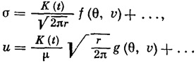
- las pérdidas, ligadas con la introducción insuficiente de los métodos modernos de cálculo, control y de la tecnología, así como con el uso de las normas y estándares arcaicos;
- las pérdidas que hubiesen podido ser prevenidas, elaborando e introduciendo · métodos científicos modernos;
- las pérdidas, cuya eliminación se hará posible solamente después de obtener materiales principalmente nuevos «sin defectos» y de alta resistencia mecánica.
* * * *
Capítulo 1
Resistencia mecánica y destrucción
- ¿Qué es la resistencia mecánica y la destrucción?
- Tenacidad y resistencia a la destrucción desde las ideas intuitivas hacia las científicas
- Nueva ciencia sobre la resistencia mecánica y destrucción
Desde los tiempos remotos el hombre choca con los problemas de la resistencia mecánica y destrucción. Sin embargo, durante largo tiempo los conocimientos sobre la resistencia y destrucción de los materiales y edificaciones se acumulaban de modo casual, se transmitían de generación en generación como secretos de oficio y más bien pertenecían al arte que conocemos por los maravillosos conjuntos arquitectónicos que nos sorprenden hasta hoy día. En primer lugar son «Las Siete maravillas del Mundo», es decir, la estatua de Júpiter Olímpico, los jardines y murallas de Babilonia, el sepulcro de Mausoleo en Halicarnaso, el Coloso de Rodas, el faro de Alejandría, el templo de Artemisa (o Diana, según los romanos) en Éfeso y, por fin, los monumentos más antiguos y los únicos que llegaron hasta nosotros, las pirámides de Egipto.
Por lo visto, al crear dichos conjuntos, la gente chocaba inevitablemente con los interrogantes: ¿cómo hacerlos resistentes y de qué manera evitar la destrucción? Pero ¿qué es la resistencia? Por regla general, se comprende como resistencia (mecánica) la capacidad de los cuerpos permanecer enteros en el transcurso de un tiempo suficientemente largo, sin destruirse. En el diccionario razonado de la lengua rusa de Vladímir Dahl este concepto se interpreta como «útil en el futuro», o sea, es la característica de los cuerpos como si fuese «en caso de necesidad». Sabemos que todos los cuerpos, independientemente de si están en estado sólido o líquido, poseen resistencia (en un grado u otro). Todo posee resistencia: el agua, el hielo y la piedra; la célula, el pelo humano, el vaso sanguíneo y el hueso; el átomo, la molécula y el cristal, etc. Contestando a la pregunta «¿es resistente o se destruye?», estamos resolviendo el problema «¡ser (lo que es indispensable para la existencia de todo lo vivo e inanimado) o no ser!».
Y ¿qué es la destrucción? Es fácil y al mismo tiempo difícil contestar a esta pregunta. Se quiere inmediatamente citar ejemplos de ciertas destrucciones desastrosas que conoce la humanidad y que invocan frenéticamente: ¡hay que luchar contra la destrucción! Al admirar los magníficos conjuntos arquitectónicos, no hay que olvidar las terribles averías, cuya prevención en el futuro estaba relacionada con el análisis de las causas de la destrucción ocurrida.
El historiador romano Publio Cornelio Tácito describe una de las semejantes averías que tuvo lugar en el año 27 de nuestra era, durante la cual fallecieron y quedaron heridos 50 000 personas. Dice que «en el consulado de Marco Licinio y Lucio Sexto... una catástrofe inesperada tuvo más víctimas que una guerra sangrienta... Un tal Afilio, liberto, encargándose de la construcción de un anfiteatro en Fidias para presentar en él las batallas de gladiadores, puso sus cimientos en un suelo inseguro y levantó sobre éste un edificio de madera insuficientemente tenaz... A este lugar confluían hombres y mujeres ávidos de semejantes espectáculos privados en la gobernación de Tiberio casi totalmente de distracciones de este tipo, gente de diversa edad que se acumuló tanto más por el hecho de que esa ciudad estaba cerca de Roma. Eso redobló la gravedad de la catástrofe estallada, ya que el enorme edificio repleto de un sinnúmero de personas, al pandearse, comenzó a derrumbarse, llevando tras sí y sepultando bajo sus restos una inmensa cantidad de personas, tanto a las que apasionadas miraban el espectáculo, como a aquellas que se encontraban alrededor del anfiteatro». Gomo testificó el Senado de Roma las causas de la avería eran el incumplimiento de las leyes de construcción y la insuficiente investigación de la fiabilidad del suelo.
El siglo XIII... En la ciudad francesa de Beauvais se derrumbó la torre de una de las catedrales góticas más grandes construida por todos los cánones de la arquitectura gótica clásica y con toda la posible precaución, pero desconociendo las leyes de la resistencia de las estructuras portantes (por ejemplo, las relaciones entre las longitudes de los tramos y las áreas de las secciones).
En general, las destrucciones catastróficas han sucedido prácticamente de manera continua, incluso hasta hoy día. Con más frecuencia se derrumban los puentes. El 14 de marzo de 1938, habiendo un tiempo frío y prácticamente sin una carga de fuerza, se derrumbó el puente soldado de carretera a través del canal Alberto en Hasselt (Bélgica), en 1940 tuvo lugar la catástrofe del puente de Tacoma (figura 1) en EE.UU., y en 1962 se destruyó el Puente Real en Melbourne (Australia). En todos estos casos la investigación estableció que la causa de las catástrofes fueron los errores durante la proyección, es decir, la consideración no completa de las cargas en acción que han conducido a las vibraciones imprevistas y resonancias, asimismo los conocimientos insuficientes de las leyes de la resistencia y destrucción de las estructuras.
La mayoría de los derribos de los puentes transcurrían durante impetuosas tormentas, con frecuencia inesperadamente y con gran cantidad de víctimas humanas, mientras que la catástrofe mencionada, la más grande en la historia de la construcción de puentes, en EE.UU., del puente a través del río Tacoma no tuvo víctimas e incluso fue filmada.
Figura 1. Puente del Tacoma.
Figura 2. Oscilaciones de la travesía del puente del Tacoma una hora antes de la catástrofe.
Las grandes pérdidas materiales están relacionadas con la destrucción de los gasoductos troncales (figura 3), donde la fisura destructora con frecuencia recorre varios kilómetros a una velocidad de 1...2 km por segundo. Pero sobre todo las pérdidas irreparables relacionadas con víctimas, ocurren al destruirse los aviones y barcos. El vuelo del primer reactor del mundo (serie «Comet», Inglaterra) que explotó en el aire, condujo a la muerte de la tripulación, con la particularidad de que después de la catástrofe aérea se logró recoger 250 mil despojos.
Figura 3. Grieta en el gasoducto principal
A finales de 1942 llegaron las primeras señales sobre las serias destrucciones inesperadas de varios barcos estadounidenses tipo «Liberty» que hubo que remolcar al puerto para la reparación. Primeramente dichas averías se atribuyeron a las casualidades del tiempo de guerra, sin notar los problemas ingenieriles y científicos que surgieron aquí. Convencerse de la opinión errónea obligó la avería del buque cisterna «Schenectady» que (después de las exitosas pruebas en el mar) el 16 de enero de 1943, al regresar al puerto, de repente se partió en dos partes. La fisura apareció en el ángulo agudo de la escotilla de la cubierta, pasando prácticamente de modo casi instantáneo a través de la cubierta y por ambos bordes del cuerpo hasta la obra viva junto a la misma quilla (figura 4).
Figura 4. Avería del petrolero «Schenectady» (enero de 1943).
El relato sobre las destrucciones catastróficas se podría continuar en realidad hasta hoy día (si no se está al corriente de las diversiones que se preparan para mañana o pasado mañana). Pero nos limitaremos con sólo unas historias más que ocurrieron «en estos días» en el mar y en la tierra.
El 27 de marzo de 1980 la plataforma flotante Alexander L. Kielland sufrió una avería durante la tempestad en el Mar del Norte que condujo a la muerte de 123 personas. La plataforma A. L. K. con una torre de sondeos, una de las 11 estructuras pentagonales semisumergidas elaboradas en Francia en 1960 y construidas durante 1960...1977, tenía en el plan las dimensiones 103 x 99 m y una altura de 40,5 m del vértice de la cubierta hasta la base del pontón (figura 5). Cinco pontones con 22 m de diámetro y apoyos en forma de columnas con 8,5 m de diámetro estaban enlazados mediante un sistema de entubados horizontales y diagonales. Las condiciones del tiempo en el momento de la catástrofe no eran perfectas, pero sin ser críticas para el Mar del Norte: la marejada era de 9...11 puntos (la velocidad del viento, de 16... 20 m/s), la altura de las ondas, de 6 a 10 m y la temperatura circundante era de 4 °C sobre cero a 6 °C bajo cero. Al revelar las causas de la avería se comprobó que en la etapa matutina tuvo lugar una fisuración de fatiga de la junta soldada doble de la instalación del hidrófono, lo que causó la insuficiente resistencia mecánica y llevó a la destrucción de la sujeción D 6, unida con la plataforma mediante otras cinco sujeciones. La plataforma se inclinó a 30 ... 35° de la posición horizontal y la torre de sondeo comenzó a sumergirse lentamente en el agua. En los siguientes 20 minutos la sumersión fue acompañada por un balanceo complementario que aumentaba poco a poco a medida de que el agua inundaba la cubierta y las columnas C y E a través de los agujeros abiertos (puertas, ventiladores, etc.). Luego la torre de sondeo se tumbó totalmente, siguiendo flotando en posición volcada con cuatro pontones visibles. El apoyo D separado por completo también resultó hundido.
Figura 5. Plataforma Alexander L. Kielland.
Figura 6. Avería del depósito del ácido fosfórico en la planta de aluminio en Vóljov (enero de 1974) 1 - grieta).
A través de la fisura se derramaron centenares de toneladas de ácido caliente, se destruyeron el fundamento de hormigón y las construcciones metálicas. Los principales culpables de la avería fue, sin duda alguna, el personal de explotación que vertió el ácido caliente en el depósito congelado, lo que condujo a la destrucción como consecuencia del choque térmico.
Figura 7. Avería de la torre de secado en la planta química de Cherepovéts (diciembre de 1978).
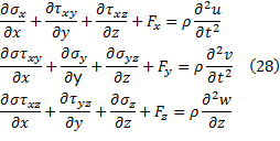
Claro está que la causa de dichas averías fue la gran diferencia de temperaturas, pues la temperatura del ácido dentro de los aparatos superaba 70... 80 °C.
Figura 8. Avería del cuerpo del absorbedor en la planta química de Cherepovéts (diciembre de 1978).
Figura 9. Avería del lavador del gas en el combinado de fibra artificial de Riazán (1975).
Pues, en fin de cuentas ¿hemos contestado a la pregunta de qué es la destrucción o no? Bueno, y sí y no. Pero sin duda alguna queda claro que la naturaleza verdadera de este fenómeno bien conocido está lejos de aclararse totalmente. Las catástrofes de los buques cisternas y barcos, de los aviones y cohetes, del equipo químico, etc., provocadas por una difusión imprevista de las fisuras, el mal uso de los aspectos positivos de la destrucción han mostrado la insuficiencia de los cálculos clásicos existentes y la necesidad de nuevas características de la destrucción. Así, pues, el problema de destrucción que siempre ha estimulado la idea técnica y científica, en la actualidad adquirió una importancia primordial. El ingeniero moderno debe utilizar todo el vigor de los recientes métodos de cálculo científicamente argumentados para crear una estructura segura y tenaz, capaz de funcionar fiablemente, o sea, estar parada, volar, bucear, perforar y hacer todo lo que se necesita de ella en el transcurso del plazo garantizado de su servicio y, además, debe ser ventajosa desde el punto de vista económico. Desde hace ya tiempo no podemos permitirnos ese lujo como Sobakévich, personaje del famoso poema «Las almas muertas» del conocido escritor ruso Nikolay Gógol, del que se dice que parecía que el terrateniente se preocupaba mucho de la resistencia. En la caballeriza, cobertizos y en la cocina se utilizaron troncos pesados y gruesos destinados a permanecer siglos enteros.
§ 2. Tenacidad y resistencia a la destrucción desde las ideas intuitivas hacia las científicas
Sin relatar sobre el período histórico cuando para elevar la resistencia mecánica de las obras se recurría a sacrificios o a la ayuda de las fuerzas de más allá, señalemos otra vez más que desde los tiempos remotos las personas construían distintas edificaciones, asombrosas y a veces extremadamente complejas. Mientras tanto los conocimientos acerca de la tenacidad y la resistencia a la destrucción de los materiales y construcciones se adquirían casi siempre de manera intuitiva y en gran parte de modo casual. Recurramos directamente a las fuentes del enfoque científico respecto a las cuestiones de la resistencia mecánica y destrucción, cuyo origen proviene de los Titanes del Renacimiento, tales como Leonardo da Vinci (1452—1519) y Galileo Galilei (1564-1642).
Federico Engels en su obra «Dialéctica de la naturaleza» escribe que Leonardo da Vinci no sólo era un gran pintor, sino también un eminente matemático, mecánico e ingeniero al que se deben los descubrimientos importantes en las más diversas ramas de la física.
Figura 10. Instrumento creado por Leonardo da Vinci para determinar la capacidad portante de los alambres.
Al sujetar un hilo de hierro de una longitud de dos codos de manera que se sostenga fuertemente y, colgándole una cesta o un cajón o algo por el estilo, echar allí a través de un pequeño orificio en el fondo de un embudo cierta cantidad de arena menuda. Tan sólo el hilo se rompe, el orificio del embudo se cierra con un muelle sujeto en él. La cesta que cae de una pequeña altura no se vuelca. Es necesario notar el peso de la arena y el lugar de la ruptura. El programa de los ensayos suponía probar hilos de diferente longitud.
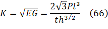
Por desgracia, los éxitos de Leonardo da Vinci quedaron siendo desconocidos para las siguientes generaciones, y el otro paso considerable en el desarrollo de la ciencia sobre la estabilidad y resistencia a la destrucción fue hecho al cabo de más de un siglo por otro gran científico italiano Galileo Galilei. El resultado más importante de sus experimentos de la ruptura de las barras de madera es la conclusión de que la carga destructiva crece directamente proporcional al área de la sección transversal de la barra a estirar y no depende de la longitud de ésta. Dicho resultado, en algo modificado, hasta hoy día desempeña un papel principal en la práctica ingenieril al calcular la resistencia mecánica en caso del estado heterogéneo de tensión. Se supone que en los ensayos de Leonardo da Vinci con el alambre de hierro se observaba cierta reducción de la carga disruptiva con el crecimiento de la longitud del alambre. Este hecho se explicó siempre con que las pruebas de Leonardo da Vinci eran imperfectas y sólo nuestros contemporáneos comprendieron que semejante reducción de la carga límite puede ocurrir debido al efecto de escala relacionado con una gran probabilidad de aparecer el defecto peligroso (que acondiciona la destrucción) en el alambre de mayor longitud. Durante largos años le alarmaba a Galileo la destrucción inesperada que vio una vez de una galera recién hecha, semejanza absoluta de una galera corriente, pero muy fiable, lo único en que se diferenciaba de ésta en que todos sus elementos eran el doble mayor. Solamente a la edad de 74 años enunció el «gran hereje» la ley general que hasta hoy día se tiene en cuenta por los factores de conversión estándares para el índice de resistencia mecánica: «Si, dejando aparte toda clase de imperfecciones de la materia y suponiendo que ésta es invariable y sin defectos casuales cualesquiera, construimos una máquina grande del mismo material que la pequeña, conservando con precisión todas las proporciones de esta última, en virtud de la misma propiedad de la materia recibimos una máquina correspondiente a la menor en todos los pormenores menos en tenacidad y resistencia a la influencia exterior: con respecto a ello cuanto mayor sea la máquina por su dimensión, tanto inferior será su resistencia mecánica». El problema de traspasar los resultados de los ensayos de laboratorio a las construcciones reales es extremadamente actual también hoy en día.
Es característico que Galileo unió la resistencia mecánica con el estado límite del elemento, mientras que aún era desconocido el comportamiento del elemento en el estado de funcionamiento. El primero al que le vino al pensamiento la idea de que los sólidos no son del todo sólidos, sino que reaccionan a las fuerzas que se les aplica, fue Robert Hooke (1635—1703). Este inventor apasionado se distinguía por su impetuosa imaginación y razonamiento original. Él no sólo hizo una cantidad grande de inventos asombrosos, tales como la transmisión de Cardán, el areómetro o densímetro, la linterna mágica, el termómetro y muchos otros, sino también enunció gran cantidad de ideas de la esfera de la actividad de los científicos vanguardistas de su tiempo. Pero eso casi siempre originaba discusiones acerca de la prioridad de los importantes descubrimientos, tales como la disputa tristemente conocida entre Hooke e Isaac Newton sobre la prioridad de la ley de la gravitación universal. Como reflejo de la lucha por la prioridad fue la obra de Hooke «Diez inventos que deseo publicar» que vio luz en 1676, en la cual después del título «Teoría verdadera de la elasticidad y rigidez» estaba escrito solamente «ceiiinosssttuv». Este anagrama donde las letras se colocan según el alfabeto fue descifrado por el autor sólo al cabo de tres años «ut tensio sic vis» que quiere decir «cual es el alargamiento, tal es la fuerza». En el lenguaje moderno la traducción de la frase latina suena así «la tensión es proporcional a la deformación». Más tarde resultó que dicha ley de Hooke, cuyo derecho le pertenece a él sin duda alguna, describe solamente el comportamiento elástico de los cuerpos, pero no la conducta de cualesquiera cuerpos para las cargas arbitrarias, como lo suponía el mismo Hooke. La forma «moderna» de la mencionada ley la dio al cabo de cincuenta años el científico inglés Thomas Young (1773—1829). En lugar de las magnitudes absolutas (la fuerza y alargamiento) él introdujo las relativas (tensión y deformación) y entonces resultó que en la ley de Hooke el factor de proporcionalidad, o sea, el módulo de Young es la constante elástica del propio material y no de la construcción, y caracteriza su propiedad más importante, a saber la rigidez. La breve explicación de los conceptos mencionados aquí, tales como la deformación, tensión, módulo de elasticidad, etc., la dejamos para el siguiente capítulo, ya que en nuestra información histórica sería interesante citar las formulaciones originales, mientras que éstas a veces no son muy precisas. El propio Young en 1807 escribía, por ejemplo: «El módulo de elasticidad de cualquier substancia es una columna de esta misma substancia, capaz de presionar sobre su base que está en la misma proporción con el peso como la longitud de la columna y la reducción de su longitud». No es de extrañar que los contemporáneos no aceptaron este concepto, uno de los más importantes conceptos técnicos de Young, como persona muy lejana de la práctica e incluso en ese tiempo lo separaron de dar conferencias en el Instituto Real.
Los excelentes trabajos de Galileo, Hooke, Young, así como las investigaciones que no hemos mencionado de los científicos franceses Edme Mariotte (1620—1684) y Charles A. de Coulomb (1736—1806), de los científicos rusos Leonhard Euler (1707—1783) y Jacob Bernoulli (1654—1705) y de otros sabios de los siglos XVII y XVIII que estudiaron el comportamiento de las barras durante la tracción, compresión, flexión y torsión, preparando el suelo para un nuevo salto en el desarrollo de la ciencia sobre la resistencia mecánica relacionado con las obras de los famosos científicos franceses Louis Navier (1785—1836), Augustin L. Cauchy (1789—1857) y Simeón D. Poisson (1781—1840) que han creado la teoría clásica de la elasticidad.
En lugar del principio de Galileo en calcular por el estado límite de destrucción empezó a establecerse el principio del estado de funcionamiento. Las tensiones en el mencionado estado de cada elemento se suponían limitar mediante tensiones tolerables, es decir, deben ser tales «para que los cambios que surjan en el elemento no crezcan con el tiempo». Mientras tanto la definición del estado de tensión de cada trocito de la substancia dentro de la construcción se ha hecho posible aplicando las ecuaciones de equilibrio deducidas por Navier y Cauchy. Resultó que el cuadro completo de las tensiones en el punto interno del cuerpo se describe mediante nueve magnitudes: tres tensiones de tracción-compresión y seis tensiones de cizallamiento, pero ellas están enlazadas por seis ecuaciones de equilibrio, entre las cuales la mayor cantidad de ecuaciones independientes es tres. El nombre de Poisson lo han inmortalizado no sólo las ecuaciones de equilibrio y de la vibración de la barra, que obtuvo, sino también el coeficiente de Poisson que conoce cada ingeniero y que, a la par con el módulo de Young forma parte del «pasaporte» de cada material elástico. Al compatriota de Poisson, Saint-Venant (1797—1886) que fundó la teoría de torsión y flexión de las barras de sección prismática, le pertenece el famoso principio: «el procedimiento de aplicar y distribuir las fuerzas por los extremos de los prismas es indiferente para los efectos provocados en la longitud restante, así que siempre es posible sustituir con un grado suficiente de aproximación las fuerzas aplicadas por las fuerzas estáticamente equivalentes, o sea, que poseen el mismo momento total y la misma resultante, pero con una distribución exactamente tal que exigen las fórmulas de tracción, flexión y torsión para que sean totalmente precisas». A pesar de que la enunciación original es bastante clara, lo que no se puede decir de la definición del módulo de Young, expresaremos el principio de Saint-Venant de manera más corta: «el procedimiento de aplicar las fuerzas al extremo de la barra se manifiesta solamente a una distancia del extremo del orden de la dimensión transversal». La hipótesis de Saint-Venant, confirmada después por el experimento, y por la teoría, permitió salir del callejón sin salida en que se encontraba la teoría clásica de la elasticidad, cuando para calcular por ejemplo una barra se necesitaba prefijar la distribución de la presión exterior en todas las partes del contorno, incluyendo en los agarradores extrémales, donde este parámetro no se conoce bien (figura 11). Según Saint-Venant, el estado de tensión en los puntos de la barra alejados de los agarradores a distancias mayores que su diámetro (en las zonas rayadas de la figura) se determina solamente por la fuerza resultante de tracción.
Figura 11. Conforme al principio de Saint-Venant el estado de tensión de una barra en las zonas rayadas no depende de cómo se sujeta su extremo.
§ 3. Nueva ciencia sobre la resistencia mecánica y destrucción
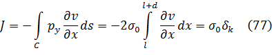
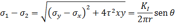
En el siglo XX las destrucciones catastróficas seguían ocurriendo en la Tierra, mar y en el aire. Explotaban las potentes calderas de vapor, se destruían los enormes buques de guerra y barcos, a pesar de estar calculados conforme a todas las reglas de la ciencia moderna sobre la resistencia, ciencia que aparentaba lograr la perfección. Los intentos de establecer la verdad en ensayos directos no daban explicación alguna. Así, pues, en 1903 los científicos británicos llevaron a cabo la prueba de resistencia mecánica de un destructor real. Al destructor «Wolf» se le metió a un dique seco y se le puso primero un soporte en el medio y luego dos por los bordes como si resultase estar durante la tempestad en una cresta de onda o de dos ondas. Después de esto, las pruebas continuaron en alta mar durante una cruel tempestad. Resultó que en el transcurso de todo el experimento los dispositivos no han podido detectar tensiones superiores a 90 MPa, mientras que la resistencia mecánica del acero para buques era en aquellos tiempos de unos 390... 440 MPa. Semejante reserva de resistencia se desprendía de los cálculos según la teoría de vigas, pero era un consuelo muy frágil pues había casos cuando los barcos, cuya tensión máxima en los cuerpos superaba según los cálculos una tercera parte del límite de resistencia mecánica del acero, se rompían por la mitad.
La experiencia triste que se acumulaba mostró que los lugares peligrosos del cuerpo del buque son las diversas escotillas, los orificios y cortaduras. Precisamente alrededor de éstos aparecían las grietas que de la carga desigual de la bodega o del choque de la onda podían, a velocidad de una bala, cortar el barco en dos y éste se hundía tan rápido que los testigos de la catástrofe la adivinaban por los mástiles cruzados que aparecían en los últimos instantes sobre las olas. A su vez los ingenieros diseñadores de puentes afirmaban que los remaches se destruyen siempre en los lugares de un brusco cambio de la sección al pasar del vástago a la cabeza y recomendaban hacer uso de los remaches con un paso cónico suave inventados en Alemania. También los ingenieros de transporte llegaban a la semejante deducción y de manera puramente experimental aunque el objeto de sus disgustos, es decir, los ejes de los vagones ferroviarios y de las locomotoras se rompían en las condiciones de destrucción por fatiga relacionada con el hecho de que durante la rotación ellos se someten a la flexión que se repite cíclicamente. Los ingenieros constructores navales intentaron tomar en consideración los orificios en sus cálculos y reforzar los bordes de los orificios, partiendo de que la tensión es la fuerza dividida por el área de la sección, pues, al disminuir la sección a cuenta del orificio, las tensiones en él crecen inversamente proporcionales al área de la sección debilitada. Por desgracia, semejante enfoque resultó ser totalmente insuficiente y la teoría que en dicha etapa quedaba atrás de la práctica, sólo para el comienzo del siglo XX pudo explicar la perfidia misteriosa de los orificios.
Figura 12. Solución de Cauchy: en el contorno de un pequeño orificio circular las tensiones superan 3 veces las tensiones en los puntos alejados.
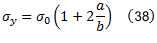
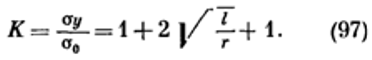
Figura 13. Solución de Kólosov—Inglis: en los vértices de un pequeño orificio elíptico las tensiones pueden superarse en gran cantidad, por ejemplo, para una elipse con la razón de sus semiejes a/b = 3, las tensiones se superan en 1 + 2 (a/b) = 7 veces.
Las deducciones puramente matemáticas sobre la concentración de tensiones tropezaron (como ocurre con frecuencia) con un escepticismo considerable en el medio de los ingenieros prácticos, es decir, aquí tampoco el camino hacia la ciencia moderna sobre la resistencia mecánica fue liso. Además, otra contradicción más, bastante fuerte, estaba en este camino. Trataremos de comprenderla. Supongamos que nos interesa la cuestión sobre la resistencia de algún material. Por ejemplo, sabiendo las fuerzas de cohesión que ligan dos átomos en un cuerpo sólido cristalino, puede determinarse la resistencia del material, calculando estrictamente. Así, pues, hemos recibido la denominada resistencia mecánica teórica. Pero también se puede confeccionar una muestra del mismo material y determinar el valor de la resistencia mecánica de modo experimental. La resistencia mecánica determinada de esta manera se acostumbra llamarla técnica. Pues resultó que la resistencia mecánica técnica es inferior considerablemente (decenas y centenas de veces) que la teórica. ¿Con qué puede explicarse la diferencia tan brusca? En 1920 el académico soviético A. F. Ioffe contestó a esta pregunta mediante un experimento no complejo e impresionante. Se toma un cristal de sal gema. Se mide experimentalmente su resistencia mecánica que, por regla, es igual a varias decenas de MPa. Luego el cristal se sumerge en agua caliente donde se disuelve la capa superficial de cierto grosor. Entonces de nuevo se mide la resistencia mecánica del cristal. Esta vez ella resulta ser mucho más alta, o sea, unos 2000 MN/m2, lo que es dos veces menos del valor teórico de la resistencia mecánica. La deducción se impone por sí misma. Al perder la capa superficial, el cristal se libera también de las numerosas heridas que acumuló en sus lados en el transcurso de su larga vida, es decir, mellas, rasguños, grietas y otros defectos superficiales más pequeños. Por lo visto, ellos eran la causa de la falta de la resistencia mecánica anterior del cristal.
Así, pues, la perfección de la estructura del cristal es la garantía de la resistencia mecánica elevada, próxima a la teórica. Siguiendo esta idea, se logró aumentar el techo de la resistencia mecánica hasta los valores del orden de 10 000 MPa, lo que hasta el momento no se había visto en la técnica.
Figura 14. Un hilo de cuarzo puede doblarse de la siguiente manera. Entonces las tensiones en él superarán 4900 MPa.
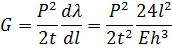
Los experimentos del endurecimiento de los cristales, así como los numerosos casos de la destrucción anticipada de las construcciones y obras a tensiones, mucho menores que las calculadas, mostraron la insuficiencia de las ideas desarrolladas sobre la resistencia mecánica a título de constante del material. Por esta razón, en las investigaciones de la resistencia apareció una nueva orientación, cuya base es el estudio detallado del mismo proceso de destrucción. Conforme al nuevo enfoque, ya que la destrucción sucede como consecuencia del desarrollo de los defectos reales, al estimar la resistencia mecánica, es necesario tomar en consideración las grietas que hay en el cuerpo y determinar su influencia sobre la resistencia.
Figura 15. Semejante dependencia entre la resistencia a B
de las fibras de vidrio y su grosor fue descubierta por Griffith.
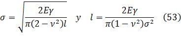
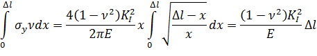
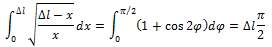
Los resultados fundamentales fueron publicados en 1920 mando el autor tenía solamente 27 años. Griffith intentó alcanzar la resistencia mecánica teórica en los ensayos al romper las fibras de vidrio finísimas recién estiradas y estableció que, al disminuir el diámetro de las fibras, su resistencia crecía bruscamente (figura 15), comparándose con las estimaciones teóricas. Griffith explicó una gran diferencia entre la resistencia mecánica de la mayoría de los sólidos reales y la teórica con la presencia de grietas en ellos que pueden ser invisibles, pero que superan considerablemente según la dimensión las distancias intermoleculares. El mérito principal del científico inglés consiste en que él ligó las causas del desarrollo de la grieta en el cuerpo con los procesos de acumulación y liberación de la energía de deformaciones en él. También fue magnífica la idea de difundir los cálculos matemáticos de Inglis sobre la concentración de las tensiones en las escotillas de buques a los defectos con dimensiones microscópicas. A. A. Griffith comprendió que para el crecimiento de la grieta es necesario gastar cierto trabajo para formar nuevas superficies del material, proporcionalmente a la longitud de la grieta [2] l, es decir, el (para un material frágil c es la constante del material que se determina por sus propiedades físico-mecánicas) (figura 16). Con ello, durante la propagación de la grieta las zonas adyacentes a ésta, que están rayadas en la figura, se descargan [3] , liberando la energía de deformación proporcional a su área, o sea, al cuadrado de la longitud:
kP = (kl) l
(la solución de Inglis la necesitó Griffith para calcular la constante A;). Griffith razonaba que para las grietas pequeñas, para las cuales kl < c, la energía liberada es insuficiente para romper el material. Pero para las grietas grandes, cuando kl > c, dicha energía es suficiente para la ruptura y la grieta se lanza adelante con una velocidad enorme si el material es frágil.
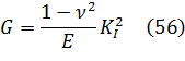
Figura 16. Durante la extensión de la grieta el material en las zonas, adyacentes a ella (rayadas), se descarga y la energía liberada fluye a los vértices de la grieta y se gasta allí en la destrucción del material.
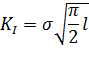
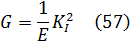
A. A. Griffith supo enunciar dos condiciones, cada una de las cuales es necesaria para propagarse la grieta, mientras que lo suficiente para el crecimiento de la grieta es la ejecución simultánea de estas dos condiciones. La primera de ellas consiste en que el proceso del crecimiento de la grieta debe ser ventajoso desde el punto de vista energético, y la segunda condición se refiere a la existencia del micromecanismo capaz de realizar la transformación de la energía acumulada. Precisamente la existencia de semejante mecanismo de transformación de la energía difiere los materiales frágiles de los viscosos (como en el automóvil que baja de una montaña las ruedas no deben sostenerse por los frenos para que tenga lugar la transformación de la energía potencial, acumulada por él, en la cinética).
Es interesante señalar que semejantes condiciones deben observarse en muchos procesos aparentemente distintos por completo, que transcurren en diversas zonas y se diferencian por la escala y complejidad. Puede percibirse la analogía incluso en fenómenos tan archicomplejos como procesos revolucionarios de la transformación radical de la sociedad decrépita. Pues, como indicó V. I. Lenin, para destruir un régimen social viejo es necesario y suficiente que en sus entrañas se formen las causas objetivas y subjetivas. El factor objetivo es la situación revolucionaria, cuyos rasgos principales V. I. Lenin consideraba la agravación extrema de la pobreza y las calamidades de las masas trabajadoras, el incremento de su conciencia y actividad revolucionaria, así como la crisis de los círculos dirigentes que no pueden gobernar la sociedad como antes. Así, pues, en la sociedad debe acumularse una energía social suficiente para destruir el régimen decrépito. Esta condición es necesaria para la revolución, pero no suficiente. Además de los factores objetivos, deben formarse también los subjetivos, como son la existencia de la unión entre la clase obrera y el campesinado, asimismo de un partido revolucionario. Precisamente ellos deben dirigir la energía acumulada de las masas para las transformaciones revolucionarias, sin permitir que se disipe, deben servir de mecanismo de la transformación de la energía social.
No voy a insistir en que semejantes analogías son directas, sin las cuales son imposibles las investigaciones en la esfera de las ciencias sociales. Vuelvo a la teoría de A. A. Griffith que por unos especialistas fue acogida con bastante escepticismo (lo que puede ser lo más natural para las nuevas teorías) y provocó un interés pasajero de otros. Incluso el propio autor empezó a sentir poco a poco una indiferencia hacia el problema de la destrucción frágil y nunca más volvió a ese tema. En parte la causa del olvido era que la concepción clásica de la destrucción frágil según A. A. Griffith estaba relacionada solamente con materiales frágiles, tales como el vidrio, mientras que los metales quedaban fuera de su esfera de aplicación. Pero en realidad es poco probable que A. A. Griffith pudiese crear esa teoría si hubiese cogido para sus experimentos cualquier otro material que no fuese vidrio, donde la destrucción frágil no manifiéstase en una forma tan clara, sino que estuviese acompañada de fluidez, viscosidad, fluencia y otros fenómenos.
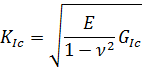
El siguiente paso considerable en el camino difícil de formarse la mecánica moderna de la destrucción está relacionado con las investigaciones experimentales del científico inglés G. Irwin (1948) y del húngaro E. Orowan (1950) que propusieron utilizar la teoría de A. A. Griffith para una destrucción casi frágil [5] de los metales y no metales, cuando todos los procesos irreversibles de las deformaciones plásticas transcurren sólo en una proximidad pequeña cerca del vértice de la grieta. En la teoría de A. A. Griffith es suficiente solamente sustituir la constante que es igual a la energía superficial del material por el trabajo específico de las deformaciones plásticas (la última puede superar centenas y miles de veces a la primera), entonces la teoría de A. A. Griffith resulta ser útil para muchos materiales difundidos. Pero a esta conclusión asombrosamente sencilla y clara George Irwin llegó como consecuencia de las reflexiones de casi diez años. Aún antes de la segunda Guerra Mundial el catedrático G. Irwin, empezando a trabajar en el Laboratorio de Investigación Científica de las Fuerzas Navales, participó en los ensayos balísticos de las losas de acero para buques. En aquel entonces los especialistas principales en los polígonos eran los metalúrgicos que después del disparo se acercaban al blanco y esmeradamente dibujaban la concavidad en la losa y lo que se rompió por el reverso de la losa. Precisamente la participación en semejante rito (parecido a como los biólogos dibujan las hojas y amibas) contribuyó, según el propio G. Irwin, a que le surgiese un interés estable al problema de la destrucción que ya jamás le abandonó y merced al cual hizo en la mecánica de la destrucción una aportación inestimable. En vez de considerar el balance energético general de todo el cuerpo G. Irwin comenzó a estudiar el campo de tensiones en la proximidad inmediata del extremo de la grieta, donde se acumula toda la energía y surge el cuadro dramático de una destrucción frágil o casi frágil. Haciendo uso de las soluciones de los problemas conocidas para ese tiempo, G. Irwin mostró que el único parámetro que determina el estado de tensión para la zona extrema es el denominado coeficiente de intensidad de las tensiones. Este concepto para la mecánica moderna de la destrucción resultó ser fundamental. La magnitud crítica del coeficiente de intensidad que caracteriza la resistencia del material a la destrucción, ocupó en la práctica ingenieril uno de los lugares principales a la par con el módulo de elasticidad y coeficiente de Poisson. El enfoque de fuerza de G. Irwin, adecuado en sentido principal al energético de A. A. Griffith, permitió prescindir de las dificultades en los cálculos, casi insuperables, con las que se chocaba hasta finales de los años 50 al resolver las tareas en los márgenes del concepto de A. A. Griffith.
Por supuesto, posteriormente resultó que las dificultades en conocer el problema de la destrucción crecen con mucha mayor rapidez que quisiéramos, como se dice cuanto más se penetra en el bosque... En cambio, la existencia de semejantes fenómenos, para cuya explicación la teoría de Griffith—Irwin (denominada mecánica lineal de la destrucción) no sirve, destaca precisamente su valor como una teoría extremadamente sencilla con relación a otras, más universales, pero mucho más complicadas. La mecánica lineal de destrucción adquirió en total una forma acabada y entre la mecánica de la destrucción que se desarrolla impetuosamente ocupa un lugar honorario como diríamos la teoría de la elasticidad en la mecánica del sólido deformable.
Todos los capítulos del libro, a excepción del siguiente, están dedicados a la conversación sobre el estado actual de la mecánica de la destrucción, sus principios y posibilidades de la aplicación práctica. El siguiente capítulo contiene nociones sobre la mecánica del sólido deformable que serán necesarios ulteriormente. Después de muchas dudas el autor decidió por fin (a diferencia de la mayoría de los libros de divulgación científica) a utilizar en sus explicaciones algunas fórmulas, incluso aquellas (que no son muchas) que contienen derivadas e integrales. Me parece que es mucho mejor citar una fórmula instructiva con un sentido físico claro que empezar a razonar de modo locuaz. Así, pues, con semejante restricción, cobrando ánimo y observando la medida, seguimos...
* * * *
Capítulo 2
Mecánica del sólido deformable
- Medio continuo
- Tensiones y deformaciones
- Elasticidad y no elasticidad
- Principios de la teoría de elasticidad
- Concentración de tensiones
En los años 1822 y 1823 los eminentes científicos Navier y Gauchy presentaron en la Academia de París los tratados científicos o, como se llamaban en aquel entonces «memorias» que dieron origen a dos enfoques al examinar las propiedades mecánicas de los sólidos. El primero, basado en considerar el cuerpo como un sistema de moléculas en interacción, condujo a unas teorías físicas bastante rígidas sobre las propiedades mecánicas de los cristales con diversa estructura. Mientras tanto el segundo enfoque, denominado enfoque continuo, consistía en la sustitución de un cuerpo real por cierto medio continuo que ocupa sin interrupción el espacio. Las ecuaciones de su equilibrio las obtuvo Cauchy con ayuda del método de separación de un volumen elemental, propuesto por Euler, y del examen de las fuerzas que actúan sobre dicho volumen.
Para describir el comportamiento del medio continuo se enuncian los postulados que determinan las ecuaciones. El modelo obtenido de este medio se considera útil para calcular los procesos en ciertos cuerpos reales si los resultados del presente cálculo corresponden con bastante precisión a los resultados del experimento macroscópico, en el transcurso del cual se miden las magnitudes mecánicas que entran en la ecuación. Semejantes modelos se llaman fenómenos lógicos y forman la base de la mecánica de los medios continuos.
Los físicos prefieren el primer enfoque. Ellos consideran que las teorías en las que figuran los átomos y moléculas son las más adecuadas a la realidad. Puede ser, eso es cuestión de gusto, pero no hay que olvidar que en la teoría no tratamos el mismo átomo, sino su cierto modelo que describe con una exactitud mayor o menor el comportamiento del objeto real. Así, pues, el enfoque fenomenológico no es menos honesto que el molecular. Sólo es importante recordar las hipótesis que constituyen la base del modelo y los límites de su aplicación. Así, la propia hipótesis del carácter continuo (es decir, del medio continuo) no es válida si se trata de los objetos cuyas dimensiones se aproximan a las moleculares, por ejemplo, del concepto tan importante en la mecánica de la destrucción, como el vértice de la grieta. A continuación veremos que el modelo de un cuerpo elástico predice tensiones ilimitadas en el vértice de un corte agudo. Claro está que este pronóstico es necesario tomarlo desde el punto de vista crítico, ya que es solamente el corolario de las hipótesis aceptadas.
Figura 17. Estructura de la superficie de destrucción del acero martensítico en envejecimiento.
Figura 18. Sección transversal del material de composición fibrosa.
Pero si debemos calcular la flexión de una barra, originada por la acción de cierta fuerza, podemos simular la barra mediante un medio continuo homogéneo, ya que su longitud y grosor que se miden, verbigracia, en centímetros, son grandes en comparación con las dimensiones de los granos (con dimensiones de centésimas de milímetro), y el error de la sustitución del material real por el medio continuo no debe ser notorio. Semejantes problemas les surgen a los mecánicos que tratan con piezas de materiales de composición, por ejemplo, de plástico de fibra de vidrio que se obtiene bobinando haces de fibras de vidrio e impregnándolos posteriormente con resina epoxi (figura 18). Al resolver la tarea sobre la acción de la presión interna sobre un tubo de plástico con fibra de vidrio, se usa el modelo de un medio continuo homogéneo equivalente, mientras que al analizar las divisiones en capas entre la fibra y la resina o la ruptura de las fibras, se comienza a resolver la tarea sobre una fibra sumergida en un medio homogéneo, cuyas propiedades son las mismas que las de la resina o de la composición en total, o sea, depende todo de la densidad de la colocación de las fibras. Semejantes procedimientos se parecen a las investigaciones llevadas a cabo mediante el microscopio con distintos aumentos y, a propósito, se denominan «principio de microscopio».
Figura 19. Estructuras cristalinas típicas de los metales: a. hexagonal de empaquetamiento denso (por ejemplo, el magnesio, zinc), b. cúbica de caras centradas (por ejemplo, el aluminio, cobre, plomo, aceros austeníticos), c. cúbica centrada en el espacio (por ejemplo, el cromo, molibdeno, vanadio).
§ 5. Tensiones y deformaciones
Dicen que existen tres ramas de la ciencia y el arte en las que cada individuo cree saberlo todo: son la filosofía, la pintura y la medicina. Probablemente la resistencia de los materiales se encuentre cerca de ellas. Cada uno empieza a conocer la resistencia mecánica en la tierna infancia, con los conceptos de elasticidad y rigidez en su sentido habitual chocamos diariamente, pero si Vd. estando invitado, menciona el stress, que significa tensión, la charla no tendrá fin. En cambio los conceptos científicos de la tensión y deformación la humanidad los sufrió.
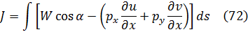
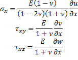
Por fortuna, en la Edad Media la ciencia sobre la resistencia mecánica no se consideraba peligrosa en sentido ideológico, precisamente por eso Galileo la eligió como objeto de sus trabajos después de ser apartado de la astronomía. Él se aproximó más que nadie a la idea sobre la tensión, mejor dicho sobre la tensión destructiva, descubriendo la proporcionalidad entre la fuerza de rotura y el área de la sección transversal de la barra a estirar. Pero solamente casi dos siglos más tarde la fuerza fue dividida por el área y el cociente fue llamado tensión. Eso lo hizo Augustin Cauchy, con la particularidad de que él comprendió por primera vez de qué manera puede describirse el estado de tensión interno del cuerpo en cualquier punto, cargándolo de cualquier manera, y no sólo en el momento de la destrucción.
Para explicar eso haremos, como lo suponía aún Euler, un corte, en el cuerpo. Entonces para conservar el equilibrio habrá que aplicar a la superficie del corte unas fuerzas que actuaban en el cuerpo en el lugar del corte.
Figura 20. Así se determinan las tensiones en barra en tracción.
Así, pues, el corte transversal de una barra de sección cuadrada que se estira con una fuerza S permite establecer que en cualquiera de su sección actúan tensiones
σ = S/A
denominadas normales, ya que están dirigidas según la normal a la superficie (figura 20). Las tensiones se miden en las mismas unidades que la presión del fluido, por ejemplo, en unidades tecnológicas kgf/cm2 ó kgf/mm2. Se usan con frecuencia las unidades del sistema SI, MN/m2 (mega-newton por metro cuadrado, M, mega significa un millón y N, newton). Un Newton es aproximadamente igual a 102 gramos, es decir, al peso de la famosa manzana, así que1 MN/m2 = 10,2 kgf/cm2 = 0,102 kgf/mm2.
Señalemos también que en el sistema SI se utiliza también otra unidad de la tensión, a saber, Pa (Pascal), con la particularidad de que1 Pa = 1 N/m2
y1 MPa (megapascal) = 1 MN/m2,
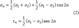
respectivamente. Por lo general la tensión normal de tracción se considera positiva, mientras que la de compresión, negativa. Para la obra de albañilería, por ejemplo, las tensiones de tracción que se consideran positivas es un daño enorme contra el que lucharon generaciones de ingenieros y constructores.Si una barra se corta mediante un plano inclinado, las fuerzas internas en el lugar del corte tendrán en el caso general no sólo una componente normal, sino también otra tangente dirigida a lo largo del plano del corte. Se llama tensión tangencial la relación de la fuerza tangencial respecto al área de la sección. Designando el vector de la normal unitaria respecto a la sección por n, el ángulo de inclinación de n hacia el eje de la barra por α, la tensión normal en la sección inclinada por σn y la tangencial por τn (figura 21), obtenemos [6] de las condiciones de equilibrio de la parte de la barra
Figura 21. Cálculo de las tensiones en sección inclinada de la barra durante la tracción uniaxial vista lateral).
τmáx = ±σ/2
(el signo de la tensión tangencial se elige también de modo convencional). Eso explica el hecho de que muchas substancias sólidas se destruyen al comprimirse precisamente mediante el deslizamiento provocado por las tensiones tangenciales bajo un ángulo de unos 45° respecto al eje de compresión (figura 22).
Figura 22. Destrucción de un pequeño cilindro frágil de fundición durante la compresión transcurre por el plano en el que las tensiones tangenciales son máximas.
Figura 23. Cálculo de las tensiones en la sección inclinada para la tracción biaxial.
Figura 24. Estado de tensión de un elemento rectangular de cierta placa.
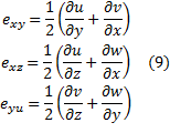
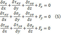
En el caso espacial más general el estado de tensión se describe mediante seis magnitudes, o sea, las tensiones normales σx , σ y, σz y tensiones tangenciales τxy, τxz y τyz (figura 25), aquí también actúa la ley del carácter par de las tensiones tangenciales
τyx = τxy
τzx = τxz
τzy = τyz
Existen tres ejes principales mutuamente perpendiculares, en los cuales sólo tres tensiones normales σ1, σ2 y σ3 se diferencian de cero.
Figura 25. Estado espacial de tensión de un cubo elemental.
Cauchy dedujo las ecuaciones de equilibrio entre las fuerzas internas (tensiones) y las volumétricas exteriores, por ejemplo, la fuerza de gravedad. Compongamos el balance de fuerzas para el elemento de la barra, yacente entre las secciones con coordenadas x y x + Δx (figura 26).
Figura 26. Deducción de la ecuación de equilibrio (4) para un elemento arbitrario de cierta barra a estirar.
A σ(x + Δx) — Aσ(x),
la fuerza exterior es igual a A Δx Fx, si Fx significa la fuerza exterior correspondiente a una unidad de volumen (AΔx es el volumen del elemento). Anulando la suma de todas las fuerzas, obtenemos
Figura 27. Así se determina la deformación de la barra a estirar
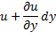
Figura 28. Deformación de cizallamiento describe la variación de los ángulos entre los elementos perpendiculares AB y AC. Desplazamientos de los puntos A, B y C
| A lo largo del eje x | A lo largo del eje y | |
| Punto A | u | v |
| Punto B |
|
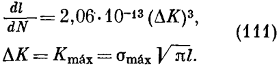
|
| Punto C |
|
|
| El cambio del ángulo recto es |
|
|
Mientras que las magnitudes de las deformaciones de cizallamiento exy, exz y eyz muestran las variaciones de los ángulos entre los lados correspondientes del elemento originadas por la aplicación de la carga (figura 28). De la misma manera que para las tensiones, Cauchy encontró que para las deformaciones existen ejes principales mutuamente perpendiculares, en los que la deformación del elemento transcurre sin cambiar los ángulos del elemento y se reduce sólo a la compresión-tracción a lo largo de los ejes principales. Las deformaciones correspondientes e1, e2 y e3 se llaman principales.
En el siguiente párrafo narraremos cómo Cauchy finalizó la deducción del sistema de ecuaciones en la teoría de la elasticidad que se usa hasta hoy día. Señalemos que las primeras aplicaciones de dichas ecuaciones para resolver tareas concretas fueron hechas ya al cabo de unos cinco años después del descubrimiento de Cauchy. Los ingenieros franceses Lamé y Clapeyron que en aquel entonces trabajaban en Petersburgo, resolvieron las tareas muy importantes para la práctica, tales como, por ejemplo, sobre el equilibrio de un cilindro vacío de paredes gruesas o de una esfera bajo la acción de la presión interna. Las obras de Cauchy que tenía entonces tan sólo 33 años y que dio al mundo las ecuaciones de la teoría matemática de la elasticidad, no pasaron desapercibidas en Francia, al científico le fue otorgado el título de barón.
§ 6. Elasticidad y no elasticidad
Es imposible calcular el estado de deformación tensa de las construcciones y sus elementos sin saber las propiedades mecánicas del cuerpo. Ellas deben medirse y describirse con ecuaciones que en la mecánica se denominan ecuaciones del estado o ecuaciones determinantes. Estas dependencias matemáticas caracterizan, hablando en rigor, el comportamiento de un objeto perfecto (ideal), sólo es importante que el modelo ideal reproduzca el comportamiento del cuerpo real con una exactitud aceptable.
Las propiedades mecánicas de los materiales se estudian mediante muestras, confeccionadas especialmente, que se sujetan en una máquina de prueba. Durante los ensayos se miden y escriben las tensiones y deformaciones que surgen en la muestra al aumentar la carga. La gráfica obtenida de la dependencia entre las tensiones y deformaciones se denomina por lo general curva de deformación. Una cuestión muy importante es: si refleja bien o mal dicha curva las propiedades del mismo material y si depende su forma de las dimensiones y la forma de la muestra y de las propiedades de la máquina. Sólo una respuesta positiva a este interrogante testimonia la autenticidad de las pruebas realizadas.
Examinemos uno de los tipos principales de los ensayos, o sea, la tracción de una muestra cilíndrica bajo la acción de una fuerza S que crece paulatinamente (figura 27). La curva de una deformación uniaxial de la muestra hecha de acero pobre en carbono, tiene aproximadamente la forma que da la figura 28. Hasta cierto punto la deformación relativa permanece siendo directa- mente proporcional a la tensión (los puntos de la sección rectilínea de la curva OA en el diagrama). Si se quita la carga (se descarga la muestra), el cuerpo adquiere su forma inicial (este proceso se describe por esa misma sección rectilínea de la curva). En este caso se habla de la deformación elástica reversible y la relación matemática que expresa la dependencia directamente proporcional entre la tensión y deformación, se escribe como
σ = Ee,
donde E es el coeficiente de proporcionalidad, una magnitud constante que caracteriza la capacidad del material de resistir la acción de la fuerza, que lleva el nombre de módulo de elasticidad o módulo de Young. De continuación de la recta en el diagrama sirve una sección encorvada que describe la llamada deformación plástica irreversible. Supongamos que la tensión, creada en la muestra y correspondiente a los puntos de dicha sección (punto B), a continuación disminuye hasta cero. La muestra ya no tomará la forma inicial pues adquiere cierta deformación residual (punto C) eres. El comportamiento de la muestra durante la descarga se describe esta vez por medio de una línea recta de puntos BC casi paralela a la sección inicial OA. Al cargar la muestra de nuevo, ésta se deformará de modo elástico hasta el punto B, luego las deformaciones crecerán a tensión constante. En este caso se dice que se ha alcanzado el límite de fluidez del material. El posterior aumento de las tensiones se denomina endurecimiento del material. Para los materiales reales todo resulta más complejo y la curva de la deformación plástica depende de la velocidad de carga de la muestra. En cambio, la dependencia de la velocidad de muchos materiales de construcción es pequeña y la diferencia entre las curvas de deformación que se toman a velocidades de deformación que difieren centenares de veces, no supera la dispersión de los diagramas, tomados para muestras independientes.Es interesante que por la curva de deformación es cómodo juzgar sobre la energía acumulada en la muestra. Si en cierto momento, correspondiente al punto M, actuando la fuerza S = Aσ, el alargamiento l e aumenta en l Δe, se realiza un trabajo complementario σ A l Δe = σ Δe V (V es el volumen de la muestra) y en tanto aumenta la energía de las deformaciones.
Figura 29. Curva típica de una deformación uniaxial de cierta muestra hecha de acero pobre en carbono.
Los materiales naturales y artificiales, que nos rodean y que se someten a diversas condiciones de explotación, manifiestan propiedades tanto elásticas, como no elásticas. Se sabe que con frecuencia los materiales de los que están hechos los aparatos químicos, las turbinas de gas y vapor, los motores a chorro de aviación y de cohete experimentan la acción de altas temperaturas y cargas de fuerza considerables.
La imitación de semejantes condiciones en los experimentos con las muestras mostró que estas últimas se deforman paulatinamente incluso bajo la acción de una carga constante. Este fenómeno obtuvo el nombre de fluencia. La fluencia acota el plazo de servicio del artículo, puesto que puede conducir o bien a la acumulación de deformaciones inadmisibles, o bien simplemente a la destrucción.
Figura 30. Curva típica de la fluencia de alta temperatura.
Como regla, primero se observa la fluencia no establecida (sección I) con una velocidad disminuyente, luego la fluencia establecida (sección II) cuando la velocidad de la fluencia es casi constante y, por fin, la fluencia acelerada (sección III), donde en la muestra se forman microporos y microgrietas y que finaliza destruyéndola.
La escala de tiempos en la curva de fluencia puede ser la más diversa. La durabilidad calculada de las turbinas de vapor estacionarias es de decenas de años, mientras que la fluencia de la tobera de propulsión de un cohete se desarrolla mucho más rápido bajo la influencia de las tensiones y temperaturas mucho más altas, pero el tiempo de funcionamiento de semejante motor es de varios minutos. Claro que los modelos mecánicos que se utilizan en los cálculos de fluencia corta o larga, deben diferenciarse.
Al estudiar la resistencia mecánica y destrucción de las piezas, construcciones y máquinas se diferencian dos tipos de cargas:
- estáticas y
- dinámicas.
En nuestro ejemplo la fuerza exterior (la carga) conservaba su valor y dirección. No obstante, en la práctica muchas máquinas o ciertas piezas de éstas funcionan en condiciones cuando las fuerzas y los momentos en acción varían tanto por su valor, como por la dirección (el signo). De acuerdo con estas variaciones cambiarán según el valor y el signo las tensiones originadas por ellos. Los rieles ferroviarios, los árboles de los motores, las paletas de las turbinas, etc., se someten a cargas variables. Una importancia peculiar en la construcción de maquinaria adquirió el cargamento dinámico periódico (cíclicos) que conduce a los cambios periódicos (cíclico) de las tensiones. La cantidad de variaciones N del valor y del signo de las tensiones puede ser muy grande. Así, durante la rotación del árbol cargado mediante una fuerza P constante según el valor y la dirección, y que trabaja continuamente en el transcurso de 7 horas cada día, haciendo 400 rpm, la cantidad de variaciones del valor y del signo de las tensiones en el transcurso del año es
N = 400 x 60 x 7 x 365 ≈ 6,13 x 107.
Figura 31. Curva típica de la resistencia a la fatiga (curva de Wohler) para el hierro y acero.
Más tarde volveremos a contar sobre algunas peculiaridades del cálculo de la destrucción en las condiciones de fatiga, mientras que ahora señalemos que el mismo Wöhler indicaba que para las cargas cíclicas la estructura cristalina del metal se debilita y pierde ciertas propiedades, a su vez, eso contribuye a la destrucción. A propósito, es curioso que en los «Apuntes de un turista» M.H. Stendhal, siendo por lo visto una persona observadora, dio una descripción bastante precisa de la fractura por fatiga:
«El eje de mi carruaje se rompió inesperadamente. Yo examiné atentamente la estructura del hierro en el lugar de la fractura. El hierro se hizo de grano grueso, por lo visto porque sirve desde hace mucho tiempo...».
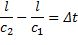
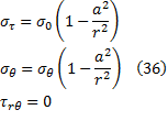
§ 7. Principios de la teoría de la elasticidad
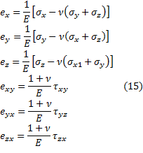
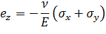
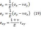
Volvamos por algún tiempo a la ley de Hooke y examinémosla con un poco más de detalle. Un complemento esencial a ella la hizo Poisson en forma de ley de enlace de las deformaciones longitudinales y transversales. Si a una placa elástica se le aplica una tensión de tracción ella se alarga en esta dirección y se comprime en dirección transversal. Poisson encontró que la razón entre la deformación transversal e2 y la longitudinal ex es una magnitud constante
(11)
Teniendo en cuenta la ley de Hooke
e1 = σ1/E (12)
obtenemose2 = -νσ1/E (13)
Resultó que los dos números E y v describen por completo el comportamiento del cuerpo linealmente elástico para cualquier cargamento más complejo. En efecto, para los ejes principales el estado de tensión es la superposición de tres tracciones— compresiones de las tensiones a1? o 2, a3 en direcciones mutuamente perpendiculares. Después de calcular las deformaciones transversales y longitudinales por las fórmulas tipo (12) y (13) y sumarlas, obtenemos la ley espacial de Hooke y
- 1 ≤ ν ≤ 1/2
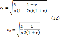
Para los materiales reales de construcción v > 0 (durante la tracción las dimensiones transversales se comprimen), a pesar de que de la teoría no se desprende el hecho de que no puedan existir materiales con el coeficiente de Poisson negativo. En el caso límite cuando ν = 1/2 el material se llama no compresible, claro que eso es una idealización, pues los materiales reales siempre se comprimen aunque sea un poco. Los valores aproximados de las constantes elásticas de algunos materiales se citan en la Tabla 1 para informarse.Así, pues, ya un siglo y medio, merced a Cauchy, disponemos de un sistema completo de ecuaciones para la tarea espacial de la teoría de la elasticidad [8] .
| Tabla 1 | ||||
| Material | E [MN/m2] | ν | c1 [km/s] | c2 [km/s] |
| Hierro | 2,06 x 105 | 0,28 | 5,8 | 3,2 |
| Aluminio | 0,69 x 105 | 0,33 | 6,1 | 3,1 |
| Vidrio | 0,69 x 106 | 0,25 | 5,7 | 3,2 |
Pero incluso hasta la actualidad es un problema muy difícil el obtener con su ayuda las soluciones exactas. Las soluciones analíticas se logran confeccionar solamente para configuraciones idealizadas muy simples, mientras que es muy difícil obtener soluciones numéricas para cuerpos espaciales reales incluso haciendo uso de los ordenadores modernos. Afortunadamente, conforme al principio de Saint-Venant, los detalles espaciales del cuadro del estado de tensión tienen importancia sólo en las inmediaciones de los lugares donde hay un brusco cambio de la frontera o de los lugares donde se aplican las cargas concentradas, en la parte restante del elemento de la construcción el estado es próximo a uno más simple unión bidimensional (al estado de tracción, torsión, flexión, etc.).
Para lo posterior nos es útil mencionar las tareas de la teoría de la elasticidad denominadas plana y antiplana.
Figura 32. Estado plano de tensión se observa en una placa fina cargada en su plano.
Figura 33. Deformación plana se observa en un cuerpo cilíndrico largo cargado uniformemente según la longitud por las fuerzas normales.
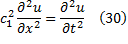
Hasta ahora se habló del equilibrio de un cuerpo elástico. ¿Pero de qué manera se describe su movimiento? Resulta que el sistema de ecuaciones para el movimiento de un medio continuo es asombrosamente parecido al sistema (5) de las ecuaciones de equilibrio
Para resolver tanto los problemas de equilibrio, como los del movimiento es necesario saber las cargas exteriores, aplicadas a la superficie del cuerpo (por ejemplo, la presión del líquido sobre la parte submarina de la obra) o los desplazamientos en aquellos puntos de la frontera donde se les puede considerar conocidos (por ejemplo, pueden menospreciarse los desplazamientos en el lugar del encolado rígido de una junta de caucho con una losa de acero inmóvil). Al resolver el problema sobre el movimiento del cuerpo, deben conocerse complementariamente las condiciones iniciales, es decir, las posiciones de los puntos y sus velocidades en el momento inicial de tiempo.
Señalemos una propiedad muy importante de las soluciones de los problemas sobre el movimiento o equilibrio de los cuerpos linealmente elásticos. Para hallar el estado de deformación tensa de un cuerpo linealmente elástico influenciado por un sistema complejo de fuerzas superficiales y volumétricas no es obligatorio resolver la tarea directamente, pueden resolverse unas de tareas particulares más simples para cada una de las influencias exteriores del sistema de fuerzas por separado, sumando a continuación las tensiones y deformaciones obtenidas. Los mecánicos hacen gran uso de esa posibilidad de sumar las soluciones de la teoría lineal de la elasticidad. Consiguiendo «por ladrillitos» las soluciones relativamente sencillas, ellos confeccionan unas combinaciones bastante complejas que son soluciones de tareas interesantes e importantes desde el punto de vista práctico.
En las tareas dinámicas las ondas elásticas son precisamente esas soluciones tan sencillas. Para todos son habituales las representaciones de que las ondas que surgen al chocar, se propagan, refractan, reflejan, etc., por el aire, agua y sólidos. Al chocar contra un cuerpo elástico (por ejemplo, contra el tubo de un cañón), en él, reflejándose y refractándose múltiples de veces, se mueven con grandes velocidades las ondas elásticas. En la profundidad del cuerpo se propagarán las llamadas ondas volumétricas, mientras que en la proximidad de la superficie, las ondas superficiales, especiales. Examinemos los tipos fundamentales de las soluciones ondulatorias, sumando las cuales puede llegarse a la descripción de los procesos dinámicos complejos que transcurren en los cuerpos elásticos.
El tipo más simple de las ondas volumétricas son las ondas planas, en las cuales los desplazamientos dependen solamente de una coordenada, supongamos que de x, y del tiempo t
Figura 34. Distribución de las perturbaciones para los momentos t = t0 = 0 y t1
Figura 35. Deformación del cuerpo, al pasar las ondas longitudinal (a) y transversal (b).
Figura 36. Semiespacio elástico z ≥ 0 a lo largo de cuya superficie se propaga la onda de Rayleigh.
La existencia de unas ondas peculiares cerca de la superficie, cuya amplitud disminuye rápidamente con la profundidad, fue predicha desde el punto de vista teórico ya en 1885 por el científico inglés J. Rayleigh.
Él demostró que en un espacio elástico z ≥ 0 [11] con una frontera libre (σz = τ xz = τyz = 0 para z = 0) (figura 36) las ecuaciones de la tarea dinámica de la teoría de la elasticidad (8), (9), (15), (28) tienen soluciones tipo
Las fórmulas (35) describen las ondas de Rayleigh, o sea, ondas armónicas que se propagan a lo largo de la superficie del cuerpo en dirección del eje x a velocidad cr — c2 f(v), donde c2 es la velocidad de las ondas volumétricas de distorsión y f(v) una función que no varía "fuertemente del coeficiente de Poisson, sus valores yacen entre 0,874 y 0,955 para todos los materiales conocidos (figura 37).
Figura 37. Dependencia entre la razón de la velocidad de la onda de Rayleigh cR
con respecto a la velocidad de la onda de torsión c2 y el coeficiente de Poisson v.
Figura 38. Deformación del cuerpo al pasar la onda superficial de Rayleigh.
§ 8. Concentración de tensiones
Ya hemos mencionado qué papel fatal pueden desempeñar los orificios y cortes, por ejemplo, para un cuerpo de acero de un buque. La presencia de un cambio brusco de la forma de la superficie de un cuerpo elástico conduce a una elevación esencial de las tensiones en la proximidad inmediata de dicho lugar. Se dice que en el cuerpo apareció un concentrador de tensiones, y el propio fenómeno del surgimiento del pico local, muy peligroso frecuentemente, de las tensiones recibió el nombre de concentración de tensiones.
El fenómeno de la concentración de tensiones fue detectado primero por los teóricos, mientras que los experimentadores, incluso en las pruebas reales del destructor británico «Wolf» en 1903, no lo descubrieron, ya que no se les ocurrió poner aunque fuese un dispositivo registrador en las proximidades de la escotilla naval. Ello parece raro si bien se sabe de la práctica cotidiana que, verbigracia, para dividir cuidadosamente una pastilla o arrancar un pedazo de tela es necesario hacer un pequeño corte preliminar.
Figura 39. Tracción biaxial de la placa con orificio redondo.
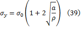
Si se retira parte de las cargas y se deja solamente la tracción a lo largo de un eje (figura 12), como mostró en 1898 el ingeniero alemán Kirsch, la concentración de tensiones no disminuye, sino aumenta considerablemente. La solución de Kirsch se describe ya mediante fórmulas más complejas:
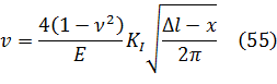
La solución de la tarea sobre la tracción de la placa con un corte elíptico (figura 13) fue obtenida por primera vez por G.V. Kólosov en 1909 en su tesis «Sobre una aplicación de la teoría de las funciones de una variable compleja al problema plano de la teoría matemática de la elasticidad». Las fórmulas que recibió Kólosov son muy complejas, por eso no las vamos a citar, señalemos solamente un resultado muy importante para nosotros: las tensiones máximas se observan en los vértices A de la elipse, donde
Figura 40. Concentración de las tensiones en el corte se determina por la profundidad del corte y el radio de curvatura del contorno en su vértice, pero no depende de la forma del contorno.
* * * *
Capítulo 3
Fundamentos de la mecánica de la destrucción
- ¿Qué es la mecánica de la destrucción?
- Modelo de un cuerpo con grietas
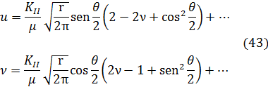
- Campos de tensiones y desplazamientos en las cercanías del extremo de la grieta en un cuerpo elástico
- Ideas de Griffith
- Desarrollo estable e inestable de la grieta
- Criterios de la destrucción. Concepto de Griffith-Orowan-Irwin
- Cálculo y medición de los coeficientes de la intensidad de las tensiones
- Medición de la viscosidad de la destrucción
- Mecánica no lineal de la destrucción
- Integrales invariantes
- ¿Mecánica de la destrucción? ¡Sí, es muy sencilla!
Volvamos al interrogante principal de nuestra narración. ¡Dilatación! ¿Cómo dominarla o facilitarla? ¿Con ayuda de qué hipótesis y leyes puede describirse adecuadamente este proceso? Resulta que existe una cantidad muy elevada de semejantes hipótesis y leyes, ya que el fenómeno de destrucción se estudia de diversas posiciones que reflejan unos u otros puntos de vista de los científicos con respecto al mencionado problema.
Se sabe que el fenómeno de destrucción es un proceso complejo multietápico que comienza mucho antes de aparecer las grietas visibles. Debido a la ausencia de la teoría única del proceso de destrucción (que, puede ser, es imposible crear en general), se estudian las regularidades de este fenómeno, comenzando del surgimiento de las microgrietas (lo que se determina mediante experimentos físicos muy precisos) y hasta la formación de las microgrietas visibles desde varios milímetros hasta kilómetros.
Figura 41. Esquema del fenómeno de la destrucción desde el punto de vista de la escala gradual (el estado de tensión se estima con respecto a la pieza plana de 1 mm de grosor).
La intuición nos dice que el tipo de carga y su intensidad de las que ya se trató, así como la forma del cuerpo en primer lugar influyen sobre su resistencia mecánica y destrucción. Pues bien, precisamente la mecánica de la destrucción es la esfera de conocimientos sobre la influencia del cargamento, la geometría del cuerpo y las propiedades del material, del que consta el cuerpo, sobre su destrucción. Puede decirse que la mecánica de la destrucción, en amplio sentido de este concepto, incluye en sí la parte de la ciencia sobre la resistencia mecánica de los materiales y construcciones, aquélla que está relacionada con el estudio de la capacidad portante del cuerpo, teniendo en cuenta o no la distribución inicial de las grietas, así como el estudio de diversas regularidades del desarrollo de las grietas. Este enfoque no tachó todos los logros anteriores de la ciencia sobre la resistencia mecánica (o bien tenacidad), de la que se trató en el capítulo 1, solamente adquirió otra nueva dirección. Por ejemplo, supongamos que al resolver la cuestión sobre la capacidad portante del cuerpo con grietas, el investigador es incapaz de tomar en consideración el carácter posible del desarrollo de las grietas. Entonces recurre a la teoría clásica de la tenacidad. Como ya hemos dicho, el cálculo de la capacidad portante del cuerpo en este caso se reduce a la definición de la tensión y deformación, asimismo al control de si alcanza la combinación determinada esos parámetros de su valor crítico en algunos puntos del cuerpo.
Aparentemente la consideración del posible desarrollo de las grietas dificulta de modo increíble el cálculo de la capacidad portante. Ahora ya se necesitan saber las regularidades del desarrollo de las grietas y resolver una tarea compleja^ sobre su comportamiento, es decir, para diversas cargas ellas pueden crecer, pero también pueden permanecer en estado de equilibrio, sin desarrollarse. Sin embargo, la cosa no es tan complicada como parece a primera vista. La solución de la tarea, teniendo en cuenta las grietas, ligada frecuentemente con grandes dificultades matemáticas, contiene mucha más información que requiere dicho problema. Para recibir la respuesta al interrogante principal ¿posee el cuerpo una capacidad portante para la carga en cuestión? no es obligatorio disponer de la solución del mismo problema sobre el equilibrio del cuerpo con grietas. Sólo es necesario aclarar si existe la solución de dicha tarea para la carga en cuestión o no. Pero eso conduce a verificar algunas condiciones relativamente sencillas, de lo que se hablará a continuación.
En la actualidad el significado de la investigación respecto a la mecánica de la destrucción rebasa considerablemente los márgenes de la cuestión sobre la capacidad portante. Como ya se ha señalado, la investigación del proceso de destrucción es de un interés singular. El control del proceso de destrucción y el conocimiento de sus regularidades tienen un valor enorme para la práctica (para las construcciones y edificaciones es indispensable retener el proceso de crecimiento de las grietas, mientras que durante el tratamiento por corte, al contrario, se necesita facilitar por todos los medios la destrucción). Por lo visto, no se necesita convencer a los dirigentes de la industria en lo imprescindible de incrementar las investigaciones respecto a la mecánica de la destrucción. Recuerden sobre las colosales pérdidas materiales ya mencionadas debidas a la destrucción en EE.UU. que fueron de un orden del 4 por 100 del producto nacional bruto, comparable, por ejemplo, con los gastos en la sanidad pública. Pero es que una cuarta parte de estos medios pueden salvarse, introduciendo sucesivamente las tecnologías elaboradas ya conforme a las recomendaciones de los especialistas de la mecánica de la destrucción, y otra cuarta parte más merced a la creación de nuevos métodos científicos de la lucha contra la destrucción.
En la Unión Soviética el problema de controlar la destrucción no se plantea con menos agudeza que en otros estados industrializados importantes. Los científicos soviéticos hacen un gran aporte en el estudio de la mecánica mundial de la destrucción, se elaboraron los estándares estatales y ramales para calcular la resistencia mecánica, teniendo en cuenta la posible destrucción, el problema de introducir las tecnologías vanguardistas se resuelve en escala de todo el estado.
Ahora la mecánica de la destrucción es una de las ramas de la mecánica que se desarrolla muy impetuosamente. Las direcciones principales de su investigación son los problemas de la destrucción en las condiciones de las deformaciones plásticas considerables, la elaboración de los métodos de la mecánica de la destrucción para los materiales no metálicos (composiciones, cerámica, polímeros, hormigón, rocas mineras, etc.), el estudio de la propagación
de las grietas durante el cargamento dinámico y en presencia de los medios corrosivos, el pronóstico de los recursos y la fiabilidad de los elementos de la construcción, tomando en consideración el carácter aleatorio del surgimiento y desarrollo de los defectos del material.
§ 10. Modelo de un cuerpo con grietas
Lo común para los diversos modelos de desarrollo de las grietas en los sólidos es que en el momento inicial se considera prefijada cierta distribución de las grietas de longitud finita. Ello concuerda bien con los datos experimentales. Cualquier material, sea cual sea tratamiento tecnológico previo a que se someta, posee siempre ciertas imperfecciones [14] . ¿Pero qué es lo que sirvió de base para simular el fenómeno de destrucción? Pues, la grieta. Su desarrollo no va acompañado frecuentemente de grandes deformaciones y es la forma principal de la manifestación de la destrucción.
Hasta los años cuarenta de nuestro siglo XX, el fomento de las ideas en dicha dirección fue insignificante. El proceso del desarrollo de las grietas permaneció a un lado merced a la opinión muy difundida de que la destrucción ocurre casi instantáneamente. En otras palabras, las destrucciones instantáneas determinadas por las fisuras se interpretaban como «la destrucción sin aviso». Se consideraba que la grieta aparece en los últimos minutos de la «vida» de la construcción o edificación, finalizando el proceso de destrucción. Un poco más tarde aprendieron a revelar las grietas en las etapas iniciales de la destrucción, pero como antes aún no estaba claro de qué manera luchar contra ellas. En esta situación, al proyectar y fabricar las construcciones reales, hacían todo lo posible por huir de la solución del problema del surgimiento y desarrollo de la grieta. Incluso en los casos cuando era absolutamente imprescindible evitar el crecimiento de las grietas, los esfuerzos fundamentales se orientaban a no admitir totalmente las grietas como «intrusos». Por desgracia, esa época fue duradera, en la que no se hablaba a plena voz de la grieta. Pero he aquí nuevo período y después de los años cuarenta en las siguientes décadas ese punto de vista fue revisado. Se estableció que el desarrollo de la grieta ocupa un período considerable, precedente a la destrucción, con la particularidad de que eso se refiere no sólo a la destrucción plástica, sino también a la ruptura de fatiga e incluso a la frágil (destrucción sin deformaciones residuales cuando de los fragmentos puede formarse el cuerpo inicial). El desarrollo de la grieta es un proceso muy complejo (así, por ejemplo, la velocidad del desarrollo de la grieta en el vidrio de silicato, al comienzo del proceso, es 10... 100 millones de veces inferior a la de la fase final).
Pero al mismo tiempo los hechos experimentales decían que al cambiar las cargas exteriores en un intervalo considerable de la grieta, éstas si se desarrollan, lo hacen de modo estable (de lo que se habrá de tratar en adelante), sin conducir a la destrucción de la construcción proyectada con consideración de las grietas iniciales que existen. De aquí se desprendía que la característica de la resistencia mecánica en ciertos límites no depende de las longitudes iniciales de las grietas, sino que puede determinarse por algunos parámetros estructurales, tales como, verbigracia, el tamaño del grano. Aquí se trata no sólo de las exigencias modernas en conservar la resistencia mecánica (en sentido de la estabilidad e integridad de la construcción), sino del objetivo final (hasta el que se está aún muy, muy lejos), es decir, de la prevención de la destrucción como consecuencia de la grieta.
Figura 42. Frente de una fisura real en un sólido deformable.
Desde el punto de vista del planteamiento y solución del problema de la teoría de la elasticidad, las orillas de la grieta desempeñan el papel de una frontera complementaria del cuerpo, con la particularidad de que a causa de la distancia pequeña entre las orillas, la grieta real puede considerarse como un corte matemático, es decir, una cavidad de volumen nulo limitada por dos superficies que coinciden desde el punto de vista geométrico, o sea, por las orillas del corte. El paso de la cavidad al corte matemático puede realizarse, por ejemplo, de la siguiente manera.
Figura 43. Paso de un plano elíptico al corte matemático.
Señalemos que el corte rectangular de túnel en un cuerpo ilimitado o el corte rectangular transparente en una placa fina es la imagen principal idealizada de la grieta real, ya que en el entorno pequeño arbitrario del punto O del frente (figura 42) la grieta puede considerarse como una fisura plana con el frente rectangular. Por lo tanto, el estudio del estado de deformación tensa en el entorno de cualquier punto del frente de la grieta puede realizarse en los márgenes de las tareas plana o antiplana de la teoría de la elasticidad.
El paso límite al corte matemático surge naturalmente al analizar la tarea desde el punto de vista de la escala graduada (recuerde la figura 41). Si, verbigracia, vamos a resolver el problema sobre la destrucción influenciada por la presión interna p de un recipiente cilíndrico con paredes delgadas con un defecto axial en forma de grieta en la superficie (es el defecto más peligroso para el recipiente con presión), el esquema racional de la solución propone utilizar «el principio del microscopio». Supongamos que entre el radio del cilindro R, el grosor de su pared h y cierto parámetro p con sentido del radio de la curvatura en el vértice del defecto o de la dimensión de la zona en la que se manifiestan considerablemente los efectos de no linealidad, plasticidad, etc., tiene lugar la siguiente relación: R >> h >> p (el símbolo >> significa mucho más).
Figura 44. Principio de microscopio.
Partiendo del cálculo elemental de un recipiente sin defectos (el defecto no se nota sin el «microscopio») obtenemos que las tensiones de circunvalación en la pared son, según el grosor, casi constantes e iguales a
σ = P R/h (escala I)
Al aumentar en cierto grado, la sección de la pared, en la que se halla el defecto, comienza a parecer una franja elástica con corte lateral que se dilata mediante la tensión o en el «infinito» (escala II). Enfoquemos nuestro «microscopio» al vértice del corte donde deben transcurrir los procesos de destrucción y, aumentando en gran cantidad, vemos un corte semiinfinito en un plano lineal elástico ilimitado (escala III). Y, por fin, otro aumento, aún mayor, (escala IV) permite examinar con detalles la zona en el vértice de la grieta de curvatura finita, donde el comportamiento del material se desvía esencialmente de la ley de Hooke. Al resolver cada una de las tareas señaladas, como ya se ha dicho, debemos tener en cuenta las exigencias de la transición continua de una solución a otra.
Figura 45. Distribución de las tensiones delante del vértice del defecto.
Para resolver la tarea sobre el desarrollo de la grieta no es indispensable interesarse por los procesos detallados y no estudiados por completo que ocurren en un entorno bastante pequeño del extremo de la grieta (y resolver una tarea muy complicada c indeterminada para la zona IV). Es suficiente saber el carácter y la intensidad del estado de tensión en la pequeña zona III que rodea el vértice del corte.
Así, pues, para la mecánica de la destrucción es excesivamente necesario disponer de una solución llamada asintótica del problema de la teoría lineal de la elasticidad para un corte semilimitado, de lo que se tratará en el siguiente párrafo.
§ 11. Campos de tensiones y desplazamientos en las cercanías del extremo de la grieta en un cuerpo elástico
Figura 46. Sistema de coordenadas y componentes de las tensiones en el extremo de la grieta.
Figura 47. Tipos principales de desplazamientos en la superficie de la grieta.
u = v = 0
Las relaciones citadas contienen las magnitudes KI , KII y KIII llamadas coeficientes de la intensidad de las tensiones para los tres tipos de deformaciones indicados más arriba. Dichos coeficientes desempeñan un papel muy importante en la mecánica de la destrucción frágil. Los coeficientes de la intensidad de las tensiones requieren una discusión especial y más seria. Aquí mientras tanto señalemos lo siguiente: todas las fórmulas para las tensiones y desplazamientos tienen una estructura semejante:
Surge sin querer una pregunta ¿de qué manera puede percibirse el hecho de que, conforme a las fórmulas citadas, en el vértice de la grieta surgen tensiones sumamente grandes y el perfil de la grieta se convierte de agudo en parabólico? En su tiempo esta circunstancia provocó discusiones muy fuertes. Algunos mecánicos afirmaban que en el vértice de la grieta no puede haber tensiones infinitas, pues, no hay ningún material que soporte esas tensiones. Por lo tanto, semejante modelo es imperfecto y es necesario mejorarlo, por ejemplo, introduciendo en la proximidad del vértice unas fuerzas singulares de naturaleza microscópica que liquidan las tensiones infinitas. Pero, en realidad, el hecho de que en el vértice de la grieta las tensiones se hacen infinitas no puede considerarse contradictorio con respecto a los datos experimentales. ¡Al contrario! Semejante circunstancia refleja bien la realidad, claro que en los márgenes de una teoría extremadamente simplificada, tal como es la teoría lineal de la elasticidad y la hipótesis sobre la pequeñez de las deformaciones. Haciendo uso de las fórmulas asintóticas, debemos excluir del examen las zonas extrémales de tal dimensión que fuera de dichas zonas las deformaciones sean pequeñas y se cumpla la ley de Hooke. En muchos de los casos el experimento y los cálculos confirman la pequeñez de las dimensiones de semejante zona, por ejemplo, para el acero sus dimensiones se estiman en medio milímetro y para las grietas de centímetros queda justificado el cálculo por la teoría lineal.
§ 12. Ideas de Griffith
El desarrollo de la mecánica de destrucción está ligado con la necesidad natural de conocer el carácter y las posibilidades de la destrucción en su principio. Pero eso se logra únicamente cuando el investigador no sólo sabe la distribución de las tensiones internas, sino también sabe determinar el valor tolerable de la tensión (llamada crítica) para la cual comienza la destrucción, así como la longitud (y puede que la trayectoria) de la grieta correspondiente a las cargas exteriores aplicadas. Por desgracia, estos datos no están presentes en las ecuaciones de la teoría clásica de la elasticidad; ellos responden solamente a la pregunta sobre la distribución de las tensiones y deformaciones que surgen. La intuición nos indica que, por lo visto, existe cierta dependencia entre la carga y longitud de la grieta. Para establecer dicha dependencia es necesario hacer uso de algunos razonamientos complementarios. Una de esas consideraciones sencillas e indudables supone que la destrucción requiere unos gastos determinados y está relacionada con el uso del principio de conservación de la energía. El primero en emplear prácticamente estas ideas fue un joven científico inglés A. A. Griffith (1893—1963), colaborador del Centro de Aviación en Farnboro. Sus trabajos tuvieron un significado vanguardista para todo el posterior desarrollo de la mecánica de la destrucción, sobre todo el artículo «Fenómeno de la destrucción y fluidez del sólido» que publicó el 26 de febrero de 1920. A. A. Griffith escribía que se podía hacer una conclusión general de que la resistencia mecánica insuficiente de los sólidos isótropos con que se trata habitualmente está originada por la existencia de las infracciones de la continuidad o de los defectos, cuyas dimensiones principales son grandes en comparación con la distancia intermolecular. La resistencia mecánica eficaz de los materiales técnicos puede elevarse por lo menos 10...20 veces si se logra eliminar semejantes defectos. Pero como Griffith tenía sólo 27 años y no gozaba de popularidad, su artículo pasó casi desapercibido. Además, el enfoque del científico con respecto al problema de destrucción era totalmente no tradicional y, a pesar de que hayan pasado casi 70 años [15] y los conceptos de la mecánica de la destrucción se hayan realizado en los impresionantes alcances de la técnica moderna, incluso hoy día muchos ni se imaginan cuál es la esencia del enfoque energético de Griffith.
Figura 48. Incremento de la grieta en una placa primero estirada y luego fijada
Tomemos una placa rectangular, estirémosla con una tensión a y fijemos rígidamente sus extremos (figura 48). Consideramos que la longitud y anchura de la placa son grandes en comparación con el grosor que para comodidad se toma igual a la unidad: a >> 1, b >> 1. En la placa fijada se acumula una energía de deformación elástica
En el caso contrario, cuando — ΔW < ΔΓ, la energía liberada no será suficiente para aumentar la longitud de la grieta y ésta permanecerá inmóvil. Así, pues, de condición para comenzar el estado crítico sirve la igualdad
— ΔW = ΔΓ (50)
Con ayuda de (48) y (49) la condición de Griffith para la placa en cuestión se escribe así:
§ 13. Desarrollo estable e inestable de la grieta
¿Qué es lo que muestra la dependencia (51)? Representémosla primero de modo gráfico (figura 49) y usemos la gráfica de la siguiente manera.
Figura 49. Dependencia entre las cargas críticas y las dimensiones de la grieta de Griffith.
El concepto de tensión crítica introducido por A. A. Griffith es muy valioso, pues, enlaza con el principio del desarrollo de la grieta y sirve de la característica más importante de la resistencia del material, al crecimiento de la grieta. Sin embargo, es obvio que una característica es insuficiente para comprender el proceso de destrucción que comenzó. ¿Cómo transcurre este proceso? ¿De qué manera ocurre la destrucción? ¿Se destruye siempre el cuerpo en partes o la grieta puede pararse «sin cortar» el cuerpo hasta el final? ¿Qué es lo que sucede después de que la fisura emprendió su camino?
A primera vista parece que si ya la grieta empezó a desarrollarse, el cuerpo infaliblemente se destruye. En cambio, eso es válido solamente durante la propagación inestable en avalancha de la grieta [17] . Como muestran los experimentos y cálculos realizados por el autor del presente libro hace más de 25 años en el caso de actuar recíprocamente la grieta con los obstáculos y las fronteras su desarrollo puede suceder de modo estable, sin destruir definitivamente el cuerpo en un intervalo considerable de la variación de la carga. Es obvio que en las construcciones y obras que funcionan a cargas exteriores determinadas y regímenes definidos de su variación la existencia de grietas estables no es peligrosa. El plazo de servicio de semejantes edificaciones puede prolongarse bastante, reforzándolas artificialmente con remaches y placas, taladrando agujeros en los lugares de extensión de las grietas, etc.
Vamos a detenernos en un ejemplo más detalladamente. Para prevenir el desarrollo catastrófico de las fisuras ya existentes y la destrucción de la construcción ésta se fija frecuentemente con nervadura de refuerzo (véase la figura 50, a). El esquema matemático más sencillo de esta tarea consiste en lo siguiente. En virtud de la simetría, se toman en consideración sólo los remaches más próximos a la línea de la grieta, ya que la influencia de los más alejados es insignificante. Un par de remaches que obstaculizan el desarrollo de la grieta, se simulan mediante dos fuerzas concentradas comprimibles iguales, pero con orientación contraria (figura 50, b).
Figura 50. Panel con remachadas nervaduras de refuerzo (a) y esquematización del problema sobre la grieta en una hoja con nervaduras de refuerzo.
Resulta (figura 51) que si esta razón supera 0,45, la curva de la dependencia de la tensión crítica con relación a la longitud de la grieta es monótonamente decreciente y la destrucción ocurre de la misma manera que en la tarea de Griffith. Al aumentar la carga extendida, la longitud de la grieta no cambia, mientras que la carga creciente permanece siendo inferior al valor crítico correspondiente a la longitud elegida de la fisura.
Figura 51. Variantes de la destrucción del panel con nervaduras de refuerzo.
Señalemos en la curva el punto del máximo local (C), cuya abscisa es (c), del mínimo local (b) y el punto, donde la altura de la curva es igual a la altura del punto del máximo (a). Examinemos la variante cuando el valor de la longitud inicial yace entre a y b (la segunda figura). En este caso el tamaño de la grieta no cambia hasta que la carga no alcance el valor crítico (.4). Entonces, al más insignificante aumento de la carga la grieta crece a salto, pasando a otro estado estable correspondiente al mismo valor de la carga (AB), después de lo cual se desarrolla de modo estable con el incremento del cargamento (BC) hasta el valor máximo (C). A continuación, la grieta empieza a crecer catastróficamente y el cuerpo se rompe. Analicemos la siguiente variante, o sea, el valor de la longitud inicial de la grieta se encuentra entre b y c (la tercera figura). El tamaño de la fisura no varía hasta que la carga no alcance el valor crítico (C); prosiguiendo la grieta se desarrolla de modo estable y todo sucede de la misma manera que en el caso anterior. Y la última variante, o sea, la longitud inicial de la grieta supera la distancia entre las nervaduras y en la gráfica se muestra mediante un punto yacente más a la derecha que c. Cuando la carga alcanza el valor crítico (C), el cuerpo se destruye, lo mismo que en el primer caso (la última figura).
Prestemos atención a los casos segundo y tercero. Aquí, mientras la carga yace en el intervalo entre las alturas de los puntos del mínimo local y máximo local de la curva, la longitud de la grieta es una función continua de la carga aplicada. El cuerpo no se destruye y es capaz de percibir la carga creciente, a pesar del incremento de la fisura. El valor límite de la carga que determina la resistencia de la construcción que estudiamos, es el mismo para todos los valores de la longitud inicial de la grieta en el intervalo ac. Este ejemplo es significativo en sentido que la mecánica de la destrucción indica una característica universal de la resistencia que no depende de la longitud inicial de la grieta. Semejante característica debe introducirse en los cálculos de la resistencia mecánica.
Los buques modernos se proyectan, teniendo presente el funcionamiento seguro, para la presencia de grietas con longitud de un metro, incluso para los aviones las fisuras con una longitud de varios centímetros son precríticas. El no detectarlas durante el examen significa un abandono por parte del personal de servicio. Así que las noticias «sensacionales» de los periódicos, por la radio y televisión sobre la detección de grietas (probablemente, precríticas), por ejemplo, en los fuselajes de los aviones pueden impresionar a personas que no conocen la mecánica de destrucción.
§ 14. Criterios de la destrucción. Concepto de Griffith—Orowan—Irwin
El proceso de destrucción se compone de dos etapas, es decir, el surgimiento de la grieta y su extensión, con la particularidad de que cada una de estas etapas se somete a sus leyes. Es natural que entre los criterios de la resistencia hay los que describen tanto las condiciones de surgimiento de las fisuras, como las condiciones de su extensión. Los primeros de ellos son realmente las condiciones del comienzo del estado peligroso en el punto en el momento en cuestión, verbigracia, las teorías clásicas de la resistencia. Los segundos parten de la existencia de una grieta en el cuerpo, o sea, se utiliza el modelo con una grieta, de lo que se trató en el § 10. El criterio del comienzo de la extensión de la fisura (denominado a veces criterio de destrucción) que forma la base de la mecánica de destrucción, es una condición complementaria [18] de frontera, al resolver la cuestión sobre el equilibrio límite del cuerpo con grieta. El estado límite de equilibrio se considera alcanzado si el corte en forma de grieta obtiene la posibilidad de extenderse, entonces el corte se convierte en fisura. Los criterios del comienzo de dilatación de la grieta pueden obtenerse basándose, tanto en razones energéticas (véase el § 12) como en las de fuerza. Gomo ya hemos dicho, sucedió desde el punto de vista histórico, que primero A. A. Griffith en 1920 predeterminó el criterio energético de la destrucción, mientras que el criterio de fuerza fue enunciado sólo en 1957 por G. R. Irwin que además demostró su equivalencia.
La esencia de esos enfoques, que generalizan las ideas de A. A. Griffith, consiste en lo siguiente. Supongamos que existe un cuerpo idealmente elástico con corte inicial. Para que este corte comience a extenderse, aumentando su superficie, se requiere gastar cierta energía, igual, según el valor, al trabajo que es necesario realizar para asegurar la integridad del material delante del borde del corte. Este trabajo (con signo contrario) puede llamarse trabajo de destrucción. Al mismo tiempo que se forma una superficie nueva, libre de cargas, en cierto volumen del cuerpo la deformación disminuye, lo que conduce a la liberación correspondiente de la energía elástica del cuerpo. Así, pues, basándose en el principio de conservación de la energía (menospreciando otros flujos posibles de energía), al desarrollarse la grieta en una magnitud 8S, se observa la condición energética tipo
Como ya hemos señalado, A. A. Griffith suponía que la magnitud δΓ es la energía superficial del sólido que posee la misma naturaleza física que el líquido. Semejante interpretación del trabajo de destrucción no permitía tomaren consideración algunos detalles importantes del proceso de destrucción. He aquí uno de esos detalles. Cuando la grieta se desarrolla, en las inmediaciones más o menos amplias de su extremo transcurren siempre deformaciones plásticas irreversibles del material. El científico húngaro E. O. Orowan, al realizar las pruebas en losas de acero pobre en carbono con grietas marcadas, vio claramente cómo transcurren dichas deformaciones. El científico observó que la deformación plástica se concentra en una capa fina en la cercanía de la superficie de la grieta. La destrucción similar fue llamada casi frágil. De esta manera, los gastos energéticos durante la creación de nuevas superficies, al desarrollarse la grieta están relacionados principalmente con el trabajo de la deformación plástica de los volúmenes del material situados delante del frente de la grieta.
Si las dimensiones lineales de estos volúmenes son pequeñas en comparación con la longitud de la grieta, el flujo de la energía elástica puede calcularse como siempre de acuerdo con la solución elástica, mientras que el gasto de energía para la destrucción se puede atribuirlo al trabajo de la deformación plástica. Esto es precisamente el concepto de la destrucción casi frágil de E. O. Orowan y G. R. Irwin que aportó una contribución importante en la mecánica de la destrucción y permitió pasar de un material ideal en el esquema de Griffith a los materiales metálicos reales. La acción favorable de dicho concepto se explica por el hecho de que la destrucción de estructuras reales ocurre prácticamente siempre de manera casi frágil, o sea, la fractura por macrofragilidad contiene unas deformaciones residuales considerables cerca de la superficie de destrucción. Así, pues, fue abierto el camino de la aplicación de la teoría de la destrucción de Griffith para resolver los problemas ingenieriles.
El cálculo directo del flujo energético que va hacia el vértice de la grieta es una tarea matemática muy compleja incluso para el caso más simple, examinado por A. A. Griffith. En cambio, el valor de este flujo puede calcularse, según G. R. Irwin, mediante el trabajo de las fuerzas cohesivas en el vértice de la grieta. El aumento de la superficie de la fisura en una magnitud AS puede interpretarse así: a lo largo de la línea de la grieta tracemos en la mente un corte de la longitud requerida que no tiene la posibilidad de abrirse a causa del enlace entre las orillas sometidas a la acción de las mismas tensiones (con el signo contrario) que surgían delante del frente de la grieta en un cuerpo denso (antes del corte imaginario) (figura 52, a).
Figura 52. Representación esquemática del extremo de la grieta antes de su desplazamiento en un segmento Δl (a) y después de ello (b).
En nuestro experimento imaginario para la grieta del corte normal en la sección del corte desde x hasta x + dx la fuerza σydx, que actúa sobre el enlace que retiene, decrece lentamente desde el valor
Figura 53. Para calcular el trabajo de las tensiones σy al desplazarse la grieta en un segmento Al.
El flujo energético G es igual numéricamente al trabajo respecto a la unidad de incremento de la longitud de la grieta, o sea,
- la intensidad de la liberación de la energía G alcanza el valor crítico
Gc = δΓ/δS = constante
- el coeficiente de la intensidad de las tensiones K alcanza el valor crítico
Kc = constante
Así, el criterio energético del inicio del crecimiento de la grieta tiene la formaG = Gc (59)
El criterio de fuerza ,K = Kc (60)
De hecho para la mayoría de los materiales reales en una zona pequeña del borde del corte, debido a tensiones grandes, surge una zona donde se manifiestan las propiedades no lineales del material y en la que la distribución de las tensiones y los desplazamientos se diferencia de la elástica. En el esquema de la destrucción casi frágil (E. O. Orowan y G. R. Irwin) se toma que la zona de los efectos no lineales es pequeña en comparación con la longitud de la grieta. Eso permite considerar que la dimensión de dicha zona y la intensidad de las deformaciones plásticas en ella se controlan totalmente por el coeficiente de la intensidad de las tensiones, el límite de fluidez y el coeficiente de endurecimiento, mientras que el campo de tensiones alrededor de la región plástica se describe con las fórmulas asintóticas. Por lo tanto, para la destrucción casi frágil ambas enunciaciones del criterio de destrucción se conservan. En lo sucesivo no haremos diferencias esenciales entre la destrucción frágil y casi frágil (en el sentido indicado) y para los dos casos usaremos el término de la destrucción frágil.
Delante del extremo de la grieta para la mayoría de los materiales reales surge una zona plástica más o menos desarrollada, con la particularidad de que incluso si la extensión de esta zona alcanza un 20 por 100 de la longitud de la grieta, el campo de tensiones alrededor de la zona plástica aún se determinará por las fórmulas asintóticas. Por eso la dimensión de la zona plástica y la intensidad de las deformaciones plásticas en ella se controlan totalmente por el coeficiente de la intensidad de las tensiones K y por las propiedades del material. Pero hay que mencionar un hecho de que para validez de las hipótesis en la mecánica lineal del desarrollo de las grietas, al calcular el coeficiente K, es necesario artificialmente (de manera ficticia) aumentar la longitud (o semilongitud) de la grieta en la mitad de la longitud de la zona plástica. Este procedimiento lleva el nombre de corrección plástica de Irwin.
Supongamos que a distancia r = ry del extremo de la grieta (a θ = 0) la tensión σy alcanza el límite de fluencia σ f. Entonces partiendo de la igualdad KI/√2nry = σf, hallamos el radio de la zona plástica
Puesto que la zona plástica pequeña está rodeada por un campo elástico que caracteriza el valor K, las dimensiones de la zona plástica y la magnitud de la deformación dentro de esta zona dependen del coeficiente K, así como de la resistencia del material a la deformación plástica. Las dimensiones de la zona plástica dependen también del grado de restricción de la deformación transversal (a lo largo del extremo frontal de la grieta). A su vez, el grado de restricción de la deformación es función del grosor de la muestra plana, con el aumento del cual el estado de tensión varía del plano (σ z = 0) al volumétrico, siendo la deformación plana σz = v (σx + σy)).
Figura 54. Representación esquemática de la zona plástica en el extremo de la grieta transparente en la placa, parecida en algo a un hueso: a) comparación de las formas de las zonas plásticas durante una deformación plana (en la sección mediana do la zona) y un estado plano de tensión (en sus superficies libres); b) representación espacial de la zona plástica
De lo dicho arriba se ve el papel decisivo del coeficiente de la intensidad de las, tensiones en la mecánica de la destrucción lo que está ligado al examen del coeficiente de la intensidad de las tensiones como objeto de investigación analítico o experimental. Las tablas de las expresiones analíticas de los coeficientes de la intensidad de las tensiones para los cuerpos con diversa configuración y los esquemas de cargamento pueden ser halladas en los manuales. Una parte considerable del material, expuesto en el presente libro, está dedicada al estudio de la influencia del mencionado coeficiente sobre las regularidades del crecimiento de las grietas, así como a la definición del coeficiente de la intensidad de las tensiones en los problemas más distintos.
§ 15. Cálculo y medición de los coeficientes de la intensidad de las tensiones
Para calcular los coeficientes de la intensidad de las tensiones es necesario resolver el problema para los cuerpos de una configuración compleja con grietas, pero la solución de las tareas de la mecánica del cuerpo a deformar para las zonas con cortes (grietas) está relacionada con ciertas dificultades matemáticas conocidas como consecuencia de haber puntos singulares. La mayoría de estos problemas pueden resolverse eficazmente sólo empleando los ordenadores.
En la actualidad entre los métodos de cálculo en los problemas de fa mecánica de la destrucción recibió gran propagación el método de elementos finitos (MEF). Éste se basa en la suposición de que el cuerpo puede representarse en forma de un conjunto de elementos unidos mutuamente sólo en los nudos. No vamos a profundizar la exposición del MEF, ya que es un tema para un libro entero. Diremos únicamente que los procedimientos que se utilizan en ese método se parecen mucho a los de la mecánica de la construcción. La sustitución de un cuerpo complejo por cierta red de elementos finitos (figura 55) puede compararse con la sustitución de un cuerpo denso por cierta construcción de rejilla, en la cual la distribución de tensiones debe ser similar. Es natural que el cálculo del análogo de rejilla es más simple y se reduce a la solución del sistema de ecuaciones lineales que expresan el equilibrio de los nudos de la rejilla. En las inmediaciones de los concentradores de tensiones y, particularmente, en la cercanía del vértice de la grieta es necesario hacer la rejilla mucho más tupida o aplicar el elemento finito especial (figura 56), cuyo comportamiento equivale al comportamiento asintótico de las tensiones y deformaciones, descrito por las fórmulas (40)...(45). El método de elementos finitos permite calcular los desplazamientos u y las tensiones a en los nudos de la rejilla y los coeficientes de la intensidad de las tensiones se calculan después, por ejemplo, usando las fórmulas asintóticas (40) ... (45) de la siguiente manera:
Figura 55. Sustitución de un cuerpo denso por la red de elementos finitos.
Figura 56. Elemento finito especial que simula el vértice de la grieta.
Parémonos un poco en la variante del MEF llamado «método de desplazamientos discontinuos». Este método se utiliza con éxito al resolver las tareas planas sobre los cuerpos de forma arbitraria con cualesquiera grietas curvilíneas. La base del método la componen las expresiones analíticas que permiten por la discontinuidad prefijada de los desplazamientos tangenciales (u) y normales (v) entre las orillas del corte rectilíneo en un plano ilimitado calcular las tensiones tangenciales (σn) y normales (τn) en una superficie arbitraria de cualquier punto del plano.
Imaginémonos que la frontera del cuerpo y las grietas que existen en él se sustituyen aproximadamente por un sistema N de pequeños cortes rectilíneos (elementos de frontera), para los cuales se prefijan las discontinuidades desconocidas por ahora de los desplazamientos uj y vj (j = 1, 2, ..., N).
Figura 57. Comparación de los valores de los coeficientes de la intensidad de las tensiones calculadas por el MEF (puntos) y por la solución analítica de O. Bovey (líneas).
Los métodos numéricos permiten evitar aquellas dificultades insuperables que surgen, al aplicar los métodos analíticos para resolver tareas concretas para los cuerpos de dimensiones limitadas. En la actualidad los métodos numéricos y, en primer lugar, el método de elementos finitos, se caracterizan por un grado elevado de desarrollo, próximo a la «saturación». El análisis de la bibliografía, publicada en los centros científicos principales de EE.UU. y Japón muestra que los esfuerzos fundamentales se concentran ahora en la aplicación de los métodos numéricos para el tratamiento de los datos experimentales y el cálculo de las estructuras, mientras que la elaboración de estos métodos ya no es un problema actual como lo era unos 5...10 años atrás, pasando poco a poco a segundo plano. No obstante, no hay que pensar que en la URSS se logró semejante grado de «saturación» de recursos de cómputo y software, por lo que creemos que la elaboración de complejos de programa para calcular numéricamente, en general, las tareas de la mecánica permanece, siendo problema de importancia extraordinaria. En efecto, desde el punto de vista puramente científico, en el método de elementos finitos por ejemplo, está todo claro, en cambio, al realizarlo en la práctica, en plena conformidad con la ley de Murphy [20] el cuadro resulta no tan favorable.
Como uno de los ejemplos de la ejecución práctica exitosa (del MEF citemos el cálculo de los coeficientes de la intensidad de las tensiones en el rotor de una turbina de gas en el vértice de la grieta que se encuentra en la zona de arista hueca delante del disco (figura 58). La carga en acción consta de una presión exterior, las fuerzas centrífugas y tensiones térmicas. Está claro que resolver este problema de modo analítico se puede (¡y si existe la posibilidad!), sólo efectuando simplificaciones considerables que pueden de una manera imprevista reflejarse en los resultados del cálculo, mientras que el cálculo de los coeficientes KI y KII en el ordenador no representa dificultad alguna.
Figura 58. Parte del rotor de una turbina de gas.
Figura 59. Modelo de elemento finito de la zona del rotor destacada en la figura 58 por un redondel.
Como información citamos la tabla 2 reducida de los coeficientes de la intensidad de las tensiones, calculados con diversos métodos para los esquemas de cargamento que se emplean en la práctica con más frecuencia.
Figura 60. Coeficientes de la intensidad de las tensiones para una grieta anular en el rotor.
Figura 61. En los cálculos prácticos es cómodo usar la K-calibración.
A la par con los métodos numéricos tienen gran propagación los métodos experimentales de la definición del estado de deformación tensa, ya que el cuadro de las tensiones surgidas se puede ver en el experimento y calcular los coeficientes de la intensidad, haciendo uso para ello de las mismas fórmulas asintóticas. Con el fin de determinar durante las pruebas el estado de tensión de un cuerpo elástico real se utilizan los métodos físicos más diversos, nos detendremos sólo en los más conocidos, el método de fotoelasticidad, método de las zonas de sombras y método de las franjas de muaré.
El método de fotoelasticidad, que con frecuencia se denomina de polarización óptica, se utiliza con éxito ya desde el comienzo de nuestro siglo. Se basa en usar la birrefringencia artificial, un fenómeno físico interesante que se observa en algunos materiales, por ejemplo, en las resinas epoxi o cauchos de poliuretano. El índice de refracción en semejantes materiales cambia proporcionalmente a la tensión mecánica, por eso el cuadro de un estado complejo de tensión en una placa ópticamente sensible puede verse como al obtener las fotografías, «revelando» el cuadro de la distribución de los índices de refracción que surge en ella. Con este fin a través de la placa se deja pasar la luz polarizada. El rayo en cada punto de la placa se descompone en dos componentes ortogonalmente polarizados los cuales, debido a la diferencia de los índices de refracción, se propagan con distintas velocidades, merced a lo cual en la salida de la placa aparece una diferencia de recorrido de los rayos luminosos, proporcional a la diferencia de las tensiones principales en este punto.
| Tabla 2 Coeficientes de intensidades de tensiones | |||||||||||||||
| Nº p/o | Forma de la muestra y el esquema de cargamento | Fórmula para el coeficiente de la intensidad de las tensiones | |||||||||||||
| 1 |
|
Plano ilimitado con grieta, la dilatación es perpendicular a la grieta |
|
||||||||||||
| 2 |
|
Plano ilimitado con grieta, la dilatación es mediante fuerzas concentradas |
|
||||||||||||
| 3 |
|
Semiplano con grieta transversal extrema, la dilatación es perpendicular a la grieta |
|
||||||||||||
| 4 |
|
Franja con grieta transversal extrema, dilatación axial | K = σ√l Y(λ) λ = L/b (λ<0,7) Y(λ) = 1,99 - 0,41λ + 18,70λ2 - 38,48λ3 + 53,85λ4 |
||||||||||||
| 5 |
|
Franja con grieta transversal central, dilatación axial | K = σ√πl Y(λ) λ = L/b (λ<0,7) Y(λ) = 1 + 0,129λ - 0,288λ2 + 1,525λ3 |
||||||||||||
| 6 |
|
Cilindro con grieta anular extrema, dilatación axial | K = σ√l Y(λ) λ = l/r Y(λ) = 1 + 0,129λ - 0,288λ2 + 1,525λ3
|
||||||||||||
| 7 |
|
Viga con grieta transversal extrema, flexión mediante la fuerza concentrada | |
||||||||||||
| 8 |
|
Muestra "compacta", dilatación mediante fuerzas concentradas | |
||||||||||||
Si la diferencia de recorrido es igual a un número semientero de longitudes de las ondas luminosas, en una pantalla especial los componentes del rayo se suprimen mutuamente. De esta manera, en la pantalla aparece un cuadro de franjas claras y oscuras que representan en sí líneas con una diferencia constante de tensiones principales. A lo largo de las líneas más oscuras (isoclinas) se cumple la relación
Figura 62. Líneas isocromáticas en el vértice de la grieta.
En el mismo vértice donde se cumple la solución asintótica, la forma de las líneas isocromáticas es siempre la misma (figura 62), ya que conforme a las fórmulas (40) y (3).
Un ejemplo de los cuadros teóricos y experimentales de las líneas isocromáticas para la llamada muestra compacta modificada (figura 63) se da en las figs. 64, a y 64, b. Estas figuras pertenecen a un cuadrado de 50 x 50 mm que rodea el vértice. Señalemos que en el mismo vértice de la grieta en la figura 64, a se observa el cuadro de las líneas isocromáticas ilustrado en la figura 62.
Los cuadros isocromáticos suelen ser tan peculiares y exóticos que pueden provocar en la gente con rica imaginación ciertas visiones de arte.
Figura 63. Muestra compacta.
Figura 64. Líneas isocromáticas en el vértice de la grieta en una muestra compacta: a) experimento, b) teoría.
Figura 65. Cuadros irrealistas isocromáticos estilo «Frac-art»: a) «Flora», b) «Rincón».
Figura 66. En el cuadro de cáustica se ven las ondas de tensiones que divergen desde el vértice de la grieta.
Figura 67. Cuadros de las franjas de muaré para una banda con cortes laterales y fisuras artificiales: 1, σn = 0,4 σf; 2, σ n = 0,7 σf; 3, σn = 1,0 σf; 4, σn = 1,1 σf; 5, cuadro de las franjas de muaré después de la destrucción. El coeficiente de la concentración es igual a 1,92 (las fotos de arriba) ó 2,5 (las fotos de abajo), en dos fotos la trama patrón está vuelta de manera que sea vista con más precisión la fisura aparecida.
Figura 68. Distribución de las deformaciones ex delante del vértice de la grieta lateral en una lámina de aluminio medida con ayuda del método de muaré holográfico: 1, deformación para la tensión nominal de 36 MPa; 2, deformaciones residuales para la carga completa (x es la distancia hasta el vértice B a lo largo de la línea de la grieta).
Figura 69. Cuadros de interferencia, por los cuales se trazaron las curvas 1 y 2 en la figura 68.
En la figura 67 como ejemplo se muestran cuadros de las franjas de muaré obtenidas en un modelo plano de una aleación a base de aluminio con cortes laterales, en cuyos vértices se efectúan aserraduras de 5 mm de longitud y 0,1 mm de grosor. La posición de las franjas de muaré que varía a medida del incremento de la carga nominal σn de 0,4 σf a 1,16 σf testimonia que la curvatura del corte y, por lo tanto, la concentración de las tensiones en su base no influyen prácticamente sobre el cuadro de los desplazamientos en el vértice de la aserradura aguda o grieta. Para elevar la precisión y fiabilidad de la medición de los desplazamientos en el vértice de la fisura, sin lo que no se puede determinar a ciencia cierta los coeficientes de la intensidad de las tensiones, se necesita aplicar las tramas con una frecuencia de hasta 1200 líneas por un milímetro, alumbradas por un haz del láser. Semejante variante del método de franjas de muaré lleva el nombre de método de muaré holográfico. La figura 68 muestra como ejemplo las gráficas de distribución de las deformaciones ex medidas con este método delante del vértice de la grieta en la aleación a base de aluminio durante la carga y descarga. Las .figuras de interferencia (figura 69) por las que se determinaron esas deformaciones a mi parecer son capaces de impresionar no menos que los cuadros de estilo Fra- cart (figura 65).
§ 16. Medición de la viscosidad de la destrucción
Para calcular en la práctica los peligros de los defectos en los elementos de las construcciones comparar y elegir los materiales y tecnologías basándose en los criterios energético
G = Gc
o de fuerzaK = Kc
de la destrucción (véase el § 13) es necesario no sólo conocer las velocidades de la liberación de la energía elástica G o del coeficiente de la intensidad de las tensiones K, sino también el trabajo específico de la destrucción Gc y del coeficiente crítico de la intensidad de tensiones K c. Como ya hemos señalado, los valores Gc y Kc (GIc y KIc para el caso de la deformación plana) se denominan viscosidad de la destrucción (con frecuencia los dos, pero a veces, el último).A pesar de que este término se usa en la literatura científico-técnica soviética, es dudoso considerarlo acertado. Pues es la traducción a pie de letra del inglés «fracture toughness» que no refleja las propiedades del material a resistir el incremento de las grietas en él. A veces se le llama «resistencia a las grietas» que corresponde mucho mejor al quid de la cuestión, pero este término por desgracia no obtuvo una total propagación por ahora.
La viscosidad de la destrucción Kc se determina mediante el experimento o directamente, o bien primero se mide Gc y luego se calcula, aplicando las fórmulas (56) ó (57) (véase el § 14):
|
para la deformación plana, |
|
|
para el estado plano de tensión. |
La elección de la forma, las dimensiones y el método de cargamento de la muestra, así como de las condiciones del experimento que garantizan la veracidad de los resultados de medición, se establecen por los estándares nacionales o ramales. Para confeccionar la agudez indispensable del corte «se cultiva» por lo general una pequeña fisura de fatiga, para lo cual la muestra se somete previamente a la acción de una carga pulsante. Durante el experimento el registrador traza, la curva P — V (la carga aplicada a la muestra, es decir, el desplazamiento del punto de su aplicación), la longitud de la grieta l se registra cada momento mediante procedimientos especiales (visuales, eléctricos, acústicos, etc.) Para determinar correctamente Kc (o G c) en el experimento es necesario que la deformación plástica no sea excesiva. Así, pues, para la deformación plástica directa por todo el grosor el volumen deformado plásticamente en el vértice de la grieta resulta ser tan grande que ya es imposible utilizar las fórmulas asintóticas. A base de las verificaciones experimentales se estableció aproximadamente que la deformación plástica tolerable en el vértice de la grieta tiene lugar si la tensión destructiva en la sección neta de la muestra no supera un 0,8 del límite de fluencia del material, definido en las muestras lisas. La longitud crítica de la grieta que se usa para calcular Kc en este caso no será igual al valor determinado en las pruebas, sino a un valor un poco mayor, a saber: en el valor de la corrección de Irwin ry mencionada antes. Para la exactitud necesaria de la determinación del valor de Kc la longitud de la zona plástica no debe superar el 20 por 100 de la semilongitud de la grieta, pues fuera de esa zona es imposible utilizar las fórmulas asintóticas de la mecánica lineal de destrucción.
La reducción de la deformación plástica, aumentando el grosor de la muestra conduce a la disminución del valor Kc hasta cierto límite, hacia el cual éste tiende asintóticamente (figura 70).
Figura 70. Dependencia entre la viscosidad de destrucción Kc y el grosor t de una muestra plana. Se muestra la sección de las muestras de diferente grosor según la fractura.
Figura 71. Tipo# principales de los diagramas de las pruebas de tías muestras con grietas iniciales.
La definición experimental de KIc no requiere medir la longitud de la grieta que crece, puesto que ella no incrementa en la práctica, y para calcular se hace uso de su longitud inicial. No obstante, la definición de KIc resulta más compleja que la de Kc, porque no se puede saber de antemano si se obtiene para el grosor dado una fractura directa. En estos casos a veces ayuda el método de salto. Se notó que para muchos materiales el diagrama «carga — desplazamiento» tiene un salto: un brusco incremento del desplazamiento sin el aumento o incluso durante la reducción de la carga (diagrama II). Este salto va acompañado por lo general por un crujido [21] y una formación de cierta sección de una fractura directa en forma de triángulo en el centro del grosor, directamente en el vértice de la grieta inicial de fatiga. La formación de la sección recta de la fractura según su forma transcurre en las condiciones de la deformación plana, lo que permite considerar la carga correspondiente a su formación para determinar la tensión al calcular el valor KIc.
Si el salto no existe (figura 71, diagrama III), la carga puede definirse, trazando, una secante bajo un ángulo β, cuya tangente es el 5 por 100 inferior a la tangente del ángulo de inclinación de la recta del cargamento elástico α. El punto de intersección de la secante con la línea del diagrama «carga — desplazamiento» nos da el valor buscado de la carga PQ. Pero es necesario cerciorarse de que el desplazamiento desde el punto Py hasta el punto PQ transcurre a cuenta del incremento de la grieta y no debido a la deformación plástica.
Por fin hay que establecer que la no linealidad de los diagramas del ensayo es la consecuencia del crecimiento de la grieta y no del desarrollo de la deformación plástica. Para ello es necesario comprobar las condiciones de la veracidad de la definición de KIc que restringen las dimensiones de la zona plástica en el vértice de la grieta. Estas condiciones que están estrictamente previstas por los estándares acotan inferiormente las dimensiones de la muestra con relación, por ejemplo, al tamaño característico de la zona plástica ry (véase la fórmula (52)), mientras que las dimensiones se acotan superiormente sólo por las posibilidades técnicas y financieras.
Después de determinar los valores fehacientes de la carga crítica PQ y de la longitud de la grieta l nos queda por calcular K Ic, haciendo uso de la K-calibración correspondiente (véase la tabla 2).
Si se trata de medir el trabajo específico de la destrucción Gc, en este caso se emplea, por lo general, el método de flexibilidad, propuesto por Irwin que consiste en lo siguiente.
Sea (figura 72) una lámina rectangular linealmente elástica (para simplicidad de grosor unitario) con una grieta lateral de longitud l (cargada por una fuerza constante P (por ejemplo, mediante un halterio).
Figura 72. Incremento de la grieta en la placa cargada con una fuerza constante.
ΔU = ½P - ΔV
(ΔV es el desplazamiento del punto de aplicación de la fuerza), eso lo enuncia el famoso teorema de Clapeyron, ingeniero francés del siglo pasado que ya hemos mencionado antes. La fuerza exterior P ejecuta un trabajo ΔA = P ΔV, cuya parte se emplea para completar la energía elástica de la lámina y otra parte va a la destrucción del material:ΔΓ = G Δl (62)
Formemos el balance energéticoΔΓ = ΔA - ΔU = P ΔV - ½ P ΔV = ½ P ΔV (53)
Señalemos que a diferencia del caso de las capturas inmóviles, examinado en el § 12, el flujo energético para la destrucción se toma del dispositivo de carga y forma exactamente la mitad del flujo exterior.Puesto que la lámina es elástica, el desplazamiento de captura es proporcional a la fuerza aplicada P:
V = λP (64)
El factor de proporcionalidad λ, llamado flexibilidad, depende de las dimensiones de la lámina y, evidentemente, de la longitud de la grieta, es decir, λ = λ (l), por eso, uniendo (62) ... (64), obtenemosG Δl = ½P ΔV = ½P2 Δλ ≈ ½ P2(dλ/dl) Δl
o bienG = ½ P2(dλ/dl) (65)
La flexibilidad de la muestra se determina directamente por la curva experimental P - V.
Figura 73. Muestra de dos consolas.
A título de ejemplo examinemos una muestra en forma de viga de dos consolas con longitud b, altura 2h y grosor t (la muestra VDC, figura 73). La configuración de la muestra es tal que sus dos brazos pueden considerarse como vigas de consola de longitud l cargadas en el extremo libre con una carga flexante P. De la resistencia de los materiales se sabe que la flecha de semejante viga es igual a 4Pl 3/(Eth 3 ). De aquí hallamos el desplazamiento .del extremo superior con relación al inferior que es igual a la flecha doble de la viga
Al final es conveniente adjuntar los valores aproximados de Kc para algunos materiales (tabla 3).
| Material | Kc , MPa m½ | Material | Kc , MPa m½ | |
| Acero | 11,06 | Madera | 0,85 | |
| Hierro fundido | 3,16 | Poliestireno | 0,41 | |
| Duraluminio | 11,06 | Grafito para reactor | 0,13 |
§ 17. Mecánica no lineal de la destrucción
La mecánica lineal de la destrucción (mejor dicho, la mecánica del desarrollo de las grietas principales) describe una destrucción frágil que sucede como consecuencia del incremento de la grieta en ausencia de las deformaciones plásticas en el vértice de la grieta. En este caso son válidas las fórmulas asintóticas para las tensiones y deformaciones ((40)... (45) del § 11)) y el problema sobre la extensión de la grieta puede enunciarse en términos de los coeficientes de la intensidad de las tensiones. Así, pues, el rasgo principal de la mecánica lineal de la destrucción es la posibilidad de estudiar el comportamiento de un cuerpo con grieta con ayuda de los coeficientes de la intensidad de las tensiones, con la particularidad de que el propio concepto de este coeficiente tiene sentido físico.
Pero si la dimensión lineal característica de la zona plástica en el vértice de la grieta comienza a superar el 20 por 100 la longitud de la grieta, el concepto del coeficiente de la intensidad de las tensiones pierde el sentido (debido a la restricción de la esfera donde son válidas las fórmulas asintóticas). En este caso la enunciación de las regularidades, que determinan el comportamiento del cuerpo con grieta, está relacionada de una u otra manera con las propiedades de la resistencia del material a las deformaciones plásticas. En semejante planteamiento el problema pertenece a la mecánica no lineal de la destrucción, todos los modelos de la cual parten de la existencia de una zona plástica suficientemente desarrollada delante del vértice de la grieta [22] . Las peculiaridades y los detalles de la fluencia plástica en el extremo del corte determinan las condiciones de su transformación en una grieta que es capaz de crecer y las leyes de su posterior desarrollo. Por eso es muy importante tener una idea correcta sobre la forma y las dimensiones de la zona plástica, sobre la intensidad de las deformaciones en ella y sobre la evolución de dichas magnitudes durante el incremento de la carga exterior y la extensión de la grieta. Las características indicadas de la zona plástica en el extremo de la grieta sirven de argumento para confeccionar algunos modelos de las fisuras.
El desarrollo de la zona de las deformaciones plásticas puede estudiarse tanto de modo teórico, como experimental. Para el estudio experimental de las zonas plásticas son útiles las muestras planas de acero pobre en carbono. Cambiando su grosor, pueden variarse las condiciones del transcurso de la deformación desde el estado plano de tensión hasta la deformación plana. En una inmediación del extremo de la grieta la deformación plana se realiza para pequeños niveles de tensión en comparación con el límite de fluencia. El decapado de una superficie pulida de la muestra indica que la zona plástica se extiende en dirección de la tracción (hacia arriba y hacia abajo) de modo normal al plano de la grieta. Al aumentar el nivel de tensiones, las condiciones de desarrollo de la zona plástica se aproximan al estado plano de tensión.
Figura 74. Zona plástica en el extremo del corte en la superficie de una muestra plana de acero: a. el corte tiene una base redondeada con un radio de unos 0,07 mm; el corte termina por una grieta de fatiga. Señalemos que no se encuentra ninguna diferencia ni en la forma, b. ni en las dimensiones de la zona plástica.
La representación en secciones, ejecutadas a través de la dirección de la grieta, testimonia que la zona plástica tiene forma de dos franjas que se intersecan bajo un ángulo de 45° respecto a la superficie de la muestra (figura 75).
Como se sabe en esta dirección surgen las mayores tensiones tangenciales al estirar una placa fina. En la superficie de la muestra se observa una deformación considerable en dirección de la grieta que exteriormente se expresa en forma de cavidad de contracción (o garganta local).
Figura 75. Vista de la zona plástica por delante de la superficie frontal (a), por la sección transversal (b) y por la superficie posterior de la muestra (c). El acero es el mismo que en la figura 74; t = 0,5 mm, σ/σf = 0,9.
Al estirar una hoja fina (de acero suave), en los ensayos se observan zonas plásticas en forma de capa (figura 77) que prolonga la grieta.
Los cálculos numéricos efectuados en el ordenador indican que la zona plástica se desarrolla de diferente manera (figura 78). Para la deformación plana la zona plástica está estirada a través de la línea de la grieta, mientras que para el estado plano de tensión se extiende hacia adelante en dirección del incremento de la grieta. Los resultados numéricos y experimentales examinados confirman la corrección de algunos de los modelos teóricos simplificados, basándose en los cuales pueden obtenerse las soluciones analíticas de los problemas sobre la destrucción de los elementos de las construcciones fuera de los márgenes de la esfera de aplicación de la mecánica lineal de la destrucción.
Figura 76. Modelo tridimensional de la zona plástica al estirar una muestra plana (el acero es el mismo que en la figura 74): a. zona del flujo plástico en la superficie de la muestra; b. modelo volumétrico de la zona plástica.
Figura 77. Foto de una muestra, que se estira en sentido vertical de acero C,3 para σ/σf = 0,92 (o es la tensión en la sección debilitada). Se ve que la longitud de la zona plástica es aproximadamente doble mayor que la del corte.
Figura 78. Forma de la zona plástica obtenida mediante el cálculo numérico: 1, estado plano de tensión; 2, deformación plana.
| σy = 0 | 2ν(x) > δk | para |x| < l |
| σy = σ0 | δk > 2ν(x) ≥ 0 | para l < |x| ≤ a |
| σy < σ0 | 2ν(x) > 0 | |x| < a |
Aquí 2l es la longitud de la grieta, d = a — l, la longitud de la capa de los enlaces debilitados, el eje y es perpendicular a la línea de la grieta y el eje x coincide con ella; el punto de referencia se halla en el punto medio de la grieta (figura 79). La capa de los enlaces debilitados se sustituye por un corte complementario y = 0, l ≤|x| ≤ a, en cuyas superficies actúan las tensiones σy = σv. El desplazamiento 2v (x, y = 0) en dirección del eje y que en el punto x = l toma el valor δk se denomina destructivo (o crítico) y se supone que es constante del material.
El estado límite del equilibrio se determina por la condición
2ν(l) = δk (67)
que se introduce en el modelo como criterio del desarrollo de la grieta. Para determinar la extensión de la capa de los enlaces debilitados se requiere introducir otra condición más que puede ser la suavidad de la unión de las superficies opuestas del corte complementario en su extremo o la condición de la restricción de las tensiones.Como ejemplo examinemos el problema de Griffith en el planteamiento del modelo δk. Supongamos que el plano con grieta unitaria se estira mediante tensiones p aplicadas en puntos alejados infinitamente. Se requiere hallar la tensión crítica para la longitud prefijada de la grieta 2l.
Figura 79. Grieta con una zona plástica o zona con enlaces debilitados: a) problema inicial; b) problema elástico.
| τxy(x,0) = 0 | σy (x,∞) = p, para -∞ < x < ∞ |
| σy (x,0) = 0 | para |x| ≤ l |
| σy (x,0) = σ0 | para l < |x| ≤ a |
No vamos a exponer aquí la solución bastante compleja del problema, aparentemente tan sencillo, de la teoría de la elasticidad. Escribamos sólo el resultado final. La condición para que comience el estado límite de equilibrio (67) se da por la siguiente expresión para la tensión crítica
Figura 80. Diagramas críticos de la destrucción de un plano estirado con grieta: 1. según la condición (59), 2. según la condición K—Kc
Gc = δk σ0
Esta condición es fácil de obtener en los márgenes del modelo ók, calculando el trabajo específico de la destrucción. Los ensayos y las soluciones teóricas para los esquemas más detallados en considerar la forma de la zona plástica confirman esta relación, sólo que precisan el factor numérico delante de δk σ0 en el segundo miembro de la última expresión.La figura 80 muestra la tensión crítica como función de la longitud de la grieta construida según la fórmula (68). En esa misma figura se cita el diagrama crítico de Griffith. La divergencia apreciable entre las dos curvas comienza con el valor de la tensión pk ≈ 0,6 σ0. Cuando la longitud de la grieta tiende a cero, recibimos una magnitud limitada de la tensión destructible, lo que corresponde al sentido físico. La tensión σ0 resulta ser destructiva, tendiendo la longitud de la fisura a cero. Por eso, a base de los datos experimentales puede considerarse que σ 0 es igual al límite de fluidez del material σf (pero la mayor concordancia con el experimento la da la igualdad de σ0 al límite de resistencia σB).
§ 18. Integrales invariantes
Un lugar importante en la mecánica no lineal de la destrucción moderna lo ocupa el concepto de la integral independiente del contorno de integración. Para la actualidad se inventaron bastantes integrales de esta índole, pero sólo dos de ellas, confeccionadas casi al mismo tiempo e independientemente, obtuvieron mayor propagación, son la integral Γ de G. P. Cherepánov (1967) y la integral J de J. R. Rice (1968). Por lo visto para ese tiempo la idea acerca de las integrales invariantes, como se dice, ya estaba en el aire [23] .
G. P. Cherepánov analizó desde el punto de vista del principio de conservación de la energía el estado de la zona D que rodea el vértice de la grieta que se mueve en un cuerpo denso deformable (figura 81).
Figura 81. Contorno C que abarca el vértice de la grieta en movimiento. El sistema de coordenadas x1, y1 es inmóvil. El sistema x, y está enlazado con el vértice de la grieta. El balance de energía se calcula en este sistema de coordenadas en movimiento.
cinética, p = {px, py }, el vector de los esfuerzos que actúan sobre el contorno desde afuera, α, el ángulo entre la normal respecto al contorno y el eje x (la línea de la grieta).
Figura 82. La integral de Cherepánov—Rice es la misma para los contornos C, C1, C2.
La integral J de Rice se obtiene de la integral Γ de Cherepánov si se menosprecia en ella la energía cinética (o sea, los efectos de inercia)
En el § 14 se mostró que el criterio local de Irwin está relacionado con la característica singular del campo de tensiones o deformaciones en las inmediaciones del vértice de la grieta. En el caso elástico, como se señaló, de semejante característica sirve el coeficiente de la intensidad de las tensiones. En el estado límite, al pasar de una pieza (con su esquema de cargamento) a otra, hecha del mismo material (con otro esquema de cargamento), estas características (o criterios) deben ser iguales. Para una destrucción elástica perfecta el coeficiente de la intensidad de las tensiones satisface bien a la mencionada propiedad. Pero para el caso de deformaciones plásticas desarrolladas en la parte de la sección neta a título de características invariantes pueden servir los coeficientes de los términos singulares en las expresiones de las tensiones o deformaciones.
Resulta, verbigracia, que si el diagrama de deformación del material puede representarse en forma de una dependencia potencial
La propiedad de invariancia, así como la singularidad de las tensiones y deformaciones (conforme a las fórmulas (74)) permitieron tomar la integral J como una magnitud de criterio para enunciar el criterio de la destrucción: la grieta comienza a extenderse cuando la integral J invariante alcanza su valor límite JIc :
J = JIc (75)
El valor límite J se designa por JJc (de modo analógico a KIc ), porque la expresión (72) está escrita para las condiciones de la deformación plana. Para el estado plano de tensión ez ≠ 0 y es diferente en distintos puntos de la placa, ya que
En el caso de una destrucción frágil perfecta la magnitud J es de por sí un flujo de energía elástica hacia el vértice de la grieta y, como consecuencia, JIc = GIc . Entonces, de acuerdo con (56), del § 14 puede escribirse
En el caso de flujo plástico desarrollado la magnitud de la integral J ya no caracteriza el flujo de energía elástica hacia el vértice de la grieta y, a pesar de que como antes, el criterio de destrucción (75) se conserva, no obstante la fórmula (76) se convierte en incorrecta.
En resumidas cuentas indiquemos que para utilizar la condición (75) es necesario tener un valor de JIc determinado experimentalmente. Esta magnitud a veces se denomina viscosidad elástico-plástica de la destrucción. El criterio que se analizó aquí se hace eficaz para las deformaciones plásticas considerables que ocupan un volumen grande del cuerpo. El mérito principal de la integral J es la independencia del contorno de la integración que permite considerar (aunque sea de modo algo arbitrario) que la invariancia respecto al camino de integración significa también la invariancia al pasar de la muestra al artículo. En otras palabras, el valor crítico de la integral J (viscosidad elástico-plástica de la destrucción JIc ) que se determina en la muestra, se considera igual para la pieza a calcular.
§ 19. ¿Mecánica de la destrucción? ¡Sí, es muy sencilla!
Estoy seguro que Ustedes habrán visto folletos con semejantes nombres, donde se intenta convencernos de que sin gran trabajo se puede arreglar el televisor, construir un planeador delta, cultivar la aguaturma, etc. No pretendo en convencerles de que la mecánica de la destrucción es comprensible para cualquier escolar de la enseñanza primaria, pero sí que cualquier estudiante de la Escuela Técnica Superior puede calcular una pieza real que siempre contiene defectos, y ya no hablemos de los ingenieros, y en general de la gente, que estudió en el Instituto la resistencia de los materiales. Con la particularidad de que el cálculo, aplicando la mecánica de la destrucción, no es más difícil que el cálculo tradicional de la resistencia mecánica. Me esmeraré en demostrarlo mediante ejemplos reales y sencillos.
Ejemplo 1.
En un panel de aluminio con una anchura b — 2 m y grosor h = 100 mm se detecta una grieta transparente plana en la costura soldada. El panel está cargado por un esfuerzo F = 1400 tf, la grieta de longitud l = 20 mm se encuentra perpendicularmente a la parte central del panel. El material es una aleación a base de aluminio 5083-0 con una viscosidad de destrucción de 25 MPa-m½. ¿Es peligroso explotar semejante panel?
Solución. La longitud de la grieta es pequeña en comparación con la anchura del panel. Calculemos el coeficiente de la intensidad de las tensiones según la fórmula
Ejemplo 2.
Una grieta transversal de longitud l = 30 mm se detectó en la tabla inferior de la viga portagrúa de acero, cuya anchura b = 254 mm, La viga se explota a una tensión máxima de tracción σ = 172 MPa, ¿Es la explotación peligrosa si la viscosidad de la destrucción del acero KIc ≈165 MPa-m ½?
Solución. Es obvio que la verificación puede realizarse de dos maneras:
1) Calculemos
Calculemos la longitud crítica del defecto según la fórmula (78):
Ahora miremos cómo hay que tener en cuenta las dimensiones finales de la pieza e introducir la corrección para la zona plástica en el vértice de la grieta. Para tomar en consideración la geometría real del cuerpo tomamos de la tabla 2 el factor correspondiente de la K-calibración y, por ejemplo, para la franja con una anchura b y corte lateral de longitud l
Y = 1,99 - 0,41 λ + 18,70 λ2 -38,48 λ3 + 53,85 λ4
y λ = l/b es la profundidad relativa del corte. La fórmula (79) ofrece una buena precisión incluso hasta λ = 0,7. La corrección de Irwin para la plasticidad del material consiste en el aumento ficticio de la longitud de la grieta en una magnitud pequeña igual, aproximadamente, al radio de la zona plástica en el vértice de la grieta.
Volvamos al ejemplo 2 analizado sobre la viga portagrúa y supongamos esta vez que
- la grieta transversal en la tabla inferior no está en el medio de la viga, sino se halla al borde de ésta,
- la grúa debe funcionar al aire libre, pero según el boletín meteorológico durante el trabajo en el turno nocturno la temperatura puede descender hasta cero grados. En el manual hallamos que para semejante temperatura la viscosidad de la destrucción se reduce hasta 60 MPa-m½ y el límite de fluidez, hasta 480 MPa.
Y= 1,99 - 0,41 x 0,12 + 18,70 x (0,12)2 - 38,48 x (0,12)3 + 53,85 x (0,12)4 = 1,99 - 0,049 + 0,269 - 0,066 + 0,011 = 2,15.
Aplicando la fórmula (52), calculemos la corrección de Irwin para la plasticidad
(¡Recuerden que por la noche la viscosidad de la, destrucción del acero puede reducirse hasta, 60 MPa-m½!)
La durabilidad de fatiga se predice con mayor dificultad, pero no mucho más. Para describir el incremento de la grieta de fatiga se utiliza con más frecuencia la ley de Paris (83) del § 21. Con ayuda de la fórmula (79) expresemos la amplitud de la variación del coeficiente de ja intensidad por un ciclo de cargamento
Δσ = σmáx — σmín
o sea, la amplitud de la variación de las tensiones por un ciclo de cargamento. Para buscar las dependencias entre L y N es necesario poner (80) en (83) en el § 21
Ejemplo 3.
La exploración con métodos de control no destructivo permitió descubrir en una barra de anclaje de la prensa de extrusión una grieta superficial de profundidad l = 4,5 mm. El diámetro de la barra de acero es de 300 mm, en cuatro barras semejantes se distribuye por igual un esfuerzo de 1850 t que se desarrolla en cada ciclo de la prensa. Consideraremos que al mes la cantidad de cargamentos es, aproximadamente, igual a 9600 y la profundidad crítica de la grieta es de unos 60 mm.
Supongamos que del experimento se establece la ley del incremento de la grieta de fatiga
La planta necesita que la prensa funcione. Pero ¿para cuánto se puede aplazar la sustitución de la barra? El ingeniero de la fábrica se encuentra ante la elección de que:
- al cabo de 24 meses la barra se amortiza de todas maneras,
- al cabo de 14 meses se para la prensa, ya que se aproxima el plazo de la reparación planificada,
- el plazo más breve en que puede suministrarse una barra idéntica es de 2 meses y medio,
- el plazo más corto de la sustitución de la barra averiada por una temporal es de unas dos semanas,
- el funcionamiento de la prensa es inseguro, ella debe ser parada antes de la sustitución de la barra.
- La carga máxima: 1850 tf = 18,1 MN
- el área total de las secciones de la barra: 4π x 0,32/2 m2 = 0,283 m2,
- la tensión máxima en las barras: 18,1/0,283 MPa ≈ 64 MPa
- la tensión mínima: 0,
- la amplitud de las tensiones: Δσ = 64 MPa
- la profundidad inicial de la grieta: l0 = 0,0045 m.
Así, pues, la ecuación del incremento de la grieta (82) toma el aspecto
(0,0045)-0,75 - l -0,75 = 0,75 x 1,7 x 10-11 (1,88 x 64)3,5 N
bienl = (57,56 - 2,44 x 10-4N)-1,33 m.
Al cabo de 24 meses, es decir, al cabo de N = 24 x 9600 = 23,04 x104 ciclos de cargamento la profundidad de la grieta será l = 0,675 m = 675 mm, lo que supera ¡casi más que el doble el diámetro de la barra! Al cabo de 14 meses, o sea, al cabo de N = 14 x 9600 = 13,44 x 104 ciclos la profundidad de la grieta será l = 0,014 m = 14 mm. Esto significa que la prensa puede funcionar tranquilamente hasta su reparación planificada, pues la profundidad crítica es lc = 60 mm.* * * *
Capítulo 4
Tareas especiales y algunas aplicaciones de la mecánica de la destrucción
- Destrucción retardada
- Incremento de las grietas de fatiga
- Destrucción para la fatiga de pocos ciclos
- Cálculo de los elementos de las construcciones para la durabilidad de fatiga
- Mecánica de la destrucción corrosiva
- Cinética del incremento de las grietas en los polímeros
- Mecánica dinámica de la destrucción
- Tareas de temperatura en la mecánica de la destrucción
Las causas más propagadas de la destrucción de las construcciones son el incremento paulatino de las pequeñas grietas iniciales hasta lograr su longitud crítica. Tiene lugar la denominada destrucción retardada en condiciones de las tensiones de funcionamiento no altas que finaliza con una destrucción frágil catastrófica, claro que si no se efectúa la parada y la reparación de la construcción a tiempo. Queramos o no, pero el periodo del funcionamiento de la construcción con una grieta creciente ocupa una parte considerable de su vida antes de destruirse (Figura 83).
Figura 83. Duración relativa del proceso de una destrucción de fatiga después de surgir cierta grieta (está rayada) en tanto por ciento con respecto a la durabilidad general de la muestra: 1. Caso ideal del material homogéneo y del cargamento homogéneo (sin formar grietas); 2. Una muestra suave en el aire; 3. Una muestra cortada en el aire; 4. Una muestra suave en agua dulce; 5. Una muestra suave en la solución del 3 por 100 de HCl.
Señalemos que en la etapa inicial del proceso de destrucción casi siempre se observa la aparición y acumulación paulatina de los micro-defectos, cuyas dimensiones son comparables con las dimensiones características de la micro-estructura (por ejemplo, con el tamaño de un grano). Semejante periodo llamado periodo de origen de la grieta o periodo de incubación finaliza, localizando el proceso de la destrucción dispersa con la aparición de una macro-grieta creciente. Si en el cuerpo había un corte, el periodo de incubación será el periodo desde la aplicación de la carga hasta la puesta en marcha de la grieta. Con frecuencia la parte principal de la vida de una pieza la ocupa no el periodo de incubación, sino el periodo posterior de un incremento casi estático lento de la grieta desde el tamaño inicial hasta el crítico, de lo que, por regla general, trataremos en lo sucesivo. No es muy agradable hablar sobre la etapa final del crecimiento dinámico de la grieta, pues frecuentemente ya es una catástrofe que es necesario prevenir. En cambio, la destrucción dinámica debe estudiarse también minuciosamente y no sólo para buscar al culpable de la avería después de analizar los restos, sino que para elaborar las medidas de hacer parar las grietas rápidas, pues es de gran importancia el hecho de si el conducto de gas revienta en una sección de un kilómetro o la grieta se para, recorriendo sólo un metro.
§21. Incremento de las grietas ele fatiga
Ya hemos hablado sobre el científico alemán Wohler y sobre el fenómeno de fatiga descubierto por él. La curva de Wohler muestra el enlace entre la amplitud de las cargas cíclicas aplicadas y la duración del elemento de construcción, pero no dice nada sobre el fenómeno del desarrollo lento de las grietas en ese proceso, mientras que precisamente el incremento de las grietas de fatiga hasta la dimensión crítica conduce a la destrucción de los elementos de las construcciones cargadas cíclicamente.
Es necesario diferenciar la destrucción de fatiga corriente a un nivel bajo de tensiones o la llamada fatiga multicíclica y la destrucción en el transcurso de una cantidad relativamente pequeña de ciclos de aplicación de unas tensiones suficientemente altas, es decir, el caso de una fatiga de pocos ciclos. En el primero de los casos los micro- procesos de la destrucción se localizan en una zona pequeña en el vértice de la grieta y se determinan por los campos asintóticos de las tensiones y deformaciones y, por lo tanto, la velocidad del movimiento de la grieta debe depender de los coeficientes de la intensidad de las tensiones. Mientras que en el segundo de los casos la zona de las deformaciones plásticas no es pequeña y para describir el proceso del desarrollo de la grieta se debe examinar una sucesión de pasos de cargamento e incremento de las grietas.
En el presente párrafo hablaremos sobre la destrucción de fatiga corriente. Un interés peculiar representa la estimación de la durabilidad por la cantidad de ciclos del cargamento variable en la etapa de incremento de la grieta (es decir, la definición de la cantidad de ciclos al aumentar la longitud de la grieta desde el valor inicial l0 hasta el crítico lc ). Desde el punto de vista teórico el estudio de los parámetros responsables por el proceso de crecimiento de la grieta y que participan en las ecuaciones de cálculo permite penetrar con mayor profundidad en la naturaleza mecánica de los procesos que transcurren en las inmediaciones de la grieta creciente. Desde el punto de vista práctico la estimación de la durabilidad es importante para las aplicaciones, por ejemplo, al calcular el recurso de las piezas.
Durante un tiempo bastante largo para estimar las velocidades del incremento de las grietas de fatiga se utilizaban las fórmulas empíricas en las que no participaban las características de la mecánica de la destrucción. En cambio, sólo la introducción del coeficiente de la intensidad de las tensiones en el número de parámetros (que influyen sobre la propagación de la grieta) permitió razonar sobre las regularidades generales del incremento de la grieta durante el cargamento repetido (cíclico). Ello es natural, ya que el crecimiento de la grieta de fatiga transcurre en el fondo de las deformaciones elásticas cuando son válidos los criterios de la mecánica lineal de la destrucción.
Teniendo eso en cuenta, se obtuvo una cantidad bastante grande de diferentes dependencias para la velocidad del incremento de la grieta, pero todas ellas se desprenden prácticamente de la fórmula de P. París (1965) que se fundamenta en que todos los fenómenos en el extremo de la grieta, así como la velocidad dl/dN de su propagación dependen del coeficiente de la intensidad de las tensiones. Esta fórmula se escribe de la siguiente manera:
Aquí A y n son coeficientes empíricos, ΔK = Kmax — Kmin es la diferencia (la amplitud) del coeficiente de la intensidad de las tensiones durante un ciclo de cargamento, N, la cantidad de ciclos. Las numerosas investigaciones experimentales confirman bien dicha fórmula, con la particularidad de que el índice del orden n para diferentes materiales se halla en el intervalo de 2 a 7 (con más frecuencia n = 4). Cuanto más frágil es el estado del material durante la prueba, tanto mayor es el índice n. El propio Paris escribió más tarde con respecto a la fórmula (83): «¡Es curioso que una ley tan sencilla pueda describir los datos para los materiales con una micro- estructura tan diferente! Por lo visto, el mecanismo del incremento de la grieta para todos ellos es el mismo sin depender de las peculiaridades de la micro-estructura del material ».
La fórmula de Paris describe una sección media (lineal) mediante un diagrama completo de la destrucción de fatiga que en la mayoría de los casos tiene una forma en S (Figura 84).
Figura 84. Diagrama de una destrucción de fatiga en coordenadas logarítmicas (esquema): 1 y 3, zonas de velocidades altas y bajas del crecimiento de la grieta; 2, zona de validez de la fórmula de Paris.
Las fórmulas (83) y (84) se utilizan tanto para la fatiga corriente (multicíclica), como para la fatiga de pocos ciclos. Es obvio que eso es cómodo, pero al mismo tiempo es necesario tener cuidado al manipular con los coeficientes empíricos. Y es que las regularidades del mecanismo del fenómeno de fatiga son diferentes para las fatigas multicíclica y de pocos ciclos. Estas diferencias incluso pueden conducir a la discontinuidad de la curva de Wöhler (la dependencia entre σmáx del ciclo y N) en la zona de la resistencia limitada a la fatiga. En uno de los casos la grieta se extiende por el cuerpo del grano y en el otro, por su frontera. En este caso las características de su resistencia mecánica a la fatiga deben depender de la estructura del material. Por esta razón hay que tener en cuenta la posible dependencia entre los coeficientes empíricos y el nivel de las tensiones máximas del ciclo.
§ 22. Destrucción para la fatiga de pocos ciclos
Al estirar las muestras planas con una grieta central transparente, antes de presentarse el estado crítico de equilibrio (cuando la grieta comienza a extenderse con rapidez y en avalancha siendo la carga exterior constante), se observa casi siempre una etapa del incremento estable lento subcrítico de la grieta. Este crecimiento lento de la fisura, conocido tan bien por los experimentadores, conduce a que la longitud crítica de la grieta lc supera la longitud inicial l0 en un 30, 50 y, a veces, en un 100 por 100 en dependencia de las propiedades del material y la longitud de la grieta inicial. La función entre la tensión en la sección no debilitada de la muestra y la longitud de la grieta estable se acostumbra llamar diagrama subcrítico de la destrucción. A la etapa del lento incremento de la fisura se le otorga tanta importancia que, al investigar las propiedades mecánicas de los materiales, se supone complementar los diagramas de deformación por los diagramas de destrucción.
El diagrama subcrítico de destrucción es de por sí una característica del material del grosor dado que estima la capacidad del material de frenar la grieta. Este diagrama refleja el proceso de destrucción, mientras que en los diagramas habituales de deformación la etapa de destrucción se señala solamente por las coordenadas del punto extremo. Esta información es insuficiente para valorar una fase tan importante del proceso de resistencia del material a la influencia de la carga exterior, como es la fase de destrucción. A la par con ello, el período del incremento lento de la fisura no se describe mediante las teorías, examinadas antes (§ 14 y § 17). Exponemos brevemente las teorías existentes del crecimiento subcrítico de la grieta.
Figura 85. Enlace de la curva R (a) con el diagrama subcrítico de la destrucción (b). |
El primer intento de describir de modo matemático el incremento subcrítico de la grieta fue hecho por G. R. Irwin. La idea consistía en que, al crecer la fisura, cambia también la resistencia a ese incremento en forma de trabajo de la destrucción R
[26]
. En cada momento corriente la energía que se libera G en estado estable es igual al trabajo R.
El desarrollo posterior de dicho método consiste en la suposición de que la curva R es la característica del material, con la particularidad de que la forma de esta curva depende del crecimiento de la grieta (pero no de su longitud inicial). La forma de la curva R experimental determina el carácter del incremento subcrítico de la grieta. La Figura 85 muestra cómo se puede obtener mediante la curva R el diagrama subcrítico de destrucción o, al contrario, cómo, sabiendo del experimento el diagrama de destrucción se obtiene la densidad de energía de la destrucción en función del incremento de la longitud de la grieta. Conociendo la K-calibración
y la fórmula (57) en el § 14, construimos para cada valor fijo de σ una curva
La intersección de la curva (85) con la curva R:
De las ecuaciones que describen los diagramas subcríticos de la destrucción pueden obtenerse también las características de la durabilidad, siendo la carga estática repetida, o, conforme a la terminología moderna, siendo la fatiga de pocos ciclos. Para ello en el primer ciclo el diagrama de destrucción se confecciona hasta la carga que corresponde a la tensión máxima del ciclo σmáx. En este caso la longitud de la grieta aumenta y esta nueva longitud debe considerarse inicial para calcular el diagrama subcrítico en el siguiente ciclo. Por lo tanto, la condición de frontera para calcular la curva integral de la ecuación diferencial en el diagrama subcrítico de la destrucción en el i-ésimo ciclo será σ = σmin para l = li-1 (i = 1, 2,...).
Figura 86. Representación esquemática del incremento de la grieta durante el cargamento cíclico desde la longitud inicial lg hasta la crítica lc: 1, diagramas subcríticos de la destrucción; 2, diagrama crítico de la destrucción.
Teniendo en cuenta el carácter idealizado del modelo en cuestión y la aparición de las tensiones residuales de compresión durante la descarga, es necesario considerar que al quitar la carga (y disminuir la distancia entre las superficies de la fisura) el incremento de la grieta también se reduce. Así, pues, si el incremento de la longitud de la grieta en el i-ésimo ciclo por el diagrama subcrítico de la destrucción es un valor de Δl¡, la longitud de la grieta en el (i + 1)- ésimo ciclo será li+1 = li + α + Δli (Figura 86).
El coeficiente de reducción del incremento de la longitud α < 1 se determina de modo empírico por las curvas experimentales l — N para el material dado de un grosor prefijado. No está descartado que dicho coeficiente cambie con relación a la longitud de la grieta, es decir, con el aumento del número de ciclos.
Por cada ciclo obtenemos un incremento determinado de la longitud de la grieta y, al fin y al cabo, en cierto número del ciclo el diagrama de destrucción alcanza la curva de las cargas críticas, como consecuencia de lo cual ocurrirá una destrucción rápida en avalancha para una correspondiente tensión constante.
Como ejemplo en la Figura 87 se muestran los diagramas subcríticos de la destrucción para el cargamento estático repetido de una placa con grieta. La placa se estira primero con una tensión máxima grande del ciclo, pero luego el régimen de cargamento cambia y la tensión máxima del ciclo se reduce, no obstante el coeficiente de asimetría del ciclo permanece siendo el mismo. En el primer régimen la placa funcionaba tres ciclos, en los demás catorce ciclos, antes de destruirse, la placa permanecía en el segundo régimen, pasando en el decimoquinto ciclo al estado crítico. Estas curvas pueden reconstruirse en las coordenadas l — N, ya que precisamente en esas coordenadas se obtienen generalmente las curvas experimentales, al someter a prueba las muestras con grietas de la fatiga de pocos ciclos.
Figura 87. Crecimiento de la grieta en la placa durante la tracción cíclica con el coeficiente constante de asimetría del ciclo R = λmín/λ máx: 1. El incremento de la grieta, siendo constantes λmax = 0,7 y λmín = 0,49, es decir, R = 0,7; 2. Primero la grieta crecía para λmax = 0,7 y λmín = 0,49 permanentes (R = 0,7), luego para los valores constantes de λmax = = 0,45 y λmín = 0,32 (R = 0,7). ξ es la longitud adimensional de la grieta y la carga adimensional.
§ 23. Cálculo de los elementos de las construcciones para la durabilidad de fatiga
Estudiemos las condiciones que determinan la durabilidad del elemento de la construcción en la fase del desarrollo de la grieta. Como se señaló, la cantidad de ciclos, correspondiente al incremento de la grieta desde la longitud inicial l 0 hasta la crítica l c, determina la durabilidad del elemento dado de la construcción según el número de ciclos. Para asegurar la resistencia mecánica de la construcción la durabilidad debe superar la cantidad de variaciones de la carga prefijada.
Figura 88. Representación esquemática del engendramiento y de la propagación de la grieta.
La cantidad de ciclos durante los que aparece la grieta es bastante indefinida, lo que se indica de modo esquemático en la Figura 88 (zona I). Esos defectos iniciales pueden ser dislocaciones, microfisuras, poros y otras imperfecciones de la estructura, cuya determinación es complicada.
La zona II corresponde a los defectos que pueden descubrirse con métodos ingenieriles (la magnitud concreta del defecto a detectar depende del poder resolutivo del equipo). En esta zona se encuentra la frontera que divide la zona de las grietas iniciales y la de las que se extienden. Para la zona III el crecimiento de la grieta se observa visualmente.
Se recomienda obedecer el siguiente orden del cálculo para la durabilidad según el número de ciclos con respecto al incremento de la grieta:
1. Basándose en la estimación cuantitativa de las posibilidades del control de defectoscopía, aclarar la longitud máxima (profundidad) de la grieta inicial que existe en el elemento de construcción y elegir la expresión (fórmula) más adecuada para el coeficiente de intensidad de tensiones K.
Figura 89. Representación esquemática de la sucesión de obtener la velocidad dl/dN por los resultados del experimento.
3. Sabiendo las tensiones del ciclo σmáx y σmin calcular la amplitud del ciclo ΔK = Kmáx - Kmín
4. De las pruebas de laboratorio de fatiga se determinan los valores de las constantes del material en relaciones (83) ú (84) para la velocidad cíclica del incremento de la grieta dl/dN. El esquema que muestra la obtención de la dependencia empírica para dl/dN según los resultados del experimento se da en la Figura 89.
5. Conforme a las demandas, planteadas al elemento dado de la construcción, resolver una de las siguientes tareas en pronosticar el incremento de la grieta de fatiga: a) determinar la curva del incremento de la grieta l — N en el elemento de la construcción, b) hallar, integrando las ecuaciones (83) ó (84) (véase el § 21) la cantidad de ciclos (la durabilidad cíclica), durante la cual la grieta inicial conocida o el defecto l0 en el elemento de la construcción alcanza el valor crítico (prefijado) lc .
Examinemos ahora un ejemplo bastante real de cómo se calcula la durabilidad por la cantidad de ciclos.
Una franja con una grieta que se encuentra en el borde de ésta se somete a una tracción cíclica. En este caso la amplitud del coeficiente de la intensidad de las tensiones (véase la tabla 2) es igual a
ΔK = 1,12 x Δσl x √(πl)
El material .de la franja es acero martensítico en envejecimiento A514 (σt = 700 N/mm2, KIc = = 5300 N/mm3/2). La longitud inicial de la grieta l0 = 7,6 mm; los parámetros del ciclo de cargamento σmáx = 320 N/mm 2, σmín = 175 N/mm2, Δσ = σmáx - σmín = 145 N/mm2.Supongamos que el tratamiento de los resultados de las pruebas de fatiga de las muestras hechas del mencionado acero, conforme a la fórmula de París nos da
dl/dN = 3,553 x 10-13 x (ΔK) 2,95mm/ciclo
si ΔK se mide en N/mm-3/2La longitud crítica de la grieta se determina conforme con el criterio de Irwin K máx = KIc :
Si se requiere que la construcción aguante, digamos, 100 000 ciclos, el constructor tiene a su disposición las siguientes vías de asegurar la durabilidad dada.
1. Aumentar la longitud crítica de la grieta lc , usando un material con un valor más elevado de KIc o reduciendo la tensión de calculo
2. Disminuir la amplitud de las tensiones Δσ para reducir ΔK y, por lo tanto, para disminuir la velocidad del incremento de la grieta. Ello provoca un aumento correspondiente de la cantidad de ciclos al crecer la grieta desde l0 hasta lc . La velocidad dl/dN está ligada con Δσ de modo no lineal y una pequeña variación de A a provoca un cambio bastante grande de dl/dN.
3. Cambiar la tecnología y el control de la construcción para disminuir la longitud inicial de la grieta l0 . De la Figura 89 se ve que la aportación mayor en la durabilidad la da la zona de pequeñas longitudes de las grietas. Por eso una disminución pequeña de la longitud inicial de la grieta debe provocar un incremento considerable de la durabilidad.
En el ejemplo en cuestión la reducción de la longitud inicial de la grieta hasta l0 =4,7 mm conduce al aumento de la durabilidad en 20 700 ciclos, durante los cuales la fisura crece desde 4,7 hasta 7,6 mm. La durabilidad sumaria en este caso resulta ser igual a 102 700 ciclos.
§ 24. Mecánica de la destrucción corrosiva
Al principio de los años 70 comenzó un desarrollo intenso de un apartado especial de la mecánica de la destrucción dedicado a las cuestiones de la resistencia a las grietas por parte de los metales y aleaciones en las condiciones de acción conjunta de los medios corrosivos y las cargas duraderas. Las primeras investigaciones de la resistencia al incremento de las grietas corrosivas, empleando los coeficientes de la intensidad de las tensiones, se referían a un cargamento estático prolongado (agrietamiento por corrosión).
Se demostró que semejantes medios (que se consideran por tradición poco activos), tales como el agua, los alcoholes, etc., provocan un incremento subcrítico de las grietas en los aceros de alta resistencia para los valores del coeficiente de la intensidad de las tensiones K mucho menores de la viscosidad de la destrucción KIc . En lo sucesivo la influencia esencial de los medios corrosivos sobre el crecimiento subcrítico de la grieta fue comprobada también para una serie de otras aleaciones de alta resistencia mecánica. Los medios corrosivos disminuyen en gran cantidad la durabilidad de fatiga de los materiales de construcción, en primer lugar, a causa de la aceleración del proceso de extensión de las grietas existentes. Eso testimonia sobre la necesidad de tener en cuenta la influencia de los medios de funcionamiento sobre el incremento de fatiga de las grietas durante el diseño ingenieril.
En las primeras etapas de desarrollo de la mecánica de la destrucción corrosiva la resistencia a las grietas se estimaba, por lo general, siendo las cargas estáticas, por las dependencias entre la durabilidad de las muestras con grietas artificiales y los valores del coeficiente de la intensidad de las tensiones en el momento inicial de la prueba (K0 ó KI0). Al disminuir K0, el tiempo hasta la destrucción de las muestras aumenta. Basándose en semejante diagrama, se determina el valor de Kscc ó KIscc , más bajo del cual el incremento subcrítico de la grieta está ausente. La magnitud KIscc es un parámetro importante del sistema material—medio [27] , que permite calcular las tensiones admisibles en la construcción que contiene defectos en forma de grietas de tamaños definidos y se somete a una influencia mutua de las cargas estáticas duraderas y los medios corrosivos. Esta magnitud es un parámetro sensible a la estructura, sus bajos valores son característicos para los materiales de baja plasticidad y alta resistencia mecánica (para los cuales KIscc puede ser varias veces inferior a los valores de KIc ). Reduciendo la resistencia mecánica y aumentando la plasticidad, KIscc crece (Figura 90) y alcanza el valor de KIc , lo que muestra la insensibilidad del material a la influencia del medio corrosivo.
La durabilidad de las muestras consta de un período de incubación y uno de incremento subcrítico de las grietas. El período de incubación es el tiempo desde la aplicación de la carga a la muestra hasta el comienzo del incremento subcrítico de la grieta, cuando la velocidad supera 4 x 10-10 mm/s. Este período que se observa, verbigracia, al someter a prueba los materiales plásticos depende del coeficiente inicial de la intensidad de las tensiones y aumenta con su reducción.
Figura 90. Dependencia de KIc (línea 1) y KIscc (línea 2) respecto al límite de fluidez del acero AISI 4340 al ensayar en el agua de mar (en la figura se dan los puntos experimentales).
La resistencia a las grietas por corrosión de los metales y aleaciones se estima para el cargamento cíclico, basándose, generalmente, en los diagramas cinéticos de fatiga, en los cuales, lo mismo que en los experimentos en los medios inertes, la velocidad de extensión de la grieta se expresa como función de los valores de amplitud para el coeficiente de la intensidad de las tensiones ΔK (a veces del valor máximo del coeficiente de la intensidad de las tensiones durante el ciclo de cargamento σmáx)- De la sección inicial del diagrama cinético se determina el valor de umbral de amplitud ΔKthc del par metal—medio a investigar para ciertas condiciones de las pruebas (la frecuencia y forma del ciclo de cargamento).
En algunos casos poseen una tendencia del incremento corrosivo de las grietas los materiales de construcción con resistencia mecánica relativamente baja, para los cuales se recomienda estimar la resistencia a las grietas desde las posiciones- de la mecánica no lineal de la destrucción. En la actualidad a título de semejante enfoque para estudiar el agrietamiento por corrosión de los aceros de cuerpo se utiliza el método de la integral J. La aplicación del método consiste en la confección de las curvas de la resistencia prolongada a las grietas en coordenadas «nivel inicial JI0 es el tiempo antes de la destrucción. Usando la analogía con KIscc y basándose en semejante dependencia, se determina el valor de umbral de la integral J, JIscc o sea, bajo el cual se comprende el nivel máximo de JI0 en ausencia del incremento subcrítico de la grieta.
Figura 91. Tipos fundamentales de los diagramas de la destrucción por corrosión y de fatiga. Los diagramas para los ensayos en medio inerte se designan mediante rayas.
Se diferencian tres mecanismos fundamentales de la influencia de los medios corrosivos sobre la resistencia a las grietas de los materiales de construcción: la reducción de adsorción de la resistencia mecánica, fragilidad hidrogénica y solución corrosiva.
La adsorción de las substancias tenso- activas en la superficie de un material de alta tensión en el extremo de la grieta conduce a la reducción de la energía superficial y al facilitamiento de la destrucción (efecto Rebinder). La influencia de adsorción puede utilizarse con éxito para elevar la eficacia del tratamiento de los metales. De ello se tratará en lo sucesivo al discutir los aspectos útiles de la destrucción, ahora sólo indicamos que de los tres mecanismos principales, precisamente, la influencia de adsorción es la dominante, siendo los valores del coeficiente de la intensidad de las tensiones grandes, cuando debido a las elevadas velocidades del incremento subcrítico de la grieta los demás mecanismos no tienen tiempo de manifestarse.
Es bien conocido que la influencia de la humedad sobre los metales conduce a la corrosión y destrucción. Este problema es muy antiguo y surgió ya cuando el hombre aprendió a fundir el metal. En la actualidad adquirió un significado peculiar a causa de las numerosas averías y catástrofes, cuya causa principal era la acción de fragilidad de la humedad sobre los aceros de alta resistencia mecánica. Según las representaciones modernas, el proceso fundamental que acelera el incremento subcrítico de las grietas que conduce a las averías es la fragilidad hidrogénica de una zona pequeña en las cercanías de los vértices de las grietas que existen en el metal.
El hidrógeno atómico que siempre existe en forma pura o enlazado con las moléculas neutras (por ejemplo, en las soluciones de electrólitos y en el agua), como consecuencia de la difusión, es capaz de penetrar en cualesquiera metales. La solubilidad del hidrógeno a temperatura y presión normales es desde 10 hasta 100 cm3 por 1 kg de metal, pero al subir la temperatura y la presión, la solubilidad crece esencialmente. La acción de fragilidad se observa ya para la concentración de 2 cm3 por 1 kg de metal y, comenzando desde 10 cm3 por 1 kg de metal, se considera peligrosa. Las partes más vulnerables para penetrar el hidrógeno son las secciones pequeñas de la superficie nueva del metal que aún no están protegidas por una película de óxido.
Las pequeñas dimensiones de la zona de fragilidad hidrogénica permiten en muchos casos calcular el incremento subcrítico de la grieta, y por lo tanto, la durabilidad de la construcción metálica que está en interacción con el hidrógeno, partiendo de la dependencia entre la velocidad de la grieta y el coeficiente de la intensidad de las tensiones dl/dt = v (K). Semejante dependencia llamada, generalmente, diagrama de agrietamiento se determina de manera experimental o teórica. Para estimar de modo teórico dicha dependencia se efectúan ante todo los cálculos de la acumulación del hidrógeno en la zona de predestrucción adyacente al vértice de la grieta. En la Figura 92 se citan los resultados de la integración de la ecuación de la difusión del hidrógeno en la proximidad del vértice de la grieta para el acero 4340 (E = 2 x 105 N/mm2, σf = 1581 N/mm2), siendo K = 135 N mm-3/2.
Ya en el transcurso de varios segundos en la zona de predestrucción se alcanza una concentración de hidrógeno C que supera esencialmente la concentración superficial C0 . Por lo general, se supone que al alcanzar la concentración crítica de hidrógeno Ccr a una distancia xc delante del vértice de la grieta tiene lugar una destrucción local y la grieta crece a salto en una magnitud xc .
Figura 92. Concentración del hidrógeno como consecuencia de la difusión hacia el vértice de la grieta: а) concentración en el extremo de la zona plástica para x = xm = 1,22 K2/Eσf; b) distribución de la concentración delante del vértice de la grieta (x = 0) en el momento t = 6,04 s.
Claro que la fragilidad hidrogénica no se manifiesta siempre de modo evidente, pues el cuadro puede cambiar por otros factores. Por ejemplo, el oxígeno ya en pequeña concentración es capaz de parar casi instantáneamente el incremento subcrítico de la grieta en el medio de hidrógeno, debido a la formación de una película fina de óxido que protege la superficie del metal (Figura 93). Después de cesar el ingreso de oxígeno, comienza a prevalecer el proceso de reducción del oxígeno por el hidrógeno o la disolución de la película por el agua. Desde el punto de vista práctico la influencia positiva del oxígeno ofrece un caso fehaciente, pues puede ser que, precisamente, esa influencia ayude a asegurar la resistencia indispensable a las grietas para los aceros de alta resistencia mecánica al aire libre. Las curvas del incremento subcrítico de las grietas en los aceros son prácticamente las mismas tanto en el gas inerte, como en el aire. Es necesario subrayar que semejante acción protectora, del oxígeno se manifiesta sólo para un cargamento estático, sin influir totalmente durante el cargamento cíclico.
Figura 93. Influencia del oxígeno sobre el crecimiento subcrítico de la grieta en el acero en el medio de hidrógeno humedecido (dependencia entre el incremento de la grieta Δl y el tiempo t): 1. hidrógeno humedecido con un 0,7 por 100 de oxigeno; 2. hidrógeno humedecido.
§ 25. Cinética del incremento de las grietas en los polímeros
En la destrucción de los polímeros son característicos los efectos del tiempo que se expresan con evidencia. Los polímeros poseen propiedades viscoelásticas complejas que influyen sobre los procesos de la acumulación paulatina de los deterioros. La resistencia mecánica del elemento polímero de la construcción disminuye con el tiempo de su estancia bajo cierta carga y, al calcular semejante elemento, se trata ante todo de la definición de su durabilidad que depende esencialmente del nivel de las cargas de funcionamiento. En los experimentos uniaxiales se descubre una incidencia brusca de la durabilidad de la muestra τ con el aumento de la tensión σ:
τ = B e-ασ (B, a = const) (87)
Figura 94. Zona extremal de la grieta («grieta de α plata») en un polímero.
El grado de localización del proceso de destrucción, al extenderse una macro-grieta, es diferente: para las cargas grandes los procesos de predestrucción son esenciales sólo cerca del vértice de la grieta, siendo las tensiones menores, una influencia considerable sobre el incremento de la grieta principal la origina la acumulación de los deterioros en todo el volumen del polímero.
Los micro-deterioros que se acumulan en los polímeros pueden detectarse directamente, aplicando los métodos de análisis radioespectral. En los experimentos, realizados por los físicos de Leningrado dirigidos por el académico S. N. Zhurkov, se descubrió la aparición en las películas polímeras cargadas de una cantidad grande de submicrogrietas en forma de disco con volúmenes del orden de 10-17 cm3. Cada una de las submicrogrietas por separado no crece con el tiempo, aumenta sólo su concentración. Al alcanzar la concentración de los micro-defectos característica para el material (del orden de 1012...1016 microgrietas por cm3), éstos se unen, formando una macro-grieta. A continuación, el alcance de dicha concentración en el vértice de la grieta asegura su incremento (Figura 95).
El primer modelo de una grieta en crecimiento fue construido por el científico alemán L. Prandtl en 1933 sin tener ninguna relación con el modelo de Griffith ya existente (la obra se denominaba «Modelo imaginario del proceso de ruptura del sólido»). El desarrollo intenso de las ideas y la simulación de las grietas en crecimiento comenzaron sólo a partir de los años 60.
La extensión de las grietas en los polímeros se describe con frecuencia mediante unos modelos bastante sencillos del movimiento de la grieta en medios viscoelásticos. Pareciendo una paradoja, no obstante esa sencillez se explica por la complejidad y el poco estudio de los mecanismos de deformación y destrucción de los polímeros en la zona de alta concentración de las tensiones en la cercanía del vértice de la macro-grieta.
Figura 95. Concentración de las submicrogrietas delante del vértice en una película de nylon.
Dos palabras sobre los modelos visco- elásticos, entre los cuales los más simples son los modelos de Maxwell y W. Voigt. Se les puede mostrar esquemáticamente como una combinación sucesiva y paralela de una resistencia viscosa y un elemento elástico (Figura 96). La descripción matemática de los modelos mostrados en la figura es bastante elemental (E, es el módulo de elasticidad, η, coeficiente de viscosidad)
Figura 96. Modelos viscoelásticos más simples.
Figura 97. Comportamiento de los modelos más simples en la medición escalonada de la grieta (c): modelo de Maxwell (a), modelo de Voigt (b).
En los márgenes del modelo de un cuerpo viscoelástico, donde no se toma en consideración la zona de los enlaces debilitados (por ejemplo, en el modelo de Griffith— Irwin), el flujo energético que va hacia el extremo de la grieta, así como las tensiones y deformaciones en sus inmediaciones, resultan ser las mismas que en un cuerpo elástico con los correspondientes módulos instantáneos. Por eso la descripción del desarrollo de la grieta en semejante modelo no se diferencia de la descripción, usando el modelo del cuerpo elástico.
Para un cuerpo viscoelástico que no posee una reacción elástica instantánea (modelo tipo Voigt), existe una paradoja evidente: conforme al criterio de Griffith, las grietas en semejante cuerpo no se extienden, mientras que de acuerdo con el criterio de Irwin puede haber crecimiento, pero será sin consumo energético (¡!).
La aparición de dicha paradoja está relacionada, claro, con la existencia de una idealización extremada: un total menosprecio de las dimensiones y la estructura de la zona de alta concentración de las tensiones (o sea, la zona en la que transcurren los procesos disipativos no lineales y los de la destrucción). La situación puede salvarse, haciendo, por ejemplo, una suposición de que la energía superficial y es una función universal de la velocidad de la grieta v. La forma de la función γ(v) se obtiene o bien del experimento, o bien al examinar los modelos con una zona de enlaces debilitados.
El criterio de Leónov—Panasiuk no es equivalente al de Griffith, pues parte de la energía elástica puede consumirse en la variación del tamaño de la zona extrema. Si se analiza un cuerpo viscoelástico con cierta grieta en los márgenes del modelo de Leónov—Panasiuk, puede estudiarse la cinética del desarrollo lento de la grieta incluso en ausencia de la dependencia entre las fuerzas cohesivas o la energía superficial y la velocidad de la grieta. El modelo de Leónov—Panasiuk resultó ser muy cómodo para describir el incremento lento de la grieta en los polímeros.
El otro enfoque está ligado con la consideración de la influencia de la acumulación de deterioros muy pequeños y disipados por todo el volumen. Es posible tener en cuenta esa influencia considerando, por ejemplo, que los deterioros disminuyen la energía superficial del cuerpo. También puede ser analizado el incremento de la macro-grieta que se mueve al acumular una concentración límite de los micro-deterioros en la cercanía de su vértice (véase la Figura 95).
§ 26. Mecánica dinámica de la destrucción
Al lector que piensa, al leer el título del presente párrafo, tienen que surgirle varias preguntas. Primero, si existe una mecánica dinámica de la destrucción, por lo visto, ¿debe haber también una mecánica estática de la destrucción? Segundo ¿cómo concuerda eso conque la destrucción transcurre con más frecuencia a causa de una extensión inestable de la grieta (o sea, es un proceso esencialmente dinámico)? Entonces ¿de qué mecánica de la destrucción se trataba hasta ahora? ¡Es necesario reconocer de una vez que todos esos interrogantes no son tan simples y las respuestas a esas preguntas están lejos de ser evidentes! En efecto, el proceso de la destrucción se caracteriza (por lo menos en la fase final) por una extensión rápida de la grieta principal o de una familia de grietas ramificadas, o sea, es esencialmente dinámico. En la descripción de dicho proceso en los micro y macroniveles queda mucho sin aclarar, y cuando en la literatura se encuentra una afirmación de que la mecánica de la destrucción ofrece un aparato indispensable para calcular la resistencia mecánica de los cuerpos y construcciones, se comprende la denominada mecánica casi-estática de la destrucción que responde a la pregunta de si es la grieta principal existente estable o no. En realidad, la mecánica casi-estática de la destrucción está elaborada bastante bien, pero es sólo la primera aproximación para describir la destrucción que permite juzgar solamente de si comienza el crecimiento catastrófico de la grieta o no. La asignatura de la mecánica dinámica de la destrucción es mucho más amplia que la casi-estática. Si en la mecánica casi-estática de la destrucción se enuncia sólo el criterio de la extensión inestable de la grieta, en la mecánica dinámica de la destrucción es necesario establecer una serie de criterios, o sea, para el comienzo, parada, extensión, curvatura de la trayectoria de la grieta y su ramificación.
Al intentar describir la destrucción dinámica con ayuda de una grieta aguda principal y de los coeficientes de la intensidad de las tensiones (CIT) surge relativamente un entero espectro de los CIT críticos: el CIT del comienzo que depende de la velocidad de cargamento, el CIT de la parada, el CIT de la ramificación, el CIT crítico que depende de la velocidad de la grieta. En este caso algunos datos experimentales se logra explicarlos satisfactoriamente, mientras que los otros conducen a las contradicciones con las teorías. Sin embargo, los datos experimentales por sí mismos no son contradictorios. Es posible que en este caso muchos de los experimentos no son correctos, ya que en ellos se menospreciaba la interacción entre las ondas reflejadas de las fronteras y los vértices de la grieta, y no se medían con bastante precisión la velocidad de la grieta y el coeficiente de la intensidad de las tensiones. Dado que al elaborar los datos experimentales, es muy importante establecer el enlace entre los procesos que transcurren en el vértice de la grieta y los efectos de propagación de las ondas, se requiere un equipo experimental que permita registrar la variación del estado de tensión durante un microsegundo (puesto que el tiempo de recorrido de la onda de expansión, por ejemplo, a través de las muestras de pequeña dimensión que se usan en la práctica, no supera varias decenas de microsegundos).
La teoría dinámica de la elasticidad se diferencia de la estática por el hecho de que investiga la propagación de las ondas. En el caso de haber un defecto estacionario o extendible en el cuerpo el cuadro del campo de onda se hace extremadamente complejo y eso siempre debe de tomarse en consideración. Así, por ejemplo, para la ruptura de choque de cierta muestra, teniendo en cuenta las reflexiones de las ondas, la dependencia entre el CIT y el tiempo se caracteriza por fuertes oscilaciones. Un ejemplo más: durante la ramificación el vértice de cada rama se convierte en fuente de propagación de las ondas. Incluso los micro-defectos que se forman delante del vértice de la grieta principal, radian ondas y actúan recíprocamente con la grieta principal, lo que como muestran las investigaciones, no se puede menospreciar.
Así, pues, en la presente etapa de su desarrollo la teoría de la mecánica dinámica de la destrucción es muy contradictoria, y ahora precisamente la mecánica dinámica de la destrucción es la zona en la que se necesita la concentración de las fuerzas de los científicos que trabajan en la rama de la mecánica de la destrucción. No obstante, no quisiera que estas palabras provoquen en el lector un desaliento y escepticismo y que éste deje de leer dicho apartado (y también puede que todo el libro) en este párrafo. Al contrario, las contradicciones en la ciencia sirvieron siempre de un estímulo colosal para los investigadores y los conocimientos que se acumulan sobre la dinámica de la destrucción conducirán inevitablemente a la aparición de una teoría esbelta. Señalemos que la última década se caracteriza con un aumento muy brusco de las investigaciones en lo que se refiere a la dinámica de la destrucción. Ellas incluyen la elaboración de los modelos de la destrucción, métodos numéricos y analíticos de resolver las tareas de la teoría dinámica de la elasticidad y plasticidad para los cuerpos con grietas estacionarias o extensibles, asimismo la elaboración de los métodos experimentales.
Recordemos el prefacio de nuestro libro. Las construcciones teóricas y las soluciones analíticas elegantes de las tareas modelos, por una parte, y las necesidades de la práctica junto con los datos experimentales contradictorios, por otra parte, he aquí las dos montañas, divididas por un valle estrecho, y nosotros debíamos ir por ese valle de manera que las dos montañas estuviesen continuamente a nuestra vista. Sin embargo, en dicho apartado el problema planteado ante nosotros es de especial dificultad. Continuando las comparaciones comenzadas, diremos que en este segmento del camino tendremos que huir las avalanchas de los conceptos corrientes, el apilamiento de hechos sueltos, los puentecillos que parecen estables, los tramos que están unidos mediante razonamientos poco convincentes.
Pero antes de llevar tras sí al lector no puedo contenerme de recorrer un poco el camino con vista a la izquierda. Hablemos sobre algunas soluciones teóricas de las tareas de la mecánica dinámica de la destrucción. ¡Pues estas tareas son casi las más complejas en la mecánica del sólido deformable y para resolverlas se necesitaban años enteros!
Entre, toda la variedad de las cargas dinámicas pueden separarse dos tipos fundamentales: armónicas (es decir, las que varían de modo sinusoidal en el tiempo) y las de impacto. Así, pues, la consideración de los efectos de inercia, al calcular las construcciones y obras con grietas, conduce al examen de las siguientes tareas principales de la mecánica dinámica de la destrucción.
1. Definición de la dependencia entre los coeficientes de la intensidad de las tensiones (como sabemos, la característica básica de la mecánica de la destrucción) y la frecuencia para la grieta bajo la acción de las cargas armónicas.
2. Definición de la dependencia entre los coeficientes de la intensidad de las tensiones y el tiempo para la grieta bajo la acción de las cargas de impacto.
3. Definición de la dependencia entre los coeficientes de la intensidad de las tensiones y el tiempo y la velocidad de la extensión de la grieta.
4. Definición de la ley del movimiento de la grieta si se conoce la dependencia entre los coeficientes de la intensidad de las tensiones y la velocidad del incremento de la grieta.
Al resolver numéricamente la primera tarea para un cuerpo de dimensiones finitas los coeficientes de la intensidad de las tensiones se determinan mediante las formas y frecuencias de las oscilaciones libres que pueden depender intensamente de la configuración y longitud del defecto. Con respecto a eso, pueden pertenecer a la mecánica dinámica de la destrucción las investigaciones de la influencia de las grietas sobre las formas y frecuencias de las oscilaciones libres (semejantes investigaciones son de gran importancia para diagnosticar los defectos mediante los métodos no destructibles de control).
Al resolver las tareas principales planteadas se utilizan tanto los métodos numéricos, como los analíticos en combinación (en algunos casos), usando los resultados experimentales. Las soluciones analíticas de las tareas de la mecánica dinámica de la destrucción para las grietas de ruptura normal, de un cizallamiento transversal y longitudinal permiten sacar unas conclusiones cuantitativas importantes sobre los procesos antecedentes a la destrucción frágil durante el cargamento dinámico, así como sobre la propagación del frente de destrucción.
Y a sabemos que al describir matemáticamente la extensión de las grietas, el momento más importante es la aclaración de las regularidades comunes en la distribución de los campos de las tensiones y los desplazamientos en las inmediaciones del vértice de la fisura. Resulta que si el vértice de la grieta se traslada a lo largo de cierta curva suave con una velocidad arbitraria, en el sistema local de coordenadas (ligado con el vértice de la grieta) la distribución angular de las tensiones depende sólo de la velocidad corriente presente de dicho vértice. Las tensiones y los desplazamientos pueden representarse en una forma análoga a las fórmulas (40)...(45) con la diferencia que los coeficientes de la intensidad de las tensiones que participan en estas dependencias son funciones del tiempo, mientras que la distribución angular de las tensiones y los desplazamientos depende de la velocidad, es decir:
De esta manera, el estado de tensión en las inmediaciones del vértice de la grieta se describe con ayuda de los coeficientes de la intensidad de las tensiones. Estos coeficientes se utilizan, como sabemos, para juzgar sobre el equilibrio límite del cuerpo con grieta (en el caso de una fisura estacionaria) y sobre el carácter de su extensión (para el caso no estacionario), así como sobre la velocidad del incremento de la grieta para un cargamento multicíclico.
Ya hemos dicho que el criterio del comienzo de la extensión de la grieta (llamado a veces criterio de la destrucción) que es la base de la mecánica de la destrucción, no se deduce de las ecuaciones de equilibrio y de movimiento de la mecánica del medio continuo y es una condición complementaria al resolver la cuestión sobre el equilibrio límite del cuerpo con grieta. El estado límite de equilibrio se considera alcanzado si el corte en forma de grieta adquiere la posibilidad de extenderse.
La modificación dinámica del criterio de la destrucción de Griffith ya conocido (véase el § 14) tiene la forma
< /p>donde
El análisis del flujo energético hacia el extremo de la grieta permite deducir unas cuantas conclusiones. En el intervalo de las velocidades 0 < v < cR (cR es como antes la velocidad de las ondas de Rayleigh) para las grietas de un desprendimiento normal y de cizallamiento transversal G > 0 y en el intervalo cR < v < c2 el flujo energético G < 0.
Dado que la energía superficial eficaz 2γ es positiva, la extensión de las grietas con una velocidad mayor que la de las ondas de Rayleigh cR es imposible. Para las grietas del cizallamiento longitudinal el análisis energético muestra que la velocidad de propagación no puede superar c2.
Señalemos que en la práctica la velocidad de extensión de la grieta se restringe no por la velocidad de las ondas de Rayleigh, sino por un valor menor que oscila para diferentes materiales de 0,2 a 0,5 de la velocidad de las ondas de cizallamiento.
Así, si con ayuda de algunos métodos matemáticos se logró resolver las ecuaciones del movimiento (28) del capítulo 2 para las condiciones de frontera prefijadas y hallar el coeficiente de la intensidad de las tensiones, partiendo de (88) puede determinarse la ley del movimiento de la grieta. Por ejemplo, en el caso de extensión de una fisura semi-infinita de cizallamiento longitudinal en el campo de una tensión que se desplaza uniformemente:
Si las cargas de impacto concentradas se aplican a una distancia x0 del vértice de la grieta del cizallamiento longitudinal, tenemos
Figura 98. Dependencia entre el coeficiente de la intensidad de las tensiones KI y el número de la onda ωl/c1
Figura 99. Placa con grieta central.
Figura 100. Dependencia entre el CIT y el tiempo (la curva de trazos representa la solución analítica para el plano con grieta y la curva recta, la solución estática).
Las diferencias principales entre un modelo idealizado de la destrucción casi-frágil y la destrucción real puede explicarse sólo a nivel micro-estructural.
Estudiemos esta cuestión con más detalles. Entre los enfoques en describir la destrucción pueden resaltarse dos: en el primero la resistencia del cuerpo se caracteriza por el comportamiento de la macro-grieta principal y en el segundo, por el desarrollo y el incremento de un conjunto de micro-defectos. La primera dirección predomina en la literatura científica ante todo por el hecho de dar un criterio satisfactorio a la resistencia mecánica y un aparato de cálculo accesible para las cargas casi-estáticas. La segunda dirección se desarrolla principalmente en la física del sólido y metalografía (y muy rara vez en la mecánica, ya que por ahora no condujo a modelos satisfactorios). No obstante, el desarrollo de múltiples defectos y de la grieta principal son procesos mutuamente enlazados, con la particularidad de que no sólo en la fase de engendramiento de la macro-grieta, sino también en la etapa de su extensión. La macro-grieta asegura una concentración localizada alta de las tensiones, pero su comportamiento se hace dependiente del incremento de los micro-defectos que se manifiestan en este caso.
En el modelo que domina ahora en la mecánica dinámica de la destrucción se examina, por lo corriente, el crecimiento de una grieta rectilínea en un plano elástico. En el vértice surgen unas tensiones ilimitadas y se supone que el proceso transcurre propiamente en el mismo vértice de la grieta. Además, se supone que el gasto de la energía para formar cierta .unidad de una superficie nueva es una constante del material. Partiendo de ello, se calcula el campo elastodinámico de las tensiones en el vértice de la grieta y se enuncia el criterio de extensión de la grieta, o sea, la ecuación del balance energético (88).
Así, pues, pueden destacarse las siguientes tesis principales del modelo idealizado en la mecánica dinámica de la destrucción.
· Los campos de tensiones en el vértice de la grieta se describen con ayuda de los coeficientes de la intensidad de las tensiones.
· Los criterios del comienzo, parada y extensión de la grieta se deducen de la ecuación del balance energético (88).
De esta manera, para juzgar la equivalencia de dicho modelo es necesario comprobar la ejecución precisamente de estas dos tesis. Eso puede realizarse, analizando los datos experimentales por los coeficientes de la intensidad de las tensiones y comparando las condiciones del comienzo, extensión y parada de la grieta con los pronósticos teóricos.
Aquí mismo diremos que esa comparación conduce a unas dudas muy fuertes con respecto a la validez de la teoría. Por ejemplo, de la ecuación del balance energético se desprende que las condiciones de la parada son la «inversión» de las condiciones del comienzo: para un mismo valor crítico del coeficiente de la intensidad de las tensiones la grieta inmóvil comienza a extenderse, mientras que la grieta que se propaga se para. No obstante, en la práctica los valores críticos de los coeficientes de la intensidad de las tensiones para la parada y el comienzo no coinciden. Otro ejemplo más: partiendo de la misma ecuación, se establece una concordancia biunívoca entre los coeficientes de la intensidad de las tensiones y la velocidad de la grieta, pero en los experimentos eso no se comprueba, o sea, con más frecuencia dicha concordancia resulta multiforme. Por fin, de la ecuación del balance energético no se deduce de ninguna manera la posibilidad de la ramificación de las grietas (ese fenómeno lo vemos con mucha frecuencia en la vida cotidiana, pues es suficiente sólo recordar las grietas en el asfalto, vidrio, hormigón, etc.).
En lo que se refiere a la primera tesis de la mecánica dinámica de la destrucción, en la que se trata del estado de tensión en el vértice de la grieta (pero no de los criterios de la destrucción, ya que a ello se dedica la segunda tesis de la mencionada teoría), aquí también surge una serie de preguntas como, verbigracia, ¿por qué para pequeñas velocidades de cargamento y cargas moderadas existe una concordancia entre los coeficientes de la intensidad de las tensiones hallados de manera teórica y experimental, mientras que para grandes velocidades de cargamento y cargas elevadas no se observa dicha concordancia? Claro que se puede en este caso decir que los experimentos se llevan a cabo en unas placas, donde se observa la dispersión de las ondas y el carácter del estado de tensión en el vértice se diferencia del de bidimensional (lo que se supone al determinar teóricamente los coeficientes de la intensidad de las tensiones) y todo ello será justo en realidad. Pero la causa fundamental de las divergencias entre la teoría y la práctica no está en eso.
Puede darse una explicación cuantitativa de la discrepancia entre el modelo idealizado de la destrucción y los experimentos si se supone (y ello se confirma de modo experimental) que la destrucción sucede no en el mismo vértice de la grieta, sino en cierta zona delante del vértice como consecuencia de un proceso complejo de la aparición de las microgrietas, su unión e interacción. La existencia de esta zona pudo demostrarse en las pruebas de destruir un vidrio orgánico puramente frágil (preste atención a que el material es frágil, por lo tanto, al explicar la divergencia entre la teoría y el experimento las referencias al flujo plástico en el vértice de la grieta no tienen fundamentos!).
En favor de la hipótesis sobre la existencia de la zona de micro-destrucciones testimonian la rugosidad de la superficie de la destrucción (por qué eso es así, se aclarará un poco más adelante) y la toma de fotografías a una velocidad alta en el modo de tiempo real (es decir, directamente durante el proceso de destrucción) de las ondas de tensiones que se dispersan de los micro-defectos.
Figura 101. Zonas especular, mate y en forma de pluma en la superficie destruida.
En la superficie destruida (Figura 101) después de pasar la grieta con gran velocidad pueden ser destacadas tres zonas: la especular, mate (velada) y en forma de plumas (desmenuzada). Después de pasar esta última zona la grieta se ramifica en varias ramas. La zona especular se caracteriza por una superficie totalmente lisa que refleja por completo la luz. En la zona mate la superficie se hace más áspera, convirtiéndose en rugosa por completo en la última zona en forma de plumas. Es importante señalar el enlace, establecido durante el tratamiento de los datos experimentales, entre la calidad de la superficie y el valor de la carga de impacto y rotura aplicada. Resultó que al aumentar dicha carga, el tamaño de la zona especular disminuye, mientras que las dimensiones de las otras dos crecen.
Al reducir el nivel de la carga, al contrario, el tamaño de la zona especular aumenta, mientras que las dimensiones de las demás disminuyen. Esta conclusión cualitativa se confirma por las gráficas en la Figura 102.
Figura 102. Rugosidad en la superficie de la destrucción en función de la distancia x hasta el vértice de la grieta (a) y el CIT (b): d es la profundidad de la rugosidad; dmáx, la profundidad máxima; K0, el CIT en el momento de comenzar.
Se ve que al alejarse del punto donde se hallaba el vértice de la grieta en el momento inicial, la profundidad de la rugosidad aumenta (Figura 102, a), creciendo el CIT respectivamente (Figura 102, b).Así, pues, vemos que cuanto más energía se libera en el vértice de la grieta, tanto mayor es la rugosidad de la superficie. ¿Qué es lo que se desprende de eso? Pues que cuanto mayor es la carga, tanto más diferencia el comportamiento de la grieta del que fija el modelo idealizado. En efecto, en este modelo al calcular la energía de la destrucción la densidad de dicha energía se multiplica por el área de la superficie destruida, igual al producto de la longitud de la grieta por el grosor de la muestra. Pero en realidad el área de la superficie destruida, teniendo en cuenta la rugosidad, es mucho mayor.
El mecanismo de formación de la superficie rugosa se aclara durante la investigación microscópica de la superficie destruida (Figura 103, aumento en 7000 veces). En la zona especular la grieta en su camino cruza un conjunto de cavidades con dimensiones de 10... 25 micrometros. La interacción de la grieta con estas cavidades conduce al comienzo de las numerosas grietas micro-superficiales que a pesar de todo no cambian la dirección de la extensión de la grieta principal. Puede afirmarse que en la zona especular las microgrietas que comienzan desde las micro-cavidades, no están en interacción entre sí (Figura 103, a). En la zona mate debido al comportamiento del GIT las tensiones que surgen se hacen suficientes para activizar las cavidades aisladas y su interacción (Figura 103, b). Aquí aparece un conjunto de figuras parabólicas, que es característico para la intersección de las cavidades y la grieta que se extienden a una misma velocidad. Dichas parábolas se diferencian por su tamaño y profundidad, lo que indica el carácter tridimensional de su distribución. Así, pues, en la zona mate antes de llegar la grieta principal se forma un conjunto de micro-destrucciones orientadas en distintos planos y que tienden a cambiar la dirección de su propagación. Por fin, en la zona en forma de plumas (Figura 103, c) este proceso se hace más intenso y abarca una zona cada vez mayor delante del vértice de la grieta. Aparecen «regueros» que crecen en dirección perpendicular a la grieta.
Figura 103. Microfotografías en las zonas especular (a), mate (b) y en forma de plumas (c).
Partiendo de estas posiciones, se logra describir de modo aceptable y cualitativo las ramificaciones de las grietas como un proceso continuo de evolución de las micro-grietas avanzadas. En efecto, examinemos las microfotografías de las grietas ramificadas (Figura 104).
Figura 104. Microfotografías de las ramas de la grieta.
Figura 105. Carácter de la ramificación en cinco experimentos iguales.
Figura 106. Mecanismo de la ramificación
Figura 107. Dependencia entre el GIT del comienzo y el tiempo hasta la destrucción.
También se realizó una serie de pruebas en las cuales se varía sistemáticamente la velocidad de cargamento y, por lo tanto, la velocidad de la grieta. Aunque la dependencia entre el CIT y el tiempo era muy compleja, la velocidad de la grieta era casi siempre constante y su máximo tenía el orden de 0,45 c R. El cambio de la velocidad transcurre solamente como consecuencia de la llegada al vértice de la onda reflejada de la frontera de la muestra, que a continuación se convierte en constante. Semejante comportamiento de la grieta concuerda bien con el modelo micro-estructural de su crecimiento: por delante del vértice se crean las micro-destrucciones y puede suponerse que las dimensiones de esa zona del proceso, lo mismo que las dimensiones y orientación de la micro-grieta, se determinan por las condiciones en el comienzo.
La estructura de la zona se conserva hasta que una onda nueva de tensiones cambie su tamaño o la orientación. No obstante, si la velocidad de la grieta es más elevada que cierto valor (300 m/s), la llegada de las ondas al vértice no cambia su velocidad. Por lo tanto, la zona del proceso posee una «inercia» determinada, es decir, la grieta «se resiste» a la variación de la velocidad.
Señalemos otra causa más del porqué la velocidad de la grieta no alcanza en los materiales frágiles el límite teórico, igual a la velocidad de las ondas de Rayleigh. Y es que su velocidad se restringe por la velocidad de propagación de las micro-destrucciones. En efecto, al destruir los cuerpos cristalinos por el tipo de desprendimiento puro, así como en el caso de las grietas «curadas», cuando no se forman micro-destrucciones, la velocidad de la destrucción alcanza 0,8... 0,9 cR.
Hagamos un resumen. Hemos trabado conocimiento con las posiciones fundamentales de un modelo idealizado de la mecánica dinámica de la destrucción, hemos analizado sus* contradicciones principales y averiguado sus causas. Aquí ya nuestra «excursión» a la mecánica dinámica de la destrucción termina. Tengo la esperanza de que hubo lectores a los que el tema les pareció interesante.
§ 27. Tareas de temperatura en la mecánica de la destrucción
La mayoría de los conferenciantes, según mis observaciones, comenzando su narración sobre las destrucciones frágiles en condiciones de un calentamiento desigual, citan el ejemplo del vaso que estalla después que se le vierte el té caliente. Como todos sabemos, los cuerpos al calentarse se dilatan y en el vaso las capas calentadas internas presionan sobre las exteriores que aún permanecen frías, aparecen las tensiones de tracción que pueden convertirse en críticas para un rasguño pequeño en la superficie exterior del vaso. Semejantes destrucciones pueden encontrarse también en la práctica ingenieril seria, como, verbigracia, en la avería que hemos descrito, del depósito que se enfrió durante una helada fuerte, en el que por la negligencia del personal se vertió el ácido fosfórico caliente (Figura 6). Las destrucciones frágiles de las tensiones internas de temperatura pueden transcurrir no sólo al calentar rápidamente, sino también al enfriar con rapidez. Digamos en el bosque, habiendo una helada fuerte, con mucha frecuencia se rompen los troncos de los árboles (sobre todo de los robles), la formación de las grietas, o sea, «brechas de helada» va acompañada por un sonido fuerte parecido a un disparo. El enfriamiento repentino surge también al averiarse el reactor nuclear cuando el líquido del sistema de enfriamiento cae sobre los elementos calientes de la construcción. Los cálculos de las características óptimas que garantizan la ausencia de la destrucción en semejante situación son obligatorios al proyectar las instalaciones nucleares de fuerza motriz.
El choque térmico, como consecuencia de un calentamiento o enfriamiento desigual de las construcciones, puede provocar la extensión de las grietas que existen en ellas incluso en ausencia total de las cargas mecánicas. Pero a veces sucede todo al contrario, la acción de las tensiones de temperaturas ocasiona un efecto favorable, quitando total o parcialmente la concentración de las tensiones en el vértice del defecto, determinada por las cargas mecánicas exteriores. Así, pues, en la práctica real pueden encontrarse las situaciones más diversas. Es natural que las tareas de temperatura de la mecánica de la destrucción que de una manera adecuada describen esos fenómenos, son muy complejas y multifacéticas. Por eso nos limitaremos a una exposición de boceto de algunos problemas interesantes.
Las deformaciones complementarias de temperatura que surgen al calentar desde la temperatura T0 hasta la temperatura T se consideran, por lo general, proporcionales a ΔT = T — T0. Entonces para tener en cuenta las influencias térmicas a las que se somete un cuerpo isótropo elástico, es suficiente en la ley corriente de Hooke cambiar las deformaciones ex, ey y ez por la magnitud α ΔT, y las deformaciones de cizallamiento dejarlas sin variación alguna. El número α llamado coeficiente de dilatación lineal del material es una de las constantes físicas más importantes. La diferencia de estos coeficientes para los materiales de las piezas unidas rígidamente entre sí conduce, al cambiar la temperatura, a la aparición de deformaciones considerables, por ejemplo, a la flexión de una placa bimetálica. Pero si la construcción no puede deformarse libremente, pueden surgir unas grandes tensiones internas que conducen a la destrucción. Verbigracia, las estatuas antiguas se destruían con rapidez a causa de la diferencia de los coeficientes de dilatación de temperatura del oro y el marfil o el mármol.
La consideración de las deformaciones de temperaturas a ΔT claro que cambia las ecuaciones de movimiento del cuerpo elástico (28), pero estas variaciones serán formalmente pequeñas: se reducirán a la aparición de una fuerza volumétrica complementaria con las componentes:
El cálculo de los campos de temperatura requiere una solución de la ecuación de la conductibilidad térmica
Señalemos que entre los mecánicos se discutió vivamente la cuestión, qué condiciones es necesario prefijar en las orillas de la grieta: las mencionadas más arriba o algunas peculiares. La respuesta no puede ser unívoca, puesto que todo depende de las condiciones del contacto de las orillas de la grieta y del contenido de la propia grieta (a veces se tiene que resolver las tareas ligadas mutuamente con los problemas hidrodinámicos o gasodinámicos para el medio que llena la cavidad de la ruptura en el sólido).
La solución de los problemas sobre las grietas en los cuerpos calentados desigualmente está ligada con unas dificultades matemáticas bastante grandes incluso de los problemas que a primera vista parecen sencillos. Citemos varios resultados obtenidos bastante curiosos.
Por ejemplo, cuáles serán los coeficientes de la intensidad de las tensiones en el vértice de una grieta rectangular con longitud 2l en un cuerpo elástico ilimitado bajo la acción de un flujo térmico homogéneo continuo de intensidad q y perpendicular a la grieta. Se supone que la fisura está termoaislada y todo el cuerpo se encuentra en condiciones de una deformación plana (Figura 108). Resulta que en condiciones de semejantes tensiones térmicas se desarrolla la grieta de cizallamiento transversal [29] )
Figura 108. Fisura plana en el espacio bajo la influencia del flujo térmico.
Una tarea análoga puede aparecer en la geofísica, al analizar el comportamiento de las rupturas en las rocas montañosas profundas.
Figura 109. Grieta en forma de disco en el espacio bajo la acción del flujo térmico que atraviesa sus superficies.
¿Cómo influye a su vez la propia grieta sobre el campo de temperatura?
Si la grieta es inmóvil, ella puede sólo perturbar el intercambio calorífico entre las partes del cuerpo que ésta divide. Pero la grieta en movimiento es una fuente potente de calor. En efecto, en la unidad de tiempo a su vértice fluye un flujo energético G l que, restando la energía superficial reversible 2γ l , se gasta en las deformaciones plásticas y la destrucción del material en una zona pequeña cerca del vértice de la grieta.
El intercambio calorífico con el material circundante transcurre con lentitud y por eso la zona extremal se calienta hasta temperaturas bastante elevadas. Los cuadros de las isotermas en el vértice de la grieta para la ruptura normal que se mueven en el acero con una velocidad de 1 m/s y 100 m/s (Figura 110, a y b) están obtenidos mediante el cálculo. Ellos muestran un calentamiento extremadamente alto y en una zona sumamente pequeña en el vértice de la grieta (la temperatura lejos de éste es de 0 °C). Las mediciones con ayuda de los termopares indican el aumento de la temperatura en 1 °C a una distancia aproximadamente de 1 milímetro y ya en 130 °C a una distancia de 30 micrómetros respecto al vértice de la grieta que se desplaza por el acero con una velocidad de 10 m/s. Pero ya más cerca del vértice de la grieta es imposible medir, aplicando este método.

Figura 110. Campos de isotermas en la proximidad del vértice de la grieta (el punto x = 0, y = 0) para las velocidades del movimiento de la grieta de 1 m/s (a) y 100 m/s (b). La escala de la representación es de 1 división por 1 micrómetro (10-6 m), para la comparación se adjunta la dimensión típica del grano de acero.
En muchas ramas, o sea, en la construcción de maquinaria atómica, en la construcción de motores, etc., es necesario tener en cuenta las tensiones que surgen, al cambiar de repente la temperatura.
La acción de dichas tensiones es de un tiempo corto, pero son grandes y pueden conducir a una destrucción frágil o a la fatiga térmica de las construcciones. Los cambios rápidos de la temperatura surgen en situaciones de avería, por ejemplo, al parar de repente el reactor nuclear. Éstos se crean también durante las puestas en funcionamiento y paradas de los grupos. Así, al poner en funcionamiento el motor en las paredes de la cámara de combustión aparecen tensiones termoelásticas dinámicas. Ellas son máximas durante la primera ráfaga de combustión, mientras que el motor está frío. El tiempo de combustión es pequeño (del orden de 10~5 s), por eso surge el problema de determinar las tensiones durante el aumento breve (o reducción) de la temperatura de la superficie.
Como ejemplo examinemos el problema de un choque térmico en un plano con corte.
Figura 111. Gráfica de la función M (h) que figura en la fórmula (96)
Puede mostrarse que semejantes estimaciones son válidas para un cuerpo de dimensiones finitas y cualesquiera formas. Señalemos que la magnitud cI apareció en la fórmula (96) no por casualidad. Durante el choque térmico la zona (o el punto), en la que varía bruscamente la temperatura, representa un generador de las ondas elásticas de dilatación—compresión que se propagan (claro que con una velocidad cI ).
La Figura 112 representa una onda semejante de dilatación que va hacia adentro del semiespacio x ≥ 0 desde la superficie x = 0 calentada de repente en Δ T grados. Las tensiones termoelásticas dinámicas máximas durante el salto, supongamos de 100 °C, tienen el orden de unos centenares de MPa y pueden influir esencialmente sobre la resistencia mecánica de las piezas.
Figura 112. La onda de las tensiones termoelásticas durante el choque térmico (un calentamiento o enfriamiento repentino de la frontera x = 0 en el momento t = 0 en ΔT grados) penetra hacia adentro del semiespacio con una velocidad de onda elástica de dilatación—compresión cI.
Imaginémonos ahora que en un plano con corte surge instantáneamente una fuente de calor. ¿Cómo influirá semejante ráfaga sobre el comportamiento de la grieta en los momentos iniciales de tiempo más peligrosos? ¿Qué disposición de la ráfaga respecto al vértice de la grieta conduce a los valores positivos de KI y qué disposición, a los negativos? En otras palabras, ¿qué posición del defecto con relación al punto de calentamiento es peligrosa desde el punto de vista de la propensión a la destrucción frágil? Verbigracia, para un cuerpo con un corte semi-infinito los valores positivos de KI surgen cuando la fuente de calor se encuentra en el sector -π/4 ≤ φ ≤ π/4
simétrico respecto a la línea de continuación del corte.
Figura 113. Si una fuente puntual de calor se encuentra en las zonas 1, en el extremo derecho del corte x + l surgen las tensiones de tracción (K I > 0), pero si la colocamos en la zona 2, en el extremo derecho las tensiones se convierten en comprimibles (KI < 0).
Para un problema análogo sobre el corte de longitud finita (—1, l) el cuadro se complica en gran medida. La Figura 113 muestra las zonas en las que la aparición de la fuente de calor provoca en el extremo derecho del corte los valores positivos y negativos de KI . Es curioso que la fuente térmica, próxima a uno de los vértices de la grieta, creando en las inmediaciones de ésta unas tensiones de compresión, puede causar en la proximidad del otro extremo unas tensiones peligrosas de tracción.* * * *
Capítulo 5
Algunas aplicaciones de la mecánica de la destrucción
- ¿Cómo se detiene el movimiento de la grieta?
- Mecánica de la destrucción y problemas de la energética
- Mecánica de la destrucción y pruebas que no destruyen
- Mecánica de la destrucción y peritación judicial
- Acerca de las analogías útiles para la mecánica. Mecánica de la destrucción y perforación de los dieléctricos
- ¿Qué hay de bueno en la destrucción?
Nosotros ya hemos comprendido los mecanismos principales del movimiento de la grieta, de dónde proviene la energía que se gasta en el incremento de la grieta, podemos calcular el nivel de las tensiones seguras de funcionamiento, así como la durabilidad de las construcciones reales con defectos. Hablemos un poco sobre las direcciones básicas de las investigaciones relacionadas con la vitalidad de la construcción y estimemos estos esfuerzos desde el punto de vista de la mecánica de la destrucción. Sin duda alguna que en una construcción bien proyectada debe organizarse una defensa escalonada profundamente contra el ataque de las grietas, con la particularidad de que la «guerra» debe llevarse en cada frontera.
Ya se habló brevemente de las medidas que deben tomarse cuando los defectos que no son peligrosos y crecen con lentitud, comienzan a aproximarse a los valores críticos. Pero intentemos comprender qué es lo que hay que hacer con la construcción que contiene un defecto peligroso. En el caso estático puede pensarse sobre la reparación de la construcción (lo que a veces resulta ser una tarea también muy compleja desde el punto de vista teórico e ingenieril), mientras que en el caso dinámico el problema se complica en mucho, pues ya se trata de frenar (en el transcurso de unos microsegundos) la grieta lanzada con una velocidad enorme en las condiciones de las cargas posibles de impacto. Incluso se formó una idea sobre la imposibilidad en principio de frenar la extensión que comenzó con rapidez y en avalancha de la grieta. Sin embargo, la situación aquí no es del todo desesperada. Primero, para las grietas en extensión pueden confeccionarse trampas que captan la grieta progresiva, segundo, en la fase actual del desarrollo de la electrónica puede hablarse de los servosistemas capaces de notar a tiempo semejante grieta, conectar el ordenador para pronosticar su movimiento y a continuación un mecanismo de frenado de la destrucción. Claro que la confección de las trampas simples que detienen la destrucción es más sencilla y barata, pero la creación de sistemas fiables anti-defectuosos, aunque sean caros, representa de por sí una tarea vitalmente importante, sobre todo cuando se trata de obras únicas y (o) de la seguridad de la gente.
Detengámonos en algunos problemas de reparación. En esta esfera uno de los métodos más difundidos es la instalación de las nervaduras de refuerzo complementarias llamadas en algunos casos larguerilbs. Además de asegurar la estabilidad, pueden garantizar la seguridad de la construcción con defectos, de ello ya hablamos en el § 13. Claro que los larguerillos se colocan con frecuencia de antemano, creando obstáculos en el camino posible de la extensión de las grietas en los lugares «vulnerables» de la construcción. Los larguerillos son predilectos sobre todo para los ingenieros de aviación, ya que necesitan asegurar la integridad de la nave incluso con una cantidad considerable de deterioros, con la particularidad de que sucede eso en las condiciones del peso mínimo posible, incluyendo los refuerzos. Ustedes claro que prestaron atención a una serie de remaches que cubren la superficie del fuselaje y de las alas: con ellos se sujetan los numerosos larguerillos en forma de franjas finas a las hojas metálicas anchas de la construcción básica.
A la par con los larguerillos corrientes pueden aplicarse los denominados remiendos-duplicadores o remiendos de reparación soldados, encolados o remachados a la construcción. En muchos casos éstos, además de frenar las grietas, pueden asegurar la hermeticidad, la resistencia local de la construcción, la protección contra la corrosión, etc., es decir, efectuar varias funciones útiles al mismo tiempo, restaurando la construcción averiada. Respecto a eso son de una perspectiva singular los remiendos de materiales plásticos reforzados.
Sobre la eficacia del remiendo de reparación puede juzgarse por los resultados del cálculo numérico del coeficiente de la intensidad de las tensionesK en el vértice de la grieta transparente con longitud 2l en una hoja fina que tiene un remiendo rectangular remachado con una anchura 2b y altura 2H (figura 114).
Figura 114. A una hoja con grieta transparente está remachado un remiendo de reparación.
También pueden conducir a unos resultados positivos las operaciones contrarias, o sea, no el reforzamiento de la construcción defectuosa, sino su «debilitamiento», es decir, la perforación de orificios complementarios de descarga en los vértices de la grieta. A nadie le vendrá a la cabeza la idea de perforar sin necesidad alguna una construcción antes de aparecer la grieta, pues las personas observadoras saben que al llegar al orificio la grieta acelera bastante su marcha. Otra cosa es cuando el orificio de descarga se perfora en el extremo de la grieta después de detectarla. La eficacia de dicho procedimiento, conocido por los prácticos, se determina por factores de diverso género: eliminando el carácter singular de las tensiones y del material más deteriorado en el extremo de la grieta; surgiendo las tensiones comprimibles residuales durante el tratamiento en frío y disminuyendo la sensibilidad del material a la concentración de las tensiones, etc.
Se sabe que el coeficiente de la intensidad de las tensiones se determina principalmente por la longitud del concentrador y el radio de curvatura de su contorno en el punto de aplicación de las tensiones máximas.
Figura 115. Coeficientes de la «intensidad de las tensiones en una hoja con grieta y remienda de reparación: a) influencia de las dimensiones del remiendo: 1) H/b = 0,6; 2) H/b = 1; 3) H/b = 2, b) influencia de la rigidez de los remaches (el remiendo es cuadrado); 1) absolutamente rígidos; 2, 3 y 4, la compresibilidad de los remaches aumenta; c) influencia de la rigidez del remiendo (éste es cuadrado); 1) más rígido; 2) menos rígido.
Figura 116. Coeficientes de la concentración de las tensiones en los orificios de descarga:
a)
grieta interna,
b)
grieta extrema. Aquí la línea continua es el cálculo según los métodos de la teoría de la elasticidad; la línea a trazos, según el método de elipse equivalente.
Y es que uno de los métodos más eficaces de luchar contra la formación y el movimiento de las grietas es crear en el material unas tensiones comprimibles que obstaculizan el suministro de energía al vértice de la grieta. Esta idea tiene ya más de cien años, con la particularidad de que el comienzo de la aplicación de las tensiones comprimibles está fechado con 1861 y relacionado con el nombre del ingeniero ruso Gadolin y su «tecnología de unión de las piezas de artillería». Ésta se fundamenta en la creación de una compresión previa en el cañón debido al ajuste de anillos calientes. Después de enfriarse, las tensiones de tracción se concentraban en los anillos, mientras que en la construcción básica, incluyendo las superficies del cañón rayado, se creaba una compresión. Este principio se repite en muchas variantes, en calidad de elemento a estirar pueden servir un alambre de alta resistencia mecánica enrollado en la superficie de un recipiente de presión, el esqueleto del hormigón armado pretensado, las capas internas de vidrio en un vaso de vidrio templado o el ya conocido larguerillo remiendo. Al caer en la zona de las tensiones comprimibles cerca del larguerillo, la grieta inestable puede convertirse en estable (véase el § 13).
Otro método conocido del frenado y posiblemente de la parada de la grieta que forma la base de muchas soluciones técnicas es la creación de una superficie de separación en el camino del movimiento de la fisura. En semejante superficie de separación los enlaces entre las partículas del cuerpo se debilitan, pero precisamente esta «fragilidad» aumenta la viscosidad del material y su resistencia a la propagación de las grietas. Examinando la concentración de la tensión en las inmediaciones del orificio elíptico, hemos visto que, además del máximo de las tensiones de la ruptura normal en el vértice de la grieta, a cierta distancia delante de su extremo se observa una cresta de tensiones de dilatación en sentido paralelo a la línea de la fisura. Dicha cresta es varias veces menor (en un material isótropo es, aproximadamente, unas 5 veces), pero estas tensiones pueden ser suficientes para provocar una ruptura transversal en la superficie de separación que capta la grieta principal y, despuntándola, la frena.
Figura 117. Mecanismo de frenado de la grieta en la superficie de separación según Cook — Gordon: 1, la cresta de tensiones delante del vértice de la grieta aún no se acercó a la superficie de separación; 2, las tensiones de cresta rompen el material en la parte de la superficie de separación; 3, se forma una grieta transversal; 4, la grieta fundamental crece hasta la transversal, se forma una grieta en T obtusa. A es la grieta fundamental, B, la superficie de separación, C, la grieta secundaria.
Figura 118. Dependencia entre la viscosidad de destrucción y el límite de fluencia para los materiales metálicos tipo.
El papel de las superficies de separación en la construcción de los recubrimientos de hormigón asfaltado de las carreteras se manifiesta de una manera singular. Seguramente Ustedes se han fijado en la red de grietas que cubren los caminos.
Figura 119. Cuadro típico de la destrucción: (a), para los materiales con superficies débiles (materiales de composición, madera) y (b), para los materiales homogéneos (metal, vidrio).
En el §1 hablamos mucho sobre la destrucción de los buques. Pues los constructores de barcos en los años de la postguerra comenzaron a luchar contra el problema de la ruptura del cuerpo del barco, creando uniones con remiendos. Estas uniones remachadas o soldadas llamadas, generalmente, juntas de barrera son también unas trampas exitosas de las grietas peligrosas.
El problema del frenado de las grietas rápidas mediante una acción activa según la instrucción de los captadores que detectan su recorrido en avalancha es cosa de un futuro próximo. Ya en la actualidad se llevan a cabo unas investigaciones intensas en esta dirección. Primero, la grieta puede pararse por medio de las fuentes térmicas, resulta que ella como una mariposa que se atrae por la luz, da la vuelta hacia la zona calentada y por consecuencia más viscosa. Segundo, haciendo uso de la propiedad de la grieta que su vértice es el concentrador no sólo de las tensiones mecánicas, sino también de la corriente eléctrica, es posible frenar la grieta mediante un impulso de corriente. Y es que este último origina cierto calentamiento e incluso la fundición del material en las inmediaciones del vértice de la grieta. Tercero, actuando con ondas elásticas sobre una grieta rápida, se puede obligarla a ramificarse, pues cada ramificación es una reducción de la velocidad a veces en varios kilómetros por segundo, hasta la completa parada. En el arsenal de los científicos existen los potentes campos magnéticos y eléctricos y otros medios más exóticos de influencia. El trabajo de salvar la construcción que «se agoniza» continúa...
§ 29. Mecánica de la destrucción y problemas de la energética
Nuestra excursión por las aplicaciones prácticas de los alcances de la mecánica moderna de la destrucción puede parecer, en cierto grado, abigarrada, pues a la par con unos problemas muy importantes y de gran escala surgen tareas no tan importantes, pero desde mi punto de vista, muy curiosas y aleccionadoras. En un libro al alcance de todos probablemente es imposible reflejar toda la variedad de las cuestiones aplicables de la mecánica de la destrucción, situándolas, además, por el grado de su importancia. Por eso decidí detenerme, ante todo, en las con que choqué yo mismo.
Durante largo tiempo participo en la elaboración de una parte muy significativa de la mecánica de la destrucción, o sea, de la mecánica aplicable de la destrucción de los elementos del equipo energético en las termoeléctricas (CTE) [30] . Puede que sea un poco parcial, pero no puedo contenerme en afirmar que este problema es de gran escala, importante e instructivo.
Las CTE dan una parte considerable de la energía eléctrica, las potencias de las instalaciones energéticas crecen constantemente y en la actualidad la turbina de la CTE es una obra enorme que pesa de 10 a 60 toneladas, con una longitud de 3 a 6 metros y un cuerpo masivo de un grosor de 10 a 40 centímetros, asimismo un rotor enteramente forjado con un grosor de 20...30 centímetros. La duración de vida de proyecto [31] de las turbinas existentes es de 100 mil horas (aproximadamente, unos 11,5 años), no obstante, la solución del programa energético nacional requiere aumentar la duración de vida límite hasta las 200 mil horas. Además, es indispensable parar la turbina lo más poco posible para la reparación, pues a los gastos de la propia reparación se añaden las enormes pérdidas del paro forzoso. También es necesario utilizar las instalaciones energéticas para regular la carga que varía constantemente de los sistemas energéticos, a pesar de que la mayoría de ellos se elaboran sin tener en cuenta el funcionamiento durante un cargamento de ciclos pequeños que está siempre enlazado con el régimen variable del trabajo.
Los métodos tradicionales en asegurar la resistencia mecánica de los rotores y cuerpos de las turbinas resultaron totalmente insuficientes a consecuencia de que deben funcionar largo tiempo, habiendo unas influencias termomecánicas variables e intensas que durante la explotación conducen al desarrollo de los macrodefectos iniciales.
Una definición fiable del tiempo del funcionamiento seguro y de la duración de vida residual de los rotores o elementos de cuerpos puede darse sólo, al emplear los métodos teóricos de la mecánica de la destrucción en combinación con los experimentales, particularmente con los métodos diagnósticos.
Los saltos de las tensiones en los rotores y cuerpos de las turbinas pueden alcanzar 0,5 σf en la superficie de los concentradores de las tensiones. Por eso la parte integrante principal de la solución del problema del cálculo de su duración de vida útil es la creación de un juego de programas fiables por los cuales el ordenador con una precisión aceptable para el ingeniero (digamos no menos de un 10 por 100) puede determinar las tensiones, deformaciones y naturalmente los coeficientes de la intensidad de las tensiones en el elemento de la construcción con una grieta creciente. El cálculo del estado de deformación tensa, teniendo en cuenta la plasticidad y los efectos de temperatura, es muy complejo, pero se puede efectuarlo con éxito, por ejemplo, aplicando el método de elementos finitos que expusimos brevemente en el § 15. Este método formaba la base de nuestros cálculos del recurso de las piezas de las turbinas. El esquema de elementos finitos del cálculo del rotor para la turbina dé vapor de una central térmica es muy parecido al esquema citado arriba para calcular el rotor de la turbina de gas (figuras 58 y 59).
En la figura 120 que representa una parte del cuerpo de la válvula de retención de la turbina puede verse que aquí se usan los mismos principios de introducción de los fragmentos de la red con grietas en la red de elementos finitos que simula el objeto sin defectos.
Los cálculos de elementos finitos del rotor permiten obtener las dependencias de las características en derivación (o eléctricas) y del coeficiente de la intensidad de las tensiones respecto a las dimensiones relativas de la grieta, geometría y al esquema de cargamento.
Figura 120. Modelo de elementos finitos del cuerpo de una válvula de retención que posee una grieta.
El experimento matemático de la determinación del recurso de interreparación para los elementos de cuerpo se adiciona por la experiencia natural. En el lugar donde el cuerpo tiene el coeficiente mínimo de seguridad se efectúa un corte artificial perpendicularmente a la línea de acción de la tensión máxima de dilatación. Su profundidad tiene el orden de la dimensión de la zona de plasticidad, la longitud supera 2...10 veces la profundidad y el radio de la base del corte no supera 0,1 mm. La pieza con semejante corte artificial funciona en las condiciones de una central térmica real, claro que estando controlada la dimensión de la grieta con métodos defectoscópicos.
La duración de vida útil se considera agotada si la profundidad de la grieta alcanza el valor de unos 45...65 por 100 del grosor de la pared. Este tamaño crítico fue definido experimentalmente, con la particularidad de que se estableció que la eliminación de la grieta de este tamaño, incluso soldando posteriormente, no garantiza de la posible destrucción frágil de la pieza. Como consecuencia de la síntesis de los resultados del experimento matemático y natural surge una metodología más fiable para determinar la duración de vida útil de las piezas masivas reales con macro-defectos que funcionan en condiciones complejas.
Los parámetros que describen el proceso del desarrollo estable de la grieta (por ejemplo, las constantes en la ley de París) pueden definirse en las pruebas termomecánicas seminaturales de unas muestras especiales, mientras que los parámetros de la resistencia a las grietas resulta más cómodo y seguro determinarlos no por las muestras estándares, sino calculando, partiendo de las dimensiones de los defectos más peligrosos que se detectan durante la reparación de las instalaciones energéticas. Semejante método de tratamiento de las construcciones naturales permite obtener una estimación [32] más argumentada de la resistencia a las grietas que toma en consideración la existencia de las soldaduras de reparación, los medios corrosivos, las peculiaridades del ciclo real de cargamento, etc.
Para determinar la resistencia a las grietas de los rotores de las turbinas de vapor tuvo gran perspectiva la instalación de muestras-testigos (figura 121). Semejantes muestras contienen una grieta de fatiga orientada en la dirección más peligrosa. La construcción de la muestra que se coloca en la zona a investigar del rotor (por ejemplo, en la cavidad central) debe asegurar en ella las mismas cargas termomecánicas que en la zona en cuestión. Los captadores especiales controlan constantemente el estado de la muestra-testigo durante el funcionamiento de la turbina. La destrucción completa de la muestra no influye en la fiabilidad del trabajo de la instalación energética.
Figura 121. Muestra-testigo para precisar la velocidad del desarrollo de los deterioros corrosivos de los elementos del rotor: a, muestra del metal del rotor en explotación con deterioros corrosivos; b, muestra que simula la unión de la cola de la paleta con el disco del rotor; c, muestra que simula la unión por chaveta del disco con el árbol. 5, captador del deterioro; 6, muestra-testigo; 7, defecto; 8, funda perforada; 9, vástago instalado desmontable fijado en el cuerpo; 10 y 11, agarres; 12 y 17, salientes de la muestra; 14 y 15, montantes distanciadores, 10 y 17, electrodos y cables, para controlar el desarrollo del defecto aplicando el método de electropotencial, unidos con la fuente de corriente 18 y con el potenciómetro 19; 20, modelo de la cola de la paleta; 21, modelo de la zona al ajuste de la chaveta en el árbol del rotor; o, modelo de la chaveta.
Los logros de la mecánica de la destrucción ayudan no sólo a pronosticar la duración de la vida útil de las turbinas, sino también a elaborar los procedimientos de la restauración de la vida útil de los rotores durante la reparación general después de cada 60... 100 mil horas de explotación, así como las medidas constructivas de elevar la duración de la vida residual de los rotores y los cuerpos de las turbinas.
Figura 122. Dispositivo para restablecer el recurso de los rotores. 1, apoyos del rotor; 2, accionamiento de marcha lenta (4 rpm) para maquinado mecánico del rotor; 3, montante para instalar el soporte y la rectificadora; 4, carro; 5, fijador de la posición axial del rotor.
Sin los cálculos teóricos e investigaciones defectoscópicas es imposible determinar argumentadamente, por ejemplo, el grosor de la capa superficial averiada que debe quitarse en un dispositivo especial de pulir (figura 122). Los cálculos teóricos permitieron proponer un dispositivo de cavidades especiales en T de descarga para reducir las tensiones axiales de temperatura en las zonas más peligrosas o un sistema de regulación óptima de semejantes tensiones, calentando las uniones embridadas del cuerpo de la turbina.El éxito en la solución del problema complejo de aumentar el funcionamiento seguro de los rotores y elementos de cuerpo de las turbinas en las CTE se pudo lograr sólo como consecuencia del uso integral de los métodos de la mecánica de la destrucción en combinación con las pruebas naturales y seminaturales, los métodos diagnósticos y una serie de soluciones esquemáticas y constructivas. Un enfoque integral análogo se manifiesta también en muchas otras ramas de la aplicación práctica de la mecánica de la destrucción.
§ 30. Mecánica de la destrucción y pruebas que no destruyen
En enero de 1986 casi inmediatamente después del despegue falleció trágicamente la nave cósmica norteamericana «Challenger» con los siete astronautas a bordo. El cuadro de la explosión estremeció a todos los que vieron el reportaje por la televisión que coincidió para mí con otra circunstancia más, o sea, lo sucedido parecía una horrible ilustración al informe que casi en la víspera se discutió en un seminario científico.
En él se trató de la destrucción del cuerpo con una cavidad en forma de grieta, dentro de la cual a causa de la combustión se eleva la presión del gas. La solución de semejantes tareas está relacionada con la simulación del aumento de la presión e incluso con la destrucción repentina del combustible sólido del propulsor cohete. Los motores de propelente sólido (precisamente estos aceleradores funcionaban en «Challenger») pueden entrar en el régimen no calculado e incluso explotar si en el combustible sólido habían defectos en forma de grietas con dimensiones inadmisibles. Durante el quemado de la combustión el frente de la ignición de la llama alcanza el extremo del defecto y la ignición abarca rápidamente toda la cavidad del defecto. Puesto que la salida de los productos de combustión a través de un orificio estrecho de entrada (el extremo de la grieta) es dificultosa, en la cavidad aumenta la presión. La adición de semejantes efectos que tienen lugar en otras grietas puede conducir a un brusco incremento de la presión en el propelente sólido, la pérdida de la estabilidad de las grietas incendiadas y a la explosión con el desprendimiento de la envoltura que contiene el propelente sólido. La llama puede pasar a los depósitos vecinos de los aceleradores de propelente sólido, entonces ocurrirá lo irremediable.
Para obtener unas estimaciones seguras para este problema tan complejo deben combinarse las ecuaciones de la teoría de las grietas y las ecuaciones de la dinámica de gas, vencer todas las posibles dificultades matemáticas, pero el resultado obtenido es digno de atención: para cada tipo concreto del propelente sólido puede indicarse el tamaño tolerable límite del defecto tecnológico cuyo exceso puede conducir a la explosión. Los especialistas de defectoscopia o del control no destructible tienen que controlar la ausencia del defecto peligroso en el propelente sólido. A continuación trataremos de las dificultades que se plantean ante ellos no tanto en sentido técnico, como ante todo en el de principio.
El desarrollo de la técnica moderna y tecnología es inconcebible sin el uso más amplio de las pruebas no destructivas. En éstas se emplean métodos físicos que no efectúan deterioros complementarios al material. Existe una cantidad muy grande de semejantes métodos, pero el más antiguo de ellos, o sea, el mejor de ellos y el más sencillo es el método visual. Lo usamos en el comercio de zapatos cuando examinamos un par de zapatos antes de comprarlos y si la iluminación es suficiente, podemos descubrir con éxito los defectos superficiales. Dicho método es imprescindible para los técnicos de aviación, es decir, cuando se prepara el avión se debe examinar minuciosamente el tren de aterrizaje, ya que las piedrecitas puntiagudas que salen por debajo de las ruedas pueden averiar la superficie del montante. Las consecuencias del desarrollo de las grietas a causa de la corrosión en las condiciones de una gran humedad, grandes saltos de las temperaturas y las cargas de impacto no son difíciles de imaginarse. Pero si se requiere examinar unas u otras zonas del cuerpo en cuestión que son imposibles de observar directamente, en la actualidad se usa a gran escala la óptica de fibras.
En el arsenal de los especialistas del control no destructivo existen también métodos más refinados, tales como los térmicos, radiactivos, acústicos, electromagnéticos, holográficos, etc., etc. La defectoscopia moderna ofrece la posibilidad con bastante seguridad y rapidez descubrir los defectos del material, incluyendo los internos, determinar su tipo, las dimensiones y la posición. Una gran importancia tienen no sólo el poder resolutivo de los dispositivos y la calificación del personal, sino también el saber de la tecnología de la fabricación, así como las condiciones de explotación del elemento de construcción. Los efectos pueden ser propios (inclusiones en el metal, la estratificación en el material de composición), aparecer durante la confección (falta de soldaduras y grietas en las costuras soldadas) y también pueden formarse durante el funcionamiento del artículo (las grietas de fatiga y por corrosión). Para detectar con éxito los defectos es necesario sin duda alguna comprender qué es lo que se necesita buscar y dónde se debe buscar.
A pesar de ser tan poderoso, el control no destructivo tiene un punto flojo. El defecto está detectado, pero qué es lo que se debe hacer a continuación: dejarlo sin atención, continuar el funcionamiento, controlando periódicamente, detener el proceso y comenzar a reparar la construcción o puede que darla de baja. Los especialistas del control no destructivo sufren dificultades en ofrecer semejantes recomendaciones, a pesar de que están muy preocupados por las cuestiones de integridad de la construcción. ¿Por qué, por ejemplo, las picaduras mecánicas superficiales para una pieza de acero no son significativas, mientras que para una pieza de berilio son catastróficas? Estimado lector, Usted ya puede ayudarnos a establecer a los que nos pudiesen echar una mano en la presente cuestión. Claro que los especialistas de la mecánica de la destrucción. Ellos pueden decir si es peligroso el defecto detectado para el nivel prefijado de las cargas de funcionamiento, con qué velocidad el defecto puede crecer hasta alcanzar el tamaño peligroso, qué medidas es necesario tomar para prevenir la destrucción catastrófica y cuál es el nivel seguro de las cargas para explotar el elemento defectuoso de la construcción.
Intentemos en unos ejemplos más sencillos explicar las posibilidades de la interacción del control no destructivo y la mecánica de la destrucción. Nos limitaremos con la mecánica lineal de la destrucción que se usa a gran escala en la práctica ingenieril. Los métodos del control no destructivo no se van a concretizar, considerando que los medios utilizados de la defectoscopia permiten averiguar a ciencia cierta y establecer las dimensiones de las grietas existentes si ellas superan cierta dimensión límite que se determina por el poder resolutivo de los dispositivos.
Cualquier análisis de la integridad del elemento de construcción supone la ejecución del cálculo de su estado de tensión y el establecimiento de la relación entre las cargas exteriores y las tensiones máximas. Como sabemos el cálculo tradicional de la resistencia considera que la construcción es aceptable si dichas tensiones máximas no superan el límite de resistencia del material o el límite de fluencia, teniendo en cuenta el coeficiente adecuado de seguridad.
En una construcción más sencilla, como la que estudió aún Galileo (figura 123), una viga de consola introducida rígidamente con un extremo en la pared, sostiene una carga P suspendida en el extremo libre. Las tensiones de dilatación más grandes actuarán en la parte superior de la viga junto a su extremo de entibación: Conforme a la teoría técnica de flexión descrita en cualquier manual de la resistencia de los materiales,

Figura 123. Viga de consola fijada rígidamente que sostiene una carga P. Se muestran las tensiones en la sección más peligrosa junto al lugar de entibación.
Así, pues, la teoría clásica de la resistencia de los materiales restringe por arriba la capacidad portante de la viga mediante el siguiente límite
Figura 124. Grieta de longitud l en la sección más peligrosa de la viga.
Gomo otro ejemplo de la aplicación de la mecánica de la destrucción para analizar los resultados de la defectoscopia pueden nombrarse los recipientes de presión. Examinemos un recipiente cilíndrico de paredes delgadas con fondos semiesféricos (figura 125), lleno de gas o líquido bajo la presión p. Sea la longitud de su parte cilíndrica L, el radio del cilindro y los fondos R, el grosor de las paredes del recipiente h ( h es pequeño en comparación con R). Calculando simplemente con los métodos de la resistencia de los materiales establecemos que las tensiones en las paredes del recipiente se distribuyen uniformemente, con la particularidad de que las tensiones en los fondos esféricos y las tensiones axiales en las paredes del cilindro s = pR/2h y las tensiones circundantes en las paredes del cilindro son el doble mayores a σ = 2 s = pR/h.
Figura 125. Cálculo del estado de tensión para un recipiente cilíndrico de paredes delgadas con fondos semiesféricos: a) elemento de la pared cilíndrica; b) elemento del fondo semiesférico.
Son las tensiones máximas y, por lo visto, el recipiente se romperá, quebrándose a lo largo de la línea axial. Para confirmar eso todos los conferenciantes citan obligatoriamente el ejemplo con las salchichas en las cuales el contenido al cocerse aumenta su volumen y la piel estalla siempre en dirección longitudinal y no en la transversal.La condición de la resistencia mecánica (99) conduce a la siguiente restricción de las presiones seguras de funcionamiento
Para elegir un método defectoscópico u otro es importante la cuestión sobre la definición de lc , la dimensión crítica del defecto, partiendo de las condiciones conocidas del funcionamiento del elemento de la construcción. En el caso del recipiente cilíndrico en cuestión lc se determina, partiendo de la condición del alcance de la igualdad en la fórmula (106):
Para asegurar la fiabilidad de la construcción es importante tener la posibilidad de detectar con gran probabilidad las grietas antes de que éstas alcancen su dimensión crítica. Las condiciones (107) y (108) deben tenerse en cuenta al elaborar las demandas técnicas planteadas al control no destructivo. Comparando los valores de (KIc /σf)2, se puede imaginar en cuánto se diferencian las longitudes críticas en diversos materiales. Por ejemplo, para el acero típico que se usa en los recipientes de presión en las instalaciones nucleares de fuerza motriz, este valor es de unos 140 mm y para el acero de alta resistencia mecánica para acero de aviación tiene el orden de 1 mm. Aproximadamente esa es la razón de las longitudes críticas de las grietas, por lo tanto el enfoque de elegir el método de control será diferente.
Del control no destructivo se espera no sólo una definición segura del tamaño del defecto, sino también del lugar de su disposición. Comparemos las dimensiones críticas de las grietas interna y extrema en una lámina gruesa a estirar (figura 126). Para la grieta extrema
Figura 126. Para comparar las dimensiones críticas de las grietas interna y extrema en una lámina a estirar.
Los constructores exigen del control no destructivo no sólo los informes sobre las dimensiones y disposición, sino también sobre la forma del defecto.
Figura 127. Fases sucesivas del incremento (1—2— 3—4—5) de la grieta inicial (7) en la parte interna del recipiente y su transformación en la grieta transparente (5) de longitud L (esquema).
Expliquemos la importancia de esta demanda con el ejemplo del recipiente de presión en el que existe una grieta no transparente en la superficie interna de la pared (figura 127). Debido a los procesos cíclicos o a la corrosión bajo tensión dicha grieta puede crecer y alcanzar la superficie exterior del recipiente. Comenzará el escape del contenido a través de la grieta transparente (o pasante) formada, lo que posibilita su detección. Podremos usar dicha posibilidad si la dimensión de la grieta transparente es inferior a la crítica y mientras que ella siga creciendo hasta el estado peligroso, habrá tiempo de detener la explotación y tomar las medidas de reparación. El recipiente proyectado de esa manera satisface la demanda del escape antes de la destrucción, lo que es obligatorio, verbigracia, al proyectar los recipientes en las instalaciones nucleares. El estado crítico de la grieta no transparente interna inicial puede estimarse aproximadamente por la fórmula (107). Si la longitud de la grieta transparente que se forma después tiene el orden de la longitud del defecto inicial L, la condición de su estabilidad (fluencia antes de destruirse) se escribe así
Imaginémonos un display en el que se aplica la forma de la grieta que se encuentra en el campo de vista del defectoscopio (figura 128). Uniendo su imagen con el rectángulo crítico lc x Lc veremos que la grieta l es estable y su profundidad es inferior a la longitud crítica lc , mientras que la grieta 2 es inestable, ésta puede pasar a la superficie exterior, pero ahí se para, así que tendremos tiempo de llamar la brigada de reparación. Solamente el defecto 3 es peligroso. Al recipiente con semejante defecto no se le puede de ninguna manera aplicar una carga de funcionamiento.
Figura 128. La grieta (1) es estable, la grieta (2) es inestable, pero se transforma en una grieta estable transparente, la grieta (3) es absolutamente inestable.
Con un análisis parecido pueden chocar no sólo los especialistas del control no destructivo, sino también los que estudian las causas de la avería por el aspecto de las superficies de la fractura, pero de eso se tratará en el siguiente párrafo. Al final citemos un ejemplo más real del empleo de la mecánica de la destrucción para argumentar el procedimiento del control defectoscópico.Supongamos que se requiere establecer la periodicidad del control defectoscópico de una pieza plana a dilatar que posee una forma de una franja ancha con cierta grieta situada en el centro. El material de la pieza es el acero A588 (σf = 350 N/mm2, σB = 490 N/mm2), el grosor de la pieza t = 38 mm. La viscosidad de la destrucción se toma igual a Kc = 6400 N/mm3/2 (para el grosor prefijado) y la viscosidad de la destrucción para la deformación plana KIC = 3900 N/mm3/2. Sea que la carga cambia cíclicamente con un período igual a una hora. La tensión máxima del ciclo se toma igual a σmáx = 0,8σf = 280 N/mm2 y la mínima, σmin = 0.
Para una estimación aproximada de la longitud de la grieta inicial puede tomarse que si la existencia de la grieta se controla al confeccionar la pieza, 2 l 0 = 3 mm; si durante la explotación con métodos no destructivos, 2l 0 = 8 mm; si visualmente durante el funcionamiento, 2l 0 = 12 mm. Vamos a considerar que en nuestro ejemplo la grieta se controla de modo visual y, por lo tanto, 2 l 0 = 12 mm en la superficie de la pieza.
Determinemos las dimensiones críticas de la grieta para una fisura pasante de longitud 2l. En este caso K = σ√(πl) y la semi-longitud crítica de la grieta determinada de la condición Kmax = Kc será respectivamente
§ 31. Mecánica de la destrucción y peritación judicial
¿Existía el defecto en la construcción? ¿Fue la causa de la avería? ¿Cómo se desarrolló la destrucción? ¿Quién es responsable del defecto? Los especialistas de la mecánica de la destrucción deben saber contestar a estas y otras preguntas semejantes. Pero las mismas interrogantes interesan al juez de instrucción, al fiscal y a otros participantes de la investigación judicial de los asuntos de averías. Precisamente por eso los mecánicos se atraen bien por el demandante o bien por el demandado como peritos judiciales. De ellos esperan unas respuestas argumentadas y, por regla general, esas esperanzas se realizan. Los problemas que tienen que resolverse en dichos casos se parecen a los problemas de la defectoscopia, sólo que a diferencia del control no destructivo es indispensable mirar no hacia adelante, sino hacia atrás. Ilustremos lo dicho con dos casos de la práctica judicial.
Tabla 4 Resultados de las pruebas de la pieza según la durabilidad [33]
El caso de la rueda explotada de la motocicleta
Del protocolo del lugar del suceso:«El chófer con un pasajero iba en la motocicleta a una velocidad de unos 80 km/h por una sección recta de la autopista. De repente se oyó un sonido bajo, parecido a un disparo de fusil, después de lo cual comenzó a patinar la rueda posterior. El pasajero cayó hacia la derecha y el chofer fue lanzado también a la derecha.
La rueda deslizándose por el lado derecho a lo largo de la autopista, se paró a unos 35 metros del lugar de avería».
Figura 129. Aspecto general de la parte izquierda de la rueda de la motocicleta. Se ve la separación de la llanta de la parte restante de la rueda. La flecha indica la posición de la junta soldada.
Sobre la reconstrucción de la destrucción:
«La destrucción de la llanta se desarrollaba en la base del borde de la llanta a causa de la fatiga que comenzó en la junta soldada, además, el grosor de la franja de acero de la que se matrizó la llanta, disminuyó en un 40 por 100 (el grosor inicial es de 1,25 mm y la final, de unos 0,75 mm) sin duda alguna debido al pulido efectuado al quitar las batiduras. La foto (figura 130) muestra la mala calidad de la soldadura y la reducción del grosor del metal. La grieta, comenzando una vez desde la base de la junta soldada, se extendió en dirección de circunvalación por el metal fino, tanto más que el redondeamiento interno brusco provocó una concentración esencial de las tensiones.
Figura 130, a. Sección transversal de la llanta en el lugar de la junta soldada por la parte izquierda (a) y derecha (b) si se mira la motocicleta de frente.
Cuando la llanta fue debilitada considerablemente, el borde se separó hacia afuera y fue arrancado de la base de la llanta como consecuencia de la presión del aire en el neumático sobre el borde de la llanta. El extremo del neumático ya no se sostenía más por el borde de la llanta y fue expulsado hacia afuera.
Figura 130, b.
De la conclusión del perito:
«La causa directa de la destrucción y, por lo tanto, de la avería es indudablemente el defecto industrial».
El caso citado fue arreglado en el jurado pagando varios miles de dólares a las víctimas. Dejando el aspecto jurídico del asunto, señalaré que a la vista había un defecto basto de la fabricación que condujo a una rápida avería (la motocicleta recorrió en condiciones normales no más de 4000 km).
Si la causa de la destrucción de fatiga no fuese tan evidente (¡al especialista!) se necesitaría un cálculo más minucioso aplicando las teorías del incremento de fatiga de la grieta y la comparación de la durabilidad calculada y los plazos de funcionamiento hasta la verificación planificada y la reparación.
El caso de la avería de la cisterna para transportar gasolina
Del protocolo:«Un tractor de ruedas tiraba de un semirremolque y una cisterna con gasolina. Saliendo de la autopista por un redondeamiento con radio de unos 100 m, el conductor frenó un poco delante del indicador de la parada, pero en ese momento el tren se volcó y se encendió. El incendio destruyó totalmente la cisterna y el remolque, pero el conductor no sufrió».
Como consecuencia del examen en el lugar del suceso se descubrió que se rompió el mecanismo de remolque, mientras que los cables de seguridad permanecían enteros. El propietario intentó un proceso para compensar el daño, basándose en que la viga de tracción era defectuosa y al cabo de nueve meses de explotación ocasionó la avería. La cuestión principal que se necesitaba aclarar en el jurado consistía en que sería la avería provocada por la destrucción de la viga de tracción o ésta misma se rompió durante la avería. Responder a esta pregunta debían los especialistas-peritos de la destrucción a los que alquilaron el demandante y el demandado.
Fueron emitidas dos versiones opuestas. La versión del demandante consistía en que primero se destruyó a causa de la fatiga la orejeta por la parte derecha, el eje delantero del remolque dio una vuelta brusca hacia la derecha, en este preciso momento de ella tiraban el cable de seguridad y la orejeta izquierda. Pero debido a la carga que aumentaba, el eje se rompió y luego el remolque pegó el semirremolque, lo volcó y detrás de él se volcó el mismo.
El mecanismo de remolque fue soldado de los tubos, placas y de piezas de fundición de acero (figura 131). La ruptura se originó en el lugar de la soldadura del tubo con la pieza de fundición (figura 132 arriba) y por la misma pieza de fundición (figura 132 abajo). Se ve que la calidad de la pieza de fundición es mala, pues en la figura 132 abajo se ven unos poros suficientemente grandes. En la junta soldada (figura 133) se observan las soldaduras defectuosas. Según los resultados del análisis se emitió la conclusión de que la baja calidad de la pieza de fundición y de la soldadura fue la causa de la destrucción del mecanismo de remolque.
El perito del demandado reconoció por completo la mala calidad de las piezas de fundición y parcialmente los defectos de la soldadura. Pero él afirmaba que la seguridad registrada en la construcción del mecanismo de remolque compensa cualquier reducción del área eficaz de la sección portante.
Figura 131. Aspecto general del dispositivo de tracción (aproximadamente en 1/13 de su magnitud).

Figura 132. Superficie de la destrucción de la pieza de fundición derecha (véase la figura 131). La junta soldada está por arriba, la formación de poros intensa, por debajo (aproximadamente en 1/2 de la magnitud).

Figura 133. En la sección de la junta soldada que une el tubo con la fundición derecha se ven las soldaduras defectuosas (aproximadamente en 1/3 de la magnitud).
Se ven claramente los surcos paralelos de fatiga que muestran el movimiento del frente de la grieta durante un ciclo de cargamento. En la figura 135 se representa otra sección de la figura 132 señalada por la flecha 2. Los puntos negros son los productos de la corrosión, lo que indica la destrucción que comenzó mucho antes de la avería. Y por fin, en la figura 136 se muestra una parte de la superficie de la destrucción de la pieza de fundición izquierda que se rompió después de la derecha. Eso es una destrucción típica con desprendimiento sin cualesquiera rasgos de fatiga o corrosión.
La peritación adicional confirmó la posición del demandante que después de tres días de audiencia ganó el proceso y recibió la compensación, aunque sólo unas dos terceras partes de los que exigía inicialmente, pero eso ya es el mérito de los abogados del demandado y no la culpa de los peritos.
En la figura 135 se representa otra sección de la figura 132 señalada por la flecha 2. Los puntos negros son los productos de la corrosión, lo que indica la destrucción que comenzó mucho antes de la avería. Y por fin, en la figura 136 se muestra una parte de la superficie de la destrucción de la pieza de fundición izquierda que se rompió después de la derecha. Eso es una destrucción típica con desprendimiento sin cualesquiera rasgos de fatiga o corrosión.

Figura 134. Zona de la superficie de la destrucción de la junta soldada señalada por la flecha 1 en la figura 132. Se ven los surcos de fatiga que se forman al desplazarse el frente de la grieta de fatiga. Aumento de 20 mil veces.

Figura. 135. Zona de la superficie de la destrucción de la junta soldada, señalada con la flecha 2 en la figura 132. Los puntos negros son los productos de la corrosión que testimonian el hecho de que la destrucción comenzó mucho antes de la avería. Aumento de 6 mil veces.
Así que para la fractografía, lo mismo que para el control no destructivo, la mecánica de la destrucción puede servir de base para las opiniones no sólo cualitativas, sino también cuantitativas.
Figura 136. Las superficies de la destrucción de la pieza de fundición izquierda representan de por sí una superficie típica de una destrucción frágil por desprendimiento sin rasgos de fatiga o corrosión. Aumento de 6 mil veces.
§ 32. Acerca de las analogías útiles para la mecánica. Mecánica de la destrucción y perforación de los dieléctricos
Antes de dar a conocer al lector un aspecto relativamente nuevo de la aplicación de los métodos de la mecánica de la destrucción indicado en el título, relatemos sobre algunas analogías que surgen al simular los fenómenos de la naturaleza. Los fenómenos del mundo que nos rodea, diferentes según su contenido físico al idealizarlos desde el punto de vista matemático, se describen en muchos casos mediante las ecuaciones de la estructura idéntica. Esta circunstancia permite establecer la concordancia entre las magnitudes que caracterizan diversos procesos físicos.
Figura 137. Sistema mecánico de oscilación.

Figura 138. Circuito eléctrico, cuyo comportamiento de la corriente es semejante a la conducta de la carga en un sistema mecánico mostrado en la figura 137.
En la figura 138 se muestra un circuito eléctrico que consta de una bobina de inductancia L, conectada en serie, un condensador con capacidad C0 y una resistencia R. Al suministrar una tensión U(t) = U0 sen ωt, las oscilaciones en el circuito de corriente i se describen mediante la ecuación
Semejantes circunstancias impulsan a los investigadores a establecer unas analogías cada vez nuevas entre los fenómenos que a primera vista no tienen nada de común entre sí. ¿Qué hay de común, por ejemplo, entre el árbol que transmite el momento de rotación desde el motor de un buque marino moderno a su hélice tractora y una película de jabón? Un análisis más minucioso de estos objetos tan diferentes muestra que en condiciones determinadas la película de jabón puede prestar una ayuda inapreciable al ingeniero al proyectar no sólo el árbol del buque marino moderno, sino también de otras muchas construcciones que durante el funcionamiento se someten al efecto de las cargas de torsión. La analogía de membrana, muy útil al estudiar el problema de torsión de las barras prismáticas, fue propuesta en 1904 por el famoso mecánico alemán L. Prandtl y se basa en la identidad de las ecuaciones matemáticas que describen fenómenos diferentes.
Imaginémonos una membrana de un material homogéneo estirada sobre un contorno rígido de la misma configuración que la sección transversal de la barra de torsión y sometida a continuación a una presión transversal uniforme de intensidad p, pequeña en comparación con la tensión de la membrana q. La flexión w de la membrana satisface la ecuación
Pero las tensiones tangenciales que surgen durante la torsión se determinan mediante la llamada función de tensión U que satisface la ecuación
En calidad de una membrana perfecta puede tomarse una película de jabón en la que la magnitud constante de la tensión q se asegura con las fuerzas de la tensión superficial. La analogía de membrana con las películas de jabón se utilizó reiteradas veces para resolver de modo experimental muchas tareas de torsión importantes en la práctica y en la técnica del planteamiento de estos experimentos fueron introducidos algunos perfeccionamientos (modernización) con el fin de elevar la precisión en determinar las flexiones. Así la película de jabón, conocida a cada uno . desde la infancia, se convierte de un entretenimiento en las manos de un ingeniero en un método experimental elegante.
Señalemos que además de la analogía de membrana en la teoría de torsión de las barras se conocen las analogías hidrodinámicas, así como una analogía electrodinámica. La última es el corolario de la analogía inherente a las ecuaciones de la teoría de la elasticidad y a las ecuaciones de los campos eléctricos estacionarios en los cortes dieléctricos o lineales conductores de corriente.
En el caso general es difícil componer un «diccionario» que permita por las soluciones de las tareas electroestáticas obtener las soluciones de los problemas de la teoría de la elasticidad, en cambio en algunos casos particulares la composición eje semejante «diccionario» no presenta trabajo alguno. Uno de esos casos se mencionó antes y el otro está relacionado con la tarea antiplana (§ 7).
Figura 139. Defecto en forma de grieta en unión de cola.
Figura 140. Paso de la corriente eléctrica a través de una placa metálica fina, densa (a) o con grieta (b).
Analicemos ahora una placa metálica fina, cuya forma coincide con la sección transversal del cuerpo prismático examinado antes (figura 140, a) y supongamos que en sus dos partes opuestas se prefija una corriente eléctrica I 0, con la particularidad de que nos interesa la distribución de las corrientes en la placa.
Esta tabla permite la solución del sistema (26) y (27) convertirla en la solución de la tarea sobre la distribución de las corrientes en una placa sin defectos. ¿Cómo se portará una placa análoga pero teniendo un defecto en forma de grieta (figura 140, b)? El lector guiándose por la analogía contestará que la distribución de las corrientes en las proximidades del borde del defecto será parecido a la distribución de las tensiones (44) que surge en semejante problema mecánico (26) y (27), sustituyendo las designaciones de acuerdo con la tabla.
De esta manera, el defecto en una hoja conductora de corriente conduce a la concentración de las corrientes eléctricas, cuya distribución en el borde de la grieta tiene una peculiaridad característica y es proporcional a cierto coeficiente K¡ que puede denominarse coeficiente de intensidad de las corrientes.
El efecto de la concentración de las corrientes en las inmediaciones del borde del defecto en forma de grieta se utiliza para frenar las fisuras en los medios conductores de corriente. Así, si una placa conductora con grieta se carga con esfuerzos perpendiculares a la grieta y se deja pasar por ella una corriente, la carga crítica que conduce al incremento de la grieta será mayor que para semejante placa, pero en ausencia de las corrientes.
Figura 141. Condensador plano.
La tarea sobre la distribución del campo electroestático en un condensador plano (figura 141) es próxima a la tarea examinada ahora mismo sobre la placa con corriente. No es difícil establecer cierta analogía entre estas dos tareas, a pesar de una diferencia evidente entre las placas conductora y dieléctrica. En particular, en las placas dieléctricas se realiza el fenómeno de perforación, es decir, la pérdida de las propiedades dieléctricas o la perturbación de la resistencia eléctrica.
Cada uno de nosotros choca en la vida cotidiana con el fenómeno de perforación de los dieléctricos. Quién de nosotros no se disgusta cuando en espera de una buena transmisión por la televisión encuentra el televisor «sin vida». Una de las causas posibles del desarreglo puede ser la perforación de algún condensador, al conectar el televisor a la red eléctrica cuando la tensión en sus armaduras crece bruscamente.
¿Qué significa de por sí la perforación del dieléctrico o dicho de otra manera, la pérdida de la resistencia eléctrica por el dieléctrico? Contestar a esta pregunta es sencillo y complicado. Es sencillo porque cada uno de nosotros tiene una opinión intuitiva sobre la perforación, y complicado porque en la literatura sobre la perforación de los dieléctricos existen varias definiciones de este fenómeno y un conjunto de diversas teorías físicas que la explican. Una de las posibles definiciones de dicho fenómeno se intentará ahora enunciar.
Se sabe que en la naturaleza no existen aisladores perfectos, es decir, medios que no son, en general, conductores, de las corrientes. Incluso los buenos aislantes en un grado mayor o menor son conductores de corriente, sin embargo, en comparación con los conductores estas corrientes son centenares de veces menores. Por eso, respecto a los dieléctricos, tiene sentido hablar de corrientes y, por lo tanto, para cualquier dieléctrico o condensador podemos componer en principio su característica tensión— corriente.
Para mayor simplicidad nos limitaremos con un condensador plano (figura 141) cuando la corriente sumaria que fluye a través del condensador puede medirse de manera relativamente simple, conectando un amperímetro sensible en serie con el condensador (figura 142).
Figura 142. Circuito eléctrico que permite medir la corriente sumaria que pasa a través del condensador.
El siguiente aumento de la tensión en las armaduras del condensador conduce a que para ΔU > ΔU per un aumento pequeño de la tensión conduce al incremento considerable de la corriente (sección 2 en la curva de la figura 143). Otra situación que surge al aumentar insignificantemente la tensión AU con relación al valor límite ΔU per, se caracteriza cualitativamente por la curva 2 en la figura 143. Señalemos que en los dos casos tiene lugar un brusco aumento de la corriente que atraviesa el dieléctrico.
Figura 143. Característica de tensión-corriente del dieléctrico.
Basándose en estos razonamientos y teniendo en cuenta la analogía existente entre las tareas de la mecánica y electrostática de los dieléctricos, puede introducirse el concepto de los coeficientes de la intensidad que caracterizan el campo electrostático en los bordes de los electrodos, así como en el dieléctrico en las proximidades de los extremos de las grietas abiertas finas. Así, por ejemplo, si un dieléctrico colocado entre dos electrodos con cargas de signos diferentes tiene un defecto en forma de grieta, el campo electrostático cerca de sus bordes se describe mediante las ecuaciones tipo (44) y (45) que tomando en consideración la analogía, pueden escribirse así
Kq
= Kc
(118)
donde Kc
Claro que el criterio propuesto de la perforación de los dieléctricos en forma de (118) por lo visto no puede describir toda la variedad de los fenómenos de perforación y, al aplicarse a diferentes medios, requiere un perfeccionamiento. En particular, los razonamientos citados antes, cuyo corolario fue la fórmula (118), no toman en consideración, de ningún modo la posibilidad de formar entre las armaduras del condensador una carga volumétrica que puede crearse como consecuencia del «arranque» de los electrones de la superficie de electrodos, siendo grandes las intensidades del campo eléctrico o formarse como consecuencia de la ionización de ciertos volúmenes del dieléctrico. A la par con ello el criterio (118) respecto al aislamiento de vacío tiene una buena confirmación experimental.
Para ilustrarla comparemos los valores de las tensiones de perforación, calculados conforme al criterio (118) y medidos experimentalmente:
- 350 kV y 384 kV (el vacío es de 1,33 x 10-2 Pa),
- 290 y 300 kV (el vacío es de 1,33 x 10-4 Pa),
- 130 y 125 kV (el vacío es de 0,66 x 10-6 Pa).
En calidad de electrodos sirven unos discos con radio a situados a una distancia h (los datos se dan para el caso h = 0,2 a).
Los autores de los libros de ciencia ficción para mostrar el fenómeno de todas las partes a veces describen un mir de fantasía en el que dicho fenómeno desaparecía. Con frecuencia el cuadro obtenido resulta inesperado y asombra la imagen del lector inexperto. El mundo sin gravitación, descrito por Jules Verne, resultaría sencillamente horroroso: de la superficie de la Tierra, que gira alrededor de su eje, las fuerzas centrífugas arrancarían y arrojarían al espacio el agua y el aire, a la gente y animales, los trenes y automóviles. Si en el mundo desapareciera la fricción todas las ruedas patinarían, la gente se caería al suelo que estaría bárbaramente resbaladizo y todos ellos (a excepción puede ser de los poseedores felices de los abrigos de piel) estarían tirados en él prácticamente desnudos, pues todos los tejidos no se deshacen en hilos separados sólo merced a la fricción.
Nosotros, sin pretender los laureles de los escritores-fantaseadores intentaremos imaginarnos el mundo sin destrucción. Claro que acabarían los terremotos catastróficos relacionados con la ruptura de la corteza terrestre, no se romperían los edificios, no se quebrarían por el medio los buques, no se romperían las manos, los dedos y los dientes. ¡Un mundo perfecto! En cambio, desaparecerían de ese mundo aves (y cocodrilos también), pues los polluelos no podrían romper el cascarón. Los huevos irrompibles conducirían a la decadencia del arte culinario, incluso quedarían sólo los recuerdos de la tortilla. En general no se podría ni cortar el salchichón, ni masticar el pan. Un individuo triste y sin afeitar (pues la cuchilla de afeitar se hizo inútil) podría solamente chupar y lamer, utilizando como alimento únicamente las substancias disolubles en el agua. Haría frío y el hielo no se quebraría hasta que el sol no lo derritiese. No funcionarían las centrales termoeléctricas, ya que la extracción de los minerales está relacionada con la destrucción. Incluso se tendría que encender la hoguera de troncos enteros de los árboles. Si este cuadro lo complementasen los literarios profesionales, por ese escenario se podría filmar una película de miedo que sobrecoja el alma.
Después de aclarar toda la importancia y utilidad de la destrucción, regresamos a nuestro mundo real y discutamos brevemente los aspectos beneficiosos del empleo de la destrucción. En la vida cotidiana estamos interesados no sólo en una destrucción bastante fácil, sino controlable con fiabilidad. Como ejemplos de semejante destrucción sirven la apertura cuidadosa sin ayuda del cuchillo de las latas de cerveza o sardinas a causa de haber unas secciones debilitadas del empaquetamiento, la separación de los sellos de correos exactamente por las perforaciones o la apertura del detergente apretando con el dedo el lugar rodeado de perforaciones en la caja. Las amas de casa se enfadan mucho si esas perforaciones no son bastante profundas o no existen por completo y la parte que dice «Abrir aquí» está rodeada por línea de puntos hermosos dibujados en la superficie. Otro ejemplo bien conocido de la destrucción predicha lo ofrecen los parabrisas de automóviles sometidos a un tratamiento especial que se deshacen en las averías en unos trocitos ligeros que no son peligrosos y no se rompen en grandes fragmentos estirados tan característicos para el vidrio corriente que se parecen a unos cuchillos afilados. Destruimos conscientemente sacando la punta del lápiz, triturando en el mortero las substancias aromáticas o colorantes antes de confeccionar los preparados culinarios o cosméticos, así como puliendo, limando, etc.
Utilizamos la destrucción controlable en el arte al desmenuzar los colorantes para componer la pintura, al tallar en facetas las piedras preciosas, así como al crear esculturas de mármol, madera o granito. La destrucción no controlable sólo de modo casual conduce a los resultados estéticamente atrayentes. Especulando en que a la gente le puede gustar la red de fisuras en la cerámica esmaltada o en la superficie de los cuadros de los antiguos maestros, los «entendidos» (con el fin de crear el efecto de autenticidad) elaboran los jarrones y los cuadros de una manera especial [34] .
En la industria la destrucción es útil en la trituración, el molido y la perforación. Un grado elevado de desmenuzamiento de los componentes contribuye a la completa solución, aumenta la velocidad de las reacciones químicas y aumenta la resistencia mecánica del cemento. Ya mencionamos que los gastos en compensar el daño de las destrucciones catastróficas, así como en prevenir las destrucciones se valoran en EE.UU. en una suma enorme, del orden de un 4 por 100 del producto nacional bruto. Pues en una suma aún mayor, aproximadamente, un 5 por 100 del producto nacional bruto, se estima el coste de las operaciones realizadas que están ligadas a la destrucción controlable en las ramas de la industria de construcción de maquinaria (corte, pulido, bruñido, maquinado en el torno de los metales y no metales, etc.).
Se formó una situación bastante rara. Por una parte, se hacen unos esfuerzos considerables y se alcanza un progreso notorio en la comprensión del fenómeno de la destrucción, en la creación de los métodos científicamente argumentados para elegir los materiales y parámetros estructurales que garantizan la seguridad de la construcción en el transcurso de todo el plazo calculado de su funcionamiento. Pero, por otra parte, hubo mucho menos intentos de investigar los factores que facilitan la destrucción en los procesos tecnológicos y crear los métodos de optimización de la forma del instrumento, los regímenes de maquinado, elección de los medios activos, etc. Esta dirección no despierta el interés merecido en los especialistas de la mecánica y física de la destrucción, por eso en esta esfera los ingenieros-prácticos van hacia adelante empíricamente a obscuras. Mientras tanto los resultados económicos relacionados con el aumento de la eficacia en la trituración, el corte, la agitación, el molido o maquinado del metal son de miles de millones de rublos.
Examinemos las posibilidades de elevar la eficacia de algunos procesos industriales importantes a cuenta de la optimización en utilizar la destrucción. Todos sabemos que la explosión sirve con éxito al hombre, al extraer el carbón, la mena y otros minerales. No obstante, la explosión mal calculada conduce a que la roca de explosión va donde caiga, las dimensiones de los fragmentos peligrosos disipados son las más diversas, lo que es incómodo para el posterior tratamiento (véase la figura 144, a). Al contrario, si la explosión está bien preparada, transcurre sin la dispersión de la roca con buena fragmentación de los trozos y un desprendimiento cuidadoso de la roca (figura 144, b). Para esa explosión las vibraciones de la superficie terrestre circundante son mínimas, lo que disminuye la acción negativa sobre la naturaleza, el hombre, los edificios y obras.
Los esquemas teóricos principales que se usan en la descripción de la explosión en un sólido se reducen a simular:
1. El agrietamiento de la roca durante la propagación de las grietas de ruptura normal (que se dispersan hacia todos los lados de la carga de la substancia explosiva) que estallan por la presión interna de los gases formados durante la explosión.
Figura 144. (a), explosión mal calculada; (b), explosión bien calculada.
3. El agrietamiento debido a la formación de las grietas de cizallamiento transversal durante la interacción entre las ondas de compresión y las superficies de separación en la misma roca. La filmación de alta velocidad muestra que en el transcurso de varias centenas de microsegundos el macizo tiene tiempo de ser cortado por las grietas radiales (a través de las cuales salen los gases) que están en interacción con las superficies libres, las de separación y heterogeneidades, que las ondas de tensiones conducen al engendramiento, propagación e intersección de las grietas de cizalla-miento y desprendimiento. Como consecuencia de esa interacción sucede la fragmentación de la roca, con la particularidad de que los trozos separados siguen destruyéndose por las ondas de tensiones que se conservan en ellos.
Desde el comienzo el modelo teórico permitió enfocar de una nueva manera la definición de la posición de las cargas, su potencia y el tiempo de detonación. Según los datos norteamericanos el esquema nuevo para organizar los trabajos de explosión puede asegurar la reducción del costo de la producción minera aproximadamente en un 10 por 100, en la escala de todo el país puede dar una economía más de 250 millones de dólares anualmente. Las estimaciones cuantitativas exactas requieren una investigación profundizada de la resistencia dinámica y a las grietas de las rocas montañosas durante el cargamento a gran velocidad, y una solución de las tareas dinámicas no lineales complejas sobre la propagación de las ondas no estacionarias de una amplitud grande. No obstante las enormes ventajas que promete la teoría matemática de la explosión óptima de los sólidos estimula sin duda alguna a trabajar a los científicos-mecánicos en esta dirección.
Otro método conocido de la extracción de los minerales útiles y la mena está ligado con el sondeo de las rocas montañosas. La perforación más difundida es la rotativa, cuyo carácter depende en gran medida del tipo de roca: en una muy rígida el rompimiento sucede casi continuamente y la longevidad de la barrena se determina por su desgasto abrasivo, en la roca menos rígida la perforación se hace de manera irregular y por eso sobre la duración del instrumento influye también la fatiga de impacto. Es curioso comparar los gastos energéticos en extraer una unidad de volumen del material. Si los gastos de un minero que desmenuza la roca con una azada se toma por unidad, los gastos de un taladrado corriente serán unas 63 unidades, para la explosión y perforación son casi iguales, cerca de 76 unidades, sólo la fusión resulta ser campeón: más de 1800 unidades. El espacio para el trabajo de los inventores es enorme, sin embargo el coste real de la extracción se determina, generalmente, por otros factores. Por ejemplo, durante la perforación profunda los gastos energéticos no superan un por ciento de los gastos totales y no pueden compararse, supongamos, con las pérdidas de las horas muertas al cambiar el instrumento de perforación.
Debe ser muy fructífera la dirección relacionada con el uso de los líquidos activos desde el punto de vista quimiomecánico (véase el § 24) cuando a causa del efecto Rebinder (descubierto ya en 1928 por el académico P. A. Rebinder y que lleva su nombre) se alcanza el coeficiente mínimo de fricción entre la barrena y la roca montañosa. El plazo de servicio de la barrena y las condiciones de aplicación de las soluciones tensoactivas, elegidas minuciosamente, puede crecer 3...4 veces, mientras que el costo de la perforación de un pozo de 900 metros se reduce casi el doble. La optimización del proceso de perforación, utilizando los líquidos activos desde el punto de vista quimiomecánico, requiere la solución de un problema matemático complejo, teniendo en cuenta las ecuaciones de la dinámica de adsorción. Debido a la elección incorrecta de los parámetros de la barrena y el régimen de la perforación, el efecto de adsorción puede no manifestarse por el hecho de que las moléculas de la substancia tensoactiva no tienen tiempo en alcanzar las superficies recientes de la destrucción y efectuar la quimiosorción en ellas hasta la siguiente pasada de la arista cortante del instrumento.
La argumentación teórica es muy importante para asegurar la eficacia de los procedimientos, otros en principio, de la perforación. Examinemos, por ejemplo, la denominada perforación ígnea que se efectúa actuando con un chorro de gas de alta temperatura sobre la roca (figura 145).
Figura 145. Perforación ígnea (destrucción de la roca frágil mediante un chorro de gas de alta temperatura).
En la perforación el papel central le pertenece a las cuestiones de la longevidad del instrumento y la eficacia económica. Por ejemplo, en el periódico «Literatúrnaya gazeta» (N° 10 del 4.03.87) fue descrita una historia aleccionadora de una perforadora eléctrica de vibración:
«En el centro de la pantalla de cine apareció un punto blanco que comenzó a crecer y crecer, saliendo de él una cifra 140 000 000. La voz detrás de la imagen comentó solemnemente que semejante ganancia en cálculo monetario obtendría el país si por lo menos la tercera parte de las máquinas perforadoras estuviesen dotadas de dispositivos de vibración.Si estuviese ya entonces, en 1972, entre los espectadores no sé si me hubiese contenido de quitar el sombrero ante la novedad. Nos gustan las demostraciones evidentes. Y a nuestros ojos les creemos mucho más que a las palabras y papeles. A la plazoleta de demostración vinieron las personas responsables, o sea, los ministros y jefes de las Direcciones Generales. Ellos han visto la barrena-prodigio en acción, han creído a sus ojos y por eso al regresar a los gabinetes con abnegación trabajaron para introducirlo en la industria más rápido posible la máquina.
Y he aquí la barrena-prodigio en acción. Como si fuese un cuchillo incandescente en la mantequilla, la barrena perforadora se clava en la tierra. Pero eso no es un truco cinematográfico. Los testigos afirman que en realidad ese espectáculo es aún más cautivador. Primero se mostró el día de ayer: una barrena corriente con trépanos perforadores desmenuzaba débilmente el granito. Pero en la pantalla aparecía ya el día de mañana: la perforadora eléctrica de vibración que inventó V. O. Málchenko. En minutos contados el granito ya está perforado de parte a parte».
La gente no abrumada con cargos también quería ser en algo útil a la perforadora de vibración.
« En aquel entonces parecía que no había nada más importante en el mundo entero, —me contaba uno de los constructores. Por eso yo entre tantos como yo sin pensarlo mucho ofrecí a Málchenko mi ayuda. Estábamos convencidos de ocuparnos de un verdadero trabajo ».Se unieron las empresas, los departamentos y las organizaciones. Comenzó una marcha triunfante de la nueva barrena perforadora.
Juzguen Ustedes mismos. En 1972 el modelo en acción mostró por primera vez sus prodigios. Al cabo de un año la máquina se sometió a prueba en un combinado de enriquecimiento del mineral y en la ciudad polar de Olenegorsk. Se crea una oficina de diseño tecnológico especial en la que Málchenko se nombra subjefe. Aún no se obtuvieron los resultados definitivos de las pruebas, como ya se recibió el permiso del Gobierno en construir una planta del correspondiente perfil. Más tarde surge la entidad científico-industrial de la URSS «Potentsial». Se toma un programa integral en crear e introducir en la economía nacional la técnica electrovibratoria hasta 1985.
Principio del año 1987. En las empresas mineras no hay ni una perforadora de vibración que funcione. ¿Por qué?
¡Ah! Si alguien en 1972 después de ver la perforadora de vibración hubiese mirado la otra cara de la maravillosa decoración. Resulta que a la máquina se le suministraba una potencia superlímite y en el transcurso de un lapso corto en este régimen daba un rendimiento bárbaro. Pero pronto se recalentaba y perdía sus propiedades útiles. Subrayo: perdía. Es decir, taladraba dos agujeros, pero en el tercero perdía la fragancia. A propósito, nunca se llegó al tercer agujero, pues a los presentes todo les parecía estar claro: en la perforación estalla la revolución.
Al someter la perforadora de vibración a prueba en la cantera minera, lo principal también fue el efecto demostrativo. Se hacía todo para hacer resaltar lo atrayente de la nueva máquina. Decenas de personas y una cantidad de técnica aseguraron su funcionamiento.
En lo adelante resulta todo más complicado.
La muestra de prueba de la barrena perforadora se anuncia válida para la aplicación universal. Basándose en los efectos demostrativos se calcula el efecto económico que se expresaba en cifras astronómicas. En eso se reconoce que a la perforadora eléctrica de vibración le pertenece el futuro. Comenzaron a proyectar la planta...
Cuando ahora las comisiones, una tras otra, intentan comprender la historia de la creación de la perforadora eléctrica de vibración, les sorprende ante todo la ausencia de un estudio diseñador profundo y argumentado. Descubrieron un conjunto casual de ideas ingenieriles no enlazadas entre sí por una idea dirigente...
A propósito, lo que había con exceso en esta historia eran ceros. 20 000 000 de rublos se gastaron para crear la perforadora eléctrica de vibración. La confección de un dispositivo de vibración cuesta casi 35...40 miles de rublos. Pero funciona dicho dispositivo sólo 500 horas, después de lo cual se tira ya que no se puede repararlo. Semejantes gastos se recuperarían si en la cantera se explotase oro, pero no el mineral de hierro. Compárese: el conjunto de las barras perforadoras que se usa hoy en día ron el plazo de servicio casi el mismo cuesta 2700 rublos...
Los norteamericanos en su tiempo se interesaron por las perforadoras eléctricas de vibración. Después de gastar unos 10 millones de dólares comprendieron que el método de perforación es extremadamente caro y no eficaz. Se terminaron las búsquedas.
La exposición «Interelectro—78», donde se mostró el modelo de la barrena perforadora de Málchenko la visitó el vicepresidente de la firma norteamericana que fabrica el equipo de perforación. La demostración terminó, el vicepresidente se sonrió, estrechó la mano de los representantes y se fue a otros pabellones. Es interesante ¿por qué se sonreía el «representante de la casa comercial»?»
Resulta que muchas contrariedades relacionadas con la confección de la perforadora de vibración podían evitarse, realizando un cálculo previo de la durabilidad de fatiga. Partiendo del cálculo según la metodología semejante a la descrita en el § 23, puede obtenerse la dependencia entre la durabilidad del instrumento de trabajo y la potencia que se le suministra. Las estimaciones aproximadas indican que el funcionamiento de la perforadora eléctrica de vibración será ventajosa desde el punto de vista económico sólo en el futuro, después de recibir materiales de alta resistencia mecánica nuevos en principio.
Como un ejemplo de la aplicación racional de las representaciones basadas en la mecánica de la destrucción es la solución del catedrático S. S. Grigorián y sus colegas del Instituto de la mecánica de la Universidad M. V. Lomonósov de Moscú, de una tarea aplicada de la economía nacional. Está dedicada a la elaboración de un procedimiento eficaz de liquidación del llamado agarre de la herramienta perforadora, es decir, una avería desagradable y ligada con grandes pérdidas de recursos y tiempo, que surge con frecuencia al perforar los pozos profundos de petróleo y gas natural. El agarre se manifiesta en que en-cierto momento, al realizar las operaciones de perforación, la columna perforadora en el pozo pierde la movilidad, o sea, resulta imposible darle vuelta, ni desplazarla en dirección axial en el pozo, es decir, la columna queda a cierta profundidad realmente «agarrada».
Las causas y hechos que conducen al agarre son numerosos y diversos, lo general para todos los tipos de agarre es que la columna en cierta extensión resulta enlazada con suficiente rigidez con la pared del pozo. El papel de "cola" que une la columna perforadora con la pared lo efectúan las costras arcillosas, que se forman de la solución arcillosa, que circula en el pozo durante la perforación, partículas de roca montañosa que fueron perforadas o desmoronadas de las paredes del pozo. A pesar de que la resistencia mecánica específica del material de dicho enlace no es grande, a causa de una longitud grande de la sección de agarre el esfuerzo axial sumario resultante (que podría destruir la costra a lo largo de toda la longitud de la sección agarrada) es con frecuencia tan considerable que resulta prácticamente imposible aplicarlo a la columna perforadora: la resistencia mecánica de la propia columna se convierte en un factor restringente, ya que la aplicación de unos esfuerzos grandes conduce primero al desprendimiento de la columna, mientras que el esfuerzo que libere del agarre no se alcanzará.
Esta circunstancia es la causa fundamental de las dificultades en la lucha contra el agarre, con la particularidad de que hasta hace tiempo no existían medios eficaces de liquidar el agarre. Éste surge con bastante frecuencia y después de muchos intentos vanos de liquidarlo, por lo general, se corta la parte libre de la columna (sobre la sección de agarre) y se comienza a perforar desde ese lugar un pozo paralelo, así que todo lo que se hallaba más abajo de la sección de agarre permanece enterrado sin utilidad alguna. Es necesario señalar que un metro del pozo perforado cuesta centenas de rublos y los volúmenes de sondeo son bastante grandes. De esta manera las pérdidas resultantes relacionadas con el agarre se expresan mediante cifras imponentes, por lo que el problema de la lucha contra el agarre es uno de los principales en la perforación.
La idea inicial del catedrático S. S. Grigorián y sus colegas consistía en lo siguiente.
Si es imposible arrancar la columna de la pared del pozo, aplicando de una vez la fuerza estática, puede intentarse romper el enlace de la columna con la roca por partes mediante una aplicación sucesiva a la zona de agarre de varias influencias dinámicas de fuerza, emitiendo por la columna unas ondas elásticas intensas. La realización práctica de esa idea es muy elegante y consiste en lo siguiente. Al tensar la columna agarrada mediante los esfuerzos axiales considerables toda la parte libre del agarre de la columna, estirándose, acumula una energía suficiente de las deformaciones elásticas. Es suficiente liberar bruscamente la columna del efecto del esfuerzo axial como «al desprenderse» la energía elástica se transforma en energía cinética del movimiento de los elementos de la columna en las ondas elásticas que surgen. De esta manera la propia columna perforadora se convierte en acumulador de energía para generar unas ondas elásticas potentes que, llegando al lugar de agarre, destruirán el enlace de la columna con la pared del pozo.
Para ejecutar este esquema se necesitaba coger sólo un dispositivo que pudiese introducirse en la composición de la columna perforadora y efectuase un desenganche rápido de las partes de la columna unidas a ese dispositivo, al alcanzar el esfuerzo axial su valor prefijado. El valor crítico del esfuerzo axial se determina, resolviendo la tarea dinámica de la mecánica de la destrucción para un tubo de acero, unido rígidamente en una sección con una roca frágil circundante que contiene evidentemente ciertos defectos en forma de grietas. El dispositivo descrito llamado excitador de las vibraciones elásticas (EVE) fue diseñado, fabricado, sometido a pruebas y entregado a la industria.
La construcción del EVE es extremadamente sencilla y no contiene ni lubricantes, ni piezas de precisión, no requiere condiciones singulares de funcionamiento y mantenimiento. Su eficacia resultó ser sorprendentemente elevada: ya las primeras muestras del dispositivo permitieron liquidar una serie de agarres de una categoría superior de complejidad, a causa de los cuales la perforación de los pozos que sufrieron avería fue interrumpida para varios meses.
En 1976 el EVE fue sometido a pruebas por una comisión interdepartamental nombrada especialmente por el Comité Estatal de la Instrucción Pública de la URSS y el Ministerio de la Industria Petrolera de la URSS, valorado altamente y recomendado a la producción en serie. Su licencia se vendió a la República Popular de Hungría, la patente fue obtenida en Canadá, EE.UU., Holanda, Japón, Inglaterra y Francia.
La trituración y el desmenuzamiento industrial constituyen un problema científico-técnico complejo y muy importante desde el punto de vista económico. La ejecución exitosa del programa de investigaciones en esta rama está relacionada no sólo con la solución de las tareas sobre una destrucción frágil al comprimir las partículas de la substancia, sino también con el problema de ingreso del material elegido a la zona de cargamento, así como la eliminación de allí de las partículas trituradas y desmenuzadas. Muchos métodos existentes de molido son muy poco eficaces, ya que sólo una parte pequeña de la energía consumida se gasta en el desmenuzamiento, es decir, en la creación de nuevas superficies. Las mayores dificultades en comprender están ligadas al mecanismo de la destrucción que se realiza durante la interacción de los campos de las tensiones comprimibles, las tensiones térmicas o mecánicas iniciales, asimismo de los medios ambientes. Las teorías existentes de desmenuzamiento se fundamentan en que para obtener ciertas partículas desmenuzadas se requiere gastar más energía que para recibir las partículas grandes. Desde el punto de vista cualitativo eso se desprende que las partículas desmenuzadas se obtienen, triturándolas de las mayores, pero la capacidad de las partículas de absorber la energía elástica que se gasta en la extensión de las grietas, disminuye linealmente al reducirse el volumen de las partículas. Evidentemente, se reduce el tamaño del defecto característico. Las tensiones residuales provocan una destrucción durante la descarga, pero ello aumenta la tendencia a formar unas partículas relativamente más grandes (figura 146). La transmisión de los esfuerzos comprimibles que provienen de los mecanismos de carga a las partículas transcurre con poca eficacia, por ejemplo, para desmenuzar las partículas en un molino de bolas se gasta sólo la décima parte de la energía consumida.
Están poco estudiadas las posibilidades de utilizar las substancias activas químicas para el desmenuzamiento más eficaz. Semejantes substancias permiten luchar con éxito contra la «sinterización» de las partículas desmenuzadas que estorba no sólo al transporte, sino incluso al descargar la tolva del molino. Hay datos sobre la influencia de las substancias tensoactivas sobre el propio proceso de destrucción de las partículas. Es sobre todo importante la solución de todo el conjunto de problemas químico-físico-mecánicos para el desarrollo de la metalurgia de polvos de las aleaciones con una gran tenacidad y resistencia contra la corrosión.
Figura 146. La destrucción durante la descarga aumenta la tendencia a formar partículas más grandes.
Un procedimiento perspectivo del aumento de las velocidades del maquinado de metales es el empleo de los metales líquidos activos. Es suficiente mirar simplemente la gráfica de las velocidades de inmersión de la broca en el acero inoxidable en el aire y en la eutéctica líquida Sn — Zn con 200 °C para comprender la atracción de semejante mecanizado de los metales, pues las velocidades crecen aproximadamente 8 veces (figura 147).
Figura 147. Hundimiento de la broca en el acero inoxidable en función del tiempo de taladrado en el aire y en la eutéctica liquida de Sn — Zn.
Así, pues, la destrucción es un fenómeno extremadamente útil que hasta ahora no aprendimos a controlar. Y son totalmente insuficientes los esfuerzos de los científicos, ingenieros y técnicos que están dirigidos no a luchar contra la destrucción, sino a utilizar sus aspectos positivos.
La ciencia joven, «Mecánica de la destrucción», se desarrolla de la teoría a la práctica y viceversa, moviéndose impetuosamente hacia adelante. Me pareció a destiempo escribir la conclusión para este libro. En lugar de ello decidí nombrar algunas monografías que podrían ser útiles para un conocimiento posterior de la mecánica de la destrucción y la obtención de resultados independientes.
A los que les interesa una exposición más asequible de la mecánica de la destrucción les aconsejamos leer los siguientes libros y artículos, cuyos títulos se ofrecen en la bibliografía.
Estimado lector, si mi libro le ayuda a trabar conocimiento con las ideas de la mecánica moderna de la destrucción, sus aplicaciones y posibilidades prácticas, convirtiéndose en un estímulo para el posterior trabajo en esta rama fehaciente del saber, mi propósito se verá cumplido.
* * * *
1. Финкел В.М. Портрет трещиЬі. M. 1981
(Finkel V.M. Retrato de una grieta.)
2. Зацаринньій В.П., Акопов А.И. Атланты держат небо. M. 1979
(Zatsarinniy Y.P., Akópov A.I. Los atlantes sostienen el cielo.)
3. Партон V.Z., Е. М. Морозов, Е. М. механики упругопластическото разрушения. M. 1985
(Partón V.Z., Morózov E.M., Mecánica de la destrucción elastoplástica)
4. Никишков Г. П., Морозов E. M. ментов Конечных элементов в механике эле разрушения. M. 1980
(Nikishkov G.P., Morózov E.M. Método de elementos finitos en la mecánica de destrucción.))
5. Siratori M., Miyosi T., Matsusita J. Mecánica de cómputo de la destrucción. Editorial "Mir", Moscú, 1986.
6. Черепанов Г. П. Механика разрушения композиционных материалов. M. 1983
(Cherepánov G.P. Mecánica de la destrucción de los materiales de composición)
7. Работнов Ю.Н. Введение в механику разрушения. M. 1987
(Rabotnov Yu.N. Introducción a la mecánica de la destrucción.)
Notas:
τn = (σ cos α) sen α = σ sen α cos α