
El propósito del autor es explicar (de forma comprensible para dichos alumnos) ciertos conceptos de las matemáticas superiores [1], como son los de derivada, ecuación diferencial, número e, logaritmo natural (lo corriente es que los alumnos se enteren de la existencia de estos dos últimos conceptos y se interesen por ellos). He procurado que las explicaciones de estos conceptos sean lo más claras posibles, basándome para ello en la resolución de problemas tomados de la física. Al proceder así, además del deseo de lograr la claridad antedicha, me ha guiado el de mostrar que los conceptos de las matemáticas «superiores» son el reflejo matemático de las propiedades de procesos reales quo ocurren en la naturaleza y demostrar una vez más que las matemáticas están ligadas a la vida, y no al margen de ella, que se desarrollan, y no son una ciencia acabada o invariable.
No todas las demostraciones y razonamientos contenidos en el libro se hacen con absoluta rigurosidad matemática. Algunos de estos razonamientos tienen carácter de aclaraciones. Este método de exposición no ha parecido el más a propósito para un libro popular.
Esta obrita puede utilizarse en el trabajo de los círculos matemáticos y físicos de las escuelas e institutos de segunda enseñanza: para su comprensión bastan los conocimientos que se adquieren en los primeros nueve cursos de las escuelas de enseñanza media. Parte del material que figura en ella procede de un cursillo de conferencias que dio el autor a petición de los dirigentes de los círculos matemáticos escolares adjuntos a la Universidad de Moscú.
Aprovecho la ocasión para expresar mi sincero agradecimiento a A. I. Markushévích y A. Z. Rívkin por sus valiosos consejos y sus observaciones al texto original.
Capítulo 1
El problema de la caída de un cuerpo
- Planteamiento del problema
- Solución cualitativa del problema
- Fórmula de la velocidad de caída de un cuerpo.
- Número e
El primer problema que vamos a considerar consiste en determinar la velocidad de un cuerpo que cae desde cierta altura sobre la tierra.
Por el curso de física elemental sabemos que todo cuerpo que cae en el vacío verticalmente hacia abajo tiene al cabo de t segundos de empezar a caer la velocidad
[1]
Cuando el cuerpo cae en el aire (y no en el vacío) la fórmula [1] sigue siendo en ciertos casos aproximadamente válida; pero en otros puede conducir a errores graves. Por ejemplo, si el cuerpo cae desde una altura pequeña, la fórmula [1] es aplicable. Sin embargo, cuando el cuerpo cae desde una altura muy grande, la magnitud de la velocidad puede diferir considerablemente de la expresión [1]. En 1945 el paracaidista V. G. Romaniuk efectuó un salto con retraso de la apertura del paracaídas en el que voló más de 12 000 metros en caída libre. Un cuerpo que cayese en el vacío desde una altura como ésta (sin velocidad inicial) alcanzaría junto a la tierra una velocidad de cerca de 500 m/s. En efecto, de la fórmula
![]()
![]()
v = gt ≈ 9,8 m/s2 x 49,5 s ≈ 485 m/s.
(Podríamos haber empleado directamente la fórmula v2 = 2gs). Sin embargo, se ha podido establecer que la velocidad de caída del paracaidista, durante este tipo de saltos, alcanza 50 a 60 m/s y no aumenta más. De este modo, la fórmula [1] conduce en este caso a un resultado erróneo.Otro ejemplo: un paracaídas está calculado de tal forma que, después de abrirse, el paracaidista llega a tierra con una velocidad de cerca de 6,5 m/s cualquiera que sea la altura desde la cual saltó.
Está claro que en este caso tampoco es aplicable la fórmula [1].
Todo esto nos lleva a la conclusión de que la velocidad de un cuerpo que cae en el aire se aproxima con el tiempo a cierto valor determinado. En otras palabras, al cabo de cierto tiempo de comenzar la caída el movimiento del cuerpo se hace uniforme y su aceleración, igual a cero. Esto significa que la resultante (suma) de todas las fuerzas que actúan sobre dicho cuerpo es nula.
Es fácil comprender por qué la fórmula [1] no sirve para calcular la velocidad de caída de un cuerpo en el aire. Esta fórmula se deduce partiendo de la suposición de que el cuerpo se mueve por la acción de una sola fuerza, concretamente la fuerza de la gravedad
P = mg [2]
Pero ya hemos visto que cuando el cuerpo cae en el aire la resultante se hace (al cabo de cierto tiempo de comenzar el movimiento) igual a cero, es decir, la fuerza de la gravedad P es equilibrada por otra fuerza que no se tuvo en cuenta al deducir la fórmula [1]. Esta fuerza equilibradora es la fuerza de resistencia del aire. Ella es precisamente la que no permite que el paracaidista caiga con demasiada rapidez; se comporta como si «sostuviera» al paracaidista.¿Cómo se puede tener en cuenta la resistencia del aire? Vamos a suponer que no hace viento. Si un cuerpo se encuentra en reposo, la fuerza de resistencia del aire es nula. Cuanto mayor sea la rapidez con que comience a moverse el cuerpo, tanto más «difícil» le será cortar el aire, es decir, la fuerza de resistencia del aire crecerá. Esto se puede observar fácilmente, un día que no haga viento, moviéndonos cada vez más de prisa: al paso, corriendo, en bicicleta... Vamos a suponer que por su magnitud esta fuerza es proporcional a la velocidad, o sea, igual a bv, donde v es la velocidad del movimiento y b, un coeficiente de proporcionalidad. Esta suposición queda bien justificada en los experimentos a velocidades no muy grandes [2]), es decir, no mayores que 1 ó 2 m/s. La magnitud b depende de las dimensiones y de la forma del cuerpo. Por ejemplo, a una misma velocidad, la fuerza de resistencia del aire será aproximadamente 20 veces mayor para una esfera que para un cuerpo fusiforme de la misma sección transversal (fig. 1).

