Lord Kelvin: la termodinámica clásica
Antonio M. Lallena Rojo
El 16 de julio de 1901 apareció publicada en el diario The Evening News de San José (California) una noticia que tenía por título «La carestía de oxígeno» y que rezaba como sigue: «En una reciente conferencia lord Kelvin expresó su alarma acerca del derroche de oxígeno provocado por los modernos procedimientos industriales. Si esto continúa, estimó que en el curso de unos 500 años no quedará en la Tierra una cantidad suficiente de ese gas para mantener la vida. [...] De acuerdo con sus cálculos, lord Kelvin concluye de las indicaciones actuales que el suministro de oxígeno y combustibles se habrá agotado alrededor del año 2400. Por tanto, si para ese tiempo la raza humana no se ha extinguido debido a la falta de combustible, será muy posible que perezca por asfixia».
Lord Kelvin era William Thomson, catedrático de Filosofía Natural de la Universidad de Glasgow. Para sus coetáneos, lo más llamativo era la referencia a la hipotética falta de oxígeno que podría producirse al cabo de un cierto tiempo. Sin embargo, y aunque seguramente el vaticinio de lord Kelvin era acertado en lo referente al agotamiento de los combustibles, no lo era en lo que respecta al oxígeno. Para él, la fotosíntesis era la única fuente de producción de oxígeno, pero ignoraba los detalles de esta y, en general, también desconocía los distintos elementos del ciclo del oxígeno, por lo que su predicción era errónea. Como veremos, no fue esta la única ocasión en la que lord Kelvin cometió un notable error.
Entonces, ¿qué es lo que cabe destacar de sus predicciones fallidas? Sin lugar a dudas, su férrea voluntad de aplicar las leyes de la física a problemas de cualquier ámbito científico y técnico, actitud que mantuvo a lo largo de toda su vida. Independientemente de que estuviera o no acertado, ese afán por formalizar los problemas y abordar su solución desde un punto de vista fisicomatemático hizo de él una figura preeminente de la ciencia de su tiempo y uno de los físicos más sobresalientes de la historia, aunque en muchas ocasiones, eso sí, notablemente controvertido.
Lord Kelvin vivió de lleno la era victoriana. Contemporáneo de la reina Victoria (1819-1901) —era cinco años más joven que ella y la sobrevivió casi siete— fue testigo, y partícipe en muchos casos, de un sinfín de hechos notables para la ciencia en general y la física en particular. Desde su doble visión como físico-matemático e ingeniero contribuyó decisivamente al desarrollo del modelo dinámico mecanicista imperante a lo largo del siglo XIX, siendo testigo de su esplendor. Muchos de sus esfuerzos se centraron en la aplicación de ese modelo a distintos ámbitos de la física, sobre todo, la termodinámica y el electromagnetismo. Algunas de sus aportaciones fueron fundamentales, ya que solucionaron cuestiones básicas relevantes, como en el campo de la termodinámica, o dieron pie a que otros afianzaran y culminaran sus teorías, como fue el caso de Maxwell y sus ecuaciones del campo electromagnético.
Su implicación con el modelo mecanicista puede apreciarse en una de sus célebres conferencias de Baltimore, impartidas en 1884. Thomson decía:
«Mi objetivo es mostrar cómo hacer un modelo mecánico que cumpla con las condiciones requeridas en los fenómenos físicos que estemos considerando, cualesquiera que estos sean. Cuando consideremos los fenómenos de elasticidad en sólidos, yo querré un modelo de ello. Si en otro momento consideramos las vibraciones de la luz, querré mostrar un modelo de la acción que se exhibe en ese fenómeno. Queremos entender todo sobre él; solo entendemos una parte. Me parece que la prueba de “¿Entendemos o no entendemos un tema particular en física?” es: “¿Podemos hacer un modelo mecánico de ello?” [...] Yo nunca estoy satisfecho conmigo mismo hasta que puedo hacer un modelo mecánico de una cosa. Si puedo hacer un modelo mecánico puedo entenderlo. En tanto en cuanto no pueda hacer un modelo mecánico completo no puedo entenderlo».
Hacia el final de su vida, Thomson observó, en cierta forma atónito, cómo ese modelo entraba en crisis y era desmantelado al desecharse la necesidad del éter como medio mecánico para transportar la luz, el calor y otras formas de energía. Solo teniendo esto presente cobran sentido algunos de sus comentarios de esa época. Por ejemplo, en su respuesta a los discursos que se dieron con motivo de su jubileo en la Universidad de Glasgow en 1896, lord Kelvin afirmó:
«Solo una palabra caracteriza los esfuerzos más tenaces que he hecho insistentemente durante cincuenta años con el fin de hacer progresar el conocimiento científico y esta palabra es fracaso»
Esta declaración contrasta, sin embargo, con la arrogancia con la que Thomson se comportó en algunas de sus controversias más célebres, como la que protagonizó con varios geólogos y algunos biólogos seguidores de Darwin con respecto a la edad de la Tierra.
En 1900 pronunció una conferencia titulada «Nubes del siglo XIX sobre la teoría dinámica del calor y la luz». Lord Kelvin se refirió entonces a dos problemas que requerían solución:
«La belleza y claridad de la teoría dinámica, que establece que el calor y la luz son modos de movimiento, están actualmente oscurecidas por dos nubes. La primera nació con la teoría ondulatoria de la luz y fue abordada por Fresnel y el doctor Thomas Young; involucra la cuestión: ¿cómo podría la Tierra moverse a través de un sólido elástico tal y como esencialmente es el éter? La segunda es la doctrina de Maxwell-Boltzmann relativa a la partición de la energía».
La primera cuestión se refiere al ya mencionado rechazo del éter como medio necesario para explicar el movimiento de la luz. El segundo problema se centra en la denominada «radiación del cuerpo negro». Pero lejos de tratarse de dos incómodos detalles de importancia secundaria, ambas «nubes» resultaron el punto de partida de las dos teorías que revolucionaron la física a principios del siglo XX: la teoría de la relatividad y la teoría cuántica. «Grandes revelaciones creo que están por aparecer», escribió lord Kelvin en una carta a uno de sus colegas irnos meses antes de su muerte.
Pero la obsesión por el mecanicismo, una teoría obsoleta, no fue el único error de lord Kelvin, ya que estuvo en contra de la teoría electromagnética de Maxwell, de la radiactividad y de otros avances desarrollados a partir de 1865. Su actitud durante el último tercio de su vida fue la de un maniático reacio a aceptar cualquier novedad científica sobre la que tuviera dudas o prejuicios o, simplemente, no fuera capaz de entender en el marco de las teorías por él admitidas. El hecho es que, hoy en día, la presencia de lord Kelvin entre los especialistas en física es escasa, y en muchos casos se circunscribe a la escala absoluta de temperatura (la escala Kelvin) y a la unidad de temperatura (el Kelvin) que, por otra parte, fueron asociados a su nombre en 1954, mucho tiempo después de su muerte.
Buena parte de las reseñas que pueden encontrarse publicadas en la actualidad sobre lord Kelvin hacen referencia a las opiniones erróneas que sostuvo el científico, como la ya comentada acerca del agotamiento del oxígeno. Los ejemplos son numerosos; en sus propias palabras: «Máquinas voladoras más pesadas que el aire son imposibles», «La radio no tiene futuro», «Los rayos X son una patraña», «No tengo ni la menor molécula de fe en la navegación aérea distinta a la de los globos aerostáticos o de esperanza de buenos resultados en cualquiera de las pruebas de las que hemos oído», «No hay nada nuevo por descubrir en física ahora; todo lo que queda es realizar experimentos más y más precisos»... Parece difícil encontrar a otro personaje tan ajeno a la realidad, pero, entonces, ¿cuáles fueron las razones que llevaron a la reina Victoria a dar a Thomson rango de noble?
Quizá la respuesta pueda encontrarse en la personalidad que mostró el científico hasta cumplir, más o menos, los cuarenta años, cuando tenía un carácter completamente distinto al que acabamos de describir. Cuando, hacia mediados del siglo XIX, las teorías sobre la luz, el calor, la electricidad y el magnetismo —las disciplinas clásicas de la física— fueron establecidas, la participación de Thomson en esa tarea había sido más que fundamental. No se exagera mucho si se afirma que en los dos últimos tercios del siglo XIX no existió ninguna discusión en física en la que no estuviera involucrado, de una u otra forma. El prestigio del joven Thomson entre sus colegas europeos fue notable, y muchos de ellos lo consideraban como el científico más brillante de las últimas décadas.
También cabe recordar que los logros de Thomson fueron innumerables. Estableció la escala absoluta de temperatura. En mecánica de fluidos, se conoce el teorema de circulación de Kelvin. Descubrió el denominado «efecto Thomson», que es una propiedad termoeléctrica de los materiales, y, junto a Joule, el proceso termodinámico que se conoce como «efecto Joule-Thomson». En astrofísica, la escala temporal de Kelvin-Helmholtz es una estimación del tiempo que una estrella podría brillar manteniendo la luminosidad si su única fuente de energía fuera debida a la conversión de su energía gravitacional en calor. Con el mismo nombre existe una inestabilidad en dinámica de fluidos que explica, por ejemplo, la formación en la atmósfera de determinadas nubes onduladas. La estela que produce la proa de un barco cuando navega sigue el denominado «patrón de Kelvin». Thomson descubrió la magnetorresistencia, y el teorema de Stokes del cálculo vectorial apareció por primera vez en una carta de Thomson a Stokes, quien posteriormente lo utilizó para formular uno de los problemas en el examen de la edición de 1854 del premio Smith. Según Silvanus Phillips Thompson, uno de sus biógrafos, lord Kelvin desarrolló más de cincuenta patentes en ámbitos tan diferentes como la telegrafía, las brújulas, los aparatos de navegación, las dinamos, las lámparas eléctricas, los instrumentos de medida eléctricos, la producción electrolítica de álcalis, las válvulas para fluidos, etc. Thomson, en fin, participó activamente en el tendido del primer cable telegráfico submarino a través del Atlántico.
Si antes se han mencionado las frases más conocidas del escéptico lord Kelvin, no deben dejarse de lado aquellas otras en las que sacó a relucir su genio científico. En 1871, con motivo de la reunión de la Asociación Británica para el Avance de la Ciencia, celebrada en Edimburgo, Thomson, que actuaba como presidente, se dirigió a los asistentes y, entre sus reflexiones, es interesante destacar la siguiente:
«La ciencia tiende a acumular riqueza de acuerdo a la ley del interés compuesto. Cada adición al conocimiento de las propiedades de la materia dota [al físico] con nuevos medios instrumentales para descubrir e interpretar los fenómenos de la naturaleza, los cuales a su vez proporcionan fundamentos para nuevas generalizaciones, reportando ganancias de valor permanente en el gran almacén de la filosofía [natural]».
Una de las frases que reflejan de manera más transparente su postura científica es la que expresó con motivo de una conferencia dirigida a la Institución de Ingenieros Civiles el 3 de mayo de 1883:
«Cuando puedes medir aquello de lo que estás hablando y expresarlo en números sabes algo sobre ello, pero cuando no puedes expresarlo en números tu conocimiento sobre ello es de naturaleza precaria e insatisfactoria».
Lord Kelvin murió el 17 de diciembre de 1907, en su casa de Netherhall, a las afueras de Largs (Escocia). El funeral tuvo lugar el día 23 en Londres y a él asistieron representantes de universidades e instituciones de todo el mundo. Fue enterrado en la abadía de Westminster. La lápida de su tumba reza: «A la memoria del barón Kelvin of Largs, ingeniero, filósofo natural, 1824-1907».
| 1824 | Nace en Belfast, el 26 de junio, William Thomson. Su madre fallece en 1830. |
| 1832 | La familia se traslada a Glasgow, donde su padre ejercería como profesor de Matemáticas en la universidad. Thomson cursa allí sus estudios. |
| 1841 | Publica su primer artículo científico, en el que defiende el trabajo del francés Fourier. Inicia sus estudios de grado en la Universidad de Cambridge. |
| 1845 | Realiza una estancia de investigación en el laboratorio de Regnault en París. |
| 1846 | Es nombrado profesor de Filosofía Natural en la Universidad de Glasgow. |
| 1851 | Es elegido como fellow de la Royal Society de Londres. Descubre lo que hoy se conoce como «efecto Thomson». |
| 1852 | Se casa con Margaret Crum, que fallece en 1870. |
| 1864 | Publica sus cálculos sobre la edad de la Tierra. Al año siguiente participa en el proyecto de tendido del cable transatlántico submarino. |
| 1866 | Es nombrado caballero. Al año siguiente publica, junto con Peter Tait, el Tratado de filosofía natural. |
| 1874 | Contrae matrimonio con Francés Anna Blandy. Es nombrado presidente de la Sociedad de Ingenieros de Telegrafía. |
| 1881 | El Gobierno francés le concede el título de Comandante de la Legión de Honor. En 1889 recibirá el de Gran Oficial. |
| 1883 | Recibe la medalla Copley. |
| 1884 | Pronuncia las conferencias de Baltimore sobre la dinámica molecular y sobre la teoría ondulatoria de la luz. |
| 1890 | Es elegido presidente de la Royal Society, cargo que ostenta hasta 1894. |
| 1892 | Recibe el título nobiliario de Barón Kelvin of Largs. |
| 1893 | Encabeza una comisión internacional para decidir el diseño de la estación hidroeléctrica de las cataratas del Niágara. |
| 1896 | Se le concede la Gran Cruz de la Real Orden Victoriana. |
| 1898 | Es elegido presidente de la Mathematical Society de Londres, cargo que mantiene hasta 1900. |
| 1899 | Se jubila como profesor de la Universidad de Glasgow. |
| 1906 | Se funda la Comisión Electrotécnica Internacional, de la que es su primer presidente. |
| 1907 | Muere el 17 de diciembre en su residencia de Netherhall. Es enterrado en la abadía de Westminster. |
Capitulo 1
Estudiante aventajado
Niño prodigio en matemáticas, William Thomson mostró desde muy temprana edad actitudes excepcionales para la ciencia y sus aplicaciones, viéndose constantemente motivado por la tutela de su padre, que se esmeró en su formación. El futuro lord Kelvin siempre estuvo involucrado en cuestiones de investigación y, con apenas veinte años, fue capaz de realizar aportaciones muy relevantes en los campos del transporte del calor y el electromagnetismo a partir de los desarrollos de Fourier.
Durante los días 15,16 y 17 de junio de 1896 se celebró el jubileo en honor de lord Kelvin, ya que se festejó el quincuagésimo aniversario de la obtención de su cátedra de Filosofía Natural en la Universidad de Glasgow. Varios cientos de personas, representantes de la ciencia, la política y la enseñanza del mundo entero, participaron en las actividades programadas con esa ocasión. Concluida la cena del día 16, sir James Bell, lord Provost (alcalde) de Glasgow, se dirigió a los presentes con las siguientes palabras:
La reina me ordena que suplique a todos ustedes que expresen amablemente a lord Kelvin las más sinceras felicitaciones de Su Majestad con ocasión del jubileo de su cátedra en la Universidad de Glasgow. Su Majestad confía en que muchos años de salud y prosperidad les aguarden a él y a la señora Kelvin. La reina está particularmente satisfecha por la presencia de tantos eminentes representantes de todos los países del mundo, que han venido a honrar a su distinguido invitado.
Este lord Kelvin que con tantos parabienes y homenajes fue agasajado con ocasión de su jubileo como catedrático no era otro que William Thomson. El entonces septuagenario profesor había nacido el 26 de junio de 1824 en Belfast (Irlanda del Norte). Su padre, James Thomson, nacido en 1786 en Ballynahinch (County Down, Irlanda del Norte), estudió en la Universidad de Glasgow entre 1810 y 1814 y en 1815 fue nombrado profesor de Matemáticas en la Royal Academic Institution de Belfast. Dos años más tarde, en el verano de 1817, contrajo matrimonio con Margaret Gardiner, que falleció cuando William tenía solo cinco años. La pareja tuvo otros seis hijos: Elizabeth, Anna, James, John, Margaret y Robert.
Además de algunas contribuciones originales en matemáticas, el padre del futuro científico destacó en la publicación de libros de texto, algunos de ellos de un éxito notable, como su Aritmética, que fue publicada en Belfast en 1819; un volumen que en 1880 había alcanzado las 72 ediciones. Otros títulos de éxito debidos a James Thomson fueron Trigonometría, plana y esférica, publicado en 1820, y El cálculo diferencial e integral, editado en 1831.
Traslado a Glasgow
Tras la muerte de su esposa, James Thomson asumió la educación de sus hijos. No solo dominaba las matemáticas, sino que también tenía un muy buen conocimiento del latín y el griego, hasta el punto de que en alguna ocasión dio clases de humanidades a estudiantes universitarios. En 1832 le ofrecieron la cátedra de Matemáticas de la Universidad de Glasgow y toda la familia se trasladó a la ciudad escocesa, donde él mismo continuó enseñando a sus hijos.
En 1834 William y su hermano James ingresaron en la Universidad de Glasgow, donde comenzaron sus estudios propiamente universitarios cuatro años más tarde. Desde un principio ambos destacaron tanto en los cursos científicos como en los de humanidades. Así, por ejemplo, en 1840 William escribió un ensayo titulado Sobre la figura de la Tierra, el cual le valió un premio universitario.
Fue durante el curso 1839-1840 cuando William se encontró con dos obras que influyeron en su posterior labor en el campo de la física: la Mecánica analítica, del italiano Joseph-Louis de Lagrange (1736-1813), y la Mecánica celeste, del francés Pierre-Simon Laplace (1749-1827), ambos notables matemáticos y astrónomos de finales del siglo XVIII y principios del XIX. Thomson oyó hablar por vez primera de esos tratados a su profesor John P. Nichol, profesor regio de Astronomía, que se había hecho cargo durante ese curso de las tareas docentes de William Meikleham, catedrático de Filosofía Natural dado de baja por enfermedad. A pesar de su notable dificultad matemática, Nichol le animó a estudiar los volúmenes citados en profundidad junto con las obras de otros dos destacados hombres de ciencia; el matemático Adrien-Marie Legendre (1752-1833) y el físico Augustin-Jean Fresnel (1788-1827), los dos franceses y contemporáneos de Lagrange y Laplace.
En 1839 William y sus hermanos pasaron unos meses en París y en el verano de 1840 toda la familia realizó un viaje por Alemania que Thomson recordó siempre. Algún tiempo antes, Nichol había puesto a William sobre la pista de un trabajo que resultó ser crucial en su vida científica. Se trataba de la Teoría analítica del calor, del matemático y físico francés Jean-Baptiste Joseph Fourier.
Con apenas dieciséis años, la obra de Fourier le causó a Thomson una profunda impresión. Prueba de ello es uno de sus recuerdos de aquel viaje a Alemania, mencionado al final de su vida:
Yendo ese verano a Alemania con mi padre y mis hermanos y hermanas, llevé a Fourier conmigo. Mi padre nos llevó a Alemania e insistió en que todo el trabajo debería dejarse atrás, de manera que todo nuestro tiempo deberíamos dedicarlo a aprender alemán. (...] Justo dos días antes de salir de Glasgow, encontré el libro de Kelland y me sorprendió lo que decía acerca de que Fourier estaba equivocado en la mayor parte de sus aseveraciones. Por lo tanto, puse a Fourier en mi bolsa y lo usé en Frankfort para bajar al sótano subrepticiamente y leer todos los días un poco de Fourier. Cuando mi padre lo descubrió, no fue muy severo conmigo.
Philip Kelland (1808-1879) era catedrático de Matemáticas en la Universidad de Edimburgo y su libro Teoría del calor, publicado en 1837, había llamado la atención del joven William.
Fourier y el comportamiento del calor
Jean-Baptiste Joseph Fourier fue un matemático y físico francés que desarrolló las técnicas de descomposición de funciones periódicas en series convergentes de senos y cosenos conocidas como «series de Fourier».
Nacido el 21 de marzo de 1768 en Auxerre, a los veintiséis años ingresó en la Escuela Normal de París, donde tuvo como profesores a Lagrange y Laplace. En 1802 fue nombrado por Napoleón prefecto del departamento de Isére y en 1810 creó la Universidad Real de Grenoble. En 1817 ingresó en la Academia de las Ciencias de Francia, en 1823 fue admitido como miembro extranjero en la Royal Society británica y en 1826 fue elegido miembro de la Academia Francesa. En su célebre obra Teoría analítica del calor, publicada en París en 1822, Fourier trató el problema de la difusión del calor en cuerpos de dimensiones finitas —estableciendo las ecuaciones que rigen el fenómeno— y, además, estudió la propagación en cuerpos infinitos, desarrollando en ese contexto el método de trabajo con series trigonométricas.
Una nueva perspectiva
El libro de Fourier puede considerarse como uno de los hitos de la física. En aquella época, la naturaleza del calor era desconocida, pero se sabía que el calor se podía almacenar, que unas sustancias eran capaces de hacerlo más eficazmente que otras y que fluía de los cuerpos más calientes a los más fríos, siendo ese flujo más rápido cuanto mayor era la diferencia de temperatura y que la velocidad dependía también de la sustancia que el calor estuviera atravesando. Fourier fue capaz de desarrollar una teoría matemática que describía el comportamiento del calor a partir de ese conocimiento empírico. Las palabras del propio Fourier no dejan lugar a dudas: «La causas primarias son desconocidas para nosotros, pero están sujetas a leyes simples y constantes que pueden descubrirse mediante la observación, cuyo estudio es el objeto de la filosofía natural. [...] El objeto de nuestro trabajo es enunciar las leyes que [el calor] obedece. [...] He deducido esas leyes del estudio prolongado y la atenta comparación de los hechos hoy conocidos». Esta perspectiva supuso, en sí misma, un importante avance para las ciencias experimentales, ya que abría la posibilidad de avanzar en el estudio de los fenómenos observables incluso cuando las razones básicas de los mismos estuvieran ocultas al experimentador.
El físico Silvanus Phillips Thompson (1851-1916) transcribió, en su biografía de lord Kelvin, publicada en 1910, lo que el científico le contó acerca de ello:
«Me llenó de indignación la aseveración de Kelland de que casi todo en Fourier estaba equivocado».
Kelland no había entendido la equivalencia existente entre la serie doble de Fourier, escrita en términos de senos y cosenos, y la serie simple, expresada bien como serie de senos o bien de cosenos, para lo cual solo es necesario modificar los argumentos de esas funciones trigonométricas. Ello le llevó a concluir que los desarrollos del libro de Fourier, que en su mayoría involucraban el uso de series simples, eran erróneos.
Thomson descubrió el yerro de Kelland y escribió lo que constituyó su primer artículo científico, que apareció en mayo de 1841 con el título «Sobre los desarrollos de funciones en series trigonométricas según Fourier». Thomson demostró el desarrollo de Fourier de una manera alternativa a como lo había hecho el propio autor, aclaró el error de Kelland y su padre envió el trabajo al editor del Cambridge Mathematical Journal, el matemático escocés Duncan F. Gregory. Tiempo después, el propio lord Kelvin recordaba lo sucedido como sigue:
Cuando escribí mi artículo —mi primer artículo original—, mi padre se lo envió a Gregory. Gregory había sido batido recientemente por Kelland en la oposición para la cátedra de Matemáticas de Edimburgo. Gregory pensaba que el artículo era bastante controvertido y se lo envió a Kelland. Este fue un acto elegante por parte de Gregory, que no lo incluyó en la revista sin que fuera revisado primero por Kelland. Kelland respondió de manera cortante, con cierto despecho. Entonces mi padre y yo revisamos el artículo y suavizamos algunos pasajes que tal vez habían ofendido a Kelland. Kelland volvió a escribir que estaba encantado con el artículo y fue muy afable. Entonces lo imprimieron.
Independientemente de la ayuda que pudiera haber recibido de su padre, la lectura de ese artículo es sorprendente, sobre todo si se tiene en cuenta que Thomson contaba con tan solo dieciséis años cuando lo escribió. Presenta una estructura absolutamente correcta desde la perspectiva de un artículo científico, haciendo vislumbrar a tan temprana edad la categoría de Thomson.
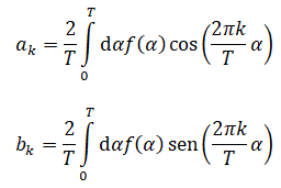
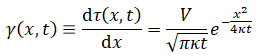
Las series trigonométricas de FourierSupongamos que f(t) es una función periódica con periodo T como la representada en la figura 1.
El artículo está firmado con las iniciales P.Q.R., al parecer con la intención de ocultar la personalidad de Thomson: no habría sido muy adecuado que la obra de un catedrático de Matemáticas hubiera sido puesta en tela de juicio por un jovencito de su edad.
Los coeficientes de esa serie vienen dados por:
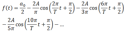
Consideremos ahora las funciones:
que se obtienen de la serie de Fourier sin más que sumar hasta un número de términos. Pues bien, estas nuevas funciones proporcionan aproximaciones sucesivas a la función f(t) a medida que aumenta el valor de Nmax.
Como vemos, solo quedan en este caso términos que incluyen senos, mientras que todos los términos con cosenos son nulos. Si ahora tenemos en cuenta que:
la serie de Fourier anterior puede reescribirse como:
y ahora solo tenemos términos que incluyen cosenos.
En cualquier caso, Kelland supo antes de la publicación quién era el autor del trabajo y él y Thomson llegaron a ser buenos amigos pasado el tiempo.
Estudios de grado en Cambridge
A finales de octubre de 1841 Thomson llegó al St. Peter’s College de Cambridge, donde inició sus estudios de grado en Matemáticas. En este centro, sin embargo, los intereses de Thomson no se restringieron a las ciencias. Contribuyó a la fundación de la Sociedad Musical Universitaria de Cambridge e intervino tocando la trompa en el primer concierto de la orquesta de esta agrupación, en diciembre de 1843. Participó también como remero en la embarcación de su College y formó parte de la tripulación del barco de la universidad en la regata de 1844.
Conocedor de tales hechos, su padre mantuvo una considerable prevención, ya que temía que William dedicara demasiado tiempo a esas actividades extracurriculares y a otras diversiones usuales en el Cambridge de la época. De hecho, muchos estudiantes se afanaban en fomentar su aprendizaje social, asistiendo a fiestas, haciendo amigos, estableciendo contactos que más tarde pudieran serles de utilidad, practicando deportes..., cualquier cosa que no involucrase el estudio. Sin embargo, para Thomson, tales actividades constituían una necesidad para «despejar su mente» y nunca dejó su trabajo por hacer.
En cualquier caso, su padre no estaba dispuesto a que pudiera perderse del buen camino y continuamente le aconsejaba, cuando no advertía, acerca de la conducta que debía mantener. En cierta ocasión, William le informó que había adquirido un bote de remos de segunda mano. Su padre le respondió amonestándole por no haberlo informado previamente y pidiéndole que lo devolviera y recuperara el dinero gastado. En la carta puede leerse, además, lo siguiente:
Creo que ya te he dicho que me envíes tus cuentas de gastos de vez en cuando. Cualquier explicación, excepto las que sean importantes, pueden esperar hasta que te vea [...] Haz uso de toda la economía que sea consistente con la respetabilidad. [... ] Eres joven: ten cuidado de que no te lleven hacia lo equivocado. Un falso paso ahora, o la adquisición de un hábito o tendencia impropios, te podría arruinar de por vida. Mira hacia atrás con frecuencia acerca de tu conducta y gana sabiduría para el futuro.
La prueba de que Thomson aprovechó muy bien su tiempo de formación en Cambridge es la actividad investigadora que desarrolló. A pesar de ser un estudiante de grado, publicó una docena de artículos en el Cambridge Mathematical Journal, la mayor parte de ellos dedicados a los métodos físico-matemáticos introducidos por Fourier, cuyo objetivo principal había sido acercar la física a los hechos experimentales.
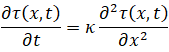
Así, en noviembre de 1842, publicó «Sobre el movimiento lineal del calor», un trabajo en el que Thomson abordó la solución de la ecuación diferencial que permite determinar el flujo de calor en un cuerpo infinito y la temperatura existente en un punto cualquiera de ese cuerpo y en cualquier instante. En 1843 publicó una segunda parte del artículo, en la que estudiaba el movimiento del calor en el interior de un cuerpo en contacto con una fuente de calor periódica. En 1844 vio la luz otro estudio sobre el mismo tema: «Nota sobre un punto de la teoría del calor de Fourier». En este corto artículo Thomson analizó y demostró un desarrollo en serie utilizado por Fourier para explicar el movimiento del calor dentro de una esfera, así como su enfriamiento.
En estos artículos Thomson elucubró sobre la solución de la ecuación de transporte de calor para tiempos negativos. De hecho, se dio cuenta de que si bien la distribución de temperaturas en un cuerpo se hacía más y más uniforme a medida que pasaba el tiempo (lo que ya había puesto de manifiesto el propio Fourier), si se analizaba esa misma distribución hacia atrás en el tiempo, se podían encontrar soluciones carentes de sentido, máxime si esas soluciones se calculaban para tiempos negativos muy grandes. O dicho de otra forma, cualquier distribución de temperatura que se observa en un instante dado solo puede provenir de una distribución inicial tal que la diferencia de tiempos entre ambas distribuciones debe ser finita. Estos resultados fueron utilizados por Thomson una y otra vez en los siguientes años y fueron la base de la controversia que mantuvo sobre la edad de la Tierra, como veremos en el capítulo 5.
Con anterioridad a estos artículos, en febrero de 1842, Thomson había publicado otra memoria titulada «Sobre el movimiento uniforme del calor en cuerpos sólidos homogéneos y su conexión con la teoría matemática de la electricidad», que constituyó su primer trabajo en otro campo de la física en el que realizó numerosas aportaciones a lo largo de su vida; el electromagnetismo. Este trabajo había sido desarrollado durante los meses previos a su llegada a Cambridge y en él Thomson puso de manifiesto la analogía que podía establecerse entre el flujo de calor y la fuerza eléctrica, por un lado, y entre las superficies isotermas y las superficies equipotenciales, por otro.
Dos grandes físicos le inspiraron en este trabajo. El primero fue Charles-Augustin de Coulomb (1736-1806), que en 1777 había inventado un dispositivo para medir la fuerza que dos cargas eléctricas ejercen una sobre la otra: la balanza de torsión. El físico e ingeniero francés investigó cómo esa fuerza de interacción dependía de la distancia entre las cargas y en 1785 formuló la que hoy se conoce como «ley de Coulomb», que establece que la fuerza entre dos cargas eléctricas es directamente proporcional al producto de esas cargas e inversamente proporcional al cuadrado de la distancia que las separa
El segundo fue Michael Faraday (1791-1867), físico y químico británico, considerado el fundador del electromagnetismo y la electroquímica, y cuya principal aportación fue el descubrimiento de la inducción electromagnética. A Thomson le interesó un concepto que Faraday había introducido para visualizar la acción de la fuerza que se ejerce entre cargas eléctricas: las líneas de fuerza, con las que se podía representar lo que hoy en día se conoce como «campo eléctrico».
Thomson observó que los métodos desarrollados por Fourier para describir el transporte de calor en sólidos podían aplicarse a la interacción entre cargas sin más que redefinir adecuadamente las cantidades involucradas. De alguna manera, el futuro lord Kelvin fue capaz de entrever que el modo en el que el calor se desplaza a través de un cuerpo sólido era conceptualmente similar a cómo la fuerza eléctrica «fluía» a través del espacio que separaba las cargas. De resultas de su cálculo, las líneas de fuerza de Faraday aparecían de manera natural. Mientras que la ley de Coulomb solo permitía abordar problemas sencillos que involucraban cargas discretas, la adaptación de Thomson de la teoría del calor de Fourier permitía resolver problemas con distribuciones de carga de geometría más compleja.
El «tripos» de 1845
El padre de Thomson quería que su hijo ocupara la cátedra de Filosofía Natural de Glasgow. A finales de 1843, su titular, el profesor Meikleham, ya tema más de setenta años y se encontraba enfermo, pero a Thomson aún le restaba más de un año de estudio en Cambridge. James Thomson presionaba a su hijo para que «acelerara» su carrera, ya que la situación de Meikleham no permitía saber el tiempo que seguiría ocupando su puesto.
Las aportaciones de FaradayMichael Faraday fue un investigador inglés que realizó aportaciones fundamentales en los campos del electromagnetismo y la electroquímica. Nació en Newington Butts (Inglaterra) el 22 de septiembre de 1791; era el tercero de los cuatro hijos del herrero James Faraday y, como sus hermanos, solo tuvo acceso a una educación escolar muy básica. Sin embargo, en 1812 asistió a las clases del químico Inglés Humphry Davy y elaboró un grueso volumen de anotaciones e ideas que envió al propio Davy, el cual le ofreció un puesto como su secretario. Poco después, Davy lo propuso para una plaza de químico asistente en la londinense Royal Institution. En 1824 fue elegido como miembro de la Royal Society. En 1833, su mentor, el filántropo John Fuller, creó la cátedra Fuller en la Royal Institution y Faraday fue su primer ocupante, manteniendo la posición hasta su muerte. En 1838 fue elegido miembro de la Academia de Ciencias de Suecia, y en 1844 de la de Francia. En el campo de la química, Faraday desarrolló los números de oxidación, básicos para la formulación química; descubrió el benceno, y fue uno de los primeros en utilizar términos como ánodo, cátodo, electrodo e ión.
Experimentos electromagnéticos
Pero sus principales aportaciones las realizó en el campo del electromagnetismo, destacando el descubrimiento de la inducción electromagnética a partir de una serie de experimentos que inició en 1831. Según este fenómeno físico, cuando un conductor se encuentra en reposo en el seno de un campo magnético variable, se produce una corriente que circula por dicho conductor; y lo mismo sucede cuando, alternativamente, un conductor se mueve en el seno de un campo magnético estático. A pesar de su escasa formación matemática, Faraday fue capaz de intuir el concepto de lo que hoy en día se conoce como «campo eléctrico».
Retrato de Faraday pintado por Thomas Phillips en 1842.Visualizó la acción de la fuerza que se ejerce entre cargas eléctricas mediante las denominadas «líneas de fuerza», que permiten representar la modificación del espacio creada por la presencia de una carga eléctrica (las figuras adjuntas muestran diversas relaciones entre las líneas de un campo eléctrico). Muchos lo consideran como el mejor experimentador de la historia. En su honor, la unidad de capacidad en el Sistema Internacional de Unidades se llama «faradio».
Una carga positiva y otra negativa aisladas
Izquierda: una carga positiva y otra negativa. Derecha: dos cargas positivas
Por otra parte, en la Universidad de Glasgow se tenía una cierta prevención acerca de los graduados en Cambridge, a los que se consideraba demasiado teóricos y alejados de la práctica experimental. En este sentido, James aconsejó a su hijo sobre la necesidad de adquirir experiencia en un laboratorio de química, aunque nadie tenía dudas sobre su valía como matemático y físico. También le recordó que debía proceder con madurez y mantener un comportamiento adecuado:
Lo que debes hacer es formarte un carácter, en general y científicamente, de manera que el rector, el decano, y el resto de electores que usualmente actúan junto a mí, tengan una justificación para apoyarte, algo difícil habida cuenta de tu juventud.
Sin embargo, William veía su futuro cercano desde otro punto de vista, más relacionado con su formación como científico. Por ejemplo, tenía mucho interés en pasar algún tiempo en Francia estudiando los trabaos de los investigadores que tanto habían influido sobre su visión de la física. Ya fuera por la presión de su padre o por el temor a verse obligado a renunciar a sus planes, Thomson se planteó la viabilidad de su carrera como científico y pensó seriamente (o al menos así se lo hizo saber a algunos de sus amigos) en hacerse abogado. También dedicó entonces mucho tiempo a la literatura, abandonando hasta cierto punto sus estudios. «He leído algunos poemas de Shakespeare —escribió—, y he tenido suficiente para hacerme desear leer más», poniendo de manifiesto hasta qué punto se sentía atrapado por ese nuevo campo hasta entonces desconocido para él.
«Todavía hay muchas cosas en tu contra, a menos que seas capaz de demostrar tus conocimientos sobre las manipulaciones de la filosofía experimental.»
James Thomson a su hijo William.
Afortunadamente, se aproximaba el tripos. Este era un examen de matemáticas en el que los estudiantes más destacados se sometían a distintas pruebas a lo largo de los varios días que se requerían para completarlo. Su nombre se debía a los incómodos bancos de tres patas en los que los examinandos debían sentarse. Como era necesaria una preparación especial para poder superarlo, William se vio obligado a volver a las matemáticas.
La participación de Thomson en el tripos de 1845 es probablemente uno de los episodios más conocidos sobre su vida. Todos sus compañeros y amigos estaban seguros de que quedaría en primer lugar, obteniendo el Senior Wrangler, el título reservado para el ganador. Su padre, por su parte, también tenía un gran interés en que lo consiguiera, ya que pensaba que con toda certeza contribuiría positivamente a que William pudiera obtener la cátedra de Filosofía Natural en Glasgow. Además de su capacidad, Thomson contó con la inestimable ayuda del profesor de Matemáticas William Hopkins, uno de los mejores preparadores para el tripos. Él solo había conseguido la séptima plaza en 1827, pero en 1849 contaba ya con diecisiete Senior Wranglers entre los que habían sido sus pupilos. Vencedores del tripos fueron George G. Stokes en 1841 y John W. Strutt (lord Rayleigh) en 1865; este último sería ganador del premio Nobel de Física en 1904. Sin embargo, científicos de la talla de los físicos James C. Maxwell y J. J. Thomson, premio Nobel en 1906, solo consiguieron la segunda plaza, en 1854 y 1880, respectivamente.
En 1845 William fue batido por Stephen Parkinson, estudiante del St. John’s College; Thomson consiguió el Second Wrangler, la distinción del candidato que quedaba en segundo lugar. La seguridad en sí mismo era tal y la certeza de que vencería era tan grande que, según se cuenta, William envió a un amigo a mirar quién había quedado segundo, sorprendiéndose cuando, a su vuelta, le informó de que el segundo había sido él mismo. Sin embargo, tiempo después, confesó que en realidad no había preparado las pruebas todo lo bien que era necesario, ya que había estado enredado con una investigación que le interesaba especialmente. Thomson recordó el episodio del siguiente modo:
Parkinson había sido mejor en los dos primeros días del examen en los que había que resolver ejercicios de libro de texto, en lugar de problemas que requirieran una investigación analítica. Yo debería haber mejorado en los dos últimos días, pero no fue así [...] y difícilmente habría podido obtener buenas notas. Empleé casi todo el tiempo en un problema particular que me interesaba, acerca de una peonza que se dejaba caer en un plano rígido; un problema muy sencillo si lo hubiera tratado de la manera adecuada, pero me lié y perdí tiempo con él y escribí algo que no estaba bien, y no me quedó tiempo para las otras cuestiones. [...] Un muy buen hombre Parkinson —no lo conocía personalmente entonces—, que se había dedicado a aprender cómo responder bien en los exámenes, mientras yo había tenido durante los meses previos mi cabeza en otros temas sobre los que no nos examinaron: teoría del calor, flujo del calor entre superficies isotermas, dependencia del flujo del estado previo, y todas esas cosas que había aprendido de Fourier.
Casi inmediatamente después del tripos, Thomson tuvo la oportunidad de «vengarse» de Parkinson, batiéndolo en las pruebas del premio Smith, un examen en el que se valoraba más la capacidad de comprensión y análisis que la rapidez en la resolución de los problemas, los cuales versaban sobre física-matemática y no sobre métodos matemáticos, como en el tripos. Uno de sus tutores, Henry W. Cookson, escribió a su padre:
He visto a su hijo que estaba rebosante de felicidad. [...] Algunos de los problemas del examen para el premio Smith eran de naturaleza más difícil que los otros [los del tripos] y requerían una visión más profunda y filosófica de los temas. Es debido a esto a lo que cabe atribuir el éxito de su hijo.
Estancia de investigación en París
Con veintiún años, Thomson se marchó a París, ciudad a la que llegó el 30 de enero de 1845, acompañado por su amigo Hugh Blackbum (1823-1909), un matemático escocés que, con el paso del tiempo, sucedió al padre de William en la cátedra de Matemáticas de la Universidad de Glasgow. El objeto de aquel viaje era realizar una estancia en el laboratorio de Henri V. Regnault (1810-1878), químico y físico que por aquel entonces investigaba para el Gobierno francés las propiedades físico-químicas de los gases. Estudiaba problemas tales como su tasa de dilatación con la temperatura o la cantidad de calor necesaria para elevar esa temperatura un cierto número de grados. En aquel momento, los científicos trataban de obtener experimentalmente la información necesaria para que los ingenieros mejoraran la eficiencia de las máquinas de vapor. El valor añadido de estos estudios experimentales fue un desarrollo notable de la termodinámica, la cual empezó a fundamentarse sobre una base teórico-experimental.
Es interesante señalar las diferencias entre Gran Bretaña y Francia respecto a la investigación experimental en este campo. En Gran Bretaña, donde la máquina de vapor había sido desarrollada a finales del siglo XVIII, esa investigación estaba en manos de inventores y científicos que trabajaban de manera independiente. En Francia, los políticos se dieron cuenta inmediatamente del valor estratégico que esa investigación podía tener para el desarrollo de una tecnología propia, y dedicaron fondos económicos a impulsar tales estudios. El mérito de los gobernantes franceses fue aún más estimable si se tiene en cuenta que entonces el conocimiento sobre las leyes básicas que gobernaban el comportamiento del vapor era muy escaso. En definitiva, todo un ejemplo para la clase política de nuestros días, demasiado reticente en muchas ocasiones a financiar la investigación básica que inexorablemente supone, más pronto que tarde, riqueza para un país.
Como ya se ha apuntado, el padre de Thomson consideraba que el aprendizaje experimental de su hijo era esencial para la consecución de la cátedra en Glasgow. La estancia en París era, sin lugar a dudas, la solución al punto flaco que la formación fundamentalmente teórica de William había tenido hasta entonces. No es que en los pocos meses que permaneció en la capital francesa Thomson pudiera profundizar en los detalles del laboratorio, pero al menos lo puso en contacto con la física y la química experimentales y le permitió adquirir también conocimientos relacionados con la aplicación técnica de estas disciplinas y con la ingeniería, cuestión esta que tuvo una gran importancia en su carrera posterior. El padre estimulaba así al hijo continuamente:
Creo que ya sea solo con un tubo en las manos o trabajando con un compresor, debes seguir adelante por todos los medios en el laboratorio de Regnault. Debes ver qué instrumentos tiene y hacer una lista de ellos, siempre que puedas. Además, cualquier certificado suyo [...] acerca de cuestiones prácticas te serviría mucho.
Thomson tomó parte en las investigaciones que estaban en curso en el laboratorio. Uno de los experimentos importantes tenía que ver con la determinación de la densidad de los gases y en él se pesaban dos grandes esferas: una llena de gas y la otra vacía; William era el encargado de operar la bomba de vacío. En otro de los experimentos se trataba de determinar el «calor latente» de un sistema, que es como se conoce en física a la energía absorbida o liberada por el sistema cuando está inmerso en un proceso en el que no se produce ningún cambio en la temperatura. El ejemplo más conocido de este tipo de procesos es una transición de fase (como las que ocurren cuando se derrite el hielo o cuando el agua hierve). En este caso, el trabajo de Thomson fue controlar un calorímetro en el que se llevaban a cabo las medidas necesarias.
William siempre tuvo muy presente esos meses en París. Esa estancia lo había transformado de especialista en física matemática en un científico más completo, capaz de apreciar la experimentación tanto como la teoría. Tiempo después, ya como catedrático en Glasgow, esta nueva visión de la ciencia le hizo desarrollar de manera importante la formación experimental de los estudiantes de física.
Pero su interés por la física matemática no había decaído. El 15 de marzo de 1845 escribió en su diario:
He estado ocupado el día entero en el laboratorio de física de Regnault en el College de France. En el tiempo libre he estado leyendo las memorias de Poisson sobre electricidad, que he encontrado entre las memorias del instituto en la estantería de Regnault.
Aunque la mayor parte de los grandes matemáticos y físicos que le habían inspirado años antes ya habían fallecido, en París encontró a algunos de los científicos más notables del país. Así, conoció, entre otros, al físico y astrónomo Jean-Baptiste Biot, a los matemáticos Augustin L. Cauchy, Michel F. Chasles y Jacques C.F. Sturm, y al físico Jean B. L. Foucault. Pero con quien mantuvo una relación más personal fue, sin duda, con Joseph Liouville, a la sazón editor del Journal de Mathématiques Purés et Appliquées.

Izquierda: retrato de James Thomson, padre de William. Derecha: William Thomson a la edad de veintidós años.
Liouville trabajó en diversas ramas de las matemáticas e hizo contribuciones relevantes también en física matemática.

Grabado alemán de 1873 dedicado a la Universidad de Glasgow, donde lord Kelvin estudió y ejerció como catedrático.
Thomson y él llegaron a ser muy buenos amigos en los pocos meses que aquel residió en París y mantuvieron continuas discusiones sobre física y ciencia.
Una de las primeras cuestiones que Liouville planteó a Thomson hizo que este retomara el problema de las diferencias conceptuales entre la ley de Coulomb y el modelo de líneas de fuerza de Faraday.
El editor, al igual que otros colegas franceses, no entendía cómo se podían aunar ambas visiones de la interacción entre cargas eléctricas.
Según la ley de Coulomb, la fuerza ejercida entre dos cargas dependía del inverso del cuadrado de la distancia entre ambas cargas, lo que presuponía mía interacción según la línea recta que las unía.
La máquina de vaporLa máquina de vapor fue la base de la primera Revolución industrial iniciada en Inglaterra a finales del siglo XVIII, a la cual se fueron sumando el resto de países de Europa Occidental, así como Estados Unidos. Es, probablemente, la época con más profundos cambios sociales, económicos, tecnológicos y culturales de la historia. La importancia de la máquina de vapor radicó, sin duda, en el hecho de que estuvo presente tanto en fábricas como en medios de transporte. Su esquema de funcionamiento, tal y como muestra la figura 1, es muy simple.
En primer lugar, se calienta agua hasta la ebullición mediante un combustible cualquiera; seguidamente, el vapor se hace pasar por un dispositivo en el que se encuentra alojado un émbolo, el cual, debido a la presión del vapor, es impulsado moviendo un engranaje, que es el que desarrolla la energía necesaria para mover cualquier dispositivo mecánico. Una vez que el vapor ha realizado su misión, sale del dispositivo y se enfría en un condensador convirtiéndose en agua y volviendo al depósito de la caldera.
Los precedentes
El primer ingenio mecánico basado en las propiedades del vapor se muestra en la figura 2. Se trata de la eolípila, inventada por Herón de Alejandría en el siglo i d.C. que consistía en una bola metálica sujeta por un eje que le permitía girar y que tenía adaptados dos tubos curvos enfrentados.
Tras hacer hervir el agua de un depósito, el vapor salía por los tubos y hacía girar la bola. El científico otomano Taqi al-Din en 1551, el inventor español Jerónimo de Ayanz y Beaumont en 1606 y el ingeniero y arquitecto italiano Giovanni Branca en 1629 también desarrollaron dispositivos basados en la producción de vapor. En 1690 el físico y matemático francés Denis Papin fue el primero en adaptar un pistón a uno de esos aparatos, y en 1698 el inventor inglés Thomas Savery fue el primero en comercializar una bomba de extracción de agua basada en vapor. El ferretero británico Thomas Newcomen en 1712, el científico alemán Jacob Leupold en 1720 y el ingeniero civil inglés John Smeaton en 1789 hicieron notables progresos que desembocaron en los trabajos del matemático e ingeniero escocés James Watt, quien entre 1763 y 1775 desarrolló la máquina que revolucionaría la industria.
Para Faraday, la acción entre cargas se traducía en las líneas de fuerza, líneas curvas que rellenaban el espacio a su alrededor.
«Francia es sin duda el alma máter de mi juventud científica y la fuente de esa admiración por la belleza de la ciencia que me ha encantado y guiado a lo largo de mi carrera.»
William Thomson en su discurso dado con motivo de la concesión de la Legión de Honor en 1881.
Liouville pidió a Thomson que escribiera un artículo aclarando la cuestión, y este pudo demostrar que no había discrepancias entre ambas visiones de la fuerza eléctrica. En el caso de dos cargas que interactúan, Thomson demostró que las líneas de fuerza se disponían de manera simétrica alrededor de la línea recta que une ambas cargas, de manera que la intensidad de la fuerza que actúa entre ellas era la establecida por la ley de Coulomb. En el caso de geometrías más complejas, con varias cargas interactuando entre sí, tampoco había discrepancia alguna Desde una perspectiva coulombiana, la interacción total vendría dada como la suma de las interacciones entre pares de cargas. Según Faraday, cada una de las cargas individuales produciría una perturbación en el espacio, que vendría representada por las líneas de fuerza, de manera que la fuerza que actuaba sobre cada carga estaba asociada a esa perturbación.
En ese trabajo, William abordó además un problema específico: el cálculo de la distribución de electricidad producida por un plano conductor infinitamente extenso y una carga eléctrica situada en la proximidad de ese plano. El problema lo resolvió de tres formas diferentes y las envió a Liouville por separado. En la primera, hizo uso de un método debido al físico-matemático inglés George Green (1793-1841), del que había tenido una primera noticia leyendo un trabajo del matemático británico Robert Murphy (1806-1843), aparecido en 1832 con el título Sobre el método inverso de integrales definidas. William había buscado entonces sin éxito la obra de Green, Un ensayo sobre la aplicación del análisis matemático a las teorías de electricidad y magnetismo, que había sido publicada en 1828. Para su sorpresa, el profesor de Matemáticas William Hopkins, su preparador en el tripos, le regido el día de su partida a Francia dos ejemplares del libro de Green.
Las dificultades para encontrar este trabajo también existían en París. Por eso Thomson regaló una de las dos copias que tenía a Liouville, poniéndole de manifiesto su admiración por Green y Fourier y haciéndole partícipe de sus ideas sobre la equivalencia entre flujo de calor y electricidad. Thomson contó en una ocasión una anécdota sobre la obra de Green. Al parecer, una noche, al poco de llegar a la capital francesa, Sturm apareció en su apartamento exclamando: «¡Usted tiene la memoria de Green! ¡Me lo ha dicho Liouville!». William le dejó el libro y el matemático francés permaneció allí varias horas examinándolo y descubriendo cómo Green había formulado años antes algunos de los teoremas más relevantes que Sturm había demostrado.
En la segunda parte de su memoria a Liouville, Thomson utilizó los familiares métodos de Fourier para obtener las fórmulas finales correspondientes. En la tercera, aplicó un procedimiento de resolución desarrollado por él mismo, el denominado «método de las imágenes», aplicable a problemas de muy diferente tipo, no solo dentro del electromagnetismo. Este método rondaba ya en su cabeza antes de salir de Cambridge y lo terminó de elaborar durante las primeras semanas de su estancia en París.
Lo que hizo Thomson fue establecer una analogía entre el problema que estaba estudiando y otro perteneciente al campo de la óptica. Supongamos que se sitúa una fuente de luz, una bombilla, por ejemplo, delante de un espejo plano, de dimensiones infinitas y perfectamente reflectante. En el espejo aparecerá reflejada la bombilla, y la sensación visual es que existe una bombilla idéntica a la original, dentro del espejo y que está situada a una distancia de su superficie igual a la que existe entre el espejo y la bombilla real (véase la figura 1 en la página siguiente). La luz que alcanza cualquier punto frente al espejo, como el punto P de la figura, es la que llega de la bombilla real más la que llega desde su imagen en el espejo. Esa cantidad de luz coincidiría con la que llegaría a P si eliminamos el espejo y situamos otra bombilla en el mismo lugar donde estaba la imagen del espejo, como se esquematiza en la figura 2.

Recordemos que Thomson estaba analizando el problema de una carga situada en la proximidad de un plano conductor, tal y como se indica en la figura 3. El científico observó que la distribución de electricidad a la derecha del plano conductor (que en la figura se ha representado mediante las líneas de fuerza) coincidía con la que producirían un par de cargas iguales pero con signo contrario si se eliminaba el plano. Es decir, que el plano conductor actúa como el espejo. La única diferencia es que la caiga que hay que situar en la posición de la «imagen especular» de la primera, a diferencia de lo que ocurría en el caso del espejo, debe tener signo contrario. Como vemos en la figura 4, las líneas de fuerza a la derecha de donde estaba situado el plano conductor coinciden con las de la figura 3.
Este método permite abordar problemas complicados de manera sencilla y puede extenderse a otras situaciones, como en la interacción de dos esferas cargadas. En este caso se sustituiría una de las esferas por la «imagen» de la otra en ella, teniendo en cuenta, obviamente, las diferencias que habría al no contar ahora con el «espejo» plano (lo que, por ejemplo, cambiaría el tamaño de la imagen respecto de la esfera original). Una vez más, como en muchas ocasiones antes y otras muchas después, la interdisciplinariedad, la consideración de hechos conocidos en una disciplina y su extrapolación a otra, producía extraordinarios resultados.
Antes de volver a Cambridge, Thomson tuvo oportunidad de conocer el trabajo de dos científicos relevantes para el desarrollo de la termodinámica. Profundizando sobre los experimentos que realizaba en el laboratorio de Regnault, leyó un trabajo del ingeniero y físico francés Émile Clapeyron (1799-1864) titulado Memoria sobre el poder motriz del calor, que fue publicado en 1834. En esta obra se describía de una manera clara para los físicos el denominado «ciclo de Carnot», que entonces era ya de conocimiento general de los ingenieros. Sadi Carnot (1796-1832) fue un ingeniero francés pionero en el estudio de los procesos termodinámicos. Carnot había publicado en 1824 sus Reflexiones sobre la potencia motriz del fuego y sobre las máquinas adecuadas para desarrollar esa potencia, que supuso una de las obras fundamentales de la física del siglo XIX.
Como en el caso de otras publicaciones de la época, era difícil encontrar una copia del trabajo de Carnot. De hecho, a Thomson le fue imposible conseguirla. Él mismo relató su infructuosa búsqueda:
Fui a todas las librerías que conocía preguntando por el Poder motriz del fuego de Carnot. «¿Caino? No conozco a ese autor.» Con mucha dificultad conseguí explicar que era con «r», no con «i». «¡Ah! ¡Ca-rrr-not! Sí, aquí está su obra», que en realidad era un volumen sobre alguna cuestión social escrito por un tal Hippolyte Carnot [político francés, hermano de Sadi); pero el Poder motriz del fuego era bastante desconocido.
Sadi Carnot y la termodinámicaSadi Carnot fue un ingeniero francés que es reconocido hoy en día como uno de los fundadores de la termodinámica. Nació en París el 1 de junio de 1796 y murió el 24 de agosto de 1832, víctima de una epidemia de cólera que asoló la ciudad.
Estudió en la École Polytechnique de París y, tras un breve período de servicio en el ejército
de Napoleón, siguió cursos en la Sorbona y en el Collége de France, interesándose por los problemas industriales relacionados con la teoría de gases y las máquinas de vapor. En 1824 publicó el trabajo que resultó fundamental para la segunda ley de la termodinámica. Titulado Reflexiones sobre la potencia motriz del fuego y sobre las máquinas adecuadas para desarrollar esa potencia, en este texto Carnot expuso las bases científicas del funcionamiento de las máquinas térmicas.
Su principal aportación fue la «máquina de Carnot», una máquina térmica ideal que se vale de la transferencia de calor entre dos focos a diferente temperatura, mediada por un gas ideal, para realizar un trabajo mecánico. Carnot enunció dos teoremas de gran importancia teórica y práctica: el primero indica que no existe ninguna máquina térmica que tenga mayor rendimiento que una máquina de Carnot funcionando entre las mismas fuentes térmicas: el segundo enuncia que dos máquinas térmicas que funcionen entre las mismas fuentes térmicas tienen el mismo rendimiento si ambas son reversibles. La obra de Carnot permaneció en el olvido hasta que fue rescatada primero por Clapeyron y luego por Thomson.
Tres años después pudo por fin tener en sus manos una copia del trabajo de Carnot, lo que facilitó que este último y también Clapeyron fueran reconocidos por la comunidad científica.
De vuelta en Cambridge
A finales de abril de 1845 Thomson volvió a Cambridge, donde fue nombrado miembro del cuerpo docente (Jellow) del St. Peter’s College. Su padre le felicitó con alegría por haber llegado tan lejos a una edad tan temprana Así, le manifestó:
A tu edad yo enseñaba ocho horas diarias para el doctor Edgar [que era el maestro de la pequeña escuela rural en Ballynahinch (Irlanda del Norte) en la que James Thomson había trabajado como maestro auxiliar], y durante las horas extras —a menudo fatigado y apático— leía griego y latín para prepararme para entrar en el College, lo que no conseguí hasta casi dos años después.
En junio tuvo lugar en Cambridge una reunión de la Asociación Británica para el Avance de la Ciencia Thomson tuvo oportunidad de encontrarse entonces con Faraday, cuyos trabajos conocía desde hacía tiempo y con el que mantuvo una dilatada relación científica, aunque siempre tuvieron dificultades para entenderse. De hecho, aunque Faraday estaba por aquel entonces buscando un asistente, no le propuso a Thomson que optara al puesto. A Faraday le resultaba difícil apreciar los detalles matemáticos de los desarrollos de Thomson, lo mismo que le sucedió con Maxwell, al que en una ocasión escribió:
¿No es posible que cuando un matemático que estudia las acciones y sus efectos físicos alcanza conclusiones, estas sean expresadas en lenguaje común, con completitud, claridad y rigor, al igual que ocurre con las fórmulas matemáticas? Si lo pudierais hacer, ¿no se trataría de conceder un regalo enorme a algunos como yo? Hay que traducir esas conclusiones del lenguaje de jeroglíficos en el que están expresadas de manera que se pueda trabajar sobre ellas con experimentos. Creo realmente que debiera ser así.
En aquella reunión Thomson presentó un trabajo en el que dio la solución del problema de dos conductores esféricos cargados que interactúan entre sí. Volvía, pues, sobre las mismas cuestiones que había estudiado en los trabajos publicados por Liouville, pero ahora trataría también un nuevo punto de interés.
En 1834 William S. Harris (1791-1867), un médico e investigador interesado en las propiedades eléctricas de los materiales, había realizado una serie de experimentos acerca de la electricidad de alta intensidad. De hecho, igual que Thomson años después, Harris recibió por estos trabajos la medalla Copley de la Royal Society en 1835. Una de las cuestiones a las que hacía referencia era las chispas que se producían entre dos conductores suficientemente próximos. Thomson señaló que ese hecho podría servir para establecer, dentro de irnos ciertos límites, un nivel absoluto de intensidad eléctrica y que merecía ser objeto de una investigación más detallada Y volvió a insistir en que, partiendo de la ley de Coulomb, las leyes de Faraday podían establecerse como teoremas que podían derivarse utilizando conceptos simples de análisis matemático que habían sido desarrollados por Green.
Thomson abordó también en ese trabajo la necesidad de rea- fizar experimentos con materiales dieléctricos. Estos materiales son malos conductores y pueden ser utilizados como aislantes, pero, a diferencia de estos, es posible inducir en ellos un campo eléctrico interno cuando se encuentran en el seno de otro campo eléctrico. Thomson estaba interesado en estudiar los posibles efectos que podrían aparecer cuando ese tipo de materiales se encontraran en movimiento o los que podrían provocar sobre ellos el transporte de luz polarizada.
Faraday escribió a Thomson respecto a los argumentos expuestos en la reunión y le puso sobre aviso de los resultados negativos obtenidos en sus experimentos: ni había observado atracción alguna entre los dieléctricos, ni había logrado ningún resultado en la interacción entre luz polarizada y el estado de esos dieléctricos. Pero ello no le desanimó a seguir investigando esos materiales.
Desde el primer momento de su vuelta a Cambridge, Thomson contó con mi notable número de alumnos. Durante el verano entrenó a algunos de ellos y llegó a confesar a su padre que «tema tantos alumnos como podría desear». También comenzó a dar clases en su College. Sus alumnos particulares le proporcionaban irnos emolumentos más que suficientes para satisfacer sus necesidades y poco después también empezó a recibir, directamente del College, una asignación por su cargo que, además, incluía la estancia en el mismo. Cuando su padre le habló de la posibilidad de ocupar la plaza de profesor de Matemáticas en un instituto de secundaria de Glasgow, William le hizo ver que en Cambridge podría hacer mi trabajo más interesante desde todos los puntos de vista y que prefería continuar allí. Sin embargo, no tardó mucho en volver a Glasgow.
Capítulo 2
Las leyes de la termodinámica
En 1846, con veintidós años de edad, William Thomson accedió a la cátedra de Filosofía Natural de la Universidad de Glasgow, cumpliendo así los deseos de su padre. A pesar de su juventud, su prestigio como científico y la experiencia acumulada en Cambridge y París le permitieron alcanzar esa posición. Durante las dos décadas siguientes desarrolló una enorme labor investigadora y docente, revolucionando algunos aspectos de la enseñanza, colaborando de manera decisiva en la formulación de las leyes de la termodinámica y dejando un rastro que ha permanecido indeleble hasta hoy.
Cuando en octubre de 1846 William Thomson tomó posesión como catedrático de Filosofía Natural en la Universidad de Glasgow se unió al grupo de los cuatro profesores con el mismo apellido que en aquel momento ya ocupaban una cátedra en la institución. Además de su padre, James, que era catedrático de Matemáticas, estaban Thomas Thomson, profesor regio de Química; Allen Thomson, profesor regio de Anatomía, y William Thomson, profesor de Práctica de la Medicina. Este último y John P. Nichol, profesor regio de Astronomía, habían colaborado activamente en las gestiones de James Thomson para favorecer la candidatura de su hijo.
Cuando el profesor Meikleham falleció en mayo de 1846, la Universidad de Glasgow inició las gestiones para encontrar a su sucesor entre los muchos candidatos que podrían estar interesados en ocupar la plaza. Sin embargo, algunos de ellos decidieron no participar. Así, David Thomson, sustituto de Meikleham desde 1841, acababa de obtener una plaza en el King’s College de Aberdeen y no se postuló como candidato. Otro de los posibles interesados era el físico escocés James D. Forbes; dada su categoría, James Thomson lo consideraba un difícil contrincante para su hijo y le escribió para conocer cuáles eran sus intenciones. Forbes le contestó: «No tengo intención de ser candidato. Espero que su hijo lo sea y que obtenga el puesto».
En un principio, y a pesar de que la desaparición de Meikleham era esperada desde hacía ya tiempo debido a su grave enfermedad, William tenía serias dudas sobre si debía optar al puesto. Su situación en Cambridge era bastante buena, por lo que en sus planes estaba quedarse dos o tres años más. Además, pensaba que allí sus posibilidades de progreso científico eran mayores que las que podría tener en Glasgow. Al final, la insistencia de su padre pesó más que su propia opinión y William se presentó oficialmente como candidato el 26 de mayo de 1846. En esa fecha envió una carta —firmada como William Thomson, fellow y profesor de Matemáticas del St. Peter’s College— a cada uno de los electores que habrían de decidir sobre el puesto:
Como la cátedra de Filosofía Natural de la Universidad de Glasgow ha quedado vacante recientemente, y como usted es uno de los electores, me tomo la libertad de anunciarle mi intención de ser candidato para ese puesto; y tan pronto como las tenga en mi poder, le trasmitiré a usted las recomendaciones de apoyo a mi solicitud.
A partir de ese instante, padre e hijo se afanaron en la tarea de obtener las necesarias caitas de recomendación. La opinión de William era que sería mejor conseguir unas pocas recomendaciones de personas que conocieran en detalle sus méritos, en lugar de inundar a los electores con un sinfín de misivas de gente que desconociera lo que se requería para ser profesor de Filosofía Natural. Su padre no pensaba de igual modo e instaba a William con continuas cartas:
«Redobla tus esfuerzos para conseguir recomendaciones. ¿No podrías conseguir algo de Chasles o Gauss? Haz todo lo que puedas».
Thomson visitó en Londres a su amigo Archibald Smith (1813- 1872), un matemático que contaba entre sus méritos haber sido el primer escocés en conseguir el Sénior Wrangler y el premio Smith en 1836. William encontró a Smith un tanto esquivo y poco después se supo que estaba planteándose optar él a la misma plaza Thomson también pidió apoyo a Faraday, pero este nunca dio la recomendación: tenía como regla no hacerlo por estar en desacuerdo con un procedimiento de recomendaciones que podía conllevar una cierta dosis de corruptela.
Al finid, de una u otra forma, los Thomson acumularon casi una treintena de recomendaciones. Además de las de los catedráticos Thomson de Glasgow, las de los fellows compañeros de William en el St. Peter’s y las de Hopkins, Regnault, Stokes y Liouville, se recibieron, entre otras, las cartas de apoyo de William Rowan Hamilton, matemático y físico irlandés; George Boole, matemático y filósofo británico, y James Joseph Sylvester, matemático británico.
Aunque hubo varios candidatos, el más «temido» por James Thomson era Archibald Smith. En una carta a William le decía:
«El señor Smith ha vuelto de Malta y ten por seguro que intentará, sin muchos escrúpulos, utilizar cualquier medio a su alcance para hacer públicos los puntos de vista de su hijo».
Al final todo fue mucho más sencillo: Smith no llegó a presentarse.
El 11 de septiembre se reunió la Facultad de la Universidad de Glasgow y eligió por unanimidad a William. En el acta de elección no olvidaron incluir un preámbulo indicando que se esperaba del candidato que procediera a realizar cambios importantes en la cátedra de Filosofía Natural a fin de incluir la experimentación en la investigación y, sobre todo, en la docencia Esta cuestión había sido defendida vehementemente por Nichols desde tiempo antes y sus colegas de la Facultad la habían aceptado. Tras el nombramiento, el acta indicaba:
La Facultad ordena por la presente al señor Thomson que elabore un ensayo sobre el tema De colorís distributione per terrea corpus, y resuelve que su admisión se lleve a cabo el martes 13 de octubre, siempre y cuando se le encuentre cualificado en la reunión y preste el juramento y haga las suscripciones que son requeridas por la ley.
El tema elegido por los miembros de la Facultad como ejercicio no era ajeno a Thomson, que ya había estudiado en profundidad el flujo de calor a través de los cuerpos. Y resultó hasta cierto punto premonitorio, ya que en su disertación, cuyo título final fue La edad de la Tierra y sus limitaciones tal y como pueden determinarse de la distribución y el movimiento del calor dentro de ella, defendió un punto de vista que algún tiempo después le llevó a mantener una disputa con geólogos y biólogos que se prolongó durante gran parte de su vida. Los miembros de la Facultad quedaron más que satisfechos con la presentación de Thomson y aprobaron solemnemente su admisión.
Sin embargo, cuando William se instaló en Glasgow para ocupar la plaza no parecía especialmente excitado con su nueva situación. Su hermana Elizabeth comentó:
«William no parece mínimamente eufórico. Está perfectamente tranquilo. A duras penas pensarías que él fue quien triunfó tan brillantemente».
Y tenía solo veintidós años.
La familia Thomson
Las dos hermanas mayores de Thomson se habían casado unos años antes. Elizabeth lo había hecho en 1843 con el reverendo David King y seguía viviendo en la ciudad. Anna vivía en Belfast, donde había contraído matrimonio con William Bottomley en 1844. La hermana pequeña, Margaret, había fallecido en 1831. Los tres hermanos varones vivían en la casa familiar de Glasgow, con su padre y una tía, Agnes Gall. William también se instaló allí después de tomar posesión como catedrático.
Sin embargo, la buena situación profesional de William contrastó con las desgracias familiares que fueron acaeciendo a partir de su regreso a Glasgow. El mismo año 1846 su hermano John había empezado a estudiar medicina, pero en abril de 1847 se contagió con una fiebre y falleció a los pocos días, con tan solo veintiún años. Unos meses más tarde, su hermana mayor, Elisabeth, enfermó de una dolencia desconocida y le recomendaron que siguiera una convalecencia en Jamaica, hacia donde embarcó en octubre de 1847. El 12 de enero de 1849 su padre falleció afectado por una epidemia de cólera que se declaró en Glasgow durante aquel invierno. El hermano pequeño, Robert, tuvo continuas enfermedades a lo largo de su infancia. Tras intentar seguir los estudios de griego en la universidad, entró a trabajar en una compañía de seguros y, un año después de la muerte de su padre, emigró primero a Nueva Zelanda y posteriormente a Australia, donde vivió el resto de su vida. Su hermano James, por su parte, fue nombrado en 1854 profesor de Ingeniería en el Queen’s College de Belfast, adonde se había mudado en 1851, huyendo tal vez de la omnipresente figura de William en Glasgow.
Thomson se casó en Glasgow el 15 de septiembre de 1852 con Margaret Crum, con quien se había prometido un par de meses antes y a la que conocía desde la niñez. El corto espacio de tiempo transcurrido entre el compromiso y la boda bien podría haberse debido al despecho provocado por el rechazo que William sufrió por parte de Sabina Smith (hermana de Archibald). Hasta tres veces (dos en 1851 y otra un año más tarde) intentó convencerla para que se casara con él y otras tantas recibió un «no» por respuesta.
En mayo del siguiente año, Margaret y William hicieron un crucero por el Mediterráneo, visitando Gibraltar, Malta y Sicilia. A su vuelta a Escocia, ella enfermó y, sin que se sepa claramente cuál fue su dolencia, dejó de andar y se convirtió en una inválida el resto de su vida. Con muchos altibajos y una notable dedicación por parte de su marido, vivió hasta 1870.
Primeros pasos como profesor
Thomson impartió su primera clase el 1 de noviembre de 1846. Como no podía ser de otra forma, esa primera lección versó sobre los objetivos y métodos de la física. Con el paso de los años esa lección se convirtió en el acto que rutinariamente abría el curso de Filosofía Natural. Thomson introducía modificaciones cada curso, pero mantuvo siempre la estructura de la misma. Especialmente elocuente resulta su inicio:
Cuando se entra en una nueva rama de estudio es natural buscar una declaración definida de su materia. Pero en ciencia no hay nada más difícil que las definiciones. Los intentos de dar definiciones claras y completas, especialmente para definir ramas de la ciencia, se han mostrado generalmente como fallidos. En donde definición y subdivisión lógica se convierten en valiosas en la práctica es para proporcionar método y promover orden y regularidad en la prosecución de un estudio. No me propongo, en esta lección introductoria, establecer con precisión lógica alguna línea definida y clara acerca de nuestra área: más bien intentaré explicar en términos generales la relación que la Filosofía Natural tiene con otras ramas de la investigación, la observación, la ciencia y la filosofía humanas, y dividir su tratamiento en la manera que encontremos más conveniente para nuestro trabajo en la clase y el laboratorio de Filosofía Natural de la Universidad.
Contrariamente a lo que ocurría con esta lección introductoria, casi invariable durante los años sucesivos, las clases de Thomson resultaban ser bastante imprevisibles. Aunque siempre hacía un esfuerzo por atenerse a un guión concreto, por exponer una serie de cuestiones bien definidas, no podía evitar las digresiones que, sobre los más diversos temas, le surgían al hilo de sus explicaciones. A pesar de que muchas de estas elucubraciones en voz alta se perdían en aspectos complejos de la física-matemática, difíciles de seguir para la mayor parte de sus estudiantes, siempre contó con su respeto, quizá porque su entusiasmo para con la física y los problemas que planteaba resultaba particularmente «contagioso».
Las opiniones de algunos de sus estudiantes no dejan lugar a dudas sobre la consideración que le tenían a Thomson:
«Nunca tuvo el aire o las maneras de un superior»,
«Nunca era aburrido, nunca era trivial, nunca era banal»,
«Lo que más me gustaba era cuando nos dejaba seguir como podíamos, y se poma a pensar en voz alta, como hacía a menudo. Su mente estaba llena de fantasía, rebosante de metáforas».
Uno de los hechos que más contribuyó a esa actitud por parte de sus alumnos fue, sin duda, el contenido experimental de sus clases. La Facultad lo había emplazado a que realizara un cambio profundo en la enseñanza de la Filosofía Natural, incluyendo el laboratorio en la docencia. Pero, independientemente de ese mandato, Thomson tema el convencimiento de que ese tipo de adiestramiento no podía faltar en la formación de un físico de su tiempo. Bien es verdad que él, durante sus estudios octubre de 1846, estuvo ajeno a la experimentación, pero su paso por el laboratorio de Regnault le «abrió los ojos» en ese sentido y le puso de manifiesto la importancia de enfrentarse con experimentos reales y hacer medidas minuciosas.
No solo esto. A medida que sus investigaciones iban progresando, Thomson empezó a echar en falta la disponibilidad de datos suficientemente precisos sobre los que basar los desarrollos teóricos que realizaba, y ello le llevó a plantearse seriamente iniciar él mismo una línea de investigación experimental que le permitiera superar esa dificultad. El punto de partida era, sin embargo, desolador, ya que Meikleham no había realizado ninguna labor experimental durante sus muchos años como titular de la cátedra. El propio Thomson describió el panorama con el que se topó:
Encontré aparatos extremadamente anticuados. Muchos de ellos teman más de cien años; algunos pocos, menos de cincuenta, y la mayoría eran de caoba carcomida. [...] No había absolutamente ninguna previsión de ningún tipo para la investigación experimental y, menos aún, la menor idea de algo parecido al trabajo práctico de los estudiantes.
William se tuvo que enfrentar entonces a dos tareas. Por un lado, convencer a sus colegas de la Facultad de que, para dar buen término a su propio mandato, hacían falta medios económicos, no precisamente menores, para adquirir los dispositivos y los aparatos necesarios, y espacios físicos donde ubicar los laboratorios. En el primer caso se las arregló para convencerlos y el material fue comprado. En el segundo, se apropió de una antigua bodega fuera de uso y próxima a su aula, a la que fue anexando otros espacios a medida que fueron desocupándose, aplicando una política de hechos consumados y obviando las solicitudes regulares, hechas por los cauces reglamentarios, que le habrían acarreado una pérdida de tiempo importante sin asegurarle el resultado final. Consiguió de esta forma un laboratorio más que digno, que utilizó para los dos menesteres para los que fue diseñado: la docencia y la investigación.
Los deberes correspondientes a la segunda tarea fueron, seguramente, más complejos. Thomson pretendía establecer un programa experimental para los alumnos que complementara los contenidos teóricos que pretendía desarrollar en su asignatura. Es fácil imaginar la dificultad que pudo suponer para un físico teórico, como hasta entonces había sido Thomson, alcanzar ese objetivo. Y en relación con ello, insistir de nuevo en lo útil que su paso por el laboratorio parisino de Regnault resultó ser para conseguir tales fines. El resultado de este trabajo fue el primer laboratorio universitario para la docencia en física y también el primer laboratorio «profesional» en el sentido moderno.
En todo el proceso de creación del laboratorio Thomson contó, seguramente, con el consejo de su amigo George G. Stokes (1819- 1903) a quien conoció en Cambridge tras volver de París. Stokes y Thomson se complementaban de una manera excelente. Aquel era tranquilo, reflexivo, metódico; este, al contrario, era intuitivo, ansioso, entusiasta.
George Gabriel StokesStokes fue un matemático y físico irlandés que realizó importantes aportaciones en óptica, dinámica de fluidos y física matemática. Nació en Skreen,
en el norte de Irlanda, el 13 de agosto de 1819, y era hijo de un pastor de la Iglesia protestante evangélica. En 1837 ingresó en el Pembroke College de Cambridge y en 1841 se graduó como Sénior Wrangler y ganó el premio Smith. En 1849 accedió al puesto de profesor lucasiano de Matemáticas en la Universidad de Cambridge, donde permaneció durante toda su carrera. En 1852 la Royal Society le otorgó la medalla Rumford por sus investigaciones sobre la longitud de onda de la luz. Lo que caracterizó sus investigaciones científicas fue la continua interacción entre sus desarrollos matemáticos y los experimentos que llevó a cabo en su laboratorio. Sus primeros trabajos versaron sobre el movimiento de los fluidos incompresibles y la fricción que se produce en tales circunstancias. Uno de sus resultados más relevantes en este contexto fue la denominada «ley de Stokes», que permite calcular la velocidad terminal de una esfera que cae en un medio viscoso, la cual es la velocidad constante a la que se mueve la esfera cuando la fuerza gravitatoria es compensada por la que ejerce el propio medio oponiéndose al movimiento de la esfera. También estudió el fenómeno de la difracción, el efecto que produce sobre un haz de luz la presencia de un objeto en su trayectoria y de cómo las características de aquel —por ejemplo, su tamaño— influyen sobre esta. Otro de sus resultados notables fue identificar que el plano de polarización de la luz es perpendicular a su dirección de propagación. Además, estudió la fluorescencia de varios materiales y el fenómeno de la birrefringencia —o doble refracción— que presentan algunas sustancias, como el espato de Islandia. Desde 1885 hasta 1890 presidió la Royal Society y en 1893 esta le concedió la medalla Copley. Durante más de cincuenta años, Thomson y Stokes mantuvieron una profunda amistad y a lo largo de todo ese tiempo cultivaron la costumbre de intercambiar continuamente sus ideas sobre los problemas científicos en los que estaban trabajando. Esta práctica les llevó en muchas ocasiones a no tener claro cuál de los dos había tenido una idea particular, como ocurrió con el denominado «teorema de Stokes».
Aquel se inclinaba hacia la experimentación; este apreciaba mucho más los desarrollos teóricos. William, ante la necesidad de tomar una decisión, solía decir: «Lo consultaré con Stokes», mientras que era muy habitual en Stokes plantearse ante cualquier dilema: «¿Qué pensaría Thomson de esto?».
Thomson mostró por Stokes y por su trabajo mi profundo respeto. «Siempre consulto a mi gran autoridad, Stokes, cada vez que tengo la oportunidad» escribió en las Baltimore Lee tures, y con motivo del jubileo de Stokes en 1899, se expresó del siguiente modo:
Cuando reflexiono sobre mis propios progresos iniciales, me veo obligado a recordar la gran amabilidad que mostró hacia mí, y el gran valor que mi trato con sir George Stokes tuvo para mí a lo largo de mi vida
Algunos años después de su llegada a Glasgow, Thomson intentó convencer a Stokes de que fuera a trabajar con él. Stokes no tenía un puesto fijo en Cambridge y tomó en consideración la oferta. Sin embargo, una de las reglas de la Universidad de Glasgow le hizo renunciar. Los profesores de ese centro tenían que entrar a formar parte de la Iglesia presbiteriana de Escocia. Era este un requisito que ya tenía unos trescientos años de antigüedad y que en su momento permitió mantener la vida académica escocesa ajena a las guerras religiosas. Los profesores jóvenes que se incorporaban consideraban la adscripción eclesiástica como uno más de los requerimientos burocráticos que satisfacer. Pero no era así en todos los casos. Por ejemplo, el padre de William estaba convencido de los prejuicios y el sectarismo que la religión provocaba y durante mucho tiempo mantuvo una actitud crítica en contra de la imposición, intentando que fuese abolida. En cuanto a Stokes, hijo de un pastor evangelista irlandés, rechazó finalmente el ofrecimiento de Thomson:
La opción sencilla es declinar hacerla [la prueba religiosa] a menos que esté preparado para convertirme en un presbiteriano concienzudo, que ciertamente no pretendo llegar a ser. [...] Para mí resultaría una cuestión muy dudosa si podría firmar la prueba en un sentido laxo.
«La ciencia nos obliga absolutamente a creer con perfecta confianza en un Poder Directivo, en una influencia aparte de las fuerzas físicas, dinámicas o eléctricas... La ciencia nos obliga a creer en Dios.»
William Thomson.
Como en otras tantas cosas, Thomson era muy diferente a Stokes también en este aspecto. Él no tenía problemas manteniendo una actitud relajada en los aspectos religiosos. De hecho, las actividades cotidianas relacionadas con los servicios religiosos le parecían un tanto insoportables. Sin embargo, estaba plenamente convencido de que los procesos que gobernaban el devenir del universo solo eran una muestra sencilla del poder de Dios.
Hacia una teoría del electromagnetismo
La formulación matemática de los procesos físicos involucrados en los fenómenos electromagnéticos seguía interesando sobremanera a Thomson. En una carta a Faraday le declaraba que:
Si mis ideas son correctas, la definición matemática de las líneas curvas de inducción y las condiciones para su determinación en todas las posibles combinaciones de cuerpos sujetos a cargas eléctricas, no ofrecen ninguna dificultad de expresión.
Thomson estaba tras la pista de otro de sus trabajos de excelencia. En 1847 publicó en el Cambridge and Dublin Mathematical Journal un artículo titulado «Una representación mecánica de las fuerzas eléctricas, magnéticas y galvánicas», que supuso un cambio de consecuencias notables en la visión de las fuerzas electromagnéticas, estableciendo la conexión entre las experiencias de Faraday y la teoría de Maxwell. La clave del trabajo de Thomson era una analogía matemática que podía establecerse entre las distribuciones de electricidad en conductores y las fuerzas de atracción y repulsión ejercidas por los cuerpos cargados y la teoría de sólidos elásticos a la que Stokes había contribuido de manera relevante. La analogía venía establecida por datos experimentales que Faraday había obtenido estudiando los efectos de las fuerzas electromagnéticas sobre la luz polarizada que atravesaba sólidos transparentes. Thomson escribió a Faraday:
[En el artículo] se define la analogía entre las fuerzas eléctrica y magnética en términos de tensiones que se propagan a través de un medio sólido y elástico, (...) soporte de una teoría que (...) conduciría a concluir necesariamente que existe una estrecha relación entre estas fuerzas y mostraría que los fenómenos puramente estáticos del magnetismo pueden provenir o de una electricidad en movimiento o de una masa inerte como la de la calamita.
El formalismo matemático permitía ir mucho más lejos de lo que las ideas de Faraday habían esbozado, dando lugar a relaciones tales como la de la fuerza magnética con el rotacional de la fuerza eléctrica, es decir, a las ecuaciones de Maxwell. Thomson se quedó, pues, a las puertas de la teoría electromagnética hoy día aceptada; según él mismo escribió
«necesitaba un análisis especial de aquellos estados de un sólido que representan varios aspectos problemáticos en electricidad, magnetismo y galvanismo: análisis que debe, por tanto, ser dejado para un trabajo futuro.»
Este trabajo futuro apareció mucho después, en 1890.
La teoría electromagnética del escocés James C. Maxwell (1831-1879) había visto la luz en 1865, si bien Thomson nunca estuvo convencido de su validez. Aunque ambos se conocían (Maxwell era primo de Jemina, la esposa de su amigo Hugh Black- bum, y los dos habían coincidido muchas veces en casa de la pareja), nunca mantuvieron una relación demasiado estrecha. Quizá uno de los momentos de mayor aproximación entre ambos fue cuando en 1854 Maxwell, apenas graduado en Cambridge, escribió a Thomson pidiéndole consejo:
Suponga un hombre con un conocimiento básico de experimentos de demostración sobre electricidad y una cierta antipatía por la Electricidad de Murphy [un libro de texto], ¿cómo debería proceder, leyendo y trabajando, para adquirir una pequeña visión del tema que sea de utilidad para posteriores lecturas? Si quisiera leer a Ampère, Faraday, etc., ¿cómo debería organizarlos y cuándo y en qué orden debería leer sus artículos en el Cambridge Journal?
Esta actitud de cierto respeto de Maxwell para con Thomson se mantuvo durante bastante tiempo. Aquel confesó a este que
«le había ayudado mucho la analogía de la conducción del calor que creo que es invención suya, al menos no la he encontrado en ningún otro sitio. [... ] Esta es una larga diatriba sobre electricidad, pero [...] espero que no tendrá dificultades para seguir mi idea».
Y cuando en 1855 comenzó a publicar sus trabajos, se mantuvo siempre alerta de no enfrentarse abiertamente con Thomson:
Me ayudaría mucho si pudiera decirme si tiene un borrador de todo esto en algún papel perdido y olvidado solo porque ha trabajado sobre el calor o tiene poco tiempo libre. [...] Como no me cabe duda de que tiene la parte matemática de la teoría en su escritorio, todo lo que tiene que hacer es explicar sus resultados sobre electricidad. Creo que si lo hace públicamente, ello introduciría un nuevo conjunto de nociones eléctricas en circulación y ahorraría mucha especulación inútil.
Pero Thomson había dejado aparecida esa línea de investigación, y Maxwell se enfrascó en sus trabajos sobre electricidad. El primero, titulado Sobre las líneas de fuerza de Faraday, se publicó en 1855 y su teoría fue desarrollada a lo largo de diez años; su objetivo era formalizar matemáticamente las relaciones existentes entre las distribuciones de cargas e imanes, los campos que crean y sus variaciones temporales.
Las ecuaciones de MaxwellJames Clerk Maxwell está considerado por muchos como el científico del siglo XIX que más Influyó sobre la física del siglo XX. En 1871 obtuvo la plaza de profesor de Física en Cambridge, donde se encargó de construir el famoso laboratorio Cavendish, cuya excelencia queda puesta de manifiesto por los 29 premios Nobel obtenidos por investigadores del mismo desde su creación en 1874. En 1862 Maxwell formuló sus famosas ecuaciones:
Aquí los símbolos en negrita corresponden a magnitudes vectoriales, y los símbolos en itálica son magnitudes escalares. Los operadores diferenciales (∇ ) y (∇×) se denominan «divergencia» y «rotacional», y son dos formas distintas de derivación respecto de las coordenadas espaciales. También aparece la derivada respecto al tiempo, ∂/∂t. La primera ecuación es la ley de Gauss y describe la relación entre el campo vectorial eléctrico E y la carga total que lo produce, representada por la densidad de carga total ρ. La segunda ecuación es la ley de Gauss para el magnetismo, que indica que no existen cargas o monopolos magnéticos. La tercera ecuación es la ley de inducción de Faraday, que establece que un campo magnético variable en el tiempo induce un campo eléctrico. La última ecuación es la ley de Ampère, que establece que un campo magnético puede generarse de dos formas: mediante una corriente eléctrica —representada por la densidad de corriente total J— o mediante un campo eléctrico variable en el tiempo. Esta última es la única de las ecuaciones en la que Maxwell hizo una aportación inédita: añadió el último término, cuya importancia estriba en que establece la simetría entre los campos eléctricos y magnéticos. Las cantidades ε0 y μ0 son constantes universales que se denominan, respectivamente, «permisividad» y «permeabilidad» del espacio libre. Estas dos cantidades están relacionadas con la velocidad de la radiación electromagnética en el espacio libre (c = (ε0μ0)-1/2), que coincide con la de la luz en el vacío. En 1931, con motivo de la conmemoración del centenario de su nacimiento, Albert Einstein describió el trabajo de Maxwell como «el más profundo y provechoso que la física ha experimentado desde los tiempos de Newton».
En cierto sentido, la idea de Thomson era la misma, pero su actitud era diferente. Para él las matemáticas solo tenían sentido si surgían a partir de un modelo físico bien definido y del que pudiera construirse un modelo mecánico. Al igual que para otras analogías que él mismo había desarrollado con anterioridad, Thomson pensaba que la analogía existente entre el electromagnetismo y la teoría de sólidos elásticos, que había puesto de manifiesto en su trabajo de 1847, tenía implicaciones profundas en relación con los propios fenómenos y se afanó en encontrar un sólido con las propiedades adecuadas para poder establecer una analogía completa, consistente y simultánea de todos los efectos de carácter electromagnético.

Lord Kelvin se dirige a sus estudiantes en el laboratorio de la Universidad de Glasgow.
El paso siguiente era simple: una vez encontrado ese sólido, bastaría escribir las ecuaciones correspondientes a su comportamiento para, mutatis mutandis, obtener las ecuaciones del electromagnetismo.
Este esquema de pensamiento es el que llevó a Thomson a desestimar la teoría de Maxwell. Algunos de los elementos de la misma no tenían su símil en la física de los sólidos y esto fue definitivo para él, que únicamente aceptó la relación que Maxwell había establecido entre las ondas electromagnéticas y la luz. A pesar de que en un principio Maxwell había asegurado que fueron los trabajos iniciales de Thomson los que le habían proporcionado las ideas necesarias para sus desarrollos, con el tiempo llegó a destilar la realidad de lo que realmente había acaecido y en 1857, en una carta dirigida a Faraday, decía:
Por lo que sé, usted es la primera persona en quien surgió la idea de cuerpos actuando a distancia llevando el medio circundante a un estado de fuerza, una idea en la que realmente hay que creer. (...) Nada es más claro que sus descripciones de todas las fuentes de fuerza manteniendo un estado de energía en todo lo que las rodea
Ese «estado de energía» era el modo en que Maxwell se refería al campo electromagnético. Cuando Maxwell concluyó su teoría, Faraday estaba en sus últimos años de vida y, cuando murió en 1867, no había entendido cómo Maxwell había podido transformar su intuición sobre el campo electromagnético en un conjunto de ecuaciones matemáticas no exentas de elegancia Otros muchos científicos, incluido Thomson, plantearon muchas prevenciones respecto de ellas. Solo cuando en 1888, nueve años después de la muerte de Maxwell, el físico alemán Heinrich R. Hertz (1857-1894) produjo ondas electromagnéticas en su laboratorio, la nueva teoría empezó a ser aceptada.
La teoría del «calórico»
Durante el siglo XVIII y una buena parte del siglo XIX la teoría del «calórico» fue la aceptada por la mayoría de los científicos para describir todos los fenómenos relacionados con el calor. Perfeccionada por Laplace y Poisson, era capaz de dar una explicación satisfactoria de casi toda la información empírica disponible.

Retrato de Von Helmholtz, médico y físico alemán que hizo notables aportaciones sobre la conservación de la energía.
Una parte importante de los trabajos de Thomson dedicados al calor se desarrollaron sobre la base del concepto del «calórico», el constituyente del calor, un fluido sin masa, autorrepelente y capaz de penetrar en cualquier espacio y de fluir a través de cualquier sustancia. Cada átomo de una sustancia estaba rodeado de una atmósfera de «calórico» cuya densidad iba disminuyendo con la distancia al propio átomo.

Retrato de James Joule, físico inglés cuyos trabajos condujeron a la formulación de la primera ley de la termodinámica.
Por otra parte, y de acuerdo a la hipótesis entonces aceptada, los átomos se atraían mutuamente debido a la fuerza de la gravedad. Cuando se calentaba un cuerpo, se expandía debido a que se absorbía «calórico», produciéndose, por tanto, una mayor repulsión entre las atmósferas de «calórico» de los átomos del material. Si un cuerpo se enfriaba, expulsaba «calórico», mientras que el cuerpo se contraía debido al incremento relativo del efecto de la fuerza gravitatoria.
Además, el «calórico» era necesario para explicar la existencia de materiales sólidos, líquidos y gaseosos. Si no existiera, toda la materia estaría organizada en sólidos homogéneos, ya que todos los átomos se atraerían y unirían. Se requería, por tanto, la presencia de una fuerza repulsiva que era producida por la autorrepulsión del «calórico». En los sólidos, la cantidad de «calórico» no era suficiente para contrarrestar la atracción gravitatoria entre los átomos. En cambio, los líquidos poseían una cantidad de «calórico» suficientemente alta como para hacer que sus átomos no estuvieran en posiciones fijas. En los gases, la atracción gravitatoria sería prácticamente nula y el «calórico» haría que tendieran a expandirse hasta ocupar todo el espacio disponible.
La transferencia de calor entre cuerpos calientes y fríos era otro de los fenómenos que encontraban perfecto acomodo en la teoría. Cuanto menos «calórico» tenía un cuerpo, mayor era la «avidez» de sus átomos por el mismo. Si se calentaba una barra sólida por un extremo, los átomos situados en ese extremo adquirían más «calórico» que sus vecinos, su avidez por él disminuía y se producía un flujo de «calórico» de unos átomos a otros hasta que se equilibraban las atmósferas de todos ellos.
Sin embargo, la teoría también tuvo sus detractores. Benjamín Thompson, conde de Rumford (1753-1814), un médico y físico norteamericano, había hecho varios descubrimientos que ponían en tela de juicio su validez. Por ejemplo, señaló que si un trozo de hielo se calentaba hasta convertirlo en agua, se alcanzaba un mínimo en el volumen a unos 5 ºC, es decir, el calentamiento no inducía siempre una expansión. Aunque se sabía que lo mismo ocurría con otras sustancias, no se consideró que constituyera un problema importante contra el «calórico».

William Thomson en una fotografía tomada en la década de 1860.
En 1798 Benjamín Thompson publicó un informe con el título Una investigación experimental acerca de la fuente de calor que se excita mediante la fricción, en el que reportó cómo se calentaba la broca con la que se hacían las almas de los cañones, llevando incluso a ebullición el agua que se usaba como refrigerante. El fenómeno podía explicarse suponiendo que, al separar las virutas de metal, parte del «calórico» contenido en el cañón se liberaba, calentando todos los elementos involucrados en el proceso. Pero Thompson realizó otro experimento en el que la broca que utilizó no estaba suficientemente afilada para realizar la perforación, no extraía ninguna viruta y, sin embargo, el calor que se generaba era básicamente el mismo.
Las aportaciones de JouleJames Prescott Joule fue un físico aficionado que nació el 24 de diciembre de 1818 en Salford (Inglaterra), cerca de Mánchester. Sus padres regentaban una fábrica de cerveza, de la que Joule fue director hasta su venta en 1854. La experiencia acumulada en los procesos de fabricación de la cerveza le permitió resolver muchas de las cuestiones prácticas que se le plantearon a la hora de realizar sus experimentos en física, que llevó a cabo en el laboratorio que construyó en su propia casa.
Dos leyes fundamentales
En 1840 formuló dos leyes de gran importancia. Según la primera, el calor generado en un conductor eléctrico, cuando por él circula una corriente de intensidad constante, es proporcional al cuadrado de esa intensidad, a la resistencia eléctrica del conductor y al tiempo durante el que la corriente ha circulado. La segunda afirma que la energía interna de un gas ideal no depende ni de la presión ni del volumen del mismo, sino tan solo de su temperatura. En 1843 pudo establecer que el efecto del calentamiento de los conductores al paso de la corriente no era el resultado de una transferencia de calor desde alguna parte del dispositivo experimental, sino que se debía a una generación de calor producida in situ. Este hallazgo supuso una de las «dificultades» que la entonces vigente teoría del «calórico» no pudo resolver. En los siguientes años trabajó sobre la determinación del equivalente mecánico del calor, es decir, la relación entre las unidades de energía mecánica y calor, que fue un paso fundamental para el establecimiento de las leyes de la termodinámica y de la conservación de la energía. En 1850 obtuvo un valor de 4,159 julios por caloría, muy próximo al valor aceptado hoy día (4,1868 julios por caloría). El dispositivo empleado es el que se muestra, esquemáticamente, en la figura. Incluía un peso (a la derecha) conectado mediante un cable a un eje que hacía girar unas paletas dentro de un recipiente lleno de agua y térmicamente aislado. Debido a la acción de las paletas, la temperatura del agua aumentaba en una cantidad que Joule era capaz de medir con una precisión de 3 milésimas de grado, inaudita para su tiempo. A lo largo de su carrera recibió numerosos honores; entre ellos la medalla de la Royal Society, en 1852, y la medalla Copley, en 1878. Fue presidente de la Asociación Británica para el Avance de la Ciencia en 1872 y 1887. En su honor, la unidad de energía en el Sistema Internacional se denomina «julio» (joule).
Además, hizo un cálculo en el que estimó que si todo el calor generado en la perforación lo hubiese reintegrado al propio cañón, este se habría fundido. El calor no podía salir del cañón y era debido, por tanto, al propio proceso de fricción entre la broca y el cañón. También este hecho fue ignorado.
Se tardó mucho tiempo en entender que el calor, en realidad, era un tipo de energía y que no requería del «calórico» para dar cuenta de los fenómenos relacionados con él. Fueron los experimentos que el físico inglés James P. Joule (1818-1889) llevó a cabo a partir de 1843 los que marcaron el principio del fin de la teoría del «calórico». Sin embargo, el rastro que el concepto dejó en la ciencia fue profundo y aún hoy día se siguen utilizando términos provenientes de la vieja teoría, como flqjo de calor de un cuerpo a otro, cantidad de calor, calor específico, calor latente o la unidad «caloría».
Joule y el equivalente mecánico del calor
En julio de 1847 la reunión de la Asociación Británica para el Avance de la Ciencia se celebró en Oxford. Allí Thomson volvió a encontrarse con Faraday y conoció a Joule, quien presentó sus trabajos de nuevo. La verdad es que Joule había sido más que persistente. En la reunión de la Asociación que había tenido lugar en Cork cuatro años antes también había mostrado los resultados de sus experimentos iniciados en 1838. Ya entonces aseguró que «tenemos, pues, en la magneto-electricidad un agente capaz, mediante simples medios mecánicos, de destruir o generar calor». Concluyó que era por tanto posible «la conversión de calor en potencia mecánica, y viceversa, de acuerdo con las relaciones numéricas» que él había encontrado. Es cierto que Joule solo había demostrado la conversión de trabajo en calor (y no la de calor en trabajo), pero en cualquier caso nadie se hizo eco de sus observaciones.
Dos años más tarde, en la reunión de Cambridge, volvió a intentarlo. Allí, en la sección de química, presentó un trabajo titulado Sobre el equivalente mecánico del calor, en el que proporcionó una nueva evaluación de esa cantidad. Pero, al igual que ocurriera en Cork, su trabajo no generó discusión alguna. En el congreso de Oxford pudo, finalmente, atraer la atención de algunos de los presentes hacia sus descubrimientos. En 1885 Joule recordaba así lo ocurrido entonces:
Cuando lo llevé de nuevo [el tema del equivalente mecánico del calor] al congreso [de Oxford] en 1847, el moderador sugirió que, como el programa de la sesión era apretado no debería leer un artículo, sino restringirme a una descripción verbal corta de mis experimentos. Me esforcé en hacerlo y, como no hubo invitación a la discusión, la comunicación habría pasado sin comentarios si no fuera porque un joven se puso en pie y con sus inteligentes observaciones creó un animado interés en la nueva teoría Ese joven era William Thomson que [... ] es ahora probablemente la más importante autoridad científica de la era.
Unos años antes, en 1882, Thomson también relató cómo vivió aquel momento:
Conocí a Joule en el congreso de Oxford y enseguida maduró una amistad de las de toda la vida Oí su presentación y me sentí obligado a levantarme y decirle que estaba equivocado, porque el verdadero valor mecánico del calor debe ser, para pequeñas diferencias de temperatura, proporcional al cuadrado de su cantidad. Sabía por la ley de Carnot que esto era cierto. Pero a medida que escuchaba más y más vi que Joule estaba ciertamente describiendo una gran verdad y un gran descubrimiento. Por tanto, en lugar de levantarme con mi objeción durante la sesión, esperé hasta que terminó y se lo dije personalmente a Joule al final de la reunión. [...] Tuvimos después una larga conversación sobre el tema. Adquirí ideas que jamás habían entrado en mi mente antes y también creo que sugerí algo digno de la consideración de Joule cuando le conté la teoría de Carnot. Nos hicimos amigos desde entonces. El artículo de Joule causó gran sensación. Faraday estaba allí y le impresionó mucho, aunque no entró de lleno en la nueva visión. Y no fue mucho después cuando Stokes me dijo que se sentía inclinado a ser un joulita.
Cabe pensar que la situación de Thomson en aquellos momentos era un tanto confusa. Por una parte, estaba convencido de la veracidad de la teoría de Carnot: una cierta cantidad de calor puede pasar a través de una máquina de Carnot y producir trabajo mecánico a su paso sin que se produzca pérdida de calor; en una máquina de Carnot funcionando en modo inverso, cierta cantidad de trabajo mecánico se utiliza para mover cierta cantidad de calor del foco de baja temperatura al de alta temperatura. Sin embargo, le habían impactado las precisas técnicas experimentales del simpático Joule, que claramente mostraban la posibilidad de crear calor a partir del trabajo mecánico. En una carta a su padre, William decía:
Estoy seguro de que muchas de las ideas de Joule son equivocadas, pero parece que ha descubierto algunos hechos de extrema importancia como, por ejemplo, que se desarrolla calor en la fricción de fluidos en movimiento.
La máquina de CarnotLa máquina de Carnot es una máquina ideal formada por un cilindro que contiene un gas ideal, que acciona un pistón, y funciona entre dos fuentes de temperatura constante. La máquina funciona según el ciclo de Carnot mostrado en la figura. Como vemos, se desarrolla entre dos curvas presión- volumen para dos temperaturas diferentes T1 > T2. Esas curvas representan la ley que relaciona la presión (P), el volumen (V), el número de moles (n) y la temperatura (T) de un gas ideal: PV = nRT, donde R = 8,314472 m3 Pa K-1 mol-1 es una constante. Además, cuanto mayor es la temperatura del gas, mayor es su energía cinética, que es la energía debida a la velocidad de sus moléculas.
Los cuatro pasos del ciclo de Carnot
En el primero de ellos el gas sufre una expansión isoterma, en contacto con el foco a temperatura T1 (simbolizado con la estructura blanca que rodea al pistón): disminuye su presión de P1 a P2, aumenta su volumen de V1 a V2 y adquiere calor del foco. Como no cambia su temperatura, su energía cinética se mantiene constante y todo el calor transferido al gas se emplea en generar trabajo mecánico sobre el pistón (que es empujado hacia arriba por el gas). El segundo paso es una expansión adiabática, es decir, sin intercambio de calor con el exterior. El gas disminuye su temperatura de T1 a T2 aumenta su volumen a V3 y disminuye su presión a P3. El trabajo que se sigue ejerciendo sobre el pistón se realiza a costa de la energía cinética del gas, la cual ha disminuido, ya que la temperatura lo ha hecho. El tercer paso es una compresión isoterma. Ahora el gas está en contacto con la fuente a temperatura T2, disminuye su volumen a V4 y aumenta su presión a P4. Como no hay cambio de temperatura, no varía la energía cinética del gas y el trabajo realizado sobre el pistón se debe al calor cedido por el gas a la fuente de baja temperatura. El último paso es una compresión adiabática. El gas reduce su volumen y aumenta su presión y su temperatura hasta los valores iniciales, realizando trabajo a costa de incrementar su energía cinética. La máquina puede funcionar extrayendo calor de la fuente caliente —como hemos visto aquí, teniendo entonces una bomba de calor, o de la fría, resultando entonces una máquina frigorífica.La eficiencia (es decir, el cociente entre el trabajo realizado y el calor absorbido del foco térmico a T1 de la máquina de Carnot es:
que establece el límite máximo de eficiencia para cualquier máquina térmica real que trabaje entre T1 y T2. Aquí W es el trabajo realizado y Q el calor transferido desde la fuente caliente al gas.
También hizo llegar copias de los trabajos de Joule a su hermano James: «Te adjunto los artículos de Joule, que te asombrarán».
La escala absoluta de temperatura
Había una cuestión relacionada con las experiencias de Joule y con la teoría de Carnot que para Thomson tenía una gran importancia, tanto teórica como práctica; la medida de la temperatura y, más concretamente, el establecimiento de una escala termo- métrica basada en leyes físicas conocidas y no en las propiedades térmicas de los materiales con los que se construían los termómetros.
Escalas termométricasPara la medida de la temperatura se utilizan los termómetros, instrumentos que usan propiedades de sustancias que presenten variaciones con la temperatura suficientes para poder establecer una escala termométrica o de temperaturas. En 1592 el astrónomo y físico italiano Galileo Galilei construyó el «termoscopio», que hacía uso de la contracción o dilatación, al enfriarse o calentarse, de un volumen de aire que empujaba una columna de agua. En 1612 el médico italiano Santorre Santorio añadió una escala al «termoscopio». En 1714 el físico alemán Daniel G. Fahrenheit inventó el termómetro de mercurio. Las escalas termométricas relativas asignan valores dados a dos puntos de referencia fijos. Fahrenheit usó una mezcla de agua y cloruro de amonio y fijó 0 ºF y 212 ºF para la congelación y la ebullición de ia mezcla. En 1730 el físico y entomólogo francés René A.F. de Réaumur inventó un termómetro de alcohol con una escala de 80 grados: 0 ºR para la congelación del agua y 80 ºR para su ebullición. En 1742 el físico y astrónomo sueco Anders Celsius estableció la escala que lleva su nombre, asignando 100 y 0 grados a la congelación y a la ebullición del agua pura. La escala fue invertida en 1743 por Jean P. Christin, polímata francés, y en 1745 por Carl von Linné, naturalista sueco.
El Kelvin, la unidad de temperatura en el Sistema Internacional, se define como la fracción 1/273,16 de la temperatura del «punto triple» del agua. En el punto triple de una sustancia coexisten en equilibrio, a una presión dada, los tres estados de esa sustancia. En el caso del agua se produce a 273,16 K y a una presión parcial de vapor de 611,73 Pa. La importancia del punto triple es que puede establecerse experimentalmente de manera más precisa que otros, lo que facilita la calibración y la reproducción. Usando puntos triples de varias sustancias se estableció en 1990 la escala internacional ITS-90, con la que pueden compararse las medidas de temperatura realizadas en cualquier laboratorio.
Thomson adoptó un punto de vista diferente al que hasta entonces se había utilizado.
En los primeros años del siglo xvni el físico francés Guillaume Amontons (1663-1705) se había dado cuenta de que al enfriar los gases manteniendo la presión constante su volumen disminuía con la temperatura de forma aproximadamente lineal. Esa disminución de la temperatura no podía llevarse hasta el límite en el que el volumen del gas fuese nulo, ya que cualquier sistema físico real debe tener un volumen finito. Por tanto, se deducía inmediatamente la existencia de una temperatura mínima, de un «cero absoluto», por debajo del cual no podría reducirse la temperatura. Amontons, con un termómetro de aire a presión constante, dediyo que ese cero absoluto debería corresponder a unos 230-240 ºC por debajo del punto de fusión del hielo.
Posteriormente, otros investigadores estuvieron interesados en el problema. El matemático y físico suizo Johann H. Lambert (1728-1777), usando un termómetro de volumen constante, obtuvo un valor equivalente a -270,3 ºC. En el congreso de Cambridge de 1845 Joule dio un valor de unos 250 ºC por debajo del punto de congelación del agua para esa temperatura mínima, basándose en sus medidas sobre la expansión de los gases. En 1847 Regnault también publicó su estimación: -272,75 ºC.
No se sabe cuánto pudieron influir estos resultados, o sus discusiones con Joule, en el interés de Thomson por el problema. Lo que parece claro es que la cuestión que se planteó tenía un gran calado para la física. Lo que no le satisfacía era que todas esas determinaciones estaban basadas en la termometría de gases. Como sabía desde su estancia en París, los termómetros de gas eran muy utilizados en los laboratorios de la época; a priori, estos termómetros podrían parecer los más adecuados para establecer la escala absoluta de temperatura, ya que se asumía que los gases que se utilizaban respondían todos al patrón de gases ideales. Como indica la ley que los rige, si se mantiene la presión del gas constante, su volumen aumenta o disminuye de manera lineal y directamente proporcional a la temperatura Esto proporcionaba, por tanto, un mecanismo perfecto para medir temperaturas y, lo que es más importante, la posibilidad de establecer una única escala termométrica.
Sin embargo, los gases reales no son ideales, solo se parecen a ellos, y la ley de los gases ideales no siempre describe con la suficiente precisión su comportamiento. Cada termómetro de gas, dependiendo del gas concreto con el que estuviera construido, proporcionaba una escala diferente y, aunque en principio era posible calibrarlos entre sí, la ausencia de un método independiente de medida de temperaturas no permitía dilucidar cuál de ellos estaría proporcionando la más fiable.
En octubre de 1848 Thomson publicó en el Philosophical Magazine un trabajo titulado «Sobre una escala termométrica absoluta fundamentada sobre la teoría de la potencia motriz del calor de Carnot y calculada a partir de observaciones de Regnault», en el que abordó el problema desde un punto de vista novedoso. Thomson escribía en ese trabajo:
¿Existe algún principio sobre el que fundamentar una escala termo- métrica absoluta? Me parece que la teoría de la potencia motriz del calor de Carnot nos permite dar una respuesta afirmativa. La relación entre la potencia motriz y el calor, como ha sido establecida por Carnot, indica que cantidades de calor e intervalos de temperatura son los únicos elementos involucrados en la expresión de la cantidad de efecto mecánico que puede obtenerse por medio del calor; y como tenemos, independientemente, un sistema definido para la medida de cantidades de calor, estamos en disposición de medir intervalos de acuerdo a los que pueden ser estimadas diferencias absolutas de temperatura.
Thomson propuso una escala termométrica tal que una máquina de Carnot en la
«que una unidad de calor que pase de un cuerpo A, a la temperatura Tº de esa escala, a otro cuerpo B, a temperatura (T - 1)º, proporcionaría el mismo efecto mecánico, independientemente del valor de T. Esta puede justamente calificarse como una escala absoluta, ya que su característica es bastante independiente de las propiedades físicas de cualquier sustancia específica».
Conseguía así Thomson una definición de temperatura de carácter mecánico, sin salir de la teoría del «calórico». Sin embargo, como la construcción de una máquina de Carnot era una cuestión imposible, por tratarse de una máquina ideal, la propuesta era más bien de interés teórico. Pero, además, y como poco después pudo ponerse de manifiesto, la hipótesis de que la eficiencia de la máquina de Carnot era independiente de la temperatura T, a la que Thomson se aferraba y que le generaba todos los problemas de incompatibilidad con los resultados de Joule, no era viable.
En cualquier caso, en ese trabajo, Thomson hizo notar la falta de información empírica suficiente:
Por tanto, un cálculo completamente satisfactorio de la escala propuesta no puede llevarse a cabo hasta que los datos experimentales adicionales [que Regnault había prometido obtener en un futuro próximo] hayan sido obtenidos; pero con los datos que actualmente tenemos, podemos hacer una comparación aproximada de la nueva escala con la de los termómetros de aire.
El problema era que la nueva escala que Thomson propuso no tenía cero absoluto. Debido a las características que impuso, la escala incorporaba el «frío infinito», que debía corresponder, por tanto, al valor del orden de -270 ºC que se había establecido mediante los termómetros de aire. Según Thomson, esto se debía a la forma en la que la escala basada en esos termómetros se había definido y que hacía que «el valor de un grado [...] del termómetro de aire depende de la parte de la escala en la que se toma», mientras que el valor de un grado en su escala era siempre el mismo. En definitiva, Thomson no estableció en ese trabajo el cero absoluto de temperatura, como en muchas instancias se le atribuye.
Más adelante, en 1852, cuando revisó sus ideas sobre la transferencia de calor en la máquina de Carnot, Thomson propuso una nueva escala absoluta cuyas ventajas eran evidentes. Por un lado, se correspondía con la escala derivada de un termómetro construido con un gas ideal. Por otro, el cero absoluto aparecía de manera natural: era la temperatura del foco frío para la que la eficiencia de la máquina de Carnot fuera 100%. Como esa eficiencia vale

es evidente que si η = 1, T2=0, para cualquier temperatura T1 > T2. En 1954, en la décima Conferencia General de Pesas y Medidas se acordó denominar, en honor a Thomson, «grado Kelvin» a la unidad de temperatura en el Sistema Internacional de Unidades (posteriormente, en 1968, pasó a llamarse simplemente «Kelvin»).
Carnot versus Joule
No obstante, Thomson seguía insatisfecho con las discrepancias entre los resultados de Cainot y Joule. De acuerdo con el primero, «el medio térmico por el que se puede obtener efecto mecánico es la transferencia de calor de un cuerpo a otro a temperatura más baja» sin que se produzca un consumo de calor. Por otro lado, aceptaba los resultados experimentales de Joule, en los que se ponía de manifiesto de manera indiscutible la conversión de calor en trabqjo.
En aquel momento Thomson se enfrentó a una paradoja. Si una cierta cantidad de calor pasaba de un foco caliente a otro frío a través de un cuerpo sólido, no se producía ningún trabajo mecánico, mientras que si en lugar del cuerpo sólido se dispom'a de una máquina de Carnot, sí que se producía trabajo. Entonces, en el primer caso, se planteó:
¿Qué ocurre con el efecto mecánico que debería producir? Nada puede perderse en las operaciones de la naturaleza, ninguna energía puede destruirse. ¿Qué efecto se produce pues en lugar del efecto mecánico que se ha perdido?
Este problema había sido puesto de manifiesto por Thomson en un trabajo titulado «Reporte sobre la teoría de la potencia motriz del calor de Carnot, con resultados numéricos deducidos de los experimentos de Regnault sobre el vapor», que apareció publicado en 1849. Thomson se había hecho, finalmente, con una copia de las Reflexiones de Carnot, poco tiempo después de la publicación del trabcyo sobre la escala absoluta de temperatura, y a petición de Forbes, entonces profesor en la Universidad de Edimburgo, escribió ese trabajo con el que dio a conocer, con un lenguaje accesible para sus colegas, la obra de Carnot, casi ignorada en Francia y desconocida en Gran Bretaña hasta entonces.
Con su reflexión, Thomson parecía estar coqueteando con un concepto fundamental en física: la conservación de la energía. Pero en aquellos momentos la energía carecía del significado que tiene hoy en día y, sobre todo, calor y trabajo no eran aceptados, al menos por Thomson, como dos aspectos diferentes de ese mismo concepto.
Un experimento de ThomsonCon ocasión de la preparación de la comunicación que sobre las Reflexiones de Carnot le había solicitado Forbes, Thomson ideó un procedimiento que le permitiría producir hielo sin esfuerzo mecánico. El dispositivo se basaba en una máquina de Carnot que funcionaba entre dos focos constituidos por sendos volúmenes de agua a 0 ºC. La extracción de calor de uno de ellos, y su cesión al otro, haría que el agua del primero se convirtiera en hielo, pero como la temperatura de ambos era la misma no se consumiría ningún trabajo mecánico. ¡Hielo sin gasto alguno! Thomson se lo contó a su hermano James, que encontró enseguida un problema. Como ya era conocido entonces, cuando el agua se congela aumenta su volumen. Entonces, si en la máquina propuesta por Thomson se disponía un pistón, ese aumento de volumen produciría trabajo sobre el mismo: se tendría así una máquina capaz de producir un efecto mecánico de la nada, algo que era inaceptable. James sugirió que una cierta presión sobre el hielo quizá podría reducir ligeramente su temperatura de fusión. Si eso era así, cuando el hielo tratara de hacer trabajo sobre el pistón, aumentaría la presión sobre el propio hielo y volvería a descongelarse, disminuyendo su volumen y, por tanto, desapareciendo la posibilidad de realizar ese trabajo.
La verificación en el laboratorio
Thomson realizó el experimento en su recién creado laboratorio. Aplicó una presión de 16,8 atmósferas y encontró que la temperatura del punto de congelación había disminuido 0,232 ºF (unos 0,129 ºC). Basándose en la información experimental existente acerca del coeficiente de expansión del agua en congelación, calculó la disminución en la temperatura que correspondía a esa presión y obtuvo 0,227 ºF. Este excelente acuerdo entre la teoría y el experimento supuso un espaldarazo para sus hipótesis basadas en la teoría de Carnot. Para Thomson, no había mejor prueba de la veracidad de un principio teórico que su capacidad de anticipar hechos desconocidos que pudieran ser posteriormente refrendados en un experimento. Además, con este experimento, de alguna forma, Thomson justificó el esfuerzo realizado en la construcción de su laboratorio que, no solo le permitió mejorar la docencia de sus estudiantes, sino también realizar investigación avanzada. Los resultados de esta verificación fueron publicados en los Proceedings ofthe Royal Society of Edinburgh en enero de 1850.
Joule ya había argumentado tiempo antes que las distintas formas de energía podían transformarse unas en otras sin que, en ninguna circunstancia, la energía total pudiera crearse o destruirse. Pero Thomson, con su visión alia Carnot, no encontró la solución a pesar de que, en cierta forma, él mismo la había esbozado con su pregunta. De hecho, en una nota del tra- bajo antes mencionado Thomson decía:
Una teoría perfecta del calor demanda de manera imperativa una respuesta a esta cuestión, pero ninguna respuesta puede darse en el estado presente de la ciencia Poco años atrás, lo mismo habríamos podido decir acerca del efecto mecánico perdido en un fluido puesto en movimiento en el interior de un recipiente cerrado y rígido, al que se deja llegar al reposo por su fricción interna; pero en este caso el fundamento de una solución de la dificultad se ha encontrado en el descubrimiento del señor Joule de la generación de calor por la fricción intema de un fluido en movimiento. Animados por este ejemplo, podemos esperar que la muy desconcertante cuestión en la teoría del calor por la que nos encontramos actualmente detenidos, será, más pronto que tarde, aclarada Podría parecer que la dificultad podría eludirse completamente abandonando el axioma fundamental de Carnot. (...) Pero si hacemos eso, nos encontramos con otras numerosas dificultades, insuperables sin investigaciones experimentales adicionales y una completa reconstrucción de la teoría del calor desde su base. Es en realidad a la experimentación donde debemos mirar, bien para una verificación del axioma de Carnot y una explicación de la dificultad que hemos estado considerando, o para una nueva y completa base de la teoría del calor.
Todo parecía indicar que la posición de Thomson empezaba a cambiar, pero aún faltaba algún tiempo para que el científico adoptara una nueva perspectiva De hecho, enseguida se le presentó una nueva dificultad, cuya solución no quiso o no fue capaz de aceptar a pesar de ser relativamente evidente. Usando los resultados de Regnault sobre la dependencia con la temperatura de la capacidad de absorción de calor del vapor, había calculado lo que él denominaba «coeficientes de Carnot», que permitían encontrar el efecto mecánico producido por el intercambio de una unidad de calor entre los dos focos de una máquina de Carnot. Para su sorpresa, encontró que esos valores dependían de la temperatura (eran mayores para temperaturas más pequeñas), lo que contradecía su hipótesis (la que consideró para proponer su escala absoluta) de que la eficiencia de un ciclo de Carnot solo dependía de la diferencia de temperatura entre los focos entre los que operaba El propio Joule, al que Thomson había enviado sus resultados lamentándose del hecho de su aparente inconsistencia, se había dado cuenta de que sus números indicaban, simplemente, que la eficiencia del ciclo era inversamente proporcional a la temperatura.
Un año después, Rudolf Clausius (1822-1888), un físico y matemático alemán, analizando el problema sin las restricciones mentales que Thomson tenía sobre las hipótesis de Carnot, enunció la obvia solución del problema: en un ciclo de Carnot, no todo el calor que pasa del foco caliente al medio térmico es cedido por este al foco frío, sino que ima parte de él se convierte en trabajo. Y esa parte que se convierte en trabajo era la correspondiente que verificaba la observación de Joule sobre la dependencia de la eficiencia del ciclo con la temperatura.
Estas mismas conclusiones fueron establecidas por Rankine, quien en 1850 publicó Sobre la acción mecánica del calar, obra en la que se adhería a una visión atómica de la materia. Para él, los materiales eran meras colecciones de moléculas, que visualizaba como diminutos «vórtices» capaces de tener movimientos rotacionales o vibratorios. Con gran aparato matemático, Rankine desarrolló las ecuaciones que relacionaban las variables termodinámicas (volumen, presión, temperatura) para el aire y el vapor de agua, aceptando con algunas reservas los experimentos de Joule y sin invalidar el principio de Carnot. A juicio de Rankine, el calor estaría ligado al mayor o menor movimiento de los vórtices constituyentes. Y lo que resulta más importante: siendo dos formas diferentes de movimiento, calor y trabajo mecánico estaban para él a un mismo nivel, con lo que la transformación de uno en el otro no le creaba ningún problema fundamental, como le ocurría a Thomson.
Visto con la perspectiva que da el tiempo, resulta curiosa la recalcitrante postura de Thomson respecto a la teoría de Carnot. En otros problemas, como los de corte electromagnético, tuvo una actitud mucho más abierta para poner de acuerdo los diferentes puntos de vista. Y la situación llama más la atención si se tiene en cuenta que la solución de Clausius no invalidaba las conclusiones generales de Carnot y, como el propio Clausius dijo, «no es en absoluto necesario descartar completamente la teoría de Carnot». El mismo Carnot no fue tan rígido con sus propias ideas. En unas notas descubiertas tiempo después de su muerte, había escrito:
Siempre que se destruye potencia motriz, existe una producción simultánea de una cantidad de calor exactamente proporcional a la potencia motriz destruida Y a la inversa, siempre que hay destrucción de calor, se produce potencia motriz.
Exactamente lo mismo que Joule defendió, pero diez años antes.
Las leyes de la termodinámica
A principios de 1851, Thomson fue elegido como fellow de la Royal Society de Londres. En aquel momento acababa de descubrir lo que hoy se conoce como «efecto Thomson». Había estudiado la generación de calor en un conductor por el que circulaba una corriente a la vez que estaba sometido a un gradiente de temperatura entre sus dos extremos, y observó que, además de la producción de calor por efecto Joule, podía producirse o absorberse una cierta cantidad de calor según la dirección de la corriente. El análisis cuantitativo de ese efecto le permitió dar una explicación consistente de los otros dos efectos termoeléctricos conocidos: Seebek y Peltier.
En 1852 Thomson comenzó a trabajar en una serie de experimentos sobre efectos térmicos, que llevó a cabo junto a Joule en el laboratorio de este último. Fruto de estas investigaciones fue el descubrimiento del efecto Joule-Thomson, el cual describe el cambio de temperatura que sufre un gas cuando pasa a través de un estrangulamiento o un tapón poroso, sin intercambio de calor con el medio que lo rodea. Casi todos los gases, salvo algunos como el hidrógeno, el helio o el neón, sufren un enfriamiento en este proceso, que se utiliza en sistemas de refrigeración.
Pero la aportación fundamental de Thomson entonces se produjo con la presentación de su trabajo Sobre la teoría dinámica del calor, un estudio que puede considerarse como el primer tratado de termodinámica general. En una serie de seis artículos presentados a la Royal Society de Edimburgo puso de manifiesto un cambio radical en sus posiciones sobre el calor.
Los efectos termoeléctricosCon el nombre de «efectos termoeléctricos» se conocen tres fenómenos físicos denominados «efecto Seebeck», descubierto en 1821 por el físico alemán Thomas J. Seebeck; «efecto Peltier», descrito en 1834 por el físico francés Jean C.A. Peltier, y «efecto Thomson», descubierto en 1851 por William Thomson.
Efecto Seebeck
Consiste en la aparición de una corriente eléctrica (que puede detectarse con un amperímetro) en un circuito formado por dos uniones bimetálicas, cuando entre las uniones se establece una diferencia de temperaturas (figura 1).
Seebeck descubrió el fenómeno al observar que una brújula en las cercanías de ese circuito se desviaba. La aplicación más directa de este efecto es el termopar, que es un dispositivo que permite determinar a partir de la corriente producida diferencias de temperatura entre el punto de unión caliente y el frío. Los generadores termoeléctricos también utilizan este efecto, convirtiendo calor residual —por ejemplo, en una planta de generación de electricidad— en electricidad adicional.
Efecto Peltier
Ocurre cuando se hace pasar una corriente por la unión de dos materiales metálicos diferentes, en cuyo caso se produce o se absorbe calor. De acuerdo con la ley de Joule, al pasar la corriente por los materiales se produce una cierta cantidad de calor (QJoul) que es proporcional al cuadrado de la intensidad de la corriente. Peltler observó, además, que en la unión de los dos materiales se producía (+QPeltier) o se absorbía (-QPeltier) calor según elsentido de circulación de la corriente, que se podía invertir cambiando los polos de la batería (figura 2). Las bombas de calor y los refrigeradores termoeléctricos están basados en este efecto.
Efecto Thomson
Es el calentamiento o enfriamiento que presenta un conductor por el que circula una corriente y está sometido a un gradiente de temperatura. Según el sentido de la corriente, además del calor debido al efecto Joule, se produce (+QThomson)o se absorbe (-QThomson) una cantidad de calor según el sentido de la corriente, Thomson estudió este efecto y pudo proporcionar una explicación de los otros dos efectos. Este fenómeno se utiliza en refrigeración. En los tres casos existe una dependencia de los metales concretos que se utilicen, lo que permite, con la adecuada combinación, producir los efectos de una u otra forma de acuerdo a las necesidades técnicas concretas.
En el primero de ellos, aparecido en marzo de 1851, manifestó su abandono de la teoría del «calórico»; alabó los resultados experimentales de Joule y del físico y médico alemán Julius von Mayer (1814-1878), que consideró en ese momento fundamentales, y seguidamente, mencionó como importantes los trabajos de Clau- sius y Rankine. A lo largo del trabajo volvió a aplicar sus potentes procedimientos de razonamiento, huyendo de las suposiciones sobre la naturaleza del calor o de los medios materiales, y explotando los hechos experimentales como fuente de información y de verificación de la propia teoría. Y, sobre todo, pareció adoptar de nuevo una postura abierta, que quedó definida en los propios objetivos del trabajo:
1. Mostrar qué modificaciones de las conclusiones a las que Carnot llegó [...] en relación a la potencia motriz del calor, deben hacerse cuando se adopta la hipótesis de la teoría dinámica [del calor] contraria a la hipótesis fundamental de Carnot.
2. Señalar el significado, en la teoría dinámica, de los resultados numéricos deducidos de las observaciones de Regnault sobre el vapor y comunicados a la [Royal] Society, junto con un reporte sobre la teoría de Carnot, por el autor de este artículo; y mostrar que tomando esos números [...] en conexión con el equivalente mecánico de una unidad térmica obtenido por Joule, se obtiene una teoría completa de la potencia motriz del calor. [...]
3. Indicar algunas relaciones notables que conectan las propiedades físicas de todas las sustancias, establecidas mediante un razonamiento análogo al de Carnot, pero fundamentadas parcialmente en el principio contrario de la teoría dinámica.
Thomson demostró que
«toda la teoría de la potencia motriz del calor se basa en las dos proposiciones siguientes debidas respectivamente a Joule y a Carnot y Clausius»:
Prop. I (Joule). Cuando cantidades de efecto mecánico iguales se producen por cualquier medio desde cualesquiera fuentes térmicas, o se pierden en efectos puramente térmicos, las mismas cantidades de calor desaparecen o se generan.
Prop. II (Carnot y Clausius). Si una máquina es tal que, cuando funciona hacia atrás, todos los medios mecánicos y físicos de cada parte de sus movimientos son invertidos, produce, de una cantidad de calor dada, tanto efecto mecánico como puede producir cualquier máquina termodinámica, con las mismas temperaturas de fuente y refrigerador.
La primera de estas dos proposiciones no es sino la primera ley de la termodinámica, la ley de conservación de la energía: en cualquier conversión de calor en trabajo o viceversa, sea esta total o parcial, la suma de ambas cantidades permanece constante. No era, sin embargo, Thomson el primero en formular esa ley. De hecho, numerosos investigadores la habían enunciado de una u otra forma y nadie tenía dudas acerca de su validez. Quizá cabría destacar dos de ellos. Por un lado, Joule, que la había demostrado con sus precisas medidas experimentales. Por otro, el médico y físico alemán Hermann L. F. von Helmholtz (1821-1894), que en 1847 había publicado su trabajo Sobre la conservación de la fuerza, en el que, en realidad, estudiaba la conservación de la energía; fuerza y energía, dos conceptos que en aquellos momentos no se distinguían muy claramente.
«Cuando estás ante una dificultad, estás a punto de realizar un descubrimiento.»
William Thomson.
El punto de partida de Von Helmholtz fue la negación de la posibilidad del movimiento perpetuo y avanzó que la suma de todas las energías del universo (que consideraba finito) era constante. Es más, cuando alguna porción de una de las energías desaparecía, lo hacía porque se transformaba en otro tipo de energía diferente y en una cantidad equivalente a la primera. Había abandonado desde hacía tiempo la teoría del «calórico» y no consideró la teoría de Carnot en sus trabajos, en los que, por otra parte, aplicó sus reglas de conservación, además de en termodinámica, en mecánica, electrostática y magnetismo.
En cuanto a la segunda proposición, Clausius, a quien Thomson concedía enteramente el mérito de ser el primero en establecerla sobre principios correctos, dio una demostración basándose en el siguiente axioma: «Es imposible para una máquina que funcione por sí sola, sin ayuda de algún medio externo, transportar calor de un cuerpo a otro a más alta temperatura». Thomson, por su lado, enunció el axioma de una manera ligeramente distinta:
«Es imposible, mediante ningún medio material inanimado, derivar un efecto mecánico de cualquier porción de materia enfriándola por debajo de la temperatura del más frío de los objetos del entorno».
Algunos autores indican que esta segunda proposición es la segunda ley de la termodinámica, pero sobre este punto hay alguna discrepancia. En lenguaje actual, el enunciado de esta ley es el siguiente: el cambio en la entropía de un sistema aislado térmicamente que pasa de un estado a otro es siempre mayor o igual que cero. Cuando el proceso que sigue el sistema es reversible, su entropía no cambia; cuando es irreversible aumenta. En física, se denomina «reversible» a un proceso (ideal) que hace evolucionar un sistema desde un estado en equilibrio (térmico, mecánico y químico con su entorno) a otro estado en equilibrio, pasando por una sucesión infinita de estados de equilibrio intermedios.
El nombre de entropía fue introducido por Clausius en 1865; con éi nombró una cantidad que había utilizado en trabajos anteriores y que se correspondía con la razón entre el calor que entra en (o sale de) ima máquina térmica y la temperatura absoluta a la que esa absorción o emisión de calor ocurre. Rankine en 1850 y Thomson en 1852 habían usado cantidades muy similares a la entropía Clausius. La entropía permite determinar, por tanto, la cantidad de calor (de energía) que no puede utilizarse para producir trabajo, y su crecimiento continuo en los procesos irreversibles es, pues, otra manera de ver la disipación de energía útil inhei'ente a ese tipo de procesos.
En el contexto de la teoría de Carnot, podríamos enunciar la segunda ley de la termodinámica como sigue: una máquina térmica que opere mediante procesos reversibles, esto es, una máquina de Carnot, tiene la máxima eficiencia. ¿Podríamos, entonces, atribuir a Carnot el descubrimiento de la ley? Seguramente no. Carnot era un ingeniero cuyo trabajo se centraba únicamente en las máquinas térmicas: trabajaba en el erróneo contexto del «calórico» y tan solo había tomado en consideración la imposibilidad del movimiento perpetuo como punto de partida de su teoría. Rankine, Clausius y Thomson lucieron las aportaciones teóricas que produjeron el enunciado final de la ley. Atribuir a uno de ellos el «descubrimiento» de la ley sería atrevido, cuando no erróneo, aunque muchos consideran que Clausius, el inventor del nombre clave, entropía, es el que más lo merece.
En el trabajo sobre la nueva teoría dinámica del calor, Thomson volvió sobre la paradoja que había planteado en el reporte sobre el principio de Carnot. Ahora, desde su nueva perspectiva, la respuesta a la pregunta que entonces se hizo era casi evidente: el calor transferido desde el cuerpo caliente al frío a través del medio sólido resulta «irrevocablemente perdido para el hombre, y por tonto “desaprovechado”, aunque no aniquilado». Posteriormente, aclaró esto aseveración: ese calor perdido se distribuye en el volumen del medio sólido y no es posible obtener ningún trabajo adicional de él. Esa aclaración llegó en otro artículo notable: «Sobre una tendencia universal en la naturaleza hacia la disipación de la energía mecánica», publicado en 1852. En este trabajo Thomson estableció, además, los conceptos de energía «estática» y «dinámica», o como se denominan en la actualidad «potencial» y «cinética», de acuerdo a los términos acuñados por Rankine y el propio Thomson más tarde.
También discutió Thomson en ese artículo acerca de la «reversibilidad» y la «irreversibilidad» de los procesos que se presentaban en la naturaleza. Thomson argumentó que todos los procesos naturales eran irreversibles y eso implicaba que:
La Tierra durante un período finito de tiempo en el pasado debió haber sido, y durante un período finito de tiempo en el futuro deberá ser, inapropiada para la vida del hombre tal y como está constituida en el presente, a menos que se hayan hecho, o estén por realizarse, operaciones que son imposibles bajo las leyes a las que están sujetas las operaciones que hoy día se conoce que funcionan en el mundo material.
Esto «muerte térmica» de la Tierra anunciada por Thomson, y que también expusieron Von Helmholtz y Clausius, sería el estado final del universo, considerado como un todo. En forma más precisa (y actual) diríamos que la entropía del universo, considerado como un todo, crece siempre, y que su estado final tendría una entropía máxima y una temperatura uniforme.
A pesar de que el conocimiento era aún imperfecto, no cabe duda de que los trabajos de Rankine, Clausius, Joule, Von Helmholtz y Thomson habían contribuido a eliminar el aura de misterio que hasta entonces habían tenido los procesos que involucraban el calor. La capacidad de Thomson para sintetizar en nociones concisas piezas de conocimiento dispares fue una de las razones que permitieron alcanzar el grado de coherencia necesario para que una nueva disciplina, la termodinámica (término acuñado por el propio Thomson), comenzara su camino como parte fundamental de la física «Por sus investigaciones sobre la electricidad, la potencia motriz del calor y otros temas» la Royal Society le concedió la Royal Medal en 1856.
Thomson y Von Helmholtz se profesaron admiración mutua Este, en cierta ocasión dijo:
En cualquier caso, debemos admirar la sagacidad de Thomson que, en las letras de una fórmula matemática conocida desde hacía tiempo, que solo habla de calor, volumen y presión de los cuerpos, fue capaz de discernir consecuencias que afectaban al universo.
La carrera científica de Von Helmholtz fue bastante curiosa, ya que se inició como médico y acabó como físico, pasando por la fisiología y por el estudio de la física y de las matemáticas necesarias para poder entender los modelos y las teorías que se estaban desarrollando en su tiempo. Esto le dio un conocimiento muy amplio sobre distintos aspectos de la ciencia. Thomson y él se conocieron personalmente en 1855. Un sorprendido Von Helmholtz escribía a su mujer:
Como es uno de los físico-matemáticos más destacados de Europa, esperaba encontrarme con un hombre algo mayor que yo, y no fue pequeña mi sorpresa cuando apareció ante mí un joven extremadamente rubio, de aspecto muy juvenil, casi femenino. [...] Debo añadir que sobrepasa a todos los grandes científicos que conozco personalmente en agudeza, claridad y rapidez mentales, tal que a veces me siento torpe detrás de él.
La sorpresa de Von Helmholtz estaba justificada: Thomson solo tenía treinta y un años.
Además de contribuir de manera notable al establecimiento de la termodinámica, William Thomson desarrolló una carrera como ingeniero en la que se preocupó de temas muy dispares. Utilizando la misma metodología que tan excelente resultado le había dado en la ciencia, aplicó sus conocimientos a la resolución de distintos problemas tecnológicos, estableciendo numerosas patentes y participando en proyectos de gran envergadura. Toda esta actividad le permitió obtener un gran patrimonio.
En 1889 se formó la compañía Niagara Falls Power Company con el objetivo de desarrollar una planta de producción de energía eléctrica en las cataratas del Niágara. La empresa contó con la participación de la Cataract Construction Company, como compañía subsidiaria, y la financiación de los magnates William H. Vanderbilt, John P. Morgan y John J. Astor (este último, considerado el hombre más rico de su tiempo, murió en el accidente del Titanio). Su presidente fue Edward D. Adams. La Cataract Construction Company financió la creación de la International Niagara Commission, una comisión formada por William C. Unwin, un ingeniero británico especialista en hidráulica; Théodore Turrettini, un ingeniero suizo con amplia experiencia en la construcción de centrales hidráulicas; Éleuthére É.N. Mascart, físico francés, investigador en los campos de la óptica, el electromagnetismo y la meteorología; Coleman Sellers, ingeniero e inventor estadounidense, y William Thomson, que presidía la comisión cuando se reunió en Londres.
La comisión tema por objetivo resolver dos importantes problemas: cómo generar la electricidad en las cataratas y, sobre todo, cómo transmitirla a largas distancias para hacerla útil desde un punto de vista comercial. La primera cuestión se resolvió con cierta facilidad con la elección de unas turbinas construidas por la empresa Faesch & Piccard de Ginebra. Sin embargo, en aquel entonces, la transmisión de la energía generada era un asunto mucho más complicado.
Nikola Tesla, un ingeniero excepcional
Nikola Tesla nació el 10 de julio de 1856 en Smiljan, en la actual Croacia, y a partir de 1875 estudió ingeniería eléctrica en la Universidad de Graz (Austria). En 1884 llegó a Nueva York, donde el inventor y empresario Thomas A. Edison lo contrató en la Edison Machine Works. En 1887 construyó un motor de inducción alimentado por corriente alterna y en 1888 empezó a trabajar con el inventor estadounidense George Westinghouse, realizando sus principales desarrollos relacionados con la corriente alterna y la alimentación polifásica y estudiando las características de los campos magnéticos rotativos. En 1893 construyó el primer radiotransmisor, varios años antes de que el inventor italiano Guglielmo Marconi patentara un dispositivo similar.
La guerra de las corrientes
Ese mismo año se enfrentó a Edison en la denominada «guerra de las corrientes»: Tesla y Westinghouse estaban convencidos de que la corriente alterna era la que permitía una mejor transmisión de energía eléctrica a largas distancias; Edison abogaba por la corriente continua, aunque las indicaciones contra esta eran numerosas. La ley de Joule señala que las pérdidas por calor son proporcionales al cuadrado de la intensidad que circula por el conductor. La potencia, por su lado, viene dada por el producto de la intensidad por el voltaje. Entonces es posible aumentar la potencia aumentando el voltaje sin incrementar la intensidad y, por tanto, sin aumentar las pérdidas por calor. En el caso de la corriente alterna, el voltaje se puede aumentar fácilmente con un transformador, lo que no es posible en el caso de la corriente continua. En 1893 la empresa Westinghouse Electric obtuvo el contrato de iluminación de la Feria Mundial de Chicago y el proyecto de la central hidroeléctrica de las cataratas del Niágara. Curiosamente, la construcción de las lineas de transmisión a la ciudad de Buffalo. la primera en recibir la energía de la planta, le fue concedida a la General Electric de Edison, que, no obstante, hubo de utilizar las patentes de Tesla. Tesla murió en Nueva York el 7 de enero de 1943, al parecer arruinado. En 1960 la Conferencia General de Pesas y Medidas acordó dar el nombre de «tesla» a la unidad de medida de la densidad de flujo magnético (o inducción magnética).
La comisión convocó un concurso de soluciones con un premio notable (22000 dólares) y, finalmente, se adoptó el sistema trifásico de corriente alterna que había inventado unos años antes el ingeniero serbio Nikola Tesla (1856-1943).
«Tesla ha contribuido más a la ciencia eléctrica que nadie hasta su tiempo.»
William Thomson.
La compañía Westinghouse Electric & Manufacturing Com- pany fue la encargada de construir los sistemas. El 26 de agosto de 1895 la central prodqjo energía por primera vez y, el 15 de noviembre del año siguiente, la electricidad generada llegó a la ciudad de Buffalo, situada a unos 30 km de distancia.
En 1890 Thomson fue elegido presidente de la Royal Society, sucediendo a su amigo Stokes. En aquellos momentos ya hacía tiempo que ostentaba el título de sir; la reina Victoria lo había nombrado caballero por su participación en un proyecto de ingeniería que lo hizo famoso intemacionalmente: el tendido del cable telegráfico transatlántico.
El cable transatlántico
La instalación del primer cable transatlántico para telegrafía resultó una empresa de notables dimensiones para la época Después de cinco intentos, en septiembre de 1866 quedaron operativos dos cables que unieron Foilhommerum Bay en Valentía Island (Irlanda) con Heart’s Content en Terranova y Labrador (Canadá). El impulsor del proyecto fue Cyrus W. Field, financiero y hombre de negocios estadounidense que adoptó una idea de Frederick N. Gisbome, un inventor canadiense que pretendía establecer una línea telegráfica entre varias zonas en el entorno de Nueva Escocia (Canadá).
En 1856, junto con los ingleses John W. Brett, ingeniero telegráfico, y Charles T. Bright, ingeniero eléctrico, constituyó la Atlantic Telegraph Company con el objetivo de tender y explotar comercialmente el cable entre Europa y América. A ellos se unió como electricista jefe Edward O.W. Whitehouse. El proyecto contaba con el beneplácito del estadounidense Samuel F.B. Morse, co-inventor del código que lleva su nombre. Field consiguió que los gobiernos del Reino Unido y Estados Unidos aportaran fondos para el proyecto y él mismo sufragó una cuarta parte del coste total, que se estima en más de 100 millones de euros, al cambio de hoy día
El primero de los intentos de tendido se llevó a cabo en 1857 y en él participaron los dos barcos de guerra más grandes de su tiempo, el Agammenon (británico) y el Niagara (estadounidense). Pero el cable se quebró después de un solo día de trabajo. En el verano de 1858 se hizo una segunda prueba Los dos barcos se encontraron a mitad del camino, cada uno transportando la mitad del cable. Tras empalmar ambas mitades se inició el tendido que, de nuevo, acabó antes de tiempo por una rotura del cable del Niagara, esta vez después de haber recorrido más de 350 km. Un mes más tarde se hizo una nueva tentativa. Esta vez ambos barcos alcanzaron sus respectivas orillas. El 16 de agosto se enviaron los primeros mensajes que se intercambiaron la reina Victoria y el presidente James Buchanan. La eficiencia no fue muy alta; para enviar el mensaje de la reina, que tema 98 palabras, se emplearon dieciséis horas.
En diciembre de 1856, Thomson había sido nombrado asesor científico de la Atlantic Telegraph Company. Uno de los principales problemas que tenía la transmisión era la baja intensidad de la señal a la recepción, lo que hacía muy complicado descifrar los mensajes. Whitehouse había patentado un dispositivo que era poco sensible en recepción y que requería el uso de altos voltees en la emisión para garantizar una señal mínimamente discernióle. Esta opción contaba con el apoyo de Faraday y Morse, pero Thomson creía que el aislamiento del cable podría verse dañado.
Por ese motivo Thomson optó por usar beyos voltajes. Como ello implicaba señales extremadamente débiles, desarrolló un dispositivo receptor que denominó «galvanómetro de espejo» y que patentó en 1858. En realidad, era una mejora de un invento que el físico alemán Johann C. Poggendorff había hecho en 1826.
Antecedentes del cable transatlánticoUno de los primeros científicos en sugerir la posibilidad de utilizar cables submarinos para transmitir información mediante telégrafos fue el español Francesc Salva i Campillo, un médico, físico y meteorólogo que a finales del siglo xvni propuso establecer uno de esos cables entre Alicante y Palma de Mallorca. A principios del siglo XIX Samuel T. von Sómmerring, médico e inventor alemán, Pavel L. Schilling, diplomático estonio, y Charles Wheatstone, científico e inventor británico, llevaron a cabo distintos experimentos sobre la viabilidad de ese tipo de cables, pero el que más avanzó en su desarrollo fue Samuel F.B. Morse, que en 1842 realizó pruebas en Nueva York, usando cables sumergidos en el río Hudson. El primer cable submarino que pudo utilizarse con éxito fue el que tendieron los hermanos Brett (John Watkins y Jacob) entre Dover (Inglaterra) y Calais (Francia) a través del canal de la Mancha entre 1850 y 1851. En 1852 se tendió un cable entre Londres y París y en 1853 Oxford Ness (Inglaterra) y Den Haag (Holanda) quedaron conectadas a través del Mar del Norte. En 1855 se habían tendido con éxito en todo el mundo unos 600 km de cable submarino correspondientes a un total de diecinueve líneas, de las que trece seguían aún en funcionamiento cuando se tendió el cable transatlántico.
Mapa del cable telegráfico transatlántico.
Un galvanómetro es un aparato que permite detectar y medir comentes eléctricas.

El aparato (figura 1) consta de una bobina a la que está unida una aguja indicadora. La bobina se sitúa en el seno de un campo magnético constante (producido, por ejemplo, por un imán permanente), de forma tal que puede girar respecto a un eje perpendicular al plano de la misma. Cuando la corriente que se quiere medir circula por la bobina, esta gira debido a la acción del campo magnético y, debidamente calibrada, permite medir la intensidad de la corriente a partir del ángulo de giro que es determinado por la aguja indicadora.

Las señales enviadas por el cable representaban los mensajes codificados en lenguaje Morse, es decir, una sucesión de puntos y rayas. El convenio era que cada uno de los dos símbolos se representaba mediante una corriente de distinto signo. Puntos y rayas daban lugar, por tanto, a desplazamientos de la aguja del galvanómetro a izquierda y derecha (o viceversa) de su posición de equilibrio, la cual marcaba la ausencia de señal. Pero como la intensidad de las señales en la recepción era muy bzya, resultaba muy complicado discernir si había ocurrido o no un movimiento de la aguja.
Thomson modificó el diseño del galvanómetro (figura 2). Eliminó la aguja y agrandó la bobina, que pasó a ser un elemento fyo del dispositivo. En el centro de la bobina, y dentro de una cámara de aire, dispuso un pequeño espejo curvo, sostenido por un sutil hilo de seda, con unos minúsculos imanes pegados en su parte trasera Sobre el espejo hizo incidir un estrecho haz de luz proveniente de una lámpara que, tras reflejarse en él, proyectaba un punto luminoso sobre una escala situada a unos metros de distancia Cuando la corriente que se recibía en el cable se hacía circular por la bobina, los imanes hacían girar el espejo y el punto luminoso se desplazaba a un lado u otro del cero de la escala. El aire de la cámara en la que se situaba el espejo se comprimía, con lo que las oscilaciones que podrían producirse tras cada señal se reducían al máximo. El reflejo ampliado permitía discernir los movimientos del espejo mucho más fácilmente, incluso cuando eran muy pequeños. El galvanómetro de espejo se utilizó también para detectar defectos de fabricación en los cables. Para ello Thomson realizó otros diseños adaptados para su uso a bordo de los buques que tendían el cable, de forma que los movimientos propios del barco no prodqjeran en el espejo desplazamientos indeseados.
La disputa entre Thomson y Whitehouse tenía complicada solución, porque mientras que el primero estaba en el extremo europeo del cable, el segundo se hallaba en el americano, y ambos se comunicaban (por así decirlo) por el propio cable. Whitehouse impuso en un principio su criterio como electricista jefe del proyecto, pero Thomson estaba en lo cierto: los altos voltajes deterioraban el aislamiento del cable. Como resultado, la intensidad de la señal a la recepción empeoraba y, para solucionarlo, se aumentaba más el voltaje. Finalmente, y a la vista de los resultados, se empezó a utilizar el galvanómetro de espejo, pero el daño ya estaba hecho. Tras unos días de utilización, el cable dejó de funcionar y las críticas llovieron sobre la propia compañía por haber contratado a Whitehouse, que en realidad era un médico jubilado y electricista autodidacta, sin cualificación profesional contrastada.
Field tardó bastante en volver a organizar una nueva tentativa. En 1864 pudo conseguir más fondos y creó una nueva empresa, la Telegraph Construction and Maintenance Company, que se encargó de fabricar el cable y hacer su tendido, para lo que contó con el concurso del buque Great Eastem.
El código MorseSamuel Finley Breese Morse nació en Boston (Estados Unidos) el 27 de abril de 1791 y murió en Nueva York el 2 de abril de 1872. Fue un inventor y pintor que contribuyó decisivamente a la invención
y construcción del telégrafo. Alfred Vail y el propio Morse desarrollaron un lenguaje codificado pensado para enviar mensajes a través del telégrafo. El código resultante recibió el nombre de código Morse y en él las letras y los números están representados por secuencias de puntos y rayas que correspondían a sonidos de una cierta duración: el punto tenía una duración mínima mientras que la raya tenía una duración triple que la del punto. Entre símbolos de una misma letra (o número) se establece una separación de duración igual a la del punto; entre letras de una misma palabra, la separación tiene una duración igual a la de tres puntos, y entre palabras la separación es equivalente a cinco puntos. Evidentemente, las formas de codificar puntos y rayas pueden ser otras y, como ya se comentó anteriormente, en el caso del cable transatlántico, puntos y rayas correspondían a corrientes con signo cambiado. Con la entrada en funcionamiento de los radiotransmisores, el código Morse entró en desuso y hoy día es muy poco utilizado. Morse intentó instalar líneas telegráficas en su país pero no fue hasta 1844 cuando consiguió el permiso del Congreso para tender la primera línea que unió Baltimore y Washington. El primer mensaje se envió el día 1 de mayo de aquel año.
A pesar de que la experiencia de otros tendidos más cortos, que se habían llevado a cabo en el Mediterráneo y en el Mar Rojo tras el anterior intento fallido, había permitido significativas mejoras en la construcción del cable, nuevamente se prodiyo una rotura, esta vez después de haber recorrido casi 2000 km. El intento había empezado el 15 de julio de 1865.
Pero Field no cejó en su empeño. Creó entonces la Anglo- American Telegraph Company e inició otra prueba el 13 de julio de 1866, de nuevo con el soporte del Great Eastem. El 27 del mismo mes su equipo alcanzó la costa canadiense y al día siguiente comprobó que el cable estaba operativo. El 9 de agosto el barco se hizo de nuevo a la mar con el objetivo de encontrar el cable perdido el año anterior y completarlo con un cable nuevo. El 7 de septiembre la hazaña fue culminada El nuevo cable estuvo operativo seis años y el restaurado, doce.
Tras el primer fiasco de 1858, el papel de Thomson en el proyecto creció notablemente. El éxito final se debió en buena parte a la aplicación de su método científico al problema práctico del cable. Una primera cuestión que el científico puso de manifiesto fue la necesidad de establecer un riguroso control en su fabricación. En los primeros intentos, dos empresas distintas fueron encargadas de producir el cable en piezas de dos millas de longitud, sin especificaciones detalladas, y cada empresa realizó el trenzado de los hilos de cobre que formaban el cable en direcciones contrarias, dificultando enormemente los empalmes.
Thomson fue también muy cuidadoso con el tema de la pureza y la regularidad del cobre utilizado. Analizó, por ejemplo, la conductividad del cable de 1857 y encontró deficiencias notables en algunas porciones del mismo. En junio de 1857 presentó a la Royal Society un artículo titulado «Sobre la conductividad eléctrica del cobre comercial» en el que daba cuenta de sus concienzudas comparaciones realizadas con numerosas muestras. Así, consiguió que ya que en los contratos de fabricación del cable de 1858 se especificara no solo el peso y el calibre de los hilos, sino también su composición química, su conductividad eléctrica y la necesidad de control en fábrica Era la primera vez que este tipo de lenguaje se utilizaba en un contrato de fabricación. También diseñó los dispositivos de control necesarios y consiguió que prácticamente cada centímetro de cable fuera controlado en origen, rechazando aquellas secciones que no cumplían las especificaciones. Thomson, una vez más pionero, estableció entonces las bases de lo que hoy se denomina control de calidad.
Además, los problemas que durante este tiempo abordó Thomson no se circunscribieron al ámbito de la electricidad. En 1857 desarrolló un modelo del procedimiento de suelta del cable por encima de la popa del barco, lo que le permitió escribir las ecuaciones diferenciales que involucraban las fuerzas puestas en juego y, conociendo la velocidad del barco y el rango de ángulos del cable al entrar en el agua, pudo determinar la causa de la rotura, que resultó estar en la tensión que el sistema de frenado del cable producía en el mismo. Gracias a sus cálculos se rediseñó la maquinaria de suelta del cable y se ajustaron los detalles de las operaciones correspondientes.
El continuo control puesto en marcha también permitió encontrar resultados novedosos respecto al comportamiento del cable. Así, en el certificado que firmaron los encargados del proyecto en 1865 se mencionaba lo siguiente:
El aislamiento del cable mejora muchísimo tras su inmersión en las aguas profundas y frías del Atlántico y por tanto su poder conductor se incrementa considerablemente. [...] El cable de 1865 está más de cien veces mejor aislado que el de 1858. [...] Las pruebas eléctricas pueden llevarse a cabo con una precisión tan certera que permite a los electricistas descubrir la existencia de un error inmediatamente después de que se produzca y determinar muy rápidamente su posición en el cable.
Thomson y la telegrafía
El trabajo que Thomson desarrolló en el proyecto del tendido del cable telegráfico transatlántico fue ímprobo. Y es de destacar que no recibió ningún emolumento a cambio. Este hecho hace aún más sorprendente su dedicación a este proyecto durante todos esos años, máxime si tenemos en cuenta su formación e intereses previos, fundamentalmente científicos y mayormente teóricos. Su padre y, sobre todo, su hermano James se habían mostrado mucho más interesados por las cuestiones prácticas. Von Helrn- holtz conoció a James en una visita que hizo a Glasgow en 1863 y contó de él que:
Es un tipo equilibrado, lleno de buenas ideas, pero no se preocupa de otra cosa que no sea la ingeniería y está con ello sin cesar todo el día y toda la noche, de manera que no es posible hacer otra cosa cuando él está presente. Es realmente cómico ver cómo los dos hermanos se hablan el uno al otro, ninguno escucha, y no paran de hablar cada uno de diferentes asuntos. Pero el ingeniero es el más terco y al final siempre acaban discutiendo de sus temas.
Como muchas veces ocurre, las razones que llevaron a Thomson a involucrarse en los problemas de la telegrafía fueron un tanto casuales. Bien es verdad que se trataba de una tecnología basada en una disciplina científica, la electricidad, en la que él era un experto, y que seguramente las razones básicas de la propagación de las señales a través de los hilos metálicos y su comportamiento en los aislantes le habrían interesado desde un punto de vista científico. Pero solo los problemas suscitados por los cables submarinos hicieron que la cuestión acabara en sus manos.
A diferencia de lo que ocurría con los cables terrestres, en los que las señales producidas en un extremo del cable llegaban sin deformaciones aparentes al otro extremo casi instantáneamente, en el caso de los cables submarinos las señales eran recibidas con muchas dificultades, y resultaban distorsionadas hasta tal punto que muchas veces era difícil discernir si realmente se había recibido algo o no. Además, en 1823, el meteorólogo e inventor inglés Francis Ronalds había observado que en los cables enterrados las señales sufrían retrasos significativos en la transmisión, im efecto que en los cables submarinos era mucho más acusado.
En 1853 el astrónomo y matemático inglés George B. Airy, a la sazón astrónomo real y director del observatorio de Greenwich (Inglaterra), trataba de establecer una línea telegráfica con un observatorio en París con el fin de sincronizar las observaciones realizadas simultáneamente desde ambos lugares. El retraso de las señales resultaba para él un problema y consultó al ingeniero eléctrico inglés Josiah L. Clark, que comparó el comportamiento de un cable de unos 150 m de longitud, arrollado y sumergido en una piscina, con el de un cable de unos 2 km dispuesto formando un círculo sobre un terreno abierto. El retraso y la pérdida de claridad de la señal resultaron evidentes en el primer cable y así se lo hizo notar a Faraday, presente en una de sus pruebas.
Siguiendo como siempre su prodigiosa intuición, Faraday dio una explicación cualitativa, que publicó posteriormente en el Phi- losophical Magazine. Cualquier señal eléctrica que se transmite por un cable crea una «perturbación eléctrica» en su entorno. Si el cable está rodeado de aire seco, no ocurre nada relevante. Pero el agua tiene una conductividad eléctrica que no es despreciable, con seguridad mucho mayor que la del aire seco, y, por tanto, cuando el cable está sumergido aparecen corrientes eléctricas locales inducidas que actúan como freno de la señal original. En su artículo, Faraday, como también era usual en él, no hacía ningún cálculo concreto, limitándose a relatar su visión del problema.
La publicación de Faraday interesó, no obstante, a William R. Hamilton, que en la reunión de la Asociación Británica para el Avance de la Ciencia de 1854, celebrada en Liverpool, se dirigió a Thomson para hacerle una consulta al respecto. Thomson sugirió a Hamilton que se dirigiera a Stokes, cosa que hizo, pero este no se sintió capacitado para resolver la cuestión, y le trasladó de nuevo el problema a Thomson, el cual obtuvo finalmente las ecuaciones fundamentales de la telegrafía. Y lo hizo exclusivamente para satisfacer su innata curiosidad hacia un problema de física. En la primera de las cartas que intercambió con Stokes y tras un breve preámbulo («Al releer tu carta esta mañana para responderla, he encontrado que todo debe calcularse definitivamente como sigue») desarrolló todo el formalismo necesario para analizar la transmisión de señales eléctricas en cables submarinos aislados.
En diciembre de ese año, Thomson escribió a Stokes pidiéndole que no hiciera públicos los resultados que le había descrito, ya que había hecho una solicitud de patente junto con Rankine y John Thomson (hermano de William Thomson, el profesor de Práctica de la Medicina de la Universidad de Glasgow). Sin embargo, su desconocimiento de las cuestiones relativas a la propiedad industrial e intelectual era total. Así, en una carta a su hermano James le decía:
[Rankine] ha sugerido el plan de tomar una patente, algo de lo que yo no tenía ni idea antes. Espero que en unos días esté garantizada para nosotros: mientras tanto no cuentes nada de lo que te he dicho sobre el tema No estoy muy ilusionado en poder hacer algo con ello, pero es posible que pueda ser productivo.
De repente, como aún hoy día ocurre con muchos científicos que se introducen en campos aplicados, Thomson descubrió las reglas que rigen en el ámbito industrial, muy diferentes de las «inocentes» normas científicas.

Thomson posa junto a su brújula en una fotografía tomada hacia 1900.
Pero el interés de Thomson por los aspectos tecnológicos y aplicados de la física no era completamente nuevo. En este sentido, tuvo un papel fundamental el laboratorio que había comenzado a construir nada más llegar a la Universidad de Glasgow en 1846.

Retrato de Cyrus W. Field, el impulsor del proyecto del cable telegráfico transatlántico.
Además de los objetivos principales del mismo —complementar la enseñanza teórica y producir nuevos datos experimentales necesarios para permitir el desarrollo de sus teorías y modelos—, el laboratorio permitió a Thomson diseñar nuevos dispositivos de medida, especialmente en el campo del electromagnetismo. En esa dirección, Thomson colaboró estrechamente con la firma James White Optician and Philosophical Instrument Makers, que había sido fundada en Glasgow en 1850 y que con el tiempo construyó y comercializó muchos de los aparatos diseñados por William.

Los componentes de la International Niagara Commission. Thomson aparece sentado en el centro.
El modelo que Thomson hizo del cable fue relativamente sencillo. El cable estaba formado por un hilo de cobre rodeado de un aislante y una protección impermeabilizante. Thomson supuso que todo ello era equivalente a la combinación de una resistencia y un condensador cuyas características específicas estaban determinadas por los detalles concretos del cable. En ese modelo, el comportamiento de las propiedades eléctricas del cable era simple: a mayor grosor del hilo de cobre, menor resistencia; cuanto más ancha la capa aislante, mayor capacidad del condensador equivalente. Este último era responsable de una acumulación de carga a medida que el pulso eléctrico viajaba por el cable que producía un alargamiento y una degradación del mismo. Thomson calculó el tiempo que tardaba la señal en llegar al otro extremo del cable y encontró que, para un valor fijo de resistencia y capacidad, ese tiempo aumentaba con el cuadrado de la longitud del cable. Este resultado parecía desalentador para el proyecto de un cable transatlántico, pero el propio Thomson se encargó de devolver la «esperanza» aduciendo que, a pesar de todo, con una señal suficientemente intensa, algo de paciencia por parte de los operadores y, evidentemente, con una tasa de recepción bastante baja, se podría lograr la comunicación.
Thomson publicó estos resultados en un artículo titulado «Sobre la teoría del telégrafo eléctrico», en el que, una vez más, puso de manifiesto una analogía con la teoría de Fourier: el pulso eléctrico transmitido era análogo al calor moviéndose a través de un sólido metálico. Esto supuso una satisfacción adicional para Thomson cuya «adicción» a las analogías entre problemas de diferentes ámbitos era proverbial.
Algunos experimentos confirmaron los cálculos de Thomson, como los realizados por dos ingenieros ingleses, Henry C.F. Jenkin y Cromwell F. Varley. Pero «la ley de los cuadrados», que así se dio en llamar la relación obtenida por Thomson, no fue aceptada unánimemente. En 1856, en la reunión de la Asociación Británica para el Avance de la Ciencia, Whitehouse presentó resultados que contradecían las conclusiones de Thomson. Basándose en irnos experimentos confusos y en hipótesis no contrastadas dedujo que el tiempo de transmisión debía ser proporcional a la longitud del cable (y no a su cuadrado) y, no sin un cierto envanecimiento, indicó:
Y ¿cuál es, podrían preguntarme, la conclusión general que puede establecerse como resultado de esta investigación de la ley de los cuadrados aplicada a los circuitos submarinos? Con toda honestidad, solo puedo verla como una ficción de los profesores, una adaptación forzada y violenta de un principio de la física, bueno y verdadero bajo otras circunstancias, pero aplicado erróneamente aquí.
A partir de esta presentación hubo un intercambio de réplicas entre Thomson y Whitehouse en la que cada uno defendió su posición. El primero puso de manifiesto las irregularidades en los experimentos del segundo; este argumentó que los cálculos de Thomson estaban hechos sobre la base de un modelo ideal. Independientemente de lo poco o mucho que Whitehouse entendiera del planteamiento de Thomson, no es menos cierto que el análisis de este no era, ¡no podía serlo!, completo. Pero su fe ciega en sus procedimientos ya la manifestó en una de sus notas en el debate con Whitehouse: «como cualquier teoría, es meramente una combinación de verdades establecidas». Evidentemente, esto no era una garantía de certeza absoluta. Un cable submarino era un objeto mucho más complejo que lo que el modelo era capaz de describir y, por otro lado, a la teoría electromagnética aún le quedaba un tiempo para ser completada. A pesar de todo, el anáfisis de Thomson tuvo dos virtudes. Una, de carácter general: la racionalización que suponía abordarlo desde un punto de vista científico. La otra, más pragmática: dar un explicación, muy preliminar bien es cierto, del comportamiento de los cables submarinos.
La historia concluyó como ya hemos narrado anteriormente. Algunas de las indicaciones y procedimientos sugeridos por Thomson fueron tenidos en cuenta en la construcción de los cables que finalmente permitieron la conexión. Y Thomson devino sir.
Otros logros e invenciones
Sin abandonar la telegrafía, Thomson desarrolló el denominado «registro de sifón» entre 1867 y 1870. El uso del galvanómetro de espejo había permitido la conexión a través del cable transatlántico, pero requería la continua observación del punto luminoso. Con el registro de sifón Thomson pretendía automatizar la recepción de los mensajes, que quedarían grabados en una cinta de papel continuo que iría saliendo del dispositivo en el momento en que estos llegaran. El segundo requisito que se impuso Thomson fue el de mantener la precisión del galvanómetro de espejo.

En el nuevo dispositivo, que se muestra esquemáticamente en la figura 3, los papeles de la bobina y del imán permanente estaban invertidos. La línea del cable llegaba a una bobina rectangular que podía girar alrededor de su eje mayor entre los polos de un potente electroimán. Los movimientos de la bobina a la recepción de la señal se transmitían a un tubo de sifón estrecho de vidrio que era alimentado por uno de sus lados mediante un depósito de tinta, mientras que por el otro se apoyaba en una pequeña mesa metálica sobre la que se desplazaba una cinta de papel. Entre la tinta y la mesa se mantenía una cierta diferencia de potencial. Cuando la señal llegaba, movía el sifón a izquierda y derecha de su posición de equilibrio y, simultáneamente, se proyectaban unas gotas de tinta sobre el papel, de manera que se dibujaba sobre este una fina línea Si no llegaba ninguna señal, el sifón dibujaba una línea recta El registro de sifón resultó un dispositivo mucho más económico y fiable que el galvanómetro de espejo y se utilizó continuamente en los cables submarinos. Además, algunas de las soluciones que incorporó sirvieron para mejorar otros aparatos de medida eléctricos. En 1874, y como colofón a todo el trabajo realizado en el ámbito de la telegrafía, Thomson fue elegido presidente de la Sociedad de Ingenieros de Telegrafía, de la que había sido miembro fundador y vicepresidente.
Otro de los resultados empíricos encontrados por Thomson tuvo bastante impacto en la construcción de electroimanes. William encontró la relación entre las dimensiones lineales del núcleo de hierro dulce, la longitud del hilo de cobre que se arrolla a su alrededor para formar el electroimán, la corriente con la que este se alimenta y la intensidad del campo magnético que produce. De esta forma fue posible fabricar electroimanes que producían intensidades de campo similares con núcleos de diferente tamaño, funcionando con la misma corriente. Indirectamente, Thomson había establecido los parámetros característicos de fabricación de los electroimanes.
«No puede haber una equivocación mayor que la de mirar con desdén las aplicaciones prácticas de la ciencia. La vida y el alma de la ciencia son su aplicación práctica.»
William Thomson.
Todavía en el campo de la electricidad, Thomson también desarrolló numerosos dispositivos y métodos para la medida de precisión de distintas propiedades. En 1867 inventó el electrómetro de cuadrante, que pernutía la medida absoluta del potencial electrostático y que en una determinada configuración podía utilizarse para medir la electricidad atmosférica. Diseñó la balanza de corriente, cuyo objetivo era determinar con precisión la unidad de corriente, el amperio. En agradecimiento a sus contribuciones para la estandarización eléctrica, la Comisión Electrotécnica Internacional lo eligió como su primer presidente en una reunión que tuvo lugar en Londres en junio de 1906.
También fueron destacables sus innovaciones en el ámbito marítimo. Después del fallecimiento de su esposa en 1870, adquirió un barco de 126 toneladas que bautizó con el nombre de Lalla Rookh. Esto incrementó la experiencia que había adquirido con motivo del tendido de cables. Entre otros dispositivos diseñó uno para el sondeo del fondo marino. Hasta entonces se había venido utilizando una plomada unida a una cuerda que se dejaba caer por la borda del barco hasta que la cuerda se «aflojaba» cuando la plomada chocaba contra el fondo. Thomson sustituyó la cuerda por un cable de acero y usó un manómetro para registrar- la presión y obtener indirectamente la profundidad. Este invento derivó en una máquina de sondeo, la Kelvite, que fue muy utilizada en su tiempo, siendo incluso adoptada por la Royal Navy. La Kelvite, incorporando pequeñas modificaciones, siguió fabricándose hasta 1960.
Además, sus trabajos a bordo con motivo del tendido de los cables submarinos habían incrementado su conocimiento de determinados detalles que posteriormente le plantearon problemas que fueron de su interés. Así, por ejemplo, sugirió que los faros, en lugar de emitir la luz con una cadencia constante emitieran con una pauta de tipo Morse, distintiva para cada uno de ellos, de manera que los marinos tuvieran una información adicional sobre su situación real. Insistió tanto como pudo ante las autoridades competentes y, pasado un tiempo, su propuesta empezó a ponerse en práctica.
Thomson se interesó también por las brújulas marinas, que empezó a estudiar alrededor de 1870 con el fin de escribir un artículo para una revista, Good Words, que editaba un amigo suyo. En 1874, y con motivo de su muerte, Thomson descubrió que Ar- chibald Smith estaba investigando las desviaciones que sufrían las brújulas que se utilizaban a bordo de barcos. Se conocían desde tiempo atrás los problemas que sobre el funcionamiento de las brújulas había introducido el hecho de que los barcos habían pasado de estar construidos en madera a incorporar, poco a poco, el hierro, hasta que este se convirtió en su componente principal. Esto producía dos efectos, imo debido al propio campo magnético que el hierro del barco pudiera tener, que era permanente y constante y que se denominó «efecto de magnetismo fuerte», y otro debido a la modificación del campo magnético terrestre debido a la posición del barco, que era variable y que se conocía como «efecto de magnetismo débil».
El analizador armónico de mareasA partir de 1860 Thomson se interesó en las características de las mareas, cuya predicción era una cuestión importante para el Almirantazgo británico, ya que sus buques estaban por doquier alrededor del mundo.
El analizador armónico de mareas desarrollado por William Thomson, expuesto en el Museo de la Ciencia de Londres.Así, se puso en marcha un proyecto para predecir las mareas bajo la dirección de Thomson, quien diseñó el denominado «analizador armónico de mareas». De nuevo aparecían los desarrollos en armónicos de Fourier y de nuevo la genialidad de Thomson se hacía patente. En palabras de David Lindley, autor de una biografía de Thomson: «Las matemáticas que [el problema] involucraba eran de otros, principalmente de Laplace en Francia y Airy en Inglaterra. El germen del mecanismo [de cálculo] venía de [su hermano] James Thomson.
Pero fue William Thomson el que combinó los elementos teóricos y prácticos, reformuló las matemáticas en una forma asequible, desarrolló la innovación de su hermano en un dispositivo de cálculo más general y produjo una máquina que hacía exactamente lo que se suponía que debía hacer, y de una manera que no requería experiencia del operador».
También se sabía que los vaivenes propios de la navegación, maximizados en caso de mal tiempo, o las sacudidas que sufría un barco de guerra debido al retroceso de los cañones, generaban disfunciones en las brújulas, ya que modificaban el magnetismo débil.
Airy estudió el problema y encontró una solución aceptable incluyendo en la brújula un par de imanes permanentes convenientemente orientados. Pero esa solución no era completamente satisfactoria, ya que sólo permitía corregir, y no completamente, el efecto del magnetismo fuerte. Más tarde, Smith desarrolló un procedimiento de corrección que incluía el efecto de magnetismo débil, pero era demasiado complejo, ya que requería que cada barco particular tomara una serie de medidas que luego él procesaba para producir unas tablas que incluían las correcciones específicas que el barco en cuestión debía tener en cuenta en su navegación. A pesar de todo, este complicado procedimiento se utilizó en la Armada británica durante muchos años.
Thomson se dio cuenta en su análisis de otro problema ligado a la dinámica de la aguja de la brújula, que tendía a girar sobre su eje largo alineándose con el eje del barco. Esto era un efecto puramente mecánico que se superponía a la alineación magnética, pero que podía dominar el movimiento de la aguja, sobre todo cuando se usaban agujas pesadas (algunos barcos las utilizaban pensando que su mayor peso las haría más estables, sin percatarse de que se producía el efecto contrario). Con el paso del tiempo los barcos fueron más grandes y las brújulas también, haciendo más acusado ese problema dinámico.
La solución de Thomson fue, una vez más, la obvia. En el problema intervenían elementos bien conocidos: el campo magnético terrestre, los magnetismos fuerte y débil del buque, los elementos magnetizados y la dinámica Y Thomson buscó una solución que no requiriera de marinos con experiencia en disciplinas como la física o las matemáticas. Realizó un diseño en el que los elementos eran ligeros, para evitar los efectos dinámicos, lo que además facilitaba el proceso de compensación de los efectos debidos al hierro usado en la construcción del barco.
Sin embargo, su brújula no fue muy apreciada. Ni Airy ni los jefes del Almirantazgo entendieron las mejoras que suponía respecto de la que entonces se usaba oficialmente en los buques de la Armada británica. A pesar de todo, Thomson consiguió introducir su diseño en algunos barcos y, poco a poco, fue teniendo informes favorables y modificando algunos elementos a partir de las observaciones que le fueron haciendo los usuarios. Hacia 1880, la brújula de Thomson empezó a utilizarse en barcos comerciales.
El trabajo aplicado que desarrolló Thomson en estos años influyó seguramente en su abandono de temas más ligados a la ciencia básica. Von Helmholtz, lo visitó en 1884 y al respecto escribió:
Tengo la impresión de que sir William puede hacer mejores cosas que aplicar su eminente sagacidad a proyectos industriales; sus instrumentos me parecen demasiado sutiles para ponerlos en manos de trabajadores y oficiales no instruidos. . j ÉL está simultáneamente resolviendo profundos problemas teóricos en su mente, pero no tiene tiempo libre para trabajar sobre ellos con tranquilidad.
Sin embargo, una nueva etapa en su prolífica vida científica estaba por abrirse.
Capítulo 4
La visión mecanicista
En sus últimos años de vida Thomson trató de mantener su visión mecanicista de los procesos físicos. Sin embargo, la nueva física que empezaba a emerger era completamente contraria a su percepción de la realidad y a sus propias experiencias. Ello le condujo a una situación un tanto marginal y, sobre todo, llena de escepticismo, en claro contraste con la actitud abierta y la posición preponderante que caracterizaron los primeros años de su carrera.
Tras el éxito del tendido del cable transatlántico entre Irlanda y Canadá, Thomson participó en el proyecto del cable francés en 1869, que unió la cala de Petit Minou, cerca de Brest (Francia), con Saint-Pierre et Miquelon, en Terranova (Canadá), y que más tarde fue extendido hasta Duxbury, en Massachusetts (Estados Unidos). Por otra parte, en 1873 él y Henry C. F. Jenkin ejercieron como ingenieros para la Western & Brazilian Telegraph Company, empresa encargada del cable entre Río de Janeiro y Pará (hoy Belém), en Brasil. Cuando estaba a bordo del Hooper con destino a Brasil, se detectó un fallo en el cable y se hizo una escala en Madeira con el objeto de repararlo. Allí conoció a un empresario propietario de unas bodegas, Charles R. Blandy. Thomson y Jenkin enseñaron el código Morse a las dos hijas mayores de Blandy, que practicaban haciendo señales con una lámpara desde su casa al barco anclado en el puerto.
Sir William volvió a Madeira al año siguiente con el Lalla Rookh. Cuenta la leyenda que desde el barco envió un mensaje hacia la casa de los Blandy: «¿Quieres casarte conmigo?». Al que siguió una respuesta: «Sí». Cierto o no, el hecho es que Thomson y Francés Anna, la segunda hija de Blandy, se casaron el 24 de junio de 1874 en la capilla del consulado británico de Madeira. Thomson cumplió cincuenta años dos días después. Fanny, que era el nombre por el que todos conocían a Francés Anna, tenía treinta y seis. Pasaron juntos el resto de la vida de Thomson. Fanny murió en 1916, nueve años después del fallecimiento de William.
Una vez en el Reino Unido la pareja se hizo construir una casa en Neterhall, cerca de Largs, a unos 50 km de Glasgow. Fue una de las primeras viviendas en Gran Bretaña que contó con iluminación eléctrica, la cual primero fue alimentada por baterías y, más tarde, por generadores que usaban el gas doméstico. Thomson también instaló en su casa un laboratorio, su tercer laboratorio, ya que el Lalla Rookh contaba con un espacio dedicado a la experimentación. De alguna manera, su vida dio un vuelco respecto de la situación previa al fallecimiento de su primera esposa. Fanny era una persona muy activa y siempre dispuesta a ayudar a su esposo en la parte social de sus actividades, un terreno en el que Thomson no era especialmente hábil.
Un tratado pionero
Alrededor de 1860, Thomson empezó a escribir un libro de texto sobre filosofía natural. La tarea la llevó a cabo en colaboración con su amigo Peter G. Tait (1831-1901), un físico matemático escocés que acababa de suceder a Forbes en la cátedra de Edimburgo. Thomson y Tait pretendían escribir im tratado en el que, partiendo de la idea de energía, se abordaran los problemas de las distintas ramas de la física atendiendo a las leyes de conservación. Además, un objetivo básico era que el texto fuera útil para los estudiantes, de manera que no se limitara a la solución de ejercicios usuales, sino que les permitiera abordar problemas complejos relacionados con los desarrollos industriales (por ejemplo, máquinas de vapor, cables telegráficos, etc.). Un tratado como ese era absolutamente novedoso. Tait escribió a Thomson en 1861:
Creo que podemos hacer, en tres volúmenes medianos, un curso de Física Experimental y Matemática de largo más completo que los que existen (por lo que conozco) en francés o alemán. Porque en inglés no hay ninguno.
Enseguida surgieron los temas a tratar: cinemática y dinámica, hidrostática e hidrodinámica, propiedades de la materia, sonido, luz, calor, electricidad y magnetismo. Es decir, lo que hoy día se conoce como «física clásica». Thomson y Tait fueron los primeros en plantearse unir todas esas piezas del conocimiento en una única disciplina.
«El proyecto de escribir un libro de texto sobre filosofía natural es encomiable, pero será sumamente tedioso. Al mismo tiempo, espero que pueda sugerirle ideas para trabajos más valiosos.
Escribiendo un libro como ese es como uno aprecia mejor las lagunas que todavía quedan en ciencia.»
Hermann Von Helmholtz, carta dirigida a Thomson en 1862.
Tait sufrió con la aventura más de lo que quizá pudo suponer al inicio de la misma. Thomson, ocupado en mil y una cuestiones, prestaba atención al libro muy de tarde en tarde y mantenía a Tait en un estado de desesperación continuo. «Distribuyámonos el trabajo y pongámonos a ello. Una media de tres o cuatro (o menos) horas por día nos dará el libro en seis semanas», le escribió Tait en 1861. «Te enviaré enseguida los títulos revisados de manera que puedas ver si corresponden a tus ideas, que confieso he podido averiguar vagamente de tus notas», fue otro de sus mensajes a principios de 1862. «Desearía que me devolvieras mi esbozo del capítulo sobre las propiedades de la materia con tus correcciones etc., y tan pronto como esté consistente lo tendré escrito con cuidado y completitud», le urgió después de pasado un cierto tiempo sin ninguna noticia de parte de Thomson. En junio de 1864, su paciencia empezaba a agotarse:
Me gustaría que siguieras adelante. Me está poniendo bastante enfermo el gran libro. [...] Si solo me envías fragmentos y ello raramente, ¿qué puedo hacer? ¡No me has enviado ni un indicio siquiera sobre lo que quieres hacer en nuestro capítulo sobre la estática de líquidos y gases! Ahora todo es muy deplorable: te anuncio que hiciste dos veces más durante el invierno de lo que estás haciendo ahora. Te envié un montón de páginas para revisar hace ya diez días, pero no has dado noticia alguna al respecto. Propusiste ciertos problemas absurdos que no podía molestarme en resolver.
Tait trató, sin éxito, año tras año, de tener una primera versión del libro dispuesta para los estudiantes del curso que se iniciaba. Pero no fue el único que fracasó en circunstancias similares. Su amigo Stokes en cierta ocasión se dirigió a Thomson diciéndole: «Eres un amigo terrible y debería escribirte una reprimenda. El volumen de Phil[osophical] Tran[sactions] debería haber salido el 30 de noviembre y ahí tenemos tu artículo pendiente desde hace un mes». Invariablemente, a Thomson estas situaciones le parecían divertidas para mayor enojo de sus colaboradores.
Aunque el fondo de las cuestiones que en él se trataban era obra de Thomson, el primer volumen del Tratado fue editado en 1867 debido, casi exclusivamente, al empeño y esfuerzo de Tait, y su publicación tuvo bastante éxito. El propio Von Helmholtz se encargó de que se editara una traducción en alemán inmediatamente después de aparecer la versión original inglesa. Sin embargo, el segundo volumen no se publicó hasta 1874: como Von Helmholtz había vaticinado, aparecieron muchas carencias en determinados temas, especialmente en el de la elasticidad, y fueron necesarios nuevos desarrollos matemáticos antes de poder solucionarlas.
La importancia del Tratado puede apreciarse en las palabras de Maxwell:
El reconocimiento de romper el monopolio de los grandes maestros de la magia y hacer que sus hechizos sean familiares a nuestros oídos como palabras domésticas, se debe en gran medida a Thomson y Tait. Los dos magos del norte fueron los primeros que, sin angustia o temor, pronunciaron en su lengua madre los nombres verdaderos y adecuados de los conceptos dinámicos que los magos de la antigüedad estaban habituados a invocar solo con la ayuda de símbolos mascullados y ecuaciones mal expresadas.
A pesar de la actitud de Thomson respecto del Tratado, en algunos momentos rayana en la desidia, el científico siempre estuvo interesado en formalizar conceptos y organizados de manera estructurada, dando al conjunto una consistencia que pocas obras, salvo aquellas dedicadas a temas muy específicos y concretos, habían conseguido en su época. Ya en 1856, con motivo de pronunciar una conferencia (la Bakerian Lee ture), había articulado el conocimiento existente sobre las cualidades electrodinámicas de los metales.
El «tratado de Filosofia Natural»El prefacio del primer volumen del Tratado de Thomson y Tait está encabezado por una sentencia de Fourier: «Las causas primordiales no nos son conocidas; pero están sujetas a leyes sencillas y constantes que pueden describirse mediante la observación y cuyo estudio es el objeto de la filosofía natural». Y, a continuación, los autores indican:
El término filosofía natural fue utilizado por Newton y aún se usa en las universidades británicas para referirse a la investigación de las leyes del mundo material y a la deducción de los resultados no observados directamente. [...] Nuestro objetivo es doble: dar cuenta de manera bastante completa de lo que se conoce en filosofía natural, en un lenguaje adaptado al lector no matemático; y proporcionar, a aquellos que tienen el privilegio que confieren los conocimientos de alta matemática, una descripción conexa de los procesos analíticos mediante los que la mayor parte de ese conocimiento se ha extendido a regiones aún no exploradas experimentalmente. [...] Un objeto que hemos tenido en cuenta constantemente es el gran principio de la conservación de energía. De acuerdo con los modernos resultados experimentales, en particular los de Joule, la energía es tan real y tan indestructible como la materia. [...] En nuestro capitulo introductorio sobre cinemática, la consideración del movimiento armónico conduce de forma natural al teorema de Fourier, uno de los más importantes de todos los resultados analíticos a la vista de su utilidad en la ciencia física. [...] En el segundo capítulo damos las leyes del movimiento de Newton en sus propias palabras, y con algunos de sus propios comentarios —todo intento que se ha hecho hasta ahora para sustituirlos ha terminado en un error total—. Quizá nada tan simple, y al mismo tiempo tan completo, se ha dado nunca como base de un sistema en cualquiera de las ciencias. [...] El tercer capítulo, «Experiencia», trata brevemente de la observación y el experimento como la base de la filosofía natural.Thomson y Tait anuncian que el segundo volumen incluiría la dinámica cinética y, probablemente, también una parte dedicada a las propiedades de la materia; incluso hablan de otros dos volúmenes adicionales, aunque estos no fueron publicados. El segundo volumen apareció en 1874.
Portada de una edición de 1879 del Tratado de filosofía natural.
La Bakerian Lecture era (y lo sigue siendo en la actualidad) un reconocimiento de la Royal Society al trabajo de un científico y se imparte anualmente; fue instituida por el naturalista inglés Henry Baker en 1775 y Faraday, Maxwell o lord Rayleigh, por citar algunos nombres, la impartieron alguna vez.
El condensador de goteoEl condensador de goteo fue Inventado por Thomson en 1867. El principio de operación es muy sencillo e imaginativo. El dispositivo consta de dos elementos similares dispuestos como se muestra en la figura. Como vemos, cada uno de ellos consta de una vasija metálica que va acumulando agua que cae desde un depósito a través de un gotero que atraviesa una tapa metálica. Esta y la vasija se encuentran separadas a una
cierta distancia. Los dos elementos se disponen de manera que se interconectan eléctricamente de manera que la vasija de uno de ellos está conectada con la tapa del otro y viceversa. En general, en el agua existen muchos iones y es plausible pensar que una gota pueda llevar una cierta cantidad de carga (positiva o negativa). Supongamos que la vasija A tiene inicialmente una mínima carga negativa. Esa carga se transmitirá a la tapa B de manera que las gotas que caigan a través de ellas portarán, preferentemente, iones con carga positiva que serán atraídos a ese gotero por la carga negativa de la tapa B. Cuando la gota caiga a la vasija A, incrementará la carga positiva de esta que se transmitirá a la tapa A. Esa tapa dejará pasar gotas de agua que tendrán iones negativos que, al caer a la vasija A, aumentarán su carga negativa. Evidentemente, cuando se alcanza una cantidad de carga dada, pueden empezar a ocurrir fenómenos no deseados. Por ejemplo, se puede producir un arco voltaico entre ambas vasijas. También, las gotas que van cayendo pueden empezar a ser repelidas por la propia vasija (ya que tienen carga del mismo signo). También puede ocurrir que las gotas sean suficientemente atraídas por las propias tapas (ya que tienen carga de distinto signo) llegando a depositarse en ellas y disminuyendo su carga.
En 1859 Thomson también colaboró en la Ciclopaedia of the Physical Sciences que escribió su antiguo profesor (y después compañero en Glasgow) Nichol, revisando distintas partes de la obra y escribiendo sobre electricidad atmosférica Este era un tema que en aquel momento Thomson estaba investigando y que resultó productivo, ya que le permitió, entre otras cosas, determinar las diferencias de potencial que eran necesarias para producir chispas en función del espesor de aire entre dos electrodos y, en 1867, inventar un curioso dispositivo que denominó «condensador de goteo de agua». En 1879 Thomson también contribuyó a la Enciclopedia Británica con detallados artículos sobre elasticidad y calor.
En 1883, Thomson recibió de la Royal Society la medalla Co- pley, por su descubrimiento de la ley de la disipación universal de la energía y por sus investigaciones y eminentes servicios en física, experimental y matemática, especialmente en las teorías de la electricidad y la termodinámica.
Las conferencias de Baltimore
Donde se pusieron de manifiesto todas las virtudes y defectos de Thomson fue en las renombradas Baltimore Lectures («Conferencias de Baltimore») que impartió en 1884 en la Universidad John Hopkins de la ciudad norteamericana, después de haber asistido al congreso de la Asociación Británica para el Avance de la Ciencia que se celebró en Montreal (Canadá). En el prefacio de la reedición de las conferencias, que el propio Thomson redactó en 1904, decía:
Habiendo sido invitado por el rector Gilman para impartir un curso de conferencias sobre un tema de ciencia física a mi elección, acepté la invitación gustosamente. Escogí como tema la teoría ondulatoria de la luz con la intención de acentuar sus fallos, más que para describir a los jóvenes estudiantes el éxito admirable con que esta bella teoría ha explicado todo lo que se conocía sobre la luz antes del tiempo de Fresnel y Thomas Young, y que ha producido riadas de nuevo conocimiento enriqueciendo espléndidamente el dominio completo de la ciencia física.
Era su segunda visita a Estados Unidos. En 1876 había asistido como jurado en la sección de instrumentación técnica de la Exposición del Centenario en Filadelfia, donde pudo conocer a un joven Thomas A. Edison (1847-1931), que presentó un receptor telegráfico automático. En aquella ocasión también pudo experimentar con otro dispositivo de comunicación a distancia, el teléfono, que el científico británico Alexander G. Bell (1847-1922) acababa de patentar allí, pero que había inventado en 1860 el italiano Antonio S.G. Meucci (1808-1889).
El espectro electromagnéticoLa radiación electromagnética engloba un numeroso conjunto de radiado nes que comparten una propiedad: se propagan en el vacío con la velocidad c = 299.792,458 km/s. Abarca desde las ondas de radiofrecuencia hasta la radiación gamma (característica de determinados procesos nucleares), pasando por la radiación infrarroja, la luz visible, !a radiación ultravioleta y los rayos X. Lo que caracteriza a cada radiación es su energía, E, representada en unidades de electrón-voltio en el eje más a la izquierda de la tabla adjunta (1 eV = 1,60217646 ×10-19 J), La radiación con energía superior a unos 102 eV se denomina radiación ionizante, la cual se utiliza, entre otras cosas, en radioterapia y radiodiagnóstico. Como cualquier otra onda, las electromagnéticas tienen otras dos propiedades relacionadas con la energía. Una es la frecuencia, ϑ = E/h, donde h, cuyo valor es 6,62606896×10-34 J∙s. es la constante de Planck. Ello da idea del número de oscilaciones por segundo de la onda. Los valores de la frecuencia en Hz se muestran en el eje central de la tabla. La otra propiedad es la longitud de onda, que es la distancia que hay entre dos máximos consecutivos de la onda, y que vale λ = hc/E, donde c es la velocidad de la luz en el vacío. Los valores que puede tomar para la radiación electromagnética se muestran en metros en el eje derecho. Como vemos, la luz visible solo ocupa una pequeña porción del espectro electromagnético, aproximadamente entre 0,38 fim, que corresponde al violeta, y 0,78 um, que corresponde al rojo.
A partir del 1 de octubre, y con el título genérico de Sobre la dinámica molecular y la teoría ondulatoria de la luz, Thomson pronunció veinte conferencias. Como le ocurría en sus clases universitarias, no había preparado detalladamente sus charlas, sino que las desarrolló en forma de discusión con la audiencia, planteando problemas de diversa índole. Lord Rayleigh, presente en algunas de las charlas, se maravillaba de la capacidad de Thomson:
«¡Qué extraordinaria actuación fue aquella! A menudo descubría que la clase de la mañana estaba basada en cuestiones que habían surgido cuando hablábamos en el desayuno».
Como indicó en el prefacio, su intención era poner de manifiesto los errores de la teoría ondulatoria de la luz, que no era otra que la que Maxwell había introducido veinte años atrás y que aún no contaba con una aceptación generalizada.
Las líneas espectralesUn espectrómetro óptico o espectroscopio es un aparato que permite estudiar la radiación electromagnética. En el caso de la luz visible, los espectroscopios se construyen mediante un prisma óptico o una red de difracción, dos elementos ópticos que permiten separar las distintas longitudes de onda de la luz que incide sobre el aparato. Como vemos en la figura adjunta, cuando un haz de luz blanca incide sobre un prisma, cada color se refracta siguiendo un ángulo diferente, quedando separados a la salida del prisma. En 1814 Von Fraunhofer estudió la luz proveniente del Sol con uno de estos dispositivos y encontró que, sobre un fondo con los colores correspondientes, aparecían una serie de líneas negras. Posteriormente, analizó la luz procedente de llamas y observó que ocurría lo contrario: sobre un fondo oscuro aparecían líneas de colores iluminadas.
El progreso de las investigaciones
Durante el siglo XIX se acumuló mucha información espectroscópica que era difícil de explicar con los modelos existentes para describir la materia. En 1885 el matemático y físico suizo Johann Jakob Balmer (1825-1898) encontró una fórmula empírica que seguíalas longitudes de onda de las líneas del espectro visible del hidrógeno. En 1888 el físico sueco Johannes Robert Rydberg (1854-1919) sugirió una expresión más general que permitió predecir las longitudes de onda de las líneas espectrales de muchos elementos químicos, tanto en el visible como en el infrarrojo y el ultravioleta. La explicación definitiva llegó con los modelos atómicos mecano-cuánticos que señalaron cómo la emisión y la absorción de radiación electromagnética por los átomos y moléculas de un material se deben a que algunos de sus electrones sufren transiciones entre niveles de energía cuánticos. Von Fraunhofer había pues observado los dos tipos de espectros: el de absorción y el de emisión.
En el caso del espectro solar, la luz generada en el interior del Sol atravesaba primero las capas exteriores de la propia estrella y, posteriormente, la atmósfera terrestre, antes de llegar al espectroscopio. Los materiales de esas capas absorbían radiación con las energías características de sus átomos y moléculas y, como consecuencia, aparecían las líneas negras en el espectro. En el caso de las llamas, el material que se quemaba solo emitía la radiación electromagnética con las energías concretas correspondientes a ese material y de ahí las líneas luminosas de color sobre el fondo oscuro.
La principal objeción de Thomson estaba relacionada con la propia abstracción de las conclusiones de Maxwell, que en ningún momento hacía descripción alguna sobre las cuestiones que para aquel eran relevantes: ¿qué es la luz?, ¿qué son los campos eléctricos y magnéticos?, ¿cómo se propagan en el vacío?, ¿de qué está hecho ese medio que se denomina vacío?
Thomson apreciaba, no obstante, un resultado de la teoría de Maxwell: las velocidades de propagación de la radiación electromagnética y de la luz coincidían en el vacío. Esa velocidad se obtenía a partir de dos constantes de la teoría: la permitividad y la permeabilidad del espacio libre. Pero la interacción con la materia generaba nuevos problemas: ¿por qué hay materiales conductores, dieléctricos y aislantes?, ¿por qué los materiales responden de manera distinta a un campo magnético?, ¿qué ocurre dentro del material cuando un campo electromagnético actúa sobre él? Maxwell no podía responder a esas preguntas, pero podía explicar muchos resultados experimentales: solo necesitaba qjustar las dos constantes para caracterizar cada medio material, tener en cuenta las funciones matemáticas que describían los campos y las relaciones existentes entre ellos, y usar sus ecuaciones.
La teoría de Maxwell tampoco tenía respuesta para los datos que se habían ido acumulando desde que la espectroscopia había iniciado su andadura a principios de siglo. En 1814, Joseph von Fraunhofer (1787-1826), un óptico alemán, había construido un espectroscopio rudimentario que le permitió descubrir que la luz proveniente del Sol presentaba un espectro en el que aparecían líneas oscuras a distintas longitudes de onda. Los mecanismos que conducían a la presencia de esas líneas eran desconocidos para Maxwell.
Pero junto a la actitud de Thomson en sus charlas, fomentadora de la discusión científica en aras de encontrar soluciones a los dilemas enunciados, y que casi todos los asistentes apreciaron enormemente, muy a menudo les presentaba combinaciones estrafalarias de distintos elementos (cables de acero, péndulos, listones de madera con pesos en sus extremos, volantes, barras, muelles, etc.), todos ellos con comportamientos individuales bien conocidos pero que daban lugar, juntos, a un sinfín de estados de movimiento, muchas veces difíciles de calcular. Su objetivo era el mismo de siempre: encontrar un modelo mecánico que mi- metizara el proceso físico que trataba de analizar. En el caso que nos ocupa, esas curiosas construcciones trataban de representar la estructura de la materia, las moléculas, y su interacción con la luz. Como la variedad de situaciones que podían presentarse en cualquiera de sus modelos era enorme, cualquier comportamiento del sistema físico analizado podía ser asimilado a alguna de ellas. Y si en algún caso no era posible hacerlo, solo era necesario añadir más elementos, hacer más compleja la «máquina», extender las posibilidades de movimiento. En definitiva, se hacía patente la obsesiva visión mecanicista del universo propia de Thomson.
El éter se desvanece
El segundo objetivo de sus charlas en Baltimore era discutir la propagación de la luz en el éter. En el prefacio de la edición de 1904 Thomson decía:
Mi audiencia estaba formada por profesores de ciencia física; y desde el principio sentí que nuestras reuniones iban a ser conferencias entre colegas, intentando avanzar en ciencia, más que ofrecer mis propias enseñanzas a mis camaradas. Hablé con absoluta libertad y no tuve jamás el más mínimo temor en socavar su perfecta fe en el éter y sus ondas lumínicas: pude hablarles de la imperfección de nuestras matemáticas; de la insuficiencia o imperfección de nuestra visión en relación a las cualidades dinámicas del éter; y de la abrumadora dificultad de encontrar un campo de acción para el éter entre los átomos de materia ponderable. Todos sentíamos que las dificultades deben afrontarse y no evadirse de ellas; deben tenerse en cuenta con el deseo de resolverlas si ello es posible, pero en todos los casos con cierta seguridad de que hay una explicación de cada dificultad, aunque pueda que no consigamos encontrarla nunca.
Como ya se sabía bien entonces, las ondas sonoras eran ondas mecánicas que requerían un medio material elástico para transmitirse. Cuando nos hablamos ese medio es el aire; cuando acercamos el oído a un raü de una vía de ferrocarril para determinar si un tren se aproxima o no, el medio es el metal del que está fabricado el raíl. La luz, como radiación electromagnética que es, no requiere de ningún medio material para propagarse. Sin embargo, esa posibilidad no era concebible en los siglos XVIII y XIX, ya que la mayor parte de las teorías hacían uso de modelos mecánicos para explicar los distintos fenómenos físicos. En este contexto nació el denominado «éter lumínico», que era el medio material que permitía la transmisión de la luz. En 1818 había sido propuesto por Fresnel, quien, además, identificó el carácter de onda transversal de la luz. Bien es cierto que, en 1678, el matemático, físico y astrónomo holandés Christiaan Huygens (1629-1695) había hablado de un éter como medio necesario para la transmisión de la luz y que, en 1709, Isaac Newton discutió acerca de un «medio etéreo» cuyas vibraciones facilitaban la reflexión, la refracción y la difracción de la luz. Sin embargo, fue a partir de Fresnel cuando se empezaron a realizar experimentos para tratar de observar efectos que pudieran ser atribuidos a la existencia del éter lumínico.
Se trataba de un medio bastante «mágico» y, según Thomson, debía comportarse de manera un tanto compleja. Por un lado, tenía que tener la rigidez y elasticidad necesarias para permitir la propagación y las oscilaciones del campo electromagnético.
Los experimentos de Michelson y MorleyEl éter se consideraba el sistema de referencia absoluto y la Tierra, en su movimiento, debía sentir un «viento de éter», que se debía manifestar en una diferencia en la velocidad de la luz según que se emitiera en el sentido del movimiento de la Tierra o en otro diferente.
En 1881 el físico polaco-estadounidense Albert A. Michelson adaptó un interferómetro para realizar un experimento óptico en el que esa diferencia se pusiera de manifiesto. Como vemos en la figura, una fuente de luz emite un rayo que tras chocar contra un espejo semitransparente queda dividido en dos, uno que se transmite y otro que se refleja. Este último se lleva sobre un espejo móvil y, tras reflejarse en él. vuelve al espejo semitransparente y, de nuevo, se divide en un rayo transmitido, que llega a un punto de observación, y otro reflejado, que vuelve a la fuente. El rayo inicialmente transmitido se refleja en otro espejo y, finalmente, lo hace en el espejo semitransparente y llega al punto de observación. Una placa compensadora, hecha del mismo material que el espejo semitransparente, junto con la posibilidad de ajustar el espejo móvil, asegura que las distancias recorridas por los dos haces son iguales. Cuando los dos rayos de luz se unen en el punto de observación producen interferencias; es decir, una serie de franjas brillantes y oscuras cuyas características están relacionadas con la distancia recorrida por ambos rayos y con la velocidad de la luz. Michelson situó uno de los rayos en la dirección del movimiento de la Tierra y el otro en la dirección perpendicular. La existencia del éter habría producido un cambio en la velocidad de ambos haces de luz, con la consiguiente modificación en las franjas de interferencia, pero sus resultados no mostraron ningún efecto debido a cambios en la velocidad de la luz: «El resultado de la hipótesis de un éter estacionario se ha demostrado así que es incorrecto, y la necesaria conclusión que se sigue es que la hipótesis es errónea».
Buscando mayor precisión
En 1887, Michelson, en colaboración con el científico estadounidense Edward W. Morley, realizó otra serie de experimentos con un interferómetro modificado en el que, mediante varios espejos, se incrementó hasta unos 11 m la distancia recorrida por los dos rayos. Esto mejoró la precisión del experimento, pero los resultados fueron de nuevo negativos. Desde entonces se han realizado muchos experimentos similares, algunos de ellos con dispositivos de muy alta precisión. En 2009, Sven Herrmann y sus colaboradores establecieron que la posible diferencia en la velocidad de la luz según su dirección de emisión, debida al movimiento de la Tierra, era menor que 1 parte en 1017.
Por otro, debía ser suficientemente flexible y tenue como para permitir que objetos de la magnitud de los planetas lo atravesaran sin dificultad aparente. A lo largo de sus charlas Thomson hizo analogías con la glicerina, la cera, la jalea, etc., aunque admitió que no había encontrado aún el material que terna las propiedades adecuadas. Pero las limitaciones de su aproximación al problema eran también conocidas por él mismo que algún tiempo antes había indicado:
Creo todos debemos sentir hoy que la triple alianza entre el éter, la electricidad y la materia ponderable es un resultado de nuestra falta de conocimiento, [...] más que una realidad de la naturaleza.
Thomson trató de resolver el problema modificando la teoría del éter, pasando de una estructura estática, como hasta entonces se había considerado, a una dinámica, que permitiera la propagación del campo electromagnético con las propiedades correctas. El cambio no fue gratuito, ya que en la nueva teoría eran necesarios un total de 21 coeficientes independientes que debían ajustarse para reproducir las observaciones experimentales. En las charlas de Baltimore insistió en que no se debía dar crédito a cualquier hipótesis que considerara el éter lumínico como el modo ideal de poner en pie las cosas. Thomson creía que existía «una materia real entre nosotros y las estrellas más lejanas, y que la luz consiste en movimientos reales de esa materia». Y, según él, tales movimientos no admitían una explicación en la teoría de Maxwell.
«Podéis imaginaros partículas de una cosa, una cosa cuyo movimiento constituye la luz. Esta cosa la llamamos éter lumínico. Es la única sustancia sobre la que tenemos confianza en dinámica. De algo estamos seguros, y eso es de la realidad y sustancia del éter lumínico.»
Conferencia dada por Thomson en Filadelkia.
Sin embargo, el final de la discusión se aproximaba rápidamente. El físico polaco-estadounidense Albert A Michelson (1852- 1931) y el químico y físico estadounidense Edward W. Morley (1838-1923), habían empezado ya a hacer los experimentos que significaron el principio del fin del éter, que llegó cuando Albert Einstein publicó su teoría de la relatividad especial en 1905.
A pesar de todo, Thomson se mantuvo firme en su búsqueda de una solución que incluyera el éter. Un poco antes de morir escribió:
Me parece completamente probable que, en realidad, el éter no tenga ninguna estructura. [...] No hay ninguna dificultad en esta concepción en un sólido elástico y completamente homogéneo que ocupa todo el espacio. [...] Oímos hablar a menudo de éter lumínico como si se tratase de un fluido. Pues bien, hace más de treinta años que yo he abandonado, en base a razones que me parecen incluso ahora convincentes, la idea de que el éter fuera un fluido dotado de algo parecido a la elasticidad debida al movimiento. [... ] En este punto nos encontramos con la pregunta: ¿es el éter incompresible? Debemos estar constreñidos a responder: sí, es incompresible, si está sujeto a las leyes de la gravitación universal. Pero cuando hoy día intentamos tener en cuenta el movimiento producido en el éter por átomos ponderables o eléctricos que se mueven en su interior, no podemos hacer otra cosa que persuadimos a nosotros mismos del hecho de que el éter es comprimible. Y si creemos en este último hecho, debemos entonces admitir que el éter no es gravitacional.
La solución era pues cada vez más complicada y Thomson no consiguió encontrarla Lo que llama la atención en toda esta discusión es la diferencia entre su visión y la de Maxwell. También este hizo uso de modelos mecánicos más o menos complejos para visualizar los efectos del campo electromagnético, pero inmediatamente se dio cuenta de las limitaciones que esa posición le imponía a la hora de entender las relaciones entre los fenómenos eléctricos y magnéticos, por lo que abandonó ese tipo de estrategia. Thomson, sin embargo, permaneció amarrado al obsoleto mecanicismo en el que había crecido científicamente.
Modelos atómicos y radiactividad
El interés de Thomson en los átomos y su estructura venía de antiguo. Ya en 1867, en una conferencia que presentó a la Royal Society de Edimburgo titulada Sobre los átomos vórtice, decía lo siguiente:
Después de tener noticia del admirable descubrimiento de Von Helmholtz de la ley del movimiento de vórtices en un líquido perfecto —esto es, en un fluido destituido perfectamente de viscosidad (o fricción del fluido)—, el autor afirma que este descubrimiento sugiere inevitablemente la idea de que los anillos de Von Helmholtz son los únicos átomos verdaderos.
En aquella época, la teoría cinética de los gases, desarrollada por Clausius, Maxwell y el físico austríaco Ludwig E. Boltzmann (1844-1906), había ido siendo aceptada, pero no permitía una completa explicación de todos los resultados experimentales conocidos.

Thomson y un asistente en el jardín de su casa de Netherhall en el curso de un experimento.
Es verdad que con la simple asunción de que un gas está compuesto por átomos que se mueven con una cierta velocidad y que colisionan entre sí era suficiente para explicar las propiedades de los gases. Pero desde un punto de vista práctico, y aunque las interacciones entre esos átomos podían describirse en términos de la mecánica newtoniana, la solución de problemas específicos era imposible, dado el ingente número de átomos que componían incluso las muestras más pequeñas de gas. La formulación estadística permitió salvar ese escollo, pero otros fenómenos asociados a los átomos, como los de absorción y emisión de luz con longitudes de onda características no podían explicarse en el marco de la teoría.

La segunda esposa del científico, Frances Anna Blandy.
A Thomson este tipo de limitación no le complacía, por lo que añadió la estructura de sus átomos vórtice y trató de entender cuáles debían ser sus propiedades y los mecanismos de interacción entre sí y con los campos electromagnéticos, luz incluida. Tenía entre manos la «nueva teoría cinética de los gases». Visualizó sus átomos como estructuras toroidales que no podían aparecer ni desaparecer, que colisionaban unas contra otras y que podían vibrar u oscilar con frecuencias particulares, lo que permitía explicar las frecuencias características observadas en espectroscopia. Por tanto, átomos y campos electromagnéticos podían explicarse en términos puramente dinámicos, eso sí, con dificultades analíticas «de un carácter muy formidable, pero ciertamente lejos de insuperable en el presente estado de la ciencia matemática».

Thomson en su última clase en la Universidad de Glasgow, en 1899.
El atractivo para Thomson era indudable: termodinámica, electromagnetismo y propiedades de la materia, todo ello parte de la mecánica, la ciencia del todo. Pero, tras un tiempo, tuvo que abandonar el modelo, puesto que descubrió que, contrariamente a lo que había supuesto inicialmente, los átomos vórtice no eran estables.
La radiactividad añadió un punto más de ansiedad en Thomson: primero, en 1895, el descubrimiento de los rayos X por el físico alemán Wilhelm C. Róntgen (1845-1923) y, seguidamente, en 1897, el del electrón por Joseph John Thomson (1856-1940). Enredado con su nuevo intento de estructura dinámica del éter, pensó que los rayos X podrían explicarse en términos de oscilaciones longitudinales del propio medio, que serían entonces ajenas a la teoría de Maxwell (recordemos que los campos electromagnéticos son ondas transversales). Pero la ilusión duró muy poco, lo que se tardó en entender que la extraña radiación de Róntgen era radiación electromagnética de mayor energía que la luz visible, más allá del ultravioleta.
Los electrones pusieron de nuevo en funcionamiento los característicos mecanismos de pensamiento de Thomson. En 1902 presentó un trabajo en el que rescató una antigua teoría debida a Franz U.T. Aepinus (1724-1802), un científico alemán que, en 1759, había propuesto la teoría de que la electricidad era un «fluido» único tal que un exceso del mismo daba lugar a una carga positiva, mientras que su defecto producía carga negativa. La sugerencia de Thomson fue la siguiente:
El fluido de Aepinus consiste de átomos extremadamente pequeños y similares, que yo llamo «electriones», mucho más pequeños que los átomos de materia ponderable; y que permean libremente los espacios ocupados por esos átomos más grandes y también libremente el espacio no ocupado por ellos. Como en la teoría de Aepinus, debemos tener repulsiones entre los electriones, y repulsiones entre los átomos independientemente de los electriones, y atracciones entre electriones y átomos sin electriones.
El número de «electriones» que un átomo ponderable tenía, junto con las leyes que controlaban las fuerzas puestas en juego en la pérdida o ganancia de «electriones» por esos átomos, daba cuenta de la variedad de elementos químicos con propiedades diversas que ponía de manifiesto la tabla periódica de los elementos, que había sido establecida en 1869 por el químico ruso Dmitri I. Mendeléyev (1834-1907) y por el químico alemán Julius L. von Meyer (1830-1895) un año más tarde. De nuevo, una teoría demasiado compleja construida a partir de ingredientes sencillos.
Al poco tiempo del descubrimiento del electrón, J. J. Thomson propuso su modelo atómico formado por una estructura esférica cargada positivamente en la que se insertarían, en posiciones adecuadas para mantener el equilibrio del sistema, los electrones en número tal que el átomo no tuviera carga. Lord Kelvin modificó este modelo asumiendo que las partículas de electricidad se movían sobre esferas concéntricas. En 1903, el físico japonés HantaróNagaoka (1865-1950) sugirió un átomo formado por una gran esfera cargada positivamente alrededor de la cual giraban los electrones siguiendo trayectorias circulares. En 1911, los experimentos del físico neozelandés Emest Rutherford (1871-1937) pusieron de manifiesto que la «geometría atómica» de Nagaoka era la correcta, pero hubo que esperar al físico danés Niels Bohr (1885-1962), quien en 1911, con su modelo atómico precuántico, marcó el inicio del camino hacia la solución definitiva, que llegaría con el desarrollo de la mecánica cuántica.
A pesar de su escepticismo para con la nueva física, no cabe duda de que Thomson mantuvo hasta el final de su vida una continua lucha por entender los mecanismos inherentes a los procesos físicos, cualquiera que fuera la índole de los mismos. Y todo ello desde una perspectiva que queda claramente expresada en sus propias palabras:
Igual que los grandes avances en matemáticas se han llevado a cabo a través del deseo de descubrir la solución de problemas que eran de índole muy práctica para la ciencia matemática, en la ciencia física muchos de los grandes avances que se han hecho desde el principio del mundo hasta el tiempo presente se han conseguido con el serio deseo de transformar el conocimiento de las propiedades de la materia para algún propósito útil para la humanidad.
En 1892 la reina Victoria elevó a William a la nobleza. Fue el primer científico en recibir un título nobiliario en Gran Bretaña. El día de su nombramiento, el Primer Ministro ensalzó la ayuda que su presencia en la Cámara de los Lores supondría para estos en asuntos científicos, ajenos a la mayoría de ellos. William adoptó el título de Barón Kelvin of Largs, tomando el nombre del río Kelvin, que pasaba cerca de su laboratorio en la universidad, y de la ciudad de Largs, en cuyas afueras estaba su residencia Neterhall. El nombramiento fue publicado el 23 de febrero y dos días después tomó posesión de su asiento en la Cámara.
En mayo de ese mismo año falleció su hermano James. William sintió especialmente su pérdida. Desde siempre habían mantenido una estrecha relación que abarcó no solo el ámbito familiar, sino también el científico.
La actividad científica y técnica de lord Kelvin no se redujo tras su nombramiento. En 1896 se celebró su jubileo como catedrático de la Universidad de Glasgow. Con tal motivo la reina Victoria le concedió la Gran Cruz de la Real Orden Victoriana. El 11 de julio de 1899 presentó al Consejo de la Universidad su solicitud de jubilación. Acababa de cumplir setenta y cinco años y había ejercido durante cincuenta y tres desde su nombramiento en 1846. El 30 de septiembre fue su último día como profesor en activo.
Lord Kelvin falleció el 17 de diciembre de 1907, en Netherhall, cerca de la ciudad de Largs (Escocia). El funeral tuvo lugar el día 23 en Londres. Innumerables personalidades del mundo académico, científico y político acompañaron a sus familiares y amigos. Sus restos reposan en la Abadía de Wetsminster, donde fue sepultado junto a la tumba del gran Isaac Newton.
A lo largo de su vida, Thomson produjo un sinfín de artículos científicos, aparatos de medida, con las consiguientes patentes, y soluciones ingeniosas a problemas prácticos, obtuvo numerosos honores y fue pionero en varios campos de la física. Sin embargo, J.J. Thomson recordaba una conversación en la que lord Kelvin le dyo que él pensaba que el trabajo más valioso de su carrera había sido la larga lucha para limitar las edades de la Tierra y del Sol.
Capítulo 5
La edad de la tierra
En 1864 Thomson publicó un artículo titulado «Sobre el enfriamiento secular de la Tierra», que había presentado dos años antes a la Roya! Society de Edimburgo. En dicho trabajo, haciendo uso de las leyes de la termodinámica que él y otros físicos relevantes habían establecido poco tiempo antes, el científico presentó sus cálculos sobre la edad de la Tierra. Aunque el valor propuesto por Thomson era erróneo, su prestigio hizo que las posteriores discusiones con otros investigadores alcanzaran una gran notoriedad, manteniéndose la controversia hasta el fallecimiento de lord Kelvin.
«La Tierra fue creada entre el anochecer del sábado 22 y el amanecer del domingo 23 de octubre del año 4004 a.C. del calendario juliano». Esta precisa aseveración podría sugerir un bagaje previo de cálculos y experimentos dignos de mención. Sin embargo, su autor, el obispo James Ussher, se basó simplemente en la Biblia y en el número de generaciones que calculaba que se habían sucedido desde Adán y Eva hasta sus días; el religioso escribió su cálculo en 1650 en su libro Armales veteris testamenti, a prima mundi origine deducti (Los anales del mundo). Pero no había sido él el primero en avanzar estimaciones de tan notable evento no exentas de parecida precisión. Así, el morye benedictino Beda el Venerable, en el siglo vra, señaló que la creación de la Tierra ocurrió en el año 3952 a.C., el erudito francés Joseph J. Scaliger aseguró en el siglo xvi que tuvo lugar en 3949 aC. y el eclesiástico inglés y vicerrector de la Universidad de Cambridge John Lightfoot se decantó en el siglo xvn por el año 3929 aC.
La determinación de la edad de la Tierra había interesado hasta entonces a hombres de Iglesia, que habían utilizado sus estimaciones para afianzar las enseñanzas de la Biblia entre sus fieles. El problema no había sido objeto de estudio por los científicos y llama la atención, por ejemplo, cómo el cálculo de la edad de la Tierra había quedado fuera de los objetivos de griegos y árabes, destacados por sus avances en muchas disciplinas. Solo hacia mediados del siglo XVIII los naturalistas desarrollaron y aplicaron algunas técnicas que relacionaban los fósiles y los estratos. Por ejemplo, el geólogo inglés William Smith estableció en 1790 que dos estratos que contuvieran fósiles de similares características debían ser coetáneos, independientemente de que se encontraran en ámbitos geográficos y/o geológicos muy alejados entre sí. Así, se pudo determinar la edad de la Tierra a partir del número de estratos y de las estimaciones del tiempo transcurrido entre ellos. El polímata ruso Mijaíl V. Lomonósov, a mediados de ese siglo, especuló sobre la cuestión y adelantó que la Tierra podría tener varios cientos de miles de años de edad.
Por su parte, Georges L. Leclerc, conde de Buffon, matemático, biólogo y cosmólogo francés, realizó en 1779 experimentos en los que midió el tiempo de enfriamiento de esferas de hierro (con una composición supuestamente similar a la de la Tierra) y, extrapolando los resultados, estableció un valor de entre 50000 y 75000 años (afirmación que le valió más de un encontronazo con la Iglesia) y llegó a estar de acuerdo con una edad incluso mayor en función de los registros fósiles conocidos en su época. En 1860, este tipo de registros llevó al geólogo inglés John Philips a estimar la edad de la Tierra en unos 100 millones de años, valor este que ya había sido considerado también como certero por el filósofo prusiano Immanuel Kant en su Historia general de la naturaleza y teoría del cielo, obra publicada en 1755. Pero, sin duda, quien fue más lejos que ninguno fue el naturalista escocés James Hutton, quien en 1788 afirmó que no existían vestigios de que la Tierra hubiera tenido un principio ni indicios de que fuera a tener un final. De hecho, esta idea siguió siendo aceptada por la gran mayoría de los geólogos hasta bien entrado el siglo XIX.
Thomson hizo sus cálculos...
El naturalista inglés Charles R. Darwin publicó en 1859 su fundamental estudio El origen de las especies por medio de la selección natural, o la preservación de las razas preferidas en la lucha por la vida. El impacto de esta obra en las ciencias de la vida fue, como es bien sabido, más que notable. Y en lo que al debate sobre la edad de la Tierra se refiere, Darwin, sobre la base de argumentos más bien cualitativos, relacionados con la lentitud de los eventos biológicos involucrados en la evolución, se inclinó por un planeta que habría existido desde tiempo prácticamente indefinido.

Thomson, en el centro, junto al físico E. A. Nichols y el diplomático J. G. Schurman en la universidad norteamericana de Cornell.
Un amigo de Darwin, Charles Lyell, abogado y geólogo británico que fue uno de los fundadores de la moderna geología, había establecido en sus Piincipios de geología, publicados en 1830, la idea de una Tierra con una edad del orden de los miles de millones de años o más, argumentando los extremadamente largos plazos temporales que eran necesarios para completar los procesos geológicos. Según él y sus colegas geólogos, las fuerzas puestas en juego a nivel geológico habrían permanecido constantes durante un número interminable de años.
Pero esta argumentación de carácter cualitativo no satisfizo a Thomson, que estudió el problema esmerándose en aplicar, al sistema físico constituido por la Tierra, las leyes de la termodinámica, a cuya formulación él había contribuido de manera notable.

Thomson y su esposa fotografiados en 1892, el día en el que el científico recibía el título de lord Kelvin.
Su punto de partida fue simple: de acuerdo con estas leyes, la energía disponible para llevar a cabo toda la actividad geológica era inicialmente finita y con el paso del tiempo habría ido disminuyendo paulatinamente. Así, la ley de conservación de la energía era el elemento fundamental de sus cálculos. Y su hipótesis de trabajo inicial era muy clara: la tasa de calor perdido por el planeta a través de su superficie establecería límites al instante en el que la Tierra se formó.
Esta contundente propuesta, junto con el propio prestigio científico que en aquella época ya atesoraba Thomson, le permitió entrar en el problema con quizá demasiada arrogancia, arremetiendo despiadadamente contra los geólogos y biólogos de su época. Baste como ejemplo el inicio de su trabajo «Sobre el enfriamiento secular de la Tierra»:
Durante dieciocho años me ha presionado en la mente que los principios esenciales de la termodinámica han sido pasados por alto por esos geólogos que de forma intransigente han opuesto todo tipo de frenéticas hipótesis y mantienen no sólo que ahora tenemos ante nosotros, en la Tierra, ejemplos de todas las diferentes acciones por las que su corteza se ha modificado en la historia geológica, sino que estas acciones no han sido nunca, en general, más violentas de lo que son en la actualidad.
Otro ejemplo de la acritud de la discusión nos lo da el intercambio verbal que Thomson mantuvo con el geólogo escocés Andrew Ramsay en 1867. A la aseveración de este último:
«Soy tan incapaz de estimar y entender las razones que vosotros los físicos tenéis para limitar el tiempo geológico, como vosotros sois incapaces de entender las razones geológicas para nuestras estimaciones ilimitadas»
Thomson contestó:
«Tú puedes entender el razonamiento de los físicos si pones tu mente a ello».
El modelo que Thomson utilizó para sus cálculos suponía que la Tierra se había formado por solidificación a partir de una cierta cantidad de material fundido. Una vez solidificado, el sistema habría tenido una temperatura inicial uniforme y se encontraría en el seno de un medio que mantendría la superficie de la Tierra a una temperatura constante a lo largo del tiempo. Thomson consideró que no había fuentes adicionales de calor, y pudo estudiar el sistema mediante la ecuación de difusión del calor en sólidos que años antes había desarrollado Fourier, y que él conocía en profundidad desde su juventud. En tales circunstancias, la temperatura en un punto cualquiera del volumen terrestre solo dependía de la distancia desde ese punto a la superficie y del tiempo transcurrido desde el estado inicial. Resolviendo la ecuación de Fourier, encontró una relación entre el tiempo transcurrido desde el inicio, la temperatura inicial del sistema, el gradiente de temperatura en la superficie y una constante que se denomina «difusividad térmica». En este punto, solo le era necesario conocer esas cantidades para poder realizar una estimación de la edad de la Tierra.

Visita de Thomson y su esposa a una factoría ferroviaria.
Sin embargo, en esa fecha Thomson no disponía de datos experimentales suficientes para completar los cálculos necesarios para determinar la edad de la Tierra e instó a realizar campañas de medidas del gradiente de temperatura en la superficie terrestre, de la conductividad de diferentes rocas, etc. Años después, en 1862, cuando presentó a la Royal Society de Edimburgo su trabajo «Sobre el enfriamiento secular de la Tierra», Thomson tema ya la información necesaria para llevar a cabo tales cálculos. Consideró un gradiente de temperatura promedio en la superficie terrestre de alrededor de 35 ºC/km; para la difusividad térmica supuso un valor del orden de 10-6 m2 s-1, y estimó que la temperatura inicial
El cálculo de ThomsonLas condiciones supuestas por Thomson para realizar sus cálculos sobre la edad de la Tierra le permitieron considerar un modelo muy sencillo, como el que se esquematiza en la figura adjunta. La Tierra,
una vez formada, se encontraba a una temperatura inicial uniforme T0, en contacto con un medio a temperatura constante Tmedio. El primer paso fue calcular la temperatura τ(x,f) en un punto cualquiera del volumen terrestre situado a una distancia x de la superficie, transcurrido un tiempo t desde el instante inicial. Para ello, Thomson solo tuvo que resolver la ecuación de difusión del calor de Fourier, la cual puede expresarse como:
donde κ es la difusividad térmica. Thomson propuso como solución de esta ecuación la función:
Aquí ν0 = (T0 + Tmedio)/2 y V = (T0 - Tmedio)/2. Un sencillo cálculo permite comprobar que esa solución cumple efectivamente la ecuación diferencial y que, además, se verifica que en el instante inicial, t = 0, todos los puntos interiores del volumen terrestre (es decir, con x > 0, a la derecha de la superficie terrestre en la figura) estaban a la temperatura T0 y todos los puntos exteriores a la Tierra (esto es con x < 0, a la izquierda de la superficie terrestre en la figura) estaban a la temperatura Tmedio. De este modo, se puede calcular el gradiente de temperatura, γ(x,t). en un punto cualquiera; es decir, la tasa de variación de la temperatura en ese punto por unidad de longitud perpendicular al plano de la superficie, que valdrá:
y en la superficie terrestre, es decir para x = 0, resulta:
Despejando t en esta ecuación y teniendo en cuenta que, al ser T0 (del orden de los miles de ºC) mucho mayor que Tmedio (del orden de las decenas de ºC), V ~ T0. se obtiene:
Ahora basta sustituir los valores indicados en el texto (κ = 10-6 m2s-1, T0=4000 ºC y γ(0,t) = 35 ºC/km) y se obtiene para t los 130 millones de años que Thomson había estimado.
Con estos valores, la edad de la Tierra quedaba fijada en unos 130 millones de años. En realidad, Thomson estableció un rango de entre unas decenas y varios centenares de millones de años, ya que consideró las posibles incertidumbres de los valores experimentales utilizados para realizar el cálculo.
Algún tiempo más tarde revisó sus cálculos, y redujo su estimación a 20 millones de años.
... Pero se equivocó
Thomson tenía confianza en su estimación de la edad de la Tierra a la luz de otro resultado que él mismo había obtenido algún tiempo antes. Esta es una cuestión muy importante en ciencia, porque si un mismo resultado se encuentra por dos vías diferentes, y no relacionadas entre sí, la credibilidad de ese resultado se afianza Esta característica de repetibilidad de los hallazgos científicos es uno de los pilares fundamentales sobre los que se basa la ciencia y un elemento inexcusable para su desarrollo.
Thomson había estudiado el origen del calor emitido por el Sol y suponía que el tiempo durante el que el astro había estado irradiando la Tierra y la edad de esta debían ser del mismo orden. De acuerdo con los datos disponibles hacia 1850 era posible calcular (al menos de manera aproximada) la tasa de producción de calor en el Sol. Pero el problema era averiguar si el Sol disponía de una fuente de calor que se habría ido consumiendo desde el momento en que se había formado y si, además, algún proceso externo al mismo era capaz de incrementar esa reserva de calor de manera que la emisión calorífica pudiera haberse mantenido durante más o menos tiempo.
Unos años antes, en 1843, Joule había establecido experimentalmente el equivalente mecánico del calor, demostrando además que la energía de un cuerpo que cae y choca contra otro se puede transformar en calor. Basándose en esta idea, algunos científicos habían propuesto que un posible mecanismo para explicar la producción de calor en el Sol sería el impacto continuado sobre él de meteoritos. Thomson calculó que, de acuerdo con el calor solar medido en la superficie terrestre, la tasa de materia que debía impactar sobre el Sol debía ser de unos 5 kg por hora (unas 45 toneladas por año) y dado que su masa es de aproximadamente 2 × 1030 kg, este flujo de materia incidente en el Sol podría haberse mantenido durante millones de años sin que se pudiera apreciar un cambio en el tamaño de la estrella vista desde la Tierra.
RepetibilidadEn la metodología científica, «repetibilidad» es la cualidad de repetible, es decir, que se puede repetir obteniendo los mismos resultados.
Para ilustrar la relevancia de esta característica en la ciencia pueden mencionarse dos ejemplos notorios. El acelerador LHC (Large Hadron Collider o Gran Colisionador de Hadrones) fue construido para completar el denominado «modelo estándar», descubrir el bosón de Higgs y estudiar sus propiedades.
Poco después de su puesta en marcha, el 4 de julio de 2012, se anunció que se habían obtenido indicios razonables de la existencia de esa partícula, con las características con las que había sido propuesta por el físico británico Peter Higgs en 1964. El LHC es un acelerador de enormes dimensiones (ocupa un túnel circular de 27 km de circunferencia) y costo (varios miles de millones de euros), lo que impide llevar a cabo réplicas que permitan reproducir los experimentos. Por ello se diseñaron dos detectores diferentes, ATLAS y CMS, con el fin de poder contrastar los resultados.
La fusión fría
En 1989, dos reputados electroquímicos, el estadounidense Stanley Pons y el británico Martin Fleischmann, informaron de que, en un sencillo experimento de electrólisis con agua pesada y electrodos de paladio, se había producido un exceso de calor que solo era posible explicar en términos de reacciones nucleares de fusión, ya que observaron la aparición de neutrones y de tritio (un isótopo radiactivo del hidrógeno que tiene en su núcleo un protón y dos neutrones), típicos productos de ese tipo de procesos. La «fusión fría», como se denominó el proceso físico observado, se convirtió, de la noche a la mañana, en la esperanza de una nueva fuente de energía barata y de duración prácticamente ilimitada. Pons y Fleischmann informaron de la noticia directamente a los medios de comunicación, sin que actuara el filtro que usualmente se pone en marcha cuando se trata de «publicar» cualquier hallazgo científico. De forma inmediata, muchos laboratorios del mundo intentaron reproducir los resultados obtenidos por ambos investigadores y, aunque en un principio algunos de ellos resultaron aparentemente positivos, pasados unos meses quedó probado que el experimento era irrepetible y los resultados quedaron invalidados.
Instalaciones del LHC en el Centro Europeo para la Investigación Nuclear, en Ginebra (Suiza).
Hay que señalar aquí que la estimación hecha por Thomson sobre la tasa de materia que impactaría sobre el Sol infravaloraba el valor real de producción de energía en el mismo, ya que, por un lado, una parte relevante del calor producido por el Sol es reflejado antes de llegar a la superficie terrestre, y, por otro, la mayor parte de la energía producida por el Sol se emite en forma de luz, radiación ultravioleta, ondas de radio, etc. Pero, en descargo de Thomson, hay que decir que en su tiempo esto era desconocido.
Las perturbaciones de las órbitas planetariasLa aproximación más simple para estudiar la órbita de un planeta alrededor del Sol es suponer que solo están presentes el Sol y el planeta en cuestión. En tal caso, el planeta sigue una órbita alrededor del Sol cuyas características fueron enunciadas por primera vez por el astrónomo y matemático alemán Johannes Kepler (en 1609 y 1618), y posteriormente deducidas por Newton, en 1685, a partir de sus leyes del movimiento y de la ley de la gravitación. Las trayectorias son elipses cuyos semiejes mayor (a) y menor (b) son función de las masas del Sol y del planeta. El Sol está en uno de los dos focos de la elipse que se encuentran a una distancia
del centro O, donde e es la excentricidad. Las trayectorias de los planetas son muy poco excéntricas: para la Tierra ε = 0,017, mientras que para Mercurio, el que tiene máxima excentricidad, ε = 0,21. Sin embargo, la órbita de cada planeta se ve afectada por la presencia del resto de planetas, ya que todos ellos se atraen entre sí. Precisamente esa perturbación sirvió a Le Verrier para proponer la existencia de un nuevo planeta: para explicar las diferencias observadas en la órbita de Urano, en 1846 dedujo la existencia de Neptuno. Le Verrier comunicó su predicción al astrónomo Johann Gottfried Galle, que descubrió el planeta a menos de un grado de la posición calculada. Le Verrier observó también otra anomalía en la órbita de Mercurio: el avance del perihelio de su órbita difería en una pequeña cantidad (unas cuantas decenas de segundo de arco por siglo), lo que podía deducirse aplicando las leyes de la mecánica clásica.
Animado por su anterior éxito con Neptuno, Le Verrier se aventuró a proponer en 1859 la existencia de un anillo de corpúsculos materiales entre Mercurio y el Sol, otro nuevo planeta al que llamó Vulcano. Aunque hubo algunos astrónomos que aseguraron haberlo divisado, muchas otras observaciones, llevadas a cabo aprovechando eclipses solares, dieron resultados negativos y, tras la muerte de Le Verrier en 1877, su existencia acabó por rechazarse. La explicación de la mencionada anomalía de Mercurio tuvo que esperar hasta 1915. Einstein realizó un cálculo en el marco de su recién propuesta teoría general de la relatividad que daba cuenta de ella con total exactitud. El avance del perihelio de Mercurio resultó ser por tanto una de las primeras ratificaciones de la relatividad general.
En cualquier caso, y aunque aparentemente convencido de estos resultados, Thomson encontró casi inmediatamente algunos problemas relativos a los cambios que tal cantidad de materia acumulada en el Sol habría podido producir en las órbitas planetarias. Por ejemplo, se percató de que si los meteoritos caían en el Sol siguiendo trayectorias provenientes de puntos más alejados que la Tierra la interacción gravitatoria entre esta y el Sol se habría ido modificando paulatinamente y solo en los últimos dos mil años habría dado lugar a un incremento en el período de rotación de la Tierra alrededor del Sol que habría significado una reducción del año en la no despreciable cantidad de un mes y medio.
Su amigo Stokes le hizo notar que si los meteoritos provenían de puntos más cercanos al Sol que la Tierra (lo que salvaba la dificultad anterior), pero más alejados que Mercurio o Venus, también las órbitas de estos planetas se verían afectadas. Cuando en 1859 el matemático francés Urbain J. J. Le Verrier descubrió el avance del perihelio de la órbita de Mercurio, pudo establecer límites precisos a esa modificación, imponiendo de manera indirecta que los meteoritos responsables de la producción calorífica solar deberían haber estado, desde la formación de la estrella, entre esta y Mercurio, lo cual no era posible, puesto que nunca se habían observado.
Desechada la hipótesis de los meteoritos, hubo que esperar algún tiempo hasta que en 1856 Von Helmholtz sugirió que la energía radiada por el Sol y, por tanto, su luminosidad, podrían provenir de la transformación de su energía gravitacional. En su trabajo «Sobre la edad del calor del Sol», publicado en 1862, Thomson consiguió estimar la edad de la estrella basándose en la hipótesis de Von Helmholtz. Así, estableció que el tiempo que el Sol podía haber estado calentando e iluminando la Tierra era de entre 10 y 20 millones de años, siendo poco probable que lo hubiera estado haciendo durante 100 millones de años y, en ningún caso, durante 500 millones de años o más. De hecho, si se considera el conocimiento que actualmente tenemos sobre los elementos que intervienen en ese cálculo (la constante de gravitación universal, el perfil de densidad del Sol, su masa y su radio) el resultado sería como máximo de unos 50 millones de años. La coincidencia en las estimaciones de las edades del Sol y de la Tierra dio aún más consistencia al valor que Thomson había obtenido para esta última, en detrimento de las apreciaciones de geólogos y biólogos.
El prestigio con el que contaba Thomson y el propio rigor de sus cálculos dificultaron cualquier intento de crítica contra el resultado obtenido. Sin embargo, hoy día se sabe que la realidad está más próxima al valor que los geólogos del siglo XIX habían propuesto partiendo de sus observaciones cualitativas. Los métodos de datación radiométrica basados en la medida del número de átomos radiactivos de distintas especies presentes en muestras
geológicas o de meteoritos han permitido establecer la edad de la Tierra con gran precisión, aceptándose actualmente el valor de 4 500 millones de años, es decir, entre 5 y 20 veces más que las predicciones de Thomson.
«Los habitantes de la Tierra no podrán continuar disfrutando de la luz y el calor esenciales para su vida por muchos millones de años, a no ser que fuentes de calor desconocidas ahora por nosotros estén preparadas en el gran almacén de la creación.»
William Thomson.
¿Dónde estaba el error de Thomson? John Perry (1850-1920), un ingeniero y matemático irlandés que también había sido ayudante de Thomson, relata que en algunas ocasiones le habían pedido que hiciera alguna crítica sobre los cálculos de Thomson y que él siempre respondía lo mismo: «No puede esperarse que lord Kelvin haya cometido algún error en sus cálculos», y añadía que quizá la clave estuviera en analizar las hipótesis sobre las que basaba esos cálculos. Pero, ¿cuáles habían sido estas hipótesis? Recordemos que la cuestión fundamental en el cálculo de Thomson era la conservación de la energía que había utilizado para analizar un modelo de la Tierra caracterizado por ser rígido, con propiedades físicas que se mantenían de manera homogénea en todo su volumen, y que no existían fuentes de energía o calor adicionales aparte de la proporcionada por el estado inicial a temperatura constante y homogénea
El descubrimiento de la radiactividad supuso una novedad relevante en el problema, ya que enseguida se descubrió su papel como fuente de energía y, consiguientemente, el posible efecto que su consideración podría tener sobre las estimaciones de las edades tanto de la Tierra como del Sol. En el caso de la Tierra, la inclusión de esta nueva fuente de calor en el cálculo de Thomson no hubiera modificado de manera significativa sus resultados. Ello es debido a que es posible comprobar que solo la radiactividad presente en una delgada capa superficial contribuiría realmente a la emisión de calor a través de esa superficie, por lo que, de facto, la consideración de la radiactividad terrestre en el modelo de Thomson habría seguido proporcionando un valor que infravaloraría de manera notable la edad real de la Tierra El propio Thomson mantuvo esta idea durante sus últimos años de vida y siguió confiando en su antigua estimación de la edad de la Tierra.
Sin embargo, la situación de la Tierra en lo relativo a la radiactividad es completamente diferente de la del Sol, cuya energía, como sabemos en la actualidad, se genera en procesos de fusión nuclear en los que núcleos de hidrógeno se unen para formar otros de helio. Por tanto, los procesos nucleares y radiactivos sí que habrían modificado considerablemente la estimación de Thomson sobre el tiempo durante el cual el Sol habría estado emitiendo calor.
Un año antes del descubrimiento de la radiactividad y algunos antes de que se encontrara el papel de esta como fuente de calor, Perry esbozó una solución. Para ello incluyó en el modelo terrestre de Thomson una novedad significativa. Haciendo uso de sus propios consejos, analizó las hipótesis del modelo que Thomson había utilizado y, en lugar de considerar que la Tierra es un cuerpo sólido, asumió que la parte sólida rocosa constituía solo una capa externa, de unas decenas de kilómetros, y que el interior del manto terrestre era esencialmente fluido. Esta diferencia fundamental con el modelo rígido permitía una mayor conductividad térmica que el modelo de Tierra sólida, ya que aparece un segundo mecanismo de emisión de calor, la convección, que es mucho más eficiente que la difusión en medios que no son sólidos. Perry habló de miles de millones de años para la edad terrestre, aunque su estimación no fue considerada en su tiempo. Incluso el propio Thomson la refutó. Sin embargo, la datación radiométrica vino a darle la razón tiempo después. Los autores P.C. England, P. Molnar y F.M. Richter aseguran en su trabajo «Kelvin, Perry and the Age of the Earth» (American Scientist, 2007) que si se hubiera hecho caso a Perry en su momento, una cuestión fundamental en geodinámica como la teoría de la deriva de los continentes habría sido aceptada mucho tiempo antes de cuando finalmente lo fue.
El problema de la edad de la Tierra se ha vuelto a plantear en los últimos años. El movimiento «creacionista» que ha ido tomando fuerza durante este tiempo y que ha conseguido, entre otros muchos «logros», modificar la enseñanza de la ciencia en algunos estados norteamericanos, ha argumentado con ahínco contra los sólidos resultados obtenidos con la datación radiométiica y las evidencias geológicas y biológicas. Los creacionistas mantienen que la Tierra cuenta con unos 10000 años de antigüedad, como máximo, resultando, por tanto, un planeta más que joven. Un interesante documento en el que se discuten las «evidencias» en las que los creacionistas basan sus cálculos puede verse en el trabajo de G, Brent Dalrymple titulado «How Oíd is the Earth. A Response to “Scientific” Creationism».
Como ya se ha dicho, el cálculo de la edad de la Tierra realizado por Thomson fue erróneo. Pese a ello, su intento constituyó un notable esfuerzo por aplicar la física a un problema de interés más allá del ámbito de esta disciplina. En una época como la actual, en la que la interdisciplinariedad resulta un valor añadido en casi cualquier circunstancia, contar con ejemplos como el de Thomson, que hace más de cien años se afanó en la utilización práctica de algunos conceptos y leyes de la física, es satisfactorio y constituye un desafío a continuar con esa práctica.
En cualquier caso, el obvio desacierto de Thomson devino en un error muy productivo, ya que obligó a dos comunidades científicas, la de los geólogos y la de los biólogos, a modificar sus procedimientos científicos, requiriendo de ellos el desarrollo de técnicas cuantitativas que, simultáneamente, no estuvieran al margen de las leyes de la física. Esto supuso un cambio muy significativo, un punto de inflexión en la investigación que desde entonces se ha llevado a cabo en estas dos ramas de las ciencias naturales.
- Gamow, G., Biografía de la física, Madrid, Alianza Editorial, 2007.
- Gribbin, J., Historia de la ciencia, 1543-2001, Barcelona, Crítica, 2003.
- Hernández, M. y Prieto, J.L., Historia de la Ciencia vol. II, La Orotava (Tenerife), Fundación Canaria Orotava de Historia de la Ciencia, 2007.
- Lindley, D., Degrees Kelvin. A tale of Genius, invention, and tra- gedy, Washington, Joseph Henry Press, 2004.
- Sagan, D. y Schneider, E., La termodinámica de la vida, Barcelona, Tusquets, 2008.
- Thompson, S.P., The lije of William Thomson Barón Kelvin of Lai-gs, vols. I and II, Cambridge University Press, 2011.
- Trabulse, E., La Ciencia en el siglo XIX, Ciudad de México, Fondo de Cultura Económica, 1987.
Jean-Baptiste Joseph Fourier fue un matemático y físico francés que desarrolló las técnicas de descomposición de funciones periódicas en series convergentes de senos y cosenos conocidas como «series de Fourier».










de Napoleón, siguió cursos en la Sorbona y en el Collége de France, interesándose por los problemas industriales relacionados con la teoría de gases y las máquinas de vapor. En 1824 publicó el trabajo que resultó fundamental para la segunda ley de la termodinámica. Titulado Reflexiones sobre la potencia motriz del fuego y sobre las máquinas adecuadas para desarrollar esa potencia, en este texto Carnot expuso las bases científicas del funcionamiento de las máquinas térmicas.
en el norte de Irlanda, el 13 de agosto de 1819, y era hijo de un pastor de la Iglesia protestante evangélica. En 1837 ingresó en el Pembroke College de Cambridge y en 1841 se graduó como Sénior Wrangler y ganó el premio Smith. En 1849 accedió al puesto de profesor lucasiano de Matemáticas en la Universidad de Cambridge, donde permaneció durante toda su carrera. En 1852 la Royal Society le otorgó la medalla Rumford por sus investigaciones sobre la longitud de onda de la luz. Lo que caracterizó sus investigaciones científicas fue la continua interacción entre sus desarrollos matemáticos y los experimentos que llevó a cabo en su laboratorio. Sus primeros trabajos versaron sobre el movimiento de los fluidos incompresibles y la fricción que se produce en tales circunstancias. Uno de sus resultados más relevantes en este contexto fue la denominada «ley de Stokes», que permite calcular la velocidad terminal de una esfera que cae en un medio viscoso, la cual es la velocidad constante a la que se mueve la esfera cuando la fuerza gravitatoria es compensada por la que ejerce el propio medio oponiéndose al movimiento de la esfera. También estudió el fenómeno de la difracción, el efecto que produce sobre un haz de luz la presencia de un objeto en su trayectoria y de cómo las características de aquel —por ejemplo, su tamaño— influyen sobre esta. Otro de sus resultados notables fue identificar que el plano de polarización de la luz es perpendicular a su dirección de propagación. Además, estudió la fluorescencia de varios materiales y el fenómeno de la birrefringencia —o doble refracción— que presentan algunas sustancias, como el espato de Islandia. Desde 1885 hasta 1890 presidió la Royal Society y en 1893 esta le concedió la medalla Copley. Durante más de cincuenta años, Thomson y Stokes mantuvieron una profunda amistad y a lo largo de todo ese tiempo cultivaron la costumbre de intercambiar continuamente sus ideas sobre los problemas científicos en los que estaban trabajando. Esta práctica les llevó en muchas ocasiones a no tener claro cuál de los dos había tenido una idea particular, como ocurrió con el denominado «teorema de Stokes».




Seebeck descubrió el fenómeno al observar que una brújula en las cercanías de ese circuito se desviaba. La aplicación más directa de este efecto es el termopar, que es un dispositivo que permite determinar a partir de la corriente producida diferencias de temperatura entre el punto de unión caliente y el frío. Los generadores termoeléctricos también utilizan este efecto, convirtiendo calor residual —por ejemplo, en una planta de generación de electricidad— en electricidad adicional.
sentido de circulación de la corriente, que se podía invertir cambiando los polos de la batería (figura 2). Las bombas de calor y los refrigeradores termoeléctricos están basados en este efecto.
Nikola Tesla nació el 10 de julio de 1856 en Smiljan, en la actual Croacia, y a partir de 1875 estudió ingeniería eléctrica en la Universidad de Graz (Austria). En 1884 llegó a Nueva York, donde el inventor y empresario Thomas A. Edison lo contrató en la Edison Machine Works. En 1887 construyó un motor de inducción alimentado por corriente alterna y en 1888 empezó a trabajar con el inventor estadounidense George Westinghouse, realizando sus principales desarrollos relacionados con la corriente alterna y la alimentación polifásica y estudiando las características de los campos magnéticos rotativos. En 1893 construyó el primer radiotransmisor, varios años antes de que el inventor italiano Guglielmo Marconi patentara un dispositivo similar.
y construcción del telégrafo. Alfred Vail y el propio Morse desarrollaron un lenguaje codificado pensado para enviar mensajes a través del telégrafo. El código resultante recibió el nombre de código Morse y en él las letras y los números están representados por secuencias de puntos y rayas que correspondían a sonidos de una cierta duración: el punto tenía una duración mínima mientras que la raya tenía una duración triple que la del punto. Entre símbolos de una misma letra (o número) se establece una separación de duración igual a la del punto; entre letras de una misma palabra, la separación tiene una duración igual a la de tres puntos, y entre palabras la separación es equivalente a cinco puntos. Evidentemente, las formas de codificar puntos y rayas pueden ser otras y, como ya se comentó anteriormente, en el caso del cable transatlántico, puntos y rayas correspondían a corrientes con signo cambiado. Con la entrada en funcionamiento de los radiotransmisores, el código Morse entró en desuso y hoy día es muy poco utilizado. Morse intentó instalar líneas telegráficas en su país pero no fue hasta 1844 cuando consiguió el permiso del Congreso para tender la primera línea que unió Baltimore y Washington. El primer mensaje se envió el día 1 de mayo de aquel año.

cierta distancia. Los dos elementos se disponen de manera que se interconectan eléctricamente de manera que la vasija de uno de ellos está conectada con la tapa del otro y viceversa. En general, en el agua existen muchos iones y es plausible pensar que una gota pueda llevar una cierta cantidad de carga (positiva o negativa). Supongamos que la vasija A tiene inicialmente una mínima carga negativa. Esa carga se transmitirá a la tapa B de manera que las gotas que caigan a través de ellas portarán, preferentemente, iones con carga positiva que serán atraídos a ese gotero por la carga negativa de la tapa B. Cuando la gota caiga a la vasija A, incrementará la carga positiva de esta que se transmitirá a la tapa A. Esa tapa dejará pasar gotas de agua que tendrán iones negativos que, al caer a la vasija A, aumentarán su carga negativa. Evidentemente, cuando se alcanza una cantidad de carga dada, pueden empezar a ocurrir fenómenos no deseados. Por ejemplo, se puede producir un arco voltaico entre ambas vasijas. También, las gotas que van cayendo pueden empezar a ser repelidas por la propia vasija (ya que tienen carga del mismo signo). También puede ocurrir que las gotas sean suficientemente atraídas por las propias tapas (ya que tienen carga de distinto signo) llegando a depositarse en ellas y disminuyendo su carga.
las longitudes de onda de las líneas del espectro visible del hidrógeno. En 1888 el físico sueco Johannes Robert Rydberg (1854-1919) sugirió una expresión más general que permitió predecir las longitudes de onda de las líneas espectrales de muchos elementos químicos, tanto en el visible como en el infrarrojo y el ultravioleta. La explicación definitiva llegó con los modelos atómicos mecano-cuánticos que señalaron cómo la emisión y la absorción de radiación electromagnética por los átomos y moléculas de un material se deben a que algunos de sus electrones sufren transiciones entre niveles de energía cuánticos. Von Fraunhofer había pues observado los dos tipos de espectros: el de absorción y el de emisión.
una vez formada, se encontraba a una temperatura inicial uniforme T0, en contacto con un medio a temperatura constante Tmedio. El primer paso fue calcular la temperatura τ(x,f) en un punto cualquiera del volumen terrestre situado a una distancia x de la superficie, transcurrido un tiempo t desde el instante inicial. Para ello, Thomson solo tuvo que resolver la ecuación de difusión del calor de Fourier, la cual puede expresarse como:






