Los hoyos negros y la curvatura del espacio-tiempo
Shahem Hacyan
1. Por simplicidad, suponemos que el tiempo que tarda la nave en despegar, dar vuelta y aterrizar es despreciable.
2. A cada partícula de materia, como el protón, el neutrón y el electrón, corresponde una antipartícula con signo (y otras propiedades) contrario: el antiprotón, el antineutrón, el positrón...
3. Estrictamente hablando, la formula anterior es válida para una distancia infinitesimal. Los lectores familiarizados con el cálculo diferencial e integral habrán reconocido la "diferencial de distancia", a partir de la cual se puede calcular la longitud de una curva arbitraria por medio de una integración.
4. Ver El descubrimiento del Universo, S. Hacyan, núm. 6 de La Ciencia desde México, FCE, 1986.
Capítulo I
La gravitación universal
§. ¿Por qué caen los cuerpos y se mueven los astros?
Según una famosa leyenda, Isaac Newton, sentado bajo un manzano, meditaba sobre la fuerza que mueve a los astros en el cielo, cuando vio caer una manzana al suelo. Este suceso tan trivial fue para él la clave del problema que le intrigaba: se dio cuenta de que el movimiento de los cuerpos celestes es regido por la misma fuerza que atrae una manzana al suelo: la fuerza de la gravedad. Newton descubrió que la gravitación es un fenómeno universal que no se restringe a nuestro planeta. Aun siendo poco veraz, esta leyenda ilustra uno de los acontecimientos que señalan el nacimiento de la ciencia moderna: la unión de la física celeste con la física terrestre.
Antes de Newton, nadie había sospechado que la gravitación es un fenómeno inherente a todos los cuerpos del Universo. Muy por el contrario, durante la Edad Media y aun hasta tiempos de Newton, se aceptaba el dogma de que los fenómenos terrestres y los fenómenos celestes son de naturaleza completamente distinta. La gravitación se interpretaba como una tendencia de los cuerpos a ocupar su "lugar natural", que es el centro de la Tierra. La Tierra era el centro del Universo, alrededor del cual giraban los cuerpos celestes, ajenos a las leyes mundanas y movidos sólo por la voluntad divina. Se pensaba que la órbita de la Luna marcaba la frontera entre la región terrestre y el cielo empíreo donde las leyes de la física conocidas por el hombre dejaban de aplicarse.
En el siglo XVI, Copérnico propuso un sistema heliocéntrico del mundo según el cual los planetas, incluyendo la Tierra, giraban alrededor del Sol. El modelo de Copérnico describía el movimiento de los astros con gran precisión, pero no ofrecía ningún indicio del mecanismo responsable de ese movimiento.
La obra de Copérnico fue defendida y promovida apasionadamente por Galileo Galilei. Además de divulgar la hipótesis heliocéntrica, Galileo encontró nuevas evidencias a su favor realizando las primeras observaciones astronómicas con un telescopio; su descubrimiento de cuatro pequeños astros que giran alrededor de Júpiter lo convenció de que la Tierra no es el centro del Universo. Galileo también fue uno de los primeros científicos que estudiaron la caída de los cuerpos, pero es una ironía de la historia el que nunca sospechara la relación entre la gravedad y el movimiento de los cuerpos celestes. Al contrario, creía que los planetas se movían en círculos por razones más estéticas que físicas: el movimiento circular le parecía perfecto y estable por ser idéntico a sí mismo en cada punto.
Kepler, contemporáneo de Galileo, descubrió que los planetas no se mueven en círculos sino en elipses y que este movimiento no es arbitrario, ya que existen ciertas relaciones entre los periodos de revolución de los planetas y sus distancias al Sol, así como sus velocidades. Kepler plasmó estas relaciones en sus famosas tres leyes. Una regularidad en el movimiento de los planetas sugería fuertemente la existencia de un fenómeno universal subyacente. El mismo Kepler sospechó que el Sol es el responsable de ese fenómeno; especuló que algún tipo de fuerza emana de este astro y produce el movimiento de los planetas, pero no llegó a elaborar ninguna teoría plausible al respecto.
Es justo mencionar que, antes de Newton, el intento más serio que hubo para explicar el movimiento de los planetas se debe al científico inglés Robert Hooke, contemporáneo de Newton. En 1674, Hooke ya había escrito:
...todos los cuerpos celestes ejercen una atracción o poder gravitacional hacia sus centros, por lo que atraen, no sólo, sus propias partes evitando que se escapen de ellos, como vemos que lo hace la Tierra, sino también atraen todos los cuerpos celestes que se encuentran dentro de sus esferas de actividad.[1]
Sin esa atracción, prosigue Hooke, los cuerpos celestes se moverían en línea recta, pero ese poder gravitacional curva sus trayectorias y los fuerza a moverse en círculos, elipses o alguna otra curva.
Así, Hooke intuyó la existencia de una gravitación universal y su relevancia al movimiento de los astros, pero su descripción no pasó de ser puramente cualitativa. Del planteamiento profético de Hooke a un sistema del mundo bien fundamentado y matemáticamente riguroso, hay un largo trecho que sólo un hombre en aquella época podía recorrer.
Tal era el panorama de la mecánica celeste cuando Newton, alrededor de 1685, decidió atacar el problema del movimiento de los planetas utilizando un poderosísimo formalismo matemático que él mismo había inventado en su juventud —el cálculo diferencial e integral— logró demostrar que las tres leyes de Kepler son consecuencias de una atracción gravitacional entre el Sol y los planetas.
Todos los cuerpos en el Universo se atraen entre sí gravitacionalmente. Newton descubrió que la fuerza de atracción entre dos cuerpos es proporcional a sus masas e inversamente proporcional al cuadrado de la distancia que los separa. Así, si M1 y M2 son las masas de dos cuerpos y R la distancia entre ellos, la fuerza F con la que se atraen está dada por la fórmula:

donde G es la llamada constante de la gravitación.
Newton publicó sus resultados en su famoso libro intitulado Philosophiae Naturalis Principia Mathematica, cuya primera edición data de 1687; la física teórica había nacido.
La gravitación es el cemento del Universo. Gracias a ella, un planeta o una estrella mantiene unidas sus partes, los planetas giran alrededor del Sol sin escaparse, y el Sol permanece dentro de la Vía Láctea. Si llegara a desaparecer la fuerza gravitacional, la Tierra se despedazaría, el Sol y todas las estrellas se diluirían en el espacio cósmico y sólo quedaría materia uniformemente distribuida por todo el Universo. Afortunadamente, la gravedad ha permanecido inmutable desde que se formó el Universo y es una propiedad inherente a la materia misma.
§. Los cuerpos oscuros de Laplace
Durante el siglo que siguió a su publicación, el libro de los Principia fue considerado una obra monumental erigida por su autor para honrar su propia memoria, pero accesible sólo a unos cuantos iniciados. Se decía que Newton había publicado sus cálculos en forma deliberadamente difícil, para que nadie pudiera dudar de la magnitud de su hazaña científica.
Sin embargo, el valor de los Principia era tan evidente que la obra empezó a trascender del estrecho círculo de discípulos de Newton y llegó al continente europeo, y muy especialmente a Francia, que se encontraba en aquel entonces en pleno Siglo de las Luces. El escritor y filósofo Voltaire visitó Inglaterra durante los últimos años de vida de Newton, cuando la física del sabio inglés se había consolidado plenamente en su patria. Voltaire entendió la gran trascendencia del sistema newtoniano y se encargó de introducirlo en Francia; no entendía de matemáticas, pero convenció a su amiga y musa, la marquesa de Le Chatelet, una de las mujeres matemáticas más destacadas de la historia, de que se interesara en la obra de Newton. La marquesa tradujo los Principia al francés y, tanto ella como sus colegas Maupertuis, D'Alembert y otros contribuyeron a propagar la nueva ciencia.
Era necesario, sin embargo, reescribir a Newton en un lenguaje matemático más claro y manejable. La culminación de esta labor quedó plasmada en la gigantesca obra de Pierre— Simon Laplace, publicada en varios volúmenes bajo el título de Mecánica celeste, en la que desarrolló todas las consecuencias de la física newtoniana, reformulándola en un lenguaje matemático que permitió su subsecuente evolución hasta la física de nuestros días.
Con el fin de divulgar su obra, Laplace escribió una versión condensada de la Mecánica celeste, que publicó en 1793, año IV de la República Francesa, con el título de El sistema del mundo.
En este libro explicaba las consecuencias de la gravitación universal, no sólo para la estabilidad del Sistema Solar, sino incluso para su formación a partir de una nube primordial de polvo y gas.
En un pasaje particularmente interesante de este libro, Laplace llamó la atención de sus lectores sobre el hecho de que, a lo largo de la historia, muchas estrellas habían aparecido súbitamente y desaparecido después de brillar esplendorosamente durante varias semanas:
Todos estos cuerpos vueltos invisibles, se encontraban en el mismo lugar donde fueron observados, pues no se movieron de ahí durante su aparición; existen pues, en los espacios celestes, cuerpos oscuros tan considerables y quizás en cantidades tan grandes, como las estrellas. Un astro luminoso de la misma densidad que la Tierra y cuyo diámetro fuera doscientos cincuenta veces más grande que el del Sol, debido a su atracción no permitiría a ninguno de sus rayos llegar hasta nosotros; es posible, por lo tanto, que, por esa razón, los cuerpos luminosos más grandes del Universo sean invisibles.
Analicemos este pasaje tan notable. Las estrellas vueltas invisibles a las que se refiere Laplace son principalmente las que ahora llamamos supernovas. Como veremos en el capítulo III, algunas estrellas pueden explotar bruscamente y volverse extremadamente luminosas durante algunos días. Tal fenómeno ha ocurrido en nuestra galaxia al menos unas cuatro veces durante los últimos mil años; las dos supernovas observadas más recientemente ocurrieron en 1572 y 1604. También en el capítulo III, veremos que una estrella, después de estallar como supernova, arroja gran parte de su masa al espacio interestelar y, su núcleo que permanece en el lugar de la explosión, se vuelve... ¡un cuerpo oscuro!
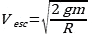
El razonamiento que llevó a Laplace al concepto de un cuerpo que no deja escapar la luz es bastante simple. Sabemos por experiencia que un proyectil arrojado verticalmente hacia arriba alcanza una altura máxima que depende de la velocidad con la que fue lanzado; mientras mayor sea la velocidad inicial, más alto llegará antes de iniciar su caída. Pero si al proyectil se le imprime una velocidad inicial superior a 11.5 kilómetros por segundo, subirá y no volverá a caer, escapándose definitivamente de la atracción gravitacional terrestre. A esta velocidad mínima se le llama velocidad de escape y varía, de un planeta o estrella, a otro. Se puede demostrar que la velocidad de escape Vesc desde la superficie de un cuerpo esférico es

donde M es la masa del cuerpo, R su radio y G la constante de la gravitación que ya tuvimos ocasión de conocer.
En el cuadro I se dan las velocidades de escape de la superficie de varios cuerpos del Sistema Solar; es importante notar que esta velocidad depende tanto de la masa como del radio del astro.
CUADRO I
La velocidad de escape de la superficie de varios cuerpos celestes. Esta velocidad depende de la masa y del radio.

Volviendo a Laplace: es posible, al menos en principio, que un cuerpo sea tan masivo o tan compacto que la velocidad de escape de su superficie sea superior a la velocidad de la luz. En ese caso, se podría pensar que los rayos luminosos no escapan de ese cuerpo. Este es justamente el argumento que condujo a Laplace a postular la existencia de cuerpos oscuros.
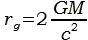
Es fácil ver de la fórmula para la velocidad de escape que un cuerpo esférico de masa M tendrá una velocidad igual a la de la luz si su radio mide

donde c es la velocidad de la luz: 300.000 kilómetros por segundo. El valor rg se llama radio gravitacional y es proporcional a la masa del cuerpo; si el radio de un cuerpo esférico es menor que el radio gravitacional, la velocidad de escape de su superficie es superior a la velocidad de la luz.
Un cuerpo oscuro con densidad comparable a la de la Tierra y 250 veces mayor que el Sol tendría una masa aproximadamente igual a cien millones de soles. Pero puede haber, en principio, cuerpos oscuros con cualquier masa. El radio gravitacional que corresponde a una masa solar es de 3 kilómetros, lo que implica que si una estrella como el Sol se comprime a ese radio se volverá un cuerpo oscuro en el sentido de Laplace (en comparación, el radio del Sol es de 696.000 kilómetros). El radio gravitacional correspondiente a la misma masa que la de la Tierra es de un centímetro aproximadamente.
Sin embargo, las consideraciones anteriores sólo podían ser especulativas en la época de Laplace. En primer lugar, la fórmula de la velocidad de escape es válida para cualquier partícula material, independientemente de su masa, pero ¿se comporta la luz como cualquier partícula material bajo la acción de la gravedad? Esta es una pregunta cuya respuesta era desconocida hasta principios del siglo XX. En segundo lugar, era difícil, en tiempos de Laplace, concebir que existieran en el Universo cuerpos cien millones de veces más masivos que el Sol, o astros de la masa del Sol comprimidos a un radio de sólo 3 kilómetros, o un cuerpo tan masivo como la Tierra y del tamaño de una nuez.
Quizás fue por estas serias dudas que Laplace eliminó toda mención de los cuerpos oscuros de las subsecuentes ediciones de su Sistema del mundo, publicadas en plena restauración borbónica. Para entonces, su autor se había vuelto el marqués de Laplace, y quizá no juzgó tales especulaciones dignas de un noble y prestigiado científico.
Los cuerpos oscuros permanecieron en la oscuridad hasta el siglo XX, cuando la teoría de la gravitación de Einstein y la astrofísica moderna arrojaron nuevas luces sobre ellos.
En el siguiente capítulo esbozaremos la teoría de la relatividad de Einstein, en el contexto de la cual se pueden estudiar los fenómenos relacionados con la luz y la gravedad. En el capítulo III veremos cómo la evolución de una estrella puede conducir, bajo ciertas condiciones, a la formación de un cuerpo que no permite a la luz escapar de su superficie.
Capítulo II
La teoría de la relatividad de Einstein
§. La relatividad especial
Durante más de dos siglos, la mecánica de newton dominó completamente en la física: el universo entero parecía comportarse tal como lo predecían las ecuaciones de la física newtoniana y la comprensión de la naturaleza se había reducido a un problema de técnica matemática. Pero a principios del siglo XX empezaron a surgir evidencias de que la física clásica, así como todos los conceptos relacionados con ella, no describe adecuadamente a los fenómenos que suceden a la escala de los átomos o a velocidades comparables a la de la luz.
La mecánica clásica constituye una excelente aproximación a la realidad, dentro de ciertos límites. Sin embargo en la escala microscópica, los fenómenos físicos sólo pueden estudiarse por medio de la mecánica cuántica. Y cuando se tratan velocidades muy altas, cercanas a la luminosa, se debe recurrir a la teoría de la relatividad.
La primera revolución científica del siglo XX se produjo cuando Albert Einstein (Figura 1) formuló, en 1905, la teoría de la relatividad especial. A continuación, describiremos los rasgos esenciales de esta teoría.

Figura 1. Albert Einstein (1879-1955), quien formula la teoría de la relatividad.
Para estudiar o describir un fenómeno físico debemos recurrir necesariamente a un sistema de referencia con respecto al cual efectuamos mediciones. En la práctica cotidiana el sistema de referencia que más se utiliza, es la Tierra misma que, en general, se supone inmóvil, a pesar de que gira sobre sí misma y alrededor del Sol, recorriendo el espacio cósmico a una velocidad de 30 km/seg. En cambio, para describir el movimiento de los planetas, es más conveniente utilizar al Sol como punto de referencia, o, más precisamente, como centro de un sistema de referencia donde este astro está fijo. Pero ni el Sol, ni las estrellas vecinas a él, se encuentran realmente fijos: el Sol se halla en las regiones externas de una galaxia que rota dando una vuelta completa en millones de años. A su vez, esta galaxia se mueve con respecto a otras galaxias, etcétera.
En la práctica afortunadamente, no es necesario tomar en cuenta todos estos movimientos porque las leyes de la física son las mismas en cualquier sistema de referencia. Este principio fundamental se aplica aun para sistemas de referencia terrestres: en la época de Galileo, los filósofos discutían si una piedra, lanzada desde lo alto del mástil de un barco en movimiento, cae verticalmente con respecto al barco o con respecto a la Tierra. Galileo argumentó que en el sistema de referencia del barco, las leyes de la física tienen la misma forma que en tierra firme y por lo tanto, la piedra cae verticalmente con respecto al barco, aunque éste se mueva.
Así, todo movimiento es relativo al sistema de referencia en el cual se observa y, las leyes de la física, no cambian de un sistema a otro. Este hecho fundamental se conoce como principio de relatividad de Galileo.
Sin embargo, los filósofos y los físicos clásicos veían con desagrado —quizá con vértigo— el hecho de que no existiera un sistema de referencia absoluto con respecto al cual definir todos los movimientos del Universo. Estrictamente hablando, el principio de relatividad no excluye la existencia de tal sistema absoluto, únicamente postula que las leyes de la física son las mismas en ese y en cualquier otro sistema. Pero, a mediados del siglo XIX, surgieron las primeras dificultades de la relatividad galileana, cuando el físico escocés James Clerk Maxwell formuló la teoría matemática de los fenómenos eléctricos y magnéticos.
Maxwell demostró que la electricidad y el magnetismo son dos aspectos de un mismo fenómeno: el electromagnetismo. Como una de las consecuencias más importantes de su teoría descubrió que la luz es una vibración electromagnética que se propaga exactamente como una onda. Pero las ondas lo hacen en medios materiales, por lo que los físicos del siglo pasado postularon la existencia de un medio extremadamente sutil, el éter, que llenaba al Universo entero, permeaba todos los cuerpos y servía de sustento a la luz. Según esta concepción, la luz sería una vibración del éter del mismo modo que el sonido es una vibración del aire.
De existir el éter, sería un sistema de referencia absoluto con respecto al cual medir el movimiento de todos los cuerpos en el Universo. Más aún, se descubrió que las ecuaciones de Maxwell cambian de forma al pasar de un sistema de referencia a otro, lo cual implicaría que el principio de relatividad no se aplica a los fenómenos electromagnéticos. Se postuló, entonces, que estas ecuaciones sólo son válidas en el sistema de referencia del éter en reposo. Esto no es sorprendente pues la luz, fenómeno electromagnético, se propaga con una velocidad bien definida en el éter y esta velocidad debe ser distinta en un sistema de referencia en movimiento con respecto al éter. Al parecer, la teoría electromagnética de Maxwell restituía un sistema de referencia absoluto.
La manera más evidente de confirmar las ideas anteriores es medir la velocidad de la luz, emitida en direcciones opuestas, en la Tierra: la diferencia de velocidades puede llegar a ser tan grande como 60 km/seg (Figura 2). Esta velocidad es muy pequeña con respecto a la velocidad total de la luz, que es de 300 000 km/seg, pero, a fines del siglo pasado, los físicos experimentales Michelson y Morley lograron construir un aparato que permitía medir diferencias aún más pequeñas en la velocidad de un rayo luminoso. Michelson y Morley realizaron su experimento en 1887: para sorpresa de la comunidad científica de esa época, no detectaron ningún cambio de la velocidad de la luz. Esta velocidad era la misma en cualquier dirección, independientemente de cómo la Tierra se mueva con respecto al hipotético éter.

Figura 2. Aparentemente, la velocidad de la luz debería cambiar según la dirección en que se mueve, debido a la velocidad de la Tierra en el espacio.
Se hicieron muchas especulaciones sobre el resultado negativo del experimento: quizá la Tierra arrastra el éter consigo, quizá los objetos materiales se contraen en la dirección de movimiento con respecto al éter... Finalmente, Einstein encontró la solución al problema.
Para empezar, Einstein postuló que las ecuaciones de Maxwell del electromagnetismo son rigurosamente válidas en cualquier sistema de referencia. Esta condición de invariancia se cumple a condición de que el tiempo medido en un sistema no coincida con el medido en otro sistema. Este hecho no había sido tomado en cuenta por los antecesores de Einstein y, por esta razón, las ecuaciones de Maxwell parecían violar el principio de relatividad.
Habiendo postulado que no puede haber ningún sistema de referencia privilegiado, Einstein concluyó que el éter simplemente no existe. Pero, entonces ¿con respecto a qué debe medirse la velocidad de la luz? La respuesta de Einstein fue drástica: la velocidad de la luz es la misma en cualquier sistema de referencia. Después de todo, eso es lo que indica el experimento de Michelson y Morley.
Este concepto de la invariancia de la velocidad de la luz contradice nuestro "sentido común". Si la velocidad de la luz es de 300000 km/seg, esperaríamos que al perseguir una señal luminosa veamos que se mueve con una velocidad menor. (Si, por ejemplo, corremos a 80 km/hora detrás de un tren que se mueve a 100 km/hora, vemos que el tren se mueve con respecto a nosotros a 20 km/hora.) Sin embargo, debido a la no invariancia del tiempo, las velocidades no se adicionan o sustraen en el caso de señales luminosas (o, en general, de partículas que se mueven casi tan rápidamente como la luz).
Los efectos predichos por la teoría de la relatividad son imperceptibles en nuestra vida cotidiana y sólo se manifiestan cuando se involucran velocidades comparables a la de la luz. Consideremos, como ejemplo, una nave espacial que se mueve con una velocidad muy alta: despega de la Tierra y regresa después de recorrer cierta distancia. Según la relatividad, el tiempo transcurre normalmente tanto para los que se quedaron en la Tierra como para los pasajeros de la nave, pero esos dos tiempos no son iguales. Al regresar a la Tierra, los tripulantes de la nave constatarán que el viaje duró para ellos un tiempo menor que para los que se quedaron. Más precisamente, el tiempo medido en la nave es más pequeño que el medido en la Tierra por un factor de acortamiento.

donde v es la velocidad de la nave y c la velocidad de la luz.[i]
Para velocidades v del orden de algunos metros o kilómetros por segundo, como las que ocurren comúnmente en nuestras experiencias diarias, el factor de acortamiento es tan cercano al valor 1 que es imposible detectar el efecto relativista del cambio de tiempo. Si la nave espacial viaja a unos 10.000 km/hora, la diferencia entre los tiempos medidos será apenas una diez millonésima de segundo por cada hora transcurrida (lo cual, incidentalmente, se ha podido confirmar con la tecnología moderna). Pero, en el otro extremo, si la nave viaja a una velocidad muy cercana a la de la luz, su tiempo puede ser muy corto con respecto al transcurrido en la Tierra: por ejemplo, a la velocidad de 295 000 km/seg, una nave espacial tardaría unos 20 años medidos en la Tierra para ir a la estrella Sirio y regresar; sin embargo, para los tripulantes de la nave habrán pasado ¡sólo 3 años y medio!
La contracción del tiempo no es el único efecto sorprendente que predice la teoría de la relatividad. Einstein también demostró que existe una equivalencia entre la energía y la masa, dada por la famosa fórmula
E = mc2
donde E es la energía equivalente a una masa m de materia. Por ejemplo, el núcleo de un átomo de helio está constituido por dos protones y dos neutrones, pero la masa del núcleo de helio es un poco menor, cerca del 4%, que la masa sumada de dos protones y dos neutrones separados (Figura 3); en consecuencia, al unirse estas cuatro partículas pierden una fracción de masa que se transforma en energía; éste es el principio de la fusión nuclear, que permite brillar al Sol y a todas las estrellas (y construir bombas atómicas).

Figura 3. Un núcleo de helio pesa menos que sus componentes por separado: dos protones y dos neutrones. Al formarse un núcleo de helio, la diferencia de masa se libera en forma de energía (fusión nuclear).
De la fórmula E = mc² no se deduce que cualquier masa se puede transformar en energía o viceversa; este proceso se da sólo en condiciones muy particulares. Hemos mencionado la fusión nuclear, pero la manera más eficiente de transformar masa en energía es por la aniquilación de la materia con la antimateria[ii].
Al entrar en contacto una partícula con su correspondiente antipartícula, las dos se aniquilan totalmente quedando sólo energía en forma de rayos gamma: la eficiencia de este proceso de transformación de materia en energía es del 100%. En el siguiente capítulo veremos que, bajo circunstancias muy especiales, la gravitación puede ser un mecanismo de liberación de energía más eficiente que la fusión nuclear y sólo superado por la aniquilación de materia y antimateria.
Para aumentar la velocidad de un cuerpo, hay que proporcionarle energía, lo cual se manifiesta como un aumento de la masa del cuerpo. La teoría de la relatividad predice que la energía necesaria para que un cuerpo de masa m alcance la velocidad v es

En el límite v = 0, se recupera la fórmula E = mc² para la energía ya existente en forma de masa. En el otro extremo, la energía E aumenta con la velocidad (Figura 4) y se necesita una energía infinita para que el cuerpo alcance la velocidad de la luz. Es por ello que, según la teoría de la relatividad, ningún cuerpo puede alcanzar o superar la velocidad de la luz. La excepción es la luz misma: según la física moderna la luz está constituida por unas partículas llamadas fotones, la masa de un fotón es nula y, por ello, puede viajar a la velocidad límite c.

Figura 4. La energía de un cuerpo en movimiento aumenta con su velocidad.
Así, según la teoría de la relatividad, la velocidad de la luz es una barrera fundamental de la naturaleza que no puede ser superada. Se ha especulado sobre la existencia de posibles partículas que se mueven más rápidamente que la luz, los hipotéticos taquiones, pero nunca se ha encontrado alguna evidencia de que sean reales; más aún, de existir, se producirían situaciones contradictorias, como por ejemplo, poder regresar en el tiempo.
En la teoría de Einstein, el espacio y el tiempo dejan de ser categorías independientes como en la física clásica, para fundirse en un concepto unificado: el espacio-tiempo, en el que el tiempo aparece como una cuarta dimensión. A primera vista, puede parecer que este concepto desborda el marco del sentido común, pero en realidad no hay nada de misterioso en él. Si queremos describir la posición de un objeto, necesitamos un sistema de referencia y tres números, llamados coordenadas, porque el espacio tiene tres dimensiones. Por ejemplo, podemos localizar un avión si especificamos la longitud y la latitud del lugar donde se encuentra, así como su altura sobre el nivel del mar; con estos tres datos se determina exactamente su posición con respecto al sistema de referencia que es la Tierra. Sin embargo, como el avión se mueve, también conviene precisar en qué momento se encontraba en la posición indicada. Al especificar también el tiempo, estamos describiendo un suceso, algo que ocurre en un lugar dado (descrito por 3 coordenadas) y en un cierto instante (descrito por el tiempo). Nada nos impide interpretar formalmente el tiempo como una cuarta coordenada e introducir así, el concepto del espacio-tiempo: un espacio de cuatro dimensiones, tres espaciales y una temporal. Un punto de ese espacio-tiempo será un suceso, especificado por cuatro coordenadas.
Hasta aquí, el concepto de un espacio-tiempo parece ser bastante trivial. Sin embargo, en el marco de la teoría de la relatividad cobra una estructura insospechada que fue descubierta por el matemático alemán Herman Minkowski.
Empecemos considerando un espacio de dos dimensiones: por ejemplo, una superficie plana. Podemos describir cualquier punto del plano si fijamos un sistema de referencia que, en el caso más simple, puede ser un par de ejes rectos perpendiculares entre sí. Dado un punto cualquiera, llamemos ‘x’ a la distancia de ese punto al eje vertical e ‘y’ a la distancia al eje horizontal (Figura 5). Es obvio que, si especificamos el valor de ‘x’ e ‘y’, estamos determinando un punto: en este caso, ‘x’ e ‘y’ son las coordenadas. Sólo hay dos porque el espacio ahora considerado tiene dos dimensiones.

Figura 5. La posición de un punto en un plano con respecto a un sistema de referencia se determina por medio de dos coordenadas x e y.
Sean ahora dos puntos, con coordenadas (x, y) la primera y (x + dx, y + dy) la segunda. Si llamamos ds la distancia entre esos dos puntos, entonces, según el teorema de Pitágoras, el cuadrado de esa distancia está dado por la fórmula
ds² = dx² + dy²
cómo puede verse en la figura 6.

Figura 6. La distancia entre dos puntos se determina con la fórmula para medir distancia.
Las consideraciones anteriores pueden extenderse a un espacio de tres dimensiones: en este caso, se necesitan tres coordenadas x, y, z para precisar un punto (figura 7).
El cuadrado de la distancia entre el punto con coordenadas (x, y, z) y el punto con coordenadas (x + dx, y + dy, z + dz) es
ds² = dx² + dy² + dz²

Figura 7. En el espacio de 3 dimensiones, se necesitan tres coordenadas (x, y, z) para determinar la posición de un punto con respecto a un sistema de coordenadas.
Ahora, volvamos al espacio-tiempo de cuatro dimensiones. De las consideraciones anteriores podemos especificar un suceso con cuatro coordenadas: x, y, z, t; los tres primeros determinan la posición del suceso y el último fija el momento en que ocurrió. En la teoría de la relatividad, se puede definir una pseudodistancia (al cuadrado) entre dos sucesos con coordenadas (x, y, z, t) y (x + dx, y + dy, z + dz, t + dt) de acuerdo con la fórmula
ds² = dx² + dy² + dz² — c² dt²
(recordemos que c es la velocidad de la luz).
¿Por qué esta forma, con un signo negativo frente al último término? La razón es que la distancia entre dos puntos debe poseer una propiedad fundamental: ser invariante con respecto a cambios del sistema de referencia usado: una barra no cambia su longitud real porque la miremos de lado, de frente o de cabeza. En el caso del espacio-tiempo, la pseudodistancia definida arriba tiene una propiedad fundamental: es invariante al pasar de un sistema de referencia a otro. Si consideramos dos sucesos S1, S2 que ocurren uno después del otro, la pseudodistancia entre ellos no depende de quién los mida —del mismo modo que la distancia entre las puntas de una barra es invariante—. La interpretación física de la pseudodistancia es muy simple: supongamos que un observador se mueve con velocidad constante de tal modo que, para él, los dos sucesos S1, S2 ocurren en el mismo lugar; el tiempo que mide entre esos dos sucesos es precisamente la pseudodistancia entre ellos: este es el tiempo propio entre S1 S2 y así lo llamaremos de ahora en adelante, en lugar de pseudodistancia. El tiempo propio es un invariante en el espacio-tiempo y es una cantidad perfectamente bien definida. La relatividad no excluye la posibilidad de determinar, en forma única, el tiempo propio medido por un observador, en contra de lo que a veces se entiende, erróneamente, por la palabra relatividad.
El espacio-tiempo en el que las "distancias", o tiempos propios, se miden según la fórmula
ds² = dx² + dy² + dz² — c² dt²
es el llamado espacio de Minkowski. Veremos más adelante que la fórmula para medir "distancias" tiene un papel fundamental tanto en la teoría de relatividad especial, como en la general.
§. La teoría de la relatividad general
La relatividad especial surgió de una comprensión global de las fuerzas electromagnéticas. Sin embargo, existe en la naturaleza otro tipo de fuerza, la gravitación, cuya descripción no cabe dentro de la teoría de la relatividad especial. Como vimos anteriormente, la mecánica clásica es el fundamento de la teoría newtoniana de la gravitación, pero, en casos extremos, esta mecánica es incompatible con la relatividad especial. Era necesario, pues, crear una teoría relativista de la gravitación, que incluyera, por una parte, la teoría newtoniana en el límite de velocidades pequeñas y, por otra, a la relatividad especial en el caso especial en que la fuerza gravitacional tenga efectos despreciables. Éste es el formidable problema que atacó Einstein desde 1905, cuando presentó su teoría especial, hasta 1915, cuando publicó la versión definitiva de la teoría de la relatividad general.
Para incluir a la gravedad en una teoría relativista, Einstein desafió una vez más al sentido común al postular que el espacio-tiempo es curvo y la gravedad es la manifestación de esa curvatura.
Para entender la idea de un espacio-tiempo curvo, empecemos considerando el caso más simple de un espacio de dos dimensiones curvo: por ejemplo, la superficie de una esfera. Es evidente que no se puede trazar una línea recta sobre tal superficie; sin embargo, si recordamos que la línea recta es la trayectoria de menor longitud entre dos puntos dados, podemos generalizar el concepto y definir una curva de longitud mínima sobre una superficie curva; en el caso de la esfera, esa curva es una porción de arco (Figura 8). En términos técnicos, las curvas de menor longitud sobre una superficie curva se llaman geodésicas.

Figura 8. Sobre la superficie de una esfera, la geodésica —curva de menor longitud entre dos puntos— es un segmento de arco.
Sobre un plano, las geodésicas son líneas rectas que, como se enseña en las clases de geometría, satisfacen toda una serie de condiciones: dos rectas que se cruzan en un punto no vuelven a cruzarse en otro, un par de rectas paralelas nunca se cruzan, etc. Sin embargo, estas condiciones no son satisfechas por las geodésicas en general: sobre la superficie de una esfera, dos geodésicas se cruzan en dos puntos, un par de geodésicas aparentemente paralelas se cruzan, etc. (Figura 9).

Figura 9. Dos geodésicas "paralelas" se cruzan en dos puntos.
Más aún, la fórmula para medir distancias sobre una superficie curva, toma ahora una forma más complicada que la presentada anteriormente(ds² = dx² + dy²). Sobre la superficie de la Tierra se necesitan dos coordenadas, la longitud y la latitud, para especificar completamente la posición de un punto. Si un punto tiene longitud y latitud y, otro punto tiene longitud y latitud, la distancia ds entre esos dos puntos está dada por la fórmula
ds2= r2dθ2 + r2 sen2 θ dϕ2
donde r es el radio terrestre.[iii]
El hecho de que la distancia se calcula en forma distinta sobre una superficie curva que sobre una plana equivale, intuitivamente, a un hecho muy simple: no se puede aplanar una superficie curva sin deformar las distancias reales, lo cual es un problema bien conocido por los que elaboran o usan mapas.
Una superficie posee dos dimensiones y es fácil visualizar una superficie curva. En el siglo XIX, algunos matemáticos, como el ruso Lobachevski y el alemán Riemann, se preguntaron si el concepto de superficie curva no podría extenderse a los espacios, "curvos" de tres dimensiones.

Figura 10. Georg Friedrich Bernhard Riemann (1826-1866). Su concepción del espacio revolucionó la física y las matemáticas.
En tales espacios los postulados básicos de la geometría clásica no se cumplirían: las rectas podrían cruzarse en más de un punto, las paralelas no mantendrían entre sí la misma distancia, etc.
En particular, Riemann (Figura 10) tuvo la idea de definir un espacio curvo con cualquier número de dimensiones: cada punto de un espacio de n dimensiones (n es un número entero cualquiera: 1, 2, 3, 4, etc.) se localiza por medio de un conjunto de n coordenadas.
Riemann demostró que las propiedades básicas de un espacio curvo están determinadas exclusivamente por la fórmula para medir "distancias". Cada forma de ds²define un cierto espacio riemanniano, en el que las líneas rectas pierden sentido, pero son sustituidas por curvas geodésicas cuya longitud —medida según ds²— es mínima.
A diferencia de las superficies, que son espacios de dos dimensiones, los espacios curvos de tres o más dimensiones simplemente no se pueden visualizar. Sin embargo, es posible definirlos y manejarlos matemáticamente sin ninguna dificultad formal; los espacios riemannianos son un excelente ejemplo de un concepto que sólo se puede describir en el lenguaje matemático.
Durante muchos años, los espacios riemannianos fueron considerados como simples curiosidades matemáticas, ajenas a la realidad. No fue hasta la segunda década del siglo ex cuando Albert Einstein se dio cuenta de que, para incluir la gravitación en la teoría de la relatividad, era necesario admitir que el espacio-tiempo es un espacio de Riemann. Einstein llegó a tal conclusión a partir de una serie de brillantes deducciones lógicas y, con la ayuda de su amigo el matemático Marcel Grossman que le había despertado el interés en los trabajos de Riemann, se propuso formular matemáticamente una teoría relativista de la gravitación. Después de varios intentos, Einstein publicó la versión definitiva de la teoría de la relatividad general en el número de noviembre de 1915 del Boletín de la Academia de Ciencias de Berlín, en plena primera Guerra Mundial.
La esencia de la teoría de la relatividad general es que el espacio-tiempo es curvo. En ausencia de masas gravitantes se tiene un espacio-tiempo de Minkowski y una partícula se mueve en línea recta porque nada influye sobre su trayectoria. La presencia de una masa deforma al espacio-tiempo y el concepto de recta pierde su sentido; en un espacio-tiempo curvo, una partícula se mueve a lo largo de una geodésica. Según esta interpretación, un planeta gira alrededor del Sol porque sigue una trayectoria geodésica en el espacio-tiempo deformado por la masa solar.
¿Por qué nadie antes de Einstein se había percatado de que vivimos en un espacio curvo? La razón es que la curvatura inducida por la gravedad de la Tierra o la del Sol es extremadamente leve. La situación se asemeja a la de los antiguos hombres que creían que la Tierra era plana ya que la curvatura terrestre es imperceptible a pequeña escala. Los efectos de la curvatura del espacio-tiempo se manifiestan plenamente a escala del Universo mismo,[iv] o cerca de objetos cuya atracción gravitacional sea extremadamente intensa.
En un espacio-tiempo de Minkowski, la pseudodistancia o tiempo propio se mide según la fórmula ds² = dx² + dy² + dz² — c² dt²pero en un espacio-tiempo riemanniano, la fórmula para ds² toma una forma más general determinada por la distribución de masa. En la teoría newtoniana, se puede calcular matemáticamente la atracción gravitacional ejercida por una distribución dada de masa. En la teoría de Einstein, la situación es bastante más complicada porque no sólo la masa sino también la energía ejerce una acción gravitacional. En su artículo de 1915, Einstein dedujo la fórmula matemática que relaciona la geometría del espacio-tiempo con la distribución de masa y energía: esta fórmula se conoce como ecuación de Einstein y es el corazón de la teoría de la relatividad general (Figura 11).

Figura 11. La ecuación de Einstein. El lado izquierdo describe la geometría del espacio-tiempo y el lado derecho representa la distribución de materia y energía.
En principio, dado un cuerpo con cierta forma y velocidad, se puede calcular su distribución de masa y energía, a partir de la cual, utilizando la ecuación de Einstein, se puede calcular la ds² que determina enteramente la estructura del espacio-tiempo curvo. En la práctica, este procedimiento es extremadamente complicado, porque la ecuación de Einstein, que en realidad es un conjunto de diez ecuaciones, es imposible de resolver exactamente, excepto en algunos casos particulares.
Al principio, Einstein logró resolver en forma aproximada su ecuación y, aun así, obtuvo resultados sumamente interesantes. En primer lugar, demostró que un planeta no describe una elipse perfecta al girar alrededor del Sol, sino una cuasi-elipse, cuyo perihelio se corre lentamente (Figura 12). Este efecto había sido observado en el planeta Mercurio sin que los astrónomos hubieran podido explicarlo con base en la teoría newtoniana. El primer éxito de la relatividad general fue precisamente deducir el valor exacto del corrimiento del perihelio de Mercurio.

Figura 12. El corrimiento del perihelio de Mercurio.
El segundo efecto importante que predijo Einstein es que la trayectoria de la luz, al igual que la de un proyectil, debe desviarse por la atracción gravitacional de un cuerpo masivo. Al contrario de la teoría de Newton, la relatividad general sí predice cómo se mueve la luz bajo la acción de la gravedad. Einstein calculó que un rayo luminoso debe desviarse un ángulo de 1.75 segundos de arco al pasar cerca del Sol (Figura 13), lo cual podría comprobarse determinando la posición aparente de una estrella cercana al disco solar durante un eclipse. Esta observación fue realizada por el astrofísico inglés A. S. Eddington al término de la primera Guerra Mundial, confirmando la predicción de Einstein.

Figura 13. Desviación de un rayo luminoso al pasar cerca del Sol.
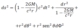
Es un hecho notable que la primera solución exacta de la ecuación de Einstein, que corresponde a un caso físico real, fue descubierta sólo unos meses después de que apareciera el famoso artículo de 1915. Esta solución se debe a Karl Schwarzschild, un notable astrónomo alemán que contaba, entre sus trabajos científicos, los primeros estudios teóricos de los procesos radiactivos en las estrellas, aplicaciones de la fotografía a la astronomía, una teoría pionera de los espectros atómicos, etc. Al estallar la primera Guerra Mundial, Schwarzschild fue movilizado por el ejército prusiano al frente oriental. Ahí, en condiciones precarias, contrajo una enfermedad infecciosa mortal, por lo que se le permitió regresar a su casa. Fue literalmente en su lecho de muerte donde leyó el artículo de Einstein de noviembre de 1915. Las ecuaciones parecían extremadamente complicadas, pero Schwarzschild tuvo la idea de considerar un problema simple, aunque realista: ¿Cómo deforma al espacio-tiempo una distribución perfectamente esférica de masa? Evidentemente, el espacio-tiempo resultante debe tener propiedades simétricas alrededor de la masa considerada; esto simplifica notablemente las ecuaciones, a tal grado que encontró una solución exacta: el espacio-tiempo de Schwarzschild, un espacio riemanniano que describe la región externa de un cuerpo esférico con masa M y radio arbitrario. (La fórmula para el tiempo propio tiene la forma que se muestra en la figura 14.) Las partículas se mueven en este espacio-tiempo a lo largo de geodésicas, lo cual se reduce, en primera aproximación, justamente a las trayectorias predichas por la mecánica de Newton.

Figura 14. La solución de Schwarzschild.
El resultado obtenido por Schwarzschild fue publicado en julio de 1916, dos meses después de la muerte de su autor. Durante varias décadas, fue prácticamente el único ejemplo, junto con los modelos cosmológicos,[v] de una solución de la ecuación de Einstein que corresponde a una situación física real.
En el capítulo V estudiaremos con más detalles el espacio-tiempo de Schwarzschild. Por ahora sólo mencionaremos un hecho importante: si la esfera considerada de masa M tiene un radio menor que el radio de Schwarzschild.

entonces algo extraño sucede: la luz emitida de su superficie, o de cualquier punto dentro de la esfera con radio r, no puede llegar al radio crítico y queda atrapada para siempre. Ésta es exactamente, la situación descrita por Laplace y es un hecho notable que el valor del radio gravitacional, calculado heurísticamente según la mecánica clásica, corresponde exactamente al valor del radio de Schwarzschild.
En la terminología moderna, los cuerpos oscuros de Laplace son los agujeros negros. Corresponden al espacio-tiempo producido por un cuerpo masivo cuyo tamaño es igual o menor que su radio de Schwarzschild. La superficie esférica cuyo radio es justamente el de Schwarzschild se llama horizonte del agujero negro; la luz puede cruzar el horizonte sólo en un sentido: de afuera hacia adentro y nunca al revés. Lo que ocurre dentro del horizonte está eternamente desconectado del exterior, no puede ser visto ni puede influir sobre el resto del Universo.
Capítulo III
La muerte de las estrellas
Las estrellas, como todos los cuerpos materiales del Universo, están constituidas por átomos. Un átomo consta de un núcleo, con carga eléctrica positiva, rodeado de electrones, con cargas eléctricas negativas. A su vez, un núcleo atómico está formado por dos tipos de partículas: protones, cargados positivamente y neutrones, sin carga (Figura 15).

Figura 15. Un átomo de litio. El núcleo está formado por 3 protones y 4 neutrones. En estado neutro, el átomo posee 3 electrones.
El calor es una manifestación macroscópica del movimiento de los átomos. Mientras más caliente está un cuerpo, sus átomos se mueven más rápido, chocando continuamente entre sí. Si la temperatura es muy alta, los átomos llegan a "sacudirse" de algunos o de todos sus electrones: se forma, entonces, una mezcla de núcleos atómicos y de electrones libres.
Una estrella es una gigantesca masa de gas incandescente que brilla porque en su centro se producen reacciones de fusión nuclear. La temperatura en el centro de una estrella puede alcanzar decenas de millones de grados.[vi] A tales temperaturas, los núcleos, desprovistos de electrones, chocan tan violentamente unos con otros que llegan a fusionarse entre sí. Al principio son los núcleos de hidrógeno los que se fusionan para producir núcleos de helio. Como vimos en el capítulo anterior, la masa del núcleo de helio es ligeramente inferior a la masa de sus constituyentes por separado y la diferencia se libera en forma de energía. Este proceso genera la energía que radia una estrella —el Sol, por ejemplo— en forma de luz y calor.
En la plenitud de su vida, una estrella se mantiene en equilibrio gracias al balance muy preciso entre dos fuerzas que actúan sobre ella: la fuerza de atracción gravitacional entre las diversas partes de la estrella y la fuerza de presión de la materia incandescente. La primera fuerza tiende a contraer a la estrella y la segunda a expandirla (recordemos que un gas, al calentarse, se expande aumentando su presión). En la mayoría de las estrellas, el equilibrio entre estas dos fuerzas puede durar miles de millones de años. Los astrónomos han calculado que el Sol nació hace unos cinco mil millones de años y seguirá brillando, en la forma en que lo hace actualmente, durante otro lapso semejante.
El combustible nuclear de una estrella no puede durar eternamente. Cuando todo el hidrógeno del centro de la estrella se ha transformado en helio, pueden suceder otras reacciones nucleares en las que estén involucrados otros elementos químicos. Así, si la temperatura en el centro de la estrella alcanza unos doscientos millones de grados, los núcleos de helio se fusionan entre sí y producen núcleos de oxígeno y carbono. Si aumenta aún más la temperatura, el carbono se trasmuta en oxígeno, neón, sodio y magnesio, y así sucesivamente. Si la temperatura central alcanza unos 3 000 millones de grados, se pueden formar todos los núcleos atómicos que no sean más pesados que el hierro, pues los elementos más pesados que éste no pueden fusionarse liberando energía, así que la fusión nuclear en una estrella se termina definitivamente cuando sólo queda hierro en su centro. De hecho, en la mayoría de las estrellas, la fusión nuclear termina mucho antes, pues sólo las estrellas más masivas son lo suficientemente calientes como para producir hierro.
La evolución final de una estrella es un proceso bastante complicado, en el que fases de expansión, equilibrio y compresión pueden alternarse varias veces a medida que la estrella quema diversos tipos de combustible nuclear en su centro. Relacionadas con las etapas evolutivas de la estrella, se producen inestabilidades que originan desde la expansión de las capas gaseosas más externas, hasta la eyección violenta de grandes cantidades de materia estelar al espacio. En cualquier caso, al envejecer, las estrellas arrojan al espacio una fracción importante de sus masas, con lo que enriquecen de gas el medio interestelar. De ese gas se forman nuevas estrellas, en un proceso que se repite desde hace miles de millones de años.
No todas las estrellas viven y mueren de la misma manera; el parámetro fundamental que determina la evolución de una estrella es su masa. La masa de nuestro Sol es aproximadamente 2 000 000 000 000 000 000 000 000 000 000 kilogramos o, escrito en forma más compacta 2×1030kg (es decir, 2 seguido de 30 ceros). El Sol es una estrella de un tipo bastante común. La masa de las estrellas puede variar en un rango muy amplio; desde una centésima hasta cien veces la masa del Sol. Una estrella no puede tener menos de una centésima de la masa solar porque la temperatura en su centro sería insuficiente para encender las reacciones nucleares; y una estrella cien veces más masiva que el Sol sería sumamente inestable y se desbarataría rápidamente.
Por supuesto, las estrellas más masivas disponen de más materia para liberar energía y, por lo tanto, brillan más que las poco masivas. Sin embargo, mientras más masiva es una estrella, menos tiempo brilla, porque consume su combustible nuclear mucho más rápidamente que una estrella poco masiva. Los astrofísicos han calculado que las estrellas más masivas derrochan toda su energía en unas cuantas decenas de miles de años, mientras que una estrella como el Sol puede brillar tranquilamente durante 10 000 millones de años.
En la actualidad, la mayoría de los astrónomos piensa que las estrellas se forman a partir de condensaciones en las gigantescas nubes de gas observadas en la galaxia. Por otra parte, debemos recordar que, según las teorías cosmológicas más aceptadas, el Universo mismo nació hace unos 15 mil millones de años y que la edad de nuestra galaxia —de la que forma parte el Sol y todas las estrellas que observamos— es muy cercana a la del Universo.[vii]
Ahora bien, se ha calculado que las estrellas cuya masa es inferior a unas 0.7 veces la masa del Sol, pueden vivir por más de 15 mil millones de años, mientras que, como ya señalamos, las más masivas apenas viven unas cuantas decenas de miles de años. En consecuencia, podemos afirmar con certeza que deben existir en nuestra galaxia muchísimos restos de estrellas más masivas que 0.7 masas solares, que ya dejaron de brillar o están en las últimas etapas de su evolución. Es aquí donde surge la pregunta: ¿qué aspecto tienen estas estrellas que dejaron de brillar? Dependiendo de la masa de la estrella, o lo que queda de ella, su fin puede tomar tres formas distintas: enana blanca, estrella de neutrones y agujero negro.
§. Enanas blancas
A principios de los años veinte, los astrónomos habían descubierto tres estrellas de muy baja luminosidad y de un color claramente blanco. La más notable era una pequeña, visible sólo con telescopio, que giraba alrededor de Sirio, la estrella más brillante del firmamento. A partir del periodo de revolución de esta estrella alrededor de Sirio, los astrónomos calcularon que la masa de la pequeña compañera no excedía una masa solar, pero otras observaciones indicaron que su radio era de unos 20 000 kilómetros (apenas el triple del radio terrestre), un tamaño inusitadamente pequeño para una estrella. Estos valores de la masa y el radio implicaban que la compañera de Sirio debía ser un cuerpo extremadamente compacto: una cucharada de su materia pesaría cerca de 100 kilogramos.
Los astrofísicos dedujeron correctamente que las estrellas de este tipo, a las que bautizaron "enanas blancas", se encuentran en la etapa final de su evolución. Al agotar una estrella su combustible nuclear, la presión interna no puede contrarrestar su propia fuerza gravitacional y la estrella se contrae hasta alcanzar una nueva configuración de equilibrio, en la que la materia adquiere características completamente nuevas, determinadas por las leyes de la mecánica cuántica que rigen el mundo atómico. A continuación, abriremos un paréntesis para describir este estado de la materia.
Poco después del surgimiento de la mecánica cuántica, el físico suizo Wolfgang Pauli descubrió que una ley fundamental de la naturaleza prohíbe a dos o más electrones ocupar el mismo lugar con las mismas características. En mecánica cuántica, la posición y la velocidad de una partícula no pueden determinarse con una precisión absoluta.[viii] En consecuencia, dos electrones que se encuentren suficientemente cerca y posean la misma velocidad serían indistinguibles.
Sin embargo, el llamado principio de exclusión de Pauli prohíbe que una situación así ocurra en la naturaleza: si dos electrones llegan a ocupar una misma posición, sus velocidades deben ser distintas, siendo la diferencia entre las velocidades necesariamente mayor que un cierto valor.[ix]
Gracias al principio de exclusión, la materia no puede comprimirse arbitrariamente, porque los electrones de los átomos lo impiden.
En el caso de una enana blanca, la materia está tan comprimida que los núcleos atómicos se "pegan" entre sí, formando una especie de red cristalina, y los electrones se mueven libremente a través de esa configuración de núcleos, formando a su vez un "gas de electrones". Si la densidad de la materia es suficientemente alta, los electrones se enciman y, por el principio de exclusión, adquieren velocidades diferentes y cada vez más altas para poder ocupar un mismo volumen. La situación es semejante a la de una caja llena con un número fijo de canicas (figura 16); si la caja es suficientemente grande, las canicas se esparcen en su fondo; pero si se contraen las paredes de la caja, las canicas se amontonan unas encima de las otras, porque obedecen un "principio de exclusión": dos canicas no pueden estar en el mismo lugar y a la misma altura dentro de la caja.

Figura 16. Ilustración del principio de exclusión.
En el caso de las estrellas, el equivalente de la caja que se contrae es la estrella misma que reduce su tamaño, las canicas corresponden a los electrones y la altura sobre el fondo de la caja equivale a la velocidad de los electrones.
Los físicos llaman "electrones degenerados" a aquellos que adquieren su velocidad gracias al principio de exclusión de Pauli, por medio del mecanismo que hemos descrito. El punto fundamental es que un gas de electrones degenerados tiene propiedades muy distintas a las de la materia común. En particular, la presión y la densidad están relacionadas entre sí en forma distinta a la que ocurre en los gases normales.
En 1926, el astrofísico inglés Ralph H. Fowler calculó la configuración de equilibrio de una estrella en la que la presión interna es producida por la degeneración de los electrones, y no por el calor central como en las estrellas ordinarias. Fowler encontró que la presión de los electrones degenerados siempre era suficiente para detener definitivamente la contracción gravitacional de las estrellas. El problema del estado último de las estrellas parecía resuelto: todas terminan su evolución como enanas blancas, brillando débilmente con lo poco que les queda de su calor inicial —como ceniza que se apaga lentamente—; al irse agotando ese último calor, la enana blanca se vuelve "enana roja" y finalmente "enana negra": un cuerpo totalmente apagado, comparable en tamaño a un planeta. Incidentalmente, estos no son los cuerpos oscuros de Laplace; un cálculo simple muestra que la velocidad de escape de la superficie de una "enana negra" es de unos cuantos miles de kilómetros por segundo, cien veces inferior a la velocidad de la luz.
Tal era la situación en 1930 cuando Subrahmanyan Chandrasekhar, en esa época un joven estudiante indio, se dio cuenta de que, en las condiciones de enanas blancas, los electrones degenerados alcanzan velocidades cercanas a la de la luz. Eso implicaba que había que tomar en cuenta los efectos nuevos predichos por la teoría de la relatividad y que ellos no habían sido considerados por los astrofísicos hasta entonces. Chandrasekhar revisó los cálculos de sus antecesores y encontró una relación entre la presión y la densidad de un gas de electrones degenerados distinta de la que Fowler había usado. A partir de esa relación resolvió el problema del equilibrio de una enana blanca y encontró un hecho sorprendente que no había sido descubierto hasta entonces: la presión de los electrones degenerados sólo puede detener el colapso gravitacional de la estrella si la masa de ésta es menor que un valor crítico —conocido ahora como límite de Chandrasekhar— que es de 1.5 veces la masa del Sol. Aquellas estrellas cuya masa excede este valor límite no pueden detener su colapso gravitacional y deben proseguir encogiéndose. Con una visión profética, el mismo Chandrasekhar concluyó:
"... no es posible avanzar en la comprensión de la estructura estelar sin antes poder responder la siguiente pregunta fundamental: dado un conjunto confinado de electrones y núcleos atómicos ¿qué sucede si se comprime la materia indefinidamente?"
Empero, los resultados de Chandrasekhar fueron recibidos con gran escepticismo por la comunidad científica. Los astrofísicos no podían imaginarse qué le sucede a una estrella que se sigue comprimiendo más allá del estado de enana blanca, por lo que preferían soslayar la pregunta planteada por Chandrasekhar y seguir pensando que la enana blanca es la etapa final de todas las estrellas. La actitud de Arthur Eddington, fundador de la astrofísica y maestro de Chandrasekhar, es típica: a pesar de ser uno de los promotores más entusiastas de la teoría de la relatividad, no pudo aceptar la idea de que los electrones degenerados pudieran alcanzar velocidades cercanas a la de la luz, por lo que inventó varios posibles mecanismos físicos que lo pudieran evitar. Eddington, como muchos de sus colegas, no concebía que una estrella se siguiera contrayendo después de convertirse en una enana blanca: "... ¡creo que debe haber una ley de la naturaleza que impida que una estrella se comporte en forma tan absurda!" escribió en 1935.
Pasaron más de dos décadas para que el trabajo de Chandrasekhar fuera aceptado plenamente por la comunidad científica y cinco décadas para que se le concediera el premio Nobel. En la actualidad se conocen cientos de enanas blancas; algunas de ellas se encuentran en sistemas dobles, lo que ha permitido determinar sus masas: ninguna excede el límite de Chandrasekhar.
Según las teorías más recientes de la evolución estelar, una estrella cuya masa no excede 6 u 8 veces la masa solar, arroja al espacio, en las últimas etapas de su evolución, una gran parte de su materia principalmente cuando se expande y se vuelve una gigante roja. (En la figura 17, se ve la "nebulosa del anillo"; en realidad, el anillo es una cáscara de gas arrojado por la estrella central y calentado por ésta.) A la larga sólo queda la parte central y más densa de la estrella, la cual se contrae hasta volverse una enana blanca.

Figura 17. La Nebulosa de la Lira. El anillo es en realidad una cáscara esférica de gas iluminada por la estrella central.
§. Estrellas de neutrones
Quedaba pendiente de responderse la pregunta planteada por Chandrasekhar: ¿qué pasa con una configuración de materia cuya masa excede la crítica? En el ejemplo anterior de la caja llena de canicas, la contracción de las paredes conduciría, con el tiempo, a una situación en la que las canicas, si no detienen la compresión, se rompen y se pulverizan. ¿Puede algo semejante suceder con los electrones?
Pocos meses después de la publicación del trabajo de Chandrasekhar, el gran físico soviético Lev Landau propuso que, cuando la densidad de la materia excede la de una enana blanca, los electrones se ven forzados a fusionarse con los protones. Como resultado, predijo Landau, se llegaría a una nueva configuración de equilibrio, en la que la "densidad de la materia es tan alta que los núcleos atómicos en contacto forman un solo y gigantesco núcleo". Sólo unos meses después, en el mismo año de 1932, James Chadwick descubrió el neutrón, la partícula sin carga eléctrica que, junto con el protón, forma los núcleos atómicos.
El problema de la evolución estelar después de la etapa de enana blanca se aclaró con la aparición del neutrón. En una estrella cuya masa excede el límite de Chandrasekhar, los electrones degenerados no pueden detener la compresión y se ven forzados a fusionarse con los protones, formando neutrones. El resultado es una estrella de neutrones, un cuerpo de sólo unas decenas de kilómetros de radio y tan denso como un núcleo atómico: una cucharada de la materia de estas estrellas pesa unos cien millones de toneladas.
El concepto de una estrella de neutrones apareció por primera vez en 1934, en un artículo de los astrónomos Walter Baade y Fritz Zwicky sobre la naturaleza de las llamadas supernovas. Como mencionamos anteriormente, las supernovas son cuerpos estelares que aparecen súbitamente en el cielo, alcanzando un brillo muy superior al de cualquier estrella normal durante varias semanas, después de lo cual se apagan paulatinamente.[x] Una famosa supernova ocurrió en 1054 y fue registrada por los astrónomos chinos, según la crónica de La historia Sung. Las últimas que se observaron en nuestra propia galaxia tuvieron lugar en 1572 y en 1604; en ambos casos la estrella era tan brillante que se podía observar en pleno día.
A principios de 1987, apareció una supernova en la Nube Mayor de Magallanes, una pequeña galaxia irregular, vecina de la Vía Láctea.[xi]
Al estallar como supernova, una estrella llega a brillar como diez mil millones de estrellas juntas, tanto como todas las estrellas de una galaxia ¿De dónde proviene tal cantidad de energía? Baade y Zwicky llegaron a la conclusión de que la estrella debería transformar una fracción sustancial de la materia central, en energía, según la fórmula de Einstein, E = mc². Las capas más externas de la estrella son arrojadas violentamente al espacio interestelar y de la parte central únicamente queda una estrella de neutrones.
Faltaba determinar si una estrella de neutrones podía mantenerse en equilibrio en contra de su propia fuerza gravitacional. Al igual que los electrones, los neutrones (y los protones) también obedecen al principio de exclusión de Pauli[xii], por lo que, en una estrella de neutrones, se puede formar un gas de neutrones degenerados, cuya presión se opone a la fuerza gravitacional que tiende a contraer a la estrella.
En 1939, J. Robert Oppenheimer (más conocido por su contribución a la fabricación de la bomba atómica) y George M. Volkoff estudiaron las posibles configuraciones de equilibrio de una estrella de neutrones, repitiendo lo que había hecho unos años antes Chandrasekhar con las enanas blancas. La situación era algo más complicada porque la atracción gravitacional en la superficie de una estrella de neutrones debe ser tan intensa que la velocidad de escape es cercana a la de la luz, por lo que la física newtoniana deja de ser una buena aproximación. Oppenheimer y Volkoff utilizaron, desde el principio, la teoría de la relatividad general, combinada con la descripción física de un gas de neutrones degenerados. El resultado que obtuvieron fue semejante al de Chandrasekhar: también para una estrella de neutrones existe un límite superior de masa, que resultó un poco menor que la masa del Sol. Si la masa de la estrella es superior a ese límite, entonces la presión de los neutrones degenerados no puede detener el colapso gravitacional. Todo indicaba que las estrellas muy masivas terminan sus vidas en una forma "absurda", en contra de lo que pensaba Eddington.
Durante las tres décadas que siguieron a su presentación en la sociedad científica, la estrella de neutrones fue considerada un objeto fabuloso, producto de la mente de los teóricos, pero sin confirmación observacional. Sin embargo, la situación cambió drásticamente a finales de 1967. En aquellos días, Jocelyn Bell, una estudiante inglesa que preparaba su tesis doctoral sobre observaciones radioastronómicas, descubrió una señal de radio en el cielo que pulsaba con una precisión asombrosa y con un periodo de apenas una fracción de segundo entre cada pulso. Rápidamente se encontraron otras fuentes de radio similares a las que se bautizó con el nombre de pulsares.
Al principio, los astrónomos propusieron diversas hipótesis para explicar la naturaleza de los pulsares; inclusive se llegó a pensar que se trataba de señales emitidas por seres inteligentes. Al año de su descubrimiento, todos se convencieron de que los pulsares eran ¡estrellas de neutrones!
Las estrellas, al igual que la Tierra, suelen poseer un campo magnético. Al contraerse la estrella, su campo magnético se "condensa" y aumenta su intensidad. En el caso de que se forme una estrella de neutrones, el campo magnético resultante llega a ser tan intenso que acelera los electrones a velocidades cercanas a la luminosa, y los hace radiar, principalmente en forma de ondas de radio.
Las estrellas también giran sobre sí mismas. Al contraerse, la velocidad de giro aumenta (éste es un efecto físico utilizado, por ejemplo, por los patinadores: si empiezan a girar con los brazos abiertos, al cerrarlos aumentan su velocidad de rotación). Es así que una estrella, al contraerse, aumenta la velocidad con la que rota; si se vuelve estrella de neutrones, alcanza una velocidad de rotación enorme, dando varias vueltas sobre sí misma por segundo.
Combinando el efecto de la radiación producida por el intenso campo magnético con la rotación de la estrella, se explica el origen de los pulsos observados por los radioastrónomos. Un pulsar radia constantemente en una dirección definida por su campo magnético; esta dirección no coincide necesariamente con el eje de rotación, así que sólo podemos recibir la señal cuando el campo magnético apunta hacia nosotros (Figura 18, tal como un faro que, aparentemente, se prende y se apaga). Así, la frecuencia de los pulsos de un pulsar corresponde simplemente a su frecuencia de giro. Un pulsar debe necesariamente ser una estrella de neutrones, pues sólo un cuerpo tan compacto y denso puede girar sobre sí mismo a la frecuencia de varias vueltas por segundo; una estrella común, o aun una enana blanca, se desbarataría inmediatamente al girar a esa enorme velocidad.

Figura 18. El efecto de faro. Un observador lejano ve un pulso de luz cada vez que el haz luminoso apunta hacia él.
El descubrimiento de los pulsares reavivó el estudio teórico de las estrellas de neutrones. Los cálculos originales de Oppenheimer y Volkoff se repitieron hace pocos años, tomando en cuenta las interacciones nucleares entre los neutrones. Los resultados más recientes indican que la máxima masa de una estrella de neutrones debe ser aproximadamente de unas 2.5 veces la masa del Sol.
Según las teorías más aceptadas en la actualidad sobre la evolución estelar, las estrellas con una masa superior a unas 6 u 8 masas solares terminan explotando como supernovas. Esta colosal explosión ocurre cuando los electrones degenerados en el centro de la estrella no logran detener el colapso gravitacional: en algún momento, el núcleo estelar se comprime bruscamente y se produce una detonación nuclear, en la que una fracción importante del centro de la estrella se transforma en energía, como una inmensa bomba atómica, expulsando violentamente al espacio las capas externas de la estrella. En el lugar mismo de la explosión, sólo queda un vestigio de lo que fue la estrella: la parte más central de su núcleo, transformado en estrella de neutrones.
La famosa nebulosa del Cangrejo (Figura 19) es el remanente de la explosión de la supernova de 1054, descrita por los astrónomos chinos. Baade y Zwicky conjeturaron que en el centro de esa nebulosa debería de encontrarse una estrella de neutrones, único resto no diseminado de la estrella que explotó. Y, efectivamente, en 1969 los radioastrónomos descubrieron un pulsar justo en el centro de la nebulosa, confirmando así la relación entre remanente de supernova y estrella de neutrones.

Figura 19. La nebulosa del Cangrejo, remanente de la explosión de una supernova.
Hoy en día se conocen más de 300 pulsares y sus características generales, deducidas de datos observacionales y modelos teóricos, son las siguientes: su radio típico es de unos 10 km y la densidad alcanza, en el centro, un valor de cien millones de toneladas por cada centímetro cúbico; estas estrellas poseen una corteza sólida de aproximadamente un kilómetro de profundidad, por debajo de la cual el interior es líquido con propiedades físicas muy particulares (en un estado que los físicos llaman super-fluido).
§. El colapso inevitable
Ya que las estrellas de neutrones tampoco pueden exceder cierto límite de masa sin colapsarse, surge una vez más la pregunta ¿qué pasa con aquéllas demasiado masivas? Evidentemente seguirán comprimiéndose y sus neutrones, para no violar el principio de exclusión, tendrán que fusionarse entre sí para transformarse en otros tipos de partículas elementales, o, finalmente, romperse en sus constituyentes más básicos.
Así como los átomos están constituidos por tres tipos de partículas elementales (protones, neutrones y electrones), éstas, a su vez, no son tan elementales, según las teorías más recientes de la física moderna. Existen evidencias recientes de que cada partícula elemental "pesada", como el protón y el neutrón, está constituida, a su vez, por tres partículas llamadas cuarks. La fuerza que amarra un cuark a otro es tan intensa que no puede existir un cuark aislado en la naturaleza.
Algunos físicos piensan que si una estrella de neutrones se sigue contrayendo, sus neutrones llegan a "romperse", de tal modo que se forma una estrella de cuarks. Los cuarks también satisfacen el principio de exclusión, por lo que se produce una presión de "cuarks degenerados" que podría, en principio, detener el colapso. Los cálculos indican, sin embargo, que también para las estrellas de cuarks existe una masa crítica, de unas 6 masas solares, por encima de la cual la fuerza gravitacional vence a la presión y el colapso no se detiene. En este caso, los cuarks se fusionarán entre sí para producir estados de la materia cada vez más exóticos y, por supuesto, más alejados de nuestra comprensión.
Hasta la fecha no se han encontrado evidencias observacionales de que las estrellas de cuarks existan, ni tampoco se entienden muy bien sus propiedades generales, pues este tipo de concepto se encuentra en los límites de los conocimientos actuales de la física. Sin embargo, la historia de la astronomía moderna nos enseña que nunca se puede decir la última palabra sobre las elucubraciones teóricas de los astrofísicos.
Hemos visto que ni los electrones ni los neutrones ni los cuarks degenerados pueden impedir el colapso gravitacional de una estrella suficientemente masiva. ¿Existe algún estado de la materia tal que su presión pueda resistir a la fuerza gravitacional? Este problema se ha podido resolver en los últimos años y el resultado es bastante sorprendente. Se ha demostrado que, independientemente del mecanismo físico (conocido o aún por conocer) que produce la presión, existe, necesariamente, una masa límite para que una configuración esférica de materia permanezca en equilibrio sin colapsarse. La existencia de este límite de masa es una consecuencia directa de la teoría de la relatividad general: no importa qué tipo de presión se considere, la fuerza gravitacional vence definitivamente cualquier fuerza de presión de la estrella si la masa de ésta supera unas 8 masas solares.
Existen teorías de la gravitación diferentes de la de Einstein, aunque ninguna tiene la misma simplicidad de conceptos y claridad teórica. Se ha calculado la masa límite según otras teorías y excepto por algunas, muy exóticas y que no han sido confirmadas independientemente, se encuentra siempre que existe una masa límite, cuyo valor no discrepa demasiado del predicho por la relatividad general. Incluso para aquellos que dudan de la relatividad general u otras teorías modernas, mencionemos que la teoría clásica de Newton también predice un límite de masa, semejante a la relativista, para el equilibrio de una esfera masiva.
En conclusión, se puede afirmar que no existe en la naturaleza ningún mecanismo físico que pueda oponerse a la fuerza gravitacional y detener el colapso de un cuerpo esférico con una masa superior a un cierto límite que, en ningún caso, excede unas 8 masas solares (el valor preciso de ese límite depende del estado de la materia y de la teoría gravitacional considerada). Así, cuando una estrella extremadamente masiva agota su combustible nuclear, empieza una contracción que produce, en algún momento, una explosión de supernova. El núcleo de la estrella, que queda en el lugar de la explosión, seguirá su contracción si su masa supera a la crítica. Todavía no hay unanimidad entre los astrofísicos sobre cuáles serían las características del núcleo remanente, pero es muy plausible que su masa exceda a la crítica, si la masa original de la estrella era muy grande. Este es un problema importante que está siendo investigado en la actualidad. Señalemos que existen estrellas cuyas dimensiones son unas 60 veces y posiblemente más de las del Sol y son éstas las que evolucionan más rápidamente.
Finalmente, nos vemos enfrentados siempre al problema de una masa esférica que se comprime indefinidamente por su propia atracción gravitacional. Esta situación fue estudiada en 1938 por el mismo Oppenheimer y otro colaborador suyo, Hartland Snyder, quienes llegaron a una conclusión extremadamente interesante utilizando la teoría de la relatividad general. Así, estudiaron la evolución de una esfera material sin ninguna presión interna que se contrae por su propia gravedad. La suposición de presión nula es una simplificación válida en este problema particular; estudios más recientes, en los que se consideran cuerpos masivos más próximos a los reales y dotados con presión interna, han confirmado que la forma cualitativa del colapso gravitacional no depende de la presión.
Según la mecánica newtoniana, una esfera masiva sin presión interna se contrae bajo su propia fuerza gravitacional, hasta que, en principio, toda la masa queda comprimida en un punto. Un resultado importante de la mecánica clásica es que una esfera masiva atrae gravitacionalmente como si toda su masa estuviera concentrada en su centro, independientemente de su radio. En consecuencia, la atracción gravitacional de una esfera en contracción no varía en un punto fijo del espacio; aumenta, eso sí la fuerza gravitacional en la superficie en movimiento de la esfera. Así, por ejemplo, si el Sol se comprimiera súbitamente, sin alterar su masa, el efecto sobre el movimiento de los planetas sería nulo.
Algo similar ocurre según la teoría de la relatividad general. La atracción gravitacional de una esfera en la región exterior a ella es del todo independiente de la contracción de la esfera; sólo aumenta la intensidad de la gravedad en la superficie de la esfera a medida que se contrae, tal como en el caso newtoniano. Pero fenómenos extraños suceden cuando la esfera se aproxima al radio de Schwarzschild que corresponde a su masa.
Consideremos, pues, una hipotética esfera masiva que se contrae. Oppenheimer y Snyder se dieron cuenta de que, de acuerdo con la teoría de la relatividad, existen dos sistemas de referencia desde los cuales el colapso se ve de formas muy distintas: uno es el sistema de referencia de un observador en la superficie de la esfera y que se colapsa junto con ella; otro es el sistema de referencia de un observador externo que estudia el fenómeno desde un lugar lejano.
El observador situado en la superficie de la esfera verá cómo ésta se contrae progresivamente. El efecto físico más notable para él será un aumento de la atracción gravitacional de la esfera: en efecto, la fuerza gravitacional en la superficie irá aumentando en razón inversa al cuadrado del radio de la esfera (por la ley de Newton), lo que implica un aumento del peso del observador. Pero, aparte de ese molesto efecto, el observador no notará nada particular, aun en el momento en que el radio de la esfera alcance el valor del radio de Schwarzschild (recordemos que este radio es igual a unos 3 km por cada masa solar de la esfera). Después de cruzar el radio de Schwarzschild, seguirá el colapso de la esfera hasta que, en algún momento, la fuerza gravitacional será tan intensa que despedazará al observador. Finalmente, toda la masa de la esfera se contraerá hasta comprimirse en un punto, de tamaño nulo, donde la fuerza gravitacional es infinita. A un punto así, los físicos lo llaman singularidad; las leyes de la física dejan de aplicarse en ese punto. Sin embargo, más que un concepto físico, la singularidad es un reconocimiento de nuestra ignorancia de las condiciones físicas extremas. Antes de que se forme una singularidad deben aparecer fenómenos cuánticos que hasta ahora desconocemos y que, quizá en el futuro, logremos entender si llegamos a una teoría cuántica de la gravitación.
Medido por el que acompaña a la esfera en su contracción, el tiempo que transcurre entre el momento en que la esfera atraviesa su radio de Schwarzschild correspondiente y el momento en que se convierte en singularidad, depende fundamentalmente de la masa que posee la esfera; en términos aproximados, es de unas cien milésimas de segundo por cada masa solar de la esfera.
Supongamos ahora que el observador situado en la superficie de la esfera que se colapsa, envía señales luminosas al espacio. Una vez que cruza el radio de Schwarzschild, estas señales no podrán salir y acabarán, con el tiempo, en la singularidad junto con la esfera masiva y el observador. Todo este proceso será visto de una manera muy distinta por un observador que haya quedado a una distancia prudente, quien verá a la esfera acercarse a su radio de Schwarzschild correspondiente, pero sin llegar nunca a él. Si el observador situado sobre la esfera posee un reloj y llega al radio de Schwarzschild a una cierta hora —las 3:00, por ejemplo— las manecillas de ese mismo reloj, vistas desde lejos, se acercarán a esa hora cada vez más lentamente, sin nunca alcanzarla (Figura 20).
Un observador lejano verá todo el proceso del colapso como si éste se hubiera filmado, y luego la película se proyectara cada vez más despacio, acercándose sin llegar nunca al momento en que el reloj en la superficie marque las 3:00.
Así, el proceso del colapso gravitacional hacia el radio de Schwarzschild ocurre en un tiempo finito para un observador que sigue el colapso, pero el mismo proceso parece tomar un tiempo infinito cuando es visto desde lejos: un caso extremo y muy ilustrativo de la relatividad del tiempo.

Figura 20. Un observador lejano ve el tiempo transcurrir cada vez más lentamente sobre la superficie de una esfera masiva que se acerca a su radio de Schwarzschild correspondiente.
El colapso gravitacional de una estrella suficientemente masiva debe acabar, según todas las evidencias teóricas, en la formación de un agujero negro. Para un cuerpo suficientemente lejano, la aparición de un agujero negro no tendrá ninguna consecuencia física novedosa, ya que, como vimos en las páginas anteriores la atracción gravitacional de una esfera sólo depende de su masa y no de su radio. De hecho, un agujero negro atrae, muy lejos de él, exactamente como lo predice la ley de la gravitación de Newton. Lo realmente novedoso, con respecto a la física newtoniana, es lo que sucede cerca de la estrella que está a punto de convertirse en agujero negro. Vista desde afuera se verá como una esfera que se acerca lentamente a su radio de Schwarzschild correspondiente, el tiempo transcurriendo cada vez más lentamente en su superficie, "congelándose" los procesos físicos que ocurren ahí. Por esta razón, algunos astrofísicos propusieron, en un principio, llamar a estos cuerpos "estrellas congeladas"; pero el nombre de agujero negro —inventado por el físico estadounidense John A. Wheeler— se volvió más popular.
Hay que recordar que la métrica de Schwarzschild describe el espacio-tiempo generado por un cuerpo masivo perfectamente simétrico y que no gira. En una primera aproximación, el espacio— tiempo alrededor de una estrella colapsada será el de Schwarzschild, aunque se podrían esperar ciertas correcciones porque las estrellas no son perfectamente esféricas y, en particular, giran sobre sí mismas. Volveremos en el capítulo V al espacio-tiempo más general de un agujero negro, pero antes veamos cómo se pueden detectar los agujeros negros y confirmar su existencia.
Capítulo IV
La detección de los agujeros negros
Los agujeros negros no emiten luz, ni ninguna otra señal; sólo se manifiestan por medio de su atracción gravitacional. Veremos en el presente capítulo cómo la materia atrapada por un agujero negro puede llegar a liberar enormes cantidades de energía antes de ser absorbida definitivamente. Este proceso no sólo delata la presencia de un agujero negro, sino que puede ser la clave para explicar un gran número de fenómenos misteriosos del Universo.
Uno de los principios fundamentales de la física es la conservación de la energía. La energía no puede crearse o desaparecer, pero sí puede cambiar de forma y... existen muchas formas de energía en la naturaleza.
El agua que cae de lo alto de una presa hidroeléctrica hace mover unas turbinas generando así corriente eléctrica. En términos físicos, la energía gravitacional del agua se transforma en energía eléctrica. Evidentemente, mientras más alta sea la presa, mayor será la energía gravitacional que se transforma en eléctrica.
Otra forma de energía es el calor, que es la manifestación macroscópica del movimiento de los átomos. La manera más simple de producir calor es por fricción: frotando un cuerpo contra otro. Si, por ejemplo, una piedra cae resbalándose sobre una superficie rugosa, transforma su energía gravitacional en calor por medio de la fricción (Figura 21).

Figura 21. Al deslizarse sobre un plano rugoso, un cuerpo trasforma su energía gravitacional en calor, por medio de la fricción.
Consideremos ahora una estrella rodeada de una nube de gas. En condiciones normales, el gas cae sobre la estrella y se calienta por la fricción entre sus partes (o, a nivel microscópico, por los choques entre sus moléculas). En este ejemplo, también, la energía gravitacional del gas se convierte en calor.
El proceso por el que un cuerpo cósmico, como una estrella, atrae gravitacionalmente y absorbe el gas de sus alrededores ha sido llamado acreción[xiii] por los astrofísicos. Es un fenómeno bastante frecuente y de efectos muy interesantes.
El caso más extremo en cuanto a generación de energía, es el de la acreción en un agujero negro. Si un cuerpo cae libremente a un agujero negro, puede alcanzar velocidades cercanas a la luminosa en el momento anterior a su caída en el hoyo. Si, por el contrario, la caída del cuerpo es frenada por algún tipo de fricción, la energía gravitacional del cuerpo se transforma en calor. En el caso de un gas que es atraído por un agujero negro la cantidad de energía generada en forma de calor llega a ser una fracción importante de la energía en forma de masa que posee el gas (según la fórmula E =mc²). Los astrofísicos han calculado que la acreción en un agujero negro puede ser un mecanismo para generar energía aún más eficiente que la fusión nuclear, en la que "sólo" un 4% de la masa del hidrógeno se libera en forma de energía.
Por supuesto, un agujero negro debe de estar rodeado de una gran cantidad de gas para que se produzca una acreción. Veamos a continuación de dónde puede provenir ese gas.
§. Agujeros negros en sistemas binarios
La mayoría de las estrellas se encuentran formando grupos de dos o más, amarradas entre sí por su mutua atracción gravitacional; las estrellas aisladas como el Sol son más bien la excepción., Es frecuente que dos estrellas formen un sistema binario, en el que cada una gira alrededor de la otra (Figura 22). En algunas ocasiones, las dos estrellas se encuentran tan cercanas entre sí que sus atmósferas se tocan, y llegan a intercambiar materia; en este último caso, diversos fenómenos interesantes ocurren por el fenómeno de acreción de la materia de una estrella por su compañera.
En principio, se puede dar el caso de que una de las estrellas de un sistema binario sea mucho más masiva que la otra y, en consecuencia, evolucione más rápidamente, pasando por todas las fases de la vida de una estrella hasta terminar en una supernova y, posteriormente, en un agujero negro.

Figura 22. Sistema estelar binario
Resultará, entonces, un sistema muy peculiar en el que un agujero negro y una estrella normal giran uno en torno del otro, amarrados por su atracción gravitacional.
Las estrellas suelen arrojar cantidades considerables de gas de sus atmósferas al espacio por la presión de su radiación. En nuestro sistema planetario, los efectos del llamado viento solar son bien conocidos por astrónomos y geofísicos, pero, en muchas estrellas, los vientos estelares pueden ser mucho más intensos que en el caso del Sol. También, como señalamos anteriormente, las estrellas tienden a crecer considerablemente al final de sus vidas, tornándose en gigantes rojas y perdiendo parte de su atmósfera.
Consideremos, pues, un sistema binario formado por un agujero negro y una estrella normal, con la peculiaridad de que los dos cuerpos se encuentran muy cercanos entre sí. Si la estrella normal está arrojando parte de su atmósfera por el mecanismo del viento estelar, o está creciendo, entonces una fracción de ese material es capturada por el agujero negro. Este fenómeno de captura puede generar enormes cantidades de energía.
Debido a la atracción gravitacional y a la rotación del sistema, el gas de la estrella fluye por una zona pequeña de su atmósfera, localizada precisamente frente al agujero negro y no cae directamente en éste, sino que gira a su alrededor formando un disco de acreción (Figura 23).

Figura 23. Formación de un disco de acreción en un sistema binario compuesto por un agujero negro y una estrella.
Si pudiéramos seguir la trayectoria de una partícula de gas en el disco de acreción, veríamos que gira alrededor del agujero negro y se acerca lentamente a éste describiendo una espiral. Si la partícula estuviera aislada, giraría indefinidamente alrededor del agujero negro, tal como un planeta alrededor del Sol. Pero, al chocar con las otras partículas del gas perderá parte de su energía de movimiento y se acercará gradualmente al agujero negro. La situación es similar a la de un satélite artificial en órbita alrededor de la Tierra: si el satélite se encuentra fuera de la atmósfera terrestre, girará indefinidamente; pero si su órbita se encuentra dentro de la atmósfera perderá su energía por la fricción con el aire, se calentará al rojo vivo y, finalmente, caerá al suelo. Lo mismo sucede con el gas en el disco de acreción: en este caso, la fricción de las diversas partes del gas entre sí lo calentarán enormemente, a costa de frenar su caída al agujero negro.
Como consecuencia de la fricción, el gas del disco de acreción se calienta cada vez más a medida que se acerca al agujero negro. Los astrofísicos han calculado que la temperatura en la parte central de un disco de acreción —aquélla más cercana al agujero negro— puede alcanzar varios millones de grados.
Como todos sabemos por experiencia, la materia caliente emite luz. La luz es una onda electromagnética cuya longitud de onda determina el color. Nuestros ojos sólo pueden percibir la luz con longitudes de onda entre 4 y 8 cienmilésimas de centímetro que corresponden al violeta y al rojo, respectivamente: los dos extremos del arco iris. Pero, más allá del violeta, están la luz ultravioleta, los rayos X y los rayos gamma, con longitudes de onda corta (y energías mayores); en el otro extremo, más allá del rojo, están la luz infrarroja, las microondas y las ondas de radio, con longitudes de onda cada vez mayores (y energías menores). (Figura 24.)

Figura 24. El espectro electromagnético. La luz visible corresponde a un pequeño rango de longitudes de onda. (Å = Angstrom=10-8 cm).
La materia calentada a algunos miles de grados (como la superficie del Sol) emite la mayor parte de su luz en el rango de la luz visible. En cambio, la materia calentada a varios millones de grados emite luz principalmente en forma de rayos X.
Así, el gas de un disco de acreción llega a calentarse tanto, poco antes de caer al agujero negro, que emite rayos X. Visto desde la Tierra, un sistema doble como el descrito tendría la apariencia de una estrella normal que gira alrededor de una compañera invisible y, además, la posición de ese sistema coincidiría con una fuente cósmica de rayos X.
Hay que precisar que la formación de un disco de acreción no es exclusiva de un agujero negro. Si la compañera de la estrella normal es una estrella de neutrones, cuyo tamaño y atracción gravitacional son comparables a las de un agujero negro, también se puede formar un disco de acreción con características muy semejantes a las que se originan alrededor de un agujero negro. La emisión intensa de rayos X en un sistema binario no necesariamente delata la presencia de un agujero negro. Si se trata de una estrella de neutrones, es muy probable que ésta emita los pulsos de radio tan característicos de estos objetos; pero, aun si no se detectan tales pulsos, no se puede descartar la presencia de una estrella de neutrones, porque no todas emiten pulsos que se puedan recibir en la Tierra. El parámetro drástico que permite discernir entre un agujero negro y una estrella de neutrones es la masa, que debe determinarse en alguna forma indirecta.
A diferencia de la luz visible de las estrellas, los rayos X de origen cósmico no pueden llegar a la superficie de la Tierra porque son absorbidos por la atmósfera terrestre. La única manera de detectarlos es por medio de telescopios espaciales colocados en los satélites artificiales que giran por encima de la atmósfera terrestre. En 1970 se puso en órbita un satélite llamado Uhuru, diseñado especialmente para observar el cielo a la luz de los rayos X. La imagen del Universo que se reveló resultó ser muy distinta de la que estamos acostumbrados a ver. Por lo que se refiere al tema que nos interesa, el satélite localizó varias fuentes de rayos X en el cielo, cada una de las cuales coincidía, en posición, justamente con una estrella "normal". Al observar esas estrellas con un telescopio terrestre, se descubrió que todas formaban parte de sistemas binarios en los que una de las componentes era invisible. En la mayoría de los casos, el miembro invisible del sistema binario resultó ser una estrella de neutrones, caracterizada por la típica emisión de pulsos de radio. Pero, en algunos casos, no se detectaron tales pulsos: ¿podría tratarse de agujeros negros?
Evidentemente, si se logra determinar la masa del objeto que se encuentra en el centro del disco de acreción y ésta resulta ser de varias veces la del Sol, entonces no habrá duda de que se trata de un agujero negro. Sin embargo, medir la masa de una estrella, o de cualquier objeto cósmico, es imposible en la práctica, a menos de que se pueda observar cómo influye gravitacionalmente sobre algún cuerpo masivo cercano cuya masa sí sea conocida. Los astrónomos han logrado determinar la masa de algunas estrellas que se encuentran en sistemas binarios estudiando sus movimientos; por otra parte, han podido clasificar a las estrellas según sus características directamente observadas, lo que ha permitido establecer una relación bastante precisa entre el tipo estelar y la masa de cualquier estrella.
Conociendo la masa de la estrella normal visible en un sistema binario que emite rayos X, los astrónomos pueden determinar, la masa aproximada de la compañera invisible. En algunos casos, esta masa resultó ser demasiado grande para una estrella de neutrones.
El caso más conocido y mejor estudiado es el del sistema Cygnus X-1, así llamado porque es la primera fuente de rayos X que se descubrió en la constelación del Cisne. Esta fuente corresponde, en luz visible, a una aparentemente insignificante estrella, sólo visible con telescopio, que lleva el número 1665 en el catálogo Henry Draper (HD) de estrellas. HD 1665 es un sistema binario formado por una estrella gigante muy caliente, que da una vuelta en 5 días y medio alrededor de otro cuerpo masivo invisible. Se han hecho varias estimaciones de la masa de ese compañero invisible y todos los cálculos indican que es superior a 7 veces la masa solar. Hoy en día, la mayoría de los astrónomos están convencidos de que Cygnus X-1 (HD 1665) es un sistema binario formado por una estrella gigante y un agujero negro, alrededor del cual se ha formado un disco de acreción.
Hasta ahora, se conocen tres casos de fuentes de rayos X que, según las evidencias, podrían corresponder a sistemas binarios con agujero negro. Cygnus X-1 sigue siendo el más notorio y el mejor estudiado por su relativa cercanía (¡sólo diez mil años luz!). Otro sistema binario, muy parecido a Cygnus X-1, pero considerablemente más alejado, es LMC X-3, en la Nube Mayor de Magallanes. Más recientemente, en 1986, se descubrió que un sistema binario, con el nombre poco sugestivo de A 0620-00 y a sólo 3 000 años luz de distancia, emitía rayos X; una de las componentes no se observaba y la otra era una estrella más pequeña que el Sol. A partir del periodo de revolución de la estrella visible, se calculó que la masa de la componente invisible es de unas tres veces la masa solar, lo cual hace sospechar muy fuertemente que se trata de un agujero negro.
§. Agujeros negros y núcleos de galaxias
Hasta ahora hemos visto que los agujeros negros pueden ser la última fase evolutiva de las estrellas muy masivas. Sin embargo, cabe preguntarse si existe en el Universo algún otro proceso físico, aparte de la evolución estelar, que pueda producir un agujero negro mucho más (o mucho menos) masivo que una estrella.
En los últimos años, los astrofísicos han empezado a sospechar que existen agujeros negros gigantescos, cientos de millones más masivos que el Sol, escondidos en el centro de algunas galaxias. El origen de tales agujeros negros es aún muy incierto. Podrían haberse formado, en principio, en las épocas en que la densidad de materia en el Universo era muchísimo mayor que la actual. La idea de que existan tales agujeros negros gigantescos está relacionada, en buena parte, con el descubrimiento de los cuásares,[xiv] sin duda los objetos más misteriosos que hayan descubierto los astrónomos.
Los cuásares son objetos más lejanos que se pueden observar en el Universo: se encuentran a varios miles de millones de años luz de distancia. A través de un lente telescopio, un cuásar tiene la apariencia de una débil estrella (Figura 25). Sin embargo, la mayoría de ellos hace poderosas emisiones de radio, por lo que los primeros en detectarlos fueron los radioastrónomos.

Figura 25. El cuásar 3C 273 (a la izquierda). Nótese el chorro emitido. Al lado se ve una estrella común.
Lo extraordinario de un cuásar no es tanto la distancia a la que se encuentra, sino el hecho de que sea visible. Para que un objeto tan lejano se pueda observar, debe ser intrínsecamente tan brillante como mil billones (1015) de soles o un millar de galaxias. Y los cuásares que emiten ondas de radio deben ser millones de veces más potentes en esas longitudes de onda que nuestra galaxia, la Vía Láctea, en su conjunto.
Todavía más sorprendente es el hecho de que esa fantástica energía proviene de una región cuyo tamaño no excede el del Sistema Solar —apenas una millonésima parte de una galaxia normal—. En efecto, el brillo de los cuásares oscila con periodos típicamente de meses. Como ninguna señal es más rápida que la luminosa, un objeto puede coordinar todas sus partes en unos cuantos meses sólo si su tamaño es mucho menor que la distancia recorrida por la luz en ese tiempo. (En comparación, la luz tarda 60,000 años en atravesar nuestra galaxia.)
La luz emitida por un cuásar tarda varios miles de millones de años en llegar a la Tierra, por lo que vemos a estos objetos tal como eran en un pasado muy remoto, cuando las galaxias apenas estaban en proceso de formación.

Figura 26. La galaxia de Andrómeda, nuestra vecina.
Una galaxia (Figura 26), como nuestra Vía Láctea, es un conglomerado de billones de estrellas. Las observaciones astronómicas más recientes han revelado la existencia de ciertas galaxias cuyos núcleos -regiones centrales— presentan semejanzas con los cuásares, aunque a una escala de energía menor. Hoy en día, los astrofísicos piensan que los cuásares son los núcleos de galaxias recién formadas y que la actividad en ellos disminuye con el tiempo, sin llegar a desaparecer del todo.
Una característica notoria de muchos cuásares es la eyección de un chorro de gas sumamente energético. En la figura 25 vimos claramente el chorro asociado al cuásar 3C 273; quizá tiene una contraparte, del otro lado del cuásar, no detectada por ser menos luminosa.

Figura 27. La galaxia M 87. Nótese el chorro de gas, similar al del cuásar de la figura 25.
Es curioso que algunas galaxias también emiten chorros de gas semejantes desde sus núcleos. En la figura 27 se ve la galaxia M 87 con su chorro correspondiente que mide unos 5 000 años luz de longitud. La galaxia y el chorro emiten ondas de radio y rayos X. M87 se encuentra a unos 50 millones de años-luz, pero si estuviera más lejos, la veríamos como un cuásar bastante típico.
En todas las galaxias que poseen chorros, éstos emergen de una región central cuyo tamaño es extremadamente pequeño con respecto a la galaxia misma. Indudablemente, algo extraño sucede en los núcleos de ciertas galaxias (Figura 28). Para explicar la enorme generación de energía en regiones tan pequeñas de cuásares y núcleos de galaxias, los astrofísicos han postulado la posible existencia de agujeros negros gigantescos que podrían generarlos. En la actualidad ésta es la explicación más popular, aunque hay que aclarar que aún faltan muchas observaciones y estudios teóricos para confirmar esta hipótesis.
Un agujero negro gigante que se encuentre en el centro de una galaxia podría formar a su alrededor un enorme disco de acreción con el gas proveniente de las estrellas cercanas o del material interestelar.
A medida que este gas se acerca al agujero negro, se calentará por fricción y liberará energía, tal como sucede en el caso de un disco de acreción alrededor de un agujero negro de origen estelar.
Se ha calculado que el disco de acreción alrededor de un agujero negro gigante podría ser muy grueso, de manera que se forman dos remolinos de cada lado del hoyo, paralelos al eje de rotación del gas.

Figura 28. Imagen en ondas de radio de la galaxia NGC 6251, en tres escalas distintas, construida a partir de observaciones radioastronómicas. Se ve el nacimiento de uno de los chorros que posee la galaxia. (Adaptado de Readhed, Cohen y Blandford, Nature 272, 1972.)
Estos remolinos funcionarían como cañones por donde se arroja la materia que no penetra al hoyo, produciendo así los misteriosos chorros de gas que mencionamos anteriormente (Figura 29).

Figura 29. Posible mecanismo para producir chorros: un disco grueso forma dos remolinos y la presión de la radiación cerca del agujero negro empuja el material que no penetra al hoyo, a lo largo de los remolinos.
Recientemente se han encontrado más evidencias indirectas de que existen objetos muy masivos y compactos en los núcleos galácticos. En algunas galaxias, la actividad es muy intensa, mientras que en otras sólo se manifiesta indirectamente. Uno de los problemas más apasionantes de la astrofísica moderna es elucidar la naturaleza de la misteriosa "máquina central" que funciona en el centro de las galaxias y en los cuásares. La única hipótesis plausible, hasta ahora, es que un gigantesco agujero negro sea la pieza fundamental de esa maquinaria.
A diferencia de los agujeros negros formados por colapso gravitacional, el origen de los agujeros negros supermasivos es todavía incierto. Una posibilidad interesante es que se hayan formado en los primeros instantes del Universo, como veremos a continuación.
§. Agujeros negros primordiales
Uno de los descubrimientos más importantes de la astronomía moderna es la expansión del Universo:[xv] las galaxias, se alejan unas de otras con una velocidad proporcional a la distancia entre ellas. Si el Universo se expande, la materia en el pasado debió estar concentrada a densidades más altas que las actuales y el Universo mismo debió tener un inicio. Si se extrapola la historia del Universo hacia atrás en el tiempo, se llega a un estado de densidad prácticamente infinita. Según la cosmología moderna, el Universo tuvo su inicio en lo que se ha llamado la "Gran Explosión" y ha evolucionado, desde entonces, expandiéndose continuamente. A partir de la velocidad de expansión, se puede calcular fácilmente que la Gran Explosión debió de ocurrir hace unos 15 mil millones de años.
Durante los primeros segundos del Universo, la materia estaba en condiciones físicas muy distintas de las que se conocen en la actualidad. Todo era una mezcla de partículas elementales que interactuaban continuamente entre sí a temperaturas y densidades que nunca se volverán a presentar en ninguna parte del Universo. Hoy en día, los físicos y cosmólogos más temerarios pretenden describir las condiciones del Universo apenas 10-35 segundos después de la Gran Explosión, cuando la temperatura ambiente era de los 1028 grados[xvi]. Por muy fantásticas que parezcan estas cifras, corresponden a situaciones físicas que se encuentran en el ámbito de las teorías modernas de partículas elementales; los cosmólogos esperan poder confirmar estas teorías, en un futuro no muy lejano, a través de observaciones astronómicas.
Inicialmente, la materia en el Universo debió estar distribuida uniformemente. Sin embargo, debido al movimiento caótico de la materia, se pudieron formar zonas un poco más densas que el promedio: algo semejante a los grumos que se forman en una pasta. Lo importante es que, una vez que apareció un grumo, empezó a contraerse por su propia fuerza gravitacional y a atraer más materia de sus alrededores. La mayoría de los astrofísicos piensan que las galaxias tuvieron su origen en estos grumos cósmicos que aumentaron su tamaño y concentración por su propia atracción gravitacional.
Por el mismo proceso que dio origen a las galaxias, se pudieron formar concentraciones aún más compactas de materia que, en lugar de galaxias, se transformaron en agujeros negros. El mecanismo de formación de tales agujeros negros es aún muy especulativo, pero es posible que en los primeros instantes del Universo se originaran agujeros negros con prácticamente cualquier masa. Los mayores atrajeron materia a su alrededor, sin llegar a absorberla totalmente y formaron así las galaxias; de ser correcta esta hipótesis, debería de localizarse un agujero negro en el centro de cada galaxia.[xvii]
En el otro extremo, también pudieron formarse "mini agujeros negros", con una variedad de masas desde microgramos hasta millones de toneladas, dependiendo de la época en que se originaron. Un agujero negro de un billón de toneladas, por ejemplo, tendría un radio de sólo 10-10 centímetros, comparable al tamaño de un átomo. Se puede especular que tales mini agujeros rondan por el Universo: si uno de ellos llegara a la Tierra, la atravesaría de lado a lado como una bala a través del aire.[xviii] En el capítulo VI veremos algunas de las implicaciones astronómicas de la existencia de mini agujeros negros.
Capítulo V
Un viaje por los agujeros negros (y blancos)
Para describir los fenómenos naturales, los físicos utilizan ecuaciones matemáticas que representan las leyes de la naturaleza. Las soluciones de estas ecuaciones describen el comportamiento de los cuerpos materiales y sus interacciones mutuas, en condiciones específicas. Sin embargo, la existencia de una solución no es garantía de que ocurra en la naturaleza el fenómeno que describe.
Consideremos, por ejemplo, el caso de una canica en equilibrio sobre la punta de un alfiler. Las ecuaciones de la mecánica clásica admiten una solución que describe exactamente esa situación; sin embargo, un análisis más completo de esas mismas ecuaciones revela lo que se conoce por experiencia: la solución es matemáticamente correcta pero inestable ya que cualquier perturbación externa, por pequeña que sea, destruye el equilibrio de la canica. Por el contrario, si la canica se encuentra en el fondo de un agujero, una perturbación externa no altera drásticamente su posición. En resumen, para que una solución exacta de las ecuaciones de la mecánica describa una situación posible, debe ser, además, una solución estable.
En la teoría de la relatividad general la curvatura del espacio-tiempo se calcula por medio de la ecuación de Einstein, que relaciona esta curvatura con la cantidad de materia presente. Una clase de soluciones de esta ecuación describe a los agujeros negros, la existencia de los cuales no está asegurada a priori sino que debe confirmarse por medio de observaciones astronómicas.
La solución de Schwarzschild no es la única solución de la ecuación de Einstein que corresponde a un agujero negro. En el presente capítulo estudiaremos las clases de agujeros negros que, en principio, pueden existir y la curiosa estructura geométrica del espacio-tiempo que generan.
§. El espacio-tiempo de Schwarzschild: agujeros negros
Un espacio curvo se puede describir matemáticamente, pero es imposible de visualizar o dibujar, a menos de que el número de dimensiones sea dos. Para tener una imagen pictórica del espacio-tiempo curvo, conviene considerar sólo una sección bidimensional de él. Una manera de lograr esto es representar sólo aquellos sucesos que ocurren en un momento dado y en cierto plano espacial.
Empecemos con el espacio-tiempo de Minkowski. Definimos el plano de simultaneidad como el conjunto de sucesos que ocurren en algún plano espacial a un mismo tiempo; este tiempo depende, por supuesto, del observador que lo mide, por lo que distintos observadores definirán planos de simultaneidad diferentes. Por ejemplo, el conjunto de sucesos que ocurren sobre la superficie de una mesa a las 3 P.M. hora de Greenwich, es un plano de simultaneidad (Figura 30). La ventaja de esta construcción es que el plano de simultaneidad es una superficie de dos dimensiones, que podemos visualizar y dibujar. Hay que notar, sin embargo, que este plano no puede observarse directamente porque la luz tarda un cierto tiempo en ir de un punto a otro. Un observador que se encuentra sobre la mesa del ejemplo anterior verá únicamente el punto— suceso donde él se encuentra a las 3 P.M.; un segundo después verá los sucesos que ocurrieron a las 3 P.M. a 300 000 km de distancia de él sobre la superficie de simultaneidad; dos segundos después verá aquellos que ocurrieron a 600 000 km; y así sucesivamente; mientras más espera, más puntos-sucesos del plano podrá observar (pero él ya no estará en el plano de simultaneidad, aunque sí en la mesa, porque su reloj ya no marca las 3 P.M.).

Figura 30. Un plano de simultaneidad. Cada punto del plano es un suceso que ocurre a la misma hora (las 3 P.M., por ejemplo).
Supongamos ahora que colocamos una esfera masiva en el espacio-tiempo. Afuera de la esfera, el espacio-tiempo es el de Schwarzschild y dentro de ella es de alguna otra forma (que no nos interesa por ahora para nuestros fines). El plano de simultaneidad se vuelve una superficie de simultaneidad deformada, tal como se muestra en la figura 31.
Si la esfera se contrae, la forma de la superficie de simultaneidad correspondiente a tiempos distintos no es la misma.

Figura 31. Un cuerpo masivo deforma el plano de simultaneidad.
Un observador lejano verá a la esfera contraerse y acercarse, sin nunca alcanzar su radio de Schwarzschild correspondiente; en consecuencia, la superficie de simultaneidad correspondiente al tiempo del observador externo tendrá una forma que depende del tiempo considerado, tal como se muestra en la figura 32. Hay que notar, además, que lejos de la esfera masiva, la superficie de simultaneidad es plana; esto es consecuencia de que la atracción gravitacional de la esfera disminuye con la distancia, por lo que lejos de ella, el espacio-tiempo se vuelve plano.

Figura 32. A medida que un cuerpo masivo se comprime, aumenta la deformación de la superficie de simultaneidad.
Como vimos anteriormente, el colapso de una esfera masiva tiene una apariencia muy distinta para un observador montado en ella; tal observador cruza el radio de Schwarzschild, penetra al agujero negro —cuya formación presencia— prosigue su viaje con la esfera hasta llegar a la singularidad en el centro del agujero negro, donde termina su existencia.
Si construimos las superficies de simultaneidad asociadas al tiempo del observador que penetra al agujero negro, tendremos una sucesión como la mostrada en la figura 33. En este caso, aparece el interior del agujero negro y, finalmente, surge la singularidad cuando la esfera masiva se concentra toda en un punto. En algún momento, el observador que penetró al agujero negro choca con la singularidad y termina definitivamente su viaje.

Figura 33. La superficie de simultaneidad alrededor de una esfera masiva que se comprime hasta quedar dentro de su radio de Schwarzschild y volverse una singularidad. El tiempo simultáneo en cada figura es el de un observador que acompaña a la esfera en su contracción.
§. El espacio-tiempo de Schwarzschild: agujeros eternos y agujeros blancos
Hemos señalado varias veces que la solución de Schwarzschild describe el espacio-tiempo en la región alrededor de una esfera masiva, siendo el radio de dicha esfera completamente arbitrario. La solución matemática encontrada por Schwarzschild es válida aun si se supone que el radio de la esfera masiva ha sido cero en todo tiempo o, en otras palabras, si toda la masa ha estado concentrada eternamente en una singularidad. En este caso, la estructura del espacio-tiempo es relativamente simple: un horizonte dentro del cual está una singularidad y fuera de él, a lo lejos, el espacio que tiende a ser plano. Hay que precisar que un objeto así, no es el que se forma por el colapso de un cuerpo masivo; por el contrario, tiene que haber existido desde un pasado infinito y seguir existiendo tal cual durante una eternidad. Por esta razón, es más apropiado llamarlo un agujero eterno. A diferencia de los agujeros negros que se forman por el colapso de la materia, lo cual es un proceso físico perfectamente comprensible, los agujeros eternos son soluciones matemáticas de las ecuaciones de Einstein cuya realidad es discutible. Sin embargo, la estructura del espacio-tiempo asociada a un agujero eterno es sumamente interesante y vale la pena estudiarla con cierto detalle. Después de todo, la existencia de los agujeros eternos no está excluida a priori y podría representar, en una primera aproximación, alguna propiedad misteriosa del espacio-tiempo.
Consideremos para empezar, la superficie de simultaneidad asociada al tiempo de un observador lejano del agujero eterno. A diferencia del agujero negro, no hay una región correspondiente al interior de una esfera masiva, como en la figura 32, sino que la superficie de simultaneidad toma la forma que se muestra en la figura 34.

Figura 34. La superficie de simultaneidad de un agujero eterno. Aquí aparecen dos regiones simétricas, unidas entre sí por el puente de Einstein-Rosen. El tiempo de simultaneidad es el de un observador lejano.
Lo más notable de esta estructura es que el espacio-tiempo posee dos regiones que se vuelven planas a lo lejos, de modo tal que aparecen dos universos conectados entre sí a través del agujero eterno. Esta extraña estructura del espacio-tiempo fue descubierta por Einstein y su colaborador Nathan Rosen en los años veinte y ha generado un gran número de especulaciones. Se ha sugerido que podrían existir universos paralelos que se conectarían entre sí a través del llamado puente de Einstein-Rosen. Más aún, John A. Wheeler ha sugerido que los dos universos paralelos podrían ser, en realidad, uno solo (tal como se muestra en la figura 35), en cuyo caso el puente de Einstein-Rosen uniría dos regiones lejanas del espacio: más que un puente se tendría lo que Wheeler llamó un agujero de gusano.

Figura 35. Es posible identificar entre sí las dos regiones de cada lado del puente. El resultado es un "agujero de gusano".
¿Se puede viajar a través del puente de Einstein-Rosen, o al menos, ver a través de él y atisbar ese hipotético universo paralelo? ¡La respuesta es negativa! No hay que olvidar que la superficie de simultaneidad no es directamente observable. Más bien, debemos plantearnos la pregunta: ¿cómo se ve un agujero eterno? cuya contestación contiene nuevas sorpresas.
Un análisis detallado del espacio-tiempo de un agujero eterno muestra que la singularidad es en realidad doble. Existe una singularidad en el pasado y una singularidad en el futuro. Entre las dos, hay un breve momento en el que deja de existir cualquier singularidad; la superficie de simultaneidad correspondiente a ese momento es la que contiene el puente de Einstein-Rosen (es por esta razón que no aparece la singularidad en la figura 34).
Un observador lejano sólo puede ver la singularidad pasada de un agujero eterno, porque sólo se puede observar el pasado. Esta singularidad se verá rodeada de un horizonte que deja pasar la materia y la luz en un solo sentido, pero, a diferencia del agujero negro, este sentido es de ¡adentro hacia afuera! Todo lo que originalmente se encuentra dentro del horizonte es expelido hacia el exterior: un agujero eterno tiene la apariencia de un agujero negro al revés, o lo que se ha bautizado agujero blanco.
El hecho de que la luz sale de un agujero blanco permite ver su singularidad en el pasado, ya que se puede observar el pasado. Por otra parte, un agujero blanco arroja hacia el exterior todo lo que se encuentra dentro de su horizonte, aunque atrae gravitacionalmente todo cuerpo fuera de su horizonte, tal como lo hace cualquier cuerpo masivo. Cualquier cuerpo dentro del horizonte del agujero blanco tuvo que surgir necesariamente de la singularidad en el pasado; esto es exactamente lo contrario de un agujero negro: cualquier cuerpo que esté dentro de su horizonte termina cayendo a la singularidad en el futuro.
Consideremos ahora un observador que decide viajar hacia el agujero eterno. Si inicialmente se encuentra fuera del horizonte, entonces puede cruzar el horizonte de afuera hacia adentro, tal como si se tratara de un agujero negro. Esto no es contradictorio con el hecho de que un agujero blanco expele su contenido. Lo que sucede es que un agujero eterno posee, en el mismo lugar, un horizonte pasado —el del agujero blanco— y un horizonte futuro —el del agujero negro—. Dado que el tiempo fluye en un solo sentido, se observa el pasado y se "viaja" hacia el futuro. Un agujero eterno es blanco en el pasado y negro en el futuro.
Para aclarar lo anterior, sigamos con nuestro observador que se deja caer al agujero eterno. Él verá que se acerca a un agujero blanco cuya singularidad es visible y de la que fluye todo lo que se encuentra dentro del horizonte. En algún momento llegará al horizonte y penetrará a lo que, en el futuro, actuará para él como un agujero negro. En el instante en que cruza el horizonte tendrá una visión sólo reservada a los que se atreven a penetrar un agujero eterno: a partir de ese momento podrá observar el universo paralelo, cuya luz recibirá a través del puente de Einstein-Rosen. Desgraciadamente no podrá comunicar sus impresiones a su universo de origen; el observador se encuentra en un agujero negro del que no puede salir ninguna señal que emita. Su destino inexorable es la singularidad futura. Después de un breve momento en que observará dos universos simultáneamente, terminará su viaje en la singularidad del agujero negro.
Todo intento de pasar de un universo a otro (o de una región de nuestro universo a otra región) a través del puente de Einstein-Rosen (o de un agujero de gusano) está condenado al fracaso. Sólo una partícula que viaje más rápido que la luz lograría penetrar al agujero eterno, evitar la singularidad y salir en el otro universo. Sin embargo, como hemos señalado anteriormente, la física actual excluye toda posibilidad de viajar a mayor velocidad que la luz.
A pesar de ser, hasta ahora, sólo soluciones matemáticas, los agujeros blancos no dejan de tener cierto encanto.
Algunos astrónomos han sugerido que los misteriosos cuásares son agujeros blancos funcionando como fuentes cósmicas de materia. Quizás nuestro universo está lleno de agujeros blancos y las galaxias se han generado a partir de éstos. Estas especulaciones son muy atractivas, pero existen algunos problemas serios relacionados con el concepto de un agujero blanco que hacen dudar de su realidad.
Toda la materia que se encuentra en un agujero blanco tuvo necesariamente que surgir de la singularidad ahí presente. ¿Cuál es el destino de esa materia al cruzar el horizonte y salir a nuestro universo? Para simplificar la discusión, imaginemos un observador (obviamente no terrestre) que haya nacido dentro del agujero blanco. Antes de llegar al horizonte no puede ver ninguno de los universos paralelos en el exterior; la luz que recibe se originó también en la singularidad, por lo que sólo puede observar esa singularidad. En algún momento, nuestro hipotético observador llega al horizonte y se adentra en nuestro propio universo (o al paralelo); a partir de ese instante puede ver lo que sucede fuera de su agujero blanco... pero en una forma muy especial. Recordemos que si un observador cae a un agujero negro, el tiempo que tarda en llegar al horizonte es finito para él, pero ese mismo tiempo es infinito para un observador lejano que lo ve penetrar al hoyo. En el caso de un agujero blanco, se tiene una situación contraria: lo que es un intervalo de tiempo finito para el observador que emerge del agujero blanco es un intervalo infinito para un observador lejano. En este caso, es el que sale del agujero quien ve a lo lejos lo que ocurrió en el pasado. Al asomarse del horizonte, nuestro hipotético observador presencia, en lo que es un instante para él, el pasado infinitamente remoto de nuestro propio universo.
Empero esta visión de la eternidad pasada tiene un muy alto costo. Debido a la contracción infinita del tiempo de los procesos externos, cualquier radiación emitida en el exterior es recibida con una energía infinita por quien emerge del agujero blanco. Como consecuencia toda materia que intente salir de un agujero blanco es inmediatamente desintegrada y las partículas que la constituían quedan "embarradas" eternamente en el horizonte. Se forma así una especie de cáscara material que envuelve al agujero blanco y éste se vuelve, para todo fin práctico, un agujero negro.
Este fenómeno ha hecho dudar seriamente de la existencia de los agujeros blancos o eternos. La implicación de fondo es que, a diferencia de los agujeros negros, tales construcciones teóricas son soluciones inestables de las ecuaciones de Einstein, en el mismo sentido que una canica en equilibrio sobre la punta de un alfiler representa una solución inestable de las ecuaciones de la mecánica clásica.
Por otra parte, hay que aclarar que el análisis que hemos esbozado se refiere al caso idealizado de un agujero eterno en un universo vacío e infinito tanto en extensión como en duración. Por supuesto, esto es sólo una aproximación al universo real, pero las propiedades cualitativas de un agujero eterno en un universo más realista no cambian drásticamente... aunque, en física teórica, no siempre se puede decir la última palabra.
§. Espacio-tiempo de Reissner-Nordström: agujeros negros cargados
Apenas unos meses después de que Schwarzschild descubrió la solución que lleva su nombre, los físicos H. Reissner y G. Nordström encontraron, en forma independiente, otra solución de las ecuaciones de Einstein que representa el espacio-tiempo afuera de una esfera que, además de masa, posee una carga eléctrica.

Figura 36. La solución de Reissner-Nordström.
La solución de Reissner-Nordström (Figura 36) generaliza la de Schwarzschild. Posee dos parámetros, la masa M y la carga Q de la esfera que deforma al espacio-tiempo[xix]. En el caso particular en que la carga es cero, la solución se reduce a la de Schwarzschild con masa M.
Al igual que el espacio-tiempo de Schwarzschild, el de Reissner-Nordström posee un horizonte que sólo puede ser cruzado en un sentido; es, por lo tanto, un agujero negro eléctricamente cargado.
En principio, tal agujero negro podría formarse por el colapso gravitacional de una esfera masiva eléctricamente cargada. El proceso es esencialmente como en el caso sin carga: visto desde lejos, el tiempo sobre la superficie de la esfera parece congelarse a medida que la superficie de ésta se acerca al horizonte, mientras que un observador montado en la esfera cruza el horizonte en un tiempo finito.
Sin embargo, las estrellas no tienen carga eléctrica, como casi todos los cuerpos macroscópicos en estado natural que poseen tantos electrones negativos como protones positivos. Por esta razón, no es factible que, en una situación real, se forme un agujero negro cargado a consecuencia del colapso gravitacional de una estrella. Una manera más simple de cargar eléctricamente a un agujero negro es inyectarle cargas eléctricas después de que se haya formado. Si, por ejemplo, un agujero negro sin carga atrapa un haz de electrones que atraviesa el espacio, adquiere la carga de esos electrones; el espacio-tiempo alrededor de ese agujero negro será, entonces, el de Reissner-Nordström.
La principal peculiaridad de un agujero negro cargado es que, a diferencia de uno neutro, posee dos horizontes concéntricos, centrados alrededor de la singularidad (Figura 37).

Por supuesto, un observador externo sólo puede ver lo que sucede afuera del horizonte externo. Si la carga Q del agujero es igual a su masa M multiplicada por raíz cuadrada de G (es decir Q = raíz cuadrada de G M) los dos horizontes se funden en uno solo. Si la carga Q es mayor que raíz cuadrada de GM, simplemente no hay horizonte; en este caso no existe un agujero negro sino una singularidad desnuda.
A partir de las consideraciones anteriores, se podría pensar que una manera de destruir el horizonte de un agujero negro y "liberar" su interior, es arrojar partículas cargadas al agujero hasta que su carga llegue a ser lo suficientemente grande como para que desaparezcan los horizontes. Sin embargo, las partículas cargadas que penetran a un agujero negro poseen energía eléctrica; como la energía es equivalente a la masa, no sólo aumenta la carga del agujero negro sino también su masa y, la carga Q nunca alcanza el valor crítico √GM. Como veremos en el capítulo siguiente, no es posible destruir el horizonte de un agujero negro "manipulándolo" desde afuera. (Como dato curioso, la carga de un electrón es unas 1020 veces mayor que su masa multiplicada por √G, por lo que un electrón no puede parecerse en nada a un agujero negro.)
Al igual que la métrica de Schwarzschild, la de Reissner-Nordström describe el espacio-tiempo en el exterior de una esfera de radio arbitrario. Nada impide reducir matemáticamente ese radio a cero y estudiar así, el espacio-tiempo de una masa y una carga concentradas en un punto. Como en el caso sin carga, se obtiene de este modo una solución de las ecuaciones de Einstein que describe un agujero eterno con carga eléctrica. Sin embargo, la presencia de dos horizontes cambia radicalmente la estructura del espacio-tiempo en la vecindad del agujero.
El primer hecho notable es que el espacio-tiempo de Reissner-Nordström posee una infinidad de universos paralelos en lugar de los dos que posee el espacio-tiempo de Schwarzschild. Pero aún más interesante, es el hecho de que, en el caso de un agujero eterno cargado, sí es posible pasar de un universo a otro sin toparse con la singularidad. El secreto es penetrar a la región dentro del horizonte interno antes de intentar salir. A diferencia del caso de Schwarzschild, es posible moverse dentro del horizonte interno sin caer a la singularidad (de hecho, en esa región, la singularidad no atrae sino repele gravitacionalmente). Así, una nave espacial puede penetrar a un agujero eterno cargado cruzando su horizonte externo, meterse a la región dentro del horizonte interno y, una vez ahí, teniendo cuidado de no toparse con la singularidad, salir, cruzando primero el horizonte interno y luego el externo (Figura 38). Según este itinerario, los tripulantes de la nave habrán penetrado a un agujero negro en nuestro universo para salir de un agujero blanco en otro universo.

Figura 38. Un viaje entre universos.
Sin embargo, un viaje entre universos conlleva peligros mortales. Se ha demostrado que el acercarse al horizonte interno del agujero produce un efecto semejante al que ocurre cuando se emerge de un agujero blanco. Una nave espacial que penetre a un agujero cargado seguirá observando el universo exterior, aunque ya no pueda comunicarse con él. A medida que la nave se acerca al horizonte interno, los tripulantes verán el tiempo en el exterior pasar cada vez más y más rápidamente, como si estuvieran viendo a todo el Universo filmado en cámara rápida. En el momento de llegar al horizonte interno habrán presenciado, en lo que es un instante para ellos, toda la historia futura del universo hasta tiempos infinitos. Desgraciadamente, esta misma visión de la eternidad futura implica la destrucción del observador. Toda la radiación emitida en el exterior es recibida por la nave con una energía cada vez mayor a medida que se acerca al horizonte interno: para los tripulantes, el brillo de las estrellas aumenta sin límite y, finalmente, destruye cualquier cuerpo material que se acerque al horizonte interno.
Así, tampoco parece factible viajar a través de un agujero cargado. Una vez más, tenemos una solución matemáticamente válida pero inestable.
§. El espacio-tiempo de Kerr. Agujeros negros rotantes
La Tierra, el Sol, las estrellas y prácticamente todos los cuerpos en el Universo giran sobre sí mismos. En mecánica, el movimiento de rotación de un cuerpo se mide por medio del momento angular, que es esencialmente el producto de tres factores: la masa, el radio y la velocidad de rotación del cuerpo considerado (la relación exacta depende de la distribución de masa del cuerpo). Una de las leyes fundamentales de la mecánica es que el momento angular de un cuerpo se conserva —en ausencia de cierto tipo de fuerzas externas, como la fricción con un medio externo o las fuerzas de marea—. Gracias a esta ley de conservación, la Tierra gira sobre sí misma en un día y alrededor del Sol en un año, sin que estos lapsos hayan variado, apreciablemente, durante millones de años. La misma conservación del momento angular implica que si un cuerpo rotante disminuye su tamaño, debe aumentar su velocidad de rotación en proporción inversa, ya que el producto (masa) X (radio) X (velocidad de rotación) permanece constante.
Debido a la conservación del momento angular, una estrella que se contrae aumenta la velocidad con la que gira (un buen ejemplo es una estrella de neutrones; ver capítulo III). Asimismo, un agujero negro que se forma por el colapso gravitacional de una estrella debe preservar el momento angular inicial del astro.
Antes de seguir, aclaremos una cuestión importante: ¿acaso se puede medir el momento angular de un agujero negro? En contra de lo que podría esperarse, tal medición es posible, aunque de manera indirecta. La relatividad general predice un curioso efecto —descubierto por J. Lense y Hans Thirring en 1918— por el cual un cuerpo masivo en rotación no sólo atrae gravitacionalmente a otros cuerpos masivos en su vecindad, sino que también los arrastra en el sentido de su rotación (Figura 39). Así como un objeto al girar en el agua, forma un remolino que arrastra consigo a las partículas del ruedo, análogamente, el efecto de Lense-Thirring hace que el espacio-tiempo alrededor de un cuerpo rotante arrastre la materia a su alrededor.

Figura 39. El efecto Lense-Thirring: un cuerpo masivo en rotación arrastra a otro.
Este efecto es prácticamente imperceptible si la velocidad de rotación del cuerpo masivo es mucho menor que la velocidad de la luz, razón por la cual no se puede detectar en experimentos terrestres.
Sin embargo, permite medir, al menos en principio, el momento angular de un agujero negro observando la trayectoria de una partícula de prueba a su alrededor.
Con esta aclaración, regresemos a los agujeros negros con momento angular. Tanto la solución de Schwarzschild como la de Reissner-Nordström describen un espacio-tiempo con una perfecta simetría esférica. Éste, evidentemente, no puede ser el espacio-tiempo de un agujero negro rotante, ya que la rotación define una dirección particular —el eje de rotación— que rompe la simetría esférica.
Es realmente notable que haya pasado casi medio siglo después de la muerte de Schwarzschild para que se encontrara otra solución de las ecuaciones de Einstein que describa el espacio— tiempo de un cuerpo en rotación. Esta solución fue descubierta en 1964 por el campeón de bridge neozelandés Roy P. Kerr, cuando preparaba su tesis doctoral de física en la Universidad de Texas.

Figura 40. La solución de Roy P. Kerr.
La solución de Kerr describe el espacio-tiempo de un agujero negro rotante. Como tal, posee dos parámetros: la masa M y el momento angular S del agujero. En el caso particular en que S es cero, la solución de Kerr se reduce exactamente a la de Schwarzschild. En la figura 40 se muestra la forma explícita de la solución;[xx] el lector notará que es considerablemente más complicada que la de Schwarzschild.
Cualquier esfera masiva genera en su exterior un espacio-tiempo de Schwarzschild, pero no cualquier cuerpo rotante produce un espacio-tiempo de Kerr. Durante varios años, los físicos y matemáticos trataron infructuosamente de encontrar una configuración de materia que pudiera originar el espacio-tiempo de Kerr; finalmente, se convencieron de que esta solución de las ecuaciones de Einstein sólo puede corresponder a un agujero negro. Volveremos a este punto en el próximo capítulo.
La estructura espacio-temporal de un agujero negro rotante es similar, en varios aspectos, a la de un agujero negro cargado. Como este último, también posee dos horizontes concéntricos, si el momento angular entre la masa, a, no excede del valor GM/c. El radio de cada horizonte, r+ y r- está dado por las fórmulas

La singularidad se encuentra dentro del horizonte interno, pero, a diferencia del caso sin rotación, la singularidad del espacio-tiempo de Kerr no es un punto sino un anillo (Figura 41).

Figura 41. La estructura de un agujero negro rotante.
Si el parámetro de momento angular a es igual al valor crítico GM/c, los dos horizontes se fusionan en uno solo. Si a es mayor que GM/c, no hay horizontes: la singularidad queda desnuda y se puede observar desde una distancia prudente. Sin embargo, como veremos más adelante, es imposible destruir el horizonte de un agujero negro arrojándole partículas para hacerlo girar más rápidamente y aumentar de este modo, su momento angular.
Al igual que el espacio-tiempo de Reissner-Nordström, el de Kerr posee una infinidad de universos y es posible viajar de uno a otro utilizando el itinerario que hemos descrito anteriormente: una nave espacial que penetre al agujero negro puede llegar a la región dentro del horizonte interno, evitar la singularidad y salir de un agujero blanco en otro universo. Otra posibilidad es meterse por en medio del anillo de la singularidad, en cuyo caso la nave exploradora penetrará en un extraño universo donde el tiempo fluye tanto hacia el futuro como también hacia el pasado.
El lector probablemente a estas alturas, habrá adivinado que el viaje descrito es imposible por la misma razón que señalamos en el caso de un agujero cargado. Al acercarse al horizonte interno del espacio-tiempo de Kerr, los tripulantes verán el tiempo, en el exterior, fluir cada vez más rápido y, a la vez, la radiación proveniente del exterior aumentar indefinidamente de intensidad. La nave espacial sería destruida en su totalidad, antes de llegar al horizonte interno.
Una de las peculiaridades más interesantes de un agujero negro rotante es la existencia de una zona llamada ergósfera,[xxi] situada precisamente afuera del horizonte interno, en donde ningún cuerpo puede mantenerse inmóvil, por mucha energía que invierta para aferrarse a una misma posición. La causa de este fenómeno es el efecto de Lense-Thirring llevado al extremo: el arrastre producido por la rotación del agujero negro es tan intenso cerca del horizonte que todos los cuerpos sin excepción se ven forzados a girar junto con él.
Dado que la ergósfera se encuentra fuera del horizonte externo, es posible que una partícula al penetrar esa región pueda salir de ella y se aleje del agujero. Esta posibilidad sugirió a Roger Penrose un curioso mecanismo para extraer energía de un agujero negro rotante. Supongamos que una partícula masiva es arrojada al agujero negro y que, estando en la ergósfera, se rompe en dos pedazos, de tal forma que un pedazo penetra al agujero y el otro se escapa (Figura 42).
Penrose demostró que, para algunas trayectorias, es posible que el pedazo que se escapa salga con más energía de la que poseía la partícula entera antes de entrar. Así, en principio, sería posible utilizar un agujero negro rotante como fuente de energía; se mandan partículas a la ergósfera con una trayectoria bien calculada y se recogen los pedazos de esas partículas, arrojados con una energía mayor que la original.

Figura 42. El mecanismo de Penrose para extraer energía de un agujero negro rotante.
Lo que sucede en el efecto Penrose es que el agujero negro cede parte de su energía a costa de reducir su momento angular. La "explotación" de un agujero negro puede durar, en principio, hasta que éste agote su momento angular y se reduzca a un agujero negro de Schwarzschild.
Se ha especulado mucho sobre el efecto Penrose: ¿es sólo una curiosidad teórica o, por el contrario, puede ser un mecanismo utilizado por la naturaleza para generar energía en el Universo? Un agujero negro que se encuentre rodeado de materia podría arrojar parte de ésta a lo lejos por el mecanismo descrito. Hasta ahora, los cálculos teóricos no son concluyentes: las condiciones para que se dé el efecto Penrose son demasiado restrictivas para que sea un mecanismo eficiente (sin embargo, también se ha demostrado que esa eficiencia puede aumentar considerablemente si existe un campo magnético cercano).
§. El espacio-tiempo de Kerr-Newman. Agujeros negros rotantes y cargados
Así como la solución de Schwarzschild se puede extender al caso con carga eléctrica, también se puede generalizar la solución de Kerr para describir un agujero negro que, además de rotar, posee carga. Tal solución fue obtenida por E. T. Newman y sus colaboradores dos años después del descubrimiento de Kerr.
El espacio-tiempo de Kerr-Newman está determinado por tres parámetros: la masa M, el momento angular S y la carga Q. La forma de la solución es parecida a la de Kerr y se muestra en la figura 43 (donde a =S/M). Si la carga Q se hace cero, la solución se reduce a la de Kerr. Si el momento angular S se anula, la solución se reduce
a la de Reissner-Nordström, como se podría esperar.

Figura 43. La solución de Kerr-Newman.
El espacio-tiempo de Kerr-Newman posee dos horizontes concéntricos, cuyos radios r+ y r- son

Si la carga y el momento angular son tales que la cantidad c²a² + GQ² es mayor que G²M², los dos horizontes desaparecen y la singularidad queda al descubierto.
Por lo demás, el espacio-tiempo de Kerr-Newman posee cualitativamente la misma estructura que el de Kerr, por lo que la descripción de la sección anterior se aplica idénticamente y no la repetiremos.
En este capítulo, hemos presentado a los agujeros negros con masa, carga eléctrica y momento angular. El lector podrá pensar que éstos son sólo una muestra del amplio catálogo de agujeros negros que pueden existir en el Universo, pero veremos a continuación que un agujero negro es un objeto mucho más simple de lo que se podría esperar.
Capítulo VI
Agujeros negros, termodinámica y mecánica cuántica
§. Los tres parámetros de un agujero negro
Siendo un agujero negro la última etapa del colapso de una estrella, debería ser un objeto sumamente complicado.
En efecto, las estrellas no son esferas perfectas: rotan, lo cual produce un achatamiento de los polos, además, poseen una estructura interna bastante complicada. A medida que una estrella se colapsa, pasa por las fases de enana blanca y estrella de neutrones, cuerpos con intensos campos magnéticos e irregularidades en sus superficies —montañas y grietas—. Así, sería de esperar que un agujero negro posea una estructura muy compleja, heredada de las irregularidades de la estrella original, y sea, por lo tanto, un objeto muy complicado, descrito por un gran número de parámetros.
Para los fines prácticos de muchos cálculos, se puede suponer, en una primera aproximación, que un planeta es una esfera con cierta masa y cierto radio. Sin embargo, un estudio más detallado requiere del conocimiento de un gran número de propiedades, como la velocidad de rotación, el campo magnético, la estructura geológica, etc. Análogamente, la solución de Kerr— Newman con tres parámetros —masa, momento angular y carga— debería ser sólo una primera aproximación a lo que es un verdadero agujero negro.
Después del descubrimiento del espacio-tiempo de Kerr y de su versión generalizada con carga, resurgió el interés por encontrar otras soluciones de las ecuaciones de Einstein que describan agujeros negros más complejos. Recordemos que un agujero negro, definido matemáticamente, es un espacio-tiempo que posee un horizonte dispuesto de manera que su interior está incomunicado para siempre del exterior, mientras que el exterior tiende, a lo lejos, a un espacio-tiempo plano —ya que la fuerza de la gravedad disminuye con la distancia—. Se puede suponer, además, que el espacio alrededor de un agujero negro se encuentra vacío; esta simplificación es válida en los casos en que la cantidad de materia en el exterior de un agujero no influye apreciablemente sobre su estructura.
Un agujero negro que se forme aislado en el espacio debe tender a una situación de equilibrio que ya no cambie con el tiempo. Después de un periodo de acomodo, la curvatura del espacio— tiempo permanecerá fija y no dependerá del tiempo en que se mide. El estado final, independiente del tiempo, de un agujero negro es el más interesante en cuanto a sus propiedades físicas y el que se presta mejor a un estudio matemático.
La búsqueda matemática de los agujeros negros tomó un nuevo e inesperado giro en 1967, cuando Werner Israel encontró la demostración matemática de que el único espacio-tiempo estático (en el que no hay movimiento) que corresponde a un agujero negro sin materia o campo electromagnético alrededor, es el espacio-tiempo de Schwarzschild. Posteriormente, el mismo Israel demostró que si se permite la presencia de un campo electromagnético, entonces el único espacio-tiempo con un agujero negro es el de Reissner-Nordström.
Las implicaciones de este resultado son muy considerables. Si un cuerpo masivo no rotante, pero con una estructura muy complicada, incluyendo un campo eléctrico o magnético, se colapsa para formar un agujero negro, el único recuerdo que quedará de él será su masa y su carga eléctrica; el campo magnético será radiado a lo lejos y quedará, finalmente, un agujero negro descrito por la solución de Schwarzschild, o de Reissner-Nordström si el cuerpo estaba eléctricamente cargado.
La demostración de Israel es válida únicamente en una situación estática, en la que el agujero negro no posee ningún tipo de movimiento. Éste no es el caso de un agujero negro rotante, que corresponde a una situación estacionaria, mas no estática. (El movimiento estacionario es aquel que no varía con el tiempo, como, por ejemplo, el fluir constante de un líquido.) El problema que surge de una manera natural es saber si existe una restricción sobre la forma de un agujero negro estacionario.
Dado que el espacio-tiempo de Kerr era la única solución conocida que describía un agujero rotante, se sospechó inmediatamente que debería ser la única que corresponde a un agujero negro estacionario. Y en presencia de un campo electromagnético, la única solución debería ser la de Kerr-Newman. La demostración de esta conjetura fue muy ardua (una primera versión se debe a B. Carter), pero finalmente se logró establecer lo que el descubrimiento de Israel hacía sospechar: El único espacio-tiempo estacionario que corresponde a un agujero negro estacionario y rodeado por el vacío, es el espacio-tiempo de Kerr (o de Kerr-Newman, si es que hay un campo electromagnético). Esto nos lleva a la conclusión de que un agujero negro, en una situación estacionaria, únicamente posee tres parámetros que lo describen: masa, carga y momento angular.
Este resultado sorprendente implica que una estrella en colapso se deshace de todas sus peculiaridades —estructura interna, color, achatamiento polar, campo magnético, etc.— al transformarse en agujero negro. Más aún, se ha calculado que esta eliminación ocurre en un tiempo extremadamente corto.
Así, a diferencia de un planeta o una estrella, un agujero negro tiene una estructura extremadamente simple. En cierto sentido recuerda a una partícula elemental que no posee estructura interna y está determinada por un número restringido de parámetros, entre los que se cuentan justamente la masa, la carga y el momento angular (o espín). John A. Wheeler ha descrito la simplicidad de los agujeros negros en palabras pintorescas: "los agujeros negros no tienen pelos", entendiéndose por "pelo" cualquier parámetro necesario para describirlo que no sea la masa, la carga o el momento angular.
(Estrictamente hablando, un agujero negro podría poseer también una carga magnética, si existieran los monopolos magnéticos. Sin embargo, hasta la fecha no se ha encontrado una evidencia experimental que confirme definitivamente la existencia de tales objetos. Un monopolo magnético sería una partícula con una carga magnética aislada, a diferencia de un imán que siempre posee dos cargas magnéticas, o polos, inseparables.)[xxii]
Los resultados descritos hasta aquí son válidos para un agujero negro aislado en el espacio. La situación puede cambiar si hay suficiente materia alrededor del agujero negro para influir sobre éste, o si el agujero se encuentra situado en un campo magnético externo (lo cual no sería improbable, ya que las galaxias suelen poseer campos magnéticos). El estudio teórico de los agujeros negros en situaciones realistas apenas ha empezado, debido a la gran complejidad matemática del problema; quizá, en el futuro, se encuentren resultados interesantes que puedan explicar ciertos fenómenos en el Universo.
§. La entropía de un agujero negro
Una vez formado un agujero negro, todavía puede alterar su estado si absorbe materia que le cae desde lejos. Si esto sucede, entonces, después de un breve periodo de reacomodo, el agujero negro regresa a un estado estacionario en el que sus tres parámetros fundamentales adquieren nuevos valores, de acuerdo con las características de la materia que absorbió. Sin embargo, la variación de los tres parámetros no es totalmente arbitraria, como veremos a continuación.
4πR2
El horizonte de un agujero negro es una superficie esférica y se puede calcular su área sin ambigüedad. En geometría clásica, el área de una esfera de radio R es. Se puede demostrar que esta fórmula se modifica ligeramente en un espacio curvo. En particular, el área A del horizonte de un agujero negro rotante y cargado —el caso más general— resulta ser

donde r+ es el radio del horizonte externo. Más explícitamente, en términos de los tres parámetros M, a y Q el área es

En principio, se pueden alterar los parámetros de un agujero negro arrojándole desde el exterior partículas masivas, cargadas o con momento angular. Sin embargo, tanto la carga como el momento angular implican cierta forma de energía —energía eléctrica y energía de rotación—. Debido a la equivalencia entre masa y energía, la carga y el momento angular de una partícula también contribuyen a aumentar la masa del agujero negro que la atrapa. El resultado es que la nueva masa del agujero negro va a depender también de la carga y el momento angular que captura, de modo tal que el horizonte no cambia en una forma totalmente arbitraria.
En 1972, el físico inglés Steven Hawking demostró un teorema matemático sobre los agujeros negros, que habría de tener hondas implicaciones. Según el teorema de Hawking, el área del horizonte de un agujero negro puede aumentar o permanecer constante, como consecuencia de algún proceso físico, pero en ningún caso puede disminuir.
Si, por ejemplo, dos agujeros negros chocan entre sí, se fusionan para producir un nuevo y único agujero negro. El área del horizonte del nuevo agujero será necesariamente mayor que la suma de las áreas de los dos horizontes antes de la colisión.
El teorema de Hawking impone ciertas restricciones sobre la cantidad de energía que se puede extraer de un agujero negro por medio de algún mecanismo, como, por ejemplo, el proceso de Penrose. Como parte de la masa de un agujero negro se debe a su energía de rotación o a su carga, un agujero negro puede liberar energía a costa de reducir su masa: al disminuir su carga o su momento angular. Este proceso termina cuando al agujero negro sólo le queda una cierta masa. Así, un agujero negro sin carga ni momento angular es un agujero negro "inerte" en lo que se refiere a la posibilidad de extraerle energía. Por otra parte, la masa final del agujero negro totalmente "exprimido" de energía no puede ser arbitrariamente pequeña, ya que el área del horizonte nunca disminuye. Es fácil deducir de la formula (1) que la masa final del agujero debe ser mayor o igual que

donde A es el área inicial del agujero.
Se puede demostrar que existe una relación precisa entre los incrementos de la masa y del área de un agujero negro. Si el área de un agujero negro aumenta en una cantidad ΔA, entonces la masa se incrementa en una cantidad ΔM, dada por la fórmula

donde la cantidad k es la gravedad superficial del agujero negro; los términos adicionales en la fórmula —que carecen de importancia en el asunto que se trata a continuación— dependen del incremento en la carga y el momento angular y, son nulos, si estos parámetros no varían.
La gravedad superficial es la aceleración gravitacional producida por el agujero negro en el sitio justo de su horizonte; su valor está dado por la fórmula:

que se reduce, en el caso de un agujero negro sin carga ni momento angular, simplemente a

donde M es la masa del agujero medida en masas solares.[xxiii] En comparación, la gravedad en la superficie de la Tierra es de 9.81 m/seg² o, lo que es igual: 1 g .
Al conocer los resultados matemáticos descritos hasta aquí, los teóricos de los agujeros negros se percataron de que existe una relación entre la física de los agujeros negros y otra rama de la física, aparentemente muy alejada, que es la termodinámica. La clave fundamental es la analogía entre el área de un agujero negro y el concepto termodinámico de la entropía.
Existen varias maneras de interpretar la entropía. Sin entrar en muchos detalles, podemos afirmar que la entropía es una medida (inversa) de la cantidad de energía que se puede extraer de un sistema físico. Consideremos, por ejemplo, una piedra que resbala sobre un plano inclinado (Figura 21). Mientras resbala, la piedra transforma su energía inicial en calor: tanto la piedra como el plano se calientan por fricción. Ahora bien, siendo el calor una forma de energía (movimiento de las moléculas), ¿podría esa energía regresar a la piedra y hacer que ésta suba sola por el plano inclinado? Sabemos por experiencia que tal fenómeno nunca ocurre. Antes de resbalar, la piedra posee una energía que se puede aprovechar —por ejemplo, arrastrando otro cuerpo consigo—; después de llegar al suelo, su energía se ha convertido en calor y es irrecuperable. La entropía es una medida de la energía irrecuperable en un sistema físico.
La llamada primera ley de la termodinámica permite relacionar el aumento de la energía interna (por ejemplo, energía en forma de calor) con el aumento de la entropía. Si ΔS es el incremento de la entropía ΔE de un cuerpo, entonces su energía interna se incrementa en una cantidad dada por la fórmula

donde T es la temperatura del cuerpo y los términos adicionales dependen de la variación de otros parámetros del cuerpo (volumen, composición, etc.).
Ahora bien, según la segunda ley de la termodinámica, la entropía de un sistema aislado siempre aumenta con el tiempo, o al menos permanece constante.[xxiv] Si el agua regada en el suelo no se vuelve a juntar y brinca espontáneamente al vaso donde estaba, es porque la naturaleza sólo permite pasar de un estado a otro cuando el estado final posee más entropía que el inicial.
La segunda ley de la termodinámica permite definir el sentido del tiempo: el tiempo corre en la dirección en que aumenta la entropía. La entropía es uno de los conceptos más interesantes y sutiles de la física. Evidentemente, un estudio más detallado rebasa los propósitos de este libro.
Volviendo a los agujeros negros, podemos notar una analogía obvia entre el área del horizonte y la entropía. En primer lugar, las dos son cantidades que nunca disminuyen con el tiempo. Si, además, recordamos que la masa es equivalente a la energía, resulta que la fórmula (2), que relaciona el incremento de la masa con el incremento del área de un agujero negro, es el análogo de la primera ley de la termodinámica (fórmula 4), que relaciona el incremento de la energía interna con el incremento de la entropía. En cuanto al teorema de Hawking sobre el área de un agujero negro, sería exactamente equivalente a la segunda ley de la termodinámica.
Así, la entropía de un agujero negro debe ser proporcional a su área y, siguiendo la analogía, la aceleración gravitacional en la superficie del agujero, K, debe ser el análogo de la temperatura (compárense las fórmulas 2 y 4). (Estas propiedades físicas no deben de confundirse con parámetros nuevos o "pelos", pues están enteramente determinadas por los tres parámetros fundamentales M, a y Q.)
La analogía se puede seguir aún más lejos. Según la llamada "ley cero" de la termodinámica, un sistema físico en equilibrio completo posee la misma temperatura en todas sus partes. En el caso de los agujeros negros, se puede demostrar que la gravedad superficial tiene el mismo valor en cada punto del horizonte.
Por último, la tercera ley de la termodinámica especifica que la temperatura de cero absoluto es imposible de alcanzar. El análogo de esta ley para los agujeros negros es sumamente interesante. A partir de la fórmula (3) para K, resulta que la gravedad superficial se hace cero si los tres parámetros M, Q y a del agujero negro cumplen la condición
G² M² = GQ² + a² c²
Éste es justamente el caso en que, en el espacio-tiempo de Kerr-Newman, el horizonte interno y el externo se funden en uno solo. En ese caso crítico la gravedad superficial del agujero negro se anula —pero no el área del horizonte—. Como vimos en el capítulo anterior, si la masa M es tal que G² M² es menor que GQ² + a² c², entonces los dos horizontes desaparecen. El análogo a la tercera ley de la termodinámica es que la gravedad superficial de un agujero negro no puede alcanzar el valor cero. Si esto llegara a ocurrir, se podría, con la más mínima perturbación, destruir el horizonte del agujero negro y dejar la singularidad desnuda.
Una versión más general de esta tercera ley es que ningún proceso físico puede producir una singularidad desnuda. La formación de una singularidad implica, necesariamente, la aparición de un horizonte que esconde esa singularidad de las miradas del exterior. Esta conjetura aún no ha sido demostrada rigurosamente, pero todos los estudios teóricos de la formación de agujeros negros la apoyan; Penrose ha llamado a esta posible ley natural: "censura cósmica".
A pesar de su interés, la analogía entre termodinámica y física de los agujeros negros debe tomarse con mucha cautela. El problema esencial es que no se puede asociar una temperatura real a un objeto que todo absorbe y nada emite. Todo cuerpo caliente emite radiación en alguna forma, desde ondas de radio hasta rayos gamma, dependiendo de su temperatura. Sólo un cuerpo que se encuentra a la temperatura de cero absoluto (273.16 grados centígrados bajo cero) no emite ningún tipo de radiación. Ahora bien, dado que un agujero negro únicamente absorbe, pero no emite nada, su temperatura debe ser cero absoluto. La similitud entre la gravedad superficial y la temperatura parece ser, entonces, sólo una analogía que no debe interpretarse literalmente.
Más aún, la primera ley de la termodinámica (fórmula 4), aplicada a un agujero negro implica que, si la temperatura es cero, la entropía del agujero negro debe ser infinita. En efecto, cualquier aumento de la energía interna ΔE del agujero negro produce un incremento de entropía igual a ΔE/T; si T = 0, el incremento de la entropía es infinito (cualquier número dividido entre cero es infinito). Así, la analogía entre el área del horizonte y la entropía tampoco puede interpretarse sin ambigüedades.
Tal era la situación de la termodinámica y de los agujeros negros, hasta que una conexión más profunda fue descubierta al entrar en escena la mecánica cuántica.
§. La radiación de Hawking
La física newtoniana no puede describir fenómenos que implican velocidades cercanas (o iguales) a la de la luz, o dimensiones comparables a las de los átomos. En el primer caso —velocidades muy altas— la teoría de la relatividad toma el relevo de la física clásica; en el segundo caso —dimensiones muy pequeñas— es la mecánica cuántica la que remplaza a la mecánica newtoniana.
La mecánica cuántica surgió a principios del siglo XX con el fin de explicar algunos fenómenos que parecían contradecir los principios de la mecánica clásica. Uno de los problemas más importantes de la física de finales del siglo pasado era explicar la forma de la llamada radiación de "cuerpo negro": la luz emitida por un cuerpo caliente aislado del exterior y en perfecto equilibrio térmico.[xxv]
El gran físico alemán Max Planck logró resolver este problema con base en una suposición que, en un principio, parecía totalmente ad hoc. Planck postuló que la luz se propaga en paquetes de energía, de modo tal que cada paquete, o quantum de luz, posee una energía E proporcional a la frecuencia ν; explícitamente:
E = h ν
donde h es la ahora llamada constante de Planck (su valor es 6.626 × 10-27 ergs × segundo), una de las tres constantes fundamentales de la naturaleza, junto con G y c.
Poco después, Albert Einstein dio un paso aún más audaz que Planck al postular que la luz está constituida de partículas, los fotones, que poseen una energía dada justamente por la fórmula de Planck. Con su hipótesis, Einstein logró explicar el efecto fotoeléctrico (lo que le valió el premio Nobel en 1920) y contribuyó, en forma decisiva, a fundar la física cuántica.
La física del mundo microscópico siguió desarrollándose rápidamente: Niels Bohr sentó las bases epistemológicas de la mecánica cuántica; Erwin Schrödinger dedujo la ecuación que lleva su nombre y que es a la física cuántica, lo que la ecuación de Newton (fuerza igual a masa por aceleración) a la física clásica; Werner Heisenberg encontró el principio de incertidumbre, según el cual es imposible medir la posición y la velocidad de una partícula con precisión absoluta; muchos más descubrimientos siguieron, pero mencionarlos nos alejaría demasiado de los propósitos de este libro...
La relatividad y la mecánica cuántica siguieron rutas separadas durante un par de décadas, sin que hubiera interacción entre ellas. Finalmente, en 1930, el gran físico inglés Paul Adrien Maurice Dirac logró formular clara y rigurosamente una teoría que unificaba la mecánica cuántica y la relatividad especial. La unión de estas dos teorías fue extremadamente fructífera; la mecánica cuántica relativista es ahora el fundamento de las teorías modernas de partículas elementales.
Empero, la relatividad general resistió todos los intentos de unirla con la mecánica cuántica. Durante décadas, los físicos teóricos trataron de elaborar, sin éxito, una teoría cuántica de la gravitación. Sólo en los años setenta empezaron a aparecer algunas pistas sobre la manera de lograr tan importante unificación, aunque la meta todavía se encuentra lejos.
En espera de que surja una verdadera teoría cuántica de la gravitación, se puede intentar extrapolar los resultados clásicos de la mecánica cuántica, que son válidos y están bien establecidos en un espacio plano, a un espacio-tiempo curvo. Este enfoque del problema equivale a suponer, en una primera aproximación, una fuerza gravitacional dada de antemano y suficientemente intensa para que no influyan sobre ella los efectos cuánticos.
Hasta aquí, nos hemos referido siempre a agujeros negros "clásicos", en el sentido de que no se incluye ningún efecto cuántico. En particular, la propiedad más importante de un agujero negro es la de no dejar escapar nada del interior de su horizonte. Sin embargo, en 1974 Steven Hawking (Figura 44) descubrió que, si se toman en cuenta ciertos efectos cuánticos de acuerdo con la aproximación mencionada arriba, un agujero negro emite radiación. Este resultado inesperado está relacionado al concepto de "vacío cuántico" que analizaremos más adelante. Por ahora, veamos algunas implicaciones físicas de este fenómeno.

Figura 44. El físico inglés S.W. Hawking, quien ha hecho varias contribuciones notables al estudio teórico de los agujeros negros.
Hawking demostró que un agujero negro radia exactamente como si fuera un "cuerpo negro" en equilibrio termodinámico total (curiosamente, el mismo tipo de cuerpo caliente cuyo estudio condujo a la fundación de la mecánica cuántica). La temperatura T de un agujero negro de masa M, sin carga ni momento angular, resulta ser

donde k es la constante de Boltzmann que aparece en todos los problemas de termodinámica.[xxvi]
En números, esta temperatura es

donde M es la masa del agujero negro, medida en kilogramos.
Es importante señalar que la temperatura de un agujero negro es inversamente proporcional a su masa. Para un agujero cuya masa sea comparable a la del Sol, la temperatura es extremadamente baja: apenas una millonésima de grado sobre el cero absoluto; la radiación de un cuerpo a esa temperatura es completamente indetectable. Es evidente, pues, que el efecto Hawking carece totalmente de importancia para los agujeros negros que se forman por el colapso gravitacional de una estrella. En cambio, este efecto podría ser muy importante para los agujeros negros poco masivos, si es que existen; por ejemplo, un agujero negro con una masa de cien millones de toneladas (algo así como la masa de una montaña) tendría una temperatura de casi un billón de grados Kelvin (1012 ºK).
Como cualquier cuerpo caliente, un agujero negro radia energía principalmente en forma de fotones —luz—, aunque también emite otras partículas si la temperatura es suficientemente alta: neutrinos, electrones, positrones, etc. Así, un agujero negro radia, a costa de perder su propia energía o, lo que es equivalente, su masa. A medida que la masa del agujero negro disminuye, su temperatura aumenta y la radiación se hace más intensa. Consecuentemente, la masa disminuye cada vez más y más rápidamente, hasta que el agujero negro se evapora totalmente en una verdadera explosión.
Se puede calcular el tiempo que tardaría un agujero negro en evaporarse por completo; este tiempo resulta ser del orden de

o, aproximadamente, 10-17M3 segundos, si la masa M se mide en kilogramos. Un agujero negro de una masa comparable a la del Sol se evaporaría, según esta fórmula, en ¡1067! (en comparación, la edad del Universo es de unos 1010 años). Como mencionamos anteriormente, el efecto Hawking es totalmente insignificante para los agujeros negros muy masivos.
Para un agujero negro de masa modesta, por ejemplo, unas cien millones de toneladas, el tiempo de evaporación resulta ser de unos 1010 años, comparable a la edad del Universo. Como vimos en el capítulo IV, es posible que se hayan formado agujeros negros con masas relativamente pequeñas en los primeros instantes del Universo. Un agujero negro primordial que nació en esas épocas remotas con una masa de cien millones de toneladas se encontraría en la actualidad justamente en la fase final de evaporación. Debido a su altísima temperatura, tal agujero negro se observaría como una intensa fuente de rayos gamma, que es el tipo de radiación emitida por un cuerpo a varios miles de millones de grados. Por otra parte, los astrónomos han detectado, desde hace tiempo, un gran número de fuentes de rayos gamma en el Universo. En muchos casos, el mecanismo físico que produce estos rayos se ha podido identificar plenamente y no corresponde a un agujero negro en evaporación. Sin embargo, queda como un problema pendiente determinar si algunos rayos gamma detectados en la Tierra han sido producidos por la explosión de agujeros negros primordiales.
El hecho de que un agujero negro posea realmente una temperatura permite reformular consistentemente las ideas de la sección anterior sobre la "termodinámica" de los agujeros negros. El descubrimiento de Hawking puso en evidencia que la analogía entre temperatura y gravedad superficial no es puramente formal. La temperatura T se puede relacionar sin ambigüedad con la gravedad superficial K de un agujero negro con masa, carga y momento angular, por medio de la relación

donde k está dada por la fórmula (3). Más aún, el hecho de que un agujero negro tenga una temperatura distinta del cero absoluto implica una relación precisa entre la entropía y el área del horizonte; la entropía del agujero negro resulta ser:

donde el área A está dada por la fórmula (1).
La temperatura y la entropía de un agujero negro se deben a efectos puramente cuánticos, como se desprende claramente del hecho de que la constante de Planck h aparece en las fórmulas (6) y (7). Despreciar los efectos cuánticos, como se hace en la física "clásica", equivale a asignar el valor cero a la constante de Planck en una primera aproximación. La temperatura de un agujero negro es proporcional a h, mientras que su entropía es proporcional a 1/h; si h fuera estrictamente cero, la temperatura sería cero absoluto y la entropía infinita: tal como se esperaría si no existieran los efectos cuánticos.
Finalmente, señalemos que la evaporación y eventual desaparición de un agujero negro no contradice la segunda ley de la termodinámica: si bien el área —entropía— del agujero disminuye, la radiación producida posee una entropía muy alta, de modo tal que la entropía total aumenta.
§. El vacío cuántico
El efecto descubierto por Hawking puede parecer contradictorio a primera vista. Si nada sale de un agujero negro, como se ha repetido insistentemente, ¿cómo es posible que el agujero radie energía? La radiación de un agujero negro es un fenómeno íntimamente relacionado con uno de los problemas más formidables de la física moderna: el concepto de vacío.
Antes de que apareciera la mecánica cuántica, el vacío era un concepto trivial: significaba la ausencia total de materia o energía. Sin embargo, la situación ha resultado ser mucho más complicada a nivel cuántico.
El origen del problema se encuentra en el principio de incertidumbre de Heisenberg, que ya tuvimos ocasión de mencionar. Este principio fundamental de la mecánica cuántica establece un límite intrínseco a la precisión con que se pueden medir simultáneamente la posición y la velocidad de una partícula. Una forma equivalente de este principio impone una restricción similar sobre la posibilidad de medir la energía de una partícula y el momento en que se efectúa la medición. Supongamos que ΔE es el error en la medición de la energía y Δτ el error en la medición del tiempo.[xxvii]
Según el principio de incertidumbre, los errores no pueden ser arbitrariamente pequeños, sino que deben satisfacer la desigualdad
ΔE Δτ > h
independientemente de cuán precisas sean las mediciones.
Al combinar este principio con la equivalencia entre energía y masa predicha por la relatividad, nos encontramos con el resultado sorprendente de que se puede crear materia a partir del vacío. Una partícula puede aparecer súbitamente y desaparecer acto seguido. Esto no puede ocurrir según la física clásica —la materia no se crea de la nada—, pero sí es factible según la física cuántica, a condición de que el tiempo de vida de la partícula sea suficientemente corto. En efecto, una partícula de masa M posee una energía Mc²; si su tiempo de vida es menor que h/mc², entonces, de acuerdo con el principio de incertidumbre, la partícula no puede ser detectada: durante ese lapso, la masa (energía) de la partícula se encuentra por debajo del margen de error con que se podría medir, aun con el detector más sensible.
Así, el "vacío" de la mecánica cuántica está repleto de partículas que aparecen y desaparecen burlándose de la ley de conservación de la masa, encubiertas por el principio de incertidumbre de Heisenberg. Tales partículas, por principio indetectables, se llaman partículas virtuales.
No todas las cantidades físicas satisfacen el principio de incertidumbre; por ejemplo, la carga eléctrica se puede determinar sin restricciones, dependiendo la precisión únicamente de la calidad de los métodos de medición utilizados. En consecuencia, una partícula cargada no puede surgir de la nada, porque podría detectarse y violaría el principio de que la carga eléctrica siempre se conserva.
Sin embargo, todas las partículas elementales existen en forma de partículas o antipartículas; la carga eléctrica de una antipartícula es de signo contrario al de su partícula correspondiente, siendo las masas iguales. Es posible, entonces, que una partícula y su antipartícula surjan de la nada y desaparezcan sin poder ser detectadas, porque la carga eléctrica de la pareja sería cero y no se habrá violado el principio de conservación de la carga eléctrica. Así, por ejemplo, puede surgir del vacío un par virtual formado por un electrón y un positrón, los cuales deben desaparecer en un tiempo menor que h/2 Mc² (siendo m la masa del electrón o positrón), tiempo que equivale a unos 10-22 segundos.
La presencia de partículas virtuales en el vacío ocasiona una serie de problemas conceptuales que los físicos aún no han podido resolver satisfactoriamente. La dificultad fundamental es que la energía del vacío es formalmente infinita, ya que se pueden crear partículas virtuales con energías ilimitadas. Por otra parte, el vacío cuántico no es un concepto metafísico: las partículas virtuales no pueden observarse directamente, pero producen una serie de efectos reales que se pueden medir experimentalmente. Uno de los mayores retos para los físicos teóricos en la actualidad es comprender y manejar satisfactoriamente el concepto del vacío cuántico.
Justamente, la radiación de los agujeros negros es un efecto producido por la gravedad sobre el vacío cuántico. El mismo Hawking propuso una interpretación, en términos comprensibles, del efecto descubierto por él: dado que la fuerza de gravedad varía con la distancia, un cuerpo masivo influye desigualmente sobre otro cuerpo masivo: las partes más cercanas al cuerpo atractor son atraídas más intensamente que las partes más alejadas. Este efecto se conoce como fuerza de marea; es el mismo que produce una deformación de los océanos terrestres, porque la Luna atrae más fuertemente a la parte de la Tierra cercana a ella. Evidentemente, los agujeros negros también inducen fuerzas de marea sobre los cuerpos cercanos a ellos. Supongamos que un par formado por un electrón y un positrón virtuales se crea muy cerca de un agujero negro. Hawking señaló que la fuerza de marea puede romper el par, de modo tal que las dos partículas se vuelven reales y una cae al agujero, mientras que la otra escapa a lo lejos (Figura 45). La partícula que escapa lleva consigo parte de la energía gravitacional del agujero y, es esa energía liberada, la que produce la radiación.

Figura 45. Un par virtual creado cerca de un agujero negro puede desgarrarse por la fuerza de marea.
Otra posible interpretación del efecto Hawking es en términos de una alteración de la energía del vacío cuántico. Hemos señalado anteriormente que la energía de una partícula se modifica por la atracción gravitacional; una de las consecuencias más importantes de este fenómeno es que la luz emitida cerca de un objeto masivo se enrojece (pierde energía). Se puede demostrar que este mismo fenómeno, aplicado a la energía del vacío cuántico cerca de un agujero negro, produce una alteración de esta energía que, en términos cuantitativos, hace que la región alrededor del agujero negro adquiera una temperatura exactamente igual a la predicha por Hawking. Según esta interpretación alternativa, un agujero negro no radia energía, sino que deforma la energía del vacío cuántico.
√(hc/G)
Aún quedan muchos problemas que resolver con respecto a la radiación de los agujeros negros. Probablemente, la situación se aclarará cuando dispongamos de una verdadera teoría cuántica de la gravedad. Mientras, el efecto descubierto por Hawking nos indica que debemos prepararnos a múltiples sorpresas. En particular, la posibilidad de que existan agujeros negros microscópicos que se evaporan rápidamente complica aún más el concepto del vacío cuántico: así como se forman partículas virtuales, se pueden crear agujeros negros virtuales a partir del vacío. Si la masa de un agujero negro no excede de unos 10-5 gramos (que es el valor aproximado de √(hc/G)), se evaporará en unos segundos (que corresponde al valor de √(G/hc5)). El lector puede comprobar que el producto de la energía (masa × c²) y el tiempo de vida de tal agujero negro es menor que h. En consecuencia, gracias al principio de incertidumbre de Heisenberg, los agujeros negros con masas menores que unos gramos pueden crearse de la nada y evaporarse sin violar la ley de conservación de la masa.
El máximo radio que puede tener un agujero negro virtual está dado aproximadamente por
√(Gh/c3)
que equivale a unos 10-³³ centímetros. Esta distancia se conoce como longitud de Planck y es la única unidad de distancia que se puede construir con las tres constantes fundamentales de la naturaleza: G, h y c. La longitud de Planck es tan extremadamente pequeña (1020 veces menor que el radio de un electrón) que debe ser la distancia característica de otro nivel de la naturaleza, subyacente al mundo subatómico, donde rigen las leyes aún desconocidas de la gravedad cuántica.[xxviii]
Así como el océano presenta un aspecto liso e inmóvil cuando se observa desde una gran distancia, pero posee fuertes turbulencias y tormentas a escala humana, el espacio-tiempo parece "liso" y estático a gran escala, pero es extremadamente turbulento en el nivel de la longitud de Planck, donde los agujeros negros se forman y evaporan continuamente (Figura 46). En el mundo de Planck, las leyes de la física deben ser muy distintas de las que conocemos hasta ahora.

Figura 46. La estructura macroscópica del espacio-tiempo parece plana, pero éste debe ser extremadamente turbulento en el nivel de la escala de Planck.
La inevitabilidad del colapso gravitacional de una estrella muy masiva conduce necesariamente a postular la existencia de los agujeros negros. La formación de un agujero negro es una fase última y natural de la evolución estelar, tan natural como la formación de una enana blanca o de una estrella de neutrones.
Un agujero negro no es un objeto tan inerte como podría pensarse. Su interacción con la materia cercana a él tiene características extremadamente dinámicas; una enorme energía gravitacional puede liberarse si las condiciones son propicias. Los astrofísicos tienen la esperanza de que los fenómenos más energéticos en el Universo puedan explicarse por la presencia de agujeros negros.
La existencia de agujeros negros gigantes es más especulativa, pero podrían ser la causa de los fenómenos misteriosos que ocurren en el núcleo de las galaxias y en los cuásares.
En el otro extremo de la escala de masas, los agujeros negros poco masivos y los mini agujeros son aún más especulativos. El interés en ellos estriba más bien en aclarar los problemas fundamentales de la física cuántica. La interrelación entre termodinámica, gravitación y mecánica cuántica podría ser la clave para una nueva y más profunda comprensión de la naturaleza. No hay que olvidar que la física del siglo XX surgió de la unión de las dos teorías básicas del siglo XIX: la termodinámica, originalmente la ciencia matemática de las máquinas de vapor y el electromagnetismo, que en aquella época no tenía aplicación a los problemas nacionales de ningún país.
A diferencia de otras interacciones, la gravitación no se presta a experimentos en los laboratorios terrestres. Afortunadamente, la naturaleza se encarga de realizar sus "experimentos" gravitacionales en todo el Universo. Corresponde a los astrónomos descifrar las observaciones de los fenómenos cósmicos. La teoría de los agujeros negros es fruto de la interacción entre astronomía y física teórica. A medida que las observaciones astronómicas mejoren, surgirán nuevos conceptos, quizás más sorprendentes aún
Notas: