
Puede, además, en virtud del material que contiene acerca de las propiedades de ciertos números y de las pirámides numéricas, motivar el interés en el lector, por el estudio sistemático de la Aritmética, pues no debe olvidar que lo que en un principio es sólo curiosidad, posteriormente se puede llegar a transformar en un anhelo.
Desde el punto de vista recreativo, el libro contiene bastante material para el desarrollo y realización de trucos, adivinanzas y charadas matemáticas, la mayor parte, de gran originalidad, que pueden servir para agudizar la percepción e inteligencia del joven estudiante y de los lectores en general.
Contiene, también, material que permite valorizar en una forma clara y precisa, la magnitud de los gigantes numéricos, en relación con fenómenos o hechos del dominio general.
Bertrand Russell se expresaba de esta forma de la matemática:
La matemática posee no sólo verdad, sino belleza suprema; una belleza fría y austera, como aquella de la escultura, sin apelación a ninguna parte de nuestra naturaleza débil, sin los adornos magníficos de la pintura o la música, pero sublime y pura, y capaz de una perfección severa como sólo las mejores artes pueden presentar. El verdadero espíritu del deleite, de exaltación, el sentido de ser más grande que el hombre, que es el criterio con el cual se mide la más alta excelencia, puede ser encontrado en la matemática tan seguramente como en la poesía."
Este libro, en diez capítulos, ha seleccionado más de cien desafíos y explicaciones matemáticas de apreciaciones sacadas de la vida real, que hacen su lectura muy gratificante y entretenida especialmente a aquellos lectores interesados en estas materias y que no tienen una gran formación en estos temas.Capítulo 1
Desayuno y rompecabezas
1. La ardilla en el calvero
2. Funcionamiento de los círculos escolares
3. ¿Quién cuenta más?
4. Los billetes de autocar
5. El vuelo del dirigible
6. La sombra
7. Un problema con cerillas
8. El tocón traicionero
9. Un truco aritmético
10. La cifra tachada
11. Adivinar un número sin preguntar nada
12. ¿Quién ha cogido cada objeto?
Hoy por la mañana he jugado al escondite con una ardilla contaba a la hora del desayuno uno de los comensales en el albergue donde pasábamos las vacaciones—. ¿Recuerdan ustedes el calvero circular del bosque con un abedul solitario en el centro? Para ocultarse de mí, una ardilla se había escondido tras de ese árbol. Al salir del bosque al claro, inmediatamente he visto el hociquito de la ardilla y sus vivaces ojuelos que me miraban fijamente detrás del tronco. Con precaución, sin acercarme, he empezado a dar la vuelta por el contorno del calvero, tratando de ver al animalillo. Cuatro vueltas he dado alrededor del árbol, pero la bribona se iba retirando tras del tronco en sentido contrario, sin enseñarme nunca más que el hociquillo. En fin, no me ha sido posible dar la vuelta alrededor de la ardilla.
—Sin embargo —objetó alguien—, usted mismo ha dicho que dio cuatro veces la vuelta alrededor del árbol.
¡Alrededor del árbol, sí, pero no alrededor de la ardilla! —Pero la ardilla, ¿no estaba en el árbol?
— ¿Y qué?
—Entonces usted daba también vueltas alrededor de la ardilla.
— ¡Cómo las iba a dar, si ni una vez siquiera le pude ver el lomo!
— ¿Pero qué tiene que ver el lomo? La ardilla se halla en el centro, usted marcha describiendo un círculo, por lo tanto anda alrededor de la ardilla.
—Ni mucho menos. Imagínese que ando junto a usted describiendo un círculo, y que usted va volviéndome continuamente la cara y escondiendo la espalda. ¿Dirá usted que doy vueltas a su alrededor?
—Claro que sí. ¿Qué hace usted si no?
— ¿Le rodeo, aunque no me encuentre nunca detrás de usted, y no vea su espalda?
— ¡La ha tomado usted con mi espalda! Cierra el círculo usted a mi alrededor; ahí es donde está el intríngulis, y no en que me vea o no la espalda.
— ¡Perdone! ¿Qué significa dar vueltas alrededor de algo? A mi entender no quiere decir nada más que lo siguiente: ocupar sucesivamente distintas posiciones de modo que pueda observarse el objeto desde todos los lados. ¿No es así, profesor? —preguntó uno de los interlocutores a un viejecillo sentado a la mesa.
En realidad, están ustedes discutiendo sobre palabras —contestó el hombre de ciencia—. En estos casos hay que empezar siempre por lo que acaban de hacer; o sea, hay que ponerse de acuerdo en el significado de los términos. ¿Cómo deben comprenderse las palabras "moverse alrededor de un objeto"? Pueden tener un doble significado. En primer lugar, pueden interpretarse como un movimiento por una línea cerrada en cuyo interior se halla el objeto. Esta es una interpretación. Otra: moverse respecto de un objeto, de modo que se le vea por todos los lados. Si aceptamos la primera interpretación, debe reconocer que ha dado usted cuatro vueltas alrededor de la ardilla. Manteniendo la segunda, llegamos a la conclusión de que no ha dado vueltas a su alrededor ni una sola vez. Como ven ustedes, no hay motivo para discutir, si ambas partes hablan en un mismo lenguaje y comprenden los términos de la misma manera.
—Eso está muy bien; puede admitirse una interpretación doble. Pero, ¿cuál es la justa?
—La cuestión no debe plantearse así. Puede convenirse lo que se quiera. Sólo hay que preguntarse cuál es la interpretación más corriente. Yo diría que la primera interpretación es la más acorde con el espíritu de la lengua, y he aquí por qué. Es sabido que el Sol da una vuelta completa alrededor de su eje en 26 días...
— ¿El Sol da vueltas?
—Naturalmente, lo mismo que la Tierra, alrededor de su eje. Imaginen ustedes que la rotación del Sol se realizara más despacio; es decir, que diera una vuelta no en 26 días, sino en 365 días y 1/4, o sea en un año. Entonces el Sol tendría siempre el mismo lado orientado a la Tierra; nunca veríamos la parte contraria, la espalda del Sol. Pero, ¿podría entonces afirmarse que la Tierra no daba vueltas alrededor del Sol?
—Así, pues, está claro que a pesar de todo, yo he dado vueltas alrededor de la ardilla.
— ¡Señores, no se vayan! —dijo uno de los que habían escuchado la discusión—. Quiero proponer lo siguiente. Como nadie va a ir de paseo lloviendo como está y, por lo visto, la lluvia no va a cesar pronto, vamos a quedarnos aquí resolviendo rompecabezas. En realidad, ya hemos empezado. Que cada uno discurra o recuerde algún rompecabezas. Usted, señor profesor, será nuestro árbitro.
—Si los rompecabezas son de álgebra o de geometría, yo no puedo aceptar —declaró una joven.
—Ni yo tampoco —añadió alguien más.
—No, no; ¡deben participar todos! Rogamos a los presentes que no hagan uso ni del álgebra ni de la geometría; en todo caso sólo de los rudimentos. ¿Hay alguna objeción?
—Ninguna; ¡venga, venga! —dijeron todos—. A empezar.
La máquina aritmética causa efectos que se acercan al pensamiento más que todo lo que hacen los animales, pero no causa nada que pueda hacer decir que tiene voluntad, como los animales.
Pascal
El rompecabezas referente a la ardilla en el calvero ha sido analizado por completo anteriormente. Pasamos al siguiente.
2. Funcionamiento de los círculos escolares
—En nuestro Instituto —comenzó un estudiante de bachillerato—, funcionan cinco círculos: de deportes, de literatura, de fotografía, de ajedrez y de canto. El de deportes funciona un día sí y otro no; el de literatura, una vez cada tres días, el de fotografía, una cada cuatro; el de ajedrez, una cada cinco, y el de canto, una cada seis. El primero de enero, se reunieron en la escuela todos los círculos y siguieron haciéndolo después en los días designados, sin perder uno. Se trata de adivinar cuántas tardes más, en el primer trimestre, se reunieron los cinco círculos a la vez.
— ¿El año era corriente o bisiesto? —preguntaron al estudiante.
—Corriente.
— ¿Es decir, que el primer trimestre —enero, febrero y marzo— fue de 90 días?
—Claro que sí.
—Permíteme añadir una pregunta más a la hecha por ti en el planteamiento del rompecabezas —dijo el profesor—. Es la siguiente: ¿cuántas tardes de ese mismo trimestre no se celebró en el Instituto ninguna reunión de círculo?
— ¡Ah, ya comprendo! —exclamó alguien—. Es un problema con segundas... Me parece que después del primero de enero, no habrá ni un día en que se reúnan todos los círculos a la vez, ni tampoco habrá uno en que no se reúna ninguno de los cinco. ¡Claro!
— ¿Por qué?
—No puedo explicarlo, pero creo que le quieren pescar a uno.
— ¡Señores! —dijo, tomando la palabra, el que había propuesto el juego y al que todos consideraban como presidente de la reunión—. No hay que hacer públicas ahora las soluciones definitivas de los rompecabezas. Que cada uno discurra. El árbitro, después de cenar, nos dará a conocer las contestaciones acertadas. ¡Venga el siguiente!
Solución.
Contestaremos fácilmente a la primera cuestión —al cabo de cuántos días se reunirán en la escuela a la vez los cinco círculos—, si sabemos encontrar el menor de todos los números que se divida exactamente (mínimo común múltiplo) por 2, 3, 4, 5, y 6. Es fácil comprender que este número es el 60. Es decir, el día 61 se reunirán de nuevo los 5 círculos: el de deportes, después de 30 intervalos de dos días; el de literatura, a los 20 intervalos de 3 días; el de fotografía, a los 15 intervalos de cuatro días; el de ajedrez, a los 12 de 5 días, y el de canto, a los 10 de 6 días. Antes de 60 días no habrá una tarde así. Pasados otros 60 días vendrá una nueva tarde semejante, durante el segundo trimestre.
Así, pues, en el primer trimestre hay una sola tarde en la que se reunirán de nuevo los cinco círculos a la vez. Hallar respuesta a la pregunta ¿cuántas tardes no se reunirá ningún círculo? resulta más complicado. Para encontrar esos días hay que escribir por orden los números del 1 al 90 y tachar, en la serie, los días de funcionamiento del círculo de deportes; es decir, los números 1, 3, 5, 7, 9, etc.
Luego hay que tachar los días de funcionamiento del círculo de literatura: el 4, 10, etc. Después de haber tachado los correspondientes a los círculos de fotografía, de ajedrez y de canto, nos quedarán los días en que en el primer trimestre no haya funcionado ni un solo círculo.
Quien haga esta operación se convencerá de que en el curso del trimestre primero, son bastantes —24— los días en que no funciona ningún círculo; en enero: 8: los días 2, 8, 12, 14, 18, 20, 24 y 30. En febrero hay 7 días así, y en marzo, 9.
3. ¿Quién cuenta más?
Dos personas estuvieron contando, durante una hora, todos los transeúntes que pasaban por la acera. Una estaba parada junto a la puerta, otra andaba y desandaba la acera. ¿Quién contó más transeúntes?
—Andando, naturalmente que se cuentan más; la cosa está clara —oyóse en el otro extremo de la mesa.
—Después de cenar sabremos la respuesta —declaró el presidente—. ¡El siguiente!
Solución.
Ambos contaron el mismo número de transeúntes. El que estaba parado junto a la puerta contaba los transeúntes que marchaban en ambas direcciones, mientras que el que andaba veía dos veces más personas que se cruzaban con él.
4. Los billetes de autocar
—Soy taquillero en una estación de autocares y despacho billetes —empezó a decir el siguiente participante en el juego—. A muchos esto les parecerá cosa sencilla. No sospechan el número tan grande de billetes que debe manejar el taquillero de una estación, incluso de poca importancia. Es indispensable que los pasajeros puedan adquirir billetes de la indicada estación a cualquiera otra del mismo autocar en ambas direcciones. Presto mis servicios en una línea que consta de 25 estaciones. ¿Cuántos billetes diferentes piensan ustedes que ha preparado la empresa para abastecer las cajas de todas las estaciones?
—Ha llegado su turno, señor aviador —proclamó el presidente.
Las matemáticas poseen no sólo la verdad, sino la suprema belleza, una belleza fría y austera, como una tumba.
Bertrand Russell
En cada una de las 25 estaciones, los pasajeros pueden pedir billete para cualquier estación, es decir, para los 24 puntos diferentes. Esto indica que el número de billetes diferentes que hay que preparar es de 25 · 24 = 600.
5. El vuelo del dirigible
—Imaginemos que despegó de Leningrado un dirigible con rumbo al Norte. Una vez recorridos 500 km en esa dirección cambió de rumbo y puso proa al Este. Después de volar en esa dirección 500 km, hizo un viraje de 90° y recorrió en dirección Sur 500 km. Luego viró hacia el Oeste, y después de cubrir una distancia de 500 km, aterrizó. Si tomamos como punto de referencia Leningrado, se pregunta cuál será la situación del lugar de aterrizaje del dirigible: al oeste, al este, al norte o al sur de esta ciudad.
—Este es un problema para gente ingenua —dijo uno de los presentes: Quinientos pasos hacia adelante, 500 a la derecha, 500 hacia atrás y 500 hacia la izquierda, ¿a dónde vamos a parar? Llegamos naturalmente al mismo lugar de donde habíamos partido.
— ¿Dónde le parece, pues, que aterrizó el dirigible?
—En el mismo aeródromo de Leningrado de donde había despegado. ¿No es así?
—Claro que no.
— ¡Entonces no comprendo nada!
—Aquí hay gato encerrado —intervino en la conversación el vecino—. ¿Acaso el dirigible no aterrizó en Leningrado...? ¿No podría repetir el problema?
El aviador accedió de buena gana. Le escucharon con atención, mirándose perplejos.
—Bueno —declaró el presidente—. Hasta la hora de la cena disponemos de tiempo para pensar en este problema; ahora vamos a continuar.
Dejad a un lado las formas sustanciales y las cualidades ocultas, y referid los hechos naturales a leyes matemáticas.
Newton
Este problema no contiene contradicción alguna. No hay que pensar que el dirigible vuela siguiendo el perímetro de un cuadrado; es necesario tener en cuenta la forma esferoidal de la Tierra. Los meridianos, al avanzar hacia el Norte, se van aproximando (véase la figura); por ello, cuando vuela los 500 kilómetros siguiendo el arco del paralelo situado a 500 km al norte de la latitud de Leningrado, el dirigible se desplaza hacia Oriente un número de grados mayor que el que recorre después en dirección contraria, al encontrarse de nuevo en la latitud de Leningrado. Como resultado de ello, el dirigible, al terminar el vuelo, estaba al este de Leningrado.
¿Cuánto? Esto puede calcularse. En la figura, ven ustedes la ruta seguida por el dirigible: ABCDE. El punto N es el Polo Norte; en ese punto se juntan los meridianos AB y CD. El dirigible voló primero 500 km hacia el Norte, es decir, siguiendo el meridiano AN. Como la longitud de un grado de meridiano equivale a 111 km, el arco de meridiano de 500 km contendrá 500 : 111=4 grados y medio. Leningrado está situado en el paralelo 60; por consiguiente, el punto B se encuentra en los
60° + 4,5° = 64,5°
.Después, el dirigible voló con rumbo Este, es decir, por el paralelo BC, y recorrió, siguiéndolo, 500 km. La longitud de un grado en este paralelo puede calcularse (o verse en las tablas) ; equivale a 48 km.
6. La sombra
—Permítanme —dijo el participante de turno—, tomar como tema de mi rompecabezas el mismo dirigible. ¿Qué es más largo, el dirigible o la sombra completa que proyecta sobre la tierra?
—¿Es ése todo el rompecabezas?
—Sí.
—La sombra, claro está, es más larga que el dirigible; los rayos del sol se difunden en forma de abanico —propuso inmediatamente alguien como solución.
—Yo diría —protestó alguien—, que por el contrario, los rayos del sol van paralelos; la sombra y el dirigible tienen la misma longitud.
— ¡Qué va! ¿Acaso no ha visto usted los rayos divergentes del sol oculto tras una nube? —De ello puede uno convencerse observando cuánto divergen los rayos solares. La sombra del dirigible debe ser considerablemente mayor que el dirigible, en la misma forma que la sombra de la nube es mayor que la nube misma.
—¿Por qué se acepta corrientemente que los rayos del sol son paralelos? Todos lo consideran así...
El presidente no permitió que la discusión se prolongara y concedió la palabra al siguiente.
Solución.
Los que han hablado sobre este problema han cometido algunas faltas. No es cierto que los rayos del Sol que caen sobre la Tierra diverjan sensiblemente. Comparada con la distancia que la separa del Sol, la Tierra es tan pequeña que los rayos del Sol que caen sobre cualquier parte de su superficie divergen en un ángulo pequeñísimo, inapreciable; prácticamente pueden considerarse paralelos. A veces contemplamos, en la llamada irradiación tras las nubes, que los rayos del Sol se difunden en forma de abanico; esto sólo es fruto de la perspectiva. Observadas en perspectiva, las líneas paralelas parecen convergentes; recuerden, por ejemplo, los raíles que se pierden a lo lejos, o una larga avenida de árboles.

Si se sabe la altura a que vuela el dirigible, puede calcularse la magnitud de esta diferencia. Supongamos que vuele a una altura de 1000 m sobre la superficie terrestre.
El ángulo formado por las líneas AC y BD será igual al ángulo por el que se ve el Sol desde la Tierra; la magnitud de este ángulo es conocida: tiene cerca de medio grado. Por otra parte, es sabido que cualquier objeto, visto bajo un ángulo de medio grado dista del ojo observador 115 veces su diámetro. Es decir, el segmento MN (este segmento se ve desde la superficie terrestre bajo un ángulo de medio grado) debe ser la ciento quinceava parte de AC. La magnitud de AC es mayor que la perpendicular bajada desde A a la superficie de la tierra. Si el ángulo comprendido entre la dirección de los rayos solares y la superficie terrestre es de 45°, AC (estando el dirigible a 1000 m de altura) equivale a unos 1400 m, y por consiguiente, el segmento MN es igual a
1400/115 = 12 m.
Pero la diferencia entre la longitud del dirigible y la de su sombra, es decir, el segmento MB, es mayor que MN, exactamente 1,4 veces mayor, porque el ángulo MBD es casi de 45°. Por consiguiente MB es igual a 12 · 1,4; o sea, casi 17 m.Todo lo dicho se refiere a la sombra completa del dirigible, negra y precisa y no a la llamada semisombra, débil y difuminada. Nuestros cálculos muestran, entre otras cosas que si en lugar del dirigible hubiera un pequeño globo de menos de 17 metros de diámetro, no daría sombra completa alguna; se vería sólo una semisombra vaga.
7. Un problema con cerillas
El jugador de turno vació sobre la mesa su caja de cerillas. distribuyéndolas en tres montones.
— ¿Se dispone usted a hacer hogueras? —bromearon los presentes.
—El rompecabezas —explicó— será a base de cerillas. Tenemos tres montoncitos diferentes. En ellos hay en total 48 cerillas. No les digo cuántas hay en cada uno. Pero observen lo siguiente: si del primer montón paso al segundo tantas cerillas como hay en éste, luego del segundo paso al tercero tantas cerillas como hay en ese tercero, y por último, del tercero paso al primero tantas cerillas como existen ahora en ese primero, resulta que habrá el mismo número de cerillas en cada montón. ¿Cuántas cerillas había en cada montón al principio?
Solución.
El problema hay que resolverlo empezando por el final. Vamos a partir de que hechas todas las mudanzas correspondientes, los montoncitos tienen un número igual de cerillas. Ya que en esos cambios el número total de cerillas no ha cambiado, ha quedado invariable (48), al terminar todas las mudanzas resultó haber en cada montón 16 cerillas.
Así, pues, al terminar tenemos:
| montón I | montón II | montón III |
| 16 | 16 | 16 |
Inmediatamente antes de esto, se habían añadido al primer montón tantas cerillas como había en él; en otras palabras, el número de cerillas de este montón se había duplicado. Esto quiere decir que antes de hacer el último cambio, en el primer montón no había 16 cerillas, sino 8. En el tercero, del cual quitamos 8 cerillas había, antes de hacer esta operación, 16+8=24 cerillas.
Las cerillas están ahora distribuidas por los montones así:
| montón I | montón II | montón III |
| 8 | 16 | 24 |
Sigamos. Sabemos que antes de esto fueron pasadas desde el segundo montón al tercero tantas cerillas como había en éste: es decir, que el número 24 es el doble de las cerillas existentes en el montón tercero antes de este cambio. De ahí deducimos la distribución de las cerillas después de la primera mutación:
| montón I | montón II | montón III |
| 8 | 16 + 12 = 28 | 12 |
Es fácil darse cuenta de que antes de hacer el primer cambio (es decir, antes de pasar del primer montón al segundo tantas cerillas como había en éste), la distribución de las cerillas era la siguiente:
| montón I | montón II | montón III |
| 22 | 14 | 12 |
Este era el número de cerillas que había al principio en cada uno de los montones.
8. El tocón traicionero
—Este rompecabezas —empezó a decir el penúltimo contertulio— me recuerda un problema que me planteó en cierta ocasión un matemático rural. Era un cuento bastante divertido. Un campesino se encontró en el bosque a un anciano desconocido. Pusiéronse a charlar. El viejo miró al campesino con atención y le dijo:
—En este bosque sé yo de un toconcito maravilloso. En caso de necesidad ayuda mucho.
— ¡Cómo que ayuda! ¿Acaso cura algo?
—Curar no cura, pero duplica el dinero. Pones debajo de él el portamonedas con dinero, cuentas hasta cien, y listo: el dinero que había en el portamonedas se ha duplicado. Esta es la propiedad que tiene. ¡Magnífico tocón!
— ¡Si pudiera probar! —exclamó soñador el campesino.
—Es posible. ¡Cómo no! Pero hay que pagar.
— ¿Pagar? ¿A quién? ¿Mucho?
—Hay que pagar al que indique el camino. Es decir, a mí en este caso. Si va a ser mucho o poco es otra cuestión. Empezaron a regatear. Al saber que el campesino llevaba poco dinero, el viejo se conformó con recibir una peseta y veinte céntimos después de cada operación.
El viejo condujo al campesino a lo más profundo del bosque, lo llevó de un lado para otro, y por fin, encontró entre unas malezas un viejo tocón de abeto cubierto de musgo. Tomando de manos del campesino el portamonedas, lo escondió entre las raíces del tocón. Contaron hasta cien. El viejo empezó a escudriñar y hurgar al pie del tronco, y al fin sacó el portamonedas, entregándoselo al campesino.
Este miró el interior del portamonedas y... en efecto, el dinero se había duplicado. Contó y dio al anciano la peseta y los veinte céntimos prometidos y le rogó que metiera por segunda vez el portamonedas bajo el tocón.
Contaron de nuevo hasta cien; el viejo se puso otra vez a hurgar en la maleza junto al tocón, y realizóse el milagro: el dinero del portamonedas se había duplicado. El viejo recibió la peseta y los veinte céntimos convenidos.
Escondieron por tercera vez el portamonedas bajo el tocón. El dinero se duplicó esta vez también. Pero cuando el campesino hubo pagado al viejo la remuneración prometida, no quedó en el portamonedas ni un solo céntimo. El pobre había perdido en la combinación todo su dinero. No había ya nada que duplicar y el campesino, abatido, se retiró del bosque.
El secreto de la duplicación maravillosa del dinero, naturalmente, está claro para ustedes: no en balde el viejo, rebuscando el portamonedas, hurgaba en la maleza junto al tocón. Pero, ¿pueden ustedes indicar cuánto dinero tenía el campesino antes de los desdichados experimentos con el traicionero tocón?
Solución.
También es más sencillo resolver este rompecabezas empezando por el final. Sabemos que después de la tercera duplicación quedaron en el portamonedas una peseta y veinte céntimos (éste fue el dinero que recibió el viejo la última vez). ¿Cuánto había antes de esta operación? Está claro que sesenta céntimos. Estos céntimos habían quedado después de pagar al viejo por segunda vez; una peseta y veinte céntimos; habiendo en el portamonedas, antes de pagarle, 1 peseta y 20 céntimos + 60 céntimos=1 peseta y 80 céntimos.
Esta cantidad resultó haber en el portamonedas después de la segunda duplicación; antes de ella había sólo 90 céntimos, que habían quedado después de haber abonado al viejo por primera vez 1 peseta y 20 céntimos. De aquí deducimos que en el portamonedas, antes de pagarle, había 90 céntimos +1 peseta y 20 céntimos = 2 pesetas y 10 céntimos. En el portamonedas había este dinero después de la primera duplicación; anteriormente había la mitad; es decir, 1 peseta y 5 céntimos. Comprobémoslo.
| Dinero en el portamonedas | |
| Después de la primera duplicación: | 1 pta. 5 ctms. · 2= 2 ptas. 10 ctms. |
| Después del pago 1.°: | 2 ptas. 10 ctms. — 1 pta. 20 ctms. =90 ctms. |
| Después de la 2.° duplicación: | 90 ctms. · 2 =1 pta. 80 ctms. |
| Después del pago 2.°: | 1 pta. 80 ctms. —1 pta. 20 ctms. = 60 ctms. |
| Después de la 3.° duplicación: | 60 ctms. · 2 =1 pta. 20 ctms. |
| Después del pago 3.° | 1 pta. 20 ctms. —1 pta. 20 ctms. =0 ctms. |
9. Un truco aritmético
—Me toca hablar el último. A fin de que haya mayor variedad, presentaré un truco aritmético, con el ruego de que descubran el secreto que encierra. Que cualquiera de los presentes, usted mismo, presidente, escriba en un papel un número de tres cifras, sin que yo lo vea.
— ¿El número puede tener ceros?
—No pongo limitación alguna. Cualquier número de tres cifras, el que deseen.
—Ya lo he escrito. ¿Qué más?
A continuación de ese mismo número, escríbalo otra vez, y obtendrá una cantidad de seis cifras.
—Ya está.
—Déle el papel al compañero más alejado de mí, y que este último divida por siete la cantidad obtenida.
— ¡Qué fácil es decir divídalo por siete! A lo mejor no se divide exactamente.
—No se apure; se divide sin dejar residuo.
—No sabe usted qué número es, y asegura que se divide exactamente.
Haga primero la división y luego hablaremos.
—Ha tenido usted la suerte de que se dividiera.
—Entregue el cociente a su vecino, sin que yo me entere de cuál es, y que él lo divida por 11.
— ¿Piensa usted que va a tener otra vez suerte, y que va a dividirse?
—Haga, haga la división; no quedará residuo.
—En efecto, ¡no hay residuo! ¿Ahora, qué más?
—Pase el resultado a otro. Vamos a dividirlo por... 13.
—No ha elegido bien. Son pocos los números que se dividen exactamente por 13... ¡Oh, la división es exacta! ¡Qué suerte tiene usted!
—Deme el papel con el resultado, pero dóblelo de modo que no pueda ver el número.
Sin desdoblar la hoja de papel, el prestidigitador la entregó al presidente.
—Ahí tiene el número que usted había pensado. ¿Es ése?
— ¡El mismo! —contestó admirado, mirando el papel—. Precisamente es el que yo había pensado... Como se ha agotado la lista de jugadores, permítanme terminar nuestra reunión, sobre todo teniendo en cuenta que la lluvia ha cesado. Las soluciones de todos los rompecabezas se harán públicas hoy mismo, después de cenar. Las soluciones por escrito pueden entregármelas a mí.
Antes de poner fin al capítulo de los rompecabezas en el albergue, explicaré tres trucos aritméticos más para que puedan ustedes entretener a sus amigos en los ratos libres. Dos de estos trucos consisten en averiguar números; el tercero en averiguar cuáles son los propietarios de objetos determinados.
Son trucos viejos; hasta es posible que los conozcan, pero no todos seguramente saben en qué se basan. Para que el truco pueda presentarse en forma segura y racional, se requieren ciertos conocimientos teóricos. Los dos primeros trucos exigen una pequeña y nada fatigosa incursión por el álgebra elemental.
Solución.
Analicemos lo que se ha hecho con el número pensado. Ante todo, se le ha agregado detrás el número dado de tres cifras. Es lo mismo que agregarle tres ceros y luego sumarle el número inicial; por ejemplo:
872 872 = 872 000 + 872
>Se ve claro qué es lo que en realidad se ha hecho con el número: se ha aumentado 1000 veces y además se ha añadido el mismo número; en resumidas cuentas, hemos multiplicado el número por 1001.¿Qué se ha hecho después con el producto? Lo han dividido por 7, por 11 y por 13. Es decir, lo han dividido por el producto de 7 · 11 · 13, o lo que es lo mismo, por 1001.
Así, pues, el número pensado, primero lo han multiplicado por 1001 y luego lo han dividido entre 1001. ¿Cabe admirarse de que se haya obtenido el mismo número?
10. La cifra tachada
Una persona piensa un número de varias cifras, por ejemplo el 847. Propóngale que halle la suma de los valores absolutos de las cifras de este número (8+4+7=19) y que la reste del número pensado. Le resultará:
847 — 19 = 828
Que tache una cifra cualquiera del resultado obtenido, la que desee, y que le comunique a usted las restantes. Le dirá usted inmediatamente la cifra tachada, aunque no sepa el número pensado y no haya visto lo que ha hecho con él.Guarismo eres y no más;
según donde te pongas, así valdrás.
Refranero
¿En qué forma se hace esto y en qué consiste la clave del truco?
La solución es muy fácil. Se busca una cifra que adicionada a las que le comunica su interlocutor forme el número más próximo divisible por 9. Si, por ejemplo, en el número 828 ha sido tachada la primera cifra (8) y le comunican a usted las cifras 2 y 8, usted, una vez sumados 2 + 8, calcula que hasta el número más próximo divisible por 9, es decir, hasta el 18, faltan 8. Esta es la cifra tachada.
¿Por qué resulta así? Porque si a cualquier número le restamos la suma de sus cifras, debe quedar un número divisible por 9; en otras palabras, un número en el que la suma de los valores absolutos de sus cifras se divida por 9. En efecto, representemos por a la cifra de las centenas del número pensado, por b la de las decenas y por c la de las unidades. Este número tendrá en total:
100a + 10b + c unidades
Restémosle la suma de los valores de sus cifras a + b + c. Obtendremos:100a + 10b + c — (a + b + c) = 99a + 9b = 9(11a + b)
Pero 9(11a + b) está claro que es divisible por 9; por lo tanto, al restar de un número la suma de los valores de sus cifras, debe resultar siempre un número divisible por 9, sin residuo.Al presentar el truco, puede suceder que la suma de las cifras que le comuniquen sea divisible entre nueve (por ejemplo 4 y 5). Esto indica que la cifra tachada es o un cero o un nueve. Así, que debe usted responder cero o nueve.
He aquí una variante nueva del mismo truco: en lugar de restar del número pensado la suma de los valores de sus cifras, puede restarse otro, formado cambiando de lugar las cifras de dicho número. Por ejemplo, del número 8247 puede restarse 2748 (si el número nuevo es mayor que el pensado, se resta del mayor el menor). Luego se continúa como se ha indicado anteriormente:
8247—2748 = 5499
si se ha tachado la cifra 4, conociendo las cifras 5, 9, 9, calcula usted que el número divisible por 9 más próximo a 5 + 9 + 9, es decir, a 23, es el número 27. O sea, que se ha tachado la cifra 27 — 23 = 4.11. Adivinar un número sin preguntar nada
Propone usted a alguien que piense un número cualquiera de tres cifras que no termine en cero, y le ruega que ponga las cifras en orden contrario. Hecho esto, debe restar del número mayor el menor y la diferencia obtenida sumarla con ella misma, pero con las cifras escritas en orden contrario. Sin preguntar nada, adivina usted el número resultante.
Solución.
Si, por ejemplo, se había pensado el número 467, deben realizarse las siguientes operaciones:
| 467; 764; | 764 | 297 | ||
| — 467 | + 792 | |||
| 297 | 1089 |
Este resultado final, 1089, es el que comunica usted. ¿Cómo puede saberlo?
Analicemos el problema en su aspecto general. Tomemos un número con las cifras a, b y c. El número será:
100a +10b + c
El número con las cifras en orden contrario será:100c + 10b + a
La diferencia entre el primero y el segundo será igual a99a — 99c
Hagamos las siguientes transformaciones:| 99 a — 99c = | 99 (a — c) |
| 100 (a — c) — (a — c) | |
| 100 (a — c) — 100 + 100 — 10 + 10 — a + c | |
| 100 (a — c — 1) + 90 + (10 — a + c) |
Es decir, que la diferencia consta de las tres cifras siguientes:
cifra de las centenas: a — c — 1
cifra de las decenas: 9
cifra de las unidades: 10 + c — a
El número con las cifras en orden contrario se representa así:
100 (10 + c — a) + 90 + (a — c — 1).
Sumando ambas expresiones:100 (a — c — 1) + 90 + 10 + c — a +
+100 (10 + c — a) + 90 + a — c — 1
100 · 9 + 180 + 9 = 1089
Cualesquiera que sean las cifras a, b, c, una vez hechas las operaciones mencionadas se obtendrá siempre el mismo número: 1089. Por ello no es difícil adivinar el resultado de estos cálculos: lo conocía usted de antemano.Está claro que este truco no debe presentarse a la misma persona dos veces porque entonces el secreto quedará descubierto.
12. ¿Quién ha cogido cada objeto?
Para presentar este ingenioso truco, hay que preparar tres cosas u objetos pequeños que quepan fácilmente en el bolsillo, por ejemplo, un lápiz, una llave y un cortaplumas. Además, se coloca en la mesa un plato con 24 avellanas; a falta de ellas pueden utilizar fichas del juego de damas, de dominó, cerillas, etcétera.
A tres de los presentes les propone que mientras esté usted fuera de la habitación, escondan en sus bolsillos, a su elección, uno cualquiera de los tres objetos: el lápiz, la llave o el cortaplumas, y se compromete usted a adivinar el objeto que ha escondido cada uno.
El procedimiento para adivinarlo consiste en lo siguiente: Al regresar a la habitación una vez que las tres personas hayan escondido los objetos en los bolsillos, les entrega usted unas avellanas para que las guarden. Al primero le da una avellana, dos al segundo y tres al tercero. Las restantes las deja en el plato. Luego sale usted otra vez dejándoles las siguientes instrucciones: cada uno debe coger del plato más avellanas; el que tenga el lápiz tomará tantas como le fueron entregadas; el que tenga la llave, el doble de las que recibió; el del cortaplumas, cuatro veces más que las que usted le haya dado.
Las demás avellanas quedan en el plato.
Una vez hecho todo esto y dada la señal de que puede regresar, al entrar en el cuarto echa usted una mirada al plato, e inmediatamente anuncia cuál es el objeto que cada uno guarda en el bolsillo.
Solución.
El truco deja perplejo al público, sobre todo porque se realiza sin participación de intermediarios secretos que nos hagan señales imperceptibles convenidas previamente. Es un truco sin engaño alguno, pues todo él está fundamentado exclusivamente en cálculos aritméticos. Se adivina quién tiene cada objeto, sólo por el número de avellanas que han quedado en el plato. Quedan siempre pocas: de 1 a 7, y pueden contarse de un solo golpe de vista.
Pero, ¿cómo conocer quién ha guardado uno u otro objeto, por el número de avellanas que quedan?
Es muy sencillo; cada caso de distribución de los objetos entre las tres personas corresponden a un número diferente de avellanas del plato. Vamos a convencernos inmediatamente.
Supongamos que sus compañeros se llaman Benigno, Gregorio y Juan; designémosles por sus iniciales B, G, J. Designemos también los objetos por letras: el lápiz a, la llave b y el cortaplumas c. ¿Cómo pueden distribuirse estos objetos entre tres personas? De las 6 maneras siguientes:
| A | G | J |
| a | b | c |
| a | c | b |
| b | a | c |
| b | c | a |
| c | a | b |
| c | b | a |
Es evidente que no puede haber más combinaciones; la tabla comprende todas las posibles.
Veamos ahora qué número de avellanas quedan en el plato en cada uno de los casos:
| BGJ | Número de avellanas tomadas | Total | Resto | ||
| abc | 1 + 1=2; | 2 + 4= 6; | 3 + 12=15 | 23 | 1 |
| acb | 1 + 1=2; | 2 + 8=10; | 3 + 6= 9 | 21 | 2 |
| bac | 1 + 2=3; | 2 + 2= 4; | 3 + 12=15 | 22 | 3 |
| bca | 1 + 2=3; | 2 + 8=10; | 3 + 3= 6 | 19 | 5 |
| cab | 1 + 4=5; | 2 + 2= 4; | 3 + 6= 9 | 18 | 6 |
| cba | 1 + 4=5; | 2 + 4= 6; | 3 + 3= 6 | 17 | 7 |
Ya ven que el resto de avellanas es diferente cada vez. Por ello, conociendo el resto, es fácil determinar cómo están distribuidos los objetos entre sus amigos. De nuevo —por tercera vez— se aleja de la habitación y mira su libretita de notas donde lleva apuntado el cuadro anterior (en realidad sólo hacen falta la primera y la última columna) ; es difícil recordarlo de memoria, y además no hay necesidad de ello. El cuadro le indicará dónde se halla cada objeto. Por ejemplo, si han quedado en el plato 5 avellanas, quiere decir (caso bca) que la llave la tiene Benigno; el cortaplumas, Gregorio: el lápiz, Juan.
Para que el truco salga bien, debe recordar exactamente cuántas avellanas ha entregado a cada persona (distribúyalas siempre siguiendo el orden alfabético de los nombres, como lo hemos hecho en el caso explicado).
Capítulo 2
Las matemáticas en el dominó y el croquet
13. Línea de 28 fichas
14. El comienzo y el final de la línea
15. Un truco con el dominó
16. El marco
17. Los siete cuadrados
18. Los cuadrados mágicos del dominó
19. Progresión con las fichas del dominó
20. ¿Pasar bajo los aros o golpear la bola del contrario?
21. La bola y el poste
22. ¿Pasar el aro o chocar con el poste?
23. ¿Pasar la ratonera o dar en la bola del contrario?
24. La ratonera impracticable
¿Por qué las 28 fichas del dominó pueden colocarse siguiendo las reglas del juego, formando una línea?
Solución.
A fin de simplificar el problema, dejemos por ahora a un lado los 7 dobles:
0 — 0, 1 — 1, 2 — 2, 3 — 3, 4 — 4, 5 — 5, 6 — 6
Nos quedan 21 fichas en las que cada número de tantos se repite seis veces. Por ejemplo, tenemos que todos los cuatro serán:4 — 0; 4 — 1; 4 — 2; 4 — 3; 4 — 4; 4 — 5; 4 — 6
. Así, pues, cada número de tantos se repite, como vemos, un número par de veces. Claro que las fichas que forman cada grupo pueden casarse una con otra hasta que se agote el grupo. Una vez hecho eso, cuando nuestras 21 fichas están casadas formando una fila ininterrumpida, colocamos los siete dobles 0 — 0, 1 — 1, 2 — 2, etc., en los sitios correspondientes entre las dos fichas casadas. Entonces, las 28 fichas resultan, formando una sola línea, casadas según las reglas del juego.14. El comienzo y el final de la línea
Estando las 28 fichas casadas, en uno de los extremos hay 5 tantos. ¿Cuántos habrá en el otro extremo?
Solución.
Es fácil demostrar que en la fila del dominó debe ser idéntico el número de tantos del final y del comienzo. En realidad, de no ser así, el número de tantos de los extremos de la fila se repetiría un número impar de veces (en el interior de la línea el número de tantos está formando parejas); sabemos, sin embargo, que en las fichas del dominó, cada número de tantos se repite ocho veces: es decir, un número par de veces. Por consiguiente, la suposición de que el número de tantos en los extremos de la línea no fuera el mismo, no es justa; el número de tantos debe ser el mismo. (Razonamientos semejantes a éste reciben en matemáticas la denominación de demostración por el contrario.)
De esta propiedad que acabamos de demostrar, se deduce que la línea de 28 fichas del dominó puede siempre cerrarse por los extremos formando un anillo. De aquí que todas las fichas del dominó puedan casarse siguiendo las reglas del juego, y formar no sólo una fila, sino un círculo cerrado.
Es posible que interese a los lectores saber cuántas líneas o círculos diferentes de ese tipo pueden formarse. Sin entrar en detalles fatigosos de cálculos, diremos que el número de modos diferentes de distribución que pueden formar las 28 fichas en una línea (o en un círculo) es enorme: pasa de 7 billones. Su número exacto es:
7 959 229 931 520.
(Es el producto de los siguientes factores: 218 · 38 · 5 · 7 · 4231)15. Un truco con el dominó
Una persona toma una de las fichas y les propone que casen las 27 restantes, afirmando que es siempre posible hacerlo, cualquiera que sea la ficha tomada. Pasa a la habitación contigua, para no ver cómo lo hacen.
Empiezan ustedes a colocarlas y llegan a la conclusión de que dicha persona tenía razón: las 27 fichas quedan casadas. Pero lo más asombroso es que, desde la otra habitación y sin ver el dominó, también puede anunciar cuántos tantos hay en cada extremo de la fila de fichas. ¿Cómo puede saberlo? ¿Por qué está seguro de que 27 fichas cualesquiera pueden colocarse en una sola línea casándolas correctamente?
Solución.
La solución de este rompecabezas se deduce de lo que acabamos de decir. Sabemos que las 28 fichas del dominó pueden casarse formando un círculo cerrado; por consiguiente, si de este círculo quitamos una ficha resultará que:
- Las otras 27 forman una fila ininterrumpida con los extremos sin casar;
- Los tantos de los extremos de esta línea coincidirán con los números de la ficha que se ha quitado.
16. El marco
La figura reproduce un marco cuadrado, formado por las fichas del dominó de acuerdo con las reglas del juego. Los lados del marco tienen la misma longitud, pero no igual número de tantos; los lados superior e izquierdo contienen 44 tantos cada uno; de los otros dos lados, uno tiene 59 y el otro 32.

Solución.
La suma de tantos del cuadrado buscado debe ser 44 · 4 = 176; es decir, 8 más que la suma de todos los tantos del dominó (168). Esto ocurre porque el número de tantos de las fichas que ocupan los ángulos del cuadrado se cuentan dos veces. De lo dicho se deduce que la suma de los tantos en los extremos del cuadrado debe ser ocho. Esto facilita en cierto modo la colocación exigida, aunque él, en contraria, es bastante enredoso. La solución viene indicada en la figura siguiente.

Cuatro fichas de dominó, elegidas convenientemente, pueden colocarse formando un cuadrado con idéntico número de tantos en cada lado. En la figura pueden ustedes ver un modelo; en ella la suma de los tantos de cada lado del cuadrado equivale siempre a 11.

Damos dos soluciones de este problema entre las muchas posibles. En la primera (véase la figura) tenemos:

| 1 cuadrado con una suma de 3 | 2 cuadrados con una suma de 9 |
| 1 cuadrado con una suma de 6 | 1 cuadrado con una suma de 10 |
| 1 cuadrado con una suma de 8 | 1 cuadrado con una suma de 16 |
En la segunda solución (véase la figura) tenemos:

| 2 cuadrados con una suma de 4 | 2 cuadrados con una suma de 10 |
| 1 cuadrado con una suma de 8 | 2 cuadrados con una suma de 12 |
18. Los cuadrados mágicos del dominó
La figura muestra un cuadrado formado por 18 fichas de dominó, y que ofrece el interés de que la suma de los tantos de cualquiera de sus filas —longitudinales, transversales y diagonales— es en todos los casos igual a 13. Desde antiguo, estos cuadrados se llaman mágicos.

Solución.
La figura contigua ofrece un modelo de cuadro mágico, con 18 tantos en cada fila.

19. Progresión con las fichas del dominó
En la figura se ven seis fichas de dominó casadas según las reglas del juego, con la particularidad de que la suma total de tantos de cada ficha (en ambas mitades de cada una) aumenta sucesivamente en una unidad: empezando con la suma 4, la serie consta de los siguientes números de puntos:
4, 5, 6, 7, 8, 9.

Se trata de formar progresiones a base de 6 fichas.
Solución.
He aquí, como ejemplo, dos progresiones en que la razón es 2.
- 0 — 0; 0 — 2; 0 — 4; 0 — 6; 4 — 4 (ó 3 — 5); 5 — 5 (ó 4 — 6).
- 0 — 1; 0 — 3 (ó 1 — 2); 0 — 5 (ó 2 — 3); 1 — 6 (ó 3 — 4); 3 — 6 (ó 4 — 5); 5 — 6.
a. para progresiones en las que la razón es 1:
| 0 — 0 | 1 — 1 | 2 — 1 | 2 — 2 | 3 — 2 |
| 0 — 1 | 2 — 0 | 3 — 0 | 3 — 1 | 2 — 4 |
| 1 — 0 | 0 — 3 | 0 — 4 | 1 — 4 | 3 — 5 |
| 0 — 2 | 1 — 2 | 1 — 3 | 2 — 3 | 3 — 4 |
b. para progresiones en las que la razón es
2: 0 — 0; 0 — 2; 0 — 1.
20. ¿Pasar bajo los aros o golpear la bola del contrario?Los aros del croquet tienen forma rectangular. Su anchura es dos veces mayor que el diámetro de las bolas. En estas condiciones, ¿qué es más fácil?, ¿pasar el aro, sin rozar el alambre, desde la posición mejor, o a la misma distancia, golpear la bola del contrario?
Solución.
Incluso un jugador hábil dirá seguramente que en las condiciones dadas, es más fácil atravesar los aros que golpear la bola del contrario, puesto que los aros son dos veces más anchos que la bola. Sin embargo, esa idea es equivocada: los aros, cierto, son más anchos que la bola, pero el espacio libre para que la bola pase por el interior del aro es dos veces menor que el que la bola misma presenta al hacer blanco.

Veamos ahora la anchura del blanco en relación con el centro de una bola en movimiento que golpea la del contrario. Es evidente que si el centro de la bola lanzada se aproxima al centro de la bola que debe ser golpeada a una distancia menor que un radio, el choque se realizará. Esto quiere decir que la anchura del blanco en este caso, como puede verse en la figura, equivale a dos diámetros de la bola.
Así, pues, a pesar de lo que opinen los jugadores, en las condiciones expuestas, es dos veces más fácil dar en la bola que pasar libremente el aro desde la mejor posición.
21. La bola y el poste
El poste de croquet, en su parte inferior, tiene un grosor de 6 centímetros. El diámetro de la bola es de 10 cm. ¿Cuántas veces es más fácil dar en la bola que, desde la misma distancia, pegar en el poste?
Solución.
Después de lo que acabamos de decir, el problema no exige detalladas explicaciones. Puede verse fácilmente (véase la figura) que la anchura del blanco en el caso de que la bola sea tocada, equivale a dos diámetros de la bola, o sea, a 20 cm; mientras que la anchura del blanco al apuntar al poste es igual a la suma del diámetro de la bola y del poste, o sea, a 16 cm (véase la figura). De aquí que acertar en la bola del contrario es
20:16 = 1 1/4 veces
o sea 25 % más fácil que tocar el poste. Los jugadores, de ordinario, aumentan mucho las probabilidades de tocar la bola al compararlas con las de dar en el poste.
La bola es dos veces más estrecha que los aros rectangulares y dos veces más ancha que el poste. ¿Qué es más fácil, pasar los aros sin tocarlos desde la posición mejor, o desde la misma distancia, pegar en el poste?
Solución.
Cualquier jugador discurrirá del modo siguiente: Ya que el aro es doble de ancho que la bola, y el poste dos veces más estrecho que esta bola, el blanco será cuatro veces mayor para atravesar el aro que para dar en el poste. El lector aleccionado ya por los problemas anteriores, no incurrirá en semejante error. Calculará que al apuntar al poste, el blanco es vez y media más ancho que para pasar a través del aro desde la posición más ventajosa. Esto se ve claro en las figuras.

23. ¿Pasar la ratonera o dar en la bola del contrario?
La anchura de los aros rectangulares es tres veces mayor que el diámetro de la bola. ¿Qué es más fácil, pasar, desde la mejor posición, la ratonera sin tocarla, o desde la misma distancia, tocar la bola del contrario?
Solución.
En las figuras se ve que el espacio a, que queda para el paso del centro de la bola, es bastante estrecho en las condiciones indicadas en el problema. Los que conocen la geometría saben que el lado AB del cuadrado es 1,4 veces menor que su diagonal AC. Si la anchura de los arcos es de 3d (siendo d el diámetro de la bola), AB será igual a:
3d : 1,4 = 2,1d
El espacio a, blanco del centro de la bola que pasa la ratonera desde la posición más favorable, es todavía más estrecho.
2,1 d — d = 1,1d
Sin embargo, sabemos que el blanco referido al centro de la bola que va a tocar la del contrario equivale a 2d. Por consiguiente, es casi dos veces más fácil tocar la bola del contrario, en las condiciones indicadas, que pasar la ratonera.24. La ratonera impracticable
¿Qué relación debe existir entre la anchura de los aros rectangulares y el diámetro de la bola, para que sea imposible atravesar la ratonera?
Solución.
Es imposible pasar la ratonera cuando la anchura del aro sobrepasa el diámetro de la bola menos de 1,4 veces. Así se deduce de las explicaciones dadas en el problema anterior. Si los aros tienen forma de arco circular, las condiciones del paso se complican todavía más.
Capítulo 3
Once rompecabezas más
25. El bramante
26. Calcetines y guantes
27. La longevidad del cabello
28. El salario
29. Carrera de esquíes
30. Dos obreros
31. Copia de un informe
32. Dos ruedas dentadas
33. ¿Cuántos años tiene?
34. ¿Cuántos años tiene Roberto?
35. De compras
— ¿Más cordel? —preguntó la madre, sacando las manos de la tina en que lavaba—. Ayer mismo te di un buen ovillo. ¿Para qué necesitas tanto? ¿Dónde lo has metido? — ¿Dónde lo he metido? —contestó el muchacho—. Primero me cogiste la mitad...
— ¿Con qué quieres que ate los paquetes de ropa blanca?
—La mitad de lo que quedó se la llevó Tom para pescar.
—Debes ser condescendiente con tu hermano mayor.
—Lo fui. Quedó muy poquito y de ello cogió papá la mitad para arreglarse los tirantes que se le habían roto de tanto reírse con el accidente de automóvil. Luego, María necesitó dos quintos del resto, para atar no sé qué...
— ¿Qué has hecho con el resto del cordel?
— ¿Con el resto? ¡No quedaron más que 30 cm!
¿Qué longitud tenía el cordel al principio?
Solución.
Después de haber cogido la madre la mitad, quedó ½; después de cederle al hermano mayor, ¼; después de haber cortado el padre, 1/8; y después de la hermana, 1/8 · 3/5 = 3/40.
Si 30 cm constituyen los 3/40 de la longitud inicial del bramante, la longitud total equivaldrá a
30 : 3/400 cm
o sea, 4 m.26. Calcetines y guantes
En una misma caja hay diez pares de calcetines color café y diez pares negros, y en otra caja hay diez pares de guantes café y otros tantos pares negros. ¿Cuántos calcetines y guantes es necesario sacar de cada caja, para conseguir un par de calcetines y un par de guantes de un mismo color (cualquiera)?
Solución.
Bastan tres calcetines, porque dos serán siempre del mismo color. La cosa no es tan fácil con los guantes, que se distinguen no sólo por el color, sino porque la mitad de los guantes son de la mano derecha y la otra mitad de la izquierda. En este caso hará falta sacar 21 guantes. Si se sacan menos, por ejemplo 20, puede suceder que los 20 sean de una mano (por ejemplo, 10 de color café de la mano izquierda y 10 negros de la izquierda).
27. La longevidad del cabello
¿Cuántos cabellos hay por término medio, en la cabeza de una persona? Se han contado unos 150 000. Se ha determinado también que mensualmente a una persona se le caen cerca de 3000 pelos.
¿Cómo calcular cuánto tiempo dura en la cabeza cada pelo?
Solución.
Está claro que el pelo que tarda más en caer es el más reciente, es decir, el que tiene un día de edad.
Veamos al cabo de cuánto tiempo le llegará el turno de caerse. De los 150 000 pelos que hay, en un momento dado, en la cabeza, durante el primer mes caen 3000; los dos primeros meses, 6000; en el curso del primer año, 12 veces 3000, o sea, 36 000. Por consiguiente pasarán poco más de cuatro años antes de que al último pelo le llegue el turno de caerse.
28. El salario
La última semana he ganado 250 duros, incluyendo el pago por horas extraordinarias. El sueldo asciende a 200 duros más que lo recibido por horas extraordinarias. ¿Cuál es mi salario sin las horas extraordinarias?
Solución.
Sin pensarlo, muchos contestan: 200 duros. No es así, porque en ese caso, el salario fundamental sería sólo 150 duros más que lo cobrado por horas extraordinarias, y no 200 duros más.
El problema hay que resolverlo del modo siguiente. Sabemos que si sumamos 200 duros a lo cobrado por horas extraordinarias, nos resulta el salario fundamental. Por eso, si a 250 duros les sumamos 200 duros deben resultarnos dos salarios fundamentales. Pero 250 + 200 = 450. Esto es, 450 duros constituyen dos veces el salario fundamental. De aquí que un salario fundamental, sin el pago por horas extraordinarias, equivalga a 225 duros; lo correspondiente a las horas extraordinarias es lo que falta hasta 250 duros, es decir, 25 duros.
Hagamos la prueba: el salario fundamental —225 duros—sobrepasa en 200 duros lo cobrado por las horas extraordinarias, 25 duros, de acuerdo con las condiciones del problema.
29. Carrera de esquíes
Un esquiador calculó que si hacía 10 km por hora, llegaría al sitio designado una hora después del mediodía;
si la velocidad era de 15 kilómetros por hora, llegaría una hora antes del mediodía.
¿A qué velocidad debe correr para llegar al sitio exacta mente al mediodía?
Solución.
Este problema es curioso por dos razones: en primer lugar, puede sugerir la idea de que la velocidad buscada es la media entre 10 y 15 km por hora; es decir, igual a 12 ½ kilómetros por hora. No es difícil convencerse de la falsedad de esa suposición. Efectivamente, si la distancia del recorrido es a kilómetros, el esquiador, yendo a una velocidad de 15 km por hora, estará en camino a/15 horas; y si lo hace a 10 km por hora, a/10; recorriéndolo a 12 ½ km por hora, estará a/12 ½ o sea, 2a/25 horas. Pero entonces debe establecerse la igualdad:
![]()
![]()
![]()
![]()
La segunda particularidad del problema es que puede resolverse, no sólo sin ayuda de ecuaciones, sino por cálculo mental.
Hagamos el siguiente razonamiento: si el esquiador, a la velocidad de 15 km por hora, estuviera en camino dos horas más (es decir, tantas como haciendo el recorrido a 10 km por hora), recorrería 30 km más de los que recorrió en realidad. Sabemos que en una hora cubre 5 km más; estaría, pues, en camino 30 : 5 = 6 horas. De aquí que la carrera durará 6 — 2 = 4 horas, marchando a 15 km por hora. Y a su vez se averigua la distancia recorrida: 15 · 4 = 60 kilómetros.
Ahora es fácil averiguar a qué velocidad debe marchar el esquiador para llegar a la meta al mediodía en punto; en otras palabras, para emplear 5 horas en el recorrido,
60 : 5 = 12 km.
Prácticamente puede comprobarse con facilidad que la solución es exacta.
No hay camino real en matemáticas.
Euclides
Dos obreros, uno viejo y otro joven, viven en un mismo apartamento y trabajan en la misma fábrica. El joven va desde casa a la fábrica en 20 minutos; el viejo, en 30 minutos. ¿En cuántos minutos alcanzará el joven al viejo, andando ambos a su paso normal, si éste sale de casa 5 minutos antes que el joven?
Solución.
El problema puede resolverse, sin recurrir a las ecuaciones, por diversos procedimientos.
He aquí el primero: El obrero joven recorre en 5 minutos ¼ del camino, el viejo 1/6, es decir, menos que el joven en
![]()
![]()
Otro método más sencillo. Para recorrer todo el camino, el obrero viejo emplea 10 minutos más que el joven. Si el viejo saliera 10 minutos antes que el joven, ambos llegarían a la fábrica a la vez. Si el viejo ha salido sólo 5 minutos antes, el joven debe alcanzarle precisamente a mitad de camino; es decir, 10 minutos después (el joven recorre todo el camino en 20 minutos).
Son posibles otras soluciones aritméticas.
31. Copia de un informe
Encargóse a dos mecanógrafas que copiaran un informe. La que escribía más rápidamente hubiera podido cumplir el encargo en 2 horas; la otra, en 3 horas.
¿En cuánto tiempo copiarán ambas ese informe, si se distribuyen el trabajo para hacerlo en el plazo más breve posible?
Problemas de este tipo se resuelven generalmente por el método de los conocidos problemas de depósitos. O sea: en nuestro problema, se averigua qué parte del trabajo realiza en una hora cada mecanógrafa; se suman ambos quebrados y se divide la unidad por esta suma. ¿No podría usted discurrir un método diferente, nuevo, para resolver problemas semejantes?
Uno es número, pero no hace número.
Refranero
Ante todo, hagamos la pregunta: ¿cómo deben las mecanógrafas repartirse el trabajo para terminarlo a la vez? (Es evidente que el encargo podrá ser ejecutado en el plazo más breve sólo en el caso de que no haya interrupciones.) Como la mecanógrafa más experimentada escribe vez y media más rápidamente que la de menos experiencia, es claro que la parte que tiene que escribir la primera debe ser vez y media mayor que la de la segunda, y entonces ambas terminarán de escribir al mismo tiempo. De aquí se deduce que la primera deberá encargarse de copiar 3/5 del informe y la segunda 2/5.
En realidad el problema está ya casi resuelto. Sólo queda averiguar en cuánto tiempo la primera mecanógrafa realizará los 3/5 de su trabajo. Puede hacer todo su trabajo, según sabemos, en 2 horas; es decir, que lo hará en 2 ·3/5 = 1 1/5 horas. En el mismo tiempo debe realizar su trabajo la segunda mecanógrafa.
Así pues, el espacio de tiempo más breve durante el cual pueden ambas mecanógrafas copiar el informe es 1 hora 12 minutos.
32. Dos ruedas dentadas
Un piñón de 8 dientes está engranado con una rueda dentada de 24 dientes (véase la figura). Al dar vueltas la rueda grande, el piñón se mueve por la periferia.

