Materia y luz
Luis De Broglie
Un veterano escritor trazó despiadadamente esta divisoria entre descubridores y enseñantes: «Los capaces crean; los incapaces enseñan».
La clasificación es demasiado cruda para escribir el nombre del autor, presentándolo como blanco a los dardos de los preteridos. Los más modestos llegarán, quizás, a admitirla, pero con serias reservas mentales, quedándoles el consuelo moral de la santidad de su misión y el consuelo intelectual de la ya proverbial incapacidad de los creadores de ciencia y aun de algunas bellas artes, para la trasmisión a sus semejantes de conocimientos y emociones.
Respetemos en su primera convicción a la selecta minoría de docentes que pone el alma en su noble tarea, y también a los tratadistas que al elaborar amorosamente los materiales ajenos, colaboran con sus creadores; en cuanto a la segunda convicción, que encierra nada menos que un orgullo de clase, merece asimismo el respeto que suelen inspirar las opiniones no compartidas. El público perspicaz, juez inapelable en el litigio, cree, en efecto, que los hombres verdaderamente capaces de crear, suelen ser también los más capaces para trasmitir con máxima eficacia sus creaciones, siendo, en definitiva, los mejores ejecutantes de su propia obra.
Tal viene acaeciendo, en especial, con las maravillosas y desconcertantes creaciones de la ciencia epónima de nuestro tiempo, cuyas mejores exposiciones, las más rigurosas y exactas, y, por ende, las más claras y asequibles a los lectores inteligentes, son las debidas a los propios creadores de la nueva Física. Uno de ellos, y de primera fila, es el autor de este libro, en que recopila diversas exposiciones magistrales, en parte rampantes entre sí, con evidente ventaja para el lector, que así repasará y consolidará los conceptos capitales.
Vástago de una familia prócer, que dio a Francia mariscales, gobernantes, escritores y sabios; licenciado en Historia y después en Ciencias, con la guía y estímulo de su hermano mayor, el duque de Broglie (al que debe importantes aportaciones la teoría de los rayos X), inició su obra científica con la afortunada tesis de doctorado, que lo condujo velozmente a la fama universal.
Con desesperación de todos los que atribuyen valor ontológico a las hipótesis de la ciencia natural, no conformándose con ver en ésta una simple armazón mudable, que sirve para la ordenación de los hechos, la Física novecentista padecía de incurable dualismo. Mientras persistía como indispensable la teoría ondulatoria de Huygens, Young y Fresnel, la vieja teoría emisionista de Newton había sido en parte rehabilitada por Einstein, y los físicos recurrían a entrambas, según las conveniencias del caso.
Fue en 1924 cuando el joven aristócrata dio con su tesis el golpe revolucionario; y al fundir ondas y cuantos en un concepto mixto, reunió en grandiosa síntesis la Mecánica, la Electricidad y la Óptica, creando la disciplina llamada desde entonces Mecánica ondulatoria.
Magníficas lecciones de Física actual contienen los diversos estudios que integran este volumen; de Física y también de Moral; pues muy al contrario de tantos mediocres expositores que exhiben su persona ante el público lector, el genial creador se esconde tan discretamente tras el velo de la Mecánica ondulatoria, que los no iniciados en su historia apenas podrán sospechar quién fue, entre tantos eminentes nombres citados, el iniciador de esta nueva Física.
Solamente una vez se alza la cortina y se ve obligado a aparecer en el proscenio el autor del argumento; es en el discurso de 1929, que está reproducido en el volumen, y fue pronunciado ante la Academia de Ciencias de Estocolmo, al recibir el premio Nobel, conferido a su tesis doctoral; maduro fruto de juventud que ha abierto a la ciencia horizontes cuyos confines no se vislumbran todavía.
J. R. P.
Cediendo a la cariñosa insistencia de mi amigo André Georges, reúno en este volumen un cierto número de estudios sobre la Física contemporánea y sus aspectos generales y filosóficos. Cada uno de ellos forma por sí solo un todo independiente y puede ser leído aisladamente. Resulta de ello que no he podido evitar ciertas repeticiones que el lector sabrá excusar: en efecto, en varios momentos he tenido que rehacer necesariamente la exposición de las grandes etapas fundamentales de la Física contemporánea, como por ejemplo, la clasificación de los cuerpos simples, el estudio del efecto fotoeléctrico, la aparición de la teoría de los guanta de luz o la de la Mecánica ondulatoria, porque, siendo el tema algo técnico, no puedo suponer que estas etapas sean conocidas de todos. Pero aunque ciertas explicaciones se encuentran en varios de estos estudios, me he esforzado, en cada uno de ellos, por colocarme en un punto de vista diferente y he tratado de iluminar sucesivamente diversos aspectos de las cuestiones esenciales de la Física de los Quanta, para dar a entender mejor su importancia.
El lector, al leer y comparar estos estudios, verá que se completan interpenetrándose; sentirá todo lo grandioso y fascinante de este inmenso edificio de la Física contemporánea. Mientras admira el enorme número de hechos experimentales, de orden extremadamente sutil, que los físicos de laboratorio han llegado a revelamos, y los concepciones admirables y sorprendentes que los teóricos han desarrollado para interpretar estos hechos, se dará cuenta de todo lo que han evolucionado y se han afinado en estos últimos años los métodos y las ideas de los físicos, y de cuán lejos estamos hoy del realismo, un poco ingenuo, del mecanicismo, un poco simplista, de los científicos de épocas anteriores. Cuanto más descendemos a las estructuras ínfimas de la materia, más nos damos cuenta de que los conceptos forjados por nuestro espíritu en el curso de la experiencia cotidiana, especialmente los de espacio y tiempo, son impotentes para permitimos describir los nuevos mundos en que penetramos. Se diría, si se permite la expresión, que el contorno de nuestros conceptos tiene que esfumarse progresivamente para permitir su posible aplicación a las realidades de la escala subatómica. Las entidades elementales flotan en el espacio y en el tiempo como en un traje que no ha sido cortado para ellas; la individualidad se atenúa en los misteriosos procesos de la interacción; el determinismo mismo, tan caro a los físicos de tiempos que fueron, se ha visto forzado a doblegarse. Y como el gran libio de la ciencia jamás se acaba, nos esperan muchas más sorpresas: ¿quién sabe, por ejemplo, los misterios que se ocultan en el seno del núcleo atómico que, miles de millones de millones de veces menor que el menor cirón, es, sin embargo, todo un universo?
El derrumbamiento, en algunas décadas, de los principios mejor establecidos y de las conclusiones mejor apuntaladas, nos muestra lo prudente que hay que ser al tratar de apoyar conclusiones filosóficas generales sobre él progreso de las ciencias, porque sería construir sobre un terreno siempre movedizo. Cuando se ve cuánto mayor es la suma de nuestras ignorancias que la de nuestros conocimientos, se siente uno poco propicio a conclusiones precipitadas. Sin embargo, no es ilícito observar que los progresos de la Física cuántica nos han abierto, sobre muchas cuestiones, perspectivas completamente nuevas, y que la orientación futura de las doctrinas filosóficas sufrirá con ello, tarde o temprano, algunas repercusiones. Tampoco es ilícito observar de pasada que un físico tan eminente como Bohr cree que las «indeterminaciones» y los aspectos complementarios » de la Física cuántica llegarán indudablemente a ocupar, algún día, un lugar en las teorías de la Biología: si se piensa que, según los genéticos, todas las virtualidades de la vida y de la herencia estarían contenidas en elementos cuyas dimensiones son ya casi comparables, en pequeñez, a las de los átomos, y tal vez hasta en fracciones de estos elementos, la opinión de Bohr no parecerá tan sorprendente, porque entonces las misteriosas conjunciones de la vida y de la materia se operarían en dominios tan pequeños que tendrían que intervenir en ellos las concepciones cuánticas. Pero el estudio a fondo de tales cuestiones sería, indudablemente, prematuro, y dejamos a los lectores filósofos el trabajo de reflexionar sobre ellas.
Para terminar este prefacio, quisiera decir dos palabras acerca de una cuestión que en todo tiempo ha preocupado a los científicos: la cuestión del valor de la ciencia, es decir, de las razones que podemos tener para querer y admirar la investigación científica. Muchos han considerado la ciencia en razón de sus aplicaciones: mencionan las numerosas mejoras materiales que ha aportado a nuestra existencia cotidiana, los poderosos medios que ha puesto a nuestra disposición para preservar y, en cierta medida, prolongar nuestra vida; esperan confiadamente en que gracias a ella se abrirá ante nosotros un porvenir de progreso en algún modo indefinido. Esta opinión requiere ciertamente algunas reservas: no todas las aplicaciones de la ciencia son bienhechoras ni es cierto que su desarrollo tenga que asegurar el progreso real de la humanidad, porque, sin duda alguna, este progreso depende mucho más de la elevación espiritual y moral del hombre que de las condiciones materiales de su vida. Sin embargo, las aplicaciones de la ciencia han endulzado y embellecido ciertas dimensiones de nuestra existencia cotidiana y podrán continuar esta obra bienhechora si llegamos a merecerla.
Se puede, pues, legítimamente, amar la ciencia por sus aplicaciones, por el alivio y las comodidades que ha traído a la vida humana, sin olvidar, sin embargo, que la vida humana permanecerá siempre, por su propia naturaleza, precaria y miserable. Pero se puede encontrar otra razón, pensamos, para amar el esfuerzo científico, apreciando el valor de lo que representa. En efecto, este esfuerzo, como todas las grandes cosas, logra plenamente su valor en el plano espiritual: hay que amar la ciencia porque es una gran obra del espíritu.
En principio estos estudios no incluyen cálculos. Se exceptúan el capitulo relativo al Estado actual de la teoría electromagnética, y el de la Naturaleza ondulatoria del electrón; pueden pasarse por alto sin mayor inconveniente para la comprensión general del volumen.
Parte I
Generalidades sobre la física contemporánea
§ 1. Los progresos de la física contemporánea
A modo de introducción, a la serie de estudios reunidos en este volumen, quisiera hablar aquí primeramente, de una manera general, de los progresos de la Física contemporánea. Es un tema vastísimo, porque estos progresos han sido tan numerosos, tan varios, tan maravillosamente rápidos, que harían falta horas enteras para exponerlos en detalle. Además, es una materia bastante difícil de tratar, porque la Física se ha convertido en una ciencia cada vez más compleja, de nivel cada vez más elevado y no es fácil exponer sus progresos de una manera suficientemente exacta y precisa sin apelar a nociones o razonamientos asaz complicados.
Pero aunque sea difícil, vale, sin embargo, la pena de tratar del asunto, porque de su estudio se desprende una impresión reconfortante y animadora: la impresión de que el espíritu humano, a pesar de los obstáculos y de las dificultades que las condiciones mismas de la vida material acumula ante él, prosigue triunfalmente en su larga ascensión. De la misma manera que los ejercicios deportivos aligeran los miembros del atleta y le preparan para futuras victorias, así también los esfuerzos que el hombre realiza para conocer y comprender mejor aligeran su espíritu y lo hacen más apto para el progreso del mañana. Por esto el número de nuestros conocimientos y la finura de nuestras concepciones han aumentado poco a poco en el transcurso del tiempo, apoyándose cada generación sobre los resultados adquiridos por las generaciones precedentes, resultados que la nueva supera inmediatamente, pero sin los cuales no podría progresar.
Que el ritmo de esta evolución se haya acelerado en los tiempos contemporáneos es una afirmación difícil de contradecir, y en medio de las inquietudes y de las perturbaciones que frecuentemente se interponen en nuestra vida moderna, es legítimo ver, en aquella afirmación, un consuelo y un aliento. Ahora bien, tal vez no se experimente una impresión más viva de progreso y renovación continua que siguiendo el maravilloso florecimiento de la Física desde hace unos cuarenta años.
Como todas las ciencias de la naturaleza, la Física progresa por dos vías diferentes: por una parte, la experiencia que permite descubrir y analizar un número creciente de fenómenos, de hechos físicos; por otra, la teoría que sirve para encuadrar y reunir en un sistema coherente los hechos ya conocidos, y para guiar la investigación experimental previendo nuevos hechos. De los esfuerzos conjugados de la experiencia y de la teoría resulta, en cada época, el conjunto de conocimientos que constituyen su Física.
Cuando la ciencia moderna inauguró su desarrollo, lo primero que atrajo la atención de los físicos fue, naturalmente, el estudio de los fenómenos que percibimos inmediatamente en torno a nosotros. Por ejemplo, el estudio del equilibrio y del movimiento de los cuerpos ha dado origen a esta rama, hoy autónoma, de la Física, que se llama Mecánica; análogamente, el estudio de los fenómenos sonoros ha conducido a la Acústica, y, reuniendo y sistematizando los fenómenos en que interviene la luz, se ha creado la Óptica.
La gran faena y la gran gloria de la Física del siglo XIX fue la de haber precisado y extendido así considerablemente, en todos los sentidos, el conocimiento de los fenómenos que acontecen en nuestra escala. No solamente ha continuado desarrollando estas grandes disciplinas de la ciencia clásica, la Mecánica, la Acústica, la óptica, sino que ha creado también, por entero, nuevas ciencias de innumerables facetas: la Termodinámica y la ciencia de la Electricidad.
Dominando el campo inmenso de los hechos que abarcan estas diversas ramas de la Física, científicos y técnicos han podido deducir de ellas un enorme número de aplicaciones prácticas. Desde la máquina de vapor hasta la Radiotelefonía, son innumerables los inventos derivados de los progresos de la Física del siglo XIX, de que hoy disfrutamos; estos inventos ocupan directa o indirectamente un lugar tan grande en la vida de cada uno de nosotros, que, en verdad, es inútil enumerarlos.
Así, pues, la Física del siglo último ha llegado a dominar por completo los fenómenos que percibimos en nuestro entorno. Sin duda, el estudio de estos fenómenos puede llevarnos todavía a muchos conocimientos y aplicaciones nuevas; pero en este dominio parece que lo esencial está ya hecho. Por esto, desde hace treinta o cuarenta años, la atención de los exploradores de la Física se ha vuelto cada vez más a fenómenos más sutiles, imposibles de denunciar y de analizar sin una técnica experimental muy afinada: los fenómenos moleculares, atómicos e intra-atómicos. Para satisfacer la curiosidad del espíritu humano no basta, en efecto, saber cómo se conducen los cuerpos materiales tomados en conjunto, considerados en sus manifestaciones globales; no basta saber cómo se producen las reacciones entre la luz y la materia, cuando se los observa en grande; es menester descender a detalles, tratar de analizar la estructura de la materia y de la luz y de precisar los actos elementales cuyo conjunto da origen a las apariencias globales. Para llevar a buen término esta difícil encuesta es preciso, ante todo, una técnica experimental muy afinada, susceptible de denunciar y registrar acciones sumamente sutiles, de medir con precisión cantidades enormemente menores que las que intervienen en nuestra experiencia corriente; hacen falta también teorías audaces que se apoyan en las partes superiores de la ciencia matemática y se hallan prestas a echar mano de imágenes y concepciones enteramente nuevas. Véase, pues, cuánta ingeniosidad, paciencia y talento han sido necesarios para constituir y promover esta Física atómica.
Del lado experimental, el progreso se ha caracterizado por el conocimiento, cada día más extenso, de las constituyentes últimas de la materia y de los fenómenos vinculados a la existencia de estos constituyentes últimos.
Desde mucho tiempo atrás ya los químicos habían admitido en sus razonamientos que los cuerpos materiales están formados de átomos. El estudio de las propiedades de los cuerpos materiales permite, en efecto, repartirlos en dos categorías: los cuerpos compuestos que, por medio de operaciones apropiadas, pueden resolverse en cuerpos más simples, y los cuerpos simples o elementos químicos que resisten a toda tentativa de disociación. El estudio de las leyes cuantitativas, según las cuales los cuerpos simples se unen para formar cuerpos compuestos ha conducido a los químicos, desde hace un siglo, a adoptar la hipótesis siguiente: «Un cuerpo simple estaría formado de pequeñas partículas idénticas que se llaman los átomos de este cuerpo simple; los cuerpos compuestos estarían formados de moléculas constituidas por la unión de varios átomos de cuerpos simples.» Según esta hipótesis, disociar un cuerpo compuesto, reduciéndolo a los elementos que lo componen, es quebrar las moléculas de este cuerpo y poner en libertad los átomos que contienen. El número de cuerpos simples actualmente conocido, es 89, y se cree que su número total es 92 (o tal vez 93). Todos los cuerpos materiales estarían, pues, construidos con 92 géneros diferentes de átomos.
La hipótesis atómica no ha logrado solamente coordinar la Química, ha penetrado también en Física. Si los cuerpos materiales están formados de moléculas y átomos, sus propiedades físicas deberán explicarse por esta constitución atómica. Las propiedades de los gases, por ejemplo, deberán explicarse admitiendo que un gas está formado por un número inmenso de átomos o de moléculas en movimiento rápido: la presión ejercida por el gas sobre las paredes del recipiente que lo contiene será debida al choque de las moléculas contra estas paredes; la temperatura del gas medirá la agitación media de las moléculas, la cual aumenta cuando la temperatura se eleva. Esta concepción de la constitución de los gases ha sido desarrollada en la segunda mitad del siglo XIX, bajo el nombre de «Teoría cinética de los gases», y ha permitido explicar el origen de las leyes de los gases, reveladas por la experiencia. Si es exacta la hipótesis atómica, las propiedades de los cuerpos sólidos o líquidos deberán poder interpretarse admitiendo que en estos estados físicos las moléculas o átomos se encuentran mucho más próximas entre sí que en el estado gaseoso; entonces las fuerzas considerables que se ejercen entre átomos y moléculas deberán dar cuenta de las propiedades de incompresibilidad, cohesión, etc., que caracterizan a los sólidos y a los líquidos. La teoría atómica de la materia ha sido confirmada por magníficos experimentos directos, como los de J. Perrin, que han permitido medir el peso de diversas especies de átomos y su número por centímetro cúbico.
Sin entrar más en el desarrollo de la teoría atómica, recordaremos solamente que lo mismo en Física que en Química, la hipótesis según la cual todos los cuerpos están compuestos de moléculas, que a su vez se hallan constituidas por diversos conglomerados de átomos elementales, se ha mostrado muy fructuosa, y debe, por tanto, ser considerada como una buena representación de la realidad. Pero los físicos no han parado aquí: han querido saber también cómo están constituidos los átomos mismos y comprender en qué se distinguen entre sí los átomos de los diversos elementos. En esta faena se han servido del progreso de nuestros conocimientos sobre los fenómenos eléctricos. Desde el comienzo del estudio de los fenómenos eléctricos pareció útil considerar, por ejemplo, la corriente eléctrica que atraviesa un hilo metálico, como el paso del «fluido eléctrico» a través del hilo. Pero hay, como se sabe, dos especies de electricidad: la electricidad positiva y la electricidad negativa. Pueden imaginarse estos fluidos de dos maneras distintas: o bien como formados por una sustancia que ocupe uniformemente toda la región en que se encuentra el fluido, o bien, por el contrario, se los puede representar como formados por nubes de pequeños corpúsculos, cada uno de los cuales sería una pequeña bola de electricidad. La experiencia ha decidido en favor de la segunda de estas concepciones. No ha enseñado, hace una treintena de años, que la electricidad negativa está formada de pequeños corpúsculos idénticos, de carga eléctrica y masa extraordinariamente pequeñas. Los corpúsculos de electricidad negativa se llaman electrones. Se ha logrado hacer salir a los electrones de la materia y estudiar su manera de comportarse cuando se desplazan en el vacío: se ha visto entonces que se desplazan como debieran hacerlo conforme a las leyes de la Mecánica clásica, aplicada a pequeñas partículas electrizadas, y estudiando la manera como se comportan estas pequeñas partículas en presencia de los campos eléctricos o magnéticos, se han podido medir su carga y su masa, que son, repito, extraordinariamente pequeñas. Para la electricidad positiva son menos directas las pruebas de su estructura corpuscular; sin embargo, han llegado los físicos a la convicción de que la electricidad positiva se halla también subdividida en corpúsculos idénticos, que se llaman ahora «protones».
El protón tiene una masa que, aunque muy pequeña también, es casi dos mil veces mayor que la del electrón, hecho que establece una curiosa disimetría entre la electricidad positiva y la electricidad negativa; la carga del protón es, por el contrario, igual en valor absoluto a la del electrón, pero, bien entendido, de signo contrario, positivo en lugar de negativo.
Los electrones y los protones tienen una masa extremadamente pequeña, pero, sin embargo, esta masa no es nula y un número enorme de protones y de electrones podrá presentar una masa total notable. Es, pues, tentador suponer que todos los cuerpos materiales, esencialmente caracterizados por el hecho de ser pesados y de tener inercia, es decir, por su masa, están formados, en último análisis, únicamente de protones y de electrones en número enorme. Según esta manera de ver, los átomos de los elementos, que son los materiales últimos con que están construidos todos los cuerpos materiales, deben estar formados a su vez de electrones y protones, y las 92 especies de átomos diferentes de los 92 elementos, serán 92 reuniones distintas de electrones y protones.
La idea de que los átomos estén formados de protones y electrones ha podido inmediatamente lograr mayor precisión, gracias, sobre todo, a los trabajos experimentales del gran físico inglés lord Rutherford y a los trabajos teóricos del sabio danés Niels Bohr. El átomo de un cuerpo simple se ha revelado como formado de un núcleo central que lleva una carga positiva igual a un número entero (N) de veces la carga del protón y de N electrones que gravitan en torno a este núcleo: el conjunto es, pues, eléctricamente neutro. El núcleo se halla, indudablemente, formado a su vez de protones y de electrones, como veremos más tarde en detalle. Casi toda la masa del átomo se encuentra concentrada en el núcleo, puesto que éste contiene los protones y son éstos mucho más pesados que los electrones. El átomo más sencillo es el del hidrógeno, constituido por un núcleo formado de un solo protón en torno al cual gravita un solo electrón. Lo que distingue el átomo de un elemento del átomo del otro es el número N de cargas positivas elementales que lleva el núcleo; se pueden, pues, colocar los cuerpos simples en una serie ordenada según los valores crecientes del número N, desde el hidrógeno (N = l) hasta el uranio (N = 92). Se ha visto que esta manera de clasificar los cuerpos simples coincide con la que se había deducido del valor de los pesos atómicos y de las propiedades químicas, clasificación conocida ya con el nombre de clasificación de Mendeleev (por el nombre del químico ruso que la propuso).
No puedo explicar aquí en detalle por qué la idea de que el átomo es una especie de pequeño sistema solar formado de un núcleo-sol y de electrones-planetas, ha encontrado tan gran aceptación por parte de los físicos. Me limitaré a decir que ha permitido no sólo interpretar las propiedades químicas de los cuerpos simples, sino también muchas de sus propiedades físicas, tales como la composición de la radiación luminosa, que pueden emitir en ciertas circunstancias, por ejemplo, cuando se les pone incandescentes.
Pero hay un punto que debemos señalar. Para poder desarrollar de una manera satisfactoria esta teoría del átomo equivalente a un sistema solar, Bohr ha tenido que introducir una idea extraña, tomada de la teoría de los quanta, desarrollada anteriormente por Planck. Acabo de decir que en las experiencias en que se puede seguir el movimiento de un electrón, éste se comporta como un pequeño corpúsculo de masa débil y que su movimiento puede preverse por aplicación de las leyes de la Mecánica clásica. Pero consideramos los movimientos de un electrón sobre trayectorias de muy pequeñas dimensiones, movimientos que no podemos seguir por la observación, pero que Bohr ha imaginado para calcular las características de su modelo planetario del átomo. Se ha visto, Planck fue el primero, que estos movimientos no pueden seguir exactamente las leyes de la Mecánica clásica. Entre todos los movimientos que la Mecánica clásica reconoce como posibles, sólo algunos pueden ser efectivamente ejecutados por el electrón: estos movimientos privilegiados se han llamado movimientos «cuantificados». Bohr, en su teoría del átomo-sistema solar, ha recogido la idea de Planck: ha encontrado que los electrones-planetas no pueden poseen sino movimientos cuantificados y esta circunstancia es la que da, en cierto modo, la clave de todas las propiedades de los átomos.
Resumamos un poco lo que precede. El estudio de las propiedades de los cuerpos materiales ha llevado a los físicos a considerar la materia como formada únicamente de pequeños corpúsculos, electrones y protones; diversas reuniones de estos corpúsculos constituyen los átomos de los 92 cuerpos simples, a partir de los cuales están formadas las moléculas de los cuerpos compuestos. Tal era la conclusión a que se había llegado hace una veintena de años. Veremos en seguida que las cosas se han complicado desde entonces. Ahora tenemos que abandonar por un momento la materia y hablar algo de la luz.
* * * *
La luz, cuando proviene del sol o do las estrellas, llega a nuestros ojos después de haber atravesado inmensos espacios, en que hay ausencia de materia; la luz atraviesa, pues, el vacío sin dificultad y, a diferencia, por ejemplo, del sonido, no está vinculada a un movimiento de la materia. La descripción del mundo físico no sería, pues, suficiente, si no se añadiera a la materia otra realidad independiente de ella: la luz.
Pero ¿qué es la luz? ¿De qué se halla constituida?
Los filósofos de la antigüedad y muchos científicos, hasta comienzos del último siglo, han sostenido que la luz estaba formada de pequeños corpúsculos en movimiento rápido. La propagación rectilínea de la luz en las condiciones usuales, la reflexión de la luz en los espejos, se explican inmediatamente con esta hipótesis.
Esta teoría corpuscular de la luz fue abandonada por completo hace un siglo, a consecuencia de los trabajos del físico inglés Young y, sobre todo, del genial sabio francés Agustín Fresnel. Young y Fresnel descubrieron, en efecto, toda una categoría de fenómenos luminosos, los fenómenos de interferencia y de difracción, cuya interpretación por la teoría corpuscular es imposible; mientras que otra concepción distinta, la concepción ondulatoria de la luz, da cuenta a la vez, como lo ha mostrado admirablemente Fresnel, de los fenómenos clásicos de propagación rectilínea, de reflexión y de refracción, y, además, de los fenómenos de interferencia y de difracción.
La concepción ondulatoria de la luz, sostenida anteriormente por algunos espíritus perspicaces, tales como el holandés Christian Huygens, admite que la propagación de la luz debe ser comparada a la propagación de una onda en un medio elástico, como esos rizos que se desplazan en la superficie de un estanque de agua cuando se arroja una piedra en él. Como la luz se propaga en el vacío, Fresnel imaginó una especie de medio sutil, el éter, que impregnara todos los cuerpos materiales, llenara los espacios vacíos y sirviera de soporte a las ondas luminosas.
Digamos ahora cómo se puede concebir una onda. Una onda, cuando se propaga libremente, es análoga a una sucesión de olas cuyas crestas se hallan separadas por una distancia constante llamada «longitud de onda». El conjunto de estas olas se desplaza en la dirección de propagación con una cierta velocidad, la velocidad de propagación de la onda, que en el caso de las ondas luminosas en el vacío alcanza 300.000 kilómetros por segundo, como lo han mostrado las experiencias realizadas después de la muerte de Fresnel. En un punto fijo del espacio, las diferentes olas con sus crestas y sus fondos desfilan sucesivamente: la magnitud que se propaga por ondas varía, pues, en él periódicamente y el período de esta variación es evidentemente igual al tiempo que transcurre entre el paso de dos ondas consecutivas.
Acabamos de ver cómo progresa una onda en una región en que nada se opone a su propagación. Las cosas pasan de distinta manera si la onda, al propagarse, choca con obstáculos, por ejemplo, si encuentra superficies que la detienen o la reflejan, o bien si tiene que pasar a través de orificios abiertos en una pantalla, o bien todavía si encuentra centros materiales que la difunden. Entonces la onda viene a quedar como deformada y replegada sobre sí misma, de suerte que en lugar de tratarse de una onda simple se trata entonces de una superposición de ondas simples. El estado vibratorio resultante en cada punto depende de la manera como se refuerzan o se contrarían los efectos de diversas ondas simples superpuestas. Si las ondas simples adicionan sus efectos, si se hallan, como se dice, en concordancia de fase, la vibración resultante será muy intensa: si, por el contrario, las ondas simples se contrarían, si se hallan en oposición de fase, la vibración resultante será débil, a veces incluso nula. En resumen, la presencia de obstáculos que perturban la propagación de una onda provoca la aparición de una repartición complicada de intensidades de vibración, repartición que, por lo demás, depende esencialmente de la longitud de la onda incidente. Tales son los fenómenos de interferencia y de difracción.
Si se adopta la idea de que la luz se halla formada de ondas, se llega entonces a prever que, si hay obstáculos que se oponen a la libre progresión de un haz luminoso, se producirán fenómenos de interferencia y de difracción. Ahora bien, en estas condiciones Young, y después Fresnel, han mostrado que la luz presenta, efectivamente, fenómenos de interferencia o de difracción, y Fresnel ha demostrado, además, que la concepción ondulatoria de la luz basta para explicar en todos sus detalles todas las apariencias observadas. A partir de este momento, y durante todo el siglo último, la naturaleza puramente ondulatoria de la luz ha sido admitida sin contradicción.
Según es conocido, hay diversas especies de luz simple, correspondiente cada una de ellas a un «color» bien determinado. La luz blanca, emitida por los cuerpos incandescentes, por ejemplo, por el filamento de una lámpara eléctrica, está formada por la superposición de una sucesión continua de luces simples, cuyos colores varían progresivamente, por transiciones insensibles, desde el violeta al rojo, sucesión que constituye el «espectro». La teoría ondulatoria de la luz ha llevado, naturalmente, a caracterizar cada especie de luz, cada componente del espectro, por una longitud de onda: dicho de otra manera hace corresponder a cada color una longitud de onda. Como los fenómenos de interferencia dependen de la longitud de onda, permiten medir las longitudes de onda correspondientes a los diversos colores del espectro. Se ha podido así determinar que la longitud de onda va creciendo de una manera continua desde la extremidad violeta del espectro, en la que tiene el valor de 4 diezmilésimas de milímetro, hasta la extremidad roja, donde alcanza a 8 diezmilésimas de milímetro.
* * * *
Así, pues, hace unos treinta años nadie ponía en duda la naturaleza puramente ondulatoria de la luz y de las demás radiaciones. Pero desde entonces se han descubierto fenómenos producidos por radiaciones y desconocidos hasta ahora, que no parecen explicables más que por la concepción corpuscular. El- principal de estos fenómenos es el efecto fotoeléctrico. He aquí en qué consiste: cuando se ilumina un trozo de materia, un metal, por ejemplo, se ve frecuentemente que este trozo de materia expulsa electrones en movimiento rápido. El estudio
de este fenómeno ha mostrado que la velocidad de los electrones expulsados no depende más que de la longitud de onda de la radiación incidente y de la naturaleza del cuerpo irradiado; pero no depende en manera alguna de la intensidad de la radiación incidente; de ésta depende tan sólo el número de electrones expulsados. Además, la energía de los electrones expulsados varía en razón inversa de la longitud de onda de la onda incidente. Reflexionando sobre este fenómeno, Einstein se apercibió que para explicarlo era menester volver, por lo menos en cierta medida, a una estructura corpuscular de las radiaciones. Admitió que las radiaciones están formadas de corpúsculos que transportan una energía inversamente proporcional a la longitud de onda y ha mostrado que las leyes del efecto fotoeléctrico se deducen fácilmente de esta hipótesis.
Los físicos se vieron entonces sumamente embarazados, porque de un lado hay el conjunto de fenómenos de interferencia y de difracción que muestran que la luz está formada de ondas, y por otro, hay el fenómeno fotoeléctrico y otros fenómenos más recientemente descubiertos que muestran que la luz está formada de corpúsculos, de «fotones», como se dice ahora.
La única manera de salir de la dificultad es admitir que el aspecto ondulatorio de la luz y su aspecto corpuscular son como dos aspectos complementarios de una misma realidad. Cada vez que una radiación canjea energía con la materia, este canje puede describirse como la absorción o la emisión de un fotón por la materia, pero cuando se quiere describir el desplazamiento global de los corpúsculos de luz en el espacio, hay que recurrir a una propagación de onda. Ahondando en esta idea, se llega a tener que admitir que la densidad de la nube de corpúsculos que está asociada a una onda luminosa es, en todo punto, proporcional a la intensidad de esta onda luminosa. Se llega así a una especie de síntesis de las dos antiguas teorías rivales y se pueden explicar a la vez las interferencias y el efecto fotoeléctrico. El gran interés de esta síntesis está en que nos revela que ondas y corpúsculos se hallan íntimamente ligados, por lo menos en el caso de la luz. Y si ocurre esto con la luz, ¿no se podrá suponer que acontece lo mismo para toda la materia? Todo el esfuerzo de los físicos había tendido a reducir la materia sólo a un vasto conjunto de corpúsculos. Pero de la misma manera que un fotón no puede aislarse de la onda que le está asociada, ¿no deberá pensarse que también los corpúsculos de materia están a su vez asociados siempre a una onda? Tal es la cuestión capital que debemos abordar.
Supongamos que los corpúsculos de materia, por ejemplo, los electrones, vayan siempre acompañados de una onda. Como el corpúsculo y la onda están íntimamente asociados, no son independientes el movimiento del corpúsculo y la propagación de la onda, y a las magnitudes mecánicas del corpúsculo, cantidad de movimiento y energía, deberán poder vincularse las magnitudes características de la onda asociada, longitud de onda y velocidad de propagación. Inspirándose en el vínculo que existe entre el fotón y su onda asociada, se puede establecer, en efecto, el citado paralelismo: esta teoría de la conexión entre los corpúsculos materiales y sus ondas asociadas se conoce hoy con el nombre de Mecánica Ondulatoria.
Cuando la onda asociada a un corpúsculo se propaga libremente en una región de dimensiones grandes relativamente a la longitud de onda, la nueva Mecánica conduce a atribuir al corpúsculo asociado a la onda el movimiento previsto por las leyes de la Mecánica clásica. En particular, es esto lo que acontece en los movimientos de los electrones que podemos observar directamente y se explica así por qué el estudio de los movimientos de los electrones en gran escala había llevado a considerarlos como simples corpúsculos. Pero hay casos en que las leyes clásicas de la Mecánica no logran describir el movimiento de los corpúsculos. El primero es aquel en que la propagación de la onda asociada está circunscrita a una región del espacio cuyas dimensiones son del orden de la longitud de onda. Es lo que acontece a los electrones en el interior del átomo. La onda asociada al electrón se ve obligada entonces a adoptar la forma de una onda estacionaria análoga a las ondas elásticas estacionarias, que puede presentar una cuerda fija por los dos extremos, o a las ondas eléctricas estacionarias que pueden establecerse en una antena de T. S. H. La teoría muestra que estas ondas estacionarias no pueden tener más que unas ciertas longitudes bien definidas, a las cuales corresponden ciertas energías, bien definidas también, del electrón asociado, y estos estados de energía bien definidos corresponden a los estados de movimiento «cuantificados», introducidos por Bohr en su teoría; así se explicó el hecho, misterioso hasta entonces, de que estos movimientos cuantificados son los únicos posibles para el electrón encerrado en el átomo.
Hay un segundo caso en que el movimiento del electrón no puede seguir las leyes clásicas de la Mecánica: el caso en que su onda asociada choca con obstáculos en el curso de su propagación. Se producen entonces interferencias y el movimiento de los corpúsculos no tiene relación ninguna con el que podía prever la Mecánica clásica. Para darnos cuenta de la manera como acontecen las cosas, dejémonos guiar por la analogía de las radiaciones. Supongamos que enviamos una radiación de longitud de onda conocida sobre un dispositivo capaz de dar lugar a interferencias. Como sabemos que las radiaciones están formadas por fotones, podemos decir que enviamos un enjambre de fotones sobre el dispositivo en cuestión. En la región en que se producen las interferencias, los fotones se reparten de tal suerte que están concentrados allí donde la intensidad de la onda asociada es máxima. Si enviamos ahora sobre el mismo dispositivo no ya una radiación, sino un haz de electrones cuya onda asociada tenga la misma longitud de onda que la radiación precedentemente empleada, la onda interferirá como en el caso anterior, puesto que la longitud de onda es quien regula los fenómenos de interferencia. Es natural pensar, entonces, que los electrones se encontrarán concentrados allí donde la intensidad de la onda es máxima; en otros términos, en esta segunda experiencia los electrones se repartirán en el espacio, como lo hacían los fotones en la primera. Si se puede establecer que de hecho es así, se habrá establecido eo ipso la existencia de la onda asociada a los electrones y se podrá ver si son exactas las fórmulas de la Mecánica ondulatoria.
Ahora bien, la Mecánica ondulatoria lleva a asociar a los electrones animados con las velocidades usualmente realizadas en las experiencias, una onda cuya longitud de onda es del orden de la de los rayos X (una diezmillonésima de milímetro). Para poner de manifiesto la onda de los electrones, es preciso, pues, tratar de realizar con ellos fenómenos de interferencia análogos a los que se obtienen con los rayos X. Fenómenos de este género han sido efectivamente obtenidos en primer lugar, en 1927, por Davisson y Germer, en los Estados Unidos, y después por un gran número de experimentadores, especialmente por el profesor G. P. Thomson, en Inglaterra, y Ponte, en Francia. No describiré sus experiencias, me limitaré a decir que han logrado la verificación completa de las fórmulas de la Mecánica ondulatoria.
Estos magníficos experimentos han probado, pues, que el electrón no es un simple corpúsculo; en cierto sentido es a la vez corpúsculo y onda. Lo mismo acontece con el protón, según lo han demostrado experimentos más recientes. Vemos, pues, que la materia, al igual que la luz, se halla formada por ondas y corpúsculos. Materia y luz aparecen mucho más semejantes en su estructura, que lo que antes se pensaba. Y con ello nuestra concepción de la naturaleza se encuentra embellecida y simplificada.
* * * *
El núcleo de un átomo de número atómico N lleva, según hemos visto antes, una carga positiva igual a N veces la del protón y es el asiento de la casi totalidad de la masa del átomo. Desde hace tiempo, se supone que los núcleos atómicos están formados por protones y electrones, en forma tal que el número de protones sobrepasa en N al número de electrones; entonces toda la masa es prácticamente debida a los protones. Esta idea de que el núcleo es complejo, se halla impuesta en cierto modo por la interpretación de la Radiactividad. El descubrimiento de la Radiactividad, preparado por Henri Becquerel, ha sido la obra de Pierre Curie y de su colaboradora y esposa Marie Sklodovska, Mme. Pierre Curie, cuya reciente pérdida ha postrado a la ciencia francesa en un duelo cruel. Los cuerpos radiactivos son elementos pesados que llevan los números más altos en la serie de los elementos (de 83 a 92). Están caracterizados por el hecho de ser espontáneamente inestables, es decir que, de tiempo en tiempo, el núcleo de uno de sus átomos hace explosión, transformándose en el núcleo de un átomo más ligero. Esta descomposición va acompañada de la expulsión de electrones (rayos γ), de átomos ligeros de helio (N = 2, rayos α) y radiaciones muy penetrantes de alta frecuencia (rayos y). El descubrimiento de estos fenómenos de radiactividad ha tenido para los físicos el enorme interés de probarles que los núcleos son efectivamente edificios complejos, y que al descomponerse un núcleo complicado nace uno más simple, realizándose así, espontáneamente, la transmutación de los elementos soñada por los alquimistas de la Edad Media. Desdichadamente, la Radiactividad es un fenómeno sobre el cual no podemos ejercer influencia ninguna, y, por consiguiente, nos vemos reducidos a observarlo sin poder modificar sus modalidades. Unos veinte años después del descubrimiento de la Radiactividad se ha realizado un gran progreso, por el descubrimiento de la desintegración artificial, debido al gran físico inglés Rutherford. Bombardeando átomos ligeros con partículas a (emitidas a su vez por cuerpos radiactivos), se ha llegado a romper estos átomos ligeros. Se obtienen así átomos más simples, realizando una verdadera transmutación artificial. Naturalmente, esta transmutación se realiza para tan pequeñas cantidades de materia, que no tiene hoy interés práctico, pero su interés teórico es enorme y nos informa sobre la constitución de los núcleos.
Este estudio de las transmutaciones artificiales se ha desarrollado en estos últimos años primero en Inglaterra, por el impulso de lord Rutherford, donde jóvenes físicos, Chadwick, Cockroft, Walton, Blackett, han obtenido admirables resultados, y después en otros varios países, especialmente en los Estados Unidos, donde mencionaré los trabajos de Lawrence. En Francia, tenemos en París dos centros muy importantes, donde científicos jóvenes de gran mérito se ocupan de cuestiones relativas al núcleo. Son, por un lado el Instituto del Radium, dirigido hasta su muerte por Mme. Pierre Curie, y donde trabajan especialmente Su hija Mme. Joliot, Irène Curie, y su esposo M. Joliot, así como Pierre Auger, Rosenblum, etc. Hay además el Laboratorio de investigaciones físicas sobre los rayos X, fundado y dirigido por el hermano del autor de este libro, en el que Jean Thibaut, J. J. Trillat, Leprince-Ringuet y otros realizan o han realizado magníficas y fructuosas investigaciones.
No puedo entrar en manera alguna en el detalle de los resultados obtenidos, y que han conducido a una especie de química del núcleo, representando las transmutaciones por medio de ecuaciones absolutamente análogas a las empleadas desde hace tiempo por los químicos para representar las reacciones químicas ordinarias. Pero quiero insistir en dos descubrimientos fundamentales realizados de modo totalmente inesperado, en el curso de estas investigaciones. En primer lugar, el descubrimiento del neutrón. Persiguiendo ciertas experiencias de desintegración, Chadwick, por una parte, y Mme. Joliot, por otra, han constatado la presencia, en los productos de desintegración, de un nuevo género de corpúsculos hasta ahora desconocidos. Estos corpúsculos, que pasan con gran facilidad a través de la materia, parecen desprovistos de carga eléctrica y dotados de una masa sensiblemente igual a la del protón. Se les llama ahora “neutrones” y ya está fuera de duda que desempeñan una importante función en la estructura de los núcleos.
Poco menos de un año después del descubrimiento del neutrón (1932), se descubrió una cuarta clase de corpúsculos. Estudiando los efectos de desintegración producidos por los rayos cósmicos, Anderson de una parte, y Blackett y Occhialini por la otra, han puesto en evidencia la existencia de electrones positivos, es decir, de corpúsculos de la misma masa que el electrón, pero cuya carga es igual y de signo contrario a la del electrón. Estos electrones positivos, cuya aparición es mucho más excepcional que la de los electrones negativos, parece que desempeñan una función importante en los fenómenos del núcleo.
A consecuencia de estos recientes descubrimientos sensacionales, la situación es mucho más complicada que antes, porque conocemos ahora cuatro especies de corpúsculos: electrones, protones, electrones positivos, y neutrones. ¿Son todos ellos verdaderamente elementales? Sin duda, no; parece probable que uno de los cuatro sea complejo. Se puede, por ejemplo, suponer que el protón, el electrón y el electrón positivo son elementales, resultando entonces que el neutrón estaría formado por un protón, responsable de casi la totalidad de la masa y de un electrón que neutraliza la carga del protón. Se puede también suponer (y esta hipótesis nos parece más seductora) que los corpúsculos elementales son el neutrón y las dos clases de electricidad: el protón estarla formado entonces de un neutrón y de un electrón positivo, y perdería su calidad de corpúsculo simple. Sea de ello lo que fuere, el descubrimiento del neutrón y del electrón positivo enriquece considerablemente nuestro conocimiento del mundo atómico.
Digamos todavía dos palabras acerca de los rayos cósmicos. Una serie de trabajos realizados en estos últimos años, en cuya primera fila se encuentran los del profesor Millikan, han demostrado la existencia de una radiación extremadamente penetrante que parece venir del espacio interplanetario. Se ha descubierto que esta radiación produce sobre la materia efectos extremadamente potentes, produciendo múltiples desintegraciones atómicas. El estudio de los rayos cósmicos es muy difícil: su naturaleza es todavía bastante incierta; pero es muy probable que, próximamente, se obtengan también por este lado numerosos e interesantes resultados.
* * * *
Puede verse ya por esta tan rápida exposición, que las investigaciones de laboratorio nos han suministrado todos los días, desde hace algunos años, descubrimientos de indecible interés. Por su lado la Física teórica, cuya misión es aclarar y guiar la investigación experimental, no ha permanecido inactiva.
La historia de la Física teórica desde hace treinta años está jalonada por el desarrollo de dos grandes doctrinas de profundo alcance, la teoría de la Relatividad y la teoría de los Quanta. La teoría de la Relatividad, que es la que se relaciona menos directamente con el progreso de la Física atómica, es la más conocida por el gran público. Tiene su punto de partida en ciertos experimentos de interferencia de la luz, cuya interpretación por las antiguas teorías era imposible. Gracias a un esfuerzo intelectual, que será memorable en los anales de la ciencia, Albert Einstein ha resuelto la dificultad introduciendo ideas enteramente nuevas sobre la naturaleza del espacio y del tiempo, y sobre su conexión recíproca. Así nació esta magnífica teoría de la Relatividad, que fue inmediatamente generalizada suministrándonos una concepción original de la gravitación. Se ha discutido, y se discute todavía sobre ciertas verificaciones experimentales de la teoría, pero lo cierto es que ha aportado puntos de visto extremadamente nuevos y fecundos. Ha mostrado cómo dejando a un lado ciertas ideas preconcebidas, adoptadas por hábito más que por lógica, se podían derribar obstáculos que parecían insuperables y descubrir así horizontes inesperados. La teoría de la Relatividad ha sido para el espíritu de los físicos un maravilloso ejercicio de flexibilidad.
Menos conocidas del gran público, pero, con toda seguridad tan importantes, por lo menos, son la teoría de los quanta y sus ramificaciones. Es ella la que ha permitido utilizar las comprobaciones de la Física experimental para constituir una ciencia de los fenómenos atómicos. El hecho fundamental que ha aparecido cuando se ha querido ceñir de cerca la descripción de estos fenómenos, es la necesidad de hacer intervenir en ella concepciones completamente nuevas, absolutamente extrañas a la Física clásica. Para describir el mundo atómico, no basta transponer, a escalas mucho más pequeñas, los métodos y las imágenes válidos en nuestra escala o en la escala astronómica. Como hemos visto, se ha llegado perfectamente, después de Bohr, a representarse los átomos como pequeños sistemas solares en miniatura en los cuales los electrones, haciendo las veces de planetas, describen órbitas en torno a un sol central cargado positivamente; pero para que esta representación conduzca a resultados verdaderamente interesantes, ha sido menester suponer que el sistema solar atómico obedece a leyes, las leyes de los quanta, completamente diferentes de las de los sistemas de la Astronomía. Cuanto más se ha meditado sobre estas diferencias, más se ha visto su profundo alcance, su significación fundamental. La intervención de los quanta ha llevado a introducir por todas partes el discontinuo en la Física atómica, y esta introducción es esencial, puesto que sin ella los átomos serían inestables, y la materia no podría existir.
Hemos visto que a consecuencia del descubrimiento de la doble naturaleza corpuscular y ondulatoria de los electrones, la teoría de los quanta ha revestido, desde hace algunos años, una forma nueva llamada «Mecánica ondulatoria», cuyos éxitos han sido innumerables. La Mecánica ondulatoria ha permitido comprender y prever mejor los fenómenos que dependen de la existencia de estados estacionarios cuantificados en los átomos. Hasta la Química se ha aprovechado del florecimiento de la nueva teoría, porque ésta ha introducido una manera completamente nueva e interesante de concebir las conexiones químicas.
El desarrollo de la Mecánica ondulatoria ha obligado a los físicos a ampliar cada vez más sus concepciones. En esta nueva doctrina, las leyes de la Naturaleza no tienen ya un carácter tan estricto como en la Física clásica; no hay ya determinismo riguroso de los fenómenos, sino solamente leyes de probabilidad. Es lo que traduce de una manera precisa el célebre “principio de indeterminación” enunciado por Werner Heisenberg. Las nociones mismas de causalidad e individualidad han tenido que ser sometidas a nuevo examen, y de esta considerable crisis de los principios directivos de nuestras representaciones físicas saldrán, sin duda, consecuencias filosóficas de que todavía no nos hemos dado completa cuenta.
«Has de saber, pues, que los cuerpos tienen sus simulacros, como nosotros los llamamos, una especie de membranas ligeras que se desgajan de su periferia y vuelan por los aires en todos los sentidos... Los simulacros tienen que atravesar en un momento espacios indecibles, primero porque siendo elementos muy pequeños, hay tras ellos una causa que les empuja hacia adelante, y segundo porque vuelan en nubes tan sutiles que les es fácil penetrar por todo y vagar, por así decirlo, a través de los aires.»
Hace dos mil años resumía Lucrecio en estas palabras de su libro Acerca de la Naturaleza sus ideas sobre la luz. No era un problema fácil para los pensadores de la antigüedad, comprender cómo puede formarse en nuestro ojo la imagen de un objeto; y en verdad fue una ingeniosa solución imaginar que cada elemento superficial de un cuerpo, emite una pequeña partícula que reproduce fielmente aquel elemento; estas partículas, reuniéndose en nuestro ojo después de un trayecto más o menos largo, constituirían en él una imagen exacta del cuerpo emisor, como las piezas de un mosaico, que dispersándose por un instante reprodujeran al yuxtaponerse el dibujo primitivo. Lucrecio había visto certeramente que semejante teoría tenía que atribuir a las partículas de luz una velocidad "indecible”. Queda uno atónito ante la profundidad de esta intuición, cuando se piensa que las primeras experiencias precisas que permiten atribuir a la luz la enorme velocidad de 800.000 kilómetros por segundo, datan solamente de mediados del siglo XIX.
Las ideas de Lucrecio sobre la luz no eran en el fondo más que un aspecto de una doctrina general, la teoría atómica, que fue cara a los filósofos de la antigüedad. Según ella, todos los fenómenos de la Naturaleza deben poder explicarse por los movimientos y las interacciones de corpúsculos indivisibles, los átomos en el sentido etimológico de la palabra, realidad última más allá de la cual el análisis científico no deberá tratar de ahondar porque finalmente αναγκη στηνκι, es menester detenerse. Todos los cuerpos sólidos, líquidos o gaseosos tienen que estar constituidos por estos átomos, y la luz misma, menos diferente de la materia, en este punto, que lo que pudiera hacer creer un análisis superficial, estaría también constituida por corpúsculos seguramente más ligeros, más rápidos, más sutiles que los otros, pero en definitiva no esencialmente distintos de éstos.
* * * *
Pasemos ahora de un salto por encima de un gran número de siglos y observemos cuál era, hace unos treinta años, el estado general de nuestro conocimiento de los fenómenos físicos. Ante todo debemos señalar las diferencias profundas que separan la física moderna de la física antigua. Esta última descansaba en algunas observaciones exactas y en algunas leyendas ingenuas, a las cuales se superponían teorías demasiado ambiciosas y puramente cualitativas. Muy distinto es el carácter de la física moderna: descansa sobre la experimentación, la cual, más precisa que la simple observación, realiza voluntariamente condiciones dadas para ver cuáles son los fenómenos que se producen bajo tales condiciones. Después, habiendo establecido aquí de una manera incontrovertible las relaciones de interdependencia entre los hechos físicos, trata de interpretar estas relaciones y de hacerles entrar en un mismo esquema general sirviéndose de un potente instrumento intelectual, el análisis matemático, cuyo manejo ignoraban los antiguos. En otros términos, la experimentación permite establecer ciertas leyes; la teoría interpreta estas leyes refiriéndolas a una misma doctrina, y después se sirve de la doctrina así constituida para prever cuantitativamente otros fenómenos; entonces interviene nuevamente la experiencia, para verificar la exactitud de las previsiones de la teoría.
Hacia el año 1900, las ciencias físicas eran, pues, por la precisión de sus métodos y la seguridad de sus deducciones, incomparablemente superiores al vago esbozo con que tuvieron que contentarse Lucrecio y sus contemporáneos. Y la idea fundamental de Lucrecio, de que los fenómenos de la naturaleza deben explicarse por los movimientos y las interacciones de partículas elementales, no solamente no fue abandonada, sino que recibió de la experiencia una magnífica confirmación. Los químicos, siguiendo a Lavoisier, habían establecido que existe un cierto número de cuerpos simples o “elementos” que resisten a todo intento de descomposición, y que todas las demás sustancias químicas pueden, con métodos apropiados, descomponerse en un cierto número de elementos. Se llegó en seguida a dar cuenta de todas las leyes generales de la Química suponiendo que los cuerpos simples están formados de átomos, y que cada cuerpo posee su peculiar género de átomos. Todas las demás sustancias químicas estarían entonces formadas por moléculas, reuniones más o menos complejas de átomos de cuerpos simples, y el análisis químico consistiría en destruir estas moléculas de manera que se pusieran en libertad los elementos de la combinación en que se hallaban.
Triunfante en química, la hipótesis atómica guió también a los físicos en sus concepciones de la materia y de sus propiedades. Al final del siglo XVII, Newton, echando mano de los recientes progresos de las ciencias matemáticas, a los que él mismo contribuyó tan poderosamente, fundó la Mecánica, es decir, la ciencia que precisa las leyes según las cuales una partícula o un conjunto de partículas se desplaza bajo la acción de fuerzas dadas. Uniendo a estas leyes la hipótesis de que todas las partículas materiales se atraen proporcionalmente a sus masas y en razón inversa del cuadrado de sus distancias mutuas (ley de la gravitación universal), Newton constituyó la ciencia del movimiento de los astros o mecánica celeste, cuya precisión, como se sabe, es tal, que permitió a Leverrier descubrir por simple cálculo la existencia y la posición de un planeta (Neptuno), hasta entonces desconocido.
Armados con las leyes de la Mecánica, los físicos han podido intentar explicar todas las propiedades de la materia en la hipótesis de que éstas son debidas a los movimientos y a las interacciones de partículas elementales, de átomos. El éxito de estas tentativas durante todo el siglo XIX ha sido considerable.
¿Se trata de explicar por qué la superficie de un líquido en un tubo estrecho, en lugar de ser plana presenta una curvatura que le da, en ciertos casos, el aspecto de un menisco convexo, y en otros el aspecto de un menisco cóncavo? La teoría de la capilaridad, debida a Laplace, atribuirá estas manifestaciones a las fuerzas que se ejercen entre los átomos del sólido, que constituye el tubo, y los átomos del líquido, y llegará a prever exactamente todas las leyes de estos fenómenos “capilares”.
¿Se trata de prever las propiedades de los gases? La teoría cinética de Maxwell y Boltzmann nos dirá que los gases están formados por átomos en movimiento rápido, que la presión ejercida por un gas sobre las paredes de su recipiente es debida a los choques de los átomos contra las paredes, que la temperatura del gas mide la energía media de su movimiento de agitación, y esta admirable doctrina dará razón cuantitativamente de una multitud de propiedades de los cuerpos gaseosos que la experiencia había establecido anteriormente a aquélla o que las ha verificado después.
¿Se trata de las propiedades térmicas de los sólidos? La teoría atómica considerará los sólidos como formados de átomos en una posición de equilibrio, pero susceptibles de oscilar alrededor de esta posición con una intensidad tanto mayor cuanto más elevada es la temperatura del cuerpo: calculará entonces la cantidad de calor que es preciso suministrar a una cierta masa, por ejemplo un gramo, del cuerpo sólido, para hacer elevar su temperatura en un grado centígrado, y la ley obtenida es precisamente la que los físicos franceses Dulong y Petit habían deducido de sus experiencias.
Se podrían multiplicar los ejemplos, porque la concepción atómica ha dado interpretaciones muy satisfactorias de las propiedades de los cuerpos materiales. A pesar de la pequeñez y extrema ligereza de los átomos, se ha llegado no solamente a poner en evidencia de una manera directa su movimiento de agitación en el gas, sino también a medir sus masas y hasta su número en un volumen dado. Hoy sabemos cuántos átomos de un gas hay en un centímetro cúbico de este gas, ¡a pesar de que este número es superior a millares de millones de millones!
* * * *
La teoría atómica obtuvo un nuevo éxito cuando sir J. J. Thomson y después H. A. Lorentz lograron explicar el conjunto de fenómenos electromagnéticos gracias a la hipótesis de que la electricidad posee una estructura atómica. Los fenómenos eléctricos y magnéticos no fueron estudiados de una manera sistemática más que al final del siglo XVIII, pero en la primera mitad del XIX su estudio ha progresado con enorme rapidez, gracias sobre todo a los memorables trabajos de Volta, Coulomb, Ampère, Biot, Laplace, etc. Estos fenómenos pueden ser interpretados por la teoría de los dos fluidos, según la cual existen dos fluidos eléctricos: la electricidad positiva y la electricidad negativa. Si un cuerpo contiene cantidades iguales de ambos fluidos, es eléctricamente neutro; si contiene más fluido positivo que negativo, está cargado positivamente; en el caso contrario, negativamente. Todas las propiedades de la electricidad en reposo (electrostática) se explican así; en cuanto a las corrientes eléctricas, serían debidas al desplazamiento de una cierta cantidad de los dos fluidos. La idea fundamental introducida por J. J. Thomson y H. A. Lorentz es que el fluido eléctrico negativo está siempre formado de partículas absolutamente semejantes, los electrones, de una masa extremadamente débil, que soportan una misma carga negativa muy pequeña. Se ha llegado después a generalizar esta hipótesis admitiendo que el fluido positivo está formado también por partículas semejantes, los protones; el protón lleva una carga positiva igual y de signo contrario a la del electrón, pero es 2.000 veces más pesado.
La teoría de los electrones, en las manos hábiles de Lorentz y de su escuela, ha logrado dar razón de los fenómenos electromagnéticos ya conocidos y prever otros nuevos. Pero la existencia de los electrones ha sido puesta en evidencia más directamente; se ha medido su masa y su carga, cantidades inconcebiblemente pequeñas; se ha verificado que les son aplicables las leyes de la Mecánica; se ha llegado a recogerlos uno a uno en un aparato que emite un sonido cuando llega cada uno de ellos, como lo haría un blanco sonoro a medida que fuera recibiendo sucesivamente los proyectiles de una salva.
El descubrimiento de los electrones y de los protones ha dado a los físicos la grata impresión (quizá engañosa) de haber encontrado los elementos últimos de la materia. En efecto, antes de su descubrimiento, había que considerar que los átomos de los cuerpos simples son los elementos con que está construida la materia. Desgraciadamente hay un gran número de cuerpos simples (se conocen hoy 89), y nuestro espíritu, prendado de la simplicidad, no puede ya estar satisfecho viendo que es menester imaginar tantos elementos últimos diferentes. Teorías modernas, en cuyo detalle no puedo entrar, han permitido imaginarse los átomos de los cuerpos simples como sistemas complejos formados de protones y electrones, y por consiguiente han permitido reducir a dos especies únicas los elementos últimos de la materia.
Consideremos, por ejemplo, el hidrógeno, el más ligero de los cuerpos simples; según Bohr, el átomo de hidrógeno está formado por un protón alrededor del cual gira un electrón, y el conjunto es eléctricamente neutro, puesto que el protón y el electrón tienen cargas iguales y de signo contrario. Un gran número de hechos apoyan esta idea de que todos los átomos son edificios compuestos de protones y electrones.
Así el ideal de los antiguos filósofos parecía casi logrado, puesto que, admitiendo la existencia de dos especies de corpúsculos solamente, se podían deducir de los movimientos y de las interacciones de estos corpúsculos todas las propiedades de la materia. Pero en las líneas que precedentes me he ocupado tan sólo de una de las dos ramas de la Física moderna: la que trata de las propiedades de la materia. Tenemos que ver ahora cómo ha evolucionado la otra gran rama de la Física, la que se ocupa de las propiedades de la luz o como se dice hoy, de una manera más general, de las propiedades de las radiaciones.
* * * *
Mientras el siglo XIX señalaba el triunfo de la teoría atómica en la física de la materia, fracasó por el contrario en la explicación de los fenómenos luminosos.
La idea de que la luz está formada de corpúsculos en movimiento rápido había encontrado un ilustre defensor en Newton.
Newton había mostrado que esta idea permitía interpretar los principales hechos ópticos conocidos en su tiempo: la propagación rectilínea de la luz, su reflexión en los espejos, su refracción en los cuerpos transparentes. Todo el siglo XVIII se inclinó ante la autoridad de Newton y aceptó su opinión, y a comienzos del siglo último encontraba todavía fervientes adeptos. Pero entonces fue cuando la obra admirable de nuestro compatriota Augustín Fresnel hizo abandonar completamente el punto de vista de Lucrecio y de Newton.
Ya en el siglo XVII un contemporáneo de juventud de Newton, Christian Huygens, físico holandés dotado de sumo espíritu penetrante, había propuesto una teoría de la luz, completamente distinta de la teoría corpuscular. Según esta otra opinión, existe un medio extremadamente sutil que impregna todos los cuerpos, el éter, y la luz estaría formada por ondas que se propagan en este medio como se propagan sobre una superficie de agua tranquila los rizos provocados por la caída de una piedra. Así la luz, en lugar de tener una estructura discontinua y de estar formada por elementos que conservarían su individualidad, sería una perturbación que se extiende y se propaga en el espacio. Huygens desarrolló con gran ingenio esta idea y dedujo de ella consecuencias que, rehabilitadas por Fresnel, se enseñan todavía corrientemente en nuestros tratados de Óptica. Aunque Newton, con su habitual profundidad de pensamiento, intentó a veces combinar su teoría corpuscular con las concepciones ondulatorias, su autoridad, según hemos visto, contribuyó a hacer abandonar la idea de Huygens.
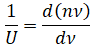
El descubrimiento de los fenómenos de interferencia y de difracción, iniciado por el mismo Newton, pero debido sobre todo a los trabajos del científico inglés Young, confirmados y ampliados por los de Fresnel, dirigió la atención sobre los fenómenos ondulatorios. Una onda que se propaga sin encontrar obstáculos es análoga a una serie de olas que se desplazan con una velocidad constante y cuyas crestas están situadas a igual distancia las unas de las otras; esta distancia es lo que se llama la longitud de onda. Por un punto fijo pasa un cierto número de crestas por segundo; este número se llama frecuencia de la onda. Las tres magnitudes: velocidad de la onda, longitud de onda, y frecuencia, no son independientes; se ve fácilmente que la frecuencia es igual a la velocidad dividida por la longitud de onda.
Supongamos ahora que llega una onda a una región del espacio sembrada de obstáculos; se reflejará sobre ellos, y la superposición de todas las ondas reflejadas dará nacimiento a un estado ondulatorio complejo; habrá zonas de reposo en que las ondas reflejadas se neutralizarán mutuamente, otras en cambio donde se adicionarán sus efectos. Si la luz está constituida por ondas, enviando luz sobre espejos, pantallas u otros obstáculos análogos, deberá ser posible obtener fenómenos sumamente característicos: en ciertas zonas las ondas se aniquilarán mutuamente, y se tendrán zonas oscuras, franjas neutras, como dicen los físicos; en otras regiones, por el contrario, las ondas se sumarán y habrá concentraciones de luz o franjas brillantes. La existencia de estos fenómenos delicados, de observación a veces difícil, pudo ser establecida por Young y Fresnel de modo incontrovertible, y Fresnel tuvo además la gloria de mostrar que la teoría ondulatoria los explica completamente. Por el contrario, corpúsculos que se movieran según las leyes de la mecánica de Newton no podrían dar lugar a estas manifestaciones. Después de Fresnel la cuestión se consideró zanjada: la luz está formada de ondas.
Poco después, se aprendió a medir con precisión la velocidad de las ondas luminosas. En el vacío es la misma para todas las clases de luz y alcanza a 300.000 kilómetros por segundo. Cada color está caracterizado por una longitud de onda y por una frecuencia que se deduce de aquélla, puesto que, como hemos dicho, la frecuencia es el cociente de la velocidad por la longitud de onda. La extremidad violeta del espectro corresponde a las longitudes de onda más pequeñas (4 diezmilésimas de milímetro), la extremidad roja a las mayores longitudes de onda (8 diezmilésimas de milímetro). Pero los físicos han logrado, desde hace un siglo, descubrir toda una serie de “radiaciones invisibles”, es decir, luces que no impresionan nuestra retina. Son, en primer lugar, las radiaciones del espectro infra-rojo, de longitudes de onda superiores a las de la luz roja, y las radiaciones del espectro ultra-violeta, de longitudes de onda inferiores a las de la luz violeta. En segundo lugar, las ondas electromagnéticas (las que emplea la T. S. H.), mucho más largas todavía que las ondas infrarrojas, y en la otra extremidad de la gama de las radiaciones, los rayos X y los rayos γ de los cuerpos radiactivos, cuyas ondas son incomparablemente más cortas todavía que las de las radiaciones ultravioletas.
Pareció por un momento que las propiedades de todas estas radiaciones se explicaban enteramente en la hipótesis de las ondulaciones. La Física se encontraba dividida así en dos compartimientos distintos: la física de la materia, en la cual la hipótesis de unas partículas elementales que se desplazan según las leyes de la mecánica de Newton permitía coordinar todos los hechos conocidos; y la física de las radiaciones, en la cual todo se interpretaba por propagaciones de ondas. Vamos a ver cómo recientes descubrimientos han derribado el muro que separaba estos dos compartimientos y mostrado la necesidad de una síntesis cuya belleza intelectual procuraría a los científicos de la hora presente una alegría inmaculada, si no fuera extremadamente difícil su completa articulación.
* * * *
Los nuevos hechos descubiertos desde hace veinticinco años, y cuyo conocimiento ha exigido rehacer nuestras concepciones, se llaman los fenómenos de quanta. Corresponde a Max Planck el honor de ser el primero en haber presentido su existencia. Sin entrar en su descripción detallada, quisiera dar aquí una idea de conjunto de ellos, mostrando que unos han revelado una estructura corpuscular en la luz, mientras que otros han mostrado la frecuente impotencia de nuestra antigua mecánica para prever el movimiento de los corpúsculos últimos de la materia.
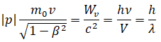
El principal fenómeno que ha llamado la atención sobre la posibilidad de una estructura discontinua de la luz, se llama “el efecto foto-eléctrico”. Consideremos una fuente luminosa; en la teoría ondulatoria de Fresnel, esta fuente emite una onda esférica que se extiende en el éter. La energía emitida por la fuente se disemina, pues, en el espacio, y las acciones que la luz podrá producir, serán tanto más débiles cuanto más alejado de la fuente se halle el punto considerado. Por el contrario, en la teoría corpuscular la fuente emite partículas en todos los sentidos, y como estas partículas no se extienden, puesto que permanecen siendo unidades indivisibles, podrán, incluso a gran distancia, producir un efecto considerable. Ahora bien, el descubrimiento del efecto foto-eléctrico nos ha enseñado, precisamente, que todas las radiaciones son capaces de ejercer sobre la materia acciones enérgicas que no se debilitan cuando aumenta la distancia de la fuente. Einstein ha visto en este hecho la necesidad de volver, de alguna manera, a la teoría corpuscular y ha supuesto que la energía radiante está dividida en granos y que las fuentes luminosas lanzan estos granos en todos los sentidos. Así, al lado de los electrones y de los protones, se ha introducido un tercer género de corpúsculos, los “quanta de luz” o, como se dice hoy más bien, los “fotones”.
Otro fenómeno, descubierto en 1922 por el físico americano H. A. Compton, suministra también una prueba en el mismo sentido. La acción de una radiación sobre un electrón aislado es la misma que si hubiera un choque entre dos corpúsculos, y esto conduce de nuevo a la concepción de los corpúsculos de radiación. Pero, como, por otra parte, los fenómenos de interferencia y de difracción, a partir de los cuales había deducido Fresnal la necesidad de la teoría ondulatoria, necesitan también ser interpretados, los fenómenos de quanta han indicado con claridad, en el dominio de las radiaciones, la necesidad de crear una doctrina sintética que reúna el punto de vista de Fresnel y el de Newton.
Hemos visto que los físicos modernos trataban de imaginarse la materia como formada de dos clases de partículas elementales: los electrones y los protones. Pero cuando se han querido encontrar las propiedades de los átomos materiales suponiéndolos constituidos por un núcleo central positivo y por un grupo de electrones que giran en torno a este núcleo, como los planetas en torno al sol, se ha visto que era necesario modificar en forma insospechada, las leyes clásicas de la mecánica. Se constituyó entonces un esbozo de una nueva mecánica, la mecánica de los quanta, gracias sobre todo a los esfuerzos de Planck, Bohr y Sommerfeld. Pero la razón que hizo necesaria esta modificación de la mecánica para las partículas en el interior del átomo, permaneció mucho tiempo en el misterio.
* * * *
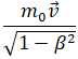
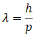
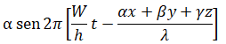
Meditando sobre estas cuestiones, el autor de este libro llegó en 1923, a la convicción de que en la teoría de la materia, así como en la de las radiaciones, era indispensable considerar a la vez corpúsculos y ondas, para lograr una doctrina única que permita interpretar simultáneamente las propiedades de la materia y las de la luz. Se ve entonces la necesidad de construir una Mecánica nueva para prever el movimiento de los corpúsculos, la Mecánica ondulatoria, como hoy se la llama, íntimamente emparentada con la teoría de las ondas, y en la cual el movimiento de un corpúsculo se deduce de la propagación de una onda. Así, por ejemplo, habrá corpúsculos de luz, fotones, pero sus movimientos irán vinculados a la propagación de las ondas de Fresnel, y permitirán explicar los fenómenos de interferencia y de difracción. En cuanto a los corpúsculos materiales, electrones y protones, no podrán ser considerados ya aisladamente, sino que habrá que suponerlos siempre acompañados de una onda ligada a su movimiento. Llegué hasta anunciar, anticipadamente, cuál deberla de ser la longitud de onda de la onda asociada a un electrón de velocidad dada.
Si la mecánica de Newton logra prever de una manera perfecta los movimientos que se efectúan en nuestra escala o en la de los movimientos de los cuerpos celestes, es que en estos casos la Mecánica ondulatoria admite la de Newton como una aproximación suficiente. Pero, cuando se quiere estudiar el movimiento de las partículas materiales en el interior de un átomo, la antigua Mecánica pierde su valor y la nueva conduce entonces a descubrir el sentido de los nuevos principios, que se habían visto obligados a introducir las teorías cuánticas. E. Schrödinger, en una serie de admirables memorias, ha precisado la aplicación de estas ideas y mostrado cómo conducen a justificar completamente la forma general dada poco antes a la mecánica de los quanta, por el joven físico alemán W. Heisenberg.
El éxito de esta doctrina sintética ha sido, pues, completo, pero le faltaba el apoyo de experiencias directas que probaran la existencia de la onda asociada a las partículas materiales. El año 1927 llenó esta laguna. Dos físicos americanos, Davisson y Germer, y dos físicos ingleses, G. P. Thomson y Reid, han obtenido, con haces de electrones, interferencias completamente análogas a las que se obtienen con radiaciones. El estudio de las manifestaciones observadas permite calcular la longitud de onda de la onda asociada a los electrones empleados, y se ha verificado que esta longitud de onda es exactamente la misma que aquella cuyo valor había predicho yo tres años antes. Así la Mecánica ondulatoria ha desempeñado la función esencial de una buena teoría física; ha previsto fenómenos cuya existencia ha sido después demostrada por la experiencia.
No debe creerse, sin embargo, que hayan desaparecido todas las dificultades y que a los físicos no les quede ya más que progresar sobre un camino liso y llano. Parece definitivamente establecido que materia y radiación tienen ambas un aspecto ondulatorio y un aspecto corpuscular, y que teniendo en cuenta esta dualidad puede, gracias a una teoría sintética, unificarse toda la Física. Pero la razón de ser de estos dos aspectos y la manera posible de fundirlos en una unidad superior, quedan envueltas en gran misterio. Las opiniones de los científicos más calificados continúan siendo muy divergentes, y los principios mismos sobre los cuales se han apoyado las explicaciones científicas hasta ahora, han sido sometidos a una crítica severa, cuya última conclusión es todavía difícil predecir.
Estas dificultades no deben sorprender: cada vez que el espíritu humano, a costa de grandes esfuerzos, ha logrado descifrar una página del libro de la Naturaleza, se da cuenta en seguida de que será mucho más difícil todavía descifrar la página siguiente. Sin embargo, un instinto profundo le impide desanimarse y le empuja a renovar sus esfuerzos para penetrar siempre más adentro en el conocimiento de las armonías naturales.
§ 2. Los quanta y la mecánica ondulatoria
Misteriosos, los quanta, después de haber sido hilvanados en la teoría de la radiación, han invadido toda la Física. Al comienzo, hacia 1900, su función es modesta: en la teoría de los canjes de energía entre materia y radiación, la energía de los osciladores materiales elementales de escala atómica, se muestra siempre igual a un múltiplo entero de un cierto «quantum de energía» medido por el producto de la frecuencia de la oscilación por la constante h de Planck. Pero se vio en seguida que si los osciladores materiales elementales se comportan así, debe ocurrir lo mismo con todos los movimientos de los corpúsculos de muy pequeña escala, los cuales tendrían que someterse a análogas restricciones. En efecto, sólo son estables y se hallan realizados en la Naturaleza los movimientos corpusculares periódicos que satisfacen a la condición de que la «acción mecánica» evaluada para un período entero del movimiento sea igual a un múltiplo de la constante h de Planck. Esta constante se revela, pues, como desempeñando la función de un «quantum de acción» y el quantum de energía del oscilador no es más que la consecuencia de un caso particular de la existencia de este quantum de acción. He aquí, pues, los quanta instalados en la Mecánica, limitando el número de movimientos posibles con ayuda de reglas de cuantificación en que intervienen números enteros; y la aparición de estos números enteros en la dinámica de los corpúsculos elementales parece por lo pronto un hecho sumamente extraño.
Pero los años sucesivos nos suministran con la teoría de los quanta de luz, una sorpresa de distinto orden. El descubrimiento del efecto fotoeléctrico habla mostrado que la absorción de la energía radiante de frecuencia v por la materia se realiza por cantidades finitas iguales a hν. Volviendo a las concepciones corpusculares de la luz que gozaron del favor de los científicos del siglo XVIII, Einstein supone entonces que la luz de frecuencia v, está formada por átomos de energía de valor hν. Esta hipótesis le permitió enunciar una ley general del efecto fotoeléctrico que se encuentra verificada con gran exactitud. Así, la concepción ondulatoria de la luz, triunfante después de la genial obra de Fresnel, se ve súbitamente conmovida: exige, en efecto, que la energía esté distribuida de una manera continua en la onda luminosa y excluye por consiguiente toda idea de quanta de luz. Esta concepción ondulatoria estaba, sin embargo, apoyada en sólidas pruebas, porque las experiencias de interferencia y de difracción sólo pueden ser interpretadas con aquélla. Y he aquí que, sin embargo, el efecto fotoeléctrico parece no poder interpretarse más que por una concepción corpuscular. ¿Cómo resolver esta inquietante contradicción?
Los años consecutivos a la aparición de los quanta de luz no han aportado ningún esclarecimiento a este misterio. Sin cesar los quanta han afirmado cada vez más su importancia. Se ha encontrado el quantum de acción en mil fenómenos, se ha medido, de muchas maneras diferentes, la constante h. La teoría de Bohr vino en seguida a mostrarnos que si los átomos de materia se hallan en estado estable, es a causa del carácter cuantificado de los movimientos corpusculares intraatómicos. A partir de entonces, hemos sabido que la estabilidad de la materia y su existencia misma reposan en los quanta. Esto nos da una medida de nuestra ignorancia antes del conocimiento de éstos, pero no nos hace entender mejor su verdadera naturaleza. Y mientras se afirmaba cada vez más la importancia de los quanta para los movimientos en pequeña escala, la estructura corpuscular de las radiaciones, es decir, la existencia do «fotones», como hoy decimos, se veía confirmada por el estudio del fenómeno fotoeléctrico con los rayos X y por el descubrimiento de efecto Compton.
Tal era la situación hacia 1924. Desde entonces ha cambiado mucho. Evidentemente no podría decirse que hemos comprendido completamente la significación profunda de los quanta, pero hemos progresado en este sentido. El origen de estos progresos se encuentra en la siguiente idea, que ha servido de base a la nueva Mecánica ondulatoria: para explicar las propiedades elementales de la materia, es preciso emplear simultáneamente la imagen de las ondas y la imagen de los corpúsculos, vinculando las magnitudes que sirven para definir matemáticamente estas dos imágenes, por medio de relaciones en que figura siempre la constante de Planck. Cada vez que la existencia de la materia o de las radiaciones se nos manifiesta por un fenómeno elemental, todo pasa como si existieran corpúsculos elementales de materia y de luz: por esto la investigación experimental, cada vez que ha podido llegar a un fenómeno elemental, ha puesto en evidencia la existencia de corpúsculos: electrones y protones para la materia, fotones para la luz. Pero la nueva Mecánica ha mostrado que es imposible seguir de una manera continua la evolución individual de estos corpúsculos: acerca de esta evolución no pueden hacerse sino previsiones de naturaleza estadística y, para obtener estas previsiones, es indispensable emplear la imagen de las ondas. En otros términos, las ondas permiten prever estadísticamente la repartición y el movimiento do los corpúsculos.
Se comprenderá, sin duda, inmediatamente cómo lo que acabo de decir se aplica a la luz y más generalmente a las radiaciones. Por una parte, el estudio de los fenómenos elementales en que las radiaciones actúan sobre la materia (efecto fotoeléctrico, efecto Compton) nos ha dado la prueba del hecho siguiente: cuando una radiación de frecuencia y actúa sobre la materia, todo pasa como si la radiación estuviera formada por corpúsculos de energía kv. Por otra parte, las interferencias y la difracción de la luz, conocidas desde mucho antes, nos muestran que la energía de las radiaciones se reparte en una media igual a la prevista por la teoría de las ondas. Es, pues, natural admitir que existen corpúsculos de energía radiante, los fotones, cuya energía individual es igual a hν, y cuya evolución en el transcurso del tiempo está representada, de una manera estadística, por la onda luminosa clásica de Fresnel, sin que sea posible, por lo demás, precisar completamente la historia individual de cada fotón. Tal es el punto de vista original de la Mecánica ondulatoria, por lo que concierne a la luz: logra conciliar la existencia del efecto fotoeléctrico con la de las interferencias.
Pero ¿cómo puede adaptarse esta misma concepción general al caso de la materia? Aquí los corpúsculos, electrones y protones, son conocidos desde hace mucho: otros, neutrones y electrones positivos, han sido descubiertos recientemente. Pero ¿dónde están las ondas? A primera vista puede incluso parecer que las ondas son aquí perfectamente inútiles, puesto que en los campos eléctricos y magnéticos, que sabemos crear, los corpúsculos electrizados se conducen como honrados corpúsculos de tipo clásico, obedeciendo a las leyes de la Mecánica tradicional del punto material. Pero el desarrollo de la teoría de los quanta nos han enseñado, según hemos visto, que en la escala atómica las cosas son menos sencillas: interviene en ésta la constante h, para limitar el número de los posibles movimientos corpusculares, y por tanto intervienen también los números enteros. Ahora bien, una intervención de los números enteros es cosa totalmente inexplicable en la Dinámica clásica del punto material, mientras que es habitual en las teorías ondulatorias, por ejemplo, en las fórmulas que se aplican a las interferencias y las resonancias. Esto nos lleva naturalmente a pensar que también para la materia es preciso considerar ondas cuya propagación regula, por lo menos estadísticamente,- el movimiento de los corpúsculos. Esta introducción de las ondas junto a los corpúsculos, en la teoría de la materia, se ha visto coronada de éxito porque nos ha suministrado entre otras cosas, la explicación del carácter cuantificado de los movimientos corpusculares en la escala atómica. Nos ha mostrado, en efecto, que, para ser estable, el movimiento de un corpúsculo de pequeña escala, debe estar asociado a una onda estacionaria. Como esta condición no se realiza en general, se comprende que sólo sean estables ciertos movimientos.
La nueva teoría permite explicar, además, por qué en un campo eléctrico o magnético en gran escala, los electrones se comportan como corpúsculos de tipo clásico, y lleva también a prever fenómenos de carácter completamente nuevo. Puesto que la onda luminosa regula la repartición, en el espacio, de los fotones que le están asociados; puesto que en las experiencias de interferencia y de difracción los fotones se localizan en el espacio, proporcionalmente a la intensidad de la onda luminosa en cada punto, habrá que esperar que acontezca algo análogo con los corpúsculos materiales: si la propagación de la onda asociada a un flujo de corpúsculos materiales de la misma energía, da lugar a interferencias, los corpúsculos en cuestión deberán repartirse en el espacio proporcionalmente a la intensidad de la onda y dar origen a manifestaciones que la antigua Dinámica de los puntos materiales era ciertamente incapaz de prever. La experiencia ha verificado esta audaz previsión de la teoría. En efecto, según la Mecánica ondulatoria, si se envía un haz paralelo de electrones de la misma energía sobre un cristal: la onda que dirige el movimiento de los electrones será difundida por los centros, regularmente dispuestos, de la red cristalina; las onditas difundidas interferirán entre sí y de estas interferencias resultará la existencia del máximum de difusión en ciertas direcciones, direcciones que se podrán calcular fácilmente conociendo las constantes de la red cristalina empleada y la longitud de onda de la onda incidente. Puesto que, en la nueva teoría, todo pasa como si la onda dirigiera el conjunto del movimiento de los corpúsculos, los electrones difundidos por el cristal deberán concentrarse en las direcciones de difusión privilegiada de que acabamos de hablar. Y esto es, en efecto, lo que la experiencia ha demostrado, suministrando así una brillante confirmación a las nuevas concepciones. Y esta confirmación ha sido cuantitativa porque se ha podido verificar, con una gran precisión, la exactitud de la fórmula fundamental de la Mecánica ondulatoria:

fórmula que da la longitud de onda X de la onda asociada a un corpúsculo de masa m y de velocidad ν por el intermedio de la constante h de los quanta.
Se encuentra así establecida sobre una sólida base experimental la nueva Mecánica ondulatoria y cuántica. Nos ha enseñado a considerar la constante h de Planck como una especie de guión entre la imagen de las andas y la imagen de los corpúsculos. Las dos imágenes son a la vez necesarias y sus valideces respectivas se limitan mutuamente porque la constante h tiene un valor finito.
Quisiera insistir sobre un punto interesante. Si la constante h tuviera un valor infinitamente pequeño, los quanta de luz de valor hν serían infinitamente pequeños, y su número, en una radiación de energía dada, sería infinitamente grande: todo pasaría entonces como si las radiaciones tuvieran una estructura continua y puramente ondulatoria, que les atribuían Fresnel y sus continuadores. Por el contrario, los corpúsculos materiales obedecerían entonces exactamente (puede demostrarse esto con facilidad) a las leyes clásicas de la Dinámica del punto material, y no habría necesidad ninguna de introducir ondas en la teoría de la materia. Por tanto, si el valor de h fuera infinitamente pequeño, la Física clásica sería rigurosamente exacta. Por el contrario, si la constante de Planck fuera infinitamente grande, los quanta de luz serían enormes y su existencia saltaría a los ojos, por así decirlo, del físico menos perspicaz; pero en este caso los corpúsculos materiales no seguirían jamás las leyes de la Dinámica clásica, y se vería que en su estudio era necesario introducir desde el principio una onda para prever los movimientos de aquéllos. Ahora bien, en la naturaleza real, la constante h no es ni infinitamente grande ni infinitamente pequeña, sino que su valor es finito, pero desde nuestro punto de vista humano parece extremadamente pequeño pues se expresa en unidades c. g. s. por el número 6,55×1027. Para nosotros, humanos, el caso de h infinitamente pequeño está, pues, mucho más próximo a realizarse que el caso opuesto de h infinitamente grande. Esta simple observación ilumina el verdadero sentido de la evolución reciente de la Física. En efecto, ahora se comprende en seguida que la Física de ayer, a consecuencia de un examen todavía algo superficial, se haya visto llevada a proclamar la estructura continua y la naturaleza ondulatoria de la luz, mientras atribuía a la materia una estructura discontinua constituida por corpúsculos que obedecen a las leyes dinámicas clásicas. Han sido necesarias experiencias más afinadas de los físicos contemporáneos para revelar la otra cara de la realidad, me refiero al aspecto discontinuo de la luz y al aspecto ondulatorio de la materia.
§ 3. Los quanta y la mecánica ondulatoria
Misteriosos, los quanta, después de haber sido hilvanados en la teoría de la radiación, han invadido toda la Física. Al comienzo, hacia 1900, su función es modesta: en la teoría de los canjes de energía entre materia y radiación, la energía de los osciladores materiales elementales de escala atómica, se muestra siempre igual a un múltiplo entero de un cierto «quantum de energía» medido por el producto de la frecuencia de la oscilación por la constante h de Planck. Pero se vio en seguida que si los osciladores materiales elementales se comportan así, debe ocurrir lo mismo con todos los movimientos de los corpúsculos de muy pequeña escala, los cuales tendrían que someterse a análogas restricciones. En efecto, sólo son estables y se hallan realizados en la Naturaleza los movimientos corpusculares periódicos que satisfacen a la condición de que la «acción mecánica» evaluada para un período entero del movimiento sea igual a un múltiplo de la constante h de Planck. Esta constante se revela, pues, como desempeñando la función de un «quantum de acción» y el quantum de energía del oscilador no es más que la consecuencia de un caso particular de la existencia de este quantum de acción. He aquí, pues, los quanta instalados en la Mecánica, limitando el número de movimientos posibles con ayuda de reglas de cuantificación en que intervienen números enteros; y la aparición de estos números enteros en la dinámica de los corpúsculos elementales parece por lo pronto un hecho sumamente extraño.
Pero los años sucesivos nos suministran con la teoría de los quanta de luz, una sorpresa de distinto orden. El descubrimiento del efecto fotoeléctrico habla mostrado que la absorción de la energía radiante de frecuencia v por la materia se realiza por cantidades finitas iguales a hν. Volviendo a las concepciones corpusculares de la luz que gozaron del favor de los científicos del siglo XVIII, Einstein supone entonces que la luz de frecuencia v, está formada por átomos de energía de valor h v. Esta hipótesis le permitió enunciar una ley general del efecto fotoeléctrico que se encuentra verificada con gran exactitud. Así, la concepción ondulatoria de la luz, triunfante después de la genial obra de Fresnel, se ve súbitamente conmovida: exige, en efecto, que la energía esté distribuida de una manera continua en la onda luminosa y excluye por consiguiente toda idea de quanta de luz. Esta concepción ondulatoria estaba, sin embargo, apoyada en sólidas pruebas, porque las experiencias de interferencia y de difracción sólo pueden ser interpretadas con aquélla. Y he aquí que, sin embargo, el efecto fotoeléctrico parece no poder interpretarse más que por una concepción corpuscular. ¿Cómo resolver esta inquietante contradicción?
Los años consecutivos a la aparición de los quanta de luz no han aportado ningún esclarecimiento a este misterio. Sin cesar los quanta han afirmado cada vez más su importancia. Se ha encontrado el quantum de acción en mil fenómenos, se ha medido de muchas maneras diferentes la constante h. La teoría de Bohr vino en seguida a mostrarnos que si los átomos de materia se hallan en estado estable, es a causa del carácter cuantificado de los movimientos corpusculares intraatómicos. A partir de entonces, hemos sabido que la estabilidad de la materia y su existencia misma reposan en los quanta. Esto nos da una medida de nuestra ignorancia antes del conocimiento de éstos, pero no nos hace entender mejor su verdadera naturaleza. Y mientras se afirmaba cada vez más la importancia de los quanta para los movimientos en pequeña escala, la estructura corpuscular de las radiaciones, es decir, la existencia do «fotones», como hoy decimos, se veía confirmada por el estudio del fenómeno fotoeléctrico con los rayos X y por el descubrimiento de efecto Compton.
Tal era la situación hacia 1924. Desde entonces ha cambiado mucho. Evidentemente no podría decirse que hemos comprendido completamente la significación profunda de los quanta, pero hemos progresado en este sentido. El origen de estos progresos se encuentra en la siguiente idea, que ha servido de base a la nueva Mecánica ondulatoria: para explicar las propiedades elementales de la materia, es preciso emplear simultáneamente la imagen de las ondas y la imagen de los corpúsculos, vinculando las magnitudes que sirven para definir matemáticamente estas dos imágenes, por medio de relaciones en que figura siempre la constante de Planck. Cada vez que la existencia de la materia o de las radiaciones se nos manifiesta por un fenómeno elemental, todo pasa como si existieran corpúsculos elementales de materia y de luz: por esto la investigación experimental, cada vez que ha podido llegar a un fenómeno elemental, ha puesto en evidencia la existencia de corpúsculos: electrones y protones para la materia, fotones para la luz. Pero la nueva Mecánica ha mostrado que es imposible seguir de una manera continua la evolución individual de estos corpúsculos: acerca de esta evolución no pueden hacerse sino previsiones de naturaleza estadística y, para obtener estas previsiones, es indispensable emplear la imagen de las ondas. En otros términos, las ondas permiten prever estadísticamente la repartición y el movimiento do los corpúsculos.
Se comprenderá, sin duda, inmediatamente cómo lo que acabo de decir se aplica a la luz y más generalmente a las radiaciones. Por una parte, el estudio de los fenómenos elementales en que las radiaciones actúan sobre la materia (efecto fotoeléctrico, efecto Compton) nos ha dado la prueba del hecho siguiente: cuando una radiación de frecuencia y actúa sobre la materia, todo pasa como si la radiación estuviera formada por corpúsculos de energía hν. Por otra parte, las interferencias y la difracción de la luz, conocidas desde mucho antes, nos muestran que la energía de las radiaciones se reparte en una media igual a la prevista por la teoría de las ondas. Es, pues, natural admitir que existen corpúsculos de energía radiante, los fotones, cuya energía individual es igual a hν, y cuya evolución en el transcurso del tiempo está representada, de una manera estadística, por la onda luminosa clásica de Fresnel, sin que sea posible, por lo demás, precisar completamente la historia individual de cada fotón. Tal es el punto de vista original de la Mecánica ondulatoria, por lo que concierne a la luz: logra conciliar la existencia del efecto fotoeléctrico con la de las interferencias.
Pero ¿cómo puede adaptarse esta misma concepción general al caso de la materia? Aquí los corpúsculos, electrones y protones, son conocidos desde hace mucho: otros, neutrones y electrones positivos, han sido descubiertos recientemente. Pero ¿dónde están las ondas? A primera vista puede incluso parecer que las ondas son aquí perfectamente inútiles, puesto que en los campos eléctricos y magnéticos, que sabemos crear, los corpúsculos electrizados se conducen como honrados corpúsculos de tipo clásico, obedeciendo a las leyes de la Mecánica tradicional del punto material. Pero el desarrollo de la teoría de los quanta nos han enseñado, según hemos visto, que en la escala atómica las cosas son menos sencillas: interviene en ésta la constante h, para limitar el número de los posibles movimientos corpusculares, y por tanto intervienen también los números enteros. Ahora bien, una intervención de los números enteros es cosa totalmente inexplicable en la Dinámica clásica del punto material, mientras que es habitual en las teorías ondulatorias, por ejemplo, en las fórmulas que se aplican a las interferencias y las resonancias. Esto nos lleva naturalmente a pensar que también para la materia es preciso considerar ondas cuya propagación regula, por lo menos estadísticamente,- el movimiento de los corpúsculos. Esta introducción de las ondas junto a los corpúsculos, en la teoría de la materia, se ha visto coronada de éxito porque nos ha suministrado entre otras cosas, la explicación del carácter cuantificado de los movimientos corpusculares en la escala atómica. Nos ha mostrado, en efecto, que, para ser estable, el movimiento de un corpúsculo de pequeña escala, debe estar asociado a una onda estacionaria. Como esta condición no se realiza en general, se comprende que sólo sean estables ciertos movimientos.
La nueva teoría permite explicar, además, por qué en un campo eléctrico o magnético en gran escala, los electrones se comportan como corpúsculos de tipo clásico, y lleva también a prever fenómenos de carácter completamente nuevo. Puesto que la onda luminosa regula la repartición, en el espacio, de los fotones que le están asociados; puesto que en las experiencias de interferencia y de difracción los fotones se localizan en el espacio, proporcionalmente a la intensidad de la onda luminosa en cada punto, habrá que esperar que acontezca algo análogo con los corpúsculos materiales: si la propagación de la onda asociada a un flujo de corpúsculos materiales de la misma energía, da lugar a interferencias, los corpúsculos en cuestión deberán repartirse en el espacio proporcionalmente a la intensidad de la onda y dar origen a manifestaciones que la antigua Dinámica de los puntos materiales era ciertamente incapaz de prever. La experiencia ha verificado esta audaz previsión de la teoría. En efecto, según la Mecánica ondulatoria, si se envía un haz paralelo de electrones de la misma energía sobre un cristal: la onda que dirige el movimiento de los electrones será difundida por los centros, regularmente dispuestos, de la red cristalina; las onditas difundidas interferirán entre sí y de estas interferencias resultará la existencia del máximum de difusión en ciertas direcciones, direcciones que se podrán calcular fácilmente conociendo las constantes de la red cristalina empleada y la longitud de onda de la onda incidente. Puesto que, en la nueva teoría, todo pasa como si la onda dirigiera el conjunto del movimiento de los corpúsculos, los electrones difundidos por el cristal deberán concentrarse en las direcciones de difusión privilegiada de que acabamos de hablar. Y esto es, en efecto, lo que la experiencia ha demostrado, suministrando así una brillante confirmación a las nuevas concepciones. Y esta confirmación ha sido cuantitativa porque se ha podido verificar, con una gran precisión, la exactitud de la fórmula fundamental de la Mecánica ondulatoria:

fórmula que da la longitud de onda λ de la onda asociada a un corpúsculo de masa m y de velocidad v por el intermedio de la constante h de los quanta.
Se encuentra así establecida sobre una sólida base experimental la nueva Mecánica ondulatoria y cuántica. Nos ha enseñado a considerar la constante h de Planck como una especie de guión entre la imagen de las andas y la imagen de los corpúsculos. Las dos imágenes son a la vez necesarias y sus valideces respectivas se limitan mutuamente porque la constante h tiene un valor finito.
Quisiera insistir sobre un punto interesante. Si la constante h tuviera un valor infinitamente pequeño, los quanta de luz de valor hν serían infinitamente pequeños, y su número, en una radiación de energía dada, sería infinitamente grande: todo pasaría entonces como si las radiaciones tuvieran una estructura continua y puramente ondulatoria, que les atribuían Fresnel y sus continuadores. Por el contrario, los corpúsculos materiales obedecerían entonces exactamente (puede demostrarse esto con facilidad) a las leyes clásicas de la Dinámica del punto material, y no habría necesidad ninguna de introducir ondas en la teoría de la materia. Por tanto, si el valor de h fuera infinitamente pequeño, la Física clásica sería rigurosamente exacta. Por el contrario, si la constante de Planck fuera infinitamente grande, los quanta de luz serían enormes y su existencia saltaría a los ojos, por así decirlo, del físico menos perspicaz; pero en este caso los corpúsculos materiales no seguirían jamás las leyes de la Dinámica clásica, y se vería que en su estudio era necesario introducir desde el principio una onda para prever los movimientos de aquéllos. Ahora bien, en la naturaleza real, la constante h no es ni infinitamente grande ni infinitamente pequeña, sino que su valor es finito, pero desde nuestro punto de vista humano parece extremadamente pequeño pues se expresa en unidades c. g. s. por el número 6,55.10 27. Para nosotros, humanos, el caso de h infinitamente pequeño está, pues, mucho más próximo a realizarse que el caso opuesto de h infinitamente grande. Esta simple observación ilumina el verdadero sentido de la evolución reciente de la Física. En efecto, ahora se comprende en seguida que la Física de ayer, a consecuencia de un examen todavía algo superficial, se haya visto llevada a proclamar la estructura continua y la naturaleza ondulatoria de la luz, mientras atribuía a la materia una estructura discontinua constituida por corpúsculos que obedecen a las leyes dinámicas clásicas. Han sido necesarias experiencias más afinadas de los físicos contemporáneos para revelar la otra cara de la realidad, me refiero al aspecto discontinuo de la luz y al aspecto ondulatorio de la materia.
Parte II
La materia y la electricidad
§ 4. Algunas consideraciones acerca de las nociones de onda y de corpúsculo[1]
Cuando los físicos hablan de una energía que se transporta a distancia a través de un medio, dos ideas se presentan a su espíritu: la imagen de las ondas y la de los corpúsculos. Pero como acontece con frecuencia, el sentido de las concepciones que se ocultan tras estas palabras ha evolucionado mucho, de suerte que aun hoy no es cosa inútil un examen atento de lo que queremos decir cuando las utilizamos.
La mecánica trata de prever el movimiento de un “punto material” sometido a fuerzas. Naturalmente la concepción de un punto material no tiene realidad mayor que la de un punto geométrico. En cuanto se consideran casos concretos, el punto material se convierte en corpúsculo: átomo, electrón, o nuevos constituyentes del núcleo, tales como estos neutrones cuya introducción en la Física data sólo de ayer.
Por otra parte la Óptica ha adoptado sucesivamente las teorías de la emisión y de las ondulaciones para llegar hoy, a consecuencia de los fenómenos de quanta y de la localización del efecto fotoeléctrico, a la noción de una especie de corpúsculo de luz, el fotón, cuya naturaleza es todavía misteriosa.
Finalmente la Mecánica ondulatoria, asociando al movimiento de un proyectil cualquiera la consideración de una onda, sin realidad física, pero que permite prever, en la medida de lo posible, los desplazamientos del móvil, ha venido a mostrar que es vano oponer el aspecto ondulatorio al aspecto corpuscular y que para todo fenómeno es menester tener en cuenta estos dos puntos de vista.
* * * *
La física atómica contemporánea ha puesto en evidencia y ha estudiado corpúsculos varios, cuyas propiedades llevan a atribuirles en todos los casos, una masa mecánica y, frecuentemente también, una carga eléctrica positiva o negativa. El efecto de la carga eléctrica, cuando el móvil que la soporta se desplaza rápidamente en un gas, consiste en jalonar su trayectoria con un cierto número de iones; es una propiedad que hasta el presente no se presenta para el recorrido de las radiaciones, aunque el fenómeno Compton tenga también por efecto producir, de trecho en trecho, fuentes de ionización sobre el trayecto del rayo.
Las ondas se asemejan, por otra parte, a los corpúsculos neutros en movimiento, porque en los dos casos, las trayectorias son invisibles. La energía se disipa sobre todo por encuentros excepcionales, que dan lugar, respectivamente, al efecto fotoeléctrico y a la proyección de los núcleos de retroceso.
Tomando por unidad la masa del protón, se sabe que la masa en reposo del electrón es un poco más grande que dos milésimas y que la masa del neutrón es probablemente próxima a la unidad. Un proyectil cuya masa fuera aproximadamente nula, o por lo menos de un orden de magnitud enormemente inferior a los valores precedentes, constituiría una categoría de corpúsculos dotada de propiedades muy diferentes; no podría tener energía, es decir no podría manifestarse, mas que si su velocidad fuera muy próxima a la de la luz, límite que, según las concepciones hoy dominantes, no puede ser superado. Veremos un poco después que éstas son precisamente las características que habrá que atribuir a los fotones.
* * * *
Uno de los ejemplos que pueden servir para ilustrar las consideraciones que desarrollamos aquí es el siguiente. Ocurre con frecuencia, en las investigaciones actuales, preguntarse si tal efecto es atribuible a un corpúsculo o a una radiación (es decir a un fotón). ¿Cuál es el sentido exacto de esta cuestión? ¿Está planteada en términos exactos?
No siempre es fácil responder; y para ahondar en las dificultades, no estará de más ver, un poco más de cerca, cómo se plantea, para el fotón, el problema del corpúsculo y de su onda asociada, y examinar en particular las relaciones de la onda asociada a los corpúsculos de luz con la onda clásica de la óptica.
Si pudiera decirse con todo rigor: el fotón es un proyectil corpuscular como cualquier otro, con una masa sumamente débil cuando se halla en reposo, y por consiguiente con una velocidad enormemente próxima a la velocidad de la luz; si se pudiera añadir: la onda luminosa clásica se confunde con su onda asociada, cuya velocidad de propagación se sabe que es siempre mayor que la de la luz y tiende a ésta cuando la velocidad del móvil se aproxima a ella; entonces la equiparación entre la Óptica y la Mecánica sería cosa hecha y no habría lugar a ver entre los corpúsculos y los fotones más diferencia que la del orden de magnitud de sus masas.
Desdichadamente no se puede ir tan lejos. Para considerar el fotón como caso límite de un corpúsculo cuya masa tendiera a cero de suerte que la onda asociada se confundiera con la onda luminosa definida por los campos clásicos de Maxwell- Lorentz, haría falta que esos dos entes matemáticos fuesen reductibles el uno al otro, y en particular, que poseyeran los mismos elementos de simetría. Ahora bien, no es éste el caso.
La onda Ψ de la Mecánica ondulatoria primitiva es una magnitud escalar. No puede identificarse con la onda electromagnética representada por dos vectores. La teoría del electrón magnético de Dirac ha introducido una onda Ψ de cuatro componentes, pero estos cuatro componentes no tienen tampoco el carácter de componentes de un vector, y esto impide identificar los dos campos, a pesar de las tentativas infructuosas que se han hecho en este sentido.
Tal vez pueda esperarse encontrar, entre los campos luminosos clásicos y la onda asociada, una relación que haga derivar los primeros de la segunda, a pesar de la diferencia de los elementos de simetría; sin embargo, este puente no ha sido aún construido[2] y en todo caso no puede tratarse de una identidad entre la onda luminosa electromagnética y la onda asociada a los corpúsculos fotones.
* * * *
La noción de corpúsculo exige igualmente alguna atención.
Por corpúsculo se entiende una manifestación de energía o de cantidad de movimiento, localizada en un volumen sumamente pequeño y susceptible de ser transportada a distancia con una velocidad finita; esta velocidad tiene que permanecer siempre inferior a la velocidad de la luz, si se admiten los postulados de la relatividad.
Si queremos atenernos a la definición habitual del corpúsculo, derivada de lo que de él conocemos en la Dinámica clásica, no estará de más añadir que debe poder seguirse la historia de un mismo corpúsculo a través del tiempo y del espacio, y localizarlo en ellos de una manera exacta y continua, por lo menos con las aproximaciones que permite el principio de indeterminación.
La personalidad, por así decirlo, del corpúsculo se conserva entonces (aunque en el momento de las interacciones con otras partículas el aspecto actual de las teorías se presenta bajo una forma «global», en la cual no interviene la distinción de los individuos), e igualmente deben poder contarse estos pequeños elementos de materia.
Para interpretar las anomalías del efecto Zeeman y la estructura fina de los espectros ópticos y Röntgen de los elementos, ha habido que dotar al electrón de una nueva propiedad que habitualmente se designa hoy con el nombre de «spin». Puede hacerse una imagen clásica del spin del electrón representándose a éste como una pequeña bola de electricidad en rotación en torno a uno de sus diámetros y admitiendo que el momento magnético engendrado por esta rotación es igual a un magnetón de Bohr al paso que el momento de la cantidad de movimiento correspondiente es igual a la mitad de la unidad cuántica.

Sin embargo, esta imagen clásica, como todas las imágenes de esta especie aplicadas a los fenómenos de escala atómica, no parece traducir exactamente la esencia verdadera del spin. Hay que considerar el spin, más bien como una propiedad intrínseca de la entidad «electrón», propiedad a la cual corresponde la existencia de una magnitud que tiene la naturaleza física de un momento magnético y de otra magnitud íntimamente ligada a la primera y que tiene la naturaleza física de un momento de rotación.
Generalizando lo que se ha encontrado para el electrón, se llega a la idea de que todos los corpúsculos elementales, podían estar perfectamente caracterizados, no sólo por su carga y por su masa, sino además por una tercera propiedad, el spin, el cual en el caso del electrón es ½, tomando como unidad cuántica

