Capítulo 1
La guinda del cóctel
He aquí uno de esos raros y deliciosos acertijos que pueden resolverse en un instante si se atina a enfocarlos correctamente, pero que han sido ideados con sutil ingenio para desviar el pensamiento hacia esquemas equivocados. Se sabe de personas inteligentes que han estado luchando con él más de veinte minutos, para terminar dejándolo por imposible.

Figura. 1. Un cóctel desconcertante.
§2. El cubo empapelado
¿Cuáles son las dimensiones del mayor de los cubos cuyas seis caras pueden quedar totalmente forradas plegando en torno a él una pieza recortada de una hoja cuadrada de papel, de 3 decímetros de lado? (Como es obvio, la figura recortada en el papel debe ser de una sola pieza.)
§3. Almuerzo en el club V. M.
Cada uno de los socios del Club V. M. es, o bien veraz, y dirá siempre la verdad al ser preguntado, o bien mentiroso, y entonces responderá siempre una mentira. En mi primera visita al club encontré a todos sus miembros, exclusivamente hombres, sentados en torno a una gran mesa circular, tomando el almuerzo. No había forma de distinguir a veraces de mentirosos por su aspecto externo, así que fui preguntándoles por turno si eran una u otra cosa. De nada me sirvió, pues como era de esperar, todos aseguraron ser veraces. Volví a probar, esta vez, preguntando a cada uno si su vecino de la izquierda era veraz o mentiroso. Para sorpresa mía, todos contestaron que el hombre sentado a su izquierda era mentiroso.
Más tarde, de vuelta a casa, al pasar a máquina mis notas sobre el almuerzo descubrí que había olvidado tomar nota del número de personas sentadas a la mesa. Telefoneé entonces al presidente del club, quien me informó que eran 37. Después de colgar me di cuenta de que no podía confiar en esta cifra, porque no sabía si el presidente era veraz o mentiroso. Decidí, pues, telefonear al secretario del club.
«No, no», me contestó el secretario. «Por desgracia, nuestro presidente es un mentiroso empedernido. La verdad es que estábamos 40 comensales.»
¿A cuál de estos dos hombres debería yo creer? De pronto vi una forma sencilla de resolver la cuestión. ¿Podrá el lector, basándose en la información aquí presentada, determinar cuántos eran los sentados a la mesa? El problema ha sido adaptado de una sugerencia de Werner Joho, un físico de Zurich.
§4. Una división equitativa
Dos hermanos heredaron un rebaño de ovejas. Las vendieron todas, recibiendo por cada oveja tantos dólares como animales tenía el rebaño. La suma total les fue pagada en billetes de diez dólares, excepto un resto, de menos de 10 dólares, que les fue entregado en dólares de plata. Repartieron entre ambos los billetes de diez, colocando el fajo en medio de la mesa y robando alternativamente de él un billete cada uno, hasta agotarlo.
– «¡Pero eso no es justo!», protestó el hermano menor. «¡Tú cogiste el primer billete, y ahora acabas de llevarte el último, así que tienes diez dólares más que yo!»
Para que las partes no fueran tan desiguales, el mayor dio al joven todos los dólares de plata. Pero el hermano pequeño no estaba satisfecho todavía. «Me has dado menos de 10 dólares», arguyó. «Todavía me debes dinero.»
– «Es verdad», concedió el mayor. «Supongamos que te hago un cheque de forma que las cantidades con que terminemos ambos sean exactamente iguales. ¿Aceptarías?»
Y así se hizo. ¿Por qué valor fue extendido el cheque? Aunque la información suministrada parezca insuficiente, es posible responder a la cuestión.
Ronald A. Wohl, que es químico en la Universidad de Rutgers, me hizo saber recientemente de este precioso problema, que había descubierto en un libro francés. Posteriormente descubrí en mi archivo una carta de Cari J. Coe, matemático jubilado de la Universidad de Michigan, donde analizaba un problema esencialmente idéntico que, según me dijo, había estado rodando entre sus colegas allá por los años cincuenta. Tengo la impresión de que el problema sigue siendo poco conocido todavía.
§5. Tri-Ex
El tablero sobre el que se juega el tatetí (o «tres en raya») puede considerarse como formado por nueve casillas dispuestas en ocho líneas de tres casillas cada una. Empero, nueve casillas pueden sin dificultad disponerse en nueve, o incluso diez, líneas de tres. Thomas O’Beirne, de Glasgow, autor de Puzzles and Paradoxes (Oxford, 1965) ha estado experimentando con configuraciones de nueve líneas, topológicamente distintas, para ver si algunas se prestaban al juego de tres en raya, y descubrió que el primer jugador podía ganar con una estrategia trivial en todas las configuraciones regulares, a excepción de la mostrada en la figura 2.

Figura 2. El juego de Tri-Ex.
El papel que desempeñan configuraciones como ésta en la geometría moderna ha sido analizado con mucha amenidad por Harold L. Dorwart en The Geometry of Incidence (Prentice-Hall, 1966), así como en el librito de instrucciones de un rompecabezas inventado por él, Configurations, comercializado por los fabricantes del juego lógico WFF’N PROOF. Además de sus propiedades topológicas y combinatorias, la disposición aquí mostrada tiene una estructura métrica poco habitual. En cada una de las alineaciones de tres puntos, el central corresponde a la sección áurea del segmento definido por los puntos extremos.
§6. El problema de Langford
Hace muchos años un matemático escocés, C. Dudley Langford, estaba observando cómo su hijo pequeño jugaba con unos bloques de colores. Había dos bloques de cada color, y el niño había apilado en columna seis de ellos de forma tal que entre los dos rojos había un bloque, entre el par azul se encontraban dos bloques, y entre los dos amarillos había tres. Si denotamos los colores por 1, 2 y 3, la secuencia de colores sería 3-1-2-1-3-2.
Si no contamos como diferente la colocación en orden inverso, ésta resulta ser la única solución al problema de alinear los seis guarismos de manera que haya un dígito entre los «unos», dos cifras intercaladas entre los «doses» y tres entre los «treses».
Langford se propuso igual tarea para cuatro pares de bloques de distinto color, y descubrió que también entonces la solución era única. ¿Sabrá el lector descubrirla? Para trabajar en este fácil problema es conveniente valerse de ocho naipes: dos ases, dos doses, dos treses y dos cuatros. El problema es colocarlos en hilera de forma que entre cada par de naipes de igual valor haya tantas cartas como indique ese valor.
No existen soluciones al problema de Langford, como es ahora conocido, en los casos de cinco o seis pares de naipes. Con siete pares hay 26 soluciones distintas. Nadie sabe cómo determinar el número de posibles soluciones para un número dado de pares de cartas, excepto a base de tantear exhaustivamente todas las posibilidades. En cambio, tal vez el lector pueda descubrir sin demasiada dificultad un método sencillo para determinar si existe alguna solución.
§7. Cuadrados traslapados
En 1950, cuando Charles W. Trigg era editor de la sección de problemas de Mathematics Magazine (hoy es decano emeritus del Los Ángeles City College), introdujo en su sección un apartado que muy pronto se haría popular, titulado «Quickies» (traducido libremente, «A bote pronto»). Un «quickie», explicaba Trigg, es un problema resoluble «por métodos laboriosos», pero que enfocados correctamente, con la «feliz idea» adecuada, pueden liquidarse con presteza. En 1967, McGraw-Hill publicó el primer libro de Trigg, Mathematical Quickies, espléndida colección que recoge 270 de los mejores «quickies» con que Trigg se ha tropezado —o que él mismo ha ideado— en su distinguida carrera como experto en problemas.
En uno de los «quickies» tomados del libro de Trigg (véase la fig. 3), el menor de los cuadrados tiene 3 cm de lado, y el mayor, 4 cm. El vértice D se encuentra en el centro del menor de los cuadrados. Se hace girar el cuadrado mayor en torno a D hasta que el punto B, intersección de dos lados, divida exactamente por 1/3 de su longitud al lado AC. ¿Cuánto tardará el lector en calcular el área de la zona de superposición (sombreada) de ambos cuadrados?

Figura 3. ¿Qué superficie tiene la intersección?
Parejas hay con tres hijasEsta adaptación de la «Nota para el científico», de Justin Richardson, procede de una colección titulada Yet More Comic & Curious Verse, seleccionada por J. H. Cohen y publicada por Penguin. ¿Es correcta la opinión que allí se expresa?
que aún lo intentan otra vez,
no obstante, cara o cruz es
que les nazca otra chiquilla.
No es por eso maravilla
que haya mujeres de más.
¡Quienes ya tienen varones
dejan las cosas en paz!
No, pero sí es un tipo frecuente de falacia estadística. George Gamow y Marvin Stern, en su libro Puzzle Math (Viking, 1958), nos cuentan de un sultán que, buscando aumentar la oferta de mujeres disponibles para los harenes de su país, quiso imponer una ley que prohibía a las mujeres volver a concebir en cuanto hubiesen dado a luz un hijo varón. Por el contrario, en tanto les nacieran hijas les estaría permitido parir nuevamente. «Con esta nueva ley», explicó el sultán, «veremos mujeres con progenies de cuatro hijas y un hijo; de diez hijas y un hijo; algunas con un hijo único, y así sucesivamente. Como es obvio, de esta forma habrá de aumentar la proporción de mujeres con respecto a la de hombres.»
Nada de esto ocurre, como perfectamente explican Gamow y Stern. Fijémonos en todas las madres que hayan tenido solamente un hijo. A la mitad les habrán nacido varones y a la otra mitad, niñas. Las madres de las niñas podrán tener entonces descendencia por segunda vez. Como antes, en el segundo nacimiento habrá igual número de niños que de niñas. La mitad de estas madres parirán por tercera vez, y de nuevo, se producirá un reparto equitativo de los sexos de los neonatos. Independientemente del número de ensayos y del tamaño de las familias, la proporción de sexos será siempre de uno a uno.
Lo cual nos lleva a un problema estadístico planteado por Richard G. Gould, de Washington. Supongamos que el decreto del sultán sea puesto en práctica, y que las gentes de Fertilia sean lo suficientemente longevas y potentes como para que toda familia siga teniendo progenie hasta que le nazca un niño. En cada nacimiento la probabilidad es 1/2 para cada sexo. ¿Cuál será, a la larga, el número medio de descendientes de las familias de Fertilia?
§9. Navidad y Walpurgis
Demuéstrese (pide Solomon W. Golomb) que oct. 31 = dec. 25.
§10. Anudar la cuerda
Hágase con un pedazo de cordel de tendedero, de unos 170 centímetros. Anude ambos extremos como se muestra en la figura 4, formando sendos bucles.

Figura 4. Cuerda para anudar.
Soluciones
§ 1. La figura 5 muestra cómo desplazar dos cerillas para reconstruir la copa de cóctel y dejar fuera la guinda.

Figura 5. Solución del problema de cerillas
La pieza, que vemos en la figura 6, ha de plegarse según las líneas de trazos.
Sin embargo, al enunciar el problema no prohibí que hubiera superposiciones. No fue un desliz. Sencillamente, no se me ocurrió que con ellas puedan conseguirse soluciones mejores que la ya presentada, y que fue anunciada en su día como solución única. John Halton, un matemático de la Universidad de Wisconsin, fue el primero en enviar una técnica de recorte y plegado, gracias a la cual podemos acercarnos tanto cuanto queramos al cubo máximo idealmente posible, ¡cuya superficie sería igual al área de la hoja de papel! (Tres lectores, David Elwell, James F. Scudder y Siegfried Spira. llegaron todos a las cercanías de tal descubrimiento, facilitándome métodos para forrar cubos mayores que el dado en la solución; George D. Parker dio con una solución completa esencialmente idéntica a la de Halton.)

Figura 6. Solución sin traslapamientos.
Fitch Cheney, matemático de la Universidad de Hartford, ha descubierto otro procedimiento para lograr lo mismo, expandiendo el diseño de la figura 6. Se agranda el cuadrado central, como muestra la figura 7, con lo que en principio, los cuatro cuadrados que rodeaban al central se convierten en rectángulos.

Figura 7. Método de Cheney para revestir un cubo plegando un cuadrado.
§3. Si cada uno de los sentados a la mesa es forzosamente veraz siempre, o siempre mentiroso, y cada uno de ellos dice que el sentado a su izquierda es mentiroso, han de sentarse a la mesa un número par de personas, situadas alternativamente, uno veraz, uno mentiroso. (Ninguna disposición de un número impar de veraces y mentirosos conseguirá evitar que al menos una persona diga que su compañero de la izquierda es veraz.) Por consiguiente, el presidente del club tuvo que mentir cuando dijo que el número de asistentes era 37. Como el secretario llamó mentiroso al presidente, el secretario tiene que ser veraz. Por consiguiente, tuvo que decir la verdad al decir que el número de asistentes era de 40.
§4. Se nos dijo que los dos hermanos que heredaron un rebaño de ovejas vendieron cada una de ellas por tantos dólares como animales había en el rebaño. Si el número de ovejas es n, el número de dólares recibidos es n2, cantidad que fue pagada en billetes de diez, salvo un resto, menor que 10 dólares, que fue abonado en dólares de plata.
Al ir tomando billetes alternativamente, el hermano mayor tomó el primero y el último de los de diez; por tanto, el monto total ha de constar de número impar de decenas. Puesto que el cuadrado de cualquier múltiplo de 10 contiene al 10 un número par de veces, concluimos que n (el número de ovejas) ha de acabar en una cifra cuyo cuadrado contenga número impar de veces al 10. Sólo hay dos números, el 4 y el 6, que tengan tales cuadrados: 16 y 36. Ambos acaban en 6, y por tanto n2 (la cantidad total de dólares recibidos por las ovejas) ha de acabar en 6. La cantidad en exceso fue de seis dólares de plata.
Aun quedándose estos 6 dólares, el hermano pequeño se encontraba con 4 dólares menos que el mayor, así que para igualar las partes, el mayor le extendió al otro un cheque por 2 dólares. Es sorprendente la cantidad de buenos matemáticos que desarrollan correctamente el problema hasta el último paso, y después olvidan que el cheque debe ser de 2 dólares y no de 4.
§5. Al jugar al tatetí sobre un tablero de Tri-Ex (véase fig. 8) el primer jugador puede ganar siempre, pero sólo si empieza ocupando uno de los puntos negros.
Independientemente de la elección que efectúe el segundo jugador, el primero puede siempre lograr que la siguiente jugada del contrario sea obligada, y hacer una tercera que amenace tres en raya sobre dos líneas, asegurándose la victoria en la jugada siguiente, cuarta y última.

Figura 8. Solución al Tri-Ex
§6. Con cuatro pares de cartas, la única solución al problema de Langford es 41312432. Evidentemente, podemos tomarla en orden inverso, pero ello no proporcionaría una solución distinta.
Si n es el número de pares, el problema solamente admite solución si n es múltiplo de 4, o si n es una unidad menor que un múltiplo de 4. C. Dudley Langford propuso este problema en The Mathematical Gazette (vol. 42, octubre de 1958, pág. 228). Puede verse un análisis posterior en C. J. Priday, «On Langford’s Problem (I)», y Roy O. Davies, «On Langford’s Problem (II)», ambos en The Mathematical Gazette (vol. 43, diciembre de 1959, pp. 250-55).
Las 26 soluciones correspondientes a n = 7 se dan en The Mathematical Gazette (vol. 55, febrero de 1971, pp. 73). Tal lista ha sido confirmada por numerosos programas de computador, y con este procedimiento han podido hallarse 150 soluciones para n = 8. Por su parte, E. J. Groth y John Miller hicieron programas de computador, independientemente, que coincidieron en dar 11.792 sucesiones para n = 11 y 108.144 para n = 12.
R. S. Nickerson, en «A Variant of Langford’s Problem», American Mathematical Monthly (vol. 74, mayo de 1967, pp. 591-95), modificó las reglas, de manera que la segunda carta de un par, cada una de valor k, haya de ser la k-ésima carta contando desde la primera del par. Dicho de otra forma, cada pareja de valor k ha de estar separada por k - 1 cartas. Nickerson demostró que este problema es resoluble si, y solamente si el número de pares a manejar es igual a 0 ó a 1 (módulo 4). John Miller hizo funcionar un programa que encontró tres soluciones en el caso n = 4 (a saber, 11423243, 11342324 y 41134232), cinco soluciones para n = 5, 252 soluciones para n = 8 y 1.328 para el caso de n = 9.
Frank S. Gillespie y W. R. Utz, en «A Generalized Langford Problem», Fibonacci Quarterly (vol. 4, abril de 1966, pp. 184-86), generalizó el problema a ternas, cuaternas y grupos de cartas de orden superior. No pudieron, sin embargo, encontrar soluciones para grupos mayores que las parejas. Eugene Levine, en la misma revista (« On the Generalized Langford Problem», vol. 6, noviembre de 1968, pp. 135-38), demostró que para que en el caso de las ternas haya solución es condición necesaria que n (el número de ternas) sea igual a -1, 0 ó 1 (módulo 9). Puesto que logró encontrar soluciones para los casos n = 9, 10, 17, 18 y 19, conjeturó que la condición era también suficiente cuando n es mayor que 8. La inexistencia de soluciones para el caso n = 8 fue confirmada posteriormente mediante un programa de computador.
Levine encontró en el caso n = 9 tan sólo una solución. Yo no tengo noticia de otras; tal vez en este caso la solución sea única. A los lectores pudiera resultarles amena la tarea de encontrarla. De una baraja se extraen todas las cartas, de tres de los cuatro palos, cuyos valores sean de una sola cifra (o sea, de as a nueve). ¿Podrán disponerse en hilera estas 27 cartas de manera que para cada terna de valor k haya k naipes entre la primera y la segunda cartas, y otros k entre la segunda y la tercera? Se trata de un rompecabezas combinatorio de extraordinaria dificultad.
D. P. Roselle y T. C. Thomasson, Jr., «On Generalized Langford Sequences», Journal of CombinatoriaI Theory (vol. 11, septiembre de 1971, pp. 196-99) dan cuenta de ciertos nuevos teoremas de inexistencia, y dan una solución para cada uno de los casos n = 9, 10 y 17. Que yo tenga noticia, todavía no se ha encontrado ninguna sucesión de Langford para conjuntos de más de tres enteros, ni tampoco se ha demostrado que tales sucesiones puedan, o no, existir.
§7. Para resolver el problema de los cuadrados traslapados, prolonguemos los lados del cuadrado grande, como muestran las líneas de trazos de la figura 9.

Figura 9. Los cuadrados traslapados
El problema aparece como N° 52 de Mathematical Challenges: Selected problems from the Mathematics Student Journal , editado por Mannis Charosh (National Council of Teachers of Mathematics, 1965). Se da allí una segunda solución, y el problema se generaliza para polígonos regulares cualesquiera.
§8. La primera tanda de nacimientos trae al mundo n bebés en Fertilia, denotando n el número de madres correspondiente a un período de tiempo arbitrariamente grande. La segunda ronda de nacimientos producirá n/2 niños, la tercera n/4, y así sucesivamente. El número total de nacidos será de n (1 + ½ + ¼ +...) = 2n.
Dividiendo entre n se tendrá el número promedio de hijos por familia, en este caso dos.
Muchos lectores señalaron que la misma cuestión puede contestarse más sencillamente. Tras demostrar que la proporción de niñas y niños sigue siendo de una a uno, se deduce que a la larga habrá tantos niños de un sexo como del otro. Y puesto que cada familia tiene exactamente un hijo varón, también, por término medio, habrá una hija, con lo que el número promedio de hijos por familia habrá de ser dos.
§9. Si «Oct.» se toma como abreviatura de «octal» y «Dec.» como abreviatura de «decimal», entonces 31 (en notación de base 8) y 25 (en notación de base 10) serán iguales. Esta notable coincidencia es la pista fundamental de « A Curious Case of Income Tax Fraud» («Un curioso caso de fraude en la declaración de renta»), un cuento de Isaac Asimov relativo al Club de los Viudos Negros (véase Ellery Queen’s Mystery Magazine, noviembre de 1976).
John Friedlein hizo notar que no sólo el día de Navidad es igual al día de Walpurgis, sino también al día de Acción de Gracias cuando cae, como a veces sucede, en 27 de noviembre (pues 27 en notación de base 9 es igual a 25 en notación de base 10).
Suzanne L. Hanauer estableció la equivalencia de Navidad y Walpurgis mediante congruencias aritméticas. En efecto: Oct. 31 puede expresarse 10/31 ó 1.031, y el 25 de diciembre sería 12/25 ó 1.225, y 1.031 = 1.225 (módulo 194).
David K. Scott y Jay Beattie, independientemente, establecieron la igualdad en forma todavía más sorprendente. Asignemos a las letras de Oct. y Dec. cifras, como sigue: O = 6, C= 7, T = 5, D = 8, E = 3. La descodificación de Oct. 31 = Dec. 25 resulta ser:
675 × 31 = 837 × 25 = 20.925
Suponiendo que no pueda haber dos letras distintas que denoten dígitos iguales, y que a O y a D (cifras iniciales de los números) pueda asignársele cualquier dígito distinto de cero, y a las otras tres letras cualquier dígito, cero incluido, resulta haber 24.192 posibles asignaciones de cifras. Beattie llegó incluso a programar un computador para ensayar la totalidad de las 24.192 posibles asignaciones; el programa demostró lo que ya Scott había conjeturado, a saber, ¡que la igualdad anterior es la única posible!§10. Para formar en la cuerda extendida entre las muñecas un nudo llano se empieza formando una lazada hacia la mitad de la cuerda, y pasando la punta de la lazada por debajo del bucle que rodea la muñeca izquierda, como muestra la figura 10.

Fig. 10. Así se anuda la cuerda.
Van Cunningham y B. L. Schwartz me escribieron (por separado) para indicarme que el enunciado del problema no prohibía una segunda solución: cruzarse de brazos antes de meter las manos en los bucles, ponérselos y después descruzar los brazos.
Una bailarina frívola, de cabaret,Una hoja de papel tiene dos caras y un único borde que la contornea, formando éste una línea poligonal cerrada. ¿Será posible hacer que una hoja de papel tenga un solo borde y una cara solamente, de forma tal que una hormiga pudiera deambular desde cualquier punto de esta hoja hasta cualquier otro de ella sin jamás tener que cruzar el borde? Cuesta creerlo, pero al parecer nadie cayó en la cuenta de la existencia de estas superficies de una sola cara hasta que August Ferdinand Möbius, matemático y astrónomo alemán fallecido en 1868, describió las propiedades de un anillo de papel construido pegando los extremos de una tira retorcida media vuelta (Werke, vol. 2, 1858). Desde entonces la banda de Möbius, nombre con que esta superficie ha dado en ser conocida, se ha convertido en el más famoso de los juguetes de la topología, floreciente rama de la matemática moderna que se ocupa de las propiedades que permanecen invariantes cuando una estructura es sometida a «deformación continua».
preciosa, de nombre Jacinta,
tanto hacía estriptís como ballet.
Amiga de leer ciencia-ficción,
un mal día murió por constricción,
de tanta contorsión y finta,
al querer hacer una cinta... de Möbius.
Cyril Kornbluth
La deformación que preserva las propiedades topológicas —como, por ejemplo, la unicidad de caras de la banda de Möbius— suele explicarse pidiéndole al lector que imagine una estructura hecha de goma virgen, a la que puede moldearse y darse forma cualquiera con tal de no perforarla, ni cortar de ella piezas, o cortarlas y luego pegarlas en otro lugar. Es éste un error muy difundido. El tipo de deformación que preserva las propiedades topológicas tiene que ser definido de forma mucho más general y técnica, que precisa previamente el concepto de aplicación continua en cada punto. Es perfectamente posible que dos estructuras sean topológicamente equivalentes («homeomórficas», como gustan decir los topólogos), a pesar de que ninguna de ellas pueda transformarse en la otra a base de deformarla, como si fuera de goma, en el seno de nuestro espacio tridimensional. Podemos encontrar un ejemplo sencillo sin más que pensar en dos bandas de Möbius simétricas respecto de un plano, imágenes especulares una de otra, que se encuentran retorcidas en sentidos opuestos. Es imposible deformar ninguna de ellas hasta convertirla en la otra por mucho que se la estire y retuerza; empero, son topológicamente idénticas. Lo mismo vale para una banda de Möbius y una banda con tres o cualquier otro número impar de torsiones de media vuelta. Todas las bandas con número impar de estas «semitorsiones», juntamente con sus imágenes especulares, son mutuamente homeomórficas, a pesar de que ninguna de ellas puede transformarse en otra mediante deformaciones de la banda de goma. Otro tanto vale para todas las bandas (y sus imágenes especulares) con número par de medias torsiones. Tales bandas son topológicamente distintas de las provistas de número impar de medios rizos, al tiempo que son homeomórficas entre sí. (Véase la fig. 11.)
Más estrictamente, estas bandas son homeomórficas en lo que los topólogos llaman sentido estricto, es decir, consideradas las superficies por sí mismas, y no teniendo en cuenta el espacio en que pueden hallarse inmersas. A causa de que nuestro modelo de banda de Möbius se encuentra inmerso en el espacio tridimensional, es imposible deformarlo hasta convertirlo en su imagen especular o en otra banda con tres semirrizos. Si nos fuera posible construir una banda de Möbius de papel en el espacio tetradimensional, sería posible deformarla allí y volverla a dejar en el espacio tridimensional, convertida en otra banda con número impar de semitorsiones, a dextrorsum o a sinistrórsum.

Fig. 11. Bandas con número impar (izquierda) y número par (derecha) de semirrizos.
En lugar de imaginar que las bandas son manipuladas en el espacio de cuatro dimensiones, imaginémoslas como superficies de espesor igual a cero en el espacio tridimensional, y admitamos que sean capaces de pasar a través de sí mismas. Con un poco de imaginación es fácil ver cómo una cinta retorcida puede ser transformada, haciéndola pasar a través de sí misma, hasta cualquiera de sus formas topológicamente equivalentes. Por ejemplo, una banda de Möbius «fantasma» puede hacérsela pasar a través de sí misma hasta formar su imagen reflejada en el espejo, o hasta dar cualquier superficie con número impar de medias torsiones de sentido dextrorsum o sinistrórsum.
Cuando una cinta retorcida es considerada inmersa en el espacio tridimensional adquiere propiedades topológicas extrínsecas, que no posee cuando se la considera con independencia de su espacio ambiente. Sólo en este sentido extrínseco es posible decir que una banda de Möbius sea topológicamente distinta de una banda provista de, pongamos por caso, tres semirrizos.
De las propiedades topológicas intrínsecas de la banda de Möbius (o de cualquiera de sus formas intrínsecamente idénticas), ninguna tan curiosa e intrigante como la de que al cortarla longitudinalmente en dos no resulten dos bandas, sino una sola mucho mayor. Así lo cuenta una estrofita anónima:
Un matemático contabaSorprendentemente, la nueva banda producida por esta «bisección» tiene dos bordes y dos caras. A causa de estar nuestro modelo inmerso en el espacio tridimensional, tendrá 2n + 2 medios rizos, siendo n el número (impar) de medios rizos de la banda primitiva. Cuando n es igual a 1, la nueva banda queda provista de cuatro medias torsiones, número par, y es por ello intrínsecamente homeomórfica con un cilindro. Cuando n es 3 la banda final tiene ocho semirrizos y queda además anudada con medio nudo simple.
que la banda de Möbius
nada más tiene una cara.
Te reirás un buen rato
al cortarla a la mitad:
aunque dos piezas esperas,
¡sigue la banda muy entera!
Las bandas con número par de semirrizos (0, 2, 4,...) producen siempre dos aros separados al ser cortados longitudinalmente por la mitad; estos dos aros son idénticos a la cinta primitiva salvo en que son más estrechos. En el espacio tridimensional cada uno tendrá n semirrizos; los dos aros se encuentran eslabonados n/2 veces. Por tanto, cuando n es igual a 2, la bisección produce dos bandas, cada una provista de dos semirrizos, que se encuentran encadenados como los eslabones de una cadena. Cuando n valga 4, una de las bandas formará dos bucles en torno a la otra. En el caso de ser n igual a 2 podemos cortar la banda, formar dos aros enlazados, abrir uno de ellos y desecharlo, cortar el otro, con el fin de obtener otros dos más estrechos todavía, romper uno de éstos y continuar (en teoría) tanto como se quiera.
En mi libro Mathematics, Magic and Mystery, publicado por Dover, explico cómo los ilusionistas han sacado provecho de estas propiedades en un viejo truco, donde desgarran tiras de tela, conocido por «las cintas afganas». Stephen Barr sugiere una forma inédita de poner de relieve estas mismas propiedades. Para ello, Barr pinta una línea central a lo largo de una ancha banda de papel fuerte y pesado con una solución concentrada de nitrato potásico y, una vez seca, deja colgar la banda de un clavo, de tal manera que éste sólo alcance hasta la mitad de la anchura. Cuando la línea pintada con nitrato es tocada con la brasa de un cigarrillo en su parte más baja, la línea arde rápidamente en sentido ascendente por ambos costados hasta que ambos frentes de llama convergen en lo alto. Entonces la mitad de la banda se desprende y cae, produciéndose bien una cinta de Möbius de tamaño doble, bien dos bandas eslabonadas, bien una cinta anudada, según que la banda primitiva estuviera provista de uno, dos o tres semirrizos.
Se produce otro resultado inesperado cuando una cinta con número impar de semirrizos es «trisecada», es decir, cuando el corte comienza a un tercio de la anchura de la banda a partir de un borde. Tal corte nos hace darle dos vueltas a la banda antes de retornar al punto de partida. El resultado es una banda idéntica a la primitiva (obviamente más estrecha, pues corresponde al tercio central de aquélla) encadenada a una segunda banda, doble de larga, que es idéntica (aunque más estrecha) a la que se hubiera producido cortando por la mitad la banda original. Cuando n es 1 (banda de Möbius), la trisección produce una banda de Möbius pequeña encadenada a una banda de dos caras dotada de cuatro semirrizos (véase la fig. 12).

Figura 12. Al trisecar una banda (1) se forman dos bandas eslabonadas (2) con las que puede crearse una sola banda de espesor triple (3).
La banda de Möbius tiene muchas propiedades intrínsecas desconcertantes. Es una superficie de las que se llaman en topología «no orientables». Imaginemos que la banda sea una auténtica superficie, de espesor igual a cero. Inmersas en este espacio bidimensional habitan criaturas planas asimétricas (es decir, distintas de la imagen que reflejaría un espejo). Si una de tales criaturas diera una vuelta en torno a la banda y retornase después a reunirse con sus congéneres, al llegar habría cambiado de paridad, transformándose en la imagen especular de su primitivo ser. (Los cosmólogos han diseñado modelos análogos de espacios tridimensionales con torsión, en los cuales sería posible que un astronauta describiera un circuito en torno al Cosmos, y al retornar a la Tierra su corazón estuviera del otro lado.) Recordemos que es preciso suponer que estas criaturas planas se encuentran «dentro» de la superficie de espesor nulo, y no meramente «sobre» ella.
Toda superficie no orientable ha de contener al menos una banda de Möbius. Enunciado con otras palabras, de toda superficie no orientable se podrá siempre recortar una superficie de Möbius. Los topólogos han descubierto muchos tipos extraños de superficies no orientables, tales como la botella de Klein, el plano proyectivo y la superficie de Boy (descubierta por el matemático alemán Werner Boy), todas ellas cerradas y sin borde, como la superficie de una esfera. La botella de Klein puede ser cortada por la mitad, produciendo así dos bandas de Möbius, como se explica en el capítulo 2 de mi Sixth Book of Mathematical Games from Scientific American. El plano proyectivo se convierte en cinta de Möbius sin más que hacerle un agujero.
En el espacio tridimensional todas las superficies no orientables tienen una sola cara, y todas las superficies orientables (en las cuales es imposible que un ser plano asimétrico invierta su lateralidad) tienen en el espacio tridimensional dos caras. A diferencia del número de caras, la «lateralidad» no es una propiedad topológica intrínseca. Tan sólo en nuestro espacio podemos decir que una superficie bidimensional tiene una o dos caras, de igual forma que sólo puede decirse que una línea unidimensional cerrada tiene interior y exterior cuando la curva se encuentra inmersa en un plano.
Otra propiedad intrínseca de la banda de Möbius guarda relación con la teoría de grafos. Sobre el plano, o sobre cualquier banda con número par de semitorsiones, el número máximo de puntos que pueden ser dos a dos conectados por líneas que no se intercepten es de cuatro (véase la fig. 13).
No es difícil demostrar que si los puntos son cinco es imposible evitar las intersecciones. Sin embargo, sobre una superficie de Möbius pueden interconectarse hasta un máximo de seis puntos. Tomemos seis puntos sobre una tira de papel (véase la fig. 13).
Supongamos que los bordes superior e inferior de esta tira se pegan, después de darle a la tira una torsión de media vuelta (o de un número impar de medias vueltas).

Figura 13. Puntos sobre un plano (izquierda) y sobre una banda (derecha)
Las bandas de Möbius tienen también utilidad práctica. En 1923, Lee de Forest obtuvo la patente norteamericana número 1.442.632 para una película de esta forma, en la que podrían registrarse ambas «caras». Más recientemente, la misma idea ha sido aplicada a cintas magnetofónicas, con lo que la cinta retorcida puede funcionar sin interrupción el doble de tiempo de lo que estaría otra normal. Se han otorgado diversas patentes para cintas transportadoras diseñadas a fin de que sufran igual desgaste por ambos lados. En 1949, O. H. Harris obtuvo la patente N° 2.479.929 relativa a una banda de Möbius abrasiva. B. F. Goodrich se adjudicó en 1957 otra patente parecida. En 1963 J. W. Jacobs consiguió la patente Nº 3.302.795 para un filtro autolimpiante destinado a máquinas de limpieza en seco, que por tener la forma de banda de Möbius facilita el lavado por ambas «caras» de la suciedad depositada en el filtro al ir éste dando vueltas.
En 1963, Richard L. Davis, físico de la Sandia Corporation de Albuquerque, inventó una resistencia desprovista de reactancia, fundada en la banda de Möbius.

Figura 14. Superficie continua en forma de columna (1953), Galería de Arte Albright-Knox, Buffalo.
Para muchas de sus obras abstractas, la escultura moderna se ha inspirado en la banda de Möbius. El nuevo Museo de Historia y Tecnología de la Smithsonian Institution en Washington D. C., tiene frente a su entrada una banda de Möbius de acero de dos metros y medio de alta, que gira lentamente sobre sí misma emplazada en un pedestal. Max Bill, escultor suizo, se ha inspirado en la banda de Möbius para docenas de sus obras. (Véase la fig. 14.)
Los artistas gráficos se han valido de esta banda tanto para fines publicitarios como artísticos. En las figuras 15 y 16 pueden verse dos trabajos del artista holandés Maurits C. Escher que sacan partido de ella. En 1967, para honrar a un congreso matemático, Brasil lanzó una emisión conmemorativa de sellos de correos con un diseño de una banda de Möbius. En 1969, un sello belga presentaba una banda de Möbius aplanada en forma de triángulo. (Pueden verse ambos sellos en la fig. 17.) También una banda de Möbius de forma triangular que fue emblema oficial de la Expo’74, feria mundial de 1974, celebrada en Spokane, Washington. La portada de The New Yorker del 5 de abril de 1976 mostraba una banda de Möbius en torno a la cual treinta empresarios y hombres de negocios circulaban en sentidos opuestos.
La superficie de Möbius ha tenido también papel destacado en numerosos cuentos de ciencia-ficción, desde mi «No-Sided Professor» hasta «The Wall of Darkness», de Arthur C. Clarke (en Super- Science Stories, de julio de 1949). Muchos amigos me han enviado tarjetas navideñas con mensajes tales como «Alegría sin fin» impresos sobre bandas de Möbius. Resulta curioso que si se va haciendo deslizar entre los dedos una de estas cintas el mensaje sin fin presenta siempre correctamente el texto, a pesar de que en cualquier lugar de la banda las palabras impresas en el reverso están invertidas, impresas cabeza abajo.

Figura 15. «Banda de Möbius II», grabado en boj, de Maurits C. Escher.

Figura 16. «Banda de Möbius I», grabado en madera de Maurits C. Escher que muestra una banda de Möbius bisecada. La banda es un todo continuo, en forma de tres peces que muerden cada uno la cola del precedente.

Figura 17. Sellos de correos belga y brasileño, que exhiben sendas bandas de Möbius.
Los hexaflexágonos tienen un número impar de semirrizos, y son por tanto bandas de Möbius. Puede verse una introducción a la interesante topología de las bandas de Möbius «cruzadas» en mi sección de «Juegos Matemáticos» del número de agosto de 1968 de Scientific American. Con respecto al problema de la banda de longitud mínima que puede ser plegada y pegada para formar una banda de Möbius, véase mi Sixth Book of Mathematical Games from Scientific American, capítulo 6. Los esquiadores acrobáticos ejecutan ahora un salto bautizado «volteo Möbius», que consiste en un tonel combinado con un salto mortal.
Hay un grupo de escritores y matemáticos franceses que con el nombre colectivo de OuLiPo se dedican a publicar extravagantes experimentos sobre juegos de palabras, y que se valen de superficies de Möbius para transformar poemas. Por ejemplo, una cuarteta escrita en un lado de una tira de papel puede tener esquema abab, mientras una segunda, escrita por el otro lado, puede rimar cdcd. Al retorcerla y convertirla en banda de Möbius se crea una nueva estrofa, de esquemaacbdacbd. (Véase mi artículo sobre OuLiPo en Scientific American, febrero de 1977.)
En estos últimos años parece como si hasta los escritores no matemáticos se hubiesen enamorado de la banda de Möbius, considerándola símbolo de infinitud. Tenemos un poema de Charles Olson titulado «La banda de Möbius»; un libro de Carol Berge, A Couple Called Möbius: Eleven Sensual Short Stories (Bobbs- Merrill, 1972. El título dice: «Una pareja llamada Möbius. Once cuentos breves de carácter sensual»). En su sobrecubierta, el libro de Berge exhibe una gran banda de Möbius; el encabezamiento de cada relato exhibe, asimismo, una bandita más pequeña. «Cuando un hombre y una mujer se unen como amantes», dice la solapa de la cubierta, «hay una infinidad de relaciones potenciales, que, como la banda de Möbius, no tienen principio ni fin: forman un continuo... Hay en estos relatos sabiduría y honestidad; hay de ambas suficiente para hacernos sentir afinidad por estas personas, una familiaridad que posiblemente pudo formarse en algún lugar de la banda de Möbius de nuestra propia vida.»
Difícil es ver cómo un rizo dado a un bucle sin fin puede añadir a la metáfora nada que no pueda expresar una sencilla banda lisa ordinaria o un círculo —sin duda pasado ya de moda—. Todo lo que el rizo puede hacer es llevarnos de nuevo a lugares ya visitados, orientados alternativamente a derechas y a izquierdas. El paralelismo que ello pueda implicar con la propia vida es muy discutible.
El primer cuento, o más exactamente el comienzo del primer cuento de Lost in the Funhouse, de John Barth (Doubleday, 1968), está diseñado para ser leído sobre una auténtica superficie de Möbius. Se le indica al lector que corte la página a lo largo de la línea de puntos, la retuerza y pegue, formando una banda de Möbius sobre la cual puede leerse sin fin el estribillo de todos los cuentos: «Érase una vez un cuento que empezaba érase una vez un cuento que empezaba...»
Tenemos aquí el viejo cuento de la buena pipa. En cierta ocasión, yo mismo escribí el siguiente metapoema, que tiene comienzo y final infinitos, pero que no tiene mitad:
Un buen día,Desdichadamente, no he dado todavía con una superficie topológicamente apropiada sobre la cual imprimirlo.
creyéndose un gran vate,
un metapoeta medio orate
escribió, falto de tema,
un absurdo metapoema
que así decía:
«Un buen día,
creyéndose un gran vate,
un metapoeta medio orate
escribió, falto de tema,
un absurdo metapoema
que así decía:
“Un buen día,
.
.
.
especie de final”,
optó por decir
el poeta medio loco
para llevar poco a poco
su poema a una
especie de final»,
optó por decir
el poeta medio loco
para llevar poco a poco
su poema a una
especie de final.
Soluciones
En la figura 18 vemos una forma de resolver el problema de la banda de Möbius.

Figura 18. Solución del problema de la banda de Möbius.

Figura 19.
El complemento de este grafo es un mapa que precisa al menos seis colores si se exige que cada región tenga color diferente al de sus vecinas. La figura 19 muestra otra solución simétrica, que fue enviada por muchos lectores.Ninguno de los siguientes problemas breves requiere saber matemáticas superiores. La mayoría tienen soluciones inesperadas o de «feliz idea», y no se espera que los lectores se los tomen demasiado en serio.
§1. En cierto poblado africano viven 800 mujeres. De ellas, el 3 % se adorna con un solo pendiente. Del otro 97 % la mitad usa dos pendientes, y la otra mitad, ninguno. ¿Cuántos pendientes llevan en total estas mujeres?
§2. En un poliedro convexo, cada cara puede servir de base para colocar el cuerpo sobre un plano horizontal. El centro de gravedad de un poliedro regular se encuentra en el centro de simetría del cuerpo, y por consiguiente estos sólidos son estables apoyados sobre cualquiera de sus caras. Es fácil construir poliedros que sean inestables sobre ciertas caras, es decir, que al dejarlos sobre una mesa descansando sobre éstas, el cuerpo no se sostiene y cae. ¿Será posible construir un modelo de poliedro irregular convexo que sea inestable al dejarlo descansar sobre todas y cada una de sus caras?
§3. ¿Cuánto vale el número que falta en la siguiente sucesión: 10, 11, 12, 13, 14, 15, 16, 17, 20, 22, 24, 31, 100, .., 10.000? (Indicación: el número ausente se encuentra en notación de base 3.)
§4. Entre las afirmaciones de este problema hay tres errores. ¿Sabrá decir cuáles son?
a. 2 + 2 = 4§5. Un lógico tenía por necesidad que matar un rato en una pequeña localidad, y para no perder el tiempo optó por hacerse cortar el pelo. Había en la villa solamente dos barberos, cada uno con su propia peluquería. El lógico echó un vistazo a una de ellas, y la vio extraordinariamente descuidada. Además, a su dueño le hacía falta un afeitado, sus ropas daban lástima y llevaba el pelo trasquilado. La otra barbería era un modelo de aseo y pulcritud. Su barbero estaba recién rasurado, su vestimenta era impecable, y su peinado, perfecto. El lógico decidió ir a cortarse el pelo en la primera. ¿Por qué?
b. 4/(1/2) = 2
c. 3 1/5 × 31/8 = 10
d. 7 - 4 (- 4) = 11
e. -10 (6 - 6) = -10.
§6. A un tablero de tres en raya (tatetí) se le añade una casilla más, como muestra la figura 20.
.
Figura 20. Victoria del primer jugador.
De jugar con las reglas habituales, el primero en jugar lograría fácilmente tres marcas en raya jugando inicialmente como vemos. De no haber casilla adicional, la única forma de que el segundo jugador pueda impedir ser derrotado es ocupar la casilla central. Pero ahora el primer jugador puede responder como muestra la figura, y ganar inexorablemente en su próximo turno. Modifiquemos el juego introduciendo la nueva regla siguiente: Para que un jugador pueda ganar sobre la línea inferior es forzoso que tome las cuatro casillas. ¿Podrá el primer jugador seguir imponiéndose ahora?§7. Una secretaria escribe cuatro cartas a otras tantas personas. Seguidamente dirige los sobres y mete cada carta en un sobre distinto, pero al azar, sin preocuparse de que la carta vaya al destinatario del sobre. ¿Cuál es la probabilidad de que haya exactamente tres cartas dirigidas a su correcto destinatario?
§8. Fijémonos en estos tres puntos: el baricentro de un tetraedro regular, y dos de los vértices de éste. Estos tres puntos son coplanarios, es decir, se encuentran sobre un mismo plano. ¿Ocurriría lo mismo para todos los tetraedros irregulares?
§9. Resuelva el siguiente crucigrama con ayuda de las siguientes definiciones:

Figura 21. Un curioso crucigrama.
§11. Si cogiera usted tres manzanas de una cesta que contenía 13 manzanas, ¿cuántas manzanas tendría usted?
§12. Desde un punto C exterior a una circunferencia se trazan dos rectas tangentes a ella (véase la fig. 22). Los segmentos de tangente YC y XC son necesariamente iguales.

Figura 22. Un problema de tangencias.
§13. Nueve mil novecientas nueve pesetas se escribe 9.909 pesetas. ¿Cómo deben expresarse numéricamente doce mil docecientas doce?
§14. Un químico descubrió que cierta reacción precisaba en el laboratorio 80 minutos si él llevaba la bata puesta, mientras que si no la llevaba, la reacción tardaba una hora y veinte minutos. ¿Sabría usted explicar por qué?
§15. Cada una de las dos estructuras de papel de la figura 23 está formada por una banda anular horizontal unida a otra vertical de igual longitud y anchura.

Figura 23. Una cuestión de carácter topológico.
¿Qué se obtendrá al cortar la segunda estructura de la forma correspondiente, a lo largo de las líneas de puntos?
§16. Un triángulo equilátero y un hexágono regular tienen perímetros de igual longitud. Si el triángulo tiene una superficie de dos unidades cuadradas, ¿qué área tiene el hexágono?
§17. ¿Podrá formarse un cubo de 6 × 6 × 6 con 27 ladrillos que miden cada uno 1 × 2 × 4 unidades? (Véase la fig. 24.)

Figura 24. Un problema de descomposición de un cubo.
§18. En un restaurante, un cliente se encontró una mosca en el café. Llamó al camarero e hizo que le trajese una taza nueva. Apenas tomar un sorbo de ella el cliente gritó irritado: «¡Esta taza de café es la misma que me trajo usted antes!» ¿Cómo pudo saberlo?§19. Una chapa de metal tiene forma de cuadrado de dos metros de lado rematado por dos semicírculos adosados a lados opuestos. (Véase la fig. 25.)

Figura 25. Problema del recorte circular en chapa.
§20. «Le garantizo», aseguró al cliente el dependiente de la pajarería, «que este loro repetirá todo lo que oiga». El cliente se llevó el loro, pero no consiguió que éste dijera ni una palabra. Y, sin embargo, el vendedor había dicho la verdad. Explíquelo.
§21. De uno de los vértices de un cuadrado parten dos rectas que dividen al cuadrado en tres regiones de áreas exactamente iguales (véase la fig. 26). ¿En qué razones cortan a los lados del cuadrado estas rectas «trisecantes»?

Figura 26. Trisección del cuadrado.
§23. Exponga al menos tres procedimientos mediante los cuales un barómetro puede utilizarse para medir la altura de un alto edificio.
§24. ¿Cómo puede hacerse un cubo con cinco cerillas de papel? No está permitido doblar ni partir las cerillas.
§25. ¿Qué situación es más verosímil, una vez repartidas las cuatro manos de bridge: que usted y su pareja tengan todos los tréboles, o que ni usted ni su pareja tengan ninguno?
§26. Aunque muy viejo, este acertijo sigue confundiendo a casi todos quienes lo oyen por primera vez. García pagó al encargado de un hotel 1.500 pesetas por una pernocta. El encargado se dio cuenta de que había cobrado 500 pesetas de más, y envió al botones con cinco billetes de cien a la habitación de García. El botones, que era un pillo, le dio solamente tres billetes a García y se guardó los otros dos como propina. Ahora bien: García ha pagado a fin de cuentas 1.200 pesetas; el botones se ha quedado 200. En total, 1.400 pesetas. ¿Dónde está el billete que falta?
Soluciones
§1. Entre el 97 % de mujeres, si la mitad llevan dos pendientes y la mitad ninguno, sería como si cada una de éstas llevase exactamente uno. Suponiendo, pues, que cada una de las 800 mujeres lleva un pendiente habría 800 pendientes en total.
§2. No. Si un poliedro fuera inestable sobre cada una de sus caras podríamos construir una máquina de movimiento continuo. Cada vez que el cuerpo cayese sobre una nueva base quedaría desequilibrado y volvería a caerse.
§3. Cada número de la serie es la expresión de 16 en un sistema de numeración de distinta base, que comienza por la base 16 y va decreciendo de unidad en unidad, terminando con la base 2. El número ausente, expresión de 16 en la base 3, es 121.
§4. Tan sólo son falsas las igualdades b ye. Por consiguiente, la declaración que afirma que hay tres errores es falsa. Y éste es el tercer error.
§5. Para hacerse cortar el pelo, cada barbero tiene que recurrir a los servicios del otro. El lógico eligió al barbero que mejor había arreglado el pelo a su competidor.
§6. Supongamos que las celdillas estén numeradas de 1 a 10, de izquierda a derecha y de arriba abajo. El primer jugador sólo puede ganar tomando en su primera tirada bien la casilla número 2, bien la número 6. Dejo al cuidado del lector la tarea de desarrollar la estrategia del primer jugador para todas las respuestas de su contrario.
§7. Cero. Si hay tres cartas correctamente insertas en sus sobres, también lo estará la cuarta.
§8. Sí. Cualesquiera tres puntos del espacio están siempre contenidos en un mismo plano.
§9. La solución del crucigrama se presenta en la figura 27.
§10. La probabilidad es 1, porque el suceso es seguro. Cualesquiera tres puntos situados sobre una esfera yacen en un mismo hemisferio.
§11. Tres manzanas.
§12. El perímetro del triángulo es de 20 unidades. Las rectas tangentes a una circunferencia trazadas desde un punto exterior determinan segmentos iguales. Por consiguiente. YA=AP y BP = = XB. Dado que AP + BP es un lado del triángulo ABC, es fácil ver que el perímetro del triángulo es 10 + 10 = 20. Es éste, sin embargo, uno de esos curiosos problemas que pueden resolverse de forma totalmente distinta admitiendo que tengan solución. Dado que P puede encontrarse en cualquier lugar del arco de circunferencia de extremos X e Y, movemos P hasta una posición límite (bien X, bien Y).

Figura 27. Solución del crucigrama
§13. 12.212 pesetas.
§14. Ochenta minutos es lo mismo que una hora y veinte minutos.
§15. Al cortar la segunda estructura se obtiene el mismo resultado que al cortar la primera. En efecto, el resultado sigue siendo el mismo recuadro grande, y ello independientemente del número de torsiones que hayan sido dadas a la banda vertical. Para mayor sorpresa, averigüe el lector lo que sucede al bisecar la banda no retorcida de la segunda estructura y trisecar, en cambio, la provista de torsión.
§16. Tres unidades (cuadradas) de superficie. (Véase la fig. 28.)
§17. No. Imaginemos al cubo de orden 6 formado por 27 cubos menores de dos unidades de lado cada uno, alternativamente pintados de blanco y de negro. Como 27 es número impar, tendrá que haber 13 cubos de un color y 14 del otro.

Figura 28. Solución del problema hexágono triángulo
§18. El cliente echó azúcar en el café antes de encontrarse la mosca muerta.
§19. Juntando los dos semicírculos se obtiene un círculo que ajusta exactamente en el agujero. Por tanto, el metal restante tiene cuatro metros cuadrados de superficie.
§20. El loro era sordo.
§21. Las rectas trisecantes del área son trisecantes también de los lados del cuadrado. Como hace notar Piet Hein (a quien doy las gracias por enviarme el problema), es fácil comprenderlo así dividiendo en dos mitades un rectángulo cualquiera a base de trazar desde el vértice donde concurren las trisecantes la diagonal hasta el vértice opuesto. Cada una de las mitades del rectángulo habrá, evidentemente, de ser dividida por una de las trisecantes en dos triángulos tales que el menor de ambos tenga área mitad que el otro. Dado que los dos triángulos comparten una altura común, será preciso que la base del menor sea mitad de la base del mayor.
§22. Sí, con tal de que las bolas de acero sean empujadas a lo largo del tubo en momentos distintos.
§23. He aquí cinco:
- Cuelgue el barómetro de un cordel y vaya dejándolo caer desde el tejado del edificio hasta la calle. Recoja el cordel y mídalo.
- Lo mismo que antes, pero en lugar de recoger el hilo déjelo oscilar libremente como péndulo, y calcule la longitud del péndulo a partir de la frecuencia de oscilación. (He de agradecer a Dick Akers esta solución.)
- Déjese caer libremente al barómetro, observando el tiempo de caída hasta el suelo. La altura puede entonces calcularse a partir de las fórmulas de caída de graves.
- Si el día es soleado, calcule la razón entre la longitud de la sombra del barómetro y su altura. Aplíquese la proporción a la longitud de sombra del edificio.
- Busque al administrador del edificio y ofrézcale el barómetro a cambio de la información.
§24. Tomando «cubo» en sentido numérico, con las cinco cerillas se puede formar 1, ó 27, ó VIII, o también 1 elevado a 3.

Figura 29. Construcción de un cubo con cinco cerillas
§25. La probabilidad es la misma. Pues si entre usted y su pareja no tienen ni un solo trébol, el palo entero habrá sido servido a los otros dos jugadores.
§26. Sumar las 200 pesetas del botones con las 1.200 de García es absurdo. García aflojó en total 1.200 pesetas, de las que 1.000 son para el encargado y 200 para el botones. García recibió de vuelta 300 pesetas, que sumadas a las 1.200 del botones y el encargado totalizan las 1.500 que inicialmente había pagado.
Capítulo 4
Perfectos, amigos y sociables
Los números perfectos son, sencillamente, números iguales a la suma de todos sus divisores propios, esto es, de todos los divisores del número a excepción de él mismo. El menor de tales números es el 6, que es igual a la suma de sus tres divisores propios, 1, 2 y 3. El siguiente es 28, suma de 1 + 2 + 4 + 7 + 14. Los primeros comentaristas del Antiguo Testamento, tanto judíos como cristianos, quedaron muy impresionados por la perfección de esos dos números. ¿Acaso no fue el Mundo creado en seis días? ¿No tarda veintiocho días la Luna en su circunvalación en torno a la Tierra? En La Ciudad de Dios, libro 11, capítulo 30, San Agustín argumenta que, no obstante poder Dios haber creado el Mundo en un instante, El prefirió emplear seis días, porque la perfección del número 6 significa la perfección del Universo. (Parecidos puntos de vista habían sido expresados anteriormente por un filósofo judaico del siglo I, Philo Judaeus, en el tercer capítulo de su Creación del Mundo.) «Por consiguiente», concluye San Agustín, «no debemos despreciar la ciencia de los números, la cual, en muchos pasajes de la Sagrada Escritura, demuestra ser de servicio eminente al intérprete cuidadoso».
El primero de los grandes logros de la teoría de números perfectos fue la ingeniosa demostración dada por Euclides de que la fórmula 2 n-1(2n - 1) genera siempre un número perfecto para cuando la expresión entre paréntesis resulta ser número primo. (El paréntesis nunca podrá ser número primo a menos que el exponente n sea primo, si bien, aunque n sea primo, no es forzoso que 2n - 1 lo sea, y de hecho raramente lo es.) No fue hasta 2.000 años más tarde cuando Leonhard Euler demostró que esta fórmula genera todos los números perfectos pares. En lo sucesivo, al decir «número perfecto» debe entenderse número perfecto par, pues no se conocen números perfectos impares, y es probable que no exista ninguno.
Para hacernos una idea intuitiva de lo muy notable que es la fórmula de Euclides, y de lo muy estrechamente que liga a los números perfectos con la conocida progresión geométrica 1, 2, 4, 8, 16, ..., recordemos la legendaria historia del rey persa que, encantado con el juego de ajedrez, dijo al inventor que le concedería cualquier don que desease. La petición que éste le hizo fue, en apariencia, muy modesta: un grano de trigo en la primera casilla del tablero, dos granos en la segunda, cuatro en la tercera, y así sucesivamente según las potencias de 2, hasta el sexagésimo-cuarto cuadro. Resulta que en este último escaque haría falta colocar 9.223.372.036.854.775.808 granos de trigo. El total de todos los granos es el doble de ese número, menos 1, equivalentes a unos cuantos miles de veces la cosecha anual de trigo de todo el mundo.
En la figura 30 cada casilla de un tablero de ajedrez está rotulada con el número de granos que habría de contener. Tomando un grano de un cuadro, del n-ésimo digamos, quedarían en él 2n - 1 granos, que es la expresión entre paréntesis de la fórmula de Euclides. Si tal número fuese primo, multipliquémoslo por el número de granos de la casilla precedente, que es el 2n-1 de la fórmula. ¡Voilá, ya tenemos un número perfecto! Los números primos de la forma 2 n - 1 se llaman «primos de Mersenne», en honor del matemático francés que los estudió en el siglo XVII. Los cuadrados sombreados de la ilustración indican qué casillas se transforman en primos de Mersenne al retirar un grano, proporcionando en consecuencia los nueve primeros números perfectos.

Fig. 30. Tablero de ajedrez, ocupado por las potencias de 2. Los escaques grises contienen primos de Mersenne.
A excepción del 6, todos los números perfectos tienen raíz digital igual a 1. (Para obtener la raíz digital de un número se suman sus cifras; después, se suman las cifras de la suma, y así se continúa hasta alcanzar un número de una sola cifra. Este proceder equivale a ir «expulsando nueves». Así pues, al decir que un número tiene raíz digital igual a 1 estamos diciendo que al dividirlo por 9 dará resto 1.) La demostración de esta propiedad requiere probar que la fórmula de Euclides da un número con raíz digital 1 siempre que n es impar, y como todos los números primos, excepto el 2, son impares, está claro que los números perfectos pertenecen a esta clase. El único primo par, el 2, origina el único número perfecto, 6, que no tiene raíz digital igual a 1. Se puede demostrar que los números perfectos (excepto el 6) son exactamente divisibles entre 4, y congruentes a 4 (módulo 12).
Dado que los números perfectos se hallan tan íntimamente emparentados con las potencias de 2, pudiera esperarse que al expresarlos en el sistema binario mostrasen algún tipo de pautas o regularidades llamativas. Tal presunción es correcta. Tanto es así, que dada la expresión euclídea de un número perfecto podemos instantáneamente expresar este número en forma binaria. Se invita a los lectores a determinar, primero, por qué procedimiento puede esto conseguirse, y después, demostrar que la regla funciona siempre.
Un hecho inicialmente sorprendente de la teoría de números perfectos es que la suma de los recíprocos de todos los divisores de un número perfecto (incluido él mismo) sea igual a 2. Tomemos, por ejemplo, el caso de 28:
![]()
![]()
![]()
Las dos grandes cuestiones pendientes acerca de los números perfectos son: ¿Existe algún número perfecto impar? ¿Será infinita la serie de los números perfectos pares? No se ha descubierto hasta ahora ningún número perfecto impar, ni tampoco ha podido nadie demostrar que tales números sean imposibles. (En 1967, Bryant Tuckerman demostró que de existir algún número perfecto impar tendría que ser mayor que 1036.) La segunda cuestión depende, como es obvio, de que exista una infinidad de números primos de Mersenne. Al sustituir en la fórmula 2n - 1 el exponente n por cada uno de los cuatro primeros números de Mersenne (3, 7, 31 y 127), la fórmula genera un número primo de Mersenne más alto. Durante más de setenta años los matemáticos confiaron en que este procedimiento definiría una infinidad de primos de Mersenne, pero el caso inmediatamente superior, con n = 213 - 1 = 8.191, los hizo desengañarse: en 1953 un computador electrónico permitió descubrir que el número 28191 - 1 no es primo. Nadie sabe si la serie de números de Mersenne continúa indefinidamente o si tiene un último término.
Oystein Ore, en su Number Theory and Its History, cita una predicción que fue en tiempos plausible, tomada de un libro de 1811, Theory of Numbers, de Peter Barlow (1811). Tras dar el noveno número perfecto, Barlow, su autor, añade que éste es « el máximo de los que serán descubiertos, pues siendo meras curiosidades sin utilidad, no es verosímil que nadie intente hallar otros más allá ». En 1876, el matemático francés Edouard Lucas, autor de una clásica obra en cuatro volúmenes sobre matemática recreativa, anunció el siguiente número perfecto que sería descubierto, 2126(2127 - 1) . El duodécimo número primo de Mersenne, en el cual se funda el perfecto anterior, es una unidad menos que el número de granos del último escaque de un segundo tablero, suponiendo que el plan de duplicación se continuase en otros tableros una vez lleno por completo el primero. Años más tarde, Lucas empezó a tener dudas acerca de este número, pero al fin logró establecerse que 2127 - 1 es primo. Se trata del mayor de los números de Mersenne que ha podido descubrirse sin auxilio de los modernos computadores.
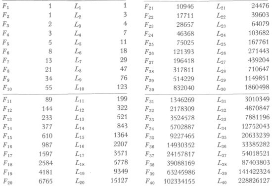
En la figura 31 se da una lista de las fórmulas de los 24 números perfectos conocidos, el número de cifras decimales de cada uno de ellos, y los propios números perfectos en tanto su tamaño no resulte excesivo. El vigésimo tercer número perfecto vio la luz en 1963 cuando un computador de la Universidad de Illinois consiguió calcular el vigesimotercero de los números de Mersenne. Tan ufano puso este acontecimiento al Departamento de Matemáticas de la universidad, que durante muchos años su matasellos postal ha estado estampando este número en los sobres de la universidad. (Véase la parte superior de la fig. 32.) En 1971, en el Centro de Investigación de I.B.M. en Yorktown Heights, Nueva York, Tuckerman descubrió el vigesimocuarto primo de Mersenne. (Véase la fig. 32, abajo.) Este número, que consta de 6.002 dígitos, es el mayor de los números primos conocidos; y evidentemente engendra el vigesimocuarto número perfecto.
Las cifras finales de los números perfectos suscitan otro misterio exasperante. Es fácil demostrar, con auxilio de la fórmula de Euclides, que los números perfectos han de terminar en la cifra 6 u 8. (Cuando acaban en 8 la cifra precedente tiene que ser un 2; si acaban en 6, el guarismo anterior tiene que ser 1, 3, 5 ó 7, exceptuados los casos 6 y 496.)

Figura 31. Los veinticuatro números perfectos conocidos.

Figura 32. Matasellos y membrete en honor de los dos mayores números primos conocidos.
6, 8, 6, 8, 6, 6, 8, 8 , 6, 6, 8, 8,
6, 8, 8, 8, 6, 6, 6, 8 , 6, 6, 6, 6.
Los indicios de orden que esta serie presenta son auténticamente irritantes. Los cuatro primeros guarismos son, alternativamente, 6 y 8; después 6, 6 y 8, 8 se van turnando otras cuatro veces. A continuación, un 6 solitario abre paso a una terna de 8's, seguida de la primera terna de 6's y de un 8 solitario. Aparece finalmente la primera cuaterna, 6, 6, 6, 6. ¿Estarán estas cifras queriendo decirnos algo? Probablemente no. Y aunque nadie ha podido dar con una fórmula que prediga la cifra final de un número perfecto no descubierto todavía, sí es fácil determinarla suponiendo conocida su fórmula euclídea. ¿Sabrá el lector descubrir esta sencilla regla?Los números que son una unidad más o una unidad menos que la suma de sus divisores propios han sido llamados «casi perfectos». Todas las potencias de 2 son «casi perfectas» de tipo +1. No se sabe de ningún otro número «casi perfecto» de tipo + 1, pero tampoco se ha demostrado que sean imposibles. Tampoco se han descubierto casi-perfectos de tipo -1, y se ignora si podrán o no existir.
Los números amigos son consecuencia de generalizar de forma evidente la noción de número perfecto. Supongamos que se parte de un número cualquiera, que sumamos sus divisores, obteniendo así un segundo número, que sumamos los divisores del segundo número y proseguimos así indefinidamente, con la esperanza de retornar al número inicial. Si el primer paso nos devuelve ya el número de partida, éste es perfecto. Cuando el proceso tiene dos etapas se dice que los números son amigos. Cada uno de ellos es suma de los divisores del otro. Los más pequeños de tales números, 220 y 284, fueron conocidos ya por los pitagóricos. Los divisores propios de 220 son 1, 2, 4, 5, 10, 11, 20, 22, 44, 55 y 110. Su suma es 284. Los divisores propios de 220 son 1, 2, 4, 71 y 142. En total, 220.
La hermandad pitagórica consideraba los números 220 y 284 como símbolos de amistad. Los comentaristas de las Escrituras localizaron el número 220 en Génesis 32:14, por ser éste el número de cabras que Jacob dio a Esaú. Sabia elección, hicieron notar, porque siendo 220 uno de los integrantes del par amigo, era expresión del afecto que Jacob sentía por Esaú. Durante la Edad Media, este par de números tuvo su importancia en la confección de horóscopos; se creía por otra parte, que un talismán con los números 220 y 284 grabados en él tendría efectos amorosos. Un ingenuo árabe del siglo XI ha dejado constancia de haber en cierta ocasión puesto a prueba los efectos eróticos de ingerir algo marcado con 284, al tiempo que otra persona se tragaba un 220, pero no llegó a reseñar si el experimento tuvo éxito.
Hubo que esperar hasta 1636 para que se descubriera otro par ele números amigos, 17.296 y 18.416, hallados por el gran Pierre de Fermat. Tanto él como René Descartes redescubrieron independientemente uno de otro una regla que para construir ciertos pares de números amigos, sin saber que un astrónomo árabe del siglo IX la había dado ya. Gracias a ella, Descartes encontró un tercer par: 9.363.584 y 9.437.056. En el siglo XVIII, Euler preparó una lista de sesenta y cuatro pares (de la cual se demostró más tarde que dos pares de ella eran en realidad «falsos amigos»). Adrien Marie Legendre descubrió otro par en 1830. Después, en 1867, un italiano de dieciséis años, B. Nicoló I. Paganini, dejó pasmado al mundo matemático al mostrar que 1.184 y 1.210 eran números amigos. ¡Era, por orden de valor creciente, el segundo par, y se les había pasado por alto a los matemáticos hasta entonces! Y aunque seguramente el muchacho los descubriera por tanteo, tal descubrimiento ha puesto para siempre el nombre del joven en la historia de la teoría de números.
Se conocen actualmente más de 1.000 pares de números amigos. (En la fig. 33 se relacionan todos los menores de 100.000.) La tabla más completa se encuentra en una monografía en tres partes titulada « The History and Discovery of Amicable Numbers», por Elvin J. Lee y Joseph Madachy (Journal of Recreational Mathematics, vol. 5, números 2, 3 y 4). El máximo de los 1.095 pares de que consta la lista está formado por dos números de 25 cifras cada uno. Descubiertos demasiado tarde para poder ser incluidos en ella, tenemos varios pares más descubiertos por H. J. J. te Riele, de Amsterdam, el máximo de los cuales está formado por 152 cifras. Que yo tenga noticia, es el máximo de los pares de amigos hoy conocidos.
Todos los pares de números amigos tienen en sus dos términos igual paridad: ambos son pares o (más raramente) son los dos impares. No se ha demostrado todavía que sean imposibles los amigos de distinta paridad. Todos los pares de amigos impares descubiertos son múltiplos de 3. Se ha conjeturado que así sucede con todos los amigos impares. No se conoce ninguna fórmula para generar todos los pares de números amigos, y se desconoce además si su número será finito o infinito.

Figura 33. Pares «amigables» de cinco cifras a lo más.
En vista de que todos estos contraejemplos son números con raíz digital igual a 7, modifiqué mi conjetura, dándole esta nueva forma: Exceptuados los números amigos pares iguales a 7 (módulo 9), las sumas de todas las parejas de números amigos pares son iguales a 0 (módulo 9).
Cuando la cadena que nos devuelve al número primitivo tiene más de dos eslabones, el número se llama «sociable». Antes de 1969 tan sólo se conocían dos de tales cadenas, anunciadas ambas por el matemático francés P. Poulet, en 1918. Una de ellas es de orden 5:12.496, 14.288; 15.472; 14.536; 14.264. La otra es una cadena verdaderamente apabullante, de 28 eslabones, que comienza por 14.316. Se trata de la más larga cadena de este tipo conocida. (Obsérvese que 28 es número perfecto, y que si el 3 del primer eslabón es desplazado al comienzo del número, se tiene la aproximación de cuatro decimales del número π.)
De repente, en 1969, Henri Cohen, de París, descubrió siete sociables de orden cuatro. (Véase su artículo «On Amicable and Sociable Numbers», en Mathematics of Computation, vol. 24, 1970, pp. 423-29.) Más tarde, Steve Root, del M.I.T., descubrió otros seis mediante un programa de computador que analizó todos los números menores que 6.600.000.000. Se conocen en total trece de estas cadenas, cuyos números mínimos son:
1.264.460El principal de los problemas pendientes de la teoría de números sociables es el de saber si existe una cadena de tres eslabones, llamada una «multitud». Nadie ha dado con una razón que explique que tales cadenas han de ser imposibles; tampoco nadie ha dado con un ejemplo. Se han hecho búsquedas exhaustivas con computador hasta números mayores que la cota superior de Root... infructuosamente. Por inútiles que sean tales «multitudes», es verosímil que la búsqueda prosiga hasta que se atine con alguna, o hasta que algún perspicaz especialista en teoría de números demuestre su imposibilidad.
2.115.324
2.784.580
4.938.136
7.169.104
18.048.976
18.656.380
46.722.700
81.128.632
174.277.820
209.524.210
330.003.580
498.215.416
Soluciones
Dada la forma euclídea de un número perfecto, ¿qué regla sencilla nos proporcionará la expresión binaria del número? La fórmula es 2 n-1(2n - 1). La regla: Escribir n unos seguidos de n - 1 ceros. Ejemplo: el número perfecto 25-1(25 1) = 496 tiene la expresión binaria 111110000.
Es fácil comprender por qué. En forma binaria, 2n es siempre 1 seguido por n ceros. La expresión del primer término de la fórmula de Euclides, 2n-1 tiene por este motivo la forma binaria de 1 seguido por n - 1 ceros. La expresión entre paréntesis (2n - 1), o sea, la n-ésima potencia de 2 disminuida en una unidad, tiene en forma binaria n unos. El producto de esos dos números binarios será, evidentemente, n unos seguidos por n - 1 ceros.
A los lectores les resultará entretenido comprobar el teorema de que la suma de los recíprocos de los divisores de cualquier número perfecto (incluido entre los divisores el propio número) es 2, escribiendo los recíprocos en forma binaria y sumando después.
Hay varias formas de enunciar reglas para determinar la cifra final de un número perfecto inspeccionando su fórmula euclídea, pero la que doy seguidamente es tal vez la más sencilla. Es válida para todos los números perfectos, exceptuado el 6. Si el primer exponente (n - 1) es múltiplo de 4, el número perfecto acaba en 6. En los demás casos, el número termina en 28.
Es interesante estudiar las terminaciones de los números perfectos en sistemas de numeración distintos del binario y el decimal. Si la base es múltiplo de 3, todos los números perfectos distintos de 6 terminan en la cifra 1. Cuando la base sea múltiplo de 6, como en el sistema duodecimal (base 12), todos los números perfectos —a excepción del 6, acaban en 4.
Capítulo 5
Aleph cero y aleph uno
En Trinity cierto estudianteEn 1963 Paul J. Cohen, un matemático de 29 años de la Universidad de Stamford, encontró una respuesta sorprendente a uno de los mayores problemas de la moderna teoría de conjuntos: ¿Existe un orden de infinitud mayor que el de los enteros pero menor que el de los puntos sobre una línea? Para aclarar exactamente lo que Cohen demostró, debemos decir primero algo acerca de los dos niveles de infinitud más bajos conocidos.
de infinito el cuadrado halló,
pero al ir a escribir tantos dígitos
un ataque de nervios le dio.
Dejó entonces las ciencias exactas
y el servicio divino abrazó.
Anónimo
Fue Georg Ferdinand Ludwig Philipp Cantor quien primero descubrió que más allá del infinito de los enteros —un infinito al que denominó aleph cero— existen no solamente infinitos superiores sino un número infinito de ellos. Las primeras autoridades en matemáticas se dividieron drásticamente en sus reacciones. Henri Poincaré llamó al cantorismo una enfermedad de la que los matemáticos tendrían que recuperarse, y Hermann Weyl se refirió a la jerarquía de alephs establecida por Cantor como «niebla en la niebla».
Del otro lado, David Hilbert dijo: « Del Paraíso que nos ha creado Cantor nadie nos echará», y Bertrand Russell elogió en cierta ocasión el descubrimiento de Cantor diciendo que es «probablemente el más importante que la época puede ostentar ».
Actualmente sólo los matemáticos de la escuela intuicionista y unos cuantos filósofos están todavía molestos con los alephs. La mayoría de los matemáticos hace tiempo que les perdieron el miedo, y las demostraciones mediante las cuales Cantor estableció sus «terribles dinastías» (como las llamó el escritor argentino mundialmente conocido Jorge Luis Borges) son universalmente reconocidas entre las más brillantes y bellas de la historia de las matemáticas.
Cualquier conjunto infinito de cosas que puedan contarse 1, 2, 3... tiene el número cardinal א0 (aleph cero), el peldaño inferior de la escalera de alephs de Cantor. Desde luego, no es posible contar realmente ese conjunto; lo único que se demuestra es que cabe ponerlo en correspondencia biunívoca con los números naturales. Consideremos, por ejemplo, el conjunto infinito de los números primos. Fácilmente se les puede hacer corresponder biunívoca- mente con los enteros positivos:

Hay muchos modos de probar lo anterior disponiendo los números racionales en un orden numerable. La forma más conocida es asignarlos, como fracciones, a los nudos de una red cuadrada infinita y luego contar el número de puntos siguiendo un camino en zigzag, o un camino en espiral si la malla incluye los racionales negativos. Veamos otro método de ordenar y contar los racionales positivos que fue propuesto por el lógico americano Charles Sanders Peirce. (Véase Collected Papers of Charles Sander Peirce, Harvard University Press, 1933, pp. 578-580.)
Empecemos con las fracciones 0/1 y 1/0. (La segunda fracción no tiene significado, pero puede ignorarse.) Sumemos los dos numeradores y luego los dos denominadores para obtener la nueva fracción 1/1, y coloquémosla entre el par anterior: 0/1, 1/1, 1/0. Repitamos esta operación con cada par de fracciones adyacentes para obtener dos nuevas que se situarán entre ellas:
![]()
![]()
Esta serie tiene muchas propiedades curiosas, como dijo Peirce. A cada nuevo paso los dígitos por encima de las líneas de quebrado, tomados de izquierda a derecha, comienzan repitiendo los dígitos situados encima en el paso previo: 01, 011, 0112, y así sucesivamente. Y en cada etapa los dígitos por debajo de las líneas son los mismos que los situados encima pero en orden inverso. Como consecuencia de ello, dos fracciones cualesquiera equidistantes de la central 1/1 son recíprocas entre sí. Obsérvese también que para cualquier par adyacente, a/b, c/d, podemos escribir igualdades tales como bc - ad - 1, y c/d - a/b = 1/bd. La serie está muy relacionada con los así llamados números de Farey (en honor del geólogo inglés John Farey, que fue quien primero los analizó), acerca de los cuales existe actualmente abundante literatura.

Figura 34. Subconjuntos de un conjunto de tres elementos.
Cada subconjunto de este conjunto se simboliza por una hilera de tres cartas (véase fig. 34), una carta boca arriba (blanca) indica que el objeto que aparece encima está en el subconjunto, una carta boca abajo (negra) indica que no lo está. El primer subconjunto está formado por el propio conjunto original. Las tres hileras siguientes indican subconjuntos que contienen solamente dos de los objetos. Van seguidos por los tres subconjuntos de un solo objeto y, finalmente, por el subconjunto vacío (o nulo) que no contiene a ninguno de los objetos. Para cualquier conjunto de n elementos el número de subconjuntos es 2n. (Es fácil ver por qué. Cada elemento puede estar incluido o no, así que para uno hay dos subconjuntos, para dos hay 2 × 2 = 4 subconjuntos, para tres hay 2 × 2 × 2 = 8 subconjuntos y así sucesivamente.) Nótese que esta fórmula es aplicable incluso al conjunto vacío, ya que 20 = 1 y el conjunto vacío sólo se tiene a sí mismo como subconjunto.
Este procedimiento se ha aplicado a un conjunto infinito, pero numerable, de elementos (aleph cero) a la izquierda en la figura 35. ¿Los subconjuntos de este conjunto infinito pueden hacerse corresponder biunívocamente con los números enteros? Supongamos que se puede. Simbolicemos cada subconjunto con una hilera de cartas, como antes, sólo que ahora cada hilera continuará sin fin a la derecha. Imaginemos estas filas infinitas alistadas en un orden cualquiera y numeradas 1, 2, 3... de arriba abajo.
Si continuamos formando tales hileras, ¿contendrá finalmente la lista todos los subconjuntos? No, porque existe un número infinito de modos de crear un subconjunto que no puede estar en la lista.
La manera más sencilla es considerar el conjunto diagonal de cartas indicado por la flecha y luego suponer que volvemos cada una de las cartas colocadas de dicha diagonal (esto es, las que están boca arriba se ponen boca abajo y viceversa).

Figura 35. Un infinito numerable tiene un infinito no numerable de subconjuntos (izquierda) que se corresponden con los números reales (derecha).
La famosa prueba de la diagonal debida a Cantor, en la forma en que acabamos de exponerla, oculta por añadidura un hallazgo sorprendente. Prueba que el conjunto de los números reales (racionales más irracionales) tampoco es numerable. Consideremos un segmento de recta cuyos extremos se numeren con el 0 y el 1. Cualquier fracción racional entre 0 y 1 se corresponderá con un punto del intervalo. Entre dos puntos racionales cualesquiera existe una infinidad de otros puntos racionales; sin embargo, incluso después de identificar todos los puntos racionales, quedan una infinitud de puntos sin identificar: puntos que corresponden a los decimales no periódicos con los que se representa a los irracionales algebraicos tales como la raíz cuadrada de 2 y a los trascendentes tales como pi y e. Cualquier punto sobre el segmento, racional o irracional, puede representarse por una fracción decimal continua. Pero estas fracciones no necesitan ser decimales; se pueden escribir también en notación binaria. Así, cualquier punto del intervalo puede representarse por una sucesión infinita de 1 y 0 y a cualquiera de estas sucesiones posibles le corresponde exactamente un punto del segmento.
Supóngase ahora que reemplazamos cada una de las cartas que están boca arriba en la figura 35, a la izquierda, por un 1 y cada una de las que están boca abajo por un 0, como se muestra en la ilustración de la derecha. Basta situar un punto binario al frente de cada hilera para obtener una lista infinita de fracciones binarias diferentes comprendidas entre 0 y 1. Pero el conjunto diagonal de símbolos, después de que cada 1 se sustituya por un 0 y cada 0 por un 1, es una fracción binaria que no puede estar en la lista. Vemos así que hay una correspondencia uno a uno entre tres conjuntos: los subconjuntos de aleph cero, los números reales (representados aquí por fracciones binarias) y todos los puntos contenidos en el segmento. Cantor dio a este infinito superior el número cardinal C, la «potencia del continuo». Creyó que era también el א1 (aleph uno), el primer infinito más alto que el aleph cero.
Mediante una serie de pruebas elegantes y sencillas Cantor mostró que C era el número de conjuntos infinitos tales como el de los números trascendentes (probó que los irracionales algebraicos forman un conjunto numerable), el número de puntos de una recta de longitud infinita, el número de puntos de cualquier figura plana o del plano infinito y el número de puntos de cualquier volumen o de todo el espacio tridimensional. Si se consideran más dimensiones no aumenta el número de puntos. Los puntos de un segmento de una pulgada de longitud pueden hacerse corresponder biunívocamente con los de un volumen de mayor número de dimensiones o con todos los de un espacio de cualquier dimensión mayor.

Figura 36. La espiral cuenta los vértices de una teselación hexagonal.

Figura 37. Cinco símbolos «ESP».
Los dos alephs intervienen también en especulaciones cosmológicas recientes. Richard Schlegel, un físico, ha llamado la atención en varios artículos sobre una extraña contradicción inherente a la teoría del «estado estacionario». De acuerdo con ella, el número de átomos que existe en el Cosmos en el momento presente es aleph cero. (El Cosmos se considera infinito a pesar de que el «horizonte óptico» ponga un límite a lo que podemos ver.) Además, los átomos aumentan constantemente en número a medida que el Universo se expande. El espacio infinito puede acomodar fácilmente cualquier número finito de duplicaciones de la cantidad de átomos, ya que siempre que el aleph cero se multiplica por dos, el resultado es aleph cero nuevamente. (Si usted tiene un número aleph cero de huevos en aleph cero cajas, a razón de un huevo por caja, puede acomodar otro conjunto aleph cero de huevos sin más que poner el huevo de la caja 1 en la caja 2, el de la 2 en la 4, y así sucesivamente, yendo cada huevo a aquella caja cuyo número es el doble del de la caja que ocupaba originalmente. Se vaciarían así todas las cajas impares, que podrían llenarse con otro conjunto aleph cero de huevos.) Pero si la duplicación se hace un número aleph cero de veces, llegamos a la fórmula de 2 elevado a la potencia aleph cero, esto es, 2 × 2 × 2... repetido aleph cero veces. Como hemos visto, el resultado es un conjunto aleph uno. Consideremos que en un pasado infinitamente remoto sólo existían dos átomos. En el presente, tras una serie de duplicaciones aleph cero, se habrían convertido en un conjunto aleph uno de átomos. Pero el Cosmos, actualmente, no puede contener un conjunto aleph uno de átomos. Cualquier colección de entidades físicas distintas (en cuanto opuestas a las entidades ideales de la matemática) es numerable y, por tanto, como máximo, aleph cero.
En su artículo « El problema de la materia infinita en la cosmología del estado estacionario », Schlegel encuentra una salida ingeniosa. En lugar de considerar el pasado como un conjunto aleph cero completo de intervalos finitos de tiempo (los instantes ideales en el tiempo componen desde luego un continuo aleph uno, pero a Schlegel le interesan aquellos intervalos de tiempo finitos en los que ocurre la duplicación de los átomos), podemos mirar el pretérito y el futuro como infinitos en el sentido inferior de «devenir», no en el de estar ya completados. Cualquiera que sea la fecha que se sugiera como origen del Universo (recuerden que estamos tratando con el modelo del estado estacionario, no con el del big bang ni con la teoría oscilatoria), podemos siempre establecer una fecha más temprana. En cierto sentido hay un «comienzo», pero lo podemos alejar tanto como nos plazca. También hay un «final», pero podemos acercarlo tanto como gustemos. A medida que retrocedemos en el tiempo, partiendo continuamente por la mitad el número de átomos, nunca los dividiremos más que un número finito de veces, con el resultado de que su número nunca se reducirá a menos de un aleph cero. A medida que avanzamos en el tiempo, duplicando el número de átomos, nunca multiplicamos por dos más que un número finito de veces; por lo tanto el conjunto de átomos nunca se hace mayor que aleph cero. Nunca se produce el salto, en ninguna dirección, a un conjunto aleph cero completo de intervalos de tiempo. Como resultado de ello, el conjunto de átomos nunca sobrepasa el aleph cero y la preocupante contradicción no aparece.
Cantor estaba convencido de que la jerarquía de sus aleph no tenía fin; cada uno de ellos se obtendría elevando 2 a una potencia correspondiente al aleph precedente, y así se representarían todos los existentes. No habría ninguno intermedio. Ni existe un último Aleph, tal como el que algunos filósofos hegelianos de la época identificaron con el Absoluto. La jerarquía sin fin de infinitos, arguyó Cantor, es el mejor símbolo del Absoluto.
Durante toda su vida Cantor trató de probar que no había ningún aleph entre el aleph cero y C, la potencia del continuo, pero nunca encontró una demostración. En 1938 Kurt Gödel encontró que la suposición de Cantor, que había llegado a conocerse como la «hipótesis del continuo», podía considerarse cierta, sin que entrara en conflicto con los axiomas de la teoría de conjuntos.
Cohen demostró en 1963 que lo contrario también podía suponerse. Se puede postular que C no es aleph uno; que hay al menos un aleph entre el aleph cero y C, aunque nadie tenga la más ligera noción de cómo especificar un conjunto (por ejemplo, un cierto subconjunto de números trascendentes) que tuviera tal número cardinal. Y esto también sería consistente con la teoría de conjuntos. La hipótesis de Cantor es indecidible. Al igual que el postulado de paralelismo de la geometría euclidiana, es un axioma independiente que puede afirmarse o negarse. De la misma manera que los dos supuestos acerca del axioma de paralelismo de Euclides dividen a las geometrías en euclidianas y no euclidianas, así las dos suposiciones acerca de la hipótesis de Cantor dividen actualmente la teoría de conjuntos infinitos en cantoriana y no cantoriana. Y lo que es peor: el lado no cantoriano abre la posibilidad de una infinitud de sistemas de teoría de conjuntos, tan consistentes todos ellos como la teoría clásica y divergentes en las suposiciones acerca de la potencia del continuo.
Claro que Cohen no hizo otra cosa que demostrar que la hipótesis del continuo era indecidible dentro de la teoría de conjuntos clásica, aun reforzada con el axioma de elección. Muchos matemáticos esperan y creen que algún día se hallará un axioma «evidente por sí mismo», que no equivalga a una afirmación o negación de la hipótesis del continuo, y que cuando dicho axioma se añada a la teoría de conjuntos, la hipótesis del continuo será decidible. (Por «evidente por sí mismo» se entiende un axioma sobre el que todos los matemáticos estén de acuerdo que es «verdadero».) Tanto Gödel como Cohen esperan que así ocurra y están convencidos de que la hipótesis del continuo es falsa, a diferencia de Cantor, quien creyó y esperó que fuese verdadera. Sin embargo, hasta ahora, siguen siendo piadosas esperanzas platónicas. Lo que es innegable es que la teoría de conjuntos ha sufrido un duro golpe, y nadie sabe exactamente lo que saldrá de los pedazos.
Anexo
Al dar una versión binaria de la famosa prueba de la diagonal de Cantor de que los números reales no son numerables, he evitado deliberadamente complicarla considerando el hecho de que cada fracción finita entre 0 y 1 puede representarse como fracción binaria infinita de dos maneras. Por ejemplo, ¼ es 0,01 seguido de aleph cero ceros, y también 0,001 seguido de aleph cero unos. Surge así la posibilidad de ordenar la lista de fracciones reales binarias de tal manera que complementando la diagonal se obtuviera un número de la lista. El número construido tendría, desde luego, una forma que no estaría en la lista, pero, ¿no podría ser una forma que expresase, en forma diferente, una fracción entera de la lista?
La respuesta es no. La prueba supone que todas las formas binarias infinitas posibles están en la lista, por lo tanto toda fracción finita aparece dos veces en ella, una vez en cada una de sus dos formas binarias. Se sigue así que el número diagonal construido no puede corresponderse con ninguna de las dos formas de ninguna fracción entera de la lista.
En cualquier base hay dos maneras de expresar una fracción finita mediante una sarta aleph cero de dígitos. Así, en notación decimal ¼ = 0,2500000... =0,2499999... Aunque no es necesario para la validez de la prueba diagonal en notación decimal, se acostumbra evitar la ambigüedad especificando que cada fracción finita se escribe solamente en la forma que termine con una secuencia interminable de nueves; el número diagonal se construye entonces cambiando cada dígito de la diagonal a otro diferente de nueve y de cero.
Hasta que no traté de la prueba diagonal de Cantor en Scientific American no me di cuenta de la fuerza con la que ha persistido la oposición a ella; no tanto entre los matemáticos como entre los ingenieros y los científicos. Recibí muchas cartas que la atacaban. William Dilworth, un ingeniero electrotécnico, me envió un recorte del La Grange Citizen, La Grange, 111., del 20 de enero de 1966, en el que se le hace una entrevista de cierta extensión acerca de su rechazo de la «numerología» cantoriana. Dilworth expuso por primera vez su ataque a la prueba de la diagonal en la Conferencia Internacional sobre Semántica General celebrada en Nueva York en 1963.
Entre los científicos modernos más distinguidos que rechazaron la teoría de conjuntos de Cantor estuvo el físico P. W. Bridgman. Publicó un artículo sobre ella en 1934, y en sus Reflections of a Physicist (Philosophical Library, 1955) dedica las páginas 99-104 a un ataque inflexible a los números transfinitos y a la prueba de la diagonal. «Personalmente no le veo ni una pizca de atractivo a esta prueba», escribe, «sino que me parece un perfecto non sequitur —mi mente se niega a hacer lo que evidentemente se espera que haga si de verdad es una demostración.»
El meollo del ataque de Bridgman es un punto de vista defendido generalmente por los filósofos de las escuelas pragmática y operacionalista. Los números infinitos, se arguye, no «existen» fuera del comportamiento humano. De hecho, todos los números son simplemente nombres para algo que una persona hace, no nombres de «cosas». Como uno puede contar veinte manzanas, pero no una infinidad de ellas, «no tiene sentido hablar de números infinitos como “existentes” en el sentido platónico, y menos aún hablar de números infinitos de diferentes órdenes de infinitud, como hace Cantor».
«Un número infinito», declara Bridgman, «es un cierto aspecto de lo que uno hace cuando se propone llevar a cabo un proceso... un número infinito es un aspecto de un programa de acción.»
La respuesta a estos argumentos es que Cantor especificó exactamente lo que se debe «hacer» para definir un número transfinito. El hecho de que no se pueda llevar a cabo un proceso infinito no disminuye la realidad o utilidad de los aleph de Cantor, como tampoco el hecho de que no se pueda calcular completo el valor de pi disminuye en nada la realidad o utilidad de este número. No es, como mantiene Bridgman, una cuestión de si se acepta o se rechaza la noción platónica de números como «cosas». Para un pragmatista ilustrado que desee basar todas las abstracciones en el comportamiento humano, la teoría de conjuntos de Cantor no debería tener menos significado o utilidad potencial que cualquier otro sistema abstracto definido con precisión, tal como la teoría de grupos o una geometría no euclídea, por ejemplo.
Soluciones
¿Cuál de los cinco símbolos ESP no puede ser dibujado un número aleph uno de veces sobre una hoja de papel, suponiendo que las líneas ideales no se solapen ni se corten y que las copias pueden variar en tamaño pero deben ser semejantes en sentido geométrico estricto?

Figura 38. Prueba del problema de los símbolos «ESP».
El lector puede entretenerse en idear una prueba formal de que aleph uno símbolos + no pueden dibujarse en una página. El problema es similar a otro que se refiere a las letras del alfabeto y que se puede encontrar en Uses of Infinity de Leo Zippin (Random House, 1962), página 57. Que yo sepa, nadie ha especificado todavía con precisión qué condiciones debe cumplir una figura lineal para ser repetible aleph uno. Algunas son replicables aleph uno por traslación o rotación, otros por contracción, traslación más contracción o rotación más contracción. Temerariamente escribí en mi columna que todas las figuras topológicamente equivalentes a un segmento de recta o a una curva simple cerrada eran repetibles aleph uno, pero Robert Mack, a la sazón estudiante de la Escuela Superior de Concord, Mass., encontró un contraejemplo sencillo. Consideremos dos cuadrados unitarios, unidos como en una ficha de dominó; elimínense dos lados unitarios de tal manera que los segmentos que quedan formen la cifra 5. Ésta no es repetible aleph uno.
Capítulo 6
Prodigios del cálculo
Sin embargo, algunos grandes matemáticos han sido también diestros calculistas mentales. Cari Friedrich Gauss, por ejemplo, podía llevar a cabo prodigiosas hazañas matemáticas en la mente. Le gustaba hacer alarde de que aprendió antes a calcular que a hablar. Se cuenta que en cierta ocasión su padre, de oficio albañil, estaba confeccionando la nómina general de sus empleados, cuando Friedrich, que entonces tenía 3 años, le interrumpió diciéndole: «Papá, la cuenta está mal...» Al volver a sumar la larga lista de números se comprobó que la suma correcta era la indicada por el niño. Nadie le había enseñado nada de aritmética.
John von Neumann era un genio matemático que también estuvo dotado de este poder peculiar de computar sin usar lápiz ni papel. Robert Jungk habla en su libro Brighter than a Thousand Suns acerca de una reunión celebrada en Los Álamos, durante la Segunda Guerra Mundial, en la que von Neumann, Enrico Fermi, Edward Teller y Richard Feynman lanzaban continuamente ideas. Siempre que había que efectuar un cálculo matemático, Fermi, Feynman y von Neumann se ponían en acción. Fermi empleaba una regla de cálculo, Feynman una calculadora de mesa, y von Neumann su cabeza. «La cabeza», escribe Jungk (citando a otro físico), «terminaba normalmente la primera, y es notable lo próximas que estaban siempre las tres soluciones.»
La capacidad para el cálculo mental de Gauss, von Neumann y otros leones matemáticos como Leonhard Euler y John Wallis puede parecer milagrosa; palidece, sin embargo, ante las hazañas de los calculistas profesionales, una curiosa raza de acróbatas mentales que floreció a lo largo del siglo XIX en Inglaterra, Europa y América. Muchos comenzaron su carrera de niños. Aunque algunos escribieron acerca de sus métodos y fueron examinados por psicólogos, probablemente ocultaron la mayoría de sus secretos, o quizá ni ellos mismos entendían del todo cómo hacían lo que hacían.
Zerah Colburn, nacido en Cabot, Vt., en 1804, fue el primero de los calculistas profesionales. Tenía seis dedos en cada mano y en cada pie, al igual que su padre, su bisabuela y al menos uno de sus hermanos. (Se le amputaron los dedos de sobra cuando tenía alrededor de 10 años. Nos preguntamos si acaso fue eso lo que le alentó en sus primeros esfuerzos por contar y calcular.) El niño aprendió la tabla de multiplicar hasta el 100 antes de que pudiese leer o escribir. Su padre, un pobre granjero, se dio cuenta rápidamente de sus posibilidades comerciales, y cuando el rapaz tenía solamente seis años le llevó de gira por primera vez. Sus actuaciones en Inglaterra, cuando tenía ocho años, están bien documentadas. Podía multiplicar cualesquiera números de cuatro dígitos casi instantáneamente, pero dudaba un momento ante los de cinco. Cuando se le pedía multiplicar 21.734 por 543, decía inmediatamente 11.801.562. Al preguntarle cómo lo había hecho, explicó que 543 es igual a 181 veces 3. Y como era más fácil multiplicar por 181 que por 543, había multiplicado primero 21.734 por 3 y luego el resultado por 181.
Washington Irving y otros admiradores del niño recaudaron dinero suficiente para enviarlo a la escuela, primero en París y luego en Londres. No se sabe si sus poderes de cálculo decrecieron con la edad o si perdió el interés por actuar. Lo cierto es que volvió a América cuando tenía 20 años, ejerciendo luego otros diez como misionero metodista. En 1833 publicó en Springfield, Mass., su pintoresca autobiografía titulada A Memoir of Zerah Colburn: written by himself... with his peculiar methods of calculador) . En el momento de su muerte, a los 35 años, enseñaba lenguas extranjeras en la Universidad de Norwich en Northfield, Vt. (No debe confundírsele con su sobrino, del mismo nombre, que escribió libros de ingeniería mecánica, entre ellos una obra popular, The Locomotive Engine.)
Paralelamente a la carrera profesional de Colburn se desarrolla en Inglaterra la de George Parker Bidder, nacido en 1806 en Devonshire. Se dice que adquirió la destreza en el cálculo aritmético jugando con piedrecitas y botones, porque su padre, un picapedrero, sólo le enseñó a contar. Tenía nueve años cuando se fue de gira con su progenitor. Entre las preguntas que le planteaban los espectadores puede elegirse la que sigue: Si la Luna dista 123.256 millas de la Tierra y el sonido viaja a cuatro millas por minuto, ¿cuánto tiempo tarda éste en hacer el viaje de la Tierra a la Luna (suponiendo que pudiese)? En menos de un minuto el niño respondía: 21 días, 9 horas y 34 minutos. Cuando se le preguntó (a los 10 años) por la raíz cuadrada de 119.550.669.121, contestó 345.761 en 30 segundos. En 1818, cuando Bidder tenía 12 años y Colburn 14, coincidieron en Derbyshire, donde hubo un cotejo. Colburn da a entender en sus memorias que ganó el concurso, pero los periódicos de Londres concedieron la palma a su oponente.
Los profesores de la Universidad de Edimburgo persuadieron al viejo Bidder para que les confiase la educación de su hijo. El joven se desenvolvió bien en la universidad y finalmente llegó a ser uno de los mejores ingenieros de Inglaterra. Aunque dedicó la mayor parte de sus trabajos al ferrocarril, es más conocido como el hombre que diseñó y supervisó la construcción de los muelles Victoria en Londres. Los poderes de cálculo de Bidder no decrecieron con la edad. Poco antes de su muerte, acaecida en 1878, alguien citó delante de él que hay 36.918 ondas de luz roja por pulgada. Suponiendo que la velocidad de la luz es de 190.000 millas por segundo, ¿cuántas ondas de luz roja, se preguntaba, llegarán al ojo en un segundo? «No hace falta que lo calcules», dijo Bidder. «El número de vibraciones es 444.433.651.200.000.»
Tanto Colburn como Bidder multiplicaban los números grandes fraccionándolos en partes y multiplicando de izquierda a derecha, empleando una técnica algebraica cruzada que se enseña hoy con frecuencia en las escuelas elementales que hacen hincapié en las «nuevas matemáticas». Por ejemplo, 236 + 47 se convierte en (200 + 30 + 6) (40 + 7). Las operaciones se hacen como se indica en la figura 39.
Si el lector cierra los ojos y lo ensaya, le sorprenderá comprobar que este método es mucho más fácil para los cálculos mentales que el habitual de derecha a izquierda. «Cierto, el método... requiere un número mucho mayor de cifras que el de la regla ordinaria», escribía Colburn en sus memorias, «pero debe recordarse que la pluma, la tinta y el papel le costaban muy poco a Zerah al hacer una suma.» (Colburn escribe en tercera persona a lo largo del libro.) ¿Por qué resulta más fácil utilizar este método mentalmente? Bidder dio la respuesta, en una valiosa conferencia sobre sus métodos, pronunciada en el Instituto de Ingenieros Civiles de Londres (publicada en 1856 en el Volumen 15 de los Proceedings del Instituto).
Después de cada paso hay «un resultado y solamente uno» que hay que retener en la memoria hasta realizar la siguiente operación.
Otra de las razones por la que todos los calculistas profesionales han preferido este método, aunque rara vez lo han dicho, es porque pueden comenzar a cantar un producto mientras todavía lo están calculando. Esto se combina por lo general con otros trucos para dar la impresión de que el tiempo de cálculo es más corto de lo que realmente es.

Figura 39.
No haré más que mencionar rápidamente los denominados idiotas sabios entre los calculistas. No eran tan tontos como su publicidad pretendía, pero su velocidad era bastante inferior a la de los calculistas más inteligentes. Uno de los primeros de esta estirpe fue Jedediah Buxton, un granjero inglés del siglo XVIII. Siguió siendo granjero toda su vida y nunca dio representaciones públicas, pero su fama local le llevó a Londres, donde se sometió al examen de la Royal Society. Alguien le llevó al Teatro de Drury Lañe para ver a David Garrick en Ricardo III. Preguntado si le gustaba, dijo que el actor había dicho 14.455 palabras y dado 5.202 pasos. Buxton tenía la compulsión de contar y medirlo todo. Podía pasear por un campo, se decía, y dar una estimación inusualmente precisa de su área en pulgadas cuadradas, que luego reducía a anchos de cabello cuadrados, suponiendo que entraban 48 de ellos en una pulgada. Nunca aprendió a leer, escribir ni trabajar con cifras escritas.
Tal vez haya sido Alexander Craig Aitken el mejor de los calculistas mentales recientes. Profesor de matemáticas de la Universidad de Edimburgo, nació en Nueva Zelanda en 1895 y fue coautor de un libro de texto clásico. The Theory of Canonical Matrices, en 1932. A diferencia de otros calculistas ultrarrápidos, no comenzó a calcular mentalmente hasta la edad de 13 años, siendo el álgebra, no la aritmética, lo que despertó su interés. En 1954, casi 100 años después de la histórica conferencia de Bidder, Aitken pronunció otra en la Sociedad de Ingenieros de Londres sobre el tema «El arte de calcular mentalmente: con demostraciones». El texto fue publicado en las Transactions de la Sociedad (diciembre, 1954), con el fin de conservar otro testimonio de primera mano de lo que ocurre dentro de la mente de un calculista mental rápido.
Un prerrequisito esencial es la capacidad innata para memorizar números rápidamente. Todos los calculistas profesionales hacen demostraciones de memoria. Cuando Bidder tenía 10 años, pidió a alguien que le escribiera un número de cuarenta dígitos y que se lo leyera. Lo repitió de memoria inmediatamente. Al final de una representación, muchos calculistas eran capaces de repetir exactamente todos los números con los que habían operado. Hay trucos mnemotécnicos mediante los que los números pueden transformarse en palabras, que a su vez pueden memorizarse por otro método (ver mi Scientific American Book of Mathematical Puzzles and Diversions, capítulo 11), pero tales técnicas son demasiado lentas para emplearlas en un escenario y no hay duda de que ningún maestro las empleaba. «Nunca he utilizado reglas mnemotécnicas», dijo Aitken, « y recelo profundamente de ellas. No hacen más que perturbar con asociaciones ajenas e irrelevantes una facultad que debe ser pura y límpida .»
Aitken mencionó en su conferencia haber leído recientemente que el calculista francés contemporáneo Maurice Dagbert había sido culpable de una «aterradora pérdida de tiempo y energía» por haber memorizado pi hasta el decimal 707 (el cálculo había sido hecho por William Shanks en 1873). «Me divierte pensar», dijo Aitken, «que yo lo había hecho algunos años antes que Dagbert y sin encontrar ninguna dificultad. Sólo necesité colocar los dígitos en filas de cincuenta, dividir cada una de ellas en grupos de cinco y luego leerlas a un ritmo particular. De no ser tan fácil, habría sido una hazaña reprensiblemente inútil.»
Veinte años después, cuando los computadores modernos calcularon π con miles de cifras decimales, Aitken se enteró de que el pobre Shanks se había equivocado en los 180 últimos dígitos. «De nuevo me entretuve», continuó Aitken, « en aprender el valor correcto hasta el decimal 1000, y tampoco entonces tuve dificultad alguna, excepto que necesitaba “reparar” la unión donde había ocurrido el error de Shanks. El secreto, a mi entender, es relajarse, la completa antítesis de la concentración tal como normalmente se entiende. El interés es necesario. Una secuencia de números aleatorios, sin significación aritmética o matemática, me repelería. Si fuera necesario memorizarlos, se podría hacer, pero a contrapelo .»
Aitken interrumpió su conferencia en este punto y recitó π hasta el dígito 250, de un modo claramente rítmico. Alguien le pidió comenzar en el decimal 301. Cuando había citado cincuenta dígitos se le rogó que saltase al lugar 551 y dar 150 más. Lo hizo sin error, comprobándose los números en una tabla de π.
¿Los calculistas mentales visualizan los números mientras trabajan con ellos? Aparentemente unos sí, otros no y algunos no saben si sí o no. El psicólogo francés Alfred Binet formó parte de un Comité de la Academia de Ciencias que investigó los procesos mentales de los famosos calculistas profesionales de finales del siglo XIX, un griego llamado Pericles Diamandi y un niño prodigio italiano, Jacques Inaudi. En su libro de 1894 Psychologie des grands calculateurs et joueurs d’échecs Binet dice que Diamandi era un visualizados pero que Inaudi, que era seis veces más rápido, era del tipo auditivo-rítmico. Los visualizadores han sido casi siempre más lentos, aunque muchos profesionales fueron de este tipo, como Dagbert, el calculista polaco Salo Finkelstein, y una notable francesa que adoptó el nombre artístico de Madeimoselle Osaka. Los calculistas auditivos, como Bidder, parecen ser más rápidos. El holandés William Klein, un experto en computadores que actuaba generalmente con el nombre de Pascal (Life publicó su historia en su edición del 18 de febrero de 1952) es, probablemente, el más rápido de los multiplicadores vivientes, siendo capaz de dar el producto de dos números de 10 dígitos en menos de dos minutos. También es un calculista auditivo; no es capaz de trabajar sin murmurar rápidamente por lo bajo en holandés. Si se equivoca, la causa suele ser que ha confundido dos números que suenan de forma parecida.
Su hermano Leo, un calculista mental casi tan bueno como él, pertenecía a la clase de los visuales, y a veces confundía dos números de aspecto similar.
Aitken dijo en su conferencia que podía visualizar si lo deseaba: al final y en varias etapas del cálculo, los números aparecían enfocados visualmente.
«Pero por lo común parece como si estuvieran escondidos detrás de algún medio, moviéndose con decisiva exactitud en cuanto a orden y rango. En particular soy consciente de que los ceros redundantes al principio o al final de los números nunca aparecen entremedias. Pero pienso que no consiste ni en ver ni en oír; es una facultad compuesta de la que no he encontrado en ninguna parte una descripción adecuada; aunque si vamos a eso, tampoco la memoria musical ni la composición musical en el sentido mental han sido descritas cabalmente. A veces he notado también que la mente se anticipa a la voluntad; en ocasiones he tenido una respuesta antes de haber deseado siquiera hacer los cálculos; la compruebo y siempre me maravilla el ver que es correcta.»El cráneo de Aitken encerraba un enorme banco de datos, cosa característica de los calculistas ultrarrápidos; dudo que haya habido alguno que no supiera la tabla de multiplicar hasta el 100, y algunas autoridades en la materia han sospechado que Bidder y otros la sabían hasta el 1.000 aunque no lo confesasen. (Los números más grandes pueden partirse entonces en parejas o tripletes para manejarlos como simples dígitos.) Largas tablas de cuadrados, cubos, logaritmos, etc., se almacenan en la memoria, junto con incontables resultados numéricos —tales como el número de segundos de un año o de onzas en una tonelada— que son útiles para contestar la clase de preguntas que hacen los espectadores. Como 97 es el mayor número primo menor que 100, la gente pide a menudo que se calcule el período de 96 dígitos de 1/97. Aitken hace tiempo que los memorizó, de manera que si alguien le lanzaba esa pregunta podía contestarla rápidamente sin esfuerzo.
Hay además cientos de atajos que los calculistas han encontrado por su cuenta. El primer paso en cualquier operación complicada, señaló Aitken, es decidir en un instante la mejor estrategia. Para ilustrarlo describió un curioso atajo que es poco conocido. Supongamos que nos piden el recíproco de un número que acabe en 9, digamos 59. En lugar de dividir 1 por 59, se puede sumar 1 a 59, que es 60, y después dividir 0,1 por 6 en la forma en que se muestra en la figura 40. Obsérvese que en cada paso el dígito obtenido en el cociente se introduce en el dividendo un lugar después. El resultado es la expresión decimal de 1/59.
Si se le pregunta el número decimal equivalente a 5/23, continuaba Aitken, observa inmediatamente que puede multiplicar por 3 el numerador y el denominador y obtener la fracción equivalente 15/69, que termina en 9 como se desea. Después cambia el 69 en 70, divide 1,5 por 7 según el procedimiento explicado y obtiene el resultado. Pero también puede sustituir la fracción por 65/299 y dividir 0,65 por 3, introduciendo el número dos lugares más allá en el dividendo.
¿Cuál es la mejor estrategia? La decisión hay que tomarla instantáneamente, decía Aitken, y luego seguirla sin vacilaciones. A medio camino del cálculo se le puede ocurrir a uno otra mejor. «Hay que ignorarla resueltamente y continuar montando el caballo inferior.»

Figura 40. Cómo calcula Aitken 1/59.
Thomas H. O’Beirne, un matemático de Glasgow, decía en una carta que en cierta ocasión fue con Aitken a una exposición de computadores de oficina. «El presentador-vendedor dijo algo como “¡Ahora multiplicaremos 23.586 × 71.283!” Aitken musitó de inmediato: “y el resultado es...” (lo que sea). El vendedor estaba demasiado atento a vender para darse cuenta, pero su jefe, que estaba observando, lo notó. Cuando vio que la solución de Aitken era correcta, por poco se desmaya (y lo mismo yo).»

Fig. 41. Cómo Aitken eleva al cuadrado 777.
En el próximo capítulo describiré algunos de los trucos de los calculistas profesionales, con los cuales incluso un novato puede obtener resultados impresionantes. Ni siquiera los maestros han renunciado a presentar pseudo-cálculos en sus actuaciones, como el acróbata que cosecha aplausos por una llamativa pirueta que en realidad no es nada difícil.
Anexo
Solomon W. Golomb maravilla frecuentemente a sus amigos calculando mentalmente complicadas expresiones de análisis combinatorio. «El número de constantes que se necesita almacenar en la mente», escribe, «y el de reglas elementales es mucho más pequeño de lo que parece.» Su mejor golpe lo tuvo cuando estaba en primero de facultad. Un profesor de biología acababa de explicar a la clase que hay (así se creía entonces) 24 pares de cromosomas humanos, por lo tanto 224 maneras de seleccionar un miembro de cada pareja en la formación de un huevo o célula espermática. «Así, de un padre», dijo, «el número de células germinales diferentes es 224 , y todos ustedes saben lo que eso vale.»
A esta pregunta retórica contestó inmediatamente Golomb, «Sí, es 16.777.216.» El profesor rió, miró sus notas y dijo, «Bien, el valor real es...», tosió y después preguntó cómo lo había sabido Golomb. Éste contestó que era «obvio». Inmediatamente la clase le bautizó con el apodo «Einstein», y durante el resto del año varias personas, el instructor del laboratorio incluido, pensaron que ése era su nombre.
¿Cómo lo sabía Golomb? Hacía poco se había aprendido de memoria (me dijo) los valores de nn hasta n = 10. Mientras el profesor formulaba la pregunta, Golomb se dio cuenta de que 224 = 88, que era uno de los números de su lista reducida.
A diferencia de lo que ocurría en el siglo XIX, los calculistas ultrarrápidos actuales no aparecen en las primeras páginas de los periódicos; sin embargo, algunos actúan todavía en teatros. Willis Nelson Dysart, nacido en Georgia, que emplea el nombre artístico de «Willie el Brujo», es bien conocido en los Estados Unidos. En Europa, la mujer calculista india Shakuntala Devi y el artista francés Maurice Dagbert son probablemente los más activos, pero mi información es escasa acerca de los calculistas profesionales extranjeros.
Capítulo 7
El arte de M.C. Escher
Aquello a lo que doy forma a la luz del día es solamente el uno por ciento de lo que he visto en la oscuridad.
M. C. Escher
Pero al hacerlo, se dilata el concepto de «arte matemático» hasta perder todo sentido. Existe otra acepción más útil del término que se refiere no a las técnicas y modelos sino al tema del cuadro. Un artista figurativo que sepa algo de matemáticas puede hacer una composición sobre un tema matemático de la misma manera que los pintores del Renacimiento hicieron con los temas religiosos o los artistas rusos hacen hoy con los políticos. Ningún artista contemporáneo ha conocido más éxito con este tipo de «arte matemático» que Maurits C. Escher, de Holanda.
«Con frecuencia me siento más próximo a los matemáticos que a mis colegas los artistas», ha escrito Escher; y también ha dicho: «Todos mis trabajos son juegos. Juegos serios.» Sus litografías, grabados en madera, xilografías y mezzotintas cuelgan en las paredes de matemáticos y científicos de todas las partes del mundo. Hay un aspecto surrealista, extraño, en algunos de sus trabajos, pero sus cuadros no son tanto las fantasías oníricas de un Salvador Dalí o un René Magritte como audaces observaciones filosóficas y matemáticas pensadas para evocar lo que el poeta Howart Nemerov, escribiendo acerca de Escher, llamaba el «misterio, absurdo y a veces terror» del mundo. Muchas de sus obras se refieren a estructuras matemáticas que han sido tratadas en libros sobre matemática recreativa; pero antes de pasar a examinarlas digamos algunas palabras sobre el propio autor.
Escher nació en Leeuwarden, Holanda, en 1898 y en su juventud estudió en la Escuela de Arquitectura y Diseño Ornamental de Haarlem. Vivió en Roma durante 10 años. Marchó de Italia en 1934 y pasó dos años en Suiza y cinco en Bruselas, estableciéndose luego en la ciudad holandesa de Baarn, donde se retiró actualmente con su esposa. Aunque su exposición de 1954 en la Whyte Gallery de Washington fue un éxito, sigue siendo más conocido en Europa que en Estados Unidos. Una colección importante de sus obras pertenece al ingeniero Cornelius van Schaak Roosevelt de Washington D.C., nieto del presidente Theodore Roosevelt. Las obras reproducidas en este libro se obtuvieron gracias a la generosa cooperación de Roosevelt y al permiso de Escher.
Escher es famoso entre los cristalógrafos por sus numerosas e ingeniosas teselaciones del plano. Los adornos de la Alhambra prueban los expertos que eran los hispano-árabes en la talla de formas congruentes, repetidas periódicamente en el plano; pero la religión mahometana les prohibía la representación de seres vivientes. Desglosando el plano en figuras de pájaros, peces, reptiles, mamíferos y figuras humanas, como en un puzle, Escher ha logrado incorporar muchas de sus teselaciones en composiciones sorprendentes.
En Reptiles, la litografía que se muestra en la figura 42, un pequeño monstruo sale reptando del embaldosado hexagonal para iniciar un breve ciclo de vida tridimensional que alcanza su cima en el dodecaedro; luego el reptil vuelve de nuevo al plano inanimado.

Figura 42. Reptiles, litografía, 1943.

Figura 43. Día y noche, grabado en madera, 1938. (Mickelson Gallery, Washington.)
Haría falta todo un libro para estudiar todas las maneras en las que las fantásticas teselaciones de Escher ilustran aspectos de simetría, teoría de grupos y leyes cristalográficas. La obra ha sido efectivamente escrita por Caroline H. MacGillavry de la Universidad de Amsterdam: Aspectos simétricos de los dibujos periódicos de M. C. Escher; el libro, que ha sido publicado en Utrecht para la Unión Internacional de Cristalografía, reproduce 41 teselaciones de Escher, muchas de ellas en color.

Figura 44. Cielo e infierno, grabado en madera, 1960.

Figura 45. Belvedere, litografía, 1958.

Figuro 46. Ascendiendo y descendiendo, litografía, 1960.
Muchos de los cuadros de Escher reflejan una respuesta emocional de maravilla ante las formas de los poliedros regulares e irregulares. «En medio de nuestra a menudo caótica sociedad», escribe Escher, «simbolizan de manera impar el anhelo de armonía y orden del hombre; pero al mismo tiempo nos asusta su perfección y nos hace sentirnos desvalidos.

Figura 47. Orden y caos, litografía, 1950.
La litografía Orden y caos (fig. 47) representa el «pequeño dodecaedro estrellado», uno de los cuatro «poliedros de Kepler- Poinsot» que, junto con los cinco cuerpos platónicos, componen los nueve «poliedros regulares» posibles. Su descubridor fue Johannes
Kepler, que lo llamó «erizo» y lo dibujó en su Harmonices mundi (Armonía del mundo), una obra numerológica fantástica en la que las relaciones básicas encontradas en la música y en las formas de los polígonos y los poliedros regulares se aplican a la cosmología y la astrología. Al igual que los cuerpos platónicos, el erizo de Kepler tiene caras que son polígonos regulares iguales, y los ángulos en sus vértices también son iguales; pero las primeras no son convexas y se cortan entre sí. Imaginemos que prolongamos cada una de las doce caras del dodecaedro (como el del cuadro Reptiles) hasta convertirla en un pentagrama, o estrella de cinco puntas. Estos 12 pentagramas que se cortan forman el pequeño dodecaedro estrellado. Durante siglos los matemáticos se han negado a llamar «polígono» al pentagrama, porque sus cuatro aristas se cortan; y por razones parecidas no llamaban «poliedro» a esta figura porque sus caras se cortan. Un dato curioso es que hacia mediados del siglo XIX el matemático suizo Ludwig Schläfli, aun reconociendo que algunos sólidos cuyas caras se cortan son poliedros, no incluía entre éstos al erizo, ya que sus 12 caras, 12 vértices y 30 aristas no cumplen la famosa fórmula de Leonhard Euler para esta clase de figuras C + V = A + 2. (Si la cumplen sí reinterpretamos la figura como un sólido con 60 caras triangulares, 32 vértices y 90 aristas, pero en esta interpretación ya no se le puede denominar «regular» puesto que sus caras son triángulos isósceles.) En Orden y caos, la bella simetría de este cuerpo, cuyas puntas se proyectan a través de la superficie de una burbuja envolvente, contrasta con una serie de «objetos inútiles, desechados y ajados», según Escher.
El pequeño dodecaedro estrellado se emplea a veces en apliques luminosos. Ignoro si algún fabricante de adornos para árboles de Navidad lo ha vendido como estrella tridimensional para rematar el árbol. No es difícil hacer un modelo de cartón. H. M. Cundy y A. P. Rollett, en Modelos matemáticos (Oxford University Press, edición revisada, 1961), aconsejan no construirlo partiendo de su desarrollo, sino hacer primero un dodecaedro y luego pegar pirámides pentagonales a cada una de las caras. Digamos de pasada —y eso ya lo observó Kepler— que la longitud de cualquier segmento del esqueleto de este sólido está en razón áurea a la de cualquier segmento de longitud inmediatamente superior. El dual poliédrico de esta figura es el «gran dodecaedro» cuyas caras son 12 pentágonos regulares. A los lectores interesados en los poliedros estrellados de Kepler-Poinsot se les recomienda el libro de Cundy y Rollett, así como Regular Poly topes, de Coxeter.
La litografía Mano con un globo reflectante (fig. 48) aprovecha una propiedad de los espejos esféricos para representar lo que el filósofo Ralph Barton Perry gustaba de llamar el «predicamento egocéntrico». Todo lo que una persona puede conocer acerca del mundo se deriva de aquello que entra en su cerebro a través de los órganos sensoriales; hay un sentido en el que uno no experimenta nada excepto aquello que está dentro del círculo de sus propias sensaciones e ideas. Partiendo de esta «fenomenología» construye lo que cree es el mundo externo, incluyendo a aquellos otros que parecen tener sus mentes en predicamentos egocéntricos como el suyo.
Sin embargo, estrictamente hablando no hay modo de que pueda probar que algo existe, fuera de él mismo y sus pensamientos y sensaciones cambiantes. En el grabado se ve a Escher contemplando su imagen reflejada en la esfera. El cristal refleja el entorno y lo comprime en un círculo perfecto. Mueva como mueva o gire la cabeza, en el punto medio entre sus ojos quedará exactamente en el centro del círculo. «No puede salir de ese punto central», dice Escher. «El ego permanece siendo el centro inamovible de su mundo.»

Figura 48. Mano con globo reflectante, 1935.

Figura 49. Nudos, grabado en madera, 1965.
El grabado en madera Tres Esferas (fig. 50), una de cuyas copias se exhibe en el Museo de Arte Moderno de Nueva York, parece a primera vista una esfera sometida a un aplastamiento topológico progresivo. Pero si se mira con más atención se verá que es algo muy diferente. ¿Averigua el lector lo que Escher, con gran verosimilitud, ha representado aquí?
Anexo
Cuando Escher murió en 1972, a la edad de 73 años, comenzaba justamente a ser mundialmente famoso; no sólo entre los matemáticos y científicos (que fueron los primeros en descubrirle), sino entre la gente en general, especialmente entre la joven contracultura.
Figura 50. Tres esferas, grabado en madera, 1945.
Hacia la época en que incluí por primera vez un grabado de Escher en mi columna de Scientific American (fue en el número de abril de 1961, cuya portada reproducía una de sus teselaciones de aves), le compré al autor uno de sus grabados en madera. Por 40 ó 60 dólares cada uno podía haber comprado centenares de cuadros que ahora valdrían miles de dólares. Pero, ¿quién hubiese aventurado entonces el sorprendente crecimiento de la fama de Escher?
Se ha escrito tanto sobre Escher en los últimos años que solamente he intentado reseñar en mi bibliografía unos cuantos libros principales. La obra de Abrams contiene las reproducciones mejores y más completas de los trabajos de Escher, varios artículos sobre su arte (entre ellos uno del propio Escher) y una lista excelente de referencias bibliográficas. El largo artículo de Ken Wilkie contiene muchas obras hasta entonces inéditas de Escher, así como detalles poco conocidos acerca de la vida privada y las ideas del artista. Holland Herald es una revista en inglés que se publica en Holanda.
La colección de obras de Escher de Cornelius Roosevelt pertenece ahora a la Galería Nacional de Arte de Washington D.C.
Soluciones
Tres esferas es una representación de tres discos planos pintado cada uno de forma que simule una esfera. El disco de abajo está colocado horizontalmente sobre una mesa. El del centro está doblado en ángulo recto a lo largo de un diámetro. El superior está puesto verticalmente sobre la parte horizontal del disco del medio. La pista la dan la línea de pliegue del disco central y el idéntico sombreado de las tres pseudoesferas.
Capítulo 8
El cubo de caras rojas y otros problemas
Los matemáticos recreativos han dedicado mucha atención a los «tours» que una pieza de ajedrez puede llevar a cabo moviéndose sobre el tablero de forma que ocupe cada cuadro una sola vez, cumpliendo ciertas condiciones. John Harris, de Santa Bárbara, California, ha inventado una nueva clase de tour fascinante —el «tour del cubo rodante»— que abre un caudal de posibilidades.
Para trabajar sobre dos de los mejores problemas de Harris, consiga un pequeño cubo de madera de un juego de tarugos o hágase uno de cartón. Pinte de rojo una cara. El cubo se mueve de una casilla a otra adyacente volcándolo sobre una arista, mientras ésta descansa sobre la línea que separa las dos casillas. En cada movimiento, el cubo da un cuarto de vuelta en dirección norte, sur, este u oeste.
Problema 1. Coloque el cubo en el ángulo noroeste del tablero, con la cara roja hacia arriba. Se trata de recorrer todo el tablero de forma que, pasando solamente una vez por cada casilla, el cubo termine en el ángulo nordeste, con la cara roja hacia arriba. Sin embargo, el cubo no debe descansar en ningún momento del tour con la cara roja hacia arriba. (Nota: No es posible hacer el recorrido diagonalmente de un rincón al otro.)
Problema 2. Coloque el cubo sobre cualquier casilla, con una de las caras no coloreadas hacia arriba. Se trata de hacer un «tour reentrante» sobre el tablero (un tour que visite cada celda una vez y después vuelva a la de salida) de manera que en ningún momento del recorrido, incluido el final, esté la cara roja del cubo hacia arriba.
Ambos problemas tienen solución única, sin contar rotaciones ni reflexiones del recorrido.
§2. Las tres cartas
Gerald L. Kaufman, arquitecto y autor de varios libros de pasatiempos, inventó el siguiente problema de lógica.
Tres naipes, sacados de una baraja de bridge, yacen boca arriba en una fila horizontal. A la derecha de un Rey hay una o dos Damas. A la izquierda de una Dama hay una o dos Damas. A la izquierda de un corazón hay una o dos picas. A la derecha de una pica hay una o dos picas. Dígase de qué tres cartas se trata.
§3. La llave y la cerradura
Este desesperante pasatiempo topológico requiere una cerradura con su llave y un trozo de cuerda de unos cuantos metros de longitud.


La solución que daba el libro era correcta, y el lector no tendrá dificultad para hallarla. Pero, ¿puede dar un paso más y establecer una prueba sencilla de que la solución corresponde realmente a un mínimo?
Con esto no se agotan, sin embargo, las posibilidades. El siguiente paso obvio es investigar tableros, cuadrados de otros tamaños. El caso de orden uno es trivial. Es fácil demostrar que deben eliminarse tres palillos del tablero de orden dos para destruir todos los cuadrados, y seis para el de orden tres. La situación de orden cuatro es bastante compleja para ser interesante; más allá la dificultad crece rápidamente.
El matemático combinatorio no se dará probablemente por contento hasta tener una fórmula que dé el número mínimo de palillos en función del orden del tablero y además un método para obtener al menos una solución para cada orden dado. El problema puede luego extenderse a formas rectangulares y a la eliminación de un número mínimo de segmentos unidad para matar todos los rectángulos, incluidos los cuadrados. Que yo sepa, no se ha hecho ningún trabajo sobre ninguna de estas cuestiones.
Invitamos al lector a probar suerte con cuadrados de lado 4 a 8. Una solución mínima para el orden ocho, el tablero normal (que tiene 204 cuadrados diferentes), no es fácil de encontrar.
§7. Puntos cocirculares
Sobre una mesa se han lanzado cinco rectángulos de papel (uno de ellos con una esquina rasgada) y seis discos del mismo material, cayendo como se muestra en la figura 54. Los vértices de cada rectángulo y los lugares donde se ve que se cortan dos aristas marcan otros tantos puntos. El problema es encontrar cuatro conjuntos de cuatro puntos «cocirculares»: cuatro puntos situados sobre el mismo círculo.
Por ejemplo, los ángulos del rectángulo aislado (abajo a la derecha en la fig. 54) constituyen uno de esos conjuntos, ya que los cuatro vértices están obviamente sobre la misma circunferencia.

Figura 54
§8. El vaso envenenado
«Los matemáticos son unos pájaros curiosos», dijo el jefe de policía a su esposa. «Delante de nosotros teníamos todos esos vasos medio llenos, alineados en fila sobre la mesa de la cocina del hotel. Sólo uno contenía veneno, y queríamos saber cuál era antes de examinarlo en busca de huellas dactilares. Nuestro laboratorio podía analizar el líquido de cada vaso, pero las pruebas llevan tiempo y dinero, por lo cual queríamos hacer las menos posibles. Telefoneamos a la Universidad y enviaron un profesor de matemáticas para ayudarnos. Contó los vasos, sonrió y dijo:
“Elija el vaso que quiera, comisario. Analizaremos ése en primer lugar”.¿Cuál era el número exacto de vasos? (Se supone que cualquier grupo de vasos puede analizarse simultáneamente tomando una pequeña muestra de líquido de cada uno, mezclando las muestras y haciendo un solo análisis de la mezcla.)
“¿No será desperdiciar un ensayo?”, pregunté.
“No”, dijo, “es parte del procedimiento óptimo. Podemos analizar uno primero. No importa cuál”.
“¿Cuántos vasos había?”, preguntó la esposa del comisario.
“No me acuerdo. Entre 100 y 200.”»
Soluciones
§1. Las soluciones a los problemas de los cubos rodantes se muestran en la figura 55. En la primera solución, la cara roja del cubo mira sólo hacia arriba en los cuadrados de los ángulos superiores. En la segunda, el punto marca el comienzo del tour con la cara roja hacia abajo.

Figura 55. Soluciones al problema del cubo rodante.
Un nuevo juego de tablero, basado en los cubos rodantes, fue comercializado por Whitman (una filial de la Western Publishing Company) en 1971, con el nombre de «Relate». El tablero es un tablero de ajedrez de cuatro por cuatro. Las piezas son cuatro cubos coloreados del mismo modo, dos para cada jugador. Si numeráramos cada cubo como un dado, las caras 1 y 2 serían de un color, las 3 y 5 de otro, la 4 de un tercero y la 6 de un cuarto. El par de cubos de un jugador se distinguen de los del otro mediante un punto negro en cada cara.
El juego comienza colocando alternativamente un cubo en una casilla, en cualquier orientación, con tal de que los dos del mismo jugador muestren un color diferente en la parte superior. Suponiendo que numeramos las casillas de izquierda a derecha, un jugador pone sus fichas en las celdas 3 y 4 y el otro en las 13 y 14; éstas son las posiciones de salida. Los dos jugadores, por turno, hacen rodar uno de sus cubos hasta una casilla ortogonalmente adyacente. Hay tres reglas:
1. Los dos cubos de un jugador deben mostrar en todo momento colores diferentes en la cara superior.
2. Si un jugador hace un movimiento de tal manera que el color de la cara de arriba sea el mismo que el de uno de los cubos de su oponente, éste ha de trasladar (a la jugada siguiente) el cubo correspondiente a una nueva posición de manera que muestre un color diferente en lo alto.
3. Si no se puede mover sin violar las reglas 1 y 2, el jugador debe hacer girar uno de sus cubos hasta que muestre un color distinto en la cara superior, pero sin trasladarlo de la celda en la que se encuentre. Esta operación cuenta como un movimiento.
El ganador es aquel que primero ocupa simultáneamente las posiciones de salida de su oponente. Aunque se haya alcanzado con un cubo una de estas casillas hay que moverlo si el oponente fuerza a ello. Agradezco a John Gough, de Victoria, Australia, por llamar mi atención sobre este juego. Como señala Gough, el juego sugiere posibilidades inexploradas para cubos rodantes sobre redes cuadradas, o tetraedros u octaedros rodantes sobre redes triangulares.
§2. Los dos primeros enunciados sólo pueden satisfacerse mediante dos disposiciones de Reyes y Damas: RDD y DRD. Los dos últimos enunciados sólo se cumplen con dos combinaciones de corazones y picas: PPC y PCP. Los dos conjuntos pueden combinarse de cuatro maneras posibles:RP, DP, DCRP, DC, DPDP, RP, DCDP, RC, DPEl último conjunto queda excluido por contener dos Damas de picas. Como los otros tres conjuntos están compuestos del Rey de picas, la Dama de picas y la Dama de corazones, tenemos la seguridad de que éstas son las tres cartas que están sobre la mesa. No podemos saber la posición de cada naipe en concreto, pero sí podemos decir que el primero ha de ser de picas y el tercero una Dama.
§3. Para pasar la llave de un lado de la puerta al otro, pásese primero la llave por el bucle de manera que cuelgue como se muestra en la figura 56 a la izquierda. Agárrese la cuerda doble por los puntos A y B y hágase pasar el bucle, por detrás, a través de la cerradura; de esta manera se obtendrán dos nuevos bucles fuera del agujero, como se muestra en el centro. Trasládese la llave hacia arriba a lo largo de la cuerda, pasando por ambos bucles. Agárrense los dos trozos de cuerda por el lado opuesto de la puerta y sáquense de nuevo los dos bucles a través de la cerradura, dejando la cuerda en su posición original. Deslícese la llave hacia la derecha, a través del bucle, y el problema quedará resuelto.

Figura 56. Solución al pasatiempo de la llave y la cuerda.
§4. Es fácil mostrar que para cualquier conjunto finito de puntos sobre el plano; hay un número infinito de rectas que lo dividen exactamente por la mitad. La prueba siguiente, para los seis puntos de la figura 57, se aplica a cualquier número finito de puntos.
Consideremos todas las rectas determinadas por el conjunto de puntos, tomados de dos en dos. Tomemos un nuevo punto, A, que esté situado en el exterior de una curva cerrada que deje en su interior a todos los demás puntos y que no esté sobre ninguna de las rectas. Trácese una recta por el punto A. Al girar esta recta alrededor de A, en la dirección que se indica, pasará por cada uno de los otros puntos, de uno en uno. (No puede pasar por dos puntos simultáneamente, ya que ello significaría que el punto A está sobre la recta que ellos determinan.) Una vez que ha barrido la mitad de los puntos situados en el interior de la curva, dividirá el conjunto por la mitad.

Figura 57. Demostración para el problema del millón de puntos.
§5. Este problema se basa en el propuesto por Herbert Wills en The Mathematical Gazette , mayo, 1964. Si el objetivo de la muchacha es escapar alcanzando el muelle lo más rápidamente posible, su mejor estrategia es la que sigue. Primero rema de manera que el centro del lago, indicado por la balsa, quede siempre entre ella y el hombre de la orilla, haciendo que los tres puntos se mantengan en línea recta. Al mismo tiempo se mueve hacia tierra firme. Suponiendo que el hombre sigue la estrategia óptima, es decir, la de correr alrededor del lago siempre en la misma dirección, con una velocidad cuatro veces superior a aquélla a la que rema la joven, el camino óptimo de ésta es un semicírculo de radio r/8, siendo r el radio del lago. Al final de esta semicircunferencia, habrá alcanzado una distancia de r/4 medida desde el centro del lago. Éste es el punto en el que la velocidad angular que debe mantener para conservar al hombre enfrente de ella es igual a la de éste, no dejando energía de reserva a la joven para escapar. (Si durante este período el hombre cambiara de dirección, ella puede seguir una estrategia igual de buena o mejor, invirtiendo especularmente la trayectoria.)
Tan pronto como la muchacha alcanza el extremo de la semicircunferencia, se dirige en línea recta al punto más cercano de la orilla. La distancia a recorrer será 3 r/4. El hombre tiene que recorrer una distancia de π veces r para atrapar a la joven cuando llegue a tierra. Ella escapa, puesto que cuando alcanza la orilla él ha recorrido una distancia de solamente 3 r.
Supongamos, sin embargo, que la muchacha prefiere alcanzar el muelle no lo antes posible, sino en el punto más alejado que pueda de su perseguidor. En este caso su mejor estrategia, tras haber alcanzado el punto situado a una distancia r /4 del centro del lago, es remar siguiendo una línea recta tangente al círculo de radio r /4, moviéndose en dirección opuesta a la del hombre. Esta solución fue expuesta por primera vez por Richard K. Guy en su artículo « The Jewel Thief », en NABLA, Vol. 8, septiembre 1961, páginas 149-150. (Esta publicación, un boletín de la Sociedad Malaya de Matemáticas, publicó la solución del tiempo mínimo en su número de julio de 1961, pág. 112.)
Guy, utilizando cálculo elemental, demuestra que la muchacha puede escapar incluso si la velocidad del hombre es 4,6 veces superior a la velocidad del bote de remos. Al mismo resultado han llegado Thomas H. O’Beirne en The New Scientist , núm. 266, diciembre de 1961, página 753, y W. Schurman y J. Lodder en « The Beauty, the Beast, and the Pond» (La Bella, la Bestia y el estanque), Mathematics Magazine, Vol. 47, marzo 1974, páginas 93-95.
§6. El número más pequeño de segmentos unitarios que ha de retirarse de un tablero de cuatro por cuatro para dejarlo «libre de cuadrados» es nueve. Un modo de llevarlo a cabo es el que se muestra en el cuadrado de cuatro por cuatro de la parte superior de la figura 58.

Figura 58. Soluciones al problema de los palillos.
El mismo argumento demuestra que cualquier cuadrado de orden par debe tener una solución al menos igual a ½( n2 + 1), siendo n el orden del cuadrado. ¿Puede conseguirse lo mismo en todos los cuadrados de orden par? El procedimiento mostrado en la figura tiene implícita una demostración por inducción. Basta con «enchufar» un dominó en la celda abierta del borde del tablero de cuatro por cuatro y luego hacer correr la cadena de fichas por el límite, tal como se representa en la figura. Se obtiene así 19 como solución mínima para el tablero de orden seis. Aplicando el mismo procedimiento una vez más, se obtiene una solución mínima de 33 para el cuadro de ocho por ocho. Es claro que este procedimiento puede repetirse indefinidamente; cada nueva orla de fichas hace subir la abertura un escalón, como indica la flecha.
En el tablero de orden cinco la situación se complica por el hecho de que el número de celdas sombreadas es superior en una unidad al de blancas. Tendrían que eliminarse al menos 12 líneas para matar simultáneamente 12 celdas sombreadas y 12 blancas. Se formarían así 12 fichas de dominó. Si la celda sombreada restante estuviese en el borde exterior, tanto ella como la línea periférica quedarían rotas al retirar un segmento más, lo que sugiere que en los cuadrados impares podría haber una solución mínima de ½( n2 + 1). Pero para conseguirlo sería necesario que las fichas de dominó estuviesen dispuestas de manera que no formaran un cuadrado íntegro de orden superior a la unidad. Puede mostrarse que esto nunca es posible, por lo que el mínimo aumenta a ½( n2 + 1) + 1. En el dibujo inferior de la figura 58 se representa un procedimiento para encontrar el mínimo en todos los cuadrados impares.
D. J. Alien, George Brewster, John Dickson, John W. Harris y Andrew Ungar fueron los primeros lectores en dibujar un solo diagrama ampliable a todas las soluciones (en lugar de dos distintos, para los casos par e impar, como yo hice).
David Bienenfeld, John W. Harris, Matthew Hodgart y William Knowlton, estudiando el problema paralelo de crear figuras libres de rectángulos, descubrieron que el trominó en L tiene en este problema el mismo papel que el dominó en el problema de los cuadrados. Para los cuadrados de órdenes 2 al 12 el número mínimo de líneas que debe eliminarse para matar todos los rectángulos es, respectivamente: 3, 7, 11, 18, 25, 34, 43, 55, 67, 82, 97.

Figura 59. Cómo matar los rectángulos en la red de orden 8.
§7. En la figura 60 se representan con puntos negros tres conjuntos de cuatro puntos cocirculares sobre el plano de los rectángulos y discos dejados caer al azar. El conjunto de los cuatro vértices del rectángulo lo mencionamos ya en el enunciado del problema. Los cuatro puntos sobre la circunferencia pequeña son obviamente cocirculares. El tercer conjunto está formado por los puntos A, B, C y D. Para verlo, tracemos la línea de puntos BD y considerémosla como el diámetro de un círculo. Puesto que los ángulos en A y en C son rectos, sabemos (por un conocido teorema de geometría plana) que A y C deben estar sobre la circunferencia cuyo diámetro es BD.
Cuando se publicó este problema por primera vez, pedí encontrar sólo tres conjuntos de cuatro puntos cocirculares. El problema resultó ser más rico de lo que su creador y yo pensábamos. Muchos lectores se dieron cuenta rápidamente de que existía un cuarto conjunto. Sus cuatro puntos son: A\ la intersección (no marcada) situada inmediatamente debajo y a la derecha de A; B; y el vértice justo encima de B.

Figura 60. Tres conjuntos de puntos cocirculares.
Este problema, modificado para excluir este cuarto conjunto, aparece en Second Miscellany of Puzzles (Macmillan, 1969), de Barr.
§8. La solución que di originalmente fue ésta:
El procedimiento más eficiente para analizar cualquier número de vasos de líquido con el fin de identificar uno que contenga veneno es un procedimiento binario. El conjunto total de vasos se divide en dos mitades iguales, o lo más iguales posible, y se analiza uno de los subconjuntos (mezclando muestras de todos los vasos y analizando la mezcla). El conjunto que revele contener el vaso con veneno se divide de nuevo en dos, repitiendo el proceso hasta identificar la copa que contiene el veneno. Si el número de vasos está comprendido entre 100 y 128, ambos inclusive, el máximo de ensayos necesarios es siete; si entre 129 y 200, el máximo es ocho. El número 128 es la frontera porque es el único número comprendido entre 100 y 200 que aparece en la serie: 1, 2, 4, 8, 16, 32, 64, 128, 256... Tenía que haber 129 vasos en la cocina del hotel, porque sólo en ese caso (se nos dijo que el número estaba entre 100 y 200) el análisis inicial de un vaso por separado no afectará para nada a la aplicación del procedimiento más eficiente. El análisis de 129 vasos, por división repetida por dos, requiere un máximo de ocho pruebas. Pero si se comienza con un solo vaso, los 128 restantes requerirán 7 pruebas como máximo, con lo cual no afecta al número total de ensayos.
Cuando se publicó la anterior solución muchos lectores dijeron que el jefe de policía tenía razón y que los matemáticos estaban equivocados. Con independencia del número de vasos, el método más eficiente de análisis es dividirlos lo más aproximadamente posible en dos mitades en cada etapa y efectuar las pruebas en cualquier grupo. Si se calculan las probabilidades, el número esperado de ensayos para 129 vasos, si se sigue el procedimiento de mitades, es de 7,0155. Pero si se prueba al principio un solo vaso, el número esperado es 7,9457. Hay un aumento de 0,930 ensayos, por lo que el comisario casi tenía razón al considerar que el procedimiento del matemático desaprovechaba una prueba. Sin embargo, solamente en el caso de que el número de vasos fuese 129 tendríamos una excusa plausible para el error, por lo que, en un sentido, el problema había sido correctamente resuelto incluso por aquellos lectores que demostraron que el procedimiento de ensayo del matemático era ineficaz.
El problema aparece en Second Miscellany of Puzzles de Barr.
Capítulo 9
¿Pueden pensar las máquinas?
Hubo un tiempo en que tuvo que parecer sumamente improbable que las máquinas pudieran aprender a dar cuenta de sus necesidades mediante sonidos, aun yendo éstos dirigidos a oídos humanos. ¿No será lícito, entonces, concebir que pueda llegar el día en que ya no sean necesarios nuestros oídos, sino que la audición se produzca gracias a la delicada construcción de la máquina, el día en que su lenguaje haya trascendido del grito animal a un discurso tan intrincado como el nuestro?
Samuel Butler, Erewhon
Una máquina de Turing es una «caja negra» (una máquina cuyo mecanismo no se especifica) capaz de ir inspeccionando una cinta ilimitada dividida en casillas. La caja puede tomar un número finito cualquiera de estados. En la cinta hay una porción finita cuyas casillas no están en blanco; cada una de éstas porta un único símbolo tomado de entre una colección finita prefijada. Al inspeccionar una casilla, la caja puede dejar intacto el símbolo que contenga; puede borrarlo; puede borrarlo e imprimir en su lugar otro símbolo; o puede imprimir un símbolo en una casilla vacía. La cinta puede entonces desplazarse una casilla hacia la derecha o la izquierda, o permanecer quieta; por su parte, la caja puede persistir en su estado o saltar a un estado diferente.
La conducta de la máquina en cada una de las combinaciones de símbolo y estado queda determinada por una tabla de reglas. La tabla define totalmente la máquina de Turing concreta de que se trate. Existe una infinidad denumerable (es decir, de cardinal aleph- sub-cero) de posibles máquinas de Turing, cada una diseñada para una tarea específica; y la estructura de la máquina puede diferir mucho en sus símbolos, estados y reglas, según la tarea a ejecutar.

Figura 61. Máquina de Turing capaz de efectuar adiciones.
Empecemos suponiendo que la máquina se encuentra en el estado A. Consultamos en la tabla la instrucción correspondiente al símbolo 1 y el estado A, y ejecutamos lo que dice: borrar el 1, desplazar la cinta un cuadro hacia la izquierda (para poder explorar la casilla adyacente a la derecha) y suponer que la máquina ha adoptado el estado B. Se prosigue de esta forma hasta que la tabla ordene detenernos.
Siguiendo correctamente las instrucciones, la máquina borrará el primer 1, y va desplazando la cinta hacia la izquierda, casilla por casilla, hasta alcanzar el signo «más». Una vez alcanzado, cambiará el + por un 1, y se detendrá. El contenido de la cinta será entonces 1111111, es decir, 7. Como es evidente, las sencillas reglas anteriores dejan programado el dispositivo para sumar cualquier par de números enteros en notación uñaría, por grandes que sean.
No cabe duda de que como procedimiento de sumación este método es bien fastidioso; pero debemos recordar que el objetivo de Turing era reducir el cálculo mecánico a un esquema abstracto sencillo, que facilitara así el análisis de toda clase de espinosos problemas teóricos, como, por ejemplo, qué puede ser computado y qué no. Turing demostró que su dispositivo ideal puede ser programado para realizar, en su desmañado estilo, cualquier cosa que pueda ejecutar el más potente computador electrónico. Lo mismo que cualquier computador —y que el cerebro humano— la máquina de Turing está limitada por el hecho de que ciertos cálculos (como los necesarios para hallar el valor de «pi») exigen infinito número de pasos, y por otro lado, debido a que ciertos problemas son intrínsecamente insolubles, es decir, se sabe que no puede existir ningún algoritmo, ningún proceso perfectamente detallado, que permita resolverlos. Una «máquina universal de Turing» es capaz de llevar a cabo cualquier tarea que pueda efectuar una máquina de Turing especialmente concebida para esa tarea. En breve, la máquina universal es capaz de computar todo lo que sea computable.
En 1950, la revista inglesa Mind, dedicada a temas filosóficos, publicó un artículo de Turing, « Computing Machinery and Intelligence ». Desde aquella fecha, el artículo ha sido recogido en diversas antologías, entre ellas, en The World of Mathematics de James R. Newman (hay traducción española: Sigma, el mundo de las matemáticas, Ed. Grijalbo). Allí, Turing empezaba diciendo: «Me propongo examinar la cuestión ¿Pueden pensar las máquinas?» Así planteada, decía Turing, la pregunta era demasiado vaga para poder darle alguna respuesta significativa. Turing proponía entonces otra cuestión mucho más restringida, relacionada con ésta: ¿Es posible enseñar a un computador a ganar el «juego de imitación», hoy comúnmente conocido por juego de Turing o test de Turing?
Turing inspiró su test en un juego de salón. Un hombre y una mujer se encierran en distintas habitaciones. Un interrogador, da igual hombre que mujer, va haciéndoles preguntas a los jugadores. Las preguntas son formuladas a través de un intermediario; el correveidile trae las respuestas, de vuelta, escritas a máquina. Cada jugador se propone convencer al preguntón de que él o ella es, en realidad, la mujer, pongamos por ejemplo. El interrogador gana el juego cuando atina quien está diciendo la verdad.
Supongamos, decía Turing, que uno de los jugadores sea sustituido por una máquina capaz de aprender, a la que hemos enseñado a conversar en un lenguaje natural. ¿Es posible que una máquina así logre engañar al inquiridor, si tanto la máquina como su compañero humano se esforzasen al máximo en convencer al interrogador de que él, ella o ello son verdaderamente humanos?
El significado de «engañar» queda desdibujado por varias imprecisiones. ¿Cuánto tiempo puede durar el interrogatorio? ¿Cuán inteligente es el interrogador? ¿Cuán inteligente es la persona que compite con la máquina? Un computador moderno podría superar el test de Turing si el interrogador fuese un niño que tan sólo pudiera formular unas cuantas preguntas. Es verosímil que no se produzcan en este campo avances espectaculares, como probablemente tampoco se produjeron en la evolución del intelecto humano. Las máquinas conversadoras podrían ir mejorando gradualmente, resistiendo diálogos más y más largos frente a interrogadores cada vez más perspicaces. Quizá llegue un día en que tan sólo un potentísimo computador electrónico sea capaz de discriminar sistemática y acertadamente las personas de las máquinas. El propio Turing hizo una predicción cautelosa. Hacia el año 2000, escribió, los computadores tendrán la facilidad de palabra suficiente como para despistar a un «interrogador corriente» alrededor del 30 % de las veces al cabo de «unos cinco minutos» de conversación. Turing imaginó un diálogo que pudiera ser típico:
P. Vamos a ver, componga un soneto dedicado a sus padres.Existen ya muchos programas que permiten que un computador simule conversaciones en lenguaje natural. Joseph Weizenbaum, ingeniero eléctrico del M.I.T., ha preparado uno que él ha bautizado «Eliza» en recuerdo de la Eliza Doolittle del Pygmalion de Shaw. El New York Times (15 de junio de 1968) reseñaba el siguiente diálogo mecanográfico entre una joven y un computador I.B.M. 7094, que suplantaba a un hipotético psicoanalista:
R. No cuente conmigo para eso. Nunca he sabido escribir poesía.
P. Sume 34.957 y 70.764.
R. (Pausa de unos 30 segundos antes de contestar). 105.621.
P. ¿Sabe jugar al ajedrez?
R. Sí.
P. Tengo mi rey en 1R. No tengo más piezas. Usted tiene su rey en 6R, una torre en 1T, y nada más. Juega usted. ¿Qué debe hacer?
R. (Tras pausa de unos 15 segundos). T8T. Mate.
Mujer: Todos los hombres son iguales.El diálogo prosigue en la misma tónica y no difiere gran cosa de la conversación entre un paciente y un terapeuta no directivo. El programa no era tan siquiera un programa «autodidacta». Weizenbaum admitió de buena gana que el computador no «comprendía» nada de lo que allí se decía. Desde luego, no podría superar el test de Turing. Supongamos, empero, que hacia el año 2000 haya computadores capaces de afrontar el juego de Turing con tanto éxito como ahora son capaces de jugar a las damas o al ajedrez. ¿Qué revelaría eso —si es que revela algo— acerca de la naturaleza de la «mente» de la máquina?
Computador: ¿En qué aspecto?
M. En que siempre están dándonos la lata con una cosa u otra.
C. ¿Puede darme algún ejemplo concreto?
M. Bueno, para que vea, mi novio me ha hecho venir aquí.
C. ¿Su novio la ha hecho venir aquí?
M. Sí. Dice que estoy siempre deprimida.
C. Lamento mucho que esté usted deprimida.
M. Pero es cierto. No soy feliz.
C. ¿Cree usted que venir aquí le servirá de ayuda?
M. Bueno, lo que está claro es que necesito que me ayuden.
C. ¿De qué cree usted que le serviría que la ayudasen?
M. Quizás... para llevarme mejor con mi madre.
C. Hábleme de su familia.
M. Mi madre se ocupa mucho de mí.
C. ¿Hay alguien más en su familia que se ocupe de usted?
M. También mi padre.
C. ¿Su padre?
M. Hay cosas en las que usted se parece a mi padre.
C. ¿Qué parecido me encuentra usted?
M. Usted no es nada agresivo, pero tengo la impresión de que no quiere que yo me dé cuenta.
C. ¿Por qué piensa usted que no soy agresivo?
M. Porque nunca me rebate lo que digo.
Los lectores de la famosa novela 2001, una odisea del espacio, de Arthur C. Clarke, recordarán que en ella se dice que HAL, computador parlante de la nave espacial, «piensa», pues es capaz de «superar fácilmente el test de Turing». (Las siglas HAL provienen de computador heurísticamente programado y algorítmico; pero seguramente, cuando Clarke eligió este nombre se proponía hacerle al lector un juego de palabras más ingenioso. ¿Sabrá descubrirlo usted?) ¿Podemos decir que HAL piensa, o tan sólo remeda al pensamiento? Turing opina que, llegado el momento en que la habilidad conversatoria de los computadores les permitieran superar su test, nadie dudaría en admitir que son capaces de pensar.
Inmediatamente surgen docenas de cuestiones enormemente embrolladas. ¿Podría sufrir la timidez un computador semejante? ¿Podría experimentar emociones? ¿Y tener sentido del humor? En pocas palabras, ¿tendríamos que considerarlo «persona»? ¿O tan sólo es una máquina muerta, que ha sido construida para imitar la conducta de las personas? Recordemos que L. Frank Baum ya escribió sobre el robot TikTok, un robot que «piensa, habla, actúa y hace todo, excepto vivir».
Qué duda cabe, que si un computador saliera triunfante de los testes de Turing, lo único que se habría demostrado es que los computadores pueden imitar el discurso de los humanos con perfección suficiente como para superar tales pruebas. Pensemos por un momento que alguien, en la Edad Media, hubiera pensado en someter a los tulipanes a la siguiente prueba de autenticidad: ¿Será posible producir un tulipán de orfebrería, tan perfecto que a simple vista sea indistinguible de los del jardín? Hoy se fabrican tulipanes artificiales capaces de superar esta prueba de «autenticidad». Pero eso nada nos dice sobre la capacidad de los químicos para sintetizar compuestos orgánicos, ni nos garantiza que nadie sepa construir un tulipán capaz de crecer como los tulipanes del jardín. Al igual que hoy nos ocurre que al tocar lo que pensamos que es una flor exclamamos con sorpresa «¡Anda, si es artificial!», no parece en absoluto impensable que mañana, tras sostener una larga conversación con lo que pensamos que es una persona, al abrir una puerta descubramos atónitos que habíamos estado charlando con un computador.
Keith Gunderson, en un importante artículo de 1964 donde criticaba a Turing por haber cargado excesivamente las tintas en la importancia de su test, expresaba así su punto de vista: «Al fin y al cabo, la perforadora de vapor pudo más que John Henry en la tarea de excavar túneles de ferrocarril. Pero eso no demostró que la máquina perforadora tuviera músculos; por el contrario, demostró que para excavar túneles de ferrocarril no se precisa de músculos.»
El test de Turing experimentó un giro curioso durante una conferencia de Michael Scriven, más tarde recogida con el título « The Compleat Robot: A Prolegomena to Androidology», en Dimensions of Mind , recopilado por Sidney Hook. Scriven concedía que la habilidad dialéctica no demostraba que el computador poseyera otros atributos de la «persona». Supongamos, empero, que uno de estos computadores parlantes llegase a aprender el significado de fe palabra «verdad» (por ejemplo, en el sentido de correspondencia que
Alfred Tarski ha definido con precisión) y que a continuación se le programa para que nunca pueda mentir. «De esta forma, el robot queda incapacitado para ejercer de ayuda de cámara, de redactor publicitario o de político, pero en cambio puede prestarnos ahora nuevos servicios.» Ahora podemos preguntarle si tiene conciencia de existir, si tiene emociones, si ciertos chistes le parecen graciosos, si actúa por propia voluntad, si le gusta la poesía de Keats, y otras semejantes, en la confianza de que nos va a dar respuestas correctas.
Cabe la posibilidad de que la «máquina de Scriven» (como la ha bautizado uno de los varios filósofos que en otros capítulos de la antología de Hook comentan el artículo de Scriven) respondiera negativamente a todo lo anterior. Pero si diera respuestas afirmativas, arguye Scriven, tendríamos tanta justificación para creerlo como para creer a un ser humano, y ninguna para no admitirlo como «persona».
No existe acuerdo entre los filósofos con respecto a los razonamientos de Turing y Scriven. En una nota breve titulada « The Supercomputer as Liar », Scriven replicaba a algunos de sus críticos. Por otra parte, Mortimer J. Adler, en su libro The Difference of Man and the Difference It Makes , considera que el criterio de Turing es «cosa de todo o nada», y que el éxito y el fracaso en construir computadores capaces de superarlo servirán, respectivamente, para debilitar o reforzar la creencia de que el hombre es radicalmente diferente de cualquier máquina o animal infrahumano.
La existencia de máquinas capaces de dialogar, ¿lograría verdaderamente cambiar las creencias de los humanos con respecto al carácter singular de su naturaleza? No cuesta demasiado imaginar uno de nuestros programas humorísticos de televisión dentro de 50 años. Los invitados al programa improvisan chistes y juegos de palabras en compañía de un robot presentador en cuya memoria se han atiborrado uno o dos millones de chascarrillos, y al que humoristas humanos han logrado infundir el arte de la pausa en la conversación intencionada. Por mi parte, dudo mucho que nadie admitiera que el robot «tiene sentido del humor», como ningún jugador derrotado por un autómata ajedrecístico estaría dispuesto a admitir que se ha enfrentado a una máquina de naturaleza radicalmente distinta a la del autómata que juega al «tres en raya». Después de todo, las reglas de la semántica y sintaxis no son tan radicalmente diferentes de las del ajedrez.
En cualquier caso, el debate continúa, embrollado por prejuicios metafísicos y religiosos además de problemas lingüísticos muy complejos. Todos los clásicos enigmas sobre el cuerpo y el alma, sobre la naturaleza de 'a persona, vuelven a ser de actualidad, sólo que ahora planteados con nueva terminología. Resulta difícil predecir qué principios sobrevivirán y cuáles serán pisoteados, ni cómo, al ir perfeccionándose los robots del futuro, se verán influidas las cuestiones filosóficas fundamentales hoy en plena controversia.
Hace 100 años, cuando Samuel Butler explicaba en Erewhon por qué los erewhonianos decidieron destruir sus máquinas, temerosos de verlas convertidas de siervas en señoras, la advertencia de Butler fue considerada pura sátira, traída por los pelos. Hoy, la lectura de esos mismos capítulos impresiona por su carácter profético. «Las máquinas tienen hoy un nivel de conciencia muy bajo», escribía Butler, «mas no por eso tenemos seguridad alguna de cuál será el definitivo desarrollo de la conciencia mecánica. Un molusco tampoco ofrece un elevado nivel de conciencia. Reflexionemos, empero, sobre el extraordinario desarrollo de las máquinas en estos últimos siglos, y cuán lentamente, en cambio, están avanzando los reinos animal y vegetal. En comparación con el tiempo pasado, las máquinas de más alta organización no son, por así decirlo, cosa de ayer, sino de los cinco últimos minutos.»
Soluciones
Si tomamos en el alfabeto la siguiente a cada una de las letras que componen el nombre HAL resulta IBM. En el filme, el logotipo de IBM es visible en los terminales de visualización de HAL, y todo el mundo supuso que Clarke había desplazado las letras intencionadamente. Por su parte, Clarke me ha asegurado que tal hecho es completamente accidental, y que él fue el primer sorprendido al enterarse.
Capítulo 10
El ajedrez extravagante y otros problemas
Al visitar, hace poco, un club ajedrecístico imaginario tuve ocasión de observar el desarrollo de una partida entre los señores Blanco y Negro, los dos jugadores del club que más se distinguían por la extravagancia de sus partidas. Para sorpresa mía, el tablero mostraba la posición de la figura 62.

Figura 62. Situación de las piezas tras la cuarta jugada de las negras.
| Blancas | Negras | |
| 1. | C3AR | P4D |
| 2. | C5R | C3AR |
| 3. | C6AD | CR2D |
| 4. | C×C | C×C |
Una hora más tarde, tras perder una partida frente a otro jugador, volví a echar un vistazo al tablero de Blanco y Negro. En su segunda partida, el tablero tenía exactamente el mismo aspecto que antes, salvo que ahora faltaban todos los caballos. El señor Negro, que acababa de mover una pieza negra, alzó la vista del tablero y dijo: «Acabo de realizar mi quinta jugada.»
a) ¿Sabrá el lector construir una partida que produzca tan curiosa situación inicial, valiéndose tan sólo, claro está, de jugadas lícitas?
«Ya que estamos en ello», me dijo el señor Blanco, «he inventado un problema que tal vez podría resultarle entretenido a sus lectores. Supongamos que volcamos una caja completa de piezas de ajedrez en una bolsa —las 16 piezas blancas y las 16 negras—, que agitamos la bolsa para mezclarlas bien, y vamos después sacando las piezas al azar, de dos en dos. Si ambas son negras las colocamos en la mesa, comenzando a formar con ellas el grupo negro. Si ocurre que ambas son blancas, las ponemos en otro lugar de la mesa, iniciando así el grupo de las blancas. Finalmente, si las piezas salen de distinto color, las colocamos en una caja, que bien podría ser la que las contenía inicialmente. Una vez extraídas de la bolsa la totalidad de las 32 piezas, ¿qué probabilidad hay de que el número de piezas del grupo negro sea exactamente igual al número de piezas del grupo blanco?» «Hummm...», musité. «Así, a primera vista, parece que la probabilidad debería ser' bastante pe- , quena.» Negro y Blanco disimularon una sonrisita maliciosa y burlona, y prosiguieron su partida.
b) ¿Cuál es exactamente la probabilidad de que ambos grupos consten de igual número de piezas?
§2. Una Eva charlatana
El criptaritmo que aquí presento (o alfamético, como prefieren llamarlo algunos problemistas) es muy antiguo y de origen desconocido; seguramente sea uno de los mejor construidos. Lo ofrezco aquí con la esperanza de que no sea demasiado conocido de los lectores;Como siempre, letras iguales representan cifras iguales, entre las que puede hallarse el 0. La fracción EVE/DID ha sido ya simplificada al máximo, o sea, es irreducible. Su desarrollo decimal tiene un período de cuatro cifras. La solución del criptaritmo es única. Para dar con ella, recuérdese que el procedimiento habitual para hallar la fracción generatriz de un decimal periódico puro, cuyo período conste de n cifras, es tomar el bloque periódico y dividirlo por n nueves, simplificando después todo lo posible la fracción así obtenida.
§3. Tres cuadrados
Sirviéndose tan sólo de geometría elemental (no es lícito usar ni siquiera trigonometría) hay que demostrar que el ángulo C de la figura 63 es suma de los ángulos A y B.
Tengo que agradecer a Lyber Katz el haberme comunicado este problema, que es de una sencillez fascinante.

Figura 63. Demostrar que el ángulo A más el B es igual al ángulo C.
§4. La proposición de Pohl
Frederik Pohl, uno de los mejores escritores de ciencia-ficción, ha ideado este truco, recientemente publicado en una revista de ilusionismo llamada Epilogue. Es probable que los expertos en informática lo resuelvan más rápidamente que los demás.
Se le pide a un espectador que dibuje en un papel una hilera de pequeños círculos, que representan otras tantas monedas. Mientras así lo hace, el mago permanece de espaldas. El espectador, al término, coloca la yema del pulgar de su mano derecha sobre la primera circunferencia, de forma que con el pulgar y el resto de la mano oculte completamente la hilera de círculos. El mago se vuelve entonces hacia él, y le apuesta a que es capaz de anotar inmediatamente en la hoja un número que indicará el número total de posibles combinaciones de caras y cruces que resultarían de lanzar cada una de las monedas. Por ejemplo, dos monedas pueden caer de cuatro formas distintas, tres monedas, de ocho, y así sucesivamente.
No hay forma de saber cuántas monedas dibujó: sin embargo, es fácil de ganar la apuesta. ¿Cómo?
§5. Los bloques deslizantes de Escott
Este notable y curioso rompecabezas fue ideado por Edward Brind Escott, matemático americano fallecido en 1946. (Véase la fig. 64.)

Figura 64. El rompecabezas de bloques deslizantes de Escott.
Escott era un especialista en teoría de números, y publicó abundantemente en diversas revistas matemáticas. Fue profesor en diversas escuelas y facultades del Middle West, y en sus últimos años, actuario de una compañía de seguros.
§6. Pesas rojas, blancas y azules
Durante estos últimos decenios se han puesto de moda los problemas de balanzas y pesadas. He aquí uno no muy conocido, inventado por Paul Curry, bien conocido entre los aficionados al ilusionismo.
Tenemos seis pesas. De ellas, un par es rojo, otro par, blanco, y el tercero azul. En cada par, una de las pesas es levemente más pesada que la otra, siendo por los demás indistinguible de su gemela. Las tres más pesadas (una de cada color) tienen pesos idénticos, y lo mismo es cierto de las tres más livianas.
Haciendo únicamente dos pesadas con una balanza (de platillos), ¿cómo podríamos identificar en cada par la pesa liviana y la más pesada?
§7. El número de los diez dígitos

Figura 65. Un problema digital.
§8. Monedas en la bolera
Kobon Fujimura, uno de los más distinguidos creadores de problemas de ingenio del Japón, ha preparado este rompecabezas, que figura en uno de sus libros más recientes.

Fig. 66. Problema «monetario» de origen japonés.
Notemos que en la disposición inicial existen dos triángulos equiláteros al bies, cuyas bases no son horizontales.
Soluciones
§1. a) Un posible desarrollo como el pedido es:
| Blancas | Negras | |
| 1. | C3AR | C3AR |
| 2. | C3AD | C3AD |
| 3. | C4D | C4D |
| 4. | CR × C | PC × C |
| 5. | C × C | P×C |
Ambos problemas fueron reimpresos en el número de verano de 1969 de una revista matemática llamada Manifold, publicada en la Universidad de Warwick, en Coventry, Inglaterra. En ella se citaba como fuente un número de la Chess Review del año 1947. La variante aquí presentada se debe al ajedrecista norteamericano Larry Blustein.
Mannis Charosh me ha llamado la atención acerca de una interesante versión del problema de los caballos desaparecidos. En lugar de eliminar los caballos de rey de ambos bandos deben suprimirse los de dama y además, en lugar de avanzar dos cuadros con el peón de dama, ahora debe avanzar sólo uno. También este problema admite solución en cuatro jugadas; pero la solución tiene ahora el mérito de ser única. (En la versión que he presentado aquí, las dos primeras jugadas de las negras son intercambiables.) La nueva variante apareció en la Fairy Chess Review de febrero de 1955, siendo allí atribuida a G. Schweig, quien la dio a conocer en 1938. Dejo al cuidado del lector la tarea de resolverla.
b) La probabilidad es 1. Puesto que los pares de piezas desechados contienen una pieza de cada color, los números de piezas blancas y negras sobrantes serán idénticos.
§2. Como ya expliqué, para obtener la fracción generatriz de un número decimal periódico puro, se escribe el bloque periódico en el numerador, y en el denominador, tantos nueves cuantas cifras tenga el bloque periódico. En este ejemplo, TALK/9999, simplificada al máximo, debe dar EVE/DID. Por consiguiente, DID tiene que ser divisor de 9999. Tan sólo hay tres divisores de 9999 que sean capicúas y de tres cifras, esto es, tan sólo hay tres candidatos para DID: 101, 303 y 909.
Si fuese DID= 101, entonces EVE/101 = TALK/9999, y de aquí, EVE = TALK/99. Reordenando términos, TALK= (99)(EVE). Como hemos supuesto que DID es 101, EVE ya no podrá serlo, y siendo EVE capicúa, tendrá que ser mayor que 101. Ahora, un número mayor que 101 multiplicado por 99 dará producto con al menos cinco cifras. Como TALK tiene sólo cuatro, la hipótesis DID =101 debe ser descartada.
De ser DID = 909 tendríamos EVE/909 = TALK/9999 y despejando, TALK= (11) (EVE). Pero entonces la última cifra de TALK tendría que ser E. Por no serlo, también es preciso desechar la posibilidad DID = 909.
Tan sólo cabe, pues, que DID = 303. Como EVE tiene que ser menor que DID (porque su cociente empieza 0,...) E sólo puede ser 1 ó 2. De los 14 números capicúas que empiezan por estas cifras (121, 141, ..., 292) únicamente 242 produce un desarrollo decimal conforme al esquema O, TALKTALKTALK... donde todas las cifras del período son distintas de las de EVE y DID.
La única solución es, por tanto, 242/303 = 0,79867986... De no haber supuesto que la fracción EVE/DID era irreducible, habría una segunda solución, 212/606 = 0,34983498..., lo que demuestra, como Joseph Machady agudamente hizo notar, que EVE no sólo hablaba sin parar (EVE-OVER-DID-TALK...) sino que al hablar lo hacía con segundas... (double-talked).
§3. Hay muchas formas de probar que el ángulo C (fig. 63) es suma de los ángulos A y B. He aquí una sencilla (fig. 67). Construyamos los cuadrados trazados con línea gris. Los ángulos B y D son iguales, por ser homólogos en triángulos rectángulos semejantes. Como los ángulosA y D suman, evidentemente, C, basta sustituir D por su igual B para tener demostrado que C es suma de A y de B.

Figura 67. Construcción que demuestra el teorema de los tres cuadrados.
En el Journal of Recreational Mathematics se encuentran publicadas 54 demostraciones diferentes, recopiladas por Charles Trigg (vol. 4, abril de 1971, pp. 90-99). Una demostración con papel y tijeras, de Ali R. Amir-Moéz, apareció en la misma revista (vol. 5, invierno de 1973, pp. 8-9). Pueden verse otras demostraciones en una nota de Roger North publicada en la Mathematical Gazette, diciembre de 1973, pp. 334-36, con segunda parte en la misma revista, octubre de 1974, pp. 212-15. Puede verse una generalización del problema a una hilera de cuadrados en el artículo de Trigg: «Geometrical Proof of a Result of Lehmer’s», en The Fibonacci Quarterly, vol. 11; diciembre de 1973, pp. 539-40.
§4. Para ganar la apuesta es suficiente escribir un 1 junto a la yema del pulgar que está ocultando la hilera de círculos. Al levantar la mano nuestro espectador, el papel mostrará un número binario formado por un 1 seguido de una hilera de ceros. Suponiendo que los ceros representenn monedas, este número binario será equivalente al número decimal 2 n, que es el número total de distintas ordenaciones en que pueden salir cara o cruz al lanzar sucesivamente n monedas.
§5. Al presentar el rompecabezas de bloques deslizantes de Escott en mi sección de Scientific American di una solución que requería 66 movimientos. Muchos lectores consiguieron rebajar tal número a sólo 48, y ésta es por ahora la solución más breve que se conoce.
Mas la solución de 48 movimientos no es única. La que presentamos en la figura 68 (que me fue enviada por John W. Wright) puede considerarse típica. Las letras S, B, D, I (subir, bajar, derecha, izquierda) sirven para denotar los movimientos. En todos los casos es preciso mover las piezas indicadas tanto cuanto sea posible en la dirección expresada.

Figura 68. Una solución en 48 movimientos para el rompecabezas de los bloques deslizantes.
§6. Un procedimiento para resolver el problema de las seis pesas —dos rojas, dos blancas y dos azules— consiste en colocar en un platillo una pesa blanca y una roja, y en el otro, una blanca y una azul.
Si la balanza quedase en equilibrio, sabríamos que en cada platillo hay una pesa liviana y otra con sobrepeso. Retiremos de los platillos las pesas de color, dejando únicamente las blancas, una en cada uno. Sabremos así en qué platillo está la pesa blanca más ligera, y en cuál la más pesada. Al mismo tiempo, ello nos dice cuál de las pesas antes empleadas (una roja, una azul) es más ligera que la otra, lo que a su vez nos aclara cuáles son las pesas liviana y pesada del par azul-rojo no usado todavía.
Si la balanza no queda en equilibrio al efectuar esta primera pesada, es seguro que caerá del lado donde se encuentre la pesa blanca de mayor peso. Empero seguimos a oscuras con respecto a la roja y a la azul. Compararemos pues la roja ya utilizada con la gemela de la azul empleada para la primera pesada (o bien, la azul primitiva con la gemela de la roja). Como hace notar C. B. Chandler (a quien debo esta sencilla solución) el resultado de la segunda comparación más el recuerdo de lo ocurrido en la primera, ya es suficiente para distinguir las seis pesas.
Aquellos lectores que hayan encontrado este problema de su gusto podrán pasar otro rato entretenido analizando la siguiente variante, ideada por Ben Braude, mago amateur y dentista, neoyorquino. Las seis pesas son idénticas en todos los aspectos (color incluido) salvo en que hay tres que son más pesadas que las otras. Las tres con sobrepeso son idénticas; lo mismo ocurre con los pesos de las tres más ligeras. La tarea consiste en identificar cada una de las seis haciendo tres pesadas independientes con una balanza de platillos.
Como Thomas O’Beirne ha hecho notar, el problema de Braude ofrece dos tipos de soluciones, de caracteres que podríamos llamar complementarios o duales. En unas, las pesas son comparadas par contra par; en otras, cada platillo es cargado siempre con una sola pesa. Debo a John Hamilton la concisa tabla siguiente, donde se dan las cuatro posibilidades del método más sencillo (publicado en el número de marzo de 1970 de una revista de ilusionismo, The Pallbearers Review).
| 1 | 2 | 3 | 4 |
| a/B | a/B | a—b | a — b |
| c/D | c—d | b—c | b/C |
| e/F | d/E | c/D | D-E |
Las letras mayúsculas indican pesos con sobrecarga, y las minúsculas, pesos mermados. Un trazo horizontal indica equilibrio, mientras que la barra oblicua muestra de qué lado cae la balanza.
§7. La solución, única, es 6.210.001.000. No dispongo aquí de espacio para dar una demostración detallada; puede verse una francamente buena en la sección de divertimentos matemáticos de la Technical Review (febrero de 1968) del M. I. T., debida a Edward P. DeLorenzo.
En el mismo lugar del número de junio de 1968 hay una demostración de Kenneth W. Dritz de que para casilleros de menos de 10 cuadros, las únicas soluciones en numeración de base 10 son 1.210; 2.020; 21.200; 3.211.000; 42.101.000, y 521.001.000.
Puede verse una solución general, debida a Frank Rubin, en el Journal of Recreational Mathematics, vol. 11, 1978-79, pp. 76-77. En ella demuestra que no existe ningún número «autodescriptivo» en las bases 1, 2, 3 y 6. En base 5 existe tan sólo uno, 521.000. En base 4 tenemos 1.210 y 2.020, y es la única base donde existe más de una solución de longitud igual a la base. En todas las bases mayores que 6 existe una única solución, que es de la forma R21(0...0)1.000, siendo R cuatro unidades menor que la base de numeración, y el número de ceros entre paréntesis, siete menos que la base.
§8. El número mínimo de monedas a retirar es de cuatro (véase la fig. 69), correspondientes a las sombreadas en gris en la figura.

Figura 69. Solución del problema de las 10 monedas.
Capítulo 11
Números de Fibonacci y de Lucas
Tuvo esposas Fibonacci, que comer nada comían (pastas aparte). Tanto así pesaba cada una como juntas sus dos antecesoras ¡Era la quinta una gran signora!
J. A. LlNDON

Figura 70. Fibonacci.
Pronto se dio cuenta de la enorme superioridad de la notación decimal indo-arábiga (provista ya de cifras cuyos valores dependen de su posición, y de símbolo para el cero) sobre el engorroso sistema de numeración romana, empleado todavía en su país natal. La más conocida de sus obras, Líber abad (literalmente, Libro del ábaco) era en realidad un amplio tratado del sistema de numeración indo-arábigo, mas sus razonamientos no parecieron causar demasiada impresión a los mercaderes italianos de la época. Con el tiempo, su libro llegó a ser, empero, la obra de máxima influencia entre todas las que contribuyeron a introducir en Occidente la notación indo-arábiga. El Liber abad fue concluido en Pisa en 1202; hasta nosotros ha llegado una edición revisada, de 1228, dedicada a un famoso astrólogo cortesano de la época.
No deja de ser irónico que Leonardo, cuyas aportaciones a la matemática fueron de tanta importancia, sea hoy conocido sobre todo a causa de un matemático francés del siglo pasado, Edouard Lucas, interesado por la teoría de números (y recopilador de una clásica obra de matemáticas recreativas, en cuatro volúmenes), quien encadenó el nombre de Fibonacci a una sucesión numérica que forma parte de un problema trivial del Líber abad. Imaginemos, escribía Leonardo, un par de conejos adultos, macho y hembra, encerrados en un cercado, donde pueden anidar y criar. Supongamos que los conejos empiezan a procrear a los dos meses de su nacimiento, engendrando siempre un único par macho-hembra, y a partir de ese momento, cada uno de los meses siguientes un par más, de iguales características. Admitiendo que no muriese ninguno de los conejitos, ¿cuántos contendría el cercado al cabo de un año?
El gráfico arborescente de la figura 71 nos muestra qué sucedería durante los cinco primeros meses. Es fácil observar que al término de cada mes los números de pares van formando la sucesión 1, 2, 3, 5, 8..., donde cada número (como el propio Fibonacci hizo notar) resulta de sumar los dos que le anteceden. Al cabo de los 12 meses tendremos 377 pares de conejos.

Figura 71. Árbol genealógico de los conejitos de Fibonacci.
La sucesión de Fibonacci ha tenido intrigados a los matemáticos durante siglos, en parte a causa de su tendencia a presentarse en los lugares más inopinados, pero sobre todo, porque el más novel de los amateurs en teoría de números, aunque sus conocimientos no vayan mucho más allá de la aritmética elemental, puede aspirar a investigarla y descubrir curiosos teoremas inéditos, de los que parece haber variedad inagotable.

Figura 72. Los 40 primeros números de Fibonacci y de Lucas.
Los resultados más clásicos acerca de estas sucesiones están resumidos en el capítulo 17 del primer tomo de History of the Theory of Numbers, de Leonard Eugene Dickson. Los lectores interesados pueden consultar The Fibonacci Quarterly, que desde 1963 viene siendo publicada por la Fibonacci Association. Su redactor jefe es Verner E. Hoggatt, Jr., de San José State College de San José, Calif. La revista se ocupa, sobre todo, de las sucesiones generalizadas de Fibonacci y de otras sucesiones análogas (como los llamados «números tribonacci», que son cada uno suma de los tres precedentes), aunque la revista está dedicada también «al estudio de enteros con propiedades especiales».
Seguramente la propiedad más notable de la sucesión de Fibonacci (válida también para las series generalizadas) sea que la razón entre cada par de números consecutivos va oscilando por encima y debajo de la razón áurea, y que conforme se va avanzando en la sucesión, la diferencia con ésta va haciéndose cada vez menor; las razones de términos consecutivos tienen por límite, en el infinito, la razón áurea. La razón áurea es un famoso número irracional, de valor aproximado 1,61803..., que resulta de hallar la semisuma de 1 y la raíz cuadrada de 5. Hay abundante literatura (no siempre seria) dedicada a la aparición de la razón áurea y de la sucesión de Fibonacci tan relacionada con ella, en el crecimiento de los organismos y a sus aplicaciones a las artes plásticas, a la arquitectura e incluso a la poesía. George Eckel Duckworth, profesor de clásicas en la Universidad de Princeton, sostiene en su libro Structural Patterns and Proportions in Vergil's Aeneid (University of Michigan Press, 1962) que lo mismo Virgilio que otros poetas latinos de su época se sirvieron deliberadamente de la sucesión de Fibonacci en sus composiciones. Por mi parte, me he referido ya a estas cuestiones en un artículo anterior dedicado a la razón áurea, que puede verse en The Second Scientific American Book of Mathematical Puzzles and Diversions.
En el reino vegetal, la sucesión de Fibonacci hace su aparición más llamativa en la implantación espiral de las semillas en ciertas variedades de girasol. Hay en ellas dos haces de espirales logarítmicas, una de sentido horario, otra en sentido antihorario, como muestran las espirales sombreadas de la figura 73. Los números de espirales -son distintos en cada familia, y por lo común, números de Fibonacci consecutivos.

Figura 73. Girasol gigante que contiene 55 espirales en sentido antihorario, y 89 en sentido horario.
La íntima relación existente entre la sucesión de Fibonacci y la razón áurea queda de manifiesto en la siguiente fórmula explícita para el n-ésimo término de Fibonacci:

La fórmula que da exactamente el término general de la sucesión de Lucas es:

Dado un número cualquiera de la sucesión de Fibonacci, para calcular el término siguiente no es preciso conocer su índice. Sea A el término dado. El siguiente viene dado por:

En toda sucesión de Fibonacci generalizada la suma de los n primeros términos es siempre Fn-2 menos el segundo término de la serie. Gracias a ello podemos realizar un truco de cálculo súper rápido. Se le pide a otra persona que escriba dos números cualesquiera, y que vaya formando después tantos términos de la sucesión generalizada que engendran como desee. Pídale después que separe con un trazo dos cualesquiera de éstos. Instantáneamente puede usted darle la suma de todos los números situados antes de la raya. Basta con fijarse en el segundo número situado al otro lado de la raya, y restarle el segundo término de la sucesión. De tratarse de la sucesión de Fibonacci ordinaria se restaría 1; de ser la sucesión de Lucas, restaríamos 3.
Citaremos ahora algunas conocidas propiedades de la sucesión de Fibonacci ordinaria. Pocas de ellas son costosas de demostrar, y desde luego, todas son casos particulares de teoremas válidos para sucesiones generalizadas. Para abreviar, llamaremos números F a los números de Fibonacci.
1. El cuadrado de cada número F se diferencia en 1 del producto de los dos números F situados a cada uno de sus lados. Conforme se avanza en la sucesión, esta diferencia va siendo alternativamente positiva y negativa. (En los números de Lucas, la diferencia, también constante, vale 5.) En el capítulo 8 de mi libro Mat- thematics, Magic and Mystery puede verse una famosa paradoja de disección geométrica donde este teorema tiene papel fundamental. En las sucesiones de Fibonacci generalizadas la diferencia constante es ± (F22 - F12 -F1F2).
2. La suma de los cuadrados de dos números F consecutivos cualesquiera, Fn más Fn+1, es F2n+1. Puesto que el último de estos números es forzosamente de índice impar, resulta de este teorema que al escribir en sucesión los cuadrados de los números de Fibonacci, las sumas de los pares de cuadrados consecutivos formarán la sucesión de números F con subíndice impar.
3. Cualesquiera cuatro números F consecutivos A, B, C, D verifican la siguiente identidad: C2 - B2 = A × D.
4. La sucesión de las últimas cifras de los números de Fibonacci tiene período 60. Si se toman las dos últimas cifras, la sucesión tiene período 300. Para la sucesión formada a partir de las tres últimas cifras el período es ya 1.500; para cuatro, el período tiene 15.000 cifras, para cinco, 150.000, y así sucesivamente.
5. Para cada entero m hay una colección infinita de números de Fibonacci exactamente divisibles por m, de los cuales al menos uno se encuentra entre los 2m primeros términos de la sucesión. No ocurre igual para la sucesión de Lucas. Por ejemplo, ninguno de los números de la sucesión de Lucas es divisible entre 5.
6. El tercero de cada tres números de la sucesión de Fibonacci es divisible por 2; al contarlos de cuatro en cuatro, el cuarto es divisible por 3. El quinto de cada cinco es divisible por 5; el sexto de cada seis, divisible entre 8, y así sucesivamente, siendo los divisores números F en sucesión. Dos números de Fibonacci consecutivos (y lo mismo ocurre con los números de Lucas) son primos entre sí, es decir, no tienen más divisor común que el 1.
7. A excepción de 3, todo número F que sea primo tiene subíndice primo. (Por ejemplo, 233 es primo y porta subíndice 13, también primo.) Dicho de otra forma, si el subíndice es compuesto, también lo será el número de Fibonacci correspondiente. Pero, cuidado, la recíproca no es cierta. Hay números de Fibonacci con subíndices primos que son números compuestos. El primer ejemplo de este tipo es F19, que vale 4.181. Aunque el subíndice es número primo, 4.181 se descompone en 37 por 113.
Si el teorema recíproco hubiera sido verdadero en todos los casos, habría quedado resuelta la más importante de las cuestiones sobre sucesiones de Fibonacci todavía pendientes: ¿existirá una infinidad de números primos en la sucesión de Fibonacci? Sabemos que la colección de números primos es infinita, y por consiguiente, si todo F-número que portase subíndice primo fuese primo, habría también una infinidad de números primos en la sucesión de Fibonacci. Hoy por hoy se ignora si existe un número primo máximo entre los F-números. También subsiste la misma cuestión para los números de Lucas. El más grande de los números F primos hoy conocidos es F531, que consta de 119 cifras. El mayor de los números L primos descubiertos es L353, formado por 74 cifras.
8. Con las excepciones triviales de 0 y 1 (tomando 0 = F0 ) entre los números de Fibonacci hay solamente un cuadrado perfecto. F 12= 144, muy curioso, pues su valor es cuadrado de su subíndice. La existencia o inexistencia de cuadrados mayores que 144 fue problema abierto hasta fecha tan reciente como 1963. En ese año la cuestión quedó resuelta por John H. E. Cohn, del Bedford College, de la Universidad de Londres. El mismo demostró también que los únicos cuadrados perfectos contenidos en la sucesión de Lucas son 1 y 4.
9. En la sucesión de Fibonacci hay solamente dos cubos, 1 y 8; en la de Lucas, el único cubo perfecto es 1. (Véase « On Fibonacci and Lucas Numbers Which Are Perfect Powers», por Hymie London y Raphael Finkelstein, en The Fibonacci Quarterly, volumen 77, diciembre de 1969, pp. 476-81.)
10. El inverso del undécimo número de Fibonacci, 89, puede ser engendrado a partir de esta sucesión, empezando por 0 y sumando después como se muestra:

La lista de propiedades de la sucesión de Fibonacci bastaría para llenar un libro. Otro tanto puede decirse de sus aplicaciones en física y matemáticas. Leo Moser ha estudiado las trayectorias de rayos luminosos que inciden oblicuamente sobre dos láminas de vidrio planas y en contacto. Los rayos que no experimentan reflexión alguna atraviesan ambas láminas de sólo una forma (véase la figura 74). Para los rayos que sufren una reflexión hay dos rutas posibles; cuando sufren dos reflexiones, las trayectorias son de tres tipos, y cuando sufren tres, de cinco. Al ir creciendo el número n de reflexiones, el número de trayectorias posibles va ajustándose a la sucesión de Fibonacci: para n reflexiones, el número de trayectorias es Fn + 2.

Figura 74. Un rayo de luz puede reflejarse según Fn+2 caminos al sufrir n reflexiones entre dos láminas de vidrio.
Y ya que viene a cuento, las abejas machos, o zánganos, no tienen padre. C. A. B. Smith ha hecho notar que cada zángano tiene madre, 2 abuelos (los padres de la madre), 3 bisabuelos (y no cuatro, pues el padre de la madre no tuvo padre), 5 tatarabuelos, y así sucesivamente, en sucesión de Fibonacci.

Figura 75. La abeja puede caminar hasta la celdilla n de Fn+2 maneras
Fijémonos ahora en el nim de Fibonacci, juego inventado hace algunos años por Robert E. Gaskell, y consistente en ir retirando cuentas de una pila que inicialmente contiene n fichas. Los jugadores actúan por turno. En la primera jugada no es lícito retirar la pila completa, aunque sí en las sucesivas, siempre que se respeten las siguientes reglas: en cada turno es forzoso retirar al menos una ficha, y ningún jugador puede tomar más del doble del número de fichas que haya tomado su oponente en la jugada anterior. Por tanto, si un jugador se lleva tres, el siguiente no podrá retirar más de seis. Gana la partida quien retire la última ficha.
Resulta que si n es número de Fibonacci el segundo jugador puede ganar siempre; en los demás casos, es el primero quien puede conseguir —si juega bien— siempre la victoria. Si una partida comienza con 20 fichas (que no es número de Fibonacci), ¿cuántas debe retirar el primer jugador para estar seguro de ganar?
El segundo problema se refiere a un truco de cálculo relámpago muy poco conocido. Vuélvase de espaldas, y pídale a un amigo que escriba un par de enteros positivos cualesquiera (uno debajo del otro), que los sume y obtenga un tercero, que debe escribir debajo del segundo; que sume los dos últimos números y obtenga un cuarto, prosiguiendo de esta forma hasta formar una columna de diez números. Es decir, ha de escribir los diez primeros términos de una sucesión generalizada de Fibonacci. donde cada término es suma de los dos que le preceden, exceptuados los dos primeros, que son arbitrarios. Hecho esto, usted se vuelve, traza una raya por debajo de los diez sumandos, e inmediatamente empieza a escribir la suma.
La clave consiste en multiplicar por 11 el séptimo de los números a sumar, operación que fácilmente se realiza de cabeza. Supongamos que el séptimo número sea 928. Anotamos ya la cifra 8, que será la última cifra de la suma. Sumamos 8 y 2, y obtenemos 10. Escribimos en la suma un 0 inmediatamente al lado del 2, y llevamos 1. La suma del siguiente par de cifras, 9 y 2, es 11. Añadimos el 1 que arrastrábamos, y tenemos 12. Escribimos el 2 a la izquierda del 0 en la suma, y seguimos llevando 1. que sumaremos al 9, y en la suma anotamos 10 a la izquierda del 2. La suma, ya terminada, es 10.208. En resumen, se suman las cifras por pares de derecha a izquierda, llevando 1 cuando sea necesario, y terminando con la última cifra de la izquierda.
¿Sabrá el lector demostrar que la suma de los 10 primeros números de una sucesión de Fibonacci generalizado es siempre 11 veces el séptimo término?
Apéndice
Los números de «Tribonacci» (1, 1, 2, 4, 7, 13, 24, 44, 81,...) fueron así bautizados por el joven y brillante matemático Mark Feinberg, quien publicó un artículo sobre ellos en The Fibonacci Quarterly (octubre de 1963), cuando sólo contaba 14 años. Su carrera en la Universidad de Pennsylvania quedó cercenada en 1967, en su segundo año de universidad, al resultar muerto en un accidente de motocicleta.
En su artículo sobre números de Tribonacci, Feinberg puso de relieve que al ir avanzando en la sucesión, la razón entre términos adyacentes converge hacia 0,5436890126..., y más exactamente, hacia la raíz real de la ecuación x3 + x2 + x -1 = 0. Podemos generalizar más y estudiar sucesiones donde cada término sea suma de los cuatro (números de Tetranacci), cinco, seis, etc., números que lo anteceden. En todas estas sucesiones, la razón de cada término al siguiente tiene un límite; al ir aumentando el número de términos a sumar, la razón límite disminuye, tendiendo a su vez hacia 0,5. Tal generalización había sido publicada hacia 1913 por Mark Barr. (Véase mi Second Scientific American Book of Mathematical Puzzles and Di versión s, pág. 101.)
«La notación de Fibonacci» (que presentamos en la solución del primer problema) consiste en expresar unívocamente cada entero en suma de números de Fibonacci; esta descomposición tiene importancia en técnicas de clasificación mediante computador. En mi sección de «Juegos Matemáticos» de Scientific American de abril de 1973 puede verse un método para emplear el «ábaco de Napier» (dispositivo de cálculo muy poco conocido, cuyo inventor ideó también los «dados de Napier») para cálculos en notación de Fibonacci. Con respecto a la importancia de la notación de Fibonacci en la estrategia de juego del «nim de Wythoff», puede verse mi artículo de «Juegos Matemáticos» en el número de mayo de 1977 de Investigación y ciencia (edición en español de Scientific American). Y respecto a la relación entre el triángulo de Pascal (o de Tartaglia) y la sucesión de Fibonacci, véase el capítulo 15 de mi Carnaval Matemático (LB 778, Alianza Editorial).
Las sucesiones de Fibonacci y Lucas están interrelacionadas por docenas de fórmulas sencillas. Por ejemplo, el n-ésimo número de Lucas es igual a F n-1+Fn+1. El producto de Fn y Ln es igual a F2n. La siguiente ecuación diofántica:
5x2 + 4 = y2
tan sólo tiene soluciones enteras cuando x es un número de Fibonacci e y sea el correspondiente número de Lucas.Las sucesiones de Fibonacci y Lucas tienen en común los números 1 y 3. ¿Habrá otros números mayores, comunes a las dos sucesiones? La respuesta resulta negativa. Véase la nota de Martin D. Hirsch sobre «Additive Sequences», en Mathematics Magazine, vol. 50, noviembre de 1977, página 264.
Como ya he mencionado, el más notable de los problemas abiertos concernientes a sucesiones de Fibonacci es el de si contienen o no colecciones infinitas de números primos. En una sucesión de Fibonacci generalizada, si los primeros números son divisibles ambos por un mismo número primo, todos los términos posteriores lo serán también, y es evidente que tales sucesiones no podrán contener más de un número primo. Supongamos, pues, que los dos primeros números sean primos entre sí (esto es, que su único común divisor sea 1). ¿Podrán existir sucesiones generalizadas que no contengan absolutamente ningún número primo?
El primero en resolver esta cuestión fue R. L. Graham, en «A Fibonacci-like Sequence of Composite Numbers», en Mathematics Magazine, vol. 57, noviembre de 1964, pp. 322-24. Existe una infinidad de sucesiones así, pero la mínima (en el sentido de serlo sus dos primeros números) es la que empieza por:
1786772701928802632268715130455793,
1059683225053915111058165141686995.
SolucionesEl primer problema consiste en hallar la jugada de apertura correspondiente a la estrategia vencedora en una partida de «nim de Fibonacci», sabiendo que el montón de fichas consta de 20 piezas. Como 20 no es número de Fibonacci, si el primer jugador actúa con inteligencia, es seguro que ganará la partida. Para determinar la estrategia vencedora, se descompone el número 20 en suma de números de Fibonacci, comenzando por el mayor posible, 13, sumando después el máximo posible, 5, y después el siguiente, 2. Así que 20 = 13 + 5 + 2 es la descomposición buscada. Todo entero positivo puede ser expresado de forma única como suma de números de Fibonacci; tal descomposición no podrá nunca contener números de Fibonacci consecutivos. Los números F quedan expresados por un solo número: ellos mismos.
El último número, 2, es el número de piezas que debe retirar el primer jugador para ganar. El segundo jugador queda imposibilitado, por las reglas del juego, para tomar más del doble de 2; por consiguiente, no puede reducir la pila (que tiene ahora 18 cuentas) al número de Fibonacci más cercano, que es 13. Supongamos que decida retirar cuatro piezas; la pila contendrá entonces 14 piezas, número que se expresa como 13 + 1 en suma de dos números de Fibonacci, y el primer jugador deberá entonces tomar 1 pieza. Prosiguiendo con esta estrategia, es seguro que logrará tomar la última ficha, y con ella, ganar la partida.
Si el número de inicial de piezas fuera número de Fibonacci, por ejemplo, 144, es seguro que el segundo jugador podrá ganar. Es verdad que el primer jugador puede retirar 55 piezas, dejando 89, que es el siguiente número de Fibonacci, pero entonces el segundo jugador puede ganar inmediatamente, retirando lícitamente las 89 piezas restantes, pues 89 es menor que el doble de 55. El primer jugador se ve entonces precisado a dejar un número de piezas no perteneciente a la sucesión de Fibonacci, y el segundo jugador consigue ganar aplicando la estrategia que acabo de explicar. (Véase Donald E. Knuth, Fundamental Algorithms, Addison-Wesley, 1968, página 493, Ejercicio nº 37, y también, «Fibonacci Nim», por Michael J. Whiniham, en The Fibonacci Quarterly, volumen 1, n° 4. diciembre de 1963, pp. 9-13.)

Fig. 76. Solución al problema de Fibonacci
Capítulo 12
La mesa giratoria y otros problemas
En 1969, tras 10 semanas de áspera porfía, las delegaciones encargadas de negociar la paz en Vietnam llegaron por fin a convenir la forma de la mesa de conferencias: un círculo donde habrían de acomodarse, equidistantes, las 24 personas. Aunque los asientos estaban reservados mediante tarjetas nominales, en una ocasión se produjo tal revuelo que los 24 negociadores tomaron asiento completamente al azar. Se descubrió entonces que ninguno ocupaba el lugar que le correspondía. Ahora, independientemente de cómo hayan tomado asiento, ¿será posible que girando la mesa al menos dos personas queden sentadas frente a la tarjeta que los identifica?
El problema es mucho más difícil si sólo hay una persona que haya encontrado su asiento. En ese caso, ¿será posible girar la mesa para que al menos dos personas queden situadas simultáneamente frente a su tarjeta?
§2. Mate al primer jaque
En junio de 1916, una revista de ajedrez, The British Chess Magazine (vol. 36, n? 426), daba cuenta de que un aficionado americano, Frank Hopkins, había inventado una variante de ajedrez, que llamaba de «jaque único». El juego sigue exactamente las mismas reglas que el ajedrez ordinario, salvo en que la victoria es del primer jugador que consiga dar jaque (no necesariamente jaque mate) al rey contrario. La revista, que mencionaba como fuente un artículo de The Brooklyn Daily Eagle, daba cuenta de que «la sospecha de que las blancas tenían asegurada la victoria se convirtió en certeza», al declarar un día el gran maestro Frank J. Marshall, que «podía reventar el nuevo juego». Hopkins no quedó convencido hasta que Marshall le dio una rápida paliza, moviendo solamente los dos caballos blancos. No se explicaba la estrategia de Marshall, salvo la jugada de apertura, ni la reseña del incidente daba tampoco el número de jugadas que tardó en producirse el jaque fatal.
Desde 1916, la idea de «mate al primer jaque» parece habérsele ocurrido a muchos aficionados. La primera noticia que tuve de él fue a través de Solomon W. Golomb, quien lo conocía como «presto chess», nombre que le puso David L. Silverman al serle explicado el juego por otro reinventor, ya en 1965. Antes, a fines de los 40, había sido puesto brevemente en circulación por un grupo de estudiantes de matemáticas de la Universidad de Princeton. Uno de ellos, William H. Mills, descubrió entonces la que sin duda debió ser estrategia de Marshall: una táctica mediante la cual las blancas, moviendo solamente los caballos, podían vencer lo más tarde en la quinta jugada.

Figura 77. Las blancas mueven los caballos y logran dar jaque en cinco.
¿Cómo pueden lograr las blancas dar jaque al rey negro, moviendo solamente los caballos, lo más tarde en su quinto movimiento?
Se han realizado diversos intentos para darle más interés al juego, añadiendo reglas. El propio Hopkins propuso comenzar la partida con los peones de ambos jugadores en la tercera fila en vez de la segunda. Sidney Sackson, quien me informó del artículo de 1916, sugiere que sea vencedor el primero en dar un número especificado de jaques, por ejemplo, entre cinco y diez, según la duración que se desee para la partida. Ignoro si estas propuestas consiguen suprimir eficazmente la ventaja de las blancas.
§3. Juego de adivinación de palabras
Hacia 1965. Anatol W. Holt, matemático a quien le gusta inventar juegos nuevos, presentó el siguiente: Dos personas piensan cada una en una palabra «objetivo», ambas con igual número de letras. Los novatos deben comenzar con palabras de tres letras, e ir progresivamente aumentando su longitud conforme vayan adquiriendo más habilidad. Los jugadores van diciendo por turno «palabras de prueba» de la longitud acordada; su contrario debe responder diciendo si el número de aciertos es par o impar. El primero que descubre la palabra de su adversario gana la partida. Para mostrar que es posible determinar la palabra mediante análisis lógico, sin necesidad de tanteos, tomemos el siguiente ejemplo, construido sobre el modelo de Holt:

Las seis palabras corresponden a pruebas de un mismo jugador, y si conociéramos la palabra objetivo veríamos que comparándola con la lista de número de aciertos par, cada palabra de esta lista tiene un número par de letras (posiblemente, cero) iguales y en igual posición que la palabra buscada; mientras que en la lista impar sucedería así en número impar de lugares. Descubra la palabra objetivo.
§4. El triple anillo
El siguiente problema apareció en Problematical Recreations número 7, cuaderno de rompecabezas y pasatiempos que anualmente publica Litton Industries, de Beverly Hills, California.

Figura 78. ¿Cuánto mide la porción sombreada de círculo?
El problema puede resolverse por las malas, hallando el área del triángulo equilátero inscrito en la región sombreada y sumándole luego las áreas de los tres segmentos circulares sobrantes por cada lado del triángulo.

Figura 79. ¿Con qué cifras están marcadas las caras no visibles de estos cubos?
§5. Un calendario con dos cubos
En un escaparate de la Grand Central Terminal de Nueva York vi un insólito calendario de sobremesa (fig. 79). Para señalar el día se colocan los cubos de manera que sus caras frontales den la fecha. En cada cubo, cada una de las caras porta un número del 0 a 9, distribuidos con tanto acierto que siempre podemos construir las fechas 01, 02, 03..., 31, disponiéndolos de una manera adecuada.
No debería costarle demasiado al lector descubrir los cuatro dígitos no visibles en el cubo de la izquierda, y los tres ocultos en el situado a la derecha, aunque la verdad es que tiene un poco más de miga de lo que parece.
§6. A salto de caballo, y sin cruces
En el Journal of Recreational Mathematics de julio de 1968, L. D. Yarbrough presenta una nueva variante del clásico problema de recorrer a salto de caballo los escaques de un damero. Además de la regla que prohíbe al caballo visitar dos veces una misma casilla (excepto en la jugada final, donde a veces se permite al caballo retornar al punto de partida) se impone ahora la regla de que la trayectoria del caballo no debe cortarse a sí misma. (Por trayectoria se entiende una línea quebrada que va conectando los centros de las casillas inicial y final de cada salto.) Se plantea una cuestión natural: ¿cuáles son las trayectorias sin cruces de longitud máxima que pueden trazarse en dameros de distintos tamaños?
En la figura 80 se reproducen algunas muestras de trayectorias sin cruces que Yarbrough ha descubierto para cuadrados de órdenes 3 a 8. El tablero de orden 7 presenta particular interés. Pocas veces los caminos de longitud máxima son cerrados, pero éste es una rara excepción, pues presenta además cuádruple simetría de rotación.
La búsqueda de recorridos máximos, sin cruces, a salto de caballo, atrajo la atención de Donald E. Knuth, quien preparó un programa de computador con el cual determinó, entre otras cosas, todos los recorridos sin cruces y de longitud máxima en tableros cuadrados de orden menor o igual que 8. Como es habitual, las trayectorias congruentes (es decir, que podrían quedar superpuestas por medio de giros o simetrías) se consideran idénticas. El computador descubrió dos recorridos máximos en el tablero de orden 3, cinco en el de orden 4, cuatro para el de orden 5, uno en el de orden 6, catorce en el de orden 7, y cuatro en el de orden 8, que es el ordinario de ajedrez.

Figura 80. Hallar otro recorrido más largo en el tablero de orden 6.
§7. Dos problemas de urnas
En teoría de probabilidades es frecuente ilustrar los teoremas con ejemplos sobre objetos idénticos, aunque de distinto color, que son extraídos de urnas, cajas, bolsas, etc. Incluso los más sencillos de estos problemas pueden resultar difíciles de analizar claramente. Recordemos, por ejemplo, el quinto de los Pillow Problems de Lewis Carroll. «Una bola contenida en una bolsa puede ser o bien blanca, o bien negra. Se añade a la bolsa una bola blanca, se agita la bolsa, y se extrae al azar una bola, que resulta blanca. ¿Qué probabilidad hay ahora de que al extraer la otra bola, también ésta resulte ser blanca?»
«A primera vista», nos dice Carroll en su análisis de la solución, «podría parecer que como el estado de la bolsa después de efectuadas estas operaciones tiene que ser necesariamente idéntico al que tuviera antes de introducir la bola blanca, la probabilidad sería ahora idéntica a la probabilidad inicial, es decir, 1/2. Pero esto es un error.»
Carroll demuestra entonces que la probabilidad de que la bola aún contenida en la bolsa sea blanca es 2/3 en realidad. Su demostración toma vuelos demasiado altos para exponerlos aquí, pero un lector de Chicago, Howard Ellis, ha enviado otra más sencilla. Denotemos B(l) y N a la bola, bien blanca, bien negra, que pudiera encontrarse inicialmente en la bolsa, y sea B{2) la bola blanca añadida a ella. Tras sacar una bola blanca hay tres estados igualmente probables:

En un reciente problema de esta misma clase, cuya solución es todavía más inesperada, se comienza con una bolsa que contiene cierto número, desconocido, de bolas blancas, y un número igualmente indeterminado de bolas negras. (Hay al menos una de cada color.) Se van extrayendo las bolas por el siguiente procedimiento. Se toma primero una al azar, se anota su color, y se desecha. Se saca una segunda bola. Si es del mismo color que la primera, se desecha también. Se extrae una tercera. Si es del mismo color que las anteriores, se desecha. Proseguimos de esta forma, desechando las bolas extraídas mientras sean del color de la primera.
Cuando se extrae una bola de distinto color que la primera, se la devuelve a la bolsa, ésta se agita, y se vuelve a empezar el proceso.
Para dejarlo tan claro como el agua, he aquí una muestra de cómo podrían desarrollarse las diez primeras extracciones:
1. La primera bola es negra. Desecharla.Sorprendentemente, resulta que, sea cual fuere la proporción inicial de bolas blancas y negras, la probabilidad de que la última bola que quede en la bolsa sea negra es siempre la misma. ¿Qué valor tiene esta probabilidad?
2. La siguiente es negra. Desecharla.
3. La siguiente es blanca. Devolverla a la bolsa y recomenzar.
4. La primera es negra. Desecharla.
5. La siguiente es blanca. Devolverla a su lugar, y recomenzar.
6. La primera bola es blanca. Desecharla.
7. La siguiente es blanca. Desecharla.
8. La siguiente es negra. Devolver a la bolsa y recomenzar.
9. La primera bola es negra. Desecharla.
10. La siguiente es blanca. Devolver a la bolsa y recomenzar.
§8. Nueve a bote pronto
1. Disponiendo de un reloj de arena de 7 minutos, y de otro de 11 minutos, ¿cuál es el método más rápido para controlar la cocción de un huevo, que debe durar 15 minutos? (Debido a Karl Fulves.)
2. Un viajante recorrió en coche 5.000 km, permutando regularmente las ruedas (incluida la de repuesto) para que todas sufrieran igual desgaste. Al terminar el viaje, ¿durante cuántos kilómetros ha sido utilizada cada rueda?
3. Una baraja francesa de 52 naipes es mezclada concienzudamente, cortada, y vuelta a apilar. Se extrae la carta superior del mazo, y se observa su color. La carta se devuelve a su lugar, el mazo de naipes vuelve a ser cortado, y vuelve a observarse el color de la carta situada en lo alto. ¿Cuál es la probabilidad de que ambos naipes sean del mismo color?
4. Hallar una base de numeración distinta de 10 en la que 121 sea cuadrado perfecto.
5. Construir ocho triángulos equiláteros trazando seis segmentos igual de largos.
6. Suponiendo que los ángulos no pueden ser trisecados mediante regla y compás, demostrar que ningún número de la progresión geométrica 2, 4, 8, 16, 32..., puede ser múltiplo de 3. (Debido a Robert A. Weeks.)
7. Un granjero tiene 20 cerdos, 40 vacas, 60 caballos. Pero si llamamos caballos a las vacas, ¿cuántos caballos tendrá? (Debido a T. H. O’Beirne.)
8. Un griego nació el séptimo día del año 40 a.C., y murió el séptimo día del 40 d.C. ¿Cuántos años vivió?
9. Hay mujeres que contestan a todo con la verdad, otras que siempre mienten, y otras que alternan la verdad con la mentira. ¿Cómo se podría averiguar, con sólo dos preguntas cuya respuesta sea sí o no, si una mujer es sincera a ultranza, mentirosa sin remedio, o si da una de cal y otra de arena?
Soluciones
§1. Cuando un número par de personas toma asientos equidistantes frente a una mesa circular donde está indicada la posición que cada uno de ellos debe ocupar, siempre es posible hacer girar la mesa de forma que al menos dos de ellas queden situadas correctamente. Debemos distinguir dos casos iniciales.
a. Nadie está sentado en su lugar. La demostración es sencilla, y se basa en el llamado «principio de encasillamiento», a saber, que si se reparten n objetos en n—1 casillas, al menos una casilla quedará ocupada por más de un objeto. Si a la mesa se acomodan 24 personas, todas ellas fuera de lugar, es evidente que girando la mesa podremos ir haciendo que cada una de ellas quede situada frente a su tarjeta. Ahora bien, la mesa sólo puede tener 23 posiciones distintas de la inicial, y como hay 24 personas, en alguna de estas 23 posiciones habrá dos (cuando menos) situadas correctamente. La demostración es válida tanto si el número de asientos es par como si es impar.
b. Una de las personas se encuentra en su sitio. La tarea consiste en demostrar que podemos girar la mesa y conseguir que al menos dos personas se encuentren correctamente colocadas. Hay demostraciones breves, pero estas demostraciones son de carácter técnico y requieren además notaciones especiales. La que daremos aquí, aunque más larga, es fácil de comprender, y es refundición de más de una docena de razonamientos parecidos enviados por los lectores.
Nuestra estrategia se basa en razonar por reductio ad absurdum. Supondremos primero que no es posible girar la mesa de forma que dos personas queden en sus lugares correctos, y mostraremos luego que esta hipótesis conduce a contradicción.
Si la hipótesis fuese correcta, en ninguna posición de la mesa podrían estar mal colocadas todas las personas, porque entonces estaríamos en el caso ya discutido antes, resuelto por el principio de encasillamiento. La mesa tiene 24 posiciones, y hay 24 personas; por consiguiente, en cada una de las posiciones de la mesa hay exactamente una persona correctamente situada.
Supongamos que sea Anderson. A cada uno de los demás podemos asignarle un número de «desplazamiento», que exprese cuántos lugares hay desde su asiento correcto hasta él, contando en sentido horario. Habrá una persona desplazada un asiento, otras dos, otras tres, y así sucesivamente, hasta una desplazada 23 asientos. No puede haber dos personas con números de desplazamiento iguales, porque en tal caso, girando la mesa adecuadamente ambas quedarían frente a sus tarjetas, posibilidad descartada por hipótesis.
Fijémonos en Smith, que está mal situado. Vamos contando sillas en sentido antihorario a partir de él hasta llegar al lugar situado frente a la tarjeta de Smith. La cuenta da, evidentemente, el número de desplazamiento de Smith. Fijémonos ahora en Jones, sentado donde debería estarlo Smith. Seguimos contando en sentido antihorario hasta llegar a la tarjeta de Jones. Como antes, la nueva cuenta es el número de desplazamiento de Jones. Sentado frente a la tarjeta de Jones está Robinson. Contamos en sentido antihorario hasta la tarjeta de Robinson, y así sucesivamente. Llegará un momento en que la/cuenta termine en Smith. En efecto, si Smith y Jones se encontrasen uno en el asiento de otro y recíprocamente, habríamos regresado a Smith tras un ciclo de dos personas, que nos habría hecho dar exactamente una vuelta a la mesa. Si Smith. Jones y Robinson estuvieran ocupando unos los asientos de otros, retornaríamos a Smith tras un ciclo de tres cuentas. El ciclo puede hacer intervenir un número cualquiera de personas, de 2 a 23 (no puede pasar también por Anderson, por estar éste correctamente situado), pero al cabo el recuento retornará a su punto de comienzo, tras dar un número entero de vueltas a la mesa. Por tanto, la suma de todos los números de desplazamiento del ciclo deberá ser igual a 0 módulo 24, es decir, la suma deberá ser múltiplo entero de 24.
Si el ciclo que arranca de Smith no hiciera intervenir a todas las personas incorrectamente situadas, se elige otra persona que no esté ocupando su asiento y se repite el mismo procedimiento anterior. Al igual que antes, el recuento deberá terminar en el punto de donde partió, tras cierto número entero de vueltas en torno a la mesa. Por consiguiente, también la suma de desplazamientos de este ciclo será múltiplo de 24. Efectuando tantos ciclos como sea necesario, llegará un momento en que habremos contado los desplazamientos de todos los asistentes. Y puesto que la cuenta de cada ciclo es múltiplo de 24, la suma de cuentas de todos los ciclos será también múltiplo de 24. O sea, hemos demostrado que la suma de todos los números de desplazamiento es necesariamente múltiplo de 24.
Buscaremos ahora la contradicción. Los desplazamientos son 0, 1, 2, 3..., 23. La suma de esta sucesión es de 276, que no es múltiplo de 24. Esta contradicción nos obliga a abandonar nuestra hipótesis inicial, es decir, a admitir que al menos dos personas tienen el mismo número de desplazamiento.
La demostración anterior puede generalizarse a mesas cualesquiera con número par de asientos. La suma de 0 + 1 + 2 + 3 + ... +n esn(n +1)/2 que solamente es múltiplo de n cuando n es impar. Por consiguiente, para valores impares de n la demostración anterior falla.
George Rybicki resolvió el problema general de la siguiente forma. Comenzamos suponiendo lo contrario de lo que deseamos demostrar, a saber, que es posible situar las personas en la mesa de forma que nunca se consiga que dos queden correctamente situadas, cualquiera que sea la forma en que se haga girar la mesa. Sea n el número de personas, y sustituyamos sus nombres por los enteros 0 a n-1, de «tal forma que al ir dando la vuelta a la mesa las tarjetas que reservan su plaza queden correlativamente numeradas. Si el delegado de número d se sentaba inicialmente frente a una tarjeta ahora marcada p, para que quede correctamente situado habrá que girar la mesa r lugares, siendor = p - d, salvo si este número es negativo, en cuyo caso r = p - d + n. La colección de valores de d (y de p) correspondientes a los delegados es, desde luego, la sucesión de enteros de 0 a n - 1; y lo mismo sucede con la colección de valores de r , pues de lo contrario habría dos personas correctamente situadas al mismo tiempo. Sumando las igualdades anteriores, una por delegado, resulta S = S - S + nk, donde k es un número entero (posiblemente igual a 0 ó negativo), y donde S = n(n - 1)/2. Despejando n de esta ecuación resulta que n = 2k + 1, el número de asistentes es impar.»
Rybicky añade: «En realidad, resolví este problema hace algunos años, en relación con otro problema distinto en apariencia, pero totalmente equivalente, el de situar ocho reinas de ajedrez sobre un tablero cilíndrico sin que se ataquen, donde sólo se permite amenazar oblicuamente según una de las dos inclinaciones. Demostré entonces que el problema es insoluble en tableros de orden par; el razonamiento recién expuesto resulta de traducir, adaptándola a la mesa de conferencias, aquella demostración. Incidental- mente, esta demostración se simplifica un poco si se permite manejar congruencias módulo n.»
También Donald E. Knuth ha hecho notar la equivalencia de los problemas de la mesa giratoria y de las reinas no mutuamente amenazadas, y cita una solución de hace ya tiempo, debida a Georg Pólya. Varios lectores me han hecho ver, asimismo, que cuando el número de personas es impar hay una forma sencilla de colocarlas a la mesa, que hace imposible situar correctamente a más de una, se gire la mesa como se quiera. Consiste en sentarlas en orden contrario al orden señalado en sus tarjetas.
§2. ¿Cómo pueden arreglárselas las blancas para ganar una partida de «mate al primer jaque» moviendo solamente los caballos, y en no más de cinco jugadas?
La apertura tiene que ser forzosamente C (caballo) 3AD. Como de esta forma se amenaza con dar jaque en dos jugadas más (por distintos caminos), las negras se ven forzadas a avanzar un peón que conceda así movilidad al rey. Si avanzan el peón de dama, la jugada blanca C5C obliga al rey negro a R2D. Pero entonces, al jugar las blancas C3AR, conseguirán dar jaque en la cuarta jugada con uno de los dos caballos. Si las negras abren un peón de alfil- rey, C5C permite dar jaque en la jugada tercera. Por consiguiente, las negras deben adelantar su peón de rey. Si avanzase dos escaques, al jugar las blancas C5D el rey negro queda inmovilizado, y las blancas ganan en la tercera jugada. Así pues, parece que la única buena jugada de las negras es P3R.
La segunda jugada de las blancas será entonces C4R. El rey negro queda así obligado a jugar R2R. La tercera jugada de las blancas, C3AR, puede ser afrontada de muchas maneras, pero ninguna es capaz de impedir la victoria blanca lo más tarde en su quinta jugada. Si las negras intentan jugadas como P3D, P3AR, D1R, P4D, P4AD o C3AR, las blancas responden jugando C4D, y ganan en la siguiente jugada. Si las negras ensayan P4R, P4AD, o C3AD, el próximo paso de las blancas es C4TR, que le da la victoria en la siguiente.
En 1969, William H. Mills descubrió que las blancas podían también dar jaque en cinco abriendo C3TD. Las negras tienen entonces que avanzar su peón de rey uno o dos cuadros. Entonces, C5C obliga al rey negro a jugar R2R. La tercera jugada blanca, P4R va seguida de D3A o D5T, según jueguen las negras en su tercer movimiento, y permite dar jaque en la quinta jugada.
Desde aquella fecha han sido descubiertas otras dos aperturas que permiten dar jaque en cinco, debidas a Mills y a Georg Soules. Son, respectivamente, P3R y P4R. Para casi todas las respuestas de las negras, jugando D4C se consigue dar jaque en tres. Si la segunda jugada negra fuese C3TR o P4TR, jugando D3A se logra dar jaque en cuatro. Si la segunda jugada negra fuese P3R, las blancas jugarían D5T. Las negras tienen que responder P3CR. Pero entonces D5R liquida la cuestión. (De jugar las negras D2R, se contestaría con D×PAD; A2R se contesta con D7C; C2R, por D6A.) Si la segunda jugada de las negras es C3AR, al jugar las blancas C3TD el rey negro queda obligado a adelantar su peón de rey uno o dos escaques, y entonces C5C obliga a las negras a avanzar su rey, y D3A permite dar jaque a la siguiente.
David Silverman ha propuesto todavía otra forma de lograr que el ajedrez de jaque único conserve interés como juego. El ganador sería el primero capaz de dar jaque con una pieza que no pueda ser inmediatamente tomada por el contrario. Que yo tenga noticia, no se sabe de ninguna estrategia que pueda dar sistemáticamente la victoria a uno de los jugadores.
§3. Para determinar la palabra objetivo marcaremos las seis palabras de prueba como sigue:

Como la primera letra de la palabra buscada es P, las palabras P1 y P2 deben contener 0 aciertos, e I1, contener 1. En efecto, de tener 2 aciertos en P1 y P2. I2 tendría 3, e I2 e I3 no tendrían ninguno, contrariamente a lo afirmado. Por consiguiente I2 e I3 tienen un acierto cada una. Además, P3 no puede tener dos aciertos, porque entonces I3 no tendría ninguno. Por consiguiente, el grupo SO de I2 es erróneo, y la N final, correcta. Ya es fácil deducir que la palabra objetivo es PAN.
§4. Con tres circunferencias secantes, cada una de ellas pasando por el centro de las otras dos, podemos construir por repetición el motivo decorativo que vemos en la figura 81. Cada circunferencia puede descomponerse en seis piezas en forma de delta (D) y 12 «bananas» (B). La superficie común a tres círculos mutuamente superpuestos (sombreada en la ilustración) está formada por tres bananas y una delta, y por consiguiente, es inferior a la cuarta parte de un círculo, de la que difiere en media delta. Calculando la zona de mutuo recubrimiento vemos que es algo más del 22 % de la superficie del círculo.
§5. Cada cubo debe portar un 0, un 1 y un 2. De esta suerte quedan solamente seis caras en total para dar cabida a las siete cifras restantes. Afortunadamente, podemos ahorrarnos una cara usando un mismo signo para el 6 y el 9, y volteando adecuadamente el cubo. En la figura, el cubo de la derecha exhibe las cifras 3, 4, 5, y por consiguiente, en sus caras ocultas debe portar 0, 1 y 2. En el cubo de la izquierda podemos ver 1 y 2, así que sus caras no visibles deben ser 0, 6 (ó 9), 7 y 8.

Figura 81. Solución al problema de los círculos secantes.
§6. La figura 82 muestra el único recorrido de caballo que no se corta a sí mismo y que es de longitud máxima entre los que poseen esta propiedad, para un tablero de orden 6.

Figura 82. Recorrido de caballo de longitud máxima en tableros de orden 6.
§7. El enunciado decía que extrayendo por cierto procedimiento bolas de una bolsa que las contiene blancas y negras en proporción desconocida, existía una probabilidad fija de que la última bola de la bolsa fuese negra. Si tal afirmación es cierta, ha de serlo por igual para cada color. Por consiguiente, la probabilidad buscada deberá ser 1/2.
Aunque este razonamiento resuelve el problema en la forma en que fue presentado, queda por establecer la tarea verdaderamente difícil, a saber, que la probabilidad es fija y no depende de la composición de la bolsa. Podemos demostrarlo por inducción, empezando con dos bolas, luego con tres, etc., o bien podemos buscar una demostración directa para el caso general. Desafortunadamente, ambos tipos de demostración son largos de exponer, por lo que me conformaré con invitar al lector a que consulte «A Sampling Process», de B. E. Oakley y R. L. Perry, en The Mathematical Gazette de febrero de 1965, pp. 42-44, donde dan una demostración directa.
Se podría concluir apresuradamente que la solución es generalizadle, es decir, que si la bolsa contuviera una mezcla de n colores, la probabilidad de que la última bola fuese de un determinado color habría de ser 1/n. Pero no sucede así. Como ya hizo notar Perry en una carta, si hubiera dos bolas rojas, una blanca y una negra, la probabilidad de que la última sea roja, blanca o negra es, respectivamente, 26/72, 23/72 y 23/72.
§8. Soluciones de los 9 problemas «a bote pronto»:
1. Se ponen a contar los dos relojes de 7 y 11 minutos, al mismo tiempo que echamos el huevo en el agua hirviente. Cuando se termine la arena en el reloj de 7 minutos, le damos la vuelta y esperamos a que se agote el de 11. Entonces le damos otra vez la vuelta al reloj de 7 minutos. Cuando se agote también la arena de éste habrán transcurrido 15 minutos. Aunque la solución anterior es la que menos tiempo requiere, obliga a dar dos vueltas a uno de los relojes. La primera vez que propuse el problema pedí la solución «más sencilla», sin pararme a pensar más. Varias docenas de lectores me hicieron notar que hay otra solución más larga (que precisa de 22 minutos en total), pero más «sencilla» en el sentido de que sólo es necesario voltear una vez uno de los relojes. Se ponen ambos en marcha simultáneamente y, transcurridos los primeros 7 minutos, se inicia la cocción del huevo. Cuando se agote la arena en el reloj de 11 minutos, le damos la vuelta. Al agotarse por segunda vez la arena de esta ampolleta habrán transcurrido 15 minutos de cocción. Si le ha resultado entretenido este rompecabezas, he aquí otro un poco más difícil, del mismo tipo, tomado de Superior Mathematical Puzzles, de Howard P. Dinesman (Londres, Alien and Unwin, 1968). ¿Cuál es el método más rápido para cronometrar 9 minutos, disponiendo de una ampolleta de 4 y otra de 7?
2. Cada cubierta se utiliza 4/5 partes del tiempo total. Por consiguiente, cada una ha sufrido un desgaste de 4/5 de 5.000 kilómetros, es decir, 4.000 km.
3. Cualquiera que sea el color de la primera carta cortada, esta carta no puede ocupar lo alto del mazo producido tras el segundo corte. Con el segundo corte seleccionamos al azar una carta entre 51, de las que 25 son del mismo color que la primera. Por consiguiente, la probabilidad de que las dos cartas sean de colores iguales será 25/51, ligeramente inferior a 1/2.
4. En todo sistema de numeración de base mayor que 2, el número 121 es cuadrado perfecto. Una demostración sencilla consiste en observar que con cualquiera de estas bases 11 por 11 da como producto 121. Craige Schensted ha demostrado que definiendo adecuadamente el concepto de «cuadrado perfecto», 121 sigue siendo un cuadrado incluso en sistemas de numeración con base negativa, fraccionaria, irracional o incluso compleja. «Aunque tal vez no quede agotada la enumeración de posibles bases, yo sí lo estoy, e imagino que usted también, así que lo dejaremos como está», termina escribiendo Schensted.
5. La figura 83 muestra la solución que yo le di a esta cuestión. A la derecha puede verse una segunda solución, descubierta por dos lectores de Scientific American.

Figura 83. Con seis trazos rectos pueden hacerse ocho triángulos.
7. El granjero tendrá 60 caballos. Por mucho que nos empeñemos en decir que las vacas son caballos, no por eso nos van a hacer caso.
Resulta que este problema es variante de una broma debida a Abraham Lincoln. En cierta ocasión Lincoln le preguntó a un individuo que mantenía que la esclavitud no era esclavitud, sino una forma de protección, cuántas patas tendría un perro si dijésemos que su cola es una pata. La respuesta, dijo Lincoln, es cuatro, porque llamar patas a los rabos no los convierte en patas.
8. El griego vivió 79 años. No hubo año 0.
9. Hay que preguntarle dos veces a la mujer: ¿Eres una «alternadora»? Dos respuestas negativas demuestran que es sincera, dos respuestas afirmativas, que es mentirosa, y una respuesta afirmativa y otra negativa, en cualquier orden, que es de las que da una de cal y otra de arena.
Ya había sido publicada la solución anterior cuando varios lectores me enviaron la que sigue. Cito textualmente una carta de Joseph C. Crowther, Jr.:
Podemos descubrir la inclinación de la dama sin más que preguntar dos cuestiones de respuesta evidente, tales como, «¿Tiene usted dos orejas?» o «¿Es húmeda el agua?» La sincera contestará que sí las dos veces, y la mentirosa, las dos veces que no. Las «veletas» dirían una vez que sí y otra que no, y el orden de las respuestas permite determinar además en qué punto de alternación se halla, hecho que podría ser útil en el decurso de la conversación.
Ralph Seifert Jr. envió una solución de sólo una pregunta, que atribuye a su amigo M. A. Zorn. «Si alguien le formulara dos veces la misma pregunta, ¿respondería usted falazmente “no” una vez y sólo una?» La sincera diría «no», la mentirosa, «sí» y las veletas quedarían tan irremediablemente confundidas que no sabrían qué contestar.
F I N