Newton: La ley de la gravedad
Antonio Durán Guardeño
Desde mediados del siglo XVI hasta finales del XVII se produjo en Europa lo que los historiadores han denominado «revolución científica», caracterizada por la ruptura y superación de la tradición científica heredada del mundo clásico y medieval, que de aceptarse con fe ciega pasó a ser sistemáticamente cuestionada. El punto álgido de dicha revolución, que afectó a prácticamente todos los ámbitos de la ciencia, fue la publicación, en 1687, de los Principia mathematica, la obra cumbre de Isaac Newton.
La eclosión del Renacimiento y la invención, hacia 1440, de la imprenta de tipos móviles consiguieron que lo que había sobrevivido del saber griego —mejorado en muchos casos por los árabes— se difundiera y estudiara por toda Europa. Pero a la vez que se recuperaba la tradición científica clásica se producían, por primera vez en más de mil años, avances científicos que superaban cualitativamente los conocimientos de los griegos. En el ámbito de las matemáticas los logros fueron espectaculares. Por un lado, la expansión casi generalizada del sistema indio-arábigo de numeración —basado en el principio posicional y el cero— y el desarrollo del sistema decimal permitieron una potencia de cálculo numérico que los griegos jamás tuvieron. Por otro, el desarrollo del álgebra —que tanto debió a los matemáticos árabes— y la invención, fundamentalmente por Descartes, de la geometría analítica supusieron una verdadera revolución, al poder aplicar toda la potencia y generalidad del álgebra al estudio y la resolución de problemas geométricos. Sin olvidar, por supuesto, el uso sistemático que los matemáticos del siglo XVII hicieron de los infinitesimales para calcular áreas, tangentes a curvas o centros de gravedad.
Sin embargo, fue la astronomía la ciencia que más profundamente sufrió los efectos de la revolución científica Todo el edificio astronómico y cosmológico griego, perfeccionado por los árabes, se vino abajo cuando el astrónomo polaco Nicolás Copérnico afirmó que, para explicar cómo funciona el sistema planetario, era mejor una Tierra en movimiento alrededor del Sol que una inmóvil en el centro del universo. Y por más que nuestros sentidos parezcan indicamos que la Tierra no se mueve, por más que la Biblia avale tal seguridad, por más que toda la tradición griega, encabezada por el venerado Aristóteles y el no menos reverenciado Ptolomeo, hubiera levantado un formidable edificio sobre la hipótesis de la inmovilidad de la Tierra, la idea copernicana se fue abriendo camino poco a poco hasta convertirse en la base sobre la que erigir un nuevo sistema astronómico.
A su vez, el modelo de hacer ciencia empezó también a cambiar. Frente a las puras disquisiciones teóricas, argüidas a la sombra del respeto a la autoridad científica de los maestros clásicos o los escolásticos medievales, se empezaron a valorar la función esencial que en ciencia tiene la experimentación y la necesidad de que los desarrollos teóricos fueran avalados por datos experimentales. En contraste con el científico crédulo ante la labor de los maestros se empezó a imponer la figura del científico escéptico, postulada en los escritos de Francis Bacon: el nuevo científico comprobaba una y otra vez las aseveraciones de sus maestros mediante la observación y la experimentación.
La facilidad para el cálculo numérico que propició el sistema indio-arábigo de numeración allanó el camino a otro de los cambios científicos fundamentales: la creciente importancia de lo cuantitativo, frente al tradicional predominio de lo cualitativo. Nada mejor para ejemplificar este cambio que los estudios de Galileo sobre la caída de los graves. A la pregunta de qué hace que un cuerpo caiga —único objeto de interés de la física aristotélica—, Galileo añadió otras de índole más práctica y susceptibles de cuantificación: ¿qué distancia recorre el cuerpo en función del tiempo de caída? Esa actitud, que une al discurso teórico lo experimental y lo cuantificable, encauzó la física por nuevos y fructíferos derroteros.
No es casual que en plena revolución científica se desarrollaran algunas herramientas esenciales para la experimentación, como el microscopio o el telescopio, que superaron con mucho a todo lo que los griegos habían inventado. El magistral uso que del telescopio hizo Galileo, y la posterior interpretación de lo que vio, supuso un espaldarazo casi definitivo a las teorías copernicanas.
Justamente en ese período de convulsión científica floreció la figura de Isaac Newton. Las contribuciones de Newton a la ciencia son formidables, y, en buena medida, a él se debe la culminación de todo el proceso revolucionario que había iniciado Copérnico un siglo antes de que Newton naciera.
En matemáticas, Newton sintetizó toda la maraña de métodos infinitesimales, más o menos particulares, desarrollados en la primera mitad del siglo XVII para destilar el procedimiento universal que hoy denominamos «cálculo infinitesimal», rama de la matemática que abarca conceptos tales como derivada, integral o límite y cuyas aplicaciones son amplísimas en el campo de la ciencia y la ingeniería. Sin duda alguna, se trata de la herramienta matemática más potente que para el estudio de la naturaleza se haya inventado jamás.
En física y astronomía, su contribución fue todavía más espectacular. Cuando Newton entró en escena, la física terrestre y celeste eran asuntos distintos y separados, de acuerdo con la doctrina aristotélica. Nadie pensaba que las reglas que rigen el movimiento de los planetas en el cielo iban a ser las mismas que las que guían algo tan terrenal como el lanzamiento de una bala de cañón. En lo que al cielo se refiere, la revolución copernicana estaba ya muy avanzada, y con las leyes de Kepler se tema una descripción precisa de cómo se movían los planetas en el cielo. Pero quedaba todavía pendiente la cuestión fundamental: explicar por qué los planetas se movían en el cielo de la manera que lo hacían, dar con las leyes físicas que permitieran deducir los movimientos que de forma tan precisa habían sido descritos por las leyes de Kepler.
Algo parecido ocurría con la física terrestre; Galileo había mostrado que una piedra, al caer, recorría distancias proporcionales al cuadrado del tiempo y que una bala de cañón seguía una trayectoria parabólica Pero se desconocía qué leyes físicas había tras ese tipo de movimientos.
En su obra cumbre, los Principia, Newton mostró que las leyes de la física necesarias para explicar el movimiento de los planetas y la caída de los graves son las mismas. Formuló la ley de gravitación universal —proporcional al inverso del cuadrado de la distancia— y mostró cómo deducir de ese conjunto de leyes tanto la forma en que los planetas se mueven alrededor del Sol como el modo en que cae un proyectil tras ser lanzado por un cañón. Como corolario, su sistema del mundo daba razón de fenómenos naturales que nunca antes habían sido explicados: es el caso de las mareas o la precesión de los equinoccios. Galileo había hecho patente la estructura matemática del universo con una célebre frase:
La filosofía está escrita en ese grandioso libro que se halla continuamente abierto ante nuestros ojos, al que llamo universo. Pero no se puede descifrar si antes no se comprende el lenguaje y se conocen los caracteres en que está escrito. Está escrito en lenguaje matemático.
Y Newton, más que ninguno de sus predecesores, convirtió en realidad esa expresión, pues para elaborar su física, las matemáticas son imprescindibles. Todas las demostraciones de las leyes físicas que encontramos en los Principia se sustentan en deducciones matemáticas, como Newton incansablemente repitió una y otra vez.
A las matemáticas y la física hay que unir también las contribuciones newtonianas a la óptica Son célebres sus experimentos con prismas, que le permitieron mostrar que la luz blanca no es homogénea, como pensaban sus contemporáneos, sino que está compuesta por rayos de color caracterizados por su índice de refracción.
Fiel a la importancia que el nuevo método científico daba a la experimentación, Newton fue un consumado y habilidoso experimentador, como ya anunciaban las maquetas de molinos y otros objetos que tanto le gustaba realizar siendo niño. Cuidó como pocos esa faceta de su quehacer científico y no es exagerado decir que esta estuvo casi a la altura de su portentosa capacidad como teórico. Y para muestra un botón: construyó un telescopio reflector que le valió su entrada como miembro en la Royal Society de Londres; pero no solo perfeccionó el diseño teórico —usar espejos en vez de las lentes de aumento de los telescopios refractores—, sino que logró construir con sus propias manos el primero de ellos, para lo cual tuvo que sortear no pocas dificultades técnicas; desarrolló, por ejemplo, un proceso propio para pulir láminas de cobre y poder así usarlas como espejos, lo que incluía la fabricación del compuesto químico que necesitaba como abrasivo.
El sistema del mundo que Newton edificó dominó el panorama científico durante casi dos siglos y medio, hasta que la teoría de la relatividad de Einstein tomó el relevo. Pero la física newtoniana sigue todavía viva y en uso, porque, salvo cuando los objetos se mueven a velocidades cercanas a la luz o en la cercanía de masas ingentes de materia, es prácticamente indistinguible de la de Einstein. Así pues, a efectos prácticos, son las ideas y ecuaciones de Newton las que usamos en los cálculos necesarios para lanzar al espacio un satélite artificial o para saber cuál será la resistencia de un puente colgante.
Sin embargo, Isaac Newton dista bastante de ser únicamente el héroe puro de la ciencia que los siglos XVIII, XIX y la primera mitad del XX nos legaron. Ha sido el intensísimo esfuerzo historio- gráfico desarrollado durante las décadas siguientes a la Segunda Guerra Mundial —sin parangón con la dedicada a ningún otro científico y basado en el estudio exhaustivo de los manuscritos newtonianos— el que ha mostrado la verdadera dimensión científica y humana de Newton. La visión que tenemos hoy del genio inglés es mucho más completa, y es ese Newton complejo el que el lector se encontrará en las páginas que siguen. Desde luego descubrirá al matemático, al físico, al científico en suma, pero también al místico, al alquimista o al callado pero pertinaz arriano. Verá crecer al niño abandonado por la madre hasta convertirse, primero, en el científico célebre que la posteridad aclamó y, finalmente, en el fiel servidor de la Corona desde su puesto en el Tesoro inglés y en el férreo presidente de la Royal Society de Londres. Descubrirá al ilusionado joven que creó el cálculo infinitesimal con apenas veinte años, al casi monje enclaustrado en Cambridge experimentando con prismas o trabajando hasta la extenuación en la elaboración de los Principia, al medio mago que recalentaba pociones en retortas y matraces en busca de fabulosos hallazgos en alquimia, al teólogo e historiador de la Biblia conocedor como pocos de la patrística cristiana de los primeros siglos, y al huraño y arisco personaje incapaz de reconocer influencia científica alguna y que protagonizó varias de las más enconadas peleas de la historia en pos de la prioridad de algún descubrimiento científico. En suma: un ser humano lleno de matices, contradictorio, genial y fascinante como pocos.
| 1642 | Nace en Woolsthorpe, Lincolnshire, el 25 de diciembre (4 de enero de 1643 según el calendario gregoriano), hijo póstumo de Isaac y Hannah, de soltera Ayscough, que a los tres años le dejará al cuidado de la abuela materna tras casarse de nuevo. |
| 1653 | Tras la muerte de su padrastro, Barrabas Smith, Newton se reúne de nuevo con su madre. Acude a una escuela en Grantham. |
| 1661 | Newton ingresa en el Trinity College de la Universidad de Cambridge. |
| 1665 | Tras obtener su licenciatura, una epidemia de peste obliga a Newton a regresar a Woolsthorpe, donde permanece dos años. Durante este período, pero en especiad en 1666, conocido como el annus mirabilis newtoniano, desarrolla muchas de sus ideas fundamentales en el ámbito de la matemática, la óptica, la mecánica y la astronomía. |
| 1669 | Newton es nombrado catedrático lucasiano de Matemáticas del Trinity College en sustitución de Isaac Barrow. Escribe De analysi. |
| 1672 | Newton ingresa en la Royal Society. En el seno de la misma presenta un artículo seminal sobre óptica que le lleva a enfrentarse posteriormente con otro miembro de la sociedad, Robert Hooke. |
| 1679 | Muere su madre, y Newton se toma todavía más introspectivo. |
| 1684 | El astrónomo Edmund Halley consulta a Newton acerca de las causas del movimiento planetario. Esta visita será el detonante de los Principia. |
| 1687 | Publica los Philosophiae naturalis Principia mathematica. Esta obra monumental reúne buena parte de sus ideas acerca de la mecánica celeste y la gravitación universal y ofrece además una explicación física coherente de las mareas, la precesión de los equinoccios y otros fenómenos naturales. |
| 1696 | Es nombrado director de la Royal Mint (Casa de la Moneda). |
| 1703 | Es nombrado presidente de la Royal Society. Un año más tarde publica Opticks, acerca de la luz y sus propiedades. |
| 1714 | La Royal Society zanja en favor de Newton la disputa sobre la prioridad en la invención del cálculo infinitesimal que le enfrentaba a Leibniz desde 1684. |
| 1727 | Muere, rico y famoso, el 31 de marzo. Es enterrado con gran pompa en la abadía de Westminster. |
Capítulo 1
¿Por qué se mueven los planetas?
La ciencia del siglo XVII lidiaba sin éxito con las preguntas sin resolver surgidas a la estela de la revolución heliocéntrica, en especial la relativa a la naturaleza del movimiento planetario. En este ambiente de febril especulación científica nació Isaac Newton, cuyas tempranas dotes para la observación de la naturaleza acabarían por abrirle las puertas de Cambridge a pesar de una infancia difícil y un entorno familiar hostil.
En el año 1652, durante la hegemonía de Oliver Cromwell, se abrió el primer café de Londres. El establecimiento tuvo éxito, pues ofrecía, en pleno período puritano, un tipo de local de reunión diferente de las tabernas, consideradas lugares de perdición. Pronto se abrieron muchos más, que acabaron ejerciendo como lugar de encuentro para gremios de toda laya y condición: políticos, eclesiásticos, literatos y poetas, hombres de negocios y, cómo no, también científicos. No es extraño, pues, que los miembros de la por entonces recién nacida Royal Society de Londres, la más antigua de las instituciones científicas europeas todavía hoy en ejercicio, acabaran sus reuniones y encuentros discutiendo en un café. De hecho, en el diario de Robert Hooke, secretario de la Royal Society desde 1677 hasta su muerte, quedaron registradas visitas a más de sesenta cafés londinenses en la década de 1670. Es muy posible que a Newton no le hubiera agradado saber que una biografía suya pudiera comenzar mostrando a Hooke, uno de sus más encarnizados enemigos, en un café. Y, sin embargo, así es como empieza esta.
Era enero de 1684, y Hooke compartía mesa con otros dos insignes tertulianos, Edmund Halley y Christopher Wren. Discutían sobre uno de los problemas que han preocupado a la humanidad desde tiempos inmemoriales: ¿cómo y por qué se mueven los planetas en el cielo? Los tres tenían en común un interés apasionado por el movimiento planetario y otros asuntos científicos, y los tres eran miembros, precisamente por ello, de la Royal Society de Londres. Con el resto de integrantes de esta academia participaban en reuniones semanales, hacían experimentos y discutían sobre ciencia. El propio Hooke fue, además de secretario, el primer director de experimentos de la institución.
En 1684, en el momento de la discusión con Halley y Wren, Robert Hooke (1635-1703) era uno de los líderes de la ciencia inglesa. Había hecho contribuciones importantes en varios campos. Por ejemplo, en mecánica, donde la ley de elasticidad que hoy lleva su nombre se sigue usando, pero además en tecnología o ingeniería También fueron importantes sus contribuciones en óptica y en el diseño y mejora de microscopios y telescopios; ahí está su célebre Micrographia, publicada en 1665 al amparo de la Royal Society, donde se describen sus observaciones con esos instrumentos. A Hooke se debe precisamente el nombre de célula para la unidad mínima de vida Tampoco se puede menospreciar su labor como arquitecto: como tal fue, posiblemente, quien más implicado estuvo en la reconstrucción de Londres tras el gran incendio de 1666, excepción hecha del propio Wren, con quien, por otro lado, le unía una gran amistad.
El segundo tertuliano, Christopher Wren (1632-1723), era por aquel entonces toda una celebridad. Ex presidente de la Royal Society, ex catedrático saviliano de astronomía en Oxford, nombrado sir en 1673, que pronto entraría en el Parlamento inglés, uno de los cuatro fundadores de la Gran Logia masónica de Inglaterra, y matemático también —fue el primero en calcular la longitud de la curva de moda en la época: la cicloide—. Ha pasado a la historia como el arquitecto de la catedral de San Pablo y de tantos otros edificios construidos o reconstruidos en Londres tras el gran incendio de 1666.
Edmund Halley era el más joven de los tres tertulianos. Nacido en 1656, fue elegido miembro de la Royal Society en 1678, poco después de su regreso de la isla de Santa Elena, donde había erigido un observatorio para estudiar el cielo del hemisferio sur.
La Royal Society de LondresLa divisa pretende resaltar la importancia de obtener pruebas basadas en la experiencia, en menoscabo de la mera opinión de una autoridad.
La Royal Society no fue la primera academia científica moderna que se creó en Europa, pero sí es la más antigua que sigue hoy en ejercicio.
Según la propia Royal Society, «sus orígenes se remontan a un "colegio invisible" de filósofos naturales que se empezaron a reunir a mediados de la década de 1640 para discutir y promover esa nueva filosofía del conocimiento del mundo natural a través de la observación y experimentación que hoy llamamos ciencia».
Reverso de la medalla de la Royal Society, en la que puede leerse la leyenda Nulllus in verba, esto es «En palabras de nadie».Lugar de encuentro y centro de difusión
Su fundación oficial se produjo el 28 de noviembre de 1660 tras la lectura que hizo Christopher Wren de un manifiesto ante doce colegas. Dos años después llegó el apoyo del monarca, sustanciado en una Carta Real firmada por Carlos II de Inglaterra. Su primer presidente fue el vizconde William Brouncker. La Royal Society, y otras academias de ese tipo creadas durante la segunda mitad del siglo XVII y principios del XVIII, proporcionaron a los científicos un medio para comunicarse e intercambiar información e inquietudes —en una época en la que la comunicación postal oficial y regular era todavía muy precaria o, incluso, inexistente—. También les proveyeron de un medio de difusión científica que, andando el tiempo, se acabó convirtiendo en fundamental para la ciencia: las revistas donde dar a conocer descubrimientos y avances. Así, en 1665, la Royal Society empezó a publicar las Philosophical Transactions, la revista periódica donde Newton dio a conocer sus primeras investigaciones sobre la luz y los colores. A la postre, esas academias —la Royal Society, la Academia de Ciencias de París, la de Berlín o la de San Petersburgo, por citar solo las más importantes— fueron esenciales para el desarrollo científico durante el siglo XVIII. En aquel momento, las universidades, más centros de enseñanza que de actividad científica, todavía no se habían liberado de la carga que el ya por entonces corrompido escolasticismo medieval les había impuesto. En ese sentido, Newton, ligado durante treinta años a la Universidad de Cambridge, fue un científico atípico; fueron más habituales figuras como Huygens o Cassini, ambos contratados por la Academia de Ciencias de París, o después Euler, contratado por las Academias de San Petersburgo y Berlín.
Este no fue su único viaje transatlántico: de 1698 a 1699 capitaneó el Pammour, un barco de la Marina Real, y llevó a cabo observaciones del campo magnético terrestre fruto de las cuales nació la primera publicación de un mapa magnético, con la inclusión de las líneas isógonas que unen puntos con igual declinación magnética. Como Wren, Halley acabó siendo profesor saviliano de astronomía en Oxford (desde 1703), aunque debido a su más o menos declarado ateísmo le costó varios intentos conseguirlo. En 1720, Halley fue nombrado astrónomo real y director del Observatorio de Greenwich, cargo en el que sucedió a John Flamsteed (1646-1719). Halley es hoy célebre en el imaginario colectivo por el cometa que lleva su nombre, ya que fue quien calculó su órbita. Halley aseguró que era el mismo que se había podido ver en 1531 y 1607, y que volvería a verse en 1758. Así ocurrió, y aunque Halley, que murió en 1742, no pudo ver el cometa, acabó prestando su apellido para bautizarlo.
El cálculo de la órbita del cometa, que Halley publicó en 1705, no fue ajeno, sino consecuencia del encuentro y las discusiones que aquella tarde de 1684 mantuvieron los científicos mencionados. Los tres contertulios daban vueltas al problema del movimiento planetario: ¿cómo y por qué se desplazan los planetas en el cielo? La pregunta se había convertido en la más importante que afrontaba la filosofía natural desde que Copérnico, con su propuesta de una Tierra en movimiento, hubiera puesto patas arriba la astronomía, la cosmología y la física que Europa había heredado de los griegos.
Para responderla, Hooke había postulado la existencia de una fuerza de atracción del Sol sobre los planetas inversamente proporcional al cuadrado de la distancia.
Así en la tierra como en el cieloLas consecuencias de la revolución copernicana fueron más allá —o más acá de lo que ocurría
en los cielos: además de la astronomía y la cosmología clásicas, el movimiento de la Tierra también había destrozado los fundamentos de la física aristotélica, hasta entonces vigente en Europa. Los cuerpos caen hacia abajo, afirmaba esta, por la tendencia natural de los graves a dirigirse hacia el centro del universo, que, según Aristóteles y los escolásticos, coincidía con el centro de la Tierra. Pero si la Tierra se mueve y no ocupa el centro del universo, ¿por qué los cuerpos caen hacia abajo?
A la misma conclusión había llegado Wren unos años antes, y también Halley más recientemente. De ese planteamiento surgía una pregunta: ¿qué tipo de órbita seguirá un planeta sobre el que actúe una fuerza atractiva central de ese tipo? La respuesta era, naturalmente, de la máxima importancia: compararla con los datos de observación permitiría saber hasta qué punto era o no correcto el planteamiento inicial. Hooke creía que su ley de atracción sería compatible con las leyes y las órbitas elípticas propuestas por Kepler, pero no sabía cómo demostrarlo ni deducirlo, o al menos no de forma satisfactoria. Wren y Halley eran de la misma opinión —no en vano habían hecho uso de la tercera ley de Kepler para concluir sobre el valor de la fuerza atractiva—, pero tampoco ellos sabían cómo deducirlo.
De los tres, fue Halley quien tuvo la idea más brillante para dar con la solución del problema: acudirían al consejo de un científico de Cambridge, catedrático lucasiano del Trinity College y autor de una controvertida propuesta sobre la naturaleza de la luz y los colores. Un individuo retraído, con fama de picajoso, y con quien el propio Hooke había tenido sus más y sus menos; pero, por encima de todo, un excelente matemático: Isaac Newton.
Un hijo póstumo con demasiados padres
El año 1642 es, según la tradición, el de la muerte de Galileo y también el del nacimiento de Newton, que vio la luz el día de Navidad en Woolsthorpe, una aldea de la comarca de Lincolnshire.
Newton fue hijo póstumo y único de un labrador medio analfabeto, también llamado Isaac. Su madre, Hannah Ayscough de soltera, después Hannah Newton, era de familia letrada pero algo venida a menos en lo económico. Se volvió a casar con un severo pastor anglicano llamado Barrabas Smith cuando Newton apenas terna tres años de edad. Barrabas se llevó a vivir a Hannah, ahora convertida en Smith, a su vicaría, pero no así al niño Newton, que quedó al cuidado de su abuela materna. Por entonces el señor Smith rondaba los sesenta años, lo que no impidió dejar embarazada por tres veces a la madre de Newton antes de morir siete años después de haberla desposado.
Varios autores han señalado que esos dos acontecimientos —el avatar de la muerte de su padre antes de su nacimiento y el trauma de la separación de su madre al contraer matrimonio con el pastor Smith— marcaron profundamente la compleja personalidad del genio inglés, especialmente en lo que se refiere a la forma en que Newton entendió todos sus estudios e investigaciones posteriores —ya fueran científicas, históricas, alquímicas o teológicas—, o en cómo trató a todo aquel que osó discutir con él sobre esas investigaciones o competir por la prioridad de algún descubrimiento.
Según este enfoque, la figura del padre desaparecido antes de su nacimiento podría haberla ocupado la figura de Dios Padre. La trayectoria vital de Newton se transforma así en una búsqueda de la verdad, ya a través de la ciencia, o bien por la teología o la alquimia, siendo su interlocutor, no sus contemporáneos humanos, sino la figura del padre desconocido transmutada en Dios Padre. Esta interpretación, cuando menos sugerente, hace más entendible la agresividad tremenda que Newton mostró toda su vida ante las críticas a su producción científica, por mínimas que fueran. La consecuencia fue unos enormes retrasos en la publicación de su producción científica en general y matemática en particular.
Por otro lado, la separación de la madre a los tres años de edad habría ahondado en el problema, haciendo a Newton extremadamente susceptible ante cualquier acto que pudiera interpretarse como desposeerlo de lo que le pertenecía, lo que explicaría las enconadas disputas sobre la prioridad que mantuvo a lo largo de su vida, tanto con Hooke como con Leibniz.
Tomando como punto de partida listas de frases y nombres contenidas en varios cuadernos y documentos manuscritos que Newton escribió de joven como ejercicios educativos en diversas enseñanzas —del latín, por ejemplo—, se ha logrado determinar los libros que Newton había usado en esos aprendizajes. Cotejando entonces los listados se constata que, mientras que las primeras palabras de esas ristras de nombres coincidían exactamente con las de los libros de donde, a todas luces, habían sido copiadas, no sucedía así con las últimas. Parecía como si, en un determinado momento, una de las palabras o frases del listado hubiera alterado la voluntad del niño Newton, que pasaba de copiarlas a producirlas él mismo, ligadas ahora unas con otras por una asociación libre.
Su madre regresó a casa de los Newton, viuda de nuevo, en 1653. Traía consigo los tres vástagos habidos con el reverendo Smith durante sus siete años de unión, más unos pocos cientos de libros que Newton heredó de su padrastro; mayormente eran de teología y, sin duda, engendraron y alimentaron una afición por la Biblia que Newton cultivó durante toda su vida.
El anticlímax que supuso el regreso de la madre generó una ambivalencia entre atracción y rechazo que impregnó toda la vida posterior de Newton. De hecho, de los dieciocho años que van desde que Newton ingresó en Cambridge en 1661 hasta la muerte de la madre en 1679, tan solo se conserva una carta entre ambos (es posible que hubiera muchas y que simplemente se hayan perdido, aunque esa posibilidad es harto improbable).
¿Nació Newton el mismo año de la muerte de Galileo?Es común mencionar la coincidencia del año de la muerte de Galileo 1642) con el del nacimiento de Newton. Como tantas otras, esa casualidad en las efemérides de ambos genios tiene algo de trampa. En efecto, el año de la muerte de Galileo se computa según el calendario gregoriano, mientras que el nacimiento de Newton se hace con respecto al juliano —entonces todavía en uso en Inglaterra—, de computarse con el calendario gregoriano, newton habría nacido el 4 de enero de 1643, lo que romperla el hechizo de la concomitancia de fechas. El calendario gregoriano fue instaurado por la iglesia católica en 1582; en su reforma habla estado implicado Copérnico, y fue una de las razones que le llevaron a iniciar su revolución: «porque los matemáticos están tan inseguros sobre los movimientos del sol y de la luna que no pueden ni demostrar ni observar la duración constante del año estacional», escribió en la dedicatoria que hizo en su de revolutionibus al papa Pablo III. La reforma gregoriana del calendario se adoptó de inmediato en los países católicos del sur de Europa. En los países protestantes tardó bastante más tiempo: Dinamarca, Holanda y los estados alemanes protestantes lo hicieron en 1700, mientras que Gran Bretaña y Suecia lo harían en 1752 y 1753, respectivamente.
Tampoco hay constancia de muchas visitas de Newton a su casa natal: en los trece años que van desde su larga estancia en Woolsthorpe entre 1665 y 1666 —debido a que la universidad cerró por una epidemia de peste— hasta la muerte de la madre solo están documentadas tres visitas, aunque tal vez hubiera una o dos más. Como escribió Richard Westfall —autor de la mejor y más completa biografía de Newton—, «se conocen expresiones más decididas de amor filial».
Más intensa fue la implicación de Isaac Newton durante los últimos días de su madre. Hannah había ido a cuidar a su hijo menor, enfermo de unas fiebres, y este se las contagió. Newton acudió entonces al cuidado de la madre. Alguien contó muchos años después los desvelos del hijo en el lecho de muerte de su progenitora:
Le atendió con verdadera piedad filial. Pasaba noches enteras sentado junto a ella, dándole él mismo las medicinas y curándole las ampollas con sus propias manos. Sir Isaac hizo uso de su extraordinaria destreza manual para aliviar el dolor producido por el terrible remedio que se emplea habitualmente en las curas de esa enfermedad, con mayor entrega de la que nunca había demostrado en sus experimentos más interesantes.
En su testamento, Hannah nombró a Newton su albacea testamentario: encomendó su alma a Dios omnipotente y que su cuerpo fuera enterrado en la forma digna y cristiana que su hijo Isaac considerara oportuna —parece que este la amortajó con una frazada de lana blanca—.

Primero de la serie de célebres retratos de Isaac Newton que realizó el pintor Godfrey Kneller. En este, el catedrático lucasiano contaba cuarenta y seis artos de edad. Apenas hacía dos que había publicado los Principia.
Para calibrar la dimensión del impacto emocional causado por la separación de la madre, merece especial atención un cuaderno conservado con confesiones de Newton llamado Cuaderno Fitzwilliam, por el nombre del museo de Cambridge donde ahora está depositado; es un diario personal que redactó Newton justo antes de abandonar Cambridge por la epidemia de peste.
Los inquietantes listados de palabras newtonianosEn uno de los ejercidos de caligrafía del joven Newton, se comprueba que este abandonó el listado que copiaba cuando llegó a la palabra father («padre») para añadir, de su propia cosecha, stepfather («padrastro»), fornicator («fornicador») y flatterer («adulador»). En otro listado, después de wife («esposa»), añadió wedlock («nupcial»), wooer («mujeriego»), widow («viuda») y whore («puta»). En uno de los ejercicios de latín contenidos en ese mismo cuaderno, donde Newton copiaba palabras de una gramática latina que empezaban por B, se observa que, tras brother («hermano»), Newton había dejado de copiar de la gramática en cuestión para improvisar el siguiente listado: bastard («bastardo»), barren («estéril»), blaspheimer («blasfemo»), brawler («camorrista»), babler («charlatán»), Babylonia («Babilonia»), bishop («obispo»), bedlam («manicomio»), beggar («pordiosero»), Benjamín («Benjamín»); este último ítem coincidía con el nombre del menor de los hijos que su madre había tenido con el pastor Smith.
Contiene información valiosa, como listados de gastos y recibos en Cambridge entre 1665 y 1669, en los que se observa lo que compraba para sus experimentos de óptica, o ejercicios de hebreo, idioma que Newton aprendió para ahondar en sus exégesis bíblicas.
Con ocasión de un examen de conciencia, Newton escribió en este dietario un listado de los pecados más graves que había cometido en los primeros veinte años de su vida. Es curioso que, siendo consciente del valor que aquel cuaderno poseía, andando el tiempo Newton no arrancara las páginas que contenían información tan íntima. Es verdad que escribió la confesión en clave, pero su brillante inteligencia no podía desconocer que el que alguien la descifrara era solo cuestión de tiempo; y, efectivamente, así acabó sucediendo —ese alguien fue Richard Westfall—. Quizá fue esa precisamente la intención de Newton: hacer partícipes de sus pecados a los demás en una muestra de un puritanismo algo jactancioso. Entre los pecados hay una referencia a pensamientos y actos impuros, aunque los más reveladores son los pecados número trece y catorce, por cuanto muestran que la separación forzada de su madre, tan cruel, había acabado por agriarle el carácter de por vida. Esos pecados dicen, respectivamente: «Amenazando a mi padre y madre Smith con quemarlos dentro de su casa», y «Deseando la muerte y esperándola para alguien».
En las diferentes disputas por prioridades científicas que jalonan su vida, Newton siempre optó por no reconocer ningún mérito a quienes él consideraba «segundos inventores». Así, en 1715 escribió refiriéndose a Leibniz y al descubrimiento del cálculo infinitesimal: «Porque segundos inventores no tienen derechos». Ante frases como esa es tentador pensar que el fantasma del reverendo Smith rondaba por el inconsciente de Newton.
Viaje de estudios a Grantham
Con doce años, Newton fue a estudiar a la escuela de Grantham, a unos ocho kilómetros de su residencia, y se quedó a vivir en casa del farmacéutico William Clark, casado en segundas nupcias con una amiga de la madre de Newton. Esta mujer tenía una hija, unos años más joven que Newton, de su anterior matrimonio. A ella se debe buena parte de lo que sabemos sobre el genio inglés en los años que pasó en Grantham, pues, en 1727, cuando tenía ochenta y dos años, le contó sus recuerdos de aquella época a William Stukeley, un admirador de Newton que recopilaba por entonces material para una biografía del científico. La señora Vincent, que así se llamaba en 1727 la niña amiga de Newton, aseguró que siempre fue un muchacho serio, silencioso y pensativo, que en vez de andar con los chicos de su edad prefería jugar con las chicas, a quienes soba construir pequeñas mesas, armarios y otros juguetes. También refirió que Newton bien pudo enamorarse de ella. Si a lo que con toda probabilidad fue el galanteo de un adolescente, mal adaptado a convivir con los otros niños de su sexo, puede llamársele «romance», este fue el primero y el último que tuvo Newton con una mujer en toda su vida.
Las abundantes notas sobre remedios y medicinas que aparecen en alguno de los cuadernos newtonianos del tiempo que estuvo en Grantham han hecho sugerir a varios autores que fue el farmacéutico Clark la persona que pudo sembrar en Newton su apasionado gusto por la alquimia, así como la afición hermana de elaborar pociones, remedios y medicamentos.
Según Stukeley, Newton desarrolló en Grantham cierta habilidad manual, y no solo construyó juguetes para sus amigas sino también una maqueta de un molino de viento, relojes solares y otros objetos curiosos. Esa habilidad manual marcó ya desde la infancia el gusto por la experimentación que tanto rendimiento científico le produjo y que fue fundamental cuando construyó, entre 1668 y 1671, varios telescopios reflectores. Esto le valió su ingreso en la Royal Society.
El poco afecto que sus compañeros de colegio sentían por él lo achacaba Stukeley a que lo consideraban demasiado astuto, y no podían fiarse de alguien que les superaba en ingenio y rapidez mental. Hay registrada una violenta pelea con uno de ellos, que propinó a Newton una patada en el estómago camino del colegio. La riña siguió después de las clases con el hijo del maestro ejerciendo de árbitro; tenemos el relato de esos hechos que hizo John Conduitt, el marido de la sobrina preferida de Newton, que seguramente se lo escuchó al propio Newton:
El hijo del maestro se acercó a ellos mientras peleaban, y empezó a dar palmadas en el hombro de uno y a guiñar el ojo al otro, para azuzarlos. Aunque el pequeño Isaac no era tan fuerte como su antagonista, tenía mucho más empuje y resolución, y golpeó al otro hasta que este declaró que no pelearía más, ante lo cual el hijo del maestro pidió a Isaac que tratara al rival como a un cobarde y le restregara la nariz contra el muro. Newton, entonces, le agarró por las orejas y estampó su cara contra un lado de la iglesia.
Tras acabar sus estudios en Grantham, Newton regresó al hogar. Tenía entonces diecisiete años y el propósito de su madre era que se hiciera cargo de la granja familiar. La madre le asignó un criado de confianza para que le enseñara, pero esos planes no entusiasmaron precisamente al hijo, que prefería dedicarse a sus reflexiones y elucubraciones antes que atender los asuntos de la granja.
Las cosas se fueron complicando, porque la falta de cuidado de Newton empezó a generar problemas con los vecinos: el ganado se le escapaba y ocasionaba destrozos en las fincas lindantes. En cierta ocasión fue multado por dejar que sus ovejas rompieran las vallas, y en otra por dejar que sus cerdos entraran en los campos de maíz ajenos.
«Cuando le ordenaban irse a los prados con un hato de ovejas, se sentaba bajo un árbol con un libro a leer, o se dedicaba a tallar con un cuchillo maquetas en madera.»
Costumbre de Newton, según William Stukeley, cuando quedaba a cargo del ganado.
La situación no era mejor cuando Newton se desplazaba al mercado con los productos de la granja. Dejaba entonces hacer al sirviente, mientras él se dedicaba a otros menesteres más de su agrado. Stukeley contó que incluso llegaba a sobornar al sirviente para que se ocupara de los asuntos del mercado y lo dejara a él leer tranquilamente, ya fuera en la posada ya en la bien surtida biblioteca de la casa del farmacéutico Clark.
Según Stukeley, a veces las escenas bordeaban lo cómico: en cierta ocasión en que volvía del mercado a pie llevando al caballo por la brida tras él, iba tan absorto en sus meditaciones que no reparó en que este se soltó y caminó solo hasta la granja Al cabo, Newton llegó, sosteniendo la brida rota en las manos a su espalda, sin haberse percatado de que el caballo se le había escapado.
Esta falta de atención y gusto por lo que debía ser su trabajo futuro es probable que envenenara la situación en su casa. En su confesión referente a 1662 recoge algunos pecados que hablan por sí solos: «Negarme a ir al patio a requerimiento de mi madre», «Pegar a mi hermana», «Llamar mujerzuela a Dorothy Rose»; lo que hace pensar que su actitud fue cada vez más impertinente, creando una tirantez familiar continua y difícilmente soportable.
Finalmente intervino un hermano de la madre, y se decidió enviar al joven Newton a estudiar a la misma universidad donde aquel había estudiado, esto es, a Cambridge. Otro de los pecados de aquella época que Newton incluyó en su lista fue «Reñir con los criados». A ellos les debería resultar chocante un patrón descuidado con el ganado, ajeno al mercado y al que no era raro que se le pasara la hora de cenar, absorto en sus meditaciones; era algo que después se repetiría a menudo en la universidad. No es de extrañar que, como contó Stukeley, los criados de su madre suspiraran aliviados y se alegraran de la marcha de Newton, a quien solo veían apto para la universidad.
Capítulo 2
La gravitación y las leyes del movimiento: los «Principia»
Que unas mismas leyes explican tanto las órbitas de los planetas como la caída de los objetos más mundanos era una idea que Newton acariciaba desde que, con poco más de veinte años, paseara entre los manzanos de la campiña inglesa. Sin embargo, no fue hasta su obra maestra, los Principia mathematica, cuando dio forma unitaria a las distintas hebras de su grandiosa visión.
Al inicio de esta biografía habíamos dejado a Edmund Halley camino de Cambridge al encuentro del catedrático Newton. Tan decisivo encuentro se produjo en agosto de 1684. Newton no era todavía el campeón de la ciencia en que después se convirtió, aunque ya era conocido y valorado entre la comunidad científica inglesa por la circulación privada de algunos de sus libros sobre el cálculo, entre ellos De analysi, por sus contribuciones a la teoría de la luz y los colores en la década de 1670-1680 y por la construcción del telescopio reflector. Fue precisamente la visita de Halley la que acabó acelerando la carrera científica de Newton.
Sobre lo que ocurrió en aquella cita sabemos lo que Newton contó años más tarde a Abraham de Moivre (1667-1754). Este matemático francés, pero inglés de adopción por razones religiosas —huyó de Francia por las persecuciones a que estaban sometidos los protestantes—, relató posteriormente el trascendental encuentro entre Newton y Halley como sigue:
El doctor Halley le preguntó a sir Isaac cuál pensaba que podría ser la curva que describiera el movimiento de los planetas suponiendo que la fuerza de atracción hacia el Sol fuera inversamente proporcional al cuadrado de sus distancias. Sir Isaac respondió de inmediato que serian elipses. El doctor dio muestras de gran excitación y, sorprendido, le preguntó que cómo lo sabía. «Porque lo he calculado», respondió Newton; después de lo cual, el doctor Halley le pidió que sin retraso le mostrara sus cálculos. Sir Isaac buscó entre sus papeles, aunque no encontró los cálculos; pero prometió rehacerlos de nuevo y entonces enviárselos.
Era la típica respuesta que cabía esperar de un Newton siempre remiso a dar a conocer sus descubrimientos. Y, efectivamente, Newton no había perdido esos papeles; sin embargo, dado el tiempo que había pasado desde la última vez que reflexionó sobre el movimiento de los planetas, quería revisar sus cuentas antes de mostrarlas a otros. Pero esta vez iba a ser distinto: la pregunta de Halley llegaba en un momento en que Newton estaba especialmente receptivo —«La pregunta se adueñó de él como nada lo había hecho antes», escribió Westfall— y desató su creatividad científica de forma desmedida.
Momentos estelares de la cienciaDos de los grandes momentos estelares de la ciencia son: la manzana de Newton... y el ¡Eureka! de Arquímedes (en la ilustración).
Según Vitruvio, arquitecto romano del siglo i a.C., el tirano de Siracusa Hierón II había ordenado la fabricación de una nueva corona de oro con forma de corona triunfal (un cerco de ramas de oro que se concedía como distinción al general victorioso que entraba en Roma). Para descubrir si realmente la corona era de oro o si contenía plata incluida por un orfebre deshonesto, Hierón II le pidió a Arquímedes que la analizara sin fundirla ni dañarla. Arquímedes no sabía cómo hacer tal cosa, habida cuenta de que no podía convertir la corona en un cuerpo regular para calcular su masa y volumen y, a partir de ahí, su densidad, para averiguar si coincidía o no con la del oro. Pero mientras tomaba un baño, Arquímedes advirtió que el nivel de agua subía en cuanto entraba en la bañera. Pensó entonces que podría hacer lo propio con la corona: al ser sumergida, desplazaría una cantidad de líquido igual a su propio volumen; y al dividir el peso de la corona por el volumen de agua desplazada, podría obtener la densidad de aquella. Al caer en la cuenta de lo sencillo que resultaba resolver su problema con la corona, Arquímedes salió corriendo desnudo por las calles, emocionado, gritando «¡Eureka!» (Una expresión del griego antiguo que significa «¡Lo he encontrado!»). La historia probablemente es falsa, porque el método de medición que describe hubiera requerido un nivel de exactitud extremo. De hecho, la historia ni siquiera aparece en los trabajos conocidos de Arquímedes. Con todo, en su tratado Sobre los cuerpos flotantes él mismo ofrece el principio de hidrostática, que afirma que un cuerpo sumergido en un fluido experimenta un empuje igual al peso del volumen del fluido que desaloja. Sea como fuere, dicho principio es conocido hoy por el nombre del genial científico griego.
Pero no solo fue su creatividad la que se desencadenó, sino también su enorme capacidad de trabajo. Es curioso que Newton tratara, sobre todo en sus últimos años, de crearse cierta leyenda de misterio y fantasía que lo acercase al rango de mito, para lo cual dio rienda suelta a anécdotas y mistificaciones o promovió las de otros.
Cae la manzana
La espeluznante sencillez de la célebre historia de la manzana ha sido utilísima a lo largo de la historia para popularizar la figura de Newton como personaje genial. Algo parecido había ocurrido ya antes con Arquímedes.
Newton posiblemente comprendió muy bien que el halo genial que desde tiempos inmemoriales había rodeado al científico griego tenía que ver con la excelencia de sus descubrimientos, pero también con ciertas historias llamativas recogidas por los cronistas de la Antigüedad. La más célebre de ellas es la del «¡Eureka!», pero abundan también otras con una innegable capacidad propagandística Newton logró dar con una historia que, a la postre, iba a tener tanta o más capacidad que el «¡Eureka!» arquimediano: la historia de la manzana. Y hemos escrito «logró dar» porque fue el propio Newton quien, ya septuagenario, se dedicó a contar la anécdota a todo aquel que se ponía a tiro —se han conservado hasta cuatro versiones independientes, todas contadas por un Newton ya anciano—. Una de ellas se la contó a William Stukeley, el paisano de Newton que estaba preparando una biografía suya. Newton se la relató poco antes de morir y, naturalmente, Stukeley la incluyó en su Life of Newton (1752):
Después de comer, estando el tiempo cálido, fui al jardín a tomar el té con sir Isaac; bajo la sombra de unos manzanos, nos quedamos solos él y yo. Entre otras cosas, me dijo que justo en esa misma situación fue como se le había ocurrido la noción de gravitación. Fue sugerida por la caída de una manzana cuando estaba sentado en actitud contemplativa. ¿Por qué la manzana siempre cae perpendicularmente al suelo?, se preguntó a sí mismo. ¿Por qué no cae hacia otro lado o hacia arriba? Seguramente la razón es que la Tierra la atrae. Debe haber una potencia de atracción en la materia: y la suma de la potencia de atracción de la materia de la Tierra debe estar en el centro de la Tierra, y no en otro lado de la Tierra. Por eso esta manzana cae perpendicularmente, o sea, hacia el centro de la Tierra. Si la materia atrae la materia, debe ser en proporción a su cantidad. Por tanto, la manzana atrae a la Tierra, como la Tierra atrae a la manzana.
Tal y como Newton contó la historia de la manzana, da la impresión de que, en cuanto la vio caer, toda la dinámica del movimiento planetario quedó clara en su mente. Esa tendencia que Newton tuvo, sobre todo en los últimos años de su vida, a resaltar su faceta de genio visionario frente a la más prosaica, aunque más real, de trabajador incansable, se aprecia también en otras descripciones de cómo había realizado sus descubrimientos.
En la obra cumbre de Newton, los Principia, se pone de manifiesto la diferencia entre esos supuestos destellos geniales por los que un descubrimiento se revela, sin ayuda de nadie, en apenas el tiempo que tarda una manzana en caer del árbol —la visión simplista del genio que a menudo se asocia con Newton—, y el proceso arduo, esforzado y prolongado en el tiempo que supone concebir un germen de idea, depurarla, delimitar lo esencial de ella de lo que es ganga o incluso error, encajarla con otras ideas, hasta llegar, trabajosamente y a menudo ayudado por lo que otros han descubierto o investigado antes, a lo que propiamente es un descubrimiento —la visión real de lo que Newton hizo—. Así, nada mejor que detallar el proceso completo que le llevó a realizar uno de sus mayores descubrimientos científicos, la teoría de la gravitación, y a componer los Principia. Este proceso demuestra que a la manzana prodigiosa hay que añadir una asombrosa capacidad de concentración centrada en un único objetivo. En raras ocasiones el propio Newton reconoció todo lo que debía a ese rasgo de su carácter en una carta fechada el 10 de diciembre de 1692 escribió que debía los Principia solo «a la laboriosidad y al pensamiento paciente».
Dos visiones diferentes del genio«Arquímedes, halagado y entretenido de continuo por una sirena doméstica y familiar —contó Plutarco en su Vida de Marcelo—, se olvidaba del alimento y no cuidaba de su persona; y llevado por la fuerza a ungirse y a bañarse, formaba figuras geométricas en el mismo hogar, y después de ungido tiraba líneas con el dedo, estando verdaderamente fuera de sí, y como poseído por las musas, por el sumo placer que en estas ocupaciones hallaba.» De esta anécdota, que nos muestra a un Arquímedes lúdico y juguetón, embadurnado de aceite por una asistenta personal, Newton hizo una versión en clave puritana: «No sé lo que podré parecer al mundo —contó en cierta ocasión—, pero yo me veo a mí mismo únicamente como si hubiese sido un niño que jugaba a la orilla del mar, y que se divertía encontrando de vez en cuando un guijarro más liso y una concha más bella que las normales, mientras que el gran océano de la verdad permanecía sin descubrir ante mí».
Para dar cuenta cabal de todo esto, vamos a dejar a Newton revisando sus cálculos tras la visita de Halley en agosto de 1684, mientras nosotros retrocedemos hasta 1543, una fecha sin duda simbólica en la historia de la ciencia.
Copérnico y Kepler
En 1543 se publicó en Nüremberg un libro cuyo título, De revolutionibus orbium coelestium (Las revoluciones de los orbes celestes), anticipaba la revolución que desencadenaría; no en vano se conoce como «revolución científica» al período que va de mediados del siglo XVI —-justo cuando aparece el libro— hasta finales del siglo XVII —cuando se publican los Principia de Newton—. Una revolución que afectó a la astronomía y a la cosmología, pero también a otras áreas del saber, tan alejadas entre sí como la medicina o las matemáticas. La revolución científica cuestionó lo que hasta entonces se había entendido por ciencia, potenciando la importancia de la experimentación y supeditando la validez de los desarrollos teóricos a su concordancia con los datos experimentales. Al final del proceso, y con Newton como uno de sus grandes artífices —junto con Copérnico, Kepler, Galileo o Descartes—, surgió la ciencia moderna en forma muy parecida a la actual.
El autor de ese libro revolucionario es, por supuesto, Nicolás Copérnico (1473-1543), del que cuenta la leyenda que recibió un ejemplar del De revolutionibus en su lecho de muerte poco antes de abandonar este mundo el 24 de mayo de 1543.
Hasta ese momento, la astronomía heredada de la Antigüedad clásica establecía que la Tierra estaba firmemente asentada en el centro del universo. A su alrededor giraban siete cuerpos, ordenados de menor a mayor distancia- la Luna, Mercurio, Venus, el Sol, Marte, Júpiter y Saturno —aunque no había unanimidad sobre el orden en que se había de colocar a Mercurio, Venus y el Sol—, y las estrellas fijas, todas ellas situadas en una superficie esférica, que constituía también el confín último del universo.
Las estrellas fijas completan una rotación diaria alrededor de la Tierra sin diferencias aparentes entre un día y otro, algo que no ocurre con los cuerpos intermedios. Por ejemplo, nos parece que el Sol gira cada día alrededor de la Tierra, pero no todos los días sigue el mismo recorrido, aunque parece que este se repite aproximadamente cada 365 días. Si cada día al ponerse el Sol anotamos sobre el fondo de las estrellas el sitio exacto por donde se puso, observaremos que ese punto avanza cada día más o menos un grado hacia el este, completando una vuelta al cabo de un año. Ese camino anual del Sol a través de las estrellas, alrededor del cual se arraciman las constelaciones zodiacales, se denomina «eclíptica», y era la línea imaginaria fundamental que usaba la astronomía ptolemaica para explicar el movimiento del Sol y, en cierta forma, también del resto de cuerpos intermedios —la Luna y los planetas—. Aunque estos, con movimientos independientes unos de otros y en relación a las estrellas fijas, tenían otras irregularidades más complicadas de explicar —la retrogradación, por ejemplo—.
«Si he logrado ver más lejos, ha sido porque he subido a hombros de gigantes.»
Isaac Newton en una carta de 1676 a Robert Hooke.
El gran compendio astronómico que daba cuenta de los detalles del movimiento de los planetas era el Almagesto del griego Ptolomeo. La cosmología aristotélica era la explicación física admitida para este movimiento planetario: cada planeta se insertaba en una esfera cristalina que giraba sin descanso alrededor de la Tierra.
Esa visión cosmogónica fue fagocitada por los escolásticos medievales que asignaron la fuerza motriz de las esferas a los ángeles y arcángeles. En ese universo, cada cosa tenía su lugar y cada lugar su cosa —no se admitía el vacío—; así, el infierno se ubicaba en el centro de la Tierra y el Empíreo, donde físicamente reside Dios, justo detrás de la esfera de las estrellas fijas. Todo ello fue líricamente recreado en esa guinda poética que para la concepción aristotélico-escolástica del cosmos fue la Divina comedia de Dante Alighieri.
Perihelio, afelio y eclípticaEl perihelio es el punto más próximo de la órbita de un cuerpo celeste alrededor del Sol. El opuesto, el punto más alejado del Sol, es el afelio (figura 1). Por ejemplo, la Tierra llega al perihelio todos los años a principios de enero, y entonces la distancia al Sol es de aproximadamente 147 millones de kilómetros, mientras que en el afelio la Tierra está a unos 152 millones de kilómetros del astro. Este fenómeno solamente ocurre en las órbitas elípticas, en las que el Sol se halla en uno de los focos de la elipse, y no en las circulares, en las que el Sol se encuentra justo en el centro.
La eclíptica
Se denomina eclíptica a la línea imaginaria que traza el Sol a lo largo de un año respecto al «fondo inmóvil» de las estrellas.
Se forma por la intersección del plano de la órbita terrestre con la esfera celeste. La incidencia perpendicular de la luz solar barre casi 47º sobre el globo terráqueo; cuando la luz solar incide perpendicularmente a 23º 27' latitud norte, alcanza el llamado trópico de Cáncer (21 de junio), cuando incide a 23º 27' latitud sur, el trópico de Capricornio. Estos son los puntos máximo y mínimo que alcanzará el Sol en su desplazamiento imaginario por el cielo. La eclíptica define un plano imaginario llamado «plano de la eclíptica», también denominado «plano de la órbita terrestre». Este plano se encuentra inclinado unos 23º 27’ con respecto al plano del ecuador terrestre (figura 2). El resto de los planetas no se hallan en este plano, sino que forman ángulos con respecto a él.
El poema épico describe un Paraíso dividido en nueve cielos, organizados según la jerarquía de los ángeles: Luna (para los inconstantes), Mercurio (para los ambiciosos), Venus (para los amantes), Sol (para los sabios), Marte (para los guerreros de la fe), Júpiter (para los buenos gobernantes) y Saturno (para los contemplativos).
Los dos últimos cielos están formados por las estrellas fijas y, finalmente, por el Primer Móvil, la más exterior de las esferas en el modelo geocéntrico del universo. Según la filosofía medieval, el sistema se encontraba en movimiento debido a Dios, que era el Primum mobile. Y, para acabar, fuera de todo ello se halla el Empíreo, la «habitación de Dios y de todos los elegidos», un lugar que no estaba limitado por un espacio ni construido de materia, eternamente inmóvil.
Esa propuesta cosmológica establecía una clara y férrea frontera entre un inmutable y perfecto mundo celestial —el universo que se extiende más allá de la atmósfera terrestre— y el mutable e imperfecto mundo terrenal —por debajo de la atmósfera—, naturalmente con leyes físicas distintas en ambos mundos.
La física aristotélica daba cuenta del movimiento de los objetos en la «esfera terrestre»; se basaba en la célebre doctrina de los cuatro elementos del filósofo griego Empédocles. Esa teoría establece que hay cuatro sustancias básicas, fuego, tierra, aire y agua, sobre las que actúan dos principios: el amor, que los une, y el odio, que los separa Los cuatro elementos, mezclados en distintas proporciones, producen todas las sustancias complejas que hay en el mundo infra lunar —lo que había en las zonas celestes era la quinta esencia o éter—. Ahora bien, cada uno de esos elementos tiene un sitio natural en el universo: el de la tierra, por ejemplo, es el centro del universo, mientras que el del fuego es un lugar intermedio entre la atmósfera y la esfera que ocupa la Luna. Los elementos que componen un cuerpo tendrán simpatía por ir a su sitio natural: por eso los elementos sólidos, donde prima la tierra, caen, pues la tierra busca su sitio natural, en el centro del universo; por el contrario, las llamas, donde prima el fuego, se elevan, también buscando su sitio natural, que, en este caso, son las capas altas de la atmósfera El De revolutionibus de Copérnico proponía una nueva astronomía basada en un Sol inmóvil en el centro del universo, mientras que la Tierra giraba sobre su eje cada día y, una vez al año, alrededor del Sol como uno más de los otros planetas: Mercurio, Venus, Marte, Júpiter y Saturno; la única que quedaba dando vueltas alrededor de la Tierra era la Luna. Se mantenía la esfera de las estrellas, pero ahora inmóvil. Sin embargo, esto planteaba numerosas preguntas, tanto de astronomía y cosmología como de física Copérnico trató de dar respuesta a algunas de estas preguntas en su De revolutionibus, aunque las basó en argumentos aristotélicos parecidos a los que sustentaban la inmovilidad de la Tierra. En cierta forma, no podía ser de otro modo: renovar por completo la concepción del mundo, por su dificultad, es una empresa necesariamente colectiva. Copérnico dio el primer impulso planteando una alternativa al modelo astronómico ptolemaico. Las soluciones a los problemas generados por sus consecuencias cosmológicas y físicas habrían de darlas quienes vinieran después, y también a ellos les tocó sufrir el enfrentamiento con la Iglesia católica que el asunto del movimiento de la Tierra pronto desencadenaría.
La propuesta astronómica de Copérnico tardó en abrirse paso. Por un lado tenía que lidiar con los prejuicios religiosos, y en esa batalla uno podía dejar la vida. Los protestantes fueron inicialmente los más beligerantes, pues un Sol inmóvil y una Tierra vagabunda contravienen algún que otro pasaje de la Biblia. Sin embargo, pronto adoptaron una postura pragmática: se aferraron a que la propuesta de Copérnico era una hipótesis de trabajo y no se correspondía necesariamente con la realidad física Pero, al apaciguamiento de los protestantes siguió el terrible estallido de ira de la Iglesia católica, y de su brazo armado: la Inquisición. El libro de Copérnico acabó en el índice de libros prohibidos, Giordano Bruno en la hoguera —su condena tuvo que ver con las nuevas posibilidades que el modelo copernicano abría para el universo—, y Galileo salvó la vida por muy poco.
La aparente retrogradación de los planetasUna de las ventajas que presentaba la teoría copernicana sobre la ptolemaica era su mayor simplicidad. Explicaba de forma sencilla, al menos cualitativamente, el fenómeno más singular entonces conocido: la aparente retrogradación de los planetas. Vistos desde la Tierra, los planetas se mueven por lo general de oeste a este, excepto en breves períodos de tiempo en que lo hacen de este a oeste, «desandando» parte del camino recorrido: es lo que se llama «retrogradación de los planetas». Esta retrogradación se produce con una cierta periodicidad, aunque no exacta: Mercurio retrograda cada 116 días, Venus cada 584, Marte cada 780, Júpiter cada 399 y Saturno cada 378. El sistema ptolemaico necesitaba de un sinfín de artificios geométricos para encajar esta anomalía planetaria en su explicación del cielo. Pero, según las teorías de Copérnico, la irregularidad en el movimiento de los planetas sería solo aparente, producto de una observación hecha desde una Tierra en movimiento: dicho de otra forma, si se observa un planeta, cuyo movimiento es regular, desde una Tierra en movimiento, este parecerá comportarse de manera irregular. Copérnico explicó que la retrogradación no es otra cosa que el efecto observado sobre el fondo de las estrellas —aparente pero no real— que se produce cuando los planetas más cercanos al Sol que la Tierra, y que, por tanto, recorren su órbita en menos tiempo, se cruzan entre el Sol y la Tierra —«adelantan» a la Tierra—, o bien cuando la Tierra se cruza entre el Sol y un planeta más alejado del Sol que ella, que emplea más tiempo en recorrer su propia órbita. En este último caso, la Tierra «adelanta» al planeta exterior.
Todavía hoy es bien reconocible una fricción entre la ciencia y la religión, sobre todo en lo relativo a nuevos hallazgos que puedan contradecir la visión tradicional de la Biblia, el Corán o cualquier otro libro sagrado. Cristianismo, judaísmo o islamismo fundamentan su razón de ser en libros sagrados; allí se encuentra la única verdad posible: la revelada por el correspondiente Dios.
La visión científica, en cambio, no admite verdades reveladas. La validez de una teoría científica no la determina la palabra de Dios, de ningún Dios, sino la adecuación de sus predicciones con lo que se observa en la naturaleza.
La ordenación de los planetas según CopérnicoLa teoría de Copérnico era más completa que la ptolemaica, dado que el modelo copernicano era capaz de ordenar los planetas según su lejanía al Sol, cosa que no podía hacer el modelo ptolemaico en relación
con la Tierra. En efecto, el modelo ptolemaico ordenaba los planetas según el tiempo empleado en recorrer la eclíptica. Sin embargo, era imposible ubicar por este método de manera objetiva a Mercurio, Venus y el Sol: todos ellos tardan más o menos un año en recorrer la eclíptica. En cambio, al tener en cuenta que la Tierra tarda un año en trasladarse alrededor del Sol y que la retrogradación de los planetas se produce cuando estos cruzan su trayectoria con la recta que une la Tierra y el Sol, Copérnico pudo calcular la duración de las órbitas de los planetas. En efecto, sabemos que Mercurio retrograda cada 116 días, y como la órbita de la Tierra dura 365 días, en ese tiempo tanto la Tierra como Mercurio han recorrido 116/365 de su órbita: además Mercurio ha orbitado una vez más hasta retrogradar de nuevo —Mercurio retrograda cuando la recta que lo une al Sol vuelve a alcanzar a la Tierra—, con lo que llegamos a
Así pues. Mercurio recorre su órbita 481/365 veces cada 116 días, y con una sencilla regla de tres obtenemos que su órbita dura 88 días. Procediendo de la misma manera con Venus —retrograda cada 584 días—, resolvemos que emplea 225 días en completar su órbita. En consecuencia, la ordenación con respecto al Sol debía ser: Mercurio, Venus, Tierra, Marte, Júpiter y Saturno.
En este sentido, la religión plantea supuestos inmutables e inmunes a la crítica; la ciencia, por el contrario, expone supuestos temporales y sujetos a cambio, y además se enriquece de las críticas, con las que tiende a autocorregirse. Esa concepción científica fue fruto, precisamente, de la revolución que vivió la ciencia desde Copérnico hasta Newton.
La teoría copernicana tuvo que lidiar con las dos concepciones: la religiosa, por un lado, y la tradición científica establecida —la escolástica, en este caso—, por el otro. De entrada, aunque la copernicana era la teoría más simple, completa —ordenaba a la perfección los planetas según su lejanía al Sol— y elegante, no era, en cambio, más exacta que su rival, la ptolemaica, pues Copérnico siguió encadenado a la hipótesis platónica de que los planetas debían moverse en círculos y con velocidad constante. Esas hipótesis heredadas de los griegos le obligaron a complicar su teoría para adecuarla a las observaciones.
Casi tres décadas después de la muerte de Copérnico nació Johannes Kepler (1571-1630), el matemático y astrónomo que iba a encauzar la revolución iniciada por Copérnico añadiendo al sistema otra ración más de elementos revolucionarios. Kepler dio con el secreto del movimiento planetario asistido por las precisas tablas astronómicas que elaboró el danés Tycho Brahe (1546-1601) en la segunda mitad del siglo XVI, por una inquebrantable fe en un diseño sencillo y elegante del universo —herencia de Pitágoras y Platón— y tras muchos años de arduos cálculos. Este secreto lo sintetizó en forma de tres leyes; las dos primeras, establecidas en su libro Astronomía nova (1609) para la órbita de Marte, aseguran que:
· Los planetas se mueven siguiendo órbitas elípticas, con el Sol situado en uno de sus focos.
· La velocidad con que se mueve cada planeta hace que el segmento que lo une al Sol recorra áreas iguales en tiempos iguales.
Las tres leyes de KeplerEl modelo astronómico de Kepler, ligado por la geometría y una noción de la armonía del universo de Inspiración pitagórica, se resume en tres leyes que describen matemáticamente el movimiento de los planetas en sus órbitas alrededor del Sol.
La primera ley afirma: «Los planetas se desplazan alrededor del Sol describiendo órbitas elípticas,
estando el Sol situado en uno de los focos». Una elipse puede definirse como el conjunto de puntos del plano que cumplen la condición l1+ l2= constante (figura 1).
La segunda sostiene que «el radio vector que une el planeta y el Sol barre áreas iguales en tiempos iguales». Las regiones sombreadas (de idéntica área) son barridas en tiempos iguales. En idéntico tiempo, en la región gris oscura el planeta debe recorrer un arco de elipse de mayor longitud que en la gris clara (figura 2).
La tercera ley, enunciada una década después, postula: «Para cualquier planeta, el cuadrado de su período orbital (tiempo que tarda en dar una vuelta alrededor del Sol) es directamente proporcional al cubo de la distancia media con el Sol». El tiempo que el planeta tarde en concluir una órbita (período T) es proporcional a la medida del semieje mayor R, elevada al exponente 3/2 (figura 3).
Las órbitas calculadas en base a estas dos leyes cuadraban perfectamente con las observaciones disponibles en la época La tercera ley de Kepler apareció una década después, en su libro Harmonice mundi (1619); tiene una naturaleza cuantitativa hasta entonces desconocida en astronomía, y establece que el cuadrado de los tiempos de revolución de cualesquiera dos planetas alrededor del Sol son proporcionales al cubo de sus distancias medias al Sol. La teoría copernicana, con el añadido de las leyes de Kepler, era, por fin, más simple, elegante y precisa que la vieja teoría geocéntrica de Ptolomeo. Sin embargo, las leyes de Kepler no suponían el fin de esta historia, sino más bien el principio: ahora había que explicar qué hace que los planetas se muevan alrededor del Sol de acuerdo con esas leyes.
De Galileo a Newton
Conforme la revolución copernicana se afianzaba, dinamitaba también toda la física aristotélica para explicar el movimiento de los cuerpos en la Tierra. Una dinámica de corte cuantitativo, cuyo gran abanderado fue Galileo (1564-1642), vino a sustituir a la ciencia de cualidades y simpatías aristotélico-escolásticas. Galileo propugnaba un nuevo concepto de ciencia basado en una combinación de experimentación y racionalismo matemático, sintetizada magistralmente en su célebre frase:
La filosofía está escrita en ese grandioso libro que se halla continuamente abierto ante nuestros ojos, al que llamo universo. Pero no se puede descifrar si antes no se comprende el lenguaje y se conocen los caracteres en que está escrito. Está escrito en lenguaje matemático, siendo sus caracteres triángulos, círculos y figuras geométricas. Sin estos medios es humanamente imposible comprender una palabra: sin ellos, deambulamos vanamente por un oscuro laberinto.
Y nada más fiel a ese planteamiento que la obra cumbre newtoniana: los Principia. Como ejemplo de esta nueva ciencia, Galileo estudió el movimiento de caída de los cuerpos. Mostró que, contra lo que Aristóteles afirmaba, los cuerpos caen en el mismo tiempo sin importar su tamaño o peso —salvando los efectos de rozamiento con el aire—. No parece cierto que Galileo llegara a esta conclusión lanzando objetos desde la torre inclinada de Pisa, tal y como se ha creído popularmente, sino que usó planos inclinados que le permitían una medida más precisa de los tiempos de caída. También encontró la ley de aceleración uniforme que rige la caída y reconoció la trayectoria parabólica que siguen los proyectiles.
Galileo no inventó el telescopio, pero sí fue el primero que lo apuntó al cielo e interpretó adecuadamente lo que veía Sus observaciones, como las montañas de la Luna, los satélites de Júpiter, las manchas solares o las fases de Venus, supusieron un espaldarazo a la teoría copernicana La Iglesia católica lo apercibió de que se adentraba en terreno peligroso. Su amistad con el Papa le hizo minusvalorar el aviso, y así, cuando en 1632 publicó su Dialogo sopra i due massimi sistemi del mondo, tolemaico e copernicano (Diálogo sobre los dos máximos sistemas del mundo, ptolemaico y copernicano), sufrió un infame proceso inquisitorial del que salvó la vida por muy poco. A pesar de tener por entonces casi setenta años, se le obligó, arrodillado, a abjurar, maldecir y detestar sus opiniones sobre el movimiento de la Tierra, se le decretó prisión de por vida —que el Papa conmutó por reclusión en su casa— y se le prohibió escribir o recibir a nadie sin permiso. La condena también incluía la obligación semanal, durante tres años, de recitar los siete salmos de penitencia
Naturalmente, esa obra ingresó en las páginas del índice de libros prohibidos. En su Diálogo se introducía el principio de inercia, esencial para la comprensión de la mecánica del sistema solar y que Newton eligió como su primera ley de la mecánica.
Se suele reseñar como casualidad simbólica el que Newton naciera precisamente el año de la muerte de Galileo, 1642. En cualquier caso, valga la simbología para ligar a estos dos genios, el segundo de los cuales —Newton—mostraría que, en definitiva, son las mismas causas las que mantienen a los planetas en órbitas elípticas y las que hacen parabólica la trayectoria de la bala de un cañón.
El misterioso vagar errante de los planetas
El camino que llevó a Newton a elaborar los Principia fue largo, y comenzó durante la reclusión en su casa natal con motivo del cierre de la universidad por la epidemia de peste de 1665.
Los primeros meses de esa estancia en Woolsthorpe, Newton estuvo mayormente dedicado a su idilio con las matemáticas, fruto del cual resultó su concepción del cálculo infinitesimal —que no desarrollaría plenamente hasta tres o cuatro años después—. Sin embargo, a principios de 1666, empezó a dedicar también tiempo a los asuntos relacionados con la mecánica. Motivado por sus lecturas de Descartes y Galileo, empezó a manejar lo que después él mismo acuñaría como «principio de inercia», según el cual un cuerpo tendía a mantener su situación de movimiento salvo que algo la modificara.
Siguiendo a Descartes, inició un estudio del movimiento circular, y en este contexto trató de entender y resolver los problemas que el sistema copernicano imponía al movimiento de la Tierra y los otros planetas —recogidos por Galileo en sus Diálogos—. Newton planteó el problema del movimiento planetario dentro de la teoría de vórtices cartesiana —que había estudiado por su cuenta en los años anteriores de formación en Cambridge— y, por tanto, partiendo de una ley de inercia rectilínea y el par gravedad-fuerza centrífuga para modificar las trayectorias rectas, tal y como también había hecho el astrónomo y matemático neerlandés Christiaan Huygens (1629-1695). Huygens fue el primero que cuantificó la tendencia de los cuerpos en movimiento circular a alejarse del centro. Llamó a esta tendencia «fuerza centrífuga» en su trabajo De vi centrifuga, publicado en 1673, y con ella pretendía explicar fenómenos naturales tan fundamentales como el movimiento de la luz o la gravedad de los cuerpos. Así pues, con este planteamiento inicial; Newton otorgaba más relevancia a la tendencia de los planetas a separarse —la fuerza centrífuga— que al poder de atracción del Sol, y haciendo entrar en juego la tercera ley de Kepler, consiguió encontrar que las fuerzas centrífugas generadas por los planetas variaban inversamente al cuadrado de sus distancias al Sol.
Merece la pena contar con algo más de detalle técnico el proceso que siguió Newton en sus estudios iniciales del movimiento planetario para encontrar la relación inversa entre la fuerza centrífuga y el inverso del cuadrado de la distancia.
Las montañas de la lunaEn su obra Sidereus nuncius (1610), y con ayuda ya del telescopio, Galileo afirmó que existen montañas en la Luna, refutando así la tesis aristotélica de que los cielos son perfectos y particularmente que la Luna es una esfera lisa e inmutable. Otras observaciones del científico de Pisa que refrendaron las tesis copernicanas fueron estas: las manchas en el Sol, cuya variación estacional evidencia que el eje de rotación del Sol está inclinado; la constatación de que las estrellas no aumentaban de tamaño (algo que sí ocurría con los planetas), confirmando así la hipótesis sobre la existencia de un enorme hueco entre Saturno y las estrellas fijas; los satélites de Júpiter, acaso su mayor descubrimiento, que probaba que no todos los cuerpos celestes giran alrededor de la Tierra; o las fases de Venus, que, unidas a la variación de tamaño del astro, demostraban que este únicamente podía orbitar alrededor del Sol.
A la izquierda, las fases de Venus predichas por la tesis heliocéntrica de la órbita del planeta, refrendadas por las observaciones de Galileo. A la derecha, las fases del planeta según las predicciones del modelo geocéntrico.
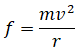
Supongamos que un cuerpo de masa m se mueve con velocidad constante igual a v sobre una circunferencia de radio r. Newton había deducido que la fuerza total en un movimiento circular uniforme como este viene dada por 2πmv. Si convertimos esta fuerza total en fuerza por instante, dividiendo por el tiempo que se tarda en dar una vuelta 2πrv, obtenemos

Esta sería la expresión de la fuerza centrífuga —aquella por la que un cuerpo que se mueve con movimiento circular uniforme tiende a separarse del centro en cada instante— que aún hoy seguimos usando en este tipo de movimiento circular.
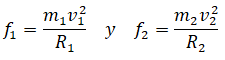
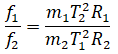
En este punto, Newton hizo entrar en juego la tercera ley de Kepler para encontrar la fuerza centrífuga que hace que los planetas se alejen del Sol. En efecto, sean T1 y T2 los períodos de revolución de dos planetas, y R1 y R2, sus distancias medias al Sol. La tercera ley de Kepler establece que los cuadrados de los períodos son proporcionales a los cubos de los radios, esto es:

y, por tanto,

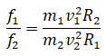
Teniendo en cuenta que las velocidades son el cociente entre espacio y tiempo, tenemos:

lo que, sustituido en la fórmula anterior, da:

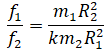
Finalmente, aplicando la tercera ley de Kepler, Newton obtuvo:

Obviando el factor que incluye las masas, Newton llegó así a la conclusión de que las fuerzas centrífugas son inversamente proporcionales al cuadrado de las distancias:

Es posible que Newton empezara entonces a sospechar, más o menos nebulosamente, que la gravedad que hace caer una manzana es la misma que la que mantiene a la Luna orbitando alrededor de la Tierra; sin embargo, de ahí a descubrir la universalidad de la gravitación va todo un mundo de esfuerzos, desvelos y trabajo intenso. De hecho, inicialmente Newton trató de comparar la aceleración producida por la fuerza centrífuga que hace que la Luna se mueva y la aceleración de la gravedad en la superficie terrestre; de nuevo aquí su habilidad como experimentador le resultó muy útil, pues consiguió encontrar valores muy exactos cuando, usando planos inclinados, midió la velocidad con la que un cuerpo cae sobre la Tierra.
Los vórtices cartesianosRené Descartes sostenía que el movimiento de los planetas se debía a la acción de ciertos vórtices —o torbellinos—. Esta teoría mecanicista apareció publicada en Principia philosophiae (1644) y proponía que el espacio estaba ocupado por un fluido invisible que giraba formando enormes vórtices celestes.
Detalle de una lámina que representa los vórtices cartesianos, incluida en los Principia philosophiae.El Sol sería el centro de uno de esos vórtices, y por ello arrastraba a los planetas, que a su vez eran centros de otros vórtices más pequeños que actuarían sobre la Luna y otros satélites. Esta idea tenía mucha fuerza, porque explicaba cómo era posible que los objetos se movieran sin que actuaran fuerzas a distancia —algo inconcebible en la época—, a la vez que era una herencia de la analogía de los remolinos de un río ya empleada en la antigua Grecia por Leucipo y, posteriormente, por Epicuro.
Pero si las fuerzas no actuaban en la distancia, ¿cómo se explicaba entonces la caída de un cuerpo en la superficie terrestre? Para Descartes, la Tierra obraría como una gigantesca centrifugadora, y así «la fuerza con la que la materia celeste, más ligera, tiende a alejarse del centro de la Tierra, no puede tener su efecto; si las partículas de la materia celeste se alejan, no alcanzan el lugar de algunas partes terrestres que descienden al mismo tiempo hasta pasar a ocupar el lugar dejado por las partículas de la materia celeste». Newton defendió que las órbitas planetarias alrededor del Sol solo necesitan de una atracción hacia el interior del Sol, y no de una fuerza hacia delante para mantener el movimiento.
Aunque la hipótesis sobre la igualdad de ambas fuerzas era correcta, la abandonó, pues no le cuadraron los cálculos: usó valores poco precisos para el radio de la Tierra, y en aquellos momentos desconocía también que las distancias había que medirlas desde los centros.
En el caso de creer en la anécdota de la manzana, la idea de una gravitación aplicable a toda la materia del universo surgió ya completa en la mente de Newton. Sin embargo, nada más lejos de la realidad. Westfall escribió al respecto:
La historia vulgariza la gravitación universal, tratándola como si fuera una idea brillante. Una idea brillante no puede dar forma a una tradición científica. La gravitación universal no se rindió ante el primer esfuerzo de Newton. Newton dudó y perdió el hilo de su razonamiento, temporalmente desconcertado por complejidades abrumadoras.
De hecho, por evidencias indirectas sabemos que, en una fecha tan tardía como 1681, Newton todavía no había hecho extensiva la fuerza de la gravedad a todos los cuerpos celestes. En aquella época tuvo una discusión con John Flamsteed —por aquel entonces astrónomo real— sobre el cometa que pudo ser visto en los cielos durante el invierno de 1680-1681. Flamsteed afirmaba que el cometa había girado antes de llegar al Sol, mientras que Newton sostenía lo contrario. En aquellos tiempos los cometas se consideraban distintos a los planetas, de naturaleza más atmosférica que celeste, ajenos, en cierta forma, al sistema solar; así lo pensaba Hooke, por ejemplo, y, desde luego, también Flamsteed. Y del contenido de su intercambio epistolar es razonable concluir que tampoco Newton pensaba que los cometas fueran atraídos por el Sol con una fuerza inversamente proporcional al cuadrado de la distancia, como ya pensaba que lo eran los planetas. Solo cuando en 1682 regresó el cometa que después fue bautizado con el nombre de Halley, Newton empezó a sospechar que también estos fenómenos celestes eran esclavos de la gravedad.

Portada de la primera edición de los Principia, de 1687, arriba a la izquierda, y una página del interior de un ejemplar perteneciente al propio Newton con sus anotaciones escritas a mano, a su derecha.
Después de sus investigaciones de 1666, Newton perdió interés en el asunto de los planetas, que retomó trece años después —en 1679—, cuando recibió una carta de Hooke en la que le proponía volver a reiniciar sus intercambios epistolares, tras la pelea, ruptura y posterior reconciliación que ambos habían protagonizado unos años antes a raíz de las primeras publicaciones de Newton sobre la teoría de la luz y los colores.

Alegoría de la figura de Newton (1795), de William Blake, una célebre representación del científico en el rol de «geómetra del universo».
En la carta, Hooke le preguntaba a Newton su opinión sobre las órbitas que seguirían unos planetas afectados por la inercia y por una atracción hacia el cuerpo central alrededor del que giran. A Newton le resultó muy sugerente este planteamiento de Hooke, y acabó poniéndole en el buen camino para resolver el problema del movimiento planetario. En efecto, a partir de entonces desechó la tendencia de los planetas a separarse —la fuerza centrífuga—, inspirada por Huygens, y se quedó solo con la inercia y con la fuerza de atracción dirigida al centro de la órbita: la fuerza centrípeta, como más tarde la bautizaría el propio Newton.
Newton contestó a Hooke que no deseaba realizar ningún intercambio epistolar, pues en ese momento le interesaban otros estudios distintos a los de la filosofía natural, a la que solo dedicaba ya «algunas horas ociosas, como diversión»; se refería, como veremos, a la teología y la alquimia. No obstante, se permitió sugerirle un experimento para demostrar la rotación diaria de la Tierra sobre su eje. La precipitación de su respuesta hizo errar a Newton en los resultados de ese experimento, y tuvo que soportar la corrección que Hooke le hizo. Esto provocó que, contra los deseos de Newton, fueran y vinieran más cartas de un científico a otro. En una de ellas, Hooke hizo explícita su ley del inverso del cuadrado como medida de la fuerza de atracción entre los cuerpos, cosa que Newton ya había deducido cuando estudió por primera vez el problema durante los años de la peste.
La consulta de Hooke provocó que Newton, a pesar de su aparente desinterés, retomara con fuerza el problema del movimiento planetario. Como resultado de su nueva dedicación al asunto, encontró que las dos primeras leyes de Kepler implican fuerzas de atracción inversamente proporcionales al cuadrado de la distancia. Esos son los cálculos a los que se refirió durante la visita de Edmund Halley en agosto de 1684.
El intercambio de cartas iba a generar también otro colosal enfrentamiento entre Hooke y Newton. La nueva pelea estalló mientras Newton redactaba los Principia, al acusarle Hooke de plagio. La disputa casi logró dar al traste con la obra cumbre de Newton, quien en un acto que mostraba su naturaleza rencorosa eliminó de la versión final de su libro casi todas las menciones que había hecho a Hooke en versiones anteriores.
Del «de motu corporum» a los «principia»
Retomemos ahora el curso de los acontecimientos desatados por la visita de Halley a Cambridge en agosto de 1684. Newton, que no había perdido sus cálculos, los revisó, los completó y, en noviembre de 1684, envió a Halley un pequeño tratado de nueve páginas de título De motu corporum in gyrum (Sobre el movimiento de cuerpos en una órbita): allí se esbozaba una demostración de que la trayectoria que genera una fuerza de atracción inversamente proporcional al cuadrado de la distancia es una cónica que, ante velocidades por debajo de cierto límite, es, en efecto, una elipse —incluía también el resultado recíproco, que, como sabemos, había descubierto a raíz de la carta de Hooke—.
Ese pequeño tratado fue el germen de los posteriores estudios newtonianos sobre dinámica En él, y en sus diversas versiones, vieron la luz las célebres leyes de Newton. Inicialmente fueron cinco, y después las redujo a las tres que hoy son habituales; su formulación, tal y como aparecen en los Principia, es la siguiente:
- Primera ley: Todo cuerpo persevera en su estado de reposo o de movimiento uniforme y rectilíneo a no ser que sea obligado, por fuerzas ejercidas sobre él, a cambiar su estado.
- Segunda ley: El cambio de un movimiento es proporcional a la fuerza motriz ejercida sobre el objeto y ocurre según la línea recta a lo largo de la cual aquella fuerza se ejerce. (El «cambio de un movimiento» no es otra cosa que la aceleración.)
- Tercera ley: Con toda acción ocurre siempre una reacción igual y contraria; o sea, las acciones mutuas de dos cuerpos siempre son iguales y dirigidas en direcciones opuestas.
Este principio se ilustra en el siguiente dibujo: la bola de la izquierda desacelera desde su velocidad inicial a cero; entonces, la bola de la derecha acelera desde cero a la velocidad que desarrolló la bola de la izquierda:

También fueron sintetizándose conceptos físicos fundamentales, como los de espacio y tiempo absolutos, o el de masa: «La cantidad de materia es aquella que surge por la conjunción de su densidad y su magnitud. La cantidad de un cuerpo con el doble de densidad en el doble de espacio es cuatro veces mayor. Designo esta cantidad por el nombre de cuerpo o de masa» —este concepto de masa, distinto del de peso, fue fundamental para formular su segunda ley del movimiento: fuerza es igual a masa por aceleración—. Asimismo, se acuñaron términos físicos hoy habituales, como el de fuerza centrípeta
La visita de Halley también arrastró a Newton al estudio de unos problemas que ya habían llamado su atención con anterioridad, pero nunca de la irresistible manera como lo hicieron entonces, hasta el punto de que, como escribió Westfall: «Desde agosto de 1684 hasta la primavera de 1686, su vida se redujo a los Principia».
Su asistente de aquella época nos describe a un Newton totalmente obsesionado con sus investigaciones:
Estaba tan concentrado, tan volcado en sus estudios que apenas comía, o incluso se olvidaba de comer. De forma que, al entrar en su habitación, encontraba su plato sin tocar, y cuando se lo recordaba, me respondía: «¿Ah, sí?», y se dirigía hacia la mesa, donde tomaba uno o dos bocados de pie. En raras ocasiones, cuando decidía cenar en el hall, tomaba el camino de la izquierda y salía a la calle; allí, se detenía, dándose cuenta de su error, y volvía rápidamente, de forma que, algunas veces, en vez de ir al hall, regresaba a su habitación. Cuando, en ocasiones, salía a dar una o dos vueltas por el jardín, podía detenerse de repente, darse la vuelta y, después de correr escaleras arriba, como otro Arquímedes con un «¡eureka!», ponerse a escribir de pie en su mesa, sin ni siquiera concederse el tiempo de buscar una silla en la que sentarse.
En la época en que lo visitó Halley y redactó las primeras versiones del De motu, Newton acabó convenciéndose de la universalidad de la atracción gravitatoria De hecho, para confirmar sus cálculos pidió información a Flamsteed sobre las órbitas de los satélites de Júpiter, y también sobre la órbita de Júpiter y Saturno en el momento de su conjunción —cuando ambos planetas están más cerca uno de otro— para tratar de discernir la perturbación de sus órbitas producida por la atracción mutua de ambos planetas. También le solicitó información sobre las mareas del Támesis, pues en su cabeza estaba empezando a tomar cuerpo la idea de que la gravedad también era la causante del movimiento periódico de los mares que conocemos como mareas.
El pequeño tratado que Newton había enviado a Halley no dejó de engordar conforme Newton afinaba sus investigaciones; así, en apenas un año el De motu corporum in gyrum pasó de ser un opúsculo de nueve páginas a un tratado en dos libros con cerca de cien páginas —su título, en cambio, se redujo a De motu corporum—. En él ya se incluía uno de sus descubrimientos cruciales: las distancias para el cálculo de la fuerza de atracción entre cuerpos esféricos había que medirlas desde sus centros. Eso era, según reconocía el propio Newton, algo difícil de creer, pero a lo que había que rendirse por la fuerza de sus demostraciones matemáticas: «Sin mis demostraciones, ningún filósofo juicioso podría aceptarlo», escribió a Halley en 1686. En este supuesto, las operaciones que entonces hizo para calcular la fuerza de atracción que la Tierra ejercía sobre una manzana y sobre la Luna coincidían de manera sorprendente.
¿Quién pagó la publicación de los «Principia»?
En la primavera de 1686 llegó a la Royal Society la solicitud para la publicación de un libro titulado Philosophiae naturalis principia mathematica, cuyo autor era Isaac Newton. El 19 de mayo, a instancias de Halley, se aprobaba en reunión la publicación del libro. Una precisión sobre el título: la expresión Philosophiae naturalis —«filosofía natural», en castellano— hace referencia, grosso modo, a lo que hoy podríamos llamar física; el añadido de Principia mathematica —«principios matemáticos», en castellano— fue un guiño de Newton para resaltar su decisión de usar el lenguaje y la potencia de las matemáticas para presentar la filosofía natural. Al inicio de la introducción al libro III de los Principia se lee:
He ofrecido en los libros anteriores principios de filosofía, principios no filosóficos, sino matemáticos; a saber, aquellos sobre cuya base podemos construir nuestros razonamientos en materia de investigación filosófica Estos principios son leyes y las condiciones de ciertos movimientos, poderes o fuerzas fundamentalmente relacionados con la filosofía. Nos falta mostrar, en base a los mismos principios, la constitución del sistema del mundo.
Como escribió el historiador de la ciencia José Manuel Sánchez Ron: «Existe otro aspecto de los Principia que conviene destacar constituye el ejemplo supremo de lo que puede denominarse “el método newtoniano”. Y es que Newton nos legó en él —en otras obras también, pero sobre todo en esta— lo que constituye la esencia del método científico moderno: la elaboración de modelos matemáticos simples que se comparan con los fenómenos naturales, comparaciones de las que surgen nuevas versiones, más complicadas, de los modelos previos. Con él, la matemática se encamó verdaderamente en la esencia de la teoría física».
Dos semanas después de aprobada la publicación de los Principia, el consejo de la Royal Society arreglaba la peliaguda cuestión de quién iba a correr con sus gastos: «Se ordenó que el libro del señor Newton fuera publicado y que el señor Halley se encargara de los asuntos relacionados con la edición corriendo él con los gastos, lo cual se comprometió a hacer». Con seguridad, la decisión del consejo supuso más de una noche de insomnio para Halley. Por un lado, su posición económica en aquel momento no era precisamente boyante: aunque hijo de una familia rica, se había casado y en aquellos tiempos vivía con poco más que el escaso salario que ganaba en la Royal Society como ayudante. Por otro lado, en la fecha en que la publicación se aprobó, Halley todavía no sabía ni la extensión ni el contenido cabal de los Principia, pues en la fase de composición pronto dejaron pequeño el tratado De motu corporum que les sirvió de germen.
Las exigencias de Hooke
Un incidente de otra índole se cruzó en la redacción de los Principia y estuvo a punto de mutilarlos. Para obtener el permiso de publicación, Halley informó resumidamente a la Royal Society del contenido de los Principia; esto hizo que Robert Hooke, a la sazón uno de sus secretarios, supiera que Newton iba a manejar en su obra un valor para la atracción gravitatoria entre dos cuerpos inversamente proporcional al cuadrado de la distancia que separa sus centros. De inmediato, reclamó los derechos sobre esa aportación.
La primera reacción de Newton se limitó a informar a Halley de que ya había descubierto la hipótesis de la atracción inversamente proporcional al cuadrado de las distancias antes de que Hooke se la comunicara en 1679. Pero, pronto, la furia de Newton fue en aumento, y pocas semanas después informaba a Halley de que iba a suprimir el libro tercero de los Principia, el dedicado a explicar el sistema del mundo.
Halley tuvo que pasarlo mal ante las invectivas de Newton contra Hooke, cada vez más agrias:
«¿No es bonito? —se quejaba Newton—. Los matemáticos que averiguan, consolidan y hacen todo el trabajo deben contentarse con no ser sino meros y serviles calculadores, y otro que no ha hecho sino pretender y agarrarse ávidamente a todo debe, igual que los que le sigan, apropiarse de la invención, con los mismos derechos de los que le precedieron».
Desde luego, la situación era preocupante, pues Halley sabía que Hooke pretendía mucho más que un agradecimiento; de hecho, llegó a acusar a Newton de plagio, si no en las reuniones oficiales de la Royal Society, sí en la continuación informal de muchas de ellas que tenía lugar después en los cafés que tanto habían proliferado en Londres. Y si bien Halley siempre trató de hacer llegar a Newton una versión aguada de las reclamaciones de Hooke, era inevitable que Newton se enterara de ellas por terceros.
«La filosofía es una dama tan insolentemente litigadora que, para un hombre, tratar con ella es como entrar en pleitos legales. Me di cuenta de ello hace tiempo y, ahora, tan pronto me acerco a ella, escucho su advertencia.»
Newton en su enfrentamiento con Robert Hooke.
La rabia de Newton crecía, y empezó a eliminar el nombre de Hooke de los sitios donde lo había mencionado en el texto: suprimió la referencia que reconocía la prioridad de Hooke, el concepto de atracción de Hooke en el segundo párrafo o la observación del «Clarissimus Hookius» en la discusión sobre los cometas. Finalmente —y para alegría de Halley—, al percatarse de la expectación que su libro estaba generando entre la comunidad científica inglesa, Newton reflexionó y pensó que lo mejor que podía hacer para dañar a Hooke era publicar el libro tercero de los Principia completo y ampliado.
El contenido de los «Principia»
El 5 de julio de 1687, Halley comunicó a Newton que el trabajo de composición de los Principia había finalizado. La versión que salió de la imprenta estaba dividida en tres libros, además de unos preliminares donde, entre otras cosas, se enunciaban las tres leyes newtonianas de la física Los puntos básicos de los Principia son los siguientes.
En el libro primero se exponen las tres leyes de Newton acerca del movimiento de los cuerpos. También se definen determinados conceptos fundamentales que hasta entonces no quedaban claros, como la fuerza centrípeta, «buscando el centro», la fuerza que en un movimiento giratorio atrae un cuerpo hacia el centro, a diferencia de la fuerza centrífuga, término que había empleado Huygens para representar la idea de «huida del centro». También añadió a la terminología científica la palabra «masa», es decir, la cantidad de materia que posee un cuerpo independientemente de su volumen, que Newton comprobó que era proporcional a su peso.
El libro segundo es un tratado acerca de la mecánica de fluidos y sobre la influencia de la fricción en el movimiento de los cuerpos sólidos que están en el interior de un medio líquido, llegando a considerar, por ejemplo, que la resistencia varía con el cuadrado de la velocidad. El libro estudia el movimiento en medios resistentes y constituye una implacable crítica a la teoría cartesiana de los vórtices. En la parte final, Newton refuta los vórtices invocados por Descartes a fin de explicar los movimientos de los planetas, demostrando que el espacio debía estar libre de fricciones de cualquier tipo y que, aunque pareciese contraintuitivo, existían fuerzas que actuaban en la distancia. La razón de ello, según Newton, hay que buscarla en su libro primero y también será tratado con más detalle en el libro tercero.
En el libro tercero, El sistema del mundo, se deducen los movimientos de los cuerpos celestes usando, esencialmente, el estudio del movimiento de los cuerpos en abstracto y en un medio carente de resistencia acometido en el libro primero. Newton concluye en el libro tercero que la razón del movimiento de los planetas, así como el de las lunas y los cometas, la precesión de los equinoccios y las mareas, es una fuerza de gravitación que tiende hacia todos los cuerpos, proporcional a la cantidad de materia que contiene cada uno de ellos. Sin duda, esta es la proposición más importante expuesta en la obra, y la llamó «ley de gravitación universal».
Así pues, el libro tercero de los Principia es una aplicación al mundo físico de las leyes del movimiento del libro primero.
Con un simple conjunto de leyes, Newton unió la Tierra con todo lo que se podía contemplar en los cielos.
En El sistema del mundo se identifica la fuerza centrípeta, que mantiene a los planetas en órbitas elípticas, con la gravedad; en consecuencia, la fuerza que retiene a la Luna en su órbita es igual a la que hace caer los cuerpos pesados en la superficie de la Tierra. En este modelo, las fuerzas gravitatorias siempre son atractivas; en efecto, una fuerza repulsiva, como la centrífuga, no podría producir órbitas cerradas, ni tampoco hacer caer una manzana sobre el suelo. La gravedad es, además, universal: todos los cuerpos del universo se atraen unos a otros y lo hacen de forma proporcional al producto de sus masas e inversamente proporcional al cuadrado de sus distancias. Puesto que esta ley implica las del movimiento planetario kepleriano, se deduce que también los satélites las cumplen en su movimiento en torno a los planetas, y los cometas en relación al Sol, con las perturbaciones ocasionadas por la universalidad de la atracción gravitatoria.
Newton estudió estas perturbaciones en el caso de la Luna: «Aprendimos al fin —escribió Halley en la oda a Newton con la que se abre la primera edición de los Principia— por qué la Luna pareció en otro tiempo viajar con pasos desiguales, como negándose, burlona, a someter a números su andadura, hasta hoy misteriosa para todo astrónomo».
Sin embargo, Halley exageró, porque el estudio newtoniano de las irregularidades de la órbita lunar no fue demasiado satisfactorio; además, la necesidad de cotejar las observaciones con sus predicciones teóricas generó años después una disputa con John Flamsteed, el astrónomo real.
En El sistema del mundo se trataron diversas cuestiones más, entre las que se pueden citar la teoría de las mareas como efecto de la atracción gravitatoria del Sol y de la Luna sobre las aguas, o la forma de los planetas, necesariamente achatados por los polos, condición que determina la duración de su rotación diaria. Esta predicción newtoniana tuvo varias consecuencias, a cual más interesante. Por un lado, las teorías cartesianas predecían justo lo contrario: los planetas debían ser alargados por los polos. La cuestión se podía verificar midiendo sendos arcos de meridiano cerca de uno de los polos y en el ecuador, y su comprobación era ciertamente de interés científico, pues podría eliminar una de las dos teorías más importantes de su tiempo. Finalmente, la Academia de las Ciencias de París decidió llevar a cabo la intrépida empresa, pues hacer esas mediciones fue, realmente, toda una aventura.
Para ello, propició dos expediciones en las primeras décadas del siglo XVIII, una a Laponia y otra al Virreinato del Perú, para medir un arco de meridiano. Aunque se tardó años en hacer las mediciones y estas no fueron todo lo científicas que debían, el resultado estableció que la Tierra era achatada por los polos, lo que supuso el triunfo definitivo del sistema newtoniano sobre el cartesiano.
«Dos cuerpos cualesquiera se atraen con una fuerza que es proporcional al producto de sus masas, e inversamente proporcional al cuadrado de la distancia entre ellas.»
Enunciado de la ley de gravitación universal, incluida en el Libro Tercero de los Principia.
Además, la protuberancia ecuatorial de la Tierra permitió a Newton explicar uno de los fenómenos astronómicos más misteriosos descubiertos por los sabios griegos. Se trata de la precesión de los equinoccios, esto es, el lento movimiento del polo celeste a través de las estrellas completando una circunferencia al cabo de casi 26.000 años. En la antigua concepción geocéntrica del universo, el polo celeste es el punto en el que la esfera de las estrellas es cortada por un eje perpendicular al plano de la eclíptica que pase por el centro de la Tierra; en la concepción heliocéntrica, la precesión de los equinoccios sería el minúsculo giro del eje de rotación de la Tierra hasta retomar a su posición cada 26000 años.
A pesar de su aparente insignificancia, este fenómeno, cuyo descubrimiento se atribuye al astrónomo griego Hiparco (siglo II a.C.), tiene una importancia fundamental en la elaboración de los calendarios. La razón es que afecta a la duración del año trópico —el año de las estaciones— y, por consiguiente, es el que fija la duración del año a efectos de la elaboración de un calendario.
En efecto, la precesión de los equinoccios no afecta a la eclíptica y, en consecuencia, deja incólume la duración del año sidéreo —es decir, el que tarda el Sol en recorrer la eclíptica—. Sin embargo, sí afecta al ecuador celeste y, por tanto, a los equinoccios, los puntos donde la eclíptica corta al ecuador celeste.
Durante un período precesional —esos casi 26.000 años—, cada equinoccio se desplaza lentamente sobre la eclíptica a razón de un grado y medio cada siglo; por tanto, también varía el tiempo que emplea el Sol en ir de un equinoccio de primavera a otro de primavera —esta duración es, precisamente, el año trópico—. La consecuencia es que el año trópico es unos veinte minutos más corto que el sidéreo y, también, mucho más difícil de medir. La acumulación de esos célebres veinte minutos, mal calculados según el calendario juliano, dio lugar a la discrepancia que promovió la reforma del calendario llevada a cabo por la Iglesia católica en el siglo XVI.
Los sabios del islam habían conseguido describir la precesión de los equinoccios añadiendo una nueva esfera al sistema ideado por Ptolomeo, pero ninguna teoría había logrado explicar por qué se producía esa misteriosa precesión. Newton dio con la clave en los Principia. Su explicación fue esencialmente correcta, aunque algo imperfecta: la precesión de los equinoccios es la consecuencia de la atracción gravitacional del Sol y la Luna sobre la protuberancia ecuatorial de la Tierra —de los 50" por año que había que explicar, Newton atribuyó 9" al Sol y 41" a la Luna—. Para George Airy (1801-1892), que fue catedrático lucasiano en Cambridge y astrónomo real en Greenwich, lo que más le sorprendió de los Principia fue la explicación newtoniana de la precesión de los equinoccios: «Si hubiera que elegir la parte de los Principia que más sorprendió, deleitó y satisfizo a sus lectores, escogería sin duda la explicación de la precesión de los equinoccios».
El precio inicial de los aproximadamente cuatrocientos ejemplares de la primera edición de los Principia fue de nueve chelines. Sin embargo, la escasez de ejemplares hizo que pronto fuera un libro muy deseado: se sabe que a principios del siglo XVIII algunos fueron vendidos por más de dos fibras (una fibra son veinte chelines). En vida de Newton, y bajo su control, se hicieron dos ediciones más de los Principia, cada una con mejoras sobre las anteriores: la segunda edición apareció en 1713 y de ella se imprimieron unos 750 ejemplares, estando a cargo de Roger Cotes, mientras que la tercera, de la que se imprimieron unos 1250 ejemplares, apareció en 1726, a cargo de Henry Pemberton.

Al igual que una peonza cuando pierde velocidad, también la Tierra cambia lenta y gradualmente su eje de rotación, en un proceso que dura cerca de 26000 años. La precesión equinoccial se debe a la presión gravitatoria del Sol y la Luna sobre el ecuador. La precesión no afecta a la duración del año sidéreo, pero sí a los equinoccios. En la ilustración inferior aparecen representados los equinoccios y los polos celestes.
La naturaleza de la gravedad
La difusión de los Principia generó la admiración del mundo científico hacia Newton; pero también las críticas, sobre todo de los abanderados del mecanicismo. Estos sostenían que era absurdo que la gravedad fuese una fuerza que actuara a distancia, sin necesidad de que dos cuerpos estuvieran en contacto. Esa acepción la emparentaba con las viejas propiedades ocultas animistas consideradas por Aristóteles y los escolásticos para explicar el movimiento de los cuerpos. Huygens y Leibniz hicieron este tipo de críticas, en especial el segundo, quien escribió en una carta en 1715:
Si todo cuerpo es pesado, se sigue —digan lo que digan sus partidarios, aunque lo nieguen apasionadamente— que la gravedad será una cualidad oculta escolástica o, es más, el efecto de un milagro. No es suficiente con decir: «Dios ha hecho una ley de la naturaleza, en consecuencia la cosa es natural». Es necesario que la ley la pueda explicar la naturaleza de las cosas creadas. Si, por ejemplo, Dios fuese a dar a un cuerpo libre la ley de girar alrededor de cierto centro, tendría que juntar ese cuerpo con otros, los cuales por su impulso lo harían permanecer siempre en una órbita circular, o bien ponerlo en los talones de un ángel. Estoy fuertemente a favor de la filosofía experimental, pero el señor Newton se aleja mucho de ella cuando pretende que toda la materia sea pesada —o que cada parte de la materia atraiga a otra—, lo cual ciertamente no está probado por la experimentación.
Newton, consciente de la debilidad que suponía no haber explicado la causa o razón de la gravedad, se defendió de la única manera posible, apelando a que lo único realmente importante es su cuantificación y su valor predictivo. Así, incluyó menciones explícitas en la primera edición de los Principia: «Uso aquí la palabra “atracción” en general para cualquier esfuerzo que hacen los cuerpos para aproximarse unos a otros; ya sea ese esfuerzo proveniente de la acción de los mismos cuerpos, ya sea tendiendo unos a otros, ya sea siendo agitados por emisiones, ya sea mediante la acción del éter o del aire o de cualquier otro medio corpóreo o incorpóreo que de cualquier forma impela a unos cuerpos hacia los otros. En el mismo sentido general uso la palabra “impulso”. Y no defino en este libro las especies o cualidades físicas de estas fuerzas, sino que investigo las cantidades y proporciones matemáticas entre ellas». Y más adelante argumenta: «Nuestro único propósito es descubrir la cantidad y propiedades de esta fuerza a partir de los fenómenos, y aplicar nuestros descubrimientos a algunos casos sencillos como principios, con lo cual podríamos estimar matemáticamente los efectos que se siguen en casos más complejos. Decimos “matemáticamente” para evitar toda cuestión sobre la naturaleza o calidad de esta fuerza, no siendo nuestra intención determinarla por ninguna hipótesis».
Todo ello estaba impregnado de la misma filosofía utilitaria que rezuma buena parte del célebre «Escolio general» que añadió al final de la segunda edición de los Principia, donde acuñó su célebre Hipotheses non fingo: «Pero no he podido todavía descubrir a partir de los fenómenos, la razón de estas propiedades de la gravedad y yo no imagino hipótesis. Pues lo que no se deduce de los fenómenos, ha de ser llamado hipótesis, y las hipótesis, bien metafísicas, bien físicas, o de cualidades ocultas, o mecánicas, no tienen lugar dentro de la filosofía experimental [...]. Y bastante es que la gravedad exista de hecho y actúe según las leyes expuestas por nosotros y sea suficiente para todos los movimientos de los cuerpos celestes y de nuestro mar».
El problema de los tres cuerposDeterminar la trayectoria de tres cuerpos sometidos a la ley de atracción gravitatoria —como es el caso del Sol, la Tierra y la Luna— es de una dificultad muchísimo mayor que cuando se consideran solo dos cuerpos —un planeta y el Sol—. De hecho, todavía hoy no se conoce una solución exacta; el cálculo de soluciones aproximadas es delicado en extremo, y no fue hasta mediados del siglo XVIII cuando los matemáticos encontraron métodos lo suficientemente satisfactorios para el cálculo aproximado de las órbitas de los tres cuerpos. Newton quedó muy insatisfecho del tratamiento dado al problema en los Principia y, años después, volvió a retomarlo, aunque no obtuvo avances significativos. Sobre ello, Newton confesó a un allegado: «Nunca me había dolido tanto la cabeza como cuando estuve dedicado a los estudios sobre la Luna».
Son muchas las veces que Newton expresó su escepticismo sobre la acción a distancia, incluso en el vacío, de la gravedad, insistiendo en que lo que le interesaba no era la esencia de la gravedad sino sus efectos. Por ilustrar el tema, citamos aquí una de esas ocasiones que se remonta al año 1693, extraída de una carta que Newton envió a Richard Bentley:
Es inconcebible que la materia bruta inanimada opere y afecte —sin la mediación de algo más que no sea material— sobre otra materia sin contacto mutuo, como debería ser si la gravitación (en el sentido de Epicuro) fuera esencial e inherente a ella Y esta es una de las razones por las que le expresé mi deseo de que usted no me adscribiese a mí la gravedad innata. Que la gravedad sea innata, inherente y esencial a la materia, de manera que un cuerpo pueda actuar sobre otro a distancia a través del vacío sin que interceda algo más mediante lo cual su acción o fuerza pueda ser trasmitida de uno a otro, me parece un absurdo tan grande que no creo que pueda caer jamás en él ningún hombre que tenga facultad y pensamientos de alguna competencia en asuntos filosóficos. La gravedad debe ser causada por un agente actuando de manera constante de acuerdo con ciertas leyes, pero si este agente es material o inmaterial es una cuestión que yo he dejado a la consideración de mis lectores.
El uso del lenguaje matemático
A quien hoy se acerque a los Principia le sorprenderá que, aparentemente, no haya en ellos apenas rastro del cálculo infinitesimal, la gran invención matemática de Newton (y al que se dedica buena parte del capítulo siguiente). De hecho, para las matemáticas de los Principia, Newton prefirió el lenguaje de la geometría sintética según el estilo griego. El genio inglés dijo con frecuencia que había usado el cálculo para deducir gran parte de los resultados de los Principia, aunque luego los presentara con el lenguaje aún más riguroso de la geometría. Esto podría haber sido como Newton afirmó, pero no hay constancia documental de ello.
La composición de los Principia fue ligeramente posterior a una transmutación que llevó a Newton a repudiar la nueva geometría analítica para echarse en brazos de los viejos planteamientos sintéticos griegos; esta «conversión» no deja de ser sorprendente, teniendo en cuenta que Newton estudió antes a Descartes que a Euclides, y que su dominio de la geometría cartesiana le fue imprescindible para fundar el cálculo con toda su potencia algorítmica Pero así fue. A partir de 1680, Newton comenzó una serie de trabajos sobre geometría sintética que culminarían hacia 1693 con sus intentos de restaurar los métodos geométricos griegos; trabajos todos ellos que, una vez más, quedaron sin publicar, «en el limbo de sus papeles privados», como tan acertadamente describió Whiteside. Otra posible razón de la ausencia del cálculo sería que en 1684, cuando acometió la redacción de los Principia, Newton pensara que, de presentarlos en ese lenguaje, pocos, si acaso alguno, iban a poder entenderlos escritos en lo que por entonces era todavía una innovación muy poco desarrollada y menos conocida.
Más allá de los «Principia»
Para tomar en serio una teoría científica es necesario que dé explicación y sea acorde con las observaciones disponibles en el momento de su formulación —o, al menos, con los fenómenos más relevantes—. Dado que las tres leyes planetarias de Kepler se deducían de la teoría de la gravitación, y que estas ya concordaban con las observaciones de los cuerpos celestes, la teoría newtoniana expuesta en los Principia superó el reto científico ineludible y fundamental: ser coherente con los datos ya existentes.
Pero el éxito de una teoría física se mide según lo acertadas que sean las predicciones que la teoría permita hacer. La formulación matemática de la gravitación universal en forma de ecuaciones —cuando estas se resolvieron— permitió hacer predicciones sobre el futuro cuya comprobación experimental incrementó su validez científica y la confianza que en ella se tuvo desde sus comienzos. Así, el éxito inicial de la gravitación se vio confirmado a lo largo de los siguientes dos siglos con otros triunfos, algunos de ellos bastante impresionantes.
Dos de esos triunfos se dieron casi a la par a mediados del siglo XVIII. Por un lado, sendas expediciones francesas a Laponia y Perú para medir un arco de meridiano confirmaron la predicción newtoniana de que la Tierra es achatada por los polos. Por otro, aparecieron las tablas lunares elaboradas por el astrónomo alemán Tobias Mayer basándose en la teoría de la gravitación newtoniana y en los cálculos del matemático suizo Leonhard Euler (1753); el Almirantazgo inglés pagaría por ellas una buena cantidad de libras para ayudar a sus barcos a localizar su posición en el mar.
Pero las pruebas que la gravitación tuvo que soportar fueron mucho más complicadas, pues cada cuerpo descubierto en el sistema solar suponía un nuevo reto: había que comprobar si la trayectoria observada coincidía con la que la teoría marcaba. Y no fueron pocos los cuerpos celestes que el telescopio permitió encontrar en el siglo y medio siguiente a la publicación de los Principia, entre ellos un nuevo planeta, Urano —descubierto por William Herschel en marzo de 1781—, y una gran cantidad de asteroides entre Marte y Júpiter. Usando las matemáticas, se calcularon las órbitas que la teoría de la gravitación establecía para esos cuerpos, y se comprobaba si eran o no acordes con las observaciones. Con cada éxito, como el que llevó al descubrimiento de Ceres, el primero de los asteroides hallados entre Marte y Júpiter, la teoría ganaba fiabilidad. Sin embargo, el éxito más espectacular se obtuvo cuando, por un razonamiento puramente teórico siguiendo el dictamen de las ecuaciones matemáticas subyacentes a la gravitación, se consiguió predecir y localizar un nuevo planeta más allá de Urano.
El descubrimiento de Neptuno empezó con la amenaza de un fracaso: conforme pasaban los años después de descubierto Urano, el planeta mostraba una clara tendencia a desviarse de la órbita que las leyes de Newton le asignaban. Hacia 1790 se había trazado con cierta precisión el camino que la ley de gravitación marcaba para Urano, teniendo en cuenta la fuerza con que lo atraía el Sol y también las perturbaciones que otros planetas ejercían sobre él, principalmente Júpiter y Saturno.
Las tablas lunares de MayerSi bien el estudio del movimiento lunar constituyó un problema, la nueva mecánica celeste que apareció
tras la formulación de la ley de gravitación universal de Newton prometía resolverlo al fin.
Con todo, los procedimientos matemáticos necesarios debían aún desarrollarse. Los primeros resultados teóricos se lograron a mediados del siglo XVIII gracias al matemático suizo Leonhard Euler, quien había reducido los movimientos relativos del Sol, la Tierra y la Luna a una serie de elegantes ecuaciones. Poco después, el astrónomo alemán Tobías Mayer (en la ilustración), desde Gotinga, aunó su trabajo observacional y el de James Bradley —sucesor de Halley como Astrónomo Real— con los resultados teóricos para confeccionar las primeras tablas de posiciones de la Luna y el Sol útiles para la navegación. Las tablas fueron presentadas en 1755 al Almirantazgo inglés, y ganaron el premio ofrecido a quien resolviera el problema de la determinación de la longitud en el mar. Dos años más tarde se dispuso que las tablas de Mayer fuesen probadas en el mar por el capitán inglés John Campbell, a bordo del Essex: estas permitieron determinar la longitud en el mar con una enorme precisión de medio grado.
Debido a su lejanía del Sol, Urano tiene una velocidad angular muy pequeña —tarda más de 84 años en completar su circunvolución—; su lento desplazamiento angular provocó que hasta 1800 no se empezara a detectar que Urano se desviaba de la órbita marcada. Se hicieron ajustes en los cálculos, que Urano se empeñaba en contrariar. Al comienzo de la década de 1830, la desviación de Urano empezó a ser tan alarmante que se concluyó que, o no obedecía a la ley de la gravitación, o había algo que se lo impedía Alguien propuso que ese algo bien podía ser un planeta, situado más allá del propio Urano y que estaba perturbando su órbita; por su parte, otros sostenían que, de existir ese nuevo planeta, podría ser localizado usando las matemáticas y las predicciones de la gravitación: era cuestión de descubrir cuál debía ser su tamaño y dónde debía estar para producir las modificaciones detectadas en la órbita de Urano. Dos astrónomos hicieron esos cálculos de forma independiente, el francés Urbain Le Verrier (1811-1877) y el inglés John Adams (1819-1892). A pesar de la desconfianza de los observatorios astronómicos a los que acudieron con sus cuentas, ambos acertaron y, al final, la insistencia de Le Verrier con el observatorio de Berlín llevó, una noche de septiembre de 1846, al descubrimiento del planeta que perturbaba a Urano: el nuevo planeta fue bautizado con el nombre de Neptuno.
Einstein cuestiona a Newton
El descubrimiento de Neptuno fue una confirmación más de la ley de gravitación de Newton. Y, aunque había otras desviaciones en el sistema solar, a mediados del siglo XIX pocos dudaban de que la teoría no las pudiera explicar.
El más importante de esos desarreglos tenía que ver con Mercurio, y más concretamente con su perihelio —el punto más cercano al Sol en su órbita—, que se desplazaba ligeramente cada año alrededor del Sol arrastrando a la órbita completa. El problema era, como puso de manifiesto Le Verrier, que ese desplazamiento es más rápido de lo que la teoría de la gravitación establece.
A la postre, ese «desorden» serviría para mostrar que la teoría de la gravitación de Newton es una magnífica aproximación para explicar el sistema solar, pero no es la teoría correcta. El espacio de Newton es una especie de contenedor de planetas y soles que se mueven siguiendo su ley de gravitación. Según Newton, ese espacio es absoluto, y los cuerpos que contiene no lo pueden modificar, como tampoco pueden hacerlo con el tiempo, que también es absoluto y transcurre en todos sitios con la misma irremisible cadencia. Sin embargo, el universo que nos rodea es más complicado que el propuesto por Newton.
La teoría de la relatividad especial de Albert Einstein (1905) propuso un tiempo y un espacio inextricablemente ligados. El tiempo, la masa, la longitud... son relativos, y todos esos atributos resultan alterados si nos movemos a velocidades comparables a la de la luz. Usando algo de matemáticas más o menos elementales, Einstein incluso mostró cómo podemos precisar a cuánto asciende esa relatividad del tiempo, de la masa o de la longitud.
Por otro lado, la teoría de la relatividad general (1915) nos dice que el espacio queda modificado por aquello que contiene, que los cuerpos celestes lo curvan en función de su masa; por ejemplo, más el Sol que la Tierra o la Luna En una visita a Estados Unidos en 1921, el propio Einstein lo explicó así a una muchedumbre de periodistas que le pidieron una breve explicación de qué es la relatividad general:
Si no toman mi respuesta demasiado en serio —considérenla solo una medio broma—, les puedo decir que antes se creía que, si todas las cosas materiales desaparecieran a la vez del universo, el tiempo y el espacio seguirían estando ahí. De acuerdo con mi teoría de la relatividad, en cambio, tiempo y espacio desaparecerían a la vez que desaparecen las cosas.
La teoría de la relatividad general explica a la perfección lo que le ocurre a Mercurio. Mientras un cuerpo se mueva en el sistema solar no demasiado deprisa y lo suficientemente alejado de una gran concentración de masa, las leyes de Newton describirán su movimiento con muchísima precisión —digamos que con un error inapreciable para nuestros aparatos de medición—; pero Mercurio, cuando se acerca a su perihelio, va demasiado deprisa, mucho más que el resto de los planetas, y está muy cerca del Sol, tanto como para que su órbita ponga en evidencia la teoría de gravitación de Newton. Sabemos que Einstein estaba más preocupado por hallar principios explicativos para la física que en justificar desarreglos en teorías físicas establecidas, ya fuera la gravitación o el movimiento del éter, aunque nunca le hizo ascos a que sus teorías pudieran explicar aquello que las de Newton no podían.
Y sabemos también que Einstein sintió una gran emoción cuando comprobó que su teoría explicaba las irregularidades de Mercurio: «Estuve tres días fuera de mí, cociéndome en una gozosa excitación». De hecho, según Abraham Pais, uno de los biógrafos de Einstein, su éxito con el perihelio de Mercurio supuso «con mucho, la experiencia emocional más fuerte en la vida científica de Einstein y, acaso, de toda su vida La naturaleza le había hablado, y él tema que estar en lo cierto. “Por unos pocos días, me sentí lleno de gozo.” Después le dijo a un amigo que su descubrimiento le había generado palpitaciones. Y todavía es más profundo lo que le dijo a otro amigo: cuando vio que sus cálculos coincidían con las observaciones astronómicas que había que explicar, le pareció que algo se había realmente quebrado dentro de él».
«Estoy ocupado con una teoría relativista de la gravitación con la que espero dar cuenta del hasta ahora secular e inexplicable cambio en el movimiento del perihelio de Mercurio.»
Palabras de Einstein en 1907.
El hecho de que Einstein, como prueba de confianza en sus nuevas teorías, reseñara una y otra vez que contenían como aproximación a las de Newton, da cuenta del prestigio del que gozaba la gravitación de Newton en pleno siglo XX. Así lo explicó en la introducción a un trabajo de 1916 que incluía por extenso la teoría de la relatividad general:
Mediante estas ecuaciones que, desde los requisitos de la teoría de la relatividad general, proceden por el método de las matemáticas puras, obtenemos en una primera aproximación la teoría de la gravitación de Newton, y en una segunda, la explicación para el movimiento del perihelio del planeta Mercurio descubierto por Le Verrier. Estos hechos deberían, en mi opinión, tomarse como pruebas convincentes de la teoría.
El cambio de la gravitación de Newton a la relatividad de Einstein no fue, por tanto, tan revolucionario como el paso de la astronomía ptolemaica a la copernicana, pues como asegura la cita de Einstein, la gravitación de Newton es una buena aproximación para el universo que nos rodea. En realidad, se trata de una excelente aproximación si nos restringimos al sistema solar —a partir de cuyo conocimiento generó Newton sus teorías—; tan excelente que todavía hoy la seguimos usando para todo lo relativo al movimiento de satélites artificiales y naves espaciales, o en los cálculos de resistencia para la construcción de un puente colgante.
Cuando Einstein expuso la relatividad general en 1915, esta no era más que una propuesta de explicación del cosmos obtenida mediante razonamientos matemáticos a partir, en esencia, del principio físico de equivalencia —un sistema de referencia acelerado equivale localmente a un campo gravitatorio—. En ese momento, la relatividad general no tenía más avales científicos que los que aparecen en la cita anterior de Einstein: el contener como aproximación la teoría de la gravitación de Newton y explicar las desviaciones del perihelio de Mercurio; y esos son un magro respaldo para justificar una revolución en ciencia como la que finalmente produjo la relatividad. Aparte estaban, también, la solvencia científica de Einstein y los experimentos mentales que usó para proponer su teoría, aunque estas garantías no alcanzan la categoría de científicas.
El refrendo de la relatividad general como teoría científica se estableció a medida que sus predicciones se fueron comprobando experimentalmente. Una de esas predicciones establece que la luz se curva por efecto del campo gravitatorio, o, dicho de otra forma, la presencia de materia curva el espacio —en ese espacio curvado, los ángulos de los triángulos, por ejemplo, dejan de sumar 180 grados—. Los principios físicos, con el añadido de la manipulación matemática de esos principios, permitieron a Einstein cuantificar la curvatura que la masa del Sol produciría en los rayos de luz de estrellas distantes que pasasen cerca de él. A finales de la primavera de 1919, los ingleses enviaron al golfo de Guinea una expedición comandada por Arthur S. Eddington para observar un eclipse total de Sol. Después de algunos meses de cálculos y comprobaciones, el 6 de noviembre de 1919 concluyeron que las estimaciones de Einstein coincidían con lo observado. El titular del Times al día siguiente fue rotundo: «Revolución en la ciencia: una nueva teoría del universo derroca las ideas de Newton». Esto convirtió a Einstein, hasta entonces solo conocido en los ambientes científicos, en una figura popular a la altura del sabio inglés a quien había «derrotado».
La noticia, sin embargo, tema una innegable dosis política: un año después de finalizada la Primera Guerra Mundial, el Times de Londres «derrocaba» a Newton, el más celebrado de todos los científicos ingleses, en beneficio de Einstein, un alemán. Es cierto que el asunto admite muchos matices y puntualizaciones; por citar dos: Einstein era alemán —miembro a la sazón de la Universidad de Berlín y de la Academia Prusiana de Ciencias—, pero un alemán especial, que desde 1901 tenía nacionalidad suiza, y que había apostado decididamente por el pacifismo durante la contienda, escribiendo a mediados de 1918 cosas como: «Por herencia soy judío, por ciudadanía un suizo y por mentalidad un ser humano, y solo un ser humano, sin apego especial alguno por ningún Estado o entidad nacional». Mucho se ha escrito después sobre si Eddington, el inglés que dirigía la expedición del eclipse, no sesgó en exceso sus observaciones buscando una primera pero forzada confirmación de la teoría de la relatividad; no en vano declaró: «Esto es lo mejor que podía haber sucedido para las relaciones científicas entre Inglaterra y Alemania». Pero esos detalles no hacen sino aumentar el calado del cariz político de la noticia
No es frecuente que una cuestión científica tenga alcance político, y el hecho de que las teorías y la figura de Newton, un científico que llevaba ya casi doscientos años muerto cuando se produjo esta noticia, tuvieran esa capacidad dice mucho del prestigio acumulado por su figura a lo largo de los siglos.
Capítulo 3
Matemático y aprendiz de brujo
Menos conocidas que sus contribuciones a la física, las aportaciones matemáticas de Newton, por sí solas, le hubieran valido fama inmortal. La más importante de todas ellas es el cálculo infinitesimal, gestado en sus primeros años en Cambridge. Pero las matemáticas no fueron su único centro de interés: su dedicación a la alquimia y a la exégesis bíblica corrieron parejas a los avances científicos.
Newton llegó a Cambridge a principios del verano de 1661, y allí inició su formación científica En aquella época, el programa de estudios de Cambridge no había roto todavía su molde característico durante siglos, cuyo modelo principal era Aristóteles. Sin embargo, aunque la universidad no presentaba el nuevo mundo del pensamiento científico ante sus estudiantes, sí era un lugar en el que circulaban y se vendían libros y donde existían completas bibliotecas que los reunían.
Más que a las enseñanzas recibidas en la universidad, la formación científica de Newton se debió a los conocimientos extraídos por él mismo de libros y tratados. Buena muestra de ello es su precoz y profundo estudio de la Geometría de Descartes, publicada por primera vez en 1637 como apéndice de El discurso del método: empezó leyendo minuciosamente diez páginas y deteniéndose cuando acumulaba suficientes dificultades; volvía entonces otra vez al principio hasta lograr entender esas diez páginas y unas cuantas más; se detenía de nuevo y volvía a comenzar otra vez desde el principio. Finalmente, intento tras intento, logró dominar la complejísima obra y afianzó sus conocimientos acerca de las últimas aportaciones matemáticas del filósofo francés.
Su conocimiento de la Geometría le situó en muy buenas condiciones para llevar a cabo su más importante aportación a la matemática: el cálculo infinitesimal. Tras su estancia de tres años en Cambridge, Newton regresó a Woolsthorpe durante casi veinte meses, entre 1665 y 1666. No es que le fuera mal, sino todo lo contrario, pero la universidad se vio obligada a cerrar sus puertas debido a una epidemia de peste. El tiempo que pasó en su casa natal resultó ser excepcionalmente fructífero, hasta el punto de que aquellos años son conocidos como los anni mirabiles newtonianos: el cálculo infinitesimal, la mecánica, la gravitación, la teoría de los colores y otros logros puntuales, tales como el desarrollo del binomio que lleva su nombre, fueron engendrados durante ese prodigioso período en el que Newton bosquejó buena parte de su producción científica
El binomio de NewtonEn su acepción más común, el término binomio indica cualquier expresión que consta de la suma o resta de dos términos. Newton ideó una fórmula sencilla, en forma de serie, para calcular el resultado de elevar un binomio cualquiera a una potencia. La serie establece:
En su acepción más común, el término binomio indica cualquier expresión que consta de la suma o resta de dos términos. Newton ideó una fórmula sencilla, en forma de serie, para calcular el resultado de elevar un binomio cualquiera a una potencia. La serie establece: Por ejemplo, tomemos m = 1 y n = 2; entonces, la serie establece un procedimiento para extraer la raíz cuadrada de un número, basada en la suma infinita:
A partir de la fórmula anterior del binomio, Newton encontró el desarrollo en serie de la mayor parte de las funciones elementales: las trigonométricas inversas (arcoseno, arcocoseno y arcotangente) y, a partir de ellas, las trigonométricas (seno, coseno y tangente): de forma análoga calculó las funciones logarítmicas y exponenciales. La fórmula para el desarrollo del binomio, un descubrimiento fechado por el propio Newton en el año 1665, fue clave en la gestación y posterior desarrollo del cálculo infinitesimal.
El cálculo infinitesimal
De todos los descubrimientos matemáticos de Newton, el más importante en sí mismo y por los réditos científicos que le reportó fue, sin duda, el del cálculo infinitesimal; y ello sin menoscabo de sus otras contribuciones matemáticas: por ejemplo, las que hizo a la geometría analítica, con su excelente clasificación de las cúbicas, o al cálculo numérico, con su método de diferencias finitas.
En su forma moderna, una refinación de las aportaciones de Newton y Leibniz llevada a cabo por matemáticos posteriores, tales como Augustin-Louis Cauchy (1789-1857) o Karl Weierstrass (1815-1897), y conocida por cálculo diferencial e integral, puede definirse como la rama de las matemáticas que estudia el cambio, del mismo modo que la geometría estudia las formas. Tiene aplicaciones en un número incontable de problemas en física e ingeniería.
El cálculo infinitesimal constituye la herramienta más potente y eficaz para el estudio de la naturaleza que jamás hayan desarrollado los matemáticos, y lo forman dos territorios aparentemente separados: el cálculo diferencial, cuyo concepto básico es la derivada, y el cálculo integral.
La derivada
La derivada es un concepto fundamental no sólo del cálculo diferencial o de las matemáticas, sino de toda la ciencia Ello es debido a que bajo ese concepto se ocultan otros tan elementales como la velocidad o la fuerza, en física, o la tangente a una curva, en geometría
En términos generales, la derivada es una medida de cómo varían los valores de una función con respecto al valor que toman sus variables. Por ejemplo, si tenemos una función que describe la posición de un objeto en cada instante de tiempo, la derivada de esa función describirá cómo varía la posición del objeto a medida que varía el tiempo (es decir: su velocidad).
Consideremos dos funciones procedentes de sendos ejemplos físicos: por un lado, una función s que a cada instante de tiempo t le asigna el espacio recorrido s(t) por el cuerpo; por otro, una función v que a cada instante de tiempo t le asigna la velocidad v(t) con la que se mueve. Les daremos la expresión siguiente: s(t) = √t y v(t) = t2. Ambas funciones asignan el valor 1 a t = 1: s(1) = 1 y v(1) = 1. Sin embargo, una tabla de valores muestra que la forma en que ambas funciones varían cerca de t = 1 es bien distinta:
| t | s(t) | v(t) |
| 0,8 | 0,8944 | 0,64 |
| 0,9 | 0,9486 | 0,81 |
| 1,0 | 1,0000 | 1,00 |
| 1,1 | 1,0488 | 1,21 |
| 1,2 | 1,0954 | 1,44 |
Se observa que la función v varía cerca de 1 más bruscamente que la función s. Para medir esa variación —esto es, para definir la derivada—, tomamos el número genérico a y un número cercano a + h, y comparamos mediante un cociente lo que varían los valores de la función en esos números, o sea: f(a + h) - f(a), por un lado; con la diferencia entre esos números, es decir a + h - a = h, por el otro; entonces, ese cociente será:

Siguiendo con el ejemplo de las funciones s(t) = √t y v(t) = t2, veamos el valor de ese cociente para a = 1 y distintos valores de h:
| h | [s(1 + h) -s(1)]/h | [v(1 + h) -v (1)]/h |
| -0,010 | 0,5012 | 1,99 |
| -0,001 | 0,5001 | 1,999 |
| 0,001 | 0,4998 | 2,001 |
| 0,010 | 0,4987 | 2,01 |
El valor mayor que tienen esos cocientes para la función v (cercanos a 2 mientras para la función s ronda el valor 0,5) pone de manifiesto lo que ya se apreciaba en la primera tabla, donde se mostraba que la función v varía cerca de 1 más bruscamente que la función s. Ahora bien, nos interesa el valor del cociente

justo cuando h = 0, es decir, cuando el número a + h coincide con a. A ese valor lo llamaremos derivada de f en a y, siguiendo al matemático ítalo-francés Joseph-Louis de Lagrange (1736-1813), lo indicamos con f'(a). Como podemos comprobar, el valor de ese cociente es 0/0, o sea, un sinsentido.
Pero ese resultado absurdo es solo aparente, pues como muestra la tabla anterior para nuestras funciones s(t) = √t y v(t) = t2, cuando h es pequeño aunque distinto de cero, ambos cocientes,

tienen perfecto sentido y se parecen a sendos números: 0,5 para la función s(t) = √t y 2 para la función v(t) = t2. Un poco más adelante veremos que, efectivamente, esos valores se corresponden con las derivadas de ambas funciones en 1: s'(1) = 0,5, v'(1) = 2.
Ese cociente de cero entre cero que se obtiene al definir una derivada fue, sin embargo, la dificultad con la que se encontraron los científicos del siglo XVII, y anteriores, cada vez que querían calcular, por ejemplo, la tangente a una curva, o la velocidad instantánea conocido el espacio recorrido por un cuerpo en movimiento.
Téngase en cuenta que, antes de que el cálculo infinitesimal estuviera listo a finales del siglo XVII, solo habían podido ser estudiados los movimientos más sencillos: el movimiento uniforme, es decir, cuando el espacio recorrido es proporcional al tiempo y, por tanto, la velocidad es constante y no hay aceleración; y el movimiento uniformemente acelerado, o sea, cuando el espacio recorrido es proporcional al tiempo al cuadrado y, por tanto, la velocidad es proporcional al tiempo y la aceleración constante. Este último tipo de movimiento, que rige, por ejemplo, la caída de un cuerpo por acción de la gravedad, requirió para su estudio de todas las habilidades científicas de un genio como Galileo, quien lo desentrañó unas décadas antes de que la invención del cálculo infinitesimal convirtiera el estudio de dicho movimiento en algo sencillo.
Retomemos otra vez uno de nuestros ejemplos: un cuerpo en movimiento ha recorrido un espacio de s(t) = √t en el instante t —pensemos, para concretar, que el tiempo lo medimos en segundos y el espacio en metros—. El cálculo de la velocidad media con la que se mueve el cuerpo es tarea fácil: por ejemplo, en el período de tiempo que va de 1 segundo a 4 segundos, la velocidad media será el cociente del espacio recorrido entre el tiempo empleado:

Pero ¿qué ocurre si, en lugar de la velocidad media en un intervalo de tiempo, queremos medir la velocidad instantánea con la que se mueve el cuerpo en un instante concreto? Para simplificar, pongamos que queremos calcular esa velocidad instantánea justo cuando se cumple el primer segundo del inicio del movimiento. Para ello tomamos un incremento de tiempo h y calculamos la velocidad media entre 1 y 1 + h:

Para calcular la velocidad instantánea en el primer segundo bastará con reducir el incremento de tiempo h a cero. Pero entonces, como sucedía antes, obtendremos el sinsentido siguiente:

Esto ocurre porque la velocidad instantánea que estamos calculando corresponde al valor de la derivada de la función que mide el espacio s(t) = √t en t = 1.
La tabla numérica anterior indicaba que el valor de esa derivada debería ser 0,5. Veamos ahora cómo, efectivamente, operando con la expresión anterior podemos resolver el aparente sinsentido de la división de cero entre cero y obtener el valor esperado:

A continuación, multiplicamos numerador y denominador por (√1 + h) + 1, y simplificamos:

Si en esa última expresión reducimos el incremento de tiempo h a cero, no se plantea el problema que teníamos, y con h = 0, no hay división por cero. Así, como la tabla hacía sospechar, el valor de ese cociente cuando h = 0 es 0,5. En términos físicos esto quiere decir
Velocidad instantánea en el instante 1 = ½ = 0,5.
De esta manera, a partir del sinsentido inicial del cociente de cero entre cero hemos llegado a la conclusión de que, si un cuerpo se mueve recorriendo √t metros en t segundos, entonces a 1 segundo se mueve con una velocidad de ½ m/s.
La integral y el teorema fundamental del cálculo
El otro concepto básico del cálculo infinitesimal es el de integral. En principio, una integral mide el área generada por una función.
Así, si tenemos la función f definida entre los números a y b, la integral
mide el área de la figura siguiente. El símbolo ∫ para denotar la integral fue invención de Leibniz, y es una estilización de la letra «s» inicial de «suma». El porqué de la elección de Leibniz se verá más adelante.

Sin embargo, el concepto de integral es mucho más versátil que el de área. Por ejemplo, en matemáticas se puede utilizar para calcular también volúmenes, longitudes o centros de gravedad, y en física se corresponde con el concepto de trabajo: el trabajo necesario para desplazar un cuerpo sometido a una fuerza f entre las posiciones a y b viene dado por 
La integral es también la herramienta necesaria para calcular el espacio recorrido por un cuerpo, conocida su velocidad.
A la derivada y a la integral hay que añadirles el puente que las une: el teorema fundamental del cálculo, que establece que derivar e integrar son procesos inversos. Cabe hacer notar que lo expuesto usa la nomenclatura actual; Newton llamaba «cálculo fluxional» a lo que nosotros conocemos como «cálculo de derivadas» o «cálculo diferencial», expresión esta última que acuñó Leibniz, el otro inventor del cálculo infinitesimal. Para Newton, el cálculo integral era el inverso del fluxional y nunca le llegó a asignar un nombre propio.
Analicemos un sencillo problema físico: ¿qué espacio ha recorrido un cuerpo a los 4 segundos de iniciado el movimiento si a los t segundos se mueve con una velocidad de t2 metros por segundo? Esta es la función v(t) = t2 que hemos visto anteriormente, y la respuesta, por tanto, viene dada por
El problema ahora es cómo se calcula esa integral. Según la interpretación de la integral como un área, esa integral se corresponde con el área encerrada por un fragmento de la función, que, por cierto, tiene forma de parábola. La definición precisa de integral —sin apelar al sentido geométrico de área— es una cuestión delicada desde el punto de vista del rigor lógico.
En efecto, si observamos la figura 1, podemos comprobar que el área está compuesta por los segmentos verticales de longitud f(t), donde el número t toma todos los valores entre a y b. De alguna forma, el dibujo sugiere que el área es la suma de esos segmentos; ahora bien, esos segmentos, por ser fragmentos de línea recta, tienen una anchura igual a 0, por lo que parecería que la suma de todos ellos sería incapaz de generar área alguna. De nuevo nos encontramos con una cantidad infinitesimal, la anchura de esos segmentos, los cuales hay ahora que sumar. En la notación que inventó Leibniz para la integral aparece de modo simbólico esta consideración del área limitada por una curva como una suma de infinitésimos: según la figura 1, cada segmento de los que forman el área tiene una altura de f(t) y, según Leibniz, una anchura infinitesimal que escribimos como di; el área de estos segmentos será su base por su altura, o sea f(t) dt, y el área total que queremos calcular será su suma: ∫f(t)dt. Qué sentido había que darle a esa suma es algo que ni Leibniz, ni tampoco Newton, padres del cálculo infinitesimal, llegaron a explicar jamás.
Como decíamos antes, el cálculo infinitesimal lo completa un puente entre derivadas e integrales. Es el teorema fundamental del cálculo, que establece que derivadas e integrales son procesos inversos. Más concretamente, si queremos calcular la integral
= F(b) - F(a). (Hay que suponer alguna condición más sobre la función f como la continuidad, cuyo detalle técnico no es necesario precisar más aquí.)
Veamos un ejemplo: el teorema fundamental del cálculo convierte en un ejercicio fácil calcular
. Esa integral es sumamente versátil, pues según como se interprete sirve para calcular el área encerrada por una parábola, el área encerrada por una espiral de Arquímedes o, como hemos visto, el espacio recorrido por un cuerpo que se mueva con una velocidad v(t) = t2.
Utilizando el teorema fundamental del cálculo infinitesimal, basta con hallar una función F cuya derivada sea t2. La forma general de la derivada de una función del tipo f(t) = tn es f'(t) = ntn-1. De ahí se deduce que la derivada de la función
F(t) = t3/3
es justamente t2, pues

Por tanto:

Como hemos comentado antes, el espacio recorrido en cuatro segundos por un cuerpo que se mueve a los t segundos con una velocidad de t2 segundos viene dado por la integral
; basta, pues, poner en la fórmula anterior a = 0 y b = 4, para obtener

Padres del cálculo
Hacia el último tercio del siglo XVII existían en el ambiente matemático europeo una serie de métodos infinitesimales para resolver determinados problemas de muy diversa índole: cálculo de tangentes a curvas, cálculo de áreas, volúmenes y centros de gravedad, problemas de máximos y mínimos, etc., que representan una etapa embrionaria del cálculo actual.
La derivada como tangente de una curvaUna recta y una curva pueden cortarse en varios puntos, llamados secantes. El caso matemáticamente más interesante es cuando la recta «roza» a la curva en un solo punto P.
Esta secante recibe el nombre de tangente, y P, el de punto de tangencia. Para el caso de una curva y = f(x) definiremos dos puntos a y a+h (siendo h un incremento arbitrario), tal como se observa en el dibujo. Cuando la función adopta el valor f(a), la curva se cruza con dos rectas: la secante (S) y la tangente (T). La secante vuelve a cortar la curva en un punto Q que corresponde al valor f(a + h). Consideremos ahora los ángulos α, el formado por la secante con el eje de ordenadas: y β, el formado por la tangente con el mismo eje. A medida que α se reduce y se acerca a β, la recta S se acerca cada vez más a T. Este proceso equivale al de hacer cada vez más pequeña la diferencia entre a y a+h, por lo que, a medida que h tiende a 0, la pendiente de la recta S se acerca cada vez más a la de la recta T. En el límite de este acercamiento, es decir, en la derivada de f en a, la pendiente de ambas rectas será la misma. Se comprueba así que el valor de la derivada de una función en un punto es el mismo que la pendiente de la tangente a esa función en dicho punto. Expresado matemáticamente tendríamos:
Sin embargo, la propia especificidad de cada uno de los métodos, desarrollados en cada caso para resolver problemas muy determinados, impide que se pueda hablar de una teoría general.
Por el contrario, tanto Newton como Leibniz se dieron cuenta de que, tras todos estos procesos aparentemente distintos latían los mismos conceptos esenciales, y consiguieron sintetizarlos independientemente de la casuística de sus diferentes aplicaciones.
Además, desarrollaron unos métodos algorítmicos generales para el cálculo, tratamiento y solución de problemas muy diversos, entre ellos el binomio.
Cavalieri y el nacimiento del símbolo para infinitoEl jesuita italiano Bonaventura Cavalieri (1598-1647) ideó un método para la determinación de áreas y volúmenes que expuso en las obras Geometría indivisibilibus (1635) y Exercitationes geometricae (1647). Cavalieri propuso descomponer las magnitudes geométricas en un número infinito de elementos o «indivisibles», que constituirían los últimos términos de toda descomposición posible. A continuación, propuso reconstruir las medidas de los
volúmenes, las superficies y las longitudes en forma de suma infinita de los indivisibles. El británico John Wallis (1616-1703) aritmetizó el método de los indivisibles de Cavalieri asignándoles valores numéricos, convirtiendo así el cálculo de áreas (exclusivamente geométrico hasta el momento) en cálculos aritméticos. En el tratado De sectionibus conicus (1655) propuso representar el infinito con el símbolo ∞. Wallis, miembro fundador de la Royal Society, puede considerarse como el más directo predecesor de Newton y Leibniz.
Newton acuñó el concepto de fluxión —parecido al de derivada— y mostró que, por ejemplo, para calcular el área que encierra una curva bastaba con calcular la fluente (el análogo newtoniano a nuestras actuales funciones), es decir, hallar su integral.
Newton mostró cómo estos conceptos generales de fluxión y fluente —diferencial e integral en la terminología de Leibniz— podían ser usados para resolver no sólo los problemas particulares de tangentes, máximos y mínimos o cálculo de áreas, sino un sinfín de otros diferentes, que entonces sólo se intuían de forma vaga.
Y así, sus conceptos y reglas convirtieron la nebulosa de procedimientos de sus antecesores en un método general de cálculo.
Muy pronto, el cálculo demostró una eficacia sorprendente. Piénsese que, gracias al cálculo infinitesimal, los complicados cálculos de áreas que habían dado a Arquímedes fama de genio, o los problemas inversos de tangentes a los que tanto esfuerzo vano les dedicaron los mejores matemáticos de mediados del siglo XVII, son hoy, o al menos deberían serlo, ejercicios fáciles para alumnos de bachillerato.
Aunque a menudo suele pasarse por alto, de entre los mayores científicos de la historia Newton es quien más debe su bien ganada fama a su capacidad y creatividad matemáticas: su habilidad como matemático, y los descubrimientos que esta posibilitó —en especial, el del cálculo infinitesimal—, en buena medida le permitieron marcar diferencias con otros científicos contemporáneos, sobre todo en la elaboración de su obra cumbre, los Principia. Ya vimos a Hooke, Halley y Wren reunidos en un café intentando deducir cómo debían de ser las órbitas de los planetas que se mueven atraídos por el Sol con una fuerza inversamente proporcional al cuadrado de sus distancias. La herramienta esencial que les faltaba para hacer esa deducción era, precisamente, el cálculo infinitesimal.
Newton descubrió el sistema del mundo, lo que según el acertado dicho de Lagrange lo convirtió en el más afortunado de los científicos porque «sólo hay un sistema del mundo por descubrir».
Y fue precisamente su mayor dominio de las matemáticas con respecto a sus contemporáneos lo que le permitió afianzar ese descubrimiento. Así, para aquellos que piensen que Newton fue exclusivamente un físico —sería más adecuado decir «filósofo natural»— o, en todo caso, un matemático aplicado, conviene recordar lo que al efecto escribió D.T. Whiteside, responsable de la edición crítica de los manuscritos matemáticos del genio inglés:
Nunca se debe olvidar que las matemáticas tuvieron para Newton, antes y más allá de su lugar como caja de herramientas de la verdad, una belleza interior y un vigor independientes de todas las motivaciones externas y aplicaciones. (...] En su día, no hubo en el mundo matemático más dotado ni más ampliamente versado; ninguno era más apto en álgebra, más diestro en geometría, más habilidoso ni más sabio en las sutilezas de la variación infinitesimal.
«De analysi»
Hacia finales de junio de 1669, Newton escribió en unos pocos días De analysi, basándose en investigaciones que llevaba desarrollando desde 1664. El contenido y el planteamiento de este tratado tienen un gran valor constituyente y, haciéndolo público, al menos restringidamente, Newton se convirtió en descubridor del cálculo infinitesimal y el De analysi se erigió como la carta magna de lo que significó la nueva disciplina. En la primera parte del tratado, Newton mostró de qué manera, usando desarrollos en serie de potencias, el cálculo de áreas puede hacerse extensible a gran variedad de funciones. De este modo daba un paso de gigante en la resolución del problema del cálculo del área encerrada por una curva, una cuestión que había sido abordada ya por la matemática griega.
Aunque pueda dar la impresión de que Newton se contentaba con dar soluciones al problema para el caso de un número determinado de curvas, en realidad hizo mucho más que eso: logró mostrar un procedimiento de actuación con carácter general y un cierto valor de abstracción más allá de su primera interpretación como cálculo de un área En unos párrafos especialmente significativos, Newton escribió:
«Todos los problemas de longitud de las curvas, de cantidad y superficie sólida, así como de centro de gravedad, pueden reducirse al cabo a inquirir la cantidad de superficie plana terminada en una línea curva».
Con ello quiso delimitar la primera parte del tratado —en la que expuso el método general— respecto a la segunda, donde lo iba a aplicar. Podemos convenir en que el resultado de su intento es algo incierto: Newton veía el enorme valor que tenía ese carácter abstracto del procedimiento, aunque tal vez en ese estadio inicial —cuando la idea estaba fraguando en su cabeza—, tuviera dificultades para expresarlo y exponerlo; tal vez, también, en esos instantes iniciales careciera de nombres y notaciones adecuadas con que designar lo que estaba creando.
Esta declaración de principios centraba la importancia en el problema abstracto de calcular una función conocida su derivada. Además, establecía el carácter inverso del proceso con el del cálculo de la variación de la función —como haría al final del tratado— y, finalmente, daba un procedimiento algorítmico para el cálculo de esa variación (derivada), aunque este sea mínimo en el De analysi, y no haya, como después en Leibniz, unas reglas claras para derivar. Así, de todo lo dicho se puede establecer que, con el De analysi, el cálculo infinitesimal ya era una realidad.
Fluentes y fluxiones
La segunda obra de Newton, De methodis serierum et fluxionum, la más importante que dedicara al cálculo infinitesimal, fue escrita dos años después del De analysi, pero no se publicó hasta 1736, cuando Newton ya había fallecido.
En esta obra, Newton presenta los conceptos de fluente y fluxión de la fluente, siendo la primera (fluente) una variable considerada de acuerdo a su variación a lo largo del tiempo, y la segunda (fluxión), la derivada de esa variable con respecto al tiempo:
Para distinguir las cantidades que consideraré perceptibles pero indefinidamente variando, de las otras que en cualquier ecuación serán conocidas y determinadas, denotaré estas últimas usando las letras iniciales del alfabeto: a, b, c, etc. A las primeras, las llamaré, aquí y después, fluentes, y las denotaré usando las letras finales del alfabeto, v, x, y, z. Y las velocidades con que estas fluyen y son modificadas por su movimiento generador (a las que llamaré fluxiones o simplemente velocidades) serán indicadas por las letras
Para demostrar la potencia de su cálculo infinitesimal, Newton lo aplicó en De methodis a casi todos los problemas de cálculo de áreas, tangentes, curvaturas, volúmenes o longitudes, máximos y mínimos, centros de gravedad, etc., que habían ocupado a sus antecesores del cálculo durante casi un siglo, resolviéndolos uno tras otro.
Máximos y mínimosUna de las múltiples aplicaciones del cálculo infinitesimal es la obtención de los valores máximos y mínimos de una función, básicos para, por ejemplo, los procesos de optimización en ingenierías. Consideremos la curva descrita por la función y = x3 - 3x:
Está claro que la función posee un máximo y un mínimo absolutos en sus extremos izquierdo y derecho. Si se extrapola hacia la izquierda, la curva se encamina al infinito por abajo; si se hace lo propio pero por la derecha, la curva se va hacia el infinito por arriba. Sus valores máximo y mínimo absolutos son, en consecuencia, +∞ y -∞.
Pero junto a esos valores absolutos hay otros puntos de la curva que son máximos y mínimos relativos, en concreto, (-1,2) y (1,-2). El método Infinitesimal de Newton permite detectar fácilmente tales puntos a partir del concepto de derivada. Una de las propiedades de la derivada de una función es que su valor en un punto dado es el mismo que el de la pendiente de la recta tangente a la función en dicho punto. Ahora bien, en un punto máximo o mínimo, la tangente de la función es una recta horizontal y, por tanto, su pendiente es cero:
En consecuencia, la derivada de la función en dicho punto también será cero. Para el caso de nuestro ejemplo, f(x) = x3-3x, de derivada f(x)= 3x2 - 3. Por tanto, nos interesan los valores de x que cumplen 3x2 - 3 = 0. Y eso nos da, como era de esperar, los valores x = 1 y x = -1.
En De methodis queda mucho más patente la contribución newtoniana al descubrimiento del cálculo: esa jerarquía bien diferenciada entre, primero, los conceptos de fluente y fluxión con entidad propia, como elementos de una teoría, con unas reglas algorítmicas de fácil uso para calcular la fluxión de una fluente y, luego, los diversos ejemplos de problemas que permiten resolver.
Esa diferenciación entre los elementos abstractos de la teoría y sus aplicaciones a una ingente variedad de problemas es lo que permite atribuir a Newton —y a Leibniz— el descubrimiento del cálculo.
Un miedo irracional a publicar
No habrán pasado desapercibidos al lector un par de datos relativos a los dos libros comentados anteriormente. Newton escribió el primero, De analysi, en 1669, pero no se publicó hasta 1711 —¡cuarenta y dos años después!—, mientras que el segundo, De methodis, a pesar de ser escrito en 1671, no apareció en prensa hasta 1736 —¡sesenta y cinco años después de ser redactado y nueve después de la muerte de Newton!—. Conviene aquí apuntar que en los años en que Newton compuso esos libros, el término «publicar» terna un significado distinto al actual. Mientras que hoy publicar significa «hacer algo patente en una revista o en forma de libro accesible a todos los interesados», entonces, cuando esos cauces —en especial las revistas— no eran tan factibles como lo empezaron a ser solo unas décadas después, «publicar» incluía también hacer circular los resultados en forma manuscrita, no necesariamente impresos, a un grupo restringido de amigos interesados, más si entre ellos se incluía alguno dedicado a labores de difusión científica. Hecha esta precisión, lo cierto es que la reticencia de Newton a dar sus trabaos a la imprenta, a pesar de las muchas voces que le urgían a ello, constituye uno de sus pánicos más característicos.
La historia particular del De analysi y de las precauciones que tomó su autor a la hora de circularlo ilustran este punto a la perfección. Una vez redactado el tratado, que iba a dar a conocer por primera vez el nombre de Newton entre los matemáticos británicos, este lo mostró a Isaac Barrow, quien por aquel entonces era catedrático lucasiano en Cambridge. La cátedra lucasiana era la única de las ocho universitarias existentes con un «perfil», que diríamos hoy, de matemáticas y filosofía natural.

Izquierda: Frontispicio de una edición antigua del De analysi, en el que se presentan las bases del cálculo infinitesimal. Derecha: Cálculo de áreas en el primer cuaderno que Newton dedicó exclusivamente a las matemáticas, a principios de la década de 1660.
Barrow fue, en cierta forma, el precursor del cálculo que más cerca estuvo de adelantarse a Newton y Leibniz en su descubrimiento, pero su desconocimiento de la geometría analítica de Descartes le impidió desarrollar los métodos algorítmicos característicos del cálculo infinitesimal.

Cálculos de series infinitas procedentes del cuaderno donde Newton anotó buena parte de sus trabajos relativos al cálculo entre 1664 y 1680.
Cuando Newton le mostró su tratado, Barrow propuso su enrío inmediato a John Collins, un miembro de la Royal Society que ejercía la labor de canal de comunicación y distribución de resultados y noticias matemáticas. Aquí es donde afloraron las primeras reticencias de Newton a publicar: al cabo, exponer una obra ante el público para reclamar la paternidad de los descubrimientos suponía también exponerse a las críticas.
En un primer momento —20 de julio de 1669—, Newton solo le permitió a Barrow informar a Collins de que estaba en posesión del De analysi, pero le prohibió mencionar el nombre del autor y de la obra La nota que escribió Barrow rezaba así:
Cierto amigo que aquí vive entre nosotros, ingenio eximio en estas cosas, me hizo llegar anteayer algunas cartas en las que describe un método [...] sumamente general; le ha de placer a usted, según creo, cuando le envíe una con mis próximas cartas.
Once días después, Newton accedió a que Barrow le enviara a Collins una copia de su De analysi, aunque manteniendo el anonimato sobre la autoría y reclamando su devolución posterior —obsérvese la manera sutil como Barrow se refiere a «releer», pero no a hacer una copia: una manera implícita de decir que lo enviado solo era para los ojos de Collins—:
Envío las prometidas cartas de mi amigo, que han de darle a usted no poco deleite según espero. Devuélvalas, le requiero, así las haya releído cuanto viere oportuno; pues tal pidió, en efecto, mi amigo cuando le rogué por vez primera me diese licencia para comunicárselas. Cuanto antes, por tanto, le suplico me haga saber con certeza haberlas recibido, que temo por ellas; como que, por darle gusto con la mayor prontitud, ni he dudado en mandárselas a usted por la posta pública
Cuando Collins estudió el De analysi y transmitió su entusiasmo a Barrow, este obtuvo el permiso de Newton para revelar su nombre a Collins y permitir a otros que vieran su manuscrito. Collins devolvió pronto el manuscrito del De analysi a Newton, vía Barrow, pero no sin antes hacer una copia de su propia mano. Esta copia, junto con las cartas de Barrow, las encontró finalmente el matemático inglés William Jones en el lote de documentos de Collins que adquirió en 1708, y sirvieron, entre otras cosas, para decidirlo a proponer entonces a Newton la edición del De analysi, que vio así la luz en 1711.
También, cuando arreció la disputa con Leibniz sobre la prioridad en el descubrimiento del cálculo, sirvieron como pruebas independientes que demostraban la anterioridad de las aportaciones de Newton. Durante el resto de 1669, Collins y Barrow pidieron a Newton que publicara el De analysi. Nada hubo que hacer, como ha escrito Richard S. Westfall aludiendo a la disputa con Leibniz: «La aprensión de Newton estaba sembrando las semillas de rencorosos conflictos».
Su reticencia era todavía mayor habida cuenta de la debilidad lógica que anidaba en el seno del cálculo mismo: el concepto de fluxión y las reglas para determinarla, igual que la diferencial de Leibniz o los múltiples artificios infinitesimales de sus predecesores, se basaban en las llamadas «cantidades infinitesimales».
InfinitésimosEl infinito, la esencia del cálculo infinitesimal, se camufla en el característico cociente de cero entre cero que aparece cada vez que queremos calcular una derivada. Como se dijo anteriormente, del cociente
necesario para definir la derivada, nos interesa el valor cuando h = 0, que es justamente cuando numerador y denominador se hacen cero. Ese tipo de cantidades, que son cero, pero de las que se requiere saber qué proporción guardan entre sí, fueron bautizadas por los matemáticos del siglo XVII con el nombre de «infinitésimos» o «cantidades infinitesimales».
Cabe recordar aquí que los infinitesimales aparecen también en la integral, en la forma de segmentos de anchura nula, la suma de los cuales, sin embargo, genera un área como por arte de magia. ¿Qué sentido había que darle a esa suma? Eso es algo que ni Newton, ni tampoco Leibniz, llegaron a precisar nunca. El cálculo infinitesimal primitivo que ellos desarrollaron, y más tarde pulieron otros matemáticos del siglo XVIII, puede describirse como el arte de manipular Infinitésimos. La paradoja es que ninguno de estos genios de las matemáticas llegó a definir con un mínimo rigor lógico qué eran.
Estos infinitésimos eran números indefinidamente pequeños, muy cercanos a cero, lo que permitía simplificarlos cuando convenía; pero, como no eran cero, podían aparecer como denominadores de un cociente. Resultaba obvio que se trataba de un concepto matemáticamente demasiado ambiguo y mal definido, y Newton trató de evitar su uso, pero no logró alcanzar el éxito deseado.
En otro de sus trabajos sobre el cálculo, el De quadratum curvarum, publicado en 1704 como apéndice de su óptica, Newton habló de unos incrementos evanescentes que se encontraban ya cercanos al concepto matemáticamente riguroso de límite que, bien entrado el siglo XIX, usarían Bernhard Bolzano y, sobre todo, el matemático francés Cauchy para fundamentar el moderno cálculo infinitesimal.
Newton, consciente de esa debilidad, vio reforzada su reticencia a publicar algo sobre él, aunque siempre hubo unas pocas copias manuscritas de sus trabajos circulando entre sus amigos. Su temor también influyó en la redacción de su obra cumbre: los Principia. En ella, Newton optó por un lenguaje geométrico al estilo griego, más hermético y oscuro, pero más riguroso desde el punto de vista lógico. De todas formas, sí que dejó un mínimo retazo de su cálculo en los Principia.
La cátedra lucasiana
La progresión de Newton en el Trinity College de Cambridge fue meteórica, pues en 1669, a los ocho años de su llegada, fue nombrado catedrático lucasiano.
La cátedra lucasiana fue creada en Cambridge a mediados de la década de 1660-1670 como legado de Henry Lucas y ha pervivido hasta el siglo XXI —la ocupó hasta el año 2009 uno de los iconos científicos de nuestros días: Stephen Hawking—, y el estipendio con el que Lucas la había dotado la convertía en una de las posiciones académicas más preciadas. Como ya hemos dicho, la cátedra lucasiana era, por entonces, la única de las ocho universitarias existentes dedicada a las matemáticas y la filosofía natural: el catedrático tenía que impartir clases de geometría, astronomía, geografía, óptica, estática y otras disciplinas matemáticas, y depositar cada año en la biblioteca de la universidad el texto de al menos diez de sus conferencias —con multas estipuladas si no se cumplían estos términos, cosa que Newton hizo después con bastante frecuencia sin que al parecer fuera nunca penalizado—. Según un conocido de la época: «Eran pocos los que iban a escuchar las clases de Newton, y menos aún los que le entendían; por falta de oyentes, a menudo leía para las paredes».
La renuncia de BarrowAlgunas fuentes dicen que Barrow renunció a la cátedra deslumbrado por las extraordinarias capacidades de Newton; la historia, como tantas otras que hacen referencia a su genialidad, la difundió andando el tiempo el interesado: le dijo al abate Conti —un personaje con el que Newton hizo amistad a raíz de la disputa con Leibniz sobre la prioridad en el descubrimiento del cálculo infinitesimal— que él había resuelto en seis líneas un problema para el que Barrow, después de mucho batallar, había compuesto una solución muy extensa; Barrow renunció entonces a su cátedra alegando que Newton era más docto que él.
Sin duda, la razón de la renuncia fue otra. Barrow era un teólogo más que un matemático, y quería dedicarse a su vocación; además, tenía también ambiciones de conseguir una posición mejor, cabría decir de mayor influencia política. De hecho, al año siguiente de su renuncia fue nombrado capellán real y, dos años después, director del Trinity College, cargo este que era, atendiendo a los estatutos de la cátedra lucasiana, incompatible con ella —por más que Barrow hubiera podido evitar la incompatibilidad solicitando una dispensa real—. En cualquier caso, Barrow renunció.
Desde su fundación, la cátedra lucasiana la había ocupado Isaac Barrow; pero, en el verano de 1669, este se planteaba renunciar a ella. La influencia del De analysi tuvo que ser decisiva, y llevó a Barrow a proponer a Newton como su sucesor.
Los dos fiduciarios del testamento de Lucas encargados de nombrar al nuevo catedrático —por entonces bastante mayores y quienes, por cierto, debían de estar encantados sabiendo que Barrow les iba a dedicar uno de sus libros— aceptaron la propuesta. Y el 29 de octubre de 1669, Newton fue nombrado catedrático lucasiano.
Vida de monje en Cambridge
Uno de los edificios más notables de la Universidad de Cambridge es la biblioteca del Trinity College. Fue Isaac Barrow quien, en 1675, comprometió al College en el empeño de su construcción. Diseñada en 1676 por Christopher Wren —uno de los famosos contertulios— y concluida tras veinte años de obras, la «extravagante» biblioteca —como la ha calificado Westfall— acarreó un desastre económico para el College. De hecho, muchos de los profesores tuvieron que contribuir a las obras; que se sepa, la actitud de Newton fue más bien tibia: hizo una pequeña contribución y prestó algo de dinero para ayudar a sufragar los gastos.
«Newton vivía en el Trinity, pero nunca le entregó su corazón.»
Richard S. Westfall en Isaac Newton: una vida.
Y no fueron pocos los años que Newton pasó en el College. Treinta y cinco años viviendo en Cambridge, en los que produjo toda su ciencia, aunque posiblemente dedicara la mayor parte de su tiempo a otros estudios y menesteres: teología, historia bíblica y, sobre todo, alquimia. En efecto, a pesar de que Newton fue sin duda un genio, tuvo también una capacidad de trabajo mayúscula que ejerció durante toda su vida y, en particular, durante su estancia en Cambridge, donde no hizo otra cosa, olvidándose en ocasiones de comer o dormir. Al respecto, William Stukeley, uno de sus primeros biógrafos, dijo:
Se abstraía de tal forma que, cuando iba a comer algo, ya habían retirado el mantel. O cuando tenía amigos invitados en su habitación, entraba en su estudio a buscar una botella de vino y, al ocurrírsele una idea, se sentaba a la mesa y olvidaba a sus amigos. Siempre estaba ocupado en sus estudios —nos lo describe un conocido suyo de aquella época— y muy raras veces hacía visitas. Tampoco las recibía. En muy raras ocasiones iba a cenar al hall, salvo algunos días especiales, y en aquellas ocasiones, si alguien no le llamaba la atención, se presentaba con aspecto descuidado, con los zapatos gastados, las medias caídas, vestido con el sobrepelliz y el pelo revuelto.
Las décadas en Cambridge fueron de soledad, pues no encontró allí interlocutores válidos para discutir sobre ciencia. Como ha escrito Westfall: «Filósofo en busca de la verdad, se encontró a sí mismo entre funcionarios en busca de un cargo. Este fue el continuo telón de fondo de toda su vida creativa».
En lo personal, las cosas fueron todavía más complicadas. En su juventud, durante las décadas de 1660 y 1670, tuvo más facilidad de trato con hombres mayores que él, como pone de manifiesto su relación con Henry More, nacido en 1614; John Wallis, en 1616; John Collins, en 1625; Henry Oldenburg, en 1626; Isaac Barrow, en 1630, o Christopher Wren, en 1632 —recuérdese que Newton nació en 1642—. Sin embargo, de ninguno de ellos se puede decir que fuera su amigo: las relaciones se limitaban al plano de lo académico.
En sus años de Cambridge apenas se conocen un par de nombres de personas de su generación con los que mantuviera trato, si no amistoso, al menos que fuese más allá de lo circunstancial, quizá porque su extremo puritanismo le hacía complicado mantener amistades —rompió su trato con John Vigani, un italiano que enseñaba química en Cambridge, porque contó una historia licenciosa sobre una monja—.
Uno de esos escasos nombres es el de John Wickins, su compañero de cuarto en Cambridge desde enero de 1663 —año en el que fue admitido Wickins— hasta 1683, quien también asistió a Newton como amanuense. En 1683 Wickins renunció a su puesto en Cambridge por una vicaría —en sus días de prosperidad económica, Newton le envió biblias para distribuirlas entre los pobres—.
Las habitaciones de newton en CambridgeNewton y Wickins siguieron compartiendo habitación a pesar de que, siendo ya miembros del cuerpo docente —Newton en octubre de 1667 y, poco después, Wickins—, el Trinity College les asignó alojamiento individual. Parece que ambos pusieron en alquiler los cuartos que les correspondían y continuaron juntos. Newton se había gastado una buena suma de dinero en la primavera de 1667 en acomodar su parte de las habitaciones que compartía con Wickins: puso cristales nuevos, reparó la chimenea, repintó y compró mobiliario —entre el que había dos mesas españolas y alfombras nuevas—. El hijo de Wickins contó cómo su padre y Newton se conocieron; la cita da una cierta idea de la soledad de Newton en sus primeros años en Cambridge:
La intimidad de mi padre con sir Isaac se produjo por mero accidente. Siendo el primer compañero de habitación de mi padre muy desagradable, se fue un día a pasear, encontrando al señor Newton solitario y entristecido. Se pusieron a hablar y encontraron que la razón de su soledad era la misma; decidieron entonces dejar a sus desordenados compañeros y compartir habitación juntos, lo que hicieron en cuanto pudieron y continuaron así mientras mi padre estuvo en el college.
Durante su estancia en Cambridge, Newton apenas se ausentó del Trinity College; hubo años, como 1669, en que estuvo en Cambridge las cincuenta y dos semanas completas. Si no consideramos los anni mirabiles, el período más largo en que Newton estuvo fuera coincidió con la muerte de su madre, acaecida en 1679.
El Newton místico
Los biógrafos de Newton de los siglos XVIII, XIX y de la primera mitad del XX imaginaron al genio, durante su estancia en Cambridge, refugiado en la soledad de sus cuartos, concentrado en sus estudios de óptica, física y matemáticas, con los que consiguió a la postre su impresionante contribución al corpus de la ciencia. Fue durante esta época cuando se forjó la visión de Newton como puro genio científico.
Sin embargo, la visión que hoy tenemos de Newton es distinta, mucho más completa y compleja Como el enorme volumen de sus manuscritos ha mostrado, en el Trinity, y en los años posteriores también, además de a la ciencia, Newton se dedicó a muchos otros asuntos. En ese sentido, los manuscritos de su etapa en Cambridge hablan mayormente de un hombre esforzado por desentrañar, siempre con denuedo, el resultado de sus experimentos alquímicos, o en busca de razones y argumentos que le afianzaran en su fe arriana.
La enorme estatura científica de Newton, su posición descollante en la historia de la ciencia, acaso solo comparable a Arquímedes, Einstein o Darwin, deriva de su obra publicada, en especial los Philosophiae naturalis principia mathematica (Principios matemáticos de la filosofía natural, 1687), la Opticks (Óptica, 1704) y sus dos apéndices matemáticos De quadratura curvarum (Sobre la cuadratura de las curvas) y Enumeratio lineaium tertii ordinis (Clasificación de la curvas de tercer orden), el De analysi per aequationes numero terminorum infinitas (Del análisis mediante ecuaciones infinitas en cuanto al número de sus términos, 1711) o el póstumo A treatise of the method of fluxions and infinite series (Un tratado sobre el método de fluxiones y series infinitas, 1737).
Sin embargo, el conocimiento cabal de la complejísima personalidad newtoniana no se ha alcanzado hasta hace apenas medio siglo. Para ese conocimiento, el 13 de julio de 1936 supuso un hito. Ese día —y el siguiente— se subastaron en la sede de Sotheby’s 332 lotes de la llamada colección Portsmouth que incluían manuscritos newtonianos, correspondencia y otros objetos que en su día le pertenecieron.
Los herederos del genioA la muerte de Newton, que falleció sin testar, hubo algunas desavenencias entre los posibles herederos —ocho en total: todos ellos descendientes de los hijos de la madre de Newton con su segundo marido—.
Excepto su sobrina preferida, Catherine Barton, y su marido John Conduitt, los demás querían obtener dinero rápido de la herencia. Empezaron por vender los libros de la biblioteca, que fue adquirida en julio de 1727 por un tal John Huggins.
También, y tras una revisión sumaria de los documentos, vendieron todo lo que se encontró listo y ordenado como para que los impresores lo pudieran aceptar.
Edición da los Elementos de Euclides con anotaciones del propio Newton, uno de los tesoros de la colección Portsmouth.Los documentos y manuscritos que no se pudieron vender pasaron a la hija de los Conduitt, que casó con el vizconde de Lymington. Posteriormente, pasaron al hijo de estos, que fue segundo conde de Portsmouth, de ahí el nombre «colección Portsmouth» con que se conoce el legado.
En 1872 empezaron a catalogarse por primera vez, para lo que fueron depositados en la Universidad de Cambridge. El resultado fue publicado en 1888, año en que los documentos volvieron a la familia Portsmouth, excepto todo lo relacionado con matemáticas, parte de la correspondencia y algunos libros, que la familia legó a la Universidad de Cambridge.
La rocambolesca historia de estos manuscritos tiene una rara capacidad de fascinación, por habernos revelado la verdadera fisonomía de Newton: más compleja y difícil que la faceta de genio que los siglos XVIII y XIX nos habían transmitido.
El volumen de manuscritos, cartas y otros documentos que se conservan de Newton es enorme, a pesar de que podría ser que hubiese quemado durante sus últimos meses de vida una parte de su correspondencia —quizá la que mantuvo con su madre—, algunos trabajos científicos que pudo considerar de escasa calidad y otros escritos que le parecieron faltos de interés —si es que hubo alguna cosa suya que considerara de ese modo—.
Una parte del legado, principalmente los escritos sobre matemáticas y la correspondencia, pasó en 1888 a la Universidad de Cambridge; el resto fue subastado en Sotheby’s: todos los manuscritos newtonianos sobre alquimia, química y los asuntos del Tesoro; todo el material recopilado por John Conduitt —marido de Catherine Barton, la sobrina preferida de Newton— para su proyectada biografía de Newton; un buen número de cartas escritas o recibidas por Newton, cuadernos de juventud, manuscritos sobre cronología, teología y el desarrollo del cálculo, dos magníficos retratos —uno de ellos el celebrado de Kneller, pintado en 1702— y su máscara mortuoria fueron vendidos en dos días por poco más de 9.000 libras. No es difícil imaginar la desilusión que tuvo que sufrir el noveno conde de Portsmouth, que los había puesto a la venta porque estaba necesitado de dinero en efectivo.
El último de los magos
Indignado con el asunto de la subasta y la posterior dispersión de los manuscritos de Newton, el célebre economista John Maynard Keynes se dedicó a comprar, de su propio bolsillo, documentos personales de Newton y manuscritos de alquimia, cronología, historia y teología hasta atesorar una buena parte de lo subastado.
Keynes acabó legando esta colección al King’s College de Cambridge, donde todavía hoy se conservan.
Otro personaje que se dedicó a seguir la pista de los manuscritos newtonianos para evitar su dispersión fue el orientalista Abraham S. E. Yahuda, quien logró adquirir gran parte de los textos sobre teología —intercambió, de hecho, algunos con Keynes—. Yahuda legó su colección a la Jewish National and University Library en Jerusalén, adonde, después de algunos problemas legales de herencias, llegó en 1966.
La intensísima labor de estudio de la obra y la figura de Newton que se ha llevado a cabo tras la Segunda Guerra Mundial —sin parangón con la dedicada a ningún otro científico— bien puede ser vista como una alegoría de aquella subasta de Sotheby’s, que tuvo la virtud de poner de manifiesto un tesoro prácticamente virgen: las páginas manuscritas de Newton. Como primera consecuencia, se ha producido un cambio en la percepción histórica de la figura científica y humana de Newton. La dirección de ese cambio la señala una célebre cita de John Maynard Keynes:
Newton no fue el primero de la Edad de la Razón. Fue el último de los magos, el último de los babilonios y sumerios, la última gran mente que se asomó al mundo visible e intelectual con los mismos ojos que aquellos que empezaron a construir, hace 10000 años, nuestro patrimonio intelectual.
Frente al científico por antonomasia, al padre de la física moderna, al descubridor de la ley de la gravedad, al autor de sesudos estudios sobre la naturaleza de la luz y los colores, el inventor del cálculo infinitesimal, ante la imagen de héroe de la razón con clarividencia genial que tanto promocionó el propio Newton, sus manuscritos contraponen un personaje más complejo y, por ello, más real. Por un lado, muestran que no sólo estuvo interesado por los asuntos científicos —aunque tuvo épocas—, sino que mayormente dedicó su tiempo a oscuros problemas teológicos, a practicar una alquimia a medio camino entre lo experimental y lo místico. Los manuscritos muestran que Newton, además de ser autor de los Principia o de la Óptica, lo fue también de abstrusas cronologías bíblicas, de delirantes disquisiciones sobre la naturaleza más o menos divina de las tres personas de la Trinidad cristiana, temas todos de dudosa categoría científica —incluso para su época—, pero a los que Newton dedicó muchas más páginas que a la ciencia.
Los manuscritos también cuestionan la visión de un Newton genial que creó sin apenas esfuerzo un colosal corpus científico. Por el contrario, su esfuerzo fue continuo y agotador, ese trabajar sin parar —que tan acertadamente recogió Westfall en el título de su biografía del científico: Never at rest (Nunca ocioso)— aparece claramente reflejado en los manuscritos de Newton. «Sus manuscritos muestran —según apunta Westfall— que cometió errores, y aprendió de ellos, que tomó caminos falsos y que falló en comprender inmediatamente las implicaciones de sus propias ideas. Esto es, los manuscritos revelan un proceso humano que es comprensible en una forma que los destellos de genialidad no lo son.» Analicemos este Newton menos conocido.
La biblioteca de NewtonUna buena idea de los intereses de Newton la da la composición de su biblioteca, que se conoce con bastante detalle tras el estudio que publicó en 1978 el bibliotecario John Harrison. Entre los volúmenes de su biblioteca merecen destacarse los libros científicos, que incluyen: alquimia (138) y química (31), es decir, entre ambos, aproximadamente el 9% del total de la biblioteca; matemáticas (126, o sea, el 7%); medicina y anatomía (57, el 3,5%); física (52, el 3%); astronomía (33, el 2%). Libros no científicos: literatura clásica, griega y latina (149, el 8%); historia (143); obras de referencia (90, el 5%) y, finalmente, teología. Entre estos últimos se cuentan: obras generales (205); biblias, testamentos y estudios bíblicos (99); Padres de la Iglesia (61); historia de la Iglesia (28); controversias religiosas (28); ritos y costumbres judías (24); otros (32); esto es, un total de 477, el 27% de su biblioteca. Así pues, únicamente el 25% de los casi 1800 libros existentes en su biblioteca en el momento de la muerte de Newton se pueden clasificar como de contenido científico; hay que tener en cuenta, también, que en aquella época en Cambridge era mucho más difícil encontrar obras científicas que de otros temas.
El idilio de Newton con la alquimia comenzó casi a la par que ascendía a la cátedra lucasiana. Por las anotaciones del Cuaderno Fitzwilliam —el mismo que contiene la anotación de 1662 con su confesión de pecados—, sabemos que en 1669 Newton aprovechó un viaje a Londres para comprar una gran colección de escritos sobre alquimia y material para experimentos: hornos, retortas y crisoles, productos químicos, etcétera
De todas las actividades newtonianas, la alquímica es quizá una de las más desconocidas. Ese desconocimiento tal vez pueda explicarse por haber sido la alquimia una labor hermética, a medio camino entre lo filosófico, lo mágico y lo científico; en todas las épocas la alquimia ha sido una actividad algo clandestina, y a menudo se ha tenido a sus oficiantes por brujos y nigromantes. No es de extrañar que sea así, teniendo en cuenta que el objetivo supremo de la alquimia era la síntesis de la piedra filosofal, una sustancia portentosa que permitiría transmutar el plomo y otros metales vulgares en oro, sin olvidar que otra de sus metas sacrosantas era nada menos que la obtención del elixir de la eterna juventud, un destilado capaz de prolongar la vida indefinidamente.
La situación comenzó a cambiar en el siglo XVII, cuando la alquimia empezó a convertirse en química, aunque todavía durante ese siglo y parte del XVIII era difícil separar ambas disciplinas. Quizá la figura de Robert Boyle (1627-1691) sea la que mejor pueda simbolizar esa indefinición. Boyle formuló leyes científicas fundamentales, como la ley que hoy lleva su nombre sobre la relación inversa entre la presión y el volumen en un gas, y también fue defensor del método científico baconiano, basado en la razón y la experimentación. Pero, por otro lado, Boyle, por más que renegara de Paracelso y sus seguidores, fue también un alquimista declarado que creía en la transmutación de los metales y el secreto de la piedra filosofal. Si Barrow fue el mentor newtoniano en lo que se refiere a las matemáticas y la óptica, Boyle, con quien Newton mantuvo una intensa correspondencia, lo fue en los asuntos químicos y alquímicos; y en ambos casos, la difícil personalidad newtoniana acabó uniendo cierta dosis de rivalidad a la inspiración que Barrow y Boyle supusieron para él.

Newton a la edad de cincuenta y nueve años. Este óleo, obra del pintor Godfrey Kneller, es la semblanza más conocida del científico y formaba parte del lote subastado por Sotheby's en 1936.
Posiblemente no fue la búsqueda de la piedra filosofal lo que le interesó a Newton de la alquimia, sino la posibilidad de profundizar en el conocimiento de la materia, de las sustancias que componen el mundo físico creado por Dios.
El interés de Newton por la alquimia trascendió el plano teórico: no solo leyó libros y manuscritos, sino que también dedicó mucho tiempo y energías a la realización de experimentos, para lo cual montó un laboratorio en una de sus habitaciones del Trinity College —que seguramente lindaba con la capilla gótica del college— y lo equipó por completo.
«Newton no tropezó con la alquimia, descubrió su carácter absurdo y se encaminó hacia una química seria y “racional”. Más bien comenzó con la química seria, y la abandonó con bastante rapidez por la que consideraba mayor profundidad de la alquimia.»
Richard S. Westfall en Isaac Newton: una vida.
Por lo demás, la experimentación no era una tarea exenta de riesgos y peligros. De entrada, no había que ser demasiado escrupuloso: «Tómese un tonel de orina», comenzaba una receta de la época para fabricar fósforo. Tampoco venía mal cierta despreocupación por la propia salud, de lo cual Newton dio muestras a lo largo de toda su vida científica. Cuando en 1670 su pelo se tomó entrecano, Wickins, su compañero de cuarto, le sugirió que podía ser debido al tiempo que pasaba pensando; Newton soltó una carcajada —una de las pocas carcajadas newtonianas de las que se tiene constancia—, y achacó su encanecimiento a los experimentos con plata rápida que en aquella época hacía tan a menudo. Y, posiblemente, los efluvios argentosos de tales experimentos eran saludables si los comparamos con los mucho más tóxicos del mercurio, metal al que tanto esfuerzo y atención dedicó después y que pudo ser uno de los desencadenantes de las crisis nerviosas que Newton sufrió en 1693.
Los experimentos, además, no eran cuestión de poco tiempo; esa labor podía necesitar dedicación continuada y agotadora, lo que suponía, por ejemplo, noches en vela vigilando los hornos —y aspirando sus emisiones mefíticas—. Así lo describió uno de sus colaboradores:
Newton apenas dormía, especialmente en primavera y en otoño, cuando acostumbraba pasar seis semanas en su laboratorio, el fuego encendido prácticamente todo el día y la noche, levantado toda una noche, como yo hice otra, hasta terminar sus experimentos químicos, en los cuales trabajaba con la mayor precisión, rigor y exactitud. No sabía decir cuáles eran sus fines, pero el sufrimiento y la diligencia de aquellos tiempos me hacen pensar que perseguía algo que estaba más allá del arte y la industria humanos.
Con descripciones como esta no cuesta imaginar al aprendiz de brujo que Newton llegó a ser, alimentando los hornos, volcando mezclas en las retortas, sublimando metales, entre volutas de humo venenoso desprendidas por precipitados, soluciones y sales.
Algunos de los manuscritos conservados ayudan a hacer más vivida la imagen; a la primavera de 1681, por ejemplo, corresponden escritos que demuestran un punto culminante de sus investigaciones alquímicas. Día a día, conforme los experimentos avanzaban, Newton anotaba, con el lenguaje hermético propio de la alquimia más mística y visceralmente especulativa, su interpretación de lo que iba aconteciendo en el laboratorio:
«He comprendido que la estrella de la mañana es Venus y que es la hija de Saturno y de una de las palomas»,
reza una entrada fechada el día 10 de mayo. Cinco días después añade:
«He comprendido “Verdaderamente existen ciertas sublimaciones del mercurio" etc., como también otra paloma: es un sublimado extraído de impurezas de sus cuerpos blandos, deja heces negras en el fondo lavado por la solución, y el mercurio vuelve a sublimarse a partir de los cuerpos lavados hasta que las heces desaparecen completamente del fondo».
Tres días después, la cosa parece ponerse todavía más interesante:
«He perfeccionado la solución ideal. Es decir, dos sales iguales levantan a Saturno. Luego él levanta la piedra y, unido al maleable Júpiter, también fabrica [...] y una proporción tal que Júpiter empuña el cetro. Después, el águila levanta a Júpiter. De ahí Saturno puede ser combinado sin sales, en las proporciones deseadas, de forma que el juego no predomine. Por último, el mercurio se sublima y la sal sófica de amonio golpea el yelmo, y el menstruo lo levanta todo». El hecho de que algunos de esos párrafos fueran ferozmente tachados por él con posterioridad no hace sino indicar que toda esa expectación acabó tomándose en frustración.
Semejantes anotaciones no dejan hoy de causar cierto desconcierto, por más que sepamos que los nombres mitológicos hacen referencia a metales y sustancias —Júpiter, por ejemplo, corresponde al estaño y Saturno al plomo—; aunque esos nombres también delatan, claro está, la ineludible ligazón que emparentaba la alquimia con la astrología.
A la postre, la experiencia alquímica adquirida durante sus años en el Trinity de Cambridge tuvo una utilidad imprevista. Newton acabó dirigiendo la Casa de la Moneda inglesa, tras dejar la universidad a finales del siglo XVII; cada vez que había que acuñar moneda y decidir las aleaciones más apropiadas, sus conocimientos químicos le debieron de venir como anillo al dedo.
Un arriano en el colegio de la Santa e Indivisa Trinidad
La religiosidad de Newton es otro de sus aspectos sobre el que los manuscritos han arrojado nueva y sorprendente luz, lo que incluye sus estudios teológicos y sobre historiografía bíblica. Sin embargo, aunque no se han conservado escritos suyos sobre teología anteriores a 1672, es muy posible que la afición de Newton por la teología naciera de la pequeña biblioteca que heredó de su padrastro, el pastor anglicano Barrabas Smith. Poco después de conseguir la cátedra lucasiana, comenzó un estudio exhaustivo de textos bíblicos que lo llevó en poco tiempo a convertirse en arriano; es decir, creía que, de las tres personas de la Trinidad cristiana, Padre, Hijo y Espíritu Santo, solo el Padre tenía naturaleza divina.
De este modo, poco a poco Newton fue convenciéndose de que la Trinidad era un dogma equivocado y que no había más Dios que Dios Padre. Newton hizo entonces una cuidadosa indagación en busca de las posibles corrupciones de los textos bíblicos que habían permitido la justificación del dogma trinitario. Para llevar a cabo esta sistemática exégesis bíblica, Newton aprendió griego y algo de hebreo.
Ese esfuerzo dio sus frutos, dado que Newton creyó encontrar en la Biblia hasta dos docenas de pasajes trinitarios corrompidos. Por ejemplo, en los versículos 7 y 8 del capítulo 5 de la Primera Epístola de San Juan, versión Vulgata —la traducción latina de la Biblia que realizó san Jerónimo en el siglo v—, se lee: «Pues tres son los que dan testimonio en el cielo: el Padre, el Verbo y el Espíritu Santo, y estos tres son uno; y tres son los que dan testimonio en la tierra: el Espíritu, el agua y la sangre, y los tres convergen en lo mismo». Newton aseguró que el pasaje original decía: «Pues tres son los que dan testimonio: el Espíritu, el agua y la sangre, y los tres convergen en lo mismo». Newton sostuvo que el añadido que había sido recargado en la Vulgata no aparecía en los manuscritos griegos más antiguos, ni en las antiguas versiones. Dada la delicadeza de la cuestión —se trataba de una herejía y podían derivarse consecuencias bastante negativas para aquellos que la defendieran—, Newton fue muy discreto con sus descubrimientos bíblicos y solo los compartió con otros arríanos, como el filósofo John Locke, a quien Newton informó de sus descubrimientos en una carta fechada a finales de 1690.
Es posible que Newton considerara el descubrimiento de las corrupciones trinitarias de las Escrituras como uno de los más valiosos y trascendentes hallazgos de cuantos hizo a lo largo de su vida —incluidos los científicos—; Westfall lo explica con las siguientes palabras:
No es difícil de entender por qué Newton, en la época en que hizo ese descubrimiento, se sentía tan molesto cuando tenía que dedicar algo de su atención a diversiones menores, como la óptica o las matemáticas, habiendo echado sobre sus hombros la responsabilidad de reinterpretar la tradición central de toda la civilización europea.
Frente a su impecable y exitosa trayectoria profesional, ya fuese como joven catedrático lucasiano en la Universidad de Cambridge, como pulcro miembro del Parlamento inglés, como escrupuloso funcionario del Tesoro o como todopoderoso presidente de la Royal Society, los manuscritos subastados en Sotheby’s muestran su secreto inconfesable: un arrianismo convencido, meditado, que lo acompañó toda su vida desde su juventud y que, por ley, lo podía haber apartado de todos sus cargos en caso de haberse conocido.
Pero el interés de Newton por la exégesis bíblica y la teología fue mucho más allá de los asuntos relativos a la Trinidad.
Problemas de concienciaEs posible que los primeros estudios teológicos de Newton —iniciados hacia 1672— tuvieran que ver con el hecho de que su puesto en el Trinity College le obligara a ordenarse sacerdote anglicano. El plazo para tomar los votos acababa en 1675 y, para entonces, Newton era ya un arriano convencido. No está falto de ironía que el college de Cambridge, donde el feroz antitrinitario Newton pasó tres décadas y media de su vida, llevara por nombre Holly and Undivided Trinity College, o sea, Colegio de la Santa e Indivisa Trinidad. Al verse obligado a tomar los hábitos, Newton se encontró ante un importante dilema moral. Por algunas notas conservadas se desprende que, tras algún que otro tibio intento de evitar la ordenación, tenía pensado renunciar a su puesto, aunque sin hacer públicas las razones. Finalmente, el asunto se arregló de manera un tanto misteriosa: en el último momento llegó una dispensa real eximiendo al catedrático lucasiano de tomar los votos, salvo que él mismo lo deseara —obsérvese el matiz: no se dispensaba a Newton, sino al que ocupara la cátedra lucasiana, fuera quien fuese—. Posiblemente la mano de Isaac Barrow estaba detrás de la dispensa.
De hecho, fueron miles y miles las páginas que escribió sobre teología, que incluían pormenorizados estudios de las profecías—mostró cierto interés, aunque no excesivo, por datar la fecha de la segunda venida de Jesucristo a la tierra—, de los reinos bíblicos antiguos o, incluso, una detallada reconstrucción del templo de Salomón, incluyendo un estudio de sus dimensiones exactas y de los objetos de culto descritos en los textos sagrados.
Dos de los libros que sus herederos publicaron tras la muerte de Newton recogían, precisamente, una parte exigua de sus escritos sobre las profecías y la cronología de los reinos: The chronology of Ancient Kingdoms amended (Cronología corregida de los Reinos Antiguos, 1728) y Observations upon the Prophecies of Daniel and the Apocalypse of St. John (Estudios sobre las profecías de Daniel y el Apocalipsis de San Juan, 1733). Esto fue lo único que se conoció de la afición teológica de Newton hasta que la subasta de 1936 llamara la atención sobre el grueso de sus manuscritos.
Es interesante la forma por la que Newton acabó escribiendo, al final de su vida, The chronology. La princesa de Gales le había solicitado en 1716 una copia de sus estudios cronológicos sobre los reinos del Antiguo Testamento. La petición real le puso en un compromiso: antes de dar a conocer sus estudios necesitaba depurarlos de posibles aseveraciones arrianas. Newton optó por entregarle solo un bosquejo, que acabó publicándose. El extracto recibió críticas severas, sobre todo en Francia, por lo que Newton decidió, como contestación, publicar el tratado completo. En eso estaba cuando murió, en marzo de 1727.
Capítulo 4
Descifrando la luz y los colores
Aunque pasaría a la historia de la ciencia sobre todo por la teoría de la gravitación universal, la aportación de Newton a la óptica no fue menos genial. Abordó el espinoso tema de la naturaleza de la luz; explicó en qué consisten los colores; construyó, con sus propias manos, el primer telescopio reflector... Y todo ello por medio de experimentos tan rotundos como simples.
El otro gran libro científico newtoniano difiere notablemente de los Principia; lleva por título Opticks: or, a Treatise of the Reflexione, Refractions, Inflexions and Colours of Light (Óptica, o Tratado sobre las reflexiones, refracciones, inflexiones y colores de la luz). Los Principia suponen una síntesis perfecta y acabada sobre dinámica terrestre y celeste, escrita en un lenguaje matemático tan sofisticado como hermético y, por tanto, solo comprensible para expertos. En cambio, la óptica puede considerarse una obra experimental imperfecta y, en cierta forma, fallida, escrita sin apenas andamiaje matemático, y comprensible, aun en sus defectos, incluso para quienes no tuvieran grandes conocimientos de óptica. Aunque la parte que mayor atención ha suscitado con el paso de los años es la dedicada a la naturaleza de la luz y a los colores, el libro contiene gran número de reflexiones adicionales susceptibles de ser incluidas en una concepción amplia de «óptica», como las dedicadas a las lentes y a la construcción de su propio telescopio o al estudio de la visión humana, incluido el comportamiento del nervio óptico, pero también otras cuya relación con aquel término es dudosa, cuando no inexistente, como las que versan sobre la digestión o la circulación de la sangre, o aquellas en las que desgrana principios de filosofía moral o discute sobre cuestiones de historia bíblica, e incluso aquella en la que expone una interpretación del sueño de los enajenados.
Si bien la óptica no apareció hasta 1704, casi dos décadas después que los Principia, el estudio de la luz y los colores fue uno de los más tempranos intereses del genio inglés. De hecho, su trabajo creativo en el campo de la óptica acabó hacia 1670; el tiempo que después le dedicó fue principalmente para exponer sus teorías y experimentos: en 1672, cuando dio a conocer en las Philosophical Transactions de la Royal Society su primer trabajo en este ámbito, y en la década final del siglo XVII, cuando preparó la redacción de la Óptica.
Reflexión y refracciónEn la física newtoniana la luz está formada por corpúsculos y se propaga en línea recta, no por medio de ondas. Hoy día se considera que la luz tiene un origen tanto corpuscular como ondulatorio. En los medios materiales la luz siempre se mueve en línea recta, aunque al pasar de uno a otro lo hace con distinta velocidad, lo que provoca el efecto de la refracción. En la figura podemos ver representadas las diferentes situaciones que pueden darse cuando un rayo de luz, que viaja siguiendo una trayectoria a través de un material uniforme, alcanza la superficie que separa dicho material del exterior. Si el ángulo de incidencia es perpendicular a la superficie que separa ambos materiales, el rayo de luz continuará, imperturbable, con la misma trayectoria (de n1 a n2).
Si el ángulo de incidencia θ1 es algo mayor, el rayo conseguirá atravesar la superficie, si bien la nueva trayectoria no estará perfectamente alineada con la anterior sino que formará un nuevo ángulo θ2 con la perpendicular. Ambos ángulos se relacionan según dicta la ley de Snell: n1sen (θ1) =n2sen (θ2), donde n1 y n2 son los índices de refracción de ambos materiales y dependen de la velocidad a la que se mueve la luz cuando los atraviesa. Así puede deducirse, por ejemplo, que sí el material de origen opone una mayor resistencia al paso de la luz, tendrá un índice de refracción mayor y, por lo tanto, el ángulo de incidencia θ1, será menor que el ángulo de refracción θ2. Este fenómeno lo observamos siempre que introducimos una pajita en un vaso de agua y esta parece quebrarse. También es el motivo por el cual las piscinas parecen mucho menos profundas de lo que realmente son. En la figura también puede observarse que parte del rayo de luz se refleja en la superficie y vuelve al medio de origen. El ángulo de reflexión se rige igualmente por la ley de Snell, pero como en este caso el índice de refracción del material es el mismo, ambos ángulos también serán iguales. Si seguimos inclinando el ángulo de incidencia θ, llegaremos a una situación límite en la que el ángulo de refracción es paralelo a la superficie que separa ambos materiales. A partir de ese punto el rayo incidente ya no es capaz de atravesar dicha superficie y se refleja totalmente de vuelta al primer material. Los ingenieros en telecomunicaciones utilizan este principio para enviar rayos de luz a través de fibra óptica con un alto índice de refracción.
Las propuestas de Descartes sobre la naturaleza de la luz como una vibración de partículas extendieron entre los científicos del siglo XVII la concepción ondulatoria de la luz; se pensó entonces que el rayo de luz blanca era de naturaleza homogénea y los colores estarían producidos por la diferente capacidad para vibrar propia de cada sustancia sobre la que aquella incidía. Robert Hooke en Inglaterra y Christiaan Huygens en el continente, entre otros, afinaron la formulación cartesiana. Este último, en particular, introdujo la idea de las ondas secundarias:
«Cada partícula de materia en la cual ha incidido una onda comunica un movimiento recibido a todas las que la rodean. Por tanto, sucede que alrededor de cada partícula se forma una onda de la cual esta misma partícula es el centro».
Con esta propuesta logró deducir las conocidas leyes para la reflexión y la refracción de la luz. Sin embargo, quedaba pendiente de réplica la objeción principal contra la naturaleza ondulatoria de la luz: era incapaz de explicar la propagación rectilínea de los rayos luminosos. No sería explicada, de hecho, hasta bien entrado el siglo XIX por Augustin Fresnel (1788-1827), usando la teoría de interferencias de ondas de Thomas Young (1773-1829).
Esta era la principal de las deficiencias que Newton argüía contra la naturaleza ondulatoria de la luz: «Las experiencias y las demostraciones prueban —escribió— que las presiones, ondas o vibraciones en un fluido rodean los obstáculos y penetran en la sombra geométrica», cosa que, como se comprueba, no hace la luz.
Newton empezó a experimentar con prismas para estudiar la luz durante sus anni mirabiles. Aunque no fue el primer científico que lo hacía, ninguno de sus contemporáneos logró tanta maestría en su manejo ni tanta habilidad proponiendo experimentos como Newton.
El primer experimento que realizó consistió en hacer pasar por un prisma un solitario rayo de luz, que penetraba en una habitación a oscuras por un pequeño agujero redondo hecho en una ventana, y refractarlo hasta proyectarlo en la pared opuesta a la ventana. Las teorías entonces al uso aseguraban que la proyección del sol así lograda debía ser circular. Pero lo que Newton vio fue otra cosa:
«Una figura oblonga y limitada por dos lados paralelos y rectilíneos y por dos extremos semicirculares —explicó en la Óptica—. Los lados eran bastante nítidos, pero los extremos eran muy confusos y borrosos, pues en ellos la luz se desvanecía y disminuía gradualmente. La anchura de la imagen respondía al diámetro del sol, que era de unas dos pulgadas y un octavo, incluyendo la penumbra. Sin embargo, la longitud de la imagen era de unas diez pulgadas y cuarto, y la longitud de los lados rectilíneos, de unas ocho».
Aquel experimento, y sus posteriores refinamientos para evitar defectos del prisma o de diseño del propio experimento, convencieron a Newton de que la doctrina de la homogeneidad de la luz blanca era errónea. Entonces entró en juego la naturaleza de los colores, un problema hasta entonces relativamente accesorio, pero que ocupa un rol central en las propuestas de Newton.
Para ello realizó lo que llamó experimentum crucis, en el que intervenían dos prismas y dos pantallas, cada una con un agujero, a través de todo lo cual se filtrarían los rayos provenientes «de un gran haz de luz solar que entraba en la habitación a través de un agujero grande que practiqué en el postigo de la ventana».

El primer prisma descomponía la luz blanca solar, mientras que usando la segunda pantalla y el segundo prisma Newton mostró que la luz de color uniforme no volvía a dispersarse en otros colores, descartando así que su causa fuera el prisma, y que la refrangibilidad de cada color era siempre la misma (véase la figura). Concluyó entonces que la luz blanca es una mezcla heterogénea de rayos de luz de diversos colores, y que cada uno de ellos está caracterizado por su grado de refrangibilidad, de menor a mayor el rojo, el amarillo, el verde, el azul y, por último, el violeta Otro experimento, usando en este caso una rueda, le llevó a concluir que la luz blanca no es sino la sensación causada por una mezcla heterogénea de colores: dispuso la rueda a cierta distancia del prisma, de manera que sobre sus gruesos radios solo incidieran colores distintos; si la rueda se hacía girar con lentitud, se podía ver cómo se sucedían diversos colores, pero si la velocidad de giro era lo suficientemente grande, el ojo dejaba de ver colores y el blanco hacía su aparición. En un tercer experimento colocó en línea varios prismas a través de los cuales hizo pasar un rayo de luz, que al refractarse se descompuso en los distintos colores. Al desplazar la pantalla sobre la que incidían los rayos, los colores de uno y otro prisma se mezclaban y producían de nuevo una luz de color blanco.
De todo ello dedujo que los colores no eran cualidades de la luz blanca producidas por diferencias en la refracción sobre diferentes objetos, sino propiedades originales e innatas del correspondiente rayo de luz, caracterizado por un grado propio, característico e inmutable de refrangibilidad. Pero, dado que son los cuerpos materiales, y no las vibraciones, los que tienen propiedades inmutables, las conclusiones newtonianas arrojaban sobre la naturaleza de la luz un innegable aroma a teoría corpuscular.
A principios de 1672 Newton publicó en las Philosophical Transactions su nueva teoría sobre la luz y los colores —el primer trabajo científico que dio a conocer públicamente—. La publicación levantó una enorme expectación, no solo en Inglaterra, sino también en el resto de Europa. Y, de inmediato, se produjeron las inevitables críticas y desavenencias con lo que Newton en su trabajo decía probar. Y esto a pesar de que trató de disimular su posición a favor de la naturaleza corpuscular de la luz, que no hizo explícita hasta la publicación de la óptica en 1704. Así, la Cuestión 28 de esta última comienza; «¿Acaso no son erróneas todas las hipótesis en las que se supone que la luz consiste en una presión o movimiento propagado a través de un medio fluido?», mientras que la 29 pregunta retóricamente: «¿Acaso los rayos de luz no son cuerpos pequeñísimos emitidos por las sustancias luminosas?».
Y no eran cualesquiera quienes discreparon o se opusieron a las teorías newtonianas sobre la luz y los colores: nada menos que Robert Hooke, que se consideraba la principal autoridad en óptica, o Christiaan Huygens, el líder de la ciencia europea Westfall explicó así las consecuencias de la primera publicación newtoniana y la posterior crisis: «Había permanecido encerrado, durante ocho años, en una titánica lucha con la verdad. [... ] Ocho años de comidas sin probar y noches sin dormir [...] terminaron por pasar su factura. [...] En 1672, Newton había vivido con su teoría durante seis años, y ahora la consideraba obvia. Sin embargo, para todos los demás, parecía rechazar el sentido común y resultaba difícil de aceptar. Newton no estaba preparado para otra cosa que no fuese la inmediata aceptación de su teoría». Lo que no hace sino ilustrar la vivencia newtoniana de la investigación como una cuestión religiosa, un acto de comunión con Dios, donde el fallo de un experimento, o la ligereza en su interpretación, no eran una mera infracción del método científico, sino pecados y, por tanto, ofensas a la divinidad.
El propio cuerpo como laboratorioLa destreza newtoniana para experimentar fue casi pareja con su valor para usar su propio cuerpo como objeto de experimentación, valor que alguna vez estuvo cercano a la imprudencia. En cierta ocasión puso en riesgo sus propios ojos insertando un punzón entre su ojo y el hueso, para alterar la curvatura de la retina y observar así los círculos de color que aparecían al presionar. En otra ocasión le dio por mirar fijamente al Sol con un ojo tapado, para experimentar los cambios de color que se producían en un ojo respecto del otro; la consecuencia fue que casi dañó sus ojos, y tuvo que pasar varios días en la oscuridad para recuperarse.
Página manuscrita con las anotaciones de Newton tras experimentar lo que sucedía al presionar su propio globo ocular con un punzón.
La secuencia completa en que dio a conocer sus teorías sobre la luz ilustra nuevamente la aversión de Newton a publicar versiones completas de sus ideas. En la advertencia inicial de la Óptica puede leerse:
«He evitado hasta ahora la publicación de estas cuestiones para no verme envuelto en disputas y, de no haber sido porque la obstinación de los amigos ha prevalecido sobre mi criterio, la habría postergado aún más». La muerte, un año antes, de Robert Hooke, uno de sus principales adversarios, puede considerarse providencial.
Los experimentos con los prismas y la teoría de los colores de Newton tendrían un inevitable corolario sobre uno de los instrumentos tecnológicos de moda en su época; el telescopio.

Los construidos hasta ese momento eran refractores, esto es, hacían aumentar la imagen haciéndola pasar a través de una lente convexa, el objetivo, y aquella era recogida al final del tubo por una lente ocular (figura 1). Este tipo de telescopios tenían el inconveniente de deformar la imagen, especialmente en sus extremos. Para evitar este problema, ya en el siglo XVI se teorizó sobre la posibilidad de construir un telescopio de reflexión que usara espejos en vez de lentes para aumentar la imagen. Newton leyó sobre uno de esos modelos teóricos en una obra del matemático escocés James Gregory, se puso manos a la obra y construyó un prototipo en 1668, que refinó un par de años más tarde, en sus momentos de mayor dedicación a la óptica, y cuyas excelentes propiedades (con algo menos de 20 cm de longitud, permitía hasta 40 aumentos sin deformación de la imagen)le valieron el ingreso en la Royal Society a principios de 1672, ingreso que quiso revocar meses después tras la controversia desatada por su publicación sobre la naturaleza de la luz y los colores. El de Newton, que puede considerarse el padre de los telescopios actuales, tenía en el fondo del tubo un espejo de forma parabólica que devolvía aumentada la imagen reflejada en él, la cual a su vez se reflejaba en un segundo espejo situado en posición diagonal en dirección a la lente ocular, desde donde se observaba (figura 2).
¿Dónde están los retratos de Hooke?A pesar de la notoriedad científica de Robert Hooke y a que se hizo retratar al menos en un par de ocasiones, no nos ha llegado ninguna imagen suya. Tan solo se han conservado varias descripciones verbales; dos de ellas, debidas a amigos que lo frecuentaron, son bastante coincidentes: ambas lo pintan como de baja estatura, algo «torcido», de complexión delgada y cabeza grande. De tanto en tanto circula la noticia del descubrimiento de alguno de los retratos perdidos de Hooke, para después ser desmentida: la última fue en 2003. Coincidiendo con el tercer centenario de su fallecimiento, la historiadora Lisa Jardine dijo haber descubierto uno de los retratos; esta vez la imagen cuadraba más con las descripciones —de hecho, Jardine la utilizó como portada para la biografía de Hooke que publicó, junto con otros tres autores, en 2003—. Pero después se demostraría que, en realidad, el cuadro representaba al científico flamenco Jan Baptista van Helmont (1579-1644). Algunas malas lenguas atribuyen a Newton la responsabilidad de la pérdida de los retratos de Robert Hooke. En la etapa de Newton como presidente, la Royal Society se mudó a unos locales que había comprado en la calle Crane Court. Es posible que los cuadros de Robert Hooke se perdieran, precisamente, en el traslado de los enseres de una sede a otra.
Con la construcción del telescopio, Newton mostró su enorme habilidad manual. Muchas décadas después, alguien le preguntó que a quién le había encargado su fabricación: «Lo hice yo mismo», contestó Newton. «¿Y dónde consiguió las herramientas?», volvió a preguntar su interlocutor. «Las fabriqué yo mismo —fue su respuesta. Y riendo añadió—: Si hubiese tenido que confiar en otras personas para que me hicieran las herramientas u otras cosas, nunca habría hecho nada» Pero no solo fue cuestión de habilidad manual, sino también de dominar los más variopintos conocimientos, pues fue él mismo quien también construyó, con dos láminas de cobre, los espejos del telescopio y quien los pulió, para lo cual había ideado una aleación especialmente apropiada para el pulido.
«A hombros de gigantes»
Robert Hooke, el personaje con el que comenzaba esta biografía, es quizá el mejor de los científicos ingleses del siglo XVII, exceptuando, naturalmente, a Isaac Newton. Hooke vivió sus últimos años amargado y resentido al ser consciente de esa excepción, y de que Newton trascendería las fronteras de la ciencia para ser un personaje célebre de la historia: pareció adivinar que, andando el tiempo, pocos, fuera del estrecho mundo de la ciencia, sabrían quién fue Robert Hooke, mientras que el nombre de Isaac Newton iba a ser célebre incluso entre los no letrados.
Cuando Hooke murió era apenas piel y huesos, consumido por la diabetes y por su odio a Newton. Una lectura entre líneas de las páginas de sus diarios nos muestra a un hombre derrotado por la humillación de saber que la posteridad lo recordaría, más que por sus propios méritos, por haber sido uno de los tantos enemigos que Newton tuvo. Y eso que, como se explicó en el capítulo primero, no faltaron méritos en la carrera científica de Hooke; significativamente, una de sus biografías lleva por título El Leonardo de Londres.
Hooke y Newton cruzaron armas dialécticas en varias ocasiones. Las desavenencias comenzaron con la primera publicación de Newton sobre la luz y los colores (1672); no reaccionó bien el catedrático lucasiano a las críticas de Hooke, y peor todavía le sentaron las acusaciones de plagio que este vertió sobre una parte de los Principia.
Esa, y otras disputas científicas, se podían haber suavizado con un agradecimiento adecuado por parte de Newton de lo que debía a otros colegas, como en su día le recomendara Halley.

Grabado que reproduce uno de los experimentos de Newton con la luz y réplica del telescopio reflector construido por Newton.
Pero Newton fue siempre muy remiso a agradecer a otro ningún tipo de inspiración o motivación para sus descubrimientos, por mucho que luego exigiera a los demás el correspondiente reconocimiento de lo que a él presuntamente le debían.
La infatigable curiosidad de Hooke dirigió su atención a campos tan diversos como la mecánica, la astronomía, la óptica o la arquitectura.

Dibujo de Newton con la demostración de la refracción de la luz blanca a través de unos prismas.
Sin embargo, hoy día tal vez sea recordado sobre todo por sus contribuciones a la biología, a la que legó una de las obras más singulares de la historia de la ciencia: Micrographia. Publicada en 1665, recoge más de treinta años de observaciones realizadas con un microscopio, por aquel entonces un ingenio relativamente nuevo cuyas enormes posibilidades Hooke fue el primero en explotar a fondo. Buena parte de la fama de la obra, así como del enorme éxito que recabó ya desde el momento mismo de su publicación, se debe a los extraordinarios grabados, algunos de ellos hasta cuatro veces más grandes que el formato del libro, en los que se reproducen con asombroso detalle las distintas partes de insectos como la mosca, la pulga (abajo) o el piojo.

En las páginas de Micrographia se lee por primera vez el término «célula» aplicado a un ser vivo, y en dicha obra Hooke recogió buena parte de sus ideas acerca del movimiento planetario, la teoría ondulatoria de la luz y el origen orgánico de los fósiles.
A pesar de ello, paradojas de la vida, una de las frases más célebres de Newton es la que dirigió a Hooke en un intercambio epistolar habido en 1676:
«Si he llegado a ver más lejos, ha sido porque he subido a hombros de gigantes», y que suele ser interpretada como una muestra de agradecimiento del primero al segundo. Lo cierto es que dicho intercambio distendió, al menos formalmente, la pelea mantenida entre ambos sobre la naturaleza de la luz y los colores. Si bien es verdad que Newton escribió esa frase, en ningún caso es original, pues se puede rastrear hacia atrás en el tiempo hasta Juan de Salisbury (siglo XII), quien en su Metalogicon (1159), citando a Bernardo de Chartres, escribió: «Somos como enanos sentados sobre los hombros de gigantes para ver más cosas que ellos y ver más lejos, no porque nuestra visión sea más aguda o nuestra estatura mayor, sino porque podemos elevamos más alto gracias a su estatura de gigantes».
La pelea con Hooke, además de por cuestiones de prioridad, lo fue por desavenencias y rencillas personales. Alcanzó cotas de gran crudeza y crueldad, y tuvo como telón de fondo el control de la Royal Society. En cierto modo, no había sitio, en la estrecha sociedad científica que en sus inicios fue la Royal Society, para dos personajes como Hooke y Newton; Hooke fue el primero en llegar y brilló con intensidad, pero solo hasta que Newton apareció y su luz debilitó la de Hooke, cuyos envites y acusaciones de plagio fueron intentos de debilitar al contrario y aferrarse a su antigua posición. Solo la muerte hizo a Hooke abandonar su puesto en la Royal Society, y hasta entonces no se hizo Newton con la presidencia y el control de la institución, que en no pocas ocasiones ejerció de forma autocrática, como se verá en el último capítulo.
La crisis mental
En el verano de 1693, en sus últimos años en Cambridge, Newton sufrió una profunda crisis mental sobre cuya naturaleza y alcance todavía se discute. Huellas de los desarreglos mentales que sufrió en aquellos meses se encuentran en algunas cartas que, por entonces, envió a conocidos suyos —Samuel Pepys y John Locke, entre otros—, acusándoles de haber querido enredarlo en asuntos turbios y deseándoles la muerte. Estos llevaron a cabo discretas indagaciones que confirmaron los problemas de salud de Newton. La situación pareció mejorar conforme entraba el otoño; en octubre, Newton se justificaba por carta ante Locke:
«El pasado invierno, tras dormir demasiado junto al fuego, comencé a padecer insomnio, y una agitación que este verano ha sido epidémica me trastornó por completo; así, cuando le escribí, no había dormido más de una hora por noche, durante quince días, y nada en absoluto durante cinco. Recuerdo haberle escrito, pero no puedo recordar qué le dije».
Así pues, parece claramente documentado que Newton sufrió un profundo desarreglo psicológico en 1693; otra cuestión es el alcance de esa enfermedad. Hay historiadores que sostienen que se trató de una simple depresión, mientras que otros aseguran que dejó maltrecha la capacidad científica de Newton para el resto de su vida Si bien esto último es algo exagerado, no deja de ser cierto que desde entonces Newton ya no fue el mismo científicamente hablando: no volvió a acometer ninguna investigación de importancia y, en la medida que se lo permitieron sus actividades administrativas, no hizo sino reelaborar resultados anteriores, ya fueran en teología, física o matemáticas; aunque en esto también influyó la edad: Newton pasó en 1692 la frontera simbólica de los cincuenta años, y pocos científicos, sobre todo en matemáticas y física, han hecho contribuciones relevantes a partir de esa edad.
Y todavía es más confuso el asunto relativo a las causas y circunstancias de la enfermedad mental de Newton, sobre las que hay variadas hipótesis. Una la achaca a la tensión, al cansancio acumulado tras la composición de los Principia, que, tardía aunque implacablemente, acabó manifestándose: una especie de depresión posparto o, más propiamente, una post Principia tristis. Otra hipótesis apunta a que fue fruto de un posible envenenamiento por mercurio, causado, poco a poco, durante sus experimentos alquímicos. En el último cuarto del siglo XX, en plena vorágine de la historiografía newtoniana desatada tras la Segunda Guerra Mundial, se llegaron incluso a analizar algunos cabellos supuestamente pertenecientes a Newton, donde se encontraron altas concentraciones de mercurio, aunque también la hipótesis del envenenamiento por mercurio ha recibido réplicas contundentes.
Una causa adicional de índole más personal alude a una figura singular que tendría un papel importante en la disputa sobre el cálculo e incluso en la vida de Newton: la del aristócrata suizo Nicolás Fatio de Duillier. Fatio nació en Basilea en 1664, y la astronomía fue su primera pasión; pero Huygens, a quien conoció en 1686, le orientó hacia las matemáticas. En 1687, ya en Inglaterra, Fatio pudo tener lista su propia versión del cálculo infinitesimal, si bien no tan sofisticada como la de Newton o la de Leibniz.
«Platón es mi amigo. Aristóteles es mi amigo. Pero mi mayor amigo es la verdad.»
Newton, Qvaestiones quaedam philosophicae.
Durante los siguientes años mantuvo una estrecha amistad con Newton. Pero a raíz de su implicación, en 1706, en un grupo sectario de hugonotes franceses exiliados en Inglaterra, Fatio cayó en desgracia, no solo a ojos de Newton sino de casi todo el ambiente científico europeo, y así persistió hasta su muerte en 1753.
Fatio llegó a Inglaterra en las vísperas de publicarse los Principia, que ya habían levantado gran expectación en los ambientes científicos, y enseguida sintió el influjo de la nueva filosofía natural emanada de ellos. Se pudieron conocer en 1689; de ese año son las primeras cartas que Newton envió a Fatio. Muchos estudiosos de Newton coinciden en la singularidad del tono que empleó en esas cartas: el afecto y el calor humano que las impregnan no se encuentran en ninguna otra parte de su correspondencia.
La amistad entre Fatio y Newton llegó a su clímax hacia finales de 1692 y principios del año siguiente. Tras visitar a Newton en Cambridge, Fatio sufrió unas fiebres que casi le costaron la vida, y Newton entonces le ofreció dinero y aposento junto a él en sus habitaciones del Trinity College:
«Temo que el aire de Londres sea perjudicial para su enfermedad y, por ello, desearía que se trasladara aquí, tan pronto como el tiempo le permita emprender un viaje. Deseo que venga usted aquí, con el fin de que mejore y ahorre gastos hasta su total recuperación. Cuando se encuentre bien, podrá decidir mejor si regresa a su casa o permanece aquí».
Las cartas siguieron yendo y viniendo entre ellos, siempre con el tema de fondo de que Fatio se fuera a vivir a Cambridge:
«Señor, desearía vivir toda mi vida —escribía Fatio en la primavera de 1693—, o la mayor parte de ella, en su compañía, si fuera posible, siempre y cuando esto no sea gravoso para usted o una carga para su hacienda o su familia».
Después hubo varias visitas de Newton a Londres para verse con el amigo en apuros. Y, de pronto, la sombra de una ruptura se materializó: Fatio, aparentemente recuperado de sus fiebres, partió en 1693 hacia Suiza para arreglar unas cuestiones de herencia y, poco después, Newton sufría aquella profunda crisis mental.
A estas posibles causas, ya expuestas, de los problemas psicológicos que afectaron a Newton en 1693 cabe añadir una última: la sensación de asfixia que el ambiente cerrado de Cambridge estaba produciendo a un Newton que acababa de conocer la frescura del ambiente londinense.
Luchando contra la voluntad del rey
Coincidiendo con el final de la redacción de los Principia estalló una crisis en Cambridge que tuvo para Newton un final inesperado: le mostró que quizá llevaba demasiados años recluido entre los muros de la universidad y que había llegado la hora de buscar horizontes más amplios. Esa crisis se veía venir de lejos, justo desde que el muy católico Jacobo II entendió que, en su cruzada por recuperar Inglaterra para la causa papal, las universidades de Oxford y Cambridge se convertían en fruta de imprescindible y necesaria recolección. Así, a lo largo de febrero de 1687, el rey hizo llegar varias cartas a la Universidad de Cambridge, a cual más apremiante, ordenando que se le otorgara a Alban Francis, a la sazón monje benedictino, el título de Master of Arts, sin necesidad de exámenes y, sobre todo, eximiéndolo de tener que hacer ningún juramento de fidelidad religiosa. La intención del padre Francis era establecerse en Cambridge tras el nombramiento y participar en los asuntos universitarios en la calidad y con los privilegios que su título le otorgaba Era de prever que tras él desembarcarían más monjes católicos en la universidad. Esta recogió el guante que le lanzaba el rey y se preparó para la defensa de sus privilegios. Lo primero que hizo fue negar el título al fraile. Entre los ocho defensores universitarios que debían enfrentar el órdago real se eligió a Newton.
Newton vivía unos momentos dulces tras haber entrado en imprenta la última remesa de los Principia. La legación universitaria se enfrentaba por entonces a la Comisión Eclesiástica. En una de las sesiones, el vicecanciller de Cambridge, John Peachell, fue encontrado culpable de un acto de gran desobediencia, despojado de sus dignidades y cargos y privado de los salarios correspondientes. Después del correctivo que le fue aplicado, la amenaza del castigo caía sobre los otros siete miembros de la delegación, entre los cuales estaba Newton.
«¡Esa puerta!»Cuenta el anecdotario newtoniano que Newton solo intervino una vez en el Parlamento inglés, y fue para pedirle a un ujier que cerrara una puerta (según otros, una ventana) que creaba una corriente de aire; pero los informes de la institución que han sobrevivido, donde no consta ninguna participación suya en los debates, parecen elevar la anécdota de la discreción parlamentaria de Newton a categoría. Así pues, la elocuencia parlamentaria de Newton no fue de las que hacen época. Claro que Newton bien pudiera tener más de una razón para permanecer callado, pues por esos años se discutieron en el Parlamento una serie de leyes sobre disidencia religiosa, leyes que permitían amplia libertad de culto, pero con dos excepciones: los católicos, quienes, tras los devaneos papistas del rey Jacobo II, eran considerados una amenaza para la soberanía del Estado, y también «cualquier persona que niegue, oralmente o por escrito, la doctrina de la Santa Trinidad». Para el arriano Newton, no debieron de ser plato de buen gusto aquellos debates.
A pesar de todo, enfrentaron bien la reunión decisiva. Iban provistos de un escrito donde refutaban cada una de las insidias vertidas contra los derechos de su universidad y también cada uno de los cargos de los que Peachell había sido acusado. Exigían, pues, que fuera respetada la decisión de Cambridge y solicitaban, además, que Peachell fuese repuesto en todas sus atribuciones. Todo apunta a que el principal artífice de aquel manifiesto fue Newton.
Los representantes universitarios fueron acusados de conducta perniciosa y obstinada, aunque la Comisión Eclesiástica la atribuyó a la obediencia que debían a sus autoridades, y por eso no los penalizó. A pesar de la reprimenda, la universidad había logrado vencer en su pulso contra el poder real: el benedictino Francis nunca recibiría el grado de Master of Arts. Más aún, Jacobo II cambió, poco después, su actitud hacia las universidades. Le había visto las orejas al lobo anglicano. Demasiado tarde, dieciocho meses después estalló la Revolución Gloriosa, y el último rey católico de Inglaterra marchó al exilio. Su lugar lo ocupó la princesa María, la hija protestante del rey, y su aún más protestante esposo Guillermo III de Orange, estatúder de los Países Bajos desde 1672.
La intervención de Newton en este episodio le valió ser elegido posteriormente representante de Cambridge en el Parlamento inglés, cargo que revalidó después, aunque no así en las elecciones de 1701 y 1705, en las que no salió elegido.
La aventura parlamentaria le permitió explorar y entrar en contacto con los mentideros de la capital inglesa; se sabe que cenó con Guillermo de Orange en enero de 1689, y que pasó casi todo 1690 en Londres: una nítida declaración sobre sus intenciones de buscar horizontes más amplios que los universitarios.
Luego vino la crisis mental, y tras ella el convencimiento de que la universidad había pasado de convento a cárcel; no olvidemos que en aquella época, la pasión intelectual de Newton por la investigación científica era la excepción y no la norma.
Capítulo 5
Al frente de la ciencia inglesa
En la cima de su prestigio científico, Newton ingresó en el Parlamento inglés e incluso llegó a ser responsable máximo de la Casa de la Moneda. Pero sobre todo controló, de forma absoluta —y absolutista—, la prestigiosa Royal Society. Desde allí dirigiría su famosa disputa con Leibniz sobre la prioridad en el descubrimiento del cálculo infinitesimal.
Desde finales de la década de 1680, Newton perseveró por encontrar un cargo en Londres; usó primero los contactos políticos de John Locke, aunque finalmente consiguió su propósito a través de la influencia de Charles Montagu, primer conde de Halifax. Elegido miembro del Parlamento en 1689, Montagu había sido nombrado lord del Tesoro en 1692; en 1697 llegó a responsable máximo del Tesoro y líder de la Casa de los Comunes. Según la Encyclopaedia Britannica, fue un genio de las finanzas que creó varios de los elementos clave del sistema público de finanzas de Inglaterra.
Montagu conocía a Newton desde la década anterior —el tío de aquel había sido entonces director del Trinity College—, y se volvieron a encontrar en el Parlamento. Posiblemente fueron sus afinidades políticas y el prestigio científico de Newton los que convencieron a Montagu para que le nombrara director de la Casa de la Moneda inglesa en 1696. Nueve años después, Newton volvería a rentabilizar esa sintonía política con Montagu, quien, en una asignación partidista de prebendas, logró que la reina Ana nombrara a Newton sir en una ceremonia en el Trinity College de Cambridge (1705), en la que también un hermano de Montagu fue investido sir y el propio Montagu recibió un doctorado honorífico.
Es célebre la maliciosa interpretación que hizo Voltaire del nombramiento de Newton como director de la Casa de la Moneda:
«Pensaba en mi juventud —escribió en 1734 en sus Cartas filosóficas— que Newton debía su fortuna a sus enormes méritos. Había supuesto que la Corte y la ciudad de Londres le habían nombrado gran maestre y director supremo de la ceca del reino por aclamación. Nada de eso. Isaac Newton tenía una encantadora sobrina, madame Conduitt; ella le gustaba mucho al canciller de Hacienda, Halifax. El cálculo infinitesimal y la gravitación le habrían servido de poco sin su bonita sobrina».
Voltaire, o exageró el chisme o no estuvo bien informado, porque cuando Newton fue nombrado director de la Casa de la Moneda su sobrina contaba diecisiete años y es posible que lord Halifax nunca la hubiera visto. Nacida en 1679, Catherine Barton era hija de una de las hermanastras de Newton; este obtuvo para ella y sus dos hermanos una renta anual tras la muerte del padre, en 1693. Catherine se fue a vivir con Newton poco tiempo después de que se instalara en Londres, y estuvo con él durante veinte años, primero de soltera y después cuando se casó con John Conduitt en 1717.
Aunque no parece que hubiera relación entre la llegada de Newton a la Casa de la Moneda y los vínculos de su sobrina con lord Halifax, sí es verdad que existió después una fuerte relación afectiva entre ellos, hasta el punto de que, cuando Halifax murió en 1715, la sobrina de Newton heredó de él una verdadera fortuna:
«En señal —escribió Halifax en su testamento— del sincero amor, afecto y estima que durante tanto tiempo he recibido de su persona y como una pequeña recompensa por el placer y la felicidad que de su conversación he recibido».
Como maliciosamente señaló Flamsteed, demasiado dinero sólo por la excelencia de su conversación. Las malas lenguas acusaron al puritano Newton de haber permitido el amancebamiento de su sobrina con el influyente político, hasta el punto de que, para salvar las apariencias, alguna hagiografía de Newton apuntó que Catherine y lord Halifax se habían casado en secreto, cayendo así en el típico error de engrandecer un personaje corrigiéndole supuestas faltas.
Catherine Barton tuvo fama de seductora y sofisticada, no solo en Inglaterra sino también en Europa, en parte por varios libelos que circularon sobre sus relaciones con Halifax, en parte por lo que de ella contó Voltaire. Se decía que Catherine había convertido las veladas en casa de su tío en codiciados acontecimientos sociales por los que pasaron sabios, políticos, poetas, científicos y filósofos de medio mundo, no se sabía si deseando conocer al genio inglés o, más bien, compartir unas risas con su deslumbrante sobrina.
Cuando Newton llegó como director a la Casa de la Moneda, ubicada en la Torre de Londres, la institución se encontraba en un gigantesco proceso de reacuñación, una de las medidas de Montagu para controlar un déficit público disparado por la guerra con Francia; desde primeros de 1696 hasta mediados de 1698 se acuñaron el doble de monedas que en los treinta años anteriores. A pesar de que tanto el puesto de intendente como el de director de la Casa de la Moneda se consideraban sinecuras, Newton se implicó con toda su capacidad de trabajo en el cargo, hasta el punto de que Montagu reconoció luego que no habría podido llevar adelante la empresa sin la dedicación de Newton. El rendimiento económico del trabajo de Newton fue a parar, sin embargo, a manos del intendente, que además de su sueldo cobraba un porcentaje de la moneda acuñada: 22.000 libras se embolsó por un trabajo que, en realidad, hizo Newton (el sueldo del intendente era de 500 libras anuales, y el del director, de 400).
Más carne que verduraA pesar de sus cuantiosos ingresos, los hagiógrafos de Newton nos lo pintan viviendo en Londres sin ostentación ni vanidad, y haciendo una dieta moderada, cuando no espartana, e incluso vegetariana. Todo lo cual cuadra mal con los documentos disponibles: Newton tuvo carruaje propio y hasta seis criados, y se conservan facturas que dejan entrever banquetes casi pantagruélicos: en una se menciona un ganso, dos pavos, dos conejos y una gallina, todo en la misma semana.
«Tras su muerte —escribió Westfall—, su testamentaria saldó una deuda de 10 libras, 16 chelines y 4 peniques con un carnicero y dos más, por un total de 2 libras 8 chelines y 9 peniques, con un pollero y un pescadero. Como contraste, debía al frutero únicamente 19 chelines, y al tendero, 2 libras, 8 chelines y 5 peniques. Una factura de 7 libras y 10 chelines más o menos por quince barriles de cerveza vuelve a sugerir una templanza algo menos que heroica.»
En vista de la situación, Newton se hizo con el cargo de intendente a la primera oportunidad que tuvo, lo que ocurrió en 1699. A pesar de que lord Halifax había caído en desgracia, el cargo, vacante por defunción, le fue asignado a Newton. En los veintiocho años que lo ocupó, hasta su muerte, ganó cada año un promedio de más de 2.000 libras, la mayor parte por acuñación de moneda: una cantidad al alcance de muy pocos de los altos funcionarios de la Corona.
Entre los deberes de Newton en la Casa de la Moneda estuvo la persecución de falsificadores y otros delincuentes monetarios. La tarea, que Newton consideraba «vejatoria y peligrosa», no fue inicialmente de su gusto, aunque después puso en ella casi igual mimo, contundencia, minuciosidad y, sin miedo a exagerar, incluso apasionamiento que el empleado en la redacción de los Principia o de sus escritos teológicos. La extensa y espesa red de confidentes y espías que logró establecer a lo largo de los años le llevó a tener informantes en cualquier sitio sensible a los intereses de la Casa de la Moneda, desde los bajos fondos hasta las cárceles. Sus meticulosos y exhaustivos informes sirvieron para llevar a la horca a más de un falsificador, sin que sus súplicas de perdón hicieran mella en su inflexible conciencia
Al frente de la Royal Society
En la pelea con John Flamsteed, Newton mostró lo peor de sí mismo, en un período de su vida —alcanzados ya honores y reconocimientos—, en el que controlaba de forma abusiva y absolutista la ciencia inglesa.
Flamsteed fue el primer «astrónomo real» de Inglaterra y uno de los grandes impulsores del observatorio astronómico de Greenwich, del que fue primer director. Llevó a cabo un excepcional catálogo de estrellas, que incluía cerca de 3.000, y que fue considerado el primer gran logro del observatorio. La corrosiva disputa que lo enfrentó a Newton fue, precisamente, por este catálogo y por las observaciones sobre la trayectoria de la Luna. Newton las necesitaba para recomponer su insatisfactoria teoría lunar quería saber si sus continuos refinamientos de la solución aproximada del problema de los tres cuerpos eran adecuados y para ello tenía que compararlos con los datos observacionales de Flamsteed. A fin de evitar las críticas que la poca precisión de su teoría pudiera ocasionar y para salvaguardar su aureola de genio, que podría quedar dañada al conocerse los fracasos cosechados en su particular pelea por explicar y anticipar las irregularidades de la trayectoria lunar, Newton quería mantener en cierto secreto sus investigaciones.
Flamsteed, por su parte, quería ver reconocido el envío de datos observacionales con el que proveía las demandas de Newton.
«[...] me veo a mí mismo como un niño que jugaba a la orilla del mar, y que se divertía encontrando de vez en cuando un guijarro más liso y una concha más bella que las normales, mientras que el gran océano de la verdad permanecía sin descubrir ante mí.»
Isaac Newton.
Los primeros conatos de pelea surgieron de esos intereses contrapuestos. Así, cuando Flamsteed quiso mencionar, en una publicación prevista para 1699, las 150 localizaciones limares que había proporcionado al «muy ilustre Newton para el perfeccionamiento de su teoría lunar», se encontró con una agresiva carta en la que Newton le prohibía terminantemente mencionarlo:
«Puede hacer saber al mundo, si gusta, cuán bien provisto está de observaciones de toda clase y qué cálculos ha hecho para rectificar las teorías de los movimientos celestes. Pero pueden darse casos en los que vuestros amigos no deban ser mencionados sin su aquiescencia. Por ello espero que disponga el asunto de forma que no sea yo en esta ocasión sacado a escena».
Después de diversos conatos, la pelea estalló virulenta y públicamente en el mundo científico y político inglés de 1704 a 1716, cuando Newton, pensando en culminar la segunda edición de sus Principia con una teoría lunar satisfactoria, empezó a presionar a Flamsteed para que acelerase la publicación de su catálogo de estrellas. Más aún, Newton pretendía que la elaboración del catálogo se hiciese en función de los datos que a él más le interesaban.
Sir Isaac no dudó en usar en beneficio propio todo el peso de la Royal Society, como lo haría también en la disputa con Leibniz. Había accedido a la presidencia de la sociedad en 1703, camino que se vio allanado por la muerte de Robert Hooke ese mismo año. La elección de Newton fue una buena noticia para la sociedad, presidida hasta entonces por personajes de más peso político que científico: el absentismo de las reuniones de esos presidentes «florero» se hizo legendario, y alguno hubo que no asistió a ninguna reunión en cinco años de mandato. Newton, en cambio, estuvo presente en una media de tres de cada cuatro reuniones. Se propuso, además, mejorar el funcionamiento nombrando responsables de experimento para cada una de las divisiones científicas que introdujo. A la vez, Newton procuró aumentar su dominio sobre la sociedad nombrando, a la menor ocasión, gente de su confianza para los puestos ejecutivos conforme estos iban quedando libres. En apenas cinco años, se hizo con el control absoluto de la Royal Society.
«¿Toleraría usted que sus enemigos se erigieran en jueces de algo que ni siquiera comprenden?»
Flamsteed ante la publicación de sus observaciones astronómicas sin su consentimiento.
Newton no dudó en usar su posición de fuerza como presidente de la Royal Society y la influencia política que le daba ser el intendente de la Casa de la Moneda inglesa para asediar a Flamsteed. De hecho, logró que la reina colocara el observatorio bajo control de la Royal Society, que era tanto como decir bajo su control. Flamsteed, sin embargo, fue un hueso duro de roer, y mostró, en una tormentosa reunión a la que Newton le convocó en los locales de la sociedad, que todos los instrumentos del observatorio eran de su propiedad privada y no los pensaba dejar usar a los «esbirros» que el presidente enviara al observatorio.
El mazo de la discordiaNewton tampoco dudó en escenificar su control sobre la Royal Society. Así, se modificaron algunas de las disposiciones establecidas sobre la forma en que debían celebrarse las reuniones: «Nadie tomará asiento en la mesa excepto el presidente en la cabecera y los dos secretarios, uno a cada lado del extremo opuesto —dictaba una orden aprobada en 1711—, salvo si asiste algún extranjero especialmente honorable y a discreción del presidente. Ninguna persona hablará con otra o con otras durante las sesiones plenarias, ni en un tono de voz que pueda interrumpir el curso del debate en la sociedad, y deberá dirigirse antes al presidente». De hecho, Newton prohibió que hubiera en la mesa un mazo de llamada al orden si él no estaba presente, disposición que la sociedad revocó poco después de su muerte. Westfall explicó muy bien la situación: «Un tono imperial se introdujo en la sociedad después de 1710».
Pero, en cuanto a la publicación de sus observaciones astronómicas, poco pudo hacer Flamsteed sino reconocer su derrota, pues Newton consiguió un edicto real forzando una publicación parcial y anticipada del catálogo de Flamsteed. Cuando alguien trató de consolarle asegurándole de que todo se hacía para satisfacerle, respondió con una sentida carta donde se lamentaba de que sus enemigos le habían robado los resultados de toda una vida de trabajo y, para colmo, los iban a publicar amputados y envilecidos con errores añadidos.
Halley se encargó finalmente de la publicación, y en 1712 salieron de la imprenta cuatrocientos ejemplares; a pesar del poco cuidado con que lo hizo, y de las erratas introducidas en algunos cálculos, Halley cobró por ello más que Flamsteed. Del texto de Halley, además, Newton había eliminado el nombre de Flamsteed en quince sitios. Este, sin embargo, no se rindió: consiguió hacerse con trescientos de esos ejemplares y los quemó a las puertas del observatorio. Después, tal y como había asegurado en la carta antes citada, logró completar sus observaciones, y el catálogo completo se publicó en 1725, seis años después de su muerte, bajo el título Historia Coelestis Britannica. El libro iba a incluir un prefacio, redactado por Flamsteed en 1717, que fue censurado. En él se acusaba a Newton de mentiroso y traidor, entre otras lindezas, mientras que Flamsteed se presentaba como un mártir de la ciencia.
«Segundos inventores no tienen derechos»
La disputa entre Newton y Leibniz por la prioridad en el descubrimiento del cálculo infinitesimal posiblemente sea la más célebre de todas las habidas en la historia de la ciencia: fue, en cierta forma, la que marcó el procedimiento para resolver —o, al menos, intentarlo— disputas similares que después se han producido; recordemos que ahí quedó establecida la después tan repetida sentencia newtoniana de «los segundos inventores no tienen derechos».
En un mundo como el de hoy, que tiende, acaso de manera insensata, a la especialización extrema, sorprende por contraste una mentalidad como la de Leibniz, un maestro de todos los oficios o, como reza la Encyclopaedia Britannica, «uno de los más poderosos espíritus de la civilización occidental».
La importancia de la notaciónLa importancia que Newton y Leibniz dieron a la notación del cálculo fue muy diferente. Leibniz introdujo su notación (que hoy seguimos usando: dx, dy, ∫dx) a la vez que desarrollaba su método (1675-1676), y engrasó con ella el proceso algorítmico que a la postre marcaría las diferencias con lo que sus predecesores habían manejado. Eso le permitió, además, identificar los dos procesos fundamentales, integración y diferenciación, y su carácter inverso. Newton, en cambio, no prestó atención a la notación hasta principios de la década de 1690, cuando usó sistemáticamente su notación de variables puntuadas
para indicar las fluxiones (nunca ideó una notación consistente para las integrales). Leibniz insistió durante la polémica en la importancia de la notación, y en que Newton no tenía ninguna cuando se produjo su intercambio epistolar. Apremiado por esa acusación, Newton, aun faltando a la verdad, llegó a asegurar que había desarrollado su notación quince años antes de cuando realmente lo había hecho. La cuestión de la notación tuvo, sin embargo, mucha más relevancia histórica; la leibniziana es muy superior a la newtoniana: además de permitir un uso más eficiente del cálculo infinitesimal, facilita su aprendizaje, lo que, unido a la brillantez de sus sucesores, primero los Bernoulli y después Euler, hizo que el cálculo infinitesimal de Leibniz triunfara conforme avanzaba el siglo XVIII. Los analistas ingleses, por su parte. Insistieron en seguir usando la rudimentaria y rígida notación y cálculo newtonianos. A la postre, la matemática inglesa tuvo que claudicar ante el mayor desarrollo y potencia alcanzados en el continente. Fue simbólica la creación en 1812, por Charles Babbage, John Herschel (hijo del astrónomo William Herschel) y George Peacock, de la Sociedad Analítica, uno de cuyos objetivos era promover la sustitución de la notación del punto de Newton por el sistema de Leibniz. Los tres socios hicieron así realidad uno de sus principios: «Hacer todo lo que pudiesen para dejar el mundo mejor de lo que ellos lo habían encontrado».
De todo quiso saber y en todo algo aportar, ya fuera en aquello por lo que hoy es más reconocido —filosofía, física o matemáticas—, como en otras actividades aparentemente más alejadas de lo intelectual —prensas hidráulicas, drenado de minas mediante molinos de viento, geología o producción de lino—. En ese entender y opinar de todo, encontramos algunas ideas centrales y constantes, como su búsqueda de la characteristica universalis, o lenguaje universal, que debía ser simbólico y preciso como un bisturí. Su versión del cálculo infinitesimal, tan plena en magníficas notaciones, fue justamente un canto a la búsqueda de la characteristica universalis que pusiera orden entre el maremágnum de resultados sobre cuadraturas, tangentes, máximos y mínimos, centros de gravedad, etc.; ese eco de lo universal lo encontramos en escritos que Leibniz redactó al final de su vida, donde viene a reconocer que, a fin de cuentas, su contribución al cálculo infinitesimal fue un lenguaje que permitió tratar unificadamente multitud de problemas que antes recibían tratamientos dispares.
A pesar de que los métodos de cálculo descubiertos por Newton y Leibniz eran conceptualmente diferentes, la disputa acabó produciéndose. Se podría haber evitado si Newton hubiera publicado los tratados sobre el cálculo que había escrito entre 1669 y 1672, toda vez que Leibniz, que elaboró su versión del cálculo durante los años que pasó en París entre 1672 y 1676, estuvo casi desde su llegada en contacto con los científicos ingleses a raíz de su visita a Londres en 1673. De hecho, a través de terceros, Newton y Leibniz intercambiaron varias caitas que fueron cruciales en la disputa posterior.
Aunque Newton fue el primero en descubrir y desarrollar su cálculo, fue Leibniz quien lo publicó antes. En el primero de los artículos (1684), Leibniz no mencionó a Newton, aunque sí lo haría en el segundo (1686). Newton hizo referencia a Leibniz en la primera oportunidad que tuvo; esta no fue otra que la publicación en 1687 de la primera edición de los Principia. La intención de Newton bien pudo ser una declaración reivindicando la paternidad del cálculo; pero como hasta entonces no había publicado nada sobre el asunto, y Leibniz sí, y como, salvo para un reducidísimo grupo cercano a Newton, tampoco eran conocidas las cartas que intercambió con Leibniz, esa mención se entendió como un reconocimiento de Newton a Leibniz como inventor independiente del cálculo infinitesimal.
A partir de finales de 1691, cuatro años después de la aparición de los Principia, las primeras recriminaciones a Leibniz sobre lo que pudo haber aprendido de Newton empezaron a circular entre los allegados de ambos. Así, Fatio de Duillier escribía a Huygens:
«La manera en que el señor Leibniz presentó su cálculo diferencial fue de tal forma una recomposición de lo que tenía el señor Newton que, comparando, no pude evitar tener la nítida sensación de que la diferencia entre ambos es la que va de un perfecto original a una chapucera e imperfecta copia».
Y en 1695, John Wallis le decía a Newton que en Holanda su método triunfaba... pero bajo el nombre de cálculo diferencial de Leibniz, y le afeaba no cuidar lo suficiente de su reputación: «Confieso que la modestia es virtud, pero demasiada timidez es falta».
Wallis acabó publicando, en 1699, en uno de los tomos de sus obras matemáticas, una colección de cartas que tenían que ver con la invención del cálculo. Esto modificaba la situación de facto sobre la prioridad, ya que por primera vez aparecían publicados documentos que podían atestiguar que, aunque Leibniz había publicado antes que Newton, este había desarrollado su cálculo con anterioridad, e incluso lo había comunicado, si bien de manera parcial y oscura, a Leibniz a petición de este último. En el verano de 1699, Leibniz escribió:
«Wallis ha solicitado mi permiso para publicar mis viejas cartas. Como nada tengo que temer, he contestado que podía publicar todo aquello que considerase digno de ser publicado». Muy pronto se demostró que Leibniz estaba muy equivocado sobre ese «nada tengo que temer».
«Reconocerás al león por sus garras»
Un célebre incidente ocurrido por aquellos años favoreció el enfrentamiento. Se trata del reto lanzado por Johann Bernoulli, un discípulo de Leibniz, en junio de 1696 sobre el problema de la braquistócrona: había que determinar la curva por la que un cuerpo, movido únicamente por la gravedad, desciende en el menor tiempo posible entre dos puntos que no están en posición vertical. En mayo de 1697, Leibniz se encargó de publicar las soluciones recibidas, cuatro en total: los autores eran el propio Leibniz, el marqués de L'Hôpital, Jakob Bernoulli y el proponente, su hermano Johann Bernoulli. Pero también se reprodujo otra, de autor anónimo, que había aparecido en enero de 1697 publicada en las Philosophical Transactions; el autor anónimo era, como es bien sabido, Newton. Las tan solo setenta y siete palabras con las que explicaba su escueta solución fueron suficientes para que Johann Bernoulli adivinara quién era el autor: «Tanquam ex ungue leonem», algo así como «reconocerás al león por sus garras», fueron sus palabras.
El zarpazo de NewtonEl texto de Johann Bernoulli en el que planteó el problema de la braquistócrona comenzaba con estas teatrales palabras: «Yo, Johann Bernoulli, me dirijo a los más brillantes matemáticos del mundo». No era una apelación ante la que Newton pudiera permanecer en silencio, aunque, pasado el tiempo, lamentaría todo el asunto con unas palabras que destilan un cierto chovinismo: «No me agrada que me acosen unos extranjeros con temas de índole matemática». La solución que dio Newton al problema fue la siguiente:
«Desde un punto dado A se traza una recta APCZ paralela a la horizontal, y sobre ella se traza una
cicloide cualquiera AQP que se cruce con una recta AB en el punto Q, y una segunda cicloide ADC cuyas bases y altura sean con respecto a la primera la misma que AQ es con respecto a AB. Esta segunda cicloide pasará por el punto B. y será la curva por la cual un peso sometido a la fuerza de su gravedad descenderá con mayor rapidez de A a S».
En la presentación que hizo Leibniz de las soluciones del problema de la braquistócrona, contó que había profetizado quiénes iban a resolver el problema:
«Y, sensatamente, no es indigno señalar que solo han resuelto este problema quienes yo conjeturé que podían resolverlo. Y, en verdad, no son sino quienes han penetrado lo bastante en los misterios de nuestro cálculo diferencial. Así, además del señor hermano del autor que propuso el problema y el señor marqués de L'Hôpital en Francia, añadiera yo al señor Newton». Leibniz dejó fuera de la lista a Fatio de Duillier; además, de su afirmación se podía deducir que Newton era discípulo suyo en lo referente al cálculo.
Aquello fue más de lo que Fatio pudo soportar; preparó su respuesta, que publicó en Londres en 1699, y en ella se decía:
«La realidad de los hechos me ha convencido de que ha sido Newton el primero que descubrió este cálculo, hace ahora muchos años. Si Leibniz, su segundo inventor, puede haber tomado algo de Newton, es cosa que prefiero dejar al juicio de aquellos que han visto las cartas de Newton y sus manuscritos originales. Ni el modestísimo silencio de Newton, ni la constante vanidad de Leibniz atribuyéndose en cada ocasión la invención de este cálculo, inducirán a engaño a nadie que examine el material disponible como yo lo he hecho».
Probablemente, la vieja amistad de Fatio con Newton enturbió aún más el asunto: Leibniz pudo pensar que Newton había convencido a Fatio para que le acusara de plagio, si bien Fatio pudo actuar motu proprio buscando agradar a Newton.
La decisión de Newton de incluir en su óptica los dos apéndices matemáticos, especialmente el De quadratura curvarum, estuvo sin duda relacionada con la situación que la acusación de plagio de Fatio había creado. Y también con uno de los incuestionables éxitos de Leibniz: tuvo el mérito de ver en el cálculo infinitesimal una herramienta tan potente como para cambiar lo que las matemáticas habían sido hasta ese momento y contribuir, junto con los discípulos que pronto lo siguieron —Jakob y Johann Bernoulli y el marqués de L'Hôpital—, a que el cálculo se convirtiera en los últimos diez años del siglo XVII en una poderosa herramienta matemática al alcance de todo aquel que quisiera estudiarla.
A principios de 1709, John Keill acusó a Leibniz de plagio en las Philosophical Transactions:
«Todas estas proposiciones siguen de la celebradísima aritmética de fluxiones, que sin ninguna duda inventó primero el doctor Newton, como puede fácilmente ser comprobado por quien lea las cartas publicadas por Wallis; la misma aritmética, bajo un cambio de nombre y notación, fue publicada después por el doctor Leibniz».
Una polémica que acompañaría a Newton hasta la muerte
Las Philosophical Transactions eran la revista de la Royal Society, lo que le daba un cariz más institucional a la acusación, y puesto que Leibniz era miembro de la sociedad desde su primera visita a Londres en 1673, solicitó en 1711 la rectificación de Keill.
Quizá Leibniz no valoró que la misma polémica sobre el cálculo infinitesimal estaba afectada por las críticas contra el fundamento metafísico de la gravitación newtoniana, críticas estas que provenían del bando de Leibniz, a veces incluso del mismo Leibniz. Para desgracia suya, quizá tampoco valoró bien, cuando fue a pedir apoyo y defensa a una Royal Society presidida por Newton, las connotaciones nacionalistas que la polémica conllevaba, pues representaba el ataque de los científicos del continente a la ciencia inglesa representada por su máximo baluarte: Newton.
En vez de la carta de rectificación que pidió a Keill, Leibniz recibió una respuesta muy distinta: más acusaciones vertidas por Keill en una nueva carta leída en la Royal Society en una sesión presidida por Newton y celebrada el 24 de mayo de 1711. Cuando Leibniz recibió la carta, respondió reconociendo la paternidad compartida del cálculo y pidiendo amparo a la Royal Society frente a los insultos de Keill. Conviene recoger aquí la opinión que le merecían a Newton los segundos inventores:
«Los segundos inventores no tienen derechos. El único derecho es del primer inventor, aunque otro aparte descubra lo mismo. Tomar los derechos del primer inventor y dividirlos entre él y el otro sería, de otra forma, un acto de injusticia». Y todavía más: «A los segundos inventores, aun siéndolo realmente, no les corresponde ningún honor; su título o derecho es nulo. ¿Qué decir, por consiguiente, de aquellos que ni siquiera tienen argumentos ciertos para demostrar que son segundos inventores?».
La suerte de Leibniz estaba echada En respuesta a su solicitud, Newton, por entonces presidente de la Royal Society, hizo nombrar una comisión formada por amigos y defensores suyos; para dar alguna apariencia de imparcialidad, se incluyó a última hora al representante en Londres del reino de Prusia, que no llegó a participar en la redacción del dictamen. La composición de la comisión quedó en el secreto y no trascendió públicamente hasta mediados del siglo XIX. La comisión tan solo tardó cincuenta días en revisar los documentos y dar el dictamen; en realidad quizá fueran muchos días, dado que fue Newton quien redactó casi en su totalidad el informe. Terna cuatro puntos, y aunque no acusaba a Leibniz de plagio, sí sembraba suficientes dudas como para que se pudiera desprender esa conclusión. El último punto decía:
«Y así consideramos que la cuestión apropiada no es quién inventó este o aquel método, sino quién fue el primer inventor del método. Y creemos que aquellos que han reputado al señor Leibniz como el primer inventor sabían poco o nada de su correspondencia de mucho antes con el señor Collins y con el señor Oldenburg, ni que el señor Newton tuviera ese método quince años antes de que el señor Leibniz empezara a publicarlo en las Acta Eruditorum de Leipzig. Por estas razones reconocemos que el señor Newton fue el primer inventor, y somos de la opinión de que el señor Keill, afirmando lo mismo, no ha hecho injuria alguna al señor Leibniz».
Al dictamen del comité se le adjuntaron los documentos y cartas sobre los que se había basado —convenientemente anotados para los intereses de Newton— y todo ello fue publicado con cargo a la Royal Society.
«Con la fuerza de su mente casi divina, y con principios matemáticos peculiarmente suyos, exploró el curso y las figuras de los planetas.»
Fragmento del epitafio de Newton en la abadía de Westminster.
Se hicieron pocas copias, y la distribución —no se puso a la venta— fue discrecional, pero muy intencionada. A esta escasez de ejemplares puso remedio Newton en 1722, seis años después de la muerte de Leibniz, publicando una segunda edición, ampliada, que sí se puso a la venta.
Leibniz se quejó amargamente de la jugada de Newton —
«se han pronunciado después de haber escuchado a una sola de las partes, de tal forma que la nulidad del procedimiento es manifiesta»,
escribió un tiempo después—, pues los documentos publicados eran, por varias razones, inadecuados para dilucidar la polémica, pero ponían a Leibniz en una situación muy complicada.
La polémica alcanzó entonces su punto álgido y más sucio. A la maniobra de la Royal Society, contestó Leibniz casi un año después con una infamante carta anónima contra Newton, la célebre Charta volans, en la que lo acusaba de plagio. Newton llegó a copiar la Charta volans de su puño y letra, como si el escribir con sus propias manos los insultos que Leibniz le dirigía le transmitiera algún tipo de energía que ayudase a alimentar sus ansias de venganza. Su respuesta fue el Account, está escrito de forma pretendidamente anónima, aunque pocos dudaron de su autoría, y fue publicado en inglés en 1715 en las Philosophical Transactions. Es un largo, brutal y difamador informe contra Leibniz en el que Newton devolvía aumentadas todas las acusaciones de Leibniz y sus amigos. Del Account se conservan también varios manuscritos de puño y letra de Newton. Es una buena muestra de la obsesión que, en oleadas, embargó a Newton en los peores años de la polémica (1712-1716) y aun algunos después de morir Leibniz; en esos momentos parecía apoderarse del sabio inglés una necesidad compulsiva por exponer su versión de los hechos, por argumentar una y otra vez contra Leibniz a partir de las cartas que intercambiaron entre ellos y con terceros, y Newton se daba como loco a escribir cartas, memoranda, observaciones, que redactaba una y otra vez, retocando una frase aquí, modificando un argumento allí, cambiando una cita acá o afilando un insulto allá. Y todos, o casi todos, estos escritos —versiones de versiones de versiones de cartas que nunca envió, o que acabó publicando en adendas a otros textos tras la muerte del contrincante— se conservan, como testigos mudos de la ira que tuvo que embargarle mientras los escribía.
Aunque tanto Newton como Leibniz se tomaron muy en serio la disputa, es revelador de sus diferencias de carácter el humor con que el segundo se refirió a ella en alguna ocasión escribiéndole a una amiga:
«No es posible evitar que los jueces bostecen de vez en cuando si han de tratar procesos tan largos y tan grandes como el nuestro»,
La muerte de Leibniz el 14 de noviembre de 1716 truncó la escalada y las escasas posibilidades de un eventual y futuro arreglo.
Isaac Newton murió en Londres el 31 de marzo de 1727. Sus restos reposan en esta capilla gótica de la abadía de Westminster, donde están enterrados reyes y un gran número de personajes ilustres.

El panteón está colmado de motivos alegóricos. En la parte superior se encuentra Urania, la musa de la astronomía, sentada sobre un globo celeste. Debajo, Newton, que aparece recostado sobre los volúmenes de varias de sus obras. Junto a él, dos ángeles le muestran un pergamino que contiene dibujado un esquema del sistema solar. En el sarcófago de mármol negro destaca un bajorrelieve con varios niños, que juegan con un prisma y un telescopio reflector, mientras que otro pesa el Sol y los planetas.
La desaparición de uno de los contendientes no acabó con la disputa, pues los principales paladines de ambos bandos seguían vivos. Entre ellos Newton, que vivió todavía diez años más, los seis primeros con la disputa como primera preocupación.
En la abadía de Westminster
Esta biografía empezó en un café de Londres y termina en un templo de la misma ciudad: la abadía de Westminster. La abadía está atestada de tumbas y monumentos fúnebres de famosos personajes británicos: más de 3300 afortunados, si se nos permite la expresión, están allí enterrados, o conmemorados: poetas, políticos, aristócratas, científicos, militares, reyes, etcétera.
«La naturaleza y sus leyes yacían ocultas en la noche. Dijo Dios “¡Hágase Newton!”, y todo se hizo luz.»
Epitafio propuesto por Alexander Pope a la muerte de Newton, que finalmente fue rechazado.
Isaac Newton, «aquel que en genio sobrepasó a la clase humana», el que fue summum para Gauss, es uno de ellos; también están enterrados en Westminster su sobrina, Catherine, y el marido de esta, y, algo más alejado, lord Halifax, que tan buenos ratos pasó conversando con Catherine. El porte y la prestancia de la tumba de Newton dan buena idea de la estima con que sus conciudadanos lo recuerdan. Otros de los allí homenajeados lo son de forma manifiestamente más modesta; es el caso de Edmund Halley, que tiene una placa en forma de cometa donde se refieren algunos de sus logros científicos. Y hay aún otros que apenas merecen más mención que un azulejito de esos que en muchos lares recuerdan la altura alcanzada por las aguas en una inundación: es el caso de Robert Hooke, recordado desde 2005 en la abadía con una baldosa negra en la que está escrito su nombre y el año de su muerte. Por no dejar sin referir la correspondiente información sobre el tercer y último contertulio, añadiremos que los restos de sir Christopher Wren reposan en la catedral de San Pablo, la cumbre de su arquitectura; fue la primera persona allí enterrada, en 1723, y sobre su tumba se lee: «Lector, si buscas su monumento, mira a tu alrededor».
La tumba de Newton se halla en una coqueta capillita gótica de la abadía de Westminster. «Lo que de Newton es mortal» reposa en un sarcófago de mármol negro con vetas marrones, arropado por un grupo escultórico quizá de dudoso gusto. De la magnificencia del entierro de Newton nos queda la descripción de Voltaire:
«Vivió honrado por sus compatriotas y fue enterrado como un rey que ha hecho el bien a sus súbditos».
- Durán, A. J., Historia, con personajes, de los conceptos del cálculo, Madrid, Alianza, 1996.; La polémica sobre la invención del cálculo infinitesimal, Barcelona, Crítica, 2006.
- Gleick, J., Isaac Newton, Barcelona, RBA, 2005.
- F. E., A Portrait of Isaac Newton, Cambridge (Mass.), Harvard University Press, 1968.
- Newton, I., Analysis per Quantitatum Series, Fluxiones, ac Differentias, edición facsimilar y crítica con traducción al castellano de J.L. Arantegui y notas de A.J. Durán, Sevilla, Real Sociedad Matemática Española y SAEM Thales, 2003; Óptica, edición en español con introducción y notas de Carlos Solís, Madrid, Alfaguara, 1977.
- Westfall, R.S., Isaac Newton: una vida, Cambridge, Cambridge University Press, 1996.

en los cielos: además de la astronomía y la cosmología clásicas, el movimiento de la Tierra también había destrozado los fundamentos de la física aristotélica, hasta entonces vigente en Europa. Los cuerpos caen hacia abajo, afirmaba esta, por la tendencia natural de los graves a dirigirse hacia el centro del universo, que, según Aristóteles y los escolásticos, coincidía con el centro de la Tierra. Pero si la Tierra se mueve y no ocupa el centro del universo, ¿por qué los cuerpos caen hacia abajo?
Según Vitruvio, arquitecto romano del siglo i a.C., el tirano de Siracusa Hierón II había ordenado la fabricación de una nueva corona de oro con forma de corona triunfal (un cerco de ramas de oro que se concedía como distinción al general victorioso que entraba en Roma). Para descubrir si realmente la corona era de oro o si contenía plata incluida por un orfebre deshonesto, Hierón II le pidió a Arquímedes que la analizara sin fundirla ni dañarla. Arquímedes no sabía cómo hacer tal cosa, habida cuenta de que no podía convertir la corona en un cuerpo regular para calcular su masa y volumen y, a partir de ahí, su densidad, para averiguar si coincidía o no con la del oro. Pero mientras tomaba un baño, Arquímedes advirtió que el nivel de agua subía en cuanto entraba en la bañera. Pensó entonces que podría hacer lo propio con la corona: al ser sumergida, desplazaría una cantidad de líquido igual a su propio volumen; y al dividir el peso de la corona por el volumen de agua desplazada, podría obtener la densidad de aquella. Al caer en la cuenta de lo sencillo que resultaba resolver su problema con la corona, Arquímedes salió corriendo desnudo por las calles, emocionado, gritando «¡Eureka!» (Una expresión del griego antiguo que significa «¡Lo he encontrado!»). La historia probablemente es falsa, porque el método de medición que describe hubiera requerido un nivel de exactitud extremo. De hecho, la historia ni siquiera aparece en los trabajos conocidos de Arquímedes. Con todo, en su tratado Sobre los cuerpos flotantes él mismo ofrece el principio de hidrostática, que afirma que un cuerpo sumergido en un fluido experimenta un empuje igual al peso del volumen del fluido que desaloja. Sea como fuere, dicho principio es conocido hoy por el nombre del genial científico griego.

con la Tierra. En efecto, el modelo ptolemaico ordenaba los planetas según el tiempo empleado en recorrer la eclíptica. Sin embargo, era imposible ubicar por este método de manera objetiva a Mercurio, Venus y el Sol: todos ellos tardan más o menos un año en recorrer la eclíptica. En cambio, al tener en cuenta que la Tierra tarda un año en trasladarse alrededor del Sol y que la retrogradación de los planetas se produce cuando estos cruzan su trayectoria con la recta que une la Tierra y el Sol, Copérnico pudo calcular la duración de las órbitas de los planetas. En efecto, sabemos que Mercurio retrograda cada 116 días, y como la órbita de la Tierra dura 365 días, en ese tiempo tanto la Tierra como Mercurio han recorrido 116/365 de su órbita: además Mercurio ha orbitado una vez más hasta retrogradar de nuevo —Mercurio retrograda cuando la recta que lo une al Sol vuelve a alcanzar a la Tierra—, con lo que llegamos a
estando el Sol situado en uno de los focos». Una elipse puede definirse como el conjunto de puntos del plano que cumplen la condición l1+ l2= constante (figura 1).

tras la formulación de la ley de gravitación universal de Newton prometía resolverlo al fin.



volúmenes, las superficies y las longitudes en forma de suma infinita de los indivisibles. El británico John Wallis (1616-1703) aritmetizó el método de los indivisibles de Cavalieri asignándoles valores numéricos, convirtiendo así el cálculo de áreas (exclusivamente geométrico hasta el momento) en cálculos aritméticos. En el tratado De sectionibus conicus (1655) propuso representar el infinito con el símbolo ∞. Wallis, miembro fundador de la Royal Society, puede considerarse como el más directo predecesor de Newton y Leibniz.








para indicar las fluxiones (nunca ideó una notación consistente para las integrales). Leibniz insistió durante la polémica en la importancia de la notación, y en que Newton no tenía ninguna cuando se produjo su intercambio epistolar. Apremiado por esa acusación, Newton, aun faltando a la verdad, llegó a asegurar que había desarrollado su notación quince años antes de cuando realmente lo había hecho. La cuestión de la notación tuvo, sin embargo, mucha más relevancia histórica; la leibniziana es muy superior a la newtoniana: además de permitir un uso más eficiente del cálculo infinitesimal, facilita su aprendizaje, lo que, unido a la brillantez de sus sucesores, primero los Bernoulli y después Euler, hizo que el cálculo infinitesimal de Leibniz triunfara conforme avanzaba el siglo XVIII. Los analistas ingleses, por su parte. Insistieron en seguir usando la rudimentaria y rígida notación y cálculo newtonianos. A la postre, la matemática inglesa tuvo que claudicar ante el mayor desarrollo y potencia alcanzados en el continente. Fue simbólica la creación en 1812, por Charles Babbage, John Herschel (hijo del astrónomo William Herschel) y George Peacock, de la Sociedad Analítica, uno de cuyos objetivos era promover la sustitución de la notación del punto de Newton por el sistema de Leibniz. Los tres socios hicieron así realidad uno de sus principios: «Hacer todo lo que pudiesen para dejar el mundo mejor de lo que ellos lo habían encontrado».
cicloide cualquiera AQP que se cruce con una recta AB en el punto Q, y una segunda cicloide ADC cuyas bases y altura sean con respecto a la primera la misma que AQ es con respecto a AB. Esta segunda cicloide pasará por el punto B. y será la curva por la cual un peso sometido a la fuerza de su gravedad descenderá con mayor rapidez de A a S».