Solución.
Si piensa usted que el piñón girará tres veces, se equivoca: dará cuatro vueltas y no tres.
Para ver claramente cómo se resuelve el problema, ponga en una hoja lisa de papel dos monedas iguales, por ejemplo de una peseta, como indica la figura. Sujetando con la mano la moneda de debajo, vaya haciendo rodar por el borde la de arriba.

Observará una cosa inesperada: cuando la moneda de arriba haya recorrido media circunferencia de la de abajo y quede situada en su parte inferior, habrá dado la vuelta completa alrededor de su eje. Esto puede comprobarse fácilmente por la posición de la cifra de la moneda. Al dar la vuelta completa a la moneda fija, la móvil tiene tiempo de girar no una vez, sino dos.
Al girar un cuerpo trazando una circunferencia, da siempre una revolución más que las que pueden contarse directamente. Por ese motivo, nuestro globo terrestre, al girar alrededor del Sol, da vueltas alrededor de su eje no 365 veces y 1/4, sino 366 y 1/4, si consideramos las vueltas en relación con las estrellas y no en relación con el Sol. Ahora comprenderá usted por qué los días siderales son más cortos que los solares.
33. ¿Cuántos años tiene?
A un aficionado a los rompecabezas le preguntaron cuántos años tenía. La contestación fue compleja:
—Tomad tres veces los años que tendré dentro de tres años, restadles tres veces los años que tenía hace tres años y resultará exactamente los años que tengo ahora. ¿Cuántos años tiene?
Solución.
La solución aritmética es bastante complicada, pero el problema se resuelve con facilidad si recurrimos al álgebra y planteamos una ecuación. Designaremos con la letra x el número de años buscado. La edad tres años después se expresará por x + 3, y la edad de 3 antes por x — 3. Tenemos la ecuación:
3(x + 3) — 3(x — 3) = x
Despejando la incógnita, resulta x = 18. El aficionado a los rompecabezas tiene ahora 18 años.Comprobémoslo: Dentro de tres años tendrá 21; hace tres años, tenía sólo 15. La diferencia
3 · 21 — 3 · 15 = 63 — 45 = 18
es decir, igual a la edad actual.34. ¿Cuántos años tiene Roberto?
—Vamos a calcularlo. Hace 18 años, recuerdo que Roberto era exactamente tres veces más viejo que su hijo.
—Espere; precisamente ahora, según mis noticias, es dos veces más viejo que su hijo.
—Y por ello no es difícil establecer cuántos años tienen Roberto y su hijo.
¿Cuántos?
Solución.
Como el problema anterior, éste se resuelve con una sencilla ecuación. Si el hijo tiene ahora x años, el padre tiene 2x. Hace 18 años, cada uno tenía 18 menos: el padre 2x — 18, el hijo x — 18. Se sabe que entonces el padre era tres veces más viejo que el hijo:
3 (x — 18) = 2x —18
Despejando la incógnita nos resulta x = 36; el hijo tiene36 años y el padre 72.
35. De compras
Al salir de compras de una tienda de París, llevaba en el portamonedas unos 15 francos en piezas de un franco y piezas de 20 céntimos. Al regresar, traía tantos francos como monedas de 20 céntimos tenía al comienzo, y tantas monedas de 20 céntimos como piezas de franco tenía antes. En el portamonedas me quedaba un tercio del dinero que llevaba al salir de compras.
¿Cuánto costaron las compras?
Solución.
Designemos el número inicial de francos sueltos por x, y el número de monedas de 20 céntimos por y. Al salir de compras, yo llevaba en el portamonedas:
(100x + 20y) céntimos.
Al regresar tenía:(100y + 20x) céntimos.
Sabemos que la última suma es tres veces menor que la primera; por consiguiente:3(100y + 20x) = 100x + 20y
Simplificando esta expresión, resulta:x = 7y
Para y = 1, x es igual a 7. Según este supuesto, yo tenía al comienzo 7 francos 20 céntimos; lo que no está de acuerdo con las condiciones del problema ("unos 15 francos"). Probemos y = 2; entonces x = 14. La suma inicial era igual a 14 francos 40 céntimos, lo que satisface las condiciones del problema.El supuesto y = 3 produce una suma demasiado grande: 21 francos 60 céntimos.
Por consiguiente, la única contestación satisfactoria es 14 francos 40 céntimos. Después de comprar, quedaban 2 francos sueltos y 14 monedas de 20 céntimos, es decir, 200 + 280 = 480 céntimos; esto, efectivamente, es un tercio de la suma inicial (1440 : 3 = 480).
Lo gastado ascendió a 1440 — 480 = 960. O sea, que el coste de las compras fue 9 francos 60 céntimos.
Contenido:
36. ¿Sabe usted contar?
37. ¿Para qué deben contarse los árboles del bosque?
La pregunta es un tanto ofensiva para una persona mayor de tres años. ¿Quién no sabe contar? No se necesita un arte especial para decir por orden "uno, dos, tres...". A pesar de todo, estoy seguro de que no siempre resuelve usted este problema, tan sencillo al parecer. Todo depende de lo que haya que contar... No es difícil contar los clavos que hay en un cajón. Pero supongamos que el cajón no contiene sólo clavos, sino clavos y tuercas revueltos, y que se precisa averiguar cuántos hay de unos y de otras. ¿Qué hacer en ese caso? ¿Va usted a colocar los clavos y las tuercas en dos montones y luego contarlos?
El mismo problema surge cuando un ama de casa ha de contar la ropa antes de darla a lavar. Primero hace montones, separando las camisas en uno, las toallas en otro, las fundas de almohada en otro, etc. Sólo después de esta labor, bastante fastidiosa, empieza a contar las piezas de cada montón.
¡Eso se llama no saber contar! Porque ese modo de contar objetos heterogéneos es bastante incómodo, complicado y algunas veces incluso irrealizable. Menos mal si lo que hay que contar son clavos o ropa blanca, porque pueden distribuirse con facilidad en montones. Pero, pongámonos en el caso de un silvicultor que necesita contar los pinos, abetos, abedules, pobos que hay por hectárea en una parcela determinada. Le es imposible clasificar los árboles y agruparlos previamente por especies. ¿En qué forma podrá hacerlo? ¿Contará primero sólo los pinos, luego sólo abetos, después los abedules, y a continuación los posos? ¿Va a recorrer la parcela cuatro veces?
¿No existe acaso un procedimiento que simplifique esa operación, y exija que se recorra la parcela una sola vez? Sí; existe ese procedimiento, y los silvicultores lo utilizan desde antiguo. Voy a exponer en qué consiste, tomando como ejemplo la operación de contar clavos y tuercas.
Para contar de una vez cuántos clavos y tuercas hay en el cajón, sin agrupar previamente los objetos de cada clase, tome un lápiz y una hoja de papel, rayada como el modelo:

El recuento de las rayas puede realizarse más fácil y rápidamente no poniéndolas simplemente una tras otra, sino agrupándolas de cinco en cinco, formando, por ejemplo, series como las indicadas en la figura.





| Pinos | 53 |
| Abetos | 79 |
| Abedules | 46 |
| Pobos | 37 |
Este mismo procedimiento utiliza el médico para contar en el microscopio el número de glóbulos rojos y leucocitos que tiene una muestra de sangre.
Al hacer la lista de la ropa blanca para lavar, el ama de casa puede proceder de igual modo, ahorrando así tiempo y trabajo.
Si tiene que contar, por ejemplo, qué plantas hay en un prado, y cuántas de cada clase, ya sabe cómo podrá hacerlo con la mayor rapidez. En una hoja de papel, escriba previamente los nombres de las plantas indicadas, destinando una casilla a cada una, y dejando algunas casillas libres de reserva para otras plantas que puedan presentarse. Empiece a contar utilizando un gráfico parecido al que se ve en la figura.

En efecto, ¿qué necesidad hay de contar los árboles del bosque? Esto, a los habitantes de las ciudades les parece incluso empresa imposible. En Ana Karenina, novela de León Tolstoi, Levin, entendido en agricultura, pregunta a un pariente suyo, desconocedor de estas cuestiones, que quiere vender un bosque:
"— ¿Has contado los árboles?"
"— ¿Qué quiere decir eso de contar los árboles? —le responde aquél, asombrado—. "Aunque una esclarecida mente podría contar las arenas y los rayos de los planetas..." "
—Claro, claro, y la esclarecida mente de Riabinin (comerciante) puede hacerlo. No hay ni un solo comerciante que los compre sin contarlos."
Se cuentan los árboles en el bosque para determinar cuántos metros cúbicos de madera hay en él. Se cuentan los árboles no del bosque entero sino de una parcela determinada de media hectárea o de un cuarto de hectárea; se elige una parcela cuyos árboles, por la cantidad, altura, grosor y especie, constituyan el término medio de los de dicho bosque. Al contar, no basta determinar el número de árboles de cada clase; hay que saber además cuántos troncos hay de cada grosor; cuántos de 25 cm. cuántos de 30 cm, cuántos de 35 cm. etc. Por ello, el registro donde va a inscribirse tendrá muchas casillas y no solo cuatro como el del ejemplo simplificado anterior. Se comprende ahora el número de veces que hubiera sido necesario recorrer el bosque para contar los árboles por un procedimiento corriente, en vez del que acabamos de explicar.
Como se ve, contar es una cosa sencilla y fácil cuando se trata de objetos homogéneos. Para contar objetos heterogéneos es preciso utilizar procedimientos especiales, como los expuestos, de cuya existencia mucha gente no tiene la menor idea.
Capítulo 5
Rompecabezas numéricos
38. Por cinco francos, cien
39. Un millar
40. Veinticuatro
41. Treinta
42. Las cifras que faltan
43. ¿Qué números son?
44. ¿Qué número hemos dividido?
45. División por 11
46. Casos singulares de multiplicación
47. Triángulo numérico
48. Otro triángulo numérico
49. Estrella mágica
Un artista de variedades, en un circo parisiense hacía al público la seductora proposición siguiente:
—Declaro ante testigos que pagaré 100 francos al que me dé cinco francos en veinte monedas; deberá haber, entre estas 20, tres clases de monedas: de 50 céntimos, de 20 céntimos y de 5 céntimos. ¡Cien francos por cinco! ¿Quién los desea?
Reinó el silencio. El público quedó sumido en reflexiones. Los lápices corrían por las hojas de las libretas de notas; pero nadie aceptaba la propuesta.
—Estoy viendo que el público considera que 5 francos es un precio demasiado elevado para un billete de 100 francos. Bien; estoy dispuesto a rebajar dos francos y a establecer un precio menor: 3 francos, en monedas del valor indicado. ¡Pago 100 francos, por 3! ¡Que se pongan en cola los que lo deseen!
Pero no se formó cola. Estaba claro que el público vacilaba en aprovecharse de aquel caso extraordinario.
— ¿Es que 3 francos les parece también mucho? Bien; rebajo un franco más; abonen, en las indicadas monedas, sólo 2 francos, y entregaré cien francos al que lo haga.
Como nadie se mostrara dispuesto a realizar el cambio, el artista continuó:
— ¡Quizá no tengan ustedes dinero suelto! No se preocupen; pueden dejarlo a deber. ¡Denme sólo escrito en un papel cuántas monedas de cada clase se comprometen a traer!
Por mi parte, estoy dispuesto a pagar también cien francos a todo lector que me envíe por escrito la lista correspondiente.
Solución.
Ninguno de los tres problemas tiene solución y tanto el artista como yo hemos podido sin riesgo alguno prometer cualquier premio por la solución de los mismos. Para convencerse de ello, recurramos al álgebra.
Pagando 5 francos. Supongamos que sea posible y que para hacerlo han hecho falta x monedas de 50 céntimos, y de 20 céntimos y z de 5. Tendremos la ecuación:
50x + 20y + 5z = 500
Dividiendo todos los términos por 5, resulta:10x + 4y + z = 100
Además, como el número total de monedas, según las condiciones del problema, equivale a 20, se puede formar otra ecuación con los números x, y, z.x + y + z = 20
Restando esta ecuación de la que hemos obtenido antes nos resulta:9x + 3y = 80
Dividiendo por 3, tenemos:3x + y = 26 2/3
Pero 3x —tres veces el número de monedas de 50 céntimos—es un número entero. El número de monedas de 20 céntimos —y— es asimismo un número entero. La suma de dos enteros no puede ser nunca un número mixto (26 2/3). Nuestro supuesto de que el problema tenía solución nos lleva, como se ve, al absurdo. El problema, pues, no tiene solución.El lector, siguiendo este procedimiento, se convence de que los otros dos problemas después de la rebaja —abonando 3 y 2 francos— tampoco tienen solución. El primero nos lleva a la ecuación:
3x + y = 13 1/3
y el segundo a:3x + y = 6 2/3
Ambos son insolubles, pues deben ser expresados en números enteros.Como ve usted, el artista no arriesgaba nada al ofrecer importantes sumas por la solución de estos problemas; nunca habrá de entregar los premios ofrecidos.
Otra cosa sería si se propusiera abonar, por ejemplo, 4 francos a base de las 20 monedas del tipo indicado, en vez de 5, 3 ó 2.
El problema se resolvería fácilmente por siete procedimientos distintos. He aquí una de las posibles soluciones: 6 monedas de 50 céntimos, 2 de 20 céntimos y 12 de 5 céntimos.
39. Un millar
¿Puede usted expresar el número 1000 utilizando ocho cifras iguales? (Además de las cifras se permite utilizar también los signos de las operaciones.)
Solución.
888 + 88 + 8 + 8 + 8 = 1000
40. VeinticuatroEs fácil expresar el número 24 por medio de tres ochos: 8 + 8 + 8. ¿Podrá hacerse esto mismo utilizando no el ocho, sino otras tres cifras iguales? El problema tiene más de una solución.
Solución.
He aquí dos soluciones:
22 + 2 = 24; → 33 — 3 = 24
41. TreintaEl número 30 es fácil expresarlo con tres cincos: 5 · 5 + 5. Es más difícil hacer esto mismo con otras tres cifras iguales. Pruébelo. ¿No lograría encontrar varias soluciones?
Solución.
Indicamos tres soluciones:
6 · 6 — 6 = 30; → 33 + 3 = 30; → 33 — 3 = 30
42. Las cifras que faltanEn la siguiente multiplicación, más de la mitad de las cifras están sustituidas por asteriscos.
| * | 1 | * | ||||
| X | 3 | * | 2 | |||
| * | 3 | * | ||||
| 3 | * | 2 | * | |||
| + | * | 2 | * | 5 | ||
| 1 | * | 8 | * | 3 | 0 |
¿Podría reponer las cifras que faltan?
Solución.
Las cifras que faltan se restablecen poco a poco, utilizando el siguiente método deductivo:
Para mayor comodidad numeremos las filas:
| * | 1 | * | I | ||||||
| X | 3 | * | 2 | II | |||||
| * | 3 | * | III | ||||||
| 3 | * | 2 | * | IV | |||||
| * | 2 | * | 5 | V | |||||
| 1 | * | 8 | * | 3 | 0 | VI |
Es fácil determinar que el último asterisco de la línea III es un 0; se ve claramente, por ser también un O la última cifra de la fila VI.
A continuación se determina el valor del último asterisco de la fila I; es una cifra que multiplicada por 2, da un número que termina en 0, y al multiplicarla por 3 da un número terminado en 5 (fila V). El 5 es la única cifra posible.
No es difícil adivinar qué se oculta tras el asterisco de la fila II: un 8, porque sólo al multiplicar este número por el 15 da de producto un número terminado en 20 como el que tenemos (fila IV).
Finalmente, está claro el valor del primer asterisco de la fila I: es 4, porque sólo este número multiplicado por 8 da un producto que empieza por 3 (fila IV).
No presenta dificultad alguna averiguar las restantes cifras desconocidas: basta multiplicar los números de las dos primeras filas, determinados ya.
Resulta la multiplicación siguiente:
| 4 | 1 | 5 | |||
| X | 3 | 8 | 2 | ||
| 8 | 3 | 0 | |||
| 3 | 3 | 2 | 0 | ||
| 1 | 2 | 4 | 5 | ||
| 1 | 5 | 8 | 5 | 3 | 0 |
43. ¿Qué números son?
He aquí otro problema del mismo tipo. Se pide la reposición de los números en la multiplicación siguiente:
| * | * | 5 | |||
| X | 1 | * | * | ||
| 2 | * | * | 5 | ||
| + | 1 | 3 | * | 0 | |
| * | * | * | |||
| 4 | * | 7 | 7 | * |
Los dioses gustan de los números impares.
Virgilio
El valor que sustituye los asteriscos en este problema se averigua siguiendo un procedimiento deductivo semejante al que ya hemos utilizado para la resolución del problema anterior.
Resulta:
| 3 | 2 | 5 | |||
| X | 1 | 4 | 7 | ||
| 2 | 2 | 7 | 5 | ||
| + | 1 | 3 | 0 | 0 | |
| 3 | 2 | 5 | |||
| 4 | 7 | 7 | 7 | 5 |
44. ¿Qué número hemos dividido?
Repongan las cifras que faltan en la división:
| * | 2 | * | 5 | * | 3 | 2 | 5 | |
| - | * | * | * | 1 | * | * | ||
| * | 0 | * | * | |||||
| - | * | 9 | * | * | ||||
| * | 5 | * | ||||||
| - | * | 5 | * |
Solución.
He aquí la división que se buscaba:
| 5 | 2 | 6 | 5 | 0 | 3 | 2 | 5 | |
| - | 3 | 2 | 5 | 1 | 6 | 2 | ||
| 2 | 0 | 1 | 5 | |||||
| - | 1 | 9 | 5 | 0 | ||||
| 6 | 5 | 0 | ||||||
| - | 6 | 5 | 0 |
45. División por 11
Escriba un número de 9 cifras, sin que se repita ninguna de ellas (es decir, que todas las cifras sean diferentes), y que sea divisible por 11.
Escriba el mayor de todos los números que satisfaga estas condiciones.
Escriba el menor de todos ellos.
Solución.
Para resolver este problema hay que saber en qué casos es un número divisible por 11. Un número es divisible por 11 si la diferencia entre la suma de los valores absolutos de las cifras colocadas en los lugares pares y la suma de los valores de las colocadas en los lugares impares, es divisible por 11 o igual a cero.
Por ejemplo, hagamos la prueba con el número 23 658 904. La suma total de las cifras colocadas en los lugares pares es:
3 + 5 + 9 + 4 = 21
La suma de las cifras colocadas en los lugares impares es:2 + 6 + 8 + 0 = 16
La diferencia entre estas sumas (hay que restar del número mayor el menor) es:21— 16 = 5
Esta diferencia (5) no se divide por 11, lo que quiere decir que el número no es divisible por 11. Probemos el número 7 344 535:3 + 4 + 3 = 10
7 + 4 + 5 + 5 = 21
21 — 10 = 11
Ahora ya nos es fácil determinar en qué orden hay que escribir las nueve cifras para que resulte un múltiplo de 11 y para satisfacer lo que el problema exige. Por ejemplo:
352 049 786.
Hagamos la prueba:3 + 2 + 4 + 7 + 6 = 22
5 + 0 + 9 + 8 = 22
El mayor de todos los números pedidos es:
987 652 413
Y el menor:102 347 586.
46. Casos singulares de multiplicaciónFíjese en esta multiplicación de dos números:
48 · 159 = 7632
En ella participan las 9 cifras significativas.¿Podría usted encontrar algunos otros ejemplos semejantes? En caso afirmativo, ¿cuántos hay?
Solución.
Un lector paciente puede encontrar nueve casos distintos de esta clase de multiplicación. Son los siguientes:
| 12 · 483 = 5796 |
| 42 · 138 = 5796 |
| 18 · 297 = 5346 |
| 27 · 198 = 5346 |
| 39 · 186 = 7254 |
| 48 · 159 = 7632 |
| 28 · 157 = 4396 |
| 4 · 1738 = 6952 |
| 4 · 1963 = 7852 |
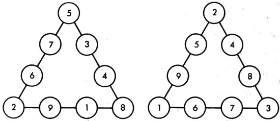
47. Triángulo numérico
En los circulitos de este triángulo (véase la figura) coloque las nueve cifras significativas en forma tal que la suma de cada lado sea 20.

Hay que distribuir las cifras significativas en los círculos del mismo triángulo (véase la figura) de modo que la suma en cada lado sea 17.
El poder del número se respeta más y más cuanto menos se comprende.
Voltaire
Las figuras muestran las soluciones. Las cifras del centro de cada fila pueden permutarse entre sí y de ese modo se obtienen algunas soluciones más.

La estrella numérica de seis puntas dibujada en la figura tiene una propiedad mágica: las seis filas de números dan una misma suma:
| 4+6+ 7+9=26 | 11+ 6+ 8+1=26 |
| 4+8+12+2=26 | 11+ 7+ 5+3=26 |
| 9+5+10+2=26 | 1+12+10+3=26 |
La suma de los números colocados en las puntas de la estrella, es diferente:
4 + 11 + 9 + 3 + 2 + 1 = 30

Solución.
Para establecer con más facilidad la busca de la colocación de los números pedida, nos guiaremos por los siguientes cálculos:
La suma buscada de los números de las puntas de la estrella equivale a 26; la suma de todos los números de la estrella es igual a 78. Es decir, que la suma de los números del hexágono interior equivale a 78 — 26 = 52.
La suma de los números de cada lado es 26; si sumamos los tres lados obtendremos 26 x 3 = 78; sin olvidar que cada número situado en un ángulo se cuenta dos veces. Como la suma de los tres pares interiores (es decir, del hexágono interior) debe ser, según sabemos, igual a 52, resulta que la suma duplicada de los números de los ángulos de cada triángulo equivale a 78 — 52 = 26; la suma sencilla será, pues, igual a 13.
El número de combinaciones queda así considerablemente reducido. Por ejemplo, sabemos que ni el 12 ni el 11 pueden ocupar las puntas de la estrella (¿por qué?). Esto quiere decir que podemos empezar a probar con el número 10, con lo cual se determina en seguida qué otros dos números deben ocupar los restantes vértices del triángulo: 1 y 2. Siguiendo este camino, encontramos definitivamente la distribución que nos piden. Es la indicada en la figura.

Capítulo 6
Relatos de números gigantes
50. Un trato ventajoso
51. Propagación de los rumores en una ciudad
52. Avalancha de bicicletas baratas
53. La recompensa
54. Leyenda sobre el tablero del ajedrez
55. Reproducción rápida de las plantas y de los animales
56. Una comida gratis
57. Juego con monedas
58. La apuesta
59. Números gigantes que nos rodean y que existen en nuestro organismo
No se sabe cuándo ni dónde ha sucedido esta historia. Es posible que ni siquiera haya sucedido; esto es seguramente lo más probable. Pero sea un hecho o una invención, la historia que vamos a relatar es bastante interesante y vale la pena escucharla.
Un millonario regresaba muy contento de un viaje, durante el cual había tenido un encuentro feliz que le prometía grandes ganancias.
"A veces ocurren estas felices casualidades —contaba a los suyos—. No en balde se dice que el dinero llama al dinero. He aquí que mi dinero atrae más dinero. ¡Y de qué modo tan inesperado! Tropecé en el camino con un desconocido, de aspecto muy corriente. No hubiera entablado conversación si él mismo no me hubiera abordado en cuanto supo que yo era hombre adinerado. Y al final de nuestra conversación, me propuso un negocio tan ventajoso, que me dejó atónito.
Hagamos —me dijo— el siguiente trato. Cada día, durante todo un mes le entregaré cien mil pesetas. Claro que no voy a hacerlo gratis, pero el pago es una nimiedad. El primer día yo debía pagarle, según el trato —risa da decirlo—, sólo un céntimo.
No di crédito a lo que oía:
¿Un céntimo? —le pregunté de nuevo.
Un céntimo —contestó—. Por las segundas cien mil pesetas, pagará usted dos céntimos.
—Bien —dije impaciente—. ¿Y después?
—Después, por las terceras cien mil pesetas, 4 céntimos; por las cuartas, 8; por las quintas, 16. Así durante todo el mes; cada día pagará usted el doble que anterior.

Un sólo céntimo
—Eso es todo —dijo—, no le pediré nada más. Pero debe usted mantener el trato en todos sus puntos; todas las mañanas le llevaré cien mil pesetas y usted me pagará lo estipulado. No intente romper el trato antes de finalizar el mes.
¡Entregar cientos de miles de pesetas por céntimos! ¡A no ser que el dinero sea falso —pensé— este hombre está loco! De todos modos, es un negocio lucrativo y no hay que dejarlo escapar.
—Está bien —le contesté—. Traiga el dinero. Por mi parte, pagaré puntualmente. Y usted, no me venga con engaños; traiga dinero bueno.
—Puede estar tranquilo —me dijo—; espéreme mañana por la mañana.
Sólo una cosa me preocupaba: que no viniera. ¡Que pudiera darse cuenta de lo ruinoso que era el negocio que había emprendido! Bueno, ¡esperar un día, al fin y al cabo no era mucho!
Transcurrió aquel día. Por la mañana temprano del día siguiente, el desconocido que el rico había encontrado en el viaje, llamó a la ventana.
— ¿Ha preparado usted el dinero? —dijo—; yo he traído el mío.
Y efectivamente, una vez en la habitación, el extraño personaje empezó a sacar el dinero; dinero bueno, nada tenía de falso. Contó cien mil pesetas justas y dijo:

El desconocido llama
El rico puso sobre la mesa un céntimo de cobre y esperó receloso a ver si el huésped tomaría la moneda o se arrepentiría, exigiendo que le devolviera el dinero. El visitante miró el céntimo, lo sopesó y se lo metió en el bolsillo.
—Espéreme mañana a la misma hora. No se olvide de proveerse de dos céntimos —dijo, y se fue.
El rico no daba crédito a su suerte: ¡cien mil pesetas que le habían caído del cielo! Contó de nuevo el dinero y convencióse de que no era falso. Lo escondió y púsose a esperar la paga del día siguiente.
Por la noche le entraron dudas; ¿no se trataría de un ladrón que se fingía tonto para observar dónde escondía el dinero y luego asaltar la casa acompañado de una cuadrilla de bandidos?
El rico cerró bien las puertas, estuvo mirando y escuchando atentamente por la ventana desde que anocheció, y tardó mucho en quedarse dormido. Por la mañana sonaron de nuevo golpes en la puerta; era el desconocido que traía el dinero. Contó cien mil pesetas, recibió sus dos céntimos, se metió la moneda en el bolsillo y marchóse diciendo: —Para mañana prepare cuatro céntimos; no se olvide. El rico se puso de nuevo contento; las segundas cien mil pesetas, le habían salido también gratis. Y el huésped no parecía ser un ladrón: no miraba furtivamente, no observaba, no hacía más que pedir sus céntimos. ¡Un extravagante! ¡Ojalá hubiera muchos así en el mundo para que las personas inteligentes vivieran bien...!
El desconocido presentóse también el tercer día y las terceras cien mil pesetas pasaron a poder del rico a cambio de cuatro céntimos.
Un día más, y de la misma manera llegaron las cuartas cien mil pesetas por ocho céntimos.
Aparecieron las quintas cien mil pesetas por 16 céntimos. Luego las sextas, por 32 céntimos.
A los siete días de haber empezado el negocio, nuestro rico había cobrado ya setecientas mil pesetas y pagado la nimiedad de: 1 céntimo +2 céntimos +4 céntimos +8 céntimos +16 céntimos +32 céntimos +64 céntimos =1 peseta y 27 céntimos.
Agradó esto al codicioso millonario, que sintió haber hecho el trato sólo para un mes. No podría recibir más de tres millones. ¡Si pudiera convencer al extravagante aquel de que prolongara el plazo aunque sólo fuera por quince días más! Pero temía que el otro se diera cuenta de que regalaba el dinero.
El desconocido se presentaba puntualmente todas las mañanas con sus cien mil pesetas. El 8° día recibió 1 peseta 28 céntimos; el 9°, 2 pesetas 56 céntimos; el 10°, 5 pesetas 12 céntimos; el 11°, 10 pesetas 24 céntimos; el 12°, 20 pesetas 48 céntimos; el 13°, 40 pesetas 96 céntimos; el 14°, 81 pesetas 92 céntimos.
El rico pagaba a gusto estas cantidades; había cobrado ya un millón cuatrocientas mil pesetas y pagado al desconocido sólo unas 150 pesetas.
Solución.
Puede comprenderse que la alegría del rico no duró mucho; pronto empezó a comprender que el extraño huésped no era un simplón, ni el negocio que había concertado con él era tan ventajoso como le había parecido al principio. A partir del decimoquinto día, por las cien mil pesetas correspondientes hubo de pagar no céntimos, sino cien tos de pesetas, y las cantidades a pagar aumentaban rápidamente. En efecto, el rico, por la segunda mitad del mes, pagó:
| por las 15.°s cien mil pesetas | 163 ptas. 84 ctms. |
| por las 16.°s cien mil pesetas | 327 ptas. 68 ctms. |
| por las 17.°s cien mil pesetas | 655 ptas. 36 ctms. |
| por las 18.°s cien mil pesetas | 1.310 ptas. 72 ctms. |
| por las 19.°s cien mil pesetas | 2.621 ptas. 44 ctms. |
Sin embargo, el rico consideraba que no sufría pérdidas ni mucho menos. Aunque había pagado más de cinco mil pe setas, había recibido 1 800 000 pesetas.
No obstante, las ganancias disminuían de día en día, cada vez con mayor rapidez.
| por las 20.°s cien mil pesetas | 5.242 ptas. 88 ctms. |
| por las 21.°s cien mil pesetas | 10.485 ptas. 76 ctms. |
| por las 22.°s cien mil pesetas | 20.971 ptas. 52 ctms. |
| por las 23.°s cien mil pesetas | 41.943 ptas. 4 ctms. |
| por las 24.°s cien mil pesetas | 83.886 ptas. 8 ctms. |
| por las 25.°s cien mil pesetas | 167.772 ptas. 16 ctms. |
| por las 26.°s cien mil pesetas | 335.544 ptas. 32 ctms. |
| por las 27.°s cien mil pesetas | 671.088 ptas. 64 ctms. |
Tenía que pagar ya más de 10 que recibía. ¡Qué bien le hubiera venido pararse! Pero no podía rescindir el con trato.
La continuación fue todavía peor. El millonario se convenció, demasiado tarde, de que el desconocido había sido más astuto que él y recibiría mucho más dinero que el que había de pagar.
A partir del día 28, el rico hubo de abonar millones. Por fin, los dos últimos días lo arruinaron. He aquí estos enormes pagos:
| por las 28.°s cien mil pesetas | 1 342 177 ptas. 28 ctms. |
| por las 29.°s cien mil pesetas | 2 684 354 ptas. 56 ctms. |
| por las 30.°s cien mil pesetas | 5 368 709 ptas. 12 ctms. |
Cuando el huésped se marchó definitivamente, el millonario sacó la cuenta de cuánto le habían costado los tres millones de pesetas a primera vista tan baratos. Resultó que había pagado al desconocido 10 737 418 pesetas 23 céntimos. Casi once millones de pesetas. Y eso que había empezado pagando un céntimo. El desconocido hubiera podido llevar diariamente trescientas mil pesetas, y con todo, no hubiera perdido nada.
Antes de terminar esta historia, voy a indicar el procedimiento de acelerar el cálculo de las pérdidas de nuestro millonario; en otras palabras, cómo puede hacerse la suma de la serie de números:
1 + 2 + 4 + 8 + 16 + 32 + 64 +...
No es difícil observar la siguiente particularidad de estos números:| 1 = | 1 |
| 2 = | 1 + 1 |
| 4 = | (1 + 2) + 1 |
| 8 = | (1 + 2 + 4) + 1 |
| 16 = | (1 + 2 + 4 — f — 8) + 1 |
| 32 = | (1 + 2 + 4 + 8 + 16) + 1, |
| ... | ... |
Vemos que cada uno de los números de esta serie es igual al conjunto de todos los anteriores sumados más una unidad. Por eso, cuando hay que sumar todos los números de una serie de éstas, por ejemplo, desde 1 hasta 32 768, bastará añadir al último número (32 768) la suma de todos los anteriores. En otras palabras, le añadimos ese mismo último número restándole previamente la unidad (32 768 — 1). Resulta 65 535.
Siguiendo este método pueden calcularse las pérdidas de nuestro millonario con mucha rapidez si sabemos cuánto ha pagado la última vez. El último pago fue de 5 368 709 pesetas 12 céntimos. Por eso, sumando 5 368 709 pesetas 12 céntimos y 5 368 709 pesetas 11 céntimos, obtendremos inmediatamente el resultado buscado 10 737 418 pesetas 23 céntimos.
51. Propagación de los rumores en una ciudad
¡Es sorprendente cómo se difunde un rumor entre el vecindario de una ciudad! A veces, no han transcurrido aún dos horas desde que ha ocurrido un suceso, visto por algunas personas, cuando la novedad ha recorrido ya toda la ciudad; todos lo conocen, todos lo han oído. Esta rapidez parece sorprendente, sencillamente maravillosa.

El vecino de la capital trae una noticia de interés general
Examinemos, como ejemplo, el siguiente caso.
A las ocho de la mañana, llegó a una ciudad de 50 000 habitantes un vecino de la capital de la nación, trayendo una nueva de interés general. En la casa donde se hospedó, el viajero comunicó la noticia a sólo tres vecinos de la ciudad; convengamos que esto transcurrió en un cuarto de hora, por ejemplo.
Así, pues, a las ocho y cuarto de la mañana conocían la noticia, en la ciudad, sólo cuatro personas; el recién llegado y tres vecinos.
Conocida la noticia, cada uno de estos tres vecinos se apresuró a comunicarla a tres más, en lo que emplearon también un cuarto de hora. Es decir, que a la media hora de haber llegado la noticia, la conocían en la ciudad
4 + (3 · 3) = 13 personas.
Cada uno de los nuevos conocedores la comunicó en el siguiente cuarto de hora a otros 3 ciudadanos; así que a las 8,45 de la mañana, conocían la noticia13 + (3 · 9) = 40 ciudadanos.
Solución.Si se continuase de este modo difundiéndose el rumor por la ciudad, es decir, si cada uno que lo oiga logra comunicárselo a tres ciudadanos más en el cuarto de hora siguiente, la ciudad irá enterándose de la noticia de acuerdo con el horario que sigue:
| a las 9,00 conocen la noticia 40 + (3 · 27) | = 121 personas |
| a las 9,15 conocen la noticia 121 + (3 · 81) | = 364 personas |
| a las 9,30 conocen la noticia 364 + (3 · 243) | = 1093 personas |
A la hora y media de haber aparecido la noticia en la ciudad, la conocen, como vemos, unas 1 100 personas en total.
Puede parecer poco para una población de 50 000 habitantes y cabe pensar que la noticia no llegará pronto a ser conocida de todos los habitantes. Sin embargo, observemos la difusión futura del rumor:
| a las 9,45 conocen la noticia 1 093 + (3 · 729) | = 3.280 personas |
| a las 10,00 conocen la noticia 3280 + (3 · 2187) | = 9.841 personas |
Un cuarto de hora después, más de la mitad de la población estará ya enterada:
9841 + (3 · 6561) = 29524
Esto indica que antes de las diez y media de la mañana, absolutamente todos los ciudadanos de la populosa ciudad conocerán la noticia que a las 8 de la mañana sabía sólo una persona.
Cada uno comunica la noticia a otras tres personas
1 + 3 + (3 · 3) + (3 · 3 · 3) + (3 · 3 · 3 · 3), etc.
¿No puede averiguarse esta suma más brevemente, como hemos hecho antes con la suma de los números de la serie 1 + 2 + 4 + 8, etcétera? Es posible si tomamos en consideración la siguiente propiedad de los sumandos:| 1 = | 1 |
| 3 = | 1 · 2 + 1 |
| 9 = | (1 + 3) · 2 + 1 |
| 27 = | (1 + 3 + 9) · 2 + 1 |
| 81 = | (1 + 3 + 9 + 27) · 2 + 1 |
| ... | ... |
En otras palabras, cada número de esta serie es igual al doble de la suma de todos los números anteriores más una unidad.
De aquí se deduce que para encontrar la suma de todos los términos de la serie, desde uno hasta cualquier término, basta agregar a este número su mitad (habiendo restado previamente al último término la unidad). Por ejemplo, la suma de los números
1 + 3 + 9 + 27 + 81 + 243 + 729
es igual a 729 más la mitad de 728; es decir, 729 + 364 = 1093. En el caso concreto a que nos referimos, cada vecino que sabía la noticia la comunicaba sólo a tres ciudadanos.
A las diez y media todos conocen la noticia

Proceso de difusión de un rumor
| a las 8 | 1 | = 1 persona |
| a las 8,15 | 1 + 5 | = 6 personas |
| a las 8,30 | 6 + (5 · 5) | = 31 personas |
| a las 8,45 | 31 + (25 · 5) | = 156 personas |
| a las 9 | 781 + (625 · 5) | = 781 personas |
| a las 9,15 | 156 + (125 · 5) | = 3 906 personas |
| a las 9,30 | 3906 + (3125 · 5) | = 19 531 personas |
Antes de las 9,45 de la mañana era ya conocida por los 50 000 habitantes de la ciudad.
El rumor se difunde todavía con mayor rapidez si cada uno de los que lo escuchan transmite la noticia a 10. Entonces resulta la curiosa serie de números:
| a las 8 | 1 | = 1 persona |
| a las 8,15 | 1 + 10 | = 11 personas |
| a las 8,30 | 11 + 100 | = 111 personas |
| a las 8,45 | 111 + 1 000 | = 1 111 personas |
| a las 9 | 1 111 + 10 000 | = 11 111 personas |
El número siguiente de esta serie será evidentemente 111 111; lo que indica que toda la ciudad conoce la noticia poco después de las nueve de la mañana.
52. Avalancha de bicicletas baratas
En diversos países y épocas ha habido comerciantes que han recurrido a un método bastante original para despachar sus mercancías de mediana calidad. Empezaban por publicar en periódicos y revistas de gran difusión el anuncio que reproducimos.
| ¡Una bicicleta por diez duros! Cualquiera puede adquirir una bicicleta, invirtiendo sólo 10 duros. ¡Aproveche esta ocasión única! 10 duros en vez de 50. REMITIMOS GRATUITAMENTE EL PROSPECTO CON LAS CONDICIONES DE COMPRA. |
Había no pocas personas que, seducidas por el fascinador anuncio, solicitaban las condiciones de esa compra extraordinaria. En contestación al pedido, cada persona recibía un prospecto extenso que decía lo siguiente:
Por el momento, por 10 duros no se le enviaba la bicicleta, sino sólo cuatro billetes, que tenía que distribuir, a 10 duros, entre cuatro conocidos suyos. Los 40 duros recogidos debía remitirlos a la empresa y entonces le mandaban la bicicleta; es decir, que al comprador le costaba efectivamente 10 duros y los otros 40 no los sacaba de su bolsillo. Cierto que además de los 10 duros al contado, el comprador de la bicicleta tenía que soportar algunas molestias para vender los billetes entre los conocidos, mas este pequeño trabajo no valía la pena de tenerlo en cuenta.
¿Qué billetes eran éstos? ¿Qué beneficios alcanzaba el que los compraba por 10 duros? Obtenía el derecho de que se los cambiara la empresa por otros cinco billetes iguales; en otras palabras, adquiría la posibilidad de reunir 50 duros para comprar una bicicleta, que le costaba a él, por consiguiente, sólo 10 duros, es decir, el precio del billete. Los nuevos tenedores de billetes, a su vez, recibían de la empresa cinco billetes cada uno para difundirlos, y así sucesivamente.
A primera vista, daba la sensación de que en todo esto no había engaño alguno. Las promesas del anuncio quedaban cumplidas; la bicicleta, en efecto, costaba al comprador 10 duros. Y la casa no tenía pérdidas; cobraba por la mercancía el precio completo.
Solución.
Sin embargo, este tipo de negocio era un verdadero fraude. La avalancha, como se llamó a ese negocio sucio, o la bola de nieve, como la denominaban los franceses, causaba pérdidas a los numerosos participantes que no conseguían vender los billetes comprados. Esos eran los que pagaban a la empresa la diferencia entre los 50 duros del precio de la bicicleta y los 10 que se pagaban por ella. Tarde o temprano, llegaba infaliblemente un momento en que los poseedores de billetes no podían encontrar a nadie dispuesto a adquirirlos. De que esto tenía indefectiblemente que ocurrir así, se convencerán ustedes si tomando un lápiz, siguen el curso del proceso y anotan el ímpetu creciente del número de personas arrastradas por la avalancha.
El primer grupo de compradores que recibe sus billetes directamente de la casa, de ordinario, encuentra compradores sin esfuerzo alguno; cada uno facilita billetes a cuatro nuevos participantes.
Estos cuatro deben vender sus billetes a 4 · 5, es decir, a otros 20, convenciéndoles de las ventajas de esa compra. Supongamos que lo consigan, y ya tenemos reclutados 20 compradores.
La avalancha avanza. Los 20 nuevos dueños de billetes deben distribuirlos a 20 · 5 = 100 personas más.
Hasta este momento, cada uno de los fundadores de la avalancha ha arrastrado a ella a
1 + 4 + 20 + 100 = 125 personas.
de las cuales 25 han recibido una bicicleta cada uno, y 100 sólo la esperanza de adquirirla, por la que han pagado 10 duros.La avalancha, en ese momento, sale del estrecho círculo de las personas conocidas y empieza a extenderse por la ciudad, donde, sin embargo, es cada vez más difícil encontrar nuevos compradores de billetes. El indicado centenar de poseedores de billetes debe venderlos a 500 ciudadanos más, los que a su vez habrán de reclutar 2500 nuevas víctimas. La ciudad queda muy pronto inundada de billetes, y resulta bastante difícil encontrar nuevas personas dispuestas y deseosas de comprarlos.
Ya ven ustedes que el número de personas arrastradas por la avalancha crece en virtud de la misma ley matemática que acabamos de examinar al referirnos a la divulgación de rumores. He aquí la pirámide numérica que resulta:
1
4
20
100
500
2 500
12 500
62 500
Una ciudad de población más numerosa, incluso una capital de varios millones de habitantes, puede saturarse de billetes prometedores al cabo de pocas vueltas, ya que la magnitud de la avalancha aumenta con rapidez increíble.
312 500
1 562 500
7 812 500
39 062 500
53. La recompensa
Según una leyenda, tomada de un manuscrito latino antiguo, que pertenece a una biblioteca particular inglesa, sucedió en la Roma antigua, hace muchos siglos, lo siguiente. El jefe militar Terencio llevó a cabo felizmente, por orden del emperador, una campaña victoriosa, y regresó a Roma con gran botín. Llegado a la capital, pidió que le dejaran ver al emperador.
Este le acogió cariñosamente, alabó sus servicios militares al Imperio, y como muestra de agradecimiento, ofrecióle como recompensa darle un alto cargo en el Senado.
Más Terencio, al que eso no agradaba, le replicó:
—He alcanzado muchas victorias para acrecentar tu poderío y nimbar de gloria tu nombre, ¡oh, soberano! No he tenido miedo a la muerte, y muchas vidas que tuviera las sacrificaría con gusto por ti. Pero estoy cansado de luchar; mi juventud ya ha pasado y la sangre corre más despacio por mis venas. Ha llegado la hora de descansar; quiero trasladarme a la casa de mis antepasados y gozar de la felicidad de la vida doméstica.
— ¿Qué quisieras de mí, Terencio? —le preguntó el emperador.
— ¡Óyeme con indulgencia, oh, soberano! Durante mis largos años de campaña, cubriendo cada día de sangre mi espada, no pude ocuparme de crearme una posición económica. Soy pobre, soberano...
Continúa, valiente Terencio.
—Si quieres otorgar una recompensa a tu humilde servidor —continuó el guerrero, animándose—, que tu generosidad me ayude a que mi vida termine en la paz y la abundancia, junto al hogar. No busco honores ni una situación elevada en el poderoso Senado. Desearía vivir alejado del poder y de las actividades sociales para descansar tranquilo. Señor, dame dinero con que asegurar el resto de mi vida.
El emperador —dice la leyenda— no se distinguía por su largueza. Le gustaba ahorrar para sí y cicateaba el dinero a los demás. El ruego del guerrero le hizo meditar.
— ¿Qué cantidad, Terencio, considerarías suficiente? —le preguntó.
—Un millón de denarios, Majestad.
El emperador quedó de nuevo pensativo. El guerrero esperaba, cabizbajo. Por fin el emperador dijo:

Tomarás una moneda de cobre
Terencio se inclinó y retiróse.
Al día siguiente, a la hora convenida, el guerrero se presentó en el palacio del emperador.
— ¡Ave, valiente Terencio! —le dijo el emperador.
Terencio bajó sumiso la cabeza.
—He venido, Majestad, para oír tu decisión. Benévolamente me prometiste una recompensa.
El emperador contestó:
—No quiero que un noble guerrero como tú, reciba, en premio a sus hazañas, una recompensa mezquina. Escúchame. En mi tesorería hay cinco millones de bras de cobre (moneda que valía la quinta parte de un denario). Escucha mis palabras: ve a la tesorería, coge una moneda, regresa aquí y deposítala a mis pies. Al día siguiente vas de nuevo a la tesorería, coges una nueva moneda equivalente a dos bras y la pones aquí junto a la primera. El tercer día traerás una moneda equivalente a 4 bras; el cuarto día, una equivalente a 8 bras; el quinto, a 16, y así sucesivamente, duplicando cada vez el valor de la moneda del día anterior. Yo daré orden de que cada día preparen la moneda del valor correspondiente. Y mientras tengas fuerzas suficientes para levantar las monedas, las traerás desde la tesorería. Nadie podrá ayudarte; únicamente debes utilizar tus fuerzas. Y cuando notes que ya no puedes levantar la moneda, detente: nuestro convenio se habrá cumplido, y todas las monedas que hayas logrado traer, serán de tu propiedad y constituirán tu recompensa.
Terencio escuchaba ávidamente cada palabra del emperador. Imaginaba el enorme número de monedas, a cada una mayor que la anterior, que sacaría de la tesorería imperial.
—Me satisface tu merced, Majestad —contestó con sonrisa feliz—, ¡la recompensa es verdaderamente generosa!
Solución.
Empezaron las visitas diarias de Terencio a la tesorería imperial. Esta se hallaba cerca del salón del trono, y los primeros viajes no costaron esfuerzo alguno a Terencio.
El primer día sacó de la tesorería un solo bras. Era una pequeña monedita de 21 mm de diámetro y 5 g de peso. (Peso y tamaño aproximados de una moneda de 5 pesetas, acuñada en nuestros días.)
El segundo, tercero, cuarto, quinto y sexto viajes fueron también fáciles: el guerrero trasladó monedas que pesaban 2, 4, 8, 16 y 32 veces más que la primera.
La séptima moneda pesaba 320 gramos —según el sistema moderno de pesas y medidas— y tenía 8 cm de diámetro (84 mm exactamente).
El octavo día, Terencio hubo de sacar de la tesorería una moneda correspondiente a 128 unidades monetarias. Pesaba 640 gramos y tenía unos 10,50 cm de anchura.

La séptima moneda y la novena moneda

La undécima, decimotercera y decimoquinta moneda
El emperador, que hasta aquel entonces había contemplado afablemente al guerrero, no disimulaba ya su triunfo. Veía que Terencio había hecho 12 viajes y sacado de la tesorería poco más de 2000 monedas de cobre.
El día decimotercero esperaba a Terencio una moneda equivalente a 4096 unidades monetarias. Tenía unos 34 cm de ancho y su peso era igual a 20,5 kg.
El día decimocuarto, Terencio sacó de la tesorería una pesada moneda de 41 kg de peso y unos 42 cm de anchura.
— ¿Estás ya cansado, mi valiente Terencio? —le preguntó el emperador, reprimiendo una sonrisa.
—No, señor mío —contestó ceñudo el guerrero, secándose el sudor que bañaba su frente.
Llegó el día decimoquinto. Ese día, la carga de Terencio fue pesada. Se arrastró lentamente hasta el emperador, llevando una enorme moneda formada por 16 384 unidades monetarias. Tenía 53 cm de anchura y pesaba 80 kg: el peso de un guerrero talludo.

La decimosexta y decimoséptima moneda
El guerrero había quedado extenuado y respiraba con dificultad. El emperador sonreía...
Cuando Terencio apareció, al día siguiente, en el salón del trono del emperador, fue acogido con grandes carcajadas. No podía llevar en brazos su carga, y la hacía rodar ante él. La moneda tenía 84 cm de diámetro y pesaba 328 kg. Correspondía al peso de 65 536 unidades monetarias.
El decimoctavo día fue el último del enriquecimiento de Terencio. Aquel día terminaron las idas y venidas desde la tesorería al salón del emperador. Esta vez hubo de llevar una moneda correspondiente a 131 072 unidades monetarias. Tenía más de un metro de diámetro y pesaba 655 kg. Utilizando la lanza como si fuera una palanca, Terencio, con enorme esfuerzo, apenas si pudo hacerla llegar rodando al salón. La gigantesca moneda cayó con estrépito a las plantas del emperador.
Terencio se hallaba completamente extenuado.

La decimoctava moneda
El emperador reprimió con esfuerzo una carcajada de satisfacción al ver el éxito completo de su astucia. Ordenó al tesorero que contara cuántos bras, en total, había llevado Terencio al salón del trono.
Comprobemos los cálculos del tesorero, y de paso, el peso de las monedas. Terencio llevó:
| El día | 1 | 1 | bras con un peso de | 5 g |
| “ | 2 | 2 | “ | 10 g |
| “ | 3 | 4 | “ | 20 g |
| “ | 4 | 8 | “ | 40 g |
| “ | 5 | 16 | “ | 80 g |
| “ | 6 | 32 | “ | 160 g |
| “ | 7 | 64 | “ | 320 g |
| “ | 8 | 128 | “ | 640 g |
| “ | 9 | 256 | “ | 1 kg 280 g |
| “ | 10 | 512 | “ | 2 kg 560 g |
| “ | 11 | 1 024 | “ | 5 kg 120 g |
| “ | 12 | 2 048 | “ | 10 kg 240 g |
| “ | 13 | 4 096 | “ | 20 kg 480 g |
| “ | 14 | 8 192 | “ | 40 kg 960 g |
| “ | 15 | 16 384 | “ | 81 kg 920 g |
| “ | 16 | 32 768 | “ | 163 kg 840 g |
| “ | 17 | 65 536 | “ | 327 kg 680 g |
| “ | 18 | 131 072 | “ | 655 kg 360 g |
Conocemos ya el procedimiento para calcular fácilmente la suma de números que forman series de este tipo; para la segunda columna„ esta suma es igual a 262 143, de acuerdo con la regla indicada en páginas anteriores. Terencio había solicitado del emperador un millón de denarios, o sea, 5 000 000 de bras. Por consiguiente, gracias a esta treta del emperador, recibió:
5 000 000:262 143 = 19 veces
menos que la suma pedida.54. Leyenda sobre el tablero del ajedrez
El ajedrez es un juego antiquísimo. Cuenta muchos siglos de existencia y por eso no es de extrañar que estén ligadas a él leyendas cuya veracidad es difícil comprobar debido a su antigüedad. Precisamente quiero contar una de éstas. Para comprenderla no hace falta saber jugar al ajedrez; basta simplemente saber que el tablero donde se juega está dividido en 64 escaques (casillas negras y blancas, dispuestas alternativamente).
El juego del ajedrez fue inventado en la India. Cuando el rey hindú Sheram lo conoció, quedó maravillado de lo ingenioso que era y de la variedad de posiciones que en él son posibles. Al enterarse de que el inventor era uno de sus súbditos, el rey lo mandó llamar con objeto de recompensarle personalmente por su acertado invento.
El inventor, llamado Seta, presentóse ante el soberano. Era un sabio vestido con modestia, que vivía gracias a los medios que le proporcionaban sus discípulos.
—Seta, quiero recompensarte dignamente por el ingenioso juego que has inventado —dijo el rey.
El sabio contestó con una inclinación.
—Soy bastante rico como para poder cumplir tu deseo más elevado —continuó diciendo el rey—. Di la recompensa que te satisfaga y la recibirás.
Seta continuó callado.
—No seas tímido —le animó el rey—. Expresa tu deseo. No escatimaré nada para satisfacerlo.
—Grande es tu magnanimidad, soberano. Pero concédeme un corto plazo para meditar la respuesta. Mañana, tras maduras reflexiones, te comunicaré mi petición.
Cuando al día siguiente Seta se presentó de nuevo ante el trono, dejó maravillado al rey con su petición, sin precedente por su modestia.
—Soberano —dijo Seta—, manda que me entreguen un grano de trigo por la primera casilla del tablero del ajedrez.
— ¿Un simple grano de trigo? —contestó admirado el rey.
—Sí, soberano. Por la segunda casilla, ordena que me den dos granos; por la tercera, 4; por la cuarta, 8; por la quinta, 16; por la sexta, 32...
Basta —interrumpióle irritado el rey—. Recibirás el trigo correspondiente a las 64 casillas del tablero de acuerdo con tu deseo: por cada casilla doble cantidad que por la precedente. Pero has de saber que tu petición es indigna de mi generosidad. Al pedirme tan mísera recompensa, menosprecias, irreverente, mi benevolencia. En verdad que, como sabio que eres, deberías haber dado mayor prueba de respeto ante la bondad de tu soberano. Retírate. Mis servidores te sacarán un saco con el trigo que solicitas.
Seta sonrió, abandonó la sala y quedó esperando a la puerta del palacio.
Durante la comida, el rey acordóse del inventor del ajedrez y envió a que se enteraran de si habían ya entregado al irreflexivo Seta su mezquina recompensa.

Por la segunda casilla, ordena que me den dos granos
El rey frunció el ceño. No estaba acostumbrado a que tardaran tanto en cumplir sus órdenes.
Por la noche, al retirarse a descansar, el rey preguntó de nuevo cuánto tiempo hacía que Seta había abandonado el palacio con su saco de trigo.
—Soberano —le contestaron—, tus matemáticos trabajan sin descanso y esperan terminar los cálculos al amanecer.
— ¿Por qué va tan despacio este asunto? —gritó iracundo el rey—. Que mañana, antes de que me despierte, hayan entregado a Seta hasta el último grano de trigo. No acostumbro a dar dos veces una misma orden.
Por la mañana comunicaron al rey que el matemático mayor de la corte solicitaba audiencia para presentarle un informe muy importante.
El rey mandó que le hicieran entrar.
Antes de comenzar tu informe —le dijo Sheram—, quiero saber si se ha entregado por fin a Seta la mísera recompensa que ha solicitado.
—Precisamente por eso me he atrevido a presentarme tan temprano —contestó el anciano—. Hemos calculado escrupulosamente la cantidad total de granos que desea recibir Seta. Resulta una cifra tan enorme...
—Sea cual fuere su magnitud —le interrumpió con altivez el rey— mis graneros no empobrecerán. He prometido darle esa recompensa, y por lo tanto, hay que entregársela.
Soberano, no depende de tu voluntad el cumplir semejante deseo. En todos tus graneros no existe la cantidad de trigo que exige Seta. Tampoco existe en los graneros de todo el reino. Hasta los graneros del mundo entero son insuficientes. Si deseas entregar sin falta la recompensa prometida, ordena que todos los reinos de la Tierra se conviertan en labrantíos, manda desecar los mares y océanos, ordena fundir el hielo y la nieve que cubren los lejanos desiertos del Norte. Que todo el espacio sea totalmente sembrado de trigo, y ordena que toda la cosecha obtenida en estos campos sea entregada a Seta. Sólo entonces recibirá su recompensa.
El rey escuchaba lleno de asombro las palabras del anciano sabio.
—Dime cuál es esa cifra tan monstruosa —dijo reflexionando.
— ¡Oh, soberano! Dieciocho trillones cuatrocientos cuarenta y seis mil setecientos cuarenta y cuatro billones setenta y tres mil setecientos nueve millones quinientos cincuenta y un mil seiscientos quince.
Solución.
Esta es la leyenda. No podemos asegurar que haya sucedido en realidad lo que hemos contado; sin embargo, la recompensa de que habla la leyenda debe expresarse por ese número; de ello pueden convencerse, haciendo ustedes mismos el cálculo. Si se comienza por la unidad, hay que sumar las siguientes cifras: 1, 2, 4, 8, etc. El resultado obtenido tras 63 duplicaciones sucesivas nos mostrará la cantidad correspondiente a la casilla 64, que deberá recibir el inventor. Operando como se ha indicado en páginas anteriores, podemos fácilmente hallar la suma total de granos, si duplicamos el último número, obtenido para la casilla 64, y le restamos una unidad. Es decir, el cálculo se reduce simplemente a multiplicar 64 veces seguidas la cifra dos:
2 · 2 · 2 · 2 · 2 · 2, y así sucesivamente 64 veces.
Con objeto de simplificar el cálculo, podemos dividir estos 64 factores en seis grupos de diez doses y uno de cuatro doses. La multiplicación sucesiva de diez doses, como es fácil comprobar, es igual a 1024 y la de cuatro doses es de 16. Por lo tanto, el resultado que buscamos es equivalente a:1024 · 1024 · 1024 · 1024 · 1024 · 1024 · 16.
Multiplicando 1024 · 1024 obtenemos 1 048 576. Ahora nos queda por hallar:1 048 576 · 1 048 576 · 1 048 576 · 16.
Restando del resultado una unidad, obtendremos el número de granos buscado.18 446 744 073 709 551 615.
Para hacernos una idea de la inmensidad de esta cifra gigante, calculemos aproximadamente la magnitud del granero capaz de almacenar semejante cantidad de trigo. Es sabido que un metro cúbico de trigo contiene cerca de 15 millones de granos. En ese caso, la recompensa del inventor del ajedrez deberá ocupar un volumen aproximado de 12 000 000 000 000 m3, o lo que es lo mismo, 12 000 km3. Si el granero tuviera 4 m de alto y 10 m de ancho, su longitud habría de ser de 300 000 000 km, o sea, el doble de la distancia que separa la Tierra del Sol.El rey hindú, naturalmente, no pudo entregar semejante recompensa. Sin embargo, de haber estado fuerte en matemáticas, hubiera podido librarse de esta deuda tan gravosa. Para ello le habría bastado simplemente proponer a Seta que él mismo contara, grano a grano, el trigo que le correspondía.
Efectivamente, si Seta, puesto a contar, hubiera trabajado noche y día, contando un grano por segundo, habría contado en el primer día 86 400 granos. Para contar un millón de granos hubiera necesitado, como mínimo, diez días de continuo trabajo. Un metro cúbico de trigo lo hubiera contado aproximadamente en medio año, lo que supondría un total de cinco cuartos. Haciendo esto sin interrupción durante diez años, hubiera contado cien cuartos como máximo, por mucho que se esforzase.
Por consiguiente, aunque Seta hubiera consagrado el resto de su vida a contar los granos de trigo que le correspondían, habría recibido sólo una parte ínfima de la recompensa exigida.
55. Reproducción rápida de las plantas y de los animales
Una cabeza de amapola, en la fase final de su desarrollo, está repleta de minúsculas semillas, cada una de las cuales puede originar una nueva planta. ¿Cuántas amapolas se obtendrían si germinaran, sin excepción, todas las semillas? Para saberlo es preciso contar las semillas contenidas en una cabeza de amapola. Es una tarea larga y aburrida, pero el resultado obtenido es tan interesante, que merece la pena armarse de paciencia y hacer el recuento hasta el fin. La cabeza de una amapola tiene (en números redondos) tres mil semillas.
¿Qué se deduce de esto? Que si el terreno que rodea a nuestra planta fuera suficiente y adecuado para el crecimiento de esta especie, cada semilla daría, al caer al suelo, un nuevo tallo, y al verano siguiente, crecerían en ese sitio, tres mil amapolas. ¡Un campo entero de amapolas de una sola cabeza!
Veamos lo que ocurriría después. Cada una de las 3000 plantas daría, como mínimo, una cabeza (con frecuencia, varias), conteniendo 3000 semillas cada una. Una vez crecidas, las semillas de cada cabeza darían 3000 nuevas plantas, y por tanto, al segundo año tendríamos ya
3000 · 3000=9 000 000 de plantas.
Es fácil calcular que al tercer año, el número de nuevas plantas, procedentes de la amapola inicial, alcanzarían ya9 000 000 · 3 000=27 000 000 000.
Al cuarto año27 000 000 000 · 3000 =81 000 000 000 000
En el quinto año faltaría a las amapolas sitio en la Tierra, pues el número de plantas sería igual a81 000 000 000 000 · 3000 = 243 000 000 000 000 000
La superficie terrestre, o sea, todos los continentes e islas del globo terráqueo, ocupan un área total de 135 millones de kilómetros cuadrados,135 000 000 000 000 de m2
aproximadamente 2000 veces menor que el número de amapolas que hubieran debido crecer.Vemos, por lo tanto, que si todas las semillas de amapola crecieran y se reprodujesen normalmente, la descendencia procedente de una sola planta podría, al cabo de cinco años, cubrir por completo toda la tierra firme de nuestro planeta de una maleza espesa, a un promedio de dos mil plantas en cada metro cuadrado. ¡Esta es la cifra gigante oculta en una diminuta semilla de amapola!
Solución.
Haciendo un cálculo semejante, no sobre la amapola, sino sobre cualquier otra planta que produzca semillas en menor número, obtendríamos resultados parecidos, con la única diferencia de que su descendencia cubriría toda la superficie terrestre, no en cinco años, sino en un plazo algo mayor. Tomemos, por ejemplo, un diente de león, que produce aproximadamente cada año 10 semillas. Si todas ellas crecieran, obtendríamos:
| En un año | 1 | planta |
| En 2 años | 100 | plantas |
| En 3 años | 10 000 | “ |
| En 4 años | 1 000 000 | “ |
| En 5 años | 100 000 000 | “ |
| En 6 años | 10 000 000 000 | “ |
| En 7 años | 1 000 000 000 000 | “ |
| En 8 años | 100 000 000 000 000 | “ |
| En 9 años | 10 000 000 000 000 000 | “ |
Este número de plantas es setenta veces superior al número de metros cuadrados de tierra firme que existen en el globo terrestre.
Por consiguiente, al noveno año, los continentes de la Tierra quedarían totalmente cubiertos de dientes de león, habiendo setenta plantas en cada metro cuadrado.
¿Por qué, en la realidad, no se da una reproducción tan rápida y abundante? Se debe a que la inmensa mayoría de las semillas mueren sin germinar, bien porque no caen en terreno apropiado para su desarrollo, bien porque al iniciarse el crecimiento son ahogadas por otra planta, o bien, finalmente, porque son destruidas por los animales. Pero si la destrucción en masa de semillas y retoños no se verificara, cada planta, en un período de tiempo relativamente breve, cubriría completamente nuestro planeta.
Este fenómeno ocurre no sólo con las plantas, sino también con los animales. De no interrumpir la muerte su multiplicación, la descendencia de una pareja cualquiera de animales, tarde o temprano ocuparía toda la Tierra. Una plaga de langosta, que cubre totalmente espacios enormes, puede servirnos de ejemplo para dar una idea de lo que ocurriría si la muerte no obstaculizara el proceso de reproducción de los seres vivos. En el curso de unos dos o tres decenios, todos los continentes se cubrirían de bosques y estepas intransitables abarrotados de millones de animales, luchando entre sí por conseguir sitio. El océano se llenaría de peces en tal cantidad que se haría imposible la navegación marítima. El aire perdería casi totalmente su transparencia debido al inmenso número de pájaros e insectos.
Examinemos, a modo de ejemplo, la rapidez con que se multiplica la mosca doméstica de todos conocida. Aceptemos que cada mosca deposita ciento veinte huevecillos y que durante el verano tienen tiempo de aparecer siete generaciones, en cada una de las cuales la mitad son machos y la mitad hembras. Supongamos que la mosca en cuestión deposita por primera vez los huevos el 15 de abril y que cada hembra, en veinte días, crece lo suficiente para poder ella misma depositar nuevos huevos. En ese caso, la reproducción se desarrollará en la forma siguiente:
| 15 de abril | cada hembra deposita 120 huevos; a comienzos de mayo nacen 120 moscas, de las cuales 60 son hembras; |
| 5 de mayo | cada hembra deposita 120 huevos; a mediados de mayo aparecen 60 X 120 = 7200 moscas, de las cuales 3600 son hembras; |
| 25 de mayo | cada una de las 3600 hembras deposita 120 huevos; a comienzos de junio nacen 3600 X 120 = 432 000 moscas, de las cuales la mitad, 216 000, son hembras; |
| 14 de junio | las 216 000 hembras depositan 120 huevos cada una; a finales de junio habrá 25 920 000 moscas, entre ellas 12 960 000 son hembras; |
| 5 de julio | cada una de esas 12 960 000 hembras deposita 120 huevos; en julio nacen 1 555 200 000 moscas más, de las que 777 600 000 son hembras; |
| 25 de julio | nacen 93 213 000 000 moscas, de ellas 46 656 000 000 son hembras; |
| 13 de agosto | nacen 5 598 720 000 000 moscas, de las cuales 2 799 360 000 000 son hembras; |
| 1 de septiembre | nacen 355 923 200 000 000 moscas. |
Para comprender mejor lo que supone esta enorme cantidad de moscas, todas procedentes de una sola pareja, si la reproducción se verifica sin impedimento alguno durante un verano, imaginemos que todas ellas están dispuestas en línea recta, una junto a la otra. Midiendo una mosca, por término medio, 5 mm, todas ellas, colocadas una tras otra, formarán una fila de 2500 millones de km, o sea, una distancia dieciocho veces mayor que la que separa la Tierra del Sol (aproximadamente como de la Tierra al planeta Urano).
Como conclusión, citemos algunos casos reales de multiplicación extraordinariamente rápida de animales, en condiciones favorables.
Al principio, en América no existían gorriones. Este pájaro, tan corriente entre nosotros, fue llevado a los Estados Unidos con el fin de exterminar allí los insectos nocivos. Los gorriones, como sabemos, comen en abundancia orugas voraces y otros insectos destructores de plantas en huertos y jardines. El nuevo ambiente fue del agrado de los gorriones; en América no había, por aquel entonces, aves de rapiña que se alimentaran de gorriones y, por lo tanto, éstos comenzaron a reproducirse con gran rapidez. Al poco tiempo, el número de insectos nocivos decreció notoriamente. Pero los gorriones se multiplicaron en tal forma que ante la escasez de alimento animal, comenzaron a comer vegetales y a devastar los sembrados. Hubo, pues, necesidad de emprender la lucha contra los gorriones. Esta lucha costó tan cara a los norteamericanos que se promulgó una ley prohibiendo la importación futura a dicho país de cualquier especie de animales.
Otro ejemplo. En Australia no existían conejos cuando ese continente fue descubierto por los europeos. Llevaron allí el conejo a finales del siglo XVIII, y como en ese país no había animales carnívoros que se alimentasen de conejos, el proceso de reproducción de estos roedores se desarrolló a ritmo rapidísimo. Poco tiempo después, los conejos, en masas enormes, habían invadido toda Australia, ocasionando terribles daños a la agricultura y convirtiéndose en una verdadera plaga para el país. En la lucha contra ese azote de la agricultura se emplearon colosales recursos y sólo gracias a medidas enérgicas se llegó a contrarrestar esa desgracia. Un caso semejante se repitió más tarde en California.
La tercera historia que deseo relatar y que sirve de enseñanza, ocurrió en la isla de Jamaica. En esa isla había serpientes venenosas en gran abundancia. Para librarse de ellas se decidió llevar a la isla el pájaro serpentario, destructor furibundo de serpientes venenosas. En efecto, poco tiempo después, el número de serpientes había disminuido considerablemente. En cambio, se multiplicaron de manera extraordinaria las ratas de campo, que antes eran devoradas por las serpientes. Las ratas ocasionaron daños tan terribles en las plantaciones de caña de azúcar que los habitantes del país se vieron obligados a buscar urgentemente la forma de exterminarlas. Es sabido que el mungo indio es enemigo de las ratas. Se tomó la decisión de llevar a la isla cuatro parejas de estos animales y de permitir su libre reproducción. Los mungos se adaptaron perfectamente a la nueva patria y pronto poblaron toda la isla. Al cabo de unos diez años, casi todas las ratas habían sido exterminadas. Pero entonces surgió una nueva tragedia: los mungos, al carecer de ratas, comenzaron a alimentarse de cuantos animales hallaban a su alcance, devorando cachorros, cabritillos, cerditos, aves domésticas y sus huevos. Al aumentar en número, empezaron a devastar los huertos, los sembrados y las plantaciones. Los habitantes iniciaron una campaña de exterminio de sus recientes aliados; sin embargo, consiguieron limitar únicamente en cierto grado los daños ocasionados por los mungos.
El estudio de las matemáticas es como el Nilo,
que comienza por la modestia y termina por la magnificencia.
C. Colton
Diez jóvenes decidieron celebrar la terminación de sus estudios de Bachillerato, comiendo en el restaurante. Una vez reunidos, se entabló entre ellos una discusión sobre el orden en que habían de sentarse a la mesa. Unos propusieron que la colocación fuera por orden alfabético; otros, con arreglo a la edad; otros, por los resultados de los exámenes; otros, por la estatura, etc. La discusión se prolongaba, enfrióse la sopa y nadie se sentaba a la mesa. Los reconcilió el hotelero, mediante las siguientes palabras:
—Señores, dejen de discutir. Siéntense a la mesa en cualquier orden y escúchenme.
Sentáronse todos sin seguir un orden determinado. El hotelero continuó:
—Que uno cualquiera anote el orden en que están sentados ahora. Mañana vienen a comer y se sientan en otro orden. Pasado mañana vienen de nuevo a comer y se sientan en orden distinto, y así sucesivamente hasta que hayan probado todas las combinaciones posibles. Cuando llegue el día en que tengan ustedes que sentarse de nuevo en la misma forma que ahora, les prometo solemnemente que en lo sucesivo, les convidaré a comer gratis diariamente, sirviéndoles los platos más exquisitos y escogidos.
La proposición agradó a todos y fue aceptada. Acordaron reunirse cada día en aquel restaurante y probar todos los modos distintos posibles de colocación alrededor de la mesa, con objeto de disfrutar cuanto antes de las comidas gratuitas.
Solución.
Sin embargo, los diez jóvenes no lograron llegar hasta ese día. Y no porque el hotelero no cumpliera su palabra, sino porque el número total de combinaciones diferentes alrededor de la mesa es extraordinariamente grande. Exactamente 3 628 000. Fácil es calcular que este número de días son casi diez mil años.
Posiblemente a ustedes les parecerá increíble que diez personas puedan colocarse en un número tan elevado de posiciones diferentes. Comprobemos el cálculo.
Ante todo, hay que aprender a determinar el número de combinaciones distintas posibles. Para mayor sencillez, empecemos calculando un número pequeño de objetos, por ejemplo, tres. Llamémosles A, B y C.
Deseamos saber de cuántos modos diferentes pueden disponerse, cambiando mutuamente su posición. Hagamos el siguiente razonamiento. Si se separa de momento el objeto C, los dos restantes, A y B, pueden colocarse solamente en dos formas.
Ahora agreguemos el objeto C a cada una de las parejas obtenidas. Podemos realizar esta operación tres veces:
- colocar C detrás de la pareja,
- colocar C delante de la pareja,
- colocar C entre los dos objetos de la pareja.
2 · 3 = 6.
Sigamos adelante. Hagamos el cálculo para cuatro objetos.Tomemos cuatro objetos, A, B, C y D, y separemos de momento uno de ellos, por ejemplo, el objeto D. Efectuemos con los otros tres todos los cambios posibles de posición. Ya sabemos que para tres, el número de cambios posibles es seis. ¿En cuántas formas diferentes podemos disponer el cuarto objeto en cada una de las seis posiciones que resultan con tres objetos? Evidentemente, serán cuatro. Podemos:
- colocar D detrás del trío,
- colocar D delante del trío,
- colocar D entre el 1.° y 2.° objetos,
- colocar D entre el 2.° y 3er objetos.
6 · 4 = 24 posiciones,
pero teniendo en cuenta que 6 = 2 · 3 y que 2 = 1 · 2, podemos calcular el número de cambios posibles de posición haciendo la siguiente multiplicación:1 · 2 · 3 · 4 = 24.
Razonando de idéntica manera, cuando haya cinco objetos hallaremos que el número de formas distintas de colocación será igual a:1 · 2 · 3 · 4 · 5 = 120.
Para seis objetos será:1 · 2 · 3 · 4 · 5 · 6 = 720,
y así sucesivamente.Volvamos de nuevo al caso antes citado de los diez comensales. Sabremos el número de posiciones que pueden adoptar las diez personas alrededor de la mesa si nos tomamos el trabajo de calcular el producto siguiente:
1 · 2 · 3 · 4 · 5 · 6 · 7 · 8 · 9 · 10.
Resultará el número indicado anteriormente:3 628 000.
El cálculo sería más complicado si de los diez comensales, cinco fueran muchachas y desearan sentarse a la mesa alternando con los muchachos. A pesar de que el número posible de combinaciones se reduciría en este caso considerablemente, el cálculo sería más complejo.Supongamos que se sienta a la mesa, indiferentemente del sitio que elija, uno de los jóvenes. Los otros cuatro pueden sentarse, dejando vacías para las muchachas las sillas intermedias, adoptando 1 · 2 · 3 · 4 = 24 formas diferentes. Como en total hay diez sillas, el primer joven puede ocupar 10 sitios distintos. Esto significa que el número total de combinaciones posibles, para los muchachos es 10 · 24 = 240.
¿En cuántas formas diferentes pueden sentarse en las sillas vacías, cinco situadas entre los jóvenes, las cinco muchachas? Evidentemente serán 1 · 2 · 3 · 4 · 5 = 120. Combinando cada una de las 240 posiciones de los muchachos con cada una de las 120 que pueden adoptar las muchachas, obtendremos el número total de combinaciones posibles, o sea,
240 · 120 = 28 800.
Este número, como vemos, es muchas veces inferior al que hemos citado antes y obtenemos un total de 79 años. Los jóvenes clientes del restaurante que vivieran hasta la edad de cien años podrían asistir a una comida gratis servida, si no por el propio hotelero, al menos por uno de sus descendientes.Como fin de nuestra charla sobre el número de combinaciones posibles, resolvamos el siguiente problema relacionado con la vida escolar.
Hay en la clase veinticinco alumnos. ¿En cuántas formas diferentes pueden sentarse en los pupitres?
Para los que han asimilado lo expuesto anteriormente, la solución es muy sencilla: basta multiplicar sucesivamente los números siguientes:
1 · 2 · 3 · 4 · 5 · 6 ·... · 23 · 24 · 25.
En matemáticas existen diversos métodos de simplificación de los cálculos, pero para facilitar operaciones como la que acabamos de mencionar, no los hay. El único procedimiento para efectuar exactamente esta operación consiste en multiplicar con paciencia todos esos números. Sólo puede reducirse algo el tiempo requerido para efectuar esa multiplicación, eligiendo una agrupación acertada de los mismos. El resultado que se obtiene es un número enorme compuesto de veintiséis cifras, cuya magnitud es incapaz nuestra imaginación de representársela:15 511 210 043 330 985 984 000 000.
De todos los números que hemos visto hasta ahora, éste es, naturalmente, el más grande, y a él, más que a ningún otro, le corresponde la denominación de número gigante. El número de gotitas diminutas de agua que contienen todos los océanos y mares del globo terrestre es pequeño si se compara con este número enorme.57. Juego con monedas
En mi infancia, recuerdo que mi hermano mayor me enseñó un juego muy entretenido a base de unas monedas. Colocó tres platos en fila, uno junto al otro; después, puso en uno de los platos extremos una pila de cinco monedas: la inferior, de ocho cm de diámetro; sobre ella, una de cuatro cm, la siguiente de dos cm, luego una de un cm y medio y por último, la superior, de un cm. La tarea consistía en trasladar todas las monedas al tercer plato, observando las tres reglas siguientes:
- Cada vez debe cambiarse de plato una sola moneda.
- No se permite colocar una moneda mayor sobre otra menor.
- Provisionalmente pueden colocarse monedas en el plato intermedio, observando las dos reglas anteriores, pero al final del juego, todas las monedas deben encontrarse en el tercer plato en el orden inicial.
Comencé a cambiar de plato las monedas. Coloqué la de 1 cm en el tercer plato, la de 1,5 en el intermedio y... me quedé cortado. ¿Dónde colocar la de 2 cm? Esta es mayor que la de 1 y 1,5 cm.
No te apures —dijo mi hermano—. Coloca la de 1 cm en el plato del centro, encima de la de 1,5 cm. Entonces te queda libre el tercer plato para la de 2 cm.
Y así lo hice. Pero al continuar surgió otra nueva dificultad. ¿Dónde colocar la de 4 cm? Hay que reconocer que caí en seguida en la cuenta: primero pasé la de 1 cm al primer plato, después, la de 1,5 al tercero, y después, la de 1 también al tercero. Ahora ya se podía colocar la de 4 en el plato central vacío. A continuación, después de probar varias veces, conseguí trasladar la moneda de 8 cm del primer plato al tercero y reunir en este último toda la pila de monedas en el orden conveniente.
Solución.
— ¿Cuántos cambios de lugar has hecho? —preguntó mi hermano, aprobando mi trabajo.
—No los he contado.
—Vamos a comprobarlo. Es interesante saber de qué modo es posible alcanzar el fin propuesto efectuando el mínimo de permutaciones. Si la pila constara de dos monedas y no de cinco, una de 1,5 y otra de 10 cm, ¿cuántos cambios hubieras necesitado hacer?
—Tres: la de 1 cm al plato del centro, la de 1,5 al tercero y después la de 1 al tercero.
Perfectamente. Ahora aumentemos una moneda de 2 cm, y contemos los cambios que se requieren para trasladar una pila compuesta de este número de monedas. Procedamos de la manera siguiente: primero, pasemos sucesivamente las dos monedas menores al plato intermedio. Para ello es preciso, como ya sabemos, efectuar tres cambios. Después, pasemos la de 2 cm al tercer plato vacío; un cambio más. Seguidamente, traslademos las dos monedas que se hallan en el plato intermedio al tercero, o sea, tres cambios más.
En resumen hemos hecho:
3 + 1 + 3 = 7 cambios.
—Para el caso de cuatro monedas, permíteme a mí calcular el número de cambios que se requieren. Primero paso las tres monedas menores al plato intermedio, lo que supone siete cambios; después la de 4 cm la coloco en el tercero —un cambio más— y seguidamente traslado las tres monedas menores al tercer plato; o sea, siete cambios más. En total:7 + 1 + 7 = 15 cambios.
Magnífico. ¿Y para 5 monedas? Dije en el acto: 15 + 1 + 15 = 31.Exactamente, veo que has comprendido perfectamente el método de cálculo. Sin embargo, te voy a mostrar un método todavía más sencillo. Fíjate en que los números obtenidos 3, 7, 15 y 31 son todos múltiplos de dos a los que se ha restado una unidad. Mira.
Y mi hermano escribió la siguiente tabla:
| 3 = | 2 · 2 — 1 |
| 7 = | 2 · 2 · 2 — 1 |
| 15 = | 2 · 2 · 2 · 2 — 1 |
| 31 = | 2 · 2 · 2 · 2 · 2 — 1 |
—Comprendido: hay que tomar la cifra 2 como factor tantas veces como monedas se deben cambiar y después restar una unidad. Ahora, yo mismo puedo calcular el número de cambios necesarios para una pila de cualquier cantidad de monedas. Por ejemplo, para siete:
2 · 2 · 2 · 2 · 2 · 2 · 2 — 1 = 128 — 1 = 127.
—Veo que has comprendido este antiguo juego. Sólo necesitas conocer una regla práctica más: si la pila tiene un número impar de monedas, la primera hay que trasladarla al tercer plato; si es par, entonces hay que pasarla primero al plato intermedio.—Acabas de decir que es un juego antiguo. ¿Acaso no lo has inventado tú?
No; yo solamente lo he aplicado. Este juego es antiquísimo y dicen que procede de la India. Existe una interesante leyenda acerca del mismo. En la ciudad de Benarés hay un templo, en el cual, según cuenta la leyenda, el dios hindú Brahma, al crear el mundo, puso verticalmente tres palitos de diamantes, colocando en uno de ellos 64 anillos de oro: el más grande, en la parte inferior, y los demás por orden de tamaño uno encima del otro. Los sacerdotes del templo debían, trabajando noche y día sin descanso, trasladar todos los anillos de un palito a otro, utilizando el tercero como auxiliar, y observando las reglas de nuestro juego, o sea, cambiar cada vez sólo un anillo y no colocar un anillo de mayor diámetro sobre otro de menor. La leyenda dice que cuando los 64 anillos estuvieran trasladados llegaría el final del mundo.
¡Oh!, esto significa, si diéramos crédito a esa leyenda, que el mundo hace ya tiempo que no existiría.
— ¡Tú crees, al parecer, que el traslado de los 64 anillos no exige mucho tiempo!
Naturalmente. Realizando un cambio cada segundo, en una hora pueden hacerse 3600 traslados.
— ¿Bueno y qué?
—Pues que en un día se harían cerca de cien mil. En diez días, un millón. Pienso que un millón de cambios es suficiente para cambiar incluso mil anillos.
—Te equivocas. Para trasladar los 64 anillos se necesitan 500 000 millones de años, en números redondos.
— ¿Pero, por qué? El motivo de cambios es igual a la multiplicación sucesiva de 64 doses menos una unidad, y esto supone... Espera, ahora lo calculo.
—Perfectamente. Mientras tú verificas el cálculo, tengo tiempo de ir a resolver mis asuntos.
Marchóse mi hermano dejándome sumido en mis cálculos. Primero hice el producto de 16 doses, el resultado —65 536— lo multipliqué por sí mismo, y el número así obtenido lo volví a multiplicar por sí mismo. Por fin, no me olvidé de restar una unidad.
Obtuve el número siguiente:
18 446 744 073 709 551 615.
Evidentemente, mi hermano tenía razón.58. La apuesta
En el comedor de una pensión, se inició durante la comida una conversación sobre el modo de calcular la probabilidad de los hechos. Un joven matemático, que se hallaba entre los presentes, sacó una moneda y dijo:
Si arrojo la moneda sobre la mesa, ¿qué probabilidades existen de que caiga con el escudo hacia arriba?
Ante todo, haga el favor de explicar lo que quiere usted decir con eso de las probabilidades —dijo una voz—. No está claro para todos.
— ¡Muy sencillo! La moneda puede caer sobre la mesa de dos maneras, o bien con el escudo hacia arriba o hacia
abajo. El número de casos posibles es igual a dos, de los cuales, para el hecho que nos interesa, es favorable sólo uno de ellos. De lo dicho se deduce la siguiente relación:
![]()
Con la moneda es muy sencillo —añadió uno—. Veamos un caso más complicado, por ejemplo, con los dados.
—Bueno, vamos a examinarlo —aceptó el matemático—. Tenemos un dado, o sea, un cubo con distintas cifras en las caras. ¿Qué probabilidades hay de que al echar el dado sobre la mesa, quede con una cifra determinada hacia arriba, por ejemplo, el seis? ¿Cuántos son aquí los casos posibles? El dado puede quedar acostado sobre una cualquiera de las seis caras, lo que significa que son seis casos diferentes. De ellos solamente uno es favorable para nuestro propósito, o sea, cuando queda arriba el seis. Por consiguiente, la probabilidad se obtiene dividiendo uno por seis, es decir, se expresa con la fracción 1/6.
— ¿Será posible que puedan determinarse las probabilidades en todos los casos? —preguntó una de las personas presentes—. Tomemos el siguiente ejemplo. Yo, digo que el primer transeúnte que va a pasar por delante del balcón del comedor, será un hombre. ¿Qué probabilidades hay de que acierte?
—Evidentemente, la probabilidad es igual a 1/2, si convenimos en que en el mundo hay tantos hombres como mujeres y si todos los niños de más de un año los consideramos mayores.
— ¿Qué probabilidades existen de que los dos primeros transeúntes sean ambos hombres? —preguntó otro de los contertulios.
—Este cálculo es algo más complicado. Enumeremos los casos que pueden presentarse. Primero: es posible que los dos transeúntes sean hombres. Segundo: que primero aparezca un hombre y después una mujer. Tercero: que primero aparezca una mujer y después un hombre. Y finalmente, el cuarto caso: que ambos transeúntes sean mujeres. Por consiguiente, el número de casos posibles es igual a 4; de ellos sólo uno, el primero, nos es favorable. La probabilidad vendrá expresada por la fracción 1/4. He aquí resuelto su problema.
—Comprendido. Pero puede hacerse también la pregunta respecto de tres hombres. ¿Cuáles serán las probabilidades de que los tres primeros transeúntes sean todos hombres? —Bien, calculemos también este caso. Comencemos por hallar los casos posibles. Para dos transeúntes, el número de casos posibles, como ya sabemos, es igual a cuatro. Al aumentar un tercer transeúnte, el número de casos posibles se duplica, puesto que a cada grupo de los 4 enumerados compuesto de dos transeúntes, puede añadirse, bien un hombre, bien una mujer. En total, el número de casos posibles será 4 · 2 = 8. Evidentemente la probabilidad será igual a 1/8, porque tenemos sólo un caso favorable. De lo dicho dedúcese la regla para efectuar el cálculo: en el caso de dos transeúntes, la probabilidad será ½ · ½ = 1/4; cuando se trata de tres ½ · ½ · ½ = 1/8; en el caso de cuatro, las probabilidades se obtendrán multiplicando cuatro veces consecutivas ½ y así sucesivamente. Como vemos, la magnitud de la probabilidad va disminuyendo.
— ¿Cuál será su valor, por ejemplo, para diez transeúntes? —Seguramente, se refiere usted al caso de que los diez primeros transeúntes sean todos hombres. Tomando ½ como factor diez veces, obtendremos 1/1024, o sea, menos de una milésima. Esto significa que si apuesta usted conmigo un duro a que eso ocurrirá, yo puedo jugar mil duros a que no sucederá así.
— ¡Qué apuesta más ventajosa! —dijo uno—. De buen grado pondría yo un duro para tener la posibilidad de ganar mil.
—Pero tenga en cuenta que son mil probabilidades contra una.
— ¡Y qué! Arriesgaría con gusto un duro contra mil, incluso en el caso de que se exigiera que los cien primeros transeúntes fueran todos hombres.
— ¿Pero se da usted cuenta de qué probabilidad tan ínfima existe de que suceda así? —preguntó el matemático.
—Seguramente una millonésima o algo así por el estilo.
— ¡Muchísimo menos! Una millonésima resulta ya cuando se trata de veinte transeúntes. Para cien será... Permítame que lo calcule aproximadamente. Una billonésima, trillonésima, cuatrillonésima... ¡Oh! Un uno con treinta ceros.
— ¿Nada más?
— ¿Le parecen a usted pocos ceros? Las gotas de agua que contiene el océano no llegan ni a la milésima parte de dicho número.
— ¡Qué cifra tan imponente! En ese caso, ¿cuánto apostaría usted contra mi duro?
— ¡Ja, ja...! ¡Todo! Todo lo que tengo.
—Eso es demasiado. Juéguese su moto. Estoy seguro de que no la apuesta.
— ¿Por qué no? ¡Con mucho gusto! Venga, la moto si usted quiere. No arriesgo nada en la apuesta.
—Yo sí que no expongo nada; al fin y al cabo, un duro no es una gran suma, y sin embargo, tengo la posibilidad de ganar una moto, mientras que usted casi no puede ganar nada.
—Pero comprenda usted que es completamente seguro que va a perder. La motocicleta no será nunca suya, mientras que el duro, puede decirse que ya lo tengo en el bolsillo.
— ¿Qué hace usted? —dijo al matemático uno de sus amigos, tratando de contenerle—. Por un duro arriesga usted su moto. ¡Está usted loco!
—Al contrario —contestó el joven matemático—, la locura es apostar aunque sea un solo duro, en semejantes condiciones. Es seguro que gano. Es lo mismo que tirar el duro. —De todos modos existe una probabilidad.
— ¡Una gota de agua en el océano, mejor dicho, en diez océanos! Esa es la probabilidad: diez océanos de mi parte contra una gota. Que gano la apuesta es tan seguro como dos y dos son cuatro.
No se entusiasme usted tanto, querido joven —sonó la voz tranquila de un anciano, que durante todo el tiempo había escuchado en silencio la disputa—. No se entusiasme.
— ¿Cómo, profesor, también usted razona así...?
— ¿Ha pensado usted que en este asunto no todos los casos tienen las mismas probabilidades? El cálculo de probabilidades se cumple concretamente sólo en los casos de idéntica posibilidad, ¿no es verdad? En el ejemplo que examinamos..., sin ir más lejos —dijo el anciano prestando oído—, la propia realidad me parece que viene ahora mismo a demostrar su equivocación. ¿No oyen ustedes? Parece que suena una marcha militar, ¿verdad?
— ¿Qué tiene que ver esa música...? —comenzó a decir el joven matemático, quedándose cortado de pronto. Su rostro se contrajo de susto. Saltó del asiento, corrió hacia la ventana y asomó la cabeza—. ¡Así es! —exclamó con desaliento—. He perdido la apuesta. ¡Adiós mi moto!
Al cabo de un minuto quedó todo claro. Frente a la ventana pasó desfilando un batallón de soldados.
59. Números gigantes que nos rodean y que existen en nuestro organismo
No es preciso buscar casos excepcionales para tropezarse con números gigantes. Se encuentran en todas partes, en torno de nosotros, e incluso en el interior de nosotros mismos; únicamente hay que saberlos descubrir.
El cielo que se extiende sobre nuestras cabezas, la arena, bajo nuestros pies, el aire circulante, la sangre de nuestro cuerpo; todo encierra invisibles gigantes del mundo de los números.
Los números gigantes que aparecen cuando se habla de los espacios estelares no sorprenden a la mayoría de la gente.
Es sabido que cuando surge la conversación sobre el número de estrellas del universo, sobre las distancias que las separan de nosotros y que existen entre ellas, sobre sus dimensiones, peso y edad, siempre hallamos números que superan, por su enormidad, los límites de nuestra imaginación. No en vano, la expresión número astronómico se ha hecho proverbial. Muchos, sin embargo, no saben que incluso los cuerpos celestes, con frecuencia llamados pequeños por los astrónomos, son verdaderos gigantes, si utilizamos para medirlos las unidades corrientes empleadas en Física. Existen en nuestro sistema solar planetas a los que debido a sus dimensiones insignificantes, los astrónomos han dado la denominación de pequeños. Incluyen entre ellos los que tienen un diámetro de varios kilómetros. Para el astrónomo, acostumbrado a utilizar escalas gigantescas, estos planetas son tan pequeños, que cuando se refieren a ellos los llaman despectivamente minúsculos. Pero sólo son cuerpos minúsculos al compararlos con otros astros mucho más grandes. Para las unidades métricas empleadas de ordinario por el hombre, claro que no pueden ser considerados diminutos. Tomemos, por ejemplo, un planeta minúsculo de tres km de diámetro; un planeta así se ha descubierto recientemente. Aplicando las reglas geométricas, se calcula con facilidad que su superficie es de 28 km2, o sea, 28 000 000 m2. En un metro cuadrado caben siete personas colocadas de pie. Por tanto, en los 28 millones de metros cuadrados pueden colocarse 196 millones de personas.
La arena que pisamos nos conduce también al mundo de los gigantes numéricos. No en balde existe desde tiempo inmemorial la expresión incontable como las arenas del mar. Sin embargo, en la antigüedad, los hombres subestimaban el enorme número de granos de arena existentes, pues lo comparaban con el número de estrellas que veían en el cielo. En aquellos tiempos, no existían telescopios, y el número de estrellas que se ven a simple vista en el cielo, es aproximadamente de 3500 (en un hemisferio). En la arena de las orillas del mar hay millones de veces más granos que estrellas visibles a simple vista.
Un número gigante se oculta asimismo en el aire que respiramos. Cada centímetro cúbico, cada dedal de aire, contiene 27 trillones (o sea, el número 27 seguido de 18 ceros) de moléculas.
Es casi imposible representarse la inmensidad de esta cifra. Si existiera en el mundo tal número de personas, no habría sitio suficiente para todas ellas en nuestro planeta. En efecto, la superficie del globo terrestre, contando la tierra firme y los océanos, es igual a 500 millones de km2, que expresados en metros suponen:
500 000 000 000 000 m2.
Dividiendo los 27 trillones por ese número, obtendremos 54 000, lo que significa que a cada metro cuadrado de superficie terrestre corresponderían más de 50 mil personas. Anteriormente dijimos que los números gigantes se ocultan también en el interior del cuerpo humano. Vamos a demostrarlo tomando como ejemplo la sangre. Si observamos al microscopio una gota de sangre, veremos que en ella nada una multitud enorme de corpúsculos pequeñísimos de color rojo, que son los que dan ese color a la sangre. Esos corpúsculos sanguíneos, llamados glóbulos rojos, son de forma circular discoidea, o sea, oval aplanada, hundida en toda su parte central. En todas las personas, los glóbulos rojos son de dimensiones aproximadamente iguales, de 0,007 milímetros de diámetro y de 0,002 mm de grueso. Pero su número es fantástico. Una gotita pequeñísima de sangre, de 1 mm cúbico, contiene 5 millones de estos corpúsculos. ¿Cuál es su número total en nuestro cuerpo? Por término medio, hay en el cuerpo humano un número de litros de sangre 14 veces menor que el número de kilogramos que pesa la persona. Si pesa usted 40 kg, su cuerpo contiene aproximadamente 3 litros de sangre, o lo que es lo mismo, 3 000 000 de mm cúbicos. Dado que en cada milímetro cúbico hay 5 millones de glóbulos rojos, el número total de los mismos en su sangre será:5 000 000 · 3 000 000 = 15 000 000 000 000
¡Quince billones de glóbulos rojos! ¿Qué longitud se obtendría si este ejército de glóbulos se dispusiera en línea recta, uno junto al otro? No es difícil calcular que la longitud de semejante fila alcanzaría 105 000 km. El hilo de glóbulos rojos, formado con los contenidos en su sangre, se extendería más de 100 000 km. Con él podría rodearse el globo terrestre por el Ecuador:100 000 : 40 000 = 2,5 veces,
y el hilo de glóbulos rojos de una persona adulta lo envolvería tres veces.Expliquemos la importancia que tiene para nuestro organismo la existencia de dichos glóbulos rojos tan extremadamente divididos. Están destinados a transportar el oxígeno por todo el cuerpo. Toman el oxígeno al pasar la sangre por los pulmones, y lo ceden cuando el torrente sanguíneo los lleva a los tejidos de nuestro cuerpo, a los rincones más distantes de los pulmones. El grado enorme de desmenuzamiento que representan estos glóbulos los capacita para cumplir su misión, puesto que cuanto menor sea su tamaño, siendo grandísimo su número, tanto mayor será su superficie, que es lo que interesa, ya que los glóbulos rojos pueden absorber y desprender oxígeno únicamente a través de su superficie. El cálculo demuestra que su superficie total es muchísimo mayor que la del cuerpo humano e igual a 1200 m2. Esto viene a ser el área de un huerto grande de 40 m de largo y 30 de ancho. Ahora comprenderán la importancia que tiene para la vida del organismo el que estos glóbulos estén tan desmenuzados y sean tan numerosos, pues en esta forma, pueden absorber y desprender el oxígeno en una superficie mil veces mayor que la superficie de nuestro cuerpo.
Con justicia puede llamarse gigante al número enorme obtenido al calcular la cantidad de productos de diverso género con los que se alimenta una persona, tomando 70 años como término medio de duración de la vida. Se necesitaría un tren entero para poder transportar las toneladas de agua, pan, carne, aves, pescado, patatas y otras
legumbres, miles de huevos, miles de litros de leche, etc., con que el hombre se nutre en toda su vida. A primera vista, parece imposible que pueda ser la persona semejante titán, que literalmente engulle, claro que no de una vez, la carga de un tren de mercancías entero.
Capítulo 7
Mediciones sin el empleo de instrumentos
60. Medición de distancias con pasos
61. Escala animada
No siempre se dispone de regla para medir o de cinta métrica, por lo tanto, es muy útil saber cómo, sin necesidad de ellas, pueden efectuarse mediciones aproximadas.
Por ejemplo, durante una excursión, puede medirse fácilmente con pasos una distancia más o menos larga. Para ello es preciso conocer la longitud de un paso, así como saber contar los pasos con exactitud. Naturalmente, no todos los pasos son siempre iguales: podemos andar a paso corto, y también caminar a paso largo. Sin embargo, cuando se efectúa una marcha ordinaria, los pasos son aproximadamente de la misma longitud. Conocida la longitud media de cada paso, puede, sin gran error, medirse la distancia recorrida.
Para determinar la longitud media del paso propio, es necesario medir la longitud total de muchos pasos y calcular la magnitud de uno. Para hacer esta operación, hace falta utilizar una cinta métrica o un cordón.
Extienda la cinta en un terreno llano y mida la distancia correspondiente a 20 metros. Marque esa línea en el suelo y retire la cinta. Ande con paso ordinario, siguiendo la línea, y cuente el número de pasos que ha dado. Es posible que no resulte un número exacto de pasos en la distancia que se mida. Entonces, si el resto es menor que la mitad de un paso, puede simplemente despreciarse; si es mayor que medio paso, puede contarse ese resto como un paso entero. Dividiendo la distancia total de 20 metros por el número de pasos, obtendremos la longitud media de uno. Este número no hay que olvidarlo, para, en caso necesario, hacer uso de él cuando se deseen realizar mediciones de distancia.
A fin de no equivocarse al contar los pasos, especialmente cuando se trate de grandes distancias, se aconseja hacerlo en la forma siguiente: se cuentan de diez en diez y cada vez que se alcanza este número se dobla uno de los dedos de la mano izquierda. Cuando se hayan doblado todos los dedos de la mano izquierda, lo que supone 50 pasos, se dobla un dedo de la mano derecha. De este modo pueden contarse hasta 250 pasos, después de lo cual se comienza de nuevo. No debe olvidarse el número de veces que se hayan doblado los dedos de la mano derecha. Por ejemplo, si después de recorrer cierta distancia, se han doblado dos veces todos los dedos de la mano derecha y al terminar de andar están doblados tres dedos de la mano derecha y cuatro de la izquierda, se habrán dado los pasos siguientes:
2 · 250 + 3 · 50 + 4 · 10 = 690
A este número hay que añadir los pasos dados después de doblar por última vez un dedo de la mano izquierda (en nuestro ejemplo, el cuarto).Al mismo tiempo recordemos esta antigua regla: la longitud del paso de una persona adulta es igual a la mitad de la distancia de los ojos a la planta del pie.
Otra antigua regla práctica que se refiere a la velocidad de marcha, dice: una persona recorre en una hora tantos kilómetros como pasos da en tres segundos. Es fácil demostrar que esta regla es exacta cuando el paso tiene una longitud determinada, y desde luego, bastante grande. En efecto, supongamos que la longitud del paso sea de x metros, y que el número de pasos dados en tres segundos sea igual a n. En tres segundos, el peatón recorre nx metros, y en una hora (3600 segundos) 1200nx metros, o sea, 1,2nx kilómetros. Para que el recorrido, medido en km, sea igual al número de pasos correspondiente a tres segundos, deberá existir la siguiente igualdad:
1,2nx = n,
o sea,1,2x = 1,
de dondex=0,83 metros.
La primera regla, que expresa la dependencia mutua entre la longitud del paso y la estatura de la persona es siempre exacta, mientras que la segunda regla, que acabamos de examinar, es cierta sólo para las personas de estatura media; de unos 175 cm.61. Escala animada
Para medir objetos de magnitud media, cuando no se dispone de regla o cinta métrica, puede hacerse lo siguiente.

Esta última indicación nos enseña a medir sin necesidad de aparatos; para ello es preciso medir previamente ciertas longitudes en la mano y mantener en la memoria los resultados de la medición.
¿Qué distancias son las que deben medirse en la mano? Primero, la anchura de la palma de la mano, tal como se indica en la figura. En una persona adulta, esta distancia es aproximadamente de 10 cm; es posible que en su mano, dicha distancia sea algo menor; entonces deberá usted saber exactamente en cuánto es menor. Ha de medirse también la distancia entre los extremos de los dedos corazón e índice, separándolos lo más posible. Además, es conveniente conocer la longitud de su dedo índice, medida a partir de la base del dedo pulgar, en la forma que muestra la figura. Y por último, mida la distancia entre los extremos de los dedos pulgar y meñique, cuando ambos están totalmente extendidos.
Utilizando esta escala animada, puede efectuarse la medición aproximada de objetos pequeños.
Capítulo 8
Rompecabezas de geometría
62. La carreta
63. La lente biconvexa
64. El nivel de la burbuja
65. Número de caras
66. El cuarto creciente de la Luna
67. Con 12 cerillas
68. Con ocho cerillas
69. ¿Qué camino debe seguir la mosca?
70. Hacer pasar una moneda de cinco pesetas
71. Hallar la altura de una torre
72. Las figuras semejantes
73. La sombra del cable
74. El ladrillito
75. El gigante y el enano
76. Dos sandias
77. Dos melones
78. La cereza
79. El modelo de la torre Eiffel
80. Dos cacerolas
81. ¿Quién tiene más frío?
82. El azúcar
62. La carreta
¿Por qué el eje delantero de una carreta se desgasta más y se calienta con mayor frecuencia que el trasero?
Solución.
A primera vista parece como si este problema no tuviera relación alguna con la geometría. Pero en eso estriba precisamente el dominio de esta ciencia, en saber descubrir los principios geométricos en que están fundados los problemas, cuando se encuentran ocultos entre detalles accesorios. Nuestra tarea es, sin duda, puramente geométrica. Sin poseer suficientes conocimientos de geometría, no es posible resolver ese problema.
Así, pues, ¿por qué el eje delantero de la carreta se desgasta más rápidamente que el trasero? De todos es conocido que el diámetro de las ruedas delanteras es menor que el de las traseras. En un mismo recorrido, el número de vueltas que da la rueda pequeña es siempre mayor. En la pequeña, el perímetro de la circunferencia exterior es menor, por lo cual cabe más veces en la longitud dada. Se comprende, por tanto, que en cualquier recorrido que haga la carreta, las ruedas delanteras darán más vueltas que las traseras, y naturalmente, a mayor número de revoluciones, el desgaste del eje será más intenso.
63. La lente biconvexa
Con una lupa, que aumenta cuatro veces, se observa un ángulo de grado y medio. ¿Con qué magnitud se ve?
Solución.
Se equivocan ustedes si piensan que a través de la lupa, nuestro ángulo resulta de una magnitud 1 ½ · 4 = 6°. La magnitud del ángulo no aumenta lo más mínimo al mirarlo a través de la lupa. Es verdad que el arco del ángulo que se mide aumenta sin duda alguna, pero en la misma proporción aumentará también el radio de dicho arco, de modo que la magnitud del ángulo central quedará invariable.

64. El nivel de la burbuja
Conocen ustedes, naturalmente, este tipo de nivel, con su burbuja de aire indicadora que se desplaza a la izquierda o a la derecha de la marca índice cuando se inclina la base del nivel respecto del horizonte. Cuanto mayor sea la inclinación, tanto más se alejará la burbuja de la marca central. La burbuja se mueve porque es más ligera que el líquido que la contiene, y por ello asciende, tratando de ocupar el punto más elevado. Pero si el tubo fuera recto, la burbuja, al sufrir el nivel la menor inclinación, se desplazaría a la parte extrema del tubo, o sea, a la parte más alta. Es fácil comprender que un nivel de este tipo sería incomodísimo para trabajar. Por tanto, el tubo del nivel se hace en forma curva. Cuando la base del nivel está horizontal, la burbuja, al ocupar el punto más alto del tubo, se encuentra en su parte central. Si el nivel está inclinado, el punto más elevado no coincidirá con la parte central del tubo, sino que se hallará en otro punto próximo a la marca, y la burbuja se desplazará respecto de la marca índice, situándose en otro lugar del tubo, que entonces será el más alto.
Se trata de determinar cuántos milímetros se separa la burbuja de la marca si el nivel tiene una inclinación de medio grado y el radio de curvatura del tubo es de 1 m.
Solución.
Examine la figura en la cual MAN indica la posición inicial del arco de nivel y M'BN' la nueva posición. La cuerda M'N' forma con la cuerda MN un ángulo de medio grado. La burbuja, que se hallaba antes en el punto A, no cambia de lugar, mientras que el punto central del arco MN pasa a ocupar la posición B. Se trata de calcular la longitud del arco AB, sabiendo que su radio es de 1 m y que el ángulo correspondiente a dicho arco es de medio grado (esto se deduce de la igualdad de ángulos agudos con lados perpendiculares).

6280 : 720 = 8,7 mm.
La burbuja se desplazará respecto de la marca (mejor dicho, la marca se desplazará respecto de la burbuja) unos 9 mm, casi un centímetro. Lógicamente se comprende que cuanto mayor sea el radio de curvatura del tubo, tanto mayor será la sensibilidad del nivel.65. Número de caras
He aquí una pregunta que sin duda alguna, parecerá muy cándida, o por el contrario, demasiado sutil. ¿Cuántas caras tiene un lápiz de seis aristas?
Antes de mirar la respuesta, reflexione atentamente sobre el problema.
Solución.
Este problema se plantea en serio, y está basado en los errores habituales que se cometen al hacer un uso impropio de las palabras. Un lápiz de seis aristas no tiene seis caras, como seguramente piensa la mayoría. Si no está afilado, tiene ocho caras: seis laterales y dos frontales más pequeñas. Si tuviera realmente seis caras, el lápiz tendría otra forma completamente distinta, la de una barrita de sección rectangular.
La costumbre de considerar en un prisma sólo las caras laterales olvidándose de las bases, está muy extendida. Muchos dicen "prisma de tres caras, de cuatro caras", etcétera, mientras que en realidad deben llamarse: triangular o triédrico, cuadrangular o tetraédrico, etc., según sea la forma de la base. No existen prismas de tres caras, o sea, prismas con tres aristas.
Así, pues, el lápiz de que se trata en el problema, debe llamarse, si se habla correctamente, no de seis caras, sino hexagonal o hexaédrico.
66. El cuarto creciente de la Luna
Se trata de dividir la figura de un cuarto creciente de la luna en seis partes, trazando solamente dos líneas rectas. ¿Cómo hacerlo?

Solución.
Debe efectuarse como se indica en la figura. Se obtienen seis partes, que numeramos para hacerlas más evidentes.

Para resolver este problema no deben utilizarse instrumentos de medición de ninguna clase.

Las cerillas deben colocarse como muestra la figura a; la superficie de esta figura es igual al cuádruplo de la de un cuadrado hecho con cuatro cerillas. ¿Cómo se comprueba que esto es así?


Con ocho cerillas pueden construirse numerosas figuras de contorno cerrado. Algunas pueden verse en la figura; su superficie es, naturalmente, distinta.

Solución.
Puede demostrarse que de todas las figuras con contornos de idéntico perímetro, la que tiene mayor área es el círculo. Naturalmente que a base de cerillas no es posible construir un círculo; sin embargo, con ocho cerillas puede componerse la figura más aproximada al círculo, un octágono regular (véase la figura).

69. ¿Qué camino debe seguir la mosca?
En la pared interior de un vaso cilíndrico de cristal hay una gota de miel situada a tres centímetros del borde superior del recipiente. En la pared exterior, en el punto diametralmente opuesto, se ha parado una mosca.
Indíquese cuál es el camino más corto que puede seguir la mosca para llegar hasta la gota de miel.
La altura del vaso es de 20 cm y el diámetro de 10 cm.

Solución.
Para resolver este problema hay que desarrollar la superficie lateral del vaso cilíndrico, extendiéndola en un plano. En esta forma obtendremos un rectángulo (véase la figura) de 20 cm de altura y una base cuya longitud es igual a la circunferencia del vaso, o sea, 10 X 31/7 = 31 1/2 cm (aproximadamente). Marquemos en este rectángulo los lugares correspondientes a la mosca y a la gotita de miel. La mosca está en el punto A, situado a 17 cm de la base; la gotita de miel, en el punto B, a la misma altura y distante del punto A la longitud correspondiente a media circunferencia del vaso, o sea, 15 3/4 cm.
Para hallar ahora el punto donde la mosca ha de cruzar el borde del vaso pasando a su interior, hay que hacer lo siguiente. Tracemos desde el punto B (véase la figura), dirigida hacia arriba, una perpendicular a AB y continuándola hasta el punto C equidistante del punto B en relación al borde del vaso. Seguidamente, tracemos la recta CA. El punto de intersección D será donde la mosca cruce el borde, al pasar al otro lado del vaso. El camino ADB será el más corto.

No puedo asegurar que la mosca vaya a elegir en un caso semejante dicho camino. Es posible que orientándose por el olfato, la mosca efectivamente marche por la trayectoria más corta, pero no es muy probable, pues el olfato en estos casos no es un sentido que ofrezca tanta precisión.
70. Hacer pasar una moneda de cinco pesetas
Tomen dos monedas: una de cinco pesetas y otra de diez céntimos. Dibujen en una hoja de papel un círculo exactamente igual a la circunferencia de la moneda de diez céntimos y recórtenlo cuidadosamente.
¿Podrá pasar la moneda de cinco pesetas por ese orificio?
No se trata de un truco, es un verdadero problema geométrico.
Nada más fácil que el sistema de nuestra numeración,
y sin embargo no lo conocieron ni los griegos ni los romanos.
Balmes
Aunque parezca extraño, la moneda de cinco pesetas puede pasar por un orificio tan pequeño. Para ello, se necesita solamente saber hacerlo. Se dobla la hoja de papel de manera que se alargue el orificio circular y adquiera la forma de una ranura (véase la figura). Por esa ranura pasa perfectamente la moneda de cinco pesetas.

71. Hallar la altura de una torre
En la ciudad donde usted vive hay, sin duda, algunos monumentos notables, y entre ellos una torre cuya altura seguramente desconoce. Dispone usted de una postal con la fotografía de la torre. ¿En qué forma puede esta foto ayudarle a averiguar la altura de la torre?
Solución.
Para determinar por la fotografía la altura de la torre en su tamaño natural, hay que medir, lo más exactamente posible, la altura de la torre y la longitud de su base en la foto. Supongamos que obtenemos: para la altura 95 mm, y para la longitud de la base 19 mm. Después se mide la longitud de la base de la torre directamente del natural. Supongamos que sea igual a 14 m.
Hagamos ahora el razonamiento siguiente.
La torre y su imagen en la fotografía poseen configuraciones geométricas semejantes. Por consiguiente, la proporción entre las dimensiones de la base y la altura, en ambos casos, será la misma. En la foto es de 95 : 19 = 5; de donde deducimos que la altura de la torre es cinco veces mayor que su base, es decir,
14 · 5 = 70 m.
Por lo tanto, la torre de la ciudad tiene 70 m de altura.Sin embargo, hay que hacer notar que para determinar por el método fotográfico la altura de la torre no sirve cualquier fotografía, sino sólo las que no alteren las proporciones, cosa poco frecuente en fotógrafos con poca experiencia.
72. Las figuras semejantes
Este problema va destinado a los que sepan en qué consiste la semejanza geométrica. Se trata de responder a las dos preguntas siguientes:
- En un cartabón de dibujo (véase la figura), ¿son semejantes los triángulos exterior e interior?

- En un marco ¿son semejantes los rectángulos exterior e interior?
Dos y dos no son cuatro, cuando las unidades
matemáticas no son seres humanos.
A. Koestler
De ordinario, a las dos preguntas planteadas en este problema se contesta afirmativamente, lo que es un error. En realidad, son semejantes únicamente los triángulos; los rectángulos exterior e interior en general, no son semejantes. Para que los triángulos sean semejantes es suficiente la igualdad de sus ángulos, y, puesto que los lados de ambos triángulos, interior y exterior, son paralelos, las dos figuras serán semejantes. Pero para que se cumpla la semejanza geométrica en otros polígonos no basta con la igualdad de los ángulos (o lo que es lo mismo, con el paralelismo de los lados) ; es necesario que los lados de ambos polígonos circunscritos sean, además, proporcionales. En el marco, para los rectángulos exterior e interior, esto se verifica sólo cuando son cuadrados (y en general, rombos). En todos los demás casos, los lados del rectángulo exterior no son proporcionales a los del interior, y por tanto, los rectángulos no son semejantes.

73. La sombra del cable
¿A qué distancia se extiende en el espacio la sombra total producida por un cable telegráfico de 4 mm de diámetro?
Solución.
Es posible que a muchos les sorprenda que la solución de este problema requiera ciertos conocimientos de astronomía referentes a la distancia de la Tierra al Sol y a la magnitud del diámetro solar.
La longitud de la sombra total formada en el espacio por el alambre puede determinarse geométricamente por el esquema representado en la figura. Es fácil ver que la sombra es mayor que el diámetro del alambre en la misma proporción que la distancia que separa el Sol de la Tierra (150 000 000 km) lo es respecto del diámetro del Sol (1 400 000 km). La última relación es, en números redondos, igual a 115. Esto significa que la longitud de la sombra total que forma el alambre en el espacio es:
4 X 115 = 460 mm — = 46 cm.
La longitud insignificante de la sombra total proyectada explica el que la sombra no se vea con nitidez en la tierra o en los muros de las casas; las rayas débiles que se distinguen en estos casos, no son sombras propiamente dichas, sino semisombras.
74. El ladrillito
Un ladrillo, de los usados en la construcción, pesa unos cuatro kilogramos. ¿Cuánto pesará un ladrillito de juguete hecho del mismo material y cuyas dimensiones sean todas cuatro veces menores?
Solución.
La respuesta de que el ladrillito de juguete pesa 1 kg, o sea, la cuarta parte, es una gran equivocación. El ladrillito no sólo es cuatro veces más corto que el ladrillo de verdad, sino que también es cuatro veces más estrecho y más bajo; por lo tanto, su volumen y peso son 4 · 4 · 4 = 64 veces menores. La respuesta correcta es: el ladrillito de juguete pesa
4000 : 64 = 62,5 g.
75. El gigante y el enano¿Cuántas veces es más pesado un gigante de 2 m de altura que un enano de 1 m?
Solución.
Están ustedes ya bastante preparados para resolver este problema. En virtud de que las figuras humanas son aproximadamente semejantes, al ser la estatura dos veces mayor, su volumen será, no el doble, sino ocho veces mayor. Esto quiere decir que nuestro gigante es ocho veces más pesado que el enano. El gigante más alto de que se tiene noticia fue un habitante de Alsacia de 275 cm de altura: o sea, un metro más alto que cualquier persona de estatura normal. El enano más pequeño conocido tenía una altura menor de 40 cm, o sea, era unas siete veces más bajo que el titán alsaciano. Por lo tanto, si en uno de los platillos de la balanza se coloca el gigante de Alsacia, en el otro será necesario, para conseguir el equilibrio, colocar
7 · 7 · 7 = 343
enanos, un verdadero tropel de gente.Con números puede demostrarse
cualquier cosa.
Carlyle
Hay a la venta dos sandías de tamaño diferente. Una de ellas es la cuarta parte más ancha que la otra y cuesta vez y media más cara. ¿Cuál de las dos es más ventajoso comprar?
Solución.
El volumen de la sandía mayor supera al de la menor
![]()
Por consiguiente, es más ventajoso comprar la sandía mayor. Esta sandía es vez y media más cara, pero, en cambio, la parte comestible es dos veces mayor.
Sin embargo, ¿por qué los vendedores piden, de ordinario, por tales sandías un precio no doble sino sólo vez y media mayor? Se explica eso simplemente porque los vendedores, en la mayoría de los casos, no están fuertes en geometría. Por otra parte, tampoco conocen bien esta materia los compradores, que a menudo, se niegan a comprar, por esta causa, mercancías ventajosas. Puede afirmarse que es más lucrativo comprar sandías grandes que pequeñas, puesto que aquellas se valoran siempre por debajo de su precio verdadero; no obstante, muchos de los compradores no se dan cuenta de ello.
Por esta misma razón, es siempre más ventajoso comprar huevos grandes que menudos si no se venden a peso.
77. Dos melones
Están a la venta dos melones de la misma calidad. Uno tiene 60 centímetros de perímetro, el otro 50 cm. El primero cuesta vez y media más caro que el segundo; ¿qué melón es más ventajoso comprar?
Solución.
La relación existente entre las longitudes de las circunferencias es igual a la de sus diámetros respectivos. Si la circunferencia de un melón mide 60 cm y la de otro 50 cm, la relación entre sus diámetros será 60:50 = 6/5, y la relación entre los volúmenes será:
![]()
Está claro que tiene más cuenta comprar el mayor.
78. La cereza
La parte carnosa y el hueso de una cereza son de la misma anchura. Supongamos que la cereza y el hueso tengan forma esférica. ¿Puede usted calcular cuántas veces es mayor el volumen de la parte jugosa que el del hueso?
Solución.
De las condiciones impuestas por el problema se deduce que el diámetro de la cereza es tres veces mayor que el diámetro del hueso, lo que significa, que el volumen de la cereza es 3 · 3 · 3 = 27 veces mayor que el del hueso. Al hueso le corresponde 1/27 del volumen de la cereza, mientras que a la parte carnosa, lo restante, es decir, 26/27. Por consiguiente, el volumen de la parte carnosa de la cereza es 26 veces mayor que el del hueso.
79. El modelo de la torre Eiffel
La torre Eiffel de París tiene 300 m de altura y está construida enteramente de hierro; su peso total es de 8 000 000 de kilogramos. Deseo encargar un modelo exacto de dicha torre, también de hierro, y que pese sólo 1 kg. ¿Qué altura tendrá? ¿Será mayor o menor que la de un vaso?
Solución.
Si el modelo pesa 8 000 000 de veces menos que la torre y ambos están hechos del mismo metal, el volumen del modelo debe ser 8 000 000 menor que el de la torre. Sabemos que la relación entre los volúmenes de los cuerpos semejantes es igual a la que existe entre los cubos de sus alturas respectivas. Por consiguiente, el modelo debe ser 200 veces más bajo que el natural, puesto que
200 · 200 · 200 = 8 000 000
La altura de la torre es de 300 metros. De donde se deduce que la altura del modelo es300:200 = 1 ½ m.
80. Dos cacerolasTenemos dos cacerolas de cobre de igual forma con las paredes de idéntico espesor. La capacidad de la primera es 8 veces mayor que la segunda. ¿Cuántas veces es más pesada la primera?
Solución.
Ambas cacerolas son dos cuerpos geométricamente semejantes. Si la cacerola grande tiene una capacidad ocho veces mayor, todas sus dimensiones lineales tendrán el doble de longitud: será el doble de alta y el doble de ancha en ambas direcciones. Siendo el doble de alta y de ancha, su superficie será 2 X 2 = 4 veces mayor, puesto que la relación entre las superficies de los cuerpos semejantes es idéntica a la de los cuadrados de sus dimensiones lineales. Si las paredes tienen el mismo espesor, el peso de las cacerolas depende de las áreas de sus superficies respectivas. Lo expuesto nos da respuesta a la pregunta formulada en el problema: la cacerola grande es cuatro veces más pesada que la pequeña.
81. ¿Quién tiene más frío?
Un día de frío, una persona mayor y un niño están al aire libre. Ambos van igualmente vestidos. ¿Cuál de los dos tiene más frío?
Solución.
A primera vista, este problema parece como si no estuviera relacionado con las matemáticas; sin embargo, en lo fundamental, se resuelve a base de razonamientos geométricos, de modo semejante a como se ha explicado el problema anterior.
Antes de proceder a su resolución, examinemos un problema parecido, pero algo más sencillo.
Supongamos dos calderas, una grande y otra pequeña, de idéntica forma y construidas del mismo metal. Ambas están llenas de agua hirviente. ¿Cuál de ellas se enfriará antes?
Los objetos irradian el calor a través de su superficie; por tanto, se enfriará más rápidamente aquella caldera en que a cada unidad de volumen corresponda mayor superficie de irradiación. Si una de las calderas es n veces más alta y ancha que la otra, la superficie de la primera será n2 veces mayor y su volumen n3 veces; a la caldera de mayor tamaño le corresponde, por cada unidad de superficie, un volumen n veces mayor. Por consiguiente, la caldera menor debe enfriarse antes.
Por la misma causa, la criatura expuesta al frío debe sentir éste más que la persona adulta, si ambos están igualmente abrigados, puesto que la cantidad de calor que se origina en cada cm3 del cuerpo, es en ambos casi idéntica; sin embargo, la superficie del cuerpo que se enfría, correspondiente a un cm3, es mayor en la criatura que en la persona adulta.
Así se explica que se enfríen con más intensidad los dedos de las manos y la nariz, y que se hielen con mayor frecuencia que otras partes del cuerpo, cuya superficie no es tan grande en comparación con su volumen.
Para terminar, examinemos el problema siguiente:
¿Por qué una astilla arde con mayor rapidez que el leño del que se ha cortado?
Debido a que el calentamiento se verifica en la superficie y se difunde por todo el volumen del cuerpo, habrá que establecer la relación existente entre la superficie y el volumen de la astilla (por ejemplo, de sección cuadrada) con la superficie y el volumen de un leño de idéntica longitud y sección, y de este modo, determinar cuál será la magnitud de la superficie que corresponda a cada cm3 de madera en ambos casos. Si el grosor del leño es diez veces mayor que el de la astilla, la superficie lateral del leño será también diez veces mayor que la de la astilla, y el volumen del primero será cien veces mayor que el de la astilla. Por consiguiente, a cada unidad de superficie de la astilla, si la comparamos con el leño, le corresponde la décima parte del volumen. La misma cantidad de calor actúa sobre ambos, pero en la astilla calienta un volumen de madera diez veces menor, lo que explica que la astilla se inflame con mayor rapidez que el leño del que formaba parte.
Por ser la madera mala conductora del calor, las proporciones indicadas hay que considerarlas sólo aproximadas; caracterizan únicamente la marcha general del proceso y no el aspecto cuantitativo del mismo.
82. El azúcar
¿Qué pesa más, un vaso lleno de azúcar en polvo o de azúcar en terrones?
Solución.
Si no hacemos un pequeño esfuerzo de imaginación este problema parecerá muy difícil; sin embargo, su solución es muy sencilla. Supongamos, para mayor sencillez, que los terrones de azúcar tengan una magnitud cien veces mayor que las partículas de azúcar en polvo. Imaginemos ahora que todas las partículas de azúcar en polvo aumenten de tamaño cien veces, junto con el vaso que las contiene. El vaso adquiriría una capacidad 100 · 100 · 100 = = 1 000 000 de veces mayor. En esta misma proporción aumentará el peso del azúcar en él contenido. Tomemos mentalmente un vaso corriente de este azúcar en polvo (aumentado cien veces), o sea, una millonésima del vaso gigante. La cantidad tomada pesará, naturalmente, tanto como pesa un vaso ordinario de azúcar en polvo corriente. ¿Qué representa en sí este azúcar en polvo que hemos tomado agrandado de tamaño? Al fin y al cabo, lo mismo que el azúcar en terrones. Esto quiere decir que el vaso contiene, en peso, la misma cantidad de azúcar en polvo que de azúcar en terrones.
Si aumentáramos el tamaño de las partículas de azúcar, no cien veces, sino sesenta u otro cualquier número de veces, el problema no cambiaría en absoluto. El razonamiento está basado en que los trozos de azúcar en terrones pueden considerarse como cuerpos geométricamente semejantes a las partículas de azúcar en polvo y que están también distribuidos en el vaso en forma semejante.
Capítulo 9
La geometría de la lluvia y la nieve
83. El pluviómetro
84. Determinación de la cantidad de agua de lluvia
85. Determinación de la cantidad de agua procedente de la nieve
Existen ciudades que tienen la reputación de ser muy lluviosas. Sin embargo, los hombres de ciencia dicen muchas veces que la cantidad anual de agua procedente de lluvia es mucho mayor en otras ciudades que no tienen dicha reputación. ¿De dónde sacan esto? ¿Puede acaso medirse la cantidad de agua aportada por la lluvia?
El cálculo parece una tarea difícil; no obstante, ustedes mismos pueden aprender a hacerlo y a determinar la cantidad de agua de lluvia. No piensen que para ello hace falta recoger toda el agua de lluvia que cae sobre la tierra. Basta simplemente, con medir el espesor de la capa de agua formada sobre el suelo, siempre que el agua caída no se pierda y no sea absorbida por el terreno. Esto es bien fácil de hacer. Cuando llueve, el agua cae sobre el terreno de manera uniforme; no se da el caso de que en un bancal caiga más agua que en el vecino. Basta medir el espesor de la capa de agua de lluvia en un sitio cualquiera y esto nos indicará el espesor en toda la superficie del terreno regado por la lluvia.
Seguramente adivinan ustedes qué es lo que hay que hacer para medir el espesor de la capa de agua caída en forma de lluvia. Es necesario construir una superficie donde el agua no se escurra ni pueda ser absorbida por la tierra. Para este fin sirve cualquier vasija abierta; por ejemplo, un balde. Si disponen de un balde de paredes verticales (para que sea igual su anchura en la base y en la parte alta), colóquenlo bajo la lluvia en un lugar despejado, a cierta altura, con objeto de que no caigan al interior del balde las salpicaduras de agua que saltan al chocar la lluvia contra el suelo. Cuando cese la lluvia, midan la altura del agua recogida en el balde y tendrán ustedes todo lo necesario para efectuar los cálculos.
Ocupémonos detalladamente de nuestro pluviómetro de fabricación casera. ¿Cómo se mide la altura del nivel de agua en el balde? ¿Podrán hacerlo introduciendo una regla de medir? Esto será posible cuando en el balde se haya acumulado bastante cantidad de agua. Si la capa de agua es, como ocurre por lo general, de espesor no superior a 2 ó 3 cm e incluso de milímetros, se comprende la imposibilidad de medir con precisión la capa de agua empleando este procedimiento. Para nosotros, tiene importancia cada milímetro, cada décima de milímetro. ¿Cómo hacerlo?
Solución.
Lo mejor de todo es trasvasar el agua a un recipiente de cristal más estrecho. En este recipiente, el agua tendrá un nivel más alto, y al mismo tiempo, permitirá observar fácilmente la altura del mismo a través del cristal. Comprenderán ustedes que la altura medida en el recipiente estrecho no corresponde al espesor de la capa de agua de lluvia que se desea medir. Sin embargo, es fácil pasar de una medida a la otra. Supongamos que el diámetro del fondo del recipiente estrecho sea exactamente la décima parte del diámetro del fondo del balde — pluviómetro utilizado. La superficie del fondo del recipiente estrecho será 10 · 10 = 100 veces menor que la del fondo del balde. Está claro que el nivel del agua vertida del balde se hallará cien veces más alta en el recipiente de cristal. Esto quiere decir que si en el balde el espesor de la capa de agua de lluvia es de 2 mm, en el recipiente de vidrio esta misma cantidad de agua alcanzará un nivel de 200 mm, o sea, 20 cm.
De este cálculo se deduce que la vasija de vidrio, en comparación con el balde — pluviómetro, no deberá ser muy estrecha, pues entonces tendría que ser excesivamente alta. Es suficiente que la vasija de vidrio sea cinco veces más estrecha que el balde, pues en esta forma, la superficie de su fondo será veinticinco veces menor que la del balde, y el nivel del agua vertida se elevará en esta misma proporción. A cada milímetro de espesor en el balde corresponderán 25 mm de altura de agua en el recipiente de vidrio. Para facilitar esta operación, es conveniente pegar en la pared exterior de la vasija de vidrio una cinta de papel, dispuesta verticalmente, y marcarla cada 25 mm, designando sucesivamente las divisiones con las cifras 1, 2, 3, etc. En esta forma, bastará con mirar el nivel del agua en la vasija estrecha, y sin necesidad de cálculos complementarios, sabremos inmediatamente el espesor de la capa de agua en el balde — pluviómetro. Si el diámetro de la vasija estrecha no fuera 5, sino 4 veces menor, entonces habría que graduar en la pared de vidrio cada 16 mm, y así sucesivamente.
Es muy incómodo echar el agua del balde a la vasija medidora de vidrio derramándola por el borde. Lo mejor es hacer un pequeño orificio circular en la pared del balde y colocar en él un tubito de cristal, provisto de tapón. Así se puede verter el agua con mayor comodidad.
Así, pues, disponemos ya de los utensilios necesarios para medir el espesor de la capa de agua de lluvia. Con el balde y la vasija medidora que hemos descrito no se podrán, claro está, realizar los cálculos con tanta precisión como con el pluviómetro y el cilindro graduado que se utilizan en las estaciones meteorológicas. No obstante, estos instrumentos, sencillos y baratos, permitirán hacer muchos cálculos instructivos.
84. Determinación de la cantidad de agua de lluvia
Imaginemos un huerto de 40 m de largo y 24 m de ancho. Ha llovido y desea usted saber qué cantidad de agua ha caído en el huerto. ¿Cómo calcularlo?
Está claro que debe comenzarse por determinar el espesor de la capa de agua de lluvia. Sin este dato no es posible efectuar cálculo alguno. Su pluviómetro ha indicado la altura del agua recogida, por ejemplo, 4 mm. Calculemos los cm cúbicos de agua que corresponderían a cada metro del huerto si el agua no fuera absorbida por el terreno. Un m2 tiene 100 cm de ancho y 100 cm de largo; sobre esta superficie se halla la capa de agua de 4 mm, o sea, de 0,4 cm de altura. El volumen de dicha capa será:
100 · 100 · 0,4 = 4000 cm3
Sabe usted que un cm3 de agua pesa 1 g. Por consiguiente, en cada m2 del huerto habrán caído 4000 g o sea, 4 kg de agua de lluvia. En total, el huerto tiene una superficie de40 · 24 = 960 m2.
Por tanto, el agua que ha caído en él será:4 · 960 = 3840 kg.
casi 4 toneladas.Solución.
En un cubo corriente caben 12 kg de agua. Por consiguiente, la lluvia ha regado el huerto con:
3840 : 12 = 320 cubos.
De lo dicho se deduce que hubiera usted necesitado echar en el huerto más de trescientos cubos para poder reemplazar el riego aportado por la lluvia que, en total, es posible que no durara más de un cuarto de hora.¿Cómo expresar en cifras cuándo la lluvia es fuerte o débil? Para ello es preciso determinar el número de milímetros de agua (o sea, el espesor de la capa de agua) que caen durante un minuto, lo que se llama magnitud de las precipitaciones. Si la lluvia fuera tal que en cada minuto cayeran, por término medio, 2 mm de agua, sería un chaparrón muy fuerte. Durante las lluvias menudas de otoño, cada mm de agua se acumula en el curso de una hora o en un período de tiempo mayor.
Como puede verse, es posible medir la cantidad de agua que cae durante la lluvia y hasta es fácil hacerlo. Además, si se quiere, puede hallarse la cantidad aproximada de gotas sueltas que caen durante la lluvia. En efecto, en una lluvia corriente, cada doce gotas pesan alrededor de un gramo. Esto supone que en cada m2 del huerto caen en este caso.
4000 · 12 = 48 000 gotas.
Es fácil calcular también el número de gotas de agua que caen en todo el huerto. Pero este cálculo puede efectuarse únicamente a modo de curiosidad; no tiene ninguna utilidad práctica. Lo hemos mencionado sólo para mostrar qué resultados, increíbles a primera vista, pueden obtenerse si sabemos efectuar y efectuamos esos cálculos.85. Determinación de la cantidad de agua procedente de la nieve
Hemos aprendido a medir el agua que cae en forma de lluvia. ¿Cómo puede medirse el agua procedente del granizo? Exactamente por el mismo procedimiento. Recoja el granizo en su pluviómetro, déjelo derretir, mida el agua obtenida y dispondrá de los datos necesarios para el cálculo.
El proceso de medición cuando se trata del agua procedente de la nieve, es algo diferente. En este caso, se obtendrían con el pluviómetro resultados muy inexactos, pues el viento puede arrastrar parte de la nieve acumulada en el balde. Es posible realizar el cálculo de la cantidad de nieve sin necesidad de emplear el pluviómetro, midiendo directamente el espesor de la capa de nieve que cubre el patio, el huerto, el campo, etc., utilizando para ello una regla graduada de madera. Pero para conocer el espesor de la capa acuosa obtenida al derretirse la nieve, es preciso hacer una nueva operación, consistente en llenar el balde con la nieve del mismo grado de porosidad, dejarle que se derrita y anotar la altura de la capa de agua obtenida. En esta forma, determina usted la altura, en mm, de la capa de agua resultante para cada cm de espesor de la capa de nieve. Conociendo este dato, es fácil convertir el espesor de una capa cualquiera de nieve en la cantidad correspondiente de agua.
Si mide diariamente la cantidad de agua de lluvia caída en el período templado del año y añade al resultado el agua acumulada durante el invierno en forma de nieve, sabrá usted la cantidad total de agua que cae anualmente en su localidad. Este es un dato global muy importante, que indica la cantidad de precipitaciones para el lugar dado. (Se llama precipitaciones la cantidad total de agua caída, bien sea en forma de lluvia, de nieve o de granizo.)
Es bien sabido que en el globo terrestre existen grandes diferencias de medias anuales en las precipitaciones según las zonas geográficas, que van desde menos de 25 a más de 200 cm.
Por ejemplo, si tomamos algunos casos extremos, cierto lugar de la India es totalmente inundado por el agua de lluvia; caen anualmente 1260 cm, o sea, 12 ½ m de agua. En cierta ocasión, cayeron en ese sitio, en un día, más de cien cm de agua. Existen, por el contrario, lugares donde las precipitaciones son escasísimas; así, en ciertas regiones de América del Sur, por ejemplo, en Chile, se recoge durante todo el año, menos de 1 cm de precipitaciones.
Las regiones donde las precipitaciones son inferiores a 25 centímetros se llaman secas. En ellas no pueden cultivarse cereales sin emplear métodos artificiales de irrigación.
Es fácil comprender que si se mide el agua que cae anualmente en diversos lugares del globo terrestre, puede deducirse, por los datos obtenidos, el espesor medio de la capa de agua precipitada durante el año en la Tierra. Resulta que en la tierra firme (en los océanos no se realizan observaciones), la media anual de precipitaciones es de 78 cm. Se considera que en los océanos, la cantidad de agua caída en forma de lluvia viene a ser aproximadamente la misma que en las extensiones equivalentes de tierra firme. Para calcular la cantidad de agua que cae anualmente sobre nuestro planeta en forma de lluvia, granizo y nieve, hay que conocer la superficie total del globo terrestre. Si no tiene a mano dónde consultar este dato, puede calcularlo del modo que indicamos.
Solución.
Sabemos que un metro es casi exactamente la cuarentamillonésima parte de la circunferencia del globo terrestre. En otras palabras, la circunferencia de la Tierra es igual a 40 000 000 de m o sea 40 000 km. El diámetro de cualquier círculo es 31/7, veces menor que el perímetro de su circunferencia. Conociendo esto podemos hallar el diámetro de nuestro planeta.
40 000:31/7 = 12 700 km.
La regla para determinar el área de una esfera consiste en multiplicar la longitud del diámetro por sí misma y por 31/7, o sea:12 700 · 12 700 · 31/7 = 509 000 000 km2.
(A partir de la cuarta cifra hemos puesto ceros, pues sólo son exactas las tres primeras.)Por lo tanto, la superficie total del globo terrestre es de 509 millones de km cuadrados.
Volvamos ahora a nuestro problema. Calculemos el agua que cae en cada km2 de la superficie terrestre. En un m2, o sea, 10 000 cm2, será:
78 X 10 000 = 780 000 cm3.
Un km2, tiene 1000 · 1000 = 1 000 000 de m2. Por lo tanto, el agua correspondiente a esta extensión será:780 000 000 000 cm3 ó 780 000 m3.
En toda la superficie terrestre caerá:780 000 · 509 000 000 = 397 000 000 000 000 m3.
ara convertir esta cantidad de m3 en km3 hay que dividirla por 1000 · 1000 · 1000, o sea, por mil millones. Obtenemos 397 000 km3.Por consiguiente, la cantidad anual de agua que cae en forma de precipitaciones atmosféricas, sobre nuestro planeta es, en números redondos, 400 000 km3.
Con esto damos fin a nuestra charla sobre la geometría de la lluvia y de la nieve. En los libros de meteorología puede encontrarse una descripción más detallada de todo lo dicho.
Capítulo 10
Treinta problemas diferentes
86. La cadena
87. Las arañas y los escarabajos
88. El impermeable, el sombrero y los chanclos
89. Los huevos de gallina y de pato
90. El vuelo
91. Regalos en metálico
92. Las dos fichas
93. Con dos cifras
94. La unidad
95. Con cinco nueves
96. Con las diez cifras
97. Por cuatro procedimientos
98. Con cuatro unidades
99. División enigmática
100. Un ejemplo más de división
101. ¿Qué resulta?
102. Otro problema del mismo género
103. El avión
104. Un millón de objetos
105. Número de caminos posibles
106. La esfera del reloj
107. La estrella de ocho puntas
108. La rueda con números
109. La mesa de tres patas
110. Determinación de ángulos
111. Por el ecuador
112. En seis filas
113. ¿De qué modo hacer la división?
114. El problema de Benediktov
86. La cadena
A un herrero le trajeron 5 trozos de cadena, de tres eslabones cada uno, y le encargaron que los uniera formando una cadena continua.

¿No es posible efectuar este trabajo abriendo y enlazando un número menor de anillos?
Solución.
Puede cumplirse el trabajo, abriendo sólo tres eslabones. Para ello es preciso soltar los tres eslabones de uno de los trozos y unir con ellos los extremos de los cuatro trozos restantes.
87. Las arañas y los escarabajos
Un chiquillo cazó varias arañas y escarabajos, en total ocho, y los guardó en una caja. Si se cuenta el número total de patas que corresponde a los 8 animales resultan 54 patas.
¿Cuántas arañas y cuántos escarabajos hay en la caja?
Solución.
Para resolver este problema hay que recordar mediante la Zoología, cuántas patas tiene un escarabajo y cuántas posee una araña. El escarabajo tiene 6 patas, la araña 8. Sabiendo esto, supongamos que en la caja hubiera sólo escarabajos. En este caso, el número de patas sería 6 · 8 = 48, seis menos de las que se exigen en el problema. Reemplacemos un escarabajo por una araña. El número de patas aumentará en 2, puesto que la araña no tiene 6, sino 8 patas.
Está claro que si hacemos esta operación 3 veces consecutivas, el número de patas llegará a ser 54. Pero, entonces, de los 8 escarabajos quedarán sólo 5, los demás serán arañas. Así, pues, en la caja había 5 escarabajos y 3 arañas. Hagamos la comprobación: Los 5 escarabajos dan un total de 30 patas, las tres arañas, 24, por tanto, 30 + 24 = 54, como exigen las condiciones planteadas en el problema. Este problema puede resolverse también de otro modo. Supongamos que en la caja hubiera solamente arañas. Entonces, el número de patas sería 8 · 8 = 64, o sea diez más de las indicadas en el problema. Si reemplazamos una araña por un escarabajo, el número de patas disminuirá en 2. Se necesita por tanto, hacer 5 cambios semejantes para que el número de patas llegue a ser el requerido, 54. En otras palabras, de las 8 arañas hay que dejar sólo 3 y las restantes reemplazarlas por escarabajos.
88. El impermeable, el sombrero y los chanclos
Cierta persona compró un impermeable, un sombrero y unos chanclos y pagó por todo 140 duros. El impermeable le costó 90 duros más que el sombrero; el sombrero y el impermeable juntos costaron 120 duros más que los chanclos. ¿Cuál es el precio de cada prenda?
El problema hay que resolverlo mentalmente, sin emplear ecuaciones.
Solución.
Si en lugar del impermeable, el sombrero y los chanclos, dicha persona hubiera comprado solamente dos pares de chanclos, en vez de 140 duros habría pagado tanto menos cuanto más baratos cuestan los chanclos que el impermeable y el sombrero juntos, o sea, 120 duros menos. Por tanto, los dos pares de chanclos costaron 140 — 120 = 20 duros, de donde deducimos que un par de chanclos valía 10 duros.
Ahora ya sabemos que el impermeable y el sombrero juntos valían 140 — 10 = 130 duros, y además, que el impermeable costaba 90 duros más caro que el sombrero. Razonemos como lo hemos hecho antes: en lugar del impermeable y el sombrero, supongamos que esa persona comprara dos sombreros. Habría pagado, no 130 duros, sino 90 duros menos. Esto significa que los dos sombreros costaban
130 — 90 = 40 duros;
de donde resulta que un sombrero valía 20 duros.Por consiguiente, el precio de las tres prendas fue: los chanclos, 10 duros; el sombrero, 20 duros, y el impermeable, 110 duros.
89. Los huevos de gallina y de pato
Las cestas que se ven en la figura contienen huevos; en unas cestas hay huevos de gallina, en las otras de pato. Su número está indicado en cada cesta. "Si vendo esta cesta —meditaba el vendedor— me quedarán el doble de huevos de gallina que de pato."

Solución.
El vendedor se refería a la cesta con 29 huevos. En las cestas con los números 23, 12 y 5 había huevos de gallina; los de pato se hallaban en las cestas designadas con el 14 y el 6.
Hagamos la comprobación. Total de huevos de gallina que quedaron:
23 + 12 + 5 = 40.
De pato:14 + 6 = 20.
De gallina había el doble que de pato, lo que satisface las condiciones del problema.90. El vuelo
Un avión cubrió la distancia que separa las ciudades A y B en 1 hora y 20 minutos. Sin embargo, al volar de regreso recorrió esa distancia en 80 minutos.
¿Cómo se explica esto?
Solución.
En este problema no hay nada que aclarar. El avión tarda el mismo tiempo en hacer el vuelo en ambas direcciones, puesto que 80 minutos = 1 h y 20 minutos.
El problema va destinado exclusivamente a los lectores que no prestan la debida atención al examinar las condiciones planteadas en él y que pueden pensar que existe una diferencia entre 1 h 20 min y 80 min. Aunque parezca raro, son muchas las personas que no caen en seguida en la cuenta; su número es mayor entre las acostumbradas a efectuar cálculos, que entre las poco experimentadas en ese terreno. Se debe eso a la costumbre de emplear el sistema decimal y las unidades monetarias. Al ver la cifra 1 h 20 min y junto a ella 80 min, a primera vista nos parece como si existiera alguna diferencia entre ellas, como por ejemplo ocurre en el caso de 1 peseta 20 céntimos y 80 céntimos. Precisamente, el problema está basado en este error psicológico del lector.
91. Regalos en metálico
Dos padres regalaron dinero a sus hijos. Uno de ellos dio a su hijo ciento cincuenta duros, el otro entregó al suyo cien. Resultó, sin embargo, que ambos hijos juntos aumentaron su capital solamente en ciento cincuenta duros. ¿De qué modo se explica esto?
Las matemáticas son una gimnasia del espíritu, y una preparación para la filosofía.
Isócrates
La clave del enigma consiste en que uno de los padres es hijo del otro. En total eran, no cuatro, sino tres personas: abuelo, hijo y nieto. El abuelo dio al hijo 150 duros y éste, de ese dinero, entregó al nieto (o sea, a. su hijo) 100 duros, con lo cual los ahorros del hijo aumentaron, por consiguiente, sólo en 50 duros.
92. Las dos fichas
En un tablero del juego de damas hay que colocar dos fichas, una blanca y otra negra. ¿De cuántos modos diferentes pueden disponerse dichas fichas?
Solución.
Una de las fichas puede colocarse en cualquiera de las 64 casillas, o sea, en 64 formas diferentes. Una vez colocada la primera, puede ponerse la segunda en cualquiera de las 63 casillas restantes. Por tanto, a cada una de las 64 posiciones de la primera ficha hay que añadir las 63 posiciones de la segunda. En total, el número de posiciones distintas que pueden ocupar las dos fichas en el tablero será:
64 · 63 = 4032
93. Con dos cifras¿Cuál es el menor número entero positivo que puede usted escribir con dos cifras?
Solución.
El menor número entero que puede escribirse con dos cifras no es el diez, como seguramente piensan algunos lectores, sino la unidad expresada de la manera siguiente: 1/1, 2/2, 3/3, 4/4 y así sucesivamente hasta 9/9.
Aquellos que conozcan el álgebra pueden indicar también las siguientes:
10, 20, 30, 40, etc. hasta 90.
puesto que cualquier número elevado a cero es igual a la unidad[1].94. La unidad
¿Cómo expresar la unidad, empleando al mismo tiempo las diez primeras cifras?
Solución.
Hay que representarse la unidad como la suma de dos quebrados
148/296 + 35/70= 1
Los que tengan conocimientos de álgebra pueden dar además las siguientes respuestas:123 456 7890; 234 5679—8—1
etcétera, pues los números con exponente cero son iguales a la unidad.95. Con cinco nueves
Exprese el número diez empleando cinco nueves. Indique, como mínimo, dos procedimientos de los múltiples que hay para realizarlo.
Solución.
He aquí dos procedimientos:
![]()
![]()

9 + 999-9
96. Con las diez cifrasExprese el número cien, utilizando las diez primera cifras. ¿Por cuántos procedimientos puede usted hacerlo?
Solución.
He aquí cuatro procedimientos:
![]()
![]()
![]()
![]()
97. Por cuatro procedimientos
Exprese el número cien de cuatro modos distintos, empleando cinco cifras iguales.
Solución.
El número cien puede expresarse con cinco cifras iguales, empleando unos, treses y, lo más sencillo, cincos:
111 — 11 = 100
33 · 3 + 3/3 = 100.
5 · 5 · 5 — 5 · 5 = 100
(5 + 5 + 5 + 5) · 5 = 100.
98. Con cuatro unidades¿Cuál es el número mayor que puede usted escribir con cuatro unos?
Solución.
A esta respuesta se contesta con frecuencia: 1111. Sin embargo, puede formarse un número mucho mayor: once elevado a la undécima potencia 1111. Si se tiene paciencia para llevar hasta el fin esta operación (con ayuda de los logaritmos estos cálculos se efectúan mucho más rápidamente) podrá uno ver que es superior a 280 000 millones. Por consiguiente, supera a 1111 más de 250 millones de veces.
99. División enigmática
En el ejemplo de división que vamos a ver, todas las cifras están reemplazadas por asteriscos, a excepción de cuatro cuatros. Coloque en lugar de los asteriscos las cifras reemplazadas.
| * | * | * | * | * | * | * | 4 | * | * | * | |||
| - | * | * | * | * | 4 | * | * | ||||||
| * | * | 4 | * | ||||||||||
| - | * | * | * | * | |||||||||
| * | * | * | * | ||||||||||
| - | * | 4 | * | ||||||||||
| * | * | * | * | ||||||||||
| - | * | * | * | * |
Este problema puede resolverse en diferentes formas.
Solución.
Los cuatro casos que damos a continuación coinciden con el ejemplo de división propuesto:
1 337 174:943 = 1418
1 343 784:949 = 1416
1200 474:846 = 1419
1 202 464:848 = 1418
| * | * | 7 | * | * | * | * | * | * | * | * | * | * | * | 7 | * | |||||
| - | * | * | * | * | * | * | * | * | 7 | * | * | |||||||||
| * | * | * | * | * | 7 | * | ||||||||||||||
| - | * | * | * | * | * | * | * | |||||||||||||
| * | 7 | * | * | * | * | |||||||||||||||
| - | * | 7 | * | * | * | * | ||||||||||||||
| * | * | * | * | * | * | |||||||||||||||
| * | * | * | * | * | * |
Solución.
Una manera de resolver este ejemplo es:
7 375 428 413 : 125 473 = 58 781.
Más tarde se han encontrado otros tres modos de resolverlo.Estos dos últimos problemas de difícil solución, aparecieron por primera vez en las publicaciones norteamericanas Periódico de Matemáticas, en el año 1920, y Mundo Escolar, en 1906.
101. ¿Qué resulta?
Supongamos un cuadrado de un metro de lado, dividido en cuadraditos de un milímetro. Calcule mentalmente qué longitud se obtendría si colocásemos todos los cuadraditos en línea, adosados unos a otros.
Solución.
En un metro cuadrado hay un millón de milímetros cuadrados. Cada mil milímetros cuadrados, dispuestos uno junto a otro, constituyen un metro; mil millares formarán mil metros. Por lo tanto la línea formada tendrá un kilómetro de longitud.
102. Otro problema del mismo género
Imagínese un cubo de un metro de arista dividido en cubitos de un milímetro. Calcúlense mentalmente los kilómetros de altura que tendría una columna formada por todos los cubitos dispuestos uno encima del otro.
Solución.
La respuesta asombra por la magnitud inesperada que se obtiene: la columna se eleva a 1 000 km.
Hagamos mentalmente el cálculo. Un metro cúbico contiene 1000 · 1000 · 1000 milímetros cúbicos. Cada mil milímetros cúbicos, colocados uno encima del otro, forman una columna de 1000 m, o sea, 1 km. Pero como tenemos mil veces este número de cubitos, la altura de la columna será de 1000 km.
103. El avión
Un avión de doce metros de envergadura fue fotografiado desde el suelo durante su vuelo en el momento de pasar por la vertical del aparato. La cámara fotográfica tiene doce cm de profundidad. En la foto, el avión presenta una envergadura de ocho mm. ¿A qué altura volaba el avión en el momento de ser fotografiado?
Las matemáticas estudian el sol y la luna, pero olvidan lo que tienen debajo de sus pies.
Diógenes
Examinando la figura se deduce (debido a la igualdad de los ángulos 1 y 2) que la relación entre las dimensiones lineales del objeto y las correspondientes de la imagen es directamente proporcional a la que existe entre la longitud que dista del avión al objetivo y la profundidad de la cámara.

12 000:8 = x:0,12
de donde x = 180 m.104. Un millón de objetos
Un objeto pesa 89,4 g. Calcule mentalmente las toneladas que pesa un millón de estos objetos.
Solución.
Este tipo de cálculo se efectúa mentalmente multiplicando 89,4 g por un millón, o sea, por mil millares.
Hagamos esta operación multiplicando dos veces sucesivas por mil. 89,4 g · 1000 = 89,4 kg, puesto que 1 kg es mil veces mayor que un gramo. Después,
89,4 kg · 1000 = 89,4 toneladas,
pues una tonelada es mil veces mayor que un kilogramo. Por tanto, el peso buscado será 89,4 toneladas.105. Número de caminos posibles
En la figura se ve un bosque dividido en sectores, separados entre sí por veredas. La línea de puntos indica el camino a seguir por las veredas para ir desde el punto A al B Naturalmente, éste no es el único camino entre dichos puntos, siguiendo las veredas. ¿Cuántos caminos diferentes, pero de igual longitud, existen entre los puntos mencionados?

El número de caminos posibles para ir de A a B es de 70. (Este problema puede resolverse de forma sistemática utilizando el triángulo de Pascal, que se describe en los libros de álgebra.)
106. La esfera del reloj
Se trata de dividir esta esfera de reloj (véase la figura) en seis partes, de la forma que usted desee, pero con la condición de que en cada parte, la suma de los números sea la misma.
Este problema tiene por objeto comprobar más que su ingenio, su rapidez de comprensión.

Como la suma de todas las cifras inscritas en la estera del reloj es igual a 78, el número correspondiente a cada parte deberá ser 78:6 = 13. Esto facilita hallar la solución que se muestra en la figura.

107. La estrella de ocho puntas
Hay que distribuir los números del 1 al 16 en los puntos de intersección de las líneas de la figura de modo que la suma de los cuatro números que se hallan en cada lado de los dos cuadrados sea 34 y que la suma de los cuatro números que se encuentran en los vértices de cada cuadrado sea también 34.

Las cifras del 1 al 9 hay que distribuirlas en la rueda de la figura: una cifra debe ocupar el centro del círculo y las demás, los extremos de cada diámetro de manera que las tres cifras de cada fila sumen siempre 15.

El modo de resolver estos problemas se indica en las figuras.

Existe la opinión de que una mesa de tres patas nunca se balancea, incluso aunque las patas sean de longitud diferente. ¿Es verdad esto?
Solución.
Una mesa de tres patas siempre puede apoyarse correctamente en el suelo con los tres extremos de sus patas, puesto que por tres puntos situados en el espacio, puede pasar un plano y sólo uno. Por este motivo, las mesas de tres patas son estables y nunca se balancean. Como se ve, este problema es puramente geométrico y no físico.
He aquí por qué es muy cómodo emplear trípodes para los instrumentos agrimensores y los aparatos fotográficos. La cuarta pata no aumenta la estabilidad; por el contrario, habría siempre necesidad de preocuparse de la longitud exacta de las patas para que la mesa o los aparatos no se balancearan.
110. Determinación de ángulos
¿Qué magnitud tienen los ángulos formados por las saetas de los relojes de la figura? Debe resolverse mentalmente sin utilizar el transportador.

Es fácil contestar a la pregunta planteada en el problema si observamos la hora que marcan los relojes. Las agujas del reloj de la izquierda marcan las 7 en punto. Esto significa que los extremos de las agujas abarcan un arco equivalente a 5/12 de la circunferencia completa.
En grados, esto constituye:
360° · 5/12 = 150°.
Las agujas del reloj de la derecha marcan las nueve y media. El arco comprendido por sus extremos es 3 ½ veces la duodécima parte de la circunferencia, o sea 7/24 de ésta. Expresado en grados será:360° · 7/24 = 105°
111. Por el ecuadorSi pudiéramos recorrer la Tierra siguiendo el ecuador, la coronilla de nuestra cabeza describiría una línea más larga que la planta de los pies. ¿Qué magnitud tendría la diferencia entre estas longitudes?
Solución.
Supongamos que la persona tenga 175 cm de altura y designemos con la letra R el radio de la Tierra. Tendremos:
2 · 3,14 · (R + 175) —2 · 3,14 · R = 2 · 3,14 · 175 = 1100 cm,
o sea, 11 metros. Lo sorprendente es que el resultado no depende en absoluto del radio del globo, y por tanto, es el mismo para el Sol que para una bolita.112. En seis filas
Seguramente conoce usted la historia cómica sobre cómo nueve caballos fueron distribuidos en diez establos y en cada establo resultó haber un caballo. El problema que voy a proponerle se parece mucho a esta broma célebre, pero no tiene solución imaginaria, sino completamente real. Consiste en lo siguiente: Distribuir 24 personas en 6 filas de modo que en cada fila haya 5 personas.
Solución.
Las condiciones impuestas por el problema se satisfacen fácilmente si colocamos las personas formando un hexágono, como se muestra en la figura.

Existe un problema ya conocido: dividir una escuadra (o sea, un rectángulo del que se ha separado la cuarta parte) en cuatro partes iguales. Pruebe a dividir esta misma figura en tres partes, como se muestra en la figura, de manera que las tres sean iguales. ¿Es posible resolver este problema?
Solución.
El interés principal de este problema consiste en que para su resolución no pueden tomarse magnitudes a, b, c, d, e, cualesquiera, sino que deberán tener valores perfectamente determinados.
En efecto, queremos que la escuadra sombreada sea igual a cada una de las que no lo están. El lado LM es sin duda menor que BC; por lo tanto, deberá ser igual a AB. Por otra parte, LM debe ser igual a RC, o sea, LM = RC = b. Consiguientemente BR = a — z. Pero, BR debe ser igual a KL y CE, por lo tanto, BR = KL = CE, o sea, a — b = d y KL = d.
De esto deducimos que a, b, y d no pueden elegirse arbitrariamente. El lado d tiene que ser igual a la diferencia entre a y b. Pero esto es insuficiente. Veremos que todos los lados han de ser partes determinadas del lado a.

114. El problema de Benediktov
Muchos conocedores de la literatura universal no sospechan que el poeta V. Benediktov sea autor de la primera colección en ruso de rompecabezas matemáticos. Este compendio no fue publicado; quedó en forma de manuscrito y no fue descubierto hasta 1924. Tuve la posibilidad de conocerlo, e incluso llegué a establecer el año 1869 como fecha en que fue escrito (en el manuscrito no se señala), basándome en uno de los rompecabezas.
Copio de ese compendio el siguiente problema, expuesto por el poeta en forma literaria. Se titula Solución ingeniosa de un problema complicado.
Una comadre tenía para vender nueve decenas de huevos. Envió al mercado a sus tres hijas, entregando a la mayor y más lista de ellas una decena; a la segunda, tres decenas, y a la tercera, la menor, cincuenta huevos, y les dijo:
—Poneos previamente de acuerdo y fijad el precio a que debéis vender los huevos, y no os volváis atrás de lo convenido. Manteneos firmes las tres en lo tocante al precio; pero confío en que mi hija mayor, gracias a su sagacidad, aun ateniéndose al acuerdo de vender todas al mismo precio, sacará tanto por su decena como la segunda por sus tres decenas, y al mismo tiempo, aleccionará a la segunda hermana sobre cómo vender las tres decenas por el mismo precio que la menor los cincuenta huevos. El producto de la venta y el precio deben ser los mismos para las tres. Quiero que vendáis todos los huevos, de modo que saquemos, en números redondos, 10 kopeks, como mínimo, por cada decena y no menos de 90 kopeks por las nueve decenas."
Con esto interrumpo, por ahora, el relato de Benediktov, con objeto de que los propios lectores puedan adivinar cómo cumplieron las tres muchachas el encargo recibido.
Se cuentan los árboles en el bosque para determinar cuántos metros cúbicos de madera hay en él. Se cuentan los árboles no del bosque entero sino de una parcela determinada de media hectárea o de un cuarto de hectárea; se elige una parcela cuyos árboles, por la cantidad, altura, grosor y especie, constituyan el término medio de los de dicho bosque. Al contar, no basta determinar el número de árboles de cada clase; hay que saber además cuántos troncos hay de cada grosor; cuántos de 25 cm. cuántos de 30 cm, cuántos de 35 cm. etc. Por ello, el registro donde va a inscribirse tendrá muchas casillas y no 5610 cuatro como el del ejemplo simplificado anterior. Se comprende ahora el número de veces que hubiera sido necesario recorrer el bosque para contar los árboles por un procedimiento corriente, en vez del que acabamos de explicar.
Como se ve, contar es una cosa sencilla y fácil cuando se trata de objetos homogéneos. Para contar objetos heterogéneos es preciso utilizar procedimientos especiales, como los expuestos, de cuya existencia mucha gente no tiene la menor idea.
Solución.
Continuemos el cuento de Benediktov que quedó interrumpido.
La tarea era complicada. Las hijas, camino del mercado, comenzaron a consultarse una a la otra. La segunda y la tercera recurrieron al ingenio de la mayor, pidiéndole consejo. Esta, después de pensar el asunto, dijo:
—Hermanas, vamos a vender los huevos estableciendo el precio, no por decenas, como veníamos haciendo hasta ahora, sino por septenas y ese precio lo mantendremos firmemente como nos indicó nuestra madre. ¡No rebajéis ni un kopek el precio convenido! Por la primera septena pediremos 3 kopeks, ¿de acuerdo?
—¡Tan barato! —exclamó la segunda.
—Sí, pero en cambio —contestó la mayor—, subiremos el precio para los huevos sueltos que quedan en las cestas después de vender todas las septenas posibles. Me he enterado de que no habrá en el mercado más vendedoras de huevos que nosotras tres. No habrá, por tanto, competencia en el precio. Es sabido que cuando la mercancía está terminándose y hay demanda, los precios suben. Con los huevos restantes recuperaremos las pérdidas.
—¿Y qué precio vamos a pedir por los restantes? —preguntó la pequeña.
—Nueve kopeks por cada huevo, y sólo este precio. Al que le hagan mucha falta huevos los pagará, no te preocupes.
—¡Pero es muy caro! —repuso la segunda hermana.
—¿Y qué? —respondió la mayor—; los primeros huevos, vendidos por septenas, son baratos. Lo uno compensará a lo otro.
Llegaron al mercado y cada una de las hermanas se sentó en sitio diferente. Comenzaron a vender. Los compradores, contentos con la baratura, lanzáronse al puesto de la hermana menor, que tenía cincuenta huevos, y se los compraron en un abrir y cerrar de ojos. Vendió siete septenas, y obtuvo 21 kopeks. En la cesta le quedó un huevo. La segunda, que tenía tres decenas, vendió 28 huevos, o sea, 4 septenas, y le quedaron 2 huevos. Sacó de beneficio 12 kopeks. La mayor vendió una septena, sacó 3 kopeks y le quedaron 3 huevos.
Inesperadamente se presentó en el mercado una cocinera, enviada por su ama a comprar sin falta, costara lo que costara, una docena de huevos. Para pasar unos días con la familia, habían llegado los hijos de la señora, que gustaban extraordinariamente de los huevos fritos. La cocinera corría de un lado para otro, pero los huevos ya se habían terminado. A las tres únicas vendedoras que había en el mercado les quedaban sólo 6 huevos: a una, un huevo, a otra, dos, y a la tercera, tres.
—¡Vengan acá esos huevos! —dijo.
La cocinera se acercó primero a la que tenía 3 huevos, la hermana mayor, que como sabemos había vendido una septena por 3 kopeks.
La cocinera preguntó:
—¿Cuánto quieres por los tres huevos?
—Nueve kopeks por cada uno.
—¿Qué dices? ¿Te has vuelto loca? —preguntó la cocinera.
—Como usted quiera —contestó—, pero a menor precio no los doy. Son los últimos que me quedan.
La cocinera se acercó a la otra vendedora, que tenía 2 huevos en la cesta.
—¿Cuánto cuestan?
—A 9 kopeks. Es el precio establecido. Ya se terminan.
—¿Y tu huevo, cuánto vale? —preguntó la cocinera a la hermana menor.
—Lo mismo, 9 kopeks.
¡Qué hacer! No tuvo más remedio que comprarlos a este precio inaudito.
—Venga, compro todos los huevos que quedan. La cocinera dio a la hermana mayor 27 kopeks por los tres huevos, que con los tres kopeks que tenía, sumaban treinta; a la segunda le entregó 18 kopeks por el par de huevos, que con los 12 que había cobrado antes constituían 30 kopeks. La pequeña recibió de la cocinera, por el único huevo que le quedaba, 9 kopeks que al juntarlos con los 21 que ya poseía, le resultaron también 30 kopeks. Terminada la venta, las tres hijas regresaron a casa, y al entregar cada una 30 kopeks a su madre, le contaron cómo habían vendido los huevos, manteniendo todas un precio fijo y único y cómo se las habían arreglado para que la ganancia, correspondiente a una decena y a cincuenta huevos, resultara una misma cantidad y en total 90 kopeks.
Notas: