Los pilares de la ciencia
Miguel Artola y José Manuel Sánchez Ron
Contenido:§. Observación
§. Especulación
§. Verificación
Cuando, hace 2,5 millones de años (M. a.), aparecieron sobre la Tierra los primeros individuos del género Homo, los homínidos, y dentro de ellos la especie homo habilis, se encontraron en un mundo que tenía una larga historia (ellos mismos eran fruto de un largo proceso de evolución biológica). En efecto, la formación del planeta en el que vivían, la Tierra, comenzó hace 4500 M. a., a partir de una masa de polvo que giraba alrededor del Sol y que se condensó en una gran esfera debido a la atracción gravitacional. La formación de una corteza sólida, y en ella de los océanos, se sitúa en torno a hace unos 4100 M. a. Aún se discute si la vida se originó, hace alrededor de 3600 M. a., en la Tierra, como producto de reacciones químicas entre materiales presentes en ella, o si llegó del exterior, transportada por alguno de los numerosísimos meteoritos que chocaron contra su superficie en los primeros tiempos de su historia, cuando la atracción gravitacional —especialmente la del Sol— no había «puesto orden» en el entonces convulso Sistema Solar. La aparición de células semejantes a las procariotas (carentes de núcleo) dio lugar al proceso de la fotosíntesis, la producción de oxígeno que absorbían los metales y en particular el hierro. Cuando estos se saturaron, hace entre 2500 y 2400 M. a., el oxigeno libre se incorporó a la atmósfera, acabando (hace unos 2000 M. a.) en una gran crisis de «oxigenación» con la mayor parte de los entonces dominantes seres anaeróbicos; fue entonces cuando la atmósfera terrestre alcanzó una composición semejante a la actual. Durante el período denominado Proterozoico (2500-542 M. a.) aparecieron las células eucariotas (provistas de núcleo), se inició la reproducción sexual y surgieron los protozoos. La explosión de vida animal del Cámbrico (590-505 M. a.) y la colonización del suelo por las plantas a partir de los 470 M. a. cambiaron la imagen del planeta. El Carbonífero (359-299 M. a.) dejó tras de sí grandes estratos de carbón. Y la extinción de los dinosaurios, hace unos 60 M. a., dejó libre el campo para el desarrollo de los mamíferos y la aparición de los homínidos.
El homo habilis (los homínidos que vivieron en África desde hace aproximadamente 1,9 hasta 1,6 M. a.) recibió este nombre por su capacidad para fabricar herramientas (armas entre ellas), con las que surgió la posibilidad —implementada— de explotar y transformar el mundo en que vivía. La cultura de Olduvai —el conjunto arqueológico y paleontológico situado en Tanzania, descubierto por el geólogo alemán Hans Reck antes de la Primera Guerra Mundial, en donde se encuentran sedimentos de una antigüedad entre 2 M. a. hasta 15 000 años— es uno de los testimonios de esas habilidades. La aparición del homo erectus (vivieron desde hace 1,8 M. a. a 300 000 años), el gran productor de la tecnología lítica denominada achelense (herramientas del tipo de cuchillos, martillos o puntas de flechas), constituye otro momento sobresaliente en la historia de los homínidos, lo mismo que la primera salida de estos de África, que se produjo hace aproximadamente 1,5 M. a., o el uso del fuego (se han encontrado restos de hace 400 000 años en la cueva china de Zukudian, mientras que los más antiguos hogares conservados son de hace 125 000 años y están en Sudáfrica).
Otra especie notable, finalmente desparecida, la de los neandertales, llegó a asentarse (hace entre 120 000 y 30 000 años) en Europa y Oriente Próximo, época de la cultura musteriense. El último de los homínidos, el único que ha sobrevivido, el homo sapiens, apareció en África hace unos 200 000 años. Organizados en bandas de cazadores-recolectores, se extendieron por los otros continentes a partir de hace 50 000 años. Sabemos que por entonces ya existían instrumentos de caza como el arco y un arma arrojadiza; algo más tarde, hace unos 20 000 años, en un proceso que podemos denominar de «desarrollo tecnológico», las flechas llevaban una punta de piedra. En un abrigo de Tassili, en el desierto del Sahara, datado del 700 al 500 a. C., se conservan unas 15 000 muestras de arte rupestre, entre las que se encuentra la imagen de un arquero con su carcaj. La «revolución neolítica» comenzó en torno a 9000 a. C. Su nombre se justifica por el salto cualitativo que supuso la domesticación de animales y vegetales. Comenzó con la de los lobos y las ovejas hacia 6500 a. C., continuó (4000 a. C.) con la del ganado mayor y la de los caballos. La domesticación de las plantas —trigo en el 7000, cebada en el 5000, patatas en Perú y Bolivia en el 4400— aumentó la producción y multiplicó la población, un hecho que se reflejó en la importancia de los asentamientos. Jericó, junto con Damasco, la ciudad más antigua de las aún habitadas, se levantó 8000 años antes de nuestra era, y a partir de 5500 a. C. se generalizó el nuevo estilo de vida, en el que la agricultura y la ganadería desempeñaban papeles centrales. Las herramientas que requerían mayor fuerza que la individual dieron origen a la utilización de la fuerza animal. El arado ligero necesitaba dos personas: una para tirar de él y otra para guiarlo, hasta que la domesticación de los animales de tiro permitió prescindir del primero. Cuando el agua no llegaba del cielo, se extraía de un pozo mediante el uso de un cigüeñal (2500 a. C.) o de una noria, como la descrita en una tablilla babilónica de 700 a. C. La noria permitió la irrigación de los huertos, en tanto que la de los campos requería el uso de canales, de los que se conservan restos de hace 3600 años. La invención de la rueda del alfarero permitió fabricar recipientes de distintas formas y tamaños, destinados al almacenamiento del agua, los granos y las harinas, mientras que la construcción de hornos cubiertos hizo posible aumentar la temperatura de la combustión hasta los 1000 grados centígrados (3500 años antes de Cristo), lo que permitió la fabricación de ladrillos, cuyas proporciones (4:2:1) eran las más convenientes para la estabilidad de la construcción en cuestión. El bronce, una aleación del cobre y el estaño, mucho más duro que el cobre, tenía toda clase de usos, entre ellos la construcción de armas y la fabricación de ruedas. Apareció en el Próximo Oriente y en el Egeo, en la divisoria del cuarto al tercer milenio, y mediado este tuvo un gran desarrollo en el valle del Indo. Fue decisivo para la fabricación de armas.
Otro notable desarrollo, el carro sumerio con ruedas macizas de madera, se documenta en el estandarte de Ur, 2500 años antes de Cristo, y el carro de guerra con radios se encuentra en las réplicas de los enterramientos en Kazakhastán, unos 2000 años antes de Cristo. El elevado coste de su fabricación limitaba la aplicación del bronce y por ello fue sustituido, salvo en los usos suntuarios, por el hierro, en 1400 a. C. Los hititas guardaron el secreto de su producción hasta el siglo XI a. C. para mantener su supremacía militar.
En cuanto a la navegación, planteó problemas, relacionados entre sí, de todo tipo: flotabilidad, propulsión y dirección. Las cuatro grandes aportaciones de la China antigua, la aguja magnética, la pólvora, el papel y la imprenta, fueron novedades técnicas, a las que habría que añadir el ábaco para realizar cálculos. Y con respecto a la maquinaria, es preciso recordar las denominadas maquinas simples, artefactos destinados a multiplicar la fuerza aplicada. Eran seis: la palanca para desplazar los cuerpos, el plano inclinado para facilitar la carga y descarga, la cuña para dividir los troncos, la polea para levantar y bajar cargas, el tornillo para mantener unidas dos piezas y la asociación del eje y la rueda para transportar cargas.
Sin embargo, la más potente de las técnicas fue la invención del lenguaje, que proporcionó a los humanos la capacidad de expresar sus pensamientos y de manifestar sus deseos. Este invento —que fue posible gracias a un cambio en el sistema de fonación de los sapiens que se produjo hace unos 40 000 años, el descenso de la laringe, que les permitió vocalizar, favoreciendo el habla (hay que señalar que el aprovechamiento de la laringe para sustentar la comunicación en los órganos de fonación exigió previamente un desarrollo cerebral que hiciera posible la propia posibilidad de poder comunicarse)— permitió la aparición de los idiomas, productos de la comunicación en el interior de grupos humanos que mantenían contactos habituales. Aunque el Génesis explicaba la diversidad de lenguas como el castigo de Dios, la verdadera razón reside, por supuesto, en el aislamiento de las poblaciones. En un primer momento, había un signo o imagen para cada idea, eran una unidad de significado, y la asociación de dos o más signos constituía una forma económica de expresar nuevos pensamientos o deseos. Así, a partir de la combinación de los pictogramas correspondientes a boca y agua, para expresar la acción de beber, se abrían cientos de posibilidades para, por medio de la combinación de boca con otros signos, expresar otras acciones.
Primero debieron aparecer, efectivamente, los lenguajes pictográficos (esto es, escritos con imágenes), llegando luego los ideográficos, en los que se escriben ideas, y finalmente los logográficos, que utilizan palabras escritas.
Entre las primeras muestras de escritura, pictográficas, están las realizadas en tablillas de barro, antes de secarse, por medio de un punzón. Es la que conocemos como escritura cuneiforme, empleada en el caso del sumerio, que exigía disponer de un gran número de signos: 2000 signos cuneiformes a mediados del IV milenio a. C. (la etapa sumeria), si bien en el III milenio a. C. (la etapa acadia) los signos utilizados se redujeron a 600.
Este hubo de ser el comienzo de la manera de expresar gráficamente las lenguas, que habían nacido con una base oral. Un avance dado en la adaptación de la escritura cuneiforme de los sumerios a la lengua semítica de los acadios fue la «escritura» de los componentes de los signos por medio de sus sílabas, la unidad fónica, lo cual permitió reducir a 300 el número de sus signos gráficos. Un paso más supuso recurrir a la representación de los sonidos o, si se prefiere, a los fonemas, que combinados dan lugar a una palabra, lo que posiblemente se dio ya en la adaptación que se hizo de la escritura cuneiforme en ugarítico (la lengua de los cananeos) o en el persa antiguo.
El caso de la escritura china es particularmente interesante, porque muestra uno de los primeros pasos en la transición de una escritura basada en imágenes que se convirtieron en representaciones de unidades de sonido con significado. Y como la unidad de significado era la palabra, se necesitaron miles de símbolos diferentes (del orden de 50 000).

La historia de las lenguas y de los alfabetos en los que estas se codifican es la propia historia de la humanidad. De hecho, no podría ser de otra forma, ya que nuestros conocimientos de esa historia (no confundir con la de la especie humana, de la que podemos averiguar a través de otros mecanismos; paleontológicos y genéticos, por ejemplo) dependen de los sistemas simbólicos y comunicativos que nos han llegado, sistemas que fijan la lengua hablada: mientras que el habla es una capacidad innata del homo sapiens, la escritura es un fenómeno cultural restringido. Desentrañar las relaciones entre los diferentes idiomas, cómo unos proceden de otros y por qué se fueron diversificando, constituye una historia tan compleja como fascinante. Y otro tanto se puede decir de los sistemas alfabéticos de escritura, que derivan, en última instancia, de un modelo que surgió durante el segundo milenio antes de Cristo en Oriente Próximo. En la ilustración adjunta incluimos la genealogía de nuestra letra A, cuyos orígenes se remontan al antiguo Egipto, con su lenguaje jeroglífico, aunque la familia a la que pertenece más propiamente es a la del fenicio temprano, cuyo alfabeto estaba compuesto por veintidós signos y del que proceden los principales alfabetos actuales.
La introducción del alfabeto, reducido a dos docenas de letras, facilitó el aprendizaje de la lectura y aumentó las dimensiones del diccionario a costa de multiplicar los polisílabos. Hacia 2700 a. C. los egipcios habían desarrollado 22 signos jeroglíficos que correspondían a las consonantes. Fue la fuente del alfabeto consonántico fenicio, del que proceden el indio antiguo, el arameo, el griego arcaico y sus derivados: el sánscrito del primero, el árabe y el hebreo del segundo y el griego, que introdujo letras para las vocales, el eslavónico y el romano del tercero. Desde un punto de vista léxico, la palabra es la unidad mínima de sentido, aunque el mismo signo puede tener distintos significados (acepciones) y pueden existir distintos signos para el mismo significado. El lenguaje oral permitía la comunicación de las personas vecinas, mientras que la escritura hizo lo propio con las lejanas en el espacio y en el tiempo, y por medio de la traducción con los que hablaban otras lenguas. Sin el lenguaje no había lugar para el conocimiento, del tipo que este fuese, incluyendo, por supuesto, lo que ahora llamamos ciencia, esto es, conocimiento del comportamiento de la naturaleza. Además de servir para la comunicación social, que en sus orígenes pudo limitarse a un corto número de palabras, el lenguaje fue necesario para que la actividad mental produjese el pensamiento.
Junto a los desarrollos que hemos mencionado, se produjo otro que, aunque de un carácter diferente, no fue menos importante para el establecimiento y la consolidación de la actividad científica: la aparición de la ciudad-estado.
Disponer de recursos agrícolas y ganaderos terminó generando asentamientos humanos de tamaño y posibilidades cada vez mayores, un proceso que, a su vez, introdujo la división del trabajo, conduciendo finalmente a la ciudad-estado, uno de los «descubrimientos» determinantes para la historia de la humanidad.
La ciudad-estado, un centro de poder con estructuras administrativas de una cierta complejidad, permitió que se almacenasen excedentes que se podían conservar, y esto hizo posible la aparición de grupos dispensados de las tareas en las que en el pasado se centraba la actividad de prácticamente todos sus habitantes, la producción de alimentos; grupos diferentes de otros necesarios como los artesanos o los sanadores (médicos). Surgió así un pequeño número de colectivos, pequeño en cuanto número, pero cuya importancia a partir de entonces fue inmensa: los dedicados a la guerra, a la administración (los funcionarios) y los sacerdotes. No es preciso detenerse en explicar la aparición de los primeros, y de los segundos acaso bastaría con decir que se hicieron necesarios al hacerse más complejas las estructuras sociales, como sucedía en las ciudades-estado. Y no digamos ya en imperios como el egipcio, en el que los funcionarios constituían una de las cinco clases: soldados, sacerdotes, artesanos, esclavos del rey (estas cuatro aparecen enumeradas por el escriba militar Tjaneni de la XVIII dinastía; esto es, entre 1540 y 1293 a. C.) y funcionarios. De la importancia de estos da idea que Estrabón se parase en alabar la administración egipcia, adjudicándole la responsabilidad de que no hubiese hambrunas, ni siquiera en el caso de bajas crecidas del Nilo.
Ahora bien, para que la Administración sea eficaz es preciso mantener memorias de lo sucedido, al igual que de otros apartados como pueden ser derechos, deberes, conexiones familiares o propiedades. En otras palabras, registros escritos de algún tipo. Y en este punto aparece el escriba, tal vez inicialmente un mero auxiliar de los administradores, con funciones contables, pero cuya importancia fue aumentando con el paso del tiempo, al irse haciendo más complejas y refinadas las exigencias administrativas, más extensos los anales históricos y más elaborado el discurso religioso. De esta manera, los escribas, algunos al menos que se elevaron de cumplir la función de amanuense en base a escrituras primitivas, pasaron (en Egipto durante el III milenio a. C.) a convertirse en creadores, inventores y perfeccionadores de la escritura. E insistamos en que la escritura constituye una de las bases imprescindibles para la ciencia, aunque luego esta desarrolle sus propios lenguajes.
En cuanto a los sacerdotes, en cierto sentido su origen no es demasiado diferente al de la ciencia: responder a preguntas que surgen imperiosamente en los humanos. En el caso de los sacerdotes, las preguntas estaban, entonces como ahora, relacionadas con la conciencia de la precaria situación de los humanos: ¿cómo es que existimos?, ¿cuál es nuestro destino: morimos y se acabó todo, sin más? Íntimamente ligada a estas preguntas está la de qué es lo que podemos llamar «Universo», el conjunto de todo, y de cómo es que existe. En el carácter evidente, atávico y doloroso de preguntas como estas radica la antigüedad y fuerza de las religiones y la razón de la temprana aparición de profesionales que se dedicaban a ella, a una actividad que no parecía dar frutos materiales.
Intentando producir explicaciones a esas cuestiones atávicas, los sacerdotes, las religiones, produjeron cosmogonías; esto es, explicaciones —en general de alto contenido antropomórfico— del mundo. Una de esas ideas, la que adquirió mayor fuerza en diferentes versiones, es la asociada a la idea de un «Dios» responsable, causa y motor, de lo que existe. La existencia del Universo se entendió como una emanación divina. Hacia el siglo V a. C., el Génesis, el libro sagrado del cristianismo, ofreció la imagen de una creación secuencial, que en seis días había hecho surgir de la nada el cielo y la Tierra, la luz, el firmamento, el agua y las plantas, el Sol y la Luna, los animales que habitan los diversos medios y el hombre. Ahora bien, aunque los orígenes de religión y ciencia tienen algo en común, les diferencian claramente las trayectorias posteriores que siguieron; una basada en la fe, en creencias no demostradas, o indemostrables, y la otra en la elaboración de sistemas lógicos cuya verosimilitud se comprueba comparándolos con la observación de lo que sucede en la naturaleza.
§. Observación
Establecidos los anteriores desarrollos, el andamiaje sin el que no podría haber existido el objeto de nuestro estudio, es el momento de decir unas palabras acerca de lo que pretendemos. Pues bien, el fin que ha movido nuestros esfuerzos es construir una narración no dominada por la secuencia temporal histórica, sino por los elementos, por los pilares, sobre los que consideramos está basada, y caracterizada, la ciencia. Como los lectores comprobarán, semejante propósito obliga en ocasiones a alterar notablemente la cronología histórica, adelantando de entrada la presentación de los acontecimientos. Esperamos, sin embargo, haber sido capaces de desvelar cuáles son los fundamentos de la ciencia, mostrando al mismo tiempo los hitos y protagonistas esenciales de su desarrollo.
Para tal fin nos basaremos en una serie de conceptos esenciales, sobre los que a continuación diremos unas palabras, aunque su desarrollo detallado tendrá lugar a lo largo de los capítulos que siguen. En la Ética a Nicomaco, Aristóteles formuló la distinción entre dos formas de actividad humana: el conocimiento (episteme) y la habilidad manual (techne). Homínidos anteriores desarrollaron sus técnicas antes de que los neandertales y los sapiens diesen muestra de una cultura simbólica. Los elaborados enterramientos de los primeros precedieron a las representaciones de animales y humanos producidas por miembros de nuestra especie. Los griegos llamaron physis a lo que los romanos denominaron natura: el conjunto de todas las cosas y seres que se encuentran en la Tierra. Por oposición, cultura describe aquello creado por la especie humana, ya sea un producto intelectual o uno material. En cuanto a la scientia, la definieron por su objeto, el conocimiento de la naturaleza. Y los humanos son los únicos seres capaces de producir o atesorar conocimiento. Lo adquieren mediante la observación, lo que les permite identificar las cosas del mismo tipo y los seres de la misma especie, en virtud de la presencia o ausencia de determinados caracteres (propiedades), así como medir los aspectos mensurables de la realidad, las magnitudes. En función de sus propiedades, dividieron la naturaleza en tres reinos: mineral, vegetal, animal.
La observación se inicia con las sensaciones, los cambios que se producen en los sentidos al recibir los impulsos físicos procedentes del exterior. Los individuos de las distintas especies comparten los cinco sentidos, aunque sus capacidades sean distintas en cada una. La visión es el proceso más complejo y también el más eficaz a efectos de la observación. La luz produce una imagen en la retina, que cuenta con cien millones de fotorreceptores y se comunica con el córtex del cerebro por medio del nervio óptico, compuesto por un millón de filamentos nerviosos. La conversión de la imagen en impulsos eléctricos se realiza en treinta zonas distintas del cerebro, dando lugar a la percepción, que reconstruye la imagen en el cerebro y restablece su posición en el espacio. Esa imagen se almacena en la memoria, lo que permite la comparación con otras, anteriores o posteriores, y la identificación de las que son iguales. Las funciones mentales —memoria, imaginación, inteligencia, etc.— contribuyen a la identificación de las imágenes, lo que permite la asociación de las del mismo género, la clasificación de las cosas en categorías, como los polígonos o los poliedros, y de los seres vivos en familias o especies, como las plantas y los animales. La primera y principal consecuencia de la percepción es la clasificación de las cosas y los seres en grupos en función de sus propiedades. La clasificación de las plantas y animales, debida a Linneo, marcó una época en el conocimiento de la naturaleza. La Tabla periódica de los elementos es otro de los éxitos debidos a la observación.
Las magnitudes son los aspectos mensurables de las cosas: las dimensiones de los objetos (longitud, superficie y volumen), el peso de los cuerpos, la distancia entre ellos, el movimiento en el espacio y en el tiempo. La medición de las magnitudes requirió la creación arbitraria de las unidades, hasta la generación del sistema métrico decimal, y la construcción de los instrumentos adecuados: la regla y la rueda para medir longitudes y distancias, el compás para los ángulos, la balanza y la romana para el peso, el reloj de sol para medir las horas, el de arena para medir los múltiplos de un tiempo determinado: el que se necesita para trasvasar la arena de un deposito a otro al invertir su posición.
Las medidas se obtienen por varios procedimientos: las que se obtienen directamente por la aplicación de un instrumento al objeto. Una regla graduada basta para medir la longitud en codos, pies, pulgadas o metros. La sombra de un palo clavado en el suelo en el centro de un semicírculo graduado (gnomon) medía el tiempo en horas y fracciones, sin mayor precisión, mientras que la clepsidra, un instrumento mecánico que utilizaba la caída del agua, ofrecía medidas más precisas. En Egipto, el equilibrio de los platillos de una balanza permitía calcular el peso de las cosas en función de las unidades que se ponían en el otro platillo. La balanza romana era un instrumento móvil, aunque de menor precisión. Contar los pulsos de la sangre era el medio más simple de medir el tiempo. La dilatación del mercurio incluido en un tubo sellado y graduado permitió calibrar la temperatura corporal. En todos estos casos la aplicación de un instrumento era suficiente para determinar la medida. Un sistema más complejo es el que requiere dos o más medidas y un cálculo elemental. El cálculo determina el área de un cuadrado de lado a (a2), el volumen del cubo (a3), la longitud de la circunferencia (2π · r) y el volumen de la esfera (πr2). La geometría utiliza la relación entre las líneas y los ángulos para calcular el perímetro de los polígonos regulares. La construcción de unidades de capacidad permitió medir la capacidad por comparación con la unidad —azumbre, galón, litro…— mediante la extracción de un número de estas. Arquímedes descubrió la propiedad de las materias que para un mismo volumen tenían distinto peso (densidad), pero no encontró el modo de medirla. Hoy se hace por comparación con la de volumen de agua en los líquidos y de aire en los gases.
Otro tipo de magnitud es la velocidad, una propiedad de los cuerpos en movimiento. Era posible concebir la velocidad uniforme de las estrellas, pero otra clase de medidas, como un día o un año, carecían de precisión, como se aprecia en las diferencias existentes entre los antiguos calendarios. La velocidad en Grecia y Roma era una propiedad, como la densidad o el color: un corredor era más veloz que otro, un color más intenso que el de al lado. Tomando dos cuerpos, uno con una velocidad media dada y otro con una velocidad creciente, Nicolás Oresme, un filósofo y matemático del siglo XIV, demostró geométricamente que, al llegar al punto en que la velocidad del segundo era el doble que la del primero, los espacios recorridos en el mismo tiempo eran iguales. Pero la representación que utilizó no involucraba ninguna función, concepto este que aún no existía, sino una relación puntual, que no contribuía al cálculo, apartado matemático que se desarrollaría en el siglo XVII. Solo pudo medirse la velocidad —convirtiéndola finalmente en una magnitud, logro en el que destaca por encima de todos Galileo— mediante un artificio consistente en la asociación de dos magnitudes, espacio y tiempo, y un cálculo que se expresa con una función: el cociente de dos medidas. Y en cuanto a otras propiedades, tenemos que, por ejemplo, las unidades de energía incluyen distintas magnitudes que se igualan a la unidad. La unidad de carga, el culombio, es la cantidad de electricidad que lleva en un segundo una corriente de un amperio. El newton, la fuerza que al actuar durante un segundo sobre una masa de un kilo produce una aceleración de un metro por segundo. El paso de la propiedad a la magnitud fue un acontecimiento decisivo para el desarrollo del conocimiento científico.
No han faltado quienes reflexionaron sobre cuál podía ser el método científico, la verdadera forma de conseguir un conocimiento fiable de los objetos y fenómenos que se dan en la Naturaleza. Uno de ellos, particularmente influyente, fue el filósofo inglés de los siglos XVI y XVIII Francis Bacon, cuya ambición era sustituir la teoría del conocimiento descrita en el Organum (Órgano) de Aristóteles, teoría que se centraba en el uso de la lógica, a la que se adjudicaba el carácter de instrumento de búsqueda del conocimiento, instrumento a emplear en cualquier rama del saber (órganon es una palabra griega que significa «herramienta» o «instrumento»). El método defendido por Bacon apareció en un libro significativamente titulado Novum Organum (Nuevo Órgano; 1620), cuya pars destruendi mostraba las fuentes que denunció. En efecto, al denunciar las causas de los errores, los ideola, Bacon dedicó una parte de su libro a la influencia de la filosofía antigua, en particular el método del silogismo: «La lógica en curso», señalaba en la entrada (aforismo) número 12 del Libro I, «es más propia para conservar y perpetuar los errores que se dan en las nociones vulgares que para descubrir la verdad; de modo que es más perjudicial que útil». Y más adelante (en la entrada 63) y de manera aún más explícita: «Un ejemplo muy manifiesto de [falsa filosofía, la sofística] se observa en Aristóteles, que ha corrompido la filosofía natural por su dialéctica». Contra la deducción lógica, Bacon propuso la inducción a partir de la observación y el experimento. La primera conducía al registro de los caracteres que se dan en una cosa o fenómeno (tabula praesentia) y aquellos que no participan en él (tabulae absentiae). Ahora bien, hay que advertir que para Bacon la inducción no consistía en mera enumeración: «Para establecer las leyes generales, es preciso buscar otra forma de inducción distinta de la empleada hasta hoy […] la inducción por mera enumeración es una cosa pueril que conduce solo a una conclusión precaria, que una experiencia contradictoria puede destruir» (aforismo 105). Utilizando una bella metáfora, Bacon ilustraba sus ideas recurriendo a los estereotipos de hormigas, arañas y abejas: «Las ciencias han sido tratadas o por los empíricos o por los dogmáticos. Los empíricos, semejantes a las hormigas, solo deben recoger y gastar; los racionalistas, semejantes a las arañas, forman telas que sacan de sí mismos; el procedimiento de la abeja ocupa el término medio entre los dos; la abeja recoge sus materiales en las flores de los jardines y los campos, pero los transforma y los destila por una virtud que le es propia. Esta es la imagen del verdadero trabajo de la filosofía, que no se fía exclusivamente de las fuerzas de la humana inteligencia y ni siquiera hace de ella su principal apoyo; que no se contenta tampoco con depositar en la memoria, sin cambiarlos, los materiales recogidos en la historia natural y en las artes mecánicas, sino que los lleva a la inteligencia modificados y transformados. Por esto todo debe esperarse de una alianza íntima y sagrada de esas dos facultares experimental y racional, alianza que aún no se ha verificado».
A pesar de lo atractivo de sus ideas, de la rebelión que implicaba con respecto a las ideas antiguas sobre la búsqueda de la verdad, representadas sobre todo por Aristóteles, unas ideas en donde lo importante era descubrir las causas, la naturaleza, de los fenómenos y no el detalle, el comportamiento (por ejemplo, cómo se movían los cuerpos) de tales fenómenos, el sistema de Bacon adolecía de limitaciones, en particular, la ausencia de las medidas necesarias para la formulación de las leyes naturales. Y una de esas «medidas» se encontraba en las matemáticas, sobre las que Bacon no parecía estar demasiado interesado. En este sentido, en el Novum Organum manifestaba (I. 96): «Hasta aquí, la filosofía natural jamás se ha encontrado pura, sino infestada y corrompida: en la escuela de Aristóteles, por la lógica; en la escuela de Platón, por la teología natural; en el neoplatonismo de Proclus y de los otros, por las matemáticas, que deben terminar la filosofía natural, y no engendrarla y producirla»; esto es, según él, las matemáticas solo debían poner límites a la filosofía natural, «no engendrarla y producirla».
Semejantes ideas contrastan fuertemente con las de Galileo en sus estudios de la mecánica y más concretamente en los del movimiento, estudios que le llevaron a sustituir la observación de las propiedades por la medida de las magnitudes y al cálculo de las relaciones matemáticas que se descubren en los fenómenos. Para él, las matemáticas eran esenciales para descubrir la realidad, como explicó en una célebre cita de un libro que publicó en 1623, Il Saggiatore (El ensayador), donde incluía la referencia a las matemáticas como el lenguaje de la ciencia:
La filosofía [esto es, la física] está escrita en ese grandísimo libro que tenemos abierto ante los ojos, quiero decir, el universo, pero no se puede entender si antes no se aprende a entender la lengua, los caracteres en los que está escrito. Está escrito en lengua matemática y sus caracteres son triángulos, círculos y otras figuras geométricas, sin las cuales es imposible entender ni una palabra; sin ellos es como girar vanamente en un oscuro laberinto.
A partir de entonces la observación condujo a la constitución de las nuevas ciencias: experimentales por el método y formales por los resultados, descritos como leyes naturales, que se reducían a una fórmula matemática.
§. Especulación
Aunque la observación sea la madre, el origen, de la ciencia, esta necesita de la especulación, actividad que, a su vez, requiere de elementos específicos. Así, la lógica, la geometría y las matemáticas son construcciones mentales, conocimientos independientes de la observación y del experimento, que sin embargo son decisivos para la conceptualización de la naturaleza. Se trata de formas de pensamiento especulativo con una larga tradición. Con Aristóteles, la lógica adquirió su primera sistematización, tal como se comprueba en el ya citado Órganon, el corpus de tratados de Aristóteles que reúne su complejo sistema lógico, articulado especialmente en torno a procedimientos deductivos; así, en uno de los textos que lo componen, en los Analíticos primeros, se lee (I. 1): «El razonamiento es un enunciado en el que, sentadas ciertas cosas, se sigue necesariamente algo distinto de lo ya establecido por el simple hecho de darse esas cosas». La deducción era la forma del razonamiento que asociaba las proposiciones (premisas) y la conclusión. Y como figura central de esos procesos deductivos estaba el silogismo, un «esquema de enlace» de tres términos (hóroi), llamados, respectivamente, «término primero» (prôtos hóros) o «extremo mayor» (meîdson ákron), «medio» (méson) y «término último» (éschatos hóros) o «extremo menor» (élatton ákron). Más concretamente, el silogismo contiene tres proposiciones de este tipo, en cada una de las cuales hay dos términos que se repiten en cada par de proposiciones:
Todos los hombres son mortales.
Todos los griegos son hombres.
Por lo tanto, todos los griegos son mortales.
La inclusión de los griegos entre los hombres determina —es la conclusión— la mortalidad de estos. El proceso se caracteriza por la presencia de ciertos elementos —figuras, modos, casos— que caracterizan los 19 tipos de silogismos válidos. Cada una de las suposiciones es una premisa del argumento, y lo que se sigue necesariamente es la conclusión. Precisamente por esto, el silogismo era tan importante para Aristóteles como instrumento para conocer.
Fue Bacon quien, en el contexto de su defensa de la inducción científica, señaló algunas de las debilidades de los silogismos. La principal es que la premisa mayor («Todos los hombres son mortales» en el ejemplo anterior) es una proposición universal que, aunque se toma como punto de partida, y por consiguiente como una especie de axioma, en realidad es consecuencia de haber aceptado el carácter de verdad de todos los casos particulares que la conforman (como «Todos los griegos son hombres»), no siendo, por tanto, estos consecuencia de la premisa mayor, a pesar de que el silogismo esté construido como si así fuese. Por ello no es extraño que el aforismo 11 del Libro I del Novum Organon afirme «la lógica que hoy tenemos no puede servir para el adelanto de la ciencia».
Ante las debilidades manifiestas de los silogismos se produjeron intentos de fundamentar en bases más seguras el razonamiento. Es en este contexto en el que hay que enmarcar, por ejemplo, el libro que Antoine Arnaud y Pierre Nicole publicaron en 1662: La logique ou l’art de penser (La lógica o el arte de pensar), también conocido como «de Port Royal», por su asociación a la abadía de este nombre, un centro religioso inspirado en el jansenismo. En aquella obra se concebía el conocimiento a partir de las cuatro funciones de la mente, comprender, juzgar, decidir y ordenar, mientras que el juicio se expresaba mediante proposiciones gramaticales con un sujeto y un predicado. Se distinguía, asimismo, entre el contenido —los significados de un concepto— y los objetos que los incluían, aspirando a construir un lenguaje formal para evitar la polisemia, y así poder aplicarlo a la ciencia.
Otro tipo de razonamiento deductivo, y en este sentido de especulación, es el que se encuentra en la geometría, saber que se construyó sobre la base de la abstracción de todos los aspectos materiales de las figuras: la irregularidad del trazo o el grosor de las líneas (una línea es longitud sin anchura). Los Elementos de Euclides constituyen el ejemplo canónico —y temprano— en este sentido, al basarse en un reducido número de definiciones y condiciones que se suponen ciertas (axiomas y postulados), para las que, por definición, no hay demostración posible. Ahora bien, las definiciones de Euclides eran formales y no postulaban la existencia de la cosa. Sobre estas bases, la geometría formula y demuestra los teoremas y resuelve los problemas, sin necesidad de medir las magnitudes. Otra cosa, por supuesto, es que puedan existir apartados de la realidad en los que se puedan aplicar los entes y las relaciones geométricas.
§. Verificación
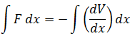
En principio, o así se aceptó hasta el desarrollo, durante el siglo XX, de la metodología de la ciencia a manos de, sobre todo, Karl Popper, el conocimiento científico y la construcción mental tienen valor en la medida que sus resultados, las leyes naturales y los teoremas matemáticos, pueden ser verificados. Y decimos «en principio», porque es cierto que nunca podemos estar seguros de que no aparecerá en el futuro un resultado que rompa la verificación; esto es, una refutación, aunque, por otra parte, como señaló en particular el sucesor de Popper en la London School of Economics, Imre Lakatos, tampoco podemos refutar una teoría, puesto que podemos imaginar posibles razones por las que un experimento no da el resultado que preveía una teoría establecida.
Dejemos a un lado, no obstante, estas posibilidades y continuemos con el esquema más tradicional, y que a la larga resulta más eficaz. En este sentido, tenemos que la verificación se encuentra íntimamente ligada al experimento, que confirma la validez de la ley y permite a otros la observación de los mismos efectos. El experimento se mueve en un dominio diferente a la demostración, que prueba la exactitud de una proposición mediante construcciones teóricas distintas de la primera. Mientras que, siempre en principio (por las razones aludidas antes), un único experimento basta para rechazar una ley, es preciso encontrar una contradicción para anular un teorema.
La demostración es la verificación del resultado de la especulación. Platón distinguió entre el conocimiento que requiere justificación del que se justifica por la creencia. Aristóteles construyó una teoría de la demostración que no se limitaba a constatar la existencia de un hecho; incluía la justificación de que era necesariamente así y no podía ser de otra forma. En los Analíticos primeros, la definió como la comprobación de la correcta construcción del silogismo, la relación necesaria entre las premisas y la conclusión. La correspondencia formal de las partes del silogismo aseguraba la validez, pero no probaba la exactitud de la conclusión. Si las premisas eran falsas, las conclusiones no podían ser ciertas (el análisis de las proposiciones sería posteriormente el fundamento del positivismo lógico). En los Analíticos segundos, Aristóteles explicó con claridad y rotundidad su idea del auténtico, verdadero, conocimiento (Libro I. 2):
Creemos que sabemos cada cosa sin más, pero no del modo sofístico, accidental, cuando creemos conocer la causa por la que es la cosa, que es la causa de aquella cosa y que no cabe que sea de otra manera. Está claro, pues, que el saber es algo de este tipo […] de modo que aquello de lo que hay ciencia sin más es imposible que se comporte de otra manera.
Ideas como estas eran apropiadas a un tipo de filosofía natural centrada en las causas, pero ya no resultaron adecuadas a la ciencia tal y como la entendería Galileo: una empresa en la que era imprescindible medir propiedades, para así convertirlas en magnitudes, y con ellas realizar experimentos.
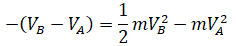
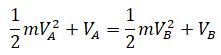
La transmutación de los metales, el sueño de los alquimistas, llevó durante siglos a la realización de una multitud de ensayos que en ocasiones proporcionaron resultados interesantes, pero que no fue posible sistematizar en un procedimiento técnico ni integrar en una construcción científica coherente. El experimento no surgió hasta que Galileo introdujo las medidas en ellos, lo que le permitió comparar cantidades. Como hemos señalado, el espacio y el tiempo —y también el peso y la velocidad— fueron las primeras magnitudes objeto de medida. Fue así como se pudo construir, en base más segura que en el pasado, leyes universales, leyes que tienen como característica común la referencia a la conservación de una determinada magnitud cuando cambia la naturaleza del sistema. Son reglas que no se violan, tales como la conservación de la energía, de la carga eléctrica o, en la mecánica newtoniana, del momento lineal y el angular.
En la geometría —y, en general, en las matemáticas—, la verificación obedece a un procedimiento diferente: se efectúa a través de la demostración, que se basa en la representación figurada de un teorema, a la que se añaden líneas auxiliares para probar su exactitud, de acuerdo con los teoremas de la geometría. Hay diferentes pruebas geométricas, además de otras algebraicas y diferenciales del teorema de Pitágoras. En tanto la ciencia es falsable (un único experimento podría probar su falsedad), las matemáticas solo se pueden demostrar. Una prueba directa demuestra que la suma de dos números pares es un número par. El producto de cualquier número por dos es un número par. En el lenguaje formal del álgebra, la suma de dos números pares, x e y, cuya condición se prueba por las ecuaciones: x = 2a e y = 2b, la suma x + y = 2a + 2b es igual a 2(a + b), el resultado es un numero par.
Vemos, por consiguiente, la riqueza, tanto histórica como factual, de las ideas que se han defendido —y aplicado— acerca de cómo construir en base segura la ciencia; esto es, el conocimiento del comportamiento de la naturaleza.
Capítulo 1
La observación de la naturaleza
§. El cielo
§. La tierra: coordenadas y mapas
§. Los seres vivos
§. La especie humana
El objeto de la ciencia es el conocimiento de la naturaleza, y la observación es el método idóneo para este fin. Y en la naturaleza se identificaban inmediatamente unas pocas áreas, o campos de estudio: el cielo y la Tierra, entidades inanimadas que dependían de una acción o fuerza exterior; y los seres vivos —plantas, animales y humanos—, dotados de una fuerza interior. El Génesis ofreció el relato de la creación, a partir de la nada, del cielo y la Tierra, la luz, el firmamento, el agua y las plantas, el Sol y la Luna, los animales que habitan los diversos medios, el hombre y la mujer. Pero se trataba de una descripción no asociada a la observación, una actividad que, como veremos a continuación, resultó compleja.
§. El cielo
El cielo, el que se ve durante el día al igual que el nocturno, atrae irremediable e irresistiblemente la atención de los humanos. Durante el día, la presencia del Sol no solo se manifiesta imperiosamente, sino que influye en nuestras vidas de manera determinante: sin él, fuente de calor y de energía, simplemente no podría existir la vida. La noche la domina la Luna, a pesar de que se esconde periódicamente, y esas pequeñas luces que finalmente recibieron el nombre de «estrellas». Todos estos cuerpos se observan directamente, sin necesidad de disponer de ningún recurso (instrumento) suplementario; es decir, su existencia constituye una experiencia común a la gran mayoría de los seres vivos que pueblan la Tierra, ciertamente a sus más conspicuos moradores, los homo sapiens. Y al observar esos cuerpos, que se movían, existentes más allá de la superficie terrestre, terminó descubriéndose regularidades en sus movimientos.
Han sobrevivido numerosas evidencias que delatan el interés que nuestros antepasados antiguos mostraron por lo que sucede en los cielos: restos arqueológicos orientados de manera que señalan hacia los lugares en los que el Sol se levanta y se pone a mediados del verano y del invierno, tumbas construidas hacia el 4500 a. C., cuya forma alargada se alinea con los lugares donde se levantan y ponen estrellas brillantes; monumentos cuyas funciones y significado no comprendemos bien, como Stonehenge (Inglaterra), cuya estructura se adecuaba a posiciones de cuerpos celestes. En el Megalítico, individuos a los que con justicia podemos llamar astrónomos primitivos, grabaron en piedra las figuras de algunas constelaciones fáciles de identificar: la Osa Mayor, la Osa Menor y las Pléyades.
Y al observar los movimientos celestes, terminó también surgiendo el deseo de explicar por qué se movían, por qué lo hacían de forma tan aparentemente regular. En otras palabras, nació el deseo de entender qué era lo que albergaba todo lo que existe en la naturaleza, tanto en la terrestre como en la que se atisba en el cielo, eso a lo que llamamos Universo.
La aparición de estructuras sociales como las que hemos mencionado en la Introducción permitió que se avanzase en semejante dirección en formas que difícilmente podrían haberse dado antes. Y todo estuvo en manos de aquellos exentos de los trabajos relacionados con la producción de alimentos o la construcción. La periodicidad observada en los movimientos de los cuerpos celestes condujo a la idea de servirse de ellos para establecer calendarios, entre cuyas virtudes no era la menor la de aplicarlos en beneficio de la agricultura, para saber cuándo había que sembrar.
En este sentido se puede decir que las ciudades fueron la patria del conocimiento científico, y que este apareció realmente cuando el movimiento de los cuerpos celestes dejó de atribuirse a la divinidad.
Dado que la Tierra parecía ser el centro aparentemente inmóvil del Universo y que los únicos fenómenos regulares eran las mareas y la crecida del Nilo, los fenómenos atmosféricos quedaron fuera del campo de la observación de aquella astronomía primera. Los vientos, la lluvia, la nieve eran irregulares e inexplicables. Inicialmente, la observación de la Tierra se limitaba al territorio abarcado por el horizonte, salvo para los viajeros, que describían las costas recorridas en los derroteros. Pero al proliferar las ciudades, y establecerse intercambios entre ellas, nació, de manera, podríamos decir, espontánea, la necesidad de determinar con precisión la posición de las ciudades, objetivo para el que el arte de observar los cielos resultaba esencial: para determinar los movimientos de los astros era necesario fijar sus posiciones, y estos datos se podían utilizar para establecer las posiciones de lugares determinados en la superficie terrestre.

Hiparco atribuyó a Eratóstenes la construcción de la esfera armilar. No era un instrumento para la observación celeste, sino una representación en tres dimensiones del Cosmos, utilizada para la enseñanza. La Tierra es una forma esférica que ocupa el centro, a partir de la cual se construye una esfera celeste sobre la que se representan los puntos y planos de la Tierra: el eje de esta se prolonga hasta los polos celestes, y el ecuador celeste se encuentra en el mismo plano que el terrestre. La determinación de la órbita celeste permitía describir la eclíptica, una faja de 9.º, a ambos lados del ecuador. Los puntos de intersección de ambos círculos se distinguían porque en ellos tenían igual duración el día y la noche (equinoccios). Eratóstenes calculó el ángulo que formaban (24.º) y describió, a partir del de primavera, la sucesión de las cuatro estaciones. En ocasiones, dos pequeñas esferas representaban el Sol (Y) y la Luna (Z) en un momento dado de su movimiento.
Uno de los primeros lugares en los que comenzó la observación más o menos sistemática de los cuerpos celestes que brillaban en la oscuridad de la noche fue en Mesopotamia, en el valle del Éufrates y Tigris, la patria de otros logros inolvidables en la historia de la humanidad, como son: (1) la escritura cuneiforme (llamada así porque la forma de sus signos denota que eran compuestos con instrumentos en forma de clavos o cuñas, en latín cuneus), que utilizaban para grabar registros sobre tablillas de arcilla que luego cocían; y (2) los sistemas sexagesimales de medidas.
La catalogación de estrellas es una de las primeras, si no la primera, de las actividades científicas conocidas. A partir del 3200 a. C., los sumerios iniciaron la observación de los cuerpos celestes, a los que dieron nombre e identificaron por sus caracteres, posición y movimiento (durante tres milenios recogieron la noticia de los movimientos y los acontecimientos en Diarios de observaciones que se conservan desde el siglo VII a. C.). Se calcula en 6000 el número de estrellas que se pueden observar a simple vista, aunque las conocidas hasta la invención del telescopio no llegaban a la mitad de esta cifra —Hiparco reunió noticias de 850 estrellas en 120 a. C., el catálogo compilado en el siglo II por Ptolomeo en el Almagesto, libro del que nos ocuparemos en el próximo capítulo, incluía 1022 estrellas fijas, en 350 a. C. en China conocían 800 de estas, y en 329 eran 1464—.
Llamaron estrellas fijas a los cuerpos más lejanos, que aparecían siempre en la misma parte del cielo, de las que solo las más brillantes fueron identificadas al darles nombre y determinar su posición: Polar, Antares, etc. Ahora bien, el hemisferio celeste que contemplaban, el norte, desde el centro tenía en su punto más alto una estrella que conocemos como polar y un ecuador celeste, en el mismo plano que el terrestre. El hecho de que todos los imperios se encontrasen en el mismo hemisferio hizo que todos los observadores coincidiesen al determinar el norte y los puntos cardinales, aunque no se pusiesen de acuerdo sobre la posición del meridiano 0 (en un sentido parecido, la distinción entre Oriente y Occidente fue una decisión política impuesta en su momento por los europeos).
La observación del movimiento ascendente y descendente del Sol en el cielo durante el día y el de la Luna durante la noche llevó a los sumerios a concebir el cielo como una semiesfera, la bóveda celeste. Descubrieron que había un punto, perpendicular en el cielo, al que llamaron cenit y que al viajar desaparecían unas estrellas y surgían otras distintas. A partir de esta invención proyectaron los puntos, líneas y figuras terrestres para observar las estrellas sobre el fondo de la bóveda celeste: al prolongar en las dos direcciones el eje imaginario que atraviesa la Tierra determinaron el de la esfera celeste con sus dos polos y al extender el plano del ecuador terrestre imaginaron otro celeste. Todo lo que había en la Tierra podía representarse por un punto en el cielo. El radio de la bóveda celeste no era una magnitud al ser arbitrario.
Para facilitar la descripción del cielo, los sumerios dividieron la bóveda celeste en 12 constelaciones, grupos de estrellas arbitrariamente asociadas (en el Mul-Apin, un catálogo de 71 estrellas que podría remontarse al II milenio a. C. y cuya copia más antigua conservada es del siglo VII a. C., el número de constelaciones aumentó a 17, mientras que Ptolomeo contaba 24 y en China, en el siglo II, Zhang Heng catalogó 2500 estrellas en 100 constelaciones; en 1922 la Unión Astronómica Internacional decidió poner fin a la confusión, limitando las constelaciones a 88 y describiendo los límites de cada una). Al conjunto de las constelaciones clásicas se le denomina Zodiaco, según el término griego zoon-diakos, literalmente rueda de animales, que podemos entender fácilmente si recordamos que la mayor parte de esas constelaciones reciben nombres de animales: Aries (el nombre de un carnero de la mitología), Tauro (toro), Géminis (dos gemelos de la mitología), Cáncer (cangrejo), Leo (león), Virgo (virgen), Libra (balanza), Escorpio (escorpión), Sagitario (un centauro mitológico), Capricornio (cabra de la mitología), Acuario (personaje mitológico) y Piscis (pescado).
En la Antigüedad ya se descubrió que había dos días en los que el Sol se encontraba en los puntos más alto y más bajo de su órbita (solsticios), acontecimiento que se celebraba con ceremonias. La observación de la duración del día y la noche mediante un reloj de agua (clepsidra) —que ya se utilizaba 2000 años antes de Cristo en Mesopotamia— permitió descubrir que el tiempo de luz y el de oscuridad solo eran iguales en dos ocasiones, a las que los romanos denominaron aequinoctium, equinoccios. De esta observación se dedujo que el Sol recorría una órbita anual a través de las constelaciones del Zodiaco en un plano distinto al del ecuador celeste, que conocemos como eclíptica, una línea además en la que tenían lugar los eclipses (de ahí su nombre: del griego ekleiptikós, «relativo a los eclipses»). Su inclinación fue medida por Eratóstenes (276-194 a. C.); el valor que se adjudica a su medición es de 23° 51′ 19″. Los equinoccios coinciden con los puntos (opuestos entre sí) en los que la eclíptica se corta con el ecuador terrestre, mientras que el punto de la eclíptica más al norte del ecuador es el solsticio de verano en el hemisferio norte (solsticio de invierno en el hemisferio sur), y el más al sur, solsticio de invierno en el hemisferio norte (de verano en el sur).
La unidad de medida celeste que utilizaron los babilonios fue el ángulo resultante de dividir el círculo en 360 arcos iguales (grado), que, de acuerdo con la base sexagesimal de su numeración, se dividió en unidades menores, que conocemos como minutos y segundos. El instrumento más antiguo, el cuadrante, fue una invención de los sumerios que también se encuentra en los otros imperios: estaba formado por un arco de un cuarto de círculo, podía ser grande o pequeño, fijo o portátil, de madera o metálico, y estaba provisto de un arco graduado. Un punto en el horizonte tenía una altitud de 0°, en tanto en la perpendicular (cenit) había 90° de declinación. Para determinar la altitud o declinación de una estrella sobre el horizonte, lo que hoy conocemos como latitud, se contaban en el arco del cuadrante los grados del ángulo que formaban. La invención del reloj de sol (gnomon), basado en la longitud de la sombra producida por un objeto implantado perpendicularmente, en el suelo, era suficiente para conocer la hora, en tanto para medir el tiempo era necesario acudir a las clepsidras. El descubrimiento en 1900 de un pecio en aguas de la isla Antiquitera, al norte de Creta, reveló la existencia de otro tipo de instrumento utilizado en las observaciones astronómicas, cuya función no se identificó hasta varias décadas después y que en la actualidad es considerado como un ordenador analógico que predecía las posiciones de los cuerpos celestes.
El día fue la primera unidad astronómica (de nuevo, y como prácticamente todo lo anterior, se introdujo en Mesopotamia por sumerios o babilonios). Se creó para designar el tiempo transcurrido entre dos apariciones sucesivas del Sol y se le dividió en dos partes —día y noche— a la puesta del Sol. El año era el tiempo trascurrido entre dos pasos sucesivos del Sol por el equinoccio de primavera, que sirvió como punto de partida para medir las distancias ecuatoriales, y llamaron mes al tiempo necesario para cruzar una estación del zodiaco. El siglo no era más que un múltiplo.
Determinar las dimensiones de los cuerpos celestes y las distancias de estos a la Tierra y entre dos de ellos fue el siguiente paso en el conocimiento del cielo.
Un resultado importante es el que calculó Eratóstenes. Encontró unos documentos con la noticia de que a mediodía del solsticio de verano la luz del Sol iluminaba el agua del fondo de un pozo en Asuán. Pensó entonces que Alejandría estaba en el mismo meridiano y procedió a medir la distancia angular entre ambos puntos en tanto la lineal era conocida. La primera, mediante el cálculo del ángulo con que incidía la luz en el punto al que llegaba la sombra de un poste, daba un valor de 7° 12’, que, de acuerdo con el teorema de Euclides de los ángulos internos, era la distancia angular. La segunda se obtenía mediante el uso de personas que medían las distancias con los pasos. En Egipto usaban a personas entrenadas para medir las distancias en pasos, y la distancia entre ambos puntos se estimó en 5000 estadios. Calcular la longitud de un grado y la de circunferencia eran operaciones elementales y el resultado contenía un error del 15 por 100. La medida de la longitud de la circunferencia terrestre (250 000 estadios) fue el resultado feliz de la compensación de las hipótesis asumidas y de los errores previsibles.
Aprovechó también Eratóstenes el eclipse total de Sol de 190 a. C. para medir la distancia al Sol y a la Luna, en radios de la Tierra. En la primera se quedó corto y en la otra dio una cifra muy próxima a la actual, con un error menor al 1 por 200.
Dos discípulos de Pitágoras son recordados como los primeros en proponer la idea del movimiento de rotación de la Tierra sobre su eje, un descubrimiento que se supone sucedió entre 530 y 350 a. C. Algo más tarde, en el siglo III a. C., Aristarco de Samos describió la rotación de la Tierra en torno al Sol, pero no contempló la de esta sobre su eje, algo que sí se hizo al recuperar el sistema heliocéntrico. No obstante, la experiencia que demostró la realidad de la rotación terrestre se debe a Leon Foucault (1819-1868), quien utilizó para ello un péndulo que colgó en 1851 de la bóveda del Panteón de París. Como el plano de oscilación de un péndulo permanece constante con respecto a un observador inercial (un resultado que predecía la mecánica newtoniana), lo que se observaba en el Panteón era que el péndulo giraba con el paso de las horas, hasta realizar un giro completo de la Tierra sobre su eje.
Los resultados de las observaciones astronómicas se compilaron en tablas astronómicas, registros de los movimientos celestes que permitían calcular la posición de los planetas, las fases de la Luna, los eclipses y otros acontecimientos relacionados con los movimientos celestes. En el Almagesto, Ptolomeo presentó modelos geométricos que, mediante el uso de las correspondientes tablas, permitían calcular las posiciones pasadas y futuras de los planetas. Las tablas musulmanas conocidas como Zij, por su nombre persa, de las que se conservan más de 200, se caracterizan por la riqueza de su información y constituyen una evidente manifestación del interés que el mundo islámico tuvo por la astronomía. Así, en el siglo X, el astrónomo persa Abu Al-Rahman al-Sufi (903-986) describió la posición y caracteres de los cuerpos celestas e incorporó una «pequeña nube», la constelación de Andrómeda, además de la «gran nube» magallánica, Ibn Yunis (c. 950-1009) destacó por la precisión de sus cifras, Abu Mahmud al-Khujandi (c. 940-1000) calculó la inclinación de la eclíptica, y el matemático, físico y astrónomo Abū ‘Alī al-Ḥạn ibn al-Ḥasạn ibn al-Hayṯam, conocido en Occidente como Alhacén (965-1040), realizó (1009) observaciones en las que modificó las condiciones de la observación; fue autor de un tratado astronómico-cosmográfico (sin ningún tipo de aparato matemático), Configuración del mundo, que Alfonso X mandó traducir al castellano, lengua de la que, a su vez, fue vertido al latín bajo el título de Liber de mundo et caelo y luego al hebreo, y que influyó en la obra de astrónomos posteriores, incluido Copérnico. Los observatorios de Bagdad en el siglo IX, Maragheh en el XIII, Samarcanda en el XV y Estambul en el XVI contribuyeron al conocimiento del cielo. Las famosas Tablas alfonsíes, que se utilizaron durante siglos en Occidente, fueron compiladas, por iniciativa y mandato, eso sí, de Alfonso X el Sabio (1221-1284), por Judá ben Mosé e Ishaq ben Sid en torno al año 1272; utilizaron algunos materiales de las Tablas Toledanas de Abu Ishaq Ibrahim ibn Yahya al-Zarqalluh, más conocido como Azarquiel (c. 1029-1087), un artesano toledano especializado en la construcción de instrumentos astronómicos que, además de en su ciudad natal, también vivió en Córdoba y Sevilla, ciudad esta última en la que murió. En estas tablas se recogían observaciones tomando como lugar de origen Toledo y como época el 1 de enero de 1252, el año en que se inició el gobierno de Alfonso; de ellas se realizaron versiones latinas, entre las que descuella la de Juan de Sajonia (fl. 1327-1335), aunque introdujo variantes en la época (tomó el 1 de julio de 1252 y asignó a Toledo la latitud de 41° oeste). Tablas como estas se copiaron y, después de la invención de la imprenta, se imprimieron hasta que varios astrónomos —el primero cronológicamente Erasmus Reinholdt (1544)— advirtieron que las efemérides calculadas según los métodos introducidos por Copérnico en su De revolutionibus se ajustaban mejor que las alfonsíes a las observaciones. Finalmente, con la publicación en 1627 de las Tablas rudolfinas, de la que se encargó Kepler utilizando materiales de Tycho Brahe, las tablas del rey sabio fueron prácticamente abandonadas.
La utilidad de registrar la información y predecir los acontecimientos fue el origen del calendario, necesidad que compartieron todas las culturas, de las que se conservan restos suficientes para reconstruir su utilización y apreciar su precisión. Hubo calendarios de dos tipos, los astronómicos y los agrícolas, pero fueron los primeros los que tenían una base más segura, y por ello perduraron. Esa base se debe a la regularidad del movimiento del Sol: el año solar tiene un poco más de 365 días y el mes lunar un poco más de 29 días; el cociente es algo menos de 12,4 meses. La rotación de la Tierra sobre su eje requiere 24 horas con una velocidad angular de 15° por hora.
Los primeros calendarios datan de alrededor de 2000 a. C. Evitaban las problemáticas soluciones fraccionarias mediante la acumulación de los restos, de forma que el número de días de un mes era variable. La aparición en el horizonte de Sirio (Sothis), después de un largo período en el que quedaba oculto bajo la línea del horizonte, marcaba en Egipto el comienzo del año civil, que coincidía aproximadamente con la inundación del Nilo. En torno a 3000 a. C. los calendarios egipcios y sumerios tenían 12 meses de 29 y 30 días, que sumaban 354 días al año, y cada 3 o 4 años los primeros añadían un mes para ajustar los datos a la realidad, mientras que los segundos retrasaban la operación hasta que pasaban 8 años. En China descubrieron la duración del año y el mes hacia 1400 a. C. y añadían un mes de vez en cuando. El calendario redondo de los zapotecas de Monte Albán (c. 800 a. C.) tenía 365 días y un ciclo de 52 años. Los mayas tuvieron varios calendarios: el tzolkin de 260 días para los augurios, el de 365 días, que dividieron en 18 meses de 20 días y 5 más, considerado de mal augurio, en tanto tenían un calendario lunar para la predicción de los eclipses. La falta de un acontecimiento que sirviese como origen del tiempo (era), limitó la utilidad de los calendarios para situar los acontecimientos.
§. La tierra: coordenadas y mapas
A diferencia de los cielos, con el Sol, sus planetas y lunas, que se contemplan directamente desde la Tierra, esta no goza de igual posibilidad. Es por esta razón que al observar el movimiento circular de las estrellas y la ausencia de las sensaciones producidas por el movimiento, los humanos que ocupaban su superficie pensaron al principio que era evidente que permanecía inmóvil.
Los primeros en imaginarse la forma y composición de la Tierra se inclinaron por la idea de una tierra plana, circular o cuadrada, flotando sobre un gran Océano. La representación más antigua conocida se encuentra en una tablilla babilonia de alrededor de los siglos VIII-VII a. C., de la que existe una copia de en torno a 500 a. C. en el Museo Británico. Este «Mapa del mundo» está formado por dos círculos concéntricos; en el centro del primero, representada por un rectángulo, aparece la ciudad de Babilonia, y alrededor Asiria, a su noroeste, Urartu (la actual Armenia) y Habban (hoy Yemen), al suroeste de Babilonia. Aparecen, asimismo, las montañas del norte donde nace el Éufrates, que atraviesa Babilonia y desemboca en la parte inferior del mapa, en los dos círculos, cuyo espacio interior representa el océano.
En otros mapas, como uno caldeo de 600 a. C., la superficie de la Tierra aparecía como una masa continental en forma de plato plano, en la que dos mares —el Mediterráneo y el Rojo— separaban tres continentes, con Babilonia en el centro y el Océano como límite. Anaximandro (c. 610-546 a. C.) compuso una imagen de él, en la que, a pesar de su sencillez, se reconocen lugares como el Mediterráneo o el Nilo. Hecateo de Mileto (550-476 a. C.), autor de un libro, perdido, en el que se recogían sus propias observaciones junto con las de otros viajeros y comerciantes, circunnavegó el Mediterráneo (periplo), circunstancia que aprovechó para describir costas y puertos. Compuso un mapa (que lleva su nombre): la Península ibérica es irreconocible, pero no así la itálica y la helénica, apareciendo asimismo media docena de islas conocidas (la división en dos continentes, Europa al norte y Asia al sur, es, en cambio, fantástica).
Una aportación particularmente importante a la astronomía y la geografía fue la construcción de un sistema de coordenadas celestes y terrestres, imprescindible para determinar la posición de los accidentes geográficos y las ciudades. Los primeros mapas griegos reproducían los babilonios, mostraban el océano circular y ponían en el centro a Delfos. Eudoxo (siglo IV a. C.; diremos más de él en el capítulo 2) y Dicearco de Mesina (350-290 a. C.) fueron los primeros en introducir una línea imaginaria (diafragma) que cruzaba el Mediterráneo desde las columnas de Hércules a la isla de Rodas, punto en el que trazó un meridiano, idea con la que se introdujeron los conceptos de longitud y latitud. Eratóstenes amplió la línea de Dicearco hasta el Himalaya, y Ptolomeo produjo un compendio geográfico, una Geographia, o Cosmographia, en la que utilizó datos procedentes de una obra, ya perdida, de su contemporáneo Marino de Tiro (c. 60-130). Los datos y sistema para determinar latitudes y longitudes de la Geographia influyeron enormemente en la obra de geógrafos y cartógrafos durante siglos: incluía una lista de cerca de ocho mil lugares geográficos de todo el mundo (ciudades, ríos, desembocaduras de estos, montañas, etc.) con sus correspondientes coordenadas de latitud y longitud. La traducción latina de la Geographia, completada en 1406 en Roma por Jacobus Angelus, constituyó uno de los acontecimientos más importantes para el inicio de la geografía y cartografía modernas.
La idea de la Tierra plana sobrevivió hasta la Edad Media a pesar de que Aristóteles acumuló argumentos y observaciones en su contra: los que viajaban hacia el sur descubrían nuevas constelaciones, la sombra de la Tierra sobre la Luna durante un eclipse era curva, el casco de un barco era lo primero que desaparecía al alejarse. La esfericidad de la Tierra no se demostró experimentalmente hasta la expedición de Magallanes–El Cano en 1522, en la que se regresó al punto de partida navegando siempre hacia el oeste. Por otra parte, la observación exterior de nuestro planeta se consiguió en 1968, cuando la tripulación del Apollo 8 contempló por primera vez la totalidad de la esfera terrestre.
Tras un milenio largo, Isidoro de Sevilla (c. 556-636) volvió en el siglo VII a la representación circular de la Tierra y sustituyó la representación más o menos fiel de la línea de costa por una construcción geométrica del espacio. Dividió el círculo en dos hemisferios, colocó Asia en la parte superior y a Europa y África separadas en la mitad inferior. Dos fajas perpendiculares podrían simbolizar al Mediterráneo y al Rojo, y el Océano circundaba la Tierra. Fue el primero de una serie de mapas geométricos conocidos como mapas T en O, o mapa Orbis Terrarum: la O representando el mundo en forma circular, mientras que la T estaba formada por un brazo vertical que representaba el mar Mediterráneo, que separaba Europa y África, y por un brazo horizontal que comenzaba con el río Nilo y continuaba con el mar Negro y el río Don. Básicamente, este fue el modelo de los mapas medievales, que conservaron la imagen circular del océano y sustituyeron el esquematismo por la fantasía; mapas como los del beato de Liébana en España (1050) o el que se encuentra en el diccionario (1072) preparado por el turco Mahmud Al-Khasgari (1005-1102). En el siglo XIII los grandes mapas del monasterio benedictino de Ebstorf (1235), en la Baja Sajonia, y el conservado en la catedral de Hereford (1300) enmascararon la construcción circular al incorporar los ríos y multiplicar los nombres. La cosmología budista abundó en la misma idea y en China se concibió la Tierra como un cuadrado plano.
Por supuesto, el interés por la representación de la superficie terrestre no se limitó al continente europeo. Los mapas más antiguos de China se ocupaban de una parte de su territorio. Los siete mapas de Qin (siglo IV a. C.) representan un territorio de 7000 km2, los tres de seda del siglo II son regionales e incluyen las primeras coordenadas. El Da Ming Hun Yi Tu, un mapa pintado en color sobre un lienzo de seda de 386 x 456 centímetros de tamaño, producido en 1389 o poco después, reproduce con notable exactitud el contorno de la costa de China, de forma que compite con los portulanos mediterráneos, como el de Abraham Cresques, del que volveremos a hablar enseguida. La imagen de la Tierra como un disco sobrevivió en la India hasta que Aryabhata (476-550) estableció la esfericidad y la rotación de la Tierra, defendió el heliocentrismo y calculó su longitud con menos precisión que Eratóstenes.
A comienzos del siglo VIII, la expansión del Islam creó un vasto imperio que se extendía desde el Atlántico hasta el Indo, del que eran parte las antiguas provincias romanas de Hispania, Mauritania, Egipto, Siria, Armenia y Mesopotamia, y ocupó Persia, que había sido gobernada por una dinastía griega durante un siglo. Esa dominación les proporcionó el contacto con la cultura clásica, facilitando de esta manera, al igual que sucedió con otras disciplinas, el estudio de la geografía, que, sin embargo, no se inició realmente hasta el siglo X con la versión de la Geographia de Ptolomeo por Abul’l-Abbas Ahmad ibn Muhammad ibn Kathir al-Farghani (805-880), que proporcionó la base sobre la que se construyó la geografía islámica, y la réplica de la lista de ciudades con sus posiciones por al-Khwarizmi en el siglo IX, el miembro más conocido de la Casa de la Sabiduría (diremos más de él en el capítulo siguiente), que en el Libro de la apariencia de la Tierra aumentó las coordenadas de las poblaciones a 2402, tres veces las de Ptolomeo, rebajó la longitud del Mediterráneo calculada por este, de 63° a 50°, más cercana a la realidad, y trasladó el meridiano 0 al este de Alejandría. Ya en el siglo XI, Abur-Raihan Muhammad ibn Ahmad al-Biruni (973-1048) empleó la trigonometría para calcular la longitud del radio terrestre (6399,9 kilómetros) con un error del 3,8 por 100. Abū Abd Allāh Muhammad al-Idrisi (1100-1165/6) dibujó un atlas de la Tierra en 70 láminas, la Tabula Rogeriana, de 1154, que mejoraba sensiblemente el conocimiento del este y sur que se detallaba en el Almagesto (los mapas atribuidos a Ptolomeo en la parte cristiana del continente son creaciones del siglo XV y tienen autor desconocido), a cambio de un deficiente dibujo de la línea de costa. Ibn Batutta (1304-1368/1377), el mayor viajero árabe de la Edad Media, reunió en una crónica —sin añadir representaciones— los viajes que realizó durante veinte años por amplias zonas de África, el sur y este de Europa, Oriente Medio, la India, Asia central y del sur, y China.
El monje benedictino Beda el Venerable (c. 672-735) fue el primer autor cristiano que asumió la esfericidad de la Tierra en el De temporun ratione (725): «La circunferencia de la Tierra», escribió, «representa la figura de un globo perfecto». Los portulanos medievales llevan este nombre por la especial atención y precisión en el trazado de la línea de costa y el dibujo de los puertos. Pietro Vesconte (fl. 1310-1330) fue el iniciador del género y el autor de un mapa universal (1321), pero es obligado mencionar que en Mallorca se dibujó la pieza más famosa, el Atlas del cartógrafo judío Abraham Cresques (¿?-1387), aunque es dudoso que obras de tal valor se utilizasen a bordo de los barcos. Eso sí, los viajes marítimos de larga distancia crearon una fuerte demanda entre los navegantes y los estudiosos interesados por el conocimiento de la Tierra, un interés al que sirvió bien la invención de la imprenta en el siglo XV, que facilitó la multiplicación de los ejemplares, como los mapas de Ptolomeo, que conocieron distintas ediciones. A reseñar, asimismo, el gran logro del cartógrafo flamenco Gerardo Mercator (1512-1594), que introdujo la proyección cilíndrica en la que meridianos y paralelos son líneas rectas y las dimensiones se alargan en los extremos.
§. Los seres vivos
De la observación de los cielos, producto temprano de los intereses del homo sapiens que se transformó de cazador-recolector en agricultor y ganadero, hemos pasado a la Tierra y a la geografía, a, en definitiva, el ámbito de la naturaleza propio de los humanos, porque, aunque en su acepción amplia la naturaleza se confunda con el Universo, en el uso habitual se limita a la Tierra, uno de los planetas del Sistema Solar.
En la medida en que la alimentación constituye una imperiosa necesidad para los seres humanos, anterior a que encontrasen el tiempo y energías suficientes para ocuparse del estudio del cielo y de la Tierra, y que las fuentes de esa alimentación proceden, antes al igual que después del desarrollo de la agricultura y la ganadería, de las plantas y de los animales, no resulta aventurado sostener que los naturalistas pudieron ser los primeros científicos, y que su trabajo se basó casi desde el principio en añadir nuevas especies y clasificarlas de acuerdo con reglas determinadas. De hecho, el relato bíblico adjudica a Adán la condición de primer naturalista: «Dio el hombre nombre a todos los ganados y a todas las aves del cielo y a todas las bestias del campo» (Génesis 2.20). Pero la historia es más exigente y no se conforma con explicaciones tan simples y breves: busca rastros, evidencias materiales, en el pasado. Y también aquí, y de nuevo no sorprendentemente, encontramos pruebas de que en la antigua Mesopotamia se avanzó en los estudios naturales: se han hallado tablillas cuneiformes que identificaban a más de 250 especies de plantas y algo menos de animales. Distinguían a los peces de los otros animales acuáticos y de los moluscos, y esbozaron un principio para su clasificación basado en el medio de locomoción que separaba a las serpientes, sin patas, de los bípedos y los cuadrúpedos. La reproducción de las plantas y los animales provocó su interés, manifiesto en la selección de especies naturales para mejorar el rendimiento de las plantas, así como en el cruce de familias de cánidos para aprovechar sus posibilidades. Un bajorrelieve del Museo Británico podría ilustrar la práctica de la polinización artificial de la palma datilera. Sin embargo, el primer naturalista cuya obra se conserva en la medida suficiente para conocer su doctrina es Aristóteles (384-322 a. C.), el gran filósofo-científico de la Antigüedad, el hombre cuya influencia se hizo sentir de manera abrumadora durante casi un milenio y medio.
Dentro del Corpus Aristotelicum se encuentran una serie de tratados de zoología y biología que, tomados en su conjunto, no fueron igualados o superados hasta más de un milenio después, con la obra de naturalistas como Linneo o Darwin. Construidos a partir de la observación, y en bastantes casos de la disección, lo que le permitió describir las cuatro cámaras del estómago de los rumiantes y la anatomía de los peces, en esos tratados Aristóteles describió 540 especies animales, en su mayoría peces, de las que había disecado más de 50. La identificación de las especies le llevó a realizar una clasificación, que se mantuvo en vigor hasta el siglo XIX. La división entre animales con y sin sangre correspondía a la que hoy se hace entre vertebrados e invertebrados. Distinguió entre los primeros a los vivíparos (mamíferos) y a los ovíparos (pájaros y peces). La presencia de los mismos órganos en distintas especies fue la primera clasificación de los animales y se basaba en la función de las distintas partes del cuerpo. La reproducción le mereció una especial atención, observó la evolución del huevo mediante la disección en distintos momentos de su desarrollo; descubrió que los órganos se formaban sucesivamente, en contra de la tesis de la preformación de todos ellos, que lo reducía al crecimiento. La idea de una organización progresiva de los seres vivos le llevó a concebir la idea de una scala natural (escala natural), con once niveles. Las plantas ocupaban los niveles inferiores, los animales procedentes de un huevo ocupaban una posición intermedia y en la superior se situaban los que producían crías vivas.
Su obra biológica constituyó un cambio cualitativo en el campo de la morfología, mientras que sus aportaciones anatómicas condujeron al establecimiento de la anatomía estructural, la embriología y la morfología comparada. Todo ello se encuentra en sus libros: Investigación sobre los animales, el más extenso y seguramente el más antiguo de sus escritos en este dominio que nos han llegado, y Sobre las partes de los animales o Sobre la generación de los animales. De uno de estos libros, Sobre las partes de los animales, es la siguiente cita, más larga de lo habitual, pero que reproducimos porque expresa de forma magnífica tanto los propósitos como la «modernidad» del pensamiento de Aristóteles en el campo de los estudios biológicos, y cómo estos se relacionaban —y diferenciaban— del mundo celeste:
De los seres que existen en la naturaleza, algunos, no engendrados e incorruptibles, subsisten en la eternidad; otros, en cambio, están sujetos a la generación y la destrucción. Sobre los primeros, que son nobles y divinos, sucede que tenemos menores conocimientos, ya que son poquísimos los hechos recogidos por la observación sensible a partir de los cuales pueda conducirse una investigación sobre tales realidades, es decir, sobre cuanto deseamos saber. En tanto que respecto a los seres corruptibles, plantas y animales, nuestro conocimiento es mucho más asequible gracias a que vivimos en medio de ellos, y muchas informaciones puede obtener cualquiera que quiera estudiarlos adecuadamente.
[…] Las otras criaturas, sin embargo, gracias a la posibilidad de conocerlas de modo más profundo y extenso, dan lugar a una ciencia más vasta. Por otro lado, ya que están más en nuestra vecindad y son más próximas a nuestra naturaleza, compensan el equilibrio frente a la filosofía dirigida a las cosas divinas. Puesto que de estas últimas ya hemos tratado, explicando cuanto nos permitían sus apariencias, nos queda por hablar de la naturaleza viviente, sin omitir, en la medida de lo posible, nada de ella, sea humilde o excelso.
Pues incluso en aquellos seres que no se presentan atractivos a nuestros sentidos, el comprender el espíritu creador de la naturaleza que los diseñó procura, sin embargo, extraordinario goce a quienes saben reconocer sus causas y están inclinados a la filosofía. Sería, en efecto, absurdo que, cuando experimentamos placer al contemplar sus imitaciones y a la par admiramos el arte que las ha producido, sea la pintura o la escultura, no apreciáramos todavía más la observación de esos mismos seres reales, tal y como están configurados por naturaleza, al menos en tanto que podemos percibir sus causas.
No se debe, por lo tanto, alimentar un disgusto infantil hacia el estudio de los seres vivos más humildes: en todas las realidades naturales hay algo de maravilloso […] Pero si alguno considerara indigna la observación de los otros animales, de igual modo debería considerar sin gran disgusto las partes constituyentes del género humano: sangre, carne, huesos, vasos sanguíneos y lo demás. De igual modo conviene advertir que cuando se discute sobre una parte o un objeto cualquiera no se llama la atención sobre la materia ni se discute en función de esta, sino de la forma del conjunto; se habla, por ejemplo, de una casa, pero no de los ladrillos, del mortero o de las vigas. Así, de igual modo, cuando se trata de la naturaleza se habla de la totalidad en síntesis de la cosa misma, y no de aquellos materiales que no se presentan por separado del objeto mismo del que dependen.
En estas líneas se observa que Aristóteles compartía una de las características básicas de la ciencia moderna: la observación precisa y detallada, no desdeñando el estudio de los seres vivos que pueblan la Tierra, el reino de lo corruptible. Y así, dirigió su mirada y sus análisis no solo al hombre, sino también a todo tipo de especies: insectos, gusanos, crustáceos, moluscos, peces, aves, mamíferos, reptiles y un largo etcétera.
Teofrasto (370-288 a. C.), el discípulo y sucesor de Aristóteles en la dirección del Liceo, se dedicó al estudio de los minerales y las plantas. Escribió el primer tratado que identificaba las características de los primeros, estudió más de 500 especies de plantas mediterráneas y utilizó un método para clasificarlas muy superior a sus predecesores, e introdujo términos que subsisten, como pericarpio para la cubierta de la semilla, distinguiendo entre estas y las que no la tenían (gimnospermas), entre las plantas con uno o dos cotiledones. Describió, asimismo, la forma en que se disponían las flores (inflorescencias) y en De causis plantarum describió las transformaciones debidas a los cambios en el medio y a las prácticas del cultivo.
Plantas y animales, la descripción de sus estructuras internas y externas, o la búsqueda de esquemas clasificatorios que permitiesen agruparlos en familias, no constituye el único tema a cuyo estudio se dedicaron nuestros antepasados lejanos. Es evidente que no podían dejar de interesarse por ellos mismos, por la especie humana, un animal, sí, pero muy especial (el pensamiento y la conciencia de sí mismos distinguen a los humanos del resto de las especies).
§. La especie humana
El conocimiento de la naturaleza humana se desarrolló en dos direcciones: la observación del cuerpo humano, para determinar sus partes y composición, y la identificación de las funciones de cada una de ellas, ambos conocimientos, pero especialmente el segundo, particularmente relevantes cuando se trata de conservar la salud y prolongar la vida mediante el tratamiento de las enfermedades y los traumatismos. Y es que, al igual que las matemáticas y la astronomía surgieron de forma natural, contando cantidades y observando los cielos, así nació lo que vino en denominarse medicina. Porque, ¿cómo no interesarse por, al menos, el funcionamiento del cuerpo humano, por «arreglar» los males (enfermedades, heridas, fracturas…) que, inevitablemente, padecían las personas en algún momento de sus vidas, o veían que otras padecían?
Por supuesto, las enfermedades tienen su propia historia. Durante aproximadamente 5 o 6 millones de años, los homínidos anteriores a la aparición de los homo sapiens vivieron, como cazadores y recolectores, en pequeños grupos de probablemente entre 50 y 100 individuos, un tipo de asociación que los homo sapiens mantuvieron hasta que se transformaron en agricultores-ganaderos. Una densidad tan baja de individuos, junto con el hecho de que fuesen nómadas, que cambiaran con cierta rapidez de lugar de residencia, significó que se vieron menos afectados por infecciones bacterianas que dependen del contacto directo entre individuos de la misma especie. Estos patógenos necesitan de poblaciones grandes y densas para sobrevivir transmitiéndose, lo que significa que no debieron existir muchas de las enfermedades que más adelante afectarían gravemente a los humanos, como el sarampión, la viruela, la tosferina o la poliomielitis. Sin embargo, sí se pudieron dar enfermedades víricas que se caracterizan por mantenerse en estado latente y manifestarse de manera recurrente, como el herpes simple o el virus de la varicela. Por otra parte, el no estar atados los homínidos o humanos primitivos a un entorno geográfico estable durante mucho tiempo evitaba, por ejemplo, que las aguas se contaminaran, así como el almacenamiento de abundantes desechos que se convirtieran en foco de atracción y de diseminación de insectos transmisores de enfermedades infecciosas.
Las fuentes principales de enfermedades para aquellas colectividades primitivas debieron de proceder de la ingestión de carne de animales con microorganismos que estos soportaban, pero no los homínidos-humanos. Variedades de este tipo de enfermedades son, por ejemplo, la triquinosis, el tétano o la esquistosomiasis, una enfermedad debilitante producida por un parásito llamado trematodo. Y también es posible que se diesen formas de tifus, malaria e incluso fiebre amarilla, aunque encuentros con estas infecciones debieron de ser en general fortuitos e individuales. Estos casos son manifestaciones de una de las formas típicas en las que se contraen enfermedades: por contacto entre individuos de especies diferentes, lo que se denomina zoonosis. Y el desarrollo de la ganadería abrió la puerta de par en par a este tipo de fuente de enfermedades entre los humanos.
Existen evidencias del origen temprano de las prácticas que finalmente configurarían lo que denominamos «medicina»; esto es, del estudio de la naturaleza humana. En algunas tumbas u otros lugares correspondientes al Imperio Antiguo Egipcio (c. 2700-2200 a. C.), se han encontrado inscripciones en las que se especifican los nombres de «Jefes de médicos», «Oculistas», «Médicos del vientre», «Guardián del ano» o «Dentista», «Intérprete de los líquidos escondidos en el interior». Las primeras noticias anatómicas se encuentran en tabillas cuneiformes de los alrededores de 3400 a. C. El embalsamamiento de los faraones contribuyó al conocimiento de la anatomía y a la práctica de la cirugía, a la que se puede considerar como antecesora de la medicina, distinguiendo asimismo a los cirujanos de los médicos, en la medida en que una de las características de la medicina es buscar explicaciones, no meramente sanar. El más antiguo tratado de anatomía se encuentra en un papiro conocido como Edwin Smith, que data del siglo XVII a. C.; aunque es copia de uno anterior, se encuentran «Instrucciones relativas a una herida abierta en la cabeza, que penetra en el hueso, fractura el cráneo y deja el cerebro al descubierto» e «Instrucciones relativas a una rotura en la cámara de la nariz». Y en otro, también copia de uno anterior (se supone que de los alrededores de 3000 a. C.), el conocido como Papiro Ebers, se describe el corazón como el punto en que convergen todos los vasos por los que circulan los fluidos: sangre, lágrimas, orina y esperma, y se recogen prescripciones para el tratamiento de una serie de enfermedades; por ejemplo:
Remedio para un golpe dado en un ojo: excremento seco del vientre de un niño y miel se colocan en un líquido viscoso y se aplican en los párpados.
Otro para la ceguera: ojos de cerdo cuyo humor se ha extraído, antimonio real y posos de miel se trituran finamente, se mezclan y se vierten en el oído del enfermo, de forma que pueda curar pronto. Hazlo y verás que es realmente bueno. Recitarás como ensalmo: he traído esto que se aplica en el sitio que está ahí y reemplaza el horrible sufrimiento. Dos veces.
También en los restos arqueológicos mesopotámicos se han encontrado evidencias de la presencia de las prácticas médicas. En una tablilla babilónica de los alrededores de 650 a. C. se describe la epilepsia: «Si en el momento de su posesión», se lee allí, «mientras él está sentado, su ojo izquierdo se mueve hacia un lado, un labio se arruga, mana saliva de su boca, y sus mano, pierna y tronco del lado izquierdo sufren sacudidas como una oveja cuando es sacrificada, es migtu. Si en el momento de posesión su mente está despierta, se puede expulsar al demonio; si en el momento de su posesión su mente no está despierta, el demonio no puede ser expulsado».
La lectura de textos como estos muestra lo primitivo de aquellos conocimientos y remedios médicos. Sin embargo, esto no significa que la profesión médica (inicialmente, como hemos apuntado, representada por los cirujanos) se estableciese lo suficiente como para ser objeto de regulaciones, algo que no sucedió con otras prácticas que ahora consideramos científicas o técnicas. Un ejemplo en este sentido es el Código de Hammurabi (que reinó entre el 1793 y el 1750/1743 a. C.). Uno de sus apartados trataba de la «Reglamentación legal de la práctica de los sanadores de rango inferior», y en él se podían leer especificaciones como las siguientes:
Si un cirujano ha tratado a un noble de una herida grave con el punzón de bronce y lo ha curado, o si ha abierto la nube de un ojo de un hombre con el punzón de bronce y ha curado el ojo, recibirá diez siclos de plata.
Si se trata de un plebeyo, recibirá cinco siclos de plata.
Si se trata del esclavo de un noble, el dueño del esclavo entregará al médico dos siclos de plata.
Si un cirujano ha tratado a un noble de una herida grave con el punzón de bronce y le ha causado la muerte, o si ha abierto la nube de un noble con el punzón de bronce y le ha reventado el ojo, se cortarán sus manos.
Por muy primitivo o cruel que fuese todo esto, estas prácticas implicaban necesariamente la observación del cuerpo humano, una actividad que dio origen a la descripción de sus elementos y de sus funciones: la anatomía y la fisiología, respectivamente.
Las partes exteriores del cuerpo humano —cabeza, tronco y extremidades— proporcionaban un conocimiento superficial del cuerpo y la diferencia de sexos suscitó un interés que superaba el que se tenía por los otros mamíferos. Ahora bien, acceder al interior del cuerpo humano producía graves daños al sujeto, incluso la muerte, circunstancia que explica las dificultades que había que vencer para profundizar en el conocimiento de la estructura interna del organismo. Algo se pudo avanzar debido a los traumatismos producidos por acciones exteriores violentas, como fractura de los huesos, heridas producidas en el combate, tanto de los soldados como de los gladiadores, o amputaciones accidentales de parte o de la totalidad de alguna extremidad. Junto a lo que tales traumatismos permitían observar directamente, estaban los conocimientos que se derivaban de las acciones destinadas a intentar restaurar los cuerpos a sus estados originales; la reducción de las fracturas, en especial, ayudó al conocimiento del esqueleto y de los tendones, mucho más que intervenciones delicadas, y por tanto menos frecuentes, como la trepanación o la extirpación de las cataratas. Asimismo, el embalsamamiento de los faraones contribuyó al conocimiento de la anatomía y a la práctica de la cirugía (sabemos que para esas prácticas en el III milenio a. C. se utilizaron cuchillos de obsidiana en Egipto y de cobre en Sumeria y Egipto). Por otra parte, la extracción de las vísceras proporcionó un conocimiento de las cavidades del organismo. La cirugía, en definitiva, ofreció una primera versión, parcial, de la composición de los seres humanos.
La disección de humanos encontró con frecuencia dificultades, constituyendo un arte poco practicado. En algunas culturas, incluso prohibido, como en China, donde el cuerpo se consideraba sagrado: Confucio había dicho: «Nuestro cuerpo con la piel y el pelo procede de nuestros padres. No podemos mutilarlos»; por eso la disección no se practicó, salvo casos extraordinarios, como cuando en el siglo XII se diseccionaron los cuerpos de 56 bandidos que habían sido ejecutados.
La escuela alejandrina introdujo importantes novedades en el terreno de la anatomía, gracias a la práctica de la vivisección, ejercitada con los bandidos a comienzos del siglo III. Algunos de sus descubrimientos se perdieron hasta tiempos modernos, como el conocimiento de las trompas que llevan el nombre de Falopio. Hierofilos (335-280 a. C.) llegó a practicar la disección en público para explicar lo que se veía y escribió un tratado Sobre la disección, perdido como todos los suyos. Distinguió las venas y las arterias, y mediante una clepsidra consiguió medir los pulsos de la sangre en las arterias. El movimiento de la sangre le llevó a la observación del cerebro, que aisló del cerebelo y, en contra de Aristóteles, vio en él la sede del ánima de los humanos. Erasistratos (304-250 a. C.), que coincidió en Alejandría con el anterior, escribió varios libros sobre anatomía, descubrió que las arterias eran vasos y rechazó la opinión de Aristóteles al atribuir al cerebro las funciones mentales y el origen de los movimientos. Concibió el cuerpo humano como compuesto de distintos sistemas, se interesó por las funciones biológicas, en especial la respiración, y rechazó la doctrina de los humores. Tras él se inició el declive de la disección y los romanos prohibieron su práctica en 150 a. C.
La fuente más extensa de saberes médicos que nos ha llegado del mundo griego es el denominado Corpus Hippocraticum («Colección Hipocrática»), un conjunto de 53 tratados atribuidos a Hipócrates de Cos (c. 460-370 a. C.), al que sí podemos considerar un médico en tanto que buscaba explicaciones. Poco se sabe de la vida de este médico legendario, aunque parece que su padre también ejerció esta disciplina. Aparte de que enseñó en Cos, sabemos que viajó extensamente por Grecia, gozando de una fama excepcional durante su vida, como muestran las referencias que se hacen a él en escritos de pensadores como Platón o Aristóteles. Parece que contribuyó de manera significativa al conocimiento médico, aunque es difícil determinar cuáles de los 60 tratados (ninguno de anatomía) que se incluyen en el Corpus Hippocraticum fueron realmente obra suya (se cree que solo 5 lo son). De hecho, es seguro que en este corpus coexisten obras procedentes de escuelas y épocas diferentes, en su mayoría probablemente de Cnido y Cos, dos localidades cercanas de la costa sudoeste de la actual Turquía.
Dejando aparte la teoría de los cuatro humores que propuso, de la que nos ocuparemos en el siguiente capítulo, es digna de reseñar una de las características que aparecen en los tratados hipocráticos: la preocupación por estudiar las enfermedades en relación con el ambiente. «Todo el que quiera aprender bien el ejercicio de la medicina», se indica en uno de esos textos, «debe hacer lo que sigue: primeramente, considerar las estaciones del año y lo que puede dar de sí cada una, pues no se parecen en nada ni tampoco se parecen sus mudanzas; después considerar los vientos, cuáles son los calientes y cuáles los fríos; primero los que son comunes a todos los países y luego los que son propios de cada región. Debe considerar también las virtudes de las aguas, porque así como difieren estas en el sabor y en el peso, así también difiere mucho la virtud de cada una. De modo que cuando un médico llega a una ciudad de la cual no tiene experiencia, debe considerar su situación y en qué disposición está respecto de los vientos y del oriente del sol». La idea que subyacía en este enfoque era el de la fuerza curativa de la naturaleza, que el médico favorecía mediante medicamentos (la «dieta» entendida en un sentido amplio, como régimen de vida) y, si era necesario, cirugía.
Importante, asimismo, es señalar que Hipócrates (o los autores cuyas obras le adjudicamos a él) fue el primero en rechazar la intervención divina en la aparición y curación de los enfermos. En aquella época pocos sanadores rechazaban la idea de la intervención divina, ya que la mayoría creía en un mundo organizado según reglas establecidas por alguna divinidad. Al igual que en épocas posteriores, semejante creencia se veía estimulada por los fracasos de los remedios utilizados. Así, la misteriosa epidemia que afectó a Atenas y otras partes de Grecia entre los años 430 y 427 a. C. ayudó a extender el culto a Asclepio, que terminó superando a Apolo como el dios griego más importante para la curación (aparece incluso en la Ilíada, en los libros III y IV, en este en boca del rey Agamenón).
En lo que se refiere a la anatomía, al tratar de las fracturas Hipócrates mostraba un buen conocimiento de la inserción de los huesos. De las partes blandas tenía ideas confusas, cuando no equivocadas: no distinguía las venas de las arterias, creó la voz nervio para referirse al tendón. Concebía el cerebro como una glándula que producía un fluido viscoso. Uno de los autores del Corpus hipocrático descubrió las válvulas del corazón, pero no pudo explicar su función.
Otro de los rasgos que sobresalen en la medicina hipocrática —uno que procede sobre todo de la escuela de Cos— es la atención a la historia clínica, la descripción minuciosa y detallada de lo que acontece al enfermo, un elemento que desde entonces configura universalmente la práctica médica. Y no podemos, naturalmente, dejar de recordar el famoso «Juramento hipocrático», que ha pervivido en el mundo médico, por supuesto no en su literalidad y poder normativo, sino como por lo que de comunidad restringida representaba:
Juro por Apolo médico, por Asclepio, Higiea y Panacea, así como por todos los dioses y diosas, poniéndolos por testigos, dar cumplimiento en la medida de mis fuerzas y de acuerdo con mi criterio a este juramento y compromiso:
Tener al que me enseñó este arte en igual estima que a mis progenitores, compartir con él mi hacienda y tomar a mi cargo sus necesidades si le hiciere falta; considerar a sus hijos como hermanos míos y enseñarles este arte, si es que tuvieran necesidad de aprenderlo, de forma gratuita y sin contrato; hacerme cargo de la preceptiva, la instrucción oral y todas las demás enseñanzas de mis hijos, de los de mi maestro y de los discípulos que hayan suscrito el compromiso y estén sometidos por juramento a la ley médica, pero a nadie más.
Haré uso del régimen dietético para ayuda del enfermo, según mi capacidad y recto entender: del daño y la injusticia le preservaré.
No daré a nadie, aunque me lo pida, ningún fármaco letal, ni haré semejante sugerencia. Igualmente tampoco proporcionaré a mujer alguna un pesario abortivo. En pureza y santidad mantendré mi vida y mi arte.
No haré uso del bisturí ni aún con los que sufren del mal de piedra: dejaré esa práctica a los que la realizan.
A cualquier casa que entrare acudiré para asistencia del enfermo, fuera de todo agravio intencionado o corrupción, en especial de prácticas sexuales con las personas, ya sean hombres o mujeres, esclavos o libres.
Lo que en el tratamiento, o incluso fuera de él, viere u oyere en relación con la vida de los hombres, aquello que jamás deba trascender, lo callaré teniéndolo por secreto.
En consecuencia séame dado, si a este juramento fuere fiel y no lo quebrantare, el gozar de mi vida y de mi arte, siempre celebrado entre todos los hombres. Mas si lo trasgredo y cometo perjurio, sea de esto lo contrario.
Contenido:§. Contar: números enteros y positivos
§. Calcular, medir: más números
§. Letras, proporciones y ecuaciones: el álgebra
§. Líneas, polígonos y sólidos: la geometría
§. Especulación cosmológica
§. La especulación galénica
§. La visión
En latín clásico, speculatio se refería a la observación, pero en el siglo XIV Nicolás Oresme utilizó el término para designar «la investigación teórica», de la que procede la acepción actual de «conocimiento puramente mental», que utiliza conceptos en lugar de observaciones. La construcción de los conceptos es la actividad característica de los matemáticos, que crearon los números y las relaciones que se producen entre ellos (cálculo), y de los filósofos, que construyeron los conceptos. La distinción entre lo esencial y lo accesorio creó por medio de la abstracción los conceptos de las cosas y de los seres. En La República, Platón (c. 428-347 a. C.) describió el conocimiento mediante la historia de la caverna, en la que los individuos contemplaban la sombra de la realidad, la idea, que el intelecto (noûs) trata de alcanzar mediante el uso de la dialéctica, que describió en el Fedro: «reconducir a una figura única aquello que aparece como múltiple y disperso». Se llega al concepto mediante la eliminación de lo accesorio y accidental. Euclides proporciona los ejemplos más sencillos: un punto no ocupa un espacio, una línea no tiene anchura. Las propiedades no contribuyen al conocimiento buscado, son accesorias: el color no contribuye al conocimiento de las magnitudes.
Aristóteles construyó un método de conocimiento especulativo, la lógica, que tomó su nombre de la razón (logos). En su base se encuentran las categorías, los aspectos formales de la realidad: sustancia, cantidad, calidad, relación, posición, tiempo, situación, condición, acción y pasión. La interpretación introduce los conceptos (proposición) y la clasificación de estas como afirmativas o negativas, generales o particulares. Como ya indicamos en la Introducción, en los Analíticos primeros construyó la teoría del silogismo, que dadas ciertas proposiciones (premisas) permitía obtener una tercera. El consenso que encontró la lógica aristotélica fue decisivo para la construcción de una cosmología, que se mantuvo vigente durante dos milenios.
Por último, tenemos que las conclusiones a que llega el pensamiento son, en ocasiones, demostrables (o, siguiendo a Karl Popper, falsables), mientras que otras se basan en el consenso de opinión.
En definitiva, la especulación es una forma de conocimiento distinta a la observación. Mientras que el valor de la observación depende de la coincidencia de los resultados obtenidos en sucesivas observaciones y, lo que aún es más eficaz, de la predicción de los acontecimientos, la especulación para ser científica depende de la verificación para probar su validez. La filosofía es una especulación no verificada. El objeto de la especulación es un constructo, una creación humana como la serie de los números enteros y positivos o el triangulo (la figura cerrada y plana con tres lados y tres ángulos). Da respuesta a necesidades concretas como contar, medir, construir figuras regulares o imaginar estructuras que permitan entender los movimientos de los cuerpos celestes.
En este capítulo vamos a tratar de algunos de los productos especulativos de la mente humana más destacados. Comenzando por las matemáticas, continuando por las cosmologías que se propusieron para explicar el Universo y terminando con la especulación médica. Se trata, es cierto, de tipos diferentes de especulación: mientras que las matemáticas son sistemas construidos sobre proposiciones a priori (axiomas), a partir de las cuales se deducen, recurriendo a las leyes de la lógica, otras proposiciones (teoremas), la cosmología trata de organizar en un sistema coherente —e inventado— el contenido observado del Universo. Se distinguen, asimismo, las matemáticas de las ciencias de la naturaleza (física, química, biología, etc.) en que estas —que desde luego necesitan de la matemática— son sistemas de proposiciones a posteriori, falibles; una diferencia que John Stuart Mill (1806-1873) resumió en la siguiente frase de uno de sus libros, A System of Logic Ratiocinative and Inductive (Un sistema de lógica racionalizadora e inductiva; 1843): «La lógica no observa, ni inventa, ni descubre; pero juzga».
El término «matemáticas» se deriva de la palabra griega mathēmatikē, que a su vez procede del verbo manthanein que significa «aprender». Un mathēma podía ser cualquier rama del conocimiento, cualquier cosa que aprendemos, como cuando en las Historias de Herodoto (484-425 a. C.), Creso manifiesta (I. 207): «Mis infortunios, por lo amargos, han sido para mí una lección». Sus «infortunios» eran, en la versión original griega, mathēmata. En consecuencia, en sentido estricto, inicialmente mathēmatikos era una persona a la que le gustaba el conocimiento en general, y así la utilizó Platón en el Timeo (88c): «Es, pues, necesario», se lee allí, «que el matemático y todo aquel que ejerza enérgicamente alguna actividad intelectual, dé también movimiento a su cuerpo y practique la gimnasia» (el punto del que se ocupaba ahí Platón es el del equilibrio entre el cultivo del intelecto y del cuerpo, el principio que más tarde se resumió en la máxima «mens sana in corpore sano»).
Fue posteriormente, a partir del siglo V de la era cristiana, cuando ciertas ramas de estudio pasaron a ocupar una posición de privilegio como las mathēmata por excelencia: la arithmēikē, el estudio de arithmos, definido inicialmente en términos de números enteros mayores que 1, o la geomētrikē, el estudio de la geōmetria, literalmente la medida de la Tierra, como explicó Herodoto cuando en, de nuevo, sus Historias (II. 109) y refiriéndose al rey egipcio Sesostris —en realidad Senusret III, de la XII dinastía (1887-1850 a. C.)—, escribió: «Este rey, dijeron los sacerdotes, repartió el país entre todos los egipcios, dando a cada uno un lote cuadrado igual, y con arreglo a este reparto estableció sus ingresos imponiendo a cada uno el pago de un tributo anual. Pero si el río llevaba parte del lote de alguno, este acudía al rey y le explicaba lo ocurrido; entonces el rey enviaba a inspeccionar y medir la disminución del terreno, a fin de que en adelante pagara una parte proporcional del tributo impuesto. Y así, creo yo, se inventó la geometría, que después pasó a Grecia, Pues el reloj de sol y su gnomon y las doce partes del día, los griegos lo aprendieron de los babilonios».
Da idea de la importancia que las matemáticas terminaron alcanzando, lo que Platón escribió en sus Diálogos, concretamente en las Leyes (libro VII; 817, 818):
Hay tres materias de estudio para los hombres libres: el cálculo y los números constituyen una disciplina; también el arte de la medida y de la extensión, de la superficie y la profundidad forman, como un único ámbito, la segunda materia, mientras que la tercera es el estudio de las revoluciones de los cuerpos celestes, cómo es el movimiento natural de unos con relación a otros. No es necesario que la mayoría estudie todo eso hasta alcanzar un conocimiento exacto, sino unos pocos […] Creo que nunca nadie podría llegar a ser en opinión de los hombres ni un dios, ni un espíritu, ni un héroe capaz de cuidar a los seres humanos con seriedad, si no las practicara o no las conociera en absoluto. Estaría muy lejos de ser un hombre divino si no fuera capaz de reconocer ni el uno, ni el dos, ni el tres ni, en general, los pares y los impares, ni supiera contar, ni fuera capaz de calcular la noche y el día y desconociera las revoluciones de la luna, el sol y los demás cuerpos celestes.
Adviértase que, junto a las matemáticas, Platón distinguía también el estudio de los movimientos de los cuerpos celestes, esto es, la astronomía, y como señalamos antes también nos ocuparemos de esta en el presente capítulo, aunque no de las observaciones que se hicieron de los cuerpos celestes, sino de las teorías —especulativas— que se propusieron en el mundo antiguo para dar cuenta de sus movimientos.
§. Contar: números enteros y positivos
Contar es una necesidad para prevenir. Es conveniente conocer el consumo para guardar lo necesario y disponer del resto. No es, por consiguiente, sorprendente que contar fuese la primera gran invención de la humanidad; al menos, y aunque no se fuese consciente de ello, la primera gran invención de carácter especulativo, ni que fuese un objetivo en el que coincidieron todos los primitivos (B. L. van der Waerden, uno de los historiadores más eminentes de la matemática antigua, encontró tantas analogías que no pudo evitar concluir que debió existir ya una matemática en el Neolítico, esto es, entre, aproximadamente, 3000 y 2500 a. C., que se extendió desde Europa central hasta las Islas Británicas, Oriente Próximo, India y China). Ahora bien, contar requiere disponer de una serie de números enteros y positivos (números naturales) en la que cada uno es igual al anterior más uno. Las muescas que se encuentran en piezas óseas de gran antigüedad (por ejemplo, las 29 muescas que aparecen en un hueso de una pata de babuino de unos 37 000 años de antigüedad que se encontró en las montañas de Lebombo, en la frontera entre Swazilandia y Sudáfrica) no tendrían sentido sin albergar la idea mental —y por tanto especulativa— de una serie numérica. Hay que disponer de una serie de ese tipo para contar cosas iguales o distintas y de unos numerales para registrar el resultado. Una aplicación, o correspondencia, de uno a uno entre el conjunto de las cosas y la serie de los números es lo que permitió contar. Debemos, asimismo, tener en cuenta que contar es lo mismo que sumar. La adición de 5 y 3 se obtiene cuando se busca el tercer elemento de la serie a partir de 5. Y la cuenta atrás permite calcular el resto, mientras que la multiplicación no es, en última instancia, sino un recurso basado en sumas, y la división un tipo de partición. Número y cantidad son una misma cosa, ambos son infinitos y lo mismo sucede con las voces y signos que los representan.
La invención de los números permitió realizar otra función, la de medir —operación que se aplica a las distancias— las dimensiones y los ángulos, al igual que el peso y el tiempo, operaciones estas que, como veremos más adelante, son esenciales para pasar de propiedades a magnitudes. Además de números, para medir hubo que determinar unidades, distintas según el carácter de las medidas. Los griegos midieron las distancias medias en estadios (unidad equivalente a unos 185 metros), que se dividían en 125 pasos o 625 pies. Los babilonios impusieron el sistema sexagesimal para la medida de los arcos y las partes de las horas y los minutos. La dificultad para hacer corresponder el patrón con la realidad que se quería redujo significativamente la precisión de los resultados.
Decíamos hace un momento que para contar se requieren ciertas condiciones, que hubo que crear la serie de los números enteros y positivos, pero también fue preciso introducir una importante limitación: solo se pueden contar cosas homogéneas, salvo que creemos la clase, el conjunto (un término que, entendido en su sentido matemático, únicamente tomó protagonismo a partir del siglo XIX) de las cosas. Fue, asimismo, necesario asociar a los números palabras y signos (numerales).
Para decir y escribir una cantidad, más grande que ninguna otra, las sociedades primitivas encontraron un artificio común, la base, de las que se introdujeron varias. Cabe imaginar la razón de las preferencias: 5 son los dedos de una mano y con los de la otra se puede contar hasta 30; 10 son los dedos de las dos manos; 12 es múltiplo de 2, 3, 4 y 6, y 60 lo es, además, de 5, 10, 12, 15, 20 y 30, condición que simplificaba el cálculo; 20 se obtiene tomando al mismo tiempo los dedos de manos y pies (mayas y aztecas de la América Central precolombina, al igual que celtas, vascones y esquimales de Groenlandia, adoptaron esta base). Y está, asimismo, la base 2 que ahora utilizamos para comunicarnos con los ordenadores.
Una base es igual a una cantidad de unidades y permite crear nombres y numerales mediante la asociación de los sonidos y los signos. En el sistema decimal los números que siguen a diez se dicen once, doce…, dieciséis, etc. Cada rango tiene un nombre propio: decenas, centenas, millares, millones, etc., y sin necesidad de experimentar se puede decir y escribir cualquier número. Del mismo modo que las palabras se forman con letras, las cantidades se representaron con numerales. Y para limitar el número de estos, se repitieron los mismos signos hasta alcanzar la base, añadiendo a partir de esta el signo del rango.
Aunque nos hemos acostumbrados a la base decimal, y no dudamos en asociarla, como acabamos de decir, a los dedos de las manos, estas, las manos, fueron utilizadas de maneras más amplias. Hasta no hace mucho, los mercaderes de Arabia vendían sus mercancías tocando los dedos y articulaciones del posible comprador. De acuerdo con la importancia del trato, un dedo podía representar 1, 10, 100, 1000 o 10 000; dos, el doble; tres, el triple, y así sucesivamente. También hasta muy recientemente era posible encontrar en China a mujeres que utilizaban las 28 falanges de las manos para verificar la regularidad de su ciclo menstrual, desplazando cada día una pequeña cinta de una falange a la siguiente. En sentido parecido, el monje irlandés Beda el Venerable utilizaba sus 28 falanges para calcular los 28 años del ciclo solar en su cómputo eclesiástico para determinar la fecha de la Pascua en el calendario juliano.
Además de los dedos de la mano, se inventaron otros procedimientos para contar. Uno de ellos fue el quipu, que los españoles encontraron que utilizaban los incas en América del Sur. Se trataba de un cordel del que colgaban cintas multicolores delgadas reunidas por grupos. En ellas se hacían nudos que permitían representar, en base 10, cifras bastante grandes. Otra «máquina de calcular» muy conocida fue el ábaco, que estaba compuesto por hilos o varillas de metal dispuestas en paralelo en las que estaban insertadas, pero permitiendo que se desplazasen a lo largo, bolas. El ábaco tuvo una larga vida; de hecho, aún se utiliza en el Extremo Oriente (en China se denomina suan pan).
Pero dejemos los instrumentos o maneras de contar y vayamos a los orígenes de los símbolos y bases que se utilizaron. Se trata de una invención absolutamente capital, que de hecho antecedió a la invención de la escritura, a la que acaso estimuló.
Como en otros casos, la invención de sistemas de numeración estuvo relacionada con desarrollos sociales; en concreto con la intensificación, hace algo más de 5000 años, de intercambios comerciales entre dos regiones vecinas de Oriente Próximo, Sumer y Elam. Debido a tales intercambios, se hizo necesario tener constancia permanente, material, de las cantidades implicadas en las operaciones realizadas. Primero se utilizaron objetos del tipo de, por ejemplo, palitos, rodajas, discos, esferas o conos que representaban los diferentes tipos de unidades empleadas en las numeraciones (en Elam se emplearon como unidades las decenas, centenas, millares, etc.; esto es, se utilizaba la base decimal). Una vez reunidos esos testimonios que representaban una cierta cantidad, se guardaban en una bola hueca de arcilla, que se sellaba para garantizar que no se pudiera modificar su contenido.
Aunque sin duda útil, un procedimiento como el anterior requería de objetos que podían llegar a ocupar bastante espacio, aparte de que había que fabricarlos. Por ello, cuando las tareas administrativas —y a la cabeza de ellas las contables— aumentaron, debió hacerse evidente la necesidad de encontrar un sistema más económico —esto es, más abstracto, producto de una actividad simbólico-especulativa— desde el punto de vista de los elementos utilizados. Esto es lo que sucedió, hacia 3000 a. C., en Mesopotamia, en ciudades-estado como Sumer o Babilonia. Utilizando cuñas (de ahí, como vimos, la escritura cuneiforme, «en forma de cuña»), se inscribieron signos —antes de que se inventase la escritura— en tablillas de arcilla húmeda (que luego se cocían o secaban al sol) para representar las cantidades asociadas a diferentes tipos de operaciones o transacciones. Una de las notaciones empleadas —se utilizaron varias— consistía en una cuña (algo así como un triángulo con lados curvos) delgada y vertical, apuntando hacia la izquierda, para representar la unidad, esto es, nuestro 1, mientras que una cuña gruesa y horizontal significaba 10. Con ambas, y reuniéndolas en grupos, se indicaban los números del 2 al 9 y del 20 al 59, pero ahí se cambiaba de pauta a seguir, introduciéndose a continuación signos para el 60, 60 · 10 (600), 60 · 60 (602 = 3600), 602 · 10 (36 000)… En estos símbolos cuneiformes, probablemente inventados por los primeros sumerios, se utilizaron tanto el sistema decimal como el sexagesimal. Esta última, la escala sexagesimal, fue descubierta por el asiriólogo irlandés Edward Hincks (1792-1866) en una tablilla en 1854, en la que se registraron las magnitudes de las partes iluminadas del disco lunar todos los días entre la Luna nueva y la Luna llena, suponiendo que el disco completo estaba formado por 240 partes. Las partes iluminadas durante los primeros cinco días estaban constituidas —utilizando los números que empleamos ahora— por la serie 5, 10, 20, 40, 1.20, que es una progresión geométrica si se supone que 1.20 es 80, lo que significa que 1.20 representa 60 + 20, con lo que, generalizando esta interpretación, se tendrá que 2.n = 2 · 60 + n, 3.n = 3 · 60 + n, y así sucesivamente.
A partir de 1.20, la serie pasaba a ser aritmética:
1.20, 1.36, 1.52, 2.8, 2.24, 2.40, 2.56, 3.12, 3.28, 3.44, 4,
que expresada en nuestra numeración se lee como:
80, 96, 112, 128, 144, 160, 176, 192, 208, 224, 240,
esto es, una serie aritmética de razón 16.
La interpretación de Hincks fue confirmada cuando se descifraron otras tablillas encontradas en 1854 en Senkereh, cerca de Babilonia, que probablemente fueron escritas entre 2300 y 1600 a. C. Una de esas tablillas contenía la tabla de cuadrados, desde 12 hasta 602, y otra la de los cubos, desde 13 hasta 323. Los números 1, 4, 9, 16, 25, 36 y 49 se daban como los cuadrados de los primeros siete números naturales, mientras que los siguientes cuadrados se escribían de la siguiente manera:
82 como 1.4 (recordemos que esto es igual a 60 + 4)
92 como 1.21
102 como 1.40
y así sucesivamente.
Semejante presentación indicaba claramente la utilización de una escala sexagesimal, que como sabemos se conservó, utilizándose aún, para los grados de las circunferencias y para la medida del tiempo.
Junto a la base sexagesimal, otra de las novedades del sistema numérico babilónico fue la introducción de la notación posicional, el principio de que el valor de una cifra depende de su posición en la escritura de un número: si tenemos, por ejemplo, 5687, en el sistema decimal esto significa que el 5 tiene el valor 5·1000, 6 vale 6·100, 8 es igual a 8·10 y 7 es simplemente 7·1.
La invención del principio posicional fue uno de los principales inventos de la historia, y constituye una muestra de las grandes aportaciones de los babilonios a la matemática, en cuyo estudio destacó Otto Neugebauer (1899-1990), un matemático de origen austriaco reconvertido al estudio de las matemáticas de la Antigüedad: fundador en 1931 de una revista especializada, Zentralblatt für Mathematik und ihre Grenzgebiete, Neugebauer publicó un corpus de textos matemáticos antiguos, mostrando la superioridad de las matemáticas babilonias (entre otros muchos hallazgos, demostró que conocían el teorema de Pitágoras desde 1500 a. C.).
Además de por los babilonios —que lo emplearon a partir del II mileno a. C.—, el principio posicional se descubrió también en otras civilizaciones, en diferentes épocas: poco antes del comienzo de la era cristiana, en China, donde se empleó en base decimal; y entre los siglos IV y X, en el imperio de los mayas, dentro de un sistema de base 20. En esta base, un número como, por ejemplo, el 542 es igual, en el sistema decimal, a:
5 · 202 + 4 · 201 + 2 · 200,
o lo que es lo mismo,
5 · 400 + 4 · 20 + 2 · 1 = 2000 + 80 + 2,
o 2082.
Además de las formas en que los sumerios y babilonios representaban las cifras, hubo otros tipos de representaciones, como los sistemas jeroglíficos cretense (hacia 1900 a. C.) e hitita (hacia 1400 a. C.), pero estos compartían con los mesopotámicos el amontonamiento de símbolos, una dificultad que condujo finalmente a que algunos pueblos introdujesen símbolos para las unidades intermedias, desarrollo este que aportó una gran simplificación y economía. Así, los griegos, con quienes las matemáticas alcanzaron cotas en algún caso, como veremos, insuperables, utilizaron las 24 letras de su alfabeto, incluidas tres de origen fenicio (digamma, san y qoppa) que habían caído en desuso, y luego repartieron estos 27 signos en tres clases de unidades de origen decimal: la primera estaba formada por 1, 2, 3, 4, 5, 6, 7, 8 y 9, la segunda por 10, 20, 30, 40, 50, 60, 70, 80 y 90, y la tercera por 100, 200, 300, 400, 500, 600, 700, 800 y 900. Y para representar los números intermedios, procedían como los judíos: por adición, yuxtaponiendo letras numerales que indicaban diferentes órdenes consecutivos de unidades. Posteriormente, para refinar los sistemas de numeración y evitar errores de lectura, introdujeron un numeral para 5, 50, 500…, lo que limitaba a cuatro las repeticiones. Y los romanos siguieron su ejemplo.
Para representar nuestros números 1, 5, 10, 50, 100, 500 y 1000, los sistemas griego y romano utilizaban, respectivamente, los siguientes signos numerales:
I (iota), Π (pi), Δ (delta), H (eta), X (xi), M (my)
I, V, X, L, C, D, M.
Durante bastante tiempo, los símbolos romanos se utilizaron de modo que 1999, por ejemplo, se escribía de la manera siguiente:
MDCCCCLXXXXVIIII,
pero durante el Renacimiento se simplificó, de forma que pasó a escribirse como:
MCMIC
Si tomamos ahora un número más elevado, como 4789, vemos que es
MMMMDCCLXXXIX
Ahora bien, con solo atisbar esta representación, en la que se acumulaban los numerales, podemos darnos cuenta de lo engorrosa que podía llegar a ser, aún, naturalmente, siendo mucho más económica que otros sistemas anteriores. La razón de este engorro radicaba en que se basaba en el principio aditivo; esto es, en añadir símbolos en proceso de adición, en sumar los valores de cada uno de los numerales. Para solucionar esta dificultad, varias civilizaciones recurrieron a otro notable invento: el principio multiplicativo. Desde, aproximadamente, 3300 a. C., los sumerios representaron las cifras correspondientes a 600 (10 · 60) y 36 000 (10 · 602) recurriendo al principio multiplicativo: simbolizaban la multiplicación por 10 añadiendo una pequeña marca circular a los signos correspondientes a 60 o 3600. De esta manera, la marca circular representaba la decena. En China, en donde también desarrollaron un sistema multiplicativo, escribían las cantidades en columna, y debajo de cada una indicaban el rango: decenas, centenas, etc.
Con relación a los egipcios (que utilizaron la base 10), diremos que su compleja escritura, la jeroglífica, entrañaba grandes dificultades para, basándose directamente en ella, transcribir rápidamente cifras. Por este motivo, ya desde la época del Imperio Antiguo (c. 2700-2200 a. C.) los escribas egipcios se esforzaron por simplificar la estructura de las cifras originales, creando una notación abreviada que se conoce como «hierática» (también utilizaron otra, la «demótica»). Incluía un signo específico para las nueve unidades simples (1, 2, 3, 4, 5, 6, 7, 8 y 9), otros nueve para las decenas (10, 20, 30, 40, 50, 60, 70, 80 y 90), nueve más para las centenas (100, 200, 300, 400, 500, 600, 700, 800 y 900) y así sucesivamente. Evidentemente, la economía de signos era relativa, aunque ciertamente aportaba ventajas: para denotar, por ejemplo, 5432, no se necesitaban sino 4 cifras en lugar de las 27 que exigía el antiguo sistema jeroglífico.
Como vemos, la historia del desarrollo de sistemas de numeración y representación de cifras fue un proceso largo y alambicado, relacionado también con el desarrollo de la escritura, que naturalmente no podemos aspirar a desentrañar aquí. Lo que nos interesa es señalar la esencia del proceso de abstracción y especulación que implicó.
En un sistema basado en la adición de los valores de cada uno de los numerales no había razón para preocuparse de su posición ni para incluir un signo sin valor numérico. Ahora bien, para las cantidades superiores a 60 los sumerios atribuyeron un valor posicional a los numerales, aunque esto no fue obstáculo para que durante un milenio los babilonios mantuviesen su antigua numeración. Pero es evidente que la ausencia de un orden o posición cualquiera introducía, si no se disponía de alguna forma para señalarlo, una gran ambigüedad. Para evitarla, inicialmente emplearon un espacio vacío más extenso que lo normal, pero esto también podía conducir a confusiones, por lo que finalmente se creó un símbolo especial para denotar una posición vacía, aunque no siempre se utilizaba, por lo que era preciso ser muy cuidadoso con el contexto en el que aparecían las cantidades manejadas, si se querían evitar equivocaciones. Solo hacia 400 a. C. introdujeron las comillas para indicar un numeral sin valor: 21”6 equivalía a 2106.
Aunque ya al comienzo de la era cristiana los mayas introdujeron en sus sistemas de numeración un símbolo específico para la posición vacía, haciendo uso de él de manera sistemática, fue en la India donde se introdujeron las notaciones que finalmente se enquistaron en la cultura matemática.
Los hindúes de la India fueron muy dignos sucesores de los matemáticos griegos, con figuras tan notables como Aryabhata (n.º 476), Brahmagupta (n.º 598), Mahavira (siglo IX) y Bhaskara (n.º 1114). Aunque esta civilización data de, al menos, 2000 a. C., su matemática no comenzó a desarrollarse hasta después de 800 a. C., floreciendo a partir del siglo III a. C. (en los escritos religiosos denominados Sulvasutras [Reglas de la cuerda], probablemente compuesto entre los siglos IV y V a. C., mientras se daban instrucciones para la construcción de altares, aparece una aproximación de √2, hablándose, asimismo, de las «tripletas pitagóricas» —esto es, de ternas como 3,4 y 5, o 5, 12 y 13, que verifican lo que más tarde sería conocido como teorema de Pitágoras: a2 + b2 = c2— y de las áreas del cuadrado, círculo, semicírculo y trapecio isósceles). Fue en el norte de la India donde nació la numeración moderna; en particular los nueve signos (desligados de toda intuición sensible), las nueve cifras que, erróneamente, denominamos «arábigas»: 1, 2, 3, 4, 5, 6, 7, 8 y 9, escritas de esta manera.
Sabemos que a partir de un cierto momento posterior al siglo III, los matemáticos indios utilizaron un punto grueso, •, para un espacio sin valor, para el lugar vacío del principio posicional (así aparece en un manuscrito llamado Bhaksara). Fue hacia el siglo V cuando introdujeron el signo cero hindú, al que pusieron el nombre de shûnya, término que significa vacío, nada o espacio en sánscrito, y que terminó siendo representado por un punto o un círculo pequeño, de donde finalmente surgió el cero (0).
§. Calcular, medir: más números
La invención de los números enteros y positivos hizo posible el cálculo, que permitía la solución de problemas sin necesidad de contar de nuevo los cuerpos objeto de análisis. Las operaciones aritméticas directas: adición, multiplicación y potenciación, y las inversas, substracción, división y radicación, requerían de la homogeneidad de los cuerpos en cuestión. La mayor parte de las tablillas babilónicas eran tablas de multiplicar, de recíprocos, de cuadrados y cubos, que les dispensaban de hacer las operaciones. En realidad, estas operaciones constituyen ejemplos de un procedimiento que más tarde (en el siglo XII y en Europa) recibiría, inspirándose en los trabajos de un matemático y astrónomo persa y bibliotecario en la corte del califa abasida Almanún, Mohamed ben Musa al-Khwarizmi (c. 780-850), del que volveremos a ocuparnos, el nombre de algoritmo; esto es, procedimiento sistemático para resolver un problema. (El desarrollo de los algoritmos para las cuatro operaciones aritméticas comenzó en la India en el tránsito del siglo X al XI).
Al contar, las cosas que forman un grupo se toman una a una y el número resultante es entero y positivo. Sin embargo, cuando se mide la longitud, el peso o el tiempo, el resultado no siempre tiene estas características, al caer entre dos números enteros. Para representar las fracciones —esto es, cocientes entre dos números enteros— los egipcios crearon los inversos, aunque solo utilizaron fracciones de numerador 1 y 2/3. Cuando el resultado no cumplía esta condición lo convertían en una suma de fracciones con numerador 1, un procedimiento que practicaron los bizantinos hasta el siglo XIV. Los babilonios sí utilizaron todos los números fraccionarios.
Durante siglos, las soluciones negativas eran consideradas falsas, aunque en torno a 600 a. C. en la India se usaban números negativos para representar las deudas, un uso condicional. Asimismo, en la China del siglo I a. C. se mencionan los números negativos, que en Grecia no se utilizarían hasta el siglo III (Diofanto calificó de «absurdo» el resultado de la ecuación 4x + 20 = 0). En el siglo VII, Brahmagupta introdujo la formula cuadrática que aún se utiliza, mientras que en el siglo XII Bhaskara extraía raíces negativas de las ecuaciones cuadradas, pero indiciaba que no se debían tomar en consideración en honor a la opinión pública: «el pueblo no acepta las raíces negativas». Sin embargo, Fibonacci (c. 1170-1250) las admitía en los cálculos financieros, concibiéndolas, al igual que en los indios, como deudas o pérdidas. Hasta el siglo XVII no fueron aceptados los números negativos y en el siguiente incorporados, aunque sus resultados seguían siendo ignorados como sin sentido. Y cuando fueron aceptados, la multiplicación con números negativos aconsejó crear la regla de los signos: la multiplicación de + por – tiene un valor negativo (las deudas pueden multiplicarse), en tanto el valor positivo de – por – es una convención tardía.
Dejando de lado por el momento otros tipos de números, como los «irracionales», que introduciremos más adelante en este mismo capítulo, tenemos que el cálculo aritmético era suficiente para resolver problemas elementales, que utilizaban números racionales. Los papiros de Rhind y de Moscú, así como muchas tablillas babilonias, contienen problemas que se resolvían por métodos aritméticos. Los egipcios utilizaban el método de la falsa posición para resolver problemas sin necesidad de acudir a fórmulas algebraicas y lo mismo hacían los chinos un milenio después. Uno de los enunciados decía: «una cantidad y un tercio de ella suman 36». Y a continuación elegían un número cualquiera, por ejemplo el 9, que, al sumarle un tercio, se convertía en 12. Para obtener el exacto buscaban la relación entre esta cantidad y el dato del problema (1/3) y multiplicaban por 3 el número elegido, para obtener la solución: 27. Las tablillas babilónicas del II milenio contienen problemas con potencias de segundo grado (cuadrado) y excepcionalmente de tercer grado (cubo), aunque no utilizaban ningún símbolo.
§. Letras, proporciones y ecuaciones: el álgebra
Un paso fundamental en el desarrollo del razonamiento simbólico fue asociar símbolos (letras) a números. Se trata del álgebra, una rama de las matemáticas cuyo origen está íntimamente asociado a la formulación de problemas matemáticos mediante ecuaciones; de hecho, se define como «el arte de resolver ecuaciones y manipular ecuaciones y polinomios».
Entendida en un sentido moderno, el álgebra constituye un notable avance con respecto a la aritmética: mientras que esta se limita a las operaciones, el álgebra sustituye los números por letras para operar sin necesidad de calcular. En la base del nuevo método se encuentran dos relaciones: la razón entre dos magnitudes de la misma especie: «a es a b», y la proporción o igualdad entre dos razones a/b = c/d. La prueba de la proporción es que al multiplicar los numeradores por una cantidad arbitraria y los denominadores por otra, la proporción ma/nb = mc/nd puede expresarse como el producto cruzado: ad = bc. El conocimiento de tres de las cuatro magnitudes es suficiente para descubrir la desconocida (incógnita).
En realidad, la aparición del álgebra se encuentra estrechamente relacionada con el cálculo, que dio paso al establecimiento de las proporciones, que se pueden expresar como ecuaciones lineales, igualdades que se resuelven mediante técnicas específicas como la transposición de un lado a otro de la igualdad mediante el cambio de signo, la sustitución que permite representar los elementos por el resultado y al contrario. Y la asociación de varias ecuaciones en un sistema permitió descubrir problemas con tantas incógnitas como ecuaciones.
Considerado desde el punto de vista de su origen histórico, la esencia de lo que se llamaría álgebra aparece, bajo un manto retórico-literario, en tablillas cuneiformes babilónicas. En una de ellas, perteneciente al periodo babilónico Antiguo (1800-1600 a. C.), que contiene once problemas, se formulaba la siguiente cuestión:
Encontré una piedra, pero no la pesé. Después pesé 6 veces su peso, añadí 2 gin [una de las unidades que utilizaban] y añadí un tercio del séptimo multiplicado por 24. Lo pesé. El resultado era 1 ma-na [1 ma-na = 60 gin]. ¿Cuál era el peso original de la piedra?
Traducido al lenguaje matemático moderno, este problema se escribe de la manera siguiente (denotando x al peso en unidades gin).
(6x + 2) + (1/3) · (1/7) · 24 · (6x + 2) = 60,
que se resuelve fácilmente obteniendo
x = 1/3 · 13 gin,
un resultado que se daba en la tablilla, pero sin explicación.
El problema anterior corresponde a una ecuación lineal, pero también aparecen en las tablillas otros asociados a ecuaciones cuadráticas. No obstante, los procedimientos que aparecen en las tablillas babilónicas para resolver esos tipos de problemas son reglas concretas desprovistas del significado manifiesto en el álgebra tal y como la entendemos. Mucho más avanzados fueron los métodos de resolución de ecuaciones que encontramos en los árabes, quienes, de hecho, acuñaron el término álgebra, que procede de la palabra árabe al-jabr, empleada en el siglo IX por el ya citado al-Khwarizmi en un libro titulado Al-Kitab al-jabr w’al-mugabala (Libro del compendio de cálculo por el método de completado y balanceado), en el que presentaba métodos generales para resolver ecuaciones manipulando cantidades desconocidas, aunque —es importante señalar este punto— sin ningún tipo de simbolismo. Primero daba las soluciones de las seis ecuaciones estándar (bx = c, ax2 = bx, ax2 = c, ax2 = bx + c, ax2 + c = bx y ax2 + bx = c, con a, b, c > 0), aunque como acabamos de apuntar no las escribiese de esta forma (por ejemplo, su formulación de nuestra ecuación 4x2 – 3 = 2x era «cuatro propiedades excepto tres son iguales a dos raíces»), y después trataba de la reducción de las ecuaciones lineales y cuadráticas a estas formas estándar.
Aun careciendo de una formulación simbólica, los avances árabes en la resolución de ecuaciones constituyeron un hito en el desarrollo de la matemática. Incluso intentaron resolver la ecuación algebraica de tercer orden (o cúbica: ax3 + bx2 + cx + d = 0), un problema por el que ya se habían interesado los griegos, que descubrieron procedimientos geométricos (se basaban en las secciones cónicas), para resolver algunos tipos de estas ecuaciones. Este tipo de método, geométrico, aparece también en los Elementos de Euclides (trataremos de este obra más adelante), en el que se lee: «Si una línea recta se divide en dos partes cualesquiera, el cuadrado de esta línea es igual a la suma de los cuadrados de cada una de las partes y de los rectángulos formados por estas identidades algebraicas: (a + b)2 = a2 + 2ab + b2». Y hacia 1075, el persa Omar Khayyam, conocido especialmente por su poema Rubaiyat, clasificó las ecuaciones cúbicas en 14 tipos (dependiendo de los valores de a, b, c y d) y demostró cómo resolverlas utilizando cónicas en una obra titulada Sobre las demostraciones de los problemas de álgebra y comparación.
Frente a estilos «literarios» o geométricos como los precedentes, el «estilo algebraico», el que asociamos al álgebra tal como la entendemos ahora, un estilo en el que aparecen símbolos en lugar de números, había comenzado de hecho su camino mucho antes que los avances realizados por los árabes. Avanzado en la utilización de una notación algebraica sincopada fue Diofanto de Alejandría (siglo III). Su Aritmética ya comprendía una teoría de los números algebraicos y 130 problemas de números racionales y positivos, resueltos mediante ecuaciones lineales y cuadráticas, de los que solo ofrecía los resultados: «Buscar tres números tales que la suma sea un cuadrado, lo mismo que la suma de dos de ellos». La solución que ofrecía incluye al 41, 80 y 320.
La notación que empleaba Diofanto es muy diferente de la que finalmente se impuso. Esta comenzó a crearse durante el Renacimiento. Así, en su Summa de arithmetica, geometria, proportioni et proportionalita (1494), un Tratado (Summa) cuya influencia en la enseñanza matemática se extendió por toda Europa, Luca Pacioli (1446/7-1517) utilizaba las letras p y m (ambas coronadas con una tilde, que Geronimo Cardano [1501-1576] eliminó en su Ars magna de 1545) para representar la suma y la resta: la p por ser la inicial de la palabra italiana para más (piú) y la m la de menos (meno). Los símbolos que ahora empleamos, + y –, aparecieron por primera vez en un texto aritmético en el libro Behennde vnnd hübsche Rechnug auff allen Kauffmanschaften (Cálculos rápidos y seguros para todas las profesiones; 1489) debido al alemán Johannes Widman (1462-1498), aunque se sabe que ya se utilizaban antes por comerciantes germanos para distinguir mercancías por exceso y por defecto.
Otro de los símbolos clásicos, el signo x para multiplicar, fue creado en 1481 por William Oughtred (1574-1660). Y fue criticado —no sin razón— por Leibniz en base a que se confundía con la letra x.
En cuanto a letras para representar cantidades desconocidas, uno de los primeros en utilizarlas fue el matemático francés François Viète (1540-1603) —también conocido como Francis Vieta—, aunque él empleaba las letras del alfabeto para representar tanto cantidades desconocidas como conocidas: las consonantes representaban las conocidas, mientras que las vocales las desconocidas, todas siempre en mayúsculas (véase su Zeteticorum libri V [Cinco libros de investigación], publicado en Tours en 1593). Ahora bien, Viète distinguía entre número y magnitud y en las ecuaciones numéricas no utilizaba una vocal para los números desconocidos: el número desconocido y sus potencias se representaban, respectivamente, por N (numerus), Q (quadratus), C (cubus) y sus combinaciones; esto es, una frase como «Si 65C – 1QC, aequetur 1 481 544, fit 1N57», que encontramos en alguna de sus obras, significa: «Si 65x3 – x = 1 481 544, entonces x = 57». Fue el alemán Christoff Rudolff (1499-1545) quien utilizó la ahora familiar expresión xn para potencias hasta la novena (n = 9) en su Behend vnnd Hubsch Rechnung durch die kunstreichen regeln Algebre so emeincklich die Coss genent werden (Estrasburgo 1525).
En su libro póstumo Artis analyticae praxis (La práctica del arte analítico; Londres 1631), Thomas Harriot (c. 1560-1621) utilizó minúsculas en lugar de las mayúsculas de Viète, indicó las potencias repitiendo los factores e inventó los símbolos > y < para «mayor» y «menor», utilizando, asimismo, dos rayas paralelas —muy largas, no como las que terminaron imponiéndose (=)— para denotar la igualdad, un símbolo que había introducido bastante antes Robert Recorde (c. 1510-1558): aparece en su The Whetstone of Witte de 1557, un libro en el que se utilizó por primera vez en un texto en inglés los símbolos + y –. Con respecto a estos dos símbolos, ya los encontramos en la Arithmetica integra (1544) del alemán Michael Stifel (c. 1487-1567), quien, por cierto, acuñó el término «exponente», aunque su, por así decirlo, mayoría de edad, llegó con el Algebra (1608) de Christophorus Clavius (1538-1612), un alemán que pasó la mayor parte de su vida en Roma, donde intervino en la reforma del calendario. En ese libro, Clavius escribió: «Pleriqve auctores pro signo + ponunt literam P, vt significet plus: pro signo vero – ponunt literam M, vt significet minus. Sed placet nobis vti nostris signis, vt à literis distinguantur, ne confusio oriatur»; esto es: «Muchos autores ponen en lugar del signo + la letra P, que significa “más”: de igual manera, para el signo – utilizan la letra M, que significa “menos”. Pero nosotros preferimos utilizar nuestros signos; ya que al ser diferentes de las letras no surge ninguna confusión».
En cuanto a otros símbolos —la historia de la simbología matemática es larga y compleja—, diremos únicamente que fue René Descartes quien introdujo en el siglo XVII el signo √ para la raíz cuadrada, una reelaboración de la letra R, de radix (raíz), que había sido utilizada con anterioridad con algunas modificaciones (por ejemplo, una raya cruzando su brazo recto inclinado), pero escribía √ c para la raíz cúbica.
§. Líneas, polígonos y sólidos: la geometría
Si hay apartados de la matemática que influyeron en el curso de la ciencia, y a través de esta en la humanidad, uno de ellos fue la geometría, la, como la definía el primer diccionario de la Real Academia Española, el denominado Diccionario de Autoridades (1726-1739), «Ciencia que trata de lo mensurable en cuanto mensurable; esto es, en cuanto se puede medir, dividir, aumentar, etc., sin atender a la materia ni a sus cualidades».
Debido a su dimensión práctica, conocimientos geométricos aparecieron pronto en la historia de la humanidad. Los babilonios, recordemos, dividieron la circunferencia en 360 partes iguales (grados) y advirtieron —o calcularon, no sabemos realmente— que su longitud era el doble del radio multiplicado por un número próximo a 3. Y es bien sabido que los egipcios destacaron en habilidades de cálculos geométricos. Tomemos, por ejemplo, sus famosas e imponentes pirámides. El volumen de una de estas construcciones es igual a un tercio del producto de la base por la altura. Considerando la Gran Pirámide, como su base es un cuadrado de 229 metros de lado, el área que cubre es de 52 441 m2; y su altura es de 146 metros, lo que significa que su volumen es:
1/3 · (52 441 · 146) = 2 552 000 m3.
Suponiendo que la pirámide es sólida, es fácil imaginar la enorme cantidad de materiales que se necesitó para levantarla. Y esto implica que debieron disponer de los suficientes conocimientos geométricos —de cálculo de superficies y volúmenes— para organizar su construcción. Conocimientos como el citado volumen de una pirámide, el área de un triángulo (½ de la base por la altura) o la teoría de las proporciones.
Pero donde el estudio de la geometría encontró su gran desarrollo fue en Grecia, a partir del siglo VI a. C.; un estudio en el que brilló como en ningún otro lugar durante siglos el pensamiento abstracto-simbólico. Tales (c. 625-550 a. C.) de Mileto (una ciudad situada en la actual Turquía) fue el primer autor al que se reconoció la paternidad de sus ideas. De él se dice que viajó por Egipto y que llevó a Grecia los conocimientos matemáticos allí adquiridos. Fuese de esta manera, o por su propia creatividad, el caso es que por lo que sabemos fue el primero en considerar el ángulo como un ente matemático, comparable a la dimensión, longitud y volumen, y en demostrar proposiciones como:
Los ángulos opuestos asociados a dos rectas que se cortan son iguales.
Los ángulos en la base de un triángulo isósceles son iguales.
Para que una recta corte a una circunferencia en dos partes iguales, debe pasar necesariamente por su centro.
Un ángulo inscrito en un semicírculo es recto.
Dos triángulos que tienen dos ángulos y un lado iguales son congruentes.
Imposible es no recordar a Pitágoras (c. 580-500 a. C.), natural de la isla de Samos, que abandonó bien por temor a la amenaza de que fuese conquistada por los agresivos persas o porque no podía soportar el gobierno del tirano Polícrates. Parece que entonces estuvo en Mileto, Fenicia (la actual región costera de Siria), Egipto y Babilonia, donde aprendió la matemática conocida. Finalmente se instaló en Crotona (una ciudad situada al sur de Italia, pero habitada por griegos), donde fundó una fraternidad dedicada al cultivo y a la enseñanza de las matemáticas y la filosofía. Las actividades de aquella secta estaban rodeadas de ritos secretos que contribuyeron a una conciencia de superioridad que provocó la reacción de la población, que destruyó sus instalaciones, conduciendo a la dispersión de la comunidad, cuyos miembros y discípulos estuvieron activos durante dos siglos más.
Si solo hubiese sido por esto, los pitagóricos no se habrían distinguido de muchas otras sectas que existieron en aquellas épocas; lo que les distinguió fue el papel que las matemáticas desempeñaban en sus creencias: pensaban que los números (enteros) eran el fundamento de la realidad —«todas las cosas son números»—, una creencia que les llevó a especular sobre su naturaleza y caracteres (también descubrieron las relaciones numéricas simples de lo que se denomina intervalos musicales: la cuerda de un instrumento dará la octava si su longitud se reduce a la mitad, mientras que si se reduce a los tres cuartos se obtiene una cuarta, o una quinta cuando es a dos tercios; se tiene, en definitiva, que dos cuerdas de un instrumento musical vibran con sonidos armónicos, sus longitudes se relacionan mediante expresiones numéricas del tipo 1/2, 1/3, 2/3…). Creían que el 1 era la fuente primaria de todas las cosas, que el 2 y el 3 simbolizaban los principios femenino y masculino y el 4 la armonía, así como los cuatro elementos (Tierra, Aire, Agua y Fuego) a partir de los cuales está hecho todo. Estos cuatro primeros números, representados como un número triangular (Tetraktis), constituían para ellos un objeto de culto: el juramento que prestaban a Pitágoras le atribuía su descubrimiento: «El Tetraktis de nuestra sabiduría. Fuente que contiene en sí las raíces de la naturaleza eterna». Y del 10 pensaban que era especialmente importante, puesto que reunía a los cuatro primeros: 10 = 1 + 2 + 3 + 4.
Llamaron amistosos a dos números cuando la suma de los divisores de uno coincide con el valor del otro, y viceversa, aunque solo conocieron el par 284 y 220 (mucho más tarde, en el siglo XVII, Pierre de Fermat encontró otros —17 296 y 18 416— y en 1747 Leonhard Euler ofreció una lista de 30 pares, que tuvo ocasión de duplicar). Un número era perfecto si su valor coincidía con la suma de sus divisores, como el 6 o el 28 (28 = 14 + 7 + 4 + 2 + 1). La construcción de polígonos homólogos de dimensiones crecientes les llevó a caracterizar a ciertos números como triangulares, cuadrados y pentagonales, aunque la más conocida, y la que produjo mayor número de proposiciones, es la categoría de los números primos, solo divisibles únicamente por sí mismos y por la unidad. La «criba de Eratóstenes» permitió identificarlos sin necesidad de acudir al cálculo, y Euclides demostró que su número era infinito. La descomposición de dos cantidades en los números primos permitió descubrir el máximo común divisor (MCD) y el mínimo común múltiplo (MCM), que facilitaron el cálculo.
También se les suele adjudicar el descubrimiento de los números irracionales. Los racionales se definen como las fracciones compuestas de números naturales, pero, según la leyenda, uno de los seguidores de Pitágoras, Hipaso de Metaponto (c. 500-¿? a. C.) descubrió que la diagonal de un cuadrado de lado 1 no era una fracción entera, un racional. La demostración matemática es en realidad sencilla. Si suponemos que √2 es racional podemos escribirlo como a/b, donde a y b son enteros, sin un factor común mayor que 1. Elevando al cuadrado la relación, se tiene 2 = a2/b2, o a2 = 2b2; por consiguiente, a debe ser un número par, por ejemplo a = 2c. Entonces, a2 = 4c2, y en consecuencia, b2 = 2c2, lo que significa que b debe ser también un número par. Se ha llegado, por tanto, a que tanto a como b son pares, lo que quiere decir que tienen un factor común mayor que 1, el 2, con lo que hemos entrado en contradicción con la hipótesis de partida. En consecuencia —razonamiento por absurdo (otro gran descubrimiento)—, √2 no puede ser racional.
La tradición —que como en tantos otros casos parecidos es muy probable que se confunda con los mitos inventados— dice que, escandalizados por este descubrimiento, los compañeros pitagóricos de Hipaso le arrojaron al mar, donde se ahogó.
Cuánto aportaron realmente de original los pitagóricos es algo difícil de establecer, pero sin duda contribuyeron a que el interés por las matemáticas se estableciera firmemente en el mundo griego, donde se distinguía entre la aritmética (o teoría de números) y el cálculo (logística). Entre los resultados que eran conocidos de antiguo se encuentra, como ya mencionamos, el célebre teorema que se adjudica a Pitágoras, del que se tienen noticias en Babilonia desde al menos 1500 a. C. (parece que un matemático indio del siglo VIII a. C., Badhayana, escribió un texto cuyas proposiciones se refieren a construcciones de áreas de cuadrados y rectángulos, en el que aparecían tripletes de números que cumplían las condiciones del teorema de Pitágoras). Y no solo esto: el de Pitágoras es muy probablemente el teorema matemático para el que más demostraciones diferentes se ha encontrado en la matemática (en un libro publicado en 1907 —The Pythagorean Proposition, de Elisha Loomis— se reunían 367 demostraciones diferentes). Una demostración geométrica sencilla, debida al matemático indio Bhaskara (del siglo XII, recordemos), utilizaba un cuadrado de lado a + b, que se dividía de dos formas diferentes (ver figura): uno en cuatro triángulos rectángulos iguales de lados a, b y c, junto a los que estaban dos cuadrados de lados a y b, respectivamente, y por tanto de áreas a2 y b2. El otro cuadrado de lado a + b se dividía distribuyendo de manera diferente los cuatro triángulos, de manera que completase el cuadrado un cuadrado de lado c. Como se tenía el mismo número de triángulos, para que el área de ambas distribuciones del cuadrado a + b fuese igual debería ser a2 + b2 = c2, que es el teorema de Pitágoras: la suma del cuadrado de los lados de un triángulo rectángulo es igual al cuadrado de su hipotenusa.

La relación a2 + b2 = c2 para un triángulo rectángulo suscita la cuestión de si no será válida también para cualquier número entero n como exponente en lugar de 2. La historia de los diferentes intentos para demostrar si se cumple para n ha sido larga y compleja. Comenzó en 1637, cuando el matemático y jurista francés Pierre de Fermat (1601-1665) realizó una pequeña anotación en el margen de su ejemplar del Libro II de la Arithmetica de Diofanto, en la que decía que había encontrado una demostración, pero que «el margen [del libro] es demasiado pequeño para contenerla». Por eso se conoce a esta conjetura como el «Último teorema de Fermat». Estrictamente, esta conjetura afirma que si n es un entero mayor que 2 (n > 2), la ecuación an + bn = cn no tiene solución si a, b y c son enteros positivos.
Muchos matemáticos, legiones de ellos, intentaron a lo largo de los siglos demostrar este teorema-conjetura, pero sin éxito. Euler (1707-1783), autor de una obra inmensa que abarcó prácticamente todas las ramas de las matemáticas y bastantes de la física, lo demostró para n = 3. Más tarde otros lo demostraron para n = 5, 7 y 13. Con la introducción de los modernos ordenadores, poderosísimas máquinas de calcular, se logró demostrarlo hasta n = 4 000 000, pero la demostración universal, absolutamente fiable, válida para cualquier n, no se logró hasta septiembre de 1994, cuando el matemático británico, Andrew Wiles (nacido en 1953), logró demostrar la conjetura —ya plenamente teorema— de Fermat.
Además de √2, otro número peculiar surgió con relación a la circunferencia. Ya mencionamos que los babilonios advirtieron que la longitud de una circunferencia era 2 veces su radio multiplicado por un número próximo a 3 (en algunas tablillas aparece 3,125), que los egipcios estimaron en 3,1604.
El primer procedimiento conocido para calcular el valor de este número —al que en 1737 Euler denotó con la letra griega π— fue el de Arquímedes (c. 287-212), uno de los grandes matemáticos del mundo heleno (aunque se le suela recordar más por sus contribuciones a la física y a la técnica), que, como se lee en uno de sus libros, Medición del círculo, utilizó 31 formas del método de exhaución introducido por Eudoxo en el siglo IV a. C.). Este método proporcionaba una base sólida para tratar figuras curvilíneas sustituyéndolas por otras rectilíneas inscritas en ellas, que se iban aproximando cada vez más a aquellas; desprovistos de la idea de límite, que tardaría en llegar dos milenios, la proposición siguiente, que obtuvo Eudoxo y que constituye la base del método de exhaución griego, resultó vital: «Si de cualquier magnitud sustraemos una parte no menor que su mitad, y si del resto sustraemos de nuevo una cantidad no menor de su mitad, y si continuamos repitiendo este proceso de sustracción, terminaremos por obtener como resto una magnitud menor que cualquier magnitud del mismo tipo dada de antemano». Eudoxo utilizó este método para demostrar, entre otras cosas, que los círculos son entre sí como los cuadrados de sus diámetros, siendo esta proporción el número que luego se llamó π). Basándose en polígonos regulares (de 3, 6, 12, 24, 48 y 96 lados) circunscritos e inscritos, calculó sus perímetros y situó el valor de π entre dos cocientes:

En el siglo II, Ptolomeo utilizó una tabla de cuerdas que daba las longitudes de estas para ángulos de uno y medio grado. La longitud de la cuerda correspondiente a un grado se multiplicaba por 360 y el producto se dividía por la longitud del polígono, para obtener el valor de π: 3° 8′ 30″, que equivale a 377/120 = 3,1416. Y Zu Chong-Zhi (c. 480) obtuvo los seis primeros decimales exactos 3,141592, un valor que no se superó hasta el siglo XVI.
En 1761, Johann Heinrich Lambert (1728-1777) logró demostrar que π es un número irracional (su valor es 3,14159…), como √2.
Hasta ahora hemos ido presentando resultados obtenidos tanto en Grecia como en otros lugares (Babilonia y Egipto, principalmente) de una forma desordenada. En buena medida esto es algo inevitable, en tanto que se han perdido los registros que hubiesen permitido establecer una relación espacial y temporal en el desarrollo de los distintos resultados matemáticos. Afortunadamente, como si el destino quisiese compensar semejante desbarajuste histórico, disponemos de una obra que no solo contiene una gran parte de los conocimientos matemáticos (en particular, los relativos a la geometría y números) obtenidos con anterioridad a su elaboración, sino una en la que estos se encuentran ordenados, en una gran síntesis. Nos referimos, claro está, a los Elementos de Euclides (c. 365-275 a. C.) de Alejandría. George Sarton, uno de los padres fundadores de la historia de la ciencia moderna, escribió de él lo siguiente (Hellenistic Science and Culture in the Last Three Centuries B. C.; 1959): «Todos conocemos su nombre y su obra principal, los Elementos de geometría, pero sabemos muy poco sobre él. Lo poco que sabemos —y es muy poco— lo deducimos y fue publicado después de su muerte. Esta clase de ignorancia, sin embargo, no es excepcional sino frecuente. La humanidad recuerda a los déspotas y a los tiranos, a los políticos de éxito, a los hombres con fortunas (o a algunos al menos), pero olvida a sus grandes benefactores. ¿Qué sabemos sobre Homero, Tales, Pitágoras, Demócrito…? Más aún, ¿qué sabemos sobre los arquitectos de las catedrales antiguas o sobre Shakespeare? Los grandes hombres del pasado son desconocidos, incluso aunque hayamos recibido sus obras y disfrutado de sus abundantes bendiciones».
No sabemos de él con seguridad, en efecto, ni las fechas de su nacimiento ni de su muerte; se le denomina «de Alejandría» porque es la única ciudad con la que se le puede asociar con seguridad. Probablemente fue educado en Atenas, en la Academia de Platón, uno —si no el— de los principales centros matemáticos del siglo IV a. C. y seguramente el único en el que pudo haber reunido los conocimientos que aglutinó en los Elementos, cuyo contenido refleja más que resultados obtenidos por el mismo, el producto de conocimientos previos que Euclides reunió y sintetizó. Cuando la situación política convirtió Atenas en un lugar complicado para vivir y trabajar, se habría marchado a Alejandría; la Alejandría de los Ptolomeos, en donde la filosofía fue un tanto marginada, mientras que florecieron las ciencias y la literatura, en las que los sucesores de Alejandro estaban más interesados. Los Elementos —que algunos datan en torno al 365 a. C.— fueron dedicados a Ptolomeo I Sóter (c. 367-283 a. C.), fundador de la dinastía ptolemaica, quien se supone fundó la célebre Biblioteca de Alejandría. Aparentemente, mientras trabajaba en Alejandría, Euclides decidió compilar y sistematizar todos los conocimientos matemáticos realizados hasta entonces, seguramente incluidos muchos en libros que no nos han llegado (solo ha sobrevivido un tratado matemático completo —Sobre la esfera en movimiento— anterior a los Elementos, debido a un contemporáneo de Euclides, mayor que este, Autólico de Pitania). Fruto de aquella decisión fueron los Elementos. No hay momento superior en la historia del pensamiento griego que el de la composición de esa obra, la obra matemática por excelencia, en la que con la precisión, elegancia y saber del cirujano mejor dotado, se compone un acabado edificio de proposiciones matemáticas a partir de un grupo previamente establecido de definiciones y axiomas, que se combinan siguiendo las reglas de la lógica, produciendo demostraciones, una de las manifestaciones más refinadas de la especulación científica. Las demostraciones se condensan en proposiciones o teoremas, que se justifican únicamente en base a los enunciados previos y a las reglas lógicas utilizadas para llegar a ellos. En este sentido y otros sentidos (el que en esencia se trata de una obra comunal), podríamos decir que los Elementos constituye el precedente de la obra que el grupo Bourbaki llevaría a cabo en el siglo XX (trataremos de ella en el capítulo 18).
La influencia de los Elementos ha sido gigantesca: ha conocido más de 800 ediciones (solo le supera la Biblia). Ya fuese en las aulas o fuera de ellas, la claridad de sus demostraciones dejó su impronta en generaciones y generaciones de jóvenes. Una impronta que sirvió al pensamiento en general, y a, simplemente, características tan humanas como son las artes de la expresión, el razonamiento y la comunicación. Y, claro está, también a la ciencia y a los científicos. Y entre estos, algunos de los mejores; como Bertrand Russell y Albert Einstein, quienes dejaron constancia en sus respectivas autobiografías de lo mucho que debían a Euclides. «A la edad de once años», escribió Russell en el primer volumen de su autobiografía, «comencé Euclides, con mi hermano como tutor. Este fue uno de los grandes sucesos de mi vida, tan deslumbrante como el primer amor. No había imaginado que existiese en el mundo algo tan delicioso. Después de haber aprendido la quinta proposición, mi hermano me dijo que esta era considerada generalmente difícil, pero yo no encontré ningún tipo de dificultad. Fue la primera vez que se me ocurrió la idea de que acaso tuviese alguna inteligencia».
Casi a la misma edad, Einstein experimentó una impresión similar, como escribió en su autobiografía (1949):
A la edad de doce años experimenté un segundo asombro de naturaleza muy distinta [el primero fue con una brújula]: fue con un librito sobre geometría euclídea del plano, que cayó en mis manos al comienzo de un curso escolar. Había allí asertos, como por ejemplo, la intersección de las tres alturas de un triángulo en un punto que, aunque en modo alguno evidentes, podían probarse con tanta seguridad que parecían estar a salvo de toda duda. Esta claridad, esta certeza ejerció sobre mí una impresión indescriptible. El que hubiera que aceptar los axiomas sin demostración no me inquietaba; para mí era más que suficiente poder construir demostraciones sobre esos postulados cuya validez no se me antojaba dudosa. Recuerdo, por ejemplo, que el teorema de Pitágoras me lo enseñó uno de mis tíos, antes de que el sagrado librito de geometría cayera en mis manos. Tras arduos esfuerzos logré probar el teorema […] Solamente aquello que no me parecía […] evidente, necesitaba para mí de prueba […] Esta concepción primitiva, sobre la que seguramente descansa también la famosa cuestión kantiana en torno a la posibilidad de «juicios sintéticos a priori», se basa naturalmente en que la relación entre esos conceptos geométricos y los objetos de la experiencia […] estaba allí presente de modo inconsciente.
Los Elementos están constituidos por 13 partes (o libros). Los Libros I (48 proposiciones, de las que 14 son problemas y 34 teoremas), II (14 proposiciones), III (11 definiciones y 37 proposiciones) y IV (7 definiciones y 16 proposiciones) recogen la teoría elemental de la geometría plana.
El Libro I, en más de un sentido el pilar de la obra, comienza de la manera más elemental posible, con las definiciones de punto («Un punto es lo que no tiene partes»), línea («Una línea es una longitud sin anchura»; «Los extremos de una línea son puntos»; «Una línea recta es aquella que yace por igual respecto de los puntos que están en ella»), superficie («Una superficie es lo que solo tiene longitud y anchura»; «Los extremos de una superficie son líneas»; «Una superficie plana es aquella que yace por igual respecto de las líneas que están en ella»), ángulo, plano, límite, figura, círculo, y así hasta 23 conceptos. Siguen a estas definiciones cinco postulados:
- Postúlese el trazar una línea recta desde un punto cualquiera hasta un punto cualquiera.
- Y el prolongar continuamente una recta finita en línea recta.
- Y el describir un círculo con cualquier centro y distancia.
- Y el ser todos los ángulos rectos iguales entre sí.
- Y que si una recta al incidir sobre dos rectas hace los ángulos internos del mismo lado menores que dos rectos, las dos rectas prolongadas indefinidamente se encontrarán en el lado en el que están los ángulos menores que dos rectos.
El postulado 5 es especialmente importante y famoso. Ya Proclo (c. 410-485) señaló en sus Comentarios que «debe ser borrado por completo de los postulados porque se trata de un teorema henchido de dificultades, que Ptolomeo se propuso resolver en un libro, y su demostración requiere varias definiciones y teoremas». Eso es, se le negaba el carácter de postulado. Como veremos en el capítulo 18, fue en el siglo XIX cuando se comprobó que podía ser sustituido por otros postulados diferentes que conducían a geometrías no euclideanas.
Una vez expuestas definiciones y postulados (las hay propias para cada uno de los 13 libros), Euclides introducía cinco «nociones comunes» —axiomas es un nombre más apropiado— de gran importancia a pesar de su aparente trivialidad:
- Las cosas iguales a una misma cosa son también iguales entre sí.
- Y si se añaden cosas iguales a cosas iguales, los totales son iguales.
- Y si de cosas iguales se quitan cosas iguales, los restos son iguales.
- Y las cosas que coinciden entre sí son iguales entre sí.
- Y el todo es mayor que la parte.
Es en la Proposición 47 del Libro I donde se demuestra el teorema de Pitágoras, mientras que en la 32 se da otro resultado de gran importancia: que los ángulos de un triángulo suman 180°.
El libro V (18 definiciones y 25 proposiciones) trata de la teoría de la proporción, mientras que el VI (4 definiciones y 33 proposiciones) aplica la teoría de la proporción a la geometría plana; los libros VII-IX (23 definiciones y 102 proposiciones) contienen la aritmética. Entre los numerosos resultados sobre la teoría de números que se dan allí, uno es particularmente importante. La Proposición 14 del Libro IX establece que no se puede descomponer un número como producto de números primos más que de una manera; es lo que se conoce como «Teorema fundamental de la Aritmética»: los números primos son para los números como los átomos para los químicos: las unidades que los componen (un número cualquiera se descompone en un producto de números primos). No menos importante es la famosa Proposición 20: «Hay más números primos que cualquier cantidad propuesta de números primos». Si la serie de los números primos fuese finita, argumentaba Euclides, existiría un número máximo, N, para tal serie; esto es (considerando —como se acepta a partir de comienzos del siglo XX— que 1 no forma parte de los números primos) 2, 3, 5, 7, 11, 13, 17,…, N. Entonces tomemos el número Q = (2 · 3 · 5 · 7 ·… · N) + 1. Por construcción, Q no es divisible por 2, ya que deja un resto 1. Y lo mismo sucede cuando se divide por 3, 5, 7,…N. Como ninguno de los números primos que se supone existen divide a Q, este debería ser primo, lo que contradice la hipótesis de partida (lo mismo sucedería si consideramos la posibilidad de que Q no fuese primo, puesto que entonces violaría al Teorema fundamental de la Aritmética).
A pesar de lo sencillo de su definición, los números primos atesoran muchos misterios. En 1742, en el curso de un intercambio epistolar con Euler, Christian Goldbach (1690-1764) propuso la conjetura (conocida con su nombre, «Conjetura de Goldbach») de que todo número par superior a 4 es igual a la suma de dos números primos (4 = 2 + 2, 6 = 3 + 3, 8 = 3 + 5). Aunque ha sido comprobada utilizando ordenadores hasta 1018 (lo hizo Tomás Oliveira e Silva en 2008), no existe una demostración general de ella.
Otro problema de gran dificultad relativo a los números primos es el de si la secuencia de los números primos sigue algún tipo de pauta que se pueda formular en una expresión matemática. Euler aportó un importante grupo de resultados relativos a su comportamiento; uno de ellos es una fórmula que generaba un significativo número de primos. Fue durante los siglos XIX y XX cuando más esfuerzo se puso en su estudio. El punto de partida fue un libro que se publicó nada más inaugurarse el siglo XIX, en 1801: Disquisitiones Arithmeticae (Disquisiciones aritméticas) de Carl Friedrich Gauss (1777-1855). En él, su autor presentó una expresión matemática para estimar el número de primos comprendidos entre 1 y N, a la que también había llegado de manera independiente el francés Adrien-Marie Legendre (1752-1833) en 1798, quien la perfeccionó posteriormente, presentándola en 1808 en su libro Théorie de nombres (Teoría de números). Ambas contribuciones eran en realidad hipótesis; esto es, no estaban plenamente sustanciadas o no eran exactas. Fue un discípulo de Gauss, Bernhard Riemann (1826-1866), quien produjo un avance realmente significativo, proponiendo una expresión matemática para la distribución de los números primos. Más de siglo y medio después de que Riemann presentase su hipótesis, continúa sin haber sido resuelta, aunque a lo largo del siglo XX se realizasen avances destacados.
Pasando ahora al Libro X (16 definiciones y 115 proposiciones), tenemos que aborda problemas diversos, relacionados con la teoría de la proporción y con la aritmética; está dedicado al estudio de la conmensurabilidad e inconmensurabilidad. Los Libros XI al XIII (28 definiciones y 75 proposiciones) se ocupan de la geometría del espacio.
Especialmente importante es el contenido del Libro XII, en donde Euclides trató del método de exhaución de Eudoxo, que mencionamos antes. Allí, en la Proposición 2, Euclides inscribía un cuadrado, P1, en un círculo y, tomando sucesivamente los puntos medios de los arcos abarcados por los lados de los polígonos, obtenía polígonos regulares, P2, P3,…, Pn,… de 8, 16,…, 2n + 1,… lados. Consideraba a continuación los polígonos circunscritos Q1, Q2,…, Qn,…, cuyos lados eran tangenciales al círculo en los vértices de los polígonos inscritos. Y denotando pn el área del polígono Pn y qn el área del polígono Qn, llegaba finalmente mediante un razonamiento geométrico a
qn – pn ≤ ½·(qn-1 – pn-1),
lo que asigna límites para el valor del área del círculo.
El método de exhaución, que como vimos también utilizó Arquímedes, es importante no solo porque permitía calcular áreas y volúmenes, sino también porque constituye el germen de lo que más tarde serían los infinitesimales, con los que se construyeron esas piezas fundamentales de las matemáticas que son el cálculo diferencial y el cálculo integral, de los que nos ocuparemos en el capítulo 7.
Con respecto al último Libro, el XIII, diremos que en él Euclides estudió los cinco poliedros regulares, denominados «cuerpos platónicos» (formados por caras idénticas): tetraedro (formado a partir de 4 triángulos equiláteros), cubo (6 cuadrados), octaedro (8 triángulos equiláteros), dodecaedro (12 pentágonos regulares) e icosaedro (20 triángulos equiláteros), con los que a comienzos del siglo XVII, como veremos en el capítulo 4, Kepler intentó organizar el Sistema Solar. Que estos cinco poliedros son los únicos de su tipo que se pueden construir es algo que Euclides demostraba en la Proposición 18, que dice: «Poner los lados de las cinco figuras y compararlos entre sí», de la que deduce, como un corolario, la siguiente conclusión: «Digo ahora que, aparte de las cinco figuras antedichas, no se construirá otra figura comprendida por figuras equiláteras y equiangulares iguales entre sí».
La aplicación del cálculo a los fenómenos naturales abrió el camino que conducía a la ciencia. Arquímedes dio los primeros pasos con el estudio del equilibrio de los cuerpos (estática). Dar nombre a los fenómenos y describir sus caracteres es lo que hacía la observación, Arquímedes fue más allá al descubrir, en el Equilibrio de las figuras planas, la posición del centro de gravedad (baricentro) de las figuras regulares y explicar en función de este el equilibrio de los cuerpos: estable, inestable e indiferente. La invención de la rueda, única o pareja, acoplada a un eje giratorio fue la primera «máquina elemental». La cuña, de origen desconocido como la anterior, servía para dividir la madera y la piedra. Los demás artificios mecánicos: la palanca, el tornillo y la polea se atribuyen a Arquímedes, que explicó su uso. La ley de la palanca se basa en la doctrina de las proporciones: el movimiento es proporcional a la fuerza aplicada y a la distancia entre el punto de aplicación y el de apoyo (fulcro). La mejor exposición de la ley se encuentra en la conocida frase que se le atribuye: «Dadme un punto de apoyo y moveré el universo».
Vitrubio le atribuyó uno de los sucesos más conocidos de la historia, aunque confundiendo dos cosas distintas. En su tratado de Arquitectura (c. 27 a. C.), contó cómo Hierón de Siracusa sospechaba que el orfebre había utilizado menos oro del que había recibido para labrar una corona. Para comprobarlo sin destruir la obra de arte acudió a Arquímedes, que habría descubierto en esta ocasión el principio de su nombre, «Si se sumerge en un fluido un sólido más pesado, se hundirá hasta el fondo y su peso disminuirá en una cantidad igual al peso del agua desplazada», que se encuentra en su tratado De los cuerpos flotantes. El problema planteado tenía una solución elemental, bastaba con sumergir los dos platos de la balanza en un recipiente lleno de agua, el primero con la corona y el segundo con el lingote del metal, para ver cómo este se sumergía más profundamente. El relato de Vitrubio planteaba en realidad un problema distinto, el de la densidad de las distintas materias, voz que los romanos usaron para referirse al espesor.
§. Especulación cosmológica
En el capítulo anterior explicamos que la observación de los cielos constituyó uno de los intereses tempranos de la humanidad y que esas observaciones permitieron conocer algo del contenido del Universo. Ahora bien, como venimos señalando, entre la observación y la especulación media una cierta distancia: la observación no produce visiones globales, generales, de aquello observado, pero sí que es un requisito para la especulación, una habilidad de los humanos íntimamente ligada a su facultad de producir pensamiento simbólico, que no dejó de aplicarse tempranamente a esos cielos que se observaban; esto es, al conjunto de todo lo que existe, llámese a tal conjunto «Cielo», «Cosmos» o «Universo». Así se produjo una cosmología.
Hoy sabemos muy bien que la Tierra se mueve, pero no es trivial asumir semejante movimiento, que no es el Sol, la estrella de lo que se vino en denominar Sistema Solar, el que gira en torno a ella y no al revés. ¿Si la Tierra se moviese realmente, cómo es que no nos damos cuenta de su movimiento, cómo es que no nos vemos afectados en nuestra estabilidad? No obstante, hubo quienes sostuvieron que era el Sol quien se encontraba en el centro del Universo (del pequeño universo que entonces se conocía). El más conocido de estos fue Aristarco (c. 310-230 a. C.), natural de Samos, una isla al oeste de Asia Menor cercana a Mileto, pero que desarrolló su trabajo como astrónomo en Alejandría. De él únicamente se conoce un tratado, Sobre los tamaños y distancias de Sol y la Luna, pero en este es la Tierra la que ocupa el centro del Universo, y a partir de ella se calculan las distancias. Solo sabemos que defendió la idea contraria, la de que es el Sol el centro del Universo, a través de uno de los textos de Arquímedes que nos han llegado, el Arenario, en el que se lee:
«Universo» es el nombre que dan la mayor parte de los astrónomos a la esfera cuyo centro es el centro de la Tierra y cuyo radio es igual a la línea recta entre el centro del Sol y el centro de la Tierra […] Pero Aristarco de Samos escribió un libro en el que planteaba algunas hipótesis, cuyas premisas conducían al resultado de que el universo es muchas veces más grande que el que se llama ahora de esta manera. Sus hipótesis son que las estrellas fijas y el Sol están en reposo, y que la Tierra gira alrededor del Sol a lo largo de la circunferencia de un círculo, con el Sol permaneciendo en el centro de la órbita, y que la esfera de las estrellas fijas, cuyo centro es el mismo que el del Sol, es tan grande que el círculo sobre el que se supone gira la Tierra mantiene una proporción a la distancia a las estrellas fijas igual a la que el centro de la esfera mantiene con su superficie.
Y a continuación Arquímedes explicaba por qué pensaba que esto era imposible.
La historia de los esfuerzos por hacer de la tesis geocéntrica (la Tierra está en reposo en el centro del Universo) una cosmología que explicase correctamente los movimientos observados en el cosmos, así como por darle algún sentido «mecánico», es larga y nosotros únicamente nos detendremos en unos pocos nombres. El primero el de un personaje que ya nos ha aparecido y del que ahora cumple decir algo más: Eudoxo (408-355 a. C.), llamado «de Cnido», la antigua ciudad espartana de Asia Menor. Eudoxo fue discípulo de, primero, el notable matemático pitagórico Arquitas de Tarento y luego, en Atenas, de Platón. Después visitó Egipto (parece que en una misión diplomática), estableciéndose a continuación en Cyzicus, una ciudad griega que había pasado a los persas en el 387 a. C., donde fundó una Academia que intentaba rivalizar con la de Platón. Aunque no ha sobrevivido ningún escrito suyo, se han reconstruido algunos de estos a través de noticias que se encuentran sobre ellos en textos de Aristóteles (por ejemplo, en la Metafísica) y de Simplicius (c. 490-560), autor de influyentes comentarios sobre la obra de Aristóteles. Gracias a ellos, parece que algunas de las partes más elaboradas (los «libros» V, VI y XII) de los Elementos de Euclides se basaron en trabajos suyos, y que defendió un elaborado sistema geocéntrico que, junto a las esferas (de una materia lo suficiente sutil, y peculiar, que aunque podían «sujetar» a un planeta o al Sol no eran visibles) que transportaban el astro en cuestión, incluía a otras vacías cuya función era la de agregar su movimiento a las anteriores. El resultado era que los movimientos de los astros en sus esferas se veían mediatizados —o, si se prefiere, impulsados— por el movimiento de las esferas vacías, algo que permitía dar una cierta unidad «mecánica» al cosmos. La única esfera que no precisaba de otras vacías intermedias era la de las estrellas fijas, que giraba de este a oeste con velocidad uniforme, empleando 23 horas y 56 minutos en dar una vuelta completa (día sideral), pero en los restantes casos la situación llegaba a ser bastante complicada: se necesitaban tres esferas para intentar explicar el movimiento del Sol y otras tantas para la Luna: dos estaban vacías, mientras que la tercera (la intermedia) era la que transportaba el astro); y para los cinco planetas entonces conocidos (Mercurio, Venus, Marte, Júpiter y Saturno) eran precisas 20 esferas, 4 para cada uno de ellos (una la que transportaba el planeta). En total, 27 esferas homocéntricas.
Mediante estas esferas y movimientos circulares y uniformes, la teoría de Eudoxo lograba reproducir, aunque de manera aproximada, los movimientos irregulares que se observaban en los cielos. Tenía, eso sí, problemas difíciles de resolver. En primer lugar estaba el problema, que cualquier observador dedicado identificaba pronto, de que el brillo de los planetas no es siempre el mismo, apareciendo grandes variaciones a lo largo de sus trayectorias, y ¿no debían ser esos brillos los mismos para cada astro si se movían siempre a la misma distancia de la Tierra, su centro de movimiento? Estaban, asimismo, los movimientos retrógrados; es decir, astros que en un momento determinado cambiaban de sentido en su movimiento, un fenómeno especialmente visible en los casos de Marte y Venus. Y, finalmente, las velocidades con las que el Sol, la Luna y los planetas se movían (con respecto a la Tierra) no parecían ser constantes.
Aun así, la teoría geocéntrica se mantuvo, enquistándose en el pensamiento de los siglos venideros. Necesitó, como veremos, algunos retoques, pero se mantuvo. Y ninguna manifestación más evidente, ni más sólida, de esa permanencia que el lugar que desempeñó en la obra de Platón y de Aristóteles, los dos pensadores-filósofos cuyos escritos han ejercido más influencia a lo largo de los siglos. Fueron ellos dos los que en sus escritos establecieron algo así como «el canon cosmológico geocéntrico».
Pero antes de comentar las ideas de Platón y de Aristóteles debemos detenernos en otra de las manifestaciones de la especulación de los griegos, una que tiene que ver con la cuestión de qué está compuesta la materia, una cuestión que surgió de manera inevitable una vez que la Tierra y los seres vivos que existen en ella se convirtieron en objetos específicos de observación. Desprovistas de mecanismos (instrumentos) adecuados —algo que tendría que esperar muchos siglos—, las propuestas que ofrecieron no debían nada a la observación, eran pura especulación. Aun así, sus propuestas crearon un modelo conceptual que pervive en nuestros días: la idea de que las cosas eran compuestas y que los fenómenos tienen una explicación racional. La existencia de una materia primigenia de la que procedían las cosas y de una ley que determinaba los movimientos tiene sus antecedentes en los presocráticos. La generación, asociada al agua y la humedad, pudo inducir a Tales a ver en aquella la materia primigenia. Su discípulo Anaximandro, con quien ya nos encontramos en el capítulo 1, postuló la existencia de una materia sin forma ni límites (apeiron) para explicar la aparición de las cosas. Un fragmento de Anaxímenes (586-526 a. C.) explica la naturaleza como la acción de una sustancia móvil y cambiante, extendida por todo el Universo, que al condensarse había dado origen a la Tierra y el agua, en tanto el Sol y la Luna eran fuego, sin duda por la luz que emitían. Anaxágoras (496-428 a. C.) coincidió en la idea de una materia primitiva (magma) y aportó dos ideas fundamentales: la concepción del magma como una infinidad de partículas homogéneas e inmóviles a las que una fuerza exterior (nous) imprimía un movimiento circular.
Empédocles de Agrigento (c. 490-430 a. C.) propuso una imagen del cosmos como una eterna transformación de la unidad a la división, provocada por la atracción y repulsión (Amor y Odio) de cuatro «raíces»: el agua de Tales de Mileto, el fuego de Heráclito (c. 535-484 a. C.), el aire de Anaxímenes y la tierra de Jenófanes (c. 580/570-475 a. C.). «En un tiempo», escribió, «todas las cosas llegaron desde la pluralidad a constituirse en unidad y en otro pasaron de ser una a ser múltiples: fuego, agua, tierra y la altura inconmensurable del aire […] Jamás cesan en su constante cambio». Por su parte, Demócrito (c. 460-370 a. C.) encontró un nombre feliz para denominar, a la vez que caracterizaba, a las partículas indivisibles (átomos), que además eran inalterables e indiscernibles. El movimiento continuo que les atribuía le llevó a postular la existencia del vacío para explicar el movimiento.
Entrando ahora de lleno en la cosmología tal y como la presentó Platón en el Timeo, nos encontramos que para él el conjunto de todo lo existente (cosmos) tenía una causa y un creador, el demiurgo que le dio forma y materia. Entendía el mundo como un gran organismo con un alma, las esencias, y un cuerpo formado por los cuatro elementos que había introducido Empédocles. «El constructor del mundo», se lee en esa obra, «lo ha compuesto de todo el fuego, de todo el aire, de toda el agua y de toda la tierra, y no ha dejado fuera del mundo ninguna parte de ningún elemento, como tampoco ninguna cualidad. Y lo ha combinado así, primero para que fuera único, sin que quedara nada de lo que pudiera nacer otro viviente de la misma clase, y, finalmente, para que se viera libre de vejez y enfermedades. Pues él sabía bien que, en un cuerpo compuesto, las sustancias calientes y frías y, en general, todas aquellas que poseen propiedades energetizantes, cuando rodean a este compuesto desde fuera y se aplican a él sin un propósito determinado, lo disuelven, hacen entrar en él las enfermedades y la vejez y de esta manera lo hacen perecer».
En el Timeo se construía una imagen del cosmos en el que este aparecía como una esfera con un movimiento circular y uniforme, en el que las estrellas recorrían órbitas circulares con velocidad uniforme. De esta manera, Platón aseguraba que el Mundo, el Universo, no solo era único sino perdurable, eterno, inmune a «las enfermedades». Ahora bien, lo eterno, pensaba Platón, en realidad era el Constructor del Mundo, el Demiurgo, y para «adaptar» su eternidad a la del Mundo «se preocupó de hacer una especie de imitación móvil de la eternidad y, mientras organizaba el cielo hizo, a semejanza de la eternidad inmóvil y una, esta imagen eterna que progresa según las leyes de los Números, esto que nosotros llamamos el Tiempo. En efecto, los días y las noches, los meses y las estaciones no existían en manera alguna antes del nacimiento del Cielo, sino que su nacimiento se ordenó al tiempo mismo que se construía el Cielo».
Nos encontramos aquí con que Platón entendía perfectamente que no tiene sentido hablar del tiempo —un concepto, o realidad, misterioso, de muy difícil definición en la física— sin asociarlo al cambio. «Las palabras “existía”, “existirá”», señalaba, «son términos que hay que reservar a lo que nace y avanza en el Tiempo. Pues eso no son sino cambios. Pero lo que siempre es inmutable y nunca experimenta el cambio, eso no se hace nunca ni más viejo, ni más joven».
En cuanto a la forma del Mundo, le dio «la que mejor le conviene», la que tenía «afinidad» con el Creador del Mundo. Y esa era «la figura que contiene en sí a todas las figuras posibles. Esta es la razón por la que el Demiurgo ha constituido el Mundo en forma esférica y circular, siendo las distancias por todas partes iguales, desde el centro hasta los extremos. Esa es la más perfecta de todas las figuras y la más completamente semejante a sí misma. Pues el Demiurgo pensó que lo semejante es mil veces más bello que lo desemejante». La querencia hacia lo circular, hacia lo esférico, la idea de que esta figura dominaba en la estructura y dinámica del Mundo, se mantendría durante dos mil años.
Otro de los puntos relevantes para una cosmología es el de las fronteras del Mundo, dónde termina. Esta cuestión, que incluso en la actualidad, cuando disponemos de cosmologías estructuradas en términos matemáticos, se encuentra rodeada de oscuridad (el problema de la topología del Universo), la resolvía Platón en el Timeo con las siguientes palabras:
En cuanto a la totalidad de su superficie exterior, [el Creador del Mundo] la ha pulido y redondeado exactamente, y esto por varias razones. En primer lugar, en efecto, el Mundo no tenía ninguna necesidad de ojos, ya que no quedaba nada visible fuera de él, ni de orejas, ya que tampoco quedaba nada audible. No le rodeaba ninguna atmósfera que exigiera una respiración. Tampoco tenía necesidad de ningún órgano, bien fuera para absorber el alimento, bien para expeler lo que anteriormente hubiera asimilado. Pues nada podía salir de él por ninguna parte y nada tampoco podía entrar en él, él, ya que fuera de él no había nada.
Todavía hoy, aproximadamente 2500 años después de que Platón escribiese líneas como las anteriores, impresiona la imaginación que desplegó. La imaginación y el esfuerzo especulativo por interpretar, por construir un modelo teórico que permitiese entender lo que se veía. Observación y especulación se daban la mano, y esto fue muy importante, independientemente de que las ideas platónicas nos puedan parecer hoy dotadas de un carácter antropomórfico.
Al igual que su maestro Platón, Aristóteles hizo suya la tesis geocéntrica, incorporándola al sistema del mundo que construyó y que nos encontramos en texto suyos como Acerca del cielo y la Física. Era este un sistema de cierta complejidad, protagonizado no solo por los movimientos de los cuerpos celestes, sino también por los de los cuerpos que se hallan en la Tierra. De entrada, el Universo se dividía en dos partes: el mundo supralunar (o Cielo) y el mundo sublunar (o Tierra). En el primero, que comenzaba en la Luna (incluida en esta región) y se extendía hasta la esfera de las estrellas fijas (más allá de la cual estaba el motor inmóvil, que había dado a la estrellas un movimiento circular, uniforme y eterno), reinaban los movimientos circulares y la incorruptibilidad, gracias esta a que estaba formado por una sustancia simple y eterna, la quintaesencia, caracterizada por la ausencia de cualidades: no era caliente ni fría, ni húmeda ni seca. Por el contrario, el mundo sublunar era el de la corrupción y el cambio, un mundo constituido por los ya citados cuatro elementos (aire, fuego, agua y tierra), en el que los únicos movimientos «simples» eran los rectilíneos (llamaba «cuerpos simples» a todos los que —como escribió en Acerca del cielo— tienen «por naturaleza un principio de movimiento, como el fuego, la tierra sus especies y elementos afines»).
Para Aristóteles, la ciencia no era el conocimiento de las relaciones cuantitativas invariables (como sería sobre todo a partir de Galileo), sino de las causas que determinan la aparición de los fenómenos. En otras palabras, lo importante era determinar el porqué, no el qué; por eso no era importante para él cuantificar, por ejemplo, el tiempo que tarda en caer un objeto que dejamos caer al suelo. Todo esto es lo que lo hace a nuestros ojos un filósofo y no un científico, y que podamos decir que la física aristotélica era una construcción especulativa basada en una concepción metafísica de la naturaleza de las estrellas y de la Tierra, de los movimientos celestes y terrestres, aunque en realidad al realizar manifestaciones de este tipo estamos haciendo juicios anacrónicos, no sincrónicos; esto es, situándonos en una mentalidad diferente a la de su tiempo, en el que la ciencia no se había establecido en la manera en que ahora la entendemos.
Para explicar el mundo sublunar y la Tierra, Aristóteles recurrió a los conceptos de la «filosofía prima»: sustancia y accidente, potencia y acto, materia y forma; y a las cuatro causas o momentos de la acción: la intención (causa final), la acción (causa formal), los medios (causa material) y la aplicación (causa eficiente). La creación de las cosas, sostenía, responde a una causa eficiente, y el objeto de su creación a una causa final. En cuanto a los movimientos, distinguió dos tipos: el natural y el violento, o forzado, que se opone a la tendencia de las cosas a ocupar su lugar natural y es producido por un contacto directo (impetus), de ahí que no aceptase la existencia del vacío (además, si existiese, ¿cómo iba a poder moverse, por ejemplo, una flecha mientras le dura su movimiento forzado?, ¿en qué medio iba a sustentarse?). En la Tierra el primero hacía que los graves cayesen hacia el centro del Universo, con una velocidad proporcional al peso e inversamente proporcional a la densidad.

La cosmología clásica era una construcción especulativa, elaborada a partir de las primeras observaciones del número y posición de los cuerpos celestes. La concepción geocéntrica es una hipótesis construida a partir del movimiento aparente de los cielos en torno al observador y de la Tierra inmóvil (geocentrismo). El cálculo de las distancias a los «planetas» proporcionó los elementos para la construcción de un Universo esférico, compuesto por una serie de esferas cristalinas a las que aquellos estaban adosados. Había dos representaciones posibles del Universo: la esférica de la esfera armilar y la plana, de las que solo se conservan las realizadas en el Renacimiento o después.
En el Libro de la Cosmografía (al que pertenece esta ilustración) que Pedro Apiano publicó en 1524, la Tierra ocupa el centro y las esferas de la Luna a Saturno están numeradas de 1 a 7. El octavo cielo, o firmamento, acogía a las estrellas fijas, mientras que el noveno, o cristalino, una aportación bíblica, explicaba el origen de las aguas del Diluvio (Génesis 1.6). La causa inmóvil del movimiento, el primum mobile de Aristóteles (Metafísica), lo situaba Apiano en el décimo cielo, o empíreo, el espacio infinito «habitaculum Dei et omnia electorum» (astros). Veinte años después, Copérnico convirtió en recuerdo esta descripción del cosmos, lo que no impidió que se hiciesen 30 impresiones del texto de Apiano en el siglo XVI.
La influencia ejercida por las enseñanzas de Platón y de Aristóteles, reforzadas por la presencia y prestigio de la institución en la que enseñaron, la Academia, hizo aún más patente la necesidad de encontrar algún tipo de solución para las dificultades observacionales a las que hemos aludido antes (movimientos retrógrados, velocidades y brillos diferentes). Tres fueron los elementos, las hipótesis matemáticas, que es como fueron consideradas, que se introdujeron para «salvar las apariencias». El primero fue el epiciclo, la idea de que el cuerpo celeste que gira en torno a la Tierra no lo hace directamente sobre la circunferencia que rodea a esta, sino sobre otra cuyo centro se mueve (igual que se suponía antes, con velocidad uniforme) sobre esa circunferencia «madre», denominada deferente. Es inmediato comprender que debido a la combinación de esos dos movimientos circulares surgen movimientos retrógrados: aunque el astro continúa girando sobre una circunferencia, como en realidad esta se mueve sobre el deferente, hay momentos en que «va hacia atrás» según se mira desde la Tierra.
Una variante de epiciclo que se manejó fue la introducida por Heráclito de Ponto (388-315 a. C.), otro de los discípulos de Platón. Heráclito sostuvo que Mercurio y Venus giraban alrededor del Sol y no alrededor de la Tierra, aunque aceptaba que esta se encontraba en el centro del mundo (sin duda, le ayudó el hecho de que Venus y Mercurio son los planetas del sistema Solar que giran con mayor rapidez —por ser los más cercanos a él— en torno al Sol, con lo que se pone en evidencia con mayor facilidad que orbitan alrededor de él). En cierto sentido, esto equivalía, como hemos apuntado, a un tipo de epiciclo para Mercurio y Venus, solo que uno centrado en el Sol.
El segundo elemento que se introdujo es la excéntrica, un punto situado en las proximidades del centro de las esferas que constituyen el Universo, y con respecto al cual se mueven los astros con velocidad uniforme. La novedad era que se situaba a la Tierra en este punto, en la excéntrica, y que, por tanto, visto desde la Tierra, los movimientos de la Tierra ya no eran uniformes. Contemplado desde nuestros conocimientos actuales, y en particular de las leyes de Kepler (a las que nos referiremos más adelante), que nos dicen que los planetas se mueven con velocidades diferentes a lo largo de sus órbitas (que, además, no son circunferencias, sino elipses), la introducción de la excéntrica se puede entender como una forma de «salvar» el modelo geocéntrico y circular.
Finalmente, y como aún con estos dos elementos continuaban apareciendo discrepancias entre lo observado y lo predicho por el modelo geocéntrico, se introdujo un tercer elemento: el ecuante, un punto situado a la misma distancia que la Tierra del centro de la circunferencia-deferente, pero en el lado opuesto. Se suponía ahora que el movimiento uniforme del centro de un epiciclo lo era con respecto al ecuante y no al centro de la circunferencia-deferente. De esta manera, un observador imaginario situado en el ecuante vería que el centro del epiciclo tardaría siempre el mismo tiempo en recorrer un determinado ángulo; era otra manera de «salvar» en este caso algo así como la ley kepleriana de las áreas («Un planeta recorre áreas iguales en tiempos iguales».).
Aunque acaso lo manejase antes Apolonio de Perga (c. 262-190 a. C.), de lo que no hay duda es de que el ecuante fue utilizado ampliamente por un astrónomo y geógrafo que ya apareció en el capítulo 1, y con el que culminó el desarrollo de la cosmología geocéntrica, Claudius Ptolemaeus Pelusiniensis, esto es, Claudio Ptolomeo (c. 100-175), del que sabemos que trabajó en Alejandría, la principal ciudad del Egipto greco-romano (aunque se sabe muy poco de su biografía, es posible que proviniese de una familia griega afincada en Egipto y que tuviese la ciudadanía romana). El hecho de haber vivido en Alejandría tuvo que ser importante para su obra: allí, en la ciudad fundada por Alejandro, dotada de su famosa biblioteca (de la que nos ocuparemos en el próximo capítulo), pudo acceder a las mejores fuentes antiguas de conocimientos astronómicos, e incluso, probablemente, haber dispuesto de algún tipo de observatorio desde el que estudiar los movimientos celestes.
Ptolomeo escribió (en griego) un libro, cuyo título parece que fue μαθηματική σύνταξις, esto es, Tratado matemático sistemático. Contenía una exposición completa de la astronomía matemática tal y como la entendieron los griegos. Probablemente debieron existir antes de él otros tratados con fines similares, pero no nos han llegado, acaso por el propio éxito del libro de Ptolomeo, que desanimó a que se copiasen textos anteriores, que habían quedado obsoletos. De esta forma, el trabajo de los precursores de Ptolomeo se ha perdido en buena medida. Uno de esos precursores fue Hiparco de Nicea (190-120 a. C.), el principal responsable de la introducción de la idea de epiciclo, que había compilado una lista de estrellas y perfeccionado la representación del cosmos en tres dimensiones de la esfera armilar y construyó el astrolabio plano, que mostraba la imagen del cielo en una de sus caras y tenía una alidada (regla) en la otra cara en lugar del cuadrante. Con el astrolabio fijó la posición de buen numero de estrellas y creó el primer catálogo de las que se veían en Europa. Aprovechó el eclipse total de Sol de 190 a. C. para medir la distancia al Sol y a la Luna, en radios de la Tierra. En la primera se quedó corto y en la otra dio una cifra muy próxima a la actual, con un error inferior al 1 por 100.
Al igual que la memoria de otras contribuciones anteriores se ha perdido en buena medida, también sufrió el mismo destino el título original griego del libro de Ptolomeo, que es conocido por uno en árabe: Al-megisti, o Almagesto, un detalle este que denota el camino que recorrió hasta llegar a nosotros: está formado por la yuxtaposición del artículo árabe Al y la corrupción del adjetivo griego mayor: «el mayor de los libros», «el más grande».
El Almagesto contiene la versión más completa de la cosmología-astronomía geocéntrica, que reinó hasta el siglo XVI. Hasta entonces, la imagen física del Universo no se había separado de la physis aristotélica ni del modelo geocéntrico, al que a partir de ahora denominaremos «aristotélico-ptolemaico».
§. La especulación galénica
Otro de los grandes dominios en los que la especulación se manifestó pronto fue en el de la curación de enfermedades y el tratamiento de heridas o traumas. Y fue precisamente el que la especulación se introdujese en este dominio lo que hace, como señalamos en el capítulo antecedente, que ya podamos hablar plenamente de medicina. El primer texto médico del que se tiene noticia en el que aflora un cierto sistema especulativo-organizativo es Sobre la naturaleza, que tuvo como autor a Alcmeón de Crotona (c. 500 a. C.), localidad situada en el sur de la actual Italia. De él solo se han identificado algunos fragmentos. «Lo que conserva la salud», se lee en aquella obra, «es el equilibrio de las potencias: de lo húmedo y lo seco, de lo frío y lo caliente, de lo amargo y lo dulce, etc., pero el predominio de una entre ellas es causa de enfermedad; pues el predominio de cada opuesto provoca la corrupción». Considerado como el primer anatomista, es posible que la experiencia de Alcmeón se limitase a la extracción del globo del ojo de un animal y a la observación de los vasos del nervio óptico que apuntan hacia el cerebro. Según Teofrasto, fue el primero en distinguir entre percepción y comprensión, diferencia que le permitió distinguir entre animales y humanos. La conclusión más relevante decía: «Todos los sentidos están, de una u otra forma, conectados con el cerebro».
Mencionamos de pasada en el capítulo precedente la teoría hipocrática de los cuatro humores, señalando que nos ocuparíamos de ella más adelante. Polibio (siglo V a. C.), yerno de Hipócrates, en uno de los tratados hipocráticos (Sobre la naturaleza del hombre) caracterizaba a los individuos sobre la base de la existencia de cuatro flujos orgánicos (humores): sangre, flema, bilis negra (melancolía) y bilis amarilla (cole). La idea era que la influencia dominante de uno de esos humores era responsable del tipo de personas: sanguíneas, coléricas, flemáticas y melancólicas. El desequilibrio de los humores (discrasia) era la causa de la enfermedad, y la curación se conseguía mediante la reducción del principio dominante a través de sangrías y purgas cuyos efectos, negativos si no mortales, sufrieron los pacientes durante dos milenios; y por el refuerzo del principio contrario: contra la fiebre debida a la bilis amarilla, cálida y seca, se prescribían baños de mar que aumentaban la flema, húmeda y fría. En el caso de un exceso de flema, el tratamiento consistía en permanecer en la cama y beber vino.
La teoría de los cuatro humores fue extendida por Galeno, pero, antes de hablar de este médico que vivió entre los siglos II y III d. C., es preciso referirse a la presencia de los filósofos —y a través de ellos de la especulación— en la medicina griega. Que se ocupasen también ellos de la medicina es algo que podemos entender teniendo en cuenta la incapacidad de encontrar respuestas satisfactorias a las cuestiones que surgían en el contexto médico. Si a esta incapacidad le añadimos, por un lado, la dimensión integradora y la ambición explicativa de la medicina griega, y por otro, que fue entonces, en el mundo helenístico, donde surgió la filosofía con el objetivo de, precisamente, proporcionar sistemas integradores explicativos, entonces podemos comprender con cierta facilidad que durante siglos los escritos filosóficos compitieran con escritos médicos por el conocimiento de la physis humana, cada uno desde su particular punto de vista. Describir la constitución normal del sujeto, para apreciar los síntomas de la enfermedad, fue la aportación de los segundos, en tanto los primeros construían sistemas globales.
Entre los ejemplos más notorios de los filósofos cuyas doctrinas influyeron en la medicina destacan tres: Empédocles de Agrigento, Platón y Aristóteles. Sanador al mismo tiempo que filósofo, como señalamos en este mismo capítulo, Empédocles formuló la doctrina presocrática según la cual todos los seres naturales están compuestos por una mezcla en proporciones variables de cuatro elementos de cualidades opuestas (agua, aire, tierra y fuego), una doctrina que mantuvo su influencia durante prácticamente dos milenios tanto en la medicina como en la química (en esta, fue Lavoisier quien le dio el golpe de gracia), y es obvio que semejante teoría tenía implicaciones para las ideas médicas. Por su parte, Platón defendió la idea de la existencia de tres sistemas corporales —corazón, hígado y cerebro— conectados también a los estados mentales. Pero sus aportaciones en el campo de la especulación médica no se pueden comparar a las de Aristóteles, su discípulo. Ya vimos en el capítulo anterior que uno de los grandes intereses de Aristóteles fue la observación de los seres vivos, pero el filósofo-científico que había en él no podía contentarse con enumerar y describir, y así nos encontramos con esquemas organizativos; esto es, especulativos. La abundancia de datos anatómico-biológicos que aparecen en los textos aristotélicos no debe llevarnos a pensar, en efecto, que estos eran su objetivo principal. En este sentido, es ilustrativo lo que escribió en la primera parte de Investigación sobre los animales: «Las indicaciones que preceden [referentes a cuestiones como diferentes clases de animales, modos de alimentación y reproducción] no son más que un simple bosquejo, en cierta manera un gusto anticipado de las materias que vamos a considerar y de sus propiedades. Luego hablaremos de ello con más detalle a fin de abarcar en primer lugar los caracteres distintivos y los atributos comunes. Después será preciso intentar descubrir las causas. Tal es, en efecto, el método natural de la investigación, una vez se ha adquirido el conocimiento de cada punto concreto». Y no olvidemos que para Aristóteles el concepto de «causa» era diferente al nuestro: incluía, por ejemplo, no solo a la «causa eficiente», sino también a la «causa final», de ahí que caractericemos al sistema que pretendía descubrir en el mundo natural como «teleológico». Eso sí, negaba que la naturaleza actuase con algún propósito consciente, o, si se prefiere decir así, que existiese una inteligencia divina que controlase «desde afuera» los cambios de la naturaleza. Si existe una finalidad en los procesos naturales (biológicos o no), esta, sostenía, es inmanente a los objetos mismos, a los animales y plantas que viven y crecen: la semilla de una planta crece hasta convertirse de forma natural en el ejemplar maduro, y el niño hace lo mismo hasta llegar a ser un adulto.
De acuerdo con la doctrina de las causas, Aristóteles organizó sus observaciones ayudándose de dos conceptos: el de órgano y el de sistema. Al órgano lo concebía como una asociación de materia y función. Se caracterizaba por ocupar una posición determinada en el cuerpo y un contorno que lo definía, mientras que su función se descubría mediante la observación de los fenómenos. Los órganos principales se encontraban en las cavidades corporales: cefálica (cerebro), torácica (corazón) y abdominal (hígado), aunque el total fue cambiando al avanzar los conocimientos. Con respecto a cuál de ellos era el principal, un criterio para decidir la importancia de los órganos era el número de conexiones que «controlaban». Aristóteles consideraba que el corazón era el principal (hizo de él el centro del organismo: el origen de los nervios, la fuente de todos los movimientos y el centro del pensamiento, en tanto creía que la función del cerebro era enfriar la sangre: «Y por supuesto», escribió, «el cerebro no es responsable de ninguna de las sensaciones. El asiento y fuente de las sensaciones es la región del corazón»), mientras que más tarde Galeno —con el que nos encontraremos enseguida— se inclinó por el cerebro (la cuestión se planteó con mayor rigor cuando hubo que decidir el momento de la muerte, que dejó de ser el fin de la respiración, para ser la falta de pulso; ahora es la muerte cerebral, manifiesta en el encefalograma plano).
El nivel siguiente de organización lo constituían los sistemas, compuestos de varios órganos, que participaban en una función determinada. El sistema respiratorio se consideraba compuesto, entre otros órganos, por los pulmones, el diafragma y los bronquios, mientras que el circulatorio lo estaba por el corazón y los vasos sanguíneos, y el nervioso por el cerebro, la médula espinal y los nervios. En principio, los sistemas se referían a las funciones, aunque había casos en que dos sistemas participaban de la misma función. Hoy sabemos que el organismo humano toma del exterior aire y alimentos para obtener el oxigeno y la glucosa necesarios para su actividad y pervivencia.
Cuando contemplamos la medicina antigua desde la ventajosa perspectiva de nuestros conocimientos actuales, debemos reconocer que los conocimientos biológicos, químicos y físicos disponibles hacían muy difícil ir más allá de la «forma», esto es, de la anatomía. Y cuando se habla de esta rama de la medicina, aunque entretejida con otras consideraciones, hay que dirigirse hacia Alejandría, la nueva ciudad fundada en el delta del Nilo por Alejandro Magno, y luego al mundo romano. Fue en ese entorno, todavía penetrado por la cultura griega, donde vivió un hombre cuyo nombre terminó asociándose al de «médico»: Galeno de Pérgamo (129-216), una ciudad está situada en el noroeste de Asia Menor, que rivalizaba con Alejandría en cultura.
Hijo de un arquitecto y matemático, Galeno recibió una excelente educación en su ciudad natal, inicialmente en materias como literatura griega, filosofía y matemáticas, pero parece (seguramente no es más que una de las leyendas que se construyen acerca de los grandes héroes de la Antigüedad) que cuando tenía 17 años su padre tuvo «vivos sueños» de que su hijo debería estudiar medicina, y así comenzaron sus estudios médicos, primero en Pérgamo, después en Corintio, Esmirna y Alejandría. En uno de sus escritos («El aprendizaje anatómico») se refirió a las excelencias de la enseñanza médica en Alejandría, al mismo tiempo que a las dificultades que se encontraban para conseguir una buena formación anatómica:
Sea, pues, este tu trabajo y tu estudio, el de aprender con cuidado todas las clases de huesos humanos, no solo a través de la lectura de los libros, sino también por una observación esmerada y realizada con atención. Esto podrás efectuarlo mucho más fácilmente en Alejandría, donde los médicos exponen a los discípulos la enseñanza de los huesos ante sus propios ojos. Por lo tanto, creo que debes tratar de vivir en Alejandría, si no por otra causa, por lo menos con el fin de aprender. Pero si no puedes hacerlo, limítate a observar los huesos humanos de la manera de que yo me he valido; pues realicé mi investigación en algunos sepulcros y monumentos que se habían destruido. También, un río que pasó por encima de un sepulcro, construido negligentemente unos meses antes, lo destruyó con toda facilidad; y arrancando, con el ímpetu de las aguas, un cadáver entero, de carnes ya putrefactas, pero con los huesos aún estrechamente unidos entre sí, lo arrastró, boca abajo, por la extensión de un estadio. Después que el río llegó a un lugar navegable y de alta orilla, allí se detuvo el cadáver y se presentó a nuestros ojos tal como un médico lo hubiera preparado a propósito para enseñar a los jóvenes. Además, vi el cadáver desecado de un ladrón, el cual yacía sobre un monte un poco fuera del camino.
Tras ejercer durante cinco años, como médico de los gladiadores, en el año 162 viajó a Roma. En una primera etapa, estuvo allí hasta 165 (tuvo que marcharse por problemas con colegas), regresando en 168, reclamado por los coemperadores Marco Aurelio y su hermano adoptivo Lucio Vero, que querían que les protegiese de los efectos de una epidemia (llamada plaga antonina) que se propagaba rápidamente (Vero murió, parece que de viruela, aunque también pudo ser víctima de un envenenamiento). A partir de entonces Roma fue el hogar de Galeno (aunque no se sabe si murió allí o en Pérgamo), alcanzando la reputación que le convirtió en una figura cuasimítica de la historia de la medicina (fue médico de cámara de los emperadores Marco Aurelio, Cómodo y Septimio Severo).
Autor prolífico (parece que utilizó veinte escribientes para transcribir sus palabras), aunque muchas de sus obras se han perdido, la síntesis de la medicina que elaboró, y que dominó la historia de esta disciplina durante más de 1500 años, estaba basada en la tradición hipocrática, en Platón y en Aristóteles. De Platón tomó la idea de tres sistemas corporales —corazón, hígado y cerebro— conectados también a los estados mentales, y de Aristóteles el interés por la investigación práctica, iluminada por el razonamiento lógico, aunque al incardinarse este en la teoría médica le condujese con frecuencia a confiar excesivamente en la capacidad discursiva de la razón.
En el ámbito experimental, encontramos en Galeno que se ocupó de muy diversas cuestiones, entre ellas las variaciones del pulso, la relación de la pérdida de sensibilidad y la parálisis con determinados nervios y con la médula espinal, o la demostración de que la orina llega a la vejiga a través de los uréteres. Ofreció, asimismo, la primera descripción de las cuatro cámaras del corazón, aunque cometió el error de suponer que la sangre retornaba por los mismos canales. Según él, la sangre procedente del hígado y el corazón circulaba por todo el cuerpo hasta consumirse en la formación de tejidos. La circulación recorría un camino único, pero la diferencia entre venas y arterias exigía que sus funciones fuesen distintas, de acuerdo con el principio de que la naturaleza no hacía nada en vano. La solución que propuso suponía que las arterias llevaban sangre y la fuerza vital (pneuma), en tanto por las venas circulaba la sangre, y supuso la idea de la comunicación entre ambos circuitos por unos vasos invisibles (capilares). Volveremos a estas cuestiones en el capítulo 4.
En cuanto a sus aportaciones a la anatomía, se esforzó por unirla con la fisiología, una senda todavía poco frecuentada. A pesar de la firmeza con la que, en la cita que presentamos antes, se refería a los requisitos para una buena práctica anatómica, no fue él mismo demasiado exigente en este dominio, seguramente por la dificultad (a la que también aludía) de encontrar cadáveres con los que practicar. Sabemos que, aunque trabajó ocasionalmente con algunos cadáveres humanos, las fuentes de sus enseñanzas anatómicas procedieron casi exclusivamente de otros animales, sobre todo de monos. Pero su prestigio fue tan grande, el poder de sus escritos tan abrumador, que defectos como estos tardarían casi 1500 años en ser señalados.
Ahora bien, entre tanto, y como sucede en prácticamente todos los ámbitos del saber, los conocimientos médicos alcanzados en Grecia y Roma recorrieron el mundo árabe, experimentando en el tránsito modificaciones y mejoras. La versión de los textos clásicos médicos comenzó con los abasidas. Hunayn Ibn Ishaq (809-873), un nestoriano sirio que aprendió árabe, persa y griego, fue la figura dominante en la recepción de la cultura clásica. Tradujo al árabe y al sirio 116 títulos, entre ellos el Timeo de Platón, la Metafísica de Aristóteles y el Antiguo Testamento, y escribió 26 estudios médicos y una compilación de la mayoría de los escritos de Galeno, entre ellos siete cuyos originales se perdieron. Su aportación a la anatomía se encuentra en los Diez tratados de oftalmología, la primera obra especializada en la materia. Un persa, al-Razi (c. 865-925), racionalista y crítico frente a la religión y ante Galeno, al que dedicó una de sus obras (Dudas sobre Galeno), rechazó la doctrina de los humores y distinguió entre la viruela y el sarampión. Ibn Sina (987-1037), natural de Afshana, actualmente en Uzbekistán, y conocido en Europa como Avicena, fue un autor prolífico, un filósofo que se ocupó de la medicina. El Canon de la medicina es una enciclopedia escrita en árabe que se convirtió en la principal autoridad en la materia hasta el siglo XVII. Encontramos en ella que se diferenciaba la meningitis de otras enfermedades nerviosas, se describía los síntomas del ántrax y la tuberculosis, ampliaba la teoría de los humores para explicar otros caracteres de la personalidad, y se intentaba tomar en consideración el estado global del paciente y sus síntomas, aunque destacaba el papel de la anatomía para la medicina: «Con respecto a las partes del cuerpo y sus funciones, es necesario que se consideren a través de la observación y la disección». Un árabe malequita, Ibn al-Quff (1233-1286), fue el editor de la mayor enciclopedia quirúrgica del Islam, describió la conexión de las arterias y las venas a través de unos capilares invisibles y explicó la acción de las válvulas cardíacas en la circulación de la sangre, ideas cuya verificación tendría lugar con el microscopio. Ibn al-Nafis (1213-1288), un médico sirio (nació en Damasco), sustituyó la versión galénica de la circulación pulmonar y publicó el primer tratado de oftalmología: El libro comprehensivo del arte de la medicina, pensado para 300 volúmenes de los que escribió 80. Las aportaciones anatómicas, dispersas a lo largo de la obra, restauraron el crédito de las ideas galénicas de los humores y los temperamentos.
§. La visión
Aunque no lo hayamos mencionado explícitamente hasta ahora, un instrumento esencial para que los humanos realizaran observaciones es la visión, la facultad con que la vida dotó a los animales entre los que se encuentra el hombre, que permite observar los objetos y estimar, aunque sea de manera aproximada, distancias. Para observar es necesario ver, y vemos gracias a la luz, una forma de «energía» (de la que tendremos bastante que decir en capítulos posteriores) que permite la visión mediante la acción de órganos corporales como son el ojo y el cerebro. La naturaleza luminosa del Sol era una evidencia, habida cuenta de la sucesión del día y la noche, pero la visión requería el contacto de alguna manera entre el objeto y el ojo. No hubo acuerdo a la hora de determinar su origen, produciéndose una serie de especulaciones, motivo por el cual es apropiado comenzar a hablar ahora de este tema, que constituye un apartado tanto de la física, la óptica, como de la fisiología, la fisiología de la visión. Para Empédocles (siglo V a. C.), la luz era un fluido que emanaba de los objetos e incidía en el ojo (intromisión), mientras que Arquitas de Tarento (siglo IV a. C.) pensaba que de los ojos salían unos tipos de emanaciones que entraban en contacto con los objetos captando su forma, algo así como un fuego invisible que descubría las formas y colores de las cosas iluminadas (extramisión). Los atomistas, de Leucipo (siglo V a. C.) a Lucrecio (siglo I a. C.), imaginaron que la luz del Sol desprendía partículas de los cuerpos iluminados que llevaban al ojo la imagen del objeto. Demócrito (siglos V-IV a. C.) pensó que el contacto se producía en virtud de la presión del objeto sobre el aire y de este sobre el ojo, mientras que, por aquella misma época, Platón imaginó que la luz que salía de los ojos, al igual que la producida por el Sol, hacía, cuando iluminaba un objeto, que este emitiese partículas de fuego que, a su vez, incidían en los ojos. Por su parte, Aristóteles rechazó la extramisión y distinguió tres momentos en la visión: la iluminación del Sol (o de, por ejemplo, una candela), la reflexión de la luz en los objetos que se comunica a través de un medio diáfano y transparente de forma que la transmisión es instantánea, y el mecanismo (fisiológico) de la visión.
En el siglo IV a. C., Euclides asumió la extramision («los rayos de luz parten del ojo y se dirigen hacia los objetos formando un cono, del que el ojo es el vértice») y postuló el carácter rectilíneo de los rayos («1, los rayos de luz siguen una línea recta hasta el objeto; 2, las líneas rectas que iluminan un objeto forman un cono; 3, solo es visible aquello sobre lo que inciden las líneas»). De hecho, Euclides nos legó un libro sobre óptica, en una de cuyas proposiciones (la XIX) se formulaba (basándose en observaciones) la ley de la reflexión, la que enuncia que el ángulo de incidencia de un rayo de luz (que, sostenía, seguía una línea recta) es igual al de reflexión, una proposición que también utilizó más tarde, en sus más complejos estudios ópticos, Herón de Alejandría (c. 75) en su Catroptica. Poco después, Ptolomeo trató de dar una explicación a la ley de la reflexión, comparando la reflexión de los rayos de luz con el rebote de proyectiles, incorporando además a la visión directa y refleja la refracción (dioptrica) que se produce al pasar de un medio a otro de distinta densidad: del aire al agua, del aire al cristal y del agua al cristal.
Notables fueron, un milenio después, las contribuciones en los siglos X y XI de Alhacén, con quien ya nos encontramos en el capítulo 1. Nacido en Basora, se distinguió sobre todo en el campo de las matemáticas (teoría de números, álgebra, geometría), aunque muchos de sus trabajos se han perdido. Fue, sin embargo, la obra que dedicó a la óptica, la que ejerció mayor influencia. En ella integró los diferentes aspectos de la visión —anatómicos, fisiológicos y geométricos— en el mismo modelo. En el Kitab al-Manazir (El libro de la óptica) ofreció una explicación de la visión que mejoraba las anteriores, utilizando para ello una cámara oscura, con la que demostraba que los rayos procedentes de distintas fuentes no se confundían en uno. Postuló que cada uno de los puntos del objeto emitía rayos que se dirigían en línea recta en todas direcciones, incidían en la córnea con energía suficiente para reproducir la imagen que se comunicaba al cristalino y a la retina. Mantuvo, asimismo, que la luz tarda un tiempo, pequeño pero finito, en alcanzar un lugar desde la fuente que la emite, y que las lentes cóncavas amplifican las imágenes. De hecho, El libro de óptica de Alhacén, traducido al latín a finales del siglo XII o principios del XIII, incluye la primera imagen de una de estas lentes, aunque sabemos que por entonces (siglos XI y XII), los vikingos habían tallado lentes que usaban para encender el fuego.
Capítulo 3
La comunicación del conocimiento
§. Del maestro a los discípulos
§. Difusión de conocimientos
§. Universidades
§. La imprenta
Para desarrollarse, el conocimiento, en general, y la ciencia, como un tipo de conocimiento particular, necesita que aquellos que la producen se relacionen entre sí de alguna manera. No tiene necesariamente que ser de forma directa, personal; puede ser suficiente, por ejemplo, que sea a través de escritos (manuscritos, publicaciones, cartas o, ahora, correos electrónicos). Se trata de intercambiar ideas, argumentos, y de someter a crítica las ideas y contribuciones de otros. Además, por supuesto, es imprescindible que no se pierdan las aportaciones del pasado, que se almacenen y transmitan a las nuevas generaciones. Todo esto es algo que se consiguió a lo largo de un largo proceso histórico.
El ámbito en que se desarrolló el conocimiento en la Antigüedad coincide con los asentamientos en los valles de los grandes ríos: Tigris y Éufrates, Nilo, Indo y Ganges, Hoang Ho y Yang Tse, así como en las islas del Egeo. Dentro de ellos, las ciudades proporcionaron la información contenida en los libros y guardada en las bibliotecas. Los desplazamientos de pueblos dieron lugar a la conquista y la integración, más o menos sistemática, de unos pueblos con otros. La guerra y el mestizaje fueron decisivos para la comunicación del conocimiento, el desarrollo técnico y los usos sociales. Las poblaciones de Mesopotamia —sumerios, acadios, asirios, babilonios— se sucedieron como grupos hegemónicos en el dominio definido por el cauce del Éufrates y el Tigris. Después de crear la escritura cuneiforme y de producir los primeros conocimientos científicos en la primera mitad del III milenio a. C., los sumerios fueron sometidos por un pueblo semita, los acadios, a mediados del milenio. Babilonios y asirios compitieron luego por el poder.
En cuanto a los egipcios, no distinguieron entre los habitantes del alargado valle en el que vivían, de manera que los cambios de capital fueron considerados por la historiografía como un cambio de época, más importantes que la sucesión de las treinta dinastías que sirvieron al sacerdote e historiador egipcio del siglo III a. C. Manetón para organizar la historia de Egipto desde principios del III milenio a. C. hasta la conquista de Alejandro. Fenicios y griegos hicieron del mar un medio de comunicación. Por otra parte, están las civilizaciones de la India y de China, que permanecieron aisladas de los demás al igual que entre sí. A mediados del II milenio a. C. se produjo un importante movimiento de poblaciones, que en el siglo XIX se identificaron como indoeuropeas: los «pueblos del mar» que invadieron Egipto, los arios que se establecieron en el norte de la India y los dorios en Grecia. El poder personal de un rey o el de un «rey de reyes» caracterizó el sistema político, que se manifestó en la sucesión de dinastías (China, por ejemplo, tuvo diez dinastías a lo largo de tres milenios).
Durante el I milenio a. C. se constituyeron nuevos espacios políticos y culturales: las repúblicas griegas y romana, por un lado, y la sucesión de las dinastías étnicas de la meseta de Irán —elamitas, medas, persas—, que absorbieron la antigua Mesopotamia y conectaron las civilizaciones griega e india. Se estableció la ciudad-estado como una nueva organización política, capaz de competir con las antiguas formas de organización social, y se desarrolló la especulación (de la que acabamos de tratar), en realidad una necesidad para el desarrollo de la especie, que contaba con la palabra, la escritura y el dibujo para expresar sus ideas.
Una vez que se dispuso de estos elementos, se hizo patente la necesidad de transmitir el conocimiento adquirido, algo que por otra parte facilitaría su desarrollo. Dos fueron los procedimientos introducidos a tal fin: la enseñanza oral del maestro, que transmitía directamente a los jóvenes y a sus discípulos, que acudían para aprender de los maestros, y la escrita, que relacionaba a los que se encontraban a distancia, sea en el espacio o en el tiempo. La primera requería de la reunión continuada de ambos sujetos, mientras que la segunda necesitaba de la colaboración de los escribas, que anotaban lo que les dictaban sus maestros, o bien copiaban sus escritos. Una buena escritura ha sido una capacidad fundamental hasta la aparición de la escritura mecánica y electrónica. La diversidad de lenguas —descrita en la Biblia como un castigo divino, pero en realidad consecuencia de los movimientos de poblaciones— planteaba la necesidad de adquirir otras lenguas para comunicarse personalmente o para acceder a las obras escritas en lenguas desconocidas. La traducción del original a otras lenguas fue un factor decisivo para la comunicación del conocimiento.
La formación de las grandes religiones se inició con la escritura, en la segunda mitad del II milenio, de los Vedas y los comentarios (Upanishads) que contienen la doctrina del hinduismo. La Biblia judía (Tanaj) cuenta la historia del pueblo elegido y recoge las revelaciones de los profetas. Por su parte, Buda (562-483 a. C.) no dejó ningún texto escrito, por lo que las dos primeras reuniones de sus fieles se dedicaron a fijar oralmente la tradición. Confucio (551-479 a. C.) dejó un único texto, cuyo título procede del editor, Conversaciones con Confucio. Y de Jesús de Nazaret conocemos el relato de su vida pública, que concluyó con la muerte en la cruz y su posterior resurrección, y sus enseñanzas, todo ello recogido en los Evangelios. Pero la determinación de la doctrina exigió la fijación del mensaje mediante la escritura, y en la interpretación de su contenido fueron importantes las condenas de las herejías, así como la creación de instituciones que asumieran la enseñanza de la lectura y, claro está, la escritura, como instrumentos de difusión de la teología y la filosofía para comprender el mensaje.
§. Del maestro a los discípulos
En una primera época, la enseñanza se limitaba al aprendizaje de las varias técnicas destinadas a la producción de herramientas y productos, una enseñanza limitada a la observación y repetición de los movimientos de una persona experimentada. La aparición de la escuela implicó una organización más avanzada, en la que se seleccionaba a los maestros y se reunía al mayor número de asistentes. Los centros escolares eran de dos tipos: los que proporcionaban una enseñanza fundamental (lectura, escritura, cálculo elemental, música) y los que daban una formación general a los maestros de primer nivel, y especializada en teología, filosofía, derecho o medicina, a los profesionales. Advirtamos en este punto que la palabra «escuela» posee dos acepciones: es el lugar en que se enseña estas materias a los jóvenes, pero también designa al colectivo de los que siguen una misma doctrina o teoría. Esta segunda acepción se manifiesta de forma particularmente clara en las religiones, y también en esa ciencia-arte-técnica que es la medicina, una, recordemos, de las primeras manifestaciones científicas creadas por los humanos, aunque, por supuesto, aparecen ejemplos tempranos en otros ámbitos. En Jixia (China) se estableció una corporación formada por 72 miembros dedicados a discutir sobre la mejor forma de gobierno del 318 al 284 a. C., de cuya importancia da idea el que el séptimo de los emperadores de la dinastía Han, Wu (141-87 a. C.), examinase él mismo a más de un centenar de candidatos a entrar en ella, seleccionados por las autoridades imperiales sin tener en cuenta la posición social. Pues bien, de esa academia surgió la necesidad de crear escuelas para facilitar las enseñanzas necesarias para optar a entrar en ella, exactamente igual que ocurriría en el futuro con, por ejemplo, las academias que preparaban para entrar en las más prestigiosas escuelas de ingeniería.
En las «cien escuelas filosóficas» que florecieron entre, aproximadamente, el 770 y el 221 a. C. en la India, parece que fueron maestros itinerantes los que ofrecían sus servicios a los príncipes, mientras que los legalistas chinos exponían teorías de gobierno. Otra variante oriental de enseñanza fue el taoísmo, que prescribía un estilo de vida conforme a los principios de la naturaleza. El primer centro de formación, dado que no se limitó a la enseñanza de las matemáticas, pudo ser, como vimos, el que en torno a 525 a. C. fundó Pitágoras, del que no se conoce ningún texto pero al que se le atribuyen opiniones sobre cuestiones fundamentales: la armonía musical, el vacío, la necesidad de las matemáticas para la comprensión del Universo. Se trata de la escuela de Crotona, que mantuvo su actividad hasta mediados del siglo IV a. C. y que se caracterizó por sus tendencias aristocráticas y cuyos miembros, una hermandad entre política y religiosa, se identificaban mediante el trazado de un pentágono cuyos vértices unían por cuerdas (pentagrama).
Sabemos mucho más de la que escuela fundada por Platón, una iniciativa novedosa, ya que antes no habían existido en Grecia instituciones de este tipo. Los orígenes de esta probablemente tuvieron que ver con las enseñanzas que el propio Platón recibió de Sócrates (c. 470-399), a quien conoció en Atenas en 408 a. C., aunque abandonó súbitamente esa ciudad tras la muerte de su maestro en 399 a. C. En la década siguiente, Platón encontró un estilo propio para exponer y defender sus ideas, llamado a tener imitadores en siglos posteriores. Después de un viaje que realizó a Siracusa (388 a. C.), donde entró en contacto con los pitagóricos, regresó a Atenas fundando allí la célebre Academia, en la que se reunían personas de diversa formación —entre las que junto a jóvenes deseosos de aprender se encontraban matemáticos, astrónomos e incluso médicos— para exponer y debatir ideas como las producidas por los pitagóricos, u otras desarrolladas por el propio Platón (da idea de la importancia que la matemática desempeñaba en la Academia de Platón la inscripción que, se dice, figuraba en su frontis: «No entre aquí quien no sepa geometría»). Fue precisamente en su Academia, durante la última etapa de su vida, cuando Platón realizó una importante penetración en el campo de la ciencia con el Timeo. Sin embargo, con el segundo director de la Academia, Espeusipo (c. 393-339 a. C.), esta comenzó a declinar, extinguiéndose casi por completo en el siglo I a. C.
Uno de los que ingresó en la Academia fue, en 367 a. C., Aristóteles, que permaneció en ella hasta la muerte de Platón, en 347 a. C., trasladándose entonces a Macedonia como preceptor de Alejandro. Tras la coronación de este regresó a Atenas y creó el Liceo, donde enseñaba a lo largo de un paseo que lo rodeaba, por lo que sus discípulos fueron conocidos como peripatéticos. Uno de los recursos de los que disponía Aristóteles en el Liceo era una gran biblioteca, precursora de otras que en su tiempo fueron célebres, como la de Alejandría (o la menos conocida de Pérgamo).
La obra, de dimensiones enciclopédicas, que se ha conservado de Aristóteles ejerció una influencia extraordinaria en el desarrollo del pensamiento filosófico y científico durante más de dos milenios, esto es, hasta el siglo XVII de nuestra era. De los cuatro grupos en que esa obra fue organizada por Andrónico de Rodas en el siglo I a. C. (volveremos a este punto más adelante), dos son los más importantes para nuestros intereses: la lógica y la filosofía natural. El Órganon (ya nos referimos a él en la Introducción) incluye los estudios lógicos; en las Categorías se definían diez conceptos fundamentales (sustancia, cantidad, calidad, lugar, tiempo, etc.); De interpretatione (Sobre la interpretación) distinguía entre proposición y juicio; los Analíticos primeros desarrollaban la teoría del silogismo y los Analíticos segundos los conceptos de definición y demostración.
Sin embargo, la historia de esas obras —de las que no sabemos si realmente él fue el único autor o si, en cierta medida, eran producto de los esfuerzos comunales llevados a cabo en el Liceo— fue compleja, ofreciéndonos un ejemplo de los complicados caminos por los que se propagaron los logros antiguos. En efecto, a la muerte de Aristóteles, sus papeles, «sus obras», pasaron a manos de uno de sus amigos, Neleo, su más probable sucesor en la dirección del Liceo, algo que no llegó a suceder, ya que por motivos políticos este tuvo que abandonar Atenas. A la muerte de Neleo, sus herederos enterraron los papeles de Aristóteles, con la intención de salvaguardar tan valioso tesoro. Al hacer esto, condenaron a los documentos a los efectos de la descomposición, aunque se salvasen de la destrucción total. Sacados de nuevo a la luz, el corpus aristotélico fue vendido a un bibliófilo romano, que intentó repararlo y editarlo para convertirlo en un conjunto armonioso. Vinieron después una serie de propietarios que encargaron a diversos eruditos nuevas correcciones e interpretaciones, incluyendo llenar los huecos físicos que había dejado su enterramiento. Uno de esos propietarios, el anticuario ateniense Apelicón, llevó los escritos aristotélicos de vuelta a Atenas, restaurándolos de una forma que ha pasado a los anales como especialmente desafortunada. En el año 86 a. C., cayeron en manos de Sila, cuando este conquistó Atenas, regresando a Roma con ellos, en donde de nuevo fueron manipulados, esta vez por manos más competentes, pero también copiados pobre y repetidamente. Porfirio, en su Vida de Plotino, relata que fue Andrónico de Rodas quien dividió el corpus aristotélico en libros distintos, agrupados en temas. Fueron copias de esta edición de Andrónico las que sobrevivieron hasta el siglo II ya en la era cristiana, cuando se reavivó el interés por Aristóteles. Por entonces, los papeles originales del maestro y de sus discípulos habían desaparecido, y con ellos cualquier intento de entrar en contacto con «el verdadero Aristóteles».
Tampoco la historia se acaba en este punto. Tendríamos ahora que comentar las peripecias que la edición de Andrónico experimentó, durante los siglos V y VI, al ir desplazándose hacia el este, conviviendo con persecuciones y traducciones: al siriaco, al árabe y al persa, hasta llegar a ser absorbida por la cultura islámica en los siglos VIII y IX. A partir de entonces, las obras «de Aristóteles» se copiaron, editaron y probablemente reorganizaron durante centurias, hasta penetrar en Europa, vertidas al latín del árabe, durante los siglos XI y XII.
Platón y Aristóteles se relacionaron directamente con sus discípulos en sus respectivas academias, pero también existieron intercambios personales de información a través de viajes, como los que realizaron los propios Platón y Aristóteles. De hecho, la búsqueda de conocimientos logrados en otros lugares fue muy apreciada por los griegos, que mostraron más de una vez su admiración por los saberes producidos en Mesopotamia o Egipto, deseando obtener copias de los textos correspondientes. Esas copias eran, naturalmente, manuscritos, documentos difíciles de encontrar y escasos en número. No fue hasta la invención de la imprenta, a mediados del siglo XV, cuando este problema se resolvió.
El mundo heleno produjo la filosofía, que entonces se entendía como un tipo de conocimiento general. La especialización de los conocimientos y la organización de los estudios en ciclos cerrados de enseñanza a lo largo de varios años se debe a los romanos, que distinguieron niveles y materias. La adquisición de los instrumentos del lenguaje y del pensamiento era el objeto de un primer ciclo, en el que se estudiaba gramática, dialéctica (lógica) y retórica. El polígrafo y militar romano Marco Terencio Varrón (116-27 a. C.), contemporáneo de Cicerón, describió las siete artes liberales (llamadas así porque las cultivaban «hombres libres»), mientras que el argelino Marciano Capella (siglo V), en De nuptiis Philologiae et Mercurii (Sobre las bodas de Mercurio y Filología; c. 430), formuló la distinción entre el trivium (gramática, dialéctica y retórica) y el quadrivium (geometría, aritmética, astronomía y música), con todas las materias juntas formando las siete «Artes liberales», a partir de entonces auténticos pilares de la educación durante siglos. Las invasiones germánicas arruinaron lo que quedaba de la tradición romana hasta que Carlomagno promulgó la capitular de 787, que disponía la constitución de escuelas en las catedrales y monasterios, de acuerdo con el programa de las artes liberales. Pero estamos avanzando demasiado en el tiempo.
§. Difusión de conocimientos
Hablar de transmisión de conocimientos significa también su recepción en enclaves diferentes a aquellos en los que se produjeron, y cómo esos conocimientos se transformaron, decayendo o mejorando, o simplemente se recuperaron. Una acepción específica de recepción es la que se refiere al fenómeno de la incorporación de un cuerpo importante de doctrina en un momento dado; en este sentido, se aplicó por los estudiosos decimonónicos de la historia medieval del Derecho romano a la recuperación, a finales del siglo XI, del Código justinianeo: en 530, el emperador bizantino Justiniano I había encargado la formación de un corpus que recogiese extractos de los juristas que disfrutaban del ius respondendi (el privilegio de emitir dictámenes), así como el texto de las constituciones imperiales. Promulgado en 533, se conoció en la parte occidental del imperio como Digesto y como Pandectae en la oriental. La ocupación del sur de Italia por las tropas de Justiniano dio ocasión a una nueva publicación en el año 554. La reforma gregoriana (1073-1077) condujo al descubrimiento accidental de una copia y, subsiguientemente, a que se enseñase en la Universidad de Bolonia, al igual que en las que se fundaron a continuación. Su influencia fue decisiva para gran parte del continente, incluida Germania. Vemos así cómo la asociación entre un acontecimiento y sus efectos culturales y sociales identifica el proceso de la recepción, que consideramos el más adecuado para describir la comunicación científica anterior a la modernidad.
En este punto tenemos que volver a algo que mencionamos hace un momento: el que, más que en los contactos personales, la comunicación entre las primeras culturas se produjo mediante la lectura de sus textos. Y cuando esos textos llegaban a lugares en los que no se hablaba el idioma en el que se había escrito el texto en cuestión, era preciso traducirlo, algo que constituía una dificultad añadida al proceso de recepción. No obstante, independientemente de dificultades como esta, el rastro de los conocimientos (científicos o no) y hechos antiguos se puede seguir a través de los restos que se conservan de escritos y cálculos. Las inscripciones en piedra requieren de herramientas y de habilidad, recursos que se reservaron para ensalzar la gloria de los dioses, las hazañas y las leyes de los reyes (desde tiempos remotos se conservan listas de los reyes y las dinastías, honor testimonial que, sin embargo, no se reservaba para identificar a quienes producían nuevos conocimientos, ya fuesen observaciones, técnicas o ideas). Por otra parte, la escritura jeroglífica y la cuneiforme no facilitaban la lectura por parte de extranjeros; además, el limitado número de piezas de contenido científico se reparte sobre todo entre las tablillas que recogían operaciones elementales, fundamentalmente transacciones comerciales (parece que el arte de la escritura fue inventado principalmente para satisfacer las necesidades contables, no las asociadas a la transmisión de historias). Son estos materiales los que han permitido estimar el nivel de los conocimientos científicos antiguos. Unos conocimientos en los que predominaba la noticia de acontecimientos celestes observados, como la aparición de cometas o los eclipses. En China registraron el eclipse solar que tuvo lugar en 2136 a. C. y la supernova del Cangrejo en 1054 a. C. En la India del II milenio a. C., los desconocidos autores del Rig-veda, el texto sagrado indio escrito en sánscrito, describían la Tierra como una bola que se mantenía por sí misma en el espacio, mientras que el Ayurveda, que contiene el antiguo sistema indio de medicina, le atribuía un giro alrededor del Sol, y los caldeos concibieron el Zodiaco hacia 1600 a. C. Básicamente, solo a partir de Tales, el único científico de los Siete Sabios de Grecia, comenzaron a asociarse las contribuciones científicas a sus autores.
Una forma específica, y muy importante, de difusión de los conocimientos adquiridos previamente fueron las conquistas de territorios o los conflictos políticos entre potencias vecinas. Encontramos un buen ejemplo de tales reorganizaciones en el imperio persa de los aqueménidas, fundado por Ciro II el Grande hacia 550 a. C., después de la conquista de Babilonia (539 a. C.) y Egipto (525-404). Las guerras médicas (499-449 a. C.) marcaron el fin de su expansión y el comienzo de la utilización de los griegos como mercenarios. La Anábasis del historiador, militar y filósofo Jenofonte (c. 431-354 a. C.) es el relato de «la retirada de los 10 000» mercenarios griegos que habían servido a Ciro el Joven en la guerra por desposeer a su hermano Artajerjes II del trono persa (401) y el periplo que aquellos mercenarios tuvieron que realizar para regresar a su patria. Por entonces ya no le quedaba demasiado tiempo al imperio persa, con el que acabó Alejandro Magno (356-323 a. C.), que lo colonizó mediante el procedimiento de asentar en sus territorios a una gran parte de su ejército.
Las campañas de Alejandro se limitaron a la ocupación del imperio aqueménida: Siria, Palestina, Egipto, Mesopotamia y Persia. Su inesperada muerte sin heredero en edad de gobernar explica el reparto del Imperio entre los diádocos, los generales de Alejandro: Casandro (Macedonia), Lisimaco (Tracia y Frigia), Seleuco (Persia) y Ptolomeo (Egipto). En Macedonia, con una población autóctona mayoritaria, continuaron las polis como organizaciones territoriales y desaparecieron las «democracias» como forma de gobierno. En Persia y Egipto, con menos de un 10 por 100 de población griega, se produjo un fenómeno de aculturación —un régimen colonial basado en el gobierno y la influencia cultural de la minoría helena— cuya influencia se extendió más allá de las fronteras hacia el norte de la India y el centro de Asia.
La colonización griega produjo un apreciable movimiento de población desde Grecia hasta Persia, que se manifestó en la fundación de ciudades, entre ellas las varias Alejandrías que recordaban al conquistador (se han identificado más de 180 asentamientos de este nombre), aunque solo una ha pervivido en la memoria e influido de manera capital en la historia de la cultura: la Alejandría fundada por Alejandro en 331 a. C., en un lugar del delta del Nilo. La diversidad en la procedencia de la población contribuyó a la combinación de los cuatro dialectos griegos, sobre la base del ático, y la importante aportación del jonio para formar una lengua nueva, la koiné, la variedad de lengua griega utilizada en el mundo helenístico, de ahí que también sea conocida como «griego helenístico». La difusión de la nueva lengua, importante en Oriente Próximo entre las clases superiores de Siria, Persia y Egipto, facilitó la comunicación del conocimiento. Hefestión Amintoros (c. 356-324 a. C.), uno de los generales de Alejandro, estableció colonias militares en Bactria, la parte nororiental del Imperio, que fue la base de un nuevo reino helenístico con Pérdicas (otro de los generales de Alejandro) y sus sucesores. Los seléucidas (por Seleuco) lo recuperaron hasta el 250, año en que se formó un reino greco bactriano, que a partir del 170 penetró en el norte de la India (la actual Pakistán) donde Menandro I Soter (fl. 165-130 a. C.) creó un reino griego; el primero duró hasta el 40 a. C. y el segundo terminó el 10 a. C.
El intercambio cultural se produjo en ambas direcciones, aunque no con la misma intensidad. Persas, judíos y cristianos adoptaron la lengua, la cultura, el arte y el estilo de vida de los griegos, que, por su parte, limitaron su interés a las religiones mistéricas de Egipto (Isis, Osiris) y Persia (Mitra), en tanto en Bactria algunos reyes se hicieron budistas. A petición del segundo faraón de la dinastía ptolemaica, Ptolomeo II Filadelfos (308-246 a. C.), el gran sacerdote Eleazar envió a seis individuos de cada una de las tribus a Alejandría, donde, en 72 días, cada uno tradujo la parte correspondiente de los cinco primeros libros (Pentateuco) del Antiguo Testamento. La versión de los Setenta, la primera traducción al griego, fue utilizada por judíos y cristianos, hasta los alrededores del año 100 los primeros, y hasta la versión latina de san Jerónimo (Vulgata; 382) los segundos. La influencia cultural del helenismo sobre el cristianismo se observa en el origen de los términos propios de la Iglesia cristiana y en la opinión de la mayoría de los estudiosos, que considera que el original de los evangelios fue el griego. La naturaleza de los debates cristológicos de los primeros siglos no se explica en un contexto filosófico que no fuese el griego.
La dinastía de los Ptolomeos hizo de Alejandría un gran centro cultural, foco de la cultura helenística. Fue sobre todo el creador de la dinastía, Ptolomeo I Sóter (siglos III y IV a. C.) quien tomó la iniciativa en este sentido, con el propósito de salvaguardar la cultura y logros griegos. Su hijo Ptolomeo II continuó el mismo camino, construyendo al lado del palacio real un edificio, que recibió el nombre de Museo, en honor a las Musas, las diosas protectoras de las actividades intelectuales. El Museo era en realidad un centro de estudios, cuyos miembros, pensionados por el faraón, disponían de locales donde reunirse, pasear y comer, a los que se proporcionó la mayor biblioteca de la Antigüedad, cuando los escritos eran la única fuente científica, y a la que se añadió un jardín y un parque zoológico. La fama de la Biblioteca —que comenzó a funcionar a principios del siglo III a. C.—, procede del hecho de haber sido la primera de estas dimensiones que contó con una buena parte de los escritos, tanto conocidos como perdidos, de su tiempo, que incluían tanto la gramática, como la filosofía y las ciencias. En ella trabajaron científicos-filósofos como Euclides y Eratóstenes —que fue uno de sus bibliotecarios— o, a partir del siglo II, bajo el dominio romano, Herón (c. 10-70), Ptolomeo y Galeno (notables fueron, asimismo, los estudios de astrología, Apotelesmatike, que se llevaron a cabo allí).
Como vemos, Alejandría constituye un eslabón vital en la transmisión del pensamiento heleno. La influencia que ejercieron posteriormente los logros —fundamentalmente los filosóficos, literarios y de organización política— producidos en Grecia, o, en otras palabras, la amplia magnitud de la recepción de esos logros, condujo a la introducción del término helenismo, acuñado por el alemán Johann Gustav Droysen (1808-1884) para caracterizar el fenómeno de la helenización cultural de Oriente Próximo. Su Geschichte des Hellenismus (Historia del Helenismo; 1836-1843) llegaba hasta el año 222 a. C., un límite temporal que la historiografía posterior retrasó hasta la conquista romana de Egipto en el 30 a. C. con la muerte de Cleopatra. La idea que lo legitimaba era, efectivamente, la universalización de la cultura griega, que se habría extendido a toda la parte habitable de la Tierra (ekumene). Una cultura que quedó definida por el carácter sintético —lo que quiere decir que en ellas primaba la reunión y ordenamiento de conocimientos existentes, y no la novedad— de sus obras más significativas, como son los Elementos de Euclides, el corpus médico de Galeno o el Almagesto y la Geografía de Ptolomeo. Arquímedes, que también trabajó en Siracusa, es el único que llevó a cabo una producción (en la que se mezclaban ciencia y técnica) auténticamente original.
La Biblioteca de Alejandría abrió sus puertas a comienzos del siglo III a. C. y albergaba, parece, cientos de miles de rollos de papiros (entre, se piensa, medio y un millón), recopilados de todas partes (había textos griegos, judíos, asirios o egipcios, entre otros), siendo la mayor de todas las bibliotecas conocidas hasta las nacionales establecidas en el siglo XIX. Su destrucción fue el resultado de sucesivos desastres. Un incendio relacionado con las operaciones de las legiones de César en el año 48 a. C. pudo causar daños limitados, dado que continuaba en uso cuando Aureliano atacó la ciudad pata derrotar a Zenobia, la reina del imperio de Palmira entre 267 y 272, que gobernó Egipto entre 269 y 272.
La expansión de la República romana (fundada en 509 a. C.), convertida ya en Imperio romano con el emperador César Augusto (63-14 a. C.), trasladó el centro político y administrativo a Roma. Aunque continuador de la civilización griega (sobre todo en lo que a influencia política se refiere), el Imperio romano no lo fue tanto en lo referente a la ciencia o a la filosofía. Roma tenía otros intereses; como señaló Cicerón (106-43 a. C.): «Los griegos destacan en el terreno de la geometría, nosotros, sin embargo, nos limitamos a contar y medir». De hecho, no se conocen matemáticos o astrónomos romanos notables, y solo un geógrafo destacado, Pomponio Mela (primera mitad del siglo I). Sí médicos, que, obviamente eran necesarios por motivos de índole práctica; Celso (c. 25 a. C.-50 d. C.), discípulo del griego Asclepíades de Bitina (c. 129-40 a. C.), fue uno de ellos. Y también están comentaristas como Lucrecio (siglo I a. C.), autor de De rerum natura (De la naturaleza de las cosas), y Plinio el Viejo (siglo i), que produjo una enciclopedia de historia natural (de ambos se dirá más en los capítulos 8, 9 y 14).
Como todos los imperios que ha conocido la historia, el romano también entró en crisis. Una de las manifestaciones de esa crisis fue la recuperación del griego y su cultura frente al latín. Por el contrario, en Occidente, la conservación de la cultura clásica requería la traducción al latín. Así, hacia 321, el filósofo cristiano Calcidio, de cuya biografía se conoce poco con seguridad, aunque parece que fue archidiácono de Osio, obispo de Córdoba, tradujo la primera parte del Timeo (53 capítulos), el único texto platónico que se conoció en Occidente durante ocho siglos. Notable fue, asimismo, el filósofo romano Boecio (c. 480-524), que procedía de una familia cristiana distinguida de Roma y que se educó en Grecia. Sus versiones de las obras lógicas de Aristóteles fueron los únicos textos del estagirita conocidos en Occidente hasta el siglo XII, mientras que las Etimologías de Isidoro de Sevilla (siglos VI y VII) ofrecían una versión del conocimiento científico clásico (matemáticas, astronomía, medicina…). Un bagaje insuficiente para la Europa emergente.
La última división del Imperio romano se debió a Teodosio (347-395), emperador desde 379 hasta su muerte, quien nombró Augusto para Oriente a Arcadio (383) y a Honorio para Occidente (393). En tanto el Imperio de Occidente no alcanzaría el siglo de existencia, el de Oriente tendría una larga vida e influencia. Su centro político estuvo en Bizancio, una antigua ciudad griega, capital de Tracia, que el emperador Constantino I (c. 272-337) había refundado en 330, denominándola «Nueva Roma», o Constantinopla (la actual Estambul). Allí continuó la tradición griega. El estudio del neoplatonismo comenzaba con el aprendizaje de Aristóteles, a partir de la Isagoga de Porfirio, para continuar con Platón. Fue precisamente un monje bizantino quien, a finales del siglo XIV, organizó en tres Corpus la doctrina clásica: lógica, filosofía aristotélica y matemáticas.
Constantino despenalizó, en 313, la práctica del cristianismo, aunque no fue hasta un decreto de 391 del emperador Teodosio cuando se proclamó el cristianismo religión del Estado. Sin embargo, una cosa es dictar decretos y otra que estos sean aceptados por todos. Desde esta perspectiva, se puede comprender que no todos aceptasen la nueva religión oficial. En 391, Teófilo, patriarca de Alejandría desde 345 hasta su fallecimiento en 412, descubrió un templo pagano y reaccionó burlándose de él y de su confesión, lo que a su vez produjo un ataque de paganos a cristianos, que reaccionaron obligando a aquellos a refugiarse en el Serapeo, el monumento dedicado al culto de Serapis, que también albergaba una biblioteca, considerada la sucesora de la gran Biblioteca. La consecuencia de todo esto fue la destrucción del Serapeo, incluyendo su biblioteca. Fue en ese contexto de luchas de creencias religiosas en el que se produjo la muerte, linchada por un grupo de cristianos, de la famosa matemática y astrónoma Hipatia de Alejandría (c. 355/370-414/416), hija del astrónomo Teón.
En 528, el emperador romano Justiniano I (483-565) dio tres meses para convertirse a los que rendían culto a los dioses del Olimpo, con la amenaza de separarlos de sus cargos. La Academia de Atenas asumió la defensa de las antiguas creencias y el emperador cerró la Academia y las otras escuelas de Atenas en 529, lo que provocó la emigración de siete filósofos, entre ellos Prisciano (c. 500), que se refugiaron en 532 en Ctesifonte, la corte de la Persia sasánida y una de las ciudades más grandes de la antigua Mesopotamia. A aquel nuevo mundo cultural perteneció la escuela de medicina —la más antigua de la que se tiene noticia— de la ciudad persa Gundishapur (fundada en 271 a. C. por el rey sasánida Shapour I), que alcanzó su mayor prestigio en los siglos VI y VII, aunque los datos sobre la construcción de un hospital han sido cuestionados. Los comentarios a muchas obras de Aristóteles que allí se llevaron a cabo contribuyeron a su difusión en un ámbito distinto. Hay, asimismo, que recordar la labor de Simplicius de Cilicia, uno de los paganos perseguidos por Justiniano, que, como vimos en el capítulo 2, dio otras noticias en sus comentarios a la obra astronómica, médica y lógica de Aristóteles (de ahí que Galileo diese el nombre de Simplicio al defensor de la ortodoxia aristotélica en su Diálogo sobre los dos sistemas máximos del mundo, ptolemaico y copernicano de 1632).
La predicación de Mahoma (c. 570/571-632), recogida en el Corán, incluía la guerra santa como un deber de los fieles. A su muerte dejó una Arabia unificada, aunque sin designar heredero ni constituir un poder. Sus familiares confiaron el poder al califa, jefe religioso y político de la comunidad de los fieles (islam). Las costosas guerras entre bizantinos y persas (560-630) facilitaron la expansión árabe, que en un siglo (632-732) creó un imperio que se extendía desde España hasta el Indo. Los primeros califas conquistaron Egipto, Siria, Mesopotamia y la Persia sasánida, los omeyas gobernaron de 661 a 750 e hicieron de Damasco su corte. El griego fue la lengua de la administración hasta finales del siglo VII, realizándose la versión al árabe de los textos considerados importantes a través del siriaco.
A la dinastía de los omeyas le sucedió la de los abasidas (o califato abasí), que reinaron de 750 a 1258, sobre un territorio cada vez menor por la aparición de emires independientes en las provincias y por el poder de las guarniciones persa y turca en la corte de Bagdad. La Edad de Oro del islam coincide con la época abasida. La pasión de los abasidas por acceder al patrimonio cultural de bizantinos, persas e indios les llevó a adquirir un inmenso patrimonio cultural, que se reflejó en su arquitectura. En vez de extender su cultura, adquirieron la de los vencidos al adoptar su estilo y técnicas arquitectónicas y al traducir los textos que cayeron en sus manos y los que consiguieron mediante la negociación con sus enemigos. La conquista de Siria, intensamente helenizada en tiempos de los seléucidas (312-63 a. C.), los sucesores del imperio de Alejandro Magno, explica su participación en la recepción de la cultura griega.
Fundada en 761 por el califa Al-Mansur (712-775), cerca de las ruinas de la antigua Babilonia, Bagdad se convirtió en la capital del islam, sucediendo a Damasco. La Edad de Oro a la que antes nos referíamos comenzó a esbozarse en Bagdad a partir del califato de Harúm al-Rashid (c. 776-809), mencionado en varios lugares de Las mil y una noches, uno de cuyos logros históricos fue que participó en la sustitución del pergamino por el papel, gracias a la construcción en Bagdad de los primeros molinos, que redujeron radicalmente el gasto de la escritura. Fue, sin embargo, durante el reinado (813-833) de su hijo al-Mamun (c. 786-833), cuando la Edad de Oro, que haría del mundo musulmán el centro intelectual de la ciencia, la medicina y la filosofía, alcanzó su plenitud. No fue el menor de los logros de al-Mamun la creación (aproximadamente en el año 800) de la Casa de la Sabiduría, versión literal del término persa para «biblioteca», aunque añadía a esta función las de centro dedicado a la traducción de los textos filosóficos y científicos y lugar de encuentro para los estudiosos de las diferentes materias. La primera época se caracterizó por el interés por la matemática. Los autores indios les enseñaron los grandes avances en la teoría de números: el valor posicional de los numerales y la introducción del cero con un valor nulo. En 825, al-Khwarizmi, que ya apareció en el capítulo anterior, introdujo el sistema decimal indio, sistematizó el uso del álgebra retórica y revisó las coordenadas de la geografía ptolemaica. Bajo la dirección del médico Hunayn ibn Ishaq (809-873) se estableció una escuela de traductores, en la que se vertieron del griego al árabe numerosos textos científicos y filosóficos que de otra manera seguramente —al menos algunos— se habrían perdido, textos entre los que se encuentran obras fundamentales como los Elementos de Euclides o el Almagesto de Ptolomeo. Uno de los asociados a la Casa de la Sabiduría, por ejemplo, fue el matemático y astrónomo Thabit ibn Qurra ibn Marwan al-Sabi al-Harrani (836-901), que revisó y tradujo la geografía de Ptolomeo y extendió la teoría de los números a la razón entre las magnitudes geométricas. La traducción de las obras de Hipócrates y Galeno, y la farmacopea de Dioscórides les proporcionó una base para construir un corpus medicorum, que completaron con sus propias aportaciones. Las contribuciones de los médicos, habitualmente puntuales y sobre cuestiones diferentes, no contribuyen a hacerse una idea precisa de sus aportaciones. De Razhes (860-932) pueden citarse logros como la distinción entre las viruelas y el sarampión y el que escribiese una enciclopedia en 30 libros (Al-Hawi), y El canon de la medicina de Avicena (del que se habló en el capítulo anterior) fue texto de referencia médico durante seis siglos.
A partir de finales del siglo X, los califas de Bagdad cedieron el poder sin perder su preeminencia religiosa. En 1055, Togrul (c. 990-1063), el segundo gobernante de la dinastía turca selyúcida, tomó Bagdad, cediéndole el califa la gobernación con el título de «rey del Este». Con Malik Shah (1055-1092), que accedió al trono en 1072, y con la ayuda del visir Nizam al-Mulk, que había sido ministro con su padre y predecesor, tuvo lugar una renovación cultural; Malik fue, por ejemplo, protector del matemático y astrónomo Omar Jayam (1048-1131), que reformó el calendario y al que dotó de un observatorio. Malik Shah murió asesinado por la secta de los nazaríes y la actividad cultural se resistió, cesando la recepción del conocimiento griego anterior. La aparición de los mongoles cambio el mapa político y cultural. Temuyín (1162-1227), el aristócrata mongol que unió las etnias mongoles del norte de Asia fundando el primer imperio mongol en lo que antes era una sociedad intensamente feudal, recibió por todo esto el titulo de «Jefe valeroso» (Gengis Kan). Le sucedió (1229-1241) Ogodei (c. 1186-1241), que convirtió Karakorum, la capital del imperio mongol, en una gran ciudad, y bajo cuyo mandato el imperio mongol alcanzó su mayor difusión, llegando hasta Hungría en Europa y hasta Irán en Asia. Una nueva crisis sucesoria dio a Kublai (1215-1294), el quinto y último Gran Kan, la ocasión de fundar en 1271 una nueva dinastía en China, los Yuan (1260-1378), trasladando la corte de Karakorum a Pekín. Su hermano Hulagu Kan (c. 1217-1265) venció y mató al último califa, arrasó Bagdad (1258) y conquistó Damasco para acabar vencido en 1260 por el sultán mameluco de Egipto en Ain Jalut, en el valle de Jezreel de Galilea. La nueva frontera dejó Siria y Palestina para Egipto, y Mesopotamia y Persia para los mongoles, que establecieron su capital en Tabriz. La desaparición del último rey (1335) marcó el comienzo de una invasión más violenta de los mongoles al mando de Tamerlán (c. 1336-1405), el líder militar y político turco-mongol y el último de los grandes conquistadores nómadas de Asia central, que ocupó Bagdad en 1401. La ciudad no pudo recuperarse de los daños de las sucesivas invasiones y con los mongoles se produjo un largo estancamiento en la ciencia en Asia.
Explicamos antes que con Teodosio el Imperio romano se dividió en un Imperio oriental —cuya pista hemos seguido en las líneas precedentes— y otro occidental, y que la vida de este no llegó a alcanzar, con plena vigencia, mucho más del siglo de existencia. En este caso no fueron invasiones de los asiáticos mongoles, sino de pueblos germánicos, las que determinaron su final, hacia el año 476. Primero llegaron los visigodos (procedentes de los godos, uno de los grupos germánicos orientales), al mando de Alarico I (370-410), que llegó a saquear Roma en 410, mientras el emperador Honorio se encontraba en Rávena, sin hacer nada al respecto. Antes, en 406, los vándalos, suevos y francos, junto con otros pueblos (gépidos, alanos, sármatas y hérulos), se extendieron por la Galia y luego por Hispania.
Aunque entraron en Roma, la hermana de Honorio, que al contrario que este continuaba viviendo en la ciudad, convenció a los visigodos para que se aliaran a los romanos, a cambio de casarse con el nuevo rey visigodo, Ataúlfo, al que se le cedió la Aquitania en 412 para que restableciera el dominio romano sobre la Galia. Logrado esto, se les encargó que expulsaran a los vándalos de Hispania, lo que consiguieron en 429, dirigiéndose aquellos entonces hacia África, donde tomaron Cartago y extendieron su dominio por parte del Mediterráneo (Córcega, Cerdeña. Sicilia y las Baleares), llegando a Roma en 455. Como es evidente, todo esto no hizo sino socavar aún más el Imperio romano, que recibió un nuevo golpe con la invasión de Italia en 451 por los hunos, una tribu procedente de Asia, encabezados por Atila (395-453), que ya llevaba años arrasando extensas zonas de Europa. Aunque llegó a las puertas de Roma, el ejército de Atila no entró en la ciudad: se reunió en secreto con el papa León I, y por alguna razón (tal vez hambrunas y epidemias) se retiró. De hecho, poco después la peste diezmó al ejército huno, que desapareció.
De todas maneras, la vida del Imperio romano occidental ya estaba severamente atacada, con constantes revueltas sociales y una pérdida de disciplina en sus ejércitos. Así, en el siglo VI se habían establecido tres grandes reinos: godos, francos y ostrogodos (pueblo germánico este que surgió, hacia 370, como consecuencia de la división de los godos después de la invasión de los hunos), que ya se habían convertido al cristianismo. Las conquistas de Justiniano, el último emperador que tuvo el latín como lengua materna y también el último que intentó recuperar las posesiones del imperio en tiempos de Teodosio (la, como es conocida, recuperatio imperii), se revelaron efímeras y limitadas prácticamente al exarcado de Ravena. Las ciudades que no fueron abandonadas se vieron reducidas por la pérdida de población a una parte del antiguo solar, el comercio se contrajo a su contorno inmediato y la lectura quedó reducida a los clérigos —no a todos seguramente— y a una parte desconocida de las clases dominantes. La ruralización acabó con la cultura clásica en Occidente, en tanto continuaba en Oriente, donde se estima que Constantinopla tenía en torno a los 300 000 habitantes a mediados de siglo. De hecho, la helenización del Imperio romano occidental no comenzó realmente hasta el mandato de Justiniano, que hizo del griego la lengua oficial (hasta entonces el latín era la lengua de la corte y de los textos jurídicos), intensificándose en el siglo VII con Heraclio (c. 575-641), aunque por entonces era seguramente ya tarde, debido al debilitamiento del imperio y al escaso interés cultural que mostraron los pueblos invasores. «Desdichado de nuestro tiempo», escribió el obispo Gregorio de Tours (538-590), «que ha visto perecer entre nosotros el estudio de las letras».
Un ejemplo que da idea de lo que significó el que los dos imperios romanos siguieran diferentes caminos lingüísticos y culturales es el de Gregorio Magno (c. 540-604). Nacido en Roma, Gregorio I fue embajador en Constantinopla entre 579 y 586, pero el hecho de que no hubiese aprendido el griego y que los patriarcas de Constantinopla desconociesen el latín dificultó sus relaciones. Una muestra más, y temprana, de lo importante que es disponer, en política al igual que en todo tipo de actividades, incluyendo, por supuesto, las científicas, de una lingua franca.
Se dice con frecuencia que fueron los monjes irlandeses los que preservaron la cultura grecorromana, beneficiándose del hecho de que Irlanda no había sufrido las invasiones germánicas, y que desde Irlanda esos conocimientos preservados pasaron a Inglaterra, de manera que hacia el siglo VIII los monjes irlandeses y británicos constituían la avanzada de la civilización en lo que a la conservación de la cultura antigua se refiere. Ahora bien, esta historia tiene problemas obvios, puesto que ¿cómo pudieron los monjes irlandeses acceder a esa cultura si ningún romano pisó sus tierras?
A juzgar por el nivel cultural alcanzado en el I milenio, se habría necesitado otro o más para recuperar el conocimiento de la época helenística. Para acelerarlo no había otra posibilidad que la versión a las lenguas romances de los textos islámicos, dado que el griego se alejaba a medida que la frontera del Imperio romano cedía a la penetración eslava. Y esto significó que el griego terminó dejando —a favor del latín— de desempeñar un papel central en la difusión de los conocimientos alcanzados en el mundo heleno. Hasta el siglo XI no se dieron las condiciones para que los príncipes cristianos pusiesen a disposición de los estudiosos las bibliotecas que cayeron en sus manos. La capitulación de Toledo ante Alfonso VI de Castilla en 1085 puso a su disposición las bibliotecas de una ciudad con una importante población mozárabe que hablaba árabe y conocía el latín; abundaban en ella, además, los libros árabes. De repente se ofrecía una posibilidad insospechada y la noticia movilizó a buen número de estudiosos, que llegaban de todas partes de Europa, produciendo lo que se conoce como Escuela de Traductores de Toledo, de cuyo carácter internacional dan idea los nombres por los que fueron conocidos algunos de los que trabajaron allí: Platón de Tivoli, Adelardo de Bath, Robert de Chester, Hermann el Dálmata, el judío converso hispano Mosé Sefardí de Huesca —quien tomó, al ser bautizado, el nombre de Pedro Alfonso—, Rodolfo de Brujas, Juan de Sevilla y Gerardo de Cremona.
Dado que no sabemos las circunstancias de la operación, e incluso se desconoce la identidad de muchos traductores, lo que queda es valorar el contenido de los textos científicos, determinar cuáles fueron vertidos al latín, del árabe y del griego, y cuántas versiones se dieron de los textos más divulgados. La primera forma de traducción consistía en contratar a alguien conocedor de ambas lenguas para que tradujese oralmente al romance su contenido, que un escribano ponía luego por escrito. En un segundo momento se traducía al latín, con las limitaciones propias del latín medieval, para que los expertos realizasen los comentarios oportunos.
Personaje pionero en el establecimiento de la Escuela de Toledo fue el segoviano Domingo Gundisalvo (1110-1181), que llegó a ser archidiácono de Cuéllar y miembro del cabildo de la catedral. Sin embargo, no fue este su destino final, ya que el arzobispo Raimundo de Toledo lo llamó a esta ciudad castellana, donde bajo su mecenazgo inició la Escuela. Comenzó transcribiendo lo que el judeoconverso Juan Hispalense (¿?-1180) traducía de palabra, aunque más adelante, al perfeccionar su conocimiento del árabe, pudo prescindir de su colaboración. Se puede, efectivamente, dividir en dos su actividad como traductor: en una primera, que se extendió hasta 1150, únicamente traducía del griego o del castellano al latín, o reelaboraba las traducciones que hacía del árabe Juan Hispalense, mientras que en la segunda, poseyendo ya suficientes conocimientos de árabe, traducía directamente de esta lengua. A diferencia del común de los traductores, Gundisalvo se benefició de las versiones de Aristóteles (uno de los autores que tradujo) para construir su propia filosofía, en la que destaca el De divisione philosophia, donde desarrolló el contenido del quadrivium.
Uno de los más notables del grupo de traductores citados antes fue Gerardo de Cremona (1114-1187), que se trasladó a Toledo antes de 1144, aprendiendo allí el árabe. Aunque en Sicilia se había hecho una traducción del texto griego del Almagesto, la versión del árabe de este fue la referencia habitual del conocimiento astronómico. Además de esta, tradujo hasta 87 obras griegas y árabes. Las Segundas analíticas para la lógica y los escritos sobre la naturaleza de Aristóteles, los Elementos de Euclides y algunos de los escritos de Arquímedes. Asimismo tradujo a los más famosos entre los musulmanes e introdujo los numerales indios al traducir El libro de la suma y la resta en el cálculo de los indios, de al-Khwarizmi. Hasta el siglo XIII no aparecieron versiones vernáculas, directas del original a la lengua vulgar, mientras se planteaba la duda acerca de la fidelidad y la conveniencia de la traducción a partir de la lengua original para evitar errores como la condena pontificia de Aristóteles, cuando los párrafos en cuestión procedían de Averroes. Esto fue lo que hizo el flamenco Wilhelm de Moerbecke (1215-1286), que tradujo del griego todo tipo de textos, emprendiendo a instancia del teólogo Tomás de Aquino (1224-1274) la traducción —de acuerdo con el método literal (de verbo, ad verbum)— de la obra completa de Aristóteles para eliminar la influencia de Averroes. No obstante, de ese vasto plan solo se conoce la primera traducción de la Política.
A reseñar también el papel que en aquella labor de recuperación del saber antiguo se llevó a cabo en Sicilia, que, incorporada al imperio bizantino (535-848), volvió, tras un intervalo musulmán, a la cristiandad occidental con la conquista de los normandos (1062), a quienes sustituyeron los Hohenstaufen, la dinastía de emperadores del Sacro Imperio romano germánico. Fue el emperador y rey de Sicilia (además de Chipre y Jerusalén) Federico II (1194-1250), que pasó los últimos trece años de su vida en Italia, quien convirtió su corte de Palermo en un centro cultural, promoviendo la versión (directa del griego y el árabe al latín) de los textos griegos que había conseguido durante la Sexta Cruzada, que comenzó en 1228 (también autorizó la práctica de la disección, que la iglesia cristiana había prohibido). En esas actividades, Federico II se vio influido por el escocés Miguel Scoto (c. 1175-1235), quien después de haber estado en Toledo hasta 1220, donde tradujo, entre otras, Historia animalium, De partibus animalium y De generatione animalium de Aristóteles, y estar al servicio de los papas Honorio III y Gregorio IX, se instaló en 1227 en la corte de Federico II como su astrólogo y traductor.
Las traducciones continuaron, aunque a menor nivel, hasta que con el Renacimiento se inició una nueva época, caracterizada por el aprendizaje del latín y el griego hasta un punto comparable al de los clásicos. Por otra parte, se abandonó la traducción literal para devolver al lenguaje la calidad literaria que no había encontrado en la Edad Media. La figura más destacada de este movimiento es el sacerdote y filósofo renacentista florentino Marsilio Ficino (1433-1499), al que los Médicis dotaron de medios abundantes para traducir a Platón, así como a Plotino, entre otros autores.
§. Universidades
Los códigos (lex) de los pueblos germánicos, establecidos entre 480 y 803, derivaban de las costumbres de cada uno de ellos, completadas por la norma romana. Las limitaciones de su contenido contribuyeron a la introducción de un derecho consuetudinario, también llamado «de usos y costumbres». Entre el botín de los cruzados, figuraba algún ejemplar del Corpus iuris civilis (Cuerpo de derecho civil) preparado entre 529 y 534 por orden del emperador Justiniano. Uno de los que desarrolló aquel corpus fue el jurista italiano Irnerio (c. 1050-1140), uno de cuyos argumentos era que había que dotar al Derecho de autonomía, separándolo de la Gramática y la Retórica. En 1084, Irnerio creó una Escuela de Jurisprudencia en Bolonia, a la que el emperador Federico I Barbarroja (1122-1190), como protector de la Comuna, dio la constitución Habita en 1155-1158, con la que se protegía a los estudiantes que vivían lejos de su país, asegurando su libertad de movimiento y sometiéndolos a la jurisdicción de sus maestros o del obispo de la ciudad. De aquel germen, basado en la enseñanza del Derecho (no solo civil, también canónico), terminó surgiendo la Universidad de Bolonia, que adquirió el rango de Universidad y sus estatutos en 1317. Por entonces, se añadieron los estudios de Artes liberales (formadas, como señalamos antes, por las materias del trivium y el quadrivium) y de Medicina, completándose en 1364 el perfil universitario clásico de las cuatro Facultades al introducir la Teología.
Pero Bolonia no fue la primera universidad, aunque los estudios jurídicos que se realizaban allí contribuyesen a que surgiese la idea moderna de «universidad», un término este, por cierto, el de Universitas, que ya aparecía, significando «agrupación, corporación, gremio, comunidad, colegio» o similares, en el Digesto de Justiniano de 533. La unión de tres escuelas —real, catedralicia y monacal— existentes dio origen en 1150 al Studium generale, como se denominó primero a la universidad, también designada luego como Universitas magistrorum et scholarium (Agrupación de maestros y estudiantes). En 1215, el cardenal inglés Robert de Curzon (c. 1160/1170-1219), delegado del papa en París para resolver una serie de enfrentamientos entre una corporación de graduados en artes y el canciller o escolástico de la catedral, por las exigencias de este en lo relativo a la concesión de grados, resolvió que el escolástico estaba obligado a conceder, sin cobro alguno, el grado cuando lo decidiesen los maestros, reconociendo, asimismo, a la corporación el derecho de aprobar sus estatutos. En realidad, aquella corporación se asemejaba a un gremio, pero constituyó un paso previo que facilitó que hacia 1245 apareciese en París una Universidad consolidada, con su rector, maestros y estudiantes.
Un acontecimiento que influyó en la historia de las universidades, de alguna de ellas al menos, fue la constitución de las primeras órdenes mendicantes: franciscanos en 1209 y dominicos en 1215. Esta creación dio origen a los conventos, que, a diferencia de los monasterios que se habían instalado «en el desierto», se levantaron en ciudades, un medio donde predicar, aconsejar y encontrar ocupaciones compatibles con el estado de sus monjes, además de adecuado para pedir limosna. A algunos de aquellos monjes, la universidad les proporcionó estudios y los contrató como docentes. Un hecho singular fue el que entre 1220 y 1270 las órdenes mendicantes se instalaron en Oxford. Allí establecieron colegios (colleges) para enseñar a sus miembros. Para acoger a los estudiantes que no pertenecían a las órdenes, Walter de Merton (c. 1205-1277), canciller de Enrique III y luego de Eduardo I, construyó un colegio residencial (Merton college) para los laicos en 1264, y su ejemplo provocó la multiplicación de estos. La de Artes Liberales fue la primera Facultad, añadiéndose en fechas sucesivas las demás. Es un rasgo distintivo de esta universidad, al igual que de la de Cambridge (cuyos orígenes se remontan probablemente a 1209, cuando algunos académicos de Oxford se establecieron allí, aunque su carta universitaria la recibió en 1231 del rey Enrique III), que el reparto de competencias entre la universidad y los colegios ocultó, y aún oculta, la actividad de las Facultades, que se manifiesta en los títulos que concede.
Lo normal al principio fue que las universidades contasen entre sus enseñanzas con, al menos, dos de las tres Facultades superiores: Derecho, Teología y Medicina. Con respecto a la última, una de las más antiguas y notables fue la Universitas medicorum de Montpellier, que recibió sus primeros estatutos de Honorio III en 1220. La Constitución Quia Sapientia (1289) de Nicolás IV completó su perfil al añadir las otras tres Facultades (Teología, Derecho y Artes Liberales). En 1340 se introdujo la disección, una cada dos años, y en 1376 un decreto real amplió esta práctica al entregar los cuerpos de los que habían sido ejecutados, mientras que en París no se realizó ninguna en todo el siglo. La enseñanza de la anatomía fue decisiva para el prestigio de aquella institución, que en 1558 fue dotada de un anfiteatro anatómico y de un jardín botánico.
La fundación del Studium generale de Palencia (Reino de Castilla), limitado a las Artes Liberales, se sitúa entre 1208 y 1210. Su breve historia, menos de un siglo, apenas si ha dejado noticia de su actividad. El de Salamanca (Reino de León), apenas posterior, incluía las Facultades de Artes, Derecho y Medicina. Alejandro IV le dio el título de universidad en 1255.
Cada universidad tenía sus propios planes de estudio y conferían títulos, que respondían a un modelo común. Tras el primer ciclo concedían el de Bachiller en Artes, y los que se preparaban para la enseñanza recibían un Máster que los habilitaba para la enseñanza básica, en tanto los que se especializaban podían alcanzar el título superior de doctor.
La dependencia de los textos clásicos fue absoluta en la universidad medieval, limitándose la aportación de los maestros y doctores al comentario puntual de lo que decían. Las fuentes eran limitadas: la lógica de Aristóteles para las artes liberales, Hipócrates y Galeno para los médicos, los Padres de la Iglesia y los cánones de los concilios para los teólogos, el Digesto para los juristas, aunque al añadir los cánones y las bulas pontificias surgió otra especialidad, que algunos acumularon para alcanzar el título de doctor utriusque juris. El método de enseñanza, común para todos los estudios, fue la lectura de un texto seleccionado por un lector sentado al pie de la cátedra (un púlpito al que se ha añadido una tabla asiento al pie, algo que ilustra el carácter de la enseñanza) y el comentario que hacía el maestro o doctor desde esta. Los exámenes estaban destinados a probar la capacidad del estudiante para argumentar sus opiniones y contestar a las réplicas y cuestiones, la disputatio, la versión occidental del diálogo griego.
El producto más notable del pensamiento medieval, la escolástica, la especulación cristiana sobre la filosofía clásica, estuvo determinada por los textos disponibles (en la primera época, del siglo VI al XII, solo se conocía parte de la Lógica de Aristóteles). Las había de dos tipos: la ordinaria, en la que se anunciaba el tema, y la quodlibet, que se iniciaba con la formulación de una pregunta. En el siglo XI, el filósofo francés Pedro Abelardo (1079-1142) desarrolló el método escolástico, argumentando que para decidir la verdad de un discurso había que basarse en la lógica, a la que consideraba superior a la gramática y la retórica. En el debate sobre si los universales eran realidad o conceptos, se inclinó por esta última opción. Prominente en su defensa de la escolástica es una de sus obras, Sic et non (Si y no), en la que comparó textos patrísticos y conciliares, decidiendo entre las distintas opciones, aunque en caso de duda siempre optó por la procedente de la revelación. Tal y como quedó establecido, el método escolástico consistía en descubrir las contradicciones entre los textos y los comentarios (questione), buscar la opinión más verosímil mediante el análisis lingüístico y lógico y ofrecer la propia doctrina sobre una materia (summa). La afluencia de versiones latinas de textos clásicos desconocidos, procedentes de la conquista de Toledo (1085) y Constantinopla (1204), llevaron a su plenitud el desarrollo de la escolástica. Los Comentarios de Alberto Magno (c. 1193/1206-1280) ofrecieron una paráfrasis de las obras de Aristóteles, en tanto que Tomas de Aquino (c. 1224-1274) llevó a cabo una síntesis que ofrecía una explicación lógica de ciertas verdades conocidas por la revelación. En particular, sustituyó el argumento ontológico de la existencia de Dios por uno en el que argumentaba de la manera siguiente: suponiendo que Dios es un ser dotado de todas las perfecciones, ha de tener la existencia, y ello por cinco razones, fundadas en la observación del Universo: motor inmóvil, causa incausada, ser necesario y perfectísimo, supremo ordenador. En su Summa contra gentiles ofrecía un estudio de las verdades teológicas que se pueden demostrar mediante la razón, incluyendo un estudio de los fundamentos de la Revelación, mientras que la Summa theologica es la explicación del Universo a partir de la existencia y la acción de Dios (creación), la existencia y el fin del hombre: el pecado original y sus efectos sobre la naturaleza humana, el pecado y la justificación en Cristo, los sacramentos y la escatología.
§. La imprenta
Cuando se trata de la difusión de conocimientos científicos, es preciso ocuparse de los medios técnicos mediante los cuales tales conocimientos se diseminaron. En las líneas precedentes nos hemos referido a textos escritos por individuos, y sabemos muy bien que este tipo de documentos fue esencial en el desarrollo de la ciencia. Pero ¿cómo eran esos «documentos», esos manuscritos? Los primeros que conocemos son las inscripciones cuneiformes en las tablillas mesopotámicas. Luego vinieron los papiros y pergaminos, producidos en materiales —de origen vegetal y animal, respectivamente— muy diferentes a las tablillas. Y después apareció el papel. Sobre papiros, pergaminos y papel era posible inscribir, con algún tipo de color o tinta, textos, pero cada uno de estos constituía una copia única, con las evidentes consecuencias: si se perdía y el ejemplar era único, desaparecía por completo; al copiar un texto era muy probable que el copista cometiese errores, que se irían multiplicando en futuras copias.
Todo esto cambió con uno de los grandes inventos de la historia: la técnica de la impresión utilizando tipos móviles introducida a mediados del siglo XV, en Maguncia, por Johann Gutenberg (c. 1400-1468), un invento cuyos detalles técnicos continuaron siendo básicamente los mismos durante 350 años.
Ahora bien, a pesar de toda su fama, Gutenberg fue hijo de una larga historia anterior. Las huellas de un cilindro de piedra dura sobre una tablilla en Mesopotamia fueron las primeras impresiones, alrededor del III milenio a. C. De este procedimiento surgieron los sellos que autentificaban la procedencia de los documentos. En el siglo III, en China se utilizaban bloques de madera en los que se había rebajado en el plano superior el espacio alrededor del signo o diseño que se quería reproducir. Al tintar la parte superior y presionar el bloque sobre una tela o papel, se obtenía una reproducción que cubría toda la página. Los romanos practicaron el mismo método. El grabado fue una aplicación del mismo principio, solo que invertido, al vaciar el diseño que se quería reproducir. A finales del siglo XI se imprimieron en Europa hojas sueltas, y en el XIII Marco Polo mostró a sus convecinos la moneda de papel y los juegos de cartas de los chinos, cuyo valor se manifestaba mediante los signos impresos. Y en torno al 1400 se imprimieron en Venecia las primeras barajas y estampas de santos.
La escritura «mecánica» fue resultado de la asociación de diferentes elementos de la manual. El tipo de letra manual ofrecía un modelo a seguir para facilitar el paso del manuscrito al libro, mientras que la sustitución de las planchas de madera por el tipo móvil, la introducción de las tintas oleaginosas y la construcción de la máquina de imprimir requirieron una fuerte dosis de innovación respecto a los antecedentes orientales. La introducción del tipo móvil tuvo precedentes en China y en Corea. En 1040, Bi Sheng (990-1051) creó el primer juego de caracteres móviles, construidos en cerámica, que se degradaba rápidamente, hasta el punto de condenar la idea, mientras que en 1490 Hua Sui (1439-1513) utilizó el bronce. Lo que no pudieron superar fue la abundancia de caracteres (en 1834, Samuel Dyer, un misionero británico, calculó que se necesitaban no menos de 3000 caracteres para escribir un catecismo en chino).
La sustitución de un único bloque por pequeñas piezas de madera y pronto de metal, los tipos móviles, redujo el coste de producción al cesar los errores cometidos en las planchas de madera, y el de la impresión al utilizarlos muchas veces en distintas composiciones: el tímpano era un gran pergamino, mayor que cualquier impreso posible, que se tensaba con cuerdas sujetas a un cuenco de madera. Sobre este plano se colocaba la hoja de papel blanco, que se desplazaba hasta la prensa, que utilizaba un tornillo para conseguir la presión necesaria y suficiente.
Comprendemos así lo que decíamos hace un instante: que Gutenberg fue producto de una larga historia anterior. Y cuando se habla de Gutenberg, es imposible no recordar su libro más famoso, impreso en 1456: la Biblia de 42 líneas, denominada así porque son 42 las líneas que contiene cada una de las dos columnas de sus 1284 páginas, distribuidas en dos volúmenes (en realidad, son 42 líneas a partir de la página 11, ya que las 9 primeras únicamente tienen 40 líneas, y 41 la página 10). Parece que de esta Biblia se imprimieron 120 ejemplares en papel y 30 en pergamino, de los que sobreviven 49, ninguno exactamente igual a los demás, ya que cada uno tiene su propia iluminación y detalles decorativos: los primeros libros se producían en blanco y negro, y todos los detalles del tipo de capitulares iluminadas, encabezamientos de páginas o ilustraciones coloreadas se añadían posteriormente a mano. Además, texto e ilustraciones se imprimían habitualmente en dos operaciones separadas y era difícil que no se produjesen diferencias de impresión que se pueden detectar fácilmente.
En cuanto al papel que desempeñaron los libros de temas científicos en los primeros tiempos de la imprenta, hay que señalar que inicialmente la mayor parte de las obras publicadas se ocupaban de cuestiones religiosas, no en vano tres de las grandes religiones de la humanidad son «religiones de libros»: la Torah judía, el Nuevo testamento del cristianismo y el Corán islámico. Teniendo en cuenta el ámbito geográfico en el que nació la imprenta, no es sorprendente que la Biblia fuese el libro que mayor número de ediciones tuvo, un fenómeno este que se intensificó tras la traducción que del libro sagrado hizo al alemán Martín Lutero (1483-1546). En 1522, Melchor Lotter imprimió en su imprenta de Wittenberg la primera edición de la traducción de Lutero del Antiguo Testamento; fueron 5000 ejemplares, ilustrados con 21 xilografías de Lucas Cranach. En 1546, el año en que murió Lutero, las ediciones de esta obra sumaban 400. También en Wittenberg, Hans Lufft realizó en 1523 la primera edición completa de la Biblia traducida por Lutero, llegando a imprimir en 40 años más de 100 000 ejemplares.

Una vez cubierto de tinta, el tipo móvil, la matriz que representa una letra, se reproduce sobre el papel al aplicar la presión adecuada. Antes de que aquellos aparecieran, un taco de madera vaciado para destacar las líneas de un dibujo o texto permitía la impresión de páginas enteras. Mientras que la impresión en madera repetía la misma imagen, lo que hacía imposible pagar las decenas o cientos de páginas de un libro, la utilización de un molde permitía multiplicar el número de letras de acuerdo con la frecuencia de su empleo. Las cajas que se ven en este dibujo contenían todas las letras y signos requeridos, que se juntaban en un componedor para formar las líneas y las paginas que determinan la forma o página, que una vez entintada se introducía en la prensa, de la que salían los pliegos, que se doblaban varias veces para formar los cuadernillos que constituían el libro. En la ilustración aparecen los chibaletes en los que se guardaban las cajas para componer; la que está en uso se apoya sobre un atril en la parte superior (hay varias de estas para una sola prensa). El entintado final se hacía con una prueba que puede mostrar varias posiciones al inclinarla mediante el uso de una cuerda sujeta al pie. Grabado del siglo XVII, debido a Abraham von Werdt (1594-1671).
Aunque no se tratase de libros propiamente dichos, sí que ocuparon mucho del tiempo (y del papel) de las primera imprentas las indulgencias, que resultaban un negocio muy próspero. Más tarde llegaron los libros dedicados a calendarios y libros de texto para escuelas.
Bien, ¿y los libros de temas científicos?
Habida cuenta del interés que los humanos tenemos por el mundo que directamente nos rodea, no debe sorprender la temprana publicación de la Historia naturalis de Plinio el Viejo (siglo I), un compendio de zoología, geografía, medicina, física y matemáticas (su presencia durante la Edad Media fue constante: se conocen más de 200 manuscritos de ella), que recibió su primera impresión en Venecia en 1469. Su editor fue John de Speiler (o de Spira), el primer tipógrafo de Venecia al que se le concedió el privilegio de impresión. En 1500 ya había sido reimpresa quince veces, lo que da medida del éxito de esta obra.
Nicholas Jenson, que casi con seguridad había aprendido el arte de la impresión en la Maguncia de Gutenberg, publicó en 1472, también en Venecia, una edición de la enciclopedia de Plinio que incluía láminas de gran belleza.
Otro impresor alemán que trabajó en Venecia fue Erhard Ratdolt, propietario de una de las principales imprentas venecianas desde 1476. Natural de Augsburg, Ratdolt trabajó durante un tiempo con el astrónomo de Núremberg, Johann Müller Regiomontanus (1436-1476), cuyo Calendarium publicó. Pero lo que nos interesa destacar es que el 25 de mayo de 1482, Ratdolt dio término a la impresión —la primera edición impresa en cualquier idioma— de una obra cuya importancia ya hemos señalado: Preclarissimus liber elementorum Euclidis, in artem geometriae, los Elementos de Euclides.
La edición publicada por Ratdolt —una edición bellísima, de 138 páginas en folio pequeño, en la que se incluyeron diagramas geométricos en los márgenes para ilustrar el texto— se basó en la revisión que había realizado Johannes Campanus de Novara (f. 1296) —fue canónigo en París y capellán de Urbano IV—, que a su vez utilizó la traducción al latín que había efectuado hacia 1260 Adelardo de Bath, a partir de un manuscrito árabe. Adelardo dejó tres versiones latinas de los Elementos; la primera, una traducción estricta del texto árabe conocido, la segunda y más popular, una versión simplificada, y la tercera, un comentario. Campanus se basó sobre todo en la segunda, aunque empleó otros elementos tratando de dotar al texto de la mayor autonomía posible.
Durante los siglos XV y XVI, la edición de Campanus se reimprimió al menos trece veces (la segunda edición apareció en 1491), aunque no nos debemos dejar engañar: la presencia de la ciencia matemática era mucho menor que la de las humanidades literarias, como denota el que entre 1455 y 1500 apareciesen 62 ediciones del célebre libro del romano Anicio Manlio Torcuato Severino Boecio (ya nos apareció), De consolatione Philosophiae (El consuelo de la filosofía). Aun así, es común la opinión de que solo la Biblia supera en influencia a los Elementos de Euclides. En 1505, también en Venecia, en la imprenta de Joannes Tacuinus, se publicó la primera edición completa en latín del tratado de Euclides, pero está traducida directamente de un manuscrito en griego, no del árabe, como la de 1482. Cuatro años después apareció (Venecia) otra edición en latín, una revisión del texto de Campanus realizada por Fray Luca Pacioli, más conocido como el autor de Summa de arithmetica, geometria proportioni et proportionalita (Tratado de aritmética, geometría, proporciones y proporcionalidad; 1494). Finalmente, en 1533 y en Basilea se imprimió la versión en griego, preparada por el teólogo protestante Simon Grynaeus, profesor de griego en la Universidad de Basilea.
Las ediciones de los libros de Plinio el Viejo y de Euclides (la latina) que acabamos de mencionar son incunables (se llaman «incunables» —un término introducido por el bibliógrafo prusiano Cornelius Beughem, que compiló, en 1688, el primer catálogo de incunables, titulándolo Incunabula typographiae— aquellos libros impresos con tipos móviles durante el siglo XV, esto es, antes del 1 de enero de 1501). Otro tanto se puede decir de una de las obras debidas a Ptolomeo, especialmente de su Geographia, que vio la luz, primero, en una edición que no incluía mapas, únicamente una tabla con las latitudes y longitudes de más de ocho mil lugares. Por cierto, todavía se debate si Ptolomeo dibujó o hizo que se incluyeran mapas en su texto, aunque de lo que no hay duda es que este mostraba cómo se podrían dibujar mapas. Las ediciones incunables con mapas de la Geographia llegaron a partir de 1477. Una de ellas apareció en 1482 en Ulm, con la imprenta de Lienhart Holl como comadrona y el latín como lengua vehicular.
A finales del siglo VIII o comienzos del IX, con el aumento del interés por la ciencia griega que se produjo en el mundo islámico, el otro libro de Ptolomeo, el Almagesto, fue traducido al siriaco y después, varias veces, al árabe (parece que la primera traducción a esta lengua la realizó hacia 827 Ishak Ibn Ouani en Bagdad; a mediados del siglo XII existían al menos cinco versiones diferentes). Y aunque la versión original griega continuó siendo copiada y estudiada en el imperio bizantino, a comienzos de la Edad Media el conocimiento de esa versión se había perdido en gran medida en la Europa occidental (el manuscrito más antiguo que se conoce del Almagesto es una traducción del árabe al griego que data del siglo IX). También se realizaron algunas traducciones del griego al latín en la Edad Media; pero esto no significó que el texto ptolemaico regresase a Europa occidental a través de esa vía. La puerta de entrada fue la Península ibérica, el Toledo de las tres culturas y las tres lenguas, árabe, hebreo y latín. Fue uno los traductores que trabajaron allí, Gerardo de Cremona, quien tradujo el libro de Ptolomeo, conocido ya como Almagesto, del árabe al latín, tarea que completó en 1175. Sería esta la versión que se utilizó en la primera edición impresa, aparecida en Venecia en 1515. Antes, el papa Nicolás V había encargado a Georgius Trapezuntius (1396-1472) que lo tradujese al latín de un manuscrito griego. Editada por Luca Gaurico, se imprimió cuando ni su traductor ni el papa que la encargó vivían, en 1528, en los talleres venecianos de Lucantonio Giunta bajo el título de Almagestum seu magnae constructionis mathematicae opus. El manuscrito de la traducción y los de las dedicatorias de Trapezuntius (que dedicó primero el texto y el comentario que simultáneamente compuso a Nicolás V, pero que luego cambió de opinión, dedicándoselo al papa Sixto IV) se conservan en la Biblioteca del Vaticano.
La invención de la imprenta y el subsiguiente hecho de que los libros no fuesen únicos (o casi) tuvo otra consecuencia: facilitar la creación de bibliotecas, que ahora podían proliferar, siendo muy diferentes de las irrepetibles —porque muchas, si no la mayoría, de las obras que albergaban eran únicas— bibliotecas del Liceo o de Alejandría. El inglés Francis Bacon, promotor y metodólogo temprano de la ciencia, se refirió a la importancia de las bibliotecas en otro de sus libros The Advancement of Science (El avance del saber; 1605). Allí, en el Libro II, podemos leer:
Las obras o acciones de mérito concernientes al saber se refieren a tres objetos: los lugares de erudición, los libros de erudición y las personas de los doctos […]
Las obras relativas a las sedes y lugares de erudición son cuatro: instituciones y edificios, fundaciones con rentas, fundaciones con franquicias y privilegios, disposiciones de ordenanzas de gobierno […]
Las obras tocantes a los libros son dos: en primer lugar, las bibliotecas, que son como los santuarios donde se conservan y reposan todas las reliquias de los santos antiguos, llenas de virtud verdadera y sin engaño ni impostura; en segundo lugar, las nuevas ediciones de autores con impresiones más correctas, traducciones más fieles, glosas más provechosas, anotaciones más diligentes, etc.
Las obras concernientes a las personas de los doctos (además de favorecerlos y apoyarlos en general) son dos: la retribución y nombramiento de profesores de las ciencias ya existentes y formadas, y la retribución y nombramiento de autores e investigadores de todas las partes del saber insuficientemente trabajadas y cultivadas.
«Santuarios donde se conservan y reposan todas las reliquias de los santos antiguos» y «las nuevas ediciones de autores con impresiones más correctas», denominaba Bacon a las bibliotecas.
Un tipo de obras impresas particularmente importantes son las enciclopedias. Un ejemplo temprano de estos libros es la ya mencionada Historia naturalis de Plinio. Fue sobre todo a partir del siglo XVIII cuando estas publicaciones adquirieron más importancia, en parte debido a la indiferencia de las universidades ante el desarrollo de las ciencias experimentales y la tecnología, lo que favoreció la aparición, fuera del contexto universitario, de visiones de conjunto de esas materias. Una de las primeras manifestaciones fue la Cyclopaedia or a Universal dictionary of Arts and Sciences (Enciclopedia o un Diccionario Universal de las Artes y las Ciencias), que publicó, en Inglaterra, en 1728 y en cuatro volúmenes (a los que se añadieron dos Suplementos en 1753), Ephraim Chambers (1680-1740). La idea de traducirla al francés encontró problemas, que decidieron a Dennis Diderot y a Jean le Rond d’Alembert a producir una obra propia. En 1745 emprendieron la realización de una Encyclopédie ou Dictionnaire raisonné des sciences, des arts et des métiers (Enciclopedia o Diccionario razonado de las ciencias, las artes y los oficios), que ofreciese una síntesis de los conocimientos del momento sobre todos los problemas. El subtítulo sugiere la relación entre la ciencia y sus aplicaciones técnicas. En el Discurso preliminar incluido en el primer volumen (1751), D’Alembert ofrecía un esquema de las ciencias, poco original, en el que los conocimientos se organizaban en función de las facultades: memoria, razón e imaginación. La obra es desigual por su contenido: atrevida en los comentarios a las instituciones políticas y religiosas, excepcional por las imágenes de las artes y oficios y sus descripciones, y limitada en la parte científica, en la que se incluye a las matemáticas entre las ciencias de la naturaleza. Aun así, lo menos que se puede decir es que con la Encyclopédie se abrió un nuevo universo editorial y cultural, en el que la ciencia y la técnica ocupaban un lugar preferente.
Capítulo 4
La demolición de los sistemas especulativos
§. El sistema heliocéntrico
§. El valor de la precisión: Tycho Brahe
§. Las primeras leyes de la naturaleza
§. La observación telescópica
§. Más allá de Galeno: Vesalio
§. La fisiología
La especulación había producido en la Antigüedad un conocimiento válido en aquellas materias en las que este método era el adecuado —teoría de números, aritmética— y había creado un sistema completo para la geometría plana, así como un discutible sistema lógico. En el siglo XVI, el nominalismo puso en cuestión la realidad de las ideas y las esencias de las cosas y los seres, sosteniendo que los universales no eran sino conceptos que se aplicaban a aquellas. Guillermo de Occam (c. 1280/1288-1349), el iniciador de la «vía moderna» de la filosofía, se hizo famoso por la condena de las construcciones complejas e innecesarias; la «navaja de Occam». El Renacimiento planteó la demolición de la especulación sobre la naturaleza, y las primeras víctimas fueron las grandes construcciones especulativas de los clásicos —la cosmología de Aristóteles y Ptolomeo—, mientras que se mantenían los hallazgos de los observadores no sistemáticos; la observación de las plantas y los animales valió a Aristóteles un reconocimiento que se negó al filósofo. La geografía de Ptolomeo no pudo resistir los descubrimientos de los navegantes del siglo XV. La anatomía de Galeno fue desmantelada por Vesalio. Y Galileo demolió la imagen del cosmos al utilizar un telescopio para la observación del cielo. Ante todo esto, Francis Bacon se presentó como una alternativa filosófica al estagirita, al ofrecer la inducción como alternativa a la deducción.
En el solar creado por la demolición, La Revolución Científica levantó el edificio de la ciencia moderna, la única que merece este nombre. Fue el resultado de procesos paralelos: la invención de instrumentos ópticos, como telescopios y microscopios, que ofrecían una imagen nueva de las cosas y los seres. A juzgar por los avances producidos desde entonces, la innovación tecnológica se convirtió en un proceso aparentemente ilimitado. No solo cambió radicalmente la imagen visible del Universo, sino también la de la Tierra en particular. La medida de las magnitudes proporcionó un conocimiento preciso de las cosas y de los fenómenos. La descripción de ambos, cosas y fenómenos, se perfeccionó con la introducción de un complejo sistema de unidades métricas, que permitió formular leyes naturales. Y la invención de las unidades de medida proporcionó resultados de muy diversa naturaleza; la aplicación de una regla o la utilización de un cuadrante produjeron resultados inmediatos: la longitud de las cosas, las distancias entre los cuerpos celestes. Otros aspectos de la realidad requerían la convención y un nuevo cálculo matemático, y la medida de la energía requirió de convenciones más complejas. Como dijo Galileo, la matemática era el lenguaje de la naturaleza.
La formulación de las leyes naturales se convirtió en el objeto de la ciencia. Kepler formuló las primeras leyes del movimiento de los cuerpos celestes, pero la construcción de sistemas en que habían fracasado los filósofos de la Antigüedad dio lugar a la elaboración, sobre la base hipotética de la cosmología de Copérnico, de la ley de la gravitación universal, que, insertada en el edificio de la mecánica elaborada por Newton, fue el argumento decisivo en la construcción de la ciencia como conocimiento válido, gracias a la verificación experimental y cuantitativa de los movimientos que tienen lugar en el Universo. De esta manera, Newton demostró la eficacia de la ciencia para el conocimiento del Universo. La herencia de la revolución no solo amplió el área y la calidad del conocimiento: cuando, al cambiar los supuestos, se crearon nuevas ciencias, las anteriores subsistieron. La física clásica se conserva para los fenómenos lentos, con respecto a la velocidad de la luz, y los campos gravitacionales pequeños, mientras que la física cuántica y la relatividad son conocimientos distintos para explicar otras formas de movimiento.
§. El sistema heliocéntrico
En el capítulo 2, al tratar de la especulación, introdujimos el sistema geocéntrico, en el que es la Tierra la que ocupaba el centro del Universo, un sistema que encontró su máxima expresión en el texto de Ptolomeo, Almagesto.
La renuncia a este sistema, el aristotélico-ptolemaico, fue una condición necesaria para que se produjese la Revolución Científica, el período de los siglos XVI y XVII en el que se establecieron las bases de la ciencia moderna. El punto de arranque para esa renuncia y este comienzo está vinculado al nombre de un canónigo y astrónomo teórico polaco, Nicolás Copérnico (1473-1543), y a su libro, De revolutionibus orbium coelestium (Sobre las revoluciones de los orbes celestes), en el que defendía con buenos argumentos que era el Sol y no la Tierra el que se encontraba en el centro (o cerca) del Universo.
Nacido en Thorn, en la Prusia polaca, la mayor parte de la vida de Copérnico transcurrió en Polonia, salvo ocho años que pasó en Italia, estudiando en las universidades de Bolonia, Padua y Ferrara. De hecho, su biografía no es parecida a la de los restantes grandes protagonistas de la Revolución Científica; esto es, de los Brahe, Kepler, Galileo o Newton. Sobrino de Lucas Watzenrode, obispo de Warmia, estudió durante cuatro años en la Universidad de Cracovia, donde sin duda aprendió algo de astronomía, en particular de la astronomía aristotélica, puesto que se sabe que un discípulo de Regiomontano, Albert Blar Brudzewski, impartía un curso basado en Sobre el cielo de Aristóteles.
Tras finalizar sus estudios universitarios, y gracias a la ayuda de su tío, fue nombrado canónigo de la catedral de Frauenburg (en la actualidad, Frombork, en el norte de Polonia). Con semejante base asegurada, en 1496 marchó a Italia, donde estudió primero Derecho en Bolonia, después Medicina en Padua, doctorándose en Derecho canónigo en esta última ciudad en 1503. Allí, al hilo de estos estudios, Copérnico amplió sus conocimientos astronómicos, teóricos muy especialmente (parece que realizó pocas observaciones a lo largo de su vida). Era una época en la que Regiomontano —de quien diremos más en el capítulo 7— había producido un Epitome a la astronomía ptolemaica (publicado, póstumamente, en 1498; esto es, veintidós años después de su muerte), pero en la que seguía sin publicarse el Almagesto (como vimos, la primera edición salió de una imprenta veneciana en 1515).
Con poco más de treinta años regresó definitivamente a Polonia, donde pasó el resto de su vida. Y aunque haya pasado a la historia gracias a la astronomía, a lo que se dedicó profesionalmente fue a tareas administrativas y religiosas: primero residió en el castillo de Heilsberg, donde vivía su tío, que además de obispo era príncipe de la provincia de Warmia, como su secretario personal. A la muerte de este, en 1512, se trasladó a Frauenburg para tomar posesión de su canonjía. Este sería su hogar durante los siguientes treinta años, hasta su muerte.
Aunque el nombre de Copérnico se encuentra unido al de Revolutionibus, publicado el mismo año de su muerte (1543), este pudo muy bien no haberse publicado jamás. Semejante posibilidad se debe al carácter de Copérnico, que no parece que estuviese demasiado interesado en dar a conocer sus trabajos con detalle. Bastantes años antes de que pensase en escribir un texto extenso, preparó un breve manuscrito, conocido como Commentariolus, en el que exponía sus hipótesis acerca de los movimientos celestes. Inédito en su tiempo, sabemos de la existencia de este breve tratado gracias a que se han localizado unas pocas copias de las que Copérnico debió de enviar a algunos astrónomos. En 1877 apareció el primer ejemplar de estas en la Biblioteca Imperial de Viena, y poco después (1881) otra en la biblioteca del Observatorio de Copenhague; ya en la nueva centuria, en 1962, se encontró otra más en la biblioteca del King’s College de Aberdeen. Se cree que en 1514 ya circulaba alguna copia: en 1533 el papa Clemente VII preguntaba al jurista y orientalista alemán Johann Albrecht Widmanstadt sobre el nuevo sistema heliocéntrico, y el 1 de noviembre de 1536 el cardenal de Capua —el dominico Nikolaus von Schönberg— escribía a Copérnico desde Roma pidiéndole una copia del tratado que había compuesto. Otra evidencia de su existencia y circulación procede de Lutero, quien en una observación de sus Tischreden (Discursos), fechada el 4 de junio de 1539, aludía a «un astrólogo advenedizo que pretende probar que es la Tierra la que gira, y no el cielo, el firmamento, el Sol o la Luna […] Este loco echa completamente por tierra la ciencia de la astronomía, pero las Sagradas Escrituras nos enseñan que Josué ordenó al Sol, y no a la Tierra, que se detuviese».
Mientras que De revolutionibus era un exigente tratado matemático, el contenido del Commentariolus era mucho más claro, como se comprueba en la siguiente cita, en la que se encuentran los elementos básicos de la visión heliocéntrica (el Sol en el centro) del Universo:
Observo que nuestros predecesores recurrieron a un elevado número de esferas celestes a fin, sobre todo, de poder explicar el movimiento aparente de los planetas respetando el principio de uniformidad. En verdad parecía completamente absurdo que un cuerpo celeste no se moviera uniformemente a lo largo de un círculo perfecto. Pero se dieron cuenta de que mediante distintas composiciones y combinaciones de movimientos uniformes podían lograr que un cuerpo pareciera moverse hacia cualquier lugar del espacio.
Calipo y Eudoxo, que trataron de resolver el problema por medio de círculos concéntricos, no fueron sin embargo capaces de dar cuenta por este procedimiento de todos los movimientos planetarios. No solo tenían que explicar las revoluciones aparentes de los planetas, sino también el hecho de que tales cuerpos tan pronto nos parezcan ascender en los cielos como descender, fenómeno este incompatible con el sistema de círculos concéntricos. Ese el motivo de que pareciera mejor emplear excéntricas y epiciclos, preferencia que casi todos los sabios acabaron secundando.
Las teorías planetarias propuestas por Ptolomeo y casi todos los demás astrónomos, aunque guardaban un perfecto acuerdo con los datos numéricos, parecían comportar una dificultad no menor. Efectivamente, tales teorías solo resultaban satisfactorias al precio de tener asimismo que imaginar ciertos ecuantes. En razón de los cuales el planeta parece moverse con una velocidad siempre uniforme, pero no con respecto a su deferente ni tampoco con respecto a su propio centro. Por ese motivo, una teoría de estas características no parecía ni suficientemente elaborada ni tan siquiera suficientemente acorde con la razón.
Habiendo reparado en todos estos defectos, me preguntaba a menudo si sería posible hallar un sistema de círculos más racional, mediante el cual se pudiese dar cuenta de toda irregularidad aparente sin tener para ello que postular movimiento alguno distinto del uniforme alrededor de los centros correspondientes, tal y como el principio del movimiento perfecto exige. Tras abordar este problema tan extraordinariamente difícil y casi insoluble, por fin se me ocurrió cómo se podría resolver por recurso a construcciones mucho más sencillas y adecuadas que las tradicionalmente utilizadas, a condición únicamente de que se me concedan algunos postulados.
Y, a continuación, detallaba los siguientes siete postulados:
- No existe un centro único de todos los círculos o esferas celestes.
- El centro de la Tierra no es el centro del mundo, sino tan solo el centro de gravedad y el centro de la esfera lunar.
- Todas las esferas giran en torno al Sol, que se encuentra en medio de todas ellas, razón por la cual el centro del mundo está situado en las proximidades del Sol.
- La razón entre la distancia del Sol a la Tierra y la distancia a la que está situada la esfera de las estrellas fijas es mucho menor que la razón entre el radio de la Tierra y la distancia que separa a nuestro planeta del Sol, hasta el punto de que esta última resulta imperceptible en comparación con la altura del firmamento.
- Cualquier movimiento que parezca acontecer en la esfera de las estrellas fijas no se debe en realidad a ningún movimiento de esta, sino más bien al movimiento de la Tierra. Así pues, la Tierra —junto a los elementos circundantes— lleva a cabo diariamente una revolución completa alrededor de sus polos fijos, mientras la esfera de las estrellas y último cielo permanece inmóvil.
- Los movimientos de que aparentemente está dotado el Sol no se deben en realidad a él, sino al movimiento de la Tierra y de nuestra propia esfera, con la cual giramos en torno al Sol exactamente igual que los demás planetas. La Tierra tiene, pues, más de un movimiento.
- Los movimientos aparentemente retrógrados y directos de los planetas no se deben en realidad a su propio movimiento, sino al de la Tierra. Por consiguiente, este por sí solo basta para explicar muchas de las aparentes irregularidades que en el cielo se observan.
De esta manera, el Universo quedaba organizado de la siguiente forma:
Las esferas celestes se inscriben unas dentro de otras según el orden siguiente. La superior es la esfera inmóvil de las estrellas fijas, que contiene a todas las demás cosas y les da un lugar. Inmediatamente después se encuentra la esfera de Saturno, seguida por la de Júpiter y, a continuación, por la de Marte. Debajo de esta se halla la esfera en la que nosotros giramos, a la cual siguen la esfera de Venus y, finalmente, la de Mercurio. La esfera lunar, por su parte, gira en torno al centro de la Tierra y es arrastrada con ella a la manera de un epiciclo. Idéntico orden guardan asimismo las velocidades de revolución de las esferas, según sean mayores o menores los círculos que trazan. Así, el periodo de revolución de Saturno es de treinta años, de doce el de Júpiter, dos el de Marte, un año el de la Tierra, nueve meses el de Venus y tres el de Mercurio.
Ocupado en sus tareas de canónigo católico de la catedral de Frauenburg, Copérnico pudo muy bien haberse contentado con haber escrito, y distribuido selectivamente, el Commentariolus, si no hubiese sido por la aparición de Georg Joachim Rheticus (1514-1574). En 1532, uno entre 130 jóvenes estudiantes, Rheticus se matriculó en la Universidad de Wittenberg, donde conoció a Johann Schöner (1477-1547), que se ocupaba de la astrología, así como de la publicación de manuscritos astronómicos de importancia que había dejado Regiomontano en Wittenberg. Fue probablemente Schöner quien habló a Rheticus de Copérnico y de sus ideas; acaso había visto una copia del Commentariolus. Y en 1539, Rheticus se encaminó hacia Frauenburg con el propósito de visitar al canónico astrónomo, que entonces tenía ya 66 años. Lo que iba a ser una visita breve, finalmente se extendió más de dos años.
El Copérnico que Rheticus encontró estaba aislado desde el punto de vista científico: nunca había tenido discípulos ni tenía colegas que pudiesen comprender los detalles técnicos de sus trabajos astronómicos. Y por entonces llevaba años componiendo un texto mucho más extenso y ambicioso que el Commentariolus. No es sorprendente, por consiguiente, que Rheticus se convirtiese en discípulo suyo. Éste, que deseaba ver publicado el libro de su nuevo maestro, se dio cuenta (o sabía de antemano) de que no existía en Polonia ningún editor-impresor que pudiese producir una obra de tal complejidad. Sí Petreius, un impresor de Núremberg, del que Rheticus había llevado, como regalo para Copérnico, tres libros producidos por él. Pero el canónigo de Frauenburg se resistía a dar su obra a la imprenta. Para intentar vencer su resistencia, Rheticus adoptó la estrategia de pedir a Copérnico que le diese permiso para publicar una especie de introducción a la astronomía heliocéntrica copernicana. Tal es el origen de la Narratio prima (Primer informe), un libro de setenta páginas publicado en 1540 en la cercana Gdansk. Fue recibido con tal interés que se publicó una segunda edición el año siguiente, en Basilea, esta vez con el nombre de Rheticus en la portada. Con semejante estímulo, Copérnico cedió, y veintiocho meses después de haber llegado Rheticus abandonó Frauenburg con una copia que había realizado del manuscrito de Copérnico destinada a la imprenta de Petreius en Núremberg. Allí sería publicado en 1543, bajo el título de De revolutionibus orbium coelestium.
De revolutionibus es una obra de carácter técnico, un completo tratado de astronomía, basado, eso sí, en la hipótesis heliocéntrica. Ahora bien, aunque en este sentido introdujo un cambio radical con respecto al geocéntrico universo aristotélico-ptolemaico, en otros aspectos no fue así. La figura esférica, por ejemplo, continuó ocupando un lugar central en el esquema copernicano. «En primer lugar», escribía en la sección 1 («El mundo es esférico»), que habrían podido leer con gusto y aprobación Platón o Aristóteles, «hemos de señalar que el mundo es esférico, sea porque es la forma más perfecta de todas, sin comparación alguna, totalmente indivisa, sea porque es la más capaz de todas las figuras, la que más conviene para comprender todas las cosas y conservarlas, sea también porque las demás partes separadas del mundo (me refiero al Sol, a la Luna y a las estrellas) aparecen con tal forma, sea porque con esta forma todas las cosas tienden a perfeccionarse, como aparece en las gotas de agua y en los demás cuerpos líquidos, ya que tienden a limitarse por sí mismos, para que nadie ponga en duda la atribución de tal forma a los cuerpos divinos». Precisamente por este motivo, en De revolutionibus continuaban apareciendo epiciclos. Y, significativamente, la sección 4 se titulaba: «El movimiento de los cuerpos celestes es regular y circular o compuesto por movimientos circulares».
Un detalle de De revolutionibus es el prefacio «Ad lectorem» con el que comenzaba el libro. Este prefacio aparecía sin firmar, pero no se debía a Copérnico, sino a la pluma del teólogo protestante Andreas Osiander (1498-1552), el corrector de las pruebas y en este sentido responsable de la edición de la obra, quien lo incluyó sin que, por lo que sabemos, lo autorizasen ni Copérnico ni Rheticus. La opinión que sostenía allí Osiander —«no espere nadie», escribía, «en lo que respecta a las hipótesis, algo cierto de la astronomía, pues no puede proporcionarlo»— no apoyaba la idea de que fuese cierto realmente el sistema heliocéntrico, sino que se trataba de un mero instrumento de cálculo, y al aparecer sin firmar, fue tomada, inevitablemente, como el punto de vista del propio Copérnico.
¿Por qué incluyó Osiander aquella nota para los lectores de De revolutionibus? ¿Porque creía realmente en que las matemáticas no son más que un instrumento para describir la naturaleza, incapaces de revelar su verdadera esencia? ¿O porque temía la reacción de la Iglesia (católica o protestante; recordemos que Lutero no valoraba en mucho a Copérnico y sus ideas? Limitándonos al caso de la Iglesia católica, lo único que es seguro es que De revolutionibus no suscitó la inmediata violenta reacción que algo menos de un siglo después produciría el Diálogo de Galileo. En efecto, el libro de Copérnico tardó en entrar en el Índice de Libros Prohibidos; fue en la sesión de la Congregación del Índice que tuvo lugar el 5 de marzo de 1616 cuando se decretó que De revolutionibus «debía ser suspendido hasta que fuese corregido», una condena —motivada por el éxito que estaba teniendo Galileo en su defensa del sistema copernicano a partir de la publicación, en 1610, de su libro Sidereus nuncius— por otra parte, relativamente suave (en la misma sesión, el libro del padre carmelita Paolo Antonio Foscarini [c. 1565-1616] titulado Lettera del R. Padre Maestro Paolo Antonio Foscarini Carmelitano, sopra l’opinione de’ Pittagorici e del Copernico della mobilità della terra e stabilità del sole, et il nuovo Pittagorico sistema del mondo [Nápoles 1615], fue «prohibido y condenado totalmente»).
Independientemente de cuáles fuesen los motivos de Osiander, su prefacio saca a la palestra un punto importante de la ciencia, uno que se han planteado a lo largo de la historia un buen número de filósofos (como Kant) y científicos: el de si las teorías que construyen los científicos y que «explican» los fenómenos naturales observados (entendiendo por «explicar», reunir grupos de ellos en un sistema formal y ser capaces de predecir sucesos futuros) representan fielmente la realidad o son, simplemente, «imágenes formales», sombras platónicas que no nos proporcionan más que imágenes deformadas de la realidad. Importante como es esta cuestión, en última instancia no afecta al propósito último de la ciencia, que es predecir lo que va a suceder. Si lo que nos da son únicamente «sombras», de lo que no cabe duda es que son sombras muy hábiles, puesto que mantienen una extraordinaria coherencia interna entre ellas.
Por lo que se refiere a las opiniones del propio Copérnico, si nos atenemos al «Prefacio al “Santísimo Señor Pablo III, Pontífice Máximo”», que él mismo escribió, que seguía al «Prefacio» de Osiander, parece que se inclinaba a pensar en la realidad última del sistema heliocéntrico.
§. El valor de la precisión: Tycho Brahe
Al contrario de la leyenda que pervivió durante mucho tiempo, el libro de Copérnico fue leído con atención por la mayoría de los astrónomos de su tiempo, y también por los que siguieron inmediatamente. Pero esto no fue suficiente para que la tesis que defendía, la heliocéntrica, se impusiera, entre otros motivos porque Copérnico no desarrolló una dinámica que hiciera plausible la idea de una Tierra en movimiento: de ser así, si la Tierra estaba, efectivamente, en movimiento ¿cómo es que los objetos libres no se alejaban de la superficie terrestre?, ¿por qué no se veía que las nubes siempre se dirigían hacia el oeste y los cuerpos arrojados desde una torre no caían al oeste de la base de la misma? Había, en definitiva, que crear una ciencia del movimiento en la que tuviese cabida la noción de sistemas que mantenían su estado de movimiento si no se los sometía a algún tipo de nueva influencia, algo que llevarían a cabo sobre todo Descartes, Galileo y Newton.
Un ejemplo notable de las dificultades que las tesis copernicanas encontraron para imponerse es el del danés Tycho Brahe (1546-1601), al que se considera habitualmente el mayor astrónomo anterior a la invención del telescopio.
Hijo de un consejero privado del rey de Dinamarca, además de gobernador de Helsingborg, Tycho Brahe estudió en la Universidad de Copenhague. Precisamente el primer año de sus estudios universitarios tuvo lugar un acontecimiento que influyó profundamente en la dirección que tomaría su vida: contempló el eclipse de Sol que se produjo el 21 de agosto de 1560 y que había sido anunciado con anterioridad. El poder predictivo de la ciencia astronómica sin duda le influyó.
Después de haber estado tres años en la Universidad de Copenhague, su tío, que al no poder tener descendencia había acordado con el padre de Tycho adoptar a este, decidió enviarlo a Leipzig para que completase sus estudios. Allí, en la universidad más antigua de Alemania, y aunque su preceptor quería que se dedicase a la jurisprudencia, Brahe desarrolló por su cuenta su afición astronómica. Él mismo se refirió a esa etapa de su vida en la nota biográfica que añadió a uno de sus libros, Astronomiae Instauratae Mechanica (Mecánica de la astronomía renovada; 1598), donde escribió:
Estaba muy atento a los movimientos de los planetas, pero como me daba cuenta de que la conjunción de los planetas con las estrellas fijas, mediante líneas trazadas de uno a otro lado y también por medio de aquel mi primer globo, veía que no concordaban sus lugares en el cielo ni se avenían con el cálculo Alfonsino ni con lo que dijo Copérnico, aunque este se acercó a la verdad más que el Rey Sabio, por lo que yo entonces me dediqué con la mayor atención a estudiar durante algún tiempo los lugares aparentes de los astros. Luego, anotando y comparándolo con el cálculo de las Tablas Ptolemaicas (pues efectivamente gracias a mi propio esfuerzo había logrado dominar esta materia), y sin confiar demasiado en lo que había escrito en las Efemérides, llegué a descubrir que las posiciones halladas y deducidas tan solo por números, resultaban inciertas y defectuosas […] Este convencimiento que yo adquirí, se puso claramente de manifiesto con ocasión de aquella gran conjunción que se produjo en el año 1563.
La conjunción a la que se refería aquí Brahe era la que tuvo lugar el 17 de agosto de 1563 entre Júpiter y Saturno, que se vieron entonces tan juntos que casi se confundían. Cuando consultó las Tablas alfonsinas, esto es, las tablas astronómicas compiladas, siguiendo el modelo de Ptolomeo, bajo la dirección de Alfonso X el Sabio, Brahe —que entonces solo tenía 17 años— comprobó que la conjunción se preveía con un mes de error.
Tras pasar períodos en otras universidades (Wittenberg, Rostock, Basilea y Augsburgo) ampliando no solo sus conocimientos astronómicos, sino también entrando en contacto con artesanos y constructores de instrumentos, en cuyas habilidades terminó siendo un maestro consumado, Brahe regresó a Dinamarca en 1570. Allí, dos años después tuvo la oportunidad de observar un raro fenómeno astronómico: la aparición de una nueva estrella, una nova (hoy sabemos que se trataba de una supernova). La noche del 11 de noviembre de 1572, observó, cerca del cénit en Casiopea, una estrella de una extraordinaria luminosidad, que por su brillo se podía comparar a Venus. Solo fue a partir de diciembre cuando el brillo de la nueva estrella comenzó a disminuir, desapareciendo finalmente de la vista en marzo de 1574.
Gracias a un sextante que él mismo había construido, pudo medir con precisión la posición de la nova, determinando que se encontraba muy lejos, ciertamente más allá de la esfera lunar que marcaba, según el modelo aristotélico-ptolemaico, la frontera a partir de la cual no había cambio. Pero la nova mostraba todo lo contrario, que también allí los cuerpos celestes cambiaban.
Brahe no fue el único que observó esta supernova. En España, la estudió Jerónimo Muñoz (1520-1591), catedrático de Hebreo y Matemáticas de la Universidad de Valencia, y luego de Astrología en Salamanca. En 1573, y a petición de Felipe II, Muñoz publicó un libro detallando sus observaciones: Libro del nuevo cometa, y del lugar donde se hace, y cómo se verá por las paralajes cuán lejos está de tierra; y del pronóstico de este; al año siguiente ya se había traducido al francés.
También Tycho hizo públicas sus observaciones a través de un libro: De nova stella et nullius aeri memoria primus visa (Sobre una nueva y nunca antes vista estrella y ahora observada por primera vez; 1573). Y con él alcanzó una cierta notoriedad, que, junto a sus buenas relaciones, condujo a que el rey Federico II le cediese la isla de Hven, situada en el estrecho de Sund, que separa a Dinamarca de Suecia, donde levantó un palacio, cuya primera piedra se puso en agosto de 1576: Uraniburgo, la «ciudad de las estrellas».
Uraniburgo terminó contando con las mejores instalaciones astronómicas de su tiempo: varios edificios con diferentes observatorios (en 1584 construyó uno fuera de la ciudadela: Stjerneborg), imprenta, biblioteca y laboratorios químicos. Y, por supuesto, los mejores instrumentos astronómicos de la época. Junto a su dedicación a la observación, los instrumentos de que dispuso constituyeron la mayor fortaleza de Tycho. De hecho, la mayor parte del libro que hemos citado, Astronomiae Instauratae Mechanica, está dedicada la descripción de esos instrumentos, de aparatos de diversos tipos como: cuadrantes, esferas armilares (zodiacales y ecuatoriales), arcos bipartidos para captación de distancias astrales menores, semicírculos, ballestillas (o radios astronómicos), reglas paralácticas (un instrumento conocido como «Las Reglas de Ptolomeo», que constaba de tres reglas por medio de las cuales se podían medir muy ajustadamente las distancias de las estrellas a partir del polo y, por tanto, sus alturas), sextantes astronómicos y también, aunque reconociendo que le servía de poco, el antiguo astrolabio.
Que Brahe, un experto constructor de ellos él mismo, asignaba gran importancia a los instrumentos, es algo que quedaba claro en la misma dedicatoria (a Rodolfo II) de Astronomiae Instauratae Mechanica, en donde se detenía detallando los instrumentos de que dispusieron sus predecesores en las tareas astronómicas, los Hiparco, Ptolomeo, Al-Battani, Alfonso X el Sabio y Copérnico. «Por lo que a mí toca», explicaba, «desde mi más temprana juventud con gran entusiasmo fui construyendo poco a poco ciertos instrumentos astronómicos con una celeridad y gasto muy considerable; pero lo hacía con gusto a cambio de poder escudriñar los movimientos de los astros (cosa que digo sin vanidad alguna), lo que logré hacer con mayor precisión con la que lo habían hecho nuestros antecesores». Estaba especialmente orgulloso de un gran cuadrante mural, cuyo dibujo reprodujo en Astronomiae Instauratae Mechanica (en el interior del dibujo, circunscrito por el cuadrante aparece el propio Tycho realizando observaciones, así como algunas dependencias de Uraniburgo) y que describía de la manera siguiente:
Tuvimos en su día una idea que pudimos llevar a la práctica, cual fue la de hacer un gran Cuadrante mural, fijado a un muro, instrumento que también es conocido como Cuadrante de Tycho, construido en latón muy resistente y escrupulosamente pulido, de cinco dedos de ancho por dos de grosor y cuya circunferencia es de tal capacidad, cuanta exige el radio, o lo que es igual, el semidiámetro del círculo que llega a medir casi cinco codos. Cuenta con una representación de graduaciones muy amplias hasta el punto de que los minutos que en él están grabados pueden ser fácilmente divididos de nuevo en seis porciones más pequeñas. Muestra por separado cada porción de diez divisiones en segundos, de tal modo hasta la mitad de ellos, es decir, cinco segundos se parecían sin dificultad […] Está fijado este mi cuadrante a un muro cuyo plano se orienta exactamente hacia el mediodía, fijado por unas muy poderosas cócleas para que ninguna fuerza ni golpe alguno pueda moverlo de su lugar exacto de emplazamiento, que fue elegido con todo cuidado para que se correspondiese con el cuadrante del Meridiano Celeste llevado desde el Horizonte hasta el cénit justamente en la parte opuesta.
Expresado en nuestras unidades, el cuadrante mural de Brahe tenía unos 2 metros de radio.
La atención que Tycho Brahe dedicaba a los instrumentos nos da la excusa para hacer hincapié en la importancia que estos poseen, en general, para el desarrollo científico. En el caso de la astronomía, recordemos, por ejemplo, la relevancia, casi podríamos decir la omnipresencia, del astrolabio (etimológicamente, «portador de estrellas»), un instrumento plano y circular que representa una proyección estereográfica del globo y del hemisferio de los cielos, sirviendo para, por ejemplo, hallar la altura de un astro o encontrar la posición del Sol en el zodiaco según la fecha, que se cree fue creado por filósofos y astrónomos griegos (posiblemente Hiparco de Nicea en el siglo II a. C.) antes de la era cristiana y que continuó siendo utilizado en Europa hasta el siglo XVII y en algunos países islámicos hasta el XX (los más antiguos conocidos fueron producidos en talleres sirios en el siglo IX). Asimismo, aunque más tardío, el cuadrante (nombrado así por su figura: un cuarto de círculo, dividido en ángulos de 0 a 90 grados) constituyó una ayuda muy importante: en el Almagesto, Ptolomeo describía uno que utilizó para medir la altitud del Sol.

Tycho Brahe demostró (De nova stella, 1573) que el cielo no era el espacio inmutable descrito por Aristóteles. Federico II le cedió la isla de Hven, donde se levantó en 1576 la residencia y observatorio de Uraniburgo. El viento impedía el uso de los instrumentos colocados en la última planta, por lo que fueron trasladados a una instalación subterránea (Stjerneborg), en la que dispuso —como se ve en el plano— el gran cuadrante (C), una esfera armilar (E) y un sextante (G), entre otros instrumentos. Al perder el favor de Christian IV, abandonó la isla en 1597 y dos años después encontró la protección del emperador Rodolfo II, lo que le permitió levantar un nuevo observatorio en un palacio a 50 kilómetros de Praga, donde trabajó durante un año.
En Hven, Brahe pudo dedicarse sin preocupación durante cuatro lustros a la observación de los movimientos estelares, con el fin de poder confeccionar finalmente unas tablas astronómicas, mencionadas en el capítulo 1, que preparó en 1627 Kepler, las Tablas Rudolfinas. El seguimiento que hizo del gran cometa de 1577 puso en evidencia la cosmología aristotélica: al igual que la nova de 1572, los movimientos de los cometas se producían más allá de la Luna, con la consecuencia de que las esferas cristalinas que se suponía sostenían las orbitas de los cuerpos celestes deberían verse atravesadas, rompiéndose en consecuencia, algo difícil de aceptar en el sistema artistótlico-ptolemaico. Ahora bien, en lugar de asumir el modelo copernicano, Tycho optó por otro de, digamos, transición, uno que recordaba algunos aspectos del de Heráclito, pero ahora con todos los planetas (salvo la Tierra), y no solo Venus y Mercurio, orbitando en torno al Sol.
Tras la muerte del rey, las diferencias con su sucesor, Christian IV, que subió al trono en 1596 y que suprimió en 1597 la asignación anual que recibía Brahe, llevaron a este a abandonar Hven y Dinamarca, instalándose finalmente en 1598 en el castillo de Benatek, 35 kilómetros al nordeste de Praga, como Astrónomo Real, o Matemático Imperial, del emperador Rodolfo II (1552-1612). A la vista de que falleció en 1601, es evidente que no tuvo mucho tiempo para profundizar en sus observaciones astronómicas. Sin embargo, una de sus actuaciones allí tendría enormes repercusiones en el futuro: el 9 de diciembre de 1599, Brahe escribía a Johannes Kepler (1571-1630), entonces en Gratz, expresándole su deseo de que trabajase con él.
§. Las primeras leyes de la naturaleza
Kepler, que aceptó la oferta, llegando a Praga en febrero de 1600, no era entonces un desconocido en el pequeño mundo de los astrónomos. Había estudiado Teología en la universidad luterana de Tubinga, donde adquirió una formación matemática que fue determinante en su vida (utilizó una forma primitiva de análisis matemático). Se formó, asimismo, en los saberes astronómicos, aunque su defectuosa visión no le permitió dedicarse a la observación, ni siquiera una vez que se dispuso (a partir de 1609) del telescopio. Hombre de su tiempo, manifestó un especial interés por la astrología, lo que en modo alguno fue óbice para que entrase en contacto con la obra de Copérnico, que defendió con energía. En 1594 se hizo cargo de una cátedra de Matemáticas en Gratz, donde sus habilidades y limitaciones determinaron su interés por cuestiones cosmológicas y matemáticas. La idea de una armonía cósmica, que suponía oculta tras las magnitudes numéricas, y la realización de horóscopos ocuparon su tiempo.
En 1596 publicó Mysterium cosmographicum (Misterio del cosmos) un libro decididamente copernicano, en el que presentaba su idea del Universo como un sistema de esferas encajadas (tangentes a los vértices) en los cinco poliedros regulares reconocidos, como vimos en el capítulo 2 al tratar de los Elementos de Euclides, los únicos que se pueden formar de esa manera: tetraedro, cubo, octaedro, dodecaedro e icosaedro. De hecho, Tycho fue uno a los que Kepler envió un ejemplar de Mysterium cosmographicum, envío que Brahe agradeció en una carta.
Por cierto, otro de los que recibió un ejemplar fue Galileo, y la carta de agradecimiento que este hizo llegar a Kepler el 4 de agosto de 1597 es particularmente interesante, porque muestra que Kepler era claramente reconocido como copernicano: «Desde hace muchos años», escribía Galileo, «me he convertido a la doctrina de Copérnico, gracias a la cual he descubierto las causas de un gran número de efectos naturales que sin duda no pueden explicarse por la hipótesis común. He escrito sobre esta materia muchas consideraciones, razonamientos y refutaciones que hasta el momento no he osado publicar, atemorizado por la suerte del mismo Copérnico, que, si bien se ha asegurado una fama inmortal entre algunos, entre otros infinitos, sin embargo (tan grande es el número de necios) ha sido objeto de risa y desprecio. Ciertamente yo me atrevería a sacar a la luz mis reflexiones si existieran muchos hombres como tú, pero como no es así, desisto de tal empresa».
A la muerte de Brahe, Kepler heredó no solo el puesto de Matemático Imperial, sino también sus tablas astronómicas, aunque con el compromiso con su familia de componer un libro con ellas, arreglo con el que cumplió tras muchos años de trabajos y de frecuentes interrupciones. Se trata de las ya citadas Tablas Rudolfinas, que aparecieron a primeros de septiembre de 1627, en Ulm, bajo el título de Tabulae Rudolphinae, quibus astronomicae scientiae, temporum longinquitate collapsae restauratio continentur. (En uno de los libros de Kepler, en De cometis [Sobre los cometas; 1619], este se refirió al encargo: «cuando su Majestad tuvo a bien encargarme de que, como sucesor de aquel gran Brahe, me dedicase a estudiar las Tablas Rudolfinas, aún sin completar a causa de la muerte del nunca bien ponderado Tycho Brahe, su autor, hechas a base de sus propias y valiosísimas observaciones, para que yo, si alguna o algunas de tales Tablas las juzgase equivocadas, las desechase o rectificase, mientras que las que a mi juicio fueran correctas, las mantuviese y aprobase»).
Los datos astronómicos obtenidos por Tycho le permitieron estudiar las trayectorias que recorrían durante años los planetas, eliminando así la limitación, como sucedía las más de las veces, de tener que basarse en observaciones puntuales obtenidas con ocasión de conjunciones u oposiciones de planetas. Durante una década trató de ajustar las posiciones de Marte a una fórmula matemática, sin preocuparse demasiado por revisar un dato para ajustar una ecuación. Estudiando los datos relativos a la órbita de Marte, se enfrentó a su aparentemente errático movimiento. Amplió el estudio al movimiento de la Tierra y descubrió que aumentaba su velocidad al acercarse al Sol y disminuía al alejarse. A continuación, extendió la investigación para calcular las áreas de los triángulos que formaban el Sol y dos posiciones sucesivas del planeta, mediante la aplicación del método de exhaución introducido por Eudoxo y seguido por Arquímedes, del que nos ocupamos en el capítulo 2. Es necesario, asimismo, señalar que Kepler fue uno de los primeros astrónomos que utilizó en sus cálculos los logaritmos, una creación matemática sobre la que volveremos en el capítulo 7. Sumergido en cientos y cientos de datos astronómicos, ciertamente necesitaba un instrumento de cálculo como este.
La comparación con los resultados observacionales llevó a Kepler a formular la que hoy se conoce como segunda ley del movimiento astronómico, cuya versión actual establece que: «En el movimiento planetario, los radio vectores barren áreas iguales en tiempos iguales». El cambio de velocidad a lo largo de la órbita era incompatible con la concepción circular, y el estudio de las cónicas realizado en el siglo III a. C. por Apolonio de Perga le llevó a la conclusión de que las orbitas eran elipses en las que el Sol ocupaba uno de los polos (primera ley). Formuló así las primeras leyes generales de la naturaleza, que presentó públicamente en un libro publicado en 1609: Astronomia nova (Nueva astronomía). En él, describía los sistemas ptolemaico, tychónico y copernicano, introducía las orbitas elípticas e incorporaba la descripción que el médico y filósofo natural inglés (nos volveremos a encontrar con él en otro capítulo) William Gilbert hizo en 1600 de la Tierra como un imán, para explicar la atracción del Sol (Kepler pensaba que, al girar el Sol sobre su eje, emitía luz y energía magnética, que mantenía a los planetas en sus órbitas). El sistema kepleriano describía el cosmos como una elipse, casi plana, con el Sol en uno de sus polos, que era el centro de una fuerza de atracción que movía a los planetas. Completó su obra con la publicación en 1619 de otro libro, Harmonices mundi (Armonías del mundo), en él aparecía una tercera ley: «Los cuadrados de los tiempos de revolución de dos planetas cualesquiera son proporcionales a los cubos de sus distancias medias al Sol». En Harmonices, la tercera ley aparecía enunciada, pero prácticamente sin ningún comentario; esta limitación fue subsanada en un libro de carácter más general, que apareció en dos partes entre 1620 y 1621: Epitome astronomiae Copernicanae (Epítome de astronomía copernicana), donde la tercera ley recibió una amplia justificación teórica.
Las tres leyes de Kepler muestran relaciones cuantitativas obtenidas mediante prueba y error y aplicadas luego como datos para verificar la hipótesis, un procedimiento ciertamente «moderno», aunque coexistiese con otros que lo eran menos. Y es que, en cuanto a modelos teóricos, Kepler se movió en territorios que en la actualidad en modo alguno podemos considerar «modernos». Cuando hablaba, como en su libro de 1619, de «armonías del mundo», lo hacía casi literalmente; así, entre los objetivos del libro se encontraban, utilizando sus propias palabras, los siguientes: «en qué cosas tocantes al movimiento de los planetas hállanse expresadas por el Creador las proporciones armónicas, y de qué modo; cómo están expresadas en las proporciones de los movimientos planetarios las notas de la escala musical, o lugares del sistema, y los modos de armonía, mayor y menor; cómo se hallan expresados cada uno de los tonos o modos musicales en los movimientos planetarios». Debido a esta dimensión del pensamiento de Kepler, no podemos considerarlo plenamente como uno de los genuinos creadores de la Revolución Científica, aunque sin duda contribuyó a ella de diversas y muy notables formas, en especial desterrando de la astronomía las esferas sólidas, sustituyéndolas por órbitas elípticas, vacías la mayor parte del tiempo. Por primera vez, después de al menos dos milenios de haberse enquistado en el pensamiento astronómico-filosófico, los círculos dejaban paso a las elipses, un cambio que resultaría crucial para la formulación de la teoría newtoniana a finales de aquel siglo.
Y así llegamos a uno de los grandes momentos de la Revolución Científica, el momento en el que Galileo dirigió su mirada a los cielos ayudado por un nuevo instrumento, uno en el que ni siquiera soñó Tycho Brahe: el telescopio.
§. La observación telescópica
La observación telescópica (esto es, utilizando telescopios) es un apartado de la óptica, la disciplina que se ocupa de la luz, cuyo origen temprano ya tratamos en el capítulo 2. Mencionamos entonces que el Kitab al-Manazir, El libro de la óptica de Alhacén, ofreció una explicación de la visión que mejoraba las anteriores y que su versión latina ejerció una fuerte influencia en los estudios ópticos posteriores. En la época en que apareció esa versión latina, un estudioso polaco del siglo XIII, Vitelo, de cuya vida se sabe muy poco (estudió en Padua y París), escribió un libro titulado Perspectiva u Opticae, el principal tratado de óptica de la Edad Media y del Renacimiento, el único auténtico rival, en lo que altura científica se refiere, de los textos de Alhacén.
Kepler tuvo la obra de Vitelo como una de sus referencias principales en su estudios ópticos, como se comprueba sin más que observar el título de su gran libro de óptica: Ad Vitellionen Paralipomena quibus Astronomiae pars Optica Traditur (Comentarios a Vitelo, en el que se trata de la parte óptica de la astronomía), publicado en 1604. Los motivos que le llevaron a estos estudios fueron sus propios intereses astronómicos. Veamos lo que en este sentido escribió en el «Prefacio» de este libro:
Como todas las observaciones celestes tienen lugar a través de la mediación de luz o sombra, y como el medio entre las estrellas y el ojo presenta una variedad de modificaciones, y como esas cosas que observamos en los cielos son bien movimientos […], arcos (esto es, ángulos en el observador) o cuerpos luminosos; y como todos estos son considerados en la ciencia óptica, surge una tercera parte de la astronomía, una parte óptica, de la que trato aquí, mediante un breve resumen […] de las viejas cosas que Vitelo trató de forma metódica, o las nuevas que Tycho Brahe trató acá y allá, sobre este tema.
De hecho, la edición que utilizó Kepler fue una de la Opticae theasurus de Risner, que incluía las obras de Alhacén y Vitelo en un volumen conjunto, aunque con dos paginaciones diferentes. En cuanto a las referencias a Brahe, tienen que ver con un problema relativo a parte de la iluminación de la Luna que le corresponde a Venus: en Ad Vitellionem Kepler asignaba a Brahe la idea de «la causa de esta luz a Venus, que puede ser capaz de iluminar a la Luna con tanta brillantez».
Como autor de este libro, Kepler ocupa un lugar en la historia de la óptica, pero de lo que no habló, ni pensó, en sus estudios ópticos fue de un instrumento que cuando publicó Ad Vitellionen estaba «en el ambiente»: el telescopio. Y es que su invención no fue consecuencia de la imaginación de los grandes teóricos, sino de artesanos como el holandés Hans Lipperhey (1570-1619), de Middelburgo, que llegó a solicitar una patente, acción que provocó que otros dos holandeses, fabricantes de lentes (el nombre procede del latín lens, lenteja, por la forma biconvexa de las lentes más comunes), Jacob Metius (c. 1571-1630), de Alcmaar, y Zacharias Jansen (1588-1638), de Middelburg, reclamaran la paternidad de la invención (el 2 de octubre de 1608, la cuestión de la patente del telescopio fue debatida en el Parlamento, que finalmente decidió no adjudicarla a nadie, entre otras razones porque creían que semejante arte no podía permanecer en secreto). De lo que hizo Jansen tenemos constancia a través de una entrada en el diario de Isaac Beeckman (1588-1637), profesor de Descartes, que aprendió la técnica del pulido de lentes de un hijo de Jansen: «Johannes, hijo de Zacharias, dice que su padre construyó aquí, en el año 1604, el primer telescopio, imitando uno italiano en el que estaba escrito “anno 1[5]90”». (Debemos mencionar que se tienen noticias de la talla de los cristales naturales para ampliar las imágenes y encender fuego en el III milenio a. C., en las lentes de Nimrud, en Asiria).
¿Quién pudo haber sido el italiano que mencionaba Johannes Jansen? Una posibilidad es que fuese el polígrafo napolitano Giambattista della Porta (1535-1615), quien en el capítulo XVII de su Magia naturalis (Magia natural; 1589), titulado «De catoptricis imaginibus», trataba de las propiedades de aumento de las lentes, describiendo sumariamente lo que podría haber sido un catalejo (en la página 269 de esta obra se lee: «Las lentes cóncavas hacen ver con claridad las cosas lejanas; las convexas las cercanas; por lo tanto las podrás utilizar según la calidad de tu vista; con lo cóncavo las cosas lejanas parecerán pequeñas pero claras, verás las cosas cercanas y lejanas claramente y también grandes. Hemos hecho una cosa muy deseada por nuestros amigos, que veían las cosas lejanas muy turbias, y las cosas cercanas nebulosas, hemos hecho que todos vieran muy claramente»). Della Porta fue, por cierto, miembro de la Accademia dei Lincei (Academia de los Linces), agrupación fundada en 1603 por el joven Federico Cesi, a la que también perteneció (desde abril de 1611) Galileo, y los linceanos le reconocieron la paternidad de la invención del telescopio (en una carta que della Porta escribió a Cesi el 28 de agosto de 1609, incluyó un dibujo en el que aparecía el esquema de un catalejo). Otro italiano posible constructor de un telescopio temprano fue Raffaello Gualterotti (1543-1639), que el 24 de abril de 1610 escribió a Galileo manifestando que había construido un catalejo doce años antes (esto es, 1598), pero que no había pensado que pudiese magnificar tanto como para ser de utilidad en las observaciones astronómicas. Finalmente, otro que pidió su parte fue Antonio de Dominis (1566-1624), quien tras la aparición del libro de Galileo, Sidereus nuncius, sobre el que volveremos enseguida, decidió presentar públicamente su reclamación en un libro titulado De radiis visus et lucis in vitris perspectivis et iride, publicado, al igual que Sidereus en Venecia en 1611, por la misma editorial (Thomam Baglionum).
Por su parte, en la obra Telescopium, sive ars preficiendi novum illud Galiloei visorium instrumentum ad sydera (1618), el milanés Girolamo Sirtori (o Hieronymi Sisturi) se refirió a un catalejo que fue regalado por un francés al zamorano conde de Fuentes (1525-1610), y menciona entre los fabricantes de ese tipo de instrumentos a una familia de artesanos en Barcelona, que parece ser la del gerundense Juan Roget (m. c. 1618).
También el inglés Thomas Harriot (c. 1560-1621), un empleado del conde de Northumberland, dispuso de un telescopio (él lo llamó «perspective tube»; esto es, «tubo de perspectiva») de unos seis aumentos con el que observó la Luna. Entre los dibujos suyos que se conservan hay uno, datado el 26 de julio de 1609, en el que se reproduce la Luna con una línea curva, de trazos algo toscos, que separa la parte iluminada de la oscura; en la parte superior del cuarto lunar, Harriot incluyó unas zonas sombreadas de lo que ahora conocemos como grandes «mares» lunares, como el Mar de la Tranquilidad. Sin embargo, de sus observaciones no extrajo conclusiones parecidas a las de Galileo; simplemente, no sabemos qué dedujo de lo que vio, si es que dedujo algo, que posiblemente no lo hizo.
Por consiguiente, sin saber exactamente cómo eran todos estos instrumentos, lo que resulta indudable es que hacia 1608 el «catalejo para mirar de lejos» era una curiosidad cuya existencia estaba algo extendida.
Y en este punto aparece Galileo Galilei (1564-1642).
Nacido en Pisa el 15 de febrero de 1564, Galileo fue uno de los siete hijos (tres varones y cuatro mujeres) de Giulia di Cosme Ammannati (1538-1620) y de Vincenzo Galilei (1520-1591), que gozaba de buena reputación como músico y que hoy recordamos especialmente por sus trabajos sobre teoría musical (como el Dialogo della musica antica et della moderna [1581], en el que experimentaba con los tonos de las notas producidas por cuerdas de diferentes longitudes). En 1581 ingresó en la universidad de su ciudad natal, matriculándose en la Facultad de Humanidades. Fue por entonces cuando descubrió varios teoremas sobre el centro de gravedad de los sólidos (1586-1587) y cuando comenzó a estudiar el movimiento de un péndulo, que le conduciría años más tarde al descubrimiento del isocronismo de las oscilaciones pendulares; esto es, que el tiempo de batida de un péndulo únicamente depende de su longitud, no de la amplitud de la oscilación.
La capacidad que mostró como investigador sirvió para que fuese designado, cuando solo tenía 25 años, catedrático de Matemáticas en 1589 en su alma mater, la Universidad de Pisa, donde entre sus obligaciones figuró la de enseñar la astronomía ptolemaica. El primero de sus trabajos publicados que se conserva, escrito en italiano, La bilancetta (La pequeña balanza), data de 1586. En él se inspiraba en Arquímedes; en concreto en el método que este inventó para resolver el problema de si la corona que encargó el rey Herón contenía realmente la misma cantidad de oro puro que el monarca había proporcionado al artesano. Galileo pensaba, y se enorgullecía de ello, que la balanza hidrostática que él inventó era la misma que había desarrollado Arquímedes. «Quienes leen sus trabajos», escribió en su tratado, «comprenden bien cuán inferiores son todas las mentes comparadas con la de Arquímedes, y qué pequeña esperanza queda de descubrir alguna vez cosas similares a las que él descubrió».
En 1592, Galileo dejó su cátedra de Pisa por una equivalente (esto es, de nuevo de Matemáticas) en Padua, en la República de Venecia. Permaneció allí 18 años, enseñando materias como Geometría y Astronomía. Dio, asimismo, clases particulares de Cosmografía, Óptica, Aritmética y también sobre problemas prácticos de la guerra, acerca, por ejemplo, de campamentos, fortificaciones y sitios, perfeccionando, además, en 1597, un compás geométrico que resultó muy útil para ingenieros mecánicos y militares, y que comenzó a vender, a buen precio, por cierto.
Fue en aquel período cuando se produjo una circunstancia que cambiaría su carrera. A comienzos del verano de 1609, Galileo supo, mientras se hallaba en Venecia, que en Holanda se había construido un anteojo con el que se veían más cerca los objetos alejados. He aquí la manera en que explicó, en un libro del que enseguida hablaremos (Sidereus nuncius), cómo había llegado a construir el catalejo:
Hace ya alrededor de diez meses me llegó un rumor de que un cierto neerlandés había fabricado un anteojo, merced al cual los objetos visibles, aunque muy alejados del ojo del espectador, se veían nítidamente como si estuviesen cerca. Además, algunas experiencias de este efecto, ciertamente admirable, andaban de boca en boca, y mientras unos las creían, otros las negaban. Pocos días después, esa misma noticia la confirmó, por medio de una carta desde París, el noble galo Jacques Badovere [(1570-¿1610?), se trata de un discípulo de Galileo en Padua en 1598], lo que fue, al fin, la causa de que me implicase por entero en la busca de las razones, y también de idear los medios, por los cuales se llega a inventar un instrumento semejante, lo que conseguí poco después sustentándome en la teoría de las refracciones. En primer lugar, procuré un tubo de plomo y en sus extremidades adapté dos lentes, ambas con una parte plana, pero, por la otra una era esférica convexa y la otra, a su vez, cóncava. Luego, acercando el ojo a la parte cóncava vi los objetos bastante grandes y cercanos, pues aparecían tres veces más próximos y nueve veces más grandes que cuando se miran únicamente de forma natural. En seguida, me esforcé en hacer otro más exacto, que representaba los objetos más de sesenta veces más grandes. Al fin, sin ahorrar ningún esfuerzo ni coste, sucedió que fui capaz de construirme un instrumento tan excelente, que las cosas vistas por medio de él aparecen casi mil veces mayores, y más de treinta veces más próximas que si se mirasen solo con las facultades naturales. Estaría de más exponer en qué medida y qué grande sería la utilidad de este instrumento, tanto en las necesidades terrestres como en las marítimas. Pero decidí olvidar las cosas terrenales y me dediqué a la observación de las celestes.
No sabemos si Galileo pensó inmediatamente en apuntar con su nuevo instrumento a los cielos. Lo que es un hecho es que el 24 de agosto (1609) escribía desde Padua a Leonardo Donato, Dux de Venecia, lo siguiente:
Serenísimo Príncipe,
Galileo Galilei, humildísimo siervo de V. S., velando asiduamente y de todo corazón para poder no solamente satisfacer el cargo que tiene de la enseñanza de Matemáticas en la Universidad de Padua, sino también aportar un extraordinario beneficio a V. S. con algún invento útil y señalado, comparece en este momento ante vos con un nuevo artificio consistente en un anteojo extraído de las más recónditas especulaciones de perspectiva, el cual pone los objetos visibles tan próximos al ojo, presentándolos tan grandes y claros, que lo que se encuentra a una distancia de, por ejemplo, nueve millas, se nos muestra como si distase tan solo una milla, lo que puede resultar de inestimable provecho para todo negocio y empresa marítima, al poder descubrir en el mar embarcaciones y velas del enemigo a mayor distancia de la usual, de modo que podremos descubrirlo a él dos horas o más antes de que él nos descubra a nosotros, y distinguiendo además el número y características de sus bajeles podremos estimar sus fuerzas aprestándonos a su persecución, al combate o a la huida. De igual manera se puede descubrir en tierra, desde alguna elevación, aunque sea distante, los alojamientos y refugios del enemigo en el interior de las plazas, o incluso se puede a campo abierto ver y distinguir en sus detalles todos sus movimientos y preparativos con grandísima ventaja nuestra. Posee además muchas otras utilidades claramente obvias para cualquier persona juiciosa. Y por tanto, juzgándolo digno de ser aceptado por V. S. y estimándolo utilísimo, ha determinado presentároslo, dejando a vuestro arbitrio juzgar acerca de este invento, para que ordenéis y dispongáis, según parezca oportuno a vuestra prudencia, que sean o no fabricados.
Está claro: Galilei necesitaba ganar más dinero y vio en el telescopio un magnífico medio para atraer la atención de aquellos de los que en última instancia dependía, los gobernantes venecianos. Por otra parte, no hay nada extraño en que un científico que se encuentra con un nuevo instrumento piense en sus posibles aplicaciones prácticas: ciencia y tecnología están más hermanadas de lo que habitualmente se supone. En cualquier caso, Galileo era un científico de pura cepa y pronto hizo lo que a nosotros, cuatro siglos después, nos parece obvio, pero que no lo era tanto entonces: dirigir su telescopio, perfeccionado ya hasta llegar a los treinta aumentos, hacia el cielo. Y lo que vio allí cambió para siempre nuestra manera de contemplar y entender el Universo.
Lo primero que hizo fue dirigir su mirada hacia la Luna: «Hermosísimo y agradabilísimo es ver el cuerpo lunar», consignó en un breve libro que se apresuró a escribir y publicar en 1610, Sidereus nuncius (Noticiero sideral), «alejado de nosotros casi sesenta semidiámetros terrestres, tan cerca como si distase tan solo dos de esas medidas, de modo que el diámetro de la propia Luna parezca casi treinta veces más grande». Y lo que vio, utilizando el poder interpretativo de su mente, es que «la Luna de ninguna manera está cubierta por una superficie lisa y pulida» como pensaban los defensores del antiguo sistema aristotélico-ptolemaico, «sino áspera y desigual; y que a semejanza de la faz de la propia Tierra se encuentra llena de grandes protuberancias, profundas lagunas y anfractuosidades».
Dirigió, asimismo, su catalejo hacia las estrellas fijas. Lo primero que comprobó es que estos cuerpos celestes «de ningún modo parecen aumentar de tamaño en la misma proporción, según se incrementan los demás objetos, y también la propia Luna, sino que en las estrellas el aumento parece mucho menor: de tal manera que el catalejo, que podrá multiplicar los restantes objetos, por ejemplo, según una proporción de cien, pongo por caso, apenas hace las estrellas cuatro o cinco veces más grandes». Ahora bien, las explicaciones que daba para dar cuenta de este hecho son oscuras; no encontramos en ellas referencia a lo que es más importante: la extrema distancia a la que las denominadas «estrellas fijas» se encuentran, que las hace parecer puntos; «puntos de luz» que sufren distorsiones o centelleos («fulgores postizos y accidentales», los llamaba Galileo) al atravesar la atmósfera terrestre. Pero, independientemente de esto, lo que el anteojo galileano sí permitía era ver estrellas que por su menor magnitud no era posible observar a simple vista. «Con el catalejo hemos de ver, más allá de las estrellas de sexta magnitud, una numerosa grey de otras que se escapan a la visión natural, lo que cuesta trabajo creer: permitirnos ver más estrellas, incluso, que cuantas están en todos los otros seis grados de magnitud. Las mayores de estas, aquellas que podríamos llamar de séptima magnitud, o de primera magnitud de las invisibles, gracias al catalejo se muestran más grandes y más brillantes, que los astros de segunda magnitud vistos a simple vista». El Universo, en realidad pequeño universo de los antiguos, se ampliaba, mostrando que albergaba a un número mucho mayor de cuerpos que los imaginados hasta entonces.
Y si se observan los cielos, ¿cómo no dirigir la mirada hacia esa franja lechosa que llamamos Vía Láctea? Galileo lo hizo, claro, y esto es lo que anotó en Sidereus nuncius: «Lo que, en tercer lugar, observamos fue la materia y naturaleza del propio CÍRCULO LÁCTEO, que nos fue permitido escrutar con nuestras facultades merced al catalejo, de modo que todas las discusiones, que a lo largo de los siglos torturaron a los filósofos, fueran resueltas con la certidumbre de nuestros ojos, viéndonos también liberados de la palabrería. En efecto, la GALAXIA no es otra cosa que un montón de innumerables estrellas esparcidas en grupos».
Comprobó, asimismo, que no solo era en lo que ahora sabemos es nuestra galaxia donde se veía un «esplendor lácteo» que escondía innumerables estrellas, sino que «muchas más áreas de color semejante brillan esparcidas por el éter», y que si dirigías el telescopio «a cualquier lado que quieras de ellas, darás con un montón de estrellas amontonadas unas encima de otras. Además (lo que causa más asombro) las estrellas, llamadas hasta hoy en día por todos los astrónomos NEBULOSAS, son aglomeraciones de estrellitas esparcidas de un modo extraordinario».
Finalmente, en la parte más extensa y detallada de Sidereus nuncius anunciaba con no disimulado orgullo («sobrepasa cumplidamente toda admiración», escribió) otro de sus descubrimientos, «cuatro PLANETAS nunca vistos desde el comienzo del mundo hasta nuestros tiempos». «El día siete de enero del presente año 1610», explicaba, «en la primera hora de la noche siguiente, mientras yo contemplaba los astros celestes a través del anteojo, apareció Júpiter, y puesto que yo tenía dispuesto un instrumento suficientemente excelente, comprobé (cosa que antes en absoluto me había sucedido por la debilidad del otro aparato) que lo acompañaban tres estrellitas, pequeñas en verdad, pero no obstante clarísimas, las cuales, aunque se considerasen en el número de las fijas, me produjeron no poco asombro, por el hecho de que parecían dispuestas exactamente en una línea recta y paralela a la eclíptica». Desde aquel 7 de enero continuó con sus observaciones —64 en total—, finalizándolas el 2 de marzo. En un principio no se preocupó «en absoluto de la distancia entre ellas y Júpiter, pues […] al principio se consideraron fijas. Mas, cuando el día ocho volví a la misma observación, no sé si guiado por el destino, hallé una configuración muy distinta». Durante los días siguientes continuó observando aquellas lucecitas —que llamó, en honor de Cosme II de Médicis, su antiguo alumno y gran duque de Toscana, «Planetas o Astros», Mediceos I, II, III y IV—, llegando a la conclusión de que era indudable que «efectúan sus propias revoluciones alrededor de Júpiter» (cuatro años más tarde, el astrónomo alemán Simon Marius [1570-1624], también conocido como Marius von Guntzenhausen, bautizó a las «estrellas mediceas» con nombres de personajes —por los que ahora se conocen— que la mitología griega relacionaba con Júpiter: Ío, Europa, Ganímedes y Calixto, argumentando que él las había observado unos días antes —el 28 de diciembre de 1609— de lo que constaba en los escritos de Galileo, y que ya había visto entonces las cuatro, no tres como inicialmente observó Galileo). Tenía, de esta manera, «un argumento eximio y único para quitar los escrúpulos de aquellos que, aceptando de buen grado el movimiento de los Planetas alrededor del Sol en el sistema copernicano, se enervan de tal modo por el movimiento de solo la Luna alrededor de la Tierra, mientras que ambas dibujan una completa órbita circular anual alrededor del Sol, que piensan que esta estructura del universo tiene que ser rechazada como imposible. Ahora pues, con mayor motivo, dado que no tenemos solo un Planeta girando alrededor de otro, mientras ambos recorren una gran órbita circular alrededor del Sol, ya que a nuestra vista están cuatro estrellas en movimiento alrededor de Júpiter, como lunas alrededor de la Tierra, mientras todas al mismo tiempo recorren junto a Júpiter durante doce años una gran órbita circular alrededor del Sol». Sin duda, facilitó el que Galileo descubriese estas lunas su tamaño; Calixto y Ganímedes, en particular, son bastante grandes: Calixto es algo menor que Mercurio, mientras que Ganímedes es más grande: tiene un diámetro de 5276 kilómetros, la luna más grande del Sistema Solar, seguida por Titán.
Aquellas observaciones, presentadas a través de Sidereus nuncius, dieron a Galileo una extraordinaria notoriedad en el pequeño mundo de los astrónomos y filósofos de la naturaleza de su tiempo. En 1611 viajó a Roma, alojándose (entre el 29 de marzo y el 4 de junio) en la Trinità dei Monti, como huésped de Nicollini, embajador del gran duque de Toscana. Durante su estancia romana realizó demostraciones con su telescopio a los jesuitas del Colegio Romano, que confirmaron sus descubrimientos, y también al papa Pablo V, del que recibió elogios. Fue, asimismo, nombrado miembro de la Accademia dei Lincei (Academia de los Linces), como queda dicho.
Ya publicado Sidereus nuncius, Galileo advirtió la existencia de manchas en el Sol. Naturalmente, observaciones de este tipo no se pueden realizar directamente. Lo que se hizo al principio fue colocar una lente neutra de color azul o verde sobre el objetivo del telescopio, o cubrir la lente con hollín, pero un antiguo discípulo de Galileo, Benedetto Castelli (1578-1643), encontró un método mejor: dirigir la imagen del Sol hacia una pantalla colocada detrás del telescopio. De esta manera, Galileo pudo observar las manchas sobre la superficie solar, que presentó en 1613 en un libro titulado Istoria e dimostrazioni intorno alle macchie solari (Historia y demostraciones sobre las manchas solares).
En realidad, esta obra estaba compuesta por tres cartas que Galileo escribió el 4 de mayo, 14 de agosto y 1 de diciembre de 1612 a Mark Welser (1558-1614), un científico aficionado, rico y amigo de los jesuitas, al que no le bastó con la publicación de Sidereus nuncius para convencerse de las tesis de Galileo; solo después de que el matemático más destacado del Colegio Romano, Christopher Clavius (1538-1612), le asegurase que las ideas de Galileo eran de fiar, se mostró de acuerdo. En la segunda de sus cartas a Welser, Galileo explicaba qué había visto:
[…] le confirmo resueltamente, que las manchas oscuras que por medio del telescopio se descubren en el disco solar no están de ningún modo lejanas de la superficie de este, sino que son contiguas a él, o están separadas por un intervalo tan pequeño, que resulta totalmente imperceptible. Además, no son estrellas u otros cuerpos consistentes de larga duración, sino que continuamente se producen unas y otras se disuelven, siendo o bien de breve duración, cual es de uno, dos o tres días, o más larga, de 10, 15 y, según mi parecer, de 30, 40 o más […] En su mayoría son de forma muy irregular, forma que va cambiando continuamente, alguna con rápida y muy variada mutación y otras con variación menor y más lenta. También varían en oscuridad, mostrándose ora condensadas ora dilatadas y rarificadas. Además de mudarse en figuras muy diversas, frecuentemente se ve a alguna de ellas dividirse en tres o cuatro y frecuentemente a muchas unirse en una, y esto no tanto cerca de la periferia del disco solar, cuanto alrededor del centro.
Con estas observaciones y descubrimientos, que también realizaron otros por entonces (como el ya citado Thomas Harriot en Inglaterra, Johann Goldsmid en Holanda y el jesuita alemán Christopher Scheiner, que pensaba que las manchas eran pequeños satélites como los que Galileo había observado en torno a Júpiter), y aunque existen registros más antiguos que muestran que las manchas solares habían sido identificadas con anterioridad, comenzó realmente lo que sería una larga historia: la de averiguar qué eran las manchas solares (es obvio que Galileo no sabía responder a esta pregunta). De hecho, aunque larga esa historia, ese problema, se mantuvo en estado de, podríamos decir, hibernación durante mucho tiempo, siendo recuperado durante la segunda mitad del siglo XIX, cuando las manchas del Sol fueron asociadas a las tormentas magnéticas que se producen en la Tierra.
Durante los siguientes años, la fama de Galileo fue aumentando… y también los problemas asociados a la tesis copernicana que defendía, problemas —asociados a la libertad de pensamiento— de los que nos ocuparemos en el siguiente capítulo. Baste ahora decir que, tras una primera condena en 1616, terminó arriesgándose (creía que la situación le favorecía) y publicando en 1632 un libro inmortal que vio la luz en Florencia en 1632: el Dialogo sopra i due massimi sistemi del mondo Tolemaico, e Copernicano (Diálogo sobre los dos máximos sistemas del mundo, ptolemaico y copernicano), una obra maestra de la literatura científica, escrita en lengua vernácula, el italiano, en una época en el que el latín era el idioma utilizado en este tipo de textos. Los tres personajes creados por Galileo para protagonizar ese diálogo, Salviati (que muchos consideraron que caracterizaba al papa Urbano VIII; esto es, a Maffeo Barberini), Sagredo y Simplicio, copernicano el primero (en realidad el alter ego de Galileo), neutral el segundo y aristotélico el último, han pasado a formar parte de la cultura universal. En realidad, estos tres personajes se inspiraron en personas reales: en dos discípulos y amigos suyos, Filippo Salviati (1583-1614) y Giovan Francesco Sagredo (1571-1620), y Simplicio, el famoso comentarista de Aristóteles del siglo VI mencionado en el capítulo 2.
El Diálogo constituye una hábil y detallada defensa del sistema heliocéntrico, incluyendo, como veremos en el capítulo siguiente, argumentos relativos a los sistemas dinámicos. Queremos hacer notar, sin embargo, que, como por otra parte era natural, no siempre Salviati conseguía salvar completamente todas las objeciones que le planteaba Simplicio. Una de estas era la de la ausencia de observaciones de paralaje. Si la Tierra se movía, entonces, al variar mucho su posición a lo largo del año, deberían observarse diferencias en las posiciones de las estrellas fijas. Ante el comentario de Simplicio durante la Tercera Jornada de que si no se observa ningún paralaje habría que «confesar que nulo es el movimiento anual por el orbe magno atribuido a la Tierra», Salviati tenía que aceptar finalmente, inseguro, que «incluso en el caso de que eso no se percibiera sensiblemente, no por ello se elimina la movilidad ni se concluye necesariamente la inmovilidad, pudiendo suceder (como afirma Copérnico) que la inmensa distancia de la esfera estrellada haga inobservables tales mínimas diferencias».
Aunque algunos como Kepler en De cometis sostuviesen que uno de los problemas es que «la astronomía ptolemaica había descuidado hacer paralajes cada año, confiada en la opinión del vulgo de que la Tierra estaba fija y quieta en medio del mundo», el problema era real y hubo que esperar mucho para que se lograsen medir; hasta 1834, cuando el astrónomo y matemático alemán Friedrich Wilhelm Bessel (1784-1846) anunció que había medido la distancia de una estrella (Cisne 61) midiendo previamente su paralaje.
Volviendo ahora al telescopio, una consecuencia de los logros (cuestionados o no) de Galileo fue que despertó el interés de astrónomos y curiosos. Kepler, siempre limitado por su defectuosa visión, se tuvo que contentar con explicar la teoría y describir en su Catróptica (1611) las ventajas de utilizar dos lentes convexas, pero un jesuita alemán, Christoph Scheiner (1573-1650), construyó un telescopio de este tipo, aunque su uso no se generalizó hasta mediados de siglo. Christiaan Huygens (1629-1695) descubrió en 1655 Titán, el más brillante de los satélites de Saturno, utilizando un telescopio kepleriano de 50 aumentos y 3,5 metros de longitud (Johannes Hevelius y Christopher Wren lo habían observado antes, pero lo habían tomado por una estrella normal).
Una línea paralela de construcción fue la que utilizaba espejos (telescopios reflectores) en lugar de lentes (telescopios refractores), que eran secciones cónicas y formaban la imagen mediante reflexión. James Gregory (1638-1675), autor de un texto, Optica Promota (El avance de la óptica; 1663), en el que describía los diseños de varios tipos de telescopios, descubrió uno de estos y anunció que eliminaría la aberración, pero no encontró quien lo construyese. Sería Isaac Newton (de quien hablaremos más en el capítulo 6), que había descubierto en torno a 1665-1666 que la igualdad de los ángulos de incidencia y reflexión se mantenía para todos los colores, construyó el primer telescopio de reflexión, de menores dimensiones y mayor rendimiento.
Estimulado por los cursos de óptica de Isaac Barrow en Cambridge y la teoría de la luz de René Descartes, hacia 1664 Newton comenzó a interesarse por los fenómenos ópticos. No fue, sin embargo, hasta 1666 (año que pasó en la finca familiar de Woolsthorpe debido a una epidemia que obligó a cerrar la universidad en agosto de 1665) cuando intensificó sus esfuerzos, recurriendo a un instrumento simple pero en sus manos extremadamente precioso: un prisma de vidrio. He aquí cómo se refirió al inicio de sus experimentos en el artículo que publicó en el número del 19 de febrero de 1672 de las Philosophical Transactions de la Royal Society: «A comienzos del año 1666 (momento en el que me apliqué a pulir cristales ópticos de formas distintas a la esférica) me proporcioné un prisma triangular de cristal, para ocuparme con él del celebrado Fenómeno de los Colores. Habiendo oscurecido mi habitación, hice un pequeño agujero en una contraventana, para dejar pasar solo una cantidad conveniente de luz del Sol, y coloqué mi prisma en su entrada, de manera que pudiese ser refractado en la pared opuesta. Al principio, ver los vivos e intensos colores así producidos constituyó una muy entretenida distracción, pero después de un rato intentando considerarlos más cuidadosamente, me sorprendió verlos en forma oblonga, cuando, según las leyes aceptadas de la Refracción, esperaba que hubiesen sido circulares».
Semejante anomalía le indujo a recurrir a un segundo prisma, con el que llegó a la conclusión de que los colores (observados desde hacía ya siglos) que aparecían al pasar la luz blanca inicial por los prismas no eran «cualidades de luz, derivadas de refracciones o reflexiones de cuerpos naturales (como se cree generalmente), sino propiedades originales o innatas». La luz visible se convertía, en consecuencia, en la combinación de diferentes colores elementales, como muestra con particular claridad el arco iris.
Sus análisis de la dispersión y composición de la luz le sugirieron una forma de perfeccionar el telescopio. He aquí cómo se refirió a este punto en el artículo de 1672 antes citado:
[…] comprendí entonces que la perfección de los telescopios había sido limitada hasta ahora, no tanto por la falta de lentes correctoras formadas según las instrucciones de los autores de óptica (tal y como se había supuesto), sino porque la luz misma está hecha con una mezcla heterogénea de rayos que se refractan de manera diversa. Así que, aunque una lente estuviera perfectamente formada para recoger todos los rayos en un solo punto, no podría recoger en el mismo punto todos los que, con la misma incidencia, experimentaran en ese mismo punto una distinta refracción. Más aún, me maravillé de que, siendo el índice de refrangibilidad tan grande como lo hallé, hubieran alcanzado los telescopios su actual grado de perfección […] Esto me hizo pensar en las reflexiones y, al encontrarlas regulares, es decir que el ángulo de reflexión de cualquier tipo de rayo era igual al ángulo de incidencia, comprendí que debido a la reflexión los instrumentos ópticos podrían alcanzar cualquier grado de perfección imaginable, siempre que tengamos una superficie reflectante que pudiera pulirse tan delicadamente como el cristal y que reflejara tanta luz como la que transmite el cristal, así como disponer del arte para dotarla con una forma parabólica.
Tan hábil manualmente como genial teórico, él mismo construyó un telescopio reflector, que superaba a los hasta entonces en uso, eliminando la aberración cromática propia de las lentes. De hecho, construyó dos: uno lo guardó para utilizarlo él mismo, y el otro lo donó a la Royal Society, como reconocimiento por haberle elegido uno de sus miembros (el número 290) el 11 de enero de 1672. En el futuro, los telescopios reflectores serían los que se impondrían para escudriñar el cosmos.
§. Más allá de Galeno: Vesalio
A partir de los siglos XV y XVI, la disección cobró un nuevo impulso, algo que se puede apreciar incluso en la pintura, donde se convirtió en una escena frecuente. Un ejemplo sobresaliente en este sentido es La lección de anatomía (1632) de Rembrandt (1606-1669), en donde se ve al doctor Nicolaes Tulp, un famoso médico de Ámsterdam, explicando la musculatura del brazo a un grupo de cirujanos. De hecho, el interés de los humanistas por el individuo no se limitó al retrato, la propia especie se convirtió en objeto de observación.
Pero en ningún lugar la nueva ciencia anatómica se alió con el arte como en un libro del médico belga Andreas Vesalio (1514-1564) publicado en 1543 (el mismo año en que apareció el De revolutionibus de Copérnico): De humani corporis fabrica. En La fábrica del cuerpo humano o —es otro título utilizado en la traducción al español— La arquitectura del cuerpo humano, Vesalio, que había estudiado en Lovaina (donde publicó una tesis en la que comparaba las terapias musulmana y galénica: Paraphrasis in nonum librum Rhazac ad regem Almansorem; 1537), París y Padua, realizó un vibrante llamamiento en defensa de la práctica anatómica, de la disección, como base imprescindible para la comprensión de la estructura y funciones del cuerpo humano, haciendo hincapié en las limitaciones de los estudios de Galeno y en la degradación que la práctica anatómica había experimentado tras él. Es cierto que la aportación de Vesalio no significó con respecto a la medicina galénica una revolución tan marcada como lo que sucedió con Copérnico frente a la astronomía ptolemaica, pero sus enseñanzas y críticas eran imprescindibles para que pudiese darse en el futuro una revolución parecida.
Cuáles eran las opiniones de Vesalio es algo que quedaba perfectamente claro en la «Dedicatoria a Carlos V, el más grande e invicto emperador» que abría el libro (Vesalio fue uno de los médicos de Carlos V y después también de Felipe II). Citamos de ella:
Esta funesta desmembración de las técnicas curativas según las distintas tendencias ha provocado hasta ahora un naufragio mucho más execrable y una calamidad mucho más triste en la parte principal de la filosofía natural, a la que, porque abarca la anatomía humana y debe ser considerada con razón el fundamento más sólido de toda la ciencia médica y el inicio de su constitución, Hipócrates y Platón contribuyeron tanto que no dudaron en incluirla entre las partes principales de la medicina. Al principio solo los médicos la cultivaron, poniendo todo su empeño en dominarla; pero luego, comenzó a decaer tristemente al perder la anatomía, por dejar ellos mismos en manos de otros la actividad manual. En efecto, mientras los médicos afirmaban que solo les incumbía la curación de las afecciones internas, pensando que les bastaba con conocer las vísceras, se desentendieron de la estructura de los huesos, los músculos, los nervios, las venas y las arterias que se extienden por los huesos y los músculos, como si no fuera cosa suya. Además, como se confiaba a los barberos toda la disección, los médicos no solo perdieron el conocimiento auténtico de las vísceras, sino que también desapareció completamente la actividad de la disección, porque estos no se ocupaban de hacer disecciones; a su vez, aquellos en cuyas manos se dejaba esa actividad eran tan ignorantes que no entendían los escritos de los maestros de disección […] ¡Hasta tal punto la vieja medicina se ha apartado desde hace muchos años del antiguo esplendor!
Por otro lado, como esa medicina ya hace algún tiempo que ha empezado a revivir con todos los estudios en esta época tan próspera […] y a levantar cabeza desde las tinieblas más profundas, de tal manera que parecía que en algunas escuelas casi se había recuperado sin discusión el antiguo esplendor y que esta solo necesitaba el conocimiento casi extinguido de las partes del cuerpo humano.
Y en este punto, recordaba su propia experiencia: «Yo mismo, estimulado por el ejemplo de tantos hombres ilustres, pensé que debía acometer esta tarea en la medida de mis fuerzas y de todas las maneras posibles […] Sin embargo, este intento no hubiera tenido éxito si, cuando trabajaba como médico en París, no me hubiera dedicado a esta empresa y mis compañeros y yo no hubiéramos tenido la oportunidad de que unos barberos nos mostraran someramente algunas vísceras en repetidas disecciones públicas […] Luego, en Lovaina, adonde tuve que volver a causa de la guerra, lo que allí en dieciocho años los médicos ni siquiera habían soñado respecto a la anatomía y para congraciarme con aquella escuela y coger más experiencia en un tema por completo oculto […] describí con algo más de diligencia que en París la anatomía humana, de tal manera que ahora los profesores jóvenes de esa escuela parecen dedicar una atención grande y seria al conocimiento de la anatomía humana, comprendiendo bien qué egregio bagaje cultural les proporciona su conocimiento. Por otro lado, como en Padua, en la escuela más famosa de todo el mundo, gracias al Senado de Venecia, muy ilustre y generoso en los estudios científicos, desde hace ya cinco años ocupo el cargo de profesor titular de anatomía en relación con la medicina quirúrgica, me he esforzado por conocer la anatomía humana, de tal manera que ahora he practicado con más frecuencia y, tras desterrar de las escuelas tan ridículo sistema, la he enseñado de modo que no pudiéramos echar de menos nada de lo que nos legaron los antiguos».
Sin embargo, se enfrentaba a dificultades; la «desidia de los médicos» había sido tal que no se conservaban las obras de médicos del pasado que se habían ocupado de la disección, médicos, señalaba, «a los que hasta Galeno cita en más de veinte ocasiones en el segundo comentario al libro de Hipócrates titulado La naturaleza humana». Muy diferente sucedía con las ideas de Galeno y de sus seguidores, que, manifestaba, habían recogido «torpemente la doctrina de Galeno en libros voluminosos, sin apartarse ni una coma de él […]. De tal manera han confiado todos en él, que no he encontrado ni un solo médico que piense que en los libros de anatomía de Galeno se ha encontrado alguna vez ni el más ligero error y mucho menos que pueda encontrarse, si bien, aparte de que Galeno rectifica frecuentemente y varias veces señala los errores de unos libros en otros, al estar más preparado con el paso del tiempo, diciendo acto seguido lo contrario, ahora nos consta, basándonos en el renacido arte de la disección, en la lectura atenta de los libros de Galeno y en muchos lugares de los mismos aceptablemente corregidos, que él en persona nunca diseccionó un cuerpo humano recién muerto. Sin embargo, sabemos que, engañado por sus monos (aunque se le presentaron cadáveres humanos secos y como preparados para examinar los huesos), frecuentemente criticaba sin razón a los médicos antiguos que se habían ejercitado en disecciones humanas. Puedes incluso encontrar en él muchísimas cosas que ha descubierto de manera poco ortodoxa en los monos. Además, resulta muy extraño que, a pesar de las múltiples diferencias existentes entre los órganos del cuerpo humano y los de los monos, Galeno no haya advertido casi ninguna, salvo en los dedos y en la flexión de la rodilla, observación que sin duda hubiera omitido, lo mismo que las otras, si no fuera evidente sin necesidad de practicar la disección humana». En más de doscientas ocasiones, advertía, se desviaban las descripciones de Galeno de «la auténtica descripción de la armonía, del uso y de la función de las partes del cuerpo humano».
Fue para remedir todas estas limitaciones, para describir las partes del cuerpo humano, que Vesalio escribió De humani corporis fabrica. En la primera de las siete partes que lo componen, explicó la naturaleza de los huesos y de los cartílagos, que, escribía, «como sostienen las partes restantes y son descritos en función de ellas, deben ser conocidos primero por los estudiosos de la anatomía». En la segunda parte trató de los ligamentos, «que unen entre sí los huesos y los cartílagos», y después de los músculos, «que son autores de los movimientos voluntarios». La tercera se ocupaba de las venas «que llevan a los músculos, a los huesos y a las demás partes la sangre necesaria para su nutrición», y después de las arterias «que moderan la temperatura del calor natural y del aliento vital». En la cuarta mostraba las ramificaciones de los nervios «que llevan el aliento vital a los músculos», mientras que la quinta detallaba la estructura de los órganos de la nutrición, incluyendo además, «a causa de su proximidad, los instrumentos creados por el Artífice supremo para la propagación de la especie». La sexta parte estaba dedicada al corazón, «impulsor de la facultad vital, y a las partes que le sirven». Y, finalmente, la séptima exponía «la armonía de los órganos del cerebro y de los sentidos». La división en libros responde, por consiguiente, a un criterio topográfico, de adentro hacia afuera: esqueleto (I), ligamentos y músculos (II), venas y arterias (III), nervios (IV), en tanto los tres últimos describían el contenido de las tres cavidades del cuerpo humano: abdominal, torácica y cefálica. La división en sistemas se inspiraba en criterios formales: constructivos los dos primeros, conectivos los siguientes e impulsivos los tres últimos, de acuerdo con la concepción galénica.
Vesalio, en resumen, introdujo una importante novedad, que ahora a nosotros nos puede parecer una trivialidad, pero que entonces no lo era: en vez de confiar a un matarife el despiece del cadáver mientras se leían los párrafos correspondientes de los clásicos, realizaba personalmente la disección.
Pero el interés de De humani corporis fabrica no reside únicamente en el ámbito científico, porque es también una obra de arte. Contiene una colección de más de doscientas láminas anatómicas de impresionante belleza y realismo, en las que aparecen imágenes del esqueleto y musculatura humanas.
Algunos sostienen que el artista autor de los grabados fue Jan Stephan von Kalkar (c. 1499-1546/50), un compatriota de Vesalio y discípulo de Tiziano (1477-1576). A favor de que Tiziano participase, aunque fuese de forma indirecta, en la edición de De humani corporis fabrica, está el que parece que los bloques de madera para las ilustraciones fueron preparados en Venecia —la ciudad en la que trabajaba y tenía su taller Tiziano— bajo la supervisión de Vesalio y enviados a Oporinus, el impresor encargado de la edición, en Basilea. En el mismo sentido, algunos historiadores del arte han argumentado que uno de los grabados de la obra, uno que aparece en el libro (parte V), en el que se muestra la musculatura de un hombre colocado en posición lateral, está modelado siguiendo un conocido cuadro de Tiziano, Alocución de Alfonso d’Avalos, marqués del Vasto, que el maestro terminó en 1541. Sin embargo, otros historiadores del arte mantienen tesis diferentes. Analizando el único dibujo preliminar que ha sobrevivido de los que se utilizaron para la composición de De humani corporis fabrica y comparándolo con el grabado correspondiente que finalmente apareció en el libro, Martin Kemp ha argumentado que la preparación de los detallados estudios anatómicos y su subsiguiente transformación en bloques de madera tallados debió de exigir una colaboración tan estrecha entre Vesalio y el o los artistas encargados de tallar los bloques que estos se debieron preparar no en Venecia, donde se encontraban Tiziano y sus discípulos, sino en Padua, en cuya universidad el autor de De humani corporis fabrica ocupaba una cátedra desde el 6 de diciembre de 1537, que mantuvo hasta 1543. Para Kemp, aunque Padua y Venecia no están demasiado alejadas, las reglas que regían su cátedra obligaban a Vesalio a residir en Padua la mayor parte del tiempo, y eso impidió que podamos adjudicar la autoría a la escuela de Tiziano.
§. La fisiología
Para el estudio de seres como los humanos, la anatomía proporciona conocimientos acerca de su estructura estática, de, podríamos decir, su arquitectura. No informa, sin embargo, acerca de los mecanismos que subyacen detrás de esos elementos «estáticos». La, continuando con esta analogía tomada de la física, «dinámica» corresponde a otra rama de la medicina, la fisiología, que se ocupa de los procesos (físicos y químicos) que explican el funcionamiento —como algo no reducible a la estructura— de los seres vivos.
A pesar de la fuerte dependencia de la fisiología de otras ciencias, motivo por el que su gran desarrollo tuvo que esperar hasta el siglo XIX, también se encuentran disquisiciones fisiológicas en autores de la Antigüedad clásica. Recordemos que Hipócrates y Polibio incluyeron a la sangre entre los humores, concibiéndola como un fluido homogéneo, idea que no encontró alternativa hasta que, en 1658, un joven microscopista holandés, Jan Swammerdan (1637-1680), descubrió los glóbulos rojos, que Antony van Leeuwenhoek (del que hablaremos en el capítulo 15) describió en 1674, estimando su tamaño en 1/250 000 de un grano de arena. Y, como vimos en el capítulo 2, Aristóteles consideraba al corazón —del que hoy sabemos es una bomba de cuatro cavidades, separadas por músculos cardiacos, que se contraen y distienden durante el ciclo cardiaco— como el órgano más importante del cuerpo humano, una idea, por supuesto, que no nos debe extrañar (en las primeras líneas de un libro, De motu cordis, del que trataremos enseguida, su autor, Harvey, escribía, casi 2000 años después de Aristóteles: «El corazón de los animales es el fundamento de la vida, el principio de todas las cosas, el sol del microcosmos; de él depende todo crecimiento y emana todo vigor y fuerza»). Sede de la inteligencia, causa de la sensación y origen de los nervios y el movimiento, Aristóteles reducía el cerebro y los pulmones al papel secundario de ventilar el corazón. Galeno revisó algunas de estas opiniones, pero Avicena restableció otras en el siglo XI. Mientras que la composición de la sangre tuvo que esperar al desarrollo de la química, la circulación de esta atrajo pronto el interés de los observadores, no en vano, hay que insistir en este punto, ocupaba un lugar central como uno de los cuatro humores médicos. Galeno, recordemos, creía que la sangre era producida en el hígado y que se distribuía a través de las arterias y venas, en una especie de movimiento de marea, hacia los órganos a los que llevaba el «alimento» necesario para que funcionasen y donde era consumida. Argumentó, en concreto, que la parte de la sangre que se dirigía desde el hígado hacia el ventrículo derecho del corazón se dividía en dos cauces: uno que pasaba por la arteria pulmonar hacia los pulmones, y otro que atravesaba el septo (o septum, la pared o tabique que divide una cavidad o estructura en otras más pequeñas) del corazón a través de los «poros intercéptales» invisibles, entrando en la parte izquierda, donde se mezclaba con el aire (pneuma) y calentándose hasta crear un «espíritu vital» que después se distribuía por todo el cuerpo. Consecuencia de sus ideas era que el sistema venoso estaba diferenciado del arterial, excepto en los poros del septo que separaban las dos mitades del corazón.
La caracterización realizada por Galeno de la circulación sanguínea no fue cuestionada, por lo que sabemos, hasta que lo hizo en el siglo XIII Ibn al-Nafis, con quien también nos encontramos en el capítulo 2, en una obra titulada Comentario de la Anatomía del Canon de Avicena, desconocida por los estudiosos de la historia de la medicina hasta que en 1924 un médico egipcio, Muhyo Al-Deen Altawi, descubrió un ejemplar en la Biblioteca Estatal Prusiana de Berlín. En este libro, al-Nafis escribió que «la sangre de la cámara derecha del corazón debe llegar a la cámara izquierda pero no hay una vía directa entre ambas. El grueso septo cardíaco no está perforado y no tiene poros visibles como alguna gente piensa ni invisibles como pensaba Galeno. La sangre de la cámara derecha fluye a través de la vena arteriosa [arteria pulmonar] hasta los pulmones, donde se distribuye a través de su parénquima, se mezcla con el aire, pasa a la arteria venosa [vena pulmonar] y alcanza la cámara izquierda del corazón y allí forma el espíritu vital».
Pero la noticia de los trabajos de al-Nafis parece haberse perdido, aunque puede (algunos así lo sostienen) que Servet hubiese accedido a una traducción de su libro. Nos estamos refiriendo al teólogo y médico español Miguel Servet (1511-1553), al que se le adjudica, más que a al-Nafis, el descubrimiento de que existía una «circulación menor» de la sangre a través de los pulmones; es decir, que la sangre no podía, como sostenía Galeno, pasar del ventrículo derecho al izquierdo, sino que debía ir de alguna otra manera (la circulación menor, o pulmonar, de la sangre es la parte del sistema circulatorio que transporta sangre desoxigenada desde el corazón hasta los pulmones, regresando luego oxigenada al corazón). Aunque se basó en consideraciones anatómicas (como la estructura del tabique pulmonar), para Servet la sangre tenía un interés especial, que iba más allá de «lo puramente material»: creía que era la sede del alma, insuflada a los seres humanos por Dios. Esta mezcla de teología con ciencia, que difundió en un libro de contenido fundamentalmente teológico, Christianismi restitutio (Restitución del cristianismo), le costó la vida: fue condenado por Calvino a ser quemado vivo por sus ideas heréticas (de su libro solo se salvaron tres ejemplares).
Las tesis sobre la circulación pulmonar de Servet fueron reiteradas (no se sabe si conociendo el libro de este) por el anatomista italiano Realdo Colombo (c. 1516-1559), sucesor de Vesalio en la cátedra de Padua, en su libro De re anatomica (Sobre la naturaleza anatómica; 1559), en el que demostraba, contra Galeno, que no existía ningún agujero en la pared que separaba ventrículos y aurículas, y por el español Juan Valverde de Amusco (c. 1520-1619), discípulo de Colombo, en un libro que tuvo una gran difusión, Historia de la composición del cuerpo humano (1556), una obra claramente influida por La fábrica del cuerpo humano de Vesalio. Ahora bien, a pesar de estas contribuciones, las tesis galénicas continuaron siendo las utilizadas mayoritariamente.
Fue el médico inglés William Harvey (1578-1657), otro de los protagonistas de la Revolución Científica, quien más se distinguió en el estudio de la circulación de la sangre, dando de esta manera el que probablemente fue el mayor impulso que experimentó la fisiología hasta el siglo XIX.
Como tantos otros, Harvey estudió medicina en Italia, en la Universidad de Padua, donde se doctoró en 1602, tras haber seguido las enseñanzas de un notable anatomista, Girolamo Fabrizzi d’Aquapendente (1537-1616), autor de un texto (De motu local animalium; 1618) en el que estudiaba los movimientos de las fibras que forman los diferentes órganos. De regreso a Inglaterra, destacó lo suficiente como para llegar a ser médico de cámara del rey Carlos I. En 1615, el Colegio de Médicos de Londres le encargó que dictase un curso sobre anatomía (las Lumelian Lectures), que constituyó el germen del que brotaría trece años más tarde su gran libro: Exercitatio anatomica de motu cordis et sanguinis in animalibus (Una disquisición anatómica relativa al movimiento del corazón y la sangre en los animales; 1628). De motu cordis, como es habitualmente denominado, es un texto fundacional de la fisiología moderna. En él, y mediante una serie de disecciones y experimentos, Harvey describió el corazón como un músculo que se contrae y dilata, explicando la circulación de la sangre como el resultado del impulso recibido por la dilatación de las arterias cuando se contrae el corazón. Demostró, asimismo, que las válvulas del corazón, de las arterias y de las venas, están dispuestas en un solo sentido, y que el corazón, durante la sístole, se contrae como si fuese una bomba muscular que expele sangre. También observó que el ventrículo derecho sirve a las necesidades de flujo sanguíneo de los pulmones, mientras que el izquierdo atiende a las del sistema arterial, comprobando que la sangre circula a través de las venas en dirección al corazón. Con tales resultados, unidos al cálculo de la cantidad de sangre bombeada, concluía que la sangre, efectivamente, circulaba, aunque al no disponer de microscopios no consiguió demostrar cómo procedía el trasvase de la sangre arterial al sistema venoso.
Para llegar a este resultado, fue esencial que Harvey participara del nuevo espíritu científico cuyo principal representante fue, como veremos, Galileo, un espíritu que buscaba cuantificar los fenómenos. Como acabamos de decir, Harvey calculó la cantidad de sangre bombeada en la acción cardiaca: peso de la sangre, pulsaciones por minuto y volumen por hora. El resultado que obtuvo era paradójico: «de una manera continua e ininterrumpida el pulso del corazón transmite la sangre de la vena cava a las arterias, en tan gran cantidad que no puede ser suministrada por los alimentos ingeridos», escribía en el capítulo IX («La existencia de la circulación de la sangre se deduce de la demostración de una primera tesis») de De motu cordis. «Creo», señalaba, «que será manifiesto que la sangre efectúa un rodeo, una vuelta, siendo impulsada del corazón a las extremidades y regresando de las extremidades al corazón, y que así lleva a cabo una especie de movimiento circular». Como no utilizaba el microscopio, no pudo establecer la conexión entre arterias y venas, que encontró Marcello Malpighi, de quien nos ocuparemos en otro capítulo, el de la célula.
El microscopio, efectivamente, sería el instrumento necesario para avanzar en la tan compleja como sutil senda fisiológica. Que esta senda era eso, compleja, es algo que se comprueba fácilmente sin más que tener en cuenta la dificultad que implicaba el análisis de otro de los sistemas fundamentales de los cuerpos vivos: el sistema nervioso. Constituido por cerebro, médula espinal y nervios, su estudio planteó especiales dificultades a la observación: el cerebro se descomponía al cabo de pocas horas, la médula espinal era de especial complejidad y se confundía con los ligamentos y los tendones. Galeno había concebido la médula como una prolongación del cerebro, de la que partían los nervios, que consideraba como tubos huecos, destinados a transportar los espíritus (dynameis): el natural por el pneuma, el vital por la sangre y el aire, y el animal por el sistema nervioso. Las funciones específicas del sistema nervioso, la sensación y el movimiento, estaban regidas por distintos tipos de nervios; blandos y duros. Vesalio sustituyó la anatomía galénica, pero sin cambiar lo esencial de su fisiología.
El espíritu «mecanicista» se desarrolló a partir de, sobre todo, el siglo XVII, un espíritu que hundía sus raíces en autores antiguos como Demócrito y que se ajustaba bien al programa anatomista (al fin y al cabo, la estructura del cuerpo humano está determinada por el esqueleto y los músculos, que proporcionan la mitad del peso, y estos eran conocidos en lo fundamental desde Vesalio; por otra parte, las articulaciones de los huesos y la contracción de los músculos determinan los posibles movimientos, más aún, el cuerpo humano es un sistema abierto que recibe del exterior los elementos necesarios para su mantenimiento: el aire por medio de la respiración y los nutrientes por la digestión, que, transformados en fluidos, circulan por todo el cuerpo). Ese espíritu, del que participó Harvey en sus investigaciones sobre la circulación de la sangre, incidió también en la fisiología del cerebro, como muestra el caso de René Descartes (1596-1650), que atribuyó los movimientos nerviosos a unas partículas (stimuli) que al entrar en contacto con los terminales de los nervios originaban una secuencia de movimientos que conectaban a las fibras nerviosas. Las funciones del sistema nervioso seguían siendo la transmisión de sensaciones de la piel al cerebro y la determinación del movimiento. Mucho más específicas fueron las aportaciones de Thomas Willis (1621-1675), Sedleian professor de Filosofía Natural en la Universidad de Oxford, pionero en el estudio de la anatomía del cerebro, así como de las enfermedades del sistema nervioso (en 1681 acuñó la voz neurología para describir la anatomía del sistema nervioso, y descubrió el denominado «círculo de Willis» del cerebro).
Pero Descartes merece más que una breve mención, porque nadie representa mejor que él, el mecanicismo aplicado al estudio de la vida.
Lo primero que hay que señalar es que las ideas de Descartes sobre la vida deben enmarcarse en el conjunto de su obra, de su ambiciosa y globalizadora obra, que pretendía establecer un sistema universal en el que nada quedase excluido, una ambición que ya queda de manifiesto cuando se lee su Discours de la méthode (Discurso del método; 1637). Precisamente por esa ambición globalizadora, Descartes no podía contentarse con tratar del cuerpo: tenía también que incluir, de alguna forma, al espíritu, presente de manera manifiesta en el hombre. La distinción entre cuerpo y espíritu procedía de los griegos, pero solo con Descartes se planteó el problema de la relación entre ambos, aunque mantuvo que el hombre era una excepción. Los animales eran como máquinas, objetivos puros para una anatomía y una fisiología, pero no así la especie humana. Los mejores lugares para estudiar sus ideas al respecto son Discours de la méthode y un libro que se publicó póstumamente, primero en latín, en 1662 (en Leiden), y luego, en 1664 (en París), en francés, la lengua en que fue escrito: Traité de l’homme (Tratado del hombre; el retraso tuvo que ver con la condena de Galileo y los temores que esto produjo en Descartes).
Las primeras líneas del Traité de l’homme muestran con claridad las opiniones de Descartes:
Los hombres están compuestos, como nosotros, de un Alma y un Cuerpo. Es preciso que os describa, en primer lugar, el cuerpo, después el alma […] y que, por fin, os muestre cómo deben estar ligadas y unidas estas dos naturalezas, para formar los hombres.
Supongo que el cuerpo no es otra cosa que una estatua o máquina de tierra, que Dios formó para que se parezca lo más posible a nosotros; de manera que no solo le ha dado el color y la figura de todos nuestros miembros, sino que también ha puesto todas las piezas que son necesarias para que ande, coma, respire, para que, en definitiva, imite todas las funciones que se encuentran en nosotros y que se puede imaginar proceden de la materia, sin que dependan más que de la disposición de los órganos.
De manera similar, y más completa, aunque también haciendo más hincapié en el papel de Dios, en el Discours de la méthode encontramos elaboradas presentaciones relativas a la fisiología del cuerpo humano (la anatomía y la fisiología eran, desde este punto de vista, absolutamente necesarias para el gran programa filosófico-científico que aspiraba a desarrollar Descartes). «No parecerá en modo alguno extraño a los que, conociendo cuán diversos autómatas o máquinas capaces de moverse puede construir la industria humana con solo emplear un pequeño número de piezas en comparación con la gran multitud de huesos, músculos, nervios, arterias y venas y todas las partes de cada animal, consideran este cuerpo como una máquina que, habiendo sido construida por las manos de Dios, está incomparablemente mejor ordenada y es capaz de realizar movimientos más admirables que ninguna de las que pueden ser inventadas por el hombre».
Habría sido difícil que Descartes no se formulara la cuestión de cómo interaccionan alma y cuerpo. La respuesta que daba a esta pregunta era que esa relación se produce en una glándula del cerebro humano, la pineal. Se trataba únicamente de una hipótesis que nunca pudo probar. El asunto era, como sabemos muy bien, demasiado complejo; de hecho, continúa, más de cuatro siglo después, sin ser resuelto completamente.
No obstante las grandes dificultades implícitas en los planteamientos cartesianos, y de forma parecida, aunque con menor intensidad, a lo que sucedió con su visión, mecanicista, del mundo, basada en vórtices (un tema este que trataremos más adelante), su tesis del hombre máquina no dejó de tener seguidores. Como el médico y filósofo francés Julien Offray de La Mettrie (1709-1751), quien intentó explicar en un libro que publicó con el transparente título de L’homme-machine (El hombre máquina; 1748) los fenómenos físicos en el hombre como resultado de los cambios orgánicos en el cerebro y en el sistema nervioso. Esta línea materialista tuvo otro de sus paladines en Paul Heinrich Dietrich, barón de Holbach (1723-1789), quien reducía —en, por ejemplo, su Système de la nature, ou des lois du monde physique et du monde moral (Sistema de la naturaleza, o las leyes del mundo físico y del mundo moral; 1770), un texto fundamental del movimiento ilustrado— la composición de la naturaleza a dos elementos, la materia y el movimiento: «El Universo, el conjunto de las cosas existentes, se compone de materia y movimiento, el todo que se ofrece a nuestra contemplación no es más que una infinita e ininterrumpida serie de causas y efectos». Los fenómenos y los acontecimientos se explicarían por los elementos y las leyes que los regulan.
Descubrir la fisiología del pensamiento —la facultad que distinguía a los humanos de los animales— era, por consiguiente, el problema fundamental. La concepción clásica de los espíritus y el alma personal de la doctrina cristiana daba una respuesta, pero esta era imposible de aceptar por ilustrados como Holbach, que asumieron completamente el gran principio ilustrado: la trasposición de la búsqueda de la Verdad de la religión (a través de la revelación) a la ciencia (a través de la experimentación). Definir el problema y descubrir sus causas sería, como acabamos de decir, uno de los más difíciles problemas planteados a la ciencia.
Capítulo 5
La revolución científica
§. Revoluciones en la ciencia
§. La teoría del movimiento
§. La libertad de la ciencia
§. Revoluciones en la ciencia
Revolvere se usaba para describir el retroceso, la vuelta atrás, y San Agustín utilizó «revolución» para describir el movimiento de los cuerpos celestes que vuelven al punto de partida. Copérnico lo empleó en De revolutionibus orbium caelestium (1543) y Kant con la «revolución copernicana» en el prefacio a la segunda edición de la Crítica de la razón pura (1787). En 1688, se usó en Inglaterra para referirse al cambio político que siguió a la destitución de los Estuardos. En 1789, amplió su significado para describir el cambio de sistema político, la introducción de la monarquía parlamentaria y la abolición de los privilegios. Aplicado al cambio tecnológico de finales del siglo XVIII y comienzos del XIX, lo utilizó el historiador francés Paul Mantoux para su libro La Révolution industrielle au XVIII siècle. Essai sur les commencements de la grande industrie moderne en Anglaterre (1905). En 1939, Alexander Koyré extendió la noción de revolución a la ciencia en sus Études galiléens, haciendo a continuación los filósofos de la ciencia un constructo teórico de la revolución científica, un movimiento que culminó con un libro que el físico e historiador de la ciencia estadounidense Thomas S. Kuhn publicó en 1962: The Structure of Scientific Revolutions (La estructura de las revoluciones científicas).
El discurso de Kuhn constituye un ejemplo del debate entre el racionalismo ilustrado y el organicismo romántico. En vez de concebir la ciencia como el proceso lineal de conocimiento de la naturaleza, Kuhn postuló la existencia de distintos momentos, en los que predominaba un determinado modelo científico (paradigma). La concepción romántica de pueblos y culturas imposibles de comparar entre sí se refleja en la singularidad de los paradigmas, que son, según Kuhn, inconmensurables entre sí, debido a la diferencia del método empleado y a que los datos leídos de la observación dependen de la teoría utilizada, así como de la semántica (es una versión del pensamiento holístico, la idea de que el cambio semántico de un término modifica todos los relacionados con él).
En vez de un desarrollo progresivo, el conocimiento científico se produciría, según Kuhn, en una especie de saltos. Primero estaría la ciencia normal, basada en un conjunto de teorías y suposiciones que no se cuestionan. En palabras del propio Kuhn, «Ciencia normal [es la] investigación basada firmemente en una o más realizaciones científicas pasadas, realizaciones que alguna comunidad científica particular reconoce, durante cierto tiempo, como fundamento para su práctica posterior». Durante algún tiempo —con frecuencia, durante mucho tiempo— la ciencia normal es suficiente para progresar, para resolver problemas explicándolos en base al «núcleo duro» central del paradigma en el que se fundamenta esa ciencia normal. Pero terminan surgiendo problemas; observaciones, por ejemplo, que no se pueden explicar de esta forma. Y el paradigma entra en crisis, una crisis que cuando se agudiza estimula la aparición de un nuevo paradigma.
En distintos lugares de su libro, Kuhn ofrecía ejemplos concretos de paradigmas exitosos: la física de Aristóteles, la cosmología aristotélico-ptolemaica, la mecánica y teoría de la gravedad de Newton, la química de Lavoisier, el electromagnetismo de Maxwell o la geología de Lyell. Aspiraba a poder reconstruir la historia de la ciencia en base a capítulos de ella de este tipo. Pero al igual que sucedía en la «ciencia normal» que introdujo, surgieron problemas: otros historiadores o filósofos de la ciencia que no compartían sus puntos de vista. Como Karl Popper, que no aceptaba el elemento «sociológico» —el que se tuviese que producir un sentimiento de crisis que indujese la aparición de nuevos modelos teóricos—, central en la explicación que Kuhn daba para el abandono de una teoría. Lo que Popper deseaba era dar reglas seguras, basadas en la lógica, del cambio científico. Centró así su metodología de la ciencia en el criterio de refutación: las teorías científicas no son nunca definitivas, válidas en su totalidad, y por ello lo que hay que hacer es buscar refutaciones. Más aún, una teoría, una construcción teórica, solo es científica si es posible imaginar situaciones en la que puede ser sometida a refutaciones. Y dedicó un libro a presentar y articular sus tesis, un libro célebre: Logik der Forschung (Lógica del descubrimiento; 1933), desarrollado en la edición inglesa, The Logic of Scientific Discovery (1959). Con él, las «revoluciones» dejaban de ocupar un lugar central en el desarrollo científico.
Imre Lakatos, sucesor de Popper en la cátedra que este ocupó en la London School of Economics de Londres, buscó encontrar un punto de encuentro entre el firme compromiso lógico de este y la inclinación sociológica de Kuhn. Propuso, en consecuencia, que la ciencia avanza a través de lo que llamó «Programas de investigación científica», pudiendo coexistir varios al mismo tiempo (por ejemplo, el de Newton y el de Descartes). Más aún, sostenía que el avance científico se da mediante un diálogo dialéctico entre ellos. La lógica del descubrimiento científico se debía mantener, pero entre alternativas.
La teoría del cambio de paradigma dio lugar a un prolongado debate que llevó a Kuhn a revisar el concepto de paradigma y a matizar sus consecuencias. Las ciencias sociales lo acogieron con entusiasmo, porque permitía la deriva hacia una historia social de la ciencia por la que Kuhn no mostró demasiado interés. En realidad, el ruido que acompañó a la difusión de las tesis de Kuhn no oculta la limitación de sus resultados. Ni él, ni ninguno de sus seguidores, Lakatos incluido, ofreció un índice para una Historia de la Ciencia y no conocemos ningún libro escrito a partir de una secuencia de paradigmas, de programas de investigación científica. Aunque la historia social de la ciencia ha producido resultados suficientes para apreciar su utilidad para el conocimiento de la vida y los medios científicos, siempre en torno al creador del nuevo paradigma, lo que no se ha conseguido es la anunciada nueva historia de la ciencia. Y tampoco es solución defender, como hizo Paul Feyerabend, que «todo vale», que no hay en realidad diferencias esenciales entre sistemas como la ciencia o la brujería.
La idea de un cambio en la naturaleza del conocimiento fue la consecuencia de la demolición crítica de algunas de las construcciones filosófico-cosmológicas de la Antigüedad. En tanto la teoría de los números y la medida de las magnitudes permitió la construcción de las matemáticas y la formulación axiomática de los fundamentos de la geometría, que se mantienen en nuestros días, la teoría del conocimiento de Aristóteles, basada en el silogismo y la deducción, dependía de su capacidad de construir conceptos inequívocos y de integrarlos en sistemas especulativos. Los renacentistas no necesitaron a los clásicos para construir una filosofía basada en la inducción. La cosmología aristotélico-ptolemaica no pudo mantenerse frente a los resultados de la observación instrumental que empleaba el telescopio y el microscopio. Y la anatomía galénica no pudo mantenerse ante la crítica de Vesalio, mientras que la fisiología del primero sobrevivió hasta la descripción de los tejidos.
§. La teoría del movimiento
En el capítulo anterior vimos cómo utilizó Galileo sus observaciones con el telescopio para apoyar el sistema copernicano. Pero para defender el cosmos heliocéntrico no bastaba solo con presentar observaciones que, además, eran difíciles (el campo visual al que accedían los telescopios galileanos era muy pequeño, con lo que había que ir componiendo, solapando imágenes, la vista completa del objeto observado). Galileo tenía que enfrentarse también al viejo problema de por qué, si la Tierra se movía, no se notaba este movimiento. En la «Segunda Jornada» del Dialogo sopra i due massimi sistemi del mondo Tolemaico, e Copernicano se enfrentaba a este problema argumentando (en boca de Salviati) lo siguiente:
El error de Aristóteles, de Ptolomeo, de Tycho, vuestro [Simplicio] y de todos los demás, radica en esa fija e inveterada impresión de que la Tierra está en reposo, de la que no os podéis o sabéis despojar ni siquiera cuando queréis filosofar acerca de lo que se seguiría, en el supuesto de que la Tierra se moviese. Así también […] al no considerar que mientras la piedra está sobre la torre, respecto al moverse o no, hace lo que hace el globo terrestre, porque habéis fijado en vuestra mente que la Tierra está quieta, en todo momento pensáis en la caída de la piedra como si partiese del reposo, por lo que es preciso afirmar: si la Tierra está en reposo, la piedra parte del reposo y desciende perpendicularmente. Pero si la Tierra se mueve, la piedra se mueve otro tanto con igual velocidad y no parte del reposo, sino del mismo movimiento que la Tierra, con el cual mezcla el sobreañadido hacia abajo y compone uno transversal.
Y no solo ponía como ejemplo la piedra, también balas de cañón:
Debemos seguir hablando del cañón elevado perpendicularmente sobre el horizonte, es decir, el disparo hacia nuestro cenit y finalmente del retorno de la bala por la misma línea sobre la misma pieza de artillería, a pesar de que en la larga demora que ha estado separada de la pieza, la Tierra haya llevado a esta última muchas millas hacia levante, y parece por tanto que la bala debería caer alejada de la pieza el mismo espacio hacia occidente, lo que no sucede […] La solución es la misma que la del caso de la piedra que cae de la torre, y toda la falacia y la equivocación consiste en suponer en todo momento como verdadero lo que está en cuestión. Porque el adversario [los aristotélicos] no deja de dar por sentado en todo momento que la bala parte del reposo, al ser lanzada fuera de la pieza, y no puede suceder que parta del estado de reposo si no se supone el reposo del globo terrestre, que es precisamente el problema que se está planteando. Replico, por tanto, que los que consideran móvil a la Tierra responden que el cañón y la bala que está dentro participan del mismo movimiento que tiene la Tierra. Más aún, que junto con ella tienen tal movimiento por naturaleza y, por ello, la bala no parte en absoluto del reposo, sino unida con su movimiento en torno al centro, que no es ni eliminado ni estorbado por la proyección hacia arriba. De este modo, siguiendo el movimiento universal de la Tierra hacia oriente, se mantiene continuamente sobre la pieza, tanto al elevarse como en su entorno. Y veréis que, en una nave, sucede lo mismo haciendo la experiencia de lanzar una bala hacia arriba en perpendicular con una ballesta, que regresa al mismo lugar, tanto si la nave se mueve como si está quieta.
En otras palabras: aún no disponiendo de una mecánica elaborada, como la que proporcionaría más de medio siglo después Newton, Galileo introducía la noción de sistema dinámico y esbozaba la noción de movimiento inercial. De hecho, terminó regresando a sus primeros intereses científicos (en los tres años, 1589-1592, que enseñó en la Universidad de Pisa ya escribió un manuscrito sobre el movimiento, De motu, que no se publicó hasta el siglo XX, en el que se encuentran las ideas fundamentales de la nueva teoría del movimiento, la dinámica), dando finalmente a la imprenta una obra maestra: Discorsi e dimostrazioni matematiche, intorno à due nuove scienze attenenti alla mecanica & i movimienti locali (Discursos y demostraciones matemáticas sobre dos nuevas ciencias relativas a la mecánica y movimientos locales), publicada en 1638 en Ámsterdam en la histórica editorial Elzevier, una obra que contiene las, en realidad, contribuciones más originales de Galileo a la física. Lo que había hecho con sus observaciones astronómicas era defender a Copérnico interpretando observaciones, mientras que en sus estudios sobre el movimiento planeó experimentos cuantificando los resultados que obtenía. Resultados que, además, enmarcaba en un cierto sistema teórico, no completo, pero que incluía elementos novedosos.
Es preciso señalar antes de continuar que Galileo no fue, en modo alguno, el primer estudioso del movimiento, de la mecánica. Ahora bien, antes de mencionar a algunos de sus predecesores debemos recordar que el estudio del movimiento comprende dos apartados. Por un lado está la cinemática, que trata de los movimientos tomados en sí mismos; únicamente necesita, por consiguiente, de un marco espacial y temporal, es decir, coordenadas a las que referir la variación de posición y una medida del tiempo. El segundo apartado de la mecánica es la dinámica, que estudia el movimiento con relación a la causa o causas que los producen, o, como se denomina habitualmente, las fuerzas. Aunque no disponían del concepto de fuerza (fue Newton, como veremos en el capítulo siguiente, quien consiguió establecer una dinámica satisfactoria), durante la Edad Media se avanzó bastante en el dominio de la cinemática. Parece que el primero que se ocupó de ella, sin enmarcarla en otros intereses (como la astronomía o la geometría), fue un geómetra de la primera mitad del siglo XIII, Gerardo de Bruselas, autor de un texto titulado Liber de motu (Libro sobre el movimiento). Siguieron luego, ya en el siglo XIV, un grupo asociado al Merton College de Oxford: Thomas Bradwardine, William Heytesbury, Richard Swineshead y John Dumbleton, cuya actividad se extendió entre, aproximadamente, 1328 y 1350. Entre los textos que escribieron en los que se incluyen cuestiones cinemáticas, recordaremos el Tractatus de Proportionibus (Tratado sobre las proporciones; 1328), de Bradwardine, Regule solvendi sophismata (Reglas para resolver sofismas; 1335), de Heytesbury, Liber calculationum (Libro de cálculos), un manuscrito debido a Swineshead, compuesto seguramente entre 1328 y 1350, y Summa logiciae et naturalis philosophiae (Tratado de lógica y filosofía natural), de Dumbleton.
Del trabajo de estos cuatro hombres se derivó: (1) una distinción clara entre cinemática y dinámica; (2) un nuevo enfoque al concepto de velocidad, en el que se introdujo la noción de velocidad instantánea; 3) la definición de movimiento uniformemente acelerado, entendido como aquel en el que se adquieren incrementos iguales de velocidad en intervalos de tiempo iguales; y (4) la manifestación y demostración del teorema fundamental de la cinemática, o «Regla de Merton», que iguala, con respecto al espacio recorrido en un tiempo dado, un movimiento uniformemente acelerado y un movimiento uniforme en el que la velocidad es igual a la velocidad en el instante medio del tiempo de aceleración.
A este último teorema llegó también el escolástico parisino Nicolás de Oresme (c. 1320-1382), que como los miembros de Merton College manejaba el concepto de «aceleración» (variación de velocidad con respecto al tiempo), aunque lo denominase velocitatio. En sus estudios, utilizaba unas representaciones gráficas en las que la longitudo (las, como diríamos ahora, abscisas) representaban la extensión del movimiento, esto es, el tiempo, mientras que la latitudo (las ordenadas) indicaban su valor. El área subtendida, la configuratio, permitía determinar las velocidades instantáneas, representadas por cada una de las perpendiculares al tiempo, mientras que todas juntas indicaban el espacio recorrido.
Provisto del anterior marco geométrico, Oresme se ocupó en primer lugar de «cualidades» geométricas «que cambian», llegando a la conclusión de que «la magnitud de una cualidad que cambia de manera uniforme es la misma que la de una cualidad constante igual al valor medio de la cualidad que cambia uniformemente».
Ahora bien, la matematización que tanto los miembros de Merton College como Oresme realizaron del movimiento acelerado era completamente abstracta, ajena a la experiencia real de cuerpos en movimiento. Fue Galileo (y antes que él el teólogo español Domingo de Soto [1494/5-1560], aunque con menos éxito global) quien dio este paso en el caso de la caída de los graves, a nuestro entender un paso absolutamente fundamental en la configuración de la Revolución Científica. Al hacer esto, Galileo convirtió una propiedad, el movimiento (los cuerpos, por ejemplo, caen, por alguna razón: la fuerza de la gravedad, como establecería Newton) en una magnitud. No hay nada que muestre con tanta claridad la gran distancia que separa a Aristóteles de Galileo como este detalle.
Como sabemos, Aristóteles había negado la posibilidad del vacío, «la naturaleza es incompatible con el vacío», y había postulado que la velocidad de la caída de los cuerpos era proporcional a su peso. Un peso doble suponía un tiempo de caída igual a la mitad. Para verificar las conclusiones de Aristóteles, Galileo encontró el medio de reducir la velocidad de la caída, al hacer que bolas del mismo volumen y distinto peso recorriesen un canal inclinado. Así descubrió, como veremos a continuación, que la distancia recorrida por un cuerpo en su caída era proporcional al cuadrado del tiempo transcurrido y no del peso.
El modo de hacer ciencia de Galileo fue propio del que caracteriza a la Revolución Científica: observó, diseñó experimentos (e instrumentos), cuantificó los datos que obtuvo e interpretó. Abandonó elementos de la ciencia clásica, como los movimientos circulares, de los que no fue capaz de desprenderse Copérnico. Es cierto que Kepler también los abandonó (y antes que Galileo), pero en él aún pervivieron elementos metafísicos, como las armonías de las esferas celestes. Galileo se esforzó por determinar los parámetros que distinguen al conocimiento científico. Renunció al conocimiento filosófico de las sustancias para limitarse al conocimiento matemático de las magnitudes. Para él, la ciencia estaba caracterizada por la exclusiva consideración de las magnitudes. Las magnitudes de las cosas y los movimientos son los elementos constituyentes de la realidad. El rigor de las medidas es condición necesaria de la exactitud de las conclusiones, y las relaciones entre ellas es el objeto de la ciencia, en las distintas manifestaciones de la realidad. La prueba del conocimiento físico se obtiene mediante el experimento, que reproduce los movimientos y los cambios que caracterizan a los fenómenos. La enunciación de la ley natural es la consecuencia de la verificación experimental.
La confusión de filosofía y ciencia había producido un discurso en el que las proposiciones prevalecían sobre la observación. La renuncia a verificar los resultados de forma adecuada a su naturaleza explica que la construcción cosmológica y física se sometiese a los principios filosóficos. La demostración aristotélica no podía probar la realidad o la falsedad de las conclusiones, pero decidía su contenido. La construcción, basada en la metafísica, se impuso a la realidad. Una ciencia segura y cierta, como la que buscaba Galileo, requería de una precisa definición de sus elementos y de un potente sistema de cálculo; esto es, de matemáticas (recordemos de nuevo en este punto el famoso pasaje que Galileo escribió en Il Saggiatore, que ya citamos en la Introducción: «La filosofía está escrita en ese grandísimo libro que continuamente está abierto ante nuestros ojos (es decir, en el universo), pero no se puede entender si primero no se aprende a comprender su lengua y a conocer los caracteres en que está escrito. Está escrito en lengua matemática y los caracteres son triángulos, círculos y otras figuras geométricas, sin cuya ayuda es humanamente imposible entender nada; sin estas es como girar vanamente por un oscuro laberinto»).
No hay duda de que Galileo tomó buena nota del resultado obtenido por Oresme, como se comprueba al leer el «Teorema I. Proposición I» de la «Jornada segunda» de los Discorsi e dimostrazioni matematiche, intorno à due nuove scienze, que dice: «El tiempo en el cual un espacio dado es recorrido por un móvil que parte del reposo con movimiento uniformemente acelerado es igual al tiempo en el que aquel mismo espacio habría sido recorrido por el mismo móvil con un movimiento uniforme cuyo grado de velocidad fuese la mitad del grado de velocidad máximo alcanzado al final del movimiento uniformemente acelerado precedente», un resultado que demostraba ayudándose de una representación geométrica similar a la utilizada por Oresmes. De hecho, con este resultado, pudo llegar a un resultado especialmente importante, uno que aparece en la siguiente proposición de los Discorsi («Teorema II. Proposición II»): «Si un móvil cae, partiendo del reposo, con un movimiento uniformemente acelerado, los espacios por él recorridos en cualquier tiempo que sea están entre sí como el cuadrado de la proporción entre los tiempos, o lo que es lo mismo, como los cuadrados de los tiempos».
En sus trabajos, Galileo eliminó lo referente al movimiento circular de las estrellas y explicó, según las líneas argumentales que hemos presentado antes en una cita del Dialogo, en términos de movimientos relativos la imposibilidad de demostrar el movimiento de la Tierra. Se limitó, por tanto, al estudio de las proposiciones aristotélicas y en concreto a la caída libre de los graves. Al tratar de eliminar la resistencia, para depurar la naturaleza del fenómeno imaginó el rodamiento, en condiciones ideales, sin fricción, de una bola sobre un plano y descubrió la inercia, la tendencia de un cuerpo a mantener indefinidamente su estado de movimiento o de reposo.
La definición de la velocidad como una relación entre espacio y tiempo dio lugar a la conceptualización de los movimientos regulares y la posibilidad de medirlos («al movimiento le llamamos uniforme cuando espacios iguales son recorridos en tiempos iguales»). Llamó aceleración al cambio de velocidad durante el movimiento y movimiento uniformemente acelerado a «aquel que a partir del reposo adquiere aumentos de velocidad iguales en tiempos iguales». Definió la velocidad uniforme como el espacio recorrido por unidad de tiempo y determinó la magnitud como el cociente del espacio y el tiempo, t. Hizo lo mismo para el movimiento uniformemente acelerado y determinó su velocidad, a partir del reposo, como velocidad igual a aceleración, a, por tiempo. Rechazó sin dificultad las intuiciones de Aristóteles: «que un móvil diez veces más pesado que otro se moverá con velocidad diez veces mayor» («yo, que no he hecho la prueba», ponía en boca de Sagredo, «te aseguro que una bala de cañón que pese cien, doscientas libras o aún más, no se anticipará ni siquiera en un palmo en llegar a tierra a una bala de mosquete que pese media libra, aun cuando vengan de doscientos codos de altura»), y que en el vacío el movimiento sería instantáneo. Antes de que el siglo llegase a su fin, Robert Boyle demostraría que en el vacío todos los cuerpos caían con la misma velocidad.
Como apuntamos antes, un rasgo particularmente importante de las aportaciones de Galileo al estudio del movimiento, que se muestra con claridad en el caso de su aportación al conocimiento de la caída de los graves, es que no se limitó a consideraciones teóricas, llevando a cabo experimentos. De hecho, explicó estos en el «Corolario I» que seguía al anteriormente mencionado «Teorema II. Proposición II» de los Discorsi, cuando Salviati decía:
En un listón o, lo que es lo mismo, en un tablón de una longitud de doce codos, de medio codo de anchura más o menos y un espesor de tres dedos, hicimos una cavidad o pequeño canal a lo largo de la cara menor, de una anchura de poco más de un dedo. Este canal, tallado lo más recto posible, se había hecho enormemente suave y liso, colocando dentro un papel de pergamino lustrado al máximo. Después, hacíamos descender por él una bola de bronce muy dura, bien redonda y pulida.
Habiendo colocado dicho listón de forma inclinada, se elevaba sobre la horizontal una de sus extremidades, hasta la altura de uno o dos codos y se dejaba caer (como he dicho) la bola por dicho canal, tomando nota como en seguida he de decir del tiempo que tardaba en recorrerlo todo. Repetimos el mismo experimento muchas veces para asegurarnos bien de la cantidad de tiempo y pudimos constatar que no se hallaba nunca una diferencia ni siquiera de la décima parte de una pulsación. Establecida exactamente esta operación, hicimos que esa misma bola descendiese solamente por una cuarta parte de la longitud del canal en cuestión. Medido el tiempo de la caída, resultó ser siempre, del modo más exacto, precisamente la mitad del otro. Haciendo después el experimento con otras partes, bien del tiempo de la longitud completa con el tiempo de la mitad, con el de dos tercios, con el de tres cuartos o con cualquier otra fracción, llegamos a la conclusión, después de repetir tales pruebas una y mil veces, que los espacios estaban entre sí como los cuadrados de sus tiempos. Esto se podía aplicar a todas las inclinaciones del plano, es decir, del canal a través del cual se hacía descender la bola. Observamos también que los tiempos de las caídas por diversas inclinaciones del plano guardan entre sí de modo riguroso una proporción que es […] la que le asignó y demostró el autor.
Se trata, como es evidente, de los célebres, y fundamentales, experimentos de Galileo con planos inclinados.
En cuanto a la demostración teórica de este resultado, en los Discorsi Galileo, que no disponía del entramado —la dinámica— que creó más tarde Newton, empleaba razonamientos geométricos. Utilizando la notación y procedimientos actuales, podemos presentar la ley que formulaba en el «Teorema II. Proposición II» de la manera siguiente:
Supongamos de entrada que el cuerpo que consideramos comienza en un estado de reposo (v0 = 0, donde v representa la velocidad) y que al cabo de un tiempo t adquiere una velocidad v. El promedio de la velocidad en ese intervalo es ½ · v. Y la distancia recorrida cuando está acelerado durante el intervalo t será la misma que habría atravesado si se hubiera movido en ese intervalo de tiempo con una velocidad constante igual a la velocidad media, esto es, la distancia, d, recorrida a la velocidad constante v será:
d = ½ · v · t.

No obstante la popularidad que le dieron las observaciones astronómicas que realizó entre 1609 y 1610, y las consecuencias que extrajo de ellas, es posible argumentar que como físico la grandeza de Galileo reside en sus investigaciones sobre el movimiento. El plano inclinado que se reproduce aquí es una reconstrucción de uno de los que se cree utilizó Galileo en sus investigaciones para confirmar experimentalmente la ley de la caída de los cuerpos. Como se ve, a lo largo de la pendiente del plano se han instalado tres campanillas, separadas por una distancia creciente. Colgando de la parte superior, hay un péndulo. Galileo se aprovechó de un resultado que conocía: el isocronismo de los péndulos (el tiempo de batida solo depende de la longitud del péndulo): dejaba caer una bola desde la parte superior en el mismo instante en que hacía que comenzase a oscilar el péndulo, y contaba tiempos iguales con las oscilaciones sucesivas del péndulo. Las campanillas (que suenan cuando pasa la bola) están situadas en los lugares que corresponden a esas oscilaciones sucesivas, y, como se ve, la distancia que las separa no es la misma: crece como corresponde a una aceleración constante, y la distancia recorrida es proporcional al cuadrado del tiempo transcurrido. Si se realiza el experimento con planos inclinados de diferente pendiente y se tiene en cuenta que el de inclinación 90.º correspondería de hecho a la caída de un cuerpo, se comprende que los datos obtenidos con el plano son válidos también para la ley de la caída de un cuerpo debida a la gravitación.
Pero como se trata de un movimiento uniformemente acelerado, la velocidad es proporcional al tiempo; esto es, v = cte·t; de manera que se tiene
d = ½ · cte · t2,
una ecuación que estamos acostumbrados a escribir como:
x = ½ · g · t2,
donde g es la aceleración de la gravedad. Se trata de la ley de la caída de los graves, una pieza preciosa, indispensable, en la construcción que más tarde efectuaría Newton de una dinámica de la gravitación. Esta ley galileana de la caída de los graves descubrió que la aceleración era proporcional al tiempo y no, como suponía Aristóteles, al peso. Un paso más en la demolición del mundo científico clásico.
La medida del tiempo de caída fue decisiva para obtener valores numéricos que permitiesen el desarrollo de sus cálculos. Un momento especialmente importante en este sentido se produjo cuando hacia 1582-1583 Galileo comenzó a observar las oscilaciones de un péndulo (según la, probablemente falsa, historia que difundió Vincenzo Viviani, un ayudante del propio Galileo, en la biografía que escribió sobre este, esto tuvo lugar cuando observaba la lámpara en la catedral de Pisa y midió en pulsos el tiempo que le llevaba ir y venir). Años más tarde, construyó péndulos de distintos pesos y longitudes y descubrió el isocronismo de las oscilaciones pendulares, esto es, que el tiempo de batida de un péndulo únicamente depende de su longitud, no de la amplitud de la oscilación, hallazgo que anunció en una carta al marqués Guibodaldo dal Monte, un amigo de su familia, fechada el 29 de noviembre de 1602 y que en el Dialogo aparece referido en el siguiente intercambio entre Salviati y Sagredo:
SALV. Decidme: ¿de dos péndulos que cuelgan desde distancias desiguales, el que está atado a una cuerda más larga no hace menos oscilaciones?
SAGR. Sí, en el caso de que se muevan iguales distancias desde la perpendicular.
SALV. Ese alejarse más o menos no importa nada, porque el mismo péndulo siempre hace sus oscilaciones en tiempos iguales, sean las larguísimas o brevísimas, es decir, tanto si el péndulo se aleja muchísimo como poquísimo de la perpendicular.
La regularidad del movimiento pendular le llevó a construir un reloj que utilizó en posteriores experimentos, aunque este no puede compararse con los que ideó Christiaan Huygens, y que presentó en su libro de 1673, Horologium oscillatorum (El reloj de péndulo).
Es importante también recordar otra de las ideas galileanas: la idea de que los impulsos se sucedían sin confundirse, que le llevó a su vez a concebir el movimiento como una sucesión de impulsos. Galileo introdujo la composición de fuerzas para explicar el movimiento de los proyectiles. Aristóteles creía que los distintos impulsos se sucedían en el tiempo, de forma que la flecha cambiaba instantáneamente su dirección al cesar el impulso, mientras que Galileo utilizó la composición de movimientos para producir una trayectoria parabólica. Como escribió en los Discorsi: «Un proyectil que se desliza con un movimiento compuesto por un movimiento horizontal y uniforme y por un movimiento descendente, naturalmente acelerado, describe, con dicho movimiento, una línea semiparabólica».
En resumen, aún no disponiendo de una dinámica (que requería, entre otros elementos, de un cálculo infinitesimal), Galileo desbrozó el camino que colonizaría más tarde Isaac Newton.
§. La libertad de la ciencia
Además de definir la naturaleza de la ciencia, Galileo es la figura emblemática de la libertad de la investigación, que defendió en dos momentos de su vida, hasta acabar condenado por la Inquisición. Y es importante que nos detengamos también en este punto, porque la ciencia sin libertad se ve restringida. Al verse enfrentado a la Inquisición romana por sus ideas científicas, y al ser finalmente condenado por ella, Galileo se convirtió en un símbolo de una de las características de la ciencia: la libertad de pensamiento, que de esta manera se presenta como otra de las ideas que afianzó —aunque a través de su negación (Galileo fue condenado)— la Revolución Científica.
A pesar de la excelente acogida que inicialmente tuvieron las observaciones astronómicas e interpretaciones teóricas de Galileo en 1609-1610, no tardaron en surgir reacciones en contra. Que la Tierra se moviese planteaba a muchos graves problemas teológicos. En la Biblia, recordemos, se podía leer: «¡Sol, detente sobre Gabaón y tú, Luna, sobre el valle de Ayalón!». Y ¿cómo podría detenerse el Sol si no se movía?
En 1614, el dominico Tommasso Caccini le atacó desde el púlpito de la iglesia de Santa María Novella, y a comienzos del año siguiente otro dominico, Niccolò Lorini, le denunció a la Congregación del Santo Oficio. Sin embargo, algunos de sus amigos romanos se esforzaron por ayudarlo. Uno de ellos, Giovanni Ciampoli, se entrevistó el 27 de febrero de 1615 con el cardenal Maffeo Barberini (1568-1644). Al día siguiente, Ciampoli informaba a Galileo:
El Señor Cardenal Barberini que, como bien sabe por experiencia, siempre ha admirado su valía, me decía ayer por la tarde que, respecto a esas opiniones, sería más seguro no ir más allá de los argumentos usados por Ptolomeo y Copérnico, y en definitiva, no traspasar los límites de la física o la matemática, porque los teólogos pretenden que declarar el sentido de la Escritura les corresponde a ellos; y cuando se aportan novedades, aunque se trate de ingenios admirables, no hay quien carezca de pasiones en su corazón y nadie toma las cosas tal como se dicen: uno amplía, otro cambia, y lo que ha salido de la boca de un autor sufre tantas transformaciones al divulgarse que el propio autor ya no reconoce aquello como suyo. Y yo sé lo que digo: porque su opinión [de Galileo] sobre los fenómenos de la luz y de las sombras de la parte pura y de las manchas establece alguna semejanza entre el globo terrestre y el de la Luna; entonces, uno añade y dice que usted dice que hay hombres que habitan la Luna; otro empieza a discutir cómo pueden haber descendido de Adán, o haber salido del arca de Noé, con muchas otras extravagancias que usted nunca soñó. De modo que afirmar frecuentemente que uno se somete a la autoridad de los que tienen jurisdicción sobre la inteligencia de los hombres en la interpretación de las Escrituras es muy necesario para quitar la ocasión a la malignidad de otros. Quizás parecerá a Vuestra Señoría que voy demasiado lejos dándomelas de sabio; perdóneme, por favor, y reciba el infinito afecto que es lo que me hace hablar así.
Vemos que Galileo iba teniendo problemas. Y respondió ante ellos. Especialmente interesante es lo que escribió en una carta que dirigió en 1615 a la gran duquesa de Toscana, Cristina de Lorena (1565-1636). «La autoridad de las Sagradas Letras», manifestó allí, «fue establecida para persuadir principalmente a los hombres de aquellos artículos y proposiciones que, sobrepasando toda capacidad de comprensión humana, no podían hacerse creíbles por otra ciencia o por otros medios que por la boca del mismo Espíritu Santo. Además de que, asimismo, en aquellas proposiciones que no son de Fide, la autoridad de las Sagradas Escrituras debe anteponerse a la autoridad de todas las escrituras humanas, escritas no con método demostrativo, sino como pura narración o con razones probables. Esto es cosa que afirmo debe considerarse tan conveniente y necesaria, cuanto la divina sabiduría supera todo juicio y conjetura humana. Pero no creo que sea necesario creer que el mismo Dios que nos ha dotado de sentidos, de entendimiento y de intelecto, haya querido, posponiendo el uso de estos, darnos con otros medios las noticias que podíamos conseguir con aquellos, de modo que, incluso en las conclusiones naturales que se hacen manifiestas a los ojos y al intelecto por experiencias sensibles o por demostraciones naturales, debamos negar el sentido y la razón. Y esto especialmente en aquellas ciencias de las que aparece en las Sagradas Escrituras solo una mínima parte y de manera contradictoria […] De modo que no solo los autores de las Sagradas Escrituras no pretendieron enseñarnos la constitución y el movimiento de los cielos y de las estrellas, y sus formas, magnitudes y distancias, sino que se abstuvieron de ello intencionadamente, aunque todas cosas les resultaban conocidísimas».
En otras palabras, Galileo sostenía que las Sagradas Escrituras no erraban en materias teológicas y morales, y que sus principios debían aplicarse literalmente en este dominio, en tanto que las referencias a la naturaleza no tenían el mismo valor, ni debían aceptarse contra el conocimiento científico. Más aún, creía que el intelecto humano podía en ciertos aspectos o momentos igualar al divino: «Digo», se lee casi al final de la Jornada Primera del Dialogo, «que el intelecto humano comprende algunas [proposiciones] tan perfectamente y tiene de ellas una certeza tan absoluta como pueda tenerla la propia naturaleza. Y así son las ciencias matemáticas puras, es decir la geometría y la aritmética, de las cuales el intelecto divino sabe infinitas proposiciones más, porque las sabe todas, pero creo que el conocimiento de las pocas comprendidas por el intelecto humano iguala al divino en la certeza objetiva, puesto que llega a comprender su necesidad, sobre la cual no parece que pueda haber seguridad mayor». Fe en la mente humana es esto.
A finales del mismo año, 1615, que escribió esta carta, y para intentar evitar las críticas que le surgían, Galileo viajó a Roma, a donde llegó el 10 de diciembre. Sin embargo, no consiguió evitar que fuese amonestado y advertido. El jueves 25 de febrero de 1616 el papa ordenó al cardenal Bellarmino que llamará a Galileo, con el resultado, según un documento depositado en los archivos del Santo Oficio de que: «El día 26, el Ilustrísimo Señor Cardenal Bellarmino amonestó a Galileo acerca del error de la opinión mencionada, etc., y a continuación el Padre Comisario le impuso el precepto como se dice arriba, etc.». El precepto en cuestión era que se abstuviera de enseñar, defender o incluso discutir el copernicanismo. El 3 de marzo, en una reunión del Santo Oficio en la que estaban presentes el papa y siete cardenales, Bellarmino informó que Galileo había aceptado abandonar la opinión de que el Sol está quieto y la Tierra en movimiento. Poco después, el 5 de marzo, la Congregación del Índice emitió, con el asentimiento del papa, un decreto por el que se condenada y prohibía, «hasta que se corrijan», cinco libros, el de Copérnico entre ellos. Además, se establecía que se prohibiesen «todos los demás libros que enseñan lo mismo».
Que Galileo no creía en lo que manifestó es seguro. Aun así, en los años siguientes se limitó a criticar a Aristóteles, hasta que la aparición en 1618 de una serie de cometas planteó de nuevo el problema de la composición del cosmos. En un libro titulado De tribus cometis ani 1618 disputatio astronómica (Una discusión astronómica sobre los tres cometas de 1618), publicado en 1619, un jesuita matemático del Colegio Romano, Orazio Grassi (1583-1654), asumió la tesis de Tycho Brahe que los situaba más allá de la Luna. Seguramente acordándose de la admonición del Santo Oficio, Galileo no respondió directamente, sino a través de un texto escrito por un amigo y discípulo, Mario Guiducci (1585-1646), pero que sin duda inspiró él: Discorso delle comete (Discurso del cometa; 1619). El recurso empleado allí fue utilizar una tesis aristotélica, la de que los cometas no son objetos celestes sino efectos ópticos producidos por la luz solar. Guiducci-Galileo sabía que se trataba de una hipótesis falsa, pero recurrió a ella para mostrar las carencias de la observación astronómica.
Grassi, sin embargo, no se amilanó y respondió con otra obra (publicada también en 1619), Libra astronomica ac philosophica, aunque firmando con el pseudónimo de Lotario Sarsi, en el que atacaba directamente a Galileo y al copernicanismo, obligando así a Galileo a mostrarse directamente a través de un texto firmado por él, en forma de carta dirigida al académico linceano Virginio Cesarini (1595-1624), que fue publicado en Roma en 1623 por la Accademia del Lincei: Il Saggiatore. Se trataba de una defensa de sus trabajos anteriores, en la que evitaba dentro de lo posible entrar en la cuestión copernicana, aunque aun así se podían leer en él pasajes como, «no veo por qué razón se deba elegir a Tycho, anteponiéndolo a Ptolomeo y a Nicolás Copérnico, de los cuales tenemos sistemas completos del mundo, construidos con gran ingenio y acabados, lo cual no veo que lo haya hecho Tycho», aunque enseguida añadía prudentemente y de manera un tanto críptica: «En cuanto a la hipótesis copernicana, si nosotros los católicos no hubiéramos sido sacados del error e iluminada nuestra ceguera en beneficio nuestro por una sabiduría superior, no creo que tal gracia y beneficio se hubiese podido obtener de las razones y experiencias expuestas por Tycho. Siendo, por tanto, seguramente falsos los dos sistemas, y nulo el de Tycho, no debería reprenderme Sarsi si con Séneca deseo conocer la verdadera constitución del universo».
El caso es que Galileo se comportó, más o menos, como se le exigía, hasta que creyó que la situación político-religiosa (el acceso al Pontificado, en 1623, como Urbano VIII, del cardenal Barberini, que había sido uno de sus defensores) le favorecía y podía expresarse más libremente. El producto de aquel, a la postre malentendido, o error de juicio, fue el Dialogo sopra i due massimi sistemi del mondo Tolemaico, e Copernicano.
La aparición del Dialogo condujo a que su autor fuese juzgado y condenado por el Tribunal romano del Santo Oficio (la Inquisición). Y a la histórica declaración de abjuración que Galileo firmó en Roma, en el Convento de Santa María Sopra Minerva, el 22 de junio de 1633:
Yo, Galileo Galilei, hijo del fallecido Vincenzo Galilei de Florencia, de setenta años de edad, juzgado personalmente por este tribunal, y arrodillado ante Vosotros, Eminentísimos y Reverendísimos Señores Cardenales, Inquisidores Generales de la República Cristiana contra las depravaciones heréticas, teniendo ante mis ojos los Santísimos Evangelios y poniendo sobre ellos mi propia mano, juro que siempre he creído, creo ahora y que, con la ayuda de Dios, creeré en el futuro todo lo que la Santa Iglesia Católica y Apostólica mantiene, predica y enseña.
Pero como yo, tras haber sido amonestado por este Santo Oficio a abandonar completamente la falsa opinión de que el Sol es el centro inmóvil del universo, y que la Tierra no es el centro del universo y se mueve, y a no sostener, defender o enseñar de ninguna manera, ni oralmente ni por escrito, la mencionada falsa doctrina; y tras haberme sido notificado que dicha doctrina es opuesta a las Sagradas Escrituras, escribí y di a imprenta un libro en que trato de dicha doctrina ya condenada, y presento argumentos de mucha eficacia en su favor, sin llegar a ninguna conclusión: he sido hallado vehementemente culpable de herejía, es decir, de haber mantenido y creído que el Sol es el centro inmóvil del universo, y que la Tierra no está en el centro del universo y se mueve.
Sin embargo, deseando eliminar de las mentes de vuestras Eminencias y de todos los fieles cristianos esta vehemente sospecha razonablemente concebida contra mí, abjuro con corazón sincero y piedad no fingida, condeno y detesto los dichos errores y herejías, y generalmente todos y cada uno de los errores y sectas contrarios a la Santa Iglesia Católica. Y juro que en el futuro nunca más defenderé con palabras o por escrito cosa alguna que pueda acarrearme sospechas semejantes; y si conozco algún hereje, o sospechoso de herejía, lo denunciaré a este Santo Oficio, o al Inquisidor y Ordinario del lugar donde me encuentre.
El conflicto —es apropiado, creemos, emplear este término— entre ciencia y religión no terminó con la triste condena a Galileo. Continuaría en el futuro, afortunadamente no con el grado de violencia potencial a la que fue sometido Galileo. El ejemplo de la recepción de la teoría de la evolución de las especies de Charles Darwin constituye un buen ejemplo en este sentido, un ejemplo, además, que continúa, más de 150 años después de la publicación de El origen de las especies (1859), mostrando su actualidad en el presente a través de algo denominado «Diseño Inteligente». Pero de Darwin y de la evolución hablaremos más adelante.
Contenido:§. Isaac Newton
§. Interacción
§. El principio de inercia
§. Un universo lleno: los vórtices de descartes
§. Fuerzas: la dinámica y gravitación newtonianas
§. Newton versus descartes: la persistencia y declive de la cosmología cartesiana
§. Energía
El capítulo anterior estuvo dominado, en lo que a personas se refiere, por Galileo. El presente lo estará por Isaac Newton (1642-1727), con quien la Revolución Científica llegó a su máxima expresión. Se trata, además, de uno de los científicos más importantes de toda la historia de la ciencia, acaso el más importante, con una obra que no se limitó a la física, abarcando asimismo a las matemáticas y a la química (alquimia). Por este motivo, es apropiado comenzar este capítulo realizando una presentación general de su biografía.
§. Isaac Newton
Hijo póstumo de un pequeño agricultor, Isaac Newton estudió en la Universidad de Cambridge, en la que entró en los primeros días de junio de 1661. Alumno del Trinity College, en enero de 1665 recibió el título de Bachelor of Arts, el 2 de octubre de 1667 fue elegido Minor fellow del Trinity y el 7 de julio de 1668 recibió el grado de Master of Arts y resultó elegido para una major fellowship.
Aunque desconocido para todos, el mismo año en que obtuvo el título de Bachelor of Arts ya había alcanzado cotas científicas inusitadas. Él mismo explicó sus avances años más tarde en uno de sus manuscritos:
A comienzos de 1665, descubrí el método de las series aproximativas y la regla para reducir cualquier dignidad de todo binomio en dichas series [aquí Newton se refiere, claro está, a la demostración de un resultado importante en el desarrollo del cálculo: el teorema binomial, o expansión de (a + b)a]. En el mes de mayo del mismo año, descubrí el método de las tangentes de Gregory & Slusius [Sluse], y, en noviembre, obtenía el método de las fluxiones. En enero del año siguiente, desarrollé la teoría de los colores, y en mayo, había comenzado a trabajar en el método inverso de las fluxiones. Ese mismo año, comencé a pensar en la gravedad extendida a la órbita lunar y (habiendo descubierto cómo estimar la fuerza con la cual [un] globo, que gira dentro de una esfera, presiona la superficie de esta) a partir de la regla de Kepler, según la cual los tiempos periódicos de los planetas guardan una proporción sesquiáltera de sus distancias con respecto al centro de sus órbitas, deduje que las fuerzas que mantienen a los planetas en sus órbitas deben [ser] recíprocas a los cuadrados de sus distancias de los centros alrededor de los cuales giran: por lo cual, comparé la fuerza necesaria para mantener la luna en su órbita con la fuerza de gravedad en la superficie de la tierra, y descubrí que estas eran muy parecidas. Todo esto corresponde al periodo de 1665-1666, los años de la epidemia. Porque en aquel tiempo me encontraba en la plenitud de mi ingenio, y las matemáticas y la filosofía me ocupaban más de lo que harían nunca después.
Ya nos hemos encontrado en el capítulo 4 con los trabajos sobre óptica a los que aludía aquí, y en el presente capítulo trataremos de sus aportaciones a la física del movimiento y de la gravitación, mientras que en el próximo estudiaremos sus aportaciones a la matemática, todas piezas fundamentales de la Revolución Científica.
Aunque no comunicase públicamente los resultados de todas las investigaciones científicas en las que trabajaba, sus habilidades fueron lo suficientemente conocidas como para que el 29 de octubre de 1669 fuese elegido titular de la cátedra Lucasiana de matemáticas que hasta entonces había ocupado Isaac Barrow (1630-1677). No es que este se jubilará obligatoriamente, sino que de manera voluntaria renunció a su cátedra. Por entonces Barrow tenía sobrados motivos para reconocer el genio de Newton, lo que ha llevado a muchos a lo largo de los años a sostener que su renuncia a la cátedra Lucasiana fue como reconocimiento al mayor poder creativo de su joven compañero en el Trinity College. No está claro, sin embargo, que fuera así y que no fuesen otros los motivos. Citemos en este sentido lo que el primer biógrafo de Barrow dijo de él: «Temía, como clérigo, emplear demasiado tiempo en las Matemáticas, ya que […] en su ordenación había jurado servir a Dios en el Evangelio de su Hijo, y no podía hacer una Biblia de su Euclides, o un púlpito de su cátedra Lucasiana». Por este motivo, su renuncia a la cátedra debe entenderse sobre todo como un acto destinado a romper con las obligaciones científicas que le imponía su puesto académico, para de esta manera poder dedicarse con mayor libertad al estudio de los libros de la Palabra de Dios, y no tanto como un deseo de facilitar el acceso a Newton al máximo puesto docente universitario.
Fuese como fuese, el hecho es que en 1669 Newton se convirtió en Lucasian professor, la única cátedra en la cual se trataban por igual matemáticas y filosofía natural, un puesto en principio vitalicio, tras la dirección de los grandes colleges y las dos cátedras de Teología (habitualmente ocupadas por directores del Trinity), la pieza más valorada en Cambridge. Los estatutos de la Universidad de Cambridge exigían a aquellos que ocupasen esta cátedra que impartieran al menos una clase por semana cada trimestre sobre «Geometría, Astronomía, Geografía, Óptica, Estática y alguna otra disciplina Matemática», y que entregasen el texto escrito de sus clases anuales a la biblioteca de la Universidad. Newton cumplió con semejante obligación durante bastantes años, entregando manuscritos de sus lecciones sobre óptica (1670-1672), aritmética y álgebra (1673-1683), la mayor parte del libro I de los Principia (1684-1685) y «El sistema del mundo» (1687). No existe registro de las lecciones que impartió en 1686, si las hubo, ni de las de 1688 a 1696, año en que se mudó a Londres. Tras su muerte, se publicaron algunos de estos textos, los correspondientes a sus lecciones de óptica: Optical Lectures read in the publick schools of the University of Cambridge, anno Domini, 1669 (1728), y Lectiones opticae, annis MDCLXIX, MDCLXX & MDCLXXI. In scholis publicis habitae: et nunc primun ex MSS, in lucem editae (1729). Mucho más tarde (1989), las lecciones de los cursos 1684-1685.
No parece que fueran muchos los que asistieron a las clases de Newton (una situación parecida a la que vivieron Barrow y otros catedráticos, y que habla por sí sola del estado de la educación científica en Cambridge en la época). Humphry Newton, su amanuense entre 1685 y 1690 (fue él quien copió el texto de los Principia para la imprenta), contó, en una historia repetida en prácticamente toda biografía de Newton, que cuando este impartía sus clases «eran tan pocos los que iban a escucharle, y menos aún los que le entendían, que, a menudo, a falta de oyentes, leía para las paredes». Y así, dedicado a muy diversos estudios, entre los que se cuentan los alquímicos y teológicos, pasaron los años, hasta que una circunstancia inesperada le llevó a producir su gran tratado de física, el libro que, en más de un sentido, iba a cambiar el mundo: Philosophiae Naturalis Principia Mathematica (Principios Matemáticos de la Filosofía Natural; 1687).
El inmenso poder explicativo y predictivo de sus contribuciones científicas condujo a que Newton se convirtiese en un personaje poderoso. Que su propia Universidad lo reconocía es algo que queda patente en el hecho de que en enero de 1688 fuese elegido miembro del Parlamento en representación de su universidad (fue elegido de nuevo en 1703, pero en 1705 perdió la reelección). Su gran oportunidad social llegó una década después de la aparición de los Principia: en 1696 tomaba posesión del puesto de Warden del Mint; esto es «Guardián» de la Casa de la Moneda inglesa, lo que implicaba trasladarse a vivir en Londres y, por supuesto, magníficas retribuciones. En febrero de 1700, ascendía en esta escala oficial, pasando a ocupar el puesto de Master, el puesto supremo del Mint. Desde el principio de su vinculación al Mint, Newton se vio implicado en uno de los episodios más dramáticos de la economía británica: una reacuñación, tarea en la que se sumergió con la energía y habilidades habituales en él (compuso diversas memorias —la primera, un ensayo titulado Concerning the Amendmt of English Coyns (Relativo al cambio de la acuñación inglesa; 1695), incluso antes de tomar posesión, la última, Observations upon the State of the Coins of Gold and Silver (Observaciones sobre el estado de las monedas de oro y plata; 1718)— en las que exponía sus propias ideas. Finalmente, el 10 de diciembre de 1701 renunciaba a su cátedra. Su vida, sus aspiraciones, eran ya otras. Pero no renunciaba a acumular más poder: el 30 de noviembre de 1703 fue elegido presidente de la Royal Society, el puesto más importante en la ciencia británica. Lo mantendría hasta su muerte, en 1727.
Antes de abandonar a Newton por el momento, es preciso que nos refiramos a sus contribuciones a la óptica.
El anuncio (ya apareció esta cuestión en el capítulo 4) realizado en 1672 a través de las páginas de las Philosophical Transactions de sus observaciones e interpretaciones en el dominio de los fenómenos ópticos dio origen a una de las cosas que Newton más detestaba: la polémica. Y si la detestaba era, por encima de todo, porque significaba que su autoridad era cuestionada, algo que él no podía aceptar. Humilde, ciertamente, nunca fue; sí, por el contrario, huraño, susceptible y desconfiado (el mundialmente famoso economista John Maynard Keynes [1883-1946], en su tiempo un destacado estudioso newtoniano, dijo de él que «padecía de un tipo muy conocido de lo que hoy vulgarmente llamamos neurosis aguda […] en grado extremo»; «Uno de los más temerosos, cautos y suspicaces temperamentos que jamás conocí», aseguraba William Whiston [1667-1752], su sucesor en la cátedra Lucasiana). Entró en conflicto, en particular, con Robert Hooke (1635-1703), que, tras la presentación, en una reunión del 8 de febrero de 1672, del trabajo de Newton argumentó que sus conclusiones eran correctas, pero que él mismo ya las había obtenido en muchos cientos de ensayos. Aquel agrio choque retraería aún más a Isaac de cualquier inclinación a publicar sus resultados y explica en parte, solo en parte (Newton era consciente de las limitaciones de sus planteamientos), por qué tardó tanto en dar a la imprenta la obra en la que englobó sus investigaciones e ideas ópticas: hasta 1704 no apareció la Opticks, or a Treatise of the Reflections, Refractions, Inflections and Colours f Light (Óptica, o un tratado de las reflexiones, refracciones, inflexiones y colores de la luz), su otro gran libro, junto a los Principia.
La Óptica es una obra mucho más accesible que los Principia. Esto es debido a que su componente matemático es muy pequeño y elemental, fruto, naturalmente, de la inexistencia entonces de una teoría general de los fenómenos de que se ocupa. Aun así, se trata de un libro en el que se observa con claridad un componente básico del método newtoniano: la relación dialéctica entre observación e interpretación teórica. Más que Newton el matemático, el protagonista principal de este texto es Newton el hábil experimentador. Digno de reseñar es, asimismo, la inclusión de una serie de «Cuestiones» en las que proponía «algunos interrogantes para que otros emprendan ulteriores investigaciones». Independientemente de su valor para tan, en principio, noble fin como el de estimular a otros, las «Cuestiones» de la Óptica constituyen una de las raras ocasiones en las que Newton, el Newton que hizo norma de comportamiento el célebre Hipothesis non fingo (No formulo hipótesis) de los Principia —aunque, por supuesto, las hiciese—, expresaba opiniones que no podía defender con argumentos firmes. No es, desde luego, frecuente encontrarse con textos publicados mientras él vivía en los que se lean sentencias como: «¿Acaso el calor de la habitación templada no se transmite a través del vacío por las vibraciones de un medio más sutil que el aire y que permanece en el vacío una vez eliminado el aire?» (Cuestión 18; 2a edición); o «¿acaso el movimiento animal no se debe a las vibraciones de este medio, excitadas en el cerebro por el poder de la voluntad y propagadas desde ahí a través de los capilamentos sólidos, transparentes y uniformes de los nervios hasta los músculos, a fin de contraerlos y dilatarlos?» (Cuestión 24).
Las investigaciones ópticas ofrecen una magnífica oportunidad para acceder a facetas de la personalidad de Newton que, sin ser ignoradas, han quedado con frecuencia en un segundo plano, debido, precisamente, a sus grandes éxitos como matemático y, como diríamos hoy, físico teórico. Además de las recogidas en las «Cuestiones», otra es su ya mencionada gran destreza manual y su extraordinario poder de introspección concentrada y sostenida. Una destreza manual que llegó a aplicar a sí mismo: en algunos de sus experimentos tomó una aguja de zurcir y, utilizando su propia descripción del hecho, «introduje», se lee en uno de sus manuscritos, «un punzón entre mi ojo y el hueso, tan cerca como pude de la parte posterior del ojo». Luego, en un ensayo cuyo solo pensamiento le pone a uno enfermo, empujó la aguja contra el globo ocular una y otra vez hasta que aparecieron —le citamos de nuevo— «varios círculos blancos, oscuros y coloreados», círculos que «siguieron haciéndose evidentes cuando seguí frotando mi ojo con el extremo del punzón; pero si mantenía mi ojo y el punzón quietos, aunque continuara apretando mi ojo con él, los círculos se hacían más débiles y a menudo desaparecían hasta que seguía el experimento moviendo mi ojo o el punzón».
Un punto que merece la pena señalar es que Newton defendía la idea de que la ciencia, la filosofía natural, debía considerarse como un buen instrumento, aunque no definitivo, en la búsqueda del «conocimiento de la causa primera», que no era otra, por supuesto, que Dios. Aparentemente, este propósito le guió incluso en la composición de los Principia. En efecto, en una carta que escribió el 10 de diciembre de 1692 a Richard Bentley (1662-1742), a quien se debe que Newton autorizara la publicación de una segunda edición de los Principia (1713), señalaba que «cuando escribí mi tratado acerca de nuestro Sistema [los Principia], tenía puesta la vista en aquellos principios que pudiesen llevar a las personas a creer en la divinidad, y nada me alegra más que hallarlo útil a tal fin». Aunque, claro, una cosa es expresar, a posteriori, semejante declaración de principios, y otra muy diferente aceptar que el contenido de los Principia se vio condicionado, o guiado, por las ideas o percepciones religiosas de Newton.
Cuando se analiza el contenido de los Principia nos encontramos con Newton el científico, el físico y el matemático, no con el teólogo que también fue. Rastros de este último aparecen en muy escasos lugares. En dos, de hecho. El primero es una referencia, breve y no demasiado afortunada, a Dios en el libro tercero de la primera edición de los Principia, en el Corolario 5 a la proposición VIII, Teorema VIII. Se lee allí: «Por tanto Dios situó a los planetas a diferentes distancias del Sol para que cada uno, según el grado de densidad, disfrutase de un grado mayor o menor de calor solar». Sin embargo, en la segunda edición Newton eliminó esta nota. Como si tratase de compensar esa pérdida teológica en los Principia, en la segunda edición —publicada en 1713, cuando tenía setenta y un años—, Newton decidió cerrar su gran monografía con unas páginas dedicadas a la «divinidad». Se trata del célebre «Escolio general», en el que Newton pretendía poco menos que definir a Dios: «Es eterno e infinito, omnipotente y omnisciente, es decir, dura desde la eternidad hasta la eternidad y está presente desde el principio hasta el infinito: lo rige todo; lo conoce todo, lo que sucede y lo que puede suceder. No es la eternidad y la infinitud, sino eterno e infinito; no es la duración y el espacio, sino que dura y está presente. Dura siempre y está presente en todo lugar, y existiendo siempre y en todo lugar, constituye a la duración y al espacio».
En ese mismo «Escolio» también se comprueba que el Dios newtoniano era uno y no trino: «Dios es uno y el mismo dios siempre y en todo lugar. Es omnipotente no solo virtualmente sino sustancialmente […] Está reconocido que un dios sumo existe necesariamente y con la misma necesidad existe siempre y en todo lugar. De donde también es todo él semejante a sí mismo, todo ojo, todo oído, todo cerebro, todo brazo, todo fuerza de sentir, todo entender, de actuar, pero en modo alguno a la manera humana, o a la manera corporal, sino de una manera totalmente desconocida para nosotros. Como el ciego no tiene idea de los colores, de igual modo nosotros no tenemos idea de los modos con los que Dios sapientísimo siente y entiende todas las cosas. Absolutamente desprovisto de todo cuerpo y figura corporal, no puede por ello ser visto ni oído, ni tocado, ni debe ser venerado bajo forma de cosa corpórea alguna». Nos volveremos a encontrar con la «presencia» de Dios en la física newtoniana cuando tratemos de sus conceptos de espacio y tiempo absolutos, al igual que de las acciones a distancia que introdujo para la propagación de las fuerzas.
¿Podemos extraer alguna lección de este caso aplicable a la ciencia en general? Creemos que una: que la racionalidad de los científicos puede coexistir, que coexiste de hecho en ocasiones, con mundos personales interiores mucho menos racionales.
Pero ya es el momento de entrar en la física newtoniana.
§. Interacción
Describir la naturaleza, explicarla (esto es, encontrar leyes generales), el objeto de la ciencia, requiere de muy diversos procedimientos. Como ya vimos, es preciso, por supuesto, observar lo que existe en la naturaleza, cuantificar magnitudes más que buscar propiedades, e interpretar los datos obtenidos en esas observaciones. Ahora bien, todo esto está íntimamente relacionado, al menos en primera instancia, con determinar cómo cambian los objetos que observamos. Pero la expresión «cómo cambia» algo, quiere decir «cómo cambia en el tiempo», «cómo varía el lugar que ocupa, su posición o su estado a lo largo del tiempo», cómo se mueve. Entramos, por consiguiente, en el dominio del movimiento. (El concepto tiempo es, no lo ignoramos, complejo, pero aquí lo identificamos con una variable asociada al cambio).
Sucede, no obstante, que no tendría sentido hablar de «cambios en el tiempo» si no existiese más de un cuerpo en el Universo, porque ¿cómo podríamos identificar entonces que ese cuerpo cambia de posición?, ¿con respecto a qué? En consecuencia, nos vemos abocados a concluir —es, en el fondo una trivialidad, pero una trivialidad que es necesario recalcar— que la ciencia trata en última instancia de la descripción del movimiento de conjuntos de cuerpos.
Esos conjuntos de cuerpos, de objetos, pueden o no influirse unos a los otros. Si no lo hacen, decimos que se trata de cuerpos libres, pero si se afectan entre sí, hablamos de interacciones. Surge entonces la cuestión de cómo se afectan, cómo interaccionan los cuerpos entre sí. Tres han sido los conceptos creados para explicar la interacción entre cuerpos; de hecho, más que creados, podríamos igualmente decir los tres conceptos imaginables, en tanto que resulta difícil pensar en otras posibilidades. El primero es el de interacción por contacto; esto es, mediante el choque de dos cuerpos, que de esta forma se ven, lógicamente, afectados en sus historias posteriores. El segundo es el de interacción a través de un medio, sea este medio del tipo que sea, los vórtices cartesianos o el éter-campo electromagnético. Finalmente está la interacción a distancia, la forma de interacción más enigmática porque no necesita de ningún medio en el que se apoye, a través del cual se propague la interacción. Bien podríamos hablar en este caso de correlaciones, en lugar de interacciones, pero independientemente de cuál sea el término empleado, queda lo misterioso de él. El propio Isaac Newton, el responsable de su introducción en la física, se refirió a este concepto de interacción en una carta que dirigió el 25 de febrero de 1693 al ya mencionado Richard Bentley de la manera siguiente:
Es inconcebible que la materia bruta inanimada opere y afecte (sin la mediación de otra cosa que no sea material) sobre otra materia sin contacto mutuo, como debe ser si la gravitación en el sentido de Epicuro es esencial e inherente a ella. Y esta es la razón por la que deseo que no me adscriba la gravedad innata. Que la gravedad sea innata, inherente y esencial a la materia de forma que un cuerpo pueda actuar a distancia a través de un vacío sin la mediación de otra cosa con la cual su acción o fuerza puede ser transmitida de [un lugar] a otro, es para mí algo tan absurdo que no creo que pueda caer en ella ninguna persona con facultades competentes de pensamiento en asuntos filosóficos. La gravedad debe ser producida por un agente que actúe constantemente según ciertas leyes, pero si este agente es material o inmaterial es una cuestión que he dejado a la consideración de mis lectores.
En otras palabras, Newton no creía realmente en las acciones a distancia, pero era lo suficientemente buen científico como para renunciar a un instrumento conceptual que mostraba su valor predictivo, o, lo que es lo mismo, científico. Otra cosa es lo que él pensase, sin poderlo demostrar.
§. El principio de inercia
Los Principia se publicaron en 1687; fue, en consecuencia, un fruto tardío, aunque muy importante, del problema del estudio del movimiento. Otro tanto podríamos decir de los otros dos modos de transmisión de la interacción que acabamos de mencionar, al igual que del propio concepto de interacción, que implica un tipo de estructura concreta en la explicación y estudio del movimiento. De hecho, antes de que se llegase a todo esto, a la hora de explicar la causa del movimiento se planteó una alternativa: atribuirla al objeto o al medio.
Una acepción de naturaleza es la que se refiere al conjunto de los caracteres de una cosa; la composición, forma y dimensiones que la identifican. Al explicar un movimiento tan común como la caída de una piedra, Aristóteles invocó, recordemos, la naturaleza de un cuerpo que tendía a ocupar su lugar natural (en el caso de la piedra el centro de la Tierra, entonces y durante mucho tiempo después mayoritariamente considerada como coincidente con el centro del Universo). La naturaleza de la piedra era la causa eficiente del movimiento, una explicación que se mantuvo en vigor en Europa hasta el siglo XVII. El matemático y astrónomo hindú Brahmagupta de los siglos VI y VII ofreció una explicación distinta, que nos resulta más familiar, más moderna, al postular la existencia de una fuerza de atracción terrestre a la que dio nombre (gravedad): «Las cosas caen hacia la Tierra porque en su naturaleza está el atraerlas, lo mismo que en la del agua está el fluir». Siguiendo la senda abierta por Brahmagupta, el astrónomo persa Muhamad ibn Musa al-Khuarizmi, de los, recordemos, siglos VIII y IX, dio un paso más, considerando que la atracción de los cuerpos pesados era mutua (vemos aquí un posible germen, o forma primitiva, tanto de la idea de «gravitación universal», como de la tercera ley de Newton, la de la acción y reacción, aunque indudablemente tales antecedentes fueron desconocidos por el autor de los Principia).
Por su parte, los escolásticos concibieron los cuerpos materiales como la combinación de un sustrato inerte, carente de propiedades (materia prima) y de una esencia que aportaba las cualidades (forma sustancial), entre otras la explicación aristotélica del movimiento.
Como vimos, la publicación en 1543 del De revolutionibus de Copérnico desplazó el interés científico hacia la cosmología heliocéntrica y planteó el problema de explicar el movimiento de los cuerpos celestes. Eliminadas las explicaciones aristotélico-ptolemaicas, en particular las esferas «cristalinas» que acogían a los planetas —no a la Tierra— y al Sol, ¿cuál podía ser el soporte, el mecanismo, responsable del movimiento de los planetas en torno al Sol?
Cuando se busca lo que Kepler pensaba al respecto, encontramos explicaciones un tanto confusas, algo no sorprendente en la medida en que ignoraba la solución al problema. Uno de los lugares en los que trató de esta cuestión es su Epitome astronomiae Copernicanae. Allí, en la Sección II («Sobre las causas del movimiento de los planetas») de la Parte II del Libro IV, Kepler planteaba la pregunta siguiente: «Si no hay esferas sólidas, entonces parece que se necesitarán inteligencias para regular el movimiento de los cielos, aunque las inteligencias no son dioses. Porque pueden ser ángeles o alguna otra criatura racional, ¿no es así?». Y respondía que «no eran necesarias tales inteligencias», que «no era posible que un globo planetario fuese transportado solo por una inteligencia. Porque, en primer lugar, la mente está desprovista del suficiente poder animal para producir movimiento». Tras embarcarse en una serie de disquisiciones, influidas por consideraciones antropomórficas, se refería a «poderes naturales que se han implantado en los cuerpos planetarios y que permiten que el planeta pueda ir de un lugar a otro», añadiendo algo más adelante:
Incluso si un globo celeste no es pesado de la misma manera que se dice de una piedra sobre la Tierra que es pesada, y no es ligero de la misma manera que decimos que el fuego es ligero, su materia posee una α´δυναμι´α o poder de ir de un lugar a otro, y tiene una inercia natural o reposo mediante el cual permanece en reposo en todos los lugares en los que está situado solo. Y, por consiguiente, para que abandone su posición y su reposo tiene necesidad de algún poder que sea más fuerte que su materia y que su cuerpo desnudo, y que pueda vencer a su inercia natural.
La lectura de estos escritos de Kepler nos muestra que no disponía de un concepto de fuerza mínimamente elaborado; no, desde luego, lo suficiente como para construir sobre él una dinámica. Pero sí de una idea —aunque primitiva— de inercia.
El caso de Galileo es diferente, aunque aún no fue capaz de dar algunos pasos que le hubieran permitido formular en toda su generalidad la primera de las leyes de la mecánica, la ley de la inercia, el principio de que un cuerpo se mantiene en reposo o conserva su estado de movimiento mientras no le afecte alguna fuerza exterior.
Como ya señalamos (capítulo 5), en los trabajos que Galileo realizó sobre el movimiento se encuentran resultados de gran importancia para el establecimiento de una mecánica general. Dos de esos resultados (relacionados entre sí) fueron el de la composición de fuerzas —que aplicó, por ejemplo, a la determinación de la trayectoria de un proyectil— y el de la «participación» del movimiento (una bala de cañón no parte del reposo, sino que conserva, o participa, del movimiento de la Tierra). En base a estos resultados, es posible argumentar —y así lo han hecho algunos estudiosos de su obra— que Galileo formuló el principio de inercia. Una cita muy clarificadora en este sentido se encuentra en la segunda carta sobre las manchas solares que dirigió a Mark Welser (1558-1614), un científico aficionado, rico y amigo de los jesuitas, publicada en 1613 en un libro titulado Historia e dimostrazioni intorno alle macchie Solari (Historia y demostraciones sobre las machas solares):
[…] me parece observar que los cuerpos naturales tienen una inclinación natural a algún movimiento, como los graves hacia abajo. Este movimiento viene de ellos, por principio intrínseco y sin necesidad de motor externo particular, el cual principio se ejercita cada vez que no están impedidos por algún obstáculo. Tienen, además, los cuerpos repugnancia a cualquier otro movimiento, como los graves al movimiento hacia arriba, de modo que nunca se moverán de tal guisa a menos que no sean despedidos violentamente por un motor externo. Finalmente, son indiferentes a algún movimiento, como sucede en los graves en relación al movimiento horizontal, al que no tienen inclinación, puesto que no se dirige hacia el centro de la Tierra, ni repugnancia, porque no se alejan del mismo centro. Sin embargo, eliminados todos los impedimentos externos, un grave en la superficie esférica y concéntrica a la Tierra será indiferente al reposo y al movimiento hacia cualquier parte del horizonte, y se mantendrá en ese estado en el que fue puesto una vez. Es decir, si se le pone en estado de reposo, lo conservará; y si se le pone en movimiento, por ejemplo, hacia occidente, se mantendrá en el mismo. Así, por ejemplo, una nave, habiendo recibido una sola vez algún ímpetu por el mar tranquilo se movería continuamente alrededor de nuestro globo sin pararse nunca, y, puesta en reposo, reposaría eternamente, si en el primer caso se pudieran eliminar todos los impedimentos extrínsecos y en el segundo no le sobreviniera alguna causa motriz externa.
Es decir, liberado de la fuerza que le impulsó inicialmente, un cuerpo situado sobre la superficie de la Tierra mantendría su estado de movimiento previo. Queremos añadir, no obstante, que no está claro que Galileo fuese capaz de pensar en una situación en la que la fuerza de la gravitación no actuase. Y si no pensó en semejantes términos, entonces su principio de inercia había sido «circular»: un cuerpo en libertad sobre una superficie terrestre sin rozamiento estaría en reposo o se movería circularmente, no linealmente.
Fue René Descartes quien formuló en toda su generalidad el principio de inercia, como se puede comprobar en uno de sus libros, Les Principes de la Philosophie (Los principios de la filosofía; 1644). La Primera Parte («Principios del conocimiento humano») de esta importante obra es una presentación general de la filosofía de su autor, mientras que la Segunda («Principios de las cosas materiales») trata de la ciencia del Universo, los cuerpos, extensión, de la materia, del tiempo, así como de las leyes del movimiento y de los choques. La Tercera Parte («Sobre el mundo visible») estudia los fenómenos celestes, los movimientos de los planetas, la constitución del Universo mediante un sistema de vórtices-remolinos, la formación del Sol, la luz, las manchas del Sol, las estrellas fijas, los cometas y los planetas, y la Cuarta («Sobre la Tierra»), el globo terrestre y su formación (cómo, bajo la acción de la luz, del calor y del peso, la materia sutil se distribuye en los cuatro cuerpos principales, que son el aire, el agua, la tierra y el fuego). Es en el apartado número 37 de la Segunda Parte, donde Descartes enunció la ley de la inercia: «La primera ley de la naturaleza: que cada cosa permanece en el estado en que está, mientras nada la cambie».
Por si hubiera dudas con respecto a si Descartes estaba sujeto a las posibles limitaciones de Galileo, el apartado 39 las despeja: «La segunda ley de la naturaleza: que todo cuerpo que se mueve, tiende a continuar su movimiento en línea recta». De manera más explícita, en el comentario que venía a continuación manifestaba: «La segunda ley que yo encuentro en la naturaleza es que cada parte de la materia […] no tiende jamás a continuar moviéndose siguiendo líneas curvas sino siguiendo líneas rectas».
Ante la razonable pregunta de cómo llegó Descartes a estas dos leyes, hallamos una indicación muy valiosa en esos mismos comentarios: «Esta regla, como la precedente, depende de que Dios es inmutable y que conserva el movimiento de la materia de una manera muy simple; porque no lo conserva como pudo haber sido en cualquier momento anterior sino como es en el preciso instante en que lo conserva».
Este tipo de argumentación, impregnada de elementos teológico-filosóficos, impide que consideremos a Descartes como un científico de la clase de Galileo, cuyos argumentos nacían de la observación. Al contrario que el pisano, Descartes era más un filósofo que un científico de la clase que produciría la Revolución Científica, aunque no haya duda de que él también contribuyó de forma destacada a ella.
De hecho, encontramos más evidencias del Descartes filósofo-teólogo-científico en otros lugares de Les Principes de la Philosophie. Así, en el apartado 36 de la misma Segunda Parte a la que nos estamos refiriendo ahora, escribía: «Que Dios es la primera causa del movimiento, y que se conserva siempre una cantidad igual de él en el universo». «Me parece evidente», añadía a continuación, «que no existe otra posibilidad que no sea que Dios, que gracias a su poder supremo ha creado la materia con el movimiento y el reposo, conserve ahora en el universo […] tanto movimiento y reposo como ha puesto en él al crearlo». A la vista del papel central que el principio de conservación de la energía terminaría desempeñando más adelante en la física, y en particular en la dinámica, podemos ver en este enunciado cartesiano una formulación —un tanto primitiva, pero formulación al fin y al cabo— de este principio, y alabar en consecuencia a su autor y, acaso, al método que le condujo a él. Sería, no obstante, arriesgado argumentar de esta forma. Entre otras razones porque ese método condujo en ocasiones a enunciados desenfocados. Este el caso, por ejemplo, del contenido del apartado 20 (también de la Segunda Parte): «Que no es posible que existan átomos o pequeños cuerpos indivisibles». Para defender semejante proposición, Descartes sostenía que: «Incluso si supusiéramos que Dios había reducido una parte de la materia a una pequeñez tan extrema que no pudiese ser dividida en otras más pequeñas, no podríamos concluir de esto que ella fuese indivisible, porque cuando Dios hubiese hecho a esa parte tan pequeña que no fuera posible para ninguna criatura dividirla, él no pudo privarse a sí mismo del poder que tenía para dividirla». Sin embargo, como sabemos, la materia sí parece estar compuesta de «elementos» indivisibles, o al menos esto es lo que, en base a la experimentación, cree la gran mayoría de físicos desde hace mucho tiempo.
§. Un universo lleno: los vórtices de Descartes
Apoyándose en la proposición 20, Descartes enunciaba otra proposición, la 34, en la que sostenía —es, en realidad un mero corolario de la anterior— que «la materia se divide en partes indefinidas e innumerables», una idea que servía bien al modelo cosmogónico que él mismo sostuvo y que, como veremos, ejerció una gran influencia. Se trataba de un modelo que defendía la existencia de un plenum, de un Universo en el que el vacío de las acciones a distancia de Newton no tenía cabida; un plenum formado por una materia sutil, organizada en remolinos, o vórtices. Veamos cómo presentó este modelo en Les Principes de la Philosophie:
Todos los planetas son arrastrados alrededor del Sol por el cielo en el que están alojados. Después de haber anulado en virtud de estos razonamientos todos los escrúpulos que pueden tenerse en relación con el movimiento de la Tierra, pensemos que la materia del cielo en la que están ubicados los planetas, gira sin cesar y trazando un círculo, tal y como lo haría un torbellino que tuviera al Sol como centro; pensemos asimismo que las partes del torbellino que están más próximas del Sol se mueven con mayor rapidez que aquellas que están alejadas y a una cierta distancia; pensemos que todos los planetas (entre los cuales nosotros situamos a la Tierra) permanecen siempre suspendidos entre las mismas partes de esta materia del cielo. En razón solamente de esto y sin recurrir a postular otros mecanismos, podremos entender todos los fenómenos que se observan como propios de los planetas. Todo acontecería de igual modo que en los meandros de los ríos, en los que el agua se repliega sobre ella misma y forma círculos al girar; si algunas briznas u otros cuerpos muy ligeros flotan, se puede ver que el agua las arrastra y las hace mover en círculo siguiendo su mismo movimiento; incluso entre estas briznas se puede observar que frecuentemente se dan algunas que giran en torno a su propio centro y que aquellos cuerpos, que están más próximos del centro del remolino que los contiene, concluyen su giro después de aquellos que estaban a mayor distancia de su centro; finalmente, aún cuanto estos torbellinos de agua siempre giren en redondo, casi nunca describen círculos enteramente perfectos y se extienden en algunas ocasiones más según uno de sus diámetros, de modo que todas las partes de la circunferencia que describen no están a igual distancia del centro. Se puede, pues, imaginar que acontece lo mismo con los planetas y solo hace falta postular esto para explicar todos los fenómenos.
La idea de Descartes tenía sus ventajas; la principal era que se entendía el mecanismo por el que los planetas se movían en torno al Sol: simplemente, eran arrastrados por un vórtice en cuyo centro se encontraba el Sol. Y si hacía falta se podían añadir otros vórtices; por ejemplo, uno más pequeño centrado en la Tierra, que arrastrase a la Luna. Asimismo, la gravedad, la facultad de un planeta para atraer a los cuerpos situados en sus cercanías, se podía explicar como debido al peso de la materia vorticial que estaba por encima de él. Sabemos, de hecho, que el propio Newton consideró basar la mecánica y teoría de la gravitación que buscaba en el modelo cartesiano. Encontramos una evidencia en este sentido en el Libro II de los Principia, dedicado a estudiar, teórica y experimentalmente, el movimiento de fluidos.
No es, por supuesto, sorprendente que uno de los asuntos que Newton trató allí fuera el de los vórtices cartesianos; al fin y al cabo se trata de una estructura continua, sin olvidar que el propio Newton tenía dudas, como ya vimos, acerca de la viabilidad filosófica de las acciones a distancia. En el «Escolio» que sigue a la «Proposición LII. Teorema XL», leemos: «He tratado de investigar en esta proposición las propiedades de los vórtices con el fin de ensayar la posibilidad de explicar de semejante modo los fenómenos celestes». Según la tercera ley de Kepler (T2 es proporcional a r3), señalaba Newton, «los tiempos periódicos de los planetas [esto es, sus satélites] que giran en torno a Júpiter son como la potencia 3/2 de su distancia al centro de Júpiter; la misma regla vale para los planetas que giran en torno al Sol. Se cumplen estas reglas en unos y otros planetas con la mayor exactitud, hasta donde las observaciones astronómicas han podido llegar. Y por lo mismo, si dichos planetas fuesen arrastrados por vórtices que girasen en torno a Júpiter y al Sol, también deberían atenerse a esta ley». El problema (para la teoría de Descartes) era que «los tiempos periódicos de las partes del vórtice han resultado estar en razón del cuadrado de las distancias al centro del movimiento y dicha razón no puede disminuirse ni reducirse a la razón de la potencia 3/2, a no ser que la materia del vórtice sea más fluida cuanto más alejada del centro, o que la resistencia debida a la falta de lubrificación de las partes del fluido se separan entre ellas, aumente en mayor proporción que aquella con que aumenta la velocidad. Nada de lo cual», concluía, «parece razonable […] Que vean pues los filósofos de qué manera podría explicarse mediante vórtices el susodicho fenómeno de la razón de la potencia 3/2».
El siguiente «Escolio», que sigue a la última sección del libro II («Proposición LIII. Teorema XLI»), es todavía más anticartesiano. Ahí, el argumento es que los vórtices no eran consistentes con la segunda ley de Kepler, la de las áreas: «es evidente que los planetas no son arrastrados por vórtices corpóreos. Pues los planetas, de acuerdo con la hipótesis de Copérnico, arrastrados en torno al Sol giran en elipses que tienen su foco en el Sol, y con radios trazados al Sol describen áreas proporcionales a los tiempos. Pero las partes de los vórtices no pueden girar con un movimiento semejante […] De suerte que la hipótesis de los vórtices está en total desacuerdo con los fenómenos y no lleva tanto a explicar cuanto a perturbar los movimientos celestes».
§. Fuerzas: la dinámica y gravitación newtonianas
La solución que Newton dio al problema de cuál es el vehículo de la interacción fue, como ya dijimos, a través de acciones a distancia. Pero este concepto está enmarcado en un elaborado sistema de tres leyes básicas, las leyes del movimiento. Veamos cómo llegó Newton a elaborar tal sistema.
Vimos al comienzo del presente capítulo que en noviembre de 1665 Newton había obtenido el método de las fluxiones; esto es, su versión del cálculo diferencial; y que el año siguiente había comenzado a pensar en «la gravedad extendida a la órbita lunar» y que comparando «la fuerza necesaria para mantener la luna en su órbita con la fuerza de gravedad en la superficie de la tierra» descubrió que eran muy parecidas. Lo que hizo entonces debió de ser, más o menos, lo siguiente.
Supuso, en primer lugar, que un movimiento circular se puede descomponer en dos tipos de movimientos (o de fuerzas): uno según la tangente (fuerza tangencial), y otro a lo largo de la dirección radial (fuerza centrípeta). Esta descomposición del movimiento circular no era algo nuevo (Galileo la conocía bien).
En segundo lugar, Newton estaba familiarizado con la expresión para la aceleración centrífuga (que en un movimiento circular es igual y opuesta a la fuerza centrípeta, dirigida esta hacia el centro de atracción), A, de un movimiento circular,
A = v2/r,
con r, el radio de la órbita, y v, la velocidad del cuerpo que se mueve en la trayectoria circular; pero como en semejante trayectoria, v = 2πr/T, donde T es el período de la revolución, se tiene que (Christiann Huygens publicó esta expresión en un apéndice de su tratado de 1673, Horologium oscillatorium, aunque se sabe que la conocía desde hacía bastante tiempo; en el Escolio a la Proposición 4, Teorema 4, del Libro I de los Principia, Newton se refirió a este libro y a que en él Huygens había «comparado la fuerza de la gravedad con las fuerzas centrífugas de los cuerpos en órbita»).
A = (2πr/T)2/r,
esto es:
A = 4π2r /T2
Ahora bien, si ahora se tiene en cuenta la tercera ley de Kepler, según la cual el período es proporcional a r3/2, entonces es inmediato concluir de ambas expresiones que la aceleración A es proporcional a:
1/r2
de manera que, si se supone que un cuerpo se mueve según un círculo, entonces es posible concluir que la fuerza que le produce obedece a una ley del inverso del cuadrado de la distancia.
En este punto, Newton se planteó calcular la fuerza de la gravedad en la superficie de la Tierra y compararla con la fuerza gravitacional responsable del movimiento de los cuerpos astronómicos. Y lo debió de hacer de una forma equivalente a la siguiente:
Supongamos que la masa de la Luna es mL, entonces, si suponemos que tenemos un cuerpo de su masa colocado sobre la superficie de la Tierra (de radio R), su peso allí es mLg. A una distancia r del centro de la Tierra el peso de la Luna sería, evidentemente, diferente (el valor de g no es el mismo que en R). Denotemos ese peso por Pr. Dividiendo ambos valores, y teniendo en cuenta que las fuerzas (o pesos) son, como hemos visto, inversamente proporcionales a la distancia, se tiene:
mLg/Pr = (1/R2)/(1/r2)
o, lo que es lo mismo,
Pr = mLg∙(R2/r2)
Si ahora consideramos que la Luna se mueve circularmente, podemos aplicar el conocimiento previamente establecido de la fuerza centrípeta:
Pr = mL∙(4π2r/T2)
E igualando las dos últimas expresiones, se obtiene:
T2 = (4π2/gR2)∙r3.
Sucede que T, g, R y r son valores que se habían medido en tiempos de Newton. Si al introducirlos se verificaba la ecuación, entonces sería posible argumentar que la ley de la fuerza inversamente proporcional al cuadrado de la distancia valía tanto en la superficie de la Tierra como para la Luna; en otras palabras, que la fuerza responsable de que cayesen los cuerpos en las proximidades de la superficie terrestre era la misma que la que produce el movimiento de la Luna. Pero Newton no halló esto, sino una discrepancia del orden del 16 por 100 en la última ecuación mencionada. Como científico riguroso que era, científico que trataba de «no hacer hipótesis», no podía unificar el origen de ambos movimientos. Y este es el motivo que queríamos destacar: al contrario que Aristóteles, Newton no daba la espalda al resultado de las observaciones; como Galileo, se basaba en ellas, pero disponiendo de un arsenal teórico más poderoso que este.
El motivo del desacuerdo se hallaba en que el valor que tomó para el radio, R, de la Tierra, no era correcto. En cualquier caso, el hecho es que en la década de 1660 Newton no avanzó mucho más en el estudio de la gravitación y los movimientos celestes.
Más de una década después, en diciembre de 1679, Robert Hooke, que había sucedido en 1677 a Henri Oldenburg en la Secretaría de la Royal Society, intentó restablecer sus relaciones con Newton, deterioradas como consecuencia de las controversias que habían mantenido con relación a la naturaleza de la luz. Lo que hizo fue invitarlo a comunicar a la Sociedad alguna de sus ideas científicas, pidiéndole, asimismo, que le transmitiese «objeciones contra cualquiera de mis hipótesis u opiniones», mencionando en particular sus ideas acerca de «componer los movimientos celestes de los planetas de un movimiento directo a lo largo de la tangente y de un movimiento atractivo hacia el cuerpo central». De entrada, Newton se excusó, con el pretexto de que había estado alejado de los últimos desarrollos en filosofía natural, indicando también que no había oído nunca de tal «hipótesis». Pronto, sin embargo, su cerebro debió de empezar, continuar o recuperar lo que ya había hecho antes. Fuese cual fuese la secuencia de sucesos, el hecho es que fue capaz de deducir un resultado mucho más importante que proponer que el «poder» que mantenía los cuerpos celestes en movimiento circular en torno al Sol obedecía a una expresión del tipo 1/r2, una idea que Hooke defendía. Basándose en las dos primeras leyes de Kepler, Newton demostró que semejantes suposiciones implicaban una fuerza del tipo inversamente proporcional al cuadrado de la distancia, un resultado, este sí, que estaba muy lejos de las posibilidades de Hooke. Como el propio Newton escribió posteriormente, en una carta a Edmond Halley del 20 de junio de 1686: «Pero supóngase que recibí [la hipótesis de la relación del inverso del cuadrado de la distancia] después de Mr. Hooke; aun así, tendría tanto derecho a ella como a la elipse. Porque, como Kepler sabía, la órbita [planetaria] no es circular y la supuso elíptica, de tal modo que el Sr. Hooke sin saber lo que yo he encontrado desde que me envió sus cartas, no puede saber más que la proporción era el doble quam proxime a grandes distancias del centro».
Lo que ahora estaba haciendo Newton era muy diferente de lo que hizo en los años de la epidemia de peste. Ya no se trataba de identificar la fuerza que hace caer los cuerpos en la Tierra con la responsable del movimiento de los cuerpos celestes; eso es algo que ahora Newton daba por supuesto, sino de establecer un gran sistema dinámico. Y por supuesto, no dijo nada a Hooke ni a ningún otro. Por ello, no es posible saber con exactitud cuánto avanzó en aquellos años. Pero todo cambió cuando Edmond Halley apareció en escena.
Antes, sin embargo, de entrar en tal aparición, y para ser justos con Hooke, un científico con frecuencia no tan reconocido como debiera, mencionaremos que entre el abundante caudal de ideas que propuso se encuentran algunas posibles explicaciones de la gravitación. Así, en la Observación VI («De las pequeñas cañas de vidrio») de un libro suyo del que nos ocuparemos con más extensión en el capítulo 15, la Micrographia (1666), se lee: «Una segunda cosa (que me sugirió la consideración de la forma globular de los fluidos insertos en otro, causada por la presión del fluido heterogéneo ambiente) era si los fenómenos de la gravedad no podrían explicarse de este modo, suponiendo que el globo de la Tierra, el agua y el aire estuviese inserto en un fluido, heterogéneo con todos y cada uno de ellos, y tan sutil como para no solo insinuarse por todas partes a través del aire (o más bien el aire a su través), sino también invadir los cuerpos del vidrio e incluso los metales más compactos, por cuyos medios podrá tender a expulsar todos los cuerpos térreos tan lejos de sí cuanto pueda; y en parte por otras propiedades suyas, podría moverlos hacia el centro de la Tierra». No fue este el único modelo para la explicación de la gravedad en el que pensó Hooke (también consideró la posibilidad de que la gravedad fuese debida a una mezcla de movimiento vibratorio y emisión de fluidos del tipo de los vórtices cartesianos), pero parece que sí creía en que, fuese lo que fuese, se trataba de un fenómeno universal. Una evidencia en este sentido es lo que escribió justo en el último párrafo de la Micrographia:
Para concluir, siendo muy probable que la Luna tenga un principio de gravitación, suministra un excelente ejemplo distinguido en la búsqueda de la causa de la gravitación o atracción; a saber, que no depende del movimiento diurno o giratorio de la Tierra, como algunos un tanto irreflexivamente han supuesto y afirmado que ocurre. En efecto, si la Luna posee un principio atractivo mediante el que no solo adquiere una forma redonda, sino que además contiene y sostiene firmemente unidas todas sus partes, por más que muchas de ellas parezcan tan sueltas como la arena de la tierra, y eso a pesar de que la Luna no se mueva en torno a su centro, entonces ciertamente el giro no puede ser la causa de la atracción de la Tierra. Por tanto, hay que buscar algún otro principio que concuerde con todos los planetas secundarios, así como con los primarios. Pero he de confesar que esto es una posibilidad y no una demostración, algo que parece muy difícil (con las observaciones hechas hasta ahora), si bien se ha de esperar con paciencia el éxito de futuros esfuerzos de este u otro tipo (promovidos por la mejora de las lentes y la observación de circunstancias particulares).
Y con este reconocimiento de incapacidad para resolver el problema de la naturaleza de la gravitación, y la esperanza de que alguien lo resolviese en el futuro (ese alguien sería Newton), terminaba el libro.
El que Hooke considerase que la gravedad era una propiedad universal de los cuerpos indica que se trataba de una idea que, de alguna manera, «estaba en el aire», una idea a la que Newton dio un carácter más preciso, insertándola además en un sistema riguroso y cerrado. Por otra parte, hay también que señalar que la cuestión de cuál era la naturaleza de la gravedad estaba siendo considerada desde hacía tiempo, antes de que lo hiciese Hooke. No sorprendentemente, Kepler contribuyó con una propuesta a la que aludimos antes (que incluyó en Mysterium Cosmographicum): la de que el Sol se comporta como un gigantesco imán que gira sobre su eje, y que a consecuencia de este movimiento de rotación se producen líneas de fuerza magnéticas que se dirigen desde el Sol a los planetas, arrastrando a estos en una especie de remolinos que les obligan a desplazarse en círculos. Al plantear esta hipótesis, Kepler estaba influido por lo que William Gilbert (del que nos ocuparemos en el capítulo 11) había sostenido en su gran tratado de 1600, De Magnete, uno de cuyos capítulos (el XVII) se titulaba: «Que el globo terrestre es magnético y es una piedra imán; y al igual que en nuestras manos la piedra imán posee todos los poderes primarios (fuerzas) de la Tierra, así esta por razón de las mismas potencias se encuentra siempre en la misma dirección del universo».
Pero regresemos a Newton y al camino que le condujo a los Principia.
Parece que un miércoles de enero de 1684, Edmond Halley (1656-1742) se encontró con Christopher Wren (1632-1723), gran arquitecto además de astrónomo-filósofo natural (ocupó la cátedra Saviliana de Oxford), y con Hooke en Londres, y que la conversación giró en torno al problema del movimiento de los planetas. Cómo se podía analizar el movimiento descomponiéndolo a lo largo de la tangente y una fuerza central que se suponía inversamente proporcional al cuadrado del radio, era algo que sabían, pero no cómo de semejantes conocimiento se podía deducir la forma de la órbita. Wren ofreció como premio un libro que costase hasta cuarenta chelines para quien pudiese ofrecer una solución a este problema en menos de dos meses.
En mayo, Halley visitó a Newton en Cambridge y le planteó esta pregunta. Éste contestó que sabía demostrar que esa curva sería una elipse, aunque no pudo hacerlo inmediatamente. Pero le prometió que reproduciría sus argumentos y se los enviaría. A partir de entonces se dedicó a esa tarea, siempre estimulado por Halley, que se esforzó en vencer los renuencias de Newton (un primer fruto de sus esfuerzos fue un documento, Motu [Sobre el movimiento], apenas un primer tratado relacionado sobre todo con la mecánica orbital, que Halley anunció en la reunión del 10 de diciembre de 1684 de la Royal Society, y que fue recibido en la sede de la corporación el febrero de 1865 y debidamente registrado para asegurar la prioridad de su autor).
Para llevar adelante la tarea que tenía ante sí, Newton debía ir más allá del problema de la gravitación. Tenía que insertar esta en un contexto más amplio: se trataba, no lo olvidemos, de una fuerza concreta, por lo que ese contexto más amplio no podía ser otro que una teoría del movimiento, una dinámica. Pero para construir tal dinámica, debía disponer de un instrumento matemático adecuado; uno que permitiese operar con magnitudes que cambian, que fluyen según transcurre el tiempo; esto es, debía disponer del cálculo diferencial. Pero de la contribución de Newton a este apartado matemático ya nos ocupamos en el capítulo siguiente. Aquí únicamente diremos que, a pesar de que sin duda el cálculo diferencial (de fluxiones en su versión) desempeñó un papel importante en el camino que le condujo a la creación de la dinámica, en el libro en el que la presentó, Philosophiae Naturalis Principia Mathematica (Principios matemáticos de la filosofía natural; 1687), es difícil descubrir tal conexión, porque en él Newton decidió presentar sus argumentos y resultados en la forma geométrica tradicional. Consideraba a la geometría, la geometría tal como la había presentado Euclides en sus Elementos, como la forma de razonamiento matemático más acabada y más ampliamente aceptada y por ello eligió ocultar, reinterpretándolos geométricamente, los argumentos y deducciones que había producido utilizando el cálculo diferencial.
En cualquier caso, provisto del cálculo de fluxiones, Newton debía establecer las leyes básicas del movimiento, de las que ya disponía de una, la de la inercia, que, como vimos, había formulado Descartes, y en forma más restringida Galileo. Ahora bien, esta ley, y cualquier otra que trate del movimiento, se debe formular en términos de dos variables, el espacio y el tiempo; esto es, antes de una dinámica (que incluye las fuerzas que producen el movimiento) se necesita una cinemática, apartado que, como vimos, tenía por entonces una larga historia.
La cinemática que construyó Newton —fue una novedad— se basaba en los conceptos de tiempo y espacio, pero considerados estos como magnitudes absolutas, cuyo valor era independiente de cualquier consideración relativa al observador. Veamos cómo las introdujo en los Principia (hacen su aparición, como es natural, muy al principio, en el «Escolio» que sigue a la «Definición VIII»):
Nos ha parecido oportuno explicar hasta aquí los términos menos conocidos y el sentido en que se han de tomar en el futuro. En cuanto al tiempo, espacio, lugar y movimiento, son de sobra conocidos para todos. Hay que señalar, sin embargo, que el vulgo no concibe estas magnitudes si no es con respecto a lo sensible. De ello se originan ciertos prejuicios para cuya destrucción conviene que las distingamos en absolutas y relativas, verdaderas y aparentes, matemáticas y vulgares.
El tiempo absoluto, verdadero y matemático en sí y por su naturaleza y sin relación a algo externo fluye uniformemente, y por otro nombre se llama duración; el relativo, aparente y vulgar, es una medida sensible y externa de cualquier duración, mediante el movimiento (sea la medida exacta o desigual) y de la que el vulgo usa en lugar del verdadero espacio; así, la hora, el día, el mes, el año.
El espacio absoluto, por su naturaleza y sin relación a cualquier cosa externa, siempre permanece igual e inmóvil; el relativo es cualquier cantidad o dimensión variable de este espacio, que se define por nuestros sentidos según su situación respecto a los cuerpos, espacio que el vulgo toma por el espacio inmóvil: así, una extensión espacial subterránea, aérea o celeste definida por su situación relativa a la Tierra. El espacio absoluto y el relativo son el mismo en especie y en magnitud, pero no permanecen siempre el mismo numéricamente. Pues si la Tierra, por ejemplo, se mueve, el espacio de nuestra atmósfera que relativamente y respecto a la Tierra siempre permanece el mismo, ahora será una parte del espacio absoluto por la que pasa el aire, después otra parte y así, desde un punto de vista absoluto, siempre cambiará.
Aunque en el «Escolio» que acabamos de citar, no aludía a ello, la idea que Newton tenía de espacio y tiempo como magnitudes absolutas era coherente con sus opiniones religiosas, algo que sí se observa en otro «Escolio», el que añadió a la segunda edición de los Principia y que cerraba el libro (ya tratamos de él). No obstante, hay que advertir que Newton también dio argumentos físicos para sustanciar la existencia de un marco cinemático absoluto. En el mismo «Escolio» que estamos utilizando, escribía en este sentido: «Los efectos por los que los movimientos absolutos y los relativos se distinguen mutuamente son las fuerzas de separación del eje de los movimientos circulares». Y a continuación analizaba un experimento, el de un cubo lleno de agua colgado mediante un cuerda del techo, al que se le hace girar, giro que produce que se forme una superficie cóncava en su superficie. Cuando, más de dos siglos después, Einstein sustituyó en la física el espacio y tiempo absolutos newtonianos por otros relativos, la explicación de este experimento planteó serios problemas, llevando a la formulación de lo que se denominó «principio de Mach» (en honor al físico y filósofo Ernst Mach, que trató de esas cuestiones en un libro que publicó en 1883, Die Mechanik in ihrer Entwickelung historisch-kritisch dargestellt [Desarrollo histórico-crítico de la mecánica]): la idea de que esa curvatura en la superficie del agua era debida a la interacción con la materia del resto del Universo.
Aunque no tan básicos, igualmente necesarios para la construcción de la mecánica que buscaba eran otros conceptos. Así, la primera definición que aparece en los Principia es la de cantidad de materia, que se define como «la medida de la misma originada de su densidad y volumen conjuntamente». «El aire», añadía Newton para ilustrar su definición, «dos veces más denso, en también doble espacio, es cuádruple [que el atmosférico]. A esta cantidad llamo […] cuerpo o masa». La cantidad de movimiento (momento) de un móvil, el ímpetu alcanzado con el movimiento, lo establecía como el producto de la masa por la velocidad. Y a continuación venía un concepto fundamental, condensación y a la vez refinamiento de todos los vagos «poderes» que habían manejado en el pasado científicos como Kepler, Galileo o Descartes, la fuerza. «La fuerza ínsita de la materia», escribía («Definición III»), «es una capacidad de resistir por la que cualquier cuerpo, por cuanto de él depende, persevera en su estado de reposo o movimiento uniforme y rectilíneo». Y añadía: «Esta es siempre proporcional al cuerpo y no se diferencia en nada de la inercia de la masa, a no ser por el modo de concebirla». En otras palabras, la fuerza era el impulso necesario para producir la aceleración (variación de la velocidad), o la resistencia que opone un cuerpo a abandonar el estado de reposo o movimiento uniforme.
La masa que Newton mencionaba aquí es un concepto especialmente importante, y también complejo. La mejor forma de entenderlo en nuestra opinión es como «un parámetro que refleja la resistencia de un cuerpo a cambiar de movimiento o de estado de reposo»; tiene en consecuencia que ver con el principio de inercia. Comentaremos más adelante que es sorprendente que esta «masa inercial» coincida con la «masa gravitacional» que aparece en la ley de la gravitación universal que formuló el propio Newton, y que en realidad es «un parámetro que refleja la manera en que un cuerpo reacciona ante la fuerza gravitacional».
A continuación, Newton se ocupaba de otro concepto muy importante, aunque no tan básico como los anteriores: el de la fuerza centrípeta (era importante, como ya hemos visto, para establecer la gravitación como fuerza dirigida hacia un centro). Pasaba entonces a las piezas centrales de su libro, los «Axiomas o Leyes del movimiento» de la dinámica que buscaba. La primera ley era la de la inercia, que formuló de la manera siguiente:
Todo cuerpo persevera en su estado de reposo o movimiento uniforme y rectilíneo a no ser en tanto que sea obligado por fuerzas impresas a cambiar su estado.
Los proyectiles perseveran en sus movimientos a no ser en cuanto son retardados por la resistencia del aire y son empujados hacia abajo por la gravedad. Una rueda, cuyas partes en cohesión continuamente se retraen de los movimientos rectilíneos, no cesa de dar vueltas sino en tanto en que el aire la frena. Los cuerpos más grandes de los cometas y de los planetas conservan por más tiempo sus movimientos, tanto de avance como de rotación, realizados en espacios menos resistentes.
Atribuía Newton la inercia a una fuerza, pasiva, inherente al cuerpo (vis insita), que se opone a la fuerza aplicada (vis impressa).
En cuanto a las dos siguientes, de las que Newton fue más genuinamente responsable, las definía como sigue. Primero, la segunda:
El cambio de movimiento es proporcional a la fuerza motriz impresa y ocurre según la línea recta a lo largo de la cual aquella fuerza se imprime.
Si una fuerza cualquiera produce un movimiento dado, doblada producirá el doble y triplicada el triple, tanto si se aplica de una sola vez como si se aplica gradual y sucesivamente. Este movimiento (dado que se determina siempre en la misma dirección que la fuerza motriz) si el cuerpo se movía antes, o bien se añade sumándose a él, o se resta si es contrario, o se añade oblicuamente, si es oblicuo, y se compone con él según ambas determinaciones.
Si hay una ley fundamental para estudiar el movimiento, es esta, que se refiere a los efectos de la aplicación de una fuerza y que habitualmente se enuncia como «Fuerza igual a masa por aceleración». Una fuerza, no se debe olvidar, que es una magnitud con dirección (magnitud vectorial, o vector): el cambio de movimiento ocurre según la línea recta a lo largo de la cual se imprime la fuerza (o suma vectorial de fuerzas) en cuestión. Proporciona el instrumento básico para determinar cómo se mueve un cuerpo; claro que para ello es imprescindible conocer la forma de la fuerza, algo que el sistema no proporciona, debiéndose definir de manera independiente: una vez que se conoce, el problema se reduce a integrar la ecuación para encontrar la trayectoria; esto es, la posición en función del tiempo.
Y la tercera ley:
Con toda acción ocurre siempre una reacción igual y contraria. O sea, las acciones mutuas de dos cuerpos siempre son iguales y dirigidas en direcciones opuestas.
El que empuja o atrae a otro es empujado o atraído por el otro en la misma medida. Si alguien oprime una piedra con el dedo, también su dedo es oprimido por la piedra. Si un caballo arrastra una piedra atada con una soga, el caballo es retroarrastrado (por así decirlo) igualmente, pues la soga estirada en ambas direcciones y con el propio impulso de contraerse tirará del caballo hacia la piedra y de la piedra hacia el caballo y tanto se opondrá al progreso de uno cuanto ayude al avance del otro. Si un cuerpo cualquiera golpeando sobre otro cuerpo cambiara el movimiento de este de algún modo con su propia fuerza, él mismo a la vez sufrirá el mismo cambio en su propio movimiento y en sentido contrario por la fuerza del otro cuerpo (por la igualdad de la presión mutua). A tales acciones son iguales los cambios de movimientos, no de velocidades, y siempre que se trate de cuerpos no fijados por otra parte. Igualmente los cambios de velocidad en sentido contrario, puesto que los movimientos cambian igualmente, son inversamente proporcionales a los cuerpos. Se cumple esta ley también para las atracciones como se comprobará en un escolio próximo.
Sin esta ley, la de la acción y reacción, no podría hablar de gravitación universal; esto es, que el Sol atrae a, por ejemplo, la Tierra, pero que, recíprocamente, esta también atrae al Sol.
De acuerdo con la prescripción de Galileo, las leyes de Newton se limitan a definir relaciones entre magnitudes y no pretenden en ningún caso mostrar las causas del movimiento. Distinguía Newton de esta manera entre el tratamiento matemático y físico de la fuerza. El primero limitado a la caracterización de las magnitudes, en tanto el segundo incluye además las causas y cualidades: En este sentido, en la «Definición VIII» («la magnitud motriz de la fuerza centrípeta es la medida de la misma proporcional al movimiento que genera en un tiempo dado») escribía: «llamo en el mismo sentido fuerzas aceleradoras y motrices a las atracciones y a los impulsos […] y lo hago considerando a tales fuerzas no en su aspecto físico sino solo en el matemático […] cuide el lector de no creer que con estas palabras yo esté definiendo algún género o modo de acción o causa o propiedad física o que estoy atribuyendo a los centros (que son puntos matemáticos) verdaderas fuerzas físicas». Y aún con mayor determinación y detalle, en el «Escolio» a la «Proposición LXIX. Teorema XXIX» manifestaba:
Tomo aquí la palabra atracción de modo genérico para cualquier conato de los cuerpos de acercarse mutuamente, tanto si tal conato acontece por la acción de los cuerpos, que se buscan unos a otros o se agitan mutuamente mediante emisión de espíritus, como si surge de la acción del éter o del aire o de cualquier otro medio corpóreo o incorpóreo que empuje de alguna forma a los cuerpos inmersos en él unos hacia otros. Y en el mismo sentido genérico utilizo el término impulso, ocupándome en este tratado no de las especies de fuerzas y cualidades físicas, sino de las cantidades y proporciones matemáticas, como expliqué en las definiciones. En matemáticas se han de investigar las magnitudes de las fuerzas y las razones que se siguen en cualesquiera condiciones supuestas: después, al descender a la física, hay que comparar estas razones con los fenómenos; para que aparezca cuáles condiciones de esas fuerzas corresponden a cada clase de cuerpos atractivos. Y solo después será posible discutir con más seguridad sobre las clases de fuerzas, de las causas y razones físicas.
En pocos lugares aparece con mayor claridad la novedad, la modernidad, del método newtoniano.
Una característica del sistema que Newton estableció con sus tres leyes es el de su estricta causalidad y determinismo. La segunda ley del movimiento se expresaba —se expresaría cuando su formulación matemática quedó establecida en su forma definitiva y más moderna (algo que hizo Euler)— mediante una ecuación diferencial de segundo orden. Y como las leyes de fuerza dependen en principio únicamente de posiciones y velocidades, las soluciones que se obtienen de la ecuación de movimiento que se trate solo necesitan de posiciones y velocidades iniciales para quedar completamente determinadas. En otras palabras, dadas esas condiciones iniciales, la evolución futura del sistema queda totalmente establecida. La evolución futura y la pasada, ya que las ecuaciones newtonianas mantienen su forma cuando se sustituye el tiempo, t, por -t (invariancia bajo inversión temporal).
Pierre-Simon Laplace (1749-1827), uno de los grandes newtonianos, expresó con gracia y claridad esta característica de la física newtoniana en uno de sus libros, Essai philosophique sur les probabilities (Ensayo filosófico sobre las probabilidades; 1814):
Una inteligencia que en un momento determinado conociera todas las fuerzas que animan a la naturaleza, así como la situación respectiva de los seres que la componen, si además fuera lo suficientemente amplia como para someter a análisis tales datos, podría abarcar en una sola fórmula los movimientos de los cuerpos más grandes del universo y los del átomo más ligero; nada le resultaría incierto y tanto el futuro como el pasado estarían presentes ante sus ojos. El espíritu ofrece, en la perfección que ha sabido dar a la astronomía, un débil esbozo de esta inteligencia. Sus descubrimientos en mecánica y geometría, junto con el de la gravitación universal, le han puesto en condiciones de abarcar en las mismas expresiones analíticas los estados pasados y futuros del sistema del mundo. Aplicando el mismo método a otros objetos de su conocimiento, ha logrado reducir a leyes generales los fenómenos observados y a prever aquellos otros que deben producirse en ciertas circunstancias. Todos los esfuerzos por buscar la verdad tienden a aproximarlo continuamente a la inteligencia que acabamos de imaginar, pero de la que siempre permanecerá infinitamente alejado […] La regularidad que la astronomía nos muestra en el movimiento de los cometas tiene lugar, sin ningún género de dudas, en todos los fenómenos. La curva descrita por una simple molécula de aire o de vapor está determinada de una forma tan exacta como las órbitas de los planetas. Entre ellas no hay más diferencia que la derivada de nuestra ignorancia.
Retornando a Newton, tenemos que presentó las tres leyes del movimiento como la base sobre la que se levantaba el edificio de los Principia; antecedían, de hecho, a la primera parte (Libro I, «Sobre el movimiento de los cuerpos»), en donde las aplicaba a diversas cuestiones, como, por ejemplo, la demostración (siempre, hay que insistir en este punto, utilizando argumentos geométricos) de la ley de las áreas, la forma de hallar órbitas elípticas, parabólicas e hiperbólicas a partir de un foco dado, el ascenso y descenso rectilíneo de los cuerpos, el movimiento de un péndulo o las fuerzas atractivas de cuerpos esféricos. El manuscrito de esta primera parte llegó a la Royal Society (que habría de ser la editora —que no la pagadora: esta onerosa función también recayó en Halley— del libro) el 28 de abril de 1686.
La segunda parte (Libro II), también titulada como la primera «Sobre el movimiento de los cuerpos», estaba dedicada básicamente al estudio de las fuerzas de resistencia al movimiento de diversos tipos de fluidos, y el manuscrito llegó a la Royal Society en el otoño de 1686.
Por último, estaba la tercera parte, el Libro III, de grandilocuente título: «Sobre el sistema del mundo», que fue recibido en la Royal Society en abril de 1687. «He ofrecido en los libros anteriores», comenzaba este Libro Tercero, «principios de filosofía, aunque no tanto filosóficos como meramente matemáticos, a partir de los cuales tal vez se pueda disputar sobre asuntos filosóficos. Tales son las leyes y condiciones de los movimientos y las fuerzas que en gran medida atañen a la filosofía. Sin embargo, para que no parezcan estériles, los he ilustrado con algunos escolios filosóficos en los que he tratado sobre aquellas cosas que son más generales y en las cuales la filosofía parece hallar mayor fundamento, tales como la densidad y resistencia de los cuerpos, los espacios vacíos de cuerpos y el movimiento de la luz y de los sonidos. Nos falta mostrar, a partir de estos mismos principios, la constitución del sistema del mundo».
Es muy interesante que a continuación, y antes de dedicarse a presentar ese sistema del mundo, Newton enunciaba una serie de «Reglas para filosofar», reglas que merece la pena reproducir, puesto que nos ayudan a comprender el método newtoniano:
Regla I: No deben admitirse más causas de las cosas naturales que aquellas que sean verdaderas y suficientes para explicar sus fenómenos, pues la naturaleza es simple y no derrocha en superfluas causas de las cosas.
* * * *

Philosophiae Naturalis Principia Mathematica, el libro que Isaac Newton publicó en 1687, es uno de los grandes textos de la historia de la humanidad. Constituye el clímax y la pieza clave de la Revolución Científica. Durante siglos la física pivotó en torno a sus contenidos; las tres leyes del movimiento enunciadas en él debían permitir abordar el que inicialmente fue objeto primario de la física: describir la variación de la posición en el transcurso del tiempo de los cuerpos que existen en la naturaleza. Las leyes de la dinámica newtoniana debían aplicarse para cualquier tipo de fuerza (solo en el siglo XX se encontraron limitaciones a semejante aseveración), y una de ellas, acaso la más prominente por la permanente consciencia que tenemos de su existencia, es la gravitacional. Y en el Libro Tercero («Sobre el sistema del mundo») de los Principia, Newton presentó su propuesta para la forma específica de la función que describía esa fuerza, la ley de la gravitación universal, que al ser insertada en la segunda ley del movimiento, F = m·a, permitía determinar la trayectoria de los cuerpos sometidos a esa fuerza, la misma, sostuvo Newton, que hace que los cuerpos caigan en la Tierra y que los cuerpos celestes se muevan como lo hacen. Se trató de la primera gran unificación realizada en la física, y en este sentido marcó la pauta de un camino que se amplió en el siglo XIX con la unificación, a través de la electrodinámica de Maxwell, de magnetismo, electricidad y óptica, y que en el siglo XX se plasmó en la unificación de las interacciones fuerte, débil y electromagnética. Por eso hemos seleccionado aquí la ley de la gravitación universal, paradigma de las leyes de la física.
F = G(Mm)/R2
* * * *
Regla II: Por ello, en tanto sea posible, hay que asignar las mismas causas a los efectos naturales del mismo género.
Regla III: Han de considerarse cualidades de todos los cuerpos aquellas que no pueden aumentar ni disminuir y que afectan a todos los cuerpos sobre los cuales es posible hacer experimentos.
Regla IV: Las proposiciones obtenidas por inducción a partir de los fenómenos, pese a las hipótesis contrarias, han de ser tenidas, en filosofía experimental, por verdaderas exacta o muy aproximadamente, hasta que aparezcan otros fenómenos que hagan tales proposiciones o más exactas o expuestas a excepciones.
Uno de los primeros enunciados de ese Libro Tercero dejaba claro que el Sistema del Mundo que contenía se basaba en una gravitación universal. Se trata de la «Proposición VI. Teorema VI»: «Todos los cuerpos gravitan hacia cada planeta y sus pesos hacia un mismo planeta, a iguales distancias del centro del planeta, son proporcionales a la cantidad de materia existente en cada uno», en cuyo comentario Newton añadía: «no hay duda de que la naturaleza de la gravedad es la misma en todos los planetas que en la Tierra».
Y así, Newton fue desgranando el problema del movimiento de los planetas: «Las fuerzas por las cuales los planetas primarios (Mercurio, Venus, Marte, Júpiter y Saturno)», escribía en la «Proposición II. Teorema II», «son constantemente desviados de movimientos rectilíneos y retenidos en sus órbitas se dirigen hacían el Sol y son inversamente como los cuadrados de las distancias al centro del mismo». Todo estaba ya dispuesto para formular de manera general esa joya suprema de los Principia que es la ley de la gravitación universal, una ley que permitió entender como un mismo fenómeno los movimientos celestes y la caída de graves en la superficie terrestre. Se enunciaba esta ley en la «Proposición VII. Teorema VII» y en sus dos Corolarios:
PROPOSICIÓN VII. TEOREMA VII.
La gravedad ocurre en todos los cuerpos y es proporcional a la cantidad de materia existente en cada uno.
Hemos probado ya que todos los planetas gravitan entre sí, y también que la gravedad hacia cada uno de ellos considerado individualmente es inversamente proporcional al cuadrado de la distancia desde cada lugar al centro del planeta. De lo cual se sigue que (por la Proposición LXIX del Libro I y sus Corolarios) la gravedad hacia todos es proporcional a la materia existente en ellos.
Por lo demás, dado que todas las partes de un planeta A gravitan hacia otro planeta B, y la gravedad de una parte cualquiera es a la gravedad del todo como la materia de la parte a la materia del todo, y para toda acción haya igual reacción (por la tercera Ley del movimiento), el planeta B gravitará a la inversa hacia todas las partes del planeta A, y su gravedad hacia cada parte será a su gravedad hacia el todo como la materia de la parte a la materia del todo Q. E. D.
COROLARIO 1. Por consiguiente, la gravedad hacia todo el planeta surge y se compone de la gravedad hacia cada parte. De lo cual tenemos ejemplos en las atracciones magnéticas y eléctricas. Pues la atracción entera hacia el todo surge de las atracciones hacia cada parte. Para la gravedad esto se entenderá imaginando que muchos planetas menores se reúnen en un globo y constituyen uno mayor. Pues la fuerza del todo deberá originarse de las fuerzas de las partes componentes. Si alguien objeta que todos los cuerpos que nos rodean deberían gravitar entre sí según esta ley, mientras que no percibimos en absoluto una gravedad de este estilo, debo responder que la gravedad en estos cuerpos al ser respecto a la gravedad de toda la Tierra como son estos cuerpos al cuerpo de la Tierra entera, es bastante menor que la que es observable.
COROLARIO 2. La gravitación hacia cada partícula igual de un cuerpo es inversamente proporcional al cuadrado de la distancia de los lugares a las partículas. Es evidente por el Corolario 3 de la Proposición LXXXIV del Libro I.
Expresada de forma analítica, esta ley, una de las grandes leyes de la ciencia, toma la forma de:
F = G(Mm)/R2
donde F representa la fuerza gravitacional que atrae a dos cuerpos de masas m y M, separados por una distancia r, y G es una constante, la constante de gravitación universal.
Esta expresión es en realidad una definición, la de la fuerza gravitacional. Esto es, tomada por sí sola no sirve de nada; es preciso insertarla en el término de la izquierda de la segunda ley del movimiento, F = m·a (fuerza es igual a masa por aceleración). Una vez hecho, y especificadas las condiciones del fenómeno que se quiere estudiar, hay que integrar la ecuación diferencial para obtener la trayectoria en función del tiempo, x = x(t). En el caso, por ejemplo, de dos cuerpos (el Sol y un planeta), equivalente a una fuerza central, se resuelve con cierta facilidad, obteniendo las tres leyes de Kepler. Se resolvía así el gran problema de relacionar las órbitas elípticas con una fuerza gravitacional proporcional al inverso del cuadrado de la distancia.
Al mostrar su eficacia en el gran escenario que es el Sistema Solar (y por extensión en el conjunto del universo, dominado por la gravitación), el concepto de fuerza pasó a ocupar un lugar central, conceptual y operativamente, en las ciencias físicas. La fuerza se aplica desde el exterior y se caracteriza por sus efectos. Si sustituimos en la segunda ley newtoniana la aceleración por la gravedad, g, obtenemos la fórmula del peso (ya hicimos uso de este resultado antes), P = m·g, una magnitud variable en función de la latitud y de la altura. Hay dos tipos de fuerzas: la que se manifiesta en el contacto y la que actúa en un campo, como la gravedad.
La conjunción de la segunda ley con la ley del inverso del cuadrado de la distancia permitió entender un hecho observado por Galileo (y por otros antes): que todos los cuerpos caen juntos a pesar de que sus pesos sean diferentes, cuestión esta a la que aludimos en el capítulo 5. La cuestión es importante porque involucra al concepto de masa.
En principio, cabría esperar que en la ley F = m·a, la masa no fuese idéntica a la masa que aparece en la ley del inverso del cuadrado de la distancia, ya que, como apuntamos con anterioridad, en el primer caso se trata de una magnitud relacionada con la resistencia de un cuerpo a abandonar su movimiento inercial (masa inercial, mi), mientras que en el segundo es una magnitud que representa la reacción ante la fuerza gravitacional (masa gravitacional, mg). Ahora bien, si suponemos que ambas son idénticas, entonces podemos escribir para el movimiento de un cuerpo de masa m que cae hacia la Tierra (de masa M) debido a la atracción gravitacional
m∙a = G(M∙m)/r2
y como m aparece en los dos lados de la ecuación, se puede eliminar, obteniendo:
a = G∙M/r2
esto es, la aceleración con la que cae el cuerpo no depende de su masa, únicamente de la masa de la Tierra, con lo que recuperamos («deducimos») la observación de Galileo.
Todo esto, semejante cúmulo de riquezas y novedades científicas, incluía el libro que, finalmente, completó Newton, Philosophiae Naturalis Principia Mathematica, y que fue publicado, pagado —ya lo dijimos— del propio bolsillo de Halley, hacia mediados del verano de 1687. Parece que se compusieron unos cuatrocientos ejemplares, de 511 páginas, al precio cada uno de nueve chelines. Newton controló dos ediciones más (1713 y 1726), cada una mejor, con menos errores, cada una de más ejemplares (750 y 1250, respectivamente).
Los Principia constituye el ejemplo paradigmático del «método newtoniano»: la elaboración de modelos matemáticos simples que se comparan con los fenómenos naturales, comparaciones de las que surgen nuevas versiones, más complicadas, de los modelos previos. Con él la matemática se encarnó verdaderamente en la esencia de la teoría física.
§. Newton versus Descartes: la persistencia y declive de la cosmología cartesiana
Newton murió en 1727, esto es, cuando el siglo XVIII había cumplido únicamente su primer cuarto, pero su influencia, su «sombra», se extendió mucho más allá, cada vez con más fuerza, inundando todo el Siglo de las Luces. Es difícil, de hecho, pensar que se hubiese llegado a hablar de Siglo de las Luces, o de la Ilustración, si no se hubiera dispuesto de su ciencia, especialmente la contenida en los Principia. Ahora bien, la física del movimiento y de la gravitación newtonianas tardaron algo en salvar el Canal de la Mancha y difundirse por el continente europeo, donde reinaban las ideas de Descartes, que defendía, como ya vimos, la existencia de un universo vorticial en el que el vacío de las acciones a distancia de Newton no tenía cabida. Representativo en este sentido es lo que François Marie Arouet de Voltaire (1694-1778), que vivió exiliado en Inglaterra por motivos políticos entre 1725 y 1728 y que fue uno de los primeros franceses en defender las ideas de Newton, dedicó a la cuestión de la introducción de las teorías y conceptos newtonianos en sus Lettres philosophiques, ou Lettres anglaises (Cartas filosóficas o Cartas inglesas; 1734). Así, en la «Carta decimocuarta: Sobre Descartes y Newton», escribió: «Un francés que llega a Londres encuentra las cosas muy cambiadas tanto en filosofía como en todo lo demás. Ha dejado el mundo lleno [referencia al plenum cartesiano], aquí lo encuentra vacío [las acciones a distancia newtonianas]. En París se considera al universo compuesto de materia sutil [la que nutría los vórtices de Descartes], en Londres no hay nada de esto. Entre nosotros, es la presión de la Luna la causa del flujo del mar; entre los ingleses, es el mar quien gravita hacia la Luna, de manera que, cuando creeríais que la Luna debería daros marea alta, estos señores creen que debe dar marea baja; lo que desgraciadamente no puede verificarse pues hubiera sido preciso, para aclararse, examinar la Luna y las mareas desde el primer momento de la creación».
Aparte de detalles como el que la primera traducción de los Principia al francés no fue publicada hasta 1759 (la realizó la marquesa de Châtelet [1706-1749]), y que a los científicos franceses y, en general, europeos les era difícil encontrar ejemplares de la primera edición inglesa (el problema se alivió al aparecer la segunda edición), un valioso indicador de la persistencia de las ideas cartesianas en Francia lo proporcionan los premios que periódicamente otorgaba la Académie Royale des Sciences de París a temas que ella misma había planteado.
En 1728, siendo el tema seleccionado la causa de la gravedad, George Bernard Bulffinger (1693-1750) recibió un premio de la Académie por un ensayo titulado De causa gravitatis physica generali disquisitio experimentalis (Disquisiciones experimentales generales sobre el origen físico de la gravedad) que, además de tratar de la causa de la gravedad, constituía una defensa de la teoría cartesiana del movimiento de los planetas frente a los ataques de Newton. En 1730, el tema seleccionado fue la causa de la geometría elíptica de las órbitas planetarias. Johann Bernoulli (1667-1748) lo ganó con un ensayo titulado Nouvelles pensées sur le système de M. Descartes (Nuevos pensamientos sobre el sistema de Descartes), en el que utilizaba la dinámica de los vórtices para deducir las trayectorias elípticas y «responder a las fuertes objeciones que se han suscitado en Inglaterra como armas invencibles en contra de los vórtices».
Para el premio de 1732, la Académie propuso el problema de la causa física de las inclinaciones de las órbitas planetarias con respecto al plano definido por el ecuador solar. Para los newtonianos, el problema era explicar por qué las órbitas estaban concentradas en una estrecha franja, en lugar de estar distribuidas con una inclinación aleatoria (la hipótesis nebular de Laplace, que se considera como la primera solución newtoniana de este problema, se publicó en 1796). Por el contrario, en el modelo de Descartes estaba claro que cualesquiera que fuesen las posiciones de entrada de los planetas al vórtice solar, con el tiempo la materia en circulación dirigiría los planetas hacia el plano del ecuador del vórtice, con lo que el problema era explicar por qué las órbitas de los planetas estaban inclinadas (con ángulos pequeños) con respecto a ese plano y por qué los cometas parecían no ser afectados por el movimiento del vórtice.
Ninguno de los trabajos presentados fue considerado digno de recibir el premio, por lo que se propuso de nuevo el mismo tema para un premio doble en 1734. En esa ocasión el premio se dividió entre Johann Bernoulli (1667-1748) y su hijo Daniel Bernoulli (1700-1782), decidiéndose que otros tres trabajos presentados recibiesen una mención honorífica.
De estos tres solamente uno, el de Jean Baptiste Duclos (1695-1743), era decididamente cartesiano, mientras que el de otro, Pierre Bouger (1698-1758), adoptaba la forma de un diálogo a la manera del de Galileo, con tres personajes ficticios, Ariste, un fiel seguidor de Descartes, Eugene, un cartesiano liberal, no dogmático, y Théodore, un newtoniano. Finalmente, eran las ideas de Eugene, que de alguna manera navegaba entre dos aguas, las cartesianas y las newtonianas, las que prevalecían.
Algo parecido, intentar reconciliar las ideas de Descartes y Newton, era lo que pretendían en sus memorias galardonadas Johann y Daniel Bernoulli, aunque en realidad lo que en general hacían era utilizar la fraseología y algunos conceptos cartesianos pero dotándolos de sentido operativo newtoniano. Así, aunque Johann mantenía el éter cartesiano, este terminaba disolviéndose en buena medida, lo que provocó la reacción de Jacques Cassini (1677-1756), quien en 1735 publicó un artículo («Sobre la revolución del Sol y los planetas alrededor de su eje») en el que defendía el éter denso de Descartes. Pero para entonces, y aunque algunos no se diesen todavía cuenta, el declive cartesiano ya era imparable, ayudado por desarrollos tan importantes como la publicación en 1732 del Discours sur les différentes figures des astres avec une exposition des systèmes de MM. Descartes et Newton, de Pierre Louis Maupertuis (1698-1759), según D’Alembert el primer francés que tuvo el coraje de declararse abiertamente newtoniano. Aun así, Maupertuis se daba cuenta de que cualquier trabajo que defendiese las fuerzas (a distancia) a través de un vacío irritaría a algunos de sus colegas más veteranos, especialmente si se presentaba en términos matemáticos avanzados. Preocupado por no perjudicar sus posibilidades de ser admitido en la Académie como pensionnaire géomètre (lo consiguió en julio de aquel mismo año), o simplemente buscando un lugar más receptivo, decidió enviar un trabajo claramente newtoniano que había completado a la Royal Society londinense (apareció en 1732 en las Philosophical Transactions, con el título de «De Figuris quas fluida rotata induere possunt problemata duo»). El 11 de julio escribía al respecto a Johann Bernoulli: «La doctrina en la que me baso aquí es algo odiosa en este país, en el que pensé al principio darla a conocer». Había preparado una «justificación [apologie]» para atraer a su audiencia parisina, pero decidió suprimirla, al menos por el momento. «No tuve el coraje de presentarla en un país en el que parece que no piensan de manera suficientemente profunda y donde no hacen justicia al sistema de M. Newton».
Entenderemos mejor la renuencia de Maupertuis si tenemos en cuenta que no mucho antes, en 1728, el influyente secretario perpetuo de la Académie des Sciences, Bernard la Bovyer de Fontenelle (1657-1757) manifestaba («Sobre los movimientos en remolinos»): «El sistema general de Descartes merece que no solamente la nación francesa, sino toda la nación de los filósofos, esté dispuesta favorablemente a conservarlo. Sus principios son más claros, y llevan consigo más luz».
Johann Bernoulli, por cierto, no objetó la decisión de Maupertuis, aunque le mostró su preocupación en una carta del 26 de junio: «No sé si agradará de hecho más a sus compatriotas publicando su trabajo sobre la atracción en Inglaterra, que si la hubiese publicado en París, ya que ¿no teme ser considerado como un desertor, al ir a defender a otra parte una opinión que se tiene en su patria como física herética?».
Animado por la favorable opinión de Bernoulli sobre el contenido de su artículo, y ya pensionnaire de la Académie, Maupertuis decidió presentar a sus compatriotas sus ideas favorables a Newton. Tal fue el origen del ya citado Discours sur les différentes figures des astres avec une exposition des systèmes de MM. Descartes et Newton.
De todas maneras, lo que convenció a la mayoría de los científicos de que el sistema de Newton era mejor que el de Descartes fueron las sucesivas aplicaciones de la teoría newtoniana que científicos como Maupertuis y Alexis-Claude Clairaut (1713-1765) realizaron en las décadas de 1740 y 1750 a problemas del tipo de cuál era la verdadera figura de la Tierra, el retorno del cometa Halley (previsto por Clairaut en 1758), el movimiento de la Luna y las trayectorias de las órbitas de Júpiter y Saturno.
La cuestión de la figura de la Tierra era importante, ya que los cartesianos defendían que se trataba de un esferoide oblongo alargado en los polos y achatado en el ecuador, mientras que según la física de Newton el achatamiento afectaba a los polos siendo el diámetro del ecuador mayor. Para resolverla, la Académie des Sciences organizó dos expediciones, una a Laponia y otra a Quito. Se trataba de medir la longitud de un grado de meridiano en latitudes altas y compararla con las mediciones hechas en el ecuador. La expedición a Laponia (1736-1737) estuvo encabezada por Maupertuis, y en ella también participó Clairaut, mientras que la que viajó a América (que estuvo realizando sus trabajos desde 1736 hasta 1743) estuvo dirigida en lo que a observaciones y mediciones geodésicas se refiere por Charles-Marie de La Condamine (1701-1774), con la ayuda de, entre otros, los españoles Jorge Juan (1713-1773) y Antonio de Ulloa (1716-1795), designados por el Consejo de Indias. Finalmente, se comprobó que la Tierra está achatada por los polos, como exige la física newtoniana.
Muestra del declive cartesiano es el premio correspondiente a 1740, dedicado a la cuestión de las mareas, que fue dividido entre cuatro competidores, tres de los cuales (Maclaurin, Euler y Daniel Bernoulli, ya definitivamente convertido al newtonianismo) se basaban en el sistema de Newton, mientras que el cuarto, Antoine Cavalleri, un jesuita profesor de matemáticas, contenía una justificación cartesiana de resultados obtenidos con la física de Newton, aunque no aportaba nada nuevo. Y así, según nos aproximamos a la mitad del siglo XVIII, es más difícil encontrar tratados cartesianos de alguna relevancia.
Como acabamos de ver, la introducción y desarrollo de la física newtoniana —mecánica, teoría de la gravitación, y también óptica— en el continente europeo fue un proceso complicado, durante el cual en ocasiones las ideas newtonianas y cartesianas se combinaron en una dudosa mezcla. Leonhard Euler (1707-1783) ejemplifica de una forma magnífica este hecho.
Y es que Euler fue una figura capital en la configuración de la mecánica newtoniana. «El enfoque newtoniano ha guiado la evolución de la mecánica hasta su forma actual», escribió el gran especialista en Euler, Clifford Truesdell, en su Essays in the History of Mechanics (Ensayos de historia de la mecánica; 1968), pero «hicieron falta los trabajos de Euler para aclarar y extender los conceptos newtonianos, para completarlos con ideas igualmente importantes, y para enseñar cómo se debían atacar […] La primera parte del programa de Euler, su Mecánica [Mechanica sive motus scientia analytice] apareció en 1736, cuando tenía 29 años. Es el primer tratado de mecánica analítica propiamente dicha, en el cual todos los problemas se plantean y resuelven mediante procesos puramente matemáticos. Tanto durante este período como a lo largo del resto de su vida, Euler siguió los pasos de Newton al considerar a la fuerza como un concepto básico, en el mismo sentido con que se utiliza en estática. La Mecánica precisó los principios mediante tres conceptos. En primer lugar, así como Newton había utilizado la palabra “cuerpo” de manera vaga y con tres sentidos distintos por lo menos, Euler observó que los enunciados newtonianos son en general correctos solo cuando se aplican a masas concentradas en puntos aislados; él fue quien introdujo el concepto preciso de masa puntual, y suyo es el primer tratado único y exclusivamente dedicado a este concepto. En segundo lugar, fue el primero en estudiar explícitamente la aceleración como una magnitud cinemática definida en el movimiento sobre una curva cualquiera. En tercer lugar, emplea el concepto de vector o “magnitud geométrica”, una magnitud dirigida que se aplica no solo a fuerza estática, aplicación ya bien conocida, sino también a la velocidad, la aceleración y otras muchas magnitudes».
Fue también Euler quien escribió por primera vez, en 1750, en la forma en que la conocemos, la segunda ley del movimiento newtoniano: F = m·d2x/dt2 (no es extraño que Newton no la escribiese de esta forma, ya que es una presentación acorde con la formulación de Leibniz del cálculo diferencial, que no fue la de Newton). Asimismo se deben a él conceptos como los «ángulos de Euler», que forman parte destacada del estudio del sólido rígido (entre 1758 y 1760 revisó toda la teoría de los cuerpos rígidos, que presentó en Theoria motus corporum solidorum [1765]).
Pero ¿podemos considerar a Euler como a un newtoniano, o fue, como tantos otros de su tiempo un cartesiano, al menos desde el punto de vista metafísico? Más concretamente, la pregunta que me interesa es la de si Euler creyó en la teoría de Descartes; esto es, en la idea de que el Universo está formado por un conjunto continuo de vórtices bajo cuya influencia se mueven los objetos (como los planetas) que se encuentran en él.
Alguno se preguntará acerca del sentido de semejante pregunta. ¿No acabamos de mencionar que Euler contribuyó de manera sobresaliente al desarrollo de la mecánica newtoniana? ¿Es posible hacer avanzar un edificio científico determinado si no se comparten plenamente sus tesis fundamentales; en la cuestión que nos ocupa la creencia newtoniana en un espacio vacío en el que se transmiten fuerzas a distancia instantáneas? Pues bien, en este caso al menos no es demasiado difícil comprender que pudo darse tal situación. Una cosa es aceptar y utilizar la idea newtoniana de que la fuerza es un concepto a priori, y otra no cuestionarse su naturaleza, como, de hecho, hizo el propio Newton en la ya citada carta que envió el 25 de febrero de 1693 a Richard Bentley.
Fue gracias sobre todo a las docenas de ejemplos trabajados y resueltos por cartesianos como Daniel Bernoulli y Euler, que gradualmente llegó a aceptarse lo fructífero que era tomar a las fuerzas como magnitudes dadas a priori (no es casualidad, por cierto, que Bernoulli formulase su célebre teorema de hidrodinámica: es natural que un cartesiano se interesase por la física de los medios continuos, ya que, al fin y al cabo, los vórtices no son otra cosa que un medio continuo).
Pero vayamos a lo que sabemos sobre los pensamientos de Euler acerca de estas cuestiones.
En el otoño de 1723, Euler obtuvo el título de magister, que correspondía al final de los estudios en la Facultad de Filosofía de la Universidad de Basilea, en la que se había matriculado en octubre de 1720. Uno de los requisitos que tuvo que cumplir fue pronunciar una conferencia pública (en latín). Sabemos que en ella comparó los sistemas de filosofía natural de Descartes y de Newton, pero desgraciadamente no ha sobrevivido el texto de su exposición. Habría sido una pieza preciosa para intentar responder a preguntas como las que nos estamos haciendo. Afortunadamente, disponemos de otros elementos. Uno de ellos, por supuesto, es su célebre Lettres à une Princesse d’Allemagne sur divers sujets de Physique et de Philosophie (Cartas a una princesa alemana sobre diversas cuestiones de Física y de Filosofía; San Petersburgo, 1768, 1772), pero antes de examinar esta obra nos detendremos en un intercambio epistolar entre Clairaut y Euler en el que, ante los problemas que encontraba con las explicaciones newtonianas, este argumentó a favor de los vórtices cartesianos.
Poco después de la muerte de Newton, se encontró que algunas de las órbitas que se observaban en unos planetas del sistema solar —en particular las de Júpiter, Saturno y la Luna— no coincidían con los valores que se calculaban utilizando la teoría newtoniana. Uno de los que se enfrentó con este problema fue Clairaut, quien en 1743 preparó un trabajo sobre el caso de la Luna («Sobre la órbita de la Luna en el sistema de M. Newton», Mémoires de l’Académie Royale des Sciences). Se trataba, sin embargo, de un problema complicado, lo que le llevó a considerar posibilidades como la de modificar la ley de la gravitación newtoniana. Y entre aquellos con los que intercambió ideas y resultados estaba Euler. El 11 de septiembre de 1747, Clairaut escribía a Euler desde París, refiriéndose a dificultades que surgían no solo en el caso de la Luna, sino también con los movimientos de Júpiter y Saturno:
Estoy encantado de ver que piensa como yo en lo que respecta a la atracción newtoniana. Me parece demostrado que esta atracción no es suficiente para explicar los fenómenos, pero el carácter específico que usted da a la Luna no me parece tan sorprendente como el que yo he señalado. En lugar de ver cuál debe ser la distancia, yo he estudiado el movimiento del apogeo. Y al no encontrar más que la mitad de lo que se observa en la naturaleza, me ha parecido que esto proporciona la prueba más completa de la insuficiencia de la ley del [inverso del] cuadrado [de la distancia] Como todavía no he terminado mi cálculo sobre Saturno, no sé aún qué opinar acerca de este punto: pienso que probablemente el funcionamiento general del sistema exige que la ley sea en toda la naturaleza como 1/dist2 + una pequeña función de la distancia que sea importante a distancias pequeñas como la de la Luna y casi nula para grandes alejamientos.
El 30 de septiembre de 1747, Euler contestaba a Clairaut desde Berlín con una carta en la que se comprueba que todavía, en esta fecha tan tardía, tenía dudas acerca de la validez de las fuerzas newtonianas, considerando los vórtices cartesianos como una alternativa posible y probable:
Que las fuerzas que actúan sobre la Luna no siguen exactamente la regla de Newton, es algo sobre lo que puedo ofrecer varias pruebas, y en efecto la que usted deduce del movimiento del apogeo es la más llamativa, y yo la he destacado mucho en mis investigaciones sobre la Luna, en las que he encontrado que según la teoría newtoniana el movimiento medio de la Luna debería ser de media al movimiento del apogeo como 10 000 000 a 41 046, mientras que las observaciones dan esta razón como 10 000 000 a 84 477, siendo el número 84 477 más del doble más grande que 41 046, como usted señala […] Esta circunstancia hace que me parezcan muy probables los remolinos [tourbillons; esto es, los vórtices cartesianos] o cualquier otra causa material de estas fuerzas, ya que es fácil de concebir que estas fuerzas deben verse alteradas cuando son transmitidas por algún otro remolino. Así, yo supongo que la fuerza del Sol sobre la Luna se ve alterada considerablemente en las oposiciones, porque es entonces cuando pasa por el remolino de la Tierra. Y, de la misma manera, creo que la fuerza del Sol sobre los planetas superiores se ve perturbada al pasar por las atmósferas o remolinos de los inferiores; y por la misma razón la fuerza de Júpiter sobre Saturno en las oposiciones se ve perturbada considerablemente. De esto se sigue fácilmente que los planetas superiores están sujetos a perturbaciones más grandes que los inferiores, incluso sin tener en cuenta su acción mutua; y esta explicación me parece más probable que la que usted supone; esto es, que las fuerzas son como 1/dist2 más una pequeña función de las distancias, que sea importante a distancias pequeñas: ya que aunque la Luna parezca confirmar esto, creo que el movimiento regular de Mercurio contradice esta explicación.
Las inclinaciones de Euler a favor de los vórtices cartesianos con las que acabamos de encontrarnos procedían de cuestiones técnicas, de problemas concretos que surgían al tratar de explicar hechos de la mecánica celeste en base a la física newtoniana. Pero Euler también expresó sus opiniones sobre el continuo vorticial cartesiano en otro lugar, en su ya mencionado Lettres à une Princesse d’Allemagne sur divers sujets de Physique et de Philosophie, donde se recogen las cartas que envió a la sobrina de Federico el Grande, la princesa de Anhalt-Dessau, que deseaba ser instruida por el gran matemático (la relación con esta princesa se produjo durante la estancia de Euler en Berlín, donde llegó en junio de 1741; recordemos que se trasladó a la capital prusiana desde San Petersburgo, invitado por el emperador, Federico el Grande, y que en 1744 se convirtió en el presidente de la Academia de Ciencias de Berlín; permaneció allí hasta 1766, cuando la emperatriz Catalina I le reclamó para que volviese a San Petersburgo a dirigir la Academia).
En esa obra epistolar, un clásico de la literatura científica (fue traducido al menos a ocho idiomas), Euler, efectivamente, abordó en varias ocasiones cuestiones relevantes para el asunto que nos ocupa. Así, en la carta LIV, fechada el 7 de septiembre de 1760, escribía:
Se ha establecido con los razonamientos más sólidos, que reina una gravitación general en todos los cuerpos celestes, mediante la cual son impulsados o atraídos unos hacia los otros; y que esta fuerza es tanto más grande cuanto más próximos se encuentren. Este hecho no puede ser negado, pero se discute si hay que llamarlo impulsión o atracción. Un nombre no cambia una cosa; V. A. sabe que el efecto de empujar un carro por detrás o tirar de él desde delante es el mismo; de la misma manera, al astrónomo atento únicamente al efecto de esta fuerza, le molesta poco si los cuerpos celestes son empujados los unos hacia los otros, o si se atraen mutuamente, lo mismo que aquel que no examina más que los fenómenos no se preocupa de si es la tierra la que atrae a los cuerpos o si los cuerpos son empujados por alguna causa invisible. Pero si se trata de penetrar en los misterios de la naturaleza, es muy importante saber si es por impulsión o por atracción que los cuerpos celestes actúan los unos sobre los otros; si es alguna materia sutil e invisible la que actúa sobre los cuerpos impulsándolos unos sobre los otros, o si están dotados de una cualidad escondida y oculta gracias a la cual se atraen mutuamente.
Los filósofos se dividen en dos grupos: los que son partidarios de la impulsión, llamados impulsionarios [impulsionnaires], y los seguidores de la atracción, atraccionistas [attractionistes]. Newton se inclinó mucho por la atracción, y todos los ingleses son hoy celosos atraccionistas. Están de acuerdo en que no existen ni cuerdas, ni ninguna máquina de las que se emplean habitualmente para tirar, de las que la Tierra se pudiese servir para atraer los cuerpos a ella, dándoles peso; todavía menos descubren alguna cosa entre el Sol y la Tierra, de la que se pueda augurar que el Sol se sirve para atraer a la Tierra. Si se viese un carro seguido de caballos, sin que estuviesen unidos, y sin que se viese ninguna cuerda u otra cosa propia para que se mantuviese alguna comunicación entre el carro y los caballos, nadie diría que el carro es tirado por los caballos, ni tampoco se creería que es empujado por una fuerza invisible, o que se produce algún sortilegio. No obstante, los ingleses no abandonan sus ideas. Sostienen que la cualidad de atraerse mutuamente es propia de todos los cuerpos, siendo natural y extendida, y que basta con que el creador haya querido que todos los cuerpos se atraigan mutuamente para que la cuestión quede resuelta.
En la carta del 18 de octubre (1760), Euler volvió al tema. Es interesante ver lo que escribió entonces:
Como es seguro que dos cuerpos cualesquiera se atraen uno hacia el otro, nos preguntamos cuál es la causa de su querencia mutua; y los sentimientos se encuentran divididos. Los filósofos ingleses sostienen que la capacidad de todos los cuerpos de atraerse mutuamente es una propiedad esencial, una inclinación natural y recíproca […] Otros filósofos consideran esta idea absurda, y contraria a los principios de una filosofía razonable. No niegan el hecho; están de acuerdo en que existen fuerzas que empujan a los cuerpos unos hacia los otros, pero sostienen que estas se hallan fuera de los cuerpos, y que se encuentran en el éter, o en esa materia sutil que rodea a todos los cuerpos, como vemos en un cuerpo inmerso en un fluido, que puede recibir varios impulsos que lo ponen en movimiento.
El efecto de ambos mecanismos era el mismo —los cuerpos se atraen, efectivamente—, y, como señalaba Euler, se puede «dejar a los indecisos» decidir «si las fuerzas que actúan sobre los cuerpos residen en ellos o fuera de ellos. Siguiendo esta manera de hablar, cada grupo estaría contento». Podría parecer que Euler era aquí un perfecto, como diríamos hoy, operacionalista y convencionalista: que pensaba que lo importarte era explicar los hechos, no importa cómo. Como científico, posiblemente esta era su posición, pero como autor de las Lettres à une Princesse d’Allemagne fue más un filósofo natural-filósofo que un científico, y así, si seguimos leyendo la carta que estamos citando, pronto vemos que Euler advertía a su ilustre corresponsal que la postura de Newton y de sus seguidores implica «recurrir a la Todo Poderosa divinidad», a «sostener que Dios ha dotado a todos los cuerpos de una fuerza capaz de que se atraigan mutuamente». «Supongamos», escribía, «que antes de la creación del mundo Dios no hubiese creado más que dos cuerpos alejados uno del otro, y que no existiese nada fuera de ellos dos, y que estuviesen en reposo. ¿Sería posible que uno se aproximase al otro, o que tuviesen la inclinación de aproximarse? ¿Cómo sentiría uno al otro en su alejamiento? ¿Cómo podría tener el deseo de acercarse a él? Son estas ideas que nos inquietan, pero si uno supone que el espacio entre los cuerpos está lleno de una materia sutil, entonces comprende inmediatamente que esta materia pueda actuar sobre los cuerpos empujándoles: el efecto sería el mismo que si se atrajeran mutuamente. Como sabemos que todo el espacio entre los cuerpos celestes está lleno de una materia sutil a la que llamamos éter, parece más razonable atribuir la atracción mutua entre los cuerpos a una acción que ejerce el éter, aunque no conozcamos la manera en que lo hace, en lugar de recurrir a una cualidad ininteligible».
Filosóficamente, desde el punto de vista ontológico, como vemos, Euler era partidario del continuo, aunque todo parece indicar que no necesariamente tenía que ser del tipo que había propuesto Descartes. Lo que sucede es que este, los vórtices cartesianos, era una propuesta concreta, con una historia y partidarios detrás.
El que Euler contribuyese de manera muy destacada al desarrollo de la física newtoniana, inclinándose sin embargo a favor de conceptos y modelos cartesianos en principio incompatibles con el sistema de Newton, nos muestra que la dinámica del avance científico dista de ser lineal. Es perfectamente posible, como ilustra el ejemplo de Euler, que un científico (o grupo de científicos) desarrolle un sistema científico a través de, como diría el filósofo de la ciencia Imre Lakatos, un diálogo, o interacción, entre programas de investigación diferentes (como fueron el newtoniano y el cartesiano). En esa interacción, a la postre, el programa triunfante se beneficia de diversas maneras del programa al que finalmente —y aun así no siempre— termina arrinconando la física.
§. Energía
A pesar de la extensión y detalle de los principios y demostraciones que Newton incluyó en los Principia, la historia de la mecánica newtoniana no terminó en 1687; todo lo contrario, comenzó entonces. Los Principia, por ejemplo, no contienen principios como los de conservación del momento o de la energía, que hoy consideramos como aspectos muy importantes de la mecánica teórica. Y no debemos sorprendernos de ello: normalmente, las teorías científicas van elaborándose y perfeccionándose a lo largo de los años. De hecho, en lo que se refiere a la conservación de la «energía», un concepto este, como enseguida señalaremos, de difícil definición, Newton no tenía demasiados problemas, puesto que asignaba a Dios la facultad de conservar el mundo en el estado en el que lo había creado.
Encontramos una magnífica manifestación en esta creencia en el intercambio epistolar que mantuvieron Gottfried Wilhelm Leibniz (del que trataremos con más extensión en el capítulo siguiente), otro cartesiano, y el sacerdote anglicano Samuel Clarke (1675-1729) entre 1715 y 1716 a instancias de la princesa Carolina de Gales. A pesar de su confesión religiosa pública, Clarke era en privado, como Newton, un hereje que negaba la Trinidad. Fue un buen amigo de Newton (este encargó, por ejemplo, traducir su Óptica al latín), y en la correspondencia a la que nos referimos ofició, en realidad, como el representante de Newton. Por eso tiene tanto valor lo que escribió entonces. Pues bien, en una de sus cartas, su primera respuesta a Leibniz, enviada el 26 de noviembre de 1715, Clarke escribía:
La razón por la que un artífice es considerado, entre los hombres, justamente como el más diestro, cuando la máquina que ha fabricado sigue funcionando regularmente durante más tiempo sin ulterior injerencia del artífice, es que la habilidad de todos los artífices humanos consiste solamente en componer, ajustar o reunir ciertos movimientos cuyos principios son totalmente independientes del artífice, tales como pesos, fuerzas y otras cosas semejantes, fuerzas que no son creadas, sino solamente acomodadas por el artífice. Pero, con respecto a Dios, el caso es muy diferente, porque él no solamente compone o pone cosas unas junto a otras, sino que él mismo es el autor y continuo preservador de sus fuerzas originales o fuerzas motrices. Y consecuentemente esto no es una disminución, sino la auténtica gloria de su obra que en modo alguno es creada sin su continuo gobierno e inspección. La idea del mundo como una gran máquina que prosigue sin el concurso de Dios como un reloj que sigue funcionando sin la asistencia de un relojero, es la idea del materialismo y del fatalismo y tiende (bajo la pretensión de hacer de Dios una inteligencia supramundana) en realidad a excluir del mundo a la Providencia y al gobierno divinos.
Vemos aquí por qué no constituía un problema para Newton, un hombre de su tiempo, de profundas ideas religiosas, la ausencia en su ciencia de principios de conservación de la «fuerza». (Por cierto, en esta correspondencia se abordaron también otras cuestiones: como la de si el espacio y el tiempo son absolutos o relativos —Leibniz defendía la segunda opción— y si existe el vacío, que Leibniz, un cartesiano en este apartado, negaba).
El uso que hemos hecho de la expresión «conservación de la fuerza» no es casual. El concepto de energía, tal y como se utiliza ahora en la física, tardó en llegar, teniendo, además, diversos «padres», con lo que queremos decir que se trata de una magnitud que se manifiesta en distintos dominios: hay energía mecánica, química, electromagnética, gravitacional, etc. De hecho, en el presente capítulo nos ocupamos sobre todo de la energía mecánica, el dominio en el que se realizaron los primeros estudios matemáticos sobre esa magnitud física.
Hasta el siglo XIX se utilizó «fuerza» para designar actuaciones que asociamos a energía, como la capacidad de producir el movimiento y la potencia que adquiere un cuerpo al ser elevado a cierta altura. Veamos, en este sentido, lo que escribía Jean le Rond d’Alembert (1717-1783) en el artículo «Fuerzas» del tomo 7 (1757) de la Encyclopédie:
FUERZA VIVA, O FUERZA EN MOVIMIENTO: Se trata de un término que ha sido acuñado por Leibniz para distinguir la fuerza de un cuerpo que está realmente en movimiento de la fuerza de un cuerpo que solo tiene la tendencia al movimiento, sin moverse realmente, lo que habrá que explicar con mayor profundidad.
Supongamos, dice Leibniz, un cuerpo pesado reclinado sobre un plano horizontal. Este cuerpo hace un esfuerzo para descender, y este esfuerzo se ve frenado continuamente por la resistencia del plano, de tal forma que se reduce a una simple tendencia al movimiento. Leibniz llama a esta fuerza, y a las otras de la misma especie, fuerzas muertas.
Imaginemos, inversamente —añade el mismo filósofo— un cuerpo pesado que es lanzado desde arriba hacia abajo, y que al subir ralentiza constantemente su movimiento debido a la acción de la gravedad, hasta que finalmente su fuerza se ha perdido casi totalmente, lo que sucede cuando ha alcanzado la máxima altura a la que puede subir; está claro que la fuerza de este cuerpo se destruye gradualmente y se consume al ejercerse. Leibniz llama fuerza viva a esta última fuerza, para distinguirla de la primera, que nace y muere en el mismo instante; y, en general, llama fuerza viva a la fuerza de un cuerpo que se mueve con un movimiento continuamente desacelerado y retardado por los obstáculos, hasta que, finalmente, este movimiento es aniquilado, después de haber sido sucesivamente disminuido en grados imperceptibles.
Siguiendo los pasos de Huygens, que en 1662, como parte de sus trabajos sobre la colisión de cuerpos, había propuesto que el producto de la masa por el cuadrado de la velocidad es una magnitud que, sumada para todos los cuerpos que intervienen en un colisión elástica, es igual antes que después de la colisión, Leibniz había introducido la terminología de vis viva, para el «trabajo en movimiento», y de vis mortua, para el «trabajo en reposo». «La fuerza elemental», escribió en un tratado de 1695, Specimen dynamicum, «que llamo muerta porque todavía no existe el movimiento, sino solo una solicitación de movimiento […] La otra es la fuerza ordinaria asociada al movimiento real, y la llamo viva. Ejemplos de fuerza muerta los proporcionan la fuerza centrifuga, la gravedad o la fuerza centrípeta». Y añadía: «Pero en el choque que produce un cuerpo cuando ha estado cayendo durante algún tiempo, o por un arco que ha estado sin tensarse durante algún tiempo, o por otros medios, la fuerza está viviendo y nace de una infinidad de continuas impresiones de la fuerza muerta».
Esta última, y un tanto oscura, frase tomaría un sentido más exacto cuando se introdujeron pequeñas, pero muy importantes, modificaciones en la definición de vis viva: introducir el factor ½ en su definición y tomar en cuenta la masa, pasando así a ser ½ el producto de la masa por el cuadrado de la velocidad. De esta manera, estos términos fueron incorporados a la dinámica a partir de la década de 1850, como energía cinética y energía potencial. Y junto a la noción de trabajo, T, (definido como la acción de una fuerza a lo largo de un cierto recorrido, x; esto es, «fuerza por longitud»), comenzó a precisarse la noción de «energía».
Utilizando la notación actual, tenemos que:
align=center>T = ∫F·dx
Y si introducimos la segunda ley del movimiento de Newton. Se tiene:

que se puede escribir como:

esto es (recordando que la velocidad se define como dx/dt):

Es inmediato ahora integrar, quedando (si tomamos como límites de la integración (o lo que es lo mismo, el recorrido sobre el que actúa la fuerza), A y B:

O lo que es lo mismo, el trabajo es igual a la diferencia de las energías cinéticas en los dos puntos.
Volvamos a considerar ahora la fuerza, tomando ahora en cuenta su relación con un tipo de campo determinando (gravitacional, eléctrico,…). Para estudiar situaciones de este tipo, es preciso introducir un campo de fuerzas, digamos, en general, V(x), al que se denomina «potencial». Se dice que una fuerza es conservativa, si F = –dV/dx. En este caso,

Y por tanto:
∫F·dx = –∫dV
De donde se deduce, integrando de nuevo entre los puntos A y B, que
T = –(VB – VA)
Y reuniendo esta expresión con la que obtuvimos antes, queda:

Que podemos reescribir en la forma:

Por consiguiente, se tiene que la energía cinética más la función, V, que obviamente (para que la ecuación sea coherente) debe tener las mismas dimensiones (unidades) que la energía cinética, por lo que se la denomina «energía potencial», es la misma en los dos puntos entre los que actúa la fuerza. O expresado de otra manera:
Energía cinética + Energía potencial = constante.
Hoy sabemos que la anterior expresión denota la energía (constante) de un sistema mecánico aislado, pero hay que advertir que en su acepción actual (la que acabamos de expresar), el término «energía» solo recibió su significado actual en el siglo XIX; hasta entonces, la expresión «fuerza» abarcaba también la idea de energía (al fin y al cabo, la voz griega energeia significa «fuerza en acción»). De hecho, la formulación más general del principio de conservación de la energía se encuentra en un trabajo que el fisiólogo (y luego físico y matemático) Hermann von Helmholtz publicó en 1847, bajo el título de Über die Erhaltung der Kraft, esto es, Sobre la conservación de la fuerza (kraft, en alemán, es fuerza), aunque en nuestra terminología lo que aquel kraft significaba es energía. Volveremos a la conservación de la energía en el capítulo 10.
Contenido:§. Trigonometría, logaritmos
§. «Geometría de coordenadas»
§. Funciones
§. Cálculo infinitesimal e integral
§. La polémica sobre la creación del cálculo infinitesimal
§. La noción de límite
§. Probabilidades
Los útiles y conceptos matemáticos que consideramos en el capítulo 2 no eran suficientes para que las ciencias que se ocupan del estudio de la naturaleza progresasen. Los principios y técnicas geométricas contenidas en los Elementos de Euclides continuaron, y continuarían, siendo muy útiles, pero tenían sus limitaciones, al igual que las matemáticas basadas en la noción de número, un ente matemático de naturaleza discontinua. En particular, se hizo evidente —como vimos en los capítulos anteriores— la necesidad de disponer de un sistema matemático que permitiese describir el movimiento, un fenómeno esencialmente continuo. Fue preciso, por consiguiente, desarrollar instrumentos matemáticos que hicieran posible tratar con magnitudes continuas, lo que, a su vez, significaba enfrentarse con la cuestión del infinito.
De todas maneras, al margen de esta limitación, las matemáticas continuaron progresando, un progreso no solo conceptual, podríamos decir, sino también técnico, en el sentido de mejorar la precisión de los números que cuantifican medidas. Además de los instrumentos para la observación de la naturaleza (telescopio y microscopio), durante la Revolución Científica se introdujeron los primeros instrumentos para la medida de las dimensiones con mayor precisión de la que ofrecían la regla y el cuadrante. Las marcas que distinguen las milésimas dan lugar a confusiones cuando se aprecian a simple vista, pero el francés Pierre Vernier (1580-1637), matemático e inventor de instrumentos de medida de gran precisión, encontró la solución mediante la construcción de un instrumento (nonius) formado por dos tablillas adosadas por el canto. La superior dividida en 10 milímetros y la inferior en otras 10 con una longitud total de 9 milímetros. La medida exacta corresponde al valor marcado cuando la línea superior coincide exactamente con la inferior. Ya más adelante, la Revolución Industrial favoreció el desarrollo de máquinas de medir con una precisión de millonésimas de pulgada. Desarrollos como los anteriores resultaron imprescindibles para la introducción del sistema métrico decimal, producto de una decisión de la Convención francesa que se generalizó más tarde con la creación del Sistema Internacional de las Unidades.
Pero dejemos estas novedades técnicas con repercusiones matemáticas y pasemos a desarrollos de índole más conceptual.
§. Trigonometría, logaritmos
La trigonometría (que literalmente significa «medir ángulos») es una rama de las matemáticas con la que nos familiarizamos pronto. No es extraño que así sea: sus nociones básicas se introducen fácilmente a través de figuras geométricas tan sencillas como son los triángulos. Y con respecto a su utilidad, basta con recordar que con las funciones seno, coseno y tangente (el cociente, respectivamente, entre el lado opuesto al ángulo y la hipotenusa, el lado adyacente y la hipotenusa, y entre el seno y el coseno) se puede realizar un amplio conjunto de operaciones, como calcular lados de un triángulo a partir del conocimiento de ángulos y uno de los lados o la hipotenusa.
A pesar de su dimensión geométrica, la trigonometría no forma parte realmente del equipaje de los Elementos de Euclides, no al menos en lo que se refiere a nociones tan básicas para ella como pueden ser las de seno, coseno o tangente. En realidad, parece que el origen de la trigonometría está ligado a la astronomía, donde lo más fácil es medir ángulos, ya que las distancias —los lados de los triángulos— son inaccesibles. Es razonable, por consiguiente, que aunque utilizando una formulación diferente a la que ahora conocemos, encontremos cálculos de índole trigonométrica en la obra del astrónomo griego del siglo III a. C. Aristarco.
Fueron, efectivamente, los griegos quienes descubrieron que los ángulos de un triángulo miden dos rectos (180°) y dedicaron especial atención al triángulo rectángulo. Ya en el siglo II, Hiparco obtuvo las primeras tablas trigonométricas al estudiar la relación entre los lados y ángulos de los triángulos rectángulos. En concreto se ocupó de calcular el valor de la cuerda de un arco que unía dos puntos de una circunferencia por una recta trazada por su interior. Por ejemplo, un radio perpendicular la divide en dos partes iguales y al unir un extremo de la cuerda con el centro se forma un triangulo rectángulo; la hipotenusa es el lado opuesto al ángulo recto, la cuerda es el lado opuesto a la hipotenusa, mientras que el lado restante se conoce como adyacente. Y también Ptolomeo dedicó una buena parte de Almagesto a presentar resultados trigonométricos, expresados en la misma forma que Hiparco.
Fue en la India donde se establecieron conceptos trigonométricos más modernos. Aparecieron en obras astronómicas como el Surya Siddhanta (Sistema del Sol, del siglo IV, el Aryabhatiya, de Aryabhata (siglo V), donde aparecen las primeras tablas de senos y cosenos (el concepto de tangente se debe a al-Khwarizmi en el siglo IX) y más desarrollados en el Siddhanta Siromani (Diadema de un sistema astronómico; 1150), debido a Bhaskara, quien, por ejemplo, dio una fórmula aproximada para el seno de un ángulo agudo, fórmula que él atribuía a Aryabhata.
Es preciso señalar que, debido a su vinculación con la astronomía, durante mucho tiempo, hasta básicamente el siglo XV, la trigonometría era esférica y no plana, aunque esta sea en realidad un caso límite de aquella. Hubo excepciones de tratamientos unificados, como el debido al matemático árabe Nasir eddin at-Tusi, esto es, Nasir Eddin (1201-1274), que se esforzó en reunir trigonometría esférica y plana, tratando ambas como disciplinas puramente matemáticas y no astronómicas, pero su obra pasó desapercibida en Occidente hasta el siglo XV. Importantes en la configuración definitiva de la trigonometría, tal y como nos ha llegado, son las contribuciones —ya en latín— de una serie de matemáticos del siglo XV. El primero, Johannes Müller, más conocido como Regiomontano (1436-1476), un fabricante de instrumentos, astrónomo y humanista además de matemático, que no solo calculó una tabla de senos y otra de tangentes, sino que también produjo una identidad trigonométrica fundamental como es sen2 x + cos2 x = 1. Reunió su versión de la trigonometría en una obra que terminó en 1464, pero que permaneció sin publicar hasta 1533, cuando apareció bajo el título De triangulis omnimodis (Sobre triángulos de todo tipo); reeditado en Basilea en 1561, este libro fue muy estudiado durante el siglo XVI, contribuyendo decisivamente a la difusión de la trigonometría.
Otro que contribuyó a su difusión fue Rheticus, con quien nos encontramos mientras tratábamos de Copérnico, el primero en definir las funciones trigonométricas en función de los ángulos rectos con tablas de las seis funciones trigonométricas. Y François Viète, que en su primer libro, Canon mathematicus (Canon matemático; 1571) daba fórmulas de trigonometría plana y esférica, junto a tablas trigonométricas (indicando sus valores, de grado en grado con diez cifras) de senos, cosenos, tangentes, y sus inversos, cotangentes, secantes y cosecantes, estableciendo asimismo las expresiones para sen nx y cos nx en función de potencias de sen x y cos x.
La asociación de la trigonometría con la astronomía hacía que en esta disciplina aumentase en número de tablas de números con los que los astrónomos debían operar. Dos de esas operaciones, aunque básicas, como son la multiplicación y la división, implican cálculos de cierta extensión en los que, además, no es difícil equivocarse. Ligado a este hecho está el desarrollo de los logaritmos, un ente matemático que hizo posible cálculos rápidos y fiables. Aunque en la actualidad las calculadoras electrónicas los han convertido casi en piezas de museo, la deuda que las matemáticas, la astronomía y la física tienen con ellos es inapreciable.
Hoy definimos con facilidad el logaritmo en una cierta base, a, de un número x como «el exponente al que hay que elevar la base para que nos dé x». Así, en la base 10, el logaritmo de 1 (log10 1) es 0, ya que 100 = 1, y el de 10 es 1 (101 = 10). Ahora bien, como tantas veces sucede con teorías o técnicas, al principio los logaritmos aparecieron bajo formas no tan sencillas.
El principal, aunque no único (se conocen otros precursores, como el fabricante suizo de relojes Jobst Bürgi [1552-1632]), responsable de la aparición de los logaritmos fue John Napier (1550-1617), un barón escocés interesado en desarrollar métodos de cálculo. En lo que se refiere a los logaritmos, parece que su punto de partida fueron las «progresiones geométricas», aquellas series de números en las que cada término se obtiene del anterior multiplicándolo por un número fijo; por ejemplo:
1, 2, 4, 8, 16,…
en la que el factor multiplicativo es 2, o
1, 10, 100, 1000, 10 000…
(factor multiplicativo 10).
Expresadas de otra manera, estas series se pueden escribir como:
20, 2, 22, 23, 24,…
100, 101, 102, 103, 104,…
Y se observó que, por ejemplo, 22 · 24 (4 · 16 = 64) era igual a 22 + 4; esto es 26 (2 · 2 · 2 · 2 · 2 · 2), o 103 · 104 = 103 + 4, lo que significaba que multiplicar potencias era lo mismo que sumar exponentes. Esta es la idea básica de los logaritmos. Una idea que se vio reforzada cuando James Craig (¿?-1620), médico del rey de Escocia, informó a Napier que semejante propiedad aparecía también en la trigonometría (era conocida como prostaféresis), con relación a una fórmula descubierta por Viète:
[sen(x + y)/2] · [cos(x – y)/2] = (sen x + sen y)/2,
en la que un producto se convertía en una suma.
Napier desarrolló la idea produciendo un nuevo útil matemático, el logaritmo, que presentó en un libro publicado en 1614: Mirifici logarithmorum canonis descriptio (Descripción de la maravillosa regla de los logaritmos). Curiosamente, aunque el término «logaritmo» aparecía en el título del libro, en el texto Napier utilizaba la expresión numerus artificialis (la abreviación «log» la introdujo Kepler en 1624).
La introducción de los logaritmos dio un salto cualitativo en el cálculo, tanto numérico como trigonométrico. Al sustituir la multiplicación y la división por la suma y la resta, ya que:
log a · b = log a + log b
log a/b = log a – log b
log (ab) = b·log a.
De esta manera, para encontrar el valor del producto a·b, basta con sumar sus logaritmos y buscar luego en la correspondiente tabla de logaritmos el antilogaritmo.
Ahora bien, los logaritmos que inicialmente utilizó Napier aún eran complejos (utilizaba una base que hacía, por ejemplo, que el logaritmo de 107 fuese 0). Afortunadamente, recibió la ayuda de Henry Briggs (1561-1630), catedrático de Geometría en el Gresham College de Londres hasta 1620 y después profesor Saviliano de la misma materia (inauguró esta cátedra) de la Universidad de Oxford, que en 1615 fue a visitar a Napier a Escocia (en aquella ocasión pasó un mes con él; el año siguiente le visitó de nuevo), proponiéndole entonces que utilizase la base 10. No dispuso, sin embargo, Napier de apenas tiempo para desarrollar estas ideas, ya que murió pronto, en 1617 (dos años después, en 1619, apareció otro libro en el que detallaba el método logarítmico de cálculo: Mirifici logarithmorum canonis constructio [Construcción de la maravillosa regla de los logaritmos]). Fue Briggs quien asumió la tarea de desarrollar el cuerpo de los logaritmos en base 10, publicando en 1617 Logarithmorum chilias prima, que incluye tablas de los logaritmos de los enteros de 1 a 1000, con 14 cifras decimales. Posteriormente, en 1624, apareció Arithmetic logarithmica (Aritmética logarítmica), en la que computó los logaritmos del 1 al 20 000 y del 90 000 al 100 000, también con 14 cifras decimales.
Una base muy utilizada en los logaritmos es el número e (2,7182…), que tiene su propio nombre: logaritmos neperianos e, uno de los números especiales de la matemática (como π), aparece con relación a la serie geométrica (1 + 1/n)n, donde n es un número muy grande. El límite de esta serie, cuanto mayor se hace n es precisamente e.
§. «Geometría de coordenadas»
Aun siendo muy poderosa, la geometría que se encuentra en los Elementos de Euclides adolece de limitaciones, asociadas a las dificultades que encontraron los griegos para tratar con curvas de alguna complejidad. Fueron Pierre de Fermat y, sobre todo, René Descartes —ambos, recordemos, del siglo XVII— quienes resolverían este problema introduciendo el álgebra en la geometría, construyendo una «geometría de coordenadas» o, un nombre que surgió en el siglo XIX, «geometría analítica». El primero llegó a esta idea a partir de los trabajos geométricos de Apolonio y Diofanto, que tradujo a forma algébrica, es decir, relacionando figuras geométricas con ecuaciones. «Siempre que en una ecuación», escribió en uno de sus libros, cuyo manuscrito completó en 1636, aunque solo fue publicado en 1679 bajo el título de Ad locos planos et solidos isagoge (Introducción a los lugares geométricos planos y sólidos), «se hallen dos cantidades incógnitas, tenemos un lugar geométrico y el punto final de una o de las dos cantidades describe una línea recta o una curva. La línea recta es la única de su clase, pero los tipos de curvas son infinitos: un círculo, una parábola, una hipérbola, una elipse, etc».
En cuanto a Descartes, su contribución aparece en su Discours de la méthode (1637); más concretamente en uno de sus tres apéndices, el dedicado a La Géometrie (La Geometría).
Lo que hizo Descartes fue encontrar el medio de identificar cada uno de los puntos de un plano al construir dos rectas que se cortaban perpendicularmente. La vertical es el eje de las abscisas y la horizontal el de las ordenadas, ambas líneas graduadas para medir las distancias de un punto cualquiera a los ejes. Una línea recta se concibió como infinitos puntos que tienen la misma dirección, y una circunferencia como el conjunto de puntos situados a la misma distancia del centro. El locus es el conjunto de los puntos que cumplen una determinada condición. La perpendicular en el punto medio de un segmento es el locus de todos los puntos que equidistan de los extremos del segmento. Los puntos de una circunferencia distan lo mismo de su centro, son el locus de esta. La identificación de la correlación algebraica con el locus geométrico permitió definir la línea como una ecuación. Si tomamos, por su sencillez, el caso de un plano, las coordenadas del punto de intersección, el origen de coordenadas, son (0, 0) y los cuatro cuadrantes que se forman se caracterizan por la combinación de los signos: positivos ambos en el cuadrante superior derecha y negativos en el inferior izquierda, mixtos los otros dos. La distancia del punto a los ejes x e y determinaba las coordenadas del punto, la posición y longitud de los segmentos de líneas rectas y curvas, o la posición, dimensiones y forma de cualquier figura (una recta, por ejemplo, se escribe como ax + by = c, donde a, b, c son constantes y x e y las variables que representan los puntos del locus; y una circunferencia de radio R se representa mediante la ecuación x2 + y2 = R2). En otras palabras, la aritmetización de la geometría plana y esférica permitió resolver los problemas y demostrar los teoremas sin necesidad de la argumentación geométrica.

La representación de puntos en el espacio que introdujo René Descartes formaba parte de su proyecto de utilizar métodos algebraicos en la geometría. El caso representado en la figura corresponde a las tres dimensiones espaciales. Adviértase, no obstante, que es posible representar un punto en el espacio mediante diferentes tipos de coordenadas.
Dos son las que presentamos aquí: las cartesianas (x, y, z) y las esféricas (r, θ, ϕ) (en el caso del plano —dos dimensiones— las coordenadas esféricas se denomina polares, un término introducido, parece, por el matemático italiano Gregorio Fontana [1735-1803]). Ambos conjuntos de coordenadas están relacionados mediante las ecuaciones:
x = r·sen θ·cos ϕ
y = r·sen θ·sen ϕ
z = r·cos θ
Se comprueba fácilmente que, por ejemplo, la ecuación que describe una esfera de radio r es x2 + y2 + z2 = r2.
La equivalencia de una curva y una ecuación es la base de la geometría analítica. Lo que en realidad hizo Descartes es mostrar que las curvas se definían por una ecuación y que las ecuaciones definían curvas. «Si nos percatamos», escribió en el Libro Tercero de La Géometrie, «de cómo mediante el método que utilizo todo cuanto es considerado por los geómetras se reduce a un mismo género de problemas, que consiste en buscar el valor de las raíces de alguna ecuación, se podrá juzgar correctamente que no es equivocado realizar una enumeración de todos los medios por los que pueden ser halladas de modo que sea suficiente para mostrar que se ha escogido el más general y el más simple».
La geometría se reorientó así al estudio de las relaciones y magnitudes en detrimento de las figuras y construcciones geométricas; las ecuaciones lineales producían rectas y las cuadráticas cónicas, en tanto la introducción de constantes producía curvas irregulares. De esta manera, se abría una nueva era en la historia de las matemáticas y, subsidiariamente, de la física.
§. Funciones
«Hija orgullosa del Número y del Espacio», en las afortunadas palabras de F. LeLionnais, «es la Función. Presentido por la antigüedad (a propósito de los lugares geométricos), este concepto tomó conciencia de su fuerza en el siglo XVII, primero bajo el impulso de Descartes por la interpenetración del Álgebra y la Geometría, luego, gracias a los esfuerzos separados pero convergentes de Newton y Leibniz, mediante el descubrimiento de un escalpelo idealmente adaptado a su naturaleza móvil y sutil: el Análisis infinitesimal. Después de conquistar su autonomía, la Teoría de Funciones se enriqueció en el siglo XVIII gracias a los audaces golpes de mano de un ejército de matemáticos conducidos por Euler y luego por Lagrange, elevándose sucesivamente con Gauss, Fourier, Cauchy, Abel, Jacobi, Riemann y Weierstrass, de lo algebraico a lo trascendente, de lo real a lo complejo, de lo continuo a lo discontinuo».
Efectivamente, al recurrir a magnitudes variables —las x, y, z de las coordenadas cartesianas— para la descripción de figuras geométricas en el espacio, Descartes estaba empleando de manera implícita uno de los conceptos básicos de las matemáticas: el de función. En La Géometrie se describe la relación entre dos cantidades de manera que el cambio aleatorio de una de ellas produce un cambio determinado de la otra. Si la relación entre x e y se ajusta a, por ejemplo, la ecuación y = 2x, el valor de y será el doble del de x para todo valor de este. Es obvio que se estaba hablando de funciones, un término este, sin embargo, que acuñó Leibniz (aparece por primera vez en uno de sus manuscritos de 1692), algo no sorprendente en alguien entre cuyas creaciones se encuentra el cálculo diferencial e integral, porque ¿qué sentido tienen estos cálculos sin funciones?
En una carta fechada el 2 de septiembre de 1694, Leibniz describía una función a Johann Bernoulli como «una cantidad formada de alguna manera a partir de cantidades indeterminadas y constantes». Y el matemático suizo adoptó el término, que incluyó —refiriéndose a «funciones de coordenadas»— en un artículo que publicó en 1698 sobre problemas isoperimétricos, detalle que Leibniz le agradeció escribiéndole: «me agrada que use el término función en el mismo sentido que yo». No obstante, fue en 1748 cuando el concepto de función logró su mayoría de edad, al hacer de él Euler el elemento central de su exposición del análisis en su Introductio in analysin infinitorum (Introducción al análisis infinitesimal). «Una función de una cantidad variable», escribió allí Euler, «es una expresión analítica compuesta de cualquier manera a partir de la cantidad variable y de números o cantidades constantes».
Formalmente, una función de una variable, x, que supondremos de entrada (así fue en realidad) perteneciente al conjunto de los números reales, se suele escribir como f(x), y de manera completa y = f(x). Se trata, por consiguiente, de una relación entre dos conjuntos: al conjunto de los valores posibles de x se le conoce como el dominio de la función y al de los valores de y como el rango de la función. Una función de números reales puede representarse por una ecuación, por un grafo, por un algoritmo o por una descripción de sus propiedades. El grafo de una función coincide con la representación gráfica de los puntos de la función en un plano cartesiano. El grafo de una ecuación lineal es una línea recta, el de una cuadrática, una curva regular, en tanto que existen grafos que no siempre se pueden expresar como una ecuación «simple».
Por supuesto, el concepto de función se puede extender a cualquier número de variables independientes, y estas no solo tienen que ser números reales. En Introductio in analysis infinitorum, Euler ya distinguió entre las funciones elementales de una variable, las funciones algebraicas y las funciones trascendentes. Las primeras, que comprenden en particular los polinomios (relaciones del tipo ax + bx2 + … + cxn) y las fracciones racionales, pueden ser explícitas o implícitas (se dice que una función algebraica de x es explícita cuando el valor y es el resultado de un número finito de sumas, diferencias, productos, cocientes, potencias de exponentes racionales y extracciones de raíces, operados sobre x y sobre constantes; en caso contrario, la función es implícita). Las funciones trascendentes son las que no son algebraicas (se obtienen cuando se toman logaritmos, exponenciales, cuando se eleva la variable a potencias irracionales y cuando se efectúan ciertas integraciones). Una función es uniforme cuando a cada valor de x le corresponde un único valor de y, de lo contrario es multiforme.
Un ejemplo notable de función multiforme son las que tienen como variables un tipo particular de número. Los números complejos, en más de un sentido el producto final de la evolución del concepto de número, tras los naturales (0, 1, 2, 3,…), enteros (los naturales más los negativos, –1, –2, –3,…), racionales (enteros más fracciones de estos), reales (que podemos considerar como el conjunto de todos los desarrollos decimales infinitos posibles, y que incluyen los irracionales, como √2, e y π, cuyas «irracionalidades» fueron demostradas, respectivamente, por los pitagóricos, Euler y Lambert).
Los números complejos nacieron a partir del descubrimiento de los números imaginarios, descubrimiento relacionado con los esfuerzos realizados durante el siglo XVI por resolver ecuaciones de segundo y cuarto grado; como, por ejemplo, x2 = –1, que no tiene solución entre los números reales, tarea en la que descolló en el siglo XVI Geronimo Cardano, en cuya Ars magna aparece la ecuación (escrita en notación moderna):
(5 + –15) · (5 – √–15),
que él calculó como igual a
25 – (–15),
esto es, 40. Cuando se desarrolló una notación propia para los números complejos, en la que aparece el número i, definido como i2 = –1, esta ecuación pasó a escribirse como:
(5 + √–15) · (5 – √–15) = (5 + i√–15) · (5 – i√–15) = 52 – i2 · 15 = 25 – (–1) · 15
esto es,
25 + 15 = 40
Sin embargo, hasta comienzos del siglo XVII no se consideró seriamente a estos números, y aun entonces no se tenían ideas claras sobre ellos. Así, en un libro que publicó primero en ruso (1768-1769) y luego en alemán (1770), Introducción completa al álgebra, Euler escribió: «Porque todos los números concebibles, o son mayores que cero o menores que cero o iguales a cero, entonces está claro que las raíces cuadradas de números negativos no pueden estar incluidas entre los posibles números [los reales]. Consecuentemente, debemos decir que estos son números imposibles. Y dicha circunstancia nos lleva al concepto de tales números, los cuales por naturaleza son imposibles, y ordinariamente son llamados números imaginarios o fantasiosos, y que solo existen en la imaginación». Finalmente, se impusieron introduciéndose, además, un tipo de representación geométrica que facilitó su manipulación. Esta se debe a un noruego, Caspar Wessel (1745-1818), quien la presentó en 1797 en un artículo que sometió a la Real Academia de Dinamarca. En esa representación, en la que los números complejos se denotan como x + iy, se utilizan los ejes cartesianos de ordenadas y abscisas de un plano; en el eje de ordenadas se introduce el valor real, x, y en abscisas el imaginario, iy. No obstante ser Wessel el responsable de este desarrollo, la representación en cuestión se conoce como «diagrama de Argand», en honor a Jean Argand (1768-1822), un suizo autodidacta que en 1806, mientras trabajaba como librero en París, publicó la primera representación gráfica de los números complejos, tal y como la había ideado Wessel.
Aunque, sin duda, cuando finalmente se aceptaron, los números complejos se entendieron como entes cuya razón de ser se limitaba a la matemática, se terminó descubriendo que esto no es así. En la física cuántica, por ejemplo, el ente matemático que describe la realidad es la denominada «función de onda», que está definida no en el dominio de los números reales, sino en el de los complejos.
§. Cálculo infinitesimal e integral
Con la entrada de las funciones como una de las protagonistas del gran escenario matemático, características como la continuidad y el infinito se hicieron particularmente patentes, puesto que, en principio, una función está definida en un dominio continuo y, por consiguiente, infinito. Asimismo, cobró una dimensión diferente, más compleja, la vieja cuestión de calcular —en el caso de que nos limitemos a un plano— las áreas de superficies encerradas por líneas geométricas, problema que en el pasado se había limitado en general a figuras como triángulos, circunferencias o polígonos.
Ahora, con las funciones las figuras geométricas pasaban a ser más generales, al ser no solo legítimo, sino obligado, plantearse, por ejemplo, cuál era el área encerrada por una función f(x) y las dos líneas rectas verticales que caían al eje de ordenadas, o el ritmo de variación de la función con respecto a la variable de que dependía. Es en este sentido en el que se debe entender lo que escribió Guillaume François Antoine, marqués de L'Hôpital (1661-1704), en la «Introducción» de un libro que publicó en 1696, Analyse des infiniment petits, pour l’intelligence des lines courbes (Análisis de los infinitamente pequeños para el estudio de las líneas curvas): «Lo que tenemos de los antiguos sobre estas materias, principalmente de Arquímedes, es indudablemente digno de admiración. Pero además de que solo trataron unas pocas curvas y de que las trataron ligeramente, casi en todos lados se refieren a proposiciones particulares y sin orden, que no permiten percibir ningún método regular y coherente».
Al mencionar a Arquímedes, L’Hôpital se estaba refiriendo al método —con el que ya nos encontramos en el capítulo 2— que desarrollaron sobre todo Eudoxo y Arquímedes, que les permitía calcular las áreas de los polígonos: el «método de exhaución». Dividían los polígonos irregulares en otros regulares y sumaban los resultados parciales para aproximarse al resultado. Avanzamos en aquel capítulo que ese método constituía algo así como la prehistoria del cálculo infinitesimal (o diferencial). De este, lo habitual es referirse a él como la creación de dos gigantes de la ciencia como son Newton y Leibniz. Ahora bien, antes de pasar a comentar sus aportaciones es preciso señalar que, al igual que sucede prácticamente siempre, la historia de la creación del cálculo diferencial e integral es más plural y compleja. En una exposición más completa habría que referirse a científicos anteriores que utilizaron infinitesimales para resolver problemas matemáticos o físicos; científicos como, entre otros, el ingeniero y matemático holandés Simon Stevin (1548-1620), que desarrolló métodos para calcular el centro de gravedad de un triángulo, Johannes Kepler, que en una de sus obras, Nova stereometria doliorum vinariorum (Nueva geometría sólida para barriles de vinos; 1615), calculó el volumen de sólidos obtenidos mediante la rotación de una cónica alrededor de una línea de su plano, y Galileo, que en sus Discorsi de 1638 utilizó a uno de sus personajes de ficción, Salviati, para discutir con otro de esos personajes, Simplicio, las dificultades de los conceptos de infinito e infinitesimal, al mismo tiempo que mostraba sus posibilidades en la deducción de la ley de un movimiento uniformemente acelerado. Ahora bien, ninguno de los procedimientos utilizados por estos precursores puede compararse, en cuanto a rigor, con los de Arquímedes. Más riguroso, centrado en los aspectos matemáticos y cercanos a como ahora entendemos la integración, fueron los trabajos de Bonaventura Cavalieri (c. 1598-1647), un discípulo de Galileo que se basó en los métodos de Aristóteles. Cavalieri escribió un tratado sobre la utilización de «indivisibles» (nuestros infinitesimales) que constituye el primer libro de texto de lo que ahora denominamos métodos de integración, Geometria indivisibilibus continuorum (Geometría de indivisibles continuos; 1635), en donde consideraba las áreas como suma de indivisibles, las líneas que las componían (denominó omnes lineae al conjunto de segmentos que forman un área plana), y los volúmenes como suma de áreas planas. «Dada una figura plana», leemos en su libro, «se consideran dos planos perpendiculares al plano de la figura, entre los que esta esté exactamente contenida. Si uno de los dos planos se mueve paralelamente hacia el otro hasta coincidir con él, entonces las líneas que durante el movimiento forma la intersección entre el plano móvil y la figura dada, consideradas en conjunto, se llaman omnes lineae de la figura, tomada una de ellas como directriz».
Con semejante base, llegó a calcular las áreas de las parábolas generalizadas del tipo xn, con n = 3, 4, 5, 6 y 9, más lejos, por consiguiente, de Arquímedes, que con el método de exhaución únicamente había podido calcular el área de la parábola clásica (x2).
La introducción de infinitos elementos intermedios (indivisibles) constituyó un elemento fundamental en el camino que condujo al establecimiento del cálculo integral, un procedimiento matemático que se basa en la división de la región determinada por la curva y = f(x) entre dos puntos, x = a y x = b, dividiendo la distancia ab en un número de segmentos iguales, Δx, y a unirlos con una perpendicular a la curva. Para cada uno de estos puntos se calcula el valor de f(x) que denominamos h. El área del rectángulo es igual al producto de Δx por h. La suma de todos los rectángulos proporciona una aproximación, aunque para una respuesta exacta es necesario tomar el límite de Δx cuando se aproxima a cero. De todas maneras, al igual que la mayoría de los precursores del cálculo diferencial e integral, Cavalieri dependía mucho de procedimientos geométricos, una limitación que comenzó a superar John Wallis (1616-1703), catedrático Saviliano de Geometría en Oxford desde 1649 y uno de los fundadores de la Royal Society. Lo que hizo Wallis fue asignar valores numéricos a los indivisibles de Cavalieri, convirtiendo así las manipulaciones geométricas en aritméticas. Semejante diferencia de enfoque se manifestó en el título del libro en el que Wallis presentó sus ideas, Arithmetica infinitorum (Aritmética del infinito; 1655), frente a la Geometria indivisibilibus continuorum de Cavalieri: aritmética frente a geometría (fue Wallis, por cierto, quien introdujo el símbolo ∞ para denotar «infinito», el objeto último de sus esfuerzos).
Uno de los problemas asociados al nacimiento del cálculo integral especialmente residía en saber si la suma de un número infinito de elementos podía producir un resultado finito. De hecho, este problema tenía una larga tradición, como demuestran las famosas aporías de Zenón. Aunque el método de exhaución ya indicaba que infinitos podían dar cantidades finitas, un resultado aún más claro, ligado además a sumas (el mismo procedimiento que subyace en el cálculo integral), es uno que también obtuvo Arquímedes. Se trata de la suma de la serie:
A = 1 + 1/4 + 1/42 + 1/43 + …,
que Arquímedes necesitaba para calcular el área de un trozo de parábola. Lo que hizo fue multiplicar la serie por (1 – 1/4). De esta manera, se tenía:
A · (1 – 1/4) = (1 + 1/4 + 1/42 + 1/43 + …) · (1 – 1/4),
que es igual a
1 + 1/4 + 1/42 + 1/43 + … – 1/4 · (1 + 1/4 + 1/42 + 1/43 + …) =
1 + 1/4 + 1/42 + 1/43 + … –1/4 – 1/42 – 1/ 43 + 1/44 –…,
que, obviamente, es igual a 1. Se tiene, en definitiva:
A · (1 – 1/4) = 1
Y como 1 – 1/4 es igual a 3/4, resulta A · 3/4 = 1; y en consecuencia:
A = 4/3.
La suma de la serie infinita A es, en definitiva, finita, un resultado que si lo llevásemos a la aporía de Aquiles y la tortuga explicaría por qué aquel alcanza a esta: aunque Aquiles recorra un número infinito de intervalos para alcanzar a la tortuga, la suma de todos ellos es finita.
Hasta el momento nos hemos centrado en cálculos de áreas o volúmenes, esto es, en el cálculo infinitesimal, pero este va acompañado, de manera, podríamos decir, tan íntima como necesaria, por el cálculo diferencial. Los orígenes de este se hallan asociados a otro elemento de naturaleza físico-geométrica: la tangente a una curva en un punto (o la «recta que toca a una curva en un punto»), por un lado, y por otro, a la velocidad con que se mueve un punto sobre una curva, o el ritmo de variación con respecto a la variable. La construcción de tangentes tenía una larga historia: aparece, por ejemplo, en los escritos de Euclides y Apolonio, y en su tratado sobre las espirales, Arquímedes (de nuevo Arquímedes, una de las grandes cumbres de la ciencia de todos los tiempos) utilizaba un método para calcular tangentes que parecía inspirado en consideraciones cinemáticas. Sin embargo, la introducción de funciones —y, por consiguiente, curvas— más generales gracias a las contribuciones de Descartes complicaron el problema de calcular tangentes, haciendo manifiesta la necesidad de desarrollar algún método más general. Uno de los lugares en donde comenzó a aparecer tal método fue en relación con el problema de máximos y mínimos, apartado en el que sobresale el nombre de Pierre de Fermat, quien utilizó un método auténticamente infinitesimal al considerar a la tangente como el límite de una secante (la línea que corta a una curva en dos puntos). Coherente con el estilo de un aficionado (¡aunque qué aficionado!), a las matemáticas, Fermat eligió una forma poco institucional para difundir sus ideas: una carta al padre Marin Mersenne (1588-1648), uno de los corresponsales preferidos de Descartes, al que, de hecho, reenvió los resultados de Fermat (la recibió en enero de 1638).
Disponiendo ya del arsenal de resultados e ideas matemáticas al que nos hemos referido, faltaba —visto retrospectivamente— dar un nuevo paso, uno que relacionase cálculo diferencial e integral. Se trata del Teorema fundamental del cálculo, que establece que derivación e integración son procesos inversos; esto es, para calcular la integral ∫f(x) dx es necesario encontrar una función, F’(x), tal que F’(x) = f(x), donde F’(x) = dF/dx. Es decir: ∫f(x) dx = F(x).
Fue Isaac Barrow, —como vimos en el capítulo 6—, el maestro de Newton en el Trinity College, el principal responsable de este resultado, que encontramos en su libro Lectiones geometricae (Lecciones de geometría; 1670), que sin duda estudió Newton, cuyas aportaciones al cálculo infinitesimal (también denominado, recordemos, diferencial) e integral hacen que se le considere, junto a Leibniz, el creador de estos útiles matemáticos.
El camino que llevó a Newton (en una fecha tan temprana como los alrededores de 1666) a su versión del cálculo infinitesimal e integral es variado. Sabemos que estudió la Arithmetica infinitorum de Wallis, e hizo lo propio (en 1663) con La Géometrie de Descartes, en la edición latina de F. van Schooten; y tenía cerca a Barrow, de quien sin duda aprendió. A la edad de 22 años, estudiando el libro de Wallis, descubrió el «Teorema del Binomio» (en el margen de su ejemplar aparece una primera versión del teorema); esto es,

donde A, B, C… denotan el término precedente; esto es, A = Pm/n,

La importancia de este teorema es que permitió a Newton establecer las primeras fórmulas de su «cálculo de fluxiones»; en particular, le sirvió para determinar la «fluxión» (esto es, la derivada) de xn, cuando n es una fracción, y también integrales del tipo ∫(axλ·b + cxμ) dx, donde λ, μ son enteros. (La importancia que se dio al teorema del binomio es tal que se inscribió en el sarcófago en el que fue enterrado en la abadía de Westminster).
Otro de los elementos que intervinieron en la creación del cálculo de fluxiones tiene que ver con el deseo de Newton de disponer de un instrumento matemático que le permitiese calcular la tasa de crecimiento de las funciones, como, por ejemplo, la variación de la distancia recorrida con el tiempo, es decir, la velocidad; o la variación de esta con el tiempo: la aceleración. Matemáticas y física (en el caso de la dinámica, el estudio del movimiento) se unían de esta manera. Vemos claramente esta conexión en uno de los textos newtonianos, la primera de sus obras que conocemos dedicada al desarrollo del cálculo, Analysi per Quantitatum Series, Fluxionum, ac Differentias; cum Enumeratione Linearum Tertii Ordinis (Análisis de cantidades mediante series, fluxiones y diferencias con una enumeración de las líneas de tercer orden). Publicada en Londres en 1711, aunque compuesta probablemente en 1669, encontramos, entre páginas y páginas de desarrollos matemáticos, el siguiente pasaje, perteneciente a la «Introducción» de la parte titulada «Cuadratura de curvas»:
No considero aquí las cantidades matemáticas constituidas por partes, cuán mínimas quepa, sino descritas por un movimiento continuo. No por aposición de partes, mas por movimiento continuo de puntos son descritas las líneas, y generadas al serlo; por movimiento de líneas lo son las superficies; por movimiento de superficie los sólidos; los ángulos, por rotación de lados; el tiempo por el fluir continuo, y así lo demás. Tal génesis tiene verdaderamente lugar en las cosas de la naturaleza y a diario es discernible en el movimiento de los cuerpos. Y de este modo enseñaron los antiguos la génesis de los rectángulos, llevando rectas móviles en la longitud de rectas inmóviles.
Considerando pues que las cantidades crecientes en tiempos iguales, y en tal crecer generadas, vienen a dar en mayores o menores según la mayor o menor velocidad con que crezcan y se generen; inquiría yo un método para determinar cantidades a partir de las velocidades de los movimientos o de los incrementos por los que son generadas; y denominando fluxiones a esas velocidades de movimientos incrementos, y fluentes a las cantidades generadas, paulatinamente fui a dar en los años de 1665 y 1666 con el método de fluxiones del que aquí hago uso en la cuadratura de curvas.
Encontramos una definición más explícita de «fluxión» y «fluente» en un tratado de Newton que se publicó en 1736, editado por John Colson; esto es, más tarde que el anterior: Method of Fluxions and Infinite Series with an Application to the Geometry of Curves-Lines (Método de fluxiones y series infinitas con una aplicación a la geometría de líneas curvas):
A las magnitudes que yo considere como progresiva e indefinidamente crecientes las llamaré desde ahora fluentes o cantidades que fluyen y las representaré con las últimas letras del alfabeto (con la v, x, y, z) para distinguirlas así de otras cantidades que, en las ecuaciones, pueden ser consideradas como conocidas y determinadas y a las que por tal motivo designaré con las letras primeras (a, b, c…). Y a las velocidades que cada fluente alcanza por medio de la velocidad producida —a la que me gustaría designar como fluxión, o simplemente como velocidades— denotaré con las mismas letras pero dotadas con un punto, a saber, …,x·, y·,…
Si ahora consideramos los hechos tal y como se describen en documentos de la época, podemos apoyarnos en una carta que Barrow envió el 20 de julio de 1669 al matemático John Collins (1625-1683). En ella, además de agradecerle que le hubiese enviado a comienzos de año un ejemplar de la Logarithmotechnia (1668) de Nicholas Mercator, añadía que Newton «había establecido métodos para calcular las dimensiones de magnitudes como las del Sr. Mercator relativas a la hipérbola, pero muy generales». En septiembre, hacia el día 12, Collins transmitía esta información a Oldenburg, el activo secretario de la Royal Society:
Además él [Barrow] ha comunicado un método analítico universal que le ha transmitido el Sr. Isaac Newton, su compañero de college, para la medida de las áreas de todas aquellas curvas y sus perímetros en las que las ordenadas poseen una propiedad común con la línea de base, y este no es otro que el método aplicado particularmente por Mercator para encontrar el área de la hipérbola, convertido en universal el autor comienza de esta manera.
«Sobre análisis por medio de ecuaciones que poseen un número infinito de términos. El método general que he imaginado con anterioridad para medir la cantidad de curvas con un número infinito de términos…».
Y habiendo demostrado de esta manera la cuadratura de muchas curvas, llega al círculo […]; de forma parecida ha facilitado increíblemente encontrar las raíces de cualquier ecuación y de los proporcionales medios y da una Serie para encontrar la Longitud de una línea elíptica, análogamente demuestra que su método se extiende a las curvas mecánicas, y sus tangentes, cuadra la cicloide y sus partes, y halla el área de la curva cuadrática y su perímetro.
Inmediatamente, el 14 de septiembre, Collins transmitió esta información, con las mismas palabras, en una carta que dirigió a René François de Sluse (1632-1676), canónigo de Lieja y un frecuente corresponsal de Oldenburg. Esta breve referencia constituye la primera aparición del nombre de Newton en el escenario científico internacional y la primera muestra semipública de que Newton había inventado un nuevo cálculo, el infinitesimal.
En realidad, por entonces (1669), Newton había avanzado incluso más, mucho más, de lo que las líneas anteriores sugieren. Recordemos, en este sentido, unos párrafos de un escrito suyo que ya citamos en el capítulo 6: «A comienzos de 1665, descubrí el método de las series aproximativas y la regla para reducir cualquier dignidad de todo binomio en dichas series. En el mes de mayo del mismo año, descubrí el método de las tangentes de Gregory & Slusius [Sluse], y, en noviembre, obtenía el método de las fluxiones. En enero del año siguiente, desarrollé la teoría de los colores, y en mayo, había comenzado a trabajar en el método inverso de las fluxiones».
Pero dejemos ya a Newton y pasemos a Leibniz.
Mientras que la versión newtoniana del cálculo infinitesimal estaba fuertemente influida por consideraciones geométricas y dinámicas, la de Leibniz se vio claramente favorecida por el estilo algebraico, un dominio en el que el propio Leibniz había trabajado con anterioridad. Hablar de Leibniz es hablar de uno de los grandes intelectos de la historia; nacido el Leipzig, estudió Filosofía y Leyes en su ciudad natal y en Jena, convirtiéndose después en un asesor diplomático al servicio de varios electores germanos, un trabajo que, aunque le reportó la seguridad económica que necesitaba, le obligó a dedicar una buena parte de su tiempo a tareas que no es aventurado pensar impropias de su genio. Aun así, dejó su marca en campos diversos; sus intereses, en efecto, se extendieron en campos tan, en principio, diferentes como la filosofía, la física, la química, la geología, la historia, la lingüística, la política, el derecho, la teología y, por supuesto, la matemática. Da idea de la ambición extrema que caracterizó su vida intelectual el que llegase a plantearse la posibilidad de un alfabeto básico (o característica universal) para el pensamiento humano: creía que al igual que las palabras (representaciones de sonidos) se forman a partir de letras (representaciones de sonidos simples), las ideas complejas se crean a partir de combinaciones de un número pequeño de ideas simples. Llegó así a concebir una escritura, o lenguaje universal, en el que las ideas estarían representadas por combinaciones de signos que se corresponderían con las componentes de esas ideas. La gramática de este idioma sería la que regiría las combinaciones que producirían ideas complejas. Pero debía ser una gramática absolutamente fiable, que consistiese en razonamientos y demostraciones formales análogas a las que se utilizan en el cálculo aritmético o algebraico. Su característica —o lenguaje— universal debía ir más allá que idiomas como los contenidos en los jeroglíficos egipcios o la escritura china, basados en símbolos que transmitían ideas directamente al entendimiento; sería una serie de reglas que harían posible el pensamiento mediante procesos de tipo matemático. Aunque su proyecto fracasó, no por ello fue menos científico.
Centrándonos ahora en el cálculo infinitesimal e integral, que Leibniz presentó a través de las páginas de la revista Acta Eruditorum, fundada en 1682 (a partir de 1732 pasó a llamarse Nova Acta Eruditorum). Fue precisamente el año de la fundación de la revista, 1682, cuando Leibniz anunció la existencia de su cálculo, aunque no fue hasta 1684 cuando publicó la primera descripción de él. El artículo (de 6 páginas) en cuestión (escrito en latín) se tituló: «Un nuevo método para los máximos y mínimos, así como para las tangentes, que no se detiene ante las cantidades fraccionarias o irracionales, y es un singular género de cálculo para estos problemas». Este trabajo contiene las reglas generales para la diferenciación (o derivación). En él Leibniz utilizaba diferenciales, que denominaba differentiae (diferencias) en lugar de derivadas, y aparecía la notación «d»: las diferenciales dx, dv se definen como incrementos finitos y no se explica por qué d (x · v) = x · dv + v · dx, despreciando por consiguiente el término dx·dv (que nosotros aceptamos como un término de segundo orden). Asimismo, se da la condición dv = 0 para un máximo o un mínimo, y ddv = 0 (que nosotros escribimos como d2v = 0) para un punto de inflexión. Veamos cómo se refería al nuevo método en ese mismo artículo:
Del conocimiento de este algoritmo, así lo llamo, o de este cálculo, que llamo diferencial, pueden obtenerse todas las otras ecuaciones diferenciales por medio del álgebra común, y los máximos y mínimos, así como pueden obtenerse las tangentes, de tal forma que no sea necesario separar las fracciones o los irracionales u otros vínculos, como, sin embargo, debía hacerse según los métodos hasta ahora publicados. La demostración de esto será fácil para uno versado en estas materias y que considere este punto que no ha recibido bastante atención hasta ahora, que dx, dy, dv, dw, dz pueden ser consideradas como proporcionales a las diferencias momentáneas, ya sea con incrementos o decrecimientos, de x, y, v, w, z (cada uno en su orden). De aquí que pueda escribirse con cualquier ecuación propuesta su ecuación diferencial, lo cual se consigue en cualquier miembro (esto es, en la parte que coincide con solo la adición o sustracción para constituir la ecuación) sustituyendo simplemente la cantidad diferencial del miembro por otra cantidad (que no es la misma para el miembro sino que concurre para formar el miembro) añadiendo su cantidad diferencial para formar la cantidad diferencial del mismo miembro, no sin más, sino según el algoritmo propuesto hasta aquí.
Vemos cómo Leibniz utilizaba el término calculus differentialis (cálculo diferencial). Con anterioridad había utilizado la expresión methodus tangentium directa, frente al methodus tangentium inversa, o calculus summatorius para el cálculo integral. Este lo presentó y desarrolló Leibniz dos años más tarde (1686), en un artículo (también publicado en Acta Eruditorum y en latín) «Sobre una geometría recóndita y el análisis de indivisibles e infinitos». En él aparece el símbolo de integración ∫, que procede de la letra S, la letra latina inicial para summatio (suma o sumación) y que Leibniz ya había utilizado en un manuscrito fechado el 26 de octubre de 1675, para representar las «omnes lineae» de Cavalieri: «Será ventajoso», escribió entonces, «que en lugar de las Sumas de Cavalieri (o sea, en vez de la suma de todos los y) en lo sucesivo escriba ∫ydy. En definitiva, con esto se manifiesta el nuevo tipo de cálculo que corresponde a la adición y multiplicación».
Tanto la notación como el estilo algebraico utilizados por Leibniz sobrevivieron en el desarrollo del cálculo infinitesimal e integral, frente al tratamiento de Newton. Este hecho tuvo consecuencias: la matemática británica, fuertemente influida por la versión newtoniana (Colin Maclauring [1698-1746] es un buen ejemplo en este sentido), perdió empuje frente a la que se llevaba a cabo en el continente europeo, una situación que se mantuvo durante aproximadamente un siglo, hasta que a comienzos del siglo XIX un grupo de jóvenes matemáticos, entre los que figuraban George Peacock y Charles Babbage, fundaron en 1812 la Analytical Society, que fue decisiva en que se adoptase el tratamiento de Leibniz.
William Whewell (1794-1866), que ocupó cátedras de mineralogía y filosofía moral en Cambridge, siendo, además, master del Trinity College entre 1841 y 1866, expresó excelentemente la situación en su influyente tratado Philosophy of the Inductive Sciences (Filosofía de las ciencias inductivas; 1840): «Los métodos sintéticos de investigación seguidos por Newton fueron […] un instrumento sin duda poderoso en su excelsa mano, pero demasiado pesado para que lo pudieran emplear con éxito otras personas. Los compatriotas de Newton fueron los que más tiempo se adhirieron a tales métodos, debido a la admiración que sentían por su maestro, y, por este motivo, los cultivadores ingleses de la astronomía física se quedaron rezagados frente a los progresos de la ciencia matemática en Francia y Alemania, por un gran margen que solo recientemente han superado. En el continente, las ventajas ofrecidas por un familiar uso de símbolos, y por la atención prestada a su simetría y otras relaciones, fueron aceptadas sin reserva. De esta manera, el Cálculo Diferencial de Leibniz, que fue, en su origen y significado, idéntico al Método de Fluxiones de Newton, pronto sobrepasó a su rival en la extensión y generalidad de sus aplicaciones a problemas».
El desarrollo del cálculo infinitesimal e integral en el continente se vio también favorecido por las contribuciones tempranas de unos matemáticos excepcionales, que adoptaron el enfoque leibniziano: Jakob (1654-1705) y Johann Bernoulli; y algo más tarde, Euler y L’Hôpital.
De este cuarteto destaca sobre todo Johann Bernoulli (que ya nos apareció en el capítulo anterior), quien utilizó el cálculo diferencial leibniziano en sus clases en la Universidad de Basilea durante el curso 1691-1692 —fue la primera exposición pública del método—, lecciones que no verían la luz de la imprenta hasta 1922, editadas por Paul Schafheitlin, bajo el título de Lectiones mathematicae de methodo integralium (Lecciones sobre el cálculo integral). Una intervención especialmente célebre de Johann fue cuando en el número de junio de 1696 propuso, «a los mejores matemáticos que ahora viven en el mundo», en la revista Acta Eruditorum, resolver el problema de «cuál sería el camino por el que un cuerpo pesado descendería más rápidamente desde un punto a otro que no esté directamente debajo». Se trata del problema de la curva denominada «braquistócrona». Johann Bernoulli fijó un plazo de seis meses para recibir soluciones, pero cuando pasaron estos solo había recibido una respuesta, de Leibniz, aunque este no enviaba la solución, únicamente afirmaba que había resuelto el problema. Solicitaba, además, que ampliase el plazo hasta Pascua y anunciase de nuevo el problema por toda Europa. Es muy posible que el objetivo de Leibniz fuese Newton, con la vista puesta en demostrar su superioridad con respecto al inglés (volveremos a esta cuestión enseguida).
Obedeciendo los deseos de Leibniz, de quien era seguidor, Bernoulli añadió un segundo problema y envió copias de ambos a las dos grandes revistas científicas, las Philosophical Transactions, de la Royal Society londinense, y el Journal des Sçavans. Y también a Newton y a John Wallis.
Sabemos a través de Catherine Barton, una sobrina de Newton que vivía con él, que este recibió la carta a las cuatro de la tarde del 29 de enero de 1697. Newton —ya Sir Isaac— acababa de regresar desde la Torre de Londres, la sede del Mint, la, recordemos, Casa de la Moneda inglesa, de la que era Warden desde hacía pocos meses. Se encontraba extremadamente cansado, no era todavía un hombre mayor (tenía 53 años), pero sus mejores momentos, físicos e intelectuales, ya habían pasado; además, el Mint se encontraba en medio de una reacuñación. Catherine Barton dejó escrito que su tío «no durmió hasta que hubo resuelto el problema, lo que sucedió hacia las cuatro de la madrugada». Por la mañana, Newton fechó una carta a Charles Montague, presidente de la Royal Society, en la que consignaba las respuestas a ambos problemas. Indiferente a los planes y deseos de Bernoulli, dispuso que su respuesta apareciese de manera anónima en el número de febrero de las Philosophical Transactions. No obstante, el suizo (que también recibió una respuesta del marqués de L'Hôpital) no tuvo dificultad en reconocer a su autor: «como se reconoce al león por sus garras» («tanquam ex ungue leonem»), dicen que fueron sus palabras.
Anécdotas como ésta al margen, el problema de la braquistócrona es especialmente importante por ser uno de los primeros ejemplos —el primero ampliamente difundido— de una técnica matemática que ocupa un lugar privilegiado no solo en la matemática, sino, más aún, en la física: el cálculo de variaciones, o cálculo variacional. El propio Newton lo había formulado, esbozando la solución, pero sin explicar cómo la había obtenido —la solución completa la dio en 1694 en una carta a James Gregory—, en los Principia: «Buscar la curva que pasa por dos puntos dados A y B y que rotando alrededor de un eje dado, genera un sólido de revolución tal que sumergido en un líquido en la dirección de su eje, ofrece una resistencia mínima al desplazamiento». Era un problema de importancia práctica, puesto que su solución permitiría conocer cuál era la forma más adecuada que convendría dar a un objeto de manera que encontrase la menor resistencia en el medio, líquido o aire, en el que se desplazase.
Los anteriores trabajos constituyen lo que se puede denominar «primera etapa» de la creación del cálculo variacional. La «segunda etapa» se iniciaría en 1736, cuando Leonhard Euler, el «príncipe de las matemáticas», encontró una ecuación diferencial que expresaba la condición necesaria de mínimo (o de máximo) para una curva plana, y continuó en 1744, con la generalización que el propio Euler dio en su libro Methodus inveniendi líneas curvas maximi minimive proprietate gandentes, sive solutio problematis isoperimetrici latissimo sensu accepti (Un método para descubrir líneas curvas que poseen una propiedad máxima o mínima, o la solución del problema isoperimétrico tomado en su sentido más amplio), de la que el editor del tomo de la Opera Omnia de Euler en el que se incluyó esta obra, el también distinguido matemático Constatin Carathéodory, escribió: «Es uno de trabajos matemáticos más bellos jamás escritos. No podemos hacer suficiente hincapié en cómo sirvió este texto, una y otra vez, a las sucesivas generaciones como un prototipo de la manera de presentar materiales matemáticos específicos en su conexión [lógica intrínseca]». Tanto el trabajo de 1736 como el texto de 1744 contienen la famosa ecuación de Euler:

con:

y L una función denominada «lagrangiano», que representa la condición necesaria para que una función y(x) que verifica:

dé un extremo (máximo o mínimo) para J[y], un objeto matemático este que al depender de una función se denomina funcional.
La inspiración de Euler procedía de la geometría y también de la creencia en que la naturaleza únicamente permite movimientos que se llevan a cabo en la forma más económica posible (Principio de mínima acción). De hecho, se supone que este principio tiene sus orígenes en el propio Leibniz, que parece lo formuló en una carta (perdida) que escribió en 1707. El nombre por el que se conoce lo acuñó Maupertuis, presidente de la Academia de Berlín creada por Federico el Grande, que lo presentó públicamente en 1744 y 1746, aunque de una forma vaga y teológica, una asociación esta última que se ha dado con frecuencia a lo largo del tiempo, ya que lo que el principio de mínima acción sostiene es que —aplicándolo ahora a la trayectoria que sigue un cuerpo— de todas las trayectorias posibles entre dos puntos, la naturaleza elige aquella en la que la integral (la acción) ∫Ldx es máxima o mínima; esto es, en la que δ∫Ldx = 0. Parece así como si la teleología dominase la naturaleza: la trayectoria sigue un camino en cierto sentido predeterminado.
Aunque muy útil en aspectos puramente matemáticos, es en la física matemática donde se utiliza más el principio de mínima acción. La formulación más completa en este sentido fue la que dio Joseph Louis Lagrange (1736-1813) en su memoria «Ensayo de un nuevo método para determinar los máximos y mínimos de fórmulas integrales indefinidas», publicada en 1760-1761. Allí Lagrange amplió la base matemática del cálculo de variaciones, de una manera, además, que le sirvió para que en un libro posterior suyo, la Méchanique analitique (Mecánica analítica; 1788), presentara las ecuaciones del movimiento de Newton según el principio de mínima acción; esto es, F = md2xi/dt2 pasa a tener la forma

donde L = T – V, siendo T la energía cinética (½m·v2) y V (una función de la posición, x) el potencial del que deriva la fuerza (F = –dV/dx), en el caso, naturalmente, de que la fuerza sea de este tipo. Habida cuenta de su origen, es razonable que las ecuaciones anteriores se denominen «de Euler-Lagrange».
Una de las grandes ventajas de esta presentación de la mecánica newtoniana era que reducía la a menudo compleja formulación físico-geométrica a términos puramente algebraicos, un punto este que Lagrange resaltaba en el prólogo a la primera edición de su Méchanique analitique: «Me propongo reducir la teoría de la Mecánica, y el arte de resolver los problemas que con ella se relacionan, a fórmulas generales, de las cuales su simple desarrollo da todas las ecuaciones necesarias para la solución de cada problema […] Los métodos que explico no exigen construcciones ni consideraciones geométricas o mecánicas, sino únicamente operaciones algebraicas sometidas a un proceso regular y uniforme, Todos aquellos que aman el Análisis contemplarán con placer que la Mecánica se convierta en una nueva rama del Análisis y sabrán agradecerme que yo haya extendido el dominio del mismo de esta manera».
Lagrange construyó sobre los pilares matemáticos que estableció Euler, pero también sobre otros pilares de naturaleza más física, aunque, por supuesto, no ajenos a los desarrollos matemáticos. Nos estamos refiriendo, de nuevo, a Johann Bernoulli, que introdujo el concepto de «trabajo virtual», que está relacionado con la energía potencial, aunque él no apreció su importancia. Sin embargo, mostró su eficacia con Jean Le Rond d’Alembert, quien en su Traité de dynamique, dans laquel les lois de l’equilibre et du mouvement des corps sont réduites au plus petit nombre possible (Tratado de dinámica, en el cual las leyes del equilibrio y del movimiento de los cuerpos son reducidas al número más pequeño posible; 1743) utilizó un «principio de los trabajos virtuales» en su presentación de la mecánica, una presentación basada en la idea de evitar, —para él metafísico—, el concepto de fuerza, recurriendo únicamente a choques entre partículas. En su trabajo, D’Alembert se enfrentó también con el problema de describir un sistema dinámico en función de las variables realmente independientes, lo que le llevó a dar un lugar destacado en su formulación a las ligaduras que afectan a un sistema. Como se vio más tarde, esta presentación está íntimamente relacionada con la formulación de las leyes de Newton a través del principio de mínima acción.
§. La polémica sobre la creación del cálculo infinitesimal
Es inevitable mencionar la cuestión de la prioridad en la invención del cálculo infinitesimal e integral; quién fue primero, si Newton o Leibniz, una cuestión sobre la que se han escrito miles y miles de páginas. Los hechos más escuetos son que Newton antecedió a Leibniz en la invención y desarrollo, pero no fue quien lo publicó primero. También es cierto que Leibniz conoció algo de las ideas de Newton a través del contenido de varias cartas que Oldenburg le envió en 1674 y 1675, en las que se mencionaban algunos de los resultados a los que había llegado Newton (los conocía porque estaban depositados en el Registro de la Sociedad), pero no los métodos. Al principio, no se produjeron demasiados problemas: en el segundo de sus artículos fundacionales (1686), Leibniz escribió: «Falta, para que no parezca que me atribuyo demasiado a mí mismo o que menosprecio a los demás, que diga en pocas palabras lo que en mi fórmula se debe especialmente a los insignes matemáticos de nuestro siglo en este género de Geometría […] Además, Nicholas Mercator, de Holstein, matemático e ilustrísimo, que fue el primero, que yo sepa, que dio una cuadratura por serie infinita. Y no solo realizó el mismo descubrimiento independientemente, sino que también lo perfeccionó con una razón universal, un geómetra de profundísimo ingenio, Isaac Newton, que si diera a conocer sus pensamientos, los que entiendo que tiene, nos proporcionaría sin duda nuevos caminos para extraordinarios aumentos y tratados de ciencia». Y también Newton citó a Leibniz inicialmente, y no en un lugar menor, sino en la primera edición de los Principia (1687); en un Escolio al Lema II del Libro II, en el que hablaba de fluxiones y presentaba reglas de derivación («Llamo generada», se lee allí, «a cualquier cantidad que, sin sumar ni restar, se engendra, en aritmética por multiplicación, división y extracción de raíces de lados o términos cualesquiera; en geometría del cálculo de áreas y lados, o de extremos y medios proporcionales […] Considero aquí a dichas cantidades como indeterminadas y variables y como si creciesen y decreciesen con un movimiento o flujo continuo; y a sus incrementos o decrementos como negativos o substraídos. Pero cuídese de no entenderlo como partículas finitas. Las partículas finitas no son momentos, sino las cantidades mismas generadas por los momentos […] Lo mismo ocurre si en lugar de momentos se trata de las velocidades de los incrementos [que también pueden llamarse movimientos, mutaciones, fluxiones de cantidades] o bien de cualquier cantidad finita proporcional a dichas velocidades»). «En cartas que hace diez años se cursaron entre mí y el más excelente geómetra, G. W. Leibniz», escribía Newton en aquel Escolio, «cuando le afirmé que había descubierto un método para determinar máximos y mínimos, trazar tangentes, y otras cosas similares, válido tanto para cantidades sordas como racionales, y cuando lo encubrí mediante letras traspuestas que contenían la frase “Dada una ecuación en que estén envueltas cuantas cantidades fluyentes se quiera, dar con las fluxiones y viceversa”, ese, el más distinguido hombre, me respondió que él también había encontrado un método de la misma naturaleza y me comunicó su método que difiere poco del mío excepto en su nomenclatura y notaciones».
Acaso todo habría quedado así si no hubiese sido por el matemático suizo, residente en Londres, durante un tiempo gran amigo de Newton, Nicolás Fatio de Duillier (1664-1753), que en 1699 presentó a la Royal Society un trabajo sobre la curva de descenso más rápido, Lineae brevissimi descensus investigatio geometrica duplex (Una doble investigación geométrica de la línea del más breve descenso), en el que escribió: «Obligado por la evidencia de los hechos, sostengo que Newton fue el primer inventor de este cálculo, y el primero durante varios años; y si Leibniz, el segundo inventor, ha tomado algo del otro, es una cuestión sobre la que preferiría a mi propio juicio el de aquellos que han visto las cartas y otros manuscritos de Newton».
El mensaje era claro: desde Inglaterra, aunque fuese a través de un suizo, se acusaba a Leibniz de plagio, una acusación que este no podía pasar por alto. Agazapado, esperó la ocasión oportuna. A su juicio, esta llegó cuando Newton publicó, en 1704, la Opticks, en la que incluyó, como Apéndices, otros dos tratados, Tractatus de quadratura curvarum (Un tratado de la curvatura de curvas) y Enumeratio linearum tertii ordinis (Una enumeración de curvas cúbicas), y en la que, a modo de «Anuncio», escribió, echando algo más de leña al fuego: «En una carta escrita a Mr. Leibniz en el año 1676, publicada por el doctor Wallis, mencioné un Método mediante el cual yo había encontrado algunos Teoremas generales sobre la curvatura de figuras curvilíneas». Anónimamente, pero sin engañar a nadie, Leibniz publicó en las Acta Eruditorum una reseña sobre esos nuevos tratados matemáticos, especialmente sobre De quadratura. Después de ofrecer un imperfecto resumen de sus contenidos, comparaba el método de las fluxiones con el cálculo diferencial, y en una ambigua frase, manifestaba que en los Principia Newton había utilizado sus fluxiones en lugar de las diferenciales leibnizianas en la misma forma que un oscuro matemático de la época, el jesuita Honoratus (o Honoré) Fabri (1607-1688), había sustituido el «movimiento progresivo» por los «indivisibles» de Cavalieri en su Synopsis geometrica de 1699. Como Fabri no era el inventor del método que había tomado, cambiando únicamente el modo de expresión, de Cavalieri, la inferencia era inmediata: Newton había tomado de Leibniz, como había hecho Fabri con un descubrimiento de Cavalieri, el cálculo diferencial, simplemente vistiéndolo con otro ropaje, con un nombre diferente.
Y entonces estalló la ciclópea furia newtoniana. Lo que hizo Newton fue disponer que la Royal Society encargase y publicase un informe sobre la polémica, un informe detrás del cual estaba él mismo, presidente de la corporación, al igual que la mano que mece la cuna. El 24 de abril de 1712, aquel comité presentó su informe, en el que se decía lo siguiente:
Hemos consultado las cartas y libros de actas en custodia de la Royal Society, y hemos encontrado entre los papeles de Mr. John Collins, fechados entre los años 1669 y 1677, inclusive; y mostrado a aquellos que conocían las escrituras de Mr. Barrow, Mr. Collins, Mr. Oldenburg y Mr. Leibniz; y comparado con las copias de Mr. Gregory y con las de algunos de ellos tomadas por la mano de Mr. Collins; y hemos extraído de ellos lo que se refiere al asunto del que nos ocupamos; creemos que todos los extractos aquí adjuntos son genuinos y auténticos. Y de estas cartas y papeles encontramos.
I. Mr. Leibniz estaba en Londres al comienzo del año 1673; y se dirigió entonces, en o alrededor de marzo, a París, desde donde mantuvo, a través de Mr. Oldenburg, una correspondencia con Mr. Collins, hasta los alrededores de septiembre de 1676, regresando entonces a Londres y Ámsterdam, por Hannover; y que Mr. Collins fue muy libre al comunicar al hábil matemático lo que él había recibido de Mr. Newton y Mr. Gregory.
II. Que cuando Mr. Leibniz fue por primera vez a Londres, se ocupó en la invención de otro método diferencial; propiamente así denominado, insistió, a pesar de que el Dr. Pell le mostrase que se trataba del método de Newton, en que era invención suya, debido a que él mismo lo había encontrado, sin saber que Newton lo había hecho antes, y que lo había mejorado mucho. Y no encontramos mención alguna de que poseyese ningún otro método diferencial distinto del de Newton antes de su carta del 21 de junio de 1677, que fue un año después de que se le enviase a París una copia de una carta de Newton del 10 de diciembre de 1672; y alrededor de cuatro años después de que Mr. Collins comenzase a comunicar esa carta a su corresponsal; una carta en la cual el método de fluxiones estaba suficientemente descrito para cualquier persona inteligente.
III. Que a través de la carta de Mr. Newton del 13 de junio de 1676, parece que él poseía el método de fluxiones unos cinco años antes de escribir aquella carta. Y mediante su Analysis, per Aequationes numero Terminorum Infinitas, comunicado al Dr. Barrow y a Mr. Collins en julio de 1669, encontramos que había inventado el método antes de aquella fecha.
IV. Que el método diferencial es uno y el mismo que el método de fluxiones, excepto en el nombre y en el modo de notación; Mr. Leibniz llama a estas cantidades diferencias, mientras que Mr. Newton las denomina momentos o fluxiones; y las marca con la letra d, una marca no utilizada por Mr. Newton.
V. Y en consecuencia, consideramos que la cuestión auténtica es, no quien inventó este o aquel método, sino quién fue el primer inventor del método. Y creemos, que aquellos que han reputado que Mr. Leibniz fue el primer inventor saben poco o nada de su correspondencia con Mr. Collins y Mr. Oldenburg mucho antes; ni de que Mr. Newton poseía el método unos quince años antes de que Mr. Leibniz comenzase a publicarlo en las Acta Eruditorum de Leipsick.
Por estas razones, reconocemos que Mr. Newton es el primer inventor […] Y sometemos al juicio de la Sociedad si el extracto y documentos que ahora presentamos, junto con lo que se refiere a la misma cuestión y que aparece en el tercer volumen del Dr. Collis, no merece ser hecho público.
Y público se hizo. El año siguiente, el 29 de enero de 1713, aparecía, dirigida por Halley, John Machin y William Jones, y bajo el título de Commercium Epistolicum D. Johannis Collins et aliorum de analysi promota (La correspondencia de John Collins y otros relativa al progreso del análisis). Leibniz protestó. No muy diferente de como había hecho Newton, no se atrevió a inscribir su nombre en la réplica que preparó. El 29 de julio, también de 1713, la publicó como un panfleto en latín, en traducción alemana en las Acta Eruditorum, y en la versión al francés en el Journal Littéraire de la Haye. Llevaba un atractivo título: Charta volans (Hoja volandera). «Como Leibniz está ahora viviendo en Viena, en Austria», escribía él mismo, en un nuevo ejercicio de cinismo, «no ha podido ver todavía, debido a la distancia, el pequeño volumen publicado en Inglaterra en el que ciertas personas pretenden adjudicar el primer descubrimiento del cálculo diferencial a Newton». Pero, continuaba, «no han sido capaces de negar que este nuevo arte analítico fue publicado en primer lugar por Leibniz (ya que fue publicado hace muchos años) y desarrollado por él y sus amigos ante el público, y que después de muchos años Newton produjo algo que llama el cálculo de fluxiones, similar al cálculo diferencial pero con otras notaciones y terminología». Y más adelante, tras calificarse a sí mismo como «juzgando a otros por su propia honesta naturaleza» y que «ciertas personas en Inglaterra con una no natural xenofobia» le negaban lo que era suyo, añadía: «De estas palabras se deducirá que cuando Newton tomó para sí el honor debido a otro del descubrimiento analítico o cálculo diferencial, primero descubierto por Leibniz en números y después transferido (tras de inventar el análisis de los infinitesimales) a la Geometría, porque Newton no estaba contento con la fama de avanzar [la geometría] sintéticamente o directamente por infinitamente pequeñas cantidades (o como fueron antes, pero menos correctamente denominadas, los indivisibles de la geometría), estuvo demasiado influido por aduladores ignorantes del curso inicial de los acontecimientos y por un deseo de renombre; habiendo inmerecidamente obtenido una parte en esto, a través de la amabilidad de un extranjero, deseó haber merecido el todo, un signo de una mente ni justa ni honesta. De esto Hooke también se ha quejado, en relación con la hipótesis de los planetas, y Flamsteed por el uso de sus observaciones».
Como se ve, ninguno de los dos desperdiciaba ocasión de herir al contrario. Si hay ejemplos de contiendas científicas innobles, la relativa a quién descubrió primero el cálculo infinitesimal e integral es uno de los más notorios. Pero en un libro que se ocupa de «pilares», estos, los logros, son los importantes, no las circunstancias, razón por la cual pasaremos por alto más detalles de aquella confrontación.
§. La noción de límite
Hemos visto que tanto el cálculo infinitesimal como el integral se basan en la noción de infinitesimal (o los indivisibles de Cavalieri). Ahora bien, ni Newton ni Leibniz ni sus inmediatos seguidores fueron capaces de fundamentar este concepto en una base sólida. Aunque habitualmente se adjudica al checo Bernard Bolzano (1781-1848), el francés Augustin-Louis Cauchy (1789-1857) y el alemán Karl Weierstrass (1815-1897) el logro de poner el cálculo infinitesimal (que es donde realmente se necesita más la fundamentación) en una base lógica sólida, antes que ellos un abad francés que también era matemático, Jean-Baptiste de La Chapelle (c. 1710-1792), merece ser recordado también. Fue el autor de la voz «límite» en su acepción matemática del tomo 9 (1765) de la Encyclopédie. «Se dice que un valor [grandeur] es el límite de otro valor», se lee allí, «cuando la segunda se puede aproximar a la primera más cerca que otro valor dado, tan pequeño como se desee, sin importar que el valor al que se aproxima pueda superar jamás el valor al que se acerca». Aunque de manera primitiva, no formalizada, el planteamiento de La Chapelle tiene bastante en común con el que subyace en los trabajos de Bolzano, Cauchy y Weierstrass.
En cuanto a Bolzano, lo que hizo en realidad —en un tratado que publicó en 1817— fue prescindir del concepto de límite sustituyéndolo por conceptos puramente aritméticos y numéricos. Por el contrario, Cauchy sí utilizó el concepto de límite, como se observa en su célebre (aunque mal recibido por los alumnos a los que estaba destinado, a los que no les preocupaba en absoluto la fundamentación del cálculo, sino ser capaces de resolver problemas concretos) libro: Cours d’Analyse de l’École Royale Polytechnique (Curso de análisis de la Real Escuela Politécnica), publicado en 1821 (se trataba de la primera parte —subtitulada Analyse algébrique— de una obra que su autor pensaba continuar, aunque finalmente no lo hizo, limitándose a publicar en 1823 un Résumé des leçons données à l’École Royale Polytechnique sur le calcul infinitésimal). «Cuando los sucesivos valores atribuidos a una variable», leemos en el texto de 1821, «se aproximan indefinidamente a un valor fijo tanto que al final difieren de él tanto como uno desea, esta última cantidad es denominada el límite de todas las demás».
De manera más formal, pero sin diferir en lo esencial de Cauchy, en sus clases en la Universidad de Berlín, Weierstrass definió el límite de la manera siguiente: «El límite de una función f(x) vale L cuando x tiende a x0 si para cualquier cantidad positiva ε > 0 existe otra cantidad δ > 0 de manera que para todo punto x que verificando 0 < |x - x0| < δ y donde la función f esté definida, se tiene que |f(x)-L| < ε». Una definición que cualquier estudiante que haya seguido un curso de cálculo diferencial reconocerá inmediatamente.
El límite de una función es, como vemos, un valor inalcanzable, aunque la diferencia puede ser menor que cualquier magnitud que se desee. La posibilidad de acercarse al límite se debe a una particularidad de los números reales: la posibilidad de introducir infinitos números entre dos de ellos. La eventualidad de que la función tenga un límite (L) se descubre cuando el valor de x crece hasta un punto (p) en que f(x) tiende a L; esto es:

Otro tipo de límite es el que se obtiene cuando la variable independiente se acerca a infinito (∞), por ejemplo, la función f(x) = 1/x cuando x tiende a 0, no tiene límite, y cuando tiende a ∞, L tiende a 0.

§. Probabilidades
Aunque el deseo más profundo de los científicos era (y continúa siendo) determinar con absoluta precisión el desarrollo de todo aquello que acontece en la naturaleza, con gran frecuencia es imposible conocer o controlar todas las variables que intervienen en esos fenómenos, lo que significa que, aun suponiendo que la naturaleza es determinista (una suposición que la física cuántica demostraría errónea en el siglo XX), es preciso manejar probabilidades.
En realidad, esta rama de las matemáticas tuvo orígenes más prosaicos, o, mejor, más utilitarios, una situación que, como ya hemos visto en otros lugares, aparece con frecuencia en la historia de la ciencia: el interés de los nobles por los juegos de cartas y de los financieros por el negocio de los seguros determinó el de los matemáticos por el cálculo de probabilidades. A mediados del siglo XVI, Cardano escribió un tratado para los jugadores (Liber de ludo aleae [Libro de los juegos de azar]), publicado póstumamente (en 1663), en el que aplicaba el cálculo matemático a los juegos de azar. El estudio de las probabilidades se convirtió en una rama de la matemática con la correspondencia (6 cartas) que se intercambiaron Pascal y Fermat en 1654 sobre el problema de los puntos: dos jugadores A y B apostaban una cantidad para el primero que obtuviese diez puntos al tirar una moneda al aire. Al interrumpirse la partida, decidieron repartir la apuesta en proporción a las probabilidades. Al primero, A, le faltaban dos puntos para ganar y al segundo, B, tres. Calculó que cuatro partidas eran suficientes para decidir el ganador. Fermat calculó las 16 permutaciones de las dos letras y descubrió que en 11 de ellas la mayoría favorecía al primero y en cinco al segundo. La proporción más probable le parecía la solución más adecuada y Pascal encontró una solución para el caso general. En 1657, Huygens continuó por esta senda publicando el primer tratado sobre las probabilidades, De ratiociniis in ludo alaea (Sobre el razonamiento en los juegos de azar). Más completa fue, sin embargo, una obra de Jakob Bernoulli (1654-1705), desde 1687 catedrático de Matemáticas de su alma mater, la Universidad de Basilea: Ars conjectandi (Arte de la conjetura), publicado póstumamente por su sobrino Nikolaus en 1713. Merece la pena citar la explicación que Jakob daba en este libro de lo que es el «arte de la conjetura»: «Definimos el arte de la conjetura, o arte estocástico, como el arte de evaluar lo más exactamente posible las probabilidades de las cosas, de modo que en nuestros juicios y acciones podamos basarnos siempre en lo que se ha encontrado que es lo mejor, lo más apropiado, lo más seguro, lo más aconsejado; este es el único objeto de la sabiduría del filósofo y la prudencia del gobernante».
Otros matemáticos del siglo XVII que se ocuparon de la teoría de las probabilidades fueron John Graunt (1620-1674), autor de Natural and Political Observations mentioned in a following Index, and made upon the Bills of Mortality (Observaciones naturales y políticas mencionadas en el siguiente índice, y realizadas a partir de los datos de mortalidad; 1662); Edmond Halley, con su Estimate of the Degrees of Mortality of Mankind (Estimación de los grados de mortalidad de la humanidad; 1693), y William Petty (1623-1687), a quien se debe un Essay on Political Arithmetick (Ensayo sobre aritmética política; 1699). No obstante, es al siglo XVIII al que más debe el estudio de las probabilidades. En aquella centuria, en efecto, trabajaron hombres como Augustus de Moivre (1667-1754), autor de Doctrine of Chances (Doctrina de las probabilidades; 1718) y de Approximatio ad Summan Terminorum Binomii (a + b)nin seriem expansi (Aproximación a la suma de los términos del binomio (a + b)nen el desarrollo en serie; 1733), o el sacerdote presbiteriano inglés Thomas Bayes (1792-1761), que estudió el problema de la determinación de la probabilidad de las causas a través de los efectos observados. El teorema que lleva su nombre se refiere a la probabilidad de un suceso condicionado por la ocurrencia de otro suceso; esto es, lo que se denomina «probabilidad inversa».
Otro nombre clásico de ese siglo es el de uno de los protagonistas de la Revolución Francesa, uno, cierto es, que sufrió un destino trágico, Marie-Jean-Antoine-Nicolas Caritat de Condorcet (1743-1794), autor de Essai sur l’application de l’analyse à la probabilité des décisions (Ensayo sobre la aplicación del análisis a la probabilidad de las decisiones; 1785). Este libro comienza con las siguientes palabras, que no son sino una manifestación más del espíritu que animó a la Ilustración:
Un gran hombre [se refiere al político y economista francés Turgot (1727-1781)], cuyas lecciones, ejemplos y sobre todo amistad siempre echaré de menos, estaba persuadido de que las verdades de las ciencias morales y políticas son susceptibles de la misma certidumbre que aquellas que forman el sistema de las ciencias físicas, e incluso que las ramas de estas ciencias que, como la astronomía, parecen aproximarse a la certidumbre matemática.
Esta opinión le era querida porque conducía a la consoladora esperanza de que la especie humana progresará necesariamente hacia la felicidad y la perfección, como ya ha hecho en el conocimiento de la verdad.
Es por esto por lo que he compuesto esta obra, en la que sometiendo al cálculo cuestiones interesantes para la utilidad común, intento probar, al menos mediante un ejemplo, esa opinión de la que él quiso hacer partícipes a todos aquellos que aman la verdad.
Para Condorcet, que reconocía la deuda que tenía contraída con otros («La idea de buscar la probabilidad de sucesos futuros según la ley de sucesos pasados parece deberse a Jacques Bernoulli y a Moivre, pero en sus obras no dieron ningún método para calcularla. Bayes y Price dieron una en las Philosophical Transactions de los años 1764 y 1765, y M. de la Place fue el primero que trató la cuestión de una manera analítica»), el principio general del cálculo de probabilidades —el instrumento que le permitía buscar el sueño de Turgot— consistía en:
Si sobre un número dado de combinaciones igualmente posibles, hay un cierto número que dan un suceso y otro número que dan el suceso contrario, la probabilidad de cada uno de los dos sucesos será igual al número de las combinaciones que los producen dividido por el número total.
Y ponía como ejemplo el clásico de «un dado con seis caras, en el que se supone que cada cara puede salir con la misma probabilidad, como uno de los seis puntos, y que los otros cinco dan los otros puntos, entonces la probabilidad de sacar una cara es 1/6, y 5/6 la probabilidad de no sacarla, siendo la suma de la probabilidad de los dos sucesos igual a la unidad».
No es posible, por supuesto, olvidar a Pierre-Simon de Laplace, autor de dos obras, una más técnica, Théorie analytique des probabilities (Teoría analítica de las probabilidades; 1812), y otra de carácter más general, pensada para servir de introducción a la anterior, el ya citado en otro capítulo Essai philosophique sur les probabilités (1814). En la primera, Laplace analizó las posibilidades de que se produzcan acontecimientos compuestos cuando se conocen las probabilidades de sus componentes, introdujo la probabilidad inversa y describió su aplicación a acontecimientos como la mortalidad, la duración de los matrimonios o el desenlace de los pleitos. De la segunda, donde la fuerza narrativa de Laplace brilló con fulgor, citaremos los siguientes pasajes:
La probabilidad es relativa en parte a [nuestra ignorancia] y en parte a nuestros conocimientos. Sabemos que de tres o más acontecimientos solo debe ocurrir uno, pero nada induce a creer que ocurrirá uno de ellos más bien que los otros. En este estado de indecisión nos resulta imposible pronunciarnos con certeza sobre su acaecimiento. Sin embargo, es probable que uno de estos acontecimientos, tomado arbitrariamente, no acaezca, pues vemos varios casos igual de posibles que excluyen su acaecimiento, mientras que solo uno lo favorece.
La teoría del azar consiste en reducir todos los acontecimientos del mismo tipo a un cierto número de casos igualmente posibles, es decir, tales que estemos igual de indecisos con respecto a su existencia, y en determinar el número de casos favorables al acontecimiento cuya probabilidad se busca. La proporción entre este número y el de todos los casos posibles es la medida de esta probabilidad, que no es, pues, más que una fracción cuyo numerador es el número de casos favorables y cuyo denominador el de todos los posibles.
El crecimiento exponencial de los gastos del Estado planteó a los gobiernos la conveniencia de conocer las cifras de población, las tasas de natalidad y muerte, la distribución territorial, la composición de la población de acuerdo con distintos criterios: edad, género, actividad, patrimonio. El conocimiento de la producción de mercancías, el consumo de materias primas, la circulación y los precios; los ingresos, gastos y deuda son otras de las magnitudes necesarias para tomar decisiones adecuadas. La primera época de la estadística se limitó a la recogida de información (censos y tablas de datos) cuyo manejo determinó la aparición de una nueva técnica, que se conoce con el mismo nombre. Las mejoras en la información como la sustitución de la población por una muestra facilitó el manejo de grandes números. El cálculo estadístico, basado en el de probabilidades, es una rama de las matemáticas que se divide en dos variedades: descriptiva, que utiliza instrumentos como la media, la mediana y la moda, la varianza, la desviación estándar y la distribución normal; e inferencial, que relaciona los datos para calcular estimaciones, correlaciones, interpolaciones, regresión.
Nadie destacó más en estos campos, los de la aplicación del cálculo de probabilidades a cuestiones sociales, como el astrónomo y estadístico belga Adolphe-Jacques Quetelet (1796-1874). Enviado a París en 1823 para iniciarse en la astronomía, Quetelet descubrió el cálculo de probabilidades e intercambió algunas ideas con Laplace. La idea central de sus trabajos fue aplicar el método estadístico y el cálculo de probabilidades a la búsqueda de regularidades en las características físicas, intelectuales y morales del hombre. En 1835 publicó una síntesis de sus primeros trabajos, Sur l’homme et le développement de ses facultés, ou Essai de physique sociale (Sobre el hombre y el desarrollo de sus facultades, o Ensayo de física social), que reelaboró, ampliándola en 1869, Physique sociale ou essai sur le développement des facultés de l’homme (Física social o ensayo sobre el desarrollo de las facultades del hombre), un libro en el que escribió: «Cuando se observan las masas, los fenómenos morales pasan a formar parte de alguna manera del orden de los fenómenos físicos; nos veríamos conducidos a admitir como principio fundamental, en las investigaciones de esta naturaleza, que cuanto más grande sea el número de individuos que se observan, más se desvanecen las características individuales, ya sean físicas, morales o intelectuales, dejando predominar la serie de hechos generales en virtud de los cuales la sociedad existe y se conserva».
Como instrumento para tratar su «sujeto medio», o «prototipo», Quetelet utilizó la curva de desviación de error, o «distribución normal», denominada también «gaussiana», o «curva de campana» por su forma: exp(–x2), esto es, e–x2, introducida antes por Carl Friedrich Gauss, que llegó a ella como parte de sus investigaciones en teoría de errores, en concreto dentro de lo que se conoce como método de mínimos cuadrados, que desarrolló en dos artículos publicados en 1821 y 1823 («Theoria combinationis observationum erroribus minimis obnoxiae, I, II»), aunque en realidad, como explicó otro notable estadístico, Karl Pearson, en sus clases en el University College de Londres entre 1921 y 1933 (reproducidas más tarde, 1978, en The History of Statistics in the 17th and 18th Centuries [La historia de la estadística en los siglos XVII y XVIII]), antes habían llegado a ella De Moivre en su ya citado libro de 1733 y Laplace cuarenta años después. Esa curva, generalizada más tarde, como veremos en el capítulo 10, en el caso de la física estadística por Maxwell, constituye un resultado fundamental tanto para las ciencias físico-químicas como para las sociales; es, podríamos decir, un eslabón entre ambas.
Capítulo 8
Composición de la materia
§. Alquimia
§. Química
§. ¿Átomos o moléculas?
§. La tabla periódica de los elementos
Somos materia y vivimos rodeados de materia, independientemente de que nos demos cuenta, de que sintamos en nuestros cuerpos que la naturaleza contiene más cosas, como, por ejemplo, la luz o el calor. Pero la materia domina nuestras vidas e intereses y por ello es evidente que por mucho que se avanzase en el conocimiento de cómo y por qué los cuerpos materiales se mueven, todavía había al menos una pregunta fundamental por contestar: ¿qué es, cuál es la composición de la materia?
Es bien sabido que los antiguos griegos pugnaron por encontrar una respuesta a esta pregunta, pero sus respuestas nacieron de la especulación y no de la observación. Una de esas respuestas, que no deja de citarse, sosteniendo algunos que evidencia el poder de la razón, es la de que la materia está formada por partes indivisibles, por átomos. El atomismo fue creación de los llamados presocráticos, de los que los más conocidos son Leucipo (siglo V a. C.) y su discípulo Demócrito (c. 460-370 a. C.). De ambos se sabe poco: como patria del primero se mencionan Mileto, Elea y Abdera, mientras que del segundo se cree que viajó por varios países: Egipto, Persia y Babilonia, quizá incluso la India. De su producción escrita han sobrevivido únicamente pequeños fragmentos de las obras que se supone escribieron (a Leucipo, por ejemplo, se le atribuye una obra llamada Gran ordenación de cosmos y otra titulada Sobre la inteligencia). Es por esto que hay que recurrir a las noticias que otros dieron sobre sus ideas. Así, en Acerca del cielo Aristóteles escribió: «Si el universo no es continuo, sino que, como dicen Demócrito y Leucipo, está compuesto de partes separadas por el vacío, necesariamente será uno solo el movimiento de todas ellas. En efecto, se hallan diferenciadas por sus figuras; pero dicen que su naturaleza es única, como si cada una fuera una pieza de oro separada».
Más seguro es lo que, siglos después, sostuvo, con excelente arte narrativo, el romano Lucrecio (c. 95-55 a. C.). «Los átomos son», escribió en su célebre poema De rerum natura (De la naturaleza), «sólidos y simples, formando un todo coherente de partes mínimas, apretadamente trabadas, y no proceden de la combinación de estas partes, sino que son fuertes por su propia simplicidad, y la naturaleza no permite que nada se arranque de ellos ni mengüen en nada, reservándolos como semillas de las cosas».
Pero para responder realmente a la pregunta de qué es la materia, para iniciar el camino que conduciría a responderla, no bastaba con la especulación, con lo que parecía razonable o no; estudiar la composición de la materia requería algo más que el razonamiento y la aportación de los sentidos, era preciso alterarla o destruirla. En realidad, este tipo de tareas comenzó para satisfacer necesidades prácticas, no para responder a cuestiones de índole más profunda, «científicas» como se vendrían en denominar. Así, era necesario disponer de lugares en los que protegerse del tiempo y de utensilios que sirviesen para fines prácticos (la especulación científica, queremos insistir en este punto, fue inicialmente hija de la manipulación técnica). La tierra, el material más accesible, y especialmente la arcilla, servían para fabricar ladrillos, lo que dio comienzo a la construcción, entendiendo por esta algo más que los refugios, frágiles y de corta duración, fabricados con productos vegetales. Y la invención de la rueda del alfarero (hacia 3000 a. C.) permitió fabricar objetos capaces de contener cualquier cosa y de aislar su contenido del medio ambiente. El mito de Prometeo —que robó el fuego a Zeus para entregárselo a la humanidad, a la que el dios de las tormentas se lo había arrebatado para castigarla (por ese robo, Zeus castigó a Prometeo encadenándolo a un pico del monte Cáucaso y enviando a un águila que cada día le devoraba el hígado, que le volvía a crecer cada noche, renovando de esta manera el tormento)— manifiesta la importancia que tenía para la especie humana el dominio del fuego. Las hogueras para calentarse y cocinar proporcionaban temperaturas de entre 450 y 700 grados centígrados (ºC), según la naturaleza del combustible. La invención del horno de pozo, un agujero en el suelo sobre el que se disponían sucesivamente la materia y el combustible, adolecía de dos defectos: el aislamiento estaba en el suelo en vez de en la cubierta y el fuego cubría el mineral. La inversión de la disposición y la separación mediante una construcción de la zona de combustión y la cámara de cocción o fundición dio lugar al horno (3000 a. C.), que utilizaba carbón vegetal y en el que se alcanzaban mayores temperaturas.
§. Alquimia
Los minerales presentes en la Tierra están formados normalmente por agrupaciones de elementos diferentes, lo que obligó a inventar procedimientos para separarlos y utilizarlos de acuerdo con sus propiedades. Esto fue especialmente importante en el caso de los valiosos metales.
La separación del metal presente en los minerales se realizaba mediante medios distintos, que tenían una eficacia limitada: el agua, el martillo y el fuego, sin alcanzar la temperatura de fusión. El resultado no producía una metal puro, aunque sí lo suficiente para identificarlo. El cobre fue el primero de los elementos aislados. Unas cuentas encontradas en Çatal Höyük, antiguo asentamiento de los períodos Neolítico y Calcolítico (o Edad del Cobre) situado al sur de la península de Anatolia (actual Turquía), constituyen la muestra de cobre más antigua conocida (6000 a. C.). El oro se encontraba en forma de pepitas, fáciles de trabajar con medios mecánicos; las joyas más antiguas que se conocen proceden de una tumba real egipcia de esa misma época, que es también la de la aparición de la plata. De 3800 a. C. procede una estatuilla de plomo de Osiris. En cuanto al hierro, durante mucho tiempo, antes de que se supiese que se podía extraer este valioso metal de yacimientos terrestres, la fuente de la que se obtenía eran meteoritos (unos abalorios egipcios de 4000 a. C. se forjaron con hierro de este tipo). Y como los meteoritos son raros, en sociedades desde los antiguos egipcios hasta los aztecas, el hierro era apreciado por su utilidad, pero al mismo tiempo considerado más precioso que el oro. Fue hace unos 5000 años cuando la humanidad, probablemente en Mesopotamia, aprendió a extraer y fundir hierro de yacimientos terrestres. Y al disponerse de él, pudo extenderse su uso con efectos profundos: las espadas de hierro hititas, por ejemplo, cambiaron el mapa político de Oriente Próximo. El azufre, un elemento muy abundante en la corteza terrestre, donde se encuentra tanto en bruto como en forma cristalina, fue mencionado por Homero (siglo IX a. C.) en la Ilíada: «Allí tenía él una copa labrada», se lee en el capítulo XVI, «y ningún otro ni de los hombres de ella bebía vino de encendido rostro ni a otro libaba de los dioses sino el padre Zeus. Entonces, cogiéndola del arca, la limpió con azufre primero, y luego lustróla con bellos chorros de agua, y lustróse él mismo las manos y escandió vino de encendido rostro».
El mercurio, el único metal líquido a temperatura ambiente, data de 2000 a. C. y desde 1500 a. C. se utilizaba en las tumbas egipcias. El carbón vegetal fue utilizado como combustible desde tiempos muy antiguos, pero el carbono no se descubrió hasta el siglo XVIII. La coincidencia del número de elementos con el de los planetas (siete), llevó a los griegos a asociarlos mediante una aplicación de uno a uno. Algunas de estas asociaciones son fáciles de imaginar: el oro y el Sol se caracterizan por el brillo, y la plata y la Luna responden al mismo criterio. La asociación del hierro con Marte pudo ser el resultado de un doble vínculo con el dios de la guerra y posteriormente con el planeta. La del mercurio con Mercurio es una coincidencia léxica, en tanto la del cobre con Venus, el plomo con Saturno y el estaño con Zeus no sugieren ninguna relación.
La reducción de los minerales a metales contribuyó a su identificación como elementos (esto es, cuerpos con un carácter básico), en tanto la acción del hombre multiplicó el número de los compuestos. El más antiguo de estos fue el vidrio, formado por sosa, cal y arena, del que se encuentran muestras en Egipto y Mesopotamia desde 3400 a. C. La introducción de la técnica del soplado de vidrio a comienzos de la era cristiana permitió crear vidrios huecos y todo tipo de recipientes. Del III milenio a. C. datan el bronce, una aleación de cobre con estaño capaz de soportar la temperatura de la explosión, y el acero, que requería la fusión del hierro a 1528 ºC y su rápido enfriamiento en agua fría para conseguir el temple que permitía el afilado de las espadas (en la Ilíada, Homero también se refería a esta aleación repetidamente: «Arriba, troyanos domacaballos», escribe por ejemplo, «no cedáis en alegría guerrera ante los argivos, porque su piel no es piedra ni hierro para resistir el bronce que hiende la piel cuando un tiro reciban»). En torno a 400 a. C. se fundieron las falcatas (espadas de hoja curva y con estrías longitudinales) ibéricas y las espadas chinas, aunque el uso generalizado del acero es muy posterior y durante mucho tiempo estuvo limitado a las armas.
Posteriormente, sucediendo a estas manipulaciones y descubrimientos, la especulación comenzó a ofrecer alternativas al —o a combinarse con el— conocimiento empírico, produciendo finalmente la teoría de los cuatro elementos (agua fuego, aire y tierra) que ya nos apareció en el capítulo 2. La plausibilidad de este sistema es tal que los chinos adoptaron un sistema muy semejante al griego, aunque eliminaron el agua, con cinco elementos: añadieron la madera y el metal. Asimismo, introdujeron dos fuerzas motrices, asociadas a los géneros de la especie: el Ying, femenino, húmedo y oscuro, y el Yang, masculino, cálido y luminoso. La evidencia del carácter compuesto de los elementos, el hecho de que los elementos fundamentales fuesen compuestos, no supuso ningún obstáculo para que estos principios sobreviviesen durante mucho tiempo.
Al llegar al dominio de las transformaciones de los elementos, inevitablemente se termina entrando en un punto que afecta íntimamente a los humanos. El de la muerte. La muerte es un suceso que los individuos trataron de soslayar de uno u otro modo. La idea de una existencia más allá de la vida inspiró la conservación de los cuerpos sin vida mediante el embalsamamiento en Egipto, en tanto que en China surgió hacia el siglo VIII a. C. la idea de su prolongación hasta hacerla eterna, idea que perfeccionaron en la India añadiendo la eterna juventud. La mitología griega abunda en referencias a este tema, y la historia del bellísimo Titono, uno de los hijos de Laomedonte, rey de Troya, es una ilustración del error de pedir la eternidad y olvidar la juventud (Eos, diosa de la Aurora, se enamoró de Titono y lo raptó; debido al gran amor que sentía por él, Eos pidió a Zeus que lo hiciera inmortal, pero se le olvidó pedir que concediera también a su amante la juventud eterna, de manera que, según fue pasando el tiempo, Titono fue envejeciendo, llegando un momento en que la diosa decidió encerrar aquel cuerpo decrépito para no tener que verlo jamás). Chinos e indios buscaron la eterna juventud en un elixir, mientras griegos y romanos situaban en lugares remotos la fuente de la eterna juventud.
La búsqueda en China de la inmortalidad mediante el consumo de drogas, hierbas y compuestos (wai-tan) se practicó en el siglo IV a. C. Poco después se pasó a la meditación interior y al desarrollo de la fuerza propia mediante el ejercicio (nei-tan). La influencia china se manifestó en la India a partir de los siglos V y VI y en la transmutación. El Rasatrastra describió los 17 procesos a que se sometía el mercurio para que el consumo del producto final regenerase el cuerpo volviéndose así resplandeciente e inmortal.
La inmortalidad es una aspiración imperiosamente humana, pero es imposible no verla como lejana e incierta. Otras ansias de nuestra especie muestran menos incertidumbre, aunque sean más prosaicas. Una de esas ansias, a la postre con mayores implicaciones para el avance científico, y en particular para el de una ciencia concreta, la química, que la de conservar los cuerpos después de la muerte o buscar medios para hallar la tan deseada inmortalidad, fue la de conseguir una riqueza inagotable, idea que alimentó la esperanza de encontrar un medio para convertir los metales inferiores en oro por medio de un producto al que se conoció como la piedra filosofal.
La confluencia de intereses de este tipo produjo una disciplina de difícil definición, la alquimia (el nombre árabe que ha perdurado: proviene de la palabra egipcia kēme, que significa «tierra», de la que surgió khēmia, o «transmutación», y finalmente, en el mundo árabe, al-khemia, esto es, «alquimia»; los griegos hablaban del «arte sagrado»), cuyo origen se ha asociado a una figura mítica, a la que muchos se refirieron, aunque sin saber realmente de qué personaje real hablaban: Hermes Trismegisto («Tres veces Grande»), de donde derivó el nombre de «ciencia hermética» dado a la alquimia, y también el calificativo de «hermético» como «oscuro». El médico y humanista neoplatónico italiano Marsilio Ficino (1433-1499), que creía que Hermes fue contemporáneo de Moisés, sostuvo que había fundado una tradición de sabiduría humana que se movía paralelamente a la revelación divina a través de las Escrituras, y que había conducido a los escritos de Platón y de sus sucesores. Supuestamente, fue el autor de un Corpus Hermeticum, una colección de antiguos diálogos escritos en griego que transmitieron la sabiduría del antiguo Egipto. Da idea de lo oscuro de sus enseñanzas, que con justicia podemos calificar más como dentro de las corrientes «mágicas» que de las «científicas» (aunque sin olvidar que «magia» y «ciencia antigua» no constituyeron necesariamente mundos aparte), la siguiente cita que se encuentra en uno de los textos (Tabula smaragdina, o Tabla de la esmeralda) que se adjudican a Hermes, y que incluye una exposición en 13 puntos en la que describe la creación del mundo como la acción del Sol:
Lo verdadero sin falsedad es cierto, ciertísimo. Lo que está abajo es igual a lo que está arriba, y lo que está arriba como lo que está abajo, para hacer los milagros de la cosa única. Y así como todas las cosas fueron creadas de una sola por la meditación de uno solo, de idéntico modo todas las cosas nacieron de esta cosa única por apropiación. Su padre es el Sol; su madre la Luna; el viento la llevó en su seno; la Tierra la alimenta. Es el padre de toda la armonía del Mundo; su virtud es entera cuando se deposita en la Tierra. Separarás con cuidado e inteligencia la tierra del fuego; lo sutil de lo denso; él sube de la tierra a los cielos; vuelve a bajar a la tierra y adquiere su fuerza en lo superior como en lo inferior. Así poseerás la gloria del mundo entero; toda oscuridad se alejará de ti. Esta es la más fuerte de las virtudes porque somete todo a lo sutil y penetra todo lo sólido. Así fue creado el Mundo; así se producirán las apropiaciones admirables, siendo esta la manera y por esto me llamaron Hermes, tres veces grandísimo, poseyendo las tres partes de la filosofía del mundo.
La idea de separar lo que una vez estuvo, en un mundo perfecto, unido, manifiesta en esta cita, junto a prácticas como a las que aludimos anteriormente, fue lo que produjo la alquimia.
No obstante, en realidad pudo ser en Irán donde tuvo su origen la alquimia, aunque también se sabe de este tipo de prácticas en la China del siglo I a. C. y en Alejandría. Ciertamente, un lugar en el que florecieron este tipo de intereses y estudios es en la Alejandría de los siglos III y IV. Meca y albergue de todo tipo de personajes y conocimientos, los alejandrinos supieron aunar ideas esotéricas como las herméticas con hechos del tipo de que el rojo y sólido cinabrio se transformase, por destilación, en blanco y líquido mercurio, o que los metales cambiasen de color al ser calcinados. Elevaron, en particular, al mercurio a la categoría de sustancia primordial debido a su capacidad de blanquear otras sustancias, y llegaron a pensar que no solo atraía a todos los colores, sino también al «alma» de todos los cuerpos. Mediante razonamientos que hoy nos parecen extraños, sostuvieron que se podía transformar un cuerpo en mercurio y luego este en oro. De ahí que las principales operaciones que practicaban los alquimistas alejandrinos fuesen la lucosis y la xantosis: coloraciones en, respectivamente, blanco (asociada al mercurio) y amarillo (oro).
Uno de esos alquimistas alejandrinos, el más importante o, al menos, aquel cuya memoria mejor ha superado el paso del tiempo, fue Zósimo de Panópolis (hoy Ajmin, en el Alto Egipto), que vivió a finales del siglo III y principios del IV. Entre sus obras se encuentra un libro sobre los instrumentos utilizados en el arte alquímico, incluyendo entre ellos hornos y aparatos de destilación. Definía alquimia, o kh¯emia, como «el estudio de la composición de las aguas, el movimiento, el crecimiento, la unión y la separación de los espíritus de los cuerpos». Una de sus recetas decía: «Espolvorea de sal el azufre brillante y amarillo, trábalo para que tenga fuerza, haz intervenir la flor del cobre y forma un ácido líquido y blanco. Prepara la flor del cobre gradualmente con lo que sujetarás el cobre blanco. Destílalo y después de la tercera operación encontrarás un producto que da oro». La «flor de cobre» que mencionaba es nuestro sulfato cúprico, el ácido obtenido por destilación debía ser el ácido sulfúrico, uno, como ahora sabemos, de los principales disolventes de los metales. Hay, pues, «química» en sus recetas (la destilación es un procedimiento químico muy importante, y surgió en tiempos de Zósimo, lo mismo que el alambique, aunque fuesen los árabes quienes le dieran el nombre por el que conocemos a este instrumento y generalizasen su uso), pero también tradición hermética, como se comprueba en otro de sus textos, titulado Sueño de un alquimista, en el que representaba los minerales bajo formas humanas: el crisantropo, u hombre de oro, el argirantropo, u hombre de plata, el calcantropo, u hombre de cobre, y el antropopario, u hombre de mármol.
A la dificultad para entender propiamente la historia de la alquimia, que nace de que su lógica interna nos resulta hoy extraña, hay también que añadir otras que tienen que ver con la desaparición de muchas de sus fuentes. Algunas de esas desapariciones se debieron al transcurso del tiempo, que tanto borra, pero otras fueron impuestas. Como las debidas a Diocleciano (244-311), emperador de Roma entre los años 284 y 305, que ordenó la destrucción de todos los escritos relacionados con la kh¯emia. Ya en una época más cercana, en torno al año 800, el persa Jabir ibn Hayyan (c. 721-815), conocido también por la forma latinizada de su nombre, Geber, inició el tránsito de la alquimia a la química. En el Libro de la Balanza desarrolló las dos ideas fundamentales de los alquimistas: la transmutación de los metales y la transformación del alma. Describió los principales instrumentos y procedimientos alquímico-químicos: el alambique, que él mismo inventó, y la retorta, la destilación, cristalización, calcinación y la sublimación. Asimismo, distinguió entre tres tipos de sustancias: las que producían vapor al calentarse (espíritus), los metales que se fundían y los compuestos (piedras), que se convertían en polvo. Y trató del aislamiento del arsénico, el antimonio y el bismuto, y de la producción de nuevos compuestos: ácido clorhídrico, nítrico y la combinación de ambos (agua regia).
Es obligado, asimismo, recordar a otro persa, el médico y filósofo al-Razi, que ya nos apareció en el capítulo 2. Rhazes, el nombre por el que fue conocido en Europa, estudió medicina y alquimia-química en Bagdad, y parece que escribió cerca de dos centenares de libros, la mitad de medicina, de los cuales muy pocos han sobrevivido. El más famoso es un inventario de medicina en diez volúmenes: Kitab Al-Mansur (Libro de al-Mansur). En lo que se refiere a la alquimia, rechazó los elementos místicos que contenía y puso en duda la posibilidad de la transmutación. En el libro de los Secretum secretorum (El secreto de los secretos), describió los detalles de las experiencias que le habían llevado a descubrir el ácido sulfúrico y procedimientos químicos como la sublimación y condensación del mercurio, la precipitación del azufre y del arsénico, y la calcinación de los minerales, ocupándose también de las aplicaciones alquímico-químicas en la farmacia.
El legado de los alquimistas, químicos, médicos o artesanos de la farmacopea árabes fue descomunal. Incluye el descubrimiento del alcohol, de los ácidos nítrico y sulfúrico (este fue descrito por un personaje de oscura procedencia —parece que fue español— que floreció hacia 1300, conocido como Falso Geber), del nitrato de plata y el potasio, la determinación del peso específico de algunos cuerpos, el desarrollo de las técnicas de sublimación, cristalización y destilación, y usos industriales como la utilización de tintes y la fabricación de destilados de plantas, para todo lo cual introdujeron o mejoraron numerosos instrumentos (morteros, hornos y crisoles, alambiques, vasos de cerámica y de vidrio para la decocción, cohabitación, sublimación, filtración, coagulación). En, por ejemplo, un texto célebre, Liber de aluminibus et salibus (Libro de los alumbres y las sales), atribuido por algunos a Rhazes y por otros al musulmán español al-Majriti (siglo XI), se describían numerosos experimentos químicos, como uno para la obtención del cloruro de mercurio. En el ámbito especulativo, en vez de elementos concibieron los principios; esto es, los tipos de acción asociados a los metales: la volatilidad del mercurio, la inflamabilidad del azufre y la ausencia de estos caracteres de la sal. Si hay mundos científicos en los que la presencia árabe —las más de las veces olvidada o, como mínimo, descuidada en Occidente— fue importante, uno de ellos fue, sin duda, el de la alquimia. Asimismo, las aportaciones realizadas en el mundo árabe dejaron claro que la alquimia englobaba diversos apartados, prácticos al igual que teóricos. Para unos, su fin primordial era transformar metales en oro o en plata, para otros, dar con productos con propiedades curativas, mientras que no faltaban quienes la consideraban una filosofía natural alternativa a la que ofreció Aristóteles. Es dentro de esta tradición, la de oponerse a la escuela aristotélica (y también a la de Galeno), en la que hay que enmarcar a uno de los grandes personajes de la historia de la alquimia: Philippus Teophrastus Bombastus von Hohenheim (1493-1541), el médico y alquimista suizo más conocido como Paracelso, aunque es preciso señalar que por entonces los intereses alquímicos ya llevaban bastante tiempo afincados en Europa, adonde habían llegado hacia el siglo XII, cuando se tradujeron del árabe al latín textos griegos vertidos al árabe en los siglos IX y X (antes de Paracelso, las dos figuras más relevantes de la alquimia europea fueron dos autores contemporáneos, nacidos ambos en 1235: Raimundo Lulio y Arnaldo de Vilabona).
Como médico que era —y parece que cosechó algunos éxitos importantes (en la losa de mármol que cubre su tumba en la iglesia de San Esteban de Salzburgo, se puede leer todavía el siguiente epitafio: «Aquí yace Theophrastus Bombastus von Hohenheim. Famoso doctor en Medicina, que curó toda clase de heridas, la lepra, la gota, la hidropesía y otras varias enfermedades del cuerpo, con ciencia maravillosa»)—, uno de los intereses de Paracelso era combatir las enfermedades, una tarea en la que desempeñaba un papel importante el arte alquímico; así, en el capítulo tercero («Sobre el método de acción de las tres primeras sustancias, el sujeto intermedio y la Alquimia») de su Opus Paramirum (Libro Paramírico; 1562), se lee: «Las enfermedades extrañas requerirán que el médico las estudie con métodos extraños, aplicándoles las concordancias que correspondan, preparando y separando las cosas visibles y reduciendo sus cuerpos a la última materia con ayuda del arte espagírico o de la Alquimia». Y unas pocas líneas más abajo añadía: «Aprended pues la Alquimia, también llamada Espagiria, y ella os enseñará a discernir lo falso de lo verdadero. Con ella poseeréis la luz de la Naturaleza y con ella podréis probar todas las cosas claramente, discurriéndolas de acuerdo a la lógica y no por la fantasía, de la que nada bueno puede resultar».
Vemos que Paracelso hacía alquimia sinónimo de «espagiria», un término muy elocuente: spagyria proviene, en efecto, de las raíces griegas «sacar, extraer, separar» y «reunir», dos raíces etimológicas en las que se encuentran los dos conceptos u operaciones fundamentales de la química: el análisis y la síntesis. Según él, todo se podía explicar en base (mediante combinaciones y transmutaciones) a tres principios, la tria prima: sal, azufre y mercurio. En este sentido, contemplaba la enfermedad como una consecuencia de la acción de estas tres sustancias. De hecho, por mucho que se moviese con frecuencia en terrenos confusos, sus ideas y trabajos hicieron mucho por llevar la alquimia a la medicina, a, en concreto, la iatroquímica, o química médica. Hasta entonces, la farmacopea había recibido pocos beneficios de los trabajos de los alquimistas; continuaban dominando las teorías de Galeno, incluyendo sus recetas sobre la elaboración de medicamentos. Paracelso, sin embargo, obtuvo algunos preparados durante sus trabajos alquímicos que se abrieron camino en la medicina. De hecho, no se detuvo en estos dominios «naturales», podríamos decir: pensaba que sus principios alquímicos servían para mucho más. En concreto, que incluso la historia de la creación contenida en el Génesis podía ser interpretada alquímicamente: como la separación sucesiva, mediante procesos alquímicos, de elementos a partir de un mysterium magnum inicial. Y esas transformaciones estaban dirigidas por calor y fuego, derivados en última instancia del propio Dios. Se puede decir que puso el laboratorio (creía firmemente en la experiencia como medio para obtener conocimiento) en el centro de la cuestión religiosa: el microcosmos del laboratorio imitaba o podía imitar, pensaba, la gran creación cósmica debida a Dios.
Extremadamente activo (viajó por varios países europeos, así como por Asia y África), fue profesor de Medicina en Basilea, aunque debido a algunos enfrentamientos que tuvo allí terminó abandonando la ciudad y viviendo a partir de entonces en diversos lugares, ganándose la vida de sus servicios como médico. Aunque su influencia llegó a ser muy grande, esta tardó en llegar. Pocos de sus libros se publicaron mientras vivió. En las décadas de 1560 y 1570, algunos seguidores suyos, como los alemanes Adam von Bodenstein (1528-1577), Michael Toxites (1515-1581) y Gerhard Dorn (1530/1535-1584), comenzaron a publicar sus obras, un esfuerzo que culminó en la década de 1590 con la publicación de una edición monumental de escritos suyos preparada por Johann Huser (1545-1597/1604): Bücher und Schriffen (Libros y escritos). Además de estos individuos, algunas autoridades alemanas (Ernst von Bayern, arzobispo de Colonia y patrón de Huser, el elector Ottheinrich y, ya más tarde, el emperador Rodolfo II y Moritz de Hessen) se convirtieron en seguidores de sus enseñanzas, ayudando de esta manera a su difusión.
No debe extrañar que un personaje con las ideas tan iconoclastas que defendió Paracelso tuviese numerosos enemigos (una de las grandes debilidades de sus trabajos, y de la alquimia en general, fue, hay que insistir en este punto, su asociación con el hermetismo y la astrología). Uno de sus primeros enemigos fue Thomas Erastus (1524-1583), profesor de medicina en la Universidad de Heidelberg, conocido sobre todo por defender la tesis de que la Iglesia se debía subordinar al Estado. En 1571-1573, Erastus publicó unas Disputationes de nova Philippi Paracelsi medicina (Críticas relativas a la nueva medicina de Felipe Paracelso), un duro ataque a Paracelso que se centraba en los supuestos elementos sacrílegos, demoniacos y deshonestos de sus trabajos.
Otro de sus opositores fue el alemán Andreas Libavius (c. 1555-1616), que no obstante también contribuyó al desarrollo de la iatroquímica, de la que se convirtió en uno de sus más firmes campeones, y sobre la que dejó un texto, Alchemia (1597), que constituyó un buen eslabón en el tránsito de la alquimia a la química. Entre las aportaciones de Libavius se encuentra la descripción del ácido hidroclórico y del sulfato amónico.
Ahora bien, a pesar de la oposición que encontró y de lo idiosincrático de sus ideas, hay que reconocer que con Paracelso la alquimia se despojó de muchos de sus atributos-fines filosófico-místicos, características estas que ayudan a entender que en el siglo XIV el papa Juan XXII hubiese condenado el ejercicio de la alquimia. Para los alquimistas, Dios y la Naturaleza que ellos buscaban investigar a través de sus operaciones y principios se confundían a menudo. «Este es aquel Espíritu», escribía el célebre médico alquimista sajón Gabriel Claudero (1633-1691), «que, habitando en el Aire, todo lo infecta, vivifica la tierra, fermenta las Aguas fluviales, mueve y tiñe la Sangre en las venas, produce los metales en las minas, en las nubes llueve, truena, nieva […], en las minas humea, penetra, fija; aplicado por el arte, conserva la Vida, cura las enfermedades, transmuta los metales; volátil en los volátiles, fijo en las Cosas Fijas, animal en los Animales, vegetal en los Vegetales, mineral en los Minerales, Camaleón Filosófico. En todo, sin embargo, su naturaleza es perfectísima, su propiedad penetrantísima, su sustancia tenuísima».
Semejantes ideas y propósitos terminaron por provocar una separación entre los alquimistas «puros» y los «vulgares», como manifiesta la siguiente cita, extraída de un texto (Nouvelle lumière chymique; 1609) del alquimista Migue Sendivogius: «Los químicos vulgares están bastante ilustrados sobre la química conocida y bastante instruidos sobre sus procedimientos, pero son ciegos en lo que se refiere a la química hermética y se dejan llevar por la costumbre. Han construido hornillos que subliman, calcinan y destilan; han emplearon infinidad de vasos y crisoles desconocidos por la simple naturaleza y han pedido ayuda al fratricida del fuego natural. ¿Cómo habrían triunfado con procedimientos tan violentos? Son absolutamente contrarios a los procedimientos que siguen los Filósofos herméticos». Sin embargo, precisamente porque fueron estos químicos o alquimistas vulgares los que construyeron hornillos que sublimaban, calcinaban y destilaban, y emplearon infinidad de vasos y crisoles, son los que más hicieron porque la vieja química se convirtiese en una sólida ciencia experimental que buscaba bases teóricas no menos firmes.
El auge que fueron cobrando los estudios alquímicos se puede ilustrar con el ejemplo de la cumbre de la Revolución Científica, Isaac Newton, quien se vio atraído por los estudios alquímicos a finales de la década de 1660 y comienzos de la de 1670. Insatisfecho con las respuestas que sus estudios teológicos y de filosofía natural le proporcionaban, encontró en la alquimia una posible fuente de esperanzas, forjando una pasión por el tema que le duraría al menos treinta años. Llegó a pensar que la piedra filosofal, el principio activo que muchos introducían en la alquimia, estaba unida estrechamente con el Dios de la Cristiandad: ambos eran, al fin y al cabo, agentes de perfección y redención. Al contrario de lo que podamos pensar ahora, semejantes ideas e intereses no fueron obstáculo para que Newton también se plantease problemas fundamentales que hoy consideramos pertenecientes a la teoría de la afinidad química (la rama de la química que se ocupa de las fuerzas que unen los elementos para formar compuestos). En su Óptica (1704) encontramos evidencias de ello. Así, en la «Cuestión 31» (es la última de las famosas Queries que añadió Newton) de la edición de 1718 podemos leer: «¿No poseen las pequeñas partículas de los cuerpos ciertos poderes, virtudes o fuerzas con los que actúan a distancia no solo sobre la luz, reflejándola e inflexionándola, sino también unos sobre otros, para producir una gran parte de los fenómenos de la naturaleza? En efecto, es bien sabido que los cuerpos actúan unos sobre otros por las acciones de la gravedad, magnetismo y electricidad. Estos ejemplos muestran el talante y curso de la naturaleza, haciendo que no sea improbable la existencia de otras potencias atractivas además de estas». Y más adelante: «Cuando el Aqua fortis o el espíritu de vitriolo se vierten sobre limaduras de hierro y las disuelven con gran calor y ebullición, ¿acaso este calor y ebullición no están causados por un violento movimiento de las partes, y acaso no muestra ese movimiento que las partes ácidas del líquido se precipitan con violencia sobre las partes del metal, insinuándose enérgicamente en sus poros hasta que se sitúan entre sus partículas externas y la masa más importante del metal, y rodeando dichas partículas, las liberan de la masa principal y las dejan flotar en el agua?».
§. Química
De la alquimia nació la química, tal y como ahora la entendemos; esto es, una ciencia dedicada al estudio de los elementos y de sus compuestos, utilizando para ello los procedimientos que sancionó definitivamente la Revolución Científica (experimentación, cuantificación y teorización). El linaje que entroncaba las nuevas investigaciones con las alquímicas se manifestó de, al menos, dos maneras: (1) en los instrumentos utilizados, puesto que, aunque se introdujeron otros nuevos, se continuó empleando los antiguos; y (2) en la conservación de la costumbre de designar a los elementos y a los compuestos con nombres tomados del lenguaje común, un hábito del que brotaban continuas ambigüedades (veremos que estas desparecieron solo cuando Lavoisier y sus asociados crearon una nueva nomenclatura).
Un problema que surge inmediatamente cuando se trata de la formación de compuestos a partir de elementos más simples es el de qué fuerzas son responsables de que estos se asocien entre sí para dar lugar a tales compuestos. En una fecha tan temprana como 1250, Alberto Magno introdujo la voz affinitas para expresar la tendencia de dos elementos a asociarse. En el siglo XVII, se usó afinidad electiva para referirse a la función del calor en la combustión. René Descartes propuso como solución al problema la idea de corpúsculos entendidos como paquetes de partículas unidas mediante ganchos. En 1661, en su libro The Sceptical Chymist (El químico escéptico), escrito en forma de diálogo al estilo de los de Galileo, en el que el autor refutaba las ideas de Aristóteles y Paracelso, Robert Boyle (1627-1691) recuperó la teoría atómica clásica defendiendo la hipótesis (teoría corpuscular) de que la materia está formada por átomos y conjuntos de átomos en movimiento, y que cualquier fenómeno es el resultado de colisiones de partículas. En ese mismo libro se encuentra una definición de elemento químico que se ha mantenido básicamente inmutable hasta la actualidad: «Y, para evitar equivocaciones, debo advertirle que ahora quiero decir por Elemento […] ciertos cuerpos Primitivos y Simples, o perfectamente no mezclados; que no formados por ningún otro cuerpo, son los ingredientes de los que están compuestos todos aquellos denominados Cuerpos perfectamente mixtos, y en los que se disuelven en última instancia».
De hecho, Boyle sospechaba que ninguno de los elementos entonces aceptados —tierra, aire, fuego y agua en el esquema aristotélico; sal, sulfuro y mercurio en el de los paracelsianos— era realmente elemental, aunque no avanzase mucho en identificar qué sustancias eran «elementales». En este sentido, su aportación fue más importante por lo que estimuló la teoría corpuscular de la materia (que recibiría poco después nuevos estímulos de Newton) que por lo que añadió a las técnicas puramente químicas. Y es que Boyle no fue en modo alguno un químico puro: llegó a la química desde la medicina, siendo esta disciplina la que le condujo, a través de la preparación de medicamentos, a la química, dominio en el que se convirtió rápidamente en un hábil experimentador al igual que pensador original.
En la misma «Cuestión 31» (un pequeño tratado de química) de la Óptica a la que aludimos antes, Newton se refería explícitamente a la idea del enlace:
Las partes de todos los cuerpos homogéneos y duros que se tocan plenamente se unen con gran fuerza. A fin de explicar cómo pueda ser eso, algunos han inventado átomos ganchudos, que es lo mismo que responder con lo mismo que se pregunta; otros nos dicen que los cuerpos se pegan por el reposo, es decir, por una cualidad oculta o más bien por nada, y aún otros dicen que se pegan por movimientos coincidentes, es decir, por reposo relativo. Yo más bien infiero de su cohesión que las partículas se atraen entre sí por cierta fuerza que resulta extremadamente grande con el contacto inmediato, mientras que a distancias pequeñas realiza las operaciones químicas anteriormente mencionadas, sin que tenga efectos apreciables a una distancia no muy grande de las partículas.
Visto retrospectivamente, con el beneficio que da el poseer un cuerpo de conocimientos mucho más perfeccionado, comprendemos que ni Newton ni sus contemporáneos, o los que les siguieron durante prácticamente dos siglos, podían ir mucho más allá en lo que a las fuerzas que unen a los elementos químicos se refiere. Ello no fue óbice, sin embargo, para que la «ruta de las afinidades» continuase siendo explorada. Así, un boticario parisino, Etienne François Geoffroy (1672-1712) —firme enemigo, por cierto, de los alquimistas, como muestra un libro que escribió con el título de Des supercheries concernant la pierre philosophale (Sobre la superchería de la piedra filosofal)— presentó en 1718 a la Academia de Ciencias de París un libro titulado Table de rapports (Tabla de relaciones) en el que intentaba comparar las afinidades de varios ácidos y bases utilizando para ello una tabla de afinidades en la que mostraba las posibles asociaciones de 18 elementos, representados por signos. Medio siglo después, el mineralogista Torbern Bergman (1735-1784), descubridor del ácido oxálico y del gas hepático (sulfuro de hidrógeno), intentó perfeccionar la tabla de Geoffroy tomando en cuenta las condiciones en que se producen las reacciones químicas y recurriendo (véase su De attractionibus electivis; 1775) al concepto de afinidad química. Poco después, en 1789, siendo aún un estudiante en Oxford, el irlandés William Higgins (1766-1825) publicó un libro (Comparative View of the Phlogistic and Antiphlogistic Theories [Comparación entre las teorías basadas en el flogisto y las antiflogísticas]) en el que analizaba los argumentos a favor y contra el flogisto (del que nos ocuparemos más adelante), favoreciendo los segundos al mismo tiempo que especulaba sobre la naturaleza de la combinación química, que intentó explicar en base a un sistema de «partículas últimas». Mediante una serie de diagramas (en cierto sentido una especie de precursor del concepto de enlace de valencia) de los óxidos de nitrógeno, se esforzó por explicar las fuerzas que mantenían juntas tales partículas. Parece que sus ideas se basaban en parte en datos experimentales (aunque no prestó atención a los pesos relativos de los diferentes elementos) y en parte en especulación. En cualquier caso, sus ideas —prematuras para su tiempo— apenas recibieron atención.
Mucho más fructífero que elucubrar sobre las fuerzas que daban origen a compuestos a partir de sustancias, o sobre las formas de esos mismos elementos, fue ocuparse de las propiedades de estos. Así, la clasificación de las sustancias por el sabor creó la categoría del ácido a partir de ciertas frutas y del vinagre. Los restos de la combustión (proceso fundamental del que nos ocuparemos enseguida) descubrieron el carácter grasiento de ciertas sustancias, cualidad que los árabes designaron como al kali, de donde procede alcalino. La separación del oro y la plata, frecuentemente asociados en un mismo mineral, se vio facilitada por la aplicación de cualquier sustancia ácida, que disolvía la plata. Desde entonces, las sustancias disolventes fueron conocidas como ácidos. Aprovechándose de las muchas oportunidades que su actividad farmacéutica le daba para experimentar con reacciones, Johann Rudolf Glauber (1604-1670) descubrió un principio general de la química: la unión de un ácido y un álcali produce un tercer tipo de sustancia, una sal, reacción que expresó como «ácido + álcali = sal». Stahl —del que enseguida hablaremos— definió los procedimientos contrarios del análisis y la síntesis, decisivos para futuros experimentos.
Cuando uno investiga las propiedades de elementos, esto es, de la materia, tiene necesariamente que utilizar conceptos y técnicas más propios de la física que de la química. Dos magnitudes sobresalen en este sentido: la masa, m, y el volumen, v, cuya relación determina una tercera, la densidad, d = m/v. Uno de los lugares en el que estas magnitudes mostraron primero su utilidad fue, en el XVII, en el estudio del aire y de los gases, invisibles, sin figura ni dimensiones, pero básicos para explicar fenómenos como la combustión y la explosión. El descubrimiento de la presión atmosférica y la transformación del aire en la combustión fueron fenómenos objeto de investigación, en tanto el mayor rigor de las medidas permitió llegar a conclusiones sobre la base de la coincidencia de los resultados experimentales.
Mención especial merece en este punto Evangelista Torricelli (1608-1647), un discípulo de Galileo, que demostró que el aire ejercía una presión sobre las cosas, al sumergir un tubo abierto de más de un metro lleno de mercurio en una vasija ocupada por el mismo metal. El nivel del mercurio en el tubo descendió hasta quedar a unos 60 centímetros del nivel del recipiente, mantenido por la presión atmosférica. Fue la primera manifestación de la acción del aire, en tanto en la parte superior solo había el vacío. De esta manera, inventó (1644) el barómetro de mercurio.
Una demostración más espectacular de la presión fue el experimento del ingeniero y diplomático alemán Otto von Guericke (1602-1680), que hacia 1647 construyó la primera bomba de vacío, utilizando para ello un cilindro y un pistón que empujaba el aire al exterior a través de válvulas que se abrían para expulsar al aire empujado por el pistón. Utilizó la bomba de vacío para demostrar cómo la presión atmosférica era suficiente para mantener unidos dos hemisferios de cobre una vez hecho el vacío en su interior. Dos atelajes de 15 caballos que tiraban en sentido contrario no pudieron separar los dos hemisferios. Los experimentos condujeron a la construcción de instrumentos nuevos destinados a producir determinados efectos, como la bomba de vacío, o a permitir la medida de magnitudes hasta entonces inconmensurables como la presión del aire con el barómetro de Torricelli.
También Boyle se dedicó a este tipo de investigaciones; de hecho, figuran entre las que más fama le dieron. Mediante experimentos que realizó utilizando una bomba de vacío, más eficiente y fácil de manejar que las que existían anteriormente y con la que podía producir el doble efecto de extraer y comprimir el aire, Boyle concluyó que el aire tenía peso. Empleando un largo tubo en forma de J, cerrado por un extremo y abierto por el otro, introdujo mercurio y comprimió el aire contenido en el extremo. Al aumentar la cantidad de mercurio observó que el volumen (V) del aire se reducía de acuerdo con una proporción inversa: P1·V1 = P2·V2, donde P representa la presión; o, en otras palabras: el volumen y la presión de un gas son inversamente proporcionales: P · V = constante. En 1660 hizo públicos sus resultados en un libro titulado New Experiments physico-mechanical, touching the Spring of the Air, and its Effects (Nuevos experimentos mecánico-físicos, relativos al peso del aire y sus efectos), cuyo contenido fue atacado inmediatamente por el jesuita y científico Francis Line, también llamado Linus de Lieja (1595-1675), en una obra titulada Tractatus de corporum inseparabilitate (Tratado de la inseparabilidad de los cuerpos; 1661), al que Boyle respondió en la segunda edición (1662) de su libro.
En realidad, no fue Boyle el único en llegar a semejante ley. El francés Edmé Mariotte (1620-1684) repitió el experimento sin conocer el trabajo de su predecesor, añadiendo un factor decisivo: una temperatura constante para que el resultado se ajustase a la proporción. De ahí que la ley en cuestión se conozca como «Ley de Boyle-Mariotte».
Retornando a las pautas «más químicas», tenemos que a comienzos del siglo XVII el único gas conocido era el «aire», un elemento presente en todas las culturas. Los alquimistas habían producido vapores (espíritus), pero no habían encontrado medio de identificarlos. Después de quemar diferentes sustancias, Jan Baptista van Helmont (1579-1644), un médico y químico flamenco discípulo de Paracelso, distinguió los vapores por alguno de sus caracteres: olor y sabor. Pero al no poder ofrecer ninguna explicación, pensó que caos era una palabra indicada y la fonética holandesa hizo que quienes le escucharon entendiesen gas («gascht» es un término alemán que denota la espuma que aparece tras la fermentación), denominación que prosperó. Al procedente de la combustión del carbón de madera y de las fermentaciones que tenían lugar en las fábricas de cerveza al igual que en otros tipos de trabajos (por ejemplo, al tratar mármol con un ácido o al quemar piedra de cal) lo llamó gas silvestre (sin duda, se trataba de dióxido de carbono; esto es, CO2) y califico de gas vital al que transportaba la sangre.
El estudio del aire constituyó uno de los grandes apartados de la química de los siglos XVII y XVIII, un apartado que contribuyó de manera muy destacada a la elaboración de una nueva química, la de Lavoisier. Hay que citar en este sentido las aportaciones de un pequeño grupo de científicos. Comenzando por el clérigo anglicano inglés Stephen Hales (1677-1761), uno de los primeros estudiosos de la nutrición y fisiología de plantas, campo al que aportó un libro fundamental: Vegetable staticks: or, an Account of some Statical Experiments on the Sap in Vegetables: Being an Essay towards a Natural History of Vegetation (Estática vegetal: o, una descripción de algunos experimentos estáticos en la savia de vegetales: Siendo un ensayo hacia una historia natural de la vegetación), publicado en 1727. En el curso de sus investigaciones, Hales desarrolló técnicas e instrumentos especiales (como la cuba neumática) para recoger y estudiar diferentes gases (los emitidos, por ejemplo, en la transpiración de las hojas), que consideraba diferentes al aire común.
Mientras que el dominio de Hales era realmente la botánica, el del escocés Joseph Black (1728-1799) fue mucho más propiamente el de la química neumática, aunque se doctorase (en Edimburgo) en Medicina en 1751. De hecho, en 1754 se convirtió en profesor titular (lecturer) de Química en Glasgow, pasando en 1766 a Edimburgo, donde permaneció el resto de su carrera. Poco dado a la especulación teórica, excepto cuando estaba firmemente anclada en datos experimentales, Black se interesó sobre todo por la experimentación, y dentro de ella por las aplicaciones de la química a la agricultura y a la industria, inclinación ya patente en su tesis doctoral: De humore acido a cibis orto et magnesia alba (Humores ácidos que surgen de la comida, y alba magnesia [carbonato de magnesio]), en donde estudiaba la acidez estomacal y el efecto de sustancias alcalinas para atenuarla (también se ocupó de la posible utilización de esas sustancias para disolver piedras en el riñón).
Durante sus investigaciones, Black observó que cuando se calentaba el carbonato de magnesio (utilizando la denominación posterior), este perdía peso, identificando la causa de tal pérdida con la emisión de «aire», aunque se dio cuenta de que no se trataba de un aire ordinario, sino que tenía características especiales. Lo denominó fixed air, «aire fijo» (con la ayuda de la Physical, Literary and Philosophical Society de Edimburgo publicó sus resultados en una monografía titulada Essays and Observations, Physical and Literary [Ensayos y observaciones, físicos y literarios]; 1754-1756).
Obligado es también mencionar a Henry Cavendish (1731-1810), un rico noble inglés, uno de cuyos entretenimientos era la química. Su principal descubrimiento en este campo fue, en 1766, el del «aire inflamable» (nuestro hidrógeno), cuyas propiedades estudió. Una de estas fue que cuando se quemaba en aire común, producía agua. En realidad, el «aire inflamable» era conocido antes (Boyle, por ejemplo, lo detectó hacia 1670), pero fue Cavendish quien lo recogió y lo sometió a un estudio sistemático, presentando sus resultados en la Royal Society en una serie de tres artículos (titulados «Factitious Airs»).
«La senda de los aires» fue seguida también por un personaje particularmente interesante: Joseph Priestley (1733-1804). Natural de Leeds, Priestley se dedicó al sacerdocio como ministro no conformista. Fue predicador apasionado, tanto en religión como en ideas políticas. Ferviente admirador de la Revolución Francesa; en una ocasión en la que junto a unos amigos celebraba el aniversario de la toma de la Bastilla, su casa fue asaltada por la muchedumbre, y su iglesia quemada, desapareciendo una buena parte de sus instrumentos y documentos científicos. Tuvo, en consecuencia, que emigrar a Norteamérica, instalándose en una población del estado de Pensilvania.
Como científico, su fama radica sobre todo en haber descubierto y aislado el oxígeno, que él denominó «aire desflogisticado», ya que —como Cavendish— era partidario de la teoría del flogisto, a la que nos referiremos enseguida (uno de sus escritos más importantes se titulaba The doctrine of phlogiston established [La doctrina del flogisto establecida; 1800]). Expresado en términos analíticos, el hallazgo de Priestley —que difundió sobre todo en su libro Experiments and Observations on different kinds of Air (Experimentos y observaciones sobre diferentes tipos de aires; 1774)— se puede condensar en la reacción
cal de mercurio + calor → aire desflogisticado;
esto es, calentó (sirviéndose de lentes de aumento) óxido de mercurio, obteniendo oxígeno.
Durante sus experimentos, Priestley encontró que las velas ardían con más brillo en presencia de ese aire desflogisticado; también que los ratones —y él mismo— lo podían respirar sin ningún problema. He aquí cómo se refirió a este hecho en Experiments and Observations on different kinds of Air:
Mi lector no se sorprenderá de que, después de haberme asegurado de la superior calidad del aire desflogisticado utilizando ratones y otras pruebas que ya he mencionado antes, tuviese la curiosidad de probarlo yo mismo. He satisfecho esta curiosidad respirándolo […] El sentirlo en mis pulmones no es sensiblemente diferente de lo que sucede con el aire común, pero me dio la sensación de que mi respiración fue particularmente ligera y fácil durante algún tiempo después. ¿Quién puede decir si, en el futuro, este aire puro no se convertirá en un artículo de moda, en un lujo? Hasta el momento, solo dos ratones y yo mismo hemos tenido el privilegio de respirarlo.
Aunque estrictamente Priestley fue el primero en anunciar el descubrimiento del gas (y, como luego se comprobó, elemento químico) que terminó siendo denominado oxígeno, fue el sueco Carl Wilhelm Scheele (1742-1786) quien parece que llegó a este resultado, cuando entre 1770 y 1773 calentó pirolusita (dióxido de manganeso) con ácido sulfúrico concentrado, dando origen a la siguiente reacción, en la que se producía oxígeno (para él, «aire de fuego»):
2 MnO2 + 2 H2SO4 → 2 MnSO4 + 2 H2O + O2
Sin embargo, la publicación de sus resultados (en un libro que tituló Chemische Abhandlung von der Luft und dem Feuer [Tratados sobre el aire y el fuego], y que finalmente apareció en 1777) se demoró dos años, mientras esperaba recibir el prólogo de Torbern Bergman, permitiendo así la prioridad de su colega inglés.
La conquista del fuego, ser capaces de producirlo y controlarlo, fue tan importante para los humanos que cuando estos construyeron mitos, mitologías, adjudicaron ese control y dominación a un robo que los hombres hicieron a los dioses. No sabían, ni podían imaginar, que un fenómeno asociado íntimamente el fuego, la combustión, constituiría una pieza clave para la construcción de una teoría química sobre bases firmes.
La combustión es, efectivamente, uno de los procesos más notorios que se dan en la naturaleza. Ahora los diccionarios la definen como «reacción química entre el oxígeno y un material oxidable, acompañada de desprendimiento de energía», pero semejante explicación tardó en llegar: fue un fruto más, un fruto distinguido, de esa maravillosa época que llamamos Ilustración.
El primer intento racional de explicar la combustión se debió a van Helmont (con quien ya nos encontramos), cuando estableció la relación entre la materia ardiente, la llama y el humo: pensaba que la combustión era debida a la presencia de un espíritu silvestre, que se hacía visible mediante el vapor que se producía en la combustión. En 1669, un médico alemán, Johann Joachim Becher (1635-1682), sostuvo que existían tres tipos de tierras: terra fluida, terra pinguis y terra lapídea, la segunda de las cuales proporcionaba las propiedades grasientas y sulfúreas, al igual que la combustibilidad. Inició entonces la búsqueda de la sustancia que favorecía la combustión, tarea que confió para que la prosiguiese a su discípulo, Georg Ernst Stahl (1660-1743), que llegó a ser médico del rey de Prusia y autor de obras como Fundamenta chymiae dogmaticae & experimentalis (Fundamentos de químicas dogmática y experimental; 1723). No obstante, Stahl no siguió las ideas de su maestro, sustituyendo la tierra por una especie de vapor incoloro e inodoro (y que no se podía observar directamente), al que dio el nombre de flogisto (del griego filox, esto es, «llama»; por consiguiente, literalmente «principio de la llama»). Basándose en este «elemento», Stahl propuso una teoría según la cual la capacidad que tiene un cuerpo para arder se debe a la existencia en su composición de flogisto. Igualmente, para que un metal llegara a calcinarse (de acuerdo con la visión actual, la calcinación es la transformación por oxidación de un metal a su mineral o cal), era indispensable que el flogisto formara parte de su composición; esto es: mineral/cal + carbón (rico en flogisto) → metal.
En estas dos operaciones, combustión y calcinación, básicas dentro de la química, tenía lugar el mismo proceso: el desprendimiento de flogisto de las sustancias que lo contenían. Cuando la combustión y la calcinación se llevaban a cabo en recipientes cerrados, llegaba un momento en que el proceso se detenía; la teoría explicaba este hecho postulando que el aire contenido en el recipiente se saturaba del flogisto desprendido durante la operación, no admitiendo ya más adiciones. Por tanto, un metal no era una sustancia simple, sino que estaba compuesto por dos más simples: el flogisto y la tierra o ceniza que quedaba después de la calcinación, esto es, la «cal» del metal.
A pesar de que estas ideas se difundieron bastante, ninguno de los filósofos naturales, médicos o farmacéuticos involucrados consiguieron crear para el estudio de los elementos y compuestos un sistema teórico basado en el método experimental, ni elaborar un lenguaje metódico y preciso que sirviera de eficaz instrumento de comunicación. La química era, en consecuencia, una de las ciencias cuyo reflejo en la Encyclopédie aparecía como menos brillante. Gabriel-François Venel (1723-1775), redactor de la mayor parte de las voces químicas de aquella obra magna, ofrecía en el volumen tercero (1753) una panorámica bastante pesimista del desarrollo alcanzado por su disciplina al coronarse la primera mitad del siglo. Para Venel, el remedio consistía en que llegase un día en el que un buen químico revolucionase esta ciencia y la situase a la altura de las demás: «Esta revolución, digo, no puede ser realizada más que por un químico hábil, entusiasta y atrevido, que cuando se encuentre en una situación favorable sepa aprovechar hábilmente algunas circunstancias felices y despierte la atención de los sabios, primero con una exposición brillante, con un tono decidido y afirmativo, y después con argumentos si sus primeras armas hubieran atacado el prejuicio».
Los deseos de Venel no tardarían en cumplirse: Antoine Laurent de Lavoisier (1743-1794) se llamaría el químico «hábil, entusiasta y atrevido». Con él la química adquirió un rigor y precisión que la equipararon a los estudios más avanzados por su nivel teórico, el rigor de sus procedimientos y la importancia de sus resultados. Pesaba con especial precisión no solo las cantidades utilizadas en ellos, sino también los vasos e instrumentos que se habían empleado; asimismo, pesaba los gases que se desprendían y las cenizas que quedaban con la esperanza de que las correspondientes sumas fuesen idénticas.
En los años finales de la década de 1760, Lavoisier se sumió en investigaciones encaminadas a determinar el grado de pureza que el agua —junto a la combustión, uno de los protagonistas principales de su obra— podía alcanzar mediante destilaciones repetidas. Esto le llevó a plantearse uno de los problemas que ocupaban la atención de los químicos: la transmutación del agua en tierra (recordemos que todavía estaba extendida entre los químicos la creencia en la teoría aristotélica de los cuatro elementos —agua, tierra, aire y fuego—, que podían transformarse unos en otros: el agua, fría y húmeda, podía transmutarse en tierra, fría y seca). Las medidas de densidades de muestras de agua en función de las materias disueltas le hicieron sospechar que el depósito terroso que se formaba en destilaciones sucesivas de una muestra de agua cuya densidad no variaba apreciablemente en las últimas destilaciones era un producto de las operaciones realizadas. Para dilucidar el problema, Lavoisier pensó, correctamente, que el único medio era repetir las experiencias en recipientes herméticamente cerrados, con la precaución de tomar cuenta exacta del peso del recipiente y del agua empleados. Si el peso total, finalizada la experiencia, no variaba, «entonces necesariamente debía encontrarse una disminución de peso en una u otra de estas dos sustancias [el agua y el recipiente], y esta disminución debía ser precisamente igual a la cantidad de tierra separada». Si, por el contrario, el peso del conjunto aumentaba al final, entonces la «materia del fuego» que pasaba a través del vidrio y se combinaba con el agua, era la responsable de tal aumento.
Lavoisier pesó cuidadosamente (en este sentido para él fue tan importante la balanza como el matraz) un recipiente de vidrio y el agua que introdujo en él; lo cerró herméticamente y puso a hervir el agua por espacio de 101 días consecutivos, asegurándose que el vapor, condensado, retornaba al mismo recipiente para que no se perdiese nada. A medida que transcurría el tiempo, se formaba un residuo terroso. Una vez retirado el aparato del fuego, anotó de nuevo su peso. Después pesó el residuo seco, e hizo lo mismo con el recipiente. El peso del residuo era prácticamente igual a la pérdida de peso experimentada por el recipiente, por lo que concluyó que el depósito terroso procedía del vidrio y no del agua. En contra de lo que se suponía hasta entonces, había comprobado que el fuego no producía ningún aumento de peso.
Como vemos, en un campo diferente, Lavoisier estaba socavando el universo aristotélico, al igual que más de un siglo antes lo había hecho Galileo con sus observaciones astronómicas.
Los procedimientos y conclusiones precedentes se basaban en una convicción que para nosotros es en la actualidad (ampliada después de Einstein de manera que incluya también a la energía) casi un lugar común, pero que no lo era para los científicos de su época: la de la ley de la conservación de la masa, ley que Lavoisier no formularía explícitamente hasta la publicación del libro en el que presentó de manera asequible el conjunto de sus resultados: Traité élémentaire de chimie, presenté dans un ordre nouveau et d’après les decouvertes modernes (Tratado elemental de química, presentado en un orden nuevo según los descubrimientos modernos; 1789). En efecto, en el capítulo XIII («De la descomposición de los óxidos vegetales por la fermentación viscosa») podemos leer:
Para llegar a la solución de estos problemas, está claro que haría falta conocer primero el análisis y la naturaleza de los cuerpos susceptibles de fermentar y los productos de la fermentación; porque nada se crea, ni en las operaciones del arte, ni en las de la naturaleza, y se puede sentar como principio que, en toda operación, hay una cantidad igual de materia antes y después de la operación, que la cualidad y cantidad de los principios es la misma, y que no hay más que cambios y modificaciones.
Todo el arte de hacer experiencias en química está fundado sobre este principio: hay que suponer en todos los experimentos una verdadera igualdad o ecuación entre los principios del cuerpo que se examina y los que se sacan por el análisis.
A comienzos de la década de 1770, Lavoisier emprendió sus investigaciones sobre el papel que desempeñaba el aire en el proceso de la combustión. A finales de 1772 ya pudo demostrar que tanto el fósforo como el azufre se combinaban con el aire durante la combustión, y que los productos que se producían (los ácidos fosfórico y sulfúrico) pesaban más que el fósforo y el azufre presentes inicialmente. Se trataba, por consiguiente, de un proceso de adición, en lugar de uno en el que se producía un desprendimiento (de flogisto). A lo largo de los dos años siguientes, comprobó que la calcinación era un proceso similar a la combustión; esto es, que cuando un metal se calcinaba se unía a una parte del aire circundante, aumentando de peso. En octubre de 1774, Joseph Priestley comunicó a Lavoisier que había estudiado recientemente un gas particular que era mucho más apto que el «aire común» para mantener la combustión. Por esta razón, le había dado, como vimos, el nombre de «aire desflogisticado», porque podía recibir mucho flogisto favoreciendo la combustión de otros cuerpos. Lavoisier pronto comprendió el papel fundamental que este nuevo gas desempeñaba en los procesos químicos de la combustión y la calcinación, que pasaron a convertirse en procesos que implicaban la absorción o combinación de un nuevo elemento, un aire al que bautizaría, como veremos enseguida, con el nombre de oxígeno. A partir de entonces, el aire común o atmosférico no fue ya una sustancia simple, sino que se compuso de dos o más elementales. En particular, Lavoisier demostró que estaba formado por dos gases, uno —el «aire vital»— que sostenía la combustión, y otro «ázote», o «ázoote» (nitrógeno), que no.
A pesar de demostrar el papel del oxígeno en la combustión, Lavoisier no abandonó completamente la idea que animaba al concepto de flogisto, ya que había que explicar qué era el calor que se producía en una combustión. Lo que hizo fue introducir la idea del calórico, entendido como un tipo de fluido presente en la naturaleza que se comunicaba de los cuerpos más calientes a los que lo estaban menos. El calorímetro, que describió en una memoria escrita en colaboración con Laplace, que publicaron en el Recueil de l’Académie en 1780 (Lavoisier también dedicó un capítulo de su Traité élémentarie de Chimie, el tercero de la segunda parte, a él), le permitió avanzar en este campo, determinando, por ejemplo, la cantidad de calor necesaria para los cambios de estado (el calorímetro es un aparato —cuyos principios fundamentales enunciaron Joseph Black y Johann Carl Wilcke [1732-1779]— que permite medir la cantidad de calor absorbido o cedido por un cuerpo que es sometido a influencias externas).
Tampoco el agua, el más universal componente de la naturaleza, superó indemne el paso de la vieja a la nueva química. Al igual que el aire atmosférico, dejó de ser considerada como una sustancia simple, logro en el que, como vimos, participó Henry Cavendish. «Hasta nuestros días», escribió Lavoisier en su Traité élémentaire de chimie, donde explicó el procedimiento que había seguido en este descubrimiento (que había publicado en 1781), «el agua se había considerado como un cuerpo simple, y los antiguos no tuvieron dificultad alguna en llamarla elemento. Para ellos era, sin duda, una sustancia elemental, puesto que no habían conseguido descomponerla o, al menos, porque las descomposiciones del agua que tenían lugar diariamente ante su vista escapaban de sus observaciones. Pero ahora […] el agua ya no es para nosotros un elemento».
La creación de un nuevo sistema conceptual obliga las más de las veces a intervenir en la terminología, en los nombres que se utilizan, bien porque antiguos nombres adquieren significados nuevos o porque surgen nuevos entes o conceptos que es necesario nombrar. Este fue el caso con la revolución química asociada al nombre de Lavoisier, que necesitó de una nueva nomenclatura. Hasta entonces se había dado un nombre arbitrario a las sustancias identificadas, nombres como vitriolo de estaño, alcali flogisticado, flor de arsenio, agua mercurial, alumbre nitroso, sal de Júpiter o polvos del conde de Palma de Santinelli, encontrándose, además, que un mismo compuesto podía ser denominado de muchas formas diferentes (el caso, por ejemplo, del carbonato sódico, que recibió como nombres —empleando los términos del castellano de finales del siglo XVIII— natrum o natrón, base de sal marina, alkali marino, alkali mineral, cristales de sosa, sosa gredosa, sosa ayreada, sosa efervescente, mefite de sosa, aljali fijo mineral ayreado, alkali mineral efervescente, greda de sosa y barrilla). La asociación, en 1787, de Lavoisier con Guyton de Morveau (1737-1816), Claude Louis Berthollet (1748-1822) y Antoine François de Fourcroy (1755-1809) para compilar un Méthode de nomenclature chimique (Método de nomenclatura química), significó un paso decisivo en la racionalización de la química.
Merece la pena recordar en este sentido lo que Lavoisier manifestó, el 18 de abril de 1787, en una Junta pública de la Academia de Ciencias parisina («Sobre la necesidad de perfeccionar y reformar la nomenclatura de la química»):
Las lenguas no solo tienen por objeto, como se cree comúnmente, expresar por signos las ideas e imágenes; sino que además son verdaderos métodos analíticos, con cuyo auxilio procedemos de lo conocido a lo desconocido, y hasta cierto punto, al modo de los matemáticos: probemos a aclarar esta idea.
El álgebra es por excelencia el método analítico: fue inventada para facilitar las operaciones del alma, para abreviar el paso del raciocinio, para incluir en pequeño número de líneas, lo que hubiera necesitado muchas páginas de disputa; finalmente, para conducir más comodidad, prontitud, y seguridad a la solución de las cuestiones más complicadas. Pero un solo instante de reflexión convence fácilmente que el álgebra es una verdadera lengua: así como todas, tiene sus signos representativos, su método, su gramática, si se nos permite valernos de esta expresión: según esto, un método analítico es una lengua; una lengua es un método analítico, y estas expresiones son en cierta manera sinónimas.
La nueva química que él había diseñado necesitaba de todo esto. Necesitaba purificarse a través del lenguaje: «Una lengua bien hecha, y en la que se haya verificado el orden sucesivo y natural de las ideas», dijo también, «ocasionará una revolución necesaria y aún pronta en el modo de enseñar; no permitirá a los profesores apartarse de los pasos de la naturaleza; será preciso, o no admitir la nomenclatura, o seguir sin remisión el camino que ella haya manifestado».
En cuanto a las normas introducidas, podríamos caracterizarlas como un ejercicio de lógica y sentido común. Entre sus supuestos metodológicos figuraban los de que los nombres debían conformarse lo más estrechamente posible con las sustancias a las que designasen, que los cuerpos compuestos de otros más simples recibiesen nombres que expresasen su composición, mientras que los últimos recibiesen denominaciones sencillas; que los epónimos (que dan nombre a un pueblo, a una época, etc.) quedasen proscritos, y que se utilizasen nombres con raíces procedentes de lenguas muertas bien conocidas que permitiesen recordar la palabra por su significado y viceversa. Recurriendo de nuevo al Traité élémentaire de chimie (Primera parte, capítulo IV: «Nomenclatura de las diferentes partes constituyentes del aire atmosférico»):
Las palabras nuevas las hemos tomado principalmente del griego de tal forma que sus etimologías evocasen la idea de las cosas que nos proponíamos expresar y sujetándonos, sobre todo, a no admitir más que las palabras más cortas posibles que fuesen susceptibles de formar adjetivos y verbos.
Según estos principios y siguiendo el ejemplo de Macquer, hemos conservado el nombre de gas usado por Vanhelmont [Van Helmont] para denominar a la clase numerosa de fluidos elásticos aeriformes, con excepción del aire atmosférico. Por tanto, la palabra gas es para nosotros un nombre genérico que designa el último grado de saturación de cualquier sustancia por el calórico, es decir, la expresión de uno de los estados en que se pueden presentar los cuerpos. Para explicar después cada especie de gas, hemos agregado una segunda palabra tomada del nombre de la base […]
Se ha visto que el aire atmosférico estaba formado principalmente por dos fluidos aeriformes o gases, uno respirable donde pueden vivir los animales, calcinarse los metales y arder los cuerpos combustibles, y otro con propiedades totalmente opuestas donde los animales no pueden respirar, ni mantenerse la combustión, etc. A la base de la parte respirable del aire le hemos dado el nombre de oxígeno, derivándolo de dos vocablos griegos, [el que representa], ácido, y [el que significa] yo engendro, porque, en efecto, una de las propiedades más generales de esta base es la de formar ácidos al combinarse con la mayor parte de las sustancias […] Como las propiedades químicas de la parte no respirable del aire atmosférico no se conocen aún bien, nos hemos contentado con deducir el nombre de su base de la propiedad que tiene este gas de quitar la vida a los animales que lo respiran, llamándole ázoe [ahora nitrógeno], de la α privativa de los griegos y de [la expresión griega para] vida.
Esto es, «oxígeno» porque, pensaba (erróneamente), se trataba de un «generador de ácido»; ázote, porque privaba de vida, «hidrógeno» por ser un «generador de agua».
Hay que hacer notar que la nueva nomenclatura presuponía, naturalmente, que la teoría del oxígeno era cierta. Así, se eligió la raíz ico para utilizar en sustancias en las que predominase el oxígeno; mientras que la terminación oso era para añadir a aquellas en las que la proporción de oxígeno fuese menor. Este hecho creó resentimiento entre los adversarios de la teoría lavoisieriana, sin dejar de lado la circunstancia de que químicos ya establecidos se vieran forzados a aprender un aspecto básico de su disciplina desde el principio. He aquí un signo genuino de una revolución: el tener que aprender de nuevo la disciplina.
Otro apartado importante a la hora de hablar de «revoluciones» (científicas, al igual que de cualquier otro tipo) es el desarrollo de medios propios para difundir las ideas que caracterizan al nuevo movimiento. En el caso de la química de Lavoisier este medio fue una revista dedicada de manera casi exclusiva a ella: los Annales de Chimie, fundada en 1789. No sorprendentemente, el equipo editorial de la revista estaba formado por defensores de la nueva química: Guyton y Lavoisier, como editores principales, y Gaspar Monge, Berthollet, Fourcroy, Jean de Dietrich y Jean-Henri Hassenfratz como asociados. La nueva revista no era, desde luego, la única publicación que aceptaba trabajos de química en Francia: estaba, por ejemplo, la prestigiosa Mémoires de la Académie des Sciences, pero esta publicación tardaba con frecuencia entre dos y tres años en sacar a la luz los trabajos. Los Annales de Chimie contaban con la importante ventaja de ser mucho más rápidos en publicar los trabajos recibidos, además de aparecer con mayor frecuencia que las Mémoires.
Por la importancia de sus trabajos, que generaron una de las grandes revoluciones científicas de todos los tiempos, Lavoisier ocupa un lugar de honor en la historia de la ciencia. Sin embargo, fue un hombre a la vez afortunado y desgraciado. Afortunado no solo por la ciencia que pudo hacer, sino también por la época en la que vivió, una época que al mismo tiempo nutrió su desgracia. Fue un auténtico ilustrado, que compendia en su biografía toda la grandeza y tragedia del Siglo de las Luces. Hijo de un próspero abogado de París, estudió, como su padre, Derecho, aunque desde el primer momento mostró un gran interés por la ciencia, cuyos estudios compaginó con los legales (antes incluso de obtener el título de abogado, escribió en 1763 su primer trabajo científico sobre una aurora boreal observada en Villers Cotterets). Especialmente importante es el año 1768, cuando fue elegido «adjunto supernumerario» de la Académie des Sciences e inició su actividad en la Ferme Générale, una de las principales instituciones existentes en el Antiguo Régimen para recaudar impuestos. Se trataba de una organización financiera privada (lo que hizo Lavoisier para entrar en ella fue comprar un tercio de una participación), cuyo nombre podríamos traducir como Compañía General de Arrendatarios. Como arrendatario (férmier), Lavoisier estaba obligado a realizar giras de inspección (por este motivo, pasó fuera de París la mayor parte de 1769 y 1770) e informar de sus observaciones a los directores de la Compañía, férmiers más veteranos como Jacques Paulze, con cuya hija, Marie Anne Pierrette Paulze (1758-1836), se casó en 1771, cuando Anne tenía solo 13 años (en lo que se refiere a la ciencia, Anne se convertiría en el mejor ayudante de su esposo). El mismo año de su matrimonio, Lavoisier incrementó su participación en la Ferme Générale con una inversión de 780 000 francos, toda una fortuna.
Recordemos que en la tradición medieval los soberanos no tenían ningún derecho a gravar a sus súbditos de modo permanente; los impuestos eran considerados expedientes temporales y excepcionales para poner remedio a situaciones críticas. Fue a mediados del siglo XVI cuando se creó en Francia una categoría de impuestos ordinarios, que, sin embargo, gravaban en general solo a los miembros serviles y no privilegiados de la alta sociedad. Pero no era el rey quien recolectaba los impuestos, sino grupos intermedios, entre los que se encontraban los arrendatarios generales, que se convirtieron en una de las principales fuentes de crédito del Gobierno, al que adelantaban fondos a cambio de deducciones de interés sobre el montante de los contratos futuros; también emitían billets des fermes a corto plazo, documentos de crédito destinados al público. ¿Sorprenderá que en el juicio que, instalada ya la Revolución que se inició el 14 de junio de 1789 con la toma de la Bastilla, terminó con su condena a muerte, Lavoisier estuviese acompañado por otros 25 férmiers (uno de los cuales fue, por cierto, su suegro)? ¿Que, de hecho, aquel fuese en realidad un juicio contra la Ferme Générale?: «Todos los Arrendatarios Generales presentes», se lee en el texto de la sentencia (firmado el 19 floreal del año II, esto es, el 8 de mayo de 1794), «han sido traídos ante el tribunal revolucionario para ser juzgados conforme a la ley de delitos de dilapidación de las rentas del gobierno, conculcaciones y abusos, fraudes hacia el pueblo, traiciones hacia el gobierno y otras de las que han sido advertidos».
Como buen ilustrado, Lavoisier no fue nunca ajeno a la actividad pública, un interés que en su caso se manifestó, al margen de su actividad como férmier, de al menos dos formas: una, con trabajos en lo que hoy denominaríamos «ciencia aplicada» (ya en 1766, concursó al premio convocado por la Académie des Sciences con una memoria sobre el alumbrado público); otra, a través de los cargos públicos que ocupó: en 1775 fue nombrado uno de los cuatro directores de la Régie des Poudres (Administración de Pólvora), la institución estatal encargada de la producción de pólvoras y salitres, puesto que mantuvo hasta 1791; en 1787 fue elegido representante del Tercer Estado en la Asamblea Provincial de Orleans, y en 1789 diputado suplente por la nobleza de Bois en los Estados Generales y miembro de la Comuna de París.
El sentimiento de haber sido un buen ilustrado, un benefactor del pueblo, es algo que se refleja en una nota que Lavoisier escribió durante los meses que pasó en prisión, en la que defendía —refiriéndose a sí mismo en tercera persona— con orgullo su carrera como científico y ciudadano:
Lavoisier, miembro de casi todas las academias de Europa, ha consagrado su vida principalmente a trabajos relativos a la física y a la química.
Durante los veinticinco años que ha sido miembro de la Academia de Ciencias, ha hecho imprimir en sus Actas más de 80 memorias, de las que una gran parte contienen descubrimientos importantes para las artes, las ciencias y la humanidad. Ha consagrado a este fin una parte importante de su fortuna.
Se ha ocupado principalmente de experimentos de agricultura muy onerosos que ha continuado durante quince años y en los cuales ha sacrificado más de 120 000 libras; se propone incesantemente publicar una obra importante sobre este tema.
No esperó en ningún momento la época de la Revolución para manifestar sus principios sobre la libertad y la igualdad.
El problema era, claro, que la libertad e igualdad del férmier géneral no era la libertad e igualdad del pueblo llano, la de los sans-culottes que tomaron la Bastilla el mismo año que se publicó su Traité élémentaire de chimie. Y así su cabeza cayó segada por la guillotina el 8 de mayo de 1794, junto a otros veintiocho acusados de conspirar contra el pueblo de Francia. «Solo un instante para cortar esa cabeza. Puede que cien años no basten para darnos otra igual», dicen que manifestó Lagrange.
§. ¿Átomos o moléculas?
Además de una nomenclatura, Lavoisier realizó una temprana clasificación de los 33 elementos conocidos en su tiempo, aunque, de hecho, era escéptico en este punto. En este sentido, en el «Discurso preliminar» que abría el Traité élémentaire de chimie escribió:
Todo lo que puede decirse sobre el número y naturaleza de los cuerpos se reduce, en mi opinión, a puras discusiones metafísicas: solo se intenta resolver problemas indeterminados susceptibles de infinitas soluciones, ninguna de las cuales, con toda probabilidad, será acorde con la naturaleza. Me contentaré, pues, con decir que si por el nombre de elementos queremos designar a las moléculas simples e indivisibles que componen los cuerpos, es probable que las ignoremos; pero si, por el contrario, unimos al nombre de elementos o principios de los cuerpos la idea del último término al que se llega por vía analítica, entonces todas las sustancias que hasta ahora no hemos podido descomponer por ningún medio serán para nosotros otros tantos elementos; con esto no queremos asegurar que los cuerpos que consideramos como simples no se hallen compuestos por dos o mayor número de principios, sino que como nunca se ha logrado separarlos o, mejor dicho, faltándonos los medios para hacerlo, debemos considerarlos cuerpos simples y no compuestos hasta que la experiencia y la observación no demuestren lo contrario.
Entre esos elementos incluía a la luz y al calor, al que se llamaba calórico, «el principio», utilizando la definición incluida en un Prontuario de química, farmacia y materia médica publicado en 1815 por Pedro Gutiérrez Bueno (1743-1822), el químico más activo en la introducción de las ideas de Lavoisier en España (tradujo al castellano el Méthode de nomenclature chimique), «que produce la sensación del calor», cuyas principales propiedades eran «ser muy sutil, penetrar todos los cuerpos, apartar sus moléculas constituyentes, y hacerlas fluidas o gaseosas según su cantidad». En cuanto a cómo los clasificaba, dividió los elementos en cuatro grupos en función de sus características: fluidos elásticos (5): las dos energías (luz y calórico) y los tres gases (hidrógeno, oxígeno y nitrógeno) «que pertenecen a los tres reinos (estados); no metálicos (5) y metales (17), ambos “oxidables y acidificables”; y las tierras (5) “salificables”».
De esa primera clasificación surgieron dos líneas de investigación, orientada una a poner fin a la confusión semántica entre átomos, moléculas, corpúsculos y partículas, dedicada la otra a completar la tabla de los elementos. Fue Pierre Gassendi (1592-1655), en un manuscrito compuesto no se sabe si a finales de 1632 o a comienzos de 1637, del que surgió un tratado titulado De vita et doctrina Epicuri (Sobre la vida y doctrina de Epicuro), quien introdujo la voz molécula sin ofrecer una definición que permitiese una aplicación inequívoca, aunque su idea era que se trataba de las «semillas de las cosas». Al igual que otras entidades similares, como «concretiuncula», «partes integrantes», «glabulae», las moléculas de Gassendi eran complejos o estructuras secundarias a las que recurría en su defensa del atomismo de los griegos, de Leucipo y Demócrito. La idea de agrupaciones de átomos también se le ocurrió a Boyle, como se puede comprobar recurriendo de nuevo a The Sceptical Chymist, donde se lee: «No es imposible que de estas diversas diminutas, varias de las más pequeñas y cercanas entre sí se asocien aquí o allá en minúsculas Masas o Grupos y que mediante sus Coaliciones constituyan un gran almacén de esas pequeñas Concreciones o Masas primarias de manera que no se disipen fácilmente en las Partículas que las componen».
Un siglo después, cuando Lavoisier redefinió el contenido y los procedimientos de la química, las cosas seguían casi iguales: la «sustancia química», una denominación que remite a la metafísica de Aristóteles, se identificaba por la homogeneidad de la materia; cualquier parte de ella, con independencia de su masa, tenía las mismas características. Hoy sabemos que la identidad de la molécula es consecuencia de su composición y caracteres: el cambio de estado no afecta a su composición, en tanto que una reacción implica que cambie. Por otra parte, el átomo es la unidad mínima de materia identificable según la química (no según la física, que trata también de las al principio denominadas «partículas elementales» que forman los átomos), que se distingue de las moléculas porque no tiene caracteres sensibles, en tanto la unión de ellos en la molécula pone de manifiesto esta peculiaridad.
Según se avanzaba por estos senderos, más evidente se hacía que había dos grandes preguntas por contestar: la de qué se quería decir realmente cuando se hablaba de «elementos químicos» y la de cómo se combinan esos elementos formando compuestos.
Con respecto a la cuestión de cómo se combinan los elementos formando compuestos, hay que citar al químico francés Joseph-Louis Proust (1754-1826), el principal responsable de la formulación de la denominada «Ley de las proporciones definidas»: «Las relaciones entre masas según las cuales dos o varios elementos se combinan son fijas y no susceptibles de variación continua». Con esta ley, Proust estableció la identidad de cada una de las sustancias. Un compuesto químico tiene siempre la misma composición en tanto una mezcla contiene diferentes combinaciones de los mismos elementos. El cambio en la composición es el resultado de una reacción química. Las reacciones más comunes son el análisis, la división de un compuesto en sus elementos componentes, la síntesis, en la que la combinación de dos o más elementos o compuestos crean un producto distinto para formar un tercero, mientras que la sustitución es el desplazamiento de un elemento por otro más activo. En una reacción se produce un cambio en la naturaleza de los enlaces que unen los elementos y un cambio de energía (en la fotosíntesis, por ejemplo, las plantas convierten el dióxido de carbono y el agua en azúcar).
Sería imperdonable no recordar en una obra escrita en español que Proust trabajó largos años en España, en Vergara primero, y después en Segovia, en el Colegio de Artillería, en donde permaneció desde 1785 hasta 1799, año en que pasó a Madrid, para dirigir la nueva Real Escuela de Química. En Segovia fundó unos Anales del Real Observatorio de Química de Segovia, en cuyo tomo segundo (fechado en 1795), en un artículo titulado «Análisis de la mina de cobre vidriosa roxa, o del oxide roxo nativo de cobre», se encuentra una de las primeras formulaciones de la «Ley de las proporciones definidas». «Reflexionando», se lee en este artículo, «sobre el grado de oxigenación del cobre de esta mina, que es de veinte y cinco por ciento, no se puede menos de deducir la conformidad que se halla entre las operaciones del arte y las de la naturaleza. En efecto, la oxidación de los metales en las manos del hombre es una operación sujeta a las leyes de proporción, determinadas por la misma naturaleza, e inalterables por la voluntad humana». Fue, por consiguiente, en Segovia, en 1795 y en castellano, en donde Proust formuló por primera vez la ley que le ha hecho inmortal, y no en artículos publicados en francés en los Annales de Chimie en 1797 o 1799, como con frecuencia se dice. No es que importe demasiado en este caso la precisión, ya que el autor y el contexto no varían, pero tampoco está de más no confundir fechas ni lugares.
En este punto es obligado referirse a John Dalton (1766-1844), el hijo de un tejedor que con el tiempo se convirtió en profesor particular y asesor industrial en Manchester, cuyo apellido forma parte del patrimonio lingüístico universal gracias al contenido de un trabajo que presentó en la Sociedad Literaria y Filosófica de Manchester en 1794 (un mes después de haber sido elegido miembro de aquella sociedad, que tanto hizo por el avance de la ciencia inglesa de finales del siglo XVII y parte del XVIII). En aquel estudio, Dalton presentó los resultados de sus investigaciones sobre la ceguera al color, mal que él mismo padecía y que a partir de entonces se denominó «daltonismo».
Apoyándose en la ley de Proust, Dalton introdujo la idea de que las combinaciones químicas se efectúan a través de unidades discretas, átomo a átomo, y que los «átomos» (sobre cuya estructura él nada podía decir) de cada elemento son idénticos. «Podemos concluir», escribía en su obra más conocida, A New System of Chemical Philosophy (Un nuevo sistema de filosofía química), publicado en Manchester en 1808, «que las partículas últimas de todos los cuerpos homogéneos son perfectamente iguales en peso, figura, etc. En otras palabras, toda partícula de agua es igual a toda otra partícula de agua; toda partícula de hidrógeno es igual a toda otra partícula de hidrógeno, etc.». Y más adelante, añadía: «es un gran objetivo de este trabajo demostrar la importancia y ventajas de averiguar los pesos relativos de las partículas últimas, tanto de cuerpos simples como compuestos, y el número de las partículas elementales más simples que constituyen un cuerpo compuesto».
En A New System of Chemical Philosophy, Dalton incluía una lista de 36 elementos «simples» (también de otros —«binarios», etc.— compuestos por combinaciones de dos o más elementos simples). Estaban encabezados por el hidrógeno, al que, ante la imposibilidad de realizar medidas absolutas, asignaba como peso relativo la unidad; le seguían inmediatamente el ázoe (el, recordemos una vez más, nombre antiguo en español para el nitrógeno; peso relativo 5), carbono (5), oxígeno (7) y el fósforo (9), ocupando los últimos lugares de su lista el plomo (95), la plata (100), el platino (100), el oro (140) y el mercurio (167).
Como es natural, en un contexto ajeno a conceptos que ahora distinguimos con claridad, como los de átomo y molécula, las ideas de Dalton no siempre probaron ser correctas. Pensaba, por ejemplo, que el agua era un compuesto binario; esto es, que (expresado con nuestra notación actual) era H + O, o HO, aunque este error no le impedía dar un peso atómico para el oxígeno bastante aproximado: en este punto se basó en un trabajo conjunto entre Alexander von Humboldt (1769-1859) y Joseph Louis Gay-Lussac (1778-1850) —un antiguo estudiante de la École Polytechnique, en la que había sido alumno de Berthollet, Guyon de Morveau y Fourcroy—, que en 1805 descubrieron que el agua estaba formada por 87,4 partes de oxígeno que se combinaban con 12,6 partes de hidrógeno, una proporción de, aproximadamente, 7:1. A pesar de que, efectivamente, el artículo estaba firmado por los dos, fue sobre todo obra de Gay-Lussac, como reconocía el propio Humboldt en una carta que escribió a Georges Cuvier el 3 de agosto de 1806: «Os diré que todo lo nuevo que contiene nuestro trabajo sobre el eudiómetro y sobre el contacto de los gases con el agua, es obra únicamente de M. Gay-Lussac, puesto que ha sido él quien me ha dirigido en esas experiencias y en muchas otras». De hecho, en 1808 Gay-Lussac publicó en solitario la ley tal y como ahora la conocemos: la ley de las combinaciones gaseosas, que establece que los volúmenes de dos gases que reaccionan entre sí guardan entre sí una relación constante que se expresa mediante números enteros (por ejemplo, 2 volúmenes de oxígeno reaccionan con un volumen de hidrógeno para formar agua, H2O). (Es oportuno mencionar en este punto los estudios sobre los gases realizados por Jacques Alexandre César Charles [1746-1823], así como otros de Gay-Lussac y Dalton: en 1802, y de manera independiente, Gay-Lussac y Dalton —el primero con mayor precisión— redescubrieron la ley que había avanzado, sin publicar, en 1787 Charles. Conocida como «Ley de Gay-Lussac y Charles», afirma que el cociente entre el volumen, V, y la temperatura, T, de un gas, a presión constante, es constante, k; esto es, V/T = k).
Las ideas de Dalton de que toda la diversidad de cuerpos simples procede del hidrógeno; esto es, que los pesos atómicos de todos los cuerpos simples deben ser múltiplos del peso atómico del hidrógeno, fue reelaborada por William Prout (1785-1850), un médico formado en Edimburgo que se instaló en Londres en 1812. En dos artículos que publicó en Annals of Philosophy en 1815 y 1816, en los que se basaba en las medidas que había calculado para las «gravedades específicas» de los elementos de Dalton, Prout sostuvo que el que los pesos atómicos de los diferentes elementos pareciesen ser múltiplos del hidrógeno se debía a que este constituía la materia, la «prototyle», de la que estaban compuestos los restantes elementos. «Si las ideas que nos hemos aventurado a exponer fueran correctas», escribía en su primer artículo, «podríamos considerar que la prototyle de los clásicos se encuentra en el hidrógeno». No escasearon quienes recibieron con agrado semejante idea: Humphry Davy, por ejemplo, había defendido un punto de vista similar, negándose a aceptar que Dios hubiera hecho el mundo con un número tan grande de «bloques» como el que aparecía en el esquema de Dalton; más aún, creía haber detectado hidrógeno al trabajar con azufre y fósforo, esto es, que podía obtenerse hidrógeno de otros elementos.
Poco después de la aparición del tratado de Dalton, el 31 de diciembre de 1808, apareció en las Mémoires de la Société d’Arcueil (la agrupación privada que se reunía en la casa que Louis Berthollet tenía en Arcueil, una pequeña localidad cercana a París) un artículo de Gay-Lussac en el que se ocupaba de las relaciones volumétricas de los gases. El resultado principal que presentó allí es que con dos volúmenes de monóxido de carbono (CO en la notación actual) y un volumen de oxígeno (O) se producían dos volúmenes de dióxido de carbono (CO2), y que de un volumen de nitrógeno (N) y tres volúmenes de hidrógeno (H) resultaban dos volúmenes de amoniaco (NH3). De estos resultados deducía la ley (conocida como «Ley de Gay-Lussac»): «Dos gases se combinan siempre según proporciones volumétricas simples, y la contracción que experimentan, es decir, el volumen del producto resultante, cuando este es gaseoso, está en relación simple con los volúmenes de las partes que lo constituyen».
Para Dalton esta ley constituía un problema, porque implicaba que, bajo las mismas condiciones de temperatura y presión, volúmenes iguales de gases contendrían siempre el mismo número, o un múltiplo sencillo, de átomos. La razón del problema era la siguiente:
Tomemos la reacción
2 vols. de CO + 1 vol. de O → 2 vols. de CO2
De acuerdo con la ley de Gay-Lussac, si 1 volumen de un gas contiene n átomos, entonces 2 volúmenes de CO contendrían 2n átomos, mientras que el volumen de O con el que reacciona tiene n. Ahora bien, lo lógico es pensar que los n átomos de oxígeno produzcan únicamente n átomos de dióxido de carbono, no 2n. ¿Cómo explicar esto? ¿Se dividían los átomos de oxígeno?
Hoy sabemos que la explicación reside en la distinción entre átomos y moléculas, pero Dalton no disponía de semejante equipaje conceptual: sus «átomos» eran en realidad nuestras «moléculas». En 1826, tras estudiar las aportaciones de Avogadro, Jean-Baptiste-André Dumas (1800-1884) utilizaba como sinónimos a las moléculas y los átomos. «Gases en circunstancias semejantes», manifestó, «están compuestos por moléculas o átomos situados a la misma distancia, lo que equivale a decir que contienen el mismo número de ellos en el mismo volumen».
De hecho, el físico italiano Amedeo Avogadro (1776-1856) había señalado el camino para evitar estas contradicciones en un artículo que publicó en 1811 en el Journal de Physique con el título de «Sobre una forma de determinar las masas relativas de las moléculas elementales de los cuerpos, y las proporciones según las cuales esas moléculas se combinan». Utilizando los resultados de Gay-Lussac, demostró que las contradicciones desaparecían si se suponía que existían «molécules integrantes» («moléculas integrantes»), «molécules constituantes» («moléculas constituyentes») y «molécules élémentaires» («moléculas elementales»), las primeras refiriéndose a las moléculas (las moléculas tal y como las entendemos en la actualidad) en general, pero sobre todo a las moléculas formadas por elementos diferentes; las segundas a las moléculas de gases elementales, como el oxígeno o el hidrógeno (esto es, O2 y H2), mientras que las terceras las utilizaba para lo que ahora diríamos «átomos» (también hablaba de «medias moléculas»).
Aceptando la ley de Gay-Lussac, Avogadro señalaba que al pasar un cuerpo (elemento químico o combinación de elementos) al estado gaseoso, se forman no «partículas indivisibles», los «átomos» que postulaba Dalton, sino «moléculas integrantes», formadas por «moléculas elementales». Con esta munición conceptual, Avogadro reformulaba la ley de Gay-Lussac diciendo que «en condiciones iguales de temperatura y presión, volúmenes iguales de gases diferentes contienen el mismo número de moléculas».
El planteamiento de Avogadro permitía comprender los resultados aparentemente paradójicos de Dalton: la reacción química que mencionamos hace un momento,
2 vols. de CO + 1 vol. de O → 2 vols. de CO2
debe entenderse ahora como (de nuevo utilizando una nomenclatura posterior)
2CO + O2 → 2CO2;
esto es, lo que se tiene es una molécula de oxígeno formada por dos átomos de ese elemento, que se pueden separar combinándose cada uno con una molécula de CO, formando así dos moléculas de CO2. Cuando Dalton hablaba de «2 volúmenes de CO» y «1 volumen de O», lo que había que entender es que los 2 volúmenes de CO contenían el doble de moléculas que 1 volumen de O (O2 en realidad).
Inicialmente, pocos químicos prestaron atención al artículo de Avogadro, solo lo hizo en 1814 el físico André Marie Ampère (por ello a veces se habla de «La hipótesis de Avogadro-Ampère»), pero no tuvo demasiado éxito en conseguir adeptos. Quien realmente cambió esta situación fue un químico italiano: Stanislao Cannizzaro (1826-1910).
Estudiante de Medicina en Palermo, su ciudad natal, terminó inclinándose por la química, en la que profundizó sobre todo entre 1845 y 1847 en Pisa, como ayudante en el laboratorio de Raphaele Piria (1815-1865). Sentenciado a muerte por su participación (1848) en la rebelión contra el rey de Nápoles, se exilió a París, donde trabajó con otro notable químico, Michel Chevreul (1786-1889). En 1851 regresó a Italia, a partir de 1855 como profesor de Química en Génova, donde permaneció hasta 1861, cuando pasó a Palermo (1861-1871) y finalmente a Roma (1871-1909). Su fama se debe a una carta que escribió en 1858 a su amigo Sabastiano de Luca, que enseñaba química en la Universidad de Pisa. En esa carta, que se publicó el mismo año en la revista Il Nuovo Cimento (que había sido fundada dos años antes por Piria y Carlo Matteucci) con el título «Sunto di in Corso di Filosofia Chimica» («Esbozo de un curso de filosofía química»), Cannizzaro intentaba establecer un sistema químico basado en las ideas de Avogadro que fuese consistente, explicando al mismo tiempo el comportamiento de los gases.
Admira la claridad con que Cannizzaro comenzaba su escrito:
Creo que el progreso de la ciencia realizado estos últimos años ha confirmado la hipótesis de Avogadro, de Ampère y de Dumas [estos dos científicos propusieron después que Avogadro ideas parecidas] sobre la constitución similar de sustancias en estado gaseoso; esto es, que volúmenes iguales de estas sustancias, ya sean simples o compuestas, contienen un número igual de moléculas; no, sin embargo, un número igual de átomos, puesto que las moléculas de sustancias diferentes, o las de la misma sustancia en estados diferentes, pueden contener un número diferente de átomos, ya sean de la misma o de diferente naturaleza.
Como había sucedido con el trabajo de Avogadro, inicialmente la contribución de Cannizzaro apenas atrajo atención. Pero la situación cambió gracias a una iniciativa institucional, de la que volveremos a tratar en el capítulo 17: el Congreso Internacional de Químicos celebrado en Karlsruhe (Alemania) del 3 al 5 de septiembre de 1860. Esta reunión estuvo dedicada a tratar de llegar a un consenso en las definiciones de «átomo», «molécula» y «equivalente», cuestiones básicas para dar coherencia a la nomenclatura química, y fue el primer congreso científico internacional, lo que ha realzado su dimensión histórica. La asistencia fue numerosa: 140 químicos, según las actas del congreso, entre los que se encontraban figuras como von Baeyer, Bunsen, Roscoe, Dumas, Mendeléiev, además de Kekulé (uno de los promotores de la idea de la reunión) y Cannizzaro. La participación más numerosa fue la alemana, con 56 químicos, seguida por la francesa con 21 y la británica con 17, mientras que de naciones como Rusia viajaron 7, los mismos que de Austria, 6 de Suiza, 4 de Suecia y 3 de Bélgica; España estuvo representada por el químico madrileño —era doctor en Farmacia y en Ciencias Físico-matemáticas, y antes de obtener la cátedra de Química general de la Universidad de Madrid ocupó diversos puestos— Ramón Torres de Luna (1822-1890), aunque en las actas del congreso aparece citado con un nombre erróneo: «R. de Suna»; Portugal y México también tuvieron un único representante.
En Karlsruhe, Cannizzaro presentó sus ideas haciendo hincapié en su aplicación para calcular pesos atómicos y moleculares. Además de presentarlas, Angelo Pavesi, profesor de Química en la Universidad de Pavía y amigo de Cannizzaro, distribuyó copias del artículo que este había publicado en Il Nuovo Cimento. Y al menos uno de los asistentes lo leyó con atención, Julius Lothar Meyer (1830-1895), entonces un docente en Breslau, como recordó él mismo al prologar más tarde una traducción al alemán del opúsculo de Cannizzaro en la serie Klassiker der Exakten Naturwissenschaften de Wilhelm Ostwald:
También recibí una copia que puse en mi bolsillo para leer en el camino de vuelta a casa. Una vez llegué allí lo leí de nuevo varias veces y me quedé asombrado por la claridad con la que ese opúsculo iluminaba los puntos más importantes de la controversia. Las escamas parecían caer de mis ojos. Desaparecieron las dudas y un sentimiento de tranquila seguridad tomó su lugar. Si algunos años después fui capaz de contribuir algo a clarificar la situación y a calmar los encendidos ánimos, se debe dar crédito en no pequeña medida a este panfleto de Cannizzaro. Al igual que a mí, debe haber afectado a muchos otros que asistieron al congreso.
De hecho, Meyer publicó en 1864 un libro, Die modernen Theorien der Chemie (Las teorías modernas de la química), en el que presentaba la química basándose en las ideas de Cannizzaro.
Los debates e incertidumbres en torno a la noción de átomo, o, lo que es lo mismo, acerca de la naturaleza y estructura de los elementos químicos, se vieron favorecidos por la introducción de la electricidad en la química, a través del fenómeno denominado electrolisis, del que volveremos a ocuparnos en el capítulo 11, cuando tratemos del magnetismo y de la electricidad. Ahora únicamente es necesario avanzar que en 1800 William Nicholson (1753-1815) y Anthony Carlisle (1768-1840) sumergieron en una cubeta con agua dos cables conectados a los extremos de una batería eléctrica, encontrando que en cada uno de los cables se desprendían gases en sus extremos, que identificaron como hidrógeno y oxígeno, siendo el volumen de hidrógeno el doble del volumen de oxígeno, con lo que dedujeron que habían descompuesto parte del agua en sus elementos. Estos experimentos fueron continuados sobre todo por Humphry Davy (1778-1829), quien separó, e identificó, varios nuevos elementos químicos entre 1807 y 1808. Si una corriente eléctrica, pensaba Davy, puede descomponer un compuesto químico, entonces la afinidad química debe ser de naturaleza eléctrica.
Otro científico que estudió con detalle, a partir de 1803, la electrolisis fue uno los grandes químicos del siglo XIX (y de toda la historia de la química), el más influyente durante la primera mitad de esa centuria: el sueco Jöns Jacob Berzelius (1779-1848). A la calidad de sus trabajos y la extraordinaria difusión que tuvieron en Europa sus libros, hay que añadir el que abrió su laboratorio privado en Estocolmo a algunos prometedores químicos europeos que en su momento aportarían mucho a la química, como Friedrich Wöhler o Eilhardt Mitscherlich.
De entrada hay que señalar que al igual que Davy, Berzelius adjudicó una gran importancia a la electricidad que se manifestaba a través de la electrolisis en la interacción entre elementos químicos. En particular, ambos utilizaron la electrolisis como instrumento para descubrir nuevos elementos químicos. Así, Berzelius aisló el cerio, el selenio y el torio, sus alumnos el litio, el vanadio y algunas de las que se clasificaron luego como tierras raras, mientras que Davy identificó el potasio, el sodio, el bario, el calcio y el manganeso.
En un plano más teórico, tenemos que Berzelius propuso una teoría dualista para la electrolisis, que avanzó en un artículo publicado en 1812 y luego con mayor extensión en un tratado publicado en sueco en 1814, en francés en 1819 y en 1820. Suponía que los átomos (fuesen estos lo que fuesen) debían estar cargados eléctricamente, ya que al pasar una corriente eléctrica sobre un compuesto lo descomponía en sus elementos constitutivos, que se depositaban en uno u otro electrodo. Por consiguiente, los elementos químicos tenían que ser electropositivos o electronegativos (consideraba que el oxígeno era el más electronegativo de todos los elementos). En cuanto a las reacciones químicas, se producían cuando elementos de electricidades opuestas se atraían para neutralizarse. Ahora bien, el compuesto formado de esta manera no tenía que ser siempre neutro eléctricamente, porque las cargas de los elementos que los constituían no eran necesariamente iguales (el electrón, la unidad de carga universal, aún no se conocía). Durante un tiempo, la teoría dualista desempeñó un papel importante en la química, pero su influencia decayó a partir de la década de 1830 con el desarrollo de la química orgánica, que se ajustaba mal a sus planteamientos.
En 1813, Berzelius realizó otra notable —y más duradera— contribución a la química, esta vez a la nomenclatura. Lo hizo a través de un artículo que publicó en varios números de la revista británica Annals of Philosophy que había sido fundada el mismo año por Thomas Thomson, con el título: «Ensayo sobre la causa de las proporciones químicas, y algunas circunstancias relacionadas con ellas, junto a un breve y fácil método para expresarlas». Allí propuso que se utilizasen la primera letra del nombre latino de los elementos químicos para designarlos o, en caso de coincidencia, la siguiente letra: S para sulphur (azufre), Si para silicium (silicio), C para carbonicum (carbono), N para el nitrogenium (nitrógeno), Co para cobaltum (cobalto), Os para osmium (osmio), Cu para cuprum (cobre), Hg para el hidrargirium (mercurio). Casi todos los símbolos que propuso continúan utilizándose, aunque unos pocos han cambiado; por ejemplo, Gl (glucinium) a Be (beryllium) y Po (potassium) a K (kalium).
Inicialmente, estos símbolos no fueron muy populares (en 1837, Dalton se quejaba de que los símbolos de Berzelius eran «horribles» y que «parecían un caos de átomos, para bien dejar perplejos a los adeptos a la ciencia o desanimar a los estudiantes, así como esconder la belleza de la Teoría Atómica».
Se debe, asimismo, a Berzelius el que un símbolo químico denotase un volumen de sustancia, mientras que si era necesario indicar la presencia de más volúmenes esto se hacía anteponiendo la cifra con el número de ellos. De esta manera, para el agua escribía 2H + O. Sin embargo, terminó modificando esta notación, introduciendo una raya horizontal que cruzaba el símbolo del elemento cuando quería indicar la presencia de dos volúmenes. Una notación más práctica fue sustituir esas barras por superíndices, con lo que el agua, por ejemplo, se expresaba como H2O. Más práctica entre otras razones porque al utilizarse ya en matemáticas los superíndices, las imprentas disponían de los correspondientes tipos. Aun así, tardó en llegarse a un consenso en la notación.
Un químico británico, profesor de Química en el University College de Londres, Edward Turner (1796-1837), influyó en la aceptación de la notación de Berzelius adoptándola en la cuarta edición de su libro de texto Elements of Chemistry (Elementos de Química; 1833). Y lo hizo —aunque únicamente en la última parte— porque encontró difícil describir los resultados de las investigaciones de químicos como Liebig y Wöhler sin recurrir a símbolos. «Habiéndolos empleado una vez con éxito», escribió en su libro, «enseguida me tentó volver a utilizarlos; y esto rápidamente me llevó a descubrir que los símbolos químicos no solo son útiles como en abreviaturas para químicos ya formados, sino que también pueden ser un poderoso instrumento de instrucción para los profesores de química».
La iniciativa de Turner fue apreciada por sus colegas británicos, como prueba el que en un informe preparado por la British Association for the Advancement of Science y publicado el mismo año, 1833, en el que vio la luz la cuarta edición del texto de Turner, se mencionasen con el comentario de que el estado en el que se encontraba la química hacía «su adopción imperativa». El autor de la parte del informe en el que se hacían estos comentarios era James Finlay Weir Johnston (1796-1855), profesor titular (reader) de Química y Mineralogía en la Universidad de Durham, que pronto comenzó a utilizar símbolos en sus propias publicaciones, pero utilizando subíndices en lugar de superíndices (H2O en lugar de H2O), la notación que finalmente se instaló.
§. La tabla periódica de los elementos
La electrolisis fue decisiva para el descubrimiento de nuevos elementos, otro paso fundamental para cualquier teoría sobre la constitución de la materia. Así tenemos que con anterioridad a 1700 se conocían el antimonio, arsénico, azufre, carbono, cobre, estaño, fósforo, hierro, mercurio, oro, plata y el plomo, mientras que entre 1700 y 1799 se descubrieron el berilio, bismuto, circonio, cloro, cobalto, cromo, estroncio, flúor, hidrógeno, itrio, manganeso, molibdeno, níquel, nitrógeno, oxígeno, platino, telurio, titanio, tungsteno, uranio y el zinc. Y la lista continuó aumentando rápidamente (ayudada por nuevos desarrollos, como la electrolisis y la radiactividad). Entre 1800 y 1849 se identificaron el aluminio, bario, boro, bromo, cadmio, calcio, cerio, erbio, iridio, lantano, litio, magnesio, niobio, osmio, paladio, potasio, rubidio, selenio, silicio, sodio, tántalo, torio, vanadio y el yodo, y entre 1850 y 1899 el actinio, argón, cesio, disprosio, escandio, gadolinio, galio, germanio, helio, holmio, indio, iterbio, kriptón, neodimio, neón, polonio, praseodimio, radio, rodio, rutenio, samario, talio, tulio y xenón. Un total de 81.
Surgió, asimismo, la idea de agrupar los elementos en función de sus caracteres, lo que dio lugar a la aparición de la tabla periódica. A partir de 1817, Johann Wolfganf Döbereiner (1780-1849) encontró varios casos en los que los pesos de tres elementos con las mismas propiedades químicas, Ca, Sr y Ba, aumentaban en progresión aritmética. En 1857, el químico inglés William Odling (1829-1921) llamó la atención al hecho de que la serie del carbono, nitrógeno, oxígeno y flúor mostraba un aumento regular en peso y una disminución en sus valencias, de 4 en el caso del carbono a 1 en el del flúor. En 1862, Alexandre Emile Béguyer de Chancourtois (1820-1886) dispuso todos los elementos químicos conocidos en una espiral que dibujó sobre un cilindro; cada 16 unidades aparecía por encima de un elemento otro con el que el primero estaba relacionado estrechamente. Y en 1869, Alexander Reina Newlands (1820-1886) colocó los elementos en filas de 7, descubriendo que a partir del octavo se encontraban las mismas propiedades del átomo situado en la misma posición en la línea superior. La regla no se cumplía a partir del decimoséptimo, el carbono. Vemos, por consiguiente, que la idea de ordenar los elementos en una tabla en función de sus pesos atómicos, de que las propiedades de cada uno se repetían con un cierto intervalo, se fue imponiendo. Y uno de los que participaron de semejante idea fue un químico ruso: Dmitri Ivanovitch Mendeléiev (1834-1907), de la Universidad de San Petersburgo (uno de los asistentes, recordemos, al Congreso de Karlsruhe), que en 1869 anunció un nuevo sistema de clasificación, basado también en la idea de que las propiedades de los cuerpos simples se encuentran relacionadas de manera periódica con sus pesos atómicos. Lo hizo en una sesión de la Sociedad Rusa de Química, organización que él mismo había ayudado a crear en San Petersburgo el año anterior, así como en un libro sobre los principios de la química: Osnov khimii (Principios de Química; San Petersburgo 1869). Las ideas de Mendeléiev aparecieron resumidas en la revista alemana Zeitschrift für Chemie en el mismo año de 1869, pero no recibieron demasiada atención hasta que Lothar Meyer, que había llegado a ideas muy similares de manera independiente, publicó su propia descripción en 1870.
En 1871, Mendeléiev predijo la existencia de tres elementos desconocidos en su tiempo, llegando a señalar sus propiedades más destacadas (incluyendo el peso atómico aproximado). Estas predicciones se vieron confirmadas pronto: en 1875, el francés Paul Émile Lecoq de Boisbaudran (1838-1912) anunciaba el descubrimiento del galio (ekaboro para Mendeléiev); en 1879, el sueco Lars Fredrik Nilson (1840-1899) hacía lo propio con el escandio (ekaluminio), y en 1886, el alemán Clemens Alexander Winkler (1838-1904) descubría el germanio (ekasilicio).
Sin embargo, también surgieron algunos problemas con la tabla mendeleieviana: en agosto de 1894 William Ramsay (1852-1916) y lord Rayleigh (1842-1919) anunciaban en la reunión anual, celebrada aquel año en Oxford, de la British Association for the Advancement of Science que habían descubierto un nuevo elemento en la atmósfera, al que llamaron argón (de la palabra griega que significa «pereza», para representar su resistencia a combinarse). Poco después, Ramsay supo que en 1888 el químico y botánico estadounidense William Francis Hillebrand (1853-1925) había obtenido un gas que no se combinaba con otros, y que supuso era nitrógeno. Tras los análisis de Ramsay, que mostraron que no se trataba de argón, William Crookes (1832-1919) y Joseph Norman Lockyer (1836-1920) examinaron espectrográficamente muestras del gas, encontrando en su espectro líneas que coincidían con una que el propio Lockyer y su compatriota, el químico Edward Frankland (1825-1899), habían observado durante un eclipse de Sol en agosto de 1868 en el espectro del Sol, y que les llevó a proponer la existencia de un nuevo elemento, al que llamaron helio, según el término griego para el Sol (helium).


Dispuestos por orden de peso atómico de manera que la periodicidad de las propiedades químicas de los elementos se hace evidente, la tabla periódica de los elementos constituye un instrumento fundamental para comprender la organización de los elementos que existen o pueden existir en la naturaleza. Aunque la idea de ordenar los elementos químicos era anterior, fue Dmitri Mendeléiev quien dio en 1869 con la estructura que se impuso, aunque él ordenó los períodos y grupos de forma diferente a como lo hacemos ahora (lo que para él era vertical, para nosotros es horizontal, y viceversa). Actualmente se tiene constancia de la existencia de 118 elementos, de los que 114 han sido reconocidos por la IUPAC (Unión Internacional de Química Pura y Aplicada), habiendo recibido 112 un nombre oficial. De esos 118, 98 existen de manera natural, aunque solo 84 son primordiales; esto es, 14 se crean mediante desintegraciones de elementos primordiales. A partir del einstenio (número 99) no se producen de manera natural en el Universo, aunque sí se pueden sintetizar en laboratorios.
Ahora bien, Mendeléiev no había previsto ningún lugar en su tabla para elementos de este tipo. El problema se resolvió creando un nuevo grupo (columna) en la tabla periódica, el de los gases nobles, o inertes, un grupo que pronto se completó con el descubrimiento, en 1898 y debido a William Ramsay y a su ayudante Morris Travers (1872-1961), del neón, kriptón y xenón.
Salvo en un momento, no hemos mencionado otro campo del que surgieron nuevos elementos: el de la radiactividad. Y no lo hemos hecho porque de él nos ocuparemos en otro capítulo. Señalaremos ahora, no obstante, que los dos primeros elementos químicos descubiertos de esa manera fueron, en 1898, el polonio y el radio, los primeros nuevos elementos descubiertos dentro del contexto de la física del microcosmos, la física cuántica, de la que nos ocuparemos en el capítulo 20, una física, además, que, como veremos, permitió entender la razón de ser de la tabla periódica.
Capítulo 9
Ciencias experimentales, laboratorios y academias
§. Laboratorios alquímico-farmacológicos
§. Observatorios astronómicos
§. Ciencias experimentales
§. Ciencias naturales y jardines botánicos
§. Academias y revistas científicas
La ciencia es un conjunto de ideas y prácticas que persiguen «explicar» todo aquello que sucede en la naturaleza. Tendemos, en consecuencia, a hacer hincapié en los grandes logros y protagonistas que pueblan su historia; en aquellas construcciones (teorías) que nos permiten ordenar extensos conjuntos de fenómenos prediciendo sucesos futuros; en los experimentos que muestran, con una claridad oculta a la observación habitual, aspectos del funcionamiento de la naturaleza; y en los científicos —a los que con frecuencia se les adjudica la condición hagiográfica de héroes— que produjeron tales teorías y experimentos. Sin embargo, nada de lo anterior sería posible sin una serie de elementos, desgraciadamente, menos recordados: los lugares —como laboratorios u observatorios astronómicos— donde se llevan a cabo los trabajos encaminados a realizar experimentos, la madre que nutre la elaboración de teorías. Igualmente necesarios son los medios a través de los que los científicos se relacionan entre sí, comunicándose resultados, intereses o, simplemente, ideas: academias y sociedades científicas, y publicaciones (revistas o libros). De estos otros instrumentos científicos nos ocuparemos en el presente capítulo.
§. Laboratorios alquímico-farmacológicos
Cuando se busca identificar cuáles pudieron ser los primeros lugares en los que se llevaron a cabo actividades propias de lo que vino en denominarse «laboratorio», enseguida viene a la mente la manipulación de elementos y compuestos químicos destinados a producir medicamentos. Ya señalamos que las primeras ciencias, las que surgieron de manera natural en las prácticas e intereses de los humanos, fueron la medicina, la matemática y la astronomía. De estas tres, la matemática no necesita en principio de centros del tipo de los laboratorios. Muy diferente es lo que sucede con las dos restantes. Comencemos por la medicina.
Dentro del extenso cuerpo de apartados que constituyen la medicina, aparecen algunos que, ciertamente, de forma más o menos primitiva, necesitan de lugares especiales, en los que se disponga de materiales que permitan llevar a cabo una serie de trabajos. Estamos pensando, por ejemplo, en la farmacología, la disciplina que nació a partir de tratamientos con plantas existentes en la naturaleza, que se ocupa de elaborar productos que ayuden a combatir las enfermedades.
Sabemos, por ejemplo, que en Mesopotamia se dispuso de un amplio conjunto de conocimientos farmacológicos de tipo empírico. Han sobrevivido, en efecto, numerosas tablillas que contienen listas de repertorios medicinales, que, en ocasiones, van acompañadas del nombre de la enfermedad para la que se aplicaban. En general, los medicamentos citados eran de origen vegetal (de ellos se han identificado hasta 250 diferentes), pero también los había de procedencia animal o mineral. De hecho, estos últimos, los productos minerales, eran manipulados también —otra de las formas tempranas de actividad científico-tecnológica— por artesanos de la cerámica, el vidrio, la cosmética, la técnica del barnizado o los colorantes. De manera que los talleres en los que estos trabajaban también se pueden considerar como antepasados de los laboratorios científicos y tecnológicos.
Muchas de las actividades que acabamos de mencionar están relacionadas, de una manera u otra, con lo que ahora denominamos química (de la que empezamos a ocuparnos en el capítulo anterior, en donde también nos aparecieron ejemplos de actividades que necesitaban de instalaciones). Los egipcios poseyeron notables conocimientos de esta materia: fabricaron, por ejemplo, vidrio fundiendo juntos sílice (arena) y un álcali, generalmente sosa, desarrollaron técnicas de blanqueo y tinción, y fueron muy aficionados a perfumes y cosméticos. Y en lo que se refiere a la conexión de la química con los medicamentos, abundan evidencias en papiros de la destreza que los egipcios alcanzaron en este arte (el papiro Hears, por ejemplo, que data de en torno a 1550 a. C., contiene 270 recetas farmacéuticas). En algunos templos de la cultura egipcia se han descubierto lugares que debieron de servir para preparar medicamentos: algunas paredes de las salas denominadas Is de algunos templos (Edfou, Penderah, Philae) de Alejandría de la dinastía de los Ptolomeos estaban repletas de recetas. En recetas como esas u otras, se habla de procedimientos y productos que con justicia podríamos denominar químicos, del tipo de pociones, cocimientos, maceraciones, tisanas, cataplasmas, ungüentos, colirios, pomadas, fumigaciones o lavatorios.
De estas actividades surgió una especialidad desligada en principio de las dimensiones prácticas que hemos estado reseñando: la alquimia, de la que ya nos ocupamos en el capítulo anterior. En su búsqueda, los alquimistas crearon los primeros laboratorios y descubrieron, como vimos, procedimientos para la descomposición, modificación, separación y unión de los elementos, de los que el más conocido fue la destilación.
§. Observatorios astronómicos
Como ya señalamos, la astronomía también requiere de instalaciones (un tipo especial de laboratorio: el observatorio) e instrumentos especializados para avanzar en el conocimiento de los cielos. Además de las construcciones a las que se atribuye una hipotética relación con la observación celeste —zigurates, círculos de Stonehenge, alineaciones de Carnach—, hay noticias de otras de las que no han quedado restos. Para determinar la posición de las estrellas en el cielo es necesario crear un marco de referencia. Al alinear uno de los lados de un cuadrante con la línea del horizonte se podía medir la altitud de la estrella en grados. Para mejorar la precisión se construyeron grandes cuadrantes de obra, alineados respecto a la polar para que estuviesen en un meridiano. En torno a este instrumento se levantaron observatorios anteriores a la existencia del telescopio. Los restos del de Maragha (Azerbaijan) corresponden a un edificio circular de cuatro plantas y 28 metros de diámetro, construido en 1259 en el noroeste de Irán gracias a la confianza que Hulagu Kan tenía en la astrología. Una excavación alojaba un cuadrante cubierto por una cúpula que dejaba pasar la luz. Ulughbeg fundó una madrassa en Samarkanda hacia 1420, dotándola de un enorme sextante de 40 metros cuyo emplazamiento se conserva. El más famoso de estos observatorios es el que levantó en la segunda mitad del siglo XVI Federico II de Dinamarca para Tycho Brahe en la isla de Hven: un palacio (Uraniborg) con el que ya nos hemos encontrado y que ejemplifica como ningún otro modelo conocido anterior a la invención del telescopio la importancia de los observatorios para el avance de la astronomía. Como también ejemplifican la universalidad del interés por el conocimiento de los cielos la esfera armilar del astrónomo Su Song (1088) reproducida en el texto chino Hsin I Hsiang Fa Yao, que en el templo confuciano de Su-Tcheu exista todavía un planisferio celeste, trazado en 1193 y grabado en piedra en 1247, las construcciones que han sobrevivido en el México precolombino, entre ellas el denominado «Caracol» de Chichén Itza, en la península de Yucatán, un edificio con una bóveda abierta, en la que sin duda se realizaban observaciones astronómicas, o el que el marajá de Jaipur construyese en el siglo XVIII un observatorio con un ecuatorial y dos cuadrantes de fábrica.
La invención del telescopio con el despuntar del siglo XVII no significó inmediatamente la aparición de grandes observatorios o instrumentos: los telescopios de Galileo eran de pequeñas dimensiones y no requerían más instalación que un trípode. Aun así, no tardaron en llegar otros de mayores dimensiones, estimulados por el descubrimiento de que la aberración cromática disminuía al aumentar la distancia focal. Uno de los astrónomos que siguió este camino fue Johannes Hevelius (1611-1687), que instaló en la playa de Danzig, en la década de 1670, un telescopio que medía 43 metros. Telescopios como estos tenían que ser sostenidos por un mástil y elevados o bajados con la ayuda de poleas y muchos ayudantes, y aun así eran muy inestables (una débil brisa era capaz de desplazarlo). Una solución a este problema fue la que encontró Christiaan Huygens con sus telescopios «aéreos», en los que eliminaba completamente el tubo: se fijaba el objetivo en lo alto de un mástil, mientras que el ocular se apoyaba en un trípode instalado en el suelo.
Pero como ya vimos, los telescopios refractores dejaron paso a los reflectores. El aumento de tamaño de estos no se vio obstaculizado debido a las dificultades de los refractores de grandes dimensiones, algo que favoreció la, de todas maneras en marcha, construcción de centros especializados en la observación astronómica con telescopios. La primera construcción para albergar un telescopio se levantó en París en 1671, publicándose en ella desde 1679 un anuario (Connaissance des temps) que anunciaba las efemérides del año. Greenwhich comenzó cinco años después. La novedad se convirtió en un signo de modernidad y todos los príncipes levantaron un observatorio en la capital.
Un ejemplo en este sentido es el telescopio que se instaló en el Real Observatorio Astronómico de Madrid, institución cuya construcción —en el cerrillo de San Blas, en un extremo de lo que hoy es el parque del Retiro de Madrid, cerca de Atocha— se inició en 1790, por orden del rey Carlos IV, aunque fue su padre, el ilustrado Carlos III, quien inició el proceso que condujo a la creación del centro, aconsejado por el marino Jorge Juan. Para dotar al centro de un medio realmente excepcional de observación, se encargó un telescopio al alemán, posteriormente instalado en Inglaterra, que alcanzó gloria, como veremos en el capítulo 21, al descubrir en 1781 Urano, Wilhelm (luego William) Herschel (1738-1822), un músico convertido en excepcional constructor de telescopios reflectores y astrónomo (a los 18 años, Herschel viajó a Inglaterra como músico de un regimiento de Hannover, su ciudad natal; un año después volvió para instalarse allí definitivamente).
Herschel cumplió bien con el encargo recibido, fabricando un telescopio que media unos 8 metros de longitud, provisto de un espejo de 65 centímetros de diámetro. Bien embalado, el instrumento abandonó Inglaterra en un barco el 7 de enero de 1802, llegando a Madrid el 17 de abril. Allí se construyó una torre giratoria, con una estructura de madera, para cuyos movimientos se necesitaban cuatro hombres auxiliados por palancas. Se sabe que el 18 de agosto de 1804 se pudieron hacer ya observaciones. Todo prometía para que la astronomía madrileña y española prosperase, ayudando de esta manera al tan necesario renacimiento de la ciencia hispana. Sin embargo, las circunstancias históricas lo impidieron.
La «circunstancia histórica» en este caso fue la invasión francesa. El ejército napoleónico llegó a Madrid los primeros días de diciembre de 1808 y, una vez dueños del parque del Retiro, se instalaron en las dependencias del Observatorio, destruyendo casi todo, quemando libros y papeles, además del tubo del telescopio, la armadura que lo sustentaba y otros accesorios; únicamente se salvaron dos espejos, recuperados, tras muchas vicisitudes, por el Observatorio en 1837. Son los testigos mudos de lo que fue y de lo que pudo ser.
§. Ciencias experimentales
Ejemplos como los anteriores muestran con claridad la conexión «ciencia-observación-instrumentos-laboratorios-observatorios». Pero la muestran asociada sobre todo a las disciplinas que desde el inicio de este capítulo hemos señalado: las disciplinas médico-químicas y las astronómicas, aquellas que durante más tiempo y más directamente estuvieron vinculadas con la observación que no está ligada a manipulaciones. Ahora bien, es un hecho evidente, con el que ya nos hemos encontrado en capítulos precedentes, que la ciencia también está asociada a la observación de procesos en los que el científico realiza manipulaciones; esto es, con lo que se denomina experimentación.
En latín experimentum tenía ya los dos significados asociados al término: el ensayo, «experimenta agere», según Plinio, y la prueba, «hoc est experimentum», expresión utilizada por Cicerón. El experimento se usa tanto para «verificar» una hipótesis como para «falsar» una ley (entendiendo los términos «verificar» y «falsar» en términos relativos, ya que, como nos enseñaron algunos filósofos de la ciencia —ya tratamos de esto—, Karl Popper e Imre Lakatos en especial, no es posible verificar ni falsar completamente una teoría). Aristóteles, recordemos, había descrito la velocidad de la caída de los cuerpos como proporcional a su peso, pero como vimos en el capítulo 5, Galileo demostró experimentalmente la falsedad de esa ley y anticipó que todos caerían con la misma velocidad de no haber resistencia, algo que Robert Boyle confirmó utilizando un tubo de vacío.
A partir de Galileo, la experimentación se convirtió en el método de la investigación tanto para probar la exactitud de la observación como para rechazar las ideas equivocadas. Ya explicamos en el capítulo anterior que uno los discípulos de Galileo, Evangelista Torricelli, mostró experimentalmente la existencia del vacío y de la presión atmosférica, y que poco después Otto von Guericke construyó la primera bomba de vacío. La medida de la relación entre las magnitudes condujo a la presentación de los resultados como leyes naturales, del tipo de las leyes que Newton presentó en sus Principia de 1687, que describen las relaciones entre las magnitudes y que constituyeron un resultado esencial para la construcción de una física sobre bases firmes, así como para la consolidación del método experimental, una física cuyo principal objetivo inicial fueron la materia y el movimiento, la fuerza y la energía. Por consiguiente, y siguiendo la estela de Galileo, fueron las magnitudes los protagonistas principales de la nueva física, y no conceptos de calado más teórico como la fuerza y la energía.
Se puede decir que el estudio experimental de la naturaleza dio origen en los siglos XVII y XVIII a tres nuevas ciencias, no importa que su historia se pueda retrotraer hacia el pasado: la física, la química y las ciencias naturales. Ninguna de ellas adquirió rango universitario hasta el siglo XIX, aunque se impartieron cursos en otras instituciones. Ya tratamos el caso de la química en el capítulo precedente, mostrando entonces cómo la filosofía experimental de Galileo fue adoptada por los grandes líderes —Boyle y Lavoisier— de la revolución que condujo a pasar de la alquimia a la química tal y como se entendería después. Pero de las ciencias naturales hemos dicho poco hasta el momento y es necesario hacerlo en este capítulo, porque en ellas se originó un centro de trabajo comparable a los laboratorios químicos o los observatorios astronómicos.
§. Ciencias naturales y jardines botánicos
En la Antigüedad, plantas y animales despertaron un interés limitado y su conocimiento se limitó a la identificación de las especies. Aristóteles dedicó sendos escritos a estudiar la historia, la generación, los movimientos y la locomoción de los animales, y Teofrasto, su sucesor en el Liceo, identificó y clasificó por sus caracteres visibles las plantas que le proporcionaron las campañas de Alejandro. Su Historia de las plantas, impresa en 1644, está compuesta por dos partes: en la primera describe los caracteres y la localización de las plantas, que divide en árboles, matorrales y hierbas; en la segunda describe su utilidad. Mucho más conocida fue una obra —una enciclopedia en realidad— del romano Cayo Plinio Segundo (23-79), más conocido como Plinio el Viejo. Su voluminosa Historia naturalis está dividida en treinta y siete libros, en los que analizaba y, sobre todo, describía, el mundo, los elementos, países, pueblos, animales, plantas, medicamentos, geología, mineralogía e inventos varios; constituía, en suma, una ambiciosa enciclopedia de todos los conocimientos que había acumulado el mundo clásico. El naturalista español Francisco Hernández, médico de cámara de Felipe II, que dedicó más de un década a la no pequeña empresa de verter al castellano la obra de Plinio, que acompañó de abundantes comentarios, escribió en la «Dedicatoria» al Rey Prudente que añadió a su traducción que «la divina Historia de Plinio, donde (como él dice en el Prohemio) comprendió 20 mil cosas notables, de las cuales tocan pocas los estudiosos, con lección de dos mil libros, sacadas de 100 autores exquisitos y raros de que hoy apenas tenemos algunos y, esto, tan elegante, ordenada y diligentemente, con tanto compendio y sustancia, que no hay capítulo que no pudiese dilatarse en un cumplido volumen. De donde es que no espanta haber algunos notado a Plinio de hombre que excede a ratos los límites de la verdad, por escribir cosas tan raras y admirables y que tiene Naturaleza tan ocultadas a los más de los hombres, que no es maravilla parecerles a los que no las han visto mentirosas e increíbles, pues como ninguna, casi, afirma Plinio, que no señale causa o autor». Más modestas eran las pretensiones del propio Plinio, como queda reflejado en las siguientes palabras que incluyó en el «Prólogo» que dedicó al emperador Tito: «Arduo es dar a las cosas antiguas novedad, autoridad a las nuevas, a las desusadas lustre, luz a las oscuras, gracia a las enfadosas, crédito a las dudosas, a todas naturaleza y a su naturaleza todas».
El interés por la botánica se debía a su papel en el tratamiento de las enfermedades, como atestigua una obra, editada cientos de veces a lo largo de los siglos (en España, el médico segoviano Andrés Laguna la tradujo al castellano): De materia médica, de un médico griego instalado en Roma que sirvió en las legiones de Nerón, Pedacio Dioscórides Anazarbeo (c. 40-90). Sus largos viajes con el ejército —por Grecia, España, norte de África, las Galias y Siria— le dieron ocasión de reunir una gran cantidad de conocimientos que compiló en De materia médica, conocida por muchos como, simplemente, «el Dioscórides», básicamente una enciclopedia farmacológica, en la que trataba de las propiedades medicinales de plantas (de las que describía más de 600), animales (90) y minerales (90).
Cerca de un milenio y medio después, se continuaba con la tarea, aparentemente inacabable, de clasificar las plantas. Así, Leonhard Fuchs (1501-1566), médico alemán, se esforzó en intentar establecer una terminología botánica (su nombre se ha mantenido en un género de plantas: las fuchsiáceas). En su De historia stirpium (1542) ordenó alfabéticamente, por sus nombres griegos, alrededor de quinientas plantas, incluyendo grabados coloreados de extraordinaria belleza, creados por tres artistas de su tiempo: Heinrich Fullmauer, Albert Meyer y Veit Rudolph Speckle, quien se encargó de tallar las planchas de madera.
Sin embargo, por entonces comenzaron a introducirse novedades en el arte puramente clasificatorio, buscando causas de las diferencias. Un paso notable en este sentido fue el dado por el médico y naturalista italiano Andreas Caesalpinus (1519-1603), quien en De plantis (1583) describió unas mil quinientas plantas, clasificadas por géneros en quince grupos. Linneo le consideró el primer verdadero sistematizador de la botánica, aunque, añadimos nosotros, muy lejos aún de lo que conseguiría el gran botánico sueco del siglo XVIII. Eso sí, al prestar muy poca atención a los usos médicos de las plantas, elevó la botánica al nivel de una verdadera ciencia independiente.
Con Carl Linnaeus, o Linneo, del que nos ocuparemos con detalle en el capítulo 14, se llegó a una de las cumbres de la botánica. Con él, la taxonomía botánica, la clasificación de las plantas, alcanzó una posición nunca antes lograda. Su gran contribución fue la nomenclatura binaria, que da a cada especie dos nombres, el genérico (común a todas sus congéneres) y el específico (que sirve para concretar, dentro del género, a qué especie pertenece). Y el mismo año que nació Linneo vio la luz otro de los grandes nombres y naturalistas de la Ilustración (del que también nos ocuparemos en el capítulo 14): el francés Georges L. L. de Buffon. Fue, sin embargo, más un divulgador que un investigador que hiciese avanzar el conocimiento. Sus libros, como Histoire naturelle (1749-1789) o Époques de la nature (1779), en la que analizaba el desarrollo de la historia de la Tierra, dividiéndola en siete épocas, no poseen un gran valor científico, aunque sin duda sirvieron para estimular el estudio de la naturaleza, algo que, es preciso insistir en ello, también forma parte del mundo de la ciencia.
Aunque constituyeron pasos obligados en el desarrollo de la botánica y, por consiguiente, también de las ciencias naturales, en obras como las de Linneo y Buffon no se aprecia tanto el impacto de la Revolución Científica como en los trabajos (ya citados en el capítulo anterior) de Stephen Hales, uno de los primeros estudiosos de la nutrición y fisiología de las plantas. Pertenece, por tanto, Hales al grupo de filósofos naturales que exploraron los «otros aires»: los Henry Cavendish, Joseph Black, Joseph Priestley y Wilhelm Scheele, a quienes tanto debe, recordemos una vez más, la obra de Lavoisier.
Pero la biología y fisiología de plantas aún tenía un largo camino que recorrer, necesitada como estaba de especialidades científicas —como, por ejemplo, la genética (Mendel)— que aún estaban por nacer. Olvidándonos de las técnicas experimentales introducidas por pioneros como Hales, y dejando al margen la práctica agrícola, el «laboratorio» botánico fue durante largo tiempo el Jardín Botánico, un centro científico destinado a promover el conocimiento de la naturaleza.
Los míticos jardines colgantes de Babilonia, una de las siete maravillas del mundo, se levantaron para proporcionar un lugar de recreo, pero la idea terminó traspasando esas limitadas fronteras, entre otras razones porque los cultivos de plantas medicinales proporcionaron la mayor parte de las medicinas durante más de un milenio. Los primeros jardines botánicos tal y como los entendemos hoy aparecieron en Italia, vinculados a las Facultades de Medicina. El orto botánico de Pisa, una creación de Cosimo de Médicis (1544), inspiró la fundación de los de Padua, Florencia (1545) y Bolonia (1568), destinados al cultivo de plantas medicinales. A partir del siglo XVII comenzó la construcción de invernaderos, anejos a los palacios: la Orangerie del Louvre de 1617 dio nombre a este tipo de edificios, y la de Versalles, terminada en 1686, poseía una galería central de 155 metros orientada al sur. El conde Pedro Sheremetev levantó en Kuskovo en la segunda mitad del siglo XVIII una suntuosa residencia de verano que pretendía ser la más hermosa de las de los nobles y añadió una orangerie, que se usó para los banquetes. La orangerie de los jardines de Kew y la de Kassel son también de la segunda mitad del siglo XVIII.
En París, el Jardin du Roi (Jardín del Rey) se creó en 1635 para el cultivo de plantas medicinales y la enseñanza de las ciencias experimentales, aunque no se permitió que concediese títulos para evitar la oposición de la Facultad de Medicina, que se resistía a incluir esta materia en sus planes de estudio. En 1718, cambió su nombre, quedando como Jardin Royal des Plantes, y en 1739 comenzó el largo mandato del conde de Buffon, que se dedicó a ampliar sus dimensiones y a mejorar la enseñanza de química y ciencias naturales. El año siguiente a la muerte de Buffon comenzó la Revolución Francesa, que modificó el estatus del Jardín, cambiando asimismo su nombre por el de Museum d’Histoire Naturelle (Museo de Historia Natural) y adjudicándole la misión de «la enseñanza pública de la historia natural, en toda su extensión y aplicada al avance de la agricultura, del comercio y de las artes».
Por entonces ya existía un Jardín Botánico en Madrid, creado en 1755 por Fernando VI en el Soto de Migas Calientes, cerca del río Manzanares de Madrid. En 1781, Carlos III ordenó su traslado al Paseo del Prado, cerca del Gabinete de Ciencias que se estaba construyendo, gabinete que finalmente se convirtió en pinacoteca real, el Museo del Prado.
§. Academias y revistas científicas
Los instrumentos científicos y las sustancias requeridas por la experimentación no exigían gastos descomunales, de manera que los particulares podían disponer de sus propios laboratorios. La conveniencia de reunirse con los que trabajaban en el mismo campo de conocimientos fue el origen de las sociedades científicas. Y es que las ideas (experimentos, conceptos y teorías) científicas pueden surgir en ocasiones en escenarios solitarios; Newton llevó a cabo una gran parte de su obra científica con los limitados recursos que poseía en sus habitaciones del Trinity College de Cambridge, aunque, por supuesto, necesitó conocer lo que otros científicos habían descubierto. Pero, tomada en su conjunto, la actividad científica requiere —tanto más cuanto más desarrollada y profesionalizada está— de instituciones en las que los científicos reciban educación especializada, realicen sus experimentos, intercambien ideas y publiquen sus trabajos. También en este sentido la época de la Revolución Científica fue singular, ya que en ella se crearon instituciones como las primeras sociedades científicas realmente significativas y estables.
En la Europa del siglo XVI comenzaron a proliferar las universidades. Podemos hablar de ellas, y con razón, como centros de saber. Pero es esta una denominación un tanto equívoca, ya que las universidades eran, sobre y por encima de todo, centros de enseñanza, y, de hecho, sus planes de estudios y división en Facultades se mantuvieron estables durante siglos. Se necesitaba otro tipo de centros para que la ciencia pudiese desarrollarse verdaderamente: las academias y sociedades científicas. Y fue en Italia donde comenzaron a surgir.
Primero fueron Academias de índole literaria, como la Accademia della Crusca de Florencia (1583), algo no sorprendente si tenemos en cuenta, por ejemplo, que la llegada de estudiosos bizantinos y de manuscritos griegos permitió a los lingüistas italianos revisar las versiones medievales de los clásicos y la datación de los textos por su forma. En 1460, por ejemplo, un agente de Cosimo de Médicis adquirió en Macedonia una copia de la obra de Hermes Trismegisto, el maestro del hermetismo que apareció en el capítulo anterior. Y en 1462, Marsilio Ficino (de quien también hablamos) tradujo los primeros textos griegos, tarea para la cual Cosimo le cedió una villa en Carregi, donde podía reunirse con sus colaboradores, poniéndole al frente de la Academia platónica.

La Accademia del Cimento figura entre las primeras organizaciones que reunían a científicos (o a interesados en la ciencia), con el propósito de contribuir al avance del conocimiento científico. En este grabado, preparado por Gaetano Vascellini (Serie di ritratti d’uomini illustri toscani; 1773), se representa una imaginaria reunión de los nueve miembros fundadores de la Accademia: Vincenzo Viviani (discípulo de Galileo y de Torricelli), el fisiólogo, matemático y físico Giovanni Alfonso Borelli, los hermanos Candido (discípulo de Galileo e inventor de un reloj de agua) y Paolo del Buono, el médico Francesco Redi, Alessandro Marsili, catedrático de Filosofía en Pisa y muy considerado por Galileo, el ingeniero Carlo Renaldini, Antonio Olivia, un librepensador que fue perseguido por la Inquisición y que se suicidó, y como secretario Alessandro Segni (pronto, en 1660, fue sustituido por Lorenzo Magalotti, un discípulo de Viviani y amigo de Robert Boyle). Nótese que en la pared del fondo se ve el lema que adoptaron y que reflejaba la condición fundamental de la nueva ciencia: Provando e riprovando (Probando y volviendo a probar), y también los instrumentos científicos que aparecen en el suelo en primer plano, un detalle que hace hincapié en que las actividades de la Accademia daban preferencia a la investigación experimental.
Giambattista della Porta (1538-1615), autor del libro más popular de «física mágica» de finales del siglo XVI, Magiae naturalis, se refería en el prefacio de esta obra a una Accademia Curiosorum Hominum, que se reunía en su casa de Nápoles y cuyos miembros le ayudaban a realizar experimentos.
Una de las primeras academias que podríamos denominar «moderna» fue la Accademia dei Lincei de Roma (1601-1630), fundada por el duque Frederigo Cesi (1585-1630), un hábil experimentador, especialmente interesado en el estudio de las abejas y las plantas, aficionado a coleccionar objetos naturales y que poseía un jardín botánico. Tomó el nombre del lince, cuya agudeza de visión quería para sus miembros, y el lema «minime cura si maxima vis». El estudio de las ciencias naturales mediante la observación y el experimento, y el método inductivo fue su norma de conducta. Galileo ingresó en 1611 y, de hecho, la Accademia publicó su Il sagiatore, y también un Tesoroi messicano, descripción de la flora, fauna y drogas de América, aunque la preparación de una enciclopedia (Theatrum totius naturae) quedó interrumpida por la inesperada muerte de Cesi, que marcó el final de la primera etapa de su existencia. La colección de sus observaciones microscópicas pasaron a manos de un anticuario y sus herederos la cedieron en 1763 a Jorge III de Inglaterra (se encontraron en Windsor en 1986).
Más importante fue una iniciativa de dos discípulos de Galileo, Torricelli y Viviani, o de seguidores de estos, que contaron con el patrocinio del duque Fernando II de Toscana y de su hermano el cardenal Leopoldo: la Accademia del Cimento de Florencia (1657-1667) —Cimento significa experimento (el motto de la Academia era «Provando e riprovando»; esto es, «probando y volviendo a probar»)—, en la que nueve científicos (la mayor parte discípulos de Galileo, como Giovanni Borelli [1608-1678]) se esforzaron durante una década en construir instrumentos, desarrollar sus habilidades experimentales y buscar leyes que expresasen el comportamiento de la naturaleza. Tuvo, es cierto, una vida efímera, pero ofreció una declaración de principios: realización de experimentos y renuncia a la especulación, diseño de los instrumentos, creación de unidades de medida. Publicó los Saggi di naturali esperienze fatte nell’Academia del Cimento, traducidos al latín en 1731, que, al describir los experimentos, enseñaba cómo hacerlos.
Estas academias italianas precedieron a otras cuyas actividades y transcendencia serían mucho mayores. Como la Royal Society de Londres (fundada en 1660), que llegaría a presidir el propio Newton; la Académie Royale des Sciences de París (1666) o la Academia de Berlín, fundada por Leibniz en 1700.
Las academias, esas academias en concreto, proporcionaban un medio de comunicación entre científicos, algo necesario para el progreso científico, pero hacía falta más. Una limitación importante de estas instituciones era su reducido ámbito de influencia: una ciudad, la mayor parte de las veces; Londres para la Royal Society, París para la Académie des Sciences, aunque es cierto que su influencia llegó a expandirse mucho más allá. El establecimiento de sistemas postales estables (en Inglaterra existió desde comienzos del siglo XVI un servicio postal para las cartas de Estado, pero solo a mediados del siglo siguiente se creó una oficina postal general para la correspondencia privada) representó una ayuda considerable, ya que el intercambio epistolar entre los científicos constituyó un medio de comunicación muy importante (Boyle se refirió a este medio de comunicación entre científicos como un «Colegio [College] invisible»), como muestra la voluminosa correspondencia de científicos e «informadores cuasiprofesionales» como John Wallis, Robert Boyle, Christiaan Huygens, Marin Mersenne y Henry Oldenburg, el secretario de la Royal Society que convirtió la correspondencia científica en todo un arte, manteniendo relaciones epistolares con muchos de los científicos europeos del siglo XVII. A señalar, asimismo, que Robert Hooke fue nombrado «curator of experiments» («conservador de experimentos») para revisar los experimentos que realizaban sus miembros o se le ocurrían a él mismo.
De la primera de estas dos academias, la londinense, diremos que su origen tiene que ver con que en Londres existía desde 1597 una fundación, el Gresham College, que mantenía a un pequeño grupo de ocho profesores que impartían conferencias públicas. En 1660, estos anunciaron su intención de constituir un «Colegio para la promoción de la enseñanza experimental físico-matemática». En 1662, Carlos II les otorgó una carta que los constituyó en la Royal Society (Sociedad Real) de Londres y dos años más tarde añadieron a su título «para la mejora del conocimiento de la naturaleza». A semejanza de los residentes en los colegios universitarios, sus miembros —que contribuían económicamente a su mantenimiento como socios y que tenían distintas residencias— tomaron el titulo de fellow («miembro»). Al contrario que otras academias, en las que únicamente se admite un número muy reducido de académicos que se renuevan al fallecer, la Royal Society —una de cuyas primeras actividades fue traducir e imprimir las actas de Academia del Cimento— estaba en principio abierta a un número indeterminado de miembros. Entre 1660 y 1700, se eligieron 479 fellows, el 16 por 100 de ellos eran miembros de la corte, políticos o diplomáticos, otros tantos médicos, 15 por 100 caballeros de medios independientes, 14 por 100 aristócratas, 12 por 100 estudiosos o escritores, 8 por 100 religiosos, 7 por 100 comerciantes, 4 por 100 abogados y la misma proporción de servidores civiles (funcionarios) y militares, no siendo posible clasificar el resto. Como vemos, no se trataba, en cuanto a su composición, de lo que ahora entendemos como la composición propia de una corporación científica, pero es que la profesión científica tampoco estaba establecida como lo estaría después, especialmente a partir del siglo XIX.
En cuanto a la Académie Royale des Sciences de París, fue una iniciativa de Jean Baptiste Colbert (1666), a la que Luis XIV hizo un sitio en su biblioteca. En 1699, Luis XIV la convirtió en una institución estatal, instalándola en el Louvre e imponiéndole un reglamento, además de añadirle el calificativo de Real a su nombre. Quedó establecido entonces que la Académie estaría compuesta por 10 miembros honorarios; 20 pensionados (es decir, beneficiarios de una pensión del Rey), de los cuales 3 serían geómetras, y el mismo número en cada especialidad: astrónomos, mecánicos (experto en la ciencia de la mecánica), anatomistas, químicos, botánicos, más 1 secretario y un tesorero; 20 asociados, repartidos de la misma forma que en la anterior categoría, de los cuales 8 podían ser extranjeros; y 20 alumnos, cada uno asociado a un pensionario. En total, 70 miembros.
También en 1699 se inició la publicación de un Anuario, que daba notica de las memorias presentadas por sus miembros y las recibidas de sus correspondientes y asociados extranjeros: Histoire de l’Académie royale des sciences anneé MDCXCIX avec les Mémoires de Mathematique & de Physique, pour la même annee. Cada volumen tenía dos partes, con paginación independiente; la primera describía las actividades de la corporación y la segunda incluía una selección de las memorias presentadas por sus miembros y correspondientes, que incluían, además de las mencionadas, las ciencias naturales y las novedades técnicas.
Antes de la aparición de este Anuario, se habían creado las primeras revistas científicas, un instrumento absolutamente esencial para el progreso científico, cuyo origen era el deseo de comunicar los resultados presentados en las sesiones de la academia o sociedad correspondiente. La primera fue Journal des sçavans de la Académie Royale des Sciences, que publicó su primer número en enero de 1665, aunque cesó pronto, en 1792. En marzo de aquel mismo año apareció el primer número de las Philosophical Transactions de la Royal Society, aunque, en realidad, inicialmente constituyó una empresa editorial particular de su secretario, Oldenburg, que la financió firmando un contrato con la Royal Society que le permitía quedarse con los beneficios, que, por cierto, fueron escasos durante la vida de Oldenburg. Da idea de las pretensiones de esta revista (que continúa existiendo) el contenido del editorial de aquel primer número (6 de marzo de 1665):
Dado que para fomentar el progreso en las cuestiones filosóficas no hay nada mejor que la comunicación de todo cuanto se descubra o ponga en práctica a cuantos dedican a las mismas sus estudios y sus esfuerzos, parece lógico servirse de la imprenta como procedimiento idóneo para complacerles, puesto que su entrega a tales estudios y su pasión por el progreso del saber y las invenciones útiles les hace merecedores de conocer los frutos de cuanto en este reino y en otras partes del mundo se produce, así como del progreso de los estudios, trabajos y ensayos que en estas materias realizan hombres doctos y curiosos, por no hablar ya de sus éxitos y descubrimientos: a fin de que tales logros puedan comunicarse de forma clara y fidedigna, y de cara a la consecución de un conocimiento más seguro y útil, cualquier esfuerzo e iniciativa será bien recibido, al tiempo que se invita y alienta a aquellos que estudian y discuten estas cuestiones a que examinen, investiguen y descubran nuevas cosas, a que se transmitan unos a otros los conocimientos y a que contribuyan en la medida de sus posibilidades a la gran empresa del desarrollo del conocimiento natural y del perfeccionamiento de todas las disciplinas filosóficas. Todo ello por la gloria de Dios, el honor y el progreso de los reinos y el bienestar de toda la humanidad.
La historia de las Philosophical Transactions está plagada de contribuciones que forman parte destacada de la historia de la ciencia. Como ya vimos, en 1672 Newton publicó en ella su «Nueva teoría de la luz y los colores». Leeuwenhoek envió a la Royal Society sus primeras imágenes microscópicas, que fueron publicadas en la revista en 1673. Ante la dificultad de comprobar su observación de la existencia de seres unicelulares, algo desconocido hasta entonces, una comisión se desplazó a Delft para examinar sus procedimientos. A partir de 1680 legitimó sus observaciones y se le otorgó el titulo de fellow. Otros dos ejemplos, entre la infinidad de posibles, es la publicación en 1752 de «La cometa eléctrica» de Franklin, y en 1802 de la «Teoría ondulatoria de la luz» de Young. Y se hicieron ediciones reducidas a las comunicaciones en latín para salvar la dificultad del lenguaje.
Y tras las Philosophical Transactions llegarían otras revistas, como Acta Eruditorum (1682), que se publicó en latín en Leipzig con periodicidad mensual durante un siglo (1682-1782), y el Nouvel Journal des Sçavans (1698), donde se publicaron descripciones de muchas de las principales investigaciones de la época.
La composición de cada una de estas academias determinó la naturaleza de su actividad. Los miembros de la Académie se reunían regularmente, comunicando la marcha de sus trabajos e intercambiando ideas. De esta manera, crearon un espacio para la ciencia libre de los conflictos religiosos y políticos (ya el reglamento de la Accademia dei Lincei prohibía explícitamente los debates religiosos y políticos como «contrarios a sus fines»). En el siglo XVIII, el ejemplo de Inglaterra y Francia fue seguido por la mayoría de los príncipes. Pedro I de Rusia dotó a San Petersburgo con la Academia Scientiarum Imperiales (1724), Jorge II, rey de Inglaterra y elector de Hannover, fundó la universidad de Gotinga en 1737, el Jardín botánico en 1751 y la Königlich Preussische Sozietät der Wissenchaften un año después. Fue en Gotinga donde se produjo por primera vez la asociación de una Academia con la Universidad.
Siguiendo el consejo de Leibniz (que fue nombrado presidente), Federico I de Prusia creó en 1710, en Berlín, una Societas Regia Scientiarum; la falta de recursos contribuyó a su decadencia, hasta que el tratado de Berlín (1742) le proporcionó el dominio de Silesia. De esta manera, en 1744 Federico II creó una nueva sociedad, la Academie Royale des Sciences en Belles Lettres, que sustituyó el latín por el francés, hasta que Wilhelm von Humboldt lo cambió por el alemán en 1810. Fernando I dio este título, aunque en italiano, a la de Nápoles (1778). Antes de la independencia, en Boston se formaron dos sociedades privadas para los mismos fines de las academias. Y la lista de ejemplos podría continuar, cada vez con números mayores, al extenderse la idea. En Gran Bretaña, por ejemplo, tenemos la Society of Gentleman, en Escocia; la Royal Society de Edimburgo; la Lunar Society de Birmingham; la Literary and Philosophical Society de Manchester (1781); la Royal Institution, en Londres (1799). Pero no es necesario continuar presentando más ejemplos. Continuaremos tratando de aspectos institucionales en el capítulo 17.
Contenido:§. El calor como magnitud
§. Máquinas de calor
§. La termodinámica
§. Teoría cinética de los gases y física estadística
§. El tercer principio para la termodinámica
§. El calor como magnitud
En nuestra búsqueda de los conceptos asociados de forma imprescindible a la naturaleza, ya hemos tratado de algunos, como el espacio y el tiempo, que sirven de marco para poder describir aquello que sucede en el Universo. Y combinando espacio y tiempo surgen otras entidades no menos necesarias, aunque por su carácter derivativo sean menos básicas; el caso de velocidad y aceleración. En el presente capítulo vamos a tratar de otro concepto especial: el del calor. Y es especial por su omnipresencia en el Universo: sin intercambios de eso que de una forma tan imprecisa como inconfundible llamamos «calor» —como se verá, una forma de energía—, el cosmos sería un frío y estático «receptáculo de nada», al menos de nada que se moviese, que tuviese una gota de energía. De hecho, un Universo de ese tipo únicamente poseería espacio, no tiempo, porque no podemos definir el tiempo sin cambios en el espacio, y cualquier cambio involucra variación, intercambio de energía, de calor.
La utilización del fuego —una fuente de calor— para guisar, calentar el agua y fundir los minerales está unida a la historia más temprana de la humanidad. Su dominio constituyó un elemento central para que los homo sapiens se distinguieran —y se impusieran— a otras especies animales. Y para utilizar el fuego no necesitaron de más conocimiento que los imprescindibles para producir y mantener la llama.
Ahora bien, el saber utilizar algo no implica que nos baste con ello, que no nos preguntemos el por qué: por qué, por ejemplo, la combustión produce calor, y qué es la propia combustión. Al menos en parte, en una buena parte, la ciencia surgió por el deseo de responder a preguntas como estas. Y sabemos que cuál es la naturaleza del calor fue una de las preguntas que se hicieron los filósofos que en la antigua Grecia crearon la ciencia. Así, en su Física, Aristóteles escribía:
Pero, si algo es alterado, tiene que haber algo alterante, algo que haga, por ejemplo, de lo caliente en potencia lo caliente en acto […], el principio de todas las afecciones es la condensación y rarefacción; así, lo pesado y lo ligero, lo blando y lo duro, lo caliente y lo frío, son considerados como formas de densidad y de rareza. Pero la condensación y la rarefacción no son más que combinación y separación, movimientos según los cuales se dice que las sustancias son generadas y destruidas.
No es inmediato entender qué es lo que quería decir Aristóteles: ¿que el calor es una cualidad primaria?, ¿qué es producto de movimientos que podemos asimilar a una primitiva teoría cinética? En cualquier caso, aquí no nos importa demasiado; lo único que nos interesa es indicar el temprano interés por entender qué es el calor. De hecho, las dos posibilidades que acabamos de apuntar nos sirven bien para señalar que dos fueron las teorías que se defendieron durante mucho tiempo acerca de la naturaleza del calor. Una, denominada a veces sustancialista, que atribuía una naturaleza corporal al calor. Pierre Gassendi fue uno de sus defensores, argumentando en el siglo XVII que existían átomos da calor, a cuya presencia y forma se debía el calentamiento de los cuerpos (como veremos más adelante, en este mismo capítulo, Carnot participó de esta idea). La segunda teoría, dinámica, mantenía que el calor resultaba del movimiento de partículas muy sutiles que formaban parte de los cuerpos. Se trataba de una forma de teoría cinética y entre sus defensores se encontraron hombres como Francis Bacon, Robert Boyle, Robert Hooke, Isaac Newton (aunque este no siempre mantuvo la misma opinión) y, sobre todo, Daniel Bernoulli, que elaboró, en el siglo XVIII, la primera teoría cinética de los gases. Volveremos a esta teoría más adelante, también en el presente capítulo.
Como apuntábamos antes, el problema de la naturaleza del calor estaba relacionado con la combustión, de la que tardó en disponerse de una explicación racional: vimos en el capítulo 8 que esa explicación llegó en el siglo XVIII, gracias a los trabajos de científicos como Van Helmont, Stahl, Priestley, Scheele y, sobre todo, Lavoisier.
Ahora bien, el calor del que hablaban estos científicos no formaba parte de ninguna teoría cinética, sino que, más bien, tenía un carácter sustancialista. Ciertamente lo tenía para Stahl, al igual que para otros, que hablaba de «flogisto». Y cuando este concepto fue desterrado, su lugar fue ocupado por otro concepto y término de naturaleza vaga: «calórico» (en el Traité élémentaire de chimie, el propio Lavoisier escribió: «Hemos designado a la causa del calor, al fluido eminentemente elástico que lo produce, con el nombre de calórico»). Para hacernos una idea de qué entendían Lavoisier y sus seguidores por calórico, y comprobar que en realidad no estaba muy alejado de la idea común que ahora tenemos de «calor», veamos cómo —utilizando un procedimiento modelado en el catecismo, propio para lectores poco versados en ciencia— lo definía Pedro Gutiérrez Bueno en un librito que ya hemos utilizado en el capítulo 8, su Prontuario de química, farmacia y materia médica (1815):
P. ¿Qué es calórico?
R. Por esta palabra se entiende un principio, que produce sensación de calor.
P. ¿Qué propiedades tiene el calórico?
R. Sus principales son: ser muy sutil, penetrar todos los cuerpos, apartar sus moléculas constituyentes, y hacerlas fluidas o gaseosas según su cantidad.
[…]
P. ¿El calórico se halla siempre en la misma proporción en todos los cuerpos?
R. No se halla en iguales proporciones; en unos hay más que en otros, según su estado, porque tienen más capacidad unos que otros para retenerlo.
De hecho, Gutiérrez Bueno utilizaba también el término «calor», asociándolo a una medida del grado de calórico que contenía un cuerpo. Al menos esto es lo que se deduce de otra de las preguntas y respuestas que aparecían en su libro:
P. ¿Se distinguen muchos grados de calor?
R. Regularmente cuatro: el primero es el de diez grados del termómetro de Reaumur; este calor es el que emplean los Farmacéuticos para las maceraciones, y otras operaciones de esta especie, y además favorece la putrefacción; el segundo grado de calor se extiende hasta treinta, el que continúa favoreciendo la putrefacción y se emplea para la cristalización de ciertas sales y para desecar las plantas; el tercer grado es de treinta a ochenta o a ochenta y cuatro, y se emplea para otras operaciones farmacéuticas, como son la destilación, decocción, etc., pues el agua hirviendo en este caso disuelve todas las partes de las sustancias animales y vegetales que sean solubles; en fin, el cuarto grado de extiende hasta cierto punto superior, de manera que no se puede medir por ningún termómetro, a no ser el de arcilla, que solo sirve para cocer la porcelana, fundir las minas, etc.
Como vemos en esta cita, para estudiar qué era el calor fue necesario medir su intensidad; esto es, disponer de termómetros para medir la temperatura. Fue cuando se dispuso de instrumentos para realizar tales mediciones —el termómetro no fue el único de los instrumentos que permitieron avanzar en la ciencia del calor; el calorímetro, que mencionamos en el capítulo 8, fue otro—, cuando el «calor» (o si se prefiere, el calórico) dejó de ser una propiedad para convertirse en una magnitud, abriendo así la puerta a una verdadera ciencia del calor.
Gutiérrez Bueno mencionaba el termómetro del francés René-Antoine de Réaumur (1683-1757), pero la historia de la termometría comenzó mucho antes. En la Pneumática de Herón de Alejandría (siglo I a. C.) se mencionaban aparatos, que carecían de escala, que se utilizaban para demostrar la dilatación de un gas en el interior de un bulbo de vidrio cuando este era calentado. Más de un milenio y medio después, en 1597, Galileo diseñó un aparato que consistía en un bulbo lleno de aire, prolongado en un tubo fino, cuyo extremo abierto era introducido en un recipiente con agua. Cuando aumentaba la temperatura, el aire del bulbo se dilataba, haciendo que el nivel del agua del tubo ascendiese. Aunque existía el problema de que ese aumento de nivel dependía también de la presión atmosférica, está claro que el instrumento de Galileo era un tipo de termómetro.
De diseño parecido al de Galileo es el termoscopio que fabricó en 1612 un contemporáneo y conocido suyo, Santorio Santorio (1561-1636), profesor de Medicina en Padua: incluía una escala que tenía como puntos extremos la temperatura de la nieve y la de la llama de una vela. Como médico que era, el interés de Santorio tenía que ver con la temperatura del cuerpo humano (la relación entre el grado de calor de un cuerpo y su salud era conocida de antiguo; por ejemplo, por Galeno en el siglo II).
Los primeros termómetros que utilizaron líquidos en lugar de un gas se construyeron hacia 1641: consistían de un bulbo lleno de agua o alcohol diluido coloreados con el que se comunicaba un tubo de vidrio fino con muescas, sellado en el extremo para evitar la influencia de la presión atmosférica. Huygens, por ejemplo, eligió como punto de referencia el grado de calor del agua en ebullición, mientras que Newton describió una escala termométrica dividida en 12 grados, el punto inferior correspondiendo a la congelación del agua y el superior al grado de calor de una persona sana.
Pero los termómetros que se impusieron llegaron a principios del siglo XVIII: el del alemán Daniel Gabriel Fahrenheit (1686-1736), el del ya citado René-Antoine de Réaumur y el del físico y astrónomo sueco Aders Celsius (1701-1744).
Fahrenheit utilizó primero un termómetro de alcohol, que en 1714 sustituyó por uno que utilizaba mercurio, en el que introdujo su luego famosa «escala de grados Fahrenheit», que se determinó considerando las propiedades de dilatación del mercurio y tomando cuatro puntos fijos: la del invierno, particularmente frío, de 1709, que imitó utilizando una mezcla de hielo, sal común y cloruro amónico; la del hielo fundente; la del cuerpo humano; y la de la ebullición del agua. Por su parte, Réaumur empleó alcohol y tomó como puntos fijos el de la congelación del agua y el que correspondía a la temperatura que podía soportar su termómetro sumergido en agua hirviendo sin que llegase a hervir él mismo. La novedad que introdujo, en 1742, Celsius, fue tomar como puntos de referencia en un termómetro de mercurio la temperatura de congelación y de ebullición del agua. A la primera le asignó el valor 100 y a la segunda el 0; esto es, la temperatura más elevada correspondía a la situación de «menos calor», mientras que la más baja a la de «más calor». Fue un compatriota suyo, Linneo, quien dos años después invirtió esta escala, quedando tal y como la utilizamos aún. Se trata, por supuesto, de la escala de grados centígrados, o Celsius (ºC).
Antes de continuar, debemos referirnos a otras propiedades asociadas al calor, relacionadas con los tres estados en los que se puede presentar la materia: los estados sólido, líquido y gaseoso, ya descritos por Tales en el siglo VI a. C. En el primer capítulo del Traité élémentaire de chimie, Lavoisier trató algo de esos tres estados. Interpretando un tanto lo que decía allí, tendríamos que en el estado sólido —al que correspondía una figura y dimensión determinadas— las «moléculas constituyentes» estarían tan próximas que no habría espacio para más movimiento que la vibración sin desplazamiento. En el estado líquido —sin forma propia: se adaptaba a la del recipiente que lo contuviese— la distancia intermolecular sería mayor, lo que permitía que las moléculas se moviesen o se deslizasen unas sobre otras. En el estado gaseoso —sin forma estable: ocupaba la totalidad del volumen del recipiente cerrado que lo contuviese— la separación entre las moléculas que lo componían sería suficiente para que se pudiesen mover en línea recta.
El paso de un estado al vecino (cambio de fase) no variaba la composición de la materia, y solo en el caso del agua se distinguía por un nombre específico: agua para el estado liquido, hielo para el sólido y vapor para el gaseoso. El calor es, de hecho, la causa del cambio de fase. La comunicación del calor en el estado sólido se producía por conducción, mediante la vibración de las moléculas, mientras que en los líquidos y gases se realizaba por convección, la combinación de la conducción y la corriente del fluido. Añadir y quitar calor era el medio de producir un cambio de fase en uno y otro sentido, operaciones conocidas como fusión y congelación para el paso de sólido a líquido y su contrario; evaporación y condensación en el paso de líquido a gas y lo contrario. Se descubrió el paso directo del sólido al gas, la sublimación. El cambio de fase no era inmediato, pasaba por una etapa intermedia en la que la absorción/emanación de calor no se reflejaba en el cambio de temperatura. Era el calor latente —un término introducido por Joseph Black hacia 1750 y definido en la actualidad como la cantidad de calor necesaria para elevar un grado la temperatura de una masa unidad de una sustancia determinada— que había de consumirse antes del cambio de estado. El calor latente era específico (de ahí el nombre que terminó adjudicándosele: calor específico) para cada una de las sustancias y distinto para la fusión y la evaporización. Las magnitudes eran comunes a todos los estados, pero sus valores cambiaban de uno a otro; por ejemplo, la presión, que empujaba un sólido hacia el centro de la Tierra y se manifestaba en todas direcciones cuando se transformaba en un gas.
Nociones como estas fueron necesarias para la constitución de una nueva rama de la física: la termodinámica (un término acuñado en 1849 por Kelvin). Pero esta disciplina fue hija de una serie de desarrollos de índole técnica: las máquinas de calor (o de vapor).
§. Máquinas de calor
El calor de la combustión produce vapor de agua, pero, durante milenios, ese calor se perdió en el aire atmosférico sin originar ninguna utilidad, y ello a pesar de que se inventasen aparatos relacionados con este fenómeno. Aparatos como el conocido como «bola de Eolo» o «eolípila», que Herón de Alejandría describió en un manuscrito titulado Spiritualia seu Pneumatica y que consistía en una bola hueca de metal en la que se introducía el vapor procedente de un recipiente en el que hervía el agua; la salida del vapor, a través de unos tubos acodados, producía por reacción el giro de la bola (esto es, lo que nosotros denominaríamos «un trabajo»). En el siglo IV a. C. Alejandro Magno se refirió a un sufflator, o fuelle basado en la eolípila, y el romano Vitrubio describió una eolípila parecida a la de Herón. Y los ingenieros de finales de la Edad Media y principios del Renacimiento dieron a aquellas eolipilas finalidades más prácticas, como utilizar la fuerte corriente de aire que producían para avivar el fuego y hacer fogatas en campamentos militares (así aparecen, de hecho, dibujadas en tratados de Konrad Kyeser [1405], Filarete [1464] y Leonardo da Vinci [1495]).

La máquina de vapor, el aparato que inició movimientos sociales y científicos que cambiaron el mundo, se basaba en la idea de utilizar la fuerza elástica del vapor de agua como fuerza motriz. El vapor, producido en una caldera mediante el calor generado por un combustible, comunicaba a un pistón situado dentro de un cilindro un movimiento rectilíneo alternativo, que se transmitía a una pieza (biela) cuyos movimientos ascendente y descendente daban lugar a un movimiento circular y continuo. Mediante una correa sin fin, el árbol de sustentación al que estaba unida la biela transmitía su movimiento a diversos útiles o instrumentos, como tornos, laminadores, sierras, máquinas de imprimir o, en el caso de la figura, un generador para producir electricidad.
No fue, sin embargo, hasta Denis Papin (1647-¿1712?), un hugonote que se expatrió cuando Luis XIV revocó el Edicto de Nantes (1685), cuando se descubrió la forma de aprovechar el vapor de agua producido en una combustión para producir trabajo de manera más eficiente. En 1690, publicó en la revista Acta eruditorum de Leipzig un artículo con un titulo comercial: «Nuevo método para obtener fuerzas considerables a bajo precio», que contenía lo esencial para construir una máquina de vapor. La descripción señalaba que estaba constituido por un tubo cilíndrico cerrado por un extremo, mientras que en el otro había un émbolo móvil que tenía un vástago perpendicular en la cara exterior. Tras verter una pequeña cantidad de agua en el fondo del cilindro, lo tapaba con la pieza móvil y aplicaba fuego al extremo en contacto con el agua. El cambio de fase convertía el agua en vapor, que al aumentar su volumen empujaba el pistón hacia el exterior, un movimiento mecánico que podía ser utilizado directamente para transmitir la presión o para convertirlo, mediante un cigüeñal, en un movimiento circular. Al retirar o apagar el fuego, se producía la condensación y el vacío. La presión atmosférica devolvía el pistón a su posición original tras haber producido una pequeña cantidad de trabajo. No fue este el primer diseño de máquina basada en el vapor, pero sí la primera que incluía piezas móviles y la posibilidad de convertir el movimiento lineal del émbolo en circular, lo que permitía construir máquinas para otras funciones que no fuesen la extracción del agua de las minas. Aun así, el rendimiento de la máquina de Papin era muy bajo, y aunque se esforzó en mejorarlo, no tuvo éxito: los últimos años de su vida transcurrieron en Londres, donde no encontró ningún apoyo (eso sí, la Royal Society, que le había negado la ayuda, adquirió sus papeles tras su muerte).
Un contemporáneo de Papin que también se esforzó por construir una máquina de vapor eficiente fue el mecánico inglés Thomas Savery (¿1650?-1715), que en 1698 patentó un artefacto que utilizaba la presión atmosférica para hacer subir el agua del fondo de un recipiente —en el que previamente se había hecho el vacío— mediante la condensación del vapor, sin utilizar más piezas móviles que unas válvulas. Intentó producir vapor a alta presión para multiplicar el rendimiento (a 200 ºC la presión del vapor es 15 veces mayor que a 100 ºC), pero los conocimientos técnicos del momento no le permitieron avanzar mucho. Más suerte tuvo Thomas Newcomen (1663-1729), quien para evitar las limitaciones derivadas de la patente de Savery se ayudó con los papeles de Papin en poder de la Royal Society. La máquina de Newcomen estaba formada por un gran cilindro vertical, abierto por arriba, en el que un pistón se movía de arriba hacia abajo. El movimiento lo originaba el vapor (producido por un líquido en ebullición) que se introducía en el cilindro por debajo del pistón y que se condensaba después inyectando agua fría. Como consecuencia se producía un vacío parcial, contra el que actuaba la presión atmosférica, que hacía que el pistón bajase. Una nueva inyección de vapor volvía a elevar el pistón, repitiéndose entonces el proceso. Se producía así un movimiento vertical que podía utilizarse conectando al otro extremo un elemento adecuado de otra máquina (normalmente, una bomba para extraer agua de las minas).
La mayor limitación de la máquina de Newcomen tenía que ver con la sucesión de dos momentos: el enfriamiento y el calentamiento del cilindro. Fue James Watt (1736-1819) quien mejoró la máquina de Newcomen. Introdujo un condensador separado del cilindro, refrigerado por agua, para evitar que fuese necesario inyectar agua condensada en el cilindro. Utilizó vapor, en lugar de la atmósfera, para hacer bajar el pistón. E incorporó unas ruedas para comunicar el movimiento lineal del émbolo en todo tipo de movimientos circulares compuestos.
Un punto que es conveniente mencionar es que Watt tenía amplios conocimientos de la física del calor, tomados, al menos en parte, de las enseñanzas de Joseph Black, que enseñaba en la misma Universidad, la de Glasgow, en la que trabajaba Watt como fabricante de instrumentos. Asimismo se relacionó con filósofos de la naturaleza como John Robison (1739-1805), un discípulo de Black, que también enseñó en la Universidad de Glasgow, Joseph Priestley y Erasmus Darwin, el polifacético abuelo de Charles Darwin. La primera máquina de Watt la construyó en 1781, en la Fundición Soho, Matthew Boulton (1728-1809), con quien Watt se asoció, estableciendo la compañía Boulton & Watt. Fue entonces cuando comenzó realmente la Revolución Industrial.
Durante cerca de dos décadas, las patentes de Watt monopolizaron la fabricación de máquinas de vapor, obstaculizando otras innovaciones, como las introducidas en 1781 por Jonathan Hornblower (1753-1815). En 1804, cuando expiró la patente de Boulton & Watt, Arthur Woolf (1766-1837) reintrodujo la máquina de dos cilindros de Hornblower con vapor a alta presión, con lo que se mejoraba el rendimiento de las máquinas de vapor, intensificándose de esta manera la Revolución Industrial en curso. Particularmente importante fue la utilización de máquinas de vapor para el transporte. Estamos refiriéndonos al ferrocarril, una máquina que transformaría el mundo.
Un nombre central en la historia del ferrocarril es el del inglés George Stephenson (1781-1848), quien construyó una locomotora —bautizada con el apropiado nombre de Locomotion— que alcanzaba una velocidad de casi 20 kilómetros por hora, con la que en 1825 comenzó a transportar el carbón extraído de la zona minera de Witton a Stockton, en el estuario del río Tees, a lo largo de un ramal con una única vía de 38,7 kilómetros de longitud. Cuatro años después construyó una nueva locomotora, conocida como The Rocket (El Cohete), que llegaba a los 40 kilómetros por hora; con ella se inauguró el 15 de septiembre de 1830 la primera línea de la historia que transportaba pasajeros: cubría el trayecto Liverpool-Manchester. Y pronto se superaron las modestas velocidades iniciales: en 1848, un ingeniero de la compañía británica Great West Railway construyó una locomotora, la Great Britain, que llegó a los 145 kilómetros por hora, circulando en un tramo de 85 kilómetros y remolcando un tren de 68 toneladas (a los 200 kilómetros por hora se llegó en 1936 con la locomotora 232 de la Deutsche Reichsbahn).
El punto que nos interesa resaltar es que estos desarrollos atrajeron la atención no solo de ingenieros, sino también de científicos, aunque de hecho esta distinción «ingeniero-científico» no siempre se puede aplicar —o no de la misma manera que lo hacemos ahora— en aquella época. La conversión del calor del fuego en movimiento proporcionaba una fuente aparentemente inagotable de energía, sin las limitaciones de los ingenios mecánicos que utilizaban la energía del viento y la corriente de los ríos, y era natural que no solo se intentase construir, mediante sagaces innovaciones técnicas, mejores máquinas, sino también comprender los principios que subyacían en los procesos físicos implicados.
§. La termodinámica
En este punto es obligado referirse a un francés que estudió en la prestigiosa y selecta École Polytechnique parisina (finalizó sus estudios allí en 1814, tras lo cual pasó dos años en la Escuela de Ingeniería y Artillería de Metz, entrando a continuación en el Real Cuerpo de Ingenieros): Sadi Carnot (1796-1832), hijo de Lazare Carnot (1753-1823), que ocupó varios e importantes cargos políticos a raíz de la Revolución Francesa (Sadi nació en el Palacio de Luxemburgo) y que también fue un científico prestigioso: entre sus obras se cuenta un texto influyente, Principles généraux de l’équilibre et du mouvement (Principios generales del equilibrio y del movimiento; 1803). Consciente de las consecuencias económicas y políticas de la industrialización —«Despojad a Inglaterra de sus maquinas de vapor y le habréis quitado al mismo tiempo la hulla y el hierro; la habréis privado de todas sus fuentes de riqueza; habréis acabado con una potencia colosal», es una frase utilizada en aquella época—, en 1819 Carnot se planteó el problema de optimizar el rendimiento de las «machines a feu». El lugar donde presentó sus ideas fue una pequeña memoria publicada en 1824 y titulada Réflexions sur la puissance motrice du feu et sur les machines propes à développer cette puissance (Reflexiones sobre la potencia motriz del fuego y sobre las máquinas adecuadas para desarrollar esta potencia). Sus primeras líneas explicaban con claridad el origen del interés de su autor:
Nadie ignora que el calor puede ser la causa del movimiento, que incluso posee una gran potencia motriz: las máquinas de vapor, hoy tan difundidas, son una prueba elocuente de ello que salta a la vista […] Al ofrecernos combustible en todas partes, la naturaleza nos ha dado la facultad de producir en cualquier momento y lugar el calor y la potencia motriz que es su consecuencia. El objeto de las máquinas de fuego es desarrollar esa potencia, adecuarla para nuestros usos.
El estudio de tales máquinas es de interés extraordinario, su importancia es inmensa, su empleo aumenta cada día. Parecen destinadas a producir una gran revolución en el mundo civilizado. Ya la máquina de fuego explota nuestras minas, hace moverse nuestros navíos, draga nuestros puertos y riberas, forja el hierro, tala los montes, muele el grano, hila y urde nuestros tejidos, transporta los fardos más pesados, etc. Parece que un día servirá de motor universal y tendrá preferencia sobre la fuerza de los animales, las caídas de agua y las corrientes de aire.
Ahora bien, continuaba Carnot:
A pesar de los trabajos de todo tipo emprendidos sobre las máquinas de fuego y a pesar del estado satisfactorio donde han llegado hoy día, su teoría ha avanzado muy poco y los intentos para perfeccionarlas están todavía dirigidos casi por el azar.
Frecuentemente se ha suscitado la cuestión de saber si la potencia motriz es limitada, o si no tiene límites; si los perfeccionamientos posibles de las máquinas de fuego tienen un término prefijado, que la misma naturaleza de las cosas impide sobrepasar por cualquier medio que sea, o si, por el contrario, esos perfeccionamientos son susceptibles de una extensión indefinida. Durante mucho tiempo también se ha intentado saber, e incluso se intenta saber hoy, si no existirían agentes preferibles al vapor de agua para desarrollar el vapor motriz del fuego; si el aire atmosférico, por ejemplo, no presentaría, respecto a esta cuestión, grandes ventajas. Nos proponemos someter aquí estas cuestiones a un examen ponderado.
El planteamiento de Carnot —y ahí reside la gran novedad que introdujo frente a las aportaciones tecnológicas precedentes— era de carácter general, «independiente de todo mecanismo, de todo agente particular», aplicable a «cualquier máquina de fuego imaginable», aunque en realidad él tomó como modelo para su máquina térmica un salto de agua («se puede comparar con bastante exactitud» escribía, «la potencia motriz del calor con la de una caída de agua; ambas tienen un máximo que no puede sobrepasarse»), algo consistente con el hecho de que subscribiese la teoría, sustancialista, de que el calor (calórico) era un tipo de sustancia «material». Como señalaremos más adelante, esta concepción del calor no era la más conveniente; de hecho, en 1822 un compatriota y contemporáneo de Carnot, —como diríamos hoy—, el físico-matemático Joseph Fourier (1768-1830) —también perteneciente a la escuela de la École Polytechnique—, había publicado un espléndido tratado, Théorie analytique de la chaleur (Teoría analítica del calor), en el que no se adjudicaba naturaleza alguna al calor: únicamente se estudiaba cómo se propagaba a través de un cuerpo sólido, utilizando para ello ecuaciones diferenciales. Es interesante detenerse un instante en algunos pasajes del «Discurso preliminar» con el que Fourier abría su libro, porque nos muestra con claridad uno de los caminos por los que transcurre la investigación científica en el ámbito teórico; un camino en el que se prescinde de intentar responder cuál es la naturaleza de los objetos que se estudian, limitándose a buscar regularidades matemáticas (leyes físicas) a las que obedecen. «Las causas primordiales no se conocen», comenzaba señalando Fourier, «pero están sometidas a leyes simples y constantes, que se pueden descubrir por medio de la observación y cuyo estudio es el objeto de la filosofía natural». Y continuaba:
El calor penetra, como la gravedad, todas las sustancias del universo, sus rayos ocupan todas las partes del espacio. El objeto de nuestra obra es exponer las leyes matemáticas que sigue este elemento. Esta teoría formará en lo sucesivo una de las ramas más importantes de la física general […]
Yo he deducido estas leyes después de un largo estudio y de la comparación atenta de los hechos conocidos hasta hoy. Los he observado todos de nuevo a lo largo de varios años, con instrumentos más precisos de los que hasta ahora se hayan usado.
Para fundamentar esta teoría, primero era necesario distinguir y definir con precisión las propiedades elementales que determinan la acción del calor. He constatado después que todos los elementos que dependen de esta acción se reducen a un pequeñísimo número de hechos generales y simples; y de aquí que toda cuestión física de este género lleve consigo una investigación de análisis matemático. He llegado a la conclusión de que para determinar numéricamente los movimientos más variados del calor basta someter cada sustancia a tres observaciones fundamentales. En efecto, no todos los cuerpos poseen en el mismo grado la facultad de contener el calor, de recibirlo o de transmitirlo a través de su superficie y de conducirlo en el interior de la masa. Estas son tres cualidades específicas que nuestra teoría distingue claramente y enseña a medirlas.
Para obtener las leyes de propagación del calor que presentó en la Théorie analytique de la chaleur, Fourier tuvo que desarrollar una serie de técnicas matemáticas, algunas de las cuales —como las famosas «series de Fourier»— mostrarían en el futuro su utilidad en dominios muy diversos, matemáticos al igual que físicos. Pero volvamos a Carnot.
En particular, Carnot concibió la potencia motriz, una novedad semántica conocida más adelante como trabajo, no como el consumo del calor, sino como la comunicación del cuerpo más caliente al que lo estaba menos: «La producción de la potencia motriz en la máquina de vapor se debe no a un consumo real del calórico, sino a su transporte de un cuerpo caliente a un cuerpo frío». Según este principio, «para producir potencia motriz, no basta con producir calor: además hay que procurarse frío». «Allí donde existe una diferencia de temperatura», proponía como uno de sus enunciados más generales, «puede haber producción de potencia motriz». Y recíprocamente: «Donde quiera que se puede consumir esta potencia, será posible producir una diferencia de temperatura, se podrá ocasionar una ruptura de equilibrio en el calórico».
Para desarrollar su argumentación, Carnot imaginó una máquina térmica ideal que se basaba en un proceso cíclico en el que únicamente aparecían la fuente térmica de la que la máquina extraía calor para operar y la fuente fría a la que se le suministraba el calor no aprovechable. Con tal fin imaginaba «un fluido elástico, el aire por ejemplo, encerrado en un vaso cilíndrico provisto de un diafragma móvil o émbolo», e introducía, asimismo, dos cuerpos, A y B, que se mantenían a temperatura constante, siendo la de A más elevada (T1) que la de B (T2). Mediante un ciclo de transformaciones isotérmicas (a temperatura constante) y adiabáticas (a presión constante) de la máquina, en las que el émbolo se expandía y contraía sucesivamente al poner el aire en contacto con A o B, llegaba a establecer la siguiente proposición general:
La potencia motriz del calor es independiente de los agentes que intervienen para realizarla; su cantidad se fija únicamente por la temperatura de los cuerpos en los que se hace, en definitiva, el transporte de calórico.
Dos puntos son importantes para entender la fecundidad de la memoria de Carnot. El primero es que su máquina de vapor ideal requería de un proceso reversible, algo irrealizable en la práctica. Era necesario introducir la noción de irreversibilidad, que conduciría al concepto de entropía, con el que se formularía el denominado «segundo principio de la termodinámica», que tuvo de esta manera en los enunciados de Carnot a uno de sus predecesores. Ligado con estas consideraciones es que la analogía con un salto de agua y la teoría del calórico que utilizaba llevaron a Carnot a la incorrecta conclusión de que durante el funcionamiento de una máquina de vapor no se perdía calor, o convertía en energía mecánica. Después de publicadas sus Réflexions, hacia 1830, Carnot consideró —en unas notas que dejó y que su familia donó en 1873 a la Académie des Sciences de París— la idea de que «el calor es el resultado del movimiento» y que se puede transformar en trabajo: «Allí donde hay destrucción de potencia motriz», escribió en aquel documento, «existe simultáneamente producción del calor». Es posible que tuviese la intención de desarrollar estas ideas, pero murió pronto, en 1832, víctima de una epidemia de cólera, y sus notas no fueron publicadas hasta 1878.
El segundo punto es que, al relacionar con claridad y generalidad potencia motriz (trabajo) y calórico (calor), Carnot estaba abriendo el camino al establecimiento de una física de los intercambios de calor; esto es, de una termodinámica. Aún así, las ideas de Carnot no encontraron apenas eco. En 1834, otro antiguo alumno de la École Polytechnique, Benoit-Pierre-Emile Clapeyron (1799-1864), profesor en la Escuela de Caminos y Puertos de París, resucitó el trabajo de Carnot en un artículo («Memoria sobre la potencia motriz del calor») que publicó en el Journal de l’École Polytechnique, en el que le daba una forma más matemática utilizando un gráfico, donde las abscisas representaban los volúmenes y las ordenadas las presiones, para expresar el proceso cíclico en el que se había basado Carnot. Pero el artículo de Clapeyron tampoco atrajo mucha atención, hasta que en 1845 lo descubrió William Thomson (1824-1907) —más conocido por el nombre que adoptó tras ser elevado a la nobleza por la reina Victoria, lord Kelvin— mientras estaba ampliando estudios en el laboratorio de Víctor Regnault en París, después de graduarse en Cambridge. Su lectura le condujo a Carnot (no le fue fácil encontrar un ejemplar de las Réflexions), una circunstancia que sería fundamental para las aportaciones que llevaría a cabo posteriormente y de las que nos ocuparemos en su momento.
Entre tanto, la atención de los científicos se centró sobre todo en la producción de calor a partir del movimiento (y el trabajo) mecánico y de otras fuentes (electricidad, química, fisiología). Dejando al margen por el momento a Benjamin Thomson, conde Rumford, tenemos que a lo largo de la primera mitad del siglo XIX se llevaron a cabo una serie de experimentos que sugirieron o demostraron a algunos científicos que existía una correlación entre diferentes fuerzas y que, de alguna manera, se podían intercambiar sin que disminuyese el montante de la fuerza total inicial. El que existía esa correlación, o interconexión, entre diferentes fuerzas lo sugerían hechos como el que al pasar una corriente eléctrica por un cable este se calentase, el que la pila de Volta fuese capaz de producir electricidad basándose como se basaba en reacciones químicas, la interrelación descubierta por Oersted (1820) y Faraday (1821, 1831) entre electricidad y magnetismo, o la producción de calor en reacciones químicas y en movimientos musculares.
Entre los ejemplos de la convicción creciente de esa interrelación entre las distintas fuerzas existentes en la naturaleza, encontramos las manifestaciones de Friedrich Mohr (1806-1879), un discípulo de Justus Liebig, que en un artículo que publicó en 1837 («Sobre la naturaleza del calor») sugería la existencia de una única fuerza: «Al lado de los 54 elementos conocidos», señalaba, «hay una única fuerza en el mundo físico, que se manifiesta, de acuerdo con las circunstancias, como movimiento, afinidad química, cohesión, electricidad, luz y magnetismo, que puede transformarse en cualquiera de las otras». Y en 1842, en una conferencia que pronunció en la London Institution, un abogado y físico inglés, William Robert Grove (1811-1896), defendió con energía la existencia de una «correlación de las fuerzas físicas», tema al que volvió con mayor extensión en sucesivas ocasiones (incluyendo un libro que tuvo una amplia difusión, The Correlation and Conservation of Forces, publicado en 1864, en el que, además de la suya, se incluían contribuciones de Robert Mayer, Hermann von Helmholtz, Michael Faraday, Justus von Liebig y William Benjamin Carperter, un eminente fisiólogo inglés).
Uno de los problemas al que se enfrentaron esos científicos fue distinguir el concepto de fuerza del de energía. Pero lo lograron y ello llevó a la formulación del denominado «primer principio de la termodinámica», el de la «conservación de la energía».
Cronológicamente, el primer científico al que debemos referirnos es al médico alemán Julius Robert Mayer (1814-1878). Durante un viaje que realizó a Java en 1840 como médico en un barco holandés, Mayer realizó una sangría (aún se pensaba que las sangrías constituían un procedimiento médico eficaz que, por ejemplo, ayudaba a soportar el calor) en una vena de un marino que tenía fiebre. Observó entonces que la sangre venosa del marino era más clara de lo normal, pareciéndose a la sangre arterial. Asoció entonces esta observación con una teoría que había enunciado Lavoisier: que los animales de sangre caliente mantenían su temperatura gracias a la combustión lenta de los alimentos, mediante oxígeno dentro del cuerpo, e interpretó lo que había visto en la sangre del marinero como debido a que la sangre venosa circulaba transportando mucho más oxígeno de lo normal, ya que el calor de los trópicos hacía que el cuerpo tuviese que quemar menos combustible, consumiendo en consecuencia menos oxígeno. Su conclusión fue que el calor, ya proviniese este del esfuerzo muscular, del calor del Sol o de cualquier otra fuente, y la energía eran intercambiables. En 1842, el año siguiente de su regreso a Alemania, Mayer publicó en la revista Annalen der Chimie und Pharmacies un breve artículo («Las fuerzas de la naturaleza inorgánica») en el que analizaba una serie de experimentos de los que se podía deducir «la metamorfosis de las fuerzas fundamentales» de la naturaleza: caída libre de los cuerpos, movimiento, calor, magnetismo, electricidad y transformaciones químicas. «Fuerzas son causas», leemos en su artículo. También: «La propiedad de todas las causas es su indestructibilidad», «Las fuerzas son objetos indestructibles, convertibles e imponderables» y «Una vez que existe, una fuerza no puede ser aniquilada, solo puede cambiar de forma».
Manifestaciones como las anteriores constituyen enunciados de la conservación de la fuerza/energía. Ahora bien, tales enunciados carecían de un soporte teórico detallado; se basaban, más que en una teoría, en convicciones filosóficas. Más concretamente, en la escuela filosófica denominada Naturphilosophie, cuya influencia estaba, sin embargo, decayendo por entonces en las universidades germanas.
No fue el anterior el único artículo que Mayer escribió sobre estas cuestiones (en 1845 publicó uno de 112 páginas sobre «El movimiento orgánico y la nutrición»; en 1848 otro sobre «Dinámica celeste», y el último en 1851, «Equivalente mecánico del calor»). De hecho, antes de que apareciese —en 1842, recordemos— el primer artículo de Mayer, un inglés, hijo del rico propietario de una fábrica de cerveza de Manchester, James Prescott Joule (1818-1889), había comenzado a dar a conocer sus trabajos con un artículo («Sobre el calor producido por conductores metálicos de electricidad, y las células de una batería durante la electrolisis») publicado en 1841 en Philosophical Magazine. Utilizando una de las habitaciones de su casa familiar, que transformó en laboratorio, Joule, que estudió primero con tutores privados y luego (1834-1837) bajo la dirección de John Dalton, se dedicó preferentemente a estudiar las transformaciones de diferentes fuerzas, en particular la del trabajo mecánico en calor. Su contribución más importante y conocida fue la demostración de que el trabajo se convierte en calor: para ello agitó el agua de un contenedor mediante una rueda con paletas, midiendo luego el aumento de temperatura del agua (no fue este, sin embargo, el único experimento que llevó a cabo). Dio a conocer sus resultados en un artículo («Sobre la existencia de una relación equivalente entre el calor y las formas ordinarias de poder mecánico») que apareció en 1845 en Philosophical Magazine. Enunció el «equivalente mecánico del calor» que calculó entonces (en 1847 refinó este resultado) de la manera siguiente: «Parece que por cada grado [Fahrenheit] de calor producido por la fricción del agua, se ha empleado un poder [trabajo] mecánico igual al que puede hacer subir un peso de 890 libras un pie» (expresado en julios por calorías, unidades que se establecieron más tarde, el valor actual del equivalente mecánico del calor es 4,19 julios/caloría). «No dudo de que cualquiera de los lectores», añadía, «que tenga la fortuna de residir entre el romántico paisaje de Gales y Escocia, podrá confirmar mis experimentos midiendo la temperatura del agua en la parte superior y en la inferior de una cascada».
Al principio, el resultado de Joule no atrajo apenas atención, pero dos años más tarde esta situación comenzó a cambiar. En 1847, expuso sus resultados en la reunión anual que la Asociación Británica para el Avance de la Ciencia celebró en Oxford. Entre la audiencia se encontraba un joven de 22 años de nombre William Thomson (Kelvin). «Nunca olvidaré», escribiría mucho más tarde Kelvin, «la reunión de la British Association de Oxford en 1847, cuando en una de las secciones escuché un artículo leído por un sencillo joven que parecía no darse cuenta de la gran idea que había desvelado. Al principio, creí que no podía ser cierto, porque era diferente de la teoría de Carnot, e inmediatamente después de que el autor, James Joule, hubiese terminado su presentación intercambié unas palabras con él, que constituyeron el comienzo de una amistad de más de cuarenta años». La contradicción que Kelvin identificaba con la teoría de Carnot residía en que en esta, como ya vimos, el calor, el calórico, se conservaba, mientras que Joule demostraba que el trabajo se convertía en calor. Obviamente, para poder decir que calor y trabajo eran completamente intercambiables, faltaba demostrar experimentalmente que el calor podía producir trabajo.
Inicialmente, Kelvin se preguntó si se produciría trabajo cuando el calor fluyese mediante una simple conducción de un cuerpo caliente a uno frío con el que se le pusiese en contacto. Pronto se encontró que el calor podía fluir sin producir trabajo, en lo que constituiría una máquina de eficiencia cero. Pero en 1850, un alemán sobre el que tendremos más que decir, Rudolf Clausius (1822-1888), publicó un importante artículo en el que señalaba que se podían reconciliar las ideas de Carnot y de Joule: para generar trabajo en una máquina, se necesitaba tanto transferencia de calor como transformación de calor (si el principio de conservación de la energía es válido, la energía no puede perderse al producir trabajo). La cantidad de trabajo que se produciría tendría su equivalente en la diferencia entre el calor recibido de la fuente y el emitido en el receptor (sumidero). Ahora sí que quedaba claro que calor y trabajo eran equivalentes y, por tanto, que la teoría del calórico como una sustancia imponderable (sin peso) constante no se podía mantener.
Que el calor no era una sustancia imponderable era una idea para la que ya existían precedentes, algunos no muy alejados del propio Clausius. Un nombre importante en este sentido es el de Benjamin Thomson, conde Rumford (1753-1814), al que ya aludimos de pasada. Rumford es un personaje particularmente interesante. Nació en Norteamérica, en Massachusetts, y tuvo que abrirse camino en la vida trabajando en diversos empleos, educándose al mismo tiempo. Al contraer matrimonio en 1772 con una mujer que poseía cierto patrimonio, pudo dedicarse a otras tareas, entre ellas las de la política en el convulso tiempo en el que se estaba fraguando la revolución que conduciría a la independencia de las colonias británicas en Norteamérica. Rumford optó por ser leal al régimen establecido, lo que le llevó en 1776, tras una serie de peripecias en las que no podemos entrar, a Londres. Allí trabajó para lord George Germain, ministro de Asuntos Coloniales, convirtiéndose en 1780 en viceministro para el Departamento del Norte. Por entonces, ya dedicaba parte de su tiempo a trabajos de índole científico-tecnológica, que le abrieron las puertas de la Royal Society, en la que entró como miembro (fellow) en 1779. Tras emprender una serie de aventuras militares bajo la bandera británica, Rumford decidió probar suerte en el continente europeo, consiguiendo en 1785 que el elector de Baviera le ofreciera un puesto de ayudante en Múnich. Allí pasó once años, ayudando a reorganizar el ejército y estableciendo casas para los pobres, además de realizar experimentos en campos muy diversos, que incluyeron, por ejemplo, el diseño de oficinas económicas y de lámparas. Por sus logros, en 1791 fue nombrado conde del Sacro Imperio Romano, con el título de Reichsgraf von Rumford (por la villa Rumford de New Hampshire, donde se había casado); esto es, conde Rumford.
De sus trabajos, los que nos interesan aquí son los que llevó a cabo sobre el calor y el movimiento. Ya a finales de la década de 1770, cuando vivía en Inglaterra, Rumford realizó experimentos con cañones que le hicieron dudar de que el calórico fuese una sustancia que podía pasar de un cuerpo a otro. No fue, sin embargo, hasta veinte años más tarde cuando llevó a cabo experimentos más concluyentes. Construyó un cilindro de bronce que pudiera ajustarse a un taladro de acero, al que se hacía girar mediante una máquina taladradora impulsada por caballos. A continuación situaba cilindro y taladro dentro de una caja de madera llena de agua a una temperatura de 18 ºC y cerrada herméticamente. Entonces ponía en funcionamiento el taladro, cuya broca (que giraba 32 vueltas por minuto) comenzaba a horadar el cilindro. Al poco tiempo, Rumford observó que el cilindro y el agua se calentaban. «Al cabo de una hora encontré», señaló en el artículo que publicó en 1798 detallando sus resultados, «introduciendo un termómetro en el agua, que su temperatura había aumentado no menos de 9 ºC, y al cabo de dos horas y veinte minutos era de 94 ºC, y a las dos horas y media ¡el agua hervía!».
Tras repetir el experimento una y otra vez (vaciando el agua caliente y sustituyéndola por agua fría), llegó a la conclusión que, al menos aparentemente, el calor generado mediante la fricción entre broca y cilindro (o, extrapolando, entre cualquier pareja de cuerpos) era inagotable. Pero si era así, entonces era difícil pensar que el calor/calórico era una sustancia. En su lugar, él pensó que el calor no era otra cosa que movimiento: «Me parece extremadamente difícil, si no imposible», escribió, «hacerme una idea clara de alguna cosa que pueda ser provocada y transmitida del modo en que el Calor es provocado y transmitido en estos experimentos, salvo que esa cosa sea el MOVIMIENTO».
Es imposible no recordar estas ideas de Rumford cuando se lee el título de uno de los artículos fundadores de la teoría cinética del calor, uno que publicó en 1857 Clausius (volverá a aparecer más adelante): «La naturaleza del movimiento que llamamos calor». Pero por entonces habían transcurrido casi sesenta años desde que Rumford diera a conocer sus conclusiones, lo que significa que estas no fueron tenidas demasiado en cuenta, aunque tampoco ignoradas completamente, en unas décadas en las que el calor constituyó uno de los temas de estudio principales en la física.
Antes de abandonar a Rumford y continuar con la secuencia expositiva que hemos seleccionado para reconstruir la historia del primer y segundo principios de la termodinámica, y como mera curiosidad, mencionaremos que la agitada y nómada vida que llevó Rumford le unió en cierta manera con otro de los grandes nombres de la ciencia del calor, Lavoisier. En París conoció a la viuda de Lavoisier. Y se enamoraron. De hecho, en la primavera de 1804 ambos se instalaron en una casa de París y decidieron casarse, circunstancia que se cumplió el 24 de octubre de 1805 (el retraso se debió a que Rumford tardó en recibir de América los documentos que acreditaban que estaba viudo). La historia, sin embargo, no terminó bien, puesto que se separaron dos años después, al comprobar que sus gustos eran incompatibles.
Habíamos mencionado con anterioridad que en 1850 Clausius publicó un artículo relacionando las ideas de Carnot y Joule, señalando que volveríamos a este trabajo más adelante. Pero todavía no hemos llegado a ese punto.
Dos años antes, esto es, en 1848, de que apareciese el artículo de Clausius citado anteriormente, Kelvin publicó otro («Sobre una escala de temperatura absoluta basada en la teoría de Carnot de la potencia motriz del calor, calculada a partir de observaciones de Regnault») en el que introdujo una nueva escala de temperaturas. Dándose cuenta de que todos los termómetros utilizaban una escala que dependía de las propiedades de una sustancia (el coeficiente de expansión del mercurio, la dependencia de la temperatura de la resistencia de un metal, etc.), propuso que se podía utilizar la teoría de Carnot de 1824 para evitar esta dificultad. Entendiendo que esa teoría relacionaba la cantidad de calor mecánico producida cuando una cantidad dada de calor que pasa de un cuerpo caliente a uno frío depende únicamente de la diferencia de temperatura de ambos cuerpos, escribía:
La propiedad característica de la escala que propongo ahora es que todos los grados tienen el mismo valor; esto es, que una unidad de calor que pase de un cuerpo A que se encuentre a la temperatura T° de esta escala, a un cuerpo B con temperatura (T–1)° producirá el mismo efecto mecánico, cualquiera que sea el número T. Esto puede justificar el que se la denomine escala absoluta, puesto que su característica es independiente de las propiedades físicas de cualquier sustancia específica.
Como hemos visto, la teoría de Carnot no resultó ser completamente correcta (el calórico se podía transformar en trabajo). Esto obligó a Kelvin a introducir algunas correcciones a su artículo de 1848, pero lo pudo hacer sin variar sustancialmente la idea básica que le permitía hablar de una «escala absoluta de temperatura», en la que los grados se denominan «kelvin» (K). En la actualidad, la relación entre las escalas de temperatura centígrada/Celsius (ºC) y absoluta (°K) es la siguiente (los intervalos entre temperaturas tienen el mismo valor):
T(ºC) = T(°K) – 273,15.
Y para las tres escalas que hemos introducido:
| Fusión | Ebullición | |
| Kelvin | 273,15 | 373,15 |
| Celsius | 0 | 100 |
| Fahrenheit | 32 | 212 |
Pero antes de continuar por este camino, el que desbrozaron Kelvin y Clausius, debemos completar nuestra discusión del primer principio de la termodinámica, el de la conservación de la energía. Como acabamos de ver, la formulación de Mayer tenía sus limitaciones, y la de otros (Mohr, Grove) era poco precisa: se basaban en la creencia en la unificación de las fuerzas apoyada en resultados extraídos de la física. La formulación más general, inmersa en un contexto teórico-matemático, la suministró un médico alemán: Herman von Helmholtz (1821-1894).
En 1838, Helmholtz se trasladó a Berlín para iniciar sus estudios médicos en el Königliches medizimisch-chirurgische Friedrich-Wilhelms-Institut (Instituto Real Federico Guillermo Médico-Quirúrgico), una escuela de medicina destinada a formar médicos militares. El que eligiese esta escuela se debía a que su familia no poseía medios suficientes, y en el Friedrich-Wilhelm Institut los estudiantes no tenían que pagar (de hecho, recibían un estipendio), a cambio de dedicar los ocho años siguientes a su graduación al servicio del ejército prusiano.
Una vez finalizados sus estudios, en octubre de 1843, Helmholtz fue nombrado oficial médico y destinado al hospital militar de Potsdam. Allí permaneció cinco años. Como sus obligaciones médicas no eran excesivas, pudo compatibilizarlas con la investigación, estableciendo un pequeño laboratorio en un barracón, en el que se dedicó a estudiar la producción de calor durante la contracción muscular, dándose cuenta de que la explicación del calor animal en función de transformaciones químicas en los músculos encajaba perfectamente con los propósitos de una física que no fuese ajena a los fenómenos orgánicos. Demostró entonces que el calor no era transportado a los músculos a través de los nervios o de la sangre, sino que era producido por los propios tejidos. Cuantificando sus observaciones fisiológicas, dedujo un equivalente mecánico del calor (como antes había hecho Joule), que incorporó a su memoria de 1847, Über die Erhaltung der Kraft (Sobre la conservación de la fuerza), en la que no se limitaba al dominio biomédico, considerando también las transformaciones entre todo tipo de fenómenos, fisicoquímicos (producción, por ejemplo, de trabajo a partir de la electricidad, o de electricidad mediante reacciones químicas) al igual que orgánicos, a la vez que mostraba cómo encajaba el principio en la mecánica newtoniana. En esta amplitud de ámbitos estudiados, y en el conocimiento de la formulación matemática de la mecánica newtoniana, radicó la originalidad de Helmholtz y la generalidad de su tratado. (Otro de los resultados obtenidos por Helmholtz en este campo es que se debe distinguir entre la parte de la energía que aparece solo como calor y la parte que se puede convertir en otros tipos de trabajo; esto es, una «energía libre», y que la condición para la estabilidad química no está determinada por la producción de calor, sino por la disminución de la energía libre, F; esto es: ∆F ≥ 0).
Es importante señalar que estos intereses de Helmholtz se insertan también en un movimiento de reacción contra el vitalismo (la creencia de que la vida no se podía reducir a procesos físico-químicos) que tuvo lugar a partir de comienzos del siglo XIX, especialmente entre fisiólogos como Johannes Müller, Emil du Bois-Reymond, Ernst Brücke y Carl Ludwig. En este punto es oportuno recordar lo que Helmholtz manifestó en un esbozo autobiográfico que presentó durante un discurso que pronunció en 1891:
En mis estudios me encontré inmediatamente bajo la influencia de un gran maestro, el fisiólogo Johannes Müller, que también introdujo en aquella época a du Bois-Reymond, Brücke, Ludwig y Virchow al estudio de la anatomía y fisiología. Con respecto a la cuestión crucial de la naturaleza de la vida, Müller todavía se debatía entre el antiguo punto de vista, esencialmente metafísico, y el nuevo enfoque científico que estaba siendo desarrollado entonces. Sin embargo, la convicción de que nada podría reemplazar al conocimiento de los hechos se le fue imponiendo con creciente certidumbre, y puede que la influencia que ejerció sobre sus estudiantes fuera aún mayor debido a que todavía se debatiese de esta manera.
La gente joven estaba deseosa de atacar inmediatamente los problemas más profundos, y yo pasé a ocuparme de la enmarañada cuestión de la naturaleza de la fuerza vital. En aquella época la mayoría de los fisiólogos habían adoptado la solución de G. E. Stahl; es decir, que a pesar de ser las fuerzas físicas y químicas de los órganos y sustancias del cuerpo vivo las que actúan sobre él, existe también dentro de él un alma, o fuerza vital, que controla las actividades de estas fuerzas. Después de la muerte, la libre acción de estas fuerzas físicas y químicas produce la descomposición, pero durante la vida su acción está constantemente regulada por el alma vital. Yo tenía la sensación de que en esta explicación existía algo contrario a la naturaleza; me costó mucho esfuerzo, sin embargo, expresar mis dudas en forma de una pregunta definida. Finalmente, durante el último año de mi carrera como estudiante me di cuenta de que la teoría de Stahl trataba a todo cuerpo viviente como si fuera un perpetuum mobile. Yo estaba bastante bien informado de las controversias relativas al tema del movimiento perpetuo, y había oído discutirlo a mi padre y a nuestros maestros de matemáticas durante mis días escolares. Además, mientras fui un estudiante en el Instituto Friedrich-Wilhelm ayudé en la biblioteca, y en mis ratos libres examiné los trabajos de Daniel Bernoulli, d’Alembert, y otros matemáticos del pasado siglo. De esta manera llegué a las preguntas: ¿Qué relaciones deben existir entre las diversas fuerzas naturales para que sea posible el movimiento perpetuo?, y ¿existen de hecho tales relaciones? En mi memoria «La conservación de la fuerza» mi intención era simplemente suministrar un examen crítico de estas cuestiones y presentar los hechos para beneficio de los fisiólogos.
Estaba bastante preparado para oír a los expertos decir simplemente: «Sabemos todo eso. ¿Qué es lo que está pensando este joven doctor que se considera llamado a explicarnos todo de manera tan completa?». Sin embargo, para mi sorpresa las autoridades de física con las que entré en contacto lo recibieron de forma muy diferente. Se inclinaban a negar la corrección de la ley y, a causa de la calurosa pelea en la que estaban inmersos contra la filosofía de Hegel, trataban mi ensayo como una pieza fantástica de especulación. Solamente el matemático Jacobi reconoció la relación de mi línea de pensamiento con la de los matemáticos del siglo precedente, defendió mis investigaciones y me protegió de malas interpretaciones. Me encontré también con el aplauso entusiasta y ayuda práctica de mis jóvenes amigos, especialmente de Emil du Bois-Reymond. Pronto pusieron de mi lado a los miembros de la más reciente asociación física de Berlín. Por entonces sabía poco de las investigaciones de Joule en el tema y nada en absoluto de las de Robert Mayer.
Estaban relacionadas con este estudio pequeñas investigaciones experimentales sobre putrefacción y fermentación, con las que pude suministrar evidencia de que, contrariamente a las hipótesis de Liebig, no eran simplemente descomposiciones químicas, que ocurrían espontáneamente o con ayuda del oxígeno atmosférico. Específicamente demostré que la fermentación alcohólica está ligada a la presencia de esporas de levadura, que se producen solamente por reproducción. Estaba, además, mi trabajo sobre el metabolismo durante la actividad muscular, que después fue relacionado con investigaciones sobre el desarrollo de calor durante la actividad muscular, un fenómeno que debía esperarse ocurriera de acuerdo con la ley de la conservación de la fuerza.
Su memoria sobre la conservación de la energía (porque aunque utilizase el nombre de «fuerza», «kraft», se refería a la energía) ayudó a Helmholtz, de la mano del influyente geógrafo y naturalista Alexander von Humboldt, a obtener permiso para abandonar (en 1848) el ejército y aceptar la oferta de enseñar anatomía en la Academia de Bellas Artes de Berlín. Allí estuvo únicamente un año, pasando a continuación a Königsberg como profesor asociado (catedrático desde 1851) de Fisiología, donde permaneció seis años, durante los cuales continuó sus investigaciones en fisiología de los nervios (midiendo, por ejemplo, la velocidad de los impulsos nerviosos), entrando, asimismo, en la óptica y acústica fisiológica, áreas en las que siguió interesándose los siguientes veinte años. Preparando una de sus clases, se dio cuenta de que las sencillas leyes de la óptica geométrica le permitían construir un instrumento de gran importancia potencial para la comunidad médica: el oftalmoscopio, descubrimiento al que nos referiremos en el capítulo 16. En 1855, aceptó una cátedra de Anatomía y Fisiología en la Universidad de Bonn, y en 1858 una de Fisiología en Heidelberg. Finalmente, en 1871 se reconocían públicamente las contribuciones que había realizado a la física, con una cátedra de Física en la Universidad de Berlín. Y en 1888 fue nombrado presidente del recién creado Physikalisch-Technische Reichsanstal, el Instituto Imperial de Física Técnica, del que nos ocuparemos en el capítulo 16. Con ello quedaba demostrada explícita e institucionalmente la fecundidad de las relaciones entre la medicina y las ciencias físico-químicas y matemáticas.
A pesar de su importancia, el principio de la conservación de la energía no arrojaba luz sobre la cuestión que ya tratamos de la relación entre el calor (y quien dice «calor» puede decir también «energía») y la producción de trabajo. Para ello había que continuar por la senda abierta por Carnot.
Ya vimos cómo el problema atrajo la atención de Kelvin en 1845, pero aunque realizó algunas aportaciones a cuestiones relacionadas con la memoria de Carnot (como la ligada a la escala absoluta de temperaturas), no fue él quien tomó la iniciativa en la formulación definitiva del segundo principio de la termodinámica, con el fundamental concepto asociado de entropía, sino Rudolf Clausius.
Graduado de la Universidad de Berlín, donde estudió física y matemáticas teniendo como profesores, entre otros, a Gustav Magnus, Johann Dirichlet y Jakob Steiner, Clausius, que ocupó cátedras de Física en la Escuela Politécnica Federal de Zúrich (1855-1867), Würzburgo (1867-1869) y, hasta su jubilación, Bonn, forma junto a Kelvin la gran pareja de padres del segundo principio de la termodinámica.
Ya mencionamos que en un artículo que publicó en 1850, titulado «Sobre la fuerza motriz del calor, y las leyes relativas a la naturaleza del calor que se deducen de esa naturaleza», Clausius dio los pasos necesarios para introducir el segundo principio de la termodinámica, sosteniendo que para generar trabajo en una máquina se necesitaba tanto transferencia de calor como transformación de calor. Más tarde, en 1855, introdujo la distinción entre el trabajo interno de las partículas y el trabajo exterior: una parte del calor producido se consume en aumentar su temperatura, otra en acrecentar el trabajo interior, la velocidad de las partículas, y otra el exterior, o trabajo útil, que denominó «equivalente mecánico del calor».
Prácticamente al mismo tiempo que Clausius introducía en 1850 las ideas que acabamos de mencionar, en 1851 Kelvin publicaba ideas similares en un trabajo titulado «Sobre la teoría dinámica del calor, con resultados numéricos deducidos del equivalente de la unidad térmica de Mr. Joule y de las observaciones sobre el vapor de M. Regnault». «El mérito», señalaba Kelvin, «de establecer en primer lugar, sobre principios correctos, la proposición “Es imposible, mediante un agente material inanimado, obtener un efecto mecánico a partir de una porción arbitraria de materia enfriada por debajo de la temperatura de los objetos más fríos de los alrededores”, se debe enteramente a Clausius, quien publicó su demostración en el mes de mayo del año pasado, en la segunda parte de su artículo sobre la potencia motriz del calor». Y continuaba: «Permítaseme añadir que yo he dado la demostración tal y como se me ocurrió antes de saber que Clausius la había enunciado. El axioma sobre el que se funda la proposición de Clausius es el siguiente: No es posible para una máquina autopropulsada transmitir calor de un cuerpo a otro con una temperatura más elevada, sin ayuda de un agente exterior».
La proposición «Es imposible, mediante un agente material inanimado, obtener un efecto mecánico a partir de una porción arbitraria de materia enfriada por debajo de la temperatura de los objetos más fríos de los alrededores» constituye una base indispensable sobre la que se asienta el segundo principio de la termodinámica, pero no lo agota. Hacía falta introducir un nuevo, y revolucionario, concepto, que representa uno de los grandes pilares de cualquier visión del mundo: el concepto de entropía.
También en este punto los protagonistas de la historia fueron Kelvin y Clausius. En 1852, Kelvin publicaba (en Philosophical Magazine, como la mayoría de sus trabajos sobre este tema) un breve artículo de apenas tres páginas titulado «Sobre la tendencia universal en la naturaleza a disipar la energía mecánica», cuyos últimos pasajes, con profundas implicaciones —y expresados con una rotundidad que hacía muy difícil que fuesen pasados por alto—, citamos a continuación:
- En la actualidad existe una tendencia universal en el mundo material a disipar la energía mecánica.
- Es imposible cualquier restauración de energía mecánica en los procesos materiales inanimados, sin más que un equivalente de disipación y, probablemente, no se podrá realizar nunca por medio de materia organizada, ya esté ésta provista de vida vegetal o sujeta a la voluntad de una criatura animada.
- En un período finito de tiempo del pasado, y dentro de un período de tiempo finito en el futuro, la Tierra debe haber sido y será incapaz de que viviesen o vivan en ella los hombres, tal y como estos están constituidos ahora, salvo que hayan tenido o tengan lugar operaciones que son imposibles bajo las leyes a que obedecen los procesos que sabemos tienen lugar en la actualidad en el mundo material.
Aunque podemos adivinar lo que Kelvin quería decir, la formulación más transparente llegó cuando Clausius presentó el segundo principio en un artículo publicado en 1862 («Sobre la aplicación del teorema de la equivalencia de transformaciones al trabajo interno de una masa de materia»). Se lee en él:
Sea dQ el elemento de calor cedido por un cuerpo a cualquier depósito de calor durante sus modificaciones (el calor que puede ser absorbido del depósito se considera como negativo), y T la temperatura absoluta del cuerpo en el momento de ceder este calor, entonces la ecuación

debe ser cierta para todo proceso circular reversible, y la relación

se debe verificar para cualquier proceso circular que sea posible.
En 1862, Clausius aún no empleaba símbolo alguno, ni término específico para ∫dQ/T. Fue en un artículo de 1867, titulado «Sobre las distintas formas de las ecuaciones fundamentales de la teoría mecánica del calor y su conveniencia en las aplicaciones», en donde introduciría el nombre «entropía». Escribía allí:
Buscamos ahora un nombre apropiado para S [el símbolo que utilizaba para dQ/T]. Al igual que hemos denominado a U el contenido de trabajo del cuerpo, llamaremos a S el contenido de transformación del cuerpo. Sin embargo, he creído más conveniente tomar los nombres de las magnitudes científicas importantes de las lenguas antiguas para que de esta manera aparezcan sin cambios en todos los idiomas contemporáneos. En consecuencia, propongo que llamemos a S la entropía del cuerpo, según la palabra griega «η τρoπη», que significa «transformación». De forma intencionada, he formado la palabra entropía para que sea lo más parecida posible a la palabra energía, puesto que las dos magnitudes que vienen dadas por estos nombres están tan estrechamente relacionadas en sus significados físicos que parecía apropiada una cierta similitud en sus nombres.
En este trabajo también se mencionaba explícitamente una de las propiedades que la entropía tenía para Clausius: «La segunda ley en la forma que la he asignado dice que todas las transformaciones que tienen lugar en la naturaleza se desarrollan en una cierta dirección, que he denominado el sentido positivo […] Pueden tener lugar en el sentido opuesto, esto es, el negativo, pero solamente cuando sean compensados al mismo tiempo por transformaciones positivas». De esta manera, se explicaba el comportamiento de tantos y tantos fenómenos físicos, en los que se comprobaba con claridad que unos eran posibles y otros no: un vaso se rompía en mil pedazos, pero mil pedazos no recomponían un vaso, el calor terminaba distribuyéndose de manera uniforme entre dos recipientes comunicados, uno de los cuales estaba inicialmente más caliente que el otro, mientras que el proceso inverso —calor que se concentraba en una región de un recipiente, dejando fría otra parte— no tenía lugar. Procesos estos que la mecánica de Newton sí permite, puesto que las ecuaciones newtonianas mantienen su forma cambiando t por –t (invariancia mediante inversión temporal).
La entropía, en suma, es la única magnitud que apunta en una determinada dirección del tiempo, una idea que se expresa como la flecha del tiempo. A medida que avanzamos en el tiempo, la segunda ley hace que la entropía de un sistema aislado aumente o se mantenga estable. (El equilibrio es el estado termodinámico que se alcanza cuando dos sistemas que entran en contacto nivelan sus propiedades macroscópicas. Un sistema cálido traslada calor a otro frío hasta que las temperaturas se igualan. Un sistema aislado se encuentra en equilibrio cuando no se dan cambios en las propiedades macroscópicas como la temperatura, el volumen o la presión. Cuando un sistema alcanza el estado de equilibrio tiende a mantenerse en él indefinidamente y solo cambia cuando una acción exterior modifica alguna de las propiedades macroscópicas).
§. Teoría cinética de los gases y física estadística
Tal y como se desarrollaron inicialmente, los dos principios de la termodinámica no dependen de lo que sea el calor, de su naturaleza. En este sentido, la termodinámica es lo que se denomina una teoría fenomenológica o de principios, que no depende de modelos. Esta situación terminaría cambiando, especialmente en lo que se refiere al segundo principio, con la introducción de la teoría cinética de los gases y, en general, de la física estadística.
Ya mencionamos al comienzo del presente capítulo que la idea de que el calor no era sino la manifestación del movimiento de las «unidades» indivisibles e invisibles que se suponía componían los cuerpos posee una larga historia, la historia del atomismo y de la filosofía mecanicista, una filosofía que se ajustaba muy bien a la nueva mecánica introducida por Newton en los Principia. Pero fue el estudio de los gases el área de la física que más ayudó a desarrollar esa línea de pensamiento, como vimos en el capítulo 8 cuando comentamos trabajos de van Helmont, Proust, Gay-Lussac, Mariotte, Dumas, Dalton y Avogadro, a los que podríamos ahora añadir otros de Descartes y de Daniel Bernoulli, que también favorecían un tipo de atomismo (Bernoulli fue el primero en ofrecer una explicación de la acción de las partículas de un gas en su Hydrodynamica [1738]: imaginó un tubo lleno de un gas ideal formado por un gran número de corpúsculos que se movían rápidamente y chocaban con las paredes; la suma de todos estos choques producía una presión que equilibraba la exterior de la atmósfera).
En base a las aportaciones de científicos como estos, se estableció a lo largo de la segunda mitad del siglo XIX un conjunto de postulados que constituyen la denominada teoría cinética de los gases. Son los siguientes:
—El volumen que ocupan las partículas es insignificante comparado con el del recipiente.
—Todas las partículas de un gas son idénticas.
—Las moléculas se mueven a gran velocidad y en línea recta.
—Las colisiones son elásticas.
—La temperatura es la medida de la energía de las partículas.
—La presión del gas se debe a la colisión de las partículas.
—De alcanzar el cero absoluto de temperatura, cesaría el movimiento.
Importante es, asimismo, resaltar que esta teoría se construyó a partir de la concepción de gas ideal, definido como aquel en el que las colisiones entre átomos o moléculas (no hay ningún otro tipo de interacción entre esas unidades) son perfectamente elásticas: recuperan su forma anterior después del choque. El propósito de la física (o, simplemente, de la mecánica) estadística es la descripción de propiedades macroscópicas de sistemas formados por un número muy grande de átomos (o moléculas). Objetivos preferentes de la mecánica estadística incluyen: (1) encontrar expresiones para magnitudes macroscópicas tales como presión, temperatura, energía interna o entropía en términos de propiedades microscópicas, del tipo de la masa, la velocidad molecular y la energía potencial; (2) deducir ecuaciones de estado (que relacionan entre sí las variables que caracterizan a un sistema) para materiales específicos; y (3) determinar magnitudes termodinámicas que se miden experimentalmente en función de constantes microscópicas fundamentales.
La teoría cinética de los gases revivió con la decadencia de la teoría del calórico. No es extraño, por consiguiente, que fuese Rudolf Clausius el primero que fue mucho más allá de viejas versiones, como la que Bernoulli había incluido en su Hydrodynamica de 1738, aunque hay que recordar que se vio influido por un artículo —no demasiado original ni novedoso, cierto es— que publicó en 1856 el químico alemán Karl Krönig (1822-1879) en el que sostenía que las moléculas de un gas no oscilaban alrededor de posiciones de equilibrio, sino que se movían en línea recta con velocidad constante chocando con otras moléculas: «Se supone generalmente», señaló Maxwell —que enseguida volverá a aparecernos— en un artículo dedicado a las «Moléculas» que publicó en 1873 en Nature y en Philosophical Magazine, «que el desarrollo posterior de la teoría comenzó con un artículo de Krönig, que, sin embargo, por lo que puedo observar, no contiene ningún avance con relación a lo que se sabía con anterioridad». Dos son los artículos de Clausius que sobresalen, ambos publicados —como el de Krönig— en Annalen der Physik: el primero se titulaba «La naturaleza del movimiento que llamamos calor», y se publicó en 1857, y el segundo, «Sobre el recorrido medio de las trayectorias descritas por las moléculas que forman cuerpos gaseosos» (1858).
En ellos, especialmente en el segundo, Clausius introdujo un concepto completamente nuevo y extremadamente original: el «recorrido medio» de la molécula de un gas, algo que abría el camino a la determinación estadística de movimientos de grandes números de cuerpos que colisionan entre sí. Y sobre esa base construyó otro de los grandes físicos del XIX: James Clerk Maxwell (1831-1879).
Que Maxwell —de quien diremos más en el capítulo 11— se inspiró en los trabajos de Clausius es algo de lo que no hay duda. Pero antes de entrar en este punto, veamos qué entendía él por física estadística. Nos serviremos para ello de un artículo que publicó en 1875, apenas cuatro años antes de su muerte; «Sobre la evidencia dinámica de la constitución molecular de los cuerpos» es su título. Justo al inicio de su escrito, Maxwell se refería a la base sobre la que se edificaba la física estadística, defendiendo el punto de vista atómico:
De todas las hipótesis sobre la constitución de los cuerpos, la seguramente más justificable es la que solo supone que son sistemas materiales y propone deducir de los fenómenos observados tanta información acerca de las condiciones y conexiones del sistema material como estos fenómenos puedan legítimamente proporcionar.
Al estudiar la constitución de los cuerpos nos vemos forzados desde el principio a tratar con partículas que no podemos observar. Ya que cualesquiera que sean nuestras conclusiones últimas sobre las moléculas y átomos, disponemos de evidencia experimental de que los cuerpos se pueden dividir en partes tan pequeñas que no las podemos observar.
Por consiguiente, si somos cuidadosos y recordamos que la palabra partícula significa una parte pequeña de un cuerpo, y que no implica ninguna hipótesis relativa a la divisibilidad última de la materia, podemos considerar a un cuerpo como formado por partículas, y también podemos afirmar que en cuerpos o partes de cuerpos de dimensiones mesurables, el número de partículas es de hecho muy grande.
Y en este punto pasaba a introducir las consideraciones estadísticas:
Lo siguiente que se necesita es un método dinámico para estudiar un sistema material formado por un inmenso número de partículas, hacerse una idea de sus configuraciones y movimientos y de las fuerzas que actúan sobre las partículas, y deducir de la teoría dinámica aquellos fenómenos que, al depender de las configuraciones y movimientos de las invisibles partículas, son capaces de ser observados en partes visibles del sistema.
Los principios dinámicos necesarios para este estudio fueron desarrollados por los padres de la dinámica, desde Galileo y Newton hasta Lagrange y Laplace; pero la adaptación específica de estos principios a los estudios moleculares ha sido en gran medida el trabajo del Prof. Clausius de Bonn, que recientemente nos ha sometido a obligaciones aún más graves, al darnos, además de los resultados de sus elaborados cálculos, una nueva idea dinámica, con cuya ayuda espero que seremos capaces de establecer varias conclusiones importantes sin demasiados cálculos simbólicos.
Vemos que Maxwell se refería aquí a Clausius, en concreto a la traducción al inglés de su artículo de 1858, que apareció en Philosophical Magazine en 1859, como señalaba en una carta que Maxwell escribió el 30 de mayo de 1859 a George Gabriel Stokes, Lucasian professor en Cambridge. «Querido Stokes», se lee en ella, «He visto en el Philosophical Magazine de Febrero/59, un artículo de Clausius sobre el “recorrido medio de la trayectoria de una partícula de aire o gas entre colisiones sucesivas”, bajo la hipótesis de que la elasticidad del gas se debe a que la velocidad de sus partículas y sus trayectorias son rectilíneas excepto cuando se acercan mucho entre sí, suceso que puede ser denominado una colisión».
Más adelante, en esa misma carta, Maxwell se refería a sus propias aportaciones: «Como no sabemos nada ni de s [el radio de la esfera de acción de una partícula], ni de N [el número de partículas], pensé que merecía la pena examinar la hipótesis de partículas libres que actúan por impacto y compararla con fenómenos que parecen depender de este “recorrido medio”. He comenzado, por consiguiente, por el principio y diseñado una teoría de los movimientos y colisiones de partículas libres que actúan solamente por impacto, aplicándola a la fricción interna de gases, y conducción de calor a través de un gas (sin radiación)». Y a continuación resumía los resultados a que había llegado. En apenas cuatro meses desde la publicación de la traducción del artículo de Clausius, Maxwell había elaborado una teoría que no solo englobaba todas las propiedades de los gases descritas hasta entonces, sino que también incluía los coeficientes de transporte, proporcionando además un poderoso método estadístico para describir el estado de un gas.
Tal teoría se encuentra en un artículo publicado en 1860 en el Philosophical Magazine: «Ilustraciones de la teoría dinámica de los gases», uno de los clásicos de la física estadística.
Clausius había basado su trabajo en la suposición de que todas las moléculas del gas tenían la misma velocidad, pero era evidente que esto no podía ser cierto. Una de las aportaciones más importantes —seguramente la más importante— de Maxwell en su artículo de 1860 fue la obtención de una fórmula estadística para la distribución de velocidades en un gas a presión uniforme. En concreto, en la «Proposición IV» obtenía la expresión que da el número medio de partículas cuyas velocidades se encuentran entre límites dados, (v y v + dv), después de un gran número de colisiones entre un número igualmente elevado de partículas idénticas:
dNv = (4N/α3π1/2)·v2·exp(–v2/α2)·dv,
donde α es una magnitud con las dimensiones de una velocidad.
Esta es una de las expresiones de su famosa «función de distribución», con la que, de hecho, comenzó una nueva era de la física; una expresión que tenía, además, una forma familiar: «Parece», escribió Maxwell, «de esta proposición que las velocidades están distribuidas entre las partículas de acuerdo con la misma ley con que se distribuyen los errores entre las observaciones en la teoría del “método de los mínimos cuadrados”. Las velocidades varían entre 0 e ∞, pero el número de las que tienen velocidades grandes es comparativamente pequeño».
Ayudado por el tipo de análisis introducido por Clausius y Maxwell, en 1865 Josef Loschmidt (1821-1895) realizó la primera estimación del diámetro de una molécula, adelantándose a un miembro de la Royal Society y secretario de la Queen’s University de Irlanda, George Stoney (que nos volverá a aparecer en el capítulo 20), y a Kelvin, quienes hicieron otro tanto de manera independiente en, respectivamente, 1868 y 1870. Con las medidas de Loschmidt fue posible dar una estimación, «aunque aún fuese imprecisa», del número de moléculas presentes en un volumen dado, un paso decisivo en la determinación del denominado «número de Avogadro», cuestión a la que volveremos más adelante en este mismo capítulo.
La importancia del modo de análisis introducido por Maxwell fue resumida adecuadamente en 1889 por el físico estadounidense, Josiah Willard Gibbs (1839-1903), otro de los grandes de la física estadística, un término, por cierto, que introdujo él:
Clausius se centró en los valores medios de diversas cantidades que varían enormemente en el tiempo o espacio más pequeño que podemos apreciar. Maxwell se ocupó de la frecuencia relativa de los diversos valores que tienen estas cantidades. En esto fue seguido por Boltzmann. Cuando leemos a Clausius, parece que estamos leyendo mecánica; cuando leemos a Maxwell, y mucho de lo más valioso del trabajo de Boltzmann, parece más bien que estamos leyendo teoría de probabilidades. No hay duda de que la manera más amplía en que Maxwell y Boltzmann plantearon los problemas de la ciencia molecular les permitió obtener en algunos casos una respuesta más satisfactoria y completa, incluso para aquellas cuestiones que a primera vista no parecían necesitar de un tratamiento tan amplio.
En la anterior cita, Gibbs se refería al físico austriaco Ludwig Boltzmann (1844-1904), una de cuyas aportaciones fue generalizar, a partir de 1868, los resultados de Maxwell, adaptándolos para el caso de gases complejos en presencia de un campo de fuerzas externo (como el gravitacional). De ahí que se hable de «función de distribución de Maxwell-Boltzmann».
Dentro del contexto de estos estudios, y con el propósito de intentar explicar el comportamiento irreversible que subyacía en el segundo principio de la termodinámica, en 1872 Boltzmann abordó cuestiones relacionadas con el equilibrio termodinámico; esto es, con su presencia y su ausencia, así como con la tendencia hacia el equilibrio. Pero para estipular las condiciones que definían el equilibrio era necesario determinar los valores que podían tomar las magnitudes asociadas a las moléculas que constituían el sistema, cuestión que resolvió introduciendo la que se denominó «hipótesis ergódica»: en el curso del tiempo, las coordenadas y las velocidades de las moléculas de un gas toman todos los posibles valores que son compatibles con la energía total del gas. El resultado al que llegó fue lo que se denomina «Teorema H» (H es una función que depende del tiempo y que se calcula a partir de la función de distribución), que afirma que un gas cuyo estado inicial es de no equilibrio, se aproxima de forma continua al equilibrio, y que una vez llega a él en él se queda. Era, como vemos, una forma de deducir la tendencia al equilibrio asociada al incremento de entropía.
Sin embargo, la deducción de Boltzmann se encontró con dos importantes oposiciones: una debida a Loschmidt, quien, de hecho, había sido uno de sus profesores en Viena y que había influido en la dirección que tomaron sus investigaciones, y otra de un joven ayudante de Max Planck, Ernst Zermelo (1871-1953). La de Loschmidt —que presentó entre 1876 y 1877— se centraba en criticar que Boltzmann pretendiera explicar la irreversibilidad en base a las leyes que gobiernan el movimiento de las moléculas; para él era más razonable intentar explicar esa irreversibilidad a partir de las condiciones iniciales de las moléculas que componían el gas. En otras palabras, Loschmidt renegaba de la idea de introducir consideraciones probabilísticas en la explicación de leyes físicas.
En cuanto a las objeciones de Zermelo (1896), tenían su origen en un teorema que Henri Poincaré (1854-1912) había publicado en 1890 bajo el título «Sobre el problema de los tres cuerpos y las ecuaciones de la dinámica»; esto es, en el contexto de la mecánica celeste. El interés de Poincaré se encontraba en soluciones periódicas al problema de tres cuerpos que interaccionan gravitacionalmente, y fue mientras trabajaba en este problema cuando obtuvo un teorema de recurrencia: en cualquier región de lo que se conoce como «espacio de fases» (definido por las posiciones y velocidades de los cuerpos que componen un sistema), una entidad básica en física estadística, no importa lo pequeña que sea esa región, siempre existen trayectorias que pasarán por ella un número infinito de veces. Con buenas razones, Zermelo entendía que esto quería decir que si un sistema (compuesto de moléculas que interaccionan mediante fuerzas que dependen únicamente de su posición en el espacio) que había partido de una situación de no equilibrio se acercaba al equilibrio, entonces en algún momento debía pasar por un estado tan cercano al inicial como se desease, lo que implicaba que «casi todos» esos sistemas volvían a un estado muy próximo al inicial. Para escapar de esta dificultad, argumentaba Zermelo al igual que Loschmidt, era preciso recurrir a las condiciones iniciales. «El trabajo de Zermelo», manifestó Boltzmann, «demuestra que mis trabajos no han sido comprendidos aún; a pesar de todo, puedo alegrarme, ya que esta publicación es una prueba de que el Alemania soy objeto de alguna atención».
Cuando Boltzmann respondía de esa forma a Zermelo, ya había llevado a cabo otra gran contribución a la interpretación estadística de la segunda ley de la termodinámica, una interpretación mucho más espectacular por sus implicaciones físico-filosóficas. La formulación estadística de la entropía propuesta por Boltzmann se encuentra en un artículo publicado en 1877. Se trata de la célebre expresión para la entropía de un sistema, S = k·ln W, donde k es una constante (introducida precisamente por Planck posteriormente y denominada «constante de Boltzmann») y ln W es el logaritmo neperiano del número de posibles configuraciones moleculares («microestados» en la terminología actual). En palabras del propio Boltzmann cuando introdujo esta formulación:
El estado inicial de un sistema será, en la mayoría de los casos, un estado muy poco probable y el sistema tenderá siempre hacia estados más probables, hasta llegar al estado más probable, es decir, al estado de equilibrio termodinámico. Si aplicamos esto al segundo principio de la termodinámica, podemos identificar la magnitud que se acostumbra a llamar entropía, con la probabilidad del estado correspondiente. Consideremos por tanto un sistema de cuerpos que esté aislado [y cuyo estado no se modifica más que por la interacción entre los cuerpos que lo constituyen]. En una transformación de este tipo, la entropía total del sistema no puede más que aumentar en virtud del segundo principio de la termodinámica. En nuestra interpretación actual esto no significa otra cosa que el hecho de que la probabilidad del estado del conjunto de los cuerpos del sistema debe ir aumentando constantemente: el sistema no puede pasar más que de un estado dado a un estado más probable.
La formulación que dio Boltzmann para el segundo principio de la termodinámica introdujo un elemento completamente nuevo en las leyes de la naturaleza. Frente a la estricta causalidad que imperaba en la física newtoniana y que Laplace resumió con suprema gracia, como vimos en el capítulo 6, en su Essai philosophique sur les probabilites, la segunda ley de la termodinámica a la manera de Boltzmann abría la puerta a la posibilidad, aunque muy pequeña, de procesos que se desarrollaban de forma contraria a las expectativas nacidas de las experiencias cotidianas y, aparentemente al menos, universales: la entropía podía disminuir.
No es sorprendente, por consiguiente, que la propuesta de Boltzmann fuese combatida con firmeza por muchos físicos. Durante la segunda mitad del siglo XIX muchos científicos y filósofos (estos siguiendo la senda de antecesores suyos, como Goethe, que desarrolló una doctrina del mundo basada en la continuidad de la naturaleza y el espíritu; la primera siendo el escenario de fuerzas caracterizadas por la polaridad) reaccionaron ante los intentos mecanicistas y estadísticos de construir modelos atómicos —no solo de la materia, sino también del éter electromagnético (o incluso gravitatorio)— y de reducir la termodinámica a magnitudes discretas. Los átomos eran para ellos meros «artificios explicativos», carentes de realidad. Al mantener tales ideas muy bien podían recordar lo que Maxwell había escrito en el anteriormente citado artículo de 1873 sobre las «Moléculas»: «Un átomo es un cuerpo que no se puede dividir en dos. Una molécula es la parte más pequeña posible de una sustancia dada. Nadie ha visto nunca o manejado molécula alguna. Por consiguiente, la ciencia molecular es una de esas ramas del saber que se ocupa de cosas invisibles e imperceptibles para nuestros sentidos y que no pueden ser sometidas a la experimentación directa».
Uno de los más activos en la reacción ante el mecanicismo-atomismo fue el físico y filósofo austriaco Ernst Mach (1838-1916). En uno de sus libros, Die Principien der Wärmelehre (Principios de la teoría del calor), podemos leer: «Al distinguir entre movimientos ordenados y desordenados e igualar el crecimiento de la entropía con el aumento de los movimientos desordenados, prescindiendo de los ordenados, la concepción mecánica de la segunda ley de la termodinámica me parece un procedimiento muy artificial […] Estoy de acuerdo completamente con F. Wald [Die Energie und ihre Entwerthung; 1889] cuando dice: “En mi opinión, las raíces de este teorema [el del crecimiento de la entropía] son más profundas, y si es posible poner en armonía la hipótesis molecular y el teorema de la entropía, es producto de un golpe de suerte para la hipótesis, pero no para el teorema de la entropía”».
De hecho, en general se ha denominado «energeticismo» (porque en lugar de a los átomos daban un papel central a la energía) al punto de vista de aquellos que se opusieron a las tesis mecánico-estadísticas, un grupo al que pertenecieron, además de Mach, científicos como Wilhelm Ostwald, uno de los fundadores de la química-física (de la que nos ocuparemos en el capítulo 13), Georg Helm (1851-1923) o el físico francés Pierre Duhem (1861-1916), para muchos más conocido por sus contribuciones a la historia y a la filosofía de la ciencia.
La reivindicación del atomismo vino de la mano del desarrollo de la propia física estadística, estableciéndose definitivamente gracias a dos resultados. El primero fue el descubrimiento, en 1897, del electrón, la primera partícula universal identificada, y se debió al físico inglés Joseph J. Thomson (trataremos de esta cuestión en el capítulo 20). El segundo se debió a un físico entonces desconocido en el mundo académico, uno que trabajaba en la Oficina de Patentes de Berna: Albert Einstein (1879-1955), del que volveremos a hablar en los capítulos 19 y 20. En 1905, su annus mirabilis, Einstein publicó un artículo titulado «Sobre el movimiento requerido por la teoría cinético-molecular del calor para partículas pequeñas suspendidas en fluidos estacionarios», que contenía un análisis teórico de un efecto observado en 1827 por el botánico escocés Robert Brown (1773-1858). Lo que observó Brown fue que partículas de polen suspendidas en un líquido en reposo, y que únicamente eran visibles mediante un microscopio, experimentaban movimientos erráticos repentinos. Einstein explicó este «movimiento browniano» no mediante argumentos biológicos, sino mecánicos, utilizando la física estadística y suponiendo que el líquido no era un medio continuo, sino que estaba compuesto por moléculas o átomos que se movían continuamente. Apoyaba de esta manera la atomicidad. (En realidad, en 1905 Einstein desconocía el trabajo de Brown, aunque sí había oído hablar de él. («Es posible», escribía, «que los movimientos analizados aquí sean idénticos al así llamado movimiento browniano, pero las referencias a este último tema que me son accesibles son tan imprecisas que no puedo formarme una opinión sobre esto»).
Además de la interpretación teórica realizada por Einstein, otro resultado de gran importancia que incluyó en su artículo fue la determinación del valor del número de moléculas que contiene un mol, un concepto este que se define como la cantidad de una sustancia que contiene tantas entidades elementales del tipo que se considere (átomos, moléculas, etc.) como átomos hay en 12 gramos de carbono-12 (así, un mol de agua son 18 gramos y un mol de monóxido de carbono, 28 gramos). Se trata de lo que se conoce como «número de Avogadro», pero no fue Einstein quien introdujo este nombre, relacionando así estos resultados con los trabajos de Amedeo Avogadro, sino el físico francés Jean Perrin (1870-1942). (Recordemos que, como vimos en el capítulo 8, lo que Avogadro enunció es que: «En condiciones iguales de temperatura y presión, volúmenes iguales de gases diferentes contienen el mismo número de moléculas»).
Con la ayuda en los cálculos matemáticos de Paul Langevin (1872-1946) y observando sus movimientos, Perrin estimó la energía media de gránulos vegetales de látex, obteniendo un valor aproximadamente 100 000 veces menor que el que se derivaba de la teoría cinética. El problema procedía, seguramente, de sus observaciones de los movimientos, pero ¿cómo mejorarlas? Afortunadamente, el nuevo ultramicroscopio inventado en 1903 por Henry Siedentopf (1872-1940) y Richard Zsigmondy (1865-1929), que permitía realizar observaciones de hasta 5·10–3 micras, vino en su ayuda. Con él, Perrin pudo determinar de manera más exacta los valores de las velocidades medias. A continuación, a partir de 1905, estableció un programa de investigación experimental, en el que también desempeñó un papel importante otro instrumento, la ultracentrífuga, para separar partículas de diferentes tamaños y determinar sus masas. En 1909 ya estaba lo suficientemente seguro de sus conclusiones como para manifestar en un artículo que publicó aquel año en la revista Annales de Chimie et de Physique bajo el título «Movimiento browniano y realidad molecular»: «Creo imposible que un espíritu desprovisto de prejuicios pueda reflexionar sobre la extrema diversidad de fenómenos que convergen de esta manera hacia el mismo resultado, sin experimentar una sensación muy fuerte, y pienso que a partir de ahora será difícil defender con argumentos razonables una actitud hostil a las hipótesis moleculares».
Con relación al número de Avogadro (cuyo valor estimó en 70,5·1022 por mol–1; en la actualidad el valor aceptado es de, aproximadamente, 6·1023 mol–1), Perrin escribía: «El enunciado de Avogadro equivale por consiguiente al siguiente: Dos moléculas-gramo cualquiera contienen el mismo número de moléculas. Este nombre invariable, N, es una constante universal que parece justo denominar número de Avogadro. Si se conoce esta constante, se conocerá la masa de cualquier molécula; incluso se conocerá la masa de cualquier átomo, puesto que podemos saber, mediante los diversos medios que conducen a las fórmulas químicas, cuántos átomos de cada tipo hay en cada molécula».
§. El tercer principio para la termodinámica
Tanto desde el punto de vista científico como institucional, el químico-físico Walther Nernst (1864-1941) forma parte destacada de la ciencia alemana (y mundial) de las décadas iniciales del siglo XX: en 1894 obtuvo la primera cátedra (con su correspondiente Instituto de investigación) que la Universidad de Gotinga dedicó en su historia a química-física, puesto que abandonó en 1905 por uno similar en la Universidad de Berlín, y que a su vez dejó en 1922 para convertirse en presidente del Physikalisch-Technische Reichsanstalt. Pero lo que nos interesa ahora es la formulación que hizo en 1906 de lo que se denominó «Tercer principio de la termodinámica», que sostiene que en un sistema compuesto por sustancias condensadas (esto es, sólidos y líquidos) que experimenta una transformación a temperatura constante, T, se verifica que:

donde A representa el trabajo máximo que puede obtenerse en la reacción isoterma. Expresado de otra manera: «En la inmediata proximidad del cero absoluto de temperatura, el trabajo máximo que puede obtenerse en una reacción isoterma es independiente de la temperatura».
Si esto fuese cierto, entonces todos los procesos en el cero absoluto tendrían lugar sin cambios en propiedades como calores específicos o entropías; de hecho, la formulación más breve —debida a Planck en 1912— del principio de Nernst es que las entropías se anulan en el cero absoluto.
Ahora bien, Nernst solo pudo proponer, no demostrar, este principio. En consecuencia, es natural que ampliase su campo de intereses científicos al estudio experimental de fenómenos a bajas temperaturas. En su Instituto de Berlín, junto a colaboradores como Arnold Eucken (1884-1950) y el británico Frederick Alexander Lindemann (1886-1957), el futuro lord Cherwell (que desempeñaría un papel importante en la dirección de la política científica de su país a partir de 1941), Nernst llevó a cabo medidas a bajas temperaturas que mostraron que los calores específicos de los cuerpos sólidos tienden a cero al disminuir la temperatura. Ahora bien, esto es precisamente lo que se deducía de resultados teóricos que Einstein había obtenido en 1907 en el contexto de la física cuántica, de la que nos ocuparemos más adelante en el presente libro, no en el de la física clásica. No obstante, pronto aparecieron discrepancias, desviaciones sistemáticas: los calores medidos disminuían con mucha más lentitud que la prevista según las expresiones de Einstein. Para intentar remediar la situación, en 1911 Nernst y Lindemann modificaron la fórmula de Einstein, pero de manera empírica, sin base teórica alguna, un problema que sería resuelto finalmente por el holandés Peter Josef William Debye (1884-1966) en un artículo publicado en 1912 y titulado «Sobre la teoría de los calores específicos».
Capítulo 11
Magnetismo y electricidad
§. Magnetismo
§. Electricidad estática
§. La corriente eléctrica
§. Electromagnetismo
§. Sistemas de comunicación
§. La electrodinámica de Maxwell
Materia y energía son conceptos complementarios para el conocimiento de la naturaleza. La composición de la materia condujo a la identificación de los elementos, que resultó ser una frontera en lugar del objetivo último que habían soñado los antiguos con la idea de átomo. La noción de energía —de la que ya nos ocupamos en el capítulo 6— se manifestó inicialmente de manera inmediata en las percepciones humanas a través de fenómenos como el calor y la luz, pero luego se descubrieron otras manifestaciones energéticas, fenómenos que daban lugar a movimientos o que alteraban el estado de un sistema (incluyendo los seres vivos) y que no se sabían explicar. El magnetismo y la electricidad fueron dos de estos fenómenos. Durante mucho tiempo, los científicos hubieron de conformarse con el conocimiento de magnitudes y relaciones asociadas a ellos, sin saber cuál era su origen, con lo que la concepción galileana de la ciencia se impuso como la única posibilidad científica.
§. Magnetismo
Aunque no se trata de fenómenos físicos con los que los humanos se relacionan de manera tan frecuente como íntima, magnetismo y electricidad figuran entre los que más pronto fueron identificados. El magnetismo fue el primero del que se tuvo conciencia, y ello por una circunstancia especial: se manifiesta explícitamente en un mineral que se encuentra en la naturaleza, la magnetita, una mezcla de óxidos de hierro. Parece que el primer lugar occidental donde se halló y fue reconocida su propiedad de atraer al hierro fue en una región de Asia Menor llamada Magnesia, de donde tomaría el nombre de magnetismo, y el mineral, magnetita más tarde, de piedra imán. Tales de Mileto se refirió a ella en el siglo VI a. C. haciendo notar que comunicaba la capacidad de atraer al hierro mediante el contacto. Muy probablemente le ayudase en esto el que Mileto se halla en una región de Asia Menor, Jonia. Y Lucrecio describió en un poema en hexámetros la sutil cadena de seis, siete o diez anillos sin más lazo que la atracción magnética.
Diferente fue el descubrimiento de la electricidad, que era resultado de una acción natural: la que producen los rayos de las tormentas o cuando se fricciona con piezas de lana o piel, ámbar (electrike), una resina fósil del Pinus succinifera. La electricidad no existe libre en la naturaleza de la misma forma que el magnetismo: se crea y se consume en la producción de una chispa. Semejante creación les debió de parecer tan sorprendente a aquellos que la observaban que la compararon con una generación divina, con la creación del mundo de la nada que describe el Génesis.
La aguja imanada, la primera aplicación práctica del magnetismo, tardó más en llegar. Hay constancia de que un polifacético chino (se ocupó, entre otras muchas materias, de cuestiones de matemáticas, astronomía, geología, meteorología zoología y antropología, practicó la música y la poesía, además de servir a la administración china en diversos puestos), Shen Kuo (1031-1095), se refirió al magnetismo como medio de orientarse hacia el norte. Utilizó para ello agujas metálicas magnetizadas y recomendó su uso para la navegación de altura. A finales del siglo XII ya aparecen documentos en Europa en el mismo sentido.
Lo que se utilizaba eran agujas de hierro blando que se habían magnetizado poniéndolas en contacto con magnetita, y que se hacían flotar en un cuenco de agua, una disposición que en un barco únicamente funcionaba si el mar estaba en calma, es decir, con buen tiempo. La primera referencia conocida a una brújula parecida a las que conocemos, esto es, una aguja que puede girar en un contenedor seco, data de 1269, y aparece en un texto del francés Pierre Pelerin de Maricour, más conocido como Petrus Peregrinus, Epístola de magnete. En él, Peregrinus identificó los dos polos del imán a los que, de acuerdo con el modelo de la esfera terrestre, denominó Norte (N) y Sur (S), describiendo varias formas de identificarlos. Al buscar los límites interiores de las zonas polares de esas agujas, se encontró con la sorpresa de que cualquier fragmento era un dipolo, esto es, que no era posible separar «polo norte» y «polo sur». Asimismo, al acercar dos imanes descubrió que los polos iguales se repelían y los distintos se atraían hasta formar uno más potente y que la atracción era proporcional a la masa. Imaginó las líneas que, procedentes de un polo se dirigían al otro, el, —como se denominaría mucho más tarde—, campo magnético, en que se producía la atracción. Una aguja imanada, colgada o apoyada sobre el centro de equilibrio, se movía a lo largo del círculo al seguir el movimiento de un imán, en tanto se orientaba hacia el norte cuando no era desviada por una fuerza próxima. Por su parte, Girolamo Cardano en De subtilitate (1550) distinguió el magnetismo de la electricidad, caracterizándolo mediante una serie de oposiciones:
El ámbar atrae varias clases de cuerpos, el imán solo al hierro.
La atracción entre el imán y el hierro es mutua, la del ámbar no.
El imán, a diferencia del ámbar, actúa a través de objetos interpuestos.
El imán atrae por los polos, el ámbar por todo el cuerpo.
La atracción del ámbar mejora con algo de calor y la fricción, que no afectan al imán.
Pero el gran nombre en la historia del magnetismo clásico es William Gilbert (1540-1603), un médico de la corte británica que en 1600 publicó un libro, De magnete (Sobre el imán), en el que describió los experimentos que había realizado con una pequeña esfera imanada (terrella) sobre la que colocaba agujas imanadas. En la primera parte de su libro ofrecía una historia del magnetismo y concluía con la concepción de la Tierra como un gigantesco imán. Distinguió en la segunda entre el magnetismo, como propiedad de la materia, y la electricidad, que se generaba mediante la fricción. Imaginó que el modo de producirla se reflejaba en sus propiedades: resinosa la que se obtenía al frotar el ámbar con una piel y vitrea la que se producía mediante la fricción del cristal con la seda. Introdujo la declinación magnética para explicar la desviación de la brújula respecto al polo geográfico. Y el último de los capítulos ofrecía una explicación magnética de los movimientos celestes, que no intentó demostrar, como sucedió con todos los que se dedicaron al estudio de la energía.
§. Electricidad estática
La electricidad no se muestra en la naturaleza de la misma manera que el magnetismo, como queda dicho. Por supuesto, ahora sabemos que los rayos que se producen durante las tormentas no son sino descargas eléctricas, pero esto es algo que tardó en averiguarse, al ser difícil (y arriesgado) experimentar con este fenómeno natural. Sabemos que también Tales de Mileto observó el ya citado efecto de que cuando se frota el ámbar este es capaz de atraer cuerpos ligeros. De hecho, de ahí proviene la palabra «electricidad», una derivación del término griego para «electrón», que era como se denominaba en esta lengua al succino o ámbar amarillo.
El ámbar ofrece el primer ejemplo de un tipo de electricidad que dominó su estudio durante mucho tiempo: la electricidad estática, producida por frotación. Son muchas las sustancias que generan esta clase de electricidad cuando se las frota, por ejemplo con un pedazo de paño o piel de gato. En 1660, Otto von Guericke, con el que ya nos encontramos en el capítulo 8, construyó la primera máquina (electrostática) que producía electricidad por frotación. En la memoria en la que anunció el resultado de su trabajo (Experimenta nova [Nuevos experimentos]; 1672), explicaba que había construido una esfera de azufre fundida sobre un globo de cristal, que podía girar alrededor de un eje de hierro, de manera que al colocar sobre la esfera una mano muy seca, una vez que se la hacía girar con una manivela unas cuantas veces, la esfera se electrizaba debido al rozamiento con la mano, siendo capaz de atraer objetos pequeños.
Los experimentos de von Guericke constituyeron el comienzo de una carrera por mejorar el rendimiento de sucesivos modelos de generadores electrostáticos. La sustitución de la esfera por un disco se introdujo en 1800 y acabó con el procedimiento de generar electricidad mediante fricción manual. La mejora en la generación de electricidad se consiguió intercalando láminas de metal entre los discos del generador, un procedimiento que condujo a comienzos de la década de 1880 a unas máquinas, denominadas «de Wimshurt», en honor del británico James Wimshurt (1832-1903). Se trataba de una máquina electrostática de inducción, formada por dos o más discos, sobre los que actuaban una escobillas de manera que produjesen electricidad de forma ininterrumpida y a tensiones elevadas. Fueron los generadores más utilizados en los gabinetes de física de finales del siglo XIX.
La producción de electricidad permitió toda clase de experimentos, que condujeron al descubrimiento de nuevas características y aplicaciones. Son muchos los nombres que se podrían citar en una historia que se ocupase de seguir este tipo de experimentos. Nombres como los de Francis Hauksbee (1670-1713), que sostuvo que la «luz barométrica», o «luz fosfórica», una luminiscencia azulada que se observaba cuando se movía un barómetro y que algunos, como Johann Bernoulli, adjudicaban a los movimientos mecánicos del mercurio del interior del barómetro, era en realidad un fenómeno de naturaleza eléctrica. Otro nombre que debe ser recordado —es, de hecho, más importante para nuestra exposición— es el de Stephen Gray (1666-1736), un autodidacta cuyo padre y hermano se dedicaron a la fabricación de tintes. Aunque Gray también siguió inicialmente esta profesión, su carácter inquieto y su curiosidad le llevaron a procurarse una cierta educación y a interesarse por dominios tan diversos —científicos y pseudocientíficos— como la óptica, la astronomía, la electricidad o el «fantasma de Canterbury». Se vio beneficiado, además, por relaciones que mantuvo con algunos filósofos naturales distinguidos, fundamentalmente el astrónomo real, John Flamsteed, y Roger Cotes (recordado sobre todo porque Newton le encargó que le ayudase en la preparación de la segunda edición de los Principia). No obstante, Gray encontró poco interesantes los trabajos de Cotes (que había requerido su colaboración, presumiblemente para que le ayudase en sus clases de hidrostática y neumática en Cambridge), y en 1711 pidió al médico y naturalista, además de filósofo natural, Hans Sloane (1660-1753), un activo miembro de la Royal Society (fue su Secretario entre 1693 y 1700), que intercediese en su favor con la Dirección del Hospital de Sutton de Londres, en realidad una Fundación, más conocida como Charterhouse, creada en 1611, que se ocupaba de enseñar a niños pobres y de acoger a 80 caballeros como pensionados. Admitido como miembro de este selecto grupo, Gray dedicó allí su tiempo al estudio de la electricidad. En uno de sus trabajos profundizó en un hecho que ya había observado von Guericke, quien notó que el «poder eléctrico» producido por sus máquinas se podía transmitir a distancia a través de algunos hilos o cables. Una de las cuestiones implicadas en este asunto era la de si de todos los materiales de esos hilos eran adecuados para conducir la electricidad. Gray estudió con detalle este punto, llegando a la conclusión de que los metales eran conductores, mientras que otros materiales no; distinguía así entre «conductores» y «aislantes». Con resultados como estos, comenzó a estudiar la posibilidad de transmitir electricidad utilizando hilos metálicos suspendidos en el aire de, a su vez, otros hilos, pero estos de seda, consiguiendo llevar el «fluido» eléctrico a una distancia superior a 200 metros. En otro tipo, aunque vinculado con los anteriores, de experimentos, Gray exploró la transmisión de electricidad también a distancia, pero ahora sin ningún cable transmisor. En 1729 colgó un conductor de hilo de lino, comprobando que atraía a una pequeña lámina de bronce, rechazándola después cuando se le aproximaba un tubo de vidrio frotado. Estas experiencias culminaron en una demostración espectacular: colgó de unos hilos de seda a un muchacho (probablemente uno de los acogidos en Charterhouse), comprobando que este podía transmitir la electricidad, ya que, cuando se tocaban sus piernas con un tubo de vidrio electrizado, su cara atraía fragmentos de láminas de bronce. De esta manera, concluyó que también los animales son conductores de la «virtud eléctrica».
Tras leer en una de las cartas que Gray publicó en 1732 en las Philosophical Transactions de la Royal Society, en la que presentó sus resultados de que el agua podía electrizarse con solo colocar un tubo electrizado a su lado, Charles François de Cisternay Du Fay, o Dufay (1698-1739), un hombre educado para ser militar, pero que debido a su mala salud se dedicó primero a la diplomacia y luego a la investigación científica (llegó a ser miembro de la Academia de Ciencias francesa), logró demostrar que, como escribió en una carta que apareció en 1734 en aquella misma revista, «lo mismo sucede con todos los cuerpos sin excepción, ya sean sólidos o líquidos». En 1733, tomó de Gilbert la idea de dos fluidos eléctricos: el vítreo, que identificó como positivo, y el resinoso o negativo, para explicar el misterio de la repulsión entre los polos del mismo signo y la atracción de los distintos. Enunció, asimismo, como una hipótesis de trabajo, una idea que se ha mantenido hasta el presente: si un cuerpo no electrizado entra en contacto con uno que sí lo está, entonces se electriza por conducción, produciéndose el efecto de que a continuación ambos se repelen entre sí; y no se volverán a atraer hasta que haya perdido la electrización adquirida entrando en contacto con otro cuerpo. Parece una idea sencilla, casi trivial, pero no lo fue en su momento (de hecho, ignoramos cómo llegó a ella Dufay): su aparente trivialidad se debe a que se haya enquistado en la manera en que entendemos la electricidad.
En la continua carrera por producir nuevos instrumentos, hay uno en el que toda historia debe detenerse: la botella de Leiden, llamada así por la ciudad en la que fue inventada por el holandés Pieter van Musschenbroek (1692-1761), quien la descubrió en 1746, aunque también produjo algo similar, y un año antes de Musschenbroek, pero de manera más confusa, Ewald Jürgen von Kleist (c. 1700-1748), deán de la catedral de Kammin en Pomerania, que había estudiado en Leiden, donde siguió las lecciones de otro personaje que no sería injusto recordar, Wilhelm Jacob van’s Gravesande (1688-1742). Habiendo fijado una varilla metálica en el tapón de una botella llena de agua, Musschenbroek la acercó a una máquina eléctrica con el propósito de electrizar el líquido. Pero lo que sucedió es que la mano que sostenía la botella hizo las veces de la placa de un condensador, mientras que el agua interior representaba la otra, con el resultado de que se acumuló electricidad positiva sobre la pared interior de la botella y negativa sobre la parte exterior en contacto con la mano. El resultado, imprevisto, fue que cuando Musschenbroek acercó una mano a la varilla metálica mientras aún sostenía a la botella con la otra, sintió una violenta conmoción en los brazos y en el pecho. La botella de Leiden era, en definitiva, un condensador que almacenaba electricidad, formado por un recipiente forrado interior y exteriormente por finas láminas, lleno en su mayor parte de agua y cerrado con un corcho al que atravesaba una varilla o cadena, que terminaba en el exterior en una esfera, a través de la cual se electrizaba el agua. Cuando la parte exterior entraba en contacto con la tierra y la esfera exterior estaba conectada a una fuente de electricidad estática, se producía la carga de la botella. El agua se electrizaba y el forro exterior también. Para descargarla bastaba con aproximar un instrumente aislado a estos puntos, Si lo hacia el sujeto que tenía la botella en la mano, sufría una descarga. La conexión de varias botellas permitía aumentar la carga disponible.
Conocidos los experimentos de Musschenbroek y von Kleist, los físicos de la época se apresuraron a repetirlo. Uno de estos fue Jean-Antoine Nollet (1700-1770), un abad y profesor de Física en París, quien reemplazó el agua de la botella con rebujos de hojas de estaño, de cobre y oro. La importancia de Nollet no fue tanto por los resultados originales a los que llegó, que no fueron muchos, sino por su labor docente. Se dedicó a la enseñanza particular y pública de la física y a la construcción de instrumentos, realizando espectaculares experimentos de transmisión (en uno de ellos recurrió a una formación en línea de soldados y frailes). Uno de los instrumentos que construyó (en 1747) —basado en ideas anteriores de Gilbert, Hauksbee, Granville Wheler y Jean Théophile Dasaguliers— fue uno que denominó primero «electrómetro» y después «electroscopio»: un aparato formado por dos tiras encerradas en una botella de cristal que se separaban al cargarse (la magnitud de la separación se asociaba a la de la carga recibida). En 1741, Nollet se encargó de la adquisición del instrumental para el laboratorio de la Academia de Burdeos y a impartir un curso de física experimental, Leçons de physique expérimentale (Lecciones de física experimental, 1743-1748), que publicó en seis volúmenes, un trabajo de divulgación que, aunque apenas aportó algo al conocimiento de los fenómenos eléctricos, tuvo la virtud de atraer la atención de muchas personas hacia el tema de la electricidad.
Ese interés que la electricidad, su naturaleza y modos de manifestarse, suscitó durante la Ilustración se ejemplifica en un polifacético personaje: Benjamin Franklin (1706-1790).
A pesar de que su fama, y del lugar que ocupa en los anales históricos, se debe sobre todo a sus actividades políticas, en especial al papel que desempeñó en la independencia de las colonias inglesas en Norteamérica, en la constitución de Estados Unidos como nación, Franklin también dejó su marca en la ciencia de la electricidad. En realidad, la pluralidad de sus intereses y el compromiso social —o tal vez sería mejor decir, compromiso «cívico»— que muestra su biografía se debe entender desde la perspectiva de la persona que ve el mundo con los ojos del explorador intelectual y que entiende que el conocimiento y la acción constituyen los mejores instrumentos para mejorar la condición humana.
Coherente con tal espíritu, después de pasar por diversos trabajos, de establecerse en Filadelfia, de viajar a Inglaterra en 1724 para completar su formación como impresor y de regresar a Filadelfia, donde en 1728 fundó con un socio una imprenta propia, y en 1729 compró un periódico que continuó publicando hasta 1748, una de sus actividades allí fue promover la creación de un club intelectual, de una tertulia, a la que denominaron «Junto». «Nos reuníamos los viernes por la tarde», escribió en su autobiografía, «y según nuestro reglamento, que yo redacté, se exigía a cada socio que suscitará al menos una cuestión de moral, política o filosofía natural para que fuese debatida por la concurrencia. Cada tres meses era necesario, además, presentar y leer un ensayo propio acerca de cualquier tema de su elección». Con el tiempo, y con la participación destacada de Franklin, aquel club se convertiría en 1743 en la primera sociedad científica que se creó en Norteamérica: la American Philosophical Society, una institución, que todavía existe, «para la promoción del conocimiento útil».
El club Junto se reunía en una habitación cedida por uno de sus miembros, Robert Grace, «un señorito», según lo caracterizó el propio Franklin, «de buena posición, generoso, ocurrente, aficionado a los juegos de palabras y amigo de sus amigos», y como en los debates se hacían frecuentes referencias a libros, Franklin propuso que se formase una biblioteca común que podrían consultar durante sus charlas. Aquel fue el germen de una biblioteca por subscripción, constituida finalmente en 1731, la primera que existió en América.
Hasta aquí, la biografía de Franklin, por interesante y variada que fuese, transitó al margen de la ciencia, pero en 1746, cuando cumplía 40 años y alcanzó una situación profesional que le permitió una cierta libertad, la ciencia, la ciencia de la electricidad, salió a su encuentro. Él mismo explicó en su autobiografía la naturaleza de aquel encuentro:
En 1746, encontrándome en Boston, conocí a un tal doctor Spencer, que había llegado de Escocia no hacía mucho. Realizó en mi presencia algunos experimentos eléctricos. No eran muy perfectos, pues no se trataba de un experto en la materia, pero tenían para mí la suficiente novedad como para sorprenderme y agradarme. Poco después de mi vuelta a Filadelfia, nuestra asociación de biblioteca recibió de Mr. [Peter] Collison, de Londres, miembro de la Royal Society, un regalo consistente en una probeta de vidrio y un escrito describiendo los citados experimentos que podían llevarse a cabo con ella. Con gran avidez aproveché la oportunidad de repetir por mí mismo lo que había visto hacer en Boston, y a base de mucha práctica adquirí gran destreza en realizar otros de los que tenía noticia por información de Inglaterra, amén de algunos nuevos que añadí por mi cuenta. Hablo de mucha práctica, ya que mi casa estaba constantemente llena de gente interesada en ver tales prodigios.
El doctor Spencer en cuestión era en realidad un conferenciante itinerante que había llegado de Edimburgo y que se ganaba la vida dando charlas sobre ciencia donde podía. Y los fenómenos eléctricos se prestaban bien para atraer el interés del público, un detalle este que nos muestra uno de los rasgos del cultivo de la ciencia de la electricidad durante el siglo XVIII. Vemos, asimismo, que todavía era posible para una persona como era entonces Franklin, sin conocimientos especiales de aquella ciencia, introducirse en ella y terminar aportando nuevos resultados o ideas. Así, Franklin, que se dedicó a estos estudios durante seis años, defendió la idea de que existía un solo tipo de «fluido eléctrico», presente en todos los cuerpos, aun en los que aparentemente no presentaban rasgos de estar electrizados (en ellos su electricidad estaba en equilibrio). El proceso de electrificación, pensaba, se producía cuando una parte del fluido de un cuerpo pasaba a otro; en otras palabras, el fluido eléctrico no se creaba, únicamente se transfería, lo que significa que defendió otra idea muy querida por el futuro: la conservación de la carga eléctrica, fluido eléctrico para él (podemos encontrar lo mejor de los experimentos e ideas de Franklin en un libro que publicó en 1751: Experiments and Observations in Electricity).
Independientemente de que hablemos de cargas o de fluidos eléctricos, es posible introducir un concepto que resultó esencial para la ciencia de la electricidad, la carga eléctrica, entendida como la cantidad de electricidad que pasa de un cuerpo a otro, o la magnitud de la cualidad positiva o negativa de un cuerpo electrizado. Coherente con el principio de conservación de la carga-fluido eléctrico, la carga de un objeto macroscópico resulta ser la suma de las cargas de las partículas, o fluido, que lo forman. Es cero cuando el número de las positivas es igual al de las negativas. Una cuestión obvia surgía entonces, la de encontrar una expresión analítica, una ley, para la atracción entre cargas diferentes. Y en este punto nos encontramos con un rasgo que se da con frecuencia en la ciencia: el razonamiento por analogía; esto es, recurrir a esquemas utilizados previamente. En el caso que ahora nos ocupa, la ley de la gravedad universal que Newton formuló en 1687 proporcionó el modelo para la formulación de la fuerza electrostática. Fue un físico francés, Charles Coulomb (1736-1806), quien formuló en 1781 tal ley, que se enuncia de la forma siguiente: «La magnitud de cada una de las fuerzas electrostáticas con que actúan dos cargas puntuales en reposo es directamente proporcional al producto de las magnitudes de ambas cargas e inversamente proporcional al cuadrado de la distancia que las separa; esto es, F es proporcional a Q1·Q2/r2».
Al igual que otros antes o al mismo tiempo que él (Gray y Nollet, por ejemplo), Franklin pensó que los rayos producidos durante las tormentas eran manifestaciones eléctricas. Y realizó una serie de experimentos por los que es particularmente recordado. Así, en 1752 llevó a cabo un peligroso experimento con una cometa, que costó la vida a los dos primeros que lo intentaron después. Para provocar la descarga de un rayo utilizó una cometa que elevó hasta alcanzar la tempestad, colgando de ella una llave que conectó con una cuerda a su mano, con la precaución de aislar sus nudillos con un tejido de seda. La primera descarga le descubrió que el rayo era, efectivamente, electricidad. Dos años después descubrió que una aguja metálica conectada a tierra podía descargar una esfera metálica. Era el origen del pararrayos, que conoció una inmediata aplicación, y que en 1753 describió de la siguiente manera, mostrando una evidente satisfacción, la satisfacción del ilustrado que encuentra que la ciencia puede servir al bienestar de la humanidad:
Dios ha permitido en su magnanimidad para con la humanidad que por fin se descubriese el sistema de defender las viviendas contra las calamidades de los rayos. El método para lograrlo consiste en lo siguiente: se coloca una varilla pequeña de hierro (puede valer la varilla que se utiliza para la fabricación de clavos), de tal largo que un extremo se clave en la tierra húmeda unos tres o cuatro pies, y el otro sobresalga de seis a ocho pies sobre la parte más alta del edificio. En la parte alta de la varilla se conecta como un pie de alambre de latón del calibre del tamaño de las agujas corrientes de calceta, y se afila su parte superior. La varilla se fija al edificio con unas cuantas grapas. Si se trata de un granero o de una casa grande, puede ponerse una varilla con su terminación aguzada en cada una de las esquinas del edificio uniéndolas con un cable que vaya por el caballete del tejado. El edificio dotado de tal artilugio no será dañado por el rayo, que será atraído por las varillas puntiagudas y bajará a tierra por los cables, sin causar perjuicio alguno. También las embarcaciones con esas varillas aguzadas en el remate de sus mástiles y con un cable que termine en uno de los obenques hasta el agua, se librará de los daños de los rayos.
§. La corriente eléctrica
Un momento transcendental en la historia, tanto de la electricidad como del magnetismo, aunque aparentemente se trataba únicamente de aquella, de la electricidad, se produjo en 1800, cuando Alessandro Volta (1747-1827) presentó un aparato que producía corriente eléctrica de manera continua y no mediante descargas como sucedía con la botella de Leiden o con las máquinas electrostáticas. Pero antes de hablar de Volta, es preciso hacerlo de un contemporáneo suyo, no de un físico, sino de un médico, Luigi Galvani (1737-1798).
Galvani desarrolló la mayor parte de su carrera ejerciendo de profesor de Anatomía en la Universidad de Bolonia, la misma donde había estudiado. Si su nombre ha pasado a los anales de la historia de la ciencia, incluso a los del lenguaje común a través del, ya apenas utilizado, término galvanismo, es gracias a unos experimentos sobre contracciones musculares que realizó utilizando ranas. No fue él, sin embargo, el primero que se interesó por el tema de las contracciones muscular, que se había visto favorecido por la introducción de la botella de Leiden, que al producir descargas eléctricas más poderosas que en el pasado facilitó demostraciones —entretenimientos en los salones ilustrados, con frecuencia— en las que esas descargas se empleaban para producir contracciones musculares. De hecho, siete años antes de que Galvani publicase el libro en el que presentó sus resultados, esto es, en 1784, un autor de la revista Journal de Médecine afirmaba que la estimulación eléctrica de nervios y músculos era «demasiado conocida como para dar cuenta de ella aquí».
En 1786, mientras estudiaba la influencia de la electricidad en la irritabilidad de los nervios de animales, Galvani observó que cuando los nervios lumbares de una rana muerta se comunicaban con los músculos crurales por medio de un circuito metálico, estos se contraían violentamente. Sabedor al menos desde 1780 de que la electricidad de las máquinas eléctricas producía conmociones análogas sobre ranas muertas, Galvani atribuyó el fenómeno que observó en 1786 a la existencia de una electricidad inherente al animal, una electricidad animal que en su opinión era «producida por la actividad del cerebro, y extraída muy probablemente de la sangre», y transmitida a los músculos a través de un fluido eléctrico, como manifestó en un libro (escrito en latín y publicado en 1791) en el que dio a conocer sus resultados y propuestas: Viribus electricitatis in motu musculari (Comentario sobre los efectos de la electricidad en el movimiento muscular).
Las tesis de Galvani fueron criticadas por otro italiano, un profesor de Física de la Universidad de Pavía, Alessandro Volta, que advirtió que las contracciones musculares eran mucho más enérgicas cuando el vínculo entre las dos partes de la rana estaba formado por dos metales unidos. Dedujo, en consecuencia, que la electricidad se producía en el contacto entre ambos metales y que las partes animales no desempeñaban más papel que el de conductores, sirviendo al mismo tiempo como detectores de electricidad, una especie de electroscopios, muy sensibles.
En base a esta idea, Volta construyó un «generador de electricidad» completamente diferente a la botella de Leiden; se componía de una serie de discos apilados unos sobre otros en el orden siguiente: un disco de cobre, otro de zinc, una rodaja de paño empapada en agua acidulada, luego un disco de cobre, otro de zinc, una nueva rodaja de paño, y así sucesivamente en el mismo orden, cuidando de sostener los discos mediante tres cilindros aislantes de vidrio. He aquí cómo anunció el propio Volta su hallazgo en una carta dirigida al presidente de la Royal Society publicada en francés en 1800 en las Philosophical Transactions:
Después de un largo silencio, por el cual no ofrezco ninguna excusa, tengo el placer de comunicarle a usted, y a través suyo a la Royal Society, algunos resultados notables que he obtenido continuando con mis experimentos sobre la electricidad excitada por el mero contacto mutuo entre diferentes tipos de metales, e incluso por el de otros conductores, también diferentes entre sí, ya sean líquidos o contengan algún líquido, a los que se debe propiamente su poder conductor. El principal de estos resultados, que prácticamente comprende todo el resto, es la construcción de un aparato que se parece en sus efectos (esto es, en la conmoción que es capaz de producir en los brazos, y otras experiencias) a la botella de Leiden, o, más bien, a una batería eléctrica cargada débilmente que actúa incesantemente, y que se cargase a sí misma después de cada explosión; en una palabra, que tuviese una carga inagotable, una acción o impulso perpetuo o impulso sobre el fluido eléctrico.
Se trataba de un instrumento revolucionario, ya que, como dijimos, producía corriente eléctrica de manera continua, y no mediante descargas, y ello abría de par en par las puertas al estudio de los fenómenos eléctricos. En más de un sentido se puede y debe decir que la ciencia del siglo XIX, uno de cuyos pivotes fue la física de la electricidad y el magnetismo, comenzó —o se hizo posible— con la batería de Volta, el primer generador electroquímico.

Una forma de comprender la gran diferencia que existe en la física de la electricidad de los siglos XVIII y XIX es a través de dos instrumentos utilizados en esas centurias, representados en la figura. Uno (imagen izquierda) es la botella de Leiden (siglo XVIII), que era en realidad un condensador que almacenaba electricidad y que podía descargarse instantánea o lentamente, pero siempre mediante chispas. Por el contrario, la pila de Volta (siglo XIX; imagen derecha) producía —mediante reacciones químicas— una corriente continua, y fue gracias a esta característica que se pudo descubrir que electricidad y magnetismo se influían mutuamente; esto es, que en lugar de hablar de ambas por separado, lo que existía era una fuerza electromagnética. Ese fue el mundo que exploraron, entre otros, Oersted, Faraday y Maxwell; un mundo científico y tecnológico que modificó radicalmente la historia de la humanidad.
Esta batería, en efecto, volvió a sacar a la palestra un problema con el que ya nos hemos encontrado, el de la naturaleza de la electricidad, ahora manifestado a través de la corriente eléctrica, la circulación de electricidad a través de un conductor que, unido a los dos polos de un generador, forma un circuito (la dirección de la circulación se estableció por convención al tomar como indicador el movimiento del «vehículo de la electricidad» que, procedente del polo positivo vuelve al negativo después de recorrer una línea de fuerza). Como ya señalamos, inicialmente —y por eso hemos escrito «vehículo de la electricidad»— se ignoraba si la corriente eléctrica estaba asociada al movimiento de un fluido eléctrico o de partículas electrizadas. De hecho, hubo que esperar a 1897, cuando un físico de Cambridge, Joseph John Thomson, identificó el primer componente universal de la materia, el electrón, como terminó siendo denominado (trataremos de esto en el capítulo 20). Antes, sin embargo, se habían obtenido resultados más precisos que los de, por ejemplo, Franklin, que favorecían la tesis de que la corriente eléctrica estaba formada por conjuntos de «cuerpos» cargados.
Ya mencionamos en el capítulo 8 los experimentos que realizaron en 1800 William Nicholson y Anthony Carlisle con una pila de Volta de la que salían dos cables que se sumergían en una cubeta con agua, y que encontraron que de uno de los extremos se desprendía hidrógeno y oxígeno del otro. Como el volumen de hidrógeno desprendido era doble del volumen de oxígeno dedujeron que habían descompuesto parte del agua en sus elementos. Se trataba, por consiguiente, de la corriente eléctrica que pasaba por el agua y descomponía las moléculas de esta produciendo una migración de iones a los electrodos: iones positivos —cationes— al electrodo negativo, o cátodo, e iones negativos —aniones— al electrodo positivo, el ánodo, un fenómeno (al que también nos referimos) que se denominó electrolisis. De esta manera se estableció un nuevo campo científico: la electroquímica.
La electrolisis se convirtió así en un magnífico procedimiento para la separación de los elementos de un compuesto. La sustancia (el electrolito) que se quería descomponer se fundía o disolvía en partículas, y se hacía circular una corriente continua, procedente de una batería, a través de dos electrodos, entonces las partículas electrificadas se movían depositándose en el polo de signo eléctrico contrario.
La cuestión de cuál podría ser el mecanismo responsable de la electrolisis atrajo enseguida la atención de los científicos (Davy, como vimos en el capítulo 8, fue uno de ellos). En 1805, Christian J. D. von Grotthuss (1785-1822) propuso que la electrolisis se basaba en un proceso alternativo de descomposición y recombinación de las partículas del electrolito. En la electrolisis del agua, por ejemplo, el polo negativo atraía a una partícula de hidrógeno de una partícula de agua de su entorno. La partícula de oxígeno que quedaba libre robaba a continuación su hidrógeno a una partícula de agua vecina, y el oxígeno que a su vez quedaba libre tomaba un hidrógeno de la siguiente partícula de agua, un proceso que continuaba hasta que la última partícula de oxígeno de la cadena era liberada en el polo positivo.
La teoría de von Grotthuss fue aceptada durante bastante tiempo, siendo superada finalmente por los trabajos de Michael Faraday (en el capítulo 8 ya mencionamos las aportaciones en este punto de Berzelius). En dos artículos que publicó en 1833 y 1834 en las Philosophical Transactions of the Royal Society, Faraday estableció dos leyes para la disociación electrolítica: la primera que, en sus propias palabras, «la acción química, o poder de descomposición, es exactamente proporcional a la cantidad de electricidad que pasa», y la segunda, que «el equivalente electroquímico de una sustancia es proporcional a su equivalente químico ordinario» (entendiendo por «equivalente químico» de una sustancia el número de gramos de ella que se combina con 8 gramos de oxígeno), o, en otras palabras, que «masas de distintas sustancias liberadas por la misma cantidad de electricidad son directamente proporcionales a sus pesos equivalentes».
Al comprobarse que el paso de una cierta cantidad de electricidad a través de conductores líquidos estaba asociado siempre con la transferencia de una cantidad definida de materia, podría haberse pensado que cada uno de los iones o radicales que era liberado por la electrolisis llevaba una cantidad concreta de electricidad. Sin embargo, Faraday no llegó tan lejos, ni siquiera pensó en términos semejantes. A lo más que llegó fue a escribir: «Si adoptamos la teoría o fraseología atómica, entonces los átomos de cuerpos que son equivalentes entre sí en su acción química ordinaria tienen cantidades de electricidad iguales asociadas a ellos. Pero tengo que confesar que me molesta hablar de átomos; porque es muy fácil hablar de átomos, pero muy difícil formarse una idea clara de su naturaleza, especialmente cuando se están considerando cuerpos compuestos».
§. Electromagnetismo
Una consecuencia de que se dispusiese de la batería de Volta fue que un catedrático de Física de la Universidad de Copenhague y secretario de la Real Academia de Ciencias danesa, Hans Christian Oersted (1777-1851), pudo realizar en 1820 un sencillo experimento. Sencillo, pero de grandes consecuencias. El experimento en cuestión fue demostrar que la electricidad —fuese esta lo que fuese— afectaba al magnetismo, una idea que era rechazada por esos «científicos más distinguidos», como André-Marie Ampère (1775-1836), quien sostenía que «los fenómenos eléctricos y magnéticos son debidos a dos fluidos diferentes que actúan de manera independiente el uno del otro».
Lo que hizo Oersted fue colocar un hilo metálico (esto es, un conductor) horizontalmente, en la dirección del meridiano magnético, justo por encima de una aguja magnética. Mientras no circulaba ninguna corriente por el hilo, este y la aguja continuaban estando paralelos, pero cuando se conectaba una batería de Volta (la que utilizó estaba formada por 20 discos y producía un potencial de 15 a 20 voltios) al hilo, entonces la aguja se desviaba, más cuanto mayor fuese la intensidad de la corriente. Y cuando se cambiaba la dirección de la corriente (cambiando el orden de la conexión a los polos de la batería), la aguja se movía en dirección contraria. Magnetismo y electricidad, hasta entonces distintos e independientes, se revelaron sensibles a la proximidad.
Aunque en el artículo (escrito en latín, datado el 21 de julio de 1820 y titulado Experimenta circa effectum conflictus electrici in acum magneticam (Experimentos relativos al efecto del conflicto eléctrico sobre la aguja magnética) en el que presentó los resultados de su experimento, Oersted se limitaba a manifestar que el «conflicto de electricidad» (entendía por esto, el «efecto que tiene lugar en el conductor y en el espacio que lo rodea») «no está confinado al conductor, sino que se extiende bastante por el espacio circundante», era difícil evitar concluir que lo que implicaba era que la electricidad (o la variación de electricidad, puesto que la desviación de la aguja se producía al establecer, o al desconectar, la corriente) afectaba al magnetismo, una conclusión ya implícita en el título de un nuevo artículo que publicó poco después (en alemán esta vez) en el Journal für Chemie und Physik (1820): «Nuevos experimentos electromagnéticos»; y completamente explícita en otro que también publicó aquel mismo año (en danés, en Videnskabernes Selskabs Oversigter), en el que hablaba de un término que él mismo había acuñado: «electromagnetismo».
El hallazgo de Oersted se difundió rápidamente por la pequeña comunidad de los físicos europeos. En París, Ampère demostró experimentalmente que dos hilos paralelos por los que circulan corrientes con el mismo sentido se atraían, repeliéndose en el caso de que los sentidos fuesen opuestos. Poco después, Ampère avanzaba la expresión matemática que representaba aquellas fuerzas. Su propósito era el dar una teoría de la electricidad sin más que introducir esa fuerza (para él «a distancia») en las ecuaciones del movimiento de la mecánica newtoniana; no en vano se le llamó «el Newton de la electricidad». Pero el universo de la electricidad y del magnetismo resultó ser demasiado complejo para que se pudiese cumplir semejante programa (en el que se distinguieron especialmente científicos alemanes, Wilhelm Weber, Bernhard Riemann y Hermann von Helmholtz, sobre todo), como se encargó de demostrar uno de los grandes nombres de la historia de la ciencia: el ya citado Michael Faraday (1791-1867), un aprendiz de encuadernador que ascendió de ayudante (1813) de Humphry Davy en la Royal Institution londinense a Fullerian professor de Química en ese mismo centro (1833).
El caso de Faraday no es frecuente en la historia de la física: su formación matemática era muy elemental; sin embargo, no solo llevó a cabo descubrimientos experimentales fundamentales, sino que también introdujo conceptos, como las nociones de «líneas de fuerza» y «campo electromagnético», que en su momento se convirtieron en piezas básicas de la teoría electromagnética.
En 1821, poco después de saber de los trabajos de Oersted, Faraday demostró que un hilo por el que pasa una corriente eléctrica puede girar de manera continua alrededor de un imán (y viceversa), con lo que se vio que era posible obtener efectos mecánicos (movimiento) de una corriente que interacciona con un imán. Sin pretenderlo, había sentado el principio del motor eléctrico. Pero en su trabajo de 1821 aún no había demostrado el efecto recíproco al obtenido en 1820 por Oersted; esto es, que la variación del magnetismo puede afectar a la electricidad. Esto es algo que conseguiría una década después, en 1831, prácticamente al mismo tiempo que lo hacía el físico estadounidense Joseph Henry (1797-1878), aunque este se demoró en hacer públicos sus resultados.
Básicamente, lo que hizo Faraday fue lo siguiente. Enrolló en un anillo de hierro dos hilos de cobre recubiertos de algodón y a través de uno de ellos hizo circular una corriente eléctrica desde una batería voltaica conectando el otro hilo a un galvanómetro. Descubrió entonces que en el instante en que la corriente empezaba o se detenía en un hilo se producía una breve corriente transitoria en el otro hilo; esto es, aparecía una corriente inducida. Entonces decidió modificar el experimento: sabiendo que la corriente que circula en un hilo envuelto en espiral alrededor de una barra de hierro la magnetiza (produciendo un electroimán), vio que el hierro que había utilizado tenía que magnetizarse por la corriente principal y dedujo que la corriente secundaria transitoria se debía a la magnetización o desmagnetización del núcleo de hierro. Entonces enrolló alrededor de una barra de hierro una bobina de hilo aislante y conectó los extremos a un galvanómetro, descubriendo que cuando se situaba esta barra en los polos de un imán permanente de acero, se creaba una corriente eléctrica inducida en el hilo que envolvía la barra. También notó que cuando se quitaba la barra de ahí también aparecía una corriente secundaria breve, pero en el sentido contrario a la corriente que existía cuando se acercaba a los polos magnéticos. Se dio cuenta entonces de que esta corriente inducida tenía que deberse a la inserción o eliminación de líneas de fuerza magnética de la bobina secundaria y dedujo que, si un hilo de cobre conectado a un galvanómetro se movía entre los polos de un imán y a través de las líneas de fuerza magnética, como para cortarlas (simplemente metiendo y sacando el hilo de entre los polos del imán), se induciría una corriente en el hilo. Hizo el experimento —aparentemente, solo aparentemente, sencillo—, uno de los más trascendentes de la historia por las consecuencias prácticas y tecnológicas que se derivaron de él, y encontró lo que suponía.
Finalmente, y en otro golpe de genio, Faraday efectuó otro experimento: tomó un disco de cobre con un muelle de contacto presionando contra su eje y otro contra su perímetro, estando los dos conectados a un galvanómetro (un aparato para detectar corrientes eléctricas, cuyos primeros prototipos se debieron a Johann Schweigger [1779-1857] y a Johann Christian Poggendorff [1796-1877], destacados físicos al igual que editores de dos de las revistas científicas más importantes alemanas, el Journal für Chemie und Physik y el Annalen der Physik und Chemie, respectivamente), hizo que girase rápidamente en un campo magnético, con las líneas de fuerza de este perpendiculares al plano del disco, y comprobó que se creaba una corriente eléctrica constante que circulaba a través del galvanómetro mientras el disco giraba. De esta manera nació la primera dinamo rudimentaria, o máquina para generar corrientes eléctricas solo con el movimiento de un conductor de cobre en un campo magnético. Si la máquina de vapor había proporcionado la energía necesaria para extraer el agua de las minas y aumentar la producción de carbón que alimentó las distintas maquinas que transformaron el proceso de producción, afectando de esta manera profundamente a la sociedad (la Revolución Industrial), la producción de corriente eléctrica en grandes cantidades que permitió la invención por Faraday de la dinamo terminó produciendo efectos similares.
De hecho, enseguida aparecieron inventores que comenzaron a explorar las posibilidades que ofrecía el hallazgo de Faraday. El mismo año, 1831, en que Faraday realizó sus experimentos, un fabricante de instrumentos francés, Hippolyte Pixii (1808-1835), produjo una máquina para generar corriente eléctrica alterna mediante la rotación de un imán permanente delante de unas determinadas bobinas de hilo, llamadas «de armadura», y el año siguiente añadió a la máquina lo que llamó «conmutador», que permitía proporcionar una corriente eléctrica que circulaba siempre en la misma dirección en su circuito externo; esto es, una corriente continua. En 1860, Antonio Pacinotti (1841-1912), de Florencia, ideó un nuevo tipo de armadura enrollada en un anillo de hierro, un modelo que sería redescubierto y mejorado en 1870-1871, convirtiéndose en un punto de partida de importantes avances, por el «electricista» (hoy diríamos seguramente «ingeniero de telecomunicaciones») belga Zénobe Théophile Gramme (1826-1901). Antes, en 1867, y de manera independiente, el alemán Werner von Siemens (1816-1892), que fundó un imperio industrial en el campo de la tecnología electromagnética, Henry Wilde (1833-1919) y el inglés y catedrático de Filosofía Natural en el King’s College de Londres Charles Wheatstone (1802-1875), idearon un tipo de modelo que se podía autoexcitar si parte de la corriente total que proporcionaba la armadura pasaba a través del hilo de las bobinas de los electroimanes, lo que aportaba ventajas en la producción industrial de electricidad.
Con desarrollos como los anteriores se abría una nueva era, como señaló en un libro que publicó en 1921 bajo el título Fifty Years of Electricity (Cincuenta años de electricidad) el ingeniero británico John Ambrose Fleming (1848-1945), inventor en 1904 de una válvula con dos electrodos (o diodo) que resultaría fundamental para enviar señales de radio más potentes que las precedentes:
Podemos decir que la máquina dinamo se había inventado antes de 1870, pero con la excepción de una pequeña cantidad de iluminación eléctrica de arco y algún uso suministrando corriente eléctrica para depósitos electroquímicos, no hubo una gran aplicación de aquella.
La ingeniería técnica, antes de 1870, estaba prácticamente confinada a la ingeniería telegráfica, terrestre y submarina. La única sociedad electrotécnica de la época era la Society of Telegraph Engineers and Electricians, y sus discusiones solo comprendían la teoría y práctica de este arte. El depósito electroquímico se convirtió en una industria importante y se hizo algún intento de concebir lámparas eléctricas incandescentes para la iluminación pública, pero con poco éxito. No había distribución pública de corriente eléctrica, ni iluminación de calles o privada, ni transmisión eléctrica de potencia, ni teléfonos y tampoco electrometalurgia o calor eléctrico.
En el año 1870 se empezó una nueva era, en la que la corriente eléctrica generada por las máquinas dinamo sería un factor importante en la vida humana.
La iluminación de casas o de calles constituyó, efectivamente, la primera gran aplicación de la tecnología eléctrica. Y planteaba problemas. Si se deseaba, como apuntaba Fleming, disponer de bombillas eléctricas, una posibilidad era explotando un fruto de los trabajos de Humphry Davy, el maestro —o mejor, el patrón-jefe— de Faraday. En 1808, Davy unió dos piezas de carbón duro a los cables que conectó a los extremos de una gran batería de pilas voltaicas de la que disponía en la Royal Institution; a continuación puso en contacto los extremos de los cables, descubriendo que cuando se separaban ligeramente se producía un deslumbrante arco de llama (al que se denominó «arco eléctrico») que unía el espacio entre los extremos de los cables en cuestión (es posible que llevara a cabo antes —en 1801— un experimento similar, pero a pequeña escala; esto es, con una batería más pequeña). Se abría así la posibilidad de fabricar bombillas que iluminasen a partir de la incandescencia de un arco eléctrico producido en el interior de un bulbo de cristal.
Un problema era que el carbón vegetal común no es un buen conductor de la electricidad, pero pronto se descubrió que se podían obtener mejores resultados utilizando barras cortadas sacadas del coque, especialmente la forma grafítica densa de este. Otra limitación procedía de que mientras que la única fuente de corriente eléctrica fuese una batería voltaica, el arco eléctrico no podía tener aplicación industrial (las baterías funcionaban con zinc, que había que reponer, y esto era caro). Sin embargo, todo esto cambió con la introducción de las máquinas electromagnéticas, que producían corriente continua de manera ininterrumpida.
Fueron el estadounidense Thomas Alba Edison (1847-1931), el prototipo de inventor formado a sí mismo, y el británico Joseph Wilson Swan (1828-1914), los primeros en conseguir, independientemente, una bombilla que se pudiese utilizar en la práctica, para lo cual recurrieron a un filamento de carbono (Edison fabricó una que permaneció incandescente durante 13,5 horas, modelo que superó en 1870 al mantener encendida una lámpara durante 1200 horas). La aparición de la bombilla incandescente anunció el fin de la iluminación por gas, siempre, claro está, que se consiguiese un sistema para producir electricidad en grandes cantidades. A finales de la década de 1880 la demanda de energía se satisfacía con la producción de pequeñas estaciones locales, que utilizaban carbón para producir electricidad, siguiendo el ejemplo de la Pearl Street Power Station de Edison, que quemaba 4,5 kilogramos de carbón por kilovatio/hora. En 1875, la Niagara Falls Hydraulic Power and Manufacturing Company puso en marcha un nuevo sistema, recurriendo a turbinas de motor de agua, pero no encontró más clientes que un molinero. En 1899 se constituyó la Niagara Falls Power Company, que resolvería la mayor dificultad, al ofrecer un premio de 100 000 dólares para quien descubriese el medio de enviar electricidad a larga distancia. Por entonces ya se contaban con las invenciones de uno de los grandes nombres de la tecnología electromagnética, el físico e ingeniero croata, nacionalizado después estadounidense Nikola Tesla (1856-1943), que en 1883 había inventado un transformador que al cambiar el sentido de la corriente convertía la corriente continua en alterna, producía un alto voltaje, y que en 1888 creó un sistema eléctrico que utilizaba la corriente alterna. George Westinghouse, el principal competidor de Edison, compró las patentes y se preparó para la inevitable victoria de la corriente alterna. En 1893 iluminó la Exposición Internacional de Chicago y tres años después, con la Compañía del Niágara, abastecieron la ciudad de Buffalo, situada a 209 kilómetros de distancia, la primera transmisión a larga distancia (en 1921, tras un gran trabajo de ingeniería civil, existían cuatro compañías que extraían y distribuían electricidad de las cataratas del Niágara, tres operando en el lado canadiense y una en el estadounidense).
§. Sistemas de comunicación
Los desarrollos que hemos estado mencionando no dependieron demasiado de que se dispusiese o no de una teoría completa de los fenómenos electromagnéticos, algo que Faraday no había podido lograr. Pero antes de que nos ocupemos de esa teoría, trataremos de otro conjunto de avances que dependieron aún menos de semejante teoría: de hecho, su historia comenzó bastante antes de que existiese. Nos estamos refiriendo a la telegrafía.
Tras el descubrimiento de Oersted y de que Johann Schweigger y Johann Christian Poggendorff construyesen —ya lo mencionamos—, en 1820 y 1821, los primeros galvanómetros, Ampère y Pierre Simon de Laplace propusieron la idea de telégrafos electromagnéticos que utilizasen bobinas y agujas magnéticas en el extremo receptor, en un número igual al de los caracteres que se deseaban emplear en la trasmisión. De hecho, Harrison Gray Dyar (1805-1875) construyó una línea telegráfica en Long Island, Nueva York, que funcionó entre 1828 y 1829, en la que los mensajes se recogían mediante procedimientos electroquímicos en una banda de papel. En 1830 el físico estadounidense, ya citado, Joseph Henry, construyó también una línea telegráfica de poco más de 300 metros, lo mismo que hicieron Wilhelm Weber (1804-1890) y Johann Carl Friedrich Gauss (1777-1855) en Gotinga en 1833, aunque en aquella ocasión llegando al kilómetro y medio de longitud. Pero los primeros en hacer de la telegrafía un éxito comercial fueron dos británicos, William F. Cooke (1806-1879), un oficial del ejército británico que al regresar de la India asistió a una demostración práctica de la telegrafía en la Universidad de Heidelberg, y Charles Wheatstone, con el que ya nos hemos encontrado. Sus primeros intentos de telegrafía se realizaron en 1837, en Londres, con una línea entre Euston y Camden Town. Además de conseguir desarrollar un sistema comercial de telegrafía eléctrica, fueron capaces de persuadir a los ferrocarriles para que adoptasen su sistema, algo importante en un momento en que el ferrocarril se estaba extendiendo rápidamente. En 1846, nueve años después de haber entrado en el campo, Cooke y Wheatstone vendieron sus patentes a la Electric Telegraph Company, la primera gran empresa británica dedicada a explotar industrialmente la electricidad. En 1868 existían en el Reino Unido 4119 oficinas telegráficas y cerca de 40 000 kilómetros de líneas. En 1870, la profesión de ingeniero telegrafista había llegado al punto de que se crease una Society of Telegraph Engineers.
Naturalmente, la historia del desarrollo de la telegrafía no se limita a Inglaterra (aunque también es cierto que esta nación mantuvo durante bastante tiempo una posición dominante en el campo); en una descripción medianamente completa habría que referirse a, por ejemplo, el estadounidense Samuel Finley Morse (1791-1872), que en abril de 1838 obtuvo una patente de un sistema que incorporaba la idea de su luego famoso código.
Entre 1854 y 1867 dobló su tamaño la red telegráfica británica. El precio de un mensaje se redujo a la mitad y el volumen de comunicaciones se cuadruplicó. Obviamente, aumentó también la oferta de trabajo en la producción o utilización de conductores eléctricos, aislantes, baterías e instrumental telegráfico, lo que a su vez creó una fuerte demanda de instrucción en telegrafía e, indirectamente, en electricidad. Los Royal Engineers, que durante la guerra de Crimea habían aprendido a valorar el nuevo medio de comunicación, establecieron en 1857 una Escuela Telegráfica Militar en Chatham, que instruyó a cientos de oficiales y soldados en los rudimentos de la electricidad, química y telegrafía. Los talleres industriales en los que se fabricaban aquellos materiales e instrumentos también fueron utilizados para formar trabajadores. Pero ni Chatham ni los talleres servían para resolver nuevos problemas que, inevitablemente, terminaban apareciendo. Se necesitaban otras escuelas. Una de ellas fue el laboratorio del que William Thomson/Kelvin disponía en la Universidad de Glasgow, donde era catedrático (en realidad, este laboratorio, situado en un sótano desocupado, no estaba reconocido oficialmente por la universidad). A finales de la década de 1850 y principios de la de 1860, aquel laboratorio fue el único centro universitario británico en el que se podía obtener algún tipo de enseñanza teórica y práctica relativa a la electricidad. Esto fue posible en gran medida debido a que Thomson estaba implicado en el desarrollo de la telegrafía, no porque su universidad o la sociedad reconociesen el valor de sus trabajos: con James White, Thomson había fundado una compañía que generaba problemas que luego se intentaban resolver en su laboratorio. En 1859, por ejemplo, cerca de veinte estudiantes estaban trabajando allí sobre instrumentos telegráficos, galvanómetros o unidades de resistencia. La decisiva participación de Thomson en el establecimiento de un cable submarino en 1866 entre las Islas Británicas y Norteamérica (tema al que volveremos enseguida), le reportó una gran fama. Su universidad quiso agradecer el reconocimiento que a través suyo estaba recibiendo, construyéndole un nuevo laboratorio que fue inaugurado en 1870. Entre 1866 y 1874, cuando la construcción de líneas telegráficas submarinas estaba en su apogeo, el laboratorio de Thomson se vio inundado de estudiantes que querían convertirse en «ingenieros telegráficos»; esto es, la universidad, su laboratorio de física, más bien, desempeñaba las funciones de Escuela Politécnica. De hecho, no existieron en Gran Bretaña laboratorios de ingeniería hasta 1878, lo que obligaba a los jóvenes que querían convertirse en lo que hoy denominamos «ingenieros» a recibir su instrucción práctica bien en industrias, como aprendices, bien en laboratorios de física en los que, como en el de Thomson, la electricidad ocupase una posición dominante. Esto ayudó, evidentemente, a la física, y en este sentido se puede decir que la telegrafía favoreció claramente la institucionalización de la ciencia física: entre 1878 y 1900 se establecieron quince laboratorios de ingeniería eléctrica en Gran Bretaña.
Una vez en funcionamiento los cables telegráficos terrestres (aéreos o subterráneos) y en constante extensión, era difícil evitar que se intentase utilizar el mismo principio para comunicar lugares separados por el mar. Hasta cierto punto era un servicio más necesario que el terrestre, ya que las comunicaciones por mar eran mucho más lentas y difíciles que por tierra. Fue en la India, en una fecha tan temprana como 1839, en donde un tal O’Shanghuessy, que se ocupaba del establecimiento de líneas telegráficas terrestres, sumergió un cable de cobre en el Ganges, cerca de Calcuta. Las señales fueron transmitidas de una orilla a otra, con lo que se demostraban experimentalmente las posibilidades de esta forma de comunicación. En 1840, Wheatstone presentaba a la Cámara de los Comunes un proyecto de cable telegráfico submarino para unir Dover y Calais. Indicó los medios de ejecución y la forma de construir el cable, pero el material conductor que proponía tenía unas propiedades de conducción eléctrica tan malas que ni siquiera se le pudo someter a ensayos. Existía, además, un problema importante: la conductibilidad del agua salada exigía que cualquier cable depositado en el fondo marino se encontrase recubierto de un buen aislante para que no perdiera la electricidad que pasaba por él. Ocurría, no obstante, que las sustancias naturales que podrían servir de revestimiento aislante o eran muy caras o, como el caucho, se deterioraban rápidamente en el medio marino.
En 1849 esta situación cambió radicalmente con la introducción en Europa de un nuevo material, procedente de China, muy parecido al caucho, pero que tenía sobre este la gran ventaja de ser inalterable con el agua, dulce o salada: la gutapercha. Con esta como recubrimiento se logró, tras un intento fallido, unir Dover y Calais. Un año más tarde, la línea se completaba uniendo directamente Londres y París. Otras líneas continuaron los años siguientes, a lo largo y ancho del mundo.
En vista de estos logros era natural que pronto surgiese la idea de unir telegráficamente Gran Bretaña con el continente americano. Así fue. El 20 de octubre de 1856 se formó, con capital británico y estadounidense, la Atlantic Telegraph Company. No iba a ser, sin embargo, una empresa fácil de llevar adelante. Las dificultades técnicas de todo tipo eran muy numerosas, y aunque el primer cable se instaló en 1857, no se consiguió depositar uno que funcionase hasta 1866. William Thomson fue el máximo responsable de que se pudiesen superar todas las dificultades científico-tecnológicas, y por ello la reina Victoria le premió con el título de «sir», al que años más tarde seguiría el de «lord», lord Kelvin.
El impacto popular de semejante acontecimiento fue muy grande. Al fin y al cabo se había conseguido reducir una larga travesía marítima a unos breves instantes, en lo que a comunicaciones se refiere. En ninguna otra época de la historia de la humanidad, incluida la presente, a pesar de toda la tecnología electrónica disponible, se produjo una ruptura cualitativa de orden parecido. Políticos, militares, hombres de negocios —toda la sociedad, en definitiva— tuvieron que aprender nuevos modos de comportamiento. Cambió el mundo, el mundo de la política, el mundo de los negocios y de las relaciones internacionales. Más correctamente: la física de la electricidad y el magnetismo crearon un mundo lleno de nuevas posibilidades, y nadie pudo dejar de advertir este hecho. La ciencia dejaba así el estrecho dominio de los gabinetes, las aulas o las reales academias, y entraba, además, en los hogares, que ya se podían iluminar de otra manera, con luz «blanca», en los transportes, con trenes eléctricos subterráneos que ahora llamamos «metro», en las comunicaciones, en la industria, en la política; en definitiva, en todas partes.
Y ahora ya sí pasemos a la formulación de la teoría de los fenómenos electromagnéticos.
§. La electrodinámica de Maxwell
La intuición natural y habilidad experimental de Faraday hicieron avanzar sustancialmente el estudio de los fenómenos electromagnéticos, pero para poder desarrollar una teoría del electromagnetismo se necesitaba otro tipo de científico. No hubo que esperar mucho, ni alejarse de Inglaterra para que tal personaje apareciese: el escocés —ya nos encontramos con él en el capítulo 10— James Clerk Maxwell, que fue capaz de unir todos los cabos sueltos que proliferaban en la electricidad y el magnetismo e, introduciendo ideas nuevas, formular una teoría completa del campo electromagnético.
Maxwell, uno de los físicos más notables de toda la historia, disfrutó de una cuidada educación en Edimburgo y en Cambridge, donde siguió el exigente, especialmente desde el punto de vista matemático, Mathematical Tripos, el sistema de exámenes que entonces se utilizaba allí, y ocupó cátedras en Aberdeen, Londres (King’s College) y Cambridge, donde fue el primer director del luego famoso Laboratorio Cavendish, además de catedrático de Física experimental. Su capacidad matemática le permitió encontrar soluciones a problemas concretos, como el de la estructura de los anillos de Saturno, además de una formulación unitaria de los fenómenos electromagnéticos y ser uno de los fundadores de la física estadística, como vimos en el capítulo 10.
Una forma, superficial, y necesariamente incompleta, de explicar cómo Maxwell se introdujo en los estudios electromagnéticos es a través de algunas cartas que escribió a Kelvin, cartas que Joseph Larmor publicó por primera vez en 1936. Así, el 13 de noviembre de 1854, desde el Trinity College de Cambridge, Maxwell escribía:
Querido Thomson,
He sabido muy poco de ti desde hace tiempo, excepto a través de Hopkins y Stokes, pero supongo que estás trabajando en Glasgow como siempre. ¿Recuerdas una larga carta que me escribiste sobre electricidad, que he olvidado si te agradecí? Pronto me introduje en el tema, pensando sobre toda rama de él simultáneamente, y he sido recompensado últimamente encontrando que toda la masa de confusión está comenzando a despejarse bajo la influencia de unas pocas ideas. Como deseo estudiar cómo han ido desarrollándose las ideas al respecto, al igual que los cálculos de las fuerzas, y como sospecho de varias manifestaciones tuyas que debes haber adquirido tus puntos de vista mediante ciertas ideas que he encontrado de gran ayuda, plasmaré por escrito para ti las confesiones de un novato eléctrico.
Obtuve los principios fundamentales de la electricidad de tensión bastante fácilmente. Me ayudó mucho la analogía de la conducción del calor, que creo es invención tuya, al menos no la he encontrado en ninguna otra parte. A continuación intenté obtener la teoría de atracciones de corrientes, pero aunque pude ver cómo se podrían determinar los efectos, no quedé satisfecho con la forma de la teoría que trata de las corrientes elementales y de sus acciones recíprocas, y no vi cómo se puede construir a partir de ella una teoría general. Leí este trimestre las investigaciones de Ampère y las admiré mucho, pero pensé que existía una especie de demostración ostensiva acerca de ellas que debía haber sido obtenida, después de que Ampère se hubiese convencido él mismo, para amoldar sus puntos de vista acerca de la indagación filosófica, y como un ejemplo de lo que debe ser. Aun así, creo que no hay duda de que Ampère descubrió las leyes y probablemente el método que ha dado. Ahora bien, te he oído hablar de «líneas magnéticas de fuerza» y parece que Faraday hace gran uso de ellas, pero otros parecen preferir la noción de atracciones directas de elementos de corrientes. He pensado que, como toda corriente genera líneas magnéticas y se ve afectada de una forma determinada por las líneas a través de las cuales pasa, podía hacerse algo considerando la «polarización magnética» como una propiedad de un «campo magnético» o espacio, y desarrollando las ideas geométricas de acuerdo con este punto de vista. Utilizo la palabra «polarización» para expresar el hecho de que en un punto del espacio el polo sur de un imán pequeño es atraído en una cierta dirección con una cierta fuerza.
Maxwell admiró profundamente a Faraday, como reconoció en su gran tratado electromagnético, A Treatise on Electricity and Magnetism (Un tratado sobre electricidad y magnetismo; 1873), en el que escribió:
Según avanzaba en el estudio de Faraday, me di cuenta de que su método de concebir los fenómenos era también matemático, aunque no viniese presentado en la forma convencional de símbolos matemáticos. También encontré que estos métodos eran capaces de ser expresados en las formas matemáticas ordinarias, y así comparados con los realmente matemáticos.
Por ejemplo, Faraday vio, con el ojo de su mente, líneas de fuerzas atravesando todo el espacio, allí donde los matemáticos veían centros de fuerza atrayendo a distancia: Faraday vio un medio en donde ellos solo veían distancia: Faraday buscó el asiento de los fenómenos en acciones reales que se propagaban por el medio.
Provisto de todo este equipaje, iba a comenzar su ataque al problema de producir una teoría para los fenómenos eléctricos y magnéticos, tarea en la que destacan dos trabajos, escritos mientras era catedrático de Filosofía de la Naturaleza en el King’s College de Londres: «Sobre las líneas de fuerza de Faraday» (Transactions of the Cambridge Philosophical Society; 1856) y «Sobre las líneas físicas de fuerza» (Philosophical Magazine; 1861-1862).
Expresado de manera sintética, la teoría a la que llegó Maxwell estaba constituida por un conjunto de doce ecuaciones en derivadas parciales (cuatro grupos de tres ecuaciones vectoriales), donde las incógnitas a determinar eran una serie de funciones que determinaban una estructura —una función— continua que transmitía las fuerzas, la interacción, electromagnética. Esa estructura continua es lo que denominamos «campo electromagnético». Vemos, por consiguiente, que al contrario de lo que sucedía con la dinámica que había propuesto Newton en sus Principia, en donde la interacción se transmitía a distancia, sin ningún tipo de soporte (la ley de Coulomb también seguía este mismo modelo), la explicación de Maxwell se basaba en un medio continuo, el campo electromagnético, también llamado en ocasiones «éter electromagnético». Este modelo, el de las teorías de campos, que no violenta nuestras capacidades cognitivas, sería el que se impondría en la física del futuro.
En el segundo de los artículos antes citados, Maxwell dio a conocer un resultado de extraordinaria importancia: que había unificado la óptica con el electromagnetismo. Pero antes de explicar en qué consistió tal unificación, debemos detenernos un momento a considerar que la velocidad de la luz —el fenómeno del que, como veremos, trató Maxwell— había sido objeto de mediciones desde mucho antes. La primera evidencia directa de que la velocidad a la que se propaga la luz no es infinita provino del astrónomo danés Olaus Rømer (1644-1710), que propuso que las discrepancias en las medidas de los períodos de revolución de uno de los satélites de Júpiter, Io, descubiertos por Galileo en 1609-1010, se debían a que se realizaban cuando la Tierra se encontraba en posiciones diferentes de su trayectoria en torno al Sol y que, por consiguiente, la luz proveniente de Io debía recorrer distancias distintas. Basándose en esta idea, a comienzos de septiembre de 1675 Rømer predijo en la Académie des Sciences de París que el 9 de noviembre Io emergería del cono de sombra producido por Júpiter diez minutos más tarde, predicción que fue verificada por los astrónomos parisienses, reforzando de esta manera la tesis de la finitud de la velocidad de la luz. A lo largo del tiempo se han dado valores diferentes para el cálculo que supuestamente hizo Rømer de la velocidad de la luz, cuando en realidad él no suministró ningún valor, interesado únicamente en si esa velocidad era finita.
El siguiente avance en esta cuestión procedió de un astrónomo inglés, James Bradley (1693-1762), que en 1742 se convirtió en Astrónomo Real, sucediendo a Halley. Antes, en 1728 publicó un artículo, «Descripción de un nuevo movimiento descubierto de las estrellas fijas», en las Philosophical Transactions de la Royal Society (en realidad, el artículo reproducía una carta que había enviado a Halley), en el que presentaba las consecuencias que derivaba de un fenómeno descubierto por él mismo, denominado «aberración estelar», un efecto distinto al bien conocido de antiguo paralaje (diferencia entre las posiciones aparentes que en la bóveda celeste tiene un astro, según el punto desde el que se le observa). Básicamente, la aberración estelar se debe a la diferencia entre la posición observada de una estrella y su posición real, diferencia debida a la combinación de la velocidad del observador y la velocidad de la luz. Un telescopio —razonaba Bradley— suministra la verdadera posición de una estrella solo si el movimiento de la Tierra coincide con la dirección de la luz que llega de la estrella; en caso contrario, hay que inclinar el telescopio en el sentido del movimiento de la Tierra, para que la luz lo atraviese según su eje. Esta desviación es máxima cuando los dos movimientos son perpendiculares, y nula cuando coinciden sus direcciones. Ahora bien, como la Tierra cambia continuamente de dirección en su órbita alrededor del Sol, vemos a la estrella como si fuese ella la que varía constantemente de posición. Mediante una serie de cálculos no muy complicados y basándose en la teoría corpuscular de la luz, Bradley halló que, de forma aproximada, el valor de esa aberración astronómica era igual al cociente v/c, donde v es la velocidad de la luz de la Tierra alrededor del Sol y c la velocidad de la luz. Y como fue capaz de medir el valor de la aberración, dedujo que la luz se propagaba con una velocidad de 298 500 kilómetros por segundo.
La primera determinación no astronómica de la velocidad de la luz la obtuvo el físico francés Armand Fizeau (1819-1896) en 1849 («Sobre una experiencia relativa la velocidad de propagación de la luz», Comptes Rendus de la Académie des Sciences), utilizando una rueda dentada que podía girar con una velocidad variable. Cuando el disco estaba en reposo, enviaba un rayo de luz desde el lado del observador que miraba al disco, de manera que pasara por uno de los dientes, llegase a un espejo y fuese reflejada por este de vuelta al observador. A continuación se ponía en movimiento la rueda y llegaba un momento en el que la luz reflejada era bloqueada por el siguiente diente. A una velocidad mayor, la luz podía pasar por ese diente, y como se conocía la velocidad de giro de la rueda, se podía calcular el tiempo que tardaba en colocarse en la posición adecuada el segundo diente. Y se podían utilizar estos datos, junto a la distancia conocida entre el espejo y el observador, para calcular la velocidad de la luz, que Fizeau estimó en 315 688 kilómetros por segundo.
Llegaron luego otras estimaciones y otros métodos; por ejemplo, los obtenidos por Leon Foucault en 1862, o por Albert A. Michelson (1825-1931), que dedicó una parte importante de su carrera a este problema: su mejor resultado es el que obtuvo en 1927: 299 789 kilómetros por segundo.
Y ahora ya podemos pasar a la unificación que Maxwell logró entre óptica y electromagnetismo en «Sobre las líneas físicas de fuerza». Cuando se lee este artículo, en concreto la tercera parte («La teoría de vórtices moleculares aplicada a la electricidad estática»), vemos cómo, al calcular la velocidad de las ondas transversales a partir del cociente entre fuerzas eléctricas y magnéticas, Maxwell encontró el valor conocido para la velocidad de la luz. Casi siglo y medio después de que fuesen escritas esas palabras, todavía se puede apreciar la excitación que sentía Maxwell cuando escribió: «Difícilmente podemos evitar la inferencia de que la luz consiste de ondulaciones transversales del mismo medio que es la causa de los fenómenos eléctricos y magnéticos».
En otras palabras, como sucede a menudo cuando se dispone de una nueva teoría fundamental, esta no solo describe aquellos fenómenos para los que en principio fue diseñada, sino que explica y predice otros. En el caso que nos ocupa el descubrimiento fue que las ondas luminosas, la luz, eran ondas de fuerzas eléctricas y magnéticas o, lo que es lo mismo, que la óptica pasaba a verse englobada en el electromagnetismo, una conclusión que se vio reforzada de manera aparentemente definitiva (sería la física cuántica la que años más tarde pondría límites a esta afirmación) con los experimentos que en 1888 llevó a cabo un antiguo estudiante de Helmholtz, Heinrich Hertz (1857-1894). Hertz demostró, en efecto, que tanto efectos electromagnéticos como calor radiante y luz se transmitían a través de un mismo medio mediante perturbaciones (ondas) que son, en todos los aspectos, iguales y que solo necesitaban de instrumentos de recepción adecuados para hacerlas manifiestas a nuestros sentidos. Probó, asimismo, que cuando se aceleraban cargas eléctricas, estas emitían «radiación electromagnética».
Cuatro años antes de que Hertz diese a conocer los resultados de sus experimentos, John Henry Poynting (1852-1914) publicó un artículo en las Philosophical Transactions de la Royal Society titulado «Sobre la transferencia de energía en el campo electromagnético», que contenía un resultado que permitía «visualizar» claramente la realidad física del campo electromagnético. Se trata del denominado «Teorema de Poynting», un teorema de conservación de la energía, en el que todos los sumandos menos uno de los que aparecen en la ecuación se identifican como referentes a la energía de las cargas eléctricas que producen el campo electromagnético, mientras que el restante debe corresponder a la energía del campo electromagnético. Y si podemos adjudicar energía a un ente introducido en una teoría física —como es el caso del campo electromagnético en la electrodinámica de Maxwell—, entonces este posee realidad física. «La existencia de corrientes inducidas y de las acciones electromagnéticas a distancia del circuito primario del que extraen su energía», escribía Poynting en los primeros compases de su artículo, «nos ha conducido, bajo la guía de Faraday y Maxwell, a considerar que el medio que rodea al conductor desempeña un papel muy importante en el desarrollo del fenómeno. Si creemos en la continuidad del movimiento de la energía; esto es, si creemos que cuando esta desaparece en un punto y reaparece en otro debe haber pasado por el espacio que separa a tales puntos, nos vemos forzados a concluir que el medio en cuestión contiene al menos parte de la energía y que es capaz de transmitirla de un punto a otro».
Los resultados obtenidos por Hertz atrajeron inmediatamente la atención sobre al problema de la comunicación sin hilos. Edison y Tesla en Estados Unidos, Oliver Lodge (1851-1940) y William Preece (1834-1913) en Inglaterra, y algunos otros, realizaron contribuciones en este sentido, pero fue el italiano Guglielmo Marconi (1874-1937) quien con más ahínco y habilidad combinó estos conocimientos para producir un sistema que permitió la comunicación sin utilizar cables por los que circulase corriente eléctrica.
Los hitos principales en la carrera de Marconi más relevantes en este contexto se pueden resumir en los siguientes: en 1895 realizó los primeros experimentos en su casa de Bolonia, siendo pronto capaz de extender el alcance de sus transmisiones desde su casa al jardín y, después, a distancias de entre uno y dos kilómetros; en 1896 obtenía su primera patente, trasladándose a Inglaterra el año siguiente con el fin de que sus proyectos prosperasen; en 1898 lograba conectar la bahía de Alum, en la isla de Wight, con Bournemouth, separados por una distancia de algo más de 20 kilómetros; en 1899 establecía la primera conexión internacional entre Folkestone y Boulogne (52 kilómetros), transmitiendo los primeros mensajes en abril; en 1900 formaba la Marconi International Marine Communications Company. El año siguiente, esto es, cuando el siglo XX comenzó su andadura, Marconi fue capaz de transmitir señales que cruzaron el Atlántico, algo en principio sorprendente, ya que la Tierra es redonda y se suponía que las ondas electromagnéticas se propagaban en línea recta: la explicación llegó veinte años más tarde, cuando el físico británico Edward Appleton descubrió que existe en la alta atmósfera una capa electrizada en la que rebotan las señales emitidas, volviendo a la superficie terrestre. De hecho, lo que Marconi pretendía inicialmente era utilizar su sistema para enviar señales desde la tierra a barcos; sus posibilidades tierra-tierra a grandes distancias constituyeron una sorpresa.
Es importante señalar que, al contrario de lo que se puede pensar en un mundo como el actual, dominado por las transmisiones electromagnéticas, a comienzos de siglo las aplicaciones prácticas de la telegrafía sin hilos eran escasas; de hecho, se pueden resumir fácilmente: comunicaciones marinas, entre barcos y tierra, o entre barcos entre sí, un mercado importante, pero nada comparable al que caracteriza hoy a esta tecnología. La radio no figuraba entre los pensamientos de Marconi, y en lo que se refiere a comunicaciones individuales a larga distancia, en realidad la telegrafía con hilos tuvo poco que temer de la sin hilos hasta el redescubrimiento de las ondas cortas en la década de 1920. Marconi supo, sin embargo, ver las posibilidades reales existentes y sacar partido de ellas; una cualidad que no tuvieron Oliver Lodge o el físico ruso Alexander Popov (1859-1905), que muy probablemente dominaban las técnicas radiotelegráficas mejor que el emprendedor italiano. ¿Para qué, debió pensar Lodge, una vez que logró que funcionase su sistema experimental de radiocomunicación en 1894, preocuparse por sus aplicaciones en la comunicación, si existían problemas para poder implementarla en gran escala, mientras que la telegrafía con hilos funcionaba bastante bien? Tal vez uno de los problemas era que Lodge pertenecía a una nación, el Reino Unido, que mantenía un liderazgo en ese tipo de transmisión, la telegrafía sin hilos (ser el primero no siempre es lo mejor), mientras que Marconi no.
Junto a los anteriores desarrollos, se produjeron otros que ayudaron en el establecimiento de mecanismos para emitir y recibir estas señales. Uno fue la válvula con dos electrodos (o diodo) que, como ya mencionamos, inventó en 1904 John Ambrose Fleming, a la que siguió otra, un tríodo, desarrollada en 1906 por el inventor norteamericano Lee De Forest (1873-1961). Con ellas fue posible enviar señales más potentes, reemplazando auriculares por altavoces, y transmitir sonidos —como música o diálogos— en lugar de pulsos de señales.
De esta manera, la compañía de Marconi pudo emitir diariamente conciertos desde Chelmsford, en Essex (Inglaterra), entre el 23 de febrero y el 6 de marzo de 1920 (utilizó un transmisor con una potencia de 15 kilovatios y una antena que se extendía entre dos mástiles de 137 metros de altura). El 14 de noviembre de 1922, una nueva radio creada al efecto, la British Broadcasting Company, la hoy famosa BBC, comenzaba a emitir diariamente, incluyendo en su programación, a partir de 1924, programas educativos, una tradición con la que continúa. Al otro lado del Atlántico, en Estados Unidos, la primera compañía en recibir una licencia de radio fue la KDKA, en Pittsburg. Su primera emisión tuvo lugar el 2 de noviembre de 1920. Y el ejemplo se propagó rápidamente: mientras que en 1921 solo existían dos emisoras en Estados Unidos, en 1925 ya operaban más de quinientas (más varios miles no autorizadas que emitían con potencias bajas). Además, en 1922 George Front instaló un aparato receptor de radio en un modelo T de Ford, aumentando así las posibilidades del nuevo medio.
Contenido:§. La espectroscopía
§. Rayos catódicos y rayos X
§. La radiactividad
§. Transmutación de los elementos
§. Radiactividad artificial
Hasta ahora, en nuestro recorrido por la naturaleza y la ciencia que la estudia, han sido los cuerpos materiales, eso que llamamos «materia», los que han ocupado la mayor parte de nuestra exposición. Es cierto que la luz ya ha hecho su aparición, y que esta no es uno de esos cuerpos materiales, pero hasta el capítulo precedente («Magnetismo y electricidad») ha sido la única presencia «no material» en nuestro estudio de la realidad física. Con la formulación teórica de la electrodinámica producida por Maxwell esa situación cambió, al verse a través de ella la existencia de un nuevo tipo de ente, el campo electromagnético, dotado de entidad física (posee energía). Vimos que Maxwell descubrió que la luz no es sino una variación, una onda, de ese campo electromagnético; de esta manera, el campo electromagnético, el vehículo de la interacción electromagnética, amplió el número de entidades, de fenómenos, que pueblan el Universo, mostrándonos que vivimos rodeados de formas de energía visibles o, la mayoría, invisibles para el ojo humano, aunque las sintamos en nuestros cuerpos. Aunque los humanos somos especialmente sensibles a la luz, con la que vemos, esta solo corresponde, efectivamente, a una parte del conjunto de ondas que componen el denominado espectro electromagnético: las ondas cuya longitud de onda se encuentra, aproximadamente, en el entorno de 10–6 metros (esto es, 1/105), o con mayor precisión y expresado en nanómetros (1 nm = 10–9 metros), entre 400 nm (correspondiente a la luz violeta) y 750 nm (luz roja). Junto a este tipo de radiación electromagnética existen otras: rayos gamma, rayos X, ultravioleta, infrarroja, microondas, etc.
Estrechamente relacionada con las ondas del campo electromagnético —confundiéndose de hecho con ellas, al ser de la misma naturaleza—, se encuentran otras ondas, que el propio Maxwell aventuró de manera teórica y cuya existencia, como señalamos, Hertz demostró experimentalmente: cuando una carga eléctrica experimenta una aceleración, una parte del campo electromagnético asociado a ella se separa de él; esto, la carga, emite una onda electromagnética que se propaga por el espacio transportando energía. A estas ondas electromagnéticas que emanan de una fuente transportando energía se las denomina radiación electromagnética (el término radiación procede del latín radius, que designaba a las piezas que mantienen la curvatura de una rueda; la idea, el sentido figurado, es que el Sol —y por extensión el calor del fuego— emitía radiaciones que emanan de su centro como los radios de una rueda).
El que únicamente seamos capaces de ver un rango muy estrecho de las radiaciones electromagnéticas que inundan la naturaleza constituye una fuerte limitación para el estudio de esta. La astrofísica, en particular, dio un salto cualitativo y cuantitativo sustancial cuando dejó de basarse solo en telescopios ópticos y recurrió a instrumentos que podían detectar otros tipos de radiación. De hecho, todos los cuerpos, aunque su temperatura sea muy baja, emiten alguna radiación. Como tienen algún grado de calor, la agitación térmica que esa energía calorífica produce en las moléculas que lo constituyen —moléculas que contienen cargas eléctricas—, emiten energía en forma de radiación electromagnética, llamada energía térmica.
| Principales tipos de radiación electromagnética (en metros) | |
| Rayos gamma | 10–13 – 10–9 |
| Rayos X | 10–11 – 10–8 |
| Rayos ultravioleta | 10–8 – 10–6 |
| Visible | 10–6 |
| Infrarrojo | 10–6 – 10–3 |
| Microondas | 10–3 – 10–1 |
| Frecuencia modulada | 10 – 102 |
| Radiofrecuencia | 105 – 106 |
§. La espectroscopía
La descomposición de la luz solar descubierta por Newton mostró una banda de colores, del rojo al violeta, a la que denominó espectro. Durante el siglo que siguió a las observaciones ópticas de Newton con prismas, pocos avances importantes se realizaron en este campo. Uno de ellos tuvo lugar en 1752, cuando Thomas Melvill (c. 1753) observó que al calentar los cuerpos sólidos (y los líquidos también) estos emiten, cuando alcanzan una temperatura suficientemente alta, radiaciones. Melvill hizo pasar por un prisma la luz emitida por una llama producida por sodio; observó un espectro continuo, surcado por una serie de líneas brillantes. Que sepamos, fue la primera observación de un espectro de emisión.

Michael Faraday ideó, basándose en su intuición, los conceptos de líneas de fuerza y de campo, que James Clerk Maxwell desarrolló matemática y físicamente e insertó en la electrodinámica que produjo en la década de 1860. Los dibujos que aparecen aquí muestran las líneas de fuerza del campo eléctrico entre dos cargas y las del campo magnético producido por un imán. Aunque se visualizan fácilmente, no permiten hacerse una idea de la fecundidad que el concepto de campo ha tenido en el conjunto de la física. Prácticamente todas las teorías básicas que existen en la actualidad en la física son teorías de campos: la electrodinámica (clásica y cuántica), las teorías cuánticas de las interacciones débil y fuerte, y la relatividad general (gravitación). Las viejas acciones a distancias newtonianas, la alternativa a los campos, se mantienen únicamente en las teorías de la dinámica y gravitación universal presentadas por Newton en 1687, aunque, es cierto, existen indicios de que acaso puedan resucitar debido a los sorprendentes no localidad y entrelazamiento cuánticos.
Poco menos de medio siglo después, William Herschel publicó una serie de artículos en las Philosophical Transactions de la Royal Society en los que daba cuenta de unos experimentos que había realizado con lentes oscurecidas para reducir la intensidad de la luz que llegaba del Sol. Siendo como era un innovador tecnológico, comenzó a probar con lentes coloreadas —esto es, con filtros— para observar mejor el Sol. De esta manera descubrió que, mientras que una lente de color rojo detenía mucha de la luz que llegaba del Sol, dejaba en el ojo una intolerable sensación de calor. Cuando ponía un termómetro en lugar del ojo, el instrumento mostraba un importante aumento inmediato de temperatura. Lo apartó enseguida, temeroso que de la expansión del mercurio produjese la ruptura del termómetro. Por el contrario, una lente de color verde reducía la temperatura, pero dejaba pasar demasiada luz.
Por entonces se pensaba que los diferentes colores producían iguales cantidades de calor. Las investigaciones de Herschel con lentes de diferentes colores demostraron que esto no era cierto. Imitando lo que había hecho Newton en el siglo XVII, colocó un prisma en el agujero de una ventana dirigiendo el espectro de colores que se producía hacia una tabla que podía pivotar y en la que hizo un agujero de cierta amplitud. Debajo de la tabla puso tres termómetros y, maniobrando con ella, pudo variar el color que llegaba a través del agujero a la ampolla de los termómetros que contenía el mercurio. Operando con los diferentes colores, del azul al amarillo y de este al naranja, anotó las variaciones de temperatura que se producían en cada caso en los termómetros. Cuando llegó a la luz roja, la temperatura seguía subiendo. No cabía duda de que la luz roja poseía mayores poderes caloríficos que los otros colores.
El 27 de marzo de 1800, Herschel hizo el primer anuncio de sus sorprendentes resultados en la Royal Society, al que siguieron tres comunicaciones más en las siguientes semanas (el título del tercer artículo, publicado en 1801, es expresivo: «Observaciones tendentes a investigar la naturaleza del Sol, para hallar las causas de los síntomas de su emisión variable de luz y calor; con comentarios sobre el uso que tal vez puede hacerse de las observaciones solares»). Ahora bien, como temía, nadie pareció creer en sus resultados, que algunos trataron como poco más que las elucubraciones de un loco. En un artículo que publicó en el Journal of Natural Philosophy, Chemistry and the Arts, un tal míster Leslie manifestaba que Herschel había cometido el error de principiante de registrar únicamente el aumento de temperatura de la habitación en la que había realizado sus observaciones. Era demasiado pronto para contribuciones como la de Herschel.
El siguiente paso en lo que podemos denominar «etapa preespectroscópica» se produjo muy poco después, en 1802, cuando, utilizando también prismas, aunque sin hacer pasar la luz a través de un agujero, como había hecho Newton, sino de una franja rectangular, William Hyde Wollaston (1766-1828), un médico inglés retirado que financiaba sus amplios intereses científicos gracias a haber descubierto un método de trabajar el platino, advirtió que en el espectro de la luz procedente del Sol aparecían unas pocas líneas oscuras, que Newton no había detectado y que él tomó como los bordes de los colores naturales. Designó, por ejemplo, con las letras A y B las líneas que marcaban la frontera del rojo, mientras que D y E separaban al violeta del azul. Por primera vez alguien había observado una estructura interna en el espectro luminoso, aparte de la secuencia de colores del arco iris. Y todo gracias a la mejora en la calidad de los cristales del prisma y a la idea de hacer pasar a la luz por una abertura rectangular muy estrecha.
Esta misma línea de investigación, aunque introduciendo dos mejoras importantes (utilizar un telescopio para examinar el espectro y un teodolito para medir con precisión las posiciones de las líneas), fue la que siguió Joseph Fraunhofer (1787-1826), un óptico profesional y constructor de instrumentos, entre cuyas ocupaciones figuraba la de fabricar lentes; de hecho, produjo las mejores lentes acromáticas y prismas que había visto jamás la comunidad óptica. Su interés por el espectro solar provenía de su profesión: necesitaba localizar en el espectro un punto de referencia que le permitiera medir con precisión los índices de refracción (grado de desviación de la luz al pasar por un cierto medio) de los materiales con los que construía las lentes de sus instrumentos ópticos.
Con semejantes materiales, en 1814 Fraunhofer fue capaz de distinguir en la luz procedente del Sol una gran cantidad de líneas oscuras. No encontró explicación de su presencia, pero midió con precisión la longitud de onda de más de la mitad de ellas e identifico las más destacadas con letras: de A a H y a y b; solo entre B y H detectó 574 líneas, aunque en el mapa que publicó únicamente mostró 350. Y no se ocupó solo de medir sus posiciones, sino también sus intensidades relativas.
La estela de Fraunhofer fue seguida por una serie de investigadores, entre los que se encuentran David Brewster (1781-1868), que se centró en la producción de luz monocromática para evitar el problema de la aberración cromática, William H. Fox Talbot (1800-1877), un inventor, químico, físico y arqueólogo inglés, William Allen Miller (1817-1870), profesor de Química en el King’s College de Londres, o John William Draper (1811-1882), profesor de Química en la Universidad de Nueva York. Gradualmente se fue descubriendo que era posible producir líneas oscuras en los espectros haciendo pasar la luz a través de diversas sustancias coloreadas, confirmándose por otra parte el tipo de observación de Melvill: los espectros producidos por algunas llamas estaban atravesados por líneas brillantes. Pero los aparatos utilizados por todos estos investigadores no habían sido unificados en un solo instrumento; estaban compuestos por un conjunto de elementos dispersos (una abertura, una mesa con prismas, un telescopio acromático, un teodolito, acaso una lente colimadora). La unificación de todos estos elementos en una estructura común organizada fue obra de la colaboración de dos destacados científicos que se reunieron en la Universidad de Heidelberg: el físico Gustav Robert Kirchhoff (1824-1887) y el químico Robert Wilhelm Bunsen (1811-1899).
Formado en la Universidad de su ciudad natal, Königsberg, Kirchhoff se trasladó a Berlín después de doctorarse en 1847. En la capital prusiana comenzó su carrera docente, al lograr en 1848 el título de privatdozent. En 1850 se incorporó como extraordinarius a la Universidad de Breslau. Allí conoció a Robert Bunsen, pero este se trasladó a Heidelberg el año siguiente. En 1854, cuando Philipp von Jolly (1809-1884) dejó su cátedra de Física en Heidelberg, Bunsen propuso a Kirchhoff para sucederle, iniciativa que finalmente tuvo éxito. Mantuvo este puesto hasta 1875, cuando aceptó una cátedra de Física teórica en la Universidad de Berlín, ciudad en la que falleció el 17 de octubre de 1887.
Tras haberse dedicado al estudio de la elasticidad y la electricidad, en el otoño de 1859 Kirchhoff realizó una sorprendente observación. Se sabía (Foucault, 1849) que las denominadas líneas D (oscuras), observadas en el espectro solar por Fraunhofer en 1814, coincidían con las líneas amarillas brillantes detectadas en las llamas que contenían sodio. Este efecto se podía observar con cierta facilidad haciendo que la luz del Sol llegase a un aparato, denominado espectroscopio, que Bunsen y Kirchhoff describían de la siguiente manera en un artículo que publicaron en 1862:
El aparato que hemos empleado para la observación del espectro se compone de una caja, ennegrecida por su interior, colocada sobre tres pies, y cuya base es un trapecio. Las dos paredes, correspondientes a los lados oblicuos del trapecio, forman un ángulo de 58o, y llevan dos anteojos pequeños: el ocular del primero está reemplazado por un disco de latón que tiene una hendidura vertical, la cual se coloca en el foco del objetivo. Delante de esta hendidura se pone la lámpara, de modo que el eje del anteojo pase por el borde de la llama. Un poco más abajo de este punto de encuentro se halla, pendiente de un sustentáculo, un hilo de platino muy fino y encorvado en forma de espiral, en el cual se pone el glóbulo del cloruro que se va a examinar, deshidratado previamente. Entre los objetivos de ambos anteojos hay un prisma de 60o, sostenido por un disco de latón movible sobre un eje vertical, el cual lleva en su parte inferior un espejo, y encima de él una varilla, que sirve para dar vuelta al prisma y al espejo. Delante de este último se halla colocado un anteojo, que sirve para leer las divisiones de una escala horizontal colocada a corta distancia. Dando vueltas al prisma pueden hacerse pasar todas las partes del espectro detrás del retículo vertical del segundo anteojo, y por consiguiente que coincidan todas las rayas del mismo con el retículo. A cada posición del espectro corresponde una división de la escala; y si es poco luminoso, se aclara el hilo del anteojo por medio de una lente que proyecta en él la luz de una lámpara por una abertura lateral practicada en el tubo ocular del segundo anteojo.
Más brevemente, hoy diríamos que un espectroscopio está constituido por un colimador, que recibía los rayos de luz que llegaban produciendo un haz paralelo, que se descomponía en los diferentes colores al pasar a continuación por uno o varios prismas de cristal o por una red de difracción (una placa de cristal o de metal rayada con líneas paralelas muy próximas entre sí), montados sobre una pieza giratoria (al girar esta pieza, cada uno de los colores/rayas espectrales constituyentes del haz podían ser vistos a través del ocular, con lo que era posible calcular las correspondientes longitudes de onda). Con este instrumento se observaba un conjunto de líneas, que constituye el espectro del elemento químico o sustancia analizados.
Volviendo a las observaciones astronómicas de Kirchhoff, lo que hizo fue debilitar la luz solar, logrando así que las líneas oscuras de Fraunhofer fuesen sustituidas por las líneas brillantes provenientes de la llama. El hallazgo fue advertir que si la intensidad del espectro solar aumentaba por encima de un cierto límite, las oscuras líneas D se hacían todavía más oscuras al interponer una llama de sodio. Intuyó inmediatamente que se trataba de algo fundamental, aunque no sabía cómo explicar el fenómeno.
Un día después se le ocurrió una explicación, que pronto se vio confirmada por nuevos experimentos: una sustancia capaz de emitir una cierta línea espectral posee una gran capacidad de absorber la misma línea; por eso las líneas D, características del sodio, se hacían más oscuras cuando se interponía una llama también de sodio. Otra manifestación de semejante propiedad podía ser que la simple interposición de una llama de sodio de baja temperatura sería suficiente para producir artificialmente las líneas D en el espectro de una fuente de luz intensa que no las mostraba inicialmente, pero este hecho conducía a una conclusión fundamental: las líneas D (oscuras, insistimos) que aparecían en el espectro solar tenían que ser debidas a que en la atmósfera de Sol existía sodio, que mediante un fenómeno de absorción originaba las mencionadas líneas.
Antes de que acabase el año, Kirchhoff informó a la comunidad científica de sus ideas. Un ejemplo en este sentido es la carta que dirigió el 6 de agosto de 1860 al químico Otto Linné Erdmann, y de la que el químico británico Henry Roscoe (1833-1915) publicó en 1861 un extracto traducido al inglés en el Philosophical Magazine. Escribía en ella:
Desde que remití mi Memoria a la Academia de Ciencias de Berlín, no he dejado de proseguir mis investigaciones en el mismo sentido. Había enunciado yo la ley de que una llama absorbe los mismos rayos que emite; no insistiré sobre las pruebas teóricas que he dado en confirmación de esta ley, ni sobre los experimentos que hemos hecho el Sr. Bunsen y yo para demostrar que las rayas brillantes del espectro de una llama pueden servir para caracterizar los metales introducidos en esta llama; mi intención es comunicar los resultados de mis investigaciones respecto al análisis químico de la atmósfera solar.
El Sol tiene una atmósfera gaseosa, candente, y que envuelve un núcleo cuya temperatura es todavía mucho más elevada. Si pudiésemos observar el espectro de esta atmósfera, notaríamos en él las rayas brillantes características de los metales contenidos en este medio, y por ellas podríamos determinar la naturaleza de estos metales. Pero la luz más intensa emitida por el núcleo solar no permite que el espectro de esta atmósfera se produzca directamente: obra sobre él invirtiéndole, según lo que he expuesto anteriormente; es decir, que sus rayas brillantes parecen oscuras. No vemos el espectro de la atmósfera solar por sí mismo, sino su imagen negativa. Esta circunstancia permite determinar con igual exactitud la naturaleza de los metales contenidos en esta atmósfera, para lo cual basta tener un conocimiento profundo del espectro solar, y de los producidos por cada uno de los diferentes metales.
De esta forma, se había cerciorado de que todas las rayas brillantes peculiares del hierro correspondían a las rayas oscuras del espectro solar: «El hierro se distingue […] por el gran número de rayas notables que presenta en el espectro solar». No se limitó, sin embargo, al hierro, investigando asimismo si metales como el magnesio, cromo y níquel estaban también presentes en la atmósfera del Sol. Confirmó su presencia, y que parecía que «otros muchos metales faltan en ella completamente. Así, los espectros de la plata, del cobre, del zinc, del plomo, del aluminio, del cobalto, del antimonio presentan también rayas extraordinariamente brillantes, pero que no coinciden con ninguna de las rayas oscuras del espectro solar, al menos entre las que son visibles».
Las consecuencias de los argumentos y observaciones de Kirchhoff eran evidentes. Se hacía posible estudiar por primera vez la composición de los cuerpos celestes sin más que analizar la luz que recibimos de ellos. En otras palabras: nacía una nueva ciencia, la astrofísica, que permitía abordar cuestiones imposibles de resolver para la vieja, varias veces milenaria, astronomía. En sus memorias, The Life and Experiences of sir Henry Enfield Roscoe (1906), Roscoe, colaborador durante algún tiempo de Bunsen en Alemania, recordaba la impresión que le suscitaron estos desarrollos:
Nunca olvidaré la impresión que me produjo mirar a través del magnífico espectroscopio de Kirchhoff, instalado en una de las habitaciones traseras del viejo edificio de la Hauptstrasse, que entonces hacía las funciones de Instituto de Física, y ver la coincidencia de las líneas brillantes en el espectro del hierro con las oscuras líneas de Fraunhofer en el espectro solar. La evidencia de que el hierro, tal y como lo conocemos en la Tierra, está contenido en la atmósfera solar, aparece instantáneamente como concluyente. Y no han transcurrido aún cuarenta años desde que Comte, argumentando en su Système que los investigadores no deberían malgastar su tiempo intentando lo imposible, utilizase como un ejemplo de lo que quería decir por imposible que el conocimiento de la composición del Sol a una distancia de 91 millones de millas debía permanecer para siempre inalcanzable.
«Ya no será necesario tocar un cuerpo para determinar su naturaleza química: bastará verle», escribía por su parte en 1861 el químico francés Jean-Baptiste-André Dumas.
Mientras que los trabajos de Kirchhoff que acabamos de comentar se basaron bien en interpretaciones teóricas o en observaciones experimentales solares, la colaboración entre Bunsen y Kirchhoff estuvo dedicada fundamentalmente a aspectos químicos. Como explicaban en un artículo publicado en 1862, «Se sabe que muchas sustancias introducidas en una llama tienen la propiedad de producir en el espectro de esta rayas brillantes particulares: en la existencia de estas rayas puede fundarse un método de análisis cualitativo que ensancha considerablemente el dominio de las investigaciones químicas y que permite resolver problemas hasta ahora insuperables». En cuanto a elementos químicos, compararon los espectros obtenidos con diversos compuestos (como cloruros puros, yodatos, hidratos, carbonatos y sulfatos) cuando se introducían llamas de, entre otros elementos y compuestos, azufre, hidrógeno, sulfuro de carbono, óxido de carbono y la llama no luminosa del gas del alumbrado. «De nuestras largas y minuciosas investigaciones», manifestaban, «cuyos detalles creemos deber pasar en silencio, resulta que la naturaleza de la combinación en que existe el metal, la diversidad de los fenómenos químicos que se originan en cada llama, y la diferencia enorme de temperatura producida por ellas, no ejercen ninguna influencia sobre la posición de las rayas del espectro correspondiente a cada metal».
Tras estas explicaciones, llegaba el momento de señalar una de las grandes aplicaciones de este método, una de las principales, si no la principal, en lo que a la química se refiere: «También tiene importancia el análisis del espectro desde otro punto de vista, en cuanto puede conducir al descubrimiento de elementos todavía desconocidos. Si en efecto existen cuerpos diseminados en la naturaleza en cantidades bastante pequeñas para ocultarse a nuestros métodos comunes de análisis, puede esperarse descubrirlos por la simple inspección del espectro».
El escenario se encontraba preparado, como vemos, para que intentasen ser los primeros en explotar la posibilidad que acababan de enunciar: que estaban utilizando un método que «puede conducir al descubrimiento de elementos todavía desconocidos». Lo serían, efectivamente, como argumentaban en su segunda memoria (1861). «Tenemos la convicción», explicaban, «de que este método, que ensancha de un modo tan extraordinario los límites del análisis químico, podrá conducir a descubrir nuevos elementos desapercibidos hasta ahora por los químicos, bien por hallarse diseminados, bien por su analogía con las sustancias conocidas, bien por razón de lo imperfectos que son nuestros métodos de investigación, que no permiten encontrar entre ellos reacciones características. Desde el primer paso que hemos dado en esta senda, hemos visto realizarse lo que habíamos previsto; en efecto, bien pronto hemos reconocido, además del potasio, del sodio y del litio, la existencia de otros dos metales alcalinos, aunque las sales de estos nuevos elementos producen los mismos precipitados que las del potasio, y que solo se encuentran en pequeñísima cantidad». Se trataba del cesio («de Cassius», escribían, «que entre los antiguos servía para designar el azul de la parte superior del firmamento, cuyo nombre nos parece se justifica por la facilidad con que puede comprobarse con el hermoso color azul de los vapores candescentes de este nuevo cuerpo simple») y el rubidio («de rubidus, que entre los antiguos servía para designar el rojo más intenso», por el «magnífico color rojo intenso» de dos de las rayas del nuevo metal).
Durante los años siguientes otros elementos serían identificados mediante el análisis espectral: el talio (William Crookes, 1861), el indio (Reich y Ritcher, 1863), el helio, detectado por Norman Lockyer en 1869 en las protuberancias solares, descubrimiento que fue confirmado (1895) en el laboratorio por William Ramsay y lord Rayleigh, el galio (Paul Lecoq de Boisbaudran, 1875), el escandio (Lars Nilson, 1879) y el germanio (Clemens Winkler, 1886).
El mismo año (1859) en que Kirchhoff publicó sus observaciones e ideas sobre las líneas D observadas en el espectro solar que coincidían con las líneas amarillas brillantes emitidas por llamas que contenían sodio, apareció un segundo trabajo suyo en el que se ocupaba de aspectos teóricos que subyacían el primero. En particular, trataba en él de una propiedad específica de los cuerpos que emitían luz y calor («luz invisible», como llamaba a este último): «El cociente entre la capacidad de emisión y la capacidad de absorción, e/a, común a todos los cuerpos», escribía, «es una función que depende de la longitud de onda [de la radiación emitida o absorbida] y de la temperatura».
Un año después, Kirchhoff (1860) publicó un segundo artículo en el que abordaba el mismo problema con mayor detalle, suministrando además una demostración analítica más rigurosa del teorema. Fue en este trabajo en donde, al principio, introdujo la noción de cuerpo negro. «Quiero llamar a semejante cuerpo», fueron sus palabras, «cuerpo negro perfecto, o de modo abreviado, negro».
El problema de encontrar una expresión matemática para la distribución de la energía de un cuerpo negro en función de la longitud de onda, λ (o la frecuencia, ν) de la radiación y su temperatura, se convirtió en una de las cuestiones más atractivas de la física teórica que se ocupaba del estudio de la radiación. El propio Kirchhoff llegó a un resultado importante: «que la capacidad de emisión de un cuerpo negro, considerada con respecto a una longitud de onda dada es independiente de su constitución». Utilizando este resultado, otros científicos avanzaron por esta senda. El primero al que hay que referirse es a Josef Stefan (1835-1893), catedrático de Matemáticas Superiores y Física en la Universidad de Viena, donde también dirigía un Instituto de Física Experimental. Utilizando una cavidad esférica de paredes totalmente absorbentes (esto es, negras), llena de radiación de intensidad K, mantenida a una temperatura absoluta, T, constante, Stefan realizó medidas que sugerían que la energía total de la radiación encerrada en su modelo de cuerpo negro era proporcional a la temperatura absoluta elevada a la cuarta potencia (T4). La propuesta de Stefan (que presentó en 1879) era puramente experimental, pero fue deducida teóricamente en 1884 por Ludwig Boltzmann; de ahí que se conozca como «Ley de Stefan-Boltzmann».
Sobre estos cimientos, Wilhelm Wien (1864-1928), un físico alemán que había estudiado en Gotinga, Heidelberg y Berlín, doctorándose con Helmholtz en 1886, avanzó una ley específica para la distribución de la energía con respecto a la frecuencia y la temperatura, u(ν, T):
u(ν, T) = α·ν3·exp(–βν/T),
donde α y β eran constantes.
La ley de Wien parecía funcionar bien, pero en 1900 dos físicos que trabajaban en Charlottenburg, en el Physikalisch-Technische Reichsanstalt, del que Wien era miembro cuando presentó su ley, Heinrich Rubens y Ferdinand Kurlbaum, demostraron que esta ley no era correcta para frecuencias cortas (longitudes de onda grandes). Semejante información sería decisiva para que un catedrático de Física de la cercana Universidad de Berlín, de nombre Max Planck, propusiera otra ley para la radiación de un cuerpo negro, con la que, como veremos en el capítulo 20, comenzaría la historia de la física cuántica.
§. Rayos catódicos y rayos X
En 1709, Francis Hauksbee, curator (conservador) de experimentos y constructor de instrumentos para la Royal Society de Londres, publicaba un libro titulado Physico-Mechanical Experiments on Various Subjects (Experimentos mecánico-físicos sobre diversos temas), en el que señalaba que había observado que si se agitaba un recipiente de vidrio del que se había extraído el aire e introducido algunas gotas de mercurio, aparecía un resplandor fosforescente. De hecho, las experiencias de Hauksbee fueron estimuladas por fenómenos parecidos detectados con anterioridad en los tubos barométricos (en los que se había generado algún vacío) de Evangelista Torricelli, a los que ya hicimos referencia en el capítulo 8. En 1675, por ejemplo, el astrónomo Jean Picard (1620-1682) advirtió, en la oscuridad de su observatorio de París, que cuando movía barómetros a veces se producía un misterioso halo luminoso por encima del nivel de la columna oscilante de mercurio.
Para que Hauskbee pudiera llevar a cabo estos experimentos, fue esencial que dispusiese de una bomba de vacío, un aparato que había desarrollado —como también señalamos en el capítulo 8— en especial Otto von Guericke hacia 1647. Sin embargo, y aunque hoy tengamos claro que experimentos y instrumentos como esos escondían inmensas posibilidades, nada importante sucedió hasta la centuria siguiente.
Por una parte, se avanzó en la mejora en las bombas de vacío, un dominio en el que destacó Heinrich Geissler (1815-1879), un mecánico y experto soplador de vidrio de Bonn, extremadamente habilidoso en la construcción de instrumentos científicos. Con su nueva bomba, que utilizaba mercurio y que construyó hacia 1855, Geissler extraía con gran eficacia aire de tubos de vidrio, en cuyos extremos introducía electrodos, a los que aplicaba elevados voltajes eléctricos, obteniendo efectos luminosos de gran belleza (los colores variaban según el gas utilizado).
En el siglo de la electricidad, no es sorprendente que semejante dispositivo experimental fuese utilizado también por físicos y químicos para estudiar las características de los gases empleados, así como la relación existente entre gas y electricidad. Uno de estos científicos fue Julius Plücker (1801-1868), catedrático de Física de la Universidad de Bonn, quien en 1852 ya había colaborado con Geissler. Durante sus investigaciones espectroscópicas, Plücker encontró en 1858 que, según se iba extrayendo el gas del tubo, la luminosidad que lo llenaba en un principio (producida por la diferencia de potencial existente entre los electrodos) disminuía progresivamente hasta que el cátodo aparecía rodeado por una delgada envoltura luminosa, de color variable dependiendo de la naturaleza del gas introducido en el tubo, y separada del cátodo por un espacio oscuro, tanto más extenso cuanto mayor era el enrarecimiento de la atmósfera interior. Cuando la presión del gas disminuía a una millonésima de atmósfera, el espacio oscuro invadía todo el tubo, no observándose otra cosa que un pequeño círculo de luz violeta en el extremo del cátodo, a la vez que el vidrio adquiría una intensa fosforescencia en la parte opuesta.
Tras los trabajos de Plücker, un estudiante suyo, Wilhelm Hittorf (1824-1914), y Eugen Goldstein (1850-1930) demostraron (el primero con un cátodo en forma de punta) que un objeto colocado en la línea del cátodo daba lugar a una sombra bien definida en la envoltura luminosa, lo que sugería que lo que emanaba eran rayos que viajaban en línea recta desde el cátodo. De ahí que se terminase pasando de hablar de emisión catódica, a utilizar la expresión, introducida en 1876 por Goldstein, Kathodenstrahlen, rayos catódicos (Hittorf utilizó el término Glimmstrahlen; glimm es alemán es «arder sin llama»).
Qué eran en realidad esos Kathodenstrahlen fue una pregunta que tardó en ser contestada. Como explicaremos en el capítulo 20, la respuesta llegó en 1897, de la mano del director del Laboratorio Cavendish de Cambridge, Joseph John Thomson. Veremos entonces que en realidad consistían en corrientes de partículas cargadas, de electrones.
Uno de los físicos que se dedicaron a estudiar los rayos catódicos, antes incluso de que Thomson dilucidara su estructura, fue Wilhelm Konrad Röntgen (1845-1923).
Tras doctorarse en Zúrich en 1868 y ocupar después diversas posiciones de poca importancia, en 1879 Röntgen consiguió por fin un buen puesto: catedrático y director del Instituto de Física en la Universidad de Giessen. Una década más tarde, en 1888, se convertía en catedrático de Física Experimental y director del Instituto de Física de la Universidad de Würzburgo. Fue allí, en junio de 1894 (prácticamente al tiempo de ser nombrado rector de su Universidad), donde Röntgen comenzó a trabajar en lo que para él era entonces un nuevo campo de investigación: el de los rayos catódicos. En el curso de sus investigaciones, el 8 de noviembre de 1895, encontró una nueva —y misteriosa (podía atravesar cuerpos opacos)— radiación, a la que bautizó como «rayos X», ya que ignoraba su naturaleza. No obstante, la publicación correspondiente se demoró unas semanas, ya que deseaba confirmar de la forma más amplia posible su descubrimiento, incluyendo la resolución del problema de cuál era su naturaleza, que en última instancia él nunca pudo obtener. Finalmente, el 28 de diciembre presentó el manuscrito de la primera de las tres comunicaciones que preparó para la Sociedad Física y Médica de Würzburgo: «Sobre un nuevo tipo de rayos».
El 1 de enero de 1896 ya disponía de separatas, que envió, junto a copias de fotografías que había obtenido —algunas de las cuales se harían famosas; en especial, la de la mano de su esposa (tomada el 22 de diciembre)—, a los principales científicos europeos. El segundo artículo vio la luz en marzo de 1896, incluyendo esta vez una fotografía de la radiografía de una mano de Albert von Kölliker, un distinguido anatomista colega de Röntgen en Würzburgo.
En una entrevista que concedió a un periodista, Röntgen dio algunos datos relacionados con su descubrimiento que merece la pena reproducir:
Desde hacía bastante tiempo venía interesándome por los rayos catódicos, en la forma en que habían sido estudiados por Hertz y especialmente por Lenard: en un tubo de vacío. Con gran interés había seguido sus experimentos, así como los de otros físicos y me había propuesto realizar yo mismo algunos ensayos al respecto en cuanto tuviera tiempo. A fines del mes de octubre de 1895 lo conseguí. No hacía mucho que había comenzado con mis ensayos, cuando observé algo nuevo. Trabajaba con un tubo de Hittorf-Crook envuelto completamente en un papel negro. Sobre la mesa, al lado, estaba colocado un trozo de papel indicador de platinocianuro de bario. Hice pasar a través del tubo una corriente y noté una curiosa línea transversal sobre el papel […]
El efecto era tal que, con arreglo a las ideas de entonces, solamente podía resultar de la radiación de la luz. Pero era totalmente imposible que la luz proviniera de la lámpara, puesto que, indudablemente, el papel que la envolvía no dejaba pasar luz alguna, ni siquiera la de una lámpara de arco.
Al igual que ocurría con los rayos catódicos, la naturaleza de los rayos X fue intensamente debatida desde el principio. La mayor parte de los físicos pensaba que eran algún tipo de radiación electromagnética, opinión que el propio Röntgen compartía. Sin embargo, existían evidencias que apuntaban en la dirección de que no se comportaban como los rayos de luz ordinaria: «He tratado de varias maneras», escribía Röntgen en su primer artículo, «de detectar en los rayos X fenómenos de interferencia; pero, desgraciadamente, sin éxito, acaso solamente por su débil intensidad […]; tampoco pueden ser polarizados por ninguno de los métodos ordinarios».
La solución al problema de la naturaleza de los rayos X tardaría más de una década en llegar. Lo hizo en 1912, cuando el 21 de abril, en el Instituto de Física Teórica de la Universidad de Múnich, Walter Friedrich (1883-1968) y Paul Knipping (1883-1935) observaron, siguiendo una propuesta de un antiguo doctorando de Planck, Max von Laue (1879-1960), la difracción de rayos X por un cristal. La idea de que un cristal estaba formado por moléculas o átomos distribuidos a lo largo y ancho de una red espacial era por entonces ampliamente conocida y aceptada, de manera que la contribución auténticamente original fue asociar experimentalmente estas estructuras cristalinas con los rayos X, para clarificar así la naturaleza de ambos. Si los rayos X eran ondas electromagnéticas de longitud de onda pequeña, y si los cristales estaban formados por átomos distribuidos de manera regular en el espacio, con distancias pequeñas entre ellos, entonces, al ser los tamaños implicados similares, se debían producir interferencias al hacer incidir los rayos sobre el cristal. Midiendo distancias entre los máximos de intensidad en el diagrama de interferencia, se podría calcular, como se hacía en la óptica ordinaria, la longitud de onda de los rayos X. Esto es lo que se hizo: se irradió con rayos X un cristal de sulfato de cobre, obteniéndose puntos negros distribuidos periódicamente en una placa fotográfica colocada detrás del cristal.
Como los átomos que forman los cristales no son todos iguales, era inmediato pensar que la difracción de rayos X podría utilizarse no solo para determinar las distancias entre los átomos que forman el cristal, sino también para establecer sus diferentes componentes atómicos. Sin embargo, el método de Laue, que utilizaba el espectro continuo de rayos X, es decir, rayos X de diferentes longitudes de onda, no era el más adecuado para llevar a cabo semejante programa, ya que, por ejemplo, cada longitud de onda provoca una difusión diferente en el cristal, con lo cual se tienen múltiples procesos de difusión. Una solución más conveniente surgió de la colaboración de William Henry Bragg (1826-1942) y William Lawrence Bragg (1890-1971), padre e hijo, professor en la Universidad de Leeds y estudiante en el laboratorio Cavendish de Cambridge, respectivamente. Sin entrar en la cuestión de qué se debe a cada uno, veamos cómo describió William Lawrence algunos de los elementos básicos del método que desarrollaron, en el que, una vez más, fue esencial la introducción de un instrumento nuevo:
Para examinar de manera más completa el haz de rayos X reflejado, mi padre construyó un espectrómetro de rayos X. En este instrumento se puede colocar una cara del cristal de forma que refleje los rayos X con cualquier ángulo (de hecho, es la lámina de átomos paralela a la cara la que refleja), y se mide la intensidad del haz reflejado con una cámara de ionización. Con este instrumento realizó el siguiente gran descubrimiento […] El espectrómetro de rayos X abrió un nuevo mundo. Demostró ser un método para analizar la estructura cristalina mucho más poderoso que las fotografías de Laue que yo había utilizado. Se podían examinar las diversas caras de un cristal sucesivamente y midiendo los ángulos y la intensidad con que esas caras reflejan los rayos X, se puede deducir la forma en que los átomos se encuentran distribuidos en capas paralelas a estas caras. La intersección de estas caras señalaban las posiciones de los átomos en el espacio. Por otro lado, se podía utilizar una cara cristalina adecuada para determinar las longitudes de onda de los rayos X característicos procedentes de los diferentes elementos utilizados como fuentes. Se podía seleccionar un haz «puro» de rayos X monocromáticos.
Con esos rayos X monocromáticos era, efectivamente, más fácil medir los ángulos y las intensidades de la radiación X una vez que había interaccionado con los átomos del cristal, y así determinar distancias interatómicas y deducir qué elementos químicos formaban el cristal.
Con sus nuevas técnicas, los Bragg determinaron, en 1913, la estructura del diamante. Antes de que comenzara la Primera Guerra Mundial el joven Bragg determinaba otras estructuras: CaF2 (fluorita), FeS2 (pirita) y CaCO2 (calcita). En 1915 padre e hijo recibían el premio Nobel de Física, por sus «investigaciones sobre la determinación de las estructuras cristalinas mediante rayos X».
§. La radiactividad
Las noticias del descubrimiento de los rayos X circularon con rapidez por todo el mundo, tanto por el científico como por el social. Las evidentes aplicaciones médicas de la nueva radiación contribuyeron mucho a la popularidad que enseguida adquirieron (antes de un año algunos hospitales ofrecieron servicios de radiología). Así, en un libro que publicó en 1911 (The Progress of Physics During 33 Years, 1875-1908; esto es, El progreso de la física durante 33 años, 1875-1908), Arthur Schuster (1851-1934), director del laboratorio de física de la Universidad de Manchester, explicaba:
Se puede imaginar el interés que suscitó en el mundo científico el descubrimiento y la sensación que creó en todas partes; pocos fueron los laboratorios en los que no se intentó enseguida repetir el experimento […] Casi inmediatamente, la posibilidad de aplicaciones prácticas atrajo al público y muy especialmente a la profesión médica. Estaba claro que se tenía un método de gran utilidad para el diagnóstico de fracturas complicadas, o para localizar cuerpos extraños en el cuerpo. Para mí, esto tuvo una consecuencia desafortunada. Mi laboratorio se vio inundado por médicos que traían a sus pacientes, de los que se sospechaba que tenían agujas en distintas partes de sus cuerpos, y durante una semana tuve que emplear la mayor parte de tres mañanas en localizar una aguja en el pie de una bailarina de ballet.
En Alemania, el 4 de enero de 1896 Emil Warburg mostró algunas de las fotografías tomadas por Röntgen en una reunión de la Sociedad de Física de Berlín. El día siguiente, la agencia de noticias Wiener Presse transmitía la historia del descubrimiento, y el 6 la información circulaba por todo el mundo. El corresponsal del London Daily Chronicle en Viena, por ejemplo, enviaba a su redacción el siguiente texto: «Los rumores de una alarma de guerra no deben distraer la atención del maravilloso triunfo de la ciencia que acaba de comunicarse en Viena. Se anuncia que el Prof. Röntgen de la Universidad de Würzburgo ha descubierto una luz que, al efectuar una fotografía, atraviesa la carne, el vestido y otras sustancias orgánicas». Hasta el propio káiser Wilhelm II le solicitó una demostración en la Corte, que Röntgen efectuó el día 13.
En Francia la noticia también se conoció pronto, en los periódicos al igual que en instituciones como la prestigiosa Académie des Sciences, que dedicó su reunión del 20 de enero de 1896 a estudiar el tema. En esta sesión, dos médicos, Oudin y Barthélemy, presentaron una fotografía que habían tomado de los huesos de una mano utilizando rayos X. El matemático Henri Poincaré (1854-1912), que había recibido del propio Röntgen copias de algunas de sus fotografías, fue el encargado de hacer la presentación en aquella sesión de la Academia, a la que también llevó un ejemplar del artículo de Röntgen. Ahora bien, si se consulta el ejemplar de las Comptes rendus (la revista de la Académie) de aquella sesión, no aparece nada de lo que dijo entonces Poincaré. Afortunadamente, disponemos de un artículo, titulado «Los rayos catódicos y los rayos Röntgen», publicado en el número del 30 de enero de 1896 de la Revue générale des Sciences pures et appliquèes, que tiene toda la apariencia de constituir la esencia de lo que dijo en aquella sesión el físico-matemático francés. En él, Poincaré llamaba la atención a la posible conexión entre los rayos X y la fluorescencia. En este sentido escribía:
Habiendo rodeado con un cartón negro un tubo de Crookes en el que se producen rayos catódicos, el profesor Röntgen colocó este tubo en una sala oscura y le aproximó una pantalla de papel recubierto de platinocianuro de bario. Esta pantalla se hizo fluorescente, a pesar de que el cartón negro se encontraba en medio, y esta fluorescencia se mantuvo hasta una distancia de 2 metros.
Se dio cuenta inmediatamente de la relevancia extraordinaria de este descubrimiento; hacía falta admitir, en efecto, la existencia de un agente nuevo, susceptible de atravesar un cartón negro bastante opaco, diferente, por consiguiente, de la luz visible o ultravioleta, pero que producía como ella la fluorescencia.
El señor Röntgen no tardó en descubrir que las nuevas radiaciones impresionan la placa fotográfica, ya sea porque poseen una acción química directa, o porque, bajo su influencia, la propia materia de la placa se hace fluorescente. A pesar de que estas radiaciones no ejercen ningún efecto sobre la retina, existen dos medios de constatar su presencia y, en consecuencia, de estudiarlas. Pueden sernos reveladas, bien por la fotografía, bien por la fluorescencia que comunican a ciertos cuerpos.
Como veremos inmediatamente, esta sugerencia resultó decisiva para el descubrimiento de la radiactividad.
Uno de los que asistieron a la sesión de la Academia de Ciencias del 20 de enero fue Henri Becquerel (1852-1908), el tercero de una familia de físicos. Miembro de la Academia desde 1889, al igual que lo habían sido su padre y su abuelo, Becquerel era entonces catedrático de Física en el Museo de Historia Natural de París. Interesado por las noticias que se comunicaron allí sobre los hallazgos de Röntgen y disponiendo como disponía en el Museo de sales de uranio (su padre, Edmond Becquerel [1867-1868], había trabajado con varios compuestos de uranio, como el nitrato y el silicato de uranio, el sulfato doble de uranio y potasio o el fluoruro doble de uranio y potasio) que mostraban propiedades fosforescentes, recurrió a ellas para ver si producían rayos X.
Antes de continuar, es adecuado referirse al uranio, que tan importante fue para Becquerel y cuyo papel en la historia tanto de la ciencia como de la política internacional del siglo XX es difícil minimizar. Se trata de un elemento químico que fue presentado a la comunidad científica mundial el 24 de septiembre de 1789, en una memoria que leyó en la Real Academie de Ciencias y Bellas Letras de Berlín el químico Martin Heinrich Klaproth (1743-1817).
Examinando muestras de pechblenda (el nombre deriva de las palabras alemanas pech, que significa «brea» —también «mala suerte»—, y blende, esto es «mineral») que encontró en las localidades de Johanngeorgenstdt (Sajonia) y Joachimsthal (Bohemia), Klaproth halló indicios que le hicieron sospechar la presencia de un metal distinto a los diecisiete identificados por entonces, que bautizó como, escribía, «Urano, tomado del planeta Urano, cuyo descubrimiento también es reciente». (Básicamente, hasta el tratamiento que de él hizo Becquerel, la principal utilidad del uranio fue la derivada de los intensos colores de sus óxidos y sales. La cristalería, la cerámica y porcelanas de Bohemia, que hasta entonces habían utilizado la plata de minas próximas, adquirieron fama universal por unas tonalidades nuevas, con unos barnices y fluorescencias que se debían a la incorporación del uranio, pero que para la mayoría eran inexplicables, ya que el proceso se mantuvo en secreto. Más tarde también se utilizó otro compuesto del uranio, el nitrato de uranio, en los primeros procesos fotográficos).
El 24 de febrero, es decir, poco más de un mes después de la reunión de la Academia y casi cuatro del descubrimiento de Röntgen, Becquerel presentaba su primera comunicación a la Académie des Sciences: «Sobre las radiaciones emitidas por fosforescencia». En ella sostenía que los rayos emitidos por el sulfato doble de uranio y potasio, una sustancia fosforescente, impresionaban, a través de una espesa envoltura de papel, una placa fotográfica. Parecía, efectivamente, que la fosforescencia iba acompañada de rayos X. Sin embargo, una semana más tarde, el 2 de marzo, la Académie recibía otra comunicación de Becquerel, esta vez con un contenido mucho más sorprendente. El día 26 de febrero se había visto obligado a interrumpir sus experiencias con las sales de uranio debido a que estaba nublado y no salió el Sol. Como tenía la placa fotográfica protegida por una envoltura y la sal de uranio preparada, las guardó en un cajón, esperando que el día siguiente saliese el Sol y pudiese exponer la sal a su luz. Como el tiempo no cambió en varios días, el 1 de marzo Becquerel optó por revelar la placa fotográfica, esperando encontrar imágenes débiles. Sorprendentemente, encontró siluetas muy fuertes. Sin la intervención de la luz solar, sin ninguna fosforescencia o fluorescencia visible, el compuesto de uranio había emitido una radiación capaz de impresionar la placa. El porqué era algo que Becquerel desconocía.
En la siguiente sesión de la Academia, celebrada el 9 de marzo, Becquerel informaba que, además de oscurecer placas fotográficas, la nueva radiación ionizaba los gases, haciéndolos conductores; un hallazgo que permitía determinar, recurriendo a un instrumento que midiese corrientes eléctricas, la «actividad» de una muestra. También indicaba que por entonces había mantenido a sus cristales en la oscuridad durante 160 horas, sin que se produjese ningún debilitamiento en la radiación que emitían. Asimismo, había reducido la lista de sustancias que emitían la nueva radiación a únicamente compuestos de uranio, con dos sorprendentes excepciones: un par de especímenes de sulfato de calcio, que, por alguna razón que aún hoy se ignora, producían imágenes a través de 2 milímetros de aluminio.
Todos estos resultados forman en realidad la esencia del descubrimiento de la radiactividad. Becquerel continuó estudiando las propiedades de la nueva radiación, publicando más notas en las Comptes rendus del 23 y 30 de marzo, pero la esencia del descubrimiento estaba completa. Todos los resultados que obtenía le inducían a pensar que las emisiones procedían del uranio: «Todas las sales de uranio que he estudiado», escribía en una de sus notas, «ya sean fosforescentes o no con respecto a la luz, estén cristalizadas, fundidas o en solución, han dado resultados comparables. Esto me ha conducido a pensar que el efecto es debido a la presencia en estas sales del elemento uranio, y que el metal daría efectos más intensos que los compuestos». Comprobó, asimismo, que la actividad de las muestras no se debilitaban aunque transcurriera mucho tiempo: «Desde el 3 de marzo al 3 de mayo, estas sustancias se mantuvieron encerradas en un caja de cartón opaco. Desde el 3 de mayo, han sido colocadas en una doble caja de plomo que nunca abandona la cámara oscura […] Bajo estas condiciones, las sustancias continúan emitiendo radiaciones activas». Y no sabía explicar el porqué de este sorprendente fenómeno, al que se refirió como un «tipo de fosforescencia invisible».
A pesar de lo que estemos tentados de pensar, más de un siglo después, en su momento el descubrimiento de Becquerel no atrajo excesiva atención; los rayos X seguían en la cresta de la ola de la popularidad. La persona responsable de que todo esto cambiase fue una mujer de origen polaco, Marie Sklodovska-Curie (1867-1934).
Uno de los primeros días de noviembre de 1891, con 23 años, Marie Sklodovska tomaba un tren en la estación de Viena de Varsovia. Su destino: la Gare du Nord de París. Y la Sorbona, por supuesto, en la que apenas dos años después, en 1893, Marie obtuvo la licence ès sciences, siendo la primera de su curso, y la licence ès mathématiques el año siguiente, 1894, el mismo en que conoció a Pierre Curie (1859-1906), entonces profesor de Física en la École Municipale de Physique et de Chimie Industrielles de la ciudad de París, una institución fundada con la intención de formar, a lo largo de tres cursos, científicos —ingenieros técnicos más bien— para la industria.
En la École Municipale, Pierre Curie llevó a cabo importantes contribuciones a la física. Una fue particularmente importante: la que realizó en 1880 con su hermano Jacques. Los dos hermanos demostraron que aparecían cargas eléctricas en la superficie de ciertos cristales sometidos a variaciones de presión. Se trataba de la piezoelectricidad, fenómeno que consiste en una polarización eléctrica producida por la compresión o expansión de cristales en la dirección del eje de simetría.
Conseguida su segunda licenciatura, y ya casada con Pierre Curie, Marie decidió doctorarse, y no encontró mejor tema que el de estudiar un fenómeno descubierto no hacía mucho por Henri Becquerel. El primer fruto de aquel interés fue un breve artículo publicado en 1898 en las Comptes rendus titulado: «Rayos emitidos por los compuestos de uranio y del torio». Para sus experimentos, Marie utilizó un húmedo y frío cobertizo de ladrillo y cristal destinado a servir de lugar de almacenaje en la Escuela en la que trabajaba Pierre.
Lo que hizo Marie Curie en aquellas primeras investigaciones en el campo de la radiactividad fue, por un lado, estudiar la conductividad del aire bajo la influencia de la radiación emitida por el uranio, descubierta por Becquerel, y, por otro, buscar si existían otras sustancias, aparte de los compuestos del uranio, que convirtiesen el aire en conductor de la electricidad. El procedimiento experimental era, en principio, sencillo: colocaba el material a estudiar sobre una placa metálica frente a la que se encontraba otra placa, también de metal, que hacía las veces de condensador; utilizaba entonces el electrómetro de cuarzo piezoeléctrico (desarrollado por su esposo) para comprobar si pasaba alguna corriente eléctrica por el aire existente entre las placas. Cuanto mayor fuese la intensidad de esa corriente, mayor era la actividad radiactiva de la sustancia.
En sus experimentos, Marie se había encontrado con una sustancia especialmente llamativa: «De los minerales que se han mostrado activos, todos contienen elementos activos. Dos minerales de uranio: la pechblenda (óxido de uranio) y la calcolita (fosfato de cobre y de uranio) son mucho más activos que el propio uranio. Este hecho es muy sorprendente e induce a creer que estos minerales pueden contener un elemento mucho más activo que el uranio». Pronto comprobaría que tal suposición era correcta.
Había, por tanto, que intentar aislar el o los elementos que creía haber detectado indirectamente en esos minerales. Pero la tarea que se vislumbraba parecía demasiado exigente para ella sola, así que solicitó la ayuda de su marido, un maestro consumado, además, en el manejo del electrómetro piezoeléctrico (como al principio no conocían ninguna de las propiedades de la sustancia que buscaban, únicamente que emitía radiación, se tuvieron que basar sobre todo en las consecuencias de esa radiación, tarea para la que era imprescindible el electrómetro). Pierre aceptó interrumpir, en principio temporalmente, las investigaciones que estaba realizando con cristales.
Tardaron unos tres meses en obtener su primer gran resultado: el que les animó a anunciar la existencia de un nuevo elemento químico: el polonio. En efecto, fue el 18 de julio (1898) cuando presentaban en la Académie des Sciences su artículo: «Sobre una nueva sustancia radiactiva, contenida en la pechblenda». Es, por cierto, la primera vez que se utilizó la expresión radiactiva; esto es, activa en radiación, que emite radiaciones. Marie y Pierre introducían un término, radiactividad. Lo que hicieron fue atacar la pechblenda con ácidos y tratar el líquido obtenido con ácido sulfúrico. «El uranio y el torio se quedaron en el líquido». El paso siguiente fue estudiar ese líquido sulfurado residual. Comprobaron que contenía «una sustancia muy activa, además de plomo, bismuto, cobre, arsénico y antimonio». Tras nuevos tratamientos químicos consiguieron observar que «el cuerpo activo permanece junto al bismuto». No fueron capaces de encontrar «ningún procedimiento exacto para separar la sustancia activa del bismuto por vía húmeda». Sin embargo, sí pudieron realizar «separaciones incompletas», de las cuales se seguía la obtención de «productos cada vez más activos». Finalmente, «conseguimos una sustancia cuya actividad es unas 400 veces mayor que la del uranio». Todo esto les animaba a atreverse a manifestar: «Creemos, pues, que la sustancia que hemos retirado de la pechblenda contiene un metal no conocido hasta ahora, próximo al bismuto por sus propiedades analíticas. Si la existencia de este nuevo metal se confirma, proponemos que se le denomine polonio, por el nombre del país de origen de uno de nosotros».
Durante las investigaciones que les condujeron al descubrimiento del polonio, Marie y Pierre hallaron indicios de que, acompañando al bario separado de la pechblenda, podía existir otro elemento. Pero para continuar avanzando, los Curie pensaron que necesitaban más conocimientos y habilidades químicas que las que ellos poseían y, en consecuencia, solicitaron la ayuda de Gustave Bémont (1857-1932), un químico que entonces era jefe de los trabajos de química mineralógica en la École de Physique et Chimie Industrielles. Tras varios meses más de duro trabajo, fueron capaces de separar ese segundo nuevo elemento, al que denominaron «radio», que después demostró ser mucho más importante que el polonio.
El anuncio del descubrimiento lo efectuaron en la sesión de la Academia celebrada el 26 de diciembre. «Sobre una nueva sustancia fuertemente radiactiva, contenida en la pechblenda» fue el título que dieron al correspondiente artículo. En él señalaban que a lo largo de sus investigaciones habían «encontrado una segunda sustancia fuertemente radiactiva y totalmente diferente de la primera [el polonio] por sus propiedades químicas», una sustancia que tenía «todas las apariencias químicas del bario casi puro». Pero sabían que ni el bario ni sus compuestos son normalmente radiactivos, y por ello aplicaron procedimientos químicos dirigidos a intentar aislar el elemento radiactivo. En primer lugar obtuvieron una sustancia, en estado de cloruro hidratado, con una radiactividad 60 veces más fuerte que el uranio metálico. Insistiendo con más fraccionamientos, llegaron a una sustancia que poseía una actividad 900 veces mayor que el uranio. Esas razones les hacían «creer que la nueva sustancia radiactiva contiene un elemento nuevo, al que proponemos dar el nombre de radio». Es de suponer que lo bautizaron de esta manera porque, debido a la intensidad de su actividad, parecía ser el prototipo de elemento radioactivo.
El radio mostró ser un elemento extremadamente difícil de obtener. Tras cuatro años de duro trabajo, los Curie solo pudieron separar 100 miligramos (aproximadamente la cabeza de una cerilla) de elemento bastante puro, a partir de varias toneladas de mena de uranio. No es extraño, por consiguiente, que su precio fuese muy elevado: en 1921, por ejemplo, un gramo de radio costaba 100 000 dólares. Sin embargo, sus características justificaban semejante valor. Su vida media (el tiempo que tarda en desintegrarse la mitad de átomos de una muestra; básicamente también el tiempo que tarda en disminuir a la mitad la actividad de esa muestra) es de 1600 años, frente a los solo 138 días del polonio y 4500 millones de años del uranio. El radio es, por tanto, una fuente de radiación estable durante cientos de años, y tiene, además, una intensidad 3000 veces superior a la de una cantidad igual de uranio. En otras palabras, combina una vida larga y una intensidad elevada mucho mejor que cualquier otro elemento o sustancia radiactiva.
Para los pioneros de la radiactividad, al igual que para todos aquellos que se interesaban de una u otra manera por ella, se trataba de un fenómeno sorprendente, inexplicable en base a la física y a la química conocida entonces. Era inevitable que los científicos de la época se preguntasen cuál era su origen, y, en consecuencia, que se produjeran todo tipo de reacciones.
Sin entrar en un análisis general, es posible identificar tres fases en la historia de la explicación de la radiactividad. La primera duró hasta 1903, y en ella la principal cuestión tratada fue si la radiactividad era una propiedad atómica de la materia o si, por el contrario, era producida por un agente externo. Aquel período terminó con la aceptación general de que la primera posibilidad, la de que se trataba de un fenómeno atómico, era la correcta, aunque no por ello dejase de considerarse ocasionalmente la segunda opción. La siguiente fase cubre, aproximadamente, la década de 1903 a 1913, y en ella el objetivo más perseguido fue encontrar algún modelo atómico que pudiese explicar la radiactividad. Los continuos fracasos en este sentido terminaron por producir un ambiente científico en el que la cuestión del origen de la radiactividad dejó de plantearse —o, por lo menos, de plantearse con la frecuencia, convicción e intensidad de antes—, convenciéndose la mayoría de los físicos (no todos, por supuesto) de que la respuesta llegaría en el futuro, cuando se dispusiese de esquemas conceptuales y teorías más poderosos. La mecánica cuántica (de la que trataremos en el capítulo 20) sería semejante «esquema conceptual»: en 1928, George Gamow y, de manera independiente, Ronald Gurney y Edward Condon demostraron que la física cuántica suministraba una explicación satisfactoria, aunque no totalmente completa, de las emisiones radiactivas. Antes, eso sí, ayudó a comenzar a comprender la naturaleza de la radiactividad una contribución de un entonces joven y desconocido empleado de la Oficina de Patentes de Berna, de nombre Albert Einstein, publicada en 1905: el artículo que contiene la célebre ecuación E = m·c2. Pero de Einstein y de esta aportación a la física nos ocuparemos en el capítulo 19.
§. Transmutación de los elementos
Uno de los primeros investigadores que se ocuparon de la radiactividad fue un joven neozelandés llamado Ernest Rutherford (1871-1937), que desde septiembre de 1895 trabajaba con una beca en el laboratorio de J. J. Thomson (se había graduado en el Canterbury College de Christchurch, un pequeño centro que formaba parte de la Universidad de Nueva Zelanda). Inicialmente (1896), Rutherford colaboró con Thomson en el estudio de la ionización de gases debida a la exposición a rayos X, pero pronto —antes incluso del descubrimiento del polonio y el radio, que impulsaría los estudios radiactivos— comenzó a utilizar la nueva radiación uránica, que también ionizaba a los gases, con el propósito de estudiar su composición. Su primera publicación en este campo apareció en 1899 en el Philosophical Magazine, cuando ya había abandonado Cambridge por la Universidad McGill de Montreal, en donde obtuvo su primera cátedra, McDonald Professor de Física, aunque los experimentos que resumía los había realizado todavía en el laboratorio Cavendish.
En aquel su primer artículo relacionado con la radiactividad, Rutherford explicaba que los experimentos que había realizado demostraban «que la radiación del uranio es compleja, y que al menos están presentes dos tipos distintos de radiación, una que es absorbida muy fácilmente, que por conveniencia será denominada radiación α, y la otra de un carácter mucho más penetrante, que será denominada radiación β». Se dio cuenta de este hecho viendo que se obtenía una radiación (la β) de la misma intensidad e igual poder de penetración, tras haber eliminado una parte (la α) de la radiación inicial del uranio mediante hojas delgadas de aluminio, papel de estaño o papel.
Además de los dos tipos de radiación identificadas por Rutherford, existía una tercera, la γ, una radiación muy penetrante (aproximadamente 160 veces más penetrante que la β) que fue detectada por primera vez poco después, en 1900, por el francés Paul Villard (1860-1934), en investigaciones que llevó a cabo en el laboratorio de química de la École Normale de París. En cuanto a su naturaleza, él mismo se dio cuenta de que no podía estar formada por rayos catódicos, ya que no se desviaba en un campo magnético. Fue, no obstante, Rutherford (que fue también quien le asignó el nombre γ en 1903), en colaboración con Edward Neville da Costa Andrade (1887-1971), quien obtuvo en 1913-1914 la evidencia definitiva de que la radiación γ es en realidad radiación electromagnética de frecuencia en el rango de 10–14 a 10–10 metros, bastante similar, por tanto, a los rayos X, pero con mayor energía. Se comprobó, asimismo, que estas radiaciones no eran exclusivas del uranio, sino que estaban presentes en todas las sustancias radiactivas conocidas: polonio, radio y torio.
En cuanto a la naturaleza de las radiaciones α y β, la β fue la primera en ser explicada (Becquerel en 1900 y Walter Kaufmann en 1901) como corrientes de electrones; al fin y al cabo ya se tenía experiencia en este tipo de investigaciones tras los trabajos de Thomson con rayos catódicos (de los que, como ya hemos señalado, nos ocuparemos, incluyendo el descubrimiento de los electrones, en el capítulo 20). Y fue el propio Rutherford quien terminó demostrando que la α estaba formada por núcleos de helio (él pensó inicialmente en átomos, no en núcleos, una distinción que tendría que esperar hasta disponer del modelo atómico que él mismo propuso en 1911).
Otro resultado importante que obtuvo Rutherford y que presentó en un artículo que publicó en 1900 es que los «compuestos del torio emiten continuamente partículas radiactivas de algún tipo, que retienen sus poderes radiactivos durante algunos minutos. Esta “emanación”, como será denominada por brevedad, tiene la capacidad de ionizar el gas de su entorno y de atravesar capas delgadas de metales y, con gran facilidad, pasar a través de papel de un grosor considerable». Gracias al hecho de que «la corriente a través del gas disminuye en progresión geométrica con el tiempo», lo que significaba que «la intensidad de la radiación emitida por las partículas radiactivas disminuye en el tiempo según una progresión geométrica”», Rutherford supo que los «poderes radiactivos» de esas misteriosas «emanaciones», de esa «radiactividad inducida», disminuían con el paso del tiempo. En lo referente a qué eran esas emanaciones, únicamente podía especular: tal vez eran partículas de polvo o vapor emitido por los compuestos de torio.
Sin embargo, la realidad demostró ser diferente… y mucho más interesante. Pero en este apartado Rutherford contó con una ayuda muy estimable, la de un joven químico de Oxford que en la primavera de 1900 llegó al Departamento de Química de la Universidad McGill: Frederick Soddy (1877-1956).
El estudio de los fenómenos radiactivos requiere de habilidades físicas al igual que químicas. Las físicas las poseía, y en abundancia, Rutherford, pero no así las químicas, motivo por el cual necesitaba ayuda en este campo. En principio consideró la posibilidad de que el MacDonald professor de química de McGill le ayudase, pero este, un químico orgánico, no mostró interés.
Soddy, que se había graduado en Oxford en 1898, permaneció en esa ciudad casi dos años más, investigando en el campo de la síntesis de sustancias químicas orgánicas, pero en mayo de 1900, después de no tener éxito en un atrevido intento de conseguir una cátedra de Química en la Universidad de Toronto, aceptó un puesto de demostrator en McGill, en donde permaneció hasta marzo de 1903, cuando se unió a William Ramsay en el University College de Londres, para examinar con mayor profundidad los productos gaseosos (emanaciones) de las desintegraciones radiactivas (fruto de esa colaboración fue la demostración de que uno de los productos de la desintegración del radio, una de sus emanaciones, era el helio). Sin embargo, permaneció con él poco tiempo, ya que en 1904 fue elegido para una cátedra en la Universidad de Glasgow, un puesto que ocuparía durante diez años. Sin embargo, las aportaciones de Soddy al conocimiento del mundo atómico no cesaron tras separarse de Rutherford. Una de esas aportaciones —que presentó en 1910— brilló con especial intensidad: el reconocimiento de que «elementos de diferente peso atómico pueden poseer propiedades químicas idénticas». Para referirse de manera genérica a esos elementos con propiedades químicas idénticas, él mismo introdujo en 1913 un término que terminó haciendo fortuna, isótopos: «La misma suma algebraica de las cargas positivas y negativas en el núcleo, cuando la suma aritmética es diferente, da lo que denomino “isótopos” […] porque ocupan el mismo [iso] lugar [topos] en la tabla periódica».
Fue por estas investigaciones y por las que llevó a cabo en el dominio de la radiactividad que recibió el premio Nobel de Química en 1921. «Por sus contribuciones a nuestro conocimiento de la química de las sustancias radiactivas y sus investigaciones sobre el origen y naturaleza de los isótopos», se lee en la comunicación con la que la Academia sueca hizo público el galardón.
Lo que Rutherford y Soddy demostraron es que las «emanaciones» radiactivas eran en realidad elementos químicos radiactivos que se habían originado a partir del elemento radiactivo «progenitor». En otras palabras: que se producían «transformaciones radiactivas». Así, en 1902, en uno de sus artículos conjuntos, Rutherford y Soddy señalaban que al menos una parte de la emanación del torio era un gas inerte, o noble, nuevo, al que en principio se denominó «nitrón» y finalmente «radón». Y pronto, en un artículo que publicaron en el Philosophical Magazine con el título de «La causa y naturaleza de la radiactividad», el primero de una serie de tres, afirmaban con rotundidad: «Se demuestra que la radiactividad está acompañada por cambios químicos en los que se están produciendo continuamente nuevos tipos de materia. Los productos de estas reacciones son al principio radiactivos, pero su actividad disminuye de manera regular desde el momento de su formación […] Se extrae la conclusión de que estos cambios químicos deben ser de carácter subatómico».
Cuando, a partir de 1904, las evidencias fueron tales que Rutherford comenzó a pensar que la radiación α estaba formada por átomos-núcleos de helio, pudo avanzarse en una teoría más completa de las transformaciones radiactivas. Si el elemento radiactivo progenitor emitía radiación α, esto significaba que perdía una masa importante, y si a esto se le unía el que cambiaba su carga (debido no solo a la carga que se llevaban los átomos de helio, sino a que también emitía radiación β, esto es, electrones), entonces la conclusión era inevitable: las emisiones asociadas a la radiactividad cambiaban al elemento radiactivo, lo transmutaban. La materia o, al menos, alguna materia, ya no era estable, permanente.
Con la teoría de las transmutaciones radiactivas, el estudio de las «cadenas radiactivas» se convirtió en uno de los temas de investigación más atractivos. Se comprobó así, por ejemplo, que el plomo (del que Francis Aston [1877-1945], inventor del espectrómetro de masas, demostró existían tres isótopos, de masas atómicas 206, 207 y 208; el primero, el más abundante en la naturaleza) era el producto final, no radiactivo, de la serie del uranio. Asimismo, la desintegración del radio conducía al plomo a través de media docena de productos intermedios. En el proceso de investigación de estas secuencias radiactivas, se descubrieron nuevos elementos, aunque con frecuencia al principio había cierta confusión acerca de la entidad de los productos intermedios, que solían ser bautizados con nombres del tipo de «emanación del torio», «torio X» «emanación del radio». En 1905, por ejemplo, Otto Hahn introdujo el término de «radiotorio» para un elemento intermedio que detectó, y dos años después el «mesotorio», distinguiendo en este dos productos sucesivos (I y II).
Otro resultado importante, que se puso en evidencia desde los primeros trabajos de Rutherford, es que la actividad de los cuerpos radiactivos, medida por la radiación que emitían, disminuía con el tiempo según una progresión geométrica (Rutherford introdujo la ley de desintegración radiactiva dN/dt = –λN, donde N representa el número de átomos radiactivos, t el tiempo, y λ una constante). Este resultado condujo a introducir la ya citada (a propósito del radio) noción de «vida media», básica para la datación de los períodos geológicos y la antigüedad de los restos arqueológicos.
§. Radiactividad artificial
La radiactividad de la que hemos tratado hasta el momento era natural, aunque fuese inducida; esto es, un fenómeno natural, no forzado, que ayuda a comprender, por cierto, la distribución de elementos en la Tierra, incluyendo el por qué algunos ya no existen en nuestro planeta. Resultó, sin embargo, que existe también una «radiactividad artificial», producida mediante ciertos procesos físicos.
Fueron Irène (1897-1956) y Frédéric Joliot-Curie (1900-1958) quienes descubrieron, en 1934, la radiactividad artificial. El origen de este trascendental descubrimiento, cuyas consecuencias terminarían, gracias a las investigaciones de otros científicos (también de los Joliot), abandonando el ámbito puramente científico, penetrando en el político, militar, industrial y social (nos referimos a la fisión del uranio), queda claro sin más que leer los dos, casi idénticos, artículos en los que Irène y Frédéric anunciaron su hallazgo, uno escrito en francés (en Comptes rendus), con Irène como primer firmante y presentado el 15 de enero, y otro en inglés (en Nature, 10 de febrero), con Frédéric encabezando la lista de autores. Utilizaremos la versión inglesa, titulada «Producción artificial de una nueva clase de radio-elemento»:
Hace algunos meses descubrimos que ciertos elementos ligeros emiten positrones [electrones de carga positiva] bajo la acción de partículas α. Nuestros últimos experimentos han mostrado un sorprendente hecho: cuando se irradia una lámina de aluminio con una preparación de polonio, la emisión de positrones no cesa inmediatamente cuando se elimina la preparación activa. La lámina continúa siendo radiactiva y la emisión de radiación decae exponencialmente como en la radiactividad ordinaria. Observamos el mismo fenómeno con boro y magnesio […]
No hemos observado efectos similares con hidrógeno, litio, berilio, carbono, oxígeno, flúor, sodio, silicio o fósforo. Acaso en algunos casos la vida media es demasiado breve como para observarlos fácilmente […]
Estos experimentos dan la primera prueba química de transmutación artificial, y también la prueba de la captura de la partícula α en estas reacciones.
Los resultados obtenidos por el matrimonio Joliot-Curie (que recibieron el Premio Nobel de Química de 1935) fueron explotados con gran rapidez y fecundidad por Enrico Fermi (1901-1954) en Roma. Inmediatamente después de saber del descubrimiento de los Joliot-Curie, Fermi se dio cuenta de que se podría utilizar la partícula neutra (sin carga eléctrica) que James Chadwick había descubierto en 1932, el neutrón, para intentar producir radiactividad artificial (nos ocuparemos de este descubrimiento en el capítulo 20). Al estar desprovistos de carga, podían superar la barrera de electrones que rodea a los núcleos atómicos y penetrar en ellos. Con la ayuda de sus colaboradores, Fermi llevó a cabo una investigación sistemática del comportamiento de los elementos a lo largo de toda la tabla periódica. De los 63 elementos que investigaron, 37 mostraron una actividad radiactiva inducida fácilmente detectable.
Otro de los puntos que le interesaba era ver si podía producir elementos químicos más pesados que el uranio, el tope superior entonces de la tabla periódica de los elementos. Si podía crear elementos transuránicos. Bombardeando torio y uranio con neutrones, encontró que mostraban una actividad inducida bastante fuerte. Desde el verano de 1934 intentó aislar químicamente a los portadores de estas actividades, deduciendo que estos eran uno o más elementos con números atómicos 93 y 94, a los que dio los nombres de «ausonio» y «hesperio». Y, más o menos, se quedó en este punto. Su trabajo había sido excelente, merecedor del Premio Nobel, que recibió en 1938 «por su demostración de la existencia de nuevos elementos radiactivos producidos por irradiación de neutrones y por su descubrimiento relacionado de la reacciones nucleares producidas por neutrones lentos», pero le faltó apreciar un detalle de importancia fundamental: que al ser irradiado con neutrones, el uranio se partía, se fisionaba. Fermi se había quedado en las puertas de uno de los descubrimientos más sensacionales de la historia de la física contemporánea: el de la fisión del uranio. Él estaba considerando la formación, mediante absorción de neutrones, de elementos transuránicos, más allá del uranio en la tabla periódica, sin imaginar que tal absorción podía producir la ruptura, la fisión, del núcleo del uranio. Y se da la curiosa, casi dramática, circunstancia de que prácticamente al mismo tiempo que Fermi pronunciaba su conferencia Nobel en Estocolmo, en Berlín, en el Instituto de Química de la Sociedad Kaiser Guillermo, Otto Hahn (1879-1968) y Fritz Strassmann (1902-1980) descubrían esa fisión.
Bombardeando uranio con neutrones lentos, Hahn y Strassmann encontraron, para su sorpresa, que obtenían bario, un elemento mucho más ligero (casi la mitad) que el uranio (el uranio tiene número atómico 92 y el bario, 56). Parecía que el núcleo de uranio se había partido en dos, que se había fisionado. Pero jamás se había observado algo parecido; las transmutaciones atómicas descubiertas hasta entonces involucraban transformaciones de un elemento a otro cercano a él en la tabla periódica. El 6 de enero de 1939, Hahn y Strassmann publicaban el correspondiente artículo en el que manifestaban sus dudas ante sus «peculiares resultados […] Como químicos debemos afirmar que los nuevos productos son bario […] Sin embargo, como químicos nucleares, que trabajan muy próximos al campo de la física, no podemos decidirnos a dar un paso tan drástico que va en contra de todos los experimentos realizados anteriormente en la física nuclear. Acaso se hayan dado una serie de coincidencias poco habituales que nos han proporcionado indicaciones falsas».
Lise Meitner (1878-1968), con quien Hahn había colaborado durante 30 años (Hahn era químico; Meitner, física), pero que debido a su origen judío había tenido que abandonar el Instituto y Alemania, y que entonces se encontraba en Estocolmo, fue la primera en enterarse. E interpretó correctamente los resultados desde el punto de vista de la teoría, junto a su sobrino, el también físico Otto Robert Frisch (1904-1979), exiliado en Dinamarca, donde trabajaba en el Instituto de Niels Bohr, que había ido a pasar con su tía las vacaciones de Navidad en la pequeña ciudad de Kungälv (cerca de Gotemburgo).
Pronto se comprobó, además, que en cada fisión de un núcleo de uranio (en realidad, del isótopo 235, mucho menos abundante en la naturaleza que el 238) se producía más de un neutrón, con lo que inmediatamente surgió la idea de inducir una reacción en cadena: los neutrones liberados podían colisionar con otros núcleos de uranio, liberando en cada caso energía (alrededor de 200 MeV, el equivalente energético de la pérdida de masa que se producía en la reacción; donde 1MeV = 106eV y 1eV la energía que experimenta un electrón situado en un campo eléctrico cuya diferencia de potencial es de 1 voltio) y neutrones, y así sucesivamente. Igualmente, era posible pensar que se podría producir en fracción de segundos una gran cantidad de energía, que permitiese, en el caso de una reacción en cadena más o menos incontrolada, fabricar un arma tremendamente poderosa, o, si se pudiese controlar y liberar poco a poco, una fuente energética, un reactor (pila se denominó inicialmente) nuclear, utilizable con fines pacíficos.
Que esta última posibilidad era factible es algo que se comprobó el 2 de diciembre de 1942, cuando en un reactor experimental cuya construcción dirigió en Chicago Fermi, instalado ya en Estados Unidos, tuvo lugar la primera reacción en cadena de la historia; esto es, el reactor (que contenía 6 toneladas de uranio metálico y 58 de óxido de uranio, más 6 toneladas de grafito, que se utilizaba para «moderar» la velocidad de los neutrones) produjo tanta energía como la que necesitaba para continuar funcionando. Sin embargo, estos trabajos se llevaron a cabo dentro de un contexto muy especial: el de la Segunda Guerra Mundial; más concretamente el del denominado Proyecto Manhattan, puesto en marcha poco después de la entrada de Estados Unidos (diciembre de 1941) en aquella contienda. Pero del Proyecto Manhattan y de sus consecuencias nos ocuparemos en el capítulo 17.
Contenido:§. La química orgánica
§. La valencia química y la teoría estructural
§. La químico-física
§. La química orgánica
La química de la que nos ocupamos en el capítulo 8 se vio ampliada considerablemente a partir del siglo XIX con el desarrollo de la química centrada en el estudio de las sustancias que existen en la naturaleza como constituyentes de los animales o las plantas, o que se derivan de tales constituyentes.
Ahora bien, el que esa nueva química, «orgánica», fuese básicamente una ciencia decimonónica no quiere decir, naturalmente, que su objeto de estudio no fuese familiar a los humanos desde mucho antes. Los compuestos orgánicos, extraídos de las plantas y los animales mediante manipulaciones simples, eran utilizados desde la prehistoria, aunque no se tuviese entonces conocimiento de su naturaleza. La fermentación convertía el mosto en vino y este en vinagre. Los egipcios usaban tintes naturales que obtenían al machacar las raíces de algunas plantas. Los romanos obtuvieron jabón al fundir la grasa animal con un álcali. En los siglos VIII y IX, alquimistas árabes y persas produjeron alcohol gracias a la invención del alambique, aislando así por primera vez un elemento común a diferentes sustancias. En el siglo XII, el alcohol llegó a Europa, donde fue conocido como aguardiente, hasta que Paracelso le devolvió el nombre árabe. La destilación permitió separar la morfina del opio y la quinina de la quina, aunque no se identificó la naturaleza de tales sustancias. Hasta el siglo XVIII la Corona de España mantuvo el monopolio de la cochinilla, que producía un tinte rojo brillante, y en esa misma centuria se descubrió el azúcar, que más tarde se conoció como glucosa.
Hoy sabemos que el elemento químico central en los compuestos orgánicos es el carbono, un elemento omnipresente en todas las formas de vida que existen en la Tierra. «El carbono», escribió el químico italiano reconvertido en novelista Primo Levi en El sistema periódico (1975), «es el único [elemento] que sabe aliarse consigo mismo en largas cadenas estables sin gran despilfarro de energía; y en la vida sobre la tierra (la única que conocemos por ahora) se dan precisamente largas series de cadenas. Por eso el carbono es el elemento clave de la sustancia viviente».
Pero antes de que se reconociese la existencia de este elemento químico, un compuesto de él, el carbón, una de las materias más abundantes en la Tierra, estuvo presente en la historia de la humanidad, siendo conocido desde la prehistoria.
Durante mucho tiempo no se distinguió con claridad entre el carbón y el elemento químico carbono. Todavía en el Traité élémentaire de chimie (1789), Lavoisier manifestaba esta ambigüedad cuando escribía: «El carbón, que todo nos hace actualmente considerarlo como una sustancia combustible simple, tiene también la propiedad de descomponer el gas oxígeno y quitar su base al calórico». Sin embargo, en otros lugares de su tratado, en, por ejemplo, las tablas de combinaciones de algunos elementos, incluía al carbono como una «sustancia simple», lo que no sucedía en el «Diccionario para la nueva nomenclatura química» que se aparecía en el Méthode de nomenclature chimique que publicó en 1787 junto a de Morveau, Berthollet y de Fourcroy, donde se da como «nombre nuevo» el de «carbón» y «carbón puro» como «nombre antiguo». Y cuando se lee el ya citado en otros capítulos, Prontuario de química, farmacia y materia médica que publicó en 1815 Pedro Gutiérrez Bueno nos encontramos con el siguiente diálogo:
Del Carbón.
P. ¿Cuántas especies hay de carbón?
R. Propiamente hablando no hay más que una, que se halla muy abundante en los tres reinos de la naturaleza, pero generalmente se conocen dos; a saber, carbón puro y común.
P. ¿Qué conocimientos tiene la Química del carbón puro?
R. Por sus análisis se ha demostrado que es uno de los cuerpos que sirven de base a muchas sustancias; por ejemplo, a los vegetales, animales, y a los materiales inmediatos a estos; y que es poco conductor del calórico.
P. ¿Qué es el carbón común?
R. Solo se diferencia del puro en que está mezclado con tierras y óxidos metálicos.
P. ¿Qué usos tiene?
R. Es un principal medio para fomentar el calórico por ser un cuerpo combustible; aunque menos que el carbón puro; y como tiene la propiedad de ser poco conductor del calórico, cubren los grandes hornos y pequeños por la parte exterior de su hogar con polvo de este carbón negro y común para conservar en el horno mayor grado de calor.
P. ¿Qué otras propiedades y usos tiene el carbón común?
R. Es susceptible de sufrir cualquier mutación, según la especie de madera donde se haya formado; el mejor se debe elegir insípido, sin olor, insoluble enteramente en el agua, y que tenga mucha afinidad con el oxígeno; descompone muchas sales y otros varios cuerpos, y en particular el aire atmosférico, y combinándose con su oxígeno forma el gas ácido carbónico.
El carbono está presente, en efecto, en dos tipos de compuestos: orgánicos e inorgánicos. Los segundos aparecen en asociación binaria con metales, gases y líquidos. El monóxido de carbono, un gas sin caracteres manifiestos, inhibe la circulación del oxígeno en la sangre, mientras que el dióxido de carbono es un producto de la respiración. Los compuestos orgánicos más simples se forman por la unión del carbono con el hidrógeno (hidrocarburos). El estado de la materia —sólido, líquido, gaseoso— en los compuestos orgánicos depende del número de sus átomos. Si se tienen cuatro, es un gas, hasta 20, es un líquido, y por encima, un sólido. El ciclo del carbono es la secuencia de los intercambios entre los cinco grandes depósitos de carbono: atmósfera, biosfera, océanos, sedimentos fósiles y el manto terrestre. El carbono se encuentra en la atmósfera como dióxido de carbono. Las plantas, algas y bacterias consumen dióxido de carbono que toman del aire o del agua y lo convierten en azúcar (fotosíntesis). Los animales consumen este azúcar y emiten dióxido de carbono en la respiración. De esta manera, el ciclo del carbono constituye una descripción del proceso de la vida.
Como apuntamos antes, el estudio de los compuestos orgánicos dio origen a un nuevo campo dentro de la química, que se identificó mediante un determinante —orgánica, o del carbono—, en tanto la química anterior se definía negativamente como inorgánica. Se diferenciaban porque los materiales de esta, la inorgánica, eran minerales, habitualmente en estado sólido, difíciles de fundir e incombustibles, y los de aquella eran líquidos o sólidos fáciles de convertir y con frecuencia combustibles.
Junto a la dificultad técnica de analizar los componentes de sus sustancias, un gran obstáculo para el desarrollo de la química orgánica fue la creencia de que los fenómenos vitales, la vida, no podían ser explicados, o reducidos al tipo de fuerzas conocidas en la física y la química, que existía un principio fundamental, una fuerza vital, inmaterial e inaprensible, sin cuya presencia no se podía explicar la unidad orgánica de los seres vivos. En el siglo XVIII, los médicos de la escuela de Montpellier y, en particular, Paul Joseph Barthez (1734-1806), concibieron la fuerza vital como el principio de organización a nivel molecular. En su Theoria generationis (1759), el embriólogo alemán Caspar Friedrich Wolff (1735-1794) describió la generación como la evolución epigenética del embrión dotado de una «vis essentialis» y declaró: «Todos los que creen en la epigénesis son vitalistas», mientras que los experimentos con pólipos que después de dividirlos reproducían la totalidad del organismo fueron explicados por Johann Friedrich Blumenbach (1752-1840), en 1781, como resultado de la acción de una fuerza orgánica (Bildungstrieb).
Mención especial merece Marie François Xavier Bichat (1771-1802), un personaje de gran importancia en los orígenes de la patología, que muestra que el camino que condujo al abandono del vitalismo fue largo y complejo, y, a menudo, confuso y lleno de incertidumbres. A pesar de ser uno de los impulsores de la conversión de la medicina en una disciplina más precisa, más científica, Bichat no pudo librarse completamente de la influencia de las ideas vitalistas, como puede comprobarse en una de sus obras, titulada Recherches physiologiques sur la vie et la mort (Investigaciones fisiológicas sobre la vida y la muerte; 1800). Allí, en la sección titulada «Diferencia entre las fuerzas vitales y las leyes físicas», se lee:
Consideradas desde este punto de vista las leyes vitales, el primer juicio que nos permiten formular concierne a la notable diferencia que las distingue de las leyes físicas. Unas, incesantemente variables en su intensidad, en su energía, en su desarrollo, pasan a menudo rápidamente del último grado de postración al punto más alto de exaltación, acumúlanse y se debilitan alternativamente en los órganos, y bajo la influencia de las causas más fútiles adoptan mil diversas modificaciones. El sueño, la vigilia, el ejercicio, el reposo, la digestión, el hambre, las pasiones, la acción de los cuerpos inmediatos al animal, etc., todo las expone a cada instante a múltiples revoluciones. Las otras, por el contrario, fijas, invariables, siempre las mismas, representan el origen de una serie de fenómenos uniformes. Compárese la facultad vital de sentir con la facultad física de atraer; se verá entonces que la atracción se ejerce siempre en razón de la masa del cuerpo bruto en que se manifiesta, mientras la sensibilidad cambia incesantemente de proporción en una misma región orgánica y en la misma masa de materia.
La invariabilidad de las leyes que dirigen los fenómenos físicos permite someter al cálculo todas las ciencias que constituyen su objeto, mientras que, aplicadas a los actos de la vida, las matemáticas nunca pueden ofrecer fórmulas generales. Se puede calcular el retorno de un cometa, la resistencia de un fluido que recorre un canal inerte, la velocidad de un proyectil, etc.; pero calcular con Borelli la fuerza de un músculo, con Keil la velocidad de la sangre, con Jurine, Lavoisier, etc., la cantidad de aire que entra en el pulmón, es construir sobre arenas movedizas un edificio sólido en sí mismo, pero que pronto se derrumba por falta de bases seguras.
Como veremos en el capítulo 16 con relación a la «medicina científica», la asociación entre organismo y vida planteó una división que solo cesó en el siglo XIX, de la mano del desarrollo de la fisiología, la rama de la medicina que se ocupa de explicar los fenómenos vitales recurriendo a la física y la química. Ahora bien, esta, la química, es una ciencia diferente de la física en, al menos, un aspecto: el del protagonismo que la experimentación ha desempeñado a lo largo de su historia, mientras que la teoría y la reducción matemática jugaban un papel menor. Esto es algo que se observa también en el desarrollo de la química orgánica. Así, el farmacéutico alemán Frederich Sertürner (1873-1841) aisló la quinina (C20H24O2N2 en la notación actual) de la quina, la morfina (C17H24O3N) del opio, la estrictina (C21H20(OCH3)2O2N2) y la brucina (C21H22O2N2) de otras plantas, mientras que dos años después se descubrió el colesterol en la sangre de los animales. En 1823, tras varios años de experiencias, Michel Chevreul (1786-1889), profesor de Química en el Museo de Historia Natural de París, describió en sus investigaciones químicas de las grasas de origen animal el procedimiento para separar los distintos ácidos que, con el álcali, formaban los jabones. En 1826, Otto Unverdorben (1806-1873) aisló mediante destilación del índigo una materia a la que años después se dio el nombre de anilina, y en 1828 se aisló la nicotina (C10H14N2) en la hoja del tabaco.
El mismo año que se aisló la nicotina, se anunció el resultado de una investigación con profundas implicaciones. El autor fue Friedrich Wöhler (1800-1882), que aunque había estudiado Medicina se dedicó a la química, ampliando estudios con Berzelius en Estocolmo. Tras su regreso a Alemania en 1824, fue nombrado profesor de la Escuela de Artes y Oficios de Berlín, de la que pasó en 1831 al Politécnico de Kassel, el preludio de una cátedra de Química y Farmacia en la Facultad de Medicina de Gotinga que obtuvo en 1836.
Fue en Berlín donde Wöhler llevó a cabo su histórica investigación. Trató cianato de plomo, (CON)2Pb, con amoníaco, NH3, obteniendo cianato amónico, CNONH4. Una vez formada esta disolución, la puso a hervir para cristalizarla. El resultado fue que el cianato amónico se transformó en urea: CNONH4 → CO(NH2)2. Se trataba de un reagrupamiento interno —un proceso frecuente en la química orgánica— en el cual no cambia el número ni la clase de los átomos de la molécula, sino solamente su ordenación dentro de la misma. Publicó sus resultados en el volumen 12 de la revista Annalen der Physik und Chemie bajo el título de «Sobre la producción artificial de la urea».
La transcendencia del descubrimiento de Wöhler —que encontró continuación en 1845, cuando Hermann Kolbe [1818-1884] sintetizó ácido acético a partir de materiales inorgánicos— radicaba en que la urea es una sustancia que se forma en los seres vivos. Por consiguiente, para los defensores del vitalismo, se trataba de un producto no reductible a los meros compuestos químicos.
Sabemos algo del contexto del que surgió el trabajo de Wöhler por una carta que este escribió a su antiguo maestro, Berzelius, el 22 de febrero de 1812:
Querido profesor,
Espero que le llegasen mi carta del 12 de enero y su secuela del 2 de febrero y aunque he estado esperando todos los días y todas las horas una respuesta suya no puedo esperar más para escribirle, ya que no puedo ocultar, como si dijésemos, mi orina química y espero anunciar que puedo preparar urea sin necesidad de un hígado, ya que sea de un hombre o de un perro; la sal amoniacada del ácido ciánico es urea.
Acaso recuerde todavía los experimentos que realicé en aquellos felices días mientras aún estaba trabajando con usted, cuando encontré que siempre que intentaba combinar ácido ciánico con amoniaco aparecía una sustancia cristalina blanca que no se comportaba ni como el ácido ciánico ni como el amoniaco.
Pasando las hojas de mi cuaderno de notas, recordé todo esto y pensé que durante la combinación del ácido ciánico y el álcali los elementos se podrían combinar en proporciones inesperadas y reunirse de manera diferente, tal vez formando una sal vegetal o algo parecido. Me dediqué a esto pensando que lo podría estudiar en poco tiempo, un pequeño trabajo que podría completar rápidamente y que, gracias a Dios, no requeriría realizar ni una sola pesada.
Obtuve fácilmente el supuesto cianato amónico haciendo reaccionar cianato de plomo con una solución de amoniaco. El cianato de plata y una solución de cloruro de amónico sirven también. Obtuve prismas de cuatro lados y ángulos rectos, bellamente cristalinos. Cuando los traté con ácidos, no se liberaban ácidos ciánicos y con álcali no se veía trazas de amoniaco. Pero con ácido nítrico se formaban lustrosos copos de un compuesto que cristaliza fácilmente y que tiene un fuerte carácter ácido. Estaba dispuesto a aceptar a este nuevo ácido como uno nuevo ya que cuando lo calentaba no se producía ni ácido nítrico ni nitroso sino que aparecía una gran cantidad de amoniaco. Entonces hallé que si se saturaba con álcali, reaparecía el denominado cianato amónico y que este podía extraerse con alcohol. Ahora, de repente, ¡lo tenía! Todo lo que necesitaba era comparar la urea de la orina con esta urea del cianato.
Berzelius reconoció inmediatamente la importancia del hallazgo de su antiguo discípulo. «Si la inmortalidad de un hombre», le escribía en una carta fechada el 7 de marzo de 1828, «puede comenzar en la orina, usted ha encontrado el camino para completar la jornada al cielo, y definitivamente usted, querido doctor, ha descubierto el arte de conseguir un nombre inmortal».
Por la misma época que Wöhler realizaba estos trabajos, otro químico alemán, amigo suyo, estaba iniciando un camino que le conduciría a impulsar, mucho más intensamente, aunque no con la espectacularidad de aquel, la química orgánica: Justus von Liebig (1803-1873).
Al igual que Wöhler, después de terminar sus estudios en Alemania (se doctoró en Química en la Universidad de Erlangen en 1822), Liebig amplió estudios en el extranjero, pero no en Estocolmo con Berzelius, sino en París junto a Gay-Lussac. En 1824 fue nombrado profesor ayudante en la Universidad de Giessen, y al año sucedía en la cátedra de Química de esta misma Universidad a Wilhelm Ludwig Zimmermann (permaneció en Giessen hasta 1852, cuando se trasladó a Múnich).
Prácticamente al mismo tiempo que obtenía la cátedra, Liebig, hijo de un droguero, estableció en compañía de dos colegas un «Instituto químico-farmacéutico». La idea de que en aquel momento solo hubiese dos instituciones de ese tipo en Alemania y que el número de estudiantes que solicitaban matricularse en ellas —atraídos por las posibilidades laborales que abrían— fuese tan elevado que muchos quedaban fuera, sirvió de estímulo a los profesores, que, es de suponer, buscaban un suplemento a sus salarios, además de contribuir a la formación de profesionales relacionados con la química. Liebig y sus asociados pidieron a las autoridades universitarias que su instituto pasase a formar parte de la Universidad, pero su solicitud fue rechazada, señalándoseles que la función de una universidad era educar futuros funcionarios, no farmacéuticos, cerveceros o fabricantes de jabón. Una respuesta muy acorde con el espíritu de la época, y que decía por sí sola mucho acerca de la situación social e institucional en que se encontraban las ciencias físico-químicas. A pesar de todo, se permitió a los tres profesores que estableciesen el instituto como una actividad privada.
Un anuncio acerca del nuevo instituto apareció en 1826 en el Jahrbuch der Chemie und Physik. En él se señalaba que el rápido crecimiento de las ciencias naturales y, especialmente, de la química, hacía imposible que los farmacéuticos y técnicos relacionados con esta última se pudiesen contentar con los conocimientos obtenidos a través de los medios tradicionales de enseñanza, cuando no simplemente en la botica. Hasta 1835 el instituto tuvo un éxito moderado, recibiendo una media de quince estudiantes al año, de los cuales entre el 70 y el 90 por 100 estaban interesados en la farmacia, el resto en la química. El punto crucial en la historia del instituto, al igual que en la carrera de Liebig, tuvo lugar cuando, en 1831, este desarrolló un aparato para analizar compuestos orgánicos, que era lo suficientemente sencillo como para poder ser utilizado de manera sistemática por sus estudiantes para resolver nuevos problemas; esto es, para investigar. Él mismo elucidó inmediatamente la composición de catorce alcaloides y de otros compuestos. Cuando Liebig llegó a Giessen, la mayor parte de los químicos alemanes todavía se ocupaba únicamente de cuestiones relativas a la química inorgánica, aunque la orgánica ya había comenzado, como hemos visto, a atraer interés. Pero un problema serio eran las discrepancias entre los diferentes resultados de los análisis de compuestos orgánicos. Con el aparato de Liebig se superaba esta dificultad, lo que reforzó el interés y posibilidades de la química orgánica. En 1835, Berzelius escribía a Wöhler: «Todos los días utilizamos el aparato de Liebig. Es espléndido. Con pequeñas modificaciones hemos llegado tan lejos que parece imposible que los resultados que se obtienen no sean correctos».
En Giessen, Liebig explotó sus nuevos métodos, pero no solo él, también sus estudiantes. El procedimiento que siguió, una novedad entonces, fue adjudicar problemas de investigación a sus alumnos, una vez que estos habían adquirido una formación básica. Esta fue su gran innovación (posibilitada por sus instrumentos y métodos), el combinar enseñanza e investigación; no el hecho de que enseñase química en el laboratorio, algo que aunque no demasiado frecuente ya se hacía en otros lugares: en la École Polytechnique de París, por ejemplo, desde 1795; incluso en alguna universidad germana, en Gotinga (desde 1810), Landshut (1820) y Jena (1820). El éxito de Liebig atrajo, finalmente, la ayuda de la Universidad, que en 1834 aprobó una mejora de las precarias instalaciones de que disponía; el año siguiente incluía en sus presupuestos un ayudante para el maestro ya reconocido internacionalmente, ayudante que, de hecho, Liebig había estado pagando de su propio bolsillo durante años. El número de estudiantes también aumentó: en 1836 alcanzó los veinte por primera vez, mientras que en 1838 el número de los presentes en el laboratorio ascendía a 33, una cifra enorme para las dimensiones del centro. Y los alumnos eran no solo alemanes, un número significativo eran extranjeros.
A través de sus estudiantes, la influencia de Liebig se extendió también al mundo académico e industrial. En el primero, muchos de sus mejores alumnos (entre los que se cuentan Kekulé, Hofmann, Gerhardt y Wurtz) obtuvieron puestos académicos, con frecuencia apoyados por el propio Liebig. Estos nuevos profesores extendieron los métodos de enseñanza de su maestro; los casos, por ejemplo, de Augustus Wilhelm von Hofmann (1818-1892), que fue requerido desde Londres y que enseñó a William Henry Perkin (1838-1907), que en 1856 produjo el primer colorante sintético, la mauveína, o malva. Nacía así la era de los colorantes sintéticos, que enseguida se vio enriquecida con nuevos productos, como el tinte rojo denominado fucsina, producida en 1859 por uno de los primeros discípulos de Hofmann en Londres, Edward Chambers Nicholson (1759-1815), en colaboración con David Price, otro graduado en la escuela de Hofmann, el amarillo de anilina (1861) o el índigo, una sustancia (es un tinte azul) que se extraía de un arbusto originario de África y que el químico alemán Adolf von Baeyer (1835-1917) produjo en 1882, vendiendo sus derechos a la compañía BASF, aunque su proceso resultó inviable, teniendo que ser mejorado posteriormente. Da idea de las consecuencias de estos trabajos el que el índigo sintético pudo venderse finalmente a un precio menor que el producto natural, acabando así con las plantaciones orientales y dando origen a una depresión económica en la India y Japón, que eran los países que suministraban al mundo este colorante.
La agricultura también se vio influida por las enseñanzas de Liebig, especialmente a través del libro que publicó en 1840: Chemie in ihre Anwendung auf Agricultur und Physiologie (Química orgánica y sus aplicaciones a la agricultura y a la fisiología), en el que, entre otros temas, se analizaba el papel del carbono en la nutrición de las plantas.
Como ejemplo del tipo de explicaciones que Liebig manejaba en sus escritos, citaremos unos pasajes de este libro:
No podemos suponer que una planta puede llegar a su madurez, incluso en el medio vegetal más rico, sin la presencia de materia que contenga nitrógeno, ya que sabemos que existe nitrógeno en todas las partes de la estructura vegetal. En consecuencia, la primera y más importante pregunta que hay que contestar es: ¿cómo y en qué forma suministra la naturaleza nitrógeno al albumen vegetal, y gluten a frutas y semillas?
Esta pregunta es susceptible de una solución muy sencilla.
Como sabemos, las plantas crecen perfectamente en carbón vegetal puro, si al mismo tiempo se les suministra agua de lluvia. El agua de lluvia contiene nitrógeno solamente de dos formas: bien como aire atmosférico disuelto, o como amoniaco, que consiste de ese elemento [nitrógeno] y de hidrógeno. Ahora bien, el nitrógeno del aire no se puede combinar con ningún elemento excepto con el oxígeno, incluso recurriendo a los medios químicos más poderosos. No tenemos ninguna razón para creer que el nitrógeno de la atmósfera tome parte en los procesos de asimilación de plantas y animales; por el contrario, sabemos que muchas plantas emiten el nitrógeno que absorben sus raíces, bien en forma gaseosa o disuelto en agua. Por otra parte, existen numerosas pruebas que muestran que la formación en plantas de sustancias que contienen nitrógeno, tales como el gluten, tiene lugar en proporción a la cantidad de este elemento que es transportado hacia sus raíces en forma de amoniaco, derivado de la putrefacción de materia animal.
Fruto de la influencia que ejercieron las enseñanzas de Liebig fue el establecimiento de «Estaciones experimentales de agricultura», en las que la química agrícola desempeñaba un papel importante. En 1877 existían 74 de estas estaciones en Alemania, 16 en Austria, 10 en Italia, 7 en Suecia, 3 en Rusia, el mismo número que en Bélgica y Suiza, 2 en Holanda y en Francia y 1 en Dinamarca, Estados Unidos, Escocia y España.
En cuanto a la industria, ya en 1827, uno de sus alumnos, Heinrich Emanuel Merck (1794-1855), fundó en Darmstadt, animado por Liebig, la Chemische Fabrik E. Merck para la producción en gran escala de productos farmacéuticos. El éxito de la empresa hizo que fuese extendiéndose, y uno de los lugares en los que se introdujo fue en Estados Unidos, de la mano de un miembro de la familia, George Merck, que se trasladó a Nueva York en 1891, estableciendo allí una tienda que suministraba productos sobre todo a los farmacéuticos de la ciudad y sus alrededores. En 1897, sus ventas alcanzaron el millón de dólares y contaba con un edificio propio de seis plantas, aunque pronto se instaló en Nueva Jersey. Estrictamente se trataba de una nueva compañía, denominada Merck & Co., de la que la Merck alemana poseía una parte de las acciones. Esta situación se mantuvo hasta 1917, cuando al entrar Estados Unidos en la Gran Guerra (luego Primera Guerra Mundial) el gobierno norteamericano se apropió de las acciones que poseía la firma de Darmstadt. Con la ayuda de inversores de Nueva York, George Merck compró esas acciones al gobierno, comenzando así la historia independiente de la Merck & Co. estadounidense, que con el paso del tiempo se convertiría en uno de los gigantes del mundo farmacéutico, la multinacional, como se denomina en la actualidad, Merck, Sharp & Dohme.
En 1856, otro de los antiguos estudiantes de Liebig, Ludwig Baist (1825-1899), estableció la Chemische Fabrik Griesheim para la producción de fertilizantes artificiales (acabamos de ver que la química agrícola fue un campo particularmente estimulado por Liebig). Otro pupilo de Liebig que se convirtió en un industrial importante fue Karl Clemm (más tarde Clemm-Lennig), que fundó junto a su hermano Gustav Clemm una industria dedicada inicialmente a la producción de fertilizantes artificiales. Más tarde, sin embargo, ampliaron su campo de intereses a la sosa y el ácido sulfúrico, así como a los tintes. En 1865 la compañía tomó el nombre de Badische Anilinund Soda-Fabrik (BASF), una de las grandes de la industria química mundial.
Liebig, Wöhler y sus respectivos estudiantes, al igual que otros químicos, elevaron rápidamente la calidad y categoría de la química orgánica alemana, que se encontraba hacia 1820 mediatizada y limitada por profesiones más tradicionales, como la farmacéutica. Es desde esta perspectiva que debemos entender el ascenso de la química orgánica germana e internacional, un ascenso o desarrollo que se hace evidente sin más que considerar el que en 1888 se conocían las fórmulas estructurales de 20 000 compuestos orgánicos, 74 000 en 1899 y cerca de 140 000 en 1910. De hecho, el número creciente de los compuestos orgánicos obligó a constituir en 1892 la Unión Internacional de Química Pura y Aplicada, con el único objeto de crear una nomenclatura en la que cada compuesto tuviese un nombre único y sistemático.
Al comenzar el último cuarto del siglo, Alemania contaba con suficientes químicos orgánicos como para sacar muy buen partido de una nueva química con grandes posibilidades prácticas: la química de los tintes. Y no solo para beneficiarse ella únicamente, sino para beneficiar a otros países a los que exportó químicos, en particular a Gran Bretaña, adonde, además del ya citado Hoffman, se trasladaron químicos como Heinrich Caro (permaneció en Inglaterra —en Manchester— entre 1859 y 1867), Carl Alexander Martius (1863-1867), Hermann Kolbe (1845-1847), Heinrich Böttinger (1870-1874) o Ludwig Mond (1839-1900), que se instaló en Northwich en 1862.
Pero Inglaterra no tuvo la capacidad ni la inteligencia suficientes para conservar a todos estos químicos La pérdida más importante fue la de Hofmann, que había educado a prácticamente todos los químicos británicos involucrados en la química e industria de los tintes, y que volvió a su patria en 1865 tras aceptar una atractiva oferta del gobierno prusiano. Para Hofmann, que se había trasladado, con la intervención personal del príncipe consorte Albert, a Londres en 1845 para intentar mejorar la enseñanza e investigación química en el nuevo Royal College of Chemistry, la oferta alemana significaba, por supuesto, un salario más elevado, pero había más: en Londres siempre tuvo que luchar contra todo tipo de carencias, mientras que en la Universidad de Berlín, cuyo Instituto de Química pasó a dirigir, se le ofrecían mejores instalaciones. La dinámica de la universidad alemana ya era entonces superior a la de las restantes naciones europeas, mucho más ágil; las distintas universidades, apoyadas por sus Lander (Estados), trataban de conseguir a los mejores profesores, llegándoles a dotar en ocasiones incluso de nuevos institutos.
En buena medida, esta dinámica que promovía la mejora de los institutos universitarios de investigación se vio favorecida por el éxito económico de la química de los colorantes. En la historia de la industria química, y probablemente en la historia de toda la ciencia directamente dependiente del conocimiento científico, la producción de tintes en Alemania figura como la primera que alcanzó proporciones gigantescas. Solo en exportación se pasó de 58 millones de marcos en 1890 a 138 en 1902; 209 en 1912. En 1904, Estados Unidos recibía el 20,4 por 100 de esas exportaciones, Gran Bretaña el 15,5, Rusia el 10, la misma cantidad que el Imperio austro-húngaro. En 1887, citando otros datos, la industria química alemana contaba con 4235 fábricas, en las que trabajaban 82 211 obreros. En 1896, el número de fábricas había ascendido a 6144, y los empleados a 120 400, mientras que en 1912 las cifras eran, respectivamente, de 9147 y 250 000, además de 50 000 químicos y auxiliares técnicos. En este último año, 1912, la mitad de la producción exportada (que superaba a la llevada a cabo por el resto del mundo: en 1913 más del 80 por 100 de la producción mundial de colorantes era alemana) correspondía a colorantes, perfumes y medicamentos, siendo los primeros, los tintes, el principal producto exportado, por un valor total de 1300 millones de marcos.
Además de los colorantes, la química orgánica también mostró su importancia en dominios como el de las moléculas de gran tamaño, cuyo estudio se vio favorecido por los trabajos de un notable químico inglés, Thomas Graham (1805-1869), que aplicó el método de la difusión, la mezcla de partes de las moléculas, para establecer en 1831 una ley que sostenía que la tasa de difusión era inversamente proporcional a la raíz cuadrada de su densidad y, por consiguiente, de su peso molecular. Al investigar la difusión de las soluciones de sustancias como la sal, el azúcar o el sulfato de cobre, Graham descubrió que las moléculas gigantes no podían atravesar el pergamino, a pesar de los poros de su estructura. Llamó a estas sustancias coloides, y la comparación del agua y los coloides separados por un pergamino le llevó a descubrir la presión osmótica.
Entre las macromoléculas se hallan los polímeros (del término griego que significa «muchas partes»), moléculas formadas por largas cadenas, normalmente de carbono, a las que se unen otros átomos, como el hidrógeno, el flúor o el cloro. La dificultad para encontrar marfil para las bolas de billar llevó a Estados Unidos a convocar un concurso, que ganó el químico estadounidense John Wesley Hyatt (1837-1920) al producir, disolviendo celulosa, un polímero de origen natural, en una solución de alcanfor y etanol, el celuloide (1869), el primer plástico sintético que podía modelarse con distintas formas. En 1883, el inventor inglés Joseph Swan (1828-1914) desarrolló un proceso para fabricar fibras de nitrocelulosa, que llevó en 1884 al francés Hilare de Chardonnet (1839-1924) a patentar un nuevo tejido, una seda artificial denominada rayón. A mediados del siglo XX, la producción anual de rayón era de unas 500 000 toneladas.
Otro producto digno de mencionar es la bakelita, cuyo descubrimiento anunció públicamente y patentó en 1909 el químico belga (posteriormente instalado en Estados Unidos, cuya nacionalidad adoptó) Leo Hendrik Baekeland (1863-1944), fue el primer plástico «no natural», comercial, después del celuloide. Sintetizada a partir de moléculas de fenol y formaldehído, su principal propiedad era una gran resistencia a las altas temperaturas y la capacidad de poder moldearse a medida que se formaba y solidificaba. En 1909, Baekeland patentó su producto y al año siguiente fundó la Bakelite Corporation para producir el polvo a partir del cual se podía manufacturar el nuevo plástico, que adoptaba gran número de formas y funciones y cuya utilidad principal era actuar de aislante eléctrico.
Baekeland tuvo también algo que ver con la invención de otro material bien conocido: la formica. Tras haber introducido la bakelita, colaboró con dos ingenieros de la Westinghouse Corporation, Herbet Faber y Daniel O’Conor, para intentar producir un material que estuviese formado por láminas. De hecho, el primer producto de este tipo al que llegó Westinghouse se logró impregnando una lona pesada con resina de bakelita. Pensando que la compañía no dedicaba esfuerzos suficientes a lo que para ellos constituía un campo muy prometedor, Faber y O’Conor la abandonaron, formando en 1913 su propia empresa, la Formica Corporation. Sin embargo, la patente de la formica no llegó hasta 1918, y a nombre únicamente de O’Conor. «Mi invento», se lee en ella, «tiene como objetivo proporcionar un material aislante que es ligero, fuerte e insoluble». Se trataba de un compuesto de unos 1,5 milímetros de espesor formado por varias capas de un tipo de papel bastante basto, que, impregnado con ácido fénico, se prensaba, a alta temperatura, en un molde de láminas de acero pulido. El nombre «mica» que forma parte de la denominación del nuevo producto se debía a que se pensó en él como un substituto de la mica, el mineral que entonces se utilizaba ampliamente como aislante eléctrico, pero que tenía el problema de ser caro. Sin embargo, no sería este el principal destino de la formica: a mediados de la década de 1920 la compañía pensó que también podía aplicarse en la fabricación de muebles. El obstáculo inicial de que solo se disponía de formica de color negro o marrón terminó siendo resuelto y así, con una dureza y resistencia al agua mayor que la de las primeras formicas, se instaló firmemente en innumerables tipos de muebles.
Pronto llegaron más polímeros sintéticos, no necesariamente del tipo de lo que denominamos plásticos. Así, en la década de 1930 aparecieron, entre otros, el celofán, hecho de pulpa de madera, el polietileno, el poliestireno, el policloruro de vinilo (más conocido como PVC) y el nailon, la primera fibra completamente sintética.
Todos estos materiales se han introducido en nuestras vidas de innumerables maneras. Pensemos, por ejemplo, en el polietileno, que produjeron por primera vez en 1933 dos químicos que trabajaban para la británica Imperial Chemical Industries, uno de los gigantes de la industria química mundial, Eric Fawcett y Reginald Gibson, y desarrollado en 1937 por otros químicos de ICI. La producción a gran escala de polietileno comenzó en una planta que abrió sus puertas el 1 de septiembre de 1939, el mismo día que Alemania invadió Polonia, iniciando así la Segunda Guerra Mundial. Su primer uso fue como aislante eléctrico en radares, siendo utilizado más tarde para recubrir el primer cable telefónico que dio la vuelta al mundo. Se empleó comercialmente para el gran público en 1958, primero con barreños, luego en una gran variedad de productos, desde botellas y cubos hasta bolsas.
Los explosivos también se vieron beneficiados por las nuevas técnicas e intereses químicos. En 1845, Christian Schönbein (1799-1868), profesor de Química y Física en Basilea, derramó una mezcla de ácido nítrico y sulfúrico que limpió con el algodón de su mujer. Lo puso a secar y desapareció. Había convertido la celulosa en nitrocelulosa, pólvora sin humo que cambió las condiciones de la batalla, cuando se encontró el medio de manejarla (cordita) al no descubrir su posición la artillería. En 1886, Alfred Nobel (1833-1896) descubrió la manera de fabricar bastones de nitroglicerina seguros y fáciles. Lo llamó dinamita.
No es exagerado afirmar que el desarrollo de la química orgánica a lo largo del siglo XIX constituye un fenómeno equiparable en algunos aspectos a hitos históricos como la Revolución Industrial, con la que, de hecho, en cierto sentido puede entroncarse. En efecto, la Revolución Industrial comenzó, recordemos, con la invención de la máquina de vapor, una aplicación de las leyes de los gases que creó una presión superior a la atmosférica para extraer el agua de las minas. Al ser independiente de las formas conocidas de energía natural —la corriente del viento y del agua de los ríos—, la máquina de vapor permitió la automatización de las máquinas y la mecanización del transporte terrestre y marítimo. A su vez, esto produjo una demanda de energía, una exigencia que contribuyó de diversas maneras al desarrollo de la ciencia y de la técnica. Así, la introducción de la electricidad como una nueva fuente de energía determinó la creación de las plantas hidroeléctricas y el tendido de redes de transporte. Y al mismo tiempo que la ciencia electromagnética mostraba la rentabilidad social de la ciencia, también hacía lo propio la química orgánica, en la que se manifestó de forma particularmente intensa la sustitución de los compuestos naturales por otros producidos mediante síntesis artificiales.
Pero estamos avanzando demasiado y es necesario volver atrás, no a las consecuencias sociales de la química orgánica, sino a su ciencia.
§. La valencia química y la teoría estructural
En 1826, Liebig estudió el ácido fulmínico y, un año después, Wöhler hizo lo propio con el ácido ciánico. Ambos enviaron sus memorias a Gay Lussac para su publicación, quien descubrió que coincidían en su composición, aunque sus propiedades eran diferentes. Al no encontrar respuesta a este problema, sometió la diferencia a Berzelius, que no se interesó por el problema hasta 1830, cuando él mismo se encontró con una situación parecida al investigar los ácidos tartárico y racémico. A falta de una explicación ofreció una descripción al llamar isómeros a los compuestos que cumplían estas condiciones (hoy sabemos que para distinguir al ácido ciánico del fulmínico lo mejor es escribir sus respectivas fórmulas, que en principio es en ambos casos HOCN, como HO – C ≡ N para el ácido ciánico normal, HN = C = O para el ácido isociánico y HO – N = C para el ácido fulmínico, donde «=» y «≡» representan enlaces dobles y triples).
Antes de que Berzelius se interesase realmente por estos problemas, los experimentos asociados a la isomería habían conducido al descubrimiento de un compuesto, el grupo cianídico (CN), que aparentemente pasaba de un compuesto a otro sin necesidad de que se separasen sus átomos. Es lo que se conoció como radical, de raíz en latín (término que había introducido Guyton de Morveau en 1785), un concepto que facilitaba el conocimiento de los compuestos; de hecho, en 1828, Jean-Baptiste-André Dumas (1800-1884) definió la química orgánica como la química de los radicales. En 1832, Liebig descubrió que el grupo bencénico (C6H5) actuaba como un radical, y en años sucesivos se propusieron nuevos y más complejos radicales.
En 1834, Dumas demostró que el cloro (negativo) podía sustituir al hidrógeno (positivo) sin cambio significativo en las propiedades del compuesto. Llamó «sustitución» al proceso e introdujo la idea de que existían unos «tipos moleculares» formados por aquellas sustancias en las que hipotéticas sustituciones darían lugar a fórmulas similares, aun cuando las sustancias reales tuvieran propiedades muy diferentes (los casos, por ejemplo, del metano, C4H2H6, del ácido fórmico, C4H2O3 y del cloroformo, C4H2Cl3).
Aunque la teoría de tipos tuvo una notable aceptación, siendo desarrollada sobre todo por otro de los estudiantes de Liebig, Charles Frédéric Gerhardt (1816-1856), hijo de un fabricante suizo-alsaciano de albayalde que también trabajó en París con Dumas, continuaban existiendo dificultades importantes, que no permitían comprender los muy diversos compuestos que los químicos producían. Una vía de escape surgió del viejo problema de cuál era el mecanismo que unía unos elementos con otros (o consigo mismo) formando compuestos.
Como vimos, inicialmente los químicos se habían contentado con hablar de afinidades químicas, la tendencia de elementos para unirse entre sí (ácidos y bases, por ejemplo, para formar sales). Cuando, de la mano de científicos como Dalton o Cannizzaro, la teoría atómica comenzó a dar sus primeros pasos y se descubrió el fenómeno de la electrolisis, surgió la teoría (promulgada sobre todo por Berzelius) de que los átomos que formaban compuestos químicos estaban unidos por fuerzas electrostáticas: unos elementos eran electronegativos y otros electropositivos. Esta teoría dualista funcionaba razonablemente bien para los compuestos inorgánicos, pero con el desarrollo de la química orgánica fue encontrando dificultades cada vez mayores. Así, algunos elementos parecían ser capaces de sustituirse entre sí en un compuesto, independientemente de su carácter electroquímico. En 1852, Edward Frankland (1825-1899), que había ampliado estudios con Bunsen y Liebig antes de comenzar a enseñar, en 1851, en el Owens College de Manchester, el primer paso de una carrera académica que le llevaría a suceder en 1865 a Hofmann en el Royal School of Mines, publicó un artículo en las Philosophical Transactions de la Royal Society con el título «Sobre una nueva serie de compuestos orgánicos que contienen metales», en el que señalaba que átomos de nitrógeno, fósforo, antimonio y arsénico parecían combinarse siempre con tres o cuatro átomos independientemente del signo de su electricidad. «Si se consideran las fórmulas de los compuestos inorgánicos», escribía, «hasta un observador superficial queda impresionado por la simetría general de su construcción. Los compuestos de nitrógeno, fósforo, antimonio y arsénico, en especial, muestran la tendencia de estos elementos a formar compuestos que contengan 3 o 5 átomos de otros elementos. Y es en estas proporciones como mejor se satisfacen sus afinidades». «Sin adelantar una hipótesis acerca de la causa de esta agrupación simétrica de átomos», añadía, «resulta bastante evidente que prevalece esta tendencia o ley y que, independientemente de cuál sea el carácter de los átomos que se unen, la capacidad de la combinación del elemento que atrae, si se me permite la expresión, siempre queda satisfecha por el mismo número de átomos».
En estas manifestaciones nos encontramos con el origen de la teoría de la valencia, el correlato del concepto de afinidad, un concepto al que ya antes que Frankland se había aproximado Alexander Williamson (1824-1904) y que luego exploraron Charles-Adolphe Wurtz (1817-1884), William Odling (1829-1921) y August Kekulé (1829-1896), un alumno de Liebig que, después de doctorarse, y siguiendo el consejo de Liebig, amplió entre 1851 y 1852 estudios en París con Dumas, para luego trabajar un año y medio en Suiza para un adinerado químico, tras lo cual marchó a Londres en 1854 como ayudante de John Stenhouse (conoció también a Williamson). Regresó a Alemania, en 1855, para abrir un pequeño laboratorio químico privado en Heidelberg, y dio clases también (como privatdozent, sin recibir ningún salario) en la universidad, tras lo cual pasó dos años como profesor en la Universidad de Gante, donde enseñó y publicó en francés, su último paso académico antes de suceder en 1867 a Hofmann (que marchó a Berlín) como catedrático en la Universidad de Bonn.
En dos artículos que publicó en 1857 y 1858, y con más detalle en su libro de texto titulado Lehrbuch der Organischen Chemie (Tratado de química orgánica; 1859), Kekulé, a quien con justicia se considera el fundador de la química estructural, sostuvo que los átomos de cada elemento parecían tener una capacidad —que denominó «unidades de afinidad»— preestablecida para combinarse con los átomos de otros elementos o de él mismo. El hidrógeno y el cloro tenían una de esas unidades; el oxígeno y el azufre, dos; el nitrógeno, fósforo y antimonio, tres, y el carbono, cuatro. Una década después, las «unidades de afinidad» de Kekulé fueron rebautizadas con el nombre de valencia. Desde esta perspectiva, el agua, H2O, representaba que dos átomos monovalentes de hidrógeno se unían con uno divalente de oxígeno.
Equipado con estas ideas, Kekulé abordó el estudio de la importante, pero problemática, familia de los compuestos orgánicos denominados «aromáticos», llamados así porque muchos de ellos tienen olores fragantes, que están relacionados con el benceno (C6H6), un compuesto que se encuentra en el alquitrán de hulla, del que se separa por destilación fraccionada y del que hoy sabemos que es el primer miembro de una serie de hidrocarburos que derivan de sustituir hidrógenos por radicales alquílicos. En 1865 propuso que la molécula de benceno estaba formada por un hexágono en cuyos vértices se situaban los átomos de carbono, unidos mediante uno o dos enlaces con los vecinos y con un átomo de hidrógeno.
La aportación de Kekulé constituyó una de las grandes contribuciones a la química de todos los tiempos y, sin duda, del siglo XIX (a partir de entonces, las diferencias de estructura explicaron las distintas propiedades). En una conferencia conmemorativa en honor de Kekulé pronunciada en 1898, otro químico, Francis Japp, manifestó que la teoría del benceno de Kekulé constituía «la pieza más brillante de la producción científica que puede encontrarse en toda la química orgánica. Tres cuartas partes de la química orgánica moderna son directa o indirectamente producto de esta teoría».

La estructura hexagonal del benceno (C6H6), un compuesto —el más sencillo de los denominados aromáticos— aislado en 1825 por Michael Faraday, que se utiliza como disolvente así como en la síntesis de muchos productos químicos, se basa en la capacidad (valencia) que tienen los átomos de carbono de combinarse con cuatro átomos a la vez. En el ejemplo más sencillo, el del metano (CH4), un átomo de carbono se une a cuatro de hidrógeno, mientras que en el benceno cada uno de los seis átomos de carbono que lo forman establece tres uniones: un enlace simple con otro átomo de carbono, otro también simple con un átomo de hidrógeno y uno doble con un átomo de carbono. Esta estructura cíclica y plana se repite en cada átomo de carbono situado en el vértice de un hexágono, de manera que las uniones entre los átomos sucesivos de carbono son alternativamente simples y dobles. El descubrimiento por parte de Kekulé de esta estructura dio lugar a un gran desarrollo, del que dan idea hallazgos como el de la estructura del naftaleno (C10H8) de Emil Erlenmeyer y de la piridina (C5H5N) y la quinolina (C9H7N) por James Dewar.
Aunque por supuesto dejaba problemas por resolver, la teoría de Kekulé permitió ver bajo una luz diferente, más esclarecedora, los compuestos aromáticos. Y hay que recordar que los compuestos orgánicos más interesantes desde el punto de vista de sus aplicaciones tecnológicas son los aromáticos (por ejemplo, colorantes y medicamentos), con lo que la teoría de Kekulé se convirtió en la llave maestra para ese tipo de investigación química aplicada.
Ahora bien, ¿cómo pudo dar Kekulé el salto cualitativo que implicaba su modelo del benceno?, ¿cómo pudo ocurrírsele esas estructuras geométricas, espaciales? Es esta una pregunta que se plantea habitualmente en los momentos más creativos de la ciencia. Y raras veces se puede dar una respuesta directa: la creación científica es normalmente un proceso complejo y multidireccional. No obstante, este caso es algo diferente en tanto que el propio Kekulé argumentó (en una conferencia pronunciada sobre los orígenes y nacimiento de la teoría estructural de la química orgánica publicada en 1890 en Berichte der Deutschen Chemischen Gessellschaft) que existió un momento de «intuición subconsciente» en su proceso creativo, un momento consecuencia, o parte, de un proceso más complicado. Merece la pena reproducir lo que Kekulé explicó:
Durante mi estancia en Londres [en el verano de 1854] residí durante un tiempo considerable en Clapham Road [pero] con frecuencia pasaba las tardes con mi amigo Hugo Müller en Islington, en el extremo opuesto de la metrópolis. Hablábamos de muchas cosas, pero sobre todo de nuestra querida química. Una agradable tarde de verano, regresaba como de costumbre en el último autobús, a través de las desiertas calles de la ciudad, que en otros momentos están tan llenas de vida. Caí en un ensueño, y, de repente, ¡ahí estaban los átomos saltando ante mis ojos! Antes, cuando estos diminutos seres habían aparecido ante mí, siempre se encontraban en movimiento, pero hasta aquella ocasión no había sido capaz de discernir la naturaleza de sus movimientos. Ahora, sin embargo, vi cómo, con frecuencia, dos átomos pequeños se unían formando un par; cómo uno más grande atrapaba a los dos más pequeños; cómo otros todavía más grandes cogían a tres o incluso cuatro de los pequeños, mientras el conjunto se mantenía girando en una danza vertiginosa. Vi cómo los más grandes formaban una cadena, arrastrando tras ellos a los más pequeños, pero solo por los extremos de la cadena. Vi lo que nuestro antiguo maestro, Kopp, mi tan respetado profesor y amigo, ha representado con tanto encanto en su Molekular-welt [Mundo molecular]; pero yo lo vi mucho antes que él. El grito del conductor, «¡Clapham Road!», me despertó de mis sueños, pero pasé una parte de la noche poniendo sobre el papel al menos esbozos de estas formas soñadas. Este fue el origen de la «Teoría estructural».
Algo parecido sucedió con la teoría del benceno. Durante mi estancia en Gante, residí en un elegante alojamiento para solteros en la calle principal. Sin embargo, mi estudio daba a un estrecho pasadizo por el que no penetraba la luz del día. Para el químico, que pasa el día en el laboratorio, esto importaba poco. Estaba sentado escribiendo en mi cuaderno, pero mi trabajo no progresaba; mis pensamientos se dirigieron hacia otra parte. Giré la silla hacia el fuego y me adormecí. De nuevo los átomos estaban saltando ante mis ojos. Esta vez, los grupos más pequeños se mantenían modestamente en un segundo plano. Mi ojo mental, que se había vuelto más agudo debido a la repetida aparición de visiones de este tipo, podía distinguir ahora estructuras más grandes de diversas configuraciones; largas filas, a veces agrupadas más estrechamente, todas retorciéndose y retorciéndose en un movimiento parecido al de una serpiente. ¡Pero, mira! ¿Qué es aquello? Una de las serpientes se había mordido su propia cola, y la forma giraba burlonamente ante mis ojos. Como si se hubiera producido la chispa de un relámpago, me desperté; y esta vez pasé el resto de la noche desarrollando las consecuencias de la hipótesis.
En base a los resultados de Kekulé se formuló la teoría estructural: los átomos de carbono podían formar cadenas de dimensión indefinida y anillos cerrados, alternando los enlaces, simples y dobles, y añadir ramas a la estructura para asociarse con otros elementos como el hidrógeno, el oxigeno y el nitrógeno (el término «estructura química» había sido introducido en 1861 por el químico ruso Alexsandr Butlerov [1828-1886], catedrático de Química en la Universidad de Kazán —había pasado una temporada en Heidelberg, donde conoció a Kekulé, y visitado el laboratorio de Wurtz en París, donde conoció al químico escocés Archibald Scott Couper [1831-1892]—, en una conferencia ante químicos alemanes reunidos en Speyer, aunque él no reclamó su paternidad, mencionando las fórmulas que Couper había publicado en 1858).
La teoría estructural se enriqueció posteriormente con las aportaciones dos antiguos estudiantes del químico parisino Adolphe Wurtz, el holandés Jacobus Henricus van’t Hoff (1852-1911) y el francés Joseph Achille Le Bel (1847-1930), quienes en 1874 y de manera independiente señalaron que era necesario tener en cuenta la estructura tridimensional de las moléculas. El número conocido de isómeros de un compuesto particular no coincidía con lo que se esperaría a partir de sus fórmulas constitutivas, pero esta dificultad se superaba si se suponía que el átomo de carbono tenía una estructura tetraédrica; esto es, si sus enlaces se producían en los vértices de un tetraedro. Nacía así la estereoquímica, una rama de la química que enriqueció considerablemente esta ciencia. De hecho, la nueva disciplina se benefició de su relación con la cristalografía, como ya advertía Berzelius en su Tratado de química cuando escribía: «Aunque la cristalografía, o sea, la ciencia que tiene por objeto conocer la forma de los cristales y sus modificaciones, sea, hablando con propiedad, extraña al dominio de la química, no deja de ser de la mayor importancia para el químico. Ocurre con frecuencia que la forma cristalina indica la naturaleza de la combinación, en cuyo caso muchas veces basta una simple inspección para reconocer lo que de otro modo no podría saberse, sino por medio de experimentos largos y difíciles».
Mención especial debe hacerse en este apartado al artículo («Memoria sobre la disposición de los átomos en las moléculas de las que forman parte») sobre la importancia de la situación de los átomos a la hora de estudiar cristales que publicó en 1833 Alexandre Édouard Baudrimont (1806-1880). Las ideas de este influyeron en Auguste Laurent (1807-1853), que había llegado a París en 1826 para estudiar mineralogía y cristalografía en la Escuela de Minas y que poco después de graduarse se convirtió (1830-1831) en ayudante de Dumas, para pasar a continuación a trabajar, entre 1832 y 1834, bajo la dirección de Alexandré Brongniart, un mineralogista de renombre. Laurent realizó notables aportaciones a la química orgánica (y un libro suyo, Méthode de chimie [Método de química], publicado en 1854 y traducido al inglés el año siguiente, ejerció una cierta influencia), pero lo que nos interesa recordar aquí es que publicó un Précis de cristallographie [Prontuario de cristalografía] —firmemente enraizado en la gran tradición francesa que se remonta a los trabajos cristalográficos del abad Rene-Just Haüy (1743-1822)— y que coincidió con Louis Pasteur en el laboratorio de Antoine-Jérôme Balard (1802-1876) en París, donde Pasteur fue admitido en 1846. Fue Laurent quien animó a Pasteur a que estudiase compuestos como el ácido tartárico, que se presentaban en dos formas diferentes, girando el plano de polarización de la luz en sentidos diferentes cuando se hacía atravesar las dos formas cristalinas del ácido. Como veremos en el capítulo 16, Pasteur terminó dedicando su tesis doctoral a este tema, que le encaminaría hacia las investigaciones por las que obtendría finalmente fama universal.
Como también tendremos ocasión de comprobar (en el capítulo 22), enriquecida con técnicas procedentes de la física (la difracción de rayos X), la cristalografía se convertiría en un poderoso instrumento en el estudio de las macromoléculas asociadas a la vida.
§. La químico-física
Muchos de los desarrollos de los que hemos tratado en las páginas precedentes se basaron sobre todo en los procedimientos más o menos tradicionales de la química. Es cierto, sin embargo, que esos desarrollos no fueron ajenos a la física, en particular a la electricidad, que dio origen, a través de los fenómenos electrolíticos, a la denominada electroquímica. Pero esa irrupción de la física en la química fue inicialmente modesta, una situación que cambió especialmente a partir de las últimas décadas del siglo XIX. Y no es sorprendente que se produjera tal cambio, puesto que las reacciones químicas implican aspectos de los que se ocupan ramas de la física. Así, esas reacciones involucran intercambios calorífico-energéticos, y de los intercambios de calor o energía trata la termodinámica, que también tiene algo que decir sobre cuestiones como la velocidad (o cinética) a la que tienen lugar las combinaciones químicas. También está la espectroscopia, la ciencia que, como vimos en el capítulo anterior, se estableció firmemente a mediados del siglo XIX gracias a la colaboración de un químico, Robert Bunsen, con un físico, Robert Kirchhoff, y que es capaz de identificar los elementos químicos, bien aislados, bien dentro de un compuesto. No debemos olvidar, asimismo, las repercusiones que tuvo para la electroquímica el que en 1897 el físico inglés Joseph John Thomson identificase el electrón como componente universal de la materia, ni de lo mucho que apartaron, ya en la centuria siguiente, el desarrollo de la cristalografía de rayos X (o difracción de rayos X) y la nueva mecánica cuántica, temas todos estos de los que también trataremos más adelante.
Es en el marco de estas disciplinas como se fue configurando una nueva rama de la química (y, a su vez, de la física): la químico-física (aunque también se podría hablar, recíprocamente, de la físico-química). Entre los pioneros de esta especialidad se encuentran hombres como el danés Julius Thomsen (1826-1909) y el francés Marcellin Berthelot (1827-1907), que se esforzaron por crear una «termoquímica»; esto es, por establecer un marco que permitiese entender los intercambios de calor que tienen lugar en las reacciones químicas. Otro de los grandes pioneros fue el versátil médico alemán Hermann von Helmholtz, que ya hizo su aparición en el capítulo 10 a propósito de la formulación del principio de conservación de la energía y con el que volveremos a encontrarnos. A la vista de estos intereses, no es del todo sorprendente que Helmholtz se interesase por los intercambios de calor en la química; al fin y al cabo, uno de los puntos que trató en su memoria de 1847 sobre la conservación de la energía fue el de las transformaciones energéticas que se producen en las reacciones químicas que dan lugar a electricidad en una pila de Volta. El resultado más interesante al que llegó Helmholtz, en 1882, para el tema que nos ocupa ahora es el de que se debe distinguir entre la parte de la energía que aparece solo como calor y la parte que se puede convertir en otros tipos de trabajo; esto es, una «energía libre» que sería, en cierto sentido, equivalente a la energía potencial en mecánica. La condición para la estabilidad química no estaba, argumentó, determinada por la producción de calor, sino por la disminución de la energía libre, F; esto es: ∆F ≥ 0.
Basándose, entre otros, en el trabajo de Helmholtz, van’t Hoff publicó en 1884 un libro que figura entre los textos fundacionales de la cinética química, al igual que de la termodinámica química: Études de dynamique chimique (Estudios sobre la dinámica química).
De hecho, van’t Hoff es considerado uno de los tres padres de la químico-física (un término este, por cierto, que ya se utilizaba en la década de 1860: en 1863 Hermann Kopp (1817-1892) recibió la primera cátedra universitaria de Químico-Física, en Heidelberg). Los otros dos son Svante Arrhenius (1859-1927), profesor en Estocolmo, y Wilhelm Ostwald (1853-1932), de Leipzig. En 1887, con van’t Hoff de coeditor, Ostwald fundó la revista Zeitschrift für Physikalische Chemie, con lo que la química-física llegó, por así decir, a su mayoría de edad (otro momento importante para la nueva disciplina fue cuando en 1898 Ostwald se convirtió en director de un Instituto de Químico-Física en la Universidad de Leipzig). Por la importancia que estos tres químico-físicos daban a la electroquímica, se les denomina con frecuencia creadores de la escuela de «ionistas», que debe mucho a la tesis doctoral (1884) de Arrhenius, en la que estudiaba la teoría electrolítica de la disociación.
A pesar de apoyar las ideas de Arrhenius sobre la ionización, Ostwald se opuso al atomismo y a la teoría cinético-molecular. No fue hasta después de los trabajos de Jean Perrin y de Theodor Svedberg (1884-1971) que Ostwald aceptó, en 1909, que existía una buena base experimental para adjudicar realidad física a átomos y moléculas.
Una de las cuestiones por las que se interesó Ostwald fue la de la combinación directa de nitrógeno e hidrógeno para formar amoniaco. Merece la pena que nos detengamos en él, ya que no solo demuestra las posibilidades de la químico-física, sino también porque se trata de un problema con grandes implicaciones sociales.
El 12 de marzo de 1900, Ostwald escribía a la dirección de BASF (la, recordemos, Badische Anilinund Soda-Fabrik), que había «descubierto un método para combinar nitrógeno libre (esto es, tomado del aire) con gas de hidrógeno para producir amoniaco. El material y costes son tan bajos que el precio del amoniaco sintético sería una pequeña fracción del precio presente del nitrógeno del que se puede disponer ahora». Y añadía: «El método ha sido probado en el laboratorio […] No necesito explicar lo que esta síntesis representa para la agricultura […] Además, es fácil obtener ácido nítrico a partir del amoniaco utilizando oxígeno atmosférico. Estaría encantado de recibir cualquier sugerencia en caso de que deseen contactar con nosotros acerca de las condiciones técnicas y las estimaciones económicas del descubrimiento».
El mismo año, Ostwald solicitó una patente para producir amoniaco y compuestos amoniacados a partir del nitrógeno e hidrógeno atmosféricos, que contenía los detalles esenciales de la síntesis en gran escala que se llevaría a cabo más adelante: temperatura elevada, presión alta, un catalizador (para él, hierro o cobre) y recirculación de los gases. En su autobiografía (publicada en 1926), Ostwald señaló: «Como el experto reconoce inmediatamente, las ideas básicas sobre la síntesis del amoniaco, que ha llegado a ser tan importante, fueron presentadas claramente y sin ambigüedad entonces [marzo de 1900]. Por consiguiente, tengo derecho a considerarme el padre intelectual de esta industria. Ciertamente, no he llegado a ser su padre real, ya que todo el difícil y variado trabajo necesario para crear una industria técnica y económicamente viable a partir de las ideas correctas fue llevado a cabo por otros que se ocuparon del niño abandonado».
Por qué Ostwald abandonó a ese «niño», que tanto prometía, se debe a que cuando, después de registrar su patente, Ostwald negoció con BASF, esta encontró, al repetir sus experimentos, que las pequeñas cantidades que se formaban de nitrógeno procedían del nitrógeno presente en todo el hierro del que se disponía comercialmente, y que había intervenido en la prueba. Una vez que confirmó en su propio laboratorio estos resultados, Ostwald renunció a su solicitud de patente y a los contratos que ya había firmado, abandonando también esta investigación, a la que, sin embargo, había contribuido.
Fue Fritz Haber (1868-1934), otro de los grandes químico-físicos, quien logró lo que Ostwald creyó haber conseguido. Ahora bien, para ello se benefició de los trabajos de otros científicos germanos, como los estudios que realizó sobre los principios termodinámicos el último de los grandes químico-físicos que mencionaremos, Walther Nernst, con el que ya nos encontramos en el capítulo 10, que había sido discípulo de Ostwald en Leipzig. Especialmente el tercer principio de la termodinámica, que, como también vimos en el capítulo 10, Nernst presentó en 1906 y que suministraba los medios para calcular los valores de calores específicos. Con ello se podía predecir la probabilidad de una reacción química viendo si los valores de la entropía y de los calores específicos tendían a cero a muy bajas temperaturas. Con este instrumento Haber pudo estudiar la reacción N2 + 3H2 ↔ 2 NH3, que al final le permitió fijar el nitrógeno del aire.
La culminación de los trabajos de Haber, entonces profesor de Electroquímica en Karlsruhe, se produjo en 1908, ayudado por Robert Le Rossignol (1884-1976), un inglés que había trabajado con William Ramsey en el estudio del amoniaco antes de instalarse en Karlsruhe. Fue entonces cuando logró sintetizar amoniaco utilizando osmio y uranio como catalizadores, y empleando presiones muy altas y temperaturas moderadas. El 2 de julio de 1909 realizó una demostración del proceso a Carl Bosch (1874-1940) y Alwin Mittasch (1869-1953), de la BASF, en la que se obtuvieron unos cientos de gramos de amoniaco líquido. Cuatro años más tarde, y después de que Haber hubiese vendido el proceso a la compañía, Bosch lograba superar todos los obstáculos que existían en el proceso inicial o que fueron apareciendo para convertir un procedimiento, que era esencialmente académico, en uno con el que se pudiese producir amoniaco en cantidades industriales (en el verano de 1913 se puso en marcha una fábrica en Oppau, que al principio obtuvo una producción diaria de 30 toneladas de amoniaco). Este proceso, denominado de Haber-Bosch, tenía lugar a una presión de 200 atmósferas y utilizaba como materias primas aire y agua. La contribución de Bosch no debe ser minimizada, como con frecuencia se hace al considerar las relaciones entre ciencia y tecnología, dando prioridad a la primera frente a la segunda. Sin sus contribuciones, el proceso no habría podido llegar al estadio industrial. Es por ello justo que la Academia Sueca de Ciencias reconociese su labor en 1932, concediéndole el premio Nobel de Química de 1931, compartido con Friedrich Bergius, el inventor de la oxigenación del carbón, por «sus servicios originando y desarrollando métodos de alta presión». Fue el primer premio Nobel de Química que se otorgó a un trabajo de mejora técnica y avance práctico, con lo que la Fundación Nobel reconocía implícitamente la estrecha relación entre ciencia y tecnología.
Antes incluso de que todos los detalles del proceso industrial se resolviesen satisfactoriamente, y tras vencer la resistencia de BASF, que deseaba que se hiciese pública la menor información posible, Haber (que se comprometió a no revelar nada esencial) pronunció una conferencia en la Vereinigung Naturwissenschaftlichen (Asociación Científica) de Karlsruhe el 18 de marzo de 1910, titulada «Haciendo que se pueda utilizar el nitrógeno», en la que anunciaba su descubrimiento. El científico que era Haber, aunque sensible a la dimensión tecnológica y económica de su trabajo, no podía resistirse a utilizar los cauces y procedimientos habituales en la ciencia. «Estos resultados experimentales», manifestó en su exposición, «parecen asegurar las bases para la industria de la síntesis del amoniaco […] La Badische Anilinund Soda-Fabrik de Ludwigshafen ha continuado con éxito [las investigaciones] a partir de esta base, que he descrito aquí, de forma que la síntesis a altas presiones a partir de sus elementos puede ya incluirse entre los procesos en los que los agricultores pueden poner sus esperanzas cuando […] busquen nuevas fuentes para la tan importante sustancia que necesitan».
La disponibilidad de un proceso de síntesis del amoniaco al comienzo de la Primera Guerra Mundial permitió que Alemania pudiese resolver el más que serio problema (sobre todo para su agricultura) que representaba el que en 1914 dejase de poder acceder a las fuentes de abonos nitrogenados naturales procedentes de América. En 1913, Alemania —cuya población había crecido de 25 millones en 1800 a 55 en 1900— consumía 200 000 toneladas de nitrógeno al año, de las que 110 000 eran importadas en forma de nitrato procedente, sobre todo, de Chile, aunque también de Perú y Bolivia (la mayor parte de esa cantidad se empleaba en la agricultura para cosechas intensivas). Entre mayo de 1921 y abril de 1922, con una extensión geográfica menor que en 1913, utilizó 290 000 toneladas, y toda esa cantidad fue producida dentro de su territorio. Y todo gracias a las habilidades de químico-físicos como Haber.
Como vemos, la químico-física constituyó una notable ampliación de la química tradicional, basada en una alianza con la física. Esta alianza se extendería más tarde con la disponibilidad de la física cuántica, especialmente en lo que se refiere a una cuestión crucial para la química: el enlace.
Contenido:§. Clasificación
§. La historia de la tierra: el uniformismo
§. La evolución de las especies
En los últimos capítulos hemos tratado de la composición de la materia, de algunas de las fuerzas que intervienen en su formación, así como de una rama de la ciencia, la química orgánica, que se ocupa de un tipo de materia que existe en nuestro planeta. Antes habíamos tratado del movimiento de los cuerpos, y nos habíamos encontrado asimismo con objetos celestes como planetas o estrellas. Es el momento ahora de centrarnos en nuestro propio planeta, la Tierra, y en un tipo de materia orgánica organizada que existe en ella, la vida, que se manifiesta a través de innumerables formas (o especies). Para ello, en este capítulo nos centraremos en la manera en que inicialmente —y durante, al menos, casi dos milenios— se abordaron estos estudios: a través de la denominada «Historia natural».
Como vimos en el capítulo 9, el término «Historia natural» aparecía en una famosa obra escrita en el siglo I: la Historia naturalis de Plinio el Viejo. En la carta-prólogo de Plinio al emperador Tito, en la que introducía su contenido, incluyó un breve comentario al título: «Determinado he, graciosísimo Emperador, ofrecerte por esta mi atrevida letra los libros de la Historia Natural, obra nueva a las Musas de tus romanos y postrero parto de mi ingenio». Advertía que en el pasado se habían utilizado otros títulos para empeños similares al suyo, como «cornucopia», «musas» o «librería», pero que él no se arrepentía de su elección: «No me pesa a mí de no haberme topado con otro título más autorizado».
La asociación de los términos «historia» y «natural» constituía incluso una contradicción, dado que la naturaleza se caracterizaba por la continuidad sin cambio de las cosas, mientras que la historia era el relato de los acontecimientos singulares de los pueblos y de los individuos. Plinio concibió su Historia natural como una enciclopedia de las cosas y seres conocidos en su tiempo y proporcionó un título a los primeros que describieron la naturaleza de las Indias occidentales y orientales, que a su vez contribuyeron a la consolidación de una asociación de términos. Las Indias occidentales fueron una sorpresa para los españoles, y las orientales para los portugueses, y con ellos para los europeos que leyeron lo que de aquellas partes del mundo se contaba. El descubrimiento del litoral y el conocimiento del interior fueron el resultado de la participación que la Corona española ofreció a los particulares en el conocimiento del Nuevo Mundo, una experiencia única debida a las dimensiones sobresalientes muy superiores a todo lo conocido. José de Acosta (1540-1600) no ocultó su admiración: «En las Indias todo es portentoso, todo es sorprendente, todo es distinto y en escala mayor que lo que existe en el Viejo Mundo». Gonzalo Fernández de Oviedo (1478-1557), después de los dos primeros viajes, publicó en 1527 por encargo del emperador un Sumario y en 1535 la Historia general y natural de las Indias. De acuerdo con la tradición que incluía al hombre en la Naturaleza describió a los indios como observador y dio su opinión sobre sus costumbres. La ordenación y descripción de las especies vegetales y animales se ajustaba a los signos externos: árboles y arbustos, animales terrestres y marinos. A falta de un criterio de clasificación, acudía a las apariencias y, como únicamente describía los especímenes desconocidos para los europeos, las comparaciones con estos eran frecuentes. Otro personaje destacado fue fray Bernardino de Sahagún (1500-1590), que vivió como misionero entre los náhuatl, cuya lengua adquirió. Su Historia general de las cosas de Nueva España, escrita en la lengua indígena, dedicaba un libro a la descripción de la naturaleza, en el que se muestran las limitaciones de la observación. El cuestionario que utilizó para recoger la información denota las limitaciones del procedimiento que emplearon los naturalistas en América: se reducía a la descripción exterior de las plantas y animales, y a las formas de su acción y comportamiento. No hay noticias de disecciones ni de clasificación de las especies más allá del sistema aristotélico.
En 1538, un judío portugués, García de Orta (1501-1568), que estudió medicina en Salamanca, se instaló como médico en Goa, donde había una colonia de judíos portugueses; allí mantuvo una consulta prestigiosa y adquirió un amplio conocimiento de las especias y las plantas medicinales. En 1563 publicó unos Coloquios dos simples e cosas medicinais da India. Dos años después, un médico de Sevilla, Nicolás Monardes (1493-1588), publicó una obra semejante con noticias de «todas las cosas que traen de nuestras Indias Occidentales que sirven al uso de la medicina», que completó con otras dos partes en 1574. Cristóbal de Acosta (1525-1592), un médico portugués que estudió posiblemente en Salamanca y Alcalá, pasó varios años en la India y se estableció en Burgos, donde publicó en 1578 un Tratado de las drogas y medicinas de las Indias orientales, en el que describía y representaba 69 plantas medicinales, en buena parte procedentes del estudio de García de Orta.
Una forma específica de investigación fue el envío de un grupo de expertos, dibujantes y ayudantes para observar y representar en el papel las particularidades de los países remotos. El descubrimiento del Nuevo Mundo y el viaje por mar al Extremo Oriente abrió el camino a las expediciones científicas. Destaca en este apartado la expedición destinada a estudiar la historia natural americana (mexicana) realizada desde 1571 a 1577 bajo la dirección de Francisco Hernández (1517-1587), que ya nos apareció en el capítulo 9. El promotor fue Felipe II, de quien, recordamos, Hernández era médico de cámara y al que envió a Nueva España «porque se tiene relación que en ella hay más cantidad de plantas e yerbas y otras semillas medicinales que en otra parte». El 24 de diciembre de 1569, Hernández recibió una comisión por cinco años para ir a las Indias, para escribir la historia de «las cosas naturales» de dicho país. Más concretamente, fue nombrado «protomédico general de nuestras Indias, islas y tierra firme del mar Océano», con órdenes «tocantes a la historia de las cosas naturales que habéis de hacer en aquellas partes». La primera de tales órdenes era «en la primera flota que destos reinos partieron para la Nueva España os embarquéis y vais a aquella tierra primero que a otra ninguna de las dichas Indias, porque se tiene relación que en ella hay más cantidad de plantas e yerbas y otras semillas medicinales que en otra parte».
Al término de su expedición, Hernández entregó al rey plantas vivas en barriles y cubetas, «sesenta y ocho talegas de simientes y raíces», plantas secas pegadas en hojas, pinturas de vegetales y animales en tablas de pino y treinta y ocho volúmenes con dibujos y textos. Esta obra sin embargo no fue publicada, como tampoco lo fue su traducción (ya nos referimos a ella en el capítulo 9), con comentarios, de los 37 Libros de la Historia natural de Plinio el Viejo, una tarea que, como ya dijimos, le ocupó diez años. De ellos, los doce últimos se han perdido, así como los mapas, dibujos y figuras que preparó, acaso en el incendio que sufrió la biblioteca de El Escorial en 1671; los que sobrevivieron se encuentran en la Biblioteca Nacional de Madrid, habiendo sido editados en 1998 por la Universidad Nacional de México. No obstante, la influencia de Hernández se mantuvo después en la obra de Linneo y en la materia médica poslinneana hasta las primeras décadas del siglo XIX.
Destinos parecidos al de la obra de Hernández fueron los de la Historia de Fernández de Oviedo (la primera parte se publicó en 1535, pero la obra completa no vio la luz hasta años después), y la Historia de Sahagún, escrita entre 1558 y 1569, pero que no se publicó hasta 1829-1830.
La culminación del estudio de la naturaleza americana debe situarse en la Historia natural y moral de las Indias (1590) del ya citado sacerdote José de Acosta, cuyo objetivo no fue ya una exposición descriptiva, sino «declarar las causas y razón de las novedades y rarezas» de la naturaleza americana. Acosta integró el conjunto de la naturaleza americana en el saber científico europeo, con una altura e independencia de criterio que mereció que Alexander von Humboldt la calificase de estudio magistral del Nuevo Mundo y de fundamento de la geofísica moderna. Traducido al latín, alemán, neerlandés, francés, inglés e italiano, el tratado de Acosta tuvo veinticinco ediciones fuera de España.
La primera obra que respondía a su título es la Histoire naturelle, générale et particulière (Historia natural, general y particular) de Georges-Louis-Leclerc, conde de Buffon (1707-1788). Esta magna, a la vez que divulgativa, obra —el libro científico probablemente más leído de todo el siglo XVIII (los tres primeros tomos se publicaron en 1749)— cubría un rango muy variado de cuestiones, desde las relativas a la Tierra hasta las de las diferentes especies: minerales, pájaros, peces, cuadrúpedos ovíparos, serpientes, humanos, etcétera. En la introducción, Buffon describía su contenido y su método de la manera siguiente: «Es una Historia inmensa que incluye todas las cosas que hay en el universo», cuyo conocimiento requiere «reunir todas las cosas, compararlas, estudiarlas, descubrir sus relaciones […], dividir el todo en clases […], las clases en géneros […], los géneros en especies». La única diferencia respecto a Plinio era que mientras este acumulaba fichas extraídas de los libros, Buffon, intendente del Jardin des Plantes del rey desde 1739 hasta su muerte, también realizaba experimentos. Ahora bien, para entender el porqué, como Plinio, utilizó la palabra «Historia», tenemos que recurrir a otra de sus obras, Des Époques de la nature (Las épocas de la naturaleza), puesta a la venta en 1779, aunque lleva la fecha de 1778, que comienza con las siguientes frases:
Como en la Historia civil […] en la Historia Natural, es preciso buscar en los archivos del mundo, extraer de las entrañas de la Tierra los viejos monumentos, recoger sus restos y reunir en un conjunto de pruebas todos los indicios de los cambios físicos que permitan remontarnos a las diferentes edades de la Naturaleza.
La Naturaleza ha pasado por estados diferentes, la superficie de la Tierra ha tomado sucesivamente formas distintas, incluso los cielos han cambiado y todas las cosas del Universo físico se encuentran como las del mundo moral en un movimiento continuo de variaciones sucesivas.
No obstante, se trataba de frases puramente testimoniales que no dieron lugar a ninguna conclusión. La Histoire naturelle de Buffon y las que siguieron no fueron más allá de la descripción de las plantas y animales. Y describir es importante, ciertamente, pero si no se va más allá, no hay ciencia.
§. Clasificación
El siguiente paso después de describir es clasificar, una tarea esta que ya asumió Aristóteles, que escribió varias obras sobre los animales, en los que se ocupaba de su historia, generación, partes, movimientos o locomoción. En su Investigación sobre los animales, por ejemplo, se esforzó por establecer categorías con las que diferenciar las especies de las que trataba. Así, uno de los epígrafes se titulaba «Géneros y especies», y en él escribía (antes se había ocupado de cuestiones —también clasificatorias— como órganos de nutrición y modos de reproducción, de vida y de locomoción):
De los grandes géneros en que se dividen los demás animales citaremos los siguientes: el de las aves, el de los peces y el de los cetáceos. Todos estos están dotados de sangre. Otro género es el de los testáceos, conocidos con el nombre de conchados. Otro, el de los crustáceos, que no tienen nombre único para designarlos, y que comprende, por ejemplo, las langostas y ciertas especies de cangrejos y bogavantes. Otro, el de los cefalópodos, como los calamares pequeños, los calamares grandes y las sepias. Otro, el de los insectos. Todos estos últimos animales carecen de sangre, y en caso de tener pies, estos son numerosos. Y entre los insectos, algunos también tienen alas.
Entre los animales restantes, no se pueden establecer grandes grupos.
Como vemos, carecía de criterios de clasificación que no se refirieran a aspectos morfológicos exteriores.
Un discípulo y amigo de Aristóteles, Teofrasto (ya hablamos de él en el capítulo 1), completó la obra de aquel con tratados botánicos (como Historia de las plantas), que incluían descripciones basadas en la presencia o ausencia de determinados caracteres en especies distintas; esto es, se centró en la morfología (interna y externa) de las plantas, evitando de esta manera un método, sencillo pero finalmente insatisfactorio, como podía ser agrupar las plantas y animales por el lugar en que se encontraban.
Es evidente, sin embargo, que los sistemas clasificatorios no son inmunes al descubrimiento de nuevos animales o plantas. El ya mencionado descubrimiento de América, acceder a un nuevo mundo, aportó una gran masa de cosas y seres desconocidos hasta entonces, una circunstancia que reforzó el sentimiento de que era preciso clasificar, ordenar las diversas manifestaciones, vegetales o animales, de la vida.
De entrada, el concepto más inmediato para organizar las diferentes formas de vida (animal o vegetal) existentes era el de especie, entendida esta como grupos de especímenes con capacidad de reproducirse entre sí; los que compartían esta facultad pertenecían a la misma especie. Buffon, por ejemplo, que contempló en 1753 la posibilidad del transformismo, aunque rechazó la idea, redefinió la noción de especie entendiéndola no como un conjunto de individuos que comparten las mismas propiedades, sino como la sucesión de ancestros y descendientes unidos por una conexión material a través de la generación. La especie, decía, «no es el número ni la colección de los individuos que la componen, es la sucesión continuada y la renovación ininterrumpida de los individuos que la componen», palabras con las que hacía de la posibilidad de la reproducción el fundamento de la definición de especie.
La especie constituía, por consiguiente, la unidad mínima de la clasificación; sobre ella se crearon otros conceptos para reunir los grupos más amplios, conceptos como género, familia, tipo y reino.
Que las especies se mantuviesen inalteradas o que cambiasen en el transcurso del tiempo era, por supuesto, otra cuestión, una cuestión cuyo mismo planteamiento se vio obstaculizado durante mucho tiempo por ideas religiosas como las contenidas en la Biblia, que asignaban a un Dios la capacidad —que usó en el «principio de los tiempos»— de crear todas las especies.
Sin embargo, la aparición de fósiles —que dio lugar al nacimiento de una nueva disciplina, la historia de las especies o, como se la conoce habitualmente, paleontología— cuyas formas no parecían corresponderse con las conocidas planteaba problemas para semejante ideas. ¿Cómo explicar, por ejemplo, los trilobites del Cámbrico, los peces del Ordóvico, las plantas terrestres del Silúrico, los tetrápodos del Devónico, los reptiles del Carbonífero, para no recordar más que algunas especies de la era paleozoica? Poco a poco, con creciente intensidad después, fueron descubriéndose más y más fósiles. En 1787, un fraile, Manuel de Torres, encontró huesos de un mamífero gigante en las barrancas del río Luján, en el virreinato americano de La Plata. Avisado el virrey don Nicolás del Campo, marqués de Loreto, lo envió a Madrid al Real Gabinete de Historia Natural (Carlos III había ordenado que se enviase allí cualquier ejemplar raro), adonde llegó en 1788. Nada se sabía entonces de a qué animal pertenecían aquellos restos, de aquel «montón de huesos inconexos», como los denominó el disecador del Gabinete, Juan Bautista Bru (1740-1799), al que se encargó su montaje (lo completó en 1703), descubriéndose más tarde que eran de un perezoso terrestre, antecesor de los actuales perezosos, que había vivido en Sudamérica desde el Plioceno hasta hace unos 8000 años. Fue Georges Cuvier —que estudió las descripciones de Bru— quien dio el nombre de megaterio (bestia grande), Megaterium americanum, al animal al cual pertenecieran esos huesos. En 1824 se dio nombre al megalosaurio (megalosaurus, del latín para «lagarto grande»), el primero de los diplodocus, y a mediados de siglo se impuso la idea de la explosión de vida en torno a los 530 millones de años, caracterizada por la aparición de nuevas especies y la diversificación de las anteriores (en el siglo XX se descubrió el lugar del impacto que acabó con los dinosaurios hace 65 millones de años y que permitió la difusión de los mamíferos).
La idea de la aparición de nuevas especies y de la extinción de muchas de las conocidas era, evidentemente, contraria a la de una creación única. De hecho, Aristóteles ya había descrito distintas formas de generación, entre otras la, según él, espontánea de las criaturas inferiores, como los gusanos (una observación superficial parecía confirmar esa hipótesis). La generación de nuevas especies, en distintos momentos de la historia, no ofrecía más respuestas que la creación continua y la aparición de nuevas especies a partir de un cambio en la naturaleza de las anteriores.
En la tarea de clasificar a los seres que se observaban en la naturaleza destacaron inicialmente sobre todo botánicos, como (mencionaremos otros más adelante) Joseph Pitton de Tournefort (1656-1708), que propuso en 1700 un esquema organizativo ordenado en 22 clases, según la forma de la corola, Jakob Hermann (1678-1733), que se basó en los caracteres del fruto o Augustus Quirinus Bachmann (1652-1723), conocido como Rivinus, que dio preferencia a la relación entre el número de pétalos y tres tipos de frutos. Pero por encima de todos ellos, un nombre destaca: el de naturalista sueco y contemporáneo de Buffon, Carl von Linneo (1707-1778), con quien ya nos encontramos en el capítulo 9.
Aunque estudió Medicina, disciplina que también ejerció, la vida de Linneo estuvo centrada en el estudio de los seres vivos presentes en la naturaleza (especialmente las plantas) y en clasificarlos (en 1742 dejó el puesto de profesor de Medicina práctica de la Universidad de Uppsala por una cátedra de Botánica, Dietética y Materia Médica, que conservó hasta su muerte). En 1735 publicó un libro, Systema naturae, sive regna tria naturae systematice proposita per secundum classes, ordines, genera & species, cum characteribus, diferentiis, synonymis, locis (Sistema natural, en tres reinos de la naturaleza, según clases, órdenes, géneros y especies, con características, diferencias, sinónimos, lugares), en el que estableció los principios que habría de regir el sistema taxonómico que introdujo. En las plantas (la verdadera especialidad de Linneo) su método consistía en: 1) contar el número de estambres (órganos masculinos) para determinar la clase; y 2) contar el número de pistilos (órganos femeninos) para determinar el orden. Era un método sencillo, al alcance de cualquiera: solo había que contar.
A continuación creó un sistema para nombrar las especies, que presentó en otro libro, Species plantarum (Especies de plantas; 1753): la denominada nomenclatura binomial, formada por dos nombres, el género y la especie (no fue, sin embargo, Linneo el primero en proponer un sistema binomial; el botánico y anatomista suizo Gaspard Bauhin [1560-1624], por ejemplo, había propuesto uno de este tipo en un libro titulado Pinax theatri botanici [Exposición ilustrada de plantas] publicado en 1623). El género expresa la pertenencia a un grupo de plantas o de animales, mientras que la especie distingue a los del mismo género y puede venir definida por epítetos que se refieren a muy diversas cosas: origen geográfico, características cromáticas, estructura del organismo, una persona, etc. Por ejemplo, Solanum es el término latino (el latín era el idioma que utilizaba, y exigía, Linneo) para un género —formado por aproximadamente 1400 especies— que incluía árboles, arbustos y herbáceas; la patata, que pertenece a este género, se denomina Solanum tuberosum («que produce tubérculos subterráneos»), y el tomate es Solanum lycopersicum («melocotón de lobo»).
En resumen, si añadimos el concepto de reino, con el que se dividía la naturaleza en tres grupos —reino mineral, reino vegetal y reino animal—, tenemos que el sistema de Linneo organizaba la naturaleza en cinco niveles: reino, clase, orden, género y especie.
Aunque el sistema clasificatorio de Linneo tenía problemas (los géneros se establecían más por su apariencia que por un único carácter, lo que les daba una naturaleza arbitraria, «poco científica» podríamos decir) y no se libró de las críticas, fue ampliamente aceptado, persistiendo aún —corregido y dentro de un contexto muy diferente— en la actualidad. A pesar de que Linneo se sentía más cómodo con las plantas, no se limitó a estas, ocupándose también (pero con menos rigor) de los animales. Sin embargo, con estos no hizo uso de un único elemento para diferenciar las diferentes clases, sino de uno propio para cada una de ellas. Siguiendo al inglés John Ray (1627-1695), clasificó a los mamíferos según sus dientes, a las aves según sus picos, a los peces por sus aletas, a los insectos por sus élitros (alas anteriores) y a los anfibios e invertebrados de acuerdo con sus características morfológicas. Limitándonos, como ejemplo, a los mamíferos, que para Linneo ocupaban la posición más elevada de la «pirámide natural», los organizó (hacia 1758) de la siguiente manera:
- Primates (preeminentes): hombre, monos, lémures, murciélagos, etc.
- Bruta (pesados): elefantes, manatíes, osos hormigueros, etc.
- Ferae (fieras): focas, perros, lobos, hienas, nutrias, etc.
- Bestiae (bestias): cerdos, armadillos, erizos, topos, etc.
- Glires (roedores): rinocerontes, liebres, conejos, ratones, ardillas, etc.
- Pecora (ganados): camellos, llamas, cabras, jirafas, etc.
- Bellua (cargadores): caballos, burros, cebras, hipopótamos, etc.
- Cetae (marinos): ballenas, marsopas, delfines, etc.
Una clasificación, como vemos, muy arbitraria. Eso sí, se atrevió a incluir en esta escala a los humanos, dentro de los primates. De hecho, también les aplicó su nomenclatura binomial, denominándolos Homo sapiens, lo que no es óbice para que los considerara la cumbre de la creación, el pico más elevado de la creación divina dentro de esa otra cumbre que eran para él los mamíferos. Y es que sus esquemas clasificatorios no contradecían su fe. Él se veía a sí mismo como un testigo atento y minucioso de la obra de Dios. Así, en la Introducción a la duodécima edición (la última publicada en vida de su autor) de Systema naturae, se lee:
He contemplado las manifestaciones del infinito, omnisapiente y omnipoderoso Dios, y he crecido vertiginosamente en el conocimiento. He seguido sus pasos por todos los campos de la naturaleza y he visto en todos los lugares de su eterna sabiduría y poder, manifestándose con toda perfección.
Linneo, en definitiva, creyó que estaba clasificando la creación divina y no contempló la semejanza como resultado del cambio. Definió la naturaleza como «lex inmutabilis Dei qua res est id quod est et agit quod agere jussa est»; esto es: «la ley inmutable de Dios por la cual lo que es… es lo que es y actúa como debe actuar». Y es que, en principio, toda clasificación se basa en el supuesto de la permanencia de los seres que intenta organizar.
La introducción del tiempo, una magnitud con una dirección y un sentido propios, planteó una nueva forma de contemplar la naturaleza en la que el tiempo histórico afectaba a la realidad material. El tiempo del experimento fue sustituido por el tiempo histórico, algo que terminó dando entrada a la idea de evolución de las especies animales y vegetales asentadas sobre un substrato material llamado Tierra.
§. La historia de la tierra: el uniformismo
La Biblia comienza con la creación del Universo. El primer día Dios creó los cielos y la Tierra, y el cuarto las estrellas para separar el día de la noche. Ante la inevitable pregunta de cuándo se creó ese mundo fruto de la acción divina, durante la mayor parte de la historia de la humanidad se recurrió a las crónicas religiosas. Al fin y al cabo, si se utilizaba la Biblia para reconstruir la historia de esa creación, lo natural sería indagar si esa misma fuente suministraba pistas para averiguar cuándo fue creado.
Esto es lo que hizo James Ussher (1581-1656), arzobispo de Armagh y primado de Irlanda, quien, utilizando las cronologías incluidas en la Biblia, situó el origen del Universo en el año 4004 a. C.; más concretamente, el 23 de octubre, a mediodía. Presentó sus ideas en un libro publicado en 1650: Annales veteris testamenti, a prima mundi origine deducti (Anales del Antiguo Testamento, deducidos del primer origen del mundo). Y no sabemos quién descubrió en España que el acontecimiento había tenido lugar en 5199 a. C., una fecha que se encuentra en las Biblias publicadas en los dos siglos siguientes, mientras que en las Guías de forasteros, que se actualizaban en cada edición, se daba (1801) la fecha de 7000 a. C. El creacionismo no podía concebir la composición del Universo más que como una obra perfecta: «Y vio Dios ser buena la luz», frase que se repite después de separar la tierra del cielo. No había, por tanto, lugar para el cambio.
Aristóteles contribuyó a esta idea al mantener que el cambio sería tan lento que la vida del hombre no era lo suficientemente larga para apreciarlo. Las primeras sospechas de la existencia del cambio proceden de Plinio el Viejo, que explicó la formación del ámbar como resina fósil. En la China del siglo XI, Shen Kuo describió el papel de la sedimentación y la erosión en la configuración de la corteza terrestre. Los árabes mostraron un interés especial por las piedras y las rocas. Avicena describió en su enciclopedia Kitab al-Shifa la sedimentación de los estratos. En De solido intra solidum naturaliter contento dissertationis prodomus (Discurso preliminar de una disertación sobre los cuerpos sólidos contenidos de manera natural en un sólido; 1669), Nicolás Steno (1638-1686), un naturalista danés, asumió la sugerencia de Descartes de escribir una historia de la corteza terrestre a partir de la información que ofrecía la observación, o «en qué medida la condición presente de una cosa descubre su condición pasada». Describía, en particular, las diferencias entre el desarrollo de los sólidos inorgánicos, como los cristales, y el de los sólidos orgánicos como las conchas o los huesos, e identificaba el origen de las rocas que alojaban a los fósiles como sedimentos blandos que se habían convertido en rocas después de que hubiesen quedado enterrados en ellos conchas y huesos. Al interpretar los estratos, Steno llegó a la conclusión de que estos se habían depositado, capa a capa, a lo largo del tiempo; que si existió una «horizontalidad originaria», esta se había quebrado con el tiempo. Asimismo, de sus observaciones en Italia llegó a la conclusión de que los fósiles tenían su origen en el mar, lo que implicaba la emergencia de los fondos marinos; esto es, algún tipo de evolución.
En el siglo XVIII, Buffon dedicó una parte de su enciclopedia a los minerales y la geología, un término que parece haber sido utilizado por primera vez por Richard de Bury en un libro escrito en 1344 y publicado en 1473 en Colonia, Philobiblon, pero empleándola en el sentido de «ciencia de las cosas terrenales», esto es, referido a las leyes humanas frente a las leyes divinas; en su sentido moderno, apareció por primera vez en un libro publicado en Nápoles en 1687 por Fabrizio Sessa, Geologia del Dottore (Geología del doctor), que pretendía demostrar que la influencia que los astrólogos adscribían a las estrellas procedía realmente de la propia Tierra. Buffon explicaba la formación de la Tierra por la constante acción de las fuerzas naturales en lugar de la creación en un momento dado (también observó similitudes entre los hombres y los simios, y describió un método para la transformación orgánica a partir de «partículas orgánicas»). De hecho, en Époques de la nature sugirió que la Tierra era más antigua de lo que se suponía, estimando su edad en unos 75 000 años, aunque, siempre precavido, fue bastante cauto en sus manifestaciones.
Las dudas acerca de la edad de la Tierra que se deducía de la Biblia aumentaron según se fue avanzando en el conocimiento del Universo. Crear algo constituye un acto extraordinario que rompe la secuencia habitual de un proceso (la secuencia y una explicación acorde a leyes científicas), así que si se descubren o imaginan explicaciones basadas en teorías científicas aceptadas, las de índole religiosa se ven socavadas. Una de esas posibles explicaciones que contribuyeron a sembrar dudas sobre la naturaleza y la edad del Universo fue la hipótesis nebular, que formularon por separado Inmannuel Kant (1724-1804) en su Allgemeine Naturgeschichte und Theorie des Himmels (Historia natural universal y teoría de los cielos; 1755) y Laplace en seis versiones diferentes de su Exposition du système du monde (Exposición del sistema del mundo) publicadas entre 1796 y 1835 (esta, por consiguiente, después de su muerte; falleció, recordemos, en 1827). Se trataba de una idea que sostenía que el Sol había surgido de un conjunto de partículas (Kant) o de un fluido caliente (Laplace) que se extendía más allá de las órbitas de los planetas, y que al irse enfriando y condensando ese conjunto de partículas o ese fluido se formó el Sol, mientras que los planetas lo hicieron de zonas de materiales que quedaron girando en torno a él. El descubrimiento realizado por Wilhelm Herschel en 1781 de un nuevo planeta, Urano, no hizo sino profundizar en esas dudas. Pero continuemos con la geología.
William Smith (1796-1839), un hijo de un herrero de Churchill (Inglaterra) que se convirtió en topógrafo, dedicándose sobre todo a trabajar en la construcción de canales, publicó en 1815 el primer mapa geológico de la Gran Bretaña. Gracias a sus trabajos topográficos, Smith se dio cuenta de que ciertos fósiles parecían encontrarse siempre en determinados estratos rocosos, en una secuencia que se repetía en lugares diferentes; mostró, en definitiva, la correlación entre determinados estratos y la fauna fósil que contenían. La estratigrafía, que como vemos nació de intereses prácticos, se convirtió así en uno de los principales instrumentos para reconstruir la historia de la Tierra.
Elementos como estos necesitaban de una base teórica geológica organizada. Antes incluso de que Smith proveyese de datos detallados de la geología de Gran Bretaña, un escocés, James Hutton (1726-1797), había avanzado por esa senda teórica, defendiendo —en particular en un libro en tres volúmenes titulado Theory of the Earth with Proofs and Illustrations (Teoría de la Tierra con pruebas e ilustraciones; 1795-1797)— la denominada teoría plutónica, según la cual la causa de los cambios observados en la Tierra se debe a su calor interno, a la acción combinada de la actividad volcánica y la erosión (el abate Moro [1687-1750] había propuesto antes ideas similares), teoría que se oponía a la neptuniana, defendida sobre todo por el geólogo alemán Abraham Gottlob Werner (1749-1817), que acumuló las cátedras de Mineralogía y la de Inspección de Minas en la prestigiosa e influyente Escuela de Minas de Friburgo (entre sus alumnos, se encuentra Alexander von Humboldt). La explicación que ofreció Werner en su Kurze Klassifikation und Beschreibung der Gebirgsarten (Breve clasificación y descripción de las rocas; 1787), una explicación influida por el relato bíblico, fue que la Tierra había estado cubierta originariamente por el agua, por un océano primitivo, pero que, debido a la presencia en este de materiales en suspensión, se habría producido un proceso (mecánico) de sedimentación de esos materiales, que dio lugar a la corteza terrestre. Por otra parte, recurría a las erupciones volcánicas para explicar las fracturas presentes en los sedimentos. Advirtamos que al recurrir a la noción de sedimentación, Werner estaba introduciendo la idea de que la corteza terrestre estaba formada por capas geológicas formadas a lo largo del tiempo, de un tiempo geológico.
Muy importante es que Hutton sostuviera que los procesos a los que recurría no se habían detenido. Estaba esbozando, como antes que él habían hecho otros (Avicena y el médico francés del siglo XVIII Georges Fushsel), aunque mostrando menos recursos geológicos, el denominado principio del uniformismo, la tesis de que la acción de las leyes naturales era igual a través del tiempo. Una idea que contenía tres supuestos esenciales: los procesos físicos son iguales y se producen del mismo modo, son iguales en intensidad y ocurren en la misma razón. Para salvar este planteamiento era necesario sustituir la creación material por un impulso que puso en marcha el proceso de acuerdo con las leyes naturales y sin posterior intervención divina. El ciclo de las rocas era el ejemplo que confirmaba la doctrina. Las rocas se rompen y se convierten en arena y al ser cubiertas por el agua se sedimentan.
Pero con quien el principio del uniformismo llegó a su máxima expresión fue con Charles Lyell (1797-1875), que lo hizo suyo sintetizándolo en una afortunada frase: «El presente es la llave del pasado». Hombre de medios económicos, Lyell viajó extensamente desde su juventud, prestando especial atención a las características geológicas de los lugares que visitaba. Estudió Derecho en Oxford a finales de la década de 1810, practicando esta profesión entre 1825 y 1827. En 1826 fue elegido miembro de la Royal Society y en 1831 catedrático de Geología en el King’s College de Londres.
Las tesis y observaciones de Lyell aparecieron en un libro capital, Principles of Geology (Principios de geología), significativamente subtitulado An Attempt to Explain the Former Changes of the Earth’s Surface (Un intento de explicar los cambios precedentes en la superficie de la Tierra), cuyo primer tomo se publicó en 1830 y el tercero en 1833. Da idea de la influencia que llegó a ejercer esta obra, el que Lyell viviese para ver la publicación de trece ediciones revisadas.
Naturalmente, no se trataba solo de proponer la idea de la acción continua de los elementos, sino de utilizarla para explicar todo lo que vemos en la Tierra, como montañas, sedimentos, fallas, mesetas, estuarios, cuencas oceánicas, lenguas glaciares o volcanes, tarea en la que Lyell fue un maestro. Leyó e interpretó la superficie terrestre como nadie antes lo había hecho, demostrando que no es necesario recurrir a causas extraordinarias. Ahora bien, esto no quiere decir que no existiesen problemas para la tesis uniformista. Entre los que se distinguieron por combatir las ideas uniformistas se encuentra otro de los gigantes de la historia de la ciencia, con quien ya nos hemos encontrado en otros capítulos, Kelvin, quien en un artículo que publicó en 1865 escribía:
La «Doctrina de la Uniformidad» en geología, según es sostenida por muchos de los más eminentes geólogos británicos, supone que la superficie de la Tierra y su corteza superior han sido durante millones de años, aproximadamente, igual a como son en la actualidad, en temperatura y otras propiedades físicas. Pero sabemos, mediante observaciones, que el calor que emite la Tierra cada año es tan grande que si esta acción hubiese continuado operando con algún grado de uniformidad durante 20 000 millones de años, la cantidad de calor perdida por la Tierra habría sido casi tanta como la que calentaría, en 100o centígrados, una cantidad de superficie rocosa de 100 veces el tamaño de la Tierra. Esto habría sido más que suficiente para fundir una masa de superficie rocosa igual en dimensión a toda la Tierra. Ninguna hipótesis relativa a acción química, fluidez interna, efectos de la presión a gran profundidad, o carácter posible de las sustancias del interior de la Tierra, que posea el menor vestigio de probabilidad, puede justificar la suposición de que la corteza superior de la Tierra ha permanecido aproximadamente igual a como es en la actualidad, mientras que a través de toda o de parte de la Tierra se ha perdido una cantidad de calor tan grande.
Se trataba de un problema de escala de tiempo. Kelvin sostenía que según la física entonces conocida (y él pensaba que esta era básicamente la definitiva) se necesitaba mucho más tiempo para los procesos geológicos que el que se suponía que las leyes físicas permitían para la historia terrestre. En un aspecto, Kelvin tenía razón: la física newtoniana no encajaba con la geología uniformista. Pero estos problemas se resolverían con el descubrimiento de la radiactividad: elementos radiactivos presentes en el interior de la Tierra suministran el calor que Kelvin trataba de explicar mediante procesos físicos newtonianos.
Lyell enseñó a observar con ojos atentos la estructura de la superficie y de capas más externas de la Tierra, y a explicar cómo pudieron llegar a ser como ahora las vemos, pero quedaba aún mucho por comprender. Él nunca llegó a imaginar que la característica geografía continental de la Tierra, en cuya determinación se habían esforzado tantos cartógrafos en el pasado, pudiese haber cambiado a lo largo de la historia de nuestro planeta; que los continentes no hubiesen estado siempre en el lugar en el que se encuentran en la actualidad y con similar geografía.
Fue el meteorólogo y geofísico alemán Alfred Wegener (1880-1930) el que con más argumentos e insistencia propuso, primero en 1912 y después en un libro que publicó en 1915, Die Entstehung der Kontinente und Ozeane (El origen de los continentes y océanos), la idea de que los continentes se encuentran en movimiento; que en el Pérmico, esto es, hace más de 250 M. a., y durante el Triásico (entre 245 y 208 M. a.), los bloques continentales que conocemos estaban agrupados en un gran supercontinente, Pangea. Más tarde, en el Jurásico (entre 208 y 144 M. a.), apareció la primera fisura entre Europa y África, iniciándose un proceso que ha conducido a la geografía continental actual.
Wegener, un personaje extraordinariamente interesante (combinó sus intereses académicos con la exploración polar, que aplicaba a investigaciones meteorológicas y geológicas; falleció mientras cruzaba el casquete ártico de Groenlandia, en lo que era su cuarta expedición polar), se refirió en su libro al origen de sus ideas en los términos siguientes: «Tuve la primera intuición de la movilidad continental ya en 1910, cuando, al contemplar un mapamundi, me impresionó la coincidencia de las costas de ambos lados del Atlántico; pero por el momento no hice caso de esta idea, que me pareció inverosímil. En el otoño de 1911 conocí, a través de un trabajo de síntesis que cayó en mis manos por casualidad, los resultados paleontológicos, para mí desconocidos hasta entonces, referentes a las primitivas conexiones continentales entre Brasil y África. Esto me llevó a un examen atento, aunque por el momento fugaz, de los resultados de las investigaciones geológicas y paleontológicas referidas a esta cuestión, investigaciones que produjeron enseguida confirmaciones tan importantes que hicieron arraigar en mí el convencimiento de que eran básicamente correctas».
La simple observación de la similitud entre los perfiles orientales y occidentales de, respectivamente, Sudamérica y África no era suficiente para concluir que en el pasado habían formado parte de un mismo continente (en 1620, Francis Bacon, por ejemplo, ya se había dado cuenta de tal coincidencia, pero no pasó de ahí). Tampoco era nueva la observación del parentesco animal y vegetal entre ambos lugares, deducido de algunos restos fósiles encontrados a ambos lados del Atlántico. Una posible explicación que se manejó antes, e incluso después, de Wegener fue la de que habían existido «puentes intercontinentales» que unían ambos continentes, pero que más tarde se hundieron en el océano. Por allí pudieron haber transitado animales y semillas.
Wegener profundizó en estas relaciones paleontológicas, pero sin recurrir a la hipótesis de los puentes intercontinentales. Encontró, por ejemplo, que la distribución geográfica de las lombrices de tierra aportaba buenos argumentos en favor de la teoría de la deriva de los continentes. También se preguntó por qué se produjeron glaciaciones en ciertas épocas del pasado en continentes que ahora son tropicales. Fue, en suma, un extenso conjunto de observaciones y argumentaciones paleontológicas y biológicas, paleoclimáticas, geológicas y geodésicas, entrelazadas todas por el hilo común de su interpretación, lo que dotó de fuerza a su idea. Ahora bien, durante casi medio siglo no fueron demasiados los que aceptaron tales puntos de vista. Existía un problema fundamental: ¿mediante qué mecanismo se desplazan los continentes? Una situación esta que hace recordar, de nuevo, a Galileo, que carecía de una mecánica que pudiese sostener la observación de que no sentimos que la Tierra se mueva. «La determinación y la comprobación de las traslaciones continentales relativas se ha realizado», escribía Wegener en el antepenúltimo capítulo de su libro, «de una forma puramente empírica, a partir de la totalidad de los datos geodésicos, geofísicos, biológicos y paleoclimáticos, pero sin haber hecho ninguna consideración sobre el origen de estos procesos. Este es el método inductivo, método que las ciencias naturales se ven forzadas a emplear en la mayoría de los casos. Las fórmulas de las leyes de la gravedad y de las órbitas planetarias se determinaron en un principio de una forma puramente inductiva, por observación; solo después apareció Newton y mostró cómo derivar estas leyes deductivamente a partir de la fórmula única de la gravitación universal». Y añadía: «Aún no ha aparecido el Newton de la teoría de los desplazamientos».
El que Wegener se diese cuenta de que todavía no había aparecido el «Newton de la teoría de los desplazamientos», no quiere decir, sin embargo, que se abstuviese de proponer algún mecanismo que explicase, al menos grosso modo, el movimiento continental. Utilizando diversos datos y teorías geofísicas, argumentaba que los continentes, que consideraba formados por sial (silicio y aluminio, que corresponden a rocas de granito), «flotaban», cual icebergs, sobre los más densos fondos marinos y continentales (formados por sima, esto es, silicio y magnesio, o rocas de basalto), y que su movimiento se debía a fuerzas de marea producidas por la Luna, junto a una fuerza centrífuga debida a la rotación de la Tierra. Pero este mecanismo no convenció a los geólogos contemporáneos de Wegener, ni tampoco a los de las décadas siguientes: habría que esperar a después de la Segunda Guerra Mundial y al avance experimentado por la investigación oceanográfica, impulsada por el deseo de las grandes potencias de conocer la geografía y geología de los fondos marinos. No hay que olvidar la importancia política y militar que poseían los submarinos nucleares o convencionales, que hicieron de los océanos un potencial frente de guerra durante la Guerra Fría.
En particular, los estudios realizados sobre fondos marinos durante el Año Geofísico Internacional de 1957 marcaron el punto de partida efectivo de una serie de resultados importantes, entre los cuales hay que mencionar: los estudios de paleomagnetismo (esto es, el magnetismo que queda en las rocas cuando se forman por solidificación a partir del magma) llevados a cabo por los británicos Patrick M. S. Blackett (1897-1974) y S. Keit Runcorn (1922-1995); el análisis de los flujos caloríficos en las fallas y dorsales oceánicas a cargo del geofísico británico Edward Bullard (1907-1980); los trabajos relativos a la actividad sismológica de fondos marinos realizados por los estadounidenses Maurice Ewing (1906-1974) y Bruce Essen (1924-1977); anomalías gravitacionales detectadas por el geofísico holandés Felix Andries Vening Meinesz (1887-1966) y el norteamericano Harry H. Hess (1906-1969). Fue este último, Hess, quien reunió estos resultados proponiendo en 1960 la hipótesis conocida subsiguientemente como «Expansión de los fondos marinos», que fue confirmada a mediados de aquella década por los geofísicos británicos Frederich Vine (1939-1988) y Drummond Matthews (1931-1997), al analizar los patrones que seguían las anomalías magnéticas a ambos lados de las dorsales oceánicas. Con tales resultados, en 1965 John Tuzo Wilson (1908-1993) introdujo la idea de que la superficie terrestre está formada por varias capas rígidas pero móviles. Según esta nueva síntesis, denominada Tectónica de placas, no son solo los continentes los que se mueven, sino zonas más extensas de la corteza terrestre («placas»), que incluyen partes de los océanos al igual que masas continentales. Las placas (seis grandes y varias más pequeñas) se mueven sobre estratos más profundos, siendo la fuerza motriz corrientes lentas de magma viscoso (el magma es el material fundido que existe en el interior de la Tierra, del que se forman las rocas ígneas; la lava es magma que ha alcanzado la superficie y que se solidifica perdiendo algunos de sus componentes en el camino).
El océano Atlántico puede servir para ilustrar la nueva imagen: el continente americano estuvo unido en el pasado a Euro-África, pero Europa y África comenzaron a separarse durante el Mesozoico (hace 245-265 M. a.). Hasta aquí nada difiere de las ideas de Wegener, pero para este la dorsal atlántica, la cadena montañosa situada en mitad del océano y en cuya parte central existe un profundo valle, o hendidura, no representaba nada especial, simplemente marcaba el lugar de separación de los continentes. Para la tectónica de placas, sin embargo, esa dorsal significa una zona dinámica, la frontera entre dos placas, por donde se crea constantemente nuevo fondo oceánico fruto del flujo de magma que surge de las profundidades de la corteza terrestre. El ritmo al que se crea ese fondo es el mismo con el que aumenta la distancia entre los tres continentes (América, Europa y África). Para Wegener el fondo marino era antiguo, mientras que en la tectónica de placas es joven, especialmente en la zona central, aumentando su antigüedad al alejarse de la dorsal atlántica, esto es, de la frontera que separa a dos placas. Y como la Tierra no aumenta de tamaño, la masa que se va creando y añadiendo a una placa empuja a esta en un movimiento que, además de alejar los continentes entre sí, puede conducir a que dos placas choquen. Cuando esto ocurre existen sobre todo dos posibilidades: la placa más densa puede verse forzada a sumergirse por debajo de la menos densa. La masa que desciende se funde formando magma, que puede ascender de nuevo a la superficie a través de grietas formando volcanes. Pero si las dos placas son comparables, la corteza se arruga de manera gradual, formándose cadenas montañosas, como el Himalaya, los Andes, o las Montañas Rocosas. Y también existe otro proceso: a veces, dos placas se deslizan entre sí; el caso más conocido es el de la falla de San Andrés, en California, donde el movimiento de las placas se asemeja en algunas ocasiones a un latigazo repentino, que provoca un terremoto.
Pero estamos avanzando demasiado. Es preciso volver atrás, a la historia de las especies que pueblan o han poblado la Tierra.
§. La evolución de las especies
El Génesis describe la creación de las plantas en el tercer día y la de los animales en el quinto. El relato de la creación del universo, la insistencia en la bondad de la creación, explicaba la concepción del mundo como una obra perfecta y, por consiguiente, inmejorable, la continuidad sin cambio (fijismo). La scala naturae (escala natural) de Aristóteles había colocado a los seres vivos en una serie de planos superpuestos, como los peldaños de una escalera, con los gusanos abajo y el hombre en la cima, el mismo lugar en el que el relato bíblico le situaba. En cada peldaño había una sola criatura y ninguno estaba vacío, de forma que no había lugar para el cambio. Ambos textos coincidían en el carácter completo y cerrado de la creación. San Agustín (354-430) invocó el testimonio del Eclesiastés: «Deus creavit omnia simul» («Dios creó todas las cosas simultáneamente»), para justificar que todo lo que ha existido, existe y existirá fue creado a la vez, aunque se manifieste después. La simiente de las plantas, que se desarrolla después de largos períodos de inactividad, era la ilustración de la unidad de la creación. Y Nicolás Malebranche (1638-1715) introdujo el germen para referirse al carácter singular de aquella al suponer embutidos unos gérmenes en otros.
La Ilustración, el Siglo de las Luces, con su énfasis en que el modo de acceder a la verdad no era a través de la revelación (religiosa), sino mediante la argumentación y demostración científica, facilitó que algunos cuestionasen seriamente el fijismo. Un ejemplo notable en este sentido es el de un hombre que nos apareció al final del capítulo 4: Paul-Henri Thirty, barón de Holbach, uno de los grandes ilustrados. En el que probablemente fue su libro más importante, Système de la nature, ou des lois du monde physique et du monde moral (Sistema de la naturaleza, o las leyes del mundo físico y del mundo moral; 1769), encontramos unos pasajes que sorprenden tanto por su audacia como por su clarividencia, si pensamos que fueron escritos noventa años antes de que apareciese El origen de las especies de Darwin.
«Cuando alguien pregunte ¿qué es el hombre?», escribía en el capítulo 6 («Del hombre, de su distinción en hombre físico y hombre moral, de su origen»), «diremos que es un ser material, organizado o conformado para sentir, pensar y ser modificado de ciertos modos que le son propios a él solo, a su organización y a las combinaciones particulares de las materias que se encuentran unidas con él. Si se nos pregunta, ¿cuál es el origen que atribuimos a los seres de la especie humana?, diremos que, al igual que los demás, el hombre es un producto de la naturaleza, que se parece a ellos en ciertos aspectos y se encuentra sometido a las mismas leyes, pero difiere en otros y sigue leyes particulares determinadas por la diversidad de su configuración». Y enseguida se hacía las siguientes preguntas:
¿El hombre ha existido siempre? ¿La especie humana ha sido producida desde toda la eternidad? ¿O, por el contrario, no es sino una producción instantánea de la naturaleza? ¿Ha habido siempre hombres semejantes a nosotros y los habrá siempre? ¿Ha habido siempre machos y hembras? ¿Ha habido un primer hombre del que descendieron los demás? ¿El animal ha sido anterior al huevo, o el huevo ha precedido al animal? Las especies sin comienzo, ¿tampoco tendrán fin? ¿Estas especies son indestructibles o les sucede igual que a los individuos? ¿Ha sido el hombre siempre lo que es, o bien antes de llegar al estado en el que lo vemos se ha visto obligado a pasar por una infinidad de sucesivos desarrollos? ¿El hombre puede estar satisfecho de haber alcanzado un estado fijo, o bien la especie humana debe cambiar todavía? Si el hombre es producto de la naturaleza, se nos preguntará, ¿creéis que esta naturaleza puede producir seres nuevos y hacer desaparecer las especies antiguas?
Preguntas que contestaba manifestando que «las plantas, los animales y los hombres pueden ser considerados productos particularmente específicos de nuestro planeta e inherentes a él en la posición o las circunstancias en que se halla actualmente. Estos productos cambiarían si el planeta, por alguna revolución, llegara a cambiar de lugar». Y añadía:
En cuanto a quienes preguntan por qué la naturaleza no produce seres nuevos, nosotros les preguntaremos, a su vez, ¿en qué se fundan para suponer este hecho? ¿Qué les autoriza a creer en la esterilidad de la naturaleza? ¿Acaso saben si en las combinaciones que se forman en cada instante no está produciendo la naturaleza seres nuevos sin que se den cuenta? ¿Quién les ha dicho que esta naturaleza no está reuniendo actualmente en su inmenso laboratorio los elementos necesarios para hacer brotar generaciones nuevas, que no tendrán nada en común con las de las especies hoy existentes?
Pero la argumentación filosófica, con ser sugerente, no produce verificaciones, y el camino hacia una teoría científica del evolucionismo necesitaba de otro tipo de individuos, de naturalistas como Jean Baptiste Pierre Antoine de Monet, caballero de Lamarck (1744-1829).
El menor de los once hijos de una familia aristocrática venida a menos, Lamarck, se alistó en el ejército cuando tenía 16 años, abandonándolo por motivos de salud tras haber servido en la Guerra de los Siete Años. Estudió entonces medicina, aunque pronto se interesó por la botánica y la meteorología, introduciendo una técnica simplificada de clasificación de plantas, que le sirvió para ser nombrado, en 1781, botánico del rey. En 1788 consiguió una plaza de ayudante de botánica en el Jardin des Plantes (Jardín Botánico) de París. Cuando la Convención reorganizó este centro, transformándolo en el Musée d’Histoire Naturelle (Museo de Historia Natural), creó doce cátedras, adjudicando en 1793 a Lamarck la de animales inferiores.
Entre 1799 y 1810 publicó los once volúmenes de sus Annuaires météorologiques; en 1801, el Systême des animaux sans vertèbres, ou tableau général des classes, des ordres et des genres de ces animaux (Sistema de los animales invertebrados, o tabla general de las clases de órdenes y géneros de estos animales), en el que estableció un orden de clasificación según los sistemas respiratorio, circulatorio y nervioso. Incluido en este libro está el «Discours d’ouverture» con el que inauguró su curso de invertebrados que dictó en el Museo de Historia Natural en 1800 y en el que presentó por primera vez su teoría de la evolución de los caracteres adquiridos, teoría que desarrolló de manera más completa en Recherches sur l’organisation des corps vivants (Investigaciones sobre la organización de los seres vivos; 1802).
Aunque asumió la idea de las especies como un artificio creado para describir poblaciones, Lamarck no consideraba reales las clases, órdenes, familias y géneros utilizados en la descripción de la naturaleza. «La naturaleza», señaló, «no contiene nada más que individuos que se suceden unos a otros por reproducción y salto de uno a otro», aunque dejaba abierta la puerta a la transformación: «es útil dar el nombre de especie a una colección de individuos que se perpetúan mediante la reproducción sin cambio, hasta que el contorno no se modifique lo suficiente para producir alteración en sus hábitos, carácter y configuración».
Para Lamarck los cambios producidos en las especies a lo largo del tiempo eran resultado de dos factores: el primero, una tendencia natural en el mundo orgánico hacia una complejidad cada vez mayor, y, en segundo lugar, a la influencia del entorno. A este esquema general añadía dos hipótesis: (1) la generación espontánea como medio de dar lugar a las formas de vida más sencillas (pensaba que la vida había comenzado con infusorios producidos por generación espontánea y que el calor y la electricidad produjeron luego formas más complejas), y (2) como el medio de producir especies más complejas, el desarrollo, mediante su empleo repetido, de nuevos órganos heredables. Esta segunda hipótesis —que son las «circunstancias» las que introducen cambios en los seres vivos, y que los nuevos caracteres adquiridos de esta manera se mantienen en la descendencia, convirtiéndose así en hereditarios— se hizo especialmente popular: «la función crea el órgano», o, recíprocamente, «la falta de uso produce su degeneración».
Un lugar en el que defendió con especial concisión y claridad estas ideas fue en un libro publicado en 1809: Philosophie Zoologique (Filosofía zoológica). En él encontramos las dos leyes siguientes:
(I) En todo animal que no ha traspasado el término de sus desarrollos, el uso frecuente y sostenido de un órgano cualquiera lo fortifica poco a poco, dándole una potencia proporcionada a la duración de este uso, mientras que el desuso constante de tal órgano lo debilita y hasta lo hace desaparecer.
(II) Todo lo que la Naturaleza hizo adquirir o perder a los individuos por la influencia de las circunstancias en que su raza se ha encontrado colocada durante largo tiempo, y consecuentemente por la influencia del empleo predominante del tal órgano, o por la de su desuso, la Naturaleza lo conserva por la generación en los nuevos individuos, con tal de que los cambios adquiridos sean comunes a los dos sexos, o a los que han producido estos nuevos individuos.
Leyes de las que extraía, como un simple corolario, la siguiente proposición: «No son los órganos, es decir, la naturaleza y la forma de las partes del cuerpo de un animal, los que han dado lugar a sus hábitos y a sus facultades particulares, sino que, por el contrario, sus hábitos, su manera de vivir y las circunstancias en las cuales se han encontrado los individuos de que proviene, son los que con el tiempo han constituido la forma de su cuerpo, el número y estado de un órgano, y las facultades, en suma, de que goza».
Entre los ejemplos que Lamarck empleaba para sustentar su tesis, uno es particularmente conocido, el de las jirafas: «Se sabe que este animal», escribía en la Philosophie Zoologique, «el más alto de los mamíferos, vive en el interior de África, donde la región árida y sin praderas le obliga a ramonear los árboles. De este hábito, sostenido después de mucho tiempo, en todos los individuos de su raza, resultó que sus patas delanteras se han vuelto más largas que las de atrás, y que su cuello se ha alargado de tal manera, que el animal, sin alzarse sobre las patas traseras, levanta su cabeza y alcanza con ella a seis metros de altura».
Para Lamarck, como vemos, las variaciones se producen en el individuo por causas debidas a las circunstancias en que vive, y luego se transmiten a su progenie (Darwin no aceptaría tal mecanismo, ni tampoco la biología posterior).
Aunque mucho menos importante que Lamarck para las ideas evolucionistas, es conveniente recordar también a Georges Cuvier (1769-1832), con quien el hallazgo de huesos de grandes dimensiones que no podían proceder de ninguna especie conocida dejó de ser una mera curiosidad. Cuvier se dedicó a buscar restos en la cuenca del Sena y a reconstruir animales (ya mencionamos su interés por el fósil de perezoso de Madrid, al que bautizó como megaterio), creando la paleontología como una ciencia asociada a la Historia Natural. Vinculó los restos fósiles con el medio ambiente para descubrir la correspondencia entre ambos y se refirió a las condiciones de existencia al describir aquel. La correlación de las partes era una exigencia lógica de la naturaleza del animal y el medio en que vivía. Unas patas fuertes y una dentición robusta eran necesarias para alcanzar y engullir las presas. Aunque se mantuvo fiel al creacionismo, el descubrimiento de especies desconocidas le llevó a aceptar la extinción de las especies, un suceso contrario a la perfección del mundo.
Antes de proseguir con las ideas evolucionistas, queremos detenernos un instante en un apartado que no es ajeno a las carreras y aportaciones de Lamarck y Cuvier.
La observación de los individuos que personifican a una especie es la práctica del naturalista, al que basta un espécimen para identificar y describir en principio esa especie. Pero esa práctica se vio muy favorecida por la existencia de lugares en los que se almacenaban colecciones de especímenes. Inicialmente, esos lugares eran fruto del coleccionismo: los gabinetes de antigüedades, que estaban determinados sobre todo por la curiosidad de los especímenes, pero más tarde, en el siglo XIX, el interés de los especímenes pasó a deberse (al menos en parte) a su aportación al conocimiento de las especies de acuerdo con la naturaleza de los sistemas fisiológicos (recordemos que el sistema de clasificación de Linneo se basaba en el sistema reproductor de las plantas). El conocimiento de la naturaleza dependía de la riqueza y diversidad de las colecciones, de las que la del Museo de Ciencias Naturales de París, cuyos fondos utilizó extensamente Lamarck, fue la más rica hasta mediados del siglo XIX, y gracias a disponer de ella, Cuvier pudo limitarse a excavar por los alrededores de la capital francesa.
Por supuesto, existían otras posibilidades: viajar y recoger especímenes. Como veremos, Darwin aprovechó la preocupación del Almirantazgo británico por mejorar sus cartas náuticas y el conocimiento de las formaciones marinas como los atolones y los arrecifes, para embarcarse en un viaje que duró cinco años, dio la vuelta al mundo y le permitió reunir una de las colecciones más completas de su tiempo.
Y así llegamos al hombre que más hizo por establecer, desde las evidencias científicas y la argumentación lógica, el evolucionismo: Charles Darwin (1809-1882).
Nacido en Shrewsbury (Inglaterra), Charles fue el segundo hijo varón del respetado (y rico) médico Robert Waring Darwin (1766-1848) y de Susannath (1765-1817), hija mayor de Josiah Wedgwood, el fundador de la célebre dinastía de ceramistas. Fue, por consiguiente, un hombre de medios, una circunstancia que le permitió realizar la obra que llevó a cabo (nunca necesitó ganarse la vida con un trabajo «formal»). Su abuelo paterno, Erasmus Darwin (1731-1802), también fue un próspero médico, además de poeta, filósofo y botánico; de hecho, es recordado como uno de los precursores de la teoría evolucionista. Su libro Zoonomia; or the Laws of Organic Life (Zoonomía, o las leyes de la vida orgánica; 1794-1798), una curiosa combinación de hechos e intuiciones, contiene párrafos como el siguiente: «¿Sería demasiado atrevido imaginar que todos los animales de sangre caliente han surgido a partir de un filamento vivo […] con la capacidad de adquirir partes nuevas, dotadas con nuevas inclinaciones, dirigidas por irritaciones, sensaciones, voliciones y asociaciones?; y poseyendo así la facultad de continuar mejorando mediante su propia actividad inherente, y de transmitir esas mejoras a su posteridad, ¡un mundo sin fin!».
En 1825, el joven Charles se matriculó en la Universidad de Edimburgo para estudiar Medicina. Pero la crudeza de la práctica médica —en aquellos tiempos anteriores a las técnicas de asepsia y anestesia— no estaba hecha para la sensibilidad de Charles, quien pasó una buena parte del poco tiempo (dos años) que estuvo allí, más interesado en la historia natural, en vagar por los alrededores de Edimburgo. Aprendió bastante del médico y zoólogo Robert Grant (1793-1874), un ardiente seguidor del pensamiento evolucionista de Lamarck, y también un admirador de la Zoonomia de Erasmus Darwin.
Una vez que quedó claro que no deseaba continuar con los estudios de Medicina, su padre le propuso que se hiciera párroco rural, una idea que no le desagradó. Para prepararse y adquirir una cierta cultura general, se matriculó (llegó a principios de 1828) en la Universidad de Cambridge, en donde no fue un estudiante sobresaliente: le gustaba más divertirse con los amigos y continuar con sus actividades campestres. Pero de nuevo halló quienes le ayudaron a profundizar en sus intereses (una de sus grandes habilidades a lo largo de toda su vida fue encontrar ayuda en otros). Los principales fueron el reverendo John Henslow (1796-1861), catedrático de Mineralogía y de Botánica, y Adam Sedgwick (1785-1873), catedrático de Geología.
Aunque no fue un estudiante brillante, no solo aprendió de Henslow y Sedgwick, sino que justo cuando terminó sus estudios tuvo la oportunidad de su vida: la oferta (gracias a las relaciones que estableció en Cambridge y a su propia posición social), en 1831, de embarcarse en un barco de la marina británica, de nombre Beagle, un bergantín de 245 toneladas y 27 metros de eslora, que iba a realizar un largo periplo para cartografiar las costas sudamericanas. Es más que dudoso que sin esta oportunidad se hubiese convertido en el científico que fue. En primer lugar, porque debido a lo que vio durante aquellos años se convenció de que las especies evolucionan. En segundo lugar, porque entonces adquirió unas costumbres, unos hábitos de análisis y argumentación que harían de él un auténtico científico. Asimismo, los especímenes que recogió durante el viaje y que envió a Inglaterra antes de regresar (1529 especies en frascos de alcohol y 3907 ejemplares disecados) le dieron a conocer entre los naturalistas de su país, facilitándole de esta forma su entrada en la élite de esa comunidad científica. No debemos olvidar, asimismo, que el libro que publicó en 1839 con el diario de su viaje le dio también notoriedad social: Journal of Researches into the Natural History and Geology of the Countries Visited by H. M. S. Beagle Round the World (Diario de investigaciones sobre la historia natural y geología de los países visitados alrededor del mundo por el barco de su majestad Beagle; en las traducciones al castellano, el título más frecuente ha sido de Viaje de un naturalista alrededor del mundo).
Muy poco antes de que el Beagle zarpase, Henslow recomendó a Darwin que se llevara el primer volumen de Principles of Geology de Lyell, que acababa de aparecer. Darwin lo estudió atentamente. El primer lugar que examinó, Santiago, en las islas de Cabo Verde, le «mostró con claridad la maravillosa superioridad del tratamiento de la geología por parte de Lyell en comparación con cualquier otro autor cuyas obras llevaba conmigo o había leído anteriormente». Antes, en una carta que dirigió el 29 de agosto de 1844 al geólogo aficionado (y suegro de Lyell), Leonard Horner (1785-1864), había manifestado que «siempre tengo la sensación de que mis libros salen a medias del cerebro de Lyell y que nunca lo reconozco suficientemente, ni sé cómo puedo, sin decirlo en tantas palabras, pues siempre he creído que el gran mérito de The Principles [of Geology] era que alteraba el tono completo del propio pensamiento y, por consiguiente, que cuando se veía una cosa nunca vista por Lyell, uno lo seguía viendo parcialmente a través de sus ojos».
La influencia y atracción que el texto de Lyell ejerció sobre Darwin fueron tales que durante algún tiempo Charles se consideró más un geólogo que un naturalista. De hecho, en 1842 publicó un libro, The Structure and Distribution of Coral Reefs (La estructura y distribución de los arrecifes de coral), en donde presentó su teoría sobre la formación de los arrecifes de coral. Por otra parte, necesitó de la geología para estudiar el registro fósil, que fue uno de los grandes problemas con los que Darwin se encontró más tarde a la hora de defender su teoría de la evolución, ya que si las especies habían ido transmutándose lentamente, deberían encontrarse fósiles que mostrasen esas transiciones graduales. Volveremos a este punto más adelante.
El Beagle zarpó de Plymouth, al mando del capitán Robert FitzRoy (1805-1865), con Darwin a bordo, el 27 de diciembre de 1831, iniciando así un viaje que le llevaría a las islas de Cabo Verde, Río de Janeiro, Montevideo, Bahía Blanca, Buenos Aires, Santa Fe, la Patagonia y la Tierra del Fuego, el estrecho de Magallanes, Valparaíso, Perú, el archipiélago de las Galápagos, Tahití y Nueva Zelanda, Australia, el cabo de Buena Esperanza, las islas de Ascensión, Canarias y Azores, antes de regresar a Inglaterra el 2 de octubre de 1836. Duró cuatro años y nueve meses; dos años en las costas argentinas y en las Falkland, otros dos en las costas del Pacífico.
En los alrededores de Bahía Blanca recogió abundantes especímenes, entre ellos un cráneo, que supuso que pertenecía a un rinoceronte, y una mandíbula y dientes que adjudicó a un megaterio, el fósil entonces más interesante desde su reconstrucción por Cuvier. En Tierra del Fuego devolvieron a dos fueguinos que FitzRoy había llevado a Inglaterra en un viaje anterior. Visitaron las Falkland, donde FitzRoy adquirió un pequeño barco para facilitar los desplazamientos de Darwin. De vuelta al continente, Darwin penetró en el interior en busca de la información que podían tener los gauchos, pero la que obtuvo no debió de ser muy interesante, porque pronto estaba de vuelta en Bahía Blanca. Subió por el Paraná, encontrando restos que identificó como mastodontes, y volvió a embarcar en el Beagle en Montevideo. En enero de 1834 tomaron rumbo sur fondeando en Puerto Deseado y Puerto San Julián, donde halló restos de un mastodonte. Penetraron en el estrecho de Magallanes, entrando en contacto con algunos patagones, y regresaron después a las Falkland. De vuelta al continente, remontaron el río Santa Cruz y cruzaron luego el estrecho de Magallanes. Dedicaron seis meses a recorrer el archipiélago de los Chonos, donde encontraron restos de mastodontes y megaterios, pero ninguna huella del diluvio universal, al que tan aficionado era FitzRoy. Tuvo Darwin también ocasión de observar una erupción volcánica y de soportar movimientos de tierra. Desde Valparaíso ascendió hasta la divisoria andina, hallando conchas fósiles a 4000 metros de altura, y al regresar desde Valparaíso llegó hasta Mendoza. Al volver por otro camino, encontró un bosque fósil y tomó gran cantidad de fósiles (desde Valparaíso anunció a su padre que sus hallazgos cambiarían la historia de la Tierra).
Como vemos, Darwin aprendió mucho en sus años de viaje en el Beagle, pero ¿se convenció entonces de que las especies evolucionan? La respuesta es que empezó a pensar en semejante dirección. Más que convencerse completamente, su conversión en un evolucionista constituyó un proceso gradual, en el que fue analizando de manera crítica observaciones muy diversas. Un conjunto de esas observaciones procedieron del archipiélago de las Galápagos, al que el Beagle llegó a mediados de septiembre de 1835, permaneciendo allí cinco semanas. Darwin recogió abundantes muestras de plantas, animales e insectos. Algún tiempo después de abandonar el archipiélago, probablemente en el verano de 1836, cuando el barco se dirigía hacia Inglaterra, Darwin compuso un cuaderno titulado «Notas ornitológicas» (publicado por su nieta Nora Barlow en 1963) que muestra que ya había comenzado a pensar en la evolución de las especies antes de regresar a su patria. Entre lo que Charles anotó allí se encuentran los siguientes pasajes:
Estos pájaros son afines a la tenca chilena […] He recogido especímenes de cuatro de las islas principales […] Los individuos de las islas de San Cristóbal e Isabela parecen iguales, pero los otros dos son diferentes. En cada isla se encuentra solo un tipo y las costumbres son indistinguibles. Cuando yo recolectaba ejemplares, los españoles sabían de qué isla provenía cada tortuga por la forma y el tamaño del cuerpo y por las escamas. Si comparo las islas partiendo de los pocos ejemplares de animales que poseo en mi colección y de las aves que las pueblan, y viendo las pequeñas diferencias en cuanto a estructura y el lugar que ocupan en la naturaleza, no puedo sino sospechar que nos encontramos solo ante variedades. El único caso similar del que tengo conocimiento es la diferencia constante registrada entre el zorro-lobo de las dos grandes islas del archipiélago de las Malvinas. De existir el más mínimo fundamento que explique estos comentarios sobre la zoología de los archipiélagos, habrá que estudiarlo, pues podría dar por tierra con la noción de la estabilidad de las especies.
No se mencionan aquí los pinzones, esto es, la variación entre los picos de pinzones de islas diferentes, que figuran de manera destacada en las historias acerca de cómo y cuándo Darwin se convenció de la realidad de la evolución. Tal historia surgió, o por lo menos se vio reforzada, por lo que se puede leer en el Diario del viaje de un naturalista alrededor del mundo, donde señalaba, en la entrada correspondiente al 8 de octubre de 1835, cuando llegó a la isla James («Santiago», en español), lo siguiente:
La historia natural de estas islas es curiosísima y merece especial atención. La mayor parte de los seres orgánicos que viven en ellas son aborígenes, y no se encuentran en ninguna otra parte; aún hay diferencia notable entre los que habitan en las diversas islas, si bien todos presentan visibles relaciones con los de América, no obstante hallarse este archipiélago separado del continente por una extensión de mar franca cuya anchura varía entre 500 o 600 millas. De modo que este grupo de islas viene a constituir un pequeño mundo aparte o, como si dijéramos, un satélite dependiente de América, de donde ha recibido algunos colonos extraviados y el carácter general de sus producciones indígenas. Si atendemos al escaso tamaño de estas islas, nuestro asombro subiría de punto ante el número crecido de vivientes aborígenes en un área tan limitada. Al ver que todas las alturas están coronadas con su cráter y que se conservan aún perfectamente visibles las márgenes de casi todas las corrientes de lava, nos vemos movidos a creer que, un período geológicamente moderno, el archipiélago ha estado cubierto por el mar. En tal supuesto, así en lo que se refiere al espacio como al tiempo, nos parece acercarnos mejor al gran hecho —que es un misterio entre los misterios—, a saber, la primera aparición de nuevos seres en el globo que habitamos […]
Lo más curioso es la perfecta gradación en el tamaño de los picos de las diferentes especies de Geospiza, desde el tan grande como peculiar del picogordo común hasta el del pinzón, y (si mister Gould está en lo cierto al incluir su subgrupo Certhidea en el grupo principal) aún hasta el del cerrojillo […] Al ver esta gradación y diversidad de estructura en un grupo de aves pequeño e íntimamente relacionado, podría imaginarse realmente que en un corto número de ellos, existentes originalmente en este archipiélago, una especie se ha dividido se ha dividido y modificado para servir a diferentes fines.
Leyendo estos pasajes, y aunque Darwin no omite mencionar la aportación (posterior) de John Gould (1804-1881), se puede extraer la impresión de que fue durante su visita a las Galápagos y ver allí las diferencias que existían entre algunos picos de pájaros, emparentados pero que vivían en islas diferentes, cuando comenzó a pensar en lo que más tarde sería su teoría de la evolución. Tal impresión es, sin embargo, engañosa, porque en realidad no supo que los pájaros de picos diferentes que había recogido en varias islas de las Galápagos pertenecían a la misma variedad, pinzones, hasta que Gould, un taxónomo de la Zoological Society, se lo advirtió en marzo de 1837, después, por consiguiente, de haber regresado a Inglaterra y antes de que se publicase su Diario del viaje.
En efecto, en marzo de 1837, mientras estudiaba las aves recogidas por Darwin en las Galápagos, Gould identificó varias especies de pinzón terrestre, cuyos picos se habían adaptado para comer insectos, cactus o semillas. Pensó entonces que estas variedades de pinzones probablemente vivían cada una en islas diferentes, pero no podía asegurarlo, porque Darwin no las había etiquetado indicando el lugar del que las recogió. Las indicaciones de Gould dieron pie a Darwin para considerar si las semejanzas entre los pinzones de las islas diferentes no serían restos de un antepasado común. Fruto de todo esto es que entre abril de 1837 y septiembre de 1838 llenó varios cuadernos de notas con observaciones e ideas sobre un amplio rango de temas. Se trata de los conocidos como «Cuaderno Rojo», el primero, al que siguen los Cuadernos A (dedicado exclusivamente a la geología), B, que se limita a cuestiones evolutivas al igual que los C, D y E; además, están los Cuadernos M y N, una serie independiente de la anterior, iniciada al mismo tiempo que el Cuaderno D, que contienen reflexiones más «metafísicas». En uno de estos cuadernos de notas, en la página 36 del Cuaderno B, que comenzó a escribir en junio o julio de 1837, aparece un esquema que rara vez deja de ser reproducido en las obras dedicadas a Darwin: unas líneas semejando un árbol con ramas de las que brotan otras ramas; el árbol de la evolución o de la vida.


Aristóteles fue el primero en ofrecer una imagen sistemática de los seres vivos, la escalera de la vida, en la que situaba de abajo arriba a las plantas que no conocen más movimiento que el crecimiento, los animales que se mueven por instinto y los humanos que deciden libremente los suyos. Aunque no intentó construir un árbol filogenético, Darwin también manejó esa idea, como se comprueba en uno de sus cuadernos de notas en el que aparece (1837) el sencillo esquema que reproducimos aquí (imagen superior): unas líneas semejando un árbol con ramas de las que brotan otras ramas; el árbol de la evolución o de la vida.
Según mejoraron los conocimientos de la historia natural, ese esquemático árbol fue llenándose de más ramas y detalles. Uno de ellos (centro) es el que incluyó Ernst Haeckel en uno de sus libros, Anthropogenie (1874).
Basándose en la comparación entre secuencias de ARN de diferentes especies, el microbiólogo estadounidense Carl Woese (n.º 1928) concibió hacia 1990 el sistema de «los tres dominios», al introducir, junto a Bacteria y Eukarya, uno nuevo, Archaea. Este árbol de la vida (imagen inferior) está definido por el carácter procariota de Archaea y Bacteria, dominios que incluyen prácticamente solo organismos unicelulares, mientras que Eukarya contiene los reinos animal, vegetal, hongos y protistas.

Retomando el hilo principal de nuestra discusión, tenemos que, aunque fuese en parte tras regresar a Inglaterra, el hecho es que lo que vio en las Galápagos fue muy importante para Darwin. Es famosa la carta que envió el 11 de enero de 1844 a Joseph Dalton Hooker, sobre el que volveremos más adelante. En ella escribió:
Me impresionó tanto la distribución de los organismos de las Galápagos […] y […] el carácter de los mamíferos fósiles de América […], que decidí reunir a ciegas toda suerte de hechos que pudieran tener que ver de alguna forma con lo que son las especies. He leído montones de libros de agricultura y horticultura, y no he parado de recoger datos. Por fin han surgido destellos de luz, y estoy casi convencido (totalmente en contra de la opinión con la que empecé) de que las especies no son (es como confesar un crimen) inmutables. El Cielo me libre del disparate de Lamarck de «una tendencia al progreso», «adaptaciones debidas a la paulatina inclinación de los animales», etc…, pero las conclusiones a las que he llegado no son muy diferentes de las suyas, aunque sí lo son por completo los instrumentos del cambio. Creo que he descubierto (¡esto es presunción!), la simple forma por medio de la cual las especies devienen exquisitamente adaptadas a varios fines.
Vemos aquí no solo que Darwin comenzó a pensar en términos de evolución, sino que conocía bien las tesis de Lamarck, aunque no aceptaba los mecanismos evolutivos a los que él había recurrido (en El origen de las especies se lee: «Lamarck fue el primero cuyas conclusiones sobre este asunto despertaron mucho la atención. Este naturalista, justamente celebrado, publicó primero sus opiniones en 1801, y las amplió mucho en 1809, en su Philosophie Zoologique, y después, en 1815, en la Introducción a su Histoire naturelle des animaux sans vertèbres. En estas obras sostuvo la doctrina de que las especies, incluido el hombre, han descendido de otras especies»).
Y si hablamos de mecanismos que produjesen cambios en las especies, ¿cuál sostuvo Darwin? Porque necesitaba algo, una teoría que diese sentido a la evolución; no bastaba con las observaciones que realizó durante el viaje en el Beagle, ni lo que luego aprendió sobre los cambios producidos por la selección artificial de animales domésticos. Encontró la clave en las ideas del economista Thomas Robert Malthus (1766-1834), tal y como este las había expuesto en su ensayo de 1826: An Essay on the Principle of Population (Un ensayo sobre el principio de población).
Recurriendo a la autobiografía que Darwin escribió en sus últimos años, con el único deseo de que sirviese para que sus hijos y nietos conociesen mejor al hombre que había sido, aunque luego su familia la publicase (e inicialmente censurada), encontramos en ella los siguientes pasajes: «En octubre de 1838, es decir, 15 meses después de haber iniciado mi indagación sistemática, leí por casualidad el libro de Malthus Sobre la población, y, como, debido a mi larga y continua observación de los hábitos de los animales y las plantas, me hallaba bien preparado para darme cuenta de la lucha universal por la existencia, me llamó la atención enseguida que, en esas circunstancias, las variaciones favorables tenderían a preservarse, y las desfavorables a ser destruidas. El resultado de ello sería la formación de nuevas especies». Y en el capítulo 3 de El origen de las especies escribía en el mismo sentido:
De la rápida progresión en que tienden a aumentar todos los seres orgánicos resulta inevitablemente una lucha por la existencia. Todo ser que durante el curso natural de su vida produce varios huevos o semillas tiene que sufrir destrucción durante algún período de su vida, o, durante alguna estación, o de vez en cuando en algún año, pues de otro modo, según el principio de la progresión geométrica, su número sería pronto tan extraordinariamente grande que ningún país podría mantener el producto. De aquí que, como se producen más individuos que los que pueden sobrevivir, tiene que haber en cada caso una lucha por la existencia, ya de un individuo con otro de su misma especie o con individuos de especies distintas, ya con las condiciones físicas de vida. Esta es la doctrina de Malthus, aplicada con doble motivo al conjunto de los reinos animal y vegetal, pues en este caso no puede haber ningún aumento artificial de alimentos, ni ninguna limitación prudente por el matrimonio.
En otras palabras: «todos los seres orgánicos están sujetos a rigurosa competencia», tanto para la alimentación como para la reproducción, los instintos más poderosos de los individuos de todas las especies. Esta estimación malthusiana de la disparidad entre la proporción geométrica del crecimiento de los seres vivos y el aritmético de los alimentos sirvió a Darwin para ver bajo una luz distinta las diferencias entre los individuos —«no hay dos individuos idénticos»—, que explicó como resultado de las variaciones hereditarias: «Estas diferencias individuales son de la mayor importancia para nosotros porque frecuentemente […] son hereditarias y aportan así materiales para que la selección natural actúe sobre ellas y las acumule, de la misma manera que el hombre acumula en una dirección dada las diferencias individuales de sus producciones domésticas».
Con la base teórica que le proporcionó Malthus, Darwin continuó tomando notas y explorando nuevas avenidas de pensamiento. En el verano de 1842 pensaba que sus investigaciones habían llegado a un punto tal que estaba preparado para escribir un esbozo de su teoría de las especies, basada en un principio que denominó «selección natural». Aquel mismo año, por cierto, Charles y su esposa Emma —y prima carnal— (se habían casado el 29 de enero de 1839 e inicialmente vivieron en Londres) adquirieron una propiedad, una casa (Down House), en una finca de unas seis hectáreas en el pequeño pueblo de Downe, en Kent, veinticinco kilómetros al sur de Londres. Se mudaron a ella a mediados de septiembre. La casa de Down sería su hogar el resto de la vida de Darwin. Allí, el antiguo joven aventurero que no dudaba en viajar durante meses por las Pampas argentinas, llenas de peligros, o aventurarse en las islas en donde recalaba el Beagle, se convirtió en un hombre enfermo, castigado constantemente por palpitaciones, dolores de estómago, vómitos y mareos que con frecuencia le incapacitaban para continuar trabajando. Aun así, su vida en Down fue un prodigio de laboriosidad. Cierto es, no obstante, que toda la familia le ayudaba, así como la (numerosa) servidumbre. Además, se benefició de la correspondencia como pocos científicos han hecho a lo largo de la historia. Escribió o recibió unas catorce mil cartas que se conservan en bibliotecas de todo el mundo, y debió de haber otras tantas que se han perdido.
Para conducir esa empresa, Darwin necesitó no solo de la geología, en la que, como vimos, había terminado convirtiéndose en un buen especialista, sino también de otras ramas de las ciencias naturales, como la botánica. Y al no estar formado en este dominio (aunque finalmente realizaría contribuciones más que notables a este campo), buscó la ayuda de especialistas; de dos sobre todo: Joseph Dalton Hooker (1817-1911), director a partir de 1865 de los Jardines Botánicos Reales y del herbario de Kew, y el norteamericano Asa Gray (1810-1888), catedrático de la Universidad de Harvard. Necesitaba esa ayuda como un elemento imprescindible para reunir las piezas del gran rompecabezas en el que estaba ocupado, el de explicar los orígenes y relaciones entre todas las manifestaciones de la vida, entre las diferentes especies, las animales al igual que las vegetales.
Aunque Darwin poseía los principios básicos para una teoría de la evolución hacia 1838, hasta 1859 no publicó El origen de las especies, aunque en 1842 y 1844 escribió dos borradores a los que únicamente tuvieron acceso unos pocos (Lyell, Hooker y Gray). La razón por la que pasaron tantos años es que el exigente espíritu de Darwin no se conformaba con algunos indicios, por muy claros que estos pareciesen. Deseaba estar seguro, y así se convirtió en un infatigable, casi obseso, buscador de hechos, de detalles, que completasen el gran rompecabezas que quería componer: nada más y nada menos que la historia natural de la Tierra. En este punto reside precisamente su singularidad: como hemos visto, algunos antes que él pensaron en la existencia de procesos evolutivos, pero disponían de pocas evidencias y de mecanismos muy cuestionables (si es que poseían alguno), mientras que Darwin contaba con una idea plausible (la de Malthus) y con una enorme cantidad de datos que la sustentaban. En este sentido, durante las décadas de 1840 y 1850 llevó a cabo estudios y experimentos de todo tipo: sobre, por ejemplo, hibridación, paleontología, anatomía comparada, embriología, variación y cría de palomas y otros animales domésticos, modos de transporte natural que pudiesen explicar la distribución geográfica de los organismos después del origen evolutivo de cada forma en una sola región, un problema que, a su vez, le condujo a diseñar experimentos encaminados a averiguar cuánto tiempo podrían flotar las semillas en agua salada y, después de germinar, si las semillas y los huevos pequeños podrían ser transportados en el barro incrustado en las patas de los pájaros, o qué semillas podrían atravesar el sistema digestivo de un ave y sobrevivir. Su correspondencia da fe de lo intenso y diverso de sus intereses y pesquisas: «[hazme] el favor, si tienes la oportunidad cuando estés en Derbyshire, de preguntar por mí a alguna persona de la que me hablaste si la descendencia del pato almizclado macho y el pato común hembra se parece a la descendencia del pato almizclado hembra y el macho común», preguntaba el 25 de enero de 1841 a su primo William Darwin Fox. «Si su amigo reside cerca de las partes donde el Chetah se utiliza para cazar», escribía el 11-12 de julio de 1845 a Hooker, «estoy especialmente interesado en saber si alguna vez los han criado en domesticación; o si nunca o rara vez, y si copulan, y de cuál se piensa es el fallo, del macho o de la hembra. De nuevo, si reside en los distritos donde se cultiva el gusano de seda, cualquier información relativa a si varían en algo las polillas, las orugas o los capullos, si los habitantes ponen especial cuidado en seleccionar buenos individuos para criar, si hay alguna creencia tradicional sobre el origen de cualquier cría, es decir, si en diferentes distritos se encuentran diferentes formas de cría de la misma especie. O cualquier información de este tipo. Esto sería incalculablemente valioso para mí». Y de nuevo a Fox, el 17 de mayo de 1855: «Odiarás la simple visión de mi letra; pero después de esta vez te prometo que no te pediré nada más, al menos durante mucho tiempo. Dado que vives en un suelo arenoso, ¿tenéis ahí lagartos completamente comunes? Si los tenéis, ¿crees que sería demasiado ridículo ofrecer una recompensa por huevos de lagarto a los niños de tu escuela? […] Si te llevaran por equivocación huevos de serpiente estaría muy bien, porque también los necesito: y no tenemos ni lagartos ni serpientes por aquí». Y a continuación explicaba a su primo el porqué de tales peticiones: «Mi objetivo es ver si esos huevos flotarán en el agua de mar, y si se mantendrán vivos flotando durante un mes o dos en mi sótano. Estoy realizando experimentos sobre el transporte de todos los seres orgánicos que puedo; y los lagartos se encuentran en todas las islas y, por consiguiente, tengo muchas ganas de ver si sus huevos soportarán el agua de mar».
Entre 1846 y 1854, y pensando en que si quería hablar sobre las especies debía saber cómo describir, nombrar y clasificar al menos alguna (esto es, mostrar también sus credenciales en este dominio), decidió concentrase en el estudio de una especie concreta: los cirrípedos, pequeños crustáceos entre los que se encuentran los percebes, tarea que finalmente produjo (1851-1854) cuatro volúmenes sobre estos pequeños crustáceos, que totalizaban 1216 páginas.
Posiblemente habría continuado trabajando así, con puntillosa meticulosidad, para finalmente —¿quién sabe cuándo?— escribir el gran libro (seguramente en varios volúmenes) que planeaba sobre la evolución de las especies, si no hubiera sido por un personaje inesperado: Alfred Russel Wallace (1823-1913), que llegó a, básicamente, las mismas conclusiones que él.
Ya en 1855, Wallace, un naturalista galés que tenía que ganarse la vida vendiendo especímenes que recogía en largos viajes (primero, entre 1848 y 1852, por América, luego —1854 a 1862— en el archipiélago malayo), publicó su primer artículo teórico, «Sobre la ley que ha regulado la introducción de nuevas especies», en el que argumentaba que una especie nueva siempre empieza a existir en un área ya ocupada por especies emparentadas, una idea con claras implicaciones evolucionistas, aunque no ofrecía ninguna explicación de cómo se forman las nuevas especies. Darwin leyó este artículo, pero no parece que pensase que Wallace tuviera algo que ofrecer sobre el problema de un mecanismo evolutivo. Sin embargo, en febrero de 1858, mientras soportaba un ataque de fiebre en una de las islas del archipiélago malayo, Gilolo, Wallace llegó (también inspirándose en Malthus) a esencialmente la misma idea de la selección natural que comúnmente se adjudica en exclusiva a Darwin. Y desde otra isla, Ternate, envió a Darwin el manuscrito que preparó: «Sobre la tendencia de las variedades a alejarse indefinidamente del tipo original».
Cuando este lo recibió, consultó inmediatamente con Lyell y con Hooker. De hecho, Lyell ya le había urgido antes a que diese a conocer públicamente su teoría, pero en 1858, ante la situación que se había creado, Lyell y Hooker arreglaron todo para que el artículo de Wallace se publicara en el Journal of the Proceedings of the Linnean Society, junto con otro (muy breve) preparado rápidamente por Darwin y un extracto de una carta que había enviado a Asa Gray el 5 de septiembre de 1857, explicitando algunas de sus ideas evolucionistas. Firmado por ambos y bajo el título conjunto de «De la tendencia de las especies a formar variedades, y de la perpetuación de las variedades y especies por medios naturales de selección», el comunicado fue leído ante la Sociedad Linneana el 1 de julio de 1858.
A pesar de que no habría sido difícil que surgiesen recelos, especialmente por parte de Wallace, el carácter de este no provocó semejante resultado. De hecho, Wallace llevó su modestia hasta el extremo de titular el libro que años después publicó sobre la evolución: Darwinism: An Exposition of the Theory of Natural Selection with some of its Applications (Darwinismo: Una exposición de la teoría de la selección natural con algunas de sus aplicaciones; 1889). Y Darwin agradeció estos hechos.
Un efecto positivo del artículo de Wallace fue que Darwin decidió entonces escribir rápidamente un libro sobre la teoría en la que llevaba trabajando tanto tiempo, aunque fuese un resumen de la obra que pensaba escribir. El libro (de 513 páginas, incluyendo índices), On the Origin of Species by means of Natural Selection, or the Preservation of Favoured Races in the Struggle for Life (Sobre el origen de las especies por medio de selección natural, o la preservación de especies favorecidas en la lucha por la vida), se puso a la venta el 24 de noviembre de 1859; 1250 ejemplares que se agotaron el mismo día debido a las peticiones de los libreros.
Comenzaba On the Origin of Species con una descripción de la variación en estado doméstico, esto es, de la hibridación artificial. «No podemos suponer», señalaba Darwin, «que todas las castas [de animales o plantas] se produjeron de repente tan perfectas y tan útiles como las vemos ahora; realmente sabemos que no ha sido esta su historia. La clave está en la facultad que tiene el hombre de seleccionar acumulando; la Naturaleza produce variaciones sucesivas, el hombre las suma en una dirección útil para él». Las diferencias individuales, señalaba, dan lugar a las variaciones de la especie cuando son hereditarias: «Toda variación que no es hereditaria carece de importancia para nosotros». Ahora bien, en este punto —volveremos a él más adelante— la posición de Darwin fue imprecisa: «Las leyes que rigen la herencia son, en su mayor parte, desconocidas. Nadie puede decir por qué la misma particularidad en los diferentes individuos de la misma especie o en diferentes especies es unas veces heredada y otras no». La herencia quedaba sin definir, aparecía como aleatoria.
La lucha por la existencia favorece, argumentaba Darwin, al individuo que ha acumulado más variaciones útiles. La selección natural, por oposición a la artificial del hombre, coincide con esta a la hora de acumular las variaciones favorables a la existencia. Era, en palabras de Darwin, lo mismo que decía el sociólogo Herbert Spencer (1820-1903) al referirse a «la supervivencia de los más aptos»: un capítulo de la lucha por la existencia era la lucha por el apareamiento y la reproducción. «El resultado final es que todo ser tiende a perfeccionarse más y más, en relación con las condiciones. Este perfeccionamiento conduce inevitablemente al progreso gradual de la organización del mayor número de seres vivientes en todo el mundo».
Pero analizar el contenido de esta obra nos llevaría demasiado lejos. Sí mencionaremos, no obstante, que el término «evolución», en la actualidad asociado a la teoría de Darwin, no aparecía en la primera edición de On the Origin of Species; Darwin lo empleó por primera vez en su libro The Descent of Man, and Selection in Relation to Sex (La descendencia del hombre y la selección en relación con el sexo; 1871) y en la sexta —y última— edición de The Origin (1872), la misma en la que se eliminó el adverbio On [«sobre»] del título, con lo que se acentuaba la pretensión de carácter definitivo. Tampoco hablaba de «transmutaciones», como había hecho con frecuencia antes; en su lugar utilizaba «modificación y coadaptación», «descendencia con modificación» o «teoría de la descendencia», con la intención, parece, de evitar herir la sensibilidad (y las ideas religiosas) de sus lectores.
En parte por esa prudencia —la de un revolucionario que, sin embargo, era al mismo tiempo un buen victoriano, un miembro de la élite cultural y social— y en parte porque necesitaba profundizar más en el tema, en El origen de las especies evitó aplicar su teoría a los humanos. Solo encontramos una breve alusión al respecto casi al final del libro, en el último capítulo, en donde Darwin escribió: «En el futuro distante veo amplios campos para investigaciones mucho más importantes. La psicología se basará sobre nuevos cimientos, el de la necesaria adquisición gradual de cada una de las facultades y aptitudes mentales. Se proyectará luz sobre el origen del hombre y sobre su historia».
En realidad, Darwin pensaba que tal vez la vida procedía de «un corto número de formas o de una sola». De hecho, en la «Conclusión» de El origen de las especies escribía, de manera algo más precisa: «Según el principio de la selección natural con divergencia de caracteres, no parece increíble que, tanto los animales como las plantas, se puedan haber desarrollado a partir de algunas […] formas inferiores e intermedias, y si admitimos esto, tenemos también que admitir que todos los seres orgánicos que en todo tiempo han vivido sobre la Tierra pueden haber descendido de alguna forma primordial». Aunque sea avanzar mucho en el tiempo, mencionaremos que no se equivocaba. En el número del 13 de mayo de 2010, la revista inglesa Nature publicó un artículo firmado por Douglas L. Theobald («Una prueba formal de la teoría de un ancestro común universal») que confirmaba, mediante un extenso análisis estadístico realizado entre diversas especies, que toda la vida que ahora existe en la Tierra procede de un ancestro común.
La continuidad en la evolución de la vida terrestre que Darwin defendía se encontraba con un serio problema de falta de evidencias paleontológicas en su favor. El propio Darwin comentó esta dificultad en El origen de las especies, en cuyo capítulo VI escribía: «Si las especies han descendido de otras especies por suaves gradaciones, ¿por qué no encontramos en todas partes innumerables formas de transición?». Una pregunta a la que él mismo contestaba: «Creo que la respuesta estriba principalmente en que los registros son incomparablemente menos perfectos que lo que generalmente se supone. La corteza terrestre es un inmenso museo; pero las colecciones naturales han sido hechas de un modo imperfecto y solo a largos intervalos» (volvía a esta cuestión, con más detalles, en el capítulo X: «De la imperfección de los registros geológicos»).
Otro de los problemas que la teoría de Darwin planteaba era el de cómo surgen y, sobre todo, cómo se transmiten las variaciones que constituyen el motor de la evolución; esto es, el problema de explicar los mecanismos de la herencia. Aunque nunca resolvió este problema, propuso una teoría al respecto, que explicó en otro de sus libros, The Variation of Animals and Plants under Domestication (La variación de los animales y las plantas bajo domesticación; 1868). En el capítulo 27 (el penúltimo) de este, Darwin presentó la teoría que propuso, la de la pangénesis.
«Uno desearía explicarse», leemos allí, «aunque fuera de manera imperfecta, cómo es posible que un carácter que poseyó algún remoto antecesor reaparezca de repente en la descendencia; cómo los efectos del uso que aumenta o reduce un miembro pueden ser transmitidos al niño; cómo el elemento sexual masculino puede actuar no solo en el óvulo, sino ocasionalmente en la forma materna; cómo se puede producir un híbrido por la unión de tejido celular de dos plantas independientemente de los órganos de gemación; cómo un miembro puede reproducirse en la línea exacta de la amputación sin añadir poco o mucho; cómo el mismo organismo puede ser producido por procesos tan diferentes como la gemación y generación seminal; y, por último, cómo en dos formas allegadas, una atraviesa durante su desarrollo una metamorfosis muy compleja, y otra no lo hace así, aunque al llegar a la madurez ambas son similares en cada detalle de estructura. Sé que mi opinión es solo una hipótesis provisional o especulación, pero hasta que se desarrolle otra mejor puede servir para unir una multitud de hechos que hasta el presente permanecen desvinculados por alguna causa eficaz».
Básicamente, su teoría era que «todas las unidades del cuerpo tienen juntas el poder […] de crecer por autodivisión, de expeler átomos independientes y diminutos de sus contenidos, que son las gémulas. Estas se multiplican y agregan en las yemas y en los elementos sexuales; su desarrollo depende de su unión con otras células o unidades nacientes; y son capaces de transmitirse en un estado latente a las sucesivas generaciones». Más concretamente, el «desarrollo de cada ser, incluyendo todas las formas de metamorfosis y mutagénesis, depende de la presencia de gémulas expelidas en cada período de la vida, y en su desarrollo, en un período correspondiente, en unión con células precedentes […] El niño, estructuralmente hablando, no crece hasta hacerse hombre, sino que contiene gérmenes que lenta y sucesivamente se desarrollan y forman el hombre. En el niño como en el adulto, cada parte genera la misma parte. La herencia puede ser vista como una forma simple de crecimiento, como la autodivisión de una planta unicelular de inferior organización […] Cada animal y planta puede compararse a un lecho de mantillo lleno de semillas, algunas de las cuales germinan pronto, algunas se mantienen por un período, mientras otras perecen».
Hoy sabemos que estas ideas están muy desenfocadas. La pieza de la que carecía Darwin era, por supuesto, la genética. Pero de la genética, y de su fundador, Mendel —contemporáneo de Darwin, por cierto, aunque este nunca supo de sus trabajos—, trataremos en el capítulo siguiente.
La publicación de El origen de las especies suscitó inmediatamente grandes pasiones, en las que los argumentos científicos se mezclaban con consideraciones de índole política y religiosa. Abundan los ejemplos y los protagonistas de tales discusiones tempranas. Entre los principales opositores recordaremos a Richard Owen (1804-1892), especialista en anatomía comparada (que había ayudado a Darwin en la clasificación de los fósiles que trajo del Beagle), el zoólogo y geólogo suizo afincado en Estados Unidos, Louis Agassiz (1807-1873), y dos viejos conocidos de Darwin, Adam Sedgwick y Robert FitzRoy, el capitán del Beagle. De las discusiones públicas mencionaremos un célebre debate que tuvo lugar en Oxford el 30 de junio de 1860, durante una de las sesiones de la multitudinaria reunión anual de la British Association for the Advancement of Science. En aquella ocasión se enfrentaron el obispo de Oxford, Samuel Wilberforce (1805-1873), y Thomas Henry Huxley (1825-1895), un especialista en anatomía comparada y paleontología que se convertiría en el principal —y muy hábil— defensor de Darwin.
Existen varias descripciones de la confrontación entre Wilberforce y Huxley en Oxford, de la que no hay rastro en las actas publicadas de la reunión (desgraciadamente, una carta que Huxley envió a Darwin con su versión no se ha conservado). Entre todas las versiones existentes, hemos elegido la del reverendo W. H. Freemantle, que asistió a aquella, ahora mítica, sesión. «El obispo de Oxford», escribió, «atacó a Darwin, al principio de manera divertida, pero después con inexorable formalidad […] “¿Qué ha aportado [la teoría darwiniana]?”, exclamó […] Y entonces comenzó a burlarse: “Querría preguntar al profesor Huxley, que está sentado a mi lado, y está dispuesto a hacerme picadillo en cuanto me siente, acerca de su creencia de que desciende de un mono. ¿Procede esta ascendencia del lado de su abuelo o del de su abuela?”. Y entonces, adoptando un tono más grave, afirmó, en una solemne perorata, que las ideas de Darwin eran contrarias a lo revelado por Dios en las Escrituras. El profesor Huxley no tenía ganas de responder; pero fue solicitado, y habló con su habitual penetración y con algo de desdén: “Estoy aquí solamente en interés de la ciencia”, dijo, “y no he oído nada que pueda perjudicar los intereses de mi augusto defendido” […] Por último, con relación a descender de un mono, dijo: “No sentiría ninguna vergüenza de haber surgido de semejante origen; pero sí que me avergonzaría proceder de alguien que prostituye los dones de cultura y elocuencia al servicio de los prejuicios y la falsedad”».
Darwin no asistió a la reunión de Oxford; aparte de sentirse enfermo (probablemente por la tensión que le producía la idea de asistir a semejante encuentro, en el que su libro e ideas iban a ser discutidas), él prefería intentar manejar los hilos a distancia, ayudándose de sus amigos (sobre todo de Lyell, Hooker y Huxley, además de Gray en Norteamérica), una actividad que no se le daba nada mal. Eso, y continuar con su trabajo. De hecho, a partir de la publicación de El origen de las especies intensificó la producción de libros, publicando una serie de ellos que en más de un sentido se pueden considerar en su mayoría como nuevos capítulos de su texto de 1859, como añadidos en los que se esforzaba por incorporar nuevas pruebas a su teoría de la selección de las especies.
En El origen se había concentrado en las variaciones inducidas en especies animales domesticadas, en la lucha por la existencia, en las leyes de la variación, en las dificultades que encontraba la teoría (como la imperfección del registro fósil), en las distribuciones geográficas de especies y en la embriología. Había algo de plantas, pero no suficiente. En los años siguientes remedió algunas de estas carencias. En 1862 aparecía el primero de los libros que dedicó a estas cuestiones, sobre todo a la botánica: On the Various Contrivances by which British and Foreign Orchids are Fertilised by Insects, and on the Good Effects of Intercrossing (Los varios procedimientos mediante los cuales las orquídeas británicas y foráneas son fecundadas por los insectos; 1862), el primer libro que escribió después de que El origen de las especies viese la luz; el ya citado The Variation of Animals and Plants under Domestication llegó, como ya indicamos, en 1868, y algo más tarde, Insectivorous Plants (Plantas insectívoras; 1875), The Effects of Cross and Self Fertilisation in the Vegetable Kingdom (Los efectos de la fertilización cruzada y de la autofertilización en el reino vegetal; 1876), The Different Forms of Flowers on Plants of the Same Species (Las diferentes formas de flores en las plantas de la misma especie; 1877) y The Power of Movement in Plants (El poder del movimiento en las plantas; 1880).
Hay que tener en cuenta, además, que el estudio de las plantas se ajustaba bastante bien a las posibilidades de Darwin en Down House. Allí podía realizar él mismo experimentos. El estudio de las orquídeas, en particular, se adaptaba bien no solo a su situación, sino también a sus gustos. Recluido en su finca, las estudió e investigó con detalle en el campo y en sus invernaderos. Así, concluyó que las flores, las orquídeas en particular, habían evolucionado, y que uno de los principales estímulos para ello había sido el atraer insectos con el fin de que estos las ayudasen en la reproducción sexual. Citaremos en este sentido el pasaje con el que concluía el penúltimo capítulo:
¿Podemos sentirnos satisfechos al decir que cada orquídea fue creada, exactamente tal como la vemos ahora, a partir de cierto «tipo ideal»; que el Creador omnipotente, habiendo establecido un plan para todo el orden, no se salió de este plan; que Él, por tanto, hizo que el mismo órgano llevara a cabo diversas funciones —a menudo de trivial importancia en comparación con su función real—, convirtió otros órganos en meros rudimentos inoperantes y los organizó a todos como si tuvieran que estar separados y después hizo que se fusionaran? ¿No es una idea más sencilla y comprensible que todas las Orchideae deben lo que tienen en común al hecho de descender de una planta monocotiledónea, que, como muchas otras de la misma clase, poseía 15 órganos ordenados alternadamente tres dentro de tres en cinco verticilos, y que la actual estructura maravillosamente modificada de la flor se debe a una larga trayectoria de paulatina modificación, en la que se ha preservado cada modificación que resultó útil para la planta, durante los incesantes cambios a los que quedó expuesto el mundo orgánico e inorgánico?
Tenía razón, por supuesto (hoy sabemos que algunas orquídeas presentan los olores sexuales de avispas hembras para atraer a los machos, mientras que otras llegan incluso a mimetizar el cuerpo de la avispa hembra). Notemos, asimismo, que su argumentación también tenía implicaciones (negativas) para lo que ahora se denomina «Diseño inteligente», la idea de que alguien —un Dios— debió diseñar las diferentes formas en que se manifiesta la vida.
Después de The Variation of Animals and Plants y antes de Insectivorous Plants, Darwin publicó otros dos libros: el ya citado The Descent of Man (1871), otra de sus obras capitales, y The Expresión of Emotions in Man and Animals (La expresión de las emociones en el hombre y en los animales; 1872), que en realidad deberían haber sido una sola (no lo fueron por su extensión). De la última —que incluía fotografías (heliotipos)—, diremos que en ella Darwin ofrecía una explicación natural para las emociones de los humanos y otros animales, refutando la idea de que los músculos faciales expresivos fuesen un atributo único de los humanos. De The Descent of Man seleccionaremos unos párrafos que aparecen en el último capítulo («Resumen general y conclusiones»): «La principal conclusión a la que se ha llegado aquí, y que actualmente apoyan muchos naturalistas que son bien competentes para formar un juicio sensato, es que el hombre desciende de alguna forma altamente menos organizada. Los fundamentos sobre los que reposa esta conclusión nunca se estremecerán, porque la estrecha semejanza entre el hombre y los animales inferiores en el desarrollo embrionario, así como en innumerables puntos de estructura y constitución, tanto de importancia grande como nimia (los rudimentos que conserva y las reversiones anómalas a las que ocasionalmente es propenso) son hechos incontestables». Y algo más adelante, casi al final, abordaba uno de los grandes problemas a los que semejante conclusión debía enfrentarse:
La principal conclusión a la que se llega en este trabajo, a saber, que el hombre desciende de algunas formas poco organizadas, será, lamento pensar, altamente desagradable para muchas personas. Pero difícilmente puede dudarse de que descendemos de bárbaros. Nunca olvidaré el asombro que sentí cuando vi por primera vez un grupo de fueguinos en una salvaje y remota playa, y que la reflexión que inmediatamente me vino a la mente fue: así fueron nuestros ancestros. Esos hombres estaban absolutamente desnudos y pintados, sus largos cabellos desgreñados, sus bocas babeaban con excitación y su expresión era salvaje, sorprendida y desconfiada. Apenas poseían habilidad alguna y, al igual que los animales salvajes, vivían de lo que podían coger; no tenían gobierno y estaban indefensos ante cualquiera que no fuese de su pequeña tribu. Aquel que haya visto un salvaje en su tierra nativa, no sentirá mucha vergüenza si se ve forzado a reconocer que la sangre de alguna humilde criatura corre por sus venas. Por mi parte, no tendría inconveniente en descender de ese heroico monito, que desafía a su temido enemigo para salvar la vida de su guardián; o de ese viejo mandril, que, descendiendo de las montañas, saca triunfalmente a su joven camarada de una multitud de sorprendidos perros, en vez de descender de un salvaje que disfruta torturando a sus enemigos, ofrece sangrientos sacrificios, practica el infanticidio sin remordimiento, trata a sus mujeres como esclavas, desconoce la decencia y es juguete de las más groseras supersticiones.
Contenido:§. La observación microscópica
§. Tejidos
§. La célula, unidad vital
§. La fisiología de la célula
§. La reproducción celular
§. Bacterias y virus
En el capítulo anterior nos hemos ocupado de la vida, pero sin hacer hincapié en lo que es esta realmente. Nuestro foco de atención ha sido más bien —siguiendo de esta manera la secuencia histórica— cómo se organizaron, cómo se clasificaron las diferentes manifestaciones de la vida que existe, o ha existido, en la Tierra, y si estas han experimentado variaciones a lo largo del tiempo (evolución). Ello no quiere decir que no sea posible encontrar manifestaciones antiguas de preocupación por la cuestión de cómo caracterizar a la vida. Es evidente que entre las señales de la vida sobresalen la respiración, el movimiento y la generación (los animales, incluidos los humanos, mostraban todas estas señales y fueron considerados como seres vivos, lo mismo que las plantas, aunque estas careciesen de movimiento autónomo). Al menos por los documentos que nos han llegado, Aristóteles fue el primero que se planteó la cuestión de la vida desde un punto de vista científico. En el Tratado del alma intentó definirla de la manera siguiente: «Con el término vida significamos el hecho de nutrirse, crecer y perecer por sí mismo». La vida era un atributo del cuerpo: «El ánima debe ser sustancia en el sentido de ser la forma de un cuerpo natural, el cual posee potencialmente la vida». Más interés le mereció la cuestión de la generación, sobre la que ofreció dos conclusiones que disfrutaron de una vigencia duradera. Describió dos procedimientos: la preformación, que requería la presencia de un individuo minúsculo en el semen o en el óvulo. La epigénesis, por la que Aristóteles se inclinaba, suponía la diferenciación de un embrión en virtud de la agregación de nuevas partes. Las formas inferiores de vida, como los gusanos, se producían por generación espontánea.
Pero para profundizar más en la estructura de la vida se necesitaban recursos, instrumentos, fuera del alcance de Aristóteles. De hecho, pasarían muchos siglos antes de que tales recursos estuviesen disponibles. Iniciaremos el presente capítulo tratando de uno de esos instrumentos, el más importante, el microscopio, para pasar a continuación al camino que condujo al establecimiento de lo que podemos considerar el «átomo de la vida», la célula. La expresión átomo es adecuada, ya que al igual que los átomos de la física, que resultaron no ser las últimas unidades que componen la materia, poseyendo una estructura y unidades más elementales, también las células tienen una estructura y no son, desde el punto de vista de unidades vitales últimas, el pilar en el que se apoya la vida, honor que reside en moléculas y elementos químicos de los que nos ocuparemos en el último capítulo, la molécula de ADN y los genes.
§. La observación microscópica
No se sabe realmente dónde, o quién, inventó el microscopio, esto es, lentes para observar objetos microscópicos; sí cuándo. Casi con seguridad, en la segunda década del siglo XVII: el diplomático Constantijn Huygens (1596-1687), padre de Christiaan Huygens, afirmó que había visto un instrumento de este tipo en una visita que realizó a Londres en 1621, y la representación gráfica más antigua que se conoce de un microscopio es un dibujo de Isaac Beeckman (1588-1637) de 1631. El nombre fue acuñado, microscopium, en 1625 por miembros de la Accademia dei Lincei. Los principios que lo inspiraban eran los mismos que los del telescopio, la ampliación de la imagen, si bien ahora se trataba de observar las cosas más pequeñas, aunque en este caso la combinación de lentes requería también de una fuente luminosa sobre la preparación.
No sorprendentemente, el primer científico conocido que realizó observaciones biológicas con un microscopio fue Galileo, que contempló con lo que denominó occhialino («pequeño anteojo») algunos insectos. Pero Galileo apenas continuó por esta senda, algo que sí hizo, como veremos enseguida, Marcello Malpighi.
Aunque sus contribuciones al campo que ahora estamos considerando no fueron demasiado importantes, un nombre particularmente distinguido en la difusión del uso del microscopio es el de Robert Hooke, el polémico y polifacético filósofo natural que ocupó la secretaría de la Royal Society, y que ya apareció en estas páginas por sus (malas) relaciones con Newton. Hooke, que completó el microscopio con la luz de una llama frente a una lente amplificadora en cuyo foco se situaba la preparación, publicó en 1665 un libro que se convirtió en un gran clásico de la microscopía: Micrographia (Micrografía), significativamente subtitulado O algunas descripciones fisiológicas de los cuerpos diminutos realizadas mediante cristales de aumento con observaciones y disquisiciones sobre ellas. Aunque sus elaboradas imágenes (cada una acompañada de comentarios) no respondían a un programa específico, sabía muy bien que estaba penetrando en un territorio inexplorado que guardaba todo tipo de sorpresas. «No parece improbable», manifestaba en el prefacio, «que mediante la ayuda de estos medios llegue a descubrirse más plenamente la sutil composición de los cuerpos, la estructura de sus partes, las varias texturas de su materia, los instrumentos y modos de sus movimientos internos y todas las demás posibles constituciones de las cosas, todo lo cual los antiguos Peripatéticos se conformaban con abordar mediante dos palabras generales e inútiles (si no se explican más), como son materia y forma».
En la Micrographia aparecen estudios micrográficos muy variados; por ejemplo, la punta de una «agujita aguda», el filo de una navaja, el «tafetán o seda en relieve», «figuras de seis brazos formadas en la superficie de la orina por congelación», el moho azul, el musgo, el aguijón de una abeja, las plumas del pavo real, las patas, alas y ojos de las moscas, la tarántula, la hormiga, la pulga (que incluía la más celebrada de sus ilustraciones), o la «estructura o textura del corcho y de las celdas y poros de algunos otros cuerpos esponjosos semejantes». Este último caso, el del corcho, le daba oportunidad de entrar en el campo de la fisiología vegetal: «Nuestro microscopio», escribía, «nos informa que la sustancia del corcho está totalmente llena de aire y que dicho aire está perfectamente encerrado en cajitas o celdas separadas las unas de las otras». Este resultado le llevaba a preguntarse si se podría descubrir estructuras similares en otros cuerpos, y así dar con «la causa de la elasticidad y rigidez de algunos». Fiel a la idea de que era necesario descubrir observando más que pensando o imaginando, Hooke señalaba que «hasta tanto nuestro microscopio o algún otro medio nos permita descubrir la verdadera estructura y textura de todos los tipos de cuerpos, hemos de andar a tientas en la oscuridad, conjeturando tan solo las verdaderas razones de las cosas mediante símiles y comparaciones». Al decir esto, estaba anunciando un programa que conduciría, en el siglo XIX, cuando se dispuso de mejores microscopios, a la identificación definitiva de la estructura celular en los seres vivos (animales o vegetales). De hecho, Hooke utilizó un microscopio más avanzado que el inicial (o simple), el denominado compuesto. El primero estaba formado por una lente convergente de foco corto, con la cual se observaban objetos situados entre la lente y su foco principal, mientras que el segundo estaba compuesto por dos vidrios lenticulares convergentes fijos en un mismo tubo, de manera que coincidiesen sus ejes, uno de foco corto, llamado objetivo, porque daba frente al objeto, y el otro, menos convergente, denominado ocular, porque se encontraba cerca del ojo del observador.
Junto a Hooke, e independiente de él, el otro gran protagonista de los primeros momentos de la historia del microscopio fue un holandés, Antony van Leeuwenhoek (1632-1723). Comerciante de profesión afincado en Delft, sin apenas educación científica, Leeuwenhoek se dedicó a construir microscopios durante cerca de medio siglo; se estima en alrededor de 500 los que salieron de sus manos, artificios con una sola lente y de gran sencillez que producían hasta 300 aumentos, mucho más que los de Hooke.
A partir de 1673 comunicó sus observaciones a la Royal Society de Londres, que las tradujo para publicarlas, admitiéndole entre sus miembros el 29 de enero de 1680; el fellow número 362 de la historia de la corporación. La observación de una gota de agua de lluvia le descubrió la presencia de unos seres minúsculos que se movían (la asociación del movimiento con la vida le llevó a identificarlos como animáculos). Entre sus descubrimientos se hallan la identificación de las bacterias, que observó (en 1683) en sus propios esputos y sarro dental, la forma y tamaño de los hematíes o glóbulos rojos de la sangre, y la textura de la pared de los vasos sanguíneos, del corazón, de los músculos, de la sustancia blanca del encéfalo y de la médula espinal. La finura de sus cortes era tal que, al someter uno de ellos al microscopio electrónico, se vieron con toda claridad las paredes de las células.
No tuvo discípulos ni descubrió sus procedimientos, y la observación microscópica no encontró un instrumento adecuado hasta la aparición en la década de 1820 de los microscopios acromáticos, que eliminaron la aberración esférica y los halos.
Por razones difíciles de imaginar, los primeros microscopistas no crearon escuela y en el siglo XVIII floreció sobre todo la sistematización del conocimiento. Un ejemplo destacado en este sentido son los trabajos que llevó a cabo en el siglo XVIII Marie-François-Xavier Bichat sin utilizar el microscopio, aunque ello no le impidiese realizar una notable síntesis de ideas y trabajos anteriores, formulando, como veremos enseguida, la noción de tejido como entidad anatómica irreducible a otras más elementales.
§. Tejidos
Para obtener un conocimiento de plantas y animales, en principio bastaba con la simple vista, con observar y diseccionar. De esta forma, se podía deducir que un individuo vivo era un organismo compuesto por sistemas. En el cuerpo humano se distinguieron sucesivamente varios de estos, aunque sin llegar a una formulación única: óseo, muscular, nervioso, respiratorio, circulatorio, digestivo, reproductivo. Cada uno de ellos estaba formado por dos o más órganos que participaban en una misma función, como el corazón, el hígado o la piel. A su vez, los órganos eran estructuras compuestas al menos por varios tipos de tejidos.
Aunque ahora sabemos que los tejidos están formados por conjuntos de células semejantes entre sí que se agrupan para realizar una función, inicialmente la noción de tejido surgió al margen de la de célula, que, como veremos, todavía estaba por llegar en su forma definitiva. Fue Marie-François-Xavier Bichat (1771-1802) quien —construyendo sobre la sugerencia que le hizo su maestro, Philippe Pinel (1745-1826), de que buscase el origen de ciertas enfermedades en tejidos determinados— sostuvo que la unidad última de la fisiología no era el órgano, como había defendido uno de los fundadores de la patología moderna, Giovanni Battista Morgagni (1682-1771), sino el tejido. Así, en lugar de referirse, simplemente, a, por ejemplo, la inflamación del corazón, pensaba en términos de pericarditis, miocarditis o endocarditis. El lugar en el que elaboró con más detalle la noción de tejido como formación anatómica irreductible a otras más elementales, una noción, por consiguiente, reconocible mediante el análisis de sus características sensoriales, al margen de la indagación microscópica, fue en su libro Anatomie générale, appliquée à la physiologie et à la médicine (Anatomía general, aplicada a la fisiología y a la medicina; 1801), en el que escribió:
Todos los animales son un conjunto de diversos órganos; los cuales, ejecutando cada uno una función, concurren, cada uno a su modo, a la conservación del todo; son otras tantas máquinas particulares en la máquina general que constituye el individuo. Pero estas mismas máquinas particulares están formadas por muchos tejidos de naturaleza muy diferente, que constituyen verdaderamente los elementos de estos órganos. La química tiene sus cuerpos simples, los cuales forman los cuerpos compuestos por las diversas combinaciones de que son susceptibles: tal es el calórico, la luz, el hidrógeno, el oxígeno, el carbón, el ázoe, el fósforo, etc.; pues bien, de la misma manera tiene la anatomía sus tejidos simples, que por sus combinaciones de cuatro en cuatro, de seis en seis, de ocho en ocho, etcétera, forman nuestros órganos.
Y a continuación enumeraba los tejidos a los que se refería: «1.°, el celular; 2.°, el nervioso de la vida animal; 3.°, el nervioso de la vida orgánica; 4.°, el arterioso; 5.°, el venoso; 6.°, el de los exhalantes; 7.°, el de los absorbentes y sus glándulas; 8.°, el óseo; 9.°, el medular; 10.°, el tendinoso 11.°, el fibroso; 12°, el fibro-tendinoso; 13.°, el muscular de la vida animal; 14.°, el muscular de la vida orgánica; 15.°, el mucoso; 16.°, el seroso; 17.°, el sinovial; 18.°, el glanduloso; 19.°, el dérmico; 20°, el epidérmico; 21.°, el piloso».
El estudio de los tejidos dio lugar a una nueva disciplina médica: la histología (del prefijo griego histós, que significa «tejido» o «tela»), una disciplina esta que ineludiblemente necesitaba del microscopio para observar con detalle la estructura de los tejidos a los que se dedicaba.
El microscopio permitió adentrarse en el interior de los seres vivos, tanto de los organismos que se llamaron «microscópicos», aquellos que no se podían observar a simple vista, como la composición de los tejidos. Como vimos en el caso de Hooke, los primeros microscopistas pusieron en sus platinas objetos de todas clases sin un objetivo científico. El verdadero fundador de la investigación de los tejidos utilizando el microscopio fue el italiano Marcello Malpighi (1628-1694), catedrático de la Universidad de Bolonia durante la mayor parte de su vida. En 1661 publicó una monografía, De pulmonibus (Sobre los pulmones), en la que anunció el descubrimiento de los vasos capilares, que completaba la teoría de Harvey sobre la circulación de la sangre, y que los pulmones estaban formados por una gran cantidad de minúsculos «saquitos», o alvéolos. Al mismo tiempo que presentaba sus descubrimientos, aprovechaba el libro para ensalzar las posibilidades del nuevo instrumento:
La observación microscópica permite descubrir cosas más notables que las que aparecen con la consideración a simple vista de las estructuras y sus conexiones […] a causa de las limitaciones de la observación a simple vista en el animal vivo, yo había creído que la sangre se derramaba en el espacio vacío y que era vuelta a recoger por un vaso que desembocaba allí y por la estructura de las paredes. El movimiento tortuoso y difuso de la sangre en diversas direcciones y su unión en un punto determinado parecían apoyar dicho supuesto. La observación del pulmón seco de la rana me hizo dudar del mismo. Uno de ellos había conservado casualmente el color rojo de la sangre en los que después se demostraría que eran los vasos más pequeños. Con una lente muy perfecta no se observaban allí los puntos semejantes a la piel de lija, solo vasos entremezclados en forma de anillo. Estos vasos se bifurcan. Desembocando en una vena y en una arteria, pero el retículo está formado por las prolongaciones de ambas.
§. La célula, unidad vital
Pero microscopios como los que utilizaban Hooke, Leeuwenhoek o Malpighi no eran suficientes para adentrarse en la estructura de los tejidos. Hubo que esperar, por consiguiente, a que se dispusiese de otros mejores. Los principales defectos de los primeros microscopios eran la aberración cromática y la esférica. La primera —ya hablamos de ella a propósito de los telescopios—, debida a la desigual refracción de los rayos de luz de diferentes colores, que producía imágenes con bordes coloreados. La segunda, consecuencia de la curvatura esférica de las lentes, que hacía que el foco se difundiese en lugar de concentrarse, con la subsiguiente diseminación de la imagen. La primera gran mejora de los microscopios se inició con John Dollond (1706-1761), que en 1758 publicó en las Philosophical Transactions de la Royal Society un artículo titulado «Descripción de algunos experimentos relativos a la diferente refrangibilidad de la luz», en el que describía los experimentos que le llevaron a descubrir un medio de corregir la aberración cromática utilizando una combinación de vidrios en las lentes. Aplicar esta técnica a las más pequeñas lentes del microscopio constituía un problema delicado, que resolvió a finales del siglo XVIII un fabricante de instrumentos holandés, Harmanus van Deijl (1738-1809). En cuanto a la aberración esférica, fue solucionada entre 1824 y 1830 por Joseph Jackson Lister (1786-1869), padre del famoso Joseph Lister que aparecerá en el siguiente capítulo, que utilizó varias sales disueltas en el cuarzo empleado para fabricar vidrio, fusionando con ellas cristales de diferentes densidades que compensaban las dos aberraciones, la aberración esférica y la cromática.
El poder de resolución de los microscopios de que se disponía en la década de 1840 era de una micra, capacidad que fue superada por una serie de avances, entre los que se cuentan los dedicados a intensificar la iluminación, como el condensador de Ernst Abbe (1840-1905), un profesor de Física en Jena que terminó dirigiendo la famosa fábrica Zeiss. Fue, asimismo, importante la cámara lúcida, que permitía dibujar lo que se observaba, y, más tarde, la microfotografía.
También fueron necesarios otros instrumentos, uno especialmente: el micrótomo. El examen microscópico de los tejidos exige la transparencia de las preparaciones, lo que únicamente puede lograrse de una de dos maneras: o disociando el tejido en sus elementos componentes o reduciéndolo a cortes sumamente delgados. El cumplimiento de la segunda posibilidad es difícil si se corta a mano libre, porque las secciones que se obtienen son desiguales y nunca inferiores a cinco centésimas de milímetros de espesor. El micrótomo estaba diseñado para realizar cortes muy finos, extensos y regulares, de un órgano o tejido. El primer micrótomo fue construido por el naturalista John Hill (c. 1716-1775) para producir los especímenes que describió en un libro que publicó en 1770. En la década de 1790, George Adams (c. 1720-1773), autor de un libro titulado Essays on the Microscope (Ensayos sobre el microscopio; 1771), ya vendía estos instrumentos, que recibieron una notable mejora de manos de Wilhelm His (1831-1904), que en 1866 construyó un micrótomo cuya cuchilla se movía con gran precisión.
Por último, era necesario colorear las muestras para que poder distinguir los diferentes elementos que contenían. Aunque ya se utilizaron ocasionalmente colorantes en el siglo XVII, el principal fundador de las técnicas de tinción fue Joseph von Gerlach (1820-1886), quien a partir de 1847 inyectó en el sistema vascular de los tejidos una solución de carmín amoniacal y glicerina. En 1854, descubrió accidentalmente que las soluciones alcalinas teñían selectivamente los núcleos celulares, un hecho de consecuencias evidentes.
Tenemos, en consecuencia, que aproximadamente doscientos años después de haber sido inventado, se pudo disponer de microscopios verdaderamente eficaces, con fuentes de iluminación intensas y bien dirigidas y dispuestas, para estudiar la estructura de los tejidos, distinguiendo dentro de ellos una nueva unidad, la célula, el objeto de una disciplina a la que se bautizó con el nombre de citología.
Aparte de disponer de microscopios lo suficientemente poderosos, la identificación de la célula requería distinguir su contorno en el interior de un tejido, un contorno que resultó ser una corteza, flexible o rígida, cuyo conocimiento fue muy posterior a su descubrimiento. En un primer momento se trató únicamente de descubrir los elementos comunes de las células, limitándose la observación a las plantas y los animales más simples y más abundantes por la rapidez de su reproducción. Por ello, inicialmente los embriones de pollo fueron las muestras preferidas, luego fueron los ratones y más tarde las moscas.
Sin embargo, en realidad las primeras propuestas de una unidad vital como sería la célula provinieron más del ámbito especulativo que de la observación. La denominada Naturphilosophie, corriente especulativa basada en la filosofía idealista propugnada por F. W. J. von Shelling (1775-1854), quien en uno de sus libros, Über die Verhälnisse der organische Kräfte (Sobre las relaciones de las fuerzas orgánicas; 1793), defendía una concepción evolutiva para el mundo orgánico basada en Stufen (niveles), influyó en Lorenz Oken (1779-1851), autor de un influyente texto morfológico, Lehrbuch der Naturphilosophie (Tratado de filosofía de la naturaleza; 1809-1811), quien orientó la investigación del colectivo a la búsqueda del arquetipo, la forma ideal que personifica el plan de la naturaleza, postulando la existencia de una materia primitiva e indiferenciada, la primera materia viva, Urschleim, o protoplasma, que, a través de la formación de vesículas esféricas, daba origen a los Urbläschen, o protoglóbulos, las primeras estructuras vivas. Nos interesa el postulado que introdujo: «Todos los organismos vivos se originan por y están formados por células».
En un libro publicado en 1824, Recherches sur la structure intime des animaux et des végétaux, et sur les motilité (Investigaciones sobre la estructura íntima de los animales y los vegetales, y sobre su movilidad), René-Joachim-Henri Dutrochet (1776-1847), que había experimentado sobre la respiración de las plantas y la permeabilidad de las membranas (ósmosis), sostuvo que los vegetales estaban compuestos de «vesículas, o células, aglomeradas, rellenas de sustancias orgánicas, formando lo que se denomina tejido celular», y que la observación microscópica mostraba que también los «órganos de los animales están compuestos de vesículas aglomeradas», aunque estas eran «mucho más pequeñas que las de los vegetales, que se pueden observar a simple vista»; esto es, que «la célula es el elemento fundamental de la estructura de los seres vivos, tanto de los animales como de las plantas».
La observación microscópica acabó con la idea de la homogeneidad celular cuando el botánico Robert Brown —ya apareció en el capítulo 10 a propósito del «movimiento browniano»— anunció en un artículo («Sobre los órganos y modo de fecundación de las orquídeas y de asclepiadea») que publicó en 1833, la presencia de una «aureola circular» más oscura, u opaca, que las membranas de las células, a la que denominó núcleo (antes, el microscopista y artista austriaco Franz Bauer [1758-1840] había realizado observaciones parecidas). Cuatro años más tarde, en 1837, el médico checo Jan Purkinje (1787-1869) caracterizaba un tipo de células —las células de Purkinje— en el córtex cerebral.
En 1845, el botánico Hugo von Mohl (1805-1872) estudió el interior celular, al que denominó protoplasma, identificando en él orgánulos, y describió la membrana celular, así como las que rodeaban y separaban al núcleo. La investigación de las membranas utilizó los resultados experimentales de una línea de investigación anterior, la mezcla del aceite con el agua. Al verter unas gotas de aceite sobre una superficie de agua, Benjamin Franklin había descubierto que se formaba una fina capa de aceite sobre el agua, por el momento una simple curiosidad. Un siglo después, en la década de 1890, el físico lord Rayleigh calculó la relación entre el volumen de aceite, la superficie cubierta y el espesor de la capa formada, y Agnes Pockels (1862-1935), un ama de casa alemana, que no pudo recibir una educación superior en ciencias al estar vetado entonces el acceso de las mujeres a la universidad, avanzó en el estudio de la tensión superficial, publicando en 1891, con la ayuda de Rayleigh, un artículo sobre ese tema en la revista Nature (la leyenda dice que fue cocinando cuando descubrió la influencia de impurezas en la tensión superficial de fluidos, que luego midió). Heinrich Quincke (1842-1922) descubrió que una fina película de aceite actuaba como una membrana semipermeable. En la década de 1890, mientras buscaba en Zúrich un medio para que la célula vegetal absorbiese las sustancias de su contorno, Charles Ernest Overton (1865-1933) observó que las células de plantas y animales de especies muy diferentes eran sorprendentemente similares en sus propiedades de permeabilidad, lo que le llevó a suponer la existencia de membranas, entonces todavía invisibles, que debían estar compuestas por lípidos. Formuló entonces una teoría de la estructura y función de la membrana (ya en el siglo XX, Ludwig Frick calculó el grueso de la membrana: 3,5 nanómetros).
Pero estamos avanzando demasiado en el tiempo y es preciso retroceder.
La primera teoría celular fue la obra de un botánico y un zoólogo que coincidieron al explicar la composición de las plantas y los animales como la acumulación de las células. Por un lado, el botánico Matthias Jakob Schlieden (1804-1881) describió la estructura celular de las plantas en un artículo que publicó en 1838 bajo el título «Contribuciones a la fitogénesis», como si las células estuvieran asociadas para constituir los distintos órganos en virtud de un proceso semejante a la cristalización. Consideraba al núcleo, al que denominó citoblasto, como el órgano fundamental de la planta y explicó la formación y diferenciación de las células mediante la secuencia nucleolo→ núcleo→ membrana celular. Uno de los discípulos de Schlieden fue Theodor Schwann (1810-1882), que extendió a los animales la concepción celular, proponiendo —especialmente en su libro de 1839, Mikroskopische Untersuchungen über die Übereinstimmung in der Struktur und der Wachsthum der Thiere und Pflanzen (Investigaciones microscópicas sobre la coincidencia de los animales y las plantas en la estructura y el crecimiento)— la teoría del carácter celular de la materia viva: «Hay un principio universal», escribió, «para el desarrollo de las partes elementales de los organismos, aún los diferentes. Este principio es la formación de células».
En este punto es adecuado ocuparse de Rudolf Virchow (1821-1902), discípulo de Johannes Müller (1801-1858), el maestro de una generación de científicos que cambiaría la situación de la fisiología, un tema del que nos ocuparemos en el capítulo siguiente (entre sus discípulos se cuentan, además de Schwann, figuras como Émil du Bois-Reymond, Ernst Brücke, Carl Ludwig, Rudolf Virchow, Jakob Henle y Hermann von Helmholtz). No obstante, a pesar de reconocer el valor de basar la medicina en una fisiología científica, construida sobre la química y la física, Müller todavía se movía en un profundo conflicto interno, no pudiendo evitar tomar en consideración la posible existencia de otras fuerzas no reductibles a las físico-químicas. Tal conflicto se observa con bastante claridad en las primeras secciones de su tratado de fisiología (Handbuch der Physiologie des Menschen [Tratado de fisiología humana]; tercera edición, 1838), en el que se lee: «En realidad se encuentran las mismas inverosimilitudes al refutar la generación espontánea como al quererla admitir, pues los experimentos directos son muy difíciles en el estado actual de la ciencia».
Virchow hizo de la fisiología patológica su principal hogar científico (entre sus descubrimientos se encuentran los de la leucemia, la mielina, gracias a la realización de estudios experimentales fundamentales sobre la trombosis, flebitis o triquinosis). Como patólogo, para averiguar dónde residían los problemas, los males, en los tejidos de los órganos de los enfermos, Virchow basó sus trabajos en el microscopio, yendo mucho más lejos que Schwann, hasta tal punto que es considerado el auténtico padre de la teoría celular. El lugar en el que presentó de manera completa sus ideas y resultados es un libro publicado en 1858: Die Cellularpathologie in ihrer begründung auf physiologische und pathologische gewebelehre (La patología celular basada en la histología fisiológica y patológica). Nadie antes que Virchow había defendido con tanta fuerza, y apoyándose en todo tipo de hechos, el papel central de la unidad celular en la vida. «Al igual que un árbol constituye una masa dispuesta de una manera definida», escribió allí, «en la que, en todas sus distintas partes, en las hojas al igual que en las raíces, en el tronco al igual que en los brotes, se descubre que las células son los elementos últimos, así ocurre con todas las formas de vida animal. Todo animal se presenta como una suma de unidades vitales, cada una de ellas manifestando todas las características de la vida. Las características y unidad de la vida no se pueden limitar a ningún lugar particular de un organismo altamente organizado (por ejemplo, el cerebro del hombre), sino que se encuentran solamente en la definida, constantemente recurrente estructura, que todo elemento individual manifiesta». Las células podían aparecer en muy diversas formas, según los tejidos en los que se encontrasen, pero ello no alteraba, sino, todo lo contrario, reforzaba el papel central que desempeñaba: «Para nosotros», leemos también en Die Cellularpathologie, «es esencial saber que en los más variados tejidos estos constituyentes, que, de alguna manera, representan la célula en su forma abstracta, el núcleo y la membrana, se repiten con gran constancia, y que mediante su combinación se obtiene un elemento simple que, a través de una serie completa de vegetales vivos y formas animales, por muy diferentes que estos sean externamente, por mucho que cambie su composición interna, se nos presenta con una estructura de forma peculiar, como una base definida para todos los fenómenos de la vida». Por último, hay que señalar que, como patólogo que era, Virchow no podía dejar de destacar el valor que la célula tenía para el análisis de enfermedades: «Considero necesario relacionar hechos patológicos con su origen en elementos histológicos conocidos».
Resumiendo, para Virchow la teoría celular se condensaba en cinco puntos:
- Todos los organismos están formados por una o varias células.
- Las células son la unidad fundamental de la vida.
- Todas las células proceden de otra célula (omnis cellula e cellulla), una frase utilizada en realidad antes por el médico francés François-Vincent Raspail (1794-1878).
- La célula es la unidad estructural, morfológica y fisiológica, de los seres vivos.
- Las células tienen una doble acción como entidades independientes y como elemento constructivo de los organismos.
La generalización, a la que tanto aportó Virchow, de la célula como constituyente última de los organismos condujo a la unificación de los principios anatómicos y fisiológicos de los seres vivos, en base a principios diferentes, a la idea —de la que no pudo librarse completamente Müller— de la acción de una fuerza integradora, el principio vital (Lebensprinzip) o plan de la vida. La unidad de los fundamentos anatómicos y fisiológicos en las plantas y los animales llevó asimismo a la observación del origen y desarrollo del embrión. Aun así, mediado el siglo XIX los constituyentes fundamentales de la célula todavía se limitaban a la pared o membrana exterior, que contenía una sustancia viscosa (protoplasma) y el núcleo.
Un avance de extraordinaria importancia realizado dentro del ámbito de la teoría celular fue la identificación de la neurona como unidad discreta, celular, básica del sistema nervioso, logro debido al español Santiago Ramón y Cajal (1852-1934).
Cuando se repasa Die Cellularpathologie de Virchow, se encuentra un capítulo (el XII) dedicado al sistema nervioso, pero el detalle de su estructura se le escapó, como a tantos otros, al patólogo de Berlín. Mejor suerte tuvo Cajal, que aportó el que todavía es modelo vigente de la estructura del sistema nervioso y los mecanismos básicos de su funcionamiento; en concreto, la identificación de la neurona, la célula nerviosa que transmite información rápidamente entre partes diferentes del cuerpo, como el cerebro. Estrictamente, una neurona consiste de un cuerpo celular con el núcleo y prolongaciones llamadas dendritas que reciben los mensajes; una extensión de la célula, el axón —mucho más largo que la dendrita—, conecta una célula a las dendritas de otra; cuando una neurona es estimulada, ondas de iones de calcio y de sodio transportan un impulso eléctrico a través del axón. La función del axón es, por consiguiente, transmitir una señal electroquímica a otras neuronas, algunas veces a una distancia considerable (en las neuronas que componen los nervios que van desde la medula espinal hasta los pies, los axones pueden medir hasta casi un metro). Entre la terminación del axón y la dendrita de la siguiente neurona hay un pequeño salto llamado sinapsis (un término introducido por Charles Sherrington [1857-1952]: la palabra procede de los términos griegos syn, que significa «junto» y haptein, «reunirse»; Sherrington contribuyó de manera importante al estudio del sistema nervioso, siendo su trabajo más destacado el análisis de la actividad motora refleja en los vertebrados). Para cada neurona, hay entre 1000 y 10 000 sinapsis.
A causa de su poca consistencia y fragilidad, el tejido nervioso era difícil de manipular y propenso a deteriorarse. Si a esto añadimos su especial complejidad, podemos comprender el retraso que se produjo en el conocimiento de su estructura. Como en otros terrenos, hubo una serie de pioneros que ofrecieron las primeras imágenes sin encontrar ninguna explicación funcional para los elementos propios de este sistema. En 1865, Friedrich Karl Dieters (1834-1863) vio por primera vez células nerviosas parcialmente completas, con sus prolongaciones. Y el descubrimiento de los impulsos nerviosos llevó a von Gerlach a introducir (1872) la imagen de una red como elemento esencial de la materia gris que proporcionaba un medio funcional de comunicación, un protoplasma continuo del cual procedían las fibras nerviosas.
Aunque Cajal naciese y viviese en un país en el que entonces la ciencia no competía con la de otros países, la medicina podía presumir de una cierta tradición, al ser una disciplina necesaria para cualquier sociedad, y esto significó que Cajal pudo aprender algo de otros, en particular de dos: Aureliano Maestre de San Juan (1828-1890), que le inició en los estudios micrográficos, y Luis Simarro (1851-1921), que le enseñó el método de la impregnación cromo-argéntica. Este método había sido introducido en 1873 por el histólogo italiano Camillo Golgi (1844-1926). Su hallazgo tuvo una considerable dosis de azar: un día en que Golgi trataba de teñir con sales de plata membranas del cerebro endurecidas previamente con una solución de dicromato potásico, al observar los cortes al microscopio vio que algunas células de la sustancia gris aparecían teñidas con una coloración marrón oscura, casi negra, que destacaba con claridad sobre un fondo amarillo transparente, motivo por el que bautizó la nueva técnica como reazione nera (reacción negra). Con su método, Golgi demostró que las dendritas terminaban libremente y no continuándose con los axones de otras neuronas, como creían Gerlach y Dieters. Sin embargo, como las dendritas terminaban en íntima relación con vasos sanguíneos y un tipo de células (las gliales), Golgi concluyó, erróneamente, que representaban vías por las cuales las células nerviosas recibían nutrientes, sin que desempeñaran ningún papel en la conducción nerviosa. Que estaba equivocado es algo que demostraría Cajal.
Otro hecho afortunado para que Cajal pudiese llevar a cabo la obra que realizó fue el que dispusiese de un buen microscopio. Obtuvo uno en 1885, gracias a la generosidad de la Diputación de Zaragoza, que le regaló un Zeiss por el informe que preparó sobre la epidemia de cólera y la vacunación de Jaime Ferrán (1852-1929). «Al recibir aquel impensado obsequio, no cabía en mí de satisfacción y alegría», escribió en Historia de mi labor científica, «gracias a tan espiritual agasajo, la culta Corporación aragonesa cooperó eficacísimamente a mi futura labor científica, pues me equiparó técnicamente con los micrógrafos extranjeros mejor instalados, permitiéndome abordar, sin recelos y con la debida eficiencia, los delicados problemas de la estructura de las células y del mecanismo de su multiplicación».
Con la ayuda de su nuevo microscopio y del método de tinción de Golgi, y centrándose inicialmente en el estudio del cerebelo de aves jóvenes, Cajal fue capaz de demostrar que, como manifestó en un artículo («Estructura de los centros nerviosos de las aves») que publicó en mayo de 1888 en la Revista Trimestral de Histología Normal y Patológica, «las fibras [nerviosas] se entrelazan por modo complicadísimo, engendrando un plexo intrincado y tupido, pero jamás una red». Sus resultados eran tan innovadores que le fue difícil atraer la atención de la comunidad internacional, más aún siendo un desconocido médico español. Fue Rudolf Albert von Kölliker (1817-1905), catedrático de Anatomía humana y director de los Institutos Anatómicos de la Universidad de Würzburgo, quien reconoció el valor de los trabajos cajalianos en el Congreso Anatómico celebrado en Berlín en octubre de 1889.
La doctrina neuronal se basa en cuatro principios:
- La neurona es la unidad estructural y funcional del sistema nervioso.
- Las neuronas son células individuales, no se continúan en otras neuronas, ni anatómica ni genéticamente.
- La neurona tiene tres partes: el cuerpo de la célula (soma), dendritas, y otras neuronas. El axón tiene varias ramificaciones que se aproximan a las dendritas o el soma de otras neuronas.
- El sentido de la corriente se produce de las dendritas al soma, hasta alcanzar las últimas ramificaciones del axón.
§. La fisiología de la célula
Al igual que el cuerpo de un animal o de una planta, las células tienen su propia fisiología. Estrictamente, la fisiología celular se ocupa de describir el mecanismo de las células y su interacción con el entorno en condiciones normales de actividad; por supuesto, la fisiología vegetal es distinta de la animal y esta varía según las especies.
En lo que se refiere a la fisiología de las plantas, un proceso central es la fotosíntesis, por el que las plantas verdes utilizan la energía solar para convertir el dióxido de carbono de la atmosfera (CO2) en glucosa y otras proteínas, liberando oxigeno a la atmósfera, sin el cual no habría vida, no al menos la vida que existe mayoritariamente en la Tierra (existen bacterias anaeróbicas). El conocimiento de este doble proceso se inició con el aislamiento en 1817 del pigmento verde de las hojas de las plantas, al que llamaron clorofila (cuya estructura química fue desentrañada hacia 1913 por Richard Willstätter [1872-1942]). En 1845, Robert Julius Mayer, como vimos uno de los fundadores del principio de conservación de la energía, propuso que la energía luminosa se convierte en energía química, idea que al ser aplicada a las plantas permitía argumentar que la energía procedente de la fotosíntesis era más que suficiente para garantizar el mantenimiento de la vida, y que no había, por tanto, necesidad de suponer la existencia de una fuerza vital. Algo después, Julius Sachs (1832-1897) aplicaba sus conocimientos de fisiología médica y de ciencia agronómica para desarrollar en la Universidad de Würzburgo un extenso programa de investigación centrado en el estudio de tropismos en plantas; esto es, respuestas a estímulos como la luz, la gravedad o el tacto. En su Handbuch der Experimentalphysiologie des Pflanzen (Manual de fisiología experimental de las plantas; 1865) analizó la actividad de asimilación de energía de las plantas verdes, describiendo la presencia de cloroplastos en el citoplasma de las plantas, y en 1887 mostró que, al captar la luz solar, se iniciaba en las plantas el proceso de la fotosíntesis.
Otro proceso central en las plantas es el de la respiración celular, en el que se libera la energía almacenada en las moléculas que han sintetizado el carbono, parte de ella se incorpora en el adenosín trifosfato (conocido como ATP, por las siglas de su nombre inglés), que es la energía que alimenta la mayoría de los otros procesos metabólicos necesarios para la conservación y crecimiento del organismo.
§. La reproducción celular
Si las células son seres vivos, entonces tienen que reproducirse, puesto que la reproducción es uno de los rasgos definitorios de la vida. De antiguo, los naturalistas solo conocían las manifestaciones externas de la generación de los animales, la hibridación se limitaba a cruzar a los especímenes más notables de la especie, y la disección no había ido más allá del conocimiento de los tejidos hasta que no se dispuso de microscopios lo suficientemente poderosos. Como hemos visto, únicamente cuando se dispuso de estos, se iría desarrollando la teoría celular y desentrañando los mecanismos mediante los cuales las células se reproducen.
Pero antes de que se llevasen a cabo, con profundidad, investigaciones de este tipo, un monje agustino, Gregor Mendel (1822-1884), realizó una serie de experimentos sobre la hibridación de plantas que, aunque no se entendieron así durante varias décadas, contenían las claves para comprender la reproducción de los seres vivos a nivel celular.
De hecho, los trabajos de Mendel permitían comenzar a responder a la gran pregunta que Darwin —de quien Mendel fue contemporáneo— no había sabido responder: cómo se podrían transmitir los caracteres hereditarios de generación en generación. Mendel, en efecto, formuló los principios básicos de la teoría de la herencia en un artículo publicado en 1866 (aunque apareció en el tomo correspondiente a 1865) en los Verhandlungen des naturforschenden Vereines de Brno y titulado «Experimentos sobre la hibridación de plantas». Su contenido fue fruto de los experimentos que realizó con plantas de guisantes en el jardín de su monasterio, en lo que es hoy Brno (República Checa). (Advirtamos que el cruce de plantas y animales de distintas variedades con objeto de mejorar sus características era una práctica milenaria, aunque sus resultados eran aleatorios debido al desconocimiento de las leyes de la herencia).
Después de haber estudiado en la Universidad de Viena, instalado en la seguridad de su convento, Mendel se dedicó a la experimentación botánica (1856-1863), investigaciones que abandonó al ser designado abad. En ese tiempo practicó la polinización artificial en más de 28 000 ocasiones con plantas de guisante, especie que eligió porque sus flores tienen el aparato reproductor masculino y femenino (hermafroditas), lo que permite la autofecundación, y por la variedad de sus caracteres: semillas (forma: gris y lisa o blanca y rugosa; cotiledones: amarillos o verdes); flores (blancas o violetas); vainas (forma: llena o rugosa; color: amarillo o verde) y tallo (flores axiales y en el extremo; y tamaño: altos y bajos).

El cruce de las plantas y animales de distintas variedades con objeto de mejorar sus caracteres es una práctica milenaria, aunque sus resultados eran aleatorios debido al desconocimiento del mecanismo de la herencia. La idea de la combinación de las propiedades de los progenitores había sido la justificación de esta práctica, en tanto que la comunicación de los caracteres adquiridos de Lamarck fue actualizada por Darwin (pangénesis) sin éxito. Fue Mendel quien avanzó en la dirección correcta. En el primero de estos dos dibujos se representan los cruces que Mendel realizó con guisantes y que se explican en el texto. El segundo dibujo muestra cómo se desarrolla la sinapsis, el proceso mediante el cual se comunican entre sí las neuronas. Gracias a una serie de investigaciones que culminaron en las del biofísico británico Bernard Katz (1911-2003), hoy sabemos que las terminaciones nerviosas de las neuronas, los axones, contienen en sus extremos pequeñas vesículas rellenas de unas 5000 moléculas denominadas «neurotransmisores» (con los microscopios disponibles en tiempos de Cajal no era posible identificar tales elementos y procesos). Bajo estímulos, se produce una corriente eléctrica a lo largo del axón que da lugar a que se abran canales de iones de calcio que a su vez provocan que se vacíen las vesículas liberando los neurotransmisores al espacio intersináptico. Finalmente, los neurotransmisores llegan a la neurona adyacente en las que se activan canales iónicos de, por ejemplo, sodio o potasio.

Como señaló en su artículo, los caracteres que tomó en cuenta se referían a las diferencias en: 1) la forma de las semillas; 2) el color del tejido de reserva de los cotiledones; 3) el color del tegumento seminal; 4) la forma de la vaina madura; 5) el color de las vainas no maduras; 6) la posición de las flores; y 7) la longitud de los tallos principales. Junto a estas siete características, favorecieron sus investigaciones la rapidez del crecimiento (un año) y la facilidad de los cruces y la reproducción por autofertilización por cruzamiento.
Durante cerca de ocho años, estudió 34 variedades de tres especies, que diferían en las citadas siete características. En la primera experiencia cruzó una variedad de semillas lisas con otra de semillas arrugadas, y al revés. En lugar de semillas más parecidas encontró que todas las nuevas eran redondas y dio al conjunto el nombre F1. Las sembró, dejó que se autofecundasen y obtuvo semillas de la generación F2 en proporción de tres lisas por una rugosa. Sembró unas de cada clase y obtuvo la generación F3. Las semillas arrugadas produjeron otras del mismo carácter, mientras que las lisas lo hacían en la proporción de tres lisas por una arrugada. Llamó dominante al carácter que se daba en cada generación y recesivo al que reaparecía, y supuso que formaban una unidad productiva, compuesta por dos factores. Cada factor estaba formado por un par de elementos, de los que cada individuo aportaba uno a la célula sexual. Enunció dos leyes naturales: la de la segregación equitativa y la de la segregación independiente, por la que los caracteres diferentes son heredados de forma independiente. Sin embargo, en realidad Mendel estaba navegando en aguas que desconocía, un hecho que es patente en el lenguaje que empleó en su artículo. Así, leemos: «El que dé un vistazo a las coloraciones que se originan en las plantas ornamentales por fecundaciones semejantes no podría sustraerse fácilmente a la convicción de que, aún aquí, tiene lugar el desarrollo según una ley determinada, que halla probablemente su fórmula en la combinación de varios factores de color independientes». O: «Se comprenderá que la pretensión de reducir las diferencias fundamentales en el desarrollo de los híbridos a una asociación permanente o pasajera de los elementos celulares dispares solo puede tener el valor de una hipótesis, a la cual la falta de datos seguros deja un amplio campo experimental».
Hoy llamamos a esos «factores de color independientes» y a los «elementos celulares dispares» bien genes o, de una forma más general, menos específica, cromosomas. Y aunque nadie lo apreció —probablemente ni siquiera él mismo—, con el artículo de Mendel de 1865-1866 se abría la «Era de la Genética», una era en la que mostraría que los procesos hereditarios se basan en la transmisión de caracteres discontinuos, nucleares en cierto sentido, pero al mismo tiempo regulares, que siguen leyes de proporciones fijas. Podía pensarse en buscar «los átomos de la herencia», de los cuales, por supuesto, Mendel no tenía ni idea cómo o qué podrían ser.
De hecho, las investigaciones de Mendel apenas fueron conocidas. Y ello a pesar de que la revista en la que apareció este trabajo fue adquirida por más de cien bibliotecas e instituciones científicas europeas. No está claro por qué, aunque probablemente fuese por la naturaleza, en última instancia matemática y estadística, de los análisis de Mendel. Fueron redescubiertas, simultáneamente, en 1900, por el holandés Hugo de Vries, el alemán Carl Correns y, en menor grado, el austriaco Erik von Tschermak. Pero de la recuperación de los resultados de Mendel nos ocuparemos en el capítulo 22, así que ahora continuemos con las investigaciones que permitieron identificar contenidos de las células que no fuesen el núcleo, algo que tuvo lugar en la década de 1870.
Uno de los que se beneficiaron de los nuevos medios técnicos disponibles para realizar observaciones microscópicas fue el zoólogo alemán Oscar Hertwig (1849-1922). En 1876, Hertwig estudió el erizo de mar Toxopneustes lividus, que tenía la ventaja de poder mantenerse fácilmente en tanques de agua salada y cuyos huevos se podían extraer sin más que sacudir al animal. Observó que, cuando colocaba el esperma en el líquido que rodeaba a los huevos y tocaba la superficie de la célula del huevo, se convertía enseguida en una especie de estructura luminosa cuyo tamaño iba aumentando hasta llegar al tamaño del núcleo del huevo. Denominó a esta estructura, núcleo del esperma y advirtió que los dos núcleos, el del huevo del erizo y el del esperma, terminaban fusionándose. La célula con estos dos núcleos fusionados se convertía así en el progenitor del que se iban produciendo, al dividirse, nuevas células hasta formar un nuevo erizo de mar. «Hemos reconocido», señalaba en el artículo de la revista Morpholisches Jahrbuch («Contribución al conocimiento de la formación, fertilización y división del huevo») en que presentó sus resultados, «que el suceso más significativo que tiene lugar en la fertilización es la fusión de dos núcleos celulares». Estaba hablando de lo que se conoció como meiosis. El año siguiente, Hermann Fol (1845-1892) confirmaba los resultados de Hertwig, pero dando un paso más, ya que observó que el esperma penetraba en el huevo. Al núcleo del huevo lo denominó «protonúcleo femenino» y al núcleo del esperma, «protonúcleo masculino», argumentando que la unión de los dos constituía la meiosis, el primer paso de la jornada embriónica.
Junto a la meiosis, el otro proceso básico de la reproducción celular es la mitosis, proceso desvelado por un investigador alemán, profesor de anatomía en Kiel, Walther Flemming (1843-1905) utilizando finas colas de salamandra. Lo que Flemming observó fue la división del núcleo de la célula y la formación (que pudo ver con poca nitidez) de una especie de hilos que se separaban (presentó sus resultados en artículos publicados en 1878 y 1879 y luego en un libro publicado en 1882 y titulado Zellsubstanz, kern und Zelltheilung [Sustancia celular, núcleo y división celular]). Como pudo detectar esos hilos porque absorbían el color del colorante que empleó, los denominó elementos cromatina (de la palabra griega, cromo, «color»), sin saber que estaba contemplando por primera vez a los portadores de la herencia, que en 1888 recibieron el nombre de cromosomas (cuerpos coloreados) de Wilhelm Waldeyer (1839-1921).
En realidad, estos trabajos constituyeron únicamente el punto de partida de un largo camino que permitiría comprender finalmente en qué consiste la reproducción celular; un camino que necesitó que se apreciasen los resultados de Mendel, entendiéndolos además en base a la estructura celular. Pero de esto trataremos en el capítulo 22.
§. Bacterias y virus
Aun siendo los «objetos» vivos más básicos e importantes para la vida, las células no son las únicas unidades microscópicas que existen y que, de una manera u otra, intervienen en los procesos vitales. Dos son particularmente importantes: las bacterias y los virus. Christian Gottfried Ehrenberg (1795-1876), una autoridad en el estudio de los infusorios, organismos que se consideraban intermedios entre los animales y las plantas, introdujo la voz bacterium (bacteria) en 1838. Como veremos en el capítulo siguiente, dos años después, Jakob Henle hablaba también, aunque en un contexto diferente, propio de la entonces naciente bacteriología, de «agentes dotados de vida individual e introducidos en el cuerpo enfermo como organismos parásitos». Y más tarde, Ferdinand Cohn (1828-1898), profesor de Botánica en Breslau, introducía en un libro que publicó en 1872, Untersuchungen über Bacterien (Investigaciones sobre bacterias) una clasificación de esos agentes en términos de cocos, bacilos (según él, bacterias causantes de infecciones), vibriones, espirilos y espiroquetas.
Hoy sabemos que las bacterias son omnipresentes. El ciclo del carbón y el del nitrógeno, por ejemplo, requieren la acción de ciertas bacterias, que producen proteínas, moléculas biológicas identificadas por Jacob Berzelius en 1838, esenciales para la vida (hablaremos más de ellas en el capítulo siguiente y en el 22), y que componen las enzimas. En un gramo de tierra se estima su número en 10 000 millones de bacterias, y en un mililitro de agua del mar hay no menos de 100 000.
En cuanto a los virus, se trata de un nombre creado por el botánico ruso Dimitri Ivanovsky (1864-1920), que fue enviado a Crimea en la década de 1890 para estudiar las enfermedades que afectaban a las plantas de tabaco de aquella región, en particular una que al arrugar las hojas no permitía que se utilizasen. En 1892 aisló lo que denominó el virus del mosaico del tabaco, llegando a la conclusión de que se trataba de una nueva forma de vida, que escapaba a los filtros más finos y que no podía ser observada por los microscopios existentes entonces. Fue el primer virus identificado como tal, aunque antes, en 1886, había sido detectado allí por Adolf Mayer (1843-1942), quien pensó que se trataba de una bacteria, aunque no consiguió demostrar que fuese así a pesar de efectuar numerosos experimentos. Seis años después de la aportación de Ivanovski, el holandés Martinus Willen Beijerink (1851-1931) descubrió que, a diferencia de las bacterias, ese virus —al que denominaba contagium vivum fluidum— no se podía reproducir más que en las hojas del tabaco.
El nombre «virus» sirvió para designar un conjunto de agentes patógenos, que no podían reproducirse sino como huéspedes de una célula, cuyo sistema reproductor aprovechaban. Fuera de la célula, el virus es inerte y no hay rastro de metabolismo. En cuanto al virus del tabaco, se convirtió en objeto de una gran investigación bioquímica a comienzos del siglo XX. En los trabajos que condujeron a que fuese aislado en forma cristalina en la década de 1930, participaron grupos de la División de Patología de plantas del Instituto Rockefeller de Princeton (Estados Unidos), de la Estación Experimental Rothamsted (Inglaterra) y del Instituto Boyce Thomson de Nueva York (el experimento más importante fue realizado por Wendell Stanley [1904-1971] en el Instituto Rockefeller). Mucho más pequeños que las bacterias, no fue posible identificar los virus hasta la invención del microscopio electrónico, que multiplicó los aumentos de 2000 a 300 000.
Capítulo 16
Salud, enfermedades
§. Instrumentos en medicina
§. Las enfermedades orgánicas
§. Una nueva farmacología
§. Enfermedades infecciosas y teoría microbiana de la enfermedad
§. Anestésicos y técnicas de asepsia
§. Trasplantes
§. Antibióticos
§. Las enfermedades mentales
La salud se identificó desde el principio con el bienestar físico y mental del individuo que resulta de la normal actividad fisiológica de sus órganos, en tanto que las enfermedades se debían a la disfunción de estos o a la acción (infección) de agentes patógenos. Se trataba de nociones plausibles, pero poco precisas. De hecho, la mayor parte de la historia de la medicina, hasta el siglo XIX, estuvo dominada por prácticas con escasa base científica, entendiendo por esto la capacidad de explicar el origen, la causa, de las enfermedades. Así, por ejemplo, la cirugía tenía que recurrir con frecuencia al ciertamente traumático expediente de la amputación de los órganos afectados por la enfermedad o los accidentes como única posibilidad de conservar la vida de los pacientes. Los cirujanos, asociados con los barberos y, por tanto, no realmente médicos durante siglos, fueron los primeros en practicar estas operaciones. El Ejército y la Marina ofrecían las mejores oportunidades de formación y no las facultades de Medicina. En 1718, el francés Jean Louis Petit (1647-1750) inventó el torniquete para cortar la efusión sanguínea; esto es, recurrió a un procedimiento puramente mecánico; y el cirujano (también francés) Jacobo Daviel (1693-1762) extrajo centenares de cristalinos que se habían vuelto opacos, con resultados inciertos. A un colega suyo, el inglés John Taylor, que operó a ambos, sus enemigos le atribuyeron la ceguera de Bach y Handel. La importancia de aquella cirugía aún «no científica» se muestra en hechos como el que en 1731 se fundase en París la Real Academia de Cirugía, medio siglo antes que la de Medicina, aunque la mejora de la condición de los cirujanos se revela en que en 1768 se prohibió la formación mediante aprendizaje, y que en 1791 el cirujano y anatomista Pierre Joseph Desault (1744-1795) fundase el primer Journal de chirurgie (Diario de cirugía). No obstante, el hospital y no la facultad continuó siendo el ámbito para el ejercicio de las habilidades de los cirujanos (recordemos en este sentido que la enseñanza práctica de la medicina ante el paciente dio origen al hospital clínico, no siempre asociado a la Facultad de Medicina). Alexander Monro (1697-1767), que había estudiado en Londres, París y Leiden, fue desde 1725 el primer catedrático de Anatomía y Cirugía de la Escuela de Medicina de la Universidad de Edimburgo.
Hubo que esperar hasta el siglo XIX para que el conjunto de la medicina se hiciese más científica, y para que, en consecuencia, se produjese una definición de salud más precisa y satisfactoria, como la que ofreció el fisiólogo francés Claude Bernard (1813-1878) en un libro que publicó en 1865: Introduction à l’étude de la médicine expérimentale (Introducción al estudio de la medicina experimental), del que tendremos ocasión de volver a hablar. En esta obra, en la sección 3 del capítulo 1 de la Segunda Parte, se lee:
La vida se manifiesta en el estado de salud por la actividad normal de los elementos orgánicos, las enfermedades se caracterizan por la manifestación anormal de los mismos elementos; y finalmente, por el intermedio del medio orgánico modificado por ciertas sustancias tóxicas o medicamentosas, puede obrar la Terapéutica de los elementos orgánicos.
Y algo más adelante, en la sección 7 del mismo capítulo:
El examen más superficial de lo que pasa a nuestro alrededor, nos demuestra todos los fenómenos naturales de la reacción de los cuerpos unos sobre otros. Hay que considerar siempre el cuerpo en que pasa el fenómeno y las circunstancias exteriores, o el medio que determina o solicita el cuerpo para manifestar sus propiedades. La reunión de estas condiciones es indispensable para la manifestación del fenómeno […] El organismo no es más que una máquina viviente construida de tal manera que hay, por una parte, una comunicación libre del medio exterior con el medio interior orgánico, y por funciones protectoras de los elementos orgánicos para tener los materiales de la vida en reserva y sostener sin interrupción la humedad, el calor y las demás condiciones indispensables a la actividad vital. La enfermedad y la muerte no son sino una dislocación o una perturbación del mecanismo, que arregla la actividad de los excitantes vitales en contacto con los demás elementos orgánicos.
En 1902, otro francés, Charles Robert Richet (1850-1935), que obtuvo el Premio Nobel de Medicina de 1913 por el descubrimiento de la anafilaxia (una violenta reacción alérgica), destacó el hecho de la duración de la vida a pesar de la fragilidad de los órganos que la mantienen: «En cierto sentido, es estable porque se la puede modificar; una condición necesaria para la verdadera estabilidad de un organismo es una ligera inestabilidad». Y el fisiólogo estadounidense Walter Bradford Cannon (1871-1945), que estudió en la Universidad de Harvard con un discípulo de Richet y que en la década de 1920 se dedicó a investigar la estabilidad del organismo, desarrolló ideas que antes había discutido Bernard cuando se refirió a la importancia de un medio fisiológico interno constante (dentro del estrecho rango de concentración de sal, azúcar, oxígeno y temperatura propio del cuerpo humano). Cannon propuso la noción de homeostasis, el mecanismo de defensa del cuerpo que él entendía como que un cambio en las condiciones internas del cuerpo, producido bien por un desequilibrio interno o por un ataque exterior, encuentra una reacción automática del organismo (la caída de la temperatura o el descenso del nivel de azúcar en la sangre constituyen dos ejemplos en este sentido).
El avance de la anatomía y fisiología patológicas se vio reforzado por el rápido desarrollo de la química, que proporcionó nuevos materiales para estudiar la composición de plantas y animales y las transformaciones que experimentan, constituyendo de hecho una nueva especialidad, que en el siglo XX sería denominada bioquímica. Por otra parte, el desarrollo del microscopio óptico no solo sirvió para los hallazgos a los que nos hemos referido en el capítulo precedente, sino que también hizo posible el descubrimiento de agentes patógenos microscópicos, activos pero ignorados hasta entonces, y con los que comenzó una nueva época en la historia de la medicina; de entrada, en lo que a la identificación de la enfermedad (diagnóstico) se refiere, algo que permitía encarar de manera muy diferente que en el pasado el siguiente acto médico, la prescripción del tratamiento. Hasta entonces, en efecto, las únicas enfermedades con una etiología conocida eran las orgánicas, pero el desarrollo de los instrumentos y la introducción de los análisis patológicos dio origen al descubrimiento de la existencia de una nueva patología, las enfermedades infecciosas.
Junto a desarrollos científicos como estos, hay que tener en cuenta también que el objetivo político del bienestar de la ciudadanía, tan querido por los gobiernos ilustrados, fue asumido por los constitucionales del Ochocientos y que ese bienestar tenía uno de sus principales puntos de apoyo en la salud pública. En el siglo XIX, esta preocupación se manifestó de diversas maneras: en la organización de una red de hospitales y hospicios para las clases necesitadas, mientras que la burguesía contrataba los servicios de los médicos y las clínicas; en la renovación de la enseñanza de la medicina y la creación de la enfermería, entendida como una profesión en sí misma independiente del altruismo individual o religioso. Asimismo los gobiernos dotaron a las poblaciones de servicios higiénicos mucho mejores que en el pasado (abastecimiento y depuración de agua potable, evacuación y saneamiento de aguas fecales) y, de acuerdo con la opinión de los médicos, terminaron imponiendo la vacunación obligatoria. Los resultados se vieron en el descenso de la mortalidad infantil, la prolongación de la vida y la disminución del dolor, el primer síntoma de la enfermedad.
§. Instrumentos en medicina
La detección de la enfermedad, el diagnóstico del fallo orgánico, constituía el primer paso para recuperar la salud. Ahora bien, con anterioridad al siglo XIX el mecanismo para identificar la enfermedad en cuestión se limitaba a la observación de los síntomas externos de los trastornos internos. La primera novedad en este terreno se debió al austriaco Joseph Leopold Auenbrugger (1722-1809), que introdujo el método de la percusión torácica (en realidad, desde la Antigüedad los médicos habían escuchado los sonidos que se producen en el interior del pecho, pero no asignaron a este método valor como indicador de enfermedades). El lugar en el que Auenbrugger dio a conocer el nuevo método fue en un libro que publicó en 1761, Inventum novum ex percussione thoracis humani ut signo abstrusos interni pectoris morbos detegendi (Nueva invención para diagnosticar enfermedades ocultas del interior del pecho mediante la percusión del tórax humano como signo), en el que escribía: «Al percutir el tórax de una persona sana se produce un sonido […] En estado de salud, las vísceras que contiene están adaptadas a sus respectivas funciones. El sonido provocado de esta forma en el tórax sano es semejante al ruido amortiguado de un tambor cubierto con un paño grueso u otra envoltura. […] El sonido patológico aparece en enfermedades agudas y crónicas; siempre acompaña a un derrame copioso de líquido en la cavidad torácica. Hay que admitir que cuando disminuye el volumen del aire contenido en el tórax lo hace también el sonido natural de esta cavidad».
A pesar de lo familiar que nos resulta el método de Auenbrugger, que continúa utilizándose en la actualidad, no se generalizó hasta comienzos del siglo XIX. El principal responsable de su recuperación fue el cirujano y profesor de Clínica médica en el hospital parisino de la Charité (fue también médico de cámara de Napoleón) Jean Nicolas Corvisart (1755-1821), que no solo publicó en 1808 una traducción al francés del Inventum novum, que acompañó con extensas notas y comentarios, sino que se ocupó de difundirlo y destacar sus méritos. Un discípulo de Corvisart (y también de Bichat), René Théophile Héophile Hacinthe Laennec (1781-1826), avanzó en las ideas de Auenbrugger introduciendo la auscultación del tórax. En el que fue su libro más influyente, De l’auscultation médiate, ou traité du diagnostic des maladies des poumons et du coeur, fondé principalement sur ce nouveau moyen d’exploration (Sobre la auscultación mediata, o tratado del diagnóstico de enfermedades, de los pulmones y del corazón, fundado principalmente sobre este nuevo método de exploración; 1819), explicó cómo había llegado a él:
En 1816 fui consultado por una joven que presentaba síntomas generales de enfermedad del corazón, y en la cual la aplicación de la mano y la percusión daban poco resultado a causa de su leve obesidad. Como la edad y el sexo de la enferma me vedaban el recurso a la auscultación inmediata, vino a mi memoria un fenómeno acústico muy común: si se aplica la oreja a la extremidad de una viga, se oye muy claramente un golpe de alfiler dado en el otro cabo. Imaginé que podía sacar partido, en el caso de que se trataba, de esta propiedad de los cuerpos. Tomé un cuaderno de papel, formé con él un rollo fuertemente apretado, del cual apliqué un extremo a la región precordial. Poniendo la oreja en el otro extremo, quedé tan sorprendido como satisfecho, oyendo los latidos del corazón de una manera mucho más clara y distinta que cuantas veces había aplicado mi oído directamente.
Una vez utilizado este recurso de urgencia, Laennec sustituyó el rollo de papel por un cilindro de madera con un conducto interno y una pieza en forma de embudo, un instrumento que bautizó con el nombre de estetoscopio (de las raíces griegas stéthos, «pecho», y skopé, observar) y que constituyó la mayor innovación diagnóstica hasta el descubrimiento (Röntgen, 1895) de los rayos X, que al ser capaces de atravesar los tejidos permitían ver los huesos.
Esta «instrumentalización», al menos parcial, de la medicina, o lo que es lo mismo, la introducción de instrumentos físicos como apoyo en el diagnóstico médico, recibió un nuevo impulso con el médico alemán, formado en Berlín, Viena, Breslau y París, Ludwig Traube (1818-1876), que introdujo el termómetro en la medicina clínica hacia 1850. Traube sostenía —como explicó en un libro que publicó en 1863, Fieberlehre (Piretología)— que la fiebre era en realidad una alteración funcional que se debía entender como una disminución de la pérdida de calor y no como un exceso de su producción; la cuantificación mediante el termómetro de la temperatura corporal constituía un elemento muy importante para deducir el estado del paciente. Dos años después, 1865, de la aparición de su libro, el uso del termómetro fue introducido en el hospital de Nueva York, y otros dos años después Thomas Clifford Allbutt (1836-1925), Regius professor de Medicina en Cambridge hacía lo propio en Inglaterra.
Vimos en el capítulo 10 que en 1612 Santorio Santorio había publicado investigaciones sobre la temperatura del cuerpo humano utilizando un termómetro que poseía una escala que tenía como puntos extremos la temperatura de la nieve y la de la llama de una vela. Es interesante señalar que aunque Santorio creía que salud y enfermedad dependían del equilibrio de los cuatro humores clásicos, fue más allá, insistiendo en que ese equilibro debía ser medido (era, en este sentido, un hijo de la cultura científica que introdujo sobre todo Galileo). Para ello, se esforzó en tomar el mayor número posible de medidas cuantitativas relativas a la «situación» del cuerpo humano, la temperatura entre ellas. «Uno debe creer, primero, en sus propios sentidos y experiencia; luego en el razonamiento, y solo en tercer lugar en la autoridad de Hipócrates, de Galeno, de Aristóteles y de otros excelentes filósofos», escribió en uno de sus libros, Methodi vitandorum errorum omnium qui in arte medica contingunt (1603). Siguiendo esta metodología demostró que no es cierto, como se creía entonces, que el cuerpo humano está más frío por la noche que por el día.
Aproximadamente al mismo tiempo que Traube introducía el termómetro en la medicina, otro médico alemán, con el que ya nos encontramos en el capítulo 10 a propósito del principio de la conservación de la energía y del vitalismo, Hermann von Helmholtz, inventaba, mientras enseñaba en la Facultad de Medicina de Königsberg, un instrumento que resultó vital para una de las ramas de la medicina, la oftalmología. Preparando una de sus clases, Helmholtz se dio cuenta de que las sencillas leyes de la óptica geométrica le permitían construir un instrumento de gran importancia potencial para la comunidad médica: el oftalmoscopio. Lo que en realidad Helmholtz quería describir era el fenómeno, observado en 1846 por William Cumming, un médico inglés, y en 1847 por Ernst Brücke, mediante el cual el ojo humano brilla en una habitación oscura cuando se dirige luz hacia él y un observador permanece próximo a la fuente luminosa. Ni Cumming ni Brücke habían podido ver la estructura interna del ojo; siempre que se acercaban a él lo suficiente para escudriñar dentro de él, el destello procedente de la fuente luminosa se difundía sobre toda la pupila. Mientras preparaba su clase, Helmholtz se preguntó cómo producían una imagen los rayos de luz reflejados; se vio conducido de esta manera a estudiar las trayectorias de los rayos, descubriendo que estos seguían caminos idénticos tanto al entrar como al salir del ojo, lo que le permitió explicar la incapacidad de Brücke de ver la estructura interna. Para observarla habría tenido que situarse directamente en la trayectoria de los rayos, bloqueando así la fuente luminosa.
Una vez interesado en el problema, Helmholtz tardó únicamente ocho días en resolverlo y en inventar un instrumento que le permitía ver la retina de un ojo vivo.
En diciembre de 1850, Helmholtz escribió a su padre expresando su sorpresa porque nadie antes que él hubiese dado con la idea del oftalmoscopio, que, añadía, solamente necesitaba de sencillas leyes de óptica geométrica. Sin embargo, subestimaba el conocimiento matemático que se necesitaba para comprender la óptica geométrica en la que se basaba el oftalmoscopio, así como el valor de su formación pluridisciplinar, algo que queda patente en lo que escribió en su autobiografía:
Conocía bien, de mis estudios médicos, las dificultades que tenían los oftalmólogos con los problemas entonces agrupados bajo el nombre de amaurosis, e inmediatamente me puse a construir el instrumento utilizando lentes de gafas y láminas de vidrio de las empleadas como portamuestras en los trabajos con microscopio. Al principio era difícil de usar, y si no hubiese tenido la firme convicción teórica de que tenía que funcionar, no habría perseverado. Al cabo de una semana, sin embargo, tuve el gran placer de ser el primer hombre en contemplar claramente una retina humana en un ser vivo.
La construcción del oftalmoscopio tuvo un efecto decisivo en mi posición a los ojos del mundo. Desde aquel momento conté con el reconocimiento inmediato de las autoridades y de mis colegas, así como con un fuerte deseo por satisfacer mis deseos. Fui de esta manera capaz de seguir mucho más libremente los impulsos de mis ansias de conocimiento. Debo decir, no obstante, que yo atribuyo mi éxito en gran medida al hecho de que, poseyendo algún entendimiento geométrico y equipado con un conocimiento de física, tuve la buena fortuna de ser lanzado a la medicina, en donde encontré en la fisiología un territorio virgen de gran fertilidad. Además, mi conocimiento de los procesos vitales me llevó a preguntas y puntos de vista que habitualmente son extraños a los matemáticos puros y a los físicos. Hasta entonces solamente había podido comparar mi habilidad matemática con la de mis compañeros de estudios y colegas médicos; el que en general yo fuese superior a ellos en este aspecto quizá no quería decir mucho. Además, las matemáticas fueron consideradas siempre en la escuela como un tema de importancia secundaria.
Volviendo a la cuantificación de los procesos orgánicos vitales, hay que recordar al médico italiano Scipione Riva-Rozzi (1863-1937), quien en 1896 inventó un sencillo instrumento (tensiómetro) y procedimiento para estudiar el funcionamiento del corazón: midió la presión de la sangre utilizando una banda de goma rellena de aire, que rodeaba, apretándolo, un brazo. De esta manera bloqueaba al principio la circulación de la sangre por la arteria braquial, liberándola lentamente a continuación.
Aunque se dispuso del tensiómetro antes de que terminase el siglo XIX, la medida de la tensión arterial no comenzó a convertirse en un procedimiento habitual para los médicos hasta aproximadamente tres lustros después. No fue hasta 1912, por ejemplo, cuando los médicos del Hospital General Massachusetts de Boston comenzaron a registrar la tensión arterial de los pacientes que admitían. Fue a partir de entonces cuando empezaron a advertirse riesgos para la salud como la hipertensión (tensión alta).
La medida de la tensión arterial aporta datos relevantes acerca del funcionamiento del corazón, pero tiene sus límites, que sobrepasó un nuevo instrumento, introducido por un fisiólogo holandés, Willen Einthoven (1860-1927), quien construyó en 1901 (publicó los detalles en 1903) un sofisticado aparato para representar la traza de la corriente eléctrica que cruza el corazón en cada latido (electrocardiógrafo). Básicamente, lo que hizo fue unir un galvanómetro (para medir la corriente eléctrica) a un aparato que proyectaba una traza de sus medidas en una placa fotográfica, creando así una imagen de la onda eléctrica producida en el corazón. Fue una buena idea, destinada a afincarse sólidamente en la práctica médica, aunque los primeros modelos de electrocardiógrafos (por ejemplo, el que construyó en 1912 el cardiólogo galés Thomas Lewis) exigían que el paciente colocase sus manos y sus pies en cuatro cubos llenos de agua.
§. Las enfermedades orgánicas
Procedimientos como los que hemos descrito en la sección anterior hicieron más científica a la medicina, en la medida en que permitieron cuantificar fenómenos orgánicos, pero, por decirlo de alguna manera, tales procedimientos únicamente representaban parches que era necesario integrar en una base científica y metodológica más amplia, una base que, de hecho, se fue desarrollando a lo largo del siglo XIX, primero de la mano del desarrollo de la fisiología y luego de lo que vino en denominarse «medicina científica o experimental».
A comienzos del siglo XIX, la fisiología no existía como disciplina independiente; se encontraba firmemente unida a la anatomía, lo que implicaba que las funciones vitales no eran explicadas, si acaso localizadas. En 1816, François Magendie (1783-1855), uno de los médicos que más hizo para cambiar la situación en que se encontraba la fisiología (fue uno de los primeros defensores radicales de la investigación empírica y experimental para comprender el funcionamiento orgánico: un «trapero de datos», se definía a sí mismo), señalaba en su Précis élémentaire de physiologie (Compendio elemental de fisiología) el retraso en que se encontraba su disciplina:
Las ciencias naturales han tenido, igualmente que la historia, sus tiempos. La astronomía ha empezado por la astrología; la química hace poco no era más que un conjunto pomposo de sistemas absurdos, y la fisiología un largo y fastidioso romance; la medicina, un cúmulo de preocupaciones hijas de la ignorancia y el temor de la muerte, etcétera […] Tal fue el estado de las ciencias naturales hasta el siglo XVII. Entonces apareció Galileo, y los sabios pudieron aprender que para conocer la naturaleza no se trataba de forjarla ni de creer lo que habían dicho los autores antiguos, sino que era menester observarla y preguntarle además por medio de experimentos.
Esta fecunda filosofía fue la de Descartes y Newton, la propia que les inspiró constantemente en sus inmortales tareas. La misma que poseyeron todos los hombres de ingenio que en el siglo último redujeron la química y la física a la experiencia […] Ojalá pudiera decir que la fisiología, esta rama tan importante de nuestros conocimientos, ha tomado el mismo vuelo y sufrido la misma transformación que las ciencias físicas, pero, por desgracia, no es así. La fisiología, para muchos, y aun en casos todas las obras de este dominio, aparece tal cual era en el siglo de Galileo, un juego de imaginación; tiene sus diferentes creencias y sus opuestas sectas; invoca la autoridad de los autores antiguos, los cita como infalibles y pudiera llamarse un cuadro teológico caprichosamente lleno de expresiones científicas.
Por entonces, sin embargo, ya habían comenzado a fructificar algunas semillas plantadas antes. Una de esas semillas fue la teoría de la respiración de Lavoisier y Laplace, que publicaron en 1780 («Memoria sobre el calor») y según la cual la respiración es una forma de combustión en la que carbono (procedente, por ejemplo, de los alimentos) y oxígeno se oxidan (o, en otras palabras, el oxígeno quema al carbono) convirtiéndose en dióxido de carbono y agua, desprendiendo calor, el mismo calor que, argumentaban, se produce en animales de sangre caliente. La respiración, en definitiva, pasaba a ser considerada una forma lenta de oxidación, en la que el oxígeno del aire desempeña el papel principal, y no otros gases que se encuentran también en el aire, como el nitrógeno, que se exhalan, inalterados, durante la respiración.
En principio, Lavoisier y Laplace demostraron la equivalencia de ambos procesos —respiración y oxidación— a través de medidas calorimétricas al igual que recogiendo y analizando los gases que intervienen en la respiración, y también, en 1783, utilizando un conejillo de Indias; de ahí la expresión «hacer de conejillo de Indias»). En la práctica, no obstante, la cuestión dejó abiertos importantes problemas que ocuparon durante el siguiente medio siglo a algunos científicos, especialmente químicos parisinos (como Claude Louis Berthollet, Pierre Dulong o César-Mansuète Despretz), quienes recurrieron en sus experimentos a versiones mejoradas de los instrumentos utilizados por Lavoisier, instrumentos como calorímetros, cámaras neumáticas y gasómetros.
No fueron, sin embargo, solo franceses los que se interesaron por la teoría de combustión lavoisieriana. En Alemania, Johannes Müller —que ya apareció en el capítulo anterior— apreciaba la contribución de esa química a la fisiología, pero también veía problemas. Reconocía que investigaciones recientes de Dulong y Despretz habían demostrado que alrededor de la séptima parte del calor producido en la respiración se podía explicar en base a la formación del dióxido de carbono, pero no consideraba probado que el resto del calor se debiese a que la parte de oxígeno inhalado que no se convertía en dióxido de carbono se combinara con hidrógeno para formar agua. Era mucho más probable que el vapor de agua que se detectaba en el aire exhalado procediese simplemente de la evaporación producida en las superficies húmedas de los pulmones que de la oxidación del hidrógeno.
En realidad, los problemas de Müller eran de índole diversa, y es precisamente por este motivo que su caso es particularmente interesante. Por un lado, se daba cuenta del valor que tenían ciencias experimentales como la química para comprender los procesos de los que se ocupaba la fisiología, pero por otro, como fisiólogo, para él desempeñaba un papel central la constatación de que las variaciones en la producción de calor animal se debían a un conglomerado de motivos repartidos por las diferentes partes del cuerpo. Al contrario que en los objetos cuyo estudio había hecho avanzar a la química o a la física hasta los niveles en que se encontraba entonces, en los que protagonizaban la fisiología la localización precisa era muy complicada. Es por esto por lo que, a pesar de reconocer el valor que para la fisiología tenía la química, Müller todavía se movía en un profundo conflicto interno, no pudiendo evitar tomar en consideración la posible existencia de otras fuerzas no reductibles a las físico-químicas (ya apareció esta cuestión en el capítulo 15). «Todavía a comienzos de este siglo [el XIX]», recordaba en 1861 uno sus discípulos, Hermann von Helmholtz, «los fisiólogos creían que era el principio vital el que producía los procesos de la vida, y que se rebajaba la dignidad y naturaleza de esta si alguien expresaba la creencia de que la sangre era conducida a través de las arterias por la acción mecánica del corazón, o que la respiración tenía lugar siguiendo las leyes habituales de la difusión de los gases. Por el contrario, la generación actual trabaja duramente para encontrar las causas reales de los procesos que tienen lugar en un cuerpo vivo. No suponen que exista ninguna diferencia entre las acciones químicas y las mecánicas en el cuerpo vivo y fuera de él».
Gracias a la química resultante de la revolución que había encabezado Lavoisier, se pudo acometer el análisis de la composición tanto de sustancias inorgánicas como de origen biológico, comprobándose que las primeras contenían elementos que aparecían también en las segundas, por lo que llegó a aceptarse de modo casi general que no existía diferencia entre ambas desde el punto de vista químico. Un hito en este sentido fue la obtención de la urea, en 1828, a partir del cianato amónico, una sustancia inorgánica, por Friedrich Wöhler (ya tratamos de este tema en el capítulo 13). En conjunto, por el complejo universo de la fisiología de la primera mitad del siglo XIX circularon todo tipo de ideas, técnicas y problemas. Junto a las teorías encaminadas a explicar los fenómenos químicos de la respiración, es posible —y obligado— mencionar las investigaciones sobre fenómenos como la putrefacción y la fermentación, que para unos (como Justus von Liebig) eran simplemente descomposiciones químicas que ocurrían espontáneamente o con ayuda del oxígeno atmosférico, mientras que para otros (Helmholtz) estaban ligadas a la presencia de microorganismos que se producen solamente por reproducción (hasta los resultados de Louis Pasteur, la teoría de la descomposición de Liebig mantendría su influencia).
Aquellos que combatían los principios vitalistas, buscaban dar a la medicina una base científica, demostrando, entre otras cosas, que las enfermedades no eran nada más que desviaciones de los procesos fisiológicos normales. Convencidos de que tales procesos obedecían a leyes deterministas de la naturaleza, argumentaban que la medicina, la verdadera medicina, esto es, la medicina científica, debería encaminarse a determinar cómo se comportaban los cuerpos, sujetos a tales leyes, bajo condiciones alteradas. Así, en sus declaraciones programáticas, estos científicos hacían hincapié en la utilización de experimentos fisiológicos, anatomía patológica, microscopia, química, física. En 1847, por ejemplo, los entonces jóvenes fisiólogos alemanes —Hermann Helmholtz, Émil du Bois-Reymond, Karl Ludwig y Ernst Brücke— publicaron un manifiesto en el que defendían como objeto de la fisiología explicar los fenómenos vitales en función de leyes físico-químicas.
Para llevar a cabo semejante programa necesitaban, por supuesto, instrumentos refinados. Es ilustrativo en este sentido el caso de uno de los cuatro fisiólogos que acabamos de citar, Émil du Bois-Reymond (1818-1896), quien se distinguió por sus trabajos en electrofisiología, una disciplina cuyos orígenes se pueden asociar con la publicación de las, ya citadas en el capítulo 11, investigaciones de Luigi Galvani, en 1791, con ranas decapitadas y el subsiguiente debate que mantuvo con Alessandro Volta sobre la naturaleza de la «electricidad animal». A lo largo de su carrera, du Bois-Reymond concentró sus investigaciones en el desarrollo de dos tipos de instrumentos: electrodos para la conducción de corrientes bioeléctricas débiles sin distorsión, y aparatos para detectar y amplificar estas corrientes. Esta línea de investigación, en la que medicina, fisiología, química y física se fecundaban y enriquecían mutuamente, terminó conduciendo a la enunciación de uno de los instrumentos más fecundos para la ciencia de los siglos XIX y XX, el principio de conservación de la energía, formulado en su forma más general, como ya vimos, por Helmholtz en 1847.
Del espíritu científico que transformó la medicina decimonónica participaban también otras disciplinas médicas. Como la anatomía patológica, el objetivo preferente de médicos como Bichat, quien en su ya citada Anatomie générale, apliquée à la physiologie et à la médicine de 1801 escribió: «La fisiología general es la ciencia biológica fundamental hacia la que convergen todas las demás. Su objeto es determinar la condición elemental de los fenómenos vitales. La patología y la terapéutica se sostienen sobre esta base común. Es gracias a la actividad normal de los elementos orgánicos como se manifiesta la vida en estado de salud, es la manifestación anómala de los mismos elementos como se manifiesta la enfermedad».
La tesis que Bichat defendía para la fisiología, la extendió al conjunto de la medicina más de sesenta años después Claude Bernard, uno de los fisiólogos más notables del siglo XIX, que sucedió a Magendie en 1855 en el Collège de France (especialmente dotado para la vivisección, se apoyó en ella en muchos de sus numerosos y variados descubrimientos, entre los que se cuentan la detección de la presencia en el proceso digestivo de una enzima del jugo gástrico, el descubrimiento del control nervioso de la secreción gástrica y su localización, o el papel de la bilis y del jugo pancreático en la digestión de las grasas). El lugar en el que defendió programáticamente su visión de la medicina es en su Introduction à l’étude de la médicine expérimentale (1865). De esta obra dijo el filósofo Henri Bergson (1859-1941): «Es para nosotros algo así como lo que fue para los siglos XVII y XVIII el Discurso del método», mientras que Pasteur lo calificó de «monumento en honor del método que ha constituido las ciencias físicas y químicas desde Galileo y Newton, y que Claude Bernard se esfuerza por introducir en la fisiología y en la patología. No se ha escrito nada más luminoso, más completo, más profundo sobre los verdaderos principios del difícil arte de la experimentación […] La influencia que ejercerá sobre las ciencias médicas, sobre su enseñanza, su progreso, incluso sobre su lenguaje, será inmensa».
«Para abrazar el problema médico por completo», se lee en el libro de Bernard, «la medicina experimental debe abrazar tres partes fundamentales: la Fisiología, la Patología y la Terapéutica. El conocimiento de las causas de los fenómenos de la vida en el estado normal, la Fisiología, nos enseñará a sostener las condiciones normales de la vida; es decir, a conservar la salud. El conocimiento de las enfermedades y de las causas que las determinan, la Patología, nos conducirá por una parte a precaver el desarrollo de estas condiciones morbosas, y por otra a combatir los efectos por medio de los agentes medicamentosos; es decir, a curar las enfermedades». Durante mucho tiempo, «el período empírico de la medicina», lo denominaba, «que sin duda durará aún largo tiempo», añadía, fisiología, patología y terapéutica habían podido marchar por separado, pero, continuaba, «en la concepción de la medicina científica esto no puede tener lugar: su base debe ser la fisiología. No estableciéndose la ciencia sino por vía de comparación, no podía obtenerse el conocimiento del estado patológico o anormal sin el conocimiento del estado normal, así como la acción terapéutica sobre el organismo de los agentes anormales o medicamentosos no podría comprenderse sin el estudio previo de la acción fisiológica de los agentes normales que mantienen los fenómenos de la vida».
¿Y qué entendía él por la «medicina científica» que mencionaba?:
La medicina científica debe constituirse, como las demás ciencias, por la vía experimental; es decir, por la aplicación inmediata y rigurosa del razonamiento a los hechos que la observación y la experimentación nos suministran. El método experimental, considerado en sí mismo, no es más que un razonamiento por medio del que sometemos metódicamente nuestras ideas a la experiencia de los hechos.
El razonamiento siempre es el mismo, así en las ciencias que estudian los seres vivientes como en las que se ocupan de los cuerpos brutos. Pero en cada género de ciencia varían los fenómenos y presentan una complejidad y dificultades de investigación que les son propias. Esta es la razón del por qué los principios de la experimentación […] son incomparablemente más difíciles de aplicar a la Medicina y a los fenómenos de los cuerpos vivientes, que a la Física y a los fenómenos de los cuerpos brutos.
«El razonamiento», decía, «siempre es el mismo, así en las ciencias que estudian los seres vivientes como en las que se ocupan de los cuerpos brutos», una afirmación que desarrollaba más adelante, en el capítulo primero de la segunda parte («De la experimentación en los seres vivos»), en donde declaraba:
La espontaneidad de que gozan los seres dotados de vida ha sido una de las objeciones que se han opuesto contra la ley de la experimentación en los estudios biológicos. En efecto, cada ser viviente se nos aparece como provisto de una especie de fuerza interior que preside a las manifestaciones vitales más y más independientes de las influencias cósmicas generales, a medida que se eleva el animal en la escala de la organización. En los animales superiores y en el hombre, por ejemplo, esta fuerza vital parece tener por resultado sustraer al cuerpo viviente de las influencias físico-químicas generales, y hacerle de esta manera más difícilmente asequible a la experimentación.
Los cuerpos brutos nada semejante ofrecen, y cualquiera que sea su naturaleza, están desprovistos de espontaneidad. Estando desde luego la manifestación de sus propiedades encadenada de una manera absoluta a las condiciones físico-químicas que los rodean y les sirven de medio, resulta que el experimentador puede fácilmente alcanzarlas y modificarlas a su gusto.
Por otra parte, todos los fenómenos de un cuerpo vivo están en una armonía recíproca tal que parece imposible separar una parte del organismo sin producir inmediatamente un desorden en todo el conjunto, En los animales superiores en particular, la sensibilidad más exquisita produce reacciones y perturbaciones todavía más considerables.
Muchos médicos y fisiólogos especulativos, así como anatómicos y naturalistas, han explotado estos diversos argumentos para levantarse contra la experimentación en los seres vivientes. Han admitido que la fuerza vital estaba en oposición con las fuerzas físico-químicas: que dominaba todos los fenómenos de la vida, los sujetaba a leyes en un todo especiales y hacía del organismo un todo organizado, al que el experimentador no podía tocar sin destruir el carácter de la vida. Han llegado hasta decir que los cuerpos brutos y los cuerpos vivientes diferían radicalmente en este punto de vista, de tal manera que la experimentación era aplicable a los unos y no lo era a los otros.
Pero, continuaba Bernard, «si fueran fundadas» estas objeciones, sería como reconocer que «o bien no hay determinismo posible en los fenómenos de la vida, lo que sería sencillamente negar la ciencia biológica, o bien admitir que la fuerza vital debía estudiarse por procedimientos particulares, y que la ciencia de la vida debía descansar sobre otros principios que la ciencia de los cuerpos inertes. Estas ideas, que corrieron libremente en otras épocas, se desvanecen, sin duda, más cada día; pero sin embargo, importa extirpar de raíz los últimos gérmenes, porque lo que queda todavía en ciertos ánimos de estas ideas llamadas vitalistas constituye un verdadero obstáculo a los progresos de la medicina experimental». Por todo esto, se proponía «establecer que la ciencia de los fenómenos de la vida no puede tener otras bases que la ciencia de los fenómenos de los cuerpos brutos, y que no hay bajo este concepto ninguna diferencia entre los principios de las ciencias biológicas y los de las ciencias fisicoquímicas».
La medicina experimental se extendió por todas las ramas médicas. La observación de los tejidos mediante el microscopio, tema que tratamos en el capítulo anterior, dio origen a la anatomía y fisiología patológicas. Virchow, el gran defensor de la teoría celular y un observador sistemático de las células patógenas, recomendaba a sus alumnos: «aprended a leer microscópicamente». De hecho, fue él quien ocupó la primera cátedra conocida de Anatomía patológica, creada para él en Würzburgo para acogerle tras su expulsión de Berlín por su papel en la revolución de 1848. Su hipótesis de trabajo era que la aparición de células anormales era el síntoma de la enfermedad; en otras palabras, entendió la enfermedad como una patología celular: «No hay “enfermedades generales”», decía, «todo proceso mórbido está anatómicamente localizado». Así, la multiplicación desordenada de los leucocitos le permitió identificar la leucemia, y la presencia de coágulos de sangre en la arteria pulmonar le llevó a explicar la embolia, accidente al que dio nombre (no en vano, su gran libro de 1858, recordemos, llevaba el título de Cellularpathologie patología celular). Y entre 1863-1864 realizó estudios sobre el cáncer, extrayendo los tejidos dañados para mejorar el diagnóstico y la eliminación de tumores.
El extraordinario desarrollo que se produjo durante el siglo XIX en la química ayudó también. Como vimos en el capítulo 13, las investigaciones de Liebig y de sus discípulos mostraron la gran riqueza de aplicaciones prácticas que la química orgánica atesoraba (especialmente en las industrias de los medicamentos y colorantes, así como en la agricultura) y ayudaron a entender mejor los procesos químicos que tienen lugar en la digestión, situando la cuestión de la alimentación apropiada en una base firme. Disponiendo de esa nueva química, fue posible determinar la composición molecular de las células, identificándose la presencia de tres compuestos orgánicos: proteínas, carbohidratos y lípidos. De esta manera fue naciendo una nueva especialidad, la bioquímica (un nombre utilizado sobre todo a partir del siglo XX), la especialidad que estudia la composición y procesos que tienen lugar en las células.
En 1838, el químico holandés Gerardus Johannes Mulder (1802-1880) inventaba el término «proteína» (del griego «primero») para designar las sustancias albuminosas que pensaba eran las moléculas primordiales de la vida y a las que consideraba compuestas por un radical que contenía nitrógeno y por pequeñas cantidades de azufre y fósforo. Y en 1902, los químicos alemanes Emil Fischer (1852-1919), catedrático en Berlín, y Franz Hofmeister (1850-1922), catedrático en Estrasburgo, propusieron de manera independiente que las proteínas están formadas por cadenas de aminoácidos (en 1926 se identificó la primera: la insulina). Wilhelm Kühne (1837-1900), profesor en Heidelberg desde 1871, utilizó la voz enzima para denominar a una proteína particularmente importante, dada su capacidad para actuar como catalizadores en las reacciones bioquímicas, de forma que una reacción que tardaría más de tres mil años se produce en un segundo.
Al hilo de estos desarrollos, fue haciéndose posible comprender el metabolismo; esto es, el conjunto de las reacciones químicas que se producen en los organismos vivos, para responder a los estímulos exteriores, el desarrollo, la reproducción y el mantenimiento de la homeostasis (un término este que, como ya mencionamos al comienzo del presente capítulo, introdujo el fisiólogo estadounidense Walter Cannon en 1926), el equilibrio fisiopatológico de las magnitudes vitales.
Simplemente con avances como los anteriores cambió de forma radical la naturaleza de la medicina. La detección de la enfermedad y la descripción de sus síntomas no requieren, no al menos un gran número de ellas, un conocimiento científico, y durante milenios el conocimiento de la enfermedad se limitó, hay que insistir en este punto, a los signos externos, sin progresar en el conocimiento de su naturaleza. La doctrina galénica de los humores le permitió construir una teoría de la enfermedad que se vino abajo con aquellos. Gracias a los desarrollos biomédicos que se produjeron a partir del siglo XIX, surgió una nueva forma de entender y sistematizar —y, en consecuencia, de combatir (terapéutica)— las enfermedades, basada en el conocimiento anatómico-fisiológico de los órganos, las células y los compuestos orgánicos, así como el de la patología propia de cada uno. La alteración del metabolismo puede afectar al funcionamiento de los órganos. En última instancia todas las enfermedades son orgánicas, aunque usaremos este término para aquellas producidas por la disfunción de uno u otro órgano debido a causas internas. Dentro de ellas cabe distinguir entre las que alcanzan a diferentes órganos, como el cáncer, y las que se limitan a uno, como la pulmonía o la diabetes. La reproducción celular es un proceso continuo que permite la reposición cotidiana de varios millones de células muertas o dañadas. Cuando las células sobreviven más allá de la duración media de su vida, se reproducen y experimentan un crecimiento desordenado que da lugar a tumores y se extiende a otras partes del cuerpo (metástasis) por medio de los vasos linfáticos. La enfermedad es la misma en cualquier lugar en que se produzca: piel, pulmón, huesos. Las enfermedades cardiovasculares afectan al corazón y a los vasos sanguíneos, en especial el endurecimiento de las arterias y sus efectos sobre la circulación de la sangre. Y así en una lista que podría ser, o al menos parecer, interminable.
§. Una nueva farmacología
También la farmacología se vio afectada. En De materia medica, Dioscórides (siglo I) confiaba en la homeopatía y describía el uso médico de medio millar de plantas, que se limitaban al tratamiento sintomático. Las primeras medicinas surgieron para combatir las epidemias: el mercurio para la sífilis, la quinina para la malaria, en tanto se abandonaba la terapéutica galénica basada en las purgas y sangrías, aplicadas de modo reiterado. La ya citada síntesis de la urea (1828) fue el primer paso en el desarrollo de los medicamentos de síntesis. La primera cátedra de Farmacología se creó en Dorpat (Tartu, en la actualidad), en Estonia, y su titular, Rudolph Buchheim (1828-1879), fundó en 1847 el primer Instituto de Farmacología experimental de Europa (Dorpat, por cierto, tenía en aquella época estrechos lazos con Alemania; de hecho, reclutó a Buchheim, entonces un joven doctor de Leipzig, que había traducido al alemán un texto inglés clásico de la farmacología, The Elements of Materia Medica and Therapeutics; 1839-1840). Le sucedió uno de sus discípulos, Oswald Schmiedeberg (1838-1921), que desempeñó la misma cátedra en Estrasburgo a partir de 1872, durante la época en que Alsacia fue parte del Imperio alemán. Se le considera la figura más destacada en la formación de esta disciplina, a través de sus numerosos discípulos procedentes de todas partes del mundo; asimismo, contribuyó con un Lehrbuch der Arneimittelehre (Compendio de farmacología; 1856), en el que ordenaba los medicamentos por analogías químicas y farmacodinámicas.
Este desarrollo institucional estuvo apoyado por la ya mencionada quimioterapia sintética; esto es, la producción en el laboratorio de compuestos químicos que no existen de forma espontánea en la naturaleza. En 1832, Liebig obtuvo el cloral, aunque este no fue utilizado hasta que en 1869. Oscar Liebreich (1839-1908) demostró en una monografía, Das Chloralhydrat (Hidrato de cloral), que al unirse con una molécula de agua, tiene efectos como hipnótico y antiespasmódico. Pero el gran medicamento producido en el siglo XIX fue la aspirina, el más difundido de los antipiréticos.
Emparentada con el ácido salicílico (que puede obtenerse de la corteza del sauce blanco, Salix alba), que ya citaba Dioscórides como analgésico y que Hermann Kolbe sintetizó en 1859, la aspirina está compuesta por el ácido acetilsalicílico, que sintetizó el químico francés Charles Frédéric Gerhardt en 1833. Aun así, el nuevo compuesto pasó desapercibido hasta que los laboratorios Bayer, en Elberfield, probaron sus efectos en animales, procediendo a continuación a realizar ensayos clínicos. El resultado fue un producto, la aspirina, que se comercializó a partir de 1899, año en que se hicieron públicas sus propiedades (como mitigar dolores o combatir inflamaciones en el reumatismo) en un libro de Heinrich Dreser (1860-1924) titulado Pharmakologisches über Aspirin (Acetylsalicylsäure) (fue Dreser quien acuñó el nombre «aspirina»).
Otro producto temprano, y célebre, de la quimioterapia fue uno obtenido en 1910 por Paul Ehrlich (1845-1915), el salvarsán (arsénico que salva), con el que se combatía eficazmente la sífilis. Es importante señalar que Ehrlich fue influido por las enseñanzas de Robert Koch, en cuyo instituto trabajó durante algún tiempo, planteándose el objetivo de encontrar fármacos que destruyesen los gérmenes causales de enfermedades sin perjudicar la salud del enfermo. Una vez que se descubrió (1905) el agente causante de la sífilis venérea, el treponema pallidum, se dedicó a intentar conseguir lo que metafóricamente denominó magische Kügeln (balas mágicas). Así fue como obtuvo el salvarsán, que mejoró en 1912 con el neosalvarsán.
En realidad, esta aportación de Ehrlich hay que enmarcarla en el contexto del estudio de los anticuerpos (un término que introdujo el propio Ehrlich en 1891), las proteínas del sistema inmune que se producen para destruir moléculas invasoras que penetran en el organismo. El estudio de los anticuerpos comenzó en 1890 con los trabajos del bacteriólogo alemán Emil Adolf von Behring (1854-1917) y de su colega japonés Shibasaburo Kitasato (1853-1931), que descubrieron en el suero de un caballo los anticuerpos que protegen de la difteria y la toxina tetánica (aplicaron este método —sueroterapia— por primera vez en 1891 a un niño enfermo de difteria, una enfermedad que producía 50 000 muertes al año en Alemania). De esta manera, quedó clara la existencia de un nuevo sistema, el sistema inmunológico, en el cuerpo humano.
Aunque fuesen el mismo tipo de remedios farmacéuticos que los anteriores, hay que mencionar también el empleo de productos químicos para mejorar la salud de las personas. Un ejemplo en este sentido lo ofrece el trabajo del médico y patólogo holandés Christiaan Eijkman (1858-1930). Tras producir experimentalmente una deficiencia alimentaria en animales (pollos y palomas), Eijkman propuso el concepto de «factores alimenticios esenciales» (básicamente lo que más tarde se denominaría vitaminas). En 1896, demostró que la sustancia (ahora conocida como vitamina B1) que protegía contra el beriberi se encontraba en la cáscara de los granos de arroz, precisamente la parte que se eliminaba cuando se «pulía» este producto (en 1885, un médico de la armada japonesa, Kanehiro Takaki [1849-1920], había comprobado que la frecuencia del beriberi dependía de la presencia de arroz descascarillado en la dieta). Utilizando prisioneros de guerra en Java, realizó ensayos clínicos que confirmaron sus ideas, abriendo de esta manera el camino hacia la ciencia de las vitaminas, que se recorrió ya en el siglo XX (en 1928, por ejemplo, el húngaro Albert Szent-György aisló la vitamina C, y la B6 en 1934).
§. Enfermedades infecciosas y teoría microbiana de la enfermedad
Las pandemias eran enfermedades infecciosas que se extendían a gran distancia y producían una gran mortalidad, debida en parte a la aparición de nuevos brotes. Las cifras de muertos son estimaciones más o menos fiables según la época de la historia en que se produjeron. La peste bubónica, por ejemplo, fue la causa de la mayoría de ellas. La plaga de Justiniano, la Muerte negra en el siglo XIV, las de Milán y Londres en el siglo XVII, la de Marsella en el XVIII, la de China de 1855 y la gripe española de 1918 causaron gran mortalidad. No se conocía las causas que las producían ni había medios para combatirlas. Evitar las zonas pantanosas en las que pululaba una vida incomprensible (miasmata) fue el consejo que daba el polígrafo y militar romano Marco Terencio Varrón (116-27 a. C.). Además de las pandemias, había enfermedades endémicas que se revelaron infecciosas. La tuberculosis puede ser tan antigua como el hombre, el cólera llegó a Europa de la India en el siglo IV a. C., la viruela acompañó a Hernán Cortés cuando llegó a México, y parece que el tifus se manifestó con claridad por primera vez en 1546 en América. La explosión de la sífilis, tras el descubrimiento de América, no tenía explicación, al ser invisible el agente que la producía. A falta de esta, explicaron la circunstancia en lugar de la causa y atribuyeron la enfermedad al contagio asociado al acto sexual. Girolamo Fracastoro (1483-1553), que dio nombre a la enfermedad, distinguió en De contagione et contagionis morbis (Sobre el contagio y las enfermedades contagiosas; 1546) tres posibilidades, entre ellas, el contagio provocado por las cosas inanimadas (fómites). Los únicos éxitos en el tratamiento no dieron lugar a una aplicación inmediata. En 1718, la mujer del embajador británico en Estambul, lady Mary Wortley Montagu (1689-1762), sometió a sus hijos a la variolización practicada por los médicos turcos. A final de siglo, Edward Jenner (1749-1823) descubrió que las mujeres que ordeñaban las vacas no contraían la viruela porque sufrían una enfermedad más benévola. Las circunstancias del caso explican no solo el limitado desinterés por el tema, sino también la carencia de recursos médicos de que se disponía para combatir estos males.
La idea del contagio permaneció olvidada durante siglos, y cuando Jakob Henle (1809-1885) la recuperó en 1840 en su Von den Miasmen und von den miasmatischcontagiösen Krankheiten (Sobre los miasmas y las enfermedades miasmático-contagiosas) excluyó a los parásitos y a los miasmas, atribuyendo el origen de las enfermedades infecciosas a unos gérmenes de los que nada se sabía, que había que identificar, aislar y cultivar para, una vez inoculados, descubrir si producían la enfermedad. «El material del contagio», escribió en su libro, «no es solo orgánico sino vivo, dotado de vida individual e introducido en el cuerpo enfermo como un organismo parásito», palabras en las que se encerraba el programa de lo que sería la microbiología. Recordemos, asimismo, las ya mencionadas en el capítulo precedente aportaciones de Ferdinand Cohn en su texto de 1872 (Untersuchungen über Bacterien), que con su clasificación en cocos, bacilos, vibriones, espirilos y espiroquetas introducía las bases de una taxonomía y morfología bacteriológicas.

La peste bubónica se produce por el contagio de una bacteria que se comunica a través de la picadura de una pulga o de otros insectos, la mordedura de una rata o el consumo de alimentos contaminados. Sin un microscopio capaz de observar el causante, la prevención consistía en aislar a los apestados y destruir los vectores y los restos de los muertos que mostraban los síntomas (bubones). En el siglo XIV, la «muerte negra» mató en torno a 25 millones de personas. En 1647 surgió un brote en el puerto de Valencia que dos años después alcanzó su mayor virulencia en Sevilla. Un testigo anónimo recordó en un cuadro la escena que transcurre en la Plaza ante el Hospital de la Sangre sevillano, también conocido como «de las Cinco Llagas». Los muertos envueltos en sudarios se reparten al azar, en tanto los parientes y curiosos se encuentran en la plaza, las mujeres cubiertas con grandes capas, y grupos de sacerdotes y acólitos acceden a este espacio. El historiador sevillano Diego Ortiz de Zúñiga (1636-1680) estimó en más de 26 000 los pacientes acogidos en el Hospital, de los que murieron un 85 por 100, en tanto el total de estos, unos 60 000, era la mitad de la población.
No tan específico, pero no menos sugerente, fue la intuición de Ignaz Semmelweis (1818-1865), quien, al observar que la primera clínica del Hospital General de Viena, atendida por médicos, tenía más casos que la segunda, a cargo de comadronas, descubrió en 1848 una de las causas de la infección de las heridas en la suciedad de las manos de los médicos, que pasaban directamente de la disección al examen de las parturientas, lo que le llevó a proponer medidas antisépticas (el lavado de manos), explicando de esta manera la fiebre puerperal. No pudo aportar pruebas de la existencia de bacterias que causasen la infección, ni consiguió la atención de sus colegas; Virchow personificó el desprecio de estos al manifestar: «La enfermedad no es una aberración injertada en un organismo, es una simple perturbación de la salud».
El descubrimiento de la acción de las bacterias requería de nuevos enfoques y métodos (como el cultivo en laboratorio; había que conservar esas bacterias en un medio favorable —habitualmente un líquido— al crecimiento y la reproducción; y los primeros cultivos procedían de los tejidos y estaban compuestos por diferentes bacterias, dos opciones poco propicias para el desarrollo de la observación). Y en este punto hay que referirse a Louis Pasteur (1822-1895).
Natural de Dole, en el Franco Condado, e hijo de un curtidor, Pasteur estudió en la sección científica de la École Normale Supérieure, completando sus estudios en 1845. Influido, como mencionamos en el capítulo 13, por el químico orgánico y cristalógrafo Auguste Laurent, dos años más tarde logró el grado de doctor por la Universidad de París, con una tesis dividida en dos partes, una de química y otra de física, la primera titulada Recherches sur la capacité de saturation de l’acide arsénieux. Étude des arsénites de potasse, de soude et d’ammoniaque (Investigaciones sobre la capacidad de saturación del ácido de arsénico. Estudio de los arsenuros de potasio, la soda y el amoniaco), y la segunda, 1. Étude des phénomènes relatifs à la polarisation rotatoire des liquides. 2. Application de la polarisation rotatoire des liquides à la solution de diverses questions de chimie (1. Estudio de fenómenos relativos a la polarización rotatoria de los líquidos. 2. Aplicación de la polarización rotatoria a la solución de diversas cuestiones de química). Lejos de ser un trabajo correcto pero más o menos intrascendente, los contenidos de su tesis, sobre todo los de la segunda parte, pertenecientes al campo de la cristalografía y la simetría molecular, resultaron tan importantes que dieron origen a una nueva rama de la ciencia: la estereoquímica (que ya apareció en el capítulo 13), que estudia las formas tridimensionales alternativas de las moléculas. Con anterioridad a la tesis de Pasteur, se sabía de la existencia de dos formas de ácido tartárico, una que hacía girar el plano de la luz polarizada hacia la derecha, y otra que no lo hacía girar en absoluto. Pasteur fue capaz de aislar un ácido tartárico, desconocido entonces, que hacía girar la luz polarizada hacia la izquierda y no hacia la derecha, y demostrar que el ácido tartárico que no hacía girar el plano de polarización de la luz estaba compuesto de dos cristales diferentes, uno el que producía giros hacia la derecha, y otro hacia la izquierda; al coexistir cristales que giraban en sentidos opuestos, el resultado era que se neutralizaban entre sí.
Comenzó así un período de la vida (1847-1857) dominado por este tipo de investigaciones, un período en el que se fue estableciendo profesionalmente. En septiembre de 1848 fue designado profesor de física en el Liceo de Dijon, pero permaneció poco tiempo en aquel puesto, ya que en diciembre del mismo año fue nombrado profesor suplente de química de la Facultad de Ciencias de la Universidad de Estrasburgo, ocupando el cargo de catedrático titular en 1852. En 1854 pasaba a la Universidad de Lille, la ciudad de mayor actividad industrial del norte de Francia, como decano y profesor de química de la nueva Facultad de Ciencias. En 1856, la Royal Society londinense le otorgó la prestigiosa medalla Rumford por sus estudios de cristalografía, un reconocimiento que seguramente le ayudó en acceder, el año siguiente, a París, como administrador y director de la rama de ciencias de su antigua alma mater, la École Normale Supérieure.
Tras instalarse en la capital, el centro neurálgico de la vida francesa —incluida la científica—, los intereses profesionales de Pasteur pasaron al dominio de la fermentación y generación espontánea, al que estuvo dedicado plenamente hasta 1865. Después vendrían otras etapas de su vida científica, protagonizadas por investigaciones en enfermedades del gusano de seda (1865-1870), estudios sobre la cerveza (1871-1876) y enfermedades infecciosas (1876-1895). A mencionar también que en 1862 fue elegido miembro de la elitista Academia de Ciencias (sección de mineralogía) y que en 1867 tomó posesión de la cátedra de Química orgánica de la Sorbona.
Aun sin detallar las motivaciones y resultados del conjunto de la obra pasteuriana, hay dos hechos que deben resaltarse: (a) fue un químico y físico que terminó ocupándose de problemas médicos, y (b) no eludió las investigaciones aplicadas. En realidad, ambos aspectos de su carrera están íntimamente relacionados: por un lado, estaban sus conocimientos químicos y físicos, que hacían de él un magnífico candidato a practicante de la medicina científica bernardiana; por otro, no era ajeno al mundo que le rodeaba, el mundo, por ejemplo, de la industria de la seda o de la cerveza, el mundo agrícola o el de las enfermedades (si como muestra sirve un botón, he aquí el título de uno de sus trabajos, y no menor: Études sur le vin: ses maladies, causes qui les provoquent, procédés nouveaux pour le conserver et pour le vieillir [Estudios sobre el vino: sus enfermedades, causas que las provocan, procedimientos nuevos para conservarlo y para envejecerlo]; 1866). Ambos rasgos le fueron llevando, en una secuencia que a veces uno está tentado de considerar inevitable, de un tema de investigación a otro.
Así, sus estudios sobre disimetría molecular le condujeron a ocuparse del alcohol amílico, activo también ópticamente. Ahora bien, resulta que el alcohol amílico desempeña un papel importante en la fermentación láctica (la fermentación tiene una larga historia; fue utilizada para la producción de bebidas en Babilonia en 5000 a. C.). Se abría de esta manera la puerta a las investigaciones de Pasteur sobre fermentación, un hecho este que él mismo reconoció y explicó en la sección inicial de su primer artículo en este campo («Memoria sobre la fermentación llamada láctica»; 1857), que habitualmente se considera el inicio de la bacteriología como ciencia: «Creo que es mi deber indicar con algunas palabras cómo me he visto conducido a ocuparme en investigaciones sobre las fermentaciones. Habiendo aplicado hasta el presente todos mis esfuerzos a tratar de descubrir los vínculos que existen entre las propiedades químicas, ópticas y cristalográficas de ciertos cuerpos con el fin de aclarar su constitución molecular, quizá pueda asombrar verme abordar un tema de química fisiológica, muy alejado en apariencia de mis primeros trabajos. Sin embargo, están relacionados de forma muy directa».
En sus investigaciones sobre la fermentación, Pasteur demostró que esta era resultado de la acción de organismos vivos microscópicos; que no se producía cuando se excluían o aniquilaban (sometiéndolos, por ejemplo, a la acción del calor, la forma más primitiva de un proceso que, tras ser perfeccionado, recibió en honor suyo el nombre de pasteurización). Al llegar a semejantes conclusiones, Pasteur se había adentrado, lo quisiese o no, en una cuestión tan básica como de larga historia: la de si era posible la generación espontánea; esto es, si seres vivos pueden surgir de sustancias inanimadas.
En muchas civilizaciones antiguas se creyó que la vida aparecía de manera espontánea a partir de materia inanimada. Observaciones diarias parecían confirmar tal idea: se veía aparecer gusanos de la descomposición de materiales orgánicos, y moscas de trozos de carne expuestos al sol. Sin embargo, en la segunda mitad del siglo XVII, Francesco Redi (1626-1698) observó que en un frasco abierto el pescado putrefacto generaba, al cabo de un tiempo, moscas, mientras que no ocurría lo mismo con un jarro idéntico pero cerrado. De este experimento —que detalló en Esperienze intorno alla generazione degli’ insetti (Experimentos sobre la generación de los insectos; 1668)— extrajo la consecuencia de que las moscas no surgían del pescado, sino de huevos. Sin embargo, su meticulosidad científica no fue lo suficientemente poderosa como para impedir especulaciones religiosas que utilizaron sus descubrimientos para señalar que, aunque era cierto que la vida no surgía espontáneamente, sino solo de vida preexistente, la cadena de progenitores biológicos que esta idea requería debía tener un punto de partida: en el comienzo Dios había creado todos los animales y plantas que existen.
En las décadas que siguieron al descubrimiento de Redi, la invención y utilización del microscopio sirvió para observar microorganismos de todo tipo; estas observaciones revivieron entre muchos la creencia en la generación espontánea de la vida. En el curso de sus investigaciones sobre la fermentación, Pasteur puso punto final de manera definitiva a esta cuestión. El lugar en el que con más rotundidad y claridad expresó sus puntos de vista es en un artículo publicado en 1862: «Memoria sobre los corpúsculos organizados que existen en la atmósfera. Examen de la doctrina de las generaciones espontáneas», en el que presentó los resultados a los que había llegado con experimentos no demasiado diferentes de los de Redi. En primer lugar, demostró que hay microorganismos que viven en el aire que nos rodea y que pueden contaminar incluso el cultivo más estéril. A continuación mostró que si un caldo de cultivo estéril era introducido en un recipiente sellado al vacío, en el que no podía penetrar el aire, no surgía en él ningún microorganismo. «No, no hay ninguna circunstancia hoy conocida», manifestaba orgullosamente en una conferencia que pronunció en la Sorbona en 1864 («La generación espontánea»), «en la que se pueda afirmar que seres microscópicos han venido al mundo sin gérmenes, sin padres semejantes a ellos. Los que lo pretenden han sido juguetes de ilusiones, de experiencias mal hechas, plagadas de errores que no han sabido percibir o que no han sabido evitar».
Establecido este punto, era razonable pensar en aplicar el nuevo planteamiento al origen de enfermedades. Semejante convicción fue la que llevó finalmente a Pasteur a la investigación médica, que inició con el estudio del ántrax o carbunco en 1877, cuya causa asoció también con un microorganismo, la bacteridia. En una conferencia que leyó ante la Academia de Medicina de París en 1878 (y en cuya preparación le ayudaron dos de sus colaboradores, Jules-François Joubert y Charles Chamberland), «La teoría de los gérmenes y sus aplicaciones a la medicina y la cirugía», Pasteur explicó con claridad el origen y naturaleza de sus intereses médicos, al igual que algunos de los problemas con los que se encontraba:
Todas las ciencias ganan si se prestan un apoyo mutuo. Cuando después de mis primeras comunicaciones sobre las fermentaciones en 1857-1858 puede admitirse que los fermentos propiamente dichos son seres vivos, que en la superficie de todos los objetos, en la atmósfera y las aguas abundan gérmenes de organismos microscópicos, que la hipótesis de una generación espontánea es una quimera, que el vino, la cerveza, el vinagre, la sangre, la orina y todos los líquidos del organismo no sufren ninguna de sus alteraciones comunes en contacto con el aire puro, la medicina y la cirugía han dirigido sus ojos a estas novedades tan evidentes. Un médico francés, el doctor [Casimir Joseph] Davaine, hizo la primera aplicación con éxito de estos principios a la medicina en 1863.
Nuestras investigaciones durante el último año han avanzado mucho menos en la etiología de la enfermedad pútrida o septicemia que en la del carbunco. Creíamos que la septicemia dependía de la presencia y multiplicación de un organismo microscópico, pero no ha podido demostrarse rigurosamente esta importante conclusión. Para afirmar de modo experimental que un organismo microscópico es en realidad el agente de la enfermedad y el contagio, no veo otro medio, en el estado actual de la ciencia, que el de someter al microbio (nueva y feliz expresión propuesta por Sédillot [1878]) al método de los cultivos fuera del organismo.
Y en este punto entra en escena Robert Koch (1843-1910), que, entre otras virtudes, se distinguió en el problema con el que Pasteur terminaba la anterior cita: el de desarrollar técnicas para estudiar microbios en cultivos.
Koch comenzó a estudiar ciencias naturales en la Universidad de Gotinga, donde fue discípulo de Jakob Henle, doctorándose en 1866. A continuación fue médico militar en la guerra franco-prusiana (1870), y a partir de 1872 trabajó como médico rural en Wollstein, entrando entonces en contacto con Ferdinand Cohn, que aquel mismo año publicó su ya citado Untersuchungen über Bacterien. Con 40 años de edad, sus intereses experimentaron un fuerte cambio: comenzó a ocuparse del ántrax, desarrollando nuevas técnicas para el estudio de cultivos y describiendo su etiología y patología en 1876, esto es, antes que Pasteur.
En 1879 publicaba uno de sus trabajos fundamentales, «La etiología de las enfermedades traumáticas infecciosas», en el que se encuentran los postulados de su nombre que explican cómo probar que una bacteria determinada produce una condición especifica: 1) el agente patógeno debe estar presente en cada caso de la enfermedad; 2) el agente debe ser aislado del cuerpo en un cultivo puro a partir de las lesiones de la enfermedad; 3) el agente debe producir la enfermedad en un animal susceptible de ser inoculado; y 4) el agente podrá aislarse de nuevo a partir de las lesiones de los animales usados en el experimento.
Tras estas aportaciones, fue designado por la Oficina Imperial de la Salud de Berlín para asesorar en cuestiones de salud e higiene pública. En 1882, después de haber desarrollado métodos sencillos y originales para crecer y examinar cultivos bacterianos, anunciaba en la Sociedad de Fisiología de Berlín su descubrimiento del bacilo de la tuberculosis, una enfermedad —su primera denominación fue «tisis», «consunción» después— responsable entonces de la muerte de millones de personas cada año (solo en Prusia la mortalidad ascendía en 1882 a 300 por cada 100 000 habitantes). Un año más tarde, al sumarse a una expedición francesa a Alejandría, consiguió aislar el bacilo del cólera (o vibrión colérico). En 1890, el X Congreso Internacional de Medicina se celebró en Berlín, y Koch, presionado por el gobierno, anunció el descubrimiento de la tuberculina, una sustancia que inhibía el desarrollo del bacilo, no una vacuna. Su principal virtud era la capacidad de distinguir a los afectados por la enfermedad de los sanos. La vacuna más eficiente, aun en uso, sería descubierta en 1923 por Albert Calmette y Camille Guérin. El nombramiento de Koch como profesor de Higiene en Berlín (1885) fue decisivo para la salud de la ciudad gracias a las medidas higiénicas que introdujo.
En 1883, y hasta 1907, Koch realizó diversos viajes por África, la India y Nueva Guinea para estudiar las enfermedades infecciosas que se daban allí. Origen de iniciativas como esta es que a lo largo del siglo XIX la medicina amplió las fronteras nacionales, haciéndose más internacional y global. La Cruz Roja fue fundada por la Convención de Ginebra en 1864, el primer Congreso Internacional de Medicina tuvo lugar en París en 1867, y la especialización en las enfermedades tropicales se inició en la década de 1870, favorecida, no hay que olvidarlo, por el colonialismo decimonónico. La malaria, conocida en el Mediterráneo, tenía mayor incidencia en la India y África, el cólera se extendió a partir de la India: la fiebre amarilla adquirió proporciones inquietantes con la guerra hispano-americana.
En sus trabajos, Koch empleó técnicas de observación avanzadas. Utilizó una placa como soporte de una base orgánica: finas rodajas de patata sobre las que disponía las células de la especie deseada, que al reproducirse daban lugar a cultivos, visibles a simple vista, compuestos por millones de individuos. Utilizó placas de cristal recubiertas con una emulsión y, más adelante, gelatina y agar, que aportaban nutrientes al cultivo. Naturalmente, fueron también muy importantes para él los microscopios, beneficiándose de los avances realizados en este campo por Ernst Abbe, quien, al distinguir entre ampliación y resolución, descubrió que el aumento de la primera no producía necesariamente la mejora de la segunda. Orientó entonces su trabajo en mejorar la segunda, advirtiendo que para conseguir mayor resolución había que incluir la luz refractada en la observación. Llegó a la conclusión de que con la inmersión de las lentes en aceite se conseguía que el índice de refracción fuese igual en ambos medios, y diseñó al mismo tiempo un condensador para que un cono de luz ocupase toda la apertura del objetivo, un artificio especialmente eficiente para observar las muestras tintadas. En 1879 preparó la primera descripción del nuevo microscopio después de recibir la visita de Koch a la fábrica Zeiss. De hecho, la comunidad de intereses contribuyó a la fama de ambos. Fue provisto con el nuevo instrumento cuando Koch aisló en 1882 el bacilo de la tuberculosis.
Gracias a las investigaciones de Pasteur y de Koch, y de los que vinieron tras ellos, se llegó a conocer con gran precisión científica la relación causal entre microorganismos y enfermedades infecciosas. Surgió así, como hemos visto, un modo nuevo de concebir la enfermedad: la teoría microbiana de algunas enfermedades. Estrechamente asociada a esta visión, aunque con antecedentes muy antiguos, se encuentra el desarrollo decimonónico de vacunas, una práctica que —ya lo señalamos— se usaba, de manera limitada, desde hacía tiempo y que Edward Jenner difundió en Inglaterra a partir de 1798. En 1880, tras aislar el microbio responsable del cólera de las gallinas (un mal que podía matar hasta el 90 por 100 de las gallinas de un corral), Pasteur consiguió disminuir su virulencia siguiendo la técnica de Jenner; esto es, inyectando en las gallinas microbios debilitados. Estimulado por los resultados favorables que obtenía, aplicó el principio de la debilitación de los gérmenes para preparar vacunas contra la rabia, enfermedad infecciosa mortal que afecta a los perros (que enloquecen, produciéndoles horror el agua, por lo que también se denomina hidrofobia), pero que también pueden contraer —a través de mordeduras de estos— las personas. Sus primeros estudios en este campo comenzaron en diciembre de 1880, cuando un veterinario le llevó dos perros rabiosos y le pidió su opinión. Solo había experimentado con perros cuando, en 1885, le llevaron un niño de nueve años, Joseph Meister (1876-1940), que había sido mordido por un perro rabioso. A pesar de no ser médico, Pasteur aceptó el desafío y experimentó la vacuna en el niño con éxito (merece la pena recordar que, de adulto, Meister trabajó en el Instituto Pasteur, y que se suicidó, dándose un tiro, durante la ocupación alemana de París). Había nacido la vacunación moderna; la única gran modificación que se produciría posteriormente fue la introducción de vacunas obtenidas por ingeniería genética, que se inició en 1983 y cuyo primer producto comercializado fue la vacuna contra la hepatitis B en 1986.
Los éxitos en la prevención de las enfermedades dieron lugar a una nueva especialidad, la inmunología, basada en la idea de dotar al organismo de los medios para hacer frente a la enfermedad mediante la creación de anticuerpos. El primer hallazgo se debe a un zoólogo ruso, Iliá Méchnikov (1845-1916), que en 1884 descubrió la fagocitosis, la actividad de los fagocitos, células de la sangre que se alimentaban con las bacterias. Para ello utilizó la infección del hongo Monospora bicuspidata de la pulga acuática Daphnia magna. «Su estudio», escribió al dar a conocer sus resultados, «confirma la hipótesis de que los leucocitos y esencialmente los fagocitos de los vertebrados engloban los gérmenes patógenos, sobre todo las bacterias, prestando así un importante servicio al organismo […] Si se acepta que los fagocitos combaten directamente los gérmenes patógenos, resulta comprensible que la inflamación es un mecanismo defensivo contra la infección bacteriana, interpretación admitida desde hace tiempo en la práctica médica».
§. Anestésicos y técnicas de asepsia
El desarrollo de la cirugía estaba limitado por el dolor producido por la intervención. El primer producto anestésico fue el óxido nitroso, un gas en estado natural, inhalado por Humphry Davy en 1795. Describió sus efectos señalando que producía relajación de los músculos y una propensión a la risa, de ahí que recibiese el nombre de «gas hilarante». Medio siglo después, en diciembre de 1844, el dentista estadounidense Horace Wells (1815-1848) utilizó óxido nitroso como anestésico para extraerse él mismo una de sus muelas. El 16 de octubre de 1846, John Collins Warren (1778-1856), ayudado como anestesista por el dentista William Thomas Morton (1819-1868), realizó en el Hospital General de Massachusetts de Boston la primera operación con éter, tras la cual pronunció una frase célebre: «Señores, esto no es superchería». Y el 19 de enero de 1847, por primera vez, James Young Simpson (1811-1870) utilizó, en Edimburgo, cloroformo para aliviar los dolores. Pronto estas novedades llegaron a Europa, aplicándose incluso a la reina Victoria en 1853 y 1857.
No hay que olvidar tampoco al célebre médico londinense John Snow (1813-1858), que en 1854 demostró claramente, aunque con argumentos meramente circunstanciales, que todos los casos de cólera surgidos en un distrito de Londres podían ser atribuidos a una sola fuente contaminada de agua potable (anunció sus ideas en un libro anterior: On the Mode of Comunication of Cholera [Sobre la forma de transmisión del cólera]). Su logro entra dentro de lo que terminaría denominándose medicina preventiva.
Todo esto estuvo muy bien, fue, de hecho, una bendición; sin embargo, no era suficiente —las muertes en los quirófanos continuaban proliferando—, consecuencia del hecho de que todavía se desconocía por qué aquellas medidas antisépticas resultaban tan beneficiosas. La anestesia, al inhibir el dolor, facilitaba la acción del cirujano, pero se necesitaban medios (antisepsia) para destruir los gérmenes infecciosos que podían poner al paciente en peligro. Este problema comenzaría a resolverlo el médico inglés Joseph Lister (1827-1912).
Conocedor de los estudios que Pasteur llevó a cabo durante la primera mitad de la década de 1860 sobre la fermentación y de su descubrimiento de que el aire puede transportar bacterias que producen infecciones en heridas, pero no disponibles todavía los de Koch sobre el papel de las bacterias como fuente de infección en las heridas, Lister describió la gangrena de los miembros como el primer ejemplo de fermentación patológica en el hombre, estableciendo así un vínculo entre la putrefacción de la carne necrosada y los gérmenes externos descubiertos por el francés. Con semejante base, Lister encontró un eficaz remedio contra la gangrena: experimentó con éxito con ácido fénico, pulverizándolo en la sala de operaciones y aplicando curas de pomada fenicada, con el fin de destruir los microorganismos que infectaban el campo operatorio (su primer gran logro tuvo lugar en agosto de 1865, en la operación de una fractura compuesta). Poco después, en 1866, Ernst von Bergmann (1836-1907) empleó por primera vez la técnica de Lister, esterilizando por vapor los guantes y ropas del cirujano, al igual que las de sus ayudantes y los instrumentos empleados.
El dominio de Lister fue sobre todo el hospital, y no el del laboratorio científico propiamente dicho (sus aportaciones a la naturaleza de los procesos contagiosos no fueron, desde el punto de vista de la ciencia básica —en la medida en que tenga sentido aquí este término—, grandes). Aun así, cuando se leen algunos de sus escritos, queda claro que el lenguaje, preocupaciones y estudios de Lister distan de los procedimientos seguidos por los Wells, Morton, Simpson y compañía. «En el curso de una amplia investigación acerca de la inflamación y de los estados normales», manifestó en uno de esos escritos, titulado «Sobre el principio antiséptico de la práctica de la cirugía» (1867), «llegué, hace varios años, a la conclusión de que la causa fundamental de la supuración de las heridas es la descomposición producida por la influencia de la atmósfera en la sangre o suero que retiene, y en el caso de las heridas contusas, en las porciones de tejido destruidas por la agresión». Y más adelante, en una frase que difícilmente habría sido escrita antes de que se hubiesen desarrollado las técnicas de análisis microscópico y las ideas que surgieron de ellas: «El primer objetivo del tratamiento ha de ser la destrucción de todos los gérmenes sépticos que hayan podido penetrar en la herida, tanto en el momento del accidente como durante el tiempo transcurrido desde entonces».
Dijimos antes que Lister encontró apoyo en los trabajos de Pasteur. No es sorprendente, ya que el mismo científico francés terminó viendo en el campo de interés del médico inglés un dominio natural para sus propias investigaciones. Especialmente claros en este sentido son algunos pasajes de un artículo de Pasteur (en colaboración con Joubert y Chamberland) que citamos con anterioridad, titulado «La teoría de los gérmenes y sus aplicaciones a la medicina y a la cirugía» y publicado en 1678. Explicaba allí:
En esta agua, en esta esponja, estas vendas con las que se lava o recubre una herida, se depositan gérmenes que […] pasan a los tejidos con gran facilidad. En poco tiempo matarían a los operados si la vida, en las zonas lesionadas, no se opusiera a la multiplicación de aquellos gérmenes. Sin embargo, cuántas veces esta resistencia vital es insuficiente o la constitución del herido, su debilidad, su estado moral, las malas condiciones de las curas no oponen más que una débil barrera a la invasión de los microorganismos allí donde se ha recubierto la zona lesionada. Si tuviera el honor de ser cirujano, convencido como estoy de los peligros a los que exponen los gérmenes de los microbios repartidos por la superficie de todos los objetos, especialmente en los hospitales, no solo me serviría de instrumentos perfectamente limpios, sino que además me lavaría las manos con mucho cuidado y las pasaría rápidamente por la llama. Ello no comporta más inconvenientes que los de un fumador, que pasa una brasa ardiendo de una mano a otra. Solo emplearía hilas, vendas y esponjas expuestas a aire calentado a 130-150° y agua calentada a 110-120°. Todo ello es muy práctico. De este modo, solo temería a los gérmenes suspendidos en el aire alrededor de la cama del enfermo, pero la observación demuestra cada día que el número de estos gérmenes es, por así decirlo, insignificante al lado del que contiene el polvo de la superficie de los objetos o de las aguas más límpidas. Por otra parte, nada se opone al empleo de procedimientos antisépticos en las curas quirúrgicas; sin embargo, junto a las precauciones que indico, estos métodos pueden simplificarse mucho. El ácido fénico no concentrado y, por tanto, sin el inconveniente de su causticidad para las manos del cirujano o para la respiración puede sustituir al ácido fénico concentrado.
Por cierto, Pasteur terminaba su artículo mencionando a Lister: «Hace unas semanas (en la sesión de medicina y cirugía de la Academia de Ciencias), Sédillot no dudó en declarar que el éxito y el fracaso de la cirugía encuentran una explicación racional en los principios de la teoría de los gérmenes y que ella dará lugar a una cirugía nueva, ya inaugurada por un célebre cirujano inglés, el doctor Lister, que ha sido uno de los primeros en comprender su fecundidad. Sin ninguna competencia profesional, pero con la convicción del experimentador autorizado, repito aquí las palabras de nuestro eminente colega».
§. Trasplantes
El recurso a la cirugía se limitó en principio a las partes más sólidas del cuerpo y se consideraba poco menos que imposible la intervención en las cavidades corporales: cráneo, tórax y abdomen. Las apendicetomías se generalizaron en las dos últimas décadas del siglo XIX, ampliándose a partir de 1900 el campo de las operaciones; tiroides y enfermedades vasculares. Todas las cavidades y órganos terminaron siendo asequibles (en 1912 comenzó la neurocirugía en Harvard). La extirpación dio paso a las prótesis y, finalmente, al trasplante de órganos, uno de los avances más llamativos de la medicina del siglo XX.
La conveniencia, cuando no la absoluta necesidad, de este tipo de acción invasiva no constituye un descubrimiento de esa centuria (existen ejemplos de trasplantes, o injertos, de piel realizados en el siglo XVIII), pero sí fue entonces cuando las técnicas médicas permitieron que llegasen a tener éxito. Para ello fue necesario en primer lugar profundizar en el conocimiento de la sangre, para, entre otras cosas, poder realizar transfusiones. La transfusión de sangre animal, intentada en 1678, no era viable y fue prohibida por la Sociedad de Médicos de París. En 1818, James Blundell (1790-1878) compensó la pérdida de sangre de una parturienta mediante la transfusión de sangre de su esposo. Pero el gran avance fue el que llevó a cabo un médico austriaco, instalado posteriormente en Estados Unidos, Karl Landsteiner (1868-1943), que en 1901 identificó los tres tipos sanguíneos, A, B y O, y otros tres en 1930, M, N y P. El primer banco de sangre se creó en Leningrado (1932) y el siguiente en Chicago, donde surgió el nombre. La transfusión de sangre permitió superar las dificultades asociadas a la operación.
Importantes también fueron los trabajos que realizó en 1943 Peter Medewar (1915-1987) sobre los mecanismos inmunológicos mediante los cuales el organismo receptor destruye el tejido injertado, y los de Jean Dausset (1916-2009) sobre la histocompatibilidad humana. También, como veremos, disponer de inmunosupresores. Se necesitó, en definitiva, que cirugía e inmunología se diesen la mano.
Los trasplantes de piel fueron la primera operación de este género; se realizaban con tejido sano del propio paciente para evitar el rechazo. El primer intento de trasplante de órganos de un donante humano muerto fue el realizado el 3 de abril de 1933 por un cirujano ucraniano, Yu Voronoy (1896-1961), que trasplantó el riñón de un cadáver a una joven aquejada de insuficiencia renal. El intento, no obstante, fracasó, ya que la receptora falleció el día siguiente al rechazar su cuerpo el nuevo órgano. Fue el primero de muchos intentos de instalar con éxito un riñón de una persona fallecida en otra viva. Finalmente, el 23 de diciembre de 1954 Joseph Murray, del Hospital Peter Bent Brigham de Boston, trasplantó un riñón entre dos personas vivas: de un gemelo a su hermano. Fue un éxito total y duradero. No tardarían demasiado en convertirse en operaciones rutinarias.
En la década de 1960 se iniciaron los trasplantes pulmonares. En junio de 1963, en Jackson (Estados Unidos), James Hardy trasplantó los pulmones de una persona fallecida a un paciente que sufría de cáncer pulmonar, pero este sobrevivió solamente dieciocho días, debido a un fallo de los riñones. Aquel mismo año, Thomas Starzl intentó, en Denver, un trasplante de hígado, pero no tuvo éxito. Este llegaría en 1967, con Richard Lillehei y William Kelly, en el hospital de Minnesota).
Pero cuando los trasplantes llegaron realmente a las portadas de los periódicos, cuando el mundo sintió que se había traspasado una nueva frontera, fue el 3 de diciembre de 1967, el día en que el cirujano sudafricano Christiaan Barnard (1922-2001), del Hospital Groote Schuur, en Ciudad del Cabo, trasplantó un corazón procedente de una mujer de 24 años, fallecida en un accidente de circulación, a un inmigrante lituano de 55 años, Louis Washkansky, que había sufrido una serie de infartos durante los siete años precedentes y cuyo corazón estaba en tal estado que los cardiólogos estimaban que moriría en unas pocas semanas. Algunos consideran este hecho como el acontecimiento más importante en la historia de la medicina (antes, en 1964, James Hardy, como acabamos de ver el pionero de trasplantes de pulmones, intentó realizar uno de corazón, pero el fallo prematuro del corazón del receptor le sorprendió sin disponer de un corazón de donante; en su lugar utilizó el de un chimpancé, que falló rápidamente).
Washkansky sobrevivió trece días, falleciendo posteriormente de neumonía: su sistema inmunológico, suprimido con medicamentos y radiaciones para evitar que atacase a su nuevo corazón, había sido incapaz de luchar contra la infección; sin embargo, un estudio postmortem reveló que el corazón mantuvo su función normal hasta el último momento, no encontrándose signos de rechazo del órgano. El 2 de enero del año siguiente, Barnard realizó un nuevo trasplante de corazón, a un dentista de 58 años, Philip Blaiberg, con mayor éxito, ya que el paciente sobrevivió 594 días, hasta que, de nuevo, su organismo rechazó el corazón trasplantado. Pronto, los trasplantes de corazón se extendieron por todo el mundo: en los cuatro años siguientes, 56 equipos de cirujanos llevaron a cabo un total de 180 trasplantes (100 de ellos el primer año). No obstante, muchos hospitales abandonaron pronto la práctica, debido a los problemas de rechazo inmunológico que producían los órganos recibidos.
La solución llegó en 1972, cuando un investigador del laboratorio Sandoz de Basilea (Suiza), Jean Borel, descubrió en las altiplanicies de Noruega un antibiótico, la ciclosporina, que aisló de un hongo denominado Tolypocladium inflatum, que posee una potente acción inmunosupresora, pudiendo anular la respuesta defensiva del organismo que causa el rechazo del corazón trasplantado.
Ahora bien, por mucho que sea el éxito alcanzado en la realización de trasplantes de corazón, es evidente que, al necesitar donantes, se trata de una práctica que no puede ser muy frecuente. Y si tenemos en cuenta que una de las enfermedades que más aumentaron, al menos en los países desarrollados, los países de la abundancia, han sido las cardiovasculares (en Estados Unidos representaban en 1990 el 46,2 por 100 del total de muertes, mientras que en España la cifra era de 40,7 por 100 y en Perú —que no es uno de los países de «la abundancia»— el 11,9 por 100), entonces se hace evidente la necesidad de contar con métodos alternativos y también paliativos.
Un primer paso importante en la lucha contra los infartos, el problema cardiovascular más grave (o más frecuente), fue la introducción de los marcapasos, dispositivos alimentados por baterías que emiten pulsos eléctricos que hacen latir al corazón a un ritmo regular y constante. En 1952, Paul Maurice Zoll, un cardiólogo de Boston, presentó públicamente (en un artículo que publicó en la revista New England Journal of Medicine) un aparato que combinaba el control del electrocardiograma del enfermo y un generador de pulsos, y que fabricó en Estados Unidos la empresa Electrodyne. No obstante, este aparato era muy molesto: se pegaba al pecho y funcionaba emitiendo pulsos a través de los músculos pectorales, con el resultado de que se producían quemaduras en la piel del paciente después de uno o dos días.
Con la invención (1947) del transistor fue posible construir marcapasos más pequeños y, por tanto, que se pudieran implantar. En 1957, el ingeniero Earl Bakken, de la empresa Medtronic (Minneapolis, Estados Unidos), avanzó en esta dirección fabricando un marcapasos con pilas de mercurio, y el 8 de octubre de 1958 un equipo sueco dirigido por el cirujano cardiovascular Åke Senning realizó el primer implante de un marcapasos a un ser humano, a Arne Larsson, de 43 años, utilizando el dispositivo diseñado por el ingeniero Rune Elmquist. Es importante señalar no solo que el aparato falló a las tres horas de su implantación, siendo sustituido por otro que duró dos días (Larsson falleció en 2001, tras haber necesitado veintidós marcapasos distintos a lo largo de su vida), sino también que no se trataba de un marcapasos completamente interno, al depender de fuentes externas, con lo que el receptor del aparato tenía cables que atravesaban su piel; de hecho, durante algún tiempo los pacientes continuaron llevando elementos externos sujetos al cinturón, con baterías de mercurio de duración muy limitada.
Pero el extraordinario progreso tecnológico que se produjo a lo largo de la segunda mitad del siglo XX condujo al diseño y fabricación de marcapasos con tamaño y peso mucho más reducido, que se implantan debajo de la piel del tórax, introduciendo el cable conductor hasta la punta del corazón a través de la vena central.
El primer marcapasos de implantación totalmente interna se utilizó en 1960: contenía una batería de mercurio con carga útil de un año de duración; la sustitución de las baterías de mercurio por otras fabricadas con litio permitió que el marcapasos pudiera funcionar normalmente de ocho a diez años.
Otro avance importante fue el desfibrilador automático implantable, un aparato que se introduce debajo de la piel del tórax o del abdomen del paciente y cuyos cables se conectan al corazón. Se trata de un dispositivo electrónico que vigila constantemente el ritmo cardíaco del sujeto que lo porta y que, al detectar una arritmia ventricular grave o una parada cardíaca, efectúa una descarga eléctrica de bajo voltaje para restaurar el ritmo cardíaco normal. Si esta primera descarga no logra corregir el problema, realiza otra, pero esta vez de alto voltaje, para poner el corazón de nuevo a funcionar. Desde que el doctor de origen polaco Michel Mirowski implantase en 1980, en Estados Unidos, el primer desfibrilador automático, el número de estos implantes aumentó exponencialmente en todo el mundo (según un estudio publicado en New England Journal of Medicine, el desfibrilador automático implantable reduce el riesgo de muerte súbita en un 23 por 100).
Pero puede suceder que ninguno de estos remedios paliativos sea suficiente, que el corazón de una persona no tenga arreglo, que se obstine en dejar de funcionar, que no exista donante y que se necesite un sustituto, un corazón artificial. En 1937, el ruso Vladimir Demikhov diseñó el primero de estos corazones, que utilizó experimentalmente en perros. En la década de 1960, Adrian Kantrowitz inventó un sistema de asistencia cardíaca —denominado «contracción aórtica»— que implantó con éxito en varios pacientes, en el Maimónides Medical Center de Nueva York. Aunque continúa siendo utilizado extensamente para mejorar la fuerza contráctil del corazón, tiene el inconveniente de ser eficaz solo durante unos días. Pero el camino hacia un verdadero corazón artificial implantable en humanos está siendo largo y difícil. Entre los que lo han transitado mencionaremos a Michael DeBakey, quien en 1963 implantó, en el Hospital Metodista de Houston (Texas, Estados Unidos), un dispositivo de asistencia ventricular izquierda (corazón artificial parcial) en un paciente de 42 años con insuficiencia cardíaca terminal. Funcionó hasta el fallecimiento del enfermo por daño cerebral. Sería Denton Cooley quien realizó el primer implante mundial de un corazón artificial completo en el Texas Heart Institute de Houston el 4 de abril de 1969. Funcionó perfectamente durante 64 horas, hasta que el enfermo recibió un corazón humano.
Luego llegaron más modelos, cada uno mejor que el anterior; sin embargo, no fue hasta 2006 cuando se autorizó oficialmente en Estados Unidos y Europa la implantación de un corazón artificial total, en pacientes con fallo irreversible del corazón. El modelo que se aceptó internacionalmente entonces fue el AbioCor® (Abiome, Inc., Estados Unidos), cuyo uso, de acuerdo con las regulaciones oficiales, únicamente está permitido para pacientes con insuficiencia cardíaca terminal, con expectativa de vida menor de un mes. A diferencia de modelos anteriores, no tenía consola externa, ni cables o cánulas a través de la piel del enfermo, y la batería interna que lo mantenía se recargaba constantemente a través de una fuente de energía mediante un mecanismo que evita la necesidad de cables externos, que son causa de molestias e infección.
§. Antibióticos
Un medicamento descubierto en el siglo XX merece nuestra atención: la penicilina, el primer antibiótico. Millones de vidas se han salvado gracias a su empleo. El responsable de su hallazgo fue un bacteriólogo escocés, Alexander Fleming (1881-1955), que trabajaba en el Departamento de Inoculación del Saint Mary’s Hospital de Londres. Ahora bien, el descubrimiento fue fortuito: siguiendo su costumbre de no descartar inmediatamente los cultivos que realizaba en placas Petri, conservándolos más allá de lo que era en principio razonable, y estudiándolos de nuevo antes de destruirlos, en septiembre de 1928 Fleming encontró que en una placa en la que había estado cultivando una bacteria, Staphylococcus aureus, había crecido también un hongo en un lugar en donde se había inhibido el crecimiento de la bacteria (el hongo apareció porque, en las proximidades, otros científicos del laboratorio estaban estudiando su efecto en pacientes de asma). La conclusión inevitable de que Staphilococcus no continuase desarrollándose era que el hongo en cuestión —identificado como el Penicillium notatum— producía una sustancia que originaba su muerte. De entrada, Fleming no se dio cuenta de la importancia de su hallazgo; pensaba que las posibilidades de la acción antibacteriana de la sustancia que producía el moho Penicillium que había encontrado se limitaban a lavados o pomadas aplicadas externamente, no internamente, al paciente. Entre las razones que pueden explicar su comportamiento se encuentra, por un lado, la novedad de la idea de que pudiesen existir fármacos antibacterianos y, también, el que no poseía las habilidades o facilidades químicas suficientes para aislar penicilina pura con la que realizar ensayos clínicos fiables (la penicilina es difícil de aislar en forma pura debido a su inestabilidad). Hubo que esperar hasta el 24 de agosto de 1940, ya en plena Segunda Guerra Mundial, para que varios investigadores de la Dunn School de Patología de Oxford, entre los que destacan el patólogo australiano Howard Walter Florey (1898-1968), que dirigía el grupo, y el joven bioquímico Ernst Chain (1906-1979), un refugiado de la Alemania nazi, publicaran, junto a otros colaboradores, un artículo histórico, en el que presentaban investigaciones con ratones que demostraban que la penicilina era, con mucho, el agente químico-terapéutico más efectivo producido hasta entonces. El siguiente paso fue probar con humanos, pero esta era una tarea complicada de llevar adelante, dadas las dificultades existentes para obtener suficiente penicilina. Un avance importante tuvo lugar en enero de 1942, cuando Florey administró a quince pacientes, por vía intravenosa, penicilina preparada con la ayuda de Imperial Chemical Industries. Midiendo los niveles de penicilina en la sangre y estudiando los efectos clínicos, estableció las dosis adecuadas para diversos tratamientos. Aun así, en medio de la Segunda Guerra Mundial, con evidencias firmes pero no demasiado abundantes, no existía en Gran Bretaña ninguna compañía farmacéutica capaz o dispuesta a dedicar los recursos suficientes para producir cantidades industriales de penicilina. Por este motivo, Florey solicitó la ayuda de la Fundación Rockefeller, en Nueva York, que, de hecho, ya apoyaba sus investigaciones. Con su colaboración y la del destacado farmacólogo estadounidense Alfred Newton Richards (1876-1966), que ya había trabajado con Florey en Inglaterra, consiguió que algunas compañías farmacéuticas (Merck, Pfizer y Squibb) arriesgasen los recursos necesarios. En 1944 ya se dispuso de cantidades suficientes de penicilina para tratar a heridos de guerra en África del Norte y Europa, al igual que infecciones graves de civiles. En 1945, Fleming, Florey y Chain recibían el premio Nobel de Medicina.
A partir de entonces, la penicilina desencadenó un gran entusiasmo social. Los resultados que producía eran espectaculares (contraindicaciones, como la sensibilización ante la penicilina, no serían descubiertas hasta mucho después): en la década de 1950 era la prescripción médica más importante; en Estados Unidos, por ejemplo, representaba el 10 por 100 del total de los medicamentos prescritos por los facultativos. No es, en consecuencia, sorprendente que se buscasen otros medicamentos que cumplieran funciones parecidas. Estos no tardaron en llegar: primero fue la estreptomicina (1944), desarrollada por el microbiólogo estadounidense de origen ruso Selman Waksman (1888-1973) —quien acuñó el término «antibiótico»— y sus colaboradores de la Universidad estadounidense de Rutgers; entre las virtudes de la estreptomicina se encontraba la de ser efectiva en el tratamiento de la tuberculosis y otras infecciones bacterianas que la penicilina no curaba. Como la demanda pronto superó las posibilidades de una sola compañía, Waksman indujo a varias firmas farmacéuticas a que produjeran estreptomicina. Gracias a los derechos de la patente (royalties), al ser una industria que generaba cincuenta millones de dólares anuales, la Universidad de Rutgers recibió millones de dólares (la rentabilidad económica y acumulación de riqueza en el mundo de las empresas farmacéuticas, dentro del que han surgido poderosas multinacionales, ha sido uno de los fenómenos más visibles dentro del ámbito médico del siglo XX). El propio Waksman —que recibió el Premio Nobel de Medicina en 1952— donó parte de sus derechos para el establecimiento de un Instituto de Microbiología en esa universidad.
Más tarde llegarían otros antibióticos, como la aureomicina, desarrollada por los Laboratorios Lederle en 1948, el cloramfenicol (Parke-Davis, 1949), el primer antibiótico completamente sintético, capaz de luchar contra la fiebre tifoidea, o la terramicina (Pfizer, 1950), abriéndose así un mundo médico nuevo del que se beneficiaron cientos de millones de personas, muchas de las cuales seguramente habrían muerto sin el auxilio que recibieron de esos antibióticos. De hecho, el éxito de los antibióticos ha sido tal que por diversas causas —como iniciar tratamientos utilizándolos y abandonarlos por iniciativa del paciente cuando este se siente mejor— han aparecido cepas bacterianas resistentes a ellos, con el consiguiente repunte de algunas enfermedades (el caso, por ejemplo, de la tuberculosis).
§. Las enfermedades mentales
Para finalizar este capítulo abordaremos otro dominio médico (y, podríamos decir, «existencial») diferente a los anteriores: el que tiene que ver con el subconsciente, básicamente ignorado o tratado sin apenas fundamento por la indagación médica hasta finales del siglo XIX y comienzos del XX.
Los trastornos del comportamiento se atribuían en Grecia al desequilibrio de los humores: el exceso de bilis amarilla se manifestaba en las manías, y el de la negra conducía a la depresión (melancolía). Las diferentes doctrinas religiosas asumieron la posibilidad de la presencia de los malos espíritus (diablos) para explicar las alteraciones de la conducta y utilizaban el exorcismo para expulsarlos: «Cuando el espíritu de Dios se apoderaba de Saúl, David tomaba el arpa, la tañía en su mano y Saúl sentía alivio y bienestar, pues se retiraba de él el espíritu malo» (Samuel I, 16). Cristo dio a sus discípulos el poder de curar y expulsar los malos espíritus (Mateo I, 10). A falta de medios más eficaces, musulmanes y cristianos acudieron a la reclusión en hospitales, y en caso de necesidad, al aislamiento y los grilletes. En el siglo XVIII, los ilustrados promovieron el tratamiento sintomático con la administración de belladona, acónito y opio. Vincenzo Chiarugi (1759-1820), director médico del Hospital de Santa Dorotea de Florencia entre 1785 y 1788, revisó en 1789 el reglamento para eliminar las prácticas lesivas, medida que también adoptó Philippe Pinel en la Salpetrière. Ambos escribieron sendos tratados: Della pazzia in genere e in specie (Sobre la locura y su clasificación; 1793-1794) y Traité medico-philosophique sur l’aliênation mentale ou la manie (Tratado médico-filosófico sobre la alienación mental o la manía; 1801). En este último, Pinel definió la enfermedad mental como aquella que no se podía explicar por una causa orgánica, y en 1808, un médico alemán, Johann Christian Reil (1759-1813), usó la palabra psychiatrie (psiquiatría) para describir la especialidad en un artículo que publicó en una revista de efímera duración: Beytrage zur Beforderung einer Curmethode auf psychischem Wege.
La construcción científica de las enfermedades mentales no comenzó hasta fines del siglo XIX. Dos médicos, Emil Kraepelin (1856-1926) y Sigmund Freud (1856-1939), nacidos en 1856, con unos meses de diferencia, coincidieron en su dedicación a la patología de la mente. Más allá de estas coincidencias, cada uno orientó su investigación en una línea independiente que se reflejó en la diferencia entre la psiquiatría y el psicoanálisis. El primero estudió neuropatología en Leipzig con Paul Flechsig (1847-1929), un psiquiatra, y psicología experimental con Wilhelm Wundt (1832-1920), en cuyo laboratorio tuvo ocasión de identificar trastornos mentales y conductas anómalas. En 1879 se doctoró en Múnich con una tesis titulada Ueber den Einfluss acuter Krankheiten auf die Entstehung von Geisteskrankheiten (Sobre la influencia de las enfermedades agudas en la génesis de las enfermedades mentales), en la que describía el carácter médico de la psicología y se defendía su carácter clínico. En 1882 volvió a Leipzig como docente, donde publicó en 1883 la primera versión de un texto clásico, el Compendium der Psychiatrie (Compendio de psiquiatría), que actualizó a lo largo de su vida en nueve ediciones. En la Universidad de Dorpat, a la que se incorporó en 1886 como catedrático y director del Hospital Clínico, dispuso de medios suficientes para reunir gran número de historias clínicas, que le permitieron construir una clasificación de las enfermedades en función de los síndromes, un conjunto de caracteres asociados. Identificó dos formas diferentes de psicosis: la maniaco-depresiva y la dementia precox, cuyo nombre modificó el psiquiatra suizo Eugen Bleuer (1857-1940) denominándola schizophrenias (esquizofrenia, del griego schizein, «dividir», «escindir», «romper», y phren, «entendimiento», «razón», «mente»). A su vez, Kraepelin cambió el nombre de la «demencia presenil» por el de «enfermedad de Alzheimer», en homenaje a su colega Alois Alzheimer (1864-1915). La psiquiatría se caracteriza por buscar la causa orgánica de la enfermedad mental y, más que curación, persigue limitar mediante fármacos los efectos de la enfermedad. El gran desarrollo experimentado por la farmacopea después de la Segunda Guerra Mundial contribuyó al predominio actual de la psiquiatría en el tratamiento de las enfermedades mentales.
Mientras que un paciente común describe los síntomas de su enfermedad, el enfermo mental puede ser incapaz de hacerlo, y cuando lo hace acostumbra ocultar información fundamental. La única vía que ofrecía resultados apreciables en el diagnóstico y la terapia era acudir a la hipnosis, que había atraído el interés de algunos médicos después del espectáculo que habían ofrecido el médico vienés Franz Anton Mesmer (1734-1815) y sus seguidores con la teoría (mesmerismo) de la existencia de un invisible magnetismo animal cuya cantidad y distribución en un cuerpo era responsable de su salud o enfermedad. Fue Jean-Martin Charcot (1825-1893), profesor de la Universidad de París, al hacerse cargo en 1862 del servicio neurológico del Hospital de la Salpetrière, quien utilizó el hipnotismo para diagnosticar las causas de la histeria. Consideró que los síntomas del trastorno mental coincidían con unos estados que describió en las pacientes sometidas a hipnosis: catalepsia, en el que respondían a sus sugerencias, letargia, en el que no lo hacían, y sonambulismo, en el que respondían a sus preguntas. Las sesiones clínicas eran espectaculares por la abolición de los síntomas en estado hipnótico, un procedimiento aplicable únicamente a los pacientes de histeria, los únicos que respondían a la hipnosis. En sus Leçons sur les maladies du système nerveux (Lecciones sobre las enfermedades del sistema nervioso; 1882) explicó que los síntomas histéricos se debían a un shock traumático que provocaba la disociación de la consciencia y cuyo recuerdo permanecía inconsciente o subconsciente.
En 1866, Ambroise Agustin Liébeault (1823-1904) creó en Nancy una escuela de psicoterapia que practicaba la sugestión hipnótica, a la que se sumó en 1871 Hippolite-Marie Bernheim (1837-1919), al pasar Estrasburgo al Imperio alemán tras la guerra francoprusiana, que acusó a Charcot de provocar la histeria de los pacientes con sus sugerencias y defendió el carácter terapéutico de la hipnosis.
Por su parte, Freud concibió los trastornos de la conducta como enfermedades no orgánicas, puros trastornos mentales. La única posibilidad conocida para diagnosticarlas dependía de que el paciente describiese los síntomas y el médico interpretase el significado de su relato. Sabedor de la posibilidades que abría la hipnosis, Freud asistió en París a las clases y sesiones clínicas de Charcot durante el curso 1885-1886, y en 1889 se trasladó a Nancy para seguir las exposiciones de Bernheim, el mayor crítico de la escuela de París, más preocupado por los efectos del tratamiento que por el conocimiento que podía ofrecer (del interés de Freud por la obra de Bernheim da idea el hecho de que tradujera al alemán una de sus obras: De la suggestion et ses applications a la thérapeutique [Sobre la sugestión y sus aplicaciones a la terapéutica]: Freud pensaba que la principal aportación de Bernheim consistía en «haber librado de su carácter extraño a las manifestaciones del hipnotismo, vinculándolas a los fenómenos ya familiares de la vida psíquica normal y del sueño, revelando al mismo tiempo las leyes psicológicas que rigen ambos sectores»). Antes de visitar a Berheim, en 1886, Freud había abierto consulta en Viena como neurólogo, dedicándose al análisis funcional de la afasia y asociándose con Joseph Breuer (1842-1925) en el tratamiento de la histeria. El ejemplo de este le llevó a interesarse por la enfermedad. En los diez años siguientes utilizaron la hipnosis como vía de acceso a la mente de los pacientes. En estado hipnótico preguntaban a estos sobre las causas de sus síntomas, para provocar así una descarga emocional, algo que les descubrió la existencia de traumas psíquicos anteriores, rechazados por la conciencia. Al describir al paciente el origen del mal cesaban los síntomas. Es lo que Anna O. (su nombre real era Bertha Pappenheim), la primera de las pacientes de Freud, denominó «curación por la palabra», que caracterizaría al psicoanálisis. En 1895, Freud y Breuer publicaron los Studien über Hysterie (Estudios sobre la histeria), una obra compartida más que una colaboración, cuyo núcleo eran cuatro historias clínicas, que completaron con un par de capítulos comunes. De esa época es la «teoría del rechazo», según la cual la manifestación de un deseo inconveniente provoca el rechazo de la conciencia y el desplazamiento del deseo más allá de la conciencia. El deseo frustrado se manifiesta en forma de síntomas que enmascaran la realidad.
A partir de esta fecha se produjo un rápido alejamiento entre ambos debido a la reticencia de Breuer ante la importancia que la sexualidad tenía para Freud, quien utilizó sus sueños para autoanalizarse, al tiempo que sustituía la hipnosis por la libre asociación de ideas. Eran dos nuevas vías de acceso a la conciencia, más eficaces que la anterior. El psicoanálisis (análisis de la psyche, el término griego para mente y mental), nombre que Freud introdujo en 1896 (psychoanalyse), se ritualiza, el paciente se tiende en un sofá y cuenta cuanto se le ocurre, y el analista se sienta detrás para no interferir con su presencia el curso del relato, salvo en momentos concretos, en los que solicita más información. El descubrimiento de la sexualidad infantil, la atracción por la madre y el alejamiento y temor del padre, lo encontró Freud descrito con todo detalle en la tragedia de Sófocles Edipo rey, y en su honor dio su nombre al «complejo de Edipo».
Para Freud, el sueño es el guardián del que duerme, le protege contra los estímulos interiores, mediante la transformación del deseo en imágenes asumibles. Describió el «trabajo del sueño» como la asociación de dos ideas distintas (condensación); por un lado la transformación del deseo (desplazamiento), y por otro la introducción de símbolos que ocultan la realidad (deformación onírica): los troncos de los árboles, las armas largas, los cohetes ocultan al falo, las cajas y todas las cosa huecas a los órganos sexuales femeninos, subir una escalera era una alusión al coito. El examen último de todas las imágenes conduce a la interpretación, la descripción de lo que los sueños ocultan, del sueño como la realización (disfrazada) de un deseo (reprimido). Otras manifestaciones de la conducta, como los actos fallidos o los olvidos, fueron recuperados como fuentes de información, que expuso en un libro publicado en 1901, Zur Psychopathologie des Alltagsleben (Psicopatología de la vida cotidiana). La explicación del trauma original suele ir acompañada de la desaparición de los síntomas o de parte de ellos.
Antes de la aparición de Zur Psychopathologie des Alltagsleben, Freud publicó el que generalmente se considera su gran obra: Die Traumdeutung (La interpretación de los sueños; 1900), con el que quedó establecido definitivamente el psicoanálisis. En realidad, este libro se publicó en octubre de 1899, pero la editorial consideró que resultaría más atractivo si aparecía datado en 1900, un número redondo. Sin embargo, pasó prácticamente inadvertido: se imprimieron 600 ejemplares de los que se vendieron 123 en las primeras seis semanas, y 228 en los años siguientes, un detalle que habla por sí solo sobre las dificultades iniciales que tuvo el psicoanálisis para su difusión. Dificultades que también tienen que ver con el hecho de que la consulta privada, el terreno en el que se movía Freud, no proporcionaba discípulos como los que rodean a un jefe de servicio o a un catedrático en la Facultad de Medicina. A esto se debe que Freud no formara personalmente a sus discípulos. Tuvo que acudir a la imprenta para difundir sus doctrinas, aunque, como acabamos ver, los primeros resultados fueron decepcionantes.
Fue sobre todo a partir de 1902 cuando se hicieron presentes aquellos de sus lectores que se consideraban sus discípulos. A unos cuantos, entre diez y quince, los reunía los miércoles, y en 1908 se constituyó la Sociedad Psicoanalítica de Viena y se celebró el Primer Congreso Internacional. En 1909, Freud se desplazó con alguno de sus colegas a Estados Unidos, donde el psicoanálisis había tenido un gran desarrollo. La teoría de la sexualidad infantil fue el tema preferente de sus publicaciones de 1905 a 1913. Es el momento en el que introdujo el concepto de pulsión para designar la fuerza psíquica destinada a realizar un fin, y distinguió entre la sexual y la tendencia a la autoconservación (pulsión del Yo). La difusión del psicoanálisis provocó duras polémicas, así como la ruptura con algunos de los primeros y más notables seguidores de Freud, como Alfred Adler (1870-1937) y Carl Jung (1875-1961). La Primera Guerra Mundial tuvo un gran impacto sobre el desarrollo del psicoanálisis, al mismo tiempo que Freud se ocupó de divulgar la doctrina mediante artículos sobre puntos fundamentales —el inconsciente, el rechazo, las pulsiones— y una serie de 28 conferencias que pronunció en Viena en 1916 y 1917 y que fueron publicadas bajo el título de Vorlesungen zur Einführung in die Psychoanalyse (Conferencias sobre la introducción al psicoanálisis).
A partir de 1920, Freud —que fue un convencido materialista y determinista durante toda su vida— formuló una nueva teoría de las pulsiones al contraponer la pulsión de la vida (eros) y la de la muerte (tanatos) en Jenseits des Lustprinzips (Más allá del principio del placer; 1920) y redefinió en 1923 el sistema psíquico con tres conceptos: el Ello (Id), el Yo (Ego) y el Superyó (Superego), con los que distinguió tres componentes estructurales en la personalidad del individuo. El Ello es la parte de la mente en donde se localizan tanto el instinto sexual como la censura de los recuerdos, el principio de realidad. El Yo, en su mayor parte consciente, busca evitar las tensiones con el mundo mediante el uso de mecanismos de defensa que se encuentran en la parte inconsciente. El Superyó, que se forma desde el nacimiento hasta los cinco años, es el conjunto de normas sociales que se interioriza a partir del momento en que se supera el complejo de Edipo para escapar al complejo de castración. La relación armónica de los tres elementos caracteriza la normalidad del individuo, en tanto que la insatisfacción de los impulsos del Ello y la transgresión de las normas del superyó provocan la represión del yo, que busca conciliar los términos del conflicto. El impulso frustrado sobrevive en el inconsciente y se manifiesta a través de los sueños, los actos fallidos y las enfermedades mentales. Las neurosis afectan a la percepción del propio sujeto y al nivel de insatisfacción que obtiene. La normalidad incluye una cierta insatisfacción. Las psicosis son más graves y afectan seriamente a las relaciones con el medio.
Es preciso señalar que la curación, tanto en psiquiatría como en psicoanálisis, no se confunde con la restauración de la normalidad orgánica y fisiológica. Se limita a reducir los síntomas. Dentro de estos límites, la complejidad del tratamiento, reflejada en la dedicación del analista y la duración del tratamiento, ha limitado el recurso al análisis en tanto el desarrollo de los fármacos ha mejorado su eficacia.
Mencionemos, por último, que las ideas de Freud, que con el paso del tiempo han ido mostrando serias deficiencias, que no obstante no pueden hacer olvidar que fueron determinantes a la hora de convertir el subsconsciente en objeto de estudio científico, inspiraron contribuciones como las de Jean Piaget (1896-1980), quien extendió los enfoques psicoanalíticos mientras investigaba los orígenes en los niños de los conceptos de tiempo, espacio, causalidad y objetividad. Por el contrario, el behaviorismo, un movimiento psicológico fundado por el norteamericano John Watson (1878-1958) y desarrollado por otros, como Burrhus Frederic Skinner (1904-1990), negó cualquier papel central a las emociones o sentimientos, intentado en su lugar comprender el comportamiento humano (y animal) como resultado de actos reflejos, hábitos y respuestas aprendidas ante ciertos estímulos, un enfoque al que dio base fisiológica el científico ruso Ivan Pavlov (1849-1936) con sus famosos trabajos sobre lo que denominó «reflejos condicionados», para los que utilizó perros.
Capítulo 17
El poder de la ciencia
§. Universidades y laboratorios
§. Instituciones científicas
§. Publicaciones científicas
§. Congresos científicos
§. Premios científicos
§. Ciencia, industria y guerra
§. El crecimiento de la profesión científica
A medida que la concepción mítica de la naturaleza perdía su capacidad de explicar los fenómenos naturales, la ciencia adquirió el prestigio que habían disfrutado los sacerdotes. La urgencia y la importancia de las demandas sociales explican las diferencias de rango de los conocedores, matizadas por la eficacia de sus conocimientos. Cirujanos y médicos disfrutaban de una demanda urgente, que crecía con el éxito de las operaciones y los tratamientos, pero el conocimiento puro solo satisfacía a los que se dedicaban a este objeto y a un corto número de curiosos. Los efectos económicos del conocimiento sobre el desarrollo no encontraron un estímulo adecuado cuando los reyes pudieron limitar las competencias con un privilegio registrado en una oficina de patentes; de hecho, inicialmente solo se registraron artefactos mecánicos y armas automáticas, no pudiéndose hacer lo mismo con los procedimientos químicos hasta que el desarrollo de la química permitió distinguir unos productos de otros y fabricar nuevos. La invención de la máquina de vapor introdujo una novedad en la producción, dando lugar a la Revolución Industrial, que mostró las posibilidades del maquinismo: los artesanos descubrieron que sus habilidades habían perdido su valor y que las mujeres y niños podían sustituirlos con beneficio para los empresarios. El poder político fue consciente del valor de la enseñanza básica para el desarrollo industrial y mercantil e hizo obligatoria la enseñanza primaria: leer, escribir y las cuatro reglas, y del de la ciencia para el desarrollo económico. La introducción de las ciencias experimentales en la universidad se generalizó a mediados del siglo XIX, así como la financiación de los programas más costosos: astronomía, laboratorios de física y química, hospitales. Y así, el Estado terminó por dar entrada en los gobiernos a políticos dedicados al desarrollo de la ciencia e incluyó en sus presupuestos la promoción de la investigación científica.
§. Universidades y laboratorios
La incorporación de las ciencias experimentales en el currículo universitario constituyó uno de los mayores cambios que se han producido en la historia de la enseñanza desde la creación de la Universidad. La Revolución Francesa tuvo mucho que ver con esto; no en vano la ciencia y la técnica ocupaban un lugar destacado entre los intereses de los revolucionarios, una de cuyas primeras actuaciones en el dominio científico fue intentar erradicar también los privilegios en este campo. Además de cerrar inicialmente la universidad, el 8 de agosto de 1793, un decreto de la Convención ordenaba la supresión de todas las academias del Antiguo Régimen, como vestigios de un orden social, manantial o foco de discriminaciones elitistas que se deseaba eliminar. La Constitución del 5 de fructidor del año III (1794), votada por la misma Convención que había eliminado el año anterior las academias, establecía en su artículo 298 la creación de un «Instituto Nacional, encargado de perfeccionar las ciencias y las artes». Tal institución, el Institut National des Sciences et des Arts (Instituto Nacional de Ciencias y Artes), fue creada mediante leyes el 3 de brumario y el 15 de germinal del año IV (25 de octubre de 1795 y 4 de abril de 1796). Incluso una lectura apresurada de las manifestaciones que el político e historiador Pierre Claude François Daunou (1761-1840) realizó durante la primera sesión pública del Instituto pone en evidencia el espíritu revolucionario que lo animaba, un espíritu para el que el conocimiento, indisolublemente unido a la racionalidad, ocupaba un lugar primordial:
Ciudadanos,
Junto a los primeros poderes, órganos o instrumentos de la voluntad del pueblo francés, la Constitución ha situado una sociedad literaria que debe trabajar para el progreso de todos los conocimientos humanos y, en el vasto campo de las ciencias, la filosofía y de las artes, secundar mediante cuidados asiduos la actividad del genio republicano.
El Instituto Nacional no ejerce ningún control administrativo sobre otros establecimientos de instrucción; ni tendrá a su cargo ninguna tarea de enseñanza habitual. Para sustraerlo del peligro de que alguna vez se considere una especie de autoridad pública, las leyes lo han situado lejos de todos los mecanismos que imprimen movimientos inmediatos y le han dejado esa lenta y siempre útil influencia que consiste en la propagación de las luces, y que produce, no la rápida manifestación de una opinión o de una voluntad, sino el desarrollo sucesivo de una ciencia o el inadvertido perfeccionamiento de un arte.
Y añadía estas memorables palabras: «Todos los que tienen el derecho de pedirles trabajos no tendrán el poder de ordenarles opiniones, y como el Instituto no posee medio alguno de erigirse en rival de la autoridad, ya no se podrá convertir en esclavo o instrumento de una tiranía».
Inicialmente, se pretendió dividir el Instituto en cuatro clases: Ciencias físicas y matemáticas (24 miembros); Aplicaciones de la ciencia al arte (40); Ciencias morales y políticas (22), y Literatura y Bellas Artes (42). Finalmente, sin embargo, la primera y la segunda se combinaron, con 60 miembros, quedando las dos restantes con, respectivamente, 36 y 48. A su vez, las clases se dividieron en secciones, cada una limitada a una especialidad y con 6 miembros, residentes en París, y 6 en otros departamentos.
Pasando ya a la introducción de las ciencias experimentales en los planes de estudios superiores, tenemos que este cambio se inició con una ley promulgada el 7 de ventoso del año III (27 de febrero de 1794) por la cual se suprimían los colegios y corporaciones, estableciéndose las Escuelas Especiales. Se suprimían, como apuntamos, las universidades, se convertía el Jardin du Roi (Jardín del Rey) en Jardin des Plantes (Jardín Botánico), encuadrado en un Musée d’Histoire Naturell (Museo de Historia Natural) con funciones docentes, se creaba el Conservatoire National des Arts et Métiers (Conservatorio Nacional de Artes y Oficios) para mostrar «el empleo de las herramientas y las máquinas útiles para las artes y los oficios», la École Normale Supérieure (Escuela Normal Superior) para proporcionar a la joven República un cuerpo de profesores bien formados y una École Centrale des Travaux Publics (Escuela Central de Obras Públicas), pronto bautizada como École Polytechnique (Escuela Politécnica), a la que volveremos enseguida.
Instalado en el poder, Napoleón recuperó las universidades, creando, mediante una ley de 10 de mayo de 1806, una Universidad Imperial, en cuya cúspide se encontraba la Sorbona (de hecho, suprimió 24 universidades). En cuanto a la estructura universitaria, se limitó a añadir a las tres facultades tradicionales —Derecho, Medicina y Teología— dos nuevas, Letras y Ciencias, en el hueco creado tras la desaparición de la antigua de Filosofía o Artes. Ninguna de las dos se concibió como centro de investigación, sino como escuelas de formación para los profesores de los Liceos, aunque se prescribía que sus profesores debían estar al día en el conocimiento de los avances científicos.
A la École Polytechnique no solo la mantuvo, sino que la reforzó, contribuyendo así a que su modelo influyese fuertemente en otros países. Creada, como dijimos, en 1794, había abierto sus puertas en diciembre de aquel año bajo el nombre de École Centrale des Travaux Publics, que posteriormente cambió por el que conservaría de École Polytechnique. Antes, bajo el Antiguo Régimen, se habían establecido otros centros superiores (Écoles Spéciales) dedicados a la técnica; las principales, la École des Ponts et Chaussées (Escuela de Puentes y Caminos; 1715), la École d’Artillerie (Escuela de Artillería; 1720), la École du Génie Militaire (Escuela de Ingenieros Militares; 1748) y la École des Mines (Escuela de Minas; 1783). Aunque todas estas continuaron funcionando cuando llegó la Revolución, lo hicieron con muchas dificultades. En 1793, y ante las obvias carencias en asuntos científicos y técnicos, la Convención decidió crear una comisión para estudiar la reforma del sistema de enseñanza superior técnica en Francia, compuesta de los más eminentes científicos e ingenieros, entre los que destacaban el matemático Gaspard Monge (1746-1818), los políticos Lazare Carnot (que nos apareció en el capítulo 10) y Prieur de la Côte-d’Or (1763-1832), y el ingeniero hidráulico Jacques-Elie Lamblardie (1747-1797), que sería el primer director de la Escuela. La École Polytechnique fue fruto de tal iniciativa, cuyo proyecto defendieron con energía en la Convención Fourcroy, Carnot y Prieur de la Côte-d’Or. Fueron sobre todo Monge y Prieur de la Côte-d’Or quienes más se afanaron en su creación y en sus momentos iniciales, el primero en el proceso fundacional, y el segundo, miembro del Comité de Salud Pública y graduado de la École du Génie Militaire, procurando que dispusiese de los medios materiales necesarios (por ejemplo, laboratorios y gabinetes) para llevar a cabo sus tareas. «Si tuviese que caracterizar en pocas palabras los derechos respectivos de Monge y de Prieur al glorioso título de fundador de nuestra gran escuela», escribió François Arago en la biografía de Monge que compuso como secretario perpetuo de la Académie des Sciences, «yo diría con la seguridad de haber hecho justicia a los dos competidores: Monge dio la vida a la Escuela Politécnica; Prieur, en los primeros tiempos, impidió que muriese».
Es preciso señalar que en última instancia, a pesar de todo su prestigio y elitismo, las grandes écoles tradicionales —y a su cabeza la École Polytechnique— probablemente aportaron más obstáculos que beneficios, ya que conservaron demasiado del espíritu del siglo que las vio nacer, el XVIII; sus graduados construían y vigilaban las minas, puentes, carreteras, instalaciones militares y monopolios estatales de la nación, pero descuidaban el desarrollo de las ciencias aplicadas, que en el siglo XIX constituirían con frecuencia una vía para contribuir a la propia ciencia y, desde luego, un factor importante para su avance e institucionalización (menos del 1 por 100 de los graduados de estas escuelas llegaron a ser científicos, mientras que el 80 por 100 se colocaban como militares y funcionarios civiles de alto nivel en los diversos corps d’etat). Los polytechniciens, los más prestigiosos de todos los ingenieros, no comenzaron realmente a entrar en las industrias hasta 1900, y aún entonces se mostraron mal preparados, puesto que, en su École, campos como la teoría eléctrica o la mecánica física eran descuidados. Los polytechniciens, en suma, se formaban para ser líderes de la nación, miembros de una élite administrativa, no para convertirse en meros, aunque distinguidos, técnicos.
Y en este punto aparece Alemania, que se convertiría durante el siglo XIX en la gran nación de la ciencia, superior a Francia.
Al iniciarse el siglo XIX, cada una de las dieciocho universidades alemanas existentes poseía todavía la tradicional estructura medieval, con facultades de Teología, Derecho, Medicina y Filosofía. La finalidad de la educación académica era la formación de teólogos y fieles servidores del Estado. Por regla general, los conocimientos científicos solo se proporcionaban en la Facultad de Filosofía, siendo las enseñanzas experimentales físico-químicas muy poco frecuentes (una de las excepciones era, por ejemplo, la Universidad de Gotinga, en la que a veces se dictaban lecciones de física completadas con demostraciones). La investigación científica propiamente dicha era tarea de las Academias, entre ellas la de Berlín, que seguía el patrón francés. Habida cuenta de este hecho, es sorprendente no tanto que la investigación científica prosperase enormemente en Alemania, sino que terminase haciéndolo sobre todo en las universidades; no en laboratorios privados, como el de James Prescott Joule en Manchester, o en instituciones independientes de la universidad, como, por ejemplo, los laboratorios de la Royal Institution inglesa en donde trabajaron científicos como Humphry Davy y Michael Faraday.
En 1810, sin embargo, tuvo lugar un acontecimiento que introdujo nuevos aires en la hasta entonces fosilizada universidad alemana: la creación de la Universidad de Berlín por Federico Guillermo III de Prusia, siguiendo la propuesta de Wilhelm von Humboldt, en cuyo honor, desde 1949, esta universidad lleva su nombre. Para Humboldt, «el profesor de universidad ya no es un maestro ni el estudiante un pupilo [como en las enseñanzas primaria y secundaria]. En su lugar, el estudiante realiza investigaciones por sí mismo y el profesor supervisa su investigación y le apoya en esa tarea». La Universidad humboldtiana constituía la culminación de la educación. Incluía a las facultades, con alumnos sometidos a una disciplina, y cátedras cuyos titulares (profesores ordinarios), nombrados por la Corona, además de sus funciones docentes asumían el gobierno de aquella. Para alcanzar los objetivos propuestos —entre los que figuraba la libertad de enseñanza y de elección (Lernfreiheit), que permitía al profesor decidir sin apenas cortapisas lo que quería enseñar y al alumno seleccionar los cursos y seminarios a los que asistir, de modo que, con independencia del uso final, la educación contribuyese a la formación de la identidad personal—, Humboldt prescribió la celebración de seminarios para las humanidades, de acuerdo con la experiencia de la Universidad de Gotinga, y de laboratorios para las ciencias. Ahora bien, a pesar de las ideas avanzadas de Wilhelm von Humboldt, estas se circunscribían sobre todo al mundo académico tradicional: el plan inicial de estudios de la Universidad de Berlín se enmarcaba en las cuatro Facultades clásicas, Filosofía, Derecho, Medicina y Teología. Fue su hermano, el científico y explorador Alexander von Humboldt, quien introdujo las disciplinas científicas.
Si miramos ahora a las universidades británicas, encontramos que, próximo a cumplirse el siglo XIX, existían únicamente trece universidades, frente a quince en Francia, veintiuna en Alemania y en Italia, y ciento treinta y cuatro en Estados Unidos. Y no poco antes la situación había sido mucho peor: en 1836, cuando se estableció definitivamente la Universidad de Londres, solo existían las universidades de Oxford y Cambridge —ambas remontándose al siglo XII—, las cuatro universidades escocesas, St. Andrews, Aberdeen, Glasgow y Edimburgo, creadas entre 1411 y 1583, más la recientemente fundada, en 1832, Universidad de Durham.
La Universidad de Londres culminó un movimiento en favor de la difusión de la educación y, sobre todo, de la educación superior práctica, a otras clases sociales, iniciado por el University College, centro fundado en 1828, y al que siguió el año siguiente el King’s College (1829). En realidad, fue creada para controlar la acción de todas las corporaciones asociadas, para realizar los exámenes y conceder los títulos académicos, funciones estas que extendió a los estudiantes de cualquier otro centro. Desde el primer momento promovió las ciencias experimentales y la construcción de laboratorios. En 1898 se convirtió formalmente en una universidad federal.
El reducido número de universidades británicas era reflejo de la fuerte estratificación de la sociedad británica; la cultura superior era un bien —más bien un lujo— accesible casi exclusivamente a las clases altas. El que existiesen pocas universidades implicaba, además, un número pequeño de universitarios. En Inglaterra, el número de estudiantes admitidos cada año en Oxford y Cambridge solo aumentó de manera importante a partir de la década de 1870: en la década de 1800 la media anual (para el conjunto de ambas universidades) fue de 416 nuevos estudiantes; 850 en la de 1820, 863 en la de 1840, 991 en la de 1860, para pasar luego a 1360 en la de 1870, 1693 en la de 1880 y 1762 en la de 1890. En Alemania la población universitaria era mucho mayor: 12 200 estudiantes en 1850, 14 200 en 1870, 21 000 en 1880, 28 900 en 1890 y 33 800 (44 200 incluyendo Escuelas Politécnicas) en 1900; solo en la Facultad de Artes y Ciencias estudiaban 2900 alumnos en 1850, 4900 en 1870, 8800 en 1880, 7700 en 1890 y 12 700 en 1900.
La educación en materias tecnológicas (asociada a lo que se suele denominar Escuelas Politécnicas) no se encontraba en un estado mejor a mediados de la centuria. Desde el siglo XVIII Inglaterra era la gran potencia industrial mundial; sin embargo, al contrario que Francia, no había implantado un sistema de educación técnica de nivel superior, con programas de estudio, exámenes y títulos. Los individuos cuyos inventos e innovaciones tecnológicas habían suministrado la base de la reputación de los procesos de producción, maquinarias y productos industriales británicos fueron, en general, autodidactas, artesanos o mecánicos especialmente hábiles, personas, en resumen, con experiencia práctica en talleres. En la primera fase del proceso de industrialización, e incluso más adelante, el conocimiento técnico se obtenía a través de la experiencia directa en industrias mediante un habitualmente largo aprendizaje en los talleres, no era el resultado de una formación científica sistemática en universidades o institutos de investigación estatales (ni tampoco privados). Esta práctica hizo que se valorase mucho el sistema del aprendizaje, produciéndose al mismo tiempo una actitud negativa frente a una educación con una fuerte base teórica para los ingenieros. Tal talante siguió predominando en el Reino Unido hasta bien pasada la mitad del siglo XIX, a pesar de que las nuevas tecnologías estaban modificando (en ocasiones habían modificado ya) radicalmente el carácter de la producción industrial.
Fue en las Midlands y en el Norte de Inglaterra donde, en las décadas de 1870 y 1880, se produjeron los primeros cambios realmente significativos. Preocupados por la competencia extranjera y por la falta de personal especializado, además de verse afectados por un sentimiento de orgullo local, industriales, benefactores y autoridades locales de aquellas zonas inglesas crearon un puñado de colleges —los civic colleges o colleges municipales en los que se daba preferencia a la educación científico-tecnológica—: Newcastle College of Physical Science (1871), Yorkshire College of Science, Leeds (1874), Firth College, Sheffield (1874), University College, Bristol (1876), Mason College of Science, Birmingham (1880), University College, Liverpool (1881) y University College, Nottingham (1881).
Además, las aspiraciones de los municipios no se detuvieron con la creación de estos colleges: se continuó luchando por conseguir para ellos el estatus universitario. El Owens College, que ya llevaba funcionando en Manchester treinta años, fue el primero en lograr la carta universitaria, convirtiéndose en 1880 en la Universidad Victoria; Liverpool se le unió en 1884 y Leeds en 1887. Una donación de 50 000 libras por parte de Andrew Carnegie (1835-1935) ayudó a que Birmingham también alcanzase el rango universitario en 1900, precipitando la ruptura de la Universidad Victoria; Manchester y Liverpool se convirtieron en universidades independientes en 1903; Leeds en 1904. En 1905 le tocó el turno a Sheffield y en 1909 a Bristol, gracias, sobre todo, al dinero (cien mil libras) que donó, en mayo de 1908, específicamente para «una Universidad para Bristol y el oeste de Inglaterra», el magnate de la industria del tabaco Henry Overton Wills, quien sería el primer canciller de la Universidad.
En cuanto a los laboratorios de investigación, veamos, para hacernos una idea, qué ocurría en el caso de la física (en otras disciplinas también se progresó en esa dirección: Jan Evangelista Purkinje, por ejemplo, creó el primer Departamento de Fisiología en la Universidad de Breslau en 1839 y el primer laboratorio oficial de fisiología en 1842).
Un adelantado en la instrucción de alumnos a través de un laboratorio fue Thomas Thomson (1773-1852), un alumno de Joseph Black que en 1800 instituyó en Edimburgo un curso de química, al que incorporó un laboratorio abierto a sus estudiantes (el primer laboratorio de este tipo que existió en Gran Bretaña), iniciativa que continuó allí hasta 1811. Fue en Edimburgo cuando Thomson publicó la primera edición (1802) de un libro de texto, A System of Chemistry, que dominó la enseñanza de la química en Gran Bretaña durante tres décadas (la séptima edición apareció en 1831). En 1817, Thomson se incorporó a la Universidad de Glasgow, primero como profesor adjunto, aunque inmediatamente (1818) pasó a ocupar una cátedra de nueva creación, convirtiéndose en regius professor hasta su jubilación en 1841. En esa misma ciudad y universidad, otro Thomson (pero no emparentado), William Thomson (esto es, Kelvin), estableció otro laboratorio en 1850, aunque de manera muy precaria: estaba situado en un sótano hasta entonces desocupado. Como señalamos en el capítulo 11, solo después del éxito de la instalación y entrada en funcionamiento (1866) del primer cable transatlántico submarino entre las Islas Británicas y Norteamérica, con la participación de Thomson, decidió su universidad dotarle de un laboratorio bien provisto, que se inauguró en 1870. También por entonces se establecieron otros laboratorios, como los del University College, Londres (1866; dirigido por G. C. Foster), Edimburgo (1868; P. G. Tait), King’s College, Londres (1868; W. G. Adams), Owens College, Manchester (1870; B. Stewart), Oxford (1870; R. B. Clifton); Royal School of Mines (más tarde Royal College of Science) de Londres (1872; F. Guthrie), Royal School of Science de Dublín (1873; W. Barret), Queen’s College de Belfast (1873; J. D. Everett).
Un momento especialmente significativo en esta dirección tuvo lugar el 9 de febrero de 1871, cuando el Senado de la Universidad de Cambridge creó una nueva cátedra, de Física experimental, con la obligación, para la persona que la ocupase, de «enseñar e ilustrar las leyes del Calor, Electricidad y Magnetismo; dedicarse él mismo al avance del conocimiento de tales temas; y promover su estudio en la Universidad». Uno de los medios específicos con que se dotó al nuevo catedrático fue un nuevo laboratorio, construido gracias a la generosidad de William Cavendish, séptimo duque de Devonshire, que había sucedido al príncipe consorte, el marido de la reina Victoria, en el puesto de canciller de la Universidad de Cambridge, entre cuyos antepasados se encontraban Robert Boyle y Henry Cavendish.
El primer titular de esa cátedra fue James Clerk Maxwell, que tuvo que encargarse de diseñar y supervisar la construcción del laboratorio, que quedó terminado en 1873 y que tuvo como directores inmediatamente después de Maxwell a lord Rayleigh, J. J. Thomson, Ernest Rutherford y William Lawrence Bragg, y en el que Thomson identificó (1897) al electrón como la primera partícula elemental conocida, y donde James Watson y Francis Crick descubrieron (1953) la estructura del ADN.
La química compartía con la física el problema de instalaciones mal dotadas, como demuestra la historia de los primeros años del Royal College of Chemistry que dirigió Hofmann, pero también tenía sus problemas específicos. Así, nos encontramos con que durante la mayor parte de la primera mitad del siglo, la enseñanza de la química estuvo dominada por sus aplicaciones a la profesión médica, algo que ponía límites evidentes al posible desarrollo intrínseco de la disciplina. Más tarde, hacia la década de 1840, también llamaron la atención sus aplicaciones a la agricultura; una década antes de que se estableciera el Royal College of Chemistry, la British Association for the Advancement of Science y la Royal Agricultural Society de Inglaterra (fundada en 1838) se dedicaron, junto al gobierno, a promover las aplicaciones de la química a los problemas de la agricultura. La campaña para establecer el Royal College of Chemistry, que tendría, recordemos, a Hofmann como primer director, surgió en este ambiente. En julio de 1844, después de haber realizado algunos intentos concretos, John Gardner y John Lloyd Bullock, un farmacéutico y un químico, respectivamente, dedicados a la preparación de compuestos químicos con aplicaciones diversas, hicieron pública una Proposal for establishing a College of Chemistry for promoting the science and its applications to agriculture, arts, manufactures, and medicine (Propuesta para establecer un Colegio de Química para promover la ciencia y sus aplicaciones a la agricultura, artes, manufactura y medicina). Un año después la propuesta daba fruto.
De Europa, las universidades pasaron a América. Primero, claro está, a la América hispana, donde fueron creadas mediante bulas pontificias y reales cédulas. La Universidad de Santo Domingo se constituyó en 1538 por una bula pontificia, aunque no concedió títulos hasta que obtuvo la Real Cédula de 1558. La de San Marcos de Lima y la de México fueron creaciones reales de 1551, conformes al modelo de la de Salamanca, el patrón común de las cuatro facultades: Derecho, Filosofía, Teología y Medicina. Las órdenes religiosas, dominicos, agustinos y, más tarde, jesuitas ocuparon la mayoría de las cátedras, con retribuciones superiores para los juristas, destinados a formar los cuadros de la administración civil y eclesiástica.
En las colonias británicas se fundaron colleges y schools que, tras la independencia se convirtieron en universidades. La pluralidad religiosa y la ausencia de órdenes religiosas explican el carácter civil, aunque todas invocaron sus creencias cristianas en el momento de la fundación.
Harvard (Massachusetts) se constituyó en 1636 como un seminario para formar clérigos para una comunidad puritana y se tituló Universidad en 1780. Yale (New Haven), creada en 1701 por los conservadores, inquietos por el alejamiento de Harvard de los principios de su fundación, cambió su título en 1887. Princeton fue establecida en 1751 por una facción presbiteriana para formar clérigos de su tendencia. Bajo la presidencia (1768-1794) de John Witherspoon (1723-1794), uno de los firmantes de la Declaración de Independencia, experimentó un decisivo cambio, al dar prioridad a los estudios de letras y ciencias, y en 1896 tomó el título de Universidad. La independencia contribuyó a la constitución de las universidades de los estados de Georgia, Ohio y Tennessee, en la primera década del siglo XIX.
La Universidad de Virginia (1819) eliminó las lenguas clásicas de sus planes de estudio y favoreció la experimentación. La respuesta de Yale está contenida en un informe de 1828, que se mostraba contrario a la especialización y a favor de las lenguas clásicas. «Los dos apartados principales a obtener de una cultura intelectual», se decía en él, «son la disciplina para educar la mente y solamente las lenguas clásicas pueden proporcionar la disciplina y estructura mental necesarias». La influencia de Yale determinó la orientación de la enseñanza superior hasta que Johns Hopkins (1795-1873), un magnate del ferrocarril, donó siete millones de dólares para la constitución de la universidad de su nombre (1875). Daniel Coit Gilman, el primer presidente, describió sus objetivos en la inauguración, de acuerdo con la idea de Humboldt: «La promoción de la investigación y de los trabajos de los investigadores, que con su excelencia harán avanzar a las ciencias a las que se dedican y a la sociedad en la que viven». Las «universidades de investigación» («research universities») norteamericanas se caracterizaron a partir de entonces por la gran proporción de estudiantes graduados y la importancia de la investigación, de acuerdo con el modelo de la Universidad de Berlín, en tanto seguían el ejemplo de Oxford y Cambridge de estudiantes-residentes.
Hacia mediados del siglo XIX, comenzó en Estados Unidos el estudio de las ciencias experimentales en Harvard y Yale (1847) y, tras dos décadas de intervalo, en el Massachusetts Institute of Techology (MIT). En 1869, al iniciar su largo mandato, el presidente de Harvard había declarado que la prioridad de los profesores era la enseñanza. En 1877, John Trowbridge (1843-1923) replicó: «El departamento de física de una Universidad debe ocuparse tanto de enseñar como de investigar. Si se dedica únicamente a la enseñanza, entonces sufre la causa de la ciencia, y se acaba con el propósito de una Universidad que se ha fundado tanto para enseñar como para acrecentar el conjunto del conocimiento humano». Dos años después, en un artículo destinado a describir el estado de los laboratorios, Trowbridge hizo notar que la Universidad Johns Hopkins disponía de un instrumental siete veces mayor que el de Harvard. Un donante anónimo anunció que daría 115 000 dólares si había otro que aportase otros 75 000 dólares. El resultado fue la creación del Laboratorio Jefferson (1884), el primero dedicado a la investigación física en Estados Unidos, y aunque Trowbridge fue el principal instigador de su creación, no fue elegido para dirigirlo, recayendo este honor en Joseph Lovering, que ocupó la dirección desde 1884 hasta su jubilación en 1888, momento en que Trowbridge se convirtió en director.
Una variante de los laboratorios universitarios que floreció particularmente en Estados Unidos a partir de finales del siglo XIX fueron los laboratorios industriales. Por entonces, el avance que experimentaba la industria y el comercio comenzó a transformar la ciencia estadounidense. Las manufacturas aportaban un 30 por 100 más a la renta nacional que la agricultura y la minería juntas. Las exportaciones sobrepasaron por primera vez los mil millones de dólares, superando además, por primera vez también, a las importaciones. Al igual que en otras naciones, el conocimiento científico estaba asociado a este desarrollo, y así lo percibían los norteamericanos, que, ante el ejemplo de alemanes e ingleses, solicitaron al gobierno la creación de un laboratorio nacional que se ocupara de trabajos de homologación y normalización que la industria necesitaba. El 3 de marzo de 1901 se aprobaba una ley por la que se creaba el National Bureau of Standards, dedicado a la metrología.
La industria privada reaccionó antes y con mayor amplitud que el gobierno federal ante el valor que la ciencia mostraba para la tecnología (esto es, para los negocios). Thomas Edison, no obstante sus limitaciones personales (recordemos que era un inventor hecho a sí mismo, sin una instrucción sistemática), fue uno de los primeros en darse cuenta, al menos parcialmente, de que sus negocios necesitaban de la ciencia, y en el espléndido laboratorio que construyó, entre 1886 y 1888, en West Orange, New Jersey, Menlo Park, reunió un plantel de colaboradores que, aunque demasiado variado y probablemente lejos de estar equilibrado, incluía un físico especializado en electricidad, químicos que habían obtenido sus doctorados en Alemania y varios antiguos estudiantes que habían asistido a colleges en los que la ciencia ocupaba un lugar preferente. Durante la primera década del siglo XX unas cuantas firmas de la industria química (en especial Du Pont, en 1902, y Standard Oil de Indiana) abrieron genuinos laboratorios de investigación. A principios de siglo, el presidente de la American Chemical Society podía manifestar con satisfacción: «Todavía no podemos jactarnos como los alemanes de que un único trabajo emplea a más de 100 químicos completamente formados […], pero la mayoría de los trabajos más importantes tienen equipos de entre 10 y 50 químicos, y en muchos otros participan un número menor».
Lo mismo ocurrió en la industria eléctrica y de comunicaciones, donde el valor de la mercancía manufacturada ascendió de 19 millones de dólares en 1889 a 335 en 1914. Durante la primera década de la nueva centuria, los laboratorios de General Electric (GE) y American Telephone and Telegraph (ATT), que hasta entonces solo habían estado dedicados a trabajos de rutina, se transformaron en centros de investigación y desarrollo (en, respectivamente, 1900 y 1904). El mercado de la iluminación eléctrica, por ejemplo, estaba completamente abierto a las innovaciones, desde que en 1838 el belga Jean Jobard (1792-1861) desarrollase un filamento de carbón en el vacío, con lo que comenzaba la historia de la lámpara incandescente, y por ello las industrias que se dedicaban a él tuvieron que recurrir a físicos, que estaban aprovechando este campo para demostrar sus habilidades, como demuestra el ejemplo de Walther Nernst, entre cuyos logros se encuentra, como vimos en el capítulo 10, el tercer principio de la termodinámica, quien inventó en 1904 una bombilla de filamento cerámico (cuya patente vendió obteniendo un importante beneficio económico, un millón de marcos; la bombilla, sin embargo, no constituyó un éxito). Con científicos como estos (con Irving Langmuir, por ejemplo, que había obtenido su doctorado con Nernst), General Electric se dedicó a mejorar las lámparas de wolframio y ATT a desarrollar nuevas lámparas de vacío. Y tuvieron bastante éxito: en GE lograron una lámpara de wolframio más duradera, eficiente y barata que cualquier otra lámpara incandescente existente en el mercado, con lo que la compañía pasó de dominar un 25 por 100 del mercado a un 71 por 100 en 1914. En ATT lograron desarrollar un amplificador de vacío muy eficaz, que era imprescindible para la extensión del servicio telefónico a grandes distancias.
§. Instituciones científicas
La industrialización de Europa, Estados Unidos y Japón fue la consecuencia de la aplicación de las ciencias experimentales. La asociación entre ciencia y técnica se hizo evidente y se manifestó en la disposición del Estado y de las empresas a invertir en el desarrollo científico. La intervención de los primeros se manifestó de distintas formas: negociaron para sustituir un sistema de medidas locales por un sistema único —el sistema métrico decimal—, la utilización del ejército para la vacunación acabó con las pandemias más conocidas, la introducción de la higiene, mediante la educación y el control de la calidad de los alimentos. Gobiernos y particulares compitieron por financiar la investigación y la Big Science (Gran Ciencia) —fisión del átomo, navegación espacial, genoma humano, observatorios y ciclotrones— pasó a correr a cargo de uno o varios estados asociados.
La unificación de las medidas y la simplificación de los cálculos podían reducir los gastos y promover el intercambio. En 1795, solo en Francia había más de 700 unidades de medida, debido a la existencia de medidas particulares de las ciudades, los oficios y las cosas que se medían. No había relación entre las unidades de longitud, superficie, volumen y peso, de forma que los cálculos eran laboriosos. La Asamblea Nacional francesa tomó como unidad la diezmillonésima parte de la longitud del cuadrante de la circunferencia de la Tierra, a la que llamó metro por la palabra griega para designar la medida; construyó sobre el metro las unidades de superficie (m2) y volumen (m3) y tomó la base 10 para determinar los múltiplos y divisores por la facilidad para el cálculo. La adopción del sistema métrico decimal se acordó en Holanda en 1816, en 1837 en Francia y en 1849 en España, y a partir de la década de 1860, en la América española.
En 1875 una Conferencia internacional de representantes de diecisiete países decidió la constitución de una Oficina Internacional de Pesos y Medidas para garantizar la uniformidad. La aparición de nuevos fenómenos, como la electricidad, dio lugar a la aparición de nuevas medidas, siempre decimales. La constitución del Sistema internacional de medidas en 1960 fue la ocasión para una redefinición de las unidades, de forma que no fuese necesaria la comparación con un patrón, y en 1983 se definió el metro como la longitud que recorre la luz en el vacío en 1/299 792 458 de un segundo.
Una manifestación particularmente interesante de las preocupaciones metrológicas es la creación, a finales de siglo XIX, de un laboratorio nacional que combinaba intereses científicos y tecnológicos: el Physikalisch-Technische Reichsanstalt (Instituto Imperial de Física y Tecnología; PTR), fundado gracias a las donaciones de Werner Siemens (1816-1892), industrial, científico e inventor, que había reunido su fortuna principalmente en el campo de la industria de la electricidad.
El PTR, que comenzó a funcionar en 1887, con Hermann von Helmholtz de presidente, fue la primera institución de este tipo (laboratorio nacional) que existió, siendo su modelo seguido después por Gran Bretaña y Estados Unidos, pero con diferencias de tamaño y presupuestos. El coste total del PTR, cerca de cuatro millones de marcos, fue más del doble de lo que Estados Unidos se gastó en construir y equipar su National Bureau of Standards (costó el equivalente a un millón y medio de marcos), que, como ya dijimos, comenzó a operar en 1901, y más de seis veces los seiscientos mil marcos que supuso su equivalente británico, el National Physical Laboratory británico, que abrió sus puertas en 1902.
Los químicos alemanes vieron en el PTR un modelo a imitar, y durante los primeros años del nuevo siglo, el XX, algunos —entre ellos figuras del calibre de Emil Fischer, Walther Nernst y Wilhelm Ostwald—, junto con representantes de industrias del ramo, como Agfa, BASF y Bayer, consideraron la posibilidad de establecer un Instituto Imperial de Química que hiciera por la ciencia y la industria química lo mismo que el fundado por Siemens estaba logrando para la física y las tecnologías físicas. Llegaron incluso a fundar una asociación para reunir fondos; sin embargo, tuvieron que abandonar la idea de un Chemische Reichsanstalt, entre otras razones porque las finanzas del Reich, que era quien debía ocuparse de mantener tal instituto, estaban sufriendo con el aumento de los gastos militares y con los programas sociales en curso (de hecho, el gobierno ya se había mostrado algo reacio en el caso del PTR, pero la intervención de Siemens venció todos los obstáculos). Al darse cuenta de la imposibilidad de su propósito, la Asociación de Químicos apoyó otro proyecto, que recibiría el nombre de Kaiser-Wilhelm-Gesellschaft zur Förderung der Wissenschaften (Sociedad Káiser Guillermo para el Desarrollo de las Ciencias) y que constituiría, como el PTR, otro paso adelante en la dirección de la Gran Ciencia germana.
El primer Instituto Káiser Guillermo inaugurado (el 23 de octubre de 1912) fue el de Química, siendo el director el químico analítico Ernst Beckmann, que se ocupó también de la sección de química inorgánica; existía asimismo una sección de química orgánica, a cargo de Richard Willstätter, y una pequeña sección de radiactividad y química dirigida por Otto Hahn, a quien poco después se le unió Lise Meitner (sería en este centro, a finales de 1938, en donde Hahn, en colaboración con Fritz Strassmann descubrió la fisión del uranio). El coste del Instituto fue de 1 100 000 marcos, de los que la Asociación para el Instituto Imperial de Química puso 850.000. Prácticamente al mismo tiempo abrió sus puertas un Instituto de Química-física y Electroquímica, dirigido por Fritz Haber. Ambos centros se construyeron en terrenos cedidos por el gobierno prusiano, en Dahlem, cerca de Berlín.
En 1913 se creó un Instituto Káiser Wilhelm de Terapia experimental; en julio de 1914, poco antes de la guerra, se inauguraba un Instituto del Carbón en Mülheim; en los años siguientes seguirían Institutos del Hierro (en Düsseldorf), Química de tejidos (Dahlem), Biología, Fisiología del trabajo e Investigación cerebral. También se estableció, en 1917, un Instituto Káiser Guillermo de Física teórica, dirigido por Einstein, pero este centro no necesitó de instalaciones, solo de algún dinero: su sede se encontraba en Haberlandstrasse 5, Berlín, el domicilio particular de Einstein. En 1930 la Asociación reunía un total de 26 centros. Todo un imperio; un imperio científico. Y el régimen nazi incorporó nuevos institutos, hasta 28, de los que quedaban 13 al término de la guerra, cuando los británicos reactivaron la institución en su zona; en 1995, después de rebautizarla con el nombre de Max Planck, alcanzó hasta los 80, entre ellos uno dedicado a la Historia de la Ciencia.
El establecimiento de centros, privados y públicos, dotados con importantes medios humanos y materiales, y dedicados exclusivamente a la investigación, acabó con la concepción humboldtiana de la Universidad, al separar la enseñanza de la investigación. Los laboratorios universitarios se limitaron a la formación de los licenciados, en tanto la investigación corría a cargos de las instituciones. Dentro de estas se produjo una nueva partición: las instituciones dedicadas a la ciencia y las orientadas a la producción de bienes y servicios, que disfrutaron del monopolio de la explotación en virtud de las patentes. La Royal Society se había constituido para «promover el desarrollo de la experimentación Físico-Matemática», y el «progreso de las ciencias» fue el lema que acompaña el nombre de muchas sociedades de los siglos XIX y XX. Bajo esta bandera se enrolaron los curiosos interesados por el progreso científico, las instituciones públicas y privadas, y la hicieron suya, sin buscarla, las compañías industriales que querían mejorar sus rendimientos.
Los ejemplos anteriores muestran un tipo de institucionalización, pero esta es un edificio con muchas caras. Están también centros como la Royal Institution de Londres, que desempeñó un papel destacado tanto en la investigación como en la promoción científica, y que fue fundada en 1799. Entre sus fundadores estaban personas como el reformador social, inventor y físico norteamericano Benjamin Thomson, el conde Rumford, con quien ya nos encontramos en el capítulo 10, el naturalista, botánico y explorador sir Joseph Banks y sir Thomas Bernard, de la Society for Bettering the Condition of the Poor (Sociedad para la Mejora de la Condición de los Pobres). La memoria que preparó Rumford defendiendo la necesidad de semejante institución constituye un temprano ejemplo de política científica. Su título era: «Propuestas para formar en la metrópolis del Imperio Británico, mediante subscripción, una Institución Pública para difundir el conocimiento y facilitar la introducción general de inventos y mejoras útiles, y para enseñar, a través de cursos de conferencias filosóficas y de experimentos, la aplicación de la ciencia a los fines comunes de la vida». Algunos de sus fundadores tenían en mente realmente un college técnico, mientras que otros, terratenientes, lo que deseaban era beneficiarse de los avances científicos, algo que sin duda obtuvieron con las investigaciones de algunos de sus primeros miembros, como Humphry Davy, que llevó a cabo trabajos sobre tintes, química agrícola y lámparas seguras para utilizar en las minas. La institución fue provista de un laboratorio para realizar experimentos, cuyos trabajos supervisaba un director para la investigación. Los resultados fueron notables: catorce científicos relacionados con la institución recibieron el premio Nobel y en su laboratorio se aislaron diez elementos. En 1825 comenzaron las «Conferencias de Navidad», que continúan en nuestros días y de las que, como señalamos, Faraday fue un animador al participar en diecinueve ocasiones.
La aceptación de que la ciencia constituía una actividad de especial importancia para el desarrollo y bienestar social favoreció cada vez más la idea de que sería conveniente reunir y aislar a algunos científicos para que, dispensados de la docencia, se dedicasen a investigar en un entorno propicio, rodeados de unos cuantos colegas y, acaso, de cierto número de investigadores visitantes. Los primeros ejemplos en este sentido, ya en el siglo XX, procedieron de la iniciativa privada. Así, en 1901, el banquero John D. Rockefeller (1839-1937) creó un Institute for Medical Research (Instituto para Investigación Médica) en Nueva York, que en 1956 se convirtió en universidad: la Rockefeller University. Y el año siguiente (1902), el industrial y mecenas de origen escocés Andrew Carnegie (1835-1919) fundaba la Carnegie Institution de Washington, D. C., que incluía seis institutos especializados (en 2002 se creó el último, dedicado a la ecología).
Casi tres décadas más tarde (1930), los hermanos Luis y Caroline Bamberger, propietarios de unos grandes almacenes en Newark (Nueva Jersey), aceptaban la idea que les propuso el educador Abraham Flexner (1866-1959) para financiar la creación de un Institute for Advanced Study (Instituto de Estudio Avanzado) en Princeton (Nueva Jersey), ajeno a la universidad del mismo lugar. El Instituto comenzó a funcionar bajo la dirección de Flexner, con una Escuela de Matemáticas de la que formaban parte Oswald Veblen, Albert Einstein, Marston Morse, Hermann Weyl, John von Neumann y James Alexander, a los que pronto se sumó Kurt Gödel.
Los Estados también se sumaron a la tendencia de crear centros de investigación, independientes de la enseñanza. Curiosamente, la primera gran iniciativa en este sentido se dio en España, una nación históricamente subdesarrollada en ciencia. En 1907 se creó, dependiente del Ministerio de Instrucción Pública (establecido poco antes, en 1900), la Junta para Ampliación de Estudios e Investigaciones Científicas (JAE), entre cuyos objetivos figuraba de manera prominente favorecer el avance de la ciencia.
La Exposición del Decreto Fundacional de aquella Junta es un fiel reflejo tanto del contexto del que surgió como de sus intenciones; empezaba así: «El más importante grupo de mejoras que pueden llevarse a la instrucción pública es aquel que tiende por todos los medios posibles a formar el personal docente futuro y dar al actual medios y facilidades para seguir de cerca el movimiento científico y pedagógico de las naciones más cultas, tomando parte en él con positivo aprovechamiento».
El principal medio elegido para llevar a cabo esta tarea fueron las pensiones (las becas, como se denominan en la actualidad). El Decreto Fundacional era, una vez más, explícito en este aspecto:
El pueblo que se aísla se estaciona y descompone. Por eso todos los países civilizados toman parte en ese movimiento de relación científica internacional, incluyendo en el número de los que en ella han entrado, no solo los pequeños estados europeos, sino las naciones que parecen apartadas de la vida moderna, como China, y aún la misma Turquía, cuya colonia de estudiantes en Alemania es cuatro veces mayor que la española, antepenúltima entre todas las europeas, ya que son solo inferiores a ella en número Portugal y Montenegro.
No todo se limitaba, sin embargo, a las pensiones, también se crearon centros, o incorporaron otros ya existentes, en los que investigaron la flor y nata del pensamiento español de aquella época; entre ellos los científicos Santiago Ramón y Cajal (que presidió la Junta hasta su muerte), los físicos Blas Cabrera, Julio Rey Pastor, Arturo Duperier y Manuel Martínez Risco, el ingeniero Leonardo Torres Quevedo, el entomólogo Ignacio Bolívar (sucesor de Cajal en la Presidencia), el espectroscopista Miguel Catalán, los químicos Enrique Moles y Antonio Madinaveita, los matemáticos Julio Rey Pastor y Luis Santaló, y en el campo de las ciencias biomédicas Nicolás Achúcarro, Pío del Río Hortega, Juan Negrín, Gonzalo Rodríguez Lafora, José Fernández Nonídez, Jorge Francisco Tello, Fernando de Castro, Francisco Grande Covián, Rafael Lorente de No y Severo Ochoa.
La división ideológica que provocó e intensificó la Guerra Civil española se llevó consigo a aquella Junta, a la que las llamadas «fuerzas nacionales» consideraban un bastión republicano y librepensador. Antes incluso de que terminase la guerra, el 19 de mayo de 1938, aprovechando un decreto firmado por el general Francisco Franco y preparado por el ministro de Educación Nacional, Pedro Sáinz Rodríguez, con el que se conmemoraban los veintiséis años de la muerte de Marcelino Menéndez Pelayo, el gobierno de Burgos la abolió mediante un decreto (publicado en el Boletín Oficial del Estado el 20 de mayo). En su lugar, mediante una ley de 24 de noviembre de 1939, se creó el Consejo Superior de Investigaciones Científicas (CSIC), al que se adjudicaban las posesiones de la JAE. Hasta el día de hoy, este Consejo agrupa el mayor número de centros e investigadores que existen en España fuera de la Universidad.
El mismo año que se creó el CSIC, en Francia se fundaba una institución parecida: el Centre Nationale de la Recherche Scientifique (Centro Nacional de la Investigación Científica; CNRS), destinado a integrar todas las instituciones públicas dedicadas a la investigación, fundamental y aplicada. El decreto que lo puso en marcha fue firmado por el presidente de la República un mes después de iniciarse la Segunda Guerra Mundial, no teniendo entonces oportunidad de mostrar su capacidad, algo que sí haría a partir de la reconstrucción que siguió a la paz. Para colaborar en esta y recuperar su vocación, aplicó sus medios tanto a la ciencia aplicada (telecomunicaciones, energía atómica) como a la básica.
Italia también siguió el modelo, con un Consiglio Nazionale delle Ricerche (CNR). Establecido en 1923 bajo la presidencia del matemático Vito Volterra (1860-1940), inicialmente el CNR tenía una misión muy modesta: representar a Italia en una organización internacional que tenía su sede en Bruselas, el International Research Council; en 1927, sin embargo, fue revitalizado y reorganizado, recibiendo el mandato de coordinar las actividades en los diversos campos de la ciencia y sus aplicaciones en interés de la economía general del país, sugerir al gobierno la creación y transformación de laboratorios científicos, aconsejar a las agencias estatales acerca de asuntos técnicos, editar la bibliografía técnica italiana, promover en el extranjero el conocimiento de la ciencia y técnica italianas y proponer a la agencias estatales interesadas la dotación de becas en el país y en el extranjero. Como primer presidente del nuevo Consiglio se eligió a Guglielmo Marconi. Entre los que se beneficiaron de la nueva institución se encuentra Enrico Fermi, que llevó la física italiana a una de las cúspides mundiales.
Un modelo de institución diferente al de las que hemos mencionado hasta el momento, una que respondía al creciente interés de la sociedad por la ciencia y al deseo de los científicos por llevar sus disciplinas a esa misma sociedad, además de relacionarse entre ellos mismos, fue el de las Asociaciones para el Avance de la Ciencia. El modelo surgió en 1822, con la creación de la Gesellschaft Deutscher Naturforscher und Ärzte (Asociación Alemana de Científicos de la Naturaleza y Médicos), establecida en Leipzig a instancias sobre todo del biólogo Lorenz Oken (aquí tenemos una muestra más —y temprana— del dinamismo que caracterizó a la ciencia germana del siglo XIX). En 1831 siguió la British Association for the Advancement of Science (Asociación Británica para el Avance de la Ciencia) y en 1848 el modelo atravesó el Atlántico, creándose la American Association for the Advancement of Science, que siguió muy de cerca la reglamentación de la británica. Ya más tarde aparecieron otras: en 1872 la Association Française pour l’Avancement des Sciences, en 1907 la Società Italiana per il Progresso delle Scienze y en 1908 la Asociación Española para el Progreso de las Ciencias. Además de servir para presentar resultados científicos o elaborar panorámicas informativas destinadas a colegas de otros campos, cuando no simplemente para consumo de aficionados, algunas de estas sociedades (en especial, la británica) formaban comités que estudiaban temas concretos (las constantes físicas, por ejemplo), con lo que servían a la ciencia nacional e internacional. Un rasgo prácticamente común a todas ellas es que fueron utilizadas con frecuencia como tribunas para reclamar atención y medios para la investigación científica.
§. Publicaciones científicas
Si excluimos la correspondencia personal y los libros, la comunicación científica de los problemas y descubrimientos comenzó, como ya tuvimos ocasión de señalar en el capítulo 9, con la publicación en 1665 de Journal des sçavants, de la Academia de Ciencias de París, y de Philosophical Transactions, de la Royal Society de Londres, a las que siguió en 1682 el Acta Eruditorum de Leipzig, con el patrocinio del Collegium Gellianum y el apoyo del duque de Sajonia. En el siglo XVIII, se publicaron en San Petersburgo y en latín los Commentarii Academiae Scientarum Imperialis Petropplotanae (1728-1751). Estas u otras publicaciones se limitaron durante más de un siglo a dar noticias de los descubrimientos y extractos de libros. El siglo XIX se caracterizó por el desarrollo simultáneo de las revistas generales y las especializadas. El Journal of Science norteamericano, fundado en 1818, ejerció una influencia muy superior a lo que cabría esperar de sus limitadas tiradas. Una iniciativa particularmente importante y duradera fue la que vio la luz en 1869 con la aparición en Londres del primer número de la revista semanal Nature, que publicaba artículos científicos originales, junto a otros destinados al público interesado en el desarrollo de la ciencia, incluyendo entre estos tanto editoriales como presentaciones generales y exposiciones del estado de la cuestión. El éxito creciente y la introducción de los índices de impacto contribuyeron a su prestigio y a la dificultad para colocar en sus páginas un original. Las nuevas reglas limitaron la publicación a los más importantes, y entre estos se pueden destacar los artículos dedicados a la naturaleza ondulatoria de las partículas (1927), el neutrón (1932) o la primera clonación (1997). Science, la versión americana de Nature, creada en 1880, no se consolidó hasta que en 1900 se convirtió en la publicación oficial de la American Association for the Advancement of Science. Publicó artículos de los científicos que aportaban las nuevas concepciones: la genética de Morgan, las lentes gravitacionales de Einstein o las nebulosas espirales de Hubble. En febrero de 1001, Science y Nature publicaron a la vez los resultados de la identificación del genoma humano.
Los países más avanzados tuvieron sus propias revistas. En el caso de la medicina se puede citar The Lancet, fundada en 1823, que ha permitido informar a los profesionales y defender los intereses de la población en materia de sanidad e higiene. La Academia de Medicina de Francia ha cambiado en cuatro ocasiones el título de su Bulletin (1836) para adaptarse a los cambios de régimen, modificando su contenido y la estructura de sus comités, con lo que también influyó en la orientación de las investigaciones de sus miembros. Virchow y su discípulo Benno Ernst Reinhardt (1819-1852), tras el rechazo de sus originales en la revista francesa, decidieron crear en 1847 una de las revistas más influyentes para la exposición de sus ideas sobre la patología celular, el Archiv für Pathologische Anatomie und Physiologie und für Klinische Medizin. Al morir su fundador (1910), recortó el título a Virchow’s Archiv. La American Medical Association (Asociación Médica Americana), fundada en 1847, publicó desde el año siguiente Transactions of the American Medical Association, que cambió su nombre en 1883 por el de Journal. Constituyeron un valioso instrumento para suministrar todo tipo de informaciones a los miembros de la asociación.
A partir de entonces, el número de revistas científicas creció exponencialmente, haciendo imposible que podamos presentar siquiera un resumen de las principales, tantas son y tantos los campos que cubren. Eso sí, hay que hacer hincapié en el hecho de que en particular a partir del siglo XX la información publicada en revistas científicas constituye el vehículo esencial para el desarrollo de la ciencia, tanto en lo que se refiere a su contenido como a las carreras profesionales de los científicos. Arif Jinha, de la Universidad de Ottawa, ha estimado (y publicado en 2010 en la revista Learned Publishing) que desde el establecimiento de Philosophical Transactions of the Royal Society en 1665 se han publicado unos cincuenta millones de artículos en revistas científicas. Se trata de una cifra muy cuestionable, pero que da idea del enorme número implicado.
§. Congresos científicos
Aunque basada inevitablemente en enclaves locales, la ciencia es internacional. Son diversos los mecanismos para alcanzar esa internacionalización. De hecho, ya nos hemos ido encontrando con algunos de esos mecanismos, presentes desde muy temprano. Internacionalización implica, obviamente, intercambios, y estos pueden tener lugar, por ejemplo, a través de revistas o de manera personal, directa. En el ámbito de lo personal, la internacionalización puede requerir abandonar los estrechos límites nacionales, restringidos por fronteras políticas. Aunque el talante internacionalista de la ciencia se remonta, cuando menos, a la época en que se fundaron instituciones como la Royal Society (1660), la Académie Royale des Sciences (1666) o la Societas Regia Scientiarum (1700), que pronto empezaron a admitir como miembros a extranjeros, fue en la segunda mitad del siglo XIX cuando se aceleró la dimensión internacionalista de la ciencia. Sorprendentemente esto ocurrió en un momento en el que el nacionalismo político estaba intensificándose en todo el mundo. Al mismo tiempo que el desarrollo interno de la ciencia ampliaba sustancialmente su oferta de servicios de gran utilidad al Estado, los científicos extendían sus relaciones internacionales.
Con el desarrollo económico y social, los gobiernos de las naciones más industrializadas tomaron diferentes iniciativas para promocionar el comercio internacional. Ahora bien, para poder vender productos surgidos de muchas de las tecnologías de la época se necesitaban sistemas comunes de unidades. El gobierno francés, por ejemplo, defendió a lo largo de una buena parte del siglo la necesidad de implantar y regular firmemente el sistema métrico. Esta insistencia condujo a la celebración de una Conférence Diplomatique du Mètre (Conferencia internacional del metro) del 1 de marzo al 20 de mayo de 1875, con la participación de veintiuna naciones (España entre ellas). La culminación de esta campaña, en la que participaron activamente la Académie de Sciences y la Royal Society, fue la creación de una de las primeras instituciones internacionales de investigación: el Bureau International des Poids et Mesures (Oficina Internacional de Pesos y Medidas), en Sèvres, en las afueras de París.
La industria de la electricidad y de las comunicaciones también pugnaba en esa dirección. Las exigencias comerciales impulsaron tanto la investigación metrológica dentro de las distintas naciones como la celebración, durante las décadas de 1880 y 1890, de numerosas reuniones internacionales dedicadas al establecimiento de un sistema común de unidades eléctricas. Es significativo que el Primer Congreso Internacional de Electricidad, celebrado en París en 1881, fuera presidido por el director francés de Correos y Telégrafos, y que el triunvirato que encabezaba la delegación alemana estuviese formado por un representante del gobierno (Wilhelm Förster), uno del mundo académico (Hermann von Helmholtz) y uno de la industria (Werner von Siemens). Durante las sesiones tuvieron lugar intensos y apasionados debates, especialmente entre las delegaciones alemana y británica (en la que destacaba el polifacético lord Kelvin). La British Association for the Advancement of Science llevaba trabajando en el tema desde 1862, a través de un comité específico, mientras que la ambición de los germanos era hacer de Berlín la meca de las medidas eléctricas, al igual que París ya lo era de las métricas. Los nombres que se adjudicaron a las unidades básicas (ohmnio, voltio, faradio, culombio, weber, amperio) revelan la tensión nacionalista que subyacía en aquellos debates.
Intereses socioeconómicos aparte, el propio desarrollo interno de la ciencia impulsaba la colaboración internacional entre científicos. Estudiantes extranjeros acudían a los laboratorios más renombrados, y el desarrollo de los transportes facilitaba los viajes de los propios investigadores. Científicos de otros países asistían, por ejemplo, a las reuniones de las Asociaciones para el Progreso de la Ciencia, como la Gesellschaft Deutscher Naturforscher und Ärzte alemana y la British Association for the Advancement of Science, las dos más importantes de la época. Este comportamiento era todavía más común en las reuniones bianuales que celebraba desde 1865 la Astronomische Gesellschaft (Sociedad Astronómica) germana; de hecho, aquellas reuniones se constituyeron en una especie de congresos internacionales de astronomía, aunque aquí hay que considerar la larga historia y tradición de dicha disciplina.
Al progresar la ciencia, al hacerse más compleja, al aumentar el número de especialistas, de científicos profesionales, se sintió con mayor intensidad la necesidad de utilizar un lenguaje común, lo más económico posible (conceptualmente hablando), y ello con independencia de su posible valor comercial. Tal fue el sentimiento que animó al químico August Kekulé —que atrajo a un francés, Charles-Adolphe Wurtz, y ambos buscaron la respetabilidad que su juventud no les ofrecía con un tercero, C. Weltzien— cuando convocó en 1860 (3-5 de septiembre) un Congreso de Química en Karlsruhe (que ya mencionamos en el capítulo 8), en cuyo Politécnico Weltzien era profesor, con el propósito de lograr acuerdos que aumentasen la coherencia de la notación química. En 1876 se celebró, en Filadelfia, el I Congreso Internacional de Medicina, con asistencia de europeos, iberoamericanos, indios, chinos y japoneses, que tuvo continuación (en 1881 se celebró el VI en Londres, en 1890 el X en Berlín, en 1897 el XII en Londres, y en 1900 el XIII en París). En 1889 se celebró el I Congreso de Fisiología, en Basilea, organizado por Friedrich Miescher, y en 1894 un Congreso Internacional de Química Aplicada en Bruselas. El I Congreso Internacional de Física se desarrolló en París en 1900; en él Poincaré rechazó la existencia del éter y los Curie tuvieron la oportunidad de mostrar sus hallazgos.
De esta manera fue surgiendo una cultura científica transnacional que facilitó el intercambio de ideas, técnicas e instrumentos (ayudó también disponer de una red ferroviaria que unía las principales capitales de Europa, algo que no se completó hasta 1860; solo a partir de este momento los congresos científicos fueron realmente internacionales, europeos principalmente, en espera de que llegasen los norteamericanos). Y en el marco de esa cultura nacieron asociaciones o instituciones internacionales, entre las que se pueden citar las siguientes: la Asociación Geodésica Internacional (1864), el Comité Permanente del Repertorio Bibliográfico de Ciencias Matemáticas (1889), la Comisión Internacional para el Estudio de las Nubes (1891), el Comité Internacional de Pesos Atómicos (1897), la Comisión Internacional de Fotometría (1900), la Asociación Internacional de Sismología (1903), la Unión Internacional para la Cooperación en las Investigaciones Solares (1904), el Instituto Polar Internacional (1907), el Comité Internacional para la Publicación Anual de Tablas de Constantes (1909) y la Comisión Internacional del Radio (1910), así como la Asociación Internacional de Academias (1899), una organización que agrupaba a las academias más importantes.
También los matemáticos se unieron a este espíritu. «Lo que hasta ahora logró una sola cabeza debemos buscarlo a partir de ahora mediante la cooperación y los esfuerzos comunales», manifestaba el eminente matemático alemán Felix Klein (1849-1817) durante el Congreso Mundial de matemáticos que tuvo lugar entre el 21 y el 26 de agosto de 1893, como parte de la Exposición Universal que se celebró en Chicago aquel año. Cuarenta y cinco matemáticos asistieron a aquella reunión, poco mundial en la medida en que únicamente cuatro no eran americanos: los alemanes Klein and Edward Study, el austriaco Norbert Herz y el italiano Bernard Paladini, aunque Charles Hermite, David Hilbert, Adolf Hurwitz, Hermann Minkowski, Max Noether, Salvatore Pincherle y Heinrich Weber apoyaron la reunión enviando comunicaciones in absentia.
El ideal que Klein defendió en Chicago, «cooperación y esfuerzos comunales», fue recuperado por Hermann Minkowski —entonces profesor en el Politécnico de Zúrich— en una carta que envió a David Hilbert (Gotinga) el 17 de noviembre de 1896, en la que planteaba la celebración de un congreso de matemáticos, un plan que condujo finalmente a la celebración de lo que sería el primero de una larga y continua lista de Congresos Internacionales de Matemáticos. Se celebró en Zúrich, entre el 9 y el 11 de agosto de 1897 con la asistencia de 208 matemáticos pertenecientes a 16 países. Poincaré dictó la conferencia inaugural («Las relaciones entre el análisis puro y la física matemática»).
El segundo de estos congresos se celebró en París en 1900, también en agosto (6-12), con una participación algo superior a la de Zúrich, 250 matemáticos de 26 naciones. Fue en aquel congreso en el que Hilbert pronunció su célebre conferencia «Sobre los problemas futuros de las matemáticas». A partir de entonces la secuencia fue, en general, de un nuevo congreso cada cuatro años: Heidelberg (1904), Roma (1908), Cambridge (1912), Estrasburgo (1920), Toronto (1924), Bolonia (1928), Zúrich (1932), Oslo (1936), Cambridge, Massachusetts (1950) y así sucesivamente hasta la actualidad (en 2006 se celebró en Madrid). Y cada vez con la asistencia de más matemáticos: en Cambridge (1912), por ejemplo, participaron 574 matemáticos, en el de Moscú de 1966, 4300, en el de Berlín de 1998, 3346 de 98 países, con 21 conferencias plenarias y 1098 comunicaciones de quince minutos.

La ciencia genera y confiere poder. Es cuestionable que sean los científicos los que administren ese poder; más bien son otros —políticos, militares, industriales— los que lo hacen. No obstante, no tendría sentido hablar de ese poder sin la existencia de los científicos. Y dentro de estos, y aunque evidentemente no puedan existir sin la masa de los profesionales «normales» de la ciencia, los grandes creadores. Esta fotografía muestra una reunión de algunos de esos grandes creadores: los físicos que se juntaron en el V Consejo Solvay (1927). «Electrones y fotones» fue el tema al que estuvo dedicada aquella reunión, en la que participaron por primera vez desde el final de la Primera Guerra Mundial físicos alemanes. El poder de transformación social que atesoraba la nueva física cuántica era imposible de imaginar entonces, pero sobre las bases que trataron los físicos que se reunieron en Bruselas del 24 al 29 de octubre terminó edificándose un nuevo mundo; un mundo poblado por artilugios como los transistores, sobre los que se levantó la revolución digital que produjo la globalización, o las bombas nucleares que en agosto de 1949 asolaron las ciudades japonesas de Hiroshima y Nagasaki.
El VI Consejo Solvay (1930) estuvo dedicado a «El magnetismo» y el VII (1933) a la «Estructura y propiedades de los núcleos atómicos». Luego vino un largo intervalo debido a la Segunda Guerra Mundial. Se reanudaron en 1948, con uno dedicado a «Las partículas elementales», al que siguió en 1951 el IX, centrado en «El estado sólido». Se trataba de dos materias que marcaron una buena parte del siglo XX, tanto en lo científico como en lo socioeconómico.
Otro ejemplo notorio de institución creada para favorecer los intercambios internacionales fueron los Institutos y Consejos (Conseils) Internacionales de Física y Química Solvay, cuyo origen data de la primera mitad de 1910 y que tuvo al químico-físico Walther Nernst, ya por entonces muy interesado por el nuevo mundo cuántico, como su gran valedor. En el curso de uno de sus viajes, Nernst pasó por Bruselas, conociendo allí a Ernest Solvay (1838-1922), químico belga que hizo una fortuna al desarrollar un procedimiento de fabricación del bicarbonato sódico; le mencionó que sería interesante organizar una reunión de especialistas en ese nuevo mundo científico, y Solvay mostró su disposición a subvencionarla.
El primer Consejo, de Física, se celebró en Bruselas, entre el 30 de octubre y el 3 de noviembre de 1911, y estuvo dedicado a «La teoría de la radiación y los cuanta», con la participación (todos por invitación) de 20 físicos prominentes. Hasta entonces habían sido escasas las reuniones de este tipo; esto es, auténticamente internacionales y dedicadas específicamente a problemas abiertos de física. La única celebrada anteriormente había sido el ya citado Congreso Internacional de Física de París (1900), en el que estuvieron representadas Austria, Bélgica, Canadá, Dinamarca, España, Estados Unidos, Francia, Grecia, India (una colonia inglesa todavía), Japón, México, Rusia y Suecia. Se trató de una reunión sustancialmente diferente a la Solvay, ya que las sesiones estuvieron dedicadas a que científicos importantes presentasen exposiciones sintéticas sobre los conocimientos por entonces firmemente establecidos en la física; esto es, se trataba de mirar más hacia el pasado que hacia el futuro.
Dado el éxito de la primera reunión, Solvay decidió continuarlas y ampliar la iniciativa al ámbito de la química, que celebraría sus Consejos por separado, así como establecer unos Institutos Internacionales de Física y de Química —que llevarían el nombre de Solvay— que se ocupasen de «promocionar las investigaciones encaminadas a ampliar y sobre todo a profundizar el conocimiento de los fenómenos naturales, especialmente en los campos de la física y la química física».
§. Premios científicos
La conveniencia de un estímulo para el trabajo científico tuvo su primera realización en la introducción de las patentes, que otorgaban al inventor el privilegio de ser el único autorizado a vender el producto durante un tiempo determinado. Cuando se quería estimular a los inventores en una dirección determinada se ofrecía un premio, práctica habitual en el caso de las academias cuando querían encontrar argumento en pro o en contra de una proposición, sistema utilizado en el caso de las construcciones teóricas.
En 1714, el Paramento británico anunció un premio de 20 000 libras para quien encontrase un método practicable para determinar la longitud en el mar, creándose una comisión de 22 expertos para calificar las propuestas. La idea de un reloj que no se viese afectado por las condiciones atmosféricas para mantener la hora de Londres en cualquier lugar del océano era la solución, la construcción el problema. Fue el relojero John Harrison (1693-1776), que construyó su primer reloj, de péndulo, en 1713, quien consiguió producir tal aparato (produjo su famoso modelo H-4, que medía 127 milímetros de diámetro y pesaba 1360 gramos, en 1760), aunque no recibiese las 20 000 libras prometidas, sino la mitad, 10 000, en 1765; la Royal Society le otorgó la medalla Copley, que había creado en 1731 para premiar alternativamente los trabajos en física y biología. Llevaba aneja una recompensa de 5000 libras esterlinas.
La Académie des Sciences de París también participó, como tuvimos ocasión de comprobar en el capítulo 6, en la costumbre de conceder premios: anunciaba dos temas a concurso y premiaba las mejores memorias. La primera convocatoria tuvo lugar en 1720, con los temas: «Cuál es el principio y la causa del movimiento» y «Cuál sería la forma más precisa de conservar en el mar la igualdad del movimiento de un péndulo, sea por la construcción de la máquina, sea por la suspensión». El último, en 1792, estuvo dedicado a los satélites de Júpiter.
Los premios más conocidos fueron creados por Alfred Nobel (que ya nos apareció en el capítulo 13) en su testamento, para premiar la investigación en Física, Química, Fisiología o Medicina, Literatura y Paz. Por la importancia que han adquirido es interesante que nos detengamos con algo más de detalle en su génesis (la propia distribución de los premios constituye un buen índice del poder científico de las diferentes naciones; así, si se toma la muestra de los más de cincuenta centros con tres o más premiados, se descubre inmediatamente la superioridad de las universidades y una evolución que muestra el desplazamiento de los centro de investigación desde Alemania hacia Estados Unidos).
Estos premios surgieron del testamento de Nobel, que correspondía a una auténtica fortuna: 33 millones de coronas suecas.
Enfrentados con la tarea de cumplir su testamento, los albaceas de Nobel decidieron enviar una serie de cartas a las diferentes instituciones suecas señaladas en él para seleccionar los ganadores de los premios, pidiéndoles que asumieran su responsabilidad. Finalmente, y tras complejas negociaciones, se creó una Fundación Nobel cuyos estatutos fueron aprobados por el gobierno sueco y sancionados por un decreto firmado el 29 de junio de 1900 por el rey Óscar II. Al año siguiente, 1901, se concedieron los premios Nobel por primera vez. Limitándonos a los premios científicos, recordaremos que el de Física lo recibió aquel año Wilhelm Röntgen, «en reconocimiento a los extraordinarios servicios que ha aportado el descubrimiento de los notables rayos que subsiguientemente recibieron su nombre»; el de Química, Jacobus Henricus van’t Hoff, «en reconocimiento a los extraordinarios servicios que ha aportado con su descubrimiento de las leyes de la dinámica química y presión osmótica en soluciones»; el de Fisiología o Medicina, Emil Adolf von Behring, «por su trabajo en la seroterapia, especialmente su aplicación para combatir la difteria, que ha abierto nuevos caminos en el dominio de la ciencia médica, proporcionando de esta manera a los médicos una victoriosa arma contra le enfermedad y la muerte».
Inicialmente hubo algunas limitaciones en las investigaciones científicas que podían ser galardonadas. Así, de acuerdo con el testamento de Nobel, el premio de Física debía premiar un descubrimiento o una invención, lo que los ejecutores entendieron que implicaba la recomendación de premiar la experimentación, criterio que la Academia de Ciencias sueca siguió hasta que se decidieron a galardonar en 1919 los resultados cuánticos que Max Planck había obtenido en 1900 (antes, cierto es, en 1902, se había galardonado a Hendrik Lorentz por su explicación del efecto Zeeman, pero su premio fue compartido con el propio Pieter Zeeman), y luego las construcciones teóricas de Einstein (1921) y Bohr (1922).
Con respecto al premio de Fisiología o Medicina, hay que recordar que Nobel pensó en él para aquellos «que hayan conferido el mayor beneficio a la humanidad», una expresión que se puede interpretar pensada para realizaciones capaces de impulsar tanto el progreso intelectual como físico de la humanidad; en otras palabras, en descubrimientos con un carácter puramente científico, así como aquellos con un valor inmediatamente práctico. En cualquier caso, lo cierto es que el significado del término «el dominio de la fisiología o de la medicina» fue ampliamente discutido en las deliberaciones sobre el testamento de Nobel. Al principio, los delegados del Instituto Carolino propusieron que debería insertarse en los estatutos la siguiente definición: «Por el dominio de la fisiología o de la medicina se considera que el donante ha querido decir todos los aspectos teóricos y prácticos de las ciencias fisiológicas y médicas». En la práctica, a lo largo de la historia de los premios Nobel todas las ramas de las ciencias médicas han sido tomadas en consideración y se han concedido premios en varias de ellas, si bien no se han tenido en cuenta los aspectos de la fisiología que caen completamente fuera de la esfera médica, como, por ejemplo, la fisiología vegetal o la fisiología especial de los animales inferiores.
Como vemos, la matemática no fue seleccionada por Nobel para sus premios, tal vez porque la veía demasiado abstracta y «no experimental». Esta discriminación se vio aliviada bastantes años más tarde con unas medallas que instituyó el matemático canadiense Charles Fields (1863-1932). En realidad, la idea fue presentada por su amigo, el físico matemático de origen irlandés instalado en Canadá, John L. Synge, durante el Congreso de Zúrich de 1932, ya que Fields había fallecido un mes antes de su inauguración. Tras algún debate, la propuesta fue aceptada: se darían dos medallas de oro, más una pequeña cantidad de dinero, a matemáticos menores de 40 años (el límite, supusieron quienes establecieron las condiciones, de la creatividad en matemáticas), coincidiendo con los congresos internacionales; esto es, cada cuatro años. Las primeras medallas Fields fueron concedidas en el siguiente congreso, Oslo (1936), a Lars Ahlfors y Jesse Douglas. Fue a partir de 1966 (Moscú) cuando se pasó a otorgar cuatro medallas.
§. Ciencia, industria y guerra
La institucionalización de la ciencia que se manifestó a través de desarrollos como los que hemos visto en las páginas precedentes se vio estimulada inicialmente por las implicaciones económicas de la química orgánica y la física del electromagnetismo que se hicieron manifiestas en el siglo XIX, pero el siglo siguiente reforzó enormemente esa dimensión. Y lo hizo de dos maneras: también a través de las consecuencias económicas e industriales de la ciencia, y mediante el poder político y militar que permitieron algunos avances suyos.
Con respecto al primer apartado, probablemente ningún ejemplo ilustra mejor la importancia que la ciencia tuvo en el ámbito económico y social que la invención del transistor. Un transistor es un dispositivo electrónico hecho de material semiconductor, que puede regular una corriente que pasa a través de él y también actuar como amplificador o conmutador, y que, comparado con los tubos de vacío y los diodos y tríodos que le precedieron, necesita cantidades muy pequeñas de energía para funcionar; además es más estable, compacto, actúa instantáneamente y dura más.
Lo primero que hay que decir es que el transistor es un «hijo» de la física cuántica, la rama de la física de la que nos ocuparemos en el capítulo 20. Con «hijo de la física cuántica» (por consiguiente, un producto de la ciencia) queremos decir que, sin dominar esta compleja disciplina, es imposible imaginar que hubiese sido posible inventar el transistor, un artilugio del que con justicia se puede decir que cambió el mundo; el mundo cotidiano, y también los mundos de la industria y, subsidiariamente, de la economía (recordemos, por ejemplo, que aún nos referimos, en realidad ya impropiamente, a las pequeñas radios que podemos llevar en un bolsillo, como «transistores»).
El segundo punto que es necesario señalar es que el transistor no se descubrió en una universidad, o en un departamento público de investigación, sino en un laboratorio industrial (un tipo de centro establecido hacía poco tiempo, a finales del siglo XIX y comienzos del XX), en los Bell Telephone Laboratories, creados como una compañía subsidiaria de ATT y Western Electric (en la actualidad dependen de Alcatel-Lucent USA, Inc.). Entendiendo sabiamente las posibilidades que la nueva física ofrecía, los Laboratorios Bell intentaron (y lograron) atraer a físicos destacados ofreciéndoles mejores salarios que en las universidades, por supuesto, pero también libertad para elegir sus temas de investigación, dentro, naturalmente, de un rango que incluyese ámbitos que pudiesen tener, aunque fuese en el futuro, alguna relación con los intereses del laboratorio. Los tres físicos que descubrieron en diciembre de 1947 el transistor, John Bardeen (1908-1991), Walter Brattain (1902-1987) y William Shockley (1910-1989), pertenecían a esta clase (los tres recibieron el premio Nobel de Física en 1957).
Tras los transistores vinieron los circuitos integrados, minúsculos y muy delgados dispositivos en los que se fundamenta el mundo digital en el que vivimos actualmente. Los circuitos integrados se fabrican sobre un sustrato (habitualmente de silicio) depositando finas láminas de materiales que, ora conducen, ora aíslan, la electricidad. Estas láminas, ensambladas según patrones elaborados de antemano, forman transistores (cada circuito integrado puede albergar muchos miles de transistores) y otros componentes electrónicos encargados de controlar el flujo de electricidad a través del circuito, o chip. Y quien habla de circuitos integrados o chips habla en realidad de las «células nerviosas» de la Era de la Información, lo que es tanto como decir Era de la Globalización; esto es, del mundo actual.
Las posibilidades económicas que abría el transistor y los materiales semiconductores se hicieron evidentes para compañías emprendedoras, por supuesto, pero también para algunos científicos, que buscaron participar de los beneficios que podría generar. Al fin y al cabo, ellos, al igual que todos, estaban inmersos en un mundo en el que el dinero y los negocios representaban un valor no solo material, sino cultural también. En consecuencia, algunos se decidieron a traspasar las fronteras de la academia de una manera mucho más radical que cuando aceptaron trabajar para laboratorios industriales como podían ser los Bell: esto es, convirtiéndose ellos mismos en empresarios. Tal fue el origen del célebre Silicon Valley (Valle del Silicio), situado el sudeste de San Francisco, en cuya constitución desempeñaron papeles centrales Frederick Terman, catedrático y director de la Escuela de Ingeniería de la cercana Universidad de Stanford, y William Shockley, uno de los descubridores del transistor, que abandonó los Laboratorios Bell buscando horizontes más lucrativos: en 1955 fundó, en lo que entonces era simplemente los alrededores de la bahía de San Francisco, su propia compañía, el «Shockley Semiconductor Laboratory». Como es bien sabido, el crecimiento, durante las décadas de 1960 y 1970, de Silicon Valley fue extraordinario. Con él y en él se estableció una «nueva alianza» entre ciencia e industria, entre investigación básica e innovación. De hecho, esta alianza es tan importante y penetrante que incluso se ha acuñado un nuevo término, tecnociencia, que podemos definir como «tecnología y ciencia consideradas como disciplinas que interaccionan mutuamente, o como dos componentes de una misma disciplina». Veremos en el capítulo siguiente que una de las consecuencias de los transistores fue el poder disponer de máquinas calculadoras inmensamente mejores que las anteriores.
El otro gran elemento que mostró el poder de la ciencia estuvo asociado con sus posibilidades militares, algo de especial importancia en una centuria que vio dos guerras mundiales, otras menos extendidas y una prolongada Guerra Fría. Por supuesto, nada muestra con mayor claridad ese tipo de poder extraído de la ciencia que la fisión nuclear y las bombas atómicas que Estados Unidos lanzó sobre Japón en agosto de 1945, bombas con las que terminó la Segunda Guerra Mundial. Como vimos en el capítulo 12, la fisión nuclear, descubierta a finales de 1938 por Otto Hahn y Fritz Strassmann y obtenida por primera vez con el uranio, fue en realidad consecuencia de un camino científico que se remonta al descubrimiento de la radiactividad, continuando con las investigaciones de las radiaciones que los elementos radiactivos emiten y luego cómo estas se podían utilizar para estudiar la propia materia. Inmediatamente se repitió en otros lugares el experimento de Hahn y Strassmann, advirtiéndose además que esa fisión abría la posibilidad a la construcción de bombas de extraordinario poder. Uno de los que se dio cuenta del nuevo poder que aparecía fue Albert Einstein. Pacifista durante la Primera Guerra Mundial, instalado en el Institute for Advanced Study de Princeton (Estados Unidos) desde que se exilió de la Alemania de Hitler en 1933, Einstein advirtió el riesgo que significaba que Hitler pudiese disponer de una bomba atómica y, estimulado por otros tres físicos exiliados, Edward Teller, Leo Szilárd y Eugene Wigner, envió el 2 de agosto de 1939 una carta al presidente Roosevelt en la que abogaba porque Estados Unidos avanzase en el campo de la investigación nuclear. Por su importancia histórica merece la pena citarla:
Señor:
Trabajos recientes de E. Fermi y L. Szilárd, que me han sido comunicados en manuscrito, me hacen esperar que el elemento uranio pueda convertirse en una nueva e importante fuente de energía en el futuro inmediato. Ciertos aspectos de la situación que se ha producido exigen que se la vigile cuidadosamente y, si es necesario, que la Administración actúe rápidamente. Creo, por consiguiente, que es mi deber llamar su atención sobre los siguientes hechos y recomendaciones:
En el curso de los últimos cuatro meses se ha hecho probable —a través del trabajo de Joliot en Francia, al igual que de Fermi y Szilárd en América— que pueda ser posible establecer una reacción nuclear en cadena en una gran masa de uranio, mediante la cual se generarían vastas cantidades de energía y grandes cantidades de nuevos elementos del estilo del radio. Parece ahora casi seguro que esto podría conseguirse en un futuro inmediato.
Este nuevo fenómeno conduciría también a la construcción de bombas y es concebible —aunque mucho menos seguro— que de esta manera se puedan construir bombas de un nuevo tipo extremadamente poderosas. Una sola bomba de este tipo, transportada por barco y hecha explotar en un puerto, podría muy bien destruir todo el puerto junto a parte del territorio que lo rodease. Sin embargo, tales bombas podrían ser demasiado pesadas como para que se las pudiese transportar por aire.
Estados Unidos solamente tiene yacimientos muy pobres de uranio en cantidades moderadas. Existe algún buen yacimiento en Canadá y en la antigua Checoslovaquia, mientras que la fuente de uranio más importante se encuentra en el Congo belga.
En vista de esta situación, acaso pueda usted considerar aconsejable que exista algún contacto permanente entre la Administración y el grupo de físicos que trabajan en reacciones en cadena en Estados Unidos. Una forma posible de lograr esto sería que confiase esta tarea a una persona de su confianza y que acaso pudiera servir de manera no oficial. Su misión podría consistir en lo siguiente:
a) estar en relación con los Departamentos gubernamentales, mantenerles informados de los desarrollos que se produzcan y presentar recomendaciones para acciones del Gobierno, prestando atención particular al problema de asegurar el suministro de uranio para los Estados Unidos;
b) acelerar el trabajo experimental que se está desarrollando actualmente dentro de los límites de los presupuestos de los laboratorios universitarios, proporcionando fondos, en el caso de que fuesen necesarios, a través de sus contactos con personas que deseen hacer contribuciones a esta causa, y acaso también obteniendo la cooperación de laboratorios industriales que dispongan de los equipos necesarios.
Entiendo que Alemania ha detenido en la actualidad la venta del uranio de las minas checoslovacas de las que ha tomado control. El que haya adoptado esta acción tan pronto puede acaso ser entendida en base a que el hijo del subsecretario de Estado alemán, von Weizsacker, está asociado al Instituto Káiser Guillermo de Berlín, donde se están repitiendo algunos de los trabajos americanos sobre el uranio.
La carta de Einstein dio algún fruto: en octubre de 1939 se formaba un Comité (del Uranio) nombrado por el presidente, y encabezado por el director del National Bureau of Standards, Lyman Briggs, para coordinar la investigación dirigida a conseguir la separación de los isótopos de uranio y una reacción en cadena sostenida, pero solo cuando Estados Unidos entró en la guerra, después del ataque japonés a Pearl Harbor el 7 de diciembre de 1941, se avanzó realmente. En enero de 1942 se creó en Chicago un laboratorio dedicado a las investigaciones nucleares bajo el nombre (destinado, obviamente, a confundir) de «Laboratorio Metalúrgico». Allí, bajo la dirección de otro ilustre físico exiliado (de Italia), Enrico Fermi, el 2 de diciembre de 1942, en la denominada «Chicago Pile One» (Pila Uno de Chicago), se logró la primera reacción en cadena controlada y autosuficiente (producía suficiente energía como para mantenerse en funcionamiento) de la historia. Se dejó que funcionara durante cuatro minutos y medio.
Antes, el 18 de junio de 1942, el coronel James Marshall, del Cuerpo de Ingenieros, recibió órdenes para formar una nueva dependencia en su Cuerpo destinada a proseguir un trabajo especial (la fabricación de bombas atómicas). La dependencia, que fue creada oficialmente el 13 de agosto, fue denominada Manhattan Engineer District (Distrito de Ingeniería de Manhattan), ya que Marshall había instalado su cuartel general en Nueva York, en Manhattan. Por razones de seguridad, el trabajo del que se ocupaba se denominó Proyecto DSM (las siglas de Development of Substitute Materials [Desarrollo de Materiales Sustitutivos]). Se trataba, por supuesto, de lo que se vendría a conocer como, simplemente, Proyecto Manhattan, a cuyo frente se puso el 17 de septiembre a un oficial extremadamente capacitado del Cuerpo de Ingenieros, el entonces, coronel (más tarde general) Leslie R. Groves (1896-1970), cuyo nombre quedaría unido permanentemente al proyecto atómico norteamericano.
Es importante señalar que con la asignación del Proyecto Manhattan al Cuerpo de Ingenieros del Ejército estadounidense se estaba dando un paso, cuyas consecuencias marcarían el desarrollo de la ciencia de la posguerra y, más indirectamente, la historia sociopolítica mundial de las décadas de 1950 en adelante. Expresado brevemente: la sociedad civil estaba cediendo la soberanía de la ciencia a las Fuerzas Armadas. Es cierto que en principio tal cesión se suponía temporal, mientras las condiciones excepcionales de la contienda se mantuviesen, pero a la postre los militares percibieron con toda claridad que la ciencia (especialmente las ciencias físicas y, dentro de ellas, la electrónica) de mediados de siglo contenía unas potencialidades y realidades que la hacían absolutamente imprescindible para el desarrollo de su misión: estar preparados en las mejores condiciones posibles para la guerra. Una guerra, además, que, caso de tener lugar, probablemente se desarrollaría en o partiría de (caso de ataques soviéticos con misiles de cabezas nucleares) escenarios lo suficientemente alejados del territorio nacional de Estados Unidos como para que fuese necesario poseer los medios electrónicos adecuados para salvar semejantes distancias. En consecuencia, aquella cesión terminó siendo más permanente de lo que se había supuesto.
Bajo la cobertura de aquel proyecto se fabricaron las primeras bombas atómicas de la historia. El proceso implicó a diversos agentes de la sociedad estadounidense: industrias, ingenieros, militares y, por supuesto, físicos y químicos. Especialmente importante fue el laboratorio de Los Álamos, el lugar donde se abordó el problema de utilizar todos los materiales, dispositivos y conocimientos obtenidos en otros centros para fabricar realmente la bomba atómica, la meta final de aquellos trabajos preliminares. Entre las tareas iniciales del Laboratorio Metalúrgico de Chicago figuraba la de realizar un estudio previo de la física de la bomba atómica. Algunos de estos estudios fueron efectuados en 1941, pero eran bastante incompletos. Al fin y al cabo, la urgencia de estas investigaciones no era tanta, puesto que la verdadera construcción de la bomba constituiría la parte final del programa. Fue a mediados de 1942 cuando se organizó un grupo con tal fin en Chicago, bajo la dirección de Robert Oppenheimer (1904-1967), un neoyorquino de ascendencia judía que estudió física y química en Harvard, licenciándose en solo tres años. Una vez graduado se trasladó a Europa, justo en los años en que en el Viejo Continente se acababa de alumbrar la mecánica cuántica, una teoría que cambiaría la física. Antes de regresar a su país, donde se instaló en la Universidad de California, en Berkeley, permaneció allí cuatro años, estudiando con Rutherford (Cambridge), Born (Gotinga), bajo cuya dirección se doctoró, Ehrenfest (Leiden) y Pauli (Zúrich).
Oppenheimer fue un pionero de lo que después llegaría a ser frecuente: científicos eminentes que a partir de un cierto momento se convierten en organizadores, en «empresarios de la ciencia», con las inevitables consecuencias que ello conlleva en sus propias investigaciones. Un somero vistazo a la lista de publicaciones de Oppenheimer muestra que desde 1926 hasta 1942 escribió 64 artículos, ninguno entre ese último año y 1945, y solo cinco a partir de 1946. La Big Science, la ciencia que reúne en proyectos de investigación centenares de científicos y técnicos y que requiere de enormes recursos económicos, la ciencia que cuenta entre sus elementos, además de los puramente científicos otros relacionados con la política, la industria y la economía, necesita de Oppenheimers. Pero volvamos al Proyecto Manhattan.
En el verano de 1942, Oppenheimer organizó un encuentro en Berkeley para explorar los aspectos teóricos de las explosiones nucleares; entre los participantes se encontraban Hans Bethe, John van Vleck, Edward Teller, Robert Serber y Felix Bloch. En noviembre de 1942 se eligió un lugar, Los Álamos, en Nuevo México, a unos 48 kilómetros de Santa Fe, para instalar en él el laboratorio de la bomba atómica propiamente dicho. La mayor ventaja de este lugar, al que solo se podía llegar a través de un tortuoso camino, era el disponer de una extensión de territorio considerable para posibles pruebas. Oppenheimer fue el director del laboratorio desde el comienzo, laboratorio, por cierto, que se adjudicó a la Universidad de California. Llegó a Los Álamos en marzo de 1943, y a continuación aparecieron grupos, personas y aparatos de numerosas universidades, que terminaron por constituir el conjunto de científicos trabajando en colaboración más impresionante de toda la historia de la ciencia anterior. Entre los que estuvieron o pasaron por Los Álamos se encontraban John von Neumann, Niels Bohr, Richard Feynman, Bethe, Fermi, Teller, Emilio Segrè, Victor Weisskopf, Luis Álvarez, Edwin McMillan, I. I. Rabi, Richard Tolman, Ernest Lawrence, Arthur Compton, Edward Condon, Norman Ramsey o Stanislaw Ulam.
La primera prueba nuclear, denominada Trinity, se llevó a cabo en las primeras horas de la mañana del 16 de julio de 1945, en las desiertas tierras del Jornada del Muerto, cerca de Alamogordo, en Nuevo México. Se trataba de una bomba de plutonio, el otro material fisionable, que se había fabricado en los aceleradores de Berkeley y en los reactores de Oak Ridge. No se creyó necesario probar la bomba de uranio, tan seguros estaban de que funcionaría.
Y así, el 6 de agosto de 1945 un bombardero B-29 estadounidense —el famoso Enola Gay— despegó de la isla de Tinian con una carga mortífera que lanzó sobre Hiroshima a las 8:15, hora local. Se trataba de Little boy, una bomba atómica de uranio, de unos 4500 kilogramos de peso y unas 13 000 toneladas de TNT de potencia. Su efecto fue terrible. Virtualmente todo en un radio de 500 metros de la explosión fue incinerado. Los edificios situados hasta a 3 kilómetros de distancia, destruidos. Un espeso hongo de humo ascendió hasta 12 kilómetros de altura. A fines de año se estimaba el número de víctimas en 145 000 personas. Muchos otros llevaban, en forma de radiación, la muerte en su seno. Cinco años más tarde, los muertos sumaban 200 000.
Tres días más tarde (11:02 hora local) le tocaba el turno a una bomba de plutonio: Fat man. Pesaba algo más que Little boy, unos 5000 kilogramos, pero tenía la misma potencia. Su objetivo fue Nagasaki. Las víctimas fueron 70 000, menos que en Hiroshima debido a errores en el lanzamiento.
En Tokio, la reacción inicial ante la bomba de Hiroshima fue de confusión. Hasta el día siguiente no empezó a quedar claro que la destrucción de la ciudad había sido producto de una única bomba. Las dudas que todavía quedaban en algunos medios desaparecieron completamente el día 9, con la bomba de Nagasaki. Surgió entonces un ácido debate en el gobierno sobre los términos en que Japón debía rendirse. El partido favorable a la paz solamente insistía en que se salvaguardasen las prerrogativas del emperador, mientras que los militaristas añadían otras condiciones. En la mañana del 10 de agosto, el emperador, en una iniciativa sin precedentes, se inclinó por la postura de los pacifistas. Su decisión se comunicó inmediatamente a los Aliados, pero estos insistieron en que también el emperador debía estar sujeto a la autoridad del comandante en jefe de los Aliados. El 14, el emperador decidía aceptar estos términos y el 16 se ordenaba a las tropas japonesas que depusiesen las armas.
Con la rendición de Japón, terminaba la Segunda Guerra Mundial, una guerra ya ganada en realidad por entonces. Pero si una puerta (problema) se cerraba, otra se abría. La disponibilidad de armamento atómico condicionaría en lo sucesivo las relaciones políticas internacionales entre las grandes potencias.
Es fácil imaginar el impacto que la disponibilidad de bombas atómicas ejerció sobre el Gobierno estadounidense y sus Fuerzas Armadas, un impacto que repercutió en el apoyo del que dispuso a partir de entonces la investigación científica. La I + D (Investigación y Desarrollo) federal pasó de 74 millones de dólares en 1940 a 1590 millones en 1945. El grado y la intensidad con que Estados Unidos utilizó centros universitarios para I + D militar durante la Segunda Guerra Mundial le distinguió de las restantes naciones industriales implicadas en la contienda, en las que tales trabajos fueron realizados principalmente en instalaciones gubernamentales o privadas. Naturalmente, hay que tomar en consideración a este respecto tanto el elevado número de universidades existentes en Estados Unidos como la gran tradición de búsqueda de recursos que esas instituciones han mantenido y mantienen. En más de un sentido, para esos centros de educación superior enfrentarse a la tarea de establecer nuevos centros de investigación con fines militares no era sino una manera más de abrirse a una sociedad de la que permanentemente buscaban recursos. De hecho, los físicos y autoridades universitarias reconocieron claramente que el esfuerzo bélico iba a producir una expansión considerable de los laboratorios y departamentos de física y de ingeniería de sus respectivas universidades, y, consiguientemente, tomaron medidas y adoptaron tácticas encaminadas a sacar el máximo partido de tal situación mucho antes de que se viese próximo el final de la guerra.
Si los científicos vieron con claridad algunas de las ventajas que se derivaban de una vinculación con los militares, estos, por su parte, no dejaron de percibir cómo cambiaba su profesión con las posibilidades que ofrecía la ciencia y la tecnología. La seguridad nacional dependería en el futuro de la superioridad tecnológica, más aún teniendo en cuenta que el escenario de operaciones militares que manejaba Estados Unidos cubría no solo su propio territorio, sino también Europa y, en menor grado, otros continentes. Y la superioridad tecnológica necesitaba de ambiciosos y bien dotados programas de investigación, dirigidos por científicos competentes.
Semejantes impresiones se vieron reforzadas cuando el 3 de septiembre de 1949, en una de la muestras que uno de los aviones B-29 que la Fuerza Aérea estadounidense utilizaba para analizar el aire sobre Japón, Alaska y el Polo Norte, se encontraron, sobre el Pacífico Norte, cerca de Japón, evidencias de que se había producido la primera explosión nuclear soviética. Había tenido lugar el 29 de agosto («Joe 1», la denominaron los norteamericanos).
La explosión de la primera bomba atómica soviética significó el comienzo real de la carrera atómica. En Estados Unidos, Ernest Lawrence, director de los aceleradores de partículas (ciclotrones) de la Universidad de California, en Berkeley, y Edward Teller defendieron la idea de que había que contraatacar desarrollando una nueva arma que pudiese contrarrestar la de los soviéticos; fabricar una superbomba, mucho más poderosa que las de 1945, una bomba de hidrógeno, esto es, de fusión, que utilizase procesos similares a las reacciones termonucleares que tienen lugar en el interior de las estrellas, en las que partiendo de elementos ligeros se producen otros más pesados, emitiendo al mismo tiempo grandes cantidades de energía. Aunque la idea de tal bomba se remontaba a los primeros tiempos del proyecto atómico durante la guerra, no se había avanzado en su desarrollo al no establecerse un programa adecuado.
A pesar de que surgieron divisiones en el seno de la comunidad científica estadounidense (divisiones que produjeron que a Oppenheimer le fuese retirado el permiso para acceder a secretos nucleares), y en una atmósfera política delicada (en 1949 los comunistas se hacían con el poder en China, bajo el liderazgo de Mao Tse Tung), el 31 de enero de 1950 el presidente Truman dio luz verde a un proyecto destinado a fabricar bombas de hidrógeno. Dos años y nueve meses después, Estados Unidos hacía explotar una bomba (Mike) mil veces más potente que las de 1945. Tres años y pocas semanas después, los soviéticos hacían estallar su Mike, en Asia central.
Al abrigo de los intereses militares, la investigación civil en el dominio de la fusión —esto es, la investigación cuyo objetivo es desarrollar sistemas técnica y económicamente viables para producir energía— se vio favorecida. De hecho, no es ninguna casualidad que hayan sido Estados Unidos, la Unión Soviética y Gran Bretaña las naciones que más se han distinguido en este campo científico. En el caso norteamericano tenemos que, fruto de la decisión de Truman de fabricar la superbomba, en 1951 se establecieron en la Universidad de Princeton dos laboratorios dedicados a la fusión: uno, denominado «Matterhorn B» (la B de bomba), dirigido por el físico teórico John A. Wheeler, y el otro, «Matterhorn S» (la S de Stellator, la «Máquina de las estrellas», el nombre con el que se bautizó al instrumento desarrollado para estudiar los plasmas de fusión), dirigido por el astrofísico Lyman Spitzer, que, no sorprendentemente dada su especialidad, estaba muy interesado en las reacciones termonucleares controladas. Wheeler lo estaba en las reacciones explosivas, pero necesitaba del conocimiento básico que se generase en el laboratorio de Spitzer, donde, de hecho, se llevaron a cabo importantes avances en la teoría de la fusión controlada y en el diseño del Stellator, aunque este probó ser menos interesante que el correspondiente aparato desarrollado por los soviéticos: el Tokamak.
Ejemplos como los anteriores muestran que el desarrollo de una parte importante de la ciencia (desde luego de la física, la más aplicable de las ciencias) estadounidense —lo que en buena medida quiere decir también mundial— a partir de 1945 siguió las líneas directrices marcadas no por los propios científicos, o por la dinámica interna de la propia ciencia, sino por políticos y militares (en un informe preparado en 1951 por el Departamento de Defensa se demostraba que el 70 por 100 de todo el tiempo de investigación de los físicos de 750 universidades y colleges estaba destinado a investigación con fines militares).
Todo esto es relevante para los propósitos del presente libro, pues muestra que a partir de 1950 uno de los pilares de la ciencia ha sido la financiación proveniente de departamentos militares.
§. El crecimiento de la profesión científica
Acompañando a los desarrollos de índole institucional y política mostrados en el presente capítulo, a lo largo de una buena parte del siglo XIX y, sobre todo, del XX tuvo lugar un crecimiento notable de la profesión científica. La dinámica y estructura de ese crecimiento fue estudiada por el historiador, físico y sociólogo estadounidense Derek J. de la Solla Price (1922-1983), en particular en un libro titulado Little Science, Big Science (Pequeña ciencia, gran ciencia) publicado en 1963. Utilizando análisis cuantitativos, Price mostró que el crecimiento del número de científicos es exponencial, pero exponencial no solo durante los últimos dos siglos, sino en cualquier momento del pasado. «Utilizando una definición razonable de cultivador de la ciencia», leemos en su libro, «podemos afirmar que en la actualidad vive entre el 80 y el 90 por 100 de los científicos que hayan existido jamás […] Por lo tanto, el fenómeno que hoy comprobamos se ha producido también en épocas anteriores, a partir del siglo XVIII y quizás incluso desde finales del XVII. En 1900, en 1800, y quizás en 1700, se podía mirar hacia atrás y afirmar que la mayor parte de los científicos de todos los tiempos estaban vivos, y que la mayoría de los conocimientos se habían conseguido dentro de la propia biografía. A este respecto, por más sorprendente que resulte, el mundo científico actual no se diferencia en absoluto del existente desde el siglo XVII. La ciencia ha sido siempre moderna, ha estado siempre superando el crecimiento demográfico, continuamente en el límite de su revolución expansiva. Los científicos se han sentido siempre sumergidos en un mar de literatura especializada que aumenta cada década tanto como en todas las épocas anteriores». Y más adelante señalaba una de las consecuencias de esos hechos, utilizando como ejemplo el caso de la química: «Los datos de los Chemical Abstracts muestran que en 1900 más del 80 por 100 de todos los trabajos tenían un solo autor, y casi todo el resto dos, correspondiendo en su mayor parte a los firmados por un profesor y su discípulo […] A partir de esa fecha la proporción de trabajos con varios autores ha progresado constantemente y ahora es tan grande que, si se mantiene la tendencia, hacia 1980 desaparecerá el artículo firmado por un solo autor».
Es evidente que no ha desaparecido el artículo firmado por un único autor, pero no menos evidente es la tendencia hacia la colaboración, hacia los equipos, hecho que se ha convertido en otro de los rasgos de la ciencia actual. Una ciencia cuyo mapa de distribución a nivel nacional ha ido cambiando. En 1963, cuando Price publicó su libro, la situación era, según él, la siguiente (y de nuevo utilizando como ejemplo el de la química):
Durante el siglo actual, la distribución de la ciencia mundial ha cambiado casi sistemáticamente. Veamos, por ejemplo, las cifras que indican las contribuciones de varios países a la producción de artículos científicos analizados en los Chemical Abstracts. En un extremo, la vieja y estable cultura científica de la Commonwealth británica ha permanecido sensiblemente constante, y la de Francia ha sufrido un ligero pero continuo declive. En el otro extremo, la Unión Soviética, Japón y, de hecho, todos los países científicos menores han mejorado espectacularmente su posición mundial desde un 10 por 100 al comienzo del siglo hasta casi el 50 por 100 en la actualidad. En medio, comprimidas por esta expansión, están las dos grandes potencias químicas, Alemania y Estados Unidos. Su participación conjunta ha descendido del 60 por 100 al 36 por 100, absorbiendo aparentemente Estados Unidos una gran parte de la participación alemana durante ambas guerras mundiales, y descendiendo Alemania a un quinto de su producción original.
Detenernos en cómo ha variado y cuál es la situación actual de la investigación científica, exigiría no un libro sino varios, tantos son los países y los campos de investigación. No obstante, es interesante mostrar la siguiente tabla, preparada por la OCDE (Science and Technology: Key Tables from OECD; 2011):
Gastos en I + D en porcentaje del Producto Interior Bruto
| 2003 | 2005 | 2007 | 2009 | |
| Alemania | 2,52 | 2,49 | 2,53 | 2,82 |
| Canadá | 2,04 | 2,05 | 1,91 | 1,95 |
| Corea | 2,49 | 2,79 | 3,21 | |
| Dinamarca | 2,58 | 2,46 | 2,58 | 3,02 |
| España | 1,05 | 1,12 | 1,27 | 1,38 |
| Estados Unidos | 2,61 | 2,57 | 2,67 | |
| Finlandia | 3,44 | 3,48 | 3,47 | 3,96 |
| Francia | 2,17 | 2,10 | 2,07 | 2,21 |
| Holanda | 1,92 | 1,90 | 1,81 | 1,84 |
| Israel | 4,33 | 4,41 | 4,47 | 4,27 |
| Italia | 1,11 | 1,09 | 1,18 | 1,29 |
| Japón | 3,20 | 3,32 | 3,44 | |
| Reino Unido | 1,73 | 1,73 | 1,77 | 1,81 |
| Suecia | 3,80 | 3,56 | 3,40 | 3,62 |
De interés es, asimismo, otra tabla, esta de la UNESCO (UNESCO Statistical Yearbook 1988), que muestra cómo han variado las cifras de científicos e ingenieros dedicados a la investigación y el desarrollo en las décadas de 1970 y 1980:
| Año | Número | Número por millón de habitantes | |
| Total mundial | 1970 | 2.608.100 | 711 |
| 1980 | 3.756.100 | 850 | |
| Países desarrollados | 1970 | 2.386.482 | 2317 |
| 1980 | 3.336.072 | 2398 | |
| Países en desarrollo | 1970 | 221.618 | 84 |
| 1980 | 420.028 | 127 |
Todos estos datos reflejan la dinámica cambiante de la producción científica, una dinámica que afecta al poder científico, entendiendo este como el conjunto de las naciones más productivas en I + D. Y, desde luego, evidencian también que la investigación científica se ha instalado firmemente en las políticas nacionales como un objetivo destacado. Una muestra de que los gobiernos, los políticos, han entendido que la ciencia da poder.
Capítulo 18
Abstracción y constructos matemáticos
§. Grupos
§. Nuevas geometrías
§. El infinito
§. Fundamentos de matemáticas
§. Máquinas y matemáticas
En capítulos anteriores hemos tratado de las matemáticas, pero si se observa con detenimiento se advertirá que una buena parte de los desarrollos matemáticos de los que hemos hablado, que van hasta, básicamente, el siglo XVIII, estaban estrechamente ligados a la descripción de los fenómenos naturales. En este sentido, se podía decir, o entender, que la matemática no tenía realidad fuera del dominio de lo posible físicamente. Relacionado con este hecho está el que es difícil a veces decidir en qué clase incluir a científicos como Jean d’Alembert, Johann Bernoulli, Leonhard Euler o Joseph Louis Lagrange. ¿Eran matemáticos o físicos? Ciertamente, todos —estos cuatro sin duda— contribuyeron al desarrollo de lo que podemos denominar, por separado, matemáticas y física, pero el modo como contemplaban la ciencia, la matemática y la física en particular les fue de gran utilidad en sus trabajos científicos. Cuando, por ejemplo, Johann Bernoulli se enfrentó al problema de cuál es la geometría de la catenaria —una cuerda, sometida a la fuerza de la gravedad, que cuelga de dos puntos fijos—, problema que ya había considerado Galileo en 1638, la estrategia que siguió fue la de tratarlo como si fuera un problema mecánico, combinando en consecuencia consideraciones físicas con matemáticas. Al seguir este procedimiento, asumía lo que más tarde los matemáticos no aceptarían: resolvía, por ejemplo, algunas ecuaciones diferenciales recurriendo a construcciones geométricas de lo que veía. ¿Por qué no?, debió de pensar; al fin y al cabo, la matemática y la realidad física estaban perfectamente sincronizadas.
Sin embargo, esta tradición se rompió a partir del siglo XIX. Los principales responsables fueron sobre todo Augustin-Louis Cauchy, con quien ya nos encontramos en el capítulo 7, Évariste Galois (1811-1832) y Neils Hendrik Abel (1802-1829). Como vimos, Cauchy reformuló (junto a Bolzano y Weierstrass) el cálculo como un sistema riguroso autocontenido, divorciado en principio del mundo material y basado en conceptos puramente matemáticos. Galois desarrolló la teoría general de las ecuaciones algebraicas que pueden ser resueltas mediante ecuaciones auxiliares de grado menor. Y Abel compartió bastantes de los intereses y aportaciones de Galois, distinguiéndose asimismo al introducir novedades matemáticas como las funciones elípticas.
No hay duda de que los tres merecen figurar en cualquier cuadro de honor de matemáticos que se componga, pero no es este el punto que queremos resaltar aquí, sino el que tanto Cauchy como Galois (Abel fue más humilde y discreto) creían que eran portadores de verdades eternas y que su defensa —que habían emprendido sin aceptar compromisos— les había conducido a sufrir persecuciones e indignidades. Pensaban que la matemática era un reino autónomo, puro, caracterizado por el rigor lógico y la precisión. Se consideraban a sí mismos, y fueron considerados por sus seguidores, como mártires por haber defendido la verdad, la verdad de una matemática rigurosa y no contaminada. El que Galois muriese víctima de un duelo cuando no había llegado a cumplir los 21 años, y que los manuscritos que había enviado antes a matemáticos instalados en la élite no fuesen valorados y pasasen desapercibidos, se añadió a su frustración y al mito que se construyó en torno a él. Y al convertirlo en un héroe, y también al tipo de matemática que propugnaba —la matemática practicada por el genio que trabaja alejado del mundo instalado en una torre de marfil, aunque fuese en una pobre, precaria desde el punto de vista material, torre de marfil—, se pasaron por alto otros rasgos de su personalidad, como el de ser un joven pendenciero que ofendía a casi todo el mundo y que presentó sus, sin duda originales e importantes, ideas de manera oscura y difícil de entender. En cuanto a Cauchy, que sí pudo encontrar acomodo en una prestigiosa institución universitaria (la Escuela Politécnica de París), las dificultades que sufrió se debieron sobre todo a sus opiniones y actitudes políticas, mientras que en el caso de Abel, un joven apacible que apenas se quejó, sus trabajos iban camino de ser aceptados, pero murió demasiado pronto, víctima de la tuberculosis favorecida por la pobreza en la que vivió, aunque había recibido ayuda y existían razonables perspectivas de que obtuviese pronto un puesto académico. Pero todo esto fue olvidado y los tres pasaron a formar parte de la leyenda de los que son víctimas en defensa de sus ideas, ideas matemáticas que chocaban con las aceptadas en su tiempo.
Y así, la creencia de que la matemática debe vivir en un reino propio, no contaminado por otras consideraciones —como las que surgen en el reino de la naturaleza—, se instaló firmemente en la imagen de lo que es y debe ser la matemática —y por extensión, otras ciencias—, constituyendo toda una cultura que se resume perfectamente en una célebre frase que el matemático alemán Carl Gustav Jacobi incluyó en una carta que escribió el 2 de julio de 1830 a otro gran matemático, Adrien-Marie Legendre:
El señor Fourier opinaba que la finalidad primordial de las matemáticas consistía en su utilidad pública y en la explicación de los fenómenos naturales; pero un filósofo como él debería haber sabido que la finalidad única de la ciencia es la de rendir honor al espíritu humano y que, por ello, una cuestión sobre números vale tanto como una cuestión sobre el sistema del mundo.
§. Grupos
Con Galois las matemáticas dejaron de ser el estudio de números y formas: aritmética, geometría e ideas desarrolladas a partir de ellas, como el álgebra o la trigonometría. Le debemos que las matemáticas se convirtieran en el estudio de la estructura. Lo que había sido un estudio de objetos se convirtió en un estudio de procesos. Galois se dio cuenta de que el problema de desarrollar una teoría general de las ecuaciones algebraicas está regido en cada caso particular por un cierto grupo (una estructura que definiremos enseguida) de sustituciones, en el cual se reflejan las propiedades más importantes de la ecuación algebraica considerada. Este descubrimiento, que los sucesores de Galois, y en particular Camille Jordan (1838-1922), esclarecerían y desarrollarían, tiene consecuencias que afectan a un área más vasta de la matemática que la teoría de resolución de ecuaciones. Como señaló en 1895 Sophus Lie, a quien volveremos enseguida, «El gran alcance de la obra de Galois se deriva de este hecho: que su teoría, tan original, de las ecuaciones algebraicas es una aplicación sistemática de dos nociones fundamentales como son la de grupo e invariante […] la noción de invariante es evidente en los trabajos de Vandermonde, Lagrange, Gauss, Ampère y Cauchy. Por el contrario, es Galois el primero, me parece, que introdujo la idea de grupo; y en todo caso, él es el primer matemático que ha profundizado en las relaciones existentes entre las ideas de grupo y de invariante».
En concreto, Galois trabajó con grupos de permutaciones (formas de reordenar objetos). Por ejemplo, al estudiar la ecuación cúbica general, ax3 + bx2 + cx = 0, con tres raíces, r1, r2, r3, se veía conducido a considerar las permutaciones de estas raíces. Y se dio cuenta de que el producto de dos permutaciones cualesquiera es también una permutación. No mucho después, en 1849, el físico francés Auguste Bravais (1811-1863), estudiando problemas de cristalografía, introdujo el concepto análogo de «grupo de simetría» (grupos de simetría particularmente interesantes son los referidos a las rotaciones de un círculo o de la esfera), y en 1849 el matemático inglés Arthur Cayley (1821-1895) introdujo el concepto de grupo abstracto, una estructura matemática definida de la manera siguiente:
Un grupo es una colección de objetos que se pueden combinar en parejas, que satisfacen tres axiomas:
Existe un objeto especial, la identidad, que no cambia nada cuando se combina con otro objeto.
Todo objeto tiene un inverso, que al combinarse con él produce la identidad.
El proceso de la combinación es asociativo; esto es, la combinación de dos elementos del grupo produce otro miembro de este.
No es necesario que se cumpla también la condición de conmutatividad (a•b = b•a, donde • representa una operación, la suma, + , por ejemplo), pero si lo es, se denomina grupo abeliano.
Como ejemplo tomaremos el caso del grupo que surge de las diferentes maneras en las que se puede ordenar el conjunto {1, 2, 3}. Los factoriales proporcionan la respuesta: 3; esto es, 3 · 2 · 1 = 6. Estas seis formas de ordenarlos son: (1, 2, 3), (1, 3, 2), (2, 1, 3), (2, 3, 1), (3, 1, 2) y (3, 2, 1).
En realidad, lo que se hace con estas permutaciones es asociar una función que cambia elementos entre sí; por ejemplo, de (1, 2, 3) obtenemos la (2, 3, 1) mediante la función 1 → 2, 2 → 3, 3 → 1. Ahora bien, cuando asociamos parejas de estas permutaciones obtenemos una de las seis iniciales. Así, tomemos la que lleva de (1, 2, 3) a (1, 3, 2); esto es, la correspondiente a 1 → 1, 2 → 3, 3 → 2. El producto de las dos permutaciones se escribirá como
1 → 2 → 3, 2 → 3 → 2, 3 → 1 → 1,
o lo que es lo mismo (3, 2, 1), que es una de las seis iniciales.
Existe asimismo una permutación identidad. Y la inversa; la de 1 → 2, 2 → 3, 3 → 1 es 1 → 3, 2 → 1, 3 → 2: en efecto, el producto de ambas es:
1 → 2 → 1, 2 → 3 → 2, 3 → 1 → 3,
o (1, 2, 3), la unidad.
Vemos, por consiguiente, que las seis permutaciones forman un grupo, que se denomina el grupo de simetría de los tres elementos {1, 2, 3}, o S3 (la noción de grupo de simetría, también denominada grupo de Galois, se aplica también a ecuaciones).
Y en este punto aparecen dos personajes que fueron fundamentales en la ampliación del estudio de los grupos tal y como los había tratado Galois: el noruego Sophus Lie (1842-1899) y el alemán Felix Klein (1849-1925).
Tras graduarse en Matemáticas en la Universidad de Christiania (el antiguo nombre de Oslo) en 1864, Lie obtuvo una beca que le permitió visitar otras universidades, como las de Berlín y Gotinga. En Berlín se encontró con otro joven matemático, Felix Klein, básicamente un algebrista con inclinaciones geométricas. En 1870, Lie y Klein se volvieron a encontrar, ahora en París, donde Camille Jordan convirtió a Lie a la causa de los grupos introducidos por Galois. El problema en el que se centró Lie fue el de aplicar la teoría de grupos al estudio de ecuaciones diferenciales, que involucran magnitudes continuas (funciones), y no, como había hecho Galois, a las algebraicas; esto es, tratar con grupos continuos y no con grupos discretos. Más concretamente, Lie se preguntó si para las ecuaciones diferenciales existía alguna teoría análoga a la teoría que había desarrollado Galois para las ecuaciones algebraicas. La clave estaba en la simetría: dada una solución de la ecuación diferencial que estudiaba, Lie podía aplicar una transformación (de un grupo determinado) y ver si el resultado era también una solución. Y si encontraba transformaciones de ese tipo, tenía un mecanismo para encontrar más soluciones, puesto que la transformación de simetría de una solución sería también solución. De esta manera se vio conducido a la cuestión de encontrar el grupo de las simetrías de ecuaciones diferenciales.
Desde este punto de vista, el grupo de Lie de una ecuación diferencial expresa una simetría, esto es, una regularidad que resume la ecuación en cuestión, y si esta describe un cierto fenómeno físico, entonces el grupo tiene que ver con esa simetría.
Su amigo Felix Klein captó bien este profundo significado de los grupos. En 1872, al tomar posesión de una cátedra en la Universidad de Erlangen, Klein dedicó su conferencia inaugural a formular lo que desde entonces se denomina «Programa de Erlangen», donde defendía la tesis de que la geometría es el estudio de los objetos invariantes bajo un determinado grupo de transformación, definiendo la geometría de la manera siguiente: «Dado un conjunto de cualquier número de dimensiones, y un grupo de transformaciones entre sus elementos, se llama geometría al estudio de las propiedades de aquel conjunto que son invariantes respecto de las transformaciones de este grupo». De esta forma, el estudio de la geometría se reducía al del de todos los grupos de transformación imaginables, que son, por supuesto, infinitos: existen, por consiguiente, infinitas geometrías posibles, un pensamiento que probablemente habría escandalizado a Euclides.
Aunque nos adelantemos y mencionemos ahora un tema que trataremos en el capítulo 19, el de la teoría de la relatividad introducida por Albert Einstein, es apropiado señalar que no es sorprendente que bastantes años después, instalado ya en Gotinga, Klein se entusiasmase con la teoría de la gravitación que Einstein produjo en 1915. Para él, la teoría de la relatividad especial (1905) no era sino un tipo de geometría (la asociada a las transformaciones de Lorentz) y la teoría de la relatividad general la geometría del grupo de transformaciones generales: desde su perspectiva, la primera no era sino el estudio de objetos (incluyendo leyes) que dejan invariante el grupo de Lorentz, y la segunda los que dejan invariante el grupo de transformaciones generales. Confiado en sus habilidades, Klein se lanzó a investigar la relatividad general, inundando a Einstein con numerosas y frecuentemente extensas cartas.
Uno de los colegas de Klein en la Universidad de Gotinga era David Hilbert (1862-1943), uno de los grandes matemáticos de todos los tiempos, muy probablemente el más grande de finales del siglo XIX y comienzos del XX (Poincaré sería su gran rival en esta clasificación). Dejó, en efecto, su marca en muy variadas ramas de la matemática: en la teoría de invariantes, teoría algebraica de números, fundamentos de geometría y de la matemática en su conjunto, ecuaciones integrales, principio de Dirichlet, cálculo de variaciones, así como en la física teórica y matemática.
Entre los intereses científicos de Hilbert, la física ocupó, efectivamente, un lugar notable. Y en 1915 se interesó por los esfuerzos que Einstein estaba llevando a cabo intentando producir una teoría relativista de la gravitación que fuese más allá que la teoría de la gravitación universal de Newton. En sus esfuerzos, Hilbert recurrió al principio de mínima acción (con el que ya nos encontramos en el capítulo 7), beneficiándose asimismo de su capacidad para comprender algunas de las consecuencias de exigir invariancia bajo una transformación arbitraria de coordenadas. Y aquí debemos mencionar a Emmy Noether (1882-1935).
Cuando Hilbert se ocupaba de estas cuestiones, Noether trabajaba en Gotinga. Ya había mostrado extraordinarias habilidades matemáticas y pugnaba (a la postre vanamente) por abrirse camino en el machista mundo universitario germano. Los intereses de Hilbert, la influencia de este y la de Klein, hizo que abandonase durante un tiempo sus investigaciones sobre invariantes algebraicos dedicándose a estudiar las relaciones en principios variacionales entre simetrías (o invariancias) y leyes de conservación, con el propósito último de elucidar el papel de las denominadas «identidades de Bianchi» en las ecuaciones del campo de la relatividad general producida por Einstein. En 1918, Noether resolvió el problema, publicando un artículo que contiene lo que se denomina «Teorema de Noether», un instrumento matemático magnífico no solo (ni siquiera principalmente) para la relatividad general, sino para el conjunto de la física teórica. Einstein, por cierto, recibió con entusiasmo estos trabajos de Noether; en este sentido, escribía a Hilbert el 24 de mayo de 1918: «Ayer recibí un artículo muy interesante de la Srta. Noether sobre la generación de invariantes. Me impresiona que estas cosas puedan ser tratadas desde un punto de vista tan general».
Emmy Noether produjo una serie de ecuaciones matemáticas que relacionaban simetrías con leyes de conservación. Se comprendió así, por ejemplo, que las clásicas leyes de conservación de la mecánica newtoniana, como son la conservación de la energía, del momento lineal y del angular, están ligadas íntimamente a una serie de simetrías (entendiendo ahora por simetría que el sistema dinámico no cambia bajo una transformación determinada): la invariancia bajo traslaciones temporales, bajo traslaciones espaciales y bajo rotaciones.
De esta manera, la matemática desarrollaba nuevas técnicas para abordar una característica que se presenta ampliamente en la naturaleza: las simetrías. Encontramos simetrías, en efecto, en todo tipo de lugares; por ejemplo, en los cristales, que, por cierto, exhiben un número elevado de diferentes tipos de simetría (230). El cuerpo humano, al igual que en el de otros vertebrados, está básicamente conformado en simetría bilateral (todas las asimetrías son de carácter secundario y las más importantes de las que afectan a los órganos internos están condicionadas a que el tubo intestinal necesita aumentar su superficie de manera desproporcionada con el crecimiento normal del cuerpo, dando lugar su desarrollo a pliegues asimétricos). Podríamos pensar que la simetría únicamente aparece en el nivel del fenotipo (forma), pero también hay simetría en el del genotipo: la molécula del ADN exhibe una simetría helicoidal.
Encontramos asimismo manifestaciones de la querencia de los humanos a la simetría en obras de arte producidas en la antigua Mesopotamia: los soldados persas que se siguen en una perfecta simetría traslacional. En frisos árabes, en iglesias como la florentina Santa María degli Angeli (simetría octogonal), o en escudos de armas, como el del zar de Rusia (simetría bilateral).
Otro lugar en el que encontramos simetrías, aunque de otro tipo, es en los poliedros regulares, los denominados «cuerpos platónicos» (con los que ya nos encontramos en el capítulo 2, cuando tratamos de los Elementos de Euclides): tetraedro, octaedro, cubo, icosaedro y dodecaedro, construidos con figuras tan simétricas como son triángulos, cuadrados y pentágonos. Vimos en el capítulo 4 que a comienzos del siglo XVII, Kepler intentó utilizar estos poliedros para explicar la configuración del Sistema Solar. Más recientemente, y no en el mundo astronómico, sino en el arquitectónico, están las cúpulas geodésicas diseñadas por el ingeniero estadounidense Richard Buckminster Fuller (1895-1983). Se trata de una estructura semicircular poliédrica generada normalmente a partir de un icosaedro o un dodecaedro, aunque también puede construirse a partir de cualquiera de los sólidos platónicos. Buckminster Fuller presentó la solicitud de patente de esta estructura estable y ligera en 1951, construyendo después algunas, pero lo sorprendente, aquello que queremos resaltar ahora, vino más tarde con el descubrimiento de un macrocompuesto químico del carbono, apropiadamente denominado fulereno por la similitud geométrica de su estructura con las cúpulas geodésicas. El primer fulereno, una molécula con 60 átomos de carbono (C60), dispuestos a modo de un balón de futbol, fue descubierto en 1985 por Hans Kroto, entonces en la Universidad de Sussex, y James Heath, Sean O’Brien, Robert Curl y Richard Smalley, de la Universidad de Rice.
§. Nuevas geometrías
Si se habla de la geometrías, es obligado mencionar un desarrollo que tuvo lugar en el siglo XIX en esta rama milenaria de la matemática y que significó una novedad extraordinaria con respecto a la geometría clásica establecida en los Elementos de Euclides; esto es, la geometría de los espacios biotridimensionales planos. Ya señalamos en el capítulo 2 que los Elementos contienen un postulado, el quinto, que afirma que por un punto exterior a una recta solo puede pasar una paralela a esta. Es la geometría en la que se cumplen propiedades tan familiares como la de que los ángulos interiores de un triángulo suman 180 grados. Los repetidos esfuerzos encaminados a demostrar que el quinto postulado de los Elementos de Euclides era una pieza superflua en la estructura de la obra, que podía deducirse de otros axiomas, llevaron, durante el primer tercio del siglo XIX, a la sorprendente conclusión de que no solo era realmente independiente, sino que de su negación no se deducían contradicciones; esto es, que se puede sustituir por otros postulados alternativos que conducen a geometrías diferentes de la euclídea, pero lógicamente correctas. Nos estamos refiriendo a las geometrías asociadas primordialmente a los nombres de Carl Friedrich Gauss, que sin publicar sus resultados, durante sus estudios de superficies consideradas de manera intrínseca (esto es, sin suponer que están inmersas en un espacio de dimensión superior), llegó a la idea de espacios curvos, el ruso Nicolai Ivanovich Lobachevski (1792-1856) y el húngaro János Bolyai (1802-1860). Inicialmente, el descubrimiento de las geometrías no euclídeas atrajo poco interés, pero una combinación de sucesos relanzó su estudio. En primer lugar, la publicación, entre 1860 y 1865, de la correspondencia de Gauss con su amigo, el astrónomo Heinrich C. Schumacher (1780-1850), con su referencia favorable al trabajo de Lobachevski. En segundo lugar, la demostración del italiano Eugenio Beltrami (1835-1900), en 1868, de que la geometría de Lobachevski podía interpretarse como la geometría de una superficie de curvatura constante y negativa. Finalmente, hay que citar la lección de habilitación que el germano Bernhard Riemann pronunció en 1854: Über die Hypothesen welche der Geometrie zu Grunde liegen (Sobre las hipótesis que sirven de fundamento a la geometría). En honor a Riemann se habla de «espacios riemannianos», refiriéndose a una clase muy general de espacios de n-dimensiones, que engloban, como un caso particular, los familiares espacios planos de tres dimensiones estudiados por Euclides que tan bien se ajustan a nuestras experiencias sensoriales comunes. Esos espacios riemannianos recibirían un espaldarazo con la teoría de la relatividad general que Albert Einstein desarrolló en 1915, de la que trataremos en el capítulo 19.
La nueva forma de entender la geometría que ofrecían las construcciones no euclideanas se vio ampliada con un libro que David Hilbert publicó en 1899, en el umbral de un nuevo siglo: Grundlagen der Geometrie (Fundamentos de la geometría), en el que axiomatizaba de manera completa la geometría, demostrando así su carácter puramente formal, carácter que ya habían adquirido el álgebra y el análisis. Con un mínimo de simbolismo, Hilbert convenció a la mayor parte de los matemáticos del carácter abstracto y puramente formal de la geometría, y su gran autoridad estableció el método axiomático, no solo en la geometría del siglo XX, sino también en casi toda la matemática a partir de 1900.
El trabajo de Hilbert constituyó en su momento una cierta novedad, ya que hasta entonces su autor apenas se había ocupado de la geometría: únicamente había publicado en 1895 una nota acerca de la línea recta como el camino más corto entre dos puntos, en donde presentaba una generalización del modelo de geometría hiperbólica propuesto por Arthur Cayley y Klein. No obstante, parece que los gérmenes de Grundlagen der Geometrie se encontraban en la mente de Hilbert desde mucho antes de 1899, al menos esto es lo que se deduce de una anécdota contada por Otto Blumenthal, quien señaló que a comienzos de 1891, mientras regresaba en tren a Königsberg después de haber asistido a una conferencia de Hermann Wiener en Halle dedicada a los fundamentos y estructura de la geometría, Hilbert manifestó: «Uno debería ser capaz de decir siempre, en lugar de puntos, líneas rectas y planos, mesas, sillas y jarras de cerveza».
§. El infinito
Aunque es una caracterización no completamente correcta (pensemos, por ejemplo, en la topología, que se ocupa del estudio de las propiedades de los objetos geométricos que se mantienen cuando los objetos en cuestión son deformados de manera continua, esto es, sin romperlos), la matemática tiene mucho que ver con la cuantificación. Ahora bien, en principio parece que solo se puede cuantificar aquello que es finito, no lo infinito. Sin embargo, esta idea es errónea, aunque llevó mucho tiempo a los matemáticos comprender bien el sentido de tal error, lo que no quiere decir, como vimos en capítulos anteriores, que la noción de infinito no figurase entre sus constructos, dotado además de su propio símbolo ∞). Aunque en una discusión más completa no podría olvidarse a Bernardus Bolzano, autor de un tratado (publicado póstumamente en 1850) sobre Paradoxien des Unendlichen (Paradojas del infinito), fue realmente un natural de San Petersburgo que vivió la mayor parte de su vida (desde los 11 años) en Alemania, Georg Cantor (1845-1918), quien, a fines del siglo XIX, se dio cuenta de que hay, por expresarlo de alguna forma, muchos infinitos, sentando así las bases de la teoría de conjuntos y de los números transfinitos, que enriquecieron extraordinariamente los estudios matemáticos. La idea que subyace en esta nueva matemática es la de contar los elementos de dos conjuntos poniéndolos en correspondencia, uno a uno, sin repetición ni omisión. De esta manera, es muy sencillo demostrar que hay la misma cantidad de números naturales (1, 2, 3, 4…) que de números pares o impares. Asimismo, todo segmento de una recta contiene el mismo número (infinito) de puntos que cualquier otro segmento de una línea recta; también —fue el primer descubrimiento revolucionario de Cantor— hay tantos puntos en un plano como en una recta. Ocurre, sin embargo, que estos últimos infinitos no son de la misma naturaleza que el infinito de los números enteros (…, –3, -2, –1, 0, 1, 2, 3…): es el infinito de los números irracionales (aquellos que no se pueden expresar como cociente de dos enteros). Nos vemos conducidos así a hablar de «números cardinales», el número de elementos que tiene un conjunto: para conjuntos finitos, su número cardinal (o «potencia») es el número usual de sus elementos, mientras que para conjuntos infinitos es preciso introducir nuevos términos. Cantor utilizó la primera letra del alfabeto hebreo, א (aleph), seguida del subíndice cero, para denotar el número cardinal del conjunto de los naturales. Este número tiene propiedades que desde la lógica habitual, aristotélica, parecen paradójicas, propiedades como, por ejemplo:
א0 + 1 = א0, א0 + א0 = א0, א02 = א0.
A cualquier conjunto cuyos elementos se pueden poner en correspondencia uno-a-uno con el conjunto de los naturales, Cantor lo denominó «numerable». Ya hemos indicado que los números pares y los impares son numerables, pero es posible demostrar que también lo es el conjunto de los enteros. Lo mismo sucede con los racionales; un número racional p/q se define mediante una pareja —(p, q)— de enteros; por tanto la cantidad de racionales será א02, pero esto es igual, recordemos, a א0.
Sin embargo, no ocurre otro tanto con los números reales (que podemos considerar como números decimales con una cantidad ilimitada de cifras decimales). La demostración de que hay más números reales que enteros o naturales no es inmediata, pero Cantor logró probarlo, y asignó a ese nuevo número cardinal la letra «c». Se trataba, obviamente, de un mundo completamente nuevo. Un mundo sorprendente para las categorías habituales dentro de la lógica tradicional de lo finito, un mundo que condujo al descubrimiento de nuevos y fecundos continentes matemáticos, como el de la Teoría de conjuntos, que se instaló de manera tan profunda en el cuerpo de la matemática del siglo XX. «El método de la teoría de conjuntos», escribió Hermann Weyl en un artículo titulado «Los grados de lo infinito» que publicó la Revista de Occidente en 1931, «se ha apoderado no solo del análisis, sino también de la aritmética, incluso de los primeros comienzos de la matemática, de la teoría de los números reales, empeñándose en reducirlos a conceptos lógicos como hay, todo, ordenación».
La manifestación más evidente de esa influencia es la obra de un colectivo denominado grupo Nicolas Bourbaki, en el que se distinguieron inicialmente cinco antiguos alumnos de la École normale supérieure de París, Henri Cartan (1904-2008), Claude Chevalley (1909-1984), Jean Delsarte (1903-1968), Jean Dieudonné (1906-1992) y André Weil (1906-1998), y al que se agregarían más tarde otros tan notables como Laurent Schwartz (1915-2002) o René Thom (1923-2002). La meta de este grupo, en el que en cierta forma se reunieron todas las tendencias logicistas y estructuralistas anteriores, era reconstruir toda la matemática en base a los conceptos de conjunto y estructura (como grupos, anillos, cuerpos o campos). Significativamente, eligieron como título de la magna obra que pretendían elaborar el de Éléments de mathématique (Elementos de matemáticas). Y, al igual que el tratado de Euclides, establecieron una división en partes. Sin embargo, pronto se amplió sustancialmente tanto la envergadura como el espíritu del proyecto. En 1941, el plan global del tratado preveía cuatro partes, cada una dividida en «Libros», que a su vez estarían divididos en Capítulos. Las cuatro Partes —es interesante detallar estos puntos— se titularían (en este orden): «Estructuras fundamentales del análisis» (con 8 Libros), «Análisis funcional» (7 Libros), «Topología diferencial» (2 Libros) y «Análisis algebraico» (8 Libros). Por ejemplo, los Libros previstos para la Primera Parte eran: I. Teoría de conjuntos, II. Álgebra, III. Topología general, IV. Espacios vectoriales topológicos, V. Cálculo diferencial, VI. Integración, VII. Topología combinatoria y variedades diferenciales, VIII. Funciones analíticas.
Este programa faraónico vio la luz únicamente en parte. El primer volumen apareció en 1939 bajo el encabezado de Théorie des ensembles (Teoría de conjuntos) y con los subtítulos de Capítulo I, Descripción de la matemática formal, y Capítulo II, Teoría de conjuntos; en realidad, era un «Fascículo de resultados» de la Teoría de conjuntos. Fue una decisión fácil de entender, ya que los miembros del grupo veían en la noción de conjunto el pilar indiscutible de las matemáticas; que se limitasen a publicar un conjunto de resultados desprovistos de demostraciones se justifica porque tenían prisa en comenzar y ese grupo de enunciados era fundamental para continuar la empresa que se habían planteado. En 1965 se publicó el trigésimo primer fascículo, sin haber agotado con él todavía las «estructuras fundamentales del análisis», lo que indicaba las crecientes dificultades del proyecto; de hecho, en 1983 apareció un tomo (Teorías espectrales) que se reconocía como el último de una obra que quedaría así inacabada, aunque aún llegó otro fascículo en 1998, dedicado al Álgebra conmutativa.
§. Fundamentos de matemáticas
El camino de generalización abierto por matemáticos como Galois, Cantor o Hilbert no se agotó con la teoría de grupos o las nuevas geometrías. Hilbert, en particular, se convirtió en el principal exponente de una de las tres corrientes que caracterizaron la investigación matemática de las primeras décadas del siglo XX: el formalismo, o escuela axiomática, en la que se pretende reducir a una serie de axiomas cualquier construcción matemática (lo que hizo Hilbert con la geometría). El formalismo compartió protagonismo con otras dos escuelas: el logicismo, cuya manifestación más señalada son los tres tomos de Bertrand Russell (1872-1970) y Alfred North Whitehead (1861-1947), Principia Mathematica (1910, 1912, 1913), uno de los grandes tratados de lógica de la historia, y el intuicionismo, asociada al nombre del holandés Luitzen Brouwer (1881-1967), que pretendía fundar la matemática en nociones derivadas de la experiencia, considerando ilegítimo las demostraciones no constructivas. En un artículo que publicó en 1955 («El efecto del intuicionismo en el álgebra clásica de la lógica»), Brouwer resumió sus radicales ideas, describiendo la matemática como «una actividad mental interior construccional que […] ni en sus orígenes ni en la esencia de su método tiene nada que ver con el lenguaje o con el mundo exterior», repudiando cualquier verdad o resultado de la matemática que «existiese independientemente del pensamiento humano».
La lógica, por supuesto, tenía por entonces una larga historia (ya tratamos de las aportaciones de Aristóteles a este campo). Recordemos, asimismo, los esfuerzos que Leibniz realizó entre 1679 y 1690 por construir una lógica formal, o matemática, basada en tres componentes: 1) un sistema o lenguaje (characteristica universalis) que permitiese designar los objetos fundamentales, para poder así ser capaz de expresar mediante fórmulas —al estilo algebraico— cualquier objeto o situación; 2) un procedimiento (calculus ratiocinator) que permitiese aritmetizar los enunciados representados en la characteristica universalis; y 3) un método (ars judicandi) que permitiese decidir, sirviéndose del cálculo, la verdad o falsedad de cualquier enunciado expresado en la characteristica universalis con ayuda del calculus ratiocinator. Fue, sin embargo, en el siglo XIX cuando la lógica formal se situó en uno de los centros del pensamiento matemático. Como señaló Bertrand Russell en uno de sus libros, Introduction to Mathematical Philosophy (Introducción a la filosofía matemática; 1919): «Históricamente hablando, las matemáticas y la lógica han sido estudios completamente diferentes. La matemática ha estado siempre unida a la ciencia, y a la lógica con los griegos. Pero ambas han evolucionado en los tiempos modernos: la lógica se ha hecho más matemática y la matemática más lógica. La consecuencia es que ahora es completamente imposible trazar una línea divisoria entre las dos; ambas son, efectivamente, una sola cosa».
Nombres distinguidos en la historia de la lógica a partir del siglo XIX son los de George Boole (1815-1864), que propuso una nueva lógica (denominada luego álgebra booleana), con una estructura basada en las operaciones de adición, sustracción, multiplicación y dos elementos, 0 y 1, con el deseo, en particular, de lograr una formulación algebraica del comportamiento semántico de las partículas linguïsticas más simples, ideas que presentó especialmente en dos libros, The Mathematical Analysis of Logic (El análisis matemático de la lógica; 1847) y An Investigation of the Laws of Thought (Un análisis de las leyes del pensamiento; 1854); Charles Sanders Peirce (1839-1914), que, siguiendo trabajos anteriores de Augustus De Morgan (1806-1871) y de William Stanley Jevons (1835-1882), se esforzó en cuantificar las estructuras introducidas por Boole; Ernst Schröder (1841-1902), autor de un monumental tratado en tres volúmenes, Vorlesungen über die Algebra der Logik (Lecciones sobre el álgebra de la lógica; 1890-1905), en el que introdujo y estudió de manera sistemática la noción general de relación, incluyendo las relaciones de reflexividad, simetría, transitividad y composición de relaciones; Alfred N. Whitehead, que desarrolló un álgebra universal (A Treatise on Universal Algebra; 1898) con la que esperaba establecer la lógica algebraica como una rama de la matemática, identificando su estructura algebraica abstracta con la de otras álgebras especiales, como la de los cuaterniones de William Rowan Hamilton (1805-1865) y el cálculo de extensión de Hermann Grassmann (1809-1877); Gottlob Frege (1848-1925), que desarrolló —en textos como Begriffsschrift eine der arithmetischen nachgebildete Formelsprache des reinen Denkens (Apuntes conceptuales: Un lenguaje formal para el pensamiento puro modelado según la aritmética; 1879), Die Grundlagen der Arithmetik (Fundamentos de Aritmética; 1884) y Grundgesetze der Arithmetik (Leyes de Aritmética; 1893, 1903)— un lenguaje formalizado según la lógica de predicados; y Giuseppe Peano (1858-1932), que se esforzó por dotar de mayor precisión lógica a toda la matemática.
Solo con ver la lista de nombres anteriores, se comprende que la lógica fue uno de los intereses privilegiados de la matemática de la segunda mitad del siglo XIX. Se trataba de asentar la disciplina en los pilares más firmes posible. Y sobre estas bases construyó Russell, como recordaba en uno de los capítulos («Técnica lógica en matemáticas») de sus libros de carácter general, My Philosophical Development (Mi desarrollo filosófico): «La lógica matemática no era, de ningún modo, un tema nuevo. Leibniz había hecho algunos intentos, pero habían quedado desbaratados por respeto a Aristóteles. Boole había publicado su Un análisis de las leyes del pensamiento en 1854, y había desarrollado un cálculo completo, que trataba principalmente de la inclusión de clases. Pierce había desarrollado una lógica de relaciones, y Schröder había publicado un trabajo en tres gruesos volúmenes en los que resumía todo lo que se había hecho con anterioridad. Whitehead dedicó la primera parte de su A Treatise on Universal Algebra al cálculo de Boole».


Uno de los propósitos de la ciencia es producir formulaciones lo más generales posible, que engloben cuanto más fenómenos y leyes mejor. La matemática, una ciencia peculiar, no escapa de semejante deseo. Principia Mathematica (1910-1913), de Bertrand Russell y Alfred North Whitehead, es uno de los ejemplos más notables en este sentido. «El propósito de la presente sección», se lee en una de las dos páginas del tomo I de esa obra, que reproducimos aquí, «es establecer el primer paso de la deducción de la matemática pura a partir de sus fundamentos lógicos».
Utilizando un aparato conceptual y una notación (introducida por Peano) de carácter extremadamente abstracto, como los que aparecen en la segunda página reproducida, Russell y Whitehead intentaron reducir la matemática a la lógica. Fue un hermoso pero a la postre vano sueño, como demostró Kurt Gödel en un artículo publicado en 1931, cuyo mismo título («Sobre sentencias formalmente indecidibles de Principia Mathematica y sistemas afines») muestra la deuda que tenía con Principia Mathematica. De esta manera, y aunque fuese un intento fallido, el libro de Russell y Whitehead debe figurar como una de las grandes obras de toda la historia de la matemática.
En Principia Mathematica, Russell y Whitehead —que utilizaron la notación de Peano, completada con las de Frege y Schröder— pretendían demostrar que toda la matemática se puede basar en la lógica; esto es, que los conceptos de todas las teorías matemáticas, al igual que los métodos de prueba e inferencia se podrían formular dentro del contexto de la lógica (señalemos que para Russell lógica y aritmética estaban estrechamente ligadas: «La transición de la lógica a la aritmética», escribió en un ensayo titulado «¿Es la matemática puramente lingüística?» (1950), «es tan gradual que nadie puede decir dónde termina una y comienza la otra, así que estamos obligados a considerar la lógica matemática y la aritmética como una sola materia»).
Independientemente de sus particulares puntos de vista, el sentimiento general entre los matemáticos era que la matemática es un sistema lógico asentado sólidamente en unos pocos pilares, los axiomas. Aunque había que demostrarlo, como recordó Hilbert en su conferencia del Congreso Internacional de Matemáticos celebrado en París en agosto de 1900. En aquella ocasión, Hilbert enumeró veintitrés problemas fundamentales para la matemática; uno de ellos, el segundo, planteaba la esencia del problema al que nos estamos refiriendo: era preciso, manifestó, «demostrar que los axiomas no son contradictorios; es decir, hay que demostrar que basándose en los axiomas jamás se podrá llegar a resultados contradictorios mediante un número finito de deducciones lógicas».
Desgraciadamente, ni siquiera en el reino de la matemática se cumplen pretensiones tan aparentemente racionales. A pesar de los logros innegables alcanzados en Principia Mathematica, a la postre no logró alcanzar su meta. El propio Russell comenzó, algunos años más tarde, a dar señales de que su fe reduccionista disminuía; él, que tan apasionadamente había defendido la visión logicista y apriorística de la matemática, pasó a sostener la tesis opuesta, empirista, según la cual la matemática no era diferente de, por ejemplo, las ecuaciones de Maxwell del electromagnetismo: «ambas», manifestó en 1924, «se aceptan debido a que se observa que algunas de sus consecuencias lógicas son ciertas».
La respuesta negativa a las esperanzas de los logicistas —y también de los formalistas— sorprendió tanto a estos dos como a los intuicionistas. Provino esta de un lógico nacido en Brno (Moravia, Chequia): Kurt Gödel (1906-1978), que falleció, envuelto en las grises y amargas nieblas de la demencia al otro lado del Atlántico, en Princeton, cuyo Institute for Advanced Study le había acogido en 1939. En 1931 se publicó el trabajo más famoso de Gödel, un artículo que conmocionó tanto a la matemática como a la filosofía, y que arruinó las esperanzas de hacer de la matemática una disciplina reducible a la lógica. Se titulaba: «Sobre sentencias formalmente indecidibles de Principia Mathematica y sistemas afines», y en él Gödel demostró que la respuesta al segundo problema planteado por Hilbert en 1900 era, básicamente, negativa: que no es posible lograr un reduccionismo completo en los sistemas matemáticos clásicos, ya que existen sentencias de las que no podemos demostrar si son o no ciertas, y sistemas cuya consistencia es imposible verificar. Un sistema como la aritmética contiene proposiciones cuya verdad no se puede probar desde dentro del sistema, de manera análoga, en cierto sentido, a la paradoja lingüística, que tanto afectó a Bertrand Russell: «Supongamos que un hombre dice: “Soy un mentiroso”. Si es mentiroso, su afirmación es verdadera. Si no es mentiroso, entonces, al decir que es mentiroso, es mentiroso, luego dice la verdad (no es mentiroso). Por consiguiente, cualquier hipótesis implica su contradictoria».
Pocas veces, en cualquier siglo, la creatividad matemática alcanzó cimas más altas que con el resultado de Gödel. Como escribió el lógico y filósofo de la ciencia W. van O. Quine: «El famoso teorema de incompletitud de Gödel muestra que no hay ningún método de prueba formal con el que poder demostrar todas las verdades de la matemática, y ni siquiera de la teoría elemental de los enteros positivos. Su prueba de este teorema, en sí misma estrictamente matemática, produjo un brusco giro en la filosofía de la matemática, pues habíamos supuesto que la verdad matemática consistía en la demostrabilidad».
§. Máquinas y matemáticas
La década de 1930, aunque en este caso su segunda mitad, contempló otros desarrollos matemáticos fundamentales, relacionados con el tipo de resultados obtenidos por Gödel, resultados, además, con grandes aplicaciones para el cálculo y, en general, para la transmisión de información.
Las herramientas matemáticas que hemos estudiado hasta ahora servían para calcular (en la acepción más amplia de este término) «a mano», si se permite esta expresión. Aunque sin duda útiles, instrumentos auxiliares como los ábacos no permitieron ir más allá. Se necesitaban máquinas más poderosas.
Fueron Blaise Pascal y Gottfried Leibniz quienes inventaron las primeras máquinas que podían realizar operaciones aritméticas de manera automática. La de Pascal, que construyó en 1642, podía sumar y restar cantidades de hasta seis dígitos, mientras que la de Leibniz era capaz de multiplicar. En el siglo XIX, el británico Charles Babbage (1792-1871) ideó y construyó varios prototipos, pero no llegaron a funcionar realmente. La necesidad de disponer de estos aparatos era tan evidente que encontramos que algunos científicos distinguidos del siglo XIX, como Maxwell y Kelvin, construyeron instrumentos bien para calcular o para representar funciones. Todos eran, sin embargo, muy deficientes. Un paso importante fue el que, ya en el siglo XX, dio en la década de 1930 el ingeniero del Massachusetts Institute of Technology Vannevar Bush (1890-1974), que desarrolló un instrumento mecánico, del tamaño de una habitación, para resolver ecuaciones diferenciales: el analizador diferencial. Pero la era de los calculadores mecánicos llegó pronto a su fin. La historia de los esfuerzos que condujeron al nacimiento de la era de los computadores electrónicos modernos debe mucho a Alan Turing (1912-1954), un genio matemático, pero también una figura trágica (sufrió las consecuencias de ser homosexual en una época en la que la homosexualidad era ilegal en Gran Bretaña; en 1952, después de ser declarado culpable en un juicio público, se sometió a una terapia de tratamiento hormonal experimental durante un año, y en 1954 falleció en su casa, casi con seguridad suicidándose). En 1936, Turing publicó un artículo titulado («Sobre números computables, con una aplicación al problema de la decisión», que respondía a cuestiones planteadas por Hilbert en 1928, durante el Congreso Internacional de Matemáticos celebrado en Bolonia: la cuestión de si existe algún procedimiento automático capaz de decidir cualquier cuestión matemática. En lugar de utilizar instrumentos como los lenguajes formales universales basados en la aritmética, como había hecho Gödel, Turing recurrió a unos instrumentos formales mucho más intuitivos y productivos: una máquina digital de calcular abstracta —una «máquina universal», posteriormente conocida como «máquina de Turing»— que a la postre proporcionó la base teórica para el funcionamiento de los modernos computadores.
Provisto de semejante instrumento conceptual y operativo, Turing demostró —un resultado que había obtenido unos meses antes, bajo otros planteamientos, Alonzo Church (1903-1995)— que ciertas tareas matemáticas no se pueden automatizar, o que ciertas funciones matemáticas no son computables, o, expresado de otra forma, que no es posible decidir algorítmicamente si una máquina de Turing dada se detendrá o no alguna vez (para que una de estas máquinas pueda calcular, o computar, algo, debe detenerse). Unidos a los de Gödel, estos resultados mostraron definitivamente que no era posible establecer si la matemática es un sistema completo, que el sueño de hallar un algoritmo que permitiese determinar la verdad o falsedad de todas las proposiciones matemáticas era eso, un sueño, pero un sueño imposible.
Las ideas introducidas por Turing constituyeron una auténtica pieza maestra conceptual en el posterior desarrollo de los ordenadores. Y es que su máquina es el equivalente lógico exacto de un ordenador, instrumentos que, por otra parte, no existían aún en 1936. En otras palabras, el ordenador, sin el cual la segunda mitad del siglo XX habría sido muy distinta, se concibió primero bajo una forma ideal, antes de reflejarse en una máquina real. Es cierto que la máquina de Turing no es ni siquiera, en un sentido mínimamente práctico, el boceto de un ordenador, pero sí que fue su substrato teórico-conceptual. Luego vendrían matemáticos e ingenieros que, interesados por el problema de la computación, con la ayuda de las disponibilidades tecnológicas, y estimulados por circunstancias concretas, construirían ordenadores reales: como el Colossus, que entró en funcionamiento en Inglaterra en 1943 para descifrar (tarea en la que participó el propio Turing) códigos secretos de los alemanes (constaba de 1500 válvulas electrónicas), basado en el diseño del matemático Max Newman, que a su vez se inspiró en la máquina universal de Turing.
También al otro lado del Atlántico, en Estados Unidos, los problemas de cálculo constituían un apartado importante de las tareas del Manhattan Engineer District, recordemos el proyecto creado para fabricar bombas atómicas. Cuando el matemático húngaro John von Neumann (1903-1957), afincado en Princeton desde 1931, se unió a los trabajos del programa de implosión (colapso hacia un estado supercrítico de materiales fisionables, Pu-239 o U-235, mediante la detonación de potentes explosivos puestos alrededor suyos), pronto encontró que le era imposible obtener soluciones numéricas para su modelo matemático de implosión; los grupos de calculadores (habitualmente mujeres) con instrumentos de cálculo manuales no podían manejar las grandes cantidades de operaciones que era preciso realizar. Para progresar era necesario mejorar la capacidad de cálculo, y von Neumann se dedicó a recorrer las instalaciones de cálculo que existían en la Universidad de Harvard y en los Laboratorios Bell, pero las máquinas que vio no satisfacían sus necesidades. Afortunadamente, en agosto de 1944 von Neumann coincidió con Hermann Goldstine, a través del cual se enteró de que en la Moore School of Electronics Engineering de la Universidad de Pennsylvania se estaba construyendo un computador electrónico, el ENIAC (Electronic Numerical Integrator And Computer [Computador Integrador Numérico Electrónico]), para los Ballistic Research Laboratories, uno de los centros estadounidenses más importantes de investigación científica aplicada a la guerra, para el que también trabajaba como asesor el matemático húngaro. Cuando von Neumann se puso en contacto con los miembros de la Moore School, ya estaba claro que no existían serios obstáculos para finalizar la construcción de ENIAC, un instrumento enorme que contenía 18 000 válvulas (Collossus tenía 1500); de hecho, ya se estaba pensando en la siguiente máquina de la familia, EDVAC (Electronic Discrete Variable Arithmetic Computer [Computador electrónico de variables aritméticas discretas]. Von Neumann se sumó a este proyecto, dedicándose al estudio de los problemas de su organización lógica, un trabajo que también le llevó a cuestiones relativas a las analogías existentes entre ordenadores y cerebro humano. Además, intervino en que los físicos de Los Álamos utilizaran el ENIAC para algunos de sus cálculos.
Una vez finalizada la guerra, en 1945, von Neumann decidió que quería disponer de su propio computador en Princeton. Inicialmente, las autoridades y miembros del Institute for Advanced Study no recibieron con agrado la propuesta; al fin y al cabo, el Instituto había sido concebido como un centro apartado de las investigaciones experimentales. Sin embargo, von Neumann manejó con habilidad ofertas de trabajo de otras universidades para conseguir el apoyo del Instituto. La máquina, popularmente conocida como JOHNNIAC, se construyó con el apoyo de la Armada y de la Atomic Energy Commission, entrando en funcionamiento en 1952.
Aun representando un gran avance con respecto a las máquinas calculadoras mecánicas, los nuevos instrumentos electrónicos, basados en válvulas de vacío (diodos y tríodos), tampoco duraron mucho. El golpe de gracia provino del descubrimiento del transistor en 1947, hallazgo del que nos ocupamos en el capítulo anterior. Entre las compañías que entendieron las posibilidades de los transistores se encontraban Fairchild Semiconductor y Texas Instruments, que en 1952 decidieron dedicarse a explotar las posibilidades de los transistores. Ninguna de las dos había tenido que ver previamente con la industria de las telecomunicaciones y por ello buscaron nuevos escenarios comerciales, como las calculadoras, en las que Texas Instruments desempeñó, junto con IBM, un papel dominante durante algún tiempo. Fue en Fairchild Semiconductors donde Jean Hoerni desarrolló en 1957 las técnicas fundamentales (proceso «planar») para la fabricación de los chips. El primer circuito integrado fue construido allí por Robert Noyce en 1958. Diez años después (1968), Noyce dejó Fairchild para fundar, junto a Gordon Moore, Intel, donde dirigió con Ted Hoff, la invención del microprocesador, que generó una nueva revolución.
Hasta la llegada de los transistores y circuitos integrados, las máquinas de calcular utilizadas eran gigantescos amasijos de componentes electrónicos. Con los transistores llegó, en la década de 1950, la nueva generación, ejemplificada por el TRADIC (Transistorized Digital Computer), construido en 1954 por los Laboratorios Bell para la Fuerza Aérea estadounidense; utilizaba 700 transistores y podía competir en velocidad con ENIAC.
El primer ordenador personal (PC) tardó más en llegar: fue construido en 1972 en el Centro Xeroc de Investigación de Palo Alto, situado en Silicon Valley, pero no atrajo realmente la atención del gran público hasta finales de la década de 1980. Eso sí, entonces comenzó una carrera que todavía no ha terminado. Cada vez en menor intervalo de tiempo, aparecieron ordenadores personales más y más potentes, más y más pequeños. Integrados en los chips, los transistores desempeñan funciones básicas en los billones y billones de microprocesadores que, repartidos, controlan, por ejemplo, motores de coche, teléfonos celulares, misiles, satélites, redes de gas, hornos microondas, ordenadores o aparatos para discos compactos. Han cambiado, literalmente, las formas en las que nos comunicamos, nos relacionamos con el dinero, escuchamos música, vemos televisión, conducimos coches, lavamos nuestras ropas o cocinamos. Todo esto ha sido en realidad fruto del mestizaje entre ciencia y tecnología del que surgió el transistor.
La disponibilidad de computadores electrónicos de alta velocidad y gran capacidad de cálculo permitió simulaciones numéricas de estructuras matemáticas de gran complejidad (entre ellas, las correspondientes a los sistemas no lineales), así como abordar problemas inaccesibles a los métodos analíticos, dando origen a una matemática diferente de la clásica, una «matemática experimental». En cierto sentido, un ejemplo especialmente notable del poder de este tipo de investigación matemática fue el trabajo del estadounidense Edward Lorenz (1917-2008). Graduado en matemáticas en el Darmout College en 1938, Lorentz amplió sus estudios en la Universidad de Harvard, en donde permaneció el curso 1941-1942 colaborando en tareas docentes matemáticas. Al ser movilizado en la Segunda Guerra Mundial, pasó a formar parte del Servicio de Predicción del Tiempo de las Fuerzas Aéreas. Aquel trabajo marcó un punto de inflexión en su carrera, ya que nunca abandonaría la investigación de los fenómenos atmosféricos, aunque en modo alguno desapareciese el matemático que había en él. Inmediatamente después de finalizada la guerra y de ser licenciado, se centró, en efecto, en la meteorología. En 1946, ingresó como estudiante de doctorado en el Massachusetts Institute of Technology, doctorándose dos años después. Comenzó entonces su carrera académica. Encargado en 1955 de la dirección de un proyecto sobre predicción numérica estadística del clima, Lorenz se apoyó para desarrollarlo en la disponibilidad de ordenadores. Gracias a disponer de ellos llegó su mayor éxito científico: analizando los datos obtenidos con una de estas máquinas, observó empíricamente algo que Henri Poincaré había previsto mucho antes, que existen sistemas que pueden desplegar un comportamiento altamente complicado, impredecible (lo que no quiere decir «no sujeto a leyes»), sistemas en los que pequeñas diferencias en una sola variable tienen efectos profundos en la historia posterior del sistema, provocando que este cambie radicalmente. Por eso se les denominó «sistemas caóticos».
El artículo «Flujo determinístico no periódico», en el que Lorenz resumía sus hallazgos, no aparecería publicado, en el Journal of the Atmospheric Sciences, hasta 1963. Por entonces pocos científicos que no fueran meteorólogos repararon en él, una situación que cambiaría dramáticamente a lo largo de la década siguiente, favorecida por la constatación de la importancia de los sistemas no lineales (todo sistema caótico es no lineal), sistemas en los que los procesos de retroalimentación desempeñan un papel central. Visto retrospectivamente, desde la perspectiva de que los fenómenos de los que se ocupa la meteorología son sistemas caóticos, esto es, sistemas que dependen fuertemente de las condiciones iniciales, podemos comprender por qué el tiempo atmosférico es tan difícil de pronosticar. Como muy gráficamente manifestó el propio Lorenz en una conferencia que pronunció en diciembre de 1972: «El aleteo de una mariposa en Brasil puede producir un tornado en Texas», una frase que se terminó afincando en la cultura popular.
Otros sistemas no lineales de gran atractivo descubiertos por matemáticos son las estructuras geométricas denominadas fractales (el término fractal fue acuñado por el matemático de origen polaco afincado en Francia Benoît Mandelbrot [1924-2010] en un artículo publicado en 1975 en las Comptes Rendus de l’Académie des Sciences: «Geometría fractal de la turbulencia»), entre cuyas propiedades se encuentra la de que pueden tener dimensiones no enteras, como 3/2 o logn 2/logn 3, algo realmente sorprendente habida cuenta de que estamos acostumbrados a entes geométricos de dimensiones 3 (volúmenes), 2 (áreas), 1 (líneas) o 0 (puntos). «La obra de mi vida», manifestó el propio Mandelbrot en un libro que escribió con Richard Hudson, The (Mis) behavior of Markets (Traducido al castellano con el título de Fractales y finanzas; 2008), «ha sido desarrollar una nueva herramienta matemática para incluir en el exiguo equipo de supervivencia del hombre. La llamo geometría fractal y multifractal. Es el estudio de la escabrosidad, de lo irregular y tortuoso. Acuñé su denominación en 1973. Fractal deriva de fractus, participio pasado de frangere, romper, como me recordó uno de los diccionarios de latín de mis hijos. La misma raíz pervive en muchas palabras comunes, incluidas fracción y fragmento. Concebí estas ideas a lo largo de varias décadas de vagabundeos intelectuales, reuniendo muchos artefactos y asuntos perdidos, olvidados, subexplorados y en apariencia inconexos del pasado matemático, extendiéndolos en todas direcciones y creando un cuerpo de conocimiento matemático nuevo y coherente».
Mandelbrot se dio cuenta de que los fractales, esas curvas aparentemente monstruosas, irregulares, cuya estructura se repite a diferentes escalas, abundan, efectivamente, en la naturaleza. De forma parecida (pero no igual) a lo que sucede en el movimiento browniano, la geometría de fenómenos como, por ejemplo, el contorno de una costa, la distribución de estrellas en el Universo y la estructura de nubes de gases interestelares, la turbulencia o la forma de un árbol, es fractal. En palabras del propio Mandelbrot en el libro que acabamos de mencionar:
La geometría fractal se contempla hoy como «natural», y se emplea para un conjunto improbablemente diverso de tareas: comprimir imágenes digitales en Internet, medir fracturas metálicas, analizar ondas cerebrales en un electroencefalograma, diseñar antenas de radio miniaturizadas, fabricar mejores cables ópticos o estudiar la anatomía de los bronquios. Los métodos de la geometría fractal se han convertido en parte del utillaje de la dinámica de fluidos, la hidrología y la meteorología. Su potencia procede de su capacidad única para expresar gran cantidad de datos complejos e irregulares en unas cuantas fórmulas simples.
También observó que los fractales aparecen en los movimientos del mercado de valores, lo que quiere decir que aparecen en la economía. De hecho, dedicó grandes esfuerzos a este campo (por eso escribió Fractales y finanzas en colaboración con Richard Hudson, que fue director de la edición europea del Wall Street Journal). Vemos, de esta manera, cómo un fruto de la matemática abstracta como son los fractales se manifiesta en numerosos recovecos de las ciencias sociales y de la naturaleza, un hecho que muestra que, en realidad, las fronteras entre lo abstracto y lo real son más aparentes que auténticas.
Contenido:§. Marcos de referencia
§. La luz, un fenómeno ondulatorio
§. Lorentz, el electrón y la velocidad de la luz
§. La relatividad especial
§. Gravitación relativista: la relatividad general
§. Unificación de fuerzas a través de la geometría
§. Marcos de referencia
Los fenómenos se producen en un instante y lugar determinados, y son contemplados por observadores que se encuentran en una situación específica. Con respecto al sistema geométrico (espacio) que se toma como marco de referencia, esos observadores pueden: (1) no moverse (reposo); (2) moverse con velocidad constante (movimiento uniforme); o (3) moverse con velocidad variable (movimiento acelerado).
Obviamente, los marcos de referencia constituyen elementos esenciales cuando se trata de describir el movimiento de los cuerpos. En sus estudios, durante el siglo XVII, Galileo prestó especial atención a este punto (ya tratamos algo de estas cuestiones en los capítulos 5 y 6). En su primer Diálogo, el de 1632, se detuvo varias veces para explicar que un observador situado en la cabina cerrada de un barco no podía decidir si el barco estaba en reposo o se movía con velocidad uniforme; únicamente podía salir de dudas si abría un tragaluz y miraba a la costa. En el primer caso, el marco de referencia estaba constituido por las paredes del camarote, en el segundo por la línea de la costa.
Podría, por supuesto, haber sido diferente; esto es, la naturaleza podría ser de tal manera que reposo y movimiento uniforme no fuesen dinámicamente equivalentes, pero no es esto lo que sucede y, por consiguiente, había que incorporar este resultado observacional en cualquier teoría del movimiento (mecánica) que se construyese.
Otra de las situaciones que consideró Galileo era la de un observador situado en la cubierta, que presenciaba la caída de un cuerpo desde la cofa. Él vería la caída como una trayectoria rectilínea perpendicular, mientras que otro colocado fuera del barco, a una cierta distancia, observaría —ciertamente lo haría si pudiese hacer (lo que no sucedía en tiempos de Galileo) una película a gran velocidad— que el movimiento del cuerpo seguiría una trayectoria que se alejaba continuamente de la perpendicular. Un mismo fenómeno (la caída del cuerpo) descrito de dos maneras diferentes, según el marco de referencia considerado.
Es muy importantes señalar que los marcos, o sistemas, de referencia que Galileo consideraba implicaban relaciones entre movimientos uniformes o situaciones de reposo. Son los denominados sistemas de referencia inerciales, mientras que los acelerados son no inerciales.
Para Galileo, al igual que para Newton, nada cambiaba desde el punto de vista de las leyes de la física del movimiento si se tomaban como marco de referencia sistemas de referencia inerciales diferentes. Ahora bien, esto no quiere decir que la introducción de un segundo marco de referencia no complicase la explicación. Consideremos, por ejemplo, una partícula, P, que se mueve con velocidad v en el sistema de referencia A, y que, a su vez, este se mueve con velocidad u con referencia a un sistema de referencia B. Según Galileo y Newton (y también de acuerdo a nuestra intuición), la velocidad de P con respecto a B será la suma de v y u; esto es v + u.
El que las leyes del movimiento deben ser las mismas independientemente de cuál sea el sistema de referencia inercial que se esté utilizando constituye un rasgo fundamental de la mecánica newtoniana, al que se suele denominar Principio de «Relatividad de Galileo».
Galileo se movió sobre todo en el terreno de la experimentación, prestando especial atención a la cuantificación de medidas; aunque no careció de un marco teórico, este no estuvo nunca tan desarrollado como el que estableció Newton en los Principia, cuyo edificio teórico se basó, recordemos, en un marco de referencia en el que el espacio se consideraba, al igual que el tiempo, como una magnitud de referencia absoluta. Existían un espacio (un marco geométrico) y un tiempo, t, absolutos, aunque al describir con la ayuda de sistemas de referencia inerciales diferentes una misma situación se introdujesen magnitudes (espaciales) relativas. En el caso de dos sistemas de referencia inerciales, con uno de ellos moviéndose con velocidad v con respecto al otro a lo largo de la dirección del eje de las x, las ecuaciones que relacionan las coordenadas de ambos sistemas son las denominadas transformaciones de Galileo:
x’ = x – v · t
y’ = y
z’ = z
t’ = t
Sería a principios del siglo XX cuando la física relativista de Einstein modificaría radicalmente el estatus de estas transformaciones.
§. La luz, un fenómeno ondulatorio
Hasta el siglo XIX, el principio de inercia de Galileo y la fuerza de la gravedad de Newton fueron suficientes para explicar los movimientos de los cuerpos. Asimismo, la gran influencia del autor de los Principia impuso su teoría de que la luz estaba formada por una serie de corpúsculos emitidos por los cuerpos luminosos, frente a la teoría ondulatoria de la luz propuesta por Christian Huygens en el siglo XVII. Y la idea de que la luz no era sino emisión de partículas de un cuerpo dispensaba de tener que recurrir a un medio elástico en el que pudiesen propagarse las ondas postuladas por Huygens.
Hoy sabemos que la tesis de que la luz es un fenómeno ondulatorio se impuso finalmente (a nivel clásico, no cuántico), pero inicialmente el modelo corpuscular era capaz de explicar algunos fenómenos. Uno de ellos fue el de la aberración estelar, descubierto, como vimos en el capítulo 11, en el siglo XVIII por James Bradley. Apuntamos entonces que Bradley se basó en la teoría corpuscular de la luz, y si tenemos en cuenta que el camino que abrió de esta manera, el de mostrar que la velocidad de la luz era finita, demostró ser correcto, entonces se puede comprender que sus resultados favorecieron inicialmente a la teoría corpuscular. No obstante, el siglo XIX alteró esa situación promoviendo la teoría ondulatoria. Y el primer responsable de que esa situación cambiase fue un inglés, Thomas Young (1773-1829).
En trabajos que publicó entre 1800 y 1804, y luego en su conocido libro Course of Lectures on Natural Philosophy (Curso de conferencias sobre filosofía natural; 1807), el polifacético (fue físico, fisiólogo y egiptólogo) Young defendió la vieja teoría ondulatoria de la luz en base a una serie de experimentos que realizó produciendo la interferencia de las ondas luminosas procedentes de dos hendiduras próximas. «Cuando dos partes de la misma luz alcanzan el ojo por dos caminos diferentes de direcciones próximas», se lee en un artículo que publicó en 1802 en las Philosophical Transactions de la Royal Society, «la intensidad es máxima si la diferencia de los caminos recorridos es múltiplo de una cierta longitud, y mínima en el estado intermedio». La imagen de la luz como una onda permitía entender fácilmente este resultado, así como los denominados «anillos de Newton», observados en láminas delgadas de mica y en pompas de jabón por Hooke, Boyle y el propio Newton.
Al recurrir al modelo ondulatorio, Young tuvo, inevitablemente, que interesarse también por el medio —un éter— que transmitía tales ondas, cuestión para la que encontró apoyo en el campo de la electricidad: «Que existe realmente un medio parecido, en muchos aspectos, a lo que se ha denominado éter», escribía en un artículo titulado «Esbozos de experimentos y preguntas relativos al sonido y la luz» (Philosophical Transactions, enero de 1800), «lo prueba sin lugar a dudas el fenómeno de la electricidad». Trató, por ejemplo, de encontrar una explicación para la aberración estelar: si se considera que la luz se propaga como una onda, el que la trayectoria de la luz aparezca a lo largo de la dirección diferente parece indicar que el movimiento de la Tierra a través del éter no afecta a este medio ni a su movimiento; esto es, que la Tierra no arrastra consigo al éter: «Al considerar», escribía Young en 1804, «el fenómeno de la aberración de las estrellas, estoy dispuesto a creer que el éter luminífero impregna la sustancia de todos los cuerpos materiales con pequeña o nula resistencia». Esta cuestión, la de si la Tierra arrastra o no al éter, se convertiría en uno de los problemas básicos para la óptica ondulatoria.
A pesar de la importancia que desde nuestra perspectiva actual tienen las ideas de Young, al principio no fueron suficientes para cuestionar seriamente el modelo corpuscular newtoniano; más aún si tenemos en cuenta que este continuó recibiendo apoyos de científicos tan ilustres como Laplace y François Arago (1786-1853), dos personajes influyentes en la ciencia francesa de los siglos XVIII y XIX. Uno de los problemas que abordó Arago resultaría particularmente importante; el de la aberración de la luz en un medio ópticamente denso (un prisma, por ejemplo), según la luz procedente de una estrella pasase a través del prisma en la misma dirección y sentido de la Tierra o en sentido opuesto. En base a la teoría corpuscular, debería producirse una diferencia —proporcional a v/c— en el ángulo de desviación, pero en las observaciones que realizó en 1808-1809 no halló ninguna diferencia. La teoría corpuscular no estaba, por consiguiente, exenta de dificultades. Y pronto surgirían más con el descubrimiento de la polarización, el fenómeno que consiste en una rotación del plano de vibración de un rayo de luz al que se hace atravesar un apartado (denominado «polarímetro») que «polariza» la luz; esto es, que deja pasar únicamente un haz rectilíneo de luz.
La polarización de la luz fue descubierta en 1810 por Etienne-Louis Malus (1775-1812) mientras estudiaba la refracción de la luz al atravesar cristales opacos. No es exagerado decir que sus cuidadosas observaciones cambiaron la óptica experimental. Aunque lo intentó, las explicaciones que dio Malus del nuevo fenómeno no fueron satisfactorias, como tampoco lo fueron las más elaboradas de Jean Baptiste Biot (1774-1862), que comprobó que algunos sólidos y líquidos hacían girar el plano de polarización de la luz (1816).
A pesar de los esfuerzos de Biot por relacionar los posibles efectos moleculares que provocaba el paso de la luz a través de un medio con sus comportamientos macroscópicos, ni sus análisis teóricos ni los experimentos ópticos que realizó pudieron competir con los que llevó a cabo (especialmente en la década de 1820) un compatriota suyo, uno de los grandes nombres de la historia de la óptica, Agustin Fresnel (1788-1827), en los que la idea de que la luz era un fenómeno ondulatorio estaba plenamente integrada. Así, diseñó una serie de ingeniosos experimentos con los que demostró numéricamente que las teorías de emisión newtonianas no podían superar a la ondulatoria. Para explicar la polarización, Fresnel sostuvo que las ondas lumínicas eran ondas transversales (esto es, que vibraban en la dirección perpendicular a la del movimiento), mientras que antes Huygens y Young habían defendido la tesis opuesta: que las ondas eran longitudinales (vibración en la misma dirección que el movimiento).
Defensor como era del modelo ondulatorio, Fresnel trató de explicar el resultado de las observaciones de Arago. Y para ello introdujo la idea de un «arrastre parcial» del éter. Supuso, en efecto, que la densidad etérea de todos los cuerpos es proporcional al cuadrado de un índice de refracción, n, y que cuando un cuerpo está en movimiento transporta dentro de él parte del éter. De manera más precisa, propuso que arrastra aquella parte que constituye el exceso de su densidad con respecto a la densidad del éter en el vacío. A partir de estas hipótesis, introdujo lo que sería denominado coeficiente de arrastre de Fresnel, k:
k = 1 – 1/n.
La trascendencia del coeficiente de arrastre residió durante algunos años en que permitía explicar los experimentos de Arago. En este sentido, aun siendo importante, su alcance era limitado, en tanto que había sido ideado por Fresnel para explicar, de manera ad hoc, un experimento. Esta situación cambió cuando en 1851 Armand Fizeau —con el que también nos encontramos en el capítulo 11— confirmó la utilidad del coeficiente de arrastre en experimentos que realizó estudiando la propagación de la luz en un fluido en movimiento. A partir de entonces, no quedó duda de que cualquier teoría que se elaborase debería ser capaz de deducirlo de sus premisas.
Una de las consecuencias de todos estos trabajos fue que ayudaron a que algunos físicos y matemáticos intentasen explicar sus resultados en base a medios elásticos continuos; esto es, a ondas que se propagan en este tipo de medios. De esta manera se reintrodujo en la física, con renovada intensidad, la vieja cuestión de si el Universo está ocupado por algún tipo de medio, solo que ahora la naturaleza del problema era mucho más precisa que en los tiempos de, por ejemplo, el plenum, los vórtices cartesianos: ahora el medio debía ser tal que permitiese que en él se propagasen un tipo de ondas concretas, transversales. Y surgieron planteamientos diferentes; George Gabriel Stokes (1819-1903), el distinguido físico que ocupó la cátedra lucasiana de Cambridge a partir de 1849, una de cuyas especialidades fue la dinámica de fluidos, no compartió el planteamiento de Fresnel: en un trabajo publicado en 1845 argumentaba que el éter era arrastrado completamente por la Tierra, de la misma manera que capas de un fluido son arrastradas, debido a la fricción, cuando un cuerpo pasa a través de él.
§. Lorentz, el electrón y la velocidad de la luz
Hasta ahora no ha aparecido en nuestra discusión la teoría del campo electromagnético desarrollada por James Clerk Maxwell en la década de 1860. El motivo es obvio: los trabajos que hemos estado mencionando fueron anteriores. Pero es igualmente evidente que una vez que se dispuso del electromagnetismo maxwelliano —que, además, reducía la luz a una onda del campo electromagnético— todos los problemas que hemos citado tuvieron que leerse en clave del campo electromagnético.
En este punto hay que señalar de entrada que Maxwell no aportó demasiadas precisiones acerca de la naturaleza y estructura del medio electromagnético, convertido en el buscado soporte de las ondas de luz. De hecho, cuando se estudia el camino que le condujo a elaborar su teoría, nos encontramos con que al principio, y siguiendo el procedimiento de buscar analogías con otras construcciones teóricas, el campo electromagnético que manejaba era en realidad una construcción de naturaleza mecánica en la que aparecían celdas separadas por rodaduras. Lentamente, aquel campo se fue desproveyendo de sus connotaciones mecanicistas para convertirse en un medio de naturaleza más abstracta, cuya realidad se basaba en que poseía atributos físicos, como energía.
Pero la tarea de enfrentarse a los problemas que habían sacado a la luz científicos como Young, Arago o Fresnel no recayó en Maxwell, sino en un físico teórico holandés que profesó en Leiden: Hendrik Antoon Lorentz (1853-1928). «A comienzos del siglo [XX]», escribió Albert Einstein, «H. A. Lorentz era considerado por los físicos teóricos de todas las naciones como su líder, y esto con plena justificación. Sin embargo, los físicos de la nueva generación, en general, ya no aprecian completamente el papel determinante que H. A. Lorentz desempeñó en la formación de los principios básicos de la física teórica. La razón de este curioso hecho es que han absorbido de manera tan completa las ideas fundamentales de Lorentz, que solo con dificultad son capaces de apreciar en su totalidad la temeridad de estas ideas y la simplicidad que llevaron a los fundamentos de la ciencia física».
Fue Lorentz, efectivamente, quien se enfrentó directamente con la compleja tarea que era completar el electromagnetismo maxwelliano (fue uno de los pocos holandeses que en su tiempo leía y comprendía los escritos de Maxwell). Hay que recordar, en primer lugar, que con las ecuaciones del campo que estableció Maxwell había resuelto el problema de cómo variaba (dinámica) el campo electromagnético, el vehículo de la interacción electromagnética, pero no resolvió la cuestión de cómo ese campo afectaba, y era afectado, por las fuentes productoras de ese campo; cómo, por ejemplo, interaccionaban el campo y las cargas eléctricas. Antes incluso de que en 1897 —nos ocuparemos de este avance en el capítulo siguiente— J. J. Thomson estableciese definitivamente la existencia de cargas eléctricas elementales (recordemos que antes de Thomson ya existían evidencias de «cargas eléctricas», en base, por ejemplo, a la electrolisis), Lorentz trabajó con energía por formular lo que terminó denominando «Teoría del electrón», engranada en el edificio maxwelliano. Fruto de estos esfuerzos fue una expresión para la fuerza electromagnética (en la que aparecen las variables que definen el campo electromagnético) que hay que insertar en la ley del movimiento de Newton (F = m · a) para determinar cómo se mueve una carga en presencia de un campo electromagnético determinado.
Antes incluso de que afrontase este problema, Lorentz se dedicó a la difícil tarea de explicar la óptica clásica en base electromagnética, tarea para la que encontró la ayuda —y la influencia— de los trabajos de Fresnel. El primer producto de estos intereses de Lorentz fue su tesis doctoral, titulada Over de theorie der terugkaatsin en breking van het licht (Sobre la teoría de la reflexión y refracción de la luz), que defendió en Leiden el 11 de diciembre de 1875. Comenzaba este primer trabajo con una exposición crítica de la teoría de la luz de Fresnel, para pasar a continuación a la teoría de la luz según Maxwell y, en concreto, a la explicación que se podía dar en base a ella a los fenómenos ópticos de reflexión y refracción.
Embarcado en semejante programa, Lorentz tuvo que enfrentarse también con la cuestión de la naturaleza del campo electromagnético. Algunos años después de completar su tesis, Lorentz publicaba un artículo, «Sobre la influencia del movimiento de la Tierra sobre los fenómenos luminosos» (1886), en el que abordaba la cuestión de «en qué grado el éter participa de movimiento de los cuerpos que lo atraviesan», o, en otras palabras, el problema del coeficiente de arrastre parcial de Fresnel. La posición de Lorentz en este artículo era negar que existiera arrastre en absoluto, lo que significaba, naturalmente, entrar en conflicto con la explicación de Fresnel. Lorentz argumentaba que la modificación que experimentaba la velocidad de la luz en un medio activo ópticamente y en movimiento era debida a la influencia que las moléculas que constituían ese medio ejercían sobre el éter en sus alrededores inmediatos (obviamente, la posición atomista de Lorentz —su teoría del electrón— jugaba un papel central en este cambio de interpretación con respecto a Fresnel).
Un punto muy importante es que para Lorentz existía algo así como un «valor absoluto», de referencia, para la velocidad de luz: el que esta tenía en un sistema en reposo con respecto al éter-campo electromagnético. Para él, este desempeñaba más o menos el mismo papel que el espacio absoluto newtoniano, y los movimientos de todos los cuerpos (incluyendo las fuentes de luz) se efectuaban sobre él. Lorentz tenía, además, que recurrir a las transformaciones de Galileo cuando quería describir, por ejemplo, la dinámica del campo electromagnético asociado a una carga que se moviese con respecto a ese éter electromagnético absoluto, y cuando aplicaba esas transformaciones a las ecuaciones del campo (o a la ecuación que describía las ondas electromagnéticas, que se obtenía a partir de las ecuaciones del campo), estas variaban de forma, lo que significaba, entre otras cosas, que la velocidad de la luz en el nuevo sistema de referencia inercial asociado a la carga en movimiento era diferente a la de la luz en el vacío definido por el éter electromagnético de referencia.
Sin embargo, una vez más la observación impondría sus reglas. Y es que una cosa es lo que pensamos, en base a nuestras expectativas fundadas en la experiencia o en las teorías científicas en las que creemos, y otra lo que realmente sucede en la naturaleza.
El año siguiente a la publicación del último artículo de Lorentz que hemos citado, esto es, en 1887, en el número de diciembre, la revista inglesa Philosophical Magazine publicaba un artículo firmado por dos físicos estadounidenses, Albert Michelson, que ya apareció en el capítulo 11, y Edward W. Morley (1838-1923), titulado «Sobre el movimiento relativo y el éter luminífero». Basta con leer las primeras líneas de este trabajo para comprobar que la motivación principal del experimento del que se informaba (y que perfeccionaba otros anteriores emprendidos por Michelson en solitario) era el descubrimiento de la aberración de la luz y la explicación de Fresnel, con un arrastre parcial del éter.
En su experimento, Michelson y Morley recurrieron al interferómetro; esto es, a un aparato que utiliza las propiedades ondulatorias de la luz de la siguiente manera: cuando un haz de luz que procede de una fuente se divide en dos haces que se vuelven a unir después, el haz resultante mostrará zonas de interferencia visibles si la trayectoria de uno de los haces sufre algún cambio antes de volver a reunirse con el otro haz. Como las ondas de luz (su longitud de onda) que generan las interferencias son muy pequeñas, una variación minúscula en la longitud de la trayectoria o en el índice de refracción del medio que recorre uno de los haces producirá un efecto que se puede medir. Uno de los primeros en utilizar este tipo de instrumento fue un francés, Jules Jamin (1818-1886), en 1856. Su modelo fue perfeccionado por Fizeau en 1862, y luego, con una precisión nunca antes alcanzada, por Michelson.
Como vimos, según Fresnel la Tierra no arrastra completamente al éter; existe un arrastre pero es parcial. En otras palabras, la Tierra se mueve con respecto al éter. Comenzando en 1881, Michelson se planteó detectar experimentalmente ese movimiento: si efectivamente existía tal movimiento, el tiempo que tarda un rayo de luz emitido en la superficie terrestre debía ser diferente según que este se moviese en el sentido de movimiento de la Tierra con respecto al éter, o en sentido opuesto. El efecto, ese «viento etéreo», debía de ser muy pequeño, pero al alcance de las medidas en un interferómetro muy preciso. Este es el experimento que se planteó Michelson. Los errores cometidos en sus primeros intentos le llevaron a repetir el experimento, con un interferómetro más preciso, en 1887, con la colaboración de Morley. Compararon el tiempo que necesitaba la luz para cubrir los diferentes brazos del interferómetro en ambos sentidos, para deducir el movimiento de la Tierra, y no encontraron ninguna diferencia; parecía que el éter no afectaba al movimiento de la luz.
El experimento de Michelson y Morley generó una crisis en la física. Además de Lorentz, a quien volveremos enseguida, un irlandés, George Francis FitzGerald (1851-1901), se distinguió con una propuesta que hizo en 1889, cuando propuso, de una forma ad hoc, que el efecto se debía a que el movimiento con respecto al éter absoluto maxwelliano producía un acortamiento del brazo del interferómetro que seguía la dirección del movimiento (no en la dirección perpendicular al movimiento); esto es, que se producía una «contracción de longitudes». Lorentz también utilizó esta hipótesis, pero dentro de su propio programa de investigación. Manteniéndose fiel tanto a la dinámica newtoniana como a la electrodinámica maxwelliana, y a lo largo de sucesivos artículos (el último de 1904), fue capaz de explicar los resultados de experimentos como el de Michelson y Morley introduciendo un cambio en las ecuaciones que, en la mecánica de Newton tradicional, relacionan posiciones y tiempo en dos sistemas de referencia inerciales (aquellos que se mueven entre sí con velocidad constante). Como homenaje a su contribución todavía hoy se denomina a tales ecuaciones, que mantienen su validez en la teoría de la relatividad especial, «transformaciones de Lorentz». Son las siguientes:

Visto desde un punto de vista formal, matemático: con estas transformaciones, las ecuaciones del campo electromagnético y la ecuación de ondas no variaban de forma cuando se las describía en sistemas de referencia inerciales diferentes; eran, como se diría con el paso del tiempo, invariantes Lorentz.
Un punto que es preciso señalar es el del carácter de la transformación en la variable temporal. A Lorentz no le planteaba ningún problema conceptual aceptar que las longitudes se modificaban: la materia era en última instancia agrupaciones de moléculas, y estas se mantenían unidas, pensaba, mediante fuerzas electromagnéticas. Ahora bien, el movimiento del interferómetro con respecto al éter electromagnético en reposo absoluto debería producir cambios en las fuerzas intermoleculares que afectarían a sus longitudes. Sin embargo, el tiempo era diferente; no se le podía aplicar un esquema conceptual parecido. De hecho, Lorentz pensó que el tiempo, local, t’ al que tenía que recurrir no era más que una «cantidad matemática auxiliar» desprovista de significado físico; era un artificio «puramente formal». Para él, el tiempo continuaba siendo tan universal como había pensado Newton, y la velocidad de la luz solo tenía el valor c en el sistema en el que el éter electromagnético (en cuya realidad física él creía firmemente) estaba en reposo.
§. La relatividad especial
Fue un joven empleado de la Oficina de Patentes de Berna, que ya apareció en el capítulo 10 a propósito de la explicación del movimiento browniano, Albert Einstein, quien modificó radicalmente no tanto el resultado final de Lorentz —sus transformaciones— como la manera en que las dedujo e interpretó. Lo hizo en 1905, en un artículo que publicó en la revista Annalen der Physik titulado «Sobre la electrodinámica de los cuerpos en movimiento».
Para eliminar las discrepancias que habían surgido entre la mecánica newtoniana y la electrodinámica maxwelliana, plasmadas en experimentos como el de Michelson y Morley, Einstein siguió un camino muy diferente al de Lorentz: construyó una teoría basada en dos postulados básicos. El primero, «Principio de relatividad» —presente ya en la mecánica de Newton—, mantiene que las leyes de la física no se ven afectadas por el hecho de que se las describa en sistemas de referencia inerciales diferentes, mientras que el segundo afirma que la velocidad de la luz —de cuya medida nos ocupamos en el capítulo 11— es la misma en todos los sistemas de referencia inerciales; esto es, que es independiente del estado de movimiento del cuerpo que la emite, una suposición profundamente contraintuitiva y que violenta a la física newtoniana.
En otras palabras, las leyes de la física, argumentaba Einstein, son las mismas para todos los marcos inerciales de referencia, y no hay que optar por uno de ellos como el principal. La igualdad de todos explicaba la uniformidad del conjunto. Y la velocidad de la luz en el vacío es constante para todos los observadores. La luz es una magnitud máxima pero finita; ninguna suma de velocidades puede superarla.
Combinando ambos postulados, Einstein no solo dedujo las mismas ecuaciones de transformación que había introducido Lorentz, sino que también sostenía que, como escribía en su artículo, «la introducción de un “éter luminífero” demostrará ser superflua en tanto que la visión desarrollada aquí no requiere de un “espacio absoluto estacionario”». Aunque en buena medida todo había comenzado a partir del éter-campo electromagnético, resultaba que, al menos para ciertos aspectos, este no era necesario.
La lectura del artículo de Einstein impresiona aún hoy, más de un siglo después. Y lo hace por su claridad y limpieza argumentativa, además de, por supuesto, su originalidad. Comenzaba con unas consideraciones generales de naturaleza, podríamos decir, «estética»:
Es sabido que la electrodinámica de Maxwell —tal y como se entiende actualmente— conduce a asimetrías que no parecen inherentes a los fenómenos, cuando se aplica a cuerpos en movimiento. Tómese, por ejemplo, la acción electromagnética recíproca entre un imán y un conductor. El fenómeno que aquí se observa depende únicamente del movimiento relativo entre el conductor y el imán, mientras que la visión habitual establece una aguda distinción entre los dos casos en que uno u otro de estos cuerpos está en movimiento. Ya que si el imán está en movimiento y el conductor en reposo, entonces aparece en los alrededores del imán un campo eléctrico con una cierta energía definida, que produce una corriente en aquellos lugares donde se encuentran partes del conductor. Pero si el imán está en reposo y el conductor en movimiento, no surge ningún campo eléctrico en los alrededores del imán. Sin embargo, en el conductor encontramos una fuerza electromotriz, para la que no existe la energía correspondiente, pero que da lugar —suponiendo que el movimiento relativo es el mismo en los dos casos discutidos— a corrientes eléctricas del mismo sentido e intensidad que las producidas por las fuerzas eléctricas en el caso anterior.
No podía ser correcto, estaba afirmando Einstein, que se expliquen de manera diferente, en base teórica, fenómenos en los que intervienen dos elementos, que se mueven entre sí, dependiendo que de que consideremos que sea uno el que se mueve con respecto al otro, o viceversa. Y tras esta introducción metodológica, añadía: «Ejemplos de esta especie, junto a los intentos fracasados de descubrir un movimiento de la Tierra con respecto al “medio de la luz”, sugieren que los fenómenos electromagnéticos, lo mismo que los mecánicos, no poseen propiedades que corresponden a la idea de reposo absoluto».
«Ejemplos de esta especie, junto a los intentos fracasados de descubrir un movimiento de la Tierra con respecto al medio de la luz», decía. Aunque todavía se discute si entre esos otros «intentos fracasados» se encontraba el experimento de Michelson y Morley, parece claro que lo tenía en cuenta, aunque reaccionó ante él de forma muy diferente a Lorentz; esto es, no intentando explicar por qué la velocidad de la luz parecía la misma, o se hacía la misma, en sistemas de referencia inerciales diferentes, sino postulando que realmente siempre era la misma.
Cómo llegó a semejante conclusión es algo a lo que se refirió mucho más tarde en algunos de sus escritos; así, en las «Notas autobiográficas» que aparecieron en 1949 se lee:
Reflexiones de esta índole [relativas a la radiación electromagnética] me hicieron ver claro, poco después de 1900, es decir, a poco de publicarse el innovador trabajo de Planck, que ni la mecánica ni la electrodinámica (salvo en casos límite) podían aspirar a validez absoluta. Poco a poco fui desesperando de poder descubrir las leyes verdaderas mediante esfuerzos constructivos basados en hechos conocidos. Cuanto más porfiaba y más denodado era mi empeño, tanto más me convencía de que solamente el descubrimiento de un principio formal y general podía llevarnos a resultados seguros. El ejemplo que veía ante mí era el de la termodinámica. El principio general venía dado allí por el teorema: las leyes de la naturaleza están constituidas de tal suerte que es imposible construir un perpetuum mobile (de primera y segunda especie). Mas ¿cómo encontrar un principio general de este tipo? Tras diez años de reflexión, ese principio resultó de una paradoja con la que topé ya a los dieciséis años: si corro detrás de un rayo de luz con la velocidad c (velocidad de la luz en el vacío), debería percibir el rayo luminoso como un campo electromagnético estacionario, aunque parcialmente oscilante. Pero semejante cosa no parece que exista, ni sobre la base de la experiencia ni según las ecuaciones de Maxwell. De entrada se me antojó intuitivamente claro que, juzgada la situación por semejante observador, todo debería desarrollarse según las mismas leyes que para un observador que se hallara en reposo con respecto a la Tierra. Pues ¿cómo podría el primer observador saber o constatar que se encuentra en un estado de rápido movimiento uniforme?
Como se ve, en esta paradoja se contiene ya el germen de la teoría especial de la relatividad. Naturalmente, hoy nadie ignora que todos los intentos de aclarar satisfactoriamente esa paradoja estaban condenados al fracaso mientras el axioma del carácter absoluto del tiempo, o de la simultaneidad, siguiera anclado inadvertidamente en el inconsciente. El identificar claramente este axioma y su arbitrariedad representa ya en realidad la solución del problema. En mi caso, el pensamiento crítico que hacía falta para descubrir este punto central lo fomentó especial y decisivamente la lectura de los escritos filosóficos de David Hume y Ernst Mach.
Tras la «Introducción» que acabamos de comentar venía una «Parte cinemática» que comenzaba con una sección titulada «Definición de la simultaneidad», en la que Einstein definía de manera operacional los conceptos «sistema de referencia inercial» y «posición con respecto a un sistema de referencia inercial», pasando a continuación a señalar que, como las coordenadas de un punto material en movimiento son funciones del tiempo, tenía que explicar qué se entendía por «tiempo». Era entonces cuando argumentaba que el concepto de «simultaneidad» no es absoluto y daba una definición operacional de «tiempo» basada en la «sincronización de relojes».
El procedimiento que siguió fue considerar dos relojes en reposo respecto a dos puntos, A y B, de un sistema de referencia inercial; entonces se emitía un rayo de luz desde A en el instante tA, rayo que es recibido por un observador colocado en B en tB, reflejándolo instantáneamente de vuelta a A, adonde llegaba en el instante t’A. Einstein definía entonces tB de manera que
tB – tA = t’A – tB,
es decir:
tB = ½·(tA + t’A)
No suponía, en definitiva, que existiese un tiempo absoluto. Utilizando estos resultados, en la siguiente sección («Sobre la relatividad de longitudes y tiempos») demostraba que tanto longitudes como tiempos eran magnitudes relativas: «Observadores que se mueven [entre sí] encontrarán, por tanto, que sus relojes no están sincronizados, mientras que observadores en un mismo sistema declararán que sí lo están».
A continuación, utilizando los dos postulados básicos (principio de relatividad y constancia de la velocidad de la luz), Einstein deducía las ecuaciones que relacionaban las coordenadas espaciales y la temporal de dos sistemas de referencia inerciales, encontrando las mismas a las que había llegado Lorentz, con las cuales se podía comprobar fácilmente que longitudes e intervalos temporales dependían, efectivamente, del sistema de referencia inercial en el que se realizaban las medidas: surgían así fenómenos (que en su momento se observarían) como la dilatación del tiempo (relojes que se mueven más lentamente que los de otro observador en movimiento) o la contracción de la longitud (todos los observadores consideran que las reglas de medida de otros observadores en movimiento son más cortas que la suya). Y también que la clásica ecuación newtoniana de suma de dos velocidades, v y w, no era (v + w), sino
[v + w]/[1 + (v·w)/c2],
donde c representa la velocidad de la luz. Si se toma v = c y w = c, entonces se comprueba que su suma no es 2c sino c, como exigía la teoría.
Naturalmente, la nueva teoría einsteiniana convergía con la newtoniana en ciertos límites: cuando las velocidades implicadas eran pequeñas comparadas con la de la luz, un dominio en el que la mecánica de Newton había probado su eficacia durante más de dos siglos. Pero cuando se acercaban a la velocidad de la luz, las diferencias resultaban espectaculares.
Una vez establecido todo esto, se abría una segunda parte («Parte electrodinámica»), en la que Einstein demostraba que los requisitos cinemáticos que había establecido eran consistentes con la electrodinámica maxwelliana, que no la afectaban en absoluto. En este sentido, se podía decir que la electrodinámica era una teoría relativista, y que esta (aún no denominada «Teoría de la relatividad especial»; esto es algo que llegaría en 1907) era previa, un conjunto de requisitos cinemático-geométricos que deberían cumplir todas las teorías, todas las dinámicas físicas (las que hablan de fuerzas e interacciones).
Al asignar un significado físico real a las contracciones y dilataciones espaciales y temporales, la relatividad especial socavaba drásticamente conceptos hasta entonces firmemente afincados en la física, abriendo el camino para que poco después el matemático Hermann Minkowski (1864-1909), que había sido profesor de Einstein en la Escuela Politécnica Federal de Zúrich, introdujese, utilizando la teoría einsteniana, el concepto, matemático y físico, de espacio-tiempo cuadrimensional, que el propio Minkowski presentó de manera pública con singular fuerza y dramatismo el 21 de septiembre de 1908, ante el Congreso de Científicos y Médicos Alemanes reunidos en Colonia: «A partir de ahora», manifestó en aquella ocasión, «el espacio por sí mismo y el tiempo por sí mismo están condenados a desvanecerse en meras sombras, y solamente una especie de unión de los dos conservará su independencia».
Básicamente, lo que hizo Minkowski es redefinir la teoría de Einstein mediante la sustitución del espacio y el tiempo absolutos y separados de Newton por una nueva magnitud, el espacio-tiempo, al añadir a las tres coordenadas espaciales una cuarta dimensión temporal. Un punto del espacio-tiempo correspondía a un acontecimiento. El experimento describía el movimiento en un punto y un momento únicos y determinados, el intervalo espacio-tiempo entre dos acontecimientos era el equivalente a la distancia entre dos puntos en Euclides, y a la sucesión de los puntos que representan la trayectoria en el espacio-tiempo se la denomina línea de universo.
Hay que señalar, sin embargo, que a Einstein esta unión espaciotemporal, un espacio-tiempo cuatridimensional, no era algo que le agradara. Durante un tiempo —hasta que su búsqueda de una teoría relativista de la interacción gravitacional (la relatividad general)— le convenció de su significado físico, creyó que las ideas de Minkowski eran meros artificios matemáticos.
«Sobre la electrodinámica de los cuerpos en movimiento» llegó a la redacción de los Annalen der Physik el 30 de junio de 1905, siendo publicado en el número que apareció el 26 de septiembre; un día después, el 27, llegaba a la misma redacción otro artículo de Einstein (que se publicaría el 21 de noviembre) titulado: «¿Depende la inercia de un cuerpo de su contenido energético?». En él, el empleado de la Oficina de Patentes presentaba un mero corolario de la teoría de la relatividad especial, que se condensa en una sencilla expresión matemática: E = m·c2 (donde E representa la energía, m la masa y c, como ya sabemos, la velocidad de la luz), que permitió comprender inmediatamente la razón de la aparente inagotable energía producida en los fenómenos radiactivos. Demostró, asimismo, que la masa de un cuerpo crece en la medida en que la velocidad del movimiento se acerca a la de la luz.
El propio Einstein no se detuvo en la deducción de esta fórmula: en las frases finales de su artículo se refirió a la radiactividad, mostrando que había comprendido las implicaciones que la expresión matemática que había obtenido tenía para la energía que emanaba de los cuerpos radiactivos:
La masa de un cuerpo es una medida de su contenido energético; si la energía cambia un valor L, entonces la masa varía en el mismo sentido un valor L/9∙1020 […] No es imposible que se pueda comprobar con éxito la teoría con cuerpos cuyo contenido energético es altamente variable (por ejemplo, con sales de radio).
Dos años después volvía a ocuparse del tema, esta vez con algo más de detalle. En aquella ocasión Einstein señalaba que incluso en el caso de la radiactividad, en el que la desintegración de una sustancia va acompañada de la emisión de cantidades enormes de energía, «los cambios experimentados por las masas de los sistemas durante los procesos físicos familiares son siempre tan pequeños que no se pueden medir». Y añadía: «[Solo] si la vida media del radio hubiese sido determinada con una precisión razonable, podríamos comprobar nuestras relaciones si conociésemos los pesos atómicos involucrados con una precisión de seis dígitos. Esto es, por supuesto, imposible. Sin embargo, es posible que se detecten procesos radiactivos en los que un porcentaje significantemente elevado de la masa del átomo original se convierta en la energía de una variedad mayor de radiaciones que [la observada] en el caso del radio».
El mismo hecho de que Lorentz llegase a un elemento muy importante de la teoría de la relatividad especial ya indica que en más de un sentido esta se encontraba «en el aire», que más pronto que tarde habría sido desarrollada de manera completa… si es que, sostenían algunos, no lo había hecho ya el propio Lorentz en su artículo de 1904, significativamente titulado «Fenómenos electromagnéticos en un sistema que se mueve con una velocidad arbitraria menor que la luz». Y no olvidemos las contribuciones de FitzGerald y también de Joseph Larmor.
Una evidencia más de esto se encuentra en un par de artículos debidos a Henri Poincaré.
El 5 de junio de 1905, Poincaré presentó en la Académie des Sciences de París, de la que era distinguido miembro, un breve artículo titulado «Sobre la dinámica del electrón». Se trataba, en realidad, de un resumen de un artículo mucho más extenso que aparecería —con el mismo título— el año siguiente en una revista italiana de prestigio entre los matemáticos: Rendiconti del Circolo Matematico di Palermo. Ambos artículos fueron escritos sin ningún conocimiento de los trabajos de Einstein; de hecho, el del Rendiconti fue enviado el 13 de julio de 1905, antes, por consiguiente, de que apareciese en Annalen der Physik el de Einstein.
Resulta que en este artículo de Poincaré se encuentran también la mayoría de los resultados (no confundir con enfoque) a los que llegó Einstein, y también los de Lorentz. Algunos más, de hecho, puesto que Poincaré también presentaba una formulación cuatridimensional —a la manera de como lo haría después Minkowski, aunque de forma más abstracta, menos intuitivamente geométrica— de la electrodinámica de los cuerpos en movimiento. Incluso se planteaba la cuestión de desarrollar una teoría de la gravitación que fuese compatible con las transformaciones de Lorentz.
Tenemos, por otra parte, que en algunos escritos de Poincaré, reunidos luego en forma de libros con títulos como La science et l’hypothèse (La ciencia y la hipótesis; 1902), La valeur de la science (El valor de la ciencia; 1905) o Science et méthode (Ciencia y método; 1908), se encuentran análisis filosófico-físico-metodológicos que revelan que su autor comprendía bastante bien planteamientos parecidos a aquellos en los que Einstein basó su artículo de 1905. En el segundo de los libros citados se pueden encontrar pasajes como: «Es difícil separar el problema cualitativo de la simultaneidad del problema cuantitativo de la medida del tiempo, se sirva uno de un cronómetro o deba tener en cuenta una velocidad de transmisión como la de la luz, pues no se podría medir una velocidad semejante sin medir un tiempo»; o «No tenemos la intuición directa de la simultaneidad, ni tampoco de la igualdad de dos duraciones». Y en la tercera obra: «Es imposible escapar a esta impresión de que el principio de relatividad es una ley general de la naturaleza, que no se podrá jamás por ningún medio imaginable poner en evidencia, sino mediante velocidades relativas».
En base a todo esto, ¿no podemos decir que Poincaré también descubrió la teoría de la relatividad especial? Y si no es así, ¿en qué se diferencia lo que hizo de la teoría de Einstein?
La respuesta a estas preguntas (no aceptada por todos) es que Poincaré no hizo realmente lo mismo que Einstein. Y no lo hizo porque fue incapaz de ir más allá del electromagnetismo maxwelliano. No se dio cuenta realmente, aunque estuvo muy cerca, de que la relatividad especial es previa a la teoría de Maxwell, y que únicamente por una circunstancia histórica se disponía de ella antes de que se hubiese formulado la relatividad especial. Si se prefiere decirlo de esta forma: existía una teoría relativista —la electrodinámica— antes de que se tuviese conciencia de que existía algo como la relatividad especial.
La importancia de esta, a veces sutil, cuestión se observa con una claridad no exenta de dramatismo en el caso de Lorentz. Si se lee un libro de este, The Theory of Electrons (La teoría de los electrones; primera edición de 1909, segunda de 1915), que contiene un curso que dictó en la Universidad de Columbia (Nueva York) en 1906, se encuentra el siguiente pasaje:
Se verá claro por lo dicho que las impresiones recibidas por los dos observadores serán iguales en todos los respectos. Sería imposible decidir cuál de los dos se mueve o permanece en reposo con respecto al éter y no habría ningún motivo para preferir los tiempos y longitudes medidos por uno a los determinados por el otro, ni tampoco para decir que uno de los dos está en posesión de los tiempos «verdaderos» o de longitudes «verdaderas». Este es un punto en el que Einstein ha puesto especial hincapié en una teoría en la que parte de lo que él llama el principio de relatividad […]
No puedo hablar aquí de las muchas y muy interesantes aplicaciones que Einstein ha hecho de este principio. Sus resultados referentes a los fenómenos electromagnéticos y ópticos […] coinciden en general con lo que yo he obtenido en las páginas precedentes; la diferencia principal está en que Einstein simplemente postula lo que yo he deducido con alguna dificultad y no del todo satisfactoriamente, a partir de las ecuaciones fundamentales del campo electromagnético.
Einstein, se quejaba Lorentz, asumía que la velocidad de la luz era la misma en sistemas de referencia inerciales que se movían con respecto al éter en el que el profesor de Leiden creía, pero que no lo había demostrado. Sin embargo, en algún momento entre 1909 y 1915, año en el que se publicó la segunda edición de The Theory of Electrons, Lorentz cambió de opinión; esto es, entendió realmente lo que había hecho Einstein. Y añadió la siguiente nota:
Si tuviese que escribir ahora el último capítulo, sin duda que daría un lugar más prominente a la teoría de la relatividad de Einstein, en la que la teoría de los fenómenos electromagnéticos en sistemas en movimiento gana una simplicidad que yo no fui capaz de conseguir. La causa principal de mi fracaso estuvo en mi fijación en la idea de que solo la variable t puede ser considerada como el tiempo verdadero y que mi tiempo auxiliar t’ no debía considerarse más que como una cantidad matemática auxiliar.
§. Gravitación relativista: la relatividad general
Al contrario que la teoría de la relatividad especial, cuya estructura básica fue desarrollada por Einstein en forma definitiva en un solo trabajo, la relatividad general —la teoría relativista de la gravitación que sustituyó a la teoría de la gravitación universal de Newton (1687)— exigió un período mucho más largo para su elaboración, aproximadamente de 1911 a 1915, aunque ya en 1907 Einstein formulase la esencia del problema. Aquel año Johannes Stark —que, años más tarde, siendo un ferviente nazi, se opondría agriamente a Einstein y a sus teorías— pedía a Einstein que escribiese un artículo para la revista Jahrbuch der Radioaktivitat und Elektronik, de la que era editor, en el que recopilase todo lo referente al «principio de relatividad». En una de las secciones de este artículo, Einstein escribía: «Hasta ahora hemos aplicado el principio de relatividad —es decir, la suposición de que las leyes de la naturaleza son independientes del estado de movimiento del sistema de referencia— solamente a sistemas de referencia no acelerados. ¿Es concebible que el principio de relatividad sea válido también para sistemas acelerados entre sí?».
El problema era evidente y, por consiguiente, Einstein no podía abstenerse «de tomar posición en esta cuestión». Para ello pasaba a considerar dos sistemas de referencia en movimiento, S y S’, suponiendo que el primero estaba acelerado en la dirección del eje x, y que g era el valor (constante) de esta aceleración. «Supongamos», señalaba, «que S’ está en reposo, pero situado en un campo gravitacional homogéneo, que imparte una aceleración –g en la dirección del eje x a todos los objetos. Por lo que sabemos, las leyes físicas con respecto a S no difieren de aquellas con respecto a S’; esto proviene del hecho de que todos los cuerpos son acelerados de la misma forma en un campo gravitacional [experimento de Galileo]. Por consiguiente, en base a nuestra experiencia actual, no tenemos ninguna razón para suponer que los sistemas S y S’ puedan ser distinguidos entre sí de alguna manera, y por tanto supondremos que existe una equivalencia física completa entre el campo gravitacional y la correspondiente aceleración del sistema de referencia».
Vemos cómo en estos párrafos Einstein relacionaba de una manera auténticamente genial la descripción teórica de la interacción gravitacional con su deseo de generalizar el principio de relatividad especial, de manera que englobase una clase más amplia de sistemas de referencia que los inerciales. El vínculo de unión es un hecho que descubrió Galileo, y que se asocia a un experimento que probablemente, como apuntamos, no llevó a cabo: dejar caer dos cuerpos de masas diferentes desde la torre inclinada de Pisa; un hecho que aparece como una no explicada coincidencia en la mecánica newtoniana: que la caída de graves hacia la superficie de la Tierra es independiente de la masa, o, lo que significa lo mismo, la igualdad entre la masa inercial y la masa gravitacional.
Basándose en esta relación, Einstein imaginó un experimento en el que se daban dos situaciones diferentes: una persona en el interior de un ascensor en reposo situado en las proximidades de un campo gravitacional, y otra en el mismo ascensor, pero este con un movimiento acelerado igual pero de sentido contrario al de la atracción gravitacional del otro caso, y libre de cualquier fuerza gravitacional. Gracias a la igualdad de masas galileana, ninguna de las dos personas podría decir si cuando suelta un objeto que tiene en la mano, este se mueve hacia sus pies debido a la fuerza de la fuente gravitatoria o a que el ascensor se mueve hacia arriba. A esta equivalencia (local) entre campos gravitacionales y sistemas de referencia acelerados, Einstein la denominó principio de equivalencia y fue la única pieza de todas las que formaban su «rompecabezas gravitacional» que en ningún momento abandonó durante los años que empleó en buscar una teoría de la relatividad general.
Fue precisamente explotando el principio de equivalencia (al caso de un disco que gira con velocidad angular uniforme) cuando Einstein se dio cuenta, en 1912, de que la teoría relativista de la gravitación que buscaba debería edificarse sobre un substrato geométrico curvo, o, en otras palabras, que los campos gravitacionales curvan el espacio-tiempo relativista. Expresado de otra manera, Einstein llegó a la conclusión de que la teoría relativista de la gravitación que buscaba debía basarse en un espacio-tiempo cuya geometría dependiese de su contenido energético-material. Sería, en consecuencia, no solo una variedad métrica, sino también una de geometría variable, no prefijada e inmutable como sucedía con todas las teorías físicas conocidas hasta entonces (y después, hasta la fecha). Más aún, el objeto matemático que describía esa geometría debía ser el mismo que el que describiese la fuerza gravitacional. En este sentido, la gravitación se geometrizaba; se incluía, subsumía, la gravitación en la geometría. Y como la geometría está definida en todos los puntos del sistema al que hace referencia, la conclusión inevitable era que la nueva teoría relativista de la gravitación tenía que ser una teoría de campos; esto es, una construcción teórica cuyo objeto básico es una función.
En este punto, hay que señalar que no habría sido posible desarrollar la teoría de la relatividad general si no hubiese sido porque se disponía de las geometrías no euclideanas desarrolladas durante el siglo XIX, geometrías de las que tratamos en el capítulo 18. Una vez que Einstein dio el paso de identificar la geometría curva, riemanniana, como el soporte geométrico adecuado para construir una teoría relativista de la gravitación, ayudándose del cálculo diferencial absoluto (en especial de una memoria que Gregorio Ricci [1853-1925] y Tullio Levi-Civita [1873-1941] publicaron en 1901: «Métodos del cálculo diferencial absoluto y sus aplicaciones»), e identificando geometría con campo gravitacional, tardaría todavía dos años más en llegar a las ecuaciones finales del campo gravitatorio, en un proceso en el que la heurística matemática fue cada vez más importante para él, frente a los argumentos físicos. El 25 de noviembre de 1915 Einstein presentaba a la Academia su teoría general de la relatividad; esto es, las ecuaciones del campo gravitacional.
Cuando Einstein consiguió poner fin a ocho años de intensos esfuerzos por encontrar una teoría relativista de la gravitación que fuese satisfactoria, ya gozaba de un sólido prestigio dentro de su profesión, ocupando una cátedra, sin obligaciones docentes, creada para él en la Universidad de Berlín, más la pertenencia a la Academia Prusiana de Ciencias y la dirección del nuevo Instituto de Física Teórica en la Asociación Káiser Guillermo. Semejante predicamento entre sus colegas favoreció el que la relatividad general fuese aceptada rápidamente —o, al menos, considerada muy seriamente— por la comunidad científica. Ahora bien, dada la naturaleza de la nueva teoría y, en particular, del aparato matemático que utilizaba (el cálculo diferencial absoluto, o geometría diferencial; además, las ecuaciones del campo estaban formadas por un sistema de diez ecuaciones independientes en derivadas parciales no lineales), no todos los físicos podían comprenderla —lo que, por cierto, explica el elevado número de matemáticos que se interesaron por ella—, pero en general la gran mayoría pensaba que, aunque estuviese fuera de su alcance, constituía una aportación positiva al progreso de la física.
Un ejemplo, no exento de un cierto dramatismo, de las dificultades matemáticas que algunos físicos experimentaron ante la teoría de la relatividad general, es el caso de Oliver Lodge, un físico británico con el que ya nos encontramos en el capítulo 11, catedrático de Física en Liverpool y posteriormente rector de la Universidad de Birmingham. Lodge encontró la relatividad general bastante difícil de comprender, especialmente debido a sus limitados conocimientos de matemáticas. En una fecha tan tardía como el 27 de mayo de 1929, confesaba a Edmund Whittaker, catedrático de Matemáticas Aplicadas en Edimburgo, sus limitaciones: «Le agradezco que me enviase su conferencia sobre “¿Qué es la energía?”. Pero estoy horrorizado al encontrar que no la puedo seguir; esto es, comprenderla completamente. Más bien, me sorprende que los tensores tengan que ser introducidos en conexión con una cosa tan fundamental como la energía. Ni siquiera sé lo que es un tensor. Sé que un vector es un escalar con dirección al igual que magnitud. Uno se ha acostumbrado a utilizar vectores. Pero ¿qué son realmente? ¿Se trata de un twist [enroscadura], o lo que Robert Ball denominó un wrench [torcedura]? A mi edad no voy a aprender el cálculo tensorial, pase lo que pase».
Inmediatamente (1916) después de establecida la teoría de la relatividad general, el astrónomo alemán Karl Schwarzschild (1873-1916) encontró una solución exacta de las ecuaciones del campo gravitacional einsteiniano en una situación con simetría esférica que se podía asimilar al campo producido por el Sol, en el que se movían los planetas. De esa solución se deducían tres efectos observables: el desplazamiento del movimiento del perihelio (punto de una órbita más cercano al Sol) de un planeta, con respecto a la predicción newtoniana, la curvatura de los rayos de la luz en presencia de un campo gravitacional y el desplazamiento hacia el rojo de las líneas del espectro electromagnético. Que el movimiento del perihelio de un planeta planteaba problemas a la teoría de la gravitación universal de Newton es algo que se sabía desde hacía mucho tiempo en el caso de Mercurio, y resultó que la desviación medida era precisamente la que se deducía de la solución de Schwarzschild. En cuanto a la segunda predicción, la de la curvatura de los rayos de luz (una novedad con respecto a la teoría de Newton, puesto que en esta la gravedad afectaba a los cuerpos en función de su masa, y, como la luz carecía de masa, no se veía afectada por la gravedad, por lo que debía propagarse en línea recta), se comprobó en 1919, durante una expedición británica dirigida por Frank Dyson (1868-1939), el astrónomo real inglés, y Arthur Eddington (1882-1944), catedrático de Astronomía en Cambridge, para observar desde la isla Príncipe, en África, y desde Sobral, en el norte de Brasil, un eclipse de Sol que tuvo lugar el 29 de mayo (es durante un eclipse cuando se pueden fotografiar rayos procedentes de estrellas que pasan por las cercanías de la superficie solar, que es donde es más intensa la gravedad y, por consiguiente, el efecto predicho por la relatividad general).

La «teoría de la relatividad» está formada por dos teorías, relacionadas pero muy diferentes: la teoría especial de la relatividad (1905) y la teoría general de la relatividad (1915). Aunque es imposible reducir a una única característica estas dos teorías, hemos seleccionado aquí un contenido de cada una de ellas particularmente notable. La ecuación E = m·c2 (donde E representa la energía, m la masa y c la velocidad de la luz), una consecuencia de los postulados básicos de la relatividad especial, reveló que en principio la masa se puede transformar en energía. Por otra parte, la relación recíproca —la de que la energía es equivalente a la masa— tiene consecuencias profundas para la interacción gravitacional, una de las cuales se manifiesta en la característica que hemos seleccionado para la teoría de la relatividad general: la curvatura de los rayos de luz debida a la gravedad. En efecto, aunque se acepte que la luz está formada por partículas (cuantos de luz) de masa cero, o que sea una onda electromagnética, ello no implica que no posea energía, y si tiene energía posee, equivalentemente, masa. Y si tiene masa, le afecta un campo gravitacional, que la desviará de su trayectoria. La relatividad general predecía que así sucedía.

Y la comprobación experimental llegó en 1919, a través de un eclipse de Sol. Al ser el Sol una estrella con una masa relativamente pequeña a escala cosmológica, la desviación debería ser minúscula cuando se utilizasen los rayos de luz procedentes de estrellas; por consiguiente, para maximizar el efecto se consideró rayos que «rozasen» la superficie solar, pero estos únicamente se podrían observar en la Tierra cuando un eclipse oscureciese el disco solar. Este es el efecto que se representa en el dibujo. La relatividad general predice con exactitud la desviación de los rayos de luz.
Los resultados de aquella expedición, que confirmaban las predicciones de la teoría de la gravitación einsteiniana, fueron anunciados en Londres el 6 de noviembre de 1919, en una reunión conjunta de la Royal Society y la Royal Astronomical Society. Una numerosa audiencia, formada principalmente por los miembros de ambas sociedades científicas, se reunió bajo la presidencia de J. J. Thomson, presidente de la Sociedad, master del Trinity College de Cambridge desde marzo de 1918, y hasta hacía pocos meses director del Laboratorio Cavendish. Alfred North Whitehead, el matemático y filósofo con el que ya nos encontramos, que asistió a aquella reunión (él mismo era fellow de la Royal Society), describiría años más tarde el ambiente que la rodeó (Science and the Modern World; 1926):
Toda la atmósfera de tenso interés era exactamente la de un drama griego: nosotros éramos el coro comentando el decreto del destino revelado en el desarrollo de un incidente supremo. Había una cualidad dramática en la misma representación; el ceremonial tradicional, y en el trasfondo, el retrato de Newton para recordarnos que la mayor de las generalizaciones científicas iba a recibir ahora, después de más de dos siglos, su primera modificación.
El 7 de noviembre, esto es, justo el día después de la reunión en la que se presentaron los resultados del eclipse, The Times anunciaba:
REVOLUCIÓN EN CIENCIA
Nueva teoría del Universo
Ideas newtonianas desbancadas.
A partir de entonces, Einstein se convirtió en un personaje de fama mundial.
En cuanto al desplazamiento de las líneas espectrales hacia mayores longitudes de onda, hacia el rojo, el efecto era demasiado pequeño y tardaría bastante en ser detectado.
§. Unificación de fuerzas a través de la geometría
El dominio de aplicación de la teoría de la relatividad general era la interacción gravitacional, pero la gravitación no es la única fuerza que existe en el Universo: en la época en la que Einstein la desarrolló se conocía perfectamente la existencia de otra, la electromagnética, pero todavía no se habían identificado claramente, aunque existiesen indicios de ellas, las interacciones débil y fuerte. Era, por consiguiente, natural que Einstein o algún otro se plantease incluir en el marco de la relatividad general también al electromagnetismo; esto es, geometrizar no solo la fuerza gravitacional, sino también la electromagnética (de hecho, esto es lo que había intentado Hilbert).
Habida cuenta de que esa geometrización se llevaba a cabo utilizando el elemento básico de los espacios de Riemann, el tensor métrico, gαβ, para describir el campo gravitacional, la pregunta era si sería posible utilizarlo también para incluir al electromagnetismo. Y se encontró que no, que era preciso ir más allá de los espacios de Riemann, generalizarlos.
Sin embargo, no fue Einstein, ni algún otro físico, el que tomó la iniciativa en este programa. Fueron matemáticos, aunque no Hilbert. Estimulados por la aparición y poder de la teoría de la relatividad general, algunos matemáticos analizaron los fundamentos de la geometría riemanniana. Así, en 1917, Gerhard Hessenberg (1874-1925), catedrático de Matemáticas en la Escuela Técnica de Breslau (Wroclaw, Polonia, en la actualidad), y Tullio Levi-Civita publicaron sendos artículos en los que señalaban que la formulación natural de una geometría riemanniana era basándose en la noción de transporte paralelo infinitesimal de un vector, algo que también hizo el año siguiente el matemático holandés Jan Arnouldus Schouten (1883-1971). Conociendo estos trabajos, en 1918 Hermann Weyl (1885-1955) resaltó que, al transportar paralelamente un vector, el valor de su módulo (su «longitud») depende del camino que se sigue en tal transporte, de manera que, para describir un espacio que tomase en cuenta tal propiedad, era necesario introducir un nuevo conjunto de funciones; esto es, que no bastaba para definirlo con el tensor métrico.
Weyl, un matemático permeable a la física y a la filosofía, escogió para presentar sus ideas geométricas un libro cuyo título ya expresa su relevancia para el tema de la presente lección: Raum-Zeit-Materie. Vorlesungen uber allgemeine Relativitätstheorie (Espacio-Tiempo-Materia. Conferencias sobre relatividad general). Con respecto a la generalización de la geometría riemanniana, Weyl escribía en esta obra: «Inducido por las sólidas inferencias de la teoría de Einstein a examinar de nuevo los fundamentos matemáticos, el presente autor hizo el descubrimiento de que la geometría de Riemann solo llega a medio camino en lo que se refiere a alcanzar el ideal de una geometría infinitesimal pura. Todavía permanece por erradicar el último elemento de geometría “a distancia”, un residuo de su pasado euclideano. Riemann supone que también es posible comparar las longitudes de dos elementos de línea en puntos diferentes del espacio; en una geometría “de lo infinitamente próximo” no es permisible utilizar comparaciones a distancia».
Consecuencia de la generalización geométrica introducida, el nuevo espacio (al que muchos llaman en la actualidad «espacios de Weyl») necesitaba para quedar definido el tensor métrico gαβ, pero también un cuadrivector, φα. Con estas nuevas cuatro variables, Weyl argumentaba que podía introducir —esto es, «geometrizar»— el campo electromagnético.
Cuando Weyl le informó del contenido de sus investigaciones y le envió su libro, Einstein quedó fascinado. «Estoy leyendo con genuino deleite las pruebas de su libro, que voy recibiendo página a página», le escribía a Weyl el 8 de marzo de 1918. «Es como una pieza sinfónica maestra. Cada palabra tiene su relación con el conjunto, y el diseño de la obra es grandioso. ¡Qué magnífico método es el desplazamiento infinitesimal de vectores para deducir el tensor de Riemann! Cuán naturalmente surge todo. Y ahora ha dado usted a luz al niño que yo no pude obtener: ¡la construcción de las ecuaciones de Maxwell a partir de los gαβ!».
Es cierto que Einstein enseguida encontró puntos (consecuencias físicas) con los que estaba en desacuerdo, pero no olvidó la lección que el ejemplo del intento de Weyl implicaba: nuevas matemáticas, generalizaciones de los espacios riemannianos que había utilizado para la relatividad general, podían abrir el camino para resolver el problema que, siguiendo a Hilbert y a Weyl, él también asumió, encontrar una teoría geométrica unitaria de la gravitación y el electromagnetismo. Una tarea, por cierto, a la que también se unió pronto Arthur Eddington, que en 1921 profundizó en la línea abierta por Weyl, y cuyas ideas influyeron bastante en Einstein.
Sin embargo, a la postre estos intentos de unificación de las fuerzas electromagnética y gravitacional fracasaron. Además, enseguida se vio que esas fuerzas no son las únicas que existen en la naturaleza: están también la interacción fuerte y la débil. Y así, la tarea de buscar la unificación de todas las fuerzas pasaría en su momento a manos de los físicos cuánticos, en las que todavía sigue.
Contenido:§. El electrón, la primera partícula elemental
§. Cuantización de la radiación
§. Cuantización de la materia
§. La mecánica cuántica
§. La química cuántica
§. La electrodinámica cuántica
§. Unificaciones
§. Cuantización del espacio
§. Física cuántica y matemáticas
Con el siglo XX se inició un cambio de rumbo en la construcción de la ciencia. Hasta el XVII se había tratado de definir conceptualmente la naturaleza de las cosas. Como vimos, Galileo limitó el conocimiento científico al conocimiento de las magnitudes, las dimensiones de las cosas susceptibles de ser medidas, y la construcción de las leyes naturales que las relacionan entre sí. Las tres leyes del movimiento que formuló Newton en 1687 y la ley de la gravedad que insertó en ellas constituyeron la primera gran construcción de la nueva ciencia. Esencialmente, los imponentes edificios teóricos que edificaron Maxwell en el siglo XIX (electromagnetismo) y Einstein en el XX (relatividad especial y relatividad general) pertenecían a la misma familia —la de la denominada física clásica— que el gran diseño teórico que construyó Newton. Esencialmente, hemos dicho porque, como ya hemos visto, las teorías de Maxwell y Einstein introdujeron importantes novedades ajenas a apartados importantes de la construcción newtoniana, como son el campo electromagnético, frente a las acciones a distancia, y el espacio y tiempo relativos, frente a los absolutos que rigen los Principia. Aun así, los cambios no fueron tan radicales como los que sufriría la física con la exploración del mundo atómico y de la radiación (esta inicialmente, como hemos visto, incorporada, como ciudadana de pleno derecho, al mundo electromagnético). El producto fue un nuevo universo científico, al que está dedicado este capítulo: el mundo de la física cuántica.
A través de la división experimental de la materia y el estudio de las radiaciones, esa nueva física se vio abocada a concluir que materia, radiación y energía estaban cuantizadas (un término que expresa discontinuidad en la hasta entonces supuesta continua radiación y, en general, en la energía), un hallazgo que condujo a resultados sorprendentes no solo desde el punto de vista de la física, sino también en lo que se refiere a su dimensión filosófica (ontológica y epistemológica), un hecho este que fue posible asumir pensando que, al fin y al cabo, el escenario de esta nueva ciencia era primordialmente el ultramicroscópico, uno en el que no era posible (al menos no lo fue durante mucho tiempo, hasta la llegada de una serie de poderosos y novedosos microscopios) la observación directa de los objetos de los que trataba (átomos y partículas elementales), siendo únicamente posible detectar sus efectos. Eso sí, la física clásica conservó su identidad y su vigencia, aunque limitada a los dominios macroscópicos.
La física cuántica fue el fruto inesperado de la investigación de una serie de cuestiones físicas en principio desconectadas entre sí. Cuando terminaba el siglo XIX, los físicos y los químicos —los primeros en particular— se enfrentaban a una serie de problemas que ensombrecían el aparentemente luminoso horizonte de las ciencias físico-químicas (recordemos en este sentido que en 1894 Albert Abraham Michelson, el primer estadounidense en recibir el premio Nobel de Física, sostenía que parecía «probable que la mayoría de los grandes principios básicos hayan sido ya firmemente establecidos y que haya que buscar los futuros avances sobre todo aplicando de manera rigurosa estos principios. Un eminente físico ha señalado que las futuras verdades de la ciencia física se deberán buscar en la sexta cifra de los decimales»). Los problemas —que en mayor medida ya aparecieron en capítulos anteriores— a los que nos referimos eran: (1) hallar un modelo satisfactorio para la estructura de la materia en sus niveles más elementales, una cuestión que debería permitir explicar (2) a qué se debía la radiactividad, así como, aunque esto era menos evidente, (3) el origen del gran número de líneas que aparecían en los espectros de los elementos químicos; y (4) encontrar una expresión para la distribución de la radiación de un cuerpo negro.
Comencemos por el primer problema, el de la estructura de la materia.
§. El electrón, la primera partícula elemental
Ya vimos en el capítulo 8 que a comienzos del siglo XIX John Dalton sostuvo que las combinaciones químicas se efectúan a través de unidades discretas, átomo a átomo, y que los átomos de cada elemento son idénticos, y calculó los pesos de esos átomos por comparación a la unidad, que atribuyó al hidrógeno.
Otro momento importante en la exploración de la estructura de la materia tuvo lugar con el descubrimiento de la electrolisis, al que también hicimos referencia en los capítulos 8 y 11. Mencionamos ahora que, a pesar de lo que puede parecer retrospectivamente, Michael Faraday no entró en cuestiones atómicas. En cuanto a Maxwell, se dio cuenta de los problemas que originaba explicar las leyes de Faraday de la electrolisis si quería mantener sus propias ideas sobre la conducción. En este sentido, en el capítulo (el IV) dedicado a la electrolisis de su A Treatise on Electricity and Magnetism (1873) escribía: «De todos los fenómenos eléctricos, la electrolisis aparece como el más adecuado para suministrarnos un entendimiento real de la verdadera naturaleza de la corriente eléctrica, porque encontramos corrientes de materia ordinaria y corrientes de electricidad que forman parte esencial del mismo fenómeno». Ahora bien, tras semejante declaración añadía: «Pero si continuamos y suponemos que las moléculas de los iones dentro del electrolito están cargadas con una cierta cantidad definida de electricidad, positiva y negativa, de manera que la corriente electrolítica es simplemente una corriente de convección, encontramos que esta tentadora hipótesis nos conduce a un terreno muy difícil». Sin embargo, estas dificultades no le impedían continuar explorando otras posibilidades:
Supongamos, sin embargo, que pasamos sobre esta dificultad simplemente sosteniendo el hecho del valor constante de la carga molecular, y que llamamos a esta carga molecular, por conveniencia en la descripción, una molécula de electricidad.
Esta frase, imprecisa como es, y fuera de armonía con el resto de este tratado, nos permitirá al menos expresar claramente lo que se conoce acerca de la electricidad y apreciar las dificultades principales.
En parecido terreno pantanoso se movía Hermann von Helmholtz en la «Conferencia Faraday» que pronunció en la Chemical Society de Londres el 5 de abril de 1881 y que dedicó al «Desarrollo moderno de la idea de Faraday sobre la electricidad». Para Helmholtz no era «en modo alguno necesario aceptar ninguna opinión concreta sobre la naturaleza última del agente que denominamos electricidad. El propio Faraday evitó tanto como le fue posible efectuar manifestaciones afirmativas sobre este problema, aunque no ocultó su falta de inclinación a creer en la existencia de dos fluidos eléctricos opuestos». De hecho, declaraba explícitamente que intentaría imitar a Faraday restringiéndose «cuidadosamente al dominio de los fenómenos», lo que significaba que «no necesitaremos especular acerca de la naturaleza real de aquello que denominamos una cantidad de electricidad positiva o negativa. Llamándolas sustancias de signo opuesto, implicamos con este nombre nada más que el hecho de que una cantidad positiva nunca aparece o desaparece sin que una cantidad igual negativa aparezca o desaparezca al mismo tiempo en su entorno inmediato. A este respecto, se comportan realmente como si fuesen dos sustancias que no pueden ser generadas ni destruidas, sino que pueden ser neutralizadas haciéndose imperceptibles mediante su unión».
Más adelante, y refiriéndose ya en concreto a las leyes de Faraday sobre la electrolisis, manifestaba: «Establecida de esta manera, la ley de Faraday nos dice que a través de cada sección de un conductor tenemos siempre movimientos eléctrico y químico equivalentes. La misma cantidad definida de electricidad positiva o negativa se mueve siempre con cada ión univalente, o con cada unidad de afinidad de un ión multivalente, y la acompaña durante todos sus movimientos por el interior del fluido electrolítico. A esta cantidad la podemos llamar la carga eléctrica del átomo». Más concretamente: «el resultado más notable de la ley de Faraday acaso sea este. Si aceptamos la hipótesis de que las sustancias elementales están compuestas de átomos, no podemos evitar concluir que también la electricidad, positiva al igual que negativa, está dividida en partes elementales definidas, que se comportan como átomos de electricidad. Mientras se mueve en el líquido electrolítico, cada ión permanece unido con su equivalente o equivalentes eléctricos. En la superficie de los electrodos tiene lugar la descomposición si existe suficiente fuerza electromotriz, y entonces los iones emiten sus cargas eléctricas y se hacen neutros eléctricamente».
En otras palabras, en 1881, para Helmholtz, no se podía decir prácticamente nada acerca de los «átomos de electricidad»… salvo que existían.
Fue Joseph John Thomson (1856-1940), director del Laboratorio Cavendish de Cambridge, quien puso punto final a las incertidumbres y especulaciones acerca de si existían o no partículas portadoras de una carga eléctrica que se pudiese considerar «unidad». Lo hizo mientras estudiaba la radiación catódica, de la que nos ocupamos en el capítulo 12. En sus investigaciones, Thomson utilizó un tubo de cristal en el que se producían rayos catódicos y aplicó una diferencia de potencial a dos placas paralelas, a través de las cuales pasaban los rayos catódicos. Se producía entonces una desviación de estos, lo que significaba que se comportaban como partículas cargadas en campos eléctricos. A continuación, y aprovechándose de la fosforescencia que emitían cuando golpeaban las paredes del cristal, medía cuánto se habían desviados los rayos de la línea horizontal que habrían seguido si no hubiesen sido desviados por la diferencia de potencial. Con este dato y gracias a unas sencillas leyes electromagnéticas deducía el valor del cociente entre la carga y la masa de las cargas que debían constituir los rayos. Utilizando diferentes gases en el interior del tubo, obtenía como valores para e/m: 0,4·10–7, 0,5·10–7 y 0,9·10–7, en unidades C. G. S. electrostáticas.
Con tales datos, podía avanzar hacia conclusiones más fundamentales: «De estas determinaciones vemos que el valor de e/m es independiente de la naturaleza del gas, y que su valor 10–7 es muy pequeño comparado con 10–4, que es el valor más pequeño previamente conocido de esta cantidad, y que es el correspondiente al ión de hidrógeno en la electrolisis». Evidentemente, la pequeñez de e/m podía ser debida a que m fuese pequeño o a que e fuese grande, o a una combinación de ambos, pero Thomson favorecía el que el valor de la carga fuese muy pequeño (más adelante, en 1899, fue capaz de medir por separado e y m). En el artículo del Philosophical Magazine de 1897 en el que presentó sus resultados, manifestaba que aunque William Prout había defendido la idea de que los átomos de los diferentes elementos eran átomos de hidrógeno, tal hipótesis no se sostenía, pero que «si sustituimos el hidrógeno por alguna sustancia primordial desconocida, X, entonces no hay nada que sea inconsistente con esta hipótesis, que ha sido apoyada recientemente por sir Norman Lockyer por razones que se derivan del estudio de los espectros estelares». El «X» en el que estaba pensando eran las unidades —corpúsculos los denominaba— que constituían los rayos catódicos: «Si en el muy intenso campo eléctrico de las proximidades del cátodo, las moléculas del gas se disocian y rompen, no en átomos químicos ordinarios, sino en estos átomos primordiales, que llamaremos por brevedad corpúsculos, y si estos corpúsculos están cargados con electricidad y son proyectados del cátodo por el campo eléctrico, se comportarán exactamente igual que los rayos catódicos».
Sus corpúsculos eran los que, siguiendo la terminología introducida por el físico irlandés Johnstone Stoney (1826-1911), pronto se llamarían universalmente electrones. Y como el valor de e/m que obtenía no variaba cuando cambiaba los metales que formaban el ánodo y el cátodo del tubo de rayos catódicos, era inevitable concluir que esos corpúsculos-electrones eran partículas que formaban parte de toda la materia. En este sentido, había identificado la primera partícula elemental.
Los resultados obtenidos por Thomson permitieron ir más allá de la concepción daltoniana del átomo, explicando en términos físicos los conceptos y magnitudes químicos. Parecía que podía explicarse la composición de la materia mediante combinaciones de un único corpúsculo. Así, en un artículo que publicó en 1899 en el Philosophical Magazine («Sobre las masas de los iones en gases a baja presión»), Thomson escribía:
Considero al átomo como conteniendo un gran número de cuerpos más pequeños que llamaré corpúsculos; estos corpúsculos son iguales entre sí […] En el átomo normal, esta reunión de corpúsculos forma un sistema que es eléctricamente neutro. Aunque los corpúsculos individuales se comportan como iones negativos, cuando se reúnen en un átomo neutro el efecto negativo se compensa por algo que hace que el espacio por el que los corpúsculos están dispersos actúe como si tuviesen una carga de electricidad positiva igual en magnitud a la suma de las cargas negativas en los corpúsculos. Considero la electrificación de un gas debida a la ruptura de algunos de los átomos del gas, lo que produce la separación de un corpúsculo de alguno de los átomos. Los corpúsculos separados se comportan como iones negativos, cada uno transportando una carga negativa, que por brevedad llamaremos la carga unidad, mientras que la parte del átomo que queda detrás se comporta como un ión positivo con la unidad de carga positiva y una masa grande comparada con la del ión negativo.
Lo que Thomson estaba presentando aquí era un modelo atómico conocido como el del «pastel de pasas», al que se refirió con cierto detalle en uno de sus libros, el titulado Electricity and Matter (Electricidad y materia; 1904), producto de una serie de conferencias que pronunció en la Universidad de Yale en 1903. En él señalaba que los electrones (todavía «corpúsculos» en su terminología) se encontraban en el interior de «una esfera de electrización uniforme positiva que produce una fuerza atractiva radial en cada corpúsculo proporcional a su distancia al centro de la esfera». El átomo de hidrógeno lo representaba mediante una esfera cargada positivamente, de radio unos 10–8 centímetros, con un electrón oscilando en el centro de la misma. A partir de ahí, para átomos con un número mayor de electrones, había que disponer los electrones en el interior de la esfera correspondiente de manera que estuviesen en equilibrio bajo la atracción que suponía la interacción con la carga positiva de la esfera, en la que se encontraban sumergidos, y la repulsión producida por los otros electrones con carga del mismo signo, todo teniendo en cuenta, naturalmente, el movimiento de los propios electrones. En el caso en que fueran solo dos los electrones el problema era de fácil solución y Thomson daba la distancia a que se encontraban. Con tres electrones existiría equilibrio cuando estuviesen situados en los vértices de un triángulo equilátero, mientras que con cuatro sería un tetraedro regular con su centro en el de la esfera. El problema se iba haciendo cada vez más difícil, y menores las posibilidades de que existiesen configuraciones estables, según crecía el número de electrones: «Un cálculo matemático», escribía Thomson, «demuestra que, a menos que el número de corpúsculos sea muy pequeño, siete u ocho a lo sumo, esta disposición es inestable y no puede persistir nunca. Cuando el número de corpúsculos es mayor que este límite, los corpúsculos se dividen en dos grupos. Los corpúsculos del grupo que contiene el menor número se sitúan en la superficie de un pequeño cuerpo concéntrico con la esfera; los corpúsculos del otro grupo estarán en la superficie de otro cuerpo concéntrico más grande. Cuando el número de corpúsculos sigue aumentando, se llega a un estado donde no se puede alcanzar el equilibrio dividiéndose en dos grupos, y los corpúsculos se distribuyen en tres grupos, dispuestos en las superficies de hojas concéntricas; y a medida que crece el número se pasa por estados en los que son necesarios más grupos para el equilibrio. Para cualquier número considerable de corpúsculos, el problema de hallar la distribución de equilibrio es demasiado complejo de calcular; y debemos recurrir a la experimentación y ver si podemos construir un modelo en que las fuerzas que producen el equilibrio son análogas a las que hemos supuesto existen entre los electrones».
Era evidente que semejante situación parecía tener su correlato en los fenómenos radiactivos, y así lo entendió el propio Thomson, que intentó relacionar su modelo con la radiactividad (también con las propiedades periódicas de los elementos y con las líneas espectrales que se observaban), aunque a la postre no tuvo demasiado éxito. Así, y aunque el modelo del pastel de pasas desempeñó un cierto papel en la historia de los modelos atómicos, su capacidad para explicar el cada vez mayor número de datos cuantitativos que los científicos que trabajaban en la radiactividad estaban obteniendo no era demasiado grande.
Fue Ernest Rutherford, el antiguo discípulo de Thomson, quien dio un paso realmente significativo con el modelo atómico que propuso en 1911.
Como vimos, en el curso de sus investigaciones en el dominio de la radiactividad, Rutherford se familiarizó con las partículas α (núcleos de helio) y β (electrones), que emiten las sustancias radiactivas. No es de extrañar, por consiguiente, que pensase que podría utilizarlas como herramienta de análisis atómico. En 1909, dos investigadores del laboratorio que ahora dirigía en Manchester, Hans Geiger (1882-1945) y Ernest Marsden (1889-1970), lanzaban partículas α contra placas delgadas de diversos metales. Para sorpresa de todos, encontraron que la dirección de una pequeña fracción de las partículas α que llegaban a la placa era modificada de tal manera que volvían a aparecer de nuevo en el lugar de partida. A Rutherford le pareció que para que una partícula α cambiase su trayectoria en un ángulo de 90 grados o más hacían falta campos eléctricos mucho más intensos de los que podían suministrar los modelos atómicos que Thomson manejaba, y en abril de 1911 consiguió desarrollar una teoría que explicaba las grandes al igual que las pequeñas desviaciones observadas. El modelo atómico que utilizó consistía en un núcleo central (una esfera de menos de 3·10–12 centímetros de radio) que podía estar cargado positiva o negativamente, rodeado de «una esfera de electrificación», de unos 10–8 centímetros de radio, con la misma cantidad de carga, pero signo opuesto, que el núcleo.
El modelo atómico de Rutherford tenía grandes atractivos, pero también grandes inconvenientes. Si se pensaba en él como una especie de minisistema planetario gobernado por fuerzas electromagnéticas, entonces existía un problema obvio: los electrones que orbitaban en torno al núcleo estarían acelerados (su movimiento era circular) y, por tanto, deberían emitir radiación, lo que implicaba que perderían energía. Esto produciría que se fueran acercando al núcleo, sobre el que terminarían cayendo irremediablemente. En otras palabras, este modelo atómico carecía de estabilidad.
§. Cuantización de la radiación
Cuando Rutherford encontró el modelo atómico que acabamos de mencionar, ya hacía más de una década que se había introducido en la física una noción problemática, pero con una sólida base experimental: los cuantos.
La historia de este nuevo ciudadano del mundo de la física comenzó en 1900, cuando Max Planck (1858-1947), catedrático de Física en la Universidad de Berlín desde 1894, se planteó el problema de deducir teóricamente la ley de radiación de un cuerpo negro que, como señalamos en el capítulo 12, había encontrado semiempíricamente unos pocos meses antes.
Incapaz de deducir la expresión utilizando los recursos de la física que él defendía a ultranza, esto es, una física basada en la mecánica newtoniana, la electrodinámica maxwelliana y la termodinámica, una física en la que el segundo principio de la termodinámica, el del crecimiento de la entropía, se cumpliese siempre, sin excepciones, Planck llevó a cabo lo que él mismo definió, en una carta que escribió el 7 de octubre de 1931 al físico estadounidense Robert Williams Wood, como «un acto de desesperación»: adoptar la formulación estadística de la entropía propuesta, como vimos en el capítulo 10, por Ludwig Boltzmann en 1877. Para este físico austriaco, recordemos, la entropía de un sistema venía dada por la expresión S = k·ln W, donde k es una constante y ln W el logaritmo neperiano de la probabilidad (W) de que tenga lugar el estado en cuestión. Doblegarse ante semejante planteamiento, aceptar que el crecimiento de la entropía estaba asociado con probabilidades y que, por consiguiente, no era tan universal como él pensaba, debió de ser doloroso para un físico del talante de Planck, dolor solo mitigado haciendo de este paso una «suposición puramente formal».
El hecho, en cualquier caso, es que combinando su ley de radiación con los procedimientos estadísticos de Boltzmann, Planck se vio obligado a tratar, como hipótesis según él «meramente formal», pero de gran calado físico, la energía de la radiación como si en lugar de ser una magnitud continua fuese discreta (lo que se vino en denominar cuántica). Al final de su proceso deductivo, para que la expresión matemática a la que había llegado coincidiese con la ley de radiación que había obtenido semiempíricamente antes, Planck llegó a que las «unidades» de energía, E, que constituían la radiación estaban descritas por la ecuación:
E = h·ν,
donde h era una constante (que terminó siendo denominada «constante de Planck») y ν la frecuencia de la radiación.
No debe pasar desapercibida la introducción de h, una nueva constante universal. Y no debe pasar desapercibida porque las constantes universales constituyen un tesoro muy apreciado de la física. En realidad, no existe una definición satisfactoria y aceptada universalmente de lo que es una constante universal, pero, sea cual sea la definición, no faltan en ella la constante de gravitación universal (G), la velocidad de la luz (c), la constante de Planck (h) y la carga del electrón (e). Es significativo de la novedad que introdujo la física cuántica en la física el que trajo consigo una nueva constante universal, h, algo que no sucedió ni con la relatividad especial ni con la relatividad general, en donde aparecen las viejas constantes, G y c (el caso de la cosmología relativista es diferente, ya que incluye, o puede incluir —la cuestión aún está abierta—, la constante cosmológica, Λ).
Continuando con Planck, tenemos que a pesar de lo que sus resultados sugerían, no creyó en la realidad física de tal discontinuidad energética para la radiación. Pensó, y defendió con energía durante mucho tiempo, que lo que esa ecuación describía era el intercambio de energía entre la radiación de un cuerpo negro y los átomos que forman las paredes de la cavidad que la albergaba. Si el propio responsable de esta novedad no parecía creer demasiado en ella, no es sorprendente que la construcción de Planck no encontrase ningún eco y sí algunos oponentes. El único que pensó en ella para resolver algunos problemas de la física teórica fue Albert Einstein, aún un desconocido que trabajaba en la Oficina de Patentes de Berna. El artículo, publicado como el de la relatividad especial en 1905, en el que profundizó en la cuantización de la energía se tituló: «Un punto de vista heurístico acerca de la creación y transformación de la luz». En él, Einstein señalaba que «las observaciones asociadas con la radiación del cuerpo negro, fluorescencia, producción de rayos catódicos mediante luz ultravioleta y otros fenómenos relacionados, todos ellos conectados con la emisión o transformación de la luz», se entendían más fácilmente si se suponía que «la energía de la luz está distribuida espacialmente de forma discontinua». Expresado de otra forma, lo que Einstein estaba proponiendo es que para explicar ciertos fenómenos ya observados había que suponer que la luz estaba formada por «partículas» independientes (que terminarían siendo denominadas cuantos de luz o, un término introducido más tarde por el químico-físico Gilbert N. Lewis, fotones), cada una de las cuales transportaba una energía determinada por la ley de Planck, E = h · ν. No ignoraba Einstein, por supuesto, que otros fenómenos físicos solo se podían explicar en base a entender la luz como una onda continua, pero para apoyar su tesis explicó teóricamente algunos efectos, como el fotoeléctrico, un fenómeno que había descubierto Heinrich Hertz en 1887. Lo que Hertz observó es que cuando incidía luz sobre una superficie metálica, esta emitía «cargas» (identificables por la corriente eléctrica que se producía), pero que la energía de estas cargas (en el lenguaje actual: la velocidad de los electrones emitidos) no dependía de la intensidad de la luz incidente, sino de su longitud de onda. Por esta pequeña contribución de su artículo de 1905 Einstein recibiría el premio Nobel de Física de 1922.
Visto retrospectivamente, parece obvio que estos resultados mostraban que de alguna manera existía una dualidad onda-corpúsculo en el mundo cuántico, pero semejante idea, que violentaba claramente expectativas físicas sólidamente afincadas en el imaginario conceptual humano, tendría que esperar casi una década para introducirse en el cuerpo de la física. Y eso que el propio Einstein insistió en la aparente naturaleza dual de la radiación en dos artículos que publicó en 1909.
Asociados a la luz, esto es, a la interacción electromagnética, los fotones son los «cuantos», los objetos físicos que transmiten esta interacción. En el caso de otras interacciones, los cuantos correspondientes son diferentes.
§. Cuantización de la materia
Los trabajos de Planck y Einstein que hemos mencionado trataban de la radiación, no de la materia. En este sentido, se podía creer que la cuantización de la energía afectaba —si es que existía realmente— a la radiación, no a la materia. Sin embargo, el propio Einstein se encargó de demostrar que no era así aplicando los cuantos de Planck a la teoría de los calores específicos.
Como se sabe, el calor específico de una sustancia se define como la cantidad de calor que hay que comunicar a un mol de la sustancia en cuestión para que su temperatura aumente en un grado centígrado. En 1819, dos franceses, el químico Pierre Louis Dulong (1785-1838), y el físico Alexis Thérèse Petit (1791-1820), encontraron, empíricamente, que el calor específico, ce, de sólidos monoatómicos es, para temperaturas superiores al ambiente, aproximadamente 6 cal·mol–1·K–1 (ley de Dulong-Petit). En la década de 1870, Ludwig Boltzmann explicó esta ley recurriendo a la física estadística, pero pronto se hicieron medidas que no se ajustaban a ella.
Seguramente animado por estos resultados, Einstein se sumergió en el estudio de la teoría del calor específico y en 1907 publicó un artículo en el que manifestaba su convicción de que no había que contentarse con los resultados ya obtenidos en el estudio de la radiación de un cuerpo negro: «Si la teoría de la radiación de Planck va al corazón del asunto», escribía, «entonces se deben esperar contradicciones entre la teoría cinético-molecular actual y la experiencia también en otras áreas de la teoría del calor». Y en este punto entraban en escena los calores específicos, una de esas «áreas», en la que Einstein consideró a los transportadores de calor en sólidos como estructuras que vibran periódicamente, con una frecuencia independiente de la energía de su oscilación. Y utilizando la ley de radiación de Planck, encontró que el calor específico tomaba un valor diferente al dado por la ley de Dulong y Petit, un valor con el que encajaban mejor los valores de las medidas experimentales conocidas.
El caso de los calores específicos permite entender qué es en realidad la cuantización. Expresado de manera superficial, la cuantización es ajustar una teoría física a los postulados cuánticos, el primero de los cuales, el único con el que hasta ahora nos hemos encontrado, es la cuantización de Planck-Einstein de la energía (y recordemos que todo fenómeno físico, ya sea de naturaleza material o de radiación, posee energía).
Aunque de esta manera los cuantos de Planck hicieron su entrada en el mundo de la materia, en realidad fue una entrada relativamente superficial, en la medida en que no afectó a la cuestión de encontrar un modelo atómico satisfactorio. De hecho, como hemos visto, en el modelo propuesto por Rutherford en 1911 los cuantos no aparecían por ninguna parte. Fue un joven físico danés de nombre Niels Bohr (1885-1962) quien cambió todo esto.
La tesis doctoral que Bohr presentó (mayo de 1911) en la Universidad de Copenhague versaba sobre la «teoría electrónica de los metales». En particular estudiaba la conducción en los metales como una corriente de electrones que tenía lugar en el gas de electrones que se movían libremente en el potencial creado por los núcleos de átomos cargados positivamente. Aunque se trataba de un enfoque al que retrospectivamente se puede considerar «moderno», los resultados que obtuvo no fueron demasiado satisfactorios, lo que llevó a Bohr a extraer la convicción de que la física clásica no era capaz de explicar la conducción en metales.
Una vez logrado el título de doctor, Bohr se trasladó a Inglaterra a finales de septiembre de 1911 para ampliar estudios. Inicialmente se instaló en Cambridge, con el propósito de aprender de J. J. Thomson, en principio una buena elección si quería aprender más sobre cuestiones relacionadas con los electrones, los protagonistas principales de su disertación: ¿no era Thomson el «padre de los electrones»? Pero apenas pudo entenderse con el director del Cavendish, lo que le llevó a marcharse a Manchester con Rutherford. Allí, junto a físicos y químicos del calibre del Hans Geiger, Ernest Marsden, Alexander Russell, Kasimir Fajans, Henry Moseley, Gyorg von Hevesy, James Chadwick y Charles Galton Darwin, comenzó, hacia la primavera de 1912, el modelo atómico que le haría famoso.
Bohr se dio cuenta de que para construir un modelo satisfactorio de átomo tenía que incluir de alguna manera el cuanto de energía de Planck-Einstein. En el artículo de 1913 en el que presentó sus ideas («Sobre la constitución de átomos y moléculas», Philosophical Magazine) escribió: «Cualquiera que sea la modificación en las leyes del movimiento de los electrones, parece necesario introducir una cantidad ajena a la electrodinámica clásica; esto es, la constante de Planck [h]». Para ello, consideró el átomo de hidrógeno formado por un núcleo de carga + e, en torno al cual gira, siguiendo una órbita circular y a una distancia, r (a determinar), un electrón (carga –e). Combinando la mecánica clásica con la electrostática, suponiendo que en principio las órbitas eran estacionarias, esto es, que no emitían radiación, e introduciendo una expresión que cuantizaba (que permitía solo ciertos valores, múltiplos de h) el momento angular de las órbitas electrónicas, obtuvo, entre otras expresiones, una fórmula que daba r en función de h y de un número entero (el primer número cuántico introducido en la física cuántica). Por consiguiente, el radio de las órbitas no podía disminuir (ni aumentar) gradualmente, sino que debía hacerlo de manera discontinua, a saltos, cuántica. Se había eliminado la dificultad de la inestabilidad electromagnética del átomo de Rutherford.
Uno de los principales logros del modelo atómico de Bohr fue su capacidad para explicar las relaciones matemáticas correspondientes a diferentes grupos de líneas espectrales, que habían sido descubiertas «jugando con números» por Johann Jacob Balmer (1825-1898) y Johannes Robert Rydberg (1854-1919), relaciones que la física anterior a Bohr se había mostrado incapaz de explicar.
Fue en febrero de 1913 cuando Bohr descubrió la última pieza de su rompecabezas, una pieza que le haría pasar de considerar estados fundamentales (los de menor energía) a tratar estados excitados; una pieza, en suma, que insertaría los cuantos de luz einstenianos en la misma raíz de la materia, en los átomos. El elemento en cuestión fue una fórmula que había sido propuesta en 1885 por el citado Balmer, un maestro de escuela suizo, y que daba cuenta de las regularidades observadas en la distribución de las líneas espectrales de la luz emitida por el hidrógeno. «En cuanto vi la formula de Balmer, todo se me hizo claro», manifestaría más tarde el propio Bohr. Lo que hizo fue calcular la energía que pierde un átomo cuando un electrón pasa de una órbita de energía superior a otra inferior, y a continuación suponer que esta energía es emitida bajo la forma de un cuanto de radiación, lo que significa que ese cambio de energía viene descrita por la fórmula de Planck. Igualando ambas expresiones, la de la variación de la energía y la de Planck, se obtiene una expresión que proporciona la frecuencia en función de un número entero (el asociado a cada una de las órbitas). En consecuencia, saltos electrónicos entre diferentes órbitas producen radiación de diferentes frecuencias (esto es, líneas espectrales). Espectroscopia y física cuántica unían sus caminos al explicar esta el origen de aquella.
Otro de los objetivos naturales del modelo atómico cuántico de Bohr era explicar la tabla periódica de los elementos. En realidad, ya se habían realizado avances en este sentido antes de que Bohr produjese su modelo en 1913. Como apuntamos a raíz del descubrimiento de los electrones, el mismo autor de ese fundamental hallazgo, J. J. Thomson, se interesó por la causa de las variaciones periódicas de los elementos intentando relacionarla con los cambios en la estabilidad de las configuraciones electrónicas de su modelo del «pastel de pasas». Y en 1901, dos químicos alemanes, Richard Abegg (1869-1910) y Guido Bodländer (1855-1904), publicaron un artículo en el que proponían un sistema de números de valencia positiva y negativa para cada elemento, de manera que la suma de los números fuese siempre 8, un enfoque que desarrolló en 1904 Abegg formulando de manera explícita la «regla de ocho» como una característica de la tabla periódica.
Poco después de que Rutherford presentase su modelo atómico planetario, en un artículo publicado en el número del 1 de enero de 1913 de la revista del Physikalische Zeitschrift, Antonius Johannes van den Broek (1870-1926), un abogado y físico amateur de Ámsterdam propuso que, al pasar de un elemento al siguiente en la tabla periódica, el número de electrones aumenta en una unidad, de donde derivaba la idea de que existe un número (el número atómico) que caracteriza a cada elemento y representa el lugar que ocupa en la tabla periódica.
El mismo año que van den Broek hacía esta propuesta, un joven físico británico, Henry Moseley (1887-1915), que murió prematuramente víctima de un proyectil turco durante una batalla de la Primera Guerra Mundial, la de Gallipoli, publicó un artículo («Los espectros de frecuencia elevada de los elementos») fruto de sus investigaciones experimentales en Manchester como miembro del grupo de Rutherford, en el que demostraba la existencia de una relación constante entre la frecuencia de las líneas de longitud de onda corta de los rayos X emitidos por un elemento y el número atómico que había introducido van den Broek. «Se hace inmediatamente evidente», señalaba Moseley en su artículo, «que Q [el número atómico] aumenta en una magnitud constante cuando se pasa de un elemento al siguiente, utilizando el orden químico de los elementos en el sistema periódico […] Tenemos aquí una prueba de que existe en el átomo una cantidad fundamental, que aumenta en magnitudes regulares según se pasa de un elemento al siguiente. Esta cantidad solamente puede ser la carga del núcleo central positivo, de cuya existencia ya tenemos prueba definitiva. Rutherford ha demostrado, a partir del valor de la difusión de partículas α en la materia que este núcleo transporta una carga positiva aproximadamente igual al de A/2 electrones, donde A es el peso atómico».
Una vez que se dispuso del modelo (cuántico) atómico de Bohr, era inexcusable explicar la tabla periódica en base a él. Fue el propio Bohr quien destacó en esta tarea, para la que contó con resultados como los obtenidos por Lewis y Kossel, de los que nos ocuparemos más adelante. Especialmente a partir de 1920 (véase, por ejemplo, la conferencia que pronunció el 15 de diciembre de 1920 en la Sociedad de Física de Copenhague, titulada «Algunas consideraciones sobre la estructura atómica»), aparecen constantes discusiones acerca de cómo dar cuenta de la tabla periódica de los elementos en base a una serie de números cuánticos que caracterizan las diferentes capas electrónicas. Para explicar de manera superficial cómo se pasó a entender la tabla periódica de los elementos, recurriremos a un libro que Werner Heisenberg (quien, como veremos a continuación, produjo la primera mecánica cuántica) publicó en 1943, Die Physik der Atomkerne (La física del núcleo atómico); esto es, cuando la interpretación cuántica de la tabla de Mendeléiev ya era aceptada universalmente. «Llegamos por fin», escribía Heisenberg en una sección titulada «El sistema periódico de los elementos», «a la cuestión de cómo están enlazadas las propiedades químicas de los elementos con la estructura de la “corteza” electrónica de sus átomos, con el número de sus electrones y, por último, también con la carga de sus núcleos atómicos. La explicación de este enlace se debe a la teoría de Bohr. Es fácil comprenderla en forma sumaria cuando se ordenan los elementos por la magnitud de las cargas de sus núcleos, el número que expresa la carga del núcleo».
Antes de continuar, tenemos que hacer referencia a un resultado básico para estas cuestiones, obtenido en 1925 por el físico austriaco Wolfgang Pauli (1900-1958): el principio de exclusión, cuya mención primera en realidad debería aparecer algo más adelante. Lo que afirma este principio es que no pueden existir 2 electrones con los mismos números cuánticos (más tarde este principio se extendió a una familia de partículas: los fermiones, a la que, por cierto, no pertenecen los fotones, miembros de la familia de los bosones), algo fundamental para ordenar los electrones en las diferentes capas electrónicas.
Y ahora ya sí podemos continuar con las explicaciones de Heisenberg:
Según un principio expuesto por Pauli no puede haber varios electrones sobre la misma órbita […] Si teniendo en cuenta este principio estructural se investiga la incorporación de los distintos elementos, encontramos que, en cada caso, según la colocación de un cierto número de electrones, resulta un cierto sistema cerrado en cuanto que la adición de nuevos electrones […] tiene que realizarse en una nueva estructura a distancias notablemente mayores del núcleo. Se dice entonces que la corteza del núcleo está formada por un cierto número de capas individuales. Aquellos elementos cuya estructura atómica está rematada con la acabada estructura de una de esas capas toman una posición especial. Son los llamados «gases nobles». El primero de estos, el helio, se puede representar como un núcleo en torno al cual y a distancias aproximadamente iguales circulan dos electrones. La primera capa está, pues, cerrada por dos electrones. El elemento siguiente, el litio, tiene un electrón más, y este tercer electrón corre por una órbita, mucho más exterior, como único electrón de una nueva capa. Esto explica que este átomo puede ceder fácilmente un electrón, presentándose así frecuentemente como ión positivo. De este modo resulta comprensible el carácter electropositivo del litio y, por tanto, el aspecto más importante en el comportamiento químico de este elemento.
A continuación, Heisenberg señalaba que después de un determinado número de electrones se volvía a una capa electrónica de otro gas noble (inerte, por consiguiente), en la que el número de electrones «exteriores» era 8 (el neón). De esta manera se podía comprender la estructura de la tabla periódica: el primer período (o fila) contiene solo 2 elementos: hidrógeno y helio, el primero con 1 electrón, el segundo con 2. El segundo se compone de 8 elementos, con 2 capas electrónicas, la primera con 2 electrones, mientras que en la segunda aparecen de 1 hasta 8: litio, berilio, boro, carbono, nitrógeno, oxígeno, flúor y neón. «De aquí», señalaba Heisenberg, «se puede deducir cuáles son las propiedades químicas del elemento flúor. El átomo de flúor tiende, por esta razón, a cerrar esta capa mediante la admisión de un octavo electrón; por tanto, presenta carácter electronegativo y en las disoluciones aparece por regla general cargado negativamente». El tercer período, que contiene 8 elementos, comienza con el sodio y termina con el argón, y a partir de entonces la tabla se hace más complicada. El cuarto período —del potasio al kriptón— y el quinto —del rubidio al xenón— contienen cada uno 18 elementos. Por el contrario, el sexto período tiene 32 elementos, aunque distribuidos de una forma irregular, ya que en la posición 57 se incluye una familia —la de los lantánidos— formada por 15 elementos. Otro tanto sucede con el séptimo período, que tiene 32 elementos (del 87 al 118) pero con una nueva familia —la de los actínidos— en la posición 89 (hay que señalar que en tiempos de Heisenberg no se conocían tantos elementos, finalizando la tabla con el curio, de número atómico 96). Con semejante base, Heisenberg finalizaba su discusión con unas frases que muestran la potencia explicativa que se adjudicó a la explicación cuántica de la tabla periódica de los elementos:
Este conocimiento permite a la física comprender las propiedades químicas de los diversos elementos, al menos en sus rasgos generales. En el fondo se podrían calcular cuantitativamente con auxilio de la mecánica cuántica todas las magnitudes químicas como afinidades, desprendimiento de calor, etcétera. Pero las dificultades matemáticas son, en general, tan grandes que tales cálculos no han podido ser realizados más que en algunos de los casos más sencillos.
§. La mecánica cuántica
Aunque el propósito de Bohr era proporcionar una teoría general de la constitución de todos los átomos y moléculas, en la práctica su formulación solamente explicaba el átomo más elemental, el de hidrógeno. Todos sus intentos para ir más allá fracasaron; ni siquiera pudo extender su teoría al espectro del helio, con sus dos electrones. Transcurriría una docena de años antes de que se encontrase esa teoría. Entre todos los episodios de la historia de la ciencia en los que la gestación de una síntesis teórica aparece como un proceso largo y doloroso, el de la génesis de una mecánica para las radiaciones y la estructura microscópica de la materia, de la mecánica cuántica, como se terminó denominando, destaca como el más trabajoso. Durante esa docena de años se sucedieron descubrimientos experimentales de todo tipo y desarrollos teóricos. Entre ellos destacaremos los experimentos de 1914 de James Franck y Gustav Hertz, y los de 1922 de Otto Stern y Walter Gerlach, que demostraban, respectivamente, la existencia de los estados estacionarios postulados por Bohr y la cuantización espacial (la existencia de direcciones privilegiadas); la generalización de Arnold Sommerfeld del modelo atómico de Bohr, empleando recursos procedentes de la relatividad especial (electrones que se movían con velocidades relativistas) y sustituyendo las órbitas circulares por elípticas (1916); la introducción (1916-1917) de las probabilidades en la dinámica cuántica por Einstein (los coeficientes de probabilidad espontánea o inducida en los cambios de niveles energéticos de los electrones); la formulación (1918) del principio de correspondencia a cargo de Bohr; las fórmulas semiempíricas de Alfred Landé para explicar el efecto Zeeman anómalo (1921); los multipletes descubiertos en Londres en 1922 por el español Miguel Catalán, que Sommerfeld utilizó inmediatamente para introducir un nuevo número cuántico; el experimento de 1923 de Arthur Holly Compton, que reafirmaba los aspectos corpusculares de la luz que Einstein había puesto en evidencia en 1905… y en los que muy pocos creían; la dualidad onda-corpúsculo (1923-1924) de Louis de Broglie; la estadística desarrollada por Satyendra Bose y Einstein en 1924, que permitió por fin deducir satisfactoriamente la ley de radiación de Planck; la teoría cuántica de la dispersión (1924) de Hendrik Kramers; o el ya citado principio de exclusión (1925) de Wolfgang Pauli. Avances que culminaron en la formulación, en 1925, de una mecánica cuántica por un joven estudiante de Sommerfeld de 24 años, Werner Heisenberg (1901-1976).
Apoyándose en la idea que Einstein había utilizado en 1905 cuando desarrolló su teoría de la relatividad especial, según la cual las teorías físicas únicamente deben incluir elementos directamente relacionados con datos de la experiencia (una idea que el propio Einstein rechazaría más tarde), Heisenberg expresó la variable correspondiente a la posición como una serie de Fourier cuyos coeficientes tenían que ver con las amplitudes de las líneas de emisión y absorción atómicas, a su vez relacionadas con la transiciones de un nivel energético de un átomo a otro. Quería, como él mismo manifestó muchos años después, «renunciar a cualquier descripción de las órbitas electrónicas […], reprimir conscientemente tal idea. Quería fiarlo todo a las reglas semiempíricas para la multiplicación de series de amplitudes, cuya validez se había probado en las teorías de la dispersión».
A finales de mayo 1925 y en la isla de Helgoland, a la que se había trasladado para evitar la fiebre de heno que padecía, desarrolló un método para el cálculo de las amplitudes de transición entre diferentes niveles energéticos, encontrando que en las multiplicaciones de amplitudes que debía realizar A×B no era igual a B×A. Solo después se enteró por Max Born (1882-1970), director del Instituto de Física Teórica de la Universidad de Gotinga, de quien Heisenberg dependía entonces, de que lo que había estado haciendo, sin saberlo, era manejar y multiplicar matrices (conjuntos ordenados de magnitudes; en este caso, las diferentes amplitudes de transición entre niveles. El propio Born había utilizado matrices en 1921 en un artículo en el que estudiaba la teoría de redes de cristales). Cuando Born leyó el correspondiente manuscrito quedó fascinado. El artículo fue, por consiguiente, enviado para su publicación a la revista Zeitschrift für Physik, en la que apareció en 1925 bajo el título de «Reinterpretación teórico-cuántica de relaciones mecánicas y cinemáticas». Con él nació verdaderamente la mecánica cuántica; esto es, se dispuso por fin de la esencia de una teoría coherente para la dinámica de los procesos cuánticos.
La mecánica cuántica matricial —así se la denominó— contenida en aquel primer artículo estaba todavía por completar y formalizar. Tal tarea, en la que las habilidades matemáticas de Born, formado con los matemáticos David Hilbert y Felix Klein, fueron de gran ayuda, las realizó Heisenberg en colaboración con el propio Born y Pascual Jordan (1902-1980). El principal producto de aquella colaboración fue un artículo denominado posteriormente el de los «tres hombres» (Dreimännerarbeit), publicado en 1926, en el que la mecánica matricial tomó su forma más acabada. Se trataba de una formulación altamente matemática y abstracta, en la que la imagen física de órbitas no figuraba entre los constructos de la teoría. Y esto planteó serios problemas para muchos científicos, entre los que se encontraban algunas de las figuras más respetadas de la física germana, como Einstein y Planck, los «caballeros del continuo», como Heisenberg los llamaba con ironía en sus cartas a Pauli. A Einstein, el formalismo matricial de Heisenberg le parecía, como escribió a su amigo Michele Besso el 25 de diciembre de 1925, un «alfabeto mágico muy ingenioso, protegido por su complejidad contra cualquier intento de falsación».
Ante los sentimientos de repulsa y frustración que la nueva mecánica matricial suscitó en algunos físicos, se puede comprender el alivio que estos experimentaron cuando el físico austriaco Erwin Schrödinger (1887-1961), que ocupaba una cátedra en Zúrich desde 1921, presentó, menos de medio año después del descubrimiento del formalismo matricial, una mecánica cuántica ondulatoria que prometía un retorno a la más familiar física de lo continuo, de los campos, entendiendo por tal, como señaló otro físico, Hans Thirring, en un artículo publicado en 1928, «la esencia de todas aquellas teorías que describen los fenómenos físicos en forma causal mediante ecuaciones en derivadas parciales en el espacio y en el tiempo».
Para llegar a esa mecánica ondulatoria, a Schrödinger le fueron decisivos los resultados incluidos en la tesis doctoral que el aristócrata francés Louis de Broglie (1892-1987) presentó en la Sorbona el 29 de noviembre de 1924: Recherche sur la théorie des quanta (Investigación sobre la teoría de los cuanta; el año anterior ya había publicado un breve artículo adelantando sus hallazgos). Entre las conclusiones a las que llegó de Broglie destaca la propuesta (meramente teórica) de que al igual que la luz, hasta entonces considerada una onda, puede comportarse como una partícula, los electrones pueden comportarse como ondas. Más estrictamente, lo que de Broglie propuso es que un electrón con velocidad v lleva asociada una onda de longitud de onda λ igual a h/p, donde p es el momento lineal (esto es, el producto de la velocidad por la masa del electrón).
Una manera de entender el resultado de de Broglie era considerar que había obtenido la mecánica (ondulatoria, en tanto que asociaba ondas al movimiento de partículas) de electrones libres, que no interaccionaban. Desde semejante perspectiva, se podía pensar que siguiendo por el camino que había abierto se llegaría a una mecánica cuántica, ondulatoria, general. Y entre los que creyeron en el enfoque del físico francés se encontraba Schrödinger.
En una serie memorable de artículos publicados en 1926 en la revista Annalen der Physik bajo el título de «Cuantización como un problema de autovalores», Schrödinger desarrolló esa mecánica cuántica ondulatoria. Un rasgo que distinguía de entrada a la mecánica de Schrödinger de la de Heisenberg era su significado físico: al contrario que la mecánica matricial, la ondulatoria era más intuitiva. Y en cuanto al aparato matemático, lejos del entonces poco conocido cálculo matricial, sus ecuaciones fundamentales eran las familiares ecuaciones en derivadas parciales, que tan bien recogía el recién publicado (1924) libro de Richard Courant y David Hilbert, Methoden der mathematischen Physik (Métodos de física matemática).
Inicialmente, Schrödinger pensaba que las ondas cuyo comportamiento recogía su nueva mecánica permitían explicar qué eran partículas como el electrón: este sería comparable a un paquete de ondas. La materia discreta se reduciría así a ondas continuas. Sin embargo, no se tardó mucho en descubrir que la interpretación de Schrödinger no se podía mantener (H. A. Lorentz le informó en una carta que tales paquetes de ondas no se mantenían estables; que se «abrían», mientras que los electrones sí que son estables). No obstante, esto no significaba que el formalismo de la teoría fuese incorrecto, solamente que había que descartar esa interpretación particular. Esto fue confirmado por el descubrimiento, debido al propio Schrödinger (y a otros, como Pauli), de la identidad matemática formal de la mecánica ondulatoria (que resaltaba lo continuo) y la mecánica matricial (que destacaba lo discontinuo).
Al principio, los partidarios de la mecánica matricial no recibieron con agrado la idea de que la mecánica ondulatoria representaba, en el fondo, la misma realidad física que la matricial. Heisenberg, en particular, fue muy reacio a aceptar la nueva formulación. Sin embargo, la versión de Schrödinger terminaría imponiéndose con bastante rapidez, debido a ser mucho más fácilmente manejable. Y los antiguos defensores del esquema alternativo terminarían también, no solo pasándose al bando contrario, sino contribuyendo a configurar su interpretación física, una interpretación que sería muy diferente a la que Schrödinger y los «caballeros del continuo» habían deseado. Prominente en este sentido es la interpretación probabilista realizada por Max Born en 1926 de la función de onda, Φ (el objeto que describe en la mecánica cuántica ondulatoria los entes cuánticos), que consideraba a ǀΦǀ2 (esto es, el producto de la función de onda, que pertenece, matemáticamente, al campo de los números complejos, por su conjugado complejo) como una medida de la densidad de probabilidad de que el sistema se encuentre en el estado representado por Φ. El viejo, venerable, determinismo newtoniano, aquel que con tan buen estilo literario defendió, como vimos en el capítulo 6, Laplace en su Essai philosophique sur les probabilités, sufría un ataque del que, en su esencia, nunca se recuperaría, aunque en la escala de nuestras percepciones funcione normalmente.
Y todavía quedaba algo peor para el mundo clásico newtoniano: el principio (o relaciones) de incertidumbre, que Heisenberg desarrolló en 1927. Las relaciones de incertidumbre afirman que magnitudes canónicamente conjugadas (como la posición y el momento, o la energía y el tiempo) solo se pueden determinar simultáneamente con una indeterminación característica (la constante de Planck): Δx·Δp ≥ h, donde x representa la posición y p el momento lineal (igual, recordemos, al producto de la masa por la velocidad). A partir de este resultado, al final de su artículo Heisenberg extraía una conclusión con implicaciones filosóficas de largo alcance: «No hemos supuesto que la teoría cuántica es, al contrario de la física clásica, una teoría esencialmente estadística en el sentido de que solo se pueden inferir conclusiones estadísticas de datos exactos […] En la formulación fuerte de la ley causal “Si conocemos exactamente el presente, podemos predecir el futuro”, no es la conclusión, sino más bien la premisa, la que es falsa. No podemos conocer, por cuestiones de principio, el presente en todos sus detalles». Y concluía: «En vista de la íntima relación entre el carácter estadístico de la teoría cuántica y la imprecisión de toda percepción se puede sugerir que detrás del universo estadístico de la percepción se esconde un mundo “real” regido por la causalidad. Tales especulaciones nos parecen —y hacemos hincapié en esto— inútiles y sin sentido. Ya que la física tiene que limitarse a la descripción formal de las relaciones entre percepciones».
Mencionaremos que el principio de incertidumbre se manifiesta también para otro par de variables, el tiempo (t) y la energía (E); esto es, se cumple también ΔE·Δt ≥ h. Veremos más adelante una de las consecuencias de esta relación.
El mismo año en el que Heisenberg dio a conocer el principio de incertidumbre, se publicaron, de manera independiente, dos artículos en los que sus autores anunciaban que habían demostrado experimentalmente que la predicción que Louis de Broglie había realizado en 1924 era correcta: los electrones también se comportaban como ondas. Ambos artículos se publicaron, separados por dos meses, en la revista inglesa Nature. El primero («La difusión de electrones mediante un cristal de níquel») era debido a dos físicos estadounidenses, Clinton Davisson y Lester Germer, que trabajaban en los laboratorios que la Western Electric Company tenía en Nueva York, y el segundo («Difracción de rayos catódicos mediante una película delgada») a George Thomson, hijo de J. J. Thomson, y Alexander Reid, de la Universidad de Aberdeen. Quedaba así establecido que la solidez de la materia, la idea tan firmemente arraigada en la percepción humana (casi se podría decir, «uno de los a priori kantianos») de que la materia posee una estructura definida, con límites claros, era finalmente errónea.
La dualidad onda-corpúsculo, comprobada finalmente por los experimentos que acabamos de citar, pone en evidencia, probablemente con mayor claridad que de cualquier otra manera, la contraintuitiva naturaleza del mundo cuántico. Richard Feynman, uno de los científicos más originales del siglo XX (volverá a aparecer enseguida), se refirió con frecuencia a este hecho; en uno de sus libros, Six Easy Pieces (Seis piezas fáciles; 1995), escribía en este sentido:
La «mecánica cuántica» es la descripción del comportamiento de la materia en todos sus detalles y, en particular, de lo que sucede a escala atómica. Las cosas a una escala muy pequeña no se comportan como nada de lo que ustedes tengan experiencia directa. No se comportan como ondas, no se comportan como partículas, no se comportan como nubes, o como bolas de billar, o como pesos colgados de muelles, o como nada que ustedes hayan visto alguna vez.
Newton pensaba que la luz estaba hecha de partículas, pero luego se descubrió que se comporta como una onda. Sin embargo, posteriormente (a comienzos del siglo XX) se encontró que la luz sí se comporta como una partícula, y luego se encontró que en muchos aspectos se comportaba como una onda. Así que realmente no se comporta como ninguna de la dos cosas. Ahora hemos cedido. Decimos: «No es ni una cosa ni otra».
Hay, no obstante, una feliz circunstancia: los electrones se comportan exactamente igual que la luz. El comportamiento cuántico de los objetos atómicos (electrones, protones, neutrones, fotones y demás) es el mismo para todos; todos son «partículas-ondas» o como quiera que ustedes prefieran llamarlos.
La incertidumbre intrínseca descubierta por Heisenberg, junto a la dualidad onda-corpúsculo, hace que haya que abandonar la intuitiva imagen del átomo de Rutherford-Bohr, con electrones orbitando en torno al núcleo. En su lugar, lo que se tiene son «nubes de probabilidad de electrones» alrededor del núcleo.
Con el establecimiento de la mecánica cuántica ya nada sería igual en el futuro para la visión, científica al igual que filosófica, de la naturaleza. El mundo físico, por decirlo de alguna manera, perdía algo de su solidez, se difuminaba en las bases de su estructura. Comparadas con la renuncia que la evidencia de los razonamientos y comprobaciones cuánticas imponía a través del principio de indeterminación heisenbergiano, las relatividades en las medidas de tiempos y longitudes que habían surgido de la teoría de la relatividad especial desarrollada por Einstein en 1905 se tornaban mucho menos radicales.
Con todos los elementos citados —rechazados firmemente por físicos como Einstein o Planck— se elaboró lo que se denominó —por el papel destacado que desempeñó en su formulación y, acaso aún más, en su divulgación, Niels Bohr— «interpretación de Copenhague» de la mecánica cuántica.
Expresado brevemente, había que partir del hecho de que la función de onda que surge de la ecuación de Schrödinger está constituida por la suma de una serie de funciones, asociadas a las diferentes situaciones físicas posibles, multiplicadas cada una por un cierto valor (se trata, recordemos el título de los artículos de Schrödinger, de un problema de autovalores). En principio, si no se produce ninguna interferencia con el exterior, el sistema dado por la función de onda principal evoluciona de manera continua, regida por la ecuación de ondas de Schrödinger. Pero esta situación dominada por la continuidad, y en este sentido similar a la que se da en la física anterior, la física clásica, no se mantiene cuando se realizan medidas. Y en este punto hacía su entrada «el observador», que en la física cuántica es, según la interpretación de Copenhague, especialmente importante.
Fue, sobre todo, el polifacético matemático de origen húngaro John von Neumann, uno de los gigantes de la ciencia del siglo XX, que ya apareció en el capítulo 18 a propósito de las máquinas de calcular electrónicas. «Incluso en la presente edad de la especialización», escribieron Herman Goldstine y Eugene Wigner en el obituario que le dedicaron, «pocas personas han contribuido de forma más significativa a varias ramas de la ciencia, y en todas dejado una huella permanente en los anales de la historia de la ciencia. John von Neumann realizó contribuciones fundamentales a la matemática, física y economía. Más aún, sus contribuciones no son disgregados y separados apuntes en estos campos, sino que surgen de un punto de vista común. La matemática fue siempre la que estuvo más cerca de su corazón y fue a esta ciencia a la que contribuyó de manera más fundamental».
El lugar en el que von Neumann presentó con mayor detalle y claridad la manera en que elaboró ideas anteriores es un libro publicado en 1932: Mathematische Grundlagen der Quantemechanik (Fundamentos matemáticos de la mecánica cuántica). En él, von Neumann no solo desarrolló un formalismo nuevo, sino que además elaboró —sobre pilares, bien es cierto, levantados sobre todo por Bohr— un novedoso modo de considerar la «situación cuántica». Lo que hizo fue proponer una separación neta entre objeto observado y aparato observador, suponiendo que el primero obedece las leyes cuánticas mientras que el segundo obedece las leyes clásicas. Y que entre los dos existe un cierto tipo de corte conceptual. Aunque era algo arbitrario donde había que situar el corte, von Neumann dio argumentos tendentes a sugerir que los resultados netos de la teoría no dependían de manera crítica de dónde se situase.
Expresado en términos de la función de onda, todo esto quiere decir que cuando se realiza una medida (o una observación), se produce un «colapso de la función de onda»; esto es, que —no sabemos cómo— el sistema, en principio una suma de todas las situaciones físicas (autofunciones de onda) posibles, elige una, se concreta en una situación determinada. Y lo único que la mecánica cuántica nos dice es la probabilidad de que se produzca una u otra de esas situaciones, una probabilidad asociada a los coeficientes que aparecen en cada uno de los sumandos que forman la función de onda completa.
La teoría cuántica toma así un carácter peculiar, surgido de la interferencia del observador (y sus útiles de medida) con el objeto físico que se investiga. El que el resultado de la observación dependa de la elección de la preparación del experimento (de la situación experimental) entra en conflicto, evidentemente, con el punto de vista de que el Universo «está ahí», independientemente de todos los actos de observación. No es sorprendente, por consiguiente, que la teoría cuántica informada a la manera de la interpretación de Copenhague fuese rechazada por algunos físicos, entre los que destacó Albert Einstein, uno, como vimos, de los fundadores de la física cuántica. En 1935, Albert Einstein, junto a dos colaboradores suyos, Boris Podolsky (1896-1966) y Nathan Rosen (1910-1995), publicó un artículo («¿Puede considerarse completa a la descripción mecánico-cuántica de la realidad física?», Physical Review) en el que argumentaban que la mecánica cuántica no podía ser una teoría completa, que era necesario introducir nuevas variables («variables ocultas»), que restituirían la causalidad y así el carácter real de los fenómenos físicos que representaba. Aquel trabajo, al que inmediatamente respondió Bohr, abrió una larga historia, de la que destacaremos las contribuciones de un físico natural de Belfast que trabajaba en el División de Teoría del CERN, John Stewart Bell (1928-1990), quien demostró entre 1964 y 1966 que existían unas relaciones (desigualdades) que se podían emplear para decidir experimentalmente qué tipo de teoría era correcta, si una «completa» (que incluyese las variables ocultas para la formulación cuántica tan queridas para Einstein) que obedeciese a los requisitos que Einstein, Podolsky y Rosen habían planteado en 1935, o la mecánica cuántica tradicional. Provistos del análisis de Bell, en 1969 John Clauser, Michael Horne Abner Shimony y Richard Holt propusieron un experimento concreto para aplicar en él la prueba de las desigualdades de Bell. Este experimento se llevó a cabo en 1982 en el Instituto de Óptica Teórica y Aplicada de Orsay, en las cercanías de París, por un equipo dirigido por Alain Aspect (n.º 1947). Y el resultado favoreció a la mecánica cuántica. Será rara, contraintuitiva, con variables que no se pueden determinar simultáneamente, socavará nuestra idea tradicional de lo que es la realidad, pero es cierta. El análisis de Bell y el experimento de equipo de Aspect mostraron además un rasgo de la mecánica cuántica que aunque conocido apenas había sido destacado: su no localidad; que todos los elementos de un sistema cuántico están conectados, entrelazados entre sí, no importa que estén alejados por tanta distancia que no sea posible transmitirse la señal de lo que ha sucedido de uno de sus elementos a otro con la velocidad de la luz, la máxima permitida por la relatividad especial. En otras palabras, un elemento se «entera» —y reacciona— instantáneamente de lo que le sucede a otro independientemente de la distancia que les separe. La no localidad —que Einstein siempre rechazó como contraria al sentido común físico— plantea, no hay duda, un problema de compatibilidad con la relatividad especial, pero no existe ninguna razón para pensar que no se encuentre en el futuro una generalización de la mecánica cuántica que resuelva esta dificultad.
§. La química cuántica
Terminábamos el capítulo 13 mencionando que la química se vio enriquecida con la aparición de la física cuántica, y señalábamos como un ejemplo de especial relevancia la teoría del enlace químico. De hecho, antes de que se dispusiese de una teoría cuántica satisfactoria —esto es, antes de la formulación de la mecánica cuántica—, se produjeron avances significativos en la comprensión del hasta entonces vago concepto de afinidad. El elemento esencial para tales avances fue el descubrimiento del electrón.
No sorprendentemente, J. J. Thomson, el descubridor del electrón, fue uno de los primeros en llevar este corpúsculo a la química. Así, como vimos, con su modelo del pastel de pasas intentó explicar —y lo hizo en Electricity and Matter— la organización de la tabla periódica de los elementos en base a hipotéticos números de electrones que, según él, existían en círculos concéntricos dentro de su átomo. Y persistió en sus esfuerzos, como prueba el que en 1923 publicase un libro titulado The Electron in Chemistry (El electrón en la química).
Pero el paso fundamental en el camino hacia una comprensión del enlace químico basándose en el electrón tuvo como protagonistas al estadounidense Gilbert Newton Lewis (1875-1946) y al alemán Walther Kossel (1888-1956), que en 1916 publicaron dos artículos (el de Lewis en el Journal of the American Chemical Society, y el de Kossel en el Annalen der Physik) que tuvieron un gran impacto en la comunidad química. Lo esencial de sus respectivos trabajos es que identificaron dos tipos de fuerzas que daban origen a la unión de elementos químicos: una (heteropolar o polar) debida a la atracción electrostática entre átomos ionizados, y otra (homopolar o no polar, que no había imaginado Berzelius en su teoría dualista basada en la electrolisis) que se producía debido a desequilibrios eléctricos que tenían lugar en dos átomos neutros.
En 1916, Lewis y Kossel manejaban la idea de «estabilidad electrónica» de la siguiente manera: suponían que los grupos de electrones alcanzaban el mayor grado de simetría y estabilidad en los átomos de los gases raros; helio, con su grupo de 2 electrones, el neón, con grupos de 2 y 8, el argón, con dos grupos de 8, y así sucesivamente. En cuanto a los átomos de los restantes elementos, tenían, suponían, una fuerte tendencia a expulsar o captar electrones, de tal manera que adoptasen la estructura del gas noble más cercano a él en la tabla periódica.
Expresado de otra forma, lo que Lewis y Kossel sostenían es que el enlace químico se puede producir de dos maneras: bien mediante la transferencia de electrones (electrovalencia) o compartiendo electrones (covalencia), aunque también se pueden dar casos intermedios. Como se terminó comprobando, la electrovalencia predomina en la química inorgánica, mientras que la covalencia domina en la química orgánica.
Un punto importante es que los modelos atómicos que manejaban Lewis y Kossel no eran idénticos. Mientras que el científico alemán suponía que los grupos de electrones se situaban en anillos concéntricos en torno al núcleo atómico, a la manera del átomo de Rutherford-Bohr, el estadounidense imaginaba, heurísticamente, que esos grupos constituían una estructura tridimensional, que representaba mediante un cubo en cuyos vértices situaba a 8 electrones. En otras palabras: aunque Lewis conocía el átomo de Bohr, no parecía estar muy seguro de fuese correcto.
Fueron las ideas de Lewis las que más influencia ejercieron, especialmente después de que publicase en 1923 un libro que se convertiría en un clásico: Valence and the Structure of Atoms and Molecules (Valencia y la estructura de átomos y moléculas). No obstante, antes (1916-1919), un compatriota de Lewis, Irving Langmuir (1881-1957), que trabajaba en laboratorios industriales y que había estudiado con Nernst, realizó notables aportaciones en la reelaboración, o popularización, del nuevo tipo de enlace; de hecho, fue Langmuir quien introdujo en un artículo («La disposición de los electrones en átomos y moléculas», publicado en 1919 en el Journal of the American Chemical Society) los nombres «covalente» y «electrocovalente»: «Para distinguir entre la valencia que hemos encontrado así y la que se da en la teoría de la valencia ordinaria», escribió en una sección titulada «Valencia, número de coordinación y covalencia», «denotaremos con el término “covalencia” el número de pares de electrones que un átomo comparte con su vecino».
Aunque en todos estos trabajos la física cuántica aparece de una forma u otra, no se puede decir que la teoría del enlace químico que se elaboraba en ellos perteneciese al dominio de lo que vendría en denominarse «química cuántica», una especialidad cuyo origen se asocia generalmente a la publicación en 1927 de un artículo de Walter Heitler (1904-1981) y Fritz London (1900-1954) en el que estudiaban la molécula de hidrógeno (tampoco se deben olvidar contribuciones previas o prácticamente simultaneas de Friedrich Hund, Max Born y Robert Oppenheimer y Robert S. Mulliken). En principio, resultaba evidente que aunque pudiese ser complicado —incluso tan complicado que condujese a problemas matemáticos imposibles de resolver— la mecánica cuántica suministraba la herramienta teórica para comprender los fenómenos descritos por la química. Linus Pauling (1901-1994), «el Einstein de la química», como se le ha llegado a llamar, expresó esta idea al manifestar que la «química es un fenómeno cuántico, o, mejor, una gran colección de fenómenos cuánticos».
De hecho, la naturaleza del enlace químico fue uno de los primeros problemas en ser abordados con la nueva mecánica cuántica ondulatoria. Entre los primeros en contribuir de manera destacada (después de 1925-1926) al desarrollo del modelo orbital-molecular de enlace químico se encuentran Friedrich Hund, Robert Mulliken y John Lennard-Jones, quienes, con Heitler y London y las técnicas desarrolladas por el británico Douglas R. Hartree y el soviético Vladimir Fock, despejaron el camino para los trabajos de Pauling sobre la naturaleza del enlace químico, trabajos condensados luego en su gran libro, The Nature of the Chemical Bond (La naturaleza del enlace químico; 1939), dedicado, por cierto, a Gilbert N. Lewis. En el prefacio de este libro, Pauling explicaba cómo había llegado a escribirlo y cuál era en su opinión su importancia. Merece la pena detenerse en lo que decía:
Durante mucho tiempo he estado planeando escribir un libro sobre la estructura de moléculas y cristales y la naturaleza del enlace químico. Con el desarrollo de la mecánica cuántica y su aplicación a problemas químicos se hizo evidente que se tendría que tomar una decisión acerca de en qué medida se deberían incorporar los métodos matemáticos de la teoría en este libro. Llegué a la opinión de que, incluso aunque muchos de los recientes progresos en la química estructural han sido debidos a la mecánica cuántica, debería ser posible describir los nuevos desarrollos de una forma directa y satisfactoria sin recurrir a matemáticas avanzadas. Solamente una pequeña parte del cuerpo de las contribuciones de la mecánica cuántica a la química ha sido de carácter mecánico-cuántico; únicamente en unos pocos casos, por ejemplo, se han obtenido resultados de interés químico directo mediante la solución exacta de la ecuación de ondas de Schrödinger […] La principal contribución de la mecánica cuántica a la química ha sido sugerir nuevas ideas, tales como la resonancia de moléculas entre varias estructuras electrónicas con el consiguiente aumento de inestabilidad.
§. La electrodinámica cuántica
La mecánica cuántica de Heisenberg y Schrödinger —a la que siguió poco después, en 1927, una nueva formulación, algebraicamente más elegante y abstracta, producida por el físico inglés Paul A. M. Dirac (1902-1984)— abrió un nuevo mundo científico, pero no era en realidad sino el primer paso. Existían aún muchos retos pendientes, como, por ejemplo, hacerla compatible con los requisitos de la teoría de la relatividad especial, o construir una teoría del electromagnetismo, una electrodinámica, que incorporase los requisitos cuánticos. Si Einstein había enseñado, y la física cuántica posterior incorporado en su seno, que la luz, una onda electromagnética, estaba cuantizada, esto es, que al mismo tiempo que una onda también era una corriente de fotones, y si la electrodinámica que Maxwell había construido en el siglo XIX describía la luz únicamente como una onda, sin ninguna relación con la constante de Planck, entonces era evidente que algo fallaba, que también había que cuantizar el campo electromagnético.
No fue necesario, sin embargo, esperar a la segunda mitad del siglo XX para contar con una electrodinámica cuántica. Tal teoría, que describe la interacción de partículas cargadas mediante su interacción con fotones, fue construida en la década de 1940, de manera independiente, por un físico japonés y dos estadounidenses: Sin-Itiro Tomonaga (1906-1979), Julian Schwinger (1918-1984) y Richard Feynman (1918-1988). Entre las novedades conceptuales de esta teoría, hay una que conviene señalar por su contenido filosófico: la creación y aniquilación de partículas.
La electrodinámica cuántica representó un avance teórico considerable, pero tampoco significaba, ni mucho menos, el final de la historia cuántica; si acaso, ascender un nuevo peldaño de una escalera cuyo final quedaba muy lejos. En primer lugar, porque cuando la teoría de Tomonaga-Schwinger-Feynman fue desarrollada ya estaba claro que además de las tradicionales fuerzas electromagnética y gravitacional existen otras dos: la débil, responsable de la existencia de la radiactividad, y la fuerte, que une a los constituyentes (protones y neutrones) de los núcleos atómicos. Por consiguiente, no bastaba con tener una teoría cuántica de la interacción electromagnética, hacía falta además construir teorías cuánticas de las tres restantes fuerzas. Ahora bien, la búsqueda de estas construcciones teóricas ha estado estrechamente asociada a una nueva disciplina científica, inicialmente denominada «física de partículas elementales», más tarde «física de altas energías».
En 1911 Rutherford había conseguido elaborar su modelo atómico ayudándose con un proyectil de cierta energía: las partículas α. Durante mucho tiempo estas partículas serían el único medio de perturbar de manera controlada el desconocido mundo del microcosmos, con el inconveniente de que para la producción de tales partículas-proyectiles se estaba a merced de elementos que fuesen radiactivos de manera natural. Esta limitación se hizo más notoria en 1919, cuando Rutherford abrió otro campo, el de las transformaciones nucleares, al estudiar la reacción N14 + α → O17 + p (esto es, un núcleo de nitrógeno absorbe una partícula α, emitiendo un protón y transformándose en un núcleo de oxígeno). Las fuentes radiactivas de que se disponía eran demasiado débiles para seguir penetrando en los misterios de los núcleos. La situación comenzó a cambiar a partir de la década de 1920. En Cambridge, John Cockcroft (1897-1967) y Ernest Walton (1903-1995) utilizaron un multiplicador voltaico que les proporcionó los 500 kV (1 kV = 1000 voltios) que necesitaron para ser los primeros en observar, en 1932, la desintegración artificial de átomos de litio en dos partículas α.
El mismo año que Cockcroft y Dalton llevaron a cabo su trabajo, se produjeron dos descubrimientos que mostraron que el mundo de las partículas elementales podría estar más poblado de lo que hasta entonces se suponía. El primero de estos descubrimientos tuvo lugar también en el laboratorio de Cambridge dirigido por Rutherford; su autor fue James Chadwick (1891-1974). Conocedor de los resultados de un experimento que habían realizado primero Walther Bothe (1891-1957) y luego Irène y Frédéric Joliot-Curie (nos ocupamos de ellos en el capítulo 12), en el que habían bombardeado berilio con partículas α, observando que se emitía entonces una radiación de gran poder de penetración que ellos consideraron (erróneamente) rayos γ, Chadwick repitió el experimento, comprobando que esa «radiación penetrante» no era realmente una radiación, sino una partícula de carga cero (de ahí su capacidad de penetración y el nombre, neutrón, que se le asignó), sobre la que su maestro, Rutherford, llevaba años especulando.
El segundo descubrimiento lo llevó a cabo el físico estadounidense Carl Anderson (1905-1991) y se trataba de una nueva partícula: el positrón, esto es, una partícula idéntica al electrón salvo que su carga eléctrica es opuesta. El 2 de agosto de 1932, mientras fotografiaba trazas de rayos cósmicos utilizando una cámara de niebla (aparato inventado por Charles Wilson en 1897 que sirve para observar las trayectorias de partículas ionizadas) que él mismo había construido en 1930 junto a Robert Millikan (1868-1953), Anderson tomó una fotografía que solo parecía poder ser interpretada suponiendo la existencia de una partícula con carga positiva y con una masa del orden de la que tenía el electrón. Estudios posteriores confirmaron esta hipótesis, que fue anunciada primero, aunque con precauciones, en un artículo publicado el 9 de septiembre de 1932 en Science, y luego, ya con más firmeza, en otro enviado a Physical Review en febrero de 1933 con un título que habla por sí solo: «El electrón positivo».
En realidad, la existencia del positrón tenía «raíces» teóricas relacionadas con la ecuación relativista del electrón que Paul Dirac propuso en 1928. Esta ecuación reunía relatividad especial y teoría cuántica al explicar las propiedades del electrón, incluyendo el espín (una propiedad de las partículas elementales introducida en 1925 por los holandeses George Uhlenbeck y Samuel Goudsmit). El problema era que también incluía soluciones que correspondían a estados de energía negativa, ante los cuales Dirac no sabía qué decir. Pronto (1930) tendría algunas ideas al respecto: supuso que «todos los estados de energía negativa están ocupados, excepto acaso unos pocos de pequeña velocidad. Todos los electrones de energía positiva tendrán una probabilidad muy pequeña de saltar a estados de energía negativa y por tanto se comportarán como los electrones cuyo comportamiento se observa en el laboratorio. Tendremos un número infinito de electrones en estados de energía negativa, y de hecho existirá un número infinito de ellos en el mundo por unidad de volumen, pero si su distribución es perfectamente uniforme deberíamos esperar que fuesen completamente inobservables. Solamente podríamos esperar poder observar pequeñas desviaciones de la perfecta uniformidad, debidas a que algunos de los estados de energía negativa quedasen sin ocupar». Esos estados sin ocupar, o «huecos», debían ser para él protones: «Nos vemos conducidos por consiguiente a la conclusión de que los huecos en la distribución de electrones de energía negativa son los protones». De esta forma, su ecuación de 1928 explicaría las dos partículas elementales conocidas entonces (aparte de los fotones): electrones y protones. Existían, sin embargo, sólidos argumentos teóricos que impedían defender que los huecos en el mar de energía negativa pudiesen asimilarse a protones: por razones de simetría deberían, como señaló en 1931 Hermann Weyl, tener la misma masa que los electrones, pero los protones son mucho más pesados. Este hecho (y otros) llevó a Dirac a proponer otra idea, aunque lo hizo de pasada en un artículo que publicó en 1931: «Parece por tanto que debemos abandonar la identificación de los huecos con protones y debemos encontrar otra interpretación para ellos […] Un hueco, si existiese uno, sería un nuevo tipo de partícula, desconocida para la física experimental, que tiene la misma masa pero carga opuesta que el electrón. Podríamos llamar a esta partícula un antielectrón».
Con los trabajos de Dirac y el descubrimiento de Anderson se abrió un nuevo capítulo en la física de partículas elementales: el de la antimateria, partículas que cuando chocan con su «partícula contraria» se aniquilan, produciendo energía.
El descubrimiento del neutrón y de la antimateria incidió directamente en cómo se entendió a partir de entonces el átomo. Hasta entonces se suponía que el núcleo —rodeado por electrones orbitando alrededor de él— estaba formado por protones y electrones. Que contenía electrones era algo que se suponía evidente, puesto que los elementos radiactivos emitían radiación β, esto es, electrones. Y si no estaban en el núcleo, ¿de dónde iban a surgir? Y en este punto entra en escena de nuevo Enrico Fermi, que en 1934 desarrolló una teoría para la «desintegración beta», el proceso en el que un elemento radiactivo emite electrones, una teoría que mejoraron en 1958 E. C. George Sudarshan y Robert Marshak, Richard Feynman y Murray Gell-Mann. En realidad, esta teoría trataba de la emisión β desde un punto de vista más general: entendiendo este proceso como manifestación de una fuerza, o interacción, fundamental de la naturaleza, diferente a las electromagnética, gravitacional y fuerte (la que une los componentes de los núcleos atómicos), una interacción que, debido a su magnitud, se denominó interacción débil. Lo que hizo Fermi fue proponer que un neutrón se desintegra dando lugar a un protón, un electrón y un antineutrino (la antipartícula del neutrino, una partícula propuesta en 1930 por Wolfgang Pauli para explicar el espectro continuo que se observaba en la energía de la radiación β emitida).
Con el bagaje del neutrón y la teoría de Fermi fue posible suponer que, en realidad, los núcleos atómicos estaban formados por protones y neutrones, una suposición que permitía explicar otros resultados experimentales. De esta manera quedó establecido un nuevo modelo atómico, en el que las magnitudes atómicas esenciales eran dos: el número atómico, que es de los protones (2 en el helio, 26 en el hierro y 92 en el uranio), y la masa atómica, que es igual a la suma de las masas de los protones y neutrones que contiene. Como ya vimos, el número de protones es el mismo para cada elemento, en tanto el de los neutrones puede ser distinto del de los primeros. La suma de ambos es la masa atómica que distingue a los isotopos. El hidrógeno tiene tres formas con masa 1, 2 y 3, que identifican al elemento común y a sus dos isotopos; deuterio y tritio. La neutralidad del átomo se debe a la igualdad de las cargas eléctricas, y la estabilidad del núcleo, a la igualdad del número de sus partículas.
Continuando con los orígenes de la física experimental de partículas elementales y retrotrayéndonos algo en el tiempo, tenemos que en el Departamento de Magnetismo Terrestre de la Carnegie Institution de Washington, Merle Tuve empleó, hacia 1928, un transformador inventado por Nikola Tesla, con el que alcanzó los tres millones de voltios. En colaboración con Gregory Breit, Tuve utilizó este método para acelerar protones y electrones. Tras trabajar durante un breve período de tiempo en una planta eléctrica en Alabama, Robert J. van de Graaff (1901-1967) diseñó su generador electrostático y, después de permanecer un año en Oxford con una beca, lo adaptó en Princeton (adonde llegó en 1928) para la aceleración de partículas. Pronto su prototipo alcanzó los 80 keV (1 keV = 1000 eV) y en 1931 los 750 keV, y utilizando dos esferas se podía conseguir una diferencia de potencial de 1,5 MeV. En 1937 ya existían generadores de van de Graaff de cerca de cinco metros de altura, que alcanzaban los cinco millones de voltios. En 1933, Tuve y su grupo utilizaron un generador de van de Graaff de un millón de voltios junto al tubo de descarga que ellos mismos habían perfeccionado y observaron la desintegración del litio y del boro. Pero la iniciativa más importante, la que terminaría desarrollándose más y marcando una época de la física, fue la asociada al nombre de Ernest Orlando Lawrence (1901-1958), quien ya apareció en el capítulo 17.
Después de graduarse en Yale, Lawrence fue contratado como profesor asociado de física por Berkeley en 1928. El año siguiente, mientras ojeaba la revista Archiv für Elektrotechnik, se encontró con un artículo (que coincidía casi en su totalidad con su tesis doctoral de 1927) del ingeniero noruego Rolf Wideröe (1902-1996), estudiante de doctorado en el Politécnico de Aquisgrán, cuyas ilustraciones (Lawrence sabía poco alemán) le sugirieron la idea del ciclotrón. Lo que Wideröe había hecho era construir un tubo lineal para acelerar partículas dividido en dos partes y alimentado por una señal eléctrica alterna de 25 000 voltios. En esencia, lo que Lawrence hizo fue centrarse en geometrías circulares, que Wideröe había considerado en principio, pero descartado después, pero con varios avances con respecto a las ideas del noruego; uno de ellos, la utilización de un campo magnético que permitía que las partículas se moviesen siguiendo trayectorias circulares. Haciendo que el campo eléctrico invirtiera su polaridad cada media vuelta para que el empuje tangencial fuera el adecuado, se conseguía que las partículas fuesen aumentando su energía con cada revolución. Naturalmente, al ir moviéndose más deprisa, las partículas también irían describiendo círculos más amplios cada vuelta, pero independientemente de lo rápido que se movieran, resultaba que siempre tardaban el mismo tiempo en cada revolución, lo que permitía mantener la misma frecuencia de inversión del voltaje, que así siempre estaba en resonancia con los ciclos de la partícula. Este «principio de resonancia» fue en realidad lo que posibilitó la construcción del ciclotrón, un término este, por cierto, que Lawrence utilizó durante un tiempo de manera informal, prefiriendo en las notas más formales el de «acelerador de resonancia magnética» (hasta 1936 no se estableció como el nombre oficial).
Ahora bien, una cosa era la teoría y otra la realidad, y no fue fácil construir un ciclotrón que funcionase. En semejante tarea, Lawrence contó con la colaboración de sus estudiantes, especialmente con la de Stanley Livingston (1905-1986), que dedicó su investigación doctoral a este fin. A finales de 1930 Lawrence y Livingston completaban la construcción (en la que predominaba lo artesanal: el coste fue de unos 25 dólares) del primer ciclotrón: medía unos 12 centímetros de diámetro. El 2 de enero de 1931 lo probaron (aplicando un voltaje de 2000 voltios), alcanzando con él proyectiles con energías de 80 keV.
Enseguida, Lawrence anunció que esperaba poder alcanzar el millón de voltios de energía, e incluso más, si se le facilitaba la construcción de aparatos más elaborados. El presidente de la universidad reaccionó nombrando catedrático a Lawrence, a pesar de la oposición de los miembros no científicos del claustro. Tenía entonces solo 29 años.
En la primavera de 1931, Lawrence consiguió una beca de mil dólares del National Research Council. En febrero de 1932, y de nuevo con la ayuda de Livingston, lograba poner en funcionamiento el primer ciclotrón (de poco menos de 30 centímetros de diámetro) que, tal y como había prometido, alcanzaba 1 220 000 voltios, y ello aplicando un voltaje máximo de solo 4000 voltios. Pocas semanas después llegaba la noticia de que en el Cavendish, Cockcroft y Walton habían conseguido la primera desintegración artificial, para la que habían necesitado únicamente 125 000 voltios, un voltaje que hacía mucho estaba al alcance del grupo de Berkeley; la diferencia es que para Lawrence la meta era alcanzar el millón de voltios, y no estaba todavía interesado en utilizar su máquina con potencias menores. No obstante, Lawrence reaccionó rápidamente y pocos meses después se utilizaba el ciclotrón para observar desintegraciones, publicándose los primeros resultados en octubre de 1932.
El mismo mes que entraba en funcionamiento el primer ciclotrón de Berkeley, Harold Urey (1893-1981) y sus colaboradores (F. G. Brickwedde y G. M. Murphy) de la Universidad de Columbia, en Nueva York, demostraban la existencia de un isotopo (variedad de un elemento con el mismo número de protones y de electrones, pero no de neutrones) del hidrógeno, dos veces más pesado que el ordinario, al que se llamó deuterio. Este descubrimiento también tuvo repercusiones para el programa de Lawrence, ya que aunque no se trata de una partícula elemental, el deuterón puede, al igual que las partículas α, ser utilizado como «desintegrador» nuclear. En marzo de 1933, el químico-físico Gilbert N. Lewis, colega de Lawrence en Berkeley, que disponía del mayor depósito de agua pesada (compuesta de deuterones) del mundo, proporcionó a Lawrence muestras suficientes para producir (mediante un proceso de electrolisis) deuterones para utilizar como proyectiles en el nuevo ciclotrón, que ya estaba planeando antes de que funcionase el de 30 centímetros. Este nuevo ciclotrón —de 70 centímetros— entraría en funcionamiento en diciembre de 1932 y, al utilizar los deuterones en él, dirigiéndolos hacia un blanco de litio, se encontró con que eran diez veces más poderosos como desintegradores que los protones (se producían partículas α con una energía superior a cualquiera de las observadas hasta entonces en elementos radiactivos naturales). Para aprovechar todo esto se abrió un amplio programa de investigación basado en los deuterones, que de hecho llevó a que en 1936 —el mismo año en que la Universidad de California creó oficialmente, para Lawrence y sus aparatos, un laboratorio especial, el Radiation Laboratory, como una entidad independiente del Departamento de Física— se modificase el ciclotrón aumentándolo hasta alcanzar un tamaño de casi un metro. Con esta nueva máquina se midió el momento magnético del neutrón y se produjo, aunque inadvertidamente, el primer elemento artificial, el tecnecio (denominado así para conmemorar el hecho de que fue el primer elemento artificial, esto es, que se necesitó de la ayuda de la «técnica» para producirlo). En efecto, en el verano de 1936, Emilio Segrè (1905-1989), a quien Fermi había introducido en el mundo de la física del microcosmos y que acababa de ser nombrado catedrático de física en la Universidad de Palermo, visitó Berkeley. Cuando regresó a Italia llevaba consigo unos trozos de banda de cobre que habían sido bombardeados en el ciclotrón y que analizó con sus colaboradores. Poco después solicitaba más cobre a Lawrence, señalando que se lo podían mandar por carta. Entre tanto, se había abierto el ciclotrón para efectuar algunas reparaciones y Lawrence envió a su colega italiano no solo más cobre, sino también una cinta de molibdeno que tapaba cierta salida, de la que no se esperaba obtener ninguna novedad. Estaban equivocados. Segrè y Carlo Perrier, profesor de Mineralogía en Palermo, demostraron que contenía un nuevo elemento, el número 43 de la tabla periódica, el tecnecio, que pasó a ocupar uno de los cuatro lugares todavía vacíos en la tabla.
En 1939, el año en que Alemania comenzó la Segunda Guerra Mundial, Berkeley ya contaba con un ciclotrón de metro y medio de diámetro en el que los electrones podían alcanzar los 16 MeV. Y en septiembre de ese año Lawrence anunciaba planes para construir uno nuevo que llegase a los 100 MeV. En diciembre recibía el premio Nobel de Física por «la invención del ciclotrón», y en abril de 1940 la Rockefeller Foundation donaba 1,4 millones de dólares para la construcción de esa nueva máquina, el último de sus ciclotrones, que iba a tener más de cuatro metros y medio de diámetro.
De esta manera nació lo que se ha denominado Big Science («Gran Ciencia»), ciencia que requiere de grandes recursos económicos y de numerosos grupos de científicos e ingenieros. El concepto y el término —que ya hemos utilizado antes ocasionalmente— fueron introducidos por Alvin Weinberg (1915-2006), un físico nuclear que durante la Segunda Guerra Mundial trabajó para el Proyecto Manhattan en el Metallurgical Laboratory de Chicago. Al término de la contienda, Weinberg se trasladó a uno de los centros del Proyecto Manhattan, el laboratorio Clinton de Oak Ridge (Tennessee), que pronto se convertiría en el Oak Ridge National Laboratory, dedicándose sobre todo a la investigación nuclear destinada al diseño, desarrollo y control de reactores nucleares. Allí fue director de su División de Física hasta 1948, año en que pasó a ser director de Investigación del Laboratorio, puesto que mantuvo hasta 1955, cuando se convirtió en director general de la institución, y del que se retiró en 1973. Weinberg, por consiguiente, conocía de primera mano lo que era la Big Science, concepto y término que introdujo en un artículo («Impacto en Estados Unidos de la ciencia a gran escala») que publicó en el número del 21 de julio de 1961 de la revista Science. Grandes equipos y presupuestos serían las notas características de esta nueva Gran Ciencia. La investigación científica, recordemos, requiere la integración de tres factores: la identificación de un objetivo significativo, recursos propios o públicos para los experimentos y colaboración interior y exterior. Proyectos imposibles y mal concebidos han contribuido a malgastar esfuerzos y recursos. El conocimiento de la estructura de la materia ha sido un objetivo largamente perseguido a lo largo de la historia, pero para cumplirlo en el siglo XX fue preciso dedicar esfuerzos de magnitudes hasta entonces desconocidas en la ciencia. Inicialmente, en la etapa inmediatamente posterior al término de la Segunda Guerra Mundial, las dos grandes potencias (Estados Unidos y la Unión Soviética) confiaron la investigación atómica a organizaciones militares, en tanto los países de la Europa occidental no podían mantener su posición dominante en el estudio del átomo. La primera iniciativa política europea surgió a finales de 1949, cuando varias personas asociadas a los asuntos nucleares en Europa comenzaron a pensar seriamente en las posibilidades de una cooperación multinacional en el área. La idea cuajó finalmente en 1954, cuando doce naciones europeas crearon en Ginebra un Centre Européen de Recherches Nucléaires (CERN) para poder competir con Estados Unidos.
Los aceleradores de Lawrence solo fueron el comienzo de lo que constituiría una larga carrera por construir otros cada vez más potentes; esto es, máquinas capaces de acelerar con energías más elevadas las partículas que se hacían chocar con otras, para ver cuáles eran los productos, partículas, se suponía, más «elementales». Y gracias a los nuevos aceleradores, el número de partículas «elementales» fue creciendo de tal manera que terminó socavando drásticamente la idea de que la mayoría pudiesen ser realmente elementales en un sentido fundamental. Entre las partículas halladas podemos recordar, por ejemplo, piones y muones de diversos tipos, o las denominadas Λ, W o Z, sin olvidar a sus correspondientes antipartículas. El número —cientos— resultó ser tan elevado que se llegó a hablar de un «zoo de partículas», un zoo con una fauna demasiado variada.
A ese zoo se incorporaron otras partículas especialmente llamativas: los quarks. Su existencia fue propuesta teóricamente en 1964 por los físicos estadounidenses Murray Gell-Mann (n.º 1929) y George Zweig (n.º 1937). Hasta su aparición en el complejo y variado mundo de las partículas elementales, se pensaba que protones y neutrones eran estructuras atómicas inquebrantables, realmente básicas, y que la carga eléctrica asociada a protones y electrones era una unidad indivisible. Los quarks no obedecían a esta regla, ya que se les asignó cargas fraccionarias. De acuerdo a Gell-Mann y Zweig, los hadrones, las partículas sujetas a la interacción fuerte, están formados por dos o tres especies de quarks y antiquarks, denominados u (up; arriba), d (down; abajo) y s (strange; extraño), con, respectivamente, cargas eléctricas 2/3, –1/3 y –1/3 la del electrón (de hecho, los hadrones pueden ser de dos tipos: bariones —protones, neutrones e hiperones— y mesones —partículas cuyas masas tienen valores entre la del electrón y la del protón—). Así, un protón está formado por dos quarks u y uno d, mientras que un neutrón está formado por dos quarks d y por otro u; son, por consiguiente, estructuras compuestas.

Toda la materia del Universo está formada por agregados de tres clases de partículas elementales —leptones, neutrinos y quarks— y sus correspondientes antipartículas, así como por las partículas (denominadas cuantos) que transportan las cuatro fuerzas existentes: electromagnética, débil, fuerte y gravitacional. Como se observa en la tabla adjunta, existen seis tipos de quarks y tres de neutrinos. En lo que respecta a los leptones (partículas a las que no afecta la interacción fuerte), son de tres clases: el electrón, el muón y la partícula tau (también denominada a veces tauón). El fotón es el cuanto de la interacción electromagnética, el gluón el de la interacción fuerte, las partículas Z0 y las W+ y W– los de interacción débil, mientras que el de la gravitación (denominado «gravitón») aún no ha sido detectado (tampoco existe todavía una teoría cuántica satisfactoria de la gravitación). Todos estos cuantos son bosones, esto es, partículas elementales cuyo espín es entero (aquellas cuyos espines son semienteros se denominan fermiones).
Posteriormente, otros físicos propusieron la existencia de tres quarks más: charm (c; 1974) —encanto—, bottom (b; 1977) —fondo— y top (t; 1995) —cima—. Para caracterizar esta variedad, se dice que los quarks tienen seis tipos de «sabores» (flavours); además, cada uno de estos seis tipos puede ser de tres clases o colores: rojo, amarillo (o verde) y azul. Y para cada quark existe, claro, un antiquark. (Por supuesto, nombres como los anteriores —color, sabor, arriba, abajo…— no representan la realidad que asociamos normalmente a tales conceptos, aunque puede en algún caso existir una cierta lógica en ellos, como sucede con el color).
En definitiva, los quarks tienen color, pero los hadrones no: son blancos. La idea es que solo las partículas blancas son observables directamente en la naturaleza, mientras que los quarks no; ellos están «confinados», asociados formando hadrones. Nunca podremos observar un quark libre. Ahora bien, para que los quarks permanezcan confinados deben existir fuerzas entre ellos muy diferentes de las electromagnéticas o de las restantes. «Así como la fuerza electromagnética entre electrones está mediada por el intercambio virtual de fotones», señalaba Gell-Mann en el libro The Quark and the Jaguar (El quark y el jaguar), publicado en 1995, «los quarks están ligados entre sí por una fuerza que surge del intercambio de otros cuantos: los gluones (del inglés glue, “pegar”), llamados así porque hacen que los quarks se peguen formando objetos observables blancos como el protón y el neutrón».
Aproximadamente una década después de la introducción de los quarks, se desarrolló una teoría, la cromodinámica cuántica, que explica por qué los quarks están confinados tan fuertemente que nunca pueden escapar de la estructuras hadrónicas que forman. El nombre cromodinámica —procedente del término griego cromos (color)— aludía al color de los quarks (y el adjetivo «cuántica» a que es compatible con los requisitos cuánticos). Al ser la cromodinámica cuántica una teoría de las partículas elementales con color, y al estar este asociado a los quarks, que a su vez tratan de los hadrones, las partículas sujetas a la interacción fuerte, tenemos que la cromodinámica cuántica describe esta interacción.
§. Unificaciones
Con la electrodinámica cuántica y la cromodinámica cuántica se disponía de teorías cuánticas para las interacciones electromagnética y fuerte. Además, se disponía de una teoría de la interacción débil, pero esta tenía problemas. Una versión más satisfactoria para una teoría cuántica de la interacción débil llegó cuando en 1967 el estadounidense Steven Weinberg (n.º 1933), y el año siguiente el paquistaní (afincando en Inglaterra) Abdus Salam (1929-1996), propusieron independientemente una teoría que unificaba las interacciones electromagnética y débil. Su modelo incorporaba ideas propuestas en 1960 por Sheldon Glashow (n.º 1932). Por estos trabajos, Weinberg, Salam y Glashow compartieron el premio Nobel de Física de 1979; esto es, después de que, en 1973, una de las predicciones de su teoría —la existencia de las denominadas «corrientes neutras débiles»— fuese corroborada experimentalmente en el CERN.
La teoría electrodébil unificaba la descripción de las interacciones electromagnética y débil, pero ¿no sería posible avanzar por la senda de la unificación, encontrando una formulación que incluyese también a la interacción fuerte, descrita por la cromodinámica cuántica? La respuesta, positiva, a esta cuestión vino de la mano de Howard Georgi y Glashow, que introdujeron en 1974 las primeras ideas de lo que se vino en denominar Teorías de Gran Unificación (GUT, según sus siglas en inglés).
El impacto principal de esta familia de teorías se ha producido en la cosmología; en concreto en la descripción de los primeros instantes del Universo. Desde la perspectiva de las GUT, al principio existía solo una fuerza que englobaba las electromagnética, débil y fuerte, que fueron separándose al irse enfriando el Universo. Con semejante equipaje teórico es posible ofrecer explicaciones de cuestiones como el hecho de que exista (al menos aparentemente y para nuestra fortuna) más materia que antimateria en el Universo. Esto es debido a que las GUT tienen en común que en ellas no se conserva una magnitud denominada «número bariónico», lo que significa que son posibles procesos en los que el número de bariones —entre los que se encuentran, recordemos, los protones y los neutrones— producidos no es igual al de antibariones. Utilizando esta propiedad, el físico japonés Motohiko Yoshimura demostró en 1978 que un estado inicial en el que exista igual número de materia y antimateria puede evolucionar, convirtiéndose en uno con más protones o neutrones que sus respectivas antipartículas y produciendo así un universo como el nuestro, en el que hay más materia que antimateria.
Gracias al conjunto formado por las anteriores teorías, se dispuso de un gran marco teórico para entender de qué está formada la naturaleza. Un marco teórico con una extraordinaria capacidad predictiva. De acuerdo con él, se acepta por una parte que las partículas elementales pertenecen a uno de los dos siguientes grupos: bosones o fermiones, según su espín sea entero o fraccionario (el fotón es un bosón y el electrón un fermión), que obedecen a dos estadísticas (maneras de «contar» agrupaciones de partículas de la misma especie) diferentes: la estadística de Bose-Einstein y la estadística de Fermi-Dirac. Por otra parte, se tiene que toda la materia del Universo está formada por agregados de tres tipos de partículas elementales: electrones y sus parientes (las partículas denominadas muón y tau), neutrinos (neutrino electrónico, muónico y tauónico) y quarks, además de por los cuantos asociados a los campos de las cuatro fuerzas que reconocemos en la naturaleza: el fotón para la interacción electromagnética, las partículas Z y W (bosones gauge) para la débil, los gluones para la fuerte y, aunque la gravitación aún no se ha incorporado a ese marco, los aún no observados gravitones para la gravitacional. El subconjunto formado por la cromodinámica cuántica y teoría electrodébil (esto es, el sistema teórico que incorpora las teorías relativistas y cuánticas de las interacciones fuerte, electromagnética y débil) es especialmente poderoso si tenemos en cuenta el balance predicciones-comprobaciones experimentales. Es denominado modelo estándar. La formulación del modelo estándar es uno de los grandes logros de toda la historia de la física, uno que rivaliza con la mecánica cuántica. Pero, mucho más aún que la relatividad general y la mecánica cuántica, ha sido producto de un esfuerzo colectivo.
Ahora bien, no obstante su éxito, obviamente el modelo estándar no es «la teoría final». Por una parte, porque la interacción gravitacional queda al margen, pero también porque incluye demasiados parámetros que hay que determinar experimentalmente. Se trata de las siempre incomodas pero fundamentales preguntas del tipo «¿por qué?». ¿Por qué existen las partículas fundamentales que detectamos? ¿Por qué esas partículas tienen las masas que tienen? ¿Por qué, por ejemplo, el tau pesa alrededor de 3520 veces más que el electrón? ¿Por qué son cuatro las interacciones fundamentales, y no tres, cinco o solo una? ¿Y por qué tienen estas interacciones las propiedades (como intensidad o rango de acción) que poseen?
Pasando ahora a la gravitación, la otra interacción básica, ¿no se puede unificar con las otras tres? Un problema central es la inexistencia de una teoría cuántica de la gravitación que haya sido sometida a pruebas experimentales (la relatividad general no es compatible con los requisitos cuánticos). Existen candidatos para cumplir ese espléndido sueño unificador, unos complejos edificios matemáticos llamados teorías de cuerdas.
Según la teoría de cuerdas, las partículas básicas que existen en la naturaleza son en realidad filamentos unidimensionales (cuerdas extremadamente delgadas) en espacios de muchas más dimensiones que las tres espaciales y una temporal de las que somos conscientes; aunque más que decir «son» o «están constituidas» por tales cuerdas, habría que decir que son manifestaciones de vibraciones de esas cuerdas. En otras palabras, si nuestros instrumentos fuesen suficientemente poderosos, lo que veríamos no serían «puntos» con ciertas características a los que llamamos electrón, quark, fotón o neutrino, por ejemplo, sino minúsculas cuerdas (cuyos cabos pueden estar abiertos o cerrados) vibrando. La imagen que suscita esta nueva visión de la materia, más que «física» es, por consiguiente, «musical»: del mismo modo que las diferentes pautas vibratorias de la cuerda de un violín dan lugar a diferentes notas musicales, los diferentes modelos vibratorios de una cuerda fundamental dan lugar a diferentes masas y cargas de fuerzas.
Es fácil comprender el atractivo que algunos sienten por estas ideas: las cuerdas son verdaderamente fundamentales; son «átomos», es decir componentes indivisibles, en el sentido más auténtico de la palabra griega. Como componentes absolutamente mínimos de cualquier cosa, representan el final de la línea —la última de las muñecas rusas llamadas matrioskas— en las numerosas capas de subestructuras dentro del mundo microscópico. Ahora bien, ¿qué tipo de materialidad es el de estos constructos teóricos unidimensionales? ¿Podemos pensar en ellos como una especie de «materia elemental» en algún sentido parecido a aquel en el que se piensa cuando se habla habitualmente de materia, incluso de partículas tan (a la postre acaso solo aparentemente) elementales como un electrón, un muón o un quark?
Decíamos antes que las teorías de cuerdas son unos complejos edificios matemáticos, y así es. De hecho, las matemáticas de la teoría de las cuerdas son tan complicadas que hasta ahora nadie conoce ni siquiera las ecuaciones de las fórmulas exactas de esa teoría, únicamente unas aproximaciones de dichas ecuaciones, e incluso estas ecuaciones aproximadas resultan ser tan complicadas que hasta la fecha solo se han resuelto parcialmente. No es por ello sorprendente que uno de los grandes líderes de esta disciplina sea un físico especialmente dotado para las matemáticas. Nos estamos refiriendo al estadounidense Edward Witten (n.º 1951). Para hacerse una idea de su talla como matemático basta con señalar que en 1990 recibió (junto a Pierre-Louis Lions, Jean-Christophe Yoccoz y Shigefumi Mori) una de las cuatro medallas Fields que se conceden cada cuatro años y que constituyen el equivalente en matemáticas de los premios Nobel. Fue Witten quien argumentó en 1995, iniciando así lo que se denomina «la segunda revolución de la cuerdas», que para que la teoría de cuerdas (o supercuerdas) pueda aspirar a ser realmente una «Teoría del Todo», debe tener diez dimensiones espaciales más una temporal, esto es, once (Witten denominó Teoría M a esa formulación, todavía por desarrollar completamente).
Enfrentados con las teorías de cuerdas, es razonable preguntarse si al avanzar en la exploración de la estructura de la materia no habremos alcanzado ya niveles en los que la «materialidad» —esto es, la materia— se desvanece transformándose en otra cosa diferente. Y ¿en qué otra cosa? Pues si estamos hablando de partículas que se manifiestan como vibraciones de cuerdas, ¿no será esa «otra cosa», una estructura matemática? Una vibración es, al fin y al cabo, la oscilación de algo material, pero en cuanto a estructura permanente tiene probablemente más de ente matemático que de ente material. Si fuese así, podríamos decir que se habría visto cumplido el sueño, o uno de los sueños, de Pitágoras. Los físicos habrían estado laborando duramente a lo largo de siglos, milenios incluso, para descubrir, finalmente, que la materia se les escapa de las manos, como si de una red se tratase, convirtiéndose en matemática, en estructuras matemáticas. La teoría de cuerdas, en resumen, resucita viejos problemas. Problemas como qué es realmente el espacio, así como la relación entre la física y la matemática.
§. Cuantización del espacio
Con relación al primero de esos problemas, recordaremos que poco después de introducir la constante h que tomaría su nombre, Max Planck advirtió que con las constantes fundamentales h, c (velocidad de la luz) y G (gravitación) era posible construir números de cualquier dimensión: una masa, una longitud o un tiempo, por ejemplo, a las que se denomina masa de Planck (MPl), longitud de Planck (LPl) y tiempo de Planck (TPl). Su valor viene dado por las expresiones:
MPl = (hc/G)½ = 5,5 · 10–8 kilogramos.
LPl = (hG/c3)½ metros.
TPl = (hG/c5)½ segundos.
Ahora bien, el que se supiese la posibilidad de construir estas magnitudes no quiere decir que entrasen a formar parte de los intereses de los físicos. Fue a partir de la década de 1950 cuando las nociones de, sobre todo, longitud y tiempo de Planck comenzaron a ser consideradas. El principal impulsor de ello fue un físico estadounidense que enseñaba en la Universidad de Princeton y que había destacado antes en el dominio de la física nuclear: John Archibal Wheeler (1911-2008). A partir de un artículo («Geones») que publicó en 1955 en la revista Physical Review, Wheeler argumentó que la teoría de la relatividad general —una, insistimos en este punto, teoría clásica en la medida en que sus postulados no son compatibles con los de la física cuántica— deja de ser válida a distancias menores que la longitud de Planck. En ese momento, y de manera similar a lo que sucede con el campo electromagnético maxwelliano en la electrodinámica cuántica, el propio espacio-tiempo deja de aparentar el carácter continuo que tenía en la formulación einsteniana para manifestarse como una especie de espuma cuántica, un concepto introducido también por Wheeler en 1957.
Podemos entender también esta naturaleza discontinua del espacio a dimensiones ultramicroscópicas, considerando el principio de incertidumbre de Heisenberg en su forma ΔE·Δt ≥ h. Consideremos que el espacio es una entidad «vacía», lo que en términos energéticos significa que la energía es cero en todos los puntos del espacio. Ahora bien, la anterior relación de incertidumbre indica que es posible que se produzcan fluctuaciones energéticas; esto es, que se creen espontáneamente subregiones con energía positiva, E, y con energía negativa, –E (la energía total continúa siendo cero), con tal que el tiempo que dure esa fluctuación sea menos o igual a h/E. Se trata de tiempos extremadamente pequeños: por ejemplo, si E es la cienmillonésima parte de la energía que lleva un solo electrón en una corriente de un voltio, el tiempo que dura esa fluctuación es como máximo 10–13 segundos (una décima de una billonésima de segundo). Asimismo, el tamaño, las regiones en donde se producen las fluctuaciones, es muy pequeño, de manera que, a nivel cuántico, resulta que el vacío, lejos de consistir en la nada absoluta, tiene estructura, aunque sea una estructura producida por unas fluctuaciones energéticas increíblemente finas, de duración extremadamente corta y extendidas a minúsculas regiones del espacio. De hecho, es posible detectar estas estructuras; por ejemplo, si consideramos un electrón en el vacío, su momento magnético se ve afectado por su interacción con esas fluctuaciones del vacío. Como era de esperar, el efecto es muy pequeño, pero se ha detectado experimentalmente: el momento magnético varía en una millonésima parte.
§. Física cuántica y matemáticas
En cuanto a los comentarios que hicimos sobre las matemáticas en el mundo de la física cuántica, tenemos que, de manera análoga a lo que sucedió en la mecánica newtoniana, que necesitó de un nuevo aparato matemático, el del cálculo diferencial, la mecánica cuántica también requirió de una matemática, si no nueva, sí infrecuente entre los físicos.
Ya vimos que Heisenberg no se dio cuenta de que las estructuras que manejaba en 1925 eran matrices. El motivo era que el estudio de estos objetos matemáticos no formaba parte del programa de estudios de física. Y eso que el término «matriz» fue introducido en 1850 («Añadidos a los artículos “Sobre una nueva clase de teoremas” y “Sobre los teoremas de Pascal”», Philosophical Magazine) por James Joseph Sylvester (1814-1897) para denotar una disposición regular, en filas y columnas, de números, y que pocos años después Arthur Cayley (1821-1895) desarrolló el álgebra matricial, independientemente de que las matrices representasen —como se suponía hasta entonces— o no formas lineales o bilineales asociadas a transformaciones (Cayley, «Comentarios sobre la notación de las funciones algebraicas», Journal für die reine und angewandte Mathematik [Crelle]; 1855, y «Una memoria sobre la teoría de matrices», Philosophical Transactions, 1858).
Otra de las sorpresas con la que se encontró Heisenberg es que el álgebra matricial era no conmutativa (a · b no es igual a b · a), toda una novedad en el mundo de las estructuras físicas. Esta nueva álgebra se mostró aún con mayor claridad en la formulación de Dirac, en la que generalizaba los corchetes de Poisson utilizados en algunas formulaciones de la mecánica clásica, pasando a corchetes no conmutativos.
Con respecto a la presentación de Schrödinger, ya mencionamos que la matemática que necesitaba había sido tratada en el libro —Methoden der mathematischen Physik— que Richard Courant y David Hilbert habían publicado en 1924. Este incluía, en particular, una teoría de las ecuaciones integrales lineales, que relacionaba con ecuaciones diferenciales sometidas a condiciones de contorno, así como a ecuaciones de autovalores, lo que es tanto como decir la matemática de operadores y sus espectros; recuérdese en este sentido que los artículos en los que Schrödinger presentó su mecánica cuántica se titulaban «Cuantización como un problema de autovalores».
Un instrumento matemático particularmente importante para la teoría cuántica son unos espacios de funciones, denominados «espacios de Hilbert» en honor a David Hilbert. En este caso el impulso que condujo a la formulación de estas estructuras procedió de la mecánica cuántica. Tras la publicación en 1925 del artículo fundacional de la mecánica cuántica de Heisenberg, Hilbert comenzó a estudiar de manera sistemática los fundamentos matemáticos de la nueva mecánica del microcosmos. Y lo hizo con la ayuda de dos ayudantes suyos: Lothar Wolfgang Nordheim, un antiguo pupilo de Max Born, y John von Neumann, que acababa de llegar a Gotinga. El fruto fue un artículo que los tres publicaron en 1927 bajo el título de «Sobre los fundamentos de la mecánica cuántica». Este trabajo no resolvió uno de los problemas fundamentales de los que se ocupaba: el de establecer en bases matemáticas sólidas una teoría que «unificase» las formulaciones de Heisenberg y Schrödinger, un problema que, como ya indicamos, habían resuelto en principio, el propio Schrödinger y Pauli; «en principio», porque su base matemática no era lo suficientemente rigurosa.
Fue von Neumann quien poco después (también en 1927) resolvió finalmente el problema matemático, estableciendo en base matemática segura las estructuras de un número infinito de dimensiones que había introducido inicialmente Hilbert. De hecho, fue él quien introdujo la denominación «espacios de Hilbert». Un lustro más tarde, von Neumann produjo un texto monumental en el que sistematizó de manera rigurosa desde el punto de vista matemático la mecánica cuántica, o, si se prefiere decirlo de esta manera: axiomatizó la mecánica cuántica en el mejor espíritu de ortodoxia matemática. Se trata del libro (al que ya nos referimos con anterioridad), Mathematische Grundlagen der Quantemechanik (1932). En el libro de von Neumann, escribía Born a Einstein en una carta el 10 de mayo de 1945, «se encuentra la justificación rigurosa de los conceptos y métodos que Heisenberg, Jordan y yo mismo utilizamos; y en particular la utilización, introducida por mí, de matrices como operadores en un espacio de un número infinito de dimensiones: el “espacio de Hilbert”».
A partir de entonces, los espacios de Hilbert no solo se convirtieron en un elemento imprescindible de cualquier presentación de la mecánica cuántica, sino también en protagonista principal de ramas de la matemática como los espacios funcionales o la teoría de operadores.
Otra rama de la matemática que recibió un fuerte impulso de la mecánica cuántica fue la teoría de grupos. Uno de los matemáticos que trabajó en la teoría de los grupos de Lie fue Hermann Weyl. Como tuvimos oportunidad de comprobar, aunque matemático, Weyl mostró a lo largo de toda su carrera interés por la física, especialmente por aquellas ramas de esta con una fuerte dimensión matemática. Una vez que se dispuso de la mecánica cuántica, Weyl, que llevaba tiempo trabajando en aspectos matemáticos de los grupos de Lie, reconoció que la teoría de grupos constituía un instrumento particularmente adecuado para la física cuántica, y en 1928 publicó un libro, Gruppentheorie und Quantenmechanik (Teoría de grupos y mecánica cuántica), cuya segunda edición (de 1931) fue traducida al inglés y publicada en 1932 (The Theory of Groups and Quantum Mechanics), ampliando de esta manera considerablemente el rango de sus lectores.
No obstante, el texto de Weyl era demasiado complejo. «Weyl no escribía con claridad y la mayor parte de los físicos no comprendió su libro», manifestó en su autobiografía (The Recollections of Eugene Wigner; 1992) Eugene Wigner (1902-2000), un físico húngaro que estudió en Alemania y que a partir de 1929 se instaló en Estados Unidos. Fue precisamente Wigner quien más hizo por introducir la teoría de grupos en la física cuántica (en cristalografía ya llevaba bastante tiempo siendo aplicada, aunque allí los grupos eran más sencillos, no continuos). A partir de 1926, Wigner comenzó a publicar una serie de artículos sobre la mecánica cuántica, en la que la teoría de grupos estaba presente, y en 1931 publicó un libro titulado Gruppentheorie und ihre Anwendung auf die Quantenmechanik der Atomspektren (Teoría de grupos y sus aplicaciones a la mecánica cuántica de los espectros atómicos). Aunque, al contrario que el texto de Weyl, este libro no sería vertido al inglés hasta 1959, fue enormemente influyente. Lo que no quiere decir que todos los físicos aceptaran inmediatamente la necesidad de recurrir a la teoría de grupos. Incluso uno de los más jóvenes protagonistas de la revolución que produjo la mecánica cuántica, el siempre mordaz Wolfgang Pauli, introdujo la expresión «die gruppenpest», con la que quería decir «la peste de los grupos», o, tal vez mejor, «el apestoso asunto de los grupos». Además de Pauli (que no tardaría en convertirse él mismo en miembro destacado de ese «apestoso grupo»), otros a los que desagradaba este formalismo matemático eran Max von Laue, Erwin Schrödinger y Max Born. Pero semejante oposición no tardó en diluirse, sobre todo al comprobarse la eficacia de la teoría de grupos en la física cuántica, y luego, y de manera aún más intensa, en una rama de esta, la física teórica de altas energías.
Capítulo 21
Historia del universo
§. Descubrimientos astronómicos
§. El impacto de la tecnología
§. La expansión del universo
§. Origen y evolución del universo
§. Cosmodiversidad
§. Física cuántica y universo
§. Descubrimientos astronómicos
La observación del cielo —que ya apareció en otros capítulos, en contextos diferentes al que nos ocupará ahora, y por ello recordaremos algunos conceptos y hechos— dio origen a una imagen del cosmos basada en la observación de cuerpos celestes, a los que se distinguía por sus propiedades. Todos ellos llevan nombres procedentes del indoeuropeo, tanto las denominaciones genéricas —estrella, planeta, nebulosa, constelación— como las específicas del Sol, la Tierra y la Luna, en tanto la mitología clásica proporcionó los nombres de los dioses con que se conocen los planetas.
Cuando miramos al cielo, lo primero que observamos, aquello que resulta más llamativo y evidente, son unas luces a las que se denominó estrellas. Se trata de cuerpos celestes cuyo movimiento tenía la particularidad de mantener las distancias entre ellas (fijas), en tanto que los siguientes objetos astronómicos en ser reconocidos, los planetas, se movían, ocupando posiciones distintas a lo largo del tiempo; de ahí su nombre, que deriva del término griego que significa «errante». En el Tesoro de la lengua castellana, o española, de Sebastián de Covarrubias, publicado en 1611, se lee: «Estrellas fixas llamamos las del firmamento y se mueven en él por su movimiento y guardan entre si la distancia de lugares do estan fixas; a diferencia de los planetas que una veces estan en conjunción, otras en oposición y en diferentes aspectos [fases]».
La concentración de las estrellas en espacios limitados se conoció desde la Antigüedad, aunque fueron los romanos los que dieron nombre a las constelaciones, 12 de ellas zodiacales. La agrupación de las estrellas en las 88 constelaciones actuales permitió la sistematización de los cuerpos celestes.
Hoy sabemos que las estrellas, cuerpos de gran masa y elevada temperatura, que emiten enormes cantidades de energía (producida en procesos termonucleares que tienen lugar en su interior), se agrupan, debido a la atracción gravitacional, en conjuntos extremadamente numerosos, las galaxias, pero esta idea no sería formulada hasta el siglo XVIII, aunque sí es cierto, como sabemos, que se identificó una, la Vía Láctea, que, como cualquiera puede experimentar, se observa fácilmente en la oscuridad de la noche. De hecho, el término galaxia procede del griego galaxías, que significa «relativo a la leche» (es un derivado de gála, gálaktos, «leche»), lo que nos muestra que inicialmente «Vía Láctea» y «galaxia» eran términos sinónimos. Efectivamente, una cosa era detectar la Vía Láctea y otra identificarla como un ejemplo de una estructura que se repite a lo largo y ancho del Universo. Como veremos más adelante, no fue hasta el siglo XX cuando quedó claro que la Vía Láctea —en la que se encuentra nuestro planeta, la Tierra, y el Sistema Solar al que pertenece— no abarca todo el Universo.
Cuando se observa el cielo por la noche, ocasionalmente aparecen unos cuerpos brillantes de naturaleza fugaz: los cometas (del término griego kometes, que significa «cabellera suelta»). Su existencia ya fue advertida, cuando menos, por los babilonios. En la Roma clásica, Lucio Anneo Séneca (4 a. C.-65 d. C.) se refirió a ellos diciendo que «los cometas son raros y, por esto mismo, causa de maravilla […]». «Un cometa», dice Apolonio, «no es una apariencia engañosa, ni es un largo surco de fuego producido por la aproximación de dos estrellas, sino que es un astro propio y distinto, como el Sol y la Luna […] No existe razón alguna para pensar que fue el mismo cometa que vimos bajo el emperador Claudio el que vimos bajo el emperador Augusto». Y añadía que sus órbitas no eran conocidas, que «disminuyen o intensifican su luz».
En 1066, los soldados anglosajones que combatían en la batalla de Hastings observaron con preocupación la aparición en el cielo de un cuerpo extraño al mismo tiempo que los normandos mataban a su rey. Era un cometa, uno que en 1682 volvería a observar Edmond Halley, en cuyo honor, recordemos, se bautizó. Con la ayuda de la mecánica de Newton, calculó que debía volver a aparecer en 1758. Y así sucedió.
Hoy sabemos que los cometas son bloques de hielo (que produce, al calentarse cuando se acercan al Sol, la larga y brillante estela que les caracteriza) con un núcleo de piedra, y que se encuentran en gran cantidad más allá de Neptuno, en una región denominada Cinturón de Kuiper en honor del astrónomo de origen holandés afincado posteriormente en Estados Unidos, Gerald Peter Kuiper (1905-1973), quien propuso su existencia en 1951, aunque no fue hasta 1992 cuando astrónomos de Hawai hallaron el primer cuerpo de este Cinturón; descubrieron o reconocieron como tal, ya que en la actualidad muchos astrónomos consideran que Plutón —hallado por Clyde Tombaugh (1906-1997) en 1930— es en realidad un gran cuerpo del Cinturón de Kuiper (tiene un diámetro de 2284 kilómetros, mientras que el más pequeño de los restantes planetas, Mercurio, mide 4879, y el más grande, Júpiter, 142 984, por 12 756 de la Tierra). De hecho, este es uno de los argumentos que se esgrimieron para negarle la caracterización de «planeta», algo que sucedió en la Asamblea General de la Unión Astronómica Internacional que tuvo lugar el 24 de agosto de 2006 en Praga; se creó entonces una nueva categoría, la de «plutoide», o también «pequeño planeta», en la que se incluye a Plutón, que en realidad forma parte de un sistema binario con su satélite Caronte.
Estudiar el Universo, identificar los objetos que contiene y las estructuras que se encuentran en él, es difícil, muy difícil. Como ya vimos, con la invención a comienzos del siglo XVII del telescopio cambió lo que se podía observar, y, en consecuencia, decir sobre los objetos celestes. Gracias al telescopio, recordemos, Galileo descubrió los «planetas medíceos», denominación sustituida desde 1665 por la de satélites, que en latín se usaba para referirse al compañero habitual o al miembro de la guardia personal. Y también observó estrellas antes nunca vistas, como señaló en su Sidereus Nuncius (1610).
Casi un siglo y medio después, en 1750, el astrónomo inglés Thomas Wright (1711-1786) publicó un libro, An Original Theory or New Hyphotesis of the Universe [Una teoría original o nueva hipótesis sobre el Universo]), en el que proponía que el Universo tenía la forma de un anillo o de una capa esférica en torno a un centro (establecido por Dios) hacia el cual eran atraídas las estrellas. A la Vía Láctea la consideraba la sección transversal de ese Universo, que vemos cuando miramos en la dirección de ese centro divino. Como ya señalamos en el capítulo 14, cinco años más tarde, e inspirado por una lectura errónea del libro de Wright, Immanuel Kant (1724-1804), el gran filósofo, sostuvo en un libro titulado Allgemeine Naturgeschichte und Theorie des Himmels, que la Vía Láctea era un sistema con forma de disco que contenía, además de otras muchas estrellas, el Sistema Solar; esto es, la agrupación gravitacional formada por el Sol y los planetas que giran en torno a él. De hecho, Kant fue más allá, proponiendo que esa estructura de disco había surgido de la misma forma que los propios planetas habían llegado a orbitar en torno al Sol casi en un mismo plano. Yendo todavía más lejos, compuso un modelo de Universo jerarquizado compuesto por «universos isla»: planetas girando alrededor de estrellas como el Sol, estrellas formando galaxias, y galaxias que a su vez se agrupaban en grandes conjuntos. Todas estas unidades astronómicas se habrían ido formando a partir de la actuación de la fuerza gravitacional sobre una distribución, caótica y gigantesca, de masa original (de cuyo origen Kant no sabía decir nada).
Además de la franja lechosa que es la Vía Láctea, se observaban otras masas luminosas que no se podían resolver en estrellas separadas y que fueron denominadas nebulosas (de la palabra latina, nebula, que significa «nube»). El primer gran estudioso de estos sistemas fue un francés, Charles Messier (1730-1817), que comenzó su carrera como una especie de escribano (lo único que podía ofrecer era una letra clara) de un astrónomo del Observatorio de la Marina de París. Su gran obra fue un Catalogue des nébuleuses et des amas d’étoiles que se podían observar desde París. La primera edición se publicó en el volumen de las Mémoires de l’Académie Royale des Sciences correspondiente a 1771, aunque apareció en 1774. Incluía 103 «nebulosas», de las que la número 31 era la que después fue conocida como galaxia Andrómeda, la galaxia (espiral) más próxima a la Vía Láctea (en realidad, Andrómeda era conocida de antiguo: se encuentran referencias a ellas en el Libro de las constelaciones y las estrellas fijas, del famoso autor islámico del siglo x Abu al-Sufi, que ya nos apareció en el capítulo 1). También aparecía la nebulosa de Orión; de hecho, se la conoce como M42 porque es la número 42 del catálogo de Messier, quien, por cierto, no estaba demasiado interesado en las nebulosas, sino en los cometas, y si las catalogó fue para que no se las confundiera con estos.
El que la galaxia (por tanto, un conglomerado de estrellas) Andrómeda fuese tomada por una nebulosa es significativo: no estuvo claro durante mucho tiempo si las nebulosas eran nubes de polvo interestelar y gases o estrellas cuya existencia no se podía distinguir debido a la limitación de los telescopios disponibles, ambos tipos de unidades formadas por la atracción gravitacional de sus contenidos. William Herschel, —como señalamos en el capítulo 9—, excepcional constructor de telescopios reflectores y astrónomo, amplió la lista de Messier, encontrando centenares de nebulosas distribuidas por el Universo. Al principio siguió la idea de Galileo, quien pensaba que todas estaban constituidas por estrellas y, de hecho, fue capaz de distinguir las estrellas que formaban algunas nebulosas. Sin embargo, en 1790 encontró una que desafió todos sus esfuerzos por asociarla a estrellas (hoy sabemos que se trata de una capa de gas en expansión expulsada de y rodeando a una estrella muy caliente). De esta manera se reforzó la idea que ponía en cuestión que todas las nebulosas estuviesen formadas por estrellas, constituyendo algo así como «universos islas», e incluso se llegó a considerar a Andrómeda como una masa de materia.
Y puesto que estamos hablando de William Herschel, señalaremos que entre sus logros destaca el que el 13 de marzo de 1781, utilizando un telescopio reflector de 12 metros de largo y provisto de un espejo de 1,15 metros de diámetro, vio lo que describió como «una estrella curiosa o quizás un cometa», que las noches siguientes se movió despacio entre las estrellas; cuando se calculó su órbita, resultó ser un nuevo planeta, el séptimo —después de Mercurio, Venus, la Tierra, Marte, Júpiter y Saturno— del Sistema Solar, al que se bautizó con el nombre de Urano.
El descubrimiento de Urano sugirió que podían existir otros planetas o cuerpos astronómicos menores. El propio Herschel descubrió en 1787 las lunas de Urano, Oberón y Titania, y (1789) dos nuevos satélites de Saturno, Encélado y Mimas. Pero la gran consecuencia del descubrimiento de Urano vino cuando se halló que este no seguía la órbita que se predecía según la teoría newtoniana. En 1845 un astrónomo inglés, John Couch Adams (1819-1892), supuso que debería existir un planeta (el octavo del Sistema Solar), hasta entonces no observado, y calculó la masa que debía tener y la trayectoria que tendría que seguir. Una vez hecho esto, Adams envió su predicción a la figura más prominente de la astronomía inglesa, el astrónomo real, sir George B. Airy (1801-1892), que disponía de los instrumentos necesarios para comprobar la idea de su compatriota, pero Airy no le hizo caso. Perdieron una gran oportunidad, ya que al otro lado del Canal de La Mancha, otro astrónomo, Urbain Jean Joseph Leverrier (1811-1877), tuvo la misma idea que Adams. El 18 de septiembre de 1846, Leverrier completó sus cálculos. Inmediatamente escribió a Johann Galle (1812-1910), del Observatorio de Berlín, informándole de sus resultados y pidiéndole que buscase en una posición determinada al hipotético planeta. Al contrario que Airy, Galle se tomó en serio la idea, y el 23 de septiembre encontró el planeta. Fue bautizado con el nombre de Neptuno, el dios romano del mar.
La disponibilidad de mejores telescopios permitió descubrir otros objetos astronómicos. Este fue el caso de los asteroides, el primero de los cuales, Ceres, fue descubierto por Giuseppe Piazzi (1746-1826) el 1 de enero de 1801 al acercarse a la Tierra. Pronto se encontraron tres más: Pallas (observado por Heinrich Olbers en 1802), Juno (Karl Ludwig Harding, 1804) y Vesta (Olbers, 1807). Tras un lapso de 38 años, un astrónomo alemán aficionado, Karl Ludwig Hencke (1793-1866), descubrió Astrea y, casi en cascada, se hicieron patentes cientos más: en 1900 se contaban 450. En un pasado muy distante, cuando el Sistema Solar se encontraba en un estado de agitación que los equilibrios gravitacionales posteriores han atenuado considerablemente, debieron producirse muchos impactos de asteroides con la Tierra. Uno de ellos, que ya mencionamos, tuvo lugar hace 65 m. a. y su consecuencia fue la extinción en masa de un número enorme de especies al dar lugar a una nube de polvo que envolvió la Tierra durante muchos meses, alterando sustancialmente de esta manera el clima. Los rastros fósiles de semejante discontinuidad biológica son tan evidentes que los geólogos la han utilizado desde hace mucho tiempo para definir la frontera entre el Cretácico, el último período del Mesozoico, y el Terciario, o primer período del Cenozoico. No fue la primera extinción en masa que ha conocido nuestro planeta (la mayor de las cuatro restantes tuvo lugar en el límite inferior del Pérmico, hace 245 m. a.), pero sí la más relevante para nuestra especie, ya que, mientras que entre sus víctimas figuraron los dinosaurios, entre los supervivientes se contaron, junto a reptiles del tipo de los cocodrilos o las tortugas, los —entonces pequeños— mamíferos, que con el paso del tiempo terminarían generando, merced a procesos evolutivos, especies como la de los humanos.
Que aquel cataclismo terrestre se debió al impacto de un asteroide de unos 10 kilómetros de diámetro es algo que establecieron Luis Álvarez (1911-1988), premio Nobel de Física, su hijo, y promotor principal de la idea, Walter Álvarez (n.º 1940), Frank Asaro y Helen Michel en un artículo que publicaron en junio de 1980 en la revista Science: «Causa extraterrestre para la extinción del Cretácico-Terciario». Establecida la causa más probable, quedaba la que podría considerarse confirmación definitiva: encontrar los restos del cráter que, inevitablemente, se debió producir en aquel choque dantesco. La primera pregunta a plantear era si el impacto tuvo lugar en un continente o en un océano. Finalmente, se halló el lugar —mejor dicho, su huella (tras 65 m. a., el cráter se ha, por supuesto, rellenado)— en México, en la península de Yucatán, en Puerto Chicxulub, en la costa septentrional, cerca de Mérida (el artículo que anunciaba el descubrimiento se publicó en 1991).
La hipótesis y posterior confirmación del impacto que tuvo lugar hace 65 M. a. es de esta clase y nos muestra el frágil equilibrio sobre el que se basa esa existencia: ¿será nuestra especie víctima en el futuro del impacto de otro gran cuerpo extraterrestre, al igual que sucedió con los dinosaurios? Recordemos a este respecto que en julio de 1994 pudimos observar, con la ayuda de telescopios, el choque espectacular de algunos fragmentos del cometa Shoemaker-Levy 9 contra la superficie de Júpiter.
Aunque objetos astronómicos menores, los asteroides tienen, por consiguiente, su importancia, especialmente para nuestro planeta. Y abundan: se ha descubierto la existencia de un cinturón de asteroides entre Marte y Júpiter.
§. El impacto de la tecnología
Imposibilitados por falta de recursos teóricos y experimentales de avanzar en el estudio del conjunto del Universo, el cálculo de las dimensiones y distancias del Sistema Solar, el conocimiento de la figura y composición de los cuerpos celestes fueron los problemas fundamentales a los que se enfrentaron los astrónomos posteriores a Newton, quien les proveyó, eso sí, de un útil teórico particularmente adecuado para el estudio del Sistema Solar. Aun así, en más de un apartado, especialmente el de los recursos para medir distancias celestes, aquellos astrónomos no fueron mucho más allá que los antiguos. Así, la paralaje, la diferencia angular entre dos observaciones que se pretendían simultáneas a pesar de ser realizadas en puntos muy lejanos, había permitido estimar la distancia a la que se encontraban las estrellas de la Tierra: Aristarco de Samos había calculado la hipotenusa del triángulo, cuyo ángulo recto correspondía a la Luna, tomando como ángulo de la Tierra 87°, cuando en realidad son 89° 5’, error de observación que le llevó a concluir que la distancia al Sol era 20 veces la de la Luna, la mitad de la actual, resultados que sirvieron para determinar las magnitudes del Sistema Solar durante dos mil años. En 1761 y 1763, Edmond Halley calculó la paralaje en el tránsito de Venus y estableció la distancia media al Sol en 153 millones de kilómetros, un 2 por 100 más que la actual. Repetidas medidas y la aplicación del cálculo trigonométrico proporcionaron a finales del XVIII un conocimiento aceptable de las distancias dentro del Sistema Solar; el Sol, por ejemplo, se situó a 8 minutos/luz (esto es, la luz emitida por el sol tarda 8 minutos en llegar a la Tierra) y Saturno a 1,3 horas/luz.
Estas limitaciones técnicas comenzaron a disminuir durante el siglo XIX, en el que se produjeron novedades como el espectrómetro y la cámara fotográfica, que sustituyeron la observación directa y momentánea por las imágenes fijas del espectrómetro y la fotografía.
De la espectroscopia ya nos ocupamos en el capítulo 12, no así de la fotografía, que proporcionó imágenes ópticas que podían observarse repetidamente para apreciar los cambios en el tiempo. La primera «fotografía» de la Luna, un daguerrotipo, data de 1840 y se debe a John William Draper (1811-1882), un fisiólogo americano que utilizó una exposición de 20 minutos. Diez años después se obtuvo el de una estrella (Vega). En 1874 se obtuvieron imágenes del tránsito de Venus en colodión además de en daguerrotipos. Las nuevas placas de bromuro de plata proporcionaron las primeras fotografías de calidad de Júpiter y Saturno en 1879-1886, al tiempo que se obtenía el primer espectro de una nebulosa, Orión.
Ahora bien, espectros y fotografías necesitan de los telescopios, a los que se acoplan, y si el poder de estos no hubiese aumentado las nuevas técnicas, poco podrían haber dado de sí. La observación del espacio más allá del Sistema Solar exigía la penetración en la profundidad de los cielos.
Afortunadamente, fue posible construir telescopios mucho más potentes, aunque hubo que ubicarlos en lugares elevados y alejados de las ciudades, cuyo crecimiento aumentó la contaminación atmosférica y, un fenómeno nuevo, producto de la introducción de la iluminación eléctrica, la lumínica. La financiación, muy costosa, de los grandes telescopios, alcanzó dimensiones que los presupuestos públicos no podían alcanzar. Se necesitaba, por consiguiente, de inversiones privadas, algo para lo que Estados Unidos, la gran nación emergente en industria y economía, estaba particularmente bien dotada.
Ahora bien, en el caso de los telescopios refractores quedó en evidencia que cuando se aumentaba el tamaño de las lentes, estas se deformaban por efecto de la gravedad, lo que obligaba a frecuentes revisiones y pulidos, descubriéndose que no era posible con una sola lente concentrar la luz en un punto: un metro era el máximo aceptable, y el refractor de Yerkes (1897), que tenía esas dimensiones, fue el último de su clase.
En cuanto a los reflectores, los que usaban espejos en lugar de lentes, mayor potencia implicaba espejos de mayor tamaño (del mismo modo que la eficacia de un cañón se mide por el diámetro del proyectil, o calibre, la del telescopio se debe al diámetro del espejo). Los grandes telescopios del siglo XX fueron todos reflectores, obligando la dimensión de los espejos a que los constructores desarrollasen técnicas sofisticadas de fundición y enfriamiento. En 1907, se instaló en el observatorio del Monte Wilson (California) uno con un espejo de 1,5 metros de diámetro, y en 1917 otro de 2,4 metros, que utilizó Edwin Hubble para realizar las observaciones que cambiaron la imagen del Universo. La primera luz del telescopio Hale de 5 metros, en el Monte Palomar (California), se demoró por diferentes motivos, entre otros la Segunda Guerra Mundial, hasta 1948. No tuvo competidores hasta que en 1960-1961 los soviéticos inauguraron uno con un espejo de 6 metros y 42 toneladas en el Monte Pastukhov, en el Cáucaso.
Con espejos de este tamaño se llegaba prácticamente al límite posible, puesto que el peso del espejo es tal que es imposible evitar deformaciones que distorsionan gravemente las imágenes. La solución a este nuevo problema se consiguió recurriendo a un conjunto de espejos acoplados, cuya geometría es controlada por refinados sistemas electrónicos. Con esta técnica se construyeron dos telescopios (Keck) de 9,8 metros de diámetro, propiedad del Instituto Tecnológico de California y de la Universidad de California, en Manua Kea, Hawai, a más de 4000 metros de altitud. Con el primero, construido en la década de 1990, se observó, en el cúmulo de las Pléyades, una enana marrón (PPL15), una estrella tan pequeña que no luce como las demás, por lo que no había sido vista antes, aunque sí detectada en algún caso a través de sus efectos gravitacionales. En la actualidad, España también dispone de un telescopio de 10,4 metros (vio la primera luz en 2008 y está situado en el Roque de los Muchachos, en la isla canaria de La Palma, y pertenece al Instituto de Astrofísica de Canarias).
Aparte de limitaciones como las que hemos mencionado, telescopios como los anteriores tienen otra: que captan imágenes solo en el rango visible del espectro electromagnético, dejando fuera, por tanto, la mayor parte de este (por ejemplo, la región del infrarrojo). El primer paso para salvar tal limitación lo dio, sin preverlo de antemano, Karl Jansky (1905-1950), un ingeniero eléctrico que trabajaba para los Laboratorios Bell. En 1932, mientras buscaba posibles fuentes de ruido en emisiones de radio, Jansky detectó emisiones electromagnéticas que alcanzaban su mayor intensidad al apuntar a la constelación de Sagitario, en el centro de la galaxia. A pesar de que la prensa se hizo eco de la noticia (en 1932 The New York Times llegó a incluir en su primera página el hallazgo bajo el encabezamiento de «Nuevas ondas de radio en el centro de la Vía Láctea. Se afirma que el misterioso ruido estático registrado por K. G. Jansky es diferente del rayo cósmico») y de la importancia que retrospectivamente asignamos ahora a tales observaciones, Jansky no continuó explorando las posibilidades que había abierto; al fin y al cabo, el mundo de la investigación fundamental no era el suyo.
Comenzaba así la era de la radioastronomía, dedicada al principio a la identificación de emisiones extraterrestres y muy pronto a las del espacio exterior. La distancia angular entre dos puntos determinaba la calidad de la imagen, pero el aumento exponencial del coste de las antenas aconsejó utilizar la interferencia de las ondas para mejorar la potencia. En vez de aumentar el tamaño del telescopio, aumentaron la distancia entre ellos. El primer interferómetro, una línea de radiotelescopios —discos semiesféricos, cada vez de mayor tamaño— dirigidos al mismo punto del espacio, se inauguró en 1946. A partir de este momento se convirtió en una rama especializada de la astronomía.
Uno de los primeros lugares en los que floreció institucionalmente la radioastronomía fue en Cambridge (Inglaterra). Fue allí donde Martin Ryle (1918-1984) continuó decididamente la senda abierta por Jansky. En semejante tarea se vio ayudado por los conocimientos que había obtenido durante la Segunda Guerra Mundial (trabajó entonces en el Telecommunications Research Establishment gubernamental, más tarde bautizado como Royal Radar Establishment), así como por la mejora que esa conflagración había significado para la instrumentación electrónica. Utilizando radiotelescopios, algunos de cuyos componentes diseñó él mismo, Ryle identificó en 1950 cincuenta radiofuentes, número que aumentó radicalmente cinco años más tarde, cuando llegó a las dos mil.
Cuando se estudia la historia de la astronomía, astrofísica y cosmología no es posible dejar de lado un apartado del mundo de la política, uno que tiene que ver con la Guerra Fría, uno de cuyos momentos álgidos fue el lanzamiento por parte de la Unión Soviética, el 4 de octubre de 1957, del primer satélite artificial (Sputnik). Este lanzamiento, al que siguieron enseguida otros (satélites transportando a la perra Laika —3 de noviembre de 1957—, vuelo orbital de Gagarin en abril de 1961), causaron un enorme impacto en los gobernantes y en la opinión estadounidense: eran evidentes las posibilidades militares que ofrecía y revelaba una superioridad científico-tecnológica por parte de la Unión Soviética, y la ciencia y la tecnología habían sido decisivas en el desarrollo de la Segunda Guerra Mundial. Estados Unidos reaccionó, consiguiendo, como había prometido el presidente John F. Kennedy, que un estadounidense fuese el primero en pisar la Luna (lo hizo Neil Armstrong el 20 de julio de 1969). Pero lo que nos interesa resaltar es que una de las consecuencias de aquel enfrentamiento político-tecnocientífico fue que las ciencias y tecnologías espaciales se beneficiaron.
Un ejemplo en este sentido es la construcción de estaciones espaciales, iniciativa en la que la Unión Soviética llevó la delantera, primero con una estación denominada Salyut, que terminó estando constituida por nueve módulos espaciales, ensamblados, en una labor de albañilería y artesanía espacial, entre 1971 y 1981. Luego llegó la Mir (el nombre ruso para «Paz» o «Mundo»), que daba una vuelta completa a la Tierra cada dos horas, a una altura de entre 300 y 400 kilómetros, y que se mantuvo operativa, con distintos equipos de astronautas que efectuaban estancias muy prolongadas, desde 1986 hasta 2001, pese a que inicialmente su vida se había estimado en cinco años (su final fue espectacular: se desintegró sobre el océano Pacífico, el 23 de marzo de 2001, al reentrar en la atmósfera). No obstante su grandeza, la Mir no añadió demasiado a la tecnología espacial, aunque sí sirvió a los soviéticos para realizar estudios físicos y biológicos. Y no son pocos los que dicen algo parecido —que no sirve para mucho— de la sucesora de la Mir, la Estación Espacial Internacional, cuyos primeros módulos se instalaron en el espacio en 1998, un ejemplo de colaboración entre Rusia y Estados Unidos, aunque también participan en ella Japón, Canadá y la Agencia Espacial Europea (ESA). Lo que no se puede discutir es que constituye un prodigio tecnológico: orbita a unos 360 kilómetros de altura, da una vuelta completa a la Tierra cada 92 minutos, tiene 108 metros de longitud y 86 de ancho, y un volumen habitable de 938 metros cúbicos para las diversas tripulaciones que se suceden en ella.
Más interesante que las estaciones espaciales son las numerosas misiones no tripuladas que han empleado sondas espaciales, entendiendo por tales vehículos no tripulados que, después de ser lanzados por cohetes desechables, se dirigen luego a algún destino, o destinos, dentro del Sistema Solar. Al ser sus destinos tan alejados, y más aún si se pretende que visiten (esto es, que se aproximen) objetivos diferentes, las sondas espaciales deben utilizar los empujes gravitacionales de los cuerpos a los que se dirigen o que encuentran en su camino (también recurren, temporalmente, a motores propios).
El planeta Marte ha sido uno de los primeros y más señalados objetivos de estas sondas. Se trata de una elección natural: es vecino nuestro y en la dirección correcta, puesto que Venus lo está en la dirección «mala», al encontrarse más cerca del Sol de lo que estamos nosotros y, por tanto, a mayores temperaturas (la distancia de Marte al Sol es de 228 millones de kilómetros y la temperatura media en su superficie de 63 grados centígrados bajo cero, mientras que Venus está a 108 millones de kilómetros y su temperatura media de 464 grados positivos). Observado con detenimiento durante siglos, algunas peculiaridades de su geografía (como los famosos canales de Marte) han llevado a pensar que puede haber, o haber habido, vida en él.
Después de cuatro intentos fallidos entre 1960 y 1962, la Unión Soviética consiguió que el 19 de junio de 1964 una sonda se acercara a poco más de 200 000 kilómetros de la superficie marciana, aunque fallos de comunicación del vehículo con la Tierra hicieron que se recibiese poca información. Mejor suerte tuvieron los estadounidenses: una de las dos sondas, el Mariner 4, que lanzaron en marzo de 1964, se aproximó a Marte el 15 de julio de 1965 a una distancia de unos 10 000 kilómetros, enviando 21 fotografías que mostraban cráteres del estilo de los lunares. Los datos enviados por el Mariner 4 mostraron un planeta sin estructuras ni canales (se trataba de ilusiones ópticas), socavando las esperanzas de todos aquellos que pensaron en antiguas acciones de seres vivos.
Han sido muchas más las misiones dirigidas a Marte, de las que nos limitaremos a mencionar unas pocas particularmente señaladas. La primera, la Marte 2 soviética, se instaló en una órbita en torno al «Planeta Rojo», enviando un módulo «aterrizador» a su superficie, el 27 de noviembre de 1971, que desgraciadamente, y debido a un fallo de los motores, se estrelló. Su compañero, el Marte 3, sí tuvo éxito, depositando su carga el 2 de diciembre de 1971, si bien la transmisión de imágenes a la sonda en órbita solo duró 20 segundos. Fue, en cualquier caso, el primer aterrizaje sobre Marte de la historia.
Otro gran momento de la exploración marciana tuvo lugar el 20 de agosto de 1975, cuando despegó del Centro Espacial Kennedy de Florida (el antiguo Cabo Cañaveral) el Viking 1, que envió un módulo a la superficie de Marte el 20 de julio de 1976 (la parte que permaneció en órbita pesaba 900 kilos, y el módulo, 600). El 9 de septiembre de 1975, partía de la misma base su hermano, el Viking 2, que alcanzó Marte el 3 de septiembre de 1976. La última transmisión que llegó a la Tierra procedente de estos vehículos se produjo el 11 de noviembre de 1982. Uno de los objetivos de estas sondas era buscar posible vida en Marte, pero no se llegó a conclusiones definitivas. Todavía hoy se discute este punto, en particular si hay agua, tras misiones mucho más avanzadas como la del Mars Pathfinder (también norteamericana), que depositó el 4 de julio de 1997 un vehículo robot con seis ruedas llamado Sojourner, del que se obtuvo grandes cantidades de información sobre la atmósfera y el clima de Marte y sobre la composición química de las rocas: estuvo funcionando hasta el 30 de agosto, enviando 1,2 gigabits (1,2 millones de bits) de datos, y más de 100 000 imágenes de la superficie marciana. La cuestión de si hay agua es importante, puesto que ello podría indicar que existe, o ha existido, algún tipo de vida (también se ha detectado la presencia de metano en cantidades que indican que se produce de una forma constante, aunque se ignora si es por actividades geológicas o, acaso, biológicas).
Naturalmente, no ha sido Marte el único objetivo de los esfuerzos humanos por conocer nuestro Sistema Solar. Venus ha sido otro objetivo temprano de las misiones espaciales. Los soviéticos lo intentaron primero, pero al contrario que en otras ocasiones, su misión, Venera 1, que lanzaron el 12 de febrero de 1961, fracasó. En el verano de 1962, Estados Unidos lanzó dos sondas, la Mariner 1 y Mariner 2. La primera se perdió durante el lanzamiento, pero Mariner 2 llegó a Venus, a una distancia de 35 000 kilómetros, el 14 de diciembre de 1962; investigó las nubes que recubren el planeta y midió su temperatura y campo magnético. En 1973, un descendiente de aquella sonda, Mariner 10, se acercó aún más, a 10 000 kilómetros de su superficie, y, más tarde, la sonda Magellan (1990) llegó a sumergirse en su entorno, atravesando su densa atmósfera —dominada por dióxido de carbono (que produce un intenso efecto invernadero) y que incluye también una niebla de ácido sulfúrico concentrado—, que se extiende unos 45 kilómetros en altura; no obstante, a partir de un determinado nivel, el cielo venusiano es limpio y de gran visibilidad, aunque no por ello la situación es similar a la terrestre: la presión y la temperatura aumentan según se desciende hacia la superficie del planeta: al nivel del suelo, la presión es 94 veces mayor que la presión atmosférica terrestre.
Cabe mencionar también, entre otras, las misiones Pioneer, las Voyager y Galileo. La Pioneer 10 fue lanzada en marzo de 1972, y fue la primera en observar directamente al gigantesco Júpiter, el mayor de los planetas solares (su masa es 318 veces la de la Tierra, y está a 778 millones de kilómetros del Sol), mientras que la Pioneer 11 partía en abril de 1973, pasando por Júpiter para encaminarse después hacia el majestuoso Saturno, planeta fácilmente reconocible por los anillos que lo rodean por su ecuador (la masa de Saturno, el segundo planeta más grande del Sistema Solar, es 95 veces la de la Tierra, y está a 1,427 millones de kilómetros del Sol). Y cosas parecidas se podrían decir de las demás.
El dominio de la tecnología de satélites artificiales permitió que se llevase a cabo un proyecto puramente científico de gran importancia: colocar un telescopio en un satélite, con lo que se evitaba la pantalla que constituye la atmósfera terrestre. El astrónomo estadounidense Lyman Spitzer fue el primero que comenzó a trabajar seriamente, hacia 1946, en esta idea, que al fin hizo suya la agencia espacial norteamericana, la NASA, que en 1990 puso en órbita el que se conoce como «Telescopio Espacial Hubble», aunque tardó algo más en funcionar correctamente debido a un error en la fabricación del espejo principal, que producía un efecto de aberración. Hubo que fabricar uno nuevo e instalarlo en una misión espacial. Continúa en funcionamiento y ha constituido un manantial extraordinario de observaciones que apenas tienen rival.
§. La expansión del universo
Además de los resultados ya señalados, la introducción de las técnicas espectrográficas desarrolladas durante la segunda mitad del siglo XIX condujo en el siglo siguiente a un par de resultados de naturaleza fundamental. El primero de ellos tuvo que ver con la cuestión de si nuestra galaxia, la Vía Láctea, agota todo el Universo, o si, por el contrario, existen otras estructuras astronómicas (otras galaxias) de naturaleza similar, pero separadas de ella por grandes distancias. Se puede decir que este largo debate terminó en 1924, siendo decisiva la utilización de unos magníficos indicadores de distancias, las estrellas cefeidas, denominadas así por su prototipo, «Delta Cephei», descubierta en 1786 por John Goodricke (1764-1786).
Las cefeidas son unas estrellas de luminosidad variable que comenzó a estudiar en 1908 Henrietta Leavitt (1868-1921), una ayudante del Observatorio de Harvard. Lo que Leavitt descubrió, cuatro años después, es que existía una relación lineal entre el logaritmo del período de la variación de la luminosidad de las cefeidas que se observaban en la nube de Magallanes y la propia luminosidad (intrínseca o absoluta). El mecanismo que se podía seguir entonces era simple: (1) se medía el período y de este se podía deducir, mediante la relación mencionada, la luminosidad intrínseca de la cefeida; (2) como en el observatorio se mide la intensidad relativa, es posible, comparando ambas, intrínseca y relativa, deducir las distancias mediante sencillas reglas trigonométricas. De esta manera, las magnitudes permitían calcular las distancias; esto es, se podía determinar la distancia a la que se encontraba la cefeida, con lo que se caracterizaba también la distancia de la agrupación estelar (una galaxia, por ejemplo) a la que pertenecía. En 1917, por ejemplo, Harlow Shapley (1885-1972), del Observatorio de Monte Wilson (California), descubrió que el Sistema Solar no se encontraba en el centro de la Vía Láctea, sino en uno de sus brazos, y calculó las distancias y dimensiones a partir del pulso de las cefeidas.
Shapley también utilizó este método para determinar las distancias de los cúmulos globulares que rodean a la Vía Láctea, en los que abundan las cefeidas. En 1918 anunció que las distancias que nos separan de esos cúmulos alcanzan los 200 000 años-luz, lo que significaba que la Vía Láctea tiene unos 300 000 años-luz de diámetro. En consecuencia, nuestra galaxia pasaba a tener un tamaño alrededor de diez veces mayor de lo supuesto hasta entonces. Esto implicaba que aumentaba la capacidad de la Vía Láctea de acoger en su seno objetos celestes, lo que iba en contra de la idea de que existiesen otros universos-islas (galaxias) fuera de ella. Por decirlo de otra manera: se reforzaba la idea de que las fronteras de nuestra galaxia constituían las distancias mayores existentes en el Universo.
Sin embargo, no todos pensaban igual. El 20 de abril de 1920, por ejemplo, se celebró uno de esos grandes debates que jalonan la construcción de la ciencia. Shapley defendía la unidad del cosmos en una Big Galaxy (Gran Galaxia), en tanto que un colega suyo de Monte Wilson, Heber Curtis (1872-1942), consideraba excesivas sus dimensiones y defendía la existencia de universos distintos de la Vía Láctea. Pero en 1921 Shapley dejó Monte Wilson para pasar al Observatorio de Harvard, del que a los pocos meses fue nombrado director. De esta manera se alejó del principal centro de los estudios de galaxias espirales, perdiendo la oportunidad de extender sus estudios a este tipo de galaxias, que iban a resultar claves. Probablemente no creyese que fuese posible identificar allí estrellas individuales (cefeidas en particular). Que estaba equivocado es algo que demostraría Edwin Hubble (1889-1953), que había iniciado su carrera sin una preparación especializada, aunque pronto demostró una capacidad excepcional para la observación, con el telescopio de 2,5 metros del Observatorio de Monte Wilson, donde comenzó a trabajar en 1919.

El descubrimiento de la expansión del Universo constituye uno de los grandes hitos de la historia de la humanidad. No se trató de la deducción teórica, aunque por entonces existiese la teoría —la cosmología relativista— que permite hacerlo, sino de un hallazgo observacional. La fotografía que incluimos, reproducida en uno de los libros de Edwin Hubble, The Realm of the Nebulae (1936), muestra con claridad la naturaleza experimental del descubrimiento, anunciado por el propio Hubble en 1929. A la izquierda aparecen los espectros tomados de una serie de galaxias («nebulosas extragalácticas» las denominaba Hubble); en todos se selecciona una línea concreta del espectro, que, como se advierte por las flechas que aparecen a partir del segundo espectro, va desplazándose cada vez más hacia la derecha, esto es, hacia el rojo del espectro. Entendido en base al efecto Doppler, ese desplazamiento significa que la fuente emisora se está alejando del observador. Y si ahora relacionamos este resultado con las fotografías de la derecha, en las que se ven galaxias cada vez más pequeñas, la conclusión es inmediata: más pequeñas implica más alejadas (Hubble, por supuesto, no se basó en este indicador tan primario, sino en la determinación de distancias), y cuanto más alejadas, más rápidamente se alejan de nosotros (desplazamiento de líneas espectrales mayores). A esta conclusión hay que añadir la creencia de que no estamos en el centro del Universo; esto es, que todas las galaxias se alejan entre sí con una velocidad que depende de la distancia que las separa: es el conjunto del Universo el que se expande.
A partir de 1921 Hubble comenzó a tomar fotografías de la nebulosa irregular NG 6822 con el telescopio de 2,5 metros. En 1924 ya tenía más de 50 placas y 11 cefeidas, estableciendo la distancia de la nebulosa en 700 000 años-luz, una distancia mucho mayor que la estimación más extremada de los límites de nuestra galaxia. Al mismo tiempo que estudiaba la NG 6822, Hubble se ocupaba de galaxias espirales, encontrando —de nuevo con la ayuda de cefeidas— que también ellas se hallaban a distancias superiores a las del tamaño de la Vía Láctea. De esta manera quedaba sentenciado el antiguo debate de la estructura del Universo.
Aunque la palabra galaxia tenía un largo uso anterior, el descubrimiento de otras galaxias introdujo una nueva dimensión cósmica. Una galaxia media estaba formada por 1000 millones de estrellas y se extendía a lo largo de 100 000 años-luz de diámetro (este el caso de la Vía Láctea, en la que el Sistema Solar se encuentra a unos 27 000 años-luz del centro). Importante en este proceso científico-terminológico fue la identificación de las aglomeraciones vecinas a la Vía Láctea, las nubes de Magallanes, visibles desde el hemisferio sur, y la distancia a Andrómeda (2,3 millones de años-luz), que les valieron el rango de galaxias.
Una vez que hubo determinado la distancia de varias galaxias espirales, Hubble fue capaz de demostrar la existencia de una relación extremadamente importante entre la velocidad con que se mueven esas galaxias y su distancia. Lo que hizo —con la ayuda de Milton Humason (1891-1972), un ayudante de astrónomos con gran habilidad para obtener placas fotográficas— fue lo siguiente: conocía la distancia de cinco galaxias (y una sexta compañera) a partir de cefeidas. Con estas nebulosas calibró la magnitud media de la estrella más brillante en una galaxia, dato que utilizó para determinar la distancia de otras 14 galaxias. Empleó entonces estas 20 para calibrar la magnitud media de una nebulosa, utilizando el resultado para estimar la distancia de otras cuatro. Con las distancias de 24 de las 46 nebulosas extragalácticas para las que se habían determinado sus velocidades radiales, Hubble y Humason pudieron demostrar (y publicaron en 1931) la existencia de una relación lineal entre distancias y velocidades radiales (que conocían midiendo el desplazamiento —un efecto tipo Doppler— de los espectros de la radiación procedente de esas galaxias). El trabajo de Hubble tenía una interpretación directa: cuanto más alejadas se encontraban las galaxias, más rápidamente se alejaban (entre sí); se alejaban, puesto que el desplazamiento observado era hacia el extremo rojo del espectro, no hacia el azul. (Hay que advertir que en realidad Hubble no fue el primero en observar movimientos de este tipo en las galaxias. En 1914, Vesto Slipher [1875-1969], un astrofísico del Observatorio Lowell, en Flagstaff [Arizona], descubrió que los espectros de algunas galaxias lejanas poseían una velocidad radial que las alejaba de la Vía Láctea —y, por consiguiente, un corrimiento hacia el rojo de las líneas espectrales— hasta 1100 km/s. También es importante señalar que algunas galaxias cercanas, como Andrómeda, tienen velocidades radiales negativas —esto es, se acercan a la Vía Láctea—, un movimiento que se atribuye a la rotación de nuestra galaxia y a la atracción gravitacional que existe entre ambas. Pero no existen galaxias lejanas con desplazamiento espectral hacia el azul).
Expresado en términos analíticos, el resultado de Hubble se formula como v = H · d, donde v es la velocidad de expansión, H es una constante (aunque en realidad depende del tiempo), conocida como «constante de Hubble», y d, la distancia. Se trata de una ley que describe la expansión del Universo sin explicar la causa.
La interpretación más inmediata era, por consiguiente, que el Universo se encontraba en expansión. Y si el Universo se expandía, esto quería decir que debió de existir en el pasado (estimado inicialmente en unos 10 000 millones de años, más tarde en 15 000 millones y, en la actualidad, en 13 000 millones de años) un momento en el que toda la materia habría estado concentrada en una pequeña extensión. Otra cosa era, claro, enmarcar este resultado y consecuencias en un modelo cosmológico.
§. Origen y evolución del universo
La cosmogonía describe la formación del Universo, mientras que la cosmología explica el origen y la evolución del Universo. Naturalmente, se trata de una serie de cuestiones que los humanos se plantearon desde antiguo. Así, la explicación más frecuente en las grandes construcciones religiosas acude a un creador, y judaísmo y cristianismo coinciden en la creación a partir de la nada. Las religiones monoteístas atribuyeron a Dios la creación del Universo y ofrecieron una descripción más o menos detallada de la misma. Como vimos, en el mundo heleno, con Aristóteles a la cabeza, prosperó la que podemos considerar primera teoría elaborada y con pretensiones científicas de la naturaleza del cosmos: un espacio en el que se distinguían tres partes, el mundo sublunar, con la Tierra en el centro de una esfera, el cielo más allá de la Luna, en el que las esferas estelares se superponían sin encontrarse. En cuanto al motor de tal sistema, la teología católica medieval terminó produciendo la idea del Empíreo, el lugar en el que se encontraría Dios y en el que residirían tanto los ángeles como las almas acogidas en el Paraíso; aunque, por decirlo de alguna manera, transcendía y englobaba al Universo, se le suponía fuera del tiempo y del espacio y estaba en reposo.
Podría suponerse que la llegada de la teoría de la gravitación universal de Newton cambió esta acientífica situación, produciendo una cosmología científica (al fin y al cabo, la gravitación es la fuerza dominante en el Universo), pero no fue así. El universo newtoniano era, implícitamente, infinito, enmarcado en un espacio absoluto, en el que únicamente podía «entrar», con capacidades regulatorias, Dios. Y las ecuaciones de los Principia no permitían elaborar modelos para semejante universo.
También estaba, como ya vimos en el capítulo 6, la cosmología cartesiana, con su estructurado plenum de vórtices; estructurado y agradable desde un punto de vista intuitivo, pero carente de una estructura teórico-matemática que permitiese asignarle un carácter realmente científico.
Fue Albert Einstein quien cambió esta situación.
En el capítulo 19 vimos que en 1915 Einstein concluyó su búsqueda de una teoría relativista de la gravitación, produciendo la teoría general de la relatividad. Inmediatamente, en 1916, se planteó aplicar su nueva teoría al conjunto del cosmos. Incapaz de imaginar que el Universo no fuese, en media (esto es, ignorando movimientos locales), estático, buscó una solución de las ecuaciones de la relatividad general que pudiese acomodarse a semejante posibilidad. Y pronto se dio cuenta de que era imposible: al ser la interacción gravitacional atractiva, terminarían produciéndose inestabilidades que desharían ese universo estático. Para compensar ese efecto atractivo introdujo de manera ad hoc un nuevo término en las ecuaciones de la relatividad general, el denominado «término cosmológico», que equivalía a un campo de fuerzas repulsivo. Pudo así encontrar el modelo de universo estático (supuso que su contenido era de densidad uniforme) que buscaba. Con él creó la auténtica cosmología, entendida como disciplina plenamente científica, frente a las apenas analíticas, escasamente predictivas, cosmologías anteriores. Tal modelo fue finalmente arrinconado ante la evidencia encontrada por Hubble de que el Universo no es estático, sino que se expande. Afortunadamente para la cosmología relativista, existían soluciones de sus ecuaciones (que no necesitaban de la constante cosmológica) que representaban universos en expansión: espacios en un universo homogéneo e isótropo (aunque universo y espacio son usados a veces como sinónimos, también tienen significados específicos: la expansión se refiere únicamente al espacio, no a los cuerpos que configuran el Universo). Y lo curioso es que estas fueron encontradas antes de los resultados de Hubble. Fueron el producto de trabajos de científicos como el sacerdote y físico belga Georges Lemaître (1894-1966), el matemático y físico ruso Alexander Friedmann (1888-1925), el matemático estadounidense Howard Robertson (1903-1961) o el matemático inglés Arthur Geoffrey Walker (1909-2001).
Ahora bien, de todos estos únicamente Lemaître pensó que tal solución podía tener realidad física. Lo hizo en un artículo titulado «Un universo homogéneo de masa constante y de radio creciente, que explica la velocidad radial de nebulosas extragalácticas», que publicó en 1927 la revista Annales de la Société Scientifique de Bruxelles. Tomando como base la teoría de la relatividad general y las observaciones publicadas por Hubble en 1926 (durante una visita que realizó a Estados Unidos en 1924-1925, Lemaître había asistido a una reunión de la American Astronomical Society en la que Hubble presentó los resultados de sus observaciones de cefeidas en Andrómeda), Lemaître obtenía una solución de la construcción einsteiniana en la que, como señalaba en sus conclusiones, «el radio del universo crece sin cesar desde un valor asintótico R0, para t = –∞», y que, además, le permitía obtener una primera estimación basada en la observación de la constante de Hubble.
A pesar de su carácter pionero, el trabajo de Lemaître pasó casi desapercibido, incluso inicialmente para Arthur Eddington, el catedrático de Astronomía de la Universidad de Cambridge, además de brillante teórico y expositor y el gran defensor de la teoría de la relatividad general einsteiniana, con quien Lemaître había estado y al que había enviado su trabajo. Finalmente, y una vez que Lemaître recordase en 1930 a Eddington el contenido de su trabajo, este difundió los resultados del abad y científico belga. Lo hizo sobre todo en una nota que publicó en Nature el 7 de junio de 1930. De esta manera, los resultados de Lemaître fueron descubiertos realmente por la comunidad internacional. Ahora bien, esto no quiere decir que fuesen tomados en serio. En este caso los argumentos teóricos no fueron lo suficientemente poderosos o convincentes para ser aceptados. No fue hasta poco después, cuando en 1931 Hubble publicó sus resultados finales, que la expansión del Universo tomó carta de naturaleza. Aquel mismo año, por cierto, Lemaître propuso un modelo que intentaba tomar en cuenta la física cuántica, entonces en desarrollo. En él, el comienzo del Universo no estaba ligado a una singularidad inicial, sino a un «átomo primitivo», cuya masa coincidía con la masa total del Universo; la explosión y subsiguiente expansión estaría asociada a procesos cuánticos que afectarían a ese átomo.
La idea del Big Bang fue acogida con satisfacción por el pontífice romano Pío XII, al encontrarla más próxima al Génesis que la eternidad defendida por sus predecesores, manifestándose públicamente en este sentido el 22 de noviembre de 1951 en la Academia Pontificia de Ciencias. Sin embargo, y a pesar de lo que podamos pensar en la actualidad, en la que la expansión del Universo forma parte de la cultura universal, esto no fue siempre así, como prueba la cosmología del estado estable, propuesta en 1948 por tres físicos y cosmólogos instalados en Cambridge: Fred Hoyle (1915-2001), por un lado, y Hermann Bondi (1919-2005) y Thomas Gold (1920-2004), por otro (los tres habían discutido sus ideas con anterioridad a la publicación de sus respectivos artículos). Esta cosmología, que sostenía (Principio cosmológico perfecto) que el Universo siempre ha tenido y tendrá la misma forma (incluyendo densidad de materia, lo que, debido a la evidencia de la expansión del Universo, obligaba a introducir la creación de materia para que un volumen de universo tuviese siempre el mismo contenido a pesar de estar dilatándose), que no tuvo ni un principio ni tendrá un final, ejerció una gran influencia durante la década de los años cincuenta, siendo finalmente socavada con la llegada de la radioastronomía (en la que destacaron inicialmente los radiotelescopios del Mullar Radio Astronomy Observatory, inaugurado en 1957, situado en las afueras de Cambridge y dirigido por Martin Ryle) y, definitivamente, con el descubrimiento del fondo de radiación de microondas.
El descubrimiento de este fondo está emparentado con los trabajos que llevó a cabo en 1961 E. A. Ohm, un físico de una de las instalaciones de los Laboratorios Bell, situada en Crawford Hill, Nueva Jersey, quien construyó un radiómetro capaz de recibir señales de microondas procedentes del globo Echo de la NASA (un reflector de señales electromagnéticas lanzado en 1960). No era una casualidad: los Laboratorios Bell querían comenzar a trabajar en el campo de los satélites de comunicación. En observaciones realizadas en la longitud de onda de 11 centímetros, Ohm encontró un exceso de temperatura de 3,3 grados kelvin en la antena, pero este resultado apenas atrajo alguna atención (la relación entre temperaturas y longitudes de onda se puede obtener a partir de leyes como la de Stefan-Boltzmann, Wien o Planck).
Otro instrumento que se desarrolló por entonces en Crawford Hill fue una antena en forma de cuerno, una geometría que reducía las interferencias. El propósito inicial era la comunicación, vía el globo Echo, con el satélite Telstar de la compañía (la antena debía ser muy precisa, ya que debido a la forma del globo, las señales que incidían en él se difundían mucho). En 1963, sabiendo de la existencia de esa antena, Robert Wilson (n.º 1936) abandonó su puesto posdoctoral en el Instituto Tecnológico de California (Caltech) para aceptar un trabajo en los Laboratorios Bell. Arno Penzias (n.º 1933), un graduado de la Universidad de Columbia (Nueva York) tres años mayor que Wilson, ya llevaba por entonces dos años en los laboratorios. Afortunadamente, aquel mismo año la antena, pequeña pero de gran sensibilidad, pudo ser utilizada para estudios de radioastronomía, ya que la compañía decidió abandonar el negocio de comunicaciones vía satélite. Realizando medidas para una longitud de onda de radiación de 7,4 centímetros, Penzias y Wilson encontraron una temperatura de 7,5 grados kelvin, cuando suponían que debía ser menor, aproximadamente 3,3 grados. Además, esta temperatura (o radiación) suplementaria, que se creía efecto de algún ruido de fondo, resultó ser independiente de la dirección en la que se dirigiese la antena. Los datos obtenidos indicaban que lo que estaban midiendo no tenía origen ni atmosférico, ni solar, ni galáctico. Era un misterio.
Después de descartar que este ruido proviniese de la propia antena, la única conclusión posible era que tenía algo que ver con el cosmos, aunque no se sabía cuál podía ser la causa. La respuesta llegó de un grupo de colegas de la cercana Universidad de Princeton, algunos de los cuales, como James Peebles, ya habían considerado la idea de que, si hubo un Big Bang, debería existir un fondo de ruido remanente del universo primitivo, un ruido que, en forma de radiación, correspondería a una temperatura mucho más fría (a causa del enfriamiento asociado a la expansión del Universo) que la enorme temperatura que debió de producirse en aquella gran explosión. Las ideas de Peebles habían animado a su colega en Princeton Robert Dicke a iniciar un experimento destinado a encontrar esa radiación de fondo cósmico, tarea en la que se les adelantaron, sin pretenderlo, Penzias y Wilson. Aun así, fue el grupo de Princeton el que suministró la interpretación de las observaciones de Penzias y Wilson, que estos publicaron en 1965 sin hacer ninguna mención a sus posibles implicaciones cosmológicas. De acuerdo con las mediciones actuales, la temperatura de esa radiación, situada en el dominio de las microondas, es de 2,7 grados kelvin (recordemos que 0 grados kelvin corresponde a –273,15 grados centígrados).
El descubrimiento de Penzias y Wilson apoyó la idea de que el Universo se expande, pero una vez entrados en este terreno, hay otras cuestiones que considerar. Con los datos de que se disponía, durante un tiempo bastó con el modelo de la relatividad general, que suministraba las soluciones que representan el Universo expandiéndose con una aceleración que depende de su contenido de masa-energía. Pero terminaron surgiendo problemas para la cosmología del Big Bang.
Uno de ellos era si esa masa-energía es tal que el Universo continuará expandiéndose siempre, o si es lo suficientemente grande como para que la atracción gravitacional termine venciendo a la fuerza del estallido inicial haciendo que, a partir de un momento, comience a contraerse para finalmente llegar a un Big Crunch («Gran Contracción»). Otro problema residía en la gran uniformidad que se observa en la distribución de masa del Universo, si se toma como unidad de medida escalas de unos 300 millones de años-luz o superiores (a pequeña escala, por supuesto, el Universo, con sus estrellas, galaxias, cúmulos de galaxias y enormes vacíos interestelares, no es homogéneo). El fondo de radiación de microondas es buena prueba de esa macrohomogeneidad. Ahora bien, en la teoría estándar del Big Bang es difícil explicar esta homogeneidad mediante los fenómenos físicos conocidos; además, si se tiene en cuenta que la información sobre lo que sucede entre diferentes puntos del espacio-tiempo no puede ser transmitida con una velocidad superior a la de la luz, sucede que en los primeros momentos de existencia del Universo no habría sido posible que regiones distintas «llegasen a un consenso», por decirlo de alguna manera, acerca de cuál debería ser la densidad media de materia y radiación.
Para resolver este problema se propuso la idea del universo inflacionario, según la cual en los primeros instantes de vida del Universo se produjo un aumento gigantesco, exponencial, en la velocidad de su expansión. En otras palabras, el miniuniverso habría experimentado un crecimiento tan rápido que no habría habido tiempo para que se desarrollasen procesos físicos que diesen lugar a distribuciones inhomogéneas. Una vez terminada la etapa inflacionaria, el Universo habría continuado evolucionando de acuerdo con el modelo clásico del Big Bang.
En cuanto a quiénes fueron los científicos responsables de la teoría inflacionaria, los principales nombres que hay que citar son los del estadounidense Alan Guth y el soviético Andrei Linde. Pero más que nombres concretos, lo que nos interesa resaltar es que no es posible comprender esta teoría al margen de la física de altas energías (antes denominada de partículas elementales), en concreto de las ya citadas en el capítulo 20 «Teorías de Gran Unificación» (Grand Unified Theories; GUT), que predicen que tendría que producirse una transición súbita, una «transición de fase», a temperaturas del orden de 1027 grados kelvin (en una transición de fase tiene lugar, recordemos, un cambio repentino en el estado del sistema en cuestión; un ejemplo es cuando el agua —un líquido— se convierte en hielo, que es sólido).
Bien, la inflación da origen a un universo uniforme, pero entonces ¿cómo surgieron las minúsculas inhomogeneidades primordiales de las que habrían nacido, al pasar el tiempo y actuar la fuerza gravitacional, estructuras cósmicas como las galaxias?
Una posible respuesta a esta pregunta es que la inflación podría haber amplificado enormemente las ultramicroscópicas fluctuaciones cuánticas que se producen debido al principio de incertidumbre aplicado a energías y tiempo. Si es así, ¿dónde buscar tales inhomogeneidades mejor que en el fondo de radiación de microondas?
La realización de esta búsqueda constituyó el trabajo de un equipo de científicos estadounidenses, a cuya cabeza estaban John C. Mather y George Smoot. Cuando la NASA aprobó en 1982 fondos para la construcción de un satélite para estudiar el fondo cósmico de microondas —el Cosmic Background Explorer (COBE), que fue puesto en órbita, a 900 kilómetros de altura, en el otoño de 1989—, Mather se encargó de coordinar todo el proceso, así como del experimento (en el que utilizó un espectrofotómetro enfriado a 1,5 grados kelvin) que demostró que la forma del fondo de radiación de microondas se ajustaba a la de una radiación de cuerpo negro a una temperatura de 2,735 grados kelvin, mientras que Smoot midió las minúsculas irregularidades predichas por la teoría de la inflación. Diez años después, tras haber intervenido en los trabajos más de mil personas y con un coste de 160 millones de dólares, se anunciaba que el COBE había detectado lo que Smoot denominó «arrugas» del espacio-tiempo, las semillas de las que surgieron las complejas estructuras —como las galaxias— que ahora vemos en el Universo. Por estos trabajos, Mather y Smoot recibieron en 2006 el premio Nobel de Física.
§. Cosmodiversidad
El desarrollo tecnológico, indispensable para avanzar en el conocimiento de las estructuras que existen en el Universo, condujo a partir de la década de 1960 al descubrimiento de nuevos objetos astronómicos, En 1963, un radioastrónomo inglés, Cyril Hazard, que trabajaba en Australia, estableció con precisión la posición de una poderosa radio-fuente, denominada 3C273. Con estos datos, el astrónomo holandés Maarten Schmidt, del Observatorio de Monte Palomar (California), localizó ópticamente el correspondiente emisor, encontrando que las líneas del espectro de 3C273 estaban desplazadas hacia el extremo del rojo en una magnitud que revelaba que se alejaba de la Tierra a una velocidad enorme: 16 por 100 de la velocidad de la luz. Utilizando la ley de Hubble, que afirma que la distancia de las galaxias entre sí es directamente proporcional a su velocidad de recesión, se deducía que 3C273 estaba muy alejada, lo que a su vez implicaba que se trataba de un objeto extremadamente luminoso, cien veces más que una galaxia típica. Este objeto fue bautizado como quasi-stellar source («fuente casiestelar»), esto es, quasar (cuásar), aceptándose en la actualidad que se trata de una galaxia con núcleo muy activo, probablemente impulsado por materia que está siendo absorbida por un agujero negro (de los que trataremos más adelante) con una masa centenares de veces la del Sol.
Desde su descubrimiento, se han observado varios millones de cuásares, aproximadamente el 10 por 100 del número total de galaxias brillantes (muchos astrofísicos piensan que una buena parte de las galaxias más brillantes pasan durante un breve período por una fase en la que son cuásares). La mayoría están muy alejados de la Vía Láctea, lo que significa que la luz que se ve ha sido emitida cuando el Universo era mucho más joven. Constituyen, por consiguiente, magníficos instrumentos para el estudio de la historia del Universo.
En 1967, la astrofísica Jocelyn S. Bell, Anthony Hewish y los colaboradores de este en Cambridge construyeron un detector para observar cuásares en las frecuencias radio. Mientras lo utilizaba, Bell observó una señal que aparecía y desaparecía con gran rapidez y regularidad. Tan constante era el período que parecía tener un origen artificial (¿acaso una fuente extraterrestre inteligente?). Tras una cuidadosa búsqueda, Bell y Hewish concluyeron que estos púlsares, como finalmente fueron denominados, tenían un origen astronómico (en 1974 Hewish compartió el premio Nobel de Física con Ryle; Jocelyn Bell, que había observado por primera vez los púlsares, fue dejada al margen, una decisión difícil de entender). Ahora bien, ¿qué eran estas radio-fuentes tan regulares? La interpretación teórica llegó poco después, de la mano de Thomas Gold, uno, recordemos, de los padres de la cosmología del estado estable, pero reconvertido ya al modelo del Big Bang. En 1968, Gold se dio cuenta de que los períodos tan pequeños implicados (del orden de uno o tres segundos en los primeros púlsares detectados) exigían una fuente de tamaño muy pequeño. Afortunadamente, en 1934, tanto solo dos años después de que James Chadwick descubriese el neutrón, el físico y astrofísico suizo afincando en California (Caltech) Fritz Zwicky sugirió la posibilidad de que existieran estrellas de neutrones, especie de núcleos gigantes formados únicamente por neutrones y unidos por la fuerza de la gravedad. La masa mínima para que pueda existir una estrella de neutrones es, según la relatividad general, 0,1 masas solares, mientras que el máximo parece encontrarse en torno a 6 masas solares. En el caso de una estrella de neutrones de 1 masa solar, su radio sería de unos 13 kilómetros y su densidad de 2·1017 kg·m–3, alrededor de 2·1014 veces la densidad del agua. Recordando esto, Gold propuso que los púlsares son en realidad estrellas de neutrones en rotación.
Además de su interés astrofísico, los púlsares sirven también para otras funciones. Entre ellas se encuentra la de servirse de ellos para comprobar la predicción de la relatividad general de que masas aceleradas emiten radiación gravitacional (un fenómeno análogo al que se produce con las cargas eléctricas aceleradas: la radiación electromagnética).
La confirmación de que, efectivamente, la radiación gravitacional existe derivó del descubrimiento, en 1974, del primer sistema formado por dos púlsares interaccionando entre sí (denominado PSR1913 + 16), descubrimiento por el que Russell Hulse y Joseph Taylor recibieron en 1993 el premio Nobel de Física. En 1978, después de varios años de observaciones continuadas de ese sistema binario, pudo concluirse que las órbitas de los púlsares varían, acercándose entre sí, un resultado que se interpreta en términos de que el sistema pierde energía debido a la emisión de ondas gravitacionales. Desde entonces han sido descubiertos otros púlsares en sistemas binarios, pero lo que aún resta es detectar la radiación gravitacional identificando su paso por instrumentos construidos e instalados en la Tierra, una empresa extremadamente difícil, dado lo minúsculo de los efectos implicados: se espera que las ondas gravitacionales que lleguen a la Tierra (originadas en algún rincón del Universo en el que tenga lugar un suceso extremadamente violento) produzcan distorsiones en los detectores de no más de una parte en 1021; esto es, una pequeña fracción del tamaño de un átomo. Existen ya operativos diseñados para lograrlo: el sistema estadounidense denominado LIGO por sus siglas inglesas, Laser Interferometric Gravitational wave Observatories (Observatorio de Interferometría Láser de ondas de Gravedad), compuesto de dos observatorios (esta duplicidad permite identificar señales falsas, producidas por efectos locales), uno en Louisiana y otro en Richland, en el estado de Washington. La idea en ellos es utilizar sistemas interferométricos de dos brazos perpendiculares y en condiciones de vacío con un recorrido óptico de dos o cuatro kilómetros, para detectar las ondas gravitacionales a través de los minúsculos movimientos que deben producir en los espejos.
También los cuásares resultan ser objetos muy útiles para estudiar el Universo en conjunción con la relatividad general. Alrededor de uno entre quinientos cuásares se ve implicado en un fenómeno relativista muy interesante: la desviación de la luz que emiten debido al efecto gravitacional de otras galaxias situadas entre el cuásar en cuestión y la Tierra, desde donde se observa este fenómeno, denominado «lentes gravitacionales», que Einstein había predicho en 1936. El efecto de curvatura puede llegar a ser tan grande que en ocasiones se observan imágenes múltiples de uno solo de estos cuásares tan lejanos.
En realidad, el fenómeno de las lentes gravitacionales no es producido únicamente por cuásares; también las grandes acumulaciones de masas (como cúmulos de galaxias) pueden desviar la luz procedente de, por ejemplo, galaxias situadas detrás de ellas (con respecto a nosotros), dando lugar no a una imagen más o menos puntual, sino a un halo de luz, a una imagen desdoblada. Este tipo de efecto fue observado por primera vez en 1979, cuando Dennis Walsh, Robert Carswell y Ray Weyman descubrieron una imagen múltiple de un cuásar en 0957 + 561. Posteriormente se han tomado fotografías con el telescopio espacial Hubble de un cúmulo de galaxias, situado a unos 1000 millones de años-luz de distancia, en el que, además de las galaxias, se observan numerosos arcos que se detectan con mayor dificultad debido a ser más débiles luminosamente. Estos arcos son en realidad las imágenes de galaxias mucho más alejadas de nosotros que las que constituyen el propio cúmulo, pero que observamos mediante el efecto de lente gravitacional (el cúmulo desempeña el papel de la lente que distorsiona la luz procedente de esas galaxias muy alejadas). Además de proporcionar nuevas evidencias en favor de la relatividad general, estas observaciones tienen el valor añadido de que la magnitud de la desviación y distorsión que se manifiesta en estos arcos luminosos es mucho mayor de la que se esperaría si en el cúmulo no hubiese nada más que las galaxias que vemos en él.
Las evidencias apuntan, en efecto, a que los cúmulos que acabamos de mencionar contienen entre cinco y diez veces más materia de la que se observa. Y lo sorprendente —o lo mejor (porque encontrar problemas es también abrir nuevas puertas al conocimiento)— es que no son las únicas. Tenemos, por consiguiente, buenas razones para pensar que existe en el cosmos una gran cantidad de materia que no observamos, pero que ejerce fuerza gravitacional. El síntoma más inmediato procede de galaxias en forma de disco (como nuestra propia Vía Láctea) que se encuentran en rotación. Cuando se observa la parte exterior de estas galaxias, se encuentra que el gas se mueve de manera sorprendentemente rápida; mucho más rápidamente de lo que debería por causa de la atracción gravitacional producida por las estrellas y gases que se detectan en su interior. Otras evidencias proceden de los movimientos internos de cúmulos de galaxias. Se cree que esta materia «oscura» constituye en torno al 30 por 100 de toda la materia del Universo. ¿Cuál es su naturaleza? Ese es uno de los problemas; puede tratarse de estrellas muy poco luminosas, de nuevos tipos de partículas elementales (apropiadamente denominadas «exóticas») o de otra clase de objetos cósmicos, los agujeros negros de los que hablaremos enseguida. No podremos entender realmente lo que son las galaxias, ni cómo se formaron, hasta que sepamos qué es esa materia oscura. Ni tampoco podremos saber cuál será el destino último de nuestro universo.
Junto al problema de la materia oscura, otro parecido adquirió prominencia en la última década del siglo XX: el de la energía oscura. Estudiando un tipo de supernovas —estrellas que han explotado dejando un núcleo—, un grupo dirigido por Saul Perlmutter (del Laboratorio Lawrence en Berkeley, California) y otro por Brian Schmidt (Observatorios de Monte Stromlo y Siding Spring, en Australia) llegaron a la conclusión de que, al contrario de lo supuesto hasta entonces, la expansión del Universo se está acelerando. Y aquí surge el problema, ya que la masa del Universo no puede explicar tal aceleración; había que suponer que la gravedad actúa de una nueva y sorprendente manera: alejando las masas entre sí, no atrayéndolas. Se había supuesto que para propulsar el Big Bang debía de haber existido una energía repulsiva en la creación del Universo, pero no se había pensado que pudiera existir en el Universo ya maduro.
Una nueva energía entraba así en acción, una energía «oscura» que reside en el espacio vacío. Y como explicó Einstein en 1905 con su ecuación E = m·c2, la energía es equivalente a la masa, por lo que esta energía oscura significa una nueva aportación a la masa total del Universo, distinta, eso sí, de la masa oscura. Se tiene, así, que alrededor del 3 por 100 del Universo está formado por masa ordinaria, el 30 por 100 de masa oscura y el 67 por 100 de energía oscura. En otras palabras: creíamos que conocíamos eso que llamamos Universo y resulta que es un gran desconocido. Porque, aunque existen algunas propuestas, la verdad es que por el momento no se sabe realmente qué son ni la materia oscura ni la energía oscura.
De hecho, no debería sorprendernos que encontremos nuevos misterios. Por mucho que nos hayamos esforzado en «mirar ahí fuera», hay demasiado que ver, inmensos espacios que investigar. Y no sería extraño que encontremos allí muchas cosas inesperadas; por ejemplo, cuerpos cósmicos completamente diferentes de aquellos con los que estamos familiarizados en el Sistema Solar. De hecho, ya hemos encontrado objetos de este tipo: los agujeros negros.
Aunque estos objetos pertenecen al dominio teórico de la relatividad general, sus equivalentes newtonianos habían sido propuestos —y enseguida olvidados— mucho antes: primero por el astrónomo británico John Michell (c. 1724-1793) en 1783, y en 1795 por Laplace. Su exotismo proviene de que involucran nociones tan radicales como la destrucción del espacio-tiempo en puntos denominados «singularidades».
El origen de los estudios contemporáneos que condujeron a los agujeros negros se remonta a la década de 1930, cuando el físico de origen hindú, Subrahamanyan Chandrasekhar (1910-1995), y el ruso Lev Landau (1908-1968), demostraron que en la teoría de la gravitación newtoniana un cuerpo frío de masa superior a 1,5 veces la del Sol no podría soportar la presión producida por la gravedad. Este resultado condujo a la pregunta de qué sucedería según la relatividad general. Robert Oppenheimer, junto a dos de sus colaboradores, George M. Volkoff y Hartland Snyder, demostró en 1939 que una estrella de semejante masa se colapsaría hasta reducirse a una singularidad, esto es, a un punto de volumen cero y densidad infinita.
Pocos prestaron atención, o creyeron, en las conclusiones de Oppenheimer y de sus colaboradores y su trabajo fue ignorado hasta que el interés en los campos gravitacionales fuertes fue impulsado por el descubrimiento de los cuásares y los púlsares. Un primer paso lo dieron en 1963 los físicos soviéticos, Evgenii Lifshitz e Isaak Khalatnikov, que comenzaron a estudiar las singularidades del espacio-tiempo relativista. Siguiendo la estela del trabajo de sus colegas soviéticos e introduciendo poderosas técnicas matemáticas, a mediados de la década de 1960 dos británicos, el matemático y físico Roger Penrose y el físico Stephen Hawking, demostraron que las singularidades eran inevitables en el colapso de una estrella si se satisfacían ciertas condiciones.
Un par de años después de que Penrose y Hawking publicasen sus primeros artículos, la física de las singularidades del espacio-tiempo se convirtió en la de los «agujeros negros», un término afortunado que no ha hecho sino atraer la atención popular sobre este ente físico. El responsable de esta aparentemente insignificante pequeña revolución terminológica fue el físico estadounidense, John A. Wheeler, con el que ya nos encontramos en el capítulo 20.
Aunque la historia de los agujeros negros tiene sus orígenes, como se ha indicado, en los trabajos de índole física de Oppenheimer y sus colaboradores, durante algunos años predominaron los estudios puramente matemáticos, como los citados de Penrose y Hawking. La idea física subyacente era que debían representar objetos muy diferentes a cualquier otro tipo de estrella, aunque su origen estuviese ligado a estas. Surgiría cuando, después de agotar su combustible nuclear, una estrella muy masiva comenzase a contraerse irreversiblemente debido a la fuerza gravitacional. Así, llegaría un momento en el que se formaría una región (denominada «horizonte») que únicamente dejaría entrar materia y radiación, sin permitir que saliese nada, ni siquiera luz (de ahí lo de «negro»): cuanto más grande es, más «come», y cuanto más «come», más crece. En el centro del agujero negro está el punto de colapso. De acuerdo con la relatividad general, allí la materia que una vez compuso la estrella es comprimida y expulsada aparentemente «fuera de la existencia».
Evidentemente, «fuera de la existencia» no es una idea aceptable. Ahora bien, existe una vía de escape a semejante paradójica solución: la teoría de la relatividad general no es compatible con los requisitos cuánticos, pero cuando la materia se comprime en una zona muy reducida son los efectos cuánticos los que dominarán. Por consiguiente, para comprender realmente la física de los agujeros negros es necesario disponer de una teoría cuántica de la gravitación (cuantizar la relatividad general o construir una nueva teoría de la interacción gravitacional que sí se pueda cuantizar), una tarea, como ya señalamos en el capítulo 20, aún pendiente en la actualidad, aunque se hayan dado algunos pasos en esta dirección, uno de ellos debido al propio Hawking, el gran gurú de los agujeros negros: la denominada «radiación de Hawking», la predicción de que, debido a procesos de índole cuántica, los agujeros negros no son tan negros como se pensaba, pudiendo emitir radiación.
No sabemos, en consecuencia, muy bien qué son estos misteriosos y atractivos objetos. De hecho, ¿existen realmente? La respuesta es que sí. Y cada vez aparecen más evidencias en favor de su existencia. La primera de ellas fue consecuencia de la puesta en órbita, el 12 de diciembre de 1970, desde Kenia, para conmemorar la independencia del país, de un satélite estadounidense bautizado como Uhuru, la palabra suajili para «Libertad». Con este instrumento se pudo determinar la posición de las fuentes de rayos X más poderosas. Entre las 339 fuentes identificadas, figura Cygnus X-1, una de las más brillantes de la Vía Láctea, en la región del Cisne. Esta fuente se asoció posteriormente a una estrella supergigante azul visible, de una masa 30 veces la del Sol, y una compañera invisible cuya masa se estimó —analizando el movimiento de su compañera— en siete masas solares, una magnitud demasiado grande para ser una estrella de neutrones, por lo que se considera un agujero negro. No obstante, algunos sostienen que la masa de este objeto invisible es de tres masas solares, con lo que podría ser una estrella de neutrones; en cualquier caso, ya se han encontrado otros sistemas binarios (al menos diez), uno de cuyos miembros parece ser un agujero negro: por ejemplo, V404 Cygni, constituido por una estrella de 2/3 la masa del Sol y un agujero negro de 12 masas solares. En la actualidad se acepta generalmente que existen agujeros negros supermasivos en el centro de aquellas galaxias (aproximadamente el 1 por 100 del total de galaxias del Universo) cuyo núcleo es más luminoso que el resto de toda la galaxia. De manera indirecta se han determinado las masas de esos superagujeros negros en más de 200 casos, pero solo en unos pocos de manera directa; uno de ellos está en la propia Vía Láctea.
Otro gran avance reciente es que gracias al avance tecnológico, los científicos están siendo capaces de comprobar lo que parecía evidente: que existen sistemas planetarios asociados a estrellas diferentes del Sol. El primer hallazgo en este sentido se produjo en 1991, cuando Alex Wolszczan, un astrónomo polaco instalado en Estados Unidos (en la Universidad Estatal de Pensilvania), y el canadiense del Observatorio Radioastronómico Nacional de Socorro (Nuevo México) Dale Frail, descubrieron que dos planetas con masas 4,3 y 1,8 veces la de la Tierra orbitan alrededor del púlsar PSR1257 + 12; cuatro años después, dos astrónomos suizos de la Universidad de Ginebra, Michel Mayor y Didier Queloz, hicieron público que habían descubierto un planeta del tamaño y tipo de Júpiter (un gigante gaseoso) orbitando en torno a una estrella del tipo del Sol, 51 Pegasi. Desde entonces el número de planetas extrasolares conocidos ha aumentado considerablemente (en junio de 2010, el número era de 396 sistemas planetarios que incluyen 464 cuerpos planetarios). Y si existen tales planetas, acaso en algunos también se haya desarrollado vida. Ahora bien, aunque la biología que se ocupa del problema del origen de la vida no descarta que, en entornos lo suficientemente favorables, las combinaciones de elementos químicos puedan producir, debido a procesos sinérgicos, vida, esta no tiene porque ser vida del tipo de la humana. Sabemos que la especie humana es un producto del azar evolutivo, y debido a semejante aleatoriedad no podemos estar seguros de que exista en otros planetas, en nuestra o en otra galaxia, vida inteligente que trate, o haya tratado, de entender la naturaleza construyendo sistemas científicos, y que también se haya planteado el deseo de comunicarse con otros seres vivos que puedan existir en el Universo. Aun así, desde hace tiempo existen programas de investigación que rastrean el Universo buscando señales de vida inteligente. Programas como el denominado SETI, siglas del Search of Extra-Terrestrial Intelligence (Búsqueda de Inteligencia Extraterrestre).
Iniciado a finales de la década de 1950, este programa debe mucho al astrónomo Frank Drake, el autor de una famosa ecuación en la que realizó una ciertamente aventurada y muy cuestionable estimación de número de civilizaciones extraterrestres con tecnología lo suficientemente desarrollada como para permitir que pudiésemos entrar en contacto con ellas. El vehículo para poder realizar semejante contacto no puede ser otro que los radiotelescopios, como argumentaron dos físicos de la Universidad de Cornell (Estados Unidos), Giuseppe Cocconi y Philip Morrison, en un artículo que publicaron en septiembre de 1959 en la revista Nature. «Los lectores», escribían en él, «pueden pensar que estas especulaciones caen completamente en el campo de la ciencia ficción. En su lugar, nosotros proponemos que la anterior línea de argumentos demuestra que la presencia de señales interestelares es completamente consistente con todo lo que ahora sabemos, y que si existen tales señales, ya están disponibles los medios para detectarlas […] Es difícil de estimar la probabilidad de éxito, pero si nunca buscamos, esa probabilidad es cero».
Este artículo causó sensación en los medios astronómicos y ayudó a que el director, Otto Struve, del centro (el Observatorio Nacional de Radioastronomía de Green Bank, en Virginia, Estados Unidos) en el que trabajaba Drake —que llevaba ya tiempo pensando en los mismos términos— autorizase emprender una búsqueda. El programa en cuestión (bautizado con el nombre «Ozma») se puso en marcha en 1960, utilizando un nuevo radiotelescopio —un disco de 27 metros de diámetro— que había entrado en funcionamiento. Se centró en dos estrellas cercanas, Tau Ceti y Epsilon Eridani: entre abril y julio de 1960, trabajando seis horas al día, se examinaron las radiaciones y sonidos que llegaban de estas estrellas, buscando regularidades que pudiesen seguir la secuencia de los números primos o los dígitos del número π, pero no se encontró nada de este tipo.
No se desanimó por ello Drake, quien continuó empeñado en la búsqueda; a partir de 1974, utilizó el mayor radiotelescopio del mundo, un gigantesco disco de 300 metros de diámetro, instalado, aprovechando una hondonada natural, en Arecibo (Puerto Rico). Aunque el avance de la electrónica permite desarrollar búsquedas mucho más completas que las del viejo Proyecto «Ozma», y a pesar de que existen más radiotelescopios que emplean parte de su tiempo en la búsqueda de señales de vida extraterrestre, aún no se ha detectado nada que indique que existen.
§. Física cuántica y universo
Aceptado el modelo del Big Bang, se sigue inmediatamente que el Universo tuvo necesariamente —ya nos encontramos con algo de esto a propósito de las inhomogeneidades en la radiación del fondo de microondas— que pasar por una fase dominada por energías de magnitud extraordinarias y por dimensiones ultramicroscópicas, una fase que fue decisiva para su historia posterior. Ahora bien, dimensiones y energías de esa magnitud pertenecen al dominio de la física cuántica, en general, y al de la física de partículas elementales y altas energías en particular. Fue necesario, por consiguiente, recurrir a estas ramas de la física para estudiar la historia temprana del Universo, y también algunos procesos que tienen lugar en él, como los que se producen en el interior de las estrellas.
La reunión de astrofísica y cosmología con la física cuántica de altas energías es un proceso que comenzó sobre todo a principios de la década de 1970, con trabajos de físicos teóricos de altas energías. El producto de sus trabajos ha sido que la historia del Universo comenzó con una fase inicial (con temperaturas del orden de 100 000 millones de grados kelvin), en la que estaba formado por una «sopa» indiferenciada, mezcla de radiación electromagnética (constituida por fotones, las «partículas de la luz» según la física cuántica) y de algunas partículas elementales: electrones y neutrinos y sus respectivas antipartículas —positrones y antineutrinos—, además de un número mucho más pequeño de protones y neutrones, mucho más pesados que las partículas anteriores.
Al ir disminuyendo la temperatura del Universo (que experimentó en sus primeros instantes una expansión muy acelerada, una «inflación», a la que ya nos hemos referido), esa sopa se fue diferenciando. A la temperatura de 30 000 millones de grados kelvin, alcanzada en unos 0,11 segundos, los fotones —esto es, la radiación— se independizaron de la materia, distribuyéndose uniformemente por el espacio. Únicamente cuando la temperatura del Universo descendió a los 3000 millones de grados kelvin (a los 13,82 segundos del estallido inicial) comenzaron a formarse —mediante la unión de protones y neutrones— algunos núcleos estables, básicamente el hidrógeno (un protón en torno al cual orbita un electrón) y el helio (dos protones y dos neutrones en el núcleo, con dos electrones como «satélites»). Estos dos elementos, los dos más ligeros que existen en la naturaleza, fueron —junto a fotones y neutrinos— los principales productos del Big Bang. Debieron formarse entre cien segundos y un cuarto de hora después de aquel colosal estallido, y representan aproximadamente el 73 por 100 (el hidrógeno) y el 25 por 100 (el helio) de la materia observable del Universo. Ciertamente, de lo que no hay duda es de que este proceso de nucleosíntesis primordial culminó 700 000 años después, cuando la temperatura llegó al punto en el que los núcleos pudieron captar y retener electrones formando átomos estables.
Pero si se produjo tanto helio en los comienzos del Universo, ¿cómo es que ahora hay tan poco en la Tierra?, (hidrógeno, por supuesto, hay mucho). La respuesta es que, aunque el helio constituye la cuarta parte de la masa de la mayoría de las estrellas, su presencia en la Tierra es muy rara debido a que es muy ligero y químicamente inactivo (es uno de los denominados gases nobles), por lo que no es atrapado por el campo magnético de la Tierra: así, es fácil para las moléculas de helio que existen en la atmósfera terrestre adquirir, mediante colisiones con otras moléculas, velocidades suficientes como para escapar de la gravedad escapándose al espacio.
De manera que el Big Bang nos surtió generosamente de hidrógeno y de helio. Bien, pero ¿y los restantes elementos? Porque sabemos que existen muchos más elementos en la naturaleza. ¿Cómo se formaron?
Tras haberse formado el hidrógeno y el helio, y al continuar enfriándose el Universo, los restantes elementos se originaron mediante reacciones nucleares en un proceso denominado «nucleosíntesis estelar», el mismo que luego tendría lugar en el interior de estrellas.
El hidrógeno y helio primordiales producidos se distribuyeron en polvo interestelar, que luego pudo formar nubes que, finalmente, mediante la condensación producida por la fuerza gravitacional, hizo que se formaran protoestrellas de hidrógeno y helio, a las que podemos considerar la primera generación de estrellas (al igual que los seres vivos, las estrellas también cambian a lo largo de su vida: nacen y mueren, siendo sustituidas por otras que pueden ser diferentes). La presión provocada por la acumulación gravitacional de masa tiene como consecuencia el aumento de temperatura en las capas interiores de las proestrellas y estrellas, aumento que produce reacciones nucleares. Gracias a las investigaciones de físicos nucleares y astrofísicos sabemos que en una de estas reacciones dos núcleos de helio se unen formando un átomo de berilio, elemento que ocupa el cuarto lugar (número atómico) en la tabla periódica, tras el hidrógeno, helio y litio (en realidad, se produce más de un tipo de berilio; se forman dos isotopos del mismo que solo difieren en el número de neutrones que existen en el núcleo del átomo). El isotopo del berilio de masa atómica 8 es muy radiactivo, existe durante apenas una diezmilbillonésima de segundo, tras lo cual se desintegra produciendo de nuevo dos núcleos de helio. Pero si durante ese instante de vida choca con un tercer núcleo de helio, puede formar un núcleo de carbono (número atómico 6 y masa atómica 12), que es estable. Si las temperaturas son suficientemente elevadas, los núcleos de carbono se combinan y desintegran de maneras muy diversas, dando lugar a elementos como magnesio, sodio, neón y oxígeno. A su vez, los núcleos de oxígeno pueden unirse y formar azufre y fósforo. De este modo, se forman elementos cada vez más pesados. Hasta llegar al hierro.
¿Cómo sería nuestra vida sin el hierro? Recordemos que la hemoglobina, la proteína que transporta el oxígeno en la sangre, está formada por cuatro cadenas de átomos, cada una de las cuales incluye un átomo de hierro. Necesitamos, además, hierro a nuestro alrededor, ya que perdemos un miligramo diario, que nuestro organismo repone mediante el consumo de carne y vegetales, tomándolos estos últimos directamente del suelo. Los elementos químicos más abundantes en la composición de un cuerpo adulto humano son: oxígeno (55 por 100 del total de nuestro cuerpo), carbono (25 por 100), hidrógeno (11 por 100), nitrógeno (4 por 100), calcio (2 por 100), fósforo (1 por 100) y algo menos del 1 por 100 de otros elementos. La proporción de hidrógeno y oxígeno es muy alta, pero no olvidemos que estos elementos son los constituyentes del agua (H2O), que forma aproximadamente el 75 por 100 de nuestro cuerpo. Como el hidrógeno es un elemento primordial, formado en su mayor parte en los primeros instantes de vida del Universo, podríamos decir que estamos ligados a ese origen de una forma muy íntima.
Una vez «cocinado» el hierro, la cadena de reacciones nucleares se detiene. La razón es que los procesos de fusión nuclear asociados a los elementos más ligeros que él liberan energía, pero la energía que se necesita para fusionar los que son más pesados que el hierro es superior a la liberada en el proceso de fusión; es decir, el proceso requiere aporte de energía y no es energéticamente productivo.
Este hecho nos lleva a otra cuestión, ligada a su vez con otra que todavía no hemos abordado: la de cómo han llegado estos elementos a la Tierra. Y si suponemos que no deben existir diferencias absolutas entre planetas, salvo en detalles como abundancia de elementos, temperatura, posibilidad de que exista vida, ¿cómo han llegado a cualquier otro planeta? La emisión al espacio exterior de elementos nucleares producidos en el interior de estrellas puede tener lugar de tres maneras: mediante la lenta pérdida de masa en estrellas viejas, en la denominada fase «gigante» de la evolución estelar; durante los relativamente frecuentes estallidos estelares que los astrónomos denominan «novas»; y en las dramáticas y espectaculares explosiones que se producen en esa etapa estelar final que alumbran las denominadas «supernovas». (Tycho Brahe, recordemos, observó una en 1572; desde entonces, son muchas las observadas, especialmente en las últimas décadas, con la disponibilidad de poderosos telescopios; en 1987, por ejemplo, se detectó la explosión de la supernova SN1987A; aunque realmente la explosión había tenido lugar 170 000 años antes, que es el tiempo que ha tardado la luz en llegar a la Tierra).
Es sobre todo en la explosión de las supernovas cuando los elementos pesados fabricados en la nucleosíntesis estelar se difunden por el espacio. No se conoce demasiado bien por qué se producen estas explosiones, pero se cree que además de expulsar los elementos que acumulaba la estrella en su interior (salvo parte que retiene convertidos en objetos muy peculiares, como estrellas de neutrones), en el estallido se sintetizan elementos todavía más pesados que el hierro; elementos como el cobre, zinc, rubidio, plata, osmio, uranio, y así hasta una parte importante de los más de cien elementos que contiene en la actualidad la tabla periódica y que son relativamente abundantes en sistemas planetarios como el nuestro, el Sistema Solar.
Precisamente por esta abundancia de elementos pesados, parece razonable pensar que el Sol es una estrella de segunda generación, formada, hace algo menos de 5000 millones de años, por la condensación de residuos de una estrella anterior que murió en una explosión de supernova. El material procedente de semejante explosión se agrupó, como pensaba Kant, en un disco de gas y polvo con una protoestrella en el centro. El Sol se «encendió» cuando el núcleo central de materia se comprimió tanto que los átomos de hidrógeno se fundieron entre sí. Y alrededor suyo, a lo largo de bandas elípticas, siguiendo un proceso parecido, pero menos intenso gravitacionalmente, se formaron los planetas de lo que llamamos Sistema Solar: Mercurio, Venus, la Tierra, Marte…, y los satélites de estos, como la Luna.
Desde esta perspectiva, la Tierra (formada hace unos 4500 millones de años), al igual que otros planetas, es algo parecido a un pequeño basurero cósmico; un lugar en el que se han acumulado restos de la vida de estrellas, no lo suficientemente importantes como para dar lugar a una estrella; esto es, en cantidades tan pequeñas que no han podido desencadenar en su interior reacciones termonucleares como las que se producen en las estrellas. Pero al igual que en los basureros, también se abre camino la vida, así ocurrió en esta Tierra nuestra, con su diámetro de, aproximadamente, 12 700 kilómetros, y su peso de unas 6 x 1021 toneladas. Los humanos somos testigo y demostración de este fenómeno.
Capítulo 22
Las moléculas de la vida
§. Ácidos nucleicos
§. El ADN, material hereditario
§. El ADN recombinante
§. El proyecto genoma humano
§. La clonación
§. Origen e historia de la vida
Uno de los objetos preferentes de nuestra atención a lo largo de los capítulos precedentes ha sido la materia, ese componente fundamental del Universo. Hemos ido viendo cómo se fue avanzando en el conocimiento de su estructura. Un gran momento en ese camino lo constituyó la construcción de la tabla de Mendeléiev (ver capítulo 8), que mostraba la existencia de una organización en los elementos químicos que permitía agruparlos por familias y también descubrir nuevos elementos sin más que mirar los huecos que quedaban en ella. Luego vino la identificación de las primeras partículas elementales (a la cabeza de ellas, el electrón; 1897), y enseguida el modelo de Rutherford y Bohr y la división del átomo, que inició una nueva época, especialmente con la introducción del ciclotrón, que terminó demostrando que podían crearse nuevas partículas en los choques entre las ya conocidas.
Al tiempo que se creaba la física de los átomos y las partículas, se iba progresando también en el conocimiento de la composición microscópica de los organismos y en dilucidar la naturaleza de la vida. El estudio de esta se limitó durante siglos —milenios, de hecho— a la estructura más visible. En primer lugar, a la anatomía, lo que implicaba la disección, y a la clasificación de especies (taxonomía), buscando encontrar caracteres comunes a distintos grupos. Con estos conocimientos fue posible descubrir las relaciones entre diferentes especies (Darwin y la teoría de la evolución), aunque se ignorase qué mecanismos subyacían en la relación entre progenitores y descendencia (herencia). Luego llegó la fisiología, en la que se recurría a los procesos físico-químicos, que dio lugar a avances muy notables. Sin embargo, aún quedaba por dar un salto comparable al que se había dado en la física y la química cuando se pasó de describir la materia en base a magnitudes asociadas a sus rasgos más directamente visibles (volumen, masa, posición, posición) a hacerlo a partir de átomos. En el ámbito de la vida, ese paso se dio al incorporar la noción, primero, de célula, y luego al explicar esta en base a su composición molecular. Células y moléculas permitieron explicar la composición orgánica y descubrir los caracteres y magnitudes de la vida, un fenómeno biológico comparable por su influencia al descubrimiento de la gravedad.
Como vimos en el capítulo 15, la observación de la célula había comenzado en el siglo XVII, pero el descubrimiento de la reproducción celular no se sistematizó hasta finales del siglo XIX, mientras que la biología molecular, el objeto del presente capítulo, y la teoría de la herencia en base molecular son construcciones del siglo XX. Y mencionamos en el capítulo 8 que la voz molécula fue introducida por Pierre Gassendi, que la describió como «las semillas de las cosas», aunque en el siglo XVIII otros autores la utilizaron como sinónimo de partícula, aunque ello no significó que dejase de emplearse para explicar la reproducción: las «moléculas orgánicas» de Buffon. Químicos y biólogos encontraron aplicación para la palabra. Los primeros hallaron en ellas el medio de describir los compuestos, cuya unión explicaron por la fuerza de los enlaces. Las más pequeñas son las diatómicas, como las del hidrógeno (H2) y del oxígeno (O2), compuestos elementales como la sal (ClNA) o el agua (H2O). En biología, las moléculas son los organismos vivos más pequeños que componen la materia orgánica. Maxwell distinguió entre el elemento y el compuesto en un artículo que publicó en Nature en 1873 sobre las «Moléculas», en el que describió a átomos y moléculas desde distintas perspectivas: «Un átomo», escribió en él, «es un cuerpo que no se puede dividir en dos. Una molécula es la parte más pequeña posible de una sustancia dada». Y añadía, en una manifestación que muestra con una dolorosa claridad cuánto cambia con el paso del tiempo el estado de una ciencia, lo que podemos observar más o menos directamente: «Por consiguiente, la ciencia molecular es una de esas ramas del saber que se ocupa de cosas invisibles e imperceptibles para nuestros sentidos y que no pueden ser sometidas a la experimentación directa».
Observar, asignar realidad física y no simplemente teórica a lo que inicialmente eran solo constructos dentro de un sistema teórico, como átomos y moléculas, no fue, efectivamente, fácil. Vimos en el capítulo 10 que fueron finalmente Albert Einstein y Jean Perrin los que establecieron la atomística en bases realmente firmes.
A lo largo del siglo XX se comprobó, como veremos en este capítulo, que también uno de los rasgos más esenciales de la vida, la capacidad de transmitirse de generación en generación conservando sus principales caracteres, se explicaba en base molecular, con una macromolécula denominada ADN.
Las moléculas, efectivamente, constituyen el pilar fundamental de los procesos orgánicos. Y las hay de muchos tamaños. Las proteínas, por ejemplo, están formadas por aminoácidos y pueden ser visibles a simple vista, mientras que hay moléculas simples (monómeros), compuestos químicos de carbono, hidrógeno y oxígeno como elementos dominantes y un número de átomos que no llega a 30 y una masa que no supera la de 200 átomos de hidrógeno. La unión de estas (nucleótidos) por sus extremos da lugar a la formación de largas cadenas compuestas por unidades que, al repetirse, dan origen a macromoléculas, un término este, el de «macromolécula», que fue acuñado por el químico orgánico alemán Hermann Staudinger (1881-1965), profesor en la Escuela Politécnica Federal de Zúrich en 1922: «Makromolekül», escribió él para designar las moléculas de largas cadenas que constituían una clase de sustancias de naturaleza coloidal conocidas como «polímeros» (ver capítulo 13), ejemplificadas por sustancias como las proteínas, la celulosa o los plásticos. De hecho, Staudinger acuñó el término de macromolécula con el propósito de distinguir su campo de intereses del de los polímeros, que consideraba moléculas no demasiado grandes: prefería, por consiguiente, hablar de «química macromolecular» («Makormolekulare Chemie») en lugar de «química de polímeros». Esa «química macromolecular» es la que se ocuparía de las «moléculas de la vida», campo al que vino a denominarse preferentemente «biología molecular». Sin embargo, en realidad, este término tiene otro origen, relacionado con el hecho de que los fragmentos de moléculas pueden realizar determinadas funciones: la forma en que se disponen los nucleótidos, no la composición, es lo que determina sus funciones. Fueron las moléculas las que dieron nombre a la biología molecular (una creación semántica de Warren Weaver en 1938, para distinguirla de la bioquímica), la disciplina a la que está dedicado el presente capítulo.
§. Ácidos nucleicos
Ya vimos en el capítulo 15 que en la célula existen unos elementos, o estructuras, llamadas cromosomas, que son los transmisores de la herencia. Los cromosomas se presentan en pares, procediendo cada elemento del par de uno de los progenitores. En la mayoría de los organismos la pareja de cromosomas de cada par es del mismo tipo, salvo en un par, en el que la pareja es diferente: son los denominados «cromosomas sexuales». El número de cromosomas varía según las especies. La mosca del vinagre tiene (contando el total, no las parejas) 8; las palomas, 16; el gusano, 36; los gatos, 38; el ratón, 40; los simios, 48; las ovejas, 54; y los perros, 78, mientras que los humanos tenemos 46, esto es, 23 pares, todos iguales, menos uno, que caracteriza el sexo que tiene su poseedor (en las mujeres ese cromosoma sexual está formado por una pareja de igual tipo, XX, mientras que en los hombres no es así: son XY).
En el mecanismo de la reproducción sexual, el individuo macho aporta la mitad de los cromosomas, siendo el cromosoma sexual o bien del tipo X o del tipo Y. La hembra, por su parte, aporta la otra mitad, siendo el cromosoma sexual siempre de tipo X. Y, como la madre siempre aporta un cromosoma X, la criatura que se va a formar será un varón si el espermatozoide que ha fecundado el óvulo lleva un cromosoma Y, y una hembra si transporta un X.
Reunidos los cromosomas de los progenitores, comienza la división celular del cigoto, mediante el proceso (del que ya nos ocupamos en el capítulo 15) denominado mitosis, que implica la separación de los cromosomas en dos grupos genéticamente idénticos entre sí. Primero aparecen dos células, luego cuatro, y así sucesivamente, produciéndose una agrupación de células llamada mórula a partir de las cuales se desarrolla el embrión. Durante el proceso, se van generando instrucciones que producen que grupos de esas nuevas células se vayan especializando formando tejidos y órganos. Finalmente, el nuevo ser humano tendrá unos 200 tipos distintos de células, que asumen diferentes formas y funciones, entre ellas células de la piel, glóbulos rojos, células musculares, neuronas, células óseas, folículos pilosos, células adiposas, y también, claro, espermatozoides y óvulos. No todas las células viven lo mismo: las células epiteliales tienen una vida de 26 días; las de la pared intestinal de 5; los glóbulos rojos de 120, mientras que las neuronas y las células musculares pueden llegar a vivir hasta 100 años.
Lo anterior es lo que ahora sabemos acerca del papel central que los cromosomas desempeñan en los procesos hereditarios, pero ¿cómo, y quiénes, ahondaron en semejante función?, porque Mendel, de quien tratamos en el capítulo 15, ciertamente, no sabía nada de los cromosomas. Para contestar a esta pregunta es necesario introducir los trabajos realizados por un médico británico, Archibal Edward Garrod (1857-1936).
Médico del Hospital de Niños Enfermos y del St. Bartholomew, ambos de Londres, en 1896 Garrod se interesó por pacientes con un raro pero poco dañino trastorno conocido como alcaptonuria, cuya manifestación más llamativa es el oscurecimiento de la orina tras su exposición al aire. Después de una serie de estudios, concluyó que el trastorno era de naturaleza congénita, esto es, que se heredaba de los progenitores, no siendo el resultado, como hasta entonces se pensaba, de una infección bacterial. Publicó sus resultados en varios artículos, el más conocido y ambicioso de ellos en 1902 en la revista médica Lancet: «La incidencia de la alcaptonuria: un estudio de individualidad química», un título que ya ofrece indicios de que su autor manejaba ideas en las que aparecía como responsable de la enfermedad que había estudiado algún tipo de «carácter individual» —«individualidad química» lo denominaba él— que podía recordar a los «conjuntos de determinantes hereditarios» mendelianos. De hecho, cuando se lee el artículo de Garrod es difícil no relacionar los resultados de las observaciones con personas (pertenecientes a familias en las que la alcaptonuria aparecía, una generación tras otra, con patrones de dominancia o recesión, en algunos de sus miembros) con los que Mendel había obtenido, en sus experimentos con guisantes. Es evidente que Garrod estaba pensando en términos que más tarde se denominarían «genéticos»; que estaba, en realidad, creando (o recreando, si tenemos en cuenta a Mendel) ese pensamiento. Ilustrativo es el siguiente pasaje de su artículo de 1902:
Se ha discutido mucho la cuestión de la tendencia de niños fruto de matrimonios consanguíneos a mostrar ciertas anormalidades o a desarrollar ciertas enfermedades, pero pocas veces tales discusiones se han llevado a cabo con un estricto espíritu científico. Aquellos que han escrito sobre el tema demasiado a menudo han buscado demostrar, por un lado, los perjudiciales resultados de tales uniones, o, por el contrario, que estas no implican ningún peligro, cuestiones que aquí no nos interesan en absoluto. No existe ninguna razón para suponer que la consanguinidad entre padre y madre pueda producir en su descendencia una condición como la de la alcaptonuria, y debemos más bien buscar una explicación de ella en alguna peculiaridad de los progenitores, que puede permanecer latente durante generaciones, pero que tiene las mayores probabilidades de manifestarse en la descendencia de la unión de dos miembros de una familia en la que es transmitida.
«Existen», añadía en otro pasaje, «buenas razones para pensar que la alcaptonuria no es la manifestación de una enfermedad, sino que más bien tiene la naturaleza de un curso alternativo del metabolismo, inocuo, habitualmente congénito y que dura toda la vida».
Acabamos de señalar que el significado de las investigaciones de Garrod se entiende mejor desde lo que vino en denominarse genética. Los trabajos de este no recibieron prácticamente ninguna atención, pasando desapercibidos hasta que fueron redescubiertos, simultáneamente, en 1900, por el holandés Hugo de Vries (1848-1935), el alemán Carl Correns (1864-1935) y, en menor grado, el austriaco Erik von Tschermak (1871-1962).
Otro nombre ilustre —de hecho, más activo que los anteriores— en la recuperación y desarrollo del mundo mendeliano fue el inglés William Bateson (1861-1926). Tras licenciarse en la Universidad de Cambridge en 1882, Bateson amplió estudios en Estados Unidos, donde se interesó por los problemas relacionados con la evolución de las especies, decidiendo, antes incluso de que se redescubriese en 1900 el trabajo de Mendel, que estas no evolucionan de manera continua, sino «a saltos». Instalado de nuevo en su patria, como profesor en Cambridge, Bateson supo de los trabajos que Garrod estaba acometiendo y los interpretó con la ayuda de las ideas de la genética mendeliana, esto es, en base a caracteres dominantes y recesivos, haciendo públicas sus ideas en un libro que publicó en 1902: Mendel’s Principles of Heredity. A Defence (Principios de herencia de Mendel. Una defensa). Fue Bateson, de hecho, quien acuñó la expresión genetics (genética), término que utilizó por primera vez en una carta que envió el 18 de abril de 1905 al profesor de la Universidad de Cambridge Adam Sedgwick (también acuñó los términos «alelo», «heterocigoto» y «homocigoto»). Dada la importancia de la expresión, merece la pena reproducir el texto de la misiva:
Querido Sedgwick,
Si el Fondo Quick se utilizase para establecer una cátedra relacionada con la Herencia y la Variación, el mejor título sería, pienso, «La Cátedra Quick para el estudio de la Herencia». Ninguna palabra de las que se utilizan comúnmente tiene este significado. Se necesita desesperadamente tal palabra, y si fuera deseable acuñar una, podría ser «GENÉTICA». Semejante expresión incluye claramente Variación y los fenómenos relacionados.
En público, la primera vez que apareció impresa la palabra genetics fue en la conferencia inaugural que, como presidente de la Royal Horticultural Society, Bateson pronunció en 1906 en una Conferencia Internacional (fue la tercera) sobre cuestiones que, tras ella, serían consideradas «genéticas»:
Al igual que otros nuevos útiles, nos hemos visto obligados a adoptar una terminología, que, a pesar de que puede asustar algo al novicio, es tan necesaria para los profesionales que debe soportarse. Pero aunque estos atributos de la actividad científica son evidentes, la propia ciencia es innominada, y únicamente podemos describir nuestros objetivos mediante engorrosas y a menudo equívocas perífrasis. Para enfrentarse a esta dificultad, sugiero que se considere en este Congreso el término Genética [Genetics], que indica suficientemente que nuestros esfuerzos están dirigidos a investigar los fenómenos de la herencia y la variación.
La influencia, recíproca, de Bateson en Garrod es patente en el artículo que este publicó en 1902 (es decir, inmediatamente tras la aparición del libro de Bateson). «Ha sido señalado recientemente por Bateson», manifestaba allí Garrod, «que la ley de la herencia descubierta por Mendel ofrece una razonable explicación de la alcaptonuria». Y añadía más adelante: «Sea o no sea cierta la explicación mendeliana, existen pocos motivos para dudar de que las peculiaridades de la incidencia de la alcaptonuria […] se explican mejor suponiendo que […] es necesaria para su producción una peculiaridad de los gametos [células sexuales maduras, haploides, capaces de unirse a las del sexo contrario para formar el cigoto] de ambos progenitores».
Esa «peculiaridad de los gametos» terminó siendo denominada «genes», palabra que acuñó en 1909, en su libro Elemente der exakten Erblichkeitslehre (Elementos de una doctrina exacta de la herencia), el danés Wilhelm Johannsen (1857-1927), catedrático de Botánica en la Universidad de Copenhague, para denominar unas «partículas» hipotéticas que suponía determinaban la herencia y que estarían situadas en los largos cuerpos filamentosos que, como ya señalamos en el capítulo 15, Flemming había identificado. En aquel libro, por cierto, Johannsen también introdujo los términos genotipo y fenotipo: genotipo, la —tal y como lo entendemos en la actualidad— constitución genética contenida en los cromosomas de un individuo, referida a todos o a parte de los caracteres diferenciales del mismo, y fenotipo, la manifestación externa de un genotipo en un ambiente determinado.
Es preciso señalar que, a pesar de ser conocido y respetado en la comunidad médica, reconocimiento que le llevó a ser elegido miembro de la exclusiva Royal Society y catedrático de Medicina en la Universidad de Oxford, los trabajos de Garrod no suscitaron demasiado interés entre sus contemporáneos, no resultando demasiado eficaces sus recomendaciones de estudiar las enfermedades en términos bioquímicos. De lo que los primeros científicos que se interesaron en la genética se ocuparon preferentemente fue de los organismos más simples que los seres humanos que Garrod estudiaba. La bioquímica se encontraba todavía en su infancia y muchas de las enfermedades que analizaba Garrod eran tan poco frecuentes que los médicos rara vez se encontraban con ellas en sus prácticas clínicas.
Por todo lo anterior, a la postre mucho más influyentes que los trabajos de Garrod, tanto para el desarrollo como para la institucionalización de la genética, fueron las investigaciones de Thomas Hunt Morgan (1866-1945), un estadounidense que estudió en la Universidad de Kentucky, se doctoró en la Universidad Johns Hopkins (1890) y que se distinguió en el estudio de las mutaciones, el proceso responsable de los cambios evolutivos, contrarrestando la estabilidad de los mecanismos hereditarios básicos. Ahora bien, cuando Morgan llegó, en 1904, a la Universidad de Columbia, en Nueva York, como catedrático de Zoología experimental, era muy escéptico con respecto al mendelismo, esto es, a una teoría de la herencia que utilizase unidades discretas. Su cambio de actitud se debió, básicamente, a las investigaciones que emprendió con Drosophila melanogaster (inicialmente denominada Drosophila ampelophila), la mosca de la fruta (o del vinagre).
Inicialmente, había intentado estudiar la transmisión de caracteres en ratones y ratas, pero no tuvo éxito. Solo progresó tras elegir como protagonista de sus investigaciones a la Drosophila, que podía producir por millares en simples botellas de leche. Como ventajas adicionales estaba el que el ciclo vital completo de estos insectos, que únicamente poseen cuatro cromosomas, solo dura diez días; además, los costes de manutención se reducen a unos pocos plátanos. Dadas estas características, pudo realizar sus investigaciones genéticas en una pequeña habitación de cuatro por seis metros, conocida como el «Cuarto de las moscas».
A partir de 1907, Morgan, primero solo y luego con colaboradores (Alfred Sturtevant, Calvin Bridges y Hermann Muller), intentó estimular mutaciones mediante calor, rayos X y sustancias químicas. Con un equipo extremadamente simple, el «Cuarto de las moscas» proporcionó poco a poco nuevos cimientos a la biología evolutiva. Los resultados que le llevaron a creer en las ideas mendelianas fueron los siguientes: aun cuando no se produjeron en sus cultivos mutaciones a nivel de especie, encontró que en una de sus botellas apareció repentinamente una curiosa mosca macho de ojos blancos. Denominó «mutación» al cambio y cruzó al macho mutante con una hembra normal (de ojos rojos). Todos los descendientes mostraron el rasgo normal, esto es, los ojos rojos. Sin embargo, cuando cruzó algunos miembros de la primera generación entre sí, descubrió que el carácter de los ojos blancos aparecía de nuevo, aunque solo en los machos, nunca en las hembras. Por otra parte, si se cruzaba a un macho de ojos blancos con hembras de la primera generación, la mitad de los descendientes machos y la mitad de las descendientes hembras tenían ojos blancos (presentó estos resultados en un artículo titulado «Hibridación en un período mutante de Drosophila», publicado en 1910 en Proceedings of the Society for Experimental Biology and Medicine). Todo muy parecido a lo que había hecho Mendel con los guisantes, así que no es sorprendente que Morgan encontrase que estos resultados se podían explicar sin demasiada dificultad en base a la teoría mendeliano-cromosómica.
No fue la menor de las aportaciones del equipo de Morgan el que fuera también capaz de encontrar marcadores cromosómicos que sirvieron para establecer una primera cartografía de los cromosomas. En 1911, uno de los primeros estudiantes de Morgan, Alfred Sturtevant (1891-1970), introdujo el primer mapa cromosómico, que finalmente publicó en 1913; en él se mostraban las posiciones relativas de seis genes ligados al sexo. Con ello se pudo defender plausiblemente la tesis de que los genes se encuentran ordenados linealmente en los cromosomas y que experimentan cambios repentinos permanentes, o mutaciones, que producen modificaciones en un rasgo concreto determinado por el gen, tal como el cambio del color rojo de un ojo al blanco.
Visto retrospectivamente, inmersos como estamos en una época en la que los genes son protagonistas indiscutidos de la biología contemporánea, el valor de los hallazgos de Morgan y su equipo adquiere una relevancia aún mayor. Una lectura superficial de su libro de 1926, todo un clásico de la ciencia contemporánea, The Theory of the Gene (La teoría del gen), en el que sintetizó las principales ideas a las que había llegado tras décadas de investigaciones, muestra con claridad la importancia de su obra, al igual que cuánto había cambiado la genética desde los tiempos de Mendel y hasta qué punto manejaba ideas que se instalarían definitivamente en el corpus de la biología. «Tenemos ahora», escribía, «la posibilidad de formular la teoría de los genes».
Una cuestión de especial interés era la de cuál es la naturaleza de los genes. «¿Cómo puede ser», se preguntaba Morgan, «que tratándose de moléculas orgánicas, se conserven [los genes] invariables, con plena estabilidad? Tal estabilidad significa que el gen es individualizado como una molécula viva, que se mantiene prácticamente invariable a pesar de su metabolismo, o que tiende a evolucionar según un modo definido […] Hace unos años me propuse calcular el tamaño de los genes con la esperanza de que se consiguieran resultados útiles para avanzar en estos problemas. No contamos, sin embargo, con medidas suficientemente exactas para poder evitar razonamientos que no sean nada más que especulativos. Parece, sin embargo, que el volumen del gen es del orden de las mayores moléculas orgánicas. Podría tratarse, en efecto, de una gran molécula, pero es más verosímil pensar que el gen sea una estructura, un conjunto de moléculas orgánicas, relacionadas, por vínculos químicos, por la pura afinidad —como ocurre en el caso de una combinación química— o por otras fuerzas organizadoras». Y añadía: «Es difícil, con todo, evitar la fascinante idea de que el gen sea constante precisamente porque constituye una entidad química organizada». Unas palabras proféticas cuando las valoramos conociendo el trabajo de Watson y Crick de 1953, aunque todavía en 1950, en una conferencia titulada «El desarrollo de la teoría de los genes» que pronunció en Columbus (Ohio) Hermann Muller (1890-1967), otro de los colaboradores de Morgan, declaraba que nadie sabía de qué estaban hechos los genes, cómo podían ser capaces de imponer su carácter sobre los organismos que los transportan o cómo se reproducen fielmente en la división celular.
§. El ADN, material hereditario
Aunque en 1950 Muller manifestaba que desconocía saber de qué estaban hechos los genes, por entonces existía un resultado que hubiera permitido decir algo al respecto, más estrictamente sobre los cromosomas. El responsable de ello era un médico que nació en Nova Scotia, Canadá, Oswalt T. Avery (1877-1955), cuya carrera se desarrolló sobre todo en el Hospital del Instituto Rockefeller, en la ciudad de Nueva York, donde permaneció desde 1913 hasta 1948.
El trabajo que nos interesa lo llevó a cabo Avery con dos colaboradores suyos: Colin MacLeod y Maclyn McCarty. En 1944, en un artículo publicado en el Journal of Experimental Medicine titulado «Estudios sobre la naturaleza química de la sustancia que induce transformación de tipo neumococo. Inducción de transformación por una fracción de ácido desoxirribonucleico aislada del neumococo tipo III», afirmaron que los genes se encuentran sumergidos en ácido desoxirribonucleico (ADN).
El ADN era una sustancia química que había sido descubierta en la segunda mitad del siglo XIX por el bioquímico suizo Friedrich Miescher (1844-1895) mientras trabajaba en Tubinga (Alemania). En 1869, utilizando unos vendajes empapados de pus (una proteína) que le había suministrado un hospital, Miescher aisló una sustancia a la que llamó «nucleína». Visto retrospectivamente, el hecho fundamental en su descubrimiento es que el pus se compone de glóbulos blancos, que, a diferencia de los rojos, poseen núcleos y, por tanto, cromosomas, que, como ahora sabemos, están formados por ADN; esto es, sin saberlo, Miescher disponía de una fuente especialmente rica en cromosomas/ADN. De hecho, más tarde él mismo se dio cuenta de que su «nucleína», que en la década de 1930 pasaría ya a ser el «ácido desoxirribonucleico» (antes recibió otro nombre: nucleoproteína), estaba en los cromosomas.
También en 1869, Felix Hoppe-Seyler (1825-1895), fundador de la revista Zeitschrift für Physiologische Chemie y catedrático de Química en Tubinga y Estrasburgo, del que Miescher era discípulo, aisló ácido nucleico de una bacteria que se formaba en el pus. Y otro discípulo de Hoppe-Seyler (estuvo con él hasta 1881), Albrecht Kossel (1853-1927), identificó en la nucleína, en experimentos que inició en 1879, dos ácidos nucleicos: el desoxirribonucleico y el ribonucleico (ARN), cuyo nombre alude a su importante presencia en el núcleo de la célula. De manera independiente, en 1919 Phoebus Aaron Levene (1869-1940), del Instituto Rockefeller, identificó los componentes del ADN (nucleotidos) y en 1930 describió su composición: un fosfato, un azúcar y una de cuatro bases: adenina (A), timina (T), citosina (C) y guanina (G).
Volvamos ahora al artículo de Avery, MacLeod y McCarthy. «Desde hace tiempo», escribieron, «los biólogos intentan, utilizando medios químicos, inducir en organismos superiores cambios predecibles y específicos que, a partir de ese momento, pudieran transmitirse en serie como caracteres hereditarios». Con tal fin habían elegido microorganismos de un tipo especial, neumococos, en los que se podían estudiar fácilmente alteraciones hereditarias inducidas experimentalmente, y concluido que la «fracción activa», o el «principio transformador» —los términos que ellos utilizaban (esto es, los elementos celulares responsables de las transmisiones hereditarias, los cromosomas)— «consiste principalmente, si no exclusivamente, de una forma viscosa, sumamente polimerizada, de ácido desoxirribonucleico».
Leyendo pasajes como estos surge inmediatamente la pregunta de cómo es posible que Muller realizase las manifestaciones que hizo en 1950, manifestaciones que compartía prácticamente toda la comunidad de biólogos que trabajaban en genética, más aún teniendo en cuenta que el artículo de Avery, MacLeod y McCarty no pasó en absoluto desapercibido. Lo que sucedió es que las ideas entonces en vigor acerca de la naturaleza molecular del ADN hacían que fuese muy complicado pensar que esta sustancia química pudiese ser el vehículo de la información hereditaria. En un libro que publicó en 2003, DNA. The Secret of Life (ADN. El secreto de la vida), James Watson señalaba que «el artículo de Avery, MacLeod y McCarthy publicado en febrero de 1944 encontró respuestas de distinta índole. Muchos genetistas aceptaron sus conclusiones. Al fin y al cabo, el ADN se hallaba en todos los cromosomas; ¿por qué no habría de ser el material genético? Por el contrario, sin embargo, la mayoría de los bioquímicos dudaban de que el ADN fuera una molécula lo bastante compleja como para actuar de depositario de una cantidad de información biológica tan amplia. Seguían creyendo que se comprobaría que las proteínas, el otro componente de los cromosomas, constituían la sustancia hereditaria. En principio, como señalaban los bioquímicos con razón, resultaría mucho más fácil codificar un gran conjunto de información compleja utilizando el alfabeto de veinte letras correspondientes a los aminoácidos de las proteínas que el alfabeto de cuatro letras correspondientes a los nucleótidos del ADN».
Las proteínas de las que Watson hablaba en la cita anterior constituyen una de las «unidades» básicas de la vida. Su nombre fue propuesto en 1838 por Berzelius, después de que el químico holandés Gerardus Johannes Mulder (1802-1880) observase que unas sustancias ricas en nitrógeno, que se encontraban en todos los animales y plantas, parecían tener la misma fórmula empírica y llegase a la errónea conclusión de que podría tratarse de un único tipo de molécula muy grande. Berzelius concluyó que esta sustancia albuminosa podría ser la primera molécula de la vida, y por eso pensó en el término proteína, como explicó Mulder en un artículo titulado «Sobre la composición de algunas sustancias animales», que publicó en 1839: «[estas sustancias], presentes en todos los constituyentes del cuerpo animal, y también, como veremos pronto, en el reino de las plantas, pueden ser denominadas proteínas de “πρωτειθ, primarius”». En 1902, Emil Fischer (1852-1919), en Berlín, y Franz Hofmeister (1850-1922), en Estrasburgo, propusieron de manera independiente que las proteínas estaban formadas por aminoácidos (identificados, en el caso de la cistina, en cálculos urinarios también por Berzelius en 1810) unidos mediante la condensación del grupo amino (NH2) de uno con el grupo carboxilo (COOH) de otro, formando enlaces —CONH—.
El estudio de las proteínas constituyó uno de los campos de investigación más complicados de la química orgánica del siglo XIX; no solo se trataba de compuestos orgánicos muy frágiles cuando se calentaban, sino que unas (como el colágeno o la queratina) eran insolubles en el agua, mientras que otras (la albúmina de los huevos o la caseína) sí se disolvían en agua o en soluciones acuosas de ácidos, bases o sales. Entre las proteínas que conocemos las hay que cumplen funciones de muy diversos tipos: las enzimas, por ejemplo, moléculas encargadas de regular las reacciones químicas necesarias para la vida, son también proteínas, como también lo son la hemoglobina, «bolitas» de ocho milésimas de milímetro de diámetro que transportan oxígeno y forman la mitad de nuestra sangre —captan el oxígeno de los pulmones y lo llevan a los tejidos, donde es utilizado por las células—, o como la queratina y el colágeno, que forman la piel, los huesos, tendones y ligamentos.
En cuanto a los aminoácidos, se conocen 20 básicos, lo que significa que la diversidad de combinaciones posibles (esto es, de proteínas imaginables en principio) es gigantesca: una secuencia de 100 aminoácidos puede producir 20100 combinaciones posibles. En la década de 1930, Linus Pauling, el especialista en el estudio de los enlaces químicos, con quien nos volveremos a encontrar enseguida, explicó que la estabilidad de las proteínas se debe a la acción de los enlaces de hidrógeno. Frederick Sanger (n.º 1918) fue el primero en determinar (1945 y 1952) la estructura de una proteína, la insulina, una de las más sencillas que existen: tiene únicamente 50 aminoácidos.
El hecho de que fuese muy difícil separar experimentalmente las proteínas del ADN, y que este solo esté formado por cuatro elementos, explica que durante mucho tiempo se pensase que las proteínas, y no el ADN, eran las responsables de la transmisión de los caracteres hereditarios. Ahora bien, para que se pudiese avanzar más en la comprensión de los mecanismos hereditarios no bastaba con reconocer que los cromosomas contenían ADN; era necesario saber la estructura de esta molécula. Y en este punto entra en escena una técnica física de la que tratamos en el capítulo 12: la difracción de rayos X.
Uno de los lugares en que se utilizaron las técnicas de difracción de rayos X fue en el Laboratorio Cavendish de Cambridge, una vez que, tras el fallecimiento, en 1937, de Ernest Rutherford, W. L. Bragg fue designado su sucesor. Cuando llegó Bragg, ya estaba allí Max Perutz (1914-2002), un joven químico austriaco que se había trasladado a Cambridge atraído por la fama de John Desmond Bernal (1901-1971), otro de los pioneros en los estudios cristalográficos que utilizaban la difracción de rayos X.
Natural de Viena, donde se licenció en Químicas, en 1936, Perutz se trasladó a Cambridge como estudiante posgraduado. En Viena, había podido conseguir unos cristales de hemoglobina (la proteína que da color rojo a las células de la sangre) de caballo, y pronto llegó a la conclusión de que su estructura cristalina debía ser la más sencilla de todas las proteínas de peso molecular comparable. Sin embargo, una cosa era el que fuera más sencilla que otras macromoléculas y otra que fuese asequible el elucidar su estructura; ante la ausencia de un método directo para obtener las posiciones atómicas, parecía imposible intentar abordar una estructura molecular tan compleja como la de la hemoglobina. De hecho, no fue hasta 1957 cuando Perutz logró dar con el modelo estructural de la hemoglobina, una molécula mucho más compleja desde este punto de vista que el ADN. Pero lo importante es señalar que la presencia de Perutz en el Cavendish reforzó la línea de investigación dedicada a la determinación de las estructuras tridimensionales de sustancias biológicas orgánicas: en 1947, el Medical Research Council creó una «Unidad para el Estudio de la Estructura de Sistemas Biológicos», que nueve años más tarde pasó a denominarse «de biología molecular». Fue en aquel entorno donde se descubrió la estructura del ADN.
Otra influencia notable fue la que ejerció un libro que publicó en 1944 uno de los creadores de la mecánica cuántica, Erwin Schrödinger: What is Life? (¿Qué es la vida?). Fruto de una serie de conferencias que pronunció en el Instituto de Estudios Avanzados de Dublín, en ese libro se encuentran pasajes como los siguientes:
[…] el holandés Hugo de Vries descubrió hace unos cuarenta años que incluso en la descendencia de cepas realmente puras un número muy pequeño de individuos, algo así como dos o tres entre varias docenas de miles, aparece con cambios pequeños, pero que suponen una especie de «salto». La expresión «salto» no quiere significar que el cambio sea especialmente importante, sino que supone una discontinuidad, en el sentido de que no hay formas intermedias entre la forma inalterada y los pocos individuos que han cambiado. Tras su observación, de Vries les dio el nombre de mutaciones. El hecho significativo es la discontinuidad. Al físico le recuerda la teoría cuántica, según la cual no hay energías intermedias entre dos niveles energéticos contiguos. Podríamos llamar a la teoría de la mutación, de forma figurada, la teoría cuántica de la biología […] Las mutaciones se deben, de hecho, a saltos cuánticos en las moléculas del gen. Pero la teoría cuántica solo tenía dos años cuando de Vries publicó su teoría de la mutación, en el año 1902. No es, pues, extraño que se necesitase una generación más para descubrir la íntima relación entre ambas.
En concreto, las principales preguntas que se hizo Schrödinger en What is Life?, eran las siguientes: ¿cuál es la estructura física de las moléculas que se duplican cuando se dividen los cromosomas?; ¿cómo se debe entender el proceso de la duplicación?; ¿cómo retienen, de generación en generación, estas moléculas su individualidad (problema de la herencia)?; ¿cómo logran controlar el metabolismo de las células?; ¿cómo crean la organización que se ve en la estructura y en las funciones de los organismos superiores? A Schrödinger le preocupaba, en suma, el hecho de que los acontecimientos a nivel atómico son inestables y efímeros, mientras que los organismos vivos muestran una gran estabilidad. No contestó a las preguntas que se formuló, limitándose a sugerir que, de alguna manera, la información necesaria para retener los caracteres que se transmiten de generación en generación debía estar contenida en los enlaces covalentes de un «cristal aperiódico gigante» que denominó «el código hereditario», pero el simple hecho de formular semejantes cuestiones contribuyó a favorecer el desarrollo de la biología molecular. Entre los que leyeron con interés el libro se encontraban el físico Francis Crick y el biólogo James Watson; de hecho, fue la lectura de What is Life? Lo que animó a Crick a pasarse de la física (en la que había trabajado durante la Segunda Guerra Mundial) a la biología.
Otra conexión importante en los trabajos que condujeron a dilucidar cuál es la estructura del ADN fue la proporcionada por Linus Pauling, el químico estadounidense que apareció en el capítulo 20.
Tras haberse licenciado, en 1922, en ingeniería química en el Oregon State Agricultural College (nació en Portland, Oregon), Pauling se trasladó al California Institute of Technology con el propósito de doctorarse. El Caltech al que llegó Pauling era entonces una institución en pleno desarrollo, permeable a relaciones entre los miembros de diferentes departamentos. Allí trabajaban, por ejemplo, Gilbert N. Lewis, el químico-físico que, como vimos, había propuesto una teoría de enlace (covalente) químico basada en los electrones, y también Thomas Morgan. Acaso influido por semejante entorno, y aunque se dedicó inicialmente a estudiar el enlace químico utilizando la mecánica cuántica, Pauling también se sumergió en el problema de determinar la estructura de moléculas de importancia en biología, entre ellas el ADN. Posiblemente el fruto más notable fue el que llegó a comienzos de la década de 1950, cuando publicó una serie de ocho artículos sobre la estructura de las proteínas, el primero de los cuales (escrito en colaboración con Robert Corey y Herman Russell Branson) comenzaba con las siguientes palabras: «Durante los últimos quince años hemos estudiado el problema de la estructura de las proteínas de diversas maneras. Una de estas formas es la completa y precisa determinación de la estructura cristalina de aminoácidos, péptidos y otras sustancias simples relacionadas con las proteínas, para obtener la información sobre las distancias interatómicas, ángulos de enlaces y otros parámetros de las configuraciones que permitiese predecir con fiabilidad configuraciones razonables de la cadena de polipéptidos. Ahora hemos utilizado esta información para construir para la cadena de polipéptidos dos configuraciones helicoidales con enlaces de hidrógeno; pensamos que es probable que estas configuraciones constituyan una parte importante tanto de la estructura de las proteínas fibrosas y globulares como de las de polipéptidos sintéticos».
La estructura helicoidal que mencionaban es la denominada «hélice α», que, de hecho, se le había ocurrido a Pauling ya en 1948. Entre las virtudes de semejante estructura se encontraba la de que permitía interpretar las fotografías de difracción de rayos X de fibras proteínicas de cabellos, uñas y músculos (esto es, sustancias que contienen proteínas como la queratina). A partir de entonces, la estructura helicoidal se puso de moda e influiría en Crick y Watson.
Especialmente importante también fueron los resultados obtenidos por el bioquímico austriaco Erwin Chargaff (1905-2002). Tras obtener su doctorado en Química por la Universidad de Viena en 1928, Chargaff se trasladó a Norteamérica, a la Universidad de Yale, regresando en 1930 a Europa; primero a la Universidad de Berlín, pasando después (1933) al Instituto Pasteur de París. En 1935 se afincó definitivamente en Estados Unidos, en la Universidad de Columbia (Nueva York), donde en 1952 se convirtió en catedrático de Bioquímica.
Atraído por el estudio del ADN por los trabajos de Avery, Chargaff consiguió aislarlo de núcleos de células y romper las correspondientes moléculas en sus constituyentes, para, utilizando luz ultravioleta y un tipo de análisis cromatográfico, identificar las cuatro sustancias químicas (bases) que constituyen el ADN, las ya citadas adenina, guanina, citosina y timina. Como estas bases absorben luz ultravioleta de longitudes de onda específicas, fue capaz de determinar (midiendo la cantidad de luz absorbida por cada base) cuántas cantidades de esas bases estaban presentes. Y lo que encontró es que, aproximadamente, existía la misma cantidad de adenina que de timina, y la misma de guanina que de citosina, unas relaciones que se conocen como las «reglas de Chargaff».
Finalmente, en esta selección de las piezas más destacadas que ayudaron a determinar la estructura del ADN, se encuentran las fotografías de difracción de rayos X obtenidas por un miembro del grupo que trabajaba en estas cuestiones en el King’s College de Londres: Rosalind Franklin (1920-1958).
Franklin había estudiado química y física en Cambridge, donde se graduó en 1941. Tras unos años en los que aplicó sus conocimientos químico-físicos en la industria, en 1947 se trasladó a París, al Laboratoire Central des Services Chimiques de l’Etat, donde aprendió las técnicas de difracción de rayos X. En enero de 1951 abandonó París por el King’s College de Londres. Permaneció allí hasta marzo de 1953, cuando se trasladó al Birkbeck’s College. Fue en el King’s, interaccionando muy poco con el físico Maurice Wilkins (1916-2005), que dirigía la Unidad de Investigaciones Biofísicas al que ella estaba asignada, y que se había adentrado desde hacía tiempo en el estudio de la estructura de la molécula del ADN, donde Franklin obtuvo (mayo de 1952) las primeras fotografías de alta resolución de difracción de cristales de fibras de ADN, que Wilkins enseñó, sin el permiso de Franklin, a un biólogo estadounidense que ampliaba estudios en el Cavendish y que colaboraba con Francis Crick (1916-2004): James Watson (n.º 1928). Esas fotografías (especialmente una) dispararon la imaginación de Watson y Crick, que llegaron a la conclusión de que el ADN está constituido por dos cadenas helicoidales (la doble hélice) unidas entre sí, cada una de las cuales está formada por cuatro compuestos químicos, combinaciones de carbono, nitrógeno, hidrógeno y fósforo, las ya citadas bases A, G, C y T. Estas forman secuencias determinadas sobre cada hélice, pero de tal manera —según exigían las leyes de Chargaf— que la T de una cadena se asocie a la A de la otra, y la G a la C. Cualquier otro emparejamiento está prohibido. Semejante estructura sugiere inmediatamente un posible mecanismo celular reproductivo: en un momento dado de la vida de una célula, la doble hélice se escinde en dos hélices sencillas, que al captar en el medio en que se encuentran los elementos químicos necesarios, reconstruyen la doble hélice, de una forma, además, en principio perfectamente fiel, debido a la ley de Chargaff de emparejamiento de las bases.

La doble hélice, la estructura de la molécula de ADN, la macromolécula fundamental para la vida terrestre, no solo permite comprender los mecanismos de la transmisión de la herencia y cómo se almacenan las características de un ser vivo, también se ha convertido en uno de los iconos gráficos de nuestro tiempo. En este dibujo se ve cómo se relacionan las cuatro bases que unen las dos cadenas (el esqueleto de azúcar fosfato), una regularidad expresada por las leyes de Chargaff: la adenina con la timina, y la guanina con la citosina.
Watson y Crick (el orden de aparición de los nombres en el artículo lo determinaron por sorteo) publicaron su propuesta en una escueta nota (de una página en total) en el número del 25 de abril de 1953 de la revista Nature. Se titulaba «Estructura molecular de los ácidos nucleicos. Una estructura para el ácido desoxirribonucleico». En él incluían una, luego famosa, frase relativa al mecanismo de la herencia al que hemos aludido: «No se nos escapa que el emparejamiento específico que hemos postulado sugiere de inmediato un posible mecanismo de copia para el material genético».
Inmediatamente después del artículo de Watson y Crick, aparecían dos más: uno firmado por Maurice Wilkins, junto a Alec R. Stokes y Herbert R. Wilson, que a su vez precedía a otro de Rosalind Franklin y Raymond G. Gosling, un detalle que fácilmente se podía entender como un orden jerárquico.
Poco más de un mes después, en el número del 30 de mayo de Nature, Watson y Crick publicaron un artículo algo más —no mucho— extenso: «Implicaciones genéticas de la estructura del ácido desoxirribonucleico». En él se extendían más sobre los posibles mecanismos hereditarios:
El esqueleto fosfato-azúcar de nuestro modelo es completamente regular, pero cualquier secuencia de pares de bases puede encajar en la estructura. Ello permite que en una molécula larga sean posibles muchas permutaciones diferentes, y por tanto parece probable que la secuencia precisa de las bases sea el código que porta la información genética. Si fuera dado el orden real de las bases de una de las cadenas del par, podríamos anotar el orden exacto de las bases de la otra cadena, a causa de la especificidad del emparejamiento. Así, una cadena es, como si dijéramos, el complemento de la otra, y es este hecho el que sugiere cómo puede autorreplicarse la molécula de ácido desoxirribonucleico.
Discusiones previas sobre la autorreplicación han involucrado, con frecuencia, el concepto de una plantilla, o molde. Se ha supuesto que bien el molde se autocopia directamente o se produce un «negativo» que, a su vez, sirviera de plantilla para producir de nuevo el «positivo». En ningún caso se ha explicado en detalle cómo ocurriría esto en términos de átomos y moléculas.
Ahora, nuestro modelo de ácido desoxirribonucleico es, en efecto, un par de moldes, cada uno de los cuales es complementario del otro. Imaginamos que, previamente a la duplicación, los enlaces de hidrógeno se rompen, y las dos cadenas se desenrollan y separan. Cada cadena actúa como una plantilla para la formación, sobre ella misma, de una nueva cadena compañera; así que, de hecho, tendremos dos pares de cadenas donde, antes, teníamos solo una. Más aún, la secuencia de los pares de bases se habrá duplicado con exactitud.
Pronto fue posible estudiar experimentalmente tales procesos. El experimento en cuestión, conocido en la actualidad como «el experimento más bello de la biología», fue realizado en 1958 por Matt Meselson, un antiguo alumno de Linus Pauling, y Frank Stahl, utilizando una máquina ultracentrifugadora. Sus resultados conformaron las previsiones del modelo de Watson y Crick.
Con respecto a la espinosa y resbaladiza cuestión de hasta dónde habría llegado Rosalind Franklin si Crick y Watson no hubiesen accedido a sus fotografías, se podría pensar que acaso Franklin habría sido capaz de imaginar la estructura en doble hélice si hubiese seguido su camino sin competencia, pero también es posible que si el carácter de Franklin no hubiese sido tan difícil, y no se hubiese opuesto —además de tratar despectivamente— a colaborar con Wilkins, el grupo del King’s se hubiese adelantado en cualquier caso a Crick y Watson. De lo que no hay duda es de la importancia de las investigaciones de Franklin en el descubrimiento de los dos investigadores del Cavendish. Y también es un hecho que Rosalind Franklin no tuvo oportunidad de recibir su parte del éxito, ya que falleció de un cáncer de ovario en abril de 1958, a la edad de treinta y siete años. Cuatro años más tarde, Watson, Crick y Wilkins recibieron el premio Nobel de Medicina y Fisiología.
Hoy, firmemente instalados en la era del ADN, tendemos a pensar que el impacto del artículo de Watson y Crick fue inmediato. Sin embargo, no lo fue del todo. Parece que no fueron muchos los que imaginaron lo que llegaría más tarde. De hecho, no fueron demasiados los que inicialmente prestaron atención o se esforzaron en seguir la senda que abría su artículo. Si nos fijamos en la revista Nature, en la que apareció el trabajo, en los años inmediatamente siguientes a 1953, muy pocos de los artículos publicados en ella citaban ese trabajo. La explicación es que, aunque el modelo de la doble hélice sugería muchas posibilidades atractivas, existían cuestiones abiertas especialmente importantes que tenían que ver con las proteínas. Se sabía que estas, piezas fundamentales en la regulación de la vida (desempeñan importantes funciones en las células, como almacenar la energía o catalizar las reacciones), no se formaban en el núcleo de la célula, sino fuera de él, en el citoplasma; así pues, ¿cuál era la relación entre ADN y proteínas?, ¿cómo convierten las células los aminoácidos en largas cadenas de polímeros como son las proteínas?
En este punto entra en acción otro compuesto químico, el ya citado ácido ribonucleico (ARN). Las primeras evidencias de que el ARN tenía algo que ver con la formación de las proteínas se hallaron a finales de la década de 1930 y comienzos de la de 1940, cuando el sueco Torbjörn Caspersson y el belga Jean Brachet encontraron independientemente que los cromosomas eran de naturaleza similar a la de los ácidos nucleicos (los que forman, recordemos, el ADN) mientras que el citoplasma era muy rico en ácidos ribonucleicos; más aún, la abundancia de ARN era proporcional a la actividad metabólica de las células, esto es, a su actividad de síntesis de proteínas, y que el ADN aumentaba proporcionalmente a la división celular. Fueron unos trabajos menos conocidos que los de Avery, pero, vistos retrospectivamente, no poseen menos importancia y significado.
La respuesta a esta cuestión llegaría con la idea de que el ARN es un intermediario entre el ADN y la proteína. Fue Francis Crick quien, en 1957, pronunció una conferencia (cuyo texto apareció publicado el año siguiente) en la Sociedad Británica de Biología Experimental, en la que sentó las bases de lo que se denominaría con el poco científico nombre de «Dogma central de la biología molecular». Sus postulados básicos eran los siguientes:
- El ADN, que contiene la información genética necesaria para construir un organismo en forma de una secuencia continua de nucleótidos, es capaz de replicarse (o duplicarse). Esta propiedad del ADN permite que cada nueva célula, que proviene de una anterior, reciba una réplica exacta de ese ADN y, por tanto, se perpetúe a lo largo de sucesivas generaciones.
- La información genética presente en el ADN se copia en forma de ARN para que, utilizando la maquinaria de síntesis de proteínas, se traduzca mediante el código genético en las distintas proteínas que realizan los trabajos específicos de cada célula.
- El flujo de información genética siempre es unidireccional en el sentido de ADN a ARN y de este a proteína, salvo que, como se ha dicho, la información presente en el ADN puede replicarse en más ADN.
Expresado gráficamente, la conexión que promulgaba Crick era:
ADN → ARN → Proteína.
Sin embargo, esta concatenación no resultó completamente cierta. Trabajando independientemente, David Baltimore (MIT) y Howard Temin (Universidad de Wisconsin) demostraron en 1970 que la información hereditaria podía transmitirse también en un sentido inverso: del ARN al ADN, con lo que la relación anterior pasaba a ser:
ARN ↔ ADN → Proteína.
Más concretamente, lo que Baltimore y Temin demostraron es que determinados virus (tumorales u oncogénicos) que contenían ARN como material genético poseían una enzima (las macromoléculas que catalizan, que controlan, reacciones químicas), denominada retrotranscriptasa, capaz de copiar ARN para dar lugar a ADN. Este descubrimiento tuvo un impacto inmenso. La enzima implicada, la retrotranscriptasa, hizo posible la fabricación de proteínas específicas para su uso en medicina; de hecho, también constituyó un magnífico instrumento para atacar el VIH (Virus de Inmunodeficiencia Humana), el virus causante del SIDA.
Las ideas de Crick con su «Dogma Central» (que revisó tras los resultados de Baltimore y Temin) eran, en cualquier caso, ideas sugerentes, pero todavía quedaba mucho que hacer. Finalmente resultó que hay varias clases de ARN. El ARN de transferencia es uno de ellos (para cada aminoácido existe un adaptador específico de ARN «de transferencia»). Especialmente importante es el «ARN mensajero», que copia una de las cadenas de ADN, identificado por Sydney Brenner, François Jacob y Matthew Meselson en 1961.
Explicado en otros términos, diremos que la replicación es la copia de una de las hebras de ADN, y se realiza en el interior del núcleo. La transcripción es la copia que una enzima, la polimerasa, hace de una secuencia de ADN en una molécula parecida, el ARN, que se distingue del anterior por el carácter abierto de su estructura y por la sustitución de la timina por el uracil. En tanto el ARN permanece en el núcleo, una copia de este el ARNm (mensajero) se desplaza al citoplasma, donde se asocia con el ribosoma para formar una proteína. La traducción, también conocida como síntesis de las proteínas, es la codificación mediante las combinaciones de tres nucleótidos (codon) y forma los 20 aminoácidos conocidos. El código está formado, en consecuencia, por tripletes. Un hilo de ARNm con 300 nucleótidos se codifica con una proteína con 100 aminoácidos.
§. El ADN recombinante
A finales de la década de 1960 y comienzos de la de 1970 se realizaron unos trabajos que cambiaron significativamente la faz de la biología molecular, no solo por la importancia de los resultados obtenidos, sino por las aplicaciones a las que condujeron, haciendo que se pudiese hablar de «biotecnología» o de «ingeniería genética» —un término este último acuñado en 1965 por Rollin Hotchkiss, que se había formado en el laboratorio de Avery—, la disciplina que se ocupa de unir genes; esto es, de sustituir un segmento de ADN de una célula por uno de otra (al organismo que surge de este proceso se le denomina transgénico). En realidad, la idea subyacente, no las técnicas implicadas, se había introducido en los trabajos de genética vegetal de la estadounidense Barbara McClintock (1902-1992), especialmente con un artículo que publicó en 1931 en el que demostraba, utilizando maíz, que la información genética se intercambiaba durante los primeros momentos de la meiosis, pero sus resultados no adquirieron su verdadero significado hasta que se descubrió el mismo fenómeno en las bacterias en 1960 y en la mosca de la fruta en 1970.
El primer descubrimiento importante a reseñar tuvo lugar en 1967 (Weiss, Richardson) con el aislamiento de la enzima ligasa, que puede unir cadenas de ADN. El año siguiente, el microbiólogo suizo Werner Arber y uno de sus colaboradores, S. Linn, encontraron en la bacteria Escherichia coli, el ocupante habitual e inocuo de nuestro colón, las denominadas enzimas de restricción, que son capaces de cortar por sitios determinados las moléculas de ADN. Una primera aplicación de estas enzimas fue para determinar el orden de los genes en los cromosomas, o para analizar la estructura química de los genes, como mostraron Hamilton Smith y su colaborador H. Wilcox, de la Escuela de Medicina de la Universidad Johns Hopkins, que confirmaron (1970) el hallazgo de Arber e identificaron fragmentos de genes. Smith colaboró en estos problemas con Daniel Nathans, también en Johns Hopkins, aunque fue Nathans quien, junto con Kathleen Danna, demostró (1971) que el ADN del virus cancerígeno SV40 (de Simian Virus 40), que crece en los núcleos en cultivo de células de monos y está formado por unos 5000 pares de bases, podía ser partido en once fragmentos específicos, cuyo orden determinó el año siguiente.
Disponiendo de semejantes instrumentos, fue hasta cierto punto natural que en 1972, Janet Mertz y Ron Davis, en la Universidad de Stanford, descubriesen que se podía unir muy fácilmente moléculas de ADN cuando se las cortaba utilizando la enzima de restricción EcoRI. Las investigaciones de Mertz y Davis fueron muy importantes para que el año siguiente Herb Boyer y Stanley Cohen desarrollasen un método para reordenar moléculas de ADN en un tubo de pruebas para crear moléculas híbridas procedentes en parte de, por ejemplo, ADN de una mosca y en parte de ADN bacterial. Fue entonces cuando realmente se abrió la nueva era del ADN recombinante.
Ahora bien, antes incluso de que se dispusiese de los elementos para poder hablar con propiedad de la era del ADN recombinante, tuvieron lugar unos acontecimientos que muestran que los científicos se daban perfecta cuenta de que estaba a punto de traspasarse una nueva frontera, para penetrar en un territorio que podía contener sorpresas peligrosas.
Inmediatamente después de que se introdujesen las primeras de estas técnicas, se reconoció que sería posible construir moléculas de ADN recombinante in vitro, lo que hizo que se especulase y debatiese acerca de las implicaciones de la tecnología genética en los seres vivos, y entre ellos, en los humanos. Parecía claro que la biología molecular, ahora en la forma de ingeniería genética o biotecnología, podría permitir seleccionar no ya individuos, sino algunos de sus genes o porciones de ellos; crear, en definitiva, algo absolutamente nuevo: nuevas moléculas, nuevos genes y, por tanto, nueva vida. La organización Science for People (Ciencia para el pueblo), radicada en Boston, fue especialmente activa en advertir contra el posible abuso de la tecnología genética. En noviembre de 1969, tres científicos de Harvard que eran miembros de la organización utilizaron la ocasión del aislamiento de uno de los genes de Escherichia coli para advertir de los peligros de la mala utilización de la genética (se temía que pudiera conducir a producir accidentalmente organismos patógenos con resultados epidémicos).
Ante la situación generada, el presidente de la National Academy of Sciences, Philip Handler, que se inclinaba por mantener el debate dentro de la comunidad científica, pidió a Paul Berg, director del Departamento de Bioquímica de la Escuela de Medicina de la Universidad de Stanford, que había planeado insertar el SV40 en Escherichia coli y trabajar con esta sencilla bacteria para intentar luego llevar las técnicas que desarrollase a células animales, que estableciese un comité para examinar el problema y proponer acciones a tomar a corto y largo plazo. Berg, que contemplaba el comité como un grupo informal, cumplió con el cometido, reuniendo en abril de 1974 a un grupo de diez destacados biólogos moleculares y bioquímicos.
El producto de la reunión fue una carta, publicada en julio de 1974 en los Proceedings of the National Academy of Sciences, Science y en Nature, de la que extraeremos los siguientes pasajes:
Avances recientes en técnicas para el aislamiento y unión de segmentos de ADN permiten ahora construir in vitro moléculas de ADN recombinante biológicamente activas […] Varios grupos de científicos están planeando en la actualidad utilizar esta tecnología para crear formas de ADN recombinante a partir de varias fuentes virales, animales y bacteriales. Aunque es posible que estos experimentos faciliten la solución de importantes problemas biológicos teóricos y prácticos, también darán como resultado la creación de nuevos tipos de elementos de ADN infecciosos, cuyas propiedades biológicas no se pueden predecir completamente de antemano.
Existe seria preocupación de que algunas de estas moléculas artificiales de ADN recombinante puedan ser biológicamente peligrosas.
Y hacían una serie de recomendaciones, entre ellas: «que hasta que no se hayan evaluado mejor los peligros potenciales de tales moléculas de ADN recombinante, los científicos de todos los países» se uniesen para detener una serie de experimentos, como unir, parcial o totalmente, ADN de virus oncogénicos, o de otro tipo, a elementos de ADN que se reproduzcan de manera autónoma, ya que «tales moléculas de ADN recombinante podrían diseminarse más fácilmente a poblaciones bacteriales en seres humanos, al igual que en otras especies, aumentando acaso de esta manera la incidencia del cáncer o de otras enfermedades». Proponían, asimismo, que se celebrase «a principios del año próximo una reunión internacional de científicos implicados procedentes de todas partes del mundo, para repasar los progresos científicos en este área y discutir, además, procedimientos apropiados para tratar con los peligros biológicos potenciales de las moléculas de ADN recombinante».
La conferencia en cuestión se celebró en el Centro de Conferencias de Asilomar, en Pacific Grove, California, en febrero de 1975, con la participación de 150 científicos. La conclusión a la que se llegó finalmente fue recomendar que se levantase la moratoria parcial impuesta en julio, reemplazándola con unas guías para la investigación en ingeniería genética (muchas de las cuales, por cierto, eran bastante estrictas).
En cualquier caso, es importante señalar que estaba claro, y todos lo apreciaron, comenzando por los propios científicos, que se había abierto un mundo cuyas implicaciones no se detenían en el laboratorio. Un mundo que incluía no solo cuestiones relativas a la seguridad de los experimentos que se realizaban, o a la creación de posibles nuevas formas de vida, sino también a otras más sociopolíticas y económicas. Como la espinosa cuestión de la posibilidad de patentar las variedades de organismos vivos (microorganismos, plantas o animales transgénicos) creados.
En 1972, Anada Chakrabarty, un bioquímico que trabajaba para General Electric, inventó un nuevo organismo (una cepa de bacterias, Pseudomonas) que consumía petróleo. No utilizó técnicas de ingeniería genética, simplemente cruzó cuatro microorganismos con diferentes «apetitos» por distintos componentes del petróleo en crudo (el resultado era que el nuevo «ser» digería alrededor de dos tercios del petróleo, convirtiéndolo en dióxido de carbono y proteínas, con lo que sus posibles usos eran obvios; por ejemplo, para combatir contaminación por vertidos de petróleo). General Electric solicitó patentar el organismo, pero la Oficina de Patentes negó la petición. En 1979, el caso llegó al Tribunal Supremo de Estados Unidos, bajo la rúbrica (por la que se le conoce generalmente) «Diamond versus Chakrabarty», ya que la decisión de la Oficina de Patentes había sido defendida por Sydney Diamond. En 1980, el Tribunal Supremo decidió aceptar la petición de General Electric, concluyendo que «un microorganismo vivo creado por el hombre puede ser objeto de una patente».
Siguiendo el precedente de la decisión del caso Chakrabarty, en 1985 la Oficina de Patentes otorgó una patente para la primera planta diseñada mediante ingeniería genética, y en 1987 concedió el derecho a patentar animales domésticos transgénicos, esto es, creados mediante ingeniería genética. Utilizando este acuerdo, el 12 de abril de 1988 autorizaba la primera patente para un animal transgénico, un ratón genéticamente modificado diseñado en la Universidad de Harvard (que es la que solicitó la patente), que portaba un gen humano que produce cáncer (el ratón lo desarrollaba en los dos meses siguientes a su nacimiento). En 1991, la Oficina de Patentes de la Unión Europea también concedió una patente para el ratón a Harvard. En 2000, el número que la Oficina de Patentes estadounidense concedió a este tipo de secuencias alcanzaba los dos mil.
§. El proyecto genoma humano
Los avances que se estaban llevando a cabo en el conocimiento de la estructura del ADN condujeron a que se plantease la idea de estudiar con detalle, de manera completa, toda la estructura genética (el genoma) de cadenas de ADN. ¿Y qué genoma podía resultar más atractivo que el humano? Pensemos que la estructura (química) de los genes puede tener consecuencias muy importantes en las características (positivas o no) de los seres vivos. En 1986, por ejemplo, un equipo de investigadores estadounidenses identificó el defecto genético responsable de un tipo de distrofia muscular. En 1989, un grupo de biólogos anunció el descubrimiento de la situación del gen que, cuando sale defectuoso, produce la fibrosis quística, una enfermedad que afecta a los pulmones, páncreas y otros órganos. En 1993 se localizó el gen de la corea de Huntington, un trastorno que produce una degeneración progresiva del cerebro, que viene acompañada de la aparición de fuertes movimientos incontrolados y que conduce, inevitablemente, por el momento, a la muerte.
Ahora bien, para establecer un mapa del genoma humano, una tarea que implica identificar y ordenar millones y millones de secuencias químicas, es preciso de disponer de técnicas e instrumentos de computación especiales y muy poderosos. Y en este punto es obligado referirse al ya citado bioquímico inglés Frederick Sanger, uno de los pocos miembros del exclusivo club de aquellos que han ganado dos premios Nobel, que en 1973 inventó técnicas para analizar trozos de ADN con las que en 1977 produjo la primera secuenciación de un genoma completo, el del virus bacteriano, o fago, φ-X 174, que tenía 5375 nucleótidos. Otro método importante fue el desarrollado por Walter Gilbert, presentado, junto a Allan Maxam, también en 1973.
Logros como estos favorecieron que en 1984 se propusiera la creación de un Consorcio Internacional para Secuenciar el Genoma Humano, para determinar con precisión la estructura, la, como se decía, «cartografía» del genoma humano. No obstante, su establecimiento formal se demoró hasta septiembre de 1988, liderado por Estados Unidos, pero con la participación de otros países: Gran Bretaña, Francia, Japón, China y Alemania. En 1989 se nombró director del mismo a James Watson, aunque dimitió dos años después por diferencias sobre cómo dirigirlo, lo que no impidió que el consorcio continuase. Destinado a obtener un conocimiento que, además de contribuir al avance de la ciencia, debería tener consecuencias evidentes para combatir enfermedades o anomalías genéticas, era evidente que su objetivo tenía interés también para la industria privada. Semejante interés no tardó demasiado en manifestarse: lo hizo a través de una compañía comercial fundada en 1998, denominada Celera Genomics, dirigida por el biólogo molecular Craig Venter (n.º 1946).
Tras haber trabajado a principios de la década de 1990 para los Institutos Nacionales de la Salud de Estados Unidos, que controlaban el Proyecto Genoma Humano, en 1992 Venter fundó, en Rockville (Maryand), el Institute for Genomic Research (Instituto para la Investigación Genómica), donde desarrolló un procedimiento pionero para identificar genes en cadenas de ADN, una técnica (denominada shotgun) completamente diferente a la que se estaba utilizando en el Proyecto Genoma Humano (mientras que este buscaba identificar un gen cada vez, el método de Venter rompía el genoma en millones de fragmentos que se solapan, leyendo las secuencias a través de máquinas, para finalmente, con poderosos computadores, reunir los datos en un secuencia completa de genoma). Con su método (diez veces más barato que el empleado por el proyecto público, y más rápido), Venter secuenció el genoma de una bacteria, Hemophilus influenzae, que produce meningitis y sordera, el primer genoma completo de un organismo vivo completado en la historia (los resultados fueron publicados en 1955).
En 1998, Venter anunció su intención de determinar la secuencia del genoma humano, lo que, evidentemente, implicaba competir con el proyecto público. Para alcanzar tal fin, en junio de 1998 constituyó, aliándose con Applera Corporation, la compañía Celera Genomics, en la que él era al mismo tiempo presidente y principal oficial científico. Enseguida la compañía afrontó la tarea de secuenciar el genoma de la mosca Drosophila melanogaster, cuyo sistema nervioso central tiene muchos genes en común con el de los humanos. Era obvio que se trataba de un ensayo para enfrentarse al genoma humano. Los resultados de aquel primer proyecto de Celera fueron publicados en Science el 24 de marzo de 2000, en un artículo con 240 investigadores de todo el mundo figurando como autores. El número de genes que encontraron en la secuencia (que Venter consideraba de una precisión del 99,9 por 100) era 14 000.
Por entonces la compañía dirigida por Venter ya estaba firmemente implicada en la secuenciación del genoma humano. De hecho, tres meses más tarde, el 26 de junio, Venter, en su calidad de presidente de Celera Genomics, y Francis Collins (n.º 1950), desde abril de 1993 director del Proyecto Genoma Humano, realizaron un primer anuncio conjunto manifestando que habían completado la secuenciación del genoma humano. A pesar de lo grandilocuente de la declaración, aún quedaba bastante que hacer. No se había dicho nada, por ejemplo, sobre cuántos genes forman el genoma humano. El 11 de febrero de 2001 se remediaba tal carencia, anunciándose que el ser humano tiene unos 30 000 genes, frente al número de alrededor de 100 000 que se suponía antes. Tenemos, pues, poco más del doble de genes que una mosca y menos que el arroz, según se comprobó más tarde, cuando, en abril de 2002, un equipo de investigadores formado por miembros del Instituto de Genómica de Pekín y del Centro del Genoma de Washington, anunció que el genoma de esta planta cuenta con entre 50 000 y 60 000 genes. El 15 de febrero, el consorcio público presentaba sus resultados en Nature, mientras que Celera lo hacía un día después en Science.
§. La clonación
Otro de los grandes avances de la última década del siglo XX fue la clonación. Y ahí un nombre propio destaca: el embriólogo británico Ian Wilmut (n.º 1944).
El salto a la fama de Wilmut, que desde 1974 trabajaba en la Estación de Investigación de Reproducción Animal de Escocia, se produjo en 1997, más concretamente el 27 de febrero de aquel año, el día en que la revista Nature publicaba un artículo que había llegado a su redacción el 25 de noviembre de 1996. Se titulaba: «Descendencia viable derivada de células fetales y adultas de mamífero», y estaba firmado por Wilmut, el líder del grupo, A. E. Schniecke, J. McWhir, A. J. Kind y Keith H. S. Campbell, junto a Wilmut el principal responsable del grupo. En él se anunciaba que se había conseguido traspasar una frontera muy especial: la reproducción de un mamífero, una oveja —Dolly, nacida en julio de 1996— transfiriendo la carga genética (el ADN, los cromosomas) del núcleo de una célula de una glándula mamaria (es decir, una célula somática, no germinal) de una oveja adulta a un óvulo no fecundado y enucleado. Se había, en suma, clonado un mamífero.
Es cierto que Dolly no fue el primer clon de un mamífero; estrictamente, los gemelos son clones, pero lo son de un tipo muy diferente: en su caso se trata de una clonación natural, y más absoluta, por cierto, ya que, al surgir de una escisión embrionaria, poseen no solo idéntico ADN, sino también el mismo citoplasma, mientras que clones como Dolly solo tienen el mismo ADN que la célula que aporta la carga genética (en la medida en que el ADN no opera aislado, sino que se halla en constante «diálogo» con su entorno citoplasmático, Dolly no es, por tanto, un verdadero clon de la oveja original, sino simplemente un clon del ADN, o «clon genómico»).
Antes, en agosto de 1995, el grupo de investigación que creó, porque de una creación se trata, Dolly había producido dos ovejas clónicas de raza Welsh Mountain —Megan y Morag—; la diferencia con Dolly es que procedían de células que, recogidas de embriones de nueve días, fueron cultivadas, diferenciándose en el cultivo: habían sido clonadas a partir de células embrionarias, no de células adultas como en el caso de Dolly. Después de Megan, Morag y Dolly, los investigadores del Instituto Roslin continuaron apretando la tuerca de la creación, dando una vuelta más, una vuelta que mostraba con claridad lo que vendría en el futuro: en 1997 nacía otra oveja, Polly, clonada a partir de células cultivadas y transformadas genéticamente (se les añadió un gen humano durante el proceso).
En la ola de estos avances, el 25 de noviembre de 2001 la empresa estadounidense de investigación genética, Advanced Cell Technology (ACT), anunció en una revista de la red (e-biomed: The Journal of Regenerative Medicine) que había clonado un embrión humano con una técnica similar a la empleada con Dolly. La investigación, se añadía, no tenía por objetivo la duplicación de un humano, sino la obtención de células madre, el nuevo Eldorado de la investigación biomédica, las células que, no se sabe muy bien por qué o cómo, poseen la capacidad de convertirse en todo tipo de tejidos de órganos, lo que las hace especialmente susceptibles de ser utilizadas en el tratamiento de muchas enfermedades. «Las entidades que estamos creando», manifestaba Michael West, el fundador de ACT, «no son individuos, ni científica ni biológicamente. Es solo vida celular, no una vida humana».
Un nuevo paso en el camino a producir vida en el laboratorio a partir de elementos químicos fue el que dio en 2010 Craig Venter, quien en mayo de ese año anunció que había conseguido fabricar mediante un proceso de síntesis química un genoma, casi idéntico al de una bacteria natural, y utilizarlo para producir vida sintética. Lo consiguió mediante un gran esfuerzo, económico (costó 40 millones de dólares) y material (trabajó durante una década con un equipo de 20 investigadores), pero el logro es fundamental, de los que hacen época. En más de un sentido, similar al de Wöhler cuando produjo la urea en 1828.
§. Origen e historia de la vida
Para terminar este capítulo, y con él, este libro, nada mejor que «cerrar el círculo de la vida». Acabamos de ver los mecanismos básicos que subyacen en la transmisión de los caracteres hereditarios de generación a generación. Pero ¿cómo surgió la vida en la Tierra? Una vida que terminaría produciendo seres que se preguntan sobre el por qué de ellos mismos.
Los primeros tiempos de la historia de la Tierra (cuyo origen, como hemos dicho, se remonta a unos 4500 millones de años) debieron de ser bastante convulsos. Junto a una intensa actividad de tipo volcánico, es seguro que fueron muy frecuentes los impactos sobre su superficie de algunos de los numerosos cuerpos —como meteoritos o cometas— que circulaban por entonces, más o menos caóticamente, a lo largo y ancho del Sistema Solar. Esta actividad iría disminuyendo al reducirse la presencia de esos cuerpos en los entornos de los grandes planetas, una vez que estos hubiesen ido captando, o atrapando, un gran número de ellos. Para darnos cuenta de lo que significó aquella época, basta recordar que se cree que la Luna no es sino un trozo de la Tierra primigenia, desgajado cuando chocó contra ella un objeto de grandes dimensiones.
La temperatura terrestre en aquellos tiempos —seguramente durante los cien primeros millones de años de vida de la Tierra— tuvo que ser bastante elevada, desde luego lo suficiente como para que no pudiese formarse aún agua, y esta es un componente esencial para el tipo de vida que conocemos. Se cree que la primera atmósfera de la Tierra, la que surgió como consecuencia de los procesos geodinámicos que tuvieron lugar en su interior y superficie, estuvo compuesta sobre todo por amoniaco (NH3), metano (CH4) e hidrógeno (H2). No se pudo formar agua (forma líquida) debido a las altas temperaturas que existían entonces; solo existía en forma de vapor a muy alta temperatura, una parte del cual se condensó más tarde, convirtiéndose en agua propiamente dicha, cuando disminuyó lo suficiente la temperatura, alcanzando (dependiendo de la presión) los 100° centígrados, momento en el que se formarían los primeros océanos.
Los objetos que impactaban contra la superficie terrestre, algunos procedentes de estructuras planetarias ya formadas, debieron aportar muchos elementos que enriquecieron la composición de la superficie y atmósfera terrestres. Agua, sustancias volátiles e incluso sustancias orgánicas que acaso luego contribuyeron a la aparición de vida son algunas de esas posibles aportaciones procedentes del exterior, que entre otras consecuencias ocasionaron la pérdida del dominio del metano, el amoniaco y el hidrógeno. Se cree que aproximadamente hace entre 4400 y 3800 millones de años, la atmósfera terrestre, primitiva pero ya no primera, estaba dominada por la presencia del dióxido de carbono (CO2) y monóxido de carbono (CO), que de manera creciente se fueron concentrando en los alrededores de zonas volcánicas e hidrotermales. En conjunto, era una atmósfera similar —pero mucho menos densa— a la que existe en la actualidad en Venus.
Aunque en la actualidad nos horroriza el aumento de dióxido de carbono en la atmósfera debido a la acción humana, que produce el denominado «efecto invernadero» (la elevación de la temperatura ambiente media), en los primeros tiempos terrestres la abundancia de este gas fue una bendición. La razón es que la luminosidad del Sol no era la actual, sino un 30 por 100 menor (al igual que un organismo vivo, las estrellas, recordemos, también cambian a lo largo del tiempo como consecuencia de la dinámica de los procesos termonucleares que tienen lugar en su interior). Si la atmósfera de la Tierra hubiese tenido la composición actual, entonces, al recibir un 70 por 100 de la luminosidad solar actual, toda la superficie terrestre habría estado helada. Fue la abundancia de CO2, y el consiguiente efecto invernadero que ello ocasionó, lo que hizo posible que la temperatura no llegase a semejantes mínimos, permitiendo así que se desencadenasen los procesos químico-físicos que condujeron a la aparición de la vida tal y como la conocemos.
No obstante, el que el oxígeno no apareciese en forma libre tenía sus inconvenientes para la aparición de una parte de esa vida tal y como la conocemos hoy. Recordemos en este sentido que no solo nosotros, los humanos, sino la inmensa parte de las formas vivientes animales que existen en la actualidad en la Tierra son seres consumidores de oxígeno libre y que, por consiguiente, no hubieran podido vivir en aquella atmósfera primitiva. Las plantas constituyen una excepción, porque poseen mecanismos que les permiten consumir dióxido de carbono; más aún, florecen en tal escenario. Si la atmósfera no hubiese cambiado, la Tierra tendría vida, pero probablemente sería un planeta lleno únicamente de vida vegetal. Una Tierra hermosa, sí, pero sin organismos como nosotros en ella. Y decimos probablemente porque no podemos estar seguros: los caminos por los que surge la vida pueden ser muy diversos, aunque no sepamos demasiado acerca de esta cuestión.
El que la atmósfera primitiva se modificase de manera que contuviese oxígeno libre se debió a la aparición, hace unos 2000 millones de años, de uno o varios linajes de bacterias —denominadas cianobacterias— con una habilidad muy especial: la de ser capaces de liberar el oxígeno y el carbono del dióxido de carbono (son, como vemos, un ejemplo de esos «otros posibles caminos de la vida» que pueden darse). El oxígeno, en forma gaseosa, pasaría a la atmósfera, mientras que el carbono sería una de las fuentes de alimentación de las plantas.
Pero hemos dado un paso demasiado largo, porque las cianobacterias, y no digamos ya las plantas, son formas de vida y estábamos con el medio en el que esta pudo haber surgido, así que continuemos con la secuencia lógica preguntándonos cuándo y cómo pudo aparecer la vida en la Tierra.
Parece que, fuese cual fuese el origen de la vida sobre la Tierra, esta debió comenzar al menos hace alrededor de algo menos de 4000 millones de años, fecha obtenida a partir de la datación de los fósiles más antiguos con el tamaño y forma de bacterias encontrados en rocas terrestres. Si tenemos en cuenta que la Tierra tiene 4500 millones de años, entonces hay que concluir que, en una escala planetaria, la vida no tardó demasiado en surgir. Y no solo surgió, sino que se afincó y diversificó con bastante rapidez: en rocas sedimentarias de Australia se han encontrado estructuras fósiles, denominadas «estromatolitos», aparentemente restos de aglomeraciones de organismos unicelulares posiblemente emparentadas con bacterias o con algas, con una edad de 3500 millones de años.
Sabemos, por tanto, algo del «cuándo», pero ¿y del «cómo»? Uno de los primeros que se planteó esta pregunta de una manera científica, esto es, buscando contestarla en base a lo que la química y la física permiten, fue el bioquímico ruso Aleksandr Ivanovich Oparin (1894-1980), autor de un libro de referencia: El origen de la vida (1924). Aunque las propuestas de Oparin fueron ampliamente superadas más tarde (en 1934 se desconocía el papel y estructura del ADN en la vida terrestre), es interesante recordarlas. Las propuestas se basaban en la suposición de que en la atmósfera de la Tierra primitiva, que como ya sabemos estaba formada mayoritariamente por amoniaco, metano, hidrógeno y vapor de agua, se habrían producido una serie de reacciones químicas estimuladas por la energía procedente del Sol (en particular, la radiación ultravioleta), las erupciones volcánicas o los rayos generados en tormentas. Y que en tales reacciones químicas se habrían originado compuestos orgánicos sencillos, precursores de tipos de vida primitiva. De hecho, Oparin especuló con que los primeros organismos vivos debieron aparecer —a partir de una solución de un coagulado no vivo, del tipo de un gel— en los océanos antiguos hace entre 4000 y 3200 millones de años.
Aunque Oparin también llevó a cabo experimentos, intentando demostrar su teoría, estos no reunían las garantías necesarias para obtener suficiente crédito. De hecho, pasarían treinta años antes de que se realizasen experimentos fiables de ese tipo. Fue Stanley Lloyd Miller (1930-2007) quien, en 1956, siendo un estudiante posgraduado en la Universidad de Chicago, bajo la dirección de Harold Urey, simuló el efecto de la radiación ultravioleta en la «sopa primigenia» existente en la Tierra primitiva, haciendo pasar una descarga eléctrica de alto voltaje a través de una mezcla de amoniaco, metano, hidrógeno y agua. El resultado de semejante operación fue la aparición de diversos productos químicos, entre los que se encontraban varios aminoácidos. Tan solo tres meses y medio después de haber iniciado su proyecto, que había suscitado recelos en Urey, porque pensaba que era demasiado difícil e incierto para que un estudiante de doctorado se dedicase a él, Miller publicó sus resultados en un artículo que tituló «Una producción de aminoácidos bajo condiciones posibles de la Tierra primitiva». Y obtener aminoácidos es muy importante: las proteínas, las sustancias básicas para la vida, son, recordemos, cadenas muy largas de aminoácidos.
Para que nos demos cuenta de la complejidad de los procesos implicados, hay que tener en cuenta, por un lado, que las proteínas están constituidas por muchos aminoácidos (cualquiera poco compleja puede tener un centenar de ellos), ordenados en secuencias determinadas y, por otra, que los veinte aminoácidos básicos se pueden combinar de muchas maneras. El número que surge de estas posibles combinaciones es extremadamente alto, y, naturalmente, no todas las combinaciones resultantes —proteínas potenciales— son útiles desde el punto de vista biológico. En otras palabras, el «laboratorio de producción de proteínas para la vida» de la Tierra temprana debió de trabajar muy intensamente durante bastante tiempo, aunque precisamente mucho tiempo es algo que hubo, y, además, las reacciones químicas pueden ser muy rápidas.
En su experimento, Miller únicamente obtuvo trece aminoácidos, cuando son veinte los que son utilizados en la vida terrestre, pero esto no constituye necesariamente un problema. En primer lugar, porque las primeras formas de vida acaso no utilizaban tantos aminoácidos, y en segundo lugar, porque hay que contar con la posible ayuda que llegó del espacio; esto es, con lo que aportaban a la Tierra los cometas y meteoritos que llegaban: en uno de ellos, el meteorito Murchison, que se estrelló contra la Tierra en Australia en septiembre de 1969, se encontraron, junto a aminoácidos comunes que figuran entre los componentes de la vida terrestre, otros que no lo son.
Vemos, por consiguiente, que el marco general suena razonable: reacciones químicas que se produjeron en la Tierra primitiva y entre cuyos productos aparecieron unos compuestos llamados aminoácidos, que, al unirse entre ellos formando cadenas, dieron lugar a proteínas, elementos básicos para la organización y control de la vida, y cuyas diferencias tienen que ver, asimismo, con la aparición de especies diferentes. Sin embargo, ni los aminoácidos ni las proteínas son las piezas biológicas más importantes en lo que podríamos denominar «la cabina de mando» de la vida que surgió en la Tierra. Al margen de los procesos del tipo de los que imita el experimento de Miller-Urey, se debieron producir una serie de reacciones químicas que condujeron a la formación de un par de tipos de moléculas, tratadas extensamente en el presente capítulo: el ácido ribonucleico (ARN) y el ácido desoxirribonucleico (ADN), que sí constituyen esa «cabina de mando».
Aunque todavía no está clara la dinámica y secuencia que las produjo, sí sabemos que tuvieron como ingredientes a los elementos químicos carbono (C), hidrógeno (H), oxígeno (O), nitrógeno (N), fósforo (P) y azufre (S). Todas las moléculas biológicas que existen en la Tierra son combinaciones de estos elementos fundamentales. No es una hipótesis aventurada suponer que durante los primeros tiempos de la historia de la Tierra tuvieron lugar múltiples combinaciones de esos elementos bajo condiciones físicas diversas; que se produjeron reacciones químicas de todo tipo, algunas de las cuales generaron moléculas simples (monómeros), que a su vez reaccionaron entre sí formando moléculas más grandes (polímeros). En algún momento de este caos —un caos dirigido por las leyes químicas, en el que los procesos sinérgicos se ven favorecidos— se formaron las moléculas que llamamos nucleótidos (combinaciones de ácido fosfórico y desoxirribosa, junto con esos compuestos de C, N, O, H y P, que son la adenina, guanina, citosina y timina), que a su vez se combinaron para formar estructuras llamadas ribosomas, formadas básicamente por moléculas de un tipo de ácido nucleico, el mencionado ARN, capaz de transportar información. Modificaciones subsiguientes dieron lugar a la aparición del ADN.
El «descubrimiento» (esto es, la producción) del ARN y del ADN fue un momento clave, singular, en la historia de la vida sobre la Tierra: el ADN es la molécula informacional de todos los seres vivos, y químicamente el ADN de, por ejemplo, una bacteria, una planta y un humano son indistinguibles. Una vez que los procesos de prueba y error dieron lugar al ARN, pudo ocurrir que la evolución del ADN como código genético tuviese lugar con bastante rapidez. Es asimismo posible, como ya hemos apuntado, que se diesen otras formas (macromoléculas) capaces de transmitir información genética, pero que estas no pudiesen competir con las basadas en ARN y ADN, más adecuadas al medio en el que se encontraban. Nada ha llegado a suplantar en la Tierra esta forma de codificar la información genética.
El ARN y el ADN constituyen, como vemos, piezas (inventos de la naturaleza) esenciales en la historia del origen de la vida, pero esa historia no termina ahí, ni mucho menos; necesitó de otros ingredientes, porque ARN y ADN están inmersos en unas estructuras biológicas que les resultan esenciales (para, por ejemplo, distinguirlos y salvaguardarlos del entorno; también para proporcionarles sistemas de producción de energía con los que funcionar, así como de eliminación de desechos): las células. Todas las formas de vida conocidas en nuestro planeta, desde la bacteria más diminuta hasta la secuoya más imponente, pasando por la pequeña lombriz o el imponente elefante, están formadas por células.
Las primeras células que aparecieron no tenían núcleo (esto es, zonas separadas del resto, del citoplasma). Se las denomina procariotas. Aparecieron unos 1000 millones de años después de la formación de la Tierra, ocupándola en exclusiva durante otros 2000 millones más. Solo existen (o conocemos) dos tipos de procariotas: las bacterias y las cianobacterias. Es importante resaltar que las primeras células procariotas debieron ser obligatoriamente anaeróbicas; esto es, que tuvieron que ser capaces de sobrevivir en ausencia de cantidades significativas de oxígeno.
De las procariotas, hace unos 1500 millones de años, surgieron —probablemente mediante interacciones simbióticas— las eucariotas, células provistas de un núcleo en el que se encuentra el ADN (las procariotas también lo tienen, pero no separado del resto). Las eucariotas poseen una ventaja sobre las procariotas en lo que a la carga genética se refiere: el núcleo es más favorable para esta carga que el medio citoplasmático. Orgánulos que se encuentran dentro de las células eucariotas, como las mitocondrias, tal vez surgieron a partir de bacterias que la célula ingirió como alimento y que terminaron evolucionando hasta convertirse en las unidades procesadoras de energía que son las mitocondrias, aunque también es posible que las eucariotas se originasen a partir de procariotas con estructuras diferentes.
Si las mitocondrias fueron al principio un tipo de bacteria, es posible que su función inicial al introducirse en una célula eucariota fuese la de ayudar a liberar a esta del oxígeno. Y es que el oxígeno no es necesariamente beneficioso: químicamente es muy activo, y cualquier sustancia química muy activa es también muy destructiva; esto es, puede perder fácilmente su identidad al combinarse con otras.
Reuniéndose en grupos que colaboran entre sí, las células eucariotas dieron paso a otras organizaciones, organismos más complejos, pluricelulares. Estas megaeucariotas terminaron dando lugar a cinco tipos de grupos o «reinos»: plantas, animales, hongos y dos tipos de algas. Y de ahí a formas superiores de vida, como la nuestra, solo hay un paso. Aunque llevase mucho tiempo darlo. De algunos de esos pasos ya nos hemos ocupado en este libro, que ahora cumple, por consiguiente, terminar.
La bibliografía que se cita a continuación únicamente pretende tener un carácter orientativo; esto es, servir de ayuda a los lectores si desean ampliar sus conocimientos sobre la muy extensa temática cubierta por este libro.
REFERENCIAS GENERALES
Stephen F. Mason, Historia de las ciencias, 5 vols. (Alianza Editorial, Madrid 1984-1986; edición original en inglés de 1956). René Taton, Historia general de las ciencias, 5 vols. (Destino, Barcelona 1975; edición original en francés de 1957 a 1964). Javier Ordóñez, Víctor Navarro y José Manuel Sánchez Ron, Historia de la ciencia (Espasa, Madrid 1.ª ed. 2004; 7.ª ed. 2009). Helge Kragh, Introducción a la historia de la ciencia (Crítica, Barcelona 2007; edición original en inglés de 1987). Pedro Laín Entralgo y José María López Piñero, Panorama histórico de la ciencia moderna (Ediciones Guadarrama, Madrid 1963). Carlos Solís y Manuel Sellés, Historia de la ciencia (Espasa, Madrid 2005). The Cambridge History of Science, vol. 3 («Early modern science»), Katharine Park y Lorraine Daston, eds. (Cambridge University Press, Cambridge 2006). The Cambridge History of Science, vol. 4 («Eigtheenth-century science»), Katharine Park y Lorraine Daston, eds. (Cambridge University Press, Cambridge 2006). The Cambridge History of Science, vol. 5 («The modern physical and mathematical sciences»), Mary Jo Nye, ed. (Cambridge University Press, Cambridge 2003). The Cambridge History of Science, vol. 6 («The modern biological and earth sciences»), Roy Porter, ed. (Cambridge University Press, Cambridge 2003). The Oxford Companion to the History of Modern Science, J. L. Heilbron, ed. (Oxford University Press, Nueva York 2003). Instruments of Science. An Historical Enciclopedia, Robert Bud y Deborath J. Warner, eds. (Garland Publ., Nueva York 1998). Morris Kline, El pensamiento matemático de la antigüedad a nuestros días, 3 vols. (Alianza Editorial, Madrid 1992; edición original en inglés de 1972). Companion Encyclopedia of the History and Philosophy of the Mathematical Sciences, I. Grattan-Guinness, ed., 2 vols. (The Johns Hopkins University Press, Baltimore 1994). Ian Stewart, Historia de las matemáticas (Crítica, Barcelona 2008; edición original en inglés de 2007). David Knight, The Making of Modern Science (Polity, Cambridge 2009). Pedro Laín Entralgo, dir. Historia universal de la medicina, 7 vols. (Salvat, Barcelona 1972-1975). Norris S. Hetherington, Encyclopedia of Cosmology (Garland Publ., Nueva York 1993). José Charles Gillispie, ed., Dictionary of Scientific Biography, 18 vols. (Scribner’s, Nueva York 1970-1990). David Knight, Sources for the History of Science, 1660-1914 (The Sources of History Limited, Londres 1975). James E. McClellan III y Harold Dorn, Science and Technology in World History (The Johns Hopkins University Press, Baltimore 1999). Albert Einstein y Leopold Infeld, La evolución de la física (Salvat, Barcelona 1986; edición original en inglés de 1938).
Al igual que en otros textos de historia de la ciencia, y aunque nos hemos esforzado por evitarlo, este libro adolece de limitaciones a la hora de ser justos con las contribuciones hindúes, chinas o árabes, carencia solo soportable en la medida en que no pretende ser una historia completa de la ciencia, sino únicamente reconstruir, con la ayuda de la historia, la esencia, los pilares, de la ciencia. Para algunos temas relativos a la ciencia árabe recomendamos la lectura de Juan Vernet, Lo que Europa debe al Islam de España (El Acantilado, Barcelona 1999) y Jesús Mosterín, El islam. Historia del pensamiento (Alianza Editorial, Madrid 2012).
INTRODUCCIÓN
Francis Bacon, Novum Órganon, traducción de Cristóbal Litrán (Ediciones Orbis, 1984). Para los Analíticos primeros hemos utilizado Aristóteles, Tratados de lógica (Órganon). II, edición de Miguel Candel Sanmartín (Editorial Gredos, Madrid 1995). James Gleick, La información. Historia y realidad (Crítica, Barcelona 2012; edición original en inglés de 2011).
1. LA OBSERVACIÓN DE LA NATURALEZA
Gerald L’E. Turner, Scientific Instruments, 1500-1900. An Introduction (University of California Press, Berkeley 1998). S. Sambursky, El mundo físico de los griegos (Alianza Editorial, Madrid 1990) y El mundo físico a finales de la antigüedad (Alianza Editorial, Madrid 1990). J. Evans, The History and Practice of Ancient Astronomy (Oxford University Press, Oxford 1998). Jared Diamond, Armas, gérmenes y acero (Debate, Madrid 1998; edición original en inglés de 1997). Thomas McKeown, Los orígenes de las enfermedades humanas (Editorial Triacastela, Madrid 2006; primera edición en inglés de 1988). William H. McNeill, Plagas y pueblos (Siglo XXI, Madrid 1984; edición original en inglés de 1976). José María López Piñero, Antología de clásicos médicos (Editorial Triacastela, Madrid 1998). Pedro Laín Entralgo, Ciencia, técnica y medicina (Alianza Editorial, Madrid 1986).
2. ESPECULACIÓN
Tanto para este capítulo como para el 7 y el 18, es recomendable el libro de H. Wussing y W. Arnold, Biografías de grandes matemáticos (Universidad de Zaragoza, Zaragoza 1989). Aunque antigua, una magnífica historia de los sistemas de numeración y de las notaciones utilizadas es el libro de Florian Cajori, A History of Mathematical Notations, 2 vols. (The Open Court, La Salle, Illinois 1951). Más recientes son: Georges Ifrah, Historia universal de las cifras (Espasa, Madrid 1997; edición original en francés de 1981) y Antonio Durán, dir., Vida de los números (T Ediciones, Madrid 2006). I. B. Cohen, El triunfo de los números (Alianza Editorial, Madrid 2007; edición original en inglés de 2005). O. Neugebauer, The Exact Sciences in Antiquity (Princeton University Press, Princeton 1952). Para los Elementos de Euclides hemos utilizado la edición publicada por la editorial Gredos en tres volúmenes (1991, 1994 y 1996); traducción de María Luisa Puertas Castaños. Arpad Szabó, The Beginnings of Greek Mathematics (Akademiai Kiado, Budapest 1978). Pedro Laín Entralgo, La medicina hipocrática (Alianza Editorial, Madrid 1970). A. I. Sabra. Theories of Light. From Descartes to Newton (Oldbourne, Londres 1967). D. Lindberg, Theories of Vision from Al-Kindi to Kepler (Chicago University Press, Chicago 1976).
3. LA COMUNICACIÓN DEL CONOCIMIENTO
William H. McNeill, The Rise of the West. A History of the Human Community (The University of Chicago Press, Chicago 1963). Peter Burke, Historia social del conocimiento. De Gutenberg a Diderot (Paidós, Barcelona 2002; edición original en inglés de 2000). George Sarton, Hellenistic Science and the Culture of the Last Three Centuries B. C. (Dover, Nueva York 2009; 1.ª ed. 1959). Martha Ornstein, The Role of Scientific Societies in the Seventeenth Century (The University of Chicago Press, Chicago 1928). La Universidad. Una historia ilustrada, Fernando Tejerina, ed. (Banco de Santander/Turner 2010). Elizabeth Eisenstein, La revolución de la imprenta en la Edad Moderna europea (Akal, Madrid 1994; edición original en inglés de 1979). José M. Sánchez Ron, Los grandes libros de la ciencia: de la Antigüedad helena a la era del genoma) (Instituto de España, Madrid 2009).
4. LA DEMOLICIÓN DE LOS SISTEMAS ESPECULATIVOS
Thomas S. Kuhn, La Revolución copernicana (Ariel, Barcelona 1978; edición original en inglés de 1957). A hombros de gigantes, edición comentada por Stephen Hawking (Crítica, Barcelona 2003); contiene traducciones al español de Sobre las revoluciones de los orbes celestes de Copérnico, las Armonías del mundo de Kepler, el Diálogo sobre las dos nuevas ciencias de Galileo y los Principios matemáticos de la filosofía natural de Newton. Nicolás Copérnico, Commentariolus, incluido en Nicolás Copérnico, Thomas Digges, Galileo Galilei, Opúsculos sobre el movimiento de la Tierra (Alianza Editorial, Madrid 1983). Victor Thoren, The Lord of Uraniborg. A biography of Tycho Brahe (Cambridge University Press, Cambridge 1990). Las citas de la Astronomia Instauratae Mechanica (1598) de Tycho Brahe se han extraído de la traducción de Vidal González Sánchez: Mecánica de la astronomía renovada (Editorial San Millán, Málaga 2006). Max Caspar, Kepler (Acento Editorial, Madrid 2003; primera edición en alemán de 1948). Galileo Galilei, Noticiero sideral, edición de Ramón Núñez y José M. Sánchez Ron (Museo Nacional de Ciencia y Tecnología, La Coruña/Madrid 2010). Galileo Galilei, La gaceta sideral y Johannes Kepler, Conversación con el mensajero sideral, edición de Carlos Solís (Alianza Editorial, Madrid 2007). Galileo Galilei, Diálogo sobre los dos máximos sistemas del mundo ptolemaico y copernicano, edición de Antonio Beltrán Marí (Alianza Editorial, Madrid 1995). Richard Dunn, The Telescope. A short history (National Maritime Museum, Greenwich 2009). Andreas Vesalio, Fábrica del cuerpo humano (Ebrisa/Ediciones Doce Calles, Aranjuez 1979. Para las citas de Descartes, hemos utilizado Descartes, Oeuvres et lettres (Bibliohèque de la Pléiade, Gallimard, París 1953).
5. LA REVOLUCIÓN CIENTÍFICA
A. Rupert Hall, La Revolución Científica, 1500-1750 (Crítica, Barcelona 1985; versión original en inglés de 1954). I. Bernard Cohen, Revolución en la ciencia (Gedisa, Barcelona 1989; edición original en inglés de 1985). El nacimiento de la nueva física (Alianza Universidad, Madrid 1989; versión original en inglés de 1985). Peter Dear, La Revolución de las Ciencias (Marcial Pons, Madrid 2007; edición original en inglés de 2001). Richard S. Westfall, La construcción de la ciencia moderna (Labor, Barcelona 1990; edición original en inglés de 1971). Thomas S. Kuhn, La estructura de las revoluciones científicas (Fondo de Cultura Económica, México 1971; edición original en inglés de 1962). Alexander Koyré, Estudios galileanos (Editorial Siglo XXI, Madrid 1990; edición original en francés de 1939). Karl Popper, La lógica de la investigación científica (Tecnos, Madrid 1962; edición original en alemán de 1934, ampliada en la edición en inglés de 1959). Paul Feyerabend, Contra el método (Ariel, Barcelona 1981, edición original en inglés de 1975). J. L. Heilbron, Galileo (Oxford University Press, Oxford 2010). Víctor Navarro, ed., Galileo (Península, Barcelona 1991), Galileo Galilei, Cartas sobre las manchas solares, incluida en Galileo, Víctor Navarro, ed. (Ediciones Península, Barcelona 1991). Para el desarrollo de la cinemática y la dinámica anterior a Newton, véase Marshall Clagett, The Science of Mechanics in the Middle Ages (The University of Wisconsin Press, Madison 1961). Johannes Kepler, El secreto del universo, Eloy Rada (Alianza Editorial, Madrid). Las citas de los Discorsi e dimostrazioni matematiche, intorno à due nuove scienze attenenti alla mecanica & i movimienti locali de Galileo las hemos tomado de la traducción incluida en A hombros de gigantes, Stephen Hawking, ed. (Crítica, Barcelona 2003).
6. FUERZA Y ENERGÍA
P. M. Harman, Energía, fuerza y materia (Alianza Editorial, Madrid 1990; edición original en inglés de 1982). Richard S. Westfall, Isaac Newton: una vida (Cambridge University Press, Cambridge 1996). Johannes Kepler, Epitome of Copernican Astronomy & Harmonies of the World (Prometheus Books, Amherst, Nueva York 1995). René Descartes, Los principios de la filosofía (Alianza Editorial, Madrid 1995). Isaac Newton, Análisis de cantidades mediante series, fluxiones y diferencias con una enumeración de las líneas de tercer orden (Real Sociedad Matemática Española/SAEM «Thales», Madrid 2003). Derek Gjertsen, The Newton Handbook (Routledge & Kegan Paul, Londres 1986). Las citas de Philosophiae Naturalis Principia Mathematica de Newton las hemos tomado de la traducción incluida en A hombros de gigantes, Stephen Hawking, ed. (Crítica, Barcelona 2003). José M. Sánchez Ron, «Euler, entre Descartes y Newton», en La obra de Euler, Alberto Galindo y Manuel López Pellicer, coords. (Instituto de España, Madrid 2009), págs. 11-32. Clifford Truesdell, Ensayos de historia de la mecánica (Tecnos, Madrid 1975; edición original en inglés de 1968). Erwin N. Hiebert, Historical Roots of the Principle of Conservation of energy (The State Historical Society of Wisconsin, Madison 1962). La polémica Leibniz-Clarke, edición de Eloy Rada (Taurus, Madrid 1980).
7. CÁLCULO
A Source Book in Mathematics, 1200-1800, editado por D. J. Struik (Harvard University Press, Cambridge, Mass. 1969); se reproducen algunos de los textos fundamentales relativos a la creación y desarrollo del cálculo diferencial e integral, acompañados de comentarios muy ilustrativos. Para la historia de la creación del cálculo infinitesimal e integral, ver Antonio José Durán, Historia, con personajes, de los conceptos del cálculo (Alianza Editorial, Madrid 1996), y La verdad está en el límite. El cálculo infinitesimal (RBA Coleccionables S. A. 2011). La cita de F. LeLionnais sobre el concepto de función se encuentra en el capítulo «La función» del libro colectivo Las grandes corrientes del pensamiento matemático, F. LeLionnais y colaboradores (Editorial Universitaria de Buenos Aires, Buenos Aires 1976; edición original en francés de 1948).
8. COMPOSICIÓN DE LA MATERIA
W. H. Brock, Historia de la química (Alianza Editorial, Madrid 1998; edición original en inglés de 1992). Bernardette Bensaude-Vincent e Isabelle Stengers, Historia de la química (Addison-Wesley/Universidad Autónoma de Madrid, Madrid 1997; edición original en francés de 1993). Allen G. Debus, The Chemical Philosophy. Paracelsian Science and Medicine in the Sixteen and Seventeenth Centuries, 2 vols. (Science History Pub., Nueva York 1977). Francisco Javier Puerto Sarmiento, El mito de Panacea (Ediciones Doce Calles, Aranjuez 1997). Miguel López Pérez, Asclepio renovado. Alquimia y medicina en la España moderna (1500-1700) (Ediciones Corona Borealis, Madrid 2003). Steven Johnson, La invención del aire (Turner, Madrid 2010; edición original en inglés de 2008).
9. CIENCIAS EXPERIMENTALES, LABORATORIOS Y ACADEMIAS
W. E. K. Middleton, The Experimenters: A study of the Accademia del Cimento (The John Hopkins Press, Baltimore 1972). John E. McClellan, Science Reorganized: scientific societies in the Eighteenth century (Columbia University Press, Nueva York 1985). Lewis Pyenson y Susan Sheets-Pyenson, Servants of Nature: A history of scientific institutions, enterprises, and sensibilities (W. W. Norton, Nueva York 1999). Martha Ornstein, The Role of Scientific Societies in the Seventeenth Century (The University of Chicago Press, Chicago 1928).
10. EL CALOR
Las citas del Réflexions sur la puissance motrice du feu et sur les machines propes à développer cette puissance de Sadi Carnot están tomadas de la edición de Javier Ordoñez: Reflexiones sobre la potencia motriz del fuego (Alianza Editorial, Madrid 1987). La cita de la Théorie analytique de la chaleur de Fourier está tomada de la traducción realizada por Mª. Dolores Redondo Alvarado: J. Fourier, Teoría analítica del calor (Textos de Física, Grupo de Trabajo de Análisis dimensional, E. T. S. de Arquitectura, Universidad Politécnica de Madrid 1992). David Cahan, ed., Hermann von Helmholtz and the Foundations of Nineteenth-century science (The University of California Press, Berkeley 1993). Stephen G. Brush, Statistical Physics and the Atomic Theory of Matter. From Boyle and Newton to Landau and Onsager (Princeton University Press, Princeton 1983). Ludwig Boltzmann, Escritos de mecánica y termodinámica, Javier Ordoñez, ed. (Alianza Editorial, Madrid 1986).
11. MAGNETISMO Y ELECTRICIDAD
J. L. Heilbron, Electricity in the 17th and 18th centuries (Dover, Nueva York 1999). Benjamin Franklin, Experimentos y observaciones sobre electricidad, Joaquín Summers Gámez, ed. (Alianza Editorial, Madrid 1988). William Berkson, Las teorías de los campos de fuerza (Alianza Editorial, Madrid 1981; edición original en inglés de 1974). James Clerk Maxwell, Escritos científicos, José M. Sánchez Ron, ed. (Consejo Superior de Investigaciones Científicas, Madrid 1998). Para la historia de la medida de la velocidad de la luz, véase Cortés Pla, Velocidad de la luz y relatividad (Espasa-Calpe, Buenos Aires 1947). John Ambrose Fleming, Cincuenta años de electricidad. Memorias de un ingeniero eléctrico, Antonio Colino López y José M. Sánchez Ron, eds. (Crítica, Barcelona 2007).
12. RADIACIONES
Clifford L. Maier, The Role of Spectroscopy in the Acceptance of the Internally Structured Atom, 1860-1920 (Arno Press, Nueva York 1981). Klaus Hentschel, Mapping the Spectrum (Oxford University Press, Oxford 2002). José M. Sánchez Ron, Historia de la física cuántica, I: El período fundacional (1860-1926) (Crítica, Barcelona 2001). José M. Sánchez Ron, Marie Curie y su tiempo (Crítica, Barcelona 2000).
13. EL CARBONO
Bernardette Bensaude-Vincent e Isabelle Stengers, Historia de la química (Addison-Wesley/Universidad Autónoma de Madrid, Madrid 1997). Aaron J. Ihde, The Development of Modern Chemistry (Dover, Nueva York 1984). La carta citada de Wöhler a Berzelius y la respuesta de este a aquel se encuentran reproducidas en el capítulo 9 de Robin Keen, The Life and Work of Friedrich Wöhler (1800-1882) (Verlag Traugott Bautz GmbH, Nordhausen 2005). Simon Garfield, Malva. Historia del color que cambió el mundo (Península, Barcelona 2001; edición original en inglés de 2000). Colin A. Russell, The History of Valence (Humanities Press, Leicester 1971).
14. HISTORIA NATURAL
Robert Huxley, ed., Los grandes naturalistas (Ariel, Barcelona 2007). Richard Milner, Diccionario de la evolución (Biblograf, Barcelona 1995; edición original en inglés de 1993). John L. Larson, Reason and Experience. The representation of natural order in the work of Carl von Linné (University of California Press, Berkeley 1971). Antonio González Bueno, Linneo. El príncipe de los botánicos (Nivola, Madrid 2001). Janet Browne, Charles Darwin, vol. 1, El viaje (Publicacions Universitat de València, Valencia 2008; edición original en inglés de 1995); vol. 2, El poder del lugar (Publicacions Universitat de València, Valencia 2009; edición original en inglés de 2002). Charles Darwin, El origen del hombre, traducción de Joandomènec Ros (Crítica, Barcelona 2009). Holbach, Sistema de la naturaleza (Editorial Laetoli, Pamplona 2008).
15. LA CÉLULA
Robert Hooke, Micrografía o algunas descripciones fisiológicas de los cuerpos diminutos realizadas mediante cristales de aumento con observaciones y disquisiciones sobre ellas, Carlos Solís, ed. (Alfaguara, Madrid 1989). Agustín Albarracín Teulón, La teoría celular (Alianza Editorial, Madrid 1983). José María López Piñero, Santiago Ramón y Cajal (Publicacions de la Universitat de València, Valencia 2006). Gregor Mendel, Experimentos sobre híbridos en las plantas (KRK Ediciones, Oviedo 2008). R. Olby, The Origins of Mendelism (Constable, Londres 1966).
16. SALUD, ENFERMEDADES
José María López Piñero, La medicina en la historia (La Esfera de los Libros, Madrid 2002). José María López Piñero, Ciencia y enfermedad en el siglo XIX (Ediciones Península, Barcelona 1985). Claude Bernard, Introducción al estudio de la medicina experimental, edición de Pedro García Barreno (Crítica, Barcelona 2005).
17. EL PODER DE LA CIENCIA
José M. Sánchez Ron, El poder de la ciencia. Historia social, política y económica de la ciencia (siglos XIX y XX) (Crítica, Barcelona 2010). D. J. de la Solla Price, Hacia una ciencia de la ciencia (Ariel, Barcelona, 1973; edición original en inglés de 1963). Paul Forman, John L. Heilbron y Spencer Weart, Physics circa 1900, Historical Studies in the Physical Sciences 5 (1975). Joseph Ben-David, The Scientist’s Role in Society. A Comparative Study (Prentice-Hall, Englewood Cliffs, New Jersey 1971). José M. Sánchez Ron, Ciencia, política y poder: Napoleón, Hitler, Stalin y Eisenhower (Fundación BBVA, Madrid 2010). 1907-1987. La Junta para Ampliación de Estudios e Investigaciones Científicas 80 años después, José M. Sánchez Ron, coord., 2 vols. (Consejo Superior de Investigaciones Científicas, Madrid 1988). Daniel J. Keevles, The Physicists. The history of a scientific community in modern America (Alfred A. Knopf, Nueva York 1978). Agustí Nieto-Galán, Los públicos de la ciencia (Marcial Pons, Madrid 2011). Fritz Machlup, The Production and Distribution of Knowledge in the United States (Princeton University Press, Princeton 1972). Jagdish Mehra, The Solvay Conferences of Physics (Reidel, Dordrecht, 1975).
18. ABSTRACCIÓN Y CONSTRUCTOS MATEMÁTICOS
I. Grattan-Guiness, ed., Del cálculo a la teoría de conjuntos, 1630-1910 (Alianza Editorial, Madrid 1984; edición original en inglés de 1980). José Ferreirós, El nacimiento de la teoría de conjuntos, 1854-1908 (Ediciones de la Universidad autónoma de Madrid, Madrid 1993). Jesús Mosterín, Los lógicos (Espasa, Madrid 2000). Piergiorgio Odifreddi, La matemática del siglo XX (Katz, Buenos Aires 2006; edición original en italiano de 2000). Jeremy Gray, El reto de Hilbert (Crítica, Barcelona 2003; edición original en inglés de 2000). Maurice Mashaal, Bourbaki, une societé secrete de mathématiciens (Belin, París 2002).
19. RELATIVIDAD
Albert Einstein, Notas autobiográficas (Alianza Editorial, Madrid 1984; edición original en alemán de 1949). José M. Sánchez Ron, El origen y desarrollo de la relatividad (Alianza Editorial, Madrid 1985). Abraham Pais, «El señor es sutil»… La ciencia y la vida de Albert Einstein (Ariel, Barcelona 1984; edición original en inglés de 1982). Albert Einstein, Notas autobiográficas (Alianza Editorial, Madrid 1984). Einstein 1905: un año milagroso, John Stachel, ed. (Crítica, Barcelona 2001; edición original en inglés de 1998). Einstein esencial, José M. Sánchez Ron, ed. (Crítica, Barcelona 2006). Albert Einstein, Mis ideas y opiniones (Bon Ton, Barcelona 2000).
20. CUÁNTICA
Max Jammer, The Conceptual Development of Quantum Mechanics, 2.ª. edición (Tomash Publishers/American Institute of Physics, 1989). José M. Sánchez Ron, Historia de la física cuántica, I: El período fundacional (1860-1926) (Crítica, Barcelona 2001). Helge Kragh, Generaciones cuánticas (Akal, Madrid 2007; edición original en inglés de 1999). Abraham Pais, Inward Bound. Of matter and forces in the physical world (Claredon Press, Oxford 1986). Michael Eckert y Helmut Schubert, Cristales, electrones y transistores (Alianza Editorial, Madrid 1991; edición original en alemán de 1986). Los sueños de los que está hecha la materia, edición e introducción a cargo de Stephen Hawking (Crítica, Barcelona 2011; edición original en inglés de 2011); contiene una amplia selección de artículos sobre la física cuántica). Werner Heisenberg, Encuentros y conversaciones con Einstein y otros ensayos (Alianza Editorial, Madrid 1979; versión original en alemán de 1977). Francisco J. Ynduráin. Electrones, neutrinos y quarks (Crítica, Barcelona 2006).
21. HISTORIA DEL UNIVERSO
Ana Rioja y Javier Ordóñez, Teorías del Universo, 3 vols. (Síntesis, Madrid 1999-2006). John North, The Measure of the Universe (Clarendon Press, Oxford 1965). John North, Historia Fontana de la astronomía y la cosmología (Fondo de Cultura Económica, México 2001; edición original en inglés de 1994). Helge Kragh, Historia de la cosmología (Crítica, Barcelona 2008; edición original en inglés de 2006). Robert W. Smith, El universo en expansión (Alianza Editorial, Madrid 1993; edición original en inglés de 1982).
22. LAS MOLÉCULAS DE LA VIDA
Elof Acel Carlson, Mendel’s Legacy: The origins of classical genetics (Cold Spring Harbor Laboratories Press, Cold Spring Harbor, Nueva York 2004). Horace F. Judson, El octavo día de la creación (Castell, México 1987; edición original en inglés de 1979). Max Delbrück, Mente y material (Alianza Editorial, Madrid 1898; edición original en inglés de 1986). James Watson, ADN, el secreto de la vida (Taurus, Madrid 2003, edición original en inglés de 2003). Robert Olby, El camino hacia la doble hélice (Alianza Editorial, Madrid 1991; edición original en inglés de 1974). Pedro García Barreno, dir., Cincuenta años de ADN. La doble hélice (Espasa, Madrid 2003). James D. Watson, La doble hélice (Alianza Editorial, Madrid 2000; edición original en inglés de 1968). Francis Crick, Qué loco propósito (Tusquets, Barcelona 1989; edición original en inglés de 1988). I. Wilmut, K. Campbell y C. Tudge, La Segunda Creación (Ediciones B, Barcelona 2000; edición original en inglés de 2000). Craig Venter, Una vida descodificada (Espasa, Madrid 2008; edición original en inglés de 2007). José M. Sánchez Ron, El poder de la ciencia (Crítica, Barcelona 2010).