Manualito de imposturología física
Fernando Vallejo
En recuerdo de Heráclito que dijo que todo se movía, y de Parménides que dijo que todo estaba quieto
Introducción
Todo es medible y medir es el fin de la ciencia. Se puede medir una bacteria, el átomo, el núcleo del átomo, el electrón, la opinión pública, la inteligencia, la distancia que nos separa de la estrella Alfa del Centauro… Todo, todo se puede medir. ¿Por qué no habremos de medir entonces la impostura, la maliciosa capacidad de mentir del ser humano que es su esencia? El ser humano es una bestia bípeda entrenada durante cuatro millones de años de evolución (contados desde que bajó del árbol) para mentir en las formas más sutiles, de las cuales hoy por hoy las más prestigiosas son la palabra y las ecuaciones. Propongo para esta subespecie embustera que los biólogos han venido designando como Homo sapiens sapiens el nombre más apropiado de Homo sapiens mendax, o sea «hombre sabio mentiroso».
La imposturología es la ciencia de la impostura y su unidad es el aquino, que corresponde a la cantidad de impostura contenida en los 33 volúmenes de la Suma teológica de Tomás de Aquino. El aquino es una unidad gigantesca y lo simbolizamos por una simple A mayúscula, pero en cursiva para distinguirlo del amperio, unidad de corriente eléctrica también muy grande que se designa con una A mayúscula en tipo normal, y del angstrom, unidad de longitud muy pequeña que se designa con una Å mayúscula también en tipo normal pero coronada por una bolita.
Hubiéramos podido simbolizar el aquino con Aq, del mismo modo que simbolizamos el hertz con Hz, el weber con Wb, y el pascal con Pa. Hemos preferido la A simple dada la importancia incuestionable de esta unidad. A fin de cuentas el farad se designa por una F, el coulomb por una C, el joule por una J, y el newton por una N, y de todas estas unidades la humanidad puede prescindir, en tanto del aquino no. El aquino es unidad de medida aplicable en todas las ciencias, todas las religiones, todas las filosofías, todos los campos humanos. Pese a lo cual aquí sólo nos ocuparemos de su presencia en la física, donde alcanza alturas eminentes, el pico de la cumbre.
Siendo tan grande la cantidad que abarca un aquino, usualmente lo dividimos por mil al igual que hacemos con el amperio, y así como medimos corrientes eléctricas en miliamperios o milésimas de amperio, del mismo modo medimos impostores en miliaquinos o milésimas de aquino, que abreviamos mA, en que la «m» vale por el prefijo «mili». Darwin, por ejemplo, sólo mide 1 mA; Mahoma, 2 mA; Cristo, 3 mA. Y así. Ningún político ni religioso ni biólogo impostor mide más de unos cuantos miliaquinos. ¿Y habrá alguien que mida aquinos enteros? ¡Por supuesto, para eso está la unidad! Aunque muy pocos en verdad, y curiosamente sólo en el campo de la física: Newton, Maxwell, Einstein… Los cuales no sólo tenemos que medir en aquinos enteros sino en muchos de éstos: Newton, 23 A; Maxwell, 180 A; y Einstein, 280 A. ¡Doscientos ochenta aquinos! Una cifra de dar vértigo. Más espeluznante que el parsec astronómico, que son 3.26 años luz o sea un poco más de 30 trillones de kilómetros, entendiendo por trillón lo que usted quiera, mucho, con tres ceros más en Inglaterra que en los Estados Unidos.
Y a propósito de los imponentes trillones ingleses, Inglaterra cuenta con tres de las más altas eminencias objeto de nuestra nueva ciencia: Darwin, Newton y Maxwell. Aunque, como podemos ver comparando las cifras que les corresponden, no tienen los ingleses mucho sentido del pendant, pues en aquinos Darwin mide 23 000 veces menos que Newton y 180 000 veces menos que Maxwell. Al lado de sus dos ilustres coterráneos, Darwin es peccata minuta. La explicación del gran fenómeno biológico de la evolución por medio de su tautología de la supervivencia del más apto es una niñería al lado de los teoremas geométricos de Newton para explicar la gravedad, del éter maxwelliano para explicar la luz, o de los experimentos pensados de Einstein para explicar vaya a saber Dios qué. ¡Experimentos pensados! Gedankenexperimente. ¡A quién se le ocurre! Sólo a un genio germánico que mida 280 A, capaz de batir en impostura, expresión máxima del intelecto, hasta a la pérfida Albión. Un experimento lo es cuando se realiza. Si se queda en la mente del que lo concibe, o por haraganería o porque no es realizable como cuando pretendemos apostar carreras con la luz, pues no es experimento. Está en la esencia del experimento el ser realizado. He aquí un Gedankenexperiment un aquinauta einsteniano cayendo en caída libre dentro de un ascensor a oscuras pero con una linterna de luz muy fina encendida tratando de ver si, a causa de la caída, la fina raya de luz de la linterna se curva… Yo digo que no, porque para empezar, por más fina que sea la luz nunca será una raya pues la raya es una abstracción euclideana; y para terminar, porque no bien caiga el aquinauta del golpe se mata.
Un año me tomó medir la impostura einsteniana; vale decir, algo más de lo que se tardó Kepler en establecer, basándose en las observaciones que le dejó de herencia Tycho Brahe y tras de infinidad de cálculos matemáticos, que la órbita de Marte era una elipse y no un círculo. Estos cálculos de Kepler no los conozco. ¿Alguien los conocerá hoy en día? ¿Y alguien conocerá los que le permitieron a Le Verrier postular la existencia de Neptuno por las perturbaciones que ejercía este planeta, en su tiempo desconocido, sobre la órbita de Urano? Si los cálculos de Le Verrier para Neptuno fueron tan exactos como los que le hicieron postular a este mismo astrónomo diez años después la existencia de Vulcano, que no existe, por las irregularidades detectadas en la órbita de Mercurio, entonces el descubrimiento de Neptuno evidentemente no fue obra de sus brillantes cómputos newtonianos sino la simple coronación del trabajo sistemático, largo y tedioso, de cartografiar el cielo, llevado a cabo por otros, por Galle y d’Arrest en el Observatorio de Berlín, el cual les permitió a estos dos astrónomos localizar a Neptuno en las cercanías de Urano: en las cercanías, y no en una región lejana del cielo, pues en una región lejana Neptuno no habría perturbado a Urano.
La «hazaña» de Le Verrier sigue pasando de libro en libro en la historia de la astronomía como el máximo triunfo del cálculo newtoniano sin que nadie ose meterse en el pantano de la investigación histórica de este episodio a ver qué tanto mérito tiene Newton a través de Le Verrier en el descubrimiento de Neptuno. Con seguir a Urano en su órbita en busca de alguna «estrella» de su entorno que cambiara de posición respecto a otras en el curso de unas cuantas noches, forzosamente se habría descubierto a Neptuno. Era cuestión de cartografiar todas las estrellas del cielo de un brillo aparente de hasta +7.8 en magnitud estelar, que es el de Neptuno, y si alguna de esas estrellas en las inmediaciones de Urano cambiaba de posición relativa en dos o más noches seguidas, pues no era una «estrella» sino un planeta: Neptuno justamente. Neptuno no fue descubierto en virtud de cálculo alguno sino de la paciente cartografía del cielo realizada por unos diligentes astrónomos durante su búsqueda de nuevos asteroides.
En 1781, sesenta y cinco años antes del descubrimiento de Neptuno, con un telescopio y la simple cartografía de las estrellas de hasta + 8 de magnitud aparente, y ningún cálculo newtoniano, William Herschel había descubierto a Urano. Para descubrir a Urano y a Neptuno no se necesitaba a Newton: se necesitaba paciencia y un telescopio. Sin que hubiera existido Newton la humanidad habría descubierto ambos planetas cuando los descubrió, del mismo modo que sin Einstein la humanidad hubiera hecho explotar las bombas atómicas de Hiroshima y Nagasaki. Hizo bien el presidente Roosevelt en no tomar en cuenta la carta que le envió este entrometido advirtiéndole sobre los peligros del nazismo, pues las bombas atómicas se hacen con uranio enriquecido y agua pesada y no con intromisiones de charlatanes. Curiosamente la «explicación» del desplazamiento del perihelio de Mercurio, el otro planeta que le llenó la vida a Le Verrier, se esgrime hoy como la gran prueba de la teoría general de la relatividad de Einstein.
Desde las mediciones de Galileo de la caída de una bola que rueda por un plano inclinado hemos renunciado a entender para contentarnos con medir. Hoy todo lo medimos: la longitud, la masa, el tiempo, la corriente eléctrica, la temperatura, la intensidad luminosa, los ángulos planos, los ángulos sólidos, la aceleración, el área, la capacidad, la carga, la densidad, el campo eléctrico, la energía, la fuerza, la frecuencia, la iluminación, la inductancia, la viscosidad, el flujo luminoso, el campo magnético, la potencia, la presión, la resistencia, la tensión, la velocidad, el volumen, la viscosidad, el voltaje… Magnitudes geométricas, de masa, de tiempo, mecánicas, térmicas, eléctricas, magnéticas, acústicas, radiométricas… Y todas con sus unidades y sus prefijos para designar desde lo mínimo hasta lo máximo: atto, femto, pico, nano, micro, mili, centi, deci, deca, hecto, kilo, mega, giga, tera.
Dejando de lado la complicación innecesaria de que para algunas magnitudes (como es el caso de las eléctricas y las magnéticas) existen varios sistemas de unidades, planteémonos ahora una pregunta esencial: ¿cuántas de esas magnitudes que hemos enumerado corresponden a una realidad exterior y no son simples construcciones mentales como las de Tomás de Aquino y la filosofía escolástica? Cuando distinguimos entre la corriente eléctrica (que medimos en amperios) y el voltaje (también llamado «diferencia de potencial» o «fuerza electromotriz» y que medimos en voltios), ¿no estaremos haciendo una distinción tan ociosa y vacía como las de los escolásticos cuando distinguían la esencia de la existencia, la substancia del accidente, la materia de la forma, la inmanencia de la trascendencia, o la potencia del acto? Del mismo modo que los escolásticos no podían pensar sin los anteriores conceptos, un físico de hoy en día que se ocupe de electricidad no puede prescindir de los conceptos de corriente y voltaje. Uno piensa con los conceptos que encierran las palabras que usa, así no correspondan en muchos casos a una realidad exterior. Por lo menos a los escolásticos, con todo y sus conceptos vacíos y su mal latín, no les dio por medir, salvo por excepción tratándose del radio de acción de los ángeles, arcángeles, querubines y serafines, que medían en leguas; y de su jerarquía celestial, que medían en alas: los ángeles y los arcángeles, que están abajo, tienen un par de alas; los querubines, que están más arriba, dos; y los serafines, que están en la cúspide de la perfección sutil, tres.
Desde Binet medimos el cociente de inteligencia. ¿Por qué no medir también la moralidad? ¿O la inmoralidad? ¿O la bondad, o la maldad, o la caridad? Es un hecho que por lo que a la bondad se refiere hay individuos más bondadosos que otros. Y así respecto a la maldad, la caridad, la perversión, la utilidad, la inutilidad, la eficacia, la falsedad… Donde hay más hay menos, y donde hay más y menos hay grados, y lo que tiene grados es medible, y para lo que es medible siempre podremos proponer una unidad.
Por supuesto que una cosa es medir lo material y otra medir lo inmaterial, pues lo material se mide directamente en tanto lo inmaterial se mide indirectamente, por sus efectos. La longitud de una mesa la medimos directamente con una cinta métrica; la gravedad de la Tierra la medimos indirectamente por la velocidad (o si se prefiere aceleración) a que caen los cuerpos sobre ella. Ahora bien, lo inmaterial existe no sólo en el campo del espíritu sino también en el mundo físico: los que hoy llamamos campo magnético, campo eléctrico y campo gravitatorio son inmateriales. Y la luz también, no está constituida por materia que podamos pesar en una balanza. Así cuando medimos la longitud de una mesa estamos midiendo directamente algo material, pero cuando medimos el campo magnético de un imán, o la inteligencia, estamos midiendo indirectamente lo inmaterial. Y es que el campo magnético, al igual que la inteligencia, no está constituido por materia, aunque sí lo produce la materia. La inteligencia (o el alma, o la conciencia, o como la queramos llamar) también la produce la materia, las neuronas del cerebro. Y lo que llamamos campo magnético desde Faraday, lo produce el imán. Y de igual forma la Tierra, que es material, produce la gravedad, que es inmaterial, y, cosa que aquí importa mucho, la que hace caer del árbol la manzana de Newton. Con la luz pasa igual: es inmaterial pero la producen el Sol, la vela, el foco eléctrico, la hoguera, que son materiales.
La materia es pues lo que produce lo inmaterial: siempre produce la gravedad, y tal vez también siempre produce el magnetismo y la electricidad, aunque no siempre produce el alma. ¿Pero qué es la materia? ¿Es un concepto científico, de la física? ¿O un concepto filosófico, de la ontología o la metafísica? En la famosa ecuación de Einstein E = mc2, término de una cadena de ecuaciones igual de abstrusas y arbitrarias, la letra m vale por masa y la E por energía. ¿Qué entenderá el genio de los 280 A por masa y por energía? ¿La contraposición de masa y energía no será algo tan vano como la de la substancia y el accidente de los escolásticos? Aunque se avergüencen de su prosapia o no la conozcan, los físicos son filósofos: charlatanes con ínfulas de científicos, lobos disfrazados de corderos. Por algo en tiempos de Newton la física se llamaba «filosofía natural». Philosophiae Naturalis Principia Mathematica, (Principios matemáticos de filosofía natural) se titula justamente el más famoso libro de toda la historia de la ciencia, que Newton escribió en latín: en el feo y tortuoso latín abrumado de sutilezas estériles que heredó de los escolásticos. En nuestros días «filosofía» es un término menospreciado. Eso, sin embargo, es lo que es hoy la física: filosofía, aunque travestida desde el siglo XVII con el ropaje de las matemáticas: filosofía, metafísica u ontología, tal como la que hicieron en Grecia los presocráticos, los filósofos anteriores a Sócrates con quienes el hombre occidental empezó a pensar y a empantanarse en una quimera: en el vano intento de comprender lo incomprensible. Nunca entenderemos cómo la materia produce la gravedad y la luz, ni cómo el cerebro produce la inteligencia. Por la gravedad la Tierra nos retiene y caminamos sobre su superficie sin flotar en el espacio como astronautas en el interior de su nave; por la luz vemos; y por la inteligencia entendemos, aunque nunca no tanto como quisiéramos. Hay cosas que no es posible entender. Nunca lograremos entender cómo lo material origina lo inmaterial. Y sin embargo los conceptos «material» e «inmaterial» pertenecen al lenguaje cotidiano, no son inventos de filósofos ni de físicos, no son términos técnicos. ¿O sí? Tal vez sean otros lobos disfrazados de corderos que se colaron en la cotidianidad de la vida.
Capítulo 1
Lo que le inventan a newton
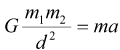
La ecuación más famosa de la física es la de la gravitación universal «de Newton», que expresada en su forma de proporcionalidad y con simbología matemática dice:

donde F es la fuerza de gravedad, m1 es la masa de un cuerpo, m2 la masa de otro, y d2 la distancia que separa sus centros gravita torios elevada al cuadrado. En palabras la ecuación dice que la fuerza de gravedad entre los cuerpos m1 y m2 es directamente proporcional a sus masas e inversamente proporcional a la distancia entre sus centros gravitatorios elevada al cuadrado.
Expresada en su forma de igualdad y con simbología matemática, la ecuación de la gravitación universal dice:

donde G es la constante de la gravitación universal, y los restantes símbolos, los mismos de la ecuación de proporcionalidad. En palabras la ecuación de igualdad dice que la fuerza de gravedad entre dos cuerpos se determina multiplicando la masa de uno por la del otro, dividiendo luego el producto obtenido por la distancia que separa sus centros gravitatorios, elevada al cuadrado, y multiplicando finalmente este resultado por la constante G.
En cualquier texto de secundaria de física encuentran la ecuación. Pero no se les ocurra ir a buscarla en los Principios matemáticos de filosofía natural de Newton (los Principios), de donde todos los autores de los manuales pretenden haberla tomado, porque allí no está. Ni está dicha con símbolos matemáticos, ni está dicha con palabras, ni en su forma de proporción, ni en su forma de igualdad, por la sencilla razón de que no es de Newton sino de los tratadistas de física de fines del siglo XIX. Para empezar, en los Principios no hay ecuaciones algebraicas, sólo teoremas geométricos. Para continuar, en ningún lugar de los Principios se habla de multiplicar las masas de dos cuerpos, que es lo que aparece en el nominador del quebrado. Y para terminar, la constante de la gravitación universal G no existía en tiempos de Newton. Analicemos estos tres puntos.
1. Que en los Principios no hay ecuaciones sino teoremas geométricos salta a la vista, basta hojear el libro. Los Principios son un tratado de geometría repleto de proporciones a la usanza de las del libro 5 de los Elementos de geometría de Euclides: por alternancia, por conversión, por composición, por separación, por igualdad de razones, por razones perturbadas… Sólo que en Euclides las proporciones se planteaban entre cantidades espaciales únicamente y Newton estableció proporciones entre cantidades de magnitudes diferentes mezclando líneas o superficies con velocidades, aceleraciones, fuerzas o tiempos. Tras las paradojas de Zenón los griegos no se atrevían ni siquiera a considerar el movimiento, ¡qué iban a tratar de la fuerza! Esta enfermedad de la proporcionitis mezclada había empezado con Oresme y se había continuado con Galileo: Newton la llevó a un grado de demencia y delirio. Si quisiéramos encerrar a Newton en un símbolo, el de proporción (∝) sería el suyo, y no el de igualdad (=). Y es que él no podía hablar de igualdades porque en su época sólo se disponía de unidades para el tiempo, para el espacio (en sus tres componentes de longitud, superficie y volumen) y para el peso. Las espaciales y las de peso eran unidades locales, no las había de uso generalizado, y para magnitudes como la fuerza, que introdujo Newton, simplemente no había unidades con qué medirlas. Por eso Galileo, Kepler y Newton hablan todo el tiempo de proporciones o razones. Para ellos las proporciones o razones eran una forma aproximada de medir.
Los Principios son pues un tratado de geometría, si bien sui géneris: una geometría cinética y dinámica que introduce el tiempo, a través del movimiento y la fuerza, en la vieja ciencia del espacio de Euclides. Por cuanto a la parte cinética se refiere, fueron Oresme y Galileo quienes introdujeron la velocidad y la aceleración en la geometría euclidiana; por cuanto a la parte dinámica se refiere, fue Newton el que introdujo la fuerza. Por lo demás esa geometría espacial y temporal se terminó con él. ¿Por qué? ¿Porque la llevó a su plena culminación? ¿O porque era un intento absurdo? Tengamos presente que las magnitudes del espacio (longitud, superficie y volumen), que es de las que tratan los Elementos de Euclides, son fundamentales y se miden directamente por comparación con un patrón de medida; si aceptamos el patrón metro que está en Sèvres, mediremos la longitud en metros, la superficie en metros cuadrados y el volumen en metros cúbicos, y ahí se terminó el problema. El tiempo (que por lo demás no está en la geometría euclidiana) también es una magnitud fundamental y también lo medimos directamente: con las vueltas que da la Tierra en torno al Sol, o con las que dan las manecillas de un reloj. En cambio la velocidad, la aceleración y la fuerza de la geometría espacial y temporal newtoniana son magnitudes compuestas y no se pueden medir directamente: las tenemos que medir midiendo tanto el espacio como el tiempo en los casos de la velocidad y la aceleración (y así decimos, por ejemplo, que un automóvil va a cien kilómetros por hora); y en el caso de la fuerza midiendo no sólo el espacio y el tiempo sino también la masa. Después de los Principios, y por dos siglos largos (hasta la ridiculez del espacio-tiempo de Einstein), la física prescindió de la geometría: no volvió a plantear ningún problema en términos geométricos y se expresó en ecuaciones.
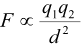
2. En ningún lugar de los Principios habla Newton, ni con palabras ni con símbolos matemáticos, de multiplicar las masas de los dos cuerpos que se atraen, tal como propone el numerador de la ecuación de la gravitación universal que hoy le atribuimos en su doble forma de proporcionalidad y de igualdad. ¿Por qué habría de multiplicar, por ejemplo, la masa de la Tierra por la masa de la Luna para obtener una sola fuerza de gravedad (la F del lado izquierdo de la ecuación), siendo así que en el caso de estos dos cuerpos hay dos fuerzas de gravedad y no una sola? Si de fuerzas se trata para explicar la gravedad, pues hay una fuerza por la cual la Tierra mantiene a la Luna girando a su alrededor, y hay otra por la cual la Luna produce las mareas lunares en la Tierra. Newton de por sí es un pantano. ¿Por qué empantanar más el pantano atribuyéndole cosas que no dijo? Newton sólo propone estas dos proporciones: la proporcionalidad directa entre la masa de un cuerpo y la fuerza de atracción que ejerce; y la proporcionalidad indirecta entre la fuerza de atracción y la distancia a la cual se ejerce elevada al cuadrado. Las propone con palabras y no con simbología matemática, y nunca las junta en un solo enunciado. Si ahora lo quisiéramos hacer, tendríamos (con simbología matemática) únicamente:

Con una sola (m1 o m2) pero no con ambas multiplicadas.
De la proporcionalidad directa entre la masa de un cuerpo y la fuerza de atracción que ejerce (el numerador de la fórmula anterior), sólo habla Newton en la Proposición 69 del primer libro y en la Proposición 7 del tercero, cuyo enunciado es éste: «La gravedad existe en todos los cuerpos universalmente y es proporcional a la cantidad de materia en cada uno de ellos». Y en el texto de esta misma Proposición: «La gravedad hacia todos los planetas es proporcional a la materia que tengan éstos». En cambio, de la proporcionalidad indirecta entre la fuerza de atracción y la distancia a la cual se ejerce elevada al cuadrado (el denominador de la fórmula anterior), habla incontables veces, pero repito, siempre con palabras, nunca con simbología matemática. En el Corolario 6 de la Proposición 4 del primer libro de los Principios enuncia así su idea por primera vez: «Las fuerzas centrípetas estarán en la razón inversa de los radios» (o sea las distancias). Y en el Escolio que sigue: «El caso del corolario 6 vale para los cuerpos celestes (como nuestros compatriotas Wren, Hooke y Halley han observado independientemente); y en consecuencia en lo que sigue trataré más a fondo de cuanto se refiere a las fuerzas centrípetas que disminuyen en razón de las distancias de los centros elevadas al cuadrado».
Según la formulación de Newton, la fuerza de gravedad (que es una de las varias fuerzas que él llama «centrípetas», siendo otra, por ejemplo, la magnética) «disminuye» según la distancia elevada al cuadrado, pero obviamente siempre y cuando nos «alejemos» del cuerpo que la produce, pues si nos «acercamos» a él lo evidente es lo contrario: que «aumenta». Con simbología matemática hoy lo expresamos así:

3. En la fórmula de igualdad aparece la constante de la gravitación universal G, que según los textos de física actuales midió Henry Cavendish en 1798. Si fuera así, entonces Newton no pudo haber planteado la ecuación de la gravitación universal pues murió en 1727, vale decir setenta y un años antes de la medición que se le atribuye a Cavendish. Pero hay más, Cavendish no determinó el valor de la constante (si es que alguno tiene y yo creo que no y que es un factor amañado). En vano la buscarán en su artículo «Experiments to Determine the Density of the Earth», Philosophical Transactions of the Royal Society, 88 (1798), pp. 469-526, donde se pretende que está. No está ni puede estar porque en tiempos de Cavendish ni siquiera había una unidad para medir la fuerza. La dina, unidad de fuerza en el sistema centímetro-gramo-segundo o cegesimal, fue introducida en 1873; y la unidad métrica, el newton, en 1935. En 1873, año de la introducción de la dina, Cornu y Baille midieron la constante G, que por estas fechas, y no 75 años antes, ha debido de haber entrado en los manuales de física y junto con ella la ecuación de la gravitación universal «de Newton». El valor de G que hoy se atribuye a Cavendish en realidad lo calculó Charles Boys en 1895 (Philosophical Transactions), basándose en las cifras del experimento de aquél, que lo que buscaba era determinar la densidad de la Tierra. Recientemente Ahmet Gorgun ha cuestionado incluso la totalidad del experimento de Cavendish tachándolo de inútil, y argumentando que el resultado de 5.48 gramos por centímetro cúbico que en él se da para la densidad de la Tierra resulta de las fórmulas usadas y no del experimento en sí. Y que puesto que los valores de una de las fórmulas eran todos conocidos, con cualquier experimento Cavendish habría obtenido el mismo resultado.
Según los manuales, G es una «constante de proporcionalidad» que se requiere para que podamos expresar la F, o fuerza de gravedad, que está al lado izquierdo del signo igual de la ecuación, en la unidad de fuerza que llamamos el newton (N), compatible con el kilogramo y el metro en que medimos respectivamente las masas y la distancia del lado derecho de la ecuación. El newton lo definen los metrófilos como la fuerza que aplicada a la masa de un kilogramo le produce una aceleración de un metro por segundo cada segundo (tratándose de aceleración siempre hablan de segundos al cuadrado). Según una treintena de mediciones de G hechas desde fines del siglo XIX hasta nuestros días, la fuerza entre dos masas de 1 kilogramo separadas por una distancia de 1 metro oscila en torno a 0.000 000 000 0667 newton (6.67 × 10−11 N en notación científica). Si 1 N produce 1 m de aceleración, ¿qué aceleración insignificante podrá producir esta fuerza insignificante que es de apenas una fracción infinitesimal de newton? ¿Cómo hace uno para medir una aceleración diminuta en una distancia diminuta? Téngase presente que según la magnitud señalada de G, para tener un newton, o sea para producir una aceleración de 1 m por segundo al cuadrado sobre un cuerpo de 1 kg de masa, se necesita la cercanía de otro cuerpo con una masa de 667 000 000 000 kg (6.67 × 1011 kg). Para medir la aceleración de 1 mm por segundo al cuadrado sobre un cuerpo de 1 g se necesitaría la cercanía de un cuerpo un millón de veces menor, o sea de 667 000 kg. Pero en la inmensa mayoría de las mediciones de G los experimentadores usaron esferas de apenas decenas o centenares de kilogramos, cerca de las cuales colocaron esferas pequeñas de pocos gramos que eran atraídas por aquéllas. ¿Cómo llegaron, con simples balanzas de torsión, a medir la cifra infinitesimal de G? Medir una aceleración es difícil. ¡Cuánto más será medir una aceleración minúscula! He aquí unos cuantos nombres tomados de la larga lista de los que dicen que han medido la constante de la gravitación universal, con el año de su hazaña entre paréntesis: Cornu y Baille (1873), Jolly (1878), Boys (1895), Heyl (1930), Pontikis (1972), Luther y Towler (1982), Fitzgerald y Armstrong (1999).
Esta unidad ridícula del newton y esta constante ridícula de G, que fueron inventadas para servirle a una ecuación absurda, no las conoció Newton. Son posteriores en dos siglos a la primera edición de los Principios (1687). ¿Con qué midió Newton entonces la fuerza de gravedad si no disponía de una unidad para la fuerza? Es que no la midió. Sabía que la gravedad cambia según la latitud porque por observaciones contemporáneas de astrónomos como Richer, que había viajado a Cayena, y Halley, que había viajado a la isla de Santa Elena, estaba enterado de que los relojes de péndulo llevados de Europa se atrasaban en la medida en que los viajeros avanzaban hacia el ecuador. Newton supuso que lo que afectaba a los relojes de péndulo (que en esencia son una pesa que oscila) era la gravedad, y que si ésta cambiaba entonces la Tierra no podía ser una esfera perfecta y tenía que abultarse en el ecuador. A causa de este abultamiento la gravedad en el ecuador sería menor que en los polos porque en aquél se estaría más lejos del centro de la Tierra que en éstos. Y es que la distancia según Newton debe contarse desde el centro de la Tierra, como si se concentrara en éste toda la masa del planeta. Sin haber medido nada, Newton sostuvo que la fuerza de gravedad disminuye en razón inversa a la distancia entre los centros de los cuerpos elevada al cuadrado, idea que le dio Robert Hooke en una carta, y de la que aquél se apropió. Los newtonianos alegan que el mérito de Newton estuvo en ser capaz de probar, con sus teoremas geométricos, la idea de Hooke. ¿Pero de veras la probó?
Tampoco la idea de Hooke era tan original. Ya Kepler había propuesto antes para la iluminación lo que Hooke le sugirió a Newton para la gravedad: que disminuye en razón inversa a la distancia elevada al cuadrado. Lo cual por razones elementales de geometría euclidiana hace sentido sin que necesitemos recurrir a teoremas abstrusos. El efecto de un foco (de luz, de sonido, de electricidad, de gravedad o de lo que sea), si se extiende uniformemente por todo el espacio circundante (vale decir en igual medida hacia arriba que hacia abajo y hacia todos los puntos cardinales), tiene que disminuir según se aumenta la distancia. Es obvio que mientras más nos alejemos del foco menos luz (o lo que sea) nos llega de la que él emite. En cuanto a que la disminución se da según la distancia a que estemos del foco pero elevada al cuadrado, también es evidente pues así va aumentando la superficie de la esfera creciente que se va formando a medida que nos alejamos del foco: según la distancia elevada al cuadrado. La circunferencia del círculo es proporcional al radio (circunferencia = 2πr); pero la superficie de la esfera es proporcional al radio elevado al cuadrado (superficie = 4πr2), y en los casos de la luz y de la gravedad estamos ante una esfera. Si viviéramos en un espacio bidimensional, las intensidades de la luz y de la gravedad disminuirían según la distancia simple a partir del foco luminoso o centro gravitatorio como en el círculo; pero puesto que vivimos en un espacio tridimensional, entonces deben disminuir según la distancia elevada al cuadrado como en la esfera.
Ahora bien, aunque por razones de geometría euclidiana parece evidente que la iluminación y la gravedad disminuyen así, la única forma de probarlo es midiéndolas. Hoy en día con un fotómetro medimos fácilmente la iluminación que da una vela a un metro de distancia, a dos, a cuatro, a los que queramos, y podemos decidir si Kepler tenía razón o no. ¿Pero con qué medimos la gravedad? ¿Con el newton? ¡El newton no sirve para un carajo! Además, ¿está la gravedad en el mismo caso que la luz? Aunque ambas disminuyen con la distancia de lo que las produce, son dos misterios opuestos: la luz se aleja del foco luminoso, mientras que la gravedad jala hacia el centro gravitatorio. Si representamos a la luz por una flecha que parte del foco luminoso con la punta hacia la derecha, tenemos que representar a la gravedad por una flecha que partiendo desde la derecha llega al centro gravitatorio con la punta hacia la izquierda.
Sabemos que la gravedad varía según la latitud geográfica porque en las distintas latitudes de la Tierra un péndulo dado oscila con distinto período y un cuerpo dado cae con distinta aceleración. En los Principios Newton no compara las aceleraciones según las latitudes, pero sí el largo de los péndulos. Así por ejemplo dice que para que un péndulo oscile en el ecuador con el mismo período que en París le tenemos que reducir el largo. No dice, sin embargo, que un mismo cuerpo cae en París con mayor aceleración que en el ecuador por falta de datos, pues en su tiempo aún no se había medido la aceleración con que caen los cuerpos en el ecuador, y ni se diga en el polo.
Por el largo de los péndulos o por la aceleración con que caen los cuerpos nos formamos pues una idea de lo fuerte que es la gravedad en una latitud dada. Mientras más largo tenga que ser un péndulo para determinado período de oscilación, o mientras más rápido caiga un cuerpo, más fuerte es la gravedad del lugar donde hacemos las mediciones. Pero otra cosa es pasar de esta constatación a afirmar que la gravedad disminuye según la distancia elevada al cuadrado, pues una cosa es formarnos una idea de la intensidad de la gravedad y otra cosa es medirla. Y medirla, lo que es medirla, nunca lo hemos hecho. Por ejemplo, a cien metros de la superficie en el ecuador, o sea a 6 378.24 km del centro de la Tierra, una manzana cae con una aceleración 9.73 metros por segundo. Al doble de esa distancia del centro de la Tierra (o sea a 12 756.48 km) deberá caer con una aceleración de la cuarta parte, o sea 2.43 m, si de veras la gravedad disminuye según la distancia elevada al cuadrado. ¿Pero hay forma de hacer esta medición? No la hay porque a 6 378.24 km de la superficie de la Tierra (o sea a 12 756.48 del centro) sólo podemos estar en un cohete en órbita y no en un helicóptero quieto pues no hay aire que lo sostenga, y si desde el cohete soltamos una manzana, ésta no cae sino que sigue en órbita a un lado del cohete.
Acabamos de decir que a 100 m de la superficie del ecuador, o sea a 6 378.24 km del centro de la Tierra, una manzana cae con una aceleración de 9.73 m por segundo. Pues bien, a 100 m de la superficie del polo, o sea a 6 356.88 km del centro de la Tierra, la misma manzana cae con una aceleración de 9.83 m por segundo. Esto es, 21.44 km de diferencia entre estos dos radios producen una diferencia en la aceleración de la misma manzana de 0.1 m. ¿Podemos deducir de las cifras anteriores en qué forma disminuye la gravedad, si según la distancia simple, o al cuadrado, o al cubo, o a la potencia que sea? Ahí les dejo el problemita. No sé si se pueda resolver ni si Newton se lo planteó. Creo que no porque, como acabo de decir, en los Principios se comparan los largos de los péndulos pero no las aceleraciones. En la Proposición 20 del tercer libro Newton levanta incluso una tabla de los distintos tamaños que según sus cálculos debe tener un péndulo para que oscile con un mismo período en las diferentes latitudes de la Tierra, desde el ecuador hasta el polo. En este punto vuelvo a hacer la misma pregunta que acabo de plantear para la aceleración: ¿habrá forma de deducir de la tabla de Newton su insistente afirmación de que la gravedad disminuye según la distancia al cuadrado? Si la hay, no lo hizo.
Newton no midió nada. Pretendió probar, en un inmenso embrollo de teoremas geométricos, que la gravedad disminuye según la distancia elevada al cuadrado. Pero no la midió. Pues mientras no la midamos su afirmación no pasa de ser un acto de fe. Yo, como el apóstol santo Tomás, para creer tengo que meter el dedo en la llaga. Si de medir se trata, pues midamos. ¡O qué! ¿Tras de sus experimentos pensados nos van a salir ahora nuestros genios medidores con mediciones pensadas? Desde Galileo, según dicen y repiten, ¿el gran objetivo de la física no es pues medir? ¿Quién con teoremas geométricos, o con medidas pensadas, o con experimentos pensados puede llegar a la conclusión, por ejemplo, de que en las cercanías de la superficie de la Tierra, si descontamos la resistencia del aire, todos los cuerpos caen con una misma aceleración, y que esta aceleración está en torno a los 9.8 metros por segundo, con pequeñas variaciones según la latitud geográfica y la altura del lugar respecto al nivel del mar?
Para sumarle el absurdo al absurdo, a los tratadistas de física les ha dado por expresar la constante de la gravitación universal así:
G = 6.67 × 10−11 N · m2/kg2
O así:
G = 6.67 × 10−11 m3/kg · s2
Lo cual es un disparate. No existen los kilogramos al cuadrado, ni los segundos al cuadrado. En cuanto a m2 o m3, ¿qué es? Evidentemente en estas fórmulas la m no significa masa sino metro: metro cuadrado o metro cúbico. ¿Pero metro cuadrado no es pues una medida de superficie, y metro cúbico una medida de volumen? Y G no tiene nada qué ver con las superficies ni con los volúmenes. No existen los segundos al cuadrado (s2), ni al cubo (s3); ni los kilogramos al cuadrado (kg2), ni al cubo (kg3); ni los newtons al cuadrado (N2), ni al cubo (N3); ni ninguna medida al cuadrado ni al cubo ni a otra potencia mayor, como no sean las espaciales de superficie y de volumen: metro cuadrado (m2) o sus múltiplos (como el centímetro o el milímetro) tratándose de la superficie, o metro cúbico (m3) o sus múltiplos tratándose del volumen, y basta. ¡Cómo va a haber gramos o segundos o años cuadrados o al cuadrado, o cúbicos o al cubo! Ésas son ridiculeces.
La única forma racional de expresar G, si es que es algo, debe ser como una cifra escueta. En notación científica:
G = 6.67 × 10−11
Y en notación decimal:
G = 0.000 000 000 0667
En los Principios sólo hay tres leyes y están en los comienzos del libro, después de las definiciones. Newton las llama Axiomata sive leges motus (Axiomas o leyes del movimiento):
Lex I: Corpus omne perseverare in statu suo quiescendi vel movendi uniformiter in directum, nisi quatenus a viribus impressis cogitur statum illum mutare. (Ley 1: Todo cuerpo sigue en su estado de reposo o moviéndose uniformemente en línea recta hacia adelante mientras no sea obligado a cambiar tal estado por fuerzas que se le impriman).
Lex II: Mutationem motus proprotionalem esse vi motrici impressae & fieri secundum lineam rectam qua vis illa imprimitur. (Ley 2: Todo cambio en el movimiento es proporcional a la fuerza motora que se le imprima y se da a lo largo de la línea recta en que se le imprima esa fuerza).
Lex III: Actioni contrariam semper & aequalem esse reactionem: sive corporum duorum actiones in se mutuo semper esse aequales & in partes contrarias dirigi. (Ley 3: Para toda acción siempre habrá una reacción opuesta e igual; en otras palabras, las acciones mutuas de dos cuerpos siempre serán iguales y siempre en direcciones opuestas).
En los Principios sólo hay estas tres leyes y ni una más. No hay una cuarta, ninguna ley de la gravitación universal. Y las tres sólo se expresan con palabras. En 1747, en las Mémoires de l’Académie des sciences de Berlín ([3]: 93-143), Euler expresó la segunda ley con la fórmula matemática hoy famosa:
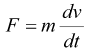
F = ma
donde F es fuerza, m es masa y a aceleración.
Ahora bien, ¿dónde está la «masa» en la formulación verbal de Newton? Supongamos que la aceleración esté en sus palabras «mutationem motus» (cambio en el movimiento), ¿pero la masa? La segunda ley no habla de masa: postula únicamente la proporción directa entre un cambio en el movimiento y una fuerza impresa. Ni siquiera nos dice expresamente (y lo tenemos que suponer) que se trata de dos cuerpos: uno que le imprime la fuerza a otro que es el que se mueve. Y es que aquí se trata de dos actores y no de uno solo. Por claridad Newton ha debido señalar expresamente que el cambio en el movimiento de un cuerpo es proporcional a la fuerza que le imprime otro. ¿O es que el mismo cuerpo que se mueve se imprime a sí mismo la fuerza como un automóvil?
De los Principios se hicieron tres ediciones en latín, todas en vida de Newton y con su aprobación. Dos años después de la muerte de Newton, Andrew Motte tradujo los Principios al inglés, y aunque hubo otras dos traducciones a este idioma en el siglo XVIII, la de Motte fue la que se siguió editando y estudiando en el mundo angloparlante y la fuente de las traducciones a otros idiomas. En 1930 Florian Cajori la retocó sin que su versión se tomara muy en cuenta, y en 1999 I. Bernard Cohen hizo una nueva, completamente modernizada y en inglés contemporáneo. Andrew Motte traduce la segunda ley así:
«The alteration of motion is ever proportional to the motive force impressed; and is made in the direction of the right line in which that force is impressed».
Como ven, tampoco en la traducción de Motte está la masa. ¿De dónde la sacó Euler?
En 1716 (o sea en vida de Newton) y en su Phoronima sive De Corporum Solidorum et Fluidorum, Jacob Hermann interpretó la segunda ley en forma matemática así:
G = M dV : dT
donde «G significa peso o gravedad aplicado a una masa M». La fórmula de Hermann está escrita en el lenguaje del cálculo, en el que d es el diferencial y significa «cambio en» (los dos puntos significan ÷, «dividido por»). Como el peso o la gravedad G (por gravitas en latín, que significa peso) de que habla Hermann, según los autores de los tratados de física actuales, es la misma fuerza F de que hemos venido hablando, esa G la podemos cambiar por F:

Y como cambio en la velocidad dividido por cambio en el tiempo es aceleración, así tenemos la expresión de Euler:
F = ma
Jacob Hermann fue pues quien introdujo la masa en la segunda ley de Newton, y Leonhard Euler el que popularizó la intromisión. Los dos lo hicieron con fórmulas matemáticas de igualdad, siendo así que Newton sólo habló de proporción, y los dos introduciendo la masa, de la que Newton no habló.
Ahora bien, yo me pregunto: si para pasar de la ecuación de proporción en la Ley de la Gravitación Universal tuvimos que introducir la constante G, ¿por qué en la ecuación de igualdad de Euler de la segunda ley de Newton nunca ha habido ninguna constante? Por lo que a unidades se refiere, ambas ecuaciones están en el mismo caso: en ambas a la izquierda del signo igual hay una fuerza F, que se expresa en newtons; y a la derecha una masa m que se expresa en kilogramos y una distancia d (incluida en la aceleración) que se expresa en metros. ¿Por qué para la una requerimos de una constante y para la otra no?
En fin, una con constante y la otra sin ella, por todas partes nos tropezamos hoy en día con ambas ecuaciones, la de la gravitación universal y la de la segunda ley de Newton, y a veces hasta reunidas en una sola. Como en el lado izquierdo de ambas ecuaciones sólo hay una F:

F = ma
y dado que dos cantidades iguales a una tercera son iguales entre sí, entonces:

Los matemáticos son muy dados a un jueguito infantil que consiste en trasladar lo que está en un lado del signo igual de una ecuación al otro lado según estos principios: si lo que se traslada está multiplicando, pasa a dividir; si está sumando, pasa a restar; si está restando, pasa a sumar; si está elevado al cuadrado, pasa a ser una raíz cuadrada; si está en una raíz cuadrada, pasa a ser elevado al cuadrado, etc. ¿Se imaginan la cantidad de maromas que podemos hacer con las dos ecuaciones mezcladas en una? Por ejemplo, podríamos despejar la aceleración a así:

Y como a cualquiera de los otros términos de la ecuación, digamos G:

¡Y así podríamos saber el valor de G sin balanza de torsión ni haberla medido nunca! El signo igual hace milagros y las matemáticas son maravillosas.
Ahora bien, por el hecho de que las designemos con el mismo símbolo F, ¿es lícito equiparar la fuerza de gravedad, que se da sin contacto directo entre la manzana que cae y el planeta Tierra, con la fuerza que hacemos cuando empujamos o cuando jalamos una carretilla, caso en que hay contacto directo entre nosotros y la carretilla? Yo digo que no. Desde Newton venimos designando indebidamente con el nombre de «fuerza» dos fenómenos que nada nos permite considerar iguales: el jalón de la Tierra sobre la manzana, y el jalón o empujón que le damos a una carretilla. Y es que entre la Tierra y la manzana no hay contacto directo, mientras que entre nosotros y la carretilla sí.
A Philoponus, Stevin y Galileo les debemos la constatación de que descontando la resistencia del aire todos los cuerpos caen con una misma aceleración, la cual en las inmediaciones de la superficie de la Tierra es de 9.8 metros por segundo (o por «segundo al cuadrado» según gustan decir los confundidores). Con esa velocidad cae una bola de un kilo o una de cien. Si nos atenemos a la segunda ley de Newton tal como éste la formuló, entonces la Tierra ejerce la misma fuerza de gravedad sobre la bola de un kilo que sobre la de cien puesto que las dos bolas caen con la misma aceleración de 9.8 metros por segundo. Pero según la ecuación de Euler (que repiten como loros los tratadistas de física actuales atribuyéndosela a Newton) la Tierra ejerce una fuerza cien veces mayor sobre la bola de cien kilos que sobre la bola de uno.
En la definición 7, empezando los Principios, Newton escribe:
La fuerza que produce la gravedad es mayor en los valles y menor en los picos de las montañas altas, y aun menor a grandes distancias de la Tierra según veremos, pero en todas partes es la misma a distancias iguales pues acelera igualmente a todos los cuerpos que caen, pesados o ligeros, grandes o pequeños, con tal de que descontemos la resistencia del aire.
Otra cosa es lo que afirma Roger Cotes en su prefacio a la segunda edición latina de los Principios, de la que fue el editor:
Los pesos de los cuerpos que estén a igual distancia del centro de la Tierra son proporcionales a la cantidad de materia que tengan. Esto se deduce que la aceleración de los cuerpos que caen desde el estado de reposo por la fuerza de sus pesos es igual para todos; pues las fuerzas por las que cuerpos desiguales son acelerados en igual medida deben ser proporcionales a las cantidades de materia que tienen que mover.
El prefacio de Cotes es de 1713, cuando a Newton le quedaban todavía varios años de vida (murió en 1727). ¿Por qué permitió Newton semejante afirmación que contradice en su propio libro la suya que acabo de citar? Newton dice: a una distancia dada, la fuerza de gravedad es igual para todos los cuerpos. Y Cotes: No, no es igual, la Tierra hace más fuerza cuando jala un cuerpo muy pesado que uno liviano. Que es lo que dirán luego Hermann (en 1716) y Euler (en 1747) en sus formulaciones con simbología matemática de la segunda ley de Newton.
En simbología matemática, si nos atenemos a las palabras con que Newton formuló su segunda ley, sólo tenemos: F∝ a, y nada más. Como la aceleración producida en ambos cuerpos es igual (9.8 metros por segundo), entonces según Newton la fuerza que ejerce la Tierra sobre un cuerpo de cien kilos es igual a la que ejerce sobre un cuerpo de un kilo. Sin embargo según la ecuación de Hermann y Euler, que introduce la masa, la fuerza tiene que ser cien veces mayor, pues siendo F = ma, es evidente que ya que a siempre es igual, si m es 1 kg, F tiene que ser cien veces mayor cuando m sea 100 kg. Y consecuentes con la ecuación de Hermann y Euler, los tratadistas de física actuales, que nunca miden nada pero que se las dan de metrófilos, dicen que la fuerza con que la Tierra atrae un cuerpo de 1 kg en su superficie es de 9.8 N (newton), y la fuerza con que atrae uno de 100 kg es de 980 N. Como hoy nadie toma en cuenta la fórmula F ∝ a de Newton sino la fórmula F = ma de Euler, propongo que la segunda ley de Newton la llamemos en adelante primera ley de Euler.
Capítulo 2
Un libro feo y abstruso
Hoy ya nadie estudia los Principios matemáticos de filosofía natural de Newton pero por todas partes hablan de ellos atribuyéndole a su autor cosas que no dijo, o tratando de poner orden en la inmensa confusión de lo que dijo como quien se empeña en sacar agua limpia de un pantano. Al final de cuentas del pantano místico, astrológico y numerológico de los libros de Kepler, ¿no sacaron pues los contemporáneos de Newton las tres leyes del movimiento planetario, que éste «probó» en el primer libro de sus Principios con varios de sus imaginativos teoremas?
Los Principios están divididos en tres partes o libros: Libro 1, «El movimiento de los cuerpos»; Libro 2, «El movimiento de los cuerpos»; y Libro 3, «Sistema del mundo». ¿Dos libros con un mismo título? Desde este momento entramos en el absurdo. El Libro 1 debe titularse «El movimiento de los cuerpos en el vacío», y el Libro 2, «El movimiento de los cuerpos en los fluidos», pues de eso es de lo que tratan. En sus comentarios a los Principios el matemático francés Clairaut, contemporáneo de Newton, decía que el objeto del Libro 2 era destruir el sistema de los vórtices de Descartes. El sistema de los vórtices de Descartes se destruyó solo por lo confuso, y el Libro 2 de los Principios por lo mismo, y no le importó a nadie, ni cuando apareció ni nunca. Newton mismo les recomendaba a sus lectores que se lo saltaran junto con buena parte del Libro 1: «Basta con que lean cuidadosamente las definiciones, las leyes del movimiento y las tres primeras secciones del primer libro y sin más pasen a éste». Magnífico consejo pero no donde lo da, en la introducción del tercer libro cuando ya nos hemos quemado varios trillones de neuronas tratando de entender los abstrusos teoremas de los dos primeros. Yo, por mi parte, lo que les recomiendo a mis lectores es que se salten de una vez los tres libros juntos y de paso a Maxwell y a Einstein, que también sobran.
Los Principios se abren con un prefacio al que siguen unas definiciones y los tres axiomas o leyes del movimiento, pasabocas verbal de la espléndida comilona geométrica que nos espera. Los Libros 1 y 2 están divididos en «secciones», pero el Libro 3 no. Con secciones o sin ellas, los tres libros son una serie de «proposiciones» acompañadas a veces de «teoremas», a veces de «problemas». Los teoremas empiezan numerados igual que las proposiciones (Proposición 1 y Teorema 1) aunque luego se desfasan (Proposición 6 y Teorema 5). Pero bien sea que estén numerados igual o distinto, los pares de proposiciones y de teoremas son siempre una sola y la misma cosa. Los problemas (cuando los hay) nunca llevan la misma numeración que las proposiciones (así Proposición 5 y Problema 1); pero, al igual que ocurre con los teoremas, siempre son una y la misma cosa que la proposición que acompañan. ¿Qué objeto tiene esa unión de una proposición con un teorema o con un problema que no difieren de ella? Para mí ninguno. Es un absurdo que venía, cuando menos, desde las Dos nuevas ciencias de Galileo, a las que les debe Newton su descubrimiento esencial: considerar a la Luna como los proyectiles terrestres de su predecesor italiano muerto el año en que él nació.
A las proposiciones acompañadas de teoremas o de problemas les sigue a veces un «escolio», a veces uno o varios «corolarios» o uno o varios «lemas», pero no siempre. A las ocho definiciones del comienzo les sigue un escolio que nada tiene que ver con ellas ni las explica como debería pues «escolio» es explicación, sino que propone otra serie de definiciones: del tiempo, del espacio, del lugar y del movimiento, absolutos o relativos, en el mejor estilo de la escolástica.
La sección 1 del Libro 1 sólo consta de diez lemas, de los cuales algunos seguidos de uno o varios corolarios, y los dos últimos seguidos de un escolio cada uno. La Sección 5 del Libro 1 consta de lemas intercalados con escolios, corolarios, proposiciones y problemas. El escolio que sigue a la Proposición 40 o Problema 9 del Libro 2 está acompañado de 14 experimentos. El Libro 3 empieza con cuatro «reglas», sigue con seis «fenómenos», y luego vienen las proposiciones (bien sea con teoremas o bien sea con problemas), a veces con escolios o con corolarios o con lemas, pero usualmente sin ellos, y en dos ocasiones seguidas de «hipótesis». Después de la Proposición 10 o Teorema 10, aparece la Hipótesis 1; después de la Proposición 38 o Problema 19, siguen tres lemas y la Hipótesis 2. Y no hay más hipótesis reconocidas que estas dos, como si el libro no fuera sino justamente eso, una interminable sucesión de hipótesis. Un Escolio General, agregado desde la segunda edición latina, cierra la obra. En el penúltimo párrafo de este Escolio General y de la obra Newton concluye:
Hasta aquí he explicado los fenómenos del cielo y del mar por la fuerza de la gravedad, pero todavía no le he atribuido una causa a ésta. (…) Aún no he logrado deducir de los fenómenos la razón de estas propiedades de la gravedad, y no invento hipótesis. Pues lo que no se deduce de los fenómenos debe llamarse hipótesis; y las hipótesis, metafísicas o físicas, o basadas en cualidades ocultas, o mecánicas, no tienen lugar en la filosofía experimental. En esta filosofía experimental las proposiciones se deducen de los fenómenos y se generalizan por la inducción. La impenetrabilidad, la movilidad y el ímpetu de los cuerpos, y las leyes del movimiento y la ley de la gravedad han sido encontradas por este método. Y basta con que la gravedad exista en realidad y actúe según las leyes que he planteado para explicar todos los movimientos de los cuerpos celestes y del mar.
¡Filosofía experimental! ¡Pero cuál! Salvo un experimento pensado en el escolio que sigue a las definiciones, unos experimentos con péndulos que buscan probar la ley de la acción y la reacción en el escolio a los axiomas o leyes, otro también con péndulos y pesas de distintas substancias en la Proposición 6 del tercer libro que buscan probar que la masa es proporcional al peso, y los mencionados del escolio de la Proposición 40 del segundo libro que buscan determinar la resistencia que oponen el aire o el agua a la caída de los cuerpos, en los Principios no hay experimentos. Éste no es un libro experimental.
En cuanto a lo que su autor llama «fenómenos», sólo están al comienzo del Libro 3 y se trata de las observaciones astronómicas que dieron lugar a las leyes de Kepler. En los Principios «fenómeno» es sinónimo de «observación». ¿Qué sentido tiene entonces hablar de una filosofía «experimental» para afirmar de inmediato que «las proposiciones se deducen de los fenómenos», o sea de la observación y no de los experimentos? Observar no es experimentar.
Y después de medio millar de páginas y casi otros tantos dibujos geométricos inextricables, ¡venir a salimos con que no sabe cuál es la causa de la gravedad! No. Lo que no sabe es más serio, no sólo la «causa» sino simple y sencillamente qué es la gravedad, lo que él llama «fuerza» de gravedad. Fuerza es la que hacemos cuando jalamos una carretilla, con la que tenemos contacto material y que nos opone una resistencia. Cuando cae una manzana sobre la superficie de la Tierra no hay contacto material entre ésta y aquélla y estamos ante un fenómeno inmaterial. Y cuando caemos, ¿qué resistencia le oponemos a la Tierra? Einstein, que se dejó caer in mente en el curso de sus experimentos pensados desde diferentes alturas para vivir en carne propia el estado de ingravidez, nos asegura que ninguna.
¡Y «las leyes del movimiento y la ley de la gravedad»! Las del movimiento vaya, serán las tres que enunció al comienzo del libro. ¿Pero la de la gravedad? ¿Dónde está? ¿En qué parte de los Principios y con qué palabras la enunció? Sólo en este momento, acabándose el mamotreto, menciona una «ley» de la gravedad. Pero sólo la menciona, no la enuncia. ¿De dónde habrán sacado los newtonianos la ley de la gravedad de Newton? A mí los Principios de filosofía natural de Newton me recuerdan mucho a otro libro igual de famoso y farragoso, El origen de las especies de Darwin, en que la palabra «evolución» sólo aparece unas pocas veces, y una de ellas al final. Hagan de cuenta unos tratados de teología cuyos autores por remilgados no quisieran mencionar el nombre de Dios.
¿Y las leyes del movimiento «encontradas por este método»? Las que él llama «axiomas o leyes del movimiento» no las encontró por ningún método: las enunció expresamente como «axiomas» (ni más ni menos que como los de Euclides y la geometría de los griegos) al comienzo del libro, e incluso las invocó para «probar» varias de sus proposiciones o teoremas. Un axioma no se encuentra por ningún método. Ni siquiera se busca. Ante un axioma lo que hay que tener es fe, como ante la Santísima Trinidad.
¡Y que la gravedad actúa según las leyes que ha planteado! Pero si acaba de hablar, en la frase anterior, de la gravedad como de una ley. ¿Una ley que actúa según otras? Eso es un oxímoron, un príncipe esclavo. Una ley actúa según ella misma y por eso es ley, no está sujeta a nada.
¡Y que no inventa hipótesis! ¿Y qué son los Principios sino una sucesión de hipótesis y de suposiciones no reconocidas como tales y deslizadas mañosamente como verdades entre una maraña de falacias geométricas, proporciones abstrusas y vacuidades escolásticas? Sin ir más lejos de sus dos primeras leyes del movimiento, en su pequeño tratado De motu, antecesor de los Principios, Newton las presentaba como hipótesis, no como leyes. En fin, eso de que no inventa hipótesis (Hypotheses non fingo) es una de las dos frases más famosas de la historia de la física. La otra es la ocurrencia estúpida de Einstein «Dios no juega a los dados». ¡Claro que no juega porque no existe! Lo que no existe no puede jugar, ni a los dados ni a nada.
Tal el final de los Principios. El comienzo son las definiciones y las leyes del movimiento, que en parte son repeticiones de las definiciones. Cada una de las tres leyes se enuncia en una frase a la que le sigue un párrafo de ejemplos o comentarios. He aquí la primera ley completa:
Lex I: Corpus omne perseverare in statu suo quiescendi vel movendi uniformiter in directum, nisi quatenus a viribus impressis cogitur statum illum mutare. Projectilia perseverant in motibus suis nisi quatenus a resistentia aeris retardantur & vi gravitatis impelluntur deorsum. Trochus, cujas partes cohaerendo perpetuo retrahunt sese a motibus rectilineis, non cessat rotari nisi quatenus ab aere retardatur. Majora autem Planetarum & Cometarum corpora motus suos & progressivos & circularis in spatiis minus resistentibus factos conservant diutius.
(Ley 1: Todo cuerpo sigue en su estado de reposo o moviéndose uniformemente en línea recta hacia adelante mientras no sea obligado a cambiar tal estado por fuerzas que se le impriman. Los proyectiles seguirían en sus movimientos si no fuera porque son retardados por la resistencia del aire y jalados hacia abajo por la fuerza de gravedad. Un trompo, cuyas partes por su cohesión se jalan unas a otras continuamente del movimiento rectilíneo, no dejaría de girar si no fuera retardado por el aire. Y los grandes cuerpos —planetas y cometas— siguen por más tiempo en sus movimientos tanto progresivos como circulares, ya que éstos se dan en lugares con menor resistencia).
Esta primera ley de Newton se conoce como ley de la inercia, palabra engañosa que él puso en boga en la física y que designa dos ideas diferentes: una, que mientras no se actúe sobre él, el cuerpo que está quieto sigue quieto; y dos, que mientras no se actúe sobre él, el cuerpo que se mueve en línea recta sigue moviéndose en línea recta. A la primera (la del gerundio quiescendi del enunciado de Newton) la llamaré inercia estática; a la segunda (la del gerundio movendi), inercia cinética. Sobre la superficie de la Tierra la inercia estática es evidente por el testimonio de nuestros sentidos: la mesa que tengo frente a mí seguirá quieta mientras alguien no la mueva. Pero en el espacio exterior no: por fuera de la Tierra nada está quieto, el testimonio astronómico nos dice que todo gira. En cuanto a la inercia cinética, sobre la superficie de la Tierra sólo existe en nuestra imaginación desde que Galileo, en sus Dos nuevas ciencias, descompuso la trayectoria parabólica de un proyectil disparado horizontalmente en dos movimientos independientes: uno vertical hacia abajo igual al de la caída de cualquier cuerpo y causado por el peso del proyectil (por la atracción de la Tierra, diría Newton), y otro horizontal en línea recta que de no ser por la caída anterior del movimiento vertical y la resistencia del aire se prolongaría indefinidamente. Este segundo componente, que sólo existe en nuestra imaginación pues nunca podremos hacer desaparecer el peso del proyectil o desconectar la gravedad de la Tierra, es el incercial cinético. Salvo en nuestra imaginación, sobre la superficie de la Tierra ningún cuerpo que se mueva seguirá moviéndose indefinidamente en línea recta, para empezar porque la Tierra es curva, y para continuar porque lo detienen la fricción del suelo (así se trate de una bola que ruede) y la resistencia del aire, aunque en menor medida. ¿Y en el espacio exterior, donde los cuerpos se mueven en el vacío y no sobre una superficie y donde no hay resistencia del aire, existe la inercia cinética? Si lanzamos un cohete a más de 11 kilómetros por segundo, que es la velocidad de escape de la Tierra, se irá al espacio exterior donde suponemos que siga avanzando a esa velocidad en línea recta siempre y cuando no entre en órbita en torno al Sol o a otro cuerpo celeste. En línea recta tal vez estén avanzando ahora las sondas Pioneer 10 y 11 y las Voyager 1 y 2, lanzadas rumbo a los planetas exteriores en la década de los setenta, y que después de pasar a Júpiter, Saturno, Urano y Neptuno iniciaron su salida del Sistema Solar. ¿Pero de veras irán en línea recta? A fin de cuentas estas sondas fueron lanzadas en trayectorias curvas y así pasaron cerca de los planetas exteriores. Tal vez sigan su viaje como esos cometas que no describen elipses (o sea curvas cerradas) sino parábolas o hipérbolas (o sea curvas abiertas) y que por lo tanto vienen una sola vez al Sistema Solar y tras de dar vuelta en U cerca del Sol curvándose por la gravedad solar se alejan de éste para no regresar. A lo mejor la línea recta infinita no es más que un producto de nuestra imaginación, una hipótesis que heredamos de Euclides y los geómetras griegos. Si trazamos una línea recta en la arena de una playa con el dedo (como tal vez lo hicieran ellos), lo que estamos trazando en realidad es una geodésica, o sea el camino más corto entre dos puntos sobre una superficie curva, pues la Tierra es redonda. ¿Y una rayita trazada con un lápiz sobre una hoja de papel? Ésa sí. En los tratados de imposturología física ésa sí se acepta: una pequeña línea recta limitada, finita, como la vida humana. No una línea recta eterna, infinita. Y adviertan que «eterno» tiene que ver con el tiempo, e «infinito» con el espacio, los cuales en la mente de los genios de 280 A forzosamente se juntan curvándose en el espacio-tiempo curvo.
Newton no sabía de la velocidad de escape de la Tierra de 11 kilómetros por segundo ni de las sondas Voyager, y por lo tanto la inercia cinética para él era tan sólo una abstracción mental sin realidad exterior: el componente horizontal de la trayectoria parabólica de los proyectiles terrestres descompuesta en dos movimientos según propuso Galileo. Ese componente inercial en línea recta nunca lo hemos visto: con Galileo lo hemos empezado a imaginar adoptando la idea de inercia cinética. Por lo tanto, en esas tres simples palabras quiescendi vel movendi, Newton está mezclando sin rigor ninguno, como si se tratara únicamente de dos conceptos de una sola realidad, cuatro conceptos de dos realidades de orden diferente: cuerpos quietos y cuerpos en movimiento sobre la superficie de la Tierra, y cuerpos quietos y cuerpos en movimiento en el espacio exterior.
Por lo demás, ¿de veras existe la inercia estática sobre la superficie de la Tierra? Al final de cuentas la mesa que vemos quieta se está moviendo —y con doble movimiento, de rotación y de traslación— junto con el planeta Tierra del que hace parte. Si hay alguna ley del movimiento es que todo se mueve y nada está quieto: se mueven las moléculas, se mueven los átomos y se mueven las partículas subatómicas. ¿O son inventos de los físicos del siglo XX? Panta rhei tendríamos que volver a decir hoy con Heráclito, el filósofo presocrático: todo se mueve, todo cambia y nunca volveremos a bañarnos en las aguas de un mismo río. Pero si de verdad macroscópicamente la mesa está quieta y así seguirá mientras no la movamos, pues no podemos inflar esta pobre constatación de nuestros sentidos a ley de la física. Y si newtonianamente, vacuamente, así lo hacemos, pues entonces aquí les va una ley de más esencial todavía que ésa, la Ley de la Integridad Física de los Cuerpos, que dice: Todo cuerpo permanecerá en su integridad íntima mientras un agente exterior no lo destruya. Una piedra seguirá siendo piedra mientras a martillazos no la volvamos arena. Y un átomo de uranio 235 seguirá siéndolo mientras no lo desintegremos en una explosión nuclear y lo volvamos kriptón y bario.
En 1673, con la misma falta de rigor que habría de mostrar luego Newton, en su Horologium oscillatorium Huygens retomó la idea de la inercia cinética que había propuesto Galileo 35 años atrás y la expresó en dos hipótesis, afirmando en la primera que si no existieran la gravedad ni la resistencia del aire, una vez puesto un cuerpo en movimiento continuaría moviéndose con una velocidad uniforme en línea recta; y afirmando en la segunda que por causa de la gravedad el movimiento del cuerpo estará compuesto del movimiento original uniforme más el movimiento de caída producido por ella. El subjuntivo de «si no existieran» y el condicional de «continuaría» expresan muy bien el carácter de suposición y de hipótesis de la afirmación de Huygens. En cuanto al «estará compuesto» hay que decir que sí, pero en su cabeza, como ya lo estuvo en la de Galileo; uno puede borrar la gravedad mentalmente, pero no en la realidad. Una década después del libro de Huygens, en su pequeño tratado De motu corporum, del que escribió tres versiones, Newton le sumó la inercia estática a la cinética en la primera de cinco hipótesis que luego redujo a tres pero inflándolas a la categoría de axiomas o leyes. Así, como axiomas o leyes, aparecen en los Principios y así las conocemos desde entonces.
¡Cuál ley, cuáles leyes! La descomposición en dos de un único movimiento curvo es una ayuda para la imaginación, pero no pasa de eso, no llega ni siquiera a ser una hipótesis pues por impedimento intrínseco nunca será comprobable. ¿Cómo comprobar que sin la gravedad de otros cuerpos los cuerpos que se mueven en trayectorias curvas pasan a moverse en línea recta, si no hay forma de eliminar la gravedad de los otros salvo mentalmente? Las que llamamos leyes físicas son simples constataciones o bien explicaciones imaginativas. ¡Cómo va a ser una ley el que una silla siga quieta mientras no la movamos! En la ciencia la palabra ley está fuera de lugar. La ley es propia del orden social. Leyes son las que promulga el congreso.
Pasando a los ejemplos que da Newton de su primera ley, observemos que ninguno es un movimiento lineal, todos son circulares, y para colmo de dos tipos distintos e incompatibles de movimiento circular: el de rotación y el de traslación. El movimiento de la Tierra en torno a su eje cada 24 horas es un movimiento circular de rotación, y el que realiza cada 365 días en torno al Sol es un movimiento circular de traslación. Los proyectiles del primer ejemplo dado por Newton se mueven con movimiento de traslación; el trompo del segundo ejemplo se mueve con movimiento de rotación; los planetas del tercer ejemplo se mueven con ambos movimientos, de rotación y de traslación; y los cometas probablemente sólo con movimiento de traslación. He traducido «progressivos & circularis» literalmente como progresivos y circulares, pero bien habría podido haber traducido «traslatorios y rotatorios» modernizando la traducción. Ahora bien, resulta que el movimiento de traslación es el que descomponemos desde Galileo en dos movimientos independientes: uno horizontal, que es el de la inercia lineal; y otro vertical, que es el de los cuerpos que caen. Pero hasta hoy nadie ha dicho que el movimiento de rotación se pueda descomponer.
Estos movimientos circulares de sus ejemplos los interpreta Newton a todos por igual, según la lección de Galileo, o sea como movimientos lineales de inercia cinética curvados por una fuerza: la gravedad en el caso de los proyectiles y del movimiento de traslación (motus progressivos) de los planetas y de los cometas; y la cohesión en el caso del trompo y, suponemos, del movimiento de rotación de los planetas (motus circularis). De la fuerza de gravedad tratará Newton por el resto del libro aunque llamándola casi siempre «fuerza centrípeta». En cuanto a la cohesión, de ella no se ocupan los Principios. ¿Qué será? ¿Será la fuerza fuerte del átomo de la que hoy hablan los físicos nucleares haciéndoseles agua la boca? ¿O será la débil? Para mí que no es más que el truco de un prestidigitador que se saca un conejo de la manga: simplemente Newton necesitaba la cohesión para explicar la inercia lineal que le atribuía al trompo, cuyo movimiento rotatorio no lograba descomponer.
Pues ahí, en esos ejemplos profundos de la primera ley enunciados con concisión y oscuridad de oráculo, empieza un gran embrollo que se seguirá arrastrando hasta nuestros días y que tiene que ver con la fuerza centrífuga y con el movimiento de rotación de los planetas, los patitos feos de la astronomía y de la física. La fuerza centrífuga la inventó Huygens y se las arregló muy bien con ella sola para concebir el mundo; la centrípeta la inventó Newton para no quedarse atrás, y en la Proposición 19 del tercer libro de los Principios hasta le asignó un valor sobre la superficie de la Tierra: 289 a 1 con respecto a la centrífuga de su predecesor. (Para aumentar el enredo, en las dos primeras ediciones de los Principios se dice a veces por errata en la mencionada Proposición «centrípeta» donde debe ser «centrífuga»). Hoy con propiedad sólo podemos hablar de fuerza centrífuga tratándose del movimiento de rotación (el del trompo y el de la Tierra cuando gira sobre sí misma dando una vuelta cada 24 horas), y entendemos por ella la tendencia de un cuerpo que gira montado en otro que gira sobre sí mismo a dejar de girar y escaparse por la tangente. La misma tendencia en el movimiento de traslación (el de la Tierra cuando da una vuelta en torno al Sol cada año o la parábola galileana que describen los proyectiles) la llamamos inercia lineal. Adviértase entonces que al citar el trompo y la rotación de los planetas como ejemplos a su primera ley junto con ejemplos de movimientos de traslación, Newton está mezclando indebidamente la inercia lineal con la fuerza centrífuga. Si en el trompo y en la Tierra cuando gira sobre sí misma lo que controla la cohesión es la inercia lineal que propone Newton en su primera ley, ¿entonces por qué en la Proposición 19 del tercer libro convierte esa misma inercia lineal en fuerza centrífuga?
Volvamos a las sondas Pioneer y Voyager que en este año en que escribo se siguen alejando del Sistema Solar. ¿Cómo lo hacen? ¿En línea recta? ¿O en una trayectoria parabólica? Pienso que en una trayectoria parabólica como la que las fue llevando de uno a otro de los planetas exteriores, de órbita en órbita, pues a ellos no llegaron en línea recta con sus motores encendidos todo el tiempo. ¿Y si encendiendo ahora sus motores por un instante les corrigiéramos sus trayectorias parabólicas y las convirtiéramos en líneas rectas? Daría igual, porque ¿rectas con respecto a qué? Imaginar la línea recta en el vacío oscuro no es tan fácil. Como no sea trazada euclidianamente sobre una superficie plana, la línea recta se vuelve un acto de fe. Y si las sondas Pioneer y Voyager no viajan en línea recta, ¿qué ejemplo podemos aducir entonces de un movimiento rectilíneo perpetuo en el espacio exterior? Que yo sepa ninguno. Y como sobre la Tierra tampoco puede haber ejemplo de inercia lineal porque su superficie es curva y porque todo cuerpo que se mueve sobre ella tiene que luchar contra la fricción del suelo y la resistencia del aire que terminan por detenerlo, entonces debemos concluir que la inercia lineal sólo está en el interior de la cabeza de los que descomponen los movimientos curvos en dos como Galileo, y no en la realidad exterior. La que sí está en la realidad exterior sin que tengamos que hacer maromas mentales para imaginárnosla es la inercia rotatoria: la de la Tierra sobre la que vamos montados y que va girando en torno a su eje en el vacío, pasando del día a la noche y de la noche al día. La atribución por parte de Newton de una inercia lineal al trompo y a los planetas cuando giran sobre su eje es por lo tanto doblemente abusiva. No sólo no tenemos ejemplos reales de la inercia lineal sino que sí los tenemos de la inercia rotatoria: es la del movimiento rotatorio de la Tierra y los demás planetas y del mismo Sol cuando gira en torno a su eje.
En consecuencia, de la inercia de que tenemos que hablar en los casos del trompo y de los planetas cuando giran en torno a su eje es de la rotatoria y no de la lineal como lo hace Newton. Un trompo que gira indefinidamente sin parar lo podemos imaginar de inmediato sin tener que descomponer su movimiento en dos con sólo hacer abstracción de la resistencia del aire y la fricción del suelo sobre el que se apoya su punta. ¡Maromas las que hay que hacer para imaginar el espacio-tiempo tetradimensional de Einstein que en las cercanías de los cuerpos de gran masa como la Tierra o el Sol se curva! Los divulgadores einstenianos nos ilustran esto con una bola pesada hundiendo una sábana de caucho. En esa imagen lo que está curvado es una superficie, no el espacio. El espacio es una construcción mental vacía, como la del vacío, y no se puede deformar ni curvar ni representar en una foto.
En el vacío todo cuerpo que gira sobre sí mismo seguirá girando en tanto un agente externo no lo detenga. Y he ahí otra ley de la física, la de la inercia rotatoria. ¿En cuál vamos? ¿En la cuarta, la quinta o la sexta? Obsérvese que he dicho siempre inercia «rotatoria» y no «circular», palabra de significado más amplio que incluye tanto la rotación como la traslación. Por lo pronto, en esta Tierra que se mueve con doble movimiento y que de vez en cuando tiembla, yo en lo único que creo sin la sombra de una duda es en la inercia rotatoria y en la Santísima Trinidad, que a diferencia del espacio-tiempo de Einstein sí se puede representar: un viejo de barba blanca, un hombre de barba negra y arriba en medio de los dos una paloma. ¡Qué misterio va a ser ése! ¡Misterio el de la gravedad!
Esto por cuanto se refiere a la primera ley. En cuanto a las dos restantes, la segunda está expresada como una proporción y la tercera como una igualdad.
Lex II: Mutationem motus proportionalem esse vi motrici impressae & fieri secundum lineam rectam qua vis illa imprimitur. Si vis aliqua motum quemvis generet, dupla duplum, tripla triplum generabit.
(Ley 2: Todo cambio en el movimiento es proporcional a la fuerza motora que se le imprima y se da a lo largo de la línea recta en que se le imprima esa fuerza. Si una fuerza produce un movimiento, el doble de fuerza producirá el doble de movimiento, y el triple de la fuerza producirá el triple de movimiento).
Lex III: Actioni contrariam semper & aequalem esse reactionem: sive corporum duorum actiones in se mutuo semper esse aequales & in partes contrarias dirigi. Quicquid premit vel trahit alterum, tantundem ab eo premitur vel trahitur. Siquis lapidem digito premit, premitur & hujus digitus a lapide. Si equus lapidem funi allegatum trahit, retrahetur etiam & equus aequaliter in lapidem: nam funis utrinque distentus eodem relaxandi se conatu urgebit equum versus lapidem, ac lapidem versus equum, tantumque impediet progressum unius quantum promovet progressum alterius.
(Ley 3: Para toda acción siempre habrá una reacción opuesta e igual; en otras palabras, las acciones mutuas de dos cuerpos siempre serán iguales y siempre en direcciones opuestas. El que presiona a algo o lo jala será presionado o jalado en igual medida por aquello. Si alguien presiona con el dedo una piedra, el dedo será presionado por la piedra. Si un caballo jala de una piedra atada a una cuerda, el caballo será jalado en igual medida hacia la piedra, porque tensa la cuerda en ambos extremos, por el mismo intento de aflojarse jala al caballo hacia la piedra y la piedra hacia el caballo impidiendo el movimiento hacia delante de éste tanto como promoviendo el movimiento hacia adelante de aquélla).
Las palabras «acción» y «reacción» son muy vagas y hay que aclararlas. De lo que habla Newton en su tercera ley es simplemente de empujar (presionar) o de jalar, y como el que empuja ojala lo que hace en última instancia es ejercer una fuerza, entonces el asunto de la tercera ley es dinámico, esto es, tiene que ver con las fuerzas. Según Newton si la acción es empujar, la reacción igual y en sentido contrario será de empujar: el dedo empuja a la piedra y la piedra empuja al dedo. Si la acción es de jalar, entonces la reacción será de jalar: el caballo jala a la piedra y la piedra jala al caballo. ¿De dónde saca Newton que la piedra de su primer ejemplo empuja al dedo, y que la piedra de su segundo ejemplo jala al caballo? Ésas son afirmaciones abusivas, indebidas, y van contra nuestra experiencia, que nos dice que ninguna piedra empuja ni jala. ¿De dónde saca Newton que hay dos fuerzas en cada uno de los ejemplos que propone? En cada uno no hay más que una sola: la que ejerzo al presionar la piedra, que si en vez de piedra fuera una bola de masa para hornear se hundiría deformándose; y la que ejerce el caballo al jalar la piedra, por la cual la arrastra. La reacción que él le atribuye a la piedra en ambos casos no es más que la inercia estática de su primera ley. El engaño empieza en que Newton considera a la inercia una fuerza y la llama vis inertiae, o sea la «fuerza de la inercia», y no hay tal. La inercia estática (y asimismo la cinética) no puede ser una fuerza pues según la segunda ley toda fuerza se reconoce por la aceleración que produce. ¿Qué aceleración produce la inercia de la piedra en mí cuando la toco o en el caballo cuando éste la mueve? Ninguna. La inercia estática no produce ninguna aceleración y por lo tanto no es una fuerza, y por lo tanto donde Newton habla de acción y reacción sólo hay acción.
Pero si de veras en cada uno de sus ejemplos hubiera dos fuerzas, ¿con qué aparato y en qué unidad de medida las midió Newton para decir que son iguales? ¿Con un dinamómetro y en newtons? Newton no midió nada. Y puesto que asegura que son opuestas, ¿cómo lo supo? ¿Por sus efectos? En cada uno de sus dos ejemplos sólo hay un efecto: la piedra que presiono o empujo se moverá un poco hacia adelante si es pequeña (y si en vez de piedra es una bola de masa de hornear se hundirá o deformará en mayor o menor medida según la presión de mi dedo); y en el caso de la piedra que jala el caballo el efecto es el desplazamiento de la piedra. En ambos ejemplos estamos ante una acción sin reacción. El esfuerzo muscular del dedo que empuja y del caballo que jala dan testimonio de esa única fuerza. Si de veras se tratara de dos fuerzas iguales y opuestas, la masa no se hundiría y el caballo no podría arrastrar a la piedra.
Pongámonos en el lugar del caballo que jala la cuerda a que está atada la piedra. Que estamos ejerciendo una fuerza es claro por el esfuerzo muscular que sentimos que tenemos que hacer para jalarla. ¿Qué esfuerzo muscular hace la piedra? Se me dirá que la piedra no tiene músculos. Cambiemos entonces la piedra por una persona atada por la cintura en su lugar para que la jalemos. ¿Qué esfuerzo muscular hace la persona atada así cuando la jalamos? Ninguno. Haría un esfuerzo si en vez de estar atada por la cintura tomara un extremo de la cuerda en la mano y nos jalara hacia ella para evitar que la arrastráramos.
Cuando se argumenta contra la tercera ley que dos fuerzas opuestas y contrarias forzosamente tienen que producir un estado de equilibrio, como éste no es el caso en los dos ejemplos de Newton pues la masa se hunde y el caballo arrastra a la piedra, entonces los newtonianos, que nunca faltan para aclarar las oscuridades del genio, responden que las dos fuerzas de la tercera ley no pueden producir tal estado de equilibrio porque actúan sobre dos cuerpos diferentes y no sobre uno.
Una situación de equilibrio de dos fuerzas que actúan sobre un solo cuerpo se da, por ejemplo, cuando dos niños jalan de las puntas de una cuerda con fuerzas iguales, y así ni el que está en el extremo A arrastra al que está en el extremo B ni al contrario. El único cuerpo sobre el que actúan las fuerzas de los niños es la cuerda. ¿Y qué es el segundo ejemplo de Newton sino esto? También en él hay tres participantes: la piedra (equivalente al niño A), la cuerda y el caballo (equivalente al niño B). ¿Por qué entonces si hay dos fuerzas en el ejemplo de Newton, y las dos son contrarias e iguales, no se da una situación de equilibrio como en el caso de los dos niños, sino que el caballo arrastra a la piedra? Porque en el ejemplo de Newton no hay dos fuerzas como él pretende sino una sola: el esfuerzo muscular que realiza el caballo. Del lado de la piedra no hay fuerza sino inercia estática y la inercia estática, así Newton la llame «fuerza» (vis inertiae), no lo es pues no produce ninguna aceleración. Si no hay aceleración no hay fuerza. Jálenla como la jalen, con poco empeño o con mucho empeño, la piedra no produce ninguna aceleración y por lo tanto no ejerce ninguna fuerza y por lo tanto en el ejemplo de Newton del caballo que arrastra a una piedra atada a una cuerda no hay una acción acompañada de una reacción sino simplemente una acción sola. Que es lo que siempre pensó la humanidad hasta que vino a abrirnos los ojos el genio.
La llamada ley de la acción y la reacción no es ninguna ley: es una aseveración gratuita y abusiva, un burdo engaño que se ha venido arrastrando por tres siglos largos alimentado por los devotos ciegos del genio de 23 A, que no entienden la realidad pero pretenden que lo entienden a él. Y no. A un genio de 23 aquinos no lo entiende nadie.
Capítulo 3
El misterio de la caída de los cuerpos
Una de las genialidades de la ley de la acción y la reacción es que ayuda a entender no sólo casos simples como el del caballo que jala a una piedra atada a una cuerda, en el que la fuerza que hace el caballo es muscular y se transmite a la piedra por mediación de un medio material como es la cuerda, sino misterios como el de la gravedad, que no es una fuerza muscular y se transmite en el vacío a través de nada. Y así decimos que la Tierra atrae a una manzana que cae pero que, en cumplimiento de la ley de la acción y la reacción de Newton, a su vez la manzana atrae a la Tierra con la misma fuerza con que la Tierra la atrae a ella aunque en sentido contrario. Y me preguntarán: si las dos fuerzas con que se atraen estos dos cuerpos son iguales, ¿por qué entonces la manzana cae sobre la Tierra siendo así que la Tierra no cae sobre la manzana? Ah, muy sencillo: por la misma razón que el caballo arrastra a la piedra y la piedra no arrastra al caballo. Pero Newton dice que la piedra sí arrastra al caballo. Sí, claro que lo arrastra pero sin arrastrarlo, del mismo modo que la Tierra cae sobre la manzana pero sin caer. ¡Cuál misterio de la gravedad y cuál pantano newtoniano! El misterio y el pantano son agua pura.
La verdad es que la gravedad entre dos cuerpos no tiene nada que ver con el par inexistente y necio de la acción y la reacción. Simplemente si le atribuimos a la Tierra la capacidad de atraer a lo que se sitúe en su esfera de influencia o campo gravitatorio (para decirlo con la palabra «campo» que inventó Faraday para el espacio que rodea un polo magnético o una carga eléctrica), en principio también podríamos atribuírsela a la manzana. ¿Entonces podemos afirmar que la manzana atrae a la Tierra, así fuera con una fuerza infinitesimal? No porque la Tierra no entra en el campo gravitatorio de la manzana, si es que lo tiene. Para que entrara en él, el campo gravitatorio de la manzana tendría que extenderse hasta el centro de la Tierra, o sea tendría que ser una esfera con un radio de 6 378.14 kilómetros, que es el de la Tierra en el ecuador (más 2 metros a que está la manzana en el árbol). Si una manzana de 200 g tuviera un campo gravitatorio de sólo 10 m, entonces el de la Tierra, que tiene 3 × 1025 veces más de masa que esa manzana, sería de 3 × 1022 km, y un año luz sólo tiene 1013 km, o sea que el campo gravitatorio de la Tierra sería de 3 × 109 años luz. ¡Tres mil millones de años luz! La manzana simplemente no tiene campo gravitatorio.
Todo en esta vida y este mundo tiene un límite: para arriba y para abajo, hacia lo grande y hacia lo pequeño. Lo tienen el tamaño, la masa, la distancia, la gravedad, la electricidad, el magnetismo, la paciencia… En homenaje al fundador de la dialéctica o arte de la disputa, Zenón de Elea, quien vivió en la Magna Grecia hace 2 400 años durante los cuales no ha hecho otra cosa que burlarse de nosotros desde la tumba muerto después de haberse burlado en vida de los griegos, propongo llamar ese límite «el límite de Zenón». A lo mejor una manzana no tiene campo gravitatorio porque su masa insignificante no da para tenerlo. Al final de cuentas la mayoría de los cuerpos no tienen campo magnético ni eléctrico.
En fin, si nos empeñamos en que la manzana tenga un campo gravitatorio, ¿de cuánto sería? ¿De cien metros? ¿De un kilómetro? Tengan presente que 1 km son 20 000 radios de manzana. La Luna, por ejemplo, que es atraída por la Tierra, sólo está a 60 radios terrestres de ésta. Pero si el campo gravitatorio de una manzana fuera de 1 km, como el centro de la Tierra está a 6 378 km, entonces la Tierra no entra en él. La manzana, por lo tanto, no atrae a la Tierra. ¿Y un piano de cola? Tampoco. El campo gravitatorio de éste, de tenerlo, sería un poco más grande que el de la manzana y tampoco alcanzaría a abarcar a la Tierra.
Ahora bien, aunque la manzana y el piano de cola coinciden en no tener campo gravitatorio o en tenerlo muy pequeño, difieren en las masas, siendo la de la manzana pequeña y la del piano de cola grande. Creía Aristóteles que los cuerpos pesados caen antes que los livianos. Philoponus en el siglo VI, y Stevin y Galileo a fines del siglo XVI, pusieron a prueba experimentalmente la tesis aristotélica y descubrieron que estaba errada y que si descontamos la resistencia del aire todos los cuerpos, pesados o livianos, caen con igual velocidad. El 2 de agosto de 1971, David R. Scott, el comandante de la misión Apollo 15, parado en la superficie de la Luna, en la que no hay atmósfera, dejó caer sobre ella una pluma de halcón y un martillo y cayeron simultáneamente, escena que se puede ver en la página de Internet de la NASA. Y es que en el vacío todos los cuerpos caen igual, cualquiera sea su masa. ¿Cómo explicamos este misterio que va a contracorriente de nuestra experiencia del mundo pues tenemos que hacer mayor esfuerzo para levantar o sostener un cuerpo pesado que uno liviano? Nos lo explicamos suponiendo que la Tierra atrae a todos los cuerpos según la masa de cada uno, y que a la vez todos los cuerpos se oponen a esa atracción también según la masa propia. La Tierra jala a un cuerpo de 10 kilos con diez veces más fuerza que a uno de 1 kilo, pero en virtud de la inercia estática, que es menor si es menor la masa, el cuerpo de 1 kilo le opone diez veces menos resistencia que el cuerpo de 10, y así lo uno compensa lo otro. Según lo anterior, que no pasa de ser una explicación tranquilizante pero imposible de comprobar, cuando levantamos algo, una bala de cañón por ejemplo, la fuerza que hacemos y que nos parece una sola en realidad son dos, aunque ambas dirigidas en el mismo sentido, hacia arriba: una intensa que hacemos para vencer la gravedad que jala la bala de cañón hacia abajo, y otra menor que hacemos para vencer la inercia estática de la bala que se opone a que la movamos hacia arriba. Si fuéramos en una nave espacial, ya no habría gravedad jalándola hacia abajo, pero la inercia estática de la bala de cañón, que no desaparece en el estado de ingravidez, se opondría a que la moviéramos hacia el techo de la nave, o hacia donde fuera. Cuando levantamos la bala de cañón en la superficie de la Tierra la fuerza que hacemos es la suma de dos: tenemos que vencer la gravedad que la jala hacia abajo y la inercia estática que se opone a que la movamos para el lado que sea. Si una vez que hayamos levantado la bala de cañón la sostenemos sin moverla, entonces sólo tendremos que ejercer una sola fuerza, la que hacemos para vencer la gravedad. Soltemos ahora la bala de cañón. Al jalar la bala de cañón, la Tierra sólo tiene que vencer la inercia estática de ésta. Si dejamos caer una bala de revólver simultáneamente con la bala de cañón, la Tierra jala a aquélla con menos fuerza que a ésta, pero ésta le opone menos inercia estática que aquélla al jalón. Y así la bala de cañón y la de revólver, que tienen pesos muy diferentes, caen al mismo tiempo. Por lo demás, recordemos en este punto nuestra incapacidad de notar diferencias de peso entre dos cuerpos que sostengamos en una y otra mano si no difieren en una tercera parte al menos.
¿Pero de veras todos los cuerpos caen simultáneamente y con la misma velocidad? ¿También los de masas astronómicas? Si dejáramos caer a la Luna sobre la Tierra junto con una manzana, ¿caerían al mismo tiempo? No. Tratándose de la Luna la cosa cambia. Y es que si bien todos los cuerpos se oponen por su inercia estática a ser atraídos, sólo los de grandes masas pueden atraer. Todos los cuerpos tienen inercia estática, pero sólo los de grandes masas tienen campo gravitatorio. Dada la masa enorme de la Luna, la Tierra entra en su campo gravitatorio pese a la separación de 380 000 km entre las dos, vale decir 218 radios lunares (el radio de la Luna es de 1 738 km), y por eso se dan en la Tierra las mareas lunares. De suerte que si a la distancia a que está la Luna la dejáramos caer junto con una manzana, la manzana tendría que caer antes, con mayor velocidad, pues la manzana no le opone ninguna resistencia a la Tierra por cuanto a su pequeño campo gravitatorio se refiere en caso de tenerlo, al no entrar la Tierra en él; en cambio la Luna sí se la opone, pues la Tierra entra en el campo gravitatorio lunar. La Tierra jala hacia sí a la Luna y viceversa, la Luna jala hacia sí a la Tierra. En cambio la Tierra jala a la manzana y al piano de cola pero ninguno de los dos la jala a ella. Y esto no tiene nada que ver con el sofisma de la acción y la reacción. Simplemente hemos partido de la suposición de que todo cuerpo atrae a lo que está dentro de su campo gravitatorio. La Tierra no está dentro de los campos gravitatorios de la manzana y del piano de cola si es que los tienen, por lo tanto no es atraída por ellos.
Volvamos por un momento al numerador de la ecuación de la ley de la gravitación universal «de Newton», en el cual se multiplican las masas de los dos cuerpos que se atraen. Pues bien, tratándose de la Tierra y de la Luna sus masas no se pueden multiplicar, pues la Tierra jala hacia sí a la Luna pero también la Luna jala hacia sí a la Tierra. Si alguna operación tuviéramos que hacer no sería la de multiplicar sino la de restar: substraer la masa menor de la mayor y dividir el resultado por la distancia elevada al cuadrado, así:

siendo m1 la masa de la Tierra, m2 la masa de la Luna, y entendiendo por F la fuerza con que el cuerpo de masa mayor (o sea la Tierra) atrae y pone a girar a su alrededor al de masa menor (o sea la Luna).
En 1785, en dos artículos publicados en las Mémoires de l’Académie des Sciences de París, páginas 569 y siguientes, Charles Augustin Coulomb da cuenta de sus mediciones, por medio de una balanza de torsión similar a la que poco después iba a utilizar Cavendish para determinar la densidad de la Tierra, de la fuerza con que se atraen o repelen dos cuerpos cargados eléctricamente o dos agujas imantadas. En estos artículos Coulomb saca las siguientes conclusiones:
La fuerza repulsiva entre dos pequeñas esferas cargadas con el mismo tipo de electricidad es inversamente proporcional a la distancia que hay entre sus centros, elevada al cuadrado. (…) La fuerza de atracción entre dos bolas cargadas, una positivamente y la otra negativamente, es inversamente proporcional a la distancia entre los centros de las bolas elevada al cuadrado, el mismo resultado que he mostrado para la fuerza de repulsión. (…) Los cuerpos magnéticos se atraen o repelen a distancias pequeñas en la misma manera en que lo hacen los cuerpos cargados.
Como en el caso similar de los Principios y de la ley de la gravedad «de Newton», tampoco en estos artículos de Coulomb aparece la famosa ecuación de la Ley de la electricidad y del magnetismo que los tratadistas de física le atribuyen:

donde F es la fuerza, q1 y q2 representan las dos cargas eléctricas o las dos cargas magnéticas (si se me permite hablar así de los polos de un imán pues no veo otra forma), y d la distancia que separa sus centros. En sus dos artículos Coulomb sólo trata (y con palabras, no con ecuaciones) del denominador de la ecuación. En cuanto al numerador que postula que hay que multiplicar las cargas, ¿de dónde lo sacaron los tratadistas de física? Eso de que hay que multiplicar las cargas es una arbitrariedad. En ningún sitio lo dice Coulomb tratándose de las cargas eléctricas. En cuanto a sus agujas imantadas:
El fluido magnético actúa por atracción o repulsión en proporción a la densidad de fluido y en proporción inversa a la distancia de sus moléculas elevada al cuadrado. La primera parte de esta aseveración no requiere prueba; por lo tanto, pasemos a la segunda.
La primera frase de su aseveración no es que requiera prueba, es que no se entiende. Si hay siempre dos polos magnéticos, ¿por qué hablar de un solo fluido?
En fin, olvidémonos de lo que dijo Coulomb y limitémonos a la ecuación que le atribuyen para compararla con la que le atribuyen a Newton. La ecuación de Coulomb vale para la atracción si se trata de dos cargas eléctricas o polos magnéticos distintos; y vale asimismo para la repulsión si se trata de dos cargas eléctricas o polos magnéticos iguales. La de Newton en cambio sólo vale para la atracción pues en el fenómeno de la gravedad no hay repulsión. Ahora bien, y esto es lo que aquí me importa, «atracción» en la ley de Newton no puede ser lo mismo que «atracción» en la ley de Coulomb, pues se trata de dos atracciones distintas. La de Newton, tratándose de la Tierra y la Luna, es una atracción substractiva: la Tierra jala hacia sí a la Luna y viceversa, la Luna jala hacia sí a la Tierra, por lo cual en el jalón de la Tierra, que es el que predomina, hay que descontar el jalón de la Luna. Y la de Coulomb es una atracción aditiva: la carga positiva y la negativa (o el polo Norte del imán y el polo Sur) van a su encuentro sumándose. Ahora bien, ¿sumándose? ¿No será más bien multiplicándose, como pretende la ecuación atribuida a Coulomb? Habrá que determinarlo experimentalmente pues Coulomb no nos lo aclaró. En vista de que este manualito no es sino una humilde introducción a la imposturología física y nada más, ahí les dejo el problemita para que lo resuelvan y vuelvo a la caída de la Luna.
En el curso de su órbita ligeramente elíptica (que le toma 27 días y 8 horas para recorrerla), la Luna está a una distancia promedio de la Tierra de 380 000 kilómetros. Soltarla desde esa altura para que caiga sobre la Tierra a ver cuánto tiempo le toma la caída no es posible porque no tenemos forma de frenarla, ni ganas. El que sí podemos frenar para que caiga es un satélite artificial coorbital con la Luna (uno que hubiéramos puesto en órbita de la Tierra a la misma distancia a que está la Luna), encendiendo un motor de propulsión en sentido contrario a la dirección de su movimiento para que de la velocidad de 1 kilómetro por segundo a que va, y que es la misma a que va la Luna, pase a 0. Entonces empezará a caer y nosotros a medir, con los latidos del corazón o con un reloj atómico de cesio, el tiempo de su caída. Esa medición el ser humano aún no la ha hecho, no sé por qué. (Tal vez por temor a que el satélite artificial caiga sobre el Vaticano o la Kaaba). En vez de medir como procede, pues de mediciones se trata, vamos entonces a calcular con formulitas: con la fórmula de física de secundaria
, en la que t es el tiempo de la caída, d la distancia, y a la aceleración con que caen un satélite o una manzana desde esa altura (pero no la Luna misma, que se tardaría más por la resistencia que le opondría a la Tierra en su caída según mi tesis). La distancia ya la sabemos, 380 000 kilómetros. En cuanto a la aceleración a, la podemos calcular de dos maneras, ambas sospechosas:
1. Según la fórmula a = v2/r, que viene desde el Horologium oscillatorium (1673) de Huygens, en la que v es la velocidad orbital y r el radio de la órbita (o sea la misma d de la fórmula anterior). La velocidad v la calculamos dividiendo la circunferencia de la órbita de la Luna, que es de 2 387 616 km, por el tiempo que se tarda en recorrerla, que es de 2 361 600 segundos (27 días y 8 horas) y nos da 1 km/s. Y el radio ya lo hemos dicho, 380 000 kilómetros.
2. Según la Proposición 4 del tercer libro de los Principios, dividiendo la aceleración de 9.8 m que midió Galileo cerca de la superficie de la Tierra por 3 600, que resultan de 60 radios terrestres elevados al cuadrado (60 radios terrestres son 380 000 km), pues según Newton la gravedad disminuye en proporción a la distancia elevada al cuadrado (Proposición 1 del primer libro).
Con cualquiera de las dos fórmulas, resultado de discutibles métodos geométricos, obtenemos una aceleración de 0.0027 m/s. Y con esta aceleración ya tenemos los datos para aplicar la fórmula de secundaria
. Y el resultado es 532 415 segundos, o sea 6 días, 3 horas y 53 minutos. Eso es lo que se tarda en caer sobre la superficie de la Tierra un satélite artificial o una manzana desde una altura de 380 000 kilómetros, siempre y cuando sea cierto que la aceleración con que empiezan a caer desde esa altura sea de 0.0027 m/s. Si la fuerza de gravedad no disminuye como sostiene Newton según la distancia elevada al cuadrado, entonces esta cifra para la aceleración está equivocada y nos quedamos sin fórmula para hacer el cálculo.
La verdad es que directamente sólo hemos medido la aceleración con que caen los cuerpos desde pequeñas alturas como edificios, montañas o socavones de minas, y oscila en torno a los 9.8 m/s, según la latitud del lugar donde hacemos la medición: en los polos es ligeramente mayor que en el ecuador, y desde una montaña o un acantilado es ligeramente menor que desde la torre de Pisa. Y la aceleración es la forma indirecta que tenemos para darnos una idea de la intensidad de la gravedad tratándose de los cuerpos que caen. Tratándose de los cuerpos que giran (o sea los planetas y los satélites naturales o artificiales) la velocidad a que lo hacen es la forma indirecta que tenemos de darnos una idea. Así sabemos, pues, que más aceleración en la caída o más velocidad traslatoria quieren decir que es más intensa la gravedad.
A Galileo fue al primero que se le ocurrió calcular el tiempo que le tomaría caer a un cuerpo desde la altura de la Luna. En el Segundo Día de su Dialogo sopra i Due Massimi Sistemi del Mondo, Tolemaico e Copernicano (Diálogo sobre los dos principales sistemas del mundo, el tolemaico y el copernicano) lo calcula así:
Por lo tanto, habiendo observado en un experimento cuidadoso que un cuerpo que cae de una altura de 100 yardas cubre esta distancia en 5 segundos, decimos: Si 100 yardas se recorren en 5 segundos, ¿588 000 000 (que son los 56 radios de la Tierra) en cuántos segundos se recorrerán? La regla para esta operación es multiplicar el tercer número por el segundo elevado al cuadrado. Esto da 14 700 000 000, que se deben dividir por el primer número, o sea por 100, y la raíz cuadrada del cociente, o sea 12 124, es el número buscado. Estos 12 124 segundos son 3 horas, 22 minutos y 4 segundos.
¿Por qué tanta diferencia con el resultado nuestro? Es que Galileo hace sus cálculos basándose en una aceleración cercana a 9.8 m, que es la que se da en las cercanías de la superficie terrestre, y no basándose en una aceleración 3 600 veces menor, o sea 0.0027 m/s, que es la que creemos que se tiene que dar a la distancia de la Luna si es cierta la tesis de Hooke y Newton de que la gravedad disminuye según la distancia elevada al cuadrado. Tomando como distancia entre la Tierra y la Luna los 56 radios terrestres de Galileo y la aceleración de 9.8 m por segundo que él antes que nadie midió experimentalmente, a mí el cálculo según la fórmula
me da 8 537 segundos, o sea 2 horas, 22 minutos y 17 segundos. Pero no importa la diferencia con Galileo. Lo que quiero hacer ver es que él piensa que la aceleración que midió a unas cuantas decenas de metros de la superficie de la Tierra sigue siendo la misma a 380 000 km de altura, y no 3 600 veces menor como piensa Newton.
¿Y con qué aceleración caería la Luna, si según mi tesis no cae con la misma de un satélite artificial o una manzana pues le opone resistencia al jalón de la Tierra? La aceleración en el ecuador lunar es de 1.62 m/s. El radio lunar es de 1 738 km. O sea que en 380 000 kilómetros hay 218 radios lunares. Si dividimos estos 1.62 por 47 524 (2182) nos da 0.000034 m/s. Con esa aceleración caería sobre la Luna una manzana que le dejáramos caer desde una distancia de 380 000 kilómetros pero sin interponerse la Tierra para retenerla; y con la fuerza de gravedad equivalente a esa aceleración la Luna produce en la Tierra las mareas lunares. La aceleración lunar la debemos restar de la terrestre a 380 000 km, la cual es 0.0027 m/s, y así tenemos una aceleración de 0.002666 m/s, que aplicada en la fórmula
nos da 533 920 segundos, frente a los 532 415 segundos con que caen el satélite artificial o la manzana. Por lo tanto, con respecto a éstos la Luna cae con un retardo de 1 505 segundos, que son 25 minutos y 8 segundos.
El 1.62 m/s para la aceleración lunar cerca de la superficie de la Luna no es una medición real que hubieran obtenido los astronautas de los vuelos Apollo cuando aterrizaron allí; es una medición teórica, deducida de los 9.8 m/s para la aceleración terrestre, de los radios terrestres y lunares, y de las inciertas masas terrestres y lunares. La Luna tiene 81.22 veces menos masa que la Tierra y por este concepto la aceleración de caída de los cuerpos sobre su superficie sería 81.22 veces menor que en la Tierra; pero la Luna tiene 3.67 veces menos radio y por este concepto tendría 13.47 veces más aceleración (3.672). Y así tenemos 9.8 ÷ 81.22 × 13.47 = 1.62 m/s.
Sean o no justos los cálculos anteriores, nos vemos forzados a aceptar que la Luna caería más lentamente que una manzana o un satélite artificial pues en su caída éstos no le oponen resistencia a la Tierra mientras que aquélla sí. Y en prueba las mareas lunares. Si pusiéramos a girar en torno de la Tierra una manzana o un satélite artificial en una órbita de 380 000 kilómetros de radio, ¿qué marea producirían? No levantarían ni una gota de agua de un charco. Y es que a esa distancia (o a cualquier otra) la Tierra no entra en los campos gravitatorios de la manzana y del satélite artificial, si es que los tienen.
Podríamos resumir este capítulo postulando que todos los cuerpos oponen resistencia a la gravedad de otros en virtud de su inercia estática, pero que no todos la oponen en virtud de un campo gravitatorio pues no todos lo tienen, o si lo tienen es demasiado pequeño para que el otro cuerpo entre en él.
Capítulo 4
Girar o caer, la luna y la manzana
En su Discorsi e Dimostrazioni Matematiche intorno a due Nuove Scienze (1638), en los comienzos del «Cuarto Día» que trata de los movimientos de los proyectiles, Galileo descompone la trayectoria parabólica de un proyectil en dos movimientos:
Imaginemos una partícula disparada a lo largo de un plano horizontal sin fricción. Por lo que ya hemos explicado en páginas anteriores sabemos que esta partícula se moverá a lo largo del plano con un movimiento uniforme y perpetuo con tal de que el plano no tenga límites. Pero si el plano es limitado y elevado, entonces la partícula en movimiento, que tiene un peso, adquiere al pasar sobre el borde del plano, por añadidura al señalado movimiento uniforme y perpetuo, una propensidad hacia abajo debida al peso, de tal suerte que el movimiento resultante, que llamo proyección, estará compuesto de un movimiento uniforme y horizontal y otro vertical y naturalmente acelerado.
Paso por alto lo de los planos, que es una forma menos clara de decir: Si disparamos horizontalmente al suelo desde una altura una bala de cañón, al salir del tubo del cañón la bala sigue una trayectoria parabólica que es la resultante de dos movimientos independientes: uno perpetuo, uniforme y horizontal, y otro vertical y naturalmente acelerado como el de cualquier cuerpo que cae verticalmente. Pero las dos ideas que enuncia la frase de Galileo, la de la inercia cinética (el «movimiento uniforme y perpetuo») y la de que ciertos movimientos curvos pueden estar «compuestos» de dos movimientos independientes, decidieron el camino que siguió durante dos siglos y medio la física.
Llevando al extremo la idea de Galileo de que el movimiento curvo de un proyectil es el resultante de dos, en la Definición 5 de comienzos de los Principios Newton concluye:
Si disparamos una bola de plomo horizontalmente con una velocidad dada desde lo alto de una montaña y la bola sigue en una línea curva por dos millas antes de caer a la Tierra, entonces, si hacemos abstracción de la resistencia del aire, la misma bola disparada con el doble de velocidad o con diez veces más velocidad caerá el doble de lejos o diez veces más lejos. Y aumentando la velocidad podemos aumentar a voluntad la distancia a la que se puede lanzar la bola y disminuir la curvatura de su trayectoria hasta que caiga a 10, 30 o 90 grados de distancia, o incluso hasta alcanzar a darle la vuelta a la Tierra antes de caer; o, en fin, no caer nunca a la Tierra sino entrar al espacio celeste y continuar perennemente en movimiento. Y del mismo modo que por la fuerza de la gravedad podemos hacer que un proyectil se desvíe para girar en una órbita en torno a la Tierra, así también la Luna, sea por la fuerza de gravedad si está dotada de gravedad, o por cualquier otra fuerza que la impulse hacia la Tierra, puede ser sacada permanentemente del curso rectilíneo que seguiría por inercia y obligada a girar en la órbita que hoy describe. Sin una fuerza así no se puede retener a la Luna en su órbita. Si esta fuerza fuera muy pequeña, no desviaría a la Luna lo suficiente de una trayectoria recta; si fuera muy grande, la desviaría demasiado y sacándola de su órbita la haría caer hacia la Tierra. Se necesita que la fuerza sea de la magnitud apropiada.
Surgida de Galileo, ésta es la idea más influyente de Newton, la que amplió el dominio de la física terrestre hasta los cielos y la que incorporó la física a la astronomía: que la Luna es como un proyectil, y que con una velocidad apropiada caer girando se puede convertir en girar perpetuamente.
Que un movimiento esté compuesto de dos es una buena ayuda para imaginar no sólo el movimiento parabólico de los proyectiles que disparamos en la superficie de la Tierra, sino también el movimiento elíptico de traslación de los planetas y los satélites: por la inercia cinética la Luna está destinada a seguir eternamente hacia adelante con movimiento uniforme en línea recta; pero por la gravedad que ejerce en todo momento la Tierra sobre ella esa línea recta se curva, y así la Luna empieza a girar y su movimiento recto eterno se convierte en un movimiento elíptico eterno. Con la palabra gravedad Galileo entiende el peso, tal y como se entendía desde Aristóteles: la tendencia natural de todo cuerpo a caer sobre la Tierra (para Galileo esa tendencia incluso sigue existiendo a una distancia tan enorme como a la que está la Luna, según se desprende del pasaje del Diálogo que hemos citado). Pero Newton entiende otra cosa: una fuerza. Para Galileo una manzana pesa porque tiende hacia la Tierra; para Newton, porque la Tierra la jala hacia sí. La Definición 5 comienza diciendo:
Fuerza centrípeta es aquella por la que los cuerpos son jalados desde todos lados, o impelidos, o por la que de algún modo tienden hacia un punto como centro. Una fuerza de este tipo es la gravedad, por la que los cuerpos tienden hacia el centro de la Tierra; otra es la fuerza magnética, por la que el hierro busca al imán; y otra más, cualquiera que pueda ser, es aquella por la que los planetas son sacados continuamente de sus movimientos rectilíneos en los que sin ella continuarían y obligados a girar en líneas curvas.
¿Una fuerza que jala o impele? Pero «impeler» es «empujar». Los Principios están consagrados a una fuerza que jala y nada más. Dejo de lado la torpe palabra «impelidos» que lo único que hace aquí es confundir, y paso a los tres ejemplos citados. Que la gravedad es una fuerza es una hipótesis (Einstein dijo que era la curvatura del espacio-tiempo). Que el magnetismo es una fuerza es otra hipótesis (Faraday dijo que era un campo o zona de influencia). Y que una fuerza saca continuamente a los planetas de sus movimientos rectilíneos en los que sin ella continuarían y los obliga a girar en líneas curvas es otra hipótesis más, que a su vez incluye la hipótesis de la inercia lineal, que páginas después Newton planteará como axioma o ley. Una definición que se ilustra con tres hipótesis no es una definición: son tres hipótesis.
La Proposición 3 del tercer libro de los Principios empieza diciendo que «La fuerza por la que la Luna es retenida en su órbita se dirige hacia la Tierra», y para probárnoslo Newton nos remite a la Proposición 2 del primer libro que dice que «Todo cuerpo que se mueve en una línea curva descrita en un plano es urgido por una fuerza centrípeta» porque «Todo cuerpo que se mueve en una línea curva es desviado de su trayectoria rectilínea por una fuerza que actúa sobre él según la Ley 1». Pero ya vimos que la que él llama Ley 1 no es una ley sino una hipótesis. El Corolario 4 de la Proposición anterior (Proposición 1 del primer libro) empieza diciendo: «Las fuerzas por las que los cuerpos en espacios sin resistencia (léase en el vacío) son sacados de sus movimientos en línea recta y desviados en órbitas curvas», etc. La verdad es que no se trata de un «corolario», o sea una conclusión sacada de un razonamiento geométrico anterior, sino de una simple y descarada suposición. Estas proposiciones de Newton son como telarañas colgadas del vacío. Remiten las unas a las otras pero al final de la cadena, donde uno espera encontrarse con una verdad, se encuentra con una suposición o hipótesis. ¿Para qué dar tanto rodeo? Embrollar es una forma de engañar.
El enunciado de la Proposición 4 del tercer libro que se conoce como la de la prueba de la Luna dice: «La Luna gravita hacia la Tierra y por la fuerza de gravedad es sacada de su movimiento rectilíneo y mantenida en su órbita». ¿No suena a repetición de la Proposición 3 que la precede? Pues bien, en el desarrollo pantanoso de la Proposición 4 Newton se da a «probar» que la gravedad que hace caer a los cuerpos sobre la superficie de la Tierra es la misma fuerza que mantiene a la Luna girando en su órbita en torno de ésta. Su argumento es: la Luna está a 60 radios terrestres y la gravedad disminuye según la distancia elevada al cuadrado; por lo tanto, si se le priva a la Luna de su movimiento, en 1 segundo caerá una distancia 3 600 menor a los 15 pies de París que caen los cuerpos en las cercanías de la superficie terrestre en ese mismo lapso de tiempo. Pero resulta que él no subió a la Luna a ver si de veras cae lo que dice. Esos 15 pies de París de que habla (4.9 m) son los que cae una manzana en el primer segundo de su caída sobre la superficie de la Tierra: la mitad de la aceleración pues si empieza a caer con velocidad 0 y en 1 segundo recorre 4.9 m, la velocidad promedio en el primer segundo de la caída es 4.9 m/s y la velocidad final en ese mismo primer segundo es el doble, los 9.8 m/s que llamamos la aceleración. Pero la prueba de Newton no prueba nada porque no hay nada que probar. Las definiciones y las explicaciones no se prueban. Una definición define y una explicación explica, y ya. La Definición 5 de los Principios como su nombre lo dice es una definición, y el tercer ejemplo propuesto en ella es una explicación de lo que pasa con la Luna. La llamada prueba de la Luna es como la selección natural de Darwin que dice que el más apto es el que no se murió, y en prueba el hecho de que siga vivo. De las Proposiciones 3 y 4 del tercer libro de los Principios sale uno como de una cueva oscura, embadurnado de telarañas.
Que la Luna gira en torno a la Tierra retenida por el mismo agente que hace caer una manzana verticalmente del árbol, o que va haciendo caer a un proyectil a medida que éste describe una parábola, es algo que no se tiene que probar, es algo evidente una vez que juntemos los dos pasajes del Diálogo y de las Dos nuevas ciencias de Galileo aquí citados. El primero da por un hecho que a la distancia a que está la Luna un cuerpo puede caer sobre la Tierra. Y el segundo afirma que un proyectil no sigue indefinidamente en línea recta porque a medida que avanza su peso lo hace caer. Juntándolos y aplicándole al proyectil la velocidad suficiente éste se convierte en un satélite terrestre como la Luna y su trayectoria parabólica se convierte en una curva cerrada.
Los dos movimientos independientes en que descomponemos mentalmente la trayectoria parabólica de los proyectiles pertenecen a categorías incompatibles: el horizontal encierra la hipótesis inflada a axioma de la inercia lineal que nunca hemos visto; el vertical en cambio es real, es el de la caída de los cuerpos que presenciamos todos los días. Del horizontal ya hemos tratado cuando analizamos la inercia cinética. Consideremos ahora el vertical. Si soltamos una bala de revólver desde una altura de 20 metros, cae verticalmente en 2 segundos; si la disparamos horizontalmente con un revólver desde la misma altura de 20 metros, la bala describe la parábola que analizó Galileo y cae a una distancia que depende del impulso con que la disparemos; pero a cualquier distancia que sea, digamos a 100 metros, también cae en 2 segundos: ni en más, ni en menos. Si soltamos la bala desde una altura de 45 metros, cae verticalmente en 3 segundos; si la disparamos horizontalmente desde esta misma altura de 45 metros con el doble de impulso del primer caso, la bala caerá a 200 metros de distancia, pero también en 3 segundos: ni en más, ni en menos. La altura a que soltemos o disparemos un cuerpo es la que determina el tiempo de caída, no la fuerza con que lo disparemos ni la distancia horizontal a que llegue. Podemos deducir de esto que el componente vertical de los proyectiles sí es la simple caída de los cuerpos.
Desde el Sputnik 1 ruso puesto en órbita de la Tierra en 1957 ha sido confirmada la conjetura de Newton: que con velocidad suficiente un proyectil entra en órbita. Sabemos que la velocidad requerida es de 8 km por segundo (aunque de ella no habló Newton). Y nos lo explicamos porque cada 8 km la superficie de la Tierra se ha curvado 4.9 m con respecto a la línea recta, y 4.9 m es la distancia que cae un cuerpo en un segundo. Para no dar contra el suelo y entrar en órbita, el proyectil disparado horizontalmente al suelo debe salir del cañón a una velocidad de 8 km/s. Simplemente hay que dispararlo desde una altura suficiente (digamos a unos 200 km del suelo) no sólo para que no choque con las montañas que se le atraviesen en el camino sino para que la atmósfera terrestre no lo incendie con su fricción.
Un satélite artificial (o el cuerpo que sea de la masa que sea) puesto en órbita a 200 km de la superficie de la Tierra (6 578 km del centro) gira a 8 km por segundo; a 36 000 km de la superficie (42 378 km del centro) gira a 3 km/s; y a 380 000 km (la distancia promedio a que está la Luna) gira a 1 km/s. La circunferencia de la órbita en el primer caso es de 43 330 km; en el segundo es de 266 269 km; y en el tercero es de 2 387 616 km. Para las consideraciones que siguen vamos a basamos en estos tres satélites terrestres. El segundo de estos tres casos es el de los satélites geoestacionarios o geosincrónicos, cuya órbita es un círculo perfecto que recorren en 24 horas sincrónicamente con la Tierra.
El grado de curvatura de una línea curva es la medida en que se separa de una línea recta tangente a ella: un círculo pequeño tiene un grado de curvatura inmenso, y un círculo grande tiene un grado de curvatura muy pequeño. Los grados de curvatura de la circunferencia de la Tierra (que mide 40 074 km) o de la órbita de la Luna (que mide 2 387 616 km) son pequeñísimos respecto al grado de curvatura de un círculo trazado sobre un papel. Todavía hace 2 500 años el hombre creía que vivía sobre un planeta plano. Y la circunferencia que traza la Luna en su movimiento de traslación en torno a la Tierra es tan grande, y por lo tanto tan pequeño su grado de curvatura, que diríamos que la Luna avanza en línea recta; pero no, es una recta inmensa que se va curvando lentamente hasta cerrar el círculo.
Pues bien, si vamos poniendo nuestro satélite artificial en una órbita cada vez mayor, viajará cada vez a menos velocidad y la órbita estará cada vez más cerca de la línea recta. En una órbita mayor que la de la Luna, el satélite artificial viajará a menos de 1 km/s. Si ampliamos más y más la distancia de la Tierra y por lo tanto la órbita, el satélite irá a 0.5 km/s, a 100 m/s, a 10 cm/s, a 1 mm/s y se irá acercando más y más a la línea recta. Pasando del milímetro por segundo Zenón empieza a reírse en su tumba porque llegamos a su límite. El satélite ya no está sujeto a la fuerza de gravedad de la Tierra, ¡y está quieto! No sigue en línea recta con inercia lineal como le hubiera gustado a Newton. Se esfumó la curva y con la curva se esfumó la recta. Eso le pasa al que se pone a trazar líneas con movimientos: que se arriesga a quedarse sin líneas y sin movimientos. En el punto quieto de Zenón ni se gira ni se cae porque no hay curva, ni hay recta, ni hay fuerza. Y así, por la magia de Aladino convertida en la magia de Zenón, hemos sacado de la inercia cinética la inercia estática. Me desdigo de mi afirmación de que la inercia estática no existe. ¡Claro que existe!
Pero reflexionemos. A 1 millón de kilómetros de la Tierra (o si prefieren a 5, a 10, a 20 millones), nuestro satélite artificial quieto en realidad no puede estarlo: como se encuentra dentro de la esfera de influencia del Sol, empezará a girar en torno al Sol. Se escapó de las cortas manos de la Tierra y cayó en las largas manos del Sol. ¡No importa! Pongamos entonces nuestro satélite artificial a girar desde el comienzo en torno al Sol, y pongamos el punto quieto mucho más allá de Plutón, digamos en la nube de Oort donde se originan los cometas y que está a un año luz del Sol. ¿Qué ocurre? Ocurre que si no está en el punto cardinal donde esté la estrella Alfa del Centauro que lo podría poner a girar a su alrededor, girará en torno al centro de la Vía Láctea como otro Sol. Pregúntenles a los astrónomos y verán. ¿Existe entonces la inercia estática, o no, en qué quedamos? ¡Qué va a existir! Me retracto de mi retractación. No existe. La que sí existe es la Santísima Trinidad, compuesta por el Padre, el Hijo y el Espíritu Santo, según el dogma de los concilios infalibles de Nicea y Éfeso.
Casi todo lo podemos representar a escala sobre un papel: una casa, la Tierra, Júpiter, el Sol. La Tierra, por ejemplo, la podemos representar por un circulito de 6.3 cm de diámetro, o sea a una escala de 1 a 100 000 000 pues su radio real es de 6 378 km. Pero si de lo que se trata es de analizar el grado de curvatura de un círculo, la representación a escala no sirve pues justamente el grado de curvatura cambia según el tamaño del círculo. El circulito de 6.3 cm de radio tiene un grado de curvatura inmenso comparado con el círculo de 6 378 km de radio, cuya circunferencia vista de cerca es prácticamente una línea recta, y por eso durante buena parte de su existencia la humanidad creyó que vivía sobre una Tierra plana. Dijimos que cada 8 km la circunferencia de la Tierra se curva (o sea se separa de la línea recta) 4.9 m. Evidentemente no podemos representar 8 kilómetros a una escala de 1 a 100 000 000; a esa escala los 8 kilómetros no los podemos representar ni siquiera con un punto, que sería demasiado grande. Y mucho menos podremos representar entonces 4.9 m.
Lo anterior para decir que las reflexiones geométricas que pretendamos hacer dibujando en el papel la tangente de 8 km sobre el circulito de 6.3 cm de radio que representa la Tierra y la caída de 4.9 m respecto de esa tangente son imposibles, y que toda conclusión sacada de tal dibujo estará falseada, como lo está la fórmula de Huygens a = v2/r. La geometría no nos sirve pues para indicarnos cómo medir la gravedad que hace girar a los tres satélites terrestres citados que van a 8 km/s, 3 km/s y 1 km/s. ¿Servirá el cálculo infinitesimal? Hasta el día de hoy no ha servido.
Si la gravedad que hace caer la manzana es el mismo agente que hace girar a la Luna en torno de la Tierra, entonces según ya hemos anticipado tenemos dos formas de damos una idea de su magnitud, aunque no de medirla ni de decidir si de veras disminuye según la distancia elevada al cuadrado. La primera forma tiene que ver con los cuerpos que caen, y así sabemos que la aceleración con que caen (o bien la distancia que recorren en el primer segundo de su caída, o sea la mitad de la aceleración) es mayor mientras más cerca estén de la superficie de la Tierra cuando empiezan a caer; y mientras más aceleración, mayor es la gravedad que los hace caer. La segunda forma tiene que ver con los cuerpos que giran, y así sabemos que la velocidad con que giran es mayor mientras más cerca de la superficie de la Tierra estén girando; y mientras más velocidad, mayor es la gravedad que los hace girar.
La velocidad orbital la podemos determinar siempre: con la simple división de la circunferencia de la órbita por el período o tiempo que se tarda el satélite en recorrerla. Pero la velocidad orbital no nos permite afirmar que la gravedad disminuye según la distancia elevada al cuadrado. Comparando las velocidades orbitales de los satélites terrestres entre sí (o las de los satélites solares), tenemos que concluir que en los comienzos del campo gravitatorio, o sea donde termina la materia y empieza éste, la gravedad disminuye muy rápidamente. Y así, por ejemplo, el satélite que está a 200 km de la superficie de la Tierra (esto es, a poco más de un radio terrestre contando desde el centro) va a 8 km/s, pero el satélite geoestacionario que está a 36 000 km de la superficie (esto es, a 6.6 radios del centro) ya va a 3 km/s. En cambio la Luna, que está a 380 000 km (o sea a 60 radios terrestres), va a 1 km/s. O sea que para bajar de 8 km a 3 se requirieron 6.6 radios terrestres, pero para bajar de 3 km a 1 se requirieron 53.4 radios terrestres. Si es lícito sacar conclusiones de la velocidad orbital, entonces tenemos que concluir que la gravedad empieza disminuyendo a un ritmo muy rápido y acaba disminuyendo muy lentamente. Tal vez empieza disminuyendo según la distancia elevada al cuadrado, pasa luego a disminuir según la distancia simple, y luego pasa a disminuir según menos de la distancia simple.
La comparación de las velocidades orbitales de los planetas con las distancias a que están del Sol nos sugiere lo mismo. Para los cinco planetas con órbitas menos excéntricas (o sea casi circulares) tenemos las siguientes distancias y velocidades promedio: Venus está a 108 200 000 km y gira a 35 km/s; la Tierra está a 149 100 000 km y gira a 30 km/s; Saturno está a 1 425 500 000 y gira a 9.64 km/s; Urano está a 2 871 000 000 km y gira a 6.80 km/s; y Neptuno está a 4 501 000 000 km y gira a 5.43 km/s. Obsérvese por ejemplo la distancia inmensa que hay entre Urano y Neptuno y cómo la velocidad de éste es de sólo 1.37 km/s menos respecto a la de aquél.
A diferencia de la velocidad orbital que siempre se puede determinar con la simple observación astronómica, la aceleración a que caen los cuerpos sólo la podemos medir en las cercanías de la superficie de la Tierra, donde hay montañas, abismos, edificios y una famosa torre de Pisa desde donde los podemos lanzar. No así en el espacio exterior desde donde no existe esta posibilidad. Desde una nave espacial, por ejemplo, es imposible porque siguen girando a su lado. Deteniendo la nave misma para que caiga sería una forma si no existiera la atmósfera terrestre que la desaceleraría. Hoy por hoy no hay forma ni fórmula de saber cuál es la aceleración que produce la gravedad terrestre a 1 000 kilómetros de altura, o a los 36 000 de los satélites geoestacionarios, o a los 380 000 a que está la Luna. Sólo sabemos, porque la podemos medir, que la aceleración con que caen los cuerpos en las cercanías de la superficie terrestre es 9.8 m/s, y no disponemos de otra cifra con que podamos compararla para sacar conclusiones.
La afirmación que se viene repitiendo desde Galileo de que los cuerpos caen con un movimiento uniformemente acelerado vale para alturas como la de la torre de Pisa o un poco mayores (y tal vez sólo como una aproximación y no con exactitud). ¿Pero vale también para alturas de cientos o miles de kilómetros? Pienso que no. Si la gravedad fuera uniforme, la aceleración también lo sería. Pero como no lo es… A medida que un cuerpo cae sobre la Tierra, la gravedad terrestre va aumentando, y por lo tanto también tiene que ir aumentando la aceleración que ésta le imprime a aquél. El llamado «movimiento uniformemente acelerado» se debe llamar «movimiento crecientemente acelerado». Para el movimiento uniformemente acelerado tenemos fórmulas: las sacadas de las mediciones de tiempo y distancia que hizo Galileo echando a rodar bolas por planos inclinados. Para el movimiento crecientemente acelerado en cambio no las tenemos, y es que apenas en este momento lo estamos proponiendo.
Dejemos caer una bola desde 100 m de altura, o sea a un radio terrestre y 100 m del centro del planeta: al final del primer segundo de su caída la bola habrá adquirido una velocidad de 9.8 m/s. Dejémosla caer ahora desde una altura de 1 radio terrestre (6 378 km), o sea a 2 radios terrestres del centro: si la gravedad disminuye en proporción a la distancia elevada al cuadrado según la tesis de Hooke y Newton, entonces la aceleración que produce la gravedad a 2 radios terrestres será 4 veces menor (22) que a 1, o sea de 2.45 m/s; y así durante el transcurso de cada segundo de la caída la bola irá aumentando su velocidad en esos 2.45 m. Cuando haya llegado en su caída a la altura de 100 m, ¿con qué aceleración seguirá cayendo la bola? ¿Con 2.45 m/s? ¿O con 9.8 m/s? Yo digo que con 9.8 m/s, tal como si empezara a caer con cero velocidad desde esos 100 m de altura. Y digo lo mismo para los infinitos puntos del trayecto de 6 378 km: que la aceleración tiene que ir aumentando desde esos 2.45 m/s. Bien sea que la gravedad aumente según la distancia elevada al cuadrado o según la distancia simple o como queramos con tal de que aumente, entonces a medida que vaya cayendo la bola no sólo va aumentando su velocidad como siempre se ha aceptado, sino también su aceleración, como aquí propongo. Esto es, la velocidad tiene que aumentar más rápidamente de lo que se cree; aumenta por partida doble: porque hay una aceleración durante todo el tiempo; y porque esta aceleración no es constante sino creciente.
Si empezando a caer desde una altura de un radio terrestre la bola termina el primer segundo de su caída con una velocidad de 2.45 m/s, la cual es la aceleración, entonces para el décimo segundo de caída esta aceleración será mayor y no igual como se ha venido sosteniendo hasta ahora. Será, digamos, de 2.46 m/s. Y así irá aumentando la aceleración hasta alcanzar, a pocos metros de altura, la máxima posible tratándose de la Tierra, la de 9.8 m/s, que es la que midió Galileo. Puesto que la gravedad aumenta a medida que nos acercamos a la superficie de la Tierra, la aceleración con que caen los cuerpos no puede ser constante: tiene que ir en aumento. En consecuencia, el movimiento con que caen los cuerpos no puede ser uniformemente acelerado como se viene diciendo desde Galileo, sino crecientemente acelerado.
Si echamos a rodar una bola por una ranura hecha en un plano inclinado como hizo Galileo, veremos que en el primer segundo la bola recorre 4.9 m; en el segundo segundo recorre 19.6 m (4.9 × 22); en el tercer segundo, 44.1 (4.9 × 32); en el cuarto segundo, 78.4 (4.9 × 42); en el quinto segundo 122.5 (4.9 × 52), y así sucesivamente, aumentando según los 4.9 m recorridos en el primer segundo multiplicados por el ordinal del segundo correspondiente elevado al cuadrado: 22, 32, 42, 52… Galileo a lo sumo habrá medido la distancia recorrida en los tres primeros segundos, con planos inclinados de una longitud no mayor a los 45 m. Pero con tres segundos le bastaba para poder afirmar que «si consideramos el espacio total recorrido, el que se recorre en el doble de tiempo será cuatro veces mayor que el que se recorre durante la unidad de tiempo; y el que se recorre en el triple de tiempo, será nueve veces mayor que el que se recorre durante la unidad de tiempo» (Corolario 1 del Teorema 2 del Tercer Día de sus Dos nuevas ciencias). La unidad de tiempo de Galileo es la misma nuestra, el segundo; pero obsérvese que él se las arregla sin hablar de aceleración, un concepto introducido posteriormente. Como el espacio de 4.9 m recorrido en un segundo es igual a la mitad de lo que llamamos aceleración, la anterior afirmación de Galileo se expresa matemáticamente así:
, o sea: la distancia que recorre un cuerpo al caer es igual a la mitad de la aceleración multiplicada por el tiempo transcurrido elevado al cuadrado. Lo que llamamos aceleración equivale a la velocidad instantánea a que van los cuerpos al final del primer segundo de caída, o sea 9.8 m/s en la superficie de la Tierra: eso es lo que se les agrega a su velocidad segundo por segundo. Puesto que el cuerpo partió con cero velocidad, la velocidad promedio en el primer segundo es la mitad de esa velocidad instantánea, o sea 4.9 m/s, siendo 4.9 m el espacio recorrido en ese mismo primer segundo, que es al que se refiere Galileo. Pues bien, con esta ecuación
, que Galileo expresó en palabras y sus sucesores en fórmula matemática, empiezan la matematización de la física, la manía de medir, la metrofilia estúpida y la renuncia a comprender el mundo físico.
Me da risa darme cuenta de que la afirmación de Galileo y la ecuación que la traduce están equivocadas porque la aceleración no puede ser constante al no ser constante la gravedad ya que ésta va aumentando a medida que el cuerpo cae. Es cierto que en el primer segundo la aceleración es de 9.8 m/s, pero en el segundo siguiente no puede ser igual sino que tiene que ser un poco mayor, digamos 9.800001, y en el tercer segundo un poco más todavía, digamos 9.800003. Y así al final del segundo segundo el cuerpo no habrá caído 19.6 m como creemos hoy siguiendo a Galileo, sino, digamos, 19.600002 m. Cuánto más de diferencia hay respecto a lo que dice Galileo no lo sé. Les toca a los metrófilos determinarlo midiendo segundo por segundo la distancia exacta a que caen los cuerpos con el celo con que lo han hecho tratándose de la constante de la gravitación universal. ¿O van a salimos con mediciones pensadas? Si encauzaron la física por el camino de las mediciones, pues entonces midan. Tal vez de las mediciones reales puedan deducir la fórmula verdadera para la caída de los cuerpos, porque lo que es el cálculo infinitesimal, esa necedad que inventaron Newton y Leibniz, nunca la encontrará. ¿Qué distancia cae un cuerpo sobre la superficie de la Tierra en 1 000 segundos de caída por ejemplo? ¿Cae los 4 900 000 m (½× 9.8 × 10002) que dicen los tratadistas de física? No. Tiene que caer bastante más.
Si no hubiera gravedad, los cuerpos no caerían. Si la gravedad les diera a los cuerpos un solo jalón que los acelerara a 9.8 m en el primer segundo y ningún jalón más, seguirían durante toda su caída a una velocidad de 9.8 m/s hasta dar con el suelo. Si la gravedad los acelerara constantemente, segundo por segundo, con la misma intensidad del caso anterior, entonces cada segundo aumentarían su velocidad en 9.8 m, y éste es el movimiento uniformemente acelerado de que se viene hablando desde Galileo. Pero si la intensidad de la gravedad no es uniforme sino que va aumentando a medida que se cae, entonces el aumento en la velocidad de 9.8 m que se da en el primer segundo irá aumentando a su vez en los sucesivos segundos, sumándose segundo por segundo a la velocidad ya adquirida, y éste sería el movimiento crecientemente acelerado que es el que se tiene que dar en la realidad.
¿Por qué los objetos que viajan en el interior de una nave espacial que gira en órbita de la Tierra a 150 km de su superficie flotan y no caen, siendo así que la nave está en pleno campo gravitatorio terrestre? ¿Es que a la velocidad de 8 km/s a que tienen que girar a esa distancia para no caer se anula esa parte de la gravedad que hace que los cuerpos caigan? Por lo visto tanto el que cae mientras cae como el que gira mientras gira no tiene peso. El peso se adquiere cuando se deja de caer o de girar. Y así, dado que en el espacio interestelar la línea recta es una abstracción y los cuerpos sólo trazan órbitas curvas, entonces los estados naturales posibles para todo cuerpo son: caer, girar o estar en reposo. En los dos primeros estados el cuerpo no tiene peso: lo adquiere en el tercero.
La inercia lineal de la Luna que supone Newton, y de la que según él la Tierra la saca con su atracción para ponerla a girar a su alrededor, es una abstracción. Lo que tenemos en la realidad es la inercia circular: la Luna girando eternamente en torno de la Tierra por la razón que sea. O bien la inercia estática, la de la manzana que cuelga del árbol, que se convierte en movimiento lineal acelerado cuando cae aquélla.
Gravedad viene del latín gravitas, que significa peso. Pero el peso está asociado al acto de caer, no al acto de girar. Newton postuló una fuerza que llamó «centrípeta», y a ella le atribuyó ambos actos: la misma fuerza «centrípeta» de la Tierra que hace que una manzana pese y caiga al suelo si la soltamos retiene a la Luna en su órbita. Así Newton extendió la gravedad de la Tierra a la Luna pero al hacerlo lo único que logró fue juntar dos misterios en uno. Un misterio es que los cuerpos en la superficie de nuestro planeta pesen y caigan; y otro es que los astros giren unos en torno de otros. Un misterio es que la manzana pese y caiga y otro que la Luna gire. Después los newtonianos designaron el misterio doble vuelto único como «la gravitación universal», mas no por esa designación pomposa el misterio único o los dos misterios dejan de serlo. Con uno o con dos misterios, con Newton o sin Newton, estamos igual que antes de Newton.
Capítulo 5
El misterio de la elipse
Unas palabras preliminares para que nos entendamos en lo que sigue. En las órbitas de los planetas, que son elipses más bien cercanas al círculo con la salvedad de la de Plutón que es muy excéntrica, se llama perihelio a la distancia en que el planeta pasa más cerca del Sol, y es cuando alcanza su máxima velocidad orbital; y se llama afelio a la distancia más alejada del Sol, a la que llega el planeta con la menor velocidad orbital. Si en vez del Sol tratamos de la Tierra, cambiamos entonces perihelio por perigeo, y afelio por apogeo.
Salvo los satélites artificiales geoestacionarios, que han sido puestos en una órbita exactamente circular tras de varios ajustes en su velocidad, los restantes planetas y satélites del Sistema Solar y una parte de los cometas giran en órbitas elípticas. En cuanto a los restantes cometas, describen parábolas o hipérbolas, que no son órbitas cerradas sino curvas abiertas; a diferencia de los proyectiles de Galileo cuyas trayectorias parabólicas terminan en el suelo de la Tierra, estos cometas no terminan cayendo sobre el Sol sino que pasan cerca de él una sola vez dando una vuelta en U tras de la cual, sin acabar de cerrar la órbita, se van para nunca más regresar.
Estudiando la órbita de Marte con base en las observaciones que heredó de Tycho Brahe, Kepler llegó a la conclusión de que no era un círculo sino una elipse. A esta conclusión se le conoce como la primera de las tres leyes planetarias que llevan su nombre. Podría describir la elipse recurriendo al cono de Apolonio y en jerga de geómetra, pero prefiero hacerlo en lenguaje llano. La elipse es un círculo achatado (poco o mucho) y con dos focos en vez de un centro (poco o muy separados), en uno de los cuales está el Sol. Tomemos el centro de un círculo y pongámosle un punto, el A, a su derecha con una pequeña separación, y otro punto, el B, a su izquierda con igual separación. Achatemos el círculo y borremos el punto central: así tenemos una elipse con sus dos focos, uno de los cuales puede ser el Sol. Si ponemos los focos A y B muy cerca del centro, la elipse es poco excéntrica; si los vamos separando, la elipse se va haciendo más excéntrica pero a la vez se va achatando o alargando, hasta que finalmente se convierte en una línea recta cuyos extremos son los focos A y B. ¿Esta elipse vuelta una línea recta es otra de las burlas de Zenón? No, se le ocurrió a Kepler, que era un hombre serio. De los planetas Venus es el menos excéntrico y su órbita es casi un círculo. Los más excéntricos son Plutón y Mercurio. Pero las órbitas más excéntricas y alargadas se dan en los cometas. ¿Cuál será el cometa que tenga la órbita más alargada? ¿Y en qué punto una elipse alargada llega al límite de Zenón y se vuelve línea recta?
La segunda ley de Kepler es una continuación de la primera y dice que el radio vector de la elipse barre áreas iguales en tiempos iguales. El radio vector es la distancia siempre cambiante que separa al Sol del planeta, una línea imaginaria que trazamos del uno al otro y que se va acortando al acercarse el planeta al perihelio, y que va aumentando al alejarse hacia el afelio. La longitud del radio del círculo no cambia nunca, en cambio el radio vector de la elipse va cambiando todo el tiempo. Expresada en palabras más simples, la segunda ley de Kepler nos dice que el planeta no avanza con velocidad uniforme como ocurriría si trazara un círculo (que es lo que pasa con los satélites geoestacionarios) en vez de una elipse: durante una mitad de la órbita va acelerando y durante la otra va desacelerando. Cuando el planeta va acelerando el radio vector va disminuyendo, y cuando va desacelerando el radio vector va aumentando. En el perihelio el radio vector es mínimo y la velocidad es máxima. A medida que el planeta avanza del perihelio al afelio el radio vector va aumentando y la velocidad va disminuyendo. En el afelio el radio vector llega a su máximo y la velocidad a su mínimo, que sin embargo nunca puede ser cero (como parece sugerir Newton en la Proposición 2 del tercer libro de los Principios) porque en tal caso el planeta empezaría a caer. Una vez que el planeta pasa el afelio el radio vector empieza a disminuir y la velocidad a aumentar.
¿Cómo podemos explicarnos la realidad astronómica de que los planetas y los satélites (y los cometas que trazan órbitas cerradas) no giren en círculos sino en elipses? Si al proyectil de Galileo le imprimimos la velocidad requerida (8 km/s) para que no caiga sino que empiece a girar como conjeturó Newton, ¿qué órbita describe? Describe una elipse. La parábola del proyectil se convierte en una elipse, no en un círculo, tal vez porque los 8 km/s requeridos no se alcanzan instantáneamente sino que toman tiempo, por poco que sea, y en ese mínimo tiempo empieza a formarse una elipse en vez de un círculo. El círculo perfecto se traza sobre el papel con un compás; en el cielo se traza en varios pasos, encendiendo y apagando los varios motores de reacción a chorro de los satélites artificiales para regularizar su órbita elíptica y volverla un círculo. El impulso inicial del proyectil o satélite artificial que entra en órbita determina la forma elíptica de ésta con el consiguiente cambio continuo de velocidad.
Tratando de una órbita perfectamente circular los autores de textos de física hablan de aceleración (siendo así que en una órbita circular el satélite va a velocidad uniforme) con el argumento de que el simple cambio de dirección es aceleración, e invocan la segunda ley de Newton: si el satélite se sale de su línea recta inercial es porque una fuerza lo saca de ella y toda fuerza produce una aceleración. Y así el satélite geoestacionario, que describe un círculo perfecto y gira con velocidad uniforme, por el sólo hecho de ir cambiando de dirección todo el tiempo va acelerando todo el tiempo según ellos. He ahí una forma descarada de embrollar cambiándoles el significado a las palabras (esos mismos tratadistas son los que hablan de segundos al cuadrado y de kilogramos al cuadrado). Al atribuirle una aceleración a un movimiento uniforme, nos están privando de la palabra «aceleración», que necesitamos para usarla tratándose de la órbita elíptica, que es cuando en rigor se requiere, pues la Luna, que describe una elipse, al acercarse al perigeo va acelerando y al alejarse de él rumbo al apogeo va desacelerando. El kilómetro por segundo a que va la Luna y de que hablamos en otro capítulo es un promedio. Durante la mitad de su órbita va a algo más velocidad, y durante la otra mitad va a algo menos velocidad.
Esos mismos autores de textos explican el hecho de que la Luna gira en torno a la Tierra diciendo que la Luna cae girando, cosa que entienden así: mientras la Luna gira está cayendo todo el tiempo respecto a la tangente que seguiría de no mediar la gravedad de la Tierra. La verdad es que durante la mitad de su órbita, cuando avanza hacia el perigeo, la Luna sí cae girando, pero no porque caiga respecto a una tangente imaginaria como ellos dicen sino porque cae en sentido estricto: al acortarse su radio vector está cayendo. Caer es acercarse a la Tierra. Pero hay más: si en la mitad de su recorrido la Luna gira cayendo pues al acercarse al perigeo el radio vector se está acortando, pasado el perigeo empieza a girar subiendo porque al avanzar rumbo al apogeo el radio vector se va alargando. Subir es alejarse de la Tierra. Si disparamos una bala verticalmente, ésta sube en línea recta. Pero si la disparamos ligeramente segada, sube girando: eso es lo que hace la Luna rumbo al apogeo. Y si disparamos la bala horizontalmente al suelo desde una altura como el proyectil de Galileo, cae girando: eso es lo que hace la Luna rumbo al perigeo. Respecto a la superficie de la Tierra, caer es acercarse a ella, y subir es alejarse de ella. No necesariamente se tiene que caer y subir en línea recta. Otro que cae y sube girando es el péndulo, aunque no alcanza a cerrar la curva. Al caer la pesa del péndulo acelera como todo lo que cae, y al subir desacelera como todo lo que sube.
Si disparamos una bala verticalmente sube desacelerando hasta que su velocidad llega a cero, momento en el cual cambia de dirección y empieza a caer acelerando. Con la Luna pasa casi igual. La Luna avanza rumbo al apogeo subiendo y desacelerando pues va a contracorriente de la gravedad terrestre como la bala vertical, y como ésta va alejándose de la Tierra; al llegar al apogeo cambia de dirección y empieza a caer acercándose a la Tierra y acelerando como todo lo que cae. Sin embargo a diferencia de la bala la Luna no llega a velocidad cero pues con velocidad cero empezaría a caer verticalmente: en el apogeo todavía trae suficiente velocidad para no caer verticalmente como la bala, y así empieza a caer girando más o menos como cuando cae girando la pesa de un péndulo. Y digo más o menos porque la pesa del péndulo está separada del centro en torno al cual oscila por un radio que no cambia (y que por lo demás es una barra material), en tanto la Luna está separada de la Tierra por un radio vector que cambia todo el tiempo.
Bien sea que describa un círculo o una elipse, a una distancia dada de su planeta un satélite sólo puede ir a una velocidad y no a otra. Consideremos primero el círculo, por ejemplo el que describen los satélites artificiales llamados geoestacionarios, que están a 36 000 km de la superficie terrestre: a esta distancia el satélite sólo puede ir a 3 km/s y no a más ni a menos velocidad. Si ponemos el satélite artificial en otra órbita circular a menor distancia, girará a más de 3 km/s. Y viceversa; si lo ponemos a mayor distancia, girará a menos de 3 km/s. ¿Qué pasa si al satélite geoestacionario le aumentamos la velocidad, por ejemplo a 3.5 km/s, con un breve impulso de un motor a reacción a chorro en la cola que lo acelere hacia adelante? En ese instante el satélite amplía su órbita volviéndola una elipse y perdiendo a la vez su velocidad uniforme. El lugar en que le dimos el impulso se convierte en el perigeo de la nueva órbita, ahora elíptica; y el lugar opuesto (a 180º) se convierte en el apogeo. En cuanto a la velocidad, cada vez que el satélite pase por el perigeo en las sucesivas vueltas, adquirirá ahí la velocidad de 3.5 km/s, que se irá disminuyendo a medida que avance hacia el apogeo, hasta llegar a éste con una velocidad que no sé exactamente de cuánto sea, pero forzosamente menor que los 3 km/s de la órbita circular, digamos a 2.4 km/s. Al llegar al apogeo a 2.4 km/s el satélite empezará a acelerar hasta volver a alcanzar los 3.5 km/s en el perigeo. El promedio de la nueva órbita elíptica será así de 2.95 km/s, también forzosamente menor que el de la órbita circular anterior. ¿Pero por qué va disminuyendo la velocidad del satélite a medida que avanza hacia el apogeo? Por la misma razón que una bala disparada verticalmente va perdiendo velocidad a medida que sube: porque en su viaje rumbo al apogeo el satélite va subiendo. Pasado el apogeo pasa lo contrario, el satélite empieza a caer, como cuando la bala llegada a lo más alto también empieza a caer. Y como todo lo que cae acelera (así no se caiga verticalmente sino girando), rumbo al perigeo el satélite acelera. Parece paradójico que al acelerar con un breve impulso al satélite en vez de aumentarle la velocidad se la hayamos disminuido, pues de 3 km/s a que iba en la órbita circular ha pasado a 2.95 km/s. Sí, a 2.95 km/s pero en promedio, y es lógico porque todo lo que sube desacelera. En el perigeo el satélite sí va a más velocidad pues va a 3.5 km/s, pero para ir perdiéndola hasta bajar a 2.4 km/s en el apogeo, donde estará a una distancia de la superficie de la Tierra que no sé exactamente de cuánto sea, pero mayor que los 36 000 km de la órbita circular. En resumen, con un impulso que lo acelere, el satélite disminuye su velocidad promedio pero amplía su órbita.
Si en vez de aumentarle la velocidad a nuestro satélite geoestacionario se la disminuimos, por ejemplo a 2.5 km/s (con el breve encendido de un motor a reacción a chorro colocado ahora en la trompa y no en la cola como cuando lo aceleramos), ¿qué ocurre entonces? Ocurre que el punto en que lo desaceleremos se convierte en el apogeo de una órbita elíptica al que el satélite llegará siempre en las sucesivas vueltas a 2.5 km/s. Como este apogeo está a 36 000 km, el perigeo correspondiente estará a menos distancia aunque no sé exactamente a cuánta, y a él el satélite llegará siempre a una velocidad mayor que 3 km/s; digamos a 3.8 km/s, siendo entonces de 3.15 km/s la velocidad promedio para esta órbita elíptica más chica. A ese perigeo menor que los 36 000 km, o sea más cercano a la superficie de la Tierra, llegará el satélite en las sucesivas vueltas con una velocidad mayor que 3 km/s. Ahora la paradoja es al revés: desaceleramos al satélite para que se acelere en el perigeo. En resumen, con un impulso que lo desacelere el satélite aumenta su velocidad promedio pero disminuye el radio y el tamaño de su órbita.
Queriéndose pasar de listos, los autores de textos de física pretenden salir del embrollo de la órbita elíptica invocando la potencia aristotélica y la energía y diciéndonos que en una órbita elíptica la energía total del planeta o satélite que la describe siempre es la misma. Para ellos la energía total en este caso es la suma de dos energías: la cinética, que tiene el cuerpo por el hecho de moverse; y la potencial gravitatoria, que tiene el cuerpo por el hecho de estar a cierta altura de la Tierra dado que hubo que invertir energía para ponerlo a esa altura. ¡Lo que nos faltaba! Que a 2 300 años de que murió Aristóteles, a quien en mala hora resucitaron los escolásticos en contubernio con los árabes, este genio de 1.2 aquinos siga pesando sobre nosotros. ¡Cuál potencia, cuál energía, eso no existe! Potencia y energía son conceptos metafísicos y no tienen nada qué hacer en la física. Potencia es una elucubración ociosa inventada por Aristóteles para explicar el movimiento o el cambio como el paso de la «potencia» al «acto». Y «energía» es otro invento ocioso, ahora de los físicos del siglo XIX que ni siquiera fueron capaces de mandar un hombre a la Luna. Por el hecho de moverse un cuerpo no tiene «energía»: lo que tiene es ímpetu, que esos mismos físicos definen como la masa multiplicada por la velocidad. Un cuerpo que se mueve o tiene lo uno, o tiene lo otro. O sobra «energía», o sobra «ímpetu». El misterio de la elipse se resuelve como lo acabo de hacer, sin recurrir a conceptos abstrusos y con el simple análisis de una órbita elíptica durante la mitad de la cual el cuerpo que la recorre cae girando y durante la otra mitad gira subiendo.
La gravedad no es un misterio insondable, pero si lo queremos resolver debemos empezar por aceptar que la materia se continúa en lo inmaterial o lo produce. La gravedad, el magnetismo y la electricidad son las tres prolongaciones inmateriales de la materia; la luz y la mente (o conciencia o alma o como la quieran llamar), sus dos productos inmateriales. Distingo entre prolongaciones y productos porque aquéllas son permanentes y éstos intermitentes. No podemos concebir la Tierra sin gravedad, pero sí una vela apagada. Usando una palabra que introdujo Faraday en la física, a las tres prolongaciones inmateriales las llamamos «campos». El campo empieza donde termina la materia del cuerpo que prolonga, y se extiende en torno a éste en todas las direcciones del espacio como una esfera, disminuyendo en intensidad hasta llegar a un punto en que se termina. Los campos magnético y eléctrico abarcan un espacio muy reducido; el gravitatorio uno inmenso. En cuanto a la luz, que no tiene que ver con el magnetismo y la electricidad como supuso Maxwell, la produce la materia a cierta temperatura y una vez producida se aleja para no volver. La mente la producen las neuronas del cerebro, humano o animal, y se puede comparar con el zumbido de una abeja insistente que sólo para de zumbar durante el sueño sin sueños y cuando la calla la muerte.
Para percibir la luz tenemos un sentido, la vista. Para percibir la gravedad, ninguno. Cosa explicable porque, como acabamos de decir, la luz es intermitente, en tanto la gravedad es continua. ¿Para qué nos serviría un sentido gravitatorio si siempre hay gravedad y siempre es igual en la superficie de la Tierra donde vivimos? Sólo los astronautas han percibido la gravedad pero no por lo que es sino por su ausencia. Desde el Sputnik ruso estamos oyendo hablar del estado de ingravidez. Ningún astronauta sin embargo ha viajado por fuera del campo gravitatorio de la Tierra. La órbita más baja posible de un satélite artificial o de una nave espacial está a 200 km de la superficie terrestre, donde acaba la atmósfera y donde empieza el vacío exterior. ¿Cómo puede darse la ingravidez a sólo esa distancia, donde todavía es intensísimo el campo gravitatorio terrestre? La respuesta es: porque la nave va a 8 km/s. Si en un avión en vuelo soltamos un vaso, éste cae como si el avión estuviera estacionado en el aeropuerto. Si lo soltamos en la nave que va a 8 km/s el vaso no cae: flota. ¿Y si lo soltamos en una nave que vaya a 7.999999999999 km/s, o sea, todavía sin entrar en órbita? ¿Cae el vaso, o flota? Le he puesto doce nueves después del siete, aunque estuve tentado a ponerle ciento cincuenta en homenaje a Zenón. ¿Qué nos contestaría Einstein, el genio de los 280 A? Nada porque los muertos no contestan ni hacen experimentos pensados, ya descansaron de ellos. Yo digo que el vaso cae y no flota. ¿Y entonces, en qué punto flotará? En el punto en que el siete seguido de nueves se convierte en ocho. La gravedad es un misterio insondable. No pretendamos entenderla sacándonos conejos de la manga.
Este inquietante estado de ingravidez sirve para explicarnos lo que sería el universo sin gravedad. Todo andaría como en el interior de una nave espacial, flotando sin asidero. Ningún planeta giraría en torno al Sol. Es más, no habría ni Sol ni planetas. Y si algún planeta hubiera, como la Tierra, ningún animal podría desplazarse por su superficie, salvo que en vez de patas tuviera ventosas: flotaría mientras la Tierra seguiría girando debajo de él. El universo es concebible sin Dios; sin gravedad no. Desde Newton el claudicante la ciencia renunció a entender la gravedad; sigamos entonces filosofando. ¿Por qué flotan los astronautas de la nave espacial en un estado de ingravidez a sólo 200 km de la superficie de la Tierra, siendo así que el campo gravitatorio terrestre los rodea por todas partes? Para explicárnoslo hay que aceptar dos cosas: que en esa órbita a la velocidad de 8 km/s la gravedad de la Tierra se anula, lo cual es incomprensible. Y que la nave espacial no los atrae porque no tiene campo gravitatorio: si en vez de la nave fueran montados en la Luna, otra cosa ocurriría, serían atraídos por ésta aunque con una gravedad seis veces menos intensa que la de la Tierra en su superficie.
Antes de bajarnos de la nave espacial empujemos 10 cm una bola de hierro de 100 kg, primero hacia la izquierda, y luego levantémosla otro tanto; el esfuerzo que hemos tenido que hacer en ambos casos es idéntico. Da igual la dirección en que la empujemos: del piso de la nave hacia el techo o viceversa, hacia un lado o hacia el otro, hacia adelante o hacia atrás (y en esta situación el verbo levantar no tiene sentido). En todos los casos enumerados sólo hemos tenido que vencer la inercia estática de la bola. No hemos tenido que vencer ninguna fricción pues la bola no reposa sobre una superficie sino que flota en el vacío, ni la fuerza de gravedad terrestre pues tan pronto la nave espacial entró en órbita la gravedad se anuló. Sin embargo bien sabemos que sobre la superficie de la Tierra el esfuerzo que tenemos que hacer para levantar la misma bola 10 cm es considerablemente mayor que el que tenemos que hacer para empujarla esa misma distancia hacia los lados, con todo y que al empujarla haya que vencer la fricción del suelo. Para empujar la bola sobre el piso tenemos que vencer su inercia estática y la fricción del suelo. Para levantarla, ¿qué tenemos qué vencer? ¿Sólo la fuerza de gravedad? ¿O la fuerza de gravedad más la inercia estática? Supongo que los autores de textos de física contesten que puesto que según la segunda ley de Newton interpretada a la manera de Euler fuerza o peso = masa × aceleración, entonces el peso de la bola ya incluye la masa, y ésta es igual a inercia estática. Tratándose de una bola de 100 kg de masa dicen que en la superficie de la Tierra pesa 980 newtons (100 kg × 9.8 m/s = 980 N). ¿Pero ésa es la fuerza que tenemos que hacer para contrarrestar la gravedad y levantar la bola 10 cm? ¿Por qué hablar de 9.8 m si sólo la vamos a levantar 10 cm? Aplicada a la gravedad, la fórmula que pretende traducir al lenguaje matemático la segunda ley es falaz, y el newton como medida de fuerza es inútil. La verdad es que no tenemos con qué medir la fuerza que hacemos cuando levantamos una bola de 100 kg de peso 10 cm, ni cuando la empujamos hacia los lados o hacia delante o hacia atrás la misma distancia sobre una superficie lisa sin fricción. Sabemos que para levantar la bola tenemos que hacer más fuerza muscular que para empujarla, pero no tenemos con qué medir la fuerza en uno u otro caso. En cuanto a la invisible fuerza de gravedad que jala hacia abajo y que los tratadistas de física equiparan al peso de los cuerpos, no se mide en newtons ni en kilogramos: se mide por la aceleración tratándose de los cuerpos que caen, y por la velocidad orbital tratándose de los cuerpos que giran. La velocidad orbital siempre la podemos conocer; no así la aceleración, que sólo hemos medido en la superficie de la Tierra y determinado por comparación con ésta en los casos de las superficies de los restantes planetas, pero sólo ahí, en la superficie, y no más lejos. Tratándose de los cuerpos que caen no podemos saber de cuánto es la gravedad lejos de la superficie del cuerpo que los atrae.
En la superficie de la Tierra termina su materia y empieza su campo gravitatorio, que es una enorme esfera cuyo tamaño no conocemos, aunque tenemos que aceptar que es limitado y que en algún punto se termina. Sabemos que a 60 radios terrestres sigue habiendo campo gravitatorio terrestre pues a esa distancia está la Luna, que se encuentra dentro de él. ¿Pero seguirá habiéndolo a 1 000 radios terrestres? Sabemos también que mientras más nos alejemos de la Tierra menor será la gravedad terrestre. Lo que no sabemos es según qué fórmula disminuye. ¿Según la distancia elevada al cuadrado como propusieron Hooke y Newton, de suerte que a la distancia a que está la Luna es 3 600 veces menor que cerca de la superficie terrestre? Tal vez disminuya según una fórmula menos simple, muy rápido al principio y luego muy lentamente.
Según hemos dicho la aceleración de los cuerpos que caen o la velocidad orbital de los cuerpos que giran nos dan una idea de la intensidad de la gravedad. También nos la puede dar, en el caso de los cuerpos que giran, el grado de curvatura de la esfera gravitatoria y de los planos circulares que incluye. Podemos concebir una esfera como un conjunto de planos circulares iguales que cortan su centro. Puesto que mientras más pequeño sea un círculo mayor es su grado de curvatura, la máxima curvatura de la esfera gravitatoria de la Tierra está donde empieza, que es donde es más pequeña y donde las circunferencias que limitan sus planos circulares son más pequeñas. Ahí, en las cercanías de superficie terrestre, es donde la gravedad es más intensa, donde se cae con la máxima aceleración (9.8 m/s) y donde se requiere la máxima velocidad horizontal (8 km/s) para no caer y empezar a girar entrando en órbita. Así pues, el grado de curvatura de la esfera gravitatoria o de las circunferencias que limitan sus planos circulares internos es la tercera forma de darnos una idea de la intensidad de la gravedad. Donde empieza la esfera la gravedad es más intensa; en el límite de Zenón, donde se acaba, la línea curva de los planos internos se vuelve una recta, la esfera gravitatoria se convierte en un único plano ilimitado y la gravedad desaparece.
Debo aclarar que estoy hablando del grado de curvatura de los planos circulares de una esfera y no del grado de curvatura del embeleco einsteniano del espacio-tiempo. El espacio y el tiempo no tienen realidad exterior, sólo existen en la mente que los concibe, humana o animal. El campo gravitatorio en cambio, concibámoslo o no, existamos o no, sí tiene realidad propia exterior a nosotros, ahí está, como una mesa. La mesa, claro, es material y el campo gravitatorio es inmaterial, pero coinciden en existir por fuera de nosotros. Y en el mismo caso de inmaterialidad del campo gravitatorio están el magnetismo, la electricidad y la luz. Existen con nosotros o sin nosotros. En cuanto a Dios, modus vivendi de curas y teólogos y muy socorrido tópico de los políticos, no pasa de ser una simple realidad mental de los que de Él se lucran, o del aborigen que con Él se engaña. Dios no tiene existencia exterior por fuera de la mente humana. Los animales por lo menos están libres de esta elucubración fantasiosa.
Cuando Newton publicó los Principios, sus opositores para refutarlo calificaron su fuerza de gravedad (el corazón de sus tesis) de actio in distans o acción a distancia. Desde entonces se viene arrastrando esta expresión que para ellos designaba un imposible. No podían concebir que un cuerpo actuara sobre otro en el vacío y que, verbi gratia, por sobre los 380 000 km de vacío casi absoluto que las separa, la Tierra actuara sobre la Luna. Con magia de prestidigitador, de un tiempo para acá hemos eliminado el problema de la acción a distancia postulando un campo gravitatorio que prolonga la materia, el cual siempre está ahí, en torno a ésta como una esfera, rodeándola. Así la Tierra no tiene que mandar señales al cuerpo que entre en su esfera de influencia o campo gravitatorio, simplemente se continúa en él: el campo gravitatorio terrestre (de un millón de kilómetros de radio cuando menos) sigue siendo parte de la Tierra, es su prolongación inmaterial. El axioma de que dos cuerpos no pueden ocupar un mismo espacio simultáneamente no vale para lo inmaterial. Y así coinciden en la superficie terrestre, sin confundirse, los siguientes tres campos gravitatorios, enumerados según su intensidad: el de la Tierra, el de la Luna y el del Sol. El de la Tierra es el que nos retiene en su superficie o nos hace caer sobre ella, y los de la Luna y el Sol los que producen las mareas lunares y solares respectivamente. También podríamos agregar en cuarto lugar el campo gravitatorio del centro de la Vía Láctea, pero sin poder citar un efecto que lo manifieste.
Al prender un televisor con un control remoto (que puede funcionar en el vacío), ¿estamos realizando una acción a distancia? No. El control remoto manda una señal luminosa que aunque viaja muy rápido, a 300 000 kilómetros por segundo, no es simultánea. Desde el charlatán de Maxwell los físicos hablan del espectro «electromagnético», que abarca los rayos gamma, los rayos X, la luz ultravioleta, la luz visible, los rayos infrarrojos o calor y las ondas de radar y de radio. Como ninguno de estos fenómenos tiene que ver con la electricidad ni con el magnetismo pero todos son luz, propongo que ese espectro lo llamemos en adelante luminoso. Una parte del espectro luminoso es luz visible y el resto son luces invisibles. De las luces invisibles hay una que sí percibimos aunque no con los ojos: el calor. En cuanto a las restantes luces invisibles, desde fines del siglo XIX las percibimos con aparatos. Pues bien, siendo la señal que parte del control remoto uno de esos múltiples tipos de luz que no vemos, entonces, como en el caso de la luz que vemos, estamos ante un producto inmaterial de la materia y no ante una prolongación inmaterial suya como la gravedad. Salvo que pensemos que la gravedad sea una señal o producto inmaterial de la materia como lo es la luz visible o invisible (en cuyo caso toma tiempo en llegar), tenemos que considerarla como una prolongación inmaterial. O es un producto o es una prolongación, no hay una tercera posibilidad.
Con su pretenciosa concisión tanto en su expresión verbal como en su fórmula matemática, la llamada ley de la gravedad (que en descargo de Newton no es suya sino de sus acólitos) no permite comprender nada del fenómeno que pretende abarcar. No por concisa en su formulación es menos engañosa. Propongo reemplazarla por los siguientes siete humildes postulados:
1. Todo cuerpo tiene un campo gravitatorio que está en proporción a su masa: mientras más grande sea ésta, más grande es aquél. Pero tal vez exista un umbral para la masa por debajo del cual un cuerpo no tiene campo gravitatorio: el límite de Zenón. Tal vez un grano de arena o una manzana no lo tengan, así como la inmensa mayoría de los cuerpos no tienen campo magnético ni eléctrico.
2. La intensidad de un campo gravitatorio disminuye con la distancia a que se esté del cuerpo que lo produce: mientras más distancia, menos intensidad. Pero hay un umbral para la distancia, después del cual todo campo gravitatorio se termina. No hay campo gravitatorio infinito. También para lo grande y no sólo para lo pequeño existe el límite de Zenón. En cuanto al ritmo a que disminuye el campo gravitatorio no lo sabemos. Tal vez empiece disminuyendo muy rápidamente y pase a disminuir muy lentamente.
3. El cuerpo A atrae al cuerpo B si éste se encuentra dentro del campo gravitatorio de aquél; si no se encuentra, no. Y viceversa.
4. Si el cuerpo A de gran masa y por lo tanto de gran campo gravitatorio atrae al cuerpo B, pero el B es de poca masa y por lo tanto tiene un pequeño campo gravitatorio, entonces el B, sin jalar a A, cae sobre A, o gira en torno a A.
5. Si el cuerpo A (digamos la Tierra) está dentro del campo gravitatorio del cuerpo B (digamos la Luna) y éste dentro del campo gravitatorio de aquél, y el cuerpo A tiene más masa que el cuerpo B, entonces el cuerpo B gira en torno a A, o bien cae sobre A pero con menor velocidad que con la que caería el cuerpo C (digamos una manzana) de poca masa y pequeño campo gravitatorio en el que no entran el cuerpo A ni el cuerpo B.
6. Si los cuerpos B (la Luna) y C (la manzana) de la hipótesis anterior giran a una misma distancia en torno a A (la Tierra) también de la hipótesis anterior, lo harán a la misma velocidad. Por ejemplo, a 380 000 kilómetros de la Tierra, la Luna y la manzana girarán en torno a la Tierra a 1 km por segundo.
7. Si los cuerpos B (la Luna) y C (un satélite artificial) giran en torno a A (la Tierra), y el cuerpo B está más lejos de A que C, B girará más lentamente que C, sin importar la masa de B ni de C con tal de que sean menores que A. Y así, en efecto, la Luna que está a 380 000 kilómetros gira a 1 km por segundo, y un satélite artificial que esté a 200 km de la superficie terrestre gira a 8 km por segundo; y si estuvieran colocados al revés (la Luna a 200 km y el satélite artificial a 300 mil) se trocarían sus velocidades y la Luna giraría a 8 km por segundo y el satélite artificial a 1 km por segundo.
Una vez que aceptó que vivía en un planeta redondo que gira cada 24 horas en torno a su eje y cada 365 días en torno al Sol, el hombre estuvo preparado para aceptar lo que fuera, curado de espantos. Si lo que veía plano le resultó redondo, y lo que sentía quieto le resultó moviéndose, cualquier cosa podría pasar. Así, cuando en 1911 Rutherford dijo que lo que llamamos materia es casi toda vacío, nadie puso el grito en el cielo, ni la Iglesia católica trató de quemar a este ocurrente neozelandés anglizado en la hoguera de la Santa Inquisición. 0 tempora, o mores! diría Cicerón. Según Rutherford, el átomo, o último constituyente de la materia, está concentrado en un núcleo pequeñísimo rodeado de un vacío inmenso. Si el átomo tuviera el tamaño de un estadio, su núcleo tendría el tamaño de una mosca. Los sentidos de la vista y el tacto nos engañan pues nos dicen que la materia es continua siendo así que, y valga la paradoja, está llena de vacío. O dicho de otra forma, la materia es un inmenso vacío con un núcleo aquí y otro allá. Cosa que me gusta porque por primera vez en 2 300 años se le dio una lección a Zenón. ¿Con que Aquiles no puede alcanzar a la tortuga? ¡Qué la va a alcanzar si Aquiles es un vacío persiguiendo a otro vacío en el vacío! Gracias al mago Rutherford, le convertimos a Zenón el átomo de su correligionario y paisano Demócrito en un inmenso espacio vacío que se tragará al Aquiles zenoniano si este insensato se pone a perseguir a la tortuga.
Capítulo 7
El charlatán de Maxwell
Según Maxwell, genio escocés de la impostura autor de cuatro ecuaciones en las que culmina todo el humano saber, la luz es una onda electromagnética que se propaga en el éter a unos 300 000 kilómetros por segundo. En 1905, apropiándose de la idea que venía insinuando Poincaré desde 1889 de que se podía prescindir del éter, Einstein le quitó a la onda maxwelliana su soporte sutil, y la dejó colgando del vacío, o mejor dicho viajando en el vacío o «espacio libre» (free space) que es como ahora les ha dado por llamarlo a los melindrosos. ¿Cómo alguien que cree en Dios (que es El que no Juega a los Dados) pudo negar algo tan útil como el éter donde se propagan la gravedad, el magnetismo, la electricidad, la luz, la corrupción oficial y la mentira del Homo sapiens? Yo no sé, la mente de un genio de 280 aquinos se sustrae a mi humilde comprensión.
¿Y cómo se puede propagar una «onda» en el vacío, si justamente una onda es un medio que se agita, como el aire cuando oímos o la superficie tersa de un lago cuando le tiramos una piedrita? Es que aquí «onda» es una simple manera de hablar, una metáfora con que buscamos darle un asidero a la imaginación. Ahora bien, resulta que esta cuasi onda u onda paradójica que decimos que es la luz, no sólo no es onda sensu stricto sino que tampoco es materia. Y es que la luz no tiene materia: no la podemos pesar como un plátano en una balanza de granero. Por eso tampoco puede ser un chorro de partículas según han creído muchos empezando por Newton. ¿Cómo entonces la nada se puede propagar en la nada? Los físicos cuánticos resuelven el misterio diciendo: es que la luz no es onda ni partícula sino ambas cosas sucesivamente: es onda cuando necesitamos que sea onda, y es partícula cuando necesitamos que sea partícula. O si prefieren, es un sutil fotón einsteniano que traza campos electromagnéticos en la nada, un paquete de energía, palabra mágica inventada a mediados del siglo XIX que lo resuelve todo. Cuando usted no entienda algo, diga que es «energía»: potencial o cinética, y adiós problema. Energía potencial es la que tiene una teja en el alero de una casa antes de caer. Y cinética la que tiene mientras cae. Por lo que a mí respecta, aquí digo y sostengo y repito que la luz no es onda, ni es partícula, ni es eléctrica, ni es magnética. ¿Qué es entonces? Hombre, son unos puntos suspensivos que se propagan a 300 000 kilómetros por segundo en la nada de Dios o vacío o free space, o un poco menos rápido en el aire, en el agua o en el vidrio, hasta que llegan. Mientras no lleguen, no son; una vez que llegan, son. Si adonde llegan es a un árbol, rebotan en el árbol; si adonde llegan es a una pared, rebotan en la pared; si adonde llegan es a un lago, una parte rebota sobre el lago y otra parte penetra en él. Pero si después de rebotar en el árbol, en la pared o en el lago o de penetrar en éste no hay un ojo que los vea, no hay luz. Árbol, pared o lago que no lleguen a un ojo cabalgando en la luz no se ven, y misterio resuelto. Y un trapo negro, ¿lo vemos, o no lo vemos? ¡Claro que lo vemos, pero si es de día! En noche cerrada trapo negro no se ve, ni paloma blanca. ¿Qué es ese cuento de que el negro es la ausencia de color? El negro es un color como cualquiera. Con luz se ve; sin luz no.
¿Pero el color negro absorbe toda la luz que llega a él sin dejar ni un poquito para el ojo? Yo digo que no, ¿porque si no, cómo entonces vemos el trapo negro? Si estamos en un cuarto de paredes y techo y piso y muebles negros, un cuarto todo negro y sólo negro y por un agujerito abierto en el techo dejamos entrar un rayito de luz, ¿vemos o no vemos las paredes, el techo, el piso y los muebles negros? Yo digo que sí, aunque no he hecho el experimento. Ni lo pienso hacer pues a mí los que me gustan son los experimentos pensados, a la Einstein. Con decirles que si para entender el misterio de la luz me tuviera que levantar de esta poltrona haragana en que escribo y sueño e ir a pesar dos bolas de billar en una balanza de granero, no iría. Me quedaría sentado en la poltrona sin entender el misterio de la luz. Soy capaz de correr encima de un rayo de luz a 300 000 kilómetros por segundo para entenderlo, ¡pero con la imaginación! Todo con la imaginación, nada que consuma calorías. O joules.
¿Pero de veras existe el rayo de luz, del que habla hasta el mismísimo Newton? ¡Claro que no, ésa es otra metáfora! La luz, que no es eléctrica ni magnética, ni onda ni partícula, tampoco es rayo. Aunque por la luz vemos lo que vemos, la esencia de la luz es que no la podemos ver. Nadie hasta hoy, nadie desde que Dios existe y desde que en el primer versículo del Génesis dijo «Hágase la luz», ha visto un rayo de luz. El rayo que veo al amanecer filtrándose por las persianas de mi ventana no es de luz, es de polvo. Por lo demás el Génesis está equivocado. Lo primero que tuvo que decir Dios después de haberse creado a sí mismo como una serpiente que se agarra la cola fue: «Hágase la materia», pues sin materia no hay luz: la materia es la que produce la luz. Y una vez hecha la materia Dios ha debido decir: «Hágase el ojo», pues sin ojo, ¿qué luz vamos a ver, rebote o no rebote contra un poste, atraviese o no atraviese un lago? Y luz que no se ve no es luz así como el que no toma no se emborracha.
Y las ondas de radio que inventó Hertz gracias a las ecuaciones de Maxwell, ¿con qué las captamos? Hombre, como su nombre lo indica, con un radio. Pero eso sí, con un radio más un oído, pues no conozco hasta ahora un sordo que oiga radio, por más electromagnéticas que sean las ondas-partículas hertzianas. Sordo es el que no oye y ciego el que no ve.
En 1856 Weber y Kohlrausch determinaron por primera vez la relación numérica existente entre las dos unidades de la electricidad entonces en uso, la electrostática basada en las fuerzas que se dan entre las cargas eléctricas y la electromagnética basada en las fuerzas que se dan entre polos magnéticos, y su resultado fue 310 740 000 (Poggendorf’s Annalen, XCIX, agosto, pp. 10-25). ¿Trescientos diez millones setecientos cuarenta mil qué? ¿Metros? ¿Kilómetros? ¿Gramos? No: 310 740 000 unidades electrostáticas respecto a una unidad electromagnética, o bien 1/310 740 000 unidades electromagnéticas respecto a una unidad electrostática, del mismo modo que decimos que 1 pulgada equivale a 25.4 milímetros, y un milímetro a 1/25.4 de pulgada. Pues a Maxwell le dio por sostener que la cantidad entre las dos unidades eléctricas determinada por Weber y Kohlrausch reflejaba una velocidad: la de la luz justamente, en metros por segundo, y que por lo tanto la luz era una onda electromagnética que se propagaba en el éter. Y es que la cifra de 310 740 000 se parecía a las medidas que se tenían entonces para la velocidad de la luz, determinada por medios astronómicos y por medios físicos. La determinación astronómica (establecida en la primera mitad del siglo anterior por Bradley con base en la aberración estelar) era de 308 000 000 m/s; y las de Fizeau y Foucault, contemporáneos de Maxwell (establecidas por medio de ruedas dentadas giratorias o de ruedas giratorias con espejos), eran respectivamente de 314 000 000 m/s y 298 360 000 m/s. Como ven, las tres cifras se parecen a la de la relación entre las dos unidades eléctricas establecida por Weber y Kohlrausch, y de ello dedujo Maxwell, indebidamente, que la luz era un fenómeno electromagnético. Que la relación entre las unidades de los dos sistemas eléctricos en boga entonces equivale a una velocidad es una falacia que resulta de las conclusiones de un análisis dimensional doloso.
Maxwell es el inventor del «análisis dimensional» y su notación abstrusa. Lo plantea por primera vez en un artículo escrito en 1863 en colaboración con Fleeming Jenkin para el Committee on standards of electrical resistance de la British Association y publicado con correcciones dos años después en el Philosophical Magazine (serie 4, 29: 436-460, 507-525): «On the elementary relations between electrical quantities». La notación dimensional que Maxwell propone en este artículo expresa las relaciones dimensionales como productos de las potencias de la Masa (M), la Longitud (L) y el Tiempo (T). A mediados del siglo XIX todas las unidades físicas se deducían de estas tres unidades básicas. Hoy las unidades eléctricas incluyen otra unidad básica, el amperio, al cual, cosa curiosa, no le corresponde ninguna dimensión. ¿Y eso es posible, una unidad básica sin dimensión? No, pero qué importa, así están las cosas en el mundo loco de la metrofilia. El aquino en cambio, unidad rigurosa de la impostura que aquí se ha propuesto, sí tiene su dimensión, y ella es la mentira, que designamos con una M mayúscula en cursiva para distinguirla de la masa, que es una M mayúscula en tipo normal.
Pues bien, las unidades de los dos sistemas eléctricos de los tiempos de Maxwell se expresan dimensionalmente así:
[L3/2M1/2T−1] y [L1/2M1/2].
El superíndice 1/2 es una forma de designar una raíz cuadrada, el superíndice 3/2 es una forma de designar la raíz cuadrada de una cantidad previamente elevada al cubo, y el superíndice −1, como todos los superíndices negativos, significa que la cantidad va en el denominador de un quebrado. Dividiendo la primera unidad eléctrica por la segunda, que es lo que hicieron Weber y Kohlrausch, tenemos:

y luego, suprimiendo M1/2 pues está en el numerador y en el denominador, y descomponiendo L3/2 en L2/2 y L1/2 tenemos:

y suprimiendo L1/2 pues está en el numerador y en el denominador tenemos:

lo cual, ya que L2/2 es simplemente L, nos da:
L/T
Y así, en virtud de las anteriores maromas de un embaucador matemático, a partir de la relación de dos unidades eléctricas obtenemos una velocidad, pues velocidad es la distancia (o longitud, L) dividida por el tiempo (T), como cuando decimos que vamos en un carro a 100 kilómetros por hora (100 km/h). De la relación entre dos unidades eléctricas Maxwell sacó una velocidad. Hay prestidigitadores que se sacan de la manga un conejo; Maxwell se sacó un león. Y como la cifra que habían obtenido Weber y Kohlrausch dividiendo las dos unidades (de las cuales la del numerador era muy grande y la del denominador muy pequeña) fue de 310 740 000, y la velocidad de la luz en metros es más o menos ésa, sobre 300 millones de metros por segundo (o 300 000 km/s), tras el análisis dimensional que acabamos de hacer y que pretende mostrar que la relación entre las dos unidades equivale a una velocidad, Maxwell interpretó la cifra de Weber y Kohlrausch como metros por segundo, y puesto que una de las dos unidades se designaba como «electromagnética», entonces concluyó que la luz era un fenómeno electromagnético.
¿Dónde está el engaño en todo esto? Está en que lo que aparece en el numerador y en el denominador del quebrado con el que Weber y Kohlrausch relacionan las dos unidades electromagnéticas y electrostáticas, esto es [L3/2M1/2T−1] y [L1/2M1/2], son todos unitarios, las definiciones de dos unidades, que no se pueden manipular ni descomponer. El llamado análisis dimensional es indebido y absurdo.
Es más, la misma relación L/T que significa una velocidad también se puede obtener de otros lados, y no sólo de la relación entre las dos unidades eléctricas. En una tabla de dimensiones que da en los artículos 626 y 627 de su Tratado de la electricidad y el magnetismo (A Treatise on Electricity and Magnetism), Maxwell propone que la resistencia de un conductor, R, resulta de dividir lo que él llama «line-integral of electromotive intensity», E, por lo que él llama «electric current», C. Como en el sistema electromagnético E es [L3/2 M1/2 T−2], y C es [L1/2 M1/2 T−1], entonces Maxwell propone que R es:

que equivale a:

lo cual, teniendo presente que L2/2 es una simple L, y eliminando M1/2 y L1/2 por estar tanto en el numerador como en el denominador, nos da:
R = L/T
Y así, por el mismo procedimiento indebido del análisis dimensional, Maxwell saca una velocidad partiendo de una resistencia eléctrica. Todo lo que está encerrado entre corchetes constituye la definición de algo y por lo tanto es un todo indisoluble que no se puede manipular. ¡Imagínense si nos pusiéramos a dividir al Padre (P) por el Hijo (H) para obtener el Espíritu Santo (S)! No. La ecuación S = P/H no es legítima. Así parezcan tres, la Santísima Trinidad (PHS) es una sola e indivisible persona. ¡Y ahí está la hoguera de Giordano Bruno para el que diga que no!
El Tratado sobre la electricidad y el magnetismo es de 1873, pero ya desde 1864, basándose en la relación de Weber y Kohlrausch, Maxwell había postulado que la luz era un fenómeno electromagnético. He aquí su resumen de su artículo «A Dynamical Theory of the Electromagnetic Field» publicado ese año en las Royal Society Transactions (volumen 155):
What, then is light according to the electromagnetic theory? It consists of alternate and opposite rapidly recurring transverse magnetic disturbances, accompanied with electric displacements, the direction of the electric displacement being at right angles to the magnetic disturbance, and both at right angles to the direction of the ray.
¡Con que la luz son «disturbances» y «displacements»! ¿Pero de qué? ¡Pues del éter! ¿Y el éter qué es? Del artículo en cuestión tomo el siguiente pasaje:
The theory I propose may therefore be called a theory of the Electromagnetic Field, because it has to do with the space in the neighbourhood of the electric or magnetic bodies, and it may be called Dynamical Theory, because it assumes that in that space there is matter in motion, by which the observed electromagnetic phenomena are produced.
The electromagnetic field is that part of space which contains and surrounds bodies in electric or magnetic conditions. It may be filled with any kind of matter, or we may endeavour to render it empty of all gross matter, as in the case of Geissler’s tubes and other so called vacua. There is always, however, enough of matter left to receive and transmit the undulations of light and heat, and it is because the transmission of these radiations is not greatly altered when transparent bodies of measurable density are substituted for the so-called vacuum, that we are obliged to admit that the undulations are those of an aethereal substance, and not of the gross matter, the presence of which merely modifies in some way the motion of the other. We have therefore some reason to believe, from the phenomena of light and heat, that there is an aethereal medium filling space and permeating bodies, capable of being set in motion and of transmitting that motion from one part to another, and of communicating that motion to gross matter so as to heat it and affect it in various ways.
Esa «aethereal substance» o «aethereal medium» es el famoso éter que lo llena todo, tanto el vacío como la materia. Pero si el éter lo llena todo, ¿dónde acomodamos entonces el campo electromagnético que postula Maxwell junto con él? La maravillosa claridad verbal de Maxwell sólo se puede equiparar a su maravillosa claridad matemática. Multiplicando ese par de límpidas claridades obtenemos la astronómica cifra de 180 aquinos, que es la medida exacta de este genio.
En sus Lectures on Physics, el texto de física más famoso del siglo XX, Richard Feynman, su autor y a la vez gran genio de la impostura (3 A), termina el primer capítulo del segundo de sus tres volúmenes diciendo:
From a long view of the history of mankind —seen from, say, ten thousand years from now— there can be little doubt that the most significant event of the 19th century will be judged as Maxwell’s discovery of the laws of electrodynamics. The American Civil War will pale into provincial insignificance in comparison with this important scientific event of the same decade.
¡Cuáles «leyes» de la electrodinámica! ¿Dónde están en los artículos de Maxwell o en su Tratado? ¿Y dónde están las cuatro ecuaciones que sin entenderlas ni explicarlas Feynman y demás autores de textos le atribuyen en notaciones cada vez más abstrusas? En las voluminosas Lectures on Physics no se menciona siquiera la relación de Weber y Kohlrausch que le permitió a Maxwell desvelar el misterio de la luz. ¿Es posible eso?
Pero volvamos al éter. En 1905, zanjando el problema como Alejandro Magno había cortado en Frigia el nudo gordiano, en los Annalen der Physics Einstein negó que existiera el éter (el Lightäther en alemán o «éter luminífero») y asunto resuelto: dejó el campo doble, eléctrico y magnético, o sea «electromagnético», viajando en el vacío. Desde entonces la humanidad dejó de creer en esa entidad brumosa del éter como ya antes había dejado de creer en el flogisto y en el calórico, aunque tratándose de la luz los físicos siguieron hablando de ondas y longitudes de onda. ¿Y cómo puede avanzar una onda, así sea electromagnética, sin un medio que la transmita? ¿Es que es mágica, o qué? Ah, para eso están las leyes de la electrodinámica y las ecuaciones de Maxwell. A caballo de ellas va la luz rumbo a los confines más remotos de las últimas galaxias.
La verdad es que si negamos la existencia del éter, tenemos que ser consecuentes y negar también las ondulaciones (undulations) de la luz que lo pone en movimiento, como el sonido hace vibrar el aire y en virtud de esas vibraciones oímos. Si no hay un medio que las transmita no puede haber ondulaciones u ondas (waves), ni electromagnéticas ni de lo que sea, así como donde no hay mar no puede haber olas de mar. Para Maxwell, del mismo modo que el sonido es aire en movimiento, la luz es éter en movimiento. Gracias al éter vemos así como gracias al aire oímos. Y del mismo modo que si no hay aire no oímos, si no hay éter no vemos. ¿O malinterpreto al genio?
Si según lo arriba citado de Maxwell el campo electromagnético es aquella parte del espacio que contiene y rodea los cuerpos «en condiciones eléctricas y magnéticas», entonces la luz no puede ser un campo electromagnético pues la luz viaja y por lo tanto el campo electromagnético se tendría que ir con ella desprendiéndose de los cuerpos a que pertenece. Pues justamente así, ni más ni menos, es como resolvieron el problema de la falta de éter los herejes einstenianos: con un campo doble, electromagnético, que se va sin soporte alguno, autorregenerándose:
In short, we have a little piece of field —a block of thickness cT— which has left the current sheet and is travelling through space all by itself. The fields have «taken off»; they are propagating freely through space, no longer connected in any way with the source. The caterpillar has turned into a butterfly! How can this bundle of electric and magnetic fields maintain itself? (…) Suppose the magnetic field were to disappear. There would be a changing magnetic field which would produce an electric field. If this electric field tries to go away, the changing electric field would create a magnetic field back again. So by a perpetual interplay —by the swishing back and forth from one field to the other— they must go on forever. It is impossible for them to disappear. They maintain themselves in a kind of a dance —one making the other, the second making the first— propagating onward through space (Feynman, Lectures on Physics, II, 18-4).
As the electric field builds up to produce its circulation, then a magnetic circulation will be generated. But the building up of this magnetic field will produce a new circulation of the electric field, and so on. In this way fields work their way through space without the need of charges or currents except at their source. That is the way we see each other! It is all in the equations of the electromagnetic fields (id, II, 1-4).
¡Con que «electric» y «magnetic» «circulations»! Eso está como las «electric» y «magnetic» «conditions» del párrafo citado de Maxwell. En fin, un campo eléctrico cambiante produce un campo magnético cambiante y los dos campos, perpendiculares entre sí y perpendiculares a la vez a la línea en que avanzan, regenerándose el uno al otro se propagan en todas las direcciones del espacio vacío. Muy bien, aceptémoslo así, ¿pero dónde en la descripción de Feynman está la onda, la electromagnética, que ni la menciona? Y es que hoy en día la luz y el resto del llamado espectro electromagnético —al que pertenecen las ondas de radio que produjo Hertz, los rayos infrarrojos, los ultravioleta, los X y los gamma— se siguen midiendo en longitudes de onda. Pues yo digo que si no hay medio, no hay onda; y si no hay onda, no puede haber longitudes de onda.
Pese a que los fenómenos de la electricidad y el magnetismo coinciden en ser atracciones y repulsiones de cargas o de polos magnéticos, hasta 1820 ambos fenómenos estuvieron desligados. Ese año Oersted descubrió que en el momento en que una corriente eléctrica se encendía o en el momento en que se apagaba (esto es, en los dos momentos en que no era estable) actuaba a distancia sobre una brújula y le movía la aguja. Pocos años después, en 1831, Faraday descubrió el efecto simétrico, que moviendo un imán se producía una corriente eléctrica en un alambre cercano. O sea que una corriente eléctrica cambiante produce efectos magnéticos, y un campo magnético cambiante produce efectos eléctricos. Tras el artículo de 1856 de Weber y Kohlrausch que establecía en 310 740 000 la relación numérica entre las dos unidades eléctricas entonces en uso, la electrostática y la electromagnética, Maxwell se dio a sostener la tesis de que puesto que la luz viaja a una velocidad cercana a esa cifra en metros, entonces tenía que estar relacionada con el electromagnetismo y así, mago entre los magos, se inventó una onda de «perturbaciones» magnéticas transversales acompañadas por «desplazamientos» eléctricos (transverse magnetic disturbances accompanied with electric displacements) perpendiculares entre sí y perpendiculares a la vez a la dirección en que viajaban. El campo eléctrico cambiante producía un campo magnético cambiante y viceversa, como ocurría en los fenómenos observados por Oersted y Faraday, pero con la diferencia de que ahora ambos campos se alejaban del cuerpo que produjo uno de ellos sin necesitarlo más, y se iban en todas las direcciones del espacio autorregenerándose. ¿Pero de qué tipo de espacio? ¿De un espacio vacío? ¿O de un espacio ocupado por el aire, el agua o un vidrio? No. Ni vacío ni ocupado por ninguna de las tres cosas. Un espacio ocupado por el éter. En la religión maxwelliana el éter goza de la omnipresencia de Dios. En todas partes está: en el vacío y en la materia. Y así, del mismo modo que para Tomás de Aquino el espacio, vacío o no, está lleno de la presencia de Dios, para los maxwellianos está lleno de la presencia del éter. ¿Y este éter maxwelliano tiene qué ver con el cloroformo? No, el cloroformo duerme y el éter no.
¿Qué queda entonces hoy en día de Maxwell una vez que Einstein lo vació de éter? Pues hombre, unas ondas electromagnéticas deseterizadas viajando en el free space entre vectores y escalares, divergencias, curls y dels. El «del», el signo más profundo y útil que ha inventado la física matemática, es una ∇, una delta griega mayúscula invertida que sin ser nada lo resume todo.
Si mientras caminamos hacemos oscilar de un lado a otro una varita que tengamos asida entre el pulgar y el índice a la manera en que va y viene la barra de un metrónomo, podemos hacer oscilar la varita en dos planos perpendiculares entre sí: uno paralelo al suelo, y el otro vertical a éste; en el plano vertical la varita se mueve de arriba abajo, y en el horizontal se mueve de izquierda a derecha, pero en ambos casos el trazo en zigzag que vamos haciendo va avanzando desde donde partimos, de atrás hacia delante, que es como caminamos. Así avanza la luz según la teoría electromagnética maxwelliana o einsteniana, con éter o sin él: de atrás hacia delante a partir del foco que la produce en tanto el campo eléctrico va vibrando en uno de los dos planos perpendiculares y el magnético en el otro. Obsérvese que el trazo que realiza la varita en cualquiera de estos dos planos a su vez es perpendicular a la línea del movimiento. O mejor dicho, perpendicular no: casi perpendicular, pues lo que trazamos al avanzar en realidad no son líneas perpendiculares a aquella en que avanzamos sino una línea en zigzag, como los dientes de una sierra. No las podemos concebir como perpendiculares porque vamos avanzando. Donde Maxwell y sus acólitos dicen «transversal» como sinónimo de «perpendicular» tenemos que leer «sesgado». Si no, tendríamos la barra de un péndulo oscilando en un mismo plano sin moverse, y resulta que los dos planos, el eléctrico y el magnético, justamente lo que hacen es moverse, avanzar a 300 000 km/s. Cuando, como en nuestro caso, las oscilaciones se dan «transversalmente» o «perpendicularmente» (léase «sesgadamente») a la línea de avance, se dice que la vibración u onda es transversal; si se dan en el mismo sentido de la línea de avance, como dicen que es el caso tratándose de las vibraciones del sonido en el aire, entonces la onda es longitudinal. Los manuales de física suelen ilustrar lo anterior con una representación gráfica del tipo de una que propone Maxwell en el artículo 791 de su Tratado de la luz y el electromagnetismo, pero que no voy a reproducir aquí. Yo pienso que la única forma posible de captar una esfera en expansión, que es lo que son en última instancia la luz y el sonido, es con la imaginación, y no con palabras ni con dibujos y menos con ecuaciones. Estos dos fenómenos que el hombre capta con sus dos sentidos más importantes y que difieren en que la luz se puede propagar en el vacío en tanto el sonido no, y en que la luz viaja a 300 millones de metros por segundo y el sonido a sólo 330 metros, coinciden sin embargo en la forma de propagarse: hacia todos los puntos cardinales, pero siempre hacia delante, nunca hacia atrás, nunca regresando al lugar de donde partieron, a la fuente emisora.
Imaginemos entonces que la luz son los dos planos de vibración perpendiculares entre sí y que las vibraciones a su vez se dan sesgadamente respecto a la línea de avance como propone Maxwell, e inmediatamente nos damos cuenta de que por más que tracemos líneas de ésas, a medida que las líneas van divergiendo del centro de que parten van quedando vacíos de luz por todas partes. De suerte que no sólo el campo magnético tiene que regenerar el eléctrico a medida que avanza sino que también lo tiene que multiplicar; y viceversa, el campo eléctrico tiene que regenerar y multiplicar el campo magnético. Cosa que no dicen Maxwell ni sus seguidores. Si la luz se propaga como una esfera en expansión llenando todo el espacio circundante, entonces los dos campos no sólo se tienen que regenerar sino multiplicar. La luz no se puede propagar como sostienen los maxwellianos. Pero tampoco hay forma de describir con palabras esa esfera en expansión por un espacio tridimensional, ni mucho menos apresarla en un dibujo sobre el papel, el cual es bidimiensional y está quieto.
La explicación de Maxwel es desilusionante. Y no sólo eso sino algo más: refutable. Si los dos campos que él propone, el eléctrico y el magnético, se regeneran mutuamente, ¿por qué entonces la luz de una vela no llega hasta los últimos confines del universo? A tres cuadras una vela ya no se ve. Tres cuadras son 300 metros. Puesto que la luz se propaga en todas las direcciones a 300 millones de metros por segundo, entonces la luz de una vela no avanza sino una millonésima de segundo o microsegundo y después se extingue. ¿Y si miramos la vela con un telescopio colocado a 3 kilómetros y la alcanzamos a ver? ¿Y si con un telescopio más potente que el anterior, colocado ahora a 30 kilómetros, todavía la alcanzamos a ver? El hecho de que la luz de una vela la vemos a simple vista sólo a 300 metros y no a más se debe entonces a la poca sensibilidad del ojo y no a que la luz de la vela no llegue más lejos. ¿Hasta dónde entonces es lo más lejos que llega la luz de una vela? Hombre, la respuesta es muy sencilla: cuando llegue al límite de Zenón.
Por cuanto a la ciencia de la física se refiere, el fenómeno de la luz consta de dos partes materiales, una al principio y otra al final, y de un misterio inmaterial en medio. La primera parte es la emisión de la luz por la materia; el misterio es su viaje inmaterial o propagación por todas las direcciones del espacio a 300 000 kilómetros por segundo; y la segunda parte es su recepción por la materia, que la absorbe, la refleja, la refracta, la difracta, la polariza, la descompone o la dispersa. Una tercera parte material podríamos postular, el ojo que ve, esto es, que absorbe la luz que ve y refleja la que no ve. Un ojo ve por la luz que absorbe, y lo vemos por la luz que refleja. Aunque, para ser precisos, el ojo en realidad no es el que ve: el que ve es el cerebro, que empieza en la retina, en el fondo del ojo. La luz que ha absorbido el ojo produce en la retina corrientes eléctricas que pasan al nervio óptico y al tálamo y que se dispersan luego por múltiples áreas de la corteza cerebral. Y aquí empieza un segundo misterio de la luz, inmaterial como el primero, pero que ya no es tema de la física sino de las neurociencias: cómo vemos. Para mí que el hombre nunca logrará resolver los dos misterios de la luz, justamente por su carácter inmaterial. El primer misterio, el físico, que es el que aquí nos ocupa, no tiene solución por una simple razón: si interponemos entre el foco emisor y nosotros un aparato para tratar de entender cómo viaja la luz, en ese instante interrumpimos el viaje y la luz llega: llega al aparato con que pretendemos analizarla y el viaje se acabó.
Desde 1676, y gracias al astrónomo danés Ole Rømer, sabemos que la luz viaja; esto es, no se transmite instantáneamente. Observando los eclipses de Io por el planeta Júpiter, en torno al cual gira como uno de sus satélites, Rømer se dio cuenta de que la duración de los eclipses variaba según la distancia a que estuviera Júpiter de la Tierra. Cuando los dos planetas se alejaban el eclipse se alargaba, y cuando se acercaban el eclipse se acortaba. Una de dos: o el período de Io no era regular y cambiaba, aumentando este satélite su velocidad de rotación para después disminuir para después volver a aumentar y así sucesivamente, o era que a la luz le tomaba tiempo en llegar desde Io y Júpiter a la Tierra. En nombre de la humanidad Rømer resolvió que esto último era lo que pasaba: que la luz no era instantánea y que le tomaba 1 000 segundos en llegar a la Tierra cuando la separación entre los dos planetas era la máxima. Conociendo esta separación y dividiéndola por los 1 000 segundos tenemos una velocidad para la luz de 300 000 kilómetros por segundo: muy rápido para lo chiquita que es la Tierra, pero muy lento para lo grande que es el universo.
Y la longitud de onda con que medimos los distintos tipos de la luz visible (que van del rojo al violeta pasando por el amarillo, el verde y el azul) y las distintas radiaciones del espectro «electromagnético» (que van de las ondas de radio a los rayos gamma pasando por los rayos infrarrojos, la luz visible, la luz ultravioleta y los rayos X), ¿de dónde salen entonces si no hay onda? Salen del error de creer que lo que medimos con un espectrómetro de prisma o con un espectrómetro de rejilla de difracción son las separaciones entre los picos de la sierra o del zigzag que fuimos trazando con la varita al avanzar.
Puesto que el viaje de la luz es inmaterial (al no tener la luz materia ni tenerla tampoco el vacío) nunca lograremos saber cómo ocurre. Mi descripción de la varita que avanza dibujando en el vacío un trazo en zigzag no es más que el intento de explicar lo que inventaron otros, que la luz viaja así. Pero no viaja así, ése es un invento burdo. Nunca sabremos cómo viaja. En fin, sigamos describiendo el invento burdo. El trazo de la punta de la varita son los dientes de una sierra: si los suavizamos en una línea ondulada tenemos la representación gráfica de lo que usualmente se entiende por una «onda». También, mientras avanzamos, podríamos ir dibujando con la varita esa línea ondulada (en un plano o en el otro, de arriba abajo o de derecha a izquierda) en vez de los dientes de la sierra, pero da igual. Pues bien, entre el pico de un diente de la sierra y el siguiente hay una distancia que llamamos «longitud de onda» y que representamos con la letra griega lambda (λ). Si hacemos oscilar muy rápido la varita tenemos en 1 segundo más dientes de sierra que si la hacemos oscilar lentamente. Llamamos «frecuencia» al número de dientes de sierra que trazamos en un segundo (que es nuestra unidad de tiempo) y lo designamos con la letra ƒ. Si en 1 segundo trazamos 10 dientes de sierra, los llamamos 10 hertz (10 Hz). Para una velocidad dada a que avancemos, mientras más rápido movamos la varita con la mano más hertzs tenemos, pero entonces entre los picos de dos dientes sucesivos habrá una distancia menor. De suerte que la longitud de onda y la frecuencia están inversamente relacionadas: menos longitud de onda significa más frecuencia, y menos frecuencia significa más longitud de onda. De esto resultan las siguientes horribles ecuaciones equivalentes:

La primera ecuación afirma que la velocidad (v) la podemos saber multiplicando la frecuencia (o número de veces que agitemos la varita) por la longitud de onda (o distancia entre los picos de la línea en zigzag). Si agitamos la varita 3 veces en 1 segundo y los picos de la línea en zigzag están separados 30 centímetros, eso quiere decir que vamos caminando a una velocidad de 90 centímetros por segundo. En cuanto a las otras dos ecuaciones, las podemos deducir de la primera con el jueguito infantil de volver divisor un multiplicador pasando λ o f, que están multiplicando en la primera ecuación, al otro lado del signo igual para que queden dividiendo. O sea que si conocemos dos de las tres cantidades en cuestión podemos deducir la tercera.
El hecho de concebir la luz como una onda nos obliga a asignarle una longitud de onda y de paso una frecuencia, pero con la sola longitud basta para que podamos designar cualquier luz: las luces visibles, o sea las de los colores del arco iris (roja, verde, azul, etc.) o las invisibles, que son las restantes radiaciones del espectro (ondas de radio, rayos infrarrojos, etc.). Sabemos que la velocidad de la luz es de 300 000 000 m/s. Con que logremos entonces medir la longitud de onda de una luz determinada, aplicando la segunda de las tres ecuaciones obtenemos su frecuencia, de suerte que ésta es una cantidad superflua. Dado que todas las luces o radiaciones del espectro viajan a la misma velocidad de 300 millones de metros por segundo, si de lo que se trata es de designar un tipo de luz, lo que procede entonces es medir su longitud de onda. ¿Pero cómo medir una longitud de onda de algo inmaterial que se puede transmitir en el vacío sin necesitar un medio? ¿Con un prisma que separe por refracción los múltiples haces luminosos de distintos colores que componen una luz dada? ¿O con una rejilla de difracción que los difracte en su infinidad de surcos paralelos para que luego interfieran entre sí, reforzándose o anulándose, al ser proyectados sobre una pantalla? Pues en ninguno de los dos casos estamos midiendo la luz que viaja sino modificando por la materia del prisma, de la rejilla y de la pantalla la luz que llega: modificándola por refracción en el caso del prisma, y por difracción e interferencia en el caso de la rejilla. En 1927 Heisenberg, uno de los genios de la impostura cuántica (4.5 mA), propuso el principio de incertidumbre que afirma que todo intento de medida en un sistema bajo investigación perturba el sistema, con la consiguiente falta de precisión en nuestras mediciones. Cosa que para nosotros los metrófilos tiene el carácter de un cataclismo. Pues si no podemos medir, ¿qué hacemos entonces en este valle de lágrimas, cuál es nuestra función? Si, por ejemplo, queremos determinar la posición de un electrón con rayos gamma (con luz visible no se puede pues su longitud de onda es demasiado grande tratándose de electrones) al dar los rayos gamma sobre el electrón lo mueven (efecto Compton) y al hacerlo nos arruinan el experimento. En nombre de los 4.5 miliaquinos que mide Heisenberg aquí invoco su principio de incertidumbre para afirmar que la longitud de onda de ninguna luz se puede medir. La esencia de la luz es viajar, y luz que llega dejó de serlo como virgen que se estupra pierde la virginidad.
Pero volvamos a nuestra varita «electromagnética» que va y viene mientras avanzamos agitándola y tratando de entender. Hemos hablado de su velocidad, longitud de onda y frecuencia. Cuatro aspectos más nos quedan faltando por comentar: la amplitud, la velocidad de amplitud, la intensidad y la energía.
Dijimos, a modo de ejemplo, que si agitamos la varita tres veces en un segundo y los picos de la línea en zigzag están separados 30 centímetros, eso quiere decir que la frecuencia es de 3 hertz, la longitud de onda es de 30 centímetros, y la velocidad a que vamos caminando es de 90 centímetros por segundo. Lo que no dijimos es que al agitar la varita de izquierda a derecha y de derecha a izquierda, o de arriba abajo y de abajo arriba, la podemos desplazar entre un extremo y el otro el espacio que queramos: 5 centímetros por ejemplo, o 10, o 15, o 20… Este desplazamiento, que es distinto de la separación de los picos del zigzag (o longitud de onda), lo llamamos amplitud, concepto y término que están en los manuales de física. Lo que no está en cambio es lo que acabo de llamar «velocidad de amplitud». Y es que la raya con una amplitud de 5, o 10, o 20 centímetros o milímetros o metros o la que queramos, la podemos trazar en el tiempo que queramos: en una centésima de segundo, o en dos, o en tres, o en una décima, o en un segundo, o en varios… La longitud de onda depende de la frecuencia, de tal forma que si vamos caminando a una velocidad dada y variamos la longitud de onda tenemos que variar la frecuencia. La amplitud en cambio es independiente tanto de la longitud de onda como de la frecuencia, aunque no así la velocidad de amplitud, que depende de la longitud de onda, y de paso de la frecuencia. Hágase el ensayo de trazar amplitudes distintas mientras se camina, y se verá que para una velocidad de avance dada y para una longitud de onda dada (y su correspondiente frecuencia), si ampliamos la amplitud tenemos que trazar la raya de la amplitud más rápidamente, o sea aumentar la velocidad de amplitud.
¿Cuál es la amplitud de la luz visible, o la de los rayos gamma, o la de las ondas de radio, o la de cualquiera de las otras radiaciones del espectro? En sus tablas del espectro de las radiaciones u «ondas» «electromagnéticas» los textos de física nos enumeran las distintas longitudes de onda con sus correspondientes frecuencias colocadas en frente. ¿Por qué no nos dicen nada de la amplitud? ¿Es que a diferencia de la longitud de onda no es medible? ¿Y la energía de una radiación u onda electromagnética qué es? No es la amplitud, pues los genios cuánticos asocian en proporción inversa la energía de una radiación u onda dada con su longitud de onda, de suerte que una radiación de poca longitud de onda tiene más energía que una de muy larga longitud de onda: la luz visible transporta según ellos más energía que las ondas de radio, pero menos que los rayos gamma. Y si la energía no es la amplitud, ¿entonces qué es? ¿Dónde la podemos acomodar en el show que hemos montado de la varita? ¿Y dónde radica la intensidad? Pues es evidente que hay luces más intensas que otras y que un foco de 200 watts, por ejemplo, produce una luz más intensa que uno de 40.
Antes de seguir adelante les recomiendo que hagan el ejercicio de la varita lejos de la civilización, en descampado, pues por una calle los transeúntes se le quedan mirándolo a uno como si uno estuviera loco. Y no, loco no está el que quiere entender la luz, el que quiere saber qué es, cómo actúa, por qué viaja tan callada y nunca se deja ver pese a que por ella lo vemos todo. Bueno, todo no: lo que vemos. El resto es invisible, aunque ahí está. ¿Vibrando? ¿U ondulando? Como guste: vibrando, ondulando o zigzagueando. ¿Y el pensamiento? El pensamiento también, vibra, ondula o zigzaguea como un electrón en una antena hertziana.
Dicen los maxwellianos cuánticos (¿o sea todos?) que las radiaciones electromagnéticas no son sino fotones o paquetes de energía. Y sin embargo siguen hablando de longitudes de onda, y así sostienen que las radiaciones de menor longitud de onda (por ejemplo los rayos gamma) tienen más energía que las de mayor longitud de onda (por ejemplo las ondas de radio). Y yo les pregunto: ¿por qué? ¿Por qué siendo así que una ola grande da un golpazo mayor que una chica? ¿No será al revés? ¿Y la intensidad? ¿Dónde le acomodan la intensidad a una onda que viaja siempre a 300 000 km/s? Yo digo que en la velocidad de amplitud. Las ondas de más velocidad de amplitud tienen mayor intensidad. Adopten el concepto de velocidad de amplitud que aquí propongo y van a ver que entienden muchas cosas. Por lo demás dentro de un tiempecito, cuando esta nueva ciencia de la imposturología agarre fuerza o ímpetu (que es la masa multiplicada por la velocidad), van a ver que el concepto de «energía», del que pudo prescindir el hombre desde que bajó del árbol hasta mediados del siglo XIX, va a desaparecer de los manuales de física como desaparecieron el flogisto, el calórico y el éter. Por estúpido. Por ser, como Dios, la vuelta del bobo, la explicación que pretende explicarlo todo y no explica nada.
Varias preguntas tengo en el tintero para los maxwellianos respecto a su onda electromagnética viajera. En ella un campo eléctrico cambiante produce un campo magnético cambiante, que a su vez produce otro campo eléctrico cambiante, que a su vez produce otro magnético cambiante… Y así indefinidamente ¿hasta el infinito? ¿O hasta dónde? ¿Existe un límite? ¿Y qué lo impone? ¿Los dos campos sólo se regeneran, uno produciendo el otro, o también de paso se multiplican, un campo eléctrico produciendo varios campos magnéticos y un campo magnético produciendo varios campos eléctricos? Esto último tendría que ser lo que ocurre pues estamos ante una esfera en expansión que hay que ir llenando instante por instante. Salvo que los campos, al ir llenando la esfera en expansión, se fueran debilitando. Si en vez de luz disparamos en todas las direcciones del espacio salsa catsup, una pantalla colocada en cualquier dirección a un metro de distancia del foco que dispara la salsa recibirá la cuarta parte de la salsa que recibe otra pantalla colocada a dos metros de distancia, pues la salsa va disminuyendo en proporción inversa al cuadrado de la distancia, que es como, según Kepler, disminuye la luz. Una de dos entonces: para llenar una esfera en expansión, o bien los campos eléctrico y magnético no sólo se regeneran sino que también se reproducen; o bien van disminuyendo en intensidad al regenerarse y propagarse en proporción inversa a la distancia del foco. Lo primero para cualquier físico de hoy es un imposible pues viola la primera ley de la termodinámica que impide que la energía se reproduzca: si la luz transmite energía, no se puede reproducir. ¿Y lo segundo, que los campos eléctrico y magnético a medida que se propagan regenerándose mutuamente van disminuyendo? No sé si alguien lo haya propuesto, pero no lo voy a proponer yo pues a mí nadie me ha probado que la luz sea un fenómeno eléctrico ni magnético. Yo no sé qué es la luz.
Para dejar descansar en paz al genio de Maxwell y acabar este capítulo que ya se está alargando mucho, digamos que la luz no viaja a 300 000 km/s como sostienen tantos, sino a más velocidad. A cuánto más depende de la amplitud que le asignemos. Si vamos paso a paso caminando a 90 centímetros por segundo con una varita que no movemos, la punta de la varita avanza como nosotros, a 90 cm/s. Pero si al avanzar a esa velocidad agitamos la varita 3 veces en un segundo con una amplitud de 20 centímetros, entonces la velocidad a que va la punta de la varita es de 150 cm/s: la suma de los 90 cm/s a que vamos más 20 centímetros multiplicados por 3, pues la punta de la varita ya no está inmóvil como en el primer caso propuesto sino que va dibujando en el aire un trazo en zigzag. Y un trazo en zigzag entre dos puntos es siempre más largo que una línea recta entre éstos. Por lo tanto, un cuerpo que traza en un segundo una línea en zigzag entre dos puntos va a mayor velocidad que otro que traza una línea recta entre esos mismos dos puntos en el mismo lapso de tiempo. ¡Qué va a viajar la luz a 300 000 kilómetros por segundo! Como la luz siempre tiene una amplitud, por más pequeña que sea, forzosamente tenemos que concluir que va siempre a mucho más velocidad. Trescientos mil kilómetros atribuidos a la luz es la medida de una línea recta, no de una línea en zigzag. Que nada viaja más rápido que la luz es una de las marihuanadas de Einstein. ¡La luz viaja más rápido que ella misma! Tratándose de la velocidad, hay luces de luces; cuál es cuál depende de la amplitud.
Capítulo 8
Las marihuanadas de Einstein
Einstein, que en alemán significa «una piedra», no fue una piedra: fue el genio máximo de la impostura. Mide 280 aquinos, que son el tope, el summum, el non plus ultra. Más no se puede, así como no se puede ir más rápido que la luz porque entonces la longitud del cuerpo desaparece y su masa aumenta al infinito.
—¿Y puede darse una masa infinita sin cuerpo que la sustente?
—Claro, porque el cuerpo desmasificado se convierte entonces en pura energía: en las lenguas de fuego del Espíritu Santo. Además, si la longitud del cuerpo se esfuma, su altura y su grosor no cambian.
—¿Y se puede concebir un cuerpo alto y ancho sin longitud, un cuerpo bidimensional?
—Tanto como se pueden concebir tres personas distintas y un solo Dios verdadero. Todo es cuestión de querer. El que no quiere oír no oye y el que no quiere ver no ve.
¡Qué genio el de Einstein! Sin él hoy no tendríamos bomba atómica, cohetes intercontinentales, sida, computadoras, la oveja Dolly, el Internet… De niño sus padres creían que era retardado mental. ¿Retardado mental un genio silencioso? De adulto, cuando postulaba el espacio-tiempo curvado (un «manifold» tetradimensional como para dejar con la boca abierta a Gauss, Lobachevski y Riemann), llegó a tal grado su genio geométrico que le hizo abrir dos agujeros a la puerta de su casa: uno grande y otro chico para que por ellos entraran y salieran respectivamente su gato grande y su gato chico. Con el dedo gordo del pie rompía los calcetines y empezó a adquirir un aspecto raro, un aire de extraterrestre como de película de los hermanos Marx. Buenísimo para robar ideas y ecuaciones, por cuestión de principios jamás le reconoció nada a nadie. Y éste fue su gran principio, por sobre los dos que postula su teoría de la «relatividad especial», a saber: Uno, que las leyes de la física son iguales en todos los marcos de referencia inerciales, o sea los que están quietos o se mueven en línea recta con velocidad uniforme. Y dos, que la luz viaja siempre a la misma velocidad de 300 000 km/s sin importar que se mueva o no su fuente; o sea que si uno prende un reflector en la trompa de un avión que va a 1 000 kilómetros por hora, la luz del reflector no viajará a 300 003 km/s sino a 300 000 km/s.
—¿Y eso cómo se sabe? ¿Cómo se puede medir la velocidad de la luz desde un avión en vuelo?
—Es que usted no la mide desde su avión sino desde otro. La puede medir incluso desde un todoterreno que avance por la superficie de Marte, con tal de que no lo zarandee una tormenta de polvo de esas que se suelen soltar allá. O desde un trasatlántico que viaja en viaje de placer por el Pacífico a 15 calmados nudos por hora con su tripulación de millonarios, pero eso sí, siempre y cuando el mar no esté picado y sea de noche pues de día la luz de un reflector no se ve, y siempre y cuando se apliquen las ecuaciones de transformación de Lorentz.
—¿Y con qué aparato vamos a medir esa luz?
—La puede medir usted con dos espejos que la reboten colocados a lado y lado de una rueda dentada como la de Fizeau, o de un espejo rotatorio como el de Foucault.
—¡Ah, qué bien! Un espejo lo colocamos en la trompa del avión por dentro, ¿y el otro?
—Pues el otro suspendido en la punta de una barra metálica por fuera, pero teniendo presente que, dado que vamos a 1 000 km/h y no estamos quietos, la barra se encogerá según la siguiente ecuación de Lorentz:

—¡Qué hermosa ecuación, con un quebrado de exponente!
—Sí, realmente hermosa. Usted también la puede expresar sin el quebrado, así:

Pero me gusta más la otra, se ve más chic.
—¿Y se puede poner un quebrado negativo de exponente?
—¡Claro! En matemáticas todo se puede y los exponentes negativos se ven elegantísimos. Cada vez que se le presente la ocasión de ponerlos, póngalos sin dudar que lo importante es que las matemáticas no caigan en manos del vulgo ignaro.
—Y si la velocidad de la luz proyectada desde nuestro avión que va de noche la medimos desde el todoterreno que avanza de día sobre la superficie de Marte, ¿el telescopio que usemos no afecta la medición?
—Un buen telescopio no. Pero si la afecta, ¡qué importa! ¡La compensamos con otra ecuación!
—¿Y cuál sería?
— 
—¡Hermosísima! ¡Con una eta y una gamma de exponentes! ¿Ése es el tensor de Riemann-Christoffel?
—No, ése es éste:

La cantidad de la izquierda es el tensor de Riemann-Christoffel, que vale lo que vale lo que está a la derecha: un carajo.
—¡Me encanta esa ecuación por lo concisa! Pero bueno, si el todoterreno avanza sobre Marte de día, ¿la luz del Sol no impedirá ver el avión terrestre?
—En ese caso simplemente haga la medición de noche.
—Pero entonces va a ser de día en la Tierra, y así la luz que proyectemos desde el avión terrestre no se verá, porque el mismo Sol que impide ver de día en Marte también impide ver de día en la Tierra.
—Entonces sincronice los dos planetas o mida la luz que sale del avión terrestre desde un tren terrestre. Pero eso sí, que el tren vaya abajito del avión y no en las antípodas de suerte que no necesite colgar un inmenso espejo de la Luna que le permita ver simultáneamente los dos lados opuestos de la Tierra. Simplifique sus experimentos y así elimina la posibilidad de error.
—¿El tren debe ir también a mil kilómetros?
—A los que sea, pero sin acelerar ni desacelerar para no complicar los cálculos.
—¿Y si aceleramos el tren y desaceleramos el avión?
—Ah, entonces así sí, pues así si por un lado usted descompensa, por el otro compensa.
—O al revés.
—Exacto. No hay sur sin norte ni arriba sin abajo.
Con los dos postulados de la relatividad especial empieza la física moderna. Helos aquí en las palabras del genio:
The same laws of electrodynamics and optics will be valid for all frames of reference for which the equations of mechanics hold good. We will raise this conjecture (the purport of which will hereafter be called the Principle of Relativity) to the status of a postulate, and also introduce another postulate, which is only apparently irreconcilable with the former, namely, that light is always propagated in empty space with a definite velocity c which is independent of the state of motion of the emitting body.
Feíta la prosa, sí, pero tal vez sea culpa de la traducción de Perrett y Jeffery de la que cito. Estamos ante el segundo párrafo del artículo más famoso de la historia de la física: «Zur Elektrodynamik bewegter Körper», publicado en 1905 en los Annalen der Physik, volumen 17, y traducido al inglés bajo el título de «On the electrodynamics of moving bodies», primero por Saha y Bose y luego por los arriba mencionados. Einstein escribía en alemán pero como la humanidad lo digirió en inglés y él nunca protestó, en inglés aquí lo seguiremos digiriendo.
—¡Con que «marcos de referencia», frames of reference! ¿Qué serán?
—Hombre, si usted viaja en tren, va montado en un marco de referencia. Pero si el tren lo deja y se queda usted en el andén con los rulos puestos y el equipaje en la mano, pues sigue montado en otro marco de referencia: en el planeta Tierra nada menos, del que no se escapan ni los vivos ni los muertos.
—¿Y si el viajero va en avión?
—¿En un avión volando pregunta usted, o quieto?
—Volando.
—También va en otro marco de referencia.
—¿Y quieto?
—También, también un avión quieto es un marco de referencia.
—¿Y un barco quieto?
—También.
—¿Y navegando?
—También.
—¿Y un carro quieto o andando?
—También.
—¿Y un todoterreno en Marte quieto o andando?
—También.
—Prácticamente entonces podemos decir que todo lo que esté quieto o se mueva constituye un marco de referencia.
—Exacto. Y le puede ir quitando el «prácticamente» porque sobra.
—¿Y una bicicleta quieta?
—¡Ah, eso sí no! En bicicleta quieta nadie puede estar porque se cae, por más equilibrista que sea.
—¿E ir a pie es ir montado en un marco de referencia?
—Nadie va montado en sí mismo, hombre, no sea estúpido, uno es el que es.
¡Marcos de referencia, frames of reference! ¡Qué idea genial! ¡Cómo no se le ocurrió a nadie antes! ¡Cómo pudo vivir el hombre sin «marcos de referencia» desde que bajó del árbol! Y sobre todo pensar. Y sí… Todo es según el cristal con que se mire.
—Y según el ángulo. No es lo mismo un palo de escoba visto de frente que de lado: de frente un palo de escoba es un circulito, y de lado un palo de escoba es un palo de escoba.
—Y no sólo según el ángulo sino también según la velocidad a que vayamos. Un palo de escoba clavado en tierra y visto desde tierra es un palo de escoba, pero visto desde un tren supersónico no es nada, ni se ve.
—Exacto. Y como el palo de escoba, los postes de la luz. Los postes de la luz de la vía férrea vistos desde la vía férrea son postes, pero vistos desde la ventanilla de un tren que va a 100 kilómetros por hora son bofetadas cariñosas en la cara. «¡Tas! ¡Tas! ¡Tas!», nos van diciendo en la cara junto con el viento los postes.
—Para que un poste de la vía férrea que vemos desde la ventanilla de un tren que va a 100 kilómetros por hora vuelva a ser un poste y deje de ser una bofetada en la cara tendríamos que aplicarle las ecuaciones de transformación de Lorentz. ¿Podríamos afirmar entonces que todo en este mundo es relativo?
—Todo, menos la teoría de la relatividad que es absoluta. Porque si la verdad también es relativa, ¿de qué carajos estamos entonces hablando?
Todo pues, en este mundo, muévase o no se mueva, constituye un marco de referencia. Sólo que según la teoría de la relatividad especial (que se contiene en esencia en el artículo arriba citado) las leyes de la física sólo valen para los marcos de referencia «inerciales», o sea los que están quietos o se mueven en línea recta con velocidad uniforme. Así un tren quieto o que avance por un tramo recto de la carrilera sin acelerar ni desacelerar constituye un marco de referencia inercial. Pero si acelera o desacelera o si gira porque gira la carrilera, entonces no. Según la teoría de la relatividad especial, sólo en los marcos de referencia inerciales valen leyes de la física.
—¿Y es que hay otra teoría de la relatividad aparte de la especial?
—¡Claro, la general! Donde hay arriba hay abajo y donde hay izquierda hay derecha.
—Y según la teoría de la relatividad general, ¿en los marcos de referencia no inerciales también valen las leyes de la física?
—Depende. Si los marcos de referencia aceleran con movimiento uniformemente acelerado, que es aquel con que caen los cuerpos, sí.
—¿Y si no?
—Si no también.
—¡Ah, carajo, entonces la teoría de la relatividad general es muchísimo más complicada!
—¡Y ni se diga cuando les apliquemos a las transformaciones de Lorentz las ecuaciones de Einstein y el tensor de Riemann-Christoffel!
—¡Uy, qué miedo, yo con esas ecuaciones no me meto!
—Pues se va a tener que meter si se quiere desasnar en álgebra de tensores.
—Yo más bien me abstengo.
—Bueno, entonces volvamos a la teoría de la relatividad especial y a los marcos de referencia inerciales. Preste atención que le voy a explicar abriendo párrafo aparte.
Decimos que un marco inercial es aquel en que valen las leyes de la física. ¿Cuáles son éstas? Para Einstein (mas no para mí pues yo no acepto más leyes que las sociales para violarlas), las leyes de la física son las de la mecánica de Newton y las del electromagnetismo de Maxwell. Ahora bien, ¿cuál es la primera ley de Newton? La de la inercia, que dice en su aspecto estático que todo cuerpo que esté quieto seguirá quieto mientras no intervenga una fuerza externa que lo mueva; y que en su aspecto cinético dice que todo cuerpo que se esté moviendo en línea recta con velocidad uniforme así seguirá mientras no intervenga una fuerza externa que lo acelere o desacelere. Un tren que va a una velocidad constante por un tramo recto de la carrilera constituye un marco de referencia inercial y por lo tanto en él valen las leyes de la física. ¿Vale en él la primera ley de Newton en su aspecto cinético? O enunciada la pregunta de otro modo: si echamos a rodar una canica en el piso liso del tren, ¿seguirá rodando indefinidamente? La respuesta evidente es que no, porque así el piso sea muy liso y no presente ninguna fricción, así sea un piso de hielo o un colchón de aire, en uno o dos segundos la canica chocará contra las paredes del vagón. Y si en vez del vagón la echamos a rodar en una plataforma abierta al aire libre y sin paredes, de inmediato la bola se saldrá del tren y caerá a la vía férrea. De suerte que la primera ley de Newton, la de la inercia, de la que Einstein toma el calificativo «inercial» para adosárselo a su expresión «marco de referencia», en su versión cinética no se puede comprobar en el pequeño espacio de un tren. Se me dirá que las paredes del tren hacen las veces de una fuerza exterior que interviene para detener el movimiento eterno de la bola. Entonces yo pregunto: ¿es posible comprobar la inercia cinética en el mínimo lapso de dos segundos? ¿O para que haya inercia cinética la bola tendrá que seguir rodando, si no por toda la eternidad de Dios, por lo menos por un día?
—Para mí por un día es poco. Yo diría que por 1 000 000 000 000 000 000 000 000 000 000 millones de millones de años cuando menos. Si no, a mí que no me vengan con el cuento de esa ley.
Un tren que avanza en línea recta con movimiento uniforme no sirve pues para comprobar la primera ley de Newton. ¿Servirá para la segunda y la tercera? La segunda no es una ley, es una definición, la del brumoso concepto de fuerza que dice: fuerza es masa multiplicada por aceleración.
—¿Y la tercera?
—¡Qué ley va a ser semejante pendejada!
Esto respecto a Newton. Por cuanto a las leyes del electromagnetismo de Maxwell se refiere, éste no enunció ni una sola. Montándolas sobre conceptos arbitrarios y abstrusos con que pretendía apresar los fenómenos incomprensibles de la electricidad y el magnetismo Maxwell pergeñó una sarta de ecuaciones confusas. Las leyes de Maxwell son esas ecuaciones, que no sabemos ni cuántas son. Unos dicen que cuatro, otros que cien, otros que veinte. Ecuaciones sí hay en Maxwell, pero no leyes. Lo que pretenden decir con sus notaciones abstrusas las ecuaciones de Maxwell es algo que uno puede decir con palabras simples: que una corriente eléctrica produce un campo magnético variable y viceversa, que es lo que descubrieron Oersted y Faraday. No hay leyes de la mecánica ni leyes de Maxwell. «Ley» es una palabra impropia tratándose del mundo físico. Y si no hay leyes físicas no puede haber marcos de referencia inerciales por definición.
Para continuar con este enfadoso asunto de los marcos de referencia observemos que ninguno de ellos es independiente de los otros, cosa que los einstenianos parecen no advertir. El andén quieto de una estación de ferrocarril y el tren que avanza en línea recta con velocidad uniforme son dos marcos de referencia inerciales, o sea marcos de referencia en que, según Einstein, valen las leyes de la física, pero resulta que el andén hace parte del planeta Tierra, que gira y por partida doble: con movimiento de rotación en torno a su eje cada día y con movimiento de traslación cada año en torno al Sol. Y este movimiento de traslación ni siquiera es uniforme, pues la Tierra va más rápido en el perigeo que en el apogeo. El andén de la estación ferroviaria no puede ser por lo tanto un marco de referencia inercial porque está girando. En cuanto al tren que avanza a velocidad uniforme en línea recta, tampoco puede serlo, porque a medida que avanza gira de paso con el planeta en que va montado, que es el mismo en que va montado el andén de la estación. Y sin embargo si lanzamos una pelota hacia lo alto en el andén de la estación la recibimos en las manos igual que si la lanzamos en el tren que avanza en línea recta con velocidad uniforme. ¿Eso quiere decir que esa pelota que sube y cae es una ley de la naturaleza? Decida usted.
Resumiendo: si sólo en un marco de referencia quieto o que avance en línea recta con velocidad uniforme valen las leyes de Newton y Maxwell, entonces esas leyes, de existir, no valen en ningún lado, pues no hay nada en el universo que en última instancia no gire: gira la Tierra en torno al Sol y el Sol en torno al centro de la Vía Láctea. Bueno, eso dicen los que saben, usted verá si les cree o no les cree.
En el Segundo Día de su Diálogo sobre los dos principales sistemas del mundo nos dice Galileo:
Los sacos, cajas y bultos de que va cargado un barco que viaja desde Venecia hasta Corfú, Creta, Chipre y Alepo, están quietos respecto al barco y el viaje no altera la relación entre ellos, como si el movimiento de Venecia a Siria no ocurriera. Esto porque el viaje es común a todos ellos y todos lo comparten en modo igual. Si un saco se desplazara respecto a un cajón una pulgada, para el saco esta sola pulgada sería más movimiento que el viaje entero de las dos mil millas hecho por todas las mercancías juntas. (…) Un cuerpo que se mueve no tiene sino un movimiento propio; cualquier otro movimiento que tenga lo tiene sólo incidentalmente y por participación. Así cuando un hombre camina por la cubierta de un barco, su movimiento es el de caminar, mientras que el movimiento que lo lleva al puerto lo es por participación, pues el hombre nunca llegaría caminando al puerto si el barco no lo llevara hasta éste gracias a su movimiento.
Sí, así es, en efecto, ¿y qué? También en ese mismo Segundo Día habla Galileo de una bola lanzada verticalmente hacia arriba desde la cubierta de un barco, la cual cae exactamente en el mismo sitio de la cubierta, bien sea que el barco esté quieto o bien sea que navegue (pero en línea recta y con velocidad uniforme). Y de que una botella que se deja vaciar gota a gota boca abajo, o peces que nadan en un recipiente con agua, o moscas, mariposas y otros animalitos voladores que vuelan sueltos en la bodega se comportan igual en un barco quieto que en uno que navega con tal de que el que navega vaya en línea recta y con velocidad uniforme. Con estas reflexiones empieza el hombre a hundirse en el pantano relativista. En su Diálogo Galileo buscaba probar que Copérnico tenía razón, que era la Tierra la que giraba y no el Sol y todas las estrellas de la bóveda celeste en torno de ella, eso me queda claro. Lo que nunca he podido entender es detrás de qué iba Einstein con su imparable cháchara de los marcos de referencia. ¿Qué nos quería probar? ¿Qué nos quería explicar?
El título del artículo que lanzó la teoría de la relatividad especial ya lo dijimos: «On the electrodynamics of moving bodies». Pues bien, ni siquiera ese título está claro. El artículo consta de una introducción de una página y de dos partes de igual extensión: I. Kinematical Part, y II. Electrodynamical Part. Entiendo que Einstein no haya llamado a su artículo de 1905 «Teoría de la Relatividad Especial» porque sólo hasta 1916 no propuso su Teoría de la Relatividad General, en el artículo «Die Grundlage der allgemeinen Relativitätstheorie» («The Foundation of the General Theory of Relativity») del volumen 49 de los mismos Annalen der Physik en que había publicado el otro. ¿Pero por qué dejó la «kinematical part» por fuera del título del artículo de 1905, si las dos partes tienen igual extensión? Hombre, la respuesta es simple: es que a un genio de 280 aquinos no hay por qué pedirle claridad expositiva.
Y a propósito de claridad expositiva, obsérvese que en ese artículo de 1905 la constancia de la velocidad de la luz (o sea la independencia de ésta de la velocidad del cuerpo emisor) la considera Einstein como una simple conjetura, suposición o postulado, en pie de igualdad con la otra conjetura, suposición o postulado, el de la validez de las leyes físicas en todos los marcos de referencia inerciales. En su librito Relativity, the Special and the General Theory, traducido al inglés en 1920 pero publicado en alemán en 1916 poco después del artículo sobre la relatividad general, Einstein deja de considerar la constancia de la velocidad de la luz como conjetura, suposición o postulado y la promueve a ley de la naturaleza:
«the law of the constancy of the velocity of light in vacuo, which constitutes one of the two fundamental assumptions in the special theory of relativity» (capítulo 22) y «It is required by the law of propagation of light, in conjunction with the postulate of relativity» (apéndice 1). ¿Y cómo pasó la conjetura a ser ley? La respuesta está en el mismo librito: «based on observations of double stars, the Dutch astronomer De Sitter was also able to show that the velocity of propagation of light cannot depend on the velocity of motion of the body emitting the light» (capítulo 7).
Juro por Dios que me ve que Einstein jamás vio en su vida una estrella doble si es que alguna vez miró por un telescopio. Y que, como Copérnico, tampoco vio ni una sola vez a Mercurio, cuyo perihelio cambiante quiso hacemos creer que explicó. ¡Qué iba a explicar si nada entendió! La fórmula que da al final del artículo de 1916 sobre la relatividad general para calcular el cambio secular en el perihelio de Mercurio, ε = 24π3a2/ T2c2(1 − e2), se la robó a Paul Gerber, quien la propuso 18 años atrás en un artículo de 1898, «Die räumliche und zeitliche Ausbreitung der Gravitation» (Zeitschrift für Mathematik und Physik, Leipzig, volumen 43), basándose en la suposición de que la gravedad no se propaga instantáneamente sino a la velocidad de la luz.
—Padre, ¿es pecado robarse una ecuación?
—Depende, m’hijo. Si la ecuación es buena, sí; si no, no.
—¿Y cómo sabemos si una ecuación es buena?
—Ah, eso sí ya no sé. Habrá que preguntarle a un matemático.
—Nunca le preguntaré, padre, a un matemático, así como nunca meteré un ladrón a mi casa.
En fin, tampoco vamos a hacer un escándalo por tan poca cosa. El que se roba en física una ecuación no se robó nada. Todas las ecuaciones de la física son falsas y sirven para un carajo, empezando por la de Hermann-Euler F = ma. De ese pecado ego te absolvo, herr Einstein. Fuiste ladrón, sí, pero de moneditas falsas. A Ludwig Lange le robaste los marcos de referencia inerciales, los «Inertialsystem» como dicen ustedes los alemanes. Todavía en 1922 andaba el pobre Lange clamando al cielo, en una revista de psiquiatría como loco, que a él se le ocurrió la idea de los marcos de referencia inerciales en 1886 y no a ti. Y que también le robaste el principio de la relatividad, que era suyo. Y sí, sí se lo robaste, pero ya Lange a su vez se lo había robado a Everett, quien en 1883, en un Elementary Treatise on Natural Philosophy, había dicho:
«We cannot even assert that there is any such thing as absolute rest, or that there is any difference between absolute rest and uniform straight movement of translation». Y luego, en 1895, en el artículo titulado «On Absolute and Relative Motion» aparecido en el Report of the Sixty-Fifth Meeting of the British Association for the Advancement of Science, volumen 65: «There is no test by which we can distinguish between absolute rest and uniform velocity of translation». Más claro no canta un gallo.
Everett a su vez le había robado el principio a Newton, quien en el Corolario 5 de sus Principios dijo:
When bodies are enclosed in a given space, their motions in relation to one another are the same whether the space is at rest or whether it is moving uniformly straight forward without circular motion. (…) This is proved clearly by experience: on a ship, all the motions are the same with respect to one another whether the ship is at rest or is moving uniformly straight forward.
¡El barco de Galileo! El que iba de Venecia a Siria cargado de mercancías… ¡Newton se lo robó! ¡Claro! ¿No le robó pues también una estrella a Flamsteed y el denominador de la ecuación de la gravitación universal a Hooke? En cuanto a Galileo, padre de la relatividad y mi físico preferido por su originalidad y honradez, se robó el telescopio, las manchas del Sol y el teorema de Oresme sobre el movimiento uniformemente acelerado, amén de otras apropiaciones ilícitas de mayor o menor cuantía que en este momento se me olvidan. ¡Y las transformaciones de Lorentz! ¿Saben de quién son? ¡De Voigt! De Waldemar Voigt, que las formuló en 1887 en un artículo sobre el efecto Doppler aparecido en la revista de la Universidad de Gotinga. Einstein a su vez, en su artículo sobre la relatividad especial de 1905 y tratando justamente del efecto Doppler (§ 7), las aplica con el mayor descaro y la mayor cara dura. Estos relativistas son una partida de ladrones. Le roban a Caco los calzoncillos sin quitarle los pantalones.
—Padre, ¿es pecado robarse las transformaciones de Lorentz?
—¡Qué va, m’hijo! Róbeselas si quiere que esas transformaciones no sirven para un carajo.
En lo cual mi confesor yerra pues sí sirven, como vamos a probar con el siguiente Gedankenexperiment o experimento pensado. Va una mosca matemática en un trencito de juguete que rueda en línea recta y con velocidad uniforme sobre la plataforma de un tren que a su vez rueda con velocidad uniforme por un tramo recto de la carrilera. En la plataforma hay clavados unos palos de escoba y un niño tira hacia arriba una bola que recibe en la mano un segundo después. La mosca, lista como ella sola, viene provista de toda la parafernalia relativista para medir: relojes bien sincronizados y barras medidoras o measuring rods, cadenas y escuadras de agrimensor, teodolitos y un péndulo de Foucault. Todo, claro, en miniatura pues se trata del equipo de una mosca.
La mosca quiere saber si se mueve o no se mueve. Afuera de su trencito pasan los palos de escoba pero también, más lejos, cosa que la desconcierta, los postes de la carrilera.
—¿Estoy quieta —se pregunta—, o me muevo? ¿Y qué será eso que pasa allá a lo lejos que se me sale de mis patrones de comprensión?
Son los postes de la luz, pero ella no lo sabe porque los dos marcos de referencia móviles en que va montada no le permiten deducir nada. ¡Y ese niño tirando esa bola! ¿Cómo descubre la mosca que le están tomando el pelo, que ella no existe en realidad sino que es el espejismo de un Gedankenexperiment a la Einstein? Muy fácil: midiendo con sus measuring rods y relojes a través del teodolito y aplicando dos veces una de las geniales transformaciones de Lorentz, la de la longitud, que dice:

donde t es tiempo.
—¡Hermosísima!
—Pero más hermosa nos va a quedar cuando la modifiquemos. Como estamos ante dos marcos de referencia móviles y la transformación es doble, entonces donde dice v2/c2 ponemos v4/c4.
—¡Acojonante, como dicen en España! Es mucho más imponente una cantidad elevada a la cuarta potencia que al cuadrado.
—Exacto.
—¡Como para premio Nobel!
—El problema es que el premio Nobel se lo dan a los judíos y hasta a los musulmanes, pero no a las moscas.
—¿Y el niño? ¿Qué papel juega el niño en el experimento?
—Ninguno. Los niños en los trenes y en los aviones no están más que para joder.
Pero volvamos al artículo de 1905 que lanzó al universo mundo la teoría de la relatividad especial. Dijimos que consta de dos partes: una cinemática y otra electrodinámica. Einstein empieza la parte cinemática tratando de darnos una definición del tiempo y de la simultaneidad, huesos duros de roer si nos ponemos en plan de filósofos, pero conceptos diáfanos como pocos para cualquier hijo de vecino bien parado en sus dos patas. Si el agua del charco está limpia, ¿para qué empuercarla removiendo el lodo del fondo? Que es lo que hace Einstein. Y tras de empuercar el agua limpia de arriba removiendo el lodo del fondo, pasa este físico filósofo a proponernos las señales luminosas como un medio para sincronizar el reloj de un marco de referencia quieto con el reloj de un marco de referencia móvil. ¡Qué original! Ya Poincaré había propuesto lo mismo en un artículo de 1898 de la Revue de Métaphysique et de Morale, en que también propone la velocidad de la luz como base para definir el tiempo físico dada su constancia. Pero yo digo que no, que la luz sólo sirve para ver, lo cual ya es mucho, y que la mejor manera de sincronizar dos relojes es en tierra antes de que arranque el tren. Acto seguido se sube usted al tren con uno de ellos y el otro se lo deja en el andén a su socio. Así los dos relojes les quedan sincronizadísimos, y usted no tiene que esperar a que anochezca para lanzar sus señales luminosas. Además, ¿cuánto pasa entre el momento en que nos llega un pulso de luz al ojo y movemos los dedos para graduar un reloj? ¿Cinco segundos? ¿Cuatro? ¿Tres? Con tres segundos de diferencia no estamos sincronizando nada. Si nos metemos en refinamientos, la orden de sincronizar tiene que pasar del ojo al cerebro y del cerebro a la mano mínimo en una trillonésima de segundo, y no hay dedo humano ni de chimpancé ni ojo que operen a semejante velocidad. ¡Ni Thalberg tocando el Totentanz! Y ni aun así quedan los relojes sincronizados pues con una trillonésima de segundo de diferencia en la sincronización no hay sincronización. Sincrónico es lo que es simultáneo y simultáneo es lo que es sincrónico. ¡El mal que le hizo Poincaré al mundo a través de Einstein no tiene madre, no tiene nombre!
Con esas reflexiones sobre la simultaneidad y la sincronización de relojes de ese artículo de 1905 empezó Einstein a empantanarse en el tema del tiempo. Once años después, en 1916, en su artículo sobre la relatividad general (§ 3), ya andaba hablando con la mayor naturalidad de su space-time continuum, el espacio-tiempo marihuano (y curvado por añadidura) que tantos ríos de tinta ha hecho correr.
Amigo Einstein: El tiempo no existe por fuera de la mente del hombre y de los animales y sólo dura un ya, entendiendo por ya una milésima, una millonésima, una billonésima de segundo. Por fuera de ese ya no hay nada.
—¿Y el pasado y el futuro qué? ¿Existen, o no existen?
—No existen. Son como una mosca que vuela entre los dos espejos empañados de uno de tus Gedankenexperiments. El pasado sólo está en el recuerdo, y recordar es actualizar en presente lo pasado. Nadie recuerda en pasado, todos recordamos en presente. Y cuando recordamos que ayer recordamos también estamos recordando: hoy, aquí y ahora. La vida dura un ya. Un ya inasible y lo demás son cuentos.
—¿Y el futuro? ¿Y el lóbulo frontal qué? ¿Ahí no está pues el futuro? ¿O acaso me va a negar que con el lóbulo frontal prevemos?
—Sí, pero en presente. En el lóbulo frontal del hombre y de los animales está el futuro pero apresentado, para decirlo con un neologismo filosófico que se me acaba de ocurrir.
Que no se crea el reloj que es dueño del tiempo. Ni los historiadores. El tiempo del reloj o tiempo físico es simple convención. ¿Qué es un segundo? ¿La ochenta y seis mil cuatrocientosava parte de un día? Ésa es una definición por convención. También podríamos decir que un segundo es la cuarta parte de lo que me tardo en decir: «¡Ay carajo!». En cuanto al tiempo histórico, se reduce al presente. La historia, como el recuerdo, sólo existe mientras la revivamos. De hecho en la historia el presente verbal se usa a veces para reproducir el pasado, y así decimos, en presente histórico: «César cae despanzurrado por la mano justiciera de Bruto».
¡Relojes sincronizados por la luz! Ni siquiera podemos sincronizar dos relojes que tengamos enfrente porque los dos ojos del hombre no son independientes y así, si queremos graduar el reloj derecho viéndolo con el ojo derecho, mientras miramos para comparar el reloj izquierdo con el ojo izquierdo se nos van los dos ojos juntos para la izquierda o para la derecha y al diablo la sincronización. ¡Marquitos de referencia! ¡Relojes en la Tierra y en la estrella Sirio sincronizados con un rayo de luz descontando la duración del viaje luminoso! ¡Marihuanadas! Todos los relojes de todo el universo están desincronizados. Y si un reloj atómico de cesio marcha más rápido en el Sol que en la Tierra no tiene por qué asombrarnos. Ha de ser la enorme gravedad del Sol la que lo pone a funcionar así, del mismo modo que desde los tiempos de Newton sabemos, según observó Richer en 1672 en la Cayena, que un reloj de péndulo graduado en París se atrasa en el ecuador, donde la gravedad es menor. Además, amigos einstenianos, un reloj atómico de cesio en el Sol no sirve porque se quema. ¡Relojes de cesio en el Sol! Marihuanadas de marihuanos.
Del tiempo ilusorio de los relojes pasó Einstein a postular el espacio-tiempo, juntando en una yuxtaposición abusiva el agua con el aceite. El espacio y el tiempo son incompatibles y no se pueden juntar porque el espacio tiene tres dimensiones y el tiempo ninguna, ya que para que podamos hablar de dimensiones tiene que haber dos por lo menos. Nada puede ser unidimensional. Lo que sólo tiene una dimensión, como el tiempo, en realidad no la tiene: el tiempo es adimensional. El espacio es largo, ancho y alto. El tiempo es sólo presente. Y si fuera presente, pasado y futuro, entonces el espacio-tiempo tendría seis dimensiones, y no cuatro como pretenden los einstenianos, aunque no sé si Einstein, ya que nunca he logrado saber qué es lo que quiso decir este genio. Sé, eso sí, qué se robó y a quién se lo robó. El espacio-tiempo por ejemplo se lo robó a más de cincuenta copropietarios empezando por los filósofos Locke y Boscovich, pasando por el matemático Lagrange y el novelista Wells, y acabando en el físico Minkowski, su maestro, cuya prematura muerte aún nos reconforta pese a los años transcurridos. Minkowski, un marihuano tetradimensional. ¡Cómo vamos a poder juntar en un solo batiburrillo el largo, el ancho y el alto, que medimos con una cinta métrica, con el tiempo, que medimos con un reloj! La prueba de que no se pueden juntar es el instrumento con que los medimos. El patrón con que medimos las tres dimensiones del espacio está en Sèvres y mide un metro y lo podemos tocar. ¿Quién, en cambio, ha tocado un segundo? ¡Y quién lo agarra! Es más fácil agarrar con las manos una angula en el río del tiempo que se va.
Sentido del humor, en cambio, sí tenía nuestro genio, y en prueba el comienzo del numeral 4 de su artículo sobre la teoría general de la relatividad:
It is not my purpose in this discussion to represent the general theory of relativity as a system that is as simple and logical as possible, and with the minimum number of axioms; but my main object is to develop this theory in such a way that the reader will feel that the path we have entered upon is psychologically the natural one, and that the underlying assumptions will seem to have the highest possible degree of security.
¿No es para soltar la carcajada? Que no quiere presentar la teoría general de la relatividad general como el sistema más simple y lógico posible. ¿Y por qué no? ¿Acaso ése no es un objetivo deseable para cualquier expositor honrado? Y si no la quiere presentar así, por fuerza se pregunta uno: ¿entonces lo que quiere es presentarla en la forma más complicada e ilógica posible y con el máximo número de axiomas? Sí pero no, también pero tampoco. Él lo que quiere en realidad es que el lector tome el sendero «psicológicamente» natural, y que las «suposiciones» subyacentes «parezcan» tener el más alto grado posible de «seguridad». Él se conforma con que parezcan, no le importa que sean seguras. Y yo pregunto, ¿esas «assumptions» o suposiciones no son los «axiomas» que quiere evitar? Claro que no, una suposición no es un axioma, se me dirá. Pero, ¿una suposición «segura»? Una suposición segura no es una suposición, es la verdad a secas. ¿Y qué tienen que ver con la física los senderos «psicológicos»? Y de los senderos psicológicos, ¿cuál es el «natural»? Y he aquí lo que sigue:
With this aim in view let it now be granted that:
For infinitely small four-dimensional regions the theory of relativity in the restricted sense is appropriate, if the coordinates are suitably chosen.
For this purpose we must choose the acceleration of the infinitely small («local») system of coordinates so that no gravitational field occurs; this is possible for an infinitely small region. Let X1, X2, X3 be the coordinates of space, and X4 the appertaining coordinate of time measured in the appropriate unit.
Y en este punto pone un asterisco que remite a la siguiente nota de pie de página: «The unit of time is to be chosen so that the velocity of light in vacuo as measured in the “local” system of coordinates is to be equal to unity». Pero cuál de las dos partes de la velocidad de la luz debe ser la unidad de tiempo: ¿los 300 000 kilómetros, o el segundo? Yes que, como toda velocidad, la de la luz consta de dos partes: distancia y tiempo. El tiempo no puede ser, pues de lo contrario Einstein habría dicho que la unidad temporal que él propone es el segundo. Forzosamente entonces tenemos que concluir que la unidad de tiempo que propone Einstein es la distancia: son los 300 000 kilómetros.
¿Y entendieron lo de las pequeñas regiones tetradimensionales donde la teoría especial de la relatividad es válida siempre y cuando las coordinadas se escojan bien? ¿Cuáles serán las coordinadas buenas y cuáles las malas? Y que para el efecto debemos escoger la «aceleración» del sistema de coordinadas infinitamente pequeño («local») de manera que no se dé un campo «gravitatorio». ¿De qué aceleración está hablando que no nos lo ha dicho? Si no hay campo gravitatorio, ¿de dónde resulta entonces la aceleración?
Pero lo que más me gusta de ese artículo son estas dos ecuaciones:

por el comentario que sigue: «It must be pointed out that there is only a minimum of arbitrariness in the choice of these equations». ¡Con que el «mínimo de arbitrariedad»! He ahí la palabra clave que nos faltaba para poder formular el gran postulado de la imposturología física: Todas las ecuaciones de la física son arbitrarias y constan de dos términos separados por dos rayitas horizontales, el signo igual o signo del engaño.
Ese mismo año de 1905 y en el siguiente volumen (el 18) de los mismos Annalen der Physik, Einstein publicó el corto artículo «Ist die Trägheit eines Körpers von seinem Energieinhalt abhängig?» («Does the Inertia of a Body Depend upon its Energy Content?»), con el que empieza su apropiación solapada de la vieja idea de que «The mass of a body is a measure of its energy content» (o bien, según lo dice en el artículo sobre la relatividad general, «the inert mass is nothing more or less than energy»), idea que venía cuando menos desde S. Tolver Preston, quien en su Physics of the Ether, de 1875, afirmaba que «a quantity of matter representing a total mass of only one grain, and possessing the normal velocity of the ether particles (that of a wave of light), encloses a store of energy represented by upwards of one thousand millions of foot-tons». Y la misma idea reaparece en artículos de 1904, el año anterior al del artículo de Einstein, enunciada en diversas revistas de física por Olinto De Pretto, Poincaré, Soddy y Hasenöhrl. Por ejemplo, en el Bulletin des Sciences Mathématiques, volumen 28, de ese año de 1904, escribe Poincaré:
Pero en este caso la masa ya no puede ser constante y aumenta con la velocidad, dependiendo incluso de la dirección; un cuerpo animado de una gran velocidad no opondrá la misma inercia a las fuerzas que tienden a desviarlo de su camino que a las que tienden a acelerar o retardar su avance.
Y Soddy, en su libro Radio-activity: An Elementary Treatise, from the Standpoint of the Disintegration Theory, también de 1904:
The work of Kaufmann may be taken as an experimental proof of the increase of apparent mass of the electron when its speed approaches that of light. Since during disintegration electrons are expelled at speeds very near that of light, which, after expulsion, experience resistance and suffer diminution of velocity, the total mass must be less after disintegration than before. On this view atomic mass must be regarded as a funcion of the internal energy, and the dissipation of the latter in radio-activity occurs at the expense, to some extent at least, of the mass of the system.
De estos predecesores viene la famosa ecuación E = mc2 que los einstenianos paso a paso en el curso de los años le fueron atribuyendo a Einstein, con su cómplice silencio o tácita aprobación. Y este simulador bellaco que jamás hizo el menor experimento (como no fueran los dos huecos que le abrió a la puerta de su casa) después de las bombas atómicas de Hiroshima y Nagasaki se sentía culpable de ellas, como si hubieran sido obra suya, de «su» ecuación. No, amigo Einstein, esas bombas no se fabrican in mente en un Gedankenlaboratory o laboratorio pensado, sino en uno real, con agua pesada y mucho uranio y después de muchos intentos con los haraganes neutrones. De esa culpa terrible te libero. Ego te absolvo. En un artículo de 1952 Herbert Ives ha desenmascarado la falacia matemática de las ecuaciones del artículo de Einstein sobre la inercia y la energía, pero eso aquí nos tiene sin cuidado pues en este manualito el corazón del problema es que en física las ecuaciones sobran. Nada aclaran, todo lo embrollan y es tarea necia por imposible decir cuál es la más estúpida.
¡A ver! ¿Qué es eso de E = mc2? La energía es la energía, la masa es la masa y la velocidad de la luz nada tiene que hacer ahí elevada al cuadrado y pegada a m como con mocos después de dos rayitas horizontales. Ya andaban circulando por la física las falsas monedas de estas otras dos ecuaciones mentirosas: Ec = ½ mv2 y p = mv. La primera es la ecuación de la energía cinética (Ec) y la segunda la del ímpetu (p) o momentum en inglés. En 1686, en un artículo publicado en el Acta eruditorum de Leipzig, Leibniz encendió una de las polémicas más famosas de la historia de la física que duró más de treinta años, al sostener que la medida apropiada de la fuerza era la vis viva o vis motrix (o fuerza de los cuerpos en movimiento) suya, o sea mv2, y no la cantidad de movimiento de Descartes, o sea mv. Como pueden ver, la pelea era sólo por una elevación al cuadrado que Leibniz, como prestidigitador que era, se sacó de la manga: «Eodem modo generaliter colligitur, vires aequalium corporum esse ut quadrata celeritatum». ¿Por qué oscuros y tortuosos caminos esa v2 leibniziana ha venido a parar en la c2 einsteniana?
A principios del siglo XIX Coriolis, el de la fuerza que lleva su nombre, introdujo el factor ½ en la vis viva de Leibniz, y cuando a mediados de siglo apareció el concepto de energía (Rankine acuñó la expresión «ley de la conservación de la energía» en 1853) y los físicos se engolosinaban con su nuevo juguete, ½mv2 pasó a designar la energía cinética. El ímpetu cartesiano se convirtió entonces, junto con la fuerza centrífuga de Huygens, en otro de los patitos feos de la física, y el brumoso concepto de energía empezó a desbancar al brumoso concepto de fuerza como rey de la física. ¡Pobre Newton, su imperio basado en la fuerza se desmoronaba!
¿Y por qué Coriolis introdujo el factor ½ en la ecuación de Leibniz? Ah, yo no sé, también hubiera podido poner ¼. Me hubiera gustado que de paso, donde dice v2, hubiera puesto v3, que a mi modo de ver se ve mucho más elegante. Y así tendríamos: Ec = ¼ mv3. Una cantidad elevada al cubo tiene más peso semántico y matemático que una elevada al cuadrado. A Coriolis le debemos además el concepto de trabajo para el producto de la fuerza multiplicada por la distancia: W = Fd, donde la W vale por la palabra inglesa trabajo. ¡Gracias Gustave Gaspard por tu ocurrencia! Lo que le falta a la física son conceptos que la echen a andar.
La rebelión contra el confuso término fuerza había empezado en la primera mitad del siglo XVII con Berkeley y D'Alembert y había seguido con Maupertuis, quien en su Essai de cosmologie de 1756 profirió esta terrible blasfemia:
No hay en la filosofía moderna palabra más repetida que ésa, ninguna que se haya definido tan poco exactamente. Su oscuridad la ha vuelto tan cómoda que ya no limitamos su uso a los cuerpos que conocemos, sino que una escuela entera de filósofos hoy les atribuye a seres que jamás han visto una fuerza que no se manifiesta por ningún fenómeno.
Y, horror de los horrores, en su Examen philosophique de la preuve de l’existence de Dieu, dice el mismo hereje que la segunda ley de Newton, que estipula que el cambio de movimiento es proporcional a la fuerza impresa, estrictamente hablando es sólo una definición de fuerza, una tautología vacía y no la imponente ley de la naturaleza que Newton pretendió. Si a ésas vamos, entonces también p = mv es otra simple definición, otra tautología vacía. Y Ec = ½ mv2 es media tautología vacía pero elevada al cuadrado. ¿Y la E = mc2 einsteniana, qué será? ¡No vivir hoy Maupertuis para que nos lo contestara! Ah, se me olvidaba aclarar que en E = mc2 la E vale por energía, la m por masa y la c (abreviación de la palabra latina celeritas, que significa velocidad) por velocidad de la luz. Ahora bien, pregunto yo: ¿y cómo se va a elevar al cuadrado la velocidad de la luz, si ésta es la máxima velocidad posible en el universo? Si hoy viviera Coriolis, ya le habría agregado a la E = mc2 su factor ½ que tan elegante hace a las ecuaciones, y así tendríamos: Ec = ½ mc2.
Antes de volver a nuestro genio de 280 A observemos que la fuerza se mide en newtons y la energía en joules. ¿Y el ímpetu en qué? El ímpetu no tiene unidad de medida. Pues bien, en desagravio a su padre Descartes aquí se la vamos a dar: el imputón, que es el trancazo que nos da un camión de tres toneladas a 100 kilómetros por hora.
Einstenianos: ¿dicen ustedes que si aumentamos la velocidad de un cuerpo, la masa de ese cuerpo aumenta, y que si la disminuimos disminuye? ¡Qué bien! Como desde Newton sabemos que masa es cantidad de materia (quantitas materiae) y Einstein no la definió jamás, tenemos que sacar la conclusión de que el movimiento crea la materia o la destruye. Así la ley de la conservación de la materia de Lavoisier, a la que le hizo pendant la ley de la conservación de la energía de Rankine, queda vuelta añicos. ¡Magnífico! Ley que se suprima en física es como basura que se barre de debajo de la alfombra. ¿Pero qué es la masa y qué es la materia? «En física se entiende por masa la cantidad de materia que contiene un cuerpo», nos dice M. Brisson en su Dictionnaire raisonné de physique de 1781. Y Charles de Freycinet, en sus Essais sur la philosophie des sciences de 1896, replica: «Si tuviera que definir la materia, diría que es todo lo que tiene masa».
—Compadre, ¿puede darse un aumento de masa sin aumento de materia?
—¡Claro! Pero siempre y cuando el cuerpo se mueva. Así, el camión de tres toneladas del imputón, quieto tiene tres toneladas de masa, y a cien kilómetros por hora un poco más. Poquito, pero más.
—¿Cuánto más?
—Digamos que un picogramo.
—¿Entonces el camión del imputón a cien kilómetros por hora pesa un picogramo de más?
—No, no dije que «pesa». Dije que su masa aumenta en un picogramo.
—¿Y cómo se mide ese picogramo de más en su masa si no es pesándolo?
—Por la resistencia que nos opone el camión a la aceleración. O sea por la inercia, o sea por la gasolina que gasta. Un camión que adquiere un picogramo más de masa gasta un picolitro más de gasolina que cuando estaba quieto.
—¡Ah, claro, ya entiendo! Un camión quieto no gasta gasolina, pero a cien kilómetros por hora no se puede pesar pues las balanzas para pesar camiones funcionan quietas. Pero la inercia resulta de la materia, ¿o no?
—Sí…
—Entonces para que el camión tenga más inercia tiene que tener más materia. De lo contrario tenemos que concluir que la inercia no tiene que ver con la materia.
—Yo dije que la inercia resulta de la materia, pero no dije que no pueda también resultar de la no materia. De suerte que el asunto lo podemos resolver así: todo, todo, todo —lo material tanto como lo inmaterial—, todo en este inundo tiene inercia. Una bola de billar tiene inercia. Un testículo tiene inercia. Un fotón tiene inercia. Un imputón tiene inercia.
—No, compadre, es al revés, nada en este mundo tiene inercia. Y le voy a probar por qué. Si la inercia resulta de la masa y la masa de la materia, como también lo inmaterial según usted tiene inercia, entonces también lo inmaterial tiene masa y por lo tanto materia.
—No compadre, la masa no resulta de la materia. La masa resulta de la quietud o del movimiento. La bola de billar que le dije arriba, si está quieta, tiene masa y por lo tanto inercia; pero si usted la impulsa con el taco y la pone en movimiento, también.
—Y la luz, ¿tiene masa, o no?
—¡Claro, puesto que se mueve tiene masa!
—Y puesto que la masa también resulta de la quietud y no sólo del movimiento, y como lo que no existe no se mueve y lo que no se mueve está quieto, entonces forzosamente tenemos que concluir que lo que no existe también tiene masa.
—Compadre, yo con usted no vuelvo a hablar. Lo que tenía clarísimo ya me lo volvió un embrollo. Usted no nació para la física, mejor dedíquese a cultivar patatas.
—Sí, compadre, a eso me voy a dedicar, pero antes le quiero aclarar que un testículo colgante no tiene inercia sino energía: energía potencial. Y si en vez de colgar cayera, la tendría cinética.
Dejando este asunto apasionante de la «masergia» pasemos a las dos pruebas incontrovertibles de la teoría de la relatividad: el perihelio de Mercurio y la desviación de la luz de las estrellas por el espacio-tiempo que se arruga en torno al Sol. Primero el avance del perihelio de Mercurio, que tontamente los astrónomos se han tardado noches y noches de años y años de penosas observaciones astronómicas para determinar, y que hoy simplemente sacamos de la ecuación que Einstein le robó a Gerber. He aquí como termina el artículo «The Foundation of the General Theory of Relativity» que tanta fama le dio:
The orbital ellipse of a planet undergoes a slow rotation, in the direction of motion, of amount ε = 24π3a2/ T2c2(1 − e2) per revolutio n. In this formula a denotes the major semiaxis, c the velocity of light in the usual measurement, e the eccentricity, T the time of revolution in seconds.
Calculations gives for the planet Mercury a rotation of the orbit of 43" per century, corresponding exactly to astronomical observation (Leverrier); for the astronomers have discovered in the motion of the perihelion of this planet, after allowing for disturbances by other planets, an inexplicable remainder of this magnitude.
¡Qué redacción, por Dios! El desplazamiento de la órbita de Mercurio es de 574 segundos de arco por siglo, no de 43. Cuarenta y tres son los que quedan sin explicar después de descontar 531 segundos de arco que se explican por las perturbaciones de los restantes planetas según Newcomb, quien a fines del siglo XIX, usando viejos datos astronómicos, lo determinó así. Lo que hizo antes de él Le Verrier para salir del problema (en 1859) fue postular la existencia en las cercanías de Mercurio de un pequeño planeta, Vulcano, o de una serie de asteroides que nadie pudo encontrar. Tengamos presente que Newcomb basó sus cálculos en observaciones de astrónomos del pasado, no propias, como es entendible pues en general los astrónomos no viven ni 100 años. A simple vista Mercurio difícilmente se ve, de suerte que los datos astronómicos confiables que pudo haber usado Newcomb tuvieron que ser posteriores no sólo a la invención del telescopio sino al surgimiento de una astronomía confiable de gran precisión; esto es, no se remontaban a más de doscientos años. Como lo que le quedó por explicar a Newcomb es tan sólo algo más del 7% del problema, ¿no podríamos pensar que ello se debe a los datos incompletos del registro astronómico del pasado que usó? A mediados del siglo XIX se creía que Mercurio rotaba en 24 horas; a fines de ese siglo se dijo que no, que rotaba en 88 días terrestres, exactamente como su año, o sea que era como la Luna, un planeta de rotación sincrónica; y en 1960 se descubrió que su rotación era de 59 días terrestres en vez de los 88. Con Mercurio uno nunca sabe a qué atenerse, es un planeta enano y burlón.
Ahora bien, obsérvese que la fórmula de Gerber de que Einstein se apropió es de 1889, o sea posterior a las determinaciones de Newcomb y por lo tanto es una fórmula ad hoc: garrapateada para dar cuenta de los 43 segundos de arco que quedaban por explicar. Y aquí una pregunta para los einstenianos: ¿cómo sin el espacio-tiempo que se arruga, y con los simples conceptos del semieje mayor, la excentricidad y el período, términos inocentes de los astrónomos, pudo Gerber llegar antes que Einstein a semejante fórmula? Es que a esos términos inocentes Gerber les agregó una c2, la varita mágica de la velocidad de la luz elevada al cuadrado, cuyo legítimo dueño era Waldemar Voigt quien fue el primero en ponerla en las ecuaciones y a quien Gerber, FitzGerald, Larmor, Lorentz y Einstein, en ese orden, se la robaron. ¡Qué mina de oro la que vino a terminar en manos de Einstein, que la explotó hasta el último filón! Esa c2 habría de ser su caballito de batalla, la clave de su fortuna. La restaba de un coseno, le sumaba un seno, la multiplicaba, la bajaba al denominador, la subía al numerador, le sacaba la raíz cuadrada… ¡Qué no hizo con esa c2 milagrosa este prestidigitador! Cuanto tuvo y llego a ser a ella se lo debe. ¡Claro, como es una cantidad tan maleable! Es oro puro con el que se pueden hacer aretes, brazaletes, orejeras, pectorales…
Segunda prueba irrefutable de la teoría de la relatividad de Einstein, la desviación de la luz de una estrella cuando pasa cerca del Sol. En su artículo de 1911 «Über den Einfluss der Schwerkraft auf die Ausbreitung des Lichtes» («On the Influence of Gravitation on the Propagation of Light») de los consabidos Annalen der Physik, volumen 35, después de llegar a una penúltima ecuación irreproducible en que aparecen la infaltable c2 debajo de un 1 (1/c2), una enorme integral, ½π, −½, un coseno y otros aditamentos, pasa a esta última ecuación:

where k denotes the constant of gravitation, M the mass of the heavenly body, ∆ the distance of the ray from the centre of the body. A ray of light going past the Sun would accordingly undergo deflexion to the amount of 4.10−6 = .83 seconds of arc. The angular distance of the star from the centre of the Sun appears to be increased by this amount. As the fixed stars in the parts of the sky near the Sun are visible during total eclipses of the Sun, this consequence of the theory may be compared with experience. It would be a most desirable thing if astronomers would take up the question here raised. For apart from any theory there is the question whether it is possible, with the equipment at present available to detect an influence of gravitational fields on the propagation of light.
¡Menos de un segundo de arco, o sea casi nada, un pelito en la cabellera de Sansón! ¿Y para qué? ¿Para probar qué? El taimado artículo no nos dice qué busca probar si el Sol en efecto desviara en 0.83 segundos de arco un rayo de luz que pasara cerca. ¡Y ese maldito rayo de luz! No hay rayos de luz. Nadie ha visto uno solo desde que el mundo es mundo. Luego, en su artículo de 1916 sobre la teoría de la relatividad general, Einstein aumentó la desviación del «rayo de luz» a 1.7 segundos de arco.
En el tercer libro de su Óptica, cuya primera edición es de 1704, ya Newton había dicho:
Querry 1. Do not Bodies act upon Light at a distance, and by their action bend its Rays, and is not this action (caeteris paribus) strongest at the least distance?
Así pues, la hipótesis de que la gravedad pudiera desviar la luz ya tenía dos siglos largos de haber sido planteada. A principios de 1919, dos expediciones enviadas por un comité de la Royal Society y de la Royal Astronomical Society se instalaron en Sobral (norte del Brasil) y en la Isla del Príncipe (golfo de Guinea en África Occidental) con un equipo preparado por el Observatorio de Greenwich de telescopios, cámaras fotográficas, pantallas y espejos planos giratorios movidos por mecanismos de relojería, para observar desde esas localidades privilegiadas el eclipse total de Sol que se daría el 29 de mayo, y ver si Einstein tenía razón o no. De las fotografías que tomaron ambos equipos y de las conclusiones a que llegaron nos da cuenta prolija en su libro de 1920 Space, Time and Gravitation Sir Arthur Eddington, quien hizo parte del equipo de la Isla del Príncipe y quien se convirtió en el defensor más decidido de la teoría einsteniana, algo así como san Pablo para el cristianismo o T. H. Huxley para el darwinismo: un bulldog. Después de la expedición y de comparar las fotografías del grupo de estrellas cercanas al Sol tomadas el día del eclipse con otras fotografías de las mismas estrellas tomadas en una noche cualquiera del año, y después de mediciones y mediciones con un micrómetro y de sacar cálculos y cálculos, Eddington se dio a cacarear a los cuatro vientos que Einstein tenía razón. Entonces la teoría de la relatividad einsteniana empezó a brillar como una supernova. Si las fotografías fueran tan contundentes como pretendía Eddington, lo que procedía decir era que Newton tenía razón, que su hipótesis era una realidad física. Pero como las inciertas mediciones de ese equipo humano, que contrarrestaba unas incertidumbres con otras, parecían acercarse a los 1.7 segundos de arco que había dado Einstein en su artículo de 1916 (aunque no al 0.83 de segundo de arco del artículo de 1911), entonces los expedicionarios resolvieron que el espacio-tiempo de Einstein que se curvaba por la gravedad de los grandes cuerpos celestes era una realidad. Newton no dijo cuánto se curvaba la luz por la gravedad, Einstein sí.
—¿Cuánto se curva, herr Einstein?
—Un poquito.
—¿Cuánto es ese poquito?
—Ayer con mi fórmula decía que 0.83 segundos de arco, pero hoy con la misma fórmula digo que 1.7. Por ahí va la cosa.
—¿Y de veras le podemos atribuir esa desviación a la curvatura de su espacio-tiempo que producen los grandes cuerpos celestes?
—Sí, bueno, como guste.
—Pero usted no lo dice en sus artículos…
—Sí pero no.
Y de ahí nunca nadie logró sacar a esta piedra cazurra. Su política era: muy poquito, de suerte que si no había efecto real, sí lo hubiera gracias a alguna incertidumbre o error experimental, que nunca faltan. ¡Eso es lo que yo llamo genio!
Por ahí anda en un libro de divulgación científica una de esas fotografías. Para realzarlas del polvo interestelar, las estrellitas cercanas a la corona solar y cuya luz desvía el Sol aparecen marcadas con unos circulitos. Con unas tijeras le corté a la reproducción del libro la corona solar y con tinta china negra tapé los circulitos. Maquillada así la reproducción (pero ni un ápice más), la hice copiar en una placa de rayos X y fui a que me la analizara el doctor Gabino Garza Gamboa, ilustre director de Oncología en el no menos ilustre Hospital de la Nutrición de México.
—Doctor, vengo a que me interprete esta tomografía axial computarizada del abdomen que me hice tomar porque últimamente me estoy sintiendo mal.
La miró a trasluz con la mirada displicente del que está acostumbrado a interpretar placas de rayos X, resonancias magnéticas, arteriogramas, colangiogramas, tomografías, sonografías, ecografías, angiografías, pielografías, etc., etc., y con voz de bajo profundo como salido de una ópera rusa diagnosticó:
—Usted lo que tiene es un cistoadenocarinoma de las células acinares del páncreas.
—¿Y eso es grave, doctor?
—Más bien sí, le queda un mes de vida.
Un mes después caía el ilustre oncólogo acuchillado por un amante masculino que «lo cosió a puñaladas», en tanto yo aquí sigo entregado a mis estudios einstenianos.
En la escuela secundaria donde estudié de niño teníamos a un curita de profesor de filosofía. En una de sus clases uno de mis compañeros le preguntó por la teoría de la relatividad de Einstein, que qué era, y el curita le respondió que era algo muy complicado pero que se iba a preparar esa noche para explicárnosla al día siguiente. Y sí, se preparó y al día siguiente nos la explicó. Pero como él no había entendido nada y nadie puede dar lo que no tiene… Yo no llevo una noche tratando de entender esa teoría sino varios años, y hoy aquí, tímidamente, con el temor de que se me venga encima una avalancha de censura, me aventuro a contestarme a mí mismo esa lejana pregunta de mi compañero. La teoría de la relatividad de Einstein no es un sistema estructurado; es un baturrillo de experimentos pensados, mediciones pensadas y disparates expresados en una prosa confusa y en una sarta de ecuaciones inconexas y arbitrarias. Un adefesio en suma.
Christopher Jon Bjerknes ha escrito dos libros para denunciar los plagios de Einstein: Albert Einstein the Incorrigible Plagiarist y Anticipations of Einstein in the General Theory of Relativity, tan cargados de documentos como de una contenida indignación. Hombre Bjerknes, ¡y qué! ¡Ni que se hubiera robado el diamante del maharajá! Lo que Einstein se robó fueron unas moneditas falsas que les hurtó a unos falsificadores de moneda. Su mérito fue haberlas puesto en circulación como genuinas.
Una pregunta, einstenianos: cuando chocan dos asteroides del Sistema Solar y se destruyen, si no existe el espacio absoluto como afirman ustedes, ¿qué determina entonces las velocidades de los dos asteroides cuando van uno al encuentro del otro? Velocidad es distancia dividida por tiempo. ¿Con respecto a qué determinamos la distancia para poder determinar las velocidades de los dos asteroides? Yo digo que con respecto al Sol, no con respecto al planeta Tierra ni a la estrella Sirio ni al centro de la Vía Láctea. Y cuando chocan dos trenes entre los pueblos de Envigado y Sabaneta, las velocidades de los dos trenes las determinamos respecto a un poste o a un árbol que está a la vera de la carrilera que une a esos dos pueblos, no respecto al Sol. Einstenianos, recapaciten, si no existe el espacio absoluto sí existe el choque absoluto. Después del choque los dos asteroides y los dos trenes quedarán vueltos absolutamente papilla. Una papilla absoluta, no relativa, ténganlo muy presente. Y sigamos.
Einstenianos: ¿qué enredo es el que se traen con la simultaneidad? Una cosa es que dos sucesos sean simultáneos, y otra que lo podamos o no saber en el presente. Si en el cuarto de al lado (y no en la estrella Sirio ni en los confines de esta galaxia), en el simple cuarto de al lado están acuchillando en silencio a mi mujer mientras yo plácidamente duermo en el mío soñando con otra, mi sueño y el asesinato son simultáneos pero no lo sé, y a lo mejor no sabré que mi sueño y el asesinato fueron simultáneos hasta que despierte y vaya al cuarto de al lado a ver por qué chorrea sangre por debajo de la puerta. Hay dos simultaneidades: simultaneidad en el presente y simultaneidad en el pasado. Simultaneidad en el presente es la que se da, por ejemplo, cuando presenciamos el choque de dos trenes por querer coincidir en el tiempo y en el espacio. Y simultaneidad en el pasado es la que determinamos atando cabos como cuando descubro que mientras yo soñaba con otra en mi cuarto, en el cuarto de al lado estaban asesinando a mi mujer. No hagamos un problemón de tan poca cosa.
Capítulo 9
Los payasos cuánticos
Que no se crean tampoco responsables de las bombas de Hiroshima y Nagasaki los genios cuánticos porque a ellos no les corresponde ni un jirón del hongo atómico. De esas bombas son inocentes. E inocentes también de la exigua comprensión del átomo que hoy tenemos y que no les debemos a ellos sino a quienes siguieron el camino experimental señalado por J. J. Thomson, el descubridor del electrón, y por Ernest Rutherford, el descubridor del vacío atómico, que es tan grande como el de la vida humana. ¡Pero qué bien les fue a nuestras luminarias cuánticas con sus ecuaciones y elucubraciones y sus castillos de viento construidos sobre el aire! ¡Cuántos premios no ganaron y cuántas becas y distinciones no les dieron! Y hoy son todos ellos héroes por derecho propio de esta nueva ciencia de la imposturología de que aquí tratamos. Planck, Bohr, Pauli, de Broglie, Heisenberg, Born, Dirac, Schrödinger y su gato que, como diría el expresidente de México Luis Echeverría, no está vivo ni está muerto sino todo lo contrario.
—Y a propósito del ser y del no ser, ¿la luz qué es onda o partícula?
—Según los físicos cuánticos, ambas cosas sucesivamente o a la vez. Si usted necesita que sea onda, es onda; si luego necesita que sea partícula, es partícula; y si necesita, en fin, que sea onda y partícula, es ondi-partícula.
—¡Ah caray, esto de la cuántica sí es más complicado que la relatividad de Einstein!
—Y usted que no quiere estudiar el álgebra de tensores… Ahora se me va a tener que poner a estudiar las matrices de Heisenberg y la ecuación de onda de Schrödinger.
—¡Dios libre y guarde, eso a mí no me entra!
—Va a ver que sí le entra, compadre. Paso a paso, suavecito, de a poquito.
—¿Ese Heisenberg no es el del principio de incertidumbre?
—También. A él se le deben dos descubrimientos: la mecánica de matrices y el principio de incertidumbre.
—¿El principio de incertidumbre es el que dice que nunca podremos saber si la luz es onda o partícula?
—¡Y dele con la luz, compadre! No, no confunda, ya me empezó usted a embrollar las cosas. El principio de incertidumbre lo que dice es que si medimos la posición de un electrón no podemos medir a la vez su ímpetu. Y que si metemos en agua fría un termómetro que está a la temperatura ambiente nunca podremos saber la temperatura del agua porque el termómetro la calienta.
—¡Ah, claro, la física cuántica dice que hay que excluir de las mediciones todo instrumento medidor porque las afectan! Y de ahí resulta el principio de exclusión por el cual quedan excluidos de la física los termómetros.
—No, por Dios, compadre. El principio de exclusión, de Wolfgang Pauli, no tiene que ver con los termómetros sino con los estados cuánticos del átomo. Y dice (en palabras sencillas para que me entienda y no tener que explicarle los tres números cuánticos que con el spin son cuatro) que donde está un electrón no caben dos.
—¿Y por qué no van a caber, si el átomo, como dijo Rutherford, es puro espacio vacío?
—Vacío de materia, mas no de energía.
—¿Y no son pues la misma cosa según don Albert Einstein Echeverría?
—No. Einstein nunca habló de materia sino de masa.
—¿Y masa y materia no son pues lo mismo?
—No. Masa es igual a inercia.
—¿Y qué produce la inercia si no la materia? Si no hay materia, no hay masa, y si no hay masa no hay inercia. ¿O me va a venir ahora con el cuento de que una ventosidad del Espíritu Santo, que es inmaterial, tiene inercia?
—Inercia no. Lo que tiene es ímpetu, que se define como masa multiplicada por velocidad, y que se mide, como ya hemos visto en este tratadito, en imputones. Y la prueba de que tiene ímpetu es que puede mover un cartón parado verticalmente según el coseno del ángulo en que le llegue, y hasta tumbarlo si le da de frente.
—Entonces permítame preguntarle otra cosa: ¿fuerza es igual a energía?
—Hoy en día ya nadie usa la palabra «fuerza», compadre, ésa es una antigualla más desprestigiada que el psicoanálisis y el comunismo. No vuelva a decir «fuerza», o lo van a tomar por un campesino patirrajado. Mejor diga «energía».
—Y yo que tenía la idea de que el átomo era un ir y venir de fuerzas arremolinadas en un torbellino indescifrable, en un maelstrom…
—No, sáquese esa idea de la cabeza. Fuerzas no: energía. En cuanto al maelstrom, lo metemos en camisa de fuerza con la ecuación de onda de Schrödinger:

—¡Hermosa!
—Sí, hermosa. En ella cabe todo. Lo que usted quiera meter cabe ahí: un maelstrom, una onda, una partícula, diez fotones, un imputón, un gato…
—Pero lo que más me gusta de esa ecuación es el lado derecho, que significa que la ecuación vale cero, un carajo.
—Ah, con que cero… Entonces aquí la tiene en una versión más contundente para que se calle la boca:

—¡Coño! Ahora sí me dejó patidifuso.
—Y eso que se la puse sin el spin y en su versión no relativista.
—¡Uy, no me asuste! Mejor déjela como está que así se ve muy bonita. Pero dígame, ese signo menos con que empieza el lado izquierdo, ¿no lo podría interpretar un malpensado como que la ecuación vale menos que cero, que un carajo?
—¡Si supiera, compadre, lo que dijo de esa ecuación en sus Lectures on Physics Richard Feynman, el último de los genios cuánticos! Dijo:
«The Schrödinger equation has been one of the great triumphs of physics. By providing the key to the underlying machinery of atomic structure it has given an explanation for atomic spectra, for chemistry, and for the nature of matter».
—¿En qué página lo dice?
—Las Lectures on Physics es un libro tan genial, que no tiene numeradas las páginas.
—¿Y entonces cómo encuentra uno lo que busca?
—Pues buscando. Y no se le olvide, compadre, que el que no sabe qué busca nunca encontrará lo que busca.
La ecuación de Schrödinger en realidad no sirve para nada, no tiene utilidad práctica, ni teórica, ni describe una realidad atómica, ni macroscópica, ni tiene que ver con las ondas ni con las partículas. Es simplemente hermosa y basta. La belleza no necesita justificaciones.
Y para resolver el misterio de la luz, que es onda y a la vez partícula, que quede de una vez por todas aclarado que no hay ondas sin partículas. ¡O qué! ¿Me van a decir que una onda de agua no está conformada por partículas de agua, y una onda de aire por partículas de aire? La luz es una ondi-partícula y con cuatro patas se sostiene exquisitamente bien una mesa.
Dicen que la física cuántica empieza en 1900 con la hipótesis de Planck de que la energía de las radiaciones del llamado «cuerpo negro» no es continua sino que está cuantizada, y que el electrón lo descubrió J. J. Thomson en 1897. Ni lo uno ni lo otro. La física cuántica empieza en 1881 con la hipótesis de G. J. Stoney de que existe una mínima carga eléctrica, y que tiene un valor de 3 × 10−11 unidades electrostáticas. (En el sistema cegesimal imperante entonces la unidad electrostática se definía como la carga que ejercía una fuerza de 1 dina sobre otra carga idéntica a 1 centímetro de distancia en el vacío, y era por lo tanto una unidad eléctrica basada en unidades mecánicas). Diez años más tarde el mismo Stoney propuso el nombre de electrón para su mínima carga eléctrica. G. J. Stoney es por lo tanto el fundador de la física cuántica pues él fue el primero en cuantizar una cantidad que se creía continua, la electricidad, y de paso el descubridor del electrón, que, si es que es algo, es justamente eso, la unidad natural de carga eléctrica. En 1911, en un experimento famoso que se conoce como el de la «gota de aceite», Robert Millikan determinó que en unidades electrostáticas el electrón medía 4.93 × 10−10, que es más o menos el valor aceptado hoy en día, y que es unas diez veces mayor que el que había propuesto Stoney 30 años atrás. En el curso de esos 30 años habría de surgir la física atómica, que siendo una sola son dos: una física experimental que de tanteo en tanteo logró hacer explotar la bomba atómica; y una física teórica que de ecuación en ecuación construyó el imponente edificio del viento cuántico.
He aquí un breve recuento de lo que antecede a la cuantización de la energía por parte de Planck y de los comienzos de la física atómica. En 1896 Becquerel descubrió la radiactividad en el uranio, y tres años después, en 1899, Rutherford estableció que aquélla constaba de dos tipos de rayos: los alfa y los beta. Poco después se identificó a estos rayos beta de la radiactividad con los rayos catódicos que se conocían desde algo antes y que son los que emite el cátodo o electrodo negativo de los tubos de Hittorf y Crookes. A J. J. Thomson se le atribuye el descubrimiento del electrón por los experimentos de que da cuenta en un artículo publicado en 1897 en el Philosophical Magazine (volumen 44, serie 5, página 293), pero no hay tal. En ese artículo lo que sostiene Thomson son dos cosas:
Una, que los rayos catódicos son partículas materiales con electricidad negativa más pequeñas que el átomo:
As the cathode rays carry a charge of negative electricity, are deflected by an electrostatic force as if they were negatively electrified, and are acted on by a magnetic force in just the way in which this force would act on a negatively electrified body moving along the path of these rays, I can see no escape from the conclusion that they are charges of negative electricity carried by particles of matter. The question next arises, what are these particles? Are they atoms, or molecules, or matter in a still finer state of subdivision? To throw some light on this point, I have made a series of measurements of the ratio of the mass of these particles to the charge carried by it.
Y dos, que la relación entre la masa (m) y la carga (e) de esas partículas es mil veces menor con respecto a la misma relación que ya se había determinado en la electrólisis para el ion del hidrógeno:
From these determinations we see that the value of m/e is independent of the nature of the gas, and that its value 10−7 is very small compared with the value 10−4, which is the smallest value of this quantity previously known, and which is the value for the hydrogen ion in electrolysis. Thus for the carriers of the electricity in the cathode rays m/e is very small compared with its value in electrolysis. The smallness of m/e may be due to the smallness of m or the largeness of e, or to a combination of these two.
Pero en ningún lugar de su artículo Thomson llama «electrones» a esas partículas materiales infinitamente pequeñas y con carga negativa, ni dice que su carga es la más pequeña posible, ni establece cuál es esta carga en términos absolutos. Es la posteridad la que ha identificado los electrones inmateriales de Stoney con las partículas catódicas y materiales de Thomson y la que los ha metido dentro del átomo. ¿Pero de veras el electrón de Stoney, o sea la unidad inmaterial de carga eléctrica negativa, es la partícula material y catódica de Thomson que hoy decimos que existe dentro del átomo? En cuanto al ion del hidrógeno de que habla Thomson es el protón, la contrapartida del electrón, o sea la unidad de carga eléctrica positiva. Al año siguiente, 1898, Wilhelm Wien, analizando en los mismos tubos de Hittorf y Crookes ya no los rayos catódicos, que son los que parten del cátodo o electrodo negativo, sino los rayos anódicos, que son los que parten del ánodo o electrodo positivo, encontró que estos rayos estaban compuestos por partículas de carga positiva y con una relación de masa a carga de más de mil veces la del electrón. Esto es, igual a la que había señalado Thomson para el ion de hidrógeno en el caso de la electrólisis. Cuando Millikan determinó el valor absoluto de la carga mínima negativa (o sea la del electrón), de paso quedó determinado también el valor absoluto de la carga mínima positiva (o sea la del protón), pues la negativa y la positiva tienen que ser iguales. Sacando cuentas con base en las relaciones conocidas de masa a carga, la masa del protón resulta siendo 1 830 veces mayor que la del electrón. Y eso no puede ser. O son iguales las dos masas de las dos cargas, o vivimos en un mundo absurdo que no tiene el mínimo sentido del pendant. ¿Cuándo se ha visto que el Padre pese más que el Hijo o que el Espíritu Santo? Pesan igual, cual pueden ver pesándolos en una balanza de granero.
Lo que habrían de hacer después, no bien arrancó el siglo, todos estos genios experimentales y teóricos, cuánticos o no, fue trasladar, dizque para explicar el átomo, el viejo misterio de la electricidad de Franklin, Coulomb, Volta y Galvani, del macromundo en que vivimos y donde vemos con los dos ojos, al interior del átomo que nunca lograremos ver, pues ¿con qué? ¿Con el microscopio óptico? Con éste sólo se ven bacterias, que se miden en micrómetros, no en angstroms, que según dicen es en lo que se miden los átomos. ¿Con el microscopio electrónico? Con el microscopio electrónico, que usa un haz de electrones en vez de la luz, se ven virus, que se miden en nanómetros, o sea en milésimas de micrómetros, pero sin llegar todavía al angstrom. Y he aquí una coincidencia entre el electrón y la luz que no puedo dejar de resaltar: ambos sirven para ver, pero no los vemos. Nadie ha visto un rayo de luz ni un haz de electrones. Y si con luz no se ve la luz, con electrones no se ven los electrones. Y hay más, tampoco con la luz se ven los electrones, ni con los electrones se ve la luz. ¿No será que los electrones son inmateriales como la luz, y no partículas materiales como sostuvo Thomson? En fin, decir que el electrón es la partícula portadora de la mínima carga eléctrica negativa y que el protón es el portador de la mínima carga eléctrica positiva es postular simplemente dos misterios pequeñitos para resolver un misterio grande, el de la electricidad, el de que, por ejemplo, un pedazo de ámbar después de ser frotado con la piel de un animal atraiga papelitos. Cuantizada o no en electrones y protones, la electricidad sigue siendo un misterio.
Armados de cargas positivas y negativas (o de electrones y protones), Thomson, Rutherford y Bohr se inventaron entonces sus modelitos del átomo. Thomson se imaginó el átomo como formado por una sustancia de carga positiva que llenaba todo su volumen y con electrones de carga negativa distribuidos aquí y allá en ella como pasas en un pan. Rutherford se lo imaginó como un gran vacío con los electrones de carga negativa girando en torno a un pequeño núcleo de carga positiva formado por protones, como giran los planetas en torno al Sol. Y Bohr igual que Rutherford, pero cuantizando las órbitas de los electrones, esto es, afirmando que los electrones pueden girar en ciertas órbitas determinadas pero no en todas, y que al saltar de una órbita posible a otra producen las líneas de los espectros de emisión y de absorción de los distintos átomos. Las propuestas de Thomson y Rutherford las descartaron rápidamente Bohr y sus seguidores (que fueron los que acabaron apoderándose del negocio, esto es, de los premios, las cátedras y las becas) porque no explicaban las líneas de esos espectros, como si el modelo de las órbitas cuantizadas lo explicara. Y no, no explica nada; la de Bohr es una explicación ad hoc, inventada, infantil, sin fundamento. ¿Por qué ponían Rutherford y Bohr a girar los electrones en torno a los protones? Para que no cayeran de inmediato aquéllos sobre éstos y se neutralizaran, como pasa cuando un cuerpo electrizado positivamente se pone frente a uno electrizado negativamente y van uno al encuentro del otro y se neutralizan. Pero lo que no tuvieron en cuenta ni Rutherford ni Bohr es que existe una diferencia esencial entre la atracción gravitatoria y la atracción eléctrica (o la magnética), y es que la atracción gravitatoria es substractiva, en tanto la eléctrica (o la magnética) es aditiva. El Sol atrae hacia sí a la Tierra, y viceversa, la Tierra atrae hacia sí al Sol; por lo tanto a la atracción del Sol, que es la que predomina, hay que descontarle la resistencia que le opone la Tierra al atraerlo a su vez hacia ella. En cambio en electrostática la carga positiva va al encuentro de la carga negativa y ésta al encuentro de aquélla, y no hay que descontar una atracción de la otra sino sumar ambas atracciones. Y así una carga negativa nunca podrá girar en torno a una carga positiva (o viceversa) pues la atracción aditiva las hace ir al encuentro la una de la otra. Y no es que la carga que gira irradie energía, como pretenderían los maxwellianos, y que por ello tendría que caer. «Energía» es una marihuanada. Como el éter, el calórico, el flogisto, el fluido eléctrico, el protoplasma, la fuerza vital, Dios. Son explicaciones que no explican nada.
En 1932 James Chadwick vino a sumarle un tercer protagonista a la comedia atómica, el neutrón, una partícula eléctricamente neutra, con una masa ligeramente mayor que la del protón, y que por fuera del núcleo es inestable y sólo sobrevive 920 segundos, tras los cuales se desintegra en un protón, un electrón y un antineutrino. En cuanto al antineutrino (que no me queda más remedio que presentar porque se me atravesó en el camino), no es sino una entre trescientas o no sé cuántas partículas y antipartículas inestables que producen los físicos en los ciclotrones haciendo chocar a Dios con el Diablo y sacándoles chispas. Esas particulitas fantasmales, que duran entre millonésimas y trillonésimas de segundo, son la eternidad de Dios hecha añicos. El electrón tiene una antipartícula, que es el antielectrón o positrón, de igual masa pero de carga positiva. El protón tiene también su antipartícula, el antiprotón, de igual masa también pero de carga negativa. ¿Y dónde metemos en el átomo al antielectrón y al antiprotón y al neutrino y a los kaones y a los muones y a los piones y a toda esa infinidad de partículas y antipartículas del zoológico subatómico?
—Donde quiera, compadre. Desde Rutherford en el átomo lo que sobra es campo. O bien, si prefiere dejarlos libres por fuera del átomo, póngalos entonces a volar en los rayos cósmicos.
Imposible describir con claridad este panorama pantanoso y confuso. Lo confuso sólo se puede describir confusamente y lo pantanoso pantanosamente. Y en consecuencia prosigamos.
Según los físicos que afirman su existencia y los postulan como postulan a Dios los teólogos, el electrón, el protón y el neutrón tienen masa. ¿Quieren decir con ello que tienen materia? Hasta ahí no creo que lleguen, porque si bien para mí materia y masa son una sola y la misma cosa, todo indica que para estos refinados no. ¡Afirman con tanta precaución, se cuidan tanto!
—Energía es igual a masa por velocidad de la luz al cuadrado. ¿Donde dice «masa» podemos poner «materia»?
—Yo diría que sí, compadre, porque ambas empiezan por eme, y así en nada modificamos la ecuación: E = mc2. ¡Qué fórmula más hermosa!
Decíamos que Rutherford estableció que la radiactividad del uranio constaba de dos tipos de rayos: alfa y beta. Los beta resultaron ser electrones, y los alfa resultaron ser núcleos de helio, que están compuestos por dos protones y dos neutrones. Pues bien, en 1911, bombardeando una lámina de oro con un haz de esos núcleos de helio o partículas alfa, que salen disparadas desde el uranio en desintegración a una gran velocidad, Rutherford encontró que la inmensa mayoría de las partículas pasaban a través de la lámina, pero que algunas eran desviadas con diversos ángulos, y unas cuantas rebotaban incluso hacia la fuente. Tiempo después habría de comentar al respecto:
It was almost as incredible as if you fired a 11-inch shell at a piece of tissue paper, and it came back to hit you. On consideration, I realized that this scattering backwards must be the result of a single collision, and when I made calculations I saw that it was impossible to get anything of that order of magnitude unless you took a system in which the greater part of the mass of the atom was concentrated in a minute nucleus. It was then that I had the idea of an atom with a minute massive centre carrying a charge.
A mí lo que me asombra no es que unas cuantas partículas rebotaran hacia la fuente sino que la mayoría atravesara la lámina. Claro que la lámina era muy delgada (de 0.4 micrómetros de grueso) y que las partículas alfa partían de la fuente radiactiva a una velocidad cercana a la de la luz, ¿pero por qué no rebotaban todas puesto que todas eran infinitamente más pequeñas que la lámina? Si pasaban a través de la lámina es porque ésta era porosa; esto es, tenía espacios vacíos por donde podían pasar las partículas. ¿Pero de qué tipo de vacío estamos hablando? ¿Un vacío interatómico, o sea el que hay (si es que lo hay) entre un átomo de oro y otro átomo de oro? ¿O un vacío intraatómico, o sea el que hay (si es que lo hay) en el interior de un átomo de oro? Por lo visto a Rutherford ni se le ocurrió la posibilidad de que el vacío por el que pasaban las partículas alfa pudiera ser el interatómico, que ni menciona, sino que, sin más, decidió que era el intraatómico. Desde entonces venimos diciendo que el átomo está constituido por un pequeño núcleo de protones y neutrones que ocupa una billonésima parte de su volumen, y que el resto es vacío. Y así se nos dice que el núcleo del átomo es como una canica dentro de un estadio.
Era del dominio general en el siglo XIX que las moléculas de agua en estado gaseoso están más separadas que las moléculas de agua en estado líquido, y que éstas están más separadas que las moléculas de agua en estado sólido. La idea de Rutherford de que existe el vacío dentro de la materia no era pues una idea nueva, está a la base del concepto de densidad. Un merengue es menos denso que un caramelo porque es más poroso y tiene más vacío adentro y por lo tanto se puede comprimir más fácilmente. Si en vez de postular el vacío intraatómico Rutherford se hubiera atenido a este vacío intermolecular o interatómico que todos en su tiempo conocían, entonces habría podido interpretar los resultados de su experimento de la lámina de oro conforme al modelo atómico del pan con pasas de Thomson: los átomos de oro no están en su mayor parte vacíos sino llenos en su totalidad de materia cargada positivamente con electrones negativos dispersos aquí y allá. ¿Por qué pasaban las partículas alfa a través de la lámina? Porque lo hacían a través del vacío interatómico, el que existe entre un átomo de oro y otro. ¿Por qué rebotaba alguna? Porque chocaba contra la materia continua de algún átomo de oro.
Como hemos visto la electricidad hacía parte esencial del modelo del átomo de Thomson tanto como del de Rutherford. La explicación de Rutherford de sus experimentos con la lámina de oro y las partículas alfa es que si una de éstas rebota es porque se acercó demasiado a un núcleo de un átomo de la lámina, y porque al tener ambos, el núcleo y la partícula alfa, carga positiva, se rechazan eléctricamente. Pero bien hubiera podido imaginar el rebote de una forma más simple: como una pelota que rebota contra una pared. ¿O tal vez si analizamos en el plano atómico el caso macroscópico de una pelota que rebota contra una pared también interviene la electricidad, y todo choque en última instancia es eléctrico?
Si hay dos vacíos, uno interatómico y otro intraatómico, ¿cómo los distinguimos? Consideremos el caso más simple aceptado: dos átomos de hidrógeno en estado gaseoso formando la molécula H2. Hubiera preferido considerar un caso más simple aún, el de un solo átomo de hidrógeno, pero me van a decir que el hidrógeno no existe en átomos individuales sino en pares, en una molécula, con lo cual ya están negando la existencia del átomo de hidrógeno, pero en fin, allá ustedes, y sigamos. Elijo el estado gaseoso y no el líquido ni el sólido porque en el estado gaseoso los átomos están más separados. Pues bien, si el átomo de hidrógeno consta de un protón y un electrón, entonces la molécula de H2 consta de dos protones y dos electrones. ¿A qué distancia están separados los dos protones? ¿A un angstrom? ¿A dos? ¿A tres? Póngalos a los angstroms que quiera. En cuanto a los electrones, póngalos a girar en las órbitas que guste y a una distancia similar de sus núcleos, a la distancia razonable de uno, dos o tres angstroms. Y digo a girar como en los modelos de Rutherford y de Bohr pues en el modelo de Thomson no hay vacío intraatómico. ¿Dónde empieza uno de los dos átomos de hidrógeno y dónde termina? En este cuadro yo no veo dos vacíos sino uno solo: veo dos protones y dos electrones perdidos en medio de un único vacío. Y como en todo el gas de hidrógeno a que pertenece nuestra molécula de H2 la situación es igual, tengo que concluir que por ningún lado veo ningún átomo: sólo protones y electrones, y en medio nada, la nada oscura. Y si el electrón no fuera material sino un no sé qué inmaterial como la luz, entonces sólo vería protones. ¡Y así tendríamos que los átomos lo que son es protones!
—Bueno, compadre, eso con respecto al átomo de hidrógeno, que es simple y con el que usted me puede engañar. ¿Y el átomo de uranio qué? ¿El 235U que tiene 92 protones y 143 neutrones, el de la bomba atómica?
—¡Cuáles protones y cuáles neutrones! El 235U lo que es una molécula con 235 átomos que usted equivocadamente llama protones y neutrones. Es más, le voy a decir una cosa: para mí lo único que hay es neutrones y eso es lo que son los átomos.
Y sí. Hay tres tipos de neutrones. Uno, los propiamente tales o neutrones neutros que no tienen carga, y de ahí su nombre: los nº (ene cero) que es como los voy a designar aquí. Dos, los n+ (ene más) que la turba errada llama protones y que en realidad lo que son es neutrones electrizados. Y tres, los n− (ene menos) que son neutrones deselectrizados. Así el átomo de hidrógeno normal consta de un nº; el ion de hidrógeno que los descarriados designan como H+ consta de un n+; el átomo de helio que según ellos consta de dos protones, dos neutrones y dos electrones, en realidad consta tan sólo de dos nº; el ion de helio que designan como He+ y que según ellos consta de dos protones, dos neutrones y un electrón, de lo que consta en realidad es de un nº y un n+.
—¿Y el 235U constaría de 235 nº?
—Exacto, compadre, me está siguiendo muy bien el cauce del razonamiento.
—Y por qué si según usted hay neutrones cargados positivamente (o sea los n+) y neutrones cargados negativamente (o sea los n−), ¿por qué entonces más bien no se inventa otro nombre en vez de «neutrón», ya que neutrón lo que significa es neutro, sin carga?
—Por pereza, compadre, por no hacer el esfuercito. Y además porque la ciencia siempre ha procedido así, les va cambiando los nombres a las cosas, y los sentidos a los nombres. Y así donde antes decíamos «calórico» hoy decimos «energía térmica».
—¿Y la tabla periódica de los elementos de Mendeleev qué? ¿Qué son todos ellos?
—Moléculas, no átomos. El 235U son 235 átomos o neutrones, como usted ya observó.
—Bueno, ¿cuál es entonces el modelo atómico que usted propone?
—El de Thomson pero sin electrones, el pan sin pasas. Un solo neutrón y basta. ¡El neutrón es el átomo!
—¡Genial, compadre, lo felicito! Pero dígame, para terminar: ¿cómo llegó a semejante genialidad?
—Con simple energía conceptual.
Capítulo 10
Los engaños del signo igual
Cuando decimos que 2 + 5 = 7 estamos hablando en abstracto, en pitagórico, pues ¿dos qué? ¿Y cinco qué? ¿Y siete qué? ¿Naranjas? ¿O manzanas? ¿Ángeles? ¿O querubines? No estamos especificando nada, estamos enunciando simples números vacíos. Pero si decimos que dos naranjas más cinco naranjas suman siete naranjas, ya hemos entrado en el mundo concreto en que vivimos, que es para el que se hicieron las matemáticas.
—Compadre, me debe siete naranjas: dos que le vendí ayer y cinco que le estoy entregando hoy y que aquí anoto porque usted siempre ha sido muy dado a embrollar las cuentas en su favor.
Si en vez de sumar naranjas con naranjas o manzanas con manzanas, sumamos naranjas con manzanas, ¿qué pasa? ¿Dos naranjas más cinco manzanas son iguales a qué? Yo digo que son iguales a siete frutas. Pues bien, obsérvese que en «2 naranjas + 5 naranjas = 7 naranjas» tenemos tres términos, cada uno con la palabra «naranjas». En cambio en «2 naranjas + 5 manzanas = 7 frutas», en los tres términos tenemos tres palabras distintas: «naranjas», «manzanas» y «frutas». ¿Y qué con eso? me dirán. Que el signo más (esa crucecita) y el signo igual (esas dos rayitas horizontales) no son tan inocentes como parecen. Y eso que apenas estamos en la suma. Imagínense qué será cuando entremos a la multiplicación y digamos que «fuerza es igual a masa multiplicada por aceleración», o sea: F = ma.
—¡Uy, compadre! Mejor dejemos la cosa así y no nos melamos en análisis que con esa ecuación nos van a salir canas.
—No, analicémosla para que partiendo de ahí lleguemos al espacio-tiempo curvo tetradimensional de los herederos de Gauss, al tensor de Riemann-Christoffel y al álgebra matricial de Heisenberg, donde A multiplicada por B no es lo mismo que B multiplicada por A porque no conmutan.
—¿De veras es posible semejante absurdo?
—Todo es posible, compadre, en matemáticas: la eternidad en positivo y la eternidad en negativo.
—Me niego a creer que las matemáticas sirvan para mentir.
—¡Claro! ¿O usted cree que los únicos que mienten son los curas y los políticos? El matemático es un embaucador nato.
¡Qué ecuación esa de F = ma más tontona y fea! Sin el encanto siquiera de los exponentes con quebrados y cosenos, sin derivadas, ni integrales, ni letras griegas, ni germánicas, una al menos de esas mayúsculas manuscritas que usaban los alemanes en el siglo XIX y que tanto le gustaban a Maxwell, con volutas y rizos y curvas, más enredadas que una orgía de arañas… No, la de Newton-Hermann-Euler es una ecuación sosa, escueta, de una simpleza bobalicona. Tan tonta casi, y ya es decir, como la E = mc2 que de algún lado se robó Einstein y que por lo menos tiene un cuadrado que encierra en sí una verdad profunda: ¿Qué puede ir más rápido en el mundo físico que la velocidad de la luz?
—Hombre, pues la velocidad de la luz elevada al cuadrado: c2. La luz persiguiéndose a sí misma como un perro que trata de agarrarse la cola.
—Yo creo, compadre, que usted me está enredando y lo hace a propósito.
—No. Lo que estoy es tratando de iluminarlo. De que le lleguen a la sorda oscuridad que todos albergamos en el cráneo unas cuantas luces.
Y limitándonos a las dos ecuaciones citadas para no dispersamos, empecemos a deducir cosas. Lo primero que deduzco es que si juzgamos por ellas (¡y quién me lo puede impedir tratándose de dos genialidades!), de las cuatro operaciones elementales de la aritmética la multiplicación es la reina de la física. Fíjense en que al lado derecho de ambas ecuaciones lo que hay es una multiplicación, no una suma, ni una resta, ni una división. Tan es la reina de la física la multiplicación que no necesita signo: ponemos simplemente ma, y con ello queremos decir m × a. Si en vez de multiplicar la masa por la aceleración las sumáramos, tendríamos que poner la crucecita: m + a. Y si las restáramos, tendríamos que poner la raya que simboliza la resta o substracción: m − a. Y si dividiéramos la una por la otra, tendríamos que poner una diagonal entre ellas (m/a), o una raya horizontal en medio de dos puntos (m ÷ a), o montar sobre una raya horizontal una de las dos cantidades cabalgando a la otra:
m/a
¿Qué mayor prueba entonces de que la multiplicación es la reina de la física que el hecho de que no requiera signo?
—Y sigamos. ¿Qué otro elemento en común ve en las dos ecuaciones, compadre?
—Veo en ambas la masa.
—Muy bien observado. Pero, ¿esta masa de Newton es la misma de Einstein?
—¡Claro, porque ambas están representadas por la misma letra m!
—Pues no, compadre, porque en la ecuación de Newton la que se mueve es la masa, en tanto en la de Einstein la que se mueve es la luz. En la ecuación de Einstein la masa está quieta, en tanto en la de Newton la masa se mueve porque la fuerza le imprime una aceleración. Si en la ecuación de Newton la masa no se moviera, no habría aceleración pues lo quieto no acelera; y si no hay aceleración no hay fuerza; y si no hay fuerza, no hay ecuación.
—¿Y en la ecuación de Einstein la masa no se mueve?
—¡Claro que no, si no qué gracia tendría! Lo genial de Einstein es que un cuerpo quieto tenga energía.
—¡Valiente novedad! Una bola de hierro que pesa una tonelada y que se encuentra en el segundo piso de mi casa, con todo y estar quieta tiene energía: energía potencial, que es la que gasté en subirla hasta allí.
—Sí, pero es que la energía de que nos habla Einstein la tiene la bola en el primer piso de su casa.
—¿Y qué tipo de energía es ésa? ¿Cómo se podría llamar?
—Energía en reposo o einsteniana. Que no es una energía cinética, ni potencial, ni interna, ni radiante sino todo lo contrario.
—Ah, una especie de energía echeverrinesca o echeverriana.
—Pero eso sí, siempre y cuando la luz ilumine la bola de hierro. Y no cualquier luz. Una luz al cuadrado.
—Una luz einsteniana.
—Exacto. Y sigamos. ¿Qué más ve, compadre, en las dos ecuaciones geniales que separan 218 años?
—No… No sé qué más pueda haber, no se me ocurre.
—¡Pues una cantidad elevada al cuadrado!
—Yo sólo veo una cantidad elevada al cuadrado en la ecuación de Einstein, o sea c2, la velocidad de la luz. ¿Dónde hay una cantidad elevada al cuadrado en la de Newton?
—En la a, compadre. En la a de «aceleración», que se define como la razón de cambio de la velocidad con respecto al tiempo, y que se expresa en metros por segundos cuadrados, o sea m/s2. Si x es el desplazamiento de un cuerpo en el tiempo t, su aceleración entonces es igual a d2x/dt2.
—Y esas malditas letras d2 y d que me encuentro por todas partes en las ecuaciones de la física como moscas en la leche, ¿qué función desempeñan, qué carajos significan?
—Nada especial, no se sulfure, compadre. Se ponen ahí por elegancia. Quítelas y retenga tan sólo el t2.
—Tiene razón, compadre. Usted sí le saca substancia a un hueso que han roído veinte perros. ¡Claro! En ambas ecuaciones hay una cantidad elevada al cuadrado. En una la cantidad está expresada, y en la otra está implícita.
—De donde podemos deducir que bien sea expresado a la luz del Sol, o bien sea oculto en lo más profundo de sus oscuridades, las grandes ecuaciones de la física tienen, todas, algo elevado al cuadrado.
—Y sí. Ahora que me acuerdo, en la ecuación de la gravitación universal también hay una cantidad elevada al cuadrado: la distancia, d2.
—El cuadrado está por todas partes. Caché dans tout ce que je vois, como diría Victor Hugo.
—Eso es lo que más me gusta de usted, compadre: que sabe latín.
—Le recomiendo que se aprenda por lo menos el alfabeto griego con todas sus mayúsculas y minúsculas porque en algún momento las va a necesitar. Y las letras germánica; de que hablamos antes.
—¡Si tuviera cabeza, compadre! Pero esas letras tan arrevesadas a mí no me entran.
—¿Y cómo pretende entonces entender a Maxwell y sus infinitos vectores simbolizados por ellas? ¿Por esas gráciles y ensortijadas viejas letras alemanas? El signo lleva a lo significado y donde huele a humo hay fuego.
Vamos a analizar primero la ecuación que le atribuyen a Newton, F = ma, para pasar luego a la que le atribuyen a Einstein. Como la aceleración, según acabamos de decir, es la distancia dividida por el tiempo elevado al cuadrado entonces tenemos que

Dimensionalmente esta ecuación se expresa así: F = M L/T2. O sea que la fuerza (F), que se mide en newtons (N), es igual a la masa (M), que se mide en kilogramos (kg), multiplicada por la distancia o longitud (L), que se mide en metros (m), y dividida esta longitud por el tiempo (T), que se mide en segundos (s), elevado al cuadrado. Y así, poniendo la ecuación en sus unidades, tenemos:

Lo cual es ni más ni menos la definición del newton: el newton es la fuerza que le imprime a una masa de 1 kilogramo una aceleración de 1 metro por segundo al cuadrado. De suerte que la segunda ley de Newton no es ninguna ley sino una definición, la definición de fuerza que Hermann y Euler expresaron como F = ma. Fuerza entonces es un concepto arbitrario que definimos como la masa multiplicada por la aceleración. Un concepto tan arbitrario como el newton, la unidad en que lo medimos.
¿Y saben cómo medimos la energía? Con el joule (J), que se define como el trabajo producido por un newton actuando a lo largo de 1 metro:
J = N × M
De suerte que la engreída energía einsteniana en última instancia se mide con la menospreciada fuerza newtoniana. Reemplazando en la fórmula anterior N por lo que dijimos que era tenemos que en términos de las unidades básicas del Sistema Internacional de Unidades que hoy usamos un joule es:

Si el joule es un newton multiplicado por un metro, entonces dimensionalmente energía es igual a fuerza por longitud: E = FL. Como dimensionalmente fuerza es M L/T2, entonces tenemos que dimensionalmente energía es: E = M L2/T2. Vale decir que E = m d2/t2, o sea, expresado en palabras, que la energía es igual a la masa multiplicada por la distancia al cuadrado y dividida por el tiempo al cuadrado, lo cual nada tiene que ver con E = mc2. Si los físicos matemáticos fueran consecuentes y racionales (que no lo son pues lo que son es poetas de la belleza de las ecuaciones), entonces energía no puede ser E = mc2 como dicen que dijo Einstein. Tiene que ser otra cosa muy distinta.
—Algo entonces anda mal: o la ecuación de Newton, o la ecuación de Einstein, o el Sistema Internacional de Unidades, o los físicos matemáticos, o todo junto, o yo.
—¡Usted, compadre! Usted es el que anda mal. ¡Cómo se le va a enfrentar a semejante ejército usted solito!
—No es un ejército, es un rebaño.
Evidentemente la masa de Newton no es la masa de Einstein. La de Newton es quantitas materiae o «cantidad de materia», según él mismo la definió. Es más, con esa definición y esas mismísimas palabras, quantitas materiae, empiezan los Principios. Einstein en cambio no definió nunca nada. ¿Qué entendía el genio de los 280 aquinos por masa? No lo sabemos. ¿Y por materia? Tampoco. ¿Y por energía? Tampoco. Y sin embargo se atrevía a hablar. Pues no. En ciencia el que no define, que cierre el pico.
—¿Me creerá, compadre, que en su Origen de las especies Darwin no dice qué es una «especie», no la define?
—¡Qué sinvergüenza!
—Y así, claro, su libraco es un embrollo.
—¿Más que los artículos de Einstein?
—Más no se puede. Tenga presente que Darwin mide 1 miliaquino y Einstein 280 aquinos.
—¿Simples? ¿O al cuadrado?
—Simples. Pero con esos solos 280 aquinos simples Einstein comparado con Darwin pesa doscientas ochenta mil veces más.
—¡Casi trescientos mil kilómetros! ¡La velocidad de la luz! Al final de su pantanoso articulito de 1905 «Does the Inertia of a Body Depend upon its Energy Content?», Einstein concluye:
If a body gives off the energy L in the form of radiation, its mass diminishes by L/c2. The fact that the energy withdrawn from the body becomes energy of radiation evidently makes no difference, so that we are led to the more general conclusion that the mass of a body is a measure of its energy-content; if the energy changes by L, the mass changes in the same sense by L/9 × 1020, the energy being measured in ergs, and the mass in grammes.
¡Con que la energía medida en ergios! Pero resulta que el ergio (unidad de energía en el sistema cegesimal) es el trabajo hecho por 1 dina actuando por 1 centímetro, y a su vez la dina (unidad de fuerza en el mismo sistema) es la fuerza que le imprime a una masa de 1 gramo una aceleración de 1 centímetro por segundo al cuadrado. Y así tenemos al gran Einstein, el genio de la energía, midiendo indirectamente según la vieja fuerza de la ecuación newtoniana F = ma.
Las unidades básicas del sistema cegesimal, hoy obsoleto pero vigente todavía en 1905 y que es al que se refiere Einstein en su artículo, son el gramo (g), el centímetro (cm) y el segundo (s). En vez del sistema cegesimal hoy usamos el Sistema Internacional basado en el kilogramo, el metro y el segundo, pero en esencia los dos sistemas son iguales y hacen parte del sistema métrico decimal que viene desde la Revolución Francesa. Simplemente en el sistema actual para medir la fuerza en vez de la dina tenemos el newton (que equivale a 105 dinas), y para medir la energía tenemos el joule (que equivale a 107 ergios). Pues bien, la patraña einsteniana de que la energía es igual a la masa multiplicada por la velocidad de la luz elevada al cuadrado (E = mc2) fue enunciada por primera vez en el párrafo citado bajo la forma m = E/c2. Y es que en el artículo en cuestión lo que designa la letra L es la energía (en vez de la E que hoy usamos), y la velocidad de la luz elevada al cuadrado (c2) se expresa en centímetros (9 × 1020), como correspondía al sistema cegesimal entonces imperante. La fórmula E = mc2 está pues implícita en la m = L/c2 (o sea m = E/c2) del artículo. ¿Pero qué tiene qué ver la velocidad de la luz, elevada al cuadrado o no, con los ergios en que el sistema cegesimal mide la energía? Nada. En el sistema cegesimal un ergio (erg) es una dina (dyn) multiplicada por 1 cm:
erg = dyn · cm
Como una dina a su vez es

entonces tenemos que un ergio o unidad de la energía es

¿Dónde aparece aquí la velocidad de la luz? Por ningún lado. Einstein nos está tomando el pelo.
¿Y qué sentido tiene expresar la masa en términos de la energía? Si m = E/c2, entonces substituyendo la masa por su unidad (o sea por el gramo) y la energía por su unidad (o sea por el ergio), puesto que la velocidad de la luz elevada al cuadrado es 3×1018cm, tenemos que un gramo es igual a

O sea

O sea

Lo cual es un absurdo. ¿Cómo puede estar una entidad al lado izquierdo del signo igual, y la misma entidad al lado derecho pero multiplicada por otro término distinto de la unidad? Un gramo es un gramo y basta, sin que lo multiplique nada: g = g. El gramo lo es por convención, como el centímetro y el segundo, y los tres constituyen las unidades básicas del sistema cegesimal, de las que proceden las otras. Y he aquí manifiesta la falacia de la ecuación einsteniana. Pretender medir en el sistema cegesimal (o en el que sea) sin atenerse a las definiciones e implicaciones de sus unidades no pasa de ser la burla de un patán.
—¡Qué piedra más bellaca y cazurra ese Einstein! ¿O no, compadre?
—No. Cada quien se las arregla como puede para que le vaya bien en la feria, él está en su derecho. Que enrede y enrede y enturbie y enturbie que no faltarán pendejos para tragarse el cuento.
A mediados del siglo XVI, cuando se popularizaba el signo + en toda Europa, el inglés Robert Recorde propuso las dos rayas horizontales (=) para designar la igualdad. ¡Qué iba a imaginar esta alma ingenua que sus dos rayitas habrían de convertirse en el signo de la impostura, que es la máxima manifestación de la inteligencia humana! Pues bien, toda la ambigüedad que pueda haber en la expresión «es igual a» pasó sin disminuirse un ápice al signo que la reemplaza, a nuestras dos inefables rayas. Y es que la expresión «es igual a» no es unívoca, no tiene una misma significación en todos los casos. No es lo mismo decir: «2 es igual a 2», que «2 más 2 es igual a 4». En el primer caso estamos enunciando una identidad absoluta; en el segundo, una suma. Un tercer caso: «fuerza es igual a masa multiplicada por aceleración». ¿Qué es esta afirmación? ¿Es una multiplicación, como cuando decimos «2 por 2 son 4»? ¿O es la segunda ley de Newton? Yo diría que no es más que la ambigua definición de fuerza, que a su vez es un concepto ambiguo, pues ¿cómo va a ser una misma cosa la fuerza de gravedad, que es una actio in distans, y la que hago cuando empujo una carreta, que toco con las manos? ¿Y masa qué? ¿Es acaso un concepto unívoco? A lo mejor es la simple materia. O a lo mejor es inercia. Si masa significa materia, entonces una de las dos palabras sobra. Y si lo que significa es inercia, entonces o sobra masa o sobra inercia. De suerte que en la expresión «fuerza es igual a masa multiplicada por aceleración» tenemos las siguientes ambigüedades: fuerza, masa, es igual, multiplicada y aceleración. ¡Cinco! Cinco ambigüedades en una sola frase inocente.
—¿Inocente? ¡Ay, compadre, no sea ingenuo! Creo más en la virginidad de la virgen y en Echeverría el honrado.
—Compadre, no mezcle la teología con la todología ni la física con la porquería.
—No, si no las mezclo… Y ya sé que la todología es la ciencia más inclusiva que hay. Incluso más que la imposturología, de la que usted es maestro.
—Gracias.
¡Con que 2 por 2 son 4! ¿Y 2 niños por 3 manzanas, cuánto da? ¿Seis niños, o seis manzanas? Si decidimos que a cada niño le tocan 3 manzanas, entonces 6 manzanas. Pero si decidimos que a cada manzana le tocan 2 niños, entonces 6 niños. Las matemáticas son ciegas, no distinguen entre niños y manzanas. Para que puedan distinguir hay que plantearles bien las cosas, diciendo por ejemplo: Si tenemos dos niños y a cada uno le queremos dar tres manzanas, ¿cuántas manzanas necesitamos? 2 niños × 3 manzanas = 6 manzanas. Pues bien, obsérvese que en esta multiplicación irreprochable a la que nadie le podrá poner peros, tenemos «manzanas» a lado y lado del signo igual. Y en «masa × aceleración = fuerza», ¿cuál término se repite a lado y lado del signo igual? Ninguno. He ahí la prueba de que la operación aritmética de la multiplicación es ambigua y de que el signo igual no es confiable. Sobre la base incierta de esas dos rayitas engañosas no se puede construir una ciencia tan pretenciosa como la física.
¿Pero de veras es física? ¿No será en gran medida metafísica, vale decir despreciable filosofía, cualidad en vez de cantidad? Piénsese en la ambigüedad de conceptos como fuerza y energía. En la ecuación de Newton-Hermann-Euler F = ma tenemos que la fuerza es igual a la masa multiplicada por la aceleración. ¿Pero quién ejerce la fuerza? ¿La misma entidad propietaria de la masa a la que se imprime la aceleración? ¿U otra distinta? En el caso de una nave espacial que enciende sus motores y acelera, la nave es tanto la dueña de la masa (en la que hay que incluir los motores) y la que ejerce la fuerza sobre sí misma y se acelera. En cambio en el caso de una manzana que cae, la dueña de la masa es la manzana, pero quien ejerce la fuerza sobre ella y le imprime la aceleración del movimiento uniformemente acelerado de la caída libre es el planeta Tierra. Ni a Newton, ni a Hermann ni a Euler se les pasó siquiera por la cabeza esta distinción. Tal vez porque en su tiempo no había naves espaciales.
—¿Y qué con eso, compadre?
—Nada. Que estamos ante un mayúsculo embrollo.
Más embrollada aún que la fuerza está la energía. Para empezar, ambas tienen que ver con la masa. ¿Y qué es la masa? ¿Cantidad de materia? ¡Jua! Permítanme que me ría. Eso era en los tiempos felices de Newton. Antes de él sólo había materia y peso. Después de él, hubo materia, peso y masa. Y desde Einstein sólo tenemos masa gravitatoria y masa inercial.
—¿Y Einstein no reconoce el peso y la materia?
—Déjeme pensar, compadre, y mañana le contesto.
Por lo pronto digamos que hay muchos tipos de energía: energía potencial, energía cinética, energía térmica, energía psíquica, energía química, energía einsteniana… La potencial es una marihuanada de Aristóteles, quien resolvió las terribles aporías de Zenón postulando la potencia y el acto: la semilla de una naranja, por ejemplo, está en potencia de convertirse en un naranjo; y una bola que rueda sobre una mesa de billar está en potencia de chocar contra el borde. La energía cinética, que se adquiere por el movimiento, es ni más ni menos el ímpetu (p), el de la ecuación p = mv. Y no me vengan con que es distinta al ímpetu y que Ec = ½ mv2, porque ese cuento no me lo trago. En cuanto a la energía térmica, no es sino la energía cinética en chiquito, la que tienen las moléculas de un cuerpo al moverse: rápido cuando el cuerpo está caliente, y lento cuando está frío. La energía psíquica es la que nos caracteriza a los imposturólogos y nos permite enfrentar triunfalmente al rebaño. La energía química son las fuerzas interatómicas, como la de Van der Waals. Y en fin, la energía «einsteniana», la de E = mc2, nunca he sabido qué es. A lo mejor son las tres fuerzas intraatómicas de que hoy hablan los físicos: la fuerza electromagnética, la fuerza débil y la fuerza fuerte.
—¿Y usted cree en ellas?
—No. Yo creo en la Santísima Trinidad.
—¿Entonces, compadre, en resumidas cuentas y sin hablar mucha paja, qué es lo que usted propone?
—Dos cosas. Una, que se supriman todas las ecuaciones de la física.
—¿Y dos?
—Que se suprima la física.
Capítulo 11
El sistema internacional de unidades o la torre de babel
Puesto que el objeto de la física es medir, este manualito en última instancia no es sino una modesta contribución a la vasta ciencia de la metrología, que tiene una historia de varios siglos, muy confusa, pero que desemboca, triunfalmente, en nuestro actual Sistema Internacional de Unidades, límpido, claro y transparente como un pantano. Basado en el sistema métrico decimal que adoptó Francia tras la revolución de 1789, el Sistema Internacional de Unidades se ha venido extendiendo por el mundo, país por país, paso a paso, firmemente. En la actualidad anda conquistando uno de los últimos reductos del empecinamiento humano, el mundo anglosajón, tierra de obtusos y pertinaces. ¡Anglosajones, no mediréis más en pies, ni en millas, ni en libras! Mediréis en metros, en kilómetros y en kilogramos, mal que os pese. ¡No sumaréis más confusión a la confusión!
Como su nombre lo indica, la base del sistema métrico es el metro, su medida de longitud. Lo difícil es definirlo. ¿Qué es el metro? En 1791 la Academia de Ciencias de París lo definió como una longitud igual a la diez millonésima parte de un cuadrante de la circunferencia de la Tierra. ¿Y cómo se mide un cuadrante de la circunferencia de la Tierra? ¡Pues con una cinta métrica! El metro entró pues a la ciencia con pie cojo. No es posible que para medir, por ejemplo, la tabla con que vamos a hacer una mesa nos tengamos que poner primero a imaginar la circunferencia de la Tierra para luego dividirla por 4 y luego por 10 000 000. No. Esas maromas mentales no las hace ni Einstein.
Francia, que es país lúcido y maleable, rápidamente recapacitó, y en 1799 ya tenía, para medir el metro sin necesidad de malabarismos geodésicos, un metro patrón o metro prototípico, una barra standard de metal no maleable. Menos de un siglo después, en 1889, primer centenario de su revolución, la misma Francia dispuso, con arbitrariedad soberana, que esa barra tuviera el 90 por ciento de platino y el 10 por ciento de iridio.
—¿Y cómo medimos hoy el metro? ¿Lo seguimos midiendo con esa barra? ¿O con qué?
—Con la barra no. Lo medimos con la luz. Un metro es la distancia que recorre la luz en el vacío durante 1/299 792 458 de segundo.
—¿Y cómo medimos el segundo?
—Lo medimos con el átomo de cesio. Un segundo es la duración de 9 192 631 770 ciclos de la radiación correspondiente a la transición entre los dos niveles hiperfinos del estado básico del átomo de cesio 133 quieto y a una temperatura de 0 grados kelvin.
—¿De suerte que para medir la tabla de una mesa un carpintero tiene que ver cuánto se tarda la luz en recorrerla en el vacío, determinando el tiempo con el susodicho reloj de cesio a la susodicha temperatura?
—Exacto, compadre. Y así, si el carpintero tiene el reloj de cesio y la fuente de luz pero carece de una bomba de vacío siquiera como la de Hauksbee más nitrógeno líquido para bajarle al cuarto la temperatura, que no se meta entonces a fabricar mesas porque no le obliga.
—¿Y si el reloj de cesio se atrasa o se adelanta, quién lo repara?
—Pues un relojero. Uno especializado en relojes de cesio. Aquí a la vuelta hay uno muy bueno que le recomiendo.
El primer metro prototípico, el de 1799, se llamó el mètre des archives, y nació acompañado del kilogramme des archives. Sobre esos dos patrones que medían la longitud y la masa respectivamente, más el segundo que medía el tiempo y que correspondía a 1/86 400 de un día promedio, se empezó a construir la imponente Torre de Babel que es hoy el Sistema Internacional de Unidades. ¡Felices tiempos aquellos de la metrología, inocentes, ingenuos! ¡Pero, ay, todo se acaba y cuando no se acaba se complica! Y así al kilogramo, unidad de masa, se le vino a sumar la dina, unidad de fuerza.
—¿Y el peso, dónde me lo deja, compadre? ¿Cuál es la unidad de peso?
—Ninguna, porque el peso no existe. Lo que usted llama peso es una fuerza ejercida sobre la masa: la fuerza de la gravedad, ni más ni menos, que jala más que dos tetas, que jalan más que dos carretas.
—¡Y yo que siempre pensé que pesaba 70 kilos!
—Desengáñese. Usted no pesa nada, usted es una pluma al viento. Lo que pasa es que la Tierra lo jala a usted con una fuerza de 700 000 dinas o 700 newtons.
—Pues que sean entonces 700 000 dinas que me hacen sentir más importante.
Para 1874 cuando (no sin oposición) se introdujo en el sistema cegesimal entonces imperante la dina como la unidad de fuerza y se abolió el peso, las unidades básicas eran únicamente tres: el centímetro, el gramo y el segundo, que correspondían a las cantidades físicas de la longitud, la masa y el tiempo respectivamente. Y no existían cantidades derivadas. Con la introducción de la fuerza y su dina empezó la Torre de Babel, la proliferación de cantidades físicas derivadas: el momento de torsión, el calor específico molar, la actividad catalítica, la viscosidad dinámica, la cantidad de sustancia, la energía, la densidad de energía, la entropía, la entropía molar… Y todas con sus respectivas unidades. Más la luz y las intangibles cantidades magnéticas y eléctricas: la carga, la corriente, la resistencia, la potencia, el voltaje, la conductividad, el flujo eléctrico, el flujo magnético, la permeabilidad del espacio, la permitividad del espacio, la inductancia, la iluminancia, la capacitancia, la radiancia, la putimadrancia…
—¿Y la putimadrancia, exactamente qué es?
—Exactamente es un culombio al cuadrado multiplicado por un metro al cubo multiplicado por un kilogramo y dividido por un kelvin multiplicado por un segundo: C2·m3·kg/K·s. Las dimensiones de la putimadrancia son: la carga eléctrica (Q) elevada al cuadrado, la longitud (L) elevada al cubo, la masa (M), la temperatura (K) y el tiempo (T): Q2L3M/KT. Lo cual, expresado en términos de las unidades básicas actuales da: A2·s·m3·kg/K, donde A es el amperio, que es un culombio por segundo.
—¡Se ve precioso! ¡Me encanta! La dimensionalidad es su fuerte, compadre.
Las cantidades físicas y las unidades en que se miden son de dos tipos: básicas y derivadas. En el actual Sistema Internacional de Unidades las cantidades físicas básicas son siete, y las derivadas unas cincuenta, aunque nadie sabe a ciencia cierta cuántas. Las siete básicas (con sus correspondientes unidades entre paréntesis) son: la longitud (metro), la masa (kilogramo), el tiempo (segundo), la corriente eléctrica (amperio), la temperatura (kelvin), la intensidad luminosa (candela) y la cantidad de sustancia (mol).
—A las cuales habría que sumarles el aquino.
—No porque el aquino está por sobre todas ellas. El aquino es la unidad básica de las unidades básicas, es la piedra angular del edificio metrológico.
—¿Y es reconocido como tal?
—No, pero mañana lo propongo en la ONU.
—Claro, compadre, propóngalo, en el plenum. Y si no lo aceptan, que se jodan.
En cuanto a las unidades derivadas, unas pocas tienen nombre pero la mayoría no. La unidad de la energía, por ejemplo, se llama el joule (J), el cual es una unidad derivada que proviene de las unidades básicas de masa, longitud y tiempo así: kg·m2/s2. En cambio la unidad de la velocidad, que proviene de las unidades básicas de longitud y tiempo (m/s), no tiene nombre. Y así decimos simplemente que la energía se mide en joules, sin necesidad de especificar que se mide «en kilogramos multiplicados por metros al cuadrado divididos por segundos al cuadrado». Pero tratándose de la velocidad tenemos que especificar siempre que se mide «en metros por segundo» porque carecemos de una palabra que resuma esta expresión. Y así decimos, por ejemplo, «Voy en este carro a 100 kilómetros por hora», que son 28 metros por segundo.
—Nada que me gusta ese enredo, compadre.
—A mí tampoco.
—Se me hace que el Sistema Internacional de Unidades se ha construido con el más absoluto desprecio por la armonía, las proporciones, el pendant.
—Exacto. Un verdadero adefesio. Es un monstruo con plumas en las orejas y patas en la cola.
—¿Y tiene el problema solución?
—Más fácil sale usted de unas arenas movedizas con la columna vertebral quebrada.
Imaginar un segundo no es difícil pues un segundo, más o menos, es lo se tarda uno en decir «uno». Tampoco imaginar un metro es difícil: cierro los ojos y lo veo, poniendo tres pies seguidos: los dos que tengo y otro más. Más difícil es imaginar un kilogramo, pero en fin, se puede pesándose uno las pelotas. En cuanto al amperio, el kelvin, la candela y el mol, ya la cosa cambia, son prácticamente inimaginables. Veamos por ejemplo el amperio, que es la actual medida básica de la electricidad y del que se derivan las restantes unidades eléctricas: la resistencia, el voltaje, la inductancia, etc. El amperio se define como la corriente constante que si se mantiene en dos conductores rectos paralelos de longitud infinita y mínimo grueso transversal y separados por 1 metro en el vacío, produce entre estos dos conductores una fuerza de 2 × 10−7 newtons por metro de longitud.
—¡Coño! ¡No logro imaginar un newton, voy a imaginar un amperio! Por más que cierre los ojos no puedo.
—Trate con los ojos abiertos.
—Tampoco. Me quedo atrancado en el newton, que ya sé que es «la fuerza que le imprime a una masa de 1 kilogramo una aceleración de 1 metro por segundo al cuadrado». Pero no lo logro imaginar.
—No se preocupe, compadre, que de todos modos como unidad básica el amperio es un absurdo.
Si el amperio es una unidad básica, ¿por qué entonces se define a partir del newton, que es una unidad derivada? Y si la corriente eléctrica es una cantidad física básica, ¿por qué entonces la definimos a partir de la fuerza, que es una cantidad física derivada? ¿Y cómo definimos la corriente eléctrica? La definimos como el flujo de carga eléctrica en una sustancia. Por lo tanto la carga es la que debe ser la cantidad eléctrica básica, y su unidad el culombio es el que debe ser la unidad eléctrica básica, como ocurría en el sistema cegesimal. Sólo que los que usaban el sistema cegesimal no sabían qué era un culombio. Hoy nosotros sí. Un culombio es la carga eléctrica de 6.241 × 1018 electrones.
—¿Tántos? ¿Millones de billones de trillones de electrones?
—Ajá.
—¿Y quién los contó?
—Yo.
—¡Ah! si fue usted, compadre, el que los contó, entonces sí le creo.
El Sistema Internacional de Unidades no es ninguna Torre de Babel, es un edificio sólido. Sólido como un electrón agarrado por la cola por Werner Heisenberg.
¿Quién en la Europa del siglo XIII, la de los viejos conventos y nacientes universidades, la de Alberto Magno, Tomás de Aquino y Duns Escoto, se atrevía siquiera a sospechar que los grandes temas de la inteligencia humana no tienen por fuerza que ser el radio de acción de los ángeles, la Inmaculada Concepción, Dios y sus atributos, la potencia y el acto, la esencia y la existencia, la substancia y los accidentes, la inmanencia y la trascendencia? En esas elucubraciones patrístico-aristotélicas vueltas escolástica se empantanaban entonces los monjes dueños la verdad. ¿Y hoy? Hoy todo ha cambiado pero sigue igual. En vez de Dios tenemos el Big Bang, y tenemos el Big Crunch en vez del Diablo.
—¡Qué bueno porque ya estaba harto de ese par de viejos locos!
—El Big Bang es ¡Puuum! Y el Big Crunch es ¡Plaaas! Más claro no canta un gallo.
—¿Y los conventos?
—¡Ay, como el cóndor de los Andes hoy son especie en extinción! Cada día hay menos y menos y menos.
Y seminarios. En Austria, patria del ilustre Schrödinger (el del gato y la ecuación), los austeros conventos de antaño se han vuelto emporios sodomíticos. Lo cual a mi modo de ver está bien, pues si la Biblia condena el goce con el propio sexo, el código de Hammurabi no. Y el código de Hammurabi es más antiguo.
En cuanto a las universidades, ahí siguen, muy campantes, en plena expansión, proliferando como conejos. O como las revistas científicas que se han convertido en las modernas detentadoras de la verdad. «Publish or perish» es su lema: publicas o te mueres, la nueva ley de la selva. Y así los dueños de las revistas y sus compinches tienen agarrada la sartén por el mango y se reparten el pastel inter pares.
—¡Qué cabrones!
Ya no son humildes monjes de hábito los que nos dicen en qué creer, sino eminentes profesores de pipa y corbatín, expertos en acumular maestrías y doctorados, cátedras y becas, y en escribir artículos muy bien referenciados para las revistas del publish or perish a ver si se ganan el premio Nobel.
—Mucha bibliografía, notas de pie de página y referencias que remitan a otras referencias entre citas de citas de citas pero eso sí, dándole siempre a cada quien su debido crédito porque aunque vivimos de becas somos honrados. Hazme caso, Peñaranda, y verás que te irá bien y el día menos pensado te dan el premiecito ese.