Figura 1
S = - bv [3]
el signo menos significa que esta fuerza está dirigida en sentido contrario al de la velocidad.Así pues, vamos a considerar que sobre un cuerpo lanzado hacia abajo con cierta velocidad inicial actúan únicamente dos fuerzas: la de la gravedad P y la de resistencia del aire S. Basándonos en la segunda ley de Newton podemos escribir:
ma = P + S [4]
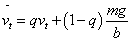
donde m es la masa del cuerpo y a, su aceleración. Como sentido positivo sobre la recta vertical resulta cómodo tomar no el hacia arriba, sino el hacia abajo, puesto que la velocidad del cuerpo que cae tiene esta dirección y con nuestro convenio será una magnitud positiva. La fuerza de la gravedad, que está dirigida hacia abajo, también será positiva. En cambio, la fuerza de resistencia del aire estará dirigida en sentido contrario al de la velocidad, es decir, hacia arriba, y, por lo tanto, será negativa. De esto modo, sustituyendo en la fórmula [4] P y S por sus valores [2] y [3], obtenemos quema = mg — bv,
o bien
[5]
La ecuación [5] relaciona la aceleración y la velocidad del movimiento del cuerpo, que aún desconocemos. Partiendo de esta ecuación debemos determinar de qué modo varía la velocidad del movimiento del cuerpo al transcurrir el tiempo.
Solución cualitativa del problema
Como resultado de los razonamientos que hemos expuesto anteriormente se obtuvo la ecuación [5] de la velocidad de un cuerpo que cae. Ahora tenemos que resolver esta ecuación. Por esto, los razonamientos que siguen tienen un carácter puramente matemático, aunque para mayor claridad seguiremos refiriéndonos en ellos a la velocidad de caída del cuerpo.
La ecuación [5] relaciona dos magnitudes desconocidas: la velocidad y la aceleración. Dándole a la aceleración un valor arbitrario podemos hallar por medio de la ecuación [5] el valor correspondiente de la velocidad. Por esta razón parece a primera vista que la ecuación [5] no basta para determinar las dos magnitudes v y a.
Sin embargo, esta opinión es errónea. La aceleración del movimiento del cuerpo queda completamente determinada conociendo cómo varía la velocidad al transcurrir el tiempo. De este modo, en la ecuación [5] no figuran dos magnitudes, a y v, absolutamente arbitrarias, sino ligadas entre sí. Esto da la posibilidad de resolver dicha ecuación. El análisis de la relación entre la velocidad y la aceleración nos conducirá más adelante al concepto de derivada.
Vamos a mostrar dos propiedades de la velocidad que se deducen de la ecuación [5]; estas dos propiedades nos dan una idea absolutamente clara del carácter de la caída del cuerpo (teniendo en cuenta las suposiciones hechas). Más adelante obtendremos también una fórmula exacta de la velocidad.
Propiedad 1.
Si en el instante inicial la velocidad de caída v0 fuera menor que mg/b, durante todo el tiempo que dure el movimiento será
v ≤ mg/b
En cambio, si v0 > mg/b, durante todo el tiempo será v ≥ mg/b.Supongamos lo contrario. Sea, por ejemplo, v0 < mg/b y admitamos que en cierto instante t1 (es decir, al cabo de t1 segundos de comenzar la caída) la velocidad llega a ser mayor que mg/b. En este caso, en algún instante intermedio (y hasta puede ser que en más de uno) la velocidad sería igual a mg/b. Supongamos que t0 es el último instante (durante los primeros t1 segundos) en que la velocidad fue igual a mg/b, de manera que en el intervalo de tiempo entre t0 y t1 conserva su validez la desigualdad v < mg/b.
De acuerdo con la fórmula [5] se deduce de aquí que la aceleración a fue negativa durante todo este intervalo de tiempo. Pero esto está en contradicción con el hecho de que durante el intervalo considerado, la velocidad varió desde el valor mg/b hasta otro mayor. La contradicción obtenida demuestra que la velocidad no puede alcanzar un valor mayor que mg/b.
De manera análoga se considera el caso en que v0 > mg/b
Propiedad 2.
Si v0 < mg/b, la velocidad de caída aumenta con el tiempo y se aproxima cada vez más al valor mg/b; pero si v0 > mg/b, la velocidad de caída disminuye durante todo el tiempo y se aproxima también al valor mg/b.
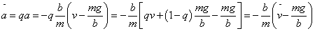
En efecto, si, por ejemplo, v0 > mg/b, como ya sabemos por la propiedad 1, en todo el tiempo que dure el movimiento será v > mg/b. De la fórmula [5] se deduce que la aceleración será negativa y, por consiguiente, que la velocidad de caída será cada vez menor.
Demostremos que con el tiempo la diferencia v - mg/b se hace menor que cualquier magnitud pequeña h elegida previamente (que se puede tomar, por ejemplo, igual a 0,001 m/s). Para esto consideraremos el instante

v0 -mg/b
Por lo tanto, la aceleración media fue negativa y, por su magnitud absoluta, no mayor que
Supongamos, pues, que en el instante t’ tenemos:
|a| < hb/m
De aquí, de acuerdo con [5], obtenemos:![]()
Advertimos que de este modo hemos demostrado una proposición algo más exacta que la propiedad 2, es decir, que no más tarde de
[6]
Las propiedades 1 y 2 dan en cierto sentido solución al problema planteado. Pese a que no hemos obtenido una fórmula exacta de la velocidad, conocemos ya las leyes cualitativas de su variación, es decir, cómo varía al transcurrir el tiempo.
Analicemos, por ejemplo, el movimiento del paracaidista. Si éste abre el paracaídas inmediatamente después de saltar, su velocidad de caída, que al principio es nula, aumentará, pero su valor nunca será mayor que mg/b.
La magnitud mg (peso del paracaidista con el paracaídas) es conocida, y b depende del diámetro de la cúpula del último. Esto da la posibilidad de calcular las dimensiones del paracaídas necesarias para que la velocidad máxima posible de caída del paracaidista, igual a mg/b no sea peligrosa para él al llegar a tierra. Pero si el paracaidista al saltar retrasa la apertura del paracaídas, mientras éste no se abra, el coeficiente de la expresión de la fuerza de resistencia del aire, que llamaremos b' en este caso, tendrá otro valor, menor que cuando desciende con el paracaídas abierto. Por esto la velocidad máxima posible de caída mg/b', será en
este caso mayor que la velocidad mg/v correspondiente al descenso con el paracaídas abierto. Por consiguiente, en el salto con retraso de la apertura, antes de ésta, la velocidad de caída será mayor que mg/b y, de acuerdo con la propiedad 1, después de aquélla la velocidad disminuirá y se aproximará a mg/b, permaneciendo durante todo el tiempo mayor que mg/b.
De esta forma, cierto tiempo después de abrirse el paracaídas, también en este caso estará exenta de peligro la toma de tierra.
A continuación damos un ejemplo numérico para ilustrar lo antedicho.
Ejemplo 1. Supongamos que un paracaídas está calculado de tal forma que la velocidad de caída del paracaidista, con él abierto, se aproxime al valor límite de 6 m/s, es decir, mg/b = 6 m/s.
Se nos plantea el problema siguiente: el paracaidista, que ha retrasado la apertura del paracaídas, lo abre cuando cae con una velocidad de 50 m/s. ¿Al cabo de cuánto tiempo será igual a 10 m/s su velocidad de caída, es decir, diferirá del valor límite mg/b = 6 m/s en menos que h = 4 m/s?
Solución. De la igualdad mg/b = 6 m/s obtenemos:
![]()
segundos
![]()
Las propiedades 1 y 2 muestran cómo variará con el tiempo la velocidad de caída del cuerpo. En este párrafo obtendremos la fórmula exacta para esta velocidad de caída. En la expresión de la velocidad figura cierto número cuyo valor con cinco cifras decimales es 2,71828... Este número, que se encuentra con frecuencia en los problemas de matemáticas «superiores», se designa con la letra e (de forma semejante a como el número, también frecuente, 3,14159..., que expresa la razón de la longitud de la circunferencia a su diámetro, se designa con la letra π). Por qué figura en la fórmula de la velocidad este número e = 2,71828... y cómo fue determinado exactamente, son cosas que explicaremos más adelante, pero aquí daremos a conocer (sin deducirla por ahora) la fórmula de la velocidad de caída de un cuerpo y examinaremos algunos ejemplos que aclaran la aplicación de esta fórmula.
Sea v0 la velocidad inicial de caída de un cuerpo, y vt su velocidad en el instante t (es decir, al cabo de t segundos de haber comenzado la caída). En este caso tenemos que
[7]
Ejemplo 2. Demostremos que de la fórmula [7] se deducen inmediatamente las leyes cualitativas de variación de la velocidad (propiedades 1 y 2) obtenidas anteriormente.
En efecto, el número
![]()
0 <
<1

![]()
Ejemplo 3. Calculemos, aplicando la fórmula [7], el valor de la velocidad de caída de un paracaidista al cabo de 6,6 s de abrir el paracaídas en un salto con apertura retrasada; se toman los mismos valores numéricos que en el ejemplo 1, es decir, mg/b = 6 m/s, v0 = 50 m/s. (Vimos entonces que la velocidad debe ser menor que 10 m/s.)
Solución. Tenemos:
![]()

![]()
![]()
![]()
Ejemplo 4. Supongamos que la velocidad de caída de un paracaidista durante un salto con retraso de apertura se aproxima al valor límite de mg/b = 50 m/s. La velocidad inicial de caída v0 se toma igual a cero. ¿Qué error cometeremos si, en vez de la fórmula [7], utilizamos la [1], que se aplica a la caída de un cuerpo en el vacío?
Solución. Tenemos

![]()
vt = gt ≈ 10t
Por lo tanto, la razón de estas velocidades tiene la forma
Pasemos a la demostración[4] de la fórmula [7]. Para esto procuraremos primeramente explicar la relación que existe entre la velocidad y la aceleración. Si vt es la velocidad a que se mueve un cuerpo en un instante t y vt+h es su velocidad h segundos después de dicho instante (o sea, en el instante t + h), la relación
![]()
![]()
Dicho en otras palabras, si para h se toman valores cada vez más pequeños (por ejemplo, 0,1 s; 0,01 s; 0,001 s, etc.), sin variar t, la magnitud a m variará aproximándose cada vez más a at. Este hecho se expresa matemáticamente así:
![]()
Hemos obtenido así la relación que expresa la dependencia de la aceleración respecto de la velocidad. Demostremos ahora otras tres propiedades de la velocidad del movimiento que consideramos. Estas propiedades pueden servirnos para demostrar la fórmula [7].
Propiedad 3. Si la velocidad y la aceleración de un cuerpo en movimiento satisfacen la relación [5], el valor v0 de la velocidad inicial determina unívocamente la ulterior variación de la velocidad.
Supongamos lo contrario. Sean dos cuerpos T y T*, con los mismos valores de m y b, que se mueven de tal forma que sus velocidades y aceleraciones satisfacen la relación [5] y supongamos que en un instante t = 0 estos dos cuerpos tenían la misma velocidad inicial v0 y que al cabo de t1 segundos sus velocidades resultaron ser distintas, por ejemplo, la velocidad v1 del primer cuerpo resultó ser mayor que la v 1* del segundo. Para concretar supongamos también que v0 > mg/b (en el caso de la desigualdad inversa la demostración es análoga). Sea t0 el último instante (durante los primeros t1 segundos) en que las velocidades de ambos cuerpos eran iguales. En este caso, en el intervalo de tiempo comprendido entre t0 y t1, la velocidad v del primer cuerpo debería ser mayor que la v* del segundo, es decir, v > v*. De aquí se deduce que
v - mg/b > v* - mg/v
siendo ambos miembros positivos, de manera que v0 > mg/b (véase la propiedad 1).De las desigualdades
v - mg/b > v* - mg/v
y basándonos en la fórmula [5], deducimos que las aceleraciones a y a* de los dos cuerpos lanzados son negativas, con la particularidad de que, por su magnitud, la aceleración a es mayor que la a*. Pero esto significa que durante el intervalo de tiempo comprendido entre t0 y las velocidades de los cuerpos T y T* disminuyeron, habiendo disminuido la velocidad del cuerpo T en una magnitud mayor que la del T*, es decir, en el instante t1 la velocidad v deberá ser menor que v* (puesto que en el instante t0 las velocidades do los cuerpos eran iguales). Pero nosotros supusimos lo contrario. Esta contradicción demuestra que la propiedad 3 es justa.Propiedad 4. Si dos cuerpos iguales[5] T y T* comienzan a caer al mismo tiempo con las velocidades iniciales v0 y v*, en cualquier instante t sus velocidades vt y v* satisfarán la relación
[8]
![]()


![]()
La velocidad inicial del cuerpo imaginario Ť es igual a

de estos movimientos coinciden en cualquier instante t, es decir,
![]()

Propiedad 5. Para dos instantes cualesquiera t y τ es válida la relación

En efecto, comencemos a observar la caída del cuerpo T desde el instante τ. Al cabo de t segundos de dicho instante (es decir, t + x segundos después de empezar el movimiento) la velocidad do caída será igual a vt+x. Esto quiere decir, que si en el instante t — 0, además del cuerpo considerado T, lanzamos un segundo cuerpo T*, cuya velocidad inicial v0* sea igual a vτ, en el instante t la velocidad vt* de este segundo cuerpo será igual a vt+τ, es decir, v* = vt+τ. De este modo, de [8] obtenemos que

![]()
![]()
Una vez establecida la fórmula [9] pasamos al cálculo exacto del valor de la velocidad vt. Para evitar el empleo de fórmulas voluminosas, introduciremos temporalmente el símbolo

[10]
![]()
![]()
![]()
[11]
![]()
![]()
![]()
![]()
[12]
Del hecho de que la relación [12] es justa para los valores racionales de t se deduce su validez para todos los valores de t.

Tomemos, por ejemplo, el instante t = √2 s =1,414... s. Como los números 1,4; 1,41; 1,414, etc., son racionales, para todos estos valores de t será justa la relación [12]
[13]



Haciendo


[14]

[15]
![]()
![]()

[16]
![]()
![]()
![]()
![]()
![]()
Partiendo de (16) obtenemos ahora

![]()

![]()
Capítulo 2
Cálculo diferencial
- Concepto de derivada
- Ecuación diferencial
- Dos problemas que conducen a ecuaciones diferenciales
- Logaritmos naturales
Así, pues, la ecuación [5] permite una solución completamente exacta. Esta ecuación liga la magnitud v [velocidad de caída] con la magnitud a, que indica la rapidez con que varía la magnitud v [la aceleración es «la rapidez con que varía la velocidad»].
Cuando hablamos de la rapidez con que varía una magnitud, suponemos que no se trata de una magnitud constante, caracterizada por un número, sino de una magnitud variable, es decir, de una magnitud cuyo valor cambia con el tiempo. Ejemplos de magnitudes de este tipo [dependientes del tiempo] son: la velocidad y la aceleración del movimiento variado, la intensidad de la corriente alterna, etc.
Sea y una magnitud cuyo valor cambia con el tiempo. Llamemos yt al valor que esta magnitud toma al cabo de t segundos de comenzar el proceso que se analiza. La diferencia yt + h — yt muestra cuánto varió la magnitud y durante h segundos [entre los instantes t y t + h segundos después de comenzar el movimiento]. En cambio, la relación
[17]
[18]
[19]
![]()
El concepto de derivada es uno de los fundamentales de las matemáticas superiores. Si una variable y cambia en dependencia de las variaciones de una magnitud x [o, como suele decirse, es función de x], la derivada de y respecto de x se designa con el símbolo y' o, más frecuentemente, con uno de los símbolos
![]()
![]()
dS
Calculemos, por ejemplo, la derivada dS/dR de la función [19]:

Como ejemplo también calcularemos la derivada dx/dt, del camino recorrido respecto del tiempo. Llamemos st al camino recorrido por un determinado cuerpo en un instante t [es decir, al cabo de t segundos de haber comenzado a moverse].
En este caso la relación
![]()
![]()
![]()
![]()
[20]
[21]
Ecuación diferencial
Retornemos a la ecuación [5]. De acuerdo con [21] esta ecuación se puede escribir de la forma
[22]
Teorema.La solución de la ecuación diferencial
[23]
es la expresión
[24]
En adelante, aplicando este teorema, podremos calcular también otros fenómenos físicos.
Dos problemas que conducen a ecuaciones diferenciales
a) Conexión de la corriente. Consideremos un circuito eléctrico compuesto por una bobina y una pila (fig. 2).

Figuras 2 y 3
Las propiedades eléctricas de la bobina son bastante complicadas, pero en una serie de casos pueden ser caracterizadas con alto grado de exactitud por dos magnitudes: la resistencia de la bobina y su inductancia. Precisamente por esto las bobinas se representan como formadas por dos partes conectadas en serie: una resistencia y una inductancia (fig. 3). La caída de tensión debida a la resistencia es proporcional a la intensidad de la corriente i que pasa por la bobina (ley de Ohm):V = Ri
el coeficiente de proporcionalidad R se llama resistencia de la bobina. La caída de tensión debida a la inductancia es proporcional a la rapidez de variación de la intensidad de la corriente. Llamando ω a esta rapidez (que se mide en amperios por segundo) y L al coeficiente de proporcionalidad, obtenemos para la caída de tensión la expresiónV = Lω
La magnitud L se llama inductancia de la bobina. La caída de tensión en la bobina se compone de las caídas de tensión debidas a la resistencia y a la inductancia, es decir, se expresa por la fórmulaV = Lω + Ri [25]
La fórmula [25] se ve bien confirmada en los experimentos (si la frecuencia de la corriente que pasa por la bobina no es muy grande). Nosotros vamos a aplicarla. Designemos por E la fuerza electromotriz [f.e.m.] de la pila. Igualando la f.e.m. de la pila a la caída de tensión en la bobina, y basándonos en la segunda ley de Kirchhoff (y despreciando la resistencia interna de la pila y la de los hilos conductores), obtenemos la ecuaciónE = Lω + Ri
o bien
[26]
![]()
![]()
![]()
De este modo, la solución de la ecuación diferencial que hemos escrito tendrá la forma (véase [24]):

![]()
b) Desintegración radiactiva. Supóngase que tenemos un trozo de roca que contiene cierta cantidad de materia radiactiva. Los átomos de la materia radiactiva pueden desintegrarse convirtiéndose en otra sustancia química— producto de desintegración. De esta forma, con el tiempo disminuye la cantidad de materia radiactiva que hay en el trozo de roca. Introduzcamos el concepto de rapidez de desintegración. Supongamos que en cierto instante t la cantidad de materia radiactiva contenida en la roca era de mtg y que al cabo de h años disminuyó (debido a la desintegración) y se hizo igual a mt+h g. La expresión
![]()
![]()
¿De qué depende la rapidez de desintegración? Si la cantidad de materia radiactiva que hay en la roca es pequeña, se puede considerar que la rapidez de desintegración es directamente proporcional a la cantidad de materia radiactiva que hay en el trozo de roca en el instante dado, es decir, se cumple la relación
u = - km
donde m es la masa existente de materia radiactiva, y k es una magnitud constante positiva (coeficiente de proporcionalidad). La validez aproximada de esta ley se puede fundamentar considerando que la desintegración de unos átomos no influye en el estado de los demás átomos de la materia radiactiva. Con esta condición se puede considerar que de cada gramo de materia radiactiva se desintegra siempre, aproximadamente, la misma cantidad por unidad de tiempo, por ejemplo, k gramos, independientemente de la cantidad de dicha materia que queda aún en la roca. En este caso, de m gramos se desintegrarán por unidad de tiempo km gramos de materia radiactiva. ¿Se puede acaso considerar que la desintegración no influye en el estado de los átomos radiactivos restantes? Porque las partículas del átomo que se desintegra pueden incidir en otro átomo de materia radiactiva y provocar su desintegración, lo que daría lugar a que se desintegrarán después otros átomos y así sucesivamente. Semejante reacción en cadena (en un proceso de esto tipo se basa, por ejemplo, la acción de la bomba atómica) contradeciría la independencia de la desintegración de los átomos. Para que no pueda producirse una cadena de desintegraciones sucesivas es necesario que las partículas emitidas en la desintegración se pierdan sin alcanzar (en la mayoría de los casos) a otros átomos radiactivos. Esto ocurrirá si la cantidad de materia radiactiva que hay en el trozo de roca sólo constituye un pequeño porcentaje de él, mientras que su masa fundamental no es radiactiva. Entonces la inmensa mayoría de las partículas emitidas durante la desintegración se pierde, incidiendo sobre los átomos no radiactivos de la roca, y la reacción en cadena es imposible. Por esto, cuando la cantidad de materia radiactiva que hay en la roca es pequeña, se puede considerar aproximadamente que la desintegración de los átomos tiene carácter independiente. De este modo, para determinar la masa de materia radiactiva no desintegrada obtenemos la ecuación diferencial![]()
[27]
Ejemplo 5. ¿Al cabo de cuántos años la cantidad de materia radiactiva se reduce a la mitad?
Solución. Para responder a esta pregunta hay que determinar t partiendo de la ecuación
![]()
![]()
Ejemplo 6. La fórmula [27] da la posibilidad de hacer algunas deducciones sobre la edad de la Tierra.
Supongamos que en un trozo de roca extraído do las entrañas de la Tierra hay, además de impurezas, m gramos de materia radiactiva y p gramos de su producto de desintegración. Supongamos también que de cada gramo de esta materia radiactiva se obtiene (una vez desintegrado) r gramos de producto de desintegración. Esto significa que los p gramos de dicho producto proceden de p/r gramos de materia radiactiva. De este modo, si consideramos que en cierto instante comenzó el proceso de desintegración en el trozo de roca que nos interesa (es decir, había en él solamente materia radiactiva sin un solo átomo de producto de desintegración), tendremos que la masa inicial de materia radiactiva seria igual a m + p/r.
Para determinar el tiempo transcurrido desde este instante imaginario (de comienzo de la desintegración) hasta nuestros días, de acuerdo con [27], hay que resolver con respecto a t la ecuación
![]()
![]()
El problema del origen de la Tierra es objeto del estudio de la ciencia astronómica llamada cosmogonía. Mucho de lo que se sabe sobre este problema fue aclarado por primera vez gracias a las profundas investigaciones llevadas a cabo por el académico O. Yu. Schmidt y otros científicos soviéticos [6].
Logaritmos naturales
En las fórmulas para la resolución de los problemas que hemos planteado figura una función exponencial cuya base es e. Si los cálculos se hacen valiéndose de tablas de logaritmos pueden evitarse ciertas operaciones tomando logaritmos de base e. Así, aplicando logaritmos de base e y de base 10 a la fórmula [27], obtenemos:
![]()
![]()
log10 x = M ln x
dondeM = log10 e ≈ 0,4343.
Esta relación se obtiene sin dificultad aplicando los logaritmos de base 10 a la identidadeln x = x
Capítulo 3
Oscilaciones armónicas
- El problema de las oscilaciones pequeñas de un péndulo
- Ecuación diferencial de las oscilaciones armónicas
- Circuito oscilante
- Oscilaciones por la acción de la fuerza elástica de un resorte
Supongamos que en un punto C está sujeto un hilo de longitud l, de cuyo extremo pende un cuerpo M (péndulo). El problema consiste en averiguar cómo se moverá el cuerpo M. Para resolver matemáticamente este problema haremos algunas simplificaciones. En primer lugar consideraremos que el hilo que sostiene al péndulo M es inextensible y carece de peso.
Analicemos el movimiento del péndulo M en un plano vertical que pase por el punto de suspensión. El hecho de que el hilo sea inextensible nos permite afirmar que el cuerpo M se moverá describiendo una circunferencia de radio l con centro en el punto C. La suposición de que el hilo carece de peso significa que el peso del hilo es insignificante en comparación con el del cuerpo M; esto permite considerar que las fuerzas exteriores actúan solamente sobre dicho cuerpo. El péndulo M puede considerarse como un punto pesado (es decir, que tiene cierta masa m, pero que se prescinde de sus dimensiones). De las fuerzas que actúan sobre el cuerpo M tendremos en cuenta, además de la tensión del hilo, la fuerza de gravedad. La fuerza de resistencia del aire se puede despreciar al resolver este problema (por ejemplo, se puede suponer que el péndulo se encuentra en un recipiente cerrado del cual se ha extraído el aire; de la diferencia que existe entre el movimiento del péndulo en el aire y en el vacío se trata más adelante).
Supongamos que el cuerpo M se encuentra en cierto instante en un punto A de la circunferencia que describe. El punto inferior de esta circunferencia lo designaremos por Q, la longitud del arco QA, por s, y la magnitud (en radianes) del ángulo central QCA correspondiente a este arco (fig. 4), por α. Entonces
s = lα [28]
En este caso consideraremos positivos el arco s y el ángulo α si el punto A se encuentra a la derecha del Q, y negativo en el caso contrario.Pasemos a deducir la ecuación a partir do la cual hallaremos la ley del movimionto del péndulo.

Figura 4
![]()
![]()
![]()
[29]
Vamos a simplificar un poco la ecuación [29]. En efecto, nos ocuparemos únicamente del problema de las oscilaciones pequeñas del péndulo, es decir, de aquel movimiento del péndulo en que éste se desvía de la posición de equilibrio Q a ángulos pequeños. Expliquemos qué se debe entender por «ángulos pequeños». La cuestión está en que es imposible escribir la solución de la ecuación [29] mediante operaciones conocidas. Por esto se plantea la pregunta: ¿no es posible sustituir la ecuación [29] por otra más simple? Está claro que esta simplificación debe ser tal, que la solución de la ecuación simplificada sea al mismo tiempo una solución con alto grado de exactitud de la ecuación [29]. Advertimos que con esta simplificación no introducimos ninguna inexactitud esencial, porque la relación [29] ya es aproximada[7], de manera que la cuestión do la validez de una u otra simplificación depende únicamente del grado de aproximación a la realidad que necesitamos obtener.
La simplificación que ordinariamente se hace en la ecuación [29] consiste en que sen φ se sustituye simplemente por φ. El hecho de que cuando los ángulos φ son pequeños pueda tolerarse esta sustitución se deduce de la fig. 5, en la cual se representa el arco A'Q'B' de una circunferencia de radio C'Q' = 1; a ambos lados del radio C’Q’ se ha tomado un ángulo φ.
La longitud del segmento A'B' es igual a 2 sen φ (puesto que A'S' es la línea del seno), y la longitud del arco A’B' es igual a 2φ (midiendo los ángulos, claro está, en radianes).

Figura 5
Así, pues, considerando que las desviaciones (elongaciones) del péndulo son pequeñas, sustituimos sen α por α, es decir, sustituimos la ecuación [29] por otra nueva que «difiere poco» de la primera:
![]()
![]()
[30]
[31]

Figura 6
Y al contrario, sabiendo dónde se encuentra el punto N podemos hallar sus coordenadas s y (√l/g)v, o sea, podemos conocer la posición en que se encuentra el péndulo y su velocidad. Así, pues, en cada instante t el péndulo M se representa convencionalmente por cierto punto N.
La longitud del segmento ON se calcula fácilmente por el teorema de Pitágoras:


![]()

Hallemos la velocidad con que se mueve el punto N siguiendo la circunferencia. Esta velocidad tiene dirección tangencial a la circunferencia; supongamos, por ejemplo, que se representa por el vector NA (fig. 7).

Figura 7
Descompongamos este vector en una componente horizontal y otra vertical.En este caso la componente horizontal NB representará la velocidad de traslación del punto P por el eje de abscisas. Y como la distancia al punto P desde O es igual a s, la velocidad del punto P será igual a ds/dt = v, es decir, NB = v.
Ahora, partiendo de la semejanza de los triángulos ONP y NAB tenemos:


Llamemos s0 y v0 respectivamente a la elongación y a la velocidad del péndulo en el instante inicial, y N0 al punto correspondiente de la circunferencia de fases. Entonces el radio de esta circunferencia tendrá el valor siguiente:
[33]
[34]

Figura 8
Después, al cabo de t segundos de comenzar a moverse el péndulo, el punto N, que se mueve con la velocidad![]()
![]()
![]()

![]()
![]()
![]()
![]()
![]()
[35]
Ejemplo 7. En el instante inicial el péndulo se ha desviado hacia la derecha una distancia s0 y se ha soltado sin velocidad inicial. Hallar su elongación y velocidad en un instante t.
Solución. En este caso R = s0, φ0 = 0, y las fórmulas [35] dan

Solución. En este caso, partiendo de las fórmulas [33] y [34], hallarnos que
![]()

Como v es la derivada de s respecto del tiempo t, comparando los valores de s y v en el ejemplo 8 llegamos a la conclusión de que

![]()
![]()
[36]
Solución. La variación del argumento en 2π no cambia el valor del seno y del coseno. Por lo tanto, el período de oscilación del péndulo será el intervalo de tiempo T al cabo del cual la expresión que figura en las igualdades [35] detrás de los signos seno y coseno aumenta en 2π. En otras palabras, los valores de la expresión
![]()
![]()
[37]
Ecuación diferencial de las oscilaciones armónicas
Hemos deducido las fórmulas que determinan el movimiento del péndulo partiendo de la ecuación [30] o, lo que os lo mismo, de la ecuación diferencial [31]. Pero existe otra ecuación diferencial que también describe el movimiento del péndulo que hemos estudiado. Su deducción es muy simple.
Supongamos que el cuerpo M se encuentra en cierto instante en un punto A de la circunferencia que recorre. La gravedad (que consideraremos igual a mg y que actúa verticalmente hacia abajo) la descomponemos, aplicando la regla del paralelogramo, en dos fuerzas: una tangente a la circunferencia en el punto A y otra perpendicular a la tangente en dicho punto. Esta última componente tiende a alargar el hilo y se equilibra con su fuerza de tensión (ya que hemos supuesto que dicho hilo es inextensible).

Figura 10
F = —mg sen α
Si se prescinde de las fuerzas equilibradas entre sí, es decir, de la tensión del hilo y de la componente de la gravedad perpendicular a la tangente, F será la única fuerza que actúa sobre el cuerpo M (despreciamos la fuerza de resistencia del aire) y, por lo tanto, podemos escribir basándonos en la segunda ley de Newton quema = —mg sen α
o biena = —g sen α
Recordamos ahora que sólo nos interesan las oscilaciones pequeñas del péndulo, en virtud de lo cual sen α, puede sustituirse (aproximadamente) por α y escribir esta ecuación en la formaa = —gα
o, de acuerdo con [28],a + s g/l = 0 [38]
Esta es la ecuación que necesitábamos. Ahora veamos cómo se puede escribir en forma de ecuación diferencial. De las relaciones a = dv/dt y v =ds/dt se deduce que si tomamos una vez la derivada del camino recorrido s y luego tomamos la derivada de la magnitud obtenida (es decir, de la velocidad), obtenemos la aceleración. Dicho de otro modo, la aceleración es la segunda derivada del camino recorrido s (respecto del tiempo t). Esto se escribe do la forma siguiente:![]()
[39]
[40]
![]()
Designando
Teorema. La ecuación diferencial
[41]
[42]
La ecuación [41] se llama ecuación de las oscilaciones armónicas. De toda magnitud descrita por una ecuación de este tipo se dice que efectúa oscilaciones armónicas; esto significa que la magnitud considerada varía con el tiempo según la ley [42]. La magnitud ω que figura en la ecuación diferencial [41] y en su solución [42] se llama frecuencia de las oscilaciones, y T = 2π/ω, período de las oscilaciones. Si una magnitud s efectúa oscilaciones armónicas, al cabo de cada T segundos sus valores vuelven a repetirse (véase el ejemplo 10).
Comparemos las ecuaciones diferenciales [23] y [41]. En la ecuación [23] figura únicamente la primera derivada, por esto se llama ecuación de primer orden. La ecuación [41] es una ecuación diferencial de segundo orden, puesto que en ella figura la segunda derivada. Llamamos la atención sobre el hecho de que para resolver la ecuación de primor orden [23] sólo había que conocer el valor de la propia magnitud v en el instante inicial. En cambio, para resolver la ecuación de segundo orden [41] es preciso conocer el valor en el instante inicial no sólo de la propia magnitud s, sino también el de su derivada Resumiendo, para resolver una ecuación diferencial de primer orden hay que conocer el valor inicial de una magnitud, y para resolver una ecuación diferencial de segundo orden, los valores iniciales de dos magnitudes.
Advertimos que la solución de la ecuación [40] la obtuvimos partiendo de razonamientos físicos: ambas ecuaciones, [31] y [40], describen el mismo fenómeno físico y, por lo tanto, deben tener una misma solución, que expresa la ley del movimiento del péndulo. Como es natural, este razonamiento no es más que una suposición, y no una demostración matemática rigurosa. Pero se puede demostrar de un modo puramente matemático que las ecuaciones [31] y [40] son equivalentes, es decir, que poseen una misma solución: derivando los dos miembros de la ecuación [31] obtenemos la ecuación [40]. Y viceversa, de la ecuación [40] se puede obtener la [31], pero para esto hay que recurrir a la operación inversa de la derivación. Esta operación (llamada integración) constituye, junto con la derivación, la base de todas las matemáticas superiores. Dar una explicación más detallada dentro del marco de este pequeño libro sería muy difícil.
Sin embargo, utilizando las fórmulas [36] el lector puede hallar con facilidad la segunda derivada de la función [42] y convencerse de que esta función satisface la ecuación [41].
Veamos dos ejemplos tomados de la física que conducen a la ecuación de las oscilaciones armónicas.
Circuito oscilante
Consideremos un circuito oscilante, es decir, un circuito eléctrico cerrado formado por una bobina y un condensador. La bobina posee cierta inductancia y cierta resistencia. Todo el circuito se puede representar en forma del siguiente esquema (fig. 11).

Figura 11
Lw + Ri + q/C = 0 [43]
La magnitud i es la derivada de q respecto de t. Efectivamente, si la cantidad de electricidad q tuviera en los instantes t y t + h los valores q t y qt+h, en este intervalo de tiempo pasaría por la sección transversal del hilo conductor (en cualquier parte del circuito) una cantidad de electricidad igual a qt+h - qt. Por lo tanto, la intensidad media de la corriente durante el intervalo de tiempo comprendido entre t y t + h sería igual a![]()
![]()
![]()
[44]
![]()
[45]
![]()
![]()
![]()
Oscilaciones por la acción de la fuerza elástica de un resorte
Supongamos que de un muelle hay suspendido un peso de masa m. Por la acción de la gravedad el muelle se alarga un poco (hasta que su fuerza de tensión equilibre la de la gravedad); en esta situación el peso y el muelle pueden estar en reposo (hallarse en equilibrio). Pero si sacamos el peso de la posición de equilibrio tirando de él hacia abajo, la fuerza de tensión del muelle será mayor que la de la gravedad y su resultante estará dirigida hacia arriba. Si, por el contrario, trasladamos el peso a un punto que se encuentre más alto que la posición de equilibrio, la resultante está dirigida hacia abajo. Por lo tanto, esta resultante «tiende» a restituir el peso a la posición de equilibrio.
Para simplificar nos limitaremos al caso del movimiento del peso siguiendo una recta vertical: hacia arriba y hacia abajo. Llamemos O a la posición de equilibrio, A, a la posición del peso en cierto instante y s, a la distancia OA. Como sentido positivo en la recta vertical tomaremos el que va desde el punto O hacia abajo, es decir, s se considerará positiva si el peso (punto A) se encuentra más bajo que el punto O, y negativa si está más alto que dicho punto. Las resultantes de las fuerzas de gravedad y tensión del muelle la designaremos por F, y la fuerza de resistencia del aire, por S. Vamos a suponer que sobre el peso no actúan más fuerzas que F y S. De acuerdo con la segunda ley de Newton podemos escribir:
ma = F + S
donde a es la aceleración del peso. La fuerza F que tiende a restituir el peso a la posición de equilibrio se hace tanto mayor cuanto más se desvía el peso s de la posición de equilibrio. Aceptamos que la fuerza F es directamente proporcional a la desviación (elongación) s, es decir, igual a la magnitud ks, donde k es un coeficiente de proporcionalidad. Esta suposición concuerda bien con los experimentos (cuando las desviaciones de la posición de equilibrio no son muy grandes). La magnitud k se llama rigidez del muelle. Si s es positiva (el punto A se encuentra más bajo que el O), la fuerza F está dirigida hacia arriba, es decir, es negativa; en cambio, si s es negativa, la fuerza F es positiva. En otros términos, la fuerza F tiene signo contrario a la desviación s, es decir,F = - ks.
Para la fuerza S tomamos el mismo valor que antes (véase [3]), es decir,S = - bv
De este modo obtenemos la siguiente ecuación del movimiento del pesoma = - ks - bv
o bienma + bv + ks = 0 [46]
Como v = ds/dt y a = d2s/dt2, esta ecuación se puede escribir en la forma
[47]
[48]

![]()

Observación. Para obtener la ecuación de las oscilaciones armónicas, al estudiar las oscilaciones del péndulo y las del peso colgado del muelle despreciamos las fuerzas de rozamiento y de resistencia del aire, y al considerar el circuito oscilante prescindimos de su resistencia. Esto significa desde el punto de vista físico que, con nuestras suposiciones, no se produce ningún gasto de energía; desde el punto de vista matemático esto se puso de manifiesto en el hecho de que en la ecuación diferencial se eliminó el término que contenía la primera derivada. Como resultado obtuvimos las oscilaciones armónicas, es decir, unas oscilaciones que se repiten durante todo el tiempo, o sea, no amortiguadas.
Pero, ¿qué ocurriría si al resolver los problemas antes considerados se tuviera en cuenta la resistencia del aire o la caída de tensión en las resistencias? Por ejemplo, ¿en qué se diferencia la solución de la ecuación [44] de la solución de la [45]? El cálculo matemático (que no haremos aquí) demuestra que la ecuación [44] también describe un proceso oscilatorio si R no es demasiado grande. Sin embargo, las oscilaciones definidas por la ecuación [44] se debilitan con el tiempo; por esta razón se llaman oscilaciones amortiguadas. Esto se explica en física por el hecho de que la energía de las oscilaciones disminuye durante todo el tiempo, transformándose en energía calorífica, ya que al pasar la corriente por la resistencia R se desprende calor. Las oscilaciones del péndulo también se debilitan paulatinamente, o sea, se amortiguan, puesto que debido al rozamiento y a la resistencia del aire la energía del péndulo se gasta poco a poco en calentar el propio péndulo y el aire circundante. Pero si la resistencia no es grande, durante un intervalo de tiempo pequeño (por ejemplo, de varios períodos) las oscilaciones amortiguadas difieren poco de las no amortiguadas (armónicas). La amortiguación se pone de manifiesto al cabo de un intervalo de tiempo suficientemente grande. Si, por ejemplo, un cuerpo muy pesado se cuelga de una cuerda y se desvía levemente de su posición de equilibrio, al cabo de 10 a 15 períodos la disminución de la amplitud de las oscilaciones será insignificante e inapreciable a nuestra vista.
Sólo podremos observarla varios minutos después de comenzar las oscilaciones.
Para hacer la comparación vamos a dar (sin deducirla) la solución exacta de la ecuación [47]. Consideraremos que el valor del coeficiente b en la expresión de la fuerza de resistencia del aire no es muy grande (concretamente, b < 2 √mk). Entonces la solución de la ecuación [47] tiene la forma:
[50]

Figura 12
Advertimos, además, que si los valores del coeficiente b son grandes (cuando b > 2√mk) la fórmula [50] se sustituye por otra. En este caso el cuerpo no pasará por la posición de equilibrio más que una vez, y después se acercará lentamente a esta posición, pero hallándose todo el tiempo más alto o más bajo que ella.
Capítulo 4
Otras aplicaciones del concepto de derivada
- Valores máximo y mínimo
- El problema del trazado de la tangente
- Simulación
Consideremos una magnitud variable y cuyo valor dependa de otra magnitud x. Cuando se dice que y depende de x o que y es función de x, se entiende por esto que a cada valor de x corresponde un valor completamente determinado de y.
Por ejemplo, el área de un círculo es función de su radio, es decir, el área del círculo depende de la magnitud del radio. El seno, el coseno, la tangente, etc., dependen de la magnitud del ángulo, o sea, son funciones del ángulo; estas funciones se llaman trigonométricas. Así, pues, sea y una función de la magnitud x. Se nos plantea el problema siguiente: hallar el valor de x para el cual y toma su valor máximo. Antes de resolver este problema introduciremos el importante concepto de campo de definición (o de existencia) de la función.
Estudiaremos este concepto en unos ejemplos. Como primer ejemplo tomaremos la función siguiente. Sea V el volumen de un kilogramo de agua a presión atmosférica normal y a la temperatura de t° (escala centígrada). En este caso V depende de t, es decir, V es función de la magnitud t. Es evidente que esta función viene dada únicamente para los valores de t comprendidos entre 0 y 100°.
Porque a presión atmosférica normal el agua no puede tener una temperatura t < 0º (puesto que se transforma en hielo) o t > 100° (ya que se convierte en vapor). Por lo tanto, la función V se considera determinada solamente para los valores de t que satisfacen las desigualdades t ≥ 0 y t ≤ 100. De ordinario estas dos desigualdades se escriben juntas: 0 ≤ t ≤ 100. Quedamos, pues, en que la función V está determinada solamente cuando
0 ≤ t ≤ 100
En otras palabras, el campo de existencia de la función V está constituido por los números que satisfacen la condición 0 ≤ t ≤ 100. Este campo de existencia se llama segmento numérico, porque cuando se representan los números sobre un eje numérico, todos los puntos que corresponden a los números que satisfacen la condición 0 ≤ t ≤ 100 llenan todo un segmento de dicho eje. Los números 0 y 100 se llaman extremos o puntos extremos del segmento numérico 0 ≤ t ≤ 100, y todos los demás números de este segmento se llaman valores interiores del mismo o puntos interiores. Todo valor interior t0 posee la propiedad de que en el segmento numérico existen números menores que t0 y números mayores que t0.
Los extremos del segmento no poseen esta propiedad. Como segundo ejemplo consideraremos la intensidad de la corriente i que pasa por un circuito eléctrico (representado esquemáticamente en la fig. 3) al cabo de t segundos de haberlo cerrado. En este caso i es función del tiempo t. La fórmula que se dio en las páginas correspondientes muestra cómo i depende de t.
¿Para qué valores de t existe la función i? Es evidente que hasta el instante de cerrar el circuito, es decir, cuando t < 0, no se observa en él ninguna corriente y, por lo tanto, sólo tiene sentido considerar la corriente i cuando t ≥ 0. De este modo el campo de existencia de la función i estará constituido por todos los números t que satisfacen la condición t ≥ 0. Este campo de existencia (que se puede llamar semirrecta numérica) tiene un punto extremo t = 0; todos los demás puntos son interiores. Finalmente, como tercer ejemplo, estudiaremos la función y = sen x.
Esta función está definida cualquiera que sea el valor de x, es decir, el campo de existencia de esta función es toda la recta numérica. Este campo de existencia carece de puntos extremos. Existen funciones cuyo campo de existencia es muy complicado, pero nosotros examinaremos solamente aquellas funciones para las cuales sirve de campo de definición un segmento numérico, una semirrecta o un eje numérico. Volvamos a ocuparnos ahora del problema que teníamos planteado, es decir, de hallar el valor máximo de una función.
¿Puede una función tomar su valor máximo en un punto extremo de su campo de existencia? Sí, naturalmente.
Como ejemplo utilizaremos la función V, considerada anteriormente, que expresa el volumen de un kilogramo de agua a presión normal y temperatura t°. Como el volumen del agua aumenta al calentarse, está claro que la función V tendrá su valor máximo cuando t = 100°, es decir, en el punto extremo de su campo de definición. La operación de derivación permite en muchos casos resolver rápidamente el problema de hallar el valor máximo .de una función. Precisamente se cumple la siguiente proposición. Supongamos que y es función de la variable x. Si esta función toma el valor máximo en un punto interior x = a de su campo de existencia, en este punto la derivada dy/dx se anula[8] .
Demostremos esta proposición. El valor de y correspondiente al valor x (tomado del campo de existencia de la función) lo designaremos por yx. Hemos supuesto que el valor ya, que toma la función y cuando x = a, es el valor máximo, es decir,
ya ≥ yx [51]
para cualquier x (tomada del campo de existencia de la función). La derivada dy/dx viene determinada, cuando x = a, por la relación
[52]
Primeramente vamos a aproximar h a cero dándole valores positivos. Como el numerador ya+h - ya de la función que figura detrás del signo de límite satisface la desigualdad ya+h - ya ≤ 0 (véase [51]) y h > 0, dicha fracción, en su totalidad, no será positiva (es decir, será nula o un número negativo). Pero entonces tampoco podrá ser positivo el límite de esta fracción, es decir, la derivada [52] no puede ser un número positivo.
Procedamos ahora aproximar h a cero dándole valores negativos. En este caso, lo mismo que antes, ya+h - ya ≤ 0 (véase [51]), pero h < 0 y, por lo tanto, la fracción que hay detrás del signo de límite no será negativa. Pero entonces tampoco puede ser negativo el límite de dicha fracción (es decir, la derivada que nos interesa).
De esta forma, el valor de la derivada dy/dx cuando x = a, no puede ser positivo ni negativo, por lo tanto, tiene que ser igual a cero, que es lo que se quería demostrar.
En esta demostración se ha aprovechado esencialmente el hecho de que a es un punto interior del campo de existencia de la función. En efecto, hemos dado a la magnitud h valores positivos y negativos, de manera que a+h tomaba valores mayores que a y valores menores que a.
Supongamos ahora que a es un punto extremo. En este caso en el campo de determinación sólo existen valores mayores que a o valores menores que a, es decir, la demostración anterior es inaplicable.
Cuando el problema que se plantea es el de hallar el valor mínimo (y no el máximo) de una función, se pueden hacer razonamientos totalmente análogos. Como resultado demostramos que si la función toma el valor mínimo en un punto interior de su campo de existencia, en este punto también se anula la derivada de la función. Unificando los casos de los valores máximo y mínimo se obtiene el siguiente teorema, debido a Fermat [9].
Teorema.Si una función toma el valor máximo (o mínimo) en un punto interior de su campo de existencia, en este punto la derivada de la función se anula.
En este teorema se basa la determinación de los valores máximos y mínimos por medio de la derivación. Tenemos, pues, que hallar la derivada de la función que se considera y aquellos valores interiores del campo de determinación en los cuales dicha derivada se anula. El punto donde la función toma el valor máximo (o mínimo) debe buscarse entre estos puntos (en los cuales la derivada se hace igual a cero) o entre los puntos extremos del campo de existencia.
Ejemplo 11. A los extremos de un conductor (por ejemplo de un aparato de calefacción) está conectada una batería cuya fuerza electromotriz es E y su resistencia, r. ¿Qué resistencia debe tener el conductor para que reciba do la batería la potencia máxima?
Solución. Llamemos R a la resistencia del conductor. Entonces la resistencia total del circuito será igual a R + r y, por lo tanto, la intensidad de la corriente que pasa por él tendrá el valor
![]()
![]()
De campo de existencia de la función W sirve la semirrecta R ≥ 0 (ya que la resistencia del conductor no puede ser negativa). Hallemos la derivada dW/dR:

![]()
Así, pues, la potencia W puede tomar su valor máximo cuando R — r o en el punto extremo R = 0 del campo de existencia. Pero si R = 0 la potencia W también será igual a cero (este valor será el mínimo, y no el máximo). Por lo tanto, la potencia sólo puede tener su valor máximo cuando R = r, es decir, cuando se cumple la condición de que la resistencia del conductor es igual a la resistencia interna de la batería.
¿Será efectivamente máximo el valor de la potencia cuando Tt = r? Cabe hacerse esta pregunta, porque hemos demostrado solamente que cuando R = r la potencia puede tomar su valor máximo, pero esto no significa aún que sea así en efecto.
No es difícil convencerse de que cuando R = r la potencia W toma en realidad su valor máximo. En efecto, si R = 0, la potencia W también será igual a cero, y si R es muy grande, la intensidad de la corriente i será muy pequeña y, por consiguiente, la potencia será pequeña (puesto que la caída de tensión en los extremos del conductor no puede ser mayor que E). Por esto está claro que la potencia deberá alcanzar su valor máximo para cierto valor de R no muy grande. Pero como la potencia debe tomar el valor máximo (y puede tomarlo únicamente cuando R = r), está claro que si R = r obtendremos en efecto el valor máximo de la potencia.
Ejemplo 12. Hay que hacer una caldera de vapor de forma cilíndrica y volumen V dado. Conviene que la superficie total de esta caldera sea mínima (si se cumple esta condición la cantidad de metal que se gaste en su construcción será la menor posible; además, cuanto menor sea la superficie de la caldera, menos se enfriará ésta por contacto con el aire circundante). Hallar las dimensiones óptimas de la caldera.
Solución. Llamemos R al radio de la base del cilindro y h a su altura. Entonces
![]()
![]()
![]()
[54]



¿Hemos obtenido en realidad el valor mínimo posible de la superficie del cilindro? De que esto es así no es difícil convencerse. En efecto, si los valores de R son muy grandes, la superficie S también lo será (ya que será grande el valor del primer término de la expresión de S (véase [54]). Cuando los valores de R sean pequeños, la magnitud de la superficie S también será muy grande (porque será grande el segundo término). Por consiguiente, para cierto valor (ni muy grande ni muy pequeño) de R la magnitud S deberá tener su valor mínimo. Pero como la derivada dS/dR sólo se anula para un valor de R, a este valor de R corresponderá el área mínima de la superficie del cilindro.
Nos limitamos a poner estos dos ejemplos. Si el lector lo desea puede encontrar muchos problemas de este tipo en los libros de texto o de problemas. La solución de algunos de estos problemas puede recomendarse con la condición de que no so prescinda de la parte final de los razonamientos que hemos hecho, es decir, de la demostración de que en el punto hallado existe efectivamente el valor máximo o mínimo que se busca. En los cursos de matemáticas superiores se estudian procedimientos más perfectos que permiten determinar si el punto hallado toma efectivamente la función el valor máximo o mínimo. Además existen reglas para el cálculo de las derivadas. Como el autor no suponía que el lector conoce estas reglas, en los ejemplos puestos anteriormente las derivadas se hallan por cálculos directos.
El problema del trazado de la tangente
Sea L cierta línea curva y MO un punto de ella. Consideremos el problema de trazar la tangente a la curva L por el punto M0. Ante todo diremos unas palabras sobre cómo se define en matemáticas la tangente.

Figura 13
Elijamos un punto M, que se encuentre también en la curva L, y tracemos la recta MOM, que llamaremos secante, puesto que corta a la curva L por lo menos en los dos puntos M0 y M. Si el punto M se mueve por la curva L aproximándose al M0 (en la fig. 13 se señalan las posiciones sucesivas M, M', M", ... del punto M), la secante M0M girará alrededor del punto M0. Si al tender el punto M al M0 la secante M 0M, girando; tiende a cierta recta M0K, esta recta límite M0K se llama tangente a la curva L en el punto M0.
Supongamos ahora que la curva L se ha dibujado en un plano, en el cual existe un sistema de coordenadas dado, do manera que a cada punto M de la curva L corresponden una abscisa x y una ordenada y.

Figura 14
Designemos la abscisa del punto M0 por a (fig. 14) y la longitud del segmento N0N por h. Entonces la abscisa del punto M será igual a a + h. La ordenada del punto M0 la designaremos por ya, y la del punto M, por ya+h. El segmento MP tendrá la longitud
MP = MN — PN = MN — M0N0 = ya+h - ya
y, por lo tanto, tendremos que
![]()
De esta forma, de la ecuación [55], en el límite (cuando h —> 0), obtenemos:
![]()

Figura 15
Ejemplo 13. Consideremos una sinusoide (fig. 15), es decir, una curva entre cuyas abscisa y ordenada existe la relación
y = sen x
¿Cómo se puede trazar la tangente a esta curva en un determinado punto M0 cuya abscisa es a?Ya sabemos cómo se halla la tangente del ángulo do inclinación de esta recta:
![]()
... [10] Los conceptos de derivada y de ecuación diferencial hallan aplicaciones extraordinariamente amplias en matemáticas, física, astronomía y técnica. Del estudio de las propiedades y de la aplicación de estos conceptos se ocupan las llamadas «matemáticas superiores». Aunque es de lamentar, en el marco de esto pequeño libro hubiera sido muy difícil explicar las ideas que sirven de fundamento a la definición de la operación llamada integración [11], la cual es en cierto sentido la operación inversa de la derivación y junto con ella sirve de base a las matemáticas superiores.
Conviene llamar la atención del lector sobre el hecho de que los conceptos de las matemáticas superiores, y en particular el de derivada, a que hemos consagrado este libro, no están al margen de la vida, sino que son el reflejo matemático de los procesos que tienen lugar en la naturaleza (en particular, de la velocidad del movimiento mecánico). Estos conceptos se desarrollaron históricamente a partir de aquellos problemas que la vida planteó, en primer lugar, de las necesidades de la mecánica (problema de la determinación de la velocidad de un movimiento) y de la geometría (problema del trazado de la tangente).
F. Engels escribía: «Como las demás ciencias, las matemáticas surgieron de las necesidades del hombre». Este criterio también se refiere totalmente a las matemáticas superiores. El concepto de derivada, creado con motivo del estudio del movimiento de los cuerpos y de la variación de las magnitudes, refleja de por sí este movimiento, puesto que se refiere a una magnitud variable. « El punto de viraje en las matemáticas fue la magnitud variable cartesiana. Gracias a esto entraron en las matemáticas el movimiento y la dialéctica, y gracias a esto mismo se hizo inmediatamente necesario el cálculo diferencial e integral, cuyos rudimentos pronto fueron sentados y que en conjunto fue concluido, pero no descubierto, por Newton y Leibniz » (Engels).
Así, pues, los conceptos de las matemáticas superiores surgieron de las necesidades del hombre y, en primer lugar, con motivo del estudio del movimiento mecánico de los cuerpos. Pero en la naturaleza existe no sólo la forma mecánica del movimiento. Los investigadores descubren continuamente nuevas leyes de la física y ante los matemáticos se plantean los problemas de describir los fenómenos y las formas de movimiento recién descubiertas.
Las teorías físicas creadas últimamente (teoría de la relatividad, física cuántica, teoría del núcleo) exigen el desarrollo de un nuevo formalismo matemático. Algunas ciencias matemáticas han nacido durante los últimos decenios. Las matemáticas no son una ciencia al margen de la vida, sino una ciencia ligada a la vida que se desarrolla a la par que nuestros conocimientos del mundo físico.
Notas: