los fotones que, como veremos después, no pueden estar en reposo, no les atañe esta prohibición de la teoría de la relatividad.
En el lenguaje de las matemáticas, lo expuesto se expresa por medio de la conocida relación

De esta relación se deduce que, a medida que v se aproxima a c, el denominador disminuye, al principio lentamente y después cada vez con mayor rapidez, de acuerdo con esto crece m(v), puesto que m0 es una magnitud constante que no depende de la velocidad. Finalmente, cuando v es igual a c, la masa del cuerpo m(c) se hace infinita.
Está claro que para comunicarle a este cuerpo más velocidad, sería necesaria una fuerza infinitamente grande. Pero en la naturaleza no existen fuerzas infinitas ni cuerpos de masa infinita. Es infinito el Universo entero, pero en él no hay otros «infinitos».
Esta fórmula, como ya dijimos, no es aplicable a los fotones. Mejor dicho, no da casi nada. Los fotones no pueden estar en reposo. Esto puede expresarse con otras palabras así: la masa en reposo de los fotones es nula. Sustituyendo este valor de m0 en nuestra relación, obtenemos que para la velocidad del fotón, igual a c, la masa de éste m(c) será 0/0. Este quebrado, como sabemos por las matemáticas, es indeterminado, es decir, puede tener cualquier valor.
Y efectivamente, como veremos más adelante, el fotón puede tener cualquier masa, tanto grande como pequeña. Pero esta masa sólo existe cuando v = c. Lo cual quiere decir que los fotones sólo pueden moverse con la velocidad de la luz.
¡Así es la velocidad de la luz! ¡Ninguna partícula material puede tener esta velocidad, pero al mismo tiempo, ningún fotón puede tener otra velocidad! De esta forma la velocidad de la luz resulta ser una frontera impenetrable entre las partículas materiales y los fotones.
¿Por qué no notamos en la vida ordinaria el aumento de la masa de los cuerpos, que predice la teoría de la relatividad? Antes de responder a esta pregunta— haremos otra: ¿cuál es la mayor velocidad alcanzada por los cuerpos lanzados por el hombre? La segunda velocidad cósmica o velocidad de escape, que aproximadamente es igual a 11 kilómetros por segundo. Calculemos en cuánto aumentará la masa del cuerpo al alcanzar esta velocidad, en comparación con la masa del mismo cuerpo cuando descansaba sobre la Tierra. Si el cuerpo pesa en la Tierra 100 kilogramos, cuando adquiera la velocidad indicada «pesará»... ¡0,35 miligramos más!
Pero si un cuerpo tiene la velocidad, por ejemplo, de 250 mil kilómetros por segundo, su masa aumenta ya más de dos veces en comparación con la masa en reposo. Este aumento de masa lo experimentan, por ejemplo, las partículas atómicas cargadas que se aceleran hasta velocidades enormes en unas máquinas especiales llamadas aceleradores de partículas. La estructura de estos aceleradores tiene que proyectarse teniendo en cuenta esta circunstancia.
Algo más sobre la teoría de la relatividad
Cuando las velocidades de los cuerpos se aproximan a la de la luz ocurren cosas maravillosas no sólo con la masa de dichos cuerpos. También varía considerablemente el transcurso del tiempo en ellos. Este tiempo fue denominado por los físicos tiempo propio de los cuerpos. Nuestro organismo vive según su «reloj». La marcha de este «reloj» está determinada por el ritmo de los procesos vitales que tienen lugar en el organismo.
Por otra parte, nos levantamos, vamos al trabajo, al teatro, nos acostamos a dormir, etc. de acuerdo con el tiempo «común», según un reloj ordinario cuya marcha está acomodada a la sucesión del día y la noche, es decir al «ritmo» de rotación de la Tierra alrededor de su eje.
Cuando decimos: «Qué pronto ha pasado el tiempo» o, al contrario: «Qué despacio pasa el tiempo», nos referimos a nuestro propio tiempo. Está claro que nuestras opiniones son subjetivas, dependen del ritmo, de la intensidad de nuestras actividades. Pero en ellas hay también una parte objetiva. Cuanto más rápido es el ritmo, tanto más de prisa pasa el tiempo.
Nuestra observación tiene su más seria analogía en la teoría de la relatividad. En ésta se afirma que cuanto más de prisa se mueva un cuerpo cualquiera, tanto más despacio transcurrirá su propio tiempo, así que, desde el punto de vista de este cuerpo, resulta que tanto más de prisa pasa el tiempo «común».
La «paradoja de los relojes» descrita, es bien conocida hoy por quienes se interesan por los largos viajes cósmicos. En las novelas de ciencia ficción el héroe, quien viaja en un cohete fotónico cuya velocidad se aproxima mucho a la de la luz, regresa a la Tierra después de pasar en el cosmos, según su propio tiempo, diez años. Se entera de que sus familiares y amigos hace ya mucho que fallecieron y exclama: «Cómo vuelan los años». Efectivamente, en el cohete, su tiempo propio transcurrió con más lentitud que el tiempo en la Tierra.
Todo lo dicho acerca del tiempo se expresa matemáticamente por la relación

Sobre las «paradojas», tan abundantes en la teoría de la relatividad, se podría hablar no poco. Pero nosotros no tenemos la posibilidad de hacerlo. Nos espera otra relación de dicha teoría, a la cual, en el futuro, le corresponderá desempeñar un papel bastante importante. Se trata de la más conocida de las fórmulas de Einstein, que hoy figura en todos los libros de texto:
E0 = m0c2
En este caso E0 es la energía que tiene el cuerpo en reposo de masa m0. Esta energía, para diferenciarla de la cinética o de la potencial, se llama energía en reposo o energía intrínseca del cuerpo.Como puede verse, esta energía no depende de la velocidad ni de la posición del cuerpo. La física clásica sólo reconoce los dos tipos de energía antes mencionados. La «nueva» energía no cabe dentro de su marco. Esta energía tiene un sentido especial.
Este sentido tendremos que aclararlo más adelante. Pero ahora retornemos a nuestra narración de cómo la teoría de la relatividad fue introducida en la mecánica cuántica.
Primeras dificultades
Dijimos que Dirac se propuso aunar estas dos grandes teorías del siglo XX. La nueva «aleación» debía aumentar considerablemente la «solidez» de la teoría cuántica con respecto a los embates de los nuevos hechos de la vida del mundo de las cosas ultra pequeñas.
La ecuación de Schrödinger — «ganzúa» universal de la mecánica cuántica, con la cual consiguieron abrirse cajas fuertes de la naturaleza con cerraduras ingeniosísimas — fallaba ante una serie de hechos. Era necesario perfeccionarla de algún modo.
Pronto quedó claro que «alear» esta ecuación con la teoría de la relatividad era un problema nada fácil. Ante todo, a Dirac le pareció que la ecuación modificada daba soluciones no invariantes en el sentido relativista. (El tiempo demostró que esto no era totalmente cierto. Pero, ¡quién sabe si Dirac, de no haber existido este error «feliz», hubiera pasado de largo sin hacer su magnífico descubrimiento!).
Expliquemos lo que significan estas seis palabras «raras»: no invariantes en el sentido relativista. Estas palabras son raras en realidad. En ellas se encierra una sentencia a las teorías físicas. Una teoría que lleve semejante etiqueta puede entregarse al archivo: ¡De ella nada bueno puede esperarse!
La cuestión consiste en lo siguiente. ¿Ha encontrado usted alguna vez diferencia entre jugar a la pelota en la tierra, en un barco o, si fuera posible, en un avión? ¿No? Claro, porque no la hay. Pero con una condición: si el barco o el avión se mueven uniformemente, es decir, con velocidad constante.
Si cerramos los ojos y nos tapamos los oídos, es imposible distinguir el reposo del movimiento uniforme, cualquiera que sea la velocidad con que el último se realice. Sin ver la sucesión de los días y las noches no sentiríamos el movimiento de la Tierra alrededor de su propio eje.
Y si no viésemos cómo después del invierno viene el verano, no nos daríamos cuenta del movimiento de la Tierra por su órbita alrededor del Sol. En rigor, los dos últimos ejemplos no son del todo correctos, porque toda rotación implica una aceleración. Pero como en nuestro caso las aceleraciones son muy pequeñas, puede considerarse que ambos movimientos son uniformes.
Todos los movimientos de los cuerpos que vayan dentro de un cohete que se mueva con velocidad próxima a la de la luz, no deben diferir de esos mismos movimientos efectuados en la Tierra (con la condición de que en el cohete se cree la misma gravitación que en nuestro planeta). Y si el movimiento de los cuerpos no depende de la velocidad del «sistema» en el cual se miden sus posiciones en el espacio en el transcurso del tiempo — ya sea dicho sistema la Tierra o el cohete fotónico —, las leyes de los movimientos de estos cuerpos tampoco deberán depender del «sistema de referencia».
En todos los sistemas, cualquiera que sea la velocidad con que se muevan uniformemente el uno con respecto al otro, la expresión de las leyes del movimiento en forma de ecuaciones debe seguir siendo la misma. En otras palabras, esta expresión debe ser invariable con relación a las diversas velocidades.
Estas palabras «invariable con relación» equivalen en el lenguaje de la física a «invariante en el sentido relativista». Ahora podemos comprender ya su sentido riguroso; si la ecuación dice que en un cohete, de velocidad próxima a la de la luz, se mueve una pelota siguiendo una curva (una hipérbola, por ejemplo), y en la Tierra, siguiendo otra (una parábola, por ejemplo), esto quiere decir que la ecuación no está bien escrita y hay que desecharla.
Así ocurrió también cuando se hicieron los primeros intentos de modificar la ecuación de Schrödinger.
Un descubrimiento inesperado
Dirac, buscando una salida a esta dificultad, propuso un medio insólito; en vez de una función de onda, introdujo en la ecuación de Schrödinger cuatro funciones. La ecuación que obtuvo se parecía muy poco a la inicial. Pero la nueva ecuación daba magníficas soluciones invariantes en el sentido relativista.
Las soluciones eran cuatro, de acuerdo con el número de funciones de onda que participaban en la ecuación. Había que comprender lo que significaban, por qué en vez de una «probabilidad» para el electrón se obtenían cuatro de golpe.
El sentido de las dos primeras soluciones hubiera resultado oscuro y se habrían requerido muchos años para su esclarecimiento, si tres años antes de esto no hubiese sido descubierto el espín del electrón. Si, el espín, aquel antiguo conocido nuestro a quien, en su tiempo, le dedicamos algunas palabras cálidas.
Las dos primeras soluciones de la ecuación de Dirac resultaron responder a los dos sentidos posibles del espín del electrón con respecto a la dirección de su movimiento. Por esta solución se calculó la magnitud del espín y resultó que estaba en perfecto acuerdo con la experiencia.
Ahora tendremos que hablar del espín más detenidamente. En primer lugar el propio espín responde a cierto movimiento del electrón con velocidad bastante próxima a la velocidad de la luz. En efecto, si por un instante (¡no más!) intentamos interpretar el espín como el resultado de la «rotación del electrón alrededor de su propio eje» (ya dijimos que esta idea no corresponde ni en lo más mínimo a la realidad), se obtiene que la velocidad del electrón en esta «rotación» sólo es menor que la velocidad de la luz en una fracción insignificante de tanto por ciento.
Está claro que el «cierto» movimiento que hablamos al referirnos al espín no tiene que ver con el movimiento ordinario del electrón en el espacio ordinario. El espín del electrón no depende en modo alguno de este movimiento ordinario. El espín existe independientemente de que el electrón se mueva rápida o lentamente, o de que está en reposo. Y el valor del espín no varía por esto.
El espín es una propiedad tan inseparable de las partículas como, por ejemplo, su energía en reposo. El espín de una partícula no puede variar sin que varíe al mismo tiempo el tipo de la partícula. De esto aún hemos de volver a hablar.
¿Cómo se manifiesta el espín? Al tratar de los espectros atómicos ya nos referimos a esto sucintamente. Ya a finales del siglo XIX quedó establecido que si una sustancia se introduce en un campo magnético, sus rayas espectrales se desdoblan en un número diverso de rayas más débiles. Más adelante se logró establecer que este desdoblamiento lo experimentan las rayas espectrales de los átomos de todos los elementos.
La naturaleza de este fenómeno (llamado efecto Zeeman) y la razón por la cual las rayas se desdoblan en distinto número de rayas «satélites» sólo se consiguió comprender en el año 1925, cuando dos jóvenes físicos, Uhlenbeck y Goudsmit, introdujeron el concepto de espín.
La marcha ulterior de los razonamientos es la siguiente. El electrón tiene espín, es decir, momento de impulsión o angular. Por ahora no tiene importancia cual es su origen, lo que interesa es que responde a cierto movimiento del electrón. Pero el movimiento del electrón es una corriente eléctrica. Sólo que se trata de una corriente de una sola partícula. La corriente «de verdad» está formada por el movimiento de multitud de electrones.
La corriente, como se sabe desde hace más de un siglo, posee propiedades magnéticas. En otras palabras, el electrón podemos figurárnoslo en forma de un pequeñísimo imán permanente. Si este imancito se introduce en un campo magnético, se orientará. En el caso más simple habrá dos orientaciones: una a lo largo de la dirección del campo magnético (absolutamente estable) y otra, en contra del campo (absolutamente inestable).
Pero, ¿qué es la estabilidad? Cuando el imancito se sitúa a lo largo del campo, su energía potencial en éste resulta ser mínima. En el caso contrario, cuando el imancito se orienta en contra del campo, esta energía es máxima.
¿Qué diferencia cuantitativa hay entre estas dos energías? No es difícil de calcular y de reducir a la diferencia de las longitudes de onda de los fotones que emiten en el átomo los electrones con espines a lo largo y en contra del campo magnético.
Y entonces resulta que todas las rayas espectrales dobles están separadas tanto como dan las dos orientaciones opuestas del espín del electrón.
¿Pero cómo deben interpretarse entonces las rayas «gruesas», que se desdoblan en tres, cuatro y más rayas «satélites»? Porque las dos orientaciones del espín (y está claro que más no puede haber, ya que los electrones imancitos saltan inmediatamente a la posición más estable sin detenerse a mitad de camino) sólo dan un par de «satélites».
Al llegar a este punto recordamos que el electrón, además del «cierto» movimiento que responde a su espín, participa en otro movimiento alrededor del núcleo atómico. En esencia, este movimiento también es «cierto»: su representación en forma de «nube de probabilidad» no permite pensar en un desplazamiento más evidente del electrón en el átomo.
Y, sin embargo, también es un movimiento, también es una corriente de una «sola» partícula, y también, por las propiedades de su acción, recuerda a un pequeño imán. Pero la cuestión se complica ahora: el electrón en el átomo es una especie de doble imán pequeño.
¿Cómo se comporta este pequeño imán en el campo magnético? De un modo muy interesante. En vez de dos orientaciones puede tomar tres, cuatro o incluso más. Al pasar de una orientación menos estable a otra más estable, el electrón imancito puede detenerse durante largo tiempo en estas posiciones intermedias. Las energías en estas posiciones son tales, que constituyen fracciones enteras de la energía máxima, entre las posiciones extremas del pequeño imán. Por lo tanto, estas energías no son cualesquiera, sino que están rigurosamente definidas y separadas unas de otras por intervalos-cuantos de magnitud determinada. Los físicos denominaron el fenómeno de las orientaciones determinadas de los imancitos electrónicos de los átomos en el campo magnético con el nombre de cuantificación espacial.
Ahora puede comprenderse lo demás. La raya espectral se desdobla en tantas «satélites» como orientaciones puede tomar el imancito electrónico. Y el cálculo de las diferencias de longitudes de onda de las «satélites» vuelve a poner de manifiesto una magnífica coincidencia con la experiencia.
Con esto pondremos fin por ahora a nuestra charla sobre el espín que de un modo tan inesperado se desprendió de la ecuación de Dirac. En perspectiva tenemos aun dos soluciones de esta ecuación.
Otro descubrimiento aún más inesperado
Estas dos soluciones son muy parecidas entre sí, lo mismo que las dos primeras, que responden a las orientaciones opuestas del espín electrónico.
Aquí también hay dos orientaciones opuestas: una de ellas responde a la energía total positiva del electrón y la otra, a su energía total negativa. ¿Qué tiene esto de extraño? Ya hemos visto en más de una ocasión que la energía total puede tener cualquier signo, según que el electrón se mueva libremente o que esté ligado a otras partículas, como, por ejemplo, en el átomo.
¡Pero la ecuación de Dirac fue escrita únicamente para el electrón libre!
¿Y qué resulta? Que el electrón de Dirac es a la vez ¿libre y ligado? ¡Eso es absurdo!
El mismo Dirac comprendía que esto era absurdo. Claro está que lo más fácil era proceder como se hace cuando un cálculo da, por ejemplo, que «el área de un local es igual a ±20 metros cuadrados». Se desecha el resultado negativo, porque contradice al sentido común. Es decir, hay que excluir la solución con energía negativa del electrón libre, puesto que carece de sentido físico.
Dirac no se apresuró a hacer esto. Posiblemente, por ser inglés, rebosaba sentido común. Pero como científico verdadero comenzó a buscar la causa que conducía al absurdo. Quizá este mismo absurdo encerrara algún sentido secreto. ¿Cuál?
Después de mucho pensar, se le ocurrió a Dirac una idea interesante. ¿No puede suceder que la solución «absurda» corresponda no al electrón, sino a alguna otra partícula cuya carga sea contraria a la de aquél? El electrón tiene carga negativa; esta partícula, al contrario, deberá tener carga positiva. Pero el valor absoluto de ambas cargas debe ser el mismo. Dirac supuso que esta partícula podía ser el protón. Sin embargo, pronto se demostró que la energía negativa debía pertenecer a una partícula cuya masa fuera igual exactamente que la del electrón. Y el protón, claro está, no sirve, ya que su masa es casi dos mil veces mayor que la del electrón. La partícula buscada tiene que ser, por lo tanto, simétrica del electrón, es decir, de igual masa y signo contrario.
No obstante, esta suposición no explica aún la energía total negativa de la partícula positiva. Si la energía es negativa, quiere decir que la partícula está ligada con algo. Pero, ¿con qué?
El electrón es totalmente libre, y todas las demás partículas han sido «separarlas» tanto de él, que se interacción eléctrica con ellos puede no tenerse en cuenta. El electrón se mueve solo en el vacío absoluto y sin límites. ¿De dónde sale entonces la segunda partícula, positiva, simétrica riel electrón?
Y ahora es cuando Dirac expone su idea principal, cuya audacia raya con la demencia. ¡El vacío, en el cual no hay más partícula que el único electrón, no está vacío! Al contrario, ¡está lleno completamente de electrones! ¡La partícula positiva, simétrica del electrón, es un hueco en el vacío completamente lleno!
Por ahora, como vemos, esto es realmente demencial. ¿En qué consiste la audacia? En lo siguiente.
¿Qué diría usted de un espacio en el cual ningún aparato, por sensible que sea, nunca pueda registrar partícula alguna? Que está absolutamente vacío, como es lógico.
¡Cuidado! ¿Y si en él hay partículas que no pueden interaccionar con el aparato? En este caso, incluso si dicho espacio está totalmente ocupado por las partículas, ¿considerará usted que está vacío?
Naturalmente. Pero, ¿cómo pueden las partículas perder su capacidad de interacción? ¡Esto contradice su propia esencia!
No nos apresuremos a hacer esta deducción. Intentemos, por ejemplo, sondear la estructura de un metal con un campo eléctrico débil. La corriente pasará y diremos: el metal está lleno de electrones libres. Sin embargo, si nos limitamos a hacer este experimento, nos formaremos una idea inexacta del metal. En él hay también átomos, cuyos electrones no tienen la posibilidad de actuar recíprocamente con el amperímetro, por ejemplo. Estos electrones se encuentran en los niveles atómicos, en el «pozo». Y no pueden saltar de él, para actuar recíprocamente con el instrumento de medida, porque no tienen suficiente energía.
Pero, dirá usted, si no es con ese aparato, con otro y en un experimento distinto podremos, no obstante, hallar los átomos y hasta los núcleos atómicos que hay en el metal. En cambio, está claro que con ningún instrumento podremos descubrir el vacío. Por lo tanto, en él no hay ni puedo haber nada.
Esto es lo que dice el sentido común. Dirac razona de otro modo.
El vacío está absolutamente lleno de electrones. Todo el Universo participa en la formación de un vacio único que se extiende infinitamente. Una cantidad infinita de electrones invade en él «hasta arriba» el infinito número de niveles de energía del vacío, formando una «colectividad» única y ligada de partículas. De acuerdo con el principio de Pauli, en cada nivel pueden hallarse dos electrones con espines dirigidos en sentidos opuestos, pero no más.
El «pozo universal» común en que se encuentran los electrones no sólo tiene una capacidad extraordinaria, sino que además es muy profundo. Su nivel de energía más alto se halla a la distancia energética m0c2 de la energía total nula, hacia abajo. Por esto, en el vacío todos los electrones deben tener energías negativas.
Estos electrones del vacío no se consiguen descubrir con ningún aparato, basta que no saltan fuera del pozo. Al parecer, para ello no hace falta nada más que comunicarles la energía m0c2.

Figura 19
Por tal motivo, para que un electrón pueda saltar fuera del vacío, no sólo tiene que salvar una barrera de m0c2 de altura, sino que además debe adquirir la energía en reposo m0c2 que le corresponde por derecho propio. De este modo, la altura total de la barrera que separa a los electrones del vacío de su acción recíproca con el aparato, es igual a 2 m0c2.
Esta energía no es pequeña. Baste decir que los físicos sólo aprendieron a comunicarle a los electrones estas energías hace unos treinta años. En la época en que Dirac expuso la idea del vacío «totalmente ocupado», los físicos ni soñaban con semejantes energías.
Pero, ¿por qué los electrones no pueden actuar recíprocamente con el aparato permaneciendo en el vacío, lo mismo que ocurre en el metal? La respuesta también la da el principio de Pauli.
Toda interacción de los cuerpos es una variación de su energía. Esta variación hace posible descubrir la interacción. El electrón en el vacío, actuando recíprocamente con el aparato de medida, podría variar su energía pasando a cualquier otro nivel.
¡Pero no lo hay! ¡En el vacío todos los niveles están colmados de electrones!
Este es el secreto de que los electrones del vacío no puedan ser descubiertos. Ellos están allí, pero no pueden actuar recíprocamente entre sí ni con el aparato. Estos electrones pueden existir junto a nosotros tanto tiempo como se quiera, sin que nos demos cuenta de ello: simplemente, no se manifiestan.
Nacimiento de los "huecos"
Supongamos que, en virtud de unas causas cualesquiera (que no vamos a detallar aquí), un electrón se escapa del vacío, después de adquirir la energía necesaria. Como ahora será libre, su energía total será positiva. ¿Qué ocurrirá entonces en el vacío?
En él se producirá un hueco. El vacío, en el punto donde perdió el electrón fugado, parece que se ioniza, es decir, adquiere una carga positiva, igual en magnitud a la carga del electrón.
Un hueco, ¡este concepto ya lo conocimos al tratar de los semiconductores! Allí el electrón se escapaba a la zona de conducción, y el hueco se quedaba en la repleta zona de valencia, en la cual tenía energía negativa. Magnífica analogía, que en esto acaba. En los semiconductores el hueco es en realidad un «lugar vacío» que se introduce simplemente para facilitar la descripción de los diversos tipos de movimientos de los electrones en la zona de valencia y en la zona de conducción.
Un hueco en el vacío es algo completamente distinto. Ahora el hueco no se diferencia en nada del electrón. Resulta ser una verdadera partícula, tan real como el electrón. El hueco, lo mismo que el electrón, tiene la energía en reposo m0c2 y es decir, una energía igual precisamente al nivel de energía más alto del «pozo» del vacío.
En otras palabras, el electrón y el hueco nacen de la «nada», del vacío, únicamente por parejas. Y en el nacimiento de cada uno de ellos se gasta la energía m0c2 (ya que masa de ambas partículas es la misma) en total 2m0c2, es decir, la magnitud que antes citamos.

Figura 20
¿Y eso es todo? No, antes de retornar al vacío el electrón tiene que ceder la energía que se gastó al lanzarlo fuera de él, es decir, en el nacimiento suyo y del hueco, o sea, la energía 2m0c2.
¿En qué forma se manifiesta esta energía? En forma de fotones gamma, que, partiendo del punto de fusión del electrón con el hueco, se llevan consigo dicha energía.
Queda por hacer una pregunta: ¿por qué tiene que salir la energía precisamente en forma de fotones gamma? Porque la energía que cede la pareja formada por el electrón y el hueco antes de desaparecer en la «nada» es tan grande, que corresponde a los rayos gamma duros. Se originan dos, no menos (y por lo general, no más) fotones gamma, debido a que el electrón y el hueco que se unen tienen espines de sentidos o puestos.
Esto está claro: como en el vacío el espín total del electrón y del hueco es nulo, al fundirse éstos, sus espines deben anularse. Por esto, al fotón gamma le hace falta tener un compañero con espín de sentido contrario al suyo, de manera que el espín total de los dos resulte ser nulo. Esto lo imponen las leyes fundamentales de conservación, de las que ya hemos hablado.
Si cerca del punto donde se encuentran el electrón y el positrón hay un tercer «cuerpo», como, por ejemplo, un núcleo, éste puede apropiarse de parte de la energía y del espín de las partículas que se encuentran. Entonces, en vez de dos fotones, puede aparecer uno solo.
Configuraciones del vacío
Los físicos escuchaban a Dirac y movían la cabeza. Incluso los verdaderos partidarios de la mecánica cuántica se negaban a reconocer en la teoría de Dirac algo más que una graciosa anécdota física. ¡Grande era la voluntad que había que tener para defender esta hipótesis «demencial»!
Pero, transcurrió muy poco tiempo y llegó el día en que los escépticos y los que se reían, tuvieron que ocultar vergonzosamente el rostro. El día en que fue hecho el descubrimiento que dio el triunfo a la teoría de Dirac.
En una placa fotográfica expuesta a los rayos cósmicos, fueron descubiertos en 1932 dos huellas, correspondientes al electrón y a una partícula desconocida de igual masa que aquél, pero de carga positiva. Las huellas partían de un punto y se separaban en distintas direcciones. Como la fotografía fue hecha en una cámara especial situada en un campo magnético, la distinta dirección de las trazas indicaba con toda seguridad que las cargas de ambas partículas eran opuestas.
De este modo obtuvo carta de naturaleza el hueco, que entró en la ciencia con el nombre de positrón. Con él se abrió la lista de las micropartículas que hoy se conocen con la denominación de antipartículas. De ellas hablaremos más adelante.
La teoría de Dirac habría ocupado un puesto de honor en el libro de oro de la física, aunque sólo se hubiera limitado a predecir la existencia del positrón. Pero su importancia es mucho mayor. Dirac abrió los ojos a los físicos hacia partes completamente nuevas del mundo de las cosas ultra pequeñas.

Figura 21
Pero, ¿por qué no podemos admitir lo contrario, es decir, que el vacío está lleno de positrones y que los electrones aparecen únicamente cuando los positrones se escapan del vacío? La teoría de Dirac en su forma inicial consideraba que esta hipótesis es tan justa como la primera. Sin embargo, preferimos considerar el vacío formado por partículas, y no por antipartículas.
En efecto, podemos observar tantos electrones como queramos, mientras que el positrón es un raro huésped en nuestro mundo. De aquí había que deducir, al parecer, que en el mundo hay mucho menos positrones que electrones. Pero la teoría de Dirac dice que la partícula aparece únicamente formando pareja con su antipartícula. Por lo tanto, el número de electrones y de positrones que hay en el mundo debe ser el mismo.
¡Qué cosa más rara! Y lo más raro es que nuestro mundo y nosotros mismos podamos existir después de todo esto. Efectivamente, nada impide que todos los electrones se encuentren con positrones y desaparezcan en el vacío, dejando solamente una huella incorpórea en forma de fotones gamma.
Sin embargo, los encuentros de un electrón y un positrón son demasiado poco frecuentes para justificar un cuadro tan fúnebre del hundimiento del mundo en el vacío. Entonces, ¡hay menos positrones que electrones! Pero, ¿dónde se meten?
Puede pensarse que la naturaleza, que es previsora, procuró separar lo más posible los positrones de los electrones. Este punto de vista está muy extendido entre muchos escritores de novelas de ciencia ficción y una parte determinada de científicos. Estos consideran que en cierto lugar de la inmensidad del Universo existen mundos «simétricos» al nuestro y formados por antipartículas. En estos mundos, en particular, imperan los positrones, y los electrones son huéspedes raros.
Inmediatamente se plantea otra pregunta: si el electrón tiene su antipartícula, ¿por qué no la tiene el protón? En este caso debería existir también un vacío de protones. Y, en general, toda partícula debe tener su antipartícula y, por lo tanto, su vacío. El vacío debe estar lleno hasta los bordes de neutrones, de neutrinos, de mesones...
¡Vaya vacío! ¡Más parece una «fosa común» para todas las partículas que aún no han nacido y para todas las que ya han muerto!
Si, ¡esto es impresionante! Pero, valga la palabra, «desmesurado». Y, en efecto, pasó algún tiempo y los físicos renunciaron al vacío de Dirac y lo sustituyeron por ideas más «elegantes». De esto trataremos luego.
Del pozo sólo pueden salir las partículas a pares, después de recibir suficiente energía para esto. Las primeras en salir son, como es natural, las partículas más ligeras, es decir, el neutrino y los electrones. Para el protón y el antiprotón esta energía deberá ser, por lo menos, casi dos mil veces mayor que para el electrón y el positrón. Cuanto más «pesada» es una partícula, más difícil le es saltar fuera del vacío.
El vacío, ¡es un lugar desierto!
Cómo muere la pareja formada por un electrón y un positrón, ya lo sabemos: se producen fotones enérgicos, rayos gamma. Pero, ¿por qué se producen precisamente fotones, y no otra cosa cualquiera? De esto vamos a ocuparnos ahora.
... Una bola de billar choca con otra. El resultado de la interacción es evidente: una bola sale despedida hacia un lado y la otra comienza a moverse. Pero pruebe a mover de su sitio una bola en reposo, dirigiendo la otra de tal forma, que pase junto a la primera. Otro ejemplo: es hasta ridículo pensar que un caballo pueda mover un carro sin estar enganchado a él y sin tocarlo.
En estos ejemplos los cuerpos interaccionan únicamente si están en contacto uno con otro. No importa que esta interacción dure poco (como en el caso de las bolas que chocan) o dure mucho (como cuando el caballo está enganchado al carro). En ambos casos los cuerpos que interaccionan están en contacto.
Pero hay otra forma de interacción de los cuerpos. Una manzana desprendida del árbol cae a tierra. Un imán atrae las limaduras de hierro. Las bolitas de médula de saúco electrizadas se atraen o se repelen entre sí. La propia palabra «atraen» nos dice que los cuerpos «empiezan» a actuar recíprocamente cuando aún se hallan a cierta distancia uno de otro.
Esta interacción, ¿se transmite a través del aire? La experiencia hace ya mucho tiempo que dio respuesta negativa a esta pregunta. La Tierra atrae a la Luna, y el Sol atrae a ambas, aunque entre ellos existe prácticamente el vacío. El núcleo atómico atrae los electrones, a pasar de que entre ellos hay un vacío absoluto. Por lo tanto, los cuerpos también pueden ejercer la interacción sin estar en contacto mutuo.
Hace ya más de un siglo que los físicos llamaron campo a la región del espacio en que se observa esta acción a distancia. Pero el hecho de que este espacio pudiera estar totalmente vacío les parecía inadmisible.
No, ¡sin intermediario no puede haber interacción! Este medio puede ser sutil, pero tiene que existir. Y de acuerdo con la idea de su extraordinaria tenuidad y «delicadeza», este medio recibió el nombro de éter.
Durante una serie de años intentaron los físicos comprender las propiedades del éter, propiedades que, como ya se dijo al principio de este libro, son completamente inverosímiles y hasta se contradicen unas a otras. Por fin, a finales del siglo pasado, (siglo XIX) las experiencias con la luz dieron el golpe definitivo a la hipótesis del éter. Y varios años después, la teoría de la relatividad de Einstein demostró que eran absurdos todos los intentos de resucitar el éter.
El éter se desplomó y no había con qué sustituirlo. Los físicos reconocieron su error y, al mismo tiempo, el hecho de que la interacción de los cuerpos a distancia se realiza por principio en el vacío. Pero, cómo puede ser el vacío conductor de las interacciones, era algo que no llegaban a comprender ni las inteligencias más agudas. El vacío es el vacío.
Si, cuanto más «razonable» es la idea ordinaria que se tiene de las cosas, tanto más difícil es apartarse de ella. La afirmación de que el espacio es el recipiente de todos los cuerpos, ¿puede acaso despertar ni sombra de duda en alguno de los lectores? Esto parece tan claro como el agua.
Una parte del espacio está ocupada por la materia. A ella le llamamos cuerpo, partícula y le damos muchos otros nombres. Y hay otra parte del espacio que no está ocupada por la materia. A esta le llamamos vacío. Estas dos partes no se encuentran en relación alguna la una con la otra. El vacío no actúa sobre los cuerpos, ni los cuerpos actúan sobre el vacío. Es cierto que los cuerpos pueden actuar unos con otros a través del vacío, pero el propio vacío nada tiene que ver con esto: la interacción sólo se debe a los mismos cuerpos.
¡El vacío depende de los cuerpos!
Pero he aquí que se presenta un hombre que no sólo duda de que esta idea tan común sea correcta, sino que además la somete a una revisión radical. Nos referimos a Albert Einstein y a su teoría general de la relatividad. Ya hemos hablado acerca de su primera, cronológicamente, teoría especial de la relatividad, dedicada a los movimientos rápidos de los cuerpos. La teoría general de la relatividad trata de un problema mucho más amplio. Concretamente puede enunciarse así: de la relación entre los cuerpos y el espacio.
La idea fundamental de esta teoría consiste en afirmar que la materia ejerce influencia sobre el espacio que la rodea. El espacio, que en ausencia de cuerpos (lo que, claro está, solo es posible en nuestra mente) es homogéneo, cuando se «introduce» en él aunque sea un solo cuerpo, pierde su homogeneidad.
¿En qué se manifiesta esto? ¿Cómo se mide la heterogeneidad? Para ello nos sirve la geometría.
La geometría del espacio vacío es la que generalmente se estudia en las escuelas, cuyo creador fue Euclides, matemático de la antigua Grecia. En esta geometría, la distancia más corta entre dos puntos es la línea recta, y las líneas paralelas nunca se cortan. Contiene además varias afirmaciones «evidentes», llamadas por esto axiomas, es decir, proposiciones tan claras, que no necesitan demostración (la cual, por otra parte, es imposible de obtener).
No obstante, a principios del siglo pasado (siglo XIX), nuestro genial compatriota Lobachevski se permitió dudar de la evidencia de uno de estos axiomas (del «axioma sobre el paralelismo»). Y demostró que puede crearse otra geometría tan libre de contradicciones internas como la euclidiana, pero que contradice radicalmente el sentido común, renunciando a la idea de que este axioma es correcto. El carácter extraordinario y paradójico de la geometría de Lobachevski hizo que entonces casi nadie la comprendiera. Los magníficos trabajos de Lobachevski se estuvieron cubriendo de polvo durante decenas de años en los más apartados anaqueles de las bibliotecas universitarias.
Las ideas de Lobachevski acerca de que no existe ninguna geometría correcta para todos los mundos, de que toda geometría está determinada por las propiedades de cuerpos concretos, de que la geometría del espacio depende de los cuerpos que hay en él y de cómo están dispuestos, parecieron sacrílegas a sus coetáneos. ¡El hombre, reorganizando las cosas, podía cambiar la geometría única que «dios le dio» al mundo!
Pero estas ideas hallaron un lugar digno en los trabajos de Einstein. Lo mismo que no existe espacio sin cuerpos, tampoco hay un espacio homogéneo único. En el vacío que rodea los cuerpos, la línea más corta entre dos puntos, en el caso general, no es ya la recta, sino una curva que se llama geodésica. Esta línea es tanto más «curva», cuanto más próximos a los cuerpos están los puntos entre los cuales se tiende y cuanto mayor es la masa de dichos cuerpos.
¿Cómo podemos convencernos de esto? Aquí debe ayudarnos un rayo de luz. La «encorvadura» del espacio por los cuerpos se muy pequeña y en las condiciones ordinarias no se nota en absoluto. La experiencia hay que hacerla en el espacio interestelar y tomar como «deformador» cualquier cuerpo de mucha masa, como, por ejemplo, el Sol. La encorvadura, está claro, conviene observarla sobre la línea que consideramos recta. Esta línea es precisamente la que describe un rayo de luz en el vacío, si creemos lo que dice la física clásica. A ella es a la que trata de desmentir Einstein.
Dirigimos un telescopio a una estrella cualquiera, enfocamos y la fotografiamos. Después volvemos a fotografiar esta estrella cuando su rayo de luz pasa cerca del Sol. En presencia del Sol no se ven las estrellas, por eso, la primera fotografía hay que hacerla de noche, y la segunda, durante un eclipse total del Sol.
Según la física clásica, las dos imágenes de la estrella deberán encontrarse en el mismo lugar de la placa fotográfica, porque a la luz de la estrella «no le importa» si pasa cerca o lejos del Sol. Pero de acuerdo con la teoría general de la relatividad, cuando la luz pasa cerca del Sol, su trayectoria debe encorvarse. El rayo de luz, al pasar junto al Sol, debe cambiar un poco de dirección, de manera que en la placa fotográfica debe dar una imagen de la estrella, desviada con respecto a la primera.
En agosto del año 1919 una expedición especial se dirigió al Desierto Arábigo para observar el eclipse total de Sol. Al mismo tiempo se proponía comprobar la suposición de Einstein. Y pocos días después del eclipse, el telégrafo dio una noticia sensacional. El estudio de las fotografías demostró que existe el encorvamiento del espacio y que es casi exactamente igual al predicho por Einstein.
Desde este momento la idea de los físicos sobre el vacío comienza a variar radicalmente. El espacio resulta ser no sólo el recipiente de los cuerpos, sino también de los campos.
Materia y campo
¿Qué es un campo? Los físicos designan con esta palabra la región del espacio donde se manifiesta la interacción de los cuerpos. Pero cuerpos que no actúen entre sí no existen; en resumidas cuentas, todos los cuerpos están formados por partículas, entro las cuales no hay «indiferentes» mutuamente.
Por esto los campos existen siempre y por doquier. Y no sólo entre los cuerpos, sino también dentro de ellos, ya que también allí existen vacíos no ocupados por la sustancia. Esta es la primera y principal propiedad del campo. Y de aquí se deduce inmediatamente otra conclusión: el campo es tan real y universal como la materia.
Pero entre el campo y la materia existe una diferencia importante: la materia «pesa y se ve», en cambio, el campo, por ejemplo, eléctrico, nuclear o gravitatorio, es invisible. Pero no puede decirse que el campo sea imperceptible. En la simple observación de la manzana que cae al suelo, la acción del campo se pone de manifiesto por el movimiento de uno de los cuerpos.
Hay otro fenómeno en el cual el campo se pone de manifiesto «de por sí», este fenómeno es la luz. Ya en el siglo XIX quedó establecido que la luz es un campo especial, llamado electromagnético.
Einstein, en su teoría del efecto fotoeléctrico, introdujo el fotón. Ésta es una idea muy importante. El campo electromagnético resulta que está cuantificado, es decir, que existe en forma de partículas separadas o cuantos de campo. Estos cuantos son los fotones.
La historia del campo sigue adelante. Stoliétov demostró en 1876 que la luz puede ejercer acciones materiales, haciendo salir electrones del metal. Lébedev, en 1912, descubrió la presión directa de la luz sobre los cuerpos, como si la luz fuera una corriente de partículas «verdaderas», poseedoras de masa.
Estos dos magníficos experimentos y la hipótesis de los fotones conducen irreversiblemente a la conclusión de que el campo electromagnético tiene a la vez propiedades materiales, que los cuantos de campo pueden tener características de partículas de materia.
Este es el primer arco del puente que se tiende sobre el precipicio que parecía separar la materia del campo. La hipótesis de De Broglie completa la construcción de este puente a partir del otro extremo. Los electrones pueden tener propiedades ondulatorias. En otras palabras, la materia puede manifestarse como campo.
El campo, que es ilimitado o imponderable, puede tener dimensiones y peso.
La materia, que es limitada en el espacio y que pesa, puede perder las dimensiones y el peso.
¿Se deduce de aquí, que, en vez de la antigua oposición entre la materia y el campo, tenemos ahora que fundirlos en algo común o indistinguible? No. Las propiedades materiales del campo sólo se manifiestan del modo más sensible cuando son grandes las energías de sus cuantos. De igual modo, la materia únicamente manifiesta tener propiedades de campo cuando sus partículas tienen grandes energías.
¿Y cuándo las energías son pequeñas? Entonces, por lo general, el campo aparece como campo y la materia, como materia.
¡El vacío no existe!
La revelación en la placa fotográfica del hecho de que el electrón y el positrón nacen juntos no es sólo el «descubrimiento» del vacío. Aquí, por vez primera, se efectuó a la vista del hombre la transformación del campo en materia. Pronto se confirmó también la predicción inversa de la teoría de Dirac: la muerte conjunta del electrón y el positrón al encontrarse y el nacimiento en este instante de dos fotones gamma.
«¿De qué transformación puede hablarse — preguntará el lector —, si el electrón y el positrón no se convirtieron en ninguna otra cosa, sino que se fueron al vacío sin cambiar de forma, y la energía cedida por ellos tiene la forma de fotones gamma? Todo ocurre exactamente igual que, por ejemplo, en el átomo, donde un electrón, al saltar de un nivel de energía más alto a otro más bajo, cede parte de su energía en forma de fotón, pero sigue siendo electrón».
En realidad esto no es así exactamente. Aquí el vacío interviene con su fisonomía principal, de campo. En el átomo, el electrón puede, efectivamente, ceder su energía, pero tan sólo una parte de ella. Puede incluso perder toda su energía cinética en el movimiento libre y detenerse, pero la «principal», su energía propia, el electrón no la cede en ninguna circunstancia, si quiere seguir siendo electrón.
Ceder la energía E0 = m0c2, que está indisolublemente ligada con la masa en reposo m0, es tanto como perder la masa en reposo, es decir, ¡perder la esencia misma de partícula! Ya hemos dicho que las partículas se diferencian de los cuantos del campo electromagnético en que pueden estar en reposo y al mismo tiempo tener una masa distinta de cero.
Por lo tanto, cuando un electrón se sumerge en el vacío, cediendo junto con el positrón su energía propia, deja de ser electrón, lo mismo que el positrón deja de ser positrón. Está claro que sus masas no desaparecen sin dejar rastro, igual que sus energías. La masa cambia de naturaleza y se hace inmaterial, de campo, y la energía propia se transforma en energía de los cuantos de campo, es decir, de los fotones gamma. Entonces, ¿en el vacío no hay ningunos electrones «de verdad», sólo los hay imaginarios, es decir, en potencia?
Sí. Porque el vacío no existe en ninguna parte, existe solamente materia y campo, que ocupan todo el espacio. El vacío que tenía en cuenta Dirac es únicamente una representación intuitiva que permite figurarse claramente los procesos de transformación mutua de las partículas de la materia en cuantos de campo y viceversa.
Y no piense el lector que durante todo este tiempo quiso «dársela con queso» el autor. No. Lo que pasa es que la exposición había que empezarla partiendo del vacío «ordinario», para después hacerlo «insólito» y finalmente liquidarlo. Así fue la vía natural del desarrollo de la ciencia.
El electrón y el positrón, cuando se encuentran, se transforman en fotones gamma. Pero si esto es así, ¿resulta que debe ser posible el proceso, en el cual los fotones gamma pueden ser precursores del par de partículas mencionado? Exactamente, si es que estos fotones tienen la energía suficiente, que debe ser igual por lo menos a 2m0c2 para dos fotones.
Los fotones se pueden observar y registrar, son bastante «tangibles». En cambio el vacío es intangible mientras de él no se escapan un electrón y un positrón. ¿Cómo es posible concordar lo uno con lo otro?
Aquí no hay que concordar nada. Los fotones se registran como fotones, mientras su energía no es muy grande. Pero en cuanto dicha energía es suficiente para que un par de fotones se transforme en el par de partículas, comienzan a sentirse las propiedades «de vacío» de los fotones. Los fotones pueden desaparecer, y en su lugar pueden aparecer un electrón y un positrón.
En realidad, el «vacío» es la posibilidad de que se realicen transformaciones mutuas de las partículas materiales en cuantos de campo y de los cuantos de campo en partículas. Ahora esto es lo que tiene más importancia para nosotros. Para llegar aquí hemos venido hablando desde el principio del capítulo.
Por lo demás, parece que todo está ya más o menos claro. Como entre la materia y el campo se ha tendido un puente, por este último puede tener lugar un movimiento animado en ambos sentidos: las partículas pueden pasar el puente y transformarse en cuantos de campo, y los cuantos de campo, en partículas. Lo importante es subir hasta este puente, que es bastante alto. Su altura energética es de 2m0c2 y lo que para los electrones constituye millones de electrón-voltios y para los protones, millares de millones de electrón-voltios.
Así, pues, el puesto del vacío lo ha ocupado en nuestra narración el campo. No obstante, en lo sucesivo utilizaremos con frecuencia el concepto del vacío para mayor claridad. Lo mismo que antes, nos lo figuraremos en forma de cierto «océano» universal del que saltan, para volver a hundirse en él al cabo de algún tiempo, delfines-partículas.
¡Sobre qué se apoyan las ballenas!
Y ahora ya podemos darle un fundamento a una de las ballenas que sirven de base a la mecánica cuántica «perfeccionada». Estas ballenas, como en la antigua leyenda, son tres: la hipótesis de los cuantos de Planck, la teoría de la relatividad de Einstein y la hipótesis de la naturaleza ondulatoria de las partículas de De Broglie. Vamos a tratar de la última.
¿No le ha parecido algo precipitado y sin fundamento el paso que un poco antes hemos dado de la teoría general de la relatividad, establecida para mundos enormes y escalas astronómicas, al mundo cuya peculiaridad es precisamente la ultra pequeñez de sus escalas? Porque ya hemos subrayado muchas veces que las leyes correctas para los mundos de unas escalas resultan, en el mejor de los casos, inexactas para los mundos de otras escalas. ¿Qué derecho teníamos a trasladar al micromundo la relación entre la materia y el espacio, establecida por Einstein? Este derecho nos lo da la hipótesis de De Broglie, que está bien comprobada y confirmada. Las micropartículas tienen propiedades ondulatorias. El carácter bifronte de las partículas existe siempre y en todas partes. Pero, ¿qué es una onda? Debido a sus propiedades de indeterminación en la extensión y de perpetua movilidad, está claro que es un fenómeno de campo. Por esto mismo la hipótesis de De Broglie dice en realidad que las partículas materiales tienen propiedades de campo, y en este sentido completa la hipótesis cíe Planck-Einstein acerca de que los cuantos de campo, es decir, los fotones, tienen propiedades de materia.
¿En qué se manifiestan las propiedades de campo de las micropartículas? Esto ya lo hemos explicado en numerosos ejemplos. La más característica de estas propiedades es la indeterminación del lugar que ocupan los electrones y otras partículas en el espacio o, como dicen los físicos, la imposibilidad de su localización. El electrón está aquí y al mismo tiempo no está aquí. Cuando intentamos medir su velocidad con absoluta exactitud, no podemos decir donde se encuentra. Esto es muy típico del campo, el cual no puedo localizarse debido a que se halla «en todas partes».
Si se aumenta la velocidad del electrón, a medida que ésta se aproxima a la velocidad de la luz el electrón se hace cada vez más «pesado». ¿De dónde proviene su masa adicional? El electrón, de ordinario, es acelerado por un campo eléctrico. Durante la aceleración este campo parece que penetra en el electrón y le comunica su energía. Y puesto que aumenta la energía del electrón, según la conocida relación de Einstein (que dimos a conocer en páginas anteriores) deben aumentar también su velocidad y masa.
Pero este proceso de «trasiego» de la masa del campo a la partícula no es ilimitado. La masa aumenta muy deprisa y, al fin, la energía cinética de la partícula se iguala a su energía propia (esto se produce cuando la velocidad de la partícula alcanza aproximadamente el 80 por ciento de la velocidad de la luz). Y entonces aparece en escena un nuevo proceso, en el cual las propiedades ondulatorias, de campo, de las partículas se manifiestan con la mayor claridad. Las partículas adquieren la posibilidad de liberarse de una vez tanto de la energía acumulada como de la propia y de convertirse en cuantos de campo.
El crecimiento de la masa de las partículas al aumentar su velocidad tiene por causa, por decirlo así, el «instinto de conservación» que ha puesto en ellas la naturaleza. Las partículas no quieren perder su individualidad y se resisten elevando su energía, lo que hacen con violencia tanto mayor, cuanto más próxima tienen la perspectiva de convertirse en campo.
Las partículas nunca pueden moverse con la velocidad a que se propaga el campo. El campo nunca puede propagarse con otra velocidad.
Las partículas cambian de aspecto
Hasta ahora, al hablar de las transformaciones de las partículas sólo hemos tenido en cuenta el electrón (y, naturalmente, el positrón). Después de descubrirse el neutrón se supo que éste también es capaz de transformarse, pero, a diferencia del electrón, no en cuantos de campo, sino en otras partículas.
El neutrón se transforma, primero, en un protón, un electrón y un neutrino (en la desintegración beta); para esto tiene que ser libre. En el núcleo se transforma el neutrón en un protón y un mesón p. Más tarde se consiguió establecer que la segunda transformación del neutrón, «en suma», no se diferencia mucho de la primera. El mesón p libre se desintegra en un mesón m, que es aproximadamente una cuarta parte más liviano que él, y en un neutrino. Y el mesón m a su vez se desintegra en un electrón y dos neutrinos.
Resultados
- de la desintegración del neutrón libre:
neutrón —> protón + electrón + neutrino;
- de la desintegración del neutrón «nuclear»:
neutrón -> protón + mesón p
mesón p -> mesón m + neutrino
mesón m —> electrón + 2 neutrinos - Total:
neutrón —> protón + electrón + 3 neutrinos.
Si hay un nuevo tipo de fuerzas, quiere decir que existe un nuevo campo. Y si existe un nuevo campo, debe tener sus cuantos. Los portadores de las interacciones electromagnéticas son los fotones. Por analogía, los portadores de las interacciones nucleares deben ser los mesones p (ya se dijo que los mesones m interaccionan débilmente con los núcleos y por consiguiente no pueden ser cuantos del campo nuclear).
Así, pues, los mesones p son los cuantos del campo nuclear. Pero estos cuantos, a diferencia de los fotones, tienen masa en reposo, siendo esta masa bastante considerable en el mundo de las cosas ultrapequeñas: ¡su masa es trescientas veces mayor que la de los electrones! Si esto es así, los mesones p no pueden moverse con la velocidad de la luz. ¡Vaya cuantos! Más parecen partículas que cuantos, pero, a pesar de todo, son cuantos. El cuadro armonioso de la relación mutua entre el campo y la materia, que los físicos acababan de trazar, se altera bruscamente.
Los mesones p resultan ser el límite de la «bifrontalidad». Con la materia los emparenta el tener masa en reposo distinta de cero, y con el campo, el tener espín nulo.
En esto hay que detenerse un poco. Los físicos, después de aparecer la mecánica cuántica, establecieron otra diferencia clara entre las partículas de la materia y los cuantos de campo. Esta diferencia está en sus espines. Las partículas «verdaderas» sólo pueden tener el espín igual a la mitad de la constante de Planck h (o, más exactamente, h/4p), mientras que los cuantos de campo deben tener el espín nulo o igual a un número entero de constantes de Planck (h/2p).
La profunda diferencia entre la esencia de las partículas y de los cuantos, puesta de manifiesto en sus espines, está completamente justificada. Resultó que de la magnitud del espín depende mucho el comportamiento de los microobjetos.
Recordemos el principio de Pauli. Este principio impone que en una «colectividad» general no haya dos electrones que se encuentren en condiciones completamente iguales. Y, en efecto, no sólo los electrones, sino también los protones, neutrones y, en general, todas las partículas de «medio» espín, se subordinan incondicionalmente a esta imposición.
En cambio, para las partículas de espín nulo o «entero» este principio no debe tener efecto. Y esto ocurre en realidad. Por ejemplo, en una «colectividad» de fotones (cuya «hermandad» se extiende a todo el universo) pueden encontrarse tantos fotones como se quiera en estados iguales, es decir, en estados donde tienen una misma frecuencia y un misino sentido del espín (el espín del fotón es igual a la unidad).
A propósito, de esta división según los espines se deduce que el «expósito» mesón m, que fue el primero con que se toparon los físicos, ¡no podía ser cuanto del campo nuclear! Porque tiene «medio» espín. En cambio, toda la familia de mesones p tiene espín nulo y todos ellos son apios para servir de cuantos de campo. Pero; ¡su masa en reposo no es nula!
El mesón p es bifronte
La naturaleza, efectivamente, dio a los físicos otra grandísima sorpresa, intentaremos comprenderla.
¿No puede ser el neutrón una simple combinación «prensada» de un protón y un mesón p? No, de esto nos convence la aritmética elemental: las masas en reposo del neutrón y del protón son iguales respectivamente a 1839 y 1836 masas electrónicas (aproximadamente), y la masa en reposo del mesón p es 273. Por lo tanto, al emitir un mesón p, el neutrón debe adelgazar en 273 masas electrónicas, y no en 3 como ocurre en realidad.
Cuando se desintegra un neutrón libre, este problema no se plantea. El neutrón pierde un electrón, es decir, una masa electrónica. Además, al electrón y al neutrino les comunica en vuelo una energía igual al doble de la energía propia del electrón, después de lo cual adquiere la masa del protón. En cambio, cuando es emitido un mesón p, el neutrón adelgaza casi cien veces más. Y, sin embargo, casi no se nota. ¡Hasta ahora nadie ha visto neutrones extenuados por haber dado a luz un mesón p! ¿Por qué ocurre esto?
Figurémonos el siguiente cuadro. El neutrón se arranca un mesón con carga negativa y se lo tira a un protón. Este atrapa un mesón o inmediatamente se transforma en neutrón. El neutrón, que hizo las veces de delantero centro, se transformó en protón aliviado, y el protón-portero, después de coger el balón-mesón que le había «chutado», se convirtió en neutrón agravado. Al cabo de un intervalo insignificante de tiempo, el neutrón agravado emite el mesón antes capturado por él y se transforma de nuevo en protón normal, y el protón aliviado adquiere dicho mesón y vuelve a ser neutrón normal. Como puede verse, este «juego de fútbol» consta de dos etapas no equivalentes: la primera, claramente prohibida por todas las leyes conocidas de la física, y la segunda, completamente permitida.
La prohibición se deduce que ninguna partícula puede tener una masa menor que su masa en reposo, mientras que en nuestro caso resultó un protón aliviado. Esto se puede expresar en otras palabras: el neutrón-delantero no puede «chutar» un balón que pese más que 3 masas electrónicas. Para poder omitir el mesón tendría que sacar de sus misteriosas entrañas una energía considerable, correspondiente a las restantes 270 masas electrónicas. Pero esto contradice claramente la ley de conservación de la energía. En el promedio de la suma de las dos etapas del «juego de fútbol», se cumple esta ley, pero en la primera etapa se infringe evidentemente.
Cuando esto quedó establecido, los físicos se inclinaban a aceptar la ya mencionada idea sediciosa de que en los fenómenos del micro mundo sólo se cumple la ley de conservación de la energía en promedio, pero en los sucesos aislados puede violarse. Sin embargo, el desarrollo ulterior de la ciencia confirmó una vez más que esta ley es inmutable como una pena. Así es que el secreto del «juego de fútbol» sigue sin descifrar desde las posiciones de la física clásica.
Pero todo queda en su sitio en cuanto recordamos que se trata de las propiedades cuánticas de las partículas. Estos procesos, claramente prohibidos desde las posiciones de la física clásica, fueron llamados por los físicos procesos virtuales.
Un sistema de partículas o una sola partícula puede transformarse en otro sistema o en otra partícula por distintos procedimientos. Nosotros podemos desconocer (y en realidad desconocemos frecuentemente) estos procedimientos, pero tenemos derecho a describir esta transformación como nos parezca conveniente, utilizando aquellos procesos intermedios que hoy podemos calcular. Los procesos virtuales resultan ser cómodos e «intuitivos» para los físicos de hoy.
¿Y no puede ocurrir que el intercambio del mesón entre el protón y el neutrón se produzca lo mismo que, por ejemplo, el intercambio del electrón en la molécula de hidrógeno? Esto es mucho más fácil, porque los electrones no sufren ninguna transformación, y. sin embargo, el enlace entre los átomos se produce. ¿No puede acaso el mesón p negativo «girar» del mismo modo alrededor de dos protones?
No, esto no ocurre. He aquí por qué. Hace poco los científicos se las ingeniaron para «enganchar» al átomo, en sus capas, un mesón m en vez de un electrón, y el mesón m cumplió bien su papel de electrón. En particular, unió, como el electrón, dos átomos de hidrógeno en una sola molécula, que se llamó «mesomolécula» o molécula mesónica de hidrógeno. Como el mesón m tiene aproximadamente una masa doscientas veces mayor que la del electrón, su «nube de probabilidad» se encuentra la misma cantidad de veces mis cerca del núcleo y, por lo tanto, el mesón m ciñe los dos átomos en una molécula cuyas dimensiones son doscientas veces menores.
Pero este no es un mesón p, sino m. Y las fuerzas que actúan en la molécula mesónica no son nucleares, sino eléctricas. Estas fuerzas, por su magnitud, distan mucho de las fuerzas nucleares.
El mesón p no puede mantenerse en el átomo lo mismo que el electrón, ya que interacciona con el núcleo intensamente y de un modo particular. Esta particularidad consiste en que el mesón p transforma el neutrón en protón y el protón en neutrón.
El secreto del intercambio mesónico empieza a aclararse
En efecto, puede considerarse que el mesón p circula entre las partículas nucleares. Pero esta circulación no es alrededor de las partículas, sino dentro de ellas mismas, mediante la emisión del mesón por una de ellas y su captura por otra. Estos procesos de emisión y absorción contradicen las leyes que ya se han definido antes. Pero al mismo tiempo estos procesos marchan. Marchan virtualmente.
En general, los procesos virtuales no son nuevos para nosotros. Recordemos cómo las micropartículas penetran a través de las barreras de potencial. Desde el punto de vista de la teoría clásica, la aparición de las partículas fuera de la barrera sólo es posible si saltan de dicha barrera. Sin embargo, la ecuación de Schrödinger demuestra la probabilidad de que una partícula que se halle en un pozo pueda salir de él sin adquirir ni gota de energía. Y esto también parece que contradice la ley de conservación de la energía. Efectivamente, para saltar de un modo espontáneo la barrera de potencial, la partícula tiene que sacar energía de sí misma, y después esta energía vuelve a desaparecer.
Antes explicamos este fenómeno paradójico por medio de las propiedades ondulatorias de las micropartículas. Recordemos en qué consistía esta explicación.
De acuerdo con la relación de Heisenberg, cualquier partícula da medidas indeterminadas tanto del valor de su energía cinética como del valor de su energía potencial. Al intentar sorprender la partícula pasando la barrera, es decir, descubrirla dentro de la barrera, hacemos su energía indeterminada. Como resultado, esta energía se hace tal, que permite a la partícula saltar la barrera de un modo completamente «legal» desde el punto de vista clásico.
En rigor, en el sentido clásico, aquí se infringe la ley de la conservación de la energía. La mecánica cuántica, en cambio, demuestra que no se produce ninguna violación de dicha ley.
Exactamente la misma explicación puede darse a la emisión y absorción de los mesones p por las partículas nucleares. La cuestión está en que la relación de Heisenberg (la segunda, entre la energía y el tiempo, que se dio en las páginas anteriores) puede aplicarse también a la energía propia de la partícula. En este caso, por ejemplo, el adelgazamiento del neutrón al emitir un mesón p negativo, o el adelgazamiento del protón al emitir un mesón p positivo, así como el engrosamiento de las partículas que absorben los mesones, puede considerarse como cierta indeterminación de la energía propia de estas partículas, debida a la conocida indeterminación de sus masas.
Está claro que esta indeterminación, por su magnitud, no es menor que la energía propia del mesón p,
ΔE = mpc2
donde mp es la masa en reposo del mesón p. Intentemos deducir de aquí el tiempo que puede existir la indeterminación indicada de la energía. En otras palabras, cuánto dura el ciclo completo del «juego de fútbol» entre el protón y el neutrón en el núcleo.De la relación de Heisenberg
ΔE Δt ~ h
obtenemosΔt ~ h / mpc2
Sustituyendo en esta expresión los valores de la masa del mesón pmp, de la constante de Planck h y de la velocidad de la luz c, obtenemos queΔt ~ 10-23 segundos
¡Un tiempo insignificante! ¿Qué distancia puede recorrer el mesón p durante este tiempo? Es evidente que el límite del valor de esta distancia lo establece el hecho de que el mesón p debe moverse a una velocidad menor que la de la luz. Por esto la distancia máxima a que puede alejarse el mesón p de la partícula nuclear que lo emite seráR = c Δt ~ 10-13 centímetros.
Pero esta magnitud, por su orden, coincide con el radio de acción de las fuerzas nucleares. ¡Esta coincidencia es muy significativa! Ella confirma que nuestros razonamientos son correctos.Así, pues, sorprender a los mesones p en el instante de su escape «ilegal» de unas partículas nucleares y en el de su igualmente «ilegal» absorción por otras partículas, no se consigue por la misma causa que es imposible «coger» a los electrones en el instante en que pasan por debajo de las barreras de potencial. En cuanto se conectase el aparato de medición (mentalmente, como es natural), éste elevaría inmediatamente las energías del protón y del neutrón que toman parte en el intercambio del mesón p, hasta tal punto, que dicho intercambio resultaría completamente «legal» desde el punto de vista clásico.
¡Y otra vez el proceso virtual se funda en las propiedades ondulatorias de las micropartículas! Las fuerzas nucleares tienen un radio de acción limitado, porque los cuantos del campo nuclear, mesones p, tienen una masa en reposo distinta de cero.
El mesón p tiene un comportamiento bastante «estable», pero únicamente mientras ejerce sus funciones en el núcleo. En estado libre esta partícula se comporta de un modo completamente distinto. Hallándose fuera del núcleo, el mesón p se desintegra en un tiempo muy pequeño, del orden de cienmillonésimas de segundo. El mesón p positivo se transforma en mesón m positivo, y el negativo, en mesón m con carga del mismo signo. Al mismo tiempo es emitido un neutrino.
Posteriormente se descubrió un tercer mesón p, eléctricamente neutro. Este mesón se desintegra un millar de millones de veces más deprisa que sus colegas con carga. Al morir da a luz dos fotones gamma de mucha más energía que los que aparecen cuando se encuentran un electrón y un positrón.
En esta inestabilidad consiste la seria diferencia que existe entre los mesones p y los fotones. Los fotones, por ejemplo, pueden variar de energía, pueden incluso desaparecer en las partículas, cediéndoles su energía. Pero nunca se desintegran. Nadie ha visto aún que los fotones se dividan en «fotoncitos» más pequeños, que tengan una energía menor que la de sus precursores.
¡Como ha complicado el mesón p el cuadro trazado por Tos físicos de las relaciones mutuas del campo y la materia! En efecto, el mesón p es el campeón de dualidad, un híbrido raro de partícula y cuanto.
El secreto de la interacción
De todos los campos que conoce la ciencia, el campo electromagnético es el que mejor se ha estudiado hasta ahora. Es mucho lo que se conoce de cada una de las «caras de su medalla», es decir, de los campos eléctrico y magnético. El campo eléctrico lo crean tanto las cargas en reposo como las cargas en movimiento: el campo magnético, solamente les últimas. Como toda interacción de partículas con carga esté ligada con su movimiento y en él se manifiesta, puede decirse en general que en cualquiera de estas interacciones interviene un campo conjunto, electromagnético.
Pero, para simplificar, prescindamos del campo magnético y observemos de cerca el campo eléctrico, o más exactamente, electrostático. Desde la escuela recordará usted toda la vida la célebre frase: «las cargas de igual signo se repelen y las de signo contrario, se atraen». Los textos escolares explican este misterioso comportamiento de las cargas eléctricas como signe: la carga eléctrica crea en torno suyo un campo, el cual actúa como fuerza de repulsión, sobre cualquier carga de igual signo que entre en dicho campo, y como fuerza de atracción, sobre cualquier carga de signo contrario al suyo.
Esta explicación, honradamente, es algo así como si a la pregunta: «¿Por que murió este hombre?» se diera la respuesta: «Porque se marchó de él la fuerza vital».
En estos textos la palabra «fuerza» se reduce a la palabra «campo». Pero no basta con introducir una nueva palabra, hay que explicar lo que significa. Sin embargo nada se dice acerca de esto. Se introducen las características del campo: intensidad, líneas de fuerza, etc., y nada más.
En efecto, la física clásica que se exponía en estos textos, aunque introdujo en la ciencia el concepto de campo, no pudo darle un sentido más o menos concreto, exacto. La naturaleza del campo resultó ser tan compleja, que mucho de ella, aún hoy, escapa a la comprensión de los físicos.
En este problema, la mecánica cuántica ya ha conseguido algo de esto vamos a hablar posteriormente.
La física sólo conoce dos tipos de cargas eléctricas, positivo y negativo. El primero, por ejemplo, le corresponde a los protones y el segundo, a los electrones. Estos son los únicos portadores de cargas absolutamente estables. En adelante hablaremos únicamente de los electrones. El protón tiene una «estructura» más compleja y de él se tratará después.
De esta forma, todas las cargas negativas pertenecen a los electrones. Pues bien, tomemos un par de electrones e intentemos comprender cómo transcurre la contienda entre ellos. En primer lugar es evidente que de alguna forma deben «darse cuenta» de la presencia del otro.
Se nos ocurre la primera idea: cada uno de los electrones curva el espacio a su alrededor, como fue establecido por Einstein para todos los cuerpos por muy grandes o pequeños que sean. A consecuencia de esto, cada uno de los electrones se mueve junto al otro siguiendo no una línea recta, sino cierta curva. De igual modo que una bola, cuando rueda por un lienzo combado por otra bola que descansa en él.
Pero esta curvatura está determinada por la masa, y no por la carga. A ella lo corresponde otro campo, el de gravitación.
Segunda idea: el electrón infringe la homogeneidad del vacío alrededor suyo. En efecto, considerando que el vacío está lleno de electrones que aún no han nacido, nuestro electrón debe repeler los electrones del vacío. Y cuando se presenta el compañero de nuestro electrón, está claro que debe actuar análogamente sobre el vacío.
Pero la repulsión de los electrones «verdaderos» y del vacío es mutua. Por lo tanto, los electrones del vacío procurarán apartar de sí el primer electrón y lo mismo harán con el segundo. Esto se pone de manifiesto en la repulsión mutua de nuestros dos electrones.
No obstante, pensándolo bien, esta deducción no es del todo «honrada». Porque lo que queremos explicar es la repulsión. Y al mismo tiempo la introducirnos sin explicarla para los electrones «verdaderos» y para los del vacío. Cambiamos de caballo, pero no dimos ni un paso adelante.
Esto es así en realidad. Pero, a pesar de todo, la idea de la interacción de las partículas a través del vacío resulta ser fructífera. Para esto basta suponer que el electrón puede emitir fotones espontáneamente.
El electrón puede emitir fotones. Ya vimos que esto ocurre cuando salta en las capas atómicas.
Pero en esto caso varía su estado energético. Exacto. ¿Y si el electrón libre y en reposo emite un fotón y después vuelve a absorberlo rápidamente? Entonces la energía del electrón permanece invariable. Y el proceso de emisión resultará prohibido desde el punto de vista clásico. La mecánica cuántica, como ya hemos visto, permite estos procesos, pero con una condición: que no salgan del marco de la relación de indeterminación.
La rapidez con que el electrón emite y vuelve a capturar el fotón sólo debe depender de la energía de dicho fotón. Cuanto mayor sea la energía del último, con tanta mayor rapidez deberá efectuarse esta operación.
Sin embargo, mientras el fotón está fuera del electrón tiene tiempo de explorar el espacio próximo al progenitor que lo lanzó. ¿Hasta qué distancia se extiende este espacio? Hasta el infinito. Porque el electrón puede emitir fotones de energía muy diversa y, por lo tanto, de energía tan pequeña como se quiera. Estos electrones pueden alejarse de su progenitor tanto como se quiera. No obstante, para los fotones de frecuencia completamente determinada, el radio de acción es del orden de su longitud de onda. Para los fotones de luz visible esta distancia es del orden de fracciones de micra.
Está claro que los fotones no se limitan a desempeñar el papel de observadores. Si en su camino se encuentran con fotones emitidos por el otro electrón, se produce lo que en los partes de guerra se llama choque de patrullas. Como resultado de este choque puede ocurrir que parte de los fotones se disperse y no retorne a sus progenitores. Por ejemplo, que sean absorbidos por el compañero.
Al parecer, la violación de la ley de conservación de la energía es ahora no virtual, sino completamente clara. Sin embargo no es así. La energía de los electrones varía exactamente tanto, como energía tienen los fotones que no retornan, y el resultado es que ambos electrones se alejan en sentidos distintos. En efecto, cuanto más lejos estén los electrones uno de otro, tanto menor será la energía de su interacción.
En cambio, la energía total de los fotones y de los electrones seguirá siendo la misma que «al principio». Ponemos esto entre comillas porque en la interacción de dos electrones no existe principio ni fin. La interacción no se puede conectar y desconectar. Por muy alejados que se encuentren los electrones uno de otro, siempre se encontrarán en acción mutua.
Y, a pesar de todo, esta explicación no nos satisface plenamente. Parece que el campo está ligado a su creador. Sin embargo, sabemos que los fotones son muy independientes.
Para mayor satisfacción puede introducirse otro proceso virtual más. De este proceso ya hemos hablado; se encuentra en la realidad. Un fotón con suficiente energía, emitido por el electrón, puede durante su corta vida «permitida» transformarse en la pareja formada por un electrón y un positrón.
Así, en vez de un electrón, durante un instante tendremos dos electrones y un positrón. Pasa este instante, y el electrón vuelve a estar solo. ¿Pero cuál de los dos electrones desaparece fundiéndose con el positrón? A esto no puede contestarse, porque ambos electrones son indistinguibles el uno del otro.
¡Qué interesante! ¡Lástima que no pueda verse este «ramo» de partículas nacidas de un solo electrón! ¡El instante que dura es demasiado corto!
Veamos si esto es así. Un simple cálculo, aplicando la relación de Heisenberg, demuestra que nuestro instante dura aproximadamente 10-21 segundos. Durante este tiempo el fotón puede dar a luz la pareja formada por el segundo electrón y el positrón, a una distancia de cerca de 10 -11 centímetros del primer electrón.
Esta magnitud es característica para una borrosidad extremadamente pequeña del electrón en el espacio. 10-11 es la longitud de la onda de De Broglie del electrón que se mueve con una velocidad próxima a la de la luz.
¡Este es un hecho muy significativo! Demuestra que las propiedades ondulatorias del electrón (y, claro está, de todas las demás partículas) tienen como base la interacción, es decir, la naturaleza de campo del electrón. El electrón se hace borroso porque una infinidad de veces por segundo se comporta como si se zambullera en el vacío y emergiese de él en un punto vecino.
Los físicos llamaron «electrón temblón» a este comportamiento tan singular del electrón. Esta comparación figurada se aproxima mucho a la realidad. En dicho proceso, el electrón puede «temblar», encontrarse en cualquier parte, dentro de los límites de la región del espacio que se le asigna. Y esta región está determinada por la energía, y, por lo tanto, por la longitud de onda de los fotones, los cuales pueden originar pares formados por un electrón y un positrón.
El reino de las virtualidades
Quedamos pues, en que el electrón emite fotones virtualmente. Los fotones, a su vez, se transforman virtualmente en pares de electrones y positrones. Los pares, fundiéndose, generan fotones.
Y los fotones son absorbidos por el electrón. Todo este caleidoscopio de transformaciones tiene que realizarse forzosamente con una rapidez fantástica, de muchos billones de veces por segundo.
El fotón emitido por un electrón cualquiera puede ser capturado no por este electrón, sino por otro. Pero los electrones son indistinguibles unos de otros. Por eso, no existe ni la menor posibilidad de saber cuál de ellos fue el que capturó el fotón emitido.
Pero el resultado de este intercambio no es virtual, sino completamente real: los electrones tienden a alejarse lo más posible unos de otros. Incluso cuando la distancia entre ellos es muchas veces mayor que su grado de «borrosidad de vacío», los fotones los alcanzan y los alejan todavía más entre sí. Sólo que, cuanto mayor sea esta distancia, tanto menos enérgicos serán los fotones que puedan vencerla y, por consiguiente, tanto menor será la energía transmitida a los electrones en su intercambio de fotones y tanto más débil la repulsión entro ellos. Esto precisamente es lo que dice la ley de Coulomb. La interacción electrónica lo penetra todo.
Y en ella toman parte no dos electrones, como hemos considerado para simplificar los razonamientos, sino absolutamente todos los electrones del Universo. ¡El campo electromagnético de extensión inconmensurable puede hallarse en cualquier rincón del mundo infinito!
La interacción del electrón y el positrón, del electrón y el protón, y en general de todas las partículas con carga de signo contrario, tiene también esta naturaleza virtual. Pero en este caso la consecuencia real del intercambio de fotones no será el alejamiento mutuo, sino la aproximación de las partículas.
La naturaleza es bifronte. A ella le impone la unidad y la lucha de contrarios. Dos partículas con cargas de signo contrario y masas iguales, es decir, con simetría especular, cuando se encuentran, «saltando del espejo», compensan sus cargas y se convierten en cuantos del mismo campo que efectúa su interacción.
Lo virtual se hace real
Los físicos buscaron una palabra poco apropiada para denominar los procesos de interacción de las partículas. «Virtual», es decir, aparente o imaginario. Sin embargo no había por qué desconfiar de estos procesos y considerarlos como pura fantasía de los físicos. Algo así como un calórico moderno. El vacío virtual, por ejemplo, se manifiesta inesperadamente del modo más real.
Recordemos las transiciones de los electrones en los átomos, que originaron los espectros. Dijimos que estos pasos de un estado a otro sólo son posibles cuando las nubes de probabilidad de los electrones en estos estados se sobreponen en cualquier región del espacio.
En el átomo de hidrógeno hay dos estados de éstos, cuyas nubes se confunden por completo. Ambos corresponden a la segunda capa, la cual empieza a poblarse únicamente en el litio. Y hay además un estado en la primera capa, el más bajo por su energía y el más estable, en el cual se encuentra de ordinario el electrón de hidrógeno.
Los dos estados, del primero y segundo pisos del edificio atómico, responden a nubes esféricas que no se sobreponen en ninguna parte. El tercer estado es un incómodo apartamento entre pisos, que une el primero y el segundo.
Pero resulta que este apartamento se convierte en entrepiso únicamente en el litio, pero en el átomo de hidrógeno debe coincidir con el apartamento del segundo piso. Y esta transición electrónica, que podría observarse en el litio, no debe observarse en el hidrógeno, porque, como ya sabemos, los inquilinos atómicos no suelen saltar directamente entre dos pisos, sino que prefieren entrar primeramente en los apartamentos entre pisos.
Efectivamente, en el átomo de hidrógeno nadie había observado estas transiciones hasta cierto día. Si por una causa cualquiera el inquilino que se hallaba en el primer piso resultaba lanzado al segundo, tenía que aburrirse en él hasta que no se presentaba una oportunidad «ilegal» de retornar al primero (la probabilidad de esta transición es completamente insignificante).
Pero de aquí que hace unos quince años los físicos descubrieron que el electrón se las había ingeniado para violar esta rigurosa prohibición y, con bastante facilidad, saltar del segundo piso al primero. Hizo esto como si hubiese bajado por un apartamento entrepiso o como en un ascensor. La explicación de esta infracción de la ley no se hizo esperar. Los físicos, con sus «fantasías», resultaron estar preparados para darla. Recordemos el proceso virtual en que el electrón «verdadero» repelía a los electrones «no nacidos» del vacío. Entonces nos pareció que el electrón, como un personaje cómico, se enemistaba con su propia sombra.
Pues bien, esta interacción del electrón con el vacío, su «temblor», le comunica una energía adicional completamente real, aunque muy pequeña. Pero incluso esta energía, insignificante en comparación con la energía del electrón en el átomo, resultó ser suficiente para que los dos estados antedichos que se confunden en el átomo de hidrógeno», dejen de confundirse, para que el electrón pueda pasar de uno de ellos al otro, desde el segundo piso al apartamento entro pisos, ahora verdadero, y desde él al primer piso.
Es cierto que sólo se consiguió descubrir el paso del segundo piso al apartamento entre pisos. Pero esto era suficiente: lo demás, como suele decirse, se realiza automáticamente.
¿Qué valor resultó tener la adición, debida al vacío, a la energía del electrón del hidrógeno? Si por medio de la relación de Planck se reduce a frecuencia, resulta que no se encuentra en la región de los rayos gamma y ni siquiera en la de la luz visible, sino en el intervalo de... las ondas radioeléctricas de alta frecuencia.
Por esta razón, el importante fenómeno mencionado no se consiguió descubrir por los métodos espectrales ordinarios. Pero cuando después de la segunda guerra mundial se construyeron generadores de radiofrecuencias y con sus ondas se irradiaron átomos de hidrógeno, éstos resonaron inmediatamente a la frecuencia correspondiente a la adición del vacío. En el espectro de radiofrecuencias del hidrógeno, en el lugar correspondiente a esta frecuencia, apareció un pozo profundo: el electrón del hidrógeno absorbía activamente los cuantos de esta frecuencia.
Poco tiempo después se descubrió el segundo efecto de vacío. Con anterioridad mencionamos dos imancitos electrónicos. Uno de ellos era debido al movimiento del electrón en torno al núcleo atómico y el otro, al movimiento de espín del electrón. En el campo magnético estos dos imancitos se sumaban resultando un imancito único de fuerza determinada.
Los físicos midieron del modo más exacto la fuerza de este imancito. Y resultó que su magnitud era un poquito mayor que la suma de cada uno de los sumandos. ¡Otra vez este poquito! Y otra vez no les quedó a los físicos más remedio que reconocer que esta adición a la fuerza del imancito era debida a la interacción del electrón con el vacío.
Y aquí la explicación se parece a la anterior. El electrón que se mueve en el átomo repele a los electrones del vacío a lo largo de toda su trayectoria, de un modo semejante es como un barco, que cuando está parado sólo desplaza el agua que hay debajo de él, cuando se mueve provoca además el movimiento del agua. La transmisión del movimiento del electrón al vacío, hace que en éste se produzca una corriente de electrones de vacío. La acción magnética de esta corriente virtual se suma a las que responden al movimiento del electrón «verdadero».
La mecánica cuántica, que está completamente empapada de virtualidades, no sólo pudo explicar estos fenómenos extraordinarios, sino que también pudo calcularlos. Y los resultados de los cálculos coincidieron brillantemente con la experiencia.
¡Cómo puede hablarse, después de esto, de «fantasías» de los físicos! No, a los procesos virtuales hay que guardarles el respeto debido.
A la caza de nuevas partículas
En cuanto los físicos comprendieron el carácter extraordinariamente insólito del mundo de las micropartículas, sus interacciones mutuas y con el campo, empezó la caza de nuevas partículas. Porque cada nueva partícula es un lado del micromundo, un nuevo descubrimiento de sus peculiaridades, que empuja a los científicos un ápice más hacia adelante en sus conocimientos.
Con este fin se equiparon verdaderas expediciones de caza. Se proveyeron de los cepos más modernos.
Durante mucho tiempo el único abastecedor de partículas nuevas fueron los rayos cósmicos, flujos de partículas que llegan a la Tierra en abundancia desde el espacio universal. La búsqueda se intensificó especialmente cuando los físicos recibieron un arma poderosa para atrapar las partículas nuevas. Aparatos de este tipo fueron subidos a las cumbres de las montañas más altas, cruzaron los mares y fueron lanzados con cohetes al cosmos próximo.
Y después, a principios de los años cincuenta, se pusieron a disposición de los físicos potentes aceleradores de protones hasta energías colosales, primero de centenares de millones de electrón-voltios y durante los últimos años, de hasta decenas de millares de millones.
Y los trofeos de caza se multiplicaron con tal rapidez, que hasta los físicos se asustaron. Cada año se descubrían varias partículas nuevas. Hoy día su relación contiene ya treinta y tres partículas, sin contar las llamadas «resonancias», de las que se hablará aparte. Las «resonancias» aumentan la lista de partículas hasta cerca de ciento.
Los primeros entre los trofeos fueron los mesones p o piones. A principio de los años cincuenta se descubrieron unas partículas cuya masa era mayor que la del protón y el neutrón, eran los hiperones. Y, finalmente, los rayos cósmicos le hicieron a los físicos un regalo de extraordinario valor (más adelante se comprenderá esto), el grupo de los mesones K o kaones.
Y cuando empezaron a funcionar las gigantescas máquinas aceleradoras de protones hasta velocidades próximas a las de la luz, pronto se descubrieron otras dos partículas que con su aparición confirmaron una vez más que las predicciones de la teoría de Dirac son correctas. Estas partículas son el antiprotón y el antineutrón. Examinemos ahora detenidamente la lista de trofeos. Ante todo se ve en ella que las masas de las partículas están comprendidas entre unos límites muy amplios: desde la masa nula del neutrino hasta la de más de cuatro mil masas del electrón del hiperón delta de «resonancia». Al mismo tiempo las partículas están distribuidas según sus masas de un modo no uniforme. Se reúnen en grupos de dos, tres y hasta cuatro, con masas relativamente próximas entre sí.
Las cargas y los espines de las partículas son mucho menos diversos. Si se consideran solamente las partículas «verdaderas» (es decir, no de «resonancia»), sus cargas eléctricas sólo tienen tres valores (+1, 0 y -1, donde se toma como -1 la carga del electrón), y los espines, también tienen 3 valores únicamente (0, 1/2 y 1).
La mayoría de las partículas de esta lista no son estables: su vida dura por término medio desde mil segundos (neutrones) hasta cuatrillonésimas de segundo (mesones e hiperones de «resonancia»). Pero estos dos tipos son extremos a su manera. Los mesones e hiperones «ordinarios» tienen una vida media de cienmillonésimas a diezmilmillonésimas de segundo.
Sin embargo, no hay que confundir la vida de las partículas con el tiempo que dura su existencia en nuestro mundo. Tomemos, por ejemplo, el positrón. Este es realmente estable en el sentido de que no se desintegra en otras partículas. Pero en nuestro mundo vive muy poco: en cuanto se encuentra con un electrón, por lo general, desaparece rápidamente. Por otra parte, los mesones p, que libres son inestables, en los núcleos no dan señales de desintegración.
Observemos la última columna de la tabla. ¿Qué partículas se encuentran más frecuentemente entre los productos de desintegración de sus compañeros no estables? Para los mesones y el neutrón, los electrones y el neutrino. Y entre los productos de desintegración de los hiperones figuran regularmente nucleones y mesones p.
Elaboración de los trofeos de caza
Estas son las primeras conclusiones previas que pueden hacerse del censo de la población del micromundo. Ahora, valiéndose de la teoría, hay que sacar las conclusiones correspondientes acerca de las condiciones de vida de las partículas en dicho micromundo.
¿Por qué es tan amplia la variedad de las masas de las partículas? ¿Tiene límite dicha variedad? ¿Es el hiperón Λ4 la partícula más pesada? ¿Por qué, según sus masas, las partículas forman grupos de dos, tres o cuatro? ¿Por qué la carga y el espín de las partículas sólo pueden tener tres valores si se prescinde de la resonancia? ¿Por qué son inestables la mayoría de las partículas, y al mismo tiempo hay partículas estables? ¿Por qué, de entre diversos tipos de desintegración, las partículas sólo eligen uno o dos?
Diremos inmediatamente que a la mayoría de estos «¿por qué?» aún no ha dado respuesta la mecánica cuántica. Y en los casos en que hay respuesta, ésta contesta más bien al «cómo» que al «por qué». Algo es algo.
La agrupación de las partículas según sus masas se destaca muy claramente en la lista adjunta. Las masas de las partículas de un grupo están muy próximas entre sí en comparación con el amplio intervalo que separa un grupo de otro. Para explicar esto se propuso una idea muy interesante: un grupo de partículas es en realidad una sola partícula, pero que vive con diversos aspectos.
Tomemos, por ejemplo, los mesones p. Las masas de los mesones p- y p+ son iguales entre sí y se diferencian de la masa del tercero, es decir, de la del mesón p0, que es eléctricamente neutro. ¿No puede deberse la mayor masa de las partículas cargadas precisamente a que tienen carga?
Ya hemos dicho antes que una parte de la masa de las partículas está ligada al campo. Como los mesones p son cuantos del campo nuclear, y éste es mucho más intenso que el electromagnético, es razonable suponer que la masa fundamental de los mesones p se debe precisamente al campó nuclear, y la adición a él del campo electromagnético, ligarlo a la existencia de cargas en las partículas, aporta una pequeña contribución a su masa. Por esto los mesones p con carga tienen más masa que el neutro, cuya masa, claro está, debe tener una procedencia completamente nuclear. Aparentemente está claro también por qué en este caso las partículas ligeras no forman tríadas. El campo nuclear se caracteriza por el hecho de que sus cuantos tienen una masa en reposo distinta de cero, mientras que los cuantos del campo electromagnético, es decir, los fotones, carecen de ella. El electrón y el positrón y ambos mesones mu tienen una procedencia claramente no nuclear, sino electromagnética, por eso entre ellos no puede haber una partícula neutra. Por lo tanto quedan dos posibilidades únicamente, la partícula positiva y la negativa, es decir, una diada.
Sin embargo, para los mesones K no sirve esta explicación. Los mesones K neutros tienen más masa que los cargados. Aquí el campo electromagnético parece «restarse» del nuclear.
Para tener en cuenta la regularidad de las agrupaciones de partículas, los físicos introdujeron el concepto de espín isotópico. Este espín sólo tiene una lejana analogía con el ordinario. Recuerde una de las tres preguntas difíciles que los especialistas en espectroscopía les plantearon a los teóricos: ¿por qué se desdoblan las rayas espectrales en tres (y más) «satélites» próximos?
Para explicar este fenómeno hubo, como ya dijimos, que «idear» el espín. Precisamente a la pequeña diferencia de las energías electrónicas en los átomos, cuando es distinta la orientación del espín, deben su origen los «satélites» de la raya espectral principal.
«Por analogía», los teóricos se figuraron el grupo de partículas próximas por sus masas, como una partícula escindida en partículas satélites en virtud de la existencia del campo electromagnético.
Y las reglas para el espín isotópico resultaron en general ser las mismas que para el espín ordinario. Si el espín es nulo, la raya no se desdobla, la partícula sigue siendo una sola, cerca de ella no hay otras. Si el espín es igual a la mitad, la raya se transforma en un doblete, es decir, en dos rayas «mellizas»; un doblete así forman también las partículas como el mesón K, por ejemplo. Si el espín es igual a la unidad, aparecen «trillizas», o sea, un tripleto de rayas o de partículas según sea el espín de que se trate, el ordinario o el isotópico.
Las antipartículas tienen la palabra
Hasta el año 1955, en el renglón «nucleones» sólo figuraba la pareja del protón y el neutrón. Esta pareja era extraordinaria: una diada constituida por una partícula con carga y otra neutra. El secreto pareció que estaba descifrado cuando se descubrió el antiprotón, con carga negativa. Ahora ya era una tríada normal, semejante al grupo de mesones p.
Es cierto que en ella seguía habiendo anormalidad, porque el neutrón, neutro, resultó tener más masa, y no menos, que el protón y su antipartícula. El campo electromagnético, al parecer, se «restaba» del nuclear. Lo más importante, sin embargo, es que el protón y el neutrón vienen a ser una misma partícula que toma formas distintas. Los físicos ya habían sospechado autos esta unidad, cuando quedó claro que en el núcleo ambas partículas pueden transformarse una en otra con la misma facilidad.
Pero un año después de descubrirse el antiprotón se descubrió el antineutrón. En el grupo apareció una cuarta partícula. En él había que meter al antineutrón, pero, ¿dónde? El esquema antes descrito se vino abajo. Quedaba una salida: el grupo de los nucleones está formado por dos parejas: las del protón y el neutrón con sus respectivas antipartículas. Pero en este caso resulta que el protón y el neutrón son partículas distintas. El problema que se plantea es difícil de resolver. El secreto de la tétrada de los nucleones, hasta hoy, no puede considerarse descubierto en definitiva. A este grupo de partículas se parece exteriormente la tétrada de los mesones K. De ella nos ocuparemos especialmente. Por fin, puede advertirse que los hiperones sólo se agrupan por parejas.
¿Existe alguna ley que sirva de base a tan diversa estructura de los grupos de partículas? Seguramente existe. Pero hasta hoy se desconoce. Se hace el censo de la población del micromundo, se ha conseguido incluso determinar en ciertos casos la distribución de sus habitantes por profesiones, pero aún es pronto para sacar conclusiones definitivas.
Por ahora procuremos entender en qué difiere una partícula de su antipartícula. La teoría de Dirac en su variante inicial, como sabemos, dice: se diferencia en el signo de la carga eléctrica. Esto es así, efectivamente, para el electrón y el positrón, para el protón y el antiprotón, para los dos mesones m y en general para todas las partículas con carga.
Pero, ¿en qué se diferencia, por ejemplo, el neutrón del antineutrón? Ambos carecen de carga eléctrica, y sus masas, como ocurre en cualquier par de partícula y antipartícula, son iguales. La diferencia está en el sentido del espín.
¿Cómo puede considerarse que el espín es «antipropiedad»? Nosotros sabemos, por ejemplo, que, en los átomos, los electrones ocupan los estados de energía por parejas, es decir, tienen espines de sentidos opuestos. Pero, a pesar de esto, ambos siguen siendo electrones, ninguno de ellos pasa a ser positrón. Los neutrones nucleares, como vimos, también pueden ocupar por parejas los niveles energéticos en el modelo nuclear de capas, sin que por esto se produzcan anti-neutrones.
La cuestión es otra. El hecho de que los espines de los electrones atómicos estén orientados por parejas en sentidos opuestos, indica únicamente que los electrones se mueven en sentidos opuestos. Si los electrones se representan por «nubes de probabilidad», es difícil, naturalmente, representarse los dos movimientos opuestos. Por sus energías, en particular para el átomo libre, no se diferencian. Pero con respecto a la dirección del movimiento, el espín del electrón siempre está orientado de un modo definido. Por ejemplo, si el electrón se mueve hacia la derecha, convencionalmente puede considerarse que su espín está dirigido en ángulo hacia arriba, y si se mueve hacia la izquierda, en ángulo hacia abajo. Puede demostrarse que a medida que la velocidad del electrón se aproxima a la de la luz, la dirección de su espín es cada vez más próxima a la del movimiento del electrón. En el positrón, en cambio, cuando él se mueve hacia la derecha, su espín debe señalar hacia abajo, y viceversa. Y si el positrón es muy rápido, su espín estará dirigido casi exactamente en sentido contrario al del movimiento. Así precisamente debe entenderse la diferencia en el sentido de los espines del neutrón y del antineutrón.
«Pero, ¡qué diferencia es ésta!»—puede decir desilusionado el lector. Y, sin embargo, incluso esta diferencia es suficiente, por lo visto, para que si se encuentra la partícula con su antipartícula desaparezcan ambas, convertidas en cuantos de campo.
Las partículas se desintegran
¿Cómo nacen y mueren las partículas? En el micromundo los testigos de estos acontecimientos, siempre agradables para la ciencia, son las placas fotográficas.

Figura 22
Los mesones p, por regla general, no se desintegran directamente en electrones. Primero dan a luz mesones m. Y aquí somos testigos de que los campos nuclear y electromagnético no están separados por una pared impenetrable. Una partícula de procedencia nuclear se transforma en partícula de naturaleza electromagnética.
¿Por qué los mesones p se desintegran en dos partículas y los mesones m, en tres? A esto no es difícil responder. La cuestión está en los espines de las partículas: la suma de los espines de las partículas hijas debe ser siempre igual al espín de la partícula precursora.
El mesón m tiene espín «medio» y el electrón también. Pero como el electrón no puede llevarse toda la masa del mesón m, hace falta además un neutrino, el cual recoge el resto de dicha masa en forma de energía de su movimiento. Pero el espín del neutrino también es «medio», de modo que el espín total de las partículas recién nacidas resulta ser mayor que el espín de la partícula precursora. Hay que compensar el espín sobrante del neutrino. Así aparece el antineutrino, cuyo espín tiene sentido contrario. Un total, tres partículas.
Pero cuando se desintegra el mesón p es suficiente un neutrino (o antineutrino) con espín dirigido en sentido contrario al del mesón mu que nace. Estos dos espines se compensan entre sí, dando en total cero, lo que es igual al espín del mesón p inicial.
Cuando se trata de los hiperones, el producto estable final de su desintegración es frecuentemente el protón. Al mismo tiempo, los hiperones emiten también mesones p. Dos mundos y dos límites de transformaciones: el electrón, de las partículas ligeras, y el protón, de las pesadas. Dos mundos y dos compañeros inseparables de la desintegración: el neutrino, de las partículas ligeras, y los mesones p, de las pesadas.
Sigamos adelante. ¿Existe alguna ley que permita, de todas las variantes posibles de desintegración de las partículas, elegir solamente una o, en último caso, dos?
Algunas peculiaridades de esta selección ya las hemos señalado. Por analogía con la física clásica las llamaremos leyes de conservación. Las observaciones demuestran que en las desintegraciones se conservan la carga total y el espín total de las partículas. Pero estas leyes permiten aún cierta arbitrariedad en la elección de la variante de desintegración.
Había que buscar algunas regularidades adicionales de la desintegración que estrecharan todavía más el camino que pueden seguir las partículas inestables al transformarse en ladrillitos estables de la materia, es decir, en protones y electrones.
Los físicos clasifican las interacciones
Establezcamos una pequeña analogía. ¿Por cuántos procedimientos se puede destruir una montaña? El procedimiento más fuerte y rápido es, claro está, una explosión: por ejemplo, cuando se produce una erupción volcánica. Con menor fuerza, más despacio, pero, a pesar de todo, en un tiempo bastante corto, la montaña puede ser destruida por un terremoto. Y, finalmente, el procedimiento más lento es la destrucción de la montaña por las aguas, el viento, el calor y el frío. La explosión puede destruir la montaña en unos segundos; el terremoto, en unas horas; el agua y el viento, en muchos millares de años.
Los físicos, al estudiar los procesos de destrucción de las micropartículas, también han advertirlo tres procesos que se desarrollan con distinta fuerza v velocidad.
El primero de ellos, y el más fuerte, se produce cuando chocan las partículas nucleares, durante las interacciones entre ellas en los núcleos. Este proceso, caracterizado por sus grandes energías, del orden de la energía propia del mesón p y más altas y por tiempos muy pequeños, respectivamente, con relación a las indeterminaciones, fue llamado por los físicos interacción fuerte. El tiempo característico para ella ya lo hemos calculado: es del orden de 10-23 segundos.
El proceso siguiente por su fuerza y duración es la interacción electromagnética. Precisamente como resultado de este proceso, al encontrarse un electrón y un positrón originan dos fotones gamma. A este tipo corresponden también la desintegración, antes considerada, del mesón p0 neutro en fotones gamma. La duración ríe este proceso es del orden de 10-17 segundos.
Y, por fin, el proceso más débil y duradero, llamado por los físicos interacción débil. Es el responsable de la mayoría de las desintegraciones que se dan en la tabla de las micropartículas. En virtud de la interacción débil se desintegran los mesones m, p y K, el neutrón y los hiperones. La duración de esta interacción destructora «universal», que afecta a las partículas de todos los grupos, como puede verse en la tabla, es del orden de 10-10 segundos.
Estudiando las agrupaciones de las partículas, los científicos observaron una particularidad interesante. Los mesones K y los hiperones se unían en el grupo de un modo distinto a como hacían esto las demás partículas.
Estos dos grupos de partículas se negaban a entrar en la clasificación de las partículas ideada por los físicos. «Es extraño», dijeron los físicos, enojados por la insumisión de las partículas.
Y expresaron su disgusto denominando «extrañas» a estas partículas. Y hasta introdujeron una magnitud especial para caracterizar cuantitativamente el grado de desviación de las propiedades de estas partículas con respecto a las que deberían tener. A esta magnitud le dieron el nombre de «extrañeza».
Resultó que las partículas extrañas no pueden desintegrarse en partículas ordinarias por ningún procedimiento distinto de la interacción débil. En los choques de partículas ordinarias, las partículas extrañas sólo pueden generarse a pares.
Y no a pares cualesquiera, sino únicamente a pares en los cuales la suma de las extrañezas de las partículas es nula, corno en las partículas iniciales ordinarias.
En otras palabras, en las interacciones fuertes y electromagnéticas la extrañeza no variaba. A esto le llamaron ley de conservación de la extrañeza. En cambio, en las interacciones débiles esta ley dejaba de ser correcta.
«¡Demasiadas leyes! — puede quejarse el lector —. Pero, ¿dónde está la ley general única? ¿Dónde la explicación de todas estas leyes? ¡Ya es hora de decir algo sobre ella!».
Lamentable es decirlo, pero las regularidades que hemos dado a conocer aquí no tienen todavía una explicación más o menos convincente. Los físicos combinan estas reglas de un modo u otro, pero claramente no se revela aún la profunda esencia que bajo ellas se oculta. La «aritmética» de las leyes de conservación ha permitido, ciertamente, resolver el problema con que dimos comienzo a esta charla. Todas las reglas mencionadas, en conjunto, dejan muy pocas vías de desintegración a las partículas.
El proceder de los físicos aquí recuerda por ahora el trabajo que hacen los niños cuando colocan banderines a lo largo de una ruta para esquiadores. Lo hacen de acuerdo con las indicaciones de los instructores, pero aún no comprenden por qué decidieron ponerlos así y no de otro modo.
¿Por qué, si no, puede marcársele una ruta recta y corta a los «esquiadores rápidos» mientras que a los «lentos extraños» hay que ponerles tantos banderines de prohibición? O, ¿por qué hay que marcarle dos rutas al extraño mesón K, cuando a los demás «esquiadores», por lo general, les basta con una?
Sobre esto hablaremos ahora. El estudio de las desintegraciones de los mesones K permitió hacer el descubrimiento más grande de la física de las micropartículas, después del de los efectos de vacío. Vamos a referirnos a cinco palabras que recorrieron las páginas de muchas revistas del mundo y fue usted probablemente conoce: «no conservación de la paridad».
El secreto de los mesones K
Los mesones K fueron descubiertos por primera vez en los rayos cósmicos hace poco más de veinte años. Entre la enorme cantidad de las huellas más diversas dejadas por las partículas cósmicas en las placas fotográficas, la aguda visión de los físicos pudo distinguir trazas de partículas desconocidas cuyas masas eran aproximadamente mil veces mayares que la del electrón.
Quedó establecido que hay tres tipos de mesones K: positivo, negativo y neutro. se determinó también el espín de los mesones K, que resultó ser nulo. Al principio parecía que la familia de los mesones K, salvo en la masa, no se distinguía en nada de la familia, más ligera, de los mesones p, que también tenían espín nulo, también eran tres partículas, sólo que los mesones K neutros eran más pesados, en vez de más ligeros, que sus colegas.
Los físicos continuaron observando las huellas dejadas por los mesones K en las placas fotográficas. Las partículas con carga creaban huellas ordinarias que frecuentemente se interrumpían. En los puntos de interrupción aparecían huellas más delgadas. Los científicos sabían lo que esto significaba: los mesones K se desintegraban en partículas más ligeras. El estudio de estas huellas secundarias demostró que pertenecían a mesones p. A una investigación igual, aunque más difícil, fueron sometidos los hechos de desintegración de mesones K neutros. Y aquí aguardaba a los físicos una sorpresa. Desde el punto correspondiente al final del recorrido del mesón K, salían en unos casos dos huellas y en otros, tres. Todas estas huellas, lo mismo que antes, pertenecían a mesones p.
De este modo, los mesones K neutros unas veces se desintegraban en tres mesones p, y otras, en dos, mientras que todas las demás partículas se desintegraban en las mismas partículas hijas y siguiendo siempre un mismo procedimiento único. La seguridad de los físicos en que no podía ocurrir de otra forma los condujo a introducir dos mesones p neutros distintos. Uno de ellos recibió el nombre de mesón t y el otro, el de mesón θ. Dos mesones distintos y dos procedimientos diferentes de desintegración. Al parecer, todo quedaba en su sitio.

Figura 23
De esto modo el mesón K adquirió, a principios de los años cincuenta, la reputación de ser la partícula más enigmática de la física. Se planteó el célebre problema «t- θ».
¿Pero qué había en esto de enigmático? ¿Por qué no podía el mesón K desintegrarse como se ha dicho antes? La ley de conservación de la energía no se lo prohíbe, las de conservación del impulso y del espín, tampoco.
No obstante existe una prohibición, que viene expresada por una ley de la cual no hemos hablado hasta ahora, porque no ha sido necesario. Esta prohibición, establecida por la mecánica cuántica, se llama ley de conservación de la paridad.
¿Difiere lo izquierdo de lo derecho?
Recordemos la emisión de fotones por los átomos excitados. El electrón se encontraba en un estado y después saltaba a otro de menor energía. Entonces sólo nos interesaba la energía y si las «nubes de probabilidad» del estado inicial y final del electrón se sobreponían.
Pero resulta que esta superposición está relacionada sustancialmente con la paridad. Si fuera posible numerar los apartamentos en el átomo, quedaría claro que, en cada mudanza, los inquilinos atómicos pueden cambiar el número de su apartamento únicamente de par a impar y viceversa. Trasladarse, por ejemplo, del apartamento décimo al octavo, en una sola mudanza, le es imposible al electrón.
Esta regla, ya establecida empíricamente en el año 1924, fue interpretada después por la mecánica cuántica. Para este fin los físicos introdujeron el concepto de paridad de la función de onda. Y de aquí se trasladó dicho concepto al propio estado definido por la función de onda.
Lo que es la función de onda ya lo sabemos: es la solución de la ecuación de Schrödinger. Pero hay que hablar más detenidamente" acerca de la paridad.
Cuando miramos una fotografía nuestra, decimos a veces con cierta amargura: «No me parezco en nada» y, como es natural, culpamos de esto al fotógrafo. Y en la mayoría de los casos sin razón. Podemos vernos en un espejo pero, a pesar de los refranes, el espejo no da una imagen exacta de lo que es la realidad. Si tenemos la nariz un poquitín torcida hacia la derecha, en el espejo lo estará hacia la izquierda. La derecha y la izquierda siempre cambian sus puestos en el espejo.
Cuando nos fotografían, en la parte frontal de la película se obtiene nuestra imagen especular. Pero el proceso no termina así. La película hay que revelarla y del negativo hacer un positivo, es decir, en esencia, volver a reflejar nuestra imagen en un espejo. En algunas ocasiones, al sacar la fotografía se invierte el negativo de tal forma, que en total resultan ya tres reflexiones especulares. Pero en otras el negativo se mantiene en la posición que tenía durante la toma, y, en este caso, las reflexiones sólo son dos.
Cuando nos mira alguien, nos ve como nosotros nos vemos en el espejo. En cambio, la fotografía nos muestra no como nos ven los demás, sino como somos en realidad.
Las imágenes fotográfica y especular coincidirían únicamente en el caso ideal, es decir, si la persona tuviera la cara completamente simétrica. Pero esto ocurre muy pocas veces. A la naturaleza le gusta el frío orden de la simetría, pero nunca se priva de la satisfacción de amenizar la vista violando dicha simetría.
Pero he aquí lo más importante: la reflexión doble, independientemente de que el objeto sea simétrico o no, siempre restablece la forma positiva. Algo así como menos por menos da más y más por más también da más. Cuando nuestro rostro se refleja dos veces en espejos, todos sus «menos» (asimetría) no alteran la imagen.

Figura 24
Los matemáticos llamaron al coseno función par y al seno, función impar. A la reflexión en el espejo también le dieron un nombre científico: inversión espacial. Para diferenciar las funciones pares de las impares, se les asignó signos convencionales: a las primeras, más, «por su buen comportamiento», y a las segundas menos.

Figura 25
La investigación de las soluciones de la ecuación de Schrödinger para los electrones atómicos demostró que su paridad no varía en ninguna condición. Si la función de onda del electrón fuera al principio par, y después de un salto a otro estado se hiciera impar, esto significaría una cosa solamente: que la función de onda del fotón nacido en este salto es impar.
Con el tiempo, el concepto de paridad fue trasladado de los estados atómicos a las distintas partículas. Se comenzó por el fotón, y después se fueron poniendo las etiquetas a las demás partículas. El electrón, por ejemplo, resultó ser una partícula impar.
Ya hemos dicho antes que el espín del electrón está orientado de un modo completamente determinado con respecto a la dirección de su movimiento. Por ejemplo, si el electrón se mueve hacia la derecha, su espín mira hacia arriba; si hacia la izquierda, mira hacia abajo. Pero hagamos la prueba—mental, claro está — de reflejar el electrón en un espejo. Veremos que, si el electrón se mueve hacia la derecha (en el espejo, hacia la izquierda), su espín seguirá mirando hacia arriba, lo mismo que antes. Porque el espejo sólo cambia lo derecho en izquierdo, pero no invierte la imagen. El sentido que tiene el espín del electrón especular no existe en el electrón normal. Por lo tanto, el electrón es claramente una partícula impar. Si fuera par, en el espejo se vería lo mismo que es en realidad.
El mesón p es una partícula impar.
Extendiendo su clasificación según las paridades a las partículas inestables, los físicos, por analogía con la emisión del fotón por el electrón, establecieron que la paridad de la partícula inicial tiene que ser necesariamente igual al producto de las paridades de todas las partículas que se forman de ella al desintegrarse. Y hasta ahora las partículas nunca habían infringido esta prescripción, que fue llamada ley de conservación de la paridad.
¡Y aquí tenemos el mesón K neutro! A juzgar por el hecho de que se desintegra en dos mesones p, es una partícula par (porque menos por menos da más). Pero su desintegración en tres mesones p dice que es una partícula impar (porque menos por menos por menos da menos). ¿Qué es entonces, par o impar?
Está claro que se trata de una partícula y no de dos: coinciden demasiado bien las masas de los mesones t y Ѳ. Pero en este caso resulta que este mesón K es una partícula con dos paridades. No, ¡esto no puede tolerarse! ¡Sería lo mismo que admitir que un espejo es curvo y plano al mismo tiempo! ¡En qué situación más grave puso el mesón K a la mecánica cuántica!
Aquí está la salida y... ¡qué sorprendente!
¿Qué hacer? ¿Reconocer que en la desintegración de los mesones K neutros se viola la paridad? ¡Esto querría decir que la naturaleza utiliza un espejo curvo! En este espejo lo izquierdo se diferencia de lo derecho y el propio espacio resulta ser asimétrico. ¡Qué deducción más horrible!
Durante los largos años de su existencia, la física se había acostumbrado a que en el espacio todas las direcciones fueran absolutamente equivalentes. El movimiento hacia la izquierda, en igualdad de condiciones, no podía distinguirse del movimiento hacia la derecha. Y esto es realmente así. La equivalencia de las direcciones — llamada isotropía del espacio—la confirman todas las leyes de la física.
Reconocer que esto no era así significaba renunciar a las leyes fundamentales de la física, ponerlas boca abajo. ¡Había motivo para asustarse!
Sin embargo, los jóvenes físicos Tsung Dau Lee y Chen Ning Yang encontraron otra salida magnífica de esta difícil situación. Declararon valientemente: ¡sí, en las desintegraciones de los mesones K, como en general en todas las interacciones débiles (que provocan las desintegraciones de los mesones y la desintegración beta de los neutrones en los núcleos), puede infringirse la paridad!
Lee y Yang indicaron los experimentos que, sin lugar a dudas, debían demostrar este sorprendente fenómeno. Estas experiencias merecen ser descritas.
El cálculo demostró que, si la paridad se infringe en realidad, en la desintegración beta de los núcleos la mayoría de los electrones debe escapar en dirección contraria a la que indica el espín del núcleo. Pero en las condiciones normales los núcleos orientan sus espines arbitrariamente y los electrones escapan de ellos en todas las direcciones.
Por esto se imponía en primer lugar alinear los núcleos de tal modo, que todos sus espines mirasen en una misma dirección y conservar esta formación de los núcleos en posición de «firmes» durante la experiencia. Para conseguir esto, un trozo de sustancia radiactiva beta se introdujo en un potente campo magnético, el cual alineó los imancitos del espín de los núcleos. Y para que el movimiento térmico de los núcleos no rompiera su formación, la sustancia se enfrió basta una temperatura muy baja, de sólo cinco centésimas de grado sobre el cero absoluto.
Después, alrededor de toda esta instalación se colocaron contadores de electrones formando un pequeño ángulo con la dirección de los espines de los núcleos y también en la dirección «especular» a ésta. Se conectaron los contadores y se empezaron a medir sus indicaciones. Y pronto se puso de manifiesto que los contadores situados en la dirección directa marcaban mucho menos electrones que los contadores de la dirección «especular». Las predicciones de Lee y Yang se confirmaron.
¿Quiere decir esto que, a pesar de todo, el espacio es un espejo curvo de la naturaleza? ¿Quiere decir que las leyes fundamentales de la física se derrumban? Al llegar a este punto, Lee y Yang e independientemente de ellos el eminente físico soviético L. D. Landau dieron un paso decisivo. No, el espacio nada tiene que ver aquí. El quid está en las mismas partículas.
¿Recuerda usted que, cuando reflejamos el electrón en el espejo, obtuvimos un electrón inexistente con espín en sentido contrario? Pues bien, esa partícula existe, pero es necesario para esto «reflejar» también su carga eléctrica, cambiándola por la contraria. Y aparece la imagen reflejo exacto del electrón, que conocemos con el nombre de positrón.
¡Y la naturaleza no es un espejo curvo, sino plano! Pero es como si fuera doble: ¡cuando en él se refleja una partícula, siempre se obtiene su antipartícula! Si es el electrón, aparece el positrón, y si es el mesón K neutro, que causó tanto revuelo, se tiene el... antimesón K, también neutro.
Aquellos mesones K neutros que se observaron en el experimento resultaron ser una mezcla de dos: del mesón K0 y de su antipartícula. Pero el mesón K0 es impar y su antipartícula es par. ¡Ahí está el secreto «t-θ»!
El descubrimiento de esta reflexión doble, que científicamente se llama «inversión combinada», se debe también a Tsung Dao Lee y Chen Ning Yang. El honor de esto descubrimiento lo compartió con ellos Lev Davidovich Landau, quien llegó a la misma conclusión independientemente.
Así se establece en forma definitiva y firme que el espín de la partícula sólo puede orientarse de un modo determinado con respecto a la dirección de su movimiento, siendo esta orientación opuesta a la que tiene lugar en su antipartícula. Suponiendo por un instante que el espín es una manifestación de la «rotación propia» de la partícula, esto puede representarse como sigue. Hagamos mentalmente una «señal» en la «superficie» del electrón y observémosla durante el movimiento de éste valiéndonos, por ejemplo, de un «micro-filme rápido». Veremos que la señal describe una hélice, la cual, en el caso del electrón, se arrollará hacia la derecha.

Figura 26
En resumidas cuentas, la diferencia de «helicidad» es lo que distingue las partículas de las antipartículas. Está claro que el concepto de derecha e izquierda es tan relativo como el de positivo y negativo. Convencionalmente a las partículas se les puede asignar «helicidad» derecha y a las antipartículas, izquierda.
Mundo y antimundo
Ya dijimos en una ocasión que en el mundo próximo a nosotros los positrones son huéspedes raros. De esto puede sacarse la conclusión, en particular, de que el mundo de las partículas no es simétrico: la helicidad derecha se encuentra en él con mucha más frecuencia que la izquierda.
Esto no debe extrañarnos. Basta contemplar nuestro mundo de las cosas grandes. Los caracoles, en su mayoría, presentan «helicidad» izquierda: su concha se arrolla hacia la izquierda. En la química son conocidas las llamadas moléculas esteroisómeras, que son imágenes especulares una de otra. Entre ellas se encuentran más a menudo unas veces las isómeras derechas y otras, las izquierdas. Finalmente, la mayoría de las personas tienen el corazón a la izquierda, y las personas «simétricas especulares» de éstas, con los órganos internos situados en el lado opuesto, aunque las hay, son muy raras. A veces nos encontramos con zurdos, pero lo más frecuente es que la mano derecha de las personas sea más fuerte que la izquierda.
Por esto no debe admirarnos la idea de que en el mundo, aún mayor, del cosmos, puedan existir antimundos, en los cuales todo sea al contrario. Allí, en los antiátomos, en torno a los antinúcleos, constituidos por antiprotones y antineutrones, se mueven positrones. Allí, los organismos vivos, si es que existen y se parecen a los nuestros, deben ser como imágenes especulares de los organismos terrestres.
Las leyes del antimundo no deben diferir en nada de las leyes de nuestro mundo, si ambos mundos existen en las mismas condiciones. Pero todas ellas tendrán, por así decirlo, signo contrario. Por esto, incluso si este antimundo lo tuviéramos bajo los pies, no nos daríamos cuenta de su existencia.
Lo único que podría conocerse es el límite entre el mundo ordinario y el antimundo. En este límite se encuentran huéspedes de ambos mundos. Encuentros más inamistosos que estos no existen. El habitante de nuestro mundo, aún lleno de benevolencia hacia el antimundo, sería recibido allí siempre en igual forma: sería convertido por completo en mesones p o K o en fotones gamma enérgicos que, con la velocidad de la luz, partirían del punto de encuentro en todas las direcciones. Estas partículas y los fotones rodean los límites de ambos mundos indicando la terrible frontera que se alza en el camino de cada partícula que intente penetrar en el mundo contrario. En nuestro sistema solar (y en nuestro aún más amplio sistema estelar), los científicos no han encontrado todavía esta frontera.
¿Qué ocurre dentro de las partículas?
Empezaremos por una pregunta que ya nos hemos hecho varias veces, pero cuya respuesta hemos venido aplazando hasta ahora: ¿qué dimensiones exactas tienen las micropartículas? Y añadiremos otra: ¿tienen acaso dimensiones exactas estas partículas?
«¿Qué pregunta es ésa?—podría decirnos un lector inexperto —. Todas las cosas del mundo tienen dimensiones».
Sin embargo, al lector de este libro ya no le parecerá totalmente evidente esta respuesta.
Los físicos se vieron obligados durante mucho tiempo a renunciar en general al estudio profundo de esta cuestión. En parte, esto no permitía hacerlo el propio formalismo matemático de la mecánica cuántica, que se hacía inservible en cuanto a las partículas se les atribuían dimensiones. Y por otra parte, como ya vimos, no existe ninguna posibilidad de medir las dimensiones de las partículas, porque lo impiden las propiedades ondulatorias, que extienden las partículas por el espacio.
Estas propiedades ondulatorias son la manifestación «externa» de la interacción de las partículas con sus campos. En otras palabras, el electrón se hace «borroso» debido a su interacción con otras partículas, entre las cuales se encuentran también los electrones.
Cómo los físicos se figuran hoy esta interacción, ya lo sabemos. El electrón emite virtualmente fotones, los cuales interaccionan con los fotones emitidos por las otras partículas. Como resultado de esto se produce la mutua repulsión o atracción de las partículas. El electrón está como envuelto en una nube de fotones virtuales, que él emite y vuelve a absorber. Esta nube es ilimitada: siempre pueden encontrarse fotones cuya energía sea tan pequeña que la relación de Heisenberg les permita alejarse cuanto se quiera del electrón que los emitió. La nube fotónica, que extiende al electrón por todo el espacio, no permite hablar de sus dimensiones exactas.
Sin embargo, esta nube se condensa rápidamente a medida que se aproxima a su «osamenta». A las distancias en que los fotones virtuales tienen ya suficiente energía para formar pares electrón-positrón (que son del orden de 10-11 centímetros), ante nosotros aparece el cuadro de electrón «temblón». Y otra vez es imposible establecer sus dimensiones exactas, porque el electrón sigue siendo «borroso», aunque sólo sea en una parte relativamente pequeña del espacio.
¿Y no podría conseguirse medir las dimensiones exactas del electrón «desnudo», desprovisto de las nubes de fotones y electrono-positrónicas? No, sería perder el tiempo. Un electrón «desnudo», es decir, que no interacciona con nada, es imposible de encontrar en la naturaleza. No puede existir en ningún tipo de condiciones. La propia partícula y su interacción, es una esencia dual inseparable.
Lo único que puede admitirse es, que dentro de todas estas nubes existe cierto «núcleo». Pero acerca de qué aspecto tiene el «núcleo» y, menos, aún, de lo que ocurre dentro, nada concreto puede decirse por ahora.
De forma análoga tratan los físicos de representar la estructura de otra partícula fundamental, el protón. El protón emite virtualmente mesones p, cuya energía, claro está, no puede ser menor que su energía en reposo. Por esto la vida de los mesones p es muy corta. Y. por lo tanto, no es grande la distancia a que pueden separarse del protón que los engendró.
En efecto, como se recordará, las dimensiones de la nube de mesones p que hay alrededor del protón son muy pequeñas, del orden de 10-13 centímetros. A diferencia del electrón, la «borrosidad» del protón, debida a los mesones p es muy insignificante. Pero se sabe que los protones interaccionan bastante activamente con los mesones K. Por esto en torno al protón debe formarse otra nube virtual, que responda a esta interacción con los mesones K. Como la energía en reposo del mesón K es más de tres veces mayor que la del mesón p, la nube masónica K deberá tener unas dimensiones menores en la misma proporción y deberá encontrarse dentro de la nube mesónica p. Aún más profundo deberá estar concentrado el protón «temblón», que virtualmente se desintegra en pares de protón y antiprotón.
De este modo llegan los físicos a la conclusión sorprendente, pero inevitable, de que la estructura de las partículas del micromundo es el reflejo de todas sus interacciones con las otras partículas. La esencia de las micropartículas resulta ser muy movediza y fluida.
Esta conclusión deja de ser sorprendente si se comprende que las partículas no pueden existir sin las interacciones. Todas las micropartículas están ligadas entre sí por interacciones. La posibilidad de esta interacción no es provocada en las partículas desde fuera, sino que ha sido puesta por la naturaleza en la estructura misma de éstas. Sí, la estructura de las partículas en cada instante está determinada por todas sus interacciones existentes en realidad. Y, al contrario, el carácter y grado de las interacciones están determinados por la estructura de las partículas. En esto consiste la unidad dialéctica de la materia y el campo, de las calidades propias y las interacciones, la indisoluble comunidad de una insignificante micropartícula y todo el Universo.
La vieja carga tira hacia atrás
La constante y universal conexión entre la materia y el campo, su mutua condicionalidad, planteó ante los físicos el problema de comprender y, de acuerdo con esto, elaborar los nuevos conceptos sobre la materia y el campo. Aquí resulta ya un poco conservadora la propia mecánica cuántica con sus ideas formadas, de las cuales hemos hablado en este libro.
Cuando apareció la mecánica cuántica, heredó de su antecesora, la física clásica, todos sus conceptos, que ésta aplicaba al abordar los fenómenos del mundo ordinario, y trasladó estos conceptos al mundo de las cosas ultrapequeñas. La ecuación de Schrödinger fue construida según el tipo de la ecuación de onda clásica, sin embargo, definía no ondas ordinarias, sino «ondas de probabilidad» que expresaban la ley del movimiento de las micropartículas en el espacio y el tiempo. Al principio los físicos quedaron completamente satisfechos: las micropartículas cumplían gustosas estas leyes del movimiento.
Es cierto que, desde el primer momento, la mecánica cuántica comprendió que introducir los viejos conceptos en la nueva física no ofrecía buenas perspectivas. Las relaciones de indeterminación predecían claramente que los antiguos conceptos de exactitud en la posición y velocidad, de la energía de las partículas y el tiempo, no podían tener en el micromundo nada más que un campo de aplicación limitado.
Este estado de semi-satisfacción se hacía completamente insatisfactorio cuando las micropartículas alcanzaban la energía suficiente para comenzar sus transmutaciones. El método descrito de establecer las leyes del movimiento de las partículas en el espacio y el tiempo, fallaba en este caso.
En efecto, existía una partícula y se convertía en otra u otras completamente distintas, o en vez de partículas aparecían fotones. Está claro que la definición por medio de la antigua función de onda no podía tener en cuenta el propio hecho de la transformación. De acuerdo con la mecánica cuántica esto tenía que realizarse en un punto del espacio e instantáneamente. Como resultado nace otra partícula o fotón, para los cuales la función de onda anterior ya no es válida.
¿Qué hacía en este caso la mecánica cuántica? «Empalmaba» en el punto de transformación las dos leyes del movimiento, utilizando para ello las ya mencionadas leyes de conservación de la energía y de la impulsión.
Pero procediendo así no se tenía en cuenta el propio proceso de la transformación. En primer lugar, porque ésta se realiza en un «punto» del espacio y en un «punto» del tiempo, de modo que en el instante de la transformación la partícula no se mueve en el sentido corriente que se da a esta palabra. Y, en segundo, porque desaparece una partícula de un tipo y aparece una partícula de otro, mientras que la ecuación del movimiento se refiere siempre a un tipo invariable de partícula.
Por lo tanto, el modo clásico ordinario adoptado por la mecánica cuántica, de enfocar los fenómenos del mundo de las cosas ultrapequeñas, valiéndose de los conceptos del espacio y el tiempo, resultaba claramente insuficiente. No reflejaba lo esencial de este mundo, las transmutaciones de unas partículas en otras y en cuantos de campo, ni tampoco las transformaciones inversas de los cuantos en partículas de materia. El problema del esclarecimiento de la propia marcha de las transformaciones pasó a primer plano. Para resolverlo era necesario cambiar radicalmente el procedimiento mismo de definirlas.
La mecánica cuántica hizo esto introduciendo los ya mencionados procesos virtuales. Pero ellos tampoco hacen que la solución del problema sea completa. Se requiere un enfoque más profundo, en el cual las ideas clásicas sobre el espacio y el tiempo deben ser, por lo visto, considerablemente modificadas.
El reverso de la evidencia
¿Cómo empezar esta nueva y enorme tarea? ¿Renunciando a los propios conceptos de espacio y tiempo, como proponían algunos científicos?
No, esta renuncia colocaría inmediatamente a la física en una situación muy grave. Ante todo, porque las ideas existentes acerca del micromundo, a pesar de todo su carácter extraordinario, se basan en los conceptos habituales del espacio y del tiempo. Renunciar a estos conceptos, asimilados por el hombre literalmente desde el día de su nacimiento, resulta extraordinariamente difícil hasta para las inteligencias exentas de prejuicios. Por otra parte, la definición de los fenómenos del micromundo que no van acompañados de transmutación de las partículas, requiere de todos modos la introducción de los conceptos de espacio y tiempo, que para esta definición son muy convenientes.
Existe otro camino mucho más realista: revisar una vez más nuestras ideas acerca del espacio y el tiempo. Einstein hizo esto por primera vez hace más de medio siglo. Ahora hay que completar las ideas de Einstein, concernientes al mundo grande, con las peculiaridades características del mundo de lo ultra pequeño.
¿En qué consiste la verdadera esencia del espacio y el tiempo? Nosotros estamos tan familiarizados con estos conceptos, que ni siquiera pensamos en el sentido que tienen. La idea ordinaria nos dice que el espacio es el receptáculo de los cuerpos. ¿Y nada más? Recapacitemos un minuto acerca de cómo nos formamos la idea del espacio. Desde su nacimiento empieza el hombre a orientarse no en el espacio «puro», sino entre los cuerpos que hay en él. Los cuerpos son percibidos por la vista.
Los objetos nos parecen tanto más próximos, cuanto más campo visual ocupan en el ojo. Pero esto no es más que un mayor número de fotones emitidos por el cuerpo y que llegan al ojo. En otras palabras, un objeto nos parece que está tanto más próximo, cuanto más intenso es en el ojo el campo electromagnético creado por el objeto. Y viceversa, si el número de fotones que inciden en el ojo es pequeño, esto nos dice que el objeto es pequeño (y, por lo tanto, hay en él pocos átomos que emiten fotones) o está lejos (y del número total de fotones emitidos son pocos los que llegan al ojo).
Sí desde que nacemos tuviéramos que conocer el mundo sólo por medio de los ojos, nunca podríamos distinguir un objeto pequeño próximo de un objeto grande lejano. Por ejemplo, a ojo, sin hacer deducciones complementarias, es imposible determinar a qué distancia de nosotros están los objetos y cuáles son sus dimensiones. Pero nos ayuda el tacto. Tocando los objetos conocemos su magnitud (también relativamente, por comparación con nosotros mismos).
Sí no existieran los objetos no tendríamos idea alguna del espacio. No es casual que de noche, cuando no se ven los objetos, se pierda la impresión del espacio.
Nuestros órganos sensorios, cuyas «indicaciones» sirven de base para formarnos la idea del mundo grande que nos circunda, son aparatos de medición. Por su sensibilidad, estos aparatos pueden registrar bien los sucesos cuánticos. Pero el mundo está hecho de tal forma, que los sentidos registran a la vez muchos millares de millones de estos sucesos, de manera que, en total, nuestras sensaciones (y figuraciones) son «promediadas» (o como dicen los físicos, clásicas). Lo extraordinario de las leyes cuánticas se pone de manifiesto cuando estos sucesos empiezan a estudiarse uno por uno.
En nuestros cerebros tiene origen material no sólo el concepto del espacio. Si nos encontráramos entre objetos en los cuales nada variase (en la Tierra sólo podrían darse estas condiciones a grandes profundidades bajo su superficie; pero los futuros cosmonautas tendrán que volar años enteros en regiones del cosmos alejadas de los cuerpos celestes, de modo que, si las velocidades del vuelo no son muy grandes, el aspecto del cielo no cambiará sensiblemente para ellos durante largos años), perderíamos por completo la idea del tiempo. Ya dijimos que, en principio, existen dos tiempos, el «propio», determinado por los procesos físicos (y químicos) que tienen lugar en el cuerpo dado, y el «común», determinado por grandes colectividades de cuerpos. En consecuencia, lo mismo que no existe espacio que no esté relacionado con cuerpos, no existe tiempo que no esté relacionado con sucesos.
La marcha del tiempo está determinada por los sucesos, es decir, por la trabazón íntima de las causas y las consecuencias. Cuanto más de prisa se desarrollan los sucesos, cuanto más rápidamente se suceden unos a otros, es decir, cuanto más intensas son las interacciones en cualquier sistema de cuerpos, tanto «más de prisa» parece que pasa el tiempo en él.
Ya dijimos que esta conclusión también se justifica en nuestra propia experiencia. Un día lleno de acontecimientos «vuela», mientras que un día tranquilo, «se alarga». Bajo esta sensación subjetiva del tiempo se oculta una profunda base objetiva.
Cuantos hay siempre y están en todas partes
Las nuevas ideas acerca del espacio y el tiempo, con cuya exposición terminaremos este capítulo, aún no han sido reconocidas por todos los físicos. Es más, todavía no están confirmadas por la experiencia.
Hace ya más de treinta años que aparecieron, pero aún no tienen carta de naturaleza. No obstante, muchos científicos consideran que en ellas hay cierta parte de verdad.
El postulado principal sobre la conexión entre el espacio y el tiempo con la existencia de los cuerpos y su movimiento, puede enunciarse para el micromundo aproximadamente así: como las propias micropartículas y su movimiento tienen propiedades cuánticas, el espacio y el tiempo también deben estar cuantificados.
Y si esto es así, los últimos restos de las ideas clásicas deben derrumbarse. El espacio y el tiempo pierden su continuidad en «porciones» separadas.
¿Qué quiere decir esto? Que deben existir unas «celdillas» peculiares o cuantos de espacio y tiempo. Las dimensiones de estas celdillas deberán determinarse, por lo visto, por las masas, energías, impulsos (y, posiblemente, por otras características) de las micropartículas. La magnitud de estas celdillas deberá ser, claro está, la menor de todas las posibles.
Pero hasta ahora esta «longitud elemental» y este «intervalo elemental de tiempo» no se han descubierto, lo que puede indicar que se encuentran fuera de los límites de sensibilidad de los métodos modernos más exactos de apreciación de las longitudes y los tiempos en el micromundo. El límite de estos métodos es una longitud del orden del radio de acción de las fuerzas nucleares, es decir, de 10-13 centímetros, y un tiempo del orden del «tiempo nuclear», o sea, de 10-23 segundos. Algunos científicos suponen que el «cuanto de longitud», si existe, debe ser centenares o millares de veces menor.
¡Sí, son ideas muy interesantes! Por esto se comprende que nunca ni en ninguna parte nos demos cuenta de la existencia de los cuantos de espacio y tiempo. Son demasiado pequeños. No hay cronometro capaz de medir intervalos de tiempo de cuatrillonésimas de segundo. No hay micrómetro capaz de medir una longitud de trillonésimas de centímetro.
Incluso figurándonos por un minuto que poseemos aparatos de medición tan superexactos, no conseguiríamos hacer dichas mediciones. Recordemos con que rudeza intervienen los aparatos en la vida del micromundo. Acordémonos, finalmente, de que nuestros conceptos clásicos de longitudes y tiempos son limitados en el micro-mundo y correctos únicamente hasta ciertos límites. Estos límites los establece el carácter dual de materia-campo que tienen Las micropartículas. Y estos mismos límites son los cuantos de espacio y tiempo de que acabamos de hablar.
Entonces, ¿qué sentido introducen todas estas celdillas o cuantos de tiempo? Porque en estos conceptos siguen existiendo supervivencias de nuestras ideas habituales del espacio y el tiempo.
Efectivamente es así. Pero ya hemos subrayado en más de una ocasión que cada nueva capa de conocimientos no se levanta en el vacío, sino sobre la base de las capas que la antecedieron. El proceso, extraordinariamente difícil, de formación de las nuevas ideas no es instantáneo, sino muy lento, y los nuevos conceptos llevan siempre la mancha original de sus predecesores. Las nuevas ideas nacen siempre entre quejidos.
Estos lamentos se oían claramente durante los primeros años de vida de la mecánica cuántica. Y todavía más se oyen ahora, cuando la mecánica cuántica tiene que escalar las nuevas y más altas cimas de su camino.
¡A vencer o morir, cediendo el puesto a otra teoría aún más poderosa!
Capítulo 7
De la mecánica cuántica a...
- Definiciones indeterminables
- Biografía de la mecánica cuántica
- Segunda vida de la mecánica cuántica
La masa, la carga, el espín, la paridad... ¡Pruebe a dar una definición exacta a cada una de estas características de las partículas! Esta definición debe ser independiente, sin expresar una magnitud por medio de otra, por ejemplo, la masa, por medio del peso y la carga, por medio de la fuerza de atracción o repulsión.
Puede decirse con toda seguridad que no conseguirá nada. Nosotros usamos con mucha frecuencia estos conceptos, pero ni un solo físico sabe hoy cuál es el sentido «profundo» de ellos.
Esta situación es característica de la mecánica cuántica moderna, la cual utiliza ampliamente los conceptos de masa, carga y otros, tomados por ella de la física clásica. La mecánica cuántica descubrió características nuevas de las partículas, como, por ejemplo, el espín, la paridad. Pero acerca del origen de estas características no puede decir más que sobre el origen de la masa o la carga.
En efecto, ¿qué es la masa? Existen dos respuestas. La primera de ellas es: la masa es la medida de la cantidad de materia que hay en un cuerpo cualquiera. Esto puede entenderse como la cantidad de núcleos atómicos (porque en éstos es donde se concentra en la práctica toda la masa de los átomos) que hay en el volumen dado de una sustancia. La masa del núcleo podemos figúranosla a su vez como la cantidad de partículas nucleares, es decir, de protones y neutrones, que hay en él.
Pero en este caso, ¿qué debe entenderse por masa del propio protón? ¿La medida de la materia que hay en él? ¿Qué medida? ¿De qué materia? El mismo concepto de medida implica que el objeto a medir puede dividirse en partes todavía más pequeñas, de las cuales en un caso se tomarán más y en otro, menos. Pero el protón, por lo visto, es indivisible. Y acerca de la materia que constituye el protón, por ahora sólo pueden hacerse conjeturas.
Cuando decimos: la masa del protón es aproximadamente de 10-24 gramos, queremos decir que en 1 gramo de sustancia hay aproximadamente 10 24 protones, y nada más. Por lo tanto, definir la masa como medida de la materia no tiene mucho sentido para los protones ni para otras micropartículas.
La otra definición de la masa dice: la masa es la medida de la inercia del cuerpo, es decir, la medida de la resistencia que opone el cuerpo a cambiar su estado. En el caso más simple, la masa determina la resistencia que opone el cuerpo a cambiar su posición en el espacio.
Entonces, ¿habrá que entender la masa del protón como la medida de la «desgana» con que éste se pone en movimiento bajo la acción que sobre él ejercen las otras partículas? Esta definición tampoco es satisfactoria. La fuerza es una manifestación de la interacción, es decir, en resumidas cuentas, del campo. Al acelerar su movimiento, el protón recibe siempre del campo una masa adicional, y al retardarlo, cede esta masa al campo. Por muy pequeñas que sean estas adiciones y pérdidas de masa, en principio siempre existen. En consecuencia, la masa es siempre variable y, por lo tanto, pierde la propiedad de tener una medida determinada.
Resulta que en el micromundo la masa hay que medirla con algo. En nuestro caso la masa del protón, de acuerdo con las relaciones de la teoría de la relatividad, se determina por la masa en reposo del protón y por la razón de la velocidad de su movimiento a la velocidad de la luz.
Aquí nos llega un rayo de esperanza. La masa en reposo es en realidad una magnitud invariable para un tipo de partícula dado. Para cambiarla habría que cambiar la propia partícula. ¿No se deduce de esto que la masa en reposo es también la medida de la inercia, pero no ya con respecto al movimiento mecánico ordinario, es decir, a la traslación en el espacio, sino con respecto al movimiento en el sentido más amplio de esta palabra, o sea, de transformación de la partícula?
Sí, por lo visto, esto no dista mucho de ser verdad. Como se recordará, cuando la energía cinética de las partículas se hacía igual que su energía propia, definida precisamente por su masa en reposo, las partículas adquirían la posibilidad de las transformaciones reales en cuantos de su campo.
Siendo esto así, la masa en reposo resulta ser como una medida de la estabilidad cualitativa de las partículas. En unas partículas esta masa no es muy grande y las transformaciones en cuantos pueden darse a energías no muy altas, mientras que en otras partículas esta masa es mucho mayor y, respectivamente, las partículas son considerablemente más estables.
Recordaremos que, de acuerdo con las ideas modernas, las partículas, además de las transformaciones reales, pueden sufrir transformaciones virtuales, que sirven de base a sus interacciones. Con esto toma la masa otro aspecto más, determinando la energía de los cuantos virtuales de los campos.
Vemos, pues, como resultado de todo esto, que la esencia de la masa es muy compleja. Por una parte, la masa es cierta característica de la partícula y, por otra, la masa entra como factor determinante en todas las interacciones de dicha partícula.
Es indudable que la esencia de las demás características de las partículas debe ser igualmente compleja. Hoy todos los problemas relacionados con el esclarecimiento de esta esencia profunda de las cosas en el micromundo tropiezan con una altísima montaña aún no conquistada por los físicos. Esta montaña son las interacciones de las dos formas fundamentales de la materia: la sustancia y el campo.
Las partículas materiales poseen propiedades de campo. Los cuantos de campo tienen propiedades materiales.
¿Qué es lo «más fundamental», es decir, lo primario: la sustancia o el campo?
Hace un siglo, cuando en la física acababa de introducirse el concepto de campo, la respuesta a esta pregunta parecía evidente: la sustancia, claro está. Las partículas de la sustancia crean en torno suyo el campo. Este no es más que un instrumento auxiliar para tener en cuenta las interacciones entre las partículas. Si no hay sustancia, no hay campo.
Sin embargo, pasó el tiempo y se supo que el campo puede originar partículas y que las partículas pueden desaparecer transformándose en campo. ¡Qué le parece el «instrumento auxiliar»!
Y entonces los físicos dieron otro bandazo. Siguiendo a Einstein, dijeron; lo primario es el campo, el campo universal único con toda la diversidad de sus manifestaciones. Las partículas de sustancia no son más que «condensaciones» de campo. Sin campo no hay sustancia.
Einstein se rompió la cabeza durante muchos años con la teoría del campo único, que debía incluir todos los tipos conocidos de campos y partículas, pero todos los intentos de construir esta teoría terminaron fracasando uno tras otro. Y los físicos comenzaron a inclinarse poco a poco hacia la idea de que la palma de la prioridad no puede adjudicarse al campo ni a la sustancia. Tanto el uno como la otra son formas primarías fundamentales de la materia.
Bien, ésta es una conclusión acertada y la discusión entre los partidarios del campo único y de la sustancia única podía haberse apaciguado. Pero hasta hoy los físicos siguen discutiendo sobre la veracidad con que ellos conocen el mundo de las cosas ultrapequeñas y acerca de si responden las ideas que ellos se han formado a la esencia verdadera de estas cosas. ¿No cometen un error al intentar imponer a la naturaleza teorías nacidas en la cabeza humana? ¿Puede acaso el hombre— representante del mundo de las cosas grandes—conocer las cosas y los sucesos del mundo incomparablemente menor de los átomos, núcleos y partículas elementales?
El hombre es capaz de llegar a conocer correctamente las leyes de la naturaleza, acercándose cada vez más a la verdad.
Pero este conocimiento nunca será completo, el conocimiento del mundo nunca será absolutamente exacto.
Y basándose en estos postulados, la física resuelve el problema de cómo hay que comprender la interacción entre, las dos formas fundamentales de la materia.
En primer lugar, ¿puede existir un campo único o una sustancia única? No. El campo y la sustancia son dos formas contrarias de existencia de la materia y de su desarrollo. Una de ellas es imposible sin la otra. Son dos caras de una misma medalla. Al mismo tiempo que contrarias, son algo único, están ligadas inseparablemente: el campo tiene propiedades de sustancia y la sustancia tiene propiedades de campo.
Nuestras ideas sobre la existencia y la interacción de estas dos formas de la materia, ¿tienen alguna veracidad? Sí, la tienen, porque aunque no sean exactas, en lo fundamental son correctas. Los fenómenos que se observan, por lo general, encuadran en ellas, y los fenómenos predichos basándose en estas ideas, se observan en realidad.
Entonces, ¿por qué discuten los físicos sobre cómo interpretar los resultados obtenidos? Ante todo, porque no todos los físicos conocen el materialismo dialéctico. La filosofía hostil a ésta, y sobre todo su corriente más reaccionaria, llamada idealismo subjetivo, afirma que todo el mundo existe solamente en la imaginación del hombre, de manera que las leyes de la naturaleza que se establecen no son más que fruto de su fantasía. Profesando esta, con permiso sea dicho, filosofía, una serie de grandes científicos no se inclina a reconocer un valor real a los descubrimientos de la física. Estos científicos prefieren considerar el mundo «incognoscible».
Caer en esto error es más fácil aún debido a que el mundo de las cosas ultrapequeñas no puede observarse directamente, es imposible convencerse de su existencia con «nuestros propios ojos». Y, lo que es más importante, las propiedades del micromundo se diferencian claramente de las del mundo o que estamos acostumbrados. Tan claramente, que nuestras ideas habituales no reflejan la esencia real del micromundo.
La ciencia se desarrolla de tal modo, que en ella nacen muy despacio las nuevas ideas. El hombre, a pesar de todo, vive en el mundo de las cosas ordinarias, de las ideas corrientes, y su cerebro se acostumbra precisamente a estas ideas. Apartarse de ellas por las ideas «inconcebibles» que responden correctamente a la esencia del micromundo, es muy difícil. Pero no hay más remedio: porque es muy incómodo hablar, y pensar, de «micropartícula», sabiendo que no sólo es partícula, y hablar de «campo», sabiendo que no es sólo campo. Y aquí no se trata tanto de palabras como de las imágenes que se asocian a ellas y que se llaman representaciones propias.
Hasta ahora la mecánica cuántica ha conseguido unir las ideas antiguas con las imágenes de partícula-onda, hueco-positrón y cuanto-mesón. Pero en la mente de los físicos estas esencias duales aún no se han fundido por completo en una realidad única.
Biografía de la mecánica cuántica
En sus setenta años de existencia, la mecánica cuántica ha pasado por tres etapas de desarrollo.
La primera etapa puede llamarse así: desde Planck hasta De Broglie. Esta etapa abarca 25 años, desde el descubrimiento de las propiedades materiales de las ondas luminosas hasta el descubrimiento de las propiedades ondulatorias de las partículas de sustancia. Durante estos años, Einstein y Bohr crearon la teoría de las partículas de luz (fotones) y la primera, y todavía imperfecta, teoría ríe la estructura de los átomos y de los fenómenos que tienen lugar en ellos.
Con el descubrimiento hecho por De Broglie en 1924 comienza la segunda etapa del desarrollo de la mecánica cuántica. En un plazo extraordinariamente pequeño—de unos cinco años—se crea el «instrumento de trabajo» fundamental de la nueva teoría. Dirac realiza por primera vez en la historia de la mecánica cuántica la síntesis de ésta con la teoría de la relatividad de Einstein. Durante los años siguientes, antes de la segunda guerra mundial, se crea la teoría del núcleo atómico.
Y, finalmente, en lo fundamental durante los años de posguerra, empieza la tercera etapa: la extensión de la mecánica cuántica a las partículas elementales de la sustancia y a la segunda forma fundamental de la materia, al campo.
En esta última etapa aumentan extraordinariamente las dificultades que tiene que vencer la mecánica cuántica. Después de brillantes triunfos, siente por primera vez la amargura de los fracasos.
Da la impresión de que sus dientes, tan agudos para roer huesos como los átomos y las moléculas, resultan romos ante otros tan durísimos como la estructura de las propias partículas elementales y la interacción entre ellas.
Hoy la experiencia marcha ya en esto delante de la teoría. Esperan su explicación teórica los procesos más recónditos, que tienen lugar en las entrañas de los núcleos atómicos. Entre los problemas que hay que resolver figuran en el orden del día el de la naturaleza del concepto mismo de partículas elementales.
La mecánica cuántica no puede por ahora resolver estos problemas. Cada vez se hace más evidente su carácter limitado, se precisan aquellos de sus límites que hace veinte años parecían nebulosos y lejanos. Ha llegado la hora de «retocar» la mecánica cuántica.
¿No se parece esto a la situación en que se encontraba a finales del siglo XIX su antecesora, la mecánica clásica?
Por una parte, parece que no hay hechos que contradigan los postulados fundamentales de la mecánica cuántica. Se trata únicamente de su incapacidad para explicar una serie de fenómenos, incapacidad, por lo visto, de la propia teoría, no de los científicos. Es posible que sea necesario ampliar un poco su marco, infundirle nuevas fuerzas, introducir en la mecánica cuántica nuevos postulados importantes que no contradigan su espíritu.
Pero puede ocurrir que sea imposible introducir estos postulados sin que choquen con otros introducidos antes. En este caso habrá que lamentarlo, aunque sólo sea por poco tiempo.
Teorías de poder ilimitado nunca las hubo, ni las hay, ni las habrá. La vida de cada teoría en la ciencia, lo mismo que la vida del hombre, tiene una infancia tímida, en que empiezan a echar los dientes, una poderosa juventud, en que la teoría resuelve con facilidad los más difíciles problemas de enigmas seculares, y una madurez tranquila, en que se retarda su profundización y la teoría se extiende, abarcando cada vez más fenómenos, invadiendo la técnica y la industria y estableciendo contactos con otras ciencias. Finalmente, llega la vejez con sus precursores, los primeros dientes rotos en los encuentros con nuevos hechos, descubiertos basándose en ella, pero que ella no puede explicar.
Entonces comienza, a primera vista, un período de estancamiento en la rama de la ciencia de que se trate. Pero esto no es así. En el silencio de los gabinetes y laboratorios maduran nuevas ideas que no caben en el marco de la vieja teoría. Estas ideas, que al principio no llaman la atención, llegan un buen día a volar la casa en que nacieron. ¡Y ese día da la ciencia un salto adelante!
En esta escala de edades, el puesto de la mecánica cuántica es hoy probablemente la cúspide de la madurez y el comienzo de la vejez. Muchos son los grandes adelantos técnicos que a ella se deben. El círculo de los problemas que abarca es enorme, desde la estructura de las estrellas gigantes hasta las estructuras de los núcleos atómicos ultrapequeños y de las partículas elementales. Hoy no existe ninguna teoría física del micromundo que sea más fuerte que la mecánica cuántica.
No existe, pero cada día es más necesaria. Los científicos—y en esta rama de la física no son pocos los que trabajan — procuran rejuvenecer la mecánica cuántica, infundiéndole un nuevo contenido que no contradiga sus principios fundamentales, o quieren cambiar su propio espíritu, buscan caminos más radicales y están dispuestos incluso a sacrificarla. Pero hasta ahora ninguno de ellos puede jactarse de haber conseguido notables éxitos.
Cada vez son más los físicos que piensan que hay que concederle la palabra a una teoría nueva, aún más extraordinaria y «demencial». Los científicos no se asustan de esta palabra. Toda gran teoría, nueva en principio, encuentra al nacer la reacción de un viejo. Siempre hay gentes que recomiendan comprobar el estado mental de su autor. La mecánica cuántica, cuando apareció, para muchos físicos también olía a «locura». ¿Y ahora? Difícil será encontrar aunque sea un solo científico que niegue su validez.
Sea como fuere, una cosa está clara: la física se encuentra ahora en el umbral de un nuevo salto. Y éste no será un salto a lo desconocido. Los científicos ven bien el curso por el que guían la nave de la nueva física y saben cuáles son sus puntos de destino más próximos.
He aquí algunos de estos puntos. La sistematización única y rigurosa de todas las partículas elementales descubiertas hasta ahora y que puedan descubrirse en el futuro. La estructura y las propiedades recónditas de las partículas de la materia. La naturaleza de las fuerzas que actúan en los núcleos atómicos. Las leyes exactas de las interacciones entre las dos formas fundamentales de la materia, es decir, entre la sustancia y el campo. La mutua conexión y condicionamiento de todas las propiedades de la materia en movimiento: de la energía y el tiempo, de la masa y el espacio, y la esencia peculiar del micromundo determinada por esta ligazón.
En este libro hemos expuesto cómo nació y se desarrolló la mecánica cuántica, cómo se convirtió en la poderosa ciencia de hoy. También hemos hablado de cómo la mecánica cuántica vence las dificultades actuales de su desarrollo, de cómo busca la puerta del mundo de las cosas insignificantes por su pequeñez, que bien podría llamarse «micromicromundo», porque el conocimiento y asimilación de los mundos inconcebiblemente pequeños es hoy el camino real de la ciencia y la técnica.
Segunda vida de la mecánica cuántica
De cualquier ciencia puede decirse que tiene dos vidas. La primera es la vida de las ideas, de las representaciones científicas, de las leyes y de las fórmulas. La segunda es la vida de la realización técnica de la ciencia, de las máquinas herramientas, de los aparatos, de las máquinas ingeniosas y fuertes.
Por inconcebibles que sean las distancias a que se aleje en la abstracción el pensamiento de los científicos, ante él, expresa o tácitamente, hay un fin: el retorno al mundo real, al mundo en que viven los científicos, a las necesidades vitales de cato mundo.
Las célebres palabras de Marx: « Los filósofos no han hecho más que interpretar de diversos modos el mundo, pero de lo que se trata es de transformarlo», no se refieren únicamente a la filosofía. En ellas se encierra el verdadero sentido de la existencia y el desarrollo de cualquier ciencia.
Como cada nuevo descubrimiento aumenta no sólo el volumen de los conocimientos humanos, crece también el poder de los hombres en su lucha con la naturaleza. Y puede decirse que cada siglo se reduce el plazo que separa la fecha de un descubrimiento científico grande de la fecha de su primera aplicación práctica.
La ciencia siempre prevé aquellos problemas con los cuales, más adelante, debe toparse la humanidad. Esta previsión no se debe a la «gracia de dios» ni al «favor de un genio». Es una ley completamente objetiva basada en las leyes del desarrollo de la humanidad.
Si la ciencia se apresta a resolver un problema de vital importancia cuando aquél le haya puesto un «cuchillo en el cuello», ¡será tarde! Y, consciente o inconscientemente, los científicos comienzan a resolver estos problemas mucho antes de que su importancia sea vital.
La ciencia es la «vanguardia» de la sociedad humana en marcha. Es la exploradora del futuro y la fiel defensora del presente.
El descubrimiento y la elaboración de la mecánica cuántica puede servir de buena ilustración a lo antedicho. A la segunda vida de la mecánica cuántica dedicamos el último apartado de este libro.
La idea de la existencia de los núcleos atómicos aparece aproximadamente en el año 1912. Veinte años después esta idea adquiere rasgos correctos concretos: se esclarece de qué partículas consta el núcleo y se descubre que las fuerzas que actúan entro las partículas nucleares tienen un carácter extraordinario. Pero las dificultades del «acceso» a los núcleos atómicos —tanto respecto a su descubrimiento como a su comprensión— no detienen a los físicos. Transcurren trece años más y despunta la aurora del siglo atómico. ¡Pero es el resplandor siniestro y sanguinario de las explosiones atómicas norteamericanas de Hiroshima y Nagasaki! Parece que este siglo no trae la abundancia, sino la muerte y la destrucción en masa de la humanidad. Sin embargo, pocos años después amanece de verdad la nueva era de la ciencia y la técnica: ¡en el año 1954 comienza a funcionar en la Unión Soviética la primera central eléctrica atómica del mundo!
¡El átomo está en manos pacíficas! ¡En estas manos puede hacer milagros! La fuerza del átomo, que antes había servido para la guerra y la destrucción, fue puesta por los científicos soviéticos al servicio de la paz y de la creación.
En el crisol del reactor atómico, donde se agitan los flujos de neutrones desintegrando los núcleos de los átomos pesados y produciendo calor y corriente eléctrica, halló su primera y magnífica realización técnica la mecánica cuántica.
Después emprendieron los científicos la tarea de obtener energía de los núcleos ligeros, en primer lugar de los núcleos de los isótopos del hidrógeno. Y otra vez los dos mundos de la Tierra, el mundo del socialismo y el mundo del capitalismo, pusieron de manifiesto en estos intentos de los científicos su verdadera esencia. Mientras que en los EE.UU. todas las fuerzas de los mejores físicos e ingenieros fueron lanzadas a la creación de las « superbombas» de hidrógeno, la Unión Soviética consideró más importante el objeto humano de este trabajo, es decir, la utilización de las reacciones termonucleares para la energética pacífica.
Esta noble tarea la resuelven los científicos soviéticos dándole cada vez mayor envergadura. El fin que se proponen es seductor: alejar la amenaza del empobrecimiento de las fuentes de energía que hay en la Tierra un millar de años más, asegurando la posibilidad del desarrollo sin trabas de la sociedad humana durante muchos años.
Y en este trabajo pesa también la palabra de la mecánica cuántica. Ella fue precisamente la que calculó la marcha de las reacciones termonucleares y permitió predecir su enorme ventaja energética.
¿Y en adelante? En adelante se plantearán nuevos problemas que serán incomparablemente más difíciles que los que hoy resuelven los científicos. Pero los científicos de entonces ¿sabrán más y tendrán más poder que los de hoy?
Hasta hace poco los científicos rara vez pensaban en las consecuencias que podían tener sus descubrimientos. No es probable que el joven científico Abraham Fedorovich Ioffe, quien a principios del siglo XX se interesó por cosas de «desecho», como entonces pensaban, pudiera imaginarse el lugar tan destacado que ocuparían en la técnica los semiconductores. Ioffe era un investigador inagotable, sabía infundir entusiasmo a los jóvenes científicos y creó en la Unión Soviética una magnífica colectividad científica. A esta colectividad le debemos en gran parte el que los semiconductores hayan encontrado tan amplia aplicación en nuestra vida.
Pero sin la mecánica cuántica, los semiconductores hubieran sido algo muerto. Ella no se limitó a explicar sus propiedades sorprendentes. Indicó además cómo podían mejorarse radicalmente. Hoy el capítulo de la mecánica cuántica llamado teoría de las bandas en los sólidos, del que ya hablamos en otro lugar, se ha convertido en la estrella polar de los muchos millares de científicos o ingenieros que trabajan en esta rama de la electrónica.
Estos pequeños dispositivos electrónicos tan poderosos han introducido cambios radicales en la industria y en la técnica. Sin ellos no se concibe hoy ninguna fábrica ni medio de transporte o comunicación. Es difícil mencionar siquiera una rama de la actividad práctica del hombre que no haya sentido el advenimiento de la electrónica. Los científicos piensan ya seriamente en resolver el más audaz de los problemas: el de librarse, valiéndose de los semiconductores, de la dependencia con respecto de las fuentes de energía «anticuadas» y obtener ésta directamente de la radiación solar que con tanta abundancia cae sobre nuestro planeta. Y ya funcionan las primeras baterías de semiconductores que transforman la luz solar en energía eléctrica. Y ya existen proyectos que proponen establecer baterías de este tipo en la superficie desértica de la Luna y hasta puede ser que de otros planetas del sistema solar.
Este proyecto es muy interesante, porque para crear en la Tierra las cubiertas semiconductoras de enorme superficie necesarias para percibir una gran parte de la radiación solar que llega a la Tierra, habría que invadir las regiones dedicadas hoy a la agricultura y a la ganadería o que pudieran dedicarse para este fin en el futuro. En la Luna, en cambio, este problema no se plantea.
Pero, ¿cómo puede conducirse a la Tierra la energía así obtenida? En el cosmos no se pueden construir líneas de conducción eléctrica. Y, por otra parte, líneas como las que ya en las cortas distancias propias de la tierra ocasionan considerables pérdidas de energía, no serían las más a propósito para resolver este problema.
Hay otra solución. Hace unos veinte años, el destacado físico soviético Valentín Aleksandrovich Fabrikant propuso la idea de un amplificador cuántico de las ondas electromagnéticas. Y la mecánica cuántica, bajo la forma de amplificador cuántico, al principio, y de generador cuántico, después, dio vida a nuevos aparatos.
¿Qué aparatos son éstos? Sus nombres son ya muy conocidos: los máseres, o amplificadores y generadores de ondas electromagnéticas, y los láseres, o amplificadores y generadores de luz. La fantasía pura del «Hiperboloide del ingeniero Garin» [8] halló en los láseres su realización técnica real. Por los trabajos que condujeron a la construcción de los generadores cuánticos, los físicos soviéticos Nicolai Básov y Aleksandr Prójorov, junto con el científico norteamericano Charles Townes, fueron galardonados con el premio Nobel de física 1964.
Al principio de este libro hablamos detenidamente acerca de las leyes de la mecánica cuántica que rigen la radiación electromagnética de los átomos. Estas leyes quedaron establecidas hace tiempo y firmemente, hace tanto tiempo (casi cuarenta años es un plazo bastante considerable en la historia de la mecánica cuántica) y tanta es su firmeza, que en los años cincuenta de nuestro siglo (siglo XX) ya eran muy pocos los que dudaban de ellas.
En estas leyes, pero desde un nuevo punto de vista, fijaron su atención escudriñadora y reflexiva los investigadores, y ellas «centellearon» con un esplendor completamente nuevo que se materializó en unos aparatos cuyo poder es sorprendente.
Sólo hemos podido hablar sobre algunas de las más brillantes realizaciones técnicas de las ideas referentes al mundo de las cosas ultrapequeñas que trajo consigo la mecánica cuántica. El número de estas realizaciones es ya enorme. Cada año que pasa, la mecánica cuántica va penetrando con más amplitud en la técnica y en la industria. La segunda vida de la mecánica cuántica es extraordinariamente rica y multiforme.
Nosotros hemos sido testigos de su principio. Nuestros descendientes más próximos tendrán la suerte de ver realizaciones tales, que eclipsarán hasta las predicciones de los más audaces autores de novelas de ciencia ficción.
FIN
