
Dudando, llega a la verdad.
Cicerón
«Sofisma» y «paradoja» son palabras griegas. «Sofisma» (sofisma) quiere decir razonamiento, que formalmente aparenta ser totalmente irreprochable, pero que contiene de hecho un error cuya deducción final resulta absurda. Uno de los sofismas más conocidos es el siguiente: «Lo que no perdiste, lo tienes; no perdiste los cuernos, por consiguiente, los tienes».
En la paradoja (paradoxoz) es todo lo contrario: la deducción, aparentemente errónea y contraria a la «sensatez», es de hecho justa. Por ejemplo, expresándonos con las palabras del proverbio popular «Increíble, pero es cierto» que al sumar las velocidades orientadas en un mismo sentido, la velocidad obtenida será menor que la suma aritmética de dichas velocidades (este resultado es una de las deducciones de la teoría especial de la relatividad).
No hay que considerar que la meditación sobre los sofismas y paradojas es una pérdida de tiempo. No es casual la afición que sentían por ellos científicos tan eminentes como G. Leibniz, L. Euler y A. Einstein. Las personas que visitaban la casa de Einstein velan en el armario de libros del dueño, que era bastante escrupuloso en la adquisición de libros, un estante repleto de entretenimientos y rompecabezas matemáticos. Esa afición temprana por los problemas tópicos posiblemente haya desarrollado en él la capacidad de razonamiento fuera de los cánones convencionales, sin la cual no es posible ningún descubrimiento. El análisis de muchas paradojas jugó un papel extraordinario en el desarrollo de la física contemporánea.
Esperamos que el conocimiento de los problemas expuestos en esta pequeña recopilación sea de provecho para los lectores y que les prevendrá de ciertos errores. Por ejemplo, se puede observar a menudo que al resolver un problema sobre el péndulo balístico y otros similares, no sólo los escolares, sino también los estudiantes de primer curso universitario, calculan la velocidad del sistema después del choque elástico, empleando solamente la ley de la conservación de la energía mecánica. Es casi seguro que después del análisis del sofisma tratado en el problema 25 («Violación» de la ley de conservación de la energía), no se repetirán errores análogos.
En la primera parte del libro se exponen los textos de los problemas, y en la segunda, sus resoluciones breves. Es provechoso conocer ambas parles, tanto para comprobar los resultados obtenidos, como para aquellos casos en que la resolución del problema de manera independiente resultó difícil.
Las ediciones anteriores de esta obra fueron acogidas por los lectores con interés y se agotaron enseguida. Este libro ha sido traducido en Bulgaria, Rumania, RDA (dos ediciones), Japón y en las lenguas de los pueblos de la URSS. Su indudable éxito estimuló al autor a trabajar en la preparación de nuevas paradojas y sofismas, cuyo resultado ha sido el presente libro. Durante su preparación se excluyeron algunos problemas, se cambiaron y completaron los textos y las soluciones de otros, se aumentó el número de problemas y unidades utilizadas, y sus designaciones corresponden al proyecto de las nuevas normas estatales de la URSS.
El autor, cumpliendo un grato deber, agradece sinceramente a todos los lectores que enviaron sus opiniones y observaciones acerca de la primera y segunda ediciones, y en particular a B. Yu. Kogan, censor de la tercera edición. Los consejos críticos que nos envíen en adelante serán acogidos asimismo con gratitud.
El autor
§1. Las aventuras sorprendentes de un pasajero en el metro
Uno de los vecinos de Moscú iba todas las mañanas al trabajo en metro. A pesar de que su día laboral comenzaba siempre a la misma hora, el tiempo de su llegada a la estación podía cambiar, indudablemente, en los distintos días. Para simplificar, consideremos que su hora de llegada era fortuita.
A primera vista parece verosímil la suposición de que el número de días en que arribe primero el tren que va en dirección del pasajero, después de su llegada a la estación, sea aproximadamente igual al número de días en que llega primero el tren que va en dirección contraria. ¡Cómo se asombró el pasajero al descubrir que los trenes que van en su dirección llegan a la estación con una frecuencia dos veces menor que los que van en dirección contraria!
Para aclarar las causas de este fenómeno incomprensible, el pasajero decidió ir al trabajo desde otra estación situada algo más lejos de su casa. Lo que pudo observar allí le asombró más todavía, ya que en esa estación ocurría todo lo contrario: ¡los trenes que iban en su dirección llegaban primero con una frecuencia tres veces mayor!
Ayuden al pasajero a aclarar las causas del extraño comportamiento de los trenes del metro.
§2. ¿Se moverá el aerotrineo?
Supongamos que sobre un transportador de cinta está colocado un modelo de aerotrineo que se pone en movimiento por una hélice aérea de tipo de empuje. ¿Cuál será la velocidad del modelo con relación a la Tierra, si el transportador y el trineo comienzan a moverse en direcciones contrarias simultáneamente, es decir, quedará el trineo en su lugar o se moverá hacia algún lado?
§3. ¿Cuál es velocidad de la lancha?
Una persona que está en la orilla tira hacia si una lancha por medio de una cuerda atada a la proa, que va recogiendo con cierta velocidad constante
![]()

Figuras 1 y 2.
Del dibujo se ve claramente que AB > AD. Por lo tanto
![]()
![]()
¿Cuál es la causa de la discrepancia entre la teoría y el experimento?
§4. Un resultado extraño de la suma de las velocidades
Unos trabajadores levantan una carga P con ayuda de cuerdas atadas a ella, que pasan por dos poleas fijas (Fig. 3).

Figura 3.
Calculemos la velocidad de la carga en el momento en que las cuerdas forman entre sí un ángulo 2α, si los trabajadores recogen los extremos A y B de las cuerdas con velocidades iguales según su módulo
![]()
![]()
![]()
§5. ¿A qué es igual la velocidad media?
Un motociclista se mueve del punto A al punto B con una velocidad de 60 km/h; el camino inverso lo recorre con una velocidad de 40 km/h. Determine la velocidad media del motociclista durante el tiempo completo del movimiento, excluyendo solamente el tiempo de la parada en el punto B .
§6. ¡Quien va despacio, llega lejos!
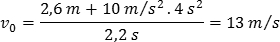
Supongamos que se necesita determinar la velocidad inicial de una piedra lanzada verticalmente hacia arriba y que 4 segundos después de lanzada se encuentra a la altura de 6 m.
Resolvamos la ecuación de traslación del movimiento uniformemente acelerado con respecto a la velocidad inicial.
![]()
![]()
Suponiendo que la piedra se hallará a la altura de 6 m no al cabo de 4 s, sino dentro de 2 s, obtenemos:
![]()
§7. «Contrario» a la ley de la inercia
La primera ley de la mecánica puede ser formulada del siguiente modo: todo cuerpo conserva el estado de reposo o de movimiento rectilíneo uniforme, mientras que la acción de otros cuerpos no lo obliguen a cambiar este estado
¿Por qué entonces observamos frecuentemente cómo los pasajeros que van de pie en un vagón del tren que se acerca a la estación, se inclinan, en el momento en que se detiene, no hacia adelante, como exige la ley de la inercia, sino en sentido contrario?
§8. El peso de la locomotora es igual al de los vagones
Si no existiera rozamiento entre las ruedas delanteras de una locomotora y los rieles, dicha locomotora no sería capaz de mover el tren de su lugar. De acuerdo con la tercera ley de Newton, la fuerza de tracción durante el movimiento uniforme es exactamente igual a la fuerza de rozamiento entre las ruedas delanteras y los rieles:
![]()
También a base de la tercera ley de Newton, la fuerza de tracción deberá ser igual a la fuerza contra la cual la locomotora realiza trabajo, o sea, en el movimiento uniforme es igual a la fuerza de rozamiento de las ruedas de los vagones con los rieles:
![]()
![]()
![]()
§9. ¿Por qué los extremos de los ejes que descansan en los cojinetes de apoyo se tornean «en cono»?
Como se sabe, la fuerza de rozamiento se determina solamente por el coeficiente de rozamiento (que depende del tipo de superficies que se hallan en contacto) y por la fuerza de presión normal, pero prácticamente no depende del área de las superficies rozantes. ¿Por qué entonces, en este caso, los extremos de los ejes que descansan en los cojinetes de apoyo se tornean «en cono», y los extremos de los ejes asegurados en los cojinetes de deslizamiento se hacen lo más finos posible (fig. 4)?

Figura 4
§10. Desgaste de las paredes del cilindro de un motor de combustión interna
El examen minucioso de un motor de combustión interna que estuvo en funcionamiento durante un tiempo considerable, muestra que el mayor desgaste de las paredes de los cilindros está concentrado en los lugares A y B, donde ocurre la parada y el cambio de dirección de movimiento del émbolo (fig. 5).

Figura 5
§11. El rozamiento de rodadura debe ser igual a cero
Comencemos el problema desde un poco lejos. Supongamos que sobre una plataforma horizontal descansa un taco rectangular de altura b y ancho a (el espesor no es importante). Apliquémosle, a la altura h, una fuerza F dirigida horizontalmente. Al mismo tiempo surgirá una fuerza de rozamiento
![]()

Figura 6
Si existiera sólo un par de fuerzas
El momento del par de fuerzas
Cuanto mayor sea el módulo de la fuerza mayor será el momento de volteo y tanto más hacia la derecha se desplazará la fuerza
1. La fuerza
![]()
2. Antes de que
A propósito, de aquí deriva un método sencillo para determinar el coeficiente de rozamiento entre el taco y la superficie sobre la cual descansa.
Apliquemos una fuerza
Escribamos las «condiciones de frontera» con las cuales se observa el paso de un caso a otro, es decir, la igualdad de las fuerzas y de los momentos (estos últimos serio determinados con relación al eje que pasa por el centro de gravedad del taco y que es perpendicular al plano del dibujo, considerando positivos los momentos que hacen girar el taco en sentido de las agujas del reloj, y negativos, los que tienden a virarlo en sentido contrario):
![]()
![]()
![]()
![]()
![]()
![]()
Formulemos ahora el sofisma. Supongamos que en la plataforma horizontal está colocado no un taco, sino una esfera. Esta tiene un solo punto de contacto con dicha plataforma. Por ello, la fuerza de reacción del apoyo y la fuerza de gravedad del cuerpo siempre deben pasar a través de ese punto. Por consiguiente el momento del par de fuerzas R y P (o la suma de los momentos de estas fuerzas con relación al punto de contacto) es igual a cero. Por lo tanto, cualquier fuerza, incluso muy pequeña, aplicada a la esfera, deberá hacerla girar. Con otras palabras, ¡el coeficiente de rozamiento de rodadora siempre debe ser igual a cero! En realidad, este, aunque es mucho menor que el coeficiente de rozamiento de deslizamiento, nunca es igual a cero.
¿Dónde está el error de nuestros razonamientos?
§12. ¿Con qué fuerza presionan ias patas de la mesa?
En la figura 7 está representada una mesa situada sobre un plano inclinado. Sustituyamos la fuerza de gravedad

Figura 7
No obstante, se puede proceder como se muestra en la figura 7b; primero descomponer la fuerza de gravedad
Así pues, la presión de las patas de la mesa resultó dependiente no sólo de la fuerza de gravedad de la mesa, sino también del método de descomposición de las fuerzas, lo cual contradice tanto el sentido común como la experiencia de la vida. Por lo tanto, en uno de nuestros razonamientos hay un error.
¿En cuál precisamente?
§13. La palanca enigmática
Supongamos que la palanca representada en la figura 8 está equilibrada por las fuerzas
Prolonguemos b dirección de la fuerza
¿Es correcta esta conclusión?
§14. El carrete caprichoso
De las personas dedicadas a la costura se puede escuchar un relato interesante acerca del comportamiento raro del carrete del hilo que se metió rodando debajo del diván, la mesa o el armario Si intentamos sacarlo tirando del hilo, manteniendo este último horizontalmente, el carrete sale con facilidad de su «refugio». Pero pruebe tirar del hilo inclinado y usted será testigo de un fenómeno curioso: en vez de seguir detrás del hilo, el carrete se esconde aún más lejos ¿Cómo explicar la singularidad del carrete?

Figura 8
§15. ¿Tenía razón Aristóteles?
Al célebre científico griego Aristóteles, que vivió en el siglo IV antes de nuestra era (384 - 322) no en vano le llaman «el padre de la ciencia». Su contribución al desarrollo de las ciencias sobre la naturaleza, incluida la física, es enorme. Sin embargo, no siempre los puntos de vista y deducciones de Aristóteles coincidieron con los reconocidos actualmente. Examinemos como ejemplo uno de los razonamientos que a él le pertenecen.
Una piedra cae con determinada velocidad bajo la acción de su propia fuerza de gravedad. Si se coloca sobre ella otra piedra igual, la que se encuentra arriba empujará a la de abajo, como resultado, la velocidad de la de abajo aumentará.
Sin embargo, ahora se ha establecido con seguridad, que todos los cuerpos caen con la misma aceleración, independientemente de sus masas, es decir, en iguales intervalos de tiempo su velocidad aumenta en una misma magnitud.
¿En qué consiste el error cometido por Aristóteles?
§16. ¿Se moverá el taco de su lugar?
Examinemos dos tacos de masas M1 y M2, situados sobre una superficie horizontal idealmente lisa (fig. 9).

Figura 9
![]()
![]()
§17. ¿Cuál es la fuerza aplicada al cuerpo?
A un cuerpo de 2 kg de masa está aplicada una fuerza bajo cuya acción su velocidad aumentó de 10 a 20 m/s en 5 s, y este cambio ocurrió en un trayecto de 30 m. ¿A qué es igual la magnitud de la fuerza? Considere que el rozamiento es despreciablemente pequeño y que las direcciones de la fuerza y la traslación coinciden.
A primera vista es un problema corriente que, como ocurre a menudo, admite distintas variantes de solución. Se puede resolver, por ejemplo, «a base de consideraciones dinámicas» (dicho de otro modo, partiendo de la segunda ley de Newton):
![]()
![]()
Igualando el trabajo de la fuerza que se busca, al incremento de la energía cinética del cuerpo, tenemos:
![]()
![]()
![]()
§18. Dos cabritos
La segunda ley de Newton estipula que fuerzas iguales comunican iguales aceleraciones a cuerpos de iguales masas. ¿Por qué entonces el carrito representado en la figura 10, a se acelera menos que el mostrado en la figura 10, b, a pesar de que sus masas son iguales?

Figuras 10 y 11
§19. ¿Cuál es la aceleración del centro de gravedad?
Tres bolas iguales, M1, M2 y M3 están suspendidas en resortes imponderables. I y II, una sobre otra, de tal modo que las distancias AB y BC entre ellas son iguales (fig. 11) y el centro de gravedad del sistema coincide con el centro de la bola M2. Si se corta el hilo que sostiene la bola M1, todo el sistema comenzará a caer bajo la acción de la fuerza de gravedad.
Como es sabido, la aceleración del centro de gravedad (este punto se llama también centro de masas y centro de inercia) del sistema se puede hallar dividiendo la suma de las fuerzas exteriores, aplicadas al sistema, entre su masa:
![]()
En efecto, el resorte I tira de la bola M2 hacia arriba con más fuerza que el resorte II hacia abajo, ya que sus tensiones, tanto antes de cortar el hilo como en seguida después de ello, son iguales respectivamente a:
![]()
![]()
¿Cómo explicar la contradicción obtenida?
§20. Un ciclista impetuoso
Un ciclista puede desarrollar, sin mucho esfuerzo, una fuerza de tracción de 100 N. Considerando que la fuerza de rozamiento es constante e igual a 50 N. y que la masa del ciclista más la masa de la bicicleta es igual a 100 kg, hallamos la aceleración:
![]()
![]()
§21. Igual que Münchhausen
Nosotros nos reímos a carcajadas al leer cómo el jactancioso barón Münchhausen se sacó junto con su caballo de un pantano tirándose por los pelos. Pero ¿acaso no obra más o menos así un ciclista que quiere subir a la acera? Pues en el momento en que la rueda delantera de la bicicleta se acerca al borde de la acera, él tira del timón hacia sí. De este modo la parte delantera de la bicicleta se levanta y el ciclista sube suavemente de la vía de tránsito a la acera.
¿Por qué entonces lo que no pudo conseguir Münchhausen lo realiza el ciclista?
§22. Enigma de las fuerzas de atracción universal
La ley de la atracción universal se escribe de la siguiente forma:
![]()
¿Por qué entonces podemos sin mucho trabajo levantar un cuerpo de la superficie de otro (una piedra del suelo, por ejemplo), levantarnos de una silla, etc.?
§23. ¿Cuáles mareas deberán ser más fuertes?
Como es sabido, los flujos y reflujos en los mares y océanos deben su origen a la atracción de las aguas por el Sol y la Luna. El Sol está a una distancia de la Tierra 390 veces mayor que la Luna, y su masa es 27 x 106 veces mayor que la de la Luna, de modo que todos los objetos terrestres son atraídos hacia el Sol 27 x 106 /3902 = 180 veces más fuertemente que hacia la Luna.
Podría pensarse que las mareas solares deberían ser por ello mucho más fuertes que las lunares. No obstante, en realidad las mareas originadas por la Luna son algo más notables.
¿Cómo explicar esta paradoja?
§24. ¿Cómo depende el trabajo de la fuerza y el trayecto?
El hecho de que las magnitudes A y B están relacionadas por una dependencia de proporcionalidad directa, se escribe de la siguiente manera:
![]()
La magnitud del trabajo A, producida por la fuerza F en el trayecto s, es proporcional tanto a la fuerza como al trayecto. Por consiguiente, deben cumplirse las dos siguientes igualdades.
![]()
![]()
![]()
![]()
![]()
Pero ¡esto aún no es todo! En efecto, se puede proceder de otra manera. Dividamos la igualdad (2) entre la (1) término a término:
![]()
![]()
¿Cómo explicar todos estos disparates?
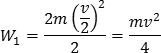
§25. «Violación» de la ley de conservación de la energía
Examinemos el siguiente razonamiento que parece contradictorio a la ley de conservación de la energía.
Supongamos que en un carro inmóvil de masa m cae y queda incrustado en él un proyectil de igual masa, el cual, antes de caer, se movía horizontalmente a lo largo del carro, con una velocidad v. Del golpe, el carro con el proyectil incrustado en él comenzará a moverse con una velocidad inicial que se puede hallar a partir de la ley de conservación de la cantidad de movimiento:
![]()

![]()
¿No podría decir Ud. a dónde?
§26. Desaparición misteriosa de la energía
Al levantar un cubo de carbón a un cuarto piso, aumentamos la energía potencial de este combustible en 800 J aproximadamente (la fuerza de gravedad del carbón es igual a cerca de 80 N, y la altura a la cual ha sido levantado constituye alrededor de 10 m. ¿A dónde irá a parar esta energía potencial complementaria después de que arda el carbón en la estufa?
§27. La paradoja de los motores de reacción
Los actuales motores de reacción de combustible líquido, que accionan los cohetes, desarrollan una fuerza de tracción de alrededor de 2000 N si cada segundo se quema 1 kg de mezcla de combustible y comburente. Con la velocidad mínima necesaria para lanzar un satélite artificial de la Tierra (aproximadamente 8 km/s. que constituye la primera velocidad cósmica), por cada kilogramo de mezcla quemada se desarrolla, por lo tanto, una potencia:
N = Fv = 2000N x 8000 m/s = 16 x 106 J7s = 16000 kW = 16 MW
Entre tanto, el calor de la combustión de la mezcla de keroseno y ácido nítrico, que a menudo se emplea en calidad de combustible, constituye aproximadamente 6300 kJ/kg (cerca de 1500 kcal/kg), o sea, durante la combustión de un kilogramo de mezcla por segundo deberá desarrollarse una potencia de «sólo» 6300 kW, es decir, 2,5 veces menor que la obtenida por nosotros más arriba.¿Cómo explicar que para la primera velocidad cósmica el combustible proporciona ¿5 veces más energía de la «necesaria»?
§28. ¿Dónde está la fuente de energía?
Para levantar un cuerpo cualquiera sobre la superficie terrestre es necesario realizar un trabajo capaz de incrementar su energía potencial. Este trabajo se realiza en diversos casos a expensas de fuentes diferentes El motor del ascensor, por ejemplo, toda la energía de la red eléctrica; el avión se eleva a costa de la energía que se desprende durante la oxidación (combustión) del combustible en su motor, etc.
Pero ¿a costa de qué energía se elevan los globos estratosféricos y los globos-sonda meteorológicos que no tienen motores?
§29. El aro y el montículo
Después que un aro caiga rodando de un montículo de altura H, su energía potencial disminuirá en una magnitud mgH. Si durante la caída, el rozamiento es despreciablemente pequeño, la energía cinética aumentará en esa misma magnitud:
![]()
![]()
![]()
§30. La paradoja de la mampostería
Para construir la cornisa de un edificio, el albañil coloca los ladrillos de modo que una parte de cada ladrillo siguiente sobresalga del que está debajo. Es curioso saber en cuánto puede ser desplazado el ladrillo más alto con relación al ladrillo más bajo, sin emplear cemento, cal o cualquier otro aglomerante
A primera vista parece que ese desplazamiento no es muy grande (algo así como la mitad del largo de un ladrillo, aproximadamente). Sin embargo, en realidad, el ladrillo más alto, empleando una cantidad bastante grande de ladrillos, puede sobresalir del más bajo ¡tanto como se quiera!
Prueben comprobarlo.
§31. ¿Cómo es correcto?
Para calcular la aceleración centrípeta pueden usarse las siguientes expresiones:
![]()
¡¿Pero lo correcto debe ser uno de los dos?!
§37. ¿Sería posible construir tal motor?
Supongamos que por un tubo curvo (fig. 12) circula agua. Como su movimiento transcurre por el arco de la circunferencia, existe una fuerza centrípeta que actúa del lado de la pared del tubo hacia el agua. A su vez, con arreglo a la tercera ley de Newton, ha de existir una fuerza dirigida en sentido contrario y de igual magnitud, llamada a veces fuera centrífuga, aplicada del lado del agua hacia la pared del tubo. En la figura, dicha fuerza está representada por la letra

Figura 12
Cuanto más brusco sea el viraje que deba realizar un automóvil, motocicleta o bicicleta, mayor fuerza centrípeta se necesitará y con más frecuencia, desgraciadamente, se volcarán los vehículos. Se puede decir con certeza, que cuanto mayor sea la fuerza centrípeta en el viraje, mayor será la probabilidad de un accidente.
Pero ¿no le parece extraño que el vuelco ocurre siempre en dirección contraria a la fuerza centrípeta?, ¿qué virando bruscamente a la izquierda el automóvil por lo general se vuelca hacia lo derecha y viceversa?
¿Cómo explicar esta contradicción?
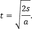
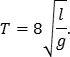
§34. Una deducción sencilla de la fórmula del péndulo
En el manual escolar de física, la fórmula del período de oscilación del péndulo matemático se da sin demostración. Sin embargo, se puede proponer una deducción sencilla de la dependencia entre el periodo de las oscilaciones del péndulo, su longitud y la aceleración de la fuerza de gravedad, que no exige una gran preparación matemática. Esta deducción la ofrecemos a la atención del lector.
Con pequeños ángulos de inclinación (y sólo en estas condiciones es justa la fórmula del péndulo, expuesta en los manuales), el arco AB (fig. 13) puede ser sustituido por la cuerda AB. A partir del triángulo isósceles AOB se puede escritor el valor de la cuerda AB:
![]()

Figuras 13 y 14
![]()
![]()


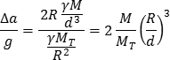
§35. El péndulo cónico
En el eje de una máquina centrifuga está fijo un disco circular con un arco de alambre en cuyo centro se halla colgada, de un hilo de longitud l, una pequeña bola de masa m. Sobre el disco en reposo, el hilo permanece perpendicularmente, siguiendo la dirección del eje de la máquina. Durante la rotación de esta última, el hilo con la bola comienza a describir un cono en el espacio (de aquí la denominación «péndulo cónico»), desviándose de la vertical a cierto ángulo α, como se muestra en la fig. 14. Hallemos el ángulo cuando la velocidad angular de rotación de la máquina constituye ω.
Sobre la bola actúan, por lo visto, sólo dos fuerzas: la fuerza
![]()
![]()
![]()
![]()
![]()
![]()
![]()
![]()
¿Qué pasa? ¿Por qué la física «entró en conflicto» con la matemática?
§36. ¿Son posibles las ondas transversales en los líquidos?
En un manual escolar estaba escrito que «las ondas longitudinales pueden propagarse tanto en los cuerpos sólidos como en los líquidos y gaseosos, ya que en todos estos cuerpos, al variar de volumen, surgen fuerzas de elasticidad. En los gases y líquidos, al variar de forma no surgen fuerzas de elasticidad, por eso en ellos no pueden propagarse las ondas transversales elásticas".
Entre tanto, en ese mismo manual, un poco antes, se afirmaba que «si se lanza una piedra a un estanque, se puede ver cómo en el agua se propagan ondas transversales circulares que parlen del lugar donde cayó la piedra» (cursiva del autor).
De este modo, el autor del manual entra en contradicción con sí mismo, pues al principio da un ejemplo de ondas transversales en los líquidos, y más tarde niega la posibilidad de su existencia.
¿Cuál, pues, de esas dos afirmaciones es correcta?
§37. ¿Se observa en este experimento la interferencia del sonido?
En un manual se describe el siguiente experimento. Si acercamos al oído un diapasón sonoro que giramos lentamente en torno a su eje longitudinal, se oirán claramente intensificaciones y atenuaciones periódicas del sonido. En el manual se afirmaba que el efecto observado puede explicarse por la interferencia de las ondas procedentes de las distintas ramas del diapasón. Examinemos si esto es así.
Para que surjan atenuaciones del sonido como resultado de la interferencia de las ondas sonoras que llegan de las diversas ramas del diapasón. Las oscilaciones deberán acercarse teniendo una diferencia de marcha igual a media onda. Con una frecuencia del diapasón de 440 Hz, por ejemplo, y una velocidad del sonido de 340 m/s, tal diferencia de marcha puede surgir a la distancia de 0,4 m aproximadamente. Entre tanto, una rama está alejada de la otra a la distancia de 2-3 cm solamente.
¿De aquí se puede sacar la conclusión de que el fenómeno observado no tiene nada de común con la interferencia?
§38. ¿Por qué se intensifica el sonido?
El sonido emitido por un diapasón es tan débil que, por lo general se oye solamente a una pequeña distancia. No obstante, si el diapasón se fija en un resonador, caja rectangular de madera, su sonido se oye bien en una sala relativamente grande.
¿De dónde aparece, en el segundo caso, la energía «sobrante»? ¿No habremos tropezado aquí con la violación de la ley de conservación de la energía?
§39. ¿Se moverá la vagoneta?
Supongamos que la vagoneta cuya forma se muestra en la figura 15. está llena de agua o de algún otro líquido, preferiblemente denso, por ejemplo, de mercurio. La presión media sobre las paredes derecha e izquierda de la vagoneta es igual, ya que la misma depende solamente de la altura de la columna de líquido y de su densidad. Peto la superficie de la pared derecha es mayor y por eso también es mayor la fuerza de presión que actúa sobre ella. Por eso parece que la vagoneta ha de ponerse en movimiento en dirección de izquierda a derecha.
¿No significa esto la obtención de un motor gratuito?

Figura 15
§40. ¿Por qué no hay confort en los submarinos?
Los que han leído la novela de Julio Vente «Veinte mil leguas de viaje submarino» probablemente recordarán con qué entusiasmo describía los espaciosos y confortables apartamentos del submarino «Nautilus» el profesor Aronaks, quien casualmente se encontró en ese navío.
Un gran comedor, una biblioteca no menos grande, un salón de descanso, unos camarotes cómodos, amplios pasillos, una sala de máquinas colosal.
¡Cómo difiere esto de los actuales submarinos en los que dos tercios c incluso tres cuartos del volumen interior está ocupado por mecanismos! No todos los miembros de la tripulación, ni mucho menos, tienen cama permanente, por lo general esta se comparte con los compañeros de relevo. La estrechez en el submarino, sin exagerar, entorpece todos los movimientos. Por eso, en parte, se elige a la gente más vigorosa para el servicio en ellos.
¿Por qué, pues, no se construyen submarinos más amplios? Por lo visto el problema no reside en el ahorro del espacio ni en la severidad espartana de las naves de guerra, ya que los barcos militares de superficie (acorazados y cruceros) poseen amplias cámaras de oficiales y, en todo caso, cada miembro de la tripulación tiene su lugar permanente para dormir y descansar.
¿Qué es, pues, lo que impide hacer locales más espaciosos en el submarino?
§41. ¿Deberá el agua ejercer presión sobre el fondo del recipiente?
Pocas personas saben que hasta el fin de tu vida Galileo Galilei (1664 - 1642) dudaba de la existencia de la presión atmosférica. El honor del descubrimiento de esta última le pertenece a Evangelista Torricelli (1608 - 1647), excelente alumno del genial físico.
Para confirmar su opinión, Galilei exponía el siguiente razonamiento. Sobre cierto volumen de agua (o de cualquier otro líquido) dividido mentalmente en su interior, actúan dos fuerzas dirigidas en sentidos contrarios: la fuerza de atracción de la Tierra y la fuerza de empuje. De acuerdo con la ley de Arquímedes, estas fuerzas son iguales en cuanto a su magnitud. Por eso el volumen considerado se mantiene en equilibrio, es decir, ni emerge ni se hunde. Se puede decir que el agua no pesa nada dentro del agua. Pero ¡¿cómo puede ejercer presión sobre las capas subyacentes algo que no tiene peso?!
Lo mismo el aire en el aire, decía Galilei, «no teniendo peso»[1] no puede presionar sobre las capas dispuestas más abajo y, al fin y al cabo, sobre la superficie terrestre.
¿Dónde está el error de los razonamientos de Galilei?
§41. La paradoja hidrostática
En la figura 16 están representados dos recipientes que tienen forma de cono truncado rectangular. La mata de cada uno es 400 g, la altura es h = 30 cm, y las áreas de las bases son s1 = 200 cm2 y s2 = 50 cm2. En el primer recipiente, el fondo es la base mayor, y en el segundo, la menor.
Llenemos ambos recipientes de agua hasta el borde superior. Puesto que los niveles del líquido permanecen a la misma altura en ambos recipientes, se sobreentiende que las presiones p sobre el fondo serán idénticas e iguales a
P = Dgh =103kg/m3 x 9,8 m/s2 x 0,3 m =2940 N/m2 =2,94 kPa
Calculemos ahora los módulos de las fuerzas![]()

Figura 16
![]()
![]()
![]()
![]()
De este modo, si colocamos los recipientes en una balanza. ¡¿el primero pesará más que el segundo a pesar de que ambos son iguales en todo (excepto en que están invertidos el uno con respecto al otro)?!
Si recordamos que el volumen de un cono truncado es
![]()
![]()
![]()
![]()
Resulta un verdadero absurdo - ¡como si el peso del objeto (en este caso el recipiente con agua) cambiara al invertirlo a 180° alrededor del eje horizontal!
La contradicción obtenida por nosotros, no en vano recibió en la historia de la física el nombre de paradoja hidrostática. Aunque varios autores atribuyen su descubrimiento al célebre físico, matemático y filósofo francés B. Pascal (1623 - 1662), en realidad, la paradoja hidrostática fue descubierta y explicada correctamente por el científico holandés S. Stevin (1548 - 1620), conocido por sus trabajos en el campo de la matemática, la mecánica y la técnica. Por lo visto, la equivocación surgió porque Pascal, quien no conocía el trabajo de Stevin, construyó y describió un aparato para demostrar la paradoja hidrostática.
Pruebe también Ud. descifrar el origen de la paradoja hidrostática.
§43. El error de un físico
«Al hombre le es propio equivocarse», reza un proverbio latino. Y realmente, incluso los hombres eminentes se equivocan, como lo testimonian los ejemplos dados en los problemas §15 y §41. Y he aquí otro más.
A principios de nuestro siglo los dirigibles y aeróstatos se llenaban de hidrógeno. Durante las batallas de la primera guerra mundial ellos se convertían en blancos fáciles pata el fuego, ya que las balas o proyectiles pequeños que los alcanzaban, casi con toda certeza conducían a la explosión del hidrógeno y a la destrucción del globo con su tripulación. Las pérdidas fueron tan grandes que las partes contendientes se vieron forzadas a desistir rápidamente del empleo de los globos aéreos con fines bélicos.
Pero una vez apareció sobre Londres un dirigible excepcional: recibió muchísimos impactos, no obstante, no surgió ninguna catástrofe debido a ello. Resultó que desde el año 1918 los alemanes empezaron a usar helio para llenar los dirigibles.
Cuando se supo esto, un físico dijo: «El helio es dos veces más pesado que el hidrógeno, por lo tamo, la fuerza de sustentación de los globos deberá disminuir el doble». Pero en realidad, dicha fuerza no cambió prácticamente.
¿Cómo explicar esto?
§44. El enigma de las ventanas del desván
He aquí lo que comunicó a la redacción de la revista «El saber es fuerza» uno de sus lectores: «Donde nosotros vivimos, durante el otoño y el invierno soplan vientos tan fuertes que las tejas se desprenden de los tejados.
Nosotros pensábamos en cómo salvar el tejado, y un anciano nos dijo: «Hay que hacer ventanas en los desvanes de los frontones de las casas». A nosotros nos asombró esa respuesta, pero quisimos comprobarla. Y qué es lo que pasa ahora: donde hay ventanas el tejado está intacto, y donde no las hay las tejas vuelan del tejado. ¿Por qué ocurre esto?»
Trate también Ud. de explicar el «secreto» de las ventanas del desván.
§45. ¿Por qué las velocidades son distintas?
Nosotros no nos asombramos si las velocidades de los barcos que navegan por un río en una misma dirección son diferentes. Esto se puede explicar por las diferencias entre sus construcciones y potencias de los motores.
Pero, ¿por qué navegan por el río con distintas velocidades balsas que no poseen motores propios? Se observa incluso, que cuanto más cargada está la balsa, mayor es su velocidad.
¿Con qué está relacionado esto?
Capítulo 2
Calor y física molecular
Todos los cuerpos se comprimen bajo la acción de la presión: los gases más fuertemente, los líquidos mucho menos, y los sólidos son los que más se oponen a los intentos de disminuir su volumen.
¿No se deduce de esto que los barcos que se hunden en lugares profundos jamás alcanzarán el fondo, debido a que a grandes profundidades el agua se halla comprimida con tanta fuerza que su densidad es mayor que la del metal del que está hecho el barco?
El profesor Aronaks, al que ya hemos mencionado en el problema §40, afirmaba que durante su cautiverio involuntario en el submarino «Nautilus», pudo observar unos barcos fantasmas que permanecían entre la superficie y el fondo del océano.
¿Diría la verdad el profesor?
§47. ¿Cuál es la temperatura a gran altura?
Ya los primeros aeronautas que se elevaron a alturas relativamente pequeñas sobre la superficie terrestre notaron la disminución de la temperatura del aire. A la altura de varios kilómetros, donde pasan las rutas de los aviones reactivos contemporáneos de pasajeros. Impera un frío tan grande que los pasajeros sencillamente se congelarían si las cabinas del avión no tuvieran calefacción.
Sin embargo, con el posterior ascenso se observa la llamada inversión, o sea, que la temperatura comienza a aumentar ¡Y a la altura de varios cientos de kilómetros las moléculas del aire poseen velocidades que corresponden a temperaturas ¡de varios miles de grados!
¿Por qué, entonces, en este caso, no se funden y no se queman los satélites artificiales de la Tierra que vuelan precisamente a estas alturas durante largo tiempo?
§48. A pesar de las leyes térmicas
Tenemos tres vasos Dewar A, B y C iguales. Hemos vertido un litro de agua en cada uno de los dos primeros, a temperaturas de 80°C y 20°C, respectivamente. Tenemos además un vaso D vacío, cuyas paredes son absolutamente conductoras del calor. Las dimensiones del vaso D permiten colocarlo dentro de los vasos Dewar.
¿Se podrá, operando con los cuatro vasos, calentar el agua fría con ayuda de la caliente, de modo que la temperatura final sea mayor que la temperatura de esta última? Además, no se permite mezclar el agua en los vasos A y B.
Comúnmente, se considera que el problema no se puede resolver debido a que el paso del calor «por sí mismo» ocurre sólo de los cuerpos más calientes a los de menor temperatura, y termina en el momento en que las temperaturas de ambos cuerpos se igualan. Sin embargo, a pesar de todo. El problema tiene solución
Traten de hallarla.
§49. ¿Por qué no ayudó el aislamiento térmico?
Un tubo de cobre, cuyo diámetro exterior es de 1 cm, sirve de conductor de vapor. Para disminuir las pérdidas térmicas, dicho tubo se cubrió con una capa de un material aislante térmico de 5 mm de espesor. Pero después de esto no sólo no disminuyeron las pérdidas, sino que, incluso, al contrario, se incrementaron.
¿Por qué ocurrió esto?
§50. ¿Qué escala es más ventajosa?
Hasta hoy día en algunos países se emplea para medir la temperatura, la escala propuesta en el año 1730 por el físico francés R. A. Réaumur (1683 - 1757). Al igual que en la escala de Celsio, en esta escala el punto de fusión del hielo te toma igual a 0°, pero se considera que a una presión normal el agua hierve a los 80°R[2].
Calculemos la cantidad de calor que se necesita para calentar 100 g de agua (tomada a la temperatura de fusión del hielo) hasta la ebullición.
Los cálculos realizados según el sistema internacional de unidades dan, con arreglo a la escala de Celsio.
![]()
![]()
¿Será esto así?
§51. ¿A costa de qué se realiza el trabajo?
A base de la ley de conservación de la energía, para que un sistema realice trabajo hay que suministrarle la correspondiente cantidad de energía. Así, para que el gas ubicado debajo del émbolo de un cilindro, al expandirse, levante el émbolo, es necesario calentar el agua.
Pero a veces esos mismos resultados se pueden obtener actuando de la forma contraria. Echemos agua dentro de una bola de hierro fundido basta llenarla y tapémosla herméticamente. Si enfriamos ahora la bola hasta menos de 0°C, quitándole calor, el agua en estado de congelación romperá el metal, o sea, realizará trabajo.
¿Dónde está, pues, la fuente de energía que destruye la bola?
§52. ¿Posee energía potencial el gas comprimido?
En muchos trolebuses, autobuses y tranvías, las puertas se abren y se cierran por medio de aire comprimido. Con su ayuda también trabajan a menudo los frenos.
Como es sabido, todo trabajo se realiza a expensas de alguna fuente de energía (en esencia, la cantidad de energía transmitida de un cuerpo a otro la calculamos por la fórmula A = Fs), y a veces solemos oír la afirmación de que «el aire comprimido realiza trabajo a costa de la energía potencial que él posee». Sin embargo, esa afirmación es absolutamente errónea.
En efecto, el aire poco comprimido que se halla a temperatura próxima a la del ambiente, es semejante, por sus propiedades, a un gas ideal cuya energía interna no depende del volumen, ya que no existen fuerzas de interacción de las moléculas de dicho gas. Por eso la energía interna del aire prácticamente no cambia durante su compresión o dilatación.
¿A expensas de qué fuente de energía trabajan, pues, los frenos o se abren y se cierran las puertas?
§53. Otra vez la desaparición de la energía
Doblando una barra de acero le comunicamos cierta reserva de energía. Coloquemos la barra doblada en un vaso, de tal modo que las paredes de éste no permitan a la barra enderezarse, y llenemos el vaso de ácido sulfúrico fuerte. El acero se disolverá poco a poco en el ácido, y junto con la barra desaparecerá totalmente la energía acumulada en ella.
Pero ¿acaso es posible la desaparición de la energía?
§54. ¿A dónde desaparece la energía del combustible quemado en el cohete?
Imaginemos un cohete dispuesto verticalmente. La fuerza de tracción desarrollada por sus motores puede variar dentro de límites muy amplios. Regulando el suministro de combustible se puede, en particular, crear una tracción exactamente igual a la fuerza de gravedad del cohete. En este caso, este último, a semejanza de la «tumba de Mahoma» que, a juicio de los musulmanes, pende sobre la superficie de la Tierra sin apoyarse en nada, sin caer, y sin ascender.
Se crea una situación paradójica aparente: en los motores se quema el combustible, se desarrolla una gran tracción y, sin embargo, el trabajo producido, de acuerdo con la fórmula
A = Fs
es igual a cero, debido a que no hay traslación bajo la acción de la fuerza.¿A dónde, pues, desaparece en este caso la energía del combustible quemado?
§55. ¿Se puede elevar la temperatura de un cuerpo sin comunicarle calor?
A primera vista la pregunta planteada en el título parece absolutamente absurda, algo así como si se preguntara; «¿Se puede calentar un cuerpo sin calentarlo?». No obstante, a pesar de la absurdidad aparente hay que contestar de modo afirmativo a esta pregunta.
¡Traten de dar ejemplos de elevación de la temperatura de un cuerpo que no participe en el intercambio calorífico con los cuerpos circundantes!
§56. ¿De qué hacer los soldadores?
Consultando un prontuario de magnitudes físicas podemos convencernos de que la capacidad térmica del hierro es aproximadamente un 20% mayor que la del cobre. Por lo tanto, con masas y a temperaturas de calentamiento iguales, la reserva de energía interna de un soldador de hierro es varias veces mayor que la de uno de cobre.
¿Por qué, pues, para la producción de soldadores se emplea mucho más el cobre costoso que el hierro barato?
§57. Longitud negativa
Las dimensiones lineales de los cuerpos cambian con la temperatura, de la siguiente forma
![]()
![]()
![]()
§58. ¿Siempre es correcta la ley de conservación de la energía?
En la figura 17 están representados dos tubos que se diferencian en que sus partes anchas se hallan a alturas diferentes. Si se extrae el aire de los tubos, al sumergir sus extremos abiertos en un plato con mercurio y abrir las llaves, la presión atmosférica obligará al mercurio a penetrar en los tubos. Al mismo tiempo se realizará un trabajo que, como se sabe del curso de tísica, es igual a
A = pV
donde p es la magnitud de la presión atmosférico, y V, el volumen de los tubos ocupado por el mercurio. Si los volúmenes interiores de los tubos, juntamente con las cavidades, son iguales, también han de ser iguales los trabajos necesarios para elevar el mercurio en los tubos.
Figura 17
¿Dónde, pues, está el error en el razonamiento expuesto?
§59. El enigma de los fenómenos capilares
Sumergiendo en agua un tubo de vidrio bastante fino (capilar) se puede observar cómo por él sube una columna de agua. La altura de elevación es inversamente proporcional al diámetro del tubo, y en los tubos capilares finos puede medirse en metros. Durante la elevación del agua no ocurren cambios visibles ni en el tubo ni en el agua.
¿A costa de qué fuente de energía son posibles los fenómenos capilares?
§60. Los fósforos inteligentes
En un plato limpio eche agua pura (si no es destilada, para este fin puede utilizarse agua hervida) y arroje a su superficie varios fósforos.
Si ahora tocamos el agua (en el espacio entre los fósforos) con un trozo de azúcar, los fósforos se aproximan a este como si desearan saborear su dulzura. Pero at tocar el agua con un pedazo de jabón, los fósforos se alejen de él rápidamente en todas las direcciones.
¿Cómo explicar el comportamiento tan «razonable» de objetos inanimados?
§61. ¿Cómo se produce el estirado?
En la figura 18 está representado esquemáticamente el proceso de estirado a consecuencia del cual se obtiene de un alambre grueso otro más fino. Como se ve en la figura, después de pasar el alambre por el orificio de la hilera, su sección disminuye. Surge una pregunta natural: ¿por qué, a pesar de que hay que transmitirle grandes esfuerzos necesarios para la ejecución del proceso de estirado, la parte fina del alambre no se rompe una vez que ha pasado por el orificio, mientras que la parte gruesa se deforma?

Figura 18
¿Qué pasará si rociamos con agua caliente un pedazo de hielo? Parece evidente que éste se derretirá total o parcialmente. Por otra parte, si hay poca agua caliente y la temperatura del hielo está por debajo de 0°C, el mismo no se derretirá, sino que sólo se calentará un poco. Sin embargo, ¿cómo explicar el resultado inesperado obtenido al resolver el siguiente problema?
Supongamos que 1 litro de agua hirviente, que tiene una temperatura de 100°C, se vierte en una jarra de masa igual a 1 kg, hecha de un material cuya capacidad calorífica específica es igual a 0,838 kJ/(kg-°C). Dicha jarra contiene 1,3 kg de hielo a la temperatura de 0°C. ¿Qué temperatura se establecerá en la jarra después de la mezcla?
Deduzcamos la ecuación del balance térmico: cantidad de calor entregado por el agua caliente,
![]()
![]()
![]()
![]()

§61. ¿Por qué se evapora el agua?
La transmisión de calor de un cuerpo a otro ocurre sólo en el caso en que entre ellos exista diferencia de temperaturas. Por eso es totalmente incomprensible por qué se evapora poco a poco el agua vertida en un plato o un vaso, teniendo ésta una temperatura igual a la del aire circundante. Pues para que se evapore cada gramo de líquido se necesita determinada cantidad de calor que el agua no puede recibir del espacio que la rodea, ya que, según las condiciones del experimento, dicho espacio tiene la misma temperatura que el agua
¿Cómo, pues, a pesar de todo ocurre la evaporación?
§64. Pregunta a una estudiante
A una estudiante italiana le preguntaron en un examen: «Cómo Ud. sabe, el punto de ebullición del aceite de oliva es más alto que el punto de fusión del estaño. Explique por qué se pueden freír alimentos en aceite de oliva utilizando una cacerola estañada». (La mejor vasija de Italia es de cobre bañado en estaño)
¿Qué deberá responder la estudiante?
§65. ¿Cómo es más ventajoso hervir el agua?
Se sabe que con la disminución de la presión también disminuye la temperatura de ebullición del agua. ¿Por qué entonces no se procede a aspirar el aire de las cacerolas de cocinar? Pues esto permitiría economizar gran cantidad de calor.
§66. ¿Es posible quemarse con hielo y fundir estaño en agua caliente?
Aunque esto a primera vista parezca paradójico, es posible tanto lo uno como lo otro.
§61. ¿Cuánto calor se ahorrará?
Una persona supo acerca de tres intentos: la aplicación del primero prometía un ahorro de calor del 30%, el segundo permitía confiar en un 25% de ahorro, y de la introducción del tercero en la práctica se esperaba un ahorro del 45%. Esta persona decidió construir una máquina en la que se aplicarían al mismo tiempo estos tres inventos, calculando ahorrar 30% + 25% + 45% = 100% de calor.
¿Hasta qué punto son argumentadas las esperanzas del «inventor»?
§68. ¿Cuántas capacidades caloríficas tiene el hierro?
Dos bolas de hierro de igual radio se calientan de 20 a 100‘C. Una de ellas está sobre una superficie horizontal y la segunda permanece colgada de un hilo prácticamente inextensible (fig. 19) Podía pensarse que, según la fórmula la cantidad de calor suministrado a las bolas debería ser igual. En realidad, dicha cantidad resulta algo mayor en la primera bola. Eso significa que también es mayor la capacidad calorífica del hierro del cual está hecha esta última, aunque ambas fueron torneadas de un mismo lingote.
ΔQ = m c Δt

Figura 19
§69. ¿Para qué se encienden las estufas?
Supongamos que Ud. llega a la casa de campo en el otoño avanzado. En las habitaciones hace una temperatura de cerca de 0°C y Ud. enciende la estufa para calentarse. Mientras la columna del termómetro asciende a la marca de 20°C calculemos cómo cambiará la energía interna del aire en las habitaciones durante ese tiempo.
Como ya se señaló en el problema §52, en condiciones cercanas a las normales (o sea, a una temperatura que no difiere mucho de 0°C, y a una presión del orden de 105 Pa), cuya energía interna es proporcional a la masa m y a la temperatura absoluta T:
U = α m T
(α es el coeficiente de proporcionalidad constante para un gas dado; se puede demostrar que el mismo es igual a la cantidad de calor necesaria para calentar a un grado la unidad de masa de un gas dado de volumen constante, por eso en la termodinámica se denomina capacidad calorífica específica de un gas de volumen constante y se designa por Cν).Con el calentamiento del local, el aire se calienta, se dilata y parte de él se escapa a través de la puerta no cerrada herméticamente, por los poros y rendijas de las paredes y ventanas, de tal modo que cambia su masa en las habitaciones. Además, el volumen de éstas y la presión del aire permanecen invariables Por eso el cambio de la energía interna de este último se puede escribir de la siguiente forma
![]()
![]()
![]()
¿Para qué entonces, a pesar de todo, calentamos las viviendas y adonde se va la energía liberada al quemarse el combustible?
§70. ¿Por qué no se construye tal máquina?
Se comprende por qué no se ha construido hasta ahora una máquina que realice trabajo «por sí misma» no teniendo fuentes de energía. La imposibilidad de construir un «móvil perpetuo» surge directamente de la ley de conservación de la energía, cuya validez está confirmada por la práctica multisecular de toda la humanidad.
¿Por qué, sin embargo, nadie ha podido construir una instalación que trabaje solamente a expensas del enfriamiento de las aguas oceánicas? ¡Pues esto promete unas perspectivas excepcionalmente seductoras!
En efecto, el volumen de agua en el Océano Mundial es igual a 1370 millones de km3 (cerca de 1/800 del volumen total de nuestro planeta). Tomando (para simplificar los cálculos) la densidad del agua marina como la del agua dulce, hallamos que su masa constituye alrededor de 1,4 x 10 21 kg. Ya que la capacidad calorífica del agua es aproximadamente igual a 4,2 kJ/(kg-K), con el enfriamiento de todas las aguas del Océano Mundial en 1 K, se desprenderán
![]()
§71. ¿Cuándo es mayor el rendimiento de un automóvil?
Coa un calentador y un refrigerador dados, el rendimiento máximo posible de una máquina térmica se puede calcular valiéndose de la fórmula
![]()
De esta expresión se deduce que, manteniendo invariable la temperatura del calentador, el rendimiento de la máquina térmica crece con la reducción de la temperatura del refrigerador.
¿Por qué, pues, en este caso, el automóvil (que es también una máquina térmica) consume mucha más gasolina en invierno que en verano? Además, la temperatura del aire atmosférico, que juega el papel de refrigerador con respecto al automóvil, es bastante menor en invierno, mientras que la temperatura de los gases que se forman durante la combustión de la gasolina, es prácticamente igual en invierno y en verano.
§72. ¿Será posible el «demonio» de Maxwell?
El análisis de los dos sofismas anteriores permitió establecer que para el funcionamiento de una máquina térmica es imprescindible la presencia de dos cuerpos con temperaturas diferentes: un calentador y un refrigerador. Si no hay diferencia de temperaturas, el motor térmico no funcionará, lo cual también surge formalmente de la fórmula del rendimiento R. dada en el texto del problema anterior.
Pero, ¿no sería posible construir una instalación tal, donde la diferencia de temperaturas surgiera «por sí misma», automáticamente, como resultado de la acción de la propia máquina? Semejante dispositivo fue propuesto par primera ver a mediados del siglo parado por el eminente físico inglés J. C. Maxwell (1831 - 1879).

Figura 20
Pero allí donde hay diferencia de temperaturas puede funcionar un motor térmico. Después que, como resultado de su acción, las temperaturas en ambas panes de la cámara se igualen, se puede repetir el proceso de selección de las moléculas según sus velocidades, y así incesantemente, basta que se desgasten las piezas de la máquina.
De este modo ¡¿hemos obtenido, a pesar de todo, un móvil perpetuo?!
Capítulo 3
Electricidad y magnetismo
La fuerza de atracción F entre las armaduras de un condensador plano lleno de aire, se puede calcular multiplicando la carga Q de una de las armaduras por la tensión E del campo creado por la carga de la segunda armadura:
F = Q E
Para un condensador plano, el campo entre las placas es homogéneo, y la tensión no depende de la distancia entre ellas:![]()
¿No contradice esta conclusión la ley de Coulomb
![]()
§74. ¿Deberá circular la corriente por el conductor que cierra los polos de una pila?
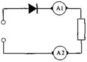
Examinemos dos esquemas eléctricos representados en la figura 21. Si por el conductor A1B no circula comente, tampoco circulará par el conductor A2B conectado a los mismos puntos A y B que el conductor A1B.
Por otro lado, si se conectan en paralelo dos elementos galvánicos iguales, no habrá corriente ni en la parte «exterior», ni en la «interior», o sea, ni en el primero ni en el segundo elemento. De este modo, entre los puntos C y D no existe corriente, lo mismo que entre los puntos A y B en el primer caso. Razonando por analogía hay que concluir que tampoco debe haber corriente en el conductor C3D conectado a los polos de la pila -los puntos C y D.
¿No contradice esta conclusión nuestra experiencia de la vida cotidiana?

Figura 21
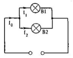
Supongamos que dos bombillas eléctricas están conectadas a la red como se muestra en la figura 22. Designando por I1, la corriente en la bombilla B1, y por I2, la corriente en la bombilla B2, se puede escribir:
I1 + I2 = I0
donde I0, es la intensidad de la corriente en la parte no ramificada del circuito. Multiplicando ambas partes de la igualdad por I0 - I1, obtenemos
I1I0 - I12 + I0I2 - I1I2 = I02 - I 0I1
El tercer término del miembro izquierdo de la igualdad pasémoslo al miembro derecho:I1I0 - I12 - I1I2 = I02 - I0I1 - I 0I2
y extraigamos I1 fuera del paréntesis a la izquierda, e I0 a la derecha:I1 (I0 - I1 - I2)= I0 (I0 -I1 - I2)
Dividiendo ambas partes de esta igualdad entre la expresión encerrada entre paréntesis, tendremos¡I1 = I0!
Si la igualdad inicial no se multiplica por (I0 - I1) sino por (I0 - I2), se puede obtener, de modo análogo, que¡I2 = I0!
¿Qué es, pues, lo que pasa?
Figura 22
En un acumulador ácido que posee una resistencia interna de 0,1 Ω está escrito «Fuera electromotriz 4 V, corriente de descarga máxima 4A». Entre tanto, tras ponerlo en circuito con un conductor de resistencia de aunque sea 0,1 Ω, obtenemos una corriente de
![]()
¿Cuál es, pues, la causa de la discrepancia?
§77 ¿Cómo disminuir las indicaciones del galvanómetro?
En uno de los experimentos, los miembros del círculo escolar de física decidieron emplear un termopar y un galvanómetro para medir la temperatura. Sin embargo, al final del experimento, la temperatura se elevaba tanto, que la aguja del galvanómetro sobrepasaba un poco los límites de la escala. Para aumentar la sensibilidad del galvanómetro, uno de los miembros del círculo propuso conectarle una cámara de igual resistencia. El estimaba que después de conectar el shunt, sólo la mitad de la corriente total pasaría por el galvanómetro y la aguja no «sobrepasaría la escala». La proposición fue aceptada, pero, para el asombro de los jóvenes físicos, la presencia del shunt no se reflejó de modo apreciable en las indicaciones del galvanómetro. Después de pensar un poco, los muchachos se dieron cuenta que eso precisamente debe ser así.
¿Entonces cómo explicaron ellos sus observaciones?
§78. ¿Por qué disminuyó la corriente?
Para aumentar la intensidad de la corriente en un circuito, a su elemento galvánico, que era la fuente de energía, se le conectó otro elemento en serie. Sin embargo, con esto no sólo no aumentó la corriente, sino que, por el contrario, disminuyó.
¿En qué caso esto es posible?
§79. ¿A qué es igual la resistencia de la bombilla eléctrica?
Determinando la resistencia de una bombilla eléctrica de 100 W con la ayuda de un ohmímetro, un estudiante obtuvo el valor de 35 Ω. Para comprobar el resultado obtenido, él decidió calcular la resistencia según la potencia y la tensión nominal indicada en el zócalo, que era igual a 220 V.
Empleando la fórmula R=U2/N, el estudiante obtuvo, para su propio asombro, el valor de 484 Ω, o sea, casi 14 veces mayor que en el primer caso.
¿Cómo explicar esa diferencia tan considerable de los resultados?
§80. ¿Qué indicara el voltímetro?
La diferencia de potenciales entre dos puntos cualesquiera de un circuito eléctrico, se puede determinar con ayuda de un voltímetro conectado en dichos puntos. Por otro lado, esta magnitud se puede hallar usando la ley de Ohm, para lo cual hay que multiplicar la resistencia del sector del circuito ubicado entre esos puntos, por la intensidad de la corriente que circula por él.
Examinemos un circuito formado por dos elementos galvánicos exactamente iguales, conectados como se muestra en la figura 23. Designando por ε la fuerza electromotriz de los elementos, y por R su resistencia interna, obtenemos para la intensidad de la corriente en el circuito;
![]()

Figura 23
![]()
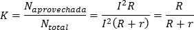
En realidad el voltímetro marcará cero. Se crea una situación paradójica e increíble a primera vista: por dicho sector circula corriente, y la diferencia de potenciales en sus extremos es igual a cero. ¿Por qué es posible esto?
§81. ¿Cuál debe ser la resistencia?
Examinemos el esquema representado en la figura 24. Designando por R la resistencia del consumidor, y por r la resistencia de la fuente, después de ciertas transformaciones obtenemos la siguiente expresión del coeficiente de aprovechamiento de la energía eléctrica:
![]()
![]()

Figura 24
§82. ¿Qué corriente consume el aparato?
Un aparato que consume una potencia de 50 W está conectado a una red de 120 V a través de una resistencia adicional de 400.
Calculemos, con base en estos datos, la intensidad de la corriente que circula por el aparato.
Para resolver el problema indicaremos que la suma de la tensión en el aparato y la tensión en la resistencia adicional debe ser igual a la tensión de la red, o sea,
U aparato + U resistencia =U red
Expresando el primer sumando del miembro izquierdo de la igualdad en forma del cociente que resulta de dividir la potencia consumida por el aparato entre la intensidad de la corriente que circula por éste, y el segundo sumando, como el producto de la resistencia adicional por esa misma corriente, obtendremos la siguiente ecuación, en la que todos los valores, excepto el de la corriente, son conocidos:![]()
![]()
![]()
¿Qué corriente circula, en realidad, por el aparato?
§83. El enigma de la electrólisis
A través de cualquier sección trazada entre los electrodos perpendicularmente al movimiento de los iones, en un baño electrolítico circulan las corrientes
I+ = q+ n+ v+
I+ = q- n- v-
I = I+ + I- + q+n+v+ + q-n-v-
Al mismo tiempo, la separación de sustancia en la electrólisis ocurre a costa de la neutralización en los electrodos de los iones de un solo signo cualquiera, por ejemplo, de los positivos en el cátodo. Por eso, podría pensarse que la masa de la sustancia separada en ese electrodo debería ser calculada a partir de la corriente ¿Por qué, pues, en realidad se calcula a partir de la corriente total, o sea, según la suma I+ + I-?§84. Modo de aumentar el rendimiento del baño electrolítico
Si la intensidad de la corriente en la electrólisis es igual a I, la masa m de la sustancia depositada en los electrodos en un tiempo t se puede calcular según la ley de Faraday:
m = k I t
donde k es el equivalente electroquímico de la sustancia.Conectemos sucesivamente n baños iguales. Puesto que en un circuito en serie la corriente es igual en todas partes, en todos los baños se separará n veces más sustancia que en uno solo.
¿No significa esto que el rendimiento de la nueva instalación es también n veces mayor que en el primer caso?
§85. Otra vez acerca de la ley de conservacion de la energía
Supongamos que la capacidad de cada uno de los condensadores Cl y C2 representados en la figura 25 es igual a 20 pF, y que el interruptor I se halla inicialmente en la posición 1. Además, el condensador C2 está conectado a la pila P. Si su fuerza electromotriz es igual a 100 V, el condensador C2 acumula una energía
![]()

Figura 25
Empleando estos datos calculamos, mediante la fórmula dada más arriba, la energía acumulada por la pila.
![]()
¿Dónde, pues, se ha metido la segunda mitad?
§86. ¿Por qué aumenta la energía del condensador?
Un condensador plano, con una capacidad C1 = 1 μF, en el que en calidad de dieléctrico se ha empleado una lámina fina de vidrio con una permeabilidad dieléctrica relativa εrelativa =5, está cargado hasta una diferencia de potencial U1 = 100 V.
Empleando la fórmula dada en el problema anterior, obtenemos, pura la energía acumulada en el condensador, el valor:
![]()
De aquí, para la energía del condensador después de eliminar d dieléctrico, obtenemos el valor
![]()
§87. El imán con un solo polo
Se considera comúnmente que todo imán debe tener sin falta dos polos: Norte y Sur. Sin embargo, el razonamiento expuesto a continuación parece refutar esa opinión.
Tomentos una bola de acero y dividámosla, a partir de la superficie hacia el centro, en partes piramidales. Después de esto, imantemos las partes formadas, de modo que sus puntas resulten homónimas, y luego armemos de nuevo la bola como se muestra en la figura 26.
Entonces, por lo visto, en la superficie quedará sólo un polo. Por lo tanto, ¡¿se puede obtener un imán con un solo polo?!

Figura 26
Acerquemos, desde arriba, un imán a un objeto de hierro. Si el peso del pedazo de hierro y la distancia hasta el imán no son muy grandes, el hierro será atraído por este último. Designemos por P el peso del objeto, y por la distancia hasta el imán medida verticalmente. Entonces el trabajo del imán, opuesto a las fuerzas de gravedad, es igual a A = Ph.
En cada caso particular, el trabajo realizado puede ser no muy grande, pero ha de tenerse en cuenta que el experimento puede repetirse tantas veces como se quisiera y que, además, no se manifestará ningún cambio en el imán y su «fuerza magnética» no se debilitará en absoluto.
¿No contradice esto la ley de conservación de la energía?
§89. ¡Las resistencias de cualesquiera conductores son iguales!
Supongamos que un anillo metálico (fig. 27) se ha colocado en un campo magnético variable. Entonces en dicho anillo surge una corriente inducida cuya intensidad en cierto instante designaremos por I.
Escojamos en el anillo unos puntos A y B arbitrarios, y designemos por R la resistencia de su parte mayor, contenida entre esos puntos, y por r, la resistencia de su parte menor.
Entonces la diferencia de potenciales en los extremos del tramo ArB, con base en la ley de Ohm, se puede calcular a partir de la resistencia de ese tramo y de la intensidad de la corriente que circula por él, de la siguiente manera:
![]()
![]()
I r = I R
Suprimiendo I de ambos miembros, obtenemos un absurdo evidente:r = R
Nota : Se comprende que hubiera sido más lógico igualar los miembros derechos de las igualdades (1) y (2), tomándolos con signos distintos. Pero el resultado final después de esto resultarla aún más absurdo:r = -R

Figura 27
Al conectar a un transformador una carga más grande, la potencia que éste consume de la red eléctrica crece. También aumenta, por consiguiente, la intensidad de la corriente en el arrollamiento primario. Una mayor corriente debe imantar más fuertemente el núcleo del transformador, y si antes el valor máximo del flujo magnético ero igual, supongamos, a φ1, después del aumento de la carga constituirá φ2 > φ1
Es sabido que la fuerza electromotriz inducida en el arrollamiento secundario se determina por el número de espiras, así como por la rapidez de variación del campo magnético con el tiempo:
![]()
En realidad el coeficiente de transformación no depende de la carga. Esto significa que nuestros razonamientos contienen un error.
¿Cuál precisamente?
§91. ¿Con qué tensión se enciende la lámpara de neón?
Para disminuir el potencial de encendido de una lámpara de neón, se armó una instalación cuyo esquema se muestra en la figura 28. Si conectamos dicha instalación a la red de corriente alterna y movemos hacia arriba la corredera del potenciómetro aumentando poco a poco la tensión suministrada a la lámpara, ésta se encenderá en el momento en que el voltímetro (del sistema electromagnético) indique 50 V. Si se repite el experimento conectando la instalación a la red de corriente constante, la lámpara se encenderá cuando la aguja del voltímetro se acerque a la cifra 70 V.

Figura 28
§92. ¿De cuál amperímetro son las correctas las indicaciones?
Al armar el esquema representado en la figura 29, uno de los amperímetros pertenecía al sistema magnetoeléctrico de medición, y el segundo, al sistema electrodinámico. Ambos instrumentos acababan de ser verificados en el laboratorio de control y no habían dudas acerca de su exactitud.

Figura 29
¿No podría decir Ud. cuál es la causa de tal discrepancia?
§93. ¿Por qué no es igual la corriente en un circuito en serie?
Si los amperímetros A1 y A2, conectados a la red representada en la figura 30, son bastante exactos, se puede notar que sus indicaciones son diferentes al cerrar el interruptor K1.
¿Por qué? ¿A caso no registran la misma corriente que pasa por el filamento de la lámpara electrónica?

Figura 30
Cuando en la red, cuyo esquema se da en la figura 30, se cierra el interruptor K1, la temperatura del filamento disminuye. Entre tanto, parece que esto no debería ocurrir.
En efecto, cuando el interruptor está abierto, por el hilo sólo pasa la corriente de caldeo Ic. A consecuencia de esto, de este último se desprende por unidad de tiempo una cantidad de calor Q1 igual a
Q1 = R Ic2
(R es la resistencia del filamento incandescente).Si cerramos el interruptor, la corriente que pasa por la mitad izquierda del filamento resultará 0,5 veces mayor que la corriente anódica. y la que pasa por la mitad derecha disminuirá en esa misma cantidad (con relación a esto examinen detalladamente la resolución del problema anterior). Por lo tanto, sin cometer gran error, estimamos que dichas corrientes son iguales a
I1 = Ic + 0,5 Ia
I2 = Ic + 0,5 Ia
De este modo, la cantidad de calor Q1 desprendida por ambas corrientes por unidad de tiempo constituirá:![]()
¿Por qué en este caso se observa la disminución de la temperatura?
§95. ¿Por qué el campo magnético permanece invariable?
En un laboratorio se investigaba el comportamiento de los semiconductores en un campo magnético variable. Para crear ese campo se decidió arrollar una bobina de cartón y pasar por ella la corriente alterna de la red. Entonces, dentro de la bobina surgirá un campo magnético variable en el que se puede colocar la muestra sujeta a investigación.
Puesto que para realizar el experimento era deseable tener un campo de la mayor intensidad posible, el auxiliar de laboratorio arrolló, una sobre otra, tres bobinas iguales, pensando que conectándolas en paralelo obtendría un campo de intensidad tres veces mayor.
Sin embargo, el experimento demostró que el campo magnético de tres bobinas era aproximadamente igual que el de una. El jefe del laboratorio, a quien se dirigió el auxiliar, esclareció la causa del fenómeno. Al mismo tiempo indicó que, a pesar de todo, la conexión de tres bobinas tiene sentido.
¿Por qué el campo permanecía invariable y por qué, sin embargo, tres bobinas son preferibles que una?
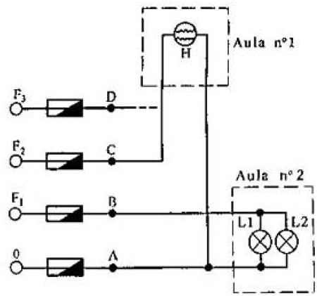
§96. ¿Cómo verificar los fusibles?
En el apartamento N° 19 donde yo vivía se apagó la luz inesperadamente. Con la ayuda de una lámpara de prueba pude aclarar que no había suministro de energía eléctrica al contador de electricidad del apartamento. En busca de la avería salí al descansillo de la escalera llevando consigo la lámpara de prueba y, tras abrir el cuadro de fusibles común, me puse a verificar con su ayuda el fusible instalado en la fase. (En nuestro edificio se emplea el sistema de alimentación de cuatro hilos, cuyo esquema se ofrece en la figura 31).
«Para saber si el fusible está en buen estado pensaba yo-, basta con conectar la lámpara de prueba entre tos puntos A y B». Sin embargo, no he podido hacer esto, ya que los contactos de los conductores con el hilo neutro estaban cuidadosamente cubiertos con una cinta aislante que yo no quería quitar.
«Bueno, y qué -decidí yo-, en este caso hay que conectar la lámpara de prueba entre los puntos A y B o A y C. La misma se encenderá sólo en el caso de que ambos fusibles estén en buen estado en las fases 3 y 2 ó 3 y 1, respectivamente».
Para mi gran sorpresa la lámpara se encendió en ambos casos. También se encendió cuando la conecté a los puntos B y C, aunque, claro está, no había ninguna necesidad de proceder a tal prueba.

Figura 31
Bueno, piensen Uds. también junto conmigo.
§97. ¿Por qué se encendían las lámparas?
Mis clases de laboratorio deberían realizarse en dos locales contiguos. Sonó el timbre y los estudiantes ocuparon sus asientos, uno de ellos armó en seguida el esquema y, mostrándoselo al profesor, lo conectó a la red. Sin embargo, el esquema no funcionaba Mientras el estudiante comprobaba el estado de los contactos, otros estudiantes también armaron y conectaron sus instalaciones a la red eléctrica, pero ninguno de los esquemas funcionaba. Pronto fue aclarado que se había interrumpido el suministro de energía eléctrica. Luego, inesperadamente apareció la corriente, pero su tensión era un poco mayor que la nominal. Los intentos de descubrir la causa del desarreglo condujeron a un «descubrimiento» inesperado: resultó que la tensión aparecía en el momento en que en el aula vecina se conectaba un hornillo eléctrico a la red: pero al desconectarlo se interrumpía lo corriente. A propósito, el estudiante que trabajaba con este hornillo notó que el mismo no calentaba lo insuficiente.
¿No podrían Uds. ayudar a los estudiantes a comprender las causas de tales fenómenos?
§98. ¿Por qué son distintas las indicaciones del voltímetro?
El voltímetro de sistema electromagnético conectado directamente a la red de corriente alterna indicó una tensión de 125 V.

Figura 32
Puesto que el rectificador sólo deja pasar la corriente que directa en un sentido, o sea, el 50% de todo el tiempo, las indicaciones del voltímetro deberían, al parecer, disminuir dos veces aproximadamente. En realidad, el voltímetro conectado de esa forma indicó ¡cerca de 175 V! ¿Cómo explicar esto?
§99. ¡Seis hectovatios «equivalen» a sesenta kilovatios!
Es sabido que 2Wh = 200 W y 3Wh = 300 W.
Multiplicando esas igualdad» término a término, obtenemos
¿¡6Wh = 60000 W ó 6Wh - 60 kW!?
§100. El certificado del motor eléctricoEn el letrero asegurado en un motor eléctrico de corriente alterna estaban grabados los siguientes datos:
U = 220 V, I = 5 A, N = 0,9 kE.
Si se multiplican los dos primeros números, como suele hacerse para determinar la potencia, se obtiene 1,1 kW.
¿Por qué entonces en el letrero se daba otro valor de la potencia del motor?
§101. ¿Se cargará el condensador?
Las tentativas de construir un móvil perpetuo no han cesado ni siquiera en la actualidad. Los colaboradores del Comité para asuntos de inventos y descubrimientos, adjunto al Consejo de Ministros de la URSS, cuentan que a dicho Comité llegan, en término medio ocho proyectos de perpetuum mobile cada mes. Entre esos proyectos a veces se encuentran algunos muy interesantes.
He aquí un ejemplo. Es sabido que incluso en ausencia de campo eléctrico los electrones en el conductor permanecen en estado de movimiento ininterrumpido. Debido a su desorden completo puede resultar que en ciertos momentos de tiempo, en la parte superior del conductor representado en la figura 33, se concentren más electrones que en b parle inferior. Aquí se trata de las llamadas fluctuaciones de la densidad electrónica. Una fluctuación del tipo descrito más arriba conducirá al surgimiento de cierta diferencia de potenciales entre los extremos del conductor, con cuya ayuda se puede cargar d condensador. El detector que hay en el esquema obstaculizará la descarga del condensador al cambiar el signo de la diferencia de potenciales en los extremos del conductor. El condensador cargado se podrá emplear, después de esto, en calidad de fuente de energía «gratuita». Claro está que su potencia será pequeña, ¡pero lo importante es la esencia de la cuestión!

Figura 33
En 1827 el científico francés Savart (1791 -1841) descubrió que después de descargar una botella de Leyden a través de un alambre arrollado en una varilla de hierro, esta última a menudo resulta imantada. Lo que parecía asombroso era que en un mismo extremo de la varilla, en casos diferentes, el polo resultaba a veces Norte y a veces Sur, aunque durante la descarga, la corriente siempre fluía en una misma dirección, ya que la botella siempre se cargaba igual.
El primero que dio una explicación completa a este fenómeno fue el físico alemán H. Hertz (1857 - 1894).
¿Cómo pudo hacerlo?
Capítulo 4
Calor y estructura del átomo
En una de sus obras de ciencia ficción, el astrónomo y vulgarizador francés Camilo Flammarion (1842-1925) propuso el siguiente método pura mirar al pasado.
Los rayos de luz traen hacia nosotros las imágenes visuales del mundo exterior, aunque con gran rapidez, pero no instantáneamente como se pensaba durante mucho tiempo. Supongamos que un observador se aleja de la Tierra. Mientras su velocidad no es grande, las ondas luminosas alcanzarán al experimentador y él verá los cuadros de los sucesos que ocurrieron en la Tierra ya después de su salida de ella. Sin embargo, si la velocidad del viajero es bastante grande, éste comenzará a adelantar las ondas luminosas. A sus ojos llegarán oirá vez las ondas que antes siguieron de paso y le dejaron atrás. Ante él, los sucesos se presentarán en orden invertido: verá escenas de cuando salió de la Tierra, estará «presente» en el momento de su nacimiento, podrá observar sucesos de un pasado lejano, «conocerá» a muchos hombres célebres que murieron hace mucho tiempo.
No es difícil imaginar que inestimable ayuda puede representar un viaje así para los investigadores del pasado de nuestro planeta: historiadores, paleontólogos, arqueólogos y otros especialistas que estudian ahora el pasado sólo por los libros y los pocos monumentos de los tiempos lejanos, que han llegado hasta nuestros días.
Para realizar este proyecto es importante disponer, claro está, de un telescopio de suficiente aumento y de motores bailante potentes, capaces de comunicar al cohete las velocidades colosales necesarias.
¿No le parece a Ud. que en nuestro siglo del dominio de la energía atómica y de la conquista del cosmos ha llegado el momento de pensar seriamente en enviar una expedición al pasado? ¡Solo nos queda lamentar que la «máquina del tiempo» propuesta, a diferencia de la de Wells, no podrá mostrarnos el futuro!
§104. La ropa de los metalúrgicos
Los fundidores de acero trabajan en condiciones difíciles, ya que tienen que vérselas con el metal licuado: su respiración caliente abrasa, en realidad, a la persona. Podía pensarse que para facilitar las condiciones de trabajo, los trajes de los obreros de los altos hornos y los hornos Martin, así como de otros metalúrgicos, deberían hacerse de tejidos de baja conductividad térmica. Sin embargo, en realidad, los trajes de trabajo de dichos obreros a menudo se recubren con una fina capa de metal, formidable conductor de calor.
¿Con qué objetivo se hace esto?
§105. ¿Dónde colocar el espejo?
Cuanto más cerca nos encontremos de la ventana, mayor parte de la calle podremos observar. Sería natural suponer que al usar un espejo ocurriría lo mismo. Pero en realidad no es así.
En un espejo colgado verticalmente en la pared nos vemos hasta las rodillas, y todos los intentos de ver más acercándonos a él o, al revés, alejándonos de él, resultan infructuosos.
¿En qué se diferencian ambos casos?
§106. Un «espejo» excepcional
Es sabido de todos que un espejo plano refleja los rayos hacia atrás, es decir, hacia el foco luminoso, sólo en el caso de que éstos sean proyectados normalmente sobre el espejo, o sea, bajo un ángulo de 0°. Basta con girar un poco este último para que los rayos reflejados ya no regresen al foco. No obstante, se puede construir una instalación que gire los rayos a 180° cualquiera que sea su ángulo de incidencia. ¡En tal «espejo» la persona verá su imagen independientemente de cómo se sitúe con respecto a dicho «espejo»!
Traten de inventar la estructura de un sistema óptico que posea tal interesante propiedad.
§107. ¿Por qué se forma el arco iris?
Al explicar las causas del surgimiento del arco iris, se estima que el rayo luminoso que cae en una gota de lluvia experimenta una reflexión total en la pared trasera de ésta, y luego vale por su pared delantera. Cada paso de un medio a otro va acompañado de dispersión, a consecuencia de lo cual surge el arco iris.
Sin embargo, es fácil demostrar que si el rayo experimenta reflexión total una vez, jamás podrá salir de la gota al aire.
En efecto, supongamos que un rayo que cae en una gota se propaga por una dirección AB tal, que el ángulo de incidencia I en la pared trasera de la gota, formado por el rayo AB y el radio OB, supera el ángulo limite (fig. 34). Entonces en el punto B ocurrirá una reflexión total, después de lo cual el rayo seguirá propagándose en dirección BC. Puesto que el triángulo COB es isósceles Δ3 = Δ2, el cual, a su vez, es igual al ángulo I con base en la segunda ley de reflexión. De este modo, si el ángulo I supera el ángulo límite, lo mismo se puede decir del ángulo 3. En otras palabras, en el punto C también deberá observarse una reflexión total. Estos razonamientos pueden, naturalmente, prolongarse aún más.
¿Cómo, pues, explicar en este caso el surgimiento del arco iris?

Figura 34
Una lente convergente y una pantalla están dispuestas perpendicularmente a un haz de rayos paralelos. Moviendo la lente se puede obtener en la pantalla una mancha circular de distinto diámetro. Con la variación del área de la mancha, variará, por supuesto, la iluminación dentro de sus límites.
Designando por E1 la iluminación creada por el haz en la superficie de la lente, y por AB el diámetro de esta última (fig. 35), obtenemos, para el flujo luminoso que pasa a través de la misma, el valor
![]()
![]()
¿Sería, pues, posible obtener el aumento de iluminación por medio de una lente divergente?

Figura 35
Estamos acostumbrados a emplear las expresiones "lente bicóncava» y «lente divergente» casi como sinónimos. Pero resulta que la lente bicóncava no siempre dispersa la luz, y la biconvexa no siempre la recoge.
Traten de adivinar en qué casos las lentes pueden «cambiar de papel».
§110. ¿Cuándo hace falta mayor exposición al fotografiar?
Al principio una persona fue fotografiada de cuerpo entero, y luego, en un plano más grande, la cara solamente. Aunque la iluminación del local no cambió, el fotógrafo consideró necesario aumentar un poco la exposición.
¿Para qué hizo esto?
§111. Un ojo estupendo
A través del agua clara Uds. ven perfectamente el fondo estando en el aire. Pero sólo tienen que zambullirse con los ojos abiertos para que los contornos de todos los objetos en el fondo se tornen difusos, indecisos. Pues los ojos del hombre tienen muy poco poder refringente para ver bien en el agua.
Los peces, al contrario, tienen un cristal casi esférico, gracias al cual pueden ver bien debajo del agua, pero se vuelven demasiado miopes en el aire.
No obstante, ¿sería posible inventar un ojo que viera igualmente bien objetos bastante lejanos, tanto en el aire como en el agua?
A primera vista el problema parece irrealizable, sin embargo, en ciertas condiciones es posible que un ojo posea tales propiedades.
¿No podrían indicar en qué condiciones?
§112. ¿Por qué las ruedas giran «en sentido contrario»?
En las pantallas de los cines a menudo se puede observar el siguiente cuadro gracioso: las ruedas de un carruaje en movimiento giran en sentido contrario al real ¿Cómo explicar esta paradoja del cine?
§113. ¿Cómo trabaja el telescopio refractor?
En la estructura del telescopio refractor, en calidad de objetivo se utiliza una lente de foco largo, y de ocular sirve una lente de foco corto. Puesto que los astros observados al telescopio están alejados de la Tierra a distancias excesivamente grandes, sus imágenes, en realidad, se obtienen en el plano focal del objetivo.
La imagen del astro suministrada por el objetivo sirve de objeto para el ocular. Además, este último se coloca de tal modo que su foco delantero coincida con el foco trasero del objetivo.
En vista de que el objeto se halla dispuesto en el plano focal del ocular, su imagen no debe obtenerse, ya que los rayos aldrán del ocular en forma de un haz paralelo (mejor dicho, los rayos formarán la mugen en el infinito).
¿Entonces cómo entonces realizan las observaciones los astrónomos?
§114. ¿Les hacen falta los telescopios a los astrónomos?
Por aumento del telescopio se entiende la relación que indica cuántas veces el ángulo bajo el cual se observa un astro con el telescopio, es mayor que el ángulo bajo el cual el mismo se observa a simple vista.
Debido al enorme alejamiento de las estrellas (recordemos que la luz, cuya velocidad es de 300 000 km/s, incluso de la estrella más cercana ¡tarda cerca de cuatro años en llegar a la Tierra!), el ángulo bajo el cual se observan lar intimas a simple vista es prácticamente igual a cero. Por eso, incluso con los telescopios más potentes, las estrellas se presentan ante el observador en forma de puntos luminosos desprovistos de área (en efecto, independientemente de las veces que aumentemos el cero, éste sigue siendo cero de todos los modos).
¿Se deriva de esto que sólo tiene sentido utilizar los telescopios para observar los objetos que están relativamente cerca, por ejemplo, los planetas, y que las estrellas se pueden observar con igual éxito también a simple vista?
§115. ¿Cómo debe ser el diafragma?
Para aumentar la nitidez de la imagen de un objeto en la película fotográfica, es útil regular el diafragma del objetivo. No obstante, con una disminución muy grande de la abertura relativa de este último, la imagen otra vez se vuelve borrosa (precisamente por eso, en las cámaras fotográficas modernas, la menor abertura del diafragma es igual a 1:22 y no a 1:36 como en los viejos tipos de cámaras).
¿Por qué, pues, a pesar de la fabricación de materiales fotográficos bastante sensibles, que permiten fotografiar con muy pequeños diámetros del objetivo, ya no se usan aberturas relativas menores de 1:22?
§116. ¿Es posible construir un hiperboloide?
Piotr Garin, protagonista de la novela «El hiperboloide del ingeniero Garin», de Alexéi Tolstói, así se narraba a Zoya Monroz la esencia de su invento: «Esto es tan fácil como dos por dos. Todo el secreto consiste en el espejo hiperbólico A, parecido por su forma al de un proyector corriente, así como en el pedazo de chamosita B, hecho también en forma de esfera hiperbólica. La ley de los espejos hiperbólicos es la siguiente.
Los rayos de luz, al caer sobre la superficie interior de un espejo hiperbólico, convergen en un punto, en el foco de la hipérbola. Eso es conocido. He aquí ahora lo que no se sabe: yo pongo en el foco del espejo hiperbólico la segunda hipérbola (trazada, supongamos, al revés: un hiperboloide de revolución torneado de un mineral refractario -chamosita- capaz de pulir idealmente y cuyos yacimientos en el norte de Rusia son inagotables). ¿Qué ocurre, pues, con los rayos?

Figura 36
El esquema del hiperboloide de Garin, tomado de la novela, se da en la figura 36. ¿Podría ser aprovechado para construir un aparato así? Mejor dicho, ¿sería tan poderoso como afirmaba el protagonista de la novela?
§117. En lugar del láser
La densidad del flujo de energía en el rayo de un láser (generador óptico cuántico) moderno es tan grande que se parece a la del «hiperboloide del ingeniero Garin», del cual ya hablamos en el problema precedente. El mismo corta fácilmente láminas metálicas de varios centímetros de espesor, y perfora libremente canales finísimos en los cristales de diamante, que es la sustancia más dura existente en la naturaleza. Los láseres ahora también se emplean para fines más ordinarios: por ejemplo, con su ayuda se corta la tela en las grandes empresas de confección, además, el trabajo del láser es dirigido por un dispositivo de programación especial.
También se podría utilizar el láser en muchísimos oíros casos. Pero por ahora, una introducción más amplia de este en la práctica está limitada por su alto precio, condicionado por lo compleja que es su construcción.
Tratemos de elaborar un dispositivo más sencillo, que produzca, como el láser, estrechos haces luminosos con gran densidad de energía.
Supongamos que los rayos luminosos de un potente proyector inciden, desde la izquierda (fig. 37), en la boca de un tubo cónico cuya superficie interior ha sido pulida y plateada minuciosamente. Luego de una serie de reflexiones, los rayos salen por la abertura derecha. Ya que su sección puede hacerse tan pequeña como se desee, se puede, al parecer, lograr una concentración de energía ilimitadamente grande en el flujo luminoso que sale del cono.
Debido a que tales dispositivos, a pesar de su sencillez, no se emplean, nuestros razonamientos contienen, por lo visto, algún error. Traten de hallarlo.

Figura 37
La longitud de onda λ está relacionada con la velocidad c de propagación de la luz en un medio dado, así como con el índice de refracción n, de la siguiente manera:
![]()
![]()
¿No significará esto que los rayos de una linterna de luz roja le parezcan azules a un zambullidor que se encuentre bajo el agua?
§119. ¿Cuál es el verdadero color?
El color de un cuerpo cubierto de una capa de blanco de zinc se percibe como blanco. Si en calidad de pintura se usa el azul de Prusia. El color del objeto se torna azul claro. En ambos casos el cuerpo parece tener un determinado color único. Sin embargo, a veces no es tan fácil caracterizar el color de un cuerpo, y esto se puede demostrar con un ejemplo sencillo.
Observando a los fumadores nos parece que el humo es, o bien azul claro, o bien de un matiz amarillo rojizo, en función de nuestro disposición con relación al fumador, a la nube de humo y a la fuente de luz.
¿Por qué, pues, el color del humo depende del «punto de vista» del observador?
§120. El caso que sucedió con Wood
El célebre físico (especialista en óptica) norteamericano R. Wood (1868 - 1955) era un gran bromista y amante de viajar velozmente. Una vez conducía su automóvil por la ciudad y, no pudiendo frenar, salió a una encrucijada cuando en el semáforo se encendió la luz roja. El policía detuvo al infractor del tránsito, y entre ellos tuvo lugar la siguiente conversación
«Yo no soy culpable -se defendía Wood-. A mí me jugó una mala pasada el efecto Doppler.
- ¿Cómo, cómo? preguntó asombrado el policía -El efecto Doppler -contestó Wood y aclaró-. Ud. probablemente habrá prestado atención a cómo aumenta el tono del pito de una locomotora o de un automóvil que va a su encuentro. Eso ocurre porque al oído llegan más ondas sonoras por unidad de tiempo. Un fenómeno análogo también se observa con respecto a la luz. Si la fuente de ésta se aproxima a Ud. o Ud. se aproxima a ella, le parecerá que la luz tiene otro matiz, su color se desplaza hacia el extremo azul del espectro-. Yo viajaba con bastante rapidez y la luz roja del semáforo ¡me pareció verde!».
No se sabe cómo terminó la conversación de Wood con el policía (afirman que, a pesar de todo, éste multó a Wood por exceso de velocidad), pero a nosotros nos interesa otra cosa: ¿tenía razón Wood al referirse al efecto Doppler?
§121. Presión luminosa negativa
Tanto la teoría electromagnética de la luz, creada en los años 1860 - 1870 por D. K. Maxwell, como la teoría cuántica fundada por M. Plank (1858 -1947) en 1900 y aplicada exitosamente a la luz por A. Einstein (1879-1955) en 1905, predijeron el fenómeno de presión luminosa descubierto experimentalmente por P. N. Lebedev (1866 - 1912), primero para los sólidos y luego para los gases, y que tiene, de este modo, un carácter universal.
La presión luminosa significa mucho en la vida de la naturaleza: por ejemplo, evita la compresión gravitacional de las estrellas, juega un papel decisivo en la formación de las colas de los cometas, reduce el tiempo de vida de los satélites artificiales de la Tierra, etc.
Hace tiempo que los escritores de ciencia ficción sueñan con naves interplanetarias accionadas por las fuerzas de la presión luminosa. Además, los éxitos de la química moderna en la creación de materiales plásticos ligeros y resistentes dan la esperanza de obtener también un material del que sea posible confeccionar las velas de los «yates cósmicos». Pero el hecho es que la presión de la luz sólo actúa en dirección opuesta a la fuente. ¿Qué hacer si el cosmonauta desea volver al Sol? Por desgracia no se puede viajar amurando como un velero en el mar, ya que el espacio interplanetario carece prácticamente de sustancia. Sin embargo, resulta posible crear un sistema que sea atraído hacia la fuente de luz bajo la acción de los rayos luminosos. Traten de concebir aunque sea un solo sistema de este tipo.
§122. ¿Por qué los cuerpos igualmente calentados brillan de manera diferente?
¿Cómo explicar la siguiente paradoja: el hierro calentado a 800°C brilla fuertemente, sin embargo, el brillo de un trozo de cuarzo (con un poco menos de éxito, el experimento también puede realizarse con un trozo de vidrio), calentado a la misma temperatura, apenas se nota?
§123. La paradoja de las reglas
Tomen dos reglas y colóquenlas una sobre otra de modo que formen un ángulo agudo o (fig. 38). Supongamos que una regla comienza a moverse progresivamente con relación a la otra, con cierta velocidad

Figura 38
AA' = BB' = v0Δt
debido a lo cual el punto de intersección de las reglas se traslada a la distancia
AB' = = vΔt
Del triángulo AAB' hallamos![]()
![]()
![]()
§124. La paradoja de la palanca
Imagínese que Ud. tiene una palanca cuyos brazos tienen longitudes l1 y l2, (fig. 59). Supongamos que esa palanca gira uniformemente haciendo una resolución durante el tiempo T. Entonces, el trayecto s1 que recorre su extremo izquierdo se puede escribir de dos maneras:
s1 = v1T = 2πl1
Análogamente, para el trayecto s2, recorrido por el extremo derecho, tenemoss2 = v2T = 2πl2
Dividiendo estas igualdades término a término, obtenemos![]()
![]()
![]()
¿Será esto posible?
§125. ¿Qué cantidad de radio había en la tierra el «día de su nacimiento»?
Supongamos que actualmente en la Tierra hay sólo 1 kg de radio, cifra, desde luego, más que modesta, puesto que en los laboratorios y hospitales del mundo se conserva muchísimo más. No obstante, vamos a operar con esta cifra para la precisión y simplicidad de los cálculos ulteriores.
El periodo de semidesintegración del radio es de 1620 años. Esto significa que tantos años atrás en la Tierra había dos veces más radio que ahora, o sea, 2 kg; 3240 años atrás había 4 kg, etc. Se puede hacer la siguiente tabla, en la que la edad de la Tierra se adopta igual a 1010 años, lo cual concuerda aproximadamente con los últimos datos de la geología y la astronomía:
| Cantidad de años atrás | Cantidad de períodos de semidesintegración transcurridos | Masa de radio, kg |
| 0 | 0 | 1 =20 |
| 1620 | 1 | 2 = 21 |
| 3240 | 2 | 4 = 22 |
| 4860 | 3 | 8 = 23 |
| 6480 | 4 | 16 = 24 |
| …. | …. | …. |
| 1010 | 1010/1620 |
Partiendo de los datos presentados en la tabla, calculemos la cantidad de radio que había en la Tierra 10 millones de años atrás:
![]()
![]()
¡ m = 101 857 000 kg !
¡¿Cómo concordar esto con el hecho de que la masa de toda la Tierra actualmente constituye «tan sólo» unos 6 x 1024 kg?§126. ¿Cómo surgen los rayos cósmicos?
A comienzos de nuestro siglo fue demostrado, por el físico austríaco V. F. Hess (1883 - 1964), así como por una serie de otros investigadores, que desde el «pació circundante cae a la superficie terrestre un flujo ininterrumpido de los llamados rayos cósmicos: partículas α y protones rápidos. Su energía alcanza valores colosales (claro está, con arreglo a las dimensiones del micromundo) de 109 eV, míentras que en los aceleradores modernos más perfeccionados, las partículas cargadas se aceleran hasta energías del orden de 1010 eV. Para dar respuesta a las preguntas: ¿De dónde llegan a nosotros los rayos cósmicos? y ¿de qué modo se aceleran en ellos las partículas hasta energías tan altas?, el célebre físico italiano E. Fermi (1901-1951) propuso la siguiente hipótesis, que hasta hoy se considera como la más probable.
Las observaciones astrofísicas atestiguan la existencia en el Universo de nubes de gas interplanetario que se mueven, así como de campos magnéticos ligados a ellas y originados por el movimiento de las partículas cargadas en esas nubes. Según la hipótesis de Fermi, el encuentro de las partículas cósmicas con los campos magnéticos errantes precisamente conduce a la aceleración de dichas partículas.
Sin embargo, sabemos que la fuerza que actúa del lado del campo magnético sobre la partícula cargada (la llamada fuerza de Lorentz), está dirigida perpendicularmente al vector de velocidad y, por lo tanto, sólo puede tener la dirección de ese vector, pero de ningún modo tiene valor numérico.
¿Cómo, pues, la hipótesis de Fermi explica el proceso de aceleración?
§127. Reacciones nucleares y ley de conservación de la masa
El neutrón descubierto en 1932 por J. Chadwick, es inestable y con el tiempo se desintegra en un protón, un electrón y un antineutrino. La ecuación de desintegración se puede escribir de la forma siguiente:
![]()
También se han descubierto procesos en los que el protón se transforma en neutrón, positrón y neutrino. La ecuación correspondiente a esa «reacción nuclear» tiene la forma:
![]()
¿Cómo es posible concordar esto con la ley de conservación de la masa?
§128. ¿Hay electrones en el núcleo del átomo?
En seguida después del descubrimiento experimental del neutrón. el científico soviético D. D. Ivanenko e, independientemente de él, el físico alemán W. Heisenberg, propusieron una teoría de la estructura del núcleo atómico, según la cual éste consta de protones y neutrones, llamados en conjunto nucleones.
Si el número del elemento en el sistema periódico de Mendeleev y su número de masa (la masa atómica redondeada hasta un número entero) son iguales respectivamente a Z y A, esto significa que la cantidad de protones en el núcleo constituye, y la cantidad de neutrones es igual a A - Z. En el núcleo no hay ninguna otra partícula.
La justedad del modelo protón-neutrón del núcleo, actualmente no suscita ninguna duda.
Por otro lado, en uno de los tipos de desintegración radiactiva (desintegración β), el núcleo del átomo precursor se desintegra emitiendo una partícula β, o sea, un electrón corriente.
¿De dónde, pues, se sacan los electrones?
Soluciones
§1. Como es sabido, los trenes del metro circulan observando un horario riguroso y llegan a las estaciones en un tiempo determinado. Hagamos uso de esto para la solución gráfica del problema.
Figura 40
Ya que el tiempo de llegada del pasajero es totalmente casual, de acuerdo con las condiciones del problema, este suceso puede tener lugar tanto en el intervalo A1B1 como en el B1A2 (o, respectivamente, en los intervalos A2B2 y B2A3, etc.). Si el pasajero llega a la estación en el intervalo A1B1, A2B2… después de su llegada arribará primero un tren que va en la dirección que él necesita, y para el intervalo B1A2, B2A3, ... se acercará primero un tren que va en dirección contraria. Puesto que la longitud de los intervalos en el segundo caso es dos veces mayor, la probabilidad de que el pasajero llegue a la estación en ese tiempo y halle el primer tren que va en dirección contraria, también resulta dos veces mayor. En otra estación y en otro tiempo las relaciones pueden ser diferentes.
Este problema ilustra bien el efecto benéfico del método gráfico de solución de los problemas.
§2. A este problema se le dan comúnmente las soluciones más contradictorias. A juicio de unos el trineo permanecerá en el mismo lugar, otros consideran que debe moverse hacia adelante de todos modos.
Entre tanto, la respuesta correcta es: con la definición dada, el problema no tiene solución.
En efecto, examinemos dos casos extremos. Supongamos que el rozamiento entre la cinta del transportador y los esquís del trineo no existe en general. Entonces, el movimiento de la cinta no influirá de ningún modo sobre la velocidad del trineo, ya que éste es movido por la hélice. El mismo permanece como volando encima de un camino y el movimiento de éste no influirá de ninguna manera sobre el estado de movimiento del trineo, lo mismo que ese movimiento no puede influir sobre la velocidad de un avión que vuela sobre un camino.
En el segundo caso extremo, cuando la adherencia entre el camino y los esquís del aerotrineo es muy grande (o sea, cuando la fuerza de tracción desarrollada por la hélice del aerotrineo es menor que la fuerza de rozamiento entre los esquís y el camino), se puede considerar que este último se halla ligado rígidamente al transportador. Entonces, indudablemente, el trineo se moverá en la misma dirección y con la misma velocidad que la cinta transportadora.
En los casos intermedios son posibles diversos valores de la velocidad de trineo. En particular, puede resultar que su posición respecto a los objetos circundantes, con el tiempo se mantenga invariable, o sea, que el trineo permanezca parado en el mismo lugar. Esto ocurrirá en el caso en que la fuerza de tracción de la hélice sea igual a la fuerza de rozamiento (sin considerar la resistencia del aire). No obstante, tal estado será inestable, ya que incluso un pequeño impulso en dirección del movimiento o contrario a él, provocado, por ejemplo, por la rugosidad de la cinta transportadora, pondrá el trineo en movimiento con relación a la superficie terrestre y en dirección de la acción.
§3. La velocidad resultante del punto A (fig. 41) es la que se observa realmente en la práctica, o sea, la velocidad v1, de la lancha dirigida horizontalmente. Por consiguiente, la velocidad con que se estira la cuerda es una de las componentes. ¿Cuál será, pues, la dirección de la segunda componente?
Su dirección debe elegirse de modo que el movimiento a lo largo de ella constituya un valor absoluto constante del vector de la velocidad de la cuerda |

Figura 41

Figura 42
![]()
De este modo, aunque todo vector puede descomponerse en cualquier dirección, no toda descomposición tiene sentido. La descomposición mostrada en la figura 1 carece de sentido físico debido a que el movimiento resultante no es a lo largo de la cuerda, sino en dirección horizontal, y la descomposición debe someterse precisamente esa dirección.
El problema se resuelve sencillamente por los métodos del cálculo diferencial.
Del triángulo ABC (fig. 41) tenemos:
(AB)2 = (BC)2 + (AC)2
Diferenciemos esta expresión con respecto al tiempo y supongamos, para abreviar la escritura, que AB = l, BC = h y AC = s. Debido a que h es constante, hallamos![]()
![]()
![]()
o
![]()
Su resolución no cambiará ni siquiera en el caso en que ambas cuerdas se sustituyan por una sola, ya que la segunda se hace innecesaria. Por lo tanto, este problema es completamente análogo al precedente, lo cual resulta evidente si la figura 43 se vira a 90° en sentido de las agujas del reloj y se compara con la figura 1 o la 41. La carga, en este caso, desempeña el papel de lancha, y su velocidad

Figura 43
Entonces, del triángulo OBC de las velocidades, obtenemos
![]()
![]()
Sin embargo, en la vida cotidiana, por valor medio de la velocidad se entiende el valor medio de su módulo, el cual se puede determinar dividiendo el trayecto recorrido entre el tiempo de movimiento. Veamos a qué éste es igual.
El resultado de 50 km/h, que generalmente se da, no es correcto. En efecto, designemos por l la distancia entre los puntos A y B. Entonces, el tiempo invertido por el motociclista en el viaje de A a B será igual a
![]()
![]()
![]()

La fórmula para calcular la velocidad media, en este caso se puede presentar de la forma siguiente:
![]()
La media armónica de los números a y b se puede construir geométricamente.
En la figura 44 está representada una hipérbola que expresa el gráfico de la función x = 1/y.
Tracemos en el eje Ox los segmentos OA1 = a y OA2 = b. Después de esto tracemos las normales al eje Ox desde los puntos A1 y A2 hasta la intersección con la hipérbola en los puntos B1 y B2.

Figura 44

m = (a + b)/2
existe la relación
m ≥ g ≥ h
(el signo de igualdad tiene lugar en el caso de a = h).
La velocidad media sólo a veces es igual a la media aritmética, por ejemplo, en el movimiento rectilíneo uniformemente variable (movimiento con aceleración constante); no obstante, para el caso sujeto a examen, la velocidad media se expresa como la media armónica de las velocidades v1 y v2.
Pero con la media aritmética, la media armónica y la media geométrica no se agota la cantidad de medias. Existe además la media antiarmónica y la media cuadrática. Pero ¡eso no es todo! Desarrollando la teoría de las funciones elípticas, el célebre matemático alemán Carlos Federico Gauss (1777—1885) introdujo un peculiar «híbrido» de la media aritmética y la media geométrica.
De lo dicho se deduce que se «inventan» diferentes medias no por distracción, sino porque surge la necesidad en ellas, no sólo en la ciencia, sino también en otras esferas de la actividad del hombre. Así, por ejemplo, la productividad media del trabajo se calcula con ayuda de la media aritmética, los gastos medios de tiempo, por la fórmula de la media geométrica, y los ritmos medios de desarrollo de la producción, por la fórmula de la media geométrica.
§6.Verifiquemos las soluciones obtenidas calculando el tiempo necesario para subir a la altura de 6 m con una velocidad inicial de 21,5 y 13 m/s, respectivamente.
De la expresión
![]()
Así que, para cualquier velocidad inicial que satisfaga, naturalmente, la condición
![]()
Los valores del tiempo, dados en el texto de los problemas, son elegidos especialmente de modo que correspondan a la bajada.

Figura 45
§7. Durante el frenado del vagón, el cuerpo del pasajero, conservando la velocidad que tenía, se inclina hacia adelante. Tratando de evitar la caída, la persona instintivamente contrae los músculos de las piernas. Durante la parada, el pasajero no tiene tiempo para aflojar los músculos y ellos le empujan hacia atrás. Un papel similar al de los músculos del hombre, juegan los resortes del vagón.
Durante un frenado urgente, los músculos del pasajero no tienen tiempo para adaptarse a la situación, y él se inclina hacia adelante en plena correspondencia con la ley de la inercia.
§8. En otros tiempos, a propósito, se consideraba que la locomotora no puede poner en movimiento un tren cuyo peso supere el de ésta. Por eso los autores de los primeros proyectos equipaban las locomotoras con una especie de patas para empujarse de la tierra (locomotora de Brunton, año 1813), o proponían hacer ruedas motrices dentadas y rieles dentados (locomotora de Blekinson, año 1811).
El error de estos inventores, así como el presentado en el texto del sofisma, consiste en que los coeficientes de rozamiento de las ruedas de los vagones con los rieles, y de las ruedas motrices de la locomotora con los rieles, se tomaron iguales sin argumentación alguna.
El hecho consiste en que los puntos de las ruedas de la locomotora y los vagones, que rozan con los rieles en el momento de contacto, permanecen inmóviles. Es decir, en ambos casos tropezamos no con el rozamiento dinámico, sino con el estático, cuyo coeficiente no es una magnitud rigurosamente determinada, sino que cambia desde cero hasta cierto valor máximo, cuando se produce el arranque y comienza el movimiento. Debido a que la rotación de las ruedas ocurre sin «patinaje» (o sea, éstas no se hallan trabadas y giran libremente), para las ruedas de la locomotora y los vagones, el coeficiente de rozamiento también es inferior al máximo, pero no es igual; el de las ruedas motrices de la locomotora es muy grande, y el de las ruedas de los vagones es menor. El producto del peso (mejor dicho, el peso de enganche) de la locomotora por el coeficiente de rozamiento grande, durante el movimiento rectilíneo uniforme, es igual al producto del peso del tren por el coeficiente de rozamiento pequeño. Los coeficientes de rozamiento k1 y k2 pueden diferenciarse en muchas veces, y claro está que no pueden igualarse, como se hizo en la condición del sofisma. El primero que demostró esto experimentalmente fue el ingeniero Jedley, quien construyó en 1813 la locomotora «El jadeante Billy». No obstante, el problema de la construcción de locomotoras fue solucionado más tarde por Stephenson.
§9. Claro está que la fuerza de rozamiento no disminuye a causa de eso. No obstante, para el movimiento giratorio es importante no tanto la propia fuerza como su momento. Es fácil ver que con la reducción del radio de la parte rozante disminuye el momento de la fuerza de rozamiento de frenado, y al mismo tiempo también disminuyen las pérdidas relacionadas con el trabajo necesario para superar las fuerzas de rozamiento.
§10. En los puntos muertos superior e inferior (o derecho e izquierdo, según nuestro dibujo), el émbolo del motor en funcionamiento se detiene durante muy poco tiempo al cambiar la dirección de movimiento. En estos momentos de tiempo, el aceite se desaloja del espacio entre el émbolo y las paredes del cilindro, y cierto tiempo después de esto, el movimiento transcurre casi «en seco», hasta que el émbolo alcance la superficie engrasada. Naturalmente que el desgaste de las paredes secas es mayor que el de las engrasadas.
§11. La parte del problema que se refiere al taco no contiene errores. La segunda parte también sería justa si pudiéramos hacer una esfera absolutamente sólida y una superficie que tuviera esa misma propiedad. Sin embargo, bajo la acción de las cargas (incluido el peso de la esfera), todos los cuerpos reales se deforman en mayor o menor grado, y esto contribuye a que la esfera y el plano tengan no un punto de contacto, sino cierta área, dentro de cuyos límites la reacción del apoyo puede desplazarse algo y compensar el momento de! par de la fuerza aplicada y de la fuerza de rozamiento. No obstante, la deformación por ¡o general no es muy grande, y la reacción del apoyo no puede tener un momento considerable. Como resultado, la esfera se pone en movimiento con mucha más facilidad que el taco.
§12. Experimentalmente se puede saber cuál razonamiento es erróneo y cuál correcto. Para ello es suficiente poner el modelo de la mesa en dos dinamómetros de demostración (es conveniente emplear dinamómetros del tipo de «reloj») de modo que las patas de la mesa se hallen a distintas alturas. Las indicaciones de los dinamómetros resultarán diferentes, siendo mayores allí donde las patas estén dispuestas más abajo. Si el modelo ha sido colocado de modo que la perpendicular bajada del centro de gravedad al plano horizontalmente, pasa por el punto B (véase fig. 7) a través de las patas de la mesa, las indicaciones del dinamómetro izquierdo serán iguales a cero en general.
A la conclusión de que las presiones deben ser diferentes, también conduce el siguiente razonamiento sencillo.
La mesa permanecerá en reposo en el plano inclinado, sólo en el caso de que sea igual a cero la suma de las fuerzas que actúan sobre ella (condición de no existencia de traslación progresiva) y la suma de los momentos de esas fuerzas (condición de no existencia de movimiento giratorio).

Figura 46
Puesto que no hay rotación, por ejemplo, con respecto al eje que pasa por el centro de gravedad de la mesa, resulta igual a cero la suma algebraica de los momentos de la fuerza de gravedad P, de las fuerzas de rozamiento F1 y F2 que actúan sobre las patas de la mesa, y de las fuerzas de reacción R1 y R2 del apoyo (las designaciones de todas las fuerzas se dan en la figura 46). Considerando positivos los momentos de las fuerzas que producen giro en sentido de las agujas del reloj alrededor del eje que pasa por el centro de gravedad C de la mesa, y considerando negativos los momentos de las fuerzas que proporcionan giro en sentido contrario, obtenemos la siguiente igualdad:
![]()
![]()
![]()
![]()
![]()
![]()
§13. Prolonguemos R1 hasta la intersección con la prolongación de

Figura 47
![]()
![]()
![]()
![]()
![]()
§14. Puesto que en cada momento de tiempo dado, los puntos del carrete que están en contacto con el suelo no se mueven, la línea de contacto se puede considerar como un eje instantáneo de giro.

Figura 48
Con una inclinación del hilo bastante grande, el momento de fuerza
§15. Aristóteles suponía que el papel de la piedra colocada arriba se reduce tan sólo a empujar la de abajo. En realidad, ella debe no sólo (mejor dicho, no tanto) poner en movimiento la piedra de abajo como iniciar su propio movimiento.
Con otras palabras, junto con el aumento (en dos veces) de la fuerza que pone en movimiento las piedras (fuerza de gravedad de éstas), se incrementa, en esa misma cantidad, la masa puesta en movimiento, mientras que la aceleración permanece invariable en plena correspondencia con la segunda ley de Newton:
![]()
![]()
![]()
![]()
![]()
![]()
![]()
§17. Antes de comenzar la solución de este problema resolveremos previamente otro.
El físico A nació en 1870. A la edad de 37 años fue electo académico, después de lo cual vivió 40 años más y murió en 1960. ¿A la edad de cuántos años murió?
Tras una breve reflexión llegamos inevitablemente a la conclusión de que la información dada en el problema no puede referirse a una misma persona. En efecto, en dependencia de si operamos con las fechas de nacimiento y muerte o de si utilizamos los datos restantes, obtenemos, respectivamente, dos respuestas diferentes: o bien 90, o bien 77 años. De este modo, el problema es contradictorio internamente. Para que tenga una sola solución hay que corregir uno de los datos o prescindir de él en general.
De la misma manera, las magnitudes dadas en la condición de nuestro problema no pueden referirse al movimiento de un solo cuerpo: el problema contiene datos sobrantes que además son mutuamente contradictorios. Excluyendo de la condición, por ejemplo, la información acerca del trayecto recorrido (o acerca del tiempo de movimiento), obtenemos un problema totalmente correcto, pero absolutamente ordinario y que se resuelve con facilidad.
En resumen señalaremos que la cláusula relativa a la dirección de la fuerza y a la falla de rozamiento no es una información excesiva, e invitamos al lector a convencerse de ello independientemente.
§18. En ambos casos la fuerza que provoca el movimiento es igual a dos newtons. Pero en el primer caso, la fuerza de gravedad de la pesa pone en movimiento no sólo el carrito, sino también la propia pesa, mientras que en el segundo caso, la fuerza de gravedad comunica aceleración sólo al carrito.
§19. Hallemos primero las aceleraciones de todas las bolas inmediatamente después de cortar el hilo. Considerando positivas las fuerzas y aceleraciones dirigidas hacia abajo, obtenemos las siguientes expresiones de las aceleraciones:

![]()
![]()

§20. Comúnmente se considera erróneo el hecho de que con el aumento de la velocidad se incrementan las fuerzas de resistencia (el rozamiento y la resistencia del aire), en tanto que la fuerza resultante y la aceleración, por consiguiente, disminuyen, y al fin de cuentas la velocidad no puede alcanzar grandes valores.
Pero en lo fundamental, la cuestión no radica en esto, ya que se consideran posibles, por lo menos en principio, las condiciones cuando las fuerzas de resistencia no dependen de la velocidad. Tales son prácticamente las condiciones de movimiento de un cohete en el espacio cósmico, donde dichas fuerzas no existen en general o pueden considerarse despreciablemente pequeñas.
Para revelar el error calcularemos la potencia que debe desarrollar el ciclista al final del vigésimo minuto. Estimando que la fuerza de tracción constituye 100 N, y la velocidad, 600 m/s, obtenemos, según la fórmula bien conocida,
![]()
Pero precisamente en esto consiste la solución de la paradoja: puesto que la potencia debe permanecer dentro de límites razonables, la fuerza de tracción desarrollada por el ciclista disminuirá con el aumento de la velocidad.
La solución se puede formular más detalladamente de la siguiente manera. Para cada determinada velocidad de rotación u de los pedales existe una fuerza máxima Fmax con la que el ciclista puede presionar estos últimos.
El gráfico de la variación de Fmaxen función de v se muestra en la figura 49 con una línea continua.

Figura 49
El sentido de la curva consiste en que incluso sobre un objeto en reposo (c = 0), el pie de la persona no puede actuar con una fuerza que sobrepase cierto valor de F0; por otro lado, a medida que la velocidad de los pedales se aproxima a cierto valor de v0, la fuerza Fmáx deberá tender a cero, ya que con grandes velocidades, la persona simplemente no «tendrá tiempo para presionar los pedales». Esa misma figura ilustra, mediante líneas de trazos, las curvas de igual potencia (hipérbolas Fv = const). Cuanto menor sea la potencia correspondiente a la hipérbola, tanto más se acercará la curva de trazos a los ejes de coordenadas. De la figura se deriva que con grandes velocidades la potencia útil, que puede desarrollar el ciclista, comienza incluso a disminuir con el aumento de la velocidad, ¡convirtiéndose en cero cuando v = 0!
Una gran potencia no significa ni mucho menos una gran fuerza de tracción. Para los cohetes fotónicos diseñados, por ejemplo, la fuerza de tracción se supone que solamente constituye algunas decenas o centenas de newtons (para comparar, señalemos que los motores de los aviones reactivos contemporáneos desarrollan esfuerzos de tracción de cientos de miles de newtons), así que tal cohete no podrá despegar de la Tierra por sí mismo, ya que la fuerza de tracción es mucho menor que la fuerza de gravedad. Por eso los motores fotónicos serán puestos en funcionamiento sólo después de que el cohete haya despegado de la Tierra y alcanzando una velocidad bastante grande a expensas del trabajo de motores de cualquier otro tipo, por ejemplo, motores reactivos corrientes, que utilizan la reacción del chorro expulsado de productos de combustión.
§21. Entre Münchhausen y el ciclista hay una gran diferencia. Si se da crédito al relato, Münchhausen «pudo» levantar con sus propias fuerzas (pueden denominarse fuerzas internas) el centro de gravedad del sistema «jinete-caballo» sobre la superficie de la tierra. Eso contradice las leyes físicas y por lo tanto es imposible. Por otro lado, el ciclista, tirando del timón hacia sí y levantándolo sobre la superficie de la tierra, se atrae a la vez a si mismo hacia el referido timón. En este caso, el centro de gravedad del sistema «bicicleta-hombre» permanece a la misma altura.
Es preciso señalar que mientras la bicicleta se mueve por la tierra, el sistema «bicicleta-hombre» no permanece cerrado y su centro de masas puede ser levantado a expensas de la reacción de la tierra. Uno de los números del circo, por ejemplo, consiste en que un ciclista que se movía primero sobre dos ruedas, levanta luego la rueda delantera y continúa moviéndose sobre la trasera solamente. Al mismo tiempo, la altura del centro de masas del sistema se incrementa al empujarse y separarse de la tierra (piensen qué movimientos debe realizar el ciclista para ello).
§22. La ley de atracción universal, escrita de la forma
![]()
Si no se cumple la desigualdad R >> l, no se puede actuar «de golpe»; es preciso proceder cuidadosamente y tomar en consideración la forma y las dimensiones de los cuerpos. En un caso general, para hallar la fuerza de interacción de los cuerpos, hay que dividirlos mentalmente en partes tan pequeñas que cada una pueda ser considerada como un «punto material», hallar las fuerzas con las que cada «punto» del primer cuerpo atrae cada «punto» del segundo, y sumar vectorialmente todas las fuerzas. Precisamente así han de buscarse las fuerzas de interacción del hombre y la silla y de la piedra y la tierra, y entonces no surgirán ningunas infinidades.
En un caso general, la suma vectorial de las fuerzas es un problema matemático muy complejo. No obstante, si los cuerpos de interacción son esferas o bolas huecas (con la distribución uniforme de la sustancia en la superficie o el volumen), la fuerza de interacción puede ser calculada por la fórmula (1) hasta en el caso de que la distancia entre los centros de las bolas sea comparable con la dimensión de sus radios, incluso hasta R = R1 + R2 (R1y R2 son los radios de las esferas ó bolas).
Pero para los cuerpos de forma arbitraria y de pequeños R, la fuerza de interacción no se puede calcular por la fórmula (1) suponiendo que en ésta R es igual a la distancia entre los centros de masas. Por ejemplo, el- centro de masas de un toro está ubicado fuera de éste. Por eso se puede colocar una pequeña esfera de modo que su centro coincida con el centro de masas del toro. Además, está claro que R será igual a cero, pero la fuerza de interacción de la esfera y el toro no tenderá al infinito. Al contrario, la suma geométrica de las fuerzas que actúan entre las distintas partes de la esfera y el toro dará en resumidas cuentas una resultante igual a cero.
Y en conclusión señalaremos una inexactitud cometida en las condiciones del problema: si dos cuerpos se tocan, eso no significa, ni mucho menos, que la distancia entre sus centros de masas es igual a cero. Así, como ya vimos, para las esferas que se tocan, R = R1 + R2.
§23. Al fin y al cabo, la magnitud de los flujos y reflujos se determina no tanto por la propia fuerza de atracción del Sol o la Luna, como por la diferencia de las fuerzas con las que dichos astros atraen los cuerpos que se hallan cerca del centro de la Tierra y los cuerpos de igual masa situados sobre la superficie de ésta. Si esas fuerzas fueran iguales, comunicarían a la Tierra en general, y a las aguas oceánicas, la misma aceleración, así que tales cuerpos se moverían como un todo único, y las mareas no surgirían.
No obstante, el centro de la Tierra se halla más alejado de la Luna (o el Sol) que las partículas de agua en el océano situado en el hemisferio orientado hacia la Luna (Sol). Por consiguiente, sus aceleraciones se diferenciarán en la magnitud
![]()

Figura 50
![]()

Para la Luna,
![]()
![]()
![]()
![]()
§24. La fórmula (1) expresa el hecho de que para un mismo trayecto, el trabajo realizado será tanto mayor cuanto mayor sea la fuerza que realiza ese trabajo. De manera análoga, de la expresión (2) se deduce que para una misma fuerza, el trabajo aumenta con el incremento del trayecto recorrido. (Es necesario comprender bien que, al aumentar dos veces la fuerza, el trabajo también aumentará dos veces sólo en el caso do que el trayecto sea igual en ambos casos; o con el aumento del trayecto, el trabajo se incrementará igualmente sólo en el caso de que permanezca invariable la fuerza). Así pues, lo que se consideraba invariable en la fórmula (1), resulta variable en la expresión (2) y viceversa. Por lo tanto, en las igualdades (4) y (5), obtenidas de (1) y (2) multiplicándolas y dividiéndolas término a término, es necesario admitir la posibilidad de variación tanto de k1 como de k2. De aquí se deduce que k3 y k4 no son coeficientes constantes. En efecto, del sentido de y k2 se deriva que
![]()
![]()
Por ejemplo, durante el movimiento uniforme, el trayecto recorrido es proporcional a la velocidad y el tiempo. Escribiendo este hecho en forma de dos fórmulas
![]()
![]()
![]()
![]()
![]()
§26. Si el carbón arde a la altura del cuarto piso, la energía potencial de los productos de la combustión (agua, ceniza, gas carbónico CO2, gas carbónico CO y partículas incombustibles del carbón) será exactamente en tanto mayor en cuanto se incrementó la energía potencial del carbón.
§27. El combustible que se encuentra en los depósitos de un cohete en movimiento posee cierta reserva de energía cinética obtenida como resultado del impulso que adquirió este último a costa del combustible quemado anteriormente. Por eso, la energía contenida en cada kilogramo de la parte restante de combustible, se formará del calor de la combustión (que no depende de la velocidad de cohete) y de la energía cinética que aumenta cada vez más. Con una velocidad del orden de 3 km/s, la energía cinética de un kilogramo de combustible es comparable con el calor de su combustión, o sea, con la reserva de energía química, y al alcanzar la primera velocidad cósmica, la energía cinética del combustible supera en tres veces el calor de la combustión. Esto es precisamente lo que explica la paradoja.
§28. El aeróstato desplaza cierto volumen de aire cuya masa es mayor que la suya, ya que para llenar su envoltura se elige un gas de menor densidad que la del aire. Durante el ascenso del globo a la altura H, su energía potencial aumenta en VDgH, donde V es el volumen del globo, D, su densidad media, y g, la aceleración de gravedad.
A su vez, al lugar ocupado por éste, baja, desde la misma altura, el aire cuya energía potencial disminuye en VD'gh, donde D' es la densidad del aire.
Como resultado, la energía potencial del sistema «atmósfera- aeróstato» disminuye en
V (D' - D) g h > 0
El globo sube precisamente a expensas de dicha ganancia en energía. Por lo tanto, ésa es la misma causa por la cual suben a la superficie del agua los tacos de madera, las burbujas de gas, etc., o sea, es la tendencia del sistema de pasar a un estado de energía potencial de valor mínimo.Al resolver el problema del aeróstato, para simplificar los cálculos hemos considerado constantes las densidades del gas y el aire. En realidad, la densidad de este último disminuye con la altura, y la del gas que llena el globo también disminuye con el ascenso, ya que el mismo presiona cada vez más sobre la envoltura del globo, tratando de igualar las presiones dentro de éste y en el espacio circundante. No obstante, la densidad del gas disminuye no constantemente, puesto que eso es obstaculizado por la envoltura. Como resultado, la densidad del aire a cierta altura se hace igual a la densidad media del globo, y el ascenso ulterior de éste se interrumpe.
§29. Al bajar rodando del montículo, el aro participa simultáneamente en dos movimientos: en primer lugar se traslada, como un todo, progresivamente; y en segundo lugar, todos sus puntos realizan, además, un movimiento giratorio, cuyo eje pasa por el centro del aro.

Figura 51
Por eso, el miembro derecho de la igualdad escrita en las condiciones del problema, que expresa la ley de conservación de la energía, ha de ser completado por un término más, el cual represente la energía cinética del movimiento giratorio
:
![]()
![]()
![]()
![]()
![]()
![]()
![]()
Es fácil convencerse de la justedad de las ideas aquí expuestas, comparando el tiempo que tardan en bajar, rodando por un plano inclinado, dos botellas idénticas, que tienen igual masa, y una de las cuales está llena de agua, y la otra, de una mezcla de arena y serrín.
Durante el movimiento de la primera, su energía potencial se convierte casi por completo en energía cinética del movimiento de traslación, puesto que el agua no participa en la rotación, excepto, una capa muy delgada contigua a las paredes de la botella (aquí prescindimos de la masa de la propia botella).
La mezcla de arena y serrín gira junto con la botella, y una parte considerable de la energía potencial de ésta, se transforma en energía cinética del movimiento giratorio. Por eso, la energía cinética y, por consiguiente, la velocidad del movimiento de traslación de la segunda botella resulta menor.
§30. Llámase centro de masas de un sistema de dos cuerpos puntuales, el punto que divide la distancia entre esos cuerpos, en segmentos inversamente proporcionales a las masas de los mismos. De modo que si el punto S es el centro de las masas m1 y m2que se encuentran en el eje x a distancias x1 y x2, respectivamente, del origen de las coordenadas, entonces
![]()
![]()
![]()
![]()

Para que un ladrillo no se caiga del que está debajo, la perpendicular bajada desde el centro del primer ladrillo no debe sobresalir del contorno de apoyo, o sea, el centro de masas del ladrillo superior no debe tener x > l (fig. 52).

Figuras 52, 53 y 54
![]()
![]()
![]()
![]()
![]()
![]()
![]()
§31. Ambas afirmaciones son igualmente correctas si la tercera de las magnitudes que entran en cada fórmula se considera constante.
Efectivamente, examinemos en el disco giratorio dos puntos dispuestos a distancias diferentes del eje de rotación. Entonces, con una misma velocidad angular ω, poseerá mayor aceleración centrípeta el punto que esté más alejado del eje de rotación. Esto es fácil de mostrar en la práctica, colocando en el disco de un gramófono dos estatuillas: no es difícil elegir para ellas posiciones tales que la más alejada del centro caiga, mientras que la segunda permanezca parada.
Por lo contrario, con una velocidad v igual para ambos puntos que giran, las aceleraciones centrípetas serán inversamente proporcionales a los radios de rotación. Así ocurre, por ejemplo, con las aceleraciones de los puntos dispuestos a lo largo de las circunferencias de dos poleas de distintos diámetros, unidas por una correa de transmisión. Esto se refiere también a las ruedas dentadas con distintos números do dientes.
Da manera análoga son igualmente correctas las dos fórmulas para calcular la potencia consumida por cierto sector de un circuito eléctrico:
![]()
§32. El motor propuesto es, naturalmente, irrealizable. Pero no (como a veces se afirma) porque la suma de las fuerzas centrífuga y centrípeta es igual a cero. Tal explicación es incorrecta, ya que es absurdo sumar fuerzas aplicadas a distintos cuerpos.
El cambio de dirección del movimiento del liquido tiene lugar no sólo en el arco ACB, sino también cerca de los puntos A y B. Se puede decir que al lado de ellos el líquido se mueve en forma de arcos de radio muy pequeño. De acuerdo con lo dicho, las fuerzas centrifugas que actúan sobre la pared del tubo, también existen en los puntos A y B. La dirección y la magnitud son tales que la suma vectorial de éstas y la fuerza R es igual a cero.
Es interesante señalar que aún el joven K.E. Tsiolkovski[6] (genial fundador de la teoría de los vuelos interplanetarios) trató de «utilizar la fuerza centrífuga para subir más arriba de la atmósfera, al espacio celeste». Su máquina «consistía en una cámara o caja cerrada en la que vibraban dos péndulos elásticos colocados de manera invertida y cuyos extremos superiores estaban provistos de bolas. Los mismos describían arcos y la fuerza centrífuga de las bolas debía elevar la cabina y llevarla al espacio cósmico» (tomado de la obra de K. E. Tsiolkovski «Mi vida»). Sin embargo, el mismo día Tsiolkovski comprendió que «habrá vibración de la máquina y nada más. Su peso no disminuirá ni un gramo». Al igual que no disminuye el peso del péndulo oscilante colgado de un soporte en forma de Π.
Para demostrar la irrealizabilidad de todos los motores semejantes, lo mejor de todo y lo más sencillo es apoyarse en la imposibilidad de poner en movimiento un sistema cerrado valiéndose únicamente de las fuerzas internas.
§33. Aquí no hay ninguna contradicción, lo mismo que no la hay en el hecho de que una persona que va caminando, al tropezar se cae hacia adelante, aunque sobre sus pies ha actuado una fuerza de frenado dirigida en sentido contrario al movimiento.
En ambos casos la explicación del fenómeno debe basarse en la primera ley de la mecánica, es decir, en la ley de la inercia.
§34. Comúnmente, el error en la «deducción» dada se estima que consiste en el hecho de que el arco ha sido sustituido por una cuerda. Sin embargo, con pequeños ángulos de desviación, tal sustitución es totalmente legal y permisible, y el error consiste en otra cosa.
Calculando el tiempo de movimiento del péndulo por la cuerda AB (véase Fig. 13), hemos supuesto que la aceleración en dirección del movimiento era todo el tiempo constante e igual a a = g cos α, donde el ángulo α corresponde a la mayor desviación del péndulo con relación a la posición de equilibrio.
Pero en realidad, su aceleración en dirección de la trayectoria es una magnitud variable que alcanza el máximo en los momentos de mayor desviación y se convierte en cero al pasar por la posición de equilibrio. Con otras palabras, el error consiste en la utilización arbitraria de las fórmulas del movimiento uniformemente variable, mientras que en el movimiento oscilatorio armónico, la velocidad, el tiempo, el trayecto y la aceleración están relacionados por dependencias mucho más complejas.
§35. La ecuación
![]()
![]()
![]()
Supongamos que bajo la acción de un impulso casual, el hilo con la bola se desvió de la vertical a un pequeño ángulo α Entonces, en el sistema de coordenadas relacionado con el disco, junto con la fuerza de atracción de la Tierra
![]()
![]()
![]()
![]()



o sea, la inclinación, que fue el resultado de una causa accidental, crecerá hasta cierto ángulo α cuyo valor puede ser hallado por el método descrito en las condiciones del problema, ya que sen α ya no será igual a cero y la división de ambos miembros de la desigualdad entre él es admisible.
De este modo, con arreglo a la velocidad de rotación, el problema tiene dos soluciones:

Como conclusión es interesante señalar que cuando


Esto significa que con una rotación lenta del disco, los desplazamientos accidentales del hilo respecto a la posición vertical originarán oscilaciones armónicas de la bola en el plano vertical, mientras que con una rotación rápida, las oscilaciones se convierten en rotación de la bola, la cual describe una circunferencia horizontal.
§36. Lo más a menudo, al hablar de ondas se entiende el proceso de propagación de las oscilaciones elásticas, las cuales, con pequeñas frecuencias, en los líquidos realmente sólo pueden tener un carácter longitudinal. Sin embargo, no siempre las oscilaciones son originadas por fuerzas elásticas. En el caso expuesto, las ondas transversales en la superficie de un estanque, por ejemplo, deben su origen a la fuerza de gravedad: las partículas de agua que bajo el golpe de la piedra fueron trasladadas hacia abajo, son después desplazadas hacia arriba por el peso de las capas vecinas. Una vez provocada la oscilación, continúa luego hasta que la energía suministrada inicialmente se invierta en la superación de las fuerzas de rozamiento líquido y en la puesta en movimiento de sectores cada vez mayores de la superficie del líquido. Es fácil ver que las oscilaciones transversales, apoyadas por la fuerza de gravedad, pueden existir solamente en la superficie de separación de un líquido y un gas o entre dos líquidos de distinta densidad. El surgimiento de ondas en un líquido que confina con un gas, también puede ser provocado por las fuerzas capilares capaces de originar ondas de longitud muy pequeña.
Es necesario señalar que, con frecuencias bastante grandes, los líquidos manifiestan elasticidad al desplazamiento, o sea, con gran frecuencia de oscilación, en los líquidos también son posibles las ondas transversales.
§37. La atenuación del sonido que se observa en los momentos en que ambas ramas del diapasón están dispuestas en una recta con la oreja, se podría explicar únicamente por la diferencia de longitud de los trayectos recorridos por las ondas sonoras, tan sólo en el caso de que éstas salieran de las fuentes sonoras en iguales fases, mejor dicho, con una diferencia de fase múltiple de 2π. En realidad, las ramas del diapasón oscilan en oposición de fases: cuando una de ellas suministra al oído una onda de compresión, de la otra comienza en ese momento a propagarse una onda de depresión. Como resultado, cuando las ramas están dispuestas en un plano que une el diapasón con la oreja, las ondas sonoras comienzan a propagarse teniendo ya fases opuestas. Al acercarse al oído, las ondas por eso se amortiguan mutuamente, y oímos el sonido atenuado. Los pocos centímetros que separan las ramas del diapasón no juegan un papel importante, ya que la diferencia de recorrido que surge en ese trayecto es mucho menor que la longitud de onda.
Cuando las ramas se hallan dispuestas en un plano paralelo al oído, oímos el sonido amplificado, ya que las ramas del diapasón actúan realmente como una fuente sonora: cuando las ramas se mueven una hacia la otra, el aire es empujado del espacio entre ellas, y hacia el oído se dirige un impulso de compresión. Durante el alejamiento mutuo de las ramas del diapasón, comienza a propagarse una onda de depresión. Los impulsos periódicos de compresión y de presión se perciben como un sonido.
§38. El sonido del diapasón se amortigua paulatinamente, ya que la energía de sus oscilaciones es emitida poco a poco al espacio circundante. La dispersión aumenta y transcurre con más rapidez si el diapasón se halla asegurado en un resonador o simplemente roza con la mesa, puesto que la radiación en este caso proviene no sólo de las ramas del diapasón, sino también de la superficie del resonador o la mesa. De este modo, aunque en el segundo caso se oye un sonido más fuerte, su duración será menor, y la energía emitida resultará igual en ambos casos.
§39. La imposible realización de un móvil perpetuo es una consecuencia de la ley universal de la conservación de la energía, válida en todos los casos. En el texto del sofisma no se presta atención, premeditadamente, al hecho de que la fuerza de presión, al igual que la propia presión, está dirigida siempre perpendicularmente a la superficie sobre la cual ella actúa. Por eso, en dirección de la posible traslación, o sea, horizontalmente actúa no toda la fuerza de presión, sino sólo su componente horizontal.
Designemos por S el área de la pared izquierda, y por p, la presión media ejercida sobre ésta. Entonces, el módulo de la fuerza de presión sobre la pared izquierda se puede expresar del siguiente modo:
![]()
Por eso el módulo de la fuerza de presión sobre la pared derecha, con una misma presión media p, resulta algo diferente, a saber:
![]()
![]()
La demostración también se puede efectuar sin recurrir a la ayuda de la trigonometría. Se puede, por ejemplo, aprovechar la semejanza de los triángulos (dejamos al lector la realización individual de la construcción que es necesaria para esto). Es aún más simple tomar el ángulo α igual a 30° para luego valerse del teorema de la relación entre el cateto y la hipotenusa en un triángulo con tal ángulo agudo.
§40. Resulta que la culpable de todo es... la ley de Arquímedes, de acuerdo con la cual un cuerpo que se halla en estado de equilibrio indiferente en un líquido, desplaza tal cantidad de líquido cuya masa es igual a la del propio cuerpo.
Partiendo de esto, examinemos la posible construcción de un submarino confortable. Según las palabras de Julio Verne, el «Nautilus» tenía un volumen de 1500 m3, o sea, desplazaba aproximadamente 1500 t de agua («aproximadamente», ya que la densidad del agua marina es algo mayor que la del agua dulce). Por consiguiente, su masa también debería constituir 1500 t, de las cuales 150 t (y 150 m3) corresponderían al lastre acuático. Así pues, en el volumen restante (de 1350 m3) deberían caber 1350 t (incluido el cuerpo de la nave, las máquinas, los aparatos, la tripulación, el moblaje, el aire para respirar, los alimentos, etc.).
Si se tratase de objetos hechos de metal macizo no surgirían grandes dificultades, ya que, por ejemplo, 1350 t de hierro «sólo» ocupan un volumen de 172 m3, así que quedaría bastante espacio libre. Pero los mecanismos y el equipo no son, ni mucho menos, monolíticos. Examinemos, por ejemplo, el motor 40 D de fabricación soviética. Con una masa de 10 t éste requiere un espacio de 14 m3. De este modo, para «hundirlo» se requiere una fuerza complementaria equivalente al peso de una carga cuya masa constituye ¡casi 4 t! En cuanto a los acumuladores de plomo, cada metro cúbico de los cuales tiene una masa de 3 t aproximadamente, el asunto es menos complejo. Ellos no sólo no requieren «sobrecarga», sino que incluso, al revés, compensan la «falta de peso» de otros objetos. No obstante, ¡sería absurdo llenar toda la nave de acumuladores o simplemente de plomo! ¡Entonces no quedaría sitio para nada más!
Y por eso, para observar el balance de los pesos y la flotabilidad, los constructores de submarinos se ven obligados a disminuir sin compasión los volúmenes de los locales de la nave: los camarotes se hacen pequeños, los puestos estrechos, los compartimientos máximamente estrechos.
§41. La fuerza de empuje se manifiesta al sumergir cualquier cuerpo en un liquido, incluso en el caso cuando se «sumerge» agua en agua, o sea, sobre cierto volumen separado mentalmente en un liquido actúan dos fuerzas que se equilibran mutuamente.
Sin embargo, hay que tener en cuenta que las fuerzas, según la tercera ley de Newton, siempre surgen en pares. Por eso, si existe una fuerza de Arquímedes dirigida hacia arriba que actúa sobre el volumen separado, este volumen actúa sobre el resto del líquido con una fuerza igual al peso del «liquido desplazado», es decir, al suyo propio. Dicha fuerza se halla dirigida hacia abajo. De este modo, aunque «el agua en agua no pesa nada», ésta, a pesar de todo, ejerce presión sobre las capas infrayacentes y sobre el fondo del recipiente que la contiene, con una fuerza igual a su peso. Esos mismos razonamientos, por lo visto, también son válidos para el aire.
§42. El líquido vertido en un recipiente no sólo ejerce presión sobre el fondo, sino también sobre las paredes laterales. Además, la presión p siempre está dirigida perpendicularmente a la superficie sobre la cual actúa. Por eso en un recipiente cilíndrico, las fuerzas de presión

Figura 55
Si se calculan y comparan entre sí las sumas vectoriales
![]()
![]()
§43. La fuerza de sustentación
![]()
![]()
![]()
![]()
![]()


Para un gas arbitrario, la ecuación (1) se puede escribir de la siguiente manera:
![]()
§44. La presión en la corriente de viento que pasa impetuosamente sobre el tejado es menor que en el aire inmóvil. Por eso, si en el frontón del desván no hay ventanas, surge una fuerza de sustentación que trata de arrancar el tejado o las tejas de éste. Pero basta con hacer ventanas en el desván para que el aire bajo el tejado se ponga en movimiento y la diferencia de presiones encima y debajo del mismo disminuya y se torne insuficiente para causar daños a la casa.
Esta paradoja se puede formular de otra manera: ¿por qué durante los huracanes, los tejados de las casas no se hunden bajo la presión del viento, sino que son arrancados? O ¿por qué una onda explosiva derriba cercas completas y deja intactos los postes delgados? A propósito, se puede recordar también la necesidad de abrir la boca durante los disparos de las armas de artillería para que las presiones a ambos lados del tímpano (del lado de la oreja y la trompa de Eustaquio) sean iguales.
§45. El frenado contra la orilla, el fondo y el aire adyacente a la superficie del rio conduce a que las capas de agua situadas en el centro de éste, un poco más abajo de su superficie, sean las que se muevan con más rapidez. La distribución de las velocidades en la profundidad tiene el aspecto dado en la figura 56.

Figura 56
Eso, entre otras cosas, fue una de las causas por la cual casi pereció Henry Wattsinger, uno de los miembros de la tripulación de la «Kon-Tiki»[8].
Soluciones
Capítulo 2
Calor y física molecular
§46. La compresibilidad de los líquidos es insignificante para el agua, la disminución del volumen por cada atmósfera de presión aplicada equivale aproximadamente 0,00005 del valor inicial.
Es fácil calcular que la densidad del agua te igualará a la del acero bajo una presión de cerca de 50000 at (y esto a condición de que la compresibilidad del agua no cambia a medida que crece la presión). Presiones como ésa existirían a la profundidad de 500 km. Pero si se tiene en cuenta la compresibilidad del hierro, sería necesaria una profundidad aún mayor. Entretanto, la profundidad máxima del océano es solo de cerca de 11 km.
Es interesante señalar que, a pesar de todo, el agua se halla considerablemente comprimida bajo la acción de su propio peso. Si pudiera librarse de la compresión, el nivel de las aguas del Océano Mundial ascendería a 15 m y enormes territorios (cerca de 5 000 000 km2) de las regiones bajas de la Tierra resultarían inundadas.
§47. A gran altura sobre la Tierra, la atmósfera está muy enrarecida y el número de moléculas por unidad de volumen es insignificante. Por eso, aunque cada molécula posee gran energía cinética, su cantidad es demasiado pequeña para transmitir una cantidad de energía apreciable al chocar con las paredes del satélite. Por el contrario, cuando este último no es iluminado por los rayos del Sol, el mismo, en el proceso de radiación, cede al espacio circundante mucha más energía que la que recibe de las moléculas que chocan con él, y puede enfriarse fuertemente, si no se toman medidas contra el molesto fenómeno.
El calentamiento del satélite en las capas densas de la atmósfera durante el aterrizaje se debe a causas totalmente distintas. Ello se explica por el rozamiento de la superficie del satélite con el aire.
Añadiremos que el concepto de temperatura no es aplicable a una molécula aislada. De la temperatura, como magnitud estática, sólo se puede hablar en el caso de que haya un conjunto bastante grande de partículas. Precisamente por esa causa, en las condiciones del problema se dice: «las moléculas de aire poseen velocidades a las que corresponden temperaturas de varios miles de grados».
§48. Echemos la mitad del agua fría en el recipiente D y mezclémosla dentro de éste con agua caliente. Es fácil calcular que, al no haber pérdidas térmicas, en los recipientes A y D se establecerá una temperatura de 60°C. Echemos luego el agua caliente del recipiente D en el recipiente vacío C y repitamos ese procedimiento con el resto de agua fría. Después que ésta, con ayuda del recipiente D, sea introducida en el recipiente A, el agua en ambos recipientes adquirirá una temperatura de cerca de 47°C. Si vertimos ahora el agua del recipiente D en el C, la temperatura de la mezcla en este último resultará igual a 53°C aproximadamente. De este modo se ha cumplido la condición del problema, puesto que el agua fría se calentó hasta 53°C a expensas del enfriamiento del agua caliente hasta 47°C, además no se efectuó la mezcla de agua.
Si no se dividiera el agua en dos, sino en más partes, la diferencia de las temperaturas finales resultaría mayor. Con porciones infinitamente pequeñas de agua trasladable, las temperaturas finales en los recipientes A y C serán las siguientes:
![]()
Sin embargo, se puede construir una instalación en la cual ocurra prácticamente un «cambio total de temperaturas». En cierta medida esto sucede en los cambiadores de calor térmicos, donde por tubos dispuestos coaxialmente circulan en sentidos contrarios dos flujos de líquidos (o gases), uno frío y otro caliente. Con tubos bastante largos ocurre un «cambio de temperaturas» prácticamente total, como se muestra en la figura 57. Si los flujos circularan en un mismo sentido, en el mejor de los casos las temperaturas se igualarían.
Queremos subrayar otra vez que en los procesos descritos no se viola ninguna ley térmica (segundo principio de la termodinámica, sobre el cual pueden verse los problemas §70 - §72), ya que en todas las etapas intermedias, la temperatura del líquido, al cual le es transmitida cierta cantidad de calor, resulta menor que la temperatura del líquido que entrega esa cantidad de calor. Esto se ve bien en la figura 57, donde la curva que representa la temperatura del líquido que recibe cierta cantidad de calor pasa más abajo.

Figura 57
§50. Para medir la temperatura se puede emplear cualquier escala. Se comprende que las leyes físicas no cambian al pasar de una escala a otra, así que los cálculos de la cantidad de calor necesaria para calentar un cuerpo, se pueden efectuar por las mismas fórmulas. No obstante, los valores numéricos de las magnitudes, en cuya determinación entra el concepto de temperatura, serán distintos. Por ejemplo, el valor numérico de la capacidad calorífica del agua al pasar de la escala de Celsio a la de Réaumur crece en 1,25 veces, o sea., desde 4,19 kJ/ (kg-°C) hasta 5,23 kJ/ (kg-°C). Pero como la ebullición del agua ocurre a los 80° de la escala de Réaumur, la cantidad de calor necesaria para calentar 0,1 kg de agua desde el punto de fusión del hielo hasta la ebullición será la misma y constituirá 41,9 kJ.
§51. El sofisma propuesto solo contiene una contradicción aparente, ya que en ambos casos el trabajo opuesto a las fuerzas exteriores no se realiza «por sí mismo», sino a expensas de cierta energía. En el primer caso ésta es suministrada al sistema desde fuera, o sea, de un calentador, y en el segundo, el trabajo se realiza a expensas la disminución de la llamada energía interna del cuerpo.
La energía interna del cuerpo depende de las velocidades y disposición mutua de las moléculas. Son, respectivamente, las componentes cinética molecular y potencial molecular de la energía interna. Durante la solidificación de un líquido cambia considerablemente el carácter de movimiento y la disposición de las moléculas, aunque sus velocidades permanecen práctica mente invariables. En la red cristalina de un cuerpo sólido, las moléculas se hallan dispuestas en un orden riguroso, al cual corresponde el mínimo de la componente potencial molecular. La energía «sobrante» es liberada: es el llamado calor de solidificación (o calor de fusión). Precisamente a expensas de éste ocurre la ruptura de la bola de hierro fundido cerrada herméticamente, al congelarse el agua vertida en su interior.
Examinemos un ejemplo más. Mientras es suministrado el vapor de la caldera al cilindro de una máquina de vapor, el trabajo para desplazar el émbolo se realiza a expensas de la energía suministrada con ese vapor. Sin embargo, después del llamado «cierre del vapor», cuando el cilindro resulta aislado de la caldera, el vapor mueve el émbolo a expensas de la reducción de la energía interna, a saber, de su componente cinética molecular. Además, el vapor se enfría. El trabajo con el cierre del vapor, propuesto en 1776 por James Watt (1736 – 1819), inventor de la primera máquina universal de vapor, permite utilizar más íntegramente la energía del vapor.
§52. Puesto que las fuerzas de interacción de las moléculas de aire son prácticamente iguales a cero, la energía del gas comprimido es la energía cinética de sus moléculas. El trabajo realizado durante la compresión conduce a su incremento, lo cual se manifiesta en el aumento de la temperatura del aire. Por el contrario, durante la expansión de este, el mismo realiza trabajo a expensas ele la disminución de la energía interna, o sea a costa de la reducción de la energía cinética de las moléculas. Si en este caso no se suministra energía del exterior, la temperatura del gas disminuye durante la expansión. Prácticamente, sin embargo, la misma se restablece con rapidez debido al intercambio térmico con el medio ambiente. Así, el aire comprimido, al fin de cuentas realiza trabajo a expensas de la energía interna del medio ambiente. Además, hay que señalar que esa misma cantidad de energía la cede el aire caliente al medio ambiente en el proceso de compresión.
§53. Al igual que en el sofisma de desaparición de la energía potencial del carbón (véase el problema §26), la solución no costará trabajo: la energía no puede desaparecer sin dejar huella, ella sólo se transforma de un tipo en otro. En efecto, las mediciones bastante exactas demostrarían que después de disolverse la barra doblada, la temperatura del ácido resultará algo más alta que en el caso en que se disuelve una barra no doblada. Por otra parte, el aumento de la temperatura es tan pequeño que no puede ser revelado por métodos simples, y sería absolutamente inútil tratar de usar un termómetro corriente para este objetivo.
Es interesante señalar que la disolución de la barra no doblada requiere menos tiempo.
§54. El trabajo es un proceso debido al cual la energía es transmitida de un cuerpo a otro. La cantidad de energía transmitida en este caso se determina según el producto de la fuerza por el trayecto (si coinciden, por supuesto, sus direcciones; de lo contrario surge un tercer factor - el coseno del ángulo entre las direcciones de los vectores del desplazamiento y la fuerza).
El trabajo es uno de los posibles métodos de transmisión de energía, pero no el único. No menos a menudo en la vida tropezamos con el segundo método de intercambio de energía entre los cuerpos, llamado transmisión de calor.
El cohete «pende» sin movimiento en el aire aunque sus motores funcionan. Puesto que no hay traslación, el trabajo es igual a cero. Pero esto no significa de ningún modo que la energía del combustible quemado en el cohete desaparece sin dejar huella, pues los gases expulsados de las toberas del cohete se hallan calentados a alta temperatura y evacúan consigo la energía antes contenida en los tanques de combustible.
§55. Como ya fue señalado en la solución del problema precedente, existen dos, y sólo dos, formas diferentes de intercambio de energía: el proceso de trabajo (transmisión ordenada de energía de unos cuerpos a otros, transmisión de energía a nivel macroscópico) y el proceso de transmisión de calor (forma no ordenada, transmisión de energía a nivel microscópico). A pesar de su diferencia cualitativa, las mismas pueden conducir a iguales resultados. Precisamente en esto consiste la «equivalencia del calor y el trabajo». Examinemos un ejemplo concreto.
Supongamos que dentro del cilindro bajo el émbolo hay aire. Este puede ser calentado por varios métodos. Por ejemplo, se puede suministrar el calor de cierto calentador, afianzando previamente el émbolo en determinada posición. En este caso el proceso en que participa el gas se llama proceso isocoro[9] . Durante el calentamiento isocoro, la capacidad calorífica del aire es igual a 0,73 kJ/(kg-K), y la cantidad de calor necesaria para calentar 1 kg de aire a 1 K, entonces constituirá:
![]()
Como el émbolo está fijo, el gas no realiza trabajo opuesto a las fuerzas exteriores y toda la cantidad de calor suministrada – 0,73 kJ – va a incrementar la energía interna del gas, lo cual conduce al aumento de la temperatura en 1 K.
Sin embargo, ese mismo incremento de temperatura y ese mismo incremento de energía interna del gas también puede ser logrado por otro método: suministrando la energía no por medio de transmisión calor, sino realizando cierto trabajo sobre el gas, es decir, comprimiéndolo.
El proceso que ocurre sin intercambio de calor con el medio ambiente se llama proceso adiabático. Para que el proceso tenga carácter adiabático es necesario encerrar el gas en una envoltura absolutamente no conductora de calor. Una aproximación bastante buena a este caso ideal es el sistema ubicado dentro de un recipiente de vidrio de paredes dobles plateadas, del espacio entre las cuales fue extraído el aire (vaso Dewar).
Los procesos que transcurren con gran rapidez también serán prácticamente adiabáticos. Por ejemplo, durante la compresión muy rápida del gas, simplemente no hay tiempo para que ocurra el intercambio de calor con los cuerpos circundantes, y el aumento de la energía interna del gas equivale al trabajo necesario para su compresión. El incremento de la energía interna durante la compresión adiabática va acompañado del crecimiento de la temperatura, lo cual es bien conocido por los ciclistas y choferes por el calentamiento de la bomba al inflar los neumáticos.
De la termodinámica se sabe que en el proceso adiabático, el volumen de gas y su temperatura se hallan relacionados de la siguiente forma:
![]()
Suponiendo que el volumen inicial ocupado por 1 kg de aire es igual a 1 m3, y que la temperatura inicial es de 273 K, obtenemos el volumen hasta el que hay que comprimir el gas para que su temperatura sea 274 K:

§56. Al usar un soldador no es tan importante la magnitud de la energía interna acumulada (sobre todo si dicho soldador es eléctrico) como la velocidad con que ésta es suministrada por el soldador. Como la conductividad térmica del cobre es seis veces y pico mayor que la del hierro, el referido proceso ocurre con mucha más rapidez en el soldador de cobre. Al elegir el material del soldador también juega un gran papel la estabilidad química del mismo (la del cobre es mayor que la del hierro).
§57. Si incluso se toma una sustancia con gran coeficiente de dilatación térmica, de todos modos la magnitud -1/α resultará mucho menor que -273ºC, o sea, menor que el cero absoluto. Así, para el plomo α = 3 x 10-5 C-1 y -1/α = - 1/3 x 105 ºC. Generalmente, tales temperaturas son inalcanzables, (mejor dicho no existen).
Al analizar el sofisma, también es importante tener en cuenta la dependencia entre el coeficiente de dilatación térmica y la temperatura.
§58. Siempre hay que distinguir la fuerza que realiza un trabajo de la fuerza contra la cual se realiza ese trabajo. Las magnitudes de tales fuerzas a veces no coinciden, por eso los trabajos realizados por ellas durante un mismo desplazamiento pueden ser distintos, no sólo en cuanto al signo (así sucede siempre), sino también en cuanto al valor.
Levantando, por ejemplo, una pesa de masa 1 kg a la altura de 1 m, realizamos un trabajo
A = mgH = 1 kg x 9,8 m/seg2 x 1 m = 9,8 J
sólo en el caso de que apliquemos a la pesa una fuerza de 9,8 N para levantarla. La energía consumida por nosotros en este caso se necesita únicamente para incrementar la energía potencial de la pesa.No obstante, al levantar la pesa se puede aplicar una fuerza superior a 9,8 N. En este caso la fuerza «sobrante» contribuirá al movimiento acelerado y al crecimiento paulatino de la energía cinética de la pesa. La suma de las energías potencial y cinética de esta última a la altura de 1 m será igual al trabajo realizado por la mano de la persona durante ese desplazamiento.
En el problema sujeto a examen también existe una fuerza que realiza trabajo: la fuerza de la presión atmosférica, y una fuerza contra la cual se realizó ese trabajo: la fuerza de la gravedad de la columna de mercurio que penetró en el tubo.
El trabajo de la primera fuerza es igual en ambos tubos y puede calcularse por la fórmula
![]()
En cuanto a la segunda fuerza, el trabajo realizado por ella se puede calcular, en principio, por esa misma fórmula. Sin embargo, no es tan fácil hacer esto prácticamente, puesto que es necesario considerar que cuando se llena el tubo, la presión de la columna de mercurio varía sin cesar. Enseguida después de abrir las llaves, dicha presión es igual a cero, ya que en los tubos no hay mercurio. Luego las fuerzas de la presión crecen junto con la altura de las columnas. Ese crecimiento ocurre con mayor lentitud en el tubo derecho, donde el ensanchamiento se halla dispuesto más abajo. Pues mientras este último no está lleno de mercurio, la presión varía muy poco. Por eso la presión media resulta mayor en el tubo izquierdo, puesto que, enseguida, la altura de la columna de mercurio aumenta con rapidez. Por consiguiente, el trabajo opuesto a las fuerzas de la presión aquí también será mayor.
En resumidas cuentas, el trabajo de las fuerzas de la presión atmosférica es igual en ambos casos, pero se realiza no sólo para aumentar la energía potencial del mercurio, sino también para ponerlo en movimiento acelerado, y para superar las fuerzas de rozamiento. Al detenerse el mercurio, su energía cinética se transforma en calor. Así mismo el rozamiento del mercurio con las paredes del tubo produce calentamiento.
La suma de la cantidad de calor invertida en el calentamiento del mercurio y el aumento de su energía potencial en ambos casos es igual al trabajo de las fuerzas de la presión atmosférica, pero el valor relativo del segundo sumando es mayor para el tubo izquierdo.
§59. El ascenso de un líquido en los tubos capilares ocurre en aquellos casos cuando las fuerzas de atracción entre las moléculas del líquido y las moléculas de la sustancia del tubo superan las fuerzas de cohesión de las moléculas del líquido entre sí. De este modo, el trabajo necesario para elevar el líquido se realiza en este caso a costa de la disminución de la energía potencial con el cambio de la configuración del sistema «líquido - tubo». (Asimismo un imán atrae un pedazo de hierro porque la energía potencial del sistema «imán-hierro» en este caso disminuye.) Pero si las fuerzas de cohesión entre las moléculas del líquido son mayores que las fuerzas de atracción de las moléculas del líquido y las moléculas del material del tubo, la energía potencial del sistema disminuirá con el descenso del líquido en ese tubo.
§60. La solución de azúcar en agua tiene un coeficiente de tensión superficial mucho mayor (mayor energía superficial específica) que el agua pura debido a esto, la superficie ocupada por la solución de azúcar tiende a contraerse llevándose consigo los fósforos hacia el trozo de azúcar. En la disolución de jabón disminuye la tensión superficial del agua (a propósito, precisamente con eso está relacionada la acción detergente del jabón), la superficie ocupada por la solución jabonosa aumenta, y los fósforos se dirigen en pos del límite con el agua pura hacia los extremos del plato.
§61. Un experimento sencillo ayudará a responder a la pregunta planteada. Tomemos un alambre de hierro o de cobre de 1 a 2 mm de diámetro y calentémoslo fuertemente en un horno. Después del recocido y el enfriamiento lento, el alambre se pone muy flexible: es fácil doblarlo y formar de él un anillo. Pero, si se dobla de un lado a otro varias veces, cada vez se vuelve menos flexible. Este fenómeno de consolidación de los materiales bajo la acción de una carga se llama endurecimiento en frío. La consolidación de ese tipo se puede explicar por la compensación mutua de los defectos de distinto género que hay en la red cristalina. La teoría de esta cuestión es compleja y no puede exponerse con suficiente rigor en el marco de esta obra[10].
En el proceso de estirado ocurre el endurecimiento en frío, como resultado del cual el alambre que pasó por el orificio de la hilera se solidifica. Si el estirado se efectúa muchas veces, el alambre, antes de cada estirado subsiguiente, se remece para facilitar el proceso.
§62. El error de la solución dada en el texto del problema consiste en la suposición incorrecta de que, después de añadir el agua hirviente, todo el hielo se derrite. En realidad hay muy poca agua caliente para que ocurra eso, quedará parte del hielo, y la temperatura en la jarra no sube a más de 0°C. Por eso, al escribir la ecuación del balance térmico, hay que considerar sólo la cantidad de calor cedida por el agua hirviente
![]()
![]()
La jarra no entra en la ecuación del balance térmico, ya que su temperatura no cambia. Igualando las expresiones escritas más arriba hallamos m = 1,25 kg
Por lo tanto, en la jarra habrá 2,25 kg de agua y 0,05 kg de hielo, y su mezcla tendrá una temperatura de 0°C.
De este modo, en los casos cuando pueda tener lugar el paso de un estado de agregado a otro (por ejemplo, del estado sólido al líquido o del líquido al gaseoso y viceversa), la ecuación del balance térmico ha de escribirse con cuidado, teniendo en cuenta el posible paso incompleto[11].
§63. A cualquier temperatura dentro de un líquido hay tanto moléculas más rápidas como moléculas más lentas. La evaporación ocurre debido a que abandonan el líquido las moléculas más rápidas dotadas de energías suficientes para superar las fuerzas de cohesión con la parte restante del líquido. Con la salida de las moléculas más rápidas disminuye la velocidad media de las moléculas restantes; también disminuye la temperatura media del líquido, la cual se determina por la velocidad media de las moléculas. Después de esto las temperaturas dejan de ser iguales y se hace posible el intercambio térmico, con el cual el líquido recibe la energía necesaria para su evaporación.
§64. A pesar de la confusión (en efecto, entre los examinadores se encontraba Enrico Fermi, quien, aunque joven en aquellos años, ya era bien conocido), la estudiante, no obstante, reflexionó y contestó correctamente: «Cuando se fríe, no hierve el aceite, sino el agua contenida en los alimentos».
Efectivamente, mientras no se haya evaporado toda el agua, la temperatura no sube a más de 100°C. Precisamente por esa misma razón se puede hervir agua en un cucurucho de papel.
§65. Con la disminución de la presión, el agua hierve realmente a una temperatura más baja. Por eso en las montañas, donde la presión atmosférica es menor que al nivel del mar, el agua hirviente puede tener una temperatura de 80°C, por ejemplo, e incluso más baja, ya que la reducción de su punto de ebullición es de unos 3°C por cada kilómetro de elevación Este fenómeno es bien conocido por los alpinistas, quienes a veces lo emplean para determinar la altura alcanzada.
Pero en realidad no es importante el propio hecho de ebullición, sino la temperatura del agua hirviente. ¡¿A quién le hace falta, en realidad, «agua hirviente» a temperatura de 60°C, por ejemplo?! ¡En tal agua no se cocerá bien ni la carne ni el pescado, la misma no sirve para esterilizar los instrumentos médicos, incluso no a cualquier bebedor de té le agradará esa temperatura!
A. G. Dralkin, jefe de una Expedición Antártida Soviética, narraba que durante la travesía por la ruta Mirni-Polo Sur geográfico - Estación «Vostok», los todoterrenos de orugas «Jarkovchanka» tuvieron que subir a alturas de 3500 m y más. En esas condiciones era prácticamente imposible cocinar los alimentos, puesto que, debido a la baja presión atmosférica, el agua comenzaba a hervir ya a unos 55 a 60°C, y, por ejemplo, para cocinar carne se necesitaban 6 a 7 horas. Más tarde los exploradores del polo instalaron en los todoterrenos cocinas eléctricas con autoclaves[12] .
§66. Como ya fue señalado en el problema precedente, la temperatura de ebullición del agua depende de la presión. En particular, a 40 atm el punto de ebullición del agua a de 249,3 °C. Al mismo tiempo, la temperatura de fusión del estaño a esa presión prácticamente no supera los 232 °C, que es la temperatura de fusión de dicho metal bajo presión atmosférica normal. De este modo, se puede, en efecto, fundir estaño en un agua que se halle bajo una presión de 40 atm.
También es posible quemarse con un pedazo de hielo. Como mostraron los experimentos de Gustav Tammann (1861-1938) y Percy Williams Bridgman (1882-1961), con el aumento de la presión cambia la estructura del hielo común: éste se transforma en nuevas modificaciones cristalinas. Tammann descubrió la existencia de tres tipos de hielo: el II, el III y el IV (el hielo corriente que conocernos es del tipo I). Las investigaciones de Bridgman permitieron descubrir dos modificaciones más: los hielos V y VI. A la presión de 20 000 atm el hielo VI permanece sólido incluso a la temperatura de + 75 °C. Y al aumentar más la presión, ese hielo puede existir a temperaturas aún mucho más altas. Con tal hielo es posible, sin ninguna duda, quemarse las manos.
En la novela de ciencia ficción del escritor norteamericano contemporáneo Kurt Vonnegut «Una cuna para la gata», el criminal inventor crea una nueva forma de hielo - el hielo-nueve, que se congela a 46°C. «Supongamos -explica uno de los personajes de la novela- que el hielo sobre el que se deslizan los patinadores y que se agrega a los cocteles, y que podemos llamar «hielo- uno», es sólo una de las variantes de hielo. Supongamos que el agua en el globo terrestre siempre se ha transformado en hielo-uno porque no ha sido tocada por un germen que la llevara a transformarse en hielo-dos, hielo-tres o hielo-cuatro. Y supongamos - aquí su vieja mano golpeó la mesa otra vez - que «viste una forma que llamaremos hielo-nueve, un cristal duro como esta mesa...». En la novela, el malhechor tira al mar un pedazo de hielo-nueve, de este germen comienza la cristalización, se congela toda el agua en la Tierra, lo que desencadena el fin del mundo.
§67. Los cálculos del inventor son incorrectos, ya que un ahorro de calor del 100% significa la posible existencia de un móvil perpetuo.
La aplicación de los tres perfeccionamientos juntos promete indiscutiblemente un ahorro mucho mayor que el de cada invento por separado, pero no del 100% claro está.
Para simplificar el cálculo supondremos que antes de aplicar los inventos la instalación consumía 100 kg de combustible por hora. Después de aplicar el primer invento, el consumo de combustible se redujo hasta 70 kg/h. El segundo perfeccionamiento permite ahorrar un 25% más, pero ¡ya de los 70 kg! De ese modo, luego de aplicar los dos inventos simultáneamente, el consumo de combustible constituirá 52,5 kg/h. Por último, el tercer invento, que ahorra un 45% más de combustible, permite disminuir su consumo hasta 28,9 kg/h. El valor final no depende del orden en que se realizan los cálculos. En todos los casos el ahorro es de cerca del 71,1%.
§68. La paradoja resulta comprensible del análisis de la primera ley de la termodinámica, la cual se puede formular del siguiente modo: la cantidad de calor suministrado al sistema es igual al incremento de su energía interna más el trabajo que dicho sistema realizó contra las fuerzas exteriores:
![]()
El primero que prestó atención al hecho de que tanto los sólidos como los gases pueden tener distintas capacidades caloríficas fue el físico francés Jean Baptiste Biot (1774 - 1862).
§69. Con relación a este problema el astrofísico alemán Robert Emden escribió en el año 1938 en la revista inglesa «Nature» («Naturaleza») lo siguiente:
«A la pregunta de por qué usamos calefacción en invierno, los que no son especialistas en la materia responderán: para poner más caliente la habitación; los especialistas en termodinámica probablemente contestarán: para suministrar la energía que falta. En este caso tendrán razón los profanos, y no los científicos[13].»
En efecto, hemos mostrado que el incremento de la energía interna del aire en la habitación, lo cual ocurre a expensas del aumento de la temperatura, es exactamente igual a su reducción y se debe a la disminución de la masa del aire, así que toda lo energía suministrada al aire en la habitación mediante la calefacción, se escapa al exterior a través de los poros y rendijas. Hablando en sentido figurado, nosotros no calentamos la casa de campo, sino el medio ambiente.
¿Para qué quemamos en este caso leña en la estufa? La cuestión radica en que, aunque para nosotros no tiene ninguna importancia la energía interna total del aire en la habitación, nuestro cuerpo es muy sensible a la temperatura, la cual se determina por la energía correspondiente a una molécula.
Calentamos la habitación debido a la misma razón por la cual sería imposible la vida en la Tierra sin el flujo constante del calor solar. Y el hecho consiste no en la cantidad de energía suministrada, que será de nuevo emitida incluso hasta cantidades despreciables, de la misma manera que el hombre no cambia su peso a pesar de haber tomado alimentos. Simplemente las condiciones de nuestra existencia (las particularidades de nuestro organismo) requieren una temperatura determinada.
§70. Junto con la ley de conservación de la energía, la termodinámica, que estudia la relación y transformación mutua de distintos tipos de energía, estableció una ley más, cuyo contenido se puede expresar del siguiente modo: la naturaleza está estructurada de tal manera que en cualquier máquina térmica, a la par con el «calentador» necesariamente debe haber un «refrigerador». Así, por ejemplo, en la locomotora y el calentador de la caldera, de refrigerador sirve la atmósfera.
Las aguas del océano pueden considerarse como un calentador gigantesco. Pero para la instalación térmica que utilice sus recursos energéticos, se requiere un refrigerador del mismo tamaño, que no estamos en condiciones de proponer.
Para el funcionamiento de las máquinas térmicas de cualquier tipo es indispensable la existencia de diferencia de temperaturas. Eso lo exige la llamada segunda ley de la termodinámica. La referida ley tiene una gran importancia en la vida de la naturaleza. Subrayando su valor, el ya mencionado Robert Emden escribía: «En la gigantesca fábrica de los procesos naturales, el principio de entropía (segunda ley de la termodinámica[14]) ocupa el puesto de director que establece el tipo y el curso de los acuerdos. La ley de conservación de la energía sólo juega el papel de tenedor de libros que equilibra el debe y el haber»[15].
Lo construcción de una máquina que aproveche el calor de las aguas oceánicas no contradice el primer principio de la termodinámica, pero contradice el segundo. Señalemos que las máquinas basadas en la explotación de la diferencia de temperaturas de las aguas superficiales y abisales del océano son completamente realizables, pero su rendimiento, como se deriva de la fórmula
![]()
§71. La relación
![]()
§72. La paradoja de Maxwell pudo resolverse relativamente hace poco. Suponíamos tácitamente que el dispositivo capaz de seleccionar las moléculas con arreglo a sus velocidades trabaja, ya sea sin gastos de energía en general, ya sea consumiéndola en cantidades insignificantes, Entretanto, para el funcionamiento del «demonio» se necesita energía. En particular, él mismo debe «ver» las moléculas, y para eso hay que iluminarlas, lo cual requiere gastos de energía.
Los cálculos exactos realizados por el físico francés Leon Brillouin (1889-1969) demostraron que incluso en el caso más favorable de no haber pérdidas importantes (o sea, pérdidas por rozamiento, etc.), después de la primera selección de las moléculas con arreglo a las velocidades, en el dispositivo se acumula una cantidad de energía suficiente justamente para poner otra vez en funcionamiento el «demonio». Así pues, en el mejor de los casos, este último solo se puede poner en funcionamiento el sí mismo, pero en cuanto a la utilización de todo el dispositivo en calidad de motor, ¡ni hablar del asunto!
Soluciones
Capítulo 3
Electricidad y magnetismo
Las placas del condensador no son cuerpos puntuales, y la fuerza de acción entre ellas no se puede calcular por la fórmula
![]()
También es necesario señalar que el campo entre las armaduras del condensador plano no es en realidad absolutamente homogéneo, además, la divergencia de la homogeneidad será tanto mayor cuanto más alejadas una de otra se hallen las placas del condensador. Junto con el aislamiento de dichas placas disminuye la tensión del campo y se debilita la fuerza de atracción mutua de las mismas A distancias muy grandes entre las placas, las cargas en ellas se pueden considerar puntuales y es posible calcular la fuerza de interacción según la ley de Coulomb.
En conclusión indicaremos que la ley de Coulomb también describe correctamente la fuerza de acción entre dos esferas cuyas superficies permanecen uniformemente cargadas, o entre dos bolas cuyos volúmenes se hallan uniformemente cargados. En este caso, en la fórmula de la ley de Coulomb, R se sustituye por la distancia entre los centros de las esferas o las bolas.
§74. Para que haya corriente en el circuito eléctrico, este debe estar cerrado y han de existir ciertas causas que pongan en movimiento orientado los portadores de corriente (electrones u otras partículas cargadas). Lo más a menudo de tal causa es la existencia de diferencia de potencial entre diversos puntos del circuito[16].
La ausencia de corriente en la ramificación A1B es testimonio de la igualdad de los potenciales de los puntos A y B. La situación no cambiará aún después de unir esos puntos con el conductor en el que tampoco habrá corriente por las mismas causas.
En el segundo caso el asunto es otro. Entre los puntos C y D existe una diferencia de potencial igual a la fuerza electromotriz de cada elemento, puesto que dos elementos iguales conectados en paralelo pueden considerarse como uno solo, con electrodos de superficie dos veces mayor. Sin embargo, mientras el conductor C3D no se haya conectado a los electrodos de la pila, el circuito permanecerá abierto y por lo tanto no habrá corriente entre los puntos C y D. Se puede decir que mientras no se haya conectado el conductor C3D sólo existe la parte interior del circuito, o sea, la pila, en tanto que falta la parte exterior.
§75. Es más bien un sofisma matemático que físico. Según las condiciones y el sentido del problema
I0 = I1 + I2
Por esoI0 - I1 - I2 = 0
y entre cero, como es sabido, no se puede dividir. De aquí se deduce que no se deben olvidar las reglas matemáticas al realizar transformaciones en los problemas físicos.§76. En el acumulador se indica la corriente máxima permitida en condiciones normales de funcionamiento. Realmente, con las sobrecargas se puede obtener una corriente mucho mayor. Sólo se debe tener en cuenta que las sobrecargas provocan la destrucción de las placas del acumulador, debido a lo cual este puede ser rápidamente averiado. Los acumuladores de plomo corrientes son sobre todo sensibles a las sobrecargas. En los llamados acumuladores de arranque que se instalan en los automóviles, se toman medidas especiales para obtener, durante un corto período de tiempo, corrientes de cientos de amperios durante el arranque del motor, sin temor de que se dañen las placas. Los acumuladores alcalinos tienen menos riesgo con las sobrecargas, ya que poseen una resistencia interna considerable, la cual limita la corriente.
§77. Mientras el shunt[17] permanece desconectado, la corriente que pasa por el galvanómetro se puede calcular por la ley de Ohm para el circuito completo:
![]()
Después de conectar el shunt con la resistencia también igual a R, la corriente que pasa por el galvanómetro será
![]()
![]()
Si la resistencia del galvanómetro supera considerablemente la de la parte restante del circuito, como ocurre en nuestro caso, entonces dicho galvanómetro trabaja en régimen de voltímetro. Para «recargarle» es necesario conectarle en serie una resistencia complementaria. Precisamente así deberían obrar los jóvenes físicos.
§78. Supongamos que R es la resistencia de la parte exterior del circuito: ε1 y ε2,las fuerzas electromotrices de los elementos: r1 y r2, sus resistencias internas. Ya que, según la condición del problema, la corriente es mayor en el primer caso que en el segundo:
![]()
![]()
Cuando la resistencia se determina mediante el cálculo, en la fórmula se sustituye el valor de la potencia correspondiente a la corriente de régimen que calienta el filamento al rojo blanco. Pero con el aumento de la temperatura, la resistencia de éste crece según la ley
![]()
![]()
Según la variación de la resistencia del conductor se puede juzgar acerca del cambio de la temperatura, en lo cual se basan las estructuras de los termómetros de resistencia o termistores.
Es conveniente señalar que la conductividad de los semiconductores cuya resistencia crece rápidamente, ni aumentar la temperatura, depende sobre todo de esta última. Por eso los termistores más sensibles -bolómetros-[19], que perciben el calor de un fósforo encendido a la distancia de varios kilómetros, se preparan de materiales semiconductores. La dependencia entre la resistencia y la temperatura es más débil en los metales y aún más en las aleaciones de éstos. La resistencia del constantán, que consta de cobre, níquel y manganeso, prácticamente no cambia al calentarlo o enfriarlo, lo cual es muy importante al construir instrumentos electrotécnicos muy exactos.
§80. La diferencia de potencial en los extremos de cierto sector de un circuito es igual a la intensidad de la corriente que pasa por ese sector, multiplicada por su resistencia, sólo en el caso cuando el referido sector no contiene fuentes de corriente (fuerzas electromotrices). De lo contrario, para calcular la diferencia de potencial hay que emplear la fórmula
![]()
En nuestro caso, la f.e.m. «complementaria» ha de tomarse con signo «más», ya que el elemento derecho suministra la corriente en la misma dirección que el elemento izquierdo. Tomando en consideración lo dicho, tenemos
![]()
![]()

Figura 58
IR = ε - Ir
En esta expresión todas las magnitudes y sus productos son positivos. Por eso, a base de la ley de Ohm para el sector del circuito BRA, el miembro derecho de la igualdad ha de igualarse a la diferencia de potencial φB - φA (y no φA - φB), ya que el potencial del punto B es mayor que el del punto A. De este modo tenemosφB - φA = ε - Ir
de dondeφA - φB = Ir - ε
que es precisamente la fórmula de la ley de Ohm, dada más arriba para el sector ArB que contiene una f.e.m. igual a ε. El sector que contiene f.e.m. suele llamarse sector heterogéneo.§81. En efecto, cuanto mayor es R, tanto más grande es el coeficiente de utilización de la energía eléctrica. Este alcanza un valor igual a la unidad cuando la resistencia de carga es «infinitamente grande», caso que, claro está, no existe en la práctica, pero al cual es posible aproximarse tanto como se quiera.
Sin embargo, no es conveniente hacer demasiado grande la resistencia de carga que se conecta a la fuente de corriente. Además, es verdad que crece la tensión en éste, pero de todos modos la f.e.m. de la fuente de corriente no puede aumentar, mientras que la intensidad de corriente disminuye con el aumento ilimitado de R, teniendo como límite el cero. Así pues, en la fórmula de la potencia
P = V x I
el primer múltiplo tiende a cero con el incremento ilimitado de la resistencia de carga, mientras que el segundo no pasa de cierto valor finito (igual a la f.e.m.). Es fácil ver que la potencia tomada de la fuente por el sector exterior tenderá a cero.Tampoco debe tomarse una carga de resistencia demasiado pequeña, ya que en la fórmula de la potencia, expuesta más arriba, el primer múltiplo no podrá ser mayor que ε/r (tal corriente circulará al producirse un cortocircuito, cuando la resistencia de la carga se vuelva igual a cero), mientras que la tensión en la carga tenderá a cero con el aumento ilimitado de su resistencia.
Se puede demostrar que el máximo valor de la potencia consumida por el sector exterior se alcanza en el caso cuando su resistencia equivale a la de la fuente de corriente. Escribamos la expresión de la potencia consumida por el circuito exterior, de la forma corriente:
![]()
Multipliquemos el numerador y el denominador por 4r. Entonces
![]()
![]()
![]()
Aún es más fácil realizar la demostración mediante un ejemplo numérico.
Supongamos que a nuestra disposición se halla una fuente de corriente con una fuerza electromotriz de 4V y con una resistencia interna de 1Ω. Entonces, en diversos valores de la resistencia de carga, obtendremos los siguientes valores de la potencia de la fuente de corriente, consumida por la carga:
| Valores de la resistencia de carga, Ω | Potencia consumida por la resistencia de carga, W |
| 0,7 | 3,87 |
| 0,8 | 3,95 |
| 0,9 | 3,98 |
| 1,0 | 4,00 |
| 1,1 | 3,99 |
| 1,2 | 3,96 |
| 1,3 | 3,92 |
En virtud de la solución de este problema conviene detenerse en las funciones que desempeñan los transformadores de salida en los radiorreceptores. La resistencia interna de las válvulas de salida que ponen en funcionamiento el altavoz electrodinámico es de decenas y centenas de miles de ohmios. Al mismo tiempo, la bobina del altavoz tiene una resistencia de sólo 5 a 10 Ω, ya que técnicamente es difícil construir altavoces de mayor resistencia óhmica. Tras conectar un altavoz de baja resistencia óhmica directamente al circuito anódico de la lámpara, sólo se puede obtener una pequeña potencia acústica. Por eso en el esquema, entre la lámpara y el altavoz, se prevé un transformador de salida adoptado al arrollamiento primario de alta resistencia y al arrollamiento secundario de baja resistencia. No obstante, su conexión también es conveniente porque en este caso a través del altavoz pasará tan sólo la componente variable de la corriente anódica.
§82. Las dos respuestas obtenidas son correctas (¡comparar esa solución con la del problema §17!). Pero esto no significa de ningún modo que a través del aparato pasan a la vez dos corrientes distintas. Resulta que es posible armar dos circuitos eléctricos que se diferencien considerablemente y cada uno de los cuales satisfagan las exigencias expuestas en el texto del problema. Calculémoslos.
A partir de los dos valores obtenidos de la intensidad de corriente y de la resistencia complementaria, se pueden hallar dos valores de la tensión:
![]()
![]()
![]()
![]()
![]()
![]()
Por lo tanto, debemos considerar ambas soluciones correctas. Pero si queremos tener sólo una solución, es necesario exigir del autor del problema que introduzca en el texto un dato cualquiera más, por ejemplo, la potencia consumida por la resistencia complementaria.
§83. La intensidad de la corriente se puede expresar a través de la cantidad de electricidad Q que pasa por la sección de un conductor durante el tiempo t, de la siguiente forma:
![]()
![]()
§84. La afirmación escrita en cursiva en las condiciones del problema no contiene errores. En efecto, como la corriente es igual en todos los baños, en n baños ha de separarse n veces más sustancia que en uno. No obstante, de aquí no se deduce, ni mucho menos, que al mismo tiempo en la segunda instalación se separará n veces más sustancia que en la primera. La causa consiste en que si en la nueva instalación, la fuente de energía eléctrica es la misma que antes, la intensidad de la corriente deberá disminuir sin falta por dos razones.
La primera es absolutamente evidente. Durante la conexión en serie de los baños electrolíticos aumenta la longitud del «conductor líquido», lo cual conduce al incremento de la resistencia del circuito, y de aquí, a la reducción de la corriente.
La segunda causa es menos trivial. El paso de la corriente a través del electrólito produce una serie de caminos físico-químicos en los electrodos, como resultado de lo cual, el baño electrolítico comienza a funcionar como un elemento galvánico cuya fuerza electromotriz, está dirigida «al encuentro» de la fuerza aplicada. Este fenómeno, llamado polarización galvánica, fue descubierto en el año 1802 por N. Geautraux (1753-1803) y descrito por primera vez en 1824 por Antoine Cesar Becquerel (1788-1878)[20], y entre 1842 y 1845 fue estudiado detalladamente por el físico ruso A.G. Savéliev (1820-1860), quien a base de sus trabajos llegó a la conclusión de la posible creación de «elementos polarizadores»[21]. Al aumentar el número de baños, la f.e.m. polarizadora total crece, lo que también conduce a la disminución de la corriente.
Así pues, aunque el aumento del número de baños debería conducir al incremento de la masa total de la sustancia depositada en los electrodos, en realidad, en el mejor de los casos ésta sólo puede permanecer invariable (realmente siempre se observa su reducción), puesto que, a causa de la disminución de la corriente en cada baño, se separa menos sustancia.
§85. Esta tentativa de hallar procesos que contradigan la ley de conservación de la energía, al igual que todas las interiores, está condenada al fracaso.
Al cargar el condensador C1, la energía de la corriente eléctrica se invierte parcialmente en el calentamiento de los conductores (calor de Joule), y en parte es emitida al espacio circundante en forma de ondas electromagnéticas. Aquí sólo es interesa que cuando C1 = C2 las «pérdidas» de energía siempre constituyen el 50%, independientemente de la resistencia de los conductores de conexión. Si C1 << C2 prácticamente no existe dispersión, y si C1 >> C2 esta es igual al 100%.
§86. En las caras de la placa de vidrio que dan a las armaduras del condensador, debido a la polarización del dieléctrico, se forman cargas enlazadas con éste, que tienen signo contrario a las cargas de las armaduras del condensador. Al eliminar el vidrio, el experimentador se ve obligado a realizar un trabajo en contra de la atracción de Coulomb de las cargas de signos opuestos. Este trabajo se utiliza para incrementar la energía del condensador.
§87. El sistema obtenido no poseerá propiedades magnéticas ya que, debido a la simetría absoluta, a través de cada punto de la bola armada y el espacio circundante, pasará igual número de líneas de fuerza magnética en sentidos contrarios. En otras palabras, el «imán» se desimanta por sí mismo, instantáneamente. Claro está que esto no significa de ningún modo la posible existencia de imanes redondos; solo importa que en su superficie haya polos contrarios, aunque sea en cantidad diferente. Por ejemplo, se puede imantar una bola de modo que en su superficie haya dos polos norte y uno sur o al revés. En virtud del análisis de la posibilidad de imantar una bola (¡¿algunos consideran que esto no se puede hacer?!) es oportuno recordar la redondez de la Tierra, que es un imán gigantesco.
En conclusión señalaremos que el físico teórico inglés Paul Adrien Maurice Dirac prestó atención al hecho de que las ecuaciones de Maxwell, que son la base de la electrodinámica, admiten, en principio, la existencia de polos magnéticos aislados (o sea, imanes con un solo polo, sur o norte).
No obstante, los intentos experimentales realizados durante muchos años, orientados a revelar los «monopolos de Dirac», no han tenido éxito, y la mayoría de los físicos contemporáneos se inclinan hacia la idea de que éstos no existen en la naturaleza.
§88. A medida que se acercan el imán y el hierro, la energía potencial de interacción del sistema «imán permanente - objeto de hierro» disminuye en igual proporción que la magnitud del trabajo realizado contra las fuerzas de la gravedad. Para restablecer su valor inicial es necesario alejar el hierro del imán. Es absolutamente evidente que para ello se requiere realizar un trabajo igual al realizado por el imán al levantar el hierro.
Así pues, en este sentido, el imán se puede comparar con un resorte que levanta una carga: para que ese resorte pueda realizar trabajo por segunda vez, ha de ser distendido previamente, gastando energía para ello.
§89. Este sofisma se halla estrechamente relacionado con el problema de antes examinado. Al igual que en este último, se ha obtenido la deducción errónea a causa de la aplicación incorrecta de la ley de Ohm.
La diferencia de potencial en los extremos de cierta rama del circuito será igual al producto de la resistencia de esa rama por la intensidad de la corriente que pasa por él, sólo en el caso de que en el mismo no haya fuentes de fuerza electromotriz. Tales ramas se denominan ramas homogéneas.
En el caso sujeto a examen, cualquier rama de la malla es heterogénea, ya que la fuerza electromotriz inducida está distribuida uniformemente por todo el anillo.
Según la fórmula de la ley de Ohm para la rama del circuito que contiene f.e.m. (rama heterogénea), se puede escribir, para la rama ARB, considerando que el punto A es su principio y el punto B su final, la siguiente igualdad:
φA - φB = IR - εARB
donde εARB es la f.e.m. inducida en el tramo ARB.Si la f.e.m. total existente en el anillo es igual a ε, la intensidad de la corriente que pasa por ese anillo se puede determinar por la fórmula
![]()
![]()
![]()
![]()
![]()
![]()
![]()
Además, la corriente eléctrica también puede fluir del mayor potencial al menor, como ocurre en realidad casi siempre dentro de los elementos galvánicos y en otras fuentes de corriente.
Los siguientes ejemplos ayudarán a esclarecer lo dicho.
El agua en un río se mueve bajo la acción de la «diferencia de potencial», sin embargo, en un vaso de té, al remover el agua con una cuchara, la misma también se mueve, aunque no hay «diferencia de potencial». Al extraer agua de un pozo con una bomba, sus partículas se mueven en sentido contrario a la «diferencia de potencial», es decir, a la fuerza de la gravedad del agua.
§90. El flujo magnético en el núcleo del transformador se forma no sólo por el flujo de la bobina primaria, sino también por el que pasa por la bobina secundaria. Con arreglo de la regla de Lenz, las direcciones de los flujos magnéticos son contrarias (están corridos de fase a un ángulo de casi 180°) de modo que el flujo magnético resultante en el núcleo en el caso ideal debe ser igual a cero. Al aumentar la carga en el transformador, crece la corriente en la bobina primaria así como el flujo magnético creado por esa corriente. A la vez se incrementa la corriente en la bobina secundaria y el flujo magnético «secundario» generado por ella. Además, el flujo magnético resultante varía dentro de los mismos límites y, por consiguiente, la fuerza electromotriz de la corriente alterna inducida en el arrollamiento secundario permanece invariable.
§91. En los extremos de cualquier rama de un circuito de corriente alterna, el valor absoluto de la tensión varía 100 veces por segundo, de cero a cierto valor máximo llamado amplitud. El voltímetro de sistema electromagnético, conectado en paralelo a dicha rama, indicará cierto valor intermedio, denominado valor real o efectivo, que es √2 = 1,41… veces menor que el valor de la amplitud. Si, por ejemplo, un voltímetro de sistema electromagnético indica 50V, eso significa que en algunos momentos la tensión alcanza 50 x 1,41… o sea, cerca de 70 V, con la que se enciende la lámpara de corriente continua. Por eso en los ensayos no hay ninguna contradicción.
Este sencillo experimento, fácilmente realizable en condiciones de laboratorio, es útil demostrarlo en clase. El mismo facilitará considerablemente la comprensión de la relación entre la tensión efectiva y la amplitud de la tensión en un circuito de corriente continua.
§92. Para contestar a la pregunta planteada hay que recordar la estructura de los amperímetros de ambos sistemas.
En los instrumentos de sistema magnetoeléctrico, el cuadro móvil por el que pasa la corriente sujeta a medición, se halla entre los polos de un imán permanente. En estas condiciones la desviación del cuadro el directamente proporcional a la intensidad de la corriente. Si la magnitud de la corriente cambia con bastante rapidez, la desviación de la aguja se determinará por el valor medio de la corriente que pasa por el instrumento.
En los instrumentos de sistema electrodinámico, la corriente sometida a medición pasa primero por una bobina fija y luego por otra móvil colocada dentro de la primera. De este modo, la desviación de la aguja será proporcional a la corriente tanto en la primera como en la segunda bobina, o sea, al cuadrado de la intensidad de la corriente, ya que esta última en ambas bobinas es la misma. En caso de que la magnitud de la corriente varíe rápidamente, las desviaciones de la aguja del amperímetro de este tipo serán proporcionales al cuadrado medio de la intensidad de la corriente.
Por eso, si ambos amperímetros indican un mismo valor en el circuito de corriente constante, entonces, en el circuito de corriente pulsante sus indicaciones serán distintas. Por medio de los métodos de la matemática superior se puede demostrar que esas indicaciones se diferenciarán en π/2 veces.
En efecto, la intensidad media de la corriente pulsante puede ser calculada de la siguiente manera:
![]()
De modo análogo el cuadrado medio de la corriente pulsante con el mismo valor de amplitud es igual a

De la última expresión se deduce que la desviación de la aguja del instrumento electrodinámico disminuye
![]()
Así pues, las indicaciones de los instrumentos magnetoeléctricos y electrodinámicos que registran en el circuito una corriente de igual intensidad, se diferenciarán ahora en
![]()
Si, por ejemplo, se necesita controlar la intensidad de la corriente que pasa por un baño galvánico alimentado por una corriente variable procedente de un rectificador de cualquier tipo, debe elegirse el instrumento de sistema magnetoeléctrico, ya que la masa de la sustancia separada en el proceso de electrólisis, al igual que las indicaciones de los instrumentos de este tipo, depende del valor medio de la corriente que pasa por el baño (puesto que la intensidad de la corriente elevada a la primera potencia entra en la fórmula de las leyes de Faraday).
Si lo que interesa es el efecto térmico de la corriente pulsante en el circuito, debe intercalarse un amperímetro de sistema electrodinámico, puesto que tanto sus indicaciones como la cantidad de calor que se desprende al pasar la corriente dependen del cuadrado medio de ésta (en la fórmula de la ley de Joule - Lenz, la intensidad de la corriente está elevada al cuadrado).
§93. El contorno PHA1KA2PH forma parte de un circuito complejo en el que, junto con la corriente de caldeo IC, del filamento K, pasa la corriente anódica Ia, de la pila PA. Es fácil ver que parte de la corriente anódica que pasa por el amperímetro A1 tiene la misma dirección que la corriente de caldeo, mientras que en el amperímetro A1, la corriente anódica y la de caldeo se hallan dirigidas una al encuentro de la otra.
Considerando que por los amperímetros circulan partes iguales de la corriente anódica, obtenemos
![]()
§94. La temperatura del filamento incandescente se determina no sólo por la cantidad de calor que desprende la corriente que pasa por él, sino también por las condiciones de enfriamiento.
Mientras el interruptor permanece abierto, el filamento incandescente está rodeado de una nube de carga espacial, y la cantidad de electrones que sale del metal al vacío es igual a la cantidad de electrones que regresan del espacio circundante al filamento. Después de cerrar el interruptor, todos los electrones (o sólo parte de ellos si la tensión anódica es pequeña) son «aspirados» del filamento por el campo «cátodo-ánodo». Queda sólo una corriente unilateral de electrones dirigida del metal al vacío, y a la perdida de calor por el filamento a través de la conductividad térmica de sus extremos y la emisión de energía radiante, se añade la pérdida de energía evacuada por los electrones rápidos y la energía consumida parcialmente por ellos al separarse del metal. Eso es lo que precisamente conduce a la disminución de la temperatura después de cerrarse el interruptor.
§95. Las tres bobinas arrolladas en un marco y conectadas en paralelo pueden considerarse como una sola, en la que se halla arrollado un conductor de sección tres veces mayor. Después de la conexión a la red de corriente constante, por dicho sistema pasará una corriente tres veces más intensa, ya que precisamente en tal cantidad de veces disminuye la resistencia al conectar las bobinas en paralelo. Por eso el campo magnético aumentaría tres veces en la red de corriente continua. El asunto es otro al conectar las bobinas a la red de corriente alterna.
Como es sabido, la resistencia de las bobinas es mucho mayor en el circuito de corriente alterna que en el de corriente continua. Así, por ejemplo, la resistencia de una de las bobinas de un transformador comercial desmontable de corriente continua es de 3,3 Ω, aproximadamente, y 20 Ω cuando pasa por la red una corriente alterna con una frecuencia de 50 Hz.
La resistencia total de una bobina de corriente alterna (esa resistencia se llama también impedancia), depende no sólo de su resistencia activa, la cual se calcula por la fórmula
![]()
El auxiliar de laboratorio, al conectar en paralelo otras dos bobinas iguales, de hecho sólo redujo un poco la resistencia activa, mientras que la inductancia del sistema no cambió prácticamente, puesto que el número de espiras y la forma de la bobina permanecen invariables. El cambio insignificante de la resistencia activa casi no se reflejó en la impedancia. Por eso la corriente consumida, así como el campo magnético dentro de las bobinas, tampoco experimentaron cambios sensibles.
La conexión en paralelo fue considerada útil debido a que la corriente que pasa por cada bobina disminuyó tres veces, como resultado de lo cual también se redujo el calentamiento en cada una de ellas.
§96. Se fundió el fusible instalado en el punto común de la fase 3 que conduce a nuestro apartamento.
¿Por qué se encendió en este caso la lámpara de prueba?
El hecho consiste en que después de la interrupción repentina del suministro de energía eléctrica, nadie tocó los interruptores y todas las bombillas en el apartamento permanecieron conectadas (para que el error en los razonamientos no saltara de repente a los ojos, en la figura 31 los interruptores se muestran al revés, o sea, en posición de «apagado»). Por eso, al conectar la lámpara de prueba entre los puntos A y B, en ella penetraba la tensión de la fase 2 y el cable «neutro», con los que dicha lámpara resultó conectada a través de la instalación eléctrica del apartamento.
Un observador más atento y experimentado debería, claro está, darse cuenta de que con el método de verificación descrito, al conectar la lámpara de prueba entre los puntos A y B o A y C, estando averiado el fusible de la fase 3, debería encenderse con el bajo calentamiento del filamento, puesto que las bombillas del apartamento Nº 19, conectadas en paralelo, a pesar de todo provocan cierta resistencia. Al mismo tiempo, si el fusible no estuviera averiado, debería observarse el sobrecalentamiento del filamento de la lámpara de prueba, ya que en ella penetraría una tensión 1,73 veces mayor que la nominal, o sea, igual a 220 V, en vez de 127 V, o igual o 380 V, en vez de 220 V.
§97. Como ya fue señalado en la solución del problema anterior, en los edificios grandes, el suministro de energía eléctrica a través de la red de corriente alterna se realiza por un sistema de cuatro hilos. Por ello, se puede suponer que era suministrada la corriente en las aulas Nº 1 y Nº 2, así como se muestra esquemáticamente en la figura 59.

Figura 59
Se comprende también por qué la espiral del hornillo no se calienta lo suficiente, a pesar de que el caldeo de las bombillas era superior al normal. En efecto, si la tensión entre el conductor «neutro» y la fase es igual a 127 V, entonces, entre las fases F1 y F2 será √3 veces mayor, o sea, quedará 220 V. Con arreglo a la ley de Ohm, dicha tensión se distribuye entre el primer y el segundo salón proporcionalmente a la resistencia de los aparatos conectados en ellas. El potente hornillo tiene una resistencia relativamente pequeña, mientras que las bombillas L1 y L2, que por lo visto tienen poca potencia, incluso al ser conectadas en paralelo, poseen una resistencia considerable. Como resultado, en el hornillo existe una pequeña tensión, y su espiral se no se calienta lo suficiente, mientras que las bombillas alumbran más fuerte de lo normal, ya que la tensión en ellas supera la tensión nominal.
§98. El voltímetro de sistema electromagnético conectado directamente a la red de corriente alterna indica el valor efectivo de la tensión. No obstante, como ya hemos dicho en la solución del problema §91, en algunos momentos la diferencia de potencial, según la ley sinusoidal de variación, alcanza su valor máximo, que supera √2 = 1,41 el valor efectivo. En esos momentos, el condensador conectado en paralelo al voltímetro, se carga hasta una diferencia de potencial de 125V x 1,41 ≈ 175V. Precisamente esto cifra es la que indica el voltímetro. El papel del aparato rectificador sólo consiste en impedir la descarga del condensador al variar el sentido de la corriente.
El fenómeno descrito es bien conocido por los radioaficionados, quienes saben que la tensión, tras ser rectificada, crece inmediatamente al intercalar en el esquema un filtro constituido por una bobina y un condensador.
No es difícil representar el sofisma en forma de problema experimental. Para esto es importante elegir un condensador de gran capacidad, del orden de varios microfaradios, y un voltímetro de gran resistencia. Con resistencia y capacidad pequeñas, el sistema, como se dice técnicamente, poseerá una constante de tiempo pequeña, o sea que, el condensador se descargará rápidamente a través del voltímetro, debido a lo cual en ellos existirá una diferencia de potencial inferior a 175 V. En los casos más desfavorables las indicaciones del voltímetro pueden ser incluso menores que la tensión efectiva en la red, de hasta
![]()
§99. A pesar de toda la ingenuidad del sofisma, consideramos provechoso analizarlo para subrayar una vez más la necesidad de cumplir con relación a los valores las mismas operaciones que con relación a los números a los que esos valores corresponden.
§100. La corriente y la tensión en un aparato conectado a la red de corriente alterna pueden variar de modo que sus valores máximos y mínimos serán alcanzados simultáneamente. En este caso dicen que la corriente y la tensión coinciden de fase. Así ocurre cuando el aparato conectado a la red de corriente alterna sólo posee resistencia activa. En este caso la potencia consumida por él puede ser calculada por la fórmula
P = I x V (1)
donde I y V son los valores efectivos de la comente y la tensión, respectivamente.
Por ejemplo, sólo las lámparas de incandescencia y los hornillos eléctricos poseen resistencia activa.
No obstante, si a la red de corriente alterna se conecta una bobina de inducción o un condensador, entonces los valores máximos y mínimos de la corriente y la tensión no se alcanzarán simultáneamente. En este caso se dice que la corriente y la tensión están desplazados en fase, y en la fórmula para calcular la potencia aparece un tercer factor k, llamado factor de potencia:
![]()
Los devanados del motor eléctrico no sólo poseen resistencia activa, sino también inductiva. Como resultado, entre la corriente que pasa por dichos devanados y la tensión aplicada al motor eléctrico surge un desfasaje. El coseno de desfasaje en un régimen de trabajo normal es igual a
![]()
§101. Antes que nada señalaremos que el proyecto descrito no contradice la ley de conservación de la energía, ya que la carga del condensador no se produciría «por sí misma», sino a expensas de la energía del movimiento térmico de los electrones. No obstante, la acción de la instalación representada en la figura 33 estaría en contradicción con el segundo principio de la termodinámica (véase el problema §70), puesto que el proceso requiere el surgimiento espontáneo de «espesamientos» y «enrarecimientos» de la nube electrónica, y eso es imposible, lo mismo que la división espontánea de las moléculas o electrones en rápidos y lentos (lo primero significaría el surgimiento espontáneo de diferencia de temperaturas).
Por otra parte es preciso señalar que la segunda ley de la termodinámica, a diferencia de la primera, no posee un carácter tan categórico: no niega del todo la posible división espontánea de las moléculas en rápidas y lentas, o el posible surgimiento de fluctuaciones de la densidad (de espesamientos y enrarecimientos locales). La misma solamente afirma que tales sucesos son poco probables y su probabilidad es tanto menor cuanto mayor es la fluctuación.
Debido al carácter caótico de movimiento de los electrones, en los extremos del conductor en realidad puede surgir una diferencia de potencial. Pero como ya hemos señalado, es poco probable el surgimiento de una tensión considerable, y con tensiones pequeñas, el condensador se descargará a través del detector, ya que en la región de pequeñas tensiones, las características tensión-corriente de todos los detectores son lineales, así como se muestra en la figura 60, y no existe efecto de rectificación. La no linealidad de la característica tensión-corriente que explica el efecto de rectificación sólo se manifiesta con tensiones bastante grandes, cuya probabilidad de surgimiento a costa de las fluctuaciones de la densidad de distribución de los electrones es prácticamente igual a cero.
El método de carga propuesto es tan imposible como imposible es prácticamente (aunque esto tiene sentido en principio) que el movimiento caótico de las moléculas de aire en una lata de conservas soldada, se convirtiera en un movimiento dirigido hacia arriba, capaz de levantar la lata sobre la superficie de la Tierra. Los cálculos demuestran que los «brincos» espontáneos de la lata, debido o las fluctuaciones en el movimiento de las moléculas, pueden observarse a lo sumo, una vez en un trillón de años.

Figura 60
Es bien conocida la novela de ciencia ficción «Ariel» de Aleksandr Romanovich Beliáyev, cuyo protagonista podía dirigir, según su deseo, el carácter de movimiento de las moléculas de su cuerpo, transformándolo de caótico en orientado. A expensas de esto podía volar en cualquier dirección. Lamentablemente, eso sólo es posible en las páginas de las novelas de ciencia ficción, ya que contradice el segundo principio de la termodinámica.
Además, el vuelo de Ariel violaba no sólo el segundo principio de la termodinámica, sino también la ley del movimiento del centro de masas de un sistema: en efecto, las fuerzas internas no pueden modificar la magnitud y dirección de su velocidad, así que en el campo gravitacional de la Tierra, el centro de masas de Ariel sólo podía moverse (sin intervención externa) con una aceleración
dirigida hacia abajo.
§102. La descarga de la botella posee carácter oscilatorio, puesto que, junto con la espiral arrollada en la varilla, ella forma, como se dice en radiotecnia, un contorno oscilatorio. Puesto que el conductor posee resistencia y se emite energía al espacio circundante en forma de ondas electromagnéticas. Las oscilaciones se amortiguan poco a poco. La varilla conserva una imantación de signo correspondiente a la última amplitud de la oscilación, tan fuerte que perfora el espacio de la chispa a través del cual ocurre la descarga de la botella de Leyden.
Soluciones
Capítulo 4
Óptica y estructura del átomo
Además, para los cuerpos con «masa de reposo» distinta a cero (a ellos pertenecen los electrones, protones, neutrones, las moléculas y átomos completos, así como los cuerpos formados por éstos: pedazos de metal, piedras, etc), incluso esta velocidad es inaccesible. Resulta que a medida que crece la velocidad, la masa del cuerpo en estado de aceleración aumenta según la ley

Existen, no obstante, partículas que se mueven a la velocidad de la luz. Tales son, por ejemplo, los cuantos de radiación electromagnética, es decir, los fotones. Pero su masa en reposo es ¡igual a cero! Esto significa físicamente que es imposible detener el fotón. Está condenado a moverse constantemente. El intento de pararlo conduce a su muerte. Es interesante señalar que la velocidad del fotón en el vacío es igual a 300 000 km/s en cualquier sistema de coordenadas, independientemente del movimiento relativo del observador y la fuente de fotones, o sea, el foco luminoso. Las propiedades cinemáticas (y dinámicas) singulares de los fotones reflejan el hecho de que no son «partículas verdaderas»; es más correcto llamarlas cuasi partículas.
§104. El calor del metal incandescente se transmite a la persona principalmente a través de la radiación. Durante el calentamiento del metal, el máximo de energía de radiación corresponde a los rayos infrarrojos, los cuales, al igual que las ondas electromagnéticas en general, son reflejados intensamente por los metales. Esto es lo que precisamente responde a la pregunta de para qué se metaliza la ropa de los fundidores de acero.
§105. Como se ve en la figura 61, independientemente de la distancia a que se halle el hombre respecto a la pared de la que cuelga el espejo, él puede observar la misma parte de su cuerpo, situada no más abajo que la distancia H del suelo.

Figura 61
El vector

Figura 62
También poseerá semejantes propiedades el prisma triangular que puede obtenerse cortando un cubo de vidrio por el plano que pasa a través de los extremos de las tres aristas que parten de un mismo vértice, en tal prisma las caras laterales juegan el| papel de espejos.
Tanto éstos como otros dispositivos se denominan reflectores angulares. Los reflectores angulares de fabricación francesa fueron instalados en el artefacto lunar soviético (Lunojod); con base en el tiempo que tarda la luz del láser situado en la Tierra, en llegar al reflector y volver a la Tierra, fue posible medir, con una precisión asombrosa, la distancia hasta la Luna.
Además, los reflectores angulares encuentran aplicaciones bastante comunes. Es probable que todos los lectores, al viajar por las autopistas, hayan visto, por ejemplo, en los recodos, señales triangulares (son las llamadas señales de advertencia) en cuyos ángulos están instaladas placas circulares de vidrio rojo (llamadas catafaros). En el reverso de esas placas, durante su fabricación fue estampado un sistema de salientes piramidales triangulares que forma un conjunto de reflectores angulares. Basta con que un automóvil que transita alumbre en la oscuridad con sus faros la señal, para que los reflectores en sus ángulos emitan un resplandor vivo, advirtiendo al conductor para que redoble la atención. A los ciclistas, por lo visto, les será interesante saber que el disco circular rojo con un anillo exterior metálico, instalado en el guardafangos de la rueda trasera, es también un sistema de reflectores angulares.
Un catafaro ideal no sería provechoso, ya que su luz se reflejaría exactamente en la fuente, y al observador no le llegaría nada. Pero de un catafaro real confeccionado no muy exactamente, la luz se refleja en forma de un haz divergente dentro del cual también cae el observador algo desplazado de la recta «fuente-catafaro».
En conclusión señalaremos que no es difícil construir un reflector angular de tres espejos planos, y experimentar con él produce un gran entretenimiento: es interesante observar cómo, independientemente de la posición, siempre vemos en él nuestra imagen (¡sólo que patas arriba!).
§107. Hemos admitido que la superficie de las gotas de lluvia es de forma esférica. En efecto, bajo la acción tan sólo de las fuerzas moleculares, la gota debería ser redonda, ya que en este caso la energía de la tensión superficial es mínima (véase la solución del problema §60): de todos los cuerpos de igual volumen, la esfera posee la menor superficie posible. Por eso, durante la caída de una gota en el espacio sin aire, su forma debería ser aproximadamente redonda. Sin embargo, la resistencia del aire conduce a la deformación de la esfericidad, y la gota adquiere forma aerodinámica típica. Las condiciones de reflexión siguen siendo las mismas en los diferentes puntos: si en un lugar hay reflexión total, en otro es posible que los rayos se dirijan hacia afuera.
Es necesario señalar que prácticamente no se observa nunca la reflexión total en una gota. En cualquier caso, siempre se «filtra» parte de la energía luminosa del agua hacia el aire.
§108. Eliminemos la fuente convergente y pongamos en su lugar una divergente. Entonces el paso de los rayos se puede representar como en la figura 63. En esta figura se observa que en la zona anular limitada por las circunferencias A’B’ y CM. la iluminación se forma en la pantalla no sólo por los rayos dispersos por la lente, sino también por los que siguen de paso, y por eso supera la iluminación que existiría en la pantalla sin lente.

Figura 63
§109. Si las lentes se hallan en un medio cuyo índice de refracción es mayor que el del material de que están hechas las lentes, entonces ellas cambian de papel: la lente bicóncava dispersará los rayos (así obra una burbuja de aire en el agua), y la biconvexa los juntará. Lo dicho se puede comprobar fácilmente por la construcción mostrada en la figura 64.

Figura 64
§110. Los negativos de ambas películas serán igualmente densos si la magnitud de la exposición permanece invariable. En fotografía, por exposición se entiende la magnitud que caracteriza la cantidad de energía luminosa recibida por el material fotosensible al fotografiar. La exposición se designa por la letra H y se expresa por el producto
H = Et (1)
donde E es la iluminación de la película fotográfica, y t, el tiempo de exposición.La iluminación de la imagen es directamente proporcional al flujo luminoso φ proveniente del objeto y que pasa a través del objetivo, y es inversamente proporcional a la superficie de la imagen S1:
![]()
![]()
![]()
![]()

Figura 65
![]()
Sustituyendo el valor de a22 de aquí en la expresión (5), obtenemos:
![]()
![]()
![]()
Por lo tanto, la exposición ha de ser menor para los objetos más alejados y, recíprocamente, mayor para los más cercanos.
Sólo queda mencionar que el análisis realizado por nosotros corresponde a las cámaras fotográficas de los estudios, las cuales tienen gran distancia focal. Para las cámaras fotográficas pequeñas el asunto es otro. Como regla, las distancias de los objetos a las cámaras fotográficas son muchas veces mayores que sus distancias focales. Por eso en todos los casos a1, coincide prácticamente con la distancia focal (habitualmente igual a 50 mm), y t resulta constante en concordancia con la expresión (9).
§111. Si la superficie delantera (dirigida hacia el objeto) de la córnea fuera plana, la distancia focal del ojo permanecería invariable tanto en el aire como en el agua, gracias a lo cual no existiría la refracción de los rayos que vienen de los objetos bastante alejados (o sea, los rayos paralelos), De este modo, el ojo podría ver igualmente bien objetos alejados tanto en el aire como en el agua.
§112. En cada cuadro de la película cinematográfica están impresas diferentes fases del movimiento de un cuerpo dentro de iguales intervalos de tiempo. El ojo humano está hecho de tal manera que, al cambiar rápidamente un cuadro por otro, las distintas etapas del movimiento se superponen, dando la impresión de un movimiento ininterrumpido.
En el cine sonoro, el cambio de los cuadros ocurre cada 1/24 parte de segundo. Supongamos que durante ese tiempo la rueda del carruaje, representada (para facilitar los movimientos) en la figura 66 con sólo dos radios- OA1, y OB1, realiza un giro tal que los radios pasan de la posición A2OB2, a la A1OB1. El ojo percibirá esto como el giro a un ángulo α en sentido de las agujas del reloj.
Con una gran velocidad de movimiento durante el tiempo de cambio de los cuadros en la cámara cinematográfica, la rueda puede girar a un gran ángulo, de modo que los radios ocupen la posición A'2OB'2 mostrada en la parte inferior de la figura.

Figura 66
Puesto que los extremos de los radios no se diferencian nada uno de otro, el ojo puede «equivocarse» y percibir el giro a un ángulo A2OA2', como el giro a un ángulo A1OB2'. Como resultado, parecerá que el giro de la rueda ocurre en sentido contrario a las agujas del reloj.
No es difícil ver que la paradoja surge para una frecuencia de filmación tal que, cuando, durante el tiempo de cambio de los cuadros los radios tienen tiempo para girar a un ángulo superior a la mitad del ángulo entre ellos. Por eso, con una misma frecuencia de filmación y una misma velocidad del carruaje, el giro de las ruedas con distinta cantidad de radios, puede parecer que ocurre en sentidos contrarios, como se puede ver a veces en el cine (sólo que con menor frecuencia): las ruedas traseras de un carro, en las que hay más radios, giran en sentido contrario a las delanteras.
§113. El haz de rayos paralelos que sale del ocular del telescopio se vuelve convergente tras pasar a través del cristalino del ojo, lo cual contribuye a la formación de la imagen del objeto en la retina del ojo.
§114. Exceptuando la conclusión final, todo es correcto en el razonamiento expuesto. En realidad los telescopios no dan una imagen aumentada de las estrellas, pero no por ello dejan de ayudar en grado sumo a las observaciones astronómicas. El desarrollo impetuoso de la astronomía comenzó sólo después de que Galileo Galilei (1564 - 1642) dirigió el telescopio al cielo en el año 1609.
La función del telescopio al observar las estrellas no consiste en obtener una imagen aumentada, sino en aumentar el rayo luminoso que incide en el ojo del observador. Al usar el telescopio, el flujo de energía luminosa que cae en la retina crece tantas veces, cuantas veces es mayor el área del objetivo de entrada del telescopio que el área de la pupila.
En el telescopio gigante soviético, cuyo espejo tiene un diámetro de 6 m, la relación entre el área de este último y el de la pupila muy dilatada mide aproximadamente

§115. Con diámetros muy pequeños del objetivo, debido a la naturaleza ondulatoria de la luz, comienza a manifestarte fuertemente el fenómeno de difracción de ésta. La difracción conduce a la difusión de los límites de la imagen, lo cual empeora su calidad.
§116. La idea de construir un aparato capaz de dar un «haz de rayos» se les ocurrió a muchos inventores, pero ninguno logró realizarla. ¡Y esto no es casual! En el camino de la construcción del hiperboloide (dicho sea de paso, al aparato del ingeniero Garin, Alekséi Konstantínovich Tolstoi (1817 - 1875) debería llamarlo paraboloide, ya que todo lo dicho en la novela se refiere no a los espejos hiperbólicos, sino a los parabólicos) hay una serie de dificultades serias.
Es difícil, en primer lugar, elegir un material bastante refractario para los espejos, los cuales, reflejando un potente haz de rayos, también han de calentarse ellos mismos hasta alcanzar alta temperatura.
No está claro, en segundo lugar, con qué combustible alimentar el hiperboloide, ya que tal combustible, teniendo pequeño volumen, debe contener una cantidad colosal de energía, de lo contrario el hiperboloide sería un juguete completamente inofensivo. Pero el mayor tropiezo consiste en que la obtención de haces estrechos extensos, o sea, que se propagan a distancias considerables, es imposible debido a la naturaleza ondulatoria de la luz cuanto más estrecho traten de obtener el haz de luz, más bruscamente se manifestará la difracción que conduce a su disipación. Debido al fenómeno de difracción no se pueden obtener, ni con espejos, ni con diafragmas, ni con lentes, ni con ningún otro medio de la óptica geométrica, haces ondulatorios tan estrechos como se quiera, o sea, como los que quisiera tener el ingeniero Garin.
Sólo queda añadir que todo lo dicho se cumple indudablemente para los instrumentos en los que se utilizan los principios de la óptica geométrica. No obstante, hace relativamente poco los científicos soviéticos Nikolái Gennádiyevich Básov (1922 - 2001) y Aleksandr Mijáilovich Prójorov (1916 -2002) e independientemente de ellos el físico norteamericano Charles Hard Townes (1915 - 2015) construyeron unas instalaciones en las que los átomos previamente excitados irradian, prácticamente al mismo tiempo, la energía acumulada. (Tales radiadores se pueden denominar radiadores coherentes.) Como resultado se obtiene un haz de rayos muy estrecho, que casi no diverge. La densidad de la energía radiante en ese haz es tan grande que el mismo es capaz de atravesar una plancha de madera de varios centímetros de espesor, situado a varios metros del generador. Mediante «generadores cuánticos» (brevemente suelen llamarse láseres) ya ahora se determinan, con una exactitud asombrosa, las distancias en geodesia y astronomía (véase el problema §106); se perforan orificios en las piedras preciosas duras y en los objetos metálicos; se realizan intervenciones quirúrgicas, particularmente en el ojo del hombre. Cada día se amplía más la esfera de aplicación del láser.
§117. Sigamos el recorrido de uno de los rayos desde la fuente luminosa hasta el punto de incidencia con la superficie interior del «concentrador de energía luminosa», siendo su ángulo de incidencia igual a β1. Para simplificar examinemos el caso (fig. 67) bidimensional (plano).
Del triángulo AOB hallamos:
![]()
![]()

Figura 67
![]()
![]()
![]()
Igualando βn a cero, no es difícil calcular después de que reflexión precisamente, los rayos, incidentes bajo un ángulo β1, darán la vuelta:
![]()
Se puede verificar lo antedicho realizando un dibujo con precisión. Nuestra figura muestra que después de la cuarta reflexión en el punto D, el rayo incidente, realmente dará la vuelta, dirigiéndose hacia el extremo ancho del cono.
Aquí es conveniente señalar que las partículas cargadas en los campos magnéticos, a veces se comportan como los rayos luminosos que cayeron en un cono especular.

Figuras 68 y 69
Diremos en conclusión que todos los proyectos propuestos hasta ahora, destinados a realizar la reacción termonuclear controlable, prevén el aislamiento del plasma calentado a millones de grados, separándolo de las paredes del recipiente que lo contienen, mediante «botellas magnéticas», «tapones magnéticos» y otros dispositivos en los que se realizan los principios ilustrados en la figura 68.
§118. La percepción de uno u otro color que surge en el ojo del observador no se determina por la longitud de onda dependiente del índice de refracción del ojo, sino de la frecuencia de las ondas electromagnéticas que influyen sobre los extremos del nervio óptico, la cual no cambia al pasar de un medio a otro, ya que se determina no por el medio, sino por la fuente luminosa.
Por eso, la luz percibida en el aire como roja, parecerá de ese mismo color en el agua.
§119. Las partículas del humo de tabaco difunden de distinto modo la luz que cae sobre ellas, según la longitud de onda. Los rayos de pequeña longitud de onda -violetas y azules- son los que se difunden más fuertemente. Los rayos de grandes longitudes de onda, situados en el otro extremo del espectro, se difunden mucho menos, ya que el fenómeno de difracción -bordeado de los obstáculos por la luz -es propio de ellos en un grado mucho más considerable. Por eso en el haz luminoso que pasa a través de una nube de humo predominan los matices rojizos. Al contrario, al observar del lado de la fuente o de un costado, vemos fundamentalmente los rayos de longitud de onda más corta y el humo nos parece azulado.
La dependencia entre la absorción de los rayos luminosos y su color siempre se toma en consideración en la práctica: en los faroles de urgencia y en los que advierten el peligro se ponen cristales rojos (¡la luz roja del semáforo!), y con fines de enmascaramiento de luces (en tiempos de guerra, por ejemplo), la iluminación se realiza con bombillas azules.
En cuanto al «color verdadero» del humo, probablemente éste corresponde al color de las partículas microscópicas de carbón no quemadas, o sea, al color negro (dichas partículas forman parte del humo).
§120. Como ya se indicó en el problema §118, la longitud de onda correspondiente al color rojo es igual a 0,65 μm aproximadamente. A la luz verde corresponde una longitud de onda de cerca de 0,55 μm. Así pues, el cambio de longitud de onda debido al efecto Doppler deberá ser
![]()
§121. Examinemos una lente convergente en cuyo eje óptico principal, en el punto A (fig. 70, a) se encuentra la fuente luminosa. Luego de atravesar la lente, la velocidad de los cuantos luminosos y, por lo tanto, también el valor numérico del vector de impulso de dichos cuantos permanecen invariables; sólo cambia la dirección del vector de impulso. Si la fuente luminosa está alejada de la lente a distancia tal que 0 < d < 2F, entonces la proyección del vector de impulso del fotón en el eje óptico hasta el paso a través de la lente es menor que la proyección del impulso del cuanto luminoso que pasa a través de ésta (eso se demuestra fácilmente examinando los triángulos, considerando que d < F). Puesto que aumentó la componente del impulso en dirección del eje óptico, la propia lente deberá recibir un impulso dirigido en sentido contrario, o sea, ¡hacia la fuente luminosa!

Figura 70
Es fácil ver que hacia la fuente luminosa será atraído cualquier sistema óptico, después de cuyo paso disminuye la divergencia de los rayos en el haz luminoso. La lente no es el único dispositivo que posee esa propiedad (invitamos al lector a que invente otros). Por desgracia, la eficacia de todos ellos disminuye con el alejamiento de la fuente luminosa. Las dificultades que surgen al fabricar lentes de gran distancia focal, las cuales asegurarían el acercamiento hacia el Sol a distancias del orden de millones de kilómetros, aquí no serán analizadas, puesto que sólo nos interesa el aspecto principal de la cuestión.
§122. Como es sabido, los electrones en los átomos pueden hallarse en estados diferentes, a cada uno de los cuales le corresponde distinta energía. Cuando el electrón pasa de un estado de energía más alto a un estado de energía más bajo, el exceso de energía se libera en forma de radiación electromagnética, en función de su frecuencia el observador percibe la luz de uno u otro color.
En los metales, los electrones mis alejados del núcleo (en química llevan el nombre de electrones de valencia) pasan fácilmente a estado de «excitación» a costa de la energía térmica, y así mismo regresan fácilmente al estado «normal» cediendo en forma de luz la energía acumulada.
El asunto es otro en el cuarzo y el vidrio. Aquí todos los electrones están fuertemente ligados a los núcleos de los átomos, y cambian su estado energético con gran dificultad. Para obtener una luminiscencia considerable, en este caso se requiere una temperatura mucho mayor.
§123. La teoría de la relatividad realmente prohíbe el traslado relativo de dos cuerpos materiales con una velocidad superior a la de la luz. Sin embargo, el lugar de intersección de las reglas es sólo una imagen geométrica a cuya velocidad (con relación a la Tierra o a cualquier otro objeto) la teoría de la relatividad no impone ninguna limitación.
No obstante, al principio parece que, tras colocar un anillo metálico (fig. 71) en el lugar de intersección de las reglas, llegamos de todos los modos a refutar la teoría de la relatividad ¡¿Pues en este caso, junto con el punto geométrico de intersección ha de moverse, además con la misma velocidad, el objeto material ligado a él?!

Figura 71

De este modo, con la aceleración progresiva de la regla móvil, la masa del anillo crecerá, lo cual contribuye a que el aumento posterior de la velocidad de este último (y, por consiguiente, también de la regla) sea cada va más difícil, luciendo en general imposible el logro de la velocidad de la luz.
Demos ahora la palabra a Martin Gardner, conocido popularizador norteamericano de la ciencia. En su libro «La teoría de la relatividad para millones», que aconsejamos leer a todos los amantes de la física, él escribe lo siguiente: «Aunque las señales no pueden ser transmitidas con una velocidad mayor que la de la luz, se pueden observar determinados tipos de movimientos que tendrán una velocidad mayor que la de la luz con relación al observador. Imagíneme unas tijeras gigantescas cuyas hojas alcanzan el planeta Neptuno. Las mismas comienzan a cerrarse con una velocidad constante. A medida que ocurre esto, el punto de intersección de los extremos cortantes de las hojas se moverá hacia los extremos de las tijeras con una velocidad cada vez mayor. Imagínese que Ud. está sentado en el eje que asegura ambas hojas. Con relación a vuestro sistema de inercia de referencia, ese punto de intersección de las hojas pronto se alejará de Ud. con una velocidad superior a la de la luz. Claro está que aquí tiene lugar el movimiento no de un cuerpo material, sino de un punto geométrico.
Es posible que a Ud. se le ocurra tal idea: supongamos que los anillos de las tijeras se encuentren en la Tierra, y el punto de intersección de las hojas, en Neptuno. Si Ud. cierra las tijeras lentamente y luego las abre, repitiendo eso varias veces, entonces el punto de intersección se moverá hacia adelante y hacia atrás. ¿Será posible transmitir ahora las señales a Neptuno casi instantáneamente? No, puesto que la señal que pone en movimiento la hoja debe transmitirse de molécula a molécula, y la velocidad de ese proceso ha de ser menor que la de la luz. En la teoría general de la relatividad no hay cuerpos absolutamente rígidos. De lo contrario Ud. podría simplemente tomar una varilla rígida que se extendiera de la Tierra a Neptuno y transmitir la información instantáneamente, poniendo en movimiento sólo un extremo. No existe ningún medio que permitiera utilizar tales tijeras gigantescas o cualquier otro tipo de los llamados objetos absolutamente sólidos para transmitir señales con una velocidad mayor que la de la luz.»
§124. A medida que la velocidad del extremo derecho de la palanca se aproxima a te velocidad de la luz, su masa se incrementa ilimitadamente (véanse las soluciones de los problemas §103 y §123), lo cual no permite que sea alcanzada la velocidad de la luz, y de que sea superada ¡ni hablar!
§125. El cálculo expuesto demuestra convincentemente que pueden obtenerse conclusiones erróneas al aplicar mecánicamente las fórmulas matemáticas, sin examinar bien la esencia del fenómeno físico que ellas describen.
El radio es uno de los miembros de la familia radiactiva. En la cadena de transformaciones que siguen una a otra, ésta se encuentra entre el torio (cuya desintegración origina el radio y el radón, que es el producto de la desintegración del radio) ¡El radio que hay ahora en la Tierra es generalmente el resto de las reservas primarias colosales no desintegradas hasta el presente, calculadas en el problema!
Actualmente son conocidas tres familias radiactivas naturales. Son las series de uranio, torio y actinio, llamadas así por el nombre del «iniciador» de la familia, que abre la cadena de transformaciones radiactivas. La cuarta familia, que lleva el nombre de neptunio, consta de isótopos obtenidos artificialmente, que no se encuentran en la Tierra.
Los iniciadores de las tres primeras familias existen en la naturaleza hasta ahora porque el período de su desintegración media es muy grande. Este es para
| el uranio | 4,5 x 109 años |
| el torio | 1,4 x 1010 años |
| el actinio | 7,1 x 108 años |
Los miembros de sus familias se observan en la naturaleza gracias sólo a la formación ininterrumpida en el proceso de desintegración de otros elementos.
Puede ser que en la Tierra, durante su «nacimiento», también hubo una pequeña cantidad de neptunio (posibilidad bastante dudosa desde el punto de vista de la física nuclear), sin embargo, su período de semidesintegración[23], que es de «sólo» 7,1 x 108 años, resultó demasiado pequeño para que el neptunio pudiera conservarse hasta nuestros días.
§126. Examinemos el gas que se encuentra en el cilindro tapado con un émbolo. Mientras este último permanece inmóvil, la velocidad media v de las moléculas de gas se mantiene constante (si, desde luego, al gas no se le suministra calor), ya que las colisiones de las moléculas contra las paredes del cilindro y del émbolo tienen un carácter elástico, y las velocidades después de la colisión se mantienen invariables.
Sin embargo, si el émbolo se mueve en el cilindro con cierta velocidad constante v, entonces las moléculas que chocan con el émbolo poseerán, respecto a éste, una velocidad igual v + u. Con esa misma velocidad respecto al émbolo ellas también se reflejarán. Pero como el émbolo se mueve con una velocidad u respecto al cilindro, entonces, la velocidad de las moléculas respecto a éste, después de la reflexión, resultará igual a
u + (u + v) = v + 2u
o sea que crece en 2u.De manera semejante ocurre la aceleración de las partículas cargadas en el espacio cósmico. Si el protón que sale de la Tierra con una velocidad v, cae en una acumulación de gas interestelar dotada de campo magnético v la cual se mueve con una velocidad u hacia la Tierra, entonces, después de ser «reflejado» por el campo magnético (fig. 72) dicho protón volverá a la Tierra con una velocidad v + 2u.

Figura 72
§127. Las reacciones nucleares, al igual que las químicas, son de dos tipos: con liberación de energía (exotérmicas) y con absorción de energía (endotérmicas). La primera de las reacciones mostradas en el problema pertenece a las exotérmicas y ocurre «por sí misma». En lo que respecta a la segunda, es endotérmica: para provocar la transformación del protón en tres partículas-neutrón, positrón y neutrino-, hay que suministrarle una cantidad colosal de energía (según las escalas del micromundo).
De acuerdo con las ideas actuales que derivan de la teoría de la relatividad, el aumento de la energía del cuerpo va acompañado del incremento de su masa. Un protón capaz de originar el trío «neutrón-positrón-neutrino» debe tener una masa que exceda la del protón en «estado normal» en una magnitud aproximadamente igual al doble de la masa de un electrón (o de un positrón, ya que las masas de estas dos partículas son exactamente iguales). Por eso la ley de conservación de la masa sigue siendo correcta en las reacciones nucleares. También es siempre correcta en estos casos la ley de conservación de la carga, la cual se puede ver en el ejemplo de las reacciones presentadas.
§128. Durante la desintegración β (electrónica) corriente, tiene lugar la transformación de uno de los neutrones que forman parte del núcleo precursor, en tres partículas a la vez (protón, electrón y antineutrino):
![]()
Durante la desintegración β de positrón, en el núcleo precursor ocurre la reacción
![]()
El tipo electrónico de desintegración es típico de los llamados núcleos sobrecargados de neutrones, y el tipo de positrón, para los núcleos sobrecargados de protones. Las dos reacciones escritas más arriba ya se examinaron en el problema §127.
Notas:
Nota: A la depresión atmosférica también se le denomina ciclón, zona de baja presión, borrasca o baja. Se refiere a un área de baja presión o mínimo de presión, en la que la presión aumenta desde el centro hacia la periferia. (N del E)