En todo edificio complejo formado por corpúsculos elementales, los spin se adicionarán algébricamente de tal suerte que el edificio poseerá un spin total, del cual dependerán en parte las propiedades que manifiesta exteriormente. Esta idea se ha mostrado fructuosa al aplicarla al núcleo de los átomos, porque ha permitido interpretar las estructuras «hiperfinas» de ciertas rayas espectrales.
Si unidades no elementales de materia, tales como los núcleos de los átomos, tienen un spin formado por la adición algébrica de los spin de los corpúsculos elementales, este spin tendrá que ser igual a un número entero n o a un número «semientero» n + ½ (en unidades
).
Podemos decir brevemente que las unidades complejas serán de spin par (o nulo) o de spin impar, y esto lleva a distribuirlos en dos categorías que parecen comportarse diferentemente por lo que concierne a sus propiedades estadísticas. Es un hecho muy conocido que la Mecánica estadística clásica de Boltzmann no es, desde el punto de vista cuántico, más que una aplicación válida solamente a temperaturas suficientemente elevadas, aunque prácticamente aplicable a un gran número de casos a temperaturas usuales. La teoría cuántica contemporánea ha llevado a reemplazar la evaluación de los estados posibles de un sistema usado en mecánica estadística clásica, por otro modo de evaluación en que se consideran como idénticos dos estados que difieren solamente por la permutación de dos corpúsculos elementales de la misma naturaleza. Pero este nuevo método ha sido desarrollado de dos maneras diferentes admitiendo, o bien que el número de corpúsculos elementales que tienen un mismo estado puede ser tan grande como se quiera, o bien, por el contrario, admitiendo que la presencia de un corpúsculo en un estado excluye absolutamente la presencia de otro corpúsculo en el mismo estado. Se obtienen así respectivamente la estadística llamada de «Bose-Einstein» y la llamada estadística de «Fermi- Dirac», la primera de las cuales es aplicable con seguridad al fotón y conduce a la ley de la repartición espectral de Planck, mientras que la segunda se aplica con seguridad a los electrones y explica las propiedades de los electrones de conductibilidad en los metales. La propiedad, bastante extraña, de que los electrones no toleran el que varios de ellos posean el mismo estado, constituye el contenido del «principio de exclusión de Pauli», y, como acabamos de decir, sirve de base a la estadística de Fermi-Dirac.
Medidas realizadas sobre los espectros de rotación han permitido concluir que los núcleos de spin par siguen la estadística de Bose, mientras que los núcleos de spin impar, así como los electrones, siguen la estadística de Fermi. Se ha llegado a pensar así que la paridad o la imparidad del spin de una clase dada de unidad material, corresponde a la validez de una u otra de las estadísticas para los conglomerados de estas unidades, y esta regla ha servido de guía a los físicos que han tratado de establecer fórmulas de estructura para los núcleos atómicos, haciendo intervenir en ellos como constituyentes elementales los protones y los electrones, y, recientemente, los neutrones y los electrones positivos. Puesto que los fotones obedecen sin duda ninguna a la estadística de Bose, la regla que acabamos de mencionar lleva a atribuirles un spin par o nulo, lo que pudiera hacer » pensar que el fotón no es una unidad elemental, sino que estaría formado, por ejemplo, de un electrón positivo y de un electrón negativo. Es preciso no dejar de observar, sin embargo, que no se tiene ninguna idea acerca del origen de la propiedad de exclusión enunciada por el principio de Pauli y del mecanismo que pudiera ligar la existencia o no existencia de esta propiedad a la imparidad o a la paridad del spin, de suerte que quizá sea temerario pretender generalizar una regla deducida de algunos casos particulares. Pero no es menos cierto que el «spin» es una característica muy importante de los corpúsculos y de la cual dependen en gran parte sus leyes de interacción y de su comportamiento estadístico cuando están aglomerados. Cuando la experiencia revela la existencia de un corpúsculo nuevo, debe preguntarse, no solamente cuál es su masa y su carga eléctrica, sino también cuál es su spin; el valor ½ del spin parece, hasta nueva información, establecer una presunción de que el corpúsculo sea elemental.
* * * *
Volvamos ahora a los fotones y a las radiaciones; todos los físicos comprenderán que se trata aquí de las diversas radiaciones de la gran familia electromagnética que se extiende desde las ondas de Hertz hasta los rayos gamma y a sus prolongaciones hacia las altas frecuencias cuyos términos más elevados se hallan probablemente en los rayos cósmicos. Pero como siempre, al ahondar en la cuestión, se ve que no es fácil dar una buena definición de aquello a lo que se quiere referir.
En rigor no puede hablarse de ondas que obedecen a las teorías clásicas, puesto que éstas no prevén los quanta y suponen que la energía está uniformemente repartida sobre una superficie de onda.
Por lo que respecta a las radiaciones, es natural admitir que todos los fotones son de la misma naturaleza, es decir que las magnitudes que sirven para caracterizarlos, tales como la masa propia, el spin, etc., son las mismas para todos. Sólo se distinguen por su energía, y por tanto por su frecuencia. La consideración del cambio de frecuencia, por reflexión, sobre un espejo móvil parece probar efectivamente que un mismo fotón puede pasar de un «color» a otro cuando cambia su energía.
En las ondas de la T. S. H. debe imaginarse que, siendo muy débiles los quanta de energía, hay un enorme número de fotones que contribuyen a la menor manifestación perceptible de energía. De aquí la apariencia continua e hidrodinámica de estos fenómenos. La manera de poder conciliar la existencia de los fotones con los campos considerados por la teoría elemental de la electricidad (campos estáticos por ejemplo) permanece absolutamente misteriosa.
Tal vez la mejor manera de definir las radiaciones sería considerarlas como manifestaciones de una energía cuantificada tal que la frecuencia 𝜈 deducida experimentalmente del quantum h𝜈, esté vinculada a la longitud de onda revelada por fenómenos ópticos, por el intermedio de una velocidad que no difiere de la velocidad de la luz en una cantidad mensurable.
Se sigue de aquí que, en la difusión, considerada como un choque de fotones, se deberá escribir, como se hace en la teoría del efecto Compton, que el impulso de un fotón es siempre igual a hν/c.
Sin embargo, esta definición ofrece el inconveniente de estar basada sobre una idea matemática, mientras que sería más satisfactorio fundar la definición de la radiación sobre una propiedad física. Además, a medida que aumenta el quantum de una radiación, aparecen nuevas propiedades, hecho que llegaría a ser muy importante si se llegara a confirmar la idea de que, las radiaciones cuyo quantum rebasa el doble de la energía absoluta correspondiente a la masa del electrón, pudieran transformarse en dos corpúsculos electrizados de signo contrario.
Es preciso insistir también detenidamente en un fenómeno, que hasta ahora, no se ha encontrado más que en las radiaciones; me refiero al efecto fotoeléctrico, acción fundamental de la radiación sobre la materia y cuyo mecanismo permanece totalmente desconocido. Se ignora por qué la energía del fotón se transforma siempre completamente en la energía cinética de un electrón, después de haber suministrado el trabajo necesario para arrancar a éste de la atracción del núcleo. No nos cansaremos de repetir que un fenómeno tan importante al cual hay que atribuir la mayor parte de las manifestaciones de la energía luminosa, nos es todavía totalmente misterioso, excepción hecha del balance energético traducido por la relación de Einstein.
La diferencia de los efectos experimentales de los corpúsculos y de los fotones tiende a desvanecerse cuando la energía de los primeros y el quantum de los segundos se hace muy grande; hasta el efecto de la carga del corpúsculo se atenúa, aunque, según parece, no baja de cierto límite.
El cálculo muestra que la distinción entre ciertas propiedades mecánicas de los corpúsculos rápidos y de los fotones de frecuencia muy elevada, tiende también a hacerse menos neta cuando el quantum del fotón se hace del orden de magnitud de la energía de aniquilamiento de la masa del corpúsculo.
* * * *
Lo que se desprende de todo esto es que la distinción entre un corpúsculo eléctricamente neutro, dotado de una masa sumamente leve, y un fotón se ha hecho hoy muy sutil. Parece que en la hora actual hay que considerar tres clases de corpúsculos neutros: el neutrón, de masa aproximadamente igual a la unidad; el neutrino de Fermi, cuya masa total sería muy inferior a la masa electrónica, y el fotón, en el cual la unión de dos cargas de signo contrario sería tal que su masa sería también mucho más débil todavía.
Se sospecha ahora que un fotón pueda transformarse en corpúsculo; por ejemplo, que una energía de radiación sea capaz de dar origen a un par de electrones de signo contrario suministrando primero la contribución de energía 2mc2 necesaria para la aparición de las masas, y después la energía cinética que los electrones podrán poseer. El fenómeno inverso, la desmaterialización de un corpúsculo, sería también posible, y, por extensión, se ha sugerido también la creación de nuevas cantidades de materia a expensas de la energía cinética de un corpúsculo muy rápido.
La posibilidad de que se aniquilen dos corpúsculos, en cierto modo simétricos, como son el electrón positivo y el electrón negativo, puede conducir a nuevas ideas acerca de la estructura del fotón. Un fotón, constituido por un par de corpúsculos, que desempeñan el uno respecto del otro la misma función que el electrón positivo respecto al electrón negativo, sería susceptible de ser destruido en presencia de la materia, cediéndole todo su contenido energético. Este aniquilamiento del fotón constituiría el efecto fotoeléctrico y explicaría su carácter tan peculiar. Al mismo tiempo se comprendería por qué el fotón compuesto de dos corpúsculos de spin ½, obedece a la estadística de Bose-Einstein.
Las nociones de onda, de energía del corpúsculo, se han hecho, por así decirlo, tan fluidas que no podríamos asombrarnos de ver que ante nuestros ojos este nuevo Proteo reviste sucesivamente cada uno de estos aspectos. Si se quiere continuar sabiendo exactamente lo que se dice, será menester encontrar una definición suficientemente neta de las palabras que se emplean. Esta sutilidad, y a veces esta vaguedad, de las concepciones más fundamentales, no es una de las dificultades menores de la Física moderna.
Es menester no disimular todo lo que estas nociones tienen todavía de hipotético: la investigación experimental, enérgicamente dirigida hoy hacia estos objetos, no puede dejar de aportar pronto resultados capaces de orientar un poco el desorden presente de nuestras concepciones.
§ 5. Reflexiones sobre las dos clases de electricidad
En cuanto se aborda, incluso bajo la forma más elemental, el estudio de la electricidad, se enseña que hay dos especies de electricidad: la que aparece cuando se frota un trozo de vidrio con un paño y la que aparece cuando se frota igualmente un trozo de resina. Son la electricidad vítrea y la electricidad resinosa de los antiguos autores, que nosotros llamamos hoy electricidad positiva y electricidad negativa. Es perfectamente conocido que las electricidades de la misma especie se repelen, mientras que las electricidades de naturaleza opuesta se atraen. No existe una tercera clase de electricidad: no se puede, por ejemplo, obtener en manera alguna una electricidad que atrajera, a la vez, los cuerpos cargados positiva y negativamente. De la forma de la mano derecha, una simetría respecto de un plano, nos hace pasar a la forma de la mano izquierda y de esta mano izquierda una nueva simetría nos llevará a la mano derecha sin que una serie, aun indefinidamente continuada de operaciones de simetría pueda darnos nada que no sea una u otra de esas dos formas. De la misma manera se nos presenta la alternancia de las dos clases de electricidad. Aproximando un primer conductor cargado positivamente a un segundo conductor unido por un instante al suelo, comunicaremos por influencia a este segundo conductor, una carga negativa, y con ayuda de este segundo conductor, así cargado, podremos entonces, por el mismo procedimiento, cargar positivamente un tercer conductor, y así sucesivamente: jamás nos conducirá la serie de estas operaciones a poner en evidencia otra cosa que la una o la otra de estas dos electricidades conocidas. Es evidente que esta dualidad de electricidad debe ser algo muy profundo, muy fundamental. Mientras la ciencia de la electricidad se ha desarrollado dentro del cuadro de los fenómenos de gran escala, mientras se ha limitado a estudiar los cuerpos cargados o imantados, considerados globalmente, las corrientes eléctricas de conjunto en los cuerpos conductores, ninguna disimetría esencial se ha manifestado entre las dos especies de electricidad, entre los dos fluidos, como se decía entonces, con frecuencia. Ciertamente se acostumbra dar un «sentido» a la corriente eléctrica en un hilo conductor, y este sentido es, por definición, el del desplazamiento de la electricidad positiva en el hilo. Pero esta definición, resultado de una simple convención, no implica, en manera alguna, una mayor movilidad del fluido eléctrico positivo (veremos que, por el contrario, el fluido negativo se ha revelado más tarde como siendo el más móvil). Nada impide mantener una simetría absoluta entre las dos especies de electricidad, admitiendo que, en un hilo conductor recorrido por una corriente, se mueven en sentido inverso cantidades iguales de los dos fluidos, desplazándose la electricidad positiva en el sentido convencionalmente, considerado como positivo de la corriente, y la electricidad negativa desplazándose en el sentido contrario. Esta completa reciprocidad de la función de las dos electricidades, que permitían suponer la electrostática y la electrodinámica, parecía satisfacer al espíritu de los científicos encantados siempre, a veces equivocadamente, con la simplicidad y con la simetría.
La situación se ha visto completamente modificada por el descubrimiento de la estructura elemental de la electricidad, llevado a cabo a fines del siglo último y comienzos del actual. La estructura de las dos electricidades se ha mostrado muy diferente; la electricidad positiva está mucho más ligada que la negativa a las propiedades de inercia de la materia simbolizada por la masa. A consecuencia de esta circunstancia, la electricidad negativa es, en términos generales, mucho más movible que la electricidad positiva y desempeña así una función mucho más activa en los movimientos de la electricidad. Esta especie de preponderancia de la electricidad negativa hace comprensible que sea ella a la que convencionalmente se haya reservado el epíteto de negativa (y, por consiguiente, el signo «menos» en las ecuaciones), convención demasiado consagrada hoy por el uso para que pueda ser modificada. Esta ruptura de la simetría entre las dos especies de electricidad ha tenido la suficiente importancia en el desarrollo de la Física contemporánea, para que no nos detengamos algunos instantes en ella.
* * * *
El descubrimiento del electrón ha sido el momento decisivo de esta evolución. No vamos a recordar aquí en detalle las etapas de este descubrimiento, al cual quedan vinculados los nombre de Crookes, J. J. Thomson, Lenard, Villard de Jean Perrin. En circunstancias muy diversas se ha llegado a poner en evidencia la existencia de pequeñas partículas electrizadas, semejantes por completo entre sí, oriundas de las profundidades de la materia. Estas partículas tan pronto surgen del cátodo de un tubo sumamente enrarecido (rayos catódicos de tubos de Crookes), tan pronto son proyectadas espontáneamente por cuerpos radiactivos en estado de transmutación. Tan pronto se les ve surgir de un cuerpo iluminado por ciertas radiaciones (efecto fotoeléctrico), tan pronto se escapan de una materia incandescente (efecto termoiónico). Y como estas partículas son todas y siempre de una misma especie, como su masa y su carga son siempre las mismas, se ha comprendido que deben ser uno de los materiales esenciales, uno de los ladrillos elementales, con los cuales está construida la materia. Como la experiencia ha demostrado, además, que estas partículas están electrizadas negativamente, se ha admitido que la electricidad negativa tiene una estructura discontinua, corpuscular y se halla dividida en granos semejantes entre sí. A estos granos se reservó, desde entonces, el nombre do electrones, y todos los progresos de la Física han venido después a confirmar la existencia y la identidad de estos electrones y a mostrar que todo trozo de materia contiene un enorme número de ellos en su estructura interna. El descubrimiento del efecto Zeeman, es decir, de la modificación experimentada por las rayas espectrales emitidas por una fuente cuando se coloca ésta en un campo magnético uniforme, ha aportado una importante confirmación a esta concepción, mostrando que en el interior de los átomos de la fuente los agentes de emisión son precisamente aquellas mismas partículas electrizadas negativamente que se habían podido observar fuera de la materia en las experiencias de que he hablado más arriba.
De esta suerte ha quedado establecida sobre bases sólidas la estructura discontinua de la electricidad negativa. El elemento de esta estructura, el electrón, se ha hecho rápidamente familiar a los físicos, los cuales han llegado a medir, a pesar de su extraordinaria pequeñez, su carga y su masa, y a estudiar su movimiento bajo la acción de campos eléctricos y magnéticos. Estas investigaciones han mostrado, en primer lugar, que para representar las propiedades del electrón bastaba considerarlo como un pequeño corpúsculo de masa y carga determinadas, y que obedece a las leyes de la Mecánica. Notemos inmediatamente que esta concepción del electrón, suficiente en primera aproximación, ha tenido que modificarse más tarde. Pero la cuestión importante que se ha planteado a los científicos a partir del descubrimiento del electrón es la siguiente: la estructura discontinua de la electricidad negativa ¿tiene su paralelo en una estructura discontinua de la electricidad positiva?
En cuanto se planteó esta cuestión de modo preciso, se comprendió que, si la electricidad positiva posee una estructura discontinua, esta estructura no es ciertamente simétrica con toda exactitud a la de la electricidad negativa. En efecto, mientras es relativamente muy fácil hacer que los electrones salten fuera de la materia, es mucho menos fácil hacer saltar de ella las cargas positivas. Además, cuando se obtienen partículas de carga positiva (como, por ejemplo, las que forman los rayos a de los cuerpos radiactivos), se comprueba siempre que estas partículas tienen masas que, aunque muy pequeñas en valor absoluto, son muy superiores a la del electrón. Se puede decir que las propiedades de inercia y de peso de la materia aparecen mucho más estrechamente ligadas a la electricidad positiva que a la negativa. Así la partícula más ligera de electricidad positiva que se ha logrado identificar (hasta 1932) es casi 2000 veces más pesada que el electrón.
Esta diferencia de función entre las dos electricidades se ha ido precisando poco a poco, a medida que se han extendido y afianzado nuestros conocimientos acerca de la constitución de la materia. La materia tiene una estructura atómica: esta afirmación, hecha probable por el éxito de las teorías atómicas en Química y por el de las teorías cinéticas en Física, ha sido definitivamente confirmada por las célebres experiencias simbolizadas en el nombre de Jean Perrin. Pero una vez admitida esta estructura atómica, todo indujo a pensar que los átomos de los elementos tenían que ser a su vez edificios complejos, en cuyo interior un análisis profundo llevaría a encontrar los electrones. Pues si no, ¿cómo podría explicarse que, en tantas circunstancias diferentes, se comporte la materia como una fuente de electrones? Sin seguir aquí en detalle la historia de las tentativas realizadas para construir un modelo eléctrico del átomo, vamos a indicar inmediatamente a qué solución nos han llevado los progresos realizados alrededor de 1910. Las memorables experiencias de Lord Rutherford y de sus colaboradores sobre la difusión de los rayos * por la materia, han suministrado la prueba de que el átomo, en lugar de ser comparable a una esfera repleta, como había podido sugerir el éxito de ciertos razonamientos un poco simplistas de la teoría cinética de los gases, está, por el contrario, casi completamente vacío, y toda la materia y toda la electricidad positiva se hallan concentradas en una región central sumamente pequeña. Mientras que la esfera de acción del átomo, definida por la teoría cinética de los gases, tiene un radio del orden de diez millonésimas de milímetro, la región central en cuestión tiene un radio aproximadamente cien mil veces menor. Si se recuerda que los volúmenes varían como el cubo de las dimensiones lineales, se verá qué poco sitio ocupa en la región atómica este «núcleo» en que reside la carga positiva. A consecuencia del descubrimiento de esta condensación de la carga positiva en el centro del átomo, lord Rutherford propuso adoptar para los átomos un modelo que tuvo un enorme éxito y que se llamó modelo planetario. El átomo sería comparable a un pequeño sistema solar, formado por electrones que desempeñan la función de planetas y que gravitan bajo la acción de la fuerza de Coulomb, en torno a un sol central cargado positivamente. Cada elemento simple estaría caracterizado por el número N de electrones-planetas y, como los átomos en su estado normal, son naturalmente sistemas eléctricamente neutros, en el átomo que contenga un cierto número N de electrones, el sol central deberá llevar una carga positiva igual y de signo contrario a N veces la carga del electrón. Resulta de aquí que los núcleos de las diferentes clases de átomos llevan cargas eléctricas que son múltiplos enteros de una unidad elemental igual y de signo contrario a la carga del electrón. El más sencillo de estos núcleos será, pues, aquel que lleve una vez esta unidad elemental: la experiencia ha probado que es el núcleo del más ligero de los elementos, el hidrógeno. El núcleo del hidrógeno desempeña así la función de unidad de electricidad positiva: se le ha reservado el nombre de «protón». Ahora bien, el protón tiene una masa casi 2.000 veces mayor que la del electrón. El átomo de hidrógeno, el más ligero de los átomos conocidos, estará, pues, formado, según el esquema de Rutherford, de un protón de carga e, que contiene la casi totalidad de la masa del átomo, y de un electrón-planeta de carga— e que gira alrededor del protón; la gran masa de éste permite considerarlo como casi inmóvil y sin reaccionar a la acción que sobre él ejerce el electrón-planeta. Para los átomos de los elementos más pesados, el núcleo lleva una carga más fuerte y su masa es más grande. No se ha tardado en descubrir que el número N que caracteriza cada clase de átomos fijando la composición del cortejo de sus electrones-planetas, coincide con el número de orden del elemento considerado en la serie periódica de los elementos colocados por orden de pesos atómicos crecientes a condición de introducir en ella algunas pequeñas inversiones de poca importancia. El átomo de número atómico N tiene un núcleo que lleva N unidades de carga positiva: no está formado de N protones, como lo prueba la comparación de su carga y de su masa, y se ha pensado desde los comienzos de esta teoría planetaria, que el núcleo está formado por un conjunto, sólidamente ligado, de protones y de electrones, siendo el número de protones N unidades superior al de los electrones, según lo exige el valor de la carga total. Nada impide, por lo demás, suponer que una misma carga total del núcleo pueda realizarse por dos o más combinaciones diferentes de protones y de electrones, puesto que la carga total fija solamente la diferencia de número entre estas dos especies de constituyentes. Se llega así a concebir la posibilidad de átomos que tienen el mismo número N y que, por consiguiente, tienen en conjunto las mismas propiedades químicas, pero una masa diferente, es decir, elementos casi idénticos por sus propiedades, pero de pesos moleculares diferentes. El descubrimiento de los isótopos vino a demostrar más tarde que esta posibilidad se halla perfectamente realizada en la Naturaleza.
Así, y es lo esencial para nosotros en este momento, la casi totalidad de la masa del átomo se halla concentrada en el núcleo y está siempre asociada en él a una carga eléctrica positiva. Alrededor de este núcleo se encuentra repartida la electricidad negativa bajo la forma de una atmósfera móvil de electrones de masa casi despreciable. Para darnos bien cuenta de hasta qué punto esta constitución del átomo traduce una disimetría profunda entre la función de las dos electricidades, basta observar que una constitución en cierto modo inversa en que la electricidad negativa estuviera concentrada sobre un núcleo relativamente pesado, rodeado de cargas positivas mucho más ligeras, sería a priori igualmente probable. Ahora bien, la experiencia indica de una manera ineluctable que este modelo inverso no tiene existencia real: los átomos reales, físicos, tienen una carga central positiva, y este hecho pone claramente en evidencia la afinidad particular que existe entre la masa y la electricidad positiva, afinidad cuyo resultado es destruir completamente la simetría entre las dos especies de electricidad.
No vamos a explicar aquí cómo se ha desarrollado la teoría del átomo planetario y cómo gracias a Niels Bohr ha podido tomar una forma cuantitativa precisa, cuyos éxitos son bien conocidos. La característica esencial del progreso realizado por Bohr es haber introducido en el modelo del átomo planetario las reglas de la teoría de los quanta. Más tarde, la Mecánica ondulatoria vino a modificar la forma y la interpretación de estas reglas y a transformar considerablemente la concepción que nos hacemos de los electrones y más generalmente de los corpúsculos elementales de la Física. Estos corpúsculos elementales, según nuestras ideas actuales, no pueden describirse enteramente con la imagen de puntos materiales bien localizados, imagen que presupone el empleo mismo de la palabra corpúsculo: a esta imagen, útil para describir ciertos aspectos de los procesos elementales, es preciso añadir, para describir otros aspectos, la imagen de las ondas de suerte que una descripción completa del electrón, por ejemplo, hace intervenir las dos imágenes a la vez. La teoría del átomo planetario queda entonces transformada, puesto que la interferencia de las ondas asociadas a los electrones es la que determina la existencia de los estados estacionarios del átomo. Pero todas estas evoluciones, interesantes en sí mismas y que han desempeñado una función de primer plano en la historia de la Física contemporánea, no han cambiado en nada la situación anterior por lo que concierne a la cuestión de que nos ocupamos en este estudio. Aunque la descripción de las unidades elementales de electricidad haya quedado profundamente modificada a consecuencia de estas evoluciones, no ha dejado por eso de continuar siendo exacto que las unidades elementales de electricidad positiva están siempre asociadas a masas mucho mayores que las de las unidades de electricidad negativa.
Por el contrario, dos descubrimientos experimentales de la mayor importancia, hechos en 1931 y en 1932, han suministrado nuevas informaciones preciosas sobre la estructura elemental de la materia y han abierto horizontes insospechados por lo que concierne a la disimetría de las dos electricidades. Nos referimos al descubrimiento del neutrón y del electrón positivo, de que vamos a ocuparnos ahora.
Como hemos dicho, se suponía desde hace tiempo que los núcleos de los átomos son complejos y están formados por protones y electrones. Esta idea, sugerida, por lo demás, por la creencia instintiva de los físicos en la unidad de la materia, está casi impuesta por la existencia de fenómenos de radiactividad, conocidos gracias a los admirables trabajos de Henri Becquerel y de Curie. Los cuerpos radiactivos son elementos pesados que llevan los números más altos en la serie de los elementos. Están caracterizados por el hecho de ser inestables, es decir, que, de tiempo en tiempo, el núcleo de uno de esos átomos hace explosión transformándose en un átomo más ligero, realizando así una verdadera transmutación espontánea. Esta explosión va acompañada de la emisión de átomos ligeros de helio (rayos α), de electrones (rayos β), y de radiaciones de muy elevada frecuencia (rayos γ). El descubrimiento de la radiactividad ha tenido para los físicos el enorme interés de demostrarles que los núcleos de los átomos son efectivamente edificios complejos, capaces de quebrarse en edificios más simples y de hacerles ver también que de un núcleo pesado salen núcleos más ligeros, lo cual confirma la existencia de electrones y de partículas positivas en el interior de los núcleos. Desgraciadamente, la radiactividad es un fenómeno sobre el cual no podemos ejercer influencia ninguna; nos vemos reducidos a observarlo tal como se manifiesta espontáneamente a nosotros. Se comprende, pues, el gran progreso realizado el día en que, hace unos quince años, el gran físico inglés lord Rutherford pudo obtener la desintegración artificial de ciertos elementos. Bombardeando átomos ligeros por medio de partículas a (emitidas a su vez por cuerpos radiactivos), se ha logrado romper estos átomos ligeros haciendo que salgan protones de ellos. Realizó así una verdadera transmutación artificial y mostró la presencia de protones en la estructura nuclear.
El estudio de las desintegraciones artificiales ha dado lugar en estos últimos años a un considerable número de trabajos y de descubrimientos del mayor interés. No podemos insistir aquí de ninguna manera sobre estos trabajos y estos descubrimientos, cuyo examen, incluso rápido, nos llevaría muy lejos de nuestro tema, pero tenemos que señalar que, persiguiendo ciertas investigaciones de desintegración artificial, M. et Mme. Joliot por una parte, y M. Chadwick por otra, han observado en los productos de la desintegración la presencia de corpúsculos de naturaleza hasta ahora completamente desconocida. Estos corpúsculos que atraviesan muy fácilmente la materia, que son, para emplear el vocabulario de los físicos, «muy penetrantes», parecen desprovistos de carga eléctrica y dotados de una masa muy próxima a la del protón. Se les llama hoy «neutrones», y parece cierto que estos neutrones deben existir en el interior de los núcleos atómicos y desempeñar en la estructura una función esencial que ni siquiera se sospechaba hace unos años. Tan verdad es que nuestras concepciones teóricas, esencialmente provisionales, están siempre a merced de un nuevo descubrimiento.
Poco menos de un año después del descubrimiento del neutrón, se descubría una cuarta especie de corpúsculo elemental. Estudiando los efectos de desintegración producidos por los rayos cósmicos, misteriosas radiaciones que nos llegan de las profundidades de los espacios interestelares, Anderson de una parte, y Blackett y Occhialini de otra, pusieron en evidencia la existencia de electrones positivos, es decir, de corpúsculos que tienen muy probablemente la misma masa que el electrón negativo con una carga igual y de signo contrario. Estos electrones positivos o «positones», cuya existencia había sido predicha ya por Dirac antes de su descubrimiento, apoyándose en audaces consideraciones teóricas, parecen ser inestables en el sentido de que al penetrar en la materia y al encontrar en ella a los electrones negativos, son susceptibles de desaparecer neutralizando, y por tanto aniquilando, un electrón negativo. Las consideraciones teóricas de Dirac hacían prever este hecho que parece hallarse perfectamente confirmado por las magníficas experiencias de Thibaud y Joliot.
A consecuencia de estos sensacionales descubrimientos del ^neutrón y del electrón positivo, la situación es singularmente más complicada que antes y tenemos que preguntarnos ahora a dónde hemos llegado por lo que concierne a la disimetría de las dos clases de electricidad.
* * * *
Conocemos, pues, hoy cuatro clases de corpúsculos que tenemos derecho a considerar como elementales, puesto que no sabemos descomponerlos en elementos más simples. Sin embargo, parece bastante probable que de estos cuatro corpúsculos tan sólo tres son verdaderamente irreductibles, mientras que el cuarto es un edificio complejo formado por la unión de dos de los anteriores. Se pueden hacer a este propósito dos hipótesis: o bien se considerarán como verdaderamente elementales el electrón, el protón y el electrón positivo, y entonces el neutrón resultará de la unión íntima de un protón con un electrón, lo cual explicaría a la vez el valor nulo de su carga total y la identidad casi completa de su masa y de la del protón; o bien se considerará el neutrón y los dos electrones como entidades irreductibles, y el protón deberá resultar entonces de la unión íntima de un neutrón y de un electrón positivo, hipótesis que explicaría a la vez por qué las masas del protón y del neutrón son casi iguales, y por qué la carga del protón, así como la del electrón positivo son iguales y de signo contrario a la del electrón negativo. No discutiremos aquí los argumentos que pueden aducirse en favor de una o de otra manera de ver las cosas, comparando, sobre todo, la masa, hoy perfectamente conocida del protón con la masa del neutrón, cuyo valor nos es conocido con mucha menor certeza. A decir verdad, ninguno de los argumentos en cuestión parece susceptible de zanjar definitivamente el litigio. Por esto nos limitaremos a considerar las consecuencias posibles de las diversas hipótesis en presencia.
Sea que se adopte una u otra de las dos hipótesis expuestas más arriba, sea que se prefiera más prudentemente considerar de una manera provisional como verdaderamente elementales las cuatro especies de corpúsculos conocidos, siempre se llega a considerar los dos electrones como simples e irreductibles.
Con ello se restablece una cierta simetría entre las dos electricidades, puesto que los dos electrones, que tienen sin duda masas idénticas y cargas iguales y de signo contrario, aparecen absolutamente comparables entre sí. Una teoría completa de los dos electrones, de la cual nos dan por lo menos una primera idea las consideraciones emitidas por Dirac, nos mostrará probablemente algún día el verdadero carácter de la simetría entre los dos electrones, la cual, volviendo a una comparación hecha al principio del capítulo, es, sin duda, análoga a la que existe entre la mano derecha y la mano izquierda. Pero hay una diferencia fundamental entre los dos electrones: mientras que el electrón negativo se manifiesta corrientemente en nuestras experiencias, el electrón positivo no aparece sino excepcionalmente en ellas y tiene siempre una tendencia a desaparecer al contacto con la materia. Volveremos sobre este punto.
Pero la simetría de los dos electrones aparece en perspectivas bastante diversas según que admitamos que el protón es o no elemental. Si el protón es elemental (poco importa que el neutrón lo sea también o no lo sea), la existencia del protón mantiene una completa disimetría entre las dos electricidades, puesto que la electricidad positiva puede existir bajo dos formas corpusculares irreductibles, una de las cuales, el electrón positivo, es completamente simétrica del elemento de electricidad negativa, mientras que el otro, el protón, no tiene un análogo negativo conocido. Si se adopta esta hipótesis de la simplicidad del protón, el descubrimiento del electrón positivo no parece, pues, haber descartado la disimetría de estructura entre las dos electricidades a la que nos había conducido el desarrollo de la física atómica. Pero es muy distinto si se admite la simplicidad del neutrón y la complejidad del protón. En esta hipótesis, seguramente más seductora para el espíritu que la precedente, los dos electrones serían las unidades elementales perfectamente simétricas de las dos electricidades. Poseerían masas iguales, pero muy pequeñas, y la verdadera unidad de materia pesada sería el neutrón, elemento desprovisto de carga, pero asiento de casi toda la masa de los cuerpos materiales. Pero como, finalmente, la función de las dos electricidades y su relación con la masa no son simétricas, cosa establecida de modo ineluctable por el conjunto de nuestros conocimientos sobre el mundo atómico, es forzoso que la disimetría aparezca por alguna parte: descartada de la estructura de las dos clases de electricidad, tiene que reaparecer en sus propiedades. La hipótesis de que el protón es complejo nos obliga, en efecto, puesto que el protón es uno de los elementos esenciales de las estructuras materiales, a admitir que hay una afinidad entre el electrón positivo y el neutrón para explicar la frecuente realización de la combinación «protón». No es imposible, y ciertos autores lo han sostenido, que el electrón negativo pueda unirse también a un neutrón para producir un «protón negativo»; pero esta combinación, si es que existe, es ciertamente mucho menos frecuente que aquélla que produciría el protón positivo dentro de la hipótesis en que nos hemos colocado. Por tanto, si el protón es complejo, hay ciertamente una afinidad, una tendencia a la unión, mucho mayor entre neutrón y electrón positivo que entre neutrón y electrón negativo. Así se explica, naturalmente, por qué el electrón positivo se observa mucho más raramente que el electrón negativo: sometido a la afinidad de los neutrones contenidos en la materia, se vería siempre comprometido en los lazos de la combinación protónica y aparecería en estado libre mucho más raramente que el electrón, cuya afinidad por el protón es nula o, por lo menos, muy débil.
Así, pues, los descubrimientos recientes del neutrón y del electrón positivo no permiten hacer desaparecer la disimetría de las dos electricidades; si, al admitir la complejidad del protón, se llega a establecer entre ellas una simetría de estructura, se vuelve a encontrar la disimetría en sus propiedades, en la tendencia mucho más grande de la electricidad positiva a asociarse con la masa, y esta disimetría no parece que pueda ser evitada de ninguna manera, porque es un hecho establecido por todo el conjunto de nuestras investigaciones experimentales en el dominio atómico desde hace cuarenta años. Sin embargo, es ya algo satisfactorio para el espíritu entrever la posibilidad de restablecer una simetría completa de estructura entre las dos electricidades y referir el problema de la disimetría a las relaciones entre la masa y la electricidad. El problema así planteado es de un gran interés; está muy lejos de hallarse resuelto y nos permite mensurar toda la extensión de nuestra ignorancia. En el fondo no sabemos nada preciso acerca de las relaciones entre la masa y la electricidad. En un momento dado, se creyó poder afirmar que toda la masa era de origen eléctrico. Para pretenderlo se apoyaba sobre el hecho de que la masa de los corpúsculos elementales varía en función de la velocidad según la ley de Lorentz. El desarrollo de la teoría de la relatividad conmovió seriamente este argumento, mostrando que toda masa, cualquiera que sea su origen, tiene que variar con la velocidad según la ley de Lorentz. El descubrimiento del neutrón parece poco compatible con la concepción del origen puramente eléctrico de la masa. La tentativa de reducir la masa a la electricidad fracasó así y es menester considerar nuevamente estas dos entidades como distintas y tratar de precisar sus relaciones mutuas. La teoría de estas relaciones, si llega a constituirse, tendrá como principal deber el explicarnos por qué existe una particular afinidad entre la masa y la electricidad positiva, afinidad de importancia capital, puesto que en definitiva toda la estructura del mundo físico reposa sobre ella. Aunque la solución de este problema se encuentre, sin duda alguna, muy alejada todavía, el descubrimiento del neutrón y del electrón positivo nos ha suministrado a este propósito algunos datos esenciales que nos faltaban. ¿Son suficientes estos datos para permitirnos aproximarnos a la meta? Sería imprudente responder a esta cuestión. Es el secreto del porvenir.
§ 6. La evolución del electrón[3]
Mi intención es exponer en este estudio la evolución que ha sufrido la noción de electrón y más generalmente la de corpúsculo elemental, desde hace unos cincuenta años. En el curso de esta exposición observaremos muchas veces cómo las nociones fundamentales de la ciencia de la Electricidad, nociones que fueron conquistadas una tras otra a comienzos del siglo pasado, gracias a los esfuerzos de los primeros exploradores de esta ciencia, desempeñan un papel esencial en nuestras ideas actuales acerca de la constitución de la materia y acerca de la estructura de las entidades elementales que la componen. Así, nos asociaremos implícitamente, por el mero hecho de esta observación, al homenaje tributado a la ilustre memoria de Andrés María Ampère, porque sin él no hubiera habido ni teoría electromagnética, ni teoría del electrón, y todos los progresos admirables de la Física contemporánea no hubieran sido posibles o, cuando menos, se hubieran retardado.
* * * *
Es una comparación muy conocida y hasta un poco trivial comparar el paso de la electricidad a través de los conductores con el de un líquido por un conducto. Esta comparación, que es muchas veces provechosa para entender las leyes que rigen la» corrientes eléctricas, sugiere casi inevitablemente la pregunta siguiente: ¿el fluido eléctrico tiene una estructura continua o una estructura discontinua? Porque, en efecto, el éxito de la teoría atómica de la materia, apoyada en numerosas pruebas experimentales, nos ha enseñado que los fluidos materiales, con los cuales comparamos el fluido eléctrico, tienen una estructura discontinua, y entonces se plantea, naturalmente, la cuestión de saber si existen granos elementales de electricidad. Esta idea se encuentra fortalecida con sólo reflexionar en las leyes de la electrólisis conocidas desde Faraday. Estas leyes, interpretadas a la luz de la teoría atómica de la materia, significan, en efecto, que cada ion transporta siempre una carga igual a un múltiplo entero de una carga elemental. Este hecho no solamente indica la existencia de una carga eléctrica elemental, sino que permite calcular inclusive su valor cuando se conoce por otros métodos el valor del número de Avogadro, es decir, del número, igual para todos los cuerpos, de las moléculas contenidas en una molécula-gramo. Sin embargo, esta prueba, suministrada por las leyes de la electricidad, de una discontinuidad en la estructura de la electricidad, era algo indirecta y durante mucho tiempo el conocimiento del número de Avogadro (sobre el cual, sin embargo, la teoría cinética había dado ya algunas indicaciones, permaneció insuficiente para permitir un cálculo preciso de la carga elemental: este cálculo no fue verdaderamente realizable sino en la época de las célebres experiencias de Jean Perrin. Para establecer realmente la estructura discontinua de la electricidad, era menester llegar a aislar y a estudiar el grano elemental de electricidad. Es lo que han logrado realizar una serie de memorables investigaciones experimentales en los últimos años del siglo XIX, por lo menos en lo que concierne a la electricidad negativa.
No voy a recordar aquí en detalle las etapas de esta “conquista del electrón”, a la cual quedan vinculados los nombres de J. J. Thomson, de Lenard, de Villard y de J. Perrin, para no citar sino los primeros nombres que acuden a mi memoria. Poco a poco se ha visto, cada vez con más claridad, que en ciertas circunstancias los cuerpos materiales son susceptibles de expulsar granos de electricidad que viajan después libremente hasta el momento en que, de nuevo, se entierran en el seno de la materia. Tan pronto aparecen en los tubos de descargas (tubos Crookes) bajo la forma de rayos catódicos, tan pronto se encuentran entre los productos de desintegración de los cuerpos radiactivos bajo la forma de rayos β. Tan pronto, finalmente, se les ve surgir de los cuerpos elevados a una gran temperatura o sometidos a una radiación de luz o de rayos X, y se habla entonces de efectos termoiónicos o de efectos fotoeléctricos. Pero lo esencial es que los granos de electricidad obtenidos por todos estos diversos métodos se manifiestan siempre idénticos los unos a los otros. Llevan todos la misma cantidad de electricidad negativa y sus propiedades están bien definidas y son siempre las mismas. Se les ha llamado “electrones".
Las propiedades del electrón, que han podido evidenciarse durante los primeros años consecutivos a su descubrimiento, pueden resumirse diciendo que el electrón se conduce siempre como un corpúsculo de dimensiones despreciables, dotado de masa y de carga eléctrica, ambas muy pequeñas y bien definidas. Esto quiere decir que el electrón denuncia su paso con efectos bien localizados en un punto del espacio, por lo menos en la escala de nuestras observaciones, y que, además, en presencia o en ausencia de campos electromagnéticos, se desplaza siempre como debe hacerlo, según la mecánica clásica, un corpúsculo puntual de masa muy pequeña pero bien definida, que soporta una pequeña carga eléctrica negativa siempre la misma. La desviación experimentada por el electrón en presencia de campos eléctricos y magnéticos conocidos, permite medir la relación entre la carga y la masa. El conocimiento del número de Avogadro permite calcular su carga, que se ha podido obtener también directamente gracias a las magníficas experiencias de Millikan. Se pueden encontrar, pues, los valores de la carga y de la masa del electrón, que son sumamente pequeños.
Un estudio más profundo de las propiedades mecánicas de los electrones animados de gran velocidad, ha mostrado, después, que la masa del electrón varía con velocidad siguiendo exactamente la ley prevista por la teoría de la relatividad. Se sabe, en efecto, que el desenvolvimiento de las magníficas ideas de Einstein sobre la relatividad de los fenómenos físicos ha llevado a adoptar una dinámica que, tratándose de velocidades elevadas (es decir, de velocidades próximas a la velocidad de la luz en el vacío), se separa de la dinámica clásica de Newton. Esta desviación puede expresarse diciendo que la masa de un corpúsculo, en lugar de ser siempre constante, como lo suponía la dinámica newtoniana, comienza a crecer de una manera sensible con la velocidad, cuando ésta se aproxima a la velocidad de la luz: tiende incluso hacia el infinito cuando la velocidad tiende hacia la velocidad de la luz, lo cual muestra que, si las ideas de Einstein son exactas, la materia no puede desplazarse tan rápidamente, y a fortiori más rápidamente que una radiación en el vacío. Toda una serie de experimentos, los más notorios de los cuales son los de Guye y Lavanchy, han demostrado la existencia, para los electrones rápidos, de esta variación de la masa con la velocidad. Esta espléndida verificación de las ideas relativistas, por importante que sea desde el punto de vista de la Física teórica general, no ha suministrado, por lo demás, nada esencialmente nuevo por lo que concierne al concepto del electrón. Después de estas verificaciones, como antes de ellas, el electrón tenía que ser considerado como un corpúsculo puntual o de muy pequeñas dimensiones, con una cierta carga eléctrica negativa y que posee, cuando está en reposo, una cierta masa bien determinada. El único hecho nuevo es que la masa aparente aumenta si el electrón se pone en movimiento rápido. El desarrollo de nuestros conocimientos ha conducido después a cambios mucho más importantes en nuestra concepción del electrón, como veremos más tarde.
El electrón desempeña el papel de grano elemental de electricidad negativa. ¿Existen granos de electricidad positiva? Después del descubrimiento del electrón se ha estado algún tiempo sin tener una prueba cierta de ello. Pero después se ha llegado a la certeza de que la electricidad positiva está también dividida en granos. El grano elemental de electricidad positiva ha sido identificado con el protón o núcleo del átomo de hidrógeno. Hoy, el descubrimiento, aun reciente, del electrón positivo, nos obliga a preguntarnos si el protón tiene derecho a ser llamado grano elemental de electricidad positiva. Pero durante muchos años, la cosa no ha padecido dudosa y nos atendremos, por el momento, a este punto de vista.
El estudio de las propiedades del protón ha llevado a considerarlo como un corpúsculo puntual o, cuando menos, de muy pequeñas dimensiones, análogo al electrón; pero este corpúsculo lleva una carga eléctrica que se ha mostrado ser positiva, y cuyo valor absoluto es exactamente igual al del electrón. En cuanto a su masa en reposo, es mucho mayor que la del electrón en reposo, aproximadamente 2.000 veces mayor, y esta diferencia establece una curiosa disimetría entre las dos especies de electricidad.
En resumen, las investigaciones experimentales efectuadas antes de 1920 permiten considerar la electricidad como formada de corpúsculos elementales puntuales o cuasi-puntuales, que soportan una carga eléctrica bien determinada y que poseen una masa en reposo, igualmente bien definida. Vamos a explicar ahora cómo han tratado los físicos de representarse la estructura de la materia, admitiendo que está formada por agregados de granos elementales de electricidad, y cómo esta tentativa, al introducirnos en la arquitectura interna de la materia, nos ha hecho ver que los granos de electricidad poseen propiedades extrañas muy diferentes de las que pudieran esperarse de un simple corpúsculo puntual. Así nos prepararemos para entender mejor la evolución reciente de nuestra concepción de los corpúsculos elementales.
* * * *
Desde que la experiencia comenzó a indicar la naturaleza discontinua del fluido eléctrico, los teóricos se apropiaron esta idea y trataron de construir explicaciones fundadas sobre ella. Sir J. J. Thomson fue uno de los primeros en avanzar por esta vía; pero fue sobre todo H. A. Lorentz quien trató de reconstruir toda la teoría electromagnética, introduciendo sistemáticamente en ella los electrones. No vamos a recordar aquí, en detalle, todos los éxitos de la teoría de Lorentz. El más brillante fue la previsión de los tripletes y los dobletes del efecto Zeeman normal, cuyo descubrimiento experimental (1896), confirmando las ideas de Lorentz, suministró la prueba de que la materia contiene electrones negativos y permitió, inclusive, una primera evaluación de la relación entre su carga y su masa. Pero no se limitó a esto la contribución de la teoría de los electrones: permitió volver a encontrar las leyes de la dispersión y de la difusión, prever un número importante de fenómenos electro- ópticos y magneto-ópticos, interpretar numerosas propiedades eléctricas y caloríficas de los metales, etc. Con la teoría de la onda de aceleración, hasta pareció mostrarnos claramente cómo nacen las radiaciones del movimiento de las cargas eléctricas contenidas en la materia.
Sin embargo, no tardaron en dibujarse algunas sombras en el cuadro de éxitos de la teoría electrónica. La más inquietante surgió del estudio teórico de la radiación de equilibrio térmico. La teoría de los electrones permitía, en efecto, calcular cuál debía ser la repartición de la energía entre las frecuencias en la radiación que existe normalmente en el interior de un recinto mantenido a temperatura constante y uniforme. Si se analiza por medio de la teoría electrónica la manera como se operan los canjes de energía entre materia y radiación, dentro de semejante recinto, se llega a prever una cierta ley de repartición espectral de las energías en la radiación de equilibrio. Desdichadamente, esta ley, la ley de Rayleigh-Jeans, no está de acuerdo con la experiencia: mientras que representa decorosamente los hechos en el dominio de las bajas frecuencias, y de las altas temperaturas, es completamente inexacta para las altas frecuencias y bajas temperaturas. Este fracaso de la teoría electrónica era muy grave, porque la ley de Rayleigh-Jeans era la consecuencia inexorable del conjunto de ideas entonces admitidas acerca de la naturaleza ondulatoria de las radiaciones y sobre la estructura discontinua de la materia y de la electricidad. Para llegar a una fórmula diferente de la de Rayleigh-Jeans, y que represente bien el resultado de las investigaciones experimentales, Planck se vio obligado a introducir su célebre hipótesis de los quanta, según la cual los electrones contenidos en la materia no pueden adoptar más que ciertos estados de movimiento. Estos estados de movimiento particulares, o estados cuantificados, los ha determinado Planck por medio de reglas en cuyo enunciado ha introducido la célebre constante universal que tiene las dimensiones de una acción, y que desde entonces lleva el nombre de constante de Planck. No podemos desarrollar aquí, en manera alguna, las grandes líneas de la teoría de los quanta, tal como se ha constituido a consecuencia de los trabajos de Planck; pero queremos insistir sobre la siguiente idea esencial: al mostrar que los electrones contenidos en la materia se comportan muy diferentemente de los puntos materiales concebidos por la mecánica clásica (o incluso por la mecánica relativista), la teoría de los quanta ha indicado, ya en sus comienzos, que para representar la totalidad de las propiedades del electrón, no bastaba la imagen un poco simplista del corpúsculo puntual o cuasi-puntual, caracterizado únicamente por su masa y por su carga eléctrica. Las condiciones de estabilidad cuántica impuestas por Planck y sus continuadores a los movimientos electrónicos en pequeña escala, hacen intervenir el conjunto de la trayectoria descrita por el electrón, como si éste se encontrara simultáneamente presente en todos los puntos de esta trayectoria. Pero las consecuencias de este hecho importante no han aparecido sino poco a poco en el espíritu de los físicos, y durante mucho tiempo los teóricos de los quanta se han contentado con emplear a la vez la imagen del electrón concebida como un punto material y las condiciones de estabilidad cuántica que llevan implícitamente la insuficiencia de semejante imagen. Este empleo simultáneo de concepciones algo contradictorias, ha servido de base al desarrollo de nuestros conocimientos sobre la estructura del átomo, y en particular a la célebre teoría a la que ha quedado vinculado el nombre de Bohr.
Se sabe que en los primeros años del siglo XX, los físicos, con la certeza de que los cuerpos materiales se hallan formados de átomos, han tratado de representarse la estructura de los átomos de los diferentes cuerpos simples. La facilidad con que se pudieron extraer de la materia, en condiciones muy varias, chorros de electrones, les llevó a pensar que el electrón debe de ser una de las piezas esenciales de la arquitectura atómica. Ya se habían hecho algunas tentativas para obtener «modelos» que permitieran representar las propiedades de los átomos, cuando las memorables experiencias de lord Rutherford y sus colaboradores acerca de la desviación de los rayos <x en su paso a través de la materia, vinieron a suministrar la prueba de que en el centro del átomo existe un núcleo cargado positivamente y de muy pequeñas dimensiones en relación con el conjunto del edificio atómico. Volviendo entonces a una antigua sugestión de J. Perrin, lord Rutherford propuso asimilar los átomos a pequeños sistemas solares en miniatura, cuyo sol central llevaría una carga de electricidad positiva igual y de signo contrario a un múltiplo entero de la carga electrónica, y en torno al cual gravitarían los electrones-planetas, de tal suerte que el conjunto constituyera, en estado normal, un sistema eléctricamente neutro. Al pasar de un elemento químico al siguiente, la carga del núcleo aumenta en una unidad y crece igualmente en una unidad el número de los electrones-planetas. Este modelo de átomo permitía interpretar de un modo satisfactorio algunas de las características de los átomos reales, pero chocó también con graves dificultades. Los electrones intra-atómicos, al describir órbitas planetarias en tomo al sol positivo central bajo la acción de la fuerza de Coulomb, debieron haber podido poseer, según la mecánica clásica, una infinidad de movimientos diferentes, y además, según los resultados generales de la teoría de los electrones, debieran irradiar constantemente energía en forma de radiaciones de frecuencia continuamente variable. Los átomos serían entonces inestables y la materia se aniquilaría rápidamente; además, nada podría explicar el carácter discontinuo y la estructura siempre semejante a sí misma de los espectros emitidos por los elementos. Para obviar estas dificultades, Bohr tuvo, en 1913, la idea notable de aplicar al modelo de Rutherford no las leyes clásicas de la Mecánica y del Electromagnetismo, sino las reglas nuevas de la teoría de los quanta. Admitió, en primer lugar, que los electrones-planetas no pueden describir más que algunas de las órbitas previstas por la aplicación de las leyes clásicas, a saber, precisamente aquellas que satisfacen a los criterios de cuantificación enunciados y utilizados ya por Planck. Admitió, además, que los electrones-planetas, mientras se hallan en sus órbitas cuantificadas, no emiten radiación ninguna, lo cual está en oposición formal con la teoría clásica de la onda de aceleración. Finalmente, Bohr admitió la hipótesis de que los electrones pueden cambiar bruscamente de trayectoria emitiendo bajo forma de radiación una parte de su energía, y que la frecuencia de la radiación se obtiene dividiendo la energía perdida por el electrón, por la constante de Planck. Sobre estas bases levantó una teoría precisa cuyo sorprendente éxito es bien conocido de todos los que han seguido el desenvolvimiento de la física contemporánea. No solamente esta teoría explica la estabilidad del átomo y el carácter permanente de los espectros, sino que permite prever exactamente la estructura de los espectros ópticos y de los espectros de rayos X, calcular numéricamente la constante de Rydberg y hasta prever la muy ligera variación que experimenta el valor de esta constante cuando se pasa del hidrógeno al helio, etc.
La teoría de Bohr, cuyos postulados esenciales han sido confirmados por el estudio de los fenómenos de ionización por choque, ha permitido dar una primera explicación de las propiedades químicas de los elementos y de la periodicidad de estas propiedades, que se manifiesta cuando se recorre la lista de los elementos ordenados según los pesos atómicos crecientes.
Perfeccionada en 1916 por Sommerfeld, que introdujo en ella la dinámica relativista en lugar de la dinámica clásica, dando cuenta así de una manera más detallada de la estructura de ciertos espectros, la teoría cuántica del átomo ha podido prever de una manera correcta el efecto Zeeman normal, e interpretado por la teoría de los electrones de Lorentz, y el efecto Stark, del cual no existía aún interpretación completa ninguna. Sobre la base de las ideas de Bohr se levantó así todo un cuerpo de doctrina que llamamos hoy «la antigua doctrina de los quanta», cuyos éxitos fueron numerosos y que ha rendido un inapreciable servicio a la física del átomo, suministrando por vez primera un esquema sistemático de él. Desde el punto de vista que aquí nos interesa, lo que caracteriza la antigua teoría de los quanta es yuxtaponer de una manera en el fondo muy poco lógica, la concepción del electrón-corpúsculo que obedece a las leyes de la dinámica, y las nuevas ideas de la teoría de los quanta. Ahora bien, estas ideas nuevas llevan, según hemos dicho, a considerar las órbitas cuantificadas como una especie de unidades dinámicas que es menester tomar en conjunto, y esto no es ya compatible con la idea clásica de la órbita descrita progresivamente por un corpúsculo puntual. Además, al introducir números enteros en las fórmulas de cuantificación, la teoría de los quanta nos obligaba a introducir un elemento absolutamente incompatible con la estructura esencialmente continua de la antigua dinámica, aun corregida por la relatividad. Así el carácter bastardo de la antigua teoría de los quanta no permitía considerarla como satisfactoria, y se sintió la necesidad de construir un edificio más coherente. A partir de 1923, la aparición de la nueva mecánica ha mejorado considerablemente la situación, pero, según veremos, a costa de una modificación profunda de nuestra concepción del electrón.
Antes de hablar de la mecánica ondulatoria, vamos a mostrar que ya antes del nacimiento de esta mecánica, y aun conservando la hipótesis primitiva del electrón simple corpúsculo, no era ya posible caracterizarlo únicamente por su masa y su carga eléctrica. Numerosos hechos experimentales de gran importancia hacían ya indispensable atribuirle una rotación interna y un magnetismo intrínseco, y esta sola complicación hubiera bastado ya, independientemente de las que acabamos de citar, para mostrar cuán simplista era nuestra primitiva concepción de la unidad elemental de electricidad negativa.
* * * *
Se sabe que las rayas luminosas emitidas por una fuente se modifican si se coloca esta fuente en un campo magnético suficientemente intenso. Es el efecto Zeeman descubierto por el ilustre físico holandés en 1896. Uno de los grandes éxitos de la teoría de los electrones fue el permitir a Lorentz una previsión exacta del fenómeno descubierto por su compatriota. Pero un estudio más extenso no tardó en mostrar que el efecto Zeeman, tal como había sido previsto por Lorentz y observado por Zeeman, es, en realidad, completamente excepcional. Sólo si la fuente luminosa está formada por ciertos cuerpos es cuando se observan en ciertas rayas las modificaciones simples previstas por la teoría de Lorentz: en general, las modificaciones que introduce en las rayas la presencia del campo magnético son mucho más complicadas que lo que permite prever la teoría de los electrones. Se expresa esto diciendo que los efectos Zeeman anormales son mucho más frecuentes que el efecto Zeeman normal, y se debe solamente a un feliz azar el que Zeeman haya caído al comienzo de sus investigaciones, sobre casos en que se ha realizado el efecto normal. Naturalmente Lorentz y sus continuadores han tratado de complicar la teoría primitiva del efecto Zeeman de modo que permita englobar en ella los efectos anormales. No lo han logrado. Cuando gracias a Bohr se constituyó la teoría cuántica del átomo, se hubiera podido esperar que por este nuevo camino se llegara a una teoría del efecto Zeeman que contuviera los efectos anormales. Nueva desilusión. La antigua teoría de los quanta, aplicada a la acción de un campo magnético sobre la emisión espectral de un átomo, lleva a encontrar exactamente los resultados de Lorentz con perfecta previsión de los dobletes y tripletes del efecto normal y con la total imposibilidad de interpretar las anomalías. Así, pues, se manifestaba una segura insuficiencia en nuestras teorías electrónicas.
Hechos anormales del mismo orden aparecieron en seguida cuando el desarrollo de la teoría cuántica del átomo permitió prever y analizar con exactitud los espectros ópticos y Röntgen de los elementos. La teoría de Bohr permitió interpretar la composición de las series espectrales, por así decirlo, en primera aproximación. Teniendo en cuenta los términos correctivos introducidos por la dinámica relativista, Sommerfeld obtuvo una segunda aproximación que permitió prever de una manera detallada la «estructura fina» de los espectros. Pero esta segunda aproximación apareció a su vez como insuficiente: la estructura real de los espectros es todavía mucho más complicada que lo que prevé la teoría de Sommerfeld, cuando se examinan en detalle. Y entonces se pudo ver que la teoría cuántica, incluso ampliada por la introducción de las correcciones relativistas, era impotente para dar cuenta entera de la riqueza de las series espectrales. Faltaba visiblemente algún elemento indispensable.
Reflexionando sobre estas dificultades, Uhlenbeck y Goudsmit tuvieron el gran mérito de comprender que procedían de la concepción demasiado simplista del electrón que se hallaba en la base del desarrollo de la teoría cuántica del átomo. Han propuesto considerar el electrón no como una simple carga eléctrica, sino también como un pequeño imán: además de su carga, el electrón tendría, pues, un cierto momento magnético. Además, poseería un cierto momento cinético interno análogo al momento cinético de un cuerpo sólido en rotación en torno a un eje. Para dar una representación intuitiva de estas nuevas propiedades del corpúsculo «electrón» Uhlenbeck y Goudsmit lo imaginaron como una bolita de electricidad negativa en rotación alrededor de uno de sus diámetros, y esta rotación da origen al momento cinético y al momento magnético intrínsecos, estrechamente vinculados así el uno al otro. Después, guiados por consideraciones que no podemos desarrollar aquí, precisaron su hipótesis dando al momento magnético y al momento cinético internos valores bien determinados que se expresan por medio de magnitudes frecuentemente encontradas en la teoría de los quanta. Según estas ideas, el movimiento interno del electrón está cuantificado, y el momento cinético correspondiente vale la mitad de la unidad cuántica usual de momento cinético.
Introduciendo este conjunto de hipótesis suplementarias sobre el electrón en la teoría cuántica del átomo, Uhlenbeck y Goudsmit pudieron mostrar que se explicaban las anomalías del efecto Zeeman, las estructuras finas supernumerarias de los espectros ópticos y Röntgen e incluso otros fenómenos perturbadores de que no hemos podido hablar antes y conocidos con el nombre de anomalías giromagnéticas. Estos resultados, confirmados por los de otros investigadores, mostraron claramente la necesidad de completar nuestra concepción del electrón en el sentido indicado por los dos físicos holandeses.
Así, aun dejando de lado las dificultades inherentes a la interpretación de los quanta, dificultades que parecían exigir el abandono, por lo menos parcial, del carácter corpuscular del electrón, la simple asimilación del electrón a un punto material cargado eléctricamente, aparecía insuficiente. El electrón posee una especie de movimiento interno con simetría axial, movimiento cuantificado, inseparable de su existencia misma: a esta nueva característica fundamental del electrón se ha tomado la costumbre de llamarla con el nombre inglés de «spin». Aparte su masa y su carga eléctrica, el electrón posee una tercera propiedad igualmente fundamental, su spin, en el doble aspecto cinético y magnético. Ninguna teoría completa de la unidad de la electricidad negativa puede ya ignorarla. Sin embargo, vamos a prescindir por algunos instantes del spin, para exponer el desarrollo de la mecánica ondulatoria en su forma primitiva.
* * * *
No es posible comprender bien el origen de la mecánica ondulatoria sin haber echado una rápida ojeada sobre la evolución de la teoría de la luz desde hace unos treinta años. El hecho culminante de esta evolución es la reaparición de las concepciones corpusculares en un dominio de que habían sido excluidas hacia ya casi un siglo. El descubrimiento de los fenómenos de interferencia y de difracción, las admirables construcciones teóricas de Fresnel, y la experiencia considerada como crucial, realizada por Fizeau y Foucault para medir la velocidad de la luz en el agua, parecieron mostrar definitivamente que la luz está formada de ondas, en las cuales la energía está repartida de una manera continua. La antigua concepción granular de la luz, que pudo enorgullecerse en el siglo XVIII con el apoyo de un Newton, fue abandonada y cayó casi completamente en olvido al final del siglo XIX. Con general sorpresa, iba a renacer de sus cenizas porque se iban a descubrir fenómenos producidos por la luz y las demás radiaciones, fenómenos hasta ahora desconocidos y cuya explicación hace necesario un retorno a la concepción corpuscular. El más importante de estos fenómenos es el efecto fotoeléctrico. He aquí en qué consiste: cuando se ilumina un trozo de materia, por ejemplo un metal, con luz o con rayos X, se ve que con frecuencia saltan electrones en movimiento rápido. El estudio de este fenómeno fotoeléctrico ha mostrado que la velocidad de los electrones expulsados no depende más que de la longitud de onda de la radiación incidente: sólo el número de electrones expulsados depende de la intensidad. Además, la energía de los fotoelectrones varía en razón inversa de la longitud de onda de la radiación incidente. Todas estas leyes son completamente diferentes de las que hubiera podido hacer prever la teoría ondulatoria, y parecieron desde un principio de muy difícil interpretación. Einstein, reflexionando sobre estas dificultades cayó en cuenta de que para explicar el efecto fotoeléctrico, hacía falta volver, por lo menos en cierta medida, a una estructura corpuscular de las radiaciones (1905). Admitió, pues, que las radiaciones están formadas de corpúsculos que transportan una energía inversamente proporcional a la longitud de onda y ha mostrado que las leyes del efecto fotoeléctrico se deducen fácilmente de esta hipótesis.
Otros fenómenos descubiertos más recientemente (efecto Compton, efecto Raman) han venido a confirmar la hipótesis de Einstein. Se vio en seguida que podía darse razón de un cierto número de hechos, suponiendo que la energía luminosa está dividida en granos, a los cuales se da hoy el nombre de «fotones». Esta invasión inesperada del atomismo en un dominio del cual se creía haberlo expulsado totalmente, ha sido para los físicos una fuente de crueles conflictos. ¿Cómo conciliar, en efecto, esta nueva concepción corpuscular de las radiaciones con el conjunto tan considerable y tan minuciosamente estudiado, de los fenómenos de interferencia y de difracción que sólo la teoría ondulatoria parecía poder explicar? El examen de la respuesta que había que dar a esta angustiosa cuestión ha sido el origen de las concepciones extrañamente nuevas de la mecánica ondulatoria.
La única manera de salir de las dificultades concernientes a la luz, era, en efecto, admitir que el aspecto corpuscular de la luz y su aspecto ondulatorio, tales como se revelan en las diferentes categorías de experimentos, son dos aspectos “complementarios” (la expresión es de Bohr) de una misma realidad. Cada vez que una radiación canjea energía con la materia, este canje puede describirse como siendo la absorción o la emisión de un fotón por la materia, pero cuando se quiere describir el desplazamiento de un conjunto de los granos de luz en el espacio, hay que recurrir a la teoría ondulatoria. Ahondando en esta idea, se llegó a admitir que la densidad de la nube de fotones asociada a una onda luminosa, debe ser, en todo punto, necesariamente proporcional a la densidad de esta onda luminosa. Se llega así, si no a establecer definitivamente, por lo menos a entrever una especie de síntesis de las dos antiguas teorías rivales de la luz, en la cual podrían interpretarse a la vez las interferencias y el efecto fotoeléctrico. El gran interés de esta síntesis es revelarnos que, por lo menos en el caso de la luz, ondas y corpúsculos son en la naturaleza apariencias estrechamente vinculadas entre sí.
Pero si es así para la luz, ¿no podría preguntarse si no ocurre lo mismo para la materia? Así como el fotón no puede aislarse de la onda que le está asociada, ¿no deberá suponerse que los corpúsculos materiales están también acompañados siempre de una onda? ¿No deberá estudiarse, en particular, si las propiedades algo extrañas, que la teoría de los quanta había llegado a atribuir al electrón, pueden interpretarse confiriéndole un aspecto ondulatorio que completara el aspecto corpuscular, ya conocido? Tales eran las cuestiones capitales que el retorno de los corpúsculos a la teoría de la luz hacia plantearse, y cuyo estudio hizo nacer, hace poco más de diez años, las concepciones fundamentales de la mecánica ondulatoria.
Si se supone audazmente que en la naturaleza, ondas y corpúsculos están siempre estrechamente asociados, el movimiento de todo corpúsculo tendrá que estar asociado con la propagación de una onda. Esta asociación debe poder expresarse por relaciones entre las magnitudes mecánicas, energía y cantidad de movimiento, que caracterizan el movimiento del corpúsculo, y las magnitudes ondulatorias, frecuencia y longitud de onda, por medio de las cuales puede describirse la propagación de su onda asociada. Se puede establecer, en efecto, estas relaciones, en una forma general que contenga el caso de los fotones como un caso particular. Esta teoría general de la conexión entre los corpúsculos y sus ondas asociadas forma la base sobre la cual se ha levantado la mecánica ondulatoria. Naturalmente no puedo reproducir aquí, en detalle, los principios de esta mecánica. Me limitaré a recordar que, según ella, la longitud de onda de la onda asociada a un corpúsculo varía en razón inversa de la velocidad de este corpúsculo: es tanto menor cuanto más rápido es el corpúsculo.
Veamos ahora algunas consecuencias de la nueva mecánica, cuando se aplica al electrón. Cuando la onda asociada a un corpúsculo se propaga libremente en una región de dimensiones grandes, respecto a la longitud de onda, la nueva mecánica conduce a atribuir al corpúsculo el mismo movimiento que había previsto la mecánica clásica. En particular es lo que acontece para los movimientos de los electrones que podemos observar directamente, y por esto el estudio de los electrones en gran escala condujo a considerarlos como simples corpúsculos. Pero hay casos en que las leyes clásicas de la mecánica no logran describir lo que sucede. El primero de estos casos es aquél en que la propagación de la onda asociada está limitada a una región del espacio, cuyas dimensiones son del orden de magnitud de la longitud de onda. Es lo que acontece con los electrones en el interior del átomo. La onda asociada está obligada entonces a adoptar la forma de una onda estacionaria, y la mecánica ondulatoria muestra que esta onda estacionaria no puede tener como longitud de onda más que ciertas longitudes de onda bien definidas por las condiciones mismas del problema: a estas longitudes de onda posibles de la onda asociada corresponden, según las ideas generales de la nueva mecánica, ciertas energías posibles para el electrón intra-atómico. Estos estados, los únicos posibles con energía bien definida, corresponden exactamente a los estados de movimiento cuantificados introducidos por Bohr en su teoría del átomo, y fue un primer gran éxito de la mecánica ondulatoria haber explicado el hecho, hasta entonces tan misterioso, de que estos movimientos sean los únicos posibles para los electrones en el interior del átomo.
Otro caso en que el movimiento del electrón no puede seguir, según la mecánica ondulatoria, las leyes clásicas del movimiento, es aquel en que su onda asociada tropieza con obstáculos en el curso de su propagación. Se producen entonces interferencias y el movimiento del corpúsculo no puede tener ya analogía ninguna con el que podría prever la mecánica clásica. Para darnos cuenta de la manera cómo deben suceder las cosas, dejémonos guiar por la analogía con la luz. Supongamos que proyectamos una radiación de longitud de onda conocida, sobre un dispositivo susceptible de dar lugar a interferencias. Como sabemos que las radiaciones están formadas de fotones, podemos decir también que enviamos un enjambre de fotones sobre el dispositivo en cuestión. En la región en que se producen las interferencias, los fotones se reparten de tal suerte que se hallan concentrados allí donde es máxima la intensidad de la onda asociada. Si enviamos ahora sobre el mismo dispositivo de interferencias, no una radiación, sino un chorro de electrones de la misma velocidad y cuya onda asociada tenga la misma longitud de onda que la radiación primitivamente empleada, la onda interferirá como en la primera experiencia, puesto que es la longitud de onda la que regula las interferencias. Es natural pensar, entonces, que los electrones se concentrarán donde es máxima la intensidad de la onda asociada, y efectivamente es ésta la previsión hecha por la mecánica ondulatoria. Los electrones en la segunda experiencia deben, si son exactas las ideas de la nueva mecánica, repartirse en el espacio como lo hacían los fotones en la primera experiencia. Si se puede establecer que de hecho es así, se habrá puesto en evidencia la existencia de la onda asociada al electrón y suministrado a la mecánica ondulatoria una confirmación experimental decisiva.
Esta confirmación decisiva fue obtenida por vez primera en 1927 por dos físicos americanos, Davisson y Germer, los cuales, enviando un haz de electrones monocinéticos sobre un cristal de níquel, llegaron a obtener fenómenos completamente análogos a los que se obtienen con rayos X. El mismo fenómeno fue observado en seguida y estudiado por un gran número de otros experimentadores, especialmente por el profesor G. P. Thomson. Hoy se obtiene y utiliza corrientemente en los laboratorios. El descubrimiento de este magnífico fenómeno ha llevado a una verificación completa y cuantitativa de las ideas y de las fórmulas de la mecánica ondulatoria.
Hemos adquirido así una prueba directa de la concepción según la cual el electrón no es un simple corpúsculo: posee a la vez un aspecto corpuscular y un aspecto ondulatorio, y, según los casos, es menester, para prever los fenómenos en que interviene, considerarlo como onda o como corpúsculo. ¿Cómo pueden conciliarse estos dos aspectos? Es lo que no vamos a explicar aquí en detalle: esta conciliación exige nuevas concepciones sutiles en que desempeñan una función esencial las probabilidades.
Además, no es sólo el electrón el que es a la vez corpúsculo y onda. Acontece lo mismo para el protón, como lo han mostrado experimentos más recientes, y muy probablemente ocurre lo mismo con todas las unidades materiales. Así, tanto para la materia como para la luz, el aspecto atómico y discontinuo de las entidades elementales está forrado por un aspecto continuo y ondulatorio; y este descubrimiento ha modificado y enriquecido considerablemente la idea que nos hacíamos del electrón.
* * * *
La mecánica ondulatoria ha conquistado magníficos triunfos en la interpretación del mundo atómico y sus aplicaciones han renovado completamente los métodos de la física microscópica. Sin embargo, en su forma primitiva, presentaba dos importantes lagunas: por de pronto no era relativista y no podía aplicarse más que a electrones u otras partículas de velocidad pequeña respecto de la luz; y además no atribuía al electrón las propiedades características del spin, y se limitaba a considerarlo, en su aspecto corpuscular, como un punto material electrizado. Era evidentemente necesario encontrar una forma más general de la mecánica ondulatoria que satisficiera las exigencias del principio de relatividad, y fuera aplicable por tanto a partículas de toda clase de velocidades, y contuviera finalmente el spin del electrón. Esta tentativa ha sido llevada a feliz término por Dirac. La mecánica ondulatoria primitiva representaba la onda asociada al electrón por una función escalar. Siguiendo una idea propuesta por Pauli, admite Dirac, que la onda asociada al electrón debe representarse por una función con varios componentes. Sus razonamientos le condujeron a admitir que el número de estos componentes es cuatro, y ha sabido encontrar las cuatro ecuaciones en derivadas parciales simultáneas, a las cuales deben obedecer estos cuatro componentes. Mientras la mecánica ondulatoria primitiva representa la onda del electrón por una sola función escalar que satisface a una ecuación en derivadas parciales de segundo orden del tipo clásico de la ecuación de ondas, la teoría de Dirac representa la onda asociada al electrón por una función de cuatro componentes, cuyo conjunto obedece a un sistema de cuatro ecuaciones de primer orden. Lo verdaderamente notable en esta nueva mecánica ondulatoria del electrón, es que habiendo obtenido las ecuaciones de propagación por razonamientos muy generales en que no interviene para nada la cuestión del spin, resulta que, sin más, se ha introducido el spin y sus consecuencias. En efecto, el estudio de las ecuaciones de Dirac muestra que éstas conducen automáticamente a atribuir al electrón las propiedades de rotación propia y de magnetismo propio, imaginadas por Uhlenbeck y Goudsmit. Así, mientras que la mecánica ondulatoria primitiva permanecía impotente, al igual que la antigua teoría de los quanta, para prever las anomalías del efecto Zeeman y la complicación de las estructuras espectrales finas, las ecuaciones de Dirac permiten prever estos fenómenos con toda exactitud. Así la teoría de Dirac nos suministra la imagen más completa del electrón que poseemos hoy: le atribuye, en efecto, por un lado un aspecto corpuscular que implica masa, carga eléctrica, magnetismo y rotación propios, y por otro un aspecto ondulatorio que da cuenta de la difracción por los cristales y del comportamiento del electrón en los sistemas atómicos, aspecto ondulatorio en que las propiedades del spin se traducen por una cierta anisotropía de la onda asociada.
Tenemos que insistir sobre una particularidad de la teoría de Dirac, que ha conducido a su autor a la previsión de la existencia de electrones positivos, previsión verificada poco después. Nos referimos al hecho de que las ecuaciones de Dirac admiten soluciones de energía negativa a las cuales corresponderían, para el electrón, movimientos dotados de propiedades paradójicas, movimientos cuya existencia jamás ha sido observada. Parecía haber aquí una grave dificultad: la teoría de Dirac era demasiado rica en posibilidades. Dirac mismo sugirió una manera ingeniosa de salir del paso. Observando que, según el principio de exclusión de Pauli, no puede haber más que un electrón por estado, imagina que todos los estados de energía negativa están normalmente ocupados en todo el universo por los electrones. Resulta de ello una densidad uniforme de electrones de energía negativa, y Dirac supone que esta densidad uniforme es inobservable. Para dar razón de la existencia de electrones observables, habrá que suponer que hay en el universo más electrones que los necesarios para cubrir todos los estados de energía negativa y que el excedente ocupa los estados de energía positiva y constituye el conjunto de electrones denunciables por la experiencia. Pero aquí es donde interviene una idea nueva que ha permitido a esta concepción, un poco artificial a primera vista, llevarnos a un gran éxito. Nada impide imaginar que bajo una acción exterior cualquiera, uno de los electrones de energía negativa pueda pasar a un estado de energía positiva: hay entonces aparición simultánea de un electrón experimentalmente denunciable y de un agujero o laguna en la distribución de los electrones de energía negativa. Ahora bien, Dirac ha mostrado que esta laguna se comporta como un corpúsculo que tuviera la masa del electrón y una carga eléctrica exactamente igual y de signo contrario. Habría, pues, en ciertos casos excepcionales, posibilidades de crear un «par» formado por un electrón negativo y un electrón positivo. Esta teoría de los «agujeros», de Dirac, hubiera dejado, sin duda alguna, escépticos a muchos físicos, si la experiencia no hubiera venido inmediatamente a suministrar una notable confirmación.
Los magníficos trabajos de Anderson, de Blackett y de Occhialini han mostrado, en efecto, que en condiciones excepcionales (acción de los rayos cósmicos) se ven manifestarse electrones positivos. Estos electrones positivos o positones se estudian hoy en todos los laboratorios. Las concepciones de Dirac conducen a prever que los positones deben de ser inestables y tender a desaparecer al contacto con la materia: se concibe, en efecto, que si un agujero se encuentra en presencia de un electrón negativo, éste podrá llenar el agujero por una transición acompañada de radiación y habrá entonces desaparición de dos electrones de signo contrario. Esta inestabilidad de los positones parece estar probada por las magníficas experiencias de J. Thibaud, confirmadas por las de Joliot.
Tanto el electrón positivo como el negativo, poseen un spin y ocurre muy probablemente lo mismo con todos los corpúsculos elementales de la materia tales como, por ejemplo, el neutrón descubierto casi al mismo tiempo que el positón. Parece probable que todos los corpúsculos elementales tienen no solamente el doble aspecto corpuscular y ondulatorio, sino también las propiedades de spin, hondamente ligadas, sin duda, a la existencia misma de la materia. Así, ahondando en el estudio de las propiedades del electrón, hemos llegado a desgajar caracteres generales que deben pertenecer a todos los corpúsculos elementales y cuya mejor expresión matemática son, al presente, las ecuaciones de Dirac.
* * * *
Hemos visto cómo la concepción dualista de la luz que une los fotones a las ondas luminosas, sirve de guía para edificar la mecánica ondulatoria. El fin inicial de esta mecánica era suministrar una teoría general de la conexión entre ondas y corpúsculos, aplicable tanto a la luz como a la materia, a loa fotones como a los electrones. Y, sin embargo, la mecánica ondulatoria en su forma primitiva no nos suministra, en modo alguno, las bases de una teoría satisfactoria de la luz, en su doble aspecto: corpuscular y ondulatorio. ¿Por qué? En primer lugar, porque esta mecánica primitiva, por no ser relativista, no es aplicable sino a corpúsculos de velocidad pequeña respecto de la velocidad de la luz, y por tanto no puede aplicarse a los corpúsculos de que está constituida la luz. En segundo lugar, la mecánica ondulatoria primitiva utiliza una onda escalar e isótropa; no contiene los elementos de la simetría necesaria para poder explicar la polarización de la luz. Finalmente, tampoco nos suministra medio alguno de dar a la onda luminosa el carácter electromagnético de que sabemos con certeza que está dotada, desde Maxwell y Hertz.
La situación se modificó al aparecer la teoría del electrón de Dirac. Ésta, en efecto, es relativista y por ello aplicable al fotón. Además introduce una onda cuyo carácter anisótropo no deja de tener analogías con la polarización luminosa. En fin, esta teoría asocia al corpúsculo magnitudes electromagnéticas derivadas de su momento magnético propio, y que no dejan de tener analogías de su momento magnético propio, y que no dejan de tener analogías con los campos de la onda electromagnética maxwelliana. Se podía, pues, esperar que aplicando al fotón las ecuaciones de Dirac, se obtendría una teoría dualista satisfactoria de la luz. En realidad no ha sido así, y sin entrar aquí en detalles, nos contentaremos con decir que un fotón construido sobre este modelo no tendría más que la mitad de la simetría necesaria para una buena teoría de la luz. Hecha esta observación, el autor de estas líneas ha desarrollado recientemente una teoría de la luz en la cual el fotón está considerado no como un único corpúsculo de Dirac, sino como un par de corpúsculos de Dirac análogo al par formado por un electrón negativo y un electrón positivo. Esta concepción conduce, cuando menos por lo que concierne a la propagación de la luz en el vacío, a resultados muy satisfactorios. Se encuentran las propiedades de polarización de la luz y se logra así precisar la relación real y profunda que existe entre el spin y la polarización. Se logra también vincular al fotón un campo electromagnético completamente idéntico a aquel por el cual Maxwell representó la luz.
No vamos a insistir aquí sobre esta nueva teoría de la luz. En especial no vamos a discutir la cuestión de saber si los dos corpúsculos que ella supone no deben ser identificados con esos neutrinos cuya existencia invocan hoy los teóricos para dar razón de la no conservación aparente de la energía después de la emisión de los espectros continuos g de los cuerpos radiactivos. Quisiéramos solamente llamar la atención sobre la curva majestuosa que habría descrito el pensamiento de los físicos si esta nueva teoría se confirmara definitivamente. Partiendo de la idea simplista del electrón considerado como un punto material cargado, se habrían visto obligados, para explicar los fenómenos cuánticos, a extender al electrón la doble naturaleza observada en la luz y a crear la mecánica ondulatoria: después, para absorber en la mecánica ondulatoria las propiedades del spin necesarias para la explicación de toda una categoría de fenómenos, habrían tenido que complicar esta nueva mecánica llevándola a la forma de Dirac. Y entonces, por un extraño retorno, esta mecánica ondulatoria perfeccionada, volviendo hacia su origen, serviría a su vez para constituir la teoría dualista de la luz que une en un todo armonioso el fotón, la onda luminosa, la polarización y el campo electromagnético maxwelliano.
Pero dejemos estas consideraciones todavía hipotéticas. Hemos visto en este estudio cómo nuestra concepción del electrón ha evolucionado complicándose y enriqueciéndose desde hace cuarenta años. Y, como ocurre casi siempre, hemos comenzado por adoptar una imagen demasiado esquemática. Poco a poco ha sido preciso modificarla introduciendo en ella nuevas complejidades, con frecuencia perturbadoras para nuestros inveterados hábitos de pensamiento. Pero si hemos perdido así la bella simplicidad de los comienzos, ¡cuánto hemos ganado, en cambio, en conocimientos nuevos y en capacidad de clasificar y conectar los hechos físicos de la escala atómica!
§ 7. El estado de la actual teoría electromagnética
1. Idea general de la teoría electromagnética clásica.
A fines del siglo XVIII y en la primera mitad del XIX, los trabajos de Coulomb, Volta, Ampère, Örsted, Laplace, Faraday, para no citar más que algunos de los nombres más grandes, han dado a conocer las leyes de los campos eléctricos y magnéticos, de las corrientes y de las relaciones mutuas entre campos, cargas y corrientes. Vino después el gran Clerk Maxwell que, generalizando y sistematizando las leyes descubiertas por sus predecesores, constituyó la teoría electromagnética cuyo rasgo más saliente es englobar en su seno toda la teoría de la luz considerada como un fenómeno electromagnético.
Las ecuaciones fundamentales que son la base de la teoría electromagnética son simplemente la traducción inmediata de las grandes leyes experimentales, que Maxwell ha completado, en una intuición genial, introduciendo la corriente de desplazamiento. Recordemos la forma de estas ecuaciones fundamentales empleando el sistema de unidades de Heaviside y designando por c la constante universal igual a la velocidad de la luz en el vacío. En ausencia de todo cuerpo susceptible de polarización eléctrica o magnética estas ecuaciones son:

donde
designa el campo eléctrico,
el campo magnético,
el vector «densidad de corriente eléctrica» y p la densidad de carga eléctrica, definidas en la escala macroscópica. Los términos que contienen ρ y
en las ecuaciones de Maxwell traducen la manera como reacciona la presencia de las cargas y de las corrientes sobre el campo electromagnético. En el espacio vacío ρ y
son nulos y se demuestra fácilmente, gracias a las ecuaciones fundamentales, que los campos eléctricos y magnéticos puede propagarse entonces en ondas transversales con la velocidad c; una de las grandes ideas de Maxwell fue identificar estas ondas con las ondas luminosas, y el descubrimiento de las ondas hertzianas vino, varios años después, a suministrar una espléndida confirmación de sus concepciones.
Si se quieren generalizar las ecuaciones fundamentales escritas más arriba, extendiéndolas al caso de cuerpos susceptibles de polarización eléctrica o magnética, hay que introducir, como es sabido, la inducción magnética
y la inducción eléctrica
que pueden muy frecuentemente ser consideradas en cada punto como proporcionales al campo magnético y eléctrico respectivamente. Las ecuaciones fundamentales se escriben entonces:

que son también la traducción analítica de las leyes experimentales clásicas.
Las grandes leyes de la teoría electromagnética contenidas en las ecuaciones fundamentales, tienen que completarse todavía con las leyes que dan la acción mecánica de los campos sobre las corrientes y las cargas: una carga eléctrica e colocada en un punto en que el campo eléctrico es
, sufre una fuerza mecánica igual a e
; y un elemento de corriente de intensidad
y de longitud ds colocado en un punto en que el campo magnético es
sufre una fuerza mecánica igual a

donde los corchetes representan un producto exterior.
Se obtiene así un sistema que representa de modo completo las relaciones mutuas entre los campos, las cargas y las corrientes, tales como se revelan en la experiencia corriente en escala grande. El sistema así formado satisface a los principios de conservación de la energía y de la cantidad de movimiento, a condición de atribuir al campo electromagnético una densidad de energía igual a
½[h2 + H2]
y una densidad de cantidad de movimiento igual a

por lo menos fuera de los cuerpos polarizados. La hipótesis de una cantidad de movimiento localizada en el campo electromagnético conduce a prever la existencia de la presión de la radiación ejercida por la luz sobre los obstáculos que encuentra, previsiones que, como se sabe, han sido confirmadas por experiencias muy delicadas.
La teoría electromagnética de Maxwell extendida y precisada por los trabajos de Hertz ha cobrado grandes triunfos en el dominio de los fenómenos de escala grande, es decir de todos los fenómenos electromagnéticos en que no interviene la estructura microscópica de la materia. El más conocido de estos triunfos es la previsión de la existencia de radiaciones hertzianas que prolongan la gama de las radiaciones luminosas e infrarrojas del lado de las longitudes de onda crecientes, y la interpretación de sus propiedades. No vale la pena de recordar que las propiedades de las radiaciones hertzianas han encontrado en la telegrafía sin hilos un inmenso campo de aplicación. Pero la teoría electromagnética bajo la forma de Maxwell-Hertz no podía explicar completamente las reacciones entre la materia y las radiaciones, describir por ejemplo la emisión y la absorción de las radiaciones por los cuerpos materiales o la manera como la presencia de estos cuerpos influye sobre la propagación de la luz (difusión, dispersión, etc.).
Para llegar a esto era menester poder hacerse una idea de la estructura eléctrica de la materia en la escala microscópica y de la manera como esta estructura reacciona sobre la radiación electromagnética. Las indicaciones de la experiencia, completadas por las investigaciones teóricas resumidas en el gran nombre de H. A. Lorentz, han llevado, para llenar esta laguna, a desarrollar la teoría de los electrones que prolonga el electromagnetismo de Maxwell y Hertz.
En la teoría de los electrones se admite que la electricidad tiene una estructura granular y que toda materia ponderable contiene un número considerable de partículas sumamente pequeñas que soportan una carga eléctrica. Se sabe además que la experiencia ha revelado la existencia de partículas elementales de electricidad negativa, semejantes entre sí, y a las que se ha reservado más especialmente el nombre de electrones: la carga eléctrica y la masa de los electrones se expresan en números extraordinariamente pequeños que han podido ser determinados con precisión. Según la teoría de los electrones, los cuerpos materiales conductores son aquellos en que los electrones son suficientemente libres para poder tomar, bajo la acción de un campo eléctrico, un movimiento de conjunto; los cuerpos no conductores son, por el contrario, aquellos en que los electrones están ligados a posiciones de equilibrio y no pueden sino oscilar en torno a ellas; la corriente eléctrica es debida al desplazamiento de los electrones en un cuerpo conductor, etc.
Lorentz ha desarrollado la teoría admitiendo que los electrones tienen dimensiones finitas y que se puede definir en su interior una densidad finita de electricidad ρ*. Escribe entonces las ecuaciones generales que expresan las relaciones entre los campos electromagnéticos y los electrones bajo la forma:

siendo
la velocidad de la electricidad en el punto en que la densidad microscópica es ρ*. Es preciso observar que aquí la cantidad ρ* es la densidad macroscópica de la electricidad tal como se debe definir cuando se tiene en cuenta la existencia de cargas elementales, mientras que la densidad p que figura en las ecuaciones de Maxwell, es la densidad microscópica media para un cuerpo que contiene un número inmenso de cargas elementales. A las ecuaciones que acabamos de escribir hay que agregar una ecuación suplementaria que expresa la fuerza mecánica que ejerce un campo electromagnético sobre una carga unidad animada de la velocidad
, fuerza que es igual a:

Naturalmente si se considera un cuerpo material que contiene un gran número de cargas elementales de mismo signo (cuerpo cargado eléctricamente en el sentido usual de la palabra) o un cuerpo material que contiene electrones en movimiento de conjunto (cuerpo atravesado por una corriente eléctrica en el sentido usual de la palabra), las ecuaciones de Lorentz conducen a ecuaciones macroscópicas de la misma forma que las de Maxwell- Hertz. Esta coincidencia era evidentemente necesaria para que la teoría de Lorentz fuera aceptable; pero es menester no perder de vista que al adoptar, para las ecuaciones microscópicas e individuales de su teoría electrónica, una forma análoga a la de las ecuaciones macroscópicas y estadísticas de Maxwell, Lorentz ha llevado a cabo en realidad una extrapolación audacísima. En efecto, las ecuaciones de Maxwell han sido sugeridas directamente por los experimentos realizados con cuerpos electrizados y con corrientes, es decir con fenómenos en que interviene un número inmenso de partículas elementales. Las fórmulas de Lorentz afirman que cuando se tiene en cuenta en detalle la repartición microscópica y la estructura granular de la electricidad, son aplicables a las relaciones entre campos y cargas eléctricas, leyes de misma forma que las de Maxwell; como digo, es ésta un extrapolación audaz.
No es útil extenderse largamente sobre los éxitos que ha cobrado la teoría de los electrones. El que más impresionó al público científico, hace unos cuarenta años, fue sin duda la previsión del efecto Zeeman; pero no hay que olvidar tampoco, que la teoría de Lorentz ha suministrado una preciosa interpretación de la dispersión de la luz, y explicado la emisión de radiaciones por la materia gracias a la «onda de aceleración» emitida por los electrones cuando su velocidad varía; que ha esclarecido el mecanismo de la conducción del calor y de la electricidad en los metales gracias a la hipótesis de que éstos contienen electrones libres etc.
El desarrollo de la doctrina relativista de Einstein no ha perjudicado en modo alguno la suerte de la teoría de los electrones, porque ésta puede plegarse fácilmente a las exigencias del principio de relatividad. En particular, la variación de la masa del electrón en función de su velocidad, prevista por la dinámica relativista, ha aparecido de perfecto acuerdo con la experiencia (Guye). Adaptándose a la forma relativista, la teoría de los electrones ha escapado automáticamente incluso a las dificultades que encontraba para la interpretación de ciertos resultados experimentales, tales como el célebre resultado negativo de la tentativa de Michelson, que quería poner en evidencia, por medio de un fenómeno óptico local, el movimiento absoluto de la tierra en el espacio.
2. Dificultades encontradas por la teoría electromagnética.
La teoría electromagnética y la teoría de los electrones, que la completa extendiéndola a la escala microscópica, han rendido enormes servicios a los físicos y han permitido explicar un considerable número de fenómenos. Pero han acabado encontrando sus límites y tropezando con graves dificultades.
Una primera y considerable dificultad está contenida en germen en la noción misma de electrón. Podría concebirse el electrón como un punto matemático en torno al cual reina un potencial eléctrico de la forma e/r, pero la estructura misma de las ecuaciones que Lorentz ha colocado en la base de su teoría, supone que se puede hablar de la densidad eléctrica en el interior de los electrones, y exige por tanto que se los considere como corpúsculos que tienen dimensiones muy pequeñas, es verdad, pero finitas, sin embargo. Además, si el electrón fuera puntual, la energía del campo electrostático que le rodea, sería infinita, lo cual parece físicamente inadmisible. Se ha representado, pues, al electrón como una esfera de radio finito r0 en cuyo interior la electricidad se halla distribuida de una cierta manera. Admitiendo que toda la masa del electrón sea de origen electromagnético, se llega entonces (partiendo de valores conocidos experimentalmente de la carga y de la masa del electrón), a atribuirle un radio r0 del orden de 10-13 cm. Pero la gran dificultad es entonces comprender cómo esta esfera, que contiene electricidad de mismo signo, puede existir de una manera estable, puesto que sus diversas partes tienen que repelerse mutuamente. Hay que imaginar con Henri Poincaré que en la superficie del electrón se ejerce una presión oriunda del exterior y que impide que la partícula haga explosión; pero el origen de esta presión ha permanecido inexplicable.
El electromagnetismo de Maxwell-Lorentz ha encontrado muchas otras dificultades que se refieren más o menos directamente a la existencia de los quanta. En primer lugar, la interpretación de la emisión de las ondas electromagnéticas por la materia como debida a las aceleraciones de los corpúsculos electrizados en ella contenidos, da perfecta razón de los fenómenos que se producen cuando entra en juego un número enorme de corpúsculos, como por ejemplo en la emisión de una onda hertziana por una antena de T. S. H.; y en este caso se explica también fácilmente la absorción de las ondas electromagnéticas por la materia. Pero se sabe después del desarrollo de la teoría de la radiación negra de Planck, y más todavía, desde la aparición de la teoría del átomo de Bohr, que el mecanismo de la emisión de la radiación por los corpúsculos elementales en estado de aceleración, tal como lo describía la teoría clásica, no puede ser exacto. Los átomos, sistemas formados por electrones que giran en torno a un núcleo central, al hallarse sometidos a aceleraciones enormes, son susceptibles de poseer estados estacionarios cuantificados en los cuales no irradian: esto se halla en completa oposición con las leyes de la teoría de los electrones. Solamente cuando un átomo cambia bruscamente de estado estacionario, pasando de la energía En en la energía Em, emite energía radiante bajo la forma de un quantum de radiación de frecuencia ν y de energía hν = E n - Em (ley de las frecuencias de Bohr). Naturalmente la teoría clásica de Maxwell-Lorentz es completamente incapaz de prever tanto la existencia de estados estacionarios sin radiación como las transiciones bruscas entre estados estacionarios acompañados de emisión por quanta.
Las antiguas teorías, además, no pueden dar razón ninguna de leyes importantísimas, reveladas por el estudio de los espectros, y cuyo prototipo ha sido la ley que da la frecuencia de las rayas en la serie de Balmer. Estas leyes satisfacen todas a un principio general, el principio de combinación de Ritz, según el cual, para cada clase de átomo o de molécula existe una serie de términos espectrales tal que todas las frecuencias de las rayas emitidas por este átomo o por esta molécula, son diferencias entre dos de estos términos espectrales. La teoría electromagnética aplicada a los movimientos electrónicos de la escala atómica conduciría siempre a una emisión continua de energía, emisión acompañada de un amortiguamiento continuo del movimiento corpuscular; las rayas emitidas serían esfumadas y sus frecuencias no podrían presentar tampoco entre sí sino relaciones armónicas sin verificar ninguna regularidad análoga al principio de Ritz. El fracaso de las concepciones electrónicas antiguas ha sido, pues, completo. El solo fenómeno relativo a la emisión de la luz por la materia que haya verdaderamente logrado explicar bien la teoría de los electrones, es el fenómeno Zeeman normal. Pero es preciso añadir que el efecto Zeeman no presenta el aspecto llamado normal sino excepcionalmente: casi siempre es anormal, y presenta entonces particularidades que la teoría electrónica no puede interpretar. La teoría de los quanta ha llegado sin dificultad a las fórmulas del efecto Zeeman normal, y el razonamiento cuántico da aquí el mismo resultado que el razonamiento clásico. El efecto Zeeman anormal permaneció, por el contrario, durante mucho tiempo, inexplicable, aun para las teorías cuánticas: sólo la hipótesis de que el electrón posee un magnetismo propio (hipótesis del “spin” del electrón de Uhlenbeck y Goudsmit) ha podido hacernos comprender su verdadero origen.
Acabamos de señalar los fracasos experimentados por el electromagnetismo electrónico en la previsión de las reacciones entre materia y radiación en la escala microscópica. Estos fracasos prueban que los términos en ρ* y ρ*
, que figuran en los segundos miembros de las ecuaciones de Lorentz, no traducen de una manera adecuada la creación de campos electromagnéticos por las cargas eléctricas elementales y sus desplazamientos a pesar de que los términos en ρ y
de los segundos miembros de las ecuaciones de Maxwell traducen muy exactamente, para escalas grandes, la creación de los campos electromagnéticos por los cuerpos cargados y por las corrientes. Por lo menos hubiera podido esperarse que las ecuaciones del electromagnetismo en el espacio vacío de materia fueran exactas. En efecto, estas ecuaciones que, en el sistema de Lorentz igual que en el de Maxwell son:

explican perfectamente, según es sabido, la propagación ondulatoria en el vacío, de la luz y de las demás radiaciones, consideradas como perturbaciones electromagnéticas. Desdichadamente el hecho de que la emisión y la absorción de una radiación de frecuencia ν por la materia se opere siempre por quanta de energía iguales a hν, como lo ha mostrado el desarrollo de la teoría de los quanta, y su amplia confirmación experimental, hace ya pensar que, incluso en el vacío, la radiación debe tener una estructura granular. El descubrimiento del efecto fotoeléctrico, su interpretación por Einstein, el estudio teórico, igualmente por Einstein, de las fluctuaciones de la energía en la radiación negra, el descubrimiento más reciente del efecto Compton y otros hechos, han inclinado cada vez más a los físicos a volver, en cierto modo, a las concepciones antiguas de Newton y a admitir una estructura corpuscular de las radiaciones. Las ecuaciones de Maxwell para el vacío no parecen poder dar razón de esta estructura corpuscular, es decir de la existencia de «corpúsculos de luz» o «fotones», y en este punto la teoría electromagnética ha venido también a tropezar en un escollo.
3. El principio de correspondencia y la mecánica ondulatoria.
La teoría electromagnética, bajo la forma de Lorentz, no ha podido, pues, explicar cómo los sistemas materiales elementales emiten y absorben la radiación. Es totalmente incapaz de interpretar la existencia de los estados estacionarios en los átomos y la emisión brusca de radiación bajo forma de un quantum de energía, al pasar de un estado estacionario a otro. Parece, pues, a primera vista que la teoría clásica no va a poder ayudarnos nada en el estudio de estos fenómenos. Pero Bohr ha tenido el gran mérito de observar, hace ya veinte años, que la teoría clásica de la radiación electromagnética, a pesar de su incapacidad para describir exactamente los hechos, podía, sin embargo, rendirnos aún algunos servicios. Ha visto que esta teoría clásica, siendo válida en la escala macroscópica para los fenómenos en que interviene un gran número de electrones, debe darnos exactamente el resultado estadístico de la emisión de los quanta de radiación por los electrones cuyos movimientos cuantificados corresponden a números cuánticos muy grandes; para los movimientos de electrones correspondientes a números cuánticos medianos o pequeños, no se puede esperar que la teoría clásica nos suministre indicaciones completamente exactas, pero se puede esperar que nos dé todavía ciertas indicaciones cualitativas. Tales son las observaciones que, enunciadas en forma más precisa, constituyen lo que se llama «el principio de correspondencia de Bohr». Este principio de correspondencia, que ha conservado en las antiguas teorías cuánticas un carácter algo cualitativo, se ha mostrado de gran utilidad para prever, no solamente la emisión y la absorción de radiación por los átomos, sino también las reacciones que ejerce la presencia de la materia sobre la propagación de la radiación, por ejemplo en los fenómenos de difusión y de dispersión.
El principio de correspondencia ha encontrado un poco después su forma precisa gracias al desarrollo de la nueva mecánica cuántica y ondulatoria. Bajo su forma ondulatoria, la mecánica nueva consiste esencialmente en que, para prever el movimiento de los corpúsculos materiales, es preciso considerar propagaciones de ondas asociadas a estos corpúsculos. En la forma cuántica más abstracta de Heisenberg y de Dirac, la mecánica nueva consiste en que las magnitudes características de la antigua mecánica se reemplazan en los cálculos por números particulares, las «matrices» o los «números q», que no satisfacen en general a la regla de la conmutatividad de la multiplicación, pero que obedecen a las mismas ecuaciones formales que las magnitudes correspondientes de la antigua mecánica: del cálculo de estos números q se pueden deducir, por reglas que no vamos a exponer aquí, los valores experimentalmente observables de las magnitudes mecánicas. Por diferentes que puedan parecer a primera vista, las dos formas de la nueva mecánica se reducen, sin embargo, en último análisis la una a la otra. La significación profunda de la nueva mecánica se ha revelado poco a poco, gracias, especialmente, a un estudio ceñido de la noción de medida y de las posibilidades de determinación experimental, realizado por Bohr y Heisenberg. Se ha visto así que la no conmutatividad de los dos números q que representan dos magnitudes mecánicas, corresponde a la imposibilidad de medir simultáneamente estas dos magnitudes con una perfecta exactitud, y esto puede traducirse también fácilmente en la forma ondulatoria de la nueva mecánica. Así la coordenada x de un corpúsculo y la correspondiente componente px de la cantidad de movimiento, (magnitudes correspondientes a números q que no conmutan entre sí), no pueden jamás medirse simultáneamente con exactitud; se puede demostrar que la incertidumbre Δx en la medida de x y la incertidumbre Δpx en la medida de px son siempre tales que se tiene
Δx·Δpx ≥ h
donde h es la constante de Planck cuyo valor finito aparece aquí limitando la exactitud posible de medidas simultáneas. Son las célebres relaciones de incertidumbre de Heisenberg, cuyo análogo en el electromagnetismo cuántico veremos más tarde.
Podemos explicar ahora cómo la nueva mecánica ha permitido precisar el principio de correspondencia, y lo haremos empleando el lenguaje de la mecánica ondulatoria. La onda que hay que asociar a un corpúsculo está representada por una función Ψ que se considera, por lo menos en primera aproximación, como una magnitud compleja de carácter escalar. Se llega a admitir que la intensidad de la onda, igual al producto de Ψ por la cantidad compleja conjugada Ψ', da, para cada instante y para cada punto, la probabilidad de que el corpúsculo se encuentre en este instante en este punto. Si el corpúsculo es un electrón de carga e, la cantidad eΨΨ' representará, pues, una especie de densidad media probable de la electricidad en la región en que ejecuta su movimiento y las variaciones de esta cantidad permitirán definir una especie de corriente eléctrica media. Se puede precisar el enunciado del principio de correspondencia utilizando esta densidad media y esta corriente media, para calcular, por medio de las ecuaciones de la teoría clásica de la radiación, la energía irradiada por el movimiento del electrón. Consideremos un electrón en un átomo. La mecánica ondulatoria hace corresponder a los estados estables cuantificados de estos electrones, ondas Ψ estacionarias; el estado estable de energía Ei corresponde así a una onda estacionaría tal que

El estado del átomo podrá representarse siempre por una función Ψ que será una suma de funciones Ψ porque el conjunto de las funciones Ψi forma lo que los matemáticos llaman un sistema completo.
Por tanto, para un átomo (que para simplificar suponemos que no contiene más que un solo electrón), la función Ψ podrá escribirse:

y se tendrá, para la densidad media de electricidad negativa en este átomo, el valor:

al cual corresponde un momento eléctrico
cuya componente paralela a uno de los ejes, por ejemplo el eje de las x, será:

con

La cantidad Xiw es lo que Heisenberg llama elemento de índices i, k de la matriz correspondiente a la coordenada x. Si admitimos que la radiación del átomo se deduce de las variaciones de
por las fórmulas clásicas que dan la radiación de una repartición de electricidad de momento eléctrico total variable, se ve que el átomo debe emitir entonces las frecuencias

donde la componente de frecuencia 𝜈ik vibra paralelamente al eje de las x con una intensidad proporcional a |Xik|2. Volvemos a encontrar así la ley de las frecuencias de Bohr conforme al principio de combinación, y al mismo tiempo obtenemos una regla precisa para prever las polarizaciones y las intensidades.
Tal es la forma bastante intuitiva que Schrödinger ha propuesto para explicar la manera cómo la mecánica ondulatoria debe enunciar el principio de correspondencia. Pero esta manera intuitiva tiene el inconveniente de poder sugerir ideas inexactas. En efecto, la manera como hemos definido el momento eléctrico
del átomo, puede hacer pensar que es el mismo átomo el que irradia todas las frecuencias 𝜈ik. Ahora bien, no hay nada de esto y sería absolutamente contradictorio con la existencia de estados estables cuantificados y con la idea fundamental de Bohr de que la radiación está vinculada a las transiciones entre estados estables. En realidad, la suma que figura en el segundo miembro de la fórmula que da Mx, representa, simplemente, el conjunto de posibilidades de emisión con sus probabilidades respectivas. El cuadrado del elemento de matriz Xik. representa, pues, en valor relativo, la probabilidad para que un átomo, encontrándose al principio en el estado estable de energía Ei pase al estado estable de energía Ek con emisión de un quantum hνik polarizado paralelamente al eje de las x. La mecánica cuántica de Heisenberg ha postulado directamente esta significación de las Xik sin pasar por el intermedio de la densidad eléctrica media de Schrödinger, que puede inducir a error.
Schrödinger mismo ha insistido sobre las dificultades a las cuales se llega cuando se toma al pie de la letra su representación de la densidad eléctrica media por la expresión eΨΨ'. En especial, una de estas dificultades es que, si esta densidad media puede ser utilizada para calcular la radiación emitida por un átomo, no puede serlo, en manera alguna, cuando se trata de evaluar la acción de un campo electromagnético exterior sobre el átomo. Semejante acción no puede preverse, en manera alguna, buscando la acción del campo exterior en cuestión sobre la distribución eléctrica media definida por la densidad eΨΨ'.
Para obtener resultados exactos es preciso introducir el campo electromagnético en la ecuación de propagación de la onda asociada al electrón; puede expresarse esto, aproximativamente, diciendo: el campo exterior no actúa en manera alguna sobre la distribución eléctrica ficticia de densidad eΨΨ', sino sobre el electrón mismo.
Las dificultades que acabamos de señalar pueden vencerse, en gran parte, empleando el método llamado de “supercuantificación” (Ueberquantelung) propuesto por Dirac, Klein y Jordán, y otros autores, método cuyo principio consiste en considerar las funciones mismas de onda Ψ como “números q” que no obedecen a la regla de conmutatividad de la multiplicación. Heisenberg, en especial, ha mostrado en una reciente memoria, cómo, de esta manera, se puede satisfacer sin contradicción a las exigencias del principio de correspondencia. No insistiremos aquí sobre este método de supercuantificación que suministra resultados interesantes, pero que tiene un carácter sumamente formal.
4. La teoría cuántica de los campos.
Acabamos de ver que el desarrollo de la nueva mecánica ha permitido precisar el enunciado del principio de correspondencia y continuar empleando las leyes globales de la radiación de la energía electromagnética por las cargas en movimiento, tales como resultan de las ecuaciones de Maxwell-Lorentz. Sin embargo, a pesar de que estas ecuaciones de Maxwell-Lorentz son todavía prácticamente utilizables incluso en la escala microscópica, gracias al principio de correspondencia, es menester no ocultar que, en realidad, hay que rehacer hoy todo el edificio de la teoría electromagnética. Hemos visto, en efecto, que, incluso en el vacío, las ecuaciones de Maxwell no parecen ser exactas puesto que no dan razón de la existencia de los fotones. Un intento muy interesante para constituir una nueva teoría electromagnética, de acuerdo con la noción de fotón, ha sido propuesto por Heisenberg y Pauli con el nombre de «teoría cuántica de los campos». Desde su aparición ha sido objeto de gran número de trabajos, entre los cuales citaré los de Rosenfeld y Solomón.
Hemos dicho que, en mecánica cuántica, la razón profunda por la cual hay que representar en los cálculos las magnitudes mecánicas por números q (que no obedecen en general a una multiplicación conmutativa), es que, en esa mecánica, las magnitudes mecánicas no pueden, en general, considerarse como susceptibles de ser medidas simultáneamente con exactitud. En la teoría cuántica de los campos, las magnitudes electromagnéticas, son también consideradas como números q; esta hipótesis es aquí igualmente necesaria por el hecho de que, en una teoría electromagnética cuántica, las magnitudes del campo no pueden ser ya consideradas, en general, como simultáneamente mensurables con precisión. Heisenberg ha mostrado, en efecto, que la existencia misma de los fotones en el campo electromagnético obligaba a introducir para los campos eléctricos y magnéticos relaciones de incertidumbre análogas a las que limitan en la nueva mecánica la precisión de la medida simultánea de una coordenada y de la componente correspondiente de la cantidad de movimiento; ha apoyado igualmente esta nueva manera de ver sobre un análisis de los métodos de medida de los campos. Para precisar estas nuevas relaciones de incertidumbre designemos por Ex una de las componentes del campo eléctrico, y por Hy una componente del campo magnético perpendicular a Ex. Heisenberg ha mostrado que, si se efectúa la medida de los campos en un dominio de dimensiones ε, las incertidumbres ΔEx sobre Ex, y ΔHy sobre Hy deberán satisfacer siempre la desigualdad:
|ΔEx ΔHy| ≥ hc/ε4
La nueva teoría electromagnética ha sido construida por Heisenberg y Pauli sobre el modelo de la mecánica cuántica, extendiendo al caso de los campos definidos en todos los puntos del espacio, los procedimientos formales de esta nueva mecánica. No podemos exponer aquí el aparato matemático, bastante considerable, de la teoría cuántica de los campos; bástenos decir que se encuentran para los campos ecuaciones que tienen la forma clásica de las ecuaciones de Maxwell, pero en las cuales las magnitudes de los campos son los números q.
Mientras se trate del vacío, es decir, del campo electromagnético libre de todo elemento material, la nueva teoría parece bastante satisfactoria. Especialmente da razón satisfactoria de la existencia de los fotones y llega incluso a ampliar la noción de fotón, introduciendo, junto a la noción de «fotón transversal» correspondiente a las ondas electromagnéticas clásicas, la de «fotón longitudinal» correspondiente al campo electrostático. Hasta en este dominio de los campos electromagnéticos puros se había tropezado al principio con una dificultad: el campo electromagnético debía poseer una energía mínima, correspondiente en la teoría de la radiación negra a la existencia de una energía residual en el cero absoluto, presentida ya por Planck; y el punto delicado era que esta energía residual mínima parecía tener necesariamente un valor infinito. Pero el obstáculo ha podido ser sorteado, porque Rosenfeld y Solomón han logrado hacer desaparecer la energía infinita del cero absoluto, mediante una ingeniosa modificación de la teoría.
Mucho más serias parecen las dificultades encontradas por la nueva teoría electromagnética, cuando quiere tratar las reacciones entre campos, cargas y corrientes. Hemos recordado que la teoría clásica se veía forzada a atribuir al electrón una energía propia infinita, cuando quiere considerarlo como puntual; pero podía evitar fácilmente esta absurda conclusión, considerando el electrón como una esfera de radio finito. La teoría cuántica, por el contrario, no puede, en manera alguna, llegar a definir un radio del electrón, y por esta razón parece que recae, necesariamente, en la dificultad del electrón con energía infinita. No es la única consecuencia inaceptable que entraña la teoría cuántica de los campos, bajo su forma actual; uno de los que más han contribuido a mejorarla, Rosenfeld, ha mostrado que conduce a previsiones absurdas por lo que concierne a los términos espectrales de los átomos y a la energía de gravitación del fotón, y, ante estos fracasos, confiesa que el punto de vista formal de la teoría nos ha extraviado.
5. Conclusión.
En resumen, es hoy cierto que la teoría electromagnética, a pesar de sus éxitos constantes en el dominio macroscópico, a pesar de su utilidad en el dominio microscópico gracias a la aplicación del principio de correspondencia, no es fundamentalmente exacta y tiene que ser reformada. Desdichadamente, la única tentativa seria realizada para reemplazarla[4] (me refiero a la teoría cuántica de los campos), parece haber fracasado claramente. Recientemente se ha caído en la cuenta de que este fracaso es solamente uno de los aspectos de las dificultades que se experimentan al transponer los métodos de la nueva mecánica al dominio relativista, es decir, al caso en que la velocidad c de la luz no puede ser considerada ya como extremadamente grande. Estas dificultades han sido seguramente inesperadas, porque el principio de relatividad ha sido el guía que ha conducido a poner las primeras bases de la mecánica ondulatoria; pero el caso es que son innegables. En particular, la mejor forma relativista de la nueva mecánica es ciertamente la teoría del electrón magnético de Dirac, que ha conducido a tantos resultados satisfactorios; pero es cierto que, esta teoría, a pesar de la confirmación que ha recibido con el descubrimiento del electrón positivo, se presta todavía a objeciones que no ha logrado solventar. Y se ve ahora que la teoría cuántica del electromagnetismo tenía que tropezar, necesariamente, con el mismo género de dificultades fundamentales, porque trata de trasladar los métodos de la mecánica cuántica a un dominio en que parece absolutamente imposible no tener en cuenta la relatividad.
Trabajos recientes, que parecen todos ellos tener sus raíces en el pensamiento profundo y complejo de Niels Bohr, tienden a trazar un límite de validez para los métodos de la nueva mecánica y hasta para la utilización de las nociones fundamentales de espacio y de tiempo; pero estos trabajos, que tienen hasta ahora un carácter más bien negativo, no pueden indicarnos aún en qué sentido y con qué métodos tendrá que desarrollarse la verdadera teoría nueva del electromagnetismo, de acuerdo con la teoría de los quanta.
Parte III
La luz y las radiaciones
§ 8. Ojeada sobre la historia de la óptica[5]
La historia de la Óptica moderna comienza en el siglo XVII.
Esto no quiere decir, bien entendido, que los científicos del siglo XVII no tengan precursores sobre esta materia en los períodos anteriores. No hay que establecer en la evolución del espíritu humano cortes demasiado tajantes, e indudablemente no hay progresos científicos que no tengan sus raíces en los trabajos de períodos anteriores. Sin embargo, y a reserva de ciertas cuestiones de prioridad, que sólo los estudios de erudición podrán zanjar, es lícito decir que el gran florecimiento de la óptica moderna data de la primera mitad del siglo XVII y puede caracterizarse con el gran nombre de René Descartes.
Un poco antes de Descartes, Snell encontró, por experiencia, la relación de los ángulos en el fenómeno de la refracción, pero es Descartes quien tuvo la gloria de haber sido el primero en haber enunciado con precisión el conjunto de las leyes de la reflexión y de la refracción, a las cuales, por lo menos en Francia, va asociado su nombre. Para interpretar estas leyes, Descartes adopta la concepción corpuscular de la luz y admite que los corpúsculos de luz, al entrar en una materia ópticamente densa, sufren una resistencia que quiebra su trayectoria.
Un poco más entrado el siglo XVII, Pierre de Fermat, magistrado geómetra, muestra que las leyes de Descartes pueden deducirse de un principio de tiempo mínimo, al cual atribuye una significación teleológica. Según este principio, bien conocido, la forma de un rayo de luz que pasa por dos puntos dados, A y B, es siempre tal que el tiempo invertido por la luz para ir de A a B sea menor que el que correspondería a toda otra forma extremadamente próxima a este rayo.
Por la misma época la experiencia realiza nuevas conquistas. Mientras que los colores de las láminas delgadas son observados por Hooke y Grimaldi sin intento de interpretación, Isaac Newton descubre en 1666 la descomposición espectral de la luz por un prisma, y en 1676 Rømer, astrónomo danés, deduce del estudio de las ocultaciones de los satélites de Júpiter, la existencia de un valor finito para la velocidad de la luz en el vacío. Por una vía diferente, Bartholin descubre la doble refracción de los cristales del espato.
Estos descubrimientos experimentales dan un vivo empuje a las especulaciones teóricas. Christian Huygens propone por vez primera, de una manera neta, la teoría ondulatoria, admitiendo la existencia de un éter luminoso para la propagación de las ondas. Con el principio que hoy lleva su nombre, muestra que la teoría ondulatoria puede explicar los fenómenos de reflexión y de refracción, y encuentra así una interpretación de la doble refracción. Pero esta obra admirable no conquista el asentimiento unánime. Presentaba por lo demás una grave laguna: el hecho fundamental de la propagación rectilínea no quedaba interpretado. Isaac Newton adopta, por el contrario, la concepción corpuscular y muestra sus ventajas para interpretar dinámicamente la propagación rectilínea, la reflexión y la refracción; pero conociendo ya ciertos fenómenos de interferencia (anillos de Newton), trata de asociar por una intuición audaz las ondas y los corpúsculos, el movimiento de un proyectil y la propagación de una periodicidad. Esta teoría del acceso, demasiado avanzada para su tiempo, permanece embrionaria y sin desarrollo ulterior.
La mayoría de los científicos del siglo XVIII siguieron a Newton y adoptaron la teoría corpuscular. Hubo, sin embargo, algunas excepciones notables (Euler).
* * * *
A comienzos del siglo XIX nuevos descubrimientos experimentales vienen a estimular la evolución un poco retardada de la Óptica. Young, en 1801, observa con precisión los fenómenos de interferencia y enuncia el principio de las interferencias, pero su obra, de carácter más bien empírico, pasa al principio un poco desapercibida. Por la misma época, Malus observa, sin esclarecerlos por completo, ciertos fenómenos de polarización. Quedó así abierto el camino para un nuevo avance de la teoría. Fue debido al genio de Agustín Fresnel (1788-1827), que rechaza la concepción corpuscular, defendida todavía con talento y autoridad por Laplace y Biot. Recogiendo las concepciones ondulatorias de Huygens, Fresnel las completa con la interpretación de la propagación rectilínea y da razón de los fenómenos de interferencia y de difracción, haciendo al propio tiempo un extenso estudio experimental de ellos. Triunfa de sus contradictores, especialmente de Poisson, verificando la exactitud de las previsiones más paradójicas de la teoría ondulatoria. Algún tiempo después, Fresnel, desarrollando una sugestión de Young, introduce la idea de la transversalidad de las ondas luminosas y de su polarización. Esto le permite desarrollar su magnífica teoría de la intensidad de la reflexión y de la refracción. El período que sigue a la muerte de Fresnel marca el triunfo progresivo de estas ideas. La experiencia de Fizeau y de Foucault (1850), que por una medida directa prueba que la velocidad de la luz en el agua es inferior a su velocidad en el vacío, parece aportar una prueba crucial a favor de la teoría de las ondulaciones.
Pero la concepción de las ondas, a pesar de triunfar en el plano experimental, experimentaba en el plano teórico las mayores dificultades para constituir una teoría mecánica completa de las vibraciones del éter. A pesar de los esfuerzos de un gran número de grandes teóricos (Poisson, Green, Mac Cullagh, F. Neumann, y más tarde lord Kelvin, Cari Neumann, lord Rayleigh, Kirchhoff), jamás logró constituirse completamente una doctrina coherente de las vibraciones del éter. Hacia 1870 la concepción ondulatoria se desarrolló en una forma completamente distinta, que implica una renuncia mucho mayor a toda representación intuitiva. Hacia esta época, en efecto, James Clerk Maxwell, precisando las ideas de Faraday, crea la teoría electromagnética. La teoría de Maxwell descansa toda ella sobre la noción bastante abstracta del campo electromagnético, y toda tentativa de reducir esta noción a la de un estado de un medio hipotético (éter electromagnético), ha fracasado finalmente. Maxwell ha mostrado que la luz puede ser incluida en la categoría general de las perturbaciones electromagnéticas. Gracias a esta visión genial, ha absorbido toda la óptica en la teoría electromagnética. Desde este punto de vista nuevo, más formal que el de Fresnel, la naturaleza ondulatoria de la luz se expresa simplemente por el hecho de que los campos electromagnéticos de la onda luminosa son ciertas funciones periódicas de las coordenadas espaciales y del tiempo.
Toda teoría completa de los fenómenos ópticos supone el conocimiento de las leyes de interacción entre la luz y la materia, puesto que no puede estudiarse la luz sino por el intermedio de sus acciones sobre la materia. Una teoría completa de esta especie, buscada ya por los promotores del éter elástico, no existió verdaderamente sino gracias al desarrollo de la teoría electrónica por H. A. Lorentz. Introduciendo la noción de electrón y la ley de interacción del campo electromagnético con los electrones, Lorentz y sus émulos han podido buscar las diversas maneras cómo la materia reacciona cuando es recorrida por una onda electromagnética luminosa. Precisando y extendiendo considerablemente los resultado fragmentarios de las teorías anteriores, la teoría electrónica ha podido obtener nuevamente las fórmulas de dispersión, las leyes de la absorción de la luz en los cuerpos extintores, y las de los diversos efectos magneto- ópticos y electro-ópticos, etc. Es bien conocido su éxito en la interpretación del efecto de Zeeman normal. Pero esta fructuosa tentativa de análisis de las interacciones entre la materia y las radiaciones ha venido a tropezar con dificultades completamente imprevistas, cuando ha descendido al detalle de los fenómenos. La teoría electromagnética, completada por la electrónica de Lorentz, ha venido a chocar, en efecto, en el dominio atómico, con los quanta, y la naturaleza misma de la luz ha quedado nuevamente convertida en problema.
* * * *
La teoría electromagnética y electrónica de las interacciones entre la materia y la radiación conduce a resultados inexactos, por lo que concierne al equilibrio térmico. Suministra, en efecto, una ley de repartición espectral para la radiación de equilibrio térmico (ley de Rayleigh) que se halla en contradicción con los resultados experimentales para las altas frecuencias y que, en un sentido, es absurda, porque lleva a atribuir un valor infinito a la densidad total de energía. Planck ha evitado estas consecuencias molestas de la teoría clásica, introduciendo la idea completamente nueva de que la materia no puede emitir energía radiante sino por quanta iguales a hν, siendo v la frecuencia emitida y h una nueva constante universal. La hipótesis de Planck entraña la consecuencia de que la materia no puede perder energía sino por cantidades finitas. Esto no implicaba necesariamente una estructura discontinua de la radiación, una vez emitida, porque, por lo que concierne a la absorción de la radiación por la materia, la teoría podía desarrollarse de dos modos diferentes. Una primera actitud, en cierto modo la más franca y la que triunfó por ello, consiste en suponer que los elementos de la materia no pueden tomar sino ciertos estados cuantificados de energía; de donde resulta que, tanto por lo que concierne a la absorción como a la emisión, los canjes entre energía y materia se realizan por quanta.
Pero resulta entonces necesariamente que la radiación tiene una estructura discontinua. Reculando ante esta consecuencia temible de sus propias ideas, Planck realizó durante mucho tiempo los mayores esfuerzos para desarrollar una segunda forma menos radical de la teoría de los quanta, en la cual sólo la emisión sería discontinua, mientras que la absorción permanecería continua. La materia seria capaz de acumular de un modo continuo una parte de la energía radiante que cayera sobre ella, pero no podría emitirla más que a borbotones y por cantidades finitas. Se comprende fácilmente el objetivo de los esfuerzos de Planck: quería salvaguardar la naturaleza continua de la radiación, porque sólo esta continuidad parecía poder conformarse con la teoría de las ondas apoyada en éxitos innumerables. A pesar de toda la ingeniosidad aportada por Planck al desarrollo de esta segunda forma de la teoría de los quanta (zweite Fassung der Quantentheorie), ésta ha sido desmentida por el progreso ulterior de nuestros conocimientos.
Una etapa esencial de este progreso fue el descubrimiento del efecto fotoeléctrico por A. Einstein. El efecto fotoeléctrico está caracterizado por los dos hechos siguientes:
1. Los electrones expulsados de la materia por la acción del efecto fotoeléctrico de una radiación, tienen una energía que depende solamente de la frecuencia de esta radiación;
2. Solamente el número (y en manera alguna la energía) de los fotoelectrones, depende de la intensidad de la radiación incidente. Einstein ha mostrado que estos dos hechos no pueden explicarse sino por un cierto retorno a la concepción corpuscular de la luz, debiendo considerarse toda radiación de frecuencia ν como formada de corpúsculos de contenido energético hν (teoría de los quanta de luz o de los fotones). Esta concepción, apoyada primero en el estudio del efecto fotoeléctrico, y después en diversas consideraciones desarrolladas por Lorentz y Einstein (equilibrio estadístico entre las moléculas de un gas y la radiación de equilibrio térmico ambiente, fluctuaciones de la energía en la radiación negra), ha mostrado la necesidad de aceptar la teoría de los quanta en su primera forma, la más radical.
En efecto, la teoría de los quanta, en su primera forma (erste Fassung), es la que ha triunfado con la teoría atómica de Bohr. Según Bohr, el átomo posee “estados estacionarios” en los cuales no emite radiación y cuando pasa de un estado estacionario a otro (transición cuántica), su energía varía bruscamente en una cantidad finita. Si el átomo sufre una transición con disminución de energía, hay emisión por el átomo de una cantidad finita de energía bajo forma de un quantum hν, de tal suerte que la frecuencia de la radiación emitida es igual al cociente, por la constante h de Planck, de la disminución de la energía del átomo en la transición: es la "ley de frecuencias” de Bohr. Pero bajo la acción de una radiación de frecuencia v, el átomo puede también pasar inversamente de un estado estacionario a otro de energía más elevada, por absorción de un quantum hν, si la diferencia de energía de los dos estados estacionarios es precisamente igual a hν.
Semejante concepción de la emisión y de la absorción de las radiaciones por la materia se halla, evidentemente, en contradicción absoluta con el electromagnetismo de Maxwell-Lorentz. Con él, en efecto, un átomo planetario de Rutherford-Bohr debería emitir constantemente una radiación de frecuencia continuamente variable. Como la mecánica clásica, el electromagnetismo clásico se muestra igualmente inexacto en el dominio de lo extremadamente pequeño. Sin embargo, tiene que existir un cierto acoplamiento cuando se pasa de lo extremadamente pequeño a lo macroscópico, como aconteció en Mecánica. Es ésta una idea claramente enunciada por Bohr en 1916, algunos años después del desarrollo de su teoría atómica, bajo la forma de «principio de correspondencia». Bohr parte de la observación de que para los números cuánticos muy grandes, para los cuales la diferencia de energía entre estados estacionarios consecutivos tiene a convertirse en infinitamente pequeña y a restablecerse la continuidad, las frecuencias previstas por la teoría cuántica se confunden con las previstas por la teoría clásica. Admite, entonces, que las intensidades de emisión y las polarizaciones calculadas por la teoría clásica deben continuar siendo exactas en este dominio para la teoría cuántica; después, por una extrapolación audaz, admite que, incluso para los pequeños números cuánticos, las indicaciones de la teoría clásica son todavía utilizabas en una cierta medida. El principio de correspondencia de Bohr ha prestado grandes servicios hace unos quince años, permitiendo obtener, dentro del cuadro de la teoría de los quanta, tal como entonces se conocía, previsiones para las intensidades y las polarizaciones. Ha permitido, en particular, establecer “reglas de selección”, es decir, prever cuáles son, de entre las rayas espectrales previstas por la ley de frecuencias de Bohr, aquellas cuya intensidad es diferente de cero, y que, por tanto, son realmente observables.
Desde hace algunos años, se ha desarrollado la mecánica ondulatoria. El doble aspecto corpuscular y ondulatorio bajo el cual se nos presenta la radiación, ha servido de guía para constituir esta nueva mecánica, cuya idea esencial es admitir también para la materia una doble naturaleza corpuscular y ondulatoria. Es la óptica la que ha servido de guía para la construcción de la mecánica ondulatoria. Y, sin embargo, ha acontecido una cosa muy curiosa: la mecánica ondulatoria, por lo menos en su forma no relativista, ha llegado rápidamente a un alto grado de desarrollo, mientras que la teoría dualista de la luz (teoría de los fotones y de las ondas de Fresnel) ha quedado muy atrasada. Esto se debe, en gran parte, a que una teoría de la luz tiene que ser necesariamente relativista, puesto que las correcciones de relatividad en la dinámica de un corpúsculo son tanto más importantes cuanto más próxima es la velocidad de este corpúsculo de la de la luz. Las teorías elaboradas en estos últimos años para cuantificar el campo electromagnético de manera que se introduzcan en él los fotones (teoría de Dirac y teoría cuántica de los campos, de Heisenberg y Pauli), no son enteramente satisfactorias y no tienen un carácter definitivo. Para tratar los problemas de las interacciones entre la materia y la luz, la mayoría de las veces no se ha hecho sino utilizar una extensión del principio de correspondencia. La nueva Mecánica se presta, en efecto, a un enunciado del principio de correspondencia, más preciso que los que permitía la antigua teoría de los quanta. Para llegar a él, se amalgaman las nociones electromagnéticas clásicas y las magnitudes de la mecánica ondulatoria. El procedimiento es un poco torpe: no da razón de la doble naturaleza de la radiación y deja un poco en sombras la idea del fotón. Sin embargo, se han podido obtener, por este camino, resultados interesantes y elaborar imágenes teóricas probablemente provisionales, pero seguramente útiles, de un cierto número de fenómenos de interacción entre materia y luz.
§ 9. Caminos viejos y perspectivas nuevas en la teoría de la luz
La historia de las teorías de la luz es una de las ramas más apasionantes de la historia de la Física. En ninguna parte como en la lucha varias veces secular entre la concepción corpuscular y la concepción ondulatoria de la luz, se ha mostrado mejor cómo dos hipótesis contradictorias, sugeridas por hechos experimentales, pueden contener ambas una parte de verdad y cómo el progreso de la ciencia se realiza frecuentemente por una síntesis de puntos de vista opuestos. Y esta larga historia no ha terminado aún porque la teoría de la luz, después de haber contribuido poderosamente a inspirar las nuevas teorías dualistas de la materia, se halla hoy en retraso, respecto de ésta, y está llamada, sin duda alguna, a sufrir todavía muchas transformaciones y evoluciones.
* * * *
La teoría corpuscular de la luz reposa sobre ciertos hechos simples, conocidos, por así decirlo, en todo tiempo: la propagación rectilínea y la reflexión. Daba de ellos una interpretación intuitiva e inmediata. Y así muchos grandes científicos, a cuya cabeza figura Isaac Newton, la han sostenido en el transcurso de los siglos pasados.
Sin embargo, la teoría corpuscular ha encontrado siempre en su camino, desde la época de Newton, un enorme obstáculo:
la existencia de fenómenos de interferencia y de difracción. Newton había descubierto ya el fenómeno de los anillos coloreados que lleva su nombre; y desarrolló, para interpretarlo, su “teoría de los accesos”, que durante mucho tiempo ha dado la impresión de una concepción complicada e híbrida, y que en cambio hoy nos parece más bien un presentimiento genial de las doctrinas actuales. Pero ha sido menester esperar a las investigaciones experimentales sobre la difracción y las interferencias, realizadas a comienzos del siglo último por Young y Fresnel, y al esfuerzo teórico que lleva asociado el nombre de Agustín Fresnel, para ver el triunfo de la concepción de las ondas durante un largo período. Fresnel, repitiendo y completando los razonamientos de Christian Huygens, que había sido desde el siglo XVII el campeón de la teoría ondulatoria, pudo mostrar que esta teoría explica a la vez la propagación rectilínea, la reflexión, la refracción en sus diversas modalidades, la difracción y las interferencias. Seguramente, para la propagación rectilínea y la reflexión, la imagen dada por la teoría ondulatoria es mucho menos sencilla e intuitiva que la suministrada por la concepción corpuscular; pero para la refracción, la teoría ondulatoria lleva ventaja, y para las interferencias y la difracción es la única que suministra una buena interpretación. Pero este admirable físico que fue Agustín Fresnel nos ha suministrado también otro precioso conocimiento acerca de la luz, el de los fenómenos de polarización, desenmascarando así un carácter de simetría fundamental de la onda luminosa. La onda luminosa tiene que estar caracterizada no por una “variable luminosa” de carácter escalar, sino por un vector vibrante que, en el caso sencillo de una onda plana monocromática en el vacío o en un medio isótropo, está situado en el plano de onda normal a la dirección de propagación. Fresnel ha construido sobre la idea de la polarización de la luz, la teoría de la intensidad de la reflexión sobre la superficie de separación de dos cuerpos y la de la propagación de la luz en los medios anisótropos, teoría que la experiencia ha confirmado admirablemente y que se encuentra casi literalmente en todas las obras modernas.
Fresnel había desarrollado la concepción ondulatoria sirviéndose de la imagen de un éter elástico dotado de propiedades que le permiten transmitir solamente vibraciones transversales. Se podían obtener así en campos muy vastos resultados perfectamente de acuerdo con la experiencia, pero no sin dejar de encontrar también dificultades y paradojas. Además no se veía conexión ninguna entre los fenómenos luminosos y los fenómenos electromagnéticos cuyo estudio realizaba entonces inmensos progresos. El descubrimiento hecho por Faraday, hacia 1850, del primer fenómeno magneto-óptico, la rotación del plano de polarización de la luz al atravesar una sustancia en que reina un campo magnético uniforme, llamaba, sin embargo, la atención de los físicos sobre una conexión necesaria entre los dos órdenes de fenómenos. Clerk Maxwell vino a realizar entonces esa admirable síntesis que es la teoría electromagnética de la luz. La vibración luminosa está representada en ella por el vector eléctrico oscilante que se propaga en ondas. Este vector está escoltado por un segundo vector, el vector magnético, igualmente oscilante, el cual en el caso sencillo de la onda plana monocromática en el vacío es igual y perpendicular al primero, estando ambos contenidos en el plano de onda normal a la dirección de propagación. La velocidad de propagación en el vacío es igual a la constante e de las ecuaciones de Maxwell, es decir a la relación de las unidades de carga en los sistemas u. e. s. y u. e. m. Todo esto, ya conocido, está de acuerdo con la experiencia, y la teoría de Maxwell ha dado así a la luz una estructura electromagnética de la que ya no es lícito prescindir.
Pero frente a esta bella síntesis maxwelliana, se ha erguido súbitamente el descubrimiento de fenómenos en que parece revelarse una estructura de la luz totalmente distinta de la de la onda electromagnética. Es, en primer lugar, el efecto fotoeléctrico. La característica esencial de este fenómeno es que una luz de frecuencia v no parece susceptible de entregar su energía a la materia sino por cantidades finitas proporcionales al valor de la frecuencia. En una genial intuición A. Einstein, en 1905, vio en este hecho experimental la necesidad de volver en cierto modo a una concepción corpuscular de la luz; ha supuesto que la luz de frecuencia v está dividida en granos de energía W = hν y esto le llevó en seguida a la ley experimental del efecto fotoeléctrico, que vincula la energía cinética de los electrones expulsados fotoeléctricamente, a la frecuencia de la radiación excitadora.
¿Qué puede dar de sí esta nueva teoría corpuscular cuando se la considera aislada de toda idea de onda? Da, evidentemente, la interpretación inmediata e intuitiva de la propagación rectilínea y de la reflexión. Pero es susceptible de un desarrollo algo mayor, si se aplica al fotón la dinámica de la relatividad, lo cual es evidentemente necesario para un corpúsculo que se desplaza con la velocidad e. Aplicando la dinámica de la relatividad al fotón, se llega a una explicación satisfactoria de la presión de la radiación y de las diversas especies de efectos Doppler. Finalmente la nueva teoría corpuscular obtuvo un gran éxito el día en que se descubrió el efecto Compton. Según es sabido, consiste éste en un rebajamiento de la frecuencia por difusión de una radiación X por la materia: este cambio de frecuencia se interpreta fácilmente admitiendo que el fotón incidente es difundido por un choque contra un electrón primitivamente inmóvil; en el choque, hay transmisión de energía y de cantidad de movimiento del fotón al electrón y por tanto disminución de la energía del fotón, por tanto de la frecuencia si se admite W = hν. La teoría edificada sobre la noción del fotón da razón cuantitativa de los efectos observados.
Sin embargo, a pesar del éxito de la teoría de los fotones en la interpretación de numerosos fenómenos, una concepción puramente corpuscular de la radiación es insostenible. Es, en efecto, incapaz de dar cuenta de las experiencias numerosas y precisas en que se manifiestan la difracción y las interferencias. Toda la obra de Fresnel y de sus continuadores está ahí para impedirnos volver a una pura «teoría de la emisión».
* * * *
Tal es el callejón sin salida en que se encontraba metida la teoría de la luz cuando nació la mecánica ondulatoria. Se puede presentar la idea fundamental de esta teoría bajo la siguiente
forma humorística: la teoría de la luz padecía una extraña enfermedad, que se traducía en el dualismo antagonista de las ondas de Fresnel y de Maxwell por una parte, y de los fotones por otra. Pues bien, para mejorar las cosas se podía intentar la política de lo peor, tratando de comunicar la misma enfermedad a la teoría, hasta ahora indemne de la materia. En el fondo había una razón seria para obrar así: es que la teoría de la materia presentaba también síntomas inquietantes desde hace algunos años. La necesidad de «cuantificar» los movimientos de las partículas de materia, que se había manifestado primero en la teoría de la radiación negra y había conquistado un éxito triunfal en la del átomo de Bohr, indicaba que la existencia del quantum de acción no permitía mantener en el dominio atómico las concepciones y las ecuaciones de la mecánica clásica. La presencia de números enteros en las fórmulas de los quanta, daba a éstas una cierta analogía con las fórmulas de interferencia de la teoría de las ondas y la analogía del principio de la menor acción, clave de bóveda de la mecánica clásica, y del principio de Fermat, clave de bóveda de la óptica geométrica, sugería que la mecánica clásica podía no ser sino un forma aproximativa de una mecánica ondulatoria más general, que desempeñe respecto de ésta el papel de la óptica geométrica respecto a la óptica de las ondas. Así apareció la idea de extender a la materia la dualidad corpuscular que se había impuesto para la luz. Se admitió, pues, en mecánica ondulatoria, que la descripción completa de las unidades materiales no podía hacerse con la sola ayuda de la imagen de los corpúsculos, y que era menester apelar también a la imagen complementaria de las ondas, de modo tal que la correspondencia entre los elementos dinámicos del corpúsculo en movimiento uniforme y las magnitudes «frecuencia» y «longitud de onda» de la onda asociada, estén dadas por relaciones particulares que contienen como caso particular las de la teoría de los fotones. Así apareció una magnífica síntesis en la cual, tanto para la materia como para la luz, es necesario tener en cuenta a la vez, el aspecto corpuscular y el aspecto ondulatorio vinculados entre sí por las mismas relaciones generales. Esta síntesis es tan satisfactoria, se halla tan a la base de la mecánica ondulatoria, que hoy ya no puede abandonarse por nada. Vamos a ver en seguida las dificultades que se encuentran cuando se quiere precisar la asimilación del fotón y de los elementos materiales, pero a pesar de estas dificultades, estoy convencido por mi parte de que sería un extravío tratar de levantar nuevamente una barrera entre la teoría de la materia y la de la luz.
Baste recordar que la idea base de la mecánica ondulatoria ha encontrado su completa confirmación experimental en el descubrimiento de la difracción por los cristales, primero de los electrones y después de los protones y núcleos pesados.
* * * *
La mecánica ondulatoria, al revelar el aspecto ondulatorio de los elementos materiales, y en particular de los electrones, ha acercado indudablemente la teoría de la materia a la teoría de la luz. Pero ¿ha realizado verdaderamente una doctrina «unitaria», de la materia y de la radiación? Bajo su forma primitiva ciertamente no. En primer lugar, esta forma primitiva reposa sobre ecuaciones que no son relativistas. La mecánica ondulatoria primitiva es una promoción de la mecánica newtoniana, no de la mecánica einsteiniana. Es aplicable con seguridad, tan sólo a partículas materiales animadas de velocidades muy inferiores a c y por tanto no es aplicable seguramente al fotón. De aquí que, si se quiere, llegar a una teoría unitaria de la materia y de la luz, es necesario generalizar en sentido relativista la mecánica ondulatoria primitiva.
Otra diferencia que opone la mecánica ondulatoria primitiva a la teoría de la luz es la ausencia, en la primera, de todo elemento de simetría correspondiente a la polarización. También aquí se nota que, para llegar a una teoría unitaria de la materia y de la luz, es menester introducir cierto elemento análogo a la polarización, elemento que está ausente de la forma primitiva de la mecánica ondulatoria.
Finalmente hay que insistir sobre la función especial del efecto fotoeléctrico en la teoría de la luz. Los corpúsculos materiales son susceptibles de canjear por interacción, energía y cantidad de movimiento, pero si bien pueden perder así toda su energía cinética, conservan siempre su energía de masa y no desaparecen jamás. Por el contrario, en el efecto fotoeléctrico, el fotón al contacto de la materia pierde la totalidad de su energía, aniquilándose. Mientras que los canjes de energía y de cantidad de movimiento del fotón y de la materia en fenómenos como el efecto Compton o la reflexión sobre un espejo móvil, son completamente análogos a los canjes por choque entre corpúsculos materiales, el efecto fotoeléctrico presenta un carácter muy diferente sobre el cual jamás se insistirá demasiado. Ahora bien, es menester notarlo especialmente, cada vez que se observa un fenómeno de interferencia o de difracción, es siempre por el intermedio de un efecto fotoeléctrico que se produce, sea en las capas sensibles de la retina, en la observación directa, sea en el espesor de la gelatina, en un registro fotográfico. Si se quieren traducir estos fenómenos por las interferencias de un campo magnético llegado al fotón, el campo electromagnético tendrá que estar íntimamente asociado de un modo esencial a la «transición» entre estados del fotón correspondiente al efecto fotoeléctrico, transición asimilable a un «aniquilamiento» del fotón.
Finalmente hay que señalar todavía otro obstáculo que parece oponerse a la unificación de las teorías de la materia y de la luz, y es el hecho de que los corpúsculos elementales de materia, los electrones por ejemplo, cuando forman un conjunto numeroso, obedecen a la estadística llamada de Fermi-Dirac, mientras que los fotones asociados en conjunto numeroso (radiación negra) obedecen a la estadística de Bose-Einstein. Nos limitamos a mencionar esta dificultad sobre la cual volveremos.
Incapaz de absorber materia y luz en una teoría unitaria, ¿qué ha hecho la mecánica ondulatoria para tratar los problemas de interacción entre materia y radiación? Se ha servido de un método híbrido inspirado en el principio de correspondencia, y en el cual el carácter corpuscular de la luz no aparece de una manera explícita. Aunque este método haya dado muy interesantes resultados, y constituya un buen método aproximativo de previsión de fenómenos, tiene, a mi modo de ver, el gran inconveniente de disimular completamente la simetría de estructura entre la luz y la materia. Está sin duda más próxima a la verdad la teoría de los fotones de Dirac, pero esta teoría no puede tratar más que conjuntos de fotones por el método de supercuantificación, y me parece probable que debe poder tratarse los fenómenos individuales sin servirse de la supercuantificación.
* * * *
Ante todo, para progresar realmente en la teoría de los fotones, era menester dar una nueva forma relativista a la nueva mecánica, introduciendo para el corpúsculo un elemento de simetría como el de la polarización. Ahora bien, esta forma nueva existe desde hace ya unos años: es la teoría del electrón magnético de Dirac. He tenido personalmente una gran satisfacción al ver la aparición de esta teoría del electrón magnético de Dirac, porque me pareció desde un principio que iba a contribuir grandemente a la construcción de una teoría unitaria entre la luz y la materia. Por una parte, en efecto, nos ofrece una mecánica ondulatoria del corpúsculo, tan relativista como pueda serlo una teoría cuántica en el estado actual de la ciencia; con ello se encuentra solventada la primera dificultad antes citada. Además, la teoría de Dirac introduce automáticamente un elemento, el «spin» del electrón, que a primera vista presenta un cierto parentesco con la polarización, lo cual permite por lo menos esperar que llegue a atenuarse la diferencia entre partículas materiales y fotones, debida a la existencia de la polarización de la luz. La teoría de Dirac prevé para el electrón, y más generalmente para toda partícula que obedece a sus ecuaciones, la existencia de un momento magnético propio, y de un momento de rotación propio. Estas propiedades intrínsecas del electrón, de acuerdo con la imagen del electrón magnético de rotación propuesta anteriormente por Uhlenbeck y Goudsmit, permiten dar cuenta de las anomalías del efecto Zeeman y de la estructura fina de los espectros ópticos y Röntgen; y es realmente satisfactorio el que estas propiedades intrínsecas se encuentren automáticamente contenidas en las ecuaciones de Dirac.
No podemos pensar en desarrollar aquí la teoría de Dirac, que exige un aparato matemático bastante complejo, y en precisar todos los éxitos que ha conquistado. Pero tenemos que insistir sobre una particularidad, que al principio fue considerada como una dificultad para la teoría, pero que nos aparece ahora habiéndose vuelto a su favor. Nos referimos al hecho de que las ecuaciones de Dirac admiten soluciones correspondientes para el electrón en estados de movimiento cuya energía sería negativa. Ahora bien, estos estados de movimiento tendrían propiedades sumamente paradójicas (por ejemplo, al frenar un electrón de energía negativa, se aumentaría su velocidad) y es cierto que jamás se ha observado la existencia de semejantes movimientos. Parece, pues, que aquí hay una grave dificultad: la teoría de Dirac es en cierto modo demasiado rica.
Dirac mismo ha sugerido un medio ingenioso para obviar esta dificultad. Observando que según el principio de exclusión de Pauli no puede haber más de un electrón por estado, imagina que todos los estados de energía negativa se hallan normalmente ocupados en el universo. Resulta de aquí una densidad uniforme de estos electrones de energía negativa, y hay que suponer entonces que esta densidad uniforme no es observable. Para dar cuenta de la existencia de electrones observables, se supondrá que existen en el universo más electrones que los necesarios para llenar todos los estados de energía negativa, y que el excedente ocupa estados de energía positiva y constituye el conjunto de electrones denunciables por la experiencia. Pero aquí es donde interviene una idea nueva que ha permitido que esta concepción, un poco artificial a primera vista, conquiste un gran éxito. Nada impide imaginar que, bajo una acción exterior cualquiera, uno de los electrones de energía negativa pueda pasar a un estado de energía positiva: hay entonces aparición simultánea de un electrón denunciable experimentalmente y de un «agujero» en la distribución de los electrones de energía negativa. Ahora bien, Dirac ha mostrado que esta laguna se comporta como un corpúsculo que tuviera la masa del electrón y una carga eléctrica igual y de signo opuesto: es un antielectrón o electrón positivo. Habría, pues, posibilidad, en ciertos casos excepcionales, de crear un «par» formado de un electrón negativo y de un electrón positivo. Esta teoría de los «agujeros» o «lagunas» de Dirac ha recibido recientemente una notable confirmación experimental. Los magníficos trabajos de Anderson, Blacket y Occhialini han mostrado, en efecto, que en condiciones excepcionales se ven manifestarse electrones positivos. Conforme a la concepción de Dirac, estos electrones positivos son inestables en presencia de la materia: se concibe en efecto que si una laguna se encuentra en presencia de un electrón negativo, éste podrá llenar la laguna gracias a una transición acompañada de radiación, y habrá entonces para el experimentador desaparición simultánea de dos electrones de signo contrario.
Una idea general se desprende de lo que precede: a todo corpúsculo que obedece a las ecuaciones de Dirac (con valores cualesquiera para la carga y para la masa), debe corresponder un anticorpúsculo que es, respecto al corpúsculo, lo que el electrón positivo respecto al electrón negativo.
* * * *
Volvamos a nuestros fotones. Para obtener una teoría unitaria de la materia y de la luz, la idea más sencilla sería asimilar el fotón a un corpúsculo que obedece a las ecuaciones de Dirac, pero con una carga eléctrica y una masa propia nulas (o por lo menos completamente despreciables incluso respecto del electrón). El fotón no tendría entonces una energía apreciable que permitiera ser denunciada experimentalmente, más que cuando tuviera la velocidad c o por lo menos una velocidad indiscernible de c.
Pero hay, a priori, una objeción grave contra la identificación del fotón con un corpúsculo de Dirac. Se admite hoy, en efecto, que un corpúsculo elemental que tenga las propiedades del electrón de Dirac está sometido a la estadística de Fermi, al igual que toda partícula compleja formada de un número impar de tales corpúsculos; por el contrario, las partículas complejas formadas de un número par de corpúsculos de Dirac, obedecen a la estadística de Bose-Einstein. Ahora bien, los fotones obedecen a la estadística de Bose: esto es innegable, porque, si no fuera así, no se podría tener la ley de Planck para la radiación negra: los fotones deben estar formados, pues, por un número par de corpúsculos elementales.
A esta primera objeción, que se presenta desde un principio cuando se trata de asimilar el fotón a un corpúsculo de Dirac, se agregan otras todavía si se quiere desarrollar algo la teoría. Sin entrar aquí en detalles, diremos que un fotón así constituido no tendría, en cierto modo, sino la mitad de la simetría necesaria para que se le pudiera vincular un campo electromagnético luminoso del tipo de Maxwell. Un corpúsculo de Dirac no puede suministrarnos sino un semifotón.
Ocurre, pues, la idea de considerar al fotón como formado de dos corpúsculos de Dirac. Pero sabemos que la teoría de Dirac, completada por la concepción de las lagunas expuesta más arriba, hace corresponder al electrón negativo un antielectrón positivo. Mas, generalmente, a todo corpúsculo que obedece a las ecuaciones de Dirac se puede hacer corresponder un anticorpúsculo definido como una laguna en una de distribución de energía negativa. Es tentador, entonces, representarse el fotón como formado de un corpúsculo de carga y masa despreciables, que obedece a las ecuaciones de Dirac y asociado a un anticorpúsculo de igual naturaleza. Esta hipótesis, a la que hemos llegado últimamente, es muy atractiva. Se concibe, en efecto, que un fotón constituido de esta manera, tiene que ser susceptible de aniquilarse en presencia de la materia cediéndole toda su energía, y este aniquilamiento corresponde a una transición cuántica en la cual el corpúsculo contenido en el fotón viene a llenar la laguna que le acompaña. Esta transición de aniquilamiento constituiría el efecto fotoeléctrico, cuya importancia fundamental desde el punto de vista teórico, hemos señalado más arriba; y el campo electromagnético, asociado al fotón, tendría, pues, que ser definido en función de esa transición. Puede mostrarse, en efecto, que es posible vincular a esta transición de aniquilamiento un campo electromagnético completamente análogo al que define la onda luminosa en la concepción de Maxwell. Hay aquí una circunstancia animadora. Además, como se supone ahora que el fotón está formado de un corpúsculo y de un anti-corpúsculo, definidos ambos por ecuaciones de Dirac, resultará que el fotón tendrá que seguir la estadística de Bose-Einstein, de acuerdo con la experiencia.
Para construir un fotón, según el esquema que acabamos de indicar, tenemos necesidad de admitir la existencia de corpúsculos que obedecen a las ecuaciones de Dirac y que poseen una carga eléctrica y una masa propia, nulas o por lo menos despreciables, ante la ya muy pequeña del electrón. Ahora bien, existen ya algunas indicaciones a favor de la existencia de esta nueva entidad física. En el proceso de emisión de los rayos X, por el núcleo de los cuerpos radiactivos, la conservación de la energía no se cumple, por lo menos en apariencia. Se puede entonces sacrificar alegremente el principio de conservación, por lo que concierne a los fenómenos nucleares: es la solución apoyada por Bohr con toda su gran autoridad. O bien se puede suponer que la emisión de los rayos $ por núcleos radiactivos va acompañada de la emisión de un nuevo género de partículas, emisión muy difícil de observar experimentalmente en razón de su débil acción sobre la materia; la energía llevada por estas partículas escaparía, pues, al control experimental, por lo menos con los medios actuales, y esta hipótesis permitiría salvar el principio de la conservación de la energía. Esta idea ha sido emitida hace ya algún tiempo, por Pauli; y Fermi ha designado el nuevo género de corpúsculos, así sospechados, con el nombre de «neutrino». La existencia del neutrino se ha hecho más verosímil después de un cierto número de trabajos recientes, sin que se pueda entrever aún, por lo demás, el medio de establecerlo por observaciones directas. Francisco Perrin y Fermi han mostrado que el neutrino, si existe, debe tener una masa propia nula o, por lo menos, despreciable respecto de la del electrón. Sin embargo, el neutrino no sería identificable con el fotón, porque habiendo escapado hasta ahora a la captura experimental, debe de tener una acción muy débil sobre la materia, es decir, no debe tener campo electromagnético. Esto sugiere, naturalmente, la idea de identificar el neutrino con el corpúsculo de masa nula que constituye el fotón. El neutrino sería, pues, en cierto modo, un semifotón. Aislado, es decir, no acompañado de un antineutrino, no tendría ningún campo electromagnético porque no podría aniquilarse por el efecto fotoeléctrico. Pero, unido a un antineutrino, formaría un fotón y poseería un campo electromagnético de tipo maxwelliano.
No vamos a disimular todo lo que hay todavía de hipotético en estas concepciones y cuántas cuestiones de difícil solución hacen surgir. Antes de poder ser aceptadas tienen que someterse a un detenido examen. Sin embargo, nos parece probable que si algún día se construye una teoría satisfactoria de la naturaleza del fotón, presentará rasgos semejantes a la imagen que acabamos de trazar.
* * * *
El gran antagonismo entre las concepciones ondulatorias y corpusculares en la teoría de la luz, avivado por el descubrimiento del efecto fotoeléctrico, ha parecido terminar en una vasta síntesis al descubrirse la mecánica ondulatoria. Ondas y corpúsculos han aparecido entonces, tanto para la luz como para la materia, como dos caras complementarias de una misma realidad física. Parecía entonces que tocábamos una teoría unitaria de la materia y de la radiación que amalgamaba ondas y corpúsculos. En realidad no se ha constituido aún esta teoría unitaria. La mecánica ondulatoria, tal como se había desarrollado para la materia, con brillantes éxitos, no tenía ni los caracteres relativistas ni los elementos de simetría necesarios para permitirle englobar la luz. La teoría del electrón magnético de Dirac ha constituido un progreso muy importante, porque ha introducido en mecánica ondulatoria la invariancia relativista por una parte, y por otra elementos de simetría que recuerdan la polarización de la luz. Sin duda, apoyándose sobre esta teoría de Dirac, es como se llegará a una teoría unitaria de la materia y de la radiación. Los descubrimientos recientes, que nos han hecho conocer nuevas entidades físicas (electrones positivos y neutrones de que no hemos hablado en este artículo), o que nos han hecho presentir otros (neutrinos), suministrarán, sin duda, los materiales necesarios para comprender la naturaleza del fotón. La teoría de la luz, cuya historia es ya tan larga y tan apasionante, tiene todavía por delante un gran camino que recorrer.
§ 10. Un ejemplo de síntesis sucesivas en física: las teorías de la luz
Para llegar a esclarecer cómo procede el espíritu humano ante los innumerables hechos que se le presentan cuando quiere coordinar el interpretar los fenómenos de la naturaleza, es instructivo elegir como ejemplo una categoría particular de fenómenos y perseguir, a través de la historia de la ciencia, cómo se han construido y transformado las concepciones que el hombre ha adoptado sucesivamente para representarlos y agruparlos. Se ve entonces que una de las grandes dificultades con que las teorías científicas tropiezan en su camino es la siguiente: la misma entidad física, aun siendo indiscutiblemente una en su naturaleza profunda, puede presentarse a nosotros bajo aspectos tan diversos que para describirlos nos vemos forzados a hacernos sucesivamente concepciones diferentes y a veces opuestas de la entidad física en cuestión. A medida que el trabajo de generaciones sucesivas de investigadores hace conocer un creciente número de fenómenos, se puede ir clasificándolos progresivamente en grupos distintos, cada uno de los cuales exige que la descripción completa de la entidad física estudiada contenga tal o cual rasgo característico; y a veces la situación se hace trágica cuando se ve que las diversas características de la entidad, reveladas sucesivamente por los diversos grupos de fenómenos, no parecen conciliables en el seno de una misma teoría de conjunto. Sin embargo, el postulado que sirve de base a todas las investigaciones científicas, el acto de fe que ha sostenido siempre a los científicos en sus incansables intentos de explicación, consiste en afirmar que, haciendo el penoso sacrificio de ideas admitidas durante mucho tiempo o de concepciones muy duraderamente útiles, tiene que ser posible a veces llegar a una visión sintética que reúna todas las teorías parciales sugeridas por los diversos grupos de fenómenos y que las contenga a todas, a pesar de su aparente oposición. Así es como se manifiesta claramente, con todas sus dificultades, sus fracasos pasajeros, y también con sus resonantes triunfos, el esfuerzo sintético y unificador de la ciencia teórica que trata de reducir a una especie de unidad intelectual la complejidad inmensa de los hechos.
La historia de las teorías de la luz nos ofrece un maravilloso ejemplo de las circunstancias de que acabo de hablar. Esta historia se halla dominada por la lucha secular entre la concepción corpuscular y la concepción ondulatoria de la luz. Ciertos fenómenos nos hacen considerar a la luz como formada de granos en movimiento rápido, y atribuirle así una estructura discontinua; otros, por el contrario, hacen pensar que la luz es comparable a una onda que se prepara en un medio elástico y en que la energía se extiende continuamente sobre una superficie de onda continua. Cosa curiosa, un cierto número de fenómenos parecen «dudar», por así decirlo, en decidirse: se dejan interpretar lo mismo por una que por otra de las concepciones adversas: permanecen «neutrales» en la batalla. Se sabe que esta batalla pareció ganada al principio por la teoría ondulatoria, pero volvió todo a convertirse en cuestión al descubrirse la estructura cuántica discontinua de la luz, y fue menester buscar una teoría sintética que permitiera conciliar las ondas y los corpúsculos. La mecánica ondulatoria ha venido a ayudarnos. Pero la mecánica ondulatoria no ha sabido realizar, desde el punto de vista de la teoría de la luz, una síntesis tan completa como se hubiera podido creer al principio. La razón está en que además de los fenómenos de carácter corpuscular y de los fenómenos ondulatorios, así como de los fenómenos que quedan neutrales en la lucha entre las dos concepciones opuestas, hay también otros grupos de fenómenos que imponen a la luz características particulares: son, por un lado, los fenómenos 4 de polarización, y por otro, los fenómenos electro-ópticos, que muestran que la luz tiene una naturaleza electromagnética. Se sabe que estas propiedades de la luz han sido incorporadas a la teoría ondulatoria merced a oportunos retoques. Por lo que concierne a la polarización, Fresnel la hizo entrar en la teoría ondulatoria admitiendo que la vibración luminosa es transversal y no longitudinal como lo había admitido al principio siguiendo a Huygens: en otros términos, representó la luz por un vector contenido en el plano de onda, en lugar de representarla por una cantidad escalar, una «variable luminosa», como se había dicho anteriormente. En cuanto al carácter electromagnético de las ondas luminosas, fue genialmente presentido por Maxwell gracias a su interpretación electromagnética de la teoría ondulatoria de la luz, y hechos innegables han venido a establecer lo bien fundado de sus intuiciones. La mecánica ondulatoria bajo su forma primitiva no contiene elemento alguno análogo a la polarización de la luz; tampoco permite, en modo alguno, vincular a un corpúsculo un campo electromagnético análogo al campo electromagnético luminoso de Maxwell. He aquí por qué la mecánica ondulatoria no ha podido realizar una teoría sintética completa de la luz; ha podido, ciertamente, explicar cómo el punto de vista de las ondas y el punto de vista de los corpúsculos tienen que coexistir en la explicación de los fenómenos luminosos, pero ha conducido a una teoría análoga a la de la variable luminosa de Fresnel y no da cuenta ni de la polarización ni del carácter electromagnético de la luz. La magnífica teoría del electrón magnético debida a Dirac, que completa la mecánica ondulatoria, atribuyendo a los corpúsculos elementales propiedades mecánicas y electromagnéticas nuevas (el spin y el electromagnetismo propio), ha suministrado precisamente a la nueva mecánica los elementos que le faltaban para poder constituir una teoría completa de la luz, que dé cuenta a la vez de todos los aspectos sucesivamente descubiertos en esta entidad física. Aunque esta teoría completa no se haya constituido aún enteramente, hay muchos motivos para esperar que no se está hoy muy lejos de ella, como lo indicaré al terminar esta exposición.
* * * *
Vamos ahora a volver al estudio detallado de las teorías sucesivas de la luz. Para esto podría seguirse el orden cronológico de la aparición de estas teorías. Me parece más interesante mostrar cómo los fenómenos ópticos se dividen en cinco grandes grupos, a los cuales corresponden las diversas formas sucesivas de las doctrinas teóricas adoptadas por los físicos, para representar las propiedades de la luz.
La primera categoría de fenómenos luminosos conocida por los hombres, juzgada con nuestros actuales conocimientos, constituye lo que he llamado «fenómenos neutrales»; son los que se interpretan con igual facilidad por la concepción corpuscular de la luz que por la concepción ondulatoria. Son, en primer lugar, la propagación rectilínea que se expresa por la existencia de rayos de luz y de la reflexión sobre los espejos, fenómenos simples cuya interpretación corpuscular, gracias a la imagen de granos que obedecen al principio de inercia y son susceptibles de reflejarse elásticamente sobre las obstáculos, es inmediata y evidente. Además, su interpretación ondulatoria, aunque algo más oculta, es también perfectamente satisfactoria, como lo muestran la construcción de Huygens para la reflexión, y los razonamientos célebres y decisivos de Fresnel para la propagación rectilínea. Así, para la interpretación de estos dos fenómenos simples y fundamentales, la teoría ondulatoria y la teoría corpuscular están en pie de igualdad, y son ambas aceptables, pero desde el punto de vista de la simplicidad, la interpretación corpuscular triunfa claramente sobre la otra. Hay inmediatamente el fenómeno de la refracción, que también es conocido, por lo menos cualitativamente, desde una época muy remota, y que ha encontrado su expresión cuantitativa, gracias a los trabajos de Snell y de Descartes. Este fenómeno es también «neutral», porque puede interpretarse con igual facilidad en la concepción corpuscular y en la teoría ondulatoria, por ejemplo, todavía con la construcción de Huygens. Sin embargo, hay aquí una importante diferencia entre las previsiones de las dos teorías, porque la teoría ondulatoria define el índice de refracción tal como interviene en las leyes de Descartes, como siendo la relación entre la velocidad de propagación de la luz en el vacío y su velocidad de propagación en el medio refringente considerado, mientras que la teoría corpuscular define el índice de refracción por la relación inversa. Durante mucho tiempo se ha ignorado el valor exacto de las velocidades de propagación, de suerte que las dos definiciones podían ser consideradas como aceptables, pero hacia mediados del siglo XIX, el progreso de la técnica experimental ha permitido a Fizeau y a Foucault medir las velocidades de la luz en diferentes medios; estas experiencias han probado que la velocidad de propagación en los medios refringentes de índice superior a uno (cristal, agua, etc.) es menor que la velocidad de la luz en el vacío, y pareció así que aportaron una prueba crucial a favor de la teoría ondulatoria de la luz. Ahora bien; una nueva discusión de estos resultados llevada a cabo hoy, a la luz de la mecánica ondulatoria, muestra que se puede solamente deducir de esas experiencias un argumento contra una teoría corpuscular de la luz, basada sobre la antigua mecánica de Newton, pero no contra una teoría corpuscular basada sobre las ideas de las nuevas mecánicas. Esto muestra, sea dicho de paso, cómo el presunto carácter decisivo y crucial de ciertas experiencias depende de la validez de las teorías que se emplean para interpretarlas. El fenómeno de la refracción entra, pues, en fin de cuentas, en la categoría de los fenómenos neutrales, pero aquí la interpretación ondulatoria tiene una cierta ventaja. Pueden añadirse todavía al grupo de los fenómenos neutros otros fenómenos menos fácilmente observables y cuyo descubrimiento es más reciente: tales como la presión de la radiación y los diversos efectos Doppler. A condición de aplicar a los corpúsculos de luz la dinámica relativista, cosa que hoy se impone naturalmente, se da razón perfecta de estos hechos con la imagen corpuscular. Por lo demás, es bien conocido que la teoría ondulatoria los explica con igual perfección; son, pues, fenómenos neutrales. Finalmente, la repartición espectral de la energía en la radiación de equilibrio térmico, expresada por la célebre ley de Planck, entra también en la misma categoría, porque, por una parte, se puede obtener la ley de Planck como representando la repartición de las energías en un gas de corpúsculos de luz en equilibrio térmico, a condición de aplicar un método estadístico apropiado, el de Bose-Einstein, mientras que, por otra parte, se puede obtener esta misma ley por un razonamiento clásico especialmente debido a Jeans, como expresando la repartición de la energía luminosa cuantificada entre las diversas ondas estacionarias monocromáticas que pueden establecerse en el recinto considerado. Sin embargo, aquí hay siempre una especie de mezcla más o menos confesada entre imágenes ondulatorias y corpusculares, que no puede justificarse verdaderamente sino introduciendo las ideas sintéticas de la mecánica ondulatoria.
He aquí, pues, una amplia clase de fenómenos luminosos que pueden interpretarse indiferentemente con ayuda de la concepción de las ondas o con la de los corpúsculos. Vengamos a una segunda categoría de fenómenos luminosos, que pueden considerarse como específicamente ondulatorios. Son esencialmente los fenómenos de interferencia y de difracción. Los más antiguamente conocidos de estos fenómenos son los descubiertos por Newton (anillos de Newton), quien para interpretarlos se vio forzado a completar su concepción granular de la luz por la introducción de elementos periódicos, dando así en esta «teoría de los accesos» una especie de prefiguración de la síntesis que debía realizar dos siglos más tarde la mecánica ondulatoria. Pero fueron, esencialmente, Young y Fresnel quienes, a comienzos del siglo XIX, descubrieron la inmensa clase de fenómenos de interferencia y de difracción. Agustín Fresnel, tomando y completando, con toda la amplitud de su genio, las ideas emitidas por Huygens 150 años antes, da cuenta del conjunto de estos fenómenos con la primera forma de su teoría de las ondas luminosas, en la cual la luz, asimilada a una onda elástica longitudinal, está representada por una magnitud escalar, la variable luminosa. La teoría ondulatoria escalar de Fresnel interpreta los fenómenos específicamente ondulatorios de interferencias y de difracción descubiertos hacía poco, y también todo el conjunto de los fenómenos neutrales (propagación rectilínea, reflexión, refracción), conocidos desde hacía tiempo. Todo esto es perfectamente conocido, y se encuentra hoy en todos los libros de óptica física.
Pero Fresnel tuvo que ir pronto mucho más lejos para englobar una gran tercera clase de hechos, aquellos en que interviene la polarización de la luz. La polarización de la luz, encontrada ya incidentalmente por Bartholin, en 1660, y por Huygens, hacia 1690, en sus experiencias sobre el espato de Islandia, fue definitivamente evidenciada por Malus, en 1810, y cuidadosamente estudiada después por los físicos de la época, y en particular por Fresnel mismo. Estos fenómenos en que interviene la polarización de la luz, los designaremos aquí con el nombre de fenómenos luminosos: «vectoriales». Indican todos que la luz no tiene, en general, las mismas propiedades en todos los azimuts en torno a su dirección de propagación y que un haz luminoso cualquiera puede descomponerse merced a dispositivos apropiados, en haces que poseen simetrías diferentes. En el caso de un haz polarizado rectilíneamente, la luz tiene que estar caracterizada en el vacío por un vector que vibra en una dirección fija perpendicular a la dirección de propagación, es decir, en suma, por una dirección desprovista de sentido, situada en el plano de onda. Introduciendo esta concepción vectorial de la luz en la teoría ondulatoria, Agustín Fresnel, en una forma más acabada de su doctrina, ha atribuido a la onda luminosa el carácter de una onda transversal y ha explicado así completamente todos los fenómenos de polarización. Especialmente, ha deducido de ellos su bella teoría de la propagación de la luz en los medios anisótropos, que se encuentra casi sin modificaciones en todos los tratados actuales. Una de las características más notables de la teoría de Fresnel, es la hipótesis de que las vibraciones luminosas son necesariamente transversales, sin lo cual existiría una luz transversal y una luz longitudinal de propiedades muy diferentes, cosa que no acontece. Esta necesaria transversalidad de la luz se explica matemáticamente por el hecho de que el vector luminoso tiene una divergencia nula. En la teoría mecánica de la luz, en la cual Fresnel y sus continuadores trataron de asimilar la vibración luminosa a la vibración de un medio elástico hipotético, el éter que penetraría todos los cuerpos, esta relación de divergencia nula significa que este medio tiene una rigidez infinita. Esta consecuencia difícilmente compatible con el hecho de que los cuerpos celestes no están frenados en su movimiento a través del éter, ha constituido una de las grandes dificultades de esta interpretación mecánica de la teoría vectorial de las ondas luminosas. Esta interpretación mecánica está hoy abandonada desde hace tiempo; no vamos a hablar, pues, más de ella. Pero observaremos que la teoría ondulatoria vectorial de Fresnel ha constituido una espléndida síntesis, porque ha permitido explicar, a la vez, los fenómenos neutros, los fenómenos específicamente ondulatorios y los fenómenos de polarización de carácter vectorial, es» decir, en suma, el conjunto de hechos, relativos a la luz, conocidos desde hace un siglo.
Pasemos ahora a una cuarta categoría de fenómenos luminosos, cuyo descubrimiento remonta a mediados del siglo último. En 1846, Faraday descubrió el efecto que lleva su nombre: la rotación del plano de polarización de la luz al propagarse en un cuerpo refringente, bajo el efecto de un campo magnético. Este descubrimiento tuvo, en su época, una importancia capital porque demostraba, por vez primera, la existencia de una conexión entre los fenómenos electromagnéticos y los fenómenos ópticos, reuniendo así dos dominios, en apariencia extraños. Algunos años más tarde, guiado por los trabajos de Faraday, John Clerk Maxwell desarrollaba su célebre teoría electromagnética. Tratando de resumir, analíticamente, el conjunto de hechos entonces conocidos en electricidad y en magnetismo, Maxwell escribió las ecuaciones que traducen en lenguaje matemático las leyes de la inducción, las de la creación de los campos eléctricos por las cargas y de los campos magnéticos por las corrientes, así como la existencia del magnetismo verdadero. Escrito este sistema de ecuaciones, es el primero en darse cuenta de que este sistema no es satisfactorio, porque lleva a dificultades, por lo que concierne a la conservación de la electricidad y a la diferencia entre los circuitos abiertos y los circuitos cerrados. Por una intuición genial, completa entonces este sistema añadiéndole términos que, según creía, representaban una cierta «corriente de desplazamiento» existente hasta en el vacío, y cuya intervención deroga la diferencia entre los circuitos abiertos y los circuitos cerrados. Habiendo obtenido así un sistema satisfactorio de ecuaciones electromagnéticas, comprueba que, según estas ecuaciones, las perturbaciones electromagnéticas deben propagarse en el vacío bajo forma de ondas transversales con una velocidad constante igual a la relación de las unidades de carga en los sistemas de unidades electrostáticas y electromagnéticas, relación usualmente representada por la letra c. Tuvo entonces la idea magnífica de que la luz es una perturbación electromagnética y de que toda la teoría de la luz debe hallarse contenida en las ecuaciones del electromagnetismo. Una primera consecuencia de esta fulgurante intuición es la igualdad de la constante c, relación de las unidades de carga en los sistemas de unidades u. e. s. y u. e. m. y de la velocidad de la luz en el vacío. Maxwell, empleando los datos conocidos en su tiempo, verifica que esta igualdad se halla realizada con mucha aproximación. Medidas más precisas de estas dos cantidades, realizadas por métodos completamente independientes, no han cesado de suministrar números cada vez más convergentes, dando así una confirmación, cada vez más rigurosa, a las ideas fundamentales de Maxwell.
Siguiendo por el mismo camino, el ilustre físico inglés ha deducido de sus ecuaciones una relación célebre que lleva su nombre, entre la constante dieléctrica de un cuerpo refringente y su índice de refracción, relación que, en general, se verifica bien. Todo el mundo sabe que la teoría electromagnética de la luz ha sido después objeto de un gran número de confirmaciones experimentales. Hertz llegó a fabricar luz invisible de muy grande longitud de onda, por procedimientos puramente eléctricos y estas ondas hertzianas, que han dado origen después a la telegrafía y a la telefonía sin hilos, presentan propiedades que prolongan las de la luz, teniendo en cuenta solamente la diferencia de la longitud de onda. Al mismo tiempo, la teoría de las acciones de la luz sobre la materia se desarrolló, gracias, sobre todo, a los trabajos de Lorentz, por medio de la hipótesis de que la materia está formada de centros electrizados sobre los cuales actúan los campos electromagnéticos de las ondas luminosas. Análogamente, la emisión y la absorción de la luz por la materia pudo ser interpretada por la teoría electromagnética, sobre todo bajo la forma electrónica de Lorentz, por lo menos en la medida en que podía hacerse ignorando la existencia de los quanta. El descubrimiento por Zeeman, en 1896, del efecto que lleva su nombre (acción de un campo magnético sobre la frecuencia de las rayas emitidas por una fuente sumergida en ese campo) ha confirmado de una manera notable las previsiones de Lorentz y suministrado una nueva prueba de la naturaleza electromagnética de la luz. El descubrimiento de otros fenómenos magnetoópticos o electroópticos (fenómenos de Kerr, Cotton, Mouton, etc.) ha aumentado también el número de estas pruebas. Hasta el efecto fotoeléctrico, de que hablaremos en seguida desde otro punto de vista, mostrando directamente la acción de la luz sobre los corpúsculos electrizados, ha aportado un apoyo suplementario a la idea de que la luz está ligada a un campo electromagnético. Estamos, pues, en presencia de toda una categoría de hechos enormemente extensa, que llamaremos «fenómenos electroópticos»[6]. Como la teoría de Maxwell permite obtener lo esencial de la teoría ondulatoria vectorial de Fresnel, explica, pues, a la vez, los fenómenos neutros, los fenómenos específicamente ondulatorios, los fenómenos vectoriales (de polarización) y los fenómenos electroópticos, es decir el conjunto de las cuatro categorías de fenómenos ópticos conocidos hace unos cuarenta años. Con justicia pareció, pues, por un instante, que era la síntesis más completa de hechos relativos a la luz que podía imaginarse, y esto explica su legítima fama y autoridad, a veces hasta un poco despótica, de que ha gozado. Hacia 1900, la teoría de la luz podía parecer terminada. Pero el descubrimiento de una quinta clase de fenómenos de carácter netamente granular vino después a ponerlo todo en entredicho.
Nuestro lector conoce ya estos fenómenos cuyo descubrimiento inesperado ha dirigido la atención de los físicos hacia la concepción corpuscular de la luz. En primer lugar y, sobre todo, el efecto fotoeléctrico. No vamos a explicar aquí las características de este fenómeno. Bástenos con recordar, que, para interpretar sus leyes empíricas, Einstein se vio obligado, en 1905, a suponer que la energía de una radiación luminosa de frecuencia v está dividida en granos de valor hν, siendo h la célebre constante de Planck. Es la hipótesis de los quanta de luz, como decía entonces Einstein, la hipótesis de los fotones como diríamos más bien hoy. Esta hipótesis conduce no solamente a dar razón del efecto fotoeléctrico, sino también a prever, con gran exactitud, el efecto Compton y el efecto Raman, otros fenómenos descubiertos después, en que se manifiesta también el aspecto granular de la luz. La teoría de los fotones constituye una teoría puramente corpuscular de la luz. Interpreta correctamente el conjunto de fenómenos específicamente corpusculares de que acabamos de hablar: efecto fotoeléctrico, efecto Compton, efecto Raman, y otros todavía, tales como la existencia de un límite para el espectro continuo de los rayos X, la emisión de la luz por quanta, de acuerdo con la ley de frecuencias tan felizmente empleada por Bohr para la previsión de las rayas espectrales de los átomos, etc. Explica también la propagación rectilínea, la reflexión, la presión de radiación, los efectos Doppler, y hasta la ley de Planck si se admite que hay que aplicar al fotón el método estadístico de Bose-Einstein. En una palabra, la nueva teoría corpuscular de la luz explica el conjunto de fenómenos neutros y de fenómenos de carácter estrictamente corpuscular. Pero no puede interpretar en modo alguno ni los fenómenos ondulatorios de interferencia y de difracción, ni los fenómenos «vectoriales» de polarización, ni los fenómenos electroópticos. Conduce a graves dificultades por lo que concierne a la coherencia de los trenes de ondas o al poder separador de los instrumentos de óptica, según lo ha mostrado Lorentz poco después de la publicación de la memoria de Einstein. Estas dificultades no han podido obviarse más que por las concepciones recientes y algo revolucionarias de la mecánica ondulatoria, acerca de la localización de los corpúsculos, en general. Además, la hipótesis de Einstein puede parecer poco coherente porque define la energía del fotón, con ayuda de la frecuencia v de la luz y es incapaz de definir esta frecuencia cuya noción toma de la teoría de las ondas. Para mejorar la concepción de los fotones conservando lo que tenía de bueno, era, pues, esencial, realizar una unión de las nociones de onda y de corpúsculo. Tal fue la obra de la mecánica ondulatoria.
* * * *
Veamos, pues, cuál ha sido la aportación de la mecánica ondulatoria por lo que concierne a la teoría de la luz.
Inspirándose en la dualidad de aspecto de la luz, revelada por la coexistencia, para esta entidad, de fenómenos de carácter ondulatorio y de fenómenos de carácter corpuscular, la mecánica ondulatoria logró asociar ondas y corpúsculos de una manera general, que contiene, como caso particular, la conexión entre los fotones y las ondas luminosas, tal como fue expresada por las relaciones de la teoría de Einstein. Además, introduciendo la idea, completamente nueva, de que los corpúsculos no tienen, en general, una localización bien determinada en el espacio, sino localizaciones posibles que obedecen a leyes de probabilidad, permite resolver las objeciones hechas por Lorentz a la teoría de Einstein, y dar una explicación satisfactoria de los fenómenos de interferencia y de difracción compatible con la hipótesis de los fotones. Suprime, pues, la mayor parte de las dificultades que suscita, a primera vista, la nueva concepción corpuscular de la luz y amalgamándola de una manera absolutamente original con la concepción ondulatoria, realiza una notable síntesis. La mecánica ondulatoria ha llegado, pues, si no a construir, por lo menos a abrir el camino para construir una doctrina de conjunto que explique, a la vez, de una parte los fenómenos neutros y los fenómenos corpusculares, y de otra los fenómenos ondulatorios escalares previstos por la teoría de la variable luminosa de Fresnel. Sin embargo, la síntesis no es total. En primer lugar, no puede desarrollarse correctamente si no es adoptando una forma relativista de la mecánica ondulatoria. Ahora bien; hay una forma relativista de la mecánica ondulatoria conocida desde el comienzo de esta nueva ciencia, pero esta forma no es considerada hoy como realmente satisfactoria. Además, la mecánica ondulatoria primitiva (incluso relativista) no hace intervenir, para representar las propiedades ondulatorias del corpúsculo sino una sola función de onda, la función Ψ, que tiene el carácter de un escalar. No permite, por tanto, interpretar los fenómenos ondulatorios «vectoriales», no da una explicación de la polarización. Finalmente, no nos suministra tampoco medio alguno de vincular al fotón un campo electromagnético que permita encontrar la representación maxwelliana de la onda luminosa. Dicho de otra manera, la mecánica ondulatoria no permite obtener sino la mitad de la obra de Fresnel, e ignora la obra entera de Maxwell.
Llegados a este punto de nuestra exposición, tratemos de resumir en un cuadro sinóptico (página siguiente) esta clasificación de las teorías de la luz en relación con los cinco grupos de fenómenos luminosos que hemos podido distinguir. Indicamos en este cuadro los cinco grupos de fenómenos en el orden siguiente: fenómenos corpusculares, neutros, ondulatorios escalares, ondulatorios vectoriales y electroópticos. Las llaves nos permiten mostrar entonces cuáles son los grupos de fenómenos interpretados por las diversas teorías de la luz.
De este cuadro parece resultar que, en la hora actual, ninguna teoría da razón de la totalidad de los fenómenos luminosos. Sin embargo, esto no es completamente exacto, porque existen tentativas teóricas recientes no indicadas en este cuadro (teoría cuántica de los campos de Pauli y Heisenberg, teoría de los fotones de Dirac), tentativas que han tratado de englobar todos los aspectos de la luz, pero estos intentos personalmente jamás nos han parecido completamente satisfactorios, a pesar de su indiscutible interés, y de que muchos de sus resultados, seguramente, habrían de ser conservados. Creemos que la verdadera síntesis total de los hechos conocidos está todavía por hacer.

Hemos hecho un esfuerzo por realizarla, y para terminar, vamos a exponer las ideas que nos han guiado en este esfuerzo.
* * * *
En la búsqueda de una teoría sintética tenemos que dejarnos guiar, según nos parece, por la idea de una simetría que se extiende a la materia y a la luz por lo que concierne a la dualidad de su naturaleza (ondas y corpúsculos). La idea de esta simetría ha sido el punto de partida de la mecánica ondulatoria: ha conducido a resultados tan satisfactorios para el espíritu, es de tal manera la razón profunda del éxito de las nuevas teorías de la física cuántica, que en nuestra opinión, no es posible ya abandonarla. Sin embargo, es forzoso reconocer que la teoría dualista de la luz, después de haber servido de modelo y de guía en el desarrollo de la teoría dualista de la materia, se halla hoy en retraso respecto de ésta. Tratando de averiguar a qué se debe este hecho paradójico, podemos entrever en qué dirección debe intentarse progresar. Una primera causa de las dificultades encontradas, es, como ya hemos dicho, que la mecánica ondulatoria bajo la forma en que se extendió rápidamente, no es relativista y no contiene elemento alguno de simetría susceptible de permitir la introducción de la polarización, ni ningún elemento electromagnético que permita definir una onda luminosa maxwelliana. Es evidente que, para el fotón, cuya velocidad es igual (o por lo menos tan próxima que resulta indiscernible) a la velocidad c, límite superior de las velocidades corpusculares en la teoría relativista, habrá que emplear una mecánica relativista, y que la mecánica ondulatoria no podrá lograr describir el fotón más que si se la emplea en forma relativista. Es preciso, pues, necesariamente, apuntar para la luz a una mecánica ondulatoria relativista.
Otra causa de dificultades en la construcción de una teoría de los fotones, simétrica a la teoría ondulatoria de los corpúsculos elementales de materia, es que los fotones presentan propiedades que les distinguen absolutamente de los corpúsculos materiales, tales como el electrón. En primer lugar, los fotones, en conjunto numeroso, obedecen a la estadística de Bose-Einstein, mientras que los electrones obedecen a la estadística de Fermi-Dirac, y aunque en realidad ignoramos hoy todavía las razones físicas profundas por las cuales las diversas clases de partículas siguen una u otra estadística, sentimos que el fotón y el electrón se comportan diferentemente en los fenómenos estadísticos y no pueden por tanto ser de naturaleza completamente análoga. Además, en el efecto fotoeléctrico, el fotón desaparece, parece aniquilarse, y no existe ninguna propiedad semejante para los corpúsculos materiales (si se exceptúa, sin embargo, el fenómeno recientemente descubierto de la desmaterialización de los pares de electrones de signo opuesto). Presentimos, pues, que, para constituir una teoría del fotón, será menester emplear, en primer lugar, una forma relativista de la mecánica ondulatoria, y, en segundo lugar, introducir “algo más” para diferenciar el fotón de los corpúsculos materiales elementales.
La primera parte de este programa se realiza inmediatamente si se sustituye la forma primitiva de la mecánica ondulatoria por la forma más elaborada que le ha dado Dirac en su teoría del electrón magnético. La teoría de Dirac es en efecto conforme a la relatividad, por lo menos por ser aplicable a corpúsculos que tienen todas las velocidades, hasta la velocidad límite c: en particular impone a los corpúsculos energías y cantidades de movimiento conformes a las fórmulas relativistas, lo cual es esencial para obtener las fórmulas einsteinianas fundamentales de la teoría de los fotones, necesarias para la interpretación del efecto fotoeléctrico y del efecto Compton. Además, cosa notable, la teoría de Dirac introduce automáticamente un elemento de simetría, el spin, que ofrece una notoria afinidad con la polarización, y permite también definir magnitudes de carácter electromagnético, momento magnético propio y momento eléctrico propio, vinculadas al corpúsculo. Puede verse por aquí lo considerable del progreso que realiza la teoría de Dirac, en el sentido de una aproximación entre la mecánica ondulatoria de los elementos materiales y la teoría sintética necesaria para la interpretación completa de las propiedades de la luz. Sin embargo, no basta simplemente con que el fotón sea un corpúsculo de masa nula o despreciable obediente a las ecuaciones de Dirac. En efecto, esta hipótesis, seductora por su simplicidad, conduce a un modelo de fotón que no tiene, por así decirlo, más que la mitad de la simetría del fotón real: además tendría que obedecer indudablemente a la estadística de Fermi y no podría aniquilarse en el efecto fotoeléctrico. Es preciso, pues, añadir “algo”.
Para encontrar este algo, he observado que el único fenómeno actualmente conocido en que hay desaparición de corpúsculos materiales, análoga a la desaparición del fotón en el efecto fotoeléctrico, es el fenómeno de desmaterialización de los pares de electrones de signo contrario. Se sabe que el electrón positivo ha sido descubierto hace sólo cuatro años y que su descubrimiento ha aportado una notable confirmación de ciertas particularidades de las ecuaciones de Dirac, particularidades que hasta el presente habían parecido ser más bien imperfecciones de esta teoría. La teoría de Dirac, convenientemente interpretada, muestra, en efecto, que la existencia del electrón negativo lleva consigo la de un anti-electrón positivo. Mas generalmente a todo corpúsculo que obedece a las ecuaciones de Dirac tiene que corresponder un anti-corpúsculo que es, respecto de aquél, lo que el electrón positivo respecto del negativo. Como estas previsiones han sido confirmadas por el descubrimiento del electrón positivo, es tentador representarse el fotón como formado de un corpúsculo de carga y de masa despreciables y que obedece a las ecuaciones de Dirac, asociado a un anti-corpúsculo de la misma naturaleza. Esta hipótesis es atractiva y se puede desarrollar de una manera completa desde el punto de vista matemático. Se concibe perfectamente que un fotón constituido de esta manera pueda aniquilarse en presencia de la materia cediéndole toda su energía, y este aniquilamiento es análogo al de los dos electrones en el fenómeno de la desmaterialización. Esta transición cuántica de aniquilamiento constituiría el efecto fotoeléctrico cuya importancia fundamental hemos señalado ya desde el punto de vista teórico, y el campo electromagnético tendría, pues, que ser definido en función de esta transición. En efecto, se puede mostrar que es posible vincular a esta transición de aniquilamiento un campo electromagnético absolutamente idéntico al que define la onda maxwelliana y es esta una circunstancia muy interesante. Además, como se supone ahora que el fotón está formado de un corpúsculo y de un anticorpúsculo, dotados ambos de spin, tendrá que seguir la estadística de Bose-Einstein.
Observemos que Jordán ha desarrollado una especie de variante de la teoría precedente y que difiere de ésta en puntos esenciales, especialmente por lo que concierne al fotón como una simple apariencia y no como una verdadera unidad. Esta tentativa ha sido desarrollada recientemente, sobre todo por M. de Kronig: posee ciertos aspectos interesantes, pero no está todavía bastante desarrollada para que se la pueda juzgar completamente.
* * * *
Sea lo que fuere del detalle de todas estas teorías recientes, parece que con ellas nos acercamos a la teoría sintética que, en nuestro cuadro, reuniría en una gran llave la explicación de los cinco grupos distintos de fenómenos luminosos que hemos estudiado. El anhelo siempre renaciente de los teóricos de la Física es llegar, a pesar de la complejidad cada vez mayor de los fenómenos conocidos, a construir doctrinas sintéticas cada vez más vastas, cada una de las cuales contiene y completa a todas las precedentes. La historia de las teorías de la luz nos ha suministrado un magnífico ejemplo de éxito, en una rama particular de la Física, de estas síntesis sucesivas. No debe asombrarnos si con frecuencia, el descubrimiento de un nuevo orden de fenómenos viene a derribar, como un castillo de naipes, nuestras más bellas teorías, porque la riqueza de la naturaleza supera siempre a nuestras imaginaciones. Los científicos son muy audaces al pretender reconstruir con el pensamiento algunas porciones del plano del universo: lo maravilloso es que algunas veces lo hayan logrado.
Parte IV
La mecánica ondulatoria
§ 11. La naturaleza ondulatoria del electrón[7]
Cuando en 1920 volví a mis estudios de física teórica, interrumpidos durante mucho tiempo por circunstancias independientes de mi voluntad, estaba muy lejos de pensar que estos estudios iban a llevarme, algunos años más tarde, a recibir la recompensa tan alta y tan codiciada que la Academia de Ciencias de Suecia confiere todos los años a un científico: el premio Nobel de Física. Lo que me llevaba entonces hacia la física teórica no era la esperanza de que tan alta distinción viniera jamás a coronar mis trabajos; lo que me atraía en la física teórica era el misterio que envolvía cada vez más la estructura de la materia y la estructura de las radiaciones a medida que la extraña noción de quantum, introducida por Planck en 1900 en sus investigaciones sobre la radiación negra, invadía cada día más la Física entera.
Para haceros comprender cómo se desarrollaron mis investigaciones, debo trazar un cuadro de la crisis por que atravesaba la Física desde hacía veinte años.
* * * *
Durante mucho tiempo se habían preguntado los físicos si la luz no estaría formada de pequeños corpúsculos en movimiento rápido; esta idea, emitida por los filósofos de la antigüedad, fue sostenida en el siglo XVIII por Newton. A raíz del descubrimiento de los fenómenos de interferencia por Thomas Young y después de la admirable obra de Agustín Fresnel, la hipótesis de una estructura granular de la luz fue completamente abandonada y se adoptó unánimemente la teoría de las ondulaciones. Así los físicos del último siglo abandonaron por completo la idea de una estructura atómica de la luz. Pero las teorías atómicas, expulsadas de la óptica, comenzaron a cobrar grandes triunfos no solamente en Química, donde lograron dar una interpretación sencilla de las leyes de proporciones definidas, sino también en la física de la materia, donde han permitido interpretar un buen número de propiedades de los cuerpos sólidos, líquidos y gaseosos. Han permitido, en especial, construir esta admirable teoría cinética de los gases que, generalizada con el nombre de Mecánica Estadística, ha permitido dar un sentido claro a los conceptos abstractos de la Termodinámica. La experiencia ha aportado también pruebas decisivas a favor de una constitución atómica de la electricidad; gracias a sir J. J. Thomson, la noción de corpúsculo de electricidad hizo su aparición, y todos vosotros sabéis el partido que de ella sacó H. A. Lorentz en su teoría de los electrones.
Hace unos treinta años, la Física se encontraba, pues, dividida en dos partes: por un lado la física de la materia, fundada sobre la concepción de corpúsculos y de átomos que se suponía que obedecen a las leyes clásicas de la mecánica de Newton, y de otro la física de la radiación, que parte de la noción de propagación de ondas en un medio continuo hipotético: el éter luminoso y electromagnético. Pero estas dos físicas no podían permanecer extrañas la una a la otra: era menester soldarlas construyendo una teoría de los canjes de energía entre materia y radiación; y aquí es donde saltaron las dificultades. Tratando de acoplar las dos físicas, se llegó, en efecto, a conclusiones inexactas e incluso inadmisibles, a propósito del equilibrio de energía entre materia y radiación en un recinto térmicamente aislado; la materia, se llegaba a decir, tendría que ceder toda su energía a la radiación, y por tanto tender por sí misma hacia la temperatura del cero absoluto. Era menester evitar a toda costa esta conclusión absurda. En una intuición genial, Max Planck descubrió la manera de evitarlo: en lugar de admitir con la teoría clásica de las ondas que una fuente de luz emite sus radiaciones de una manera continua, hacía falta admitir, por el contrario, que la emite por cantidades iguales y finitas, por quanta. La energía de cada quantum tiene, además, un valor proporcional a la frecuencia ν de la radiación: es igual a hν, siendo h una constante universal que se llama, desde entonces, la constante de Planck.
El éxito de las ideas de Planck acarreó graves consecuencias. Si la luz se emite por quanta, ¿no deberá tener, una vez emitida, una estructura granular? La existencia de los quanta de radiación lleva, pues, hacia la concepción corpuscular de la luz. Por otro lado, se puede demostrar, como lo han hecho Jean y H. Poincaré, que si el movimiento de las partículas materiales en las fuentes luminosas se realizara conforme a las leyes de la mecánica clásica, no se podría encontrar la ley exacta de la radiación negra, la ley de Planck. Hay que admitir, pues, que la antigua dinámica, aún modificada por la teoría de la relatividad de Einstein, no puede dar razón de los movimientos en pequeña escala.
La existencia de una estructura granular de la luz y de las otras radiaciones ha sido confirmada por el descubrimiento del efecto foto-eléctrico. Si se hace incidir un haz de luz o de rayos X sobre un trozo de materia, ésta proyecta hacia el exterior electrones en movimiento rápido. La energía cinética de estos electrones crece linealmente con la frecuencia de la radiación incidente y es independiente de su intensidad. Este hecho se explica con sencillez admitiendo que la radiación está formada por quanta hν susceptibles de ceder por entero sus energías a un electrón del cuerpo irradiado: se llegó así a la teoría de los quanta de luz propuesta por Einstein en 1905 y que es, en realidad, una vuelta a la hipótesis corpuscular de Newton, completada por la relación de proporcionalidad entre la energía de los corpúsculos y la frecuencia. Einstein ha dado varios argumentos a favor de su manera de ver, que se ha visto confirmada por el descubrimiento realizado por M. H. A. Compton del fenómeno de difusión de los rayos X que lleva su nombre. Sin embargo, era necesario adoptar la teoría de las ondas para explicar los fenómenos de interferencia y de difracción, y no se veía de ninguna manera cómo pudiera conciliarse la teoría de las ondas con la existencia de los corpúsculos de luz.
Según hemos dicho, los trabajos habían extendido dudas sobre la validez de la mecánica en pequeña escala. Consideremos un punto material que describa una pequeña trayectoria cerrada o apelotonada sobre sí misma. Según la dinámica clásica, hay una infinidad de movimientos de este género que son posibles según las condiciones iniciales, y los valores posibles de la energía del móvil forman una sucesión continua. Planck llegó por el contrario a admitir que sólo son posibles, o por lo menos estables, ciertos movimientos privilegiados, los movimientos cuantificada, de suerte que la energía no puede tomar más que valores que forman una sucesión discontinua. Al principio esta idea pareció sumamente extraña, pero ha sido menester reconocer su verdad porque llevó a Planck a su ley correcta de la radiación negra y porque después ha probado su fecundidad en otros muchos dominios. Finalmente, Bohr ha edificado su célebre teoría del átomo sobre la idea de la cuantificación de los movimientos atómicos; es tan conocida de todos los científicos que no voy a resumirla aquí.
Necesidad de admitir para la luz dos teorías contradictorias, la de las ondas y la de los corpúsculos, imposibilidad de comprender por qué entre la infinidad de los movimientos que un electrón debería poder realizar en el átomo, según las ideas clásicas, sólo algunos son posibles: tales eran los enigmas que se planteaban a los físicos en la época en que yo reanudaba mis estudios de física teórica.
* * * *
Cuando me puse a reflexionar sobre estas dificultades, me chocaron principalmente dos cosas. De un lado, la teoría de los quanta de luz, no puede considerarse satisfactoria, puesto que define la energía de un corpúsculo de luz por la relación W = hν, donde figura la frecuencia ν. Ahora bien, una teoría puramente corpuscular no contiene ningún elemento que permita definir una frecuencia. Ya sólo por esta razón haría falta, en el caso de la luz, introducir simultáneamente la idea de corpúsculo y la idea de periodicidad.
Por otro lado, la determinación de los movimientos estables de los electrones en el átomo hace intervenir números enteros, y hasta ahora los únicos fenómenos físicos en los cuales intervienen números enteros eran los fenómenos de interferencia y los de vibraciones propias. Esto me sugirió la idea de que los electrones tampoco podían representarse como simples corpúsculos, sino que era necesario atribuirles igualmente una periodicidad.
Llegué así a la siguiente idea de conjunto que guió mis investigaciones: tanto para la materia como para las radiaciones, y en especial para la luz, es menester introducir a la vez la noción de corpúsculo y la noción de onda. En otros términos, tanto en un caso como en otro, hay que admitir la existencia de corpúsculos acompañados de ondas. Pero como corpúsculos y ondas no pueden ser independientes, sino que, según la expresión de Bohr, constituyen dos caras complementarias de la realidad, se debe poder establecer un cierto paralelismo entre el movimiento de un corpúsculo y la propagación de la onda que le está asociada. El primer objetivo que había que lograr era, pues, establecer esta correspondencia.
Para esto comencé por considerar el caso más sencillo: el de un corpúsculo aislado, es decir, sustraído a toda acción exterior. Vamos a asociarle una onda. Consideremos primero un sistema de referencia o x0,y0,z0 en el cual el corpúsculo se encuentra inmóvil: es el sistema “propio” del corpúsculo en el sentido de la teoría de la relatividad. En este sistema la onda será estacionaria, puesto que el corpúsculo es inmóvil; su fase será la misma en todo punto, y estará representada por una expresión de la forma 2πν0(t0 - τ0), siendo t0 el tiempo propio del corpúsculo y 𝜏0 una constante.
Según el principio de inercia, en todo sistema de Galileo el corpúsculo tendrá un movimiento rectilíneo y uniforme.
Consideremos un sistema galileico de esta especie y sea v = la velocidad del corpúsculo en este sistema; no restringiremos la generalidad al tomar la dirección del movimiento como eje x. El tiempo t empleado por un observador de este nuevo sistema está, según la transformación de Lorentz, ligado al tiempo propio í„ por la relación:

y, por tanto, para este observador, la fase de la onda estará dada por:

Para él la onda tendrá, pues, una frecuencia:

y se propagará en el sentido del eje x con la velocidad de fase:

Eliminando entre las dos fórmulas precedentes, se encuentra fácilmente la relación siguiente, que define el índice de refracción del vacío n para las ondas consideradas:

A esta «ley de dispersión» corresponde una «velocidad de grupo». La velocidad de grupo es, según se sabe, la velocidad con la que se traslada la amplitud resultante de un grupo de ondas de frecuencias muy próximas. Lord Rayleigh ha mostrado que esta velocidad U verifica la ecuación:

Se encuentra aquí U = V, es decir, que la velocidad de grupo de las ondas en el sistema x, y, z, t es igual a la velocidad del corpúsculo en este sistema. Esta relación tiene una gran importancia para el desarrollo de la teoría.
El corpúsculo se encuentra así definido en el sistema x, y, z, t por la frecuencia ν y la velocidad de fase V de su onda asociada. Para establecer el paralelismo de que hemos hablado, es menester vincular estas magnitudes a las magnitudes mecánicas: energía y cantidad de movimiento. Como la proporcionalidad entre energía y frecuencia es una de las relaciones más características de la teoría de los quanta, y, además, la frecuencia y la energía se transforman de igual manera cuando se cambia de sistema de referencia galileico, es natural poner:
energía = h × frecuencia, o bien W = hν
donde h es la constante de Planck. Esta relación debe ser válida en todos los sistemas de Galileo; y, en el sistema propio del corpúsculo, en el cual la energía de éste se reduce, según Einstein, a su energía interna m0c2 (siendo m0 la masa propia), se tiene hv0 = m0c2.
Esta relación define la frecuencia ν0 en función de la masa propia m0 e inversamente.
La cantidad de movimiento es un sector
igual a

y se tiene:

La cantidad λ es la distancia de 2 crestas consecutivas de la onda: es la “longitud de onda”. Por tanto:

Es una relación fundamental de la teoría. r -
* * * *
Todo lo que precede se refiere al caso muy sencillo en que no hay ningún campo de fuerza que actúa sobre el corpúsculo. Voy a indicar brevemente cómo se puede generalizar la teoría en el caso de un corpúsculo que se desplaza en un campo de fuerza constante que deriva de una función potencial F(x, y, z). Se llega entonces, por razonamientos que omito, a admitir que la propagación de la onda corresponde a un índice de refracción variable de un punto a otro del espacio, conforme a la fórmula:

o, en primera aproximación, despreciando las correcciones introducidas por la teoría de la relatividad:

La energía constante 𝜈 del corpúsculo está todavía ligada a la frecuencia constante v de la onda por la relación
W = hν
mientras que la longitud de onda λ que es variable de un punto a otro del campo de fuerzas, está vinculada a la cantidad de movimiento p, igualmente variable por la ·relación:

También aquí se demuestra que la velocidad de grupo de las ondas es igual a la velocidad del corpúsculo. El paralelismo así establecido entre el corpúsculo y su onda permite identificar el principio de Fermat para las ondas y el principio de la menor acción para los corpúsculos (campos constantes). El principio de Fermat dice que, en el sentido de la óptica, que pasa por dos puntos A y B en un medio índice n (x, y, z), variable de un punto a otro, pero constante en el tiempo, es tal que la integral

tomada a lo largo de este rayo es extremum. Por otra parte, el principio de la menor acción de Maupertuis nos enseña lo siguiente: la trayectoria de un corpúsculo que pasa por dos puntos, puntos A y B del espacio, es tal que la integral

tomada a lo largo de la trayectoria, es extremum, considerando, naturalmente, sólo los movimientos correspondientes a un valor dado de la energía. Según las relaciones establecidas antes entre las magnitudes mecánicas y las magnitudes ondulatorias, se tiene:

puesto que W es constante en un campo constante. Resulta de aquí que el principio de Fermat y el principio de Maupertuis son el uno la traducción del otro: las trayectorias posibles del corpúsculo son idénticas a los rayos posibles de la onda.
Estas concepciones conducen a una interpretación de las condiciones de estabilidad introducidas por la teoría de los quanta.

Si se considera, en efecto, una trayectoria C cerrada en un campo constante, es natural admitir que la fase de la onda asociada debe ser una función uniforme a lo largo de esta trayectoria. Esto lleva a escribir:

Es, precisamente, la condición de estabilidad de los movimientos atómicos periódicos de Planck. Las condiciones de estabilidad cuántica aparecen, pues, análogas a los fenómenos de resonancia y la aparición de números enteros es entonces tan natural como en la teoría de las cuerdas y de las placas vibrantes.
* * * *
Las fórmulas generales que establecen el paralelismo entre ondas y corpúsculos pueden aplicarse a los corpúsculos de luz a condición de suponer que en este caso la masa propia m es infinitamente pequeña. Si, en efecto, para un valor dado de la energía W, se hace tender m0 hacia cero, se encuentra que 𝜈 y V tienden ambas hacia c, y se obtienen en el límite las dos fórmulas fundamentales sobre las cuales había basado Einstein su teoría de los quanta de luz:

Tales son las principales ideas que desarrollé en mis primeros trabajos. Mostraban claramente que era posible establecer una correspondencia entre ondas y corpúsculos tal que las leyes de la Mecánica correspondan a las leyes de la óptica geométrica. Pero en la teoría de las ondas, la óptica geométrica no es, según se sabe, sino una aproximación: esta aproximación tiene sus límites de validez, y cuando entran en juego los fenómenos de interferencia y de difracción, es completamente insuficiente. Esto nos lleva a pensar que la antigua mecánica no es tampoco sino una aproximación respecto de una mecánica más vasta de carácter ondulatorio. Es lo que expresaba casi al comienzo de mis trabajos diciendo: «Hay que constituir una mecánica nueva, que sea, respecto de la mecánica antigua, lo que la óptica ondulatoria es respecto de la óptica geométrica.» Esta mecánica nueva se ha desarrollado después gracias, sobre todo, a los magníficos trabajos de Schrödinger. Parte de ecuaciones de propagación de onda tomadas como base y determina rigurosamente la evolución en el tiempo de la onda asociada a un corpúsculo. En particular, ha logrado dar una forma nueva y más satisfactoria a las condiciones de cuantificación de los movimientos intra-atómicos, porque las antiguas condiciones de cuantificación se encuentran, según hemos visto, por una aplicación de la óptica geométrica a las ondas asociadas a los corpúsculos intra-atómicos y esta aplicación no está rigurosamente justificada.
No puedo intentar resumir aquí, ni siquiera rápidamente, el desarrollo de la nueva mecánica. Quiero solamente decir que su examen ha revelado que es idéntica a una mecánica desarrollada independientemente, primero por Heisenberg y luego por Born, Jordán, Pauli, Dirac, etc.: la mecánica cuántica. Las dos mecánicas, ondulatorias y cuántica, son equivalentes desde el punto de vista matemático.
Vamos a contentarnos aquí con reflexionar sobre el sentido general de los resultados obtenidos. Para resumir la significación de la mecánica ondulatoria, podemos decir: a todo corpúsculo hay que asociar una onda, y el estudio de la propagación de la onda es lo único que puede informarnos de las localizaciones sucesivas del corpúsculo en el espacio. En los fenómenos mecánicos usuales de escala grande, las localizaciones previstas están dispuestas según una curva que es la trayectoria en el sentido clásico de la palabra. Pero ¿qué acontece si la onda no se propaga según las leyes de la óptica geométrica, si, por ejemplo, hay interferencias y difracción? Entonces ya no es posible atribuir al corpúsculo un movimiento conforme a la dinámica clásica: esto es cierto.
Pero ¿es posible suponer, por lo menos, que en cada instante el corpúsculo ocupa en la onda una posición bien determinada y que en su propagación la onda arrastra al corpúsculo como una ola arrastraría un corcho? Son estas cuestiones, difíciles que nos llevarían demasiado lejos, hasta los confines de la filosofía. Diré sólo que, por lo general, se tiende hoy a admitir que no es constantemente posible atribuir al corpúsculo una posición bien definida en la onda; cuando se realiza una observación, que permite localizar un corpúsculo, se llega siempre a atribuirle una posición en el interior de la onda, y la probabilidad para que sea tal punto M de la onda es proporcional al cuadrado de la amplitud, a la intensidad, en M.
Esto puede expresarse todavía de la manera siguiente: Si consideramos una nube de corpúsculos asociados a una misma onda, la intensidad de la onda en cada punto es proporcional a la densidad de la nube en este punto (es decir al número de corpúsculos por unidad de volumen alrededor de este punto). Esta hipótesis es necesaria para explicar, cómo en el caso de las interferencias de la luz, la energía luminosa se encuentra concentrada en los puntos en que la intensidad de la onda es máximum: si se admite, en efecto, que la energía luminosa está transportada por corpúsculos de luz, por fotones, es menester que la densidad de los fotones en la onda sea proporcional a la intensidad.
Esta regla va a permitirnos por sí sola comprender cómo la teoría ondulatoria del electrón ha podido ser verificada por la experiencia.
Imaginemos, en efecto, una nube indefinida de electrones animados todos de la misma velocidad y en la misma dirección. Según las ideas fundamentales de la mecánica ondulatoria, tenemos que asociar a esta nube una onda plana indefinida de la forma:

donde α, β, y γ son los cosenos directores de la dirección de propagación y donde la longitud de onda λ es igual a h/p. Con electrones que no sean extremadamente rápidos se puede poner
p =. m0ν
y- por tanto:

siendo m0 la masa propia del electrón.
Sabemos que para obtener prácticamente electrones de la misma velocidad se les hace sufrir una misma caída de potencial P y se tiene:

Por consiguiente:

Esto da numéricamente:

Como no se pueden utilizar sino electrones que han sufrido una caída de potencial, por lo menos de algunas decenas de voltios, vemos que la longitud de onda λ prevista por la teoría es, a lo sumo, del orden 10-8 cm., es decir, del orden de la unidad Ångström. Es también el orden de magnitud de las longitudes de ondas de los rayos X.
Puesto que la longitud de onda de la onda electrónica, es del orden de la de los rayos X, debe esperarse obtener una difusión de esta onda por los cristales análoga al fenómeno Laue. Voy a recordar, pues, en qué consiste el fenómeno de Laue:
En un cristal natural como, por ejemplo, la sal gema, existen nudos formados por los átomos de los cuerpos que componen el cristal, regularmente dispuestos a distancias del orden del Ångström. Estos nudos desempeñan la función de centros de difusión para las ondas y si se envía sobre el cristal una onda cuya longitud de onda sea también del orden de magnitud del Ångström, las ondas difundidas por los diversos nudos se encuentran en concordancia de fase en ciertas direcciones bien determinadas y en estas direcciones la intensidad difundida total presenta un fuerte máximo. La disposición de estos máximos de difusión está dada por la teoría matemática desarrollada por von Laue y Bragg, y es hoy muy conocida; esta teoría determina la posición de los máximos en función de la distancia de los nudos en el cristal y de la longitud de onda de la onda incidente. Para los rayos X esta teoría ha sido magníficamente verificada por Laue, Friedrich, y Knipping, y desde entonces la difracción de los rayos X por los cristales se ha convertido en una experiencia trivial. Sobre esta difracción se basa la medida de precisión de las longitudes de onda de los rayos X; no hace falta recordarlo en el país en que Siegbahn y sus colaboradores prosiguen sus magníficos trabajos.
Para los rayos X, el fenómeno de difracción por los cristales era una consecuencia natural de la idea de que son ondulaciones análogas a la luz y de que no se distinguen de ésta sino por una menor longitud de onda. Para los electrones nada semejante podía preverse mientras se los imaginara como un simple corpúsculo. Pero si se admite que el electrón está asociado a una onda y que la densidad de una nube de electrones está medida por la intensidad de la onda asociada, entonces debe preverse para los electrones un fenómeno análogo al de Laue. La onda electrónica se difundirá, en efecto, con intensidad en las direcciones que la teoría de Laue-Bragg permite calcular, partiendo de la longitud de onda λ = h/mν que corresponde a la velocidad ν conocida de los electrones que caen sobre el cristal. La intensidad de la onda difundida mide, según nuestro principio general la densidad de la nube de los electrones difundidos, y por tanto debemos esperar que encontraremos en las direcciones de los máximos muchos más electrones difundidos. Si el fenómeno existe realmente, suministrará una prueba experimental decisiva a favor de la existencia de una onda asociada al electrón y cuya longitud de onda es λ = h/mν y así, la idea fundamental de la mecánica ondulatoria se encontrará establecida sobre bases experimentales sólidas.
Ahora bien, la experiencia, que juzga soberanamente las teorías, ha mostrado que el fenómeno de difracción de los electrones por los cristales existe realmente, y sigue exacta y cuantitativamente las leyes de la mecánica ondulatoria. Davisson y Germer que trabajan en el laboratorio Bell de Nueva York, tienen el honor de haber sido los primeros en observar el fenómeno por un método análogo al de Laue para los rayos X. Reanudando las mismas experiencias, pero reemplazando el cristal único por un polvo cristalino, conforme al método inaugurado para los rayos X por Debye y Scherrer, el profesor G. P. Thomson de Aberdeen, hijo del ilustre físico de Cambridge sir J. J. Thomson, ha encontrado los mismos fenómenos. Posteriormente, Rupp en Alemania, Kikuchi en Japón y Ponte en Francia, y otros, los han reproducido variando las condiciones experimentales. La existencia del fenómeno está hoy fuera de toda duda y las pequeñas dificultades de interpretación que habían suscitado las primeras experiencias de Davisson y Germer parecen haber recibido una solución satisfactoria. Rupp ha logrado obtener incluso la difracción de los electrones bajo una forma especialmente sorprendente. Sabemos lo que son las redes en óptica: son superficies de cristal o de metal, planas o ligeramente encorvadas, sobre las cuales se han trazado mecánicamente rayas equidistantes cuyo intervalo es comparable en orden de magnitud a las longitudes de las ondas luminosas. Las ondas difractadas por estas rayas interfieren y estas interferencias dan lugar a máximos de luz difractada, en ciertas direcciones que dependen de la separación de las rayas, de la dirección de la luz incidente sobre la red y de la longitud de onda de esta luz. Durante mucho tiempo no se han podido obtener fenómenos semejantes con redes de este género construidas por las manos del hombre cuando se empleaba, en lugar de luz, los rayos X. La razón está en que la longitud de onda de los rayos X es mucho menor que la de la luz y ningún instrumento puede trazar sobre una superficie rayas cuya separación sea del orden de las longitudes de onda X. Físicos ingeniosos (Corripton, Thibaud) han sabido sortear la dificultad. Tomemos una red óptica ordinaria y mirémosla casi tangencialmente a. su superficie. Las rayas de esta red nos parecerán mucho más apretadas que lo que están en realidad. Para los rayos X, que caen bajo esta incidencia casi rasante sobre la red, todo pasará como si las rayas estuvieran muy apretadas y se producirán fenómenos de difracción análogos a los de la luz. Es lo que han verificado los físicos anteriormente nombrados, Pero, entonces, como las longitudes de onda electrónicas son del orden de las longitudes de onda X, se deberán poder obtener también fenómenos de difracción enviando sobre una red óptica, bajo una incidencia muy rasante, un haz de electrones. Es lo que ha logrado realizar Rupp, que ha podido medir así la longitud de onda de las ondas electrónicas, comparándola directamente a la separación de las rayas trazadas mecánicamente sobre la red.
* * * *
Así, pues, para describir tanto las propiedades de la materia como las de la luz, hay que hablar a la vez de ondas y de corpúsculos. El electrón no puede concebirse ya como un simple gránulo de electricidad; hay que asociarlo a una onda y esta onda no es un mito; se puede medir su longitud de onda y prever las interferencias. Toda una clase de fenómenos ha podido ser prevista de esta suerte antes de haber sido descubierta efectivamente. Y sobre esta idea de la dualidad de ondas y corpúsculos en la naturaleza, expresada bajo una forma más o menos abstracta, se ha fundado todo el desarrollo reciente de la física teórica, y se fundará, según parece, todo el desarrollo próximo de esta ciencia.
§ 12. La mecánica ondulatoria y sus interpretaciones
La nueva mecánica ondulatoria ha recibido desde hace diez años el sólido apoyo de la experiencia, gracias al descubrimiento de un bello fenómeno completamente desconocido hasta ahora: la difracción de los electrones por los cristales.
Desde cierto punto de vista puede decirse que este descubrimiento forma la contrapartida exacta del descubrimiento más antiguo del efecto fotoeléctrico, porque nos muestra que tanto para la materia como para la electricidad habíamos despreciado una de las facetas de la realidad física.
El descubrimiento del efecto fotoeléctrico nos había enseñado, en efecto, que la teoría ondulatoria de la luz establecida por Fresnel, sobre bases sólidas y transferida después a la teoría electromagnética por Maxwell, aunque contiene una gran parte de verdad, no es suficiente, sin embargo, y es necesario, en cierto sentido, volver a la idea de los corpúsculos de luz propuesta ya por Newton.
En su célebre teoría de la radiación negra, Planck llegó a suponer que toda radiación de frecuencia ν, es siempre emitida y absorbida por cantidades iguales y finitas, por quanta de valor hν, siendo h la constante a la que quedará vinculado el nombre de Planck. Para interpretar el efecto fotoeléctrico, le ha bastado a Einstein admitir la siguiente hipótesis absolutamente conforme con las ideas de Planck: la luz está formada de corpúsculos y la energía de los corpúsculos en la luz de energía ν es h𝜈. Cuando un corpúsculo de luz al atravesar un trozo de materia, encuentra un electrón inmóvil, puede cederle su energía h𝜈, y el electrón, puesto así en movimiento, saldrá de la materia animado con una energía cinética igual a la diferencia entre la energía h𝜈, que ha recibido y el trabajo que ha debido suministrar para salir de la materia. Ahora bien, ésta es, precisamente, la ley experimental del efecto fotoeléctrico tal como ha sido sucesivamente verificada para todas las radiaciones desde el ultravioleta hasta los rayos X y γ.
Desarrollando su idea, Einstein ha mostrado que si se acepta la hipótesis de los corpúsculos de luz, o quanta de luz, se debe atribuir a cada uno de estos corpúsculos una cantidad de movimiento p = h𝜈/c y una energía W = h𝜈. Estas dos relaciones definen energéticamente el corpúsculo de luz de frecuencia ν.
Recientemente, la teoría corpuscular de Einstein ha sido confirmada por el descubrimiento del efecto Compton. He aquí en qué consiste: un haz de rayos X que cae sobre un trozo de materia es susceptible de sufrir un rebajamiento de frecuencia con la puesta en movimiento de electrones más o menos rápidos. El fenómeno se interpreta fácilmente admitiendo que hay un encuentro, un choque, entre un corpúsculo de luz y un electrón inicialmente en reposo en el trozo de materia. Durante el choque, el electrón tomó energía del corpúsculo de luz y se pone en movimiento. El corpúsculo de luz resultará que ha perdido una parte de su energía, y como la relación W = hν debe verificarse siempre, la frecuencia del quantum de luz será más débil después que antes del choque. La teoría del fenómeno de Compton, W = hν, p = h𝜈/c fundada sobre las dos relaciones W = hν, p = h𝜈/c ha sido desarrollada por Compton mismo y por Debye: la experiencia la ha confirmado cuantitativamente, y ello ha constituido otro magnífico éxito a favor de la hipótesis de que la luz tiene una estructura granular.
A pesar de estos éxitos, la teoría de los quanta de luz no basta para satisfacernos. En primer lugar, el conjunto de fenómenos de vibración y de interferencia exige la introducción del concepto de ondas y, además, las dos relaciones fundamentales W = hν, p = h𝜈/c implican la existencia de una frecuencia ν.
Esto basta para mostrar que la luz no puede estar constituida por simples granos en movimiento. Sin embargo, el descubrimiento del efecto fotoeléctrico, confirmado por el efecto Compton, ha mostrado la necesidad de introducir en óptica la noción de corpúsculo junto a la noción de onda. Parece, pues, que se impone aquí un extraño «dualismo» de naturaleza.
Pero si en la teoría de la luz se había despreciado demasiado, desde hace un siglo, el aspecto «corpúsculo» para aferrarse exclusivamente al aspecto «onda», ¿no se ha cometido el error inverso en la teoría de la materia? ¿No se ha despreciado equivocadamente el aspecto «onda» para no pensar sino en el aspecto «corpúsculo»? Son las cuestiones que se propuso el autor hace algunos años, meditando sobre la analogía entre el principio de la menor acción y el principio de Fermat, y sobre el sentido de las misteriosas condiciones de quanta, introducidas en la dinámica infra-atómica por Planck, Bohr, Wilson y Sommerfeld. Por razonamientos que omitimos, se puede llegar a la convicción de que es necesario introducir ondas en la teoría de la materia, y hacerlo de la manera siguiente:
Sea una partícula material (por ejemplo, un electrón) de masa m, que se desplaza libremente con una velocidad constante v. Si se adoptan las expresiones suministradas por la teoría de la relatividad, su energía y su cantidad de movimiento son:

siendo c la velocidad de la luz en el vacío. Según la nueva concepción hay que asociar a esta partícula una onda que se propaga en la dirección del movimiento, onda cuya frecuencia es:

y cuya velocidad de fase es:

Se tiene, pues:

y por consiguiente si es λ la longitud de onda de la onda asociada,

Si se trata de aplicar estas fórmulas, no a una partícula material, sino a una partícula de luz, habrá que hacer 𝜈 = c y se encuentra:

Que son las fórmulas fundamentales de la teoría de los quanta de luz. Nuestras fórmulas (2) a (5) son, pues, generales: se aplican tanto a la materia como a la radiación y expresan la necesidad de introducir en ambos casos, aparejadamente, las nociones de corpúsculo y de onda.
Según resulta especialmente de las magníficas memorias de Schrödinger, la antigua mecánica corresponde al caso en que la propagación de la onda asociada se realiza según las leyes de la óptica geométrica. En este caso el corpúsculo puede ser considerado como describiendo uno de los «rayos» de la onda con una velocidad igual a la velocidad de grupo de lord Rayleigh. En estas condiciones se puede considerar, pues, el corpúsculo, como constituido por un grupo de ondas de frecuencias muy próximas, y esto da una imagen física del corpúsculo que sería muy satisfactoria si fuera posible generalizarla; desdichadamente no lo es.
Nótese que, si la onda asociada se propaga según las leyes de la óptica geométrica, ninguna experiencia bastará para probar la existencia de ondas asociadas, porque el resultado de un experimento puede ser considerado, en todos estos casos, solamente como una prueba de la exactitud de las leyes de la antigua mecánica. Pero la cosa es completamente distinta cuando las condiciones de propagación de la onda asociada son tales que las aproximaciones de la óptica geométrica no bastan para darnos cuenta de ella.
Según las nuevas ideas deberíamos aguardar, entonces, la observación de fenómenos que las antiguas mecánicas son absolutamente incapaces de prever y que son características de la nueva concepción ondulatoria de la dinámica.
En el dominio propio de la nueva dinámica, el principio al parecer mejor establecido es que el cuadrado de la amplitud de la onda, su intensidad, debe medir en cada punto del espacio y en cada instante, la probabilidad de que el corpúsculo asociado se encuentre en este punto en este instante. Basta un poco de reflexión para ver que este principio es necesario para dar razón de los fenómenos de interferencia y de difracción de la luz, porque, en Óptica, allí donde la onda de Fresnel tiene una intensidad máxima, se puede recoger por término medio la mayor cantidad de energía luminosa. Como nuestra idea directriz es aproximar en cuanto sea posible la teoría de la luz a la teoría de la materia, es natural extender este principio, necesario en el caso de la luz, al caso de partículas materiales.
Llegamos así a la idea de que los corpúsculos materiales deben poder presentar fenómenos análogos a los de interferencia y de difracción de la luz, y que los métodos de cálculo deben ser análogos en uno y otro caso. Con las nuevas concepciones, una nube de electrones de la misma velocidad, debe estar asociada a una onda plana monocromática. Supongamos que esta nube de electrones incide sobre un medio de estructura regular como un cristal: si las distancias que separan los elementos de esta estructura son del mismo orden de magnitud que la longitud de onda de la onda incidente, habrá difracción de esta onda y, en ciertas direcciones, fácilmente calculables, habrá un máximo de amplitud de la onda difundida. Habrá que esperar, pues, que los electrones que se hallen concentrados, después de la difusión, en ciertas direcciones. Se tendrá así una exacta analogía con las experiencias de Laue con los rayos X, y si el resultado está conforme con las previsiones de la teoría, se habrá obtenido una prueba muy directa y muy fuerte a favor de la necesidad de completar, hasta para la materia, la noción de corpúsculo con la noción de onda.
Estas experiencias han sido realizadas por métodos diversos y en condiciones diferentes por Davisson y Germer en Nueva York, el profesor G. P. Thomson de Aberdeen y Rupp en Göttingen. La conformidad entre la teoría y la experiencia es excelente; las desviaciones que se habían observado en las primeras experiencias de Davisson y Germer parecían explicarse naturalmente, si se tiene en cuenta el índice de refracción de las ondas en el cristal. Rupp ha llegado hasta obtener la difracción de un haz de electrones por medio de una red ordinaria empleada bajo forma de una incidencia tangencial. Las confirmaciones experimentales son, pues, tan completas, como es de desear.
* * * *
Así, pues, un conjunto de magníficos resultados experimentales ha establecido netamente que en Física es preciso hacer intervenir por todas partes y simultáneamente, corpúsculos y ondas. Pero ¿qué significa exactamente esta dualidad: ondas y corpúsculos? Es una cuestión muy difícil y que está aún muy lejos de hallarse resuelta.
La idea más sencilla es la que Schrödinger emitió al comienzo de sus trabajos: el corpúsculo, el electrón estaría constituido por un grupo de ondas, sería un «Wellenpacket». Hemos visto que esto puede sostenerse mientras se consideran sólo fenómenos mecánicos de acuerdo con la antigua dinámica, es decir, en lenguaje nuevo, fenómenos en que la propagación de la onda asociada obedece a las leyes de la óptica geométrica. Desdichadamente, cuando se pasa al dominio propio de la nueva teoría, esta idea, seductora por su simplicidad, no parece que sea ya posible sostenerla. En una experiencia tal como la difracción de un electrón por un cristal, el paquete de ondas se dispersaría y destruiría completamente; no se encontrarían, pues, corpúsculos en los haces difundidos. En otros términos, si fueran simples paquetes de ondas, los corpúsculos no tendrían existencia estable.
Si parece imposible mantener hasta sus últimas consecuencias la idea de Schrödinger, tampoco parece de más fácil desarrollo otra opinión, a la cual se sumó durante mucho tiempo el autor, y según la cual el corpúsculo sería una singularidad en un fenómeno ondulatorio. En el caso particular del movimiento uniforme de un corpúsculo, es posible encontrar una solución de la ecuación de ondas que presente una singularidad móvil y que pueda servir para representar al corpúsculo. Pero es muy difícil generalizar esto para el caso de un movimiento no uniforme, y existen serias objeciones contra este punto de vista.
El autor realizó también otra tentativa que se halla expuesta en su comunicación al V Congreso Solvay. En esta tentativa se parte de la siguiente idea: puesto que tenemos que asociar siempre Una onda a un corpúsculo, la idea más conforme con las antiguas concepciones de la física es considerar la onda como un verdadero fenómeno real que ocupa una cierta región en el espacio, y el corpúsculo como un punto que tiene cierta posición en la onda. Como, según hemos dicho, hace falta que la intensidad de la onda sea proporcional en cada punto a la probabilidad de presencia del corpúsculo, hay que tratar de vincular el movimiento del corpúsculo a la propagación de la onda, de forma que esta relación se encuentre siempre y automáticamente realizada.
De hecho, es realmente posible establecer entre el movimiento del corpúsculo y la propagación de la onda una conexión tal, que si en el instante inicial la intensidad de la onda mide en cada punto la probabilidad de presencia del corpúsculo, acontezca lo mismo en todo instante posterior. Se puede, pues, concebir el corpúsculo como guiado por la onda, la cual desempeña la función de onda-piloto. Esta concepción visualiza de una manera interesante el movimiento de los corpúsculos en mecánica ondulatoria, sin separarse demasiado de las ideas clásicas. Desdichadamente, también aquí se encuentran objeciones muy graves y no es ya posible considerar como satisfactoria la teoría de la onda-piloto. Sin embargo, como las ecuaciones sobre las cuales reposa esta teoría son irrebatibles, se pueden conservar algunos resultados de esta teoría dándoles una forma suavizada, de acuerdo con las ideas desarrolladas independientemente del autor por Kennard[8]. En lugar de hablar del movimiento y de la trayectoria de los corpúsculos, se habla del movimiento y de la trayectoria de los «elementos de probabilidad» y se evitan así las dificultades señaladas.
Existe finalmente un cuarto punto de vista, el más en boga actualmente: el que ha sido desarrollado por Heisenberg y Bohr. Este punto de vista es al principio un poco desconcertante, pero parece, sin embargo, contener una gran parte de verdad. Según esta concepción, la onda no representa, en modo alguno, un fenómeno físico que se realiza en una región del espacio; es más bien una simple representación simbólica de lo que sabemos del corpúsculo. Una experiencia o una observación no nos permiten jamás decir exactamente: tal corpúsculo ocupa tal posición en el espacio y tiene tal velocidad en magnitud y dirección. Lo único que la experiencia puede enseñarnos es que la posición y la velocidad del corpúsculo están comprendidas dentro de ciertos límites; dicho de otro modo, hay tal probabilidad para que el corpúsculo tenga tal posición, y tal otra para que tenga tal velocidad. Las informaciones que nos suministra una primera experiencia u observación realizada en el instante t0 pueden representarse simbólicamente por una onda cuya intensidad en este instante da en cada punto la probabilidad de presencia del corpúsculo en él, y cuya composición espectral nos da la probabilidad relativa de los diversos estados de movimiento. Si estudiamos la propagación de la onda desde el instante t0 hasta un instante posterior t, la repartición de las intensidades y la composición espectral de la onda en el instante í, nos permitirán decir cuál es la probabilidad para que una segunda experiencia u observación realizada en el instante t, localice el corpúsculo en tal punto o le atribuya tal estado de movimiento.
La consecuencia esencial de esta manera de ver es la «relación de indeterminación» de Heisenberg. Un tren de ondas limitado no puede considerarse como sensiblemente monocromático, mas que si sus dimensiones son muy grandes respecto de la longitud de onda. Si se llega, pues, a localizar por medio de una observación el corpúsculo, en una región del espacio que no sea de dimensiones muy grandes, respecto de la longitud de onda, se tendrá que representar el corpúsculo por un tren de ondas que no será ya monocromático. Por tanto, desde el punto de vista de Heisenberg, cuanto más se quiera precisar la determinación de la posición, peor determinado estará el estado de movimiento. Inversamente, cuanto mejor definido esté el estado de movimiento del corpúsculo, más se aproximará la onda a una onda plana monocromática de amplitud constante. Por tanto, cuando más exactamente definido esté el estado de movimiento tanto menos será posible estimar con certeza la posición del corpúsculo.
Bohr dice que hay «dos caras complementarias de la realidad»: la localización en el espacio-tiempo y la especificación dinámica por energía y cantidad de movimiento. Son como dos planos diferentes sobre los cuales no podemos estar a la vez, exactamente, en el mismo punto. Pongamos una comparación. Sea un dibujo, algunas de cuyas partes se hallan trazadas en un plano P y cuyas otras partes se hallan en un plano P’, paralelo muy próximo al primero. Si examinamos este dibujo con un instrumento óptico no muy preciso, llegaremos, enfocando un plano intermedio entre P y P’, a obtener una imagen bastante aceptable del dibujo; tendremos entonces la impresión de que todo el dibujo está trazado en un mismo plano. Pero si empleamos un instrumento óptico muy preciso, ya no podremos enfocar a la vez P y P'; cuanto más exactamente enfoquemos P, peor será la imagen de las partes del dibujo trazadas sobre P’ e inversamente: nos veremos obligados a reconocer entonces que el dibujo no estará trazado sobre un mismo plano. La antigua mecánica era el equivalente del instrumento poco preciso: con ella nos hacíamos la ilusión de poder precisar exactamente a la vez la posición del corpúsculo y su estado de movimiento. Pero con la nueva mecánica, que es el equivalente del instrumento muy preciso, nos vemos obligados a reconocer que la localización en el tiempo y en el espacio y la especificación energética, son dos planos diferentes de la realidad que no pueden ser vistos con precisión al mismo tiempo.
Tal es, según parece, la idea fundamental de Bohr y Heisenberg.
Esta manera de ver entraña la consecuencia ya prevista por Born, de que no podemos afirmar ya la existencia de un determinismo riguroso en la naturaleza, porque todo el determinismo de la antigua dinámica reposaba sobre la posibilidad de determinar simultáneamente la posición y la velocidad inicial de un corpúsculo, lo cual es imposible si se admiten las ideas de Heisenberg. No hay, entonces, leyes rigurosas, sino solamente leyes de probabilidad.
Con esta manera de interpretar la mecánica ondulatoria se encuentran algunas cosas extrañas. En primer lugar los corpúsculos existen y se admite, siempre que tiene sentido, hablar de su número; sin embargo, con las ideas de Bohr no puede tenerse la imagen clara y clásica de ellos, que consiste en considerarlos como objetos muy pequeños dotados de posición en el espacio, velocidad y trayectoria. En segundo lugar, el otro término del dualismo, la onda, no es ya sino una representación puramente simbólica y analítica de ciertas probabilidades y no constituye ya, en manera alguna, un fenómeno físico en el antiguo sentido de la palabra. Un ejemplo muestra claramente este último punto. Supongamos que en el tiempo t el tren de ondas asociado a un corpúsculo ocupa una región R del espacio, y que cierta observación realizada en este instante nos permita afirmar que el corpúsculo se encuentra en una región R’, naturalmente comprendida en R; entonces el paquete de ondas, según expresión de Heisenberg, tiene que ser «reducido», es decir, que toda la parte de la onda interior a R, pero exterior a R’ se desvanece, como se desvanece la esperanza de un acontecimiento que no se realiza. Esto muestra muy claramente el carácter no físico de la onda en las concepciones de Bohr y Heisenberg.
En resumen, la interpretación física de la nueva mecánica continúa siendo un asunto extremadamente difícil. Sin embargo, hay un gran hecho que está ya bien establecido; este hecho es que para la materia y para la radiación, se debe admitir el dualismo de ondas y de corpúsculos y que la repartición en el espacio de los corpúsculos, no puede preverse sino por consideraciones ondulatorias. Desdichadamente, la naturaleza profunda de los dos términos del dualismo y la relación exacta que entre ellos existe continúan todavía en el misterio.
§ 13. Paso de los corpúsculos electrizados a través de las barreras de potencial.[9]
Vamos a estudiar en las páginas que siguen el paso de los corpúsculos electrizados a través de las barreras de potencial y las teorías que a él se refieren. Este problema suministra una bonita ilustración de los métodos de la mecánica ondulatoria y muestra cómo muchos problemas de la dinámica del electrón se transforman en problemas muy análogos a los de la óptica clásica.
Para hacer resaltar bien el interés de la cuestión, comenzaremos por recordar cómo se han unido en mecánica ondulatoria las nociones de corpúsculo y onda. Hace todavía algunos años, se imaginaba que los corpúsculos que forman la materia (electrones, protones) podían considerarse como simples puntos materiales electrizados que obedecen a las leyes de la dinámica clásica, completadas, si hace falta, con las correcciones introducidas por la teoría de la relatividad. Igualmente los edificios más complejos designados con el nombre de átomos y de moléculas, podían también, tratándose de sus movimientos de conjunto, estudiarse como puntos materiales sometidos a la antigua dinámica. Así el estudio de la materia debía consistir esencialmente en perseguir, por medio de las leyes de la dinámica clásica, los movimientos de los corpúsculos elementales.
Completamente distinto era el método empleado en el estudio de los fenómenos luminosos. Aquí ya no hay corpúsculos en movimiento cuyas leyes dinámicas permitieran seguir en función del tiempo la variación de las coordenadas, sino ondas que se propagan según una ecuación en derivadas parciales del tipo

generalización de la ecuación de las cuerdas vibrantes. La velocidad de propagación V es característica del medio en que se propaga la onda. Es la misma en todos los puntos de un medio homogéneo, por ejemplo, del vacío, pero puede variar de un punto a otro en los medios heterogéneos. Esta velocidad V está definida por el índice de refracción, que da en cada punto la relación entre la velocidad en un medio de referencia homogéneo (generalmente el vacío) y la velocidad V.
Además, la naturaleza de la onda luminosa había sido concebida de maneras bastante distintas. Fresnel y sus continuadores la consideraban como vibración de un medio elástico muy sutil, que penetra todos los cuerpos, el éter. Evidentemente este medio tenía que poseer propiedades un poco singulares, puesto que no podía oponer resistencia ninguna al movimiento de los cuerpos, y debía, sin embargo, ser más rígido que el acero. Más tarde, con Maxwell, la vibración luminosa se consideró como de naturaleza electromagnética. La interpretación de la onda luminosa como vibración mecánica de cierto medio, se hacía fastidioso; fue completamente abandonada a consecuencia del desarrollo de la teoría de la relatividad, que exige el abandono de todo medio de referencia universal, como el éter. Sin embargo, la teoría ondulatoria de la luz, basada esencialmente sobre la ecuación de propagación de ondas y verificada con extrema precisión por el estudio experimental de los fenómenos de interferencia y de difracción, conservaba todo su valor. El punto esencial de la teoría completamente independiente de la interpretación elástica, electromagnética u otra cualquiera que quiera darse, es que la energía localizada en un punto de la onda luminosa es proporcional al cuadrado de la amplitud de la onda en este punto: por esto se da a este cuadrado de la amplitud el nombre de intensidad de la onda. He aquí, pues, dos órdenes de fenómenos: los movimientos de las partículas por un lado, la propagación de la luz por otro, que parecen obedecer a leyes esencialmente diferentes. El movimiento de las partículas se estudia siguiendo la variación de sus coordenadas en el curso del tiempo, variación determinada por las ecuaciones diferenciales de la Mecánica.
Para cada partícula todo el fenómeno del movimiento no interesa sino a una sola curva del espacio, la trayectoria. Además, excepción hecha de la clase muy especial de los movimientos periódicos, no hay ningún intervalo del tiempo, ni ninguna longitud que pueda desempeñar un papel especial en la progresión de una partícula. Nada puede hacernos prever en la concepción clásica de los fenómenos, movimientos de partículas que presenten alguna analogía con los fenómenos de difracción, de interferencia, o de resonancia tan característicos de la teoría de las ondas y que hacen intervenir en sus fórmulas números enteros.
Por el contrario, en la teoría clásica de las ondas, el fenómeno de propagación interesa no solamente a una línea, sino a una extensa región del espacio, está regido por una ecuación en derivadas parciales, precisamente porque la onda está representada en toda una región del espacio por una función u (x, y, z, t), mientras que para la partícula material tenemos, con las antiguas ideas, tres funciones del tiempo: x(t), y(t), z(t), que siguen al móvil en su movimiento. Además, se sabe que toda onda puede descomponerse en una superposición de ondas sinuosidades simples de frecuencias bien definidas. En óptica, cada frecuencia corresponde a un color simple (de donde el nombre de onda monocromática dado a las ondas sinusoidales), y existen dispositivos (prismas y redes) que permiten operar de hecho esta descomposición en luces simples, cosa siempre posible, según el teorema de Fourier. Una onda monocromática en un medio homogéneo está definida por su frecuencia ν y por su longitud de onda λ que se deduce de la frecuencia por la relación λ = V/ν, donde V es la velocidad de propagación en el medio homogéneo. La propagación de la onda monocromática puede depender mucho, en ciertos casos, de la longitud de onda. Por ejemplo, si en el medio homogéneo se interponen en el trayecto de la onda ciertos obstáculos, la influencia de éstos podrá ser absolutamente diferente, según qué las dimensiones de estos obstáculos sean o no múltiplos enteros de le longitud de onda.
He aquí, pues, muchas diferencias esenciales entre el movimiento de un corpúsculo y la propagación de una onda. Pero examinando las cosas más de cerca, estas diferencias son tal vez menos profundas de lo que pudiera hacer creer un examen superficial. Observemos, en primer lugar, que el movimiento de un corpúsculo depende del campo dé fuerzas en que está sumergido, es decir, en cierto modo de un estado del medio en que se efectúa la progresión. Tal estado se halla definido casi siempre en Física por la función potencial cuyo gradiente es la fuerza, y en las ecuaciones de Newton, los segundos miembros contienen entonces las derivadas parciales de esta función. Es ilusorio decir, como decía yo hace poco, que el movimiento de un corpúsculo no interesa sino a una línea, a una curva del espacio, porque en realidad esta línea, la trayectoria, está determinada por la naturaleza del campo de fuerzas en la región del espacio próxima a aquélla. Esto se ve muy claramente si se examina el principio de la menor acción de. Maupertuis: en un campo de fuerzas constante que deriva de una función potencial U(x, y., z), la trayectoria de un corpúsculo de energía E que pasa por dos puntos A y B, es tal que la integral

a largo de la trayectoria de A a B es estacionaria; y para aplicar este principio, hay que considerar todas las curvas que van de A a B y que son infinitamente próximas a la trayectoria, lo cual hace intervenir las propiedades del campo en toda la región próxima a la trayectoria.
Pero son sobre todo los trabajos de Hamilton los que hace un siglo han puesto de relieve las analogías profundas que existen en ciertas condiciones, entre el movimiento de los corpúsculos, concebido según la dinámica de Newton, y la propagación de ondas. Se sabe que, cuando el índice de refracción no varía demasiado rápidamente de un punto a otro de un medio, la propagación de una onda puede seguirse por procedimientos aproximativos que constituyen la óptica geométrica. Se definen los rayos de la propagación de onda por el principio del tiempo mínimo de Fermat, y el conjunto de rayos forma un conjunto de curvas ortogonales a una familia de superficies que se llaman las superficies de onda. Aunque la palabra «onda» intervenga en esta última denominación, la óptica geométrica es completamente independiente de toda concepción ondulatoria y se estudia en ella la propagación de la luz por procedimientos puramente geométricos. Los rayos son las trayectorias de la energía y nada impide considerar el conjunto de los rayos luminosos como el conjunto de las trayectorias de pequeños proyectiles que constituirían la luz, según la concepción de Newton. Pero la óptica geométrica no es válida sino para la propagación libre (sin obstáculos) en un medio de índice lentamente variable para la escala de la longitud de onda. Si hay una variación del índice muy brusca (como en la superficie de separación de dos medios) o si hay obstáculos en el recorrido de la luz (por ejemplo pantallas), entonces la óptica geométrica es incapaz de explicar los fenómenos que se producen, y, según se sabe, desde Fresnel, sólo la teoría ondulatoria puede interpretarlos (interferencias, difracción, láminas delgadas). Por fortuna para la coherencia de nuestras explicaciones físicas, la óptica geométrica, vista de cerca, aparece como un método de aproximación cuyo empleo está justificado por la teoría ondulatoria, cada vez que la propagación es libre y que el índice es lentamente variable. Como la noción de rayo pierde su sentido cuando hay interferencia o difracción, la teoría corpuscular, que parece compatible con la óptica geométrica, tuvo que ser abandonada después de Fresnel.
El gran mérito de Hamilton está en haberse dado cuenta de la completa analogía formal que existe entre la óptica geométrica y la dinámica newtoniana de los corpúsculos. A los rayos determinados por el principio del tiempo mínimo corresponden las trayectorias determinadas por el principio de la acción mínima. Al conjunto de rayos de una misma propagación, corresponde el conjunto de trayectorias que la mecánica analítica vincula a una misma función de Jacobi. A las superficies de onda corresponden las superficies S = constante, de igual valor, de la función de Jacobi. Quedan, sin embargo, algunos puntos importantes en que la analogía parece cesar. Especialmente el caso del papel que desempeña la velocidad del corpúsculo en dinámica y la velocidad de la onda en óptica geométrica. Son estas dificultades las que impidieron a Hamilton ver en la analogía que descubrió, algo más que una analogía formal. Si hubiera pensado que la analogía no era solamente formal, que tenía un sentido físico, ¿a qué conclusiones hubiera llegado?
Puesto que la mecánica de Newton corresponde a la óptica geométrica, la cual a su vez no es sino una aproximación de la óptica ondulatoria, hubiera debido concluir que la mecánica de Newton tiene solamente un valor limitado, que la verdadera mecánica debe tener un carácter ondulatorio, y admitir la mecánica de Newton como primera aproximación válida en ciertos casos, al igual que la teoría ondulatoria de la luz admite la óptica geométrica como primera aproximación válida en ciertos casos. Pero esta idea audaz, que no pudo penetrar en la ciencia sino un siglo más tarde, entrañaba una formidable dificultad: de la misma manera que la noción de rayo desaparece al pasar de la óptica geométrica a la óptica ondulatoria, así también la noción de trayectoria debe desaparecer al pasar de la dinámica de Newton a la mecánica ondulatoria, y entonces la noción de corpúsculo debe, en mecánica ondulatoria, si no desvanecerse, por lo menos sufrir una extraña transformación.
'Es sabido cuáles son los descubrimientos que han motivado el desarrollo de la idea de una mecánica ondulatoria. Se encuentra su origen en la teoría de los quanta, salida de los trabajos de Planck sobre la radiación negra. La idea esencial, el leit motiv de esta teoría, desde los trabajos de Planck hasta los de Bohr y Sommerfeld, etc., es que los movimientos de las partículas, por lo menos en escala muy pequeña, no pueden preverse de una manera completa con sólo la ayuda de la dinámica de Newton. Entre todos los movimientos previstos como posibles por esta dinámica, solamente algunos existen realmente en la naturaleza, y estos movimientos privilegiados o cuantificados están especificados por el hecho de que ciertas magnitudes que los caracterizan y que tienen las dimensiones de una acción (energía × tiempo ML2T-l) son múltiplos enteros del quantum de acción k de Planck. Esta aparición de los números enteros, completamente natural en tas teorías ondulatorias, parece inexplicable en dinámica. Se ha visto después que implica la necesidad de reemplazar la antigua dinámica «geométrica» de Newton, por una mecánica ondulatoria, de la misma manera que en la teoría de la luz se ha tenido que reemplazar la óptica geométrica por la óptica ondulatoria. Pero la dificultad estará entonces en conservar la noción de corpúsculo sin poder definir ya netamente sus trayectorias.
Otra categoría de hechos nuevos ha contribuido a precisar el sentido de la evolución de nuestras concepciones. Me refiero a fenómenos tales como el efecto fotoeléctrico y él efecto Compton, que han mostrado la existencia de granos de energía luminosa de valor hν, en toda radiación de frecuencia ν: para hablar con mayor cautela, estos fenómenos han mostrado que, en ciertos casos, todo pasa como si las radiaciones de frecuencia ν estuvieran formadas de corpúsculos de energía hν. Esto concuerda perfectamente con la concepción de Newton llamada «teoría de la emisión», y nos vemos obligados a volver a la idea de corpúsculos de luz a pesar de la existencia innegable de fenómenos de difracción y de interferencia. Aquí es preciso, pues, conservar también, en cierta medida, las nociones corpusculares, a pesar de no poder definir en el caso general (fuera del dominio de aplicación de la óptica geométrica) las trayectorias de los corpúsculos. La mecánica ondulatoria ha logrado realizar el difícil compromiso entre la concepción de los corpúsculos y la de las ondas a la vez para la materia y para la luz; pero ello ha sido al precio de ideas enteramente nuevas y especialmente a una cierta renuncia a las imágenes claras y al determinismo perfecto de las teorías clásicas. El principio de incertidumbre de Heisenberg nos ha explicado en qué medida se debe aceptar esta renuncia para poder conciliar la existencia de los corpúsculos con una dinámica ondulatoria, la cual, en él caso general (fuera del caso correspondiente a la óptica geométrica), no puede definir de una manera precisa la trayectoria de los corpúsculos y su progresión.
Pero lo que nos interesa ahora, es que la nueva mecánica, al someter la dinámica del corpúsculo a una disciplina ondulatoria, ha permitido prever fenómenos interesantísimos que la dinámica de, Newton no podía explicar, Citaré, en primer lugar, precisamente los movimientos cuantificados en pequeña escala, por ejemplo, los movimientos cuantificados de los electrones en los átomos. La mecánica ondulatoria ha llegado a interpretarlos como fenómenos análogos a la resonancia o a las ondas estacionarias. La intervención de números enteros en la especificación de estos estados cuantificados aparece entonces como algo completamente natural. Otro fenómeno, cuyo descubrimiento ha suministrado una prueba experimental directa de las ideas directrices de la mecánica ondulatoria, es el fenómeno de la difracción de los electrones por los cristales,, completamente análogo al fenómeno de Laue-Bragg para los rayos X.
Pero la nueva mecánica hace prever también otros fenómenos cuyo: estudio teórico tiene enorme interés a causa de su analogía con los fenómenos clásicos de la óptica. He aquí, por ejemplo, un fenómeno, fundamental de óptica: el de las láminas delgadas. Interpongamos normalmente en el trayecto de una onda luminosa plana de frecuencia ν0 una lámina homogénea de caras paralelas de una sustancia refringente; sea λ la longitud de onda de la luz en la lámina. Si el espesor de la lámina es igual a un múltiplo impar de λ/4, las ondas, que se han reflejado sobre las caras de entrada y salida de la lámina, están en concordancia de fase y hay una fuerte reflexión. Si por el contrario el espesor de la lámina es un múltiplo par de λ/4, es decir, un múltiplo entero de λ/2, la reflexión será nula o débil.
Una manera bien conocida de poner este fenómeno en evidencia es emplear una lámina en forma de cuña, es decir, de espesor variable; se obtienen entonces franjas brillantes y franjas negras correspondientes a las regiones en que, según el espesor, hay fuerte reflexión, o fuerte transmisión. Los anillos de Newton son un caso particular de esto. Es muy interesante recordar, de paso, cómo Newton, que era partidario de la teoría corpuscular, trataba de dar razón de estos anillos que él había descubierto. Admitía que los corpúsculos de luz, una vez que han entrado en el medio refringente, pasan alternativa y periódicamente por «accesos de fácil transmisión» y por «accesos de fácil reflexión». Se concebía, pues, que, según el espesor de la lámina, al llegar el corpúsculo a la segunda superficie de separación, podía encontrarse sea en estado de fácil reflexión, sea en estado de fácil transmisión. La teoría de las ondulaciones ha permitido explicar cómodamente los fenómenos de láminas delgadas y ha hecho olvidar por completo los corpúsculos de Newton y sus accesos.
Estudiaremos en los corpúsculos materiales fenómenos completamente análogos a los de las láminas delgadas. Veremos que en la nueva mecánica el análogo de un medio homogéneo refringente es una región del espacio en que reina un potencial constante. Examinaremos estos casos así como los casos más generales en que el potencial no es constante, y que corresponden al paso de la luz por cuerpos refringentes no homogéneos. A estas teorías se refieren las tentativas de explicación del efecto Ramsauer y de la difusión anormal de los rayos X.
Otra categoría de fenómenos prevista por la mecánica ondulatoria en este orden de ideas se refiere al hecho de que en las teorías de las ondas jamás hay límites infranqueables para éstas.
Un primer ejemplo de este hecho se presenta en Óptica en la teoría de las cáusticas. Para la óptica geométrica, como la cáustica es la envolvente de los rayos, es un límite preciso del campo de la energía luminosa. Ahora bien, si se examina de cerca la cuestión de las cáusticas con la mecánica ondulatoria, se ve que la cáustica es, «groso modo», el límite de la energía luminosa, pero que en rigor hay una pequeña penetración de las ondas, y, por tanto, de la energía luminosa en la región exterior a la cáustica. He aquí lo que esto significa en mecánica ondulatoria. Supongamos una región en que reina un campo uniforme. En un punto de este campo se proyectan con una misma velocidad inicial y en todas las direcciones, corpúsculos sensibles para el campo: encuéntrese su movimiento. Para la antigua mecánica, este problema es el del movimiento de los proyectiles en el campo de gravitación (abstracción hecha, naturalmente, de la resistencia del aire): las trayectorias son parábolas de eje paralelo a la dirección del campo, y estas parábolas admiten como envolvente otra parábola, la parábola de seguridad (fig. 1), más allá de la cual (y este es el origen de su nombre) no puede llegar ningún proyectil. La parábola de seguridad es una cáustica.

Figura 1
La parábola de seguridad es un límite infranqueable para la energía de la salva de proyectiles. Pues bien, si se trata el mismo problema para estos corpúsculos, en mecánica ondulatoria, se encontrará que más allá de la parábola de seguridad hay muy poca probabilidad de encontrar uno de estos corpúsculos; pero sin embargo habrá una pequeña probabilidad de encontrar un corpúsculo en la región exterior a esta parábola cáustica. Igualmente, la sombra geométrica del borde de una pantalla no es un límite realmente absoluto para la luz, puesto que la teoría de la difracción para el borde de una pantalla, muestra que hay luz en la sombra geométrica. Asimismo, después de la reflexión total de la luz, hay una onda evanescente que penetra ligeramente en el segundo medio. En todos estos casos, no hay límite absolutamente preciso para las ondas, cuyo decrecimiento tiene siempre lugar de una manera continua, aunque a veces muy rápida. Encontraremos ejemplos análogos en la mecánica ondulatoria de los corpúsculos. Las ondas asociadas a los corpúsculos jamás se detienen completamente por un obstáculo, y, como el corpúsculo puede encontrarse dondequiera que su onda no sea nula, los corpúsculos jamás podrán ser completamente detenidos por ninguna barrera. Es también esta una diferencia fundamental con la antigua mecánica. Consideremos un corpúsculo animado de una energía E, que llega a una región en que él potencial va creciendo, pasa por un máximo, y después decrece (fig. 2).

Figura 2
Es una montaña de potencial. El corpúsculo, al escalar la montaña de potencial, perderá su energía cinética; si el valor del potencial en la cúspide de la montaña es superior a E. el corpúsculo se detendrá, puesto que su energía cinética no puede hacerse negativa, y después retrocederá sin haber podido franquear la montaña. La montaña de potencial es, pues, en la mecánica clásica, una barrera infranqueable para los corpúsculo de energía débil. La' mecánica ondulatoria prevé un fenómeno diferente, la onda asociada al corpúsculo incidente sufrirá una reflexión casi total sobre la montaña de potencial, pero, sin embargo, una pequeña fracción de la onda penetrará en la región situada a la derecha. Esto debe interpretarse como sigue: un corpúsculo tiene mucha, mayor probabilidad de ser reflejado por la montaña y expulsado hacia la izquierda, pero, por muy elevada que sea esta montaña, tiene siempre una pequeña probabilidad de poder pasar a la derecha, o si se quiere, dada orna nube dé corpúsculos de energía E procedente de la izquierda de la montaña de potencial, la casi totalidad de ellos será reexpedida hacia la izquierda con reflexión; pero habrá siempre algunos que lograrán franquear la montaña. Resulta de esto que si hay corpúsculos que se encuentran dentro de una región cerrada del espacio gracias a un campo antagonista existente; en el límite de dicha región para impedirles salir, habrá, sin embargo, siempre algunos que lograrán escapar, por alta que sea la pared de la cubeta de potencial.

Figura 3
Corpúsculos encerrados en una especie de circo rodeado de una montaña de potencial, tendrán siempre alguna probabilidad de evadirse por alta que sea la montaña (figura 3). Es el principio de la teoría de la radiactividad propuesta por Gurney y Condon y por Gamow, a la cual se refieren también otras varias tentativas teóricas. Es este también el principio de una teoría de la catálisis debida a Born.
El desarrollo de la física teórica contemporánea ha estado caracterizado sobre todo por la eclosión de dos grandes teorías: la teoría de la relatividad y la teoría de los quanta.
El desarrollo de la física teórica contemporánea ha estado caracterizado sobre todo por la eclosión de dos grandes teorías: la teoría de la relatividad y la teoría de los quanta. Sus desarrollos han sido en gran parte independientes, pero como estas doctrinas tienen un carácter general y pretenden reinar sobre toda la Física, tenían que acabar, fatalmente, por encontrarse y enfrentarse. Nos proponemos recordar aquí, brevemente, sus desarrollos iniciales independientes, y exponer después cómo se ha tratado de conciliarlas, sin haberlo logrado plenamente aún.
* * * *
Estas dos teorías debieron su nacimiento a la constatación de ciertos desacuerdos entre las teorías anteriores y los hechos experimentales. Se sabe cuál es el desacuerdo que condujo a la teoría de la relatividad: es la imposibilidad de poner en evidencia el movimiento absoluto de traslación de la tierra, respecto al éter. La mecánica clásica nos enseña que la observación de los fenómenos puramente mecánicos no puede dar a conocer a un observador si está inmóvil o en movimiento rectilíneo y uniforme, respecto al conjunto de las estrellas fijas. Pero si se pasa de los fenómenos puramente mecánicos a los fenómenos ópticos, se pensaba en otro tiempo que no debía ocurrir lo mismo. Desde Fresnel, en efecto, se admitía que la luz es una perturbación análoga a las perturbaciones sonoras y parecía inconcebible a los físicos de entonces que las perturbaciones luminosas que se propagan a través del espacio, no tuvieran como soporte un cierto medio. Pero como este medio escapa a nuestros sentidos, y tiene que existir en el vacío y no impedir en nada el movimiento de los astros, era forzoso considerarlo como un medio infinitamente sutil, el éter, completamente distinto de los medios materiales percibidos por nuestros sentidos. Más tarde, cuando se desarrolló la teoría de los fenómenos electromagnéticos, y tomó, gracias a Maxwell, la extensión que se sabe, se llegó igualmente a pensar que los campos eléctricos y magnéticos que se propagan en el espacio tienen igualmente un soporte, y como la luz no es sino una onda electromagnética, era menester que este soporte de los fenómenos electromagnéticos fuera precisamente el éter. Desgraciadamente la concepción del éter tropezó con toda suerte de dificultades. Todos los numerosos intentos realizados para imaginar un éter elástico o para precisar su estructura, han llevado a conclusiones poco satisfactorias. Poco a poco los físicos han renunciado a precisar la naturaleza del éter, limitándose a considerarlo como un simple • medio de referencia, soporte de los fenómenos electromagnéticos. Es el punto de vista en el que se colocó casi siempre Lorentz en el desarrollo de su teoría de los electrones. Por desgracia, aun reducido a esta modesta función, el concepto del éter ha continuado entorpeciendo. En efecto, si hay un medio de referencia, un soporte, para los fenómenos electromagnéticos y ópticos, estos fenómenos no pueden producirse de la misma manera para un observador que está inmóvil respecto a este soporte y para otro que se mueve relativamente a él. Un físico encerrado en su laboratorio no puede poner en evidencia, estudiando fenómenos puramente mecánicos, el movimiento de traslación de la tierra sobre su órbita, pero, si existe el éter, podrá llegar a ello por el estudio de ciertos fenómenos ópticos o electromagnéticos. Ahora bien, la experiencia se ha negado obstinadamente a poner en evidencia el movimiento de la tierra respecto al éter. La célebre experiencia de Michelson, y algunas otras parecidas que deberían, según las antiguas teorías, dar un resultado positivo, han dado por el contrario un resultado negativo. Se propusieron al principio diversos intentos de explicación un poco artificiales (contracción de Fitz-Gerald), hasta que Einstein vino a cortar este nudo gordiano: admitió que, para observadores animados los unos respecto de los otros de movimientos de traslación uniforme, todos los fenómenos de la naturaleza, tanto ópticos y electromagnéticos como mecánicos, obedecen a las mismas leyes, de suerte que ninguno de los observadores puede poner en evidencia por observaciones interiores a su sistema, su propio movimiento de traslación, y que todos ellos tienen el mismo derecho de considerarse en reposo. De este «principio de relatividad», Einstein ha deducido, gracias a un penetrante análisis de los procedimientos que sirven para medir las longitudes y los tiempos, que las coordenadas de espacio y de tiempo, empleadas por cada observador, están ligadas entre sí por fórmulas de transformación conocidas con el nombre de «transformación de Lorentz». Estas relaciones entre las coordenadas empleadas por observadores en movimiento relativo uniforme, fueron esquematizadas por Minkowski, considerando un continuo de cuatro dimensiones: el universo o espacio-tiempo; en este continuo cada observador recorta de cierta manera su espacio y su tiempo, y este recorte no se realiza de igual manera por dos observadores en movimiento relativo entre sí.
El desarrollo de la teoría de la relatividad ha abocado a una especie de fusión íntima del espacio y del tiempo, simbolizada por el espacio-tiempo de Minkowski, y en todas las fórmulas relativistas, las coordenadas de espacio y de tiempo desempeñan un papel sumamente simétrico. Sin embargo, sería exagerado decir que en la teoría de la relatividad el espacio y el tiempo desempeñan un papel completamente simétrico. No solamente hay una diferencia en el formalismo, puesto que es la cantidad √-1ct la que desempeña el papel simétrico al de las variables x, y, z; sino que, además, ninguna teoría puede hacer desaparecer los dos hechos fundamentales siguientes:
1. Mientras que las variables de espacio pueden variar indiferentemente en un sentido u otro, el tiempo fluye siempre en el mismo sentido;
2. Las entidades físicas elementales, tales como los átomos, los electrones etc., persisten en el curso del tiempo, hecho que se traduce en la escala macroscópica en la persistencia de los objetos materiales. De donde resulta que el espacio-tiempo tiene una especie de estructura «fibrilar» en el sentido del tiempo.
Entre las consecuencias importantes de la relatividad se halla la concepción de la inercia de la energía, según la cual a toda cantidad de energía W se halla vinculada una masa W/c2 y por tanto, si está animada con un movimiento de velocidad ν, en el sistema de referencia empleado, tendrá una cantidad de movimiento W/c2×ν. El principio de relatividad implica, además, una modificación importante de la antigua dinámica del punto material. La mecánica relativista se separa mucho de la mecánica clásica para los corpúsculos animados de velocidades próximas a la velocidad c de la luz en el vacío; por lo demás, la velocidad c es el límite superior de las velocidades que puede tomar un cuerpo material, porque, según la mecánica relativista, haría falta suministrar a este cuerpo una energía infinita para comunicarle la velocidad c. Las fórmulas de la mecánica relativista para los electrones de gran velocidad, han sido verificadas por una serie de experiencias, las más decisivas de las cuales fueron las de Guye y Lavanchy.
En su forma más primitiva, la teoría de la relatividad no comparaba las coordenadas de espacio y tiempo, sino para observadores en movimiento rectilíneo y uniforme. Fue generalizado después por Einstein mismo y ha suministrado una explicación de la gravitación. Aquí dejaré de lado la relatividad generalizada.
* * * *
Mientras la experiencia, al negarse obstinadamente a manifestar el movimiento relativo de la tierra respecto del éter, forzaba a los físicos a admitir el principio de relatividad, les llevaba casi al mismo tiempo a introducir una modificación en sus concepciones anteriores, más importante, sin duda, imaginando la noción de quantum.
El origen de la teoría de los quanta ha sido el estudio de la repartición de la energía entre las frecuencias en la radiación de equilibrio térmico. Las teorías clásicas preveían una cierta ley de repartición espectral, la ley de Rayleigh-Jeans, y esta ley, que conducía a una consecuencia inverosímil porque daba un valor infinito a la densidad total de la energía, no se mostró exacta sino para las frecuencias muy pequeñas. Ahora bien, como la experiencia suministraba curvas de repartición espectral de la energía en desacuerdo con la teoría, pero muy perfectamente determinadas, podía ensayarse una reforma de la teoría de manera que se obtuviera el resultado experimental. Es lo que hizo Planck, que logró encontrar la ley de repartición espectral que lleva su nombre y que da perfecta razón de los hechos experimentales. Para llegar a ella, y especialmente para introducir la famosa constante h, ignorada por las teorías clásicas, Planck debió establecer como base de sus razonamientos la nueva hipótesis de los quanta. Esta hipótesis se le presentó al principio en la siguiente forma: admitió que los movimientos periódicos de las partículas electrizadas elementales no son estables mas que si la energía E de sus oscilaciones, está ligada a la frecuencia ν por la relación E = h𝜈. Bajo esta forma se tiene una hipótesis de los «quanta de energía», y apoyándose en ella dedujo Planck su ley de la radiación negra. Pero la hipótesis de los quanta de energía no puede aplicarse sino a sistemas mecánicos cuya frecuencia de oscilación sea independiente de la energía, y tal era precisamente el caso de los osciladores elementales considerados al principio por Planck. Tratando de obtener un enunciado más general de la hipótesis de los quanta, Planck vio pronto que era menester presentarla bajo la forma de una hipótesis de los «quanta de acción» y llegó así a la idea de que la constante h traduce la existencia de una especie de atomicidad de la acción mecánica.
Se sabe que la magnitud llamada «acción» por los teóricos de la Mecánica tiene las dimensiones de una energía multiplicada por el tiempo, o lo que es lo mismo, de una cantidad de movimiento multiplicada por una longitud. La acción es, pues, una magnitud que depende a la vez de la configuración del sistema y de su estado dinámico. De aquí resulta esta consecuencia fundamental (en el fondo las relaciones de incertidumbre de Heisenberg en la nueva mecánica no son sino un aspecto de aquella consecuencia): la existencia del quantum de acción expresa la imposibilidad de considerar separadamente, independientemente el uno del otro, la configuración de un sistema y su estado de movimiento. La conexión que de aquí resulta, entre la geometría y la dinámica, es sumamente desconcertante para nuestro espíritu y totalmente extraña a las concepciones clásicas: no encuadra en la representación relativista de los movimientos por curvas (líneas de universo) en el espacio-tiempo. Esto debió haber hecho prever que en el dominio atómico, en que prepondera la influencia del quantum de acción, Relatividad y Quanta no serían fáciles de conciliar.
El estudio de un gran número de fenómenos físicos ha mostrado la importancia, que tiene fuera de la radiación negra el quantum de acción, cuya existencia se traduce por la intervención de la constante h. En particular, la célebre teoría atómica de Bohr, cuyo éxito es innecesario recordar, se halla fundada sobre la «cuantificación» de los movimientos periódicos, tal como podía obtenerse introduciendo, bien que mal, la idea del quantum en las ecuaciones de la antigua mecánica.
* * * *
El primer desarrollo de la teoría de los quanta (1900-1916) se efectuó con independencia absoluta de las ideas de la relatividad. Hay, sin embargo, un aspecto de la hipótesis de los quanta, señalado ya por Einstein, que tiene relación con la relatividad. En 1905, en el momento mismo en que Einstein, a los 25 años, establecía las bases de la teoría de la relatividad, presintió también, en otra intuición genial, que la existencia de ciertos fenómenos de interacción entre luz y materia, los efectos fotoeléctricos, implicaba una estructura granular de la energía luminosa: todo acontece en estos fenómenos, como si la energía luminosa de frecuencia v, estuviera concentrada en «granos» de valor hν. Ahora bien, cada vez que se trata de la luz, es decir, de una forma de energía que se propaga en el vacío con la velocidad c, se puede esperar que intervenga la relatividad, y esta intervención se manifiesta aquí de la siguiente manera: si se admite que la luz de frecuencia v se halla dividida en granos de energía hν, debe atribuirse a cada uno de ellos una cantidad de movimiento hν/c, porque la dinámica relativista exige que la energía W y la cantidad de movimiento p de un corpúsculo de velocidad 𝜈 estén vinculadas por la relación: p = W/c2×ν, lo cual, para los granos de luz de velocidad c, da P = W/c =h ν/c. Así, en la nueva teoría granular de la luz (teoría de los quanta de luz o de los fotones), Relatividad y Quanta se han encontrado, por así decirlo, por vez primera; el quantum de acción encuentra su expresión en el valor hν atribuido a la energía del grano de luz, y la relatividad interviene para dar el valor de la relación entre la cantidad de movimiento y la energía, y para imponer así a la cantidad de movimiento el valor , al paso que la antigua mecánica le habría dado un valor completamente distinto.
Un segundo encuentro entre las dos grandes doctrinas de la Relatividad y de los Quanta se produjo en 1916, cuando Sommerfeld construyó su teoría de la estructura fina del espectro del hidrógeno y de los dobletes regulares de los espectros X. Bohr, aplicando la mecánica newtoniana completada por el postulado del quantum de acción al modelo planetario del átomo, había logrado ya explicar en conjunto el espectro del hidrógeno, del helio ionizado, y hasta los espectros de los rayos X. Pero estos diferentes espectros presentan una «estructura fina» que la teoría de Bohr no podía explicar. Sommerfeld tuvo la idea de aplicar a los electrones atómicos no ya la mecánica clásica de Newton, sino la mecánica relativista de Einstein, completándola siempre con el postulado del quantum de acción. Llegó así a prever correctamente la estructura fina de los espectros del hidrógeno y del helio ionizado, así como ciertos detalles importantes de los espectros de los rayos X (dobletes regulares). Esto pareció constituir un magnífico éxito, debido, por así decirlo, a la conjunción de los quanta con la relatividad. Desdichadamente un examen de la teoría de Sommerfeld la ha revelado menos satisfactoria de lo que se creyó al principio: prevé en efecto la estructura fina de los rayos X, pero puede decirse que no la coloca allá donde está en realidad. Ha sido menester la teoría del electrón magnético de Dirac para poner las cosas en orden.
* * * * *
Una inflexión importante en la historia de la física contemporánea ha sido la aparición de la nueva mecánica. Esta aparición tuvo lugar casi simultáneamente bajo dos formas diferentes: mecánica cuántica y mecánica ondulatoria. Pero mientras la mecánica cuántica tuvo desde un comienzo un carácter marcadamente no relativista, la mecánica ondulatoria tuvo su origen por el contrario en consideraciones basadas en la relatividad, porque el paralelismo entre el movimiento de un corpúsculo y la propagación de una onda, base de la mecánica ondulatoria, se precisó apoyándose en las fórmulas de transformación de Lorentz. Pero inmediatamente ocurrió una cosa sumamente curiosa: cuando se quiso desarrollar matemáticamente la nueva concepción ondulatoria de la mecánica, fue necesario en cierta medida, abandonar el terreno relativista y constituir una mecánica ondulatoria que es una promoción de la mecánica de Newton y no de la mecánica de Einstein. ¡Hecho verdaderamente extraño, porque la mecánica ondulatoria pareció haber renegado así de su origen!
Desarrollada en forma no relativista, la nueva mecánica ha tenido, según se sabe, grandes éxitos que sería prolijo enumerar aquí. Ha conducido a una interpretación probabilista de las leyes de la Física que, después de haber encontrado algunas resistencias, parece estar hoy generalmente aceptada. Esta teoría probabilista se expresa en una espléndida teoría general que permite prever los valores posibles de una magnitud física y las probabilidades respectivas de estos valores posibles.
A pesar del éxito innegable de la nueva mecánica, continuaba siendo bastante chocante el que fuera esencialmente no relativista. Desde el comienzo del desarrollo matemático completo de la mecánica ondulatoria, cierto número de autores intentaron escribir las ecuaciones generales de la nueva ciencia en forma relativista. Esta tentativa no fue feliz. Por una parte, las ecuaciones relativistas en cuestión conducen, para la estructura fina del espectro del hidrógeno y para la de los espectros X, a fórmulas diferentes de las de Sommerfeld, en oposición con los datos experimentales; por otra parte, la forma misma de las ecuaciones propuestas no permitía conservar la teoría probabilista general de que hemos hablado antes, lo cual constituye una grave objeción. A consecuencia del fracaso de esta primera tentativa para dar forma relativista a la mecánica ondulatoria, pareció, por un instante, que la nueva mecánica se desinteresaba de la relatividad. Pero pronto (1928), se realizó un nuevo y poderoso esfuerzo por Dirac, para reconciliar la mecánica cuántica y la relatividad, construyendo su espléndida teoría del electrón magnético y giratorio de que nos vamos a ocupar ahora.
* * * *
La teoría de Dirac fue construida por su autor de manera que estuviera de acuerdo a la vez con el principio de relatividad y con la interpretación probabilista general de la nueva mecánica. Sin querer insistir aquí sobre el aspecto matemático de la teoría, indiquemos, sin embargo, que Dirac logró sus objetivos de una manera muy ingeniosa «linealizando» el hamiltoniano clásico y llegó así a colocar en la base de la dinámica ondulatoria del electrón, no ya una ecuación en derivadas parciales de segundo orden, que recae sobre una sola función de ondas, sino cuatro ecuaciones en derivadas parciales de primer orden simultáneas que recaen sobre cuatro funciones de ondas. Lo verdaderamente notable en esta teoría es que introduce automáticamente el magnetismo propio y la rotación propia del electrón (spin), elementos nuevos cuya consideración había sido impuesta ya por los hechos experimentales. La teoría de Dirac, suministra correctamente la estructura fina del espectro del hidrógeno y de los espectros X, sin provocar las mismas dificultades que la antigua fórmula de Sommerfeld; suministra asimismo una interpretación correcta de los efectos Zeeman anormales que ninguna teoría anterior había podido obtener.
Pero a pesar de que el admirable esfuerzo de Dirac ha conducido a muchos éxitos, no debe creerse, sin embargo, que ha reconciliado por completo los quanta y la relatividad. Sin duda, las ecuaciones de Dirac presentan una curiosa invariancia de forma, respecto de las transformaciones de Lorentz; sin duda, también, las funciones de onda que las resuelven permiten definir magnitudes que poseen un carácter covariante, de acuerdo con las exigencias del principio de relatividad; pero a pesar de todo, subsisten graves dificultades. En primer lugar, para obtener resultados de acuerdo con la covariancia relativista, Dirac tuvo que introducir la posibilidad de que un electrón posea estado de movimiento con energía negativa (en los cuales todo sucede como si la masa del electrón fuera negativa); ahora bien, el estudio de esa dificultad muestra que la existencia de estos estados de energía negativa está íntimamente ligada al carácter relativista de la teoría, y parece imposible introducir la una sin introducir la otra. El descubrimiento del electrón positivo ha eliminado, por lo menos parcialmente, esta dificultad, pero queda todavía otra más importante: los símbolos matemáticos definidos por las ecuaciones de Dirac pueden, según hemos dicho, interpretarse físicamente en el cuadro de la interpretación probabilista genera] de la nueva mecánica; ahora bien, esta interpretación probabilista, por lo menos en su estado actual, hace desempeñar al tiempo un papel privilegiado, quebrando así la simetría relativista de las cuatro variables de espacio-tiempo, y al introducirlo en la teoría de Dirac, se introduce a la vez en ella esta ausencia de simetría. En otros términos, mientras se considere la doctrina de Dirac como una forma analítica desprovista de sentido físico, puede considerarse que está de acuerdo con la relatividad; pero en cuanto se quieren deducir de ella previsiones experimentalmente verificables, es preciso servirse de funciones de onda para definir los valores posibles de las magnitudes observadas y sus probabilidades respectivas; y esto no puede hacerse actualmente sin hacer desempeñar al tiempo un papel privilegiado. No podemos insistir aquí sobre esta dificultad, porque ello nos obligaría a exponer todo el complejo formalismo de las teorías cuánticas. Pero podemos decir que esta dificultad parece vincularse a causas profundas, tales como la existencia de un sentido privilegiado para la variable tiempo y la persistencia de las unidades físicas en el tiempo. Hemos indicado ya antes que estos dos hechos fundamentales establecen incluso en la relatividad no cuántica, una cierta disimetría entre el tiempo y el espacio.
El análisis de las dificultades que se encuentran al tratar de conciliar Relatividad y Quanta ha llevado recientemente a ciertos autores a conclusiones interesantes. Einstein colocó en otro tiempo, en la base de la teoría de la relatividad, un estudie apretado de los procedimientos que sirven para medir las longitudes y para establecer el sincronismo de los relojes en un sistema de referencia galileico. Si se vuelve a estudiar esta cuestión, como lo ha hecho especialmente Schrödinger, teniendo en cuenta la existencia del quantum de acción, se ve que el análisis de Einstein no se aplica rigurosamente sino a los cuerpos de masa suficientemente grande, porque la existencia del quantum de acción implica la imposibilidad de determinar rigurosamente una longitud o un instante sin hacer variar el estado de movimiento del cuerpo, al cual se refiere esta longitud o este instante. Esta perturbación, imposible de evitar, tiene por resultado la existencia de un mínimum de longitud y de un mínimum de tiempo mensurable sobre un cuerpo dado, siendo estos mínimos tanto mayores cuanto menor es la masa del cuerpo. Por tanto, sólo puede hablarse de intervalos de tiempo y de longitud tan pequeños como se quiera, en el caso de cuerpos infinitamente pesados, y solamente en este caso límite puede ser considerado como riguroso, desde el punto de vista cuántico, el análisis de Einstein. Dicho de otro modo, la teoría de la relatividad, tal como existe actualmente, no es ya para la física cuántica sino un caso límite válido en el dominio macroscópico, es decir, en la medida en que el quantum de acción puede considerarse como despreciable. En el fondo, es una consecuencia de la imposibilidad introducida por la teoría de los quanta, de separar rigurosamente lo geométrico de lo dinámico, imposibilidad sobre la cual hemos insistido ya y cuya misteriosa expresión es la constante h de Planck.
Terminaremos en dos palabras, porque hoy no puede aportarse aún ninguna solución definitiva al problema de la reconciliación de los Quanta y de la Relatividad. La teoría de la relatividad constituye, en suma, el coronamiento de la antigua física macroscópica, mientras que por el contrario la teoría de los quanta ha surgido del estudio del mundo corpuscular y atómico. Teniendo tan distinto origen, no es sorprendente que su conciliación exija un serio esfuerzo. En la hora actual, tan poco tiempo después del desarrollo tumultuoso de las doctrinas cuánticas, es natural que esta conciliación no se haya realizado aún de manera satisfactoria.
Parte V
Estudios filosóficos sobre la física cuántica
§ 15. Continuidad e individualidad en la física moderna
1. Como en todas las ramas del conocimiento se ha planteado también en Física, en todo tiempo, el problema de] continuo y del discontinuo. Y aquí, como en otras partes, el espíritu humano ha manifestado dos tendencias a la vez antagonistas y complementarias: por una parte, la tendencia a referir la complejidad de los fenómenos a la existencia de elementos simples, indivisibles y enumerables, y que, analizando la realidad, intenta pulverizarla en individuos; por otra parte, la tendencia que, inspirándose en nuestra noción intuitiva del espacio y del tiempo y constatando la interacción universal de las cosas, considera artificial todo intento de recortar individuos bien delimitados en el flujo de los fenómenos naturales. La lucha entre la concepción continua y la concepción adversa ha durado en Física siglos enteros con peripecias diversas, y cada una de ellas ha conquistado a turno sus éxitos, sin que ninguna de las dos haya logrado triunfar sobre la otra. No es cosa que pueda sorprender al filósofo, porque la evolución de las doctrinas en todos los dominios de la actividad intelectual demuestra que los conceptos de continuo y discontinuo apurados hasta el extremo y opuestos el uno al otro, son impotentes para traducir la realidad, la cual exige siempre una fusión sutil y casi indefinible de los dos términos de esta antinomia.
Lo que da un interés especial a la cuestión del continuo y de lo discontinuo en la física de la hora presente es el haberse planteado para los físicos de una manera sumamente aguda y bajo una forma nueva, desde hace algunos años. Más claramente que nunca se ha visto la necesidad de los dos puntos de vista opuestos y, al mismo tiempo, las enormes dificultades provocadas por la realización de esta síntesis han llevado a los físicos a discutir problemas que, rebasando la técnica particular de su ciencia, tocan a los problemas generales de la filosofía y hasta de la metafísica.
2. Para comenzar este estudio, vamos a examinar las formas de las concepciones antagónicas del continuo y del discontinuo, que se han condensado en la física en el curso de los siglos, y las dificultades con que han tropezado en todo tiempo.
Ocupémonos en primer lugar del discontinuo. En Física, desde los filósofos de la antigüedad, la tendencia hacia lo discontinuo se ha producido constantemente en las teorías atómicas o corpusculares. Su fin último, es reducir la materia a un simple conjunto de partículas elementales indivisibles, descomponerla en individuos absolutamente distintos y completamente localizares en el espacio.
Pero inmediatamente aparece la insuficiencia de semejante concepción llevada hasta el extremo. Como las mónadas de Leibniz, estas partículas elementales aisladas e inextensas, no podrán actuar a distancia las Unas sobre las otras puesto que, por hipótesis, nada hay fuera de ellas, nada en el espacio que las separa; no podrán, además, reaccionar por contacto, por choque, como se dice en Mecánica, porque su carácter puntual no les permitirá tocarse sin confundirse. Para poder construir una física con estos corpúsculos elementales, hará falta, pues, que los partidarios del discontinuo alteren la pureza de su doctrina, introduciendo en ella elementos extraños. Podrán, además, hacerlo de maneras, diversas, que vamos a examinar sucesivamente.
Tal vez se representarán estas partículas como bolitas capaces de chocar entre sí: es lo que hicieron los fundadores de la teoría cinética de los gases. Pero entonces la partícula aparecerá necesariamente dotada de cierta extensión e inmediatamente se .planteará la cuestión de saber lo que contiene el interior de la partícula. Diversas respuestas podrán darse a esta cuestión.
Por ejemplo, se podrá decir que la partícula inicialmente considerada no era tan simple como se había supuesto en primera aproximación; y se la considerará, entonces, como un sistema complejo formado de partículas menores: es lo que han hecho los físicos contemporáneos cuando han sustituido el átomo simple e insecable de los antiguos por un pequeño sistema solar formado de un sol central con una carga eléctrica positiva y rodeado de electrones-planetas (átomo de Bohr). Pero se ve que esto no hace sino recular la dificultad, porque surgirán las mismas cuestiones y las mismas dificultades para estas nuevas partículas elementales que constituyen la pseudopartícula.
En lugar de resolver la partícula en individuos menores, se podría representar su interior como un medio continuo, y es lo que se hace en la teoría de Lorentz, en que se considera el electrón como una bolita de electricidad negativa. Pero entonces esto equivale a admitir que la realidad última es el continuo y no ya el discontinuo; además, será menester explicar ahora por qué la sustancia continua que forma el corpúsculo se muestra rebelde a toda subdivisión, por qué este corpúsculo, a pesar de las peripecias de su existencia, logra permanecer semejante a sí mismo y conservar su individualidad. En la teoría de los electrones, esta última dificultad es especialmente grave, porque jamás ha podido explicarse cómo puede subsistir una esfera de electricidad negativa cuyas partes todas deberían repelerse mutuamente.
Existe todavía otra manera de intentar la construcción de una física de las partículas: es la que ha sido empleada implícitamente en mecánica clásica. Se considera la materia como formada de partículas rigurosamente puntuales, los puntos materiales de los tratados de Mecánica; se desentiende así de las dificultades relativas a la estructura interna de las partículas. Después, para permitir que las partículas actúen las unas sobre las otras, para sacarlas de su aislamiento, se admite que son centros de fuerzas y que se atraen o se repelen mutuamente a distancia. Es inútil recordar cuán fecundo ha sido este punto de vista en Mecánica y en Física, desde Newton a nuestros días. Pero por el mero hecho de admitir la existencia de fuerzas que se ejercen entre los corpúsculos, se hace más o menos conscientemente una concesión al continuo. En mecánica clásica, en efecto, el campo de fuerzas que rodea a un punto material está definido por una función continua, la función potencial, y la existencia de este campo de fuerzas es lo que determina los movimientos de los demás puntos materiales sumergidos en él. En el fondo, esto equivale a decir que la presencia de un corpúsculo modifica las propiedades de todo el espacio circundante: en otros términos, el corpúsculo no es sino el centro de un fenómeno extenso. Se llega así, al dejar de sostener la idea de lo discontinuo en toda su pureza, a una especie de transacción en la cual la materia aparece formada de individuos que tienen una extensión en el espacio, pero organizados alrededor de un centro puntual.
3. Estudiemos ahora las concepciones continuas en Física. Cuando se considera un cuerpo sólido o fluido, se tiene en general la impresión de que este cuerpo es continuo. Es, pues, natural que se quiera construir una teoría de los cuerpos materiales suponiéndolos arbitrariamente divisibles en elementos de volumen infinitamente pequeños, cada uno de los cuales contiene una ínfima cantidad de materia y sufre la acción de los elementos de volumen infinitamente próximos. Puede constituirse así una mecánica de los medios continuos, que se ha llamado «teoría de la elasticidad», para los sólidos e «hidrodinámica» para los fluidos. Pero como se sabe, los físicos han llegado, poco a poco, a la convicción de que la continuidad de los sólidos y de los fluidos no es sino aparente: estarían formados en realidad por átomos en movimiento, y lo único que nos impediría discernir esta última estructura corpuscular de la materia, haciéndonos considerarla como continua, sería la tosquedad de nuestros sentidos. Una masa de polvo muy fino nos aparece ya muy homogénea aunque los granos sean infinitamente mayores que los átomos.
Por esto no es en la teoría de los cuerpos materiales donde debe buscarse en Física una verdadera representación continua, sino más bien, según creemos, en la imagen que la teoría de las ondas ha propuesto para la luz. Se sabe que los filósofos de la antigüedad, y después Newton y la mayoría de los científicos del siglo XVIII, habían adoptado una teoría atómica de la luz, pero desde el siglo XVII el físico holandés Huygens preconizaba ya una concepción completamente diferente. Para él la luz era una ondulación que se extiende, en un medio continuo, el éter; este medio impregnaría todos los objetos materiales y llenaría las regiones del espacio que nos parecen vacías. El descubrimiento de los fenómenos de interferencia y de difracción hecho por Young y confirmado por Fresnel; inmediatamente el admirable desarrollo que dió el mismo Fresnel a la teoría matemática de las ondulaciones, y su triunfante confrontación con la experiencia, condujeron, en la primera mitad del siglo último, al completo abandono de la concepción discontinua de la luz y a la adopción general de la idea de las ondas. Se llegó a constituir así una rama de la Física, la óptica, en que parecía no existir ninguna apelación a la noción de lo discontinuo. Un medio homogéneo y continuo, el éter, propaga perturbaciones que el matemático representa por funciones continuas que satisfacen a una cierta ecuación en derivadas parciales, la ecuación de propagación de las ondas luminosas. Aquí pudo creerse efectivamente durante algún momento que el continuo se muestra superior al discontinuo puesto que se basta a sí mismo y permite construir una teoría física coherente en que no se invoca en ninguna parte a la noción de lo discontinuo, mientras que las concepciones fundadas sobre lo discontinuo no pueden dejar de apelar de un modo más o menos directo, más o menos confesado, a la continuidad. En el fondo esta superioridad no es sino una ilusión. Es preciso recordar, en primer lugar, que los fundamentos del análisis matemático continuo, sobre el cual reposa necesariamente toda la teoría de la propagación de las ondas, no han podido establecerse sólidamente de un modo riguroso sino refiriendo lo continuo a lo discontinuo: es la célebre «aritmetización» del análisis. Pero además de esta observación, de carácter muy general, podemos darnos cuenta de que una teoría perfectamente continua de la luz no puede ser verdaderamente satisfactoria, porque no es conciliable con la estructura discontinua de la materia. Voy a insistir un poco sobre este punto capital, porque tocamos aquí al verdadero origen de la extraña crisis por que atraviesa la Física desde hace algunos años y que se puede llamar «la crisis de los quanta».
Cuando una perturbación se propaga en un medio continuo, tiene una tendencia natural a expandirse debilitándose. Así, en la concepción de Fresnel, la luz emitida por una fuente puntual se reparte uniformemente sobre una esfera cuyo radio crece con el tiempo, de suerte que la densidad de la energía luminosa disminuye indefinidamente. Hay una diseminación de movimiento ondulatorio, un constante debilitamiento de la capacidad de acción; nada que recuerde la conservación de una individualidad, o el transporte de un poder finito y localizado de acción. Además, si el medio es verdaderamente continuo, quiero decir, si considerado bajo un aspecto más microscópico, no se resuelve en un agregado de partículas, puede demostrarse que las perturbaciones tendrán una tendencia natural a transformarse en vibraciones cada vez más rápidas y que se ejecutan en escalas cada vez menores.
La representación puramente continua de los fenómenos naturales nos conduciría, pues, a prever la desaparición de todas las individualidades, la tendencia hacia un estado homogéneo en que la energía evolucionaría hacia formas cada vez más sutiles. Ahora bien, la materia se nos presenta bajo el aspecto de sustancias químicas simples o compuestas, dotadas de propiedades inmutables; la electricidad nos parece constituida por elementos, los electrones, siempre semejantes a sí mismos, y resulta de aquí, para el teórico, una imposibilidad de representar las propiedades de la materia echando mano de la pura continuidad. Como, por otra parte, la experiencia parece imponer la concepción ondulatoria de la luz, se llegó, hace unos treinta años, al siguiente compromiso: la materia estaría formada de corpúsculos sumergidos en el éter luminoso o electromagnético y estos corpúsculos podrían reobrar los unos sobre los otros mediante perturbaciones que se propagan a través del éter; en particular, cuando un corpúsculo de materia está animado de un movimiento acelerado, se imprimiría una pulsación al medio continuo que lo rodea, que es trasmitida por éste en todas las direcciones bajo la forma de una onda que se apaga debilitándose (luz, rayos X u otras radiaciones).
Desgraciadamente, este compromiso, que colocaba la discontinuidad en la materia y la continuidad en el éter luminoso, no era viable. Sin hablar de las concepciones audaces de Einstein, que han extendido una grave duda sobre la existencia misma del éter, no es lógicamente posible, según vamos a ver, la coexistencia de una materia discontinua y de un éter continuo.
Si, en efecto, la propagación de la luz en el vacío es completamente asimilable a la de la perturbación en un medio continuo, el vacío podrá absorber una cantidad indefinida de energía, que se transformará en vibraciones cada vez más rápidas y sutiles. Entonces, si hay cuerpos materiales encerrados en un recinto, no será posible equilibrio energético alguno entre estos cuerpos y el vacío circundante. En razón de la capacidad indefinida dé vibración de los medios continuos, el éter absorberá toda la energía de la materia y ésta tenderá hacia el estado de inmovilidad que los físicos caracterizan por la temperatura del cero absoluto. No es necesario ser un lince para presentir que esta conclusión es absurda, y de hecho la experiencia muestra que es inexacta. En un recinto cerrado y térmicamente aislado, acaba siempre por realizarse un equilibrio de temperatura: cuando el vacío ha absorbido una cierta cantidad de energía suministrada por la materia presente, se halla en cierto modo saturado y la materia conserva el suplemento disponible. Además, las vibraciones en el vacío no reciben frecuencias indefinidamente crecientes, sino que la energía se reparte entre las diversas frecuencias de vibración de una manera perfectamente estable, definida por lo que se llama «la ley de la radiación negra de Planck» (»).
Se comprende, pues, por qué los físicos no han podido contentarse durante mucho tiempo con el edificio teórico poco homogéneo que habían construido yuxtaponiendo una física continua de la radiación a una física discontinua de la materia. Entonces
se inició la crisis de los quanta; vamos a tratar de desgajar sus principales caracteres.
4. Puesto que es imposible conservar una representación perfectamente continua de los fenómenos luminosos, una de las primeras formas de aparición de los quanta tenía que ser la rehabilitación de la idea de que la luz está formada por individuos. Se ha vuelto, en efecto, a imaginar corpúsculos de luz, los fotones. Como los corpúsculos de materia, estos fotones estarían definidos por su energía y su cantidad de movimiento, y conservarían su individualidad desplazándose en el espacio. Hechos innegables han venido a confirmar esta hipótesis. Ante todo, el efecto fotoeléctrico, cuyo sentido profundo vamos a explicar. Si una fuente de luz emitiera, como quería Fresnel, una onda esférica en el éter circundante, la energía emitida se desparramaría en el espacio y las acciones que la luz pudiera ejercer irían debilitándose con la distancia. En la hipótesis corpuscular no hay nada de esto: el corpúsculo conserva su energía y puede producir el mismo efecto a una distancia cualquiera de la fuente, de la misma manera que un obús lleno de un explosivo posee a cualquier distancia de la boca del cañón la misma capacidad destructora. Ahora bien, el efecto fotoeléctrico consiste esencialmente en que las acciones ejercidas por la luz sobre los átomos son las mismas, cualquiera que sea la distancia de la fuente. Este hecho preciso parece imponer la idea de que la energía luminosa se halla concentrada bajo una forma corpuscular. Otros fenómenos, especialmente la disminución de la frecuencia de los rayos X por difusión, descubierta en 1922 por el físico americano H. A. Compton, parecen conducir a la misma conclusión.[10]
Como la interpretación de las interferencias y de la difracción parece exigir la concepción ondulatoria, la teoría de la luz entró, a consecuencia del descubrimiento del efecto fotoeléctrico, en un estado de crisis aguda, porque parecería necesario introducir simultáneamente el continuo y el discontinuo en una forma totalmente incomprensible.
La crisis de los quanta ha afectado también de una manera grave a la teoría de la luz, porque se ha caído en cuenta de que los movimientos de las partículas materiales en pequeña escala (por ejemplo el movimiento de los electrones en el átomo construido según el modelo de Bohr) no obedecen a las leyes de la mecánica clásica: entre la infinidad continua de estados de movimiento que ésta prevé como posibles, sólo serían estables ciertos movimientos en que figuran números enteros. Aquí volvía a aparecer la discontinuidad, pero en una forma absolutamente inesperada, porque lo que se hacía discontinuo eran las posibilidades de movimiento y no ya solamente la estructura de la materia. En los átomos todo pasaría como si el estado interno permaneciera estable durante muy largos períodos, transformándose después bruscamente en otro estado estable, sin que esta «transición» sea fácil ni posible de describir. Y ha podido preguntarse con perfecto derecho si nuestras nociones habituales de espacio y de tiempo, que forman el cuadro perfectamente continuo de nuestra representación de las cosas, son realmente válidas para la descripción de los acontecimientos del interior del átomo.
Este resumen rápido muestra la importancia de la crisis de los quanta en la física contemporánea. Crisis profunda, porque ha conmovido todo el viejo edificio de nuestros conocimientos científicos arrojando, el uno contra el otro, en todos los dominios los conceptos antinómicos del continuo y del discontinuo, haciendo resucitar al uno allí donde el otro triunfa. Ha señalado una de estas etapas en que el espíritu humano constata, no sin amargura, que la complejidad de lo real no se deja vaciar en moldes demasiado simples, y que va a ser preciso un nuevo y doloroso esfuerzo para intentar definir mejor lo que tal vez es indefinible.
5. Es menester que examinemos ahora la idea fundamental que, presentada por vez primera por el autor, sirve de base a la nueva doctrina llamada «mecánica ondulatoria».
Esta idea fundamental es que en todas las ramas de la física, tanto en la teoría de la materia como en la de la luz, es necesario introducir simultáneamente la noción de corpúsculo y la noción de onda; y todo corpúsculo debe ser considerado como acompañado por una cierta onda, y toda onda como ligada al movimiento de uno o de varios corpúsculos. Ya en la antigua mecánica pueden encontrarse razones profundas para adoptar este punto de vista, y pueden deducirse de ella las relaciones que tienen que existir entre las magnitudes características del corpúsculo y las que definen su onda asociada. Se entrevé así la posibilidad de conciliar la existencia de los corpúsculos de luz con la manera como la energía luminosa se reparte en los ¡fenómenos de interferencia y de difracción. Se llega entonces a prever que podrán observarse en las partículas materiales, por ejemplo en los electrones, manifestaciones análogas a las interferencias de la luz, y esta previsión tan insospechada se ha visto verificada cuantitativamente por el descubrimiento del magnífico fenómeno de la difracción de los electrones por los cristales.[11]
La mecánica ondulatoria permite interpretar también ciertos estados estables privilegiados en los sistemas atómicos. Puesto que tenemos que asociar a todo corpúsculo una onda, hay que representarse en el átomo concebido a la manera de Bohr, una propagación de ondas asociada al movimiento de los electrones- planetas. El átomo, desde el punto de vista matemático, será entonces análogo a un sistema vibrante: ahora bien, según se sabe, un sistema vibrante (cuerda vibrante, tubo sonoro, antena de T. S. H. etc.), no puede, en general, ser asiento sino de ciertas vibraciones, las que corresponden a sus «períodos propios». El átomo también tendrá, pues, sus períodos propios, y no podrá ser asiento sino de aquellas ondas que tengan estos períodos. Por lo cual, según ha mostrado detalladamente Schrödinger en sus magníficos trabajos, existe para el átomo una sucesión discreta de estados estables.
No podemos insistir aquí sobre el desarrollo de la mecánica ondulatoria, pero quisiéramos hacer ver las dificultades que se han presentado cuando se ha querido precisar el sentido exacto de esta introducción simultánea, y según parece, inevitable, de las nociones de corpúsculo y onda.
La idea más simple sería, sin duda, considerar cada individuo físico como un fenómeno periódico extendido en el espacio, pero centrado en torno a un punto. El movimiento de este individuo extendido sería equivalente a la propagación de una onda, no de una onda homogénea como las de la óptica de Fresnel, sino de una onda que posee un punto singular, que seria el corpúsculo en el sentido estricto de la palabra: así el corpúsculo estaría realmente incorporado a la onda. Como en el caso del punto material de la mecánica clásica rodeado de su campo de fuerza, la síntesis de lo continuo y de lo discontinuo se operaría entonces gracias a la idea de individualidades extendidas pero organizadas en torno a un centro, y podría esperarse que se conservaran en toda su pureza la noción de causalidad y la representación antigua de los fenómenos en el cuadro del espacio y del tiempo (o si se quiere, del espacio-tiempo relativista).
Desgraciadamente el camino que acabamos de indicar es imposible de seguir y hay que renunciar a él. La razón principal es la siguiente: las ondas a que nos lleva la nueva mecánica son continuas y homogéneas como las de Fresnel; no presentan punto singular y, por consiguiente, nada nos autoriza a decir que haya que localizar en ellas el corpúsculo en un punto más bien que en otro. Al ahondar en el problema, se ve que en realidad las ondas no permiten definir el movimiento individual de los corpúsculos asociados, sino que suministran tan sólo una representación estadística de sus movimientos posibles.
Se plantea, pues, la cuestión de saber si es realmente posible continuar considerando los corpúsculos como individuos físicos perfectamente definidos y perfectamente localizados en el espacio. La respuesta dada a esta cuestión por los teóricos de la Física es hoy negativa. Siguiendo en este punto las ideas emitidas primeramente por Bohr y Heisenberg, admiten a este propósito concepciones completamente nuevas que vamos a esbozar rápidamente.
6. En mecánica clásica se considera el punto material perfectamente localizado en cada instante en el espacio, es decir, como poseyendo en cada instante coordenadas perfectamente determinadas. Además, su estado está definido por su energía y por su cantidad de movimiento, magnitudes que se deducen de la velocidad, y que a su vez se supone que tienen en todo momento un valor perfectamente determinado. Si se sabe que en un instante inicial t0 sus coordenadas, su energía y su cantidad de movimiento tienen tales valores, y si se conoce el campo de fuerzas a que está sometido, las leyes de la mecánica permitirán decir que en el instante ulterior t, ocupará tal posición con tal valor de la energía y de la cantidad de movimiento. Hay, pues, en esta antigua manera de ver un riguroso determinismo de los fenómenos mecánicos. Pero en la práctica se introduce siempre, sin embargo, una indeterminación en cierto modo accidental, que resulta de nuestros métodos de medida. En efecto, las coordenadas y la velocidad inicial de un móvil no son conocidas jamás de una manera perfecta; se puede solamente afirmar que se hallan comprendidas dentro de ciertos límites, muy próximos en general, límites que caracterizan la precisión con la cual han sido medidas estas magnitudes. De esta pequeña indeterminación de los datos iniciales resulta una indeterminación de las previsiones relativas a las posiciones y a las velocidades ulteriores del móvil que crece en general con el tiempo. Pero, repito, con las ideas clásicas esta determinación parece accidental; desaparecería completamente si lográramos perfeccionar indefinidamente nuestros métodos de medida.
He aquí ahora las nuevas concepciones introducidas por los físicos contemporáneos. Partiendo ante todo de la idea de que toda observación perturba necesariamente algo el fenómeno que se quiere, observar, han llegado por un análisis sutil a la conclusión siguiente: sería imposible, aun con métodos de medida infinitamente perfeccionados, determinar simultáneamente, con una precisión absoluta, la posición y la velocidad de un corpúsculo. A la indeterminación accidental antes definida se superpondría siempre una indeterminación esencial imposible de eliminar. Por otra parte un corpúsculo no se nos manifiesta más que cuando reacciona sobre otros corpúsculos (por ejemplo los que constituyen uno cualquiera de nuestros aparatos de medida). Cada corpúsculo se nos manifiesta de tiempo en tiempo, de trecho en trecho, de donde puede concluirse que es imposible, o por lo menos superfluo, atribuir a los corpúsculos una trayectoria continua y una velocidad instantánea. La nueva mecánica debe limitarse, pues, a vincular entre sí las diversas manifestaciones sucesivas y discontinuas de la existencia del corpúsculo, sin pretender precisar lo que le acontece en el intervalo.
¿Cómo tendrá que proceder entonces esta nueva mecánica? Supongamos que en el instante t0 el corpúsculo se nos manifieste una primera vez; en razón de las dos indeterminaciones especificadas antes, podremos afirmar tan sólo que en este instante inicial el corpúsculo se encuentra en el interior de un cierto volumen y que su energía y su cantidad de movimiento están comprendidas entre ciertos límites. Construiremos entonces (de un modo que no puedo precisar aquí) una onda que representará esta indeterminación de los datos iniciales. Después calcularemos la propagación de esta onda en el espacio. El conocimiento de la forma de la onda en un instante t posterior a t0 permitirá decir esto: si en el instante t se nos manifiesta por segunda vez el corpúsculo, hay tal probabilidad para que su posición esté comprendida en el interior de tal región del espacio, y tal probabilidad para que su energía y su cantidad de movimiento tengan valores comprendidos entre tales límites.
El corpúsculo puede ser considerado, pues, como siendo en cierto sentido «libre» de manifestarse aquí o allá con tal o cual valor de su energía; pero teniendo en cuenta los datos iniciales, se puede calcular de una manera rigurosa la probabilidad de que realice una elección más bien que otra. Las probabilidades en cuestión gozan, por lo demás, de la propiedad, verdaderamente singular, de poder ser representadas y calculadas por medio de la propagación de ondas en el espacio. Hay, dicen los autores alemanes, «wellenartige Ausbreitung der Warscheinlichkeit».
Estas ondas de probabilidad, que son puras abstracciones, y que sin embargo se propagan en el espacio como ondas elásticas, estos corpúsculos cuya existencia es intermitente y cuya localización precisa y definición exacta son imposibles, todo ello es ciertamente un poco paradójico. Pero el que semejantes concepciones hayan sido adoptadas hoy por los físicos es una prueba de la acuidad con que se ha planteado en la física contemporánea la cuestión de lo continuo y de lo discontinuo, y de cuán enormes son las dificultades que suscita su necesaria síntesis.
Las ideas precedentes parece que pueden prestarse a una grave objeción. Si son exactas, ¿cómo es que los fenómenos mecánicos que acontecen en nuestra escala nos parezcan regidos por un determinismo riguroso? A esta objeción es posible responder. Si se calcula numéricamente para los fenómenos macroscópicos de que da razón exacta la mecánica clásica, la indeterminación esencial introducida por las nuevas ideas, se ve que es siempre muy inferior a la indeterminación accidental debida a la imprecisión de las medidas. En estas condiciones la indeterminación esencial está completamente oculta por los errores experimentales y todo pasa como si no existiera. En otros términos, cada corpúsculo tendría que hacer en cada una de sus manifestaciones una especie de elección, por así decirlo, entre varias posibilidades, pero esta elección estaría circunscrita en límites tan estrechos que todo acontecería prácticamente, experimentalmente, como si no hubiera elección ninguna, sino más bien determinación rigurosa. El determinismo aparente de los fenómenos en escala grande no se halla, pues, en contradicción con las ideas de la nueva mecánica.
Por el contrario, para los fenómenos de la escala atómica, el papel de la indeterminación esencial se hace tan importante que una descripción espacio-temporal de los estados de movimiento es completamente imposible. Así se explica esa especie de malestar que sentían los físicos imbuidos por las ideas clásicas cuando querían representarse los acontecimientos del mundo intra-atómico.
7. Para completar este cuadro de las concepciones sorprendentes que se han desarrollado en Física, diremos todavía una palabra de la nueva mecánica estadística a la cual va vinculado el nombre de un joven y eminente sabio italiano, Fermi. En la antigua teoría cinética de los gases, se representa un gas como formado de individuos, las moléculas del gas, animados de movimientos de agitación perfectamente desordenados, cuya intensidad media define la temperatura del gas. Cuando dos moléculas están extremadamente próximas la una a la otra, ejercen acciones mutuas entre sí: se dice entonces que estas moléculas se hallan en estado de choque, y gracias a estos choques se realiza y se mantiene después en el gas una cierta distribución de las energías entre las moléculas (ley de Maxwell). Las fuerzas intermoleculares no se ejercen sino a muy pequeñas distancias: dos moléculas que se hallan a una distancia apreciable no actúan, pues, en manera alguna entre sí, y sus estados de movimiento pueden ser considerados como completamente independientes. Consideremos, por ejemplo, un recipiente de grandes dimensiones y dos moléculas del gas situadas en dos extremidades del recipiente: el hecho de que una de ellas posea una cierta energía no puede enseñarnos nada sobre el movimiento de la otra: tal es, por lo menos, la hipótesis de la teoría clásica, que parece ser la expresión misma del buen sentido.
Ahora bien, el desenvolvimiento de la mecánica ondulatoria ha conducido a Fermi a una teoría de los gases muy diferente.
En esta nueva teoría, dos de los individuos que forman el gas jamás pueden tener la misma energía, el mismo estado de movimiento[12]. He aquí algo que a primera vista es bien paradójico. ¿Cómo es posible que un átomo situado en una extremidad del recipiente que contiene el gas, pueda impedir que otro átomo situado en la otra extremidad del recipiente posea el mismo estado de movimiento que él? Esto no parece explicable mas que si, en cierto sentido, cada individuo del gas llena todo el recipiente.[13]
La teoría de Fermi parece aplicable con certeza a algunos gases, por ejemplo a los gases formados por electrones: ha conducido en especial a resultados notables en la interpretación de las propiedades eléctricas y térmicas de los metales (Sommerfeld). Debe contener, pues, una parte de verdad, y ella nos lleva nuevamente a la idea de individualidades físicas mal localizadas, idea mucho menos simple que la de los corpúsculos o átomos de la antigua física.
8. Concluyamos con algunas palabras.
Lo real no puede interpretarse por medio de la pura continuidad: es menester discernir en su seno individualidades. Pero estas individualidades no están conformes con la imagen que nos daría de ellas la pura discontinuidad: están extendidas, reaccionan constantemente entre sí, y hecho sorprendente, no parece posible localizarlas y definirlas desde el punto de vista dinámico con una perfecta exactitud en cada instante. Esta concepción de individuos con contornos algo vaporosos, que se destacan sobre el fondo de la continuidad, es muy nueva para los físicos y parece tal vez incluso chocante a algunos de ellos; ¿pero no está conforme a la que pudo conducirnos la reflexión filosófica?
Apéndice I
La ley de la radiación negra de Planck
Consideremos un recipiente cuyas paredes están mantenidas a temperatura constante y que contiene, en cantidad tan pequeña como se quiera, cuerpos materiales de la misma temperatura, susceptibles de emitir y de absorber radiación. Kirchhoff ha mostrado por consideraciones de pura termodinámica que a consecuencia de los canjes de energía entre los cuerpos materiales y el espacio circundante, asiento de las radiaciones, tiene que establecerse y mantenerse después, un estado de equilibrio completamente definido por la temperatura. En este estado de equilibrio, el recipiente estará lleno de una radiación en que se hallan representadas todas las frecuencias y cuya composición espectral e intensidad global son únicamente funciones de la temperatura. Esta radiación se llama «la radiación negra característica de la temperatura considerada».
Stefan y Boltzmann llegaron a establecer, por otras consideraciones termodinámicas, que la radiación negra a la temperatura absoluta T es proporcional a la cuarta potencia de T.
Admitiendo las ideas recibidas hace unos cuarenta años (continuidad de la radiación, discontinuidad de la materia), lord Rayleigh ha encontrado que la densidad ρ(ν)dν de la energía correspondiente a un pequeño intervalo de frecuencia dν en la radiación negra de temperatura T, tiene que estar dada por la fórmula:
ρ(ν) dν = Aν2T dν
Para una temperatura dada, la experiencia ha permitido verificar esta ley para los pequeños valores de ν, pero no para los grandes.
Si la ley de Rayleigh fuera rigurosamente exacta, llevaría a atribuir a la radiación negra una densidad de energía infinita, como se ve integrando ρ(ν) para todos los valores posibles de la frecuencia. Esto corresponde al hecho señalado en el texto, a saber que con las hipótesis clásicas, toda la energía de la materia debería ser absorbida por el éter.
Para llegar a una ley más aceptable que la de Rayleigh, Planck admitió que la materia emite y absorbe la radiación por cantidades finitas, por quanta. El quantum de energía es proporcional a la frecuencia: para una radiación de frecuencia ν, es igual a hν, siendo h una constante numérica, a la que ha quedado asociado el nombre de Planck. Con estas nuevas hipótesis, que en cierto sentido implican la existencia de una estructura discontinua de la radiación, se llega a la nueva ley de repartición espectral siguiente:

(siendo k la constante de los gases referida a la molécula).
Para una temperatura dada, se encuentra la ley de Rayleigh para las bajas frecuencias; pero para las frecuencias altas la ley de Planck se separa de la de Rayleigh y tiende hacia la forma límite:

propuesta por Wien antes de los trabajos de Planck y confirmada por la experiencia para las altas frecuencias.
Por lo demás, es fácil de ver, integrando la expresión de ρ(ν) dada por Planck, que la densidad global de radiación negra es finita y proporcional a T4 según lo exige la Termodinámica.
Apéndice II
El fenómeno de Compton
Si se admite la existencia de corpúsculos de luz, debe representarse el encuentro de un electrón y de un fotón como un choque en el sentido amplio de la palabra. Supongamos que el electrón esté al principio inmóvil; cuando un fotón tropieza con él, se pondrá en movimiento y el fotón sufrirá una cierta desviación en su marcha. En virtud de la conservación de la energía, el fotón, al haber cedido así fuerza viva al electrón, habrá perdido energía en el proceso de choque. Con la nueva concepción corpuscular de las radiaciones, debe considerarse la frecuencia del fotón como proporcional a su energía: el encuentro de un fotón y de un electrón inmóvil debe tener, pues, por efecto, el rebajamiento de la frecuencia del fotón.
En particular, cuando se envía un haz de rayos Röntgen sobre un trozo de materia, los fotones X tienen ocasión de encontrar electrones inmóviles o casi inmóviles: estos fotones se ven entonces desviados de su camino inicial sufriendo un rebajamiento de frecuencia ligado a la desviación por una fórmula simple. Se dice que los rayos X, al atravesar la materia, sufren una difusión y que la radiación difundida presenta una frecuencia inferior a la de la radiación incidente y variable con el ángulo de difusión. La existencia real de este magnífico fenómeno ha sido puesta en evidencia por vez primera por los experimentos de H. A. Compton, y verificada después con frecuencia. Todos los detalles del fenómeno parecen estar de acuerdo con las previsiones a que conduce la teoría simple del choque entre electrón y fotón. Para un estudio completo del asunto recúrrase a obras técnicas.
Apéndice III
La difracción de electrones
Cuando una onda atraviesa un medio en que se hallan repartidos regularmente centros capaces de entrar en vibración bajo la influencia de esta onda primaria, y de emitir ondas secundarias, existen direcciones en las cuales las ondas secundarias concuerdan en fase y presentan máximos de intensidad. Sin embargo, una condición necesaria para la obtención de este fenómeno es que las distancias mutuas de los centros en el medio sean del orden de magnitud de la longitud de onda de la onda primaria. Si esta condición se realiza, una parte de la energía de la onda incidente queda desparramada bajo la acción del medio de estructura regular, pero la energía así desviada de su propagación rectilínea se halla concentrada en ciertas direcciones definidas por condiciones de concordancia de fase.
En los cristales naturales las moléculas están dispuestas regularmente a distancias mutuas del orden de la unidad Ångström (10-8 cm.). Como la longitud de onda de los rayos X es del mismo orden de magnitud, al enviar un haz de rayos X sobre un cristal puede esperarse que se observarán en ciertas direcciones máximos de la intensidad difundida. El gran éxito de von Laue estuvo en haber previsto y verificado la existencia de este fenómeno (1912), sobre el cual se ha apoyado todo el desenvolvimiento ulterior de la espectrografía de los rayos X.
La existencia del fenómeno de Laue, que en resumidas cuentas es un simple fenómeno de interferencia, parecía muy natural para los rayos X, puesto que se admitía su naturaleza ondulatoria, considerándolos como una luz de frecuencia muy elevada. El mérito de Davisson y Germer, y más tarde del profesor G. P. Thomson, ha estado en repetir las experiencias de esta clase, enviando electrones sobre un cristal. Si, conforme a las nuevas ideas, hay que considerar el movimiento de un electrón como íntimamente ligado a la propagación de una onda, es natural pensar que una parte del haz de electrones que atraviesa el cristal será desparramada, y que los electrones, desviados de su camino, se concentrarán en ciertas direcciones definidas por condiciones de concordancia de fase, exactamente igual a como acontece para una radiación. Por dos métodos diferentes, los físicos antes citados han puesto en evidencia este fenómeno en 1927, y han verificado que la longitud de onda de la onda asociada a un electrón está de acuerdo con las fórmulas generales dadas cuatro años antes por el autor del presente estudio. Hoy, la difracción de los electrones por los cristales es una experiencia que se repite corrientemente en los laboratorios: sirve, no ya para verificar las relaciones de la mecánica ondulatoria, admitidas hoy por todos, sino para explorar la estructura de los cuerpos parcial o totalmente cristalizados. Ha podido obtenerse, además, la difracción sobre cristales de partículas distintas de los electrones (protones, átomos diversos). También aquí, para ahondar en estas cuestiones, debe re- currirse a obras técnicas.
Apéndice IV
Localización espacio-temporal y especificación energética
En mecánica ondulatoria, no es ya posible precisar a la vez la localización espacio-temporal y la especificación energética (por energía y cantidad de movimiento) de un mismo corpúsculo. Es interesante hacer la aplicación de esta idea a la estadística de Fermi, de que se ha tratado en el texto. En la teoría de los gases, se atribuye siempre a los individuos que forman el gas un estado de movimiento bien determinado, porque se habla, por ejemplo, en el enunciado de la ley de repartición de Maxwell, del número de moléculas que tienen tal o cual velocidad, tal o cual energía. Entonces, en la mecánica nueva, la localización espacio-temporal de estos individuos se hace imposible, y se concibe entonces que la teoría de Fermi no pueda permitir representarse las acciones mutuas de las moléculas en el cuadro de nuestro espacio habitual, lo cual aclara la dificultad de que se ha tratado al final del texto.
§ 16. La crisis del determinismo
Tumbados junto a sus rebaños durante las noches serenas, los pastores de Caldea fueron, según se dice, los primeros en seguir el movimiento de los astros sobre la bóveda estrellada. Constataron así que estos movimientos no acontecen al azar, sino que obedecen a reglas inmutables; y ante el grandioso espectáculo del inmenso reloj celeste, tal vez germinara en sus cerebros oscuros una idea más general y entrevieran que la naturaleza obedece a leyes.
Decir que hay leyes de la naturaleza, es decir que los fenómenos se encadenan en un orden invariable, y que si se realiza un conjunto de condiciones, tal fenómeno se sigue necesariamente. A medida que el hombre, superando el estadio del pastor caldeo, supo observar mejor el universo que le rodea, logró discernir en el mundo físico un número creciente de leyes siempre verificadas y su confianza en la existencia y en la inmutabilidad de las leyes físicas ha ido aumentando. Poco a poco llegó así a instalarse en el espíritu de la mayoría de quienes se consagran al estudio de las ciencias la creencia de que el mundo físico es una inmensa máquina cuya evolución está inexorablemente determinada, de suerte que un conocimiento exacto de su estado actual debería permitir la previsión de todos sus estados futuros.
Esta doctrina del determinismo riguroso y universal fue resumida particularmente por Laplace en su «Ensayo sobre el cálculo de probabilidades», donde el ilustre geómetra escribió esta frase, justamente célebre por la precisión de la idea y la elegancia de la forma: «una inteligencia que, en un instante dado, conociera todas las fuerzas de que está animada la naturaleza y la situación respectiva de los seres que la componen; si fuera lo bastante amplia para someter estos datos al análisis, abarcaría en la misma fórmula el movimiento de los mayores cuerpos del universo y los del más ligero átomo; nada sería incierto para ella y estarían presentes a sus ojos tanto el porvenir como el pasado».
Para el matemático, el determinismo de los fenómenos naturales se expresa por el hecho de que estos fenómenos están regidos por ecuaciones cuyas soluciones están completamente determinadas para todos los valores del tiempo, cuando se conocen los valores de algunas magnitudes en un instante inicial dado.
En la práctica, la creencia en el determinismo ha prestado un gran servicio a los científicos preservándoles de la pereza. Cuando, en efecto, el científico descubre una nueva clase de fenómenos que le parecen embrollados y de aspecto irregular, siente la tentación de abandonarse a la indolencia y al desfallecimiento y de decirse: «estos fenómenos no tienen leyes, nada puede sacarse de su estudio». Pero entonces interviene su creencia en el determinismo, que afirma para los nuevos fenómenos observados la existencia de leyes todavía ocultas, cuyo conocimiento le permitirá desenmarañar la madeja de los hechos: el científico vuelve al trabajo y realiza con frecuencia descubrimientos útiles.
Pero la doctrina determinista no tiene solamente una utilidad práctica; contiene ciertamente una parte de verdad, porque si fuera radicalmente falsa, no habría en los fenómenos físicos ni orden, ni regularidad, y toda ciencia de estos fenómenos sería imposible. Ahora bien, la Física existe, es un hecho, y ha mostrado su valor con sus progresos y sus numerosas aplicaciones.
Sin embargo, la idea de un determinismo riguroso y universal no deja de suscitar bastantes objeciones. Y en especial, ¿deja lugar para esta actividad orientada hacia el fin que se manifiesta en la naturaleza viva? ¿Deja lugar al espíritu y a sus manifestaciones en el conjunto del mundo real? No voy a aventurarme aquí en la discusión de estas elevadas cuestiones. Mi propósito es más modesto: quiero exponer, simplemente, la crisis que la idea determinista ha sufrido en Física desde hace algunos años. La física, es decir, la ciencia de la materia, inerte, parecía hasta ahora la ciudadela del determinismo y hasta los adversarios de esta doctrina parecían dispuestos a abandonar a ella por completo este dominio. Y, sin embargo, las teorías más recientes que los Físicos han tenido que adoptar, casi a pesar suyo, para explicar los hechos experimentales, tienden no ya a renunciar enteramente al determinismo en Física (he dicho ya que la existencia misma de una ciencia física no lo permite), sino a no considerarlo como riguroso y universal, a imponerle límites. ¿Por qué y cómo se ha producido esta inesperada evolución en el pensamiento científico? Es lo que quisiera tratar de explicar en este lugar.
* * * *
El cuadro de nuestras percepciones es el espacio de tres dimensiones y tenemos tendencia a admitir que toda la naturaleza física debe poder representarse exactamente en este cuadro. Pero nuestras percepciones no son inmutables, se modifican en el curso del tiempo. La tendencia natural de los que han tratado de construir teorías físicas ha sido, pues, considerar el mundo como formado por elementos que tienen en cada instante una cierta disposición en el espacio, la cual se modifica, por lo demás, en el curso del tiempo, puesto que el mundo físico se transforma. El estado del universo material, en un instante dado, estaría, entonces, completamente definido por la repartición de sus elementos, es decir, por una cierta configuración, una cierta figura, como se hubiera dicho en el siglo XVII; la evolución del universo material correspondería a las variaciones progresivas de esta configuración. He aquí por qué Descartes, al querer trazar, en cierto modo, anticipadamente, el programa de la ciencia moderna, escribía que debe esforzarse por explicar los hechos físicos «por figuras y por movimientos». Semejante concepción estará en perfecto acuerdo con la doctrina determinista, si el conocimiento de la posición y de la velocidad de los elementos del mundo físico, en un momento dado, basta para determinar enteramente todos sus movimientos ulteriores.
El tipo más perfecto de explicaciones que responden al ideal de Descartes está suministrado por las teorías corpusculares. En estas teorías, se supone que la materia está constituida por corpúsculos o puntos materiales, es decir, por pequeños elementos simples e indivisibles, que ocupan un espacio tan pequeño que se les puede confundir con puntos. La repartición de estos corpúsculos en el espacio y sus desplazamientos en el curso del tiempo, deberán dar razón de las propiedades de la materia. La primera cuestión que se plantea, entonces, es la de saber cuál es la naturaleza de estos corpúsculos, y cuántas especies diferentes de ellos hará falta imaginar para llegar a dar cuenta de la realidad. Los químicos nos han enseñado, en el curso del siglo último, que todos los cuerpos de la Química derivan por combinación de un cierto número de «cuerpos simples», número, por lo demás, bastante grande, puesto que asciende a 92. Han llegado así a admitir que cada cuerpo simple está formado por átomos idénticos todos entre sí. Los físicos se han adueñado de esta noción del átomo y han construido teorías (la más conocida es la teoría cinética de los gases) en las cuales los átomos desempeñan la función de corpúsculos elementales. Pero ya no pudieron parar ahí; el espíritu de los científicos que apunta a la simplicidad no podía, en efecto, verse satisfecho al tener que invocar 92 especies diferentes de corpúsculos elementales. El descubrimiento experimental de una constitución granular de la electricidad vino a simplificar las cosas. La experiencia ha probado, en efecto, que la electricidad negativa se halla constituida por corpúsculos idénticos, de masa y carga eléctrica sumamente débiles, los electrones. Inmediatamente se hizo probable una constitución granular análoga para la electricidad positiva, y se designa hoy con el nombre de protón el corpúsculo elemental de electricidad positiva. Los físicos cayeron en cuenta, entonces, de que los átomos de los cuerpos simples no debían ser considerados como corpúsculos elementales, sino que eran edificios complicados formados de protones y electrones; existen 92 tipos diferentes de estos edificios, que son las 92 especies de átomos diferentes. Se había dado así un gran paso en el sentido de una teoría corpuscular simple de la materia: con ayuda de dos únicas especies de corpúsculos iba a poder darse cuenta de las propiedades de la materia y reducir todo el universo material a un vasto conjunto de protones y electrones. Si se lograra, además, encontrar las leyes rigurosas que rigen los movimientos de estos corpúsculos, se habría cumplido el programa cartesiano de la descripción del mundo físico por figuras y movimientos, y se habrían satisfecho a la vez las exigencias de la doctrina del determinismo universal. Los físicos parecían próximos a alcanzar un ideal hacía mucho tiempo perseguido.
* * * *
Coloquémosnos, pues, en el estado de espíritu de un teórico de la Física de hace unos treinta años. La materia se reduce para él a un conjunto de protones y electrones. El problema esencial, puede incluso decirse que casi el único problema, es, entonces, saber cuáles son las leyes del movimiento que deben aplicarse a esos corpúsculos. Era natural adoptar como leyes de movimiento para los corpúsculos las leyes de la mecánica clásica de Newton. Esta mecánica, en efecto, estaba admirablemente verificada en el estudio del movimiento de los astros y en el de los cuerpos materiales que nos rodean en la superficie de la tierra; parecía, pues, legítimo aplicarlas por extrapolación a los elementos últimos de que estaba constituida la materia. Ahora bien, una de las características esenciales de la mecánica de Newton aplicada a los corpúsculos es la de estar conforme con el determinismo. En la concepción clásica, el corpúsculo es un simple punto material de dimensiones despreciables: en cada instante tiene en el espacio una posición bien determinada, y en el curso del tiempo describe una cierta curva, su trayectoria, Las ecuaciones de la mecánica clásica permiten prever rigurosamente todo el movimiento ulterior del corpúsculo, conociendo la posición y la velocidad de éste en un instante dado. Si la mecánica clásica fuera realmente aplicable a los corpúsculos de la materia, y si pudiéramos conocer exactamente, en un instante dado, las posiciones y las velocidades de todos los corpúsculos cuyo conjunto inmenso constituye el mundo material, toda la evolución futura de este mundo material se encontraría fijada de una manera inexorable; el ideal descrito por Laplace en la frase que he citado antes, se habría, pues, logrado, por lo menos en principio. Pero tengo que insistir aquí sobre un punto: la determinación rigurosa del movimiento de un corpúsculo reposa esencialmente sobre la hipótesis admitida sin discusión en la ciencia clásica, de que es posible conocer, es decir, medir, con precisión en un mismo instante y a la vez, la posición del corpúsculo y su estado de movimiento definido por su velocidad.
La doctrina determinista triunfaba, hace algunos años, en las teorías corpusculares, pero, después, también le ha tocado a ella ver que la roca Tarpeya se halla junto al Capitolio. La aplicación de las leyes y de las concepciones mecánicas clásicas a los elementos últimos de la materia, después de haber suministrado al principio resultados animadores, se ha revelado, en efecto, ante un último análisis, como impotente para dar cuenta de la realidad experimental. La razón de este fracaso fue el descubrimiento de una clase de fenómenos nuevos, los fenómenos de los quanta, cuya interpretación era imposible sólo por medio de las concepciones clásicas. No puedo describir aquí, en detalle, los fenómenos de quanta y las dificultades de su interpretación: voy solamente a precisar dos aspectos de estas dificultades. Por una parte, según he explicado ya en capítulos anteriores, el estudio de los fenómenos de quanta ha llevado a los físicos, después de largos tanteos, a admitir que para explicar las propiedades de la materia, no bastaba considerarla como formada de corpúsculos, sino que era menester asociar a estos corpúsculos, ondas cuya significación física, que examinaremos más lejos, es bastante sorprendente. Por otra parte, para formular las leyes experimentales de los fenómenos de quanta, ha hecho falta siempre hacer intervenir una nueva constante universal completamente ignorada de la física clásica y llamada la constante de Planck, por el nombre del ilustre sabio alemán que fué el primero en haber descubierto su importancia. Esta constante, habitualmente representada en las ecuaciones por la letra h, no es susceptible de ninguna interpretación en el cuadro de las teorías clásicas basadas sobre la mecánica de Newton. Su significación ha constituido, desde hace treinta años, y constituye aún, en buena parte, el enigma de la física moderna: ha quedado como sílaba indescifrable en este juego de «palabras cruzadas» que es la naturaleza.
Observemos aquí un punto sumamente importante: la constante h tiene un valor sumamente pequeño respecto de las magnitudes que intervienen usualmente en los fenómenos de nuestra escala. Es la razón por la cual su existencia no se ha impuesto a nuestra atención más que cuando hemos sabido estudiar la estructura de la materia, es decir, los fenómenos de la escala atómica o subatómica.
* * * *
Y ahora tenemos que precisar de qué manera han llegado las teorías contemporáneas a asociar las ondas a los corpúsculos de materia. Para esto debemos recordar, ante todo, de la manera más sencilla posible, lo que entendemos por onda. Podemos hacernos una representación de una onda simple, imaginando una serie de olas que se suceden a intervalos regulares; la distancia entre dos crestas consecutivas se llama longitud de onda, y la altura de la cresta se llama la amplitud; longitud de onda y amplitud son las dos magnitudes que definen la onda simple. Esta onda simple se llama también, con frecuencia, utilizando el lenguaje de la óptica, onda monocromática. Pero se pueden considerar tipos de ondas más complejos formados por una superposición de ondas monocromáticas; para definir una onda compleja de este género, hay que dar las longitudes de onda y las amplitudes de todas las ondas simples componentes, o, como se dice por analogía con la óptica, hay que dar «la descomposición espectral» de la onda compleja.
He dicho antes que los físicos, después de un largo estudio de los fenómenos de los quanta, llegaron a la convicción de que, en la teoría de la materia, era menester asociar la noción de onda a la de corpúsculo. Se vio al principio que el movimiento de un corpúsculo de velocidad bien definida debía hacerse corresponder la propagación de una onda monocromática cuya longitud de onda está ligada a la velocidad del corpúsculo por una relación en que figura la constante h. A partir de esta idea se desarrolló una nueva mecánica, conocida con el nombre de «mecánica ondulatoria», en que el estudio del movimiento de un corpúsculo está reemplazado por el estudio de la propagación de la onda asociada. Esta propagación de la onda asociada se verifica conforme a leyes rigurosas, pero de ellas no se sigue ya, como voy a tratar de explicarlo, un movimiento rigurosamente determinado para el corpúsculo.
En la nueva concepción, la onda asociada a un corpúsculo simboliza o representa todo lo que sabemos de éste. Esta onda asociada es, en general, una onda compleja definida por una cierta descomposición espectral y cuya amplitud resultante está repartida en cada instante de una cierta manera en el espacio. Ahora bien, la nueva mecánica se niega a atribuir al corpúsculo una posición constantemente bien definida en el espacio; nos dice solamente que el corpúsculo se encuentra necesariamente en la región ocupada por la onda, y que tiene tanta más probabilidad de encontrarse en un punto, cuanto mayor es en este punto la amplitud de la onda. Igualmente, la nueva manera de ver, no permite atribuir ya, constantemente, al corpúsculo, un movimiento perfectamente determinado; a cada componente monocromática que figura en la descomposición espectral de la onda asociada, corresponde un valor posible de la velocidad del corpúsculo, y se sabe solamente que la velocidad real del corpúsculo tiene uno de estos valores posibles.
Hay, pues, siempre en la nueva mecánica una cierta incertidumbre acerca de la posición del corpúsculo y una cierta incertidumbre sobre su estado de movimiento. Es fácil darse cuenta, estudiando las propiedades matemáticas de las ondas, de que estas dos incertidumbres no son independientes: cuanto menor es la una mayor es la otra. Para verlo, examinemos por lo pronto un caso límite: el de una onda asociada simple, monocromática; corresponde, según hemos visto, a un corpúsculo cuya velocidad es perfectamente conocida. Pero se puede mostrar que una onda monocromática de esta suerte tiene una extensión indefinida en el espacio y tiene en todos los puntos la misma amplitud; en mecánica ondulatoria esto quiere decir que el corpúsculo asociado tiene una posición completamente indeterminada, y puede encontrarse, por tanto, en un punto cualquiera del espacio. Por tanto, un conocimiento completo del movimiento, entraña una absoluta incertidumbre sobre la posición. Puede ocurrir, sin embargo, que la onda asociada al corpúsculo, en lugar de ser indefinida, ocupe solamente una región limitada R del espacio, fuera de la cual la amplitud de la onda es nula: la incertidumbre acerca de la posición es, entonces, menor que en el caso precedente, puesto que el corpúsculo se encuentra ciertamente en el espacio R. Pero una onda limitada a una región del espacio, es necesariamente compleja, y el análisis matemático muestra que está formada por la superposición de ondas monocromáticas, cada una de las cuales corresponde a una velocidad posible del corpúsculo. Aquí, pues, la incertidumbre acerca de la posición no es completa, pero tenemos en compensación una incertidumbre sobre el movimiento. Finalmente puede considerarse el otro caso límite, el de una onda que ocupa solamente una región R infinitamente pequeña. La posición del corpúsculo es entonces bien conocida, puesto que debe encontrarse en R; pero semejante onda, de dimensiones infinitamente pequeñas, no puede resultar sino de la superposición de ondas monocromáticas de todas las longitudes de onda posibles, y, por tanto, todos los valores de la velocidad son posibles para el corpúsculo; cuando no hay incertidumbre sobre la posición, hay una completa incertidumbre sobre la velocidad.
Werner Heisenberg, que ha sido el primero en haber observado estas consecuencias de la nueva mecánica, las ha expresado matemáticamente por medio de ecuaciones llamadas hoy «relaciones de incertidumbre». Estas relaciones ponen en evidencia el hecho siguiente: la existencia de la constante h es lo que nos impide conocer simultáneamente con precisión la posición y el movimiento de un corpúsculo; si h fuera nulo, semejante conocimiento simultáneo sería posible.
Pero, podrá objetarse, para conocer simultáneamente la posición y la velocidad de un corpúsculo, basta medir al mismo tiempo estas dos magnitudes. Heisenberg ha respondido victoriosamente a esta objeción, mostrando que no hay procedimiento de medida o de observación que pueda darnos a conocer al mismo tiempo, de una manera rigurosa, la posición y la velocidad de un corpúsculo. Todo dispositivo que permita la medida de la posición tiene por efecto perturbar de una manera desconocida la velocidad, y esto tanto más fuertemente cuanto es más precisa la medida de la posición; inversamente, todo dispositivo que permite medir la velocidad tiene por efecto perturbar la posición de una manera desconocida, y esto tanto más fuertemente cuanto más precisa sea la medida de la velocidad. Examinando de cerca la cuestión, se vuelven a encontrar, por medio de esta crítica de las posibilidades de medida, las relaciones de incertidumbre ya deducidas de las propiedades de la onda asociada.
* * * *
Puesto que en la mecánica nueva jamás pueden suponerse conocidas a la vez la posición y la velocidad iniciales de los corpúsculos, debe desaparecer el determinismo riguroso. Y en efecto, las previsiones que la nueva teoría es capaz de hacer, tienen un carácter muy diferente de las previsiones rigurosas de la mecánica clásica. Si se quiere partir de un estado inicial para predecir los estados ulteriores, hay que observar que el estado inicial no puede ser exactamente conocido puesto que comporta necesariamente incertidumbres acerca de la posición y de la velocidad de los corpúsculos. El estado inicial estará representado, con las incertidumbres que implica, por una cierta forma inicial de la onda asociada. La evolución ulterior de la onda podrá ser predicha rigurosamente con ayuda de las ecuaciones de la mecánica ondulatoria, pero de ello no resulta un riguroso determinismo en la evolución del corpúsculo, porque el conocimiento de la onda en cada instante permite tan sólo atribuir probabilidades a las diversas hipótesis posibles, sobre la posición y la velocidad del corpúsculo. En una palabra, mientras que la antigua física tenía la pretensión de someter todos los fenómenos a leyes rigurosas e inexorables, la nueva física no nos suministra sino leyes de probabilidad; sin duda, estas leyes de probabilidad pueden expresarse en fórmulas precisas, pero no son, sin embargo, sino leyes de probabilidad. Queda, pues, en todos los fenómenos físicos un cierto margen de incertidumbre, y podemos darnos cuenta de que este margen está medido, en cierta manera, por la constante h. Ha podido decirse, de una manera pintoresca, que en el muro del determinismo físico existe una grieta cuya anchura estaría medida por la constante de Planck. La constante h encuentra así una interpretación bastante imprevista: sería la cota que señala el límite del determinismo.
Una objeción se presenta naturalmente al espíritu. Los fenómenos mecánicos de nuestra escala o de la escala astronómica, parecen obedecer a un determinismo riguroso: este hecho es justamente, como decía al principio, lo que ha sugerido la doctrina del determinismo universal. ¿Cómo es conciliable este determinismo de los fenómenos macroscópicos con las ideas que acabamos de exponer? La respuesta es sencilla recordando lo pequeño de la constante h respecto de las magnitudes que intervienen en los fenómenos mecánicos de nuestra escala o a fortiori en la escala astronómica. En estos fenómenos, el margen de incertidumbre, medida, como hemos dicho, por h, es tan pequeña que es despreciable, y queda, además, completamente embozado por los errores experimentales que afectan inevitablemente a nuestras observaciones y a nuestras medidas. De aquí un determinismo aparente de los fenómenos macroscópicos, perfectamente conciliable con una cierta indeterminación de los fenómenos en la escala microscópica.
Muchos físicos echan de menos el determinismo riguroso, juzgándolo necesario para el progreso de la ciencia, pero muchos otros renuncian a él, de mejor grado. Los primeros esperan que se podrá volver a él de una u otra manera, los otros dudan de ello.
Pero de todas maneras, en el estado actual de nuestros conocimientos, el ideal cartesiano de la representación del mundo físico por figuras y movimientos parece haber fracasado efectivamente. ¿Qué es lo que expresan, en efecto, las relaciones de incertidumbre de Heisenberg al prohibirnos un conocimiento preciso y simultáneo de la posición y de la velocidad, sino que es imposible conocer al mismo tiempo, con exactitud, «la figura y el movimiento»?
§ 17. Las ideas nuevas introducidas por la mecánica cuántica
En loa tiempos modernos, desde el siglo XVIII hasta nuestros días, la teoría física parece haber reposado enteramente sobre dos bases: la concepción mecanicista del mundo material, que había encontrado ya su expresión bajo la pluma de Descartes, y la hipótesis de la continuidad de los fenómenos físicos, que permite intentar su estudio con la poderosa ayuda del análisis infinitesimal, hipótesis tan tajantemente expresada por la célebre fórmula de Leibnitz: natura non facit sal tus.
El éxito inmenso de estas dos ideas en numerosos dominios de la ciencia (Astronomía, Mecánica, Física propiamente dicha) condujo a la mayoría de los físicos, por lo menos a todos los que no se encerraron en el formalismo energético, a adoptar más o menos implícitamente una cierta concepción simple del universo físico: se lo figuraron como una inmensa máquina susceptible, según expresión de Descartes, de ser descrita por figuras y movimientos, es decir, como una máquina formada de partes yuxtapuestas en el espacio y móviles en el tiempo, cuyos movimientos y modificaciones, esencialmente continuos, resultado de acciones y reacciones mutuas, podían ser expresados exactamente en el lenguaje preciso del análisis matemático. Como las acciones entre las diversas partes del mundo material disminuyen con la distancia, es frecuentemente posible aislar sistemas autónomos o casi autónomos; las leyes de la Mecánica y de la Física afirmaban entonces que un conocimiento suficiente del estado inicial de semejante sistema aislado, permitía prever rigurosamente, con ayuda del análisis, toda la historia ulterior de este sistema. Que semejante previsión de la evolución de un fragmento suficientemente aislado del mundo material sea efectivamente posible, cuando se limita a los fenómenos de la escala humana o de la escala astronómica, lo prueba de una manera indiscutible el éxito de las grandes teorías clásicas de la mecánica racional, de la mecánica celeste y de la física matemática del siglo último. Se ha podido, pues, pensar, legítimamente, en un momento dado, que la aplicación de las mismas concepciones del mecanismo universal a los fenómenos de la escala atómica, conduciría a éxitos del mismo orden. Por esto, como la experiencia ha revelado la existencia de partículas elementales de materia, electrones y protones, se ha tratado de representar los fenómenos de la escala atómica por movimientos de esas partículas elementales y de considerar los átomos como especies de sistemas planetarios que constituyen una imagen reducida de los sistemas planetarios de la Astronomía. Pero la necesidad de introducir en el modelo planetario del átomo las condiciones de quanta, ha venido a mostrar que en realidad interviene en esta escala un factor totalmente despreciable en las escalas superiores: este factor es el quantum de acción, o, si se prefiere, la constante h de Planck. Bohr, que ha dado su nombre al modelo planetario del átomo, ha sido el primero en presentir que en realidad este modelo era engañoso, y que la intervención del quantum de acción en la escala atómica aportaba una limitación a las imágenes de la física clásica. Ha sido, por esto, quien más ha insistido sobre este punto a medida que se desarrollaban las teorías cuánticas. Refiriéndonos a estas ideas, vamos a tratar de mostrar cómo la eclosión de la nueva mecánica ha abierto una brecha en el mecanismo de una parte y en el continuismo de otra.
* * * *
Para comprender bien una de las principales causas del fracaso del Mecanismo, es menester examinar cuál es, en la concepción del Mecanismo universal, que asimila el mundo material a una máquina, la posición del físico, que observa y mide, para poder después calcular y prever. Hay, en efecto, una hipótesis, que se admite más o menos implícitamente en todas las teorías clásicas, y es que es posible observar y hasta estudiar cuantitativamente el estado de un sistema, sin perturbarlo para nada. Se admite, en suma, que el científico puede observar un sistema o hasta hacer medidas sobre este sistema, sin que exista un cambio apreciable de energía entre el sistema y él. Ahora bien, es evidente que en todo rigor esto es inexacto, incluso en el caso de la simple observación, puesto que no puede conocer el mundo exterior sino por el intermedio de las sensaciones, y toda sensación supone siempre una acción del mundo exterior sobre uno de los órganos de nuestros sentidos, y, por tanto, un canje de energía entre el mundo exterior y nuestro cuerpo. Con mayor razón, en el caso de la experimentación y de la medida en que hay intervención activa del físico con un fin determinado, no es lícito en rigor despreciar la interacción entre el sistema examinado y el dispositivo empleado por quien lo examina. Sin embargo, esta objeción de principio es despreciable en la práctica, cada vez que se trata del estudio de un fenómeno de la escala macroscópica, es decir, de la escala humana o de la escala astronómica. Es cierto que, dirigiendo el anteojo hacia un astro, para observarlo, el astrónomo modifica el curso de este astro en una proporción absolutamente despreciable y hasta en los fenómenos que acontecen sobre la tierra en torno nuestro, un experimentador hábil puede siempre llegar a no perturbar, apreciablemente, lo que quiere estudiar. Pero la extrapolación del mecanismo físico desde el dominio macroscópico, en que es ciertamente aplicable, hasta dominios cada vez menores en que las medidas deben recaer sobre cantidades cada vez más débiles, supone esencialmente que es posible hacer decrecer indefinidamente la interacción que supone toda medida entre el mundo exterior de una parte, y los aparatos o los sentidos del experimentador de otra; sin que pueda llegar un momento en que la perturbación producida por una operación de medida sea comparable a las cantidades a medir, porque en tal caso se sabrá después de la medida cuál es el valor real de las magnitudes que se han querido medir. Aquí es donde interviene la existencia del quantum de acción, de la constante h de Planck, cuya aparición ha sido uno de los momentos más esenciales en la evolución de la ciencia contemporánea. La existencia y el valor finito de esta constante de Planck tiene por consecuencia la imposibilidad, en un sistema de la escala atómica, de medir simultáneamente, con precisión, todas las magnitudes cuyo conocimiento simultáneo y preciso sería necesario para una descripción mecanicista rigurosa del sistema. Más exactamente, dos magnitudes que son la una respecto a la otra, canónicamente conjugadas en el sentido de la mecánica analítica, tales como la coordenada x de un corpúsculo y la componente, según el eje de las x, de la cantidad de movimiento, no son simultáneamente mensurables con precisión. Cuanto más dirija un experimentador su operación de medida a obtener un valor más exacto de una de estas magnitudes, tanto más, de modo inevitable, habrá modificado la otra magnitud de una manera desconocida por la operación misma de la medida. Es lo que han mostrado los finos y profundos análisis de Bohr y Heisenberg. La existencia del quantum de acción liga así a toda operación de medida, una perturbación finita e incontrolable que recae sobre cada par de magnitudes canónicamente conjugadas. Tal es el contenido físico de las relaciones de incertidumbre de Heisenberg. Es preciso observar que esta imposibilidad de medir con precisión todas las magnitudes, necesarias para la definición mecanicista de un sistema, es en rigor válida para un sistema macroscópico, pero la incertidumbre mínima de las magnitudes conjugadas, como es del orden de la constante de Planck, puede convertirse aquí en completamente despreciable respecto del valor mismo de las magnitudes que entran en juego, y la concepción mecanicista es muy aproximadamente aplicable. Para precisar, llamaremos desde ahora «fenómeno macroscópico» un fenómeno tal que respecto de las magnitudes que intervienen en él, la constante de Planck puede ser considerada como infinitamente pequeña; llamaremos por el contrario «fenómeno microscópico» a todo fenómeno que transcurre en una escala lo suficientemente fina para qué no pueda hacerse abstracción del valor finito de la constante h. Por tanto, en el dominio microscópico así definido, la reacción entre el observador y la realidad exterior, de que va acompañada necesariamente toda observación y toda medida, modifica profundamente los fenómenos muy finos que se quieren estudiar. De aquí la incertidumbre de Heisenberg y la imposibilidad de realizar, para los fenómenos microscópicos la previsión rigurosa de la evolución de un sistema a partir de un estado inicial conocido, puesto que todas las magnitudes cuyo conocimiento simultáneo sería necesario para semejante previsión rigurosa, no pueden ser conocidas a la vez.
Se presenta una cuestión sobre la que Bohr y Heisenberg han insistido varias veces. La física clásica supone esencialmente que existe una realidad objetiva que puede ser descrita con absoluta independencia de los «sujetos» que la observan. Como Bohr lo ha observado, finamente, es esta la razón por la cual la física clásica podía pretender el título de ciencia exacta. Pero he aquí que en la física microscópica contemporánea no se puede ya separar netamente el fenómeno observado o medido del método de observación y de medida. El microcosmos no es una realidad objetiva que puede ser concebida o descrita por el hombre independientemente de los procedimientos que sirven para conocerla. O bien no realizamos tentativa ninguna para seguir la evolución del microcosmos, y entonces esta evolución queda desconocida y no es objeto de ciencia; o bien tratamos de conocer esta evolución, pero entonces la modificamos de un modo incontrolable, dependiente por lo demás de los elementos que tratamos de precisar. Bohr ha concluido que la física de los quanta atenúa o hace más incierta la distinción entre lo subjetivo y lo objetivo. Tal vez hay aquí una especie de abuso de lenguaje. En realidad los medios de observación, los instrumentos de medida, y hasta los órganos de nuestros sentidos, pertenecen evidentemente al orden objetivo, y el hecho de que en la física microscópica no puedan despreciarse sus reacciones sobre las porciones del mundo exterior que queremos estudiar, no puede abolir, ni tan siquiera atenuar, la distinción tradicional de lo objetivo y de lo subjetivo. Si se quisiera traducir en términos más exactos el pensamiento de Bohr, haría falta expresarlo, según creo, de la manera siguiente: mientras la física clásica traza una cortadura artificial entre una parte del mundo objetivo, calificada de «realidad exterior» completamente independiente de los «sujetos» que observa, y otra parte del mundo objetivo, instrumentos de medida u órganos de los sentidos, que servirían a dichos sujetos para conocer y estudiar cuantitativamente esta realidad exterior sin modificarla, la física cuántica muestra el carácter artificial de semejante cortadura y prueba que una descripción de la realidad física completamente independiente de los medios de que disponemos para observarla, es en rigor imposible. Así la nueva física microscópica no puede pretender sino engarzar (y aun esto ya veremos que sólo es posible por previsiones de naturaleza estadística) los resultados de una constatación experimental, a los de otra constatación experimental posterior, introduciendo con cada constatación, modificaciones desconocidas. Con ello se encuentra disminuido el grado de determinación causal, cuya existencia en el mundo objetivo podemos probar por la investigación científica.
En el mismo orden de ideas, Bohr ha observado que el género de perturbación introducido por la observación en el fenómeno que se observa en la física microscópica, presenta una cierta analogía con la dificultad con que se tropieza en Psicología cuando se quiere hacer un estudio objetivo de los fenómenos psicológicos por el llamado método de introspección. La gran dificultad con que tropieza el psicólogo cuando quiere realizar una introspección, la dificultad que priva a sus resultados del carácter de ciencia exacta, es la imposibilidad de aplicar su atención a la evolución de un proceso mental sin deformar por el mero hecho este proceso, o interrumpirlo completamente. Para tomar un ejemplo de orden más bien psicofisiológico, si se trata de observar por introspección las fases psicológicas que acompañan al paso del estado de vigilia al del sueño, el resultado es, en general, decepcionante: no se observa absolutamente nada, porque no se logra dormir. La atención que se ha querido aplicar sobre el fenómeno del endormecimiento progresivo ha impedido hasta la producción misma del fenómeno.
* * * *
Lo que acabo de decir basta, según pienso, para hacer comprender cómo la concepción mecanicista de la física ha venido a tropezar en el mundo microscópico con la imposibilidad de trazar una imagen del funcionamiento del universo físico, independiente de las perturbaciones introducidas por la observación y por la medida. Quisiera mostrar ahora cómo la otra concepción fundamental sobre la cual reposaba la ciencia clásica, la concepción de la continuidad de los fenómenos materiales, que permitió aplicarles el análisis infinitesimal, se ha visto también conmovida por los progresos recientes de la física cuántica.
Hemos dicho ya que el valor finito de la constante h de Planck tenía por consecuencia la imposibilidad de conocer simultáneamente con precisión los valores exactos de las dos variables canónicamente conjugadas. Ahora bien, ¿qué son desde el punto de vista físico estos pares de variables llamadas canónicamente conjugadas? Si se examinan estos pares de variables, se ve que hay siempre una que sirve para la descripción del Sistema considerado en términos de espacio y de tiempo, mientras que la otra sirve para la especificación de su «estado dinámico». Las relaciones de incertidumbre de Heisenberg, al afirmar que, a causa del valor finito de la constante h, no podemos conocer simultáneamente con precisión los pares de variables conjugadas, nos enseña en definitiva, que la descripción completa de un sistema mecánico en términos de espacio y de tiempo, no es compatible en nuestra ciencia con la especificación exacta del estado dinámico.
Tal vez esta imposibilidad de precisar simultáneamente la localización espacio-temporal del estado dinámico pueda referirse a una de las principales inquietudes del pensamiento antiguo. Consideremos una flecha en su carrera, decía Zenón de Elea; en cada instante, se halla inmóvil en una cierta posición; ¿cómo podrá entonces recorrer nunca un cierto trayecto? ¿Cómo puede estar hecho el movimiento de inmovilidades? A los ojos de la ciencia moderna, completamente impregnada, antes de la aparición de los quanta, de la idea de continuidad, el argumento de la flecha de Zenón parecía un poco pueril. La consideración de las posiciones infinitamente próximas de un móvil permite, en efecto, definir la velocidad por el mismo razonamiento que sirve para establecer la existencia de la derivada de una función continua; la velocidad no es, en suma, sino la derivada de la posición respecto del tiempo. Entonces, en la mecánica clásica, mientras las coordenadas de un móvil en un instante t, o más generalmente, las coordenadas de un sistema mecánico en un instante t, definen la localización espacio-temporal, las derivadas de las coordenadas respecto del tiempo sirven para definir el estado de movimiento, la tendencia dinámica. La consideración de las posiciones infinitamente próximas y del movimiento uniforme instantáneo que permite pasar de la una a la otra, parece permitir así la refutación completa de la objeción de Zenón. Pero esta refutación reposa sobre la hipótesis de la continuidad de los fenómenos físicos, y se encuentra conmovida por la introducción, en el universo físico, de un elemento de discontinuidad como el que está implicado en la existencia del quantum de acción. Sin querer hacer de Zenón un precursor de Heisenberg, y sin olvidar la función que desempeña actualmente en esta cuestión el valor finito de la constante de Planck, puede, pues, decirse, que la imposibilidad revelada en las recientes teorías, de atribuir a la vez a un móvil una localización espacio- temporal exacta y un estado dinámico completamente definido, parece vincularse a una dificultad conceptual hace mucho tiempo observada. Para repetir una expresión de Bohr, la localización exacta en el espacio y en el tiempo es una «idealización», la concepción de un estado de movimiento perfectamente definido es otra, y estas dos idealizaciones «complementarias», muy aproximadamente compatibles en la escala macroscópica, no lo son en todo rigor en la escala microscópica.
Las consecuencias del abandono de la continuidad implicada en la introducción del quantum de acción se han visto claramente desde la aparición de la teoría del átomo de Bohr en su forma primitiva. En esta teoría el átomo es considerado como un sistema solar en miniatura, y se trata de precisar los elementos cuantitativos de este sistema solar. Pero la introducción de la cuantificación del átomo, que se ha mostrado necesaria para poner de acuerdo la teoría con los hechos, ha obligado a Bohr a admitir que el sistema solar en cuestión no es susceptible sino de un cierto número de estados «estacionarios», cuyas energías forman una sucesión discreta. El paso de un estado estacionario a otro, acompañado de una emisión de radiación, debe ser considerado como una transición brusca que escapa a toda descripción. Aquí, por vez primera en la ciencia moderna, ha aparecido la idea de una radical incompatibilidad entre la concepción de un estado dinámico estacionario, caracterizado por un valor bien determinado de la energía, y la descripción en términos de espacio y de tiempo. Esta incompatibilidad se ha revelado aún más profundamente, cuando el desarrollo de la nueva mecánica ha venido a mostrar que las posiciones y las velocidades de los electrones-planetas en el modelo de Bohr no tienen existencia real, y que, en verdad, no solamente las transiciones entre los estados estacionarios, sino los estados estacionarios mismos, se sustraen a todo intento de descripción espacio- temporal. El estado estacionario, es decir, el estado energético estable y bien definido, es una idealización, que en la escala atómica no es compatible ya con la que implica la idea de una descripción en el cuadro del espacio y del tiempo.
Al mismo tiempo se ha denunciado una especie de carácter calidoscópico del mundo considerado en su estructura fina. Observaciones sucesivas hechas sobre un mismo átomo nos lo mostrarán siempre en estados estacionarios sin que podamos cazarlo jamás en un estado intermediario entre dos estados estacionarios. La física atómica, al no poder poner en evidencia sino los valores discretos de la energía, parece tener que renunciar a la continuidad y limitarse a obtener las leyes necesariamente estadísticas que presiden a los saltos de un valor a otro. Digo que estas leyes son necesariamente estadísticas, porque la determinación causal en Física parece estar ligada a la idea de que las transformaciones se operan continuamente en el cuadro del espacio y del tiempo, y parece que tendría que desaparecer con ella. La nueva física tratará, pues, dado el sistema en un estado estacionario inicial, de calcular las probabilidades para que este sistema se encuentre, en una época ulterior, en tal o cual estado estacionario.
La nueva concepción nacida de la consideración de estados atómicos estacionarios con energías cuantificadas, ha sido extendida por los recientes métodos mecánicos de manera que se aplica, no solamente a la magnitud «energía», sino a todas las otras magnitudes físicas mensurables. La medida exacta de una cualquiera de ellas conduce siempre a un valor determinado, pero los valores, encontrados para una misma magnitud en medidas sucesivas no están ligados entre sí sino por leyes de probabilidad. Para comprender bien esta cuestión es preciso recordar ahora la manera como se ha introducido en la teoría física moderna «el dualismo» de corpúsculos y de ondas. Cuanto más han logrado afinar los experimentadores sus métodos de investigación en el dominio atómico y microscópico, más claramente se ha visto que el resultado de sus experiencias se expresa con naturalidad atribuyendo a la realidad física una estructura discontinua, y distinguiendo en ella unidades discretas, las unas complejas como la molécula o el átomo, las otras simples (o provisionalmente simples) como el protón, el electrón o el fotón. El resultado de una medida precisa se enuncia siempre atribuyendo ciertos valores a ciertas magnitudes que caracterizan estas unidades físicas discretas. Que los resultados de la experimentación fina llevan siempre a considerar corpúsculos o sistemas autónomos de corpúsculos como los átomos, es cosa cierta desde hace mucho tiempo para la materia, pero el análisis de las reacciones entre materia y radiación ha mostrado, también, recientemente, que acontece lo mismo para la luz y ha llevado a considerar corpúsculos de luz o fotones.
Finalmente, todos los resultados de la física experimenta] microscópica se enuncian bajo forma corpuscular: es un hecho de que no puede hacerse abstracción. Pero estos corpúsculos elementales que la investigación experimental permite aislar en la realidad física, jamás podremos llegar a describirlos completamente a la manera clásica, localizándolos exactamente en el -espacio en un instante dado y atribuyéndoles simultáneamente un estado dinámico bien definido. Este hecho, ligado, según hemos visto, a la imposibilidad de observar la realidad sin perturbarla, se expresa en las relaciones de incertidumbre de Heisenberg y es una consecuencia de la existencia del quantum de acción. Pero entonces, puesto que jamás conocemos todos los elementos que nos serían necesarios, desde el punto de vista del mecanismo universal, para predecir la evolución futura de un corpúsculo o de un átomo, ¿qué género de previsión, o si se prefiere, qué ciencia queda posible? Aquí es donde intervienen las ondas. El desarrollo de la mecánica ondulatoria ha llevado en efecto a asociar a cada corpúsculo o sistema de corpúsculos una onda cuya naturaleza se ha revelado progresivamente con carácter más bien simbólico. Después de cada medida, que nos ha suministrado acerca de un corpúsculo, o de un sistema de corpúsculos informaciones necesariamente incompletas, a. causa de la incertidumbre de Heisenberg, podemos asociar a este corpúsculo, o a este sistema, una cierta onda que representa, en cierto modo, nuestros conocimientos, inclusive la incertidumbre de que están afectados. Puede después seguirse de una manera rigurosa la evolución de esta onda en el curso del tiempo, gracias a las ecuaciones de propagación de la nueva mecánica; y la forma de la onda en una época ulterior nos permite ver cuáles son los resultados posibles de la medida de una magnitud mecánica cualquiera, realizada en esta época y las probabilidades respectivas de estos diversos resultados posibles. Así, la evolución de las probabilidades, a partir de la primera medida, obedece a un determinismo riguroso simbolizado por la propagación de la onda, pero de ello no resulta en general un determinismo riguroso de las apariencias corpusculares denunciadas directamente por la investigación microscópica. Además, como cada nueva medida introduce un elemento nuevo y desconocido, el cálculo entero de la evolución de la onda debe ser repetido después de cada medida: no hay por qué extrañarse de ello, puesto que la onda representa las probabilidades, y cada medida, al suministrarnos nuevas informaciones, revoluciona, evidentemente, el estado de las probabilidades.
En una palabra, el aspecto corpuscular de los fenómenos microscópicos es el que se presenta naturalmente en la experiencia: si se pudieran medir a la vez todos los elementos implicados en la idea clásica de los corpúsculos, se llegaría, sin duda, a una descripción mecanicista y determinista del microcosmos, análoga a la que había intentado la teoría primitiva de Bohr. Pero según sabemos ahora, el conocimiento simultáneo de los elementos espacio-temporales y de los elementos dinámicos es imposible a causa de la existencia del quantum de acción, de suerte que la sucesión de los Estados observables referida a la imagen corpuscular nos aparece como discontinua y acausal. La consideración de las ondas permite restablecer la continuidad y el determinismo entre dos medidas consecutivas, pero solamente por lo que concierne a la evolución de las probabilidades. La mecánica nueva, apoyándose sobre estas ideas, ha podido explicar, por lo demás, fácilmente cómo en el dominio macroscópico donde la constante h es sensiblemente despreciable, se vuelve a encontrar la continuidad aparente y el determinismo, y puede conciliarse la idealización espacio-temporal, con la idealización de los estados dinámicos. Dicho de otra manera, se ha podido demostrar que al pasar del microcosmos al macrocosmos, la física cuántica tiende asintóticamente hacia la física clásica.
Añadiré todavía una observación. Cuando se estudia la evolución de una sola unidad física, corpúsculo o átomo, la onda asociada simboliza las probabilidades de localización del estado dinámico de esta unidad; pero si se trata de un gran número de unidades idénticas, la onda representa entonces la repartición estadística de este conjunto de unidades. Consideremos, por ejemplo, las experiencias de la óptica clásica: consideradas desde nuestro punto de vista actual, estas experiencias parecen poner en juego un gran número de fotones sin lograr denunciar la existencia de cada uno de ellos; permiten solamente estudiar la repartición estadística de los fotones, repartición representada por la onda asociada, es decir, por la onda luminosa clásica. Ésta es la razón profunda por la cual la óptica clásica ha podido prescindir de la noción de corpúsculo y considerar únicamente la onda. La misma circunstancia se presenta, además, en las recientes experiencias de difracción de electrones, experiencias cuyo resultado puede describirse únicamente por medio de la onda asociada al electrón sin ninguna intervención de la concepción corpuscular. Se comprende así cómo la onda, a pesar de su carácter simbólico, puede aparecer en ciertas experiencias que recaen sobre un gran número de corpúsculos, como siendo la realidad física.
* * * *
Resumamos ahora el conjunto de ideas desarrolladas hasta aquí. En la escala microscópica, la realidad física se revela formada de unidades que presentan avatares sucesivos, con transiciones bruscas, avatares cuya descripción no puede hacerse por medio del análisis infinitesimal en el cuadro de la continuidad y del determinismo. Pero el aspecto estadístico de estas transformaciones calidoscópicas puede describirse a la manera clásica por el artificio de las ondas asociadas. Cuando se asciende al mundo macroscópico en que la constante de Planck deja de tener una influencia apreciable, el carácter discontinuo de los fenómenos individuales desaparece, anegado, por así decirlo, en la estadística; las descripciones complementarias y en cierto modo irreconciliables, por corpúsculo y por onda, por localización espacio-temporal, y por estado dinámico, vienen a encontrarse y a fundirse en el molde armonioso y rígido de la física clásica.
Tal vez es interesante observar que la existencia y el valor finito de la constante de Planck introduce una diferencia esencial entre el microcosmos y el macrocosmos. La idea de que el mundo físico es semejante a si mismo en todas las escalas, de que lo infinitamente pequeño es una reducción casi homotética de lo infinitamente grande, se encuentra como «leit motiv» en los escritos de los pensadores y en las teorías de los científicos. El genio de Pascal ha sabido expresar esta idea en términos conmovedores; y ¿no es la misma que se encuentra desde hace veinte años inspirando los modelos planetarios del átomo? Pues bien, hoy esta concepción, a la luz de las teorías recientes, nos parece, en principio, inexacta. Las imágenes que bastan para la descripción del macroscosmos son inadecuadas para la del microscosmos. Cuando descendiendo por la escala de las magnitudes, aborda el físico el mundo atómico, el mundo de los corpúsculos, encuentra en él un elemento enteramente nuevo e irreductible, el quantum de acción, cuya intervención entraña importantes consecuencias que hemos tratado de analizar. El valor finito de la constante de Planck, al permitir definir y oponer la escala microscópica y la escala macroscópica, tiene por efecto el que en el mundo físico, lo infinitamente pequeño no es una reducción homotética de lo infinitamente grande.
* * * *
¿Hay que ir más lejos, y creer, como parece sugerir Bohr, que las nuevas concepciones de la física contemporánea permitirán comprender por qué los métodos clásicos de la ciencia objetiva parecen adaptarse mal a los fenómenos de orden vital y de orden mental? Para Bohr, la física microscópica serviría de intermediario entre la realidad física macroscópica, en que son válidos Mecanismo y Determinismo, y otros dominios más sutiles en que estas concepciones serían si no falsas, por lo menos inutilizables. Limitándome a mi papel de físico, no intentaré responder a esta cuestión. Me limitaré a concluir que el descubrimiento de los quanta, cuyas consecuencias comenzamos sólo hoy a entrever en toda su amplitud, parece exigir, en efecto, por parte del pensamiento científico, uno de los cambios de orientación más importantes que haya tenido que efectuar en el curso de su largo y secular esfuerzo, para plegar en la medida de lo posible, nuestro cuadro del mundo físico a las exigencias de nuestra razón.
§ 18. La representación simultánea de las posibilidades en la nueva física
En los dos estudios precedentes, acabamos de exponer la transformación profunda que el desarrollo de las nuevas teorías físicas nacidas del estudio de los fenómenos cuánticos ha impreso a las concepciones clásicas. Como es una cuestión de importancia fundamental, pero también de una gran dificultad, me parece interesante desarrollarla de nuevo, colocándome en un punto de vista un poco diferente del que he desarrollado anteriormente. Cuando se quiere apreciar la estructura compleja de un vasto edificio, sólo puede lograrse la percepción de la armonía del conjunto, girando en torno a él, y examinándolo en todas sus fachadas.
* * * *
Para abordar nuestra cuestión por un camino no demasiado abrupto, vamos a colocarnos por lo pronto, en el estado de espíritu de los físicos de fines del siglo XIX, y reflexionar, igual que ellos, Sobre la teoría ondulatoria de la luz.
Admitamos, pues, provisionalmente, que la luz es una perturbación que se propaga en un medio que penetra todos los cuerpos, medio asaz hipotético al cual, para disimular mejor nuestra ignorancia de su exacta naturaleza, comenzaremos por darle un nombre: el éter. La perturbación del éter que constituye la luz, estará representada en cada punto por una magnitud dirigida, el vector luminoso, igual al desplazamiento del elemento de éter situado en este punto, respecto de su posición de equilibrio; este desplazamiento, se supone, además, que se efectúa en la dirección perpendicular a la dirección de propagación de la perturbación, porque se sabe desde Fresnel, que la vibración luminosa es transversal. Para simplificar, supongamos todos los desplazamientos paralelos entre sí: diremos entonces que la luz está polarizada. Gracias a esta circunstancia, el desplazamiento del elemento de éter en cada punto estará especificado por el solo conocimiento de su elongación, la cual será una cierta función del tiempo, generalmente complicada, f(t). La descripción completa de la perturbación luminosa exige el conocimiento de las funciones f(t) relativas a todos los puntos del espacio. En términos más matemáticos, la función de las variables de espacio y de tiempo que representa la totalidad de la perturbación luminosa, se descompone en una infinidad de funciones de tiempo, relativa cada una a un punto del espacio. La perturbación en cada punto será tanto más intensa cuanto mayor sea el desplazamiento del elemento de éter en él, y puede mostrarse en la teoría clásica de la luz que la energía luminosa, presente en cada punto del espacio, es proporcional al cuadrado de la función f(t) relativa a este punto. Vemos así que considerando la descomposición de la función que representa el conjunto de la onda luminosa en funciones f(t) vinculadas a los diversos puntos del espacio (llamaremos a esta descomposición la «descomposición espacial» de la función de ondas) obtenemos inmediatamente la repartición de la energía luminosa en el espacio.
Pero existe una categoría particularmente sencilla de perturbaciones luminosas: las ondas planas monocromáticas. Cuando el éter está atravesado por una onda plana monocromática, está recorrido por olas regulares cuyas crestas y fondos se siguen a intervalos iguales. Este intervalo igual de las olas sucesivas es la longitud de onda X de la onda monocromática. Además, cada punto del éter es el asiento de una vibración periódica de período T. El conocimiento de la longitud de onda X y del período T, junto con el de la dirección de propagación, determina la onda plana monocromática. Pero, naturalmente, a causa de su simplicidad y de su regularidad, la onda plana monocromática presenta un carácter excepcional y en general una perturbación no se reduce a semejante onda monocromática. Sin embargo, la consideración de este tipo simple de ondas es de una importancia primordial en la teoría de la luz, y esto en razón de un célebre teorema debido a Fourier: este teorema aplicado a las perturbaciones luminosas nos enseña que toda perturbación luminosa se puede resolver en una superposición de ondas planas monocromáticas. Para hablar el lenguaje preciso del matemático, la función de las variables de espacio y de tiempo que representan el conjunto de una perturbación luminosa puede descomponerse siempre en una suma de una sucesión finita o infinita de funciones sinusoidales, cada una de las cuales representa una onda monocromática plana. 'Obtenemos así una «descomposición espectral» de la función de ondas, completamente diferente de la «descomposición espacial» de que hemos hablado precedentemente: ya no se trata, en efecto, de atribuir a cada punto del espacio una función f(t), que representa la vibración luminosa en este punto, por complicada que sea, sino de considerar simultáneamente un conjunto de ondas planas monocromáticas cuya superposición es equivalente a la onda real en su totalidad, A primera vista, esta nueva descomposición de la onda aparece mucho más artificial que la primera, porque lo que parece ser verdaderamente real, mientras se cree en la existencia del éter o más generalmente de «algo que vibra», es la vibración generalmente compleja de este algo en cada punto. La operación por la cual se descompone el conjunto de todas estas vibraciones locales en una superposición de ondas monocromáticas parece una operación puramente intelectual. Pero un poco de reflexión atenúa esta impresión. Se sabe, en efecto, que existen dispositivos ópticos, tales como los prismas o las redes, susceptibles de descomponer efectivamente una onda luminosa compleja, la luz blanca del sol, por ejemplo, en ondas monocromáticas: gracias a estos dispositivos, las diversas ondas monocromáticas se encuentran realmente separadas las unas de las otras teniendo cada una la amplitud que se le llegaba a atribuir en la descomposición espectral de la onda incidente por la aplicación del teorema de Fourier. Así, esta descomposición espectral aparece como una realidad mayor de la que pudo haberse creído al principio, puesto que aparatos apropiados permiten de hecho extraer de la onda compleja sus componentes monocromáticas. Las componentes existen, pues, en cierto modo en estado potencial, en la vibración compleja primitiva.
Pero ¿en qué consiste en el fondo esta existencia en estado potencial? La cuestión no ha dejado de preocupar a los mayores físicos de la época clásica. Científicos de la envergadura de Henri Poincaré, de lord Rayleigh o de Gouy se detuvieron a discutir la verdadera naturaleza de la luz blanca y a dar respuestas, por lo demás divergentes, a la cuestión siguiente: «¿existen los colores en la luz blanca antes de su descomposición por el prisma, o son fabricados por el prisma partiendo de la luz blanca incidente?*. Veremos más tarde que la física contemporánea ha considerado esta cuestión desde un punto de vista completamente nuevo.
Hasta ahora, hemos admitido que las vibraciones del éter son paralelas en todos sus puntos. Si abandonamos esta hipótesis simplificadora, tenemos que considerar el vector luminoso como pudiendo tener en cada punto de la perturbación una orientación cualquiera en el plano perpendicular a la dirección de propagación. Elijamos dos ejes, ox y oy, perpendiculares a la dirección de propagación, y perpendiculares entre sí: podremos descomponer entonces todos los vectores luminosos en dos componentes, la una paralela a ox, que será en cada punto una función f(t) del tiempo, y la otra paralela a oy, que será en cada punto una función g(t) del tiempo. La suma de los cuadrados de las funciones f(t) representará la intensidad total de la componente polarizada paralelamente a ox, de la perturbación luminosa, mientras la suma de los cuadrados de las funciones g(t) dará la intensidad total de la componente polarizada paralelamente a oy. Un nicol convenientemente orientado podrá, por lo demás, encargarse de detener una de las componentes dejando pasar la otra. Pero como hay una infinidad de maneras de elegir en un plano perpendicular a la dirección de propagación, dos ejes rectangulares ox y oy, hay, también, una infinidad de maneras de descomponer una luz no polarizada en dos componentes polarizados perpendicularmente, y que sean separables por un nicol convenientemente orientado. Es, también, evidente que si se cree en la existencia del éter, o por lo menos, de algo que vibra, la realidad física en cada punto será el vector luminoso con su orientación propia. La descomposición del vector luminoso en dos componentes rectangulares, posible de una infinidad de maneras[14], parece, más aún que la descomposición espectral, una pura operación del espíritu. Y sin embargo, puesto que un nicol conveniente orientado puede extraer de la luz no polarizada la componente paralela a un eje dado, ¿no podrá sostenerse, que en cierto sentido, todas las descomposiciones de la luz no polarizada en dos componentes polarizadas perpendicularmente, preexisten de una manera potencial a la acción del nicol? Esta idea no deja de causar cierto malestar cuando se adopta el cuadro de las concepciones clásicas, aunque desde el punto de vista matemático no suscite dificultades; creo que muchos jóvenes estudiantes sienten este malestar cuando abordan el estudio de la óptica física. Veremos que también aquí el punto de vista de las nuevas teorías es muy diferente del de las teorías antiguas, y, tal vez, el nuevo punto de vista es propio, si no para disipar el malestar de que hablamos, por lo menos para explicar su origen asignándole una causa profunda.
* * * *
Hemos adoptado hasta ahora un lenguaje muy anticuado al hablar del éter y de sus vibraciones; ha llegado el momento de manifestarnos más moderaos y de emplear palabras menos desusadas: vamos a hablar de fotones.
El desarrollo de la teoría de la relatividad ha hecho abandonar la concepción del éter, tanto la del éter elástico de Fresnel como la del éter electromagnético de Maxwell y Lorentz. Sin embargo, la onda luminosa cuya intervención es necesaria para la interpretación de todos los fenómenos de la óptica física, ha subsistido en la ciencia, pero ya no es la vibración de algo; queda definida abstractamente por una función vectorial de las coordenadas de espacio y de tiempo, que es susceptible de ser representada, según hemos dicho antes, por un conjunto do vectores variables vinculados a todos los puntos del espacio, sin que sea posible dar a estos vectores una interpretación física bien determinada.
Además, junto al concepto de ondas, completándolo y oponiéndose a él, apareció en la teoría de la luz el concepto de «fotón». El examen minucioso de los fenómenos elementales de canje de energía entre materia y radiación (tales como el fenómeno fotoeléctrico o el efecto Compton) ha demostrado, en efecto, que en estos fenómenos acontece todo como si la energía de la luz y de las otras radiaciones estuviera concentrada bajo forma de corpúsculos y no expandida en la onda de una manera continua, como lo quería la teoría ondulatoria clásica. Cada vez que se trata de una onda monocromática de longitud de onda X y de período T bien definidos, los corpúsculos contenidos en la onda, los fotones, se revelan como poseyendo una energía igual al producto de la inversa del período T por la constante h de Planck, y una cantidad de movimiento p, igual al producto de la misma constante h por la inversa de la longitud de onda λ. Son las relaciones de Einstein
E = h/T p = h/ λ
¿Cómo conciliar esta estructura granular de la luz con el hecho mil veces verificado con notable precisión, de que en los fenómenos de interferencia y de difracción, la energía luminosa está repartida como el cuadrado de la presunta vibración luminosa en cada punto? Naturalmente, no puede entenderse esto, sino de una sola manera: suponiendo que la vibración luminosa de la teoría clásica, lejos de representar realmente la vibración de algo, es una magnitud abstracta cuyo cuadrado nos da la probabilidad de que un fotón revele su presencia en este punto. Con esta manera de ver, la función de las coordenadas de espacio y de tiempo que representa el conjunto de la onda nos da, pues, por su descomposición «espacial», las probabilidades respectivas de la presencia del fotón en los diversos puntos del espacio. Como en general la función de la onda es diferente de cero en una región extensa, hay diversas posibilidades para la localización del fotón.
Pero hemos visto que hay otra manera de descomponer la función de onda; es la descomposición «espectral» en una superposición de ondas planas monocromáticas. ¿Cómo la interpretaremos, teniendo en cuenta la existencia de fotones? Para dar respuesta a esta cuestión, consideremos un haz de luz blanca que incide sobre un prisma. Antes de la llegada de la luz sobre el prisma, no se puede atribuir a los fotones una longitud de onda, es decir, un color, bien determinado, puesto que esta luz es una mezcla de longitudes de onda diversas: por tanto, no se puede atribuir tampoco al fotón, por las relaciones de Einstein, una energía y una cantidad de movimiento bien definidas. Por el contrario, cuando la luz haya sido descompuesta por el prisma, podemos atribuir una longitud de onda y una cantidad de movimiento a los fotones que han pasado a los diferentes haces monocromáticos ahora separados. Un prisma (o una red) es, pues, en definitiva, un aparato que permite atribuir a los fotones una longitud de onda y una cantidad de movimiento (y si se quiere, una frecuencia y una energía). Empleemos por el instante un lenguaje figurado, sin olvidar, sin embargo, que no deja de tener peligros y que no hay que tomarlo demasiado a la letra. Al fotón contenido en la luz compleja incidente, fotón que no tiene longitud de onda ni cantidad de movimiento bien definidas, el prisma le plantea la cuestión: «¿cuál es tu longitud de onda?» Y el fotón debe responder eligiendo a cuál de los átomos monocromáticos que salen del prisma quiere pertenecer. Pues bien, la descomposición espectral de la onda compleja incidente representa las diversas respuestas que el fotón puede dar con sus probabilidades respectivas, de la misma manera que la descomposición espacial de la onda en funciones vinculadas a cada punto del espacio, representa las diversas localizaciones posibles del corpúsculo y sus respectivas probabilidades.
Encontraremos las mismas consideraciones, considerando la descomposición de una onda luminosa no polarizada en dos componentes perpendicularmente polarizadas. En la luz incidente no puede atribuirse al fotón ninguna polarización, pero el paso al través de un nicol le obliga, en cierto modo, a escoger entre una dirección de polarización y la dirección perpendicular. También aquí es fácil ver que la descomposición de la onda incidente en dos componentes perpendicularmente polarizadas, que es posible de una infinidad de maneras, representa las respuestas posibles del fotón al análisis del nicol, y sus probabilidades respectivas.
En resumen: llegamos a la idea general de que la onda luminosa representa, por todas sus descomposiciones posibles, el conjunto de posibilidades relativas al fotón que le está asociado.
* * * *
No hemos hablado hasta ahora sino de ondas luminosas y de fotones, pero todo lo que hemos dicho va a poder transferirse del dominio de la luz al de la materia. Las concepciones teóricas que han servido de base al vasto edificio de la mecánica ondulatoria, así como los magníficos experimentos sobre la difracción de los electrones por los cristales, ha mostrado que los corpúsculos de que está compuesta la materia deben considerarse siempre asociados a ondas. ¿Cuáles son, entonces, las relaciones que deben admitirse entre el corpúsculo de materia y su onda? La respuesta es sencilla: son precisamente las mismas relaciones que nos hemos visto obligados a admitir entre el fotón y la onda luminosa. Como la onda asociada a un corpúsculo de materia, por ejemplo a un electrón, está representada por una cierta función de las coordenadas de espacio y de tiempo, la descomposición «espacial» de esta función de onda en funciones f(t) vinculadas a diversos puntos del espacio, va a servirnos para prever las localizaciones posibles del electrón en el espacio, porque, como para los fotones, admitimos que la probabilidad de ver que el electrón manifieste su presencia en un punto, es proporcional al cuadrado de la función f(t) en este punto. Como en general la función de onda es diferente de cero en una región extensa del espacio, habrá diversas posibilidades para la localización del electrón.
La mecánica ondulatoria establece que la cantidad de movimiento p de un corpúsculo de materia está vinculada a la longitud de onda λ, de su onda asociada por la misma relación p = h/λ que vincula la cantidad de movimiento del fotón a la longitud de onda de la onda luminosa. No se puede atribuir, pues, a un corpúsculo de materia, por ejemplo a un electrón, una longitud de onda bien definida, más que si la onda asociada al corpúsculo puede ser analizada espectralmente como una superposición de ondas monocromáticas. Como todo dispositivo tiene por fin medir la cantidad de movimiento o la energía del corpúsculo, resulta de hecho que es un dispositivo, que separa las componentes monocromáticas de la onda, igual que el prisma lo hace para la onda luminosa, y obliga al corpúsculo a elegir entre estas componentes. Volviendo al lenguaje figurado de antes, diremos: el dispositivo de medida plantea al corpúsculo la cuestión siguiente: «¿cuál es tu cantidad de movimiento?»; la composición «espectral» de la onda incidente antes de su llegada al dispositivo de medida representa las diversas respuestas posibles y sus probabilidades respectivas.
Al comienzo del desarrollo de la mecánica ondulatoria, se creía que la onda asociada al corpúsculo material tenía un carácter escalar y no presentaba nada semejante a una polarización. El desarrollo de la teoría ha mostrado después que, para dar cuenta especialmente de las propiedades magnéticas del electrón, reveladas por el estudio de la estructura fina de los espectros, y por otros fenómenos, es necesario introducir una especie de polarización de las ondas asociadas al electrón. Es sobre todo la teoría del electrón magnético de Dirac la que ha permitido traducir con precisión esta polarización. No puedo desarrollar aquí esta cuestión, un poco delicada, porque la polarización de la onda asociada al electrón no es completamente idéntica a la polarización de la onda luminosa. Sin embargo, puede todavía decirse aquí, como para la luz: las diversas maneras de descomponer la onda asociada a un electrón en ondas polarizadas representan los diversos resultados posibles de una medida que permite atribuir al electrón una polarización determinada.
En resumen, podemos concluir, tanto para la materia' como para la luz, que la onda representa esquemáticamente, en todas sus descomposiciones, el conjunto de las posibilidades relativas al corpúsculo que le está asociado.
* * * *
Hemos considerado tres especies de descomposiciones de la onda: las que corresponden a la posición, a la cantidad de movimiento y a la polarización. Pero ha podido generalizarse y mostrarse que a toda magnitud mecánica mensurable relativa al corpúsculo, corresponde una cierta descomposición de la onda asociada, que da los valores posibles de esta magnitud y sus probabilidades respectivas. Se ha obtenido así una teoría muy general y muy precisa de una magnífica consistencia matemática.
Insistamos sobre un hecho importante. Cuando medimos, mediante un dispositivo apropiado, una magnitud relativa al corpúsculo, por ejemplo, su posición o su cantidad de movimiento, si queremos prever el resultado tenemos que operar, según la nueva mecánica, una cierta descomposición de la onda asociada. Pero puede ocurrir que al efectuar esta descomposición encontremos que sólo una de las componentes es diferente de cero, y diremos entonces que la onda es simple respecto de esta descomposición. Así, puede ocurrir que la onda sea nula en todos los puntos, salvo en un punto A: tendrá entonces una sola componente espacial, y estaremos seguros de que el corpúsculo no podrá revelar su presencia sino sólo en el punto A, y se podrá atribuir de antemano al corpúsculo una posición bien definida. Puede ocurrir también que la onda sea una onda plana monocromática: tendrá entonces una sola componente espectral, y estaremos seguros de que una medida de la cantidad de movimiento suministrará un cierto valor y podremos atribuir de antemano al corpúsculo esta cantidad de movimiento bien definida. Son lo que los teóricos llaman «casos puros»: caso puro para la posición, en el primer caso; caso puro para la cantidad de movimiento, en el segundo. Pero, entonces, surge en el espíritu una cuestión importante: ¿es posible que haya a la vez un caso puro para dos magnitudes diferentes relativas al corpúsculo? La respuesta es la siguiente: es posible para ciertos pares de magnitudes, pero no siempre es posible para todo par de magnitudes. La teoría matemática general permite reconocer los pares de magnitudes para los cuales no puede haber a la vez caso puro. Ahora bien, precisamente la posición y la cantidad de movimiento constituyen un caso de esta especie. En otros términos, una onda no puede ser simple a la vez respecto de la descomposición espacial y respecto de la descomposición espectral: si es simple respecto de la una, es necesariamente compleja respecto de la otra. Con las ideas actuales resulta de esto que no podemos atribuir al corpúsculo, a la vez, una posición y una cantidad de movimiento bien determinadas. Pero resulta, además, que ninguna medida puede permitirnos medir simultáneamente la posición y la cantidad de movimiento de un corpúsculo, sin lo cual, después de la medida, la onda asociada al corpúsculo y que representa los conocimientos que de él poseemos, debería ser simple a la vez en su descomposición espacial y en su descomposición espectral: sabemos que esto es imposible. Llegamos así a comprender el origen de la incertidumbre fundamental introducida en física por Heisenberg, incertidumbre de que he hablado en los estudios precedentes. Apretando más el razonamiento, se obtienen además las desigualdades, hoy tan conocidas, que traducen esta incertidumbre.
Y ahora, para terminar, podemos responder a una cuestión como la siguiente: «¿Existen los colores en la luz blanca antes de atravesar el prisma que va a descomponerla?» Sí, diremos, existen... pero solamente como existe una posibilidad antes del acontecimiento que va a hacernos saber si está efectivamente realizada. Respuesta sutil, que sin duda hubiera pasmado a los físicos de otro tiempo, pero perfectamente característica del grado de afinamiento y de abstracción que ha logrado el pensamiento de los físicos de hoy.
Parte VI
Estudios filosóficos diversos
§ 19. Realidad física e idealización
El mundo físico que nos rodea es de una extrema complicación y la investigación científica, gracias a un constante esfuerzo de abstracción y de esquematización, ha logrado discernir, poco a poco, conjuntos de fenómenos susceptibles de ser reunidos en una sola representación teórica. Resulta que nos ha sido posible aislar en la realidad ambiente filas de hechos y hacerlos corresponder a sucesiones de relaciones o de imágenes, lógicamente vinculadas entre sí. Así se ha constituido la teoría física y es cierto que sus éxitos han demostrado la posibilidad de alojar, por lo menos en términos generales, numerosas categorías de fenómenos en el marco de ciertos esquemas lógicos construidos por nuestra razón. Esta correspondencia global entre las cosas y nuestra razón, es, en cierto sentido, maravillosa, pero hay que observar que si no existiera, nuestra vida sería sin duda imposible, porque de no haber relación ninguna entre nuestro entendimiento y los hechos, seríamos incapaces de prever las consecuencias de nuestros actos. Pero aunque los progresos de nuestra ciencia nos permitan, gracias a una técnica experimental más afinada, precisar minuciosamente el detalle de los fenómenos, ¿es cierto que deba existir indefinidamente una correspondencia unívoca entre todos los detalles que observamos y un esquema lógico perfectamente definido? ¿Es cierto que las concepciones estáticas de nuestra razón, con perfiles claros y tajantes, puedan aplicarse de una manera perfecta a una realidad movediza de una infinita complejidad? Son cuestiones que siempre se han planteado, pero que parecen plantearse más agudamente desde que los recientes desarrollos de la Física han revolucionado un gran número de nuestros inveterados hábitos de pensamiento. Quisiéramos meditar un poco sobre este asunto.
* * * *
Niels Bohr, cuyo pensamiento profundo ha contribuido tanto al progreso de la física teórica desde hace veinte años, ha insistido, más de una vez, sobre el hecho de que, a consecuencia de la existencia del quantum de acción, nos vemos obligados hoy a emplear descripciones «complementarias» para dar razón de los fenómenos de la escala atómica. Trátase de descripciones que se completan, pero que, en rigor estricto, son incompatibles: lo precisaremos en seguida. Cada una de estas descripciones complementarias es, según Bohr, una «idealización», que nos permite representarnos algunos, pero no todos los aspectos de los fenómenos estudiados.
El ejemplo más conocido de estas descripciones complementarias es el de las dos descripciones de la materia y de la luz por medio de ondas, de un lado, y de corpúsculos por otro. El empleo de una u otra de estas imágenes ha sido necesario para interpretar tal o cual fenómeno; a pesar de todas las tentativas, estas dos imágenes continúan irreductibles entre si, y no pueden ser vinculadas la una a la otra sino por consideraciones de orden estadístico.
Bien pensado, la idea de corpúsculo parece íntimamente ligada a la de localización en el espacio; la forma extrema más precisa, y, por así decirlo, más pura, del concepto de corpúsculo, es el punto geométrico dotado de cierta masa. Se trata de un concepto límite, de una especie de idealización extrema. La física cuántica actual nos enseña, en efecto, que con experiencias adecuadas podemos localizar un corpúsculo en el espacio con una precisión en principio indefinida, pero que, sin embargo, el caso del corpúsculo rigurosamente localizado es un caso límite cuya probabilidad es siempre nula. En la experiencia macroscópica, en la cual se observan las cosas en conjunto, el concepto de corpúsculo definido de una manera flotante es perfectamente útil y adecuado para la interpretación de los hechos. Pero si se desciende a fenómenos de la escala microscópica y atómica, por medio de una observación afinada, y si se quiere dar al mismo tiempo una perfecta precisión a la imagen del corpúsculo puntual, se ve que esta imagen, aunque no es falsa, no está, sin embargo, perfectamente adaptada a la descripción minuciosa de las apariencias observadas.
Ahora bien, pueden hacerse idénticas observaciones colocándose en el punto de vista de las ondas. En la dinámica clásica, hay magnitudes que desempeñan un papel esencial: la energía y la cantidad de movimiento. La importancia de su papel deriva de que para estas magnitudes existen teoremas de conservación, que permiten definir en la evolución de una entidad dinámica, ciertas características que permanecen invariables. Un estado dinámico está, pues, esencialmente definido por valores constantes de la energía y de la cantidad de movimiento. Ahora bien, en la física actual, la idea de estado dinámico está asociada a la de onda plana monocromática: es la base de la mecánica ondulatoria. A un estado dinámico caracterizado por un valor dado de la energía y por un valor dado de la cantidad de movimiento, corresponde una onda plana monocromática de frecuencia y de velocidad de propagación bien determinada; y entonces vuelven a encontrarse en una nueva forma los teoremas de conservación de la mecánica clásica. Pero si se examina la manera como se presentan las cosas en mecánica ondulatoria, se ve que el concepto de estado dinámico bien definido, asociado al de una onda estrictamente monocromática, es una idealización extrema, un caso límite que jamás se encuentra rigurosamente realizado en la naturaleza. En términos precisos, la onda asociada a una realidad material no es jamás estrictamente monocromática, está formada siempre por una superposición de ondas monocromáticas que ocupan un intervalo espectral finito. Satisfactoria en física macroscópica, en que se miran las cosas en conjunto, la noción de estado dinámico se revela, observando las cosas más de cerca, como una idealización que tampoco se aplica nunca con rigor a la realidad.
Así, pues, corpúsculo perfectamente localizado en un punto del espacio, y estado dinámico perfectamente determinado, representado por una onda estrictamente monocromática, son abstracciones que pueden corresponder en ciertos casos con una exactitud bastante grande al detalle de los hechos observados, sin que sean nunca una traducción absolutamente literal de ellos. Lo curioso es que, en cada caso particular, cuanto más próxima se halla una de estas idealizaciones a plegarse exactamente a la realidad, más alejada de ella está la otra. Cualitativamente, es esto lo que se contiene en las famosas relaciones de incertidumbre de Heisenberg. Se ve, entonces, en qué medida se completan y se excluyen las descripciones elementales por ondas y por corpúsculos: se completan porque es menester invocarlas sucesivamente, según el fenómeno que se trata de describir, pero se excluyen porque cuanto más adaptada a la realidad es la una, tanto menos lo es la otra, e inversamente.
* * * *
Es fácil encontrar otras circunstancias análogas en la física cuántica actual. Tomemos como ejemplo el concepto de unidad física, especialmente el de una unidad material, tal como el electrón. Es indiscutible que en un gran número de fenómenos, podemos distinguir unidades físicas y seguir, por ejemplo, la traza de un electrón determinado en una cámara de expansión de Wilson. El concepto de individuo físico es, pues, aplicable en conjunto a la realidad. Pero si se quiere afinar, si se quiere definir el concepto de individuo físico con rigor, se ve que es menester considerar una unidad completamente desgajada del resto del mundo. Desde el momento en que entran en interacción varias unidades, la individualidad de cada una de ellas queda en cierto modo atenuada. Este hecho es ya visible en la física clásica. En efecto, las antiguas teorías simbolizan las acciones y reacciones de las unidades físicas y calculan sus efectos por
el intermedio del concepto de energía potencial. Ahora bien, la energía potencial de la acción mutua pertenece al sistema entero y no puede, de ninguna manera lógica, ser repartida entre las constituyentes del sistema. Tomemos el caso simple de dos partículas electrizadas que reaccionan entre sí: la física clásica asigna a cada una de ellas una energía cinética, y la energía total del sistema de las dos partículas es la suma de estas energías cinéticas y de la energía potencial que representa la interacción, según la ley de Coulomb; ahora bien, esta energía potencial no puede ser atribuida a ninguna de las dos partículas, pertenece al sistema. La energía potencial traduce, pues, en las teorías clásicas, bajo una forma a la vez oscura y profunda, el desmembramiento de individualidad que sufren las partículas materiales cuando entran en interacción.
Esta situación se encuentra más acentuada aún en física cuántica. Ésta ha puesto de relieve, en efecto, una especie de complementaridad entre las nociones de unidad individual y la de sistema. En física cuántica, el sistema es una especie de organismo en cuya unidad se encuentran casi reabsorbidas las unidades elementales que lo constituyen. Metida en un sistema, una unidad física pierde en gran medida su individualidad, al fundirse en la individualidad más amplia del sistema. La cosa es particularmente clara en el caso de las partículas de la misma naturaleza que se traduce en consecuencias absolutamente imprevistas, a las que jamás hubieran podido conducirnos las ideas clásicas, pero que están de perfecto acuerdo con un gran número de hechos experimentales (estadísticas nuevas, principio de exclusión, etc.).
Para lograr individualizar una unidad física perteneciente a un sistema, hay que arrancar esta unidad del sistema y romper el lazo que lo une al organismo total. Se concibe, entonces, en qué sentido son complementarios los conceptos unidad individual y de sistema, puesto que la partícula es inobservable cuando está metida en el sistema y el sistema se rompe cuando se ha identificado la partícula. El concepto de unidad física no está, pues, verdaderamente claro y bien definido más que si se considera una unidad completamente independiente del resto del mundo; pero, como semejante independencia es evidentemente irrealizable, el concepto de unidad física tomado en toda su pureza aparece a su vez como una idealización, como un caso que jamás se adapta rigurosamente a la realidad. Lo mismo ocurre, por lo demás, con el concepto de sistema. En su definición estricta, el sistema es un organismo enteramente cerrado y sin relación con el exterior: el concepto no es, pues, verdaderamente aplicable sino al universo entero.
Las nociones de unidad física y de sistema están adaptadas a la realidad y son útiles para describirla, pero solamente a condición de no analizar las cosas demasiado de cerca. Si se quiere precisar perfectamente las definiciones y estudiar el detalle de los fenómenos, se ve que las dos nociones en cuestión son idealizaciones cuya realización física tiene probabilidad nula.
* * * *
Sin prolongar indefinidamente la lista de estos ejemplos, extraídos de la física moderna, coloquémonos ahora de plano en un punto de vista filosófico y planteemos la cuestión siguiente: ¿No será un hecho general el que las concepciones de nuestro espíritu cuando se enuncian en forma un poco movible son aplicables en conjunto a la realidad, mientras que si se las quiere precisar hasta el extremo, se convierten en formas ideales cuyo contenido real se desvanece? Me parece que es así y que pueden encontrarse innumerables ejemplos en todos los dominios, especialmente en el dominio psicológico y moral y en la vida corriente.
Tomemos 'un ejemplo en el dominio moral considerando el concepto de hombre íntegro. Contentémonos al principio con una definición un poco vaga: digamos solamente que un hombre íntegro es un hombre de una gran probidad, inclinado siempre a cumplir lo que considera ser su deber y a resistir las tentaciones contrarias. Encontraremos, entonces, en torno nuestro (no seamos demasiado pesimistas), un cierto número de hombres que responden a esta definición. Pero si queremos exigir, para otorgar la patente de integridad, el no haber tenido jamás en ninguna circunstancia y en ningún momento de la vida, la menor tentación de no obedecer a su conciencia, veríamos sin duda disminuir singularmente el número de hombres a quienes puede aplicarse nuestra definición, porque la naturaleza humana está llena de debilidades. Cuanto más se precisa y se hace rígido el concepto, más se ciñe su campo de aplicación. Como la onda plana monocromática, la virtud absoluta definida con una exigencia demasiado precisa es una idealización cuya realización estricta tiene una probabilidad evanescente.
Ejemplos de este género, repito, son innumerables. En el dominio psicológico, moral o social, el extremo rigor de las definiciones y de los razonamientos descarría más que guía en el estudio de la realidad. Es verdad que los hechos tienen una tendencia a ordenarse dentro de los cuadros ofrecidos por nuestra razón, pero esto no es más que una tendencia, y los hechos desbordan siempre los cuadros demasiado exactamente definidos.
Así, en el dominio impreciso de las ciencias del hombre, el rigor de las definiciones varía en sentido inverso de su aplicabilidad al mundo real. ¿Pero tenemos derecho a parangonar esta circunstancia con las que se han encontrado en el desarrollo de la física moderna? Sin duda no hay sino una analogía cuyo alcance no debe exagerarse, pero creemos que es menos superficial de lo que a primera vista pudiera creerse. Siempre que queremos describir hechos, sea en el orden psicológico o moral, o en el orden de las ciencias físicas y naturales, se encuentran necesariamente en presencia, para ser confrontadas y conciliadas en la medida de lo posible, de una parte la realidad siempre infinitamente compleja e infinitamente matizada, y de otra nuestro entendimiento, que construye conceptos siempre más o menos rígidos, más o menos esquemáticos. Es cierto que nuestros conceptos son susceptibles de adaptarse en gran medida a la realidad si los dejamos con un cierto margen de indeterminación, porque sin ello no sería posible, en ningún orden de ideas, razonamiento alguno que se aplicara a las cosas reales. Pero es más que dudoso que tal correspondencia se mantenga hasta el final, si queremos suprimir todo margen de indeterminación y precisar en forma extrema nuestros conceptos. Hasta en la más exacta de las ciencias de la naturaleza, en la Física, ha aparecido la necesidad del margen de indeterminación, y es éste un hecho que, a mi parecer, debe llamar la atención de los filósofos, porque tal vez pueda arrojar una luz nueva sobre la manera como se aplican a la realidad las idealizaciones concebidas por nuestra razón.
Todo lo precedente pone perfectamente de relieve el papel respectivo del espíritu geométrico y del espíritu de finura en el desarrollo del saber humano. El espíritu geométrico es necesario porque sin él no podríamos precisar nuestras ideas y nuestros razonamientos; sin él nuestros conocimientos permanecerían siempre vagos y cualitativos. Pero el espíritu de finura es también necesario: debe recordarnos, incesantemente, que la realidad es demasiado fluida y demasiado rica para poder encerrarse, nunca por entero, en el marco rígido y esquemático de nuestras representaciones. Seguramente estas ideas son familiares a todos los que han meditado sobre el progreso y el valor de los conocimientos humanos. Pero nos parece que el desarrollo de la Física puede sugerirles algunas reflexiones nuevas, en el sentido que hemos tratado de indicar en estas breves páginas.
§ 20. A la memoria de Émile Meyerson
A comienzos de 1933, al querer crear en la Colección de Actualidades Científicas de la casa Hermann, una serie de fascículos consagrados a la Filosofía de las Ciencias, creí que para inaugurar esta serie no podía hacer nada mejor que dirigirme a Émile Meyerson. Puesto en relación desde hace algunos años con el eminente filósofo, por medio de un amigo común, conocía todo el interés que ponía en la evolución de la física contemporánea y el deseo de precisar su actitud ante los problemas filosóficos extrañamente nuevos, planteados por esta evolución. No solamente Meyerson accedió a escribir, como primer fascículo de la nueva serie de Filosofía científica, un precioso y profundo estudio intitulado «Realidad y determinismo en la física cuántica», estudio que fue sumamente estimado y frecuentemente citado, sino que me hizo el gran honor de pedirme que escribiera un prefacio para este fascículo. Este honor era un poco azorante para mí, porque no me tocaba presentar al público filosófico y científico a un pensador tan conocido y tan apreciado como Émile Meyerson. Sin embargo, deseando satisfacerle y contento de ver en ello una ocasión para expresar la admiración que sentía por su obra y la respetuosa simpatía que me inspiraba su persona, me aventuré a escribir el corto prólogo que reproduzco a continuación:
«Para iniciar esta serie de exposiciones sobre filosofía de las ciencias, hemos pensado que no podríamos encontrar personalidad más calificada que Émile Meyerson. Todos los filósofos y muchos científicos conocen los preciosos estudios en los que Meyerson se esfuerza, desde hace veinticinco años, con una admirable continuidad de visión, apoyada sobre un extenso conocimiento de la historia de las ciencias, en establecer cómo procede la razón humana cuando trata de «comprender». Según él, tanto en la investigación científica como en la vida cotidiana, nuestra razón no cree haber comprendido verdaderamente, más que si ha logrado extraer de la realidad moviente del mundo físico, identidades y permanencias. Así se explica en especial la estructura común de las teorías físicas que intentan agrupar categorías de fenómenos por una red de igualdades, ecuaciones, que tratan, en la medida de lo posible, de eliminar siempre la diversidad y el cambio real, y de mostrar que el consiguiente se halla, en cierto modo, contenido en el antecedente. La realización completa del ideal perseguido por la razón aparece entonces como quimérica, puesto que consistiría en reabsorber toda la diversidad cualitativa y todas las variaciones progresivas del universo físico, en una identidad y en una permanencia absolutas. Pero si esta realización completa es imposible, la naturaleza del mundo físico se presta, sin embargo, a un éxito parcial de nuestros intentos de racionalización. Existen, en efecto, en el mundo físico, no solamente objetos que persisten poco más o menos iguales a sí mismos en el tiempo, sino categorías de objetos lo suficientemente semejantes entre sí, para que podamos identificarlos reuniéndolos en un concepto común. Son estas «fibras» de la realidad, como dice Meyerson, lo que nuestra razón aprehende en la experiencia de la vida cotidiana, para construir con ellas nuestra representación habitual del mundo exterior; son igualmente estas fibras y otras más sutiles, reveladas a nuestro conocimiento por los métodos afinados de la investigación experimental, aquello de que echa mano la razón del científico para tratar de extraer de la realidad variada y movediza la parcela de identidad y de permanencia que encierra. Y así, gracias a la existencia de estas fibras, aunque el ideal de la ciencia sea irrealizable en rigor, por lo menos es posible algo de ciencia: y esto es maravilloso. Esta situación se encuentra resumida en una frase de Paul Valéry, inspirada sin duda por la lectura misma de las obras de Meyerson: «el espíritu humano es absurdo porque busca, es grande porque encuentra».
Pero como en definitiva el universo no puede reducirse a una vasta tautología, acabaremos por tropezar aquí o allí en nuestra descripción científica de la naturaleza, con elementos «irracionales» que resisten a nuestras tentativas de identificación; y el esfuerzo jamás abandonado de la razón humana, se empeña en circunscribir estos elementos y en reducir su dominio.
No tenemos la pretensión de haber resumido en las pocas líneas que preceden el pensamiento tan rico y tan profundo del autor de Identidad, y Realidad. Hemos tratado solamente de exponer algunos de sus aspectos, tales como se nos han presentado leyendo sus obras o en el curso de las conversaciones que hemos tenido el honor y el placer de tener con él, en estos últimos años, con gran provecho de nuestros conocimientos personales.
Enteramente opuesta en este punto a las doctrinas anti- intelectualistas, la crítica de Meyerson ve en la obra científica un esfuerzo de inestimable valor y lo considera como una de las más nobles faenas de la especie humana, proclamando que merece da admiración más completa y el respeto más absoluto; pero lleva a rechazar todo dogmatismo estrecho que pretendiera apoyarse sobre los resultados presentes o futuros de la ciencia, porque el conocimiento científico, aunque susceptible de un progreso indefinido, no puede por su propia esencia sino ser limitado y parcial, a causa del fin mismo que la razón se asigna y que es en todo rigor imposible de lograr.
Con una actividad intelectual que no ha sucumbido ante ninguna prueba, Émile Meyerson se ha mantenido al corriente de todos los progresos de la física contemporánea y de los difíciles problemas que han planteado. En las páginas que siguen el eminente pensador ha expuesto ciertas reflexiones sugeridas por las recientes revoluciones en las concepciones clásicas de la filosofía natural. El lector encontrará en ellas las cualidades soberanas de un pensamiento clarividente y ponderado, ayudado por una vasta y segura erudición.»
* * * *
Tal es el prefacio que había redactado. Meyerson pudo verlo y recorrer las pruebas del fascículo que contenía su notable trabajo; pero cuando el fascículo apareció en librería, desgraciadamente había dejado de existir. Tras una larga y cruel enfermedad, la muerte le arrebató al cariño y al respeto de sus amigos y de sus admiradores.
Es muy difícil dar a entender en algunas líneas todo lo que han perdido la filosofía y la historia de las ciencias al perderle. A la filosofía de las ciencias había aportado en una serie de obras, que serán clásicas, una teoría general de la marcha, del proceso del pensamiento científico. La idea central de Meyerson parece haber sido siempre la siguiente: nuestra razón no cree nunca haber comprendido verdaderamente un hecho más que cuando ha logrado mostrar cómo este hecho estaba ya contenido implícitamente en nuestros conocimientos anteriores, si ha logrado identificarlo, en cierto modo, con lo ya dado. De aquí nace para él la importancia que en todas las ramas de la ciencia tiene la comprobación de permanencias, de aquí procede el papel esencial de los principios de conservación en las teorías físicas y químicas. Pero al mostrar esta tendencia instintiva de nuestra razón, el gran filósofo subrayaba audazmente su carácter paradójico, porque el esfuerzo identificador de la razón, si lograra completo éxito, abocaría a la abolición de toda diversidad y de toda heterogeneidad, es decir, a una especie de negación de ese mismo mundo que quiere explicar. Y si la razón logra, sin embargo, escapar a este círculo vicioso, y constituir una ciencia que indiscutiblemente progresa, es que, según él, deja deslizarse en nuestras construcciones teóricas algunos elementos irracionales cuya introducción más o menos subrepticia permite al conjunto de nuestras identificaciones sucesivas no constituir solamente una inmensa tautología. Como todas las doctrinas filosóficas de esta envergadura, la doctrina de Meyerson ha sido y será discutida. Incluso, tal vez, el estudio de las grandes revoluciones realizadas por la física cuántica contemporánea, revoluciones cuyo examen detenido, había emprendido con admirable ardor, a pesar de su edad y de su enfermedad le hubiera llevado, de haber tenido tiempo para ello, a modificar algunos puntos de sus concepciones. Pero es cierto que sus ideas, apoyadas en un importante haz de pruebas, contienen una importante parte de verdad, y que la epistemología actual no puede prescindir de ellas. La obra de Meyerson quedará así como una de las más importantes que haya producido la filosofía científica contemporánea.
De la historia de las ciencias, Meyerson poseía un conocimiento profundo y extraño en nuestra época, en que los progresos admirables e innumerables de la ciencia moderna hacen abandonar un poco el estudio de los antiguos esfuerzos y de los estadios superados. Era menester tener la dicha de una larga conversación con él para poder apreciar la inmensa erudición que poseía. Al escucharle se instruía uno incesantemente. Ninguna parcela de la historia del pensamiento científico le era extraña; conocía todas las aportaciones, todas las tentativas, todos los éxitos y todos los errores, de la antigüedad, de la Edad Media, del Renacimiento, de los Tiempos modernos o contemporáneos. Su conversación era una lección viviente acerca de los esfuerzos sucesivos del espíritu humano y no despreciaba ocasión de hacerla más atractiva con algunas chispeantes anécdotas extraídas del fondo de su prodigiosa memoria. Para comprender hasta qué punto estaban unidas para Meyerson la filosofía y la historia de la ciencia, hay que recordar el método que ponía siempre en la base de sus investigaciones. Según él, se corría el riesgo de equivocarse gravemente tratando de estudiar a priori, o incluso por la sola introspección, la marcha y los procedimientos de la razón. El verdadero medio para realizar este estudio, pensaba él justamente, consiste en captar en vivo el proceso del pensamiento científico, estudiando cuidadosamente su desarrollo histórico, sus comienzos penosos, sus errores, sus tanteos, sus éxitos provisionales o duraderos. Por esto la historia de la ciencia desempeñaba en su pensamiento y en sus libros, un papel primordial. Todos los que han meditado sobre sus obras han notado cómo la exposición de sus ideas personales va constantemente mezclada con consideraciones de orden histórico o psicológico en un entrelazamiento que a veces pasma, pero que jamás fatiga. Ni el pensamiento rudimentario de los pueblos primitivos o atrasados deja de suministrarle, a veces, argumentos a favor de sus tesis. El examen de las doctrinas científicas que han fracasado finalmente le interesaba tanto como el de las teorías que han triunfado, porque veía, tanto en las unas como en las otras, las mismas tendencias propias al funcionamiento mismo de nuestra razón. Frecuentemente le gustaba «rehabilitar» ciertas tentativas abandonadas, haciendo ver que eran perfectamente defendibles en su tiempo: así, la célebre teoría del flogisto, a la cual consagró en sus libros algunas páginas de gran interés.
Émile Meyerson fue un gran filósofo y un gran erudito; pero fue también, un hombre afable y benévolo cuya acogida encantaba desde el principio. Todos cuantos tuvieron el privilegio de acercarse a él pueden atestiguarlo. Si el nombre de Meyerson debe quedar inscrito entre los de los más grandes pensadores de nuestro tiempo, el recuerdo de este hombre tan simpático como eminente quedará grabado en el corazón de cuantos le conocieron.
§ 21. La máquina y el espíritu
Extracto de un discurso pronunciado en la distribución de premios del Liceo Pasteur el 13 de julio de 1932.
Los progresos de la ciencia aplicada resultan de los esfuerzos conjugados de la ciencia pura y de la técnica. La ciencia pura no se asignó jamás como fin esencial construir máquinas u obtener resultados que tengan una utilización práctica inmediata; ha apuntado siempre más alto, y para satisfacer una de las más nobles tendencias del espíritu humano, ha buscado siempre el conocimiento desinteresado, el conocimiento en sí mismo. Pero al descifrar poco a poco las leyes de la naturaleza, ha contribuido a aumentar nuestro poder de acción sobre el mundo material, de tal suerte que muchas de las formas del maquinismo deben su existencia a las investigaciones desinteresadas de los científicos. Por otra parte, la técnica, que se halla vuelta hacia la utilidad inmediata, aunque ocupa, desde el punto de vista puramente intelectual, un rango, seguramente, menos alto que la ciencia pura, no deja de ser también una forma de la actividad de nuestro espíritu, que por medio de dispositivos ingeniosos o de delicados ajustes, trata de obtener ciertos resultados o de vencer ciertas dificultades. Hija de la ciencia pura y de la técnica, la máquina es, por el mero hecho, hija de la Inteligencia, y si hay alguna razón que nos haga admirar nuestra civilización material actual, abstracción hecha de las ventajas, compensadas, por lo demás, por ciertos inconvenientes que acarrea para la vida cotidiana, es, seguramente, ésta.
Pero la máquina, hija de la Inteligencia, al adueñarse de nuestra civilización, al gravitar tan pesadamente sobre toda
nuestra existencia, ¿no acabará por revolverse contra su madre y aplastarla? Absorbida exclusivamente por las preocupaciones materiales de una existencia cada vez más trepidante, cada vez más complicada, ¿no acabará la humanidad por separarse de la meditación, del pensamiento puro, de todas las formas elevadas de la actividad mental, formas elevadas que son, sin embargo, no solamente el honor de nuestra raza, sino la condición misma de su evolución progresiva? Tal es, según creo, el primer grave problema que plantea el desarrollo intensivo del maquinismo, o más generalmente, de la civilización humana bajo su forma material.
Os diré en seguida que en presencia de este problema, yo no me siento muy inquieto, porque creo que en nuestra época tanto, o quizá más que en otra ninguna, el pensamiento humano ha sabido dar pruebas de su fuerza y de su audacia. Al hablar así pienso especialmente —no os extrañaréis— en este admirable desarrollo de las teorías científicas, y en particular de las teorías físicas, que ha caracterizado los treinta primeros años de nuestro siglo XX. Permitidme deciros algunas palabras sobre este punto puesto que me concierne.
Lo que caracteriza a las grandes doctrinas nuevas de la física contemporánea, llámense teoría de la relatividad o teoría de los quanta, es un inmenso esfuerzo por ampliar los marcos del pensamiento, por liberarse de las concepciones a priori a que no quieren plegarse los fenómenos naturales. La teoría de la Relatividad ha convertido en problemáticas las concepciones antiguas, tan conformes con la intuición, de espacio absoluto, de longitud absoluta y de tiempo absoluto; nos ha revelado que la realidad profunda es una especie de unión íntima del espacio y del tiempo, y que la manera como nosotros recortamos en esta realidad profunda nuestro espacio y nuestro tiempo, no tiene sino un valor relativo y depende del sistema de referencia a que estemos vinculados. Más audaz todavía, la teoría de los quanta, para interpretar fenómenos en apariencia inexplicables, abandona la idea de la continuidad de los fenómenos físicos y busca, por caminos extrañamente nuevos, la solución de los enigmas del mundo atómico. Cualquiera que sea la suerte que el porvenir reserve a estas teorías, serán siempre magníficos esfuerzos del pensamiento. Y no solamente estos esfuerzos han renovado la Física, sino que han aportado alimentos nuevos a la meditación filosófica, planteando en una forma imprevista, algunos de los grandes problemas tradicionales, poniendo en discusión, por ejemplo, las nociones mismas de causalidad y de individualidad...
Esta vitalidad del pensamiento contemporáneo, que no se halla limitada a la física teórica y a la filosofía de las ciencias, sino que se muestra, también, en muchos otros dominios, permite afirmar que el maquinismo no ha sido nocivo a la actividad intelectual del hombre y que por el momento no se barrunta decadencia alguna de esta actividad. No solamente el maquinismo no ha tenido hasta ahora consecuencias nefastas, sino que por el contrario yo creo que ha ayudado considerablemente a este progreso. Sería fácil mostrar el papel bienhechor desempeñado en este respecto por todas las invenciones que desde la de la imprenta han facilitado la difusión del pensamiento, la rapidez de las comunicaciones, la intensidad de los cambios de ideas entre los individuos y las naciones: sería un tema de tan fácil desarrollo y tan trivial que no me permitiríais insistir sobre él. Pero hay un punto algo menos evidente sobre el cual, en calidad de científico, quisiera llamar vuestra atención. Existe, en efecto, una forma refinada de maquinismo, en la cual la máquina se halla, en cierto modo, al servicio de la curiosidad del espíritu: esta forma es la técnica experimental que suministra al científico los medios necesarios para estudiar la naturaleza y determinar sus leyes. Cada progreso importante de la Astronomía, de la Física, de la Química o de la Biología tiene como condición previa la existencia o la invención de ciertos aparatos o dispositivos, y cuanto más han querido progresar estas ciencias, tanto más necesario ha sido que la técnica instrumental se desarrolle y se afine. Ahora bien, son en definitiva las indicaciones de la experiencia las que han dado origen a estos grandes movimientos de pensamiento de que os hablaba hace un momento. Tal vez, jamás hubiera tenido Einstein la idea de crear la teoría de la Relatividad si experimentos de suma precisión, es decir, que necesitan aparatos muy perfeccionados, no hubieran mostrado la imposibilidad de poner en evidencia en un laboratorio el movimiento absoluto de traslación de la tierra en el espacio. Sin duda jamás hubieran tenido los físicos la idea de construir las concepciones, admirables en medio de su extrañeza, a las cuales condujo la teoría de los quanta, si la experiencia no hubiera revelado discontinuidades y dualidades de aspecto, en hondo desacuerdo con todos los principios antiguos. Abandonada a sí misma, la ciencia teórica hubiera tendido siempre a adormecerse sobre sus éxitos pasados; pero al hacerse cada vez más precisa y más refinada la experiencia, nos ha ido mostrando de día en día que, según el precioso pensamiento de Shakespeare, «el cielo y la tierra encierran más misterios de los que se imagina nuestra filosofía». Es la experiencia la que, al mostrar la infinita complejidad de lo real, quiebra el círculo en que podría encerrarse el pensamiento especulativo abandonado a sí mismo. Y como la experiencia depende de la perfección de la técnica experimental, la máquina es hoy, en cierto sentido, una de las condiciones del progreso intelectual.
Hasta aquí no os he hablado más que del pensamiento puro, científico o filosófico. Pero si el maquinismo no parece haber perjudicado, sino todo lo contrario, al pensamiento puro, ¿no será nocivo para otras formas elevadas de nuestra vida mental? ¿No atentará a los sentimientos estéticos, al Arte, en sus diversas formas? Por las modificaciones que imprime a toda nuestra existencia, ¿no reaccionará de una manera enfadosa sobre nuestra vida moral? Son cuestiones delicadas para cuya discusión no me siento calificado. Otros podrán juzgar mejor que yo si la Literatura, la Poesía, o las Artes en general, se hallan en decadencia, o si, por el contrario, vivificadas por fórmulas o por técnicas nuevas, van a lanzarse por vías aun inexploradas. Otros podrán emitir una opinión más autorizada que la mía sobre la evolución de la conciencia moral en la humanidad contemporánea, y deciros si, a su juicio, se eleva o retrocede. Sin embargo, si me fuera permitido expresar una opinión sobre asuntos tan fuera de mi propia competencia, os diría que también en este punto soy más bien optimista. El desarrollo de los sentimientos estéticos, como de los sentimientos éticos, tiene su raíz en ciertas grandes tendencias del alma humana, tendencias ligadas, a su vez, a las más profundas y más misteriosas potencias de la vida. Estas tendencias han seguido a la humanidad a través de los tiempos: no creo que se extingan antes de la humanidad misma. Es verdad que junto a las buenas tendencias existen las malas: el culto de lo bello se halla contrarrestado por el mal gusto y por la insuficiencia del esfuerzo para realizar el ideal; la aspiración hacia el bien tropieza con malas inclinaciones, con el egoísmo y con la negligencia. Pero siempre ha sido así, y ello ni ha impedido que florezcan el Arte y la Literatura, ni que el sentimiento del deber reaparezca inextirpable en el corazón del hombre. Evidentemente las condiciones materiales de nuestra vida se modifican y se complican, pero a través de estos cambios, se ve que la humanidad permanece la misma y que la estabilidad de su fondo moral parece que garantiza perfectamente la permanencia de sus aspiraciones.
La civilización moderna no me parece, pues, que vaya a aplastar ni el pensamiento, ni la sensibilidad, ni la conciencia moral. Pero otros aspectos de la cuestión son, evidentemente, más inquietantes. Hay, en primer lugar, reacciones enfadosas, producidas por el desarrollo demasiado rápido del maquinismo, o por la intensidad excesiva de la producción; crisis alternativa de fiebre y de depresión, a las cuales se halla sometido el organismo económico y que agotan al enfermo. Hay, además, cosa más temible aún, el aumento del poder de destrucción que es la lamentable e inevitable consecuencia de los progresos de la ciencia aplicada. Saber es poder, se ha dicho, pero, desgraciadamente, si es poder el bien, es también poder el mal. La humanidad de nuestro tiempo con los medios de destrucción de que dispone se parece a un niño que tiene en sus manos un revólver cargado y no se da cuenta del peligro que corre al manejarlo. Se confía en que el niño llegará al uso de la razón antes de que se haya producido una irreparable catástrofe, pero evidentemente se está inquieto.
Son graves temas de preocupación para los espíritus meditativos de nuestro tiempo. Hay otros todavía que no puedo examinar aquí. Sin embargo, conviene no ver las cosas demasiado negras y no abandonarse al pesimismo. La especie humana ha encontrado ante sí muchos obstáculos, ha corrido muchos riesgos desde los comienzos de su historia; a precio, es verdad, de grandes esfuerzas y de grandes sufrimientos, ha acabado por vencerlos: la mejor prueba de ello es el que estemos aquí en este momento. Es, pues, razonablemente lícito confiar en que será lo mismo en el porvenir, y que sabremos bordear los precipicios sin caer en ellos.
En resumen, el peligro de una civilización material demasiado desarrollada no es esta civilización misma; es la ruptura de equilibrio que se produciría si un desarrollo paralelo de la vida espiritual no viniera a suministrar su indispensable contrapeso. Ésta es la causa principal de la misión difícil, pero fundamental, de la instrucción y de la educación de las jóvenes generaciones que deberán saber aprovechar las ventajas prácticas de la vida moderna sin dejar de conservar y de acrecentar el patrimonio moral que el hombre ha acumulado lentamente en el curso de los siglos. Para ello, estas jóvenes generaciones deben aprender mucho para poder aprovechar de las experiencias realizadas y de los conocimientos acumulados, pero no deben contentarse con aprender, deben adquirir, también, el gusto del esfuerzo personal, del amor de lo bello bajo todas sus formas, el arte de pensar bien y de expresar bien su pensamiento. Amigos míos, a quienes naturalmente se dirige mi atención al final de este discurso, son éstas las cualidades esenciales que vuestros profesores de segunda enseñanza tratan de inculcar con la abnegación y paciencia que todos conocemos. Por la instrucción que recibís en este momento, estáis llamados a ocupar mañana un puesto en la «élite» de la nación. Entonces dependerá, en parte, de vosotros la suerte de nuestra cultura. Permitidme, para terminar, que os desee que conservéis durante toda vuestra vida, como un precioso resultado de vuestros estudios de Liceo, el culto de todo cuanto es elevado en el orden intelectual, estético o moral, culto sin el cual una civilización, por perfeccionada que pueda estarlo en sus detalles materiales, no sería muy pronto sino una forma complicada de la barbarie.
Notas: