Lecciones de historia de las matematicas - Hans Wussing

Lecciones de historia de las matematicas

Hans Wussing

Prefacio a la edición española
Mariano Hormigón

Hans Wussing y el grupo de Leipzig de Historia de las Matemáticas no son unos desconocidos ni en la comunidad internacional de historiadores e historiadoras de la ciencia ni para los lectores en lengua castellana de estos asuntos. Wussing es un autor con más de tres décadas de asidua comparecencia profesional en los medios internacionales de la especialidad y el Instituto Karl Sudhoff de Leipzig el medio en el que se han desarrollado importantes iniciativas entre las que. además del buen trabajo cotidiano, no es la menos importante la edición de la revista NTM, Schriftenreihe für Geschichte der Naturwissenchaften, Technik und Medizin (Colección de Historia de las Ciencias Naturales, la Técnica y la Medicina)-. Por lo que respecta a su conocimiento por el público hispano, es justo destacar la edición que las Prensas Universitarias de la Universidad de Zaragoza realizaron en 1989 de las Biografías de Grandes Matemáticos, ampliamente difundidas en los medios matemáticos educativos y de investigación españoles. Por ambas razones, cuando propusimos a la Editorial Siglo XXI la traducción de estas Lecciones de Historia de las Matemáticas, allá por los primeros meses del año 89, y cuando pusimos manos a la obra de la traducción, los traductores ya usábamos los materiales de Wussing en nuestro trabajo docente cotidiano y la editorial tenía alguna idea de la calidad del producto. Un producto, por cierto, que se vendía muy bien en los dos estados que existían sobre territorio alemán.

En lo que antecede hay algunas claves para entender los problemas que la génesis de una obra de este tipo ha podido concitar en nuestros días. Mas vayamos por partes.

Naturalmente, el impacto y posterior aceptación del trabajo de Wussing y del grupo de Leipzig de Historia de las Matemáticas en las últimas décadas se han debido, ante todo, a que su metodología y resultados eran de excelente calidad, tomárase el criterio normativo que se quisiera. Con todo, quizás haya sido la publicación de la historia de la teoría de grupos por la Editorial del Instituto Tecnológico de Massachusetts la que le haya dado el definitivo respaldo internacional y se abrieran con ello las invitaciones a Wussing por algunas universidades norteamericanas. Sin embargo, fuera de estas imágenes más espectaculares, no cabe duda de que el trabajo cotidiano en Leipzig era lo fundamental y en ese trabajo diario estaban las lecciones de historia de las matemáticas en los centros de formación de matemáticos de la República Democrática Alemana.

Otro aspecto interesante por el que los trabajos de Wussing han sido generalmente atractivos ha sido el del distinto enfoque que presentaban respecto de la norma usual en Occidente. Por dos razones. La primera conceptual, los trabajos del grupo de Leipzig pretendían responder a la aplicación del pensamiento marxista; actitud, en principio, un tanto exótica en los medios historiograficosmásdesarrollados en el llamado mundo libre, por la razón, se decía y se dice, de que la ciencia es creación autónoma de la mente humana y, por consiguiente, poco tiene que ver con lossupuestamente férreos condicionantes socioeconómicos que el marxismo impone por definición. El segundo enfoque disonante procedía del hecho del meollo geográfico. E’i grupo ¿e Leipzig, conocedor de las fuentes y de la literatura del centro y este de Europa, de la del extremo Oriente y de la del Tercer Mundo, a pesar de posibles, aunque escasas, lagunas de información occidental, podía dar una visión harto diferente del panorama investigado que el que se venía presentando habitualmente desde las fuentes alimentadas casi exclusivamente por el manantial anglosajón, incluso en la perspectiva de autores nada sospechosos de conservadurismo.

El hecho fue que los trabajos de Wussing y del grupo de Leipzig fueron seguidos con creciente interés en la comunidad internacional, los textos fundamentales comenzaron a traducirse a otros idiomas y los historiadores e historiadoras de las matemáticas de la República Democrática Alemana a ser conocidos y su concurso deseado en muchos centros de investigación del mundo. Luego pasó lo que todo el mundo sabe: el muro fue derribado y la República Democrática Alemana fue democráticamente engullida por su hermana mayor occidental. La infraestructura estatal del primer estado obrero y campesino sobre suelo alemán fue rápidamente desmantelada y muchos de los productos acabados en aquel país se destruyeron.

Me viene a la cabeza ahora una famosa anécdota que tuvo lugar en Alemania en 1934 y que está perfectamente documentada. Cuentan las crónicas que, por aquel entonces, con los nacionalsocialistas democráticamente encaramados en el poder, se le ocurrió al Ministro de Cultura, Bernhard Rust, girar una visita a la prestigiosa Universidad de Gotinga, la Universidad que Gauss, Dirichlet, Riemann, Klein, Hilbert y muchos convirtieron a lo largo de poco más de un siglo en una especie de Olimpo matemático. El Ministro, que de algo tenía que hablar, aprovechó la presencia de Hilbert, una de las máximas autoridades matemáticas en el mundo en aquellas fechas, para preguntarle sobre cómo se desarrollaban las Matemáticas en Gotinga una vez liberadas de la influencia judía. Hilbert debió mirar al Ministro fijamente y, de forma quizás irónica, quizás ensoñadora, pero desde luego valiente, le dijo:

- Ya no hay matemáticas en Gotinga.

Efectivamente, la desbandada de hombres y mujeres de la talla intelectual de Noether, Artin, Weyl, Courant, Bernays, Born y otros dejaron irreconocible una prestigiosa comunidad científica, que ya nunca más volvió a ser lo que fue.

Quizás, si le preguntaran a Wussing ahora por el grupo de historia de las matemáticas de Leipzig o por las escuelas de historia de las matemáticas de las universidades del este de Alemania, posiblemente tuviera que responder algo similar a esto:

- ¿Grupos? ¿Escuelas? Ya no existen.

Desde luego, si me lo preguntaran a mi tendría que confesar que no soy un experto en el actual proceso de reestructuración de plantillas de las universidades e institutos de investigación de la zona germanooriental pero, hasta donde alcanzan mis noticias y mi correspondencia, sé de muchos colegas, no precisamente mediocres, que han perdido o están a punto de perder su puesto de trabajo, alguno de ellos colaboradores del libro que aquí se presenta-. Wussing ha sido, y toda la profesión lo celebra, respetado en su trabajo, alcanzando la más confortable situación de profesor jubilado alemán.

En el tiempo que ha durado la traducción, composición y edición de estas Lecciones de Historia de las Matemáticas, el Estado que propició su nacimiento ha dejado de existir y, en el actual contexto del nuevo orden mundial, alguno de los adornos de la hechura del libro pueden aparecer como anacronismos e incluso, en una crítica más despiadada, como salidas de tono o disparates. La decisión de no modificar el texto de la segunda edición alemana a la hora de la traducción ha sido completamente deliberada. Quienes más violentos se sientan por la aparición de citas de Marx o Lenin pueden considerar que se debieron al gusto de la época o a las condiciones sociopolíticas vigentes en la República Democrática Alemana. Sin duda les permitirán reafirmarse en sus principios. Por contra, los traductores, y yo en concreto, como su máximo responsable, hemos pensado que el libro estaba bien así, y que como, al fin y al cabo, a España no la ha engullido nadie, todavía, como país soberano, no estábamos costreñidos a disimular la historia con un trabajo de maquillaje antimarxista, tan del gusto de los mandatarios del nuevo orden mundial de marras.

Tengo el deber de aprovechar estas líneas para dejar constancia del buen hacer de José Luis Escorihuela, principalísimo autor de esta traducción, y Ana Millán, que colaboró eficacísimamente en la redacción de la versión castellana definitiva. Igualmente, es el momento de destacar la ayuda que en su día nos prestó Daría Kara-Murzá en el tratamiento de la bibliografía, así como Elena Ausejo en la lectura de la última redacción para acabar de pulir detalles y eliminar puntos oscuros y erratas.

De mi decisión de alumbrar este valioso testimonio científico de un mundo que existió tendrán que opinar los potenciales lectores mas, de antemano, quede constancia de mi reconocimiento hacia la Editorial Siglo XXI, que una vez más demuestra, en la práctica, la defensa de la pluralidad como se hace con el movimiento: andando.

Mariano Hormigón
Miembro correspondiente de la Academia Internacional de Historia de las Ciencias

Prólogo a la segunda edición

Bien podría afirmarse que la Historia de las Ciencias es la Ciencia misma. No se puede comprender completamente lo que se posee hasta que no se sabe entender lo que otros poseyeron antes que nosotros.
J. W. Goethe

Comunista podrá llegar a ser sólo aquel que enriquezca su memoria con todos los tesoros que la humanidad ha descubierto.
V. I. Lenin

El rápido desarrollo de la historiografía de las matemáticas se mantiene invariable. Los autores se han esforzado en recoger los progresos logrados desde la aparición de la primera edición, en tanto sean de interés para los temas que aquí se tratan-, por medio de nuevos escritos, revisión de textos, observaciones complementarias y ampliación de la relación bibliográfica, manteniéndose fieles a la estricta limitación en la extensión del libro.

A todos mis colaboradores en estas Lecciones mi más sincero agradecimiento por su participación constructiva. Pero ante todo, estoy en deuda con mi colega, el Prof. Dr. W. Purkert, por su profunda y crítica revisión. Gracias también a los colaboradores de la editorial científica alemana VEB Deutscher Verlag, que tantas energías han dedicado a la presente publicación.
Leipzig, otoño de 1987
H. Wussing

Prólogo a la primera edición

Este libro ha sido escrito a partir de las lecciones que, desde 1960, he impartido a estudiantes de la rama de formación de profesorado de la especialidad Matemáticas/Física, en la Sección de Matemáticas de la Universidad Karl Marx de Leipzig. En el año 1978 se hizo efectiva la decisión del Ministerio de Educación Superior y Especializada de la República Democrática Alemana (RDA), de introducir también lecciones de Historia de las Matemáticas, tanto en las universidades como en escuelas superiores de la RDA, para los estudiantes de Matemáticas. Ambos cursos obligatorios tienen la misma duración y un programa de estudios similar.

Fue fácil, a partir de ahí, hacer del núcleo de mis lecciones de Historia de las Matemáticas para los futuros profesores la base para un libro de texto de Historia de las Matemáticas, que pudiera servir tanto para los futuros profesores como para los estudiantes de Matemáticas. La elección del material histórico sobre el que se asienta este libro se ajusta estrictamente al Programa básico del área de Historia de las Ciencias Naturales/Matemáticas para la formación en la especialidad de Matemáticas, promulgado en otoño de 1977 por el Ministerio de Educación de la RDA.

El lector deberá tener en cuenta, por tanto, que resulta imposible esbozar aquí una imagen completa de la historia de las matemáticas y que se ofrecen tan sólo algunos cortes transversales que, a pesar de la existencia de ciertas lagunas y del limitado espacio disponible, proporcionen sin embargo, así lo espero, una impresión coherente de las épocas más significativas y algunos de los principales elementos del desarrollo histórico de las matemáticas.

El libro se divide en quince Lecciones, correspondientes a las dieciséis horas dobles del programa básico anteriormente citado. Cada una presenta una serie de materiales, que tratan un conjunto compacto de temas. La diferente extensión de las lecciones no ha de ser motivo de irritación: de cada conjunto de materiales aquí presentado el docente ha de elegir, asesorando a los estudiantes en su estudio propio y en la elaboración de charlas en seminarios, pruebas escritas, trabajos para casa, etc.

Mi particular deseo era resaltar la manera de pensar y escribir de los más destacados matemáticos de todas las épocas del milenario desarrollo de las matemáticas, introduciendo para ello citas originales (aunque sean traducidas y con la escritura actual). Por el contrario, en este libro se limitan al máximo los datos biográficos; espero, de esta manera, haber podido acentuar la continuidad de los temas tratados en el curso de su desarrollo histórico. Como compensación se ha añadido un apéndice biográfico con las principales personalidades.

Este libro no puede y no quiere ofrecer ninguna bibliografía de la literatura matemática o histórico-matemática. Por motivos de espacio, las indicaciones sobre ulteriores lecturas han de limitarse al mínimo; se hallan divididas en lecturas generales (LA) y en lecturas específicas (L) para cada una de las quince lecciones. Señalamos expresamente a la atención del lector que en la tradicional serie Ostwalds Klassiker der exaklen Wissenschqften (Clásicos Ostwald de las Ciencias Exactas) han aparecido también en alemán tratados comentados de los más destacados matemáticos y que, junto a una gran cantidad de revistas histórico-científicas, hay dos publicaciones periódicas específicas de historia de las matemáticas (Istoriko-matematiceskije issledovanija, Moscú/Leningrado, e Historia mathematica, Toronto); además, el manual de K. O. May, Bibliography and Research Manual of the History of Mathematíes (Toronto, 1973) facilita el acceso a la investigación histórico-matemática. Para los datos sobre el estado de las propias matemáticas se remite a los compendios de matemáticas, por ejemplo, al Diccionario de matemáticas (Leipzig, 1977), y a los diferentes tomos de la colección Mathematik fur Lehrer (Matemáticas para enseñantes).

Comporta un cierto riesgo presentar al público este ensayo de libro de texto sobre la historia de las matemáticas, limitado, necesariamente, a unas pocas páginas impresas. Tanto más si se tiene en cuenta que la historiografía de las matemáticas se halla en creciente desarrollo y que, según el programa de estudios, la historia de las matemáticas debe ser explicada en el contexto de la historia general de las ciencias naturales. La versión que aquí se presenta será, tiene que serlo, confrontada con otras interpretaciones y con numerosos resultados de investigación recientes; en lo que a mí respecta, sean cordialmente bienvenidas todo tipo de opiniones y comunicaciones particulares que, más allá de la alusión a errores o faltas, aporten objeciones de principios. La discusión en común es necesaria y contribuirá por su parte al desarrollo de la historiografía de las matemáticas en la RDA. En el texto que aquí se presenta hay ya una buena parte de trabajo en común.

Debo un agradecimiento especial a mis amigos checoslovacos, Dr. L. Novy y Dr. J. Folta, de Praga, por la revisión crítica del manuscrito preliminar y por las propuestas para su mejora. Agradezco asimismo las sugerencias y la crítica objetiva de mis jóvenes colegas del Instituto Karl Sudhoff para la Historia de la Medicina y las Ciencias Naturales, en la Universidad Karl Marx de Leipzig: Dr. S. Brentjes, H. J. Ilgauds, K. H. Schlote, R. Siegmund Schultze y Dr. R. Tobies, quienes han prestado una activa ayuda en múltiples ocasiones, haciéndose cargo en particular de la redacción de algunas secciones. Los doctores P. Schreiber (Greifswald) y J. Wilke (Berlín) han colaborado amablemente en la redacción de algunos difíciles capítulos.

Son autores de secciones independientes: S. Brentjes (La matemática en los países del Islam: El nacimiento y desarrollo de la optimización lineal), H. J. Ilgauds (Apéndice biográfico), K. H. Schlote (La formación del cálculo de probabilidades; El desarrollo del álgebra desde el cambio de siglo; El desarrollo del moderno cálculo de probabilidades), P. Schreiber (Origen y desarrollo de la teoría de conjuntos; Historia de la lógica matemática), R. Siegmund-Schultze (Origen y desarrollo del análisis funcional), J. Wilke (El desarrollo histórico de las técnicas computacionales de cálculo).

Tengo una deuda de gratitud con una larga serie de colegas y amigos por su consejo y la ayuda prestada en la redacción y revisión del manuscrito final, en particular, con los profesores Dr. G. Asser (Greifswald), Dr. W. Engel (Rostock), Dr. G. Harig (Berlín), Dr. D. Ilse (Berlín), Dr. O. Krötenheerdt (Halle), Dr. 0. Neumann (Jena), Dr. G. Maibaum (Dresden), Dr. K. Manteuffel (Magdeburg), Dr. W. Purkert (Leipzig), Dr. P. Schreiber (Greifswald), Dr. L. Stammler (Halle). Por su parle, los profesores Dr. H. Brost (Berlín) y Dr. K. Holzapfel (Leipzig) me proporcionaron una ayuda crítica y amistosa desde el punto de vista histórico general.

Por último, no es menor agradecimiento a la editorial VEB Deutscher Verlag der Wissenschaften de Berlín y, en particular, a los directores de la editorial, Dr. L. Walter, W. Arnold y B. Mai, que han mostrado una gran disponibilidad respecto a múltiples cuestiones y porque, sin su afectuoso apremio y el del profesor Dr. W. Engel, presidente de la Sociedad Matemática de la RDA, este libro nunca hubiera visto la luz. En los aspectos técnicos, deseo agradecer la colaboración de las señoras 1. Lüdtke y B. Burkjardt en Berlín y de las señoras B. Schlag, $. Schonau y E.-M. Fórster en Leipzig.
Leipzig, 31 de mayo de 1978
H. Wussing

LECCIÓN 1
INTRODUCCIÓN A LA DISCIPLINA

001.jpg
Portada de la Historia de las Matemáticas de J. E. Montucla (Histoire des mathématiques, vol. 1, París, 1799).

§ I
Objetivos de la historiografía de las matemáticas

Contenido:
I. 1 Sobre el desarrollo de la Historia de la Ciencia como disciplina científica
I. 2. Algunos aspectos de la Historia de las Matemáticas

I. 1 Sobre el desarrollo de la Historia de la Ciencia como disciplina científica

La Historia de las Ciencias Naturales y de las Matemáticas o, más en general, la Historia de la Ciencia, es actualmente una ciencia independiente, con un amplio campo de estudio, en constante evolución y con su propio conjunto de problemas y metodología. Existen en todo el mundo, especialmente en los países socialistas y en algunos estados capitalistas desarrollados, numerosas instituciones y publicaciones dedicadas a la Historia de la Ciencia; se cuenta también con una Unión Internacional de Historia y Filosofía de la Ciencia y una Academia Internacional de Historia de las Ciencias. Se organizan congresos nacionales e internacionales, así como reuniones dedicadas a la historia de las diferentes disciplinas científicas[1]. Parece evidente que este auge de la Historia de la Ciencia y de las Matemáticas, experimentado sobre todo después de la Segunda Guerra Mundial, se deba sobre todo a la influyente posición que las matemáticas y las ciencias naturales han alcanzado, aunque con fines político-sociales muy diferentes, en los estados socialistas y en los capitalistas desarrollados. Actualmente, junto a factores como la producción, la formación profesional o la educación y formación ideológica, las matemáticas y las ciencias naturales influyen de manera directa y de múltiples formas en el progreso social de las naciones y de las comunidades de naciones; en este sentido, todas las ciencias, y no sólo las matemáticas y las ciencias naturales, cumplen una función auténticamente conformadora de la historia de los pueblos. La promoción de las matemáticas y demás ciencias se convierte, por ello, en objeto de importantes decisiones políticas a nivel nacional e incluso internacional. Estas decisiones han de apoyarse, no obstante, en investigaciones sólidamente fundamentadas desde el punto de vista histórico y con un objetivo claro; en cierto modo, el futuro es una extrapolación de procesos de desarrollo actuales y pasados. Este enfoque combina, como en toda ciencia histórica, pasado y futuro, convirtiendo así a la Historia en una ciencia socialmente necesaria: desde el punto de vista marxista de la historia en cuanto ciencia, la historiografía tiene como objetivo final no sólo presentar un mero inventario de hechos pasados, sino también, y ante todo, extraer conclusiones para que las enseñanzas del pasado sean útiles en la construcción del presente y del futuro.

Esta tarea fundamental de toda historiografía fue subrayada en el siglo XIX por los líderes ideológicos de la clase trabajadora revolucionaria, en el contexto de la elaboración del materialismo histórico y dialéctico. Precisamente por ello, Marx y Engels prestaron también toda su atención a la Historia de las Ciencias Naturales, de las Matemáticas y de la Técnica; en ellas, en efecto, se hallaban posibles claves para un mejor desarrollo de las fuerzas de producción, claves que la historiografía burguesa apenas había tenido en cuenta hasta entonces. En 1844 y en relación con esto, Marx escribía:

La propia historia considera a las ciencias naturales sólo ocasionalmente, en el momento de la explicación, de la utilidad de los grandes descubrimientos individuales. Pero de una forma mucho más práctica, las ciencias naturales se han ido introduciendo, por medio de la industria, en la vida de la gente, para transformarla y hacer posible la emancipación de la humanidad [...] La industria es el auténtico vínculo histórico entre la naturaleza, y por tanto las ciencias naturales, y la humanidad; si se es capaz de concebirla como la manifestación exotérica de las capacidades humanas, también se comprenderá el carácter humano de la naturaleza o el carácter natural del hombre [L 1.8, p. 543].

Marx y Engels mostraron en numerosos escritos y declaraciones la fuerza del enfoque del materialismo histórico también en temas histórico-científicos; tendremos ocasión de comprobarlo a menudo en estas Lecciones. También Lenin mostró su interés por el desarrollo de la historia de la ciencia. En sus manuscritos filosóficos se puede leer la siguiente afirmación:

La continuación de los trabajos de Hegel y Marx debe consistir en el estudio dialéctico de la historia del pensamiento humano, de la ciencia y de la técnica [L 1.7, p. 137].

Conforme a esta máxima, en los primeros años de la joven potencia soviética, aun por sugerencia directa de Lenin, se fundó, con motivo del establecimiento de la Academia Soviética de Ciencias de Moscú, un Instituto de Historia de las Ciencias Naturales y de la Técnica que constituye actualmente un centro de primera línea mundial dedicado a la Historia de las Ciencias.

I. 2. Algunos Aspectos De La Historia De Las Matemáticas
Entre los matemáticos ha existido desde siempre un considerable reconocimiento por la tradición, un marcado sentimiento de deuda para con los predecesores y de obligación de continuar su obra. De esta manera, los comienzos de la Historia de las Matemáticas se remontan al conocido Catálogo de matemáticos del griego Eudemo de Rodas, que vivió en el siglo IV a.n.e. Efectivamente, destacados matemáticos han visto claramente y han resaltado conscientemente la continuidad y la coherencia interna de la evolución de las matemáticas, combinando de un modo muy fructífero la exposición de sus propios resultados con consideraciones históricas. Así, por ejemplo, los párrafos introductorios que Lagrange antepuso a sus trabajos constituyen una de las joyas de la literatura de Historia de las Matemáticas. En este sentido, se ha llegado a decir que ninguna disciplina científica perdería más que las matemáticas si prescindiera de su historia.

No obstante, sólo desde la Ilustración se puede decir que la Historia de las Matemáticas comenzó a desarrollar sus propias líneas de investigación; los trabajos de Kästner (1796, 1800) y Montucla (1799-1802) constituyen los hitos más señalados en el camino que condujo a la Historia de las Matemáticas a ser considerada disciplina científica.

La historiografía burguesa de las matemáticas consiguió en el siglo XIX y parte del XX importantes resultados, pero en cualquier caso, limitados esencialmente a la historia de los problemas concretos y de las personas y al descubrimiento de las fuentes relativas a ello[2]. Los cuatro volúmenes de la Historia de las Matemáticas de Cantor (1880/1908) constituyeron durante décadas la obra estándar. Por otra parte, no se debe pasar por alto que también en la historiografía[3] de las matemáticas del siglo XX se encuentran, en algunos autores burgueses, tendencias hacia el idealismo filosófico, irracionalismo, misticismo y hacia una descripción reaccionaria de la historia y que hay pocos autores que se enfrenten conscientemente al punto de vista eurocéntrico.

La historiografía marxista de las matemáticas se basa metodológicamente en el materialismo histórico y dialéctico. Según este, toda ciencia es una manifestación social. También las matemáticas son una forma específica de la conciencia social. Son algo más que el resultado del intercambio de conocimientos, de teorías y métodos; están conformadas simultáneamente por intereses materiales e ideales de las correspondientes clases dominantes; son el producto de instituciones y escuelas científicas y dependen también de la posición social del científico y de su ideología; además, por último, las matemáticas son objeto de la política científica.

En otras palabras: las matemáticas no son en absoluto un ámbito autónomo, sino una componente integrante de la vida social; es decir, las matemáticas han estado, ahora y siempre, en permanente correlación con la producción y reproducción de los fundamentos materiales e ideales de la vida social.

La gran amplitud de miras de la metodología que caracteriza a la historiografía marxista de las matemáticas, orientada hacia la búsqueda de la comprensión de todas las causas sociales relevantes para el desarrollo de las matemáticas, así como su ya comprobada mayor capacidad para aportar resultados, le han permitido alcanzar, incluso en países como Gran Bretaña, Francia y EEUU, y a pesar de la fuerte oposición ideológica, una posición respetada y ser incluso altamente estimada.

Dos teóricos de la ciencia, los soviéticos Mikulinskiy y Rodnyy, internacionalmente conocidos, han definido así el objetivo de la Historia de las Ciencias, válido en particular para la historiografía de las matemáticas:

La labor de la Historia de las Ciencias consiste en mostrar el progresivo desarrollo de la ciencia tal y como éste se concreta y en correlación con las demás manifestaciones sociales, y poner de manifiesto, sobre esta base, los principios generales junto con los métodos y condiciones concretas que garanticen el progreso científico y técnico [L 1.12, p. 90].

Estas Lecciones intentan, en el contexto indicado, afrontar y llegar a justificar los diversos aspectos a los que la historiografía de las matemáticas debe prestar atención para poder comprender el proceso evolutivo de las matemáticas de forma objetiva y científica, es decir, entrando directamente en las causas. Se tratan esencialmente los siguientes aspectos del desarrollo de las matemáticas:

Según la concepción marxista en el desarrollo de las fuerzas productivas se hallan los impulsos que en último extremo dirigen el desarrollo de la sociedad humana y, como consecuencia, el desarrollo de las ciencias. La conexión directa entre el desarrollo de las fuerzas productivas y el desarrollo de las ciencias naturales y las matemáticas está documentada con numerosos ejemplos históricos. Partiendo de esta relación se explican las direcciones principales de la matemática europea durante el Renacimiento; sólo sobre la base del desarrollo de las fuerzas productivas se puede explicar de manera definitiva la revolución científica que tuvo lugar durante los siglos XVII y XVIII, que supuso para las matemáticas el paso a una matemática de magnitudes variables, así como el nuevo estatus social que adquirió la matemática tras la revolución industrial de los siglos XVIII y XIX. Por su parte, la formación de muchas disciplinas de la matemática moderna, como la teoría de juegos, la teoría de la información, la teoría de la optimización lineal, está estrechamente relacionada con la transformación de las matemáticas en una fuerza de producción directa, afectando incluso a la relación de la matemática con los medios de producción[4]. Las anteriores consideraciones históricas proporcionan también una comprensión más profunda de lo que se conoce como praxis para la matemática.

Por supuesto, no se puede caer en simplificaciones y buscar todas las causas del desarrollo de las matemáticas en el ámbito económico. El marxismo reconoce momentos de desarrollo intracientífico, subraya el papel de los principios ideológicos, valora las aportaciones individuales y asume los condicionamientos psicológicos de la creatividad; estos y otros factores actúan como causas objetivas del desarrollo. Visiones diferentes del mundo condujeron a egipcios, mesopotamios, griegos, hindúes, chinos, árabes y europeos de la Edad Media o Moderna a considerables diferencias en la esfera filosófica, pero también en los problemas matemáticos abordados y en los métodos empleados en su resolución.

La necesaria limitación en la extensión de este libro nos obliga a dejar en un segundo plano el elemento biográfico, la narración de la búsqueda y de la investigación, de la ferviente toma de partido por el progreso de las ciencias. También los más destacados sabios eran gentes de carne y hueso y vivieron bajo circunstancias concretas, fueran favorables o desfavorables-, representaron opciones políticas, aspiraron a cumplir determinados objetivos y tuvieron sus propias opiniones y concepciones ideológicas. Sirva la palabra de Lenin a la hora de enjuiciar, de clasificar, a los matemáticos a lo largo de la historia; según él los personajes históricos no han de ser juzgados por lo que no han aportado, medido con los parámetros actuales, sino por lo que de nuevo y positivo nos dejaron en comparación con sus predecesores. La labor llevada a cabo por Euclides, Arquímedes, Newton, Leibniz, Euler, Gauss y Cantor, por sus amplias repercusiones posteriores, coloca a estos investigadores por encima de la gran multitud de otros estudiosos, que posiblemente dedicaron igual esfuerzo y trabajo, y les asegura un permanente respeto y consideración.

Sin la historia de los conceptos, como por ejemplo, historia de los conceptos de función, de espacio, de valor límite, de integral, de grupo, de cuerpo, de probabilidad, de número-, sin la historia de los problemas y sin la historia de disciplinas matemáticas especiales el cuadro del desarrollo de la matemática quedaría incompleto en su esencia. Es precisamente aquí donde se manifiesta clara y convincentemente la dialéctica del pensamiento; los ejemplos concretos ilustran la validez general del materialismo dialéctico. Lenin asignó un papel muy importante a la historia de los conceptos. Sobre esta cuestión escribía en 1915:

El concepto [...] envuelve en el ser [...] la esencia, básicamente éste es en verdad el proceso general de todo conocimiento humano (de toda ciencia). Este es el proceso tanto de las Ciencias Naturales como de la Economía Política y de la Historia. Tanto más cuanto que la dialéctica de Hegel es la generalización de la historia del pensamiento. Ha de ser una tarea extraordinariamente grata seguir este proceso de forma más concreta, entrando en la historia de cada una de las ciencias [L 1.7, p. 315].

En el desarrollo de las matemáticas, y esto lo ha de considerar la historiografía de las matemáticas oportunamente, la unidad de lo histórico y lo lógico se manifiesta particularmente evidente: todo conocimiento, toda idea se gestó en una situación histórico, social concreta. El tipo de matemáticas, sus objetivos y métodos eran distintos en la temprana sociedad de clases del Antiguo Egipto o de Mesopotamia, donde se trataba todavía, casi sin excepción, de una matemática empírica y aplicada según una serie de recetas; en el periodo de la filosofía natural jónica, en el que la matemática nació como ciencia; en la sociedad feudal europea, en la que la matemática se entendía como sirviente de la teología; radicalmente distintos en la sociedad preburguesa del Renacimiento o en la época del capitalismo manufacturero y de la Revolución Industrial, en la que la matemática llegó a alcanzar, al menos a grandes rasgos, una función social de potencia productora, que dio lugar subsecuentemente al papel de la matemática como fuerza productiva en la época actual de transición del capitalismo al socialismo/comunismo.

Estas reflexiones tratarán también de otra cuestión importante: de las estrechas relaciones o, mejor aún, interconexiones de las matemáticas con las ciencias naturales. Una verdad histórica fundamental debería tenerse presente con todas las restricciones necesarias: la actual separación, finamente depurada, entre las matemáticas y las ciencias naturales (que. por supuesto, está completamente justificada desde el punto de vista filosófico de la teoría del conocimiento) se debe sustancialmente a motivos pragmáticos, a la necesidad de controlar la superabundancia de conocimientos en la enseñanza y en la investigación. El desarrollo histórico real no conoce tal separación, sino más bien una ligazón estrecha; se podría hablar, incluso, de una unión personal. Por ello la historiografía de las matemáticas podrá acercarse a la verdad histórica sólo apoyándose en la historiografía de las ciencias naturales. Galileo ya lo entendió así con su programática frase de que el libro de la naturaleza está escrito en el lenguaje de las matemáticas. Y, ¿cómo separar al Kepler matemático del Kepler astrónomo? ¿Cómo habría de estimarse, por otra parte, el trabajo científico de Newton, o el de Gauss, o el de Hilbert?

En definitiva, la historia de las matemáticas nos revela la estrecha relación de las matemáticas con las demás ciencias. Cuanto más nos acercamos a la época actual, más clara nos aparece la íntima conexión entre el desarrollo de las matemáticas y el de otras disciplinas sociales, como por ejemplo la economía; piénsese en el desarrollo de disciplinas como la estadística, la optimización lineal o la teoría de juegos.

Mucho más antigua es la estrecha relación entre las matemáticas y el pensamiento filosófico: conforme a las diversas fuentes, se puede documentar ya desde el tiempo de la Antigüedad greco-helenística. Considérese la positiva influencia tanto de la filosofía natural jónica, con su orientación materialista, como de la escuela pitagórica en la formación de la matemática como ciencia; piénsese en la conexión entre las matemáticas y el sistema filosófico del idealismo objetivo de Platón, en la posición de las matemáticas en el marco de la teoría del conocimiento de Aristóteles, en el papel del pensamiento filosófico en la formación de una matemática de magnitudes variables; en las dificultades de asimilación del concepto de infinito, por ejemplo en los pasos al límite; en la íntima correlación entre la Ilustración europea y el pensamiento científico-matemático, en las relaciones entre filosofía y matemáticas en Descartes y Spinoza, en Leibniz, Kant, Cantor y Hilbert.

§ II
Objetivos Del Curso De Historia De Las Ciencias Naturales Y De Las Matemáticas

Contenido:
II. 1. Indicaciones bibliográficas

En las Escuelas Superiores y Universidades de la República Democrática Alemana los estudios de Historia de las Matemáticas ocupan un lugar consolidado en los programas de formación, tanto de profesor (Diplomlehrer) de matemáticas/física como de matemático (Diplommathematiker). Por supuesto, estas lecciones no constituyen un fin en sí mismas, sino que han de desempeñar tareas educativas que van mucho más allá de un mero suministro de conocimientos. El ministro para la enseñanza superior y profesional en la RDA, profesor H.J. Böhme, definió en el verano de 1977 los objetivos de las asignaturas de Historia de las Ciencias Naturales y de Historia de la Medicina (la Historia de las Matemáticas es una parte del programa total educativo en Historia de las Ciencias en la RDA) de la siguiente manera:

Esperamos de la formación en Historia de la Ciencia que ésta contribuya al desarrollo progresivo de la conciencia socialista de nuestros estudiantes, a que se estudie y comprenda con mayor profundidad la inseparable conexión entre el desarrollo científico y el desarrollo social en el proceso histórico, para adquirir así una mayor conciencia de lo fundamentalmente nuevo de la posición de la ciencia y de la responsabilidad de los científicos en el socialismo. Por ello, la elaboración de los contenidos y la puesta en práctica de esta materia de enseñanza requiere un cuidado y apoyo especiales [L 1.3, p. 227].

Fue preciso realizar amplias y detalladas consultas antes de que se pudiera presentar el programa para la asignatura Historia de las Ciencias Naturales y de las Matemáticas que debía entrar en vigor en otoño de 1977. Se podía haber escogido entre diferentes posibilidades; los programas oficiales se inclinaron finalmente por el procedimiento histórico cronológico. Es decir, se debe exponer el estado, alcance, métodos y perspectivas de las matemáticas en el marco de las respectivas transformaciones sociales y económicas, y por supuesto, en cuanto parte de la vida social de los correspondientes periodos. Además, si se tiende a la presentación de un cuadro histórico marxista, se ha de hacer especial hincapié en la consideración de las coimplicaciones entre el desarrollo de las matemáticas y el desarrollo de las fuerzas productivas, de las ciencias naturales y del pensamiento filosófico. La Historia de las Ciencias Naturales y de las Matemáticas se puede utilizar asimismo como preparación a la siguiente asignatura del plan de estudios, Problemas filosóficos de las matemáticas.

De cualquier modo, no es posible tener en cuenta, por motivos de tiempo, el desarrollo de las matemáticas en su totalidad. En esta obra se tratan aquellas partes de las matemáticas que conforman las lecciones sobre la materia expuestas en los dos programas de estudios vigentes para la educación matemática. En la disposición del material, esto es, en su división en quince lecciones, se ha tomado como base el programa de la asignatura Historia de las Ciencias Naturales y de las Matemáticas.

Grupo temático 1:Introducción a la asignatura.
Grupo temático 2:Las Ciencias Naturales, en particular las Matemáticas, en la antigua sociedad de clases oriental y en la antigua sociedad esclavista clásica.
Grupo temático 3:Las Ciencias Naturales, en particular las Matemáticas, en el orden social feudal.
Grupo temático 4:Las Ciencias Naturales, en particular las Matemáticas, en la época de transición del feudalismo al capitalismo.
Grupo temático 5:Las Ciencias Naturales, en particular las Matemáticas, en el periodo de la Revolución Industrial y de la consolidación del capitalismo.
Grupo temático 6:Las Ciencias Naturales, en particular las Matemáticas, en el periodo del capitalismo desarrollado y de la transición al capitalismo monopolista.
Grupo temático 7:Las Ciencias Naturales, en particular las Matemáticas, en el periodo de transición del capitalismo al socialismo/comunismo.

Con arreglo al programa, corresponden a cada grupo temático las siguientes lecciones:

Grupo temático 1:Lección 1
Grupo temático 2:Lecciones 2, 3, 4
Grupo temático 3:Lección 5
Grupo temático 4:Lecciones 6, 7, 8, 9
Grupo temático 5:Lecciones 10, 11
Grupo temático 6:Lecciones 12,13
Grupo temático 7:Lecciones 14, 15

II. 1. Indicaciones bibliográficas
La literatura de Historia de las Matemáticas es muy abundante; comprende monografías, trabajos de investigación en artículos de revistas y libros de divulgación histórico-científica que se pueden encontrar en todos los países desarrollados del mundo. En la actualidad, la Unión Soviética, los Estados Unidos, Francia, Gran Bretaña, Canadá, la RFA y la RDA, Checoslovaquia y la India son los países que llevan a cabo un mayor número de actividades histórico-matemáticas. En muchos países se imparten cursos de historia de las matemáticas, lo que se refleja en parte también en los libros de texto.

En lo que sigue, se da una pequeña muestra de la literatura sobre Historia de las Matemáticas que puede ser leída como acompañamiento a estas Lecciones. Se añade una relación más especializada al final de cada una de las lecciones. Para la siguiente selección de bibliografía básica sobre el tema se ha tenido en cuenta su adecuación al programa de estudios, la estimación del tiempo disponible por parte de los estudiantes para su estudio personal, la utilidad para la actividad profesional posterior y también su disponibilidad.

Serie de Biografías: Biographien hervorragender Natunvissenschaftler, Techniker and Mediziner. Teubner-Verlag, Leipzig, ed. D. Goethz, E. Wáchtler, I. Jahn, H. Remaner y H. Wussing.; (1984) Biographien bedeutender Physiker. Ed. W. Schreier. Berlín (= [LA 4]); (1983) Geschichte der Nalurwissenchaften. Ed. H. Wussing. Leipzig (= [LA 12]); (1982) Philosophenlexikon. Ed. E. Lange, D. Alexander. Berlín (= [LA 28]).

LECCIÓN 2
LOS ORÍGENES DE LAS MATEMÁTICAS. EL ANTIGUO EGIPTO. MESOPOTAMIA

002.jpg
Texto en escritura cuneiforme BM 15285, cara anterior, alrededor de 22 cm × 15 cm.

§ I
Los comienzos de las matemáticas

Contenido:
I. 1. Los orígenes
I. 2. La Revolución Agrícola

I. 1. Los orígenes

La historia de la actividad productiva del hombre, del pensamiento y del lenguaje comenzó con la aparición del homo sapiens alrededor del año 50.000 a.n.e. y con la formación, iniciada entonces y que duró hasta aproximadamente el año 10.000 a.n.e., de las sociedades primitivas. Con el homo sapiens aparece, desde el punto de vista biológico, el hombre moderno. Toda evolución posterior fue resultado de procesos sociales.

En su continua lucha con la Naturaleza que lo rodeaba, el hombre primitivo obtuvo sus primeros conocimientos matemáticos y astronómicos. Descubrimientos arqueológicos (armas, vasijas de barro, tejidos, etc.) muestran una acabada decoración de tipo geométrico e investigaciones en tribus primitivas todavía existentes nos aportan los suficientes datos como para pensar que ya en aquel entonces se poseían los primeros elementos de los sistemas numéricos y de un calendario (fig. 2.1).

La primera etapa en el camino hacia el concepto de numero fue el reconocimiento de diferencias tales como mucho y poco, cantidad grande y pequeña, o la diferenciación intelectual de lo uno y lo múltiple. Es muy posible que subsecuentemente surgieran sistemas binarios y ternarios. Todavía hoy ciertas tribus de Melanesia, Australia, Sudamérica y Sudáfrica utilizan sistemas binarios.

Aunque individualmente el hombre prehistórico conocía tan sólo unos cuantos números, entre varios podían manejar números grandes, lo que les servía, por ejemplo, a la hora de contar el ganado. Con los 10 dedos de la mano, la primera persona cuenta los animales que pasan por delante de él, una segunda persona cuenta con sus dedos tantas veces como completa la primera ambas manos, y así sucesivamente. De esta manera, entre tres personas podían llegar a contar hasta 1000, aunque por separado sólo pudieran llegar hasta 10.

003.jpg
Fig. 2.1. Ornamentos geométricos en vasijas de arcilla del paleolítico superior

Al principio, las palabras utilizadas para designar los números dependían de los objetos numerados. Los habitantes de las islas Fiji, por ejemplo, dicen bole para expresar 10 tarros, pero emplean karo para expresar 10 cocos.

La distinción entre las palabras que designan los números y los conjuntos particulares numerados se produjo merced a un lento proceso. Uno de los pasos históricos fue la coordinación entre diferentes cantidades concretas y una cantidad representativa. Así, ciertas cantidades representativas, 5 dedos de una mano, 10 dedos, 20 dedos de manos y pies, 12 falanges[i], han desempeñado un importante papel en la formación de las operaciones aritméticas y en la elección de una base para el sistema numérico (fig. 2.2). Los aztecas contaban en base 5, los egipcios en base 10, los celtas y los grusinios (Georgia) en base 20; se encuentran restos de ello en la matemática mesopotámica e incluso, todavía hoy, en las lenguas francesa y danesa (por ejemplo, en francés 80 = 4 × 20 se dice quatre-vingt).

004.jpg
Fig. 2.2. Cifras chinas de bambú. Sistema numérico de base 10

Todos estos progresos en el campo numérico suponían importantes conocimientos en el hombre primitivo, así como una considerable capacidad de abstracción: correspondencia unívoca entre números abstractos y la cantidad de cosas concretas, construcción aditiva de la sucesión de números, utilización de un número como base de un sistema numérico. En la fase final del desarrollo de las sociedades primitivas, diferente en el tiempo según el lugar del planeta que se considere, siendo las más tempranas las de los valles del Eufrates, Tigris, Nilo, Indo y Huangho, se encuentran sistemas numéricos altamente desarrollados.

I. 2. La Revolución Agrícola
En el sexto milenio a.n.e. comenzó, en determinadas zonas de la Tierra, un cambio decisivo en la relación del hombre con la Naturaleza y, simultáneamente, de los hombres entre sí. Atrás quedaba una economía basada en la caza y la recolección, que era sustituida por la agricultura y la cría de ganado (primera división social del trabajo). Apenas si se ha valorado en toda su importancia este revolucionario proceso conocido como Revolución Agrícola o Revolución Neolítica, que condujo a la disolución de la sociedad primitiva y al nacimiento de una sociedad de clases basada en la producción agraria, así como a la aparición de la propiedad privada y del estado. Los conocimientos matemáticos y astronómicos existentes incorporaron entonces una proyección social; se iniciaba así el proceso de formación de las distintas ciencias.

Con la aparición de la producción agraria aumentó la necesidad de orientarse en el tiempo y en el espacio. Fue necesario establecer fechas para las labores agrícolas (siembra, cosecha, etc.), predecir acontecimientos que se repetían periódicamente (inundaciones del Nilo, del Indo), determinar las dimensiones de los campos, realizar cálculos para la construcción de canales de riego, etc. Todo ello condujo a un cierto dominio de las operaciones básicas de la aritmética, a consideraciones de tipo geométrico y a un amplio desarrollo de la cronología y del calendario. En la última fase de todo este proceso aún se llevaron a cabo nuevas divisiones sociales del trabajo, una segunda con la formación de un amplio estrato de artesanos y una tercera con el nacimiento de agrupaciones de comerciantes y mercaderes.

La artesanía y el comercio y, con ellos, el desarrollo de las fuerzas productivas, posibilitaron y estimularon, en una sociedad de clases basada en la producción agraria, la formación y consolidación de conocimientos científicos. La forma concreta y el nivel de los conocimientos alcanzados dependió, no obstante, aunque, en principio, se hallaran en el mismo estadio de desarrollo de las fuerzas productivas, de la concepción del mundo dominante en cada uno de los pueblos. Pero, a pesar de tales diferencias, se puede asegurar que las matemáticas de la sociedad agraria no superaron un determinado nivel, que, por otra parte, tampoco era necesario superar: se trataba esencialmente de una matemática elemental de las magnitudes constantes.

Nuestros conocimientos sobre el desarrollo de las matemáticas en los diferentes pueblos antiguos son muy dispares. Mientras de la matemática del Antiguo Egipto se tienen sólo datos correspondientes a un reducido periodo de tiempo, el variado material de las culturas mesopotámicas nos permite caracterizar ciertas líneas evolutivas en el desarrollo de la matemática en aquella región. Por su parte, la división en periodos del desarrollo de la matemática griego-helenística puede ser establecida según consideraciones de tipo intramatemático. es decir, no sólo sesún acontecimientos históricos.

Por el contrario, no sabemos prácticamente nada de los conocimientos matemáticos de la cultura del Indo (téngase en cuenta que la escritura era sobre hojas de palma y materiales similares, fácilmente perecederos), de los persas y de otros pueblos del Antiguo Oriente. Son también difícilmente datables los conocimientos matemáticos de la India védica y los del pueblo chino hasta el siglo VI a.n.e. En tales zonas prevaleció la transmisión oral del saber y su fijación por escrito se produjo relativamente tarde (en la India, por ejemplo, sólo después del siglo V de nuestra era).

Las tradiciones científicas de muchos pueblos, sudasiáticos, latinoamericanos y africanos-, que fueron en algún momento de su historia colonizados por los países europeos, no han sido examinadas por los países colonizadores o, como es el caso de los bienes culturales de los Mayas, nada se ha hecho para evitar la pérdida de todo testimonio. La recuperación de sus bienes culturales y científicos es, por ello, una dura tarea que dichos pueblos deben afrontar. Algunos países han realizado ya importantes esfuerzos en el desarrollo de la Historia de la Ciencia, como por ejemplo Japón, la India, los países árabes, Irán, algunos estados africanos y, sobre todo, ciertas repúblicas de la Unión Soviética: este esfuerzo ha sido coronado con importantes éxitos.

§ II
Las matemáticas en el antiguo Egipto y en Mesopotamia

Contenido:
II. 1. La matemática egipcia
II. 2. Las matemáticas en Mesopotamia

II. 1. La matemática egipcia
Los conocimientos que hoy poseemos de la matemática egipcia provienen de cinco papiros que abordan cuestiones matemáticas, de los cuales los más importantes son el papiro Rhind (llamado así en honor del inglés Rhind, quien fue su propietario) y el papiro de Moscú (que toma su nombre del lugar donde actualmente se conserva). Estos dos documentos matemáticos datan probablemente del siglo XVIII a.n.e., aunque por su contenido podría tratarse de documentos más antiguos. Además de estos papiros, existen otros, documentos jurídicos por ejemplo, que indirectamente aportan también información sobre la posición social de las matemáticas. El paso de la sociedad primitiva a la sociedad de clases tuvo lugar en el valle del Nilo a comienzos del tercer milenio a.n.e., concluyéndose aproximadamente hacia el año 2800. Se hicieron grandes progresos en arquitectura (pirámides), elaboración de la madera, construcción naval, industria textil y metalurgia. La escritura experimentó también un gran avance.

El proceso de diferenciación social dio lugar a una nueva profesión, la de escriba. Estos venían a ser los profesionales de la administración del estado; poseían un poder nada desdeñable y pertenecían a la clase dominante y explotadora. Se encargaban de recaudar los impuestos, dirigían gigantescos ejércitos de trabajadores, desempeñaban labores judiciales y manejaban las matemáticas: cuestiones relativas a la medición de tierras, especialmente tras las continuas y periódicas inundaciones del Nilo, cálculo de impuestos y contribuciones, cálculo de la capacidad de los depósitos de provisiones, proyección de obras arquitectónicas, etc. Los papiros matemáticos encontrados se ocupan también de tales cuestiones[5].

Aquellos documentos que tratan de la posición social del escriba revisten asimismo interés: en uno de ellos, un escriba exhorta a otro para que amplíe sus conocimientos, aludiendo para ello a la importante posición que ha de desempeñar:

Se te propone hacer la zanja para una balsa. Vienes a mi para informarte de las provisiones para los soldados y me dices que lo calcule por ti. Dejas tu cargo abandonado y me encuentro con que debo enseñarte cómo desempeñarlo [...] Pues mira, tú, experto escriba que se halla en la cima del ejército, se debe hacer una rampa, de 730 varas de largo y 55 varas de ancho, que contenga 120 cajas y se rellena con cañas y maderos; por arriba 60 varas de alta, [...] Se pregunta ahora a los generales por los ladrillos que son necesarios, y los escribas están todos reunidos sin que ninguno de ellos sepa nada de esto. Todos ellos confían en tí y dicen: «tu eres un escriba experimentado, amigo; así que decídelo rápidamente por nosotros»[...] [L 2.9, p. 120].

Consideremos más de cerca algunos elementos de las matemáticas del antiguo Egipto. Los conceptos y los nombres empleados para indicarlos hacían referencia todavía de manera clara a su origen a partir de lo concreto: por ejemplo, el símbolo (jeroglífico) para romperse es sinónimo de substracción. La variable, es decir, la cantidad buscada en las ecuaciones, es representada con los signos para montón, cantidad. Una medida de capacidad pequeña, a saber de una fanega, se designaba con el jeroglífico o y servía para designar las fracciones. Posteriormente, o se convirtió en un punto, de manera que un número con un punto sobre él designaba la correspondiente fracción unitaria: 3 = 1/3

El sistema numérico era decimal, pero no posicional: cada una de las potencias de diez, hasta 106, poseía un símbolo propio; los números se formaban colocando sucesivamente los símbolos de las potencias respectivas (fig. 2.3 y fig. 2.4).

005.jpg
Fig. 2.3. Símbolos egipcios para las potencias de diez hasta 106 y “mucho”

006.jpg
Fig. 2.4. El número 2246 formado por la sucesión de los signos correspondientes

Una vez que se aprendía a contar, las técnicas para calcular sumas y substracciones eran fáciles de aprender. La multiplicación y la división se basaban en una técnica de duplicación y división por dos, respectivamente. El escriba señalaba las cantidades que se habían de sumar:

007.jpg

Todo el cálculo de fracciones se reducía al cálculo con fracciones unitarias. Según esto, 2/5 no representaba para el escriba ningún resultado, ningún número, sino que se trataba de una división con solución 0001.png + 0002.png. Por ello, el papiro Rhind contiene una extensa tabla de descomposiciones de los cocientes 2/n, para n = 5,…,101, en fracciones unitarias. Una observación más atenta[6] revela incluso que se utilizaba siempre una descomposición canónica, que evitaba, por ejemplo, la descomposición 2/n = 0003.png.

¿Qué tipos de problemas aparecen principalmente en los textos?

Los llamados psw-cálculos desempeñan un relevante papel: psw proviene del egipcio cocer (psf). La palabra se utilizaba para designar la fabricación del pan y de la cerveza. La fracción q = b/a de la cantidad de cereal b utilizada para el número a de panes o de jarras de cerveza, era una medida de la calidad del pan o de la cerveza. Los psw-cálculos tenían como finalidad calcular una de las tres cantidades a partir de las otras dos; y a continuación se trataba de resolver relaciones de conversión para el caso de diferentes tipos de trigo, del tipo b = ub’.

008.jpg

Más abstractos comparativamente resultan ser los cálculos del tipo han, que conducen a la resolución de ecuaciones. Los jeroglíficos para montón, cantidad, aparecen en lugar de la magnitud que se ha de determinar. A continuación se da un ejemplo particularmente sencillo de una ecuación lineal. La transcripción al formalismo actual puede ser llevada a cabo sin dificultades:

009.jpg

En otro documento matemático se requiere, en un pasaje determinado, considerar sistemas de ecuaciones como

x2 + y2 = 100, y = 3/4 x

cuya solución es x = 8, y = 6. Esto supone la aparición de la tripleta pitagórica 2×3, 2×4, 2×5.

Pero no hay motivo para pensar que los matemáticos egipcios conocieran la relación que actualmente se conoce como teorema de Pitágoras. No obstante, sí que fueron utilizadas, repetidas veces y de forma clara, progresiones aritméticas y geométricas, como se apreciará a continuación:

Inventario de una familia:

7 casas2401 espigas de cereal
49 gatos16807 hekat [una medida para cereales]
343 ratonestotal: 19607 [L 2.12, p. 121, inglés].

La explicación del problema, en el que se aprecia asimismo la afición de los egipcios a los gatos, consiste en considerar una familia con 7 casas, de modo que en cada casa viven 7 gatos, cada uno de ellos se come 7 ratones, que se habían comido cada uno 7 espigas, por cada una de las cuales se hubieran obtenido 7 hekat de cereal en la cosecha.

Hagamos, por último, algunas observaciones sobre la geometría en el Antiguo Egipto. Existía un equivalente para la noción de ángulo, se llevaron a cabo descomposiciones de figuras compuestas sencillas y se determinaron áreas de figuras limitadas por rectas, así como algunos volúmenes. El cálculo del área del círculo se realizaba la mayoría de las veces con un valor aproximado de π ≈ 3, aunque ocasionalmente también con π/4 ≈ (8/9)2.

El mayor logro de la matemática egipcia consistió en la determinación exacta del volumen de un tronco de pirámide, que llevó a la utilización de la fórmula

0004.png.

El texto no permite discernir si se trata del tronco de una pirámide recta u oblicua, ni cómo se ha llegado al resultado.

010.jpg
Fig. 2.5. Texto original del problema del tronco de pirámide (Papiro de Moscú).

II. 2. Las matemáticas en Mesopotamia
En Mesopotamia, tierra entre ríos, entre el Éufrates y el Tigris, el paso a la sociedad de clases comenzó en el milenio V y concluyó en el IV con la aparición de las ciudades-estado sumerias. Los sumerios sentaron las bases del alto nivel que llegarían a alcanzar las matemáticas en Mesopotamia. Los primeros textos matemáticos que poseemos proceden de una de las ciudades sumerias, Uruk. Otras tablillas de arcilla que se han conservado y en las que aparecen contenidos matemáticos proceden de la época del antiguo imperio babilónico, aproximadamente entre el 1800 y el 1530 a.n.e.[7]

Hacia la mitad del tercer milenio, la estructura de la ciudad-estado ya no satisfacía las exigencias de la economía, basada en el sistema de regadío y necesitada de una organización que abarcase una zona territorial más amplia. Surgió así el primer gran imperio, el imperio semítico de los acadios. Estos entraron en contacto con las tradiciones científicas de los sumerios y las continuaron: de esta manera, la ciencia sumeria se mantuvo bajo el dominio de babilonios, de los asirios e incluso de los persas.

A finales del segundo milenio, la civilización mesopotámica, basada en el regadío sobre el valle fluvial, se vino abajo. El centro político se asentó en el Asia Menor y en el Agäis; el centro científico se desplazó hacia el Agäis. (En ese mismo periodo, China y la India vivían una época de gran esplendor científico). No obstante. Babilonia, gracias a la tolerancia de los conquistadores persas, siguió siendo todavía, y durante siglos, un importante centro cultural. Esta circunstancia permitió que los conocimientos científicos alcanzados en Mesopotamia fueran transmitidos a los persas, los fenicios y. por último, también a los griegos.

La matemática mesopotámica se hallaba en un nivel notablemente superior al de los egipcios. Pero también aquí los condicionamientos sociales fueron determinantes.

Mesopotamia poseía un extendido sistema de regadío artificial; consecuentemente, un alto porcentaje de los textos matemáticos están dedicados a los problemas relativos a obras hidráulicas, como la construcción de canales y diques, la medición de campos, etc.

011.jpg
Fig. 2.6 Fragmento del texto cuneiforme BM 85194(aprox. 9.6 cm × 9.6 cm). Ilustración para el cálculo de la amplitud de la base de una tumba, corona circular, con pared en forma de anillo.

Merece destacarse también el extraordinario nivel de las técnicas de cálculo, en las que, como se apreciará posteriormente, se encuentran ya los rasgos de un modo de proceder genuinamente algebraico. Esta asombrosa circunstancia se explica por el hecho de que Mesopotamia estaba obligada a sostener una amplia actividad comercial, madera, piedras, minerales, para paliar la ausencia de las correspondientes riquezas naturales.

Se han conservado, a diferencia de lo ocurrido con la civilización egipcia, relativamente muchos documentos matemáticos de Mesopotamia, recogidos en escritura cuneiforme en tablillas de arcilla (fig. 2.6).

Las excavaciones han puesto a la luz bibliotecas completas, que contienen, entre otros, documentación sobre temas científicos, leyes, expedientes administrativos, etc., junto con leyendas de carácter épico y religioso, como, por ejemplo, una antigua versión de la leyenda del Diluvio Universal de la Biblia.

Los documentos matemáticos son tan numerosos y proceden de épocas tan distintas que sería posible, cosa que no sucede con la matemática del Antiguo Egipto, reconstruir el desarrollo de la matemática mesopotámica en un largo espacio de tiempo. Aproximadamente sesenta tablillas cuneiformes están traducidas, a las que hay que añadir doscientas tablillas numéricas. Varios miles de tablillas esperan todavía ser descifradas y editadas en una lengua moderna.

Uno de los rasgos más destacados de la matemática babilónica fue el desarrollo de un sistema numérico posicional de base 60. Se utilizaban dos signos, una cuña J y un gancho { ; la cuña se utilizaba para la unidad, el gancho para los múltiplos de 10. Combinando estos dos signos se formaban las 60 cifras; por ejemplo,

012.jpg

significaba 23. No obstante, todas las cifras y números se han de entender a la vez en el sistema sexagesimal: 013.jpg significa 1 × 60k y 014.jpg significa 10 × 60k, con k = ≥/< 0. Un número como

015.jpg

significaba por tanto, ya que en el babilonio no existía ninguna coma,

1 × 60 + 54 × 602 + 1 × 60 + 22

o bien

1 × 60 + 54 × 600 + 1/60 + 22/602 +

El cálculo con quebrados puede así llevarse a cabo en el dominio de los enteros (positivos).

En una base tan grande, el orden de las magnitudes que aparecen en los problemas prácticos se deduce del contexto. Mucho más molesto era el hecho de que en el sistema posicional los lugares no ocupados no quedaban perfectamente definidos, pues no existía ningún signo para el cero. Para evitar el problema, reducían el tamaño de las componentes de las cifras adyacentes. En la matemática babilonia posterior, presumiblemente a partir del siglo VI a.n.e, es decir, desde el tiempo de los persas, fue utilizado un signo de omisión interior, una especie de cero.

Este avanzado sistema posicional sexagesimal fue extraordinariamente útil y superó a todos los sistemas numéricos de la Antigüedad[8]. Los matemáticos helenísticos lo utilizaron abundantemente para llevar a cabo sus complicados cálculos, especialmente en astronomía. El matemático y astrónomo helenístico Ptolomeo (siglo II n.e.) impuso definitivamente dicho sistema en astronomía:

Como regla general realizaremos las operaciones con números de acuerdo con el sistema sexagesimal, pues la utilización de fracciones [es decir, de las fracciones usuales del sistema numérico griego: N.A.] es poco práctica [L 2.11, I, p. 25].

Tras su aceptación en la astronomía griega, el sistema sexagesimal se difundió en Europa; de esto procede la partición del ángulo completo en 360 grados, del grado en 60 minutos y de cada uno de éstos en 60 segundos.

El sistema sexagesimal tenía un grave inconveniente: la tabla de multiplicar llega hasta el 59 por 59. El sistema numérico babilónico tenía por tanto un alto valor práctico sólo disponiendo de suficientes tablas de multiplicar. Pero, efectivamente, se han encontrado estas tablas. Al parecer, se trataba de una herramienta de mano del escriba-matemático babilonio.

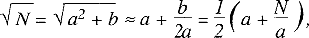
Además de éstas, se han encontrado también: tablillas de recíprocos 1/a, tablillas que transforman la división en multiplicación, tomando b/a = b × 1/a; y tablillas de raíces cuadradas, de raíces cúbicas y de números de la forma n2 + n3 El cálculo de la raíz cuadrada se llevaba a cabo según la aproximación

0005.png

donde a2 es el cuadrado más grande menor que N.

También la geometría babilonia revela su marcado origen práctico: junto al cálculo de áreas de los campos aparecen cálculos de los rendimientos totales de los terrenos, dependientes de un rendimiento específico, que es función de la calidad del suelo. En los cálculos de terraplenes con perfil trapezoidal se consideran cuestiones relativas a la inclinación del terreno, la anchura de la corona del terraplén, el número de trabajadores necesarios por jornada media de trabajo, etc. Aparecen también cálculos relativos a la construcción de tabiques con forma de anillo, de cimientos de templos, pozos de ladrillo, y cómo no, de canales. Un ejemplo de lo anterior (gis es una medida de longitud, SAR una medida de capacidad) es el siguiente:

0006.png

Del análisis de los cálculos efectuados se deduce que se trataron cuestiones de proporcionalidad en el triángulo, lo que va mucho más allá de los conocimientos de geometría elemental de los egipcios. Además, se utilizaba una cantidad, valor de la inclinación, que se relaciona directamente con la cotangente trigonométrica. En general, π fue aproximado por 3, aunque en textos posteriores por 3⅛. Conocían también el llamado teorema de Thales.

El teorema de Pitágoras, aj menos en cuanto a su contenido, era ya conocido en la matemática mesopotámica, mucho antes, por lo tanto, de Pitágoras. En los primeros tiempos se empleaba tan sólo en problemas concretos, como el siguiente (los datos numéricos están en el sistema sexagesimal):

Una viga (?) de longitud 0;30 [apoyada en una pared o similar] se desliza en 0;6 en el extremo superior. ¿Cuánto se ha alejado el extremo inferior de la pared? [L 2.7, II, p. 47].

Pero la matemática mesopotámica fue mucho más allá en la comprensión teórica del teorema de Pitágoras. El problema de determinar triángulos rectángulos cuyos lados fueran de longitud racional condujo al problema homólogo de encontrar tripletas numéricas a, b, c con

a = r2 × s2, b = 2rs, c = r2 + s2, donde r, s > 0.

Hemos de remitimos al final de la Antigüedad, con Diofanto de Alejandría, para volver a hallar una concepción tan general como la anterior. Los métodos de la escuela pitagórica para obtener tripletas de números enteros están contenidos, como caso particular, en el procedimiento de los babilonios.

Igualmente merece ser comentado con mayor detalle un segundo aspecto de la matemática mesopotámica, a saber, el carácter claramente algebraico de las técnicas de cálculo. Todos los textos cuneiformes más recientes muestran una fuerte inclinación hacia la ideografía, es decir, hacia una forma de escritura abreviada mediante símbolos. En los textos matemáticos, esto se tradujo en el uso cada vez más generalizado de términos y signos específicos y estables, como, por ejemplo, lal, para la substracción y tab, para la adición o para confirmar la igualdad de ambos miembros. El siguiente ejemplo, que requiere la resolución de ecuaciones bicuadráticas, clarifica la estructura de tales problemas (los datos numéricos se indican en sexageximal):

0007.png

Con notación actual, manteniendo los datos sexagesimales y utilizando las variables x e y, lo anterior torna la siguiente forma:

0008.png

Se trata de un conjunto de diferentes problemas; el primero es

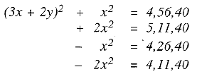
(3x + 2y)2 + x2 = 4,56,40(3x + 2y)2 + 2x2 = 5,11,40

con la correspondiente ordenación de las magnitudes según el sistema sexagesimal. Los otros dos problemas combinan la primera fila con la tercera y la cuarta, respectivamente. Del primer problema, formulado con nuestra numeración actual

(3x + 2y)2 + x2 = 4, 602 + 56 × 601 + 40 × 600

(3x + 2y)2 + 2x2 = 5 × 602 + 11 × 601 + 40 × 600,

se obtiene x = 30 × 600, y = 20 × 600 (una potencia sexagesimal menor corresponde a la solución x = 30 × 60-1, y = 20 × 60-1 el miembro derecho significaría en este caso 4 × 601 + 56 × 600 + 40 × 60-1).

Un análisis cuidadoso de los métodos de cálculo revela una habilidad casi asombrosa en la manipulación de ecuaciones: se introducían variables auxiliares adecuadas, se eliminaban variables cuando aparecían varias. De hecho, el escriba babilonio calculaba casi del mismo modo en que lo hacemos nosotros hoy en día.

En algunos textos de la época más reciente, entre los años 1000 y 800 a.n.e. los problemas están redactados a partir de las soluciones: empezando por el final, por así decirlo. Esto se muestra claramente en algunos de ellos y, en otros, se deduce de un examen detallado de la estructura del problema. Estos hechos apuntan ya, claramente, a una etapa superior en la historia evolutiva de la matemática, etapa que se consolidará definitivamente en el periodo jónico de la matemática helenística: el problema práctico, concreto, queda en el trasfondo, la matemática se desvincula de sus orígenes directos y comienza a independizarse, a conformarse de acuerdo con su propia dinámica interna.

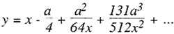
De no menor importancia que este modo de pensamiento abstracto-algebraico son los problemas resueltos por la matemática babilónica: aparecen progresiones aritméticas y geométricas; se manejan ecuaciones lineales, cuadráticas, cúbicas y bicuadráticas de diferentes tipos; en ocasiones, se trata incluso el caso de una ecuación de cuarto grado con todos sus términos y que tiene cuatro soluciones reales y positivas. Además, se resuelven sistemas de ecuaciones de hasta 10 ecuaciones y 10 variables. En algunos textos muy antiguos aparecen cuestiones y métodos trascendentes: los problemas sobre impuestos e intereses y los correspondientes problemas recíprocos, requieren, en lenguaje actual, el uso de logaritmos y la solución de ecuaciones con exponenciales. Para ello se utilizan tablas de la forma an, para n = 2, 3, 10, así como interpolaciones. Se aprecia en este contexto un primer esbozo, en forma incipiente e intuitiva, de los conceptos de función y de continuidad.

Reflejo de las circunstancias sociales son los frecuentes problemas de distribución: repartición de la contribución para tierras con diferentes rendimientos específicos, cálculo del pago por el suministro de ladrillos según la distancia recorrida en su transporte, etc. El reparto de una herencia, en dinero o en tierras, entre los hermanos conduce, por ejemplo, a una progresión geométrica, al graduar la parte de herencia correspondiente en función del orden de nacimiento. El siguiente es un típico problema que requiere determinar el término inicial y la diferencia de una progresión aritmética:

10 hermanos; 12/3 minas de plata.
hermano sobre hermano se ha elevado [en cuanto a su porcentaje].
Lo que se ha elevado no lo sé.
El porcentaje del octavo [es] 6 siclos. Hermano sobre hermano en cuánto se ha elevado [L 2.7, II, pp. 240-241].

La solución se da correctamente: 0;1,36 minas de plata.

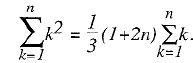
La fórmula para determinar la suma de los diez primeros cuadrados, generalizada, se escribe actualmente:

0009.png

Para resolver ecuaciones cuadráticas la técnica era reducir el problema a algunas formas canónicas. Como ejemplo, ya en un antiguo texto babilónico se plantea el problema (en formulación actual) de resolver el sistema de ecuaciones

xy + x - y = 183

x + y = 27.

Con la introducción de una nueva variable y’ = y + 2 se obtiene x × y’ = F, x + y’ = a, una de las formas canónicas babilonias. El escriba obtiene como solución

0010.png

En general, para ecuaciones con una variable se consideraron las siguientes formas canónicas (siempre con coeficientes positivos):

ax = b

x2 = a

x2 + ax = b

x2 - ax = b

x3 = a

x2(x + 1) = a.

Y para ecuaciones con dos variables

x + y = a,x × y = b;x - y = a,x × y = b;
x + y = a,x2 + y2 = b;x - y = a,x2 + y2 = b;

Las técnicas de cálculo se desarrollaron en Mesopotamia apoyadas en la utilización de tablas, con el fin de resolver problemas realmente complicados, motivados por el desarrollo social. Además, se abordaron problemas que pueden ser considerados como resultado del desarrollo lógico interno de la matemática. La aritmética mesopotámica alcanzó un nivel que muestra ya rasgos de auténtico pensamiento algebraico y que sólo al final de la Antigüedad fue superado, en el oriente islámico a partir del siglo X y en la Europa cristiana con el Renacimiento.

LECCIÓN 3
LA ANTIGÜEDAD CLÁSICA. EL PERIODO JÓNICO. EL PERÍODO ATENIENSE

016.jpg
Calculista griego sentado a su mesa (Vaso de Darío)

Contenido:
I. 1. Los cambios sociales
I. 2. División en periodos

§ 1
Las matemáticas en la antigüedad greco-helenística

Desde mediados del segundo milenio hasta los siglos VIII-VII a.n.e. se produjeron en el Mediterráneo oriental, Asia Menor, Oriente Próximo, Grecia y Egipto, transformaciones económicas, políticas y sociales de amplio alcance.

I. 1. Los cambios sociales
La historia política tuvo un turbulento devenir en dicha época y espacio geográfico. Hacia el cambio de milenio, Egipto quedó rezagado en su desarrollo y perdió su antigua posición dominante. Hititas y asirios establecieron poderosos reinos; en el siglo VI a.n.e., los persas conquistaron todo el Oriente Próximo y amenazaron a Grecia.

Desde mediados del segundo milenio algunas tribus griegas del norte, principalmente, dorios y jonios, habían ido emigrando a la península griega, las islas del Egeo y las regiones costeras de Asia Menor, expulsando o sometiendo a los pueblos allí asentados. En las costas del Mar Negro, del sur de Italia, del Mediterráneo Oriental y del sur de Francia fueron fundadas posteriormente un conjunto de ciudades-estado. Los fenicios, que estaban asentados en la región que corresponde aproximadamente al actual Líbano, colonizaron algunas zonas de la costa norteafricana. Una de sus colonias, Cartago, fundada en el siglo IX (en las proximidades de la actual Túnez), llegó a ser tan poderosa que en los siglos III y II a.n.e. se enfrentó a los romanos en una guerra por el control del Mediterráneo.

A partir de los siglos XII-XI, el uso cada vez mas extendido del hierro como metal industrial, gracias a sus significativas ventajas frente al bronce, hizo posible una considerable mejora de los medios de producción y de las armas. Las herramientas sencillas, como martillos, sierras, tijeras y tenazas alcanzaron ya entonces su forma típica actual. La construcción naval, la minería, la alfarería, la artesanía textil y del metal y otras áreas de la producción lograron alcanzar considerables progresos.

En Grecia, además, se alcanzó una elevada productividad, superior en algunos lugares a las necesidades del entorno más próximo. Las mercancías se convirtieron entonces en objeto de comercio a gran escala. La animada actividad comercial favoreció el desarrollo económico de las regiones costeras y condujo, en este mismo espacio geográfico, a la formación de un sector específico de comerciantes y mercaderes. En las ciudades comerciales griegas, la estructura de la polis se configuró como una forma de estado que favoreció un florecimiento cultural y, con él, el nacimiento de la filosofía y de las matemáticas.

La sociedad esclavista clásica comenzó a formarse en Grecia hacia los siglos VIII-VII a.n.e.; esto trajo consigo un recrudecimiento de la situación de explotación. Los esclavos, considerados como herramientas animadas o parlantes, constituían la base de buena parte de la producción. Así por ejemplo, en Atenas, sólo 172.000 de los 320.000 habitantes eran jurídicamente libres y, de ellos, tan sólo alrededor de un tercio poseían la ciudadanía ateniense y podían, por tanto, participar activamente en la vida política. Pero, por otra parte, esta explotación cada vez más aguda permitió a un creciente número de personas, naturalmente, de entre los poseedores de esclavos, liberarse de los procesos de producción inmediata y dedicarse al arte, la cultura, la filosofía o la ciencia. Estos representaban, por lo tanto, la ideología de los dueños de esclavos: la ciencia y filosofía desarrollada por ellos servía a los intereses de las capas dominantes.

Durante los siglos VIII-VII a.n.e., inicialmente en las ciudades estado jónico-griegas de Asia Menor, que se hallaban en estrecha relación con la tradición científica mesopotámica y el pensamiento iraní-, se formó un ambiente intelectual propicio para el nacimiento del pensamiento científico. Y así, bajo las nuevas condiciones económico-políticas y favorecidos por las circunstancias geográficas y climatológicas, los griegos llevaron a cabo la gran labor de convertir unas matemáticas nacidas de forma casi empírica y practicadas como una especie de recetario en unas matemáticas expuestas sistemáticamente, bajo una forma lógico-deductiva, esto es, en una ciencia en sí misma con sus objetivos y métodos específicos. Su método geométrico sería, durante dos milenios, el gran modelo de construcción deductiva de una disciplina científica; y todavía en la Edad Moderna el desarrollo de las matemáticas estuvo imbuido de su estilo y contenidos.

I. 2. División en periodos
En la matemática greco-helenística pueden distinguirse[9] cuatro periodos, claramente diferenciados, atendiendo a los métodos, contenidos y localización geográfica del desarrollo (fig. 3.1).

El periodo inicial recibe el nombre de periodo jónico, debido a su estrecha conexión con la filosofía jónica de la naturaleza, y se desarrolló desde finales del siglo VII hasta mitad del siglo V. En este periodo tuvo lugar la formación de la matemática como ciencia independiente.

El segundo periodo, que transcurrió aproximadamente entre el 450 y el 320/300 a.n.e., se denomina periodo ateniense. El centro de la actividad matemática se hallaba en Atenas, que era entonces la ciudad-estado griega de mayor influencia económica, política y cultural. En este periodo la matemática de la Antigüedad alcanzó completamente una estructura interna propia, que caracteriza lo que se conoce como algebra geométrica.

En una tercera etapa, el periodo helenístico, que duró aproximadamente desde mediados del siglo IV hasta mediados del siglo II, la matemática de la Antigüedad conoció su mayor esplendor, especialmente hasta el año 150 a.n.e. Se habla en ocasiones del periodo alejandrino, pues en este periodo Alejandría constituía el foco central indiscutible del quehacer matemático del mundo antiguo.

Al final de la Antigüedad la matemática se vio inmersa en la decadencia general de todas las ciencias, debido a la descomposición y posterior derrumbamiento de la sociedad esclavista. La productividad disminuyó considerablemente y el saber se fue perdiendo. No obstante, importantes partes de la matemática de la Antigüedad pudieron ser preservadas gracias a los sabios de Oriente.

017.jpg
Fig. 3.1. Centros matemáticos en el Mediterráneo durante la Antigüedad. 1 Siracusa, 2 Crotona, 3 Elca, 4 Nápoles, 5 Tarento, 6 Bilis, 7 Atenas, 8 Estagira, 9 Abdera, 10 Bizancio (Constantinopla), 11 Calcedonia, 12 Nicea, 13 Cícico, 14 Pérgamo, 15 Quíos, 16 Samos, 17 Esmirna, 18 Mileto, 19 Cnidos, 20 Rodas, 21 Perga, 22 Caléis, 23 Gerasa, 24 Alejandría, 25 Cirene.

§ II
El período jónico

Contenido:
II. 1. Thales de Mileto
II. 2. Demócrito de Abdera
II. 3. Hipócrates de Quíos
II. 4. La continuación de las tradiciones aritmético-algebraicas de Mesopotamia. La escuela pitagórica
II. 5. El fracaso de la arithmetica universalis

Desde el siglo VII las ciudades-estado jónicas de la costa de Asia Menor y de las islas adyacentes se habían convertido en importantes centros económicos, políticos y culturales. En Mileto, una de las ciudades comerciales más influyentes, trabajaron los más ilustres filósofos de la naturaleza jonios: entre ellos, Anaximandro, Anaxímedes y Thales.

Los filósofos de la naturaleza jonios, desde una posición ideológica básicamente materialista y dialéctica en la búsqueda de las causas, trataron de comprender y explicar la naturaleza, yendo mucho más allá de la mera observación y recopilación de los fenómenos naturales. La idea de una substancia primera les permitió aproximarse a un concepto de materia como categoría filosófica para la descripción de la realidad objetiva. La filosofía de la naturaleza jónica supuso un giro histórico, puesto que aspiraba a dar una respuesta a la pregunta sobre la última causa del mundo sin necesidad de recurrir a la mística y pretendía así no sólo describir el mundo, sino también explicarlo.

Lo anterior es especialmente válido para los conocimientos matemáticos, todavía muy imbricados durante el periodo jónico con la filosofía (en su acepción original de amor por la sabiduría). Así, se precisó la naturaleza de la definición. Las demostraciones de los teoremas se llevan a cabo por medio de la comprensión que se tiene de cómo funcionan las cosas en matemáticas. El conjunto de los conocimientos matemáticos, que en parte pudieron ser recibidos de Mesopotamia y Egipto, adquirió entonces una estructura lógica, llegándose a una clara distinción conceptual entre hipótesis, teorema y demostración. La ciencia matemática había nacido.

II. 1. Thales de Mileto
Según la tradición, en los orígenes de todo este proceso se halla Thales, hombre sumamente interesante y polifacético, quien ya en la Antigüedad era considerado uno de los siete sabios. A él se le atribuye la predicción del eclipse solar del 8 de mayo del 585 y el haber calculado la altura de las pirámides a partir de la longitud de su sombra durante un viaje comercial a Egipto.

Relatos posteriores atribuyen a Thales los siguientes teoremas matemáticos, que, como se ha dicho repetidas veces, se venían usando desde hacía tiempo, pero sólo entonces fueron enunciados explícitamente o incluso demostrados: todo ángulo inscrito en un semicírculo es un ángulo recto; todo diámetro divide en dos la superficie del círculo; en triángulos isósceles los ángulos base son congruentes; dos triángulos son semejantes cuando coinciden en un lado y sus dos ángulos adyacentes. Es posible, además, que enunciara y demostrara el teorema sobre la suma de los ángulos de un triángulo.

II. 2. Demócrito de Abdera
Demócrito de Abdera es también uno de los pioneros en la construcción de la ciencia. Fue, sin lugar a dudas, el más polifacético e instruido filósofo anterior a Aristóteles, a la par que un pensador extraordinariamente ingenioso. Profundizando en las ideas de su maestro Leucipo, Demócrito desarrolló una teoría atomista, de orientación materialista, cuya influencia ha perdurado hasta nuestros días[10]. Lamentablemente, la obra de este filósofo materialista fue arrinconada por los representantes de la filosofía idealista que dominaría posteriormente, especialmente por Platón y sus discípulos. Según sus propias palabras, Platón hubiera preferido quemar toda la obra de Demócrito.

De la mayor parte de sus escritos sólo se conocen los títulos, que se refieren a la naturaleza, la música, la ética, las artes plásticas, la arquitectura y la astronomía. Al ámbito de las matemáticas pertenecen los tratados Sobre el contacto de círculo y esfera, Sobre geometría, Sobre los números y Sobre extensiones (es decir, representación de la superficie esférica sobre el plano). Demócrito se preciaba de que los tensadores de cuerdas egipcios no le habrían superado nunca en la combinación de líneas. Sus viajes le condujeron probablemente a Egipto, Persia, Babilonia y es posible que incluso a la India y Etiopía.

Uno de los pocos fragmentos conservados de los escritos de Demócrito trata de la descomposición de un cono en rodajas delgadas mediante secciones paralelas a la base. Reconstruido, dice así:

Si se corta un cono mediante planos paralelos a la base, ¿cómo deben imaginarse las secciones resultantes, iguales o desiguales? Si fueran desiguales, harían al cono irregular, pues contendría secciones escalonadas y salientes. Si, por el contrario, fueran iguales, el cono ofrecería la apariencia de un cilindro, por lo que no se compone ni de círculos iguales ni de desiguales, lo cual es verdaderamente absurdo [L 3.5, pp. 412-413].

Partiendo de una posición atomista, Demócrito logró expresar correctamente, por vez primera, los volúmenes de la pirámide y del cono, aunque sin demostración. Al menos, eso dice Arquímedes posteriormente en El Método. Y alude también a que las ideas de Demócrito desempeñaron un importante papel en la demostración de estos teoremas, llevada a cabo por Eudoxo. Arquímedes se sintió asimismo heredero de esta tradición atomista. Esto prueba, por otra parte, que el pensamiento de Demócrito permaneció vivo a pesar de la ulterior preponderancia del idealismo filosófico.

Posteriormente se ha atribuido a Demócrito la invención de la construcción de la bóveda, investigaciones sobre las leyes de la perspectiva en la escenografía, la comprobación de la relación entera de las longitudes de las cuerdas del monocordio en los intervalos de tono, etc. Su idea de que el número (entero) es la medida de todas las cosas es, a diferencia del punto de vista, formalmente, casi idéntico, de la escuela pitagórica, completamente materialista: el número ayuda a la comprensión de la naturaleza.

III. 3. Hipócrates de Quíos
De entre los demás matemáticos del periodo jónico conocidos, cabría citar, por ejemplo, a Oinopides de Quíos, Hipócrates de Quíos merece una especial atención, pues, además de que aportó interesantes resultados matemáticos, su figura permite considerar nuevos aspectos de la posición social del científico en el mundo antiguo. Hipócrates fue el geómetra más célebre del siglo V. Conocía la relación entre ángulos inscritos y arcos. Sabía construir el hexágono regular, la circunferencia circunscrita a un triángulo, etc. Utilizaba el concepto de semejanza y sabía que las áreas de figuras semejantes guardan la misma proporción que los cuadrados de sus lados respectivos. Conocía generalizaciones del teorema de Pitágoras para triángulos de ángulos obtusos y agudos. Sabía transformar cualquier polígono en un cuadrado de igual superficie.

Se debe también a Hipócrates una primera exposición sumaria de la geometría titulada Elementos, siguiendo el que desde entonces se convertiría en el esquema clásico de presentación: hipótesis, teorema, demostración. En dicho texto introdujo también la manera de representar las figuras geométricas, puntos, segmentos, superficies, por medio de letras. Sin embargo, estos Elementos serían desplazados por los más exhaustivos Elementos de Euclides. De todos modos, el contenido de los libros I, II, III y IV de los Elementos de Euclides podrían provenir de la obra de Hipócrates.

El nombre de Hipócrates está estrechamente ligado con uno de los más celebres problemas clásicos de la matemática, el problema de la duplicación del cubo, llamado también problema délico. Según una predicción del oráculo de Delfos, se extinguiría una epidemia cuando los habitantes duplicaran el volumen de uno de sus altares en forma de cubo. Esto representa, con nuestra notación, el problema de construir un segmento x tal que

0011.png

donde a representa la longitud de la arista del cubo original. Narra la leyenda que los habitantes de Délos habían acudido en vano a los matemáticos, lo cual no es de extrañar, pues esta construcción es, como ahora se sabe, imposible (con regla y compás). Hipócrates descubrió, sin embargo, que el problema délico es equivalente a la construcción de dos medias proporcionales x e y a un segmento a y a otro el doble de largo 2a, es decir, a la resolución de las proporciones a : x = x : y = y : 2a.

Este admirable resultado sería todavía superado por el descubrimiento de las lúnulas, esto es, figuras de bordes curvilíneos para las cuales puede construirse con regla y compás un cuadrado de igual área. Hipócrates halló cinco tipos distintos de lúnulas que admitían cuadratura (fig. 3.2; fig. 3.3). El descubrimiento fue tan popular que gracias a ello un escrito de Hipócrates sobre el tema ha llegado parcialmente hasta nosotros, convirtiéndose asé en el fragmento original más antiguo de la matemática griega que se ha conservado.

0012.png
Fig. 3.2. Izquierda: Un tipo de lúnula de Hipócrates: El área M1 + el área M2 = área del triángulo ∆ ABC. Fig. 3.3. Derecha: Un segundo tipo de lúnula de Hipócrates

Parece ser que Hipócrates perdió toda su fortuna en su actividad en el comercio marítimo. Más adelante debió ganarse la vida mediante la divulgación del saber, como sofista (es decir, maestro de sabiduría): resulta muy novedosa la circunstancia de que recibiera una remuneración como intermediario del saber. En efecto, el nuevo y próspero estatus profesional de los sofistas revela un interés social muy elevado por el saber, que permitió que también los científicos accedieran a una posición económicamente independiente.

Sin embargo, en épocas posteriores el término sofista adquirió un carácter peyorativo. Al extenderse la educación, el trabajo intelectual, que estaba dirigido a la actividad productiva, fue valorado en la sociedad esclavista como cualquier otro trabajo (remunerado), pues lo realizaban esclavos o libertos. Por otra parte, con los sofistas se anuncia ya lo que sería la formación de las escuelas filosóficas. Platón y sus discípulos se reunían en un bosque consagrado al semidiós Akademos; de ahí que la escuela platónica entrara en la historia de las ciencias como Academia. Aristóteles y sus seguidores acostumbraban a debatir cuestiones científico-filosóficas paseando; el nombre de peripatéticos les viene de Peripatos, nombre de la galería de paseo del Liceo. Otras escuelas, como la de la stoa o la de los cínicos son menos relevantes para la historia de las matemáticas.

II. 4. La continuación de las tradiciones aritmético-algebraicas de Mesopotamia. La escuela pitagórica
Los inicios de la matemática griega han sido caracterizados por una singular mezcla de conceptos y desarrollos de tipo aritmético y geométrico; responde más bien a nuestra división actual de la matemática que a los presupuestos históricos el que la geometría y la aritmética/álgebra sean tratadas por separado.

La tradición aritmético-algebraica mesopotámica no fue nunca desechada en la matemática griega. Las fuentes muestran que fueron incorporados algunos resultados: por ejemplo, se encuentran las mismas formas canónicas para los sistemas de ecuaciones y ecuaciones cuadráticas, ejemplos con los mismos coeficientes numéricos, se utilizan las medias aritmética, geométrica y armónica, etc.

La repercusión mayor de la tradición aritmético-algebraica mesopotámica se observa en Pitágoras de Samos y su escuela. Según la tradición. Pitágoras, tras largas estancias en Egipto y Mesopotamia, donde entró en contacto con diversos cultos mistéricos, fundó en el sur de Italia una sociedad secreta político-religiosa, que durante algún tiempo gozó de un gran poder político y representó los intereses de la aristocracia contra la democracia. La orden se extinguió hacia mediados del siglo IV a. n. e.

La sociedad de los pitagóricos presentaba las características propias de una secta religiosa: conspiración, preceptos sobre vestimenta, alimentación y ceremonias funerarias, doctrina sobre la transmigración de las almas, etc. Hasta aquí los pitagóricos no se diferenciaban de las muchas otras agrupaciones de la época. Lo específico de esta secta consistía en que la unión con lo divino debía alcanzarse mediante la profundización en las prodigiosas leyes del mundo de los números, pues la esencia del mundo se hallaba en la armonía de los números. La finalidad primera de la secta era de carácter religioso; no obstante, y como efecto secundario, los pitagóricos contribuyeron notablemente al desarrollo de la matemática, tanto en sentido positivo como negativo.

Entre los aspectos positivos cabe destacar el hecho de que los teoremas matemáticos, al igual que sucediera con los matemáticos de la filosofía de la naturaleza jónica, fueran demostrados a partir de postulados y el que las propiedades y regularidades observadas en el campo de los números se formularan de manera abstracta. Su mérito principal reside en haber hecho del estudio de lo cuantitativo, de lo comprensible numéricamente, componente importante de la descripción del universo.

0013.png
Fig. 3.4. El número sagrado diez (Tetraktys)

Por desgracia, las influencias negativas pesan más históricamente. Para los pitagóricos los números no son el resultado de un proceso de abstracción llevado a cabo por el hombre a partir de una realidad objetiva, sino entes objetivos en sí mismos, dotados de cualidades como el amor y el odio, lo masculino y lo femenino. Por ejemplo, el tetraktys, el diez, número sagrado, formado por el 1, 2, 3 y 4 conjuntamente, fue objeto de gran veneración (fig. 3.4). El pitagórico Filolao escribe:

La eficacia y la naturaleza del número se deben juzgar según la fuerza que reside en el número diez. Pues ella es grande, perfectiva y productiva de todo, y es principio y guía de la vida divina, celeste y humana [...] Sin ésta todo es indefinido y confuso y oscuro [...] Pues la naturaleza del número es tal que provee el conocimiento, es guía y enseñante para cualquiera en cualquier cosa que le sea dudosa o desconocida [L 3.5, p. 243].

Y en otro fragmento añade:

Y de hecho un número contiene todo lo que se puede conocer. Sin él no se puede conocer ni comprender nada [L 3.5, p. 240].

Por otra parte, el uno no era un número para los pitagóricos, sino el principio de todas las cosas, la fuente y raíz de la naturaleza eterna.

Con los pitagóricos comenzó la influencia del idealismo filosófico en las matemáticas, si bien ésta se manifestó de muy diversas formas durante toda la Antigüedad. Los filósofos y matemáticos de épocas posteriores establecieron muy claramente que las investigaciones teóricas (de los pitagóricos) se movían en el terreno del pensamiento puro, libres de influencias materiales, como reza el Catálogo del geómetra, una especie de historia de las matemáticas de la Antigüedad que fue escrita por un científico del final de ésta época.

Se puede suponer con razonable seguridad que la secta comenzó a dividirse en dos grupos entre el 500 y el 450 a.n.e. Mientras los llamados Akousmatikoi hacían hincapié principalmente en el matenimiento de los ritos y preceptos (el akoúsmata) que se remontaban a Pitágoras, en el segundo grupo, el de los Mathematikoí, se formó, a pesar de todas las distorsiones, un auténtico interés por la matemática[11]. Extrayendo el núcleo racional, es decir, la componente matemática, de los resultados conseguidos en el ámbito general de la mística numérica, resulta el cuadro que se expone a continuación; se ha de pensar, naturalmente, que fuentes y tradición son incompletas y, en ocasiones, contradictorias.

Entre las primeras preocupaciones de los pitagóricos se hallaban los llamados números figurados: números triangulares, cuadrados, rectangulares, etc. (fig. 3.5).

0014.png
Fig. 3.5 Números figurados: números triangular, cuadrado, rectangular y pentagonal

Por medio de figuras se podían hallar, de una manera casi experimental, las sumas de las series

0015.png

El uso de las medias aritmética, geométrica y armónica procede seguramente de la matemática mesopotámica y probablemente también la adopción de las tripletas

0016.png

como solución de la ecuación

x2 + y2 = z2

De fecha relativamente temprana es el libro Enseñanza de lo Par y lo Impar, que más tarde sería incluido en el libro IX de los Elementos de Euclides. En él se demuestran proposiciones como las siguientes: la suma de números pares es par; la suma de un número par (impar) de números impares es par (impar); un número impar, que divide a un número par. divide también sus mitades. La culminación de la enseñanza pitagórica de lo par y lo impar es el teorema, impregnado todavía hoy de cierto misticismo numérico, que afirma que los números de la forma 2n(1 + 2 + 22 + ... + 2n) son perfectos, siempre que la expresión entre paréntesis sea un número primo. Un número a se dice perfecto si es igual a la suma de sus divisores, incluido el 1, pero excluyendo el propio número. Los pitagóricos daban como ejemplos de números perfectos el 1, 6, 28, 496 y 8128.

De fecha posterior a la teoría de lo par y lo impar son la teoría de las relaciones numéricas o proporciones y la teoría de la divisibilidad. Ambas fueron incluidas en el libro VII de los Elementos.

Con la concepción pitagórica de la indivisibilidad del uno, que ni siquiera era considerado un número, hubo de buscarse un equivalente a las fracciones, esto es, las proporciones numéricas. En lugar de reducir una fracción se reducían proporciones numéricas. La reducción a común denominador de los denominadores condujo necesariamente a la investigación del mínimo común múltiplo, es decir, en expresión de Euclides, a la determinación del número más pequeño que es medido por estos números. La teoría de las proporciones, esto es, de las relaciones entre números naturales, se basaba en la siguiente definición:

Los números son proporcionales cuando el primero es de la segunda cantidad la misma parte o el mismo conjunto de partes que el tercero de la cuarta [L 3.4, III, p. 2].

La teoría de la divisibilidad se basaba en las siguientes definiciones: un número primo es un número que se puede comparar sólo con la unidad como medida común. Primos entre sí son números que se pueden comparar sólo con la unidad como medida común. La proposición sobre la existencia de infinitos primos aparece en Euclides ya en el libro IX de los Elementos: hay más números primos que cualquier cantidad dada de números primos.

En lugar de una formulación abstracta (hoy usual y posible) de un teorema sobre la unicidad de la descomposición en factores primos, se ofrece el siguiente teorema, que rinde esencialmente el mismo servicio en cuanto a la técnica demostrativa:

si un número primo divide a un producto de dos números, entonces divide a uno de estos números.

La demostración se lleva a cabo utilizando el concepto de máximo común divisor, cuyas propiedades se obtienen con ayuda del algoritmo de Euclides.

Los datos sobre la geometría pitagórica de la primera época son muy inciertos. Pitágoras pudo haber conocido la base del teorema que lleva su nombre en Babilonia; una demostración podría proceder de él o de sus alumnos. De dicha época data también la demostración, todavía hoy en vigor, del teorema sobre la suma de los ángulos del triángulo, para la que se precisa del concepto de ángulo complementario (fig. 3.6).

0017.png
Fig. 3.6. Demostración del teorema sobre la suma de los ángulos de un triángulo

Los pitagóricos de los primeros tiempos conocían ya el cubo, el tetraedro y el dodecaedro, y posiblemente también los otros dos poliedros regulares, octaedro e icosaedro. El conocimiento del dodecaedro resulta asombroso: quizá tenga algo que ver con el hecho de que la pirita, abundante en Italia, cristaliza como dodecaedro. De hecho, el emblema de la orden pitagórica, el pentagrama, alude también al dodecaedro, pues las doce caras de este poliedro son pentágonos regulares (fig. 3.7).

0018.png
Fig. 3.7. Pentagrama. Símbolo de la orden de los pitagóricos; en la Edad Media, estrella de cinco puntas con significado místico (véase el Fausto de Goethe. En el pentagrama los lados se dividen según la sección áurea.

Al final del periodo jónico aparece la figura de Arquitas de Tarento, soberano de esta ciudad-estado del sur de Italia cercano a los pitagóricos y que, por medio de Platón, entró en contacto con las matemáticas y con la filosofía idealista. Con Arquitas, que realizó también importantes contribuciones a las matemáticas, especialmente a la teoría de la divisibilidad, llegó a su fin la fase más significativa de la secta pitagórica. Su obra está estrechamente relacionada con la formación, en aquella época, como elemento aglutinante de la secta pitagórica, de una ideología decididamente orientada hacia las matemáticas, según la cual la interpretación del mundo como un todo y, en particular, también las matemáticas habían de estar basadas en el número entero y en las proporciones de números enteros. Siguiendo un uso muy extendido en la historiografía de las matemáticas se suele hablar de la arithmetica universalis.

II. 5. El fracaso de la arithmetica universalis
Se puede afirmar con bastante certeza que el descubrimiento de la existencia de segmentos mutuamente no comparables (inconmensurables) se llevó a cabo todavía en el seno de la escuela pitagórica, y posiblemente no más tarde del año 420 a.n.e.: los segmentos no son medibles, son inconmensurables, cuando la longitud de cada uno de los segmentos no es a la vez múltiplo entero de la de un tercer segmento cualquiera que se elija como unidad[12](expresado modernamente: aparecen los números irracionales[ii]). Este descubrimiento, incompatible con la idea de una arithmetica universalis, contribuyó, junto con otras causas principalmente políticas (como el compromiso de los pitagóricos con la aristocracia de los poseedores de esclavos y con el gobierno de los tiranos), a la descomposición de la secta pitagórica.

Generalmente, la investigación histórico-matemática atribuye el desconcertante descubrimiento de los irracionales al pitagórico Hipaso de Metaponto. No obstante, no se sabe exactamente en relación con qué tema de las matemáticas fueron descubiertos. Recientes investigaciones relacionan el descubrimiento con el pentagrama. Sobre Hipaso se ha dicho, por ejemplo, que él

había descrito en público la esfera compuesta de doce pentágonos y que por ello, por ateo, había perecido en el mar [L 3.19, pp. 320-321].

En cualquier caso parece claro que el pentágono regular es una figura matemática en la que resultaba relativamente sencillo demostrar la inconmensurabilidad, lo que se hace más evidente si se utiliza el antiguo método de cambio de camino[13].

0019.png
Fig. 3.8. Demostración de la existencia de segmentos inconmensurables en el pentagrama

Las diagonales (fig. 3.8) de un pentágono regular forman de nuevo un pentágono regular y así sucesivamente. Para la cadena de pentágonos obtenidos en este proceso se tienen las relaciones AE = AB’ y B’D = B’E, de donde AD, AE = B’E y análogamente AE = ED’, EA’ y B’E’ = B’D = B’E y por tanto AE, B’E’ = B’A’ y así sucesivamente, sin llegar a finalizar nunca; es decir: la diferencia entre las diagonales y los lados del pentágono mayor es igual a las diagonales del pentágono menor; la diferencia entre los lados del pentágono mayor y las diagonales del pentágono menor es igual a los lados del pentágono menor; la diferencia entre las diagonales del pentágono menor y sus lados respectivos es de nuevo igual a las diagonales del siguiente pentágono menor, y así indefinidamente. El proceso de cambio de camino se puede continuar y, por ello, no es posible encontrar una medida común máxima para las diagonales y los lados del pentágono regular: existen segmentos mutuamente inconmensurables.

Nadie acepta ya actualmente[14] que la inconmensurabilidad se descubriera en el cuadrado. La demostración de que el lado y la diagonal de un cuadrado son inconmensurables (una demostración que, en términos actuales, se refiere a la irracionalidad de √2) podría más bien pertenecer a una época posterior, puesto que resulta algo más complicada si se lleva a cabo un procedimiento parecido al de cambio de camino. El cuadrado con las diagonales habría senado tan sólo a posteriori como medio de constatar una situación ya observada en otro ámbito. La demostración a partir de la teoría de pares c impares aparece aisladamente al final del libro X de los Elementos y se desarrolla, salvo diferencias de lenguaje, del mismo modo en el que hoy se explica en muchos libros de texto.

§ III
El periodo ateniense

Contenido:
III. 1. La teoría platónica de las ideas y su influencia en el desarrollo de la matemática
III. 2. El álgebra geométrica
III. 3. Teodoro de drene
III. 4. Teeteto y la clasificación de los irracionales cuadráticos
III. 5. Eudoxo de Cnido

Durante los siglos V y IV, Atenas, apoyada en la Liga Atica, alcanzó una posición dominante entre las ciudades-estado griegas, sobre todo tras la victoria sobre los persas. Bajo el mandato del estadista Pericles la democracia esclavista alcanzó su máximo esplendor. La larga guerra del Peloponeso (431-404) entre Atenas y Esparta y sus respectivos aliados afectó a toda Grecia y se decidió finalmente con la victoria de Esparta y con la restauración de la aristocracia esclavista. Poco después, Grecia, debilitada y desgarrada, fue conquistada por sus vecinos del norte, los macedonios. En el año 338 a.n.e. el rey macedonio, Filipo, conquistaba Atenas. Su hijo Alejandro erigiría seguidamente un poderoso imperio, que llegó hasta la India, Asia Central y Egipto.

En este corto periodo histórico, tan sólo algunas décadas, Atenas vivió un magnífico florecimiento cultural. Se construyó la Acrópolis, Praxíteles creó obras maestras de la escultura y aparecieron las obras teatrales de Aristófanes, Sófocles y Eurípides, que siguen siendo representadas en la actualidad. Sócrates, Platón y Aristóteles fundaron escuelas filosóficas de gran influencia. El idealismo filosófico, especialmente el de Platón, alcanzó, tras el retorno al poder de la aristocracia esclavista, una gran supremacía, por encima de las tradiciones materialistas de la filosofía natural jónica.

III. 1. La teoría platónica de las ideas y su influencia en el desarrollo de la matemática
Los conocimientos de matemáticas de Platón procedían de la época que pasó con Arquitas. Desde ese momento, Platón consideró a las matemáticas como ejemplo de ciencia cuyos resultados podían deducirse por medio del pensamiento puro. Esta postura filosófica supuso, por una parte, el fortalecimiento de los fundamentos metodológicos de las matemáticas que guiaban las demostraciones, construidas deductivamente a partir de definiciones e hipótesis. Por otra parte, significó el robustecimiento del idealismo objetivo filosófico. Como ejemplo de lo anterior valgan las palabras que Platón pone en boca de su maestro Sócrates en su diálogo La República:
Bien sabes a mi juicio que los que se ocupan de la geometría, del cálculo y de otras ciencias análogas, dan por supuestos los números impares y los pares, las figuras, tres clases de ángulos y otras cosas parecidas a éstas, según el método que adopten. Emplean estas hipótesis, como si en realidad las conociesen, y ya no creen menester justificar ante sí mismos o ante los demás lo que para ellos presenta una claridad meridiana. Empezando por ahí, siguen en todo lo demás un camino semejante hasta concluir precisamente en lo que intentaban demostrar [...] Sabes igualmente que se sirven de figuras visibles que dan pie para sus razonamientos, pero que en realidad no piensan en ellas, sino en aquellas cosas a las que se parecen. Y así, por ejemplo, que cuando tratan del cuadrado en sí y de su diagonal, no tienen en el pensamiento el que diseñan, y otras cosas por el estilo. Las mismas cosas que modelan y dibujan, cuyas imágenes nos las ofrecen las sombras y los reflejos del agua, son empleadas por ellos con ese carácter de imágenes, pues bien saben que la realidad de esas cosas no podrá ser percibida sino con el pensamiento [L 3.11, pp. 252-2531.

Esta postura es característica de la teoría platónica de las ideas. En el texto citado se aprecia la errónea valoración que el idealismo objetivo platónico hace de la actividad de abstracción del pensamiento humano. Según éste, cada objeto concreto, una silla, un signo de escritura, un triángulo sobre el papel, es tan sólo una copia mala, defectuosa, de una idea objetiva, en este caso de las ideas silla, escritura, triángulo. En la idea triángulo es cierta, por ejemplo, la proposición sobre la suma de los ángulos, pero en cada triángulo concreto, calco impreciso de la idea, la comprobación presentará errores. En realidad, lo que sucede, naturalmente, es que el pensamiento prescinde de las inexactitudes producidas en el dibujo por inesenciales (es decir, abstrae) para llegar al concepto de triángulo.

Corresponde entonces al raciocinio humano, según el sistema platónico, la tarea de establecer el grado de concordancia entre la idea perfecta, sublime, y su copia real. Para este sistema filosófico, que refleja también el desprecio de la aristocracia poseedora de esclavos por el trabajo y la actividad productiva, es preciso eliminar de las matemáticas todas las ideas y aparatos auxiliares de tipo mecánico. Como consecuencia, la matemática griego, helenística, mientras estuvo bajo la influencia directa de Platón, se centró principalmente en las construcciones con regla y compás (durante el periodo helenístico se estudiaron también curvas más complicadas, cuadratriz, concoide, cisoide, cuya construcción requiere más que regla y compás).

La restrictiva influencia de Platón se puede comprobar directamente. El mismo llegó a decir, acerca de la finalidad y sentido del ejercicio de las matemáticas que se debía persuadir a aquéllos que en el estado deban ocuparse de las tareas principales que se apliquen a la aritmética, pues las artes [es decir, las actividades manuales, N.A.] son tareas completamente inferiores; y ello,

hasta alcanzar la contemplación de la naturaleza de los números sirviéndose de la inteligencia. Porque aquélla no es de uso exclusivo de los comerciantes y chamarileros, ni se ciñe tan sólo a las compras y a las ventas, sino que puede aplicarse a la guerra y a facilitar una vuelta del alma misma al mundo de la verdad y de la esencia [L 3.11, p. 269).

Resulta instructivo también un informe del historiador romano Plutarco sobre la negativa opinión de Platón respecto a los medios auxiliares mecánicos en la matemática (con excepción de la regla y el compás):

El propio Platón reprendía a la gente en torno a Eudoxo, Arquitas y Menecmo porque éstos habían intentado reducir la duplicación del cubo a consideraciones de tipo mecánico, como si no fuera posible, para el que realmente lo intenta, hallar de forma puramente teórica dos medias proporcionales. Con lo que se desbarata y destruye lo bueno de la geometría, retrocediendo de nuevo a lo sensorial, en lugar de elevarse hacia lo alto y tratar de comprender las formas incorpóreas, eternas, en las que Dios es eterno (según la interpretación de van der Waerden, [L 3.14, pp. 267-268]).

Resulta evidente que la concepción platónica retardó, o devaluó, allí donde se introdujo, la utilización de las matemáticas en el proceso productivo. No se puede negar, sin embargo, desde la distancia histórico-crítica respecto al papel del idealismo objetivo en el desarrollo histórico de las matemáticas, que la alta estimación por las matemáticas de Platón y la escuela platónica, según la tradición, en el frontispicio de la Academia se hallaba la leyenda: no entre aquí nadie que ignore las matemáticas, ha contribuido decisivamente a la conformación, desarrollo posterior y transmisión de la ciencia matemática, precisamente en su nivel teórico más alto.

III. 2. El álgebra geométrica
Sobre este trasfondo general comenzó la búsqueda de medios que permitieran superar las dificultades de la matemática de aquella época: existían, y se podían construir, segmentos mutuamente inconmensurables, pero no existía ningún número natural ni ninguna razón entre números que pudiera ser el equivalente aritmético de dicho objeto geométrico[15].

El estudio de los números irracionales podría haber constituido una salida para esta contradicción interna; sin embargo, esta posibilidad no se planteó en la Antigüedad, ya que el paso al límite en su forma general no se concebía con nitidez. Así, la matemática antigua desarrolló previamente una dirección distinta, elaborando el método que es conocido como algebra geométrica. El matemático e historiador de las matemáticas danés Zeuthen caracterizó en 1886 bastante acertadamente este tipo de matemática, que trata los problemas algebraicos con la ayuda de construcciones geométricas[16].

Algunos ejemplos ayudarán a comprender mejor la naturaleza del álgebra geométrica.
Por ejemplo, la relación

0020.png

se explica en el lenguaje del álgebra geométrica de la siguiente manera:
Si se tienen dos segmentos y se divide uno de ellos en un número arbitrario de partes, entonces el rectángulo formado a partir de los dos segmentos es igual al total de rectángulos formados a partir del segmento no dividido con cada una de las partes [L 3.4,1, p. 35].

La fórmula del binomio (a + b)2 = a2 + 2ab + a2 se expresa de esta forma:

Si se divide un segmento, como viene dado, entonces el cuadrado sobre el segmento entero es igual a los cuadrados sobre las partes más dos veces el rectángulo formado por las partes conjuntamente [L 3.4, I, p. 35].

El núcleo del álgebra geométrica lo constituye el método conocido como de anexión de áreas, cuya finalidad básica era resolver ecuaciones. El caso más sencillo consiste en el problema de anexionar a un segmento e dado un rectángulo cuya área coincida con la de otro rectángulo dado a × b. La solución del problema se deduce de la construcción dada en la figura 3.9: corresponde exactamente a la solución de la ecuación a × b = c × x, con x como incógnita.

0021.png
Fig. 3.9. Anexión de áreas para la resolución de una ecuación lineal

Las ecuaciones no lineales corresponden a anexiones de áreas en las que la superficie que se ha de construir tiene un área que es mayor o menor que una dada en una determinada cantidad, esto es, anexión de áreas por defecto o exceso, respectivamente. Estos casos corresponden a la resolución de sistemas de ecuaciones del tipo x × y = F, x + y = 2a, ó x × y = F, x - y = 2a, respectivamente.

Resultan también de interés algunas cuestiones terminológicas. En efecto, la palabra griega parabolé (originalmente: arrojar a un lado, colocar a un lado) adquirió el significado de la expresión específica para la anexión de áreas. Las palabras élleipsis e hyperbolé significan defecto (carencia) y exceso, respectivamente. Por lo anterior la parabolé normal se halla entre la anexión de áreas con élleipsis o la anexión de áreas con hyperbolé, respectivamente. A partir de aquí, posteriormente, con la teoría de las secciones cónicas de Apolonio, se extendería definitivamente el uso de las palabras elipse, parábola e hipérbola.

El siguiente esquema muestra los tipos de ecuaciones cuadráticas que aparecen en los Elementos de Euclides, tratados según el método del álgebra geométrica:

0023.png

III. 3. Teodoro de Cirene
Desde el punto de vista histórico el álgebra geométrica se muestra como un compromiso válido en el tratamiento de las cantidades irracionales que hizo posible la prosecución de los avances de la matemática greco-helenística. Los decisivos esfuerzos para lograr la conformación y consolidación del álgebra geométrica fueron llevados a cabo por tres matemáticos que hacían uso de resultados de los pitagóricos y al propio tiempo se hallaban próximos a la escuela platónica o bien procedían de ella: Teodoro de Cirene, Teeteto y Eudoxo de Cnido.

Platón hace coincidir en su diálogo Teeteto al ya anciano Teodoro con el joven de gran talento Teeteto. La escena transcurre en el año 399 en Atenas. El tema del diálogo es el problema de los irracionales.

Teodoro nos delineó algo de la teoría de los cuadrados y demostró, para los cuadrados de tres y cinco pies de largo, que las longitudes de los lados no eran conmensurables con los cuadrados de un pie, y de esta forma se refirió a cada uno en particular hasta el cuadrado de 17 pies. En éste se detuvo casualmente [L 3.10. p. 117].

Este pasaje viene a decir que Teodoro demostró que √3, √5, ..., √17 son números irracionales, pero no se da ninguna información de cómo fue llevada a cabo la demostración.

0022.png
Fig. 3.10. Construcción que demuestra paso a paso la irracionalidad √3, √5, ..., √17

Una ingeniosa hipótesis de Anderhub explica por qué Teodoro finalizó exactamente en √17. Su método consistiría en una aplicación repetida del teorema de Pitágoras a la construcción de segmentos con longitudes √3, √5, √17 y en la posterior aplicación del método de cambio de camino. Del dibujo se deduce inmediatamente por qué Teodoro terminó en √17 (fig. 3.10).

III. 4. Teeteto y la clasificación de los irracionales cuadráticas
Una vez que Teodoro ha expuesto sus ideas, Platón pone en boca de Teeteto[17] una cuestión fundamental:

Ahora se nos ocurre [a Teeteto y a otro joven ateniense, N.A.] intentar, puesto que los cuadrados parecen infinitos en cantidad, reunirlos en un concepto común de manera que se pueda designar con él a todos estos cuadrados... Dividimos todos los números en dos clases: la de los que son el producto de dos números iguales; los podemos comparar por su forma con el cuadrado y los llamamos cuadráticos y equiláteros... Entretanto, los números, como el tres y el cinco y otros, que no son producto de números iguales sino múltiplo de un número mayor y otro menor o de uno menor y otro mayor, de forma que su representación comprende siempre uno mayor y otro menor, los comparamos con la forma alargada del rectángulo y los llamamos números oblongos... Todas las líneas que forman un cuadrado conmensurable según lados y áreas, las definimos como longitudes; pero las que forman un polígono de lados desiguales, las definimos como aquellos cuadrados que no son conmensurables en longitud con ellas, pero sí según las áreas cuyos cuadrados forman. Y con los números cúbicos ocurre lo mismo [L 3.10. pp. 117-1181.

Al margen de los casos especiales de longitudes de segmentos irracionales considerados por Teodoro, el párrafo anterior establece una división fundamental que comprende las dos clases de irracionalidades: aquellos segmentos que dan lugar a un cuadrado cuya área es ciertamente un número entero pero no cuadrado, no tienen ninguna medida común con la unidad de longitud; éstos son inconmensurables con 1. Análogamente se tiene para el espacio.

Esta parte del diálogo muestra al mismo tiempo una especie de programa para el estudio completo de las irracionalidades. Se puede afirmar con gran certeza que dicha tarea fue llevada a cabo por el propio Teeteto; sus resultados constituyen el contenido del libro X de los Elementos. El libro X resulta muy difícil incluso para un matemático actual, toda vez que en él se presentan las complicadas cuestiones aritmético-algebraicas relativas a la clasificación de ciertos tipos de irracionalidades en forma geométrica y ello sin el uso de fórmulas y símbolos. En palabras actuales, se trata ahí la conmensurabilidad de segmentos como una relación de equivalencia. Se sigue con diferentes tipos de irracionalidades que conducen al estudio de raíces encadenadas, caso del tipo √(√A + √B). Se demuestran también identidades, ¡todo ello mediante construcciones geométricas!, que con el simbolismo actual se traducen en

0024.png

y

0025.png

En estrecha relación con el libro X, en el libro XIII se aplican resultados sobre clases especiales de irracionalidades cuadráticas ai estudio de poliedros regulares. El libro XIII culmina con la demostración, ciertamente irreprochable, de la existencia de exactamente cinco poliedros regulares: cubo, tetraedro, octaedro, dodecaedro e icosaedro. Estos nombres se deben a Platón, quien en su diálogo Timeo los había descrito como las formas básicas de los elementos. Así, Platón hizo corresponder el cubo con la tierra, el octaedro con el aire, el tetraedro con el fuego y el icosaedro con el agua; además, el Creador había construido el mundo en forma de dodecaedro (fig. 3.11). De este modo, la obra matemática de mayor relieve de la Antigüedad se halla ligada a una declaración de principios ideológicos.

0026.png
Fig. 3.11. Los cinco poliedros regulares, los cuerpos celestes platónicos

III. 5. Eudoxo de Cuido
Tras la obra de Teodoro y Teeteto quedaban por afrontar las cuestiones aritméticas relativas a los irracionales, tarea que fue emprendida por Eudoxo.

Eudoxo de Cnido fue, sin lugar a dudas, el matemático más importante de su época. Sobresalió también como astrónomo, maestro en retórica, médico y geógrafo. Sus amigos lo llamaban, medio en broma, Eudoxo, el renombrado.

Eudoxo creó una teoría de las magnitudes que incluía las magnitudes irracionales, pero sin llegar a avanzar explícitamente en el concepto de número irracional. El concepto de proporcionalidad estaba hasta entonces ligado a la suposición de que los números que se hallan en proporción poseen una medida común. Eudoxo, dando un decisivo paso hacia adelante, se liberó de esta restricción e introdujo la definición siguiente:

Se dice que ciertas magnitudes están en la misma relación, la primera a la segunda como la tercera a la cuarta, si en la multiplicación arbitraria los múltiplos correspondientes de la primera y la tercera son al mismo tiempo o mayores o iguales o menores que los múltiplos correspondientes de la segunda y la cuarta, tomados respectivamente de dos en dos. […] de las magnitudes que están en la misma relación se dice que son proporcionales [L 3.4, II, p. 17].

Utilizando fórmulas más familiares para nosotros, lo anterior se expresa así: si a : b = c : d, entonces para números naturales cualesquiera m, n > 1 se tiene que: de na > mb se sigue siempre nc > md, de na = mb se sigue siempre nc = md, y de na < mb se sigue siempre nc < md.

Esta definición de la proporción no necesita suposiciones sobre la conmensurabilidad de las cantidades. Al mismo tiempo, es apropiada para demostrar todas las proposiciones conocidas sobre proporciones, lo cual permite en otros teoremas establecer, en una forma matemáticamente correcta, la relación entre el álgebra geométrica, la teoría de las proporciones y la teoría de las equivalencias por una parte y, por otra, una teoría de las magnitudes, incluyendo la inconmensurabilidad y la irracionalidad. Este resultado de Eudoxo está incluido en el libro V de los Elementos.

Sobre la base de estos resultados, recientes pero seguros, la matemática pudo progresar durante el siguiente periodo hasta un nivel ciertamente asombroso. No obstante, quedaba todavía un largo camino hasta llegar al concepto preciso de número irracional.

En relación directa con lo anterior, Eudoxo llevó a cabo un trabajo pionero en la fundamentación de un particular tipo de análisis. En el siglo XVII, cuando más se intensificaba la búsqueda de métodos infinitesimales, su método recibió el nombre, algo desafortunado, de método de exhaución (del latín exhaurire, vaciar, agotar). El método consiste, esencialmente, en aproximar el área de figuras limitadas por curvas por medio de polígonos inscritos y circunscritos. Para introducir este método, designado como análisis geométrico, Eudoxo se apoyó en un teorema que determina una aproximación tan buena como se quiera a una cantidad que se ha de medir. Este resultado aparece en el libro X de los Elementos; en el libro XII se encuentran ejemplos de aplicación de la exhaución a superficies y sólidos, círculo, cono y esfera, entre otros-. La proposición afirma lo siguiente:

Si dadas dos cantidades distintas (del mismo tipo) se quila de la mayor un trozo más grande que la mitad y del resto un trozo más grande que la mitad y se repite esto siempre, entonces tiene que quedar alguna vez una cantidad que es más pequeña que la menor de partida [L 3.4, IV. p. 1].

La base de este teorema y de la teoría de las proporciones de Euclides es un axioma o postulado, que Arquímedes, posteriormente y citando a Euclides, daría en la siguiente forma:

La mayor de dos cantidades dadas, sea línea, superficie o sólido, excede de la menor en una diferencia que, multiplicada suficientes veces, supera a ambas cantidades [L 3.2, p. 9].

Un ejemplo servirá para mostrar el uso que Eudoxo hacía de la propiedad arquimediana. Para ello, considérese el área del círculo tal como aparece en el libro XII de los Elementos. La proposición se formula, como ya hiciera Hipócrates, de la siguiente manera: los círculos se relacionan uno con otro del mismo modo que los cuadrados construidos sobre sus diámetros.

En dos círculos de áreas f y F y diámetros d y D se inscriben polígonos regulares equivalentes con áreas fn y Fn respectivamente. Entonces es fn < f y Fn < F. Puesto que. según un teorema demostrado previamente, polígonos equivalentes en círculos están entre sí en la misma razón que los cuadrados sobre los diámetros, se tiene que fn : Fn = d2 : D2. Suponiendo que f no fuera proporcional a d2, sino que, por ejemplo, d2 : D2 = (f - ε): F, o sea, fn : Fn = (f - ε) : F, con lo cual e representa un área no mayor que el cuadrado inscrito fn,; entonces se podría, mediante sucesivas duplicaciones del número de ángulos n, llegar a que fn > f - ε, en contradicción con fn < f. Del mismo modo se refuta la otra posible relación de no proporcionalidad fn : Fn = f : (F - δ). Por tanto, la proposición ha de ser cierta.

Con estas ideas, que tratan de una forma geométrica límites que existen previamente y que se basan en una demostración exacta, indirecta, por medio de la exhaución, Eudoxo abría nuevas posibilidades conceptuales que habrían de dar su fruto en el período inmediatamente posterior de la matemática antigua, el periodo helenístico, especialmente con Arquímedes-, pero que serían ulteriormente desarrolladas por la misma matemática de la Edad Moderna.

LECCIÓN 4
LA ANTIGÜEDAD CLÁSICA. EL PERIODO HELENÍSTICO. EL FINAL DE LA ANTIGÜEDAD

018.jpg
Rafael: La escuela de Atenas (detalle)

§ I
El periodo helenístico

Contenido:
I. 1. Alejandría. El museo
I. 2. Euclides de Alejandría
I. 3. La estructura de los Elementos
I. 4. Euclides como investigador
I. 5. Arquímedes como matemático
I. 6. Apolonio de Perga. La teoría de las secciones cónicas
....’.
I. 7. Ptolomeo como matemático
I. 8. Herón de Alejandría
I. 9. Diofanto de Alejandría
I. 10. Los matemáticos de la escuela alejandrina

Durante el periodo transcurrido desde la subida al trono de Alejandro Magno (336 a.n.e.) hasta la conquista de Egipto por los romanos (30 a.n.e.) se produjeron importantes transformaciones de tipo político-social, además de nuevos y significativos adelantos en las técnicas de producción, en la milicia y en los trabajos de construcción; y se extendió ampliamente la actividad comercial en un vasto territorio, al menos en relación a las dimensiones consideradas en aquella época, que abarcaba Macedonia, Grecia, Asia Menor y Central, sur y oeste de Europa, Africa del Norte y algunas partes de la India.

En particular, se habla también de una cultura y ciencia del Helenismo, originada a partir de la penetración y fusión de los logros científico-culturales de los griegos (esto es, de los helenos) con las diferentes culturas de los pueblos de aquel gran territorio; de este modo, el macedonio Alejandro pudo educarse, a través de su maestro y preceptor griego, Aristóteles, en las tradiciones de la ciencia griega. La cultura y la ciencia helenísticas siguieron ocupando un lugar destacado en los sistemas políticos que sucedieron ai imperio alejandrino y mantuvieron su influencia hasta bien entrada la época del Imperio Romano. Las matemáticas de entonces, que eran parte integrante de la cultura y la ciencia helenísticas, se liberaron, al igual que otras ciencias, de la filosofía.

I. 1. Alejandría. El Museo
En la desembocadura de uno de los brazos del Nilo, lugar especialmente favorable, había sido fundada en el año 331 a.n.e. una de las muchas Alejandrías, que todavía hoy conservan tal nombre: Alejandría de Egipto. Esta ciudad se convirtió en la capital del imperio ptolomaico y de los más importantes reinos que existieron en territorio egipcio desde la muerte de Alejandro y el hundimiento del imperio alejandrino hasta la muerte de Cleopatra, la última reina. Alejandría llegó a ser el centro científico-cultural más importante en la época del helenismo y en el periodo romano. En Atenas estaban la Academia de Platón, el Liceo de Aristóteles y el Jardín del filósofo materialista Epicuro, pero Alejandría tenía el Museion, primer centro dedicado a la enseñanza y a la investigación fundado y sustentado, principalmente, por el estado; estaba dotado de aulas, refectorios, salas de trabajo, así como de una extraordinaria biblioteca que incluía cerca de 400.000 papiros (que se deshizo casi totalmente en posteriores guerras con los romanos), de un observatorio astronómico y de jardines botánicos y zoológicos. Además, para multiplicar sus libros se empleaban numerosos copistas.

019.jpg
Fig. 4.1. Una edición de los Elementos, Venecia 1509. Comienzo del Libro I

Durante casi medio milenio, desde el 300 a. n. e. hasta aproximadamente el 150 d. n. e., los más destacados científicos estuvieron en contacto con el Museion de Alejandría. Muchos de ellos trabajaron o estudiaron allí. Este es también el caso de los matemáticos del periodo helenístico, como Euclides, Eratóstenes, Arquímedes, Apolonio, Herón, Ptolomeo y Diofanto.

I. 2. Euclides de Alejandría
A Euclides se debe el libro de matemáticas que cosechó sin duda el mayor éxito de todos los tiempos, los Elementos (fig. 4.1). Durante más de 2000 años y hasta hace bien poco todavía se enseñaba en Inglaterra la geometría de los Elementos. Sin embargo, se sabe poco de su autor, ni siquiera su lugar de nacimiento. Tan sólo es seguro que trabajó en Alejandría, donde, en torno al 300 a.n.e. (las fechas oscilan), escribió los Elementos.
 

0027.png

Los Elementos (en griego, stoicheia) no constituían, como parece desprenderse del título, una obra para principiantes, sino antes bien para estudiantes de nivel avanzado[18]. Casi la totalidad de las matemáticas de la época están comprendidas en ella, aunque, fiel en esto a la ideología platónica, no se incluye ninguna referencia a las aplicaciones de las matemáticas.

Los Elementos se componen de trece libros, a los que se añadieron, en una época posterior, dos más: el libro XIV de Hypsicles (siglo II a.n.e.) y el libro XV, presumiblemente de Damasquios (siglo V d.n.e.). En la tabla se puede ver de forma resumida el contenido y el origen de cada uno de los libros de los Elementos.

I. 3. La estructura de los Elementos
Euclides construyó su grandiosa obra a partir de definiciones, postulados y axiomas, a los que siguen teoremas con demostraciones, problemas y proposiciones auxiliares.

Las definiciones de los elementos básicos de la geometría, punto, línea, segmento, superficie, son de tipo descriptivo, de naturaleza evidente. Por ejemplo, dice:

«Un punto es lo que no tiene partes». «Una línea es una longitud sin anchura». «Un límite es lo que finaliza» ¡L 4.5, I, p. 1].

Esto no son propiamente definiciones, sino descripciones. Quien no sea capaz de abstraer el concepto de punto a partir de la intuición, tampoco podrá aprenderlo de esta definición. Esta débil posición de Euclides sería superada finalmente por la construcción axiomática de la geometría llevada a cabo por Hilbert a finales del siglo XIX.

Por otra parte, la mayor parte de las definiciones son innecesariamente exigentes; las propiedades se incluyen como elemento fundamental de la definición. Por ejemplo:

De las figuras con 4 lados (rectos), un cuadrado es toda aquella que tiene lados iguales y ángulos rectos. Paralelas son las líneas rectas que se hallan en el mismo plano y además, si se prolongan indefinidamente hacia ambos lados, una nunca encuentra a la otra [L 4.5, I, p. 3].

A continuación se introducen cinco postulados (actualmente, las palabras postulado y axioma se manejan en gran medida como sinónimas), que son afirmaciones geométricas. En los tres primeros se postula que todo punto se puede unir con otro por medio de una línea recta, que toda recta puede prolongarse indefinidamente y que, con un centro y radio dados, se puede trazar cualquier círculo. Con esto queda establecido, en un sentido genuinamente platónico, el método de construcción con regla y compás. El cuarto postulado establece que todos los ángulos rectos son iguales. El quinto postulado estipula (fig. 4.2)

que si en la intersección de una línea recta con otras dos los ángulos internos de un mismo lado suman menos de dos rectos, entonces las dos rectas, si se prolongan indefinidamente, se encontrarán por el lado en el que se hallan los ángulos que suman menos de dos rectos [L 4.5,1, p. 3].

Con este postulado queda asegurada la existencia de una paralela como máximo (a toda recta dada y por un punto que no se halle en ella). La existencia de al menos una paralela es demostrada por Euclides. Con lo cual queda garantizada la existencia de exactamente una paralela.

0028.png
Fig. 4.2. Concepción original del postulado de las paralelas

El quinto postulado se ha denominado, en conexión con lo anterior, postulado de las paralelas (o incluso axioma de las paralelas). Fue ampliamente discutido en la Antigüedad porque no parecía tener la misma evidencia y claridad que los otros cuatro. De ahí que se intentara constantemente convertirlo en teorema y, por tanto, demostrarlo. Desde la aparición de la geometría no-euclídea se sabe que esto no es posible. Lo que aumenta, si cabe, la admiración por la perspicacia de Euclides.

Por lo demás, no hay en Euclides ningún axioma o postulado de orden. Este tipo de idea se usa implícitamente de forma intuitiva. Habría que esperar hasta los estudios de Pasch, en el siglo XIX, para que se aclarase conceptualmente esta cuestión.

A los cinco postulados geométricos siguen los axiomas lógicos. En estos se logra una mayor claridad, debido en parte a la influencia de la lógica formal, consolidada por Aristóteles aproximadamente en esa misma época. En ediciones tardías de la obra aparecen hasta nueve axiomas. Al propio Euclides se deben los siguientes:

Los iguales a uno mismo son iguales entre sí. Si a iguales se añaden iguales, entonces los totales son iguales. Los dobles (mitades) de uno mismo son iguales entre sí. Los que se pueden superponer uno a otro son iguales entre sí (Este axioma es el fundamento de la geometría de congruencias). El todo es mayor que las partes [L 4.5, I, p. 3].

I. 4. Euclides como investigador
No sólo debemos considerar al Euclides de los Elementos como un excelente sistematizador de cuestiones ya conocidas de las matemáticas. A él se deben también una gran cantidad de resultados propios de investigación. Algunos de sus tratados se conocen tan sólo por el tema que desarrollan, mientras que otros se han conservado en traducciones árabes. Citemos algunos títulos: Sobre la descomposición de figuras, Porismas (esto es, proposiciones con las que se puede “encontrar” algo), Pseudaria (Sobre razonamientos falsos). Los Dedomena (datos) investigan qué partes de una figura y qué características, tamaño, posición, etc., están determinadas si están dadas otras partes, según tamaño, posición, etc. Un tratado de Euclides sobre las cónicas, en cuatro volúmenes, se perdió al ser desplazado por una obra posterior de Apolonio mucho más detallada. Además, se conocen otros escritos de Euclides de física matemática: Optica (Perspectiva), Catoptrica (Reflexión de imágenes). Sectio Canonis (Teoría de la música), Phainomena (Astronomía teórica, Esférica).

En definitiva, Euclides, con su trabajo, sistematizó la totalidad del material matemático de la época, tal como había sido prescrito por la escuela platónica.

I. 5. Arquímedes como matemático
Con Arquímedes alcanzó la matemática de la Antigüedad su punto culminante. Su riqueza de pensamiento en todas las áreas de la matemática, en astronomía, hidrostática, mecánica y técnica le permitió alcanzar, ya en su época, una alta reputación, aumentada aún más gracias a la invención de armas defensivas sumamente eficaces, con cuya ayuda, su ciudad natal, Siracusa, en Sicilia, pudo resistir el asedio romano durante dos años.

Sus numerosos tratados lo legitiman como un profundo y original pensador en el campo de las matemáticas y, al mismo tiempo, como fundador de la física matemática.

En la obra Cuadratura de la parábola Arquímedes obtiene el cálculo exacto de la superficie de un segmento parabólico sumando una serie geométrica infinita: se trata de un temprano resultado de cálculo integral. De la esfera y el cilindro y Sobre conoides y esferoides se ocupan, entre otros temas, del cálculo de longitudes de curvas; de áreas y volúmenes de la esfera y de sus segmentos y sectores; de elipsoides e hiperboloides de rotación, así como del centro de gravedad de dichas superficies y sólidos. Sobre espirales estudia las relaciones de las figuras que él mismo bautizó con dicho nombre. Otros escritos, como El libro de la lemmata, La construcción de los heptágonos regulares y Sobre sólidos semiregulares se han perdido parcial o totalmente, o sólo se han conservado en traducciones árabes. Es muy llamativo El número de la arena (también conocido como El arenario), en el que todos los números hasta A10^8 con A = (108)10^8 reciben un nombre; y la sucesión completa de números queda registrada en el libro. En el libro De la medida, conservado parcialmente. Arquímedes da la estimación siguiente de π:

0029.png

De estricto contenido físico son los tratados Sobre el equilibrio de las figuras planas o sobre el centro de gravedad de las figuras planas, Sobre cuerpos flotantes, Sobre el espejo incendiario (perdido).

Se ha cuestionado durante mucho tiempo cómo pudo Arquímedes resolver tal cantidad de problemas tan complicados. Un tratado redescubierto en 1906, el Tratado del método (método de las proposiciones deducibles mecánicamente) proporciona una explicación: Arquímedes averiguó el contenido de los teoremas a partir de consideraciones mecánico, físicas y de analogías. Luego, sólo debía redactar la demostración matemática exacta. Arquímedes dice al respecto:

Estoy [...] convencido de que el método no es menos útil en la demostración de los propios teoremas. Algunas de las cosas que a mí se me hacen evidentes en esta forma «mecánica» han de ser demostradas después de forma geométrica, pues las consideraciones de este tipo («mecánico») están desprovistas de fuerza demostrativa (rigurosa). Pero es más fácil llevar a cabo la demostración si se ha conseguido previamente, de una forma ‘mecánica’ una idea del asunto, que si no se posee ningún conocimiento previo. Por ello se ha de conceder a Demócrito un alto porcentaje de mérito en el descubrimiento de aquellos teoremas sobre conos y pirámides que afirman que el cono es la tercera parte del cilindro y la pirámide la tercera parte del prisma cuando éstos tienen la misma base y altura, respectivamente. Pues, aunque fuera Eudoxo quien halló la primera demostración, fue Demócrito quien primero encontró las relaciones entre estas figuras, aunque no llegara a una demostración [LA 1, p. 56].

En el Tratado del Método Arquímedes encuentra, por medio de consideraciones mecánicas, el área del segmento parabólico: para ello, le asigna una masa imaginaria y calcula su peso colgándolo del brazo de una palanca. La demostración matemática exacta está contenida en el se trata de un problema,

que hasta la fecha no ha sido acometido. Primero he encontrado la solución mediante métodos mecánicos, para hacerlo posteriormente mediante métodos geométricos [...] En concreto, demuestro que el área de todo segmento parabólico es un tercio mayor que el triángulo que tiene con él igual base y altura [L 4.2, p. 7].

En la demostración rigurosa Arquímedes realiza en primer lugar una sumación:

En una sucesión geométrica con razón ¼ la suma de todos los términos, aumentada en la tercera parte del término menor, es 4/3 el término mayor [L 4.2, p. 26].

Sean a, b, c, d, e, ... términos de la sucesión. Se tiene que

0030.png

Sumando se sigue con

0031.png

Añadiendo a y restando

0032.png

se obtiene

0033.png

Naturalmente Arquímedes no utiliza la expresión suma de una serie infinita. Y, no obstante, en esencia se trata de un cálculo efectivo del límite de una sucesión de sumas parciales, que se diferencia de una cantidad finita en menos que una cantidad arbitrariamente pequeña. Más brillante es todavía la propia demostración. En el segmento parabólico (fig. 4.3) AC se inscribe el triángulo ABC; H divide a AC en dos panes iguales, HB es paralelo al eje de la parábola. AB y BC dan lugar a nuevos segmentos parabólicos, a los que se aplica el procedimiento anterior. Se obtienen así los triángulos ADB y BEC. De las propiedades de la parábola se sigue que ∆ ABC es cuatro veces la suma de estos dos triángulos. En el siguiente paso se obtienen cuatro triángulos, cuya suma es un cuarto del área de los anteriores, etc.

Suponiendo que la proposición fuera falsa, se tendría entonces que el área del segmento parabólico debería ser mayor o menor que 4/3, el área K del triángulo ABC. Supongamos primero que el área es > 4/3 ∆ Por medio del procedimiento de inscribir triángulos,

será posible continuar [...] hasta que la suma de los segmentos resultantes sea más pequeña que la diferencia en la que el segmento supera el área K. De donde se sigue que el polígono inscrito [esto es, una suma parcial a + b + ... + e, N.A] será mayor que el área K. Pero esto es imposible, pues entonces existen áreas que forman una sucesión geométrica de razón ¼,…, y es claro que la suma de todas las áreas es menor que 4/3 la mayor de todas [L 4.2, pp. 27-28].

0034.png
Fig. 4.3. Cuadratura de una parábola llevada a cabo por Arquímedes

La otra posibilidad conduce igualmente a contradicción. Con lo que la proposición queda demostrada.

I. 6. Apolonio de Perga. Teoría de las secciones cónicas
Apolonio de Perga, algo más joven que Arquímedes, estudió al igual que éste en Alejandría y permaneció después una larga temporada en Pérgamo, en Asia Menor. No alcanzó ni su profundidad ni su originalidad de pensamiento; sin embargo, pertenece también al grupo de matemáticos distinguidos. A él se deben, entre otras cosas, las lecciones en ocho tomos sobre las secciones del cono, a las que puso el título de Cónicas (del griego konos, pifia, cono). Los primeros cuatro tomos se han conservado en griego, los tres siguientes en traducción árabe, mientras el octavo se ha perdido.

Las secciones cónicas habían sido estudiadas ya antes de Apolonio. Por ejemplo, Menecmo había utilizado hipérbolas y parábolas en la resolución del problema délico, y Aristeo había estudiado secciones cónicas como curvas obtenidas al intersecar conos y planos. Sin embargo, sólo Apolonio desarrolló una generación uniforme de todas las secciones cónicas, elipse, parábola, hipérbola, mediante intersecciones planas de un único cono.

La teoría de las cónicas de Apolonio, que alcanzó un nivel asombroso, fue desarrollada sin ayuda de coordenadas y sin una escritura formalizada, lo que la hace relativamente pesada y difícilmente comprensible; en los libros 6, 7 y 8, Apolonio expone algunos resultados propios, lo que aumenta su mérito. Siguiendo la terminología actual, Apolonio trata los siguientes temas:

La contribución de Apolonio fue también importante en otra rama de la ciencia, la astronomía teórica. De acuerdo con las ideas de Platón, los movimientos de los planetas habían de seguir recorridos curvilíneos perfectos, es decir circulares. Este punto de vista se convirtió en un prejuicio de carácter idealista sobre el que hubo de ser construida la antigua astronomía. Por medio de ingeniosas combinaciones de excéntricas y epiciclos (fig. 4.4), Apolonio consiguió aproximarse a los complicados movimientos de los planetas utilizando tan sólo movimientos circulares y salvando (aparentemente) de este modo el dogma platónico.

0035.png
Fig. 4.4. Movimiento epicíclico de los planetas: el planeta P se mueve en un círculo cuyo centro M se mueve a su vez en otro círculo alrededor de la tierra E.

I. 7. Ptolomeo como matemático
Estas elaboraciones geométricas, unidas al presupuesto básico de la posición central de la Tierra en el universo y del movimiento circular de los planetas (el sol entre ellos), contribuyeron a consolidar la astronomía helenística[19]. Su configuración definitiva fue plasmada en la genial obra de Ptolomeo, el Almagesto (así llamada en la versión árabe del título griego, que significa La gran síntesis), en la que desarrolla conceptualmente un sólido material empírico. Con el margen de exactitud de las observaciones de la época, la teoría matemática quedaba reafirmada con el curso aparente del movimiento de los planetas. Esto explica también porqué el sistema astronómico de Ptolomeo recibió un reconocimiento unánime, si no admiración, durante milenio y medio y porqué sólo tras una tenaz y sacrificada batalla le fue concedida la victoria al sistema heliocéntrico de Copérnico en una disputa que, más allá de lo puramente científico, se hallaba cargada de una componente ideológica extraordinariamente desgarradora, provocando la resistencia de círculos ortodoxos y reaccionarios contra Copérnico y su teoría.

Cabe añadir que el Almagesto contiene también una trigonometría plana y esférica correctamente desarrollada, que hace uso de trabajos previos, en particular de Menelao de Alejandría. Hay que tener en cuenta que la trigonometría helenística se basaba en el cálculo de cuerdas, es decir, en lugar de las funciones trigonométricas usuales, se utilizaba una función que, en términos actuales, se definiría como

ch (2α) = 2 sen α

donde ch es la expresión abreviada de chorda, cuerda (fig. 4.5).

En otros trabajos Ptolomeo utilizó la proyección estereográfica de la esfera sobre el plano, intentó obtener una demostración del postulado euclídeo de las paralelas y se ocupó, además, de óptica, mecánica y temas de armonía. Ptolomeo destacó también como geógrafo y como autor de una obra de astrología que llegó a ser muy famosa.

0036.png
Fig. 4.5. Relación entre la trigonometría de cuerdas y la de senos.

I. 8. Herón de Alejandría
En la última etapa del periodo helenístico se pueden destacar todavía dos importantes matemáticos cuyos trabajos fueron, en cierto modo, muy atípicos en el contexto de las matemáticas de la época, aunque no por ello han de ser considerados figuras marginales.

La obra matemática de Herón es como la otra cara de la moneda en relación con los Elementos de Euclides. Si la obra de éste representa la culminación de una interpretación platónica de las matemáticas, Herón se ocupa de unas matemáticas orientadas preferentemente por las aplicaciones prácticas. Su labor fue tanto más encomiable cuanto que, por lo general, en la sociedad esclavista antigua se menospreciaba la producción y ésta no llegó a ser objeto de tradición escrita; de hecho, esta situación no se modificaría hasta el Renacimiento. La obra de Herón es una de las raras excepciones a esta norma, como quizá lo son también los diez libros sobre arquitectura escritos por Vitruvio al comienzo de nuestra era.

En la actualidad podríamos decir que la profesión de Herón era la de ingeniero. Fue autor de numerosos trabajos, de los que nos han llegado títulos como Dioptrica (instrumentos de medida) (fig. 4.6), Belopoiica (ciencia de la artillería), Mechanica (mecánica, es decir descripción y teoría matemática de palancas en máquinas sencillas, planos inclinados, cuñas, poleas, tornos, etc.), así como otros relativos a relojes de agua, bóvedas, autómatas...; por no olvidar el famoso Pneumática (hidráulica), en el que se discuten toda clase de aparatos, ingeniosamente construidos pero sin relevancia para actividades productivas y que son puestos en movimiento por diferencias de presión de vapor o de presión atmosférica: trompetas que resuenan, puertas de templos que se abren, reproducciones de animales que beben o de pájaros que trinan. Todo ello refleja, cabe notar aquí, los límites del orden social imperante: aunque se conocía la energía de vapor, no existía, sin embargo, ninguna necesidad social de aprovechar esta forma de energía para la producción, puesto que con los esclavos se disponía ya de abundante energía humana productiva.

0037.png
Fig. 4.6. Aparato de medida (dioptra) de Herón (reconstrucción)

De los escritos de Herón orientados propiamente a las matemáticas se han de mencionar la Métrica, tres libros de lecciones sobre la medición, la Geométrica (cálculo de áreas) y la Stereometrica (cálculo de volúmenes).

Los escritos de Herón tuvieron una amplia difusión, debido en parte a su modélica presentación. Su uso extensivo dio lugar a continuas modificaciones, añadidos y nuevas redacciones, con lo que se convirtieron en la obra estándar de la matemática práctica de épocas posteriores. Posiblemente se basen en ellos los métodos de medición utilizados por los agrimensores romanos que acompañaban siempre al ejército y gracias a los cuales fue elaborado un mapa geográfico del imperio romano cuyos datos relativos a distancias eran de una sorprendente exactitud.

Merece la pena destacar también que algunos escritos matemáticos de Herón poseen un modo de presentación de definiciones, teoremas y demostraciones muy riguroso y contienen resultados que sobrepasan a los de Euclides. Por ejemplo, a él (o a Arquímedes) se debe la fórmula herónica para el área del triángulo

0038.png

donde (a + b + c)/2 es la semisuma de los lados del triángulo. Además, en sus escritos, al tratar del cálculo del calibre de un cañón, aparece una manipulación de una ecuación de tercer grado. Así mismo, se desarrollan detalladamente nuevos métodos para el cálculo aproximado de raíces.

Es interesante añadir, finalmente, que en Herón se manifiesta una continuación de la línea materialista de la filosofía de las matemáticas. Este autor poseía una idea bastante nítida para la época en que vivió de la esencia de las matemáticas:

De donde proceden los fundamentos de la geometría es algo que se puede mostrar por medio de la filosofía. Para no infringir las normas resulta conveniente indicar la definición de geometría. La geometría es la ciencia de las figuras, las magnitudes y sus cambios, y sobre su finalidad se ha de tratar aquí. En cuanto al modo de presentación, es éste sintético; comienza con el punto, que no tiene extensión, y pasando por la línea y las superficies llega hasta los sólidos [...] La geometría ha elaborado su exposición sobre la abstracción. Parte de los cuerpos físicos, que tienen tres dimensiones y materialidad, y, mediante la supresión del carácter material, ha construido el objeto matemático, que es sólido, y por medio de la abstracción ha llegado al punto, [...] Como las viejas crónicas nos enseñan, la mayoría de los hombres se ha ocupado de la medición y repartición de la tierra, de donde surge el nombre de geometría (medida de la tierra). Sin embargo la invención de la medición fue cosa de los egipcios, pues debido a las crecidas del Nilo muchos terrenos claramente marcados se hacían irreconocibles, incluso tras el descenso de las aguas, por lo que ya no era posible al particular reconocer su propiedad. De ahí que los egipcios inventaran la medición, bien sea con la cinta de agrimensor, bien sea con la vara, o bien con otras formas de medir. Como la medición era pues necesaria se extendió su uso a todos los hombres estudiosos [L 4.6, pp. 173, 175, 177].

I. 9. Diofanto de Alejandría
Con la obra de Diofanto, que vivió a mediados del siglo III a.n.e., se recupera de nuevo en la Antigüedad una línea ya olvidada del desarrollo matemático. Con ella se muestra que, a pesar del largo periodo de tiempo transcurrido, el pensamiento algebraico de Mesopotamia se ha seguido cultivando. Esto confirma, por otra parte, que la cultura universal del helenismo, incluido el ámbito científico, surgió necesariamente de un estrecho contacto con las diferentes culturas regionales. El parentesco conceptual de Diofanto con la matemática de Mesopotamia es tan estrecho que incluso es posible percibir un extraordinario parecido, incluso en el detalle, entre los problemas que aparecen en los textos mesopotámicos y en Diofanto. Diofanto escribió al menos tres textos matemáticos. El más importante es una Arithmetica en 13 partes que se han conservado en diferentes versiones, algunas en griego, otras en árabe[20]. Se trata de una colección de problemas determinados e indeterminados que progresa desde los fáciles hasta los más difíciles sin ofrecer en ningún momento una teoría general. Sólo en el primer libro de la Arithmetica, cuando se dirige a un tal Dionisio, explica Diofanto un poco el sentido y método de su tratado:

Puesto que me he enterado, mi apreciado Dionisio, que estás ansioso por conocer la solución de problemas aritméticos, he querido explicarte la ciencia de la aritmética, comenzando con lo más elemental. Quizá te resulte el material algo difícil, pues no estás familiarizado con él y los principiantes suelen pecar de falta de confianza en sí mismos [L 4.4, p. 5].

Posteriormente habla del método para resolver ecuaciones:

Si ahora, en un problema cualquiera, aparecen las mismas expresiones generales en ambos lados de una igualdad, pero con coeficientes distintos, entonces se ha de restar lo igual de lo igual hasta que al final la expresión de un miembro es comparable con la del otro. Si se quiere que haya expresiones generales cualesquiera en un lado o en ambos lados como cantidades que se han de substraer, entonces se ha de sumar lo mismo a ambos lados, de manera que en cada lado sólo se hallen las cantidades que se agregan. Después se substrae de nuevo lo igual de lo igual hasta que en cada lado queda una única expresión. Se continua, siguiendo este procedimiento, con el problema hasta que, si es posible, quede sobre cada lado sólo un término. Después [...] mostraré como se resuelve definitivamente el problema, convirtiendo finalmente una expresión de dos términos en una de un sólo término [L 4.4, pp. 7-8]. Diofanto utilizaba abreviaturas fijas para las potencias de las variables desde x6 hasta x-6, así como para la igualdad y para la substracción. Por medio de procedimientos propios del cálculo estudiaba todo tipo de ecuaciones cuadráticas, cúbicas, bicuadráticas, ecuaciones con coeficientes fraccionarios y ecuaciones en varias variables (ecuaciones indeterminadas, que más tarde tomarían el nombre de ecuaciones diofánticas); se admiten también números fraccionarios como solución. Al carácter algebraico de la Arithmetica corresponde también una sobresaliente técnica de transformación de ecuaciones, que incluye por ejemplo la substitución con variables auxiliares. Esta obra de Diofanto constituyó, aun en los siglos XVI y XVII, un impulso fundamental en la fundamentación de la matemática moderna.[21]

I. 10. Los matemáticos de la Escuela alejandrina
Euclides, Apolonio, Ptolomeo, Herón y Diofanto fueron los matemáticos más sobresalientes del periodo helenístico. Ahora bien, junto a ellos, un importante contingente de matemáticos desarrolló su actividad en la misma época.

En Alejandría, y en vida de Arquímedes, llevó adelante su actividad investigadora Eratóstenes de Cirene, que fue administrador del Museion desde el año 235 a.n.e. Este científico ideó un procedimiento para obtener todos los números primos que se conoce como criba de Eratóstenes e indicó un método para medir el perímetro de la Tierra. Además, construyó un dispositivo mecánico para resolver el problema délico de la duplicación del cubo.

Asimismo, al círculo de los matemáticos alejandrinos pertenecieron probablemente Nicomedes y Diocles. A ellos se deben las curvas concoide y cisoide, respectivamente, que permiten obtener soluciones gráficas para el problema de la duplicación del cubo. Dionisidoro trabajó en cuestiones relativas a la división de la esfera, Hypsicles estudió áreas y volúmenes de sólidos semirregulares y escribió el libro XIV de los Elementos. Zenodoro demostró que, dados dos polígonos, el de mayor área es el de mayor número de lados, que, de las superficies de igual perímetro, el círculo es la de mayor área (problema isoperimétrico) y que, de los sólidos de igual área, la esfera es el de mayor volumen. Se encuentran aquí los primeros rastros de lo que posteriormente se llamaría cálculo de variaciones.

La fértil tradición matemática de la escuela alejandrina permaneció todavía viva durante el periodo de decadencia de la sociedad clásica, época en la que surgieron incluso algunos trabajos individuales notables.

§ II
La matemática al final de la antigüedad

Contenido:
II. 1. Pappus de Alejandría
II. 2. El declive de la matemática antigua
II. 3. La herencia científica de la matemática antigua

Con el imperio romano la organización del estado de tipo esclavista alcanzó su máxima expresión. Durante el siglo I a.n.e. se fue haciendo más patente la contradicción entre fuerzas productivas y medios de producción. Las rebeliones de esclavos, como la de Espartaco (74-71 a.n.e.), pusieron, por momentos, al borde del precipicio al imperio romano. El paso de la república a la monarquía militar permitió sólo consolidar las relaciones sociales pasajeramente. En el siglo V d.n.e. el imperio, finalmente, se vino abajo.

El estancamiento y la descomposición que se produjeron en este periodo tuvieron también su repercusión en las ciencias, entre ellas en las matemáticas. Junto a una reactivación de los postulados místicos de la secta pitagórica, impulsados por neoplatónicos y neopitagóricos, se aprecia también otro síntoma en esta época: si bien todavía no se había producido una pérdida completa del saber, cierto es que a los científicos les resultaba cada vez más difícil seguir el contenido de los trabajos punteros de periodos anteriores. Por ello llegó a ser práctica usual la redacción de prolijos comentarios de Euclides, Arquímedes, Apolonio y otros, con el fin de aclarar definiciones, adjuntar pocas pero detalladas demostraciones, clarificar la recíproca conexión entre los teoremas, etc. Algunos de estos comentarios suponen auténticos trabajos científicos, parcialmente valiosos y que contienen incluso resultados novedosos.

I. 2. Pappus de Alejandría
Pappus, el último matemático destacado de la Antigüedad, se distinguió también como geógrafo y astrónomo. Ideológicamente se hallaba próximo al neoplatonismo. A él se deben, entre otros trabajos, un comentario al Almagesto y otro al libro X de los Elementos. La obra principal de Pappus es su Collectio (Colección), sólo parcialmente conservada; se trata de una grandiosa obra, que contiene numerosas referencias a obras matemáticas de periodos anteriores, entre ellas algunas de las que se han perdido los originales.

La Collectio contiene además algunos resultados originales de Pappus, entre ellos los inicios de una geometría proyectiva. Por ejemplo, el teorema de Pappus (fig. 4.7) dice: si sobre dos rectas g1 y g2, paralelas o no, se toman tres puntos, respectivamente A, B, C de g1 y A’, B’, C’ de g2, entonces los puntos de corte X, Y, Z de las rectas AB’, BA’; AC,’ CA’, BC’, CB’ yacen sobre una recta. La Collectio contiene también un conjunto de fórmulas sobre los centros de gravedad de los cuerpos de rotación, conocidas actualmente como reglas de Guldin, matemático suizo que vivió entre los siglos XVI y XVII, por ser él quien las popularizó.

0039.png
Fig. 4.7. Teorema de Pappus

II. 2. El declive de la matemática antigua
La tradición científica de épocas anteriores pudo todavía mantenerse durante algún tiempo, a pesar de las adversas circunstancias. En Atenas, en la Academia platónica, Domninos escribió una Aritmética. Con Proclo Diadoco, ya en el siglo V d.n.e., la Academia todavía mantuvo una actividad de relieve. El conocido Catálogo de geómetras, una relación de los matemáticos helenísticos, contiene un extenso comentario al libro primero de los Elementos.

Mientras tanto, el cristianismo se había convertido, tras el edicto de Milán del año 313, en la religión oficial del imperio romano. A partir de entonces, el cultivo de la filosofía platónica entró en colisión cada vez más con las pretensiones totalitarias de la ideología cristiana; hasta que, en el año 529, el emperador cristiano Justiniano ordenó cerrar la Academia por considerarla reducto de enseñanzas paganas de funesta influencia.

La escuela alejandrina había comenzado ya entonces su progresivo declive. Después de Pappus, todavía vale la pena destacar a otros dos matemáticos: Teón de Alejandría y su hija Hypatia, el primero por sus comentarios al Almagesto y a Euclides, y la segunda por sus comentarios a Apolonio y Diofanto. Por desgracia, sus escritos se perdieron totalmente.

Hypatia fue asesinada en un atentado perpetrado por fanáticos cristianos. Con ella se extinguió definitivamente la escuela matemática de Alejandría.

II. 3. La herencia científica de la matemática antigua
La matemática antigua, lejos de desaparecer sin dejar huella, alcanzó, por diferentes trayectorias históricas, una influencia que llega hasta nuestros días.

Algunas pequeñas dosis de conocimientos matemáticos se convirtieron, por medio del neoplatonismo, en componente integrante de la formación cristiana y entraron a formar parte del Quadrivium, conjunto de enseñanzas en las universidades medievales.

Más allá de lo elemental, el saber matemático fue conservado por los eruditos bizantinos del imperio oriental. Cuando los sabios bizantinos, tras la conquista de Constantinopla por los turcos en 1453, llevaron de nuevo a Italia las obras matemáticas de la Antigüedad en textos originales, éstas encontraron una magnífica acogida; en efecto, en este país el desarrollo de un precapitalismo había creado una gran disposición hacia las matemáticas y las ciencias naturales.

Sin embargo, hay que atribuir a los eruditos del Islam el principal mérito en la conservación de los conocimientos matemáticos antiguos. Muchos representantes de la ciencia greco-helenística, debido a la intolerancia de la iglesia cristiana, emigraron a países árabes y asiáticos y continuaron allí la tradición matemática griega. Esta se convirtió en el punto de partida de la matemática en los países islámicos. Este vericueto de la transmisión de los saberes hizo posible que un importante número de resultados matemáticos de la Antigüedad no se perdiera para siempre.

LECCIÓN V
El feudalismo en oriente y occidente

020.jpg
Manuscrito matemático árabe (siglo XIV). Teorema de Pitágoras

Introducción

Tras el hundimiento del mundo antiguo y la decadencia de la matemática helenística, el desarrollo de las ciencias exactas continuó principalmente en los países del Lejano, Medio y Próximo Oriente. En estos centros culturales se desarrollaron importantes métodos y conocimientos matemáticos de amplio alcance, que han llegado a ser componente imprescindible de la matemática del mundo actual.

En ellos, y especialmente en los países de influencia islámica, las matemáticas se desarrollaron hasta aproximadamente los siglos XIII-XIV, en comparación con las matemáticas en el área de influencia cristiana, a un alto nivel.

En lo referente a contenidos, esta matemática, en el contexto de una historia política cambiante y ligada a una estructura social marcada esencialmente por la impronta de la agricultura, la irrigación artificial, la artesanía y el comercio, se hallaba orientada principalmente al dominio de lo numérico y poseía una gran cantidad de algoritmos encaminados a la resolución de problemas aritméticos, algebraicos y geométricos. Campos como la contabilidad comercial, los procedimientos numéricos en álgebra, los procedimientos de aproximación, la teoría de números y la trigonometría, en conexión con una astronomía altamente desarrollada, merecieron especial atención. Comparada con la matemática de la Antigüedad helenística, la matemática de estos países no poseía en general esa estructura intema abstracta, establecida deductivamente o fundamentada completamente en la axiomática; y, además, la división del material presentado en las colecciones matemáticas estaba determinada más claramente por los problemas prácticos reales que por una sistemática interna de separación en diferentes disciplinas matemáticas. No obstante, esta situación satisfacía plenamente, igual que ocurría en la Europa medieval, las necesidades de los usuarios de dichos conocimientos matemáticos, a saber, comerciantes, reguladores de herencias, agrimensores, funcionarios, constructores, etc., quienes necesitaban reglas claras que cumplieran su objetivo. No obstante, en el ámbito de la investigación se utilizaron procedimientos correctamente demostrados, apoyados en deducciones lógicas.

§ I
Las matemáticas en china

Contenido:
I. 1. Métodos de cálculo en la antigua China
I. 2. La Matemática en Nueve Libros
I. 3. La escuela algebraica china del siglo XIII

La cambiante historia política de China, las luchas entre los señores regionales por la hegemonía, su unificación política, su ascenso a gran potencia dominante de Asia Oriental, la prosperidad y decadencia de las diferentes dinastías, la conquista por los mongoles, abarca cuatro milenios. El paso a la sociedad de clases se llevó a cabo en China en la segunda mitad del segundo milenio a.n.e. La sociedad esclavista se desarrolló en China desde el siglo XVI a.n.e. hasta el siglo II d.n.e. El paso definitivo al feudalismo sucedió en el siglo III d.n.e. y éste se mantuvo hasta la llegada de los europeos a mediados del siglo XIX.

Existen algunas informaciones sobre conocimientos matemáticos tempranos, especialmente aritméticos, en la segunda mitad del segundo milenio a.n.e.; éstos tienen que ver con un calendario ya altamente desarrollado. Sin embargo, de las épocas siguientes no se conocen fuentes históricas seguras.

De la época de la primera dinastía Han (206 a.n.e. hasta 24 d.n.e.) procede el tratado Matemáticas en Nueve Libros. Durante la segunda dinastía Han (finales del año 220) se produjo un gran desarrollo en las ciencias naturales: por aquel entonces trabajó el más importante astrónomo de la Antigüedad china, Zhang Heng, quien construyó una esfera celeste giratoria y un planetario, defendiendo además la forma esférica de la Tierra y la infinitud espacial y temporal del universo. A él se remontan extensos cálculos del valor de 7C. En la misma época se construyó el primer sismógrafo y los intercambios comerciales llegaron hasta el mismísimo Imperio Romano. Durante el siglo I se introdujo paulatinamente el budismo desde la India en China; las relaciones científicas y económicas con la India se incrementaron.

A comienzos del periodo feudal se produjo un florecimiento de las ciencias naturales y de las matemáticas. Además de continuarse trabajando en la Matemática en nueve libros, con las aportaciones de matemáticos como Liu Hui (siglo III), Sun-zi (siglos III-IV), Liu Zhuo (siglo VI) y otros, los ingenieros chinos finalizaron la construcción del Gran Canal, de 1700 km. de largo, que unía el norte con el sur de China. En el año 725 tuvo lugar una importante medición llevada a cabo por el astrónomo Nan Gong-yue, quien, entre otros trabajos, desarrolló procedimientos de interpolación con fines astronómicos. Un tercer periodo de florecimiento en la técnica y la ciencia chinas tuvo lugar en la época de la dinastía Sung (960-1279): la impresión de libros con tipos movibles, el uso de la brújula y de la pólvora, el perfeccionamiento del calendario, una extensa red de observatorios astronómicos y geográficos y la elaboración de una gran enciclopedia caracterizan esta época. De las disciplinas matemáticas, el álgebra sobresalió especialmente. Son de destacar los matemáticos Quin Jiu-shao, Li Ye y Yang Hui, del siglo XIII.

Tras la conquista de China por los mongoles en el siglo XIII las relaciones científicas de los eruditos chinos se extendieron hacia el Asia central, estableciendo contactos con los científicos árabes, a los que enseñaron sus conocimientos algebraicos, mientras los conocimientos astronómicos árabes y diversos aparatos se introducían en China.

El desarrollo matemático-científico’chino se estancó durante los siglos XVI-XVII, permaneciendo desde entonces a la zaga de Europa occidental. Sólo tras un periodo de explotación semicolonialista a caballo entre los siglos XIX-XX y la evolución de China hacia una república burguesa, seguido del establecimiento de la República Popular China, pudo la matemática china dar alcance a la ciencia occidental.

I. 1. Métodos de cálculo en la antigua China
En la China antigua se utilizaron diferentes tipos de escritura numérica. Junto a la numeración jeroglífica, fue ampliamente utilizada, sobre todo desde el siglo II a.n.e. hasta los siglos XII y XIII d.n.e., la escritura numérica de palillos o bambú (fig. 5.1), que sería modificada en el siglo XIII.

0040.png
Fig. 5.1. Antiguo manuscrito chino. Coeficientes binomiales escritos en cifras de bambú

El sistema de numeración con palillos es decimal, pero carece de una utilización consecuente del cero. El cero, procedente de la India, podría haber llegado a China a principios del siglo VIII. Mucho antes, en el siglo II a.n.e., fueron introducidos también sistemas de medida decimales, lo que trajo como consecuencia que las subdivisiones decimales de números ganaran paulatinamente carácter matemático. En cualquier caso, el concepto de fracción decimal, en sentido abstracto, no se formó completamente hasta el siglo XIII. Los matemáticos chinos son los precursores del uso continuo y universal de los decimales. En el mundo árabe-islámico fueron introducidos por al-Kasi en el siglo XV y en Europa lo hizo el holandés S. Stevin en el siglo XVI.

Los chinos alcanzaron gran virtuosismo en el cálculo con palillos, que se extendía a las cuatro operaciones básicas del cálculo, a la radicación y a los métodos numéricos de resolución de ecuaciones algebraicas.

Desde antiguo se usaba también en China una forma especial de ábaco llamado suanpan (literalmente, tablero de cálculo); no obstante, se desconocen sus orígenes más remotos. Hacia el final de la Edad Media se impuso también en Japón, recibiendo el nombre de soroban; lo mismo ocurrió con gran parte de la matemática china.

I. 2. La Matemática en Nueve Libros
La Matemática en Nueve Libros es la obra más antigua de la matemática china. No obstante, por falta de documentación, queda poco claro cuándo, dónde y por quién fue escrita. Según la tradición transmitida oralmente, el texto podría remontarse incluso hasta el sido III a.n.e. La Matemática en Nueve Libros se ha conservado según una reelaboración llevada a cabo por Liu Hui en el año 263. En épocas posteriores sufrió múltiples modificaciones y en el 656 se introdujo como libro de texto oficial para la formación de altos funcionarios chinos. Se imprimió por primera vez en el 1084.

0041.png
Fig. 5.2. Los comienzos del cálculo integral en Japón (hacia el 1660)

En cuanto al contenido, este compendio está adaptado en gran parle a las necesidades prácticas y de ahí que trate los diferentes grupos de problemas en forma de ejercicios con indicaciones para hallar la solución. Sin embargo, algunas partes con altas exigencias para el lector van mucho más allá de la comprensión del práctico. El texto trata problemas económicos y administrativos tales como medición de campos, construcción de canales y diques, obras de fortificación, cálculo de impuestos, equivalencias entre diferentes especies de trigo, rendimientos de trabajo, medios de transporte, obras de irrigación, etc. Las cuestiones estrictamente matemáticas se refieren al cálculo de áreas de figuras limitadas por rectas, al del área del círculo (aproximándose π por 3 ó 33/8), al triángulo pitagórico, a la estereometría elemental, a la teoría de proporciones, reglas de tres, ecuaciones lineales indeterminadas, extracción de raíces cuadradas y cúbicas, resolución de ecuaciones algebraicas y, como punto culminante, un procedimiento de tipo algorítmico (llamado fang, cheng) para resolver sistemas de ecuaciones lineales.

El proceso implicado en este método condujo al reconocimiento de los negativos como números, si bien por esta época todavía no se aceptaban las soluciones negativas de ecuaciones o sistemas de ecuaciones. A comienzos del siglo VII los números negativos, principal adquisición de la matemática china, penetraron también en la matemática hindú. El estudio de los sistemas de ecuaciones fue ampliado en el siglo XVII, siguiendo el modelo chino, por el matemático japonés Seki Shinsuke Kowa, quien en 1683 elaboró un procedimiento de resolución parecido al nuestro mediante determinantes y matrices. Seki es también el creador de un cálculo infinitesimal bastante elaborado (fig. 5.2).

I. 3. La escuela algebraica china del siglo XIII
Tras los resultados obtenidos durante el siglo XI, la escuela algebraica china alcanzó su apogeo en el siglo XIII con los trabajos de Quin Jiu-shao, Li Ye, Yang Hui y Zhu Shi-jie. Los algebristas chinos idearon un procedimiento generalmente válido para la resolución numérica de ecuaciones algebraicas de grado superior con coeficientes numéricos (método del elemento celeste o tianyuanshu). Actualmente se conoce como método de Horner[22]. Aparece, entre otros sitios, en los Nueve Libros sobre Matemáticas de Quin Jiu-shao del año 1247. Dicho libro incluye también resultados de teoría de números. Otras obras destacables de este periodo son el Espejo marino de las medidas del círculo (1248) de Li Ye y el Precioso espejo de los cuatro elementos (1303) de Zhu Shi-jie.

El alcance del álgebra china de aquella época es impresionante. Tanto en las obras arriba mencionadas como en otras se encuentran problemas de sistemas de ecuaciones no lineales, sumaciones de sucesiones finitas, en particular aritméticas de orden superior, utilización del cero, el conocido posteriormente como triángulo numérico de Pascal y coeficientes binomiales, así como métodos de interpolación, que se desarrollaron en conexión con una avanzada astronomía.

§ II
Las matemáticas de la India antigua

Contenido:
II. 1. Fuentes
II. 2. La geometría hindú
II. 3. La trigonometría hindú
II. 4. La formación del sistema decimal posicional
II. 5. Aritmética y álgebra en la matemática hindú

Puesto que la transmisión de conocimientos matemáticos y científicos en general se realizó durante mucho tiempo de forma exclusivamente oral y además son confusas todavía muchas cuestiones referentes a la historia política de la India, resulta extraordinariamente difícil trazar una imagen coherente del desarrollo de la matemática en los pueblos del subcontinente indio.

En el cuarto milenio a.n.e. se formó por primera vez en territorio hindú una sociedad de clases, ubicada exactamente en la cuenca del Indo, situada al noroeste. Algunas de estas culturas del Indo se han estudiado más de cerca, entre ellas la cultura Amri (finales del cuarto milenio) y la de Harappá (aprox. 2500-1500).

Las ciudades más importantes fueron Harappá, Mohenjo Dáro y Kot Diji (hoy situada en Pakistán), Lothal y Rüpar (hoy en la Unión India). El comercio y la artesanía florecieron en estas ciudades-estado, llegando las relaciones comerciales hasta Mesopotamia, Bahrein, Persia, Afganistán, Asia Central y Arabia.

Disponían de un tipo de escritura que no ha podido ser descifrada hasta la fecha. No obstante, de los hallazgos arqueológicos es posible extraer alguna información sobre los conocimientos matemáticos de los miembros de las culturas hindúes.

El sistema numérico era decimal. Las cifras de 1 a 4 se representaban por medio de un grupo de incisiones verticales, las 5, 6 y 7 mediante dos grupos de muescas horizontales o verticales y el nueve por tres grupos verticales. No se ha encontrado representación de la cifra 8. Algunos de estos grupos de signos se encuentran también en los posteriores sistemas de escritura numéricos Kharosthi y Bráhmi. Para llevar a cabo operaciones numéricas posiblemente se utilizaran tableros de cálculo. Se han encontrado los restos de un ábaco en Mohenjo Dáro.

Entre las figuras geométricas que conocían se encontraban el cuadrado, rectángulo, triángulo, círculo, cono, cilindro, cubo, etc. En las culturas del Indo aparecían círculos entrelazados como ornamentos geométricos. De la observación de adornos en jarrones, relieves, etc. puede inferirse que los indios poseían ciertos conocimientos sobre proyecciones y semejanzas, que podían dividir segmentos por la mitad y en partes equidistantes, seccionar círculos en dos y cuatro partes y construir segmentos y sectores circulares, círculos concéntricos y líneas paralelas. Sin embargo, se desconoce cómo calculaban las áreas y volúmenes de las figuras geométricas elementales.

A principios del segundo milenio decayeron las civilizaciones de la cuenca del Indo. En la segunda mitad del segundo milenio (posiblemente también antes) penetraron en la India, en oleadas procedentes del noroeste, tribus arias (de Árya, cuyo significado original es los extranjeros) y sometieron a los habitantes autóctonos. Entre los años 1000 y 600 a.n.e. los acontecimientos políticos se desplazaron hacia el este. El área entre los dos ríos Yamunfi y Ganges adquirió la hegemonía de la zona. Aquí se formó por segunda vez en suelo hindú la sociedad de clases, una vez que los antaño nómadas arios se hicieran sedentarios.

En el siglo VI a.n.e. Mogadha, situado al este de la India, se convirtió en el reino más poderoso. Aquí vivió Buda, quien fundó una de las grandes religiones mundiales y una importante filosofía, la cual, como reflejo ideológico de enfrentamientos sociales, se extendió rápidamente, asentándose también en China y otros países asiáticos. Se desarrollaron intercambios políticos, militares y culturales con los grandes imperios recientemente surgidos en el Próximo Oriente (asirios, babilonios y persas). Un notable impulso cultural alcanzó a la India al entrar en contacto con la cultura helenística tras las incursiones de Alejandro Magno. El declive y definitiva decadencia de la sociedad esclavista de la India se produjo a partir del siglo II a.n.e., siendo interrumpido pasajeramente con la formación de estados más extensos.

En tiempos del reino de Gupta (fundado en el 320 a.n.e.) el arte y la ciencia experimentaron en el norte y centro de la India un impresionante desarrollo. Había centros científicos semejantes a los de las universidades medievales europeas. Uno de los más famosos era el de Nalanda, donde se enseñaba filosofía y teología, pero también disciplinas científicas y sus aplicaciones y donde se reunían estudiantes de toda la India, de China, Tíbet, Mongolia, Bujara, Japón y Corea. En aquella época los astrónomos indios conocían la forma esférica de la Tierra; el año solar fue dividido en doce meses de 30 días cada uno y se utilizaba un año bisiesto.

En los siglos VI y VII se formó en la India una sociedad feudal con rasgos específicos. Los relativamente débiles estados hindúes no fueron capaces, o bien lo hicieron a duras penas, de defenderse de conquistadores extranjeros; así pues hubo duros enfrentamientos con China. Grandes porciones del territorio noroccidental cayeron bajo el dominio islámico. A pesar de estas difíciles condiciones externas, las ciencias naturales y en particular la matemática hindú pudieron desarrollarse y mantener un nivel elevado desde el siglo VIII hasta el siglo XVI, cuando tuvo lugar la conquista de la India por los europeos.

Ya desde tiempos remotos la matemática gozaba en la India de una elevada consideración. El culto por los números y el budismo entraron en estrecha relación. Según la tradición religiosa, el propio Buda a los ocho años ya había aprendido, como elementos principales de su formación, a leer, escribir y calcular. En la petición de mano Buda tuvo que someterse a un examen de matemáticas y resolver el problema de obtener los átomos de una milla. En la resolución del problema dio con un método de extensión en la sucesión de números. El gigantesco número buscado lo precisó (según nuestro modo de escritura) como 384 × 713.

Del siglo III data la siguiente canción de loa a las matemáticas:

El cálculo es útil en todo tipo de trabajos que tienen relación con las cosas del mundo y del culto u otras cuestiones religiosas semejantes. La ciencia del cálculo es altamente apreciada en los preceptos del amor, de la riqueza, en la música y el drama, el arte culinario, la medicina, la arquitectura, la métrica, la poesía, la lógica, la gramática y en muchas otras actividades. Es utilizada en relación con el movimiento del sol y de otros cuerpos celestes, con las tinieblas y las conjunciones planetarias, con las direcciones, la situación, el tiempo y el recorrido de la luna. El número, diámetros y perímetro de islas, océanos y montañas, las dimensiones de las poblaciones y los edificios, de los habitantes del mundo, de los espacios entre mundos, del mundo de la luz, del de los dioses y los habitantes del infierno y múltiples mediciones más, todo esto es llevado a cabo con ayuda de las matemáticas [L 5.5, I. p. 5].

II. 2. Fuentes
La transmisión de conocimientos matemáticos se remonta hasta los tiempos en que aparecieron los libros religioso-filosóficos, los Veda, esto es, según fuentes más que discutibles, hasta el segundo milenio a.n.e. A estas primeras fuentes pertenecen también las llamadas reglas de cuerda (sulba-sütra); se trata en este último caso de instrucciones de carácter geométrico para la construcción de altares, para lo cual fueron utilizadas cuerdas y palillos de bambú.

Sin embargo las principales obras de la matemática hindú surgieron entre el siglo II (o el V) y el siglo XVI d.n.e. Este desarrollo incesante y progresivo fue interrumpido con la penetración europea y en poco tiempo las tradiciones autóctonas fueron destruidas casi por completo (fig. 5.3).

Algunas importantes fuentes merecen ser nombradas explícitamente. Por ejemplo, el manuscrito en corteza de árbol hallado en las proximidades de la aldea Bakhsall (India noroccidental), que trata de álgebra y aritmética y que podría remontarse incluso hasta más allá del año 200.

Del siglo V (o IV) procede una obra anónima sobre astronomía titulada Sürya siddhclnta (Lecciones acerca del sol); en relación con ella aparecieron posteriormente otros tratados (= Siddhántas). Uno de ellos es el Pulisá siddhclnta (Doctrina de Pulisa), en el que se encuentran algunos conocimientos trigonométricos en relación con la astronomía, posiblemente vinculados a modelos helenísticos.

0042.png

Fie. 5.3. Manuscrito matemático indio antiguo (probablemente del siglo X d.n.e.)

En el año 499, Aryabhata, de 23 años, compuso en verso un tratado sobre determinadas partes de la matemática y astronomía hindús de entonces. Esta obra, con el título de Á tyahhatíya, fue, gracias también a los comentarios de su alumno Bháskara I, de gran influencia en el desarrollo posterior de la matemática india. En ella se apoya estrechamente, por poner un ejemplo, la obra en verso Bráhmasphuía siddhanta (Perfeccionamiento de la doctrina de Brahma), compuesta aproximadamente en el 628 por Brahmagupta y que trata de aritmética, álgebra y geometría.

Cabe mencionar también los tratados matemáticos de Mahávira y de Sridara. Se ha de destacar, no obstante, la obra Siddhánta-siromani (La corona de las ciencias), escrita alrededor del 1150 por el importante matemático y astrónomo Bháskara II; esta obra en cuatro partes, que trata de aritmética, álgebra, geometría y astronomía representa, por su extensión en los lemas y su construcción metódica, que conjuga hábilmente la presentación abstracta con las cuestiones prácticas, el punto culminante de la matemática india.

Durante siglos La corona de las ciencias fue la base de todos los estudios matemáticos en la India y los posteriores progresos fueron entendidos en cierto sentido como una simple continuación. Destacan, entre éstos, unos detallados comentarios de Ganesa y Krsna en el siglo XVI y el Tantrasamgraha (obras científicas completas) de Nílakantha Somasutvan a comienzos del siglo XVI, en el que aparecen, entre otros temas, desarrollos en serie de potencias, por ejemplo, el de arctg x y desarrollos convergentes para π/4. Sin embargo, éstos y otros indicios que habría que incluir entre los antecedentes de la matemática infinitesimal no pudieron madurar en la matemática hindú. Las causas de esta evolución tan dispar entre Asia y Europa podrían ser, por una parle, el estancamiento económico y político interno de los países asiáticos y, por otra, su inclusión forzada como colonias en el sistema capitalista europeo. La India antigua no consiguió, como Europa, completar la transición al capitalismo, del que resultaría un incremento de las fuerzas productivas materiales, la formación de las ciencias naturales clásicas y, como consecuencia, las correspondientes exigencias de una matemática de magnitudes variables. Del ejemplo de la matemática hindú (y también del de la china) se puede y se debe concluir, por tanto, que el desarrollo de las fuerzas productivas es, en última instancia, decisivo.

II. 2. La geometría hindú
Había, como se muestra en el Sulba-sûtra, sólidos conocimientos geométricos: determinación del área de figuras poligonales, teorema de Pitágoras, cálculos de aproximación para diagonales (por ejemplo para √2), extensión de la fórmula herónica del triángulo a cuadriláteros inscribibles, etc., lo que da una idea del alcance de su geometría plana. En cuanto a la geometría del espacio, podían calcularse el volumen aproximado de la pirámide y del tronco de la misma, la superficie del cono, etc. Además utilizaron para π, las aproximaciones 27/8, 243/80 y 31/6 entre otras.

Es interesante que en la matemática hindú tales cálculos se ligaran también con consideraciones infinitesimales atomistas de forma similar a las que aparecen en Europa con Kepler. Por ejemplo, en un comentario a Bháskara se explica que una esfera puede verse como un conjunto de pirámides en forma de aguja con la punta en el centro de la esfera.

II. 3. La trigonometría hindú
La Antigüedad helenística había elaborado una trigonometría altamente desarrollada. En la matemática hindú se produjo, en conexión con la astronomía, una transformación de la trigonometría: se pasó de la trigonometría de cuerdas a la trigonometría de senos. La relación entre ambas trigonometrías viene dada por la igualdad ch (2α) = 2senα, lo cual no parece ser muy significativo a primera vista. Sin embargo, este cambio repercutirá en el desarrollo posterior porque la relación básica entre lados y ángulos de un triángulo es especialmente fácil de formular con la trigonometría de senos.

La India se convirtió así en el país de origen de la moderna trigonometría. Ya en el Ájyahhatiya se encuentran expresadas de forma moderna las relaciones trigonométricas entre senos, cosenos y senos versos[23]. Alrededor del 500 se emplearon fórmulas trigonométricas y a principios del siglo X se consideraron las funciones sen x, cos x y 1-cos x en los cuatro cuadrantes.

No se llevó a cabo, sin embargo, una construcción sistemática completa de la trigonometría. Seguía tratándose todavía del estudio de problemas individuales, de métodos adaptados a problemas particulares. No obstante, esto condujo implícitamente a resultados que hoy conocemos como teoremas generales, por ejemplo el teorema del seno e incluso el teorema del coseno de la trigonometría esférica.

Las tablas eran de fundamental importancia para la aplicación práctica de la trigonometría. También fueron elaboradas por los matemáticos hindúes; las primeras tablas para el seno y el seno verso están ya contenidas en el Süryasidhanta y en el Áryabhatjya. Se dan 24 valores distintos para cada una de las funciones. En La corona de las ciencias se encuentra una tabla de senos que va de grado en grado.

La trigonometría hindú debe su desarrollo a las necesidades de la astronomía; sin embargo los resultados obtenidos por la astronomía hindú no superaron en ningún momento los de la Antigüedad helenística. Ciertos problemas numéricos de la astronomía llevaron, ya al final de la matemática hindú independiente, más o menos a comienzos del siglo XVI, a algún resultado notable que no se logró en Europa hasta el siglo XVIII.

El matemático del sur de la India Nïlakantha Somasutvan logró la construcción de la serie de potencias infinita del arcotangente. Además fueron utilizados una especie de triángulo infinitesimal, el desarrollo de una función racional en serie infinita de potencias y la integración término a término[24].

En relación con lo anterior se obtuvo también una notable aproximación para π dada por 104348/33215 y que resulta exacta hasta nueve cifras decimales. Por cierto que Nïlakantha conocía perfectamente que π, es decir, la relación entre la longitud de la circunferencia y el diámetro, es irracional:

Si el diámetro, medido con ayuda de cualquier unidad de medida es conmensurable con esta unidad, entonces no se puede medir el perímetro del círculo exactamente con ayuda de la misma unidad de medida; si por el contrario el perímetro circular es medible con relación a alguna unidad de medida, entonces el diámetro no puede medirse con ayuda de dicha unidad [LA 17, p. 167].

II. 4. La formación del sistema decimal posicional
A pesar de estos resultados de la geometría y trigonometría hindús, particularmente notables, el carácter general de la matemática hindú estaba marcado por el predominio del cálculo algorítmico y por el alto nivel de la aritmética y el álgebra. Los matemáticos hindúes llevaron a cabo, con el empleo del sistema decimal posicional y con la forma de escritura de las cifras un trabajo cultural y científico de importancia universal. Actualmente, en todo el mundo se calcula siguiendo el método hindú.

La numeración hindú fue utilizada desde siempre y en lo esencial según el sistema decimal. En sánscrito había palabras fijas para las cifras 1 a 9 y para las potencias de 10. La sucesión de números se amplió en contextos religiosos asombrosamente; así, por ejemplo, Buda dio su denominación a una potencia de 10 que hoy expresaríamos como 10421.

Los sistemas numéricos primitivos muestran posiblemente influencias de los centros culturales colindantes; en este punto la investigación histórica tiene todavía un amplio campo del que ocuparse. Así, por ejemplo, desde el siglo IV a.n.e. hasta el siglo III d.n.e., en lo que hoy es Afganistán y en la India occidental, se utilizaron las llamadas cifras Kharosthi, en las que el sistema decimal se entremezcla con un sistema cuaternario. En amplias partes de la India estuvieron en uso durante más de un milenio las cifras Bráhmi, en las que había números individuales para las nueve cifras de las unidades, para las nueve de las decenas, etc.

Hoy se acepta generalmente que el sistema decimal representa una contribución esencialmente independiente de la matemática hindú, posibilitada por la combinación de dos condiciones favorables: la existencia de nueve cifras en el uso estable de sistemas numéricos y el sistema de decenas tradicional con marcado sentido por la construcción sistemática de la escala de potencias de 10. En la introducción del cero posiblemente representará también un importante papel el hecho de que los astrónomos hindúes conocieran los signos de vacío propios del sistema sexagesimal babilonio.

En el siglo VI d.n.e. el sistema decimal estaba ya ampliamente extendido y desde el siglo Vil se usó también el cero, que se representó inicialmente por un punto y más tarde por un aro pequeño. Los hindúes llamaban al cero sünya, es decir, vacío. En la traducción al árabe se convirtió en al-sifr, que significa también vacío; de aquí procede la palabra cifra. De esta manera, para denominar la grafía de los números se hace referencia al elemento fundamental, esto es, al cero.

El sistema decimal, ya completamente formado, se abrió paso con las cifras hindúes relativamente pronto, siguiendo las rutas comerciales hacia Oriente y Occidente; ya en el año 662 un sabio sirio alude a significativos descubrimientos hindúes en la ciencia de la astronomía, a descubrimientos que son más ingeniosos que los de los griegos y babilonios y afirma que su modo de escritura numérica efectuado con ayuda de nueve signos es superior a todo elogio [LA 17].

Poco más tarde, en el año 773, un matemático hindú introdujo el Siddhanta de Brahmagupta en la corte de los abasidas, en Bagdad. Desde ese momento, parte de la matemática hindú se convertiría en firme componente de la altamente desarrollada matemática árabe-islámica. El sistema de cifras hindú emprendió así su viaje victorioso, en primer lugar, hacia el mundo árabe.

II. 5. Aritmética y álgebra en la matemática hindú
El conocimiento de las propiedades aritméticas del cero estaba totalmente consolidado en la matemática hindú, así como métodos algorítmicos correctos para el tratamiento de los números negativos, del cálculo con fracciones, de la extracción de raíces, y a modo de ejemplo, la regla de tres, la prueba del nueve, etc. Conviene subrayar que la matemática hindú anteponía el álgebra a la aritmética; el álgebra (a la que, según nuestra concepción actual, añadiríamos también algunos resultados de teoría de números) gozaba por ello de una alta estima. Bháskara II explicaba al respecto:

«La teoría del cálculo que trata con cantidades desconocidas es la fuente para la teoría del cálculo con cantidades conocidas». Y: «los matemáticos explican que el álgebra es una forma de cálculo que va acompañada con una demostración: en otro caso no habría ninguna diferencia entre la aritmética y el álgebra» (LA 17, pp. 122-123].

La alta estimación del álgebra, que da cuerpo a las bases generales de la matemática en su conjunto, se extiende por toda la matemática hindú. En Brahmagupta y Bháskara II hay incluso canciones de alabanza para el álgebra. Y Nárayana escribe:

Del mismo modo que el mundo visible e infinito en su totalidad surge de Brahma, del álgebra se deduce toda la aritmética con su infinita multiplicidad [LA 17, p. 123].

No resulta extraño, pues, que con tales ideas básicas el álgebra hindú se hallara en un nivel tan elevado. Existía además un consolidado simbolismo que se basaba en las letras iniciales de las palabras correspondientes; las magnitudes desconocidas (variables) se llaman yávat, tdvat, que significa tanto-cuanto, esto es, un conjunto cualquiera.

Al cálculo algebraico pertenecen las relaciones con irracionales, paréntesis y polinomios. Se resolvieron ecuaciones lineales y cuadráticas utilizando diferentes procedimientos; también se consideraron como soluciones los números negativos, si bien de forma distinta a la de la matemática helenística-. Igualmente era conocido que toda ecuación cuadrática posee dos soluciones. Aparecen con frecuencia sistemas de ecuaciones lineales. En relación con la astronomía, en la determinación de los periodos de revolución de los cuerpos celestes, se buscaron en diferentes tipos de ecuaciones indeterminadas soluciones enteras. Por último se utilizaron también desarrollos de fracciones.

§ III
Las matemáticas en los países del islam

Contenido:
III. 1. Etapas históricas en el desarrollo de las matemáticas en los países del Próximo y Medio Oriente
III. 2. El álgebra de al-Jwarizmi y sus sucesores
III. 3. Expansión de las cifras y aritmética hindú a los países del III. 4. Próximo y Medio Oriente
III. 5. La consolidación de la trigonometría como rama científica independiente

A finales del siglo VI y principios del VII se formó en la península arábiga una religión monoteísta, el Islam, que fue aceptada tanto por los beduinos nómadas como por las tribus de comerciantes y fabricantes de las ciudades. Esta se originó como consecuencia de un movimiento social de protesta de las clases medias de comerciantes contra la aristocracia Mekkas dominante; constituyó la base ideológica para el estado centralizado creado por su fundador, Muhammad ibn ‘Abd Alláh (ca. 570-632), sobre los restos de la sociedad patriarcal y para los extensos territorios conquistados por sus sucesores. Se formó un gran imperio árabe que abarcaba Oriente Próximo, gran parte de Asia Central, todo el norte de África y la Península Ibérica. El desarrollo de las ciencias experimentó bajo la dinastía ‘abbásí (desde el 750 hasta mediados del siglo XIII) su primera época de esplendor. Durante la época de mayor prosperidad (desde el 750 hasta el siglo X) se estableció en Bagdad un renombrado centro administrativo y científico. Entre los motivos económicos que propiciaron este desarrollo cabe resaltar el alto nivel de las técnicas de irrigación de las tierras así como de la artesanía y el comercio en las ciudades. Junto a ello, la diversidad de los pueblos pertenecientes al estado ‘abbásí y sus especializados conocimientos en la artesanía y en las ciencias repercutió positivamente en el rápido desarrollo de una nueva cultura y ciencia islámicas. Por ello es también más conveniente, esto es, más adecuado a la situación histórica, hablar de la cultura y la ciencia del Islam o de los países del Islam, en lugar de hablar de la ciencia árabe. El árabe cumplió la función de ser la lengua de la administración y de la ciencia; al igual que le sucedió al latín durante varios siglos en Europa, sin perjuicio del hecho de que existieran diferentes pueblos e idiomas nacionales.

Tras la caída de la dinastía ‘abbásí se mantuvo todavía el auge de la ciencia en algunas dinastías locales, por ejemplo bajo los buyidas en Irak, los fatimíes en Egipto, los samán idas y diversas dinastías turcas en Asia central y los califas omeyas en España y el noroeste de África. Sin embargo, en el siglo XIII estos reinos se vinieron abajo, en el Este por el ataque del ejército mongol y en España por la Reconquista cristiana. No obstante, en el Este, tras la islamización de los mongoles y bajo la influencia china, las ciencias experimentaron de nuevo un cierto florecimiento, si bien aparecieron ya signos de estancamiento. En los siglos XV y XVI la mayoría de las regiones árabes cayeron bajo el dominio de los otomanos y, aunque en algunas zonas la tradición existente fue continuada y en parte reavivada, en conjunto no se pudo ya llevar el paso del desarrollo que entonces tenía lugar en Europa.

III. 1. Etapas históricas en el desarrollo de las matemáticas en los países del Próximo y Medio Oriente
En el caso de las matemáticas del Islam, el historiador se las ha de ver con un periodo de desarrollo de más de medio milenio y en un espacio geográfico extraordinariamente amplio. Problemas relativos a la arquitectura, la geodesia, el derecho sucesorio, el comercio, el presupuesto estatal, la astronomía y la astrología, la geografía y la óptica influyeron de manera efectiva en el desarrollo de la matemática islámica. Entrando en detalles, se pueden distinguir claramente tres etapas en dicho desarrollo.

En una primera fase se recopiló la herencia científica y cultural todavía disponible de la Antigüedad helenística, de Persia, la India y Egipto, entre otras cosas los escritos matemáticos, que se tradujeron al árabe. Bajo el mandato de los califas al-Mansür, Hárün-al Rasïd, el héroe de Las mil y una noches, y de sus descendientes, Bagdad se convirtió en un centro de la cultura.

Al-Ma’mün fundó una especie de academia, la Casa de la Sabiduría (Bayt al-hikma) entre cuyos deberes se encontraba hacer accesibles sistemáticamente las fuentes tradicionales por medio de su traducción al árabe. Unidas a la Casa de la Sabiduría se hallaban, entre otras dependencias, una biblioteca y un observatorio astronómico; los copistas cuidaban de las transcripciones de los libros e incluso había un programa de investigación geográfica y astronómica a largo plazo. Además se desarrollaron con gran éxito la física, la química, la medicina, la farmacología, la zoología, la botánica, la mineralogía y la filosofía. En algunas ramas científicas se logró no sólo enriquecer y profundizar el nivel alcanzado en la Antigüedad, planteando nuevas cuestiones y objetos y métodos de investigación, sino obtener incluso importantes cambios cualitativos. En una segunda etapa, cuyo comienzo habría que situar aproximadamente hacia la mitad del siglo IX, se formó, sobre la base de una actividad sólidamente establecida de comentario de las fuentes ya disponibles, una cultura matemática independiente. Esta comprendía problemas de aritmética, de geometría, de cálculos de aproximación numérica, de trigonometría y de álgebra. Los representantes más destacados fueron Muhammad b. Müsá al-Jwarizmí, al-Kindl, Tabit b. Qurra, Qusta b.

Lüqa y al-Máhánl. Finalmente en los siglos X, XI y XII, los cálculos astronómicos y los métodos de aproximación del álgebra fueron alcanzando una envergadura cada vez mayor. Por ello, los problemas de la matemática numérica se fueron situando progresivamente en el centro del interés. En esta época destacan ante todo Abü Kamil. al-Battání, Abü-l-Wafa’, Ibn al-Haytam, al-Karayí, al-Bírüní y Ibn Hayyán.

Entre los siglos XIII y XV se plantearon prioritariamente cuestiones numéricas. Para ello, la influencia de los intensivos contactos con China fue probablemente decisiva. Los dos matemáticos más importantes en esta época fueron Näsír al-Dïn al-Tüsí y al-Kasí.

Bajo la influencia de las fuentes griegas en los métodos y el estilo de investigación, las obras de los matemáticos islámicos sobresalieron por su esfuerzo en demostrar y presentar los problemas tratados de forma sistemática y completa. La influencia de la matemática china e hindú se refleja en los textos árabes, entre otras cosas, en los numerosos ejemplos, tipos de problema y métodos de aplicación práctica.

Tampoco regionalmente era unitaria la matemática de los países islámicos. Generalmente se distingue entre la del este y la del oeste; la matemática del oeste no alcanzó en general el nivel de la oriental. Por ello, esta última fue decisiva para la transmisión de los logros matemáticos de los griegos, de los hindúes y de los árabes a Europa.

III. 2. El álgebra de al-Jwarizmi y sus sucesores
El álgebra de al-Jwarizmi (que significa el joresmiano, originario de Joresm, Jiva, situada en la actual república soviética de Uzbekistán) se ha conservado en un manuscrito árabe y varios más en latín. Este escrito, que tuvo una considerable influencia en el desarrollo de las matemáticas, se ocupa de la resolución de ecuaciones lineales y cuadráticas con coeficientes numéricos. El autor distingue en las ecuaciones cuadráticas seis formas normales, a las que son reducibles todos los demás tipos; todos los coeficientes de las formas normales son no negativos y el coeficiente de la potencia más alta es 1. El título del álgebra de al-Jwarizmi reza al-Kitáb al-mujtasar fi hisáb al-yabr wa-l-muqábala, donde kitclb significa libro, hisab se traduce por cálculo; al-yabr, aproximadamente, por complemento[iii] y muqabala por reducción.

Un ejemplo aclarará las cosas. Al-Jwarizmi estudia, por ejemplo, la ecuación

2x2 + 100 - 20x = 58.

El primer paso hacia la solución consiste en el completamiento:

2x2 +100 - 20x + 20x = 58 + 20x

Se añade a ambos miembros de la ecuación, expresado modernamente, el término lineal 20x. Se completa una vez más: 2x2 + 100 – 58 = 58 - 58 + 20x. Y luego sigue la reducción: 2x2 + 42 = 20x; lo que conduce a la forma normal x2 + 21 = 10x.

La palabra utilizada para la primera operación, al-yabr, se extendió posteriormente a toda la teoría de ecuaciones; tras la latinización de la palabra árabe surgió la denominación álgebra. Y del nombre del autor, puesto que el libro contenía procedimientos de resolución que llevaban siempre a buen fin, surgió el término matemático algoritmo.

Resulta interesante considerar, aunque sea brevemente, las intenciones, el objetivo del álgebra de al-Jwarizmi. El pretendía, así lo afirma personalmente, escribir un libro corto

sobre los métodos de cálculo del completamiento e igualación, limitados a lo agradable y apreciado de dichos métodos por aquello de que la gente necesita continuamente en sus herencias y testamentos, en sus particiones, sentencias judiciales y escritos comerciales y en todo aquello, con lo que mutuamente se ocupan, de la medición de la tierra y de la construcción de canales y de la geometría v de cosas semejantes, todo ello según sus puntos de vista y maneras [LA 33, II, p. 65].

Característico del modo de proceder de los matemáticos islámicos medievales es el esfuerzo que realizan en probar la exactitud de las soluciones. Al-Jwarizmi recurre para ello a la geometría y ofrece consideraciones de plausibilidad. Con el trabajo de Tábit b. Qurra, Sobre las demostraciones geométricas en problemas de álgebra se continúa dicha línea de desarrollo, establecida sobre la base de rigurosas demostraciones en lenguaje geométrico apoyadas directamente en el libro II de los Elementos de Euclides, que constituyó para generaciones de matemáticos medievales un modelo metódico a seguir. Igualmente, y ya en los siglos IX-X. aparecen, provenientes de las fuentes más dispares (aritmetización de los libros II y X de los Elementos, crecientes exigencias numéricas de la trigonometría, controversias matemático-filosóficas sobre la clasificación de las ramas de las matemáticas, el concepto de número o la metódica de la demostración, nuevos progresos en la teoría de números, traducción de la Aritmética de Diofanto, etc.), tendencias hacia la aritmetización del álgebra.

Estas alcanzaron con las obras de al-Karayï y al-Samaw’al, en los siglos XI y XII, su punto cumbre, lo que supuso que en la técnica de la demostración se fueran eliminando poco a poco los procedimientos geométricos incorporando en su lugar formulaciones y consideraciones de tipo algebraico. Se utilizó, por ejemplo, en el caso de que se quisiera renunciar completamente a consideraciones geométricas, una forma simple, todavía incompleta, del principio de inducción completa. Vinculado con lo anterior se hallaban otros progresos de naturaleza concreta. Por ejemplo, al-Karayï conocía ya el triángulo de Pascal, sin que se le considere como su descubridor. Implícitamente, el campo numérico se amplió hasta los números algebraicos. Se profundizaron los conocimientos sobre la aplicabilidad de las leyes de composición conocidas a polinomios, en particular sobre las operaciones que presentaban mayores dificultades, como la división y la extracción de raíces. Además de números naturales, se permitieron números racionales como exponentes de las potencias, de manera que la expresión actual x-2/3 se correspondía aproximadamente con la siguiente explicación: lado del cubo del cuadrado de la fracción. Un tercer aspecto del desarrollo del álgebra consistió en el creciente grado de generalidad de las proposiciones, aunque esta tendencia se hallaba sometida a continuas oscilaciones, presentando frecuentemente rupturas, estancamientos o retrocesos totales.

No se sabe a ciencia cierta si al-Jwarizmi llevó a cabo trabajos propios en el ámbito del álgebra, pero en cualquier caso actuó como destacado compilador de la totalidad del saber y sus trabajos sentaron las bases para las investigaciones de sus sucesores.

De los trabajos de Abü Kámil hay que destacar que, aunque llega tan sólo a tratar ecuaciones cuadráticas, introduce más incógnitas (al-Jwarizmi) utilizaba sólo una variable), utiliza potencias superiores de las incógnitas, renuncia al clásico requisito de fidelidad a la dimensión (este camino no lo siguieron ya más los autores árabes, pero sería recogido de nuevo por Descartes), concibió los irracionales cuadráticos como números, es decir, como objetos de la aritmética, formuló de manera general identidades algebraicas en palabras y probó su validez en ejemplos numéricos.

Al igual que su predecesor, al-Karayí, presenta en primer lugar las operaciones clásicas con monomios, polinomios e irracionales, así como la resolución de ecuaciones lineales y cuadráticas. Además, aborda también la suma de diferentes sucesiones aritméticas y de las series de potencias

0043.png

con demostraciones e intentos de demostración. Junto a las contribuciones mencionadas arriba, aportó como novedad una forma puramente aritmética del método para completar cuadrados y comenzó con la investigación sistemática de ecuaciones de la forma

ax2n + bxn = c

ax2n + c = bx

bxn + c = ax2n

ax2n+m = bxn+m + cxn.

Una destacada aportación del álgebra islámica consistió en la creación de una teoría geométrica para la resolución de ecuaciones cúbicas. En el siglo IX los sabios de Bagdad, estimulados por un problema de Arquímedes, comenzaron el estudio de las ecuaciones cúbicas. La Antigüedad griega conocía ciertamente un método geométrico para la obtención de las raíces de una ecuación de tercer grado, pero no se aplicaba a un círculo de problemas mayor y no se creó ninguna teoría general para ello. Esto se reservó a la matemática islámica y en concreto al persa al-Jayyám. Está comprobado que, desde la primera mitad del siglo VII, aparecieron también en los escritos matemáticos chinos consideraciones sobre la solución numérica de ecuaciones cúbicas.

El primer matemático islámico que posiblemente se ocupara en una teoría de este tipo podría haber sido Ibn Lait, un contemporáneo de al-Biruni. Sin embargo, su trabajo no se ha conservado.

Si que se conserva, por el contrario, la obra de al-Jayyám que se incluye entre las grandes aportaciones de la matemática árabe. El resolvió el problema de las ecuaciones cúbicas con ayuda de las cónicas y afirmó, al parecer por primera vez, que tales ecuaciones son resolubles con ayuda de regla y compás. Al-Jayyám se esforzó también en la resolución efectiva de las ecuaciones cúbicas, aunque sin éxito.

La variedad e importancia de los problemas que conducen a ecuaciones de tercer grado exigía también nuevos métodos de resolución numérica. A este respecto. al-Kasï creó un método iterativo extraordinariamente simple, de gran exactitud y rápidamente convergente. Un algoritmo similar se aplicó a la resolución de la ecuación

t = θ - m senθ

(t y m fijos, θincógnita). Esta ecuación juega un importante papel en la construcción de tablas en la teoría de las paralajes. El algoritmo para su resolución,

θ0(t) = t + m sen t,

θ1(t) = t + m sen θ0(t),...,

θn(t) = t+ m sen θn-1j(t),

apareció por primera vez en Habas al-Hásib, con lo que posiblemente se basara en fuentes hindúes. En el siglo XVII la ecuación anterior fue deducida por Kepler en su investigación sobre el movimiento de los planetas. En casi todos los tratados algebraicos conservados de la Edad Media islámica falta la utilización y desarrollo de una simbología algebraica. Esto concierne sobre todo a la zona oriental. En el Magreb y en al-Andalus parece que hubo, por el contrario, una larga tradición, revelada sólo por las más recientes investigaciones. Desde hacía siglos se conocía, sin embargo, en Europa la simbología de Qalasädï, que alcanzó un alto grado de desarrollo. Qalasädï realizó toda su labor en Granada.

En Qalasädï se designa, por ejemplo, la raíz cuadrada con la primera letra de la palabra yidr (raíz), escribiendo encima el número. En las ecuaciones designó la primera potencia de la incógnita con la letra inicial de la palabra say (cosa), la segunda con la de murahba (cuadrado), y la tercera con la de ka’b (cubo), colocándolas sobre los coeficientes. Existía, así mismo, un signo de igualdad.

III. 3. Expansión de las cifras y aritmética hindú a los países del Próximo y Medio Oriente
Como en el álgebra, los tratados de al-Jwarizmi sobre la aritmética influyeron persistentemente en las siguientes generaciones de matemáticos árabes, utilizándose como punto de partida para otras muchas investigaciones. Profusamente comentados, sirvieron para el adiestramiento de jóvenes matemáticos.

Al-Jwarizmi fue el primer matemático árabe que describió y explicó el sistema posicional decimal con las cifras hindúes y las operaciones de cálculo basadas en él. En qué forma fueron utilizadas las cifras por al-Jwarizmi es algo que se desconoce, pues éstas no se incluyeron en las traducciones al latín y no se ha conservado ninguna versión árabe.

De ninguna manera está todo explicado sobre la historia de nuestras cifras; sólo se pueden considerar seguros los siguientes hechos: tras la conquista de Egipto, Siria e Irak los textos árabes expresaban los números o con palabras o con el alfabeto griego. El uso de palabras permaneció todavía durante siglos, mientras que el alfabeto griego desapareció completamente de los manuscritos como muy tarde en el siglo XII. Desde el siglo VIII se utilizaron también letras del alfabeto árabe.

En la primera mitad del siglo X aparecieron las cifras (arábigo-orientales) y un signo especial para el cero. Estas cifras son probablemente las cifras hindúes Bráhmi en una forma ligeramente cambiada. Excepto en modificaciones de la cifra 5 y del 0 las cifras arábigo, orientales se han mantenido hasta hoy en los países árabes. Aproximadamente alrededor del 950 surgieron en la Península Ibérica las cifras arábigo-occidentales, que se utilizan todavía hoy en Marruecos. En definitiva, la introducción de las nueve cifras en los países árabes se llevó a cabo, por causa de la tradición existente, de forma bastante lenta.

Las fracciones, los números irracionales y las proporciones desempeñaron en la aritmética árabe un gran papel. Las fracciones, que aparecían frecuentemente en la contabilidad y las finanzas, fueron reducidas a fracciones unitarias y por lo general representadas como fracciones sexagesimales. El sistema posicional sexagesimal alcanzó con los árabes un nivel de desarrollo mayor que en la Antigüedad.

La creciente extensión de los cálculos planimétricos y trigonométricos y, ante todo, la construcción de tablas astronómicas cada vez más precisas hizo que los matemáticos árabes se ocuparan en medida creciente de los irracionales. Como punto de partida utilizaron la antigua teoría de los irracionales cuadráticos, que ellos aritmetizaron. Además desarrollaron la antigua teoría de las proporciones con los números reales positivos.

La teoría de los irracionales cuadráticos y la de las proporciones fueron dos de los principales problemas de Euclides. Pero también en relación con el tercero, la teoría de las paralelas, se han de señalar progresos debidos a los matemáticos islámicos. En especial hay que remitirse a las obras de al-Haytam, al-Jayyám y al-Tüsí, en las que se hallan implícitamente las primeras tentativas de teorías no euclídeas. Los Elementos fueron en conjunto la obra de la Antigüedad más trabajada y utilizada por la mayoría de los árabes. Entre finales del siglo VIII y mediados del siglo XV los Elementos fueron traducidos, trabajados y comentados por más de 50 matemáticos islámicos.

Algunos comentarios y trabajos sobre los Elementos fueron escritos por filósofos, como por ejemplo al-Fárabí. Este se dedicó a los Elementos porque los conceptos básicos de la geometría y la aritmética considerados en la obra habían desempeñado un importante papel en la filosofía de Aristóteles.

III. 4. La consolidación de la trigonometría como rama científica independiente
En las investigaciones de los matemáticos y astrónomos de los países del Próximo y Medio Oriente la trigonometría ocupó un amplio espacio. Representó el nexo de unión entre la matemática, la astronomía, la cronología y la teoría de la hora solar, la gnomónica. Promovió además el desarrollo en otros campos de la matemática, por ejemplo en el estudio de los irracionales y de procedimientos numéricos para la resolución de ecuaciones algebraicas. Punto de partida para los trabajos árabes en trigonometría fue la traducción de uno de los Siddhántas hindúes llevada a cabo por al-Fazári en Bagdad en el año 733. En el siglo IX se tradujo y comentó el Almagesto de Ptolomeo y las Esféricas de Menelao.

Los matemáticos de los países islámicos introdujeron las relaciones trigonométricas tangente y cotangente e investigaron sus propiedades, así como las de las relaciones seno y coseno, se ocuparon de todos los tipos de triángulos planos y esféricos y ampliaron paso a paso la trigonometría hasta hacerla una rama científica independiente y cerrada.

Ya en el siglo IX conocían los árabes la tangente y la cotangente, que se tabularon por primera vez en esta época. Abü-i-Wafa’ definió todas las relaciones trigonométricas en el círculo, mientras que hasta entonces las relaciones trigonométricas habían sido introducidas en el triángulo rectángulo. Un hito importante para el desarrollo de la trigonometría fue la obra de al-Biruni, Canon ... sobre la astronomía y las estrellas, pues en ella se recogen todos los conocimientos de su predecesor, completados y enriquecidos por las propias aportaciones del sabio. Para la demostración se utilizó primero el teorema de Menelao, siendo paulatinamente desplazado a partir del siglo X por el recién descubierto teorema del seno. En el siglo XIII se conoció también el teorema del coseno, introducido por al-Jalili Un segundo aspecto de la consolidación de la trigonometría como disciplina independiente fue su separación de la astronomía, lo que derivó en el surgimiento de tratados trigonométricos específicos. Este desarrollo alcanzó su punto culminante con el Tratado sobre el cuadrilátero completo (1260) de Nasir al-Din al-Tüsi. Al-Tüsi reunió en este trabajo los dos aspectos señalados anteriormente, presentando una construcción completa y sistemática de la trigonometría desde los conceptos y relaciones básicas hasta procedimientos para la resolución de de todos los problemas típicos de su tiempo. De él proceden también nuevos e importantes resultados, como por ejemplo la determinación de los triángulos de ángulos oblicuos a partir de los tres lados y de los tres ángulos. Su obra ejerció una decisiva influencia en Regiomontano, constituyendo los trabajos de este ultimo el punto de partida para el desarrollo de la trigonometría en Europa.

0044.png
Fig. 5.4. Edición árabe del Almagesto de Ptolomeo (siglo XIII)

No menos importante fue el trabajo de los científicos árabes en la construcción de las tablas trigonométricas; en cuanto a su exactitud superaron sobradamente, por ejemplo, a las de Ptolomeo (fig. 5.4). Las tablas más exactas y completas son las de al-BTrüní, Ibn Yünus, al-Jalili, al-Kásï, al-Tusi. al-Marwázï, un alumno de ‘Umar al-Jayyum y la del observatorio de Ulug Beg en Samarcanda. A modo de ejemplo, la tabla de senos de al, Biruni muestra un paso de 15’ y es exacta hasta los ocho decimales. Y al-Kásï dio para 2πel valor 6’2831853071795865.

§ IV
Las matemáticas en el feudalismo europeo

Contenido:
IV. 1. El Prerrenacimiento carolingio
IV. 2. La matemática en el feudalismo tardío
IV. 3. Algunos indicios de progreso matemático propio en Europa
IV. 4. La fundación de universidades. La escolástica

El estado esclavista romano se derrumbó tras encarnizadas luchas sociales de las clases oprimidas y bajo el empuje de los enemigos exteriores. La disolución política del Imperio Romano fue acompañada del declive económico. El comercio exterior y la producción manual de las ciudades se vinieron abajo, ciudades y calzadas se desmoronaron. La aldea se convirtió en el centro de la economía. Se formó así entre el siglo V y el siglo XI el feudalismo europeo, que se caracterizó por su economía natural, la ligazón de los campesinos a la tierra (servidumbre), la presión extraeconómica y un ínfimo nivel de la técnica. Hay que añadir a ello, en los primeros siglos, la postura anticientífica, o al menos de marcado desinterés científico, de la Iglesia cristiana. Esta encontró en los llamados Padres de la Iglesia (siglos II-V) su expresión programática. Tertuliano veía en la filosofía, es decir, en la ciencia helenística, la verdadera fuente de la herejía y acentuaba la infranqueable diferencia entre creer y saber: el deseo de la curiosidad intelectual no nos es necesario desde Jesucristo; la investigación tampoco, desde el Evangelio.

De los autores de la patrística fue Agustín, obispo en el norte de África, quien conformó más claramente la postura de la Iglesia en cuanto a las ciencias naturales y la matemática para los siglos siguientes. También acentuó ciertamente la superfluidad y los posibles peligros del estudio de la ciencia pagana. Otra cosa es, sin embargo, la adquisición de conocimientos y habilidades útiles, ya que no es posible dar ninguna indicación sobre el momento del establecimiento del reino de Dios y por ello hay que prepararse para la conquista del mundo existente en nombre de Dios. La obtención de bienes científicos por los paganos demuestra sólo la ilegitimidad de su posesión. Tan sólo los cristianos pueden, según Agustín, hacer de ellos un uso justo; a saber, demostrar la manifestación de Dios en la naturaleza. Pero queda la condición esencial de toda actividad de la ciencia, la de someterse a las Sagradas Escrituras, pues éstas superan toda capacidad del espíritu humano. Desde entonces quedó establecida en el ámbito de dominio cristiano la primacía del creer ante el saber. Sólo tras luchas llenas de esfuerzo y sacrificio pudo ésta ser contenida y al final superada.

Bajo estas circunstancias no es pues de extrañar que la matemática europea en el feudalismo temprano estuviera a un nivel realmente ínfimo. Se limitó al cálculo elemental con el ábaco y a un complicado sistema de cálculo con los dedos, a la agrimensura y al cálculo (llamado computas) de los días de fiesta movibles de la Iglesia, como por ejemplo la Pascua.

IV. 1. El Prerrenacimiento carolingio
En los siglos VIII-IX, con la consolidación del orden social feudal, se palpa en Europa una visible reanimación de la economía, de la cultura y de la ciencia. Un mejor aprovechamiento de la capacidad animal mediante el uso de colleras, herraduras, mejores arados, etc., contribuyó esencialmente al incremento de la productividad en la agricultura, rama principal de la economía en el orden feudal. Molinos de viento y de agua aliviaron la crónica carencia energética durante la era feudal. Cuando el reino de los francos se constituyó, bajo el dominio de los carolingios, en un poderoso reino feudal en la Europa cristiana, Carlomagno fue coronado emperador en el año 800, se vislumbraron formas de una política educativa organizada. Carlomagno, quien no consiguió en toda su vida, a pesar de sus esfuerzos, aprender a leer y escribir correctamente, se preocupó, interesado en el fortalecimiento de su estado, de elevar el nivel formativo del clero y de los altos funcionarios. En el año 781 trajo a su corte al monje procedente de Inglaterra Alcuino de York. Por iniciativa suya se levantó en Tours un centro cultural superior permanente, en el que se posibilitó también el desarrollo del saber matemático. En St. Gallen y Fulda surgieron monasterios que se esforzaron en la conservación de las ideas científicas. El propio Alcuino fue el autor de un tratado de problemas matemáticos Propositiones ad acuendos juvenes (Problemas para la ejercitación de los jóvenes), que está ligado claramente a otros de origen oriental y de la Antigüedad clásica; por ejemplo, aparece en él un problema de Herón sobre el llenado de un recipiente de agua. Los problemas geométricos se refieren a modelos romanos y utilizan sólo aproximaciones extremadamente groseras para el cálculo de áreas y para el valor de tc. Como ejemplo, valga la aproximación del área del círculo, llevada a cabo mediante la raíz cuadrada de un cuarto del perímetro circular.

Durante los siglos IX y X los estados cristianos de Armenia y Grusinia (Georgia) experimentaron un periodo de prosperidad en temas culturales. El cómputo del calendario y el saber matemático de la Antigüedad fueron atendidos sistemáticamente, como habían sido facilitados parcialmente por la cultura islámica. Se creó un sistema posicional propio para la designación de los números.

IV. 2. La matemática en el feudalismo tardío
Con la descomposición del Imperio Carolingio a lo largo del siglo IX, el desarrollo de las ciencias en la Europa occidental y central sufrió un retroceso pasajero. Un nuevo impulso vino del norte de Italia, donde junto a una todavía viva tradición de tiempos de la Antigüedad existían las mejores condiciones para un renovado auge de la artesanía y el comercio.

La sociedad feudal europea alcanzó en los siglos XII y XIII su mayor prosperidad. El incremento de la producción material se manifestó también en la agricultura, pero se hizo especialmente visible en la producción artesanal de los monasterios y. especialmente, de las ciudades, que en todas partes de Europa Occidental, Meridional y Central, hasta la zona de la actual Polonia, se transformaron en importantes centros económicos. La artesanía se especializó en nuevas formas de organización: los gremios. El intercambio comercial, ampliamente extendido, puso al mundo cristiano en estrecha relación con la cultura islámica, especialmente en España y en Sicilia; allí los europeos conocieron, entre otras cosas, los resultados de la matemática islámica.

El nuevo nivel alcanzado por las fuerzas productivas y los medios de producción creó una atmósfera de buena disposición a aceptar los bienes culturales y científicos procedentes de la cultura y la ciencia islámicas, más desarrolladas, a pesar de las divergencias ideológicas y las sangrientas intrigas militares que supusieron las llamadas cruzadas.

A Europa llegaron, entre otras cosas, la brújula, así como conocimientos sobre la fabricación de la seda, el papel y la pólvora, experimentos para la obtención del acero y nuevos métodos textiles; a partir del nombre de Damasco, algunas espadas se han llamado damasquinadas. Junto a ellos, también algunos conocimientos científicos alcanzaron Europa: por ejemplo, de filosofía (Aristóteles), astronomía, óptica y alquimia.

Uno de los casos más significativos del encuentro de la Edad Media latina con el mundo del Islam en el campo de las matemáticas se presenta en el monje francés Gerberto, quien en el año 999 subió al trono papal con el nombre de Silvestre II. En España aprendió las cifras árabes, aunque las utilizara todavía de forma absurda, puesto que las escribía sobre las fichas de cálculo del ábaco. En cualquier caso hay que agradecer a Gerberto que nos proporcionara la primera representación por escrito del cálculo con ábaco.

Extensas partes de la matemática islámica entraron en Europa desde el siglo XII, aquellas que, originalmente procedentes de la Antigüedad, ahora eran traducidas del árabe ai latín y aquellas que representaban el resultado del propio progreso en el área de influencia islámica. En ello la Escuela de Traductores de Toledo representó un destacado papel: lenguas intermediarias como el hebreo o el castellano fueron intercaladas entre el árabe y el latín. Alrededor del 1140, por ejemplo, Juan de Sevilla tradujo al latín el libro de cálculo de al-Jwarizmi, y con ello las cifras indo-arábigas se hicieron en principio accesibles. Una antología árabe de Euclides fue traducida en 1150 por Adelardo de Bath. Sin embargo, la investigación sistemática de los textos matemáticos, recurriendo conscientemente al texto mego original, tuvo lugar tan sólo durante el Renacimiento.

IV. 3. Algunos indicios de progreso matemático propio en Europa
En los siglos XII y XIII, Génova, Pisa, Florencia, Venecia y Milán eran poderosas ciudades comerciales cuyas relaciones llegaban hasta el Próximo Oriente y el Norte de África. Los mundialmente famosos viajes hasta China de la familia veneciana Polo ampliaron considerablemente el horizonte geográfico de los europeos.

Para los tratantes de capitales derivados del comercio la aritmética representó un apreciado e inmediato valor de uso. Uno de los primeros europeos que. motivados por lo anterior, dio una presentación sistemática del cálculo con las cifras indo-arábigas fue Leonardo Fibonacci de Pisa, quien las había conocido en sus viajes de negocios al Oriente y al Norte de África. Su libro, escrito en 1202, se titula Liber abaci (Libro del ábaco), pero este título es engañoso: no trata del cálculo con ábaco sino del cálculo con cifras. Resulta ilustrativo de la marcha triunfal iniciada por las cifras hindúes el hecho de que cálculo y cálculo con cifras se convirtieran en expresiones sinónimas. El libro de Leonardo muestra todavía más: la adquisición de conocimientos científicos no se iba a limitar ya por mucho más tiempo al clero y a las celdas de los monasterios. Una nueva clase, la burguesía, se dispondrá a acabar con el privilegio del saber en el feudalismo.

IV. 4. La fundación de las universidades. La escolástica
La ciencia verdadera, oficial, del período del feudalismo europeo no se podía desarrollar sólo bajo la supremacía eclesiástica. Hacia finales del siglo XI la Iglesia había reconocido que en interés de su propio poderío político y económico el clero debía aprender a leer, escribir y calcular y que para la formulación de sus pretensiones ideológicas y materiales debían adquirir formación científica. En un principio la creciente necesidad formativa fue satisfecha por las escuelas catedralicias. Algunas de ellas, como las de Chartres y Reims, llegaron incluso a alcanzar un nivel notable. En otras se formaron, según el modelo de los gremios, uniones de enseñantes y aprendices, de profesores y alumnos con el fin de adquirir la totalidad (universitas) de los saberes científicos. La primera y más famosa de estas universidades, la de París, fue reconocida, por tanto, no fundada, por la Iglesia en 1160 como centro de enseñanza. Sólo más tarde algunas universidades alcanzarían fama en su época como formas de erudición cristiana organizadas por la Iglesia, por ejemplo, Oxford y Cambridge, que siguieron el modelo parisino. Otras fueron fundadas por reyes, si bien sujetas a un definitivo reconocimiento papal-, como por ejemplo Nápoles; aquí actuó sin duda la influencia de modelos procedentes del mundo islámico, donde la ciencia había recibido apoyo estatal.

En las universidades medievales se formó una especie de práctica científica que se denominó escolástica. Escolástica significa, en el sentido original de la palabra ciencia escolar, esto es, la presentación sistemática del material científico en forma de lecciones e intercambio de opiniones. Las lecciones no se han de entender, en ningún caso, en el sentido actual, sino más bien como lecturas de escritos de los padres de la Iglesia, de literatura teológica y científica. A ello seguía su exposición e interpretación.

Después de ir a una escuela para aprender latín, el estudiante se matriculaba a la edad de 10-12 años, es decir, se inscribía en la matrícula (la lista). Los estudios comenzaban con un curso de las materias del trivium, compuesto por tres especialidades lingüístico-filosóficas: gramática, retórica y dialéctica (trivial es lo que viene al principio). En un segundo nivel de la carrera universitaria se enseñaba, siguiendo el modelo de la Antigüedad tardía, el quadriviwn, conjunto de cuatro materias: aritmética, geometría, astronomía y música.

En este marco tenía lugar la formación científica. En las facultades superiores, Medicina, Derecho y Teología, no se volvían a ver las matemáticas ni las ciencias naturales. Las especialidades del trivium y el quadrivium constituían las siete artes liberales (artis libe ralis) que se estudiaban, por ello, en la Facultad de Artes. Bajo los condicionamientos de la sociedad clasista del feudalismo se ha de entender artes liberales más bien como las artes de los libres; los siervos no tenían acceso a las universidades.

El nivel de la formación en ciencias naturales y matemáticas era por lo general muy modesto. El cálculo elemental con las cuatro operaciones básicas llegaba hasta los enteros positivos; pero ya la división (no exacta) presentaba problemas a menudo infranqueables; se llegaba a los quebrados. Igual de elementales resultaban ser los conocimientos adquiridos de geometría plana y estereometría. La astronomía se entremezclaba con la astrología y se enseñaban, desde el punto de vista geocéntrico, nociones sobre el movimiento del sol, la luna y los planetas. Los conocimientos aritméticos y astronómicos eran los necesarios para establecer el calendario y calcular los días festivos movibles de la iglesia. La teoría de la música, la música representaba en la liturgia cristiana un importante papel, estaba ligada a ideas pitagóricas. Estando las longitudes de las cuerdas de los instrumentos musicales en proporción numérica entera, aparecen los intervalos tonales de octava, cuarta, quinta, etc. El estudio de estas relaciones condujo a la utilización de proporciones.

Sobre esta modesta base teórica la escolástica tardía produjo en algunas universidades aportaciones que superaron de lejos el nivel corriente.

Roger Bacon, monje franciscano del siglo XIII. estudió en Oxford y fue perseguido y encarcelado por sus principios ideológicos materialistas. Dada su formación universal, se ha de destacar como uno de los principales eruditos de la Edad Media. Conocía los Elementos de Euclides, el Almagesto de Ptolomeo y fragmentos de la obra de Apolonio, Hiparco y Arquímedes.

Pertenece ya al periodo de retroceso de la escolástica el teólogo de Oxford Thomas Bradwardine, a quien se atribuyen entre otras cosas, y en relación con la cuadratura del círculo de Arquímedes, reflexiones sobre la continuidad de magnitudes variables, tipos de infinitos, etc.; es decir, cuestiones básicas de las matemáticas, si bien todavía englobadas implícitamente en un envoltorio teológico. Por pertenecer al mismo tipo de ideas, se ha de nombrar aquí también la llamada teoría de las latitudes de formas de Nicolás Oresme.

A pesar de estos y otros resultados parciales, las matemáticas ocuparon, extrañamente, si se considera la estrecha relación interna entre ella y la lógica, que gozó durante la escolástica de una elevada reputación, una posición global calificable sólo de modesta. Ni siquiera había en la Facultad de Artes cátedra propia de matemáticas. Una modificación real del contenido, de la extensión y del alcance social de las matemáticas no se producirá hasta el desarrollo, en el siglo XV, de la burguesía urbana europea.

LECCIÓN 6
EL RENACIMIENTO: TRIGONOMETRÍA. MÉTODOS DE CALCULO. ALGEBRIZACIÓN

021.jpg
Triunfo del cálculo con cifras sobre el cálculo con ábaco (1504)

§ I
El renacimiento

Contenido:
I. 1. La nueva posición social de las ciencias naturales
I. 2. El reflejo de las nuevas exigencias sociales en las matemáticas

En los siglos XIV y XV empezaron a aparecer en algunas regiones del sur. oeste y centro de Europa las primeras características de un capitalismo temprano. La paulatina transición a la sociedad preburguesa estuvo acompañada de intensas protestas sociales, de sublevaciones de los habitantes de las ciudades y de los campesinos contra los señores feudales y de numerosas guerras, en una época que veía el nacimiento de las naciones y estados nacionales. Algunos aspectos fundamentales característicos de este periodo fueron: el auge, desconocido hasta entonces, de la producción artesanal, el progresivo abandono de la economía natural, reemplazada por una economía monetaria, y el florecimiento de las ciudades. Al mismo tiempo se producía una gran ebullición de movimientos religiosos y espirituales, el derrumbamiento de la concepción medieval del mundo y un espléndido desarrollo del arte y la ciencia.

Las aspiraciones de la clase social recién formada, la burguesía, estaban orientadas y determinadas por la economía y, en razón de ello, se dirigían hacia el desarrollo de las fuerzas productivas y, a la vez, a la adquisición de los conocimientos sobre la naturaleza útiles a este fin. El interés de la burguesía por una ciencia con objetivos prácticos se orientó en primer lugar al aprendizaje de los saberes y ciencias de la Antigüedad: a la preocupación por la asimilación y aprovechamiento del patrimonio cultural de este periodo, que se consideraba la Edad de Oro. se unió un gran esfuerzo para lograr su renacer (Renacimiento).

Los portadores del nuevo modo de ver, poetas, eruditos, escritores y filósofos, los llamados humanistas, proclamaban una concepción del mundo y un modo de vida al servicio del hombre y de sus necesidades vitales y terrenas. El regreso a la pureza del pensamiento antiguo era posible sólo recuperando los textos antiguos en el idioma original, sometidos a un examen crítico, lo que fomentó el estudio de la filosofía clásica y el pensamiento filosófico e histórico. Así, en los siglos XV y XVI, se pusieron a disposición de los eruditos europeos múltiples escritos de Arquímedes, Ptolomeo, Euclides, Apolonio. Diofanto y otros matemáticos de la Antigüedad. La impresión de los libros con tipos móviles, un invento crucial del orfebre de Mainz, Gutenberg, favoreció la difusión relativamente rápida del saber antiguo conocido y del que se estaba recuperando progresivamente. También en materialismo social, en filosofía, sociología y teoría política.

en ética, pedagogía y literatura, se manifestaba la transición hacia un nuevo orden social. Nicolás de Cusa y Giordano Bruno. Maquiavelo y Tomás Moro, Tomas Müntzer, Ulrich von Hutten y Erasmo de Rotterdam, Martin Lutero y Philippe Mclanchthon, Petrarca, Miguel Ángel, Bocaccio, Rabelais, Cervantes y Shakespeare contribuyeron de manera esencial, cada uno con su aportación particular, a la formación de una nueva visión del mundo.

Fue [así enjuició Engels el Renacimiento, N.A.] la mayor transformación progresiva que la humanidad había vivido hasta entonces, una época que precisaba gigantes y engendró gigantes, gigantes en capacidad de pensamiento, pasión y carácter, en su polifacetismo y erudición. Los hombres que establecieron el moderno dominio de la burguesía, fueron todo menos gente de una mentalidad limitadamente burguesa [...] También el estudio de la Naturaleza se mostró entonces, en medio de la revolución general, completamente revolucionario; habría de ganarse, sin embargo, el derecho a la existencia. Mano a mano con los grandes italianos, de los que procede la filosofía más novedosa, proveyó de mártires a las hogueras y a las cárceles de la inquisición [...] [L 6.13, pp. 312-313].

I. 1. La nueva posición social de las ciencias naturales
Ya a finales del siglo XV el saber científico heredado de la Antigüedad no satisfacía las cada vez más complejas exigencias económicas e intelectuales de la burguesía. En el siglo XVI se introdujeron multitud de novedades en el ámbito de los métodos y medios de producción, en la geografía terrestre, en la ciencia y en el tule. Se hizo evidente que la Antigüedad podía ser superada y había sido superada. Se descubrían nuevos animales, nuevas plantas y hasta nuevos continentes, a los que en ningún momento se había aludido entre los antiguos. Las gafas, el reloj con engranajes, la pólvora, las armas de fuego, el torno de hilar, el papel y la imprenta eran ya conocidos; y se fueron consiguiendo importantes progresos en arquitectura, construcción naval, minería y metalurgia. Este desarrollo no se debió, como podría pensarse, a los sabios de las universidades, controladas por la Iglesia y en las que se escribía todavía en latín y se persistía en una escolástica gastada y estéril, sino que fue obra, más bien, de los artefici o virtuosi, denominaciones genéricas que incluyen a artesanos, comerciantes, maestros calculistas, armeros, arquitectos, artistas gráficos, etc., a los que se debe agradecer su decisivo empuje. Fueron ellos, además, los primeros en utilizar de forma sistemática el estudio y presentación de los logros obtenidos en sus lenguas nacionales. De ahí que se hable en esta época del descubrimiento científico-literario de la producción.[25]

Esta nueva concepción sobre el sentido y utilidad de la ciencia se fue imponiendo a medida que se fortalecía el capitalismo y arrastró poco a poco a los representantes de la ciencia universitaria. El tesoro de conocimientos científicos y matemáticos adquirido por los prácticos fue asimilado teóricamente por los representantes de la ciencia oficial, tradicionalmente orientados a la sistematización del saber. Se llegó así a una especie de encuentro entre la práctica y la teoría, a una fusión gradual que tendría consecuencias revolucionarias: a comienzos del siglo XVII quedaron ya establecidos los fundamentos de la ciencia natural clásica. Al mismo tiempo se consolidaba en las ciencias naturales el materialismo filosófico y se comenzaba a reconocer el papel de la experimentación. Curiosamente, se podría medir el trabajo de un erudito de aquella época por la mayor o menor preeminencia otorgada a la percepción sensorial y a la observación, por encima de la apelación a las autoridades de la escolástica, y por el grado de liberación de la preponderante ciencia medieval impregnada de aristotelismo.

I. 2. El reflejo de las nuevas exigencias sociales en las matemáticas
Una clara reorientación del contenido y método de las matemáticas emanó de algunas esferas sociales en el más temprano capitalismo.

Con el paso de la economía natural a la monetaria y el aumento repentino de la circulación monetaria se plantearon multitud de problemas: contabilidad, modo de escritura monetaria, conversión entre los diferentes tipos de unidades de medida, de pesos o monetarias, cálculos de intereses e intereses compuestos, ampliación del campo numérico y formulación de adecuados métodos de cálculo (fig. 6.1).

En los siglos XV y XVI la astronomía conoció un extraordinario auge que alcanzó su punto culminante con la publicación de la obra universalmente famosa De Revolutionibus (1543), de Nicolás Copérnico, y con la sustitución de la visión geocéntrica del universo por la concepción heliocéntrica (fig. 6.2). El presupuesto básico de la astrología, esto es, la influencia de las estrellas en la vida terrestre y en el destino individual, era aceptado en el Renacimiento sin discusión alguna.

024.jpg
Fig. 6.3. Cálculo de un disparo de cañón (1547). La línea de tiro se compone de segmentos y arcos circulares

En arquitectura estaban pendientes difíciles problemas; en fortificación, debido al creciente poder de penetración de los disparos, era necesaria también la construcción en profundidad, lo que proponía nuevas cuestiones a la geometría descriptiva, es decir, al arte de representar figuras tridimensionales en el plano.

El arte gráfico del Renacimiento generó también numerosos elementos matemáticos. Edificios de representación, esculturas, estatuas y cuadros debían ser compuestos siguiendo reglas canónicas, para satisfacer el recuperado ideal de belleza de la Antigüedad: esto es, sus componentes debían guardar determinadas relaciones en sus medidas. La famosa sección áurea desempeñó ciertamente un papel destacado en este contexto (fig. 6.4). La introducción de la perspectiva en la pintura, que junto a la aspiración de una representación realista constituyó una de las mayores conquistas del arte renacentista, condujo al descubrimiento de algunos elementos básicos de la geometría descriptiva, como el punto y la recta del infinito.

En conjunto, las matemáticas de los siglos XV y XVI, vinculadas directamente con la formación de los medios de producción precapitalistas, alcanzaron una posición social totalmente nueva. La matemática ya no era un puro elemento formativo en el sistema de erudición escolástico-eclesial vertebrado por el estudio de las siete artes liberales. Durante el Renacimiento los representantes de este capitalismo incipiente comenzaron a reconocer en la matemática una potencia, en relación con la actividad productiva, nueva y oculta hasta entonces.

Como resultado de las exigencias sociales planteadas a la matemática, ésta se desarrolló en los siglos XV y XVI en tres direcciones principales: la trigonometría se amplió hasta convertirse en un sistema completo, se mejoraron los métodos de cálculo y, por último, el propio cálculo fue algebrizado.

025.jpg
Fig. 6.4. Dibujo a mano de Leonardo da Vinci sobre las principales proporciones de la cabeza humana (leyenda en escritura especular)

§ II
La ampliación de la trigonometría hasta un sistema completo

Contenido:
II. 1. La escuela astronómico-matemática de Viena. Re giomontano
II. 2. Prostaféresis. Tablas trigonométricas
II. 3. La ciclometría
II. 4. La teoría de la perspectiva

El desarrollo de la trigonometría en Europa se apoyó en los cálculos de la Antigüedad y en los conocimientos procedentes del ámbito cultural islámico. La atención se centró en primer lugar en las tablas astronómicas y trigonométricas. Las llamadas tablas alfonsíes, calculadas entre 1260 y 1266 por orden del rey Alfonso X de Castilla, habían desempeñado un papel muy destacado; pero no llegaron a alcanzar suficiente exactitud ni a ser lo suficientemente completas.

II. 1. La escuela astronómico-matemática de Viena. Regiomontano
Durante los siglos XIV-XV se desarrolló en Viena una importante escuela astrónomica-matemática. En ella enseñaron el maestro Johannes von Gmunden, su seguidor Georg von Peurbach y su alumno y amigo, Regiomontano, que fue indiscutiblemente el matemático más destacado del siglo XV.

Johannes von Gmunden había juzgado necesaria una reelaboración de las tablas alfonsíes; la tarea fue llevada a cabo por Peurbach en colaboración con Regiomontano. Peurbach sugirió a Regiomontano ordenar los teoremas sobre trigonometría dispersos en escritos clásicos, islámicos y europeos, los resultados y las tablas auxiliares y ofrecer una presentación sistemática de todo este material. La tarea que hubo de afrontar Regiomontano . fue considerablemente amplia, no sólo desde el punto de vista matemático sino también pollas dificultades lingüísticas. Entre 1462 y 1464. estando en Italia, escribió cuatro libros de su extensa obra De triangulis omnimodis libri quinqué (Cinco libros sobre toda clase de triángulos); un quinto libro quedaba en fase de borrador. La obra fue publicada en 1533 y, a pesar de este retraso, marcaría de forma decisiva el desarrollo, forma y fundamento de la trigonometría plana y esférica hasta nuestros días. Junto a una serie de problemas de construcción trigonométrica, en De triangulis... se presentaba por primera vez en Europa la trigonometría plana y esférica como una disciplina matemática independiente de la astronomía. Se trataba de una trigonometría de senos y no de la trigonometría de cuerdas usual en la Antigüedad. Además, Regiomontano utilizó, junto con el matemático judeo-europeo Levi Ren Gerson, el teorema del seno y, en otra parte, también el teorema del seno de la trigonometría esférica. Al principio del quinto libro, Regiomontano formuló, aunque de una manera ciertamente difícil de entender, el teorema del coseno de la trigonometría esférica. Por último. Regiomontano hizo uso de la función tangente y en el periodo 1464, 67 construyó una tabla de tangentes de grado en grado con cinco decimales (!).

En una traducción alemana del original latino, ligeramente adaptada al moderno uso lingüístico, el teorema del coseno de la trigonometría esférica de Regiomontano se enuncia de la siguiente manera:

En todo triángulo esférico compuesto por círculos máximos la relación entre el seno verso de un ángulo cualquiera y la diferencia de los senos versos correspondientes, uno al lado opuesto del ángulo fijado y el otro a la diferencia de los lados que encierran dicho ángulo, es igual a la proporción entre el cuadrado del «sinus totus» y el rectángulo formado por el seno de los lados comprendidos [LA 33, V, p. 139].

En este ejemplo de formulación exclusivamente verbal de un teorema matemático se aprecia claramente el gran progreso que significó el uso del lenguaje formal en matemáticas. Traduciendo la fórmula de Regiomontano al lenguaje formal se obtiene:

sin vers α : [sin vers α - sin vers (b - c)] = (sin tot)2 : sin b × sin c

El sinus versus es una notación hoy en desuso para 1 - cos mientras que sin tot es el valor igual a 1. Con estas modificaciones se obtiene el teorema del coseno de la trigonometría esférica en la forma comente en la actualidad:

cos a = cos b × cos c + sen b × sen c × cos a

La obra científica de Regiomontano comprende, además de trabajos en astronomía, la confección de más tablas, un análisis crítico de las soluciones aproximadas en el cálculo del área del círculo (cuadratura circular) llevadas a cabo por el filósofo y clérigo Nicolás de Cusa, así como un manuscrito conservado de un tratado sobre polígonos estrellados y varios estudios sobre la reforma del calendario.

II. 2. Prostaféresis. Tablas trigonométricas
La herencia científica de Regiomontano no fue completamente aprovechada, pues parte de su legado se extravió. El primero que tuvo acceso a los escritos de Regiomontano fue el pastor J. Werner, aficionado a la astronomía, quien además escribió su propia trigonometría. En ella se encuentra la relación, escrita con formulación actual:

sen α × sen β = ½[cos (α - β) - cos (α + β)]

gracias a la cual la multiplicación de funciones trigonométricas puede ser reducida a la adición y sustracción. Se aprecia aquí el mismo principio que aparecerá más tarde en el cálculo logarítmico. A partir de la idea de Werner se desarrolló el método llamado prostaféresis, que, tras posteriores perfeccionamientos, sirvió como fundamento de cálculos astronómicos hasta el siglo XVII.

Con las aportaciones de Regiomontano la trigonometría se consolidó, en el marco europeo, como disciplina matemática. Los siglos que siguieron trajeron consigo ampliaciones, reformas metodológicas y la introducción de un vocabulario más acorde con el actual, además del refinamiento de las tablas. Copérnico introdujo en 1542, en una Trigonometría separada, la función secante. Rético, profesor de matemáticas de Wittenberg y alumno y amigo de Copérnico, presentó en 1551, en su Canon doctrinae triangulorum (Tabla de la teoría de los triángulos), una tabla de las funciones trigonométricas con siete cifras y para ángulos de 10’’ en 10”. En dicha obra se utilizaron por primera vez los lados del triángulo rectángulo para la definición de las seis funciones trigonométricas. Por lo demás, el De Revolutionibus de Copémico incluye una exposición de la trigonometría plana y esférica. A finales del siglo XVI Vicia calculó en el Canon las seis funciones circulares de minuto en minuto.

Vieta tuvo también una influencia decisiva en el desarrollo de la trigonometría. Construyó, siempre en el Canon, la trigonometría esférica en forma matemática a partir del teorema del seno y de un teorema del coseno ligeramente modificado; en él aparecen las que más adelante se llamarían fórmulas de Neper. Vieta fue asimismo el creador de una cierta goniometría. Llevó a cabo transformaciones algebraicas mediante la utilización de símbolos con la finalidad de transformar relaciones trigonométricas sin recurrir explícitamente a ninguna figura; este procedimiento se extendía al teorema de adición de las funciones trigonométricas al desarrollo de cos nt y de sen nt/ sen t como suma de funciones coseno y casi hasta el Teorema de de Moivre.

II. 3. La ciclometría
Vieta emprendió también importantes investigaciones en ciclometría. Así, por ejemplo, obtuvo una representación de π como producto infinito; a partir de aquí Vieta se prodigó en una larga serie de trabajos relativos al cálculo de π dirigidos a resolver el problema de si el círculo (área o perímetro) es exactamente medible o no, en conexión con el problema clásico de la cuadratura del círculo. Entre las aportaciones más importantes en este ámbito hay que destacar el cálculo de primero veinte y después treinta y cinco cifras decimales de πllevado a cabo por Ludolph van Ceulen: en libros de finales del siglo XIX todavía se daba a menudo a π el nombre de número de Ludolph.

En el siglo XVII el problema de la medición exacta no estaba aún formulado claramente: no se había explicitado todavía que la cuadratura del círculo (con regla y compás) conduce a la cuestión de si puede representarse con una expresión que contenga solamente raíces cuadradas y éstas en número finito. La denominación de número transcendente (en el sentido de que va más allá de lo irracional) podría deberse a Leibniz (1679). Euler designó en 1748 a π como magnitud trascendente. En 1844 Liouville dio a conocer números que no son raíces de ninguna ecuación algebraica y por fin, en 1882, Lindemann demostró la trascendencia de π, el número π no es raíz de ninguna ecuación algebraica y la construcción de un segmento de longitud π no puede hacerse con la sola ayuda de curvas algebraicas cualesquiera.

II. 4. La teoría de la perspectiva
Uno de los problemas centrales de la geometría renacentista era la búsqueda de posibles formas de representar los objetos tridimensionales en el plano. Esta era, en efecto, una preocupación común a artistas, arquitectos, ingenieros y constructores de fortificaciones, cada uno a partir de sus particulares problemas; del seno de este grupo de los artefici proceden también las soluciones de los problemas básicos de la perspectiva c importantes libros acerca de las aplicaciones de los métodos de representación en perspectiva en sus correspondientes oficios.

Pintores y constructores del temprano Renacimiento como Giotto, van Eyck, Brunelleschi y Alberti fueron los artífices de los primeros éxitos en la superación de los problemas de la perspectiva. El nuevo arte de la perspectiva alcanzó su máxima expresión, en cuanto a maestría artística, con Leonardo da Vinci en Italia y Durero en Alemania.

El propio Leonardo escribió una Perspectiva, resumen de anteriores obras, cuyo manuscrito se perdió; además, preparó unas notables ilustraciones a una obra del clérigo y matemático italiano Lúca Pacioli que éste había compuesto con el título de Proportio divina (Divina proporción) y que trataba de la sección áurea.

Durero conoció después del 1500 los éxitos del italiano en el campo de la perspectiva y escribió un libro de texto específico para artistas, artesanos e ingenieros sobre este tema, que tenía por título Underweysung der Messung mit dem zirckel und richtscheyt (Enseñanza de la medida con regla y compás) y que apareció impreso por primera vez en 1525 en Nüremberg. Dos años después apareció un manual sobre fortificaciones de Durero titulado Etliche underricht zu befestigung der Stett Schloss und flechen (Algunas instrucciones respecto a la fortificación del castillo y la aldea circundante). Años más tarde publicó unas instrucciones para la incorporación de la teoría de la proporción en la representación artística del cuerpo humano.

§ III
El perfeccionamiento de los métodos de cálculo

Contenido:
III. 1. El maestro calculista
III. 2. La superación del cálculo con ábaco
III. 3. Los números decimales
III. 4. El cálculo logarítmico

Con el desarrollo del precapitalismo aumentó bruscamente la necesidad de mayores conocimientos sobre los números y el cálculo, sin que ésta pudiera ser ya satisfecha por las escuelas de los monasterios y de las catedrales.

III. 1. El maestro calculista
De este modo, en los países en los que se había establecido un precapitalismo se desarrolló una nueva profesión, la del maestro calculista (Rechenmeister). Estos llevaban las cuentas de los asuntos municipales por encargo de los ayuntamientos y mantenían a menudo sus propias escuelas de cálculo, en las que, previo pago, se enseñaban los primeros pasos con los números y con su escritura, la suma, resta, multiplicación y división, las aplicaciones a problemas de la vida cotidiana en la compra, el trueque y las transacciones monetarias y otras muchas cosas.

Una de las ramas principales era la llamada Practica welsch (práctica franco-italiana) o arte déla mercadantia (arte del comercio), es decir, el cálculo mercantil. En Centroeuropa se entablaron contactos con los países aludidos (Italia, Francia), pues era en ellos donde éste se había desarrollado con mayor fuerza, en consonancia con un desarrollo progresivo de las primeras formas precapitalistas. Por ello, las palabras básicas utilizadas todavía hoy en economía financiera son de origen italiano: saldo, descuento, balanza, crédito, neto, tara, cuenta e incluso bancarrota. En cuanto al contenido matemático, el cálculo mercantil se ocupaba principalmente de conversiones de los diferentes valores monetarios, las medidas de longitud y las medidas especiales, de reglas de tres simples y compuestas, del cálculo de intereses y del arte de la contabilidad de doble entrada.

En las ciudades de todos los países europeos desarrollados, en Italia, Francia, Inglaterra, Países Bajos, Alemania, Bohemia, Polonia, había maestros calculistas[26] y escuelas de cálculo.[iv] Muy a menudo los maestros calculistas ponían por escrito su material de enseñanza. Estos manuales de cálculo fueron característicos, junto con biblias, calendarios y panfletos políticos, de la primera época de la imprenta y prueban el gran interés social por el manejo del cálculo; alcanzaron una asombrosa difusión y tiradas muy altas para aquella época.

Dada la gran popularidad de los maestros calculistas y de los manuales de cálculo, no es de extrañar pues que continúen todavía vivos en el recuerdo. De entre los maestros calculistas alemanes, Adam Ries alcanzó una fama legendaria. Todavía hoy se le invoca como juez de verdad para la exactitud de un resultado matemático con la expresión: según Adam Ries dos y dos son cuatro. Ries trabajó como maestro calculista, pero al mismo tiempo fue también registrador comunal en la zona de los montes llamados Erzgebirge, especialmente en Annaberg, un centro del precapitalismo europeo. También fue llamado por las ciudades del Erzgebirge para que elaborara unas disposiciones del pan, es decir, para que estableciera las relaciones entre el peso del pan y su precio.

Personajes similares los hubo en otros lugares, en los que aparecieron también excelentes libros de cálculo. Aproximadamente del año 1483 procede el llamado Libro de cálculo de Bamberg, cuyo autor (¿Ulrich Wagner?) no ha sido todavía correctamente identificado; otra obra, impresa en Leipzig en 1489 y titulada Cálculo fácil y bello en toda mercadantía, fue escrita por el bohemio Widmann; en 1514 apareció el primer libro de cálculo de Köbels, Eyun Newe geordnet Rechenbüchlein; en 1545 la Arithmetica de Jacques Peletier, publicada en francés; y muchos otros más. Algunos escritos de N. Tartaglia y de R. Recordé en Inglaterra pertenecen también a este grupo de libros de cálculo.

III. 2. La superación del cálculo con ábaco
Ries escribió tres libros de cálculo esencialmente diferentes, que debido a su magnífica presentación pedagógica y a su estrecha relación con el modo de vida del pueblo continuaron imprimiéndose hasta bien entrado el siglo XVII; Rechnung auffder Linihen (Cálculo sobre líneas) (1518), Rechnung auff der Linihen und Federn (Cálculo sobre líneas y pluma) (1522) y Rechnung nach der lenge auff den Linihen und Feder (Cálculo detallado sobre líneas y pluma) (1550).

La expresión nach der lenge significa tan sólo presentación detallada. Sin embargo, las expresiones aufder Linien, respectivamente auf der Feder, se refieren a un hecho histórico significativo; se trata de la diferencia fundamental entre dos procedimientos de cálculo: el cálculo por medio de las fichas movidas de un lado para otro sobre la línea del ábaco y el cálculo por escrito (¡Feder = pluma!) con las cifras indo-arábigas, respectivamente.

Ambos métodos tenían sus ventajas y de ahí que los dos fueran explicados por los maestros del cálculo. El cálculo con ábaco podía ser llevado a cabo incluso por personas que no tenían mucha idea de leer y escribir; además, no necesitaba papel, que en aquella época era caro y escaso. Numerosas mejoras externas facilitaban más aún su manipulación: mesas de cálculo, tela de cálculo, designación de las líneas horizontales con unidades monetarias y otras.

La escritura numérica con cifras indoarábigas chocó con una doble oposición, una de tipo social y otra propiamente matemática. Al principio, la milenaria tradición del cálculo con ábaco actuaba como freno. Algunos representantes de la iglesia rechazaron las cifras por proceder de un ambiente cultural no cristiano, calificándolas de paganas o incluso de obra del diablo; esto condujo, por ejemplo, a su prohibición en Florencia en 1299. Además, estas cifras ofrecían mejores posibilidades para la falsificación, por ejemplo, en la teneduría de libros, donde si se utilizaban las cifras romanas[27].

Desde el punto de vista actual es difícil comprender las dificultades que se encontraban para la comprensión del sistema posicional, en particular para el uso del cero. Debió parecer un gran absurdo introducir también un signo para lo nulo. ¡Y de la posición de esta nada dependía el valor de las otras cifras! Además, las nuevas cifras eran difíciles de aprender; téngase en cuenta que pasó mucho tiempo hasta que alcanzaron una forma casi definitiva (fig. 6.5). En aquella época había numerosos tipos para la impresión de las cifras y el cero. En un manuscrito de Estrasburgo del siglo XV se dice[v]:

Hab achtung neun scin der figur
On all beschwer auszusprechen pur.
Bei solchen ferner merk auch mich
Ein nulla steht vnaussprechlich
Rund vnd formirt recht wie cin o/
Wirt dann dasselb versteht also
Ayner deutlichen fürgemalt
Bringts zehenmal so vil ais bald.
Mit den kanstu recht numeriren
All Zal aussprechen und volfüren [L 6.15, II, p. 257].

(fürgemalt quiere decir, aproximadamente, añadido por escrito desde la derecha; se refiere a que modifica el valor posicional de las figuras que se hallan por delante, es decir de las cifras 1 a 9)[28].

A finales del siglo XV y principios del siglo XVI la controversia entre los abatisteis y los algorítmicos, partidarios de los respectivos métodos de cálculo, se hallaba en su punto culminante.

Si bien las mesas de cálculo permanecieron todavía en uso durante mucho tiempo (en algunas zonas de Alemania, todavía hasta el siglo XVIII), lo cierto es que el cálculo por escrito con las cifras indoarábigas se fue implantando paulatinamente.

La decisión se tomó en los despachos de los comerciantes y en las oficinas de los mercaderes; allí se puso claramente de manifiesto que con estas cifras se podía calcular y llevar a la vez los libros.

0045.png
Fig. 6.5. Árbol genealógico de nuestros signos numéricos actuales

Un problema completamente diferente fue el de consolidar los propios procedimientos de cálculo por escrito y dotarles del suficiente grado de credibilidad y claridad. Lo más difícil resultó ser, por supuesto, la división: se necesitaron siglos hasta que nuestro procedimiento actual de división pudiera imponerse. Todavía en el siglo XVII el cálculo decimal era en las universidades un tema que sólo podía dominarse con grandes esfuerzos. En los siglos XVI y XVII, no obstante, se consiguieron todavía dos importantes mejoras en la técnica del cálculo.

III. 3. Los números decimales
Como consecuencia del avance de los turcos en Centroeuropa algunas ideas acerca de los decimales, los números turcos procedentes de los países orientales, llegaron hasta el centro de Europa, donde se habían desarrollado algunas ideas básicas similares independientemente, por ejemplo, en la escuela de astronomía de Viena. La introducción definitiva de los decimales se debe al holandés Stevin[vi], ingeniero y polifacético investigador de la naturaleza que, en un libro publicado en 1585 con el título De Thiende (La décima), explicaba:

Thiende es una forma del arte de calcular, a través de la cual se lleva a cabo cualquier cálculo que se considere necesario para las personas por medio de números enteros sin fracciones. Procede de la serie de diez, consistente en las cifras, con la que se escribe cualquier número.
Explicación:
Sea el número dado mil ciento once, escrito en cifras 1111, en el que se encuentra que cada 1 es la décima parte del que le precede. De igual modo en el 2378 cada unidad del ocho es la décima parte de cada unidad del siete y así con los demás. Pero ya que es costumbre dar un nombre a la cosa de la que se quiere hablar y puesto que esta forma de cálculo se ha hallado a partir de la observación de una tal serie de «décimas», más aún, consiste esencialmente en dicha serie de «décimas», como se muestra claramente en lo que sigue, llamaremos a su manejo acertada y brevemente la Thiende (décima). Por medio de éste, todos los cálculos que se nos presentan los realizaremos de forma realmente fácil con números enteros sin fracciones, como se demostrará claramente más abajo [L 6.17, p. 13].

Stevin introdujo una simbología especial: por ejemplo, el número decimal 6,3759 lo escribía así:

0046.png

El significado de los números encerrados en círculos es claro: ① significa la décima parte del número entero, etc.

En otras partes de De Thiende se explican las regias básicas del cálculo, se muestran sus aplicaciones a la medición de tierras, de telas y del vino y a la astronomía, se dan instrucciones a los acuñadores de moneda y a los mercaderes. Por último, Stevin, como consecuencia lógica de su cálculo decimal, trató de dividir también las medidas y pesos en partes decimales, lo que no consiguió imponerse en su época.

III. 4. El cálculo logarítmico
La historia de los logaritmos comienza con la comparación de dos progresiones, una geométrica y la otra aritmética que, por así decirlo, representan respectivamente a los números (numeri) y a sus logaritmos.

Una primera indicación de este tipo se encuentra ya en el Arenario de Arquímedes, donde concibe en palabras la regla que equivale a la fórmula

an × am = an+m

A finales del siglo XV Chuquet, en Francia, y Lúca Pacioli colocaron paralelas las sucesiones

0047.png

y formularon la ley según la cual el producto de dos términos de la sucesión inferior resulta ser un nuevo término de esta sucesión que se corresponde con la suma de los dos términos

dirección fue el predicador luterano Stifel, autor de una famosa obra, Arithmetica integra (1544). Stifel advirtió claramente las posibilidades que se hallaban en la composición de sucesiones, en el sentido de que se podía establecer una forma de cálculo sencilla sobre la base de la sucesión aritmética. De esta forma escribía Stifel:

Se podría escribir un libro totalmente nuevo sobre las maravillosas propiedades de estos números, pero he de resignarme y pasar por él con ojos cerrados.

Y más adelante afirma incluso:

La adición en la sucesión aritmética se corresponde con la multiplicación en la geométrica, igualmente la substracción en aquella con la división en ésta. La multiplicación simple en la progresión aritmética se convierte en multiplicación en sí, es decir, potenciación, en la «geométrica. La división en la progresión aritmética se relaciona con la radicación en la progresión geométrica, de igual modo que la división en mitades lo hace con la obtención de la raíz cuadrada (Cit. en [LA 33, 2, p. 171J].

Según la máxima anterior, parece que Stifel podría haber comprendido la esencia del cálculo logarítmico. Otra cuestión importante era calcular ambas sucesiones con términos suficientemente próximos de forma que pudiera resultar una herramienta de trabajo matemático realmente útil. Un trabajo pionero en esta dirección fue realizado por el suizo Bürgi, relojero y hábil mecánico. Extensos cálculos relacionados con la construcción de aparatos astronómicos le habían permitido encontrar mejoras en la prostaféresis. Se topó con las ideas de Stifel en un libro de cálculo de Jacob, reinterpretadas por éste. A comienzos del siglo XVII Bürgi, que se hallaba en contacto con Kepler, comenzó el cálculo de extensas tablas: una tabla de senos de 2” en 2” se perdió; una detallada tabla de la comparación de progresiones aritméticas y geométricas apareció en 1620 con el título Tablas de progresiones aritméticas y geométricas. Naturalmente, ninguna de las expresiones técnicas actuales, como logaritmo, exponente, base o número aparecen en Bürgi. Así, a los términos xn de la sucesión aritmética los llamaba números rojos y a los términos yn de la geométrica números negros, porque se imprimían en rojo y en negro respectivamente. Los números rojos eran por tanto los logaritmos y los negros, según lo anterior, los números (numeri). Si se repasan las tablas de Bürgi se observa que éste, de forma intuitiva, por así decirlo, utilizó como base para su sistema de logaritmos un número que se hallaba muy próximo al número e. A pesar de las insistentes exhortaciones de Kepler, Bürgi tardó demasiado en decidirse a publicar sus resultados: el inventor (o sea, Bürgi) había abandonado la criatura de su espíritu en una madurez y retraimiento excesivo, en lugar de educarla para la esfera pública. Las Tablas de progresiones aparecieron en 1620 en Praga, pero los desastres de la Guerra de los Treinta Años hicieron que se perdiera casi toda la edición. El libro no tuvo pues ninguna repercusión.

Además ya se le había adelantado alguien en la publicación de tablas de logaritmos: el noble escocés Napier (o Neper). Partiendo de un cierto problema de mecánica, Neper llegó independientemente a la confección de tablas de logaritmos. Neper publicó sus tablas a partir de 1614 en Edimburgo, bajo el título Mirifici logarithmorum canonis descriptio. En esta obra aparece por primera vez la palabra de origen griego logarithmus, que significa número proporcional, número de cálculo. El título se traduciría pues, aproximadamente: Descripción de una tabla de maravillosos números de cálculo. Estas tablas, con las que Neper pretendía simplificar los cálculos trigonométricos, contienen los logaritmos con siete cifras decimales de las funciones circulares seno y coseno, así como de sus diferencias, es decir, los logaritmos de la tangente circular, medida de minuto en minuto.

Los logaritmos neperianos causaron una gran admiración. Las tablas de logaritmos se extendieron de forma relativamente rápida como un medio auxiliar de cálculo, al punto que también Kepler utilizó el cálculo logarítmico y también él, por su parte, en colaboración con su yerno Bartsch, astrónomo, confeccionó alguna tabla. El paso a los logaritmos decimales lo efectuó de forma definitiva el inglés Briggs, que ocupaba una cátedra de ciencias naturales en el Gresham College de Londres y se dedicaba a cuestiones aplicadas. En discusiones conjuntas con Neper llegaron a la convención log 10 = 1.

Briggs se aplicó con verdadero afán al cálculo de las tablas: a partir de 1617 aparecieron, en diferentes entregas, unas tablas de logaritmos con 14 cifras decimales, que serían completadas por otros autores, mejoradas y organizadas de forma más práctica. Hacia mediados del siglo XVII los logaritmos habían desplazado completamente a los métodos prostaferéticos.

Los procedimientos de cálculo de Neper, Briggs y otros eran extraordinariamente pesados y se basaban en complicadas interpolaciones, hábilmente manipuladas. Hasta el desarrollo y utilización de las series infinitas no aparecería un nuevo método en el cálculo logarítmico más sencillo de manejar. La definición de logaritmo como exponente de potencias se introdujo ya en el siglo XVIII. La idea de que tomar logaritmos representa, junto a la radicación, una segunda inversión de la potenciación, no fue elaborada definitivamente hasta Euler.

§ IV
La algebrización

Contenido:
IV. 1. La “cosa”
IV. 2. La resolución de ecuaciones de tercer y cuarto grado...,
IV. 3. Vieta

Una vez formado el colectivo profesional de los maestros calculistas, animado por fuertes necesidades sociales, se profundizó cada vez más en la obtención de algoritmos y se avanzó en la formulación teórica de los procedimientos de cálculo y de los escritos matemáticos tanto recientes como antiguos.

IV. 1. La “cosa”
Este nivel intermedio entre la aritmética pura y la algebrización que empezaba a desarrollarse y en el que se empezaban a utilizar los primeros símbolos matemáticos y las primeras palabras inventadas, se designó como cosa, mientras a los autores de los correspondientes escritos matemáticos se les llamaba cosistas. La palabra cosa procede de la denominación dada a la cantidad buscada, aquella que se había de determinar de las ecuaciones. En latín se dice res, en italiano cosa, en alemán cofi.

La frontera entre los maestros calculistas y los cosistas era, por supuesto, imprecisa. Al principio, los autores inventaban abreviaturas según su propio criterio. Pero poco a poco se introdujeron los primeros signos de forma obligatoria, comenzando con los de las primeras potencias de las variables y los de las operaciones de la adición y substracción. La cosa experimentó un floreciente desarrollo, visible interior y exteriormente en sus símbolos, lo que desembocó en la algebrización. Visto geográficamente, ésta procedía, igual que el desarrollo del cálculo mercantil, del norte de Italia, continuó luego con los cosistas alemanes, holandeses, ingleses y franceses, y culminó por entonces con Vieta[29]. En el año 1494 apareció la Summa de Arithmetica, Geometría, Proportioni e Proportionalitá del italiano Pacioli; un tratado (Summa), insuperable durante mucho tiempo, del saber de aquella época. En la primera parte de la Summa aparecen los signos p (del italiano piu) para más (plus) y m (de meno) para menos, así como R para la raíz cuadrada. En cierto sentido, se opera incluso con números positivos y negativos; las reglas de cálculo para las operaciones básicas se dan en forma de pequeños versos informativos, naturalmente sin una fundamentación profunda.

En el Imperio Alemán apareció en 1525 una importante Cofi de la pluma de Rudolff, que fue mejorada y ampliada por Stifel en 1553-54, después de haber publicado en 1544 su excelente obra Arithmetica integra. Stifel concibió números negativos expresamente como números menores que el cero; estudió, siguiendo a Euclides, irracionales generales del tipo

0048.png

conocía el triángulo aritmético, conocido con el nombre de triángulo de Pascal; utilizó junto con Widmann los signos “+” y “-“; creó la designación de los coeficientes binomiales y conoció la ley de composición aditiva.

Esta Arithmetica integra hizo escuela. Otros escritos cosistas relevantes posteriores están fuertemente inspirados en ella, como por ejemplo la obra Whetstone of Witte (Piedra de afilar del ingenio), escrita en 1577 por Recordé, médico y durante mucho tiempo director de las minas y monedas reales, el Arithmetisch-cubbiccossische Lustgarten (El jardín de las delicias aritmético-cubicocósico) de Faulhaber y otros más, también en Francia y en los Países Bajos.

IV. 2. La resolución de ecuaciones de tercer y cuarto grado
Pacioli había presentado en su Summa métodos de resolución de la ecuación lineal y cuadrática, pero consideraba imposible la resolución (algebraica) de la ecuación cúbica. Y sin embargo, ésta fue resuelta por un profesor de la universidad de Bolonia, de nombre Scipione del Ferro, alrededor del 1500, es decir, tan sólo pocos años después de la pesimista afirmación de Pacioli; pero del Ferro no publicó nada sobre ello. En el año 1535, el maestro calculista Tartaglia descubrió independientemente la solución de la ecuación cúbica de los tipos

x3 = px + q

y

x3 + q = px (p, q > 0).

En aquella época era costumbre que se celebraran competiciones matemáticas públicas, en las cuales cada participante planteaba una serie de problemas difíciles con la esperanza de que sus adversarios fracasaran en ellos. Al haber resuelto Tartaglia, de forma sorprendente, la ecuación cúbica que le plantearon, adquirió considerable fama y reputación, que llegó a oídos de un profesor de matemáticas y medicina de Venecia, Cardano, quien, por su parte, había intentado en vano durante mucho tiempo la solución de la ecuación cúbica. Cardano insistió a Tartaglia con más y más urgencia para que le enviara la solución; éste no se la quiso dar en un principio, pues la consideraba como una especie de secreto gremial de los calculistas que no incumbía a los eruditos de las universidades. Tan sólo en 1539 envió Tartaglia el método de resolución a Cardano, con la condición de que lo debía guardar en secreto; pero Cardano rompió el solemne juramento y lo publicó en 1545 en su obra Ars magna... (El arte supremo o sobre las reglas algebraicas). La consecuencia inmediata fue un agria disputa entre Tartaglia y los seguidores de Cardano que conmovió a toda Italia y en la que quedaba reflejada también la confrontación entre la nueva ciencia y la erudición universitaria tradicional.

A pesar del plagio de Cardano, el Ars magna era un libro realmente notable. Entre otras cosas, esta obra incluye la resolución de la ecuación de cuarto grado encontrada por su alumno Ferrari; las ecuaciones cúbicas se llevan a forma normal para evitar la repetición de casos; y se investigan a continuación las soluciones de la ecuación de tercer y cuarto grado siempre que éstas resulten válidas. Por último, Cardano, en una obra póstuma, se ocupó de las cantidades imaginarias que aparecían al resolver ecuaciones cúbicas.

A la escuela matemática del norte de Italia, fuertemente orientada hacia el álgebra, pertenecía también Bombelli, un ingeniero que trabajó en Bolonia y que, en su libro L’Algebra (escrito alrededor de 1560, impreso en 1572), analizó, en expresiones de la forma

0049.png

las leyes de multiplicación de números complejos en forma implícita, logrando importantes resultados en casos irreducibles. Así, se había impuesto también la palabra álgebra[30], con la que se designaba una disciplina matemática que había llegado a ser independiente, junto a la geometría y el cálculo, entendiéndose en el sentido de un cálculo con símbolos matemáticos y signos para números concretos, en el que se utilizaban preferentemente letras del alfabeto. Bombelli fue el último algebrista italiano importante de este periodo. Con el cambio del centro de gravedad económico y el resurgimiento de formas de feudalismo y un clericalismo reaccionario, Italia hubo de ceder en el siglo XVII su posición de líder en el ámbito científico, incluido el matemático. El álgebra continuó su creciente desarrollo, pero a partir de entonces fue obra de autores alemanes, holandeses, ingleses y franceses.

IV. 3. Vieta
Después de que Cardano comunicara en su Ars magna el descubrimiento de que una ecuación de tercer grado puede poseer tres raíces, el holandés Girard anunció en 1626, sin demostración, el teorema fundamental del álgebra, que afirma que toda ecuación de grado n posee n raíces.

No obstante, el algebrista más destacado de aquel periodo fue, sin lugar a dudas, el francés Viète (o, latinizado, Vieta), que se convirtió verdaderamente en el símbolo del álgebra que se estaba configurando y fue también una figura destacada de la geometría y la trigonometría. Naturalmente, en el caso de Vieta, se trata de un álgebra en un estado inicial, que todavía difería considerablemente en terminología y en sus expresiones del álgebra moderna.

Vieta era absolutamente consciente de la necesidad de una utilización cada vez mayor de los símbolos. En un escrito suyo que tituló in artem analyticam Isagoge (aproximadamente: Introducción al arte algebraico), del año 1591, valora su nueva técnica con las siguientes palabras:

Así es también el arte que ahora propongo, uno nuevo y, sin embargo, a la vez tan viejo y desfigurado por bárbaros, que considero necesario eliminar todas sus falsedades para que no quede en él ni la más insignificante impureza, y que no huela por ello a podrido, y para darle una forma completamente nueva, además de inventar c introducir también nuevas expresiones. Puesto que, sin embargo, hasta la fecha no se está muy acostumbrado a él, no faltará quien ya desde el principio se desanimará y se sentirá escandalizado. En verdad que todos los matemáticos coincidían en que su álgebra o almucábala, que tanto valoraban y como un gran arte tenían, ocultaba un tesoro incomparable, pero no lo encontraron. Entonces predecían hecatombes y preparaban sacrificios a Apolo para el caso de que uno y sólo uno u otro de los problemas fuera resucito, siendo estos del tipo de los que yo explico diez o veinte sin más, pues mi técnica me permite hallar las soluciones de todos los problemas matemáticos con la mayor seguridad [L 6.18, pp. 34-35].

En efecto, el progreso conseguido por Vieta fue considerable, aun cuando él no pudiera resolver todos los problemas matemáticos como asegurara en un exceso de entusiasmo.

Vieta desarrolló una manera uniforme de expresarse. Designó, en todo momento, las : variables (incógnitas) por medio de las vocales A, E,I, O, U, así como la Y, y las cantidades conocidas por medio de las consonantes B, C,D... Utilizó siempre “+” y “-“ como símbolos de las operaciones, usó la raya para los quebrados y la palabra in como abreviatura fija para la multiplicación. Sin embargo, no utilizó todavía el signo para la igualdad introducido por Recordé, sino que expresó la igualdad entre dos términos verbalmente por medio de aequihitur o aequale. Los términos relacionados los escribía Vieta uno debajo de otro y los encerraba entre llaves. Por ejemplo, Vieta hubiese escrito la expresión

0050.png

en la forma

0051.png(de [L 6.18, p. 10]).

A partir de estos principios básicos uniformes Vieta consiguió numerosos resultados matemáticos en cuestiones de detalle: interesantes resoluciones de ecuaciones, entre otras en el caso irreducible y la forma de reconstruir los coeficientes de las ecuaciones a partir de las soluciones.

En el Isagoge y en otra importante obra publicada póstumamente, Ad logisticam speciosam notae priores (Primeros signos de una magnífica aritmética, 1631), Vieta desarrolló la técnica de conversión algebraica: reducciones, separación de factores, transformaciones de expresiones indeterminadas en cuadrados completos, transformaciones de las ecuaciones mediante la introducción de nuevas variables, racionalización del denominador, etc., llevadas a cabo con gran habilidad.

Las aportaciones de Vieta no fueron muy apreciadas por sus contemporáneos. Como él había predicho, éstos chocaron contra las numerosas palabras técnicas introducidas y principalmente contra el elevado grado de simbolismo y abstracción. De este modo, la importancia de la obra de Vieta se reconoció tan sólo después de su muerte, cuando el desarrollo de álgebra, aun sin basarse directamente en ella, había continuado en la dirección ahora iniciada.

LECCIÓN 7
LA REVOLUCIÓN CIENTÍFICA: GEOMETRÍA ANALÍTICA Y TÉCNICAS DE CÁLCULO

026.jpg
Portada del Discours de la methode (1637) de R. Descartes

§ I
La consolidación del papel de las matemáticas y las ciencias naturales en la sociedad

Contenido:
I. 1. Una valoración global de las matemáticas de este periodo
I. 2. El desarrollo de los fuerzas productivas materiales como estímulo para el desarrollo de las matemáticas
I. 3. El desarrollo de las ciencias naturales
I. 4. La Revolución Científica
I. 5. La posición social de los científicos. La fundación de academias

El periodo que se extiende entre mediados del siglo XVI y finales del siglo XVIII supuso la decadencia del feudalismo y la transición, inicialmente lenta, luego acelerada, al capitalismo. La primera fase se caracterizó por el éxito de las primeras revoluciones burguesas en los Países Bajos y en Inglaterra; el periodo culminaría con la gran revolución burguesa de 1789 en Francia. En este siglo y medio, desde aproximadamente 1630-40 hasta 1780-90, Europa experimentó un azaroso desarrollo histórico político y bélico. La Guerra de los Treinta Años frenó el desarrollo económico y político del Sacro Imperio Romano Germánico. Las potencias colonialistas tradicionales, Portugal y España, fueron relegadas en muchas partes del mundo a un segundo plano por los estados burgueses de Inglaterra y los Países Bajos; éstos, por su parte, se hallaban en perenne conflicto con el más poderoso estado feudal absolutista, Francia, que, bajo el reinado de Luis XIV, el rey Sol se había hecho con la hegemonía de la Europa continental. Y mientras Prusia trataba de extender sus posiciones, Rusia se convertía desde la época del gobierno del zar Pedro I en una gran potencia mundial.

Pero lo más característico de esta época de transición del feudalismo al capitalismo fue el nacimiento, auge y continuo desarrollo del capitalismo manufacturero, las nuevas y mejoradas formas de división del trabajo en las fábricas y la política económica que le fue propia, el mercantilismo. La joven burguesía había conquistado en los Países Bajos y en Inglaterra un alto porcentaje de poder político; en los estados absolutistas de la Europa Continental, el desequilibrio entre las fuerzas económicas y la difamación política condujeron a posiciones revolucionarias. La ideología ilustrada, que tuvo una fuerte significación para la floreciente burguesía en su lucha contra el feudalismo, incluyó una importante componente matemático-científica.

I. 1. Una valoración global de las matemáticas de este periodo
La floreciente burguesía, cada vez más poderosa y madura en sus aspiraciones a una emancipación económica y política del sistema feudal absolutista, dirigió también su atención a las ciencias naturales y a las matemáticas con una intensidad que fue creciendo a medida que se consolidaba la ruptura con el antiguo régimen. En los siglos XV y XVI los progresos de las matemáticas se habían producido básicamente a raíz de exigencias sociales inmediatas. La novedad ahora era que las matemáticas recogían cada vez más el conjunto de aspiraciones sociales en forma indirecta, es decir, a través de problemas procedentes del ulterior desarrollo de las fuerzas productivas materiales por una parte y del continuo desarrollo de las ciencias naturales por otra. No hay en ello ninguna contradicción con la apreciación, que es precisamente su complemento dialéctico, de que simultáneamente, a partir de los procesos de desarrollo intramatemático, se generan fuertes estímulos para el progreso, llevados por problemas que la dinámica interna de la matemática, como ciencia independiente, ampliamente difundida y desarrollada, suscita desde sí.

Tres fueron los logros principales de las matemáticas durante los siglos XVII y XVIII: en primer lugar, la geometría analítica; en segundo, la matemática infinitesimal (cálculo diferencial e integral, series de potencias); y en tercer y último lugar, la formación de un concepto fundamental de las matemáticas, el concepto de función. Se produjo así, efectivamente, el paso decisivo de una matemática de magnitudes estáticas, constantes, a una matemática de magnitudes variables. La matemática llevó a cabo en los siglos XVII y XVIII, con el paso a la matemática de las variables, una auténtica revolución científica, revolucionaria tanto en los objetivos como en los métodos y en la solidez y alcance de los nuevos procedimientos.

I. 2. El desarrollo de las fuerzas productivas materiales como estímulo para el desarrollo de las matemáticas
La matemática de las magnitudes variables viene a ser el reflejo matemático de un problema fundamental, el problema del movimiento. Se trataba de adquirir una comprensión clara de la idea de trayectoria y de inventar y consolidar un cálculo para el dominio matemático del problema del movimiento. En esto se centró la tarea de tres o cuatro generaciones de matemáticos, desde Descartes y Fermat hasta Leibniz y Newton; esto es, desde mediados del siglo XVII hasta el primer tercio del XVIII.

Con la palabra movimiento se hacía referencia tanto a cuestiones centrales de las ciencias naturales, caída libre, tiro, movimiento de los planetas, como a problemas de movimiento típicos de la mecánica práctica de aquella época, en conexión por tanto con el desarrollo de los instrumentos de producción. De ambas esferas procedieron impulsos decisivos para la formación de una matemática de las variables.

La imbricación de sus estudios con cuestiones de la mecánica estaba fuertemente marcada en la conciencia de casi todos los matemáticos de los siglos XVII y XVIII, como se puede comprobar fácilmente. Los más importantes matemáticos de aquel entonces abordaron directamente el tratamiento matemático de problemas de mecánica práctica.

La construcción de todos los mecanismos posibles e imaginables puso en acción un número cada vez mayor de espíritus creadores: molinos de viento, máquinas hidráulicas, molinos de papel, norias, grúas, máquinas para la conducción y extracción de agua en las minas, máquinas para volar, botes submarinos, coches capaces de andar sin caballos, máquinas para afilar, taladradoras para la construcción de túneles, elevadores de barcos, ruedas de paletas para la impulsión de los barcos y las más variopintas maquinarias para las fábricas fueron proyectadas, comprobadas, mejoradas y puestas en funcionamiento. A toda esta actividad hay que añadir la búsqueda del móvil perfecto, esto es, un artilugio para la producción continuada e inagotable de energía, que representó la contrapartida física de la piedra filosofal de la química.

027.jpg
Fig. 7.1. Cálculo del trabajo realizado por una noria (comienzos del siglo XVIII)

En los países económicamente avanzados de Europa los mechanici, los ingenieros hidráulicos y constructores de fortificaciones, los constructores de barcos, los ingenieros de minas y de la construcción, constituían un grupo muy numeroso y con un interés real por los conocimientos teóricos. En su esfera de acción aparecían por vías muy diversas, problemas de los que se sabía o suponía que precisaban un tratamiento físico-matemático. Piénsese, por ejemplo, en el estudio, entonces ya imprescindible, de las relaciones energéticas entre las partes movibles de maquinarias, ruedas hidráulicas, etc.; bastante a menudo se llevaban a cabo, por medios empíricos, cálculos aproximados, pues la matemática no estaba todavía suficientemente desarrollada, o resultaba desconocida en la práctica diaria (fig. 7.1). En cualquier caso, el desarrollo de las fuerzas productivas materiales y en especial el de los instrumentos de producción impulsó claramente el desarrollo continuado del pensamiento mecánico-teórico y, con ello, también el de los métodos matemáticos. Marx expresaba así esta relación:

En el siglo XVII la aplicación ocasional de la maquinaria llegó a ser muy importante, porque proporcionó a los matemáticos de aquella época un punto de referencia práctico y un estímulo para la creación de la moderna mecánica [L 7.12, p. 369].

I. 3. El desarrollo de las ciencias naturales
En el año 1604 Galilei encontró la ley del movimiento de caída libre. Cinco míos más tarde, en 1609, Kepler publicaba en su Astronomía nova las dos primeras leyes del movimiento de los planetas, conocidas como leyes de Kepler. En 1638 publicó Galilei sus Discorsila primera exposición de una ciencia de la dinámica, es decir, de la teoría del movimiento. Así mismo, el holandés Huygens se ocupaba de problemas de choques y en 1656 logró construir el reloj de péndulo.

El movimiento de caída libre, el movimiento de los planetas, las oscilaciones del péndulo y los procesos de choques eran los problemas centrales de la mecánica a mediados del siglo XVII. El descubrimiento y consolidación de los fundamentos teóricos comunes a todas estas cuestiones parciales de la dinámica, concebidas inicialmente como distintas, se debe a Newton. En el año 1687 aparecían los Philosophiae naturalis principia mathematica (Principios matemáticos de la filosofía natural, es decir, según el uso lingüístico de aquel entonces, de las ciencias naturales), que representan un hito fundamental en la historia del desarrollo de las ciencias naturales. En esta obra realizó completamente la construcción de una mecánica científica asentada sobre principios axiomáticos: la mecánica newtoniana constituiría durante más de dos siglos el fundamento de la totalidad de la física y de gran parte de las ciencias naturales.

Entre 1600 y 1609 se produjo en modo más o menos casual el descubrimiento del telescopio por ópticos holandeses. Posteriormente fue descubierto también por Galilei. quien cayó en la cuenta de que disponía de un maravilloso instrumento científico. Galilei fue el primero en dirigir el telescopio hacia el cielo: hizo sensacionales descubrimientos a primera vista que contribuyeron a superar la antigua imagen medieval del mundo. Descubrió que la luna tiene montañas y valles, cosa que se hallaba en fuerte contradicción con la mentalidad aristotélica. Según Aristóteles, el sol debía ser perfectamente inmaculado, pero Galilei observó manchas solares. Además, los movimientos de los cuerpos espaciales tenían que seguir órbitas circulares perfectas, y sin embargo Kepler descubrió que las órbitas de los planetas son elípticas. Galilei descubrió también que el planeta Júpiter tiene lunas y vio en ello un apoyo significativo para la imagen copernicana del universo: Júpiter y sus lunas forman un pequeño sistema solar propio. Los resultados de las ciencias naturales estaban en abierta contradicción con la filosofía aristotélica y, en definitiva, con el dogmatismo cristiano; su efecto fue por ello revolucionario.

En el año 1619 apareció otra obra fundamental de Kepler, Harmonice Mundi, en la que formuló la tercera ley del movimiento de los planetas. En 1655 Huygens descubría la estructura de los anillos de Saturno. En 1675 se fundó el famoso observatorio de Greenwich, que estableció el meridiano cero pasando precisamente por su emplazamiento. En su fundación la corona inglesa le encomendó una tarea muy concreta en interés de la navegación de alta mar: la determinación por métodos seguros de la longitud geográfica (la determinación de la latitud geográfica es, por el contrario, muy sencilla midiendo la altura del sol). No obstante, este problema, que ejerció una gran influencia en la construcción de relojes, permaneció sin resolver hasta mediados del siglo XVIII. El primero en fabricar cronómetros dignos de confianza para barcos fue el relojero inglés Harrison.

En el año 1676 el danés Rømer demostró la finitud de la velocidad de la luz observando las lunas de Júpiter. A ello siguieron otros descubrimientos astronómicos, como el cálculo de la órbita del cometa Halley, realizado por éste en 1705, o el descubrimiento de la aberración de la luz, llevado a cabo por Bradley.

La mecánica fue sin duda la disciplina científica más desarrollada en los siglos XVII y XVIII. La óptica y la teoría del calor no habían logrado todavía, a pesar de sus muchos éxitos aislados, una fundamentación teórica consistente; los fenómenos eléctricos, por su parte, habían sido descubiertos recientemente.

Otras ciencias naturales, como la química, la biología y la geografía, planteaban menores exigencias a las matemáticas que la mecánica y la astronomía; pero su desarrollo en cuanto que ramas de una ciencia de la Naturaleza entendida en aquella época como un todo se puede incluir en el contexto social de los progresos de las matemáticas.

Un nuevo continente, América, fue explorado y otro, Australia, fue descubierto. La navegación de alta mar y la colonización planteaban constantes exigencias a la cartografía. En 1618 el médico inglés Harvey descubrió la circulación de la sangre y en 1620 el holandés Snell la ley de la refracción. En 1640, el alcalde de Magdeburgo, Guericke, construyó una eficaz bomba de aire con la que pudo, como ya hiciera el alumno de Galilei, Torricelli, con su experimento con mercurio, refutar un antiguo dogma, la afirmación de que no existe el vacío, de que en la naturaleza reina un horror vacui (horror el vacío). En 1646 Pascal demostró, con una espectacular ascensión a una montaña, que la presión del aire disminuye con la altura, y poco después, en 1654, Guericke descubría la variación de la presión del aire con el clima. De aquí a la meteorología científica no había más que un paso.

Otra línea de desarrollo estuvo ligada a algunos experimentos sensacionales para aquella época: toda una cadena de inventos técnicos, desde el motor de pólvora de Huygens, pasando por las máquinas atmosféricas de Papin, Savery y Newcomen, llevaría hasta la máquina de vapor de Watt.

Con ayuda de otro instrumento científico recién inventado, el microscopio, se descubrieron los glóbulos rojos de la sangre y los infusorios: nacía así la biología de los microorganismos. Linneo sistematizó la botánica y la zoología. La química se desligó de la medicina, la botánica y la física y se encaminó en una dirección de trabajo científico con objetivos propios.

I. 4. La Revolución Científica
Las ciencias naturales y las matemáticas entraron durante los siglos XVII y primera mitad del XVIII en un periodo de rápido desarrollo, en relación directa e indirecta con el progreso social de la época de transición del feudalismo al capitalismo. En algunas áreas, matemáticas, mecánica, se realizaron, en los contenidos y métodos, transformaciones revolucionarias. En otras se obtuvieron conocimientos básicos nuevos y se trazaron nuevas metas que, sin embargo, sólo pudieron ser alcanzadas en el siguiente periodo, el de la Revolución Industrial. Esta orientación radicalmente nueva de las matemáticas y de las ciencias naturales en su conjunto que se produjo en los siglos XVII y la primera mitad del XVIII se denomina en la historiografía de las ciencias generalmente como Revolución Científica.

I .5. La posición social de los científicos. La fundación de las academias

La nueva posición social alcanzada por los científicos constituyó también una de las notas características de la Revolución Científica.

En el año 1600 Giordano Bruno fue quemado en la hoguera, en Roma, acusado de ser seguidor de Copérnico. Galilei murió bajo la custodia de la Inquisición. Descartes tuvo que emigrar para escapar de las intrigas de los dogmáticos eclesiásticos. Por el contrario. Newton fue ennoblecido y recibió en 1727 pompas fúnebres de resonancia nacional. Un cambio verdaderamente radical en un siglo fecundo en menos de cuatro generaciones. Estos destinos, tan distintos, no son fruto exclusivo del transcurso del tiempo, sino también de grados de madurez diferentes en el desarrollo del precapitalismo, así como de situaciones sociales diferentes: los pensadores ingleses tenían, en virtud de ello, más posibilidades para desarrollar su labor que sus predecesores en el continente.

El reconocimiento de la utilidad social de los resultados obtenidos por los científicos fue creciendo, a la vez que se desarrollaba la conciencia de sí mismos en los propios investigadores, emparejado todo ello con un fortalecimiento de la mentalidad filosófico, materialista. Galilei aventuró en 1613 la afirmación de que la verdad científica debía establecerse independientemente del valor literal de la Biblia. El científico de aquella época reclamaba el derecho a dicho título; estudiaba la naturaleza, sólo como él la veía, no como debía ser en virtud de los dogmas escolásticos y cristianos; la estudiaba con el pleno convencimiento de la utilidad de las ciencias naturales para los hombres, no para revelar el plan divino de la creación.

El crecimiento de la vida social y el fortalecimiento del interés general por las ciencias naturales condujeron además a nuevas formas de organización de la ciencia. Las universidades, que eran en el periodo feudal los verdaderos centros científicos, iban perdiendo progresivamente su papel. Los artefici, los virtuosi y otros prácticos, para quienes no había sitio en las universidades, comenzaron a agruparse y a organizarse para dedicarse simultánea y sistemáticamente a la nueva ciencia natural, intercambiar resultados y apoyarse mutuamente. Los partidarios de la nueva ciencia natural, en contraposición consciente con la vida universitaria medieval-escolástica, se reunían cada vez más regularmente, hasta que se consolidó el estatus de sociedades científicas que fueron denominadas academias; porque se vinculaban, aunque erróneamente, con el modelo antiguo. Este fue el punto de partida social para el nacimiento de las academias, que durante los siglos XVII y XVIII habrían de desarrollar formas concretas de organización del trabajo científico[31].

Una de las más tempranas y famosas sociedades científicas italianas es la Accademia dei Linceé fundada en Roma en 1601. El nombre significa academia de los de ojos de lince, de los perspicaces, un símbolo de la lucha entre ciencia e ignorancia. Expresamente fueron excluidos los sacerdotes como posibles miembros. Galilei era miembro de dicha academia y llegó a ser también padre intelectual de una sociedad definitivamente fundada en 1657 en Florencia con el nombre de Accademia del Cimento (Academia del Experimento) que, sin embargo, fue pronto disuelta debido a la intervención de la Iglesia.

La academia británica continua existiendo todavía hoy con el nombre de Royal Society. Su nacimiento está vinculado al estadista y científico Francis Bacon quien, en un libro titulado Nova Atlantis, describió un estado insular que es dirigido por un grupo de sabios hacia una vida llena de dicha. Los entusiastas partidarios de la nueva ciencia y de Bacon se reunían con bastante regularidad, ya desde 1644-45, en el Gresham College, fundado por el acaudalado comerciante de productos manufacturados Gresham con el fin de formar comerciantes y marinos. Por este motivo, las ciencias naturales, la aritmética, la geometría, la navegación y la astronomía gozaban allí de gran aprecio. Los aficionados ingleses a la ciencia experimental encontraron en este primer momento un hogar permanente en el Gresham College, del que algunos de ellos llegaron a ser profesores. Al núcleo más activo del grupo pertenecía, entre otros, el arquitecto Wren, quien diseñó la famosa catedral de St. Paul, el ocurrente experimentador Hooke, el polifacético investigador Boyle, así como los matemáticos Brouncker y Wallis. Este grupo, rico en iniciativas, se denominó Invisible (o philosophical) College y se convirtió en la organización previa a la Royal Society. El Colegio Invisible se dotó en 1660, como agrupación privada, de una especie de estatutos y recibió definitivamente en 1662 de manos de la corona inglesa, un privilegio; esto es, el permiso, ahora también oficial y con los auspicios de la corona inglesa, para poder dedicarse a las ciencias naturales.

La formación de una academia en Alemania siguió un proceso parecido. Un grupo de médicos se unieron poco después del final de la Guerra de los Treinta Años y obtuvieron en 1687 un privilegio concedido por el entonces emperador alemán Leopoldo. Esta Academia de científicos, la Leopoldina, existe todavía hoy y continua desarrollando sus trabajos con éxito en su sede actual de Halle.

También en Francia había grupos de partidarios de la nueva ciencia. Entre ellos destacan, por ejemplo, los matemáticos Pascal, Fermat y Desargues; Descartes se comunicaba epistolarmente con algunos miembros de otros grupos. La fundación de la Academia de París en la Francia absolutista siguió un mecanismo muy diferente del de Inglaterra. El poderoso ministro de finanzas Colbert, representante destacado del mercantilismo, fundó en 1666 en París la Academia en un solemne acto de estado; se efectuaron donaciones materiales y financieras, incluyendo una especie de salario para sus miembros.

El ejemplo francés de una academia establecida y mantenida por el estado sirvió luego como modelo a otros estados absolutistas europeos. Así, con una activa participación de Leibniz, fueron fundadas academias en Berlín (1700) y San Petersburgo (1724), que dieron lugar a las actuales Academia de las Ciencias de la RDA y a la Academia Soviética de las Ciencias, respectivamente.

El estado absolutista planteó a los académicos múltiples problemas procedentes de sus intereses económicos o militares. En el caso de las matemáticas, se trataba de problemas de balística, de navegación, de construcción de barcos y de cartografía, así como del perfeccionamiento de los instrumentos científicos (relojes, brújula, telescopio, microscopio), de la construcción de fortificaciones y de la tecnología en fábricas y minas. A ello se añadía una cierta necesidad de representación por parte del poder real absoluto: en efecto, el número de eruditos y científicos famosos que podían ser reunidos en la corte era una medida del poderío de un estado. Por otra parte, el interés del soberano por el brillo científico de sus académicos garantizó a los científicos, entre ellos también a los matemáticos, la libertad de movimientos necesaria para seguir los pasos del desarrollo intracientífico de los correspondientes problemas y consolidar la alianza con la filosofía de la ilustración, defensora del progreso. Entre las numerosas academias de la Europa del siglo XVIII destacaron las de Londres, París, Berlín y San Petersburgo: en ellas trabajaron la mayoría de los matemáticos de aquel periodo.

§ II
Historia de la geometría analítica

Contenido:
II. 1. La génesis de la geometría analítica
II. 2. Nicolás de Oresme
II. 3. El desarrollo de la geometría analítica
II. 4. Rene Descartes
II. 5. Pierre de Fermat
II. 6. La consolidación de los métodos de la geometría analítica

Los pasos decisivos para la formación de lo que llamamos geometría analítica fueron dados casi simultáneamente en los años 30 del siglo XVII por dos grandes pensadores franceses: Fermat y Descartes. Su tarea conjunta preparó el nacimiento de la geometría analítica; la forma dada por ellos a la geometría analítica se desarrollaría ulteriormente hasta alcanzar, ya en el curso del siglo XIX, un aspecto esencialmente similar al actual. Por ello se pueden y se deben diferenciar en la historia de la geometría analítica tres etapas: el nacimiento, la formación y la consolidación de la geometría analítica, tanto en lo que se refiere a sus contenidos como a sus métodos.

II. 1. La génesis de la geometría analítica
La esencia de la geometría analítica reside en la compenetración entre la geometría y el álgebra. Por ello, la fase de gestación de la geometría analítica abarca también la antigua teoría de las cónicas; en Apolonio se observan ya principios de una cierta superación del puro pensamiento geométrico. Entre los antecedentes, se han de tener en cuenta además algunas primeras formas de utilización de coordenadas. Así, por ejemplo, los antiguos astrónomos Hiparco y Ptolomeo designaban los lugares en la superficie de la Tierra indicando, al igual que nosotros, su longitud y su latitud (medidas de este a oeste y de norte a sur respectivamente), con referencia a las ciudades en las que trabajaron, la isla de Rodas y la ciudad de Alejandría respectivamente.

0052.png
Fig. 7.2. Lineae ordiruitae de Herón, un antecedente de la utilización de coordenadas

Algo parecido a coordenadas utilizó también Herón de Alejandría cuando, en mediciones hechas sobre el terreno, fijaba rectas paralelas a una línea fija para poder descomponer la superficie que debía determinar en trapecios y triángulos más fáciles de calcular. Los agrimensores romanos llevaron a cabo sus mediciones siguiendo el modelo de Herón. Estas rectas paralelas a una línea fija fueron llamadas lineae ordinatae (líneas ordenadas, fig. 7.2). Los campamentos militares romanos eran instalados también en forma de tablero de ajedrez y las tropas repartidas en el sistema de coordenadas. Estas coordenadas que aparecen en actividades prácticas y que se utilizaron espontáneamente, las encontramos de nuevo en los proyectos de los más importantes arquitectos del Renacimiento como, por ejemplo, Alberti.

II. 2. Nicolás Oresme
En cierto modo pertenece también a los antecedentes de la geometría analítica la llamada teoría de las latitudes de formas, original de Nicolás Oresme, obispo de Lisieux en Francia.

Siguiendo la inspiración intelectual de la física aristotélica, Oresme se ocupó de la representación gráfica de cantidades y cualidades y, especialmente, de la representación de intensidades variables de cantidades tales como calor y frío, humedad y sequedad, movimiento... Para ello trazaba (fig. 7.3) Oresme un segmento (llamado basis, extensio o longitudo) que simbolizaba la cantidad buscada (por ejemplo, el movimiento). Peipendicular a éste se colocaba, por medio de segmentos, la intensidad (llamada latitudo o intensio) de dicha magnitud. De esta manera se obtenían superficies (llamadas figurae o formae). Cuando las latitudes son constantes se obtiene un reetángulo; si crecen o decrecen en igual medida se tiene un trapecio. De este modo Oresme obtenía una expresión representativa, por ejemplo, de una velocidad que permanece constante o que decrece uniformemente durante el movimiento. Estas figuras o formas desempeñaron un importante papel en los esfuerzos por configurar una dinámica científica en el seno la escolástica. El método desarrollado por Oresme es llamado hoy, según al vocablo usado por sus alumnos. Teoría de las latitudes de las formas.

0053.png
Fig. 7.3. Teoría de la las latitudes de formas. A la izquierda la representación gráfica de un movimiento con velocidad constante, a la derecha con velocidad uniformemente decreciente

En el caso de Oresme se trataba de una representación mediante figuras de ciertas cantidades físicas, pero en ningún caso de una geometría analítica y menos aún de una anticipación del concepto de función. Faltaba precisamente la idea de unir la representación gráfica con el álgebra.

II. 3. El desarrollo de la geometría analítica
El desarrollo de nuevos métodos algebraicos fue otra de las bases conceptuales de la formación de la geometría analítica: una de sus raíces históricas se halla, en efecto, en el desarrollo de la Cosa hasta Vieta. Otra raíz histórica se ha de ver en la aceptación de la antigua teoría de las cónicas y de su clasificación en nuevos contextos.

A principios del siglo XVII se produjo en la teoría de las cónicas un giro decisivo. Las cónicas habían sido en la Antigüedad un objeto matemático, un puro sistema ideal, libre, salvo en el caso del círculo, de interpretación física. Sin embargo, en aquel momento, con el desarrollo de las ciencias naturales y de las fuerzas productivas, se dotaba a las cónicas de una existencia objetiva: las elipses y las parábolas eran las trayectorias del movimiento real de los cuerpos celestes y de los proyectiles respectivamente. Los antiguos resultados de la investigación fueron replanteados en un contexto científico ampliado, completamente nuevo. La consecuencia de esto fue, y un tal proceso parece constituir una regularidad histórica, un auge significativo de una disciplina científica tradicional.

Al progreso de la teoría de cónicas contribuyó también el esfuerzo de Fermat por reconstruir los libros V a VII de las Cónicas de Apolonio. Gregoire Sant Vincent, un jesuita, preparó una presentación resumida de los resultados de Apolonio y de los conocimientos recientemente logrados en la teoría de cónicas. Su manuscrito, elaborado en los años 20, no pudo ser impreso hasta 1647 debido a las dificultades del ambiente bélico en la época de la Guerra de los Treinta Años. Para entonces su Opus Geometricum se había quedado ya anticuado.

Los trabajos fundamentales de la geometría analítica estaban ya escritos e incluso impresos: eran los de Fermat y Descartes, que se caracterizaban por la fusión del álgebra y la geometría. Ambos investigadores se dedicaron, aproximadamente en la misma época, a los mismos problemas. Hoy se da por seguro que, aunque Descartes hizo imprimir sus resultados antes (1637) que los de Fermat, que fueron publicados sólo después de 1679, a partir de su testamento-, los de éste último habían sido escritos ya antes de 1637. Además, existían diferencias esenciales en cuanto a la presentación y métodos entre los resultados de ambos fundadores de la geometría analítica.

Descartes se alejó de las expresiones simbólicas del álgebra de Vieta, no siempre afortunadas, pero conservó, sin embargo, el objetivo, arraigado en la antigua geometría, de resolver ecuaciones por métodos geométricos. Por ello, el nuevo método de la geometría analítica está presente en Descartes, por así decirlo, sólo de forma implícita: se ha de extraer a partir de los ejemplos por él desarrollados.

Fermat, por el contrario, concibió una forma completamente nueva de tratar la teoría de las cónicas y, más en general, la teoría de los lugares geométricos, aspirando así a una exposición explícita, sistemática, de los nuevos métodos; además, permaneció fiel a la notación de Vieta.

II. 4. Rene Descartes
Descartes, nacido del norte de Francia, se convirtió en el representante principal del sistema filosófico del Racionalismo, que constituía una forma particular del idealismo objetivo. Descartes tomó como punto de partida de su filosofía la proposición Cogito, ergo sum (Pienso, luego existo) y a partir de ella derivó la existencia del mundo, no como revelación

divina, sino a partir del entendimiento humano, el cual se presentaba de este modo como capaz de aprehender el mundo. Esta filosofía antiteológica puso a Descartes en oposición a la Iglesia católica y, más tarde, también a la protestante.

La aportación matemática de Descartes surgió de su filosofía racionalista. De ella proceden sus esfuerzos por conseguir conceptos claros, definiciones precisas y expresiones fáciles de retener tanto para la filosofía como para las matemáticas, que le sirvieron a la vez como modelo de sus métodos científico-racionales. Es por ello comprensible que se aprovechara de las nuevas herramientas del álgebra, que le posibilitaban mayor claridad en el uso de los conceptos y mayor seguridad en los cálculos. Descartes se convirtió así en un luchador incansable en favor de la aplicación consecuente de la simbología matemática, aunque no dudó en dejarse aconsejar por otros matemáticos acerca de la elección de los símbolos. Se debe a Descartes el acuerdo, todavía actualmente en uso, de designar las incógnitas (variables) con las últimas letras del alfabeto. Usó con constancia los signos “+” y “-“ la notación de potencias y el signo de la raíz cuadrada √. Por el contrario, persistió en el uso, hoy anticuado, del signo ∝ (ligadura de las letras iniciales ae de aequetur) en lugar del signo de igualdad.

Descartes había completado a comienzos de los años 30 una magnífica exposición de su filosofía, junto con una explicación de la naturaleza a partir de principios mecánicos, a la que le había dado el título de Le monde (El mundo). Pero, conmocionado por la condena de Galilei (1633), Descartes sólo se atrevió a la publicación de algunas partes relativamente poco peligrosas. En el año 1637 apareció anónimamente en los Países Bajos el Discours de la méthode. En esta obra desarrolló Descartes los primeros pasos de su método racionalista general y lo aplicó, como prueba de su capacidad, a tres áreas del saber: a la teoría de las radiaciones, a la teoría de los meteoros y los fenómenos atmosféricos y a la geometría. Esta parte del Discours... es una de las actas de nacimiento de la geometría analítica.

0054.png
Fig. 7.4. Representación básica de la geometría de Descartes

¿En qué idea se basa la geometría de Descartes? Un conjunto de líneas paralelas, no necesariamente equidistantes, corta sobre una recta, que no es paralela a las anteriores, segmentos medidos desde un punto A (fig. 7.4). Sobre cada paralela del conjunto se halla un segmento con un punto extremo sobre la recta. Si de una paralela a otra del conjunto existe una relación no variable entre los segmentos medidos desde A y los segmentos sobre las paralelas, entonces la relación se dice que es una ecuación de la curva. (La expresión ecuación de una curva aparece en la Géométrie una única vez). Los segmentos sobre las paralelas del conjunto los llama Descartes appliquées par ordre o, en versión latinizada en problemas posteriores, omnes ordinatim applicalae (todos añadidos por orden) o abreviadamente applicatae. Así surgieron las palabras con igual significado applicate y ordinate respectivamente. La primera cayó después en desuso[32].

La finalidad de ¿a Géométrie era establecer una base geométrica para la resolución de problemas algebraicos:

Todos los problemas de la geometría se pueden llevar fácilmente a una expresión tal que precisa después sólo el conocimiento de la longitud de ciertas líneas rectas para poder construir estos problemas. Como el cálculo aritmético, se remite a las operaciones de la geometría. Y de igual modo que la totalidad de la aritmética se compone sólo de cuatro o cinco operaciones, a saber la adición, la sustracción, la multiplicación, la división y la extracción de raíces, que ciertamente se puede ver como un tipo de división: así también en la geometría, para transformar las líneas buscadas que conducen a la solución, no se ha de hacer otra cosa que añadir o suprimir otras líneas; o dada una de tales líneas que yo, para apreciar mejor la relación con los números llamaré la unidad, pudiendo ser tomada usualmente según convenga, y dadas otras dos, buscar una cuarta línea que se relacione con éstas como a su vez lo hacen ellas con la unidad, es lo mismo que la multiplicación; o buscar una cuarta línea que se relacione con una de las dos como la unidad a la otra, es lo mismo que la división; o por último buscar uno o dos o más medios proporcionales entre la unidad y cualquiera de las otras líneas, es lo mismo que la extracción de raíces cuadradas o cúbicas, etc. Y no me avergonzaré de introducir en la geometría estas expresiones tomadas de la aritmética, para hacerla más comprensible [L 7.7, pp. 1-2].

El siguiente ejemplo de multiplicación clarifica el alcance del programa recién desarrollado (fig. 7.5):

0055.png
Fig. 7.5. Multiplicación geométrica de segmentos según Descartes

Si por ejemplo, AB es la unidad y BD se ha de multiplicar por BC. entonces sólo tengo que unir A con C, luego trazar DE paralelo a CA y BE es el producto de dicha multiplicación [LA 1, p. 140].

En estos fragmentos aparentemente inocuos se halla algo radicalmente nuevo: bajo los segmentos, designados con letras, AB. BD, etc., no había que entender exclusivamente segmentos geométricos, sino al mismo tiempo los valores numéricos correspondientes a los segmentos, expresión que con la antigua geometría carecía completamente de sentido. Es decir: expresiones como a2, a3 representan un número y no áreas ni volúmenes, respectivamente. De esta manera se eliminaba el restrictivo principio de fidelidad a la dimensión. Según la concepción clásica, una expresión del tipo √(a2b2 c) carecía completamente de sentido y las raíces cúbicas (como en el problema de la determinación de los lados de un cubo) sólo se podían extraer de expresiones de dimensión tres; pero, según este nuevo modo de ver, se trata de hallar la raíz de un número (que puede tener una significación geométrica).

Sobre esta base teórica planteó Descartes la distinción entre dos tipos de problemas esencialmente distintos:

  1. Problemas determinados. En lenguaje actual, esto significa la resolución de ecuaciones algebraicas por medio de una construcción geométrica.
  2. Problemas indeterminados. Hoy hablaríamos de la construcción de lugares geométricos o de la ecuación de una curva o de la dependencia de variables.

El primer caso aparece cuando se pueden establecer tantas ecuaciones como líneas buscadas se tienen; si se tienen más ecuaciones que líneas buscadas, se trata entonces de un problema indeterminado (figs. 7.6 y 7.7).

0056.png
Fig. 7.6. Ejemplo de un problema determinado de Descartes. Resolución de la ecuación z2 = az + b2, b = LM > 0, a > 0. OM es una de las soluciones buscadas, la positiva.

La Géométrie desemboca en una tercera parte, en la que Descartes recoge, por así decirlo, los frutos algebraicos de sus investigaciones geométricas: separa las raíces de ecuaciones en soluciones verdaderas (es decir, positivas) y falsas (es decir, negativas).

0057.png
Fig. 7.7. Ejemplo de un problema indeterminado de Descartes: el problema formulado, aunque no resuelto, por Pappus, Locus ad quattuor lineas (Lugar geométrico de cuatro líneas). Dadas cuatro rectas, a, b, c, d, se busca el lugar geométrico de todos los puntos P que gozan de la siguiente propiedad: desde P se trazan rectas hasta las cuatro dadas con ángulos dados α β, γ, δ; se tiene entonces que PA × PB = PC × PD. El lugar geométrico es siempre una cónica. Descartes elige una recta, sea a, como recta de referencia, elige un punto origen O e introduce una unidad. OA se trata, por ejemplo, como una variable. Como segundo eje, por llamarlo de alguna manera, elige la recta que va de A a P, la aplicada (añadida); ésta ocupa el lugar de la segunda variable (ordenada)

Habla de ecuaciones de grado n con n soluciones, pero no adopta una posición clara con relación al teorema fundamental del álgebra, formulado por Girard en 1629. Descartes sabía que toda solución entera de una ecuación algebraica con coeficientes enteros divide al término independiente. Además, formuló las siguientes reglas (una forma débil de la conocida regla de los signos cartesiana): el total de las raíces positivas de una ecuación algebraica es, a lo sumo, igual al número de los cambios de signo de los coeficientes. El número de raíces negativas es, a lo sumo, igual a la sucesión de signos[33]. Estas reglas son perfectamente válidas: una primera demostración fue dada por Gauss en el año 1828.

No se puede hablar, en el caso de Descartes, de una geometría analítica desarrollada. No hay, por ejemplo, ningún sistema de coordenadas explícitamente manejable. Con todo, con la fusión de la geometría y el álgebra, Descartes contribuyó decisivamente en la configuración futura de la geometría analítica.

II. 5. Pierre de Fermat
Fermat llegó más lejos que Descartes en lo referente a una presentación sistemática. No obstante, tampoco se puede exagerar sobre el grado de madurez de la geometría analítica en Fermat.

Su despacho jurídico en Toulouse le debía dejar, por lo visto, mucho tiempo libre para ocuparse de las matemáticas: Fermat fue, indiscutiblemente, uno de los matemáticos más importantes de la historia, precursor de la matemática infinitesimal y del cálculo de probabilidades. Especialmente famosas son sus contribuciones a la teoría de números; como se aprecia en el pequeño teorema de Fermat y en el gran teorema de Fermat[vii] según el cual la ecuación xn + yn = zn no tiene soluciones enteras para n > 3.

Sobre geometría analítica Fermat nos ha dejado un pequeño tratado, Ad locos planos et solidos isagoge (Introducción a los lugares geométricos planos y sólidos). El título resulta confuso para la terminología actual. En efecto, la expresión lugares sólidos no se refiere a la geometría analítica del espacio, ya que Fermat adopta la división existente en la Antigüedad de los lugares geométricos planos en lugares planos (recta y círculo), lugares sólidos (parábola, hipérbola, elipse) y lugares lineales (todas las demás curvas). Los lugares lineales no fueron tratados por Fermat, que subestimó las dificultades con que se enfrenta el estudio de curvas superiores, pues pensaba que su estudio se podía reducir al de las cónicas; es decir, que las curvas de cualquier orden se podían reducir a curvas de segundo orden (mucho más tarde, en 1643 y 1650, Fermat corrigió su opinión y avanzó unos principios de una geometría analítica del espacio).

La Isagoge comienza con las siguientes palabras:

No hay ninguna duda de que los antiguos escribieron mucho sobre lugares. Testigo de ello es Pappus, quien al principio del libro VII asegura que Apolonio escribió sobre lugares planos y Aristeo sobre lugares sólidos. Pero no nos engañemos, el estudio de los lugares no les parecía a ellos precisamente fácil, lo que deducimos del hecho de que no expresaron con generalidad muchos lugares, como se verá más adelante. Por ello sometemos esta rama del saber a un análisis particular, especialmente adecuado a ella, para que en el futuro se halle abierto un tratamiento general de los lugares [L 7.8, p. 7].

A continuación figura, sin más prolegómenos, el párrafo decisivo, en el que se estableció por primera vez el principio fundamental de la geometría analítica:

Tan pronto como aparecen dos magnitudes desconocidas en una ecuación se tiene un lugar geométrico y el extremo de una de las magnitudes desconocidas describe una línea recta o curva. [...] Las ecuaciones se pueden representar cómodamente, si se colocan ambas magnitudes desconocidas una junto a la otra en un ángulo dado (que se suele tomar igual a un recto) y se da la situación y el punto extremo de una de ellas [L 7.8, p. 7].

La ecuación de la recta, por ejemplo, es tratada por Fermat de la siguiente manera (recuérdese que Fermat usa la terminología de Vieta; es decir, las vocales representan las variables, las consonantes, como B y D en el texto siguiente, las constantes) (fig. 7.8):

0058.png
Fig. 7.8. Ecuación de la recta según Fermat

Sea NZM una recta (dada por su posición), N un punto fijo de ella. Sea NZ la magnitud desconocida A, y sea el segmento ZI, colocado sobre la recta según un ángulo dado NZI, igual a la otra magnitud desconocida E. Si DA = BE, entonces el punto I describe una recta dada según la posición.

A continuación viene la demostración:

Se tiene que B : D = A : E». De ahí que la proporción de A con E es constante y puesto que además el ángulo está dado en Z, se conoce la forma del triángulo NIZ y por tanto el ángulo INZ. Pero el punto N es conocido y de la recta NZ se sabe su posición. Por tanto se sabe también la posición de NI [...] [L 7.8, pp. 7-8].

Una observación al respecto: en lugar de la moderna forma DA = BE Fermat escribía:

D in A aequetur B in E.

De forma parecida demostró Fermat que una ecuación del tipo AE = Z (¡problema de la dimensionalidad!) representa una hipérbola; AZ = DE, una parábola; E2 = DA, una parábola; B2, A2 = E2, un círculo; A2 + B2 = E2, una hipérbola. En resumen, Fermat aportó una demostración esencialmente completa del siguiente teorema:

Si ninguna de las magnitudes desconocidas supera la segunda potencia, se tendrá un lugar plano o sólido [...] [L 7.8, p. 7].

Expresado modernamente: las curvas de segundo orden son todas cónicas; si bien Fermat no conocía todavía los casos degenerados.

El objetivo de Fermat consistía en demostrar la identidad de un lugar geométrico definido por una ecuación algebraica con curvas ya conocidas. Su método no pretendía, sin embargo, derivar de la ecuación de la curva sus propiedades.

II. 6. La consolidación de los métodos de la geometría analítica
La consolidación de los métodos de la geometría analítica se llevó a cabo muy lentamente. Por una parte, las ideas eran demasiado novedosas; por otra, la utilización coherente de los nuevos símbolos era todavía demasiado inusual. El trabajo de Fermat, que en un principio circuló exclusivamente en copias, se imprimió tan sólo en 1679; y el Discours, con La Géométrie, fue colocado en el índice papal de libros prohibidos.

Al principio, la escuela matemática holandesa adoptó la geometría analítica en la forma iniciada por Descartes: von Schooten introdujo en La Géométrie a jóvenes matemáticos interesados y publicó en 1649 una traducción latina de la obra, escrita originalmente en francés.

Posteriormente, la geometría analítica se introdujo en la escuela inglesa, que se hallaba en rápido crecimiento. Newton acabó con el tabií de las coordenadas negativas; a él se remonta la utilización del sistema de coordenadas cartesiano. En 1676 dio una clasificación, en los cuatro cuadrantes, de las curvas de tercer orden.

Otro paso decisivo en la ampliación del principio fundamental de la geometría analítica lo realizó Euler con su lntroductio in analysin infinitorum (Introducción al análisis de las magnitudes infinitamente pequeños, 1748). La expresión específica geometría analítica procede, por lo demás, de Lacroix, quien la utilizó en 1796-99 en su libro de texto Cours de mathématiques.

Durante el siglo XIX se dotó a la geometría analítica de extensos medios auxiliares algebraicos como determinantes, matrices, grupos y vectores. En las manos de Möbius. Plücker, Grassmann, C.G.J. Jacobi, Cayley, Sylvester, Hamilton, Hesse, Salmón y muchos otros la geometría analítica recibió ya por aquel entonces los rasgos característicos de su forma actual, tal y como es utilizada en la enseñanza en escuelas y universidades.

§ III
Las primeras maquinas mecánicas de calcular

Contenido:
III. 1. Los primeros dispositivos mecánicos de cálculo
III. 2. Las primeras máquinas de cálculo

En la Antigüedad, los tableros de cálculo y los ábacos eran usados habitualmente, principalmente para el cálculo mercantil. Colocando y desplazando bolitas sobre las barras, que significaban unidades monetarias, de peso o de mercancías, se podían llevar a cabo procesos de cálculo de forma muy cómoda (de la palabra latina calculi, las piedrecitas o bolitas usadas, derivarían más tarde las expresiones cálculo, calcular). Esta antigua forma de realizar los cálculos se seguiría utilizando en Europa en diferentes versiones, tablero de cálculo, mesa de cálculo, hasta bien entrado el siglo XVII. Incluso nuestras máquinas calculadoras para niños se basan todavía en el mismo principio. En otras regiones del mundo, instrumentos de cálculo similares se han usado prácticamente hasta nuestros días y, en países como China, Japón, o algunas repúblicas soviéticas, siguen todavía en uso.

III. 1. Los primeros dispositivos mecánicos de cálculo
La verdadera historia de la máquina de calcular comienza, sin embargo, en el periodo del precapitalismo europeo. Es tan sólo una contradicción aparente el hecho de que las mismas causas, la necesidad cada vez mayor de agilizar los cálculos, contribuyeran tamo al abandono del cálculo con ábaco, que fue reemplazado por el cálculo con cifras en posición decimal, como al desarrollo de dispositivos mecánicos de cálculo.

Napier, también conocido por el desarrollo de los logaritmos, desarrolló, a comienzos del siglo XVII, los llamados bastoncillos de cálculo de Napier, con los que se podían llevar a cabo multiplicaciones de forma realmente sencilla. En la forma presentada en 1617 se trataba de un conjunto de 10 bastoncillos planos, en los que (fig. 7.9) estaba fija la tabla de multiplicar; otros inventores utilizarían posteriormente cilindros giratorios.

Casi tan antigua como la invención de los logaritmos lo es la de los bastoncillos o dispositivos móviles de cálculo. Se remontan presumiblemente a un profesor del Gresham College, Gunter, que, alrededor de 1620, llevó a cabo multiplicaciones colocando una junto a otra dos escalas subdivididas logarítmicamente.

0059.png
Fig. 7.9. Ejemplo de utilización de los bastoncillos neperianos. Si se suman las cifras colocadas en los campos diagonales contiguos, se obtienen las cifras de la multiplicación. Por ejemplo, 316 × 6 se obtiene a partir de las cifras de la sexta fila [empezando por arriba] de bastoncillos correspondientes a las cifras 3, 1 y 6 es decir, 1/8 + 0/6 + 3/6 = 1896

Estas escalas de Gunter fueron pronto utilizadas en la formación de prácticos y, a mediados del siglo XVII, recibieron prácticamente su actual forma básica de regla de cálculo, en particular gracias a las aportaciones de Oughtred, Wingate y Partridge. Poseían ya entonces una lengüeta móvil y, para su uso en navegación, escalas para los logaritmos de las funciones trigonométricas.

III. 2. Las primeras máquinas de cálculo
El paso decisivo para la idea y construcción de verdaderas máquinas de cálculo, que efectuaran por sí mismas transmisiones de una posición decimal a la otra, lo llevó a cabo, en 1623-24, Schickardt, profesor de astronomía y lenguas bíblicas en Tubinga. Durante mucho tiempo su trabajo permaneció en el olvido y tan sólo en un pasado reciente (1957, 58) se reconstruyó, siguiendo sus descripciones, el aparato de cálculo por él desarrollado. Este contiene un instrumento sumador de seis posiciones decimales con transmisión de decenas, así como un instrumento multiplicador y utilizaba varillas de cálculo neperianas de tipo cilíndrico. Las máquinas construidas por el propio Schickardt se han perdido completamente, si es que realmente existieron alguna vez.

Durante mucho tiempo se creyó que el matemático francés Pascal había sido el primero en construir una máquina de cálculo. Contando apenas veinte años de edad, en efecto, alrededor de 1640-42, construyó unas máquinas para sumar y restar con el fin de facilitar a su padre, un alto funcionario recaudador de impuestos de la realeza francesa, el trabajo de cálculo. Aunque Pascal fabricó varios ejemplares y además inventó un montón de detalles técnicos, la mecánica de precisión estaba en aquel tiempo tan poco desarrollada que no se pudo fabricar ningún ejemplar de la Pascalina que funcionara con absoluta confianza.

Parecidas dificultades encontró también Leibniz en la elaboración técnica de su máquina de cálculo de las cuatro especies. Con motivo de una estancia en Londres en el invierno de 1673 presentó a la Royal Society un ejemplar todavía inacabado, que competía con una máquina del joven inglés Morland. Esta, que se basaba en una combinación de las varillas neperianas y las escalas de Gunter, funcionaba mejor que el proyecto de Leibniz, pero éste poseía ya por entonces una idea técnicamente superior. Leibniz realizó su decisivo invento técnico, el de los cilindros graduados, en el verano de 1674, durante su estancia en París. En el artesano francés Olivier encontró Leibniz al ejecutor efectivo de sus ideas.

Sin embargo, una utilización práctica real de máquinas de cálculo mecánicas no fue efectiva hasta el siglo XVIII, con su fabricación por el italiano Poloni, el vienés Braun, el mecánico alemán Leupold y el pastor alemán Hahn que, a finales del siglo XVIII, fabricó en serie máquinas de cálculo de las cuatro especies.

LECCIÓN 8
LA REVOLUCIÓN CIENTÍFICA: LA ELABORACIÓN DE LA MATEMÁTICA INFINITESIMAL

028.jpg
Portada del cálculo de fluxiones de Newton (Method of Fluxions, Londres, 1736)

§ I
La elaboración de los métodos infinitesimales

Contenido:
I. 1. Observaciones preliminares
I. 2. Paso geométrico al límite
I. 3. El método de exhaución
I. 4. Kepler y la geometría infinitesimal
I. 5. El método de los indivisibles
I. 6. La aritmetización del método de los indivisibles
I. 7. El problema de las tangentes
I. 8. Pascal y el triángulo característico
I. 9. La consolidación de los métodos infinitesimales
I. 10. Isaac Newton y el cálculo de fluxiones
I. 11. G.W. Leibniz y la invención del cálculo

El desarrollo de diversos métodos infinitesimales constituye una de las características más importantes de la Revolución Científica en el ámbito de las matemáticas, durante el periodo comprendido aproximadamente entre 1620 y 1730.

I. 1. Observaciones preliminares
A menudo, en una exposición superficial, se alude a Newton y Leibniz como únicos inventores del cálculo diferencial e integral. Pero esta afirmación no se corresponde con los hechos históricos: hubo, por el contrario, toda una larga lista de precursores que prepararon el terreno, así como una gran cantidad de intentos fallidos, antes de que los problemas que surgían en el estudio de las variables y los límites fueran superados y presentados en forma manejable.

La ejecución de pasos al límite rigurosos (si bien bajo revestimiento geométrico) se remonta a la Antigüedad. Con el redescubrimiento del saber matemático antiguo durante el Renacimiento, que se prolongó hasta bien entrado el siglo XVII, los resultados y procedimientos usados por Arquímedes pasaron a servir de modelo; la influencia directa de Arquímedes puede ser detectada en Kepler, Galilei, Torricelli y Cavalieri, quienes mostraron la riqueza y alcance del pensamiento arquimediano.

De entre el numeroso grupo de brillantes matemáticos que contribuyeron de manera esencial en diversos aspectos, tanto en cuestiones generales como en casos especiales particularmente notables, a la formación de la matemática infinitesimal, merece la pena destacar a algunos de sus principales representantes: los italianos Commandino, Valerio y Galilei y sus alumnos Cavalieri y Torricelli, el alemán Kepler, el suizo Guldin, los holandeses Gregorius de S. Vincent y Huygens, los franceses Lalouvère, Roberval y Fermat, los ingleses Wallis, Barrow y Newton, el anglo-alemán Mercator y el escocés Gregory, así como, no por último menos importante, el alemán Leibniz.

En cuanto a los métodos con los que se abordaron los nuevos problemas, al principio, siguiendo todavía procedimientos tradicionales, se puede hacer una división grosera.

distinguiendo entre métodos geométricos y métodos aritmético-algebraicos. La división actual, cálculo diferencial, cálculo integral, teoría de sucesiones y series infinitas, teoría de ecuaciones diferenciales, etc., es una clasificación a posteriori, elaborada sobre la base de un análisis ya desarrollado. En el periodo de formación de la matemática infinitesimal los problemas infinitesimales, cuya estructura matemática no era del todo conocida, se agrupaban preferentemente por materias.

Aparecen, en primer lugar, problemas mecánico-físicos, como los relacionados con el tiro, con la caída libre y el movimiento de los planetas y todos los que requieren el estudio de los procesos de movimiento, en particular del movimiento acelerado. Este grupo de problemas se halla en relación directa con el progreso de las ciencias naturales y con el rápido desarrollo de los instrumentos mecánicos de producción en el periodo precapitalista.

Otro tipo de problemas son los de naturaleza geométrico-mecánica, como los relativos al cálculo de áreas y volúmenes y a la determinación de centros de gravedad de superficies y sólidos.

El último grupo estaba formado por problemas que pueden considerarse, en cierto sentido, más estrictamente geométricos: el estudio de curvas, superficies y sólidos, entendido como problema abstracto, matemático (y no físico-mecánico). En este grupo de problemas destacaba el problema de la tangente, es decir, encontrar la tangente a una curva cualquiera en cualquiera de sus puntos.

El problema de las tangentes y el cálculo de áreas resultaron ser los problemas claves para el desarrollo del cálculo diferencial e integral respectivamente. Pero antes habría de descubrirse que el problema de las tangentes y el del cálculo de áreas son, en esencia, problemas inversos uno del otro: faltaba por redactar el teorema fundamental del cálculo diferencial e integral.

I. 2. Paso geométrico al límite
El problema de la caída libre de los cuerpos resultó ser, como muestra la historia de la física, el problema central en la formación de la dinámica y, con ella, de la mecánica clásica. La ley según la cual en la caída libre los espacios recorridos se relacionan con el cuadrado de los tiempos estaba en contradicción directa con la física aristotélica. Galilei obtuvo esta ley y la confirmó mediante una combinación de ingeniosa deducción y habilidosa comprobación experimental. Fue esta fructífera mezcla de deducción e inducción, mostrada en sus escritos Diálogos (1632) y Discorsi (1638), la que convirtió a Galilei en uno de los pioneros tanto de las ciencias naturales clásicas como de la nueva matemática. Esta postura de Galilei en el ámbito de la filosofía de la naturaleza ha desempeñado al mismo tiempo un papel programático, como queda reflejado en el siguiente texto:

La filosofía [refiriéndose acaso a las ciencias de la naturaleza, N.A.] está escrita en el gran libro del universo, que perpetuamente se halla abierto ante nuestros ojos, pero que no se puede comprender si no se entiende el idioma y no se conocen las letras en las que está escrito. Está escrito en el lenguaje de las matemáticas, y las letras son triángulos, círculos y otras figuras geométricas; sin ellas será imposible para el hombre entender una sola palabra; es tan sólo un andar vagando sin sentido en un tenebroso laberinto ([L 8.5, VI, p. 232] citado en alemán en [L8.3, p. 403]).

Pero no sólo en Italia el problema de la caída libre ocupaba el centro del interés. Uno de los miembros destacados de la tan exitosa escuela matemático-mecánica de los Países Bajos, junto a Stevin y Girard Beeckman, encontró alrededor de 1618, en contacto con Descartes, la ley de la caída libre, sirviéndose de un paso al límite llevado a cabo geométricamente; de este modo se anticipó cronológicamente al propio Galilei[34]. En el estudio del problema de la caída libre Beeckman introduce dos suposiciones de tipo físico:

  1. Se considera que la gravedad actúa no de forma continua, sino dando de algún modo al cuerpo que cae, cada cierto pequeño lapso de tiempo r, un pequeño empujón (sij treckt met kleyne hurtkens).
  2. Una vez producida una velocidad, esta permanece inalterada mientras no existe ninguna causa externa que la modifique; esto se asemeja a lo que sería una ley de inercia.

Supongamos que partimos del reposo. Después de cada lapso τ se produce, debido al empujón, una velocidad γ adicional. En el primer periodo de tiempo, el camino recorrido es γτ, en el segundo 2γτ, etc. Después de un tiempo t1 =n1τ el espacio total será

0060.png

Después de un tiempo t2 = n2τ, el espacio total será

0061.png

El cociente de los espacios recorridos nos da

0062.png

Haciendo τ 0, el movimiento a saltos pasa a ser un movimiento continuo, esto es, un movimiento real de caída libre. Tomando límites se obtiene:

0063.png

Esta es la ley de la caída libre: los espacios recorridos están en la misma proporción que los cuadrados de los tiempos de caída.

Pero Beeckman no pudo llevar a cabo entonces el paso al límite antes indicado, realizado con técnicas del cálculo: estos métodos no estaban todavía a su disposición. Por ello, utilizó un procedimiento geométrico que se basa en la interpretación de una representación gráfica y que recuerda un poco a la teoría de las latitudes de formas de Oresme (fíg. 8.1). Si ponemos O A = τ, OC = γ,

OA1 = n1τ = t1,

OA2 = n2τ = t2

entonces los triángulos en la figura de escalera representan gráficamente los espacios recorridos, ya que los espacios, salvo un factor de proporcionalidad, se han de medir como producto del tiempo por la velocidad. Por tanto se tiene

0064.png

El movimiento real se obtiene para τ → 0, es decir mediante el aplanamiento de los peldaños de la escalera. Esta es la forma geométrica de paso al límite. Puesto que el área de triángulos semejantes es proporcional a los cuadrados de los lados adyacentes se sigue:

0065.png

es decir, la ley de caída libre.

0066.png

I. 3. El método de exhaución
En 1558 se hicieron accesibles al mundo científico importantes partes de los escritos de Arquímedes gracias a Commandino, quien en 1565 escribió un libro acerca de volúmenes y centros de gravedad de sólidos utilizando las ideas básicas de los antiguos. Valerio, discípulo de Commandino, en su obra de tres volúmenes De centro gravitatis (Sobre el centro de gravedad) del año 1604, calculó, entre otras cosas, el volumen de la (semi-)esfera, aproximando el contenido de la esfera con conos y cilindros inscritos. De igual manera pudo también calcular el volumen y el centro de gravedad del elipsoide de rotación y del hiperboloide de rotación de dos hojas.

El método seguido por Commandino, Valerio y otros matemáticos se apoyaba estrechamente en el método de exhaución desarrollado en la Antigüedad. Por ejemplo, figuras con límites curvos se aproximaban por medio de rectángulos inscritos y circunscritos (figuras en escalera), para obtener así cotas superiores e inferiores del área real de la superficie: cuantas más bandas rectangulares se utilizaban, mejores cotas se obtenían.

Todo esto recuerda al cálculo integral actual. Se podría pensar incluso que la ampliación del método de exhaución habría tenido que conducir por un camino histórico directo al cálculo integral y, sin embargo, no fue así. El proceso histórico no fue tampoco aquí llano y sin saltos: más bien al contrario, estuvo lleno de rasgos dialécticos. El cálculo de exhaución representó ciertamente una primera forma, metodológicamente incluso cerrada en sí misma, de una parte de la matemática infinitesimal, pero su contenido se considera históricamente tan sólo una etapa intermedia del moderno cálculo infinitesimal.

I. 4. Kepler y la geometría infinitesimal
Kepler fue quizá, de entre todos los precursores del cálculo infinitesimal, el dotado de mayor imaginación; su principal obra de astronomía contiene rasgos de una fascinante mezcla de fantasía y de exactitud científica, de misticismo y de pensamiento racional, de neoplatonismo y de observación de la Naturaleza.

Entre las aportaciones de Kepler a la matemática infinitesimal el Calculo de toneles es su obra más instructiva. El propio Kepler explica, con su solapado humor, el motivo del título Nova stereometria doliorum vinariorum (Nueva estereometría de los toneles de vino):

Fue celebrando mi nuevo enlace en noviembre del último año [1613, N.A.] en la época en la que los toneles de vino traídos de la baja Austria se apilaban, tras una abundante cosecha, en las orillas del Danubio, en Linz, y se podían comprar a un precio aceptable, pues es obligación del nuevo esposo y preocupado padre de familia procurar la bebida necesaria para su casa. Cuando algunos toneles se habían colocado ya en las bodegas, vino el vendedor, al cuarto día, con la vara de medir, y comenzó a calcular el contenido de todos los toneles sin tener en cuenta su forma y sin mayor reflexión o cálculo. Introdujo la varilla de medir con su punta metálica a través del agujero del corcho hasta alcanzar los dos fondos y cuando parecían ser iguales las dos longitudes, la marca en el agujero del corcho daba el número de cubos en el barril. Yo me preguntaba cómo la línea transversal que cruza la mitad del barril podía proporcionar una medida del contenido y dudaba de la exactitud del método, pues un barril muy bajo con bases muy anchas, y por tanto con un contenido muy reducido, podría tener la misma longitud de mira. No me pareció inoportuno, como recién casado, comenzar a investigar sobre bases geométricas la exactitud de este procedimiento tan simple y tan ampliamente extendido y sacar a la luz, tal vez, las leyes existentes [L 8.9, pp. 99-100].

De esta manera el Visierkunst, es decir el arte de la medición de la capacidad de los toneles, fue objeto de un estudio sistemático por parte de Kepler. Obtuvo así el siguiente resultado: un cuerpo hueco compuesto de un cilindro y de dos conos truncados no difiere excesivamente, en cuanto a la determinación de su capacidad por medio de la varilla de medir (mira), de un tonel con duelas corvadas, lo cual correspondía a los de tipo austríaco, pero no a los toneles de construcción renana, que eran más panzudos (figs. 8.2 y 8.3).

Con el cálculo de la capacidad de los toneles se satisface sólo una parte de las pretensiones del Cálculo de toneles. Kepler mostró también que los cuerpos de revolución son generados por la rotación de cónicas alrededor de diferentes ejes; obtuvo un total de noventa y dos de estos cuerpos, indicando el cálculo aproximado de su volumen, y los bautizó con nombres de la vida cotidiana: manzana, limón, huso, calabaza, pera, ciruela, etc.

029.jpg
Figura 8.2. De un librito sobre la medición con mira. [J. Frey, Visierbüchlein, Nüremberg, siglo XV]

De esta manera Kepler superó ampliamente, en cuanto al número de sólidos estudiados, a Arquímedes. Kepler proporcionó también una ayuda inmediata para las tareas prácticas con la publicación en 1616 de un librito pensado para la vida diaria y escrito en alemán bajo el título Extracto del antiguo tratado de la medida de Arquímedes...; esta obra, basada en el texto latino, contenía, sin fundamentación alguna, reglas para la fabricación y cálculo de la capacidad de los toneles, según su diferente peso y tamaño.

0067.png
Fig. 8.3. Regla de los toneles en la forma original ideada por Kepler

También en el aspecto metodológico Kepler inauguró una nueva etapa del desarrollo de la matemática infinitesimal. El concepto de lo infinitamente pequeño, usado hasta entonces preferentemente en sentido filosófico, se introdujo de lleno, gracias a él, en la geometría, como se aprecia en el cálculo de la superficie del círculo citado a continuación:

El perímetro del círculo BG tiene tantas partes como puntos, es decir infinitos; cada parte puede verse como base de un triángulo isósceles con lado AB, de forma que en la superficie del círculo se hallan infinitos de estos triángulos, encontrándose los vértices de todos ellos en el centro A. Si extendemos el perímetro circular sobre una recta BC, entonces las bases de los infinitos triángulos o sectores se aplican sobre la recta BC y se disponen uno junto a otro [L 8.9] p. 101].

La superficie de un círculo es por tanto equiparable a la de un número infinito de triángulos isósceles. El área del círculo es pues igual al área del triángulo ABC (fig. 8.4). De igual forma procedió Kepler para determinar el volumen de la esfera:

La esfera se compone de infinitos conos, cuyos vértices se encuentran en el centro y cuyas bases situadas sobre la superficie son reemplazadas por puntos [L 8.9, p. 101].

Kepler aplicó con asombroso ingenio sus ideas de geometría infinitesimal al cálculo de segmentos elípticos en relación con estudios astronómicos.

0068.png
Fig. 8.4. Geometría infinitesimal de Kepler aplicada al cálculo del área del círculo.

En notación actual, lo anterior equivale a la integración

0069.png

donde r = a + e × cos u representa la ecuación focal de la elipse de excentricidad u.

Desde una perspectiva actual, los métodos de Kepler carecían, naturalmente, del rigor necesario; el propio Kepler fue consciente de las deficiencias de sus procedimientos deductivos.

I. 5. El método de los indivisibles
La nueva concepción de la geometría infinitesimal marca el comienzo de una segunda etapa de la matemática infinitesimal. Un alumno de Galilei, Cavalieri, fue quien comprendió con mayor claridad las posibilidades todavía ocultas en Kepler. Cavalieri se adhirió conscientemente a la tradición materialista antigua representada por Demócrito, especialmente a la idea del átomo como componente indivisible de la materia.

También durante la Edad Media algunas nociones sobre magnitudes indivisibles habían desempeñado un papel más o menos relevante, si bien bajo un enfoque eminentemente teórico. De la palabra griega atomis (ατομισ, indivisible) procede, al traducirse al latín, la palabra indivisible. En su significado filosófico, es posible que la palabra indivisible, o parte más pequeña del continuo, fuera acuñada en el siglo XIV por el estudioso inglés Bradwardine. También en Kepler se pueden detectar ciertas nociones sobre los indivisibles; en ocasiones dice que los cuerpos representan superficies que se convierten en cuerpos; las superficies desempeñan, por así decirlo, el papel de los indivisibles respecto de los cuerpos.

Cavalieri intentó sistematizar todos estos datos y, como resultado de ello, publicó en el año 1635 un libro titulado Geometría indivisibilibus continuorurn... (Geometría de los indivisibles continuos presentada según un método nuevo); en 1653 apareció una edición mejorada. Sobre este libro se ha llegado a decir que, si hubiera en libros un premio para la oscuridad e incomprensibilidad, Cavalieri se habría llevado la palma. En efecto, resulta difícil hacerse una idea clara de los puntos de vista y los métodos de Cavalieri; en concreto, el autor no explica suficientemente qué se ha de entender, en sentido matemático, por indivisible. Posteriormente, Cavalieri, debido a los reproches que se le hicieron, utilizó las siguientes ideas: las figuras planas se pueden concebir como un tejido de hilos paralelos; los sólidos serían como libros compuestos por hojas paralelas. Sin embargo, existe una diferencia: los hilos (respectivamente las hojas) existen sólo en número finito y poseen, a diferencia de los indivisibles, un grosor finito.

Las ideas de Cavalieri, tan poco claras, podrían quizá ser interpretadas de la siguiente forma: los indivisibles son formas infinitamente delgadas, que poseen una dimensión inferior en una unidad al conjunto continuo formado por todas ellas.

¿De qué manera utilizaba Cavalieri, pues, los indivisibles? ¿Cuál era su método? ¿Cómo apareció el principio de Cavalieri, todavía hoy utilizado, por ejemplo en la enseñanza escolar, en su concepción original?

Cavalieri supone (fig. 8.5) que para toda figura plana cerrada se puede encontrar una recta A tangente (regula, o listón, directriz, regla), con un solo punto en común (veriex o vértice) con la curva que limita dicha figura.

0070.png
Fig. 8.5. Principio de Cavalieri en su concepción original

La regula posee infinitas paralelas que se alejan de ella hasta encontrar una, la tangens opposita (la tangente en el lado opuesto) B, que toca a la figura en último lugar. Entonces Cavalieri considera un plano 𝔄 que pase por A y otro 𝔅 paralelo a 𝔄 y que pase por B. Se desplaza 𝔄 paralelamente hasta superponerlo a 𝔅. Este movimiento es llamado por Cavalieri fluir: el concepto fundamental de magnitudes fluyentes desempeñará un importante papel en la historia subsiguiente de la matemática infinitesimal, en particular con Barrow y Newton. Las intersecciones (rectas) de los planos

infinitesimal, en particular con Barrow y Newton. Las intersecciones (rectas) de los planos fluyentes con la figura plana forman, en palabras de Cavalieri, “la totalidad de las rectas de la figura” (omnes liniae figurae), sobre esta expresión volvería Leibniz más adelante.

Para el espacio, Cavalieri procede de forma similar; el lugar de la regula lo ocupa un plano. La regula produce al deslizarse “la totalidad de los planos del sólido” (omnia plana solidi).

Por último, Cavalieri formuló su principio, expresado en dos teoremas fundamentales.

  1. La totalidad de los indivisibles de una y la misma figura es independiente de la regula.
  2. Las figuras planas, y también los sólidos, están en las mismas proporciones que la totalidad de sus rectas, respectivamente planos, tomados a partir de una regula cualquiera ([L 8.1, p. 113, citado en alemán en [LA 7, Vol. II, 1892, p. 761]).

Cavalieri utilizó estas proposiciones como una especie de axioma y fue consciente de su carácter heurístico. Consideraba su método como una regla pragmática, como un método que es válido y correcto porque proporcionaba resultados correctos.

0071.png
Fig. 8.6. Cálculo del volumen de la esfera por Cavalieri. La figura muestra la sección de una semiesfera con un cilindro circunscrito, en el que se inscribe un cono

Para el cálculo del volumen de la esfera, Cavalieri procede de la siguiente manera (fig. 8.6): en una semiesfera se circunscribe un cilindro y en el cilindro se inscribe un cono. Entonces un plano trazado perpendicularmente al radio OE produce círculos de radios AC, AD y AB, con CA2 + AO2 = CO2. Como AO = AB y CO = DA se sigue CA2 + AB2 = DA . Por tanto, multiplicando esta ecuación por π, se tiene que el área del círculo intersección del plano con la semiesfera más el área del círculo en el cono es igual al área del círculo en el cilindro. El plano no estaba acotado longitudinalmente. Lo que vale para una tema de cuadrados de indivisibles, concluye Cavalieri, vale también para su totalidad. Luego aplica su principio y obtiene

Vesfera + Vcono = Vcilindro

Y como Vcilindro= 3Vcono se sigue que

Vesfera=2/3Vcilindro

Indudablemente Cavalieri no aportaba con este resultado nada nuevo. Ya Arquímedes se había sentido especialmente orgulloso de este teorema. La contribución novedosa de Cavalieri consistió tan sólo en el uso sistemático del método basado en los indivisibles. No obstante, es mérito suyo haber resuelto, mediante ciertas manipulaciones, integrales que hoy expresaríamos así:

0072.png

Utilizando el principio de inducción, en 1647 consiguió una expresión general para la integral:

0134.png

La integración de estas funciones de potencias fue lograda simultáneamente y en diferentes lugares por otros científicos como, por ejemplo, Fermat y Wallis.

Dentro de la escuela matemática italiana de la primera mitad del siglo XVII otra personalidad a destacar es Torricelli; fueron también muy importantes sus aportaciones a la física, por ejemplo a la refutación del antiguo axioma aristotélico de la filosofía natural llamado del horror vacui. Siendo uno de los últimos alumnos directos de Galilei se hizo cargo de la redacción definitiva de los Discorsi galileanos, siguiendo las indicaciones de su maestro que se estaba quedando ciego.

Torricelli estaba familiarizado tanto con el método de exhaución como con el método de los indivisibles. Utilizando los dos procedimientos y combinándolos logró, de once formas diferentes, la cuadratura de la parábola y posteriormente la de la cicloide (la palabra cicloide proviene de Galilei).

El estudio del tiro parabólico de Torricelli muestra una enorme influencia de Galilei. Siguiendo el modelo de éste, Torricelli concibió las curvas geométricas, especialmente la parábola, como representación matemática de movimientos físicos reales, en este caso como el movimiento de un cuerpo lanzado al aire. Precisamente esta interpretación mecánica condujo a Torricelli al concepto de envolvente de una familia de curvas: observando la familia de parábolas que se forma al variar el ángulo de tiro, demostró el teorema que afirma que la envolvente de una familia de parábolas es de nuevo una parábola y que el lugar geométrico de los vértices de todas las parábolas de la familia es igualmente una parábola.

Otro descubrimiento matemático de Torricelli llegó a producir serias dudas sobre la exactitud de la matemática en general. Torricelli obtuvo, en efecto, la cubatura del hiperboloide de revolución: es éste el primer caso en que se trata una integral impropia. Con nuestra escritura actual, Torricelli descubrió que

0073.png

es decir, que el volumen de un cuerpo que se extiende infinitamente es finito y, además, igual al volumen del cilindro de altura a y radio 1/a. En aquella época, ciertamente, este resultado no dejaba de ser paradójico (fig. 8.7).

0074.png
Fig. 8.7. Volumen de un hiperboloide de revolución. Primera integral impropia, que aparece con Torricelli

I. 6. La aritmetización del método de los indivisibles
El método de los indivisibles no conseguía alcanzar un reconocimiento general. Los resultados eran demasiado dudosos y no totalmente fiables en sus aspectos lógicos. A ello se añadían inconvenientes de tipo práctico: el método de los indivisibles, en la forma dada por Cavalieri, apenas resultaba apropiado para el cálculo de áreas y fallaba en el de longitudes de curvas. Se hacía necesario, conservando el núcleo de las ideas del cálculo integral, apartarse de la forma geométrica y consolidar una matemática infinitesimal de tipo aritmético-algebraico.

En la resolución de este problema participaron una gran parte de los matemáticos de los años 30 y 40 del siglo XVII, como Gregory, Roberval y Fermat, entre otros. Este último, utilizando las ideas arquimedianas básicas, logró la cuadratura de una amplia clase de funciones descomponiéndolas en rectas; en concreto, la familia de parábolas de ecuación general

0075.png

las espirales

0076.png

y las hipérbolas

0077.png

donde m, n son números naturales primos entre si y m>n.

Los métodos empleados por Fermat, si bien ocultos en una nube de desarrollos secundarios y un sinfín de cálculos, equivalen, en términos actuales, al cambio de variable en la integración y a la integración por partes.

Aproximadamente en la misma época, hacia mediados del siglo XVII, Huygens lograba nuevos e interesantes resultados; rechazó el método de los indivisibles de Cavalieri por su inexactitud y volvió al método de exhaución de Arquímedes en sentido estricto. De esta manera, Huygens logró la rectificación de la parábola, la cuadratura de las superficies de revolución de segundo orden y, por último, en 1673, planteó toda una teoría sobre evolutas y envolventes. Sin embargo, posteriormente no supo aceptar el recién creado cálculo infinitesimal, ni en la forma del cálculo de fluxiones de Newton, ni en la forma del calculus de Leibniz.

Un ejemplo típico bastará para aclarar la aritmetización del método de los indivisibles, que permitió una mejor comprensión del paso al límite. Se refiere al inglés Wallis, quien también sobresalió como médico, lógico, teólogo y filólogo. Wallis se había dedicado originalmente al álgebra y, tras conocer los trabajos de Cavalieri y Torricelli sobre aspectos de la matemática infinitesimal, pasó a ocuparse asimismo de cuadraturas y cubaturas. Después de unos cuantos trabajos sueltos, en 1656 apareció su obra Arithmetica Infinitorum (Aritmética del infinito), que resumía sus anteriores publicaciones. El título no podía estar mejor elegido. Ciertamente, Wallis perseguía el mismo fin que Cavalieri, esto es, obtener cuadraturas y cubaturas, pero mientras Cavalieri enfocaba su método de forma geométrica, Wallis, por su parte, trató de proceder en lo posible analíticamente.

Cavalieri había demostrado el resultado siguiente: la totalidad de los cuadrados de indivisibles de un paralelogramo se relacionan con la totalidad de los cuadrados de indivisibles de un triángulo cualquiera, obtenido al tomar una diagonal, en la proporción 3:1. En notación actual, se puede decir que Cavalieri investigaba los límites

0078.png

y su cociente

0079.png

 

El teorema de Cavalieri admite una interpretación en el espacio: los volúmenes de los prismas y de la pirámide correspondientes se relacionan en la proporción 3:1, con lo que el límite anterior tiene valor 1/3 (fig. 8.8).

0080.png
Fig. 8.8. Deducción del volumen de la pirámide por medio del método de los indivisibles

Wallis consideró a continuación la relación existente entre el límite considerado por Cavalieri, calculado estereométricamente, y el problema de la cuadratura de la parábola[35], y descubrió la equivalencia entre

0081.png

es decir, la equivalencia entre el resultado de Cavalieri (a la izquierda) y la cuadratura de la parábola según Arquímedes. Inmediatamente después, por medio de una audaz inducción, proponía la siguiente equivalencia para la cuadratura (integración) de la parábola general y = xm(m > 0, entero)

0082.png

A diferencia de Cavalieri, Wallis llevó a cabo en forma aritmética la demostración del límite de la izquierda. Para m = 3 supuso que el resultado era ^ ; para n = 1,2, 3, ..., obtenía:

0083.png

con lo cual se tiene el límite

0084.png

La fracción, en que se excede ¼ tiene siempre por denominador números mayores que 4, y se hace cada vez más pequeña, de manera que se llega a hacer más pequeña que cualquier cantidad dada, y si esto se prolonga hasta el infinito, acaba por hacerse nula.

Y en otro lugar Wallis establece que:

la diferencia [con el valor verdadero, N.A.] se hace más pequeña que cualquier cantidad dada [LA 9, II, p. 823].

Con estas consideraciones, Wallis había completado el resultado general

0085.png

A partir de ahí, y de nuevo mediante inducción, Wallis afirmó la validez de esta fórmula

para todas las funciones de potencias

0086.png

para todo m ≠ -1, es decir para todo entero y racional, positivo o negativo e incluso para irracionales m, con la excepción m = -1.

Con este recurso a la inducción Wallis se situaba en la esfera filosófica de Bacon, el gran defensor del método de inducción de lo particular a lo general. No se trataba, en ningún caso, de una inducción matemática o completa. Sena Pascal quien primero hizo uso de esta novedad en el ámbito de las matemáticas. Wallis, por el contrario, había utilizado la inducción en sentido baconiano, como principio científico general; y por ello no había sentido la necesidad de demostrar de forma general el teorema. Para exponentes irracionales, naturalmente, no hubiera podido hacerlo.

El libro de Wallis, la Arithmetica infinitorum, contiene además el famoso producto infinito

0087.png

En la obra se introduce además el signo ∞, que es utilizado actualmente para el infinito, esto es, el ocho tumbado, símbolo de una figura cerrada en sí y que por tanto pude ser recorrida indefinidamente. Utilizada por vez primera por Wallis como vocablo técnico aparece la palabra interpolación. Por último, al generalizar el problema del cálculo del área del círculo, Wallis llegó incluso a considerar la integral general

0088.png

dependiente de los parámetros k y n.

I. 7. El problema de las tangentes
Ciertamente, examinando los métodos y resultados de Wallis se recibe la impresión de que el cálculo diferencial y el cálculo integral deberían haber surgido a la vez: pero no fue así.

Debía entrar en juego todavía, como componente históricamente necesaria, la discusión y superación del problema de las tangentes y su aplicación a problemas de valores extremos.

Esta compleja cuestión mereció especialmente la atención Fermat, que la trató bastante tempranamente y en profundidad. Alrededor de 1628/29 encontró un método para calcular valores extremos sencillos; posteriormente, alrededor de 1662, Fermat enlazó sus consideraciones sobre valores extremos con cuestiones físicas y así, por ejemplo, calculó el recorrido más corto de la luz en la refracción.

Aunque originalmente desarrolló su procedimiento sólo para funciones racionales, más adelante lo expresaría en toda su generalidad. El método, bien es cierto, carecía de una fundamentación rigurosa y se justificaba por su éxito; por ello, Fermat solía proclamar en sus obras, con orgullo justificado: No puede existir un método más general y bello.

El siguiente ejemplo procede de su obra El método para determinar el máximo y el mínimo (fig. 8.9):

Dividir el segmento AC por el punto E, de forma que el rectángulo AEC se haga máximo.

Designemos al segmento AC con B y llamemos A a una parte de B, luego la parte sobrante (de B) será B - A y el rectángulo formado a partir de las dos secciones será BA - A2, de aquí debe hallarse el valor máximo. Si ahora ponemos para una nueva parte de B, A + E, entonces la sobrante será BA - E y el rectángulo formado a partir de ambos valdrá

B×A - A2 + B × E - 2 × E - E2,

que comparamos con el rectángulo anterior BA - A2

Suprimiendo los términos comunes se obtiene

B × E - 2 × E - E2

y dividiendo por E queda

B =2A + E

Suprimimos E y resulta

B = 2A.

Luego la solución del problema consiste en dividir B en dos mitades (de [L 8.4, p. 2]).

0089.png
Fig. 8.9. Determinación de un valor extremo sencillo llevada a cabo por Fermat
 

Todo esto recuerda ya bastante a la formación posterior de los cocientes de diferenciales. En el enfoque de Fermat se considera también el valor de la función en un lugar próximo dado por un E, luego se divide por el E, supuesto todavía distinto de cero, y sólo al final se hace E = 0; entonces los términos donde E figura como factor desaparecen.

A partir del método para determinar los máximos y mínimos, Fermat desarrolló un procedimiento para construir tangentes de curvas (fig. 8.10). Considérese, por ejemplo, el problema de hallar la tangente en un punto B a una parábola cuadrática con el vértice en D (el lector observará que en el siguiente texto las letras mayúsculas se utilizan tanto para designar las longitudes de los segmentos como los puntos extremos de éstos: con ello se consigue una mayor fidelidad a la presentación original de Fermat).

0090.png
Fig. 8.10. Construcción de la tangente a una parábola cuadrática por Fermat

Por las propiedades de la parábola se tiene que CD : DI > BC2 : OI2. De los teoremas de semejanza se sigue que BC2: OI2 = CE2: IE2, luego CD : DI > CE2: IE2. Ahora CD = D viene dado y CE = A se ha de hallar. Si se pone CI = E (es decir, de nuevo con un ligero cambio) se tiene que

D : (D-E) > A2 : (A2 + E2 - 2AE).

Se procede ahora según el método de los extremos de Fermat para obtener finalmente DE2 - 2DAEA2E. Dividiendo por E se sigue que DE + A2 = 2DA. Se elimina entonces DE y queda A2 = 2DA, de donde A = 2D.

De esta manera queda construida la tangente.

I. 8. Pascal y el triángulo característico
El método de las tangentes de Fermat suscitó acaloradas disputas, en particular con los seguidores de Descartes. Esta controversia situó al problema de las tangentes en el centro del interés, lo que consecuentemente favoreció la formación del cálculo infinitesimal.

Fue nuevamente un matemático francés, Pascal, quien contribuyó de manera esencial a la resolución del problema de las tangentes; éste constituiría posteriormente un punto de partida directo para la invención por Leibniz del cálculo diferencial e integral.

En el año 1659 apareció en París un escrito de Pascal titulado Traité des sinus des quarts du cercle (Tratado de los senos de los cuadrantes circulares). Leibniz, durante su estancia en París a comienzos de los años 70, apreció en este tratado, como él mismo dijo, una gran luz, que ni el mismo autor ha visto.

El cálculo del momento estático de un cuadrante de circunferencia indujo a Pascal a considerar la siguiente figura (en presentación moderna) (fig. 8.11): se tiene un cuadrante circular ABC, sea E el pie del radio circular AE y D el punto de corte de la perpendicular que parte de E al eje X.

0091.png
Fig. 8.11. Pascal y el triángulo característico

Con un segmento tangencial GH se construye un pequeño triángulo rectángulo FGH, cuyos catetos son paralelos a los ejes coordenados. En virtud de la semejanza de los triángulos ∆ AED y ∆ HGF, se tiene la proporción AE : ED = HG : GF.

Expresado de otra manera: los dos rectángulos de lados AE y GF, HG y ED respectivamente tienen la misma área. E incidentalmente, Pascal hace la siguiente observación: para pequeños triángulos se puede sustituir el arco de curva por la tangente.

Leibniz se percató además de que las proporciones anteriores, y respectivamente, las áreas correspondientes, no sólo eran válidas para los arcos circulares sino para cualquier curva; bastaba sustituir el radio circular por la normal a la curva. Leibniz llamó al triángulo ∆ FGH (considerado como un infinitesimal), de lados ∆x, y y ∆s, triangulum characteristicum (triángulo característico).

I. 9. La consolidación de los métodos infinitesimales
El desarrollo de métodos infinitesimales más avanzados exigió un conocimiento más exacto de los métodos geométricos desarrollados en la Antigüedad y de los obtenidos por Kepler y Cavalieri, así como la familiarización con los métodos algebraicos de Vieta, Descartes y Fermat. Las distintas etapas de ampliación de los procedimientos antiguos, con el método de exhaución, la teoría de los indivisibles y la aritmetización de esta ultima se sucedieron históricamente, paralelamente al estudio de las tangentes, de la cuadratura de las parábolas más generales y de su aplicación a problemas sobre extremos.

Todos los aspectos mencionados conformaron las condiciones lógico-históricas necesarias para un cambio de tipo dialéctico en la formación de los métodos infinitesimales que, de este modo, sólo se pudo producir después de 1660. Con el desarrollo del cálculo de fluxiones por Newton y, finalmente, con la invención del calculus por Leibniz la matemática infinitesimal quedó configurada provisionalmente en cuanto a forma y contenido.

El siglo XVIII presenció un constante desarrollo de los métodos infinitesimales, la consolidación del concepto de función y los orígenes de áreas superiores del análisis, como por ejemplo la teoría de las ecuaciones diferenciales y el cálculo de variaciones; todo ello estuvo acompañado de disputas ideológicas y metodológicas sobre la naturaleza de lo infinitamente pequeño.

La matemática infinitesimal en la isla británica había ya contado con un destacado representante, Wallis. Además de él, merece ser destacado de entre el gran número de pioneros de la matemática infinitesimal un joven compatriota suyo, Barrow, que demostró que el problema de la cuadratura y el de la tangente son problemas inversos uno de otro; en formulación moderna, se trata del descubrimiento del teorema fundamental del cálculo diferencial e integral[36].

I. 10. Isaac Newton y el cálculo de fluxiones
Gracias a su maestro Barrow, Newton pudo conocer ya en su época de estudiante las ideas básicas de aquella matemática infinitesimal en pleno desarrollo, a saber la de las magnitudes fluyentes que el primero expuso en sus Lectiones mathematicae de 1664-66. Cuando Newton, debido a una devastadora peste, abandonó la universidad de Cambridge y se refugió en su aldea natal, poseía ya los conocimientos básicos de las ciencias naturales modernas y de las matemáticas; allí, en la quietud del campo, durante los años 1665-67 fueron madurando, además de las ideas básicas de la gravitación y de la teoría de la luz, su concepción de la matemática infinitesimal. Allí creó los fundamentos tanto del cálculo de fluxiones como de la teoría de series infinitas.

No obstante, Newton se tomó su tiempo hasta que pudo y quiso hacer accesible estas ideas, en forma sistemática, a la comunidad científica. Por otra parte, los trabajos de Newton en el ámbito de la matemática infinitesimal estaban en relación más que directa con la culminación definitiva de la estructura de la mecánica clásica. De ahí que Engels observe:

El primer periodo de las modernas ciencias naturales concluye, en el ámbito de lo inorgánico, con Newton. Se trata de la consolidación de los materiales heredados, que tanto habían significado en el campo de las matemáticas, la mecánica y la astronomía, la estática y la dinámica, especialmente gracias a Kepler y Galileo, y de los que Newton extrajo todas sus consecuencias [L 8.16, p. 465].

De entre las contribuciones de Newton a la matemática infinitesimal se han de considerar, esencialmente, tres tratados independientes y algunos pasajes más amplios de los Principia.

En este conjunto aparece, en primer lugar, una Teoría de series, que probablemente fue ya esbozada en 1665-66, pero que no se publicaría hasta 1711. Se debe tener también en cuenta el Tractatus de quadratura curvarum, elaborado alrededor del año 1676 y publicado en 1704 como apéndice a la Optica. Se incluye asimismo una exposición resumida del cálculo de fluxiones, escrita primero en 1671-72 en latín y que sólo en 1736, después de la muerte de Newton, apareció en inglés bajo el título de The Method of Fluxions and Infinite Series.

Por último, Newton, en el apartado I del Libro I de los Principia, desarrolla su método de las primeras y últimas razones, con el que pretende proporcionar los fundamentos teórico, matemáticos para el tratamiento analítico de los problemas físicos. Su intención era prescindir tanto del antiguo método de cálculo de los puntos límite por medio de demostraciones indirectas, como del método, difícilmente manejable, de los indivisibles.

Por ello se aplicó a fundamentar con rigor un auténtico paso al límite, lo que se consigue por medio del siguiente teorema, que utiliza como una especie de principio:

Las magnitudes, e igualmente proporciones entre magnitudes, que en un tiempo dado se acercan continuamente a la igualdad y antes del fin de dicho tiempo, vienen a estar una de otra cada vez más cerca que cualquier cantidad dada, llegan a ser iguales una a la otra [L 8.27, p. 46].
He anticipado [...] [esto, N. A.] para en el futuro estar dispensado de las prolijas demostraciones usando la contradicción, a la manera de los antiguos geómetras. Las demostraciones se hacen más cortas por el método de la magnitudes indivisibles. Pero puesto que el método de los indivisibles es algo malsonante y por ello, sostenido por pocos geométricamente [es decir, matemáticamente, N. A.] prefiero entonces basar las demostraciones de los teoremas siguientes en las sumas y relaciones últimas y en evanescentes magnitudes devinientes [L 8.27, p. 53].
Aquellas proporciones últimas, con las que las magnitudes desaparecen, no son en realidad las proporciones de las magnitudes últimas, sino los límites a los que las proporciones de magnitudes constantemente decrecientes se aproximan continuamente, a los que se aproximan más que cualquier diferencia dada, y a los que no obstante nunca superan, y a los que no pueden alcanzar antes de que las magnitudes se reduzcan infinitamente [L 8. 27, p. 54].

No se puede por menos que admirar la aguda visión de Newton en atisbar las dificultades lógico-conceptuales ligadas al paso al límite, tarea por cuyo esclarecimiento luchó en vano toda su vida.

Newton basó su matemática infinitesimal en analogías con la cinemática, del mismo modo que la forma que dio al cálculo infinitesimal se basa, en última instancia, en concepciones básicas de la filosofía natural y de la mecánica-física.

A partir de Newton se afirma la existencia objetiva de un tiempo que transcurre independientemente de todos los sucesos. Todos los cuerpos se mueven en un espacio que existe objetivamente y que es independiente de todos los cuerpos que contiene. Todas las magnitudes variables, en particular las magnitudes matemáticas, lo son en el sentido de magnitudes físicas que dependen del tiempo que transcurre objetivamente. Por medio de un fluir en el tiempo, de un movimiento continuo, a partir de puntos surgen líneas; a partir de líneas, superficies; a partir de superficies, sólidos, etc. De este modo Newton se sitúa de lleno en la línea tradicional de Demócrito, Kepler, Cavalieri, Wallis, Barrow. Estas magnitudes matemáticas que fluyen las llamó Newton fluentes (es decir, fluyentes). Sus velocidades, que hoy consideramos como derivaciones de una variable respecto al tiempo, se llaman fluxiones.
Considero aquí las magnitudes matemáticas no como compuestas de partes extraordinariamente pequeñas, sino como descritas por el movimiento continuo [L 8.19, p. 3].

Las magnitudes indeterminadas las contemplo en lo que sigue como crecientes o decrecientes en movimiento continuo, esto es como fluyentes o defluyentes. Y las designo con las letras z, x, y, v y sus fluxiones o velocidades de crecimiento las expreso con las mismas letras y un punto encima, es decir 0093.png, 0092.png, 0095.png. De estas fluxiones hay de nuevo fluxiones o cambios más o menos rápidos, Se pueden llamar segundas fluxiones de z, x, y,v y designar así: 0098.png, 0097.png, 0096.png, 0095.png [L8.19, p. 7].

El tercer concepto importante del cálculo de fluxiones de Newton es el momento de una magnitud. Newton lo describe como incremento todavía perceptible de una magnitud y lo designa con o. Por tanto, si o es el momento del tiempo, xo es el momento del fluente x y 0092.png; esto último corresponde aproximadamente a lo que actualmente es la diferencial.

Sobre estas concepciones básicas se asienta el cálculo de fluxiones de Newton, que se configuró como un medio matemático de amplio alcance para resolver problemas físico, mecánicos al tiempo que como una teoría matemática cerrada en sí misma. Newton abordó tres grandes grupos de temas:

  1. Dada la relación entre las fluentes, determinar la relación entre sus fluxiones. Este es el problema fundamental de la diferenciación.
  2. Dada una ecuación, que contiene además de fluentes, fluxiones de magnitudes, hallar la relación entre las fluentes; este es el problema fundamental de Ja integración. Incluye expresamente no sólo el problema de la determinación de la función primitiva, sino también el de la integración de ecuaciones diferenciales.
  3. Aplicación del cálculo de fluxiones a la determinación de las tangentes de curvas, al cálculo de máximos y mínimos y la curvatura de curvas, a la cuadratura y a la rectificación de curvas, etc.

El problema de la integración (cuadratura) aparece como el recíproco de la diferenciación (construcción de fluxiones). Puesto que la construcción de fluxiones es, en cuanto al cálculo, algo relativamente sencillo, que se puede llevar a cabo casi de forma rutinaria, extendiéndose también a irracionalidales como, por ejemplo, funciones de raíces, Newton da en su Quadratura curvarum una tabla de resultados de integración, que él había obtenido mediante la interpretación inversa de diferenciaciones.

Esta concepción fundamental, la integración considerada sencillamente como inversa de la diferenciación, se mantuvo todavía durante largo tiempo. Hubo que esperar hasta el siglo XIX para que se considerara la integración como operación matemática independiente de la diferenciación.

Los siguientes ejemplos proceden del Method of Fluxions. Se trata de diferenciar la ecuación x3 + ax2 + axy + y3 = 0, donde x e y son variables dependientes del tiempo. Newton la resolvió así:

Dada la ecuación x3ax2 + axyy3 = 0, sustituimos x por x + 0092.pngo e y por y + 0093.pngo, obteniendo

0100.png

Ahora, como por hipótesis x3ax2 + axyy3 = 0, se elimina del primer miembro; los términos resultantes se dividen por o, y queda

0101.png

Pero como se supone que o es infinitamente pequeño y que debe representar los momentos de las magnitudes, los términos que están multiplicados por o no se deben tener en cuenta, por lo que se desprecian y queda

0102.png

(L 8.18] pp. 24-251, en inglés).

El siguiente ejemplo muestra la integración de una ecuación, que contiene tanto fluentes como fluxiones: para

0093.png + 0092.pngyy

da Newton como solución el desarrollo en serie

0103.png

La historia subsiguiente de la matemática infinitesimal estuvo marcada, en el siglo XVIII, por la amarga controversia sobre la prioridad en el descubrimiento del cálculo infinitesimal, en la que se enzarzaron los seguidores de Newton y Leibniz, disputa que perduró hasta bien entrado el siglo XX, estando acompañada de sentimientos nacionalistas. Hoy está fuera de toda duda que Newton y Leibniz descubrieron de forma totalmente independiente la matemática infinitesimal. Newton descubrió el cálculo de fluxiones antes de que Leibniz elaborara su cálculo diferencial e integral, pero Leibniz publicó primero sus resultados[37].

Leibniz y Newton mantuvieron durante los años 70 algo de correspondencia acerca de la matemática infinitesimal, si bien con cierto retraimiento por parte de Newton. Así, Newton no comunicó en el año 1676 directamente su cálculo de fluxiones, sino sólo en forma de dos anagramas, es decir, en forma oculta tras una transposición de letras. El primer anagrama rezaba

6a cc d cíe 13eff 7i 319n 4o 4q rr 4s 9t 12v x.

La transcripción de lo anterior queda así: Data aequatione quolcunque fluentes quantitates involvente fluxiones invenire et vice versa (dada una ecuación con un número arbitrario de magnitudes fluyentes, hallar sus fluxiones y viceversa). A Leibniz le debió parecer el anagrama incomprensible, aunque él mismo había hallado ya por entonces el cálculo diferencial e integral. Se ha dicho alguna vez que se hubiera necesitado mucho más ingenio para resolver este anagrama que para inventar uno mismo el cálculo diferencial e integral.

I. 11. G. W. Leibniz y la invención del cálculo
Si Newton, en el desarrollo del cálculo de fluxiones, se había guiado por consideraciones de tipo físico-mecánicas, en Leibniz, junto a su adhesión ideológica a la teoría de los indivisibles, emana de un pensamiento fuertemente impregnado de consideraciones filosófico-gnoseológicas. Del encuentro entre estas dos ideas surgió el cálculo diferencial e integral el calculas, como se decía en aquella época.

Leibniz poseía una increíble vivacidad intelectual y una riqueza de pensamiento casi inagotable. Sus trabajos abarcan las matemática y la teología, la física y la biología, la lógica teórica y las ciencias históricas, la organización de la ciencia y la teoría del conocimiento.

Durante los años 1672-76 permaneció en París como diplomático, asimilando con gran interés la matemática más novedosa de entonces. Desde sus años de estudiante, Leibniz había acariciado la idea de conseguir un lenguaje universal mediante el cual fuera posible entresacar, de entre todos los enunciados posibles que pueden ser obtenidos por combinación de conceptos simbolizados por letras, gracias a una especie de cálculo formal, aquellos que fueran verdaderos. Ciertamente esto era utópico, pero a larga se trataba de una brillante idea que incidiría en el desarrollo de la lógica matemática posterior.

Por este motivo, Leibniz se convertiría, junto a Descartes y Euler, en uno de los creadores más significativos de la simbología matemática moderna. Esta era su exigencia:

En cuanto a las expresiones, es conveniente fijarse en que sean cómodas para el trabajo inventivo. Que será el caso siempre que representen brevemente la naturaleza más interna de las cosas. De esta manera se simplifica de forma increíble el trabajo de la mente [L 8.14] p. 74].

Conforme a esta máxima, Leibniz se asesoró con numerosos matemáticos sobre la elección de los símbolos. A él se deben los signos d y ∫ (la palabra integral fue introducida por los hermanos Bernoulli), la utilización de índices e índices dobles, la forma de escribir la proporción con los dos puntos y el signo de la igualdad, una determinada manera de representar los determinantes, la palabra función, etc.

Leibniz, debido a su mala memoria, tenía la costumbre de anotar todas sus ideas e intenciones. Una nota del 29 de octubre de 1675, escrita en París, documenta una hora estelar en la historia de la matemática, el nacimiento del calculus:
Será útil, en lugar de la totalidad de Cavalieri, es decir, en lugar de «la suma de todos los y», escribir de ahora en adelante ∫y dy. Aquí se muestra por fin un nuevo género del cálculo, en relación con la adición y la multiplicación. Si por el contrario se da ∫y dy = y2/2, se ofrece entonces inmediatamente el segundo cálculo, que convierte a (d y2/2) de nuevo en y. Igual que el signo ∫ aumenta la dimensión, el signo d la disminuye. Pero el signo ∫significa una suma, d una diferencia[38] [L 8.29, p. 46].

Leibniz conservó durante mucho tiempo la idea de escribir una exposición coherente de la matemática infinitesimal, una scientia infiniti; sin embargo las circunstancias en las que se desarrolló su vida después de 1676 no se lo permitieron. Sólo consiguió publicar resultados aislados, si bien bastante importantes. Por ejemplo, en 1682 dio a conocer la serie infinita de π/4, el criterio de convergencia para series alternadas y estudió además la ley de refracción de la óptica como un problema de valores extremos. En el año 1684 apareció la memoria Nova methodus... (Nuevo método de los máximos y mínimos y de las tangentes, para el cual no son obstáculos las magnitudes fraccionarias ni irracionales y un nuevo tipo de cálculo especial para esto). Contiene una especie de definición de la diferencial, las reglas sin demostración de la diferenciación de sumas, productos, cocientes y potencias, la regla de la cadena y además las condiciones dv = 0 para los extremos y ddv = 0para los puntos de inflexión. Por primera vez aparece la palabra ecuación diferencial; siguen, por ultimo, aplicaciones geométricas. Dos años más tarde se utiliza por primera vez de forma impresa el signo de la integral. En sucesivos trabajos demostraría el alcance del nuevo método mediante ejemplos: resistencia elástica de una viga, isócrona, medida de la energía, catenaria, etc. La era de la matemática infinitesimal había comenzado.

La gran ventaja del cálculo infinitesimal de Leibniz residía en su manejabilidad; ésta fue la base de su definitiva victoria sobre el cálculo de fluxiones newtoniano.

Leibniz fue totalmente consciente de la magnitud de las imperfecciones y contradicciones lógicas de su concepto de diferencial y del tratamiento que había dado a las magnitudes infinitamente pequeñas. Existen numerosas y diferentes manifestaciones, incluso en ocasiones contradictorias, de Leibniz acerca de la relación con lo infinito; el siguiente pasaje procede del año 1702.

De ahí que para evitar estas sutiles controversias, me contentaba, pues quería hacer mis reflexiones generalmente comprensibles, con explicar el infinito por medio de lo incomparable, es decir, suponía magnitudes, que son incomparablemente mayores o menores que las nuestras. De esta manera, pues, se obtiene un número arbitrariamente grande de grados de magnitudes incomparables, de manera que un elemento incomparablemente menor pueda ser eliminado en el cálculo, cuando se trate de la verificación de uno incomparablemente mayor. Así por ejemplo, una partícula de materia magnética que penetra el vidrio es incomparable a un grano de arena, o éste a la esfera terrestre, y la esfera terrestre por último al firmamento [...] No obstante hay que considerar aquí que las magnitudes incomparablemente pequeñas, tomadas ellas mismas en su sentido habitual, no son en ningún momento constantes y determinadas, sino que, antes bien, puesto que se pueden suponer tan pequeñas como se quiera, en consideraciones geométricas [es decir, matemáticas, N.A.] representan el mismo papel que los infinitésimos en sentido estricto. Si un adversario de nuestros teoremas quisiera negar su validez, entonces nuestro cálculo mostrará que el error es menor que cualquier cantidad dada, ya que está en nuestro poder disminuir lo bastante para nuestros fines lo incomparablemente pequeño, pues se puede suponer tan pequeño como se quiera, y sin duda se halla ahí la prueba rigurosa de nuestro cálculo infinitesimal [LA 1, pp. 165-166].

Ciertamente este pasaje encierra elementos de pensamiento racionales y dialécticos que bien podrían haber servido para la clarificación de los difíciles problemas conceptuales del paso al límite; en efecto, en ellos están ya las bases de una concepción de lo infinitamente pequeño como una magnitud potencialmente evanescente.

LECCIÓN 9
LA ILUSTRACIÓN: EL DESARROLLO DE LOS MÉTODOS INFINITESIMALES

030.jpg
Portada de la Introductio in cincilysin inflnitorum de L. Euler (Lausana, 1748)

§ 1
La ampliación de los métodos infinitesimales

Contenido:
I. 1. Los orígenes de una teoría de series infinitas
I. 2. La formación del concepto de función

Las múltiples dificultades teóricas con las que se hubieron de enfrentar tres generaciones sucesivas de matemáticos confirma el valor de las aportaciones intelectuales de éstos, que condujeron a una revolución científica radical en las matemáticas. De ahí que Engels observe:

De todos los progresos teóricos ninguno representa verdaderamente un triunfo mayor del espíritu humano que la invención del cálculo infinitesimal en la segunda mitad del siglo XVII. No será fácil encontrar en ningún lugar como aquí un acto tan puro y exclusivo del intelecto humano [L 9.20, p. 530].

I. 1. Los orígenes de la teoría de series infinitas
Ejemplos de series infinitas aparecen bajo formas diversas antes del siglo XVII. Leibniz, en su juventud, dando ya indicios de sus ambiciones matemáticas, había investigado sumas de series infinitas, proclamando ostentosamente que él era capaz de dar la suma de toda sucesión infinita de números, subestimando naturalmente las dificultades que ello encierra. No obstante encontró, por ejemplo, la suma de la serie de los recíprocos de los números triangulares: así, para hallar la suma de la serie

0104.png

Leibniz pone

0105.png

y compara esta serie con la serie

0106.png

y con

0107.png

Sumando B - 1 con ½A obtiene

0108.png

de donde la suma de A es 2. El resultado es, efectivamente, correcto, pero la argumentación resulta actualmente insostenible; de hecho, la serie B con la que compara resulta ser ¡divergente!

El origen histórico de la teoría de las series infinitas se ha de buscar en el problema de las cuadraturas. Aunque Wallis había logrado resolver por inducción el problema de la cuadratura de toda función parabólica y = xm (m entero o fraccionario, racional o irracional), el caso excepcional m = -1 era causa de continuos quebraderos de cabeza. Faltaba por encontrar la relación con la función logarítmica.

En 1668 el inglés Lord Brouncker dio a conocer un desarrollo en serie que había obtenido mediante la cuadratura geométrica del trozo de superficie encerrada debajo de la hipérbola xy = 1. En términos actuales, se trata del siguiente desarrollo en serie:

0109.png

En el mismo año apareció un trabajo de Gregory en el que abordaba la cuadratura del círculo y de la hipérbola. En este trabajo aparecen por primera vez con uso especializado las palabras divergente y convergente (del latín, vergere, acercarse).

El año 1668 fue, verdaderamente, decisivo para la teoría de las series infinitas: el comerciante N. Mercator, que era originario de Holstein aunque vivió en Inglaterra, publicó un libro, con el título Logarithmotechnica, en el que establece la relación entre la función logaritmo y la cuadratura de la hipérbola. Puesto que la fórmula general de integración

0110.png

falla para m = -1, Mercator parte del integrando 1/(1 + x) y obtiene

mediante la aplicación formal de las reglas de división algebraica

0111.png

Luego recurre a la integración de las parábolas, y sin dudar lo más mínimo, integra la serie infinita:

0112.png

obteniendo así el desarrollo en serie de ln (1 + x).

Las publicaciones de Brounckcr, Gregory y Mercator sobre series logarítmicas fueron posteriores a descubrimientos similares de otros científicos, como von Hudde y Newton. Pero la Logarithmotechnica de Mercator liberó una especie de reacción en cadena: rápidamente aparecieron nuevas publicaciones y Newton se decidió a presentar ante la Royal Society una exposición coherente de la teoría de series, que ya estaba esbozada en gran parte, para dejar constancia, de esta manera, de sus méritos en este nuevo campo. Esto sucedió en 1668; el tratado lleva el título De analysi per aequationes numero terminorum infinitas (Del análisis por medio de las ecuaciones infinitas por el número de sus términos).

En sus investigaciones en teoría de series, Newton se apoyó particularmente en Barrow y en la Logarithmotechnica, pero él fue mucho más allá. La importancia de sus propios resultados y la presentación sistemática del material producido constituirán la base de una teoría independiente de las series infinitas.

Newton perseguía ante todo dos objetivos: la cuadratura de curvas complicadas y la resolución de ecuaciones. Para ello utiliza extensamente los desarrollos en serie; en el caso de la cuadratura, mediante la integración sucesiva término a término. Con el método de los coeficientes indeterminados encuentra, por ejemplo, para la ecuación y3 + a2y - 2a3 + axy - x3 = 0 el desarrollo en serie

0113.png

donde se supone que x es. de alguna manera, pequeño. Y aunque Newton desconocía en ese momento cualquier idea de convergencia, poseía, sin embargo, el suficiente instinto matemático para distinguir en cada ocasión el desarrollo en serie para pequeños x y para x muy grandes. Por ejemplo, para la ecuación

0114.png

y para x muy grandes obtiene el siguiente desarrollo en serie de potencias decrecientes

0115.png

En conjunto, las posibilidades que ofrecen los métodos en el De analysi... de Newton son de por sí extraordinariamente grandes. Entre otros, incluyen el método para invertir series y el de los coeficientes indeterminados. Con los desarrollos en serie se extraen raíces, se logran cuadraturas y rectificaciones, alcanzando éstos a funciones especiales, como la función exponencial, el logaritmo y las funciones trigonométricas.

Curiosamente el De analysi... no contiene el desarrollo del binomio, aunque por entonces Newton ya lo conocía y era sabedor de su gran alcance. Más adelante, en una carta enviada a Leibniz en 1676, describe Newton cómo, a partir de la cuadratura del círculo, es decir, de la integral

0116.png

llega al desarrollo general del binomio. En Newton, este desarrollo aparece en la siguiente forma

0117.png

donde m y n son enteros positivos cualesquiera (A representa el primer término de la serie, B el segundo, C el tercero, etc. Sustituyendo se obtiene la forma actual del desarrollo).

Gracias a los desarrollos en serie. Newton estuvo a punto de resolver la totalidad de las integrales de la forma

0118.png.

El método falla cuando

0119.png

positivo y entero o cuando

0120.png

es entero.

Gregory, por su parte, conocía, al parecer ya en 1668-70, las series de Taylor. Aunque murió a edad temprana, aportó importantes resultados a la matemática infinitesimal, especialmente en la teoría de series. A él se deben, por ejemplo, los desarrollos en serie de arctg x, 1/cos x y lntg x. Es además uno de los descubridores independientes del teorema fundamental del cálculo infinitesimal.

La teoría de series fue uno de los temas más ampliamente estudiados durante todo el siglo XVIII. Los matemáticos del continente, entre los que cabe destacar a los hermanos Bernoulli y a Euler, aportaron también interesantes resultados a la teoría de series. Se trataba, sin embargo, más de una ampliación en extensión que en profundidad, es decir, de un agotamiento de las posibilidades, previstas ya en el siglo XVII, para cuadraturas, rectificaciones, coplanación, resolución de ecuaciones, desarrollos en serie de funciones y solución de ecuaciones diferenciales, todo ello en relación con problemas astronómicos y mecánicos. Este desarrollo fue parejo a la ampliación de los aspectos formales de la teoría de series, que se convertiría así en una de las componentes fundamentales del análisis, herramienta segura y ampliamente utilizada. Sin embargo, faltaba por desarrollar todavía una teoría de la convergencia.

I. 2. La formación del concepto de función
Hasta cierto punto cabría considerar las tablillas de cálculo de la matemática babilónica, algunos desarrollos de la teoría de cónicas de Apolonio o las tablas astronómicas del Almagesto como etapas previas en la formación del concepto de función, al igual que quizá la teoría de latitudes de formas de Nicolás Oresme en la Edad Media europea.

Sin embargo, no se debe olvidar, al considerar estos preestadios, que la irrupción del concepto real de función pudo acontecer sólo tras el paso de una matemática de magnitudes consideradas de forma estática a una matemática de las variables, es decir, sólo después de que, en el tránsito del siglo XVI al siglo XVII, Vieta, Fermat y Descartes distinguieran de manera consciente entre magnitudes constantes y variables. El nacimiento de la geometría analítica contribuyó también directamente a la formación del concepto de función. A este respecto, Engels escribió:

El punto de inflexión en las matemáticas fue la magnitud variable de Descartes. Con ella se inventaban el movimiento y la dialéctica en las matemáticas, y con ella también y necesariamente el cálculo diferencial e integral, que comenzaron inmediatamente después y que Newton y Leibniz completaron en su totalidad [L 9.20. p. 522].

En Descartes, estas variables aparecían sólo, como diríamos hoy día, en expresiones algebraicas, pero posteriormente se impuso la concepción de las magnitudes fluyentes (fluentes, en la terminología de Newton) que constituirá, junto con el destacado papel que los desarrollos en serie de potencias comenzaban a representar en las matemáticas, el trasfondo intramatemático para la formación del concepto de función.

El uso de la palabra función (del latín functio; fungor, functus sum significa algo así como llevar a cabo, cumplir con una obligación) se debe a Leibniz. Al principio, en un tratado de 1673, habla todavía de la relatio entre applikaten (ordenadas) y abscisas, pero más adelante escribe que otras clases de líneas ejecutan en una figura dada cualquier función[39].

En tratados publicados por Leibniz entre 1692 y 1694 utilizaba la palabra funciones (del latín, functiones, en francés fonctions) en un sentido amplio, para designar cualquier clase de segmentos rectos (abscisas, ordenadas, cuerdas, secciones de tangentes, normales, subtangentes, subnormales) que dependen de un punto fijo o de los puntos de una curva dada. En octubre de 1694, Jakob Bernoulli utilizaba la palabra función todavía en este mismo sentido. Una nueva etapa en el proceso de formación del concepto de función se inició con la correspondencia entre Leibniz y Johann Bernoulli entre 1694 y 1698; Bernoulli, de acuerdo con Leibniz, hablaba de magnitudes, que se construyen de alguna manera a partir de magnitudes constantes e indeterminadas (1694). Mientras tanto, en los mismos años, Leibniz dejaba establecidos los conceptos de constante, variable, coordenadas, parámetro y ecuación algebraica y transcendente, casi en el mismo sentido que se usa actualmente.

Una primera definición explícita del concepto de función que recoge los diferentes aspectos del concepto que se estaba fraguando procede de Johann Bernoulli en el año 1718.

Definición: Se llama función de una magnitud variable a una magnitud que. de alguna manera, se compone de esta misma magnitud variable y de constantes ([L 9.5, Vol. II, p. 241] en francés).

En el mismo texto se encuentra también la utilización de la letra φ como signo de función; y si se trataba de una función de variable x, Johann Bernoulli escribía φx (el uso de la letra f y de los paréntesis f(x) se debe a Euler).

La concepción natural del análisis como una ciencia matemática acerca de las variables y sus funciones parece haber sido expresamente formulada por Euler, concretamente en su famoso libro Introductio in analysin infinitorum (Introducción al análisis de las magnitudes infinitamente pequeñas) de 1748. En él se define con mayor precisión el concepto de función ya introducido por Bernoulli[40]:

Una función de una magnitud variable es una expresión analítica construida, de alguna manera, con esta misma magnitud variable y con números o magnitudes constantes ([L 9.18, p. 18] en latín).

Previamente a esta definición, Euler había tratado de precisar el concepto de variable:

Una magnitud variable es una magnitud general o indeterminada que incluye en sí, sin limitación, todos los valores posibles [...] Por ello una magnitud variable incluye, sin limitación, todos los números, tanto positivos como negativos, tanto enteros como fraccionarios, tanto racionales como irracionales y transcendentes. Ni siquiera el cero y los números imaginarios se pueden excluir al hablar de una magnitud variable ([L 9.18, pp. 17-18] en latín).

Con la noción de función dada por Bernoulli y Euler concluye una primera etapa en la formación del concepto de función; noción que pronto se encontraría con nuevos problemas y peripecias de índole matemática: habiendo utilizado Euler el término expresión analítica, surgió rápidamente la pregunta de si cualquier curva trazable continua o discontinuamente, con pliegues o cruces sobre sí misma, posibles interrupciones, etc. podía considerarse la gráfica de una función. Simultáneamente se planteó la cuestión de qué clase de expresiones analíticas podían permitirse. Durante todo el siglo XVIII se limitó el sentido de expresión analítica a ecuaciones algebraicas y series infinitas de potencias.

Precisamente estas dos cuestiones -trazado arbitrario de curvas, clases de expresiones analíticas- estuvieron de gran actualidad cuando a mediados del siglo XVIII se pudo abordar matemáticamente el problema de la cuerda vibrante y, junto a las series de potencias, aparecieron también las series trigonométricas. Todo ello motivó discusiones que habrían de conducir definitivamente, a mediados del siglo XIX y coincidiendo con una profundización en los fundamentos del análisis, a un concepto general de función.

§ II
El desarrollo posterior de la matemática infinitesimal

Contenido:
II. 1. La extensión del cálculo de fluxiones
II .2. Las primeras exposiciones sistemáticas de la matemática infinitesimal

A finales del siglo XVII coexistían dos matemáticas infinitesimales, el cálculo de fluxiones y el calculus, que si bien eran más o menos equivalentes en cuanto a su alcance, en su aspecto externo parecían ser completamente diferentes.

Mientras en las islas británicas el cálculo de fluxiones logró mantener su primacía hasta comienzos del siglo XIX, en el continente el cálculo infinitesimal de Leibniz se imponía de forma relativamente rápida, en parte debido a que introducía una terminología más sugerente y fácilmente retenible en la memoria. Con un poco de malicia quizá, Leibniz comentaría más tarde que su calculus posibilitaba a los mediocres afrontar problemas que hasta la fecha sólo eran accesibles a los más aptos. Esta observación, interpretada positivamente, muestra también, sin embargo, hasta qué punto aumentaron las posibilidades de las matemáticas mismas y cuánto más fácil se hizo el camino hacia la matemática superior.

Varias generaciones de matemáticos trabajaron en la ampliación de los métodos infinitesimales. De las primeras generaciones cabe citar al matemático francés L’Hôpital y a Johann Bernoulli y su círculo, al que pertenecieron su hermano Jakob Bernoulli, su sobrino Nikolaus y sus hijos Nikolaus y Daniel Bernoulli. Todos ellos realizaron su labor todavía en tiempos de Newton y Leibniz, siendo por tanto pioneros de la matemática infinitesimal.

El puesto más relevante de la matemática del siglo XVIII pertenece por derecho propio a un alumno de Johann Bernoulli nacido en Basilea, Euler. A él se debe el casi increíble número de más de 860 obras originales y un gran número de destacados textos de divulgación tanto en matemáticas como en aplicaciones de las matemáticas.

El siglo XVIII fue testigo del trabajo, en el continente, de una pléyade de importantes matemáticos, de los que, en relación con el análisis, merecen ser nombrados D’Alembert, Riccati, Lagrange, Clairaut, Monge, Legendre y Laplace.

II. 1. La extensión del cálculo de fluxiones
Los matemáticos británicos del siglo XVIII elaboraron diversas síntesis del cálculo de fluxiones. La más importante de ellas es el Treatise of fluxions (1742), en dos volúmenes, de Maclaurin, con el que pretendía responder, al mismo tiempo, a los ataques del obispo reaccionario Berkeley contra el cálculo infinitesimal. A él se debe también el desarrollo en serie que lleva su nombre e incluso unas primeras consideraciones sobre los problemas de convergencia. Sin embargo, la idea de convergencia había sido ya formulada anteriormente (1715) por Taylor, secretario interino de la Royal Society, incluso para la forma más general, conocida con su nombre, en la que el desarrollo de una función en un punto próximo a otro a: se puede calcular por medio de una serie infinita cuyos términos corresponden a las derivadas de primer orden, de segundo, etc. Con la notación introducida posteriormente por Lagrange, lo anterior se expresa actualmente así:

0121.png

Por cierto que a Lagrange se debe también una forma para el resto en el desarrollo de Taylor.

A pesar de estas valiosas contribuciones individuales, a las que habría que añadir, ya a finales del siglo XVIII, a Landen y Waring, los matemáticos británicos se hallaban bajo la presión de una veneración, teñida de nacionalismo, por su insigne compatriota Newton, que propiciaba el rechazo de las ideas del extranjero Leibniz, al que además se le reprochaba, incluso oficialmente, haber plagiado a Newton, todo ello sin haber hecho un estudio detallado de su obra. Este aislamiento, en parte por culpa propia, de la matemática infinitesimal en la línea de Leibniz, que se estaba extendiendo rapidísimamente, hizo que el análisis británico quedara claramente rezagado con respecto al del continente. Esta situación se mantuvo hasta que, a comienzos del siglo XIX, un grupo de jovenes matemáticos, formado entre otros por Peacock, Babbage y J. Herschel, fundó en 1812 la Sociedad Analítica, que conseguiría, contra toda clase de resistencias, sustituir el cálculo de fluxiones por el cálculo infinitesimal de Leibniz.

II. 2. Las primeras exposiciones sistemáticas de la matemática infinitesimal
Las aportaciones de Leibniz en este campo se redujeron -por falta de tiempo y ocasión, pero también debido a una cierta veleidosidad de carácter- a monografías, por supuesto muy importantes. Cumplió, pues, su cometido histórico de gran promotor, que habría de fructificar en la formación de un nutrido grupo de entusiastas seguidores del nuevo cálculo. Hacia el cambio de siglo y gracias a una feliz combinación de los elementos del cálculo con las ideas fundamentales de las matemáticas, síntesis avanzada por Leibniz en forma y contenido, se habían encontrado ya los principales resultados del actual cálculo diferencial e integral y se había abierto el camino de la teoría de ecuaciones diferenciales y del cálculo de variaciones.

En 1696 apareció la primera síntesis de la matemática infinitesimal de Leibniz de la pluma del aristócrata francés L’Hôpital, un matemático aficionado. Su Analyse des infiniment petits contiene, entre otras cosas, las reglas de diferenciación de expresiones algebraicas, el cálculo de tangentes, de valores extremos, de puntos de inflexión, de evolventes y de envolventes.

El contenido propiamente matemático de dicho libro procede, sin embargo, de Johann Bernoulli que, previo pago de honorarios, había introducido, alrededor del 1691-92, al noble L’Hôpital en la nueva matemática infinitesimal[41].

Johann Bernoulli, que inicialmente se había interesado por la medicina, y su hermano Jakob, teólogo y trece años mayor, impresionados por las publicaciones de Leibniz sobre matemática infinitesimal, se aplicaron a esta nueva disciplina con gran entusiasmo. Jakob aceptó en 1687 la plaza de profesor de matemáticas en Basilea; Johann, por el contrario, llegó a ser profesor en Groningen, Holanda, en 1695. Tras la muerte de Jakob, en 1705. Johann le sucedió en Basilea, donde trabajó hasta su muerte en 1748. Desgraciadamente surgió entre los dos hermanos una gran rivalidad que se acrecentó paulatinamente hasta llegar a ofensas cada vez mayores y más virulentas. Jakob estaba dotado de un pensamiento más profundo y minucioso, mientras Johann, con más elegancia y lleno de ingenio, y también gracias a una dedicación a lo largo de un periodo mayor, contribuyó de manera más decisiva que Jakob al desarrollo posterior del cálculo infinitesimal.

Johann Bernoulli instruyó a sus hijos Nikolaus y Daniel junto con el mismísimo Euler; de esta manera Basilea se convirtió, durante algún tiempo, en el centro de la matemática moderna. Los tres estudiantes y amigos, Nikolaus, Daniel y Euler, se trasladaron en los años 20 a la Academia de San Petersburgo. Pronto surgiría allí un gran centro matemático, especialmente gracias a la labor desarrollada por Euler, quien ya en los años 30 comenzó a publicar una serie de libros de texto dedicados al cálculo infinitesimal y sus aplicaciones. Euler continuaría esta labor, con gran éxito, durante su estancia en la Academia de Berlín (1741-66) y durante su segundo periodo petersburgués, que vino a continuación. Se podría decir, incluso, que la concepción del moderno libro de texto de matemáticas, que comienza con los fundamentos de la materia y culmina, tras una exposición sistemática, con las líneas más recientes de investigación, fue ideado precisamente por Euler.

En 1734-36 Euler inauguraba una serie de libros de texto con una Mecánica en dos volúmenes, escrita completamente sobre la base del cálculo infinitesimal. Siguieron una Aritmética (impresa en 1738) y una obra sobre la Navegación (impresa en 1749). Al periodo berlinés pertenece un libro de texto acerca del cálculo de las trayectorias de planetas y cometas (aparecido en 1744). Y siguieron luego tres libros dedicados al cálculo infinitesimal, la Introductio in analysin infinitorum (Introducción al análisis de las magnitudes infinitamente pequeñas, dos volúmenes, escrito en 1745, impreso en 1748), las Institutiones calculi differentialis... (Iniciación al cálculo diferencial..., escrito en 1748, publicado en 1755) e Institutiones calculas integralis... (Iniciación al cálculo integral..., elaborado en 1763 y publicado entre 1768 y 1770 en tres partes). Al periodo de su segunda estancia en San Petersburgo pertenece el Método completo de álgebra (1770) y un libro sobre óptica.

La Introductio... reúne, según había concebido Euler, todo lo que se supone necesario para abordar con éxito el cálculo infinitesimal: el concepto de función, la clasificación y operaciones con funciones, los desarrollos de funciones y series infinitas, las funciones de varias variables, la función exponencial y el logaritmo y sus desarrollos en serie, las funciones trigonométricas y sus relaciones entre sí, fracciones continuas, etc. En el segundo volumen, Euler da una clasificación de las curvas y de sus propiedades: cónicas, asíntotas, curvas de tercer y cuarto orden, transformaciones de coordenadas, superficies y sus propiedades, etc.

El Cálculo diferencial se inicia con una detallada teoría de las diferencias. Sobre ellas construye el cálculo diferencial como el cálculo que surge al hacer, por así decirlo, pequeñas las diferencias. Por tanto, el cálculo infinitesimal consiste en el método de determinar las razones de los diferentes aumentos o incrementos de las funciones de una magnitud variable, cuando la variable de la que depende experimenta asimismo un incremento infinitesimal.

Las diferenciales, tal y como son concebidas por Euler, son en última instancia nulas. Pero, puesto que existen infinitos órdenes de magnitudes infinitesimales -ciertamente todas ellas nulas-, existen también razones de incrementos legítimas con significado geométrico; esto hace posible el cálculo infinitesimal.

Prescindiendo de estas dificultades lógico-conceptuales, el cálculo diferencial de Euler proporciona un moderno y atractivo aparato del cálculo infinitesimal: diferenciales de todos los órdenes, diferenciación de funciones algebraicas y transcendentes, resolución de ecuaciones diferenciales, diferenciación parcial, valores extremos, etc. Tan actual como el anterior resulta ser el Cálculo integral, que revela de igual manera la maestría de Euler en el dominio de lo formal.

Todos los libros de Euler están escritos con una claridad sorprendente y construidos con una gran destreza metódica. El Método completo de álgebra fue dictado por Euler, probablemente, a su sirviente, un oficial de sastre, y no mandó publicar el texto hasta que éste, lego en la materia, fuera capaz de comprender el contenido completamente.

Los libros de Euler, escritos en el más puro espíritu de la Ilustración, tuvieron un efecto difícilmente evaluable en toda su amplitud en el desarrollo de las propias matemáticas y desempeñaron también un papel destacado en la formación de la componente científica de la Ilustración.

§ III
Las nuevas posibilidades abiertas por la matemática infinitesimal

Contenido:
III. 1. Orígenes del cálculo de variaciones
III. 2. El inicio de una teoría de ecuaciones diferenciales
III. 3. Las aplicaciones de la matemática infinitesimal
III. 4. Controversias en torno a la matemática infinitesimal

Con la ampliación y consolidación de la matemática infinitesimal se abrió un gran campo de aplicaciones de las matemáticas o, al menos, se preparó el camino para su posterior tratamiento matemático. Aparece así un amplio espectro de problemas prácticos, especialmente mecánicos y astronómicos, con los que los matemáticos del siglo XVIII pudieron contrastar con sus propias fuerzas las posibilidades del nuevo cálculo.

Los Principia de Newton y la teoría general de la gravitación dejaron, junto con el cálculo infinitesimal, el camino libre al tratamiento matemático de numerosos problemas astronómicos: las órbitas de planetas y cometas, el cálculo de perturbaciones, el problema de los tres cuerpos, el movimiento de la luna terrestre y de las lunas de Júpiter, los eclipses de luna y de sol, la estabilidad del sistema solar y muchos otros más. Las mediciones de meridianos llevadas a cabo en 1735 en Perú y en 1736-37 en Laponia, bajo la supervisión del francés Maupertuis, demostraron que la Tierra está achatada por los polos, tal como había previsto la teoría de la gravedad de Newton. Se refutaba de esta manera la teoría del vórtice de Descartes, durante mucho tiempo predominante en la filosofía natural, según la cual la Tierra debería alargarse en los polos. En 1743 Clairaut, que también había estado en Perú, dio a conocer a la opinión pública su monografía Théorie de la figure de la terre. Simultáneamente, la exploración cartográfica de las gigantescas zonas coloniales se convirtió en un campo de la más intensa actividad matemática. Todo lo anterior ponía las bases, ya en el siglo XVIII, para un rápido y progresivo desarrollo de la geometría diferencial, sistematizada por Gauss en el siglo XIX.

III. 1. Orígenes del cálculo de variaciones
Ya Leibniz y los Bernoulli se habían planteado entre ellos y a sus colegas especialistas problemas relativos a la catenaria, isócrona y braquistócrona, que tenían por finalidad la búsqueda de curvas especiales y cuya resolución precisaba de planteamientos propios del cálculo de variaciones. Fue Jakob Bernoulli el primero en percibir la esencia de estos problemas, que no consistían en averiguar valores del argumento en los que una función tiene sus extremos, sino que se trataba más bien de encontrar, entre un número infinito de Sanciones de comparación, una función o curva del mismo tipo que produzca los mejores resultados.

A partir de estos problemas y durante todo el siglo XVIII el cálculo de variaciones se desarrolló, de la mano de los Bernoulli, Euler, Lagrange y otros, hasta alcanzar un nivel ciertamente asombroso. Problemas concretos en elasticidad, por ejemplo, filamentos neutros y flexiones de vigas, el problema general de los isoperímetros, el estudio de las líneas geodésicas en superficies convexas, la forma de los sólidos de rotación en movimiento en medios resistentes y otros muchos más fueron abordados con las nuevas matemáticas. Sobre la base del problema de Fermat del camino más corto de un rayo de luz se planteó también el principio general de la física-matemática llamado principio de mínima acción, suscitando acaloradas discusiones, pues éste se hallaba en estrecha relación con problemas filosóficamente relevantes en la época de la Ilustración.

III. 2. El inicio de una teoría de ecuaciones diferenciales
Nuevos problemas prácticos (por ejemplo, el movimiento vibratorio) o puramente matemáticos hicieron sentir la necesidad de una teoría, ya en desarrollo, de las ecuaciones diferenciales, tanto ordinarias, incluidas en sus rudimentos por Newton y Leibniz en sus cálculos infinitesimales, como en derivadas parciales.

Resulta sorprendente el nivel que llegó a alcanzar ya en el siglo XVIII la teoría de las ecuaciones diferenciales. Desde 1693 Leibniz operaba con ecuaciones diferenciales de primer orden de variables separadas. Junto a los Bernoulli, consiguió resolver, a finales de siglo, la ecuación diferencial

0122.png

conocida como ecuación de Jakob Bernoulli. A principios del siglo XVIII Johann Bernoulli ya hacía uso de la técnica del factor integrante. Euler, por su parte, se dedicó a desarrollar una teoría consistente de las ecuaciones diferenciales lineales de orden n, lo que le llevó a encontrar soluciones de la forma y = ekx para la ecuación lineal homogénea con coeficientes constantes, resultado que hizo público en 1763. Posteriormente, Euler encontraría también otras transformaciones para ecuaciones no homogéneas; el método, tan extendido actualmente, de variación de las constantes fue publicado por Lagrange en 1777, aunque Euler lo había utilizado ya ocasionalmente. Euler estudió también la ecuación de Bessel, la ecuación de Riccati y los polinomios de Legendre. Y, junto con Clairaut, analizaron condiciones de integrabilidad y encontraron el método de integración de diferenciales totales. D'Alembert y otros consiguieron también importantes resultados en el campo de los sistemas de ecuaciones diferenciales. Los conceptos de solución general, singular y particular fueron asimismo acuñados ya a mitad del siglo XVIII, obteniéndose la correspondiente interpretación geométrica de cada uno de ellos.

En el ámbito de las ecuaciones en derivadas parciales, el siglo XVIII no fue menos fructífero: se reconocieron y estudiaron los principales tipos de ecuaciones diferenciales en derivadas parciales de segundo orden en conexión con su significado físico. D'Alembert (1749) y Euler descubrieron que la oscilación de una cuerda queda completamente determinada dando las condiciones iniciales y de contorno. Alrededor de 1775 Daniel Bernoulli propuso una nueva solución para la ecuación de la cuerda vibrante. Partió de la idea de que el tono de una cuerda que vibra se compone de un tono fundamental y de una serie de sobretonos, deduciendo de ahí que la solución se ha de representar por una serie trigonométrica de la forma

0123.png

La mayoría de sus colegas dudaron, sin embargo, de la generalidad de este resultado, pero Bernoulli lo reafirmó como principio general, incidiendo con ello directamente en la definición de un concepto básico de las matemáticas, el concepto de función en cuanto a su contenido y alcance. Daniel Bernoulli defendió la tesis de que, eligiendo adecuadamente los parámetros a, b, c,..., α, β, γ..... toda curva o función se puede representar por una serie del tipo arriba indicado. Su teoría, según él, abría la posibilidad de reducir los movimientos existentes en la naturaleza, que aparentan no someterse a ninguna ley, a movimientos simples isócronos.

A pesar de los éxitos obtenidos en el estudio de las ecuaciones diferenciales, quedaban todavía pendientes algunas importantes cuestiones; por ejemplo, no se habían dado demostraciones ni de la existencia ni de la convergencia de los desarrollos en serie de las soluciones obtenidas. La solución de estos lemas se convertiría en un gran campo de trabajo para futuras generaciones de matemáticos.

III. 3. Las aplicaciones de la matemática infinitesimal
En el año 1736 apareció el libro de texto que Euler dedicó a la mecánica. Ya el propio título del libro, tan preciso, prueba por sí mismo que una nueva era había comenzado en el estudio matemático de los problemas del movimiento: Mechanica, sive motus scientia analytice exposita (Mecánica o la ciencia del movimiento expuesta a la manera analítica). En lugar de los métodos sintético-geométricos, predominantes hasta ese momento y que habían constituido todavía la principal herramienta de los Principia de Newton, se aplica ahora, de forma sistemática, la matemática infinitesimal, el análisis, al tratamiento de los problemas mecánicos. De esta manera, la Mecánica de Euler ejerció desde 1736 una acción programática sobre los matemáticos y científicos de su tiempo; Euler se convirtió en su guía. Su segunda Mecánica, publicada 30 años más tarde (1765) bajo el título Theoria motus (Teoría del movimiento), expone un tratamiento ampliado y sistemático de la mecánica puntual con métodos analíticos, presentando como novedad, entre otras cosas, el estudio del movimiento de una peonza (precesión de los equinoccios).

La mecánica celeste se convirtió en el campo favorito de aplicación de la matemática infinitesimal; gracias a ella se consiguieron importantes éxitos en la descripción minuciosa del movimiento de los planetas y del sistema Tierra-Luna. Se obtuvieron también, gracias a la aplicación directa de la matemática infinitesimal, algunos progresos de índole práctica: por ejemplo, en artillería, en la proyección de norias o turbinas de alto rendimiento para la producción de energía, en la determinación de formas favorables de los cascos de los buques y en la distribución de los mástiles en barcos de vela. En el año 1738 Daniel Bernoulli publicaba su Hidrodinámica; Euler, por su parle, propuso una colección de problemas estándar en artillería y en construcción naval que tuvieron una importante repercusión práctica.

Visto en su conjunto, el aprovechamiento de la matemática infinitesimal en la praxis productiva fue, sin embargo, bastante limitado. El estudio analítico de los problemas del movimiento en mecánica quedaba restringido a casos simples e ideales, renunciando, por ejemplo, a considerar el rozamiento, las propiedades de los materiales, etc., por lo que apenas se podían describir problemas auténticamente reales. A ello hay que añadir el efecto derivado de los medios de producción del absolutismo feudal, que contribuía, por su parte, a mantener el abismo social existente entre la praxis artesanal y la ciencia asentada en el núcleo dominante. De esta manera coexistían, en estratos sociales claramente diferenciados, por una parte, una ingeniería desarrollada, sorprendentemente, sobre una base empírico- artesanal y, por otra, una matemática pulida, académica; es decir, cultivada preferentemente en las academias. Sólo a finales del siglo XVIII la consolidación de la revolución industrial y la incipiente transformación de la ciencia en una fuerza productiva pudo favorecer el encuentro entre las matemáticas y la técnica.

III. 4. Controversias en torno a 1a matemática infinitesimal
Corresponde a la dialéctica de la historia el que la época de la Ilustración en Europa estuviera acompañada de la acción de filósofos oscurantistas y de la reacción política. También las matemáticas eran foco de continuas disputas ideológicas, motivadas en gran parte por las contradicciones conceptuales existentes en el tratamiento de los infinitesimales; a partir de éstas se quisieron apoyar y reforzar posiciones filosóficas idealistas.

Es bien sabido que Marx llevó a cabo estudios matemáticos con cierto detenimiento, ocupándose particularmente de los problemas históricos. De aquella época hablaba siempre como de un periodo místico en relación a las cuestiones fundamentales de la matemática infinitesimal y también a la polémica suscitada entre los partidarios de dicha matemática y los defensores del pensamiento tradicional.

Es decir, se creía incluso en el carácter misterioso del método de cálculo recién descubierto, que proporcionaba resultados verdaderos (e incluso sorprendentes en sus aplicaciones geométricas) siguiendo procedimientos matemáticos claramente falsos. Se había mistificado tanto, valorado en tanto el nuevo hallazgo, enloquecido en tal modo a los viejos matemáticos ortodoxos y provocado semejante vocerío en sus adversarios, que retumbaba incluso en el mundo de los legos y era necesario, pues, allanar el camino a los nuevos [L 9.19] p. 168].

En ocasiones los hábitos ideológicos de la época conducían a problemas matemáticos que hoy consideraríamos grotescos. Por ejemplo, el monje y matemático italiano Grandi advirtió que si en la serie

1 - 1 + 1 - 1 + -....

colocamos paréntesis en la forma

(1 - 1) + (1 - 1) + ...     o en la forma     1 - (1 - 1) - (1 - 1) -...,

la suma de la serie resulta 0 ó 1 respectivamente, lo que interpretó, en un tratado escrito completamente en serio, como prueba de la posibilidad de que Dios creara el mundo a partir de la nada. Otros matemáticos, ante este dilema, adjudicaron a la serie la suma de 1/2.

El poeta Swift se valió de su novela Los viajes de Gulliver (1726) para atacar soterradamente a la matemática infinitesimal. La polémica entre los científicos progresistas ingleses y el obispo Berkeley, el fundador del sistema filosófico idealista conocido como empirocriticismo, representa un caso histórico típico del abuso ideológico de los resultados científico-matemáticos, sin dejar de reconocer las acertadas criticas ejercidas por Berkeley sobre los puntos oscuros del cálculo de fluxiones.

En una publicación aparecida en 1734, The Analyst... (El analítico, o el razonamiento dirigido a un matemático no creyente, donde se examina si el objeto, principios y conclusiones del análisis moderno son comprendidos más claramente o deducidos con mayor evidencia que los misterios de la religión o los asuntos de la fe), Berkeley desarrolla un enérgico ataque contra el pensamiento ilustrado; el matemático incrédulo aludido aquí no era otro que el astrónomo y matemático librepensador Halley. Berkeley admitía que los fundamentos de la fe cristiana no eran ciertamente demostrables, pero rechazaba enérgicamente la pretensión de las ciencias naturales y las matemáticas de ser una ciencia mejor que la teología. Bien al contrario: las matemáticas, con su carácter ateológico o antiteológico, son tan inciertas en sus fundamentos que, si se acepta la matemática como ciencia, antes se ha de aceptar la teología como una ciencia certera.

Se tiene que reconocer, en efecto, que el gran autor del método de fluxiones [es decir, Newton, N.A.] utiliza las fluxiones como un andamio en una construcción, destinado a ser relegado, tan pronto como se hallen las líneas finitas que les son proporcionales. Pero estos términos proporcionales finitos se hallan con ayuda de las fluxiones. Lo que se consigue, por tanto, mediante tales proporciones y sus términos se ha de imputar a las fluxiones -de ahí que primero han de comprenderse éstas. ¿Y qué son estas fluxiones? Las velocidades de incrementos evanescentes. ¿Y qué son estos incrementos evanescentes? No son ni magnitudes finitas, ni
magnitudes infinitamente pequeñas, ni nada de nada. ¿No deberían llamarse entonces fantasmas de magnitudes desaparecidas? ([LA 31, pp. 337-338] citado en alemán [LA 1] p. 158].

Y concluye:

pero alguien, que ha de soportar una segunda o tercera fluxión, una segunda o tercera diferencia, no necesita en verdad, al menos así me parece a mí, meterse en ningún punto de la teología (citado en alemán [LA 32, p. 133]).

No obstante, el cálculo de fluxiones encontró enseguida defensores, como por ejemplo Jurin, secretario de la Royal Society, y Robins, un ingeniero militar que había escrito un libro muy famoso sobre los fundamentos matemáticos de la artillería. Por último, el Treatise of Fluxións, de Maclaurin, constituye una prueba más de las posibilidades abiertas por la matemática infinitesimal.

No sólo en Inglaterra, sino también en Holanda, hubo una fuerte campaña contra el Calculus de Leibniz, orquestada por Nieuwentijt, alcalde de Punnerend, cerca de Ámsterdam.

Entre los matemáticos que, en el continente, apoyaban al movimiento filosófico- político de la Ilustración, representaban el lado progresista Euler, Condorcet, Clairaut, Lagrange. Laplace... Entre ellos destacó, por sus puntos de vista abiertamente progresistas, D'Alembert que, junto a Diderot, se encargó de la publicación, desde 1751, de la Encyclopédie (Enciclopedia o diccionario de las ciencias, artes y oficios, ordenado según los principios de la razón). Esta obra tuvo una importantísima repercusión ideológica y contribuyó de forma esencial a la preparación de la gran Revolución Francesa de 1789-95. D'Alembert compuso una buena parte de los artículos matemáticos de la Enciclopedia, entre otros su famoso artículo dedicado a la palabra ¡imite, en el que da una definición exacta de punto límite.

Las siguientes dos citas originales, escritas a comienzos del siglo XIX. ponen -quizá precisamente desde una perspectiva que se ha hecho ya histórica- un énfasis especial en la necesidad de la fuerza de la razón y en la amplia equiparación entre Ilustración, materialismo mecanicista y matemática útil. La primera procede de Laplace:

Una inteligencia que, en un instante dado, conociera todas las fuerzas que actúan en la Naturaleza, así como la posición relativa de los elementos que la componen, y además fuera lo suficientemente completa como para someter dichas cantidades al análisis, podría deducir de las mismas fórmulas los movimientos, tanto de los cuerpos más grandes del universo, como de los átomos más diminutos; nada le sería incierto y tanto el futuro como el pasado serían visibles a sus ojos. El espíritu humano representa, en el acabado que pretende dar a la astronomía, una imagen débil de dicha inteligencia. Sus descubrimientos en los campos de la mecánica y de la geometría, junto con el descubrimiento de la gravitación general, le han colocado en situación de concentrar en la misma expresión analítica los estados pasados y futuros del sistema que constituye el universo [L 9.16, pp. 1-2].

El físico progresista Arago, que como secretario de la Academia de París pronunció una serie de elogios (verdaderamente dignos de leerse) a los académicos fallecidos, se expresaba así en 1842:

Cinco geómetras, Clairaut, Euler, D’Alembert, Lagrange, Laplace, se repartieron el mundo cuya existencia había revelado Newton. Ellos investigaron lo mismo en todas las direcciones, se internaron en regiones que se tenían por inaccesibles y proporcionaron numerosos descubrimientos que no se percibían con la simple observación. Lograron, por último, y a ello deben su fama imperecedera, aunar en un único principio, en una única ley, los fenómenos más recónditos y mejor guardados del movimiento celeste. La geometría tuvo la audacia de disponer del futuro; y el curso de los siglos confirma invariablemente los principios de la ciencia [L 9.2, p. 372].

Otra componente de la Ilustración, el convencimiento del progreso de la humanidad, a través no sólo de la razón y el pensamiento, sino también del perfeccionamiento de la producción con ayuda de la ciencia, fue asimismo asumida por matemáticos progresistas. El propio D'Alembert escribía en el prefacio de la Enciclopedia:

La obra que hemos comenzado, y esperamos que concluya felizmente, tiene un doble objetivo: como enciclopedia debe, tanto como sea posible, explicar el orden y encadenamiento de los conocimientos humanos, y como diccionario de la ciencia, artes y oficios, ordenado según los principios de la razón, debe contener de cada ciencia y cada arte -pertenezca a las libres o a las ciencias mecánicas- los principios fundamentales en los que se basa y las particularidades esenciales que condicionan su alcance y contenido [L 9.28, p. 343].

La referencia a la inclusión de los oficios, es decir, de la producción material y, sobre todo, a la clarificación de los conocimientos científicos que se hallan en la base de la producción, anticipa ya el periodo que se avecina, la Revolución Industrial, que planteará a las matemáticas nuevas exigencias tanto cuantitativas como cualitativas.

LECCIÓN 10
LA REVOLUCIÓN INDUSTRIAL: GEOMETRÍA DESCRIPTIVA, CALCULO DE PROBABILIDADES Y TEORÍA DE LAS ECUACIONES ALGEBRAICAS

031.jpg
Portada de la Géométrie Descriptive de G. Monge (París, 1794-95)

§ I
La posición social de las matemáticas y las ciencias naturales

Contenido:
I. 1. El carácter de la Revolución Industrial
I. 2. Nuevas exigencias sociales a las ciencias naturales
I. 3. Nuevas interrelaciones entre las ciencias naturales y la producción
I. 4. Principales tendencias en el desarrollo de las ciencias naturales
I. 5. Nuevas formas de organización de la ciencia
I. 6. La exigencia de una mejor enseñanza de las matemáticas

En el último tercio del siglo XVIII se produjo en Inglaterra la Revolución Industrial: pronto se extendió por Francia y Europa Occidental, en los años 30 del siglo siguiente en Alemania y los Estados Unidos y a mediados de siglo en Rusia.

I. 1. El carácter de la Revolución Industrial
Con la Revolución Industrial se inició un súbito desarrollo de las fuerzas productivas y una transformación profunda de la producción, que consistió esencialmente en el paso del trabajo manual en las manufacturas capitalistas a la producción mecanizada en fábricas. En la base de este proceso se hallaban dos revoluciones técnicas: la aparición de las máquinas- herramientas y el empleo de la máquina de vapor como fuerza motriz. La consolidación de ambas, así como la aparición de trabajadores asalariados libres, la ruina de la pequeña producción artesanal y la generación de pequeños capitales como consecuencia de la acumulación de épocas anteriores permitieron el sistema de fábricas y la consolidación del modo de producción capitalista.

También en las manufacturas se utilizaban máquinas. Sin embargo, la novedad revolucionaria no residía allí, ni tampoco en la separación del proceso de producción en numerosas manipulaciones y operaciones como consecuencia de la división del trabajo. El núcleo de la Revolución Industrial consistió más bien en la introducción de máquinas- herramienta que podían utilizarse en lugar de personas. Una máquina para tejer sin dedos, así elogiaba el inventor inglés J. Wyatt a la primera máquina de tejer. Una Historia de la Técnica aclararía este proceso central de la Revolución Industrial con detalle, deteniéndose en el caso de la máquina de hilar, del telar, del tomo y de la fresadora, y en inventos que, ideados todavía en el siglo XVIII o a comienzos del XIX, se convertirían en los precursores de la introducción ininterrumpida de las máquinas.

I. 2. Nuevas exigencias sociales a las ciencias naturales
La Revolución Industrial comenzó por plantear nuevas y crecientes exigencias a las matemáticas y a las ciencias naturales. La construcción de máquinas, puentes, ferrocarriles, armas, barcos y minas aumentó bruscamente las necesidades de hierro, acero, metales no férricos, carbón y otros materiales básicos, además de exigir el concurso de mineros, fundidores, químicos e ingenieros. La obtención de los productos requeridos en la producción textil, como ácido sulfúrico, sosa (carbonato de sosa), colorantes y tintes constituyó el principal campo de actuación de los químicos.

Determinados problemas relacionados con la construcción de piezas para máquinas, el transporte de energía, el rozamiento, la mecánica de precisión y la obtención de energía motivaron el que los físicos y una parte de los matemáticos entraran en una relación sin precedentes con la producción material. A ello se añadió el amplio interés social por las comunicaciones de largo alcance, rápidas y seguras.

Las ciudades industriales se extendían rápidamente y en ellas el naciente proletariado industrial se veía obligado a vivir bajo condiciones de vida infrahumanas. Esta situación trajo consigo problemas como el del abastecimiento, en cantidades hasta entonces desconocidas de víveres, agua, combustible, etc. y otros, como el tráfico en el interior de las ciudades, la iluminación de las calles y espacios de trabajo, los edificios elevados y las construcciones subterráneas. Se hacía necesario poder disponer de cantidades suficientes de víveres para una población en constante crecimiento, lo que sirvió a su vez para crear numerosos puntos de contacto entre las ciencias naturales y la agricultura.

Todo ello repercutió considerablemente en el ámbito científico. Bajo las condiciones de la Revolución Industrial el científico adquirió una nueva posición social: los medios de producción capitalista que se estaban desarrollando ofrecían la posibilidad de apreciar un descubrimiento científico que trajese algún beneficio a gran escala. No pocos recorrieron, a partir de entonces, el camino de científicos a empresarios capitalistas, caso, por ejemplo, del fabricante de sosa Leblanc y del ingeniero eléctrico W. Siemens.

I. 3. Nuevas interrelaciones entre las ciencias naturales y la producción
Conviene dejar bien claro que la Revolución Industrial se produjo al margen de la ciencia, en el sentido de que ésta no tuvo ninguna participación causal en la fase inicial de la Revolución Industrial. Los precursores de las transformaciones técnicas, Wyatt, Kay, Hargreaves, Arkwight. Wood, Maudslay, Whitwey y Crompton, se hallaban, como inventores, ingenieros, relojeros, tejedores, clérigos, mecánicos de precisión, etc., al margen de las tradiciones, hasta entonces académicas, de las ciencias naturales.

Más aún, la Revolución Científica de los siglos XVI y XVII supuso la emancipación del proceso de producción de algunas ramas de las ciencias naturales (astronomía, mecánica, parte de la óptica, geografía, importantes partes de la matemática), cristalizada en forma de reflexiones científicas sobre la naturaleza y sus leyes. La ciencia natural emancipada comenzaba a desarrollarse ahora sobre la base de sus propios métodos de investigación, siguiendo sus propias leyes sistemáticas e internas y constituyendo así un saber independiente y separado sociológicamente del proceso productivo. Un nuevo punto de encuentro entre ciencias naturales y producción aparece, en un plano superior, con el paso del sistema de manufacturas al sistema de fábricas durante la Revolución Industrial.

Efectivamente, sólo la definitiva consolidación de la Revolución Industrial, con el establecimiento de grandes sistemas de industrias y fábricas, posibilitaría una mayor receptividad a las ciencias naturales por la producción material.

Como observador extraordinariamente atento de su tiempo, Marx dedicó gran atención al estudio de la nueva posición, cuantitativa y cualitativamente diferente, ocupada por las ciencias naturales con respecto al proceso de producción, subrayando tres aspectos. En primer lugar, la ciencia natural existente se alineó -con el avance de la Revolución Industrial- de forma consciente al servicio del proceso de producción capitalista. En lo que respecta a los medios de propiedad en las ciencias naturales, es decir, la posición de las ciencias naturales dentro de los medios de producción, Marx hablaba reiterada y directamente de la explotación de la ciencia por el capitalismo. En cierto momento se expresa así:

La ciencia no cuesta al capitalismo nada en absoluto, lo que no le impide explotarla. La ciencia extranjera es incorporada al capital como trabajo por cuenta ajena [L 10.18, p. 407]

Por otra parte, la producción dentro de la gran industria proporcionó las posibilidades económicas y materiales que permitieron esclarecer e impregnar de talante científico los métodos de producción, todavía en gran parte empíricos; con ello se crearon posibilidades de emancipación para otras ramas de las ciencias naturales. Por último, este desarrollo de las fuerzas productivas anunciaba ya la incipiente transformación de la ciencia en una nueva fuerza productiva directa.

En otras palabras: con la formación incesante de nuevas ramas independientes de las ciencias naturales (química, geología, biología) y con la transformación de algunas partes de las ciencias naturales en ciencias técnicas (dibujo técnico, mecánica técnica, teoría de máquinas, etc.) aparece en el periodo de la Revolución Industrial una forma cualitativamente nueva de intercambio entre producción y ciencias naturales, que podría denominarse como nivel de aplicación. Bajo el lema general de Aplicación de... a... amplias áreas de la matemática y la física (cálculo infinitesimal, geometría descriptiva, mecánica, teoría del calor, óptica), importantes partes de la química orgánica e inorgánica, partes de la zoología, la botánica y la geología, se colocaron conjuntamente al lado de la producción.

1. 4. Principales tendencias en el desarrollo de las ciencias naturales

En vísperas de la revolución europea de 1848, Marx y Engels analizaron en el Manifiesto Comunista las consecuencias y causas de la Revolución Industrial:

La burguesía ha creado en apenas unos siglos como clase dominante fuerzas de producción más inmensas y colosales que todas las generaciones pasadas juntas: sometimiento de las fuerzas de la naturaleza, maquinaria, aplicación de la química a la industria y la agricultura, navegación a vapor, ferrocarriles, telégrafos eléctricos, cultivo de completas zonas de la tierra, canalización de los ríos, poblaciones enteras surgidas de la tierra. En el siglo pasado parecía que tales fuerzas de producción dormitaban en el seno del trabajo social [L 10.17, p. 467].

La ciencia natural contribuyó notablemente a este proceso. Las fuerzas productivas, en su desarrollo impetuoso, habían proporcionado a los científicos gran cantidad de estímulos, generando a la vez un campo de aplicaciones nuevo e inesperadamente amplio. En este contexto, las matemáticas y las ciencias naturales pudieron seguir fácilmente sus impulsos intracientíficos para desarrollarse rápidamente.

Aprovechando la creciente relevancia social de la geometría descriptiva se llevó a cabo, tanto en extensión como en profundidad, una ampliación y consolidación de la geometría: la geometría no euclídea supuso una revolución en los fundamentos de la geometría, la geometría proyectiva, la geometría analítica y la geometría sintética aparecieron como disciplinas matemáticas particulares con métodos de investigación y de trabajo propios. Los métodos del análisis, es decir, el cálculo diferencial e integral y la teoría de series infinitas, experimentaron una elucidación crítica y un análisis lógico de sus conceptos fundamentales. Aunque todavía no de forma explícita, pero anunciando ya otro tipo de matemática, aparecieron en el álgebra ciertas formas de pensamiento estructural. Cada vez más los centros principales de la matemática se situaban en los países europeos avanzados industrialmente; en los EE.UU. se iban creando las condiciones necesarias para el desarrollo constante de las matemáticas y de las ciencias naturales. En el ámbito de la física se desarrollaron, además de la mecánica clásica, otras ramas -electromagnetismo, óptica y termodinámica- hasta convertirse en campos de investigación independientes. El descubrimiento y formulación del principio de conservación de la energía reveló una conexión fundamental entre lodos los sucesos de la naturaleza. Paralelamente, y como consecuencia de la Revolución Francesa, se introdujo en numerosos países del mundo el sistema métrico decimal.

Junto a unas relaciones más intensas entre química y producción, comenzadas ya en las fases iniciales de la Revolución Industrial, se llevó a cabo una revolución científica en los mismos fundamentos de la química, que se asocia simbólicamente a los nombres de Lavoisier y Dalton. Junto a la química inorgánica apareció la orgánica y se destruyó el viejo dogma de la separación básica entre la naturaleza viva y la inanimada. La confección de la tabla periódica de los elementos conquistó para la química nuevas y extraordinarias formas de reflexión sobre la coherencia interna y la unicidad de las fuerzas de la naturaleza. En las ciencias biológicas el descubrimiento de la célula como estructura fundamental de la vida animal y vegetal tuvo una repercusión similar como catalizador y unificador para toda una disciplina científica. Al mismo tiempo, se obtuvieron numerosos resultados particulares que, por medio de la fisiología y la química, comenzaron a crear una base científica para la medicina. Astronomía, cosmogonía, paleobotánica, paleozoología y ciencias geológicas demostraron convincentemente que la tierra había tenido que poseer también su propia historia en el tiempo y en el espacio. Con ello el pensamiento evolucionista comenzó a destacar como principio ideológico determinante y desde mediados del siglo XIX y gracias a la teoría de la evolución el hombre fue reconocido como producto de la naturaleza.

I. 5. Nuevas formas de organización de la ciencia
Además del impetuoso desarrollo de las ciencias naturales, durante el periodo de la Revolución Industrial surgió un grupo de nuevas ciencias, el de las ciencias técnicas y de la ingeniería. Estas se formaron en los ámbitos donde entraron en contacto las ciencias naturales y las necesidades expansivas de las fuerzas productivas materiales, que hasta comienzos del siglo XVIII habían sido todavía cubiertas en gran parte sobre una base empírica o semiempírica.

Las ciencias técnicas que ahora se constituían encontraron su sitio en una nueva clase de centros científicos, los centros politécnicos, que deben su nacimiento a las nuevas exigencias sociales de la Revolución Industrial en ciencia y técnica.

Las escuelas politécnicas son un momento de este proceso revolucionario [la Revolución Industrial, N. A] desarrollado de forma natural sobre la base de la gran industria [L 10.18, p. 512].

El modelo de todas las escuelas politécnicas y de todas las escuelas técnicas superiores que aparecieron posteriormente fue la École Polytechnique (Escuela Politécnica) de París, que nació en 1794, todavía al calor de la Revolución, e impuso enseguida normas completamente nuevas para la formación de la juventud matemático-científica, por supuesto de acuerdo con el marcado interés clasista de la burguesía francesa. El secreto de su éxito consistió en su orientación hacia las matemáticas y ciencias naturales más avanzadas y en la unión conscientemente procurada de teoría y práctica. La enseñanza incluía numerosos ejercicios prácticos, con lo que se diferenciaba claramente de la carrera universitaria y de la vida científica en las academias de aquella época.

La Escuela Politécnica de París creció pronto por encima de sus objetivos nacionales. En las primeras cuatro décadas de su existencia, es decir, hasta los años 30 del siglo XIX, fue considerada, con todo derecho, el centro líder en el mundo en enseñanza e investigación de las matemáticas y las ciencias naturales. Allí trabajaron ente otros Monge, Lagrange, Laplace, Poisson, Cauchy, Poinsot, Poncelet, Ampère, Gay-Lussac, Malus, Fresnel, Dulong, Petit, Dumas, Berthollet, Vauquelin, Thénard, todos ellos nombres ilustres. Las aportaciones de estos hombres ocupan un lugar destacado en la historia de las matemáticas, de la física y de la química.

Todos los profesores de la Escuela Politécnica de París estaban obligados a imprimir sus lecciones en forma de libros de texto. De esta forma se crearon toda una serie de exposiciones sistemáticas de alto nivel de los modernos materiales científico-matemáticos, gracias a los cuales las matemáticas y las ciencias naturales francesas consiguieron una amplia repercusión internacional en el resto de Europa y los EE.UU.

No obstante, en la Escuela Politécnica de París se producían simultáneamente fervientes discusiones sobre si el alto nivel teórico de las lecciones y libros de texto era el adecuado para conseguir los objetivos previstos, a saber, la formación de ingenieros militares y civiles. Cauchy, por ejemplo, hubo de soportar continuos ataques sobre las innecesarias dificultades de su Cours d'Analyse, defendiéndose con el argumento de que precisamente cuanto mayor era el rigor y profundidad conceptual del material teórico, más fácil resultaba de aprender y dominar.

Aquellas discusiones entre los matemáticos y los que se ocupaban de cosas prácticas, sobre cuántas y qué tipo de matemáticas eran necesarias o superfluas en la práctica para la formación de ingenieros, se desarrollaron con gran vehemencia desde el inicio de la Revolución Industrial y a lo largo de todo el siglo XIX. También hoy en día, con las crecientes exigencias de práctica en las matemáticas y con las nuevas posibilidades de aplicación creadas por el desarrollo de las matemáticas, se siguen discutiendo las mismas cuestiones que durante la Revolución Industrial: se trata, naturalmente, de un problema fundamental, que ha de ser continuamente rediscutido según las nuevas circunstancias sociales.

La Escuela Politécnica de París hizo escuela. A medida que la Revolución Industrial se iba extendiendo, se instauraban en casi todos los países europeos económicamente desarrollados escuelas politécnicas: en Praga, Viena, Karlslruhe, Münich, Dresde, Stuttgart, Hannover, Kassel, Zúrich, Lisboa, Copenhague, y muchos otros sitios, en los que, naturalmente, el patrón básico parisino fue modificado, más o menos fuertemente, dependiendo de las tradiciones y condicionantes externas, locales o regionales, de las personas e instituciones estatales, del diferente grado de madurez de las fuerzas productivas y medios de producción.

I. 6. La exigencia de una mejor enseñanza de las matemáticas
Si bien antes de que estallara la Revolución Industrial una amplia parte de las matemáticas no había sido incluida de forma sistemática en la esfera de la producción material inmediata, conforme la Revolución Industrial progresaba se llevaron a cabo intentos sistemáticos de integrar las potencialidades de la matemática, como fundamento de las ciencias técnicas, en el desarrollo del proceso de producción. Esto concernía no sólo a los contenidos de las matemáticas, sino también al tipo de enseñanza y a cuestiones relativas a la propia formación matemática. La discrepancia, que se agravaba con el desarrollo social, entre unas prestaciones mayores reclamadas por los jóvenes ingenieros en las escuelas politécnicas y unas capacidades que, con el estilo de enseñanza y aprendizaje tan académico en aquella época, sólo se adquirían tras larga experiencia o con unas aptitudes completamente extraordinarias, estableció la base histórica de la necesidad de una mejor enseñanza de las matemáticas, de la mecánica y de otras partes de la física. Se trataba de evitar artificios en la solución de cada problema y en lugar de ello atacar problemas similares con los mismos métodos.

Las exigencias de una mejor enseñanza y de una mayor aplicabilidad de las matemáticas, especialmente del análisis, favorecían además, en último término, algunas tendencias intramatemáticas: supresión del uso intuitivo de conceptos tales como función, continuidad o diferencial y del tratamiento vacilante de la convergencia de series, etc. El teorema general, que resulta de la revelación de las circunstancias fundamentales tuvo en sus aspectos pedagógicos que convertirse en regla, en receta de cálculo, en cálculo analítico, en formalismo, en método que siempre conducía al objetivo. Como consecuencia de esto se incrementó notablemente -como ya había ocurrido con la invención del calculus- el número de los que practicaban la matemática superior. Se había ganado así una nueva y decisiva base para el desarrollo de la matemática en el siglo XIX.

§ II
Historia de la geometría descriptiva

Contenido:
II. 1. Monge y la fundamentación de la geometría descriptiva científica

La geometría descriptiva científica fue un producto directo de la Revolución Industrial. Esta ocupó un lugar primordial en la Escuela Politécnica de París y, siguiendo el mismo modelo, también en las escuelas técnicas superiores que le sucedieron. Su gestación, sin embargo, se remonta a épocas anteriores.

Durante la Antigüedad, la geometría descripitiva había sido utilizada para hacer dibujos de alzados y proyecciones horizontales de las obras de construcción; esto se puede ver, por

ejemplo, en la extraordinaria obra De architectura del constructor romano Vitruvio, obra que, durante el Renacimiento, sugirió nuevas ideas en la teoría de la perspectiva. En este periodo destacó especialmente Durero, quien abrió una nueva vía para la utilización de planos en arquitectura y en la técnica descriptiva. La escuela italiana de los ingenieros-artistas en tomo a Alberti, Piero della Francesca y Leonardo da Vinci cuidó especialmente la perspectiva central. Durante los siglos XVII y XVIII preferentemente los matemáticos e ingenieros franceses -Desargues, Bosse, Frézier-, pero también matemáticos ingleses, como Taylor y Col son, aportaron notables trabajos que desarrollaban los conceptos y métodos fundamentales de la perspectiva central. La obra La perspectiva libre... (1759) del investigador alsaciano Lambert trataba la representación de lo tridimensional en el plano con métodos de la geometría proyectiva.

II. 1. Monge y la fundamentación de la geometría descriptiva científica
Toda esta fase previa de la geometría descriptiva no desembocó, sin embargo, en una elaboración sistemática. El paso decisivo en este aspecto lo realizó Monge.

Monge ejercía su actividad docente en la escuela francesa de ingeniería militar de Méziéres, que contaba con importantes éxitos en la construcción de fortificaciones. Su representante más famoso, Vauban, era considerado en toda Europa como una autoridad indiscutible. Y sin embargo, precisamente allí. Monge abandonó los métodos tradicionales de la proyección en arquitectura y encontró, alrededor de 1766-70, métodos constructivos aplicables, sin excepción, a la proyección de cuerpos en dos planos. Considerado secreto militar, no pudo Monge, en principio, publicar nada sobre este asunto. Tan sólo la Revolución Francesa, a la que Monge se adhirió entusiasmado, lo liberó de esta obligación. Sus lecciones públicas sobre geometría descriptiva encontraron una buena acogida entre el público; en 1798 apareció su libro de texto Géométrie descriptive con el que. a pesar de ciertas deficiencias comprensibles, la geometría descriptiva adquiría el rango de disciplina matemática coherente c independiente.

Monge estableció como objetivo de la geometría descriptiva la tarea de representar figuras tridimensionales en un plano e inferir las propiedades y medidas de las figuras a partir de su representación. Como método Monge utilizó esencialmente la proyección ortogonal; el procedimiento es básicamente el utilizado hoy en día.

Monge había sostenido en 1795 un discurso programático, al dar inicio a sus lecciones sobre geometría descriptiva. Sus ideas favoritas se encontraban así también intercaladas en su texto Géométrie descriptive, en ocasiones de manera procedente (y en otras no). El artículo 103, por ejemplo, trata de la utilidad de la enseñanza de la geometría descriptiva en las escuelas medias y éste nos permite apreciar hasta que punto se hallaba Monge impregnado de las ideas fundamentales de la Revolución Industrial:

Esta enseñanza contribuiría [...] de la forma más segura al impulso progresivo de la industria nacional [L 10.20, p. 1431.

El discurso de 1795 muestra claramente su completa comprensión de la esencia de la naciente producción mecanizada. Como regla general, los resultados de la investigación científico-natural debían darse a conocer en círculos cada vez más amplios, pues precisamente estos conocimientos eran de gran importancia para el progreso de la industria, en particular para hacer independiente del exterior la industria nacional (francesa). Era necesario el conocimiento de aquellas máquinas que hacen posible utilizar las fuerzas naturales o pueden servir para eliminar el trabajo manual y hacer más uniformes y exactos los productos del trabajo. Pero para alcanzar estos objetivos el conocimiento de la geometría descriptiva, de la lengua necesaria e imprescindible para el ingeniero, era de especial importancia:

La geometría descriptiva ha de conformar algún día una de las ramas principales de la educación nacional [L 10.20, p. 122].
[...] consideramos [...] útil mostrar con algunos ejemplos como el análisis puede ser reemplazado por la geometría descriptiva en la solución de un gran número de problemas [L10.20, p. 122]

Monge sostenía que la geometría descriptiva era más fácil de enseñar que el análisis o el álgebra. ¡Géométrie descriptive como huevo de Colón para el arte de la construcción y fortificación, para el ingeniero de minas, para el estratega, para la geodesia, para la pintura! Por ello en la Géométrie descriptive los ejemplos de aplicación de la teoría no están artificialmente introducidos, sino que son extraídos de la práctica y formulados como problemas prácticos, en fortificaciones, en el uso de un globo cautivo, en la técnica, en la construcción de piezas de maquinaria, en bóvedas, en el tono del color y luminosidad de pinturas, etc. Con Monge la geometría descriptiva se convirtió en el medio más general aplicable a las convenciones gráficas sobre construcciones. El trabajo de Monge lo continuó Hachette, quien, como profesor de la Escuela Politécnica de París, aplicó la geometría descriptiva también al dibujo técnico en la construcción de máquinas. Desde entonces el dibujo técnico, forma específica de la geometría descriptiva adaptada a las necesidades de la construcción, comenzó con la Revolución Industrial su marcha triunfal. Actualmente la geometría descriptiva, respectivamente el dibujo técnico, se cuentan entre los elementos básicos de la formulación matemática de todas las disciplinas técnico-científicas.

§ III
La formación del calculo de probabilidades

Contenido:
III. 1. Los antecedentes
III. 2. P. S. Laplace

Desde la Antigüedad se sabe que las leyes de la naturaleza sólo se evidencian tras un gran número de acontecimientos casuales: esta idea aparece, por ejemplo, en el poema De rerum natura de Lucrecio. El descubrimiento de tales regularidades, sobre cuya aparición actuaban numerosas fuerzas individuales, que no tenían ninguna o casi ninguna relación entre sí, fue también el objetivo de aquellos sabios que influyeron de forma esencial en el cálculo de probabilidades. De esta forma, Huygens escribía en 1657 que él no se ocupaba solamente de juegos, sino que proponía los fundamentos de una teoría nueva, profunda y altamente interesante.

Los problemas relacionados con los juegos de azar motivaron el que importantes pensadores se ocuparan de cuestiones relativas al carácter aleatorio de determinados sucesos. Las verdaderas causas se hallaban, sin embargo, en la formación de las relaciones económicas precapitalistas y en los problemas suscitados, por ejemplo, por las compañías aseguradoras, la estadística de la población y la evaluación de observaciones.

A esta fase previa al cálculo de probabilidades pertenecen, entre otros, Pacioli, Tartaglia, Cardano y Galilei, quienes estudiaron problemas concretos de teoría de la probabilidad, mayoritariamente en relación con los juegos de azar. El caballero de Méré, un jugador apasionado, pero que a pesar de ello se interesó seriamente por la ciencia, incitó a Pascal, proponiéndole un problema concreto, a estudiar la probabilidad de obtener un resultado determinado en diversos juegos. Durante 1654 Pascal mantuvo correspondencia con Fermat sobre este asunto. Con este intercambio epistolar, en el que fueron planteados algunos de los fundamentos del cálculo de probabilidades, comienza el desarrollo del cálculo de probabilidades como una disciplina matemática independíente. Cuando Huygens estuvo en París en 1655 tuvo conocimiento de dicha correspondencia. En su libro de 1657, De ratiociniis in ludo aleae (Sobre cálculos en el juego de los dados), expuso detalladamente las cuestiones tratadas por Pascal y Fermat sobre juegos de azar, estudió también problemas similares más complejos y apuntó además una serie de problemas no resueltos. Huygens no utilizó, por lo demás, el concepto probabilidad, sino que empleó, como Pascal, el valor de la esperanza -hoy denominado esperanza matemática-. Sin embargo, en este periodo el nivel de desarrollo de las ciencias, relativamente bajo, no permitió más que algunas escasas y muy concretas aplicaciones. Por ejemplo, Graunt consideró la probabilidad de morir dependiendo de la edad. Witt y Halley establecieron, sobre la base de similares consideraciones, tablas para el pago de rentas. Newton utilizó ideas teóricas de la probabilidad en la historiografía y en el cálculo de errores y se ocupó también, en un manuscrito no publicado (de alrededor de 1665), de probabilidades geométricas.

Los progresos fundamentales en torno al cálculo de probabilidades están ligados al nombre de Jakob Bernoulli. En sus trabajos se encuentran consideraciones sobre funciones generatrices, la solución y generalización de algunos problemas de Huygens (por ejemplo, la ruina de un jugador) y la definición de la probabilidad de un suceso como grado de certeza, que se diferencia de la certeza como una parte del todo. Su contribución principal fue precisamente el teorema de Bernoulli, también conocido como ley de los grandes números. La importancia de su trabajo se debe no tanto a una simple formulación de lo constatado existente -de ello ya se encuentran en Cardano algunos elementos- sino a que fue el primero en dar una explicación teórica exacta de los hechos observados, al relacionar las ideas de frecuencia relativa y probabilidad. En ello se diferencia de muchos otros autores de su tiempo y posteriores que, si ciertamente consideraron el hecho de que las apariciones irrelevantes de un suceso se extinguen en la media sobre un gran número de observaciones, contemplaron esto como una revelación del orden divino y no buscaron ninguna fundamentación teórica.

Jakob Bernoulli resumió sus resultados sobre el cálculo de probabilidades en el Ars conjectandi (Arte de la conjetura), publicado postumamente en 1713. Allí figuran también, en relación con las permutaciones y combinaciones, enunciados sobre la distribución biijomial (modelo de Bernoulli) y los números de Bernoulli.

En las siguientes décadas un gran número de científicos se dedicó a problemas de la teoría de la probabilidad. Por ejemplo, de Moivre publicó en 1718 The Doctrine of Chances y en 1730 la Miscellanea analytica. En el primer libro exponía y perfeccionaba los métodos para la resolución de problemas relacionados con los juegos de azar. En la segunda edición (1738) de Moivre definió una medida para la probabilidad, que coincidía en lo esencial con la definición clásica posterior de Laplace. Th. Simpson indicó en 1740 un problema de cálculo

de probabilidades importante para el control de la producción. Euler relacionó problemas teóricos de la demografía y de las compañías aseguradoras con cuestiones del cálculo de probabilidades y N. Bernoulli formuló el Juego de Petersburgo, de cuya solución se ocuparon importantes eruditos. En sus investigaciones sobre la teoría de errores experimentales, D. Bernoulli fue el primero en suscitar la cuestión del cálculo de la probabilidad de ciertas hipótesis, una vez conocidos los resultados de la observación. La solución de este problema se debe a Bayes que, aparte de la conocida fórmula que lleva su nombre, dedujo además importantes fórmulas para la resolución de problemas concretos. Y se ha de mencionar también al conde de Buffon, investigador francés, quien consideró con gran amplitud la probabilidad geométrica, por ejemplo, el problema de la aguja.

III. 2. P.S. Laplace
En el periodo comprendido entre finales del siglo XVIII y principios del XIX el cálculo de probabilidades recibiría un nuevo impulso. Preocupados ante todo por cuestiones científicas de balística, astronomía, teoría de los errores en las observaciones, etc., Laplace y Poisson desarrollaron métodos analíticos especiales para el cálculo de probabilidades y obtuvieron destacados resultados. Laplace resumió sus principales resultados en la Théorie analytique des probabilités (1812). La introducción de esta obra constituye su Es sai philosophique sur les probabilités (aparecido en 1814), basado en una lección dada en 1795. En él define la medida de la probabilidad:

La teoría del azar proporciona la probabilidad buscada de un suceso reduciendo todos los sucesos del mismo tipo a un cierto número de casos igualmente posibles, [...] y determinando los casos favorables al suceso. El cociente de este número por el de todos los casos posibles es la medida de su probabilidad [...] [L 10.14, p. 4].

Ciertamente esto no es ninguna definición, sino más bien una regla de cálculo para obtener en ciertos casos simples (por ejemplo, cuando ocurren sucesos equiprobables) la probabilidad. En el Essai... se expresa también el punto de vista mecanicista-materialista de Laplace, quien renunciaba y luchaba contra las explicaciones teológicas y ideológicas de los fenómenos naturales. Muchos descubrimientos posteriores del cálculo de probabilidades se encuentran ya en Laplace. Por ejemplo, cuestiones sobre los juegos de azar, probabilidades geométricas, el teorema de Bernoulli y su relación con la distribución normal y, en conexión con el cálculo de errores, el método de los mínimos cuadrados, que fue descubierto de forma independiente también por Lcgcndrc y Gauss. Muy a menudo aplicaba funciones generatrices, en especial para la resolución de ecuaciones diferenciales (introducción de la transformada de Laplace) y preservó del olvido los teoremas del desconocido Bayes, dándoles una formulación clara. Laplace fue el primero en exponer los teoremas fundamentales del cálculo de probabilidades de forma sistemática, demostró el teorema conocido actualmente como teorema de Moivre-Laplace y utilizó sus resultados para problemas prácticos, como por ejemplo, estudios estadísticos y de astronomía (distribución normal).

La distribución normal y sus aplicaciones a la teoría de errores se asocia a menudo con el nombre de Gauss, quien la descubrió -igual que Laplace- independientemente; no obstante ya había sido estudiada por de Moivre. El nombre de distribución normal procede probablemente del matemático y astrónomo belga Quetelet, alumno de Laplace, quien adquirió gran reputación con la unificación de los métodos de la estadística descriptiva. Poisson generalizó tanto la ley de los grandes números de Bernoulli como los teoremas de Moivre-Laplace al caso de ensayos independientes, con lo cual la probabilidad de que se verifique un suceso depende del número de intentos. En relación con esto dedujo una nueva distribución de probabilidad, la distribución de Poisson.

Curiosamente, tras las aportaciones de Laplace y Poisson se produjo, hacia mediados del siglo XIX, un estancamiento en el desarrollo del cálculo de probabilidades, especialmente en los países europeos occidentales. Ambos científicos habían fomentado, con contribuciones propias, errores en cuanto a las posibilidades aplicativas del cálculo de probabilidades, recomendando su aplicación a ciencias morales, por ejemplo para desentrañar el contenido de verdad de una sentencia judicial. Estas aplicaciones, que no tenían en cuenta la naturaleza singular de los fenómenos sociales, terminaron naturalmente en fracaso y el entusiasmo por el cálculo de probabilidades hubo de dejar paso a la desilusión.

§ IV

El algebra como teoría de resolución de ecuaciones algebraicas

Contenido:
IV. 1. Un segundo periodo del álgebra
IV. 2. La demostración del teorema fundamental del álgebra
IV. 3. La imposibilidad de resolver la ecuación de quinto grado
IV. 4. La formulación de los problema de resolución en el lenguaje de la teoría de grupos

A finales del siglo XVI y comienzos del XVII el álgebra había alcanzado ya una cierta madurez; el nombre de Vieta simboliza el contenido de aquella primera etapa en el desarrollo del álgebra.

IV. 1. Un segundo periodo del álgebra
Durante el siglo XVI se habían desarrollado y publicado métodos para la resolución analítica de ecuaciones algebraicas generales de tercer y cuarto grado. La búsqueda de procedimientos de resolución de la ecuación algebraica general de grado superior al cuarto por medio de radicales, es decir, por medio de la extracción de raíces, representó durante siglo y medio, hasta finales del siglo XVIII, el tema dominante del álgebra. Este problema y, más en general, la búsqueda de métodos para la resolución de ecuaciones, fijó el contenido conceptual del algebra durante todo un periodo histórico.

El problema de la resolución general de ecuaciones algebraicas no reveló, sin embargo, todas sus dificultades reales hasta el siglo XVIII. El investigador y matemático alemán von Tschirnhausen adquirió una fama casi legendaria de hábil algebrista. La transformación que lleva su nombre permitía eliminar el segundo término más alto de una ecuación algebraica mediante una transformación de variables. Durante un tiempo creyeron él y algunos matemáticos -incluso todavía a finales del siglo XVIII- que toda ecuación algebraica tenía que poder resolverse por radicales; parecía depender solamente del descubrimiento de un artificio suficientemente efectivo. Sin embargo, todas las esperanzas se vieron frustradas; todas las transformaciones y resolventes, es decir, ecuaciones equivalentes que llevaban a la solución, fallaron.

El camino correcto se encontraría sólo tras un largo y lento proceso. En 1770-71, Lagrange expresó la conjetura de que no se podría encontrar la solución con los recursos algebraicos conocidos hasta la fecha. El paso más importante hacia la solución del problema se dio al estudiar funciones racionales de las raíces de la ecuación de partida en los valores

que toman en todas las posibles permutaciones de las raíces. Este considerable avance se enmarca ya dentro de la teoría de ecuaciones de Galois.

IV. 2. La demostración del teorema fundamental del álgebra
Todos los procedimientos de resolución daban por hecho la existencia de las raíces de las ecuaciones. Sobre este punto, ya en 1629, Girard había enunciado el teorema fundamental, que dice que toda ecuación de grado n posee n raíces y D'Alembert había emprendido en 1746, junto a otros matemáticos, un exhaustivo intento de demostración de dicho teorema fundamental del álgebra. Sin embargo, habría que esperar a que Gauss diera una demostración completa; la primera, casi correcta, fue motivo de su tesis doctoral de 1799.

Gauss evitó, en la demostración de existencia de 1799, el uso explícito de los números imaginarios o complejos, ya que su uso no estaba todavía claro para la mayoría de los matemáticos. Sin embargo, la idea de la demostración, a la que había llegado ya en octubre de 1797, se basa en la representación geométrica de los números complejos.

Posteriormente Gauss volvería varias veces al teorema fundamental del álgebra, encontrando todavía tres demostraciones más que publicó en los años 1815, 1816 y 1849. En la demostración de 1816 utilizó expresamente números complejos. Resulta interesante leer los correctos comentarios que Gauss hizo de sus predecesores, sin olvidar poner de relieve los méritos de sus propias contribuciones.

El teorema que aquí se enuncia, el más importante en la teoría de ecuaciones, ha tenido ocupados de diversas maneras, como es sabido, a varios de los primeros geómetras. Los intentos más ilustres de dar con una demostración rigurosa completa, los de D'Alembert, Euler, Foncenex y Lagrange, están recogidos por el autor del presente trabajo en un escrito aparecido hace ya dieciséis años y sometidos a un riguroso examen. Si bien se ha de reconocer, en justa medida, el ingenio que expresan aquellos trabajos, no se puede negar, sin embargo, que todos ellos presentan más o menos lagunas por las que la demostración pierde consistencia y, aun cuando los estudios profundos de Lagrange remediaron en parte tal carencia, no se pueden sin embargo absolver los esfuerzos de este gran geómetra, ni la ingeniosa manera en la que más tarde Laplace trató este asunto, precisamente ante los reproches habidos contra todas aquellas demostraciones fallidas. Estas consideran el problema de manera que se haya de determinar, simplemente, la forma de las raíces, cuya existencia se supone, sin demostrarla, suposición que resulta precisamente aquí puramente ilusoria y de hecho una verdadera petitio principii. Todas las demostraciones mencionadas son puramente analíticas, sin exceptuar la de D'Alembert, si bien la suya aparece bajo un disfraz geométrico, pero que resulta ser igualmente ineficaz; de donde casi se acaba por concluir que aquella suposición, de cuya improcedencia ya se ha ocupado, por lo demás, el propio análisis, es inevitable en un tratamiento analítico. El autor del presente trabajo ha tratado este asunto en el escrito antes mencionado de una forma completamente diferente y ha dado una demostración sumamente sencilla que posee la propiedad de que se basa en parte en la geometría de la posición y que, por otra parle, no parece dejar ningún cabo suelto en lo que al rigor se refiere. Pero a la vez ya había explicado entonces que él no consideraba de ninguna manera imposible llegar de una manera puramente analítica a una demostración rigurosa completa y que guardaba el desarrollo detallado de sus ideas para otro momento [L 10.7, pp. 105-106]

Hasta bien entrado el siglo XIX se buscaron y publicaron supuestas soluciones para la ecuación general de quinto grado o de grado superior, si bien entre los principales matemáticos maduraban las ideas sobre el estado real de las cosas. Aunque Lagrange había considerado todavía posible la solución, ya Gauss en su tesis de 1799 y, de forma más decisiva, en 1801 había expresado su convicción de que las ecuaciones de grado superior al cuarto no eran resolubles por radicales:

Son conocidos todos los esfuerzos de los más grandes geómetras por encontrar la solución general de ecuaciones, con grado superior al cuarto o, para definir con mayor precisión lo que se pretende, la reducción de ecuaciones mixtas a ecuaciones simples, lo que hasta la fecha ha sido siempre en vano, y no hay apenas duda de que este problema no es tanto que supere las posibilidades del análisis actual sino que, más bien, quiere alcanzar algo imposible [L 10.6. p. 433]

En el mismo año, 1799, el italiano Ruffini había emprendido, sin que Gauss lo supiera, una demostración del teorema de no resolubilidad de la ecuación general de quinto grado por radicales. Su libro de álgebra en dos volúmenes Teoría generale... (Teoría general de ecuaciones, en la que se demuestra la imposibilidad de resolver algebraicamente ecuaciones de grado superior al cuarto) aborda básicamente este problema, sirviéndose para ello de la ayuda de una teoría de permutaciones que se puede considerar ya como una componente fundamental de la teoría de resolución de ecuaciones algebraicas. De esta manera calculó, expresado modernamente, casi todos los subgrupos del grupo simétrico <%. Sobre esta base llegó Ruffini a una demostración, aunque no carente de lagunas, de que la ecuación general de quinto grado no era resoluble por radicales. La demostración correspondiente para las ecuaciones de grado sexto y superior quedó totalmente incompleta, incluso en trabajos posteriores de Ruffini.

Los resultados de Ruffini fueron ignorados durante largo tiempo. Abel, el otro descubridor de la no resolubilidad de las ecuaciones superiores, no se enteró de la existencia de los trabajos de Ruffini hasta 1826, cuando el propio Abel había comenzado a publicar sobre este tema. Abel estaba fuertemente inspirado por el tratamiento dado por Gauss a la ecuación ciclotómica. Además conocía bastante bien los trabajos de Lagrange. En 1824, a la temprana edad de 22 años, publicó una demostración del teorema sobre la no resolubilidad de las ecuaciones de quinto grado por radicales; en 1826 era capaz de demostrar el teorema para todas las ecuaciones de grado superior al cuarto. Y, por último, en 1828, lograba Abel - invirtiendo la cuestión- determinar completamente la clase de ecuaciones algebraicas resolubles por radicales.

Uno de los teoremas fundamentales demostrado por Abel, y que procede de una obra que se imprimió póstumamente en 1829, Memoire sur une classe particuliére de..., reza lo siguiente:

Aunque la resolución algebraica de la ecuación en general no es posible, hay sin embargo determinadas ecuaciones de cualquier grado que permiten tal solución.
A esta clase pertenecen, por ejemplo, las ecuaciones de la forma xn -1 = 0.
[...)
En general, he demostrado el siguiente teorema:
Si las raíces de una ecuación de grado arbitrario están relacionadas unas con otras de forma que la totalidad de estas raíces se pueda expresar racionalmente a partir de una de ellas, que llamaremos x; si además, caso de que se hayan designado dos raíces cualesquiera por
vx, vx1,
se tiene que
vv1x = v1vx,
entonces la correspondiente ecuación es siempre resoluble algebraicamente. Del mismo modo se puede, si se supone que la ecuación es irreducible y su grado se expresa mediante
0124.png
donde α1, α2, …,α
𝜔 son primos independientes uno de otro, reducir la resolución de estas ecuaciones a las de v1 ecuaciones de grado α1, ecuaciones de grado α2, v3 ecuaciones de grado α3, etc. [L 10.2. pp. 29-30].

Abel se adelanta así, de manera clara, a la teoría de grupos. El llegó al concepto de grupo de permutaciones, cuando todavía no había establecido de forma explícita el grupo de una $ ecuación y la palabra por él utilizada, le groupe, aparece todavía en el sentido del uso normal dado en su tratado, es decir, no como un término matemático perfectamente definido. Implícitamente se encuentra en Abel también el concepto de dominio de racionalidad (cuerpo).

IV. 4. La formulación de los problemas de resolución en el lenguaje de la teoría de grupos
Al igual que Abel, pero de manera aún más radical, Galois, que también en el campo político se hallaba con fervor revolucionario del lado republicano, llevó a cabo una reorientación de las matemáticas que supondría el comienzo del pensamiento estructural, en particular en el álgebra. Esto se percibe de modo especialmente claro en la teoría de Galois sobre la resolución de ecuaciones algebraicas, la cual, debido a su belleza y dificultad, constituye uno de los fragmentos más importantes de las matemáticas.

La idea decisiva de Galois consistió en asociar a cada ecuación algebraica un grupo de permutaciones unívocamente determinado. A partir de su estructura se puede descifrar si una ecuación es resoluble por radicales. Galois se dio cuenta de esto y, en particular, del decisivo papel desempeñado por unos subgrupos notables que se conocen hoy en día como subgrupos normales.

De esta manera, Galois había encontrado la solución de un problema planteado desde hacía siglos; eso sí, haciendo uso para ello de métodos y reflexiones que tuvieron que parecer a la mayoría de los matemáticos poco ortodoxas y extrañas. No hubo, por ello, ninguna intención maligna cuando la Academia francesa rechazó uno de sus trabajos con la observación de que el autor debería exponer sus resultados de forma más clara y, sobre todo, con demostraciones más detalladas.

La temprana muerte de Galois le impidió, no obstante, ofrecer una exposición de sus resultados detallada y transparente para los demás. En el año 1846 fueron publicados los trabajos más importantes legados por Galois, algunos de los cuales no pasaban de ser meros apuntes, sin que tuvieran en un principio ninguna perceptible resonancia. Tan sólo la siguiente generación de matemáticos desarrolló las esquemáticas ideas de Galois en toda su concreción. Apenas cuarenta años después de su muerte, en 1870, el matemático francés Jordán publicó un extenso texto de la teoría de sustituciones en el que se aborda la teoría de los grupos de permutaciones desarrollada por Cauchy en los años 40 del siglo XIX y se expone la teoría de Galois de resolución de ecuaciones en forma cerrada. En el prefacio Jordán alude a los méritos de Galois:

Galois estaba destinado a establecer la teoría de ecuaciones sobre una base segura. El problema de la resolución, que parecía ser anteriormente la única finalidad de la teoría de ecuaciones, aparece ahora como el primer miembro de una larga cadena de cuestiones, que se refieren a la transformación de números irracionales y a su clasificación. Aplicando sus métodos generales a este problema particular encontró Galois, sin dificultad, la propiedad característica de los grupos de ecuaciones que son resolubles por radicales. No obstante, con las prisas de la formulación, dejó sin demostrar suficientemente varios teoremas fundamentales [...] Hay tres conceptos básicos [...]: el de la primitividad, al que ya se aludía en las obras de Gauss y Abel; el de la transitividad, que emerge con Cauchy; y por último la diferencia entre grupos simples y compuestos. El último concepto, el más importante de los tres, hemos de agradecérselo a Galois [L 10.9, pp. 325-326].

LECCIÓN 11
LA REVOLUCIÓN INDUSTRIAL: FUNDAMENTOS DEL ANÁLISIS, SISTEMAS NUMÉRICOS Y TEORÍA DE FUNCIONES

032.jpg

Portada de las Disquisitiones arithmeticae de C. F. Gauss (1801)

§ I
La profundización en los fundamentos del análisis

Contenido:
I. 1. La constatación de las deficiencias
I. 2. La definición precisa del concepto de límite
I. 3. La contribución de B. Bolzano
I. 4. La contribución de A.L. Cauchy
I. 5. La redefinición y profundización del concepto de función

A pesar de todos los éxitos logrados, el análisis, esa maravillosa invención, en palabras de Euler, no había conseguido desprenderse de la incómoda sensación de inseguridad en sus principios lógicos.

I. 1. La constatación de las deficiencias
Hasta finales del siglo XVIII la discusión había sido conducida, en su conjunto, bajo bandera filosófica. Un primer paso afortunado, que indicaba la dirección adecuada, se dio cuando la discusión acerca de las preguntas centrales de las matemáticas pudo liberarse de la envoltura de una filosofía que resultaba insuficiente a tal fin o, en palabras de Marx, cuando los métodos infinitesimales lograron desprenderse del velo místico.

En el plano propiamente matemático, la discusión central giraba en torno a la comprensión del concepto del infinito matemático tal y como aparecía en expresiones coloquiales tales como cantidad infinitamente pequeña, infinitamente grande, suma de una serie infinita, etc. La situación se estaba haciendo totalmente insostenible si lo que se pretendía era asegurar desde el punto de vista lógico una praxis amplia, matemática y científica; incluso habían llegado a aparecer contradicciones directamente intramatemáticas, como por ejemplo en el uso arbitrario de series divergentes[42].

Por ello, la Universidad de Gotinga en 1782 y la Academia de Berlín en 1784, entre otras, establecieron una serie de tareas prioritarias en relación con las causas de las deficiencias en los métodos infinitesimales. Característico era, al mismo tiempo, el requisito de que el rigor, según el gran modelo de la geometría, no llevara a una prolijidad insoportable de la exposición, fuera en los libros de texto o fuera en exposiciones orales.

De esta manera el certamen berlinés exigía una teoría luminosa y rigurosa de lo que en las matemáticas se denomina infinito.

La geometría superior [es decir, las matemáticas; en el siglo XVIII matemáticas y geometría eran términos usados a menudo como sinónimos, N. A.] utiliza frecuentemente magnitudes infinitamente grandes e infinitamente pequeñas; sin embargo los antiguos eruditos han evitado el infinito cuidadosamente y algunos famosos analistas de nuestro tiempo reconocen que la expresión magnitud infinita es contradictoria. La Academia desea pues que se aclare cómo han surgido tantos teoremas correctos a partir de hipótesis contradictorias, y que se indique algún concepto básico, seguro y claro que pueda reemplazar al infinito sin hacer los cálculos demasiado difíciles o demasiado largos [LA 7, 4, p. 645).

Ni Maclaurin en el Treatise of Fluxions, ni D’Alembert en la Encyclopédie, habían satisfecho, a pesar de algunas apreciaciones conceptualmente correctas, esta importante necesidad de reformular el paso al límite en modo conforme al cálculo. El notable escrito Réflexions sur ¡a métaphysique du calcul infinitesimal (1797) del matemático y revolucionario francés L.N.M. Carnot sostenía que la exactitud del cálculo diferencial se debía al hecho de que los errores producidos en la derivación de los teoremas se compensaban unos con otros. Esta concepción se ceñía así a la tendencia de confirmar los métodos existentes.

El certamen de la Academia de Berlín había sido sugerido por Lagrange, autor además de un interesante intento de resolución de los problemas fundamentales del análisis que fue definido por Marx, en sus estudios histórico-matemáticos, como cálculo diferencial algebraico. Las ideas básicas, concebidas ya desde 1772, fueron expuestas por Lagrange en su famoso libro Théorie des fonctions analytiques (1797). El título completo de esta obra es todo un programa: Teoría de las funciones analíticas, conteniendo los principios del cálculo diferencial, liberado de cualquier consideración sobre infinitesimales, magnitudes evanescentes, límites y fluxiones y reducido al análisis algebraico (analyse algébrique) de las magnitudes finitas.

I. 2. La definición precisa del concepto de límite
La exigencia de una mayor claridad en la formulación de los conceptos del análisis llevaba inevitablemente a una discusión del concepto de función: este hecho se había puesto de manifiesto tanto en los progresos llevados a cabo por Lagrange, como en la tesis de Fourier, presentada en conexión con el estudio de la cuerda vibrante y de los problemas de conducción del calor, según la cual todas las funciones son desarrollables en forma de series trigonométricas.

A principios del siglo XIX la discusión sobre los fundamentos del análisis entró en una segunda etapa: de la constatación de las deficiencias se pasó a la superación de las dificultades. Las consignas del momento eran: ¡investigaciones individuales!, ¡análisis de los conceptos!, ¡liberación de las suposiciones psicológicas y lógicas incontroladas! Este proceso condujo a reconocer que datos como dominio de definición, continuidad, diferenciabilidad, existencia de derivadas superiores, desarrollabilidad en serie de potencias convergente, etc. no eran propiedades de una función de una variable (real) que se implicasen unas a otras, sino que más bien representaban niveles sucesivos de propiedades, que abrían la posibilidad de clasificar las funciones según características internas.

I. 3. La contribución de B. Bohemo
Los principales escritos en esta dirección están relacionados generalmente, en el pensamiento de los matemáticos actuales, con el nombre de Cauchy. Esto es correcto en tanto que su Cours d’Analyse (1821), en el que se aplicó con éxito a establecer los conceptos fundamentales del análisis, produjo un gran efecto en los desarrollos posteriores. Pero en honor de la imparcialidad histórica hay que resaltar la aportación del ético social y matemático bohemio Bolzano, que llegó a algunos resultados cruciales antes que Cauchy. En un pequeño escrito titulado El teorema del binomio... (1816) afirma:

[...] como yo [...] también, en lugar de las magnitudes llamadas infinitamente pequeñas, me sirvo generalmente del concepto de magnitudes tales que pueden hacerse más pequeñas que cualquiera dada, o (como yo digo igualmente de vez en cuando para evitar la uniformidad, aunque cada vez menos en realidad) de magnitudes que puedan hacerse tan pequeñas como uno quiera. Ojalá no se ignore la diferencia entre las cantidades de este tipo y las que se consideran por otra parte con el nombre de infinitesimales [L 11.3, pp. IV-V].

En otro escrito de Bolzano del año 1817, que contiene una demostración rigurosa del teorema del valor medio, figura por primera vez en la historia de las matemáticas una definición rigurosa de continuidad de una función y se expresa explícitamente la intención de dar forma rigurosa a un concepto que hasta entonces había sido utilizado sólo intuitivamente o apelando a la evidencia. De este modo, Bolzano se hallaba en condiciones de poder elaborar una exposición sistemática del análisis; así, define:

que una función f(x) cambia de forma continua para todo valor de x, que se halla fuera o dentro de ciertos límites, cuando, siendo x uno cualquiera de tales valores, la diferencia f(x + ω) - f(x) puede hacerse más pequeña que cualquier cantidad dada si se puede tomar en tan pequeño como se quiera [L II.5, pp. 7-8].

Prescindiendo de que Bolzano todavía no conocía el uso del signo de valor absoluto, es ésta una definición de continuidad tal y corno la entiende actualmente cualquier matemático[43]. Bolzano fue también el primero que formuló[44] el criterio de condición necesaria y suficiente para la convergencia de series (de funciones) infinitas, conocido hoy como criterio de Cauchy, que utilizó ya en 1821. Se basa, Bolzano, en el uso, si bien todavía encubierto, de sumas parciales.

Cuando en los años 20 de nuestro siglo se comprobó, investigando la herencia científica legada por Bolzano, que había sido el primero en dar en su Teoría de funciones un ejemplo de una función continua en todo un intervalo pero que no era diferenciable en ninguna parte del intervalo, se produjo una auténtica conmoción en la historia de las matemáticas: hasta entonces se había adjudicado a Weierstrass la prioridad de este resultado, que ahora se demostraba que había sido obtenido por Bolzano 45 años antes. Por lo demás, la Teoría de funciones contiene muchos otros resultados admirables, por ejemplo, sobre la relación entre monotonía y continuidad de funciones.

La labor de Bolzano no obtuvo apenas reconocimiento en su tiempo. Por motivos políticos le había sido prohibido expresarse públicamente; pero, al mismo tiempo, tampoco él comprendió bien la necesidad de una exposición más comprensible de las matemáticas, surgida de la Revolución Industrial. Cauchy, por el contrario, y a pesar de su posición extremadamente conservadora en cuestiones políticas, se situó sin vacilación en esta línea, que combinaba la profundización del cálculo con la aspiración hacia un mayor rigor.

En el año 1821 apareció la obra Analyse algébrique de Cauchy, que constituía la primera parte de un libro de texto oficial de la Escuela Politécnica de París, el Cours d’Analyse. Su autor lo había redactado para el mayor aprovechamiento del que debe aprender y por tanto no podía por menos que exponer las propiedades fundamentales de las magnitudes infinitesimales, propiedades que constituyen la base del cálculo infinitesimal. Debido al rigor de su método de enseñanza necesitaba enunciar varios teoremas que a primera vista puedan parecer un poco duros. Por ejemplo, [...] que una serie divergente carece de suma [L 11.10, p. I, en francés].

Con Cauchy el axioma de Eudoxo-Arquímedes, en forma aritmética, se convirtió en el fundamento definitivo del cálculo infinitesimal; la exigencia de rigor y manejabilidad sería satisfecha posteriormente en colaboración con el aparato formal del 5, e. Se hizo innecesario a partir de entonces basarse en la intuición geométrica o en la ilustración mecánica de la continuidad. Con Cauchy, la formación de límites, por ejemplo en los cocientes diferenciales, se sometió al mismo cálculo. El mismo cálculo permitió, refutando con ello un intento de demostración de Ampére, comprobar que continuidad y diferenciabilidad eran propiedades que no se implicaban recíprocamente: de la diferenciabilidad se sigue la continuidad, pero no al revés.

Cauchy introdujo la expresión de términos de una sucesión que se hacen infinitamente pequeños o arbitrariamente pequeños. Definió los límites superior e inferior de una sucesión y dedujo la relación de éstos con el límite, caso de que existiera, de la sucesión. El criterio de la mayorante, ya utilizado por Gauss en 1812, fue utilizado por Cauchy expresamente como un criterio de convergencia general a partir del cual derivó, utilizando la serie geométrica, el criterio de la raíz. En 1833 señaló de modo claro que la ley de conmutabilidad de los términos de una serie infinita es válida sin restricciones sólo para series absolutamente convergentes; a esta cuestión volvería luego Dirichlet en 1857. La condición de la convergencia absoluta de dos series resulta también ser suficiente para que la serie producto surgida mediante la multiplicación término a término converja igualmente y, además, tenga por límite precisamente el producto de los límites de las series individuales.

Diversos teoremas encontrados por Cauchy y por Abel, Dirichlet, Fourier, Chebyshev, Olivier, Stokes y otros dentro de la teoría de series infinitas tratan ya el comportamiento en cuanto a la convergencia de series de funciones generales y no sólo de series de potencias. Se trata de resultados que muestran las propiedades funcionales, como continuidad, diferenciabilidad e integrabilidad, de la función definida a través de la serie, a partir de las propiedades de convergencia de la serie y de las propiedades funcionales de sus términos. Decisivo para la comprensión de tales cuestiones es, como se sabe, el concepto de convergencia uniforme. En Cauchy quedaba todavía esta laguna, que ciertamente le indujo a cometer algunos errores. Las dudas en torno a este aspecto se pudieron solventar sólo tras el descubrimiento del alcance completo de este concepto, ya en la segunda mitad del siglo XIX. Por último, Cauchy acentuó el decisivo papel de las demostraciones de existencia en el análisis, sea en la suma de series o en la resolución de ecuaciones diferenciales, desde un punto de vista metodológico.

Con Cauchy se inició un proceso que convirtió al cálculo integral, hasta entonces entendido meramente como inverso del cálculo diferencial, en una disciplina matemática autónoma, independiente del cálculo diferencial que, con los trabajos de Dirichlet, Jacobi, Riemann, Weierstrass, Heine, Borel, Lebesgue y otros, se convertiría en el estudio de aquella clase de funciones que poseen integral (en el sentido de Riemann o de Lebesgue). Desarrollado según el estilo riguroso de la escuela francesa, este fructífero pensamiento matemático influyó también en la formación de la teoría de conjuntos y del análisis funcional.

I. 5. La redefinición y profundización del concepto de función
El concepto de función de Euler-Bernoulli desempeñó un importante y positivo papel en la consolidación del análisis durante el siglo XVIII. Euler había hablado de expresión analítica para definir el concepto de función; el significado aproximado de expresión analítica hace referencia a las siguientes operaciones matemáticas: uso de todas las operaciones algebraicas, construcción de la función exponencial y logarítmica, formación de una serie (de potencias) infinita.

La expresión función analítica tuvo por tanto originalmente el sentido de función que se utiliza en el análisis. El sentido más preciso defunción analítica como función construida mediante una serie de potencias parece haber sido introducido en primer lugar por los matemáticos franceses; en Lagrange aparece ya esta forma de expresión completamente fijada, más aún teniendo en cuenta que su Théorie des fonctions analytiques de 1797 estaba pensada a la vez como remate final de la fundamentación del análisis.

Frecuentemente se pasa por alto que en Euler, aparte del concepto de función orientado por Bernoulli, se halla todavía otro concepto de función de naturaleza más general. En su Cálculo diferencial de 1755 habla en general de una función de ciertas magnitudes de otras magnitudes, cuando varían las últimas dependiendo de las primeras:

Sean ahora magnitudes dependientes de otras, tales que ninguna de ellas puede sufrir una variación sin que a la vez ocasione una variación de las otras: entonces de aquéllas cuya variación resulta como causa de la variación de las otras se dice que son función de éstas; definición que se extiende tan lejos que comprende en sí todas las claves de cómo una magnitud se puede determinar mediante otra. Si por tanto .r significa una magnitud variable, entonces toda magnitud que de alguna manera dependa de x, o puede ser determinada por ella, se llama función de x [L 11.17, p. XLIX].

Pero esta definición de Euler, con claros visos de futuro, no consiguió imponerse en aquella época y sólo más adelante una mayor y más profunda discusión de las crecientes dificultades matemáticas empujaría eficazmente en esta dirección. Euler había ya lanzado al aire la pregunta de si toda curva que puede ser trazada arbitrariamente con la mano se puede entender como la imagen de una función: esta cuestión, discutida vehementemente, no pudo ser resuelta por las matemáticas del siglo XVIII.

Otra cuestión, discutida tan enérgicamente como la anterior fue la de discernir si la clasificación de las funciones en funciones continuas (es decir, conexas), no continuas y mixtas era adecuada y si dado el caso de una curva mixta, por ejemplo del tipo de la curva en hoja de sierra (fig. 11.1), podía ser interpretada como una función. Las discusiones se revitalizaron al considerarse las ecuaciones diferenciales de la cuerda vibrante y de la difusión del calor. Ya a comienzos del siglo XIX, y posteriormente en 1822, en su Théorie analytique de 1a chaleur, Fourier era de la opinión de que toda curva, y por tanto también toda curva no conexa, podía representarse como gráfica de una función desarrollable en serie trigonométrica, encontrándose al principio con un montón de objeciones por parte de sus colegas.

0125.png
Fig. 11.1. Curva en hoja de sierra

Fourier demostró también su perspicacia al comprender las consecuencias que se derivaban de esta afirmación para una nueva definición de función; así, en 1822, en su Teoría del calor se refería a una función como una sucesión de valores cualesquiera y consideraba que las ordenadas en ningún caso siguen una ley matemática única, es decir, no tienen por qué ser interpretadas mediante la misma expresión matemática. Como resultado de todas estas intensas discusiones quedó claro que la identificación dc función con expresión analítica no se podía sostener mucho más tiempo y que en su lugar había de resaltarse la dependencia mutua de magnitudes para establecer un principio de definición del concepto de función.

La primera manifestación clara de este giro conceptual, que condujo a una segunda etapa en la historia del concepto de función, se encuentra en un trabajo de Lobachevski del año 1834 sobre series trigonométricas, en el que afirma:

El concepto general sugiere que como función de x se denomine a un número que está dado para todo x y que varía progresivamente con x. El valor de la función se puede dar bien por medio de una expresión analítica, bien mediante una condición, que ofrezca un medio de examinar todos los números y de elegir uno de ellos, bien, por último, puede existir la dependencia pero permanecer desconocida [L 11.37, p. 77, en inglés].

La utilización de la palabra progresivamente (o paulatinamente, postepenno en el original ruso) alude a que Lobachevski tenía siempre ante sus ojos exclusivamente funciones continuas; pero el importante texto, en el que renuncia a una correspondencia según una fórmula de las ordenadas con las abscisas, señalaba el camino hacia la moderna definición. La definición dada por Dirichlet en 1837 en su trabajo Sobre la representación de funciones completamente arbitrarias mediante series de senos y de cosenos coincide casi exactamente en su contenido con la de Lobachevski. También Dirichlet definió una función continua de una variable que varía continuamente; además dejaba caer la obligación de una ley de formación unitaria fL 11.14, pp. 135-136].

El último y decisivo escrito fue obra del matemático alemán Hankel, que renunció definitivamente no sólo a la exigencia de una fórmula-expresión para definir la función, sino también a la de relacionar el concepto de función con el de continuidad:

Una función se dice y de x si a cada valor de la magnitud variable x que se mueve dentro de un cierto intervalo le corresponde un determinado valor de y; no importa si y depende de x en todo el intervalo según la misma ley o no; si la dependencia se puede expresar mediante operaciones matemáticas o no [L 11.22, p. 491.

Esta definición, que constituyó hasta bien entrado el siglo XX el fundamento general del análisis, se encuentra en su introducción, dedicada al desarrollo del concepto de función e impregnada de una profunda comprensión histórica, al tratado Estudio sobre las funciones no continuas y que oscilan infinitamente, publicado en 1870. Alrededor de esos años, Cantor, partiendo de cuestiones similares, concebía la teoría de conjuntos; sobre la base de la teoría de conjuntos se desarrollaría en el siglo XX un nuevo concepto de función, más general, como subconjunto del producto cartesiano de dos o más conjuntos con determinadas propiedades. Sería falso, sin embargo, atribuir esta generalización posterior del concepto de función exclusivamente a la influencia de la teoría de conjuntos; a ello contribuyeron además otras disciplinas matemáticas, en particular la lógica matemática, entonces en pleno desarrollo. Así, en 1887, Dedekind llegó, sobre la base de sus estudios algebraicos, de teoría de números y de teoría de conjuntos, a una concepción general de aplicación de un conjunto (no necesariamente numérico) en otro, concepción sobre la cual había desarrollado algunas ideas ya en los años 1872-78. No obstante, Dedekind apenas se fijó en la conexión de este concepto con la definición entonces usual de función, dedicándose posteriormente a las correspondencias unívocas de conjuntos. Esta cuestión había sido contemplada también por Cantor en 1878 en el contexto de sus investigaciones sobre la potencia de conjuntos. En sus trabajos, publicados entre 1895 y 1897, sobre la teoría de conjuntos transfinitos, Cantor introdujo una definición de función que coincidía en su generalidad y carácter con la dada por Dedekind.

En este periodo los representantes de la lógica matemática llegaron también a una noción general de función. Por ejemplo, de Morgan trató en 1850 las correspondencias y C. S. Peirce las representó ya como pares de elementos, comenzando su clasificación en 1880-90. Schróder, por su parte, indicó, en el marco de las consideraciones sobre la teoría de aplicaciones del año 1895, aquellas propiedades que caracterizan a las funciones entre todas las correspondencias. La definición de función como subconjunto del producto cartesiano de conjuntos con ciertas propiedades la formuló debidamente Peano en el año 1911, para lo cual recurrió tanto a las investigaciones sobre teoría de funciones como a la lógica matemática; Peano había estudiado ya en 1887 funciones de conjuntos con valores vectoriales.

§ II
El desarrollo de los sistemas numéricos

Contenido:
II. 1. La ampliación progresiva del campo numérico
II. 2. El camino hacia los números complejos
II. 3. La interpretación geométrica de los números complejos.
II. 4. La interpretación aritmética de los números complejos
II. 5. H. Hankel y el principio de permanencia
II. 6. El desarrollo de una teoría de los números irracionales..
II. 7. La teoría de los números racionales y naturales
II. 8. La caracterización abstracta del concepto de número

Junto con la profundización los fundamentos del cálculo infinitesimal, el desarrollo riguroso del sistema numérico aparece también en el difícil camino recorrido en el siglo XIX hacia la fundamentación de las matemáticas. De alguna manera, el desarrollo de los conceptos discurrió en dirección contraria al desarrollo histórico: si la humanidad desde su inicio había conquistado paso a paso nuevos campos numéricos y había aprendido a dominar paulatinamente el trato con los números naturales, racionales, negativos, irracionales y, por último, complejos, ahora la fundamentación rigurosa del sistema numérico tuvo lugar, por así decirlo, de arriba hacia abajo: la teoría de los números complejos se redujo a la de los números reales, la de los irracionales a la de los racionales, y la de éstos, por último, a la teoría axiomática de los números naturales.

II. 1. La ampliación progresiva del campo numérico
La utilización de los números naturales y de los quebrados se remonta a la Antigüedad; a pesar de los trabajos de Eudoxo en la época antigua no se llegó a reconocer a los irracionales como números. El uso consciente de números negativos tuvo lugar ya en el ámbito de la matemática china, hindú y, ocasionalmente, islámica. En Europa, los números negativos, enteros y quebrados lograron pleno reconocimiento tan sólo en el capitalismo inicial, con los comerciantes y los calculistas. Por el contrarío, la cuestión de si los valores numéricos que resultan de raíces o de construcciones geométricas como longitudes son realmente números fue ampliamente discutida durante mucho tiempo. A modo de ejemplo valga la siguiente reflexión de Stifel en el año 1544, llena de ingenio:

Con razón se discute sobre los números irracionales, si son verdaderos números o sólo fingidos [...] pues en demostraciones en figuras geométricas los números irracionales siguen teniendo éxito donde los racionales nos dejan en la estacada y demuestran exactamente lo que los racionales no pudieron demostrar, en ningún caso, con los procedimientos que nos ofrecían. Nos vemos, por tanto, inducidos a admitir, obligadamente, que ellos en verdad existen, en virtud de sus repercusiones, que nosotros sufrimos como reales, ciertas y persistentes. Pero otros motivos nos conducen a la afirmación opuesta, que pasaremos a discutir, de que los números irracionales no sean números. A saber, si intentamos someterlos a la numeración y los ponemos en una proporción con números racionales, encontramos que se nos escapan continuamente, de forma que ninguno de ellos se deja abarcar de manera exacta [...] Y no se puede llamar número verdadero a algo en lo que no hay ninguna exactitud y que carece de proporción conocida alguna con números verdaderos. Así que, igual que un número infinito no es ningún número, tampoco un número irracional es un número verdadero porque se oculta, por así decirlo, en una niebla de infinitud [L 11.32] (cita en alemán [L 11.20, pp. 68-69]).

Al mismo tiempo, resulta evidente que Stifel comprendió el carácter numérico de los irracionales cuando afirma:

Ahora [...] del mismo modo que entre dos números enteros sucesivos cualesquiera caen infinitos racionales, entre dos enteros sucesivos caen también infinitos irracionales [L 11.20, p. 69].

Una aceptación total de los números irracionales como números aparece, en Europa, en Stevin: desde el punto de vista de su sistema posicional decimal para todos los números, ésta tuvo que resultar de alguna manera prácticamente inevitable. Sin embargo, tan sólo el desarrollo de los métodos de la geometría analítica por Fermat y Descartes creó las condiciones para una aceptación general de los números irracionales: la idea de que a cada punto de la recta real le corresponde un número. Por último, Newton, junto con Barrow, fijó en la Arithmeticci Universalis (1673-83; impreso por vez primera en 1707) un concepto general de número:

Con la palabra número entendemos no tanto un conjunto de unidades, sino antes bien, la relación abstracta de cualquier magnitud con otra del mismo genero, que se puede suponer la unidad. Puede ser de tres tipos: entero, fraccionario e irracional; entero si lo mide la unidad; quebrado si lo mide una parte de la unidad cuyo múltiplo es la unidad; irracional si la unidad es inconmensurable con él (Citado en alemán en [L 11.20, pp. 71-72]).

II. 2. El camino hacia los números complejos
Más fatigoso, si cabe, fue el camino hacia el reconocimiento de los números complejos. Los matemáticos del Renacimiento habían tenido ya un primer contacto, a decir verdad bastante intenso, con los números complejos; y en los siglos XVII y XVIII éstos encontraron una amplia difusión, aunque ciertamente sin que se pudiera lograr una aclaración conceptual de su naturaleza. Por ejemplo, Girard era perfectamente consciente de que sólo recurriendo a los números complejos se podía enunciar con toda generalidad el teorema fundamental del álgebra (a saber, que toda ecuación de grado n tiene exactamente n raíces); recíprocamente, a partir de este hecho se sigue una especie de justificación existencial para el uso de los números complejos. En este mismo contexto acuñó Descartes el concepto de número imaginario (figurado, supuesto), que se refiere a la circunstancia de que no se posee ninguna representación real de tales números. En La Géométrie de 1637 afirma:

Por último observemos que tanto las raíces verdaderas como las falsas [positivas y negativas, N. A.] de una ecuación no son siempre reales, sino algunas veces sólo imaginarias [seulement imaginaires, N. A.] es decir, se puede imaginar ciertamente en una ecuación cualquiera tantas raíces como yo he dado [tantas como sea el grado de la ecuación, N. A.] pero algunas veces no existe ninguna cantidad que se corresponda con las imaginadas [L 11.13, p. 79].

Leibniz halló en 1675 la relación

0126.png

que de una manera llamativa relaciona los complejos con los reales y acentúa las particularidades en el trato con los números figurados. Así se explica su mística valoración de los números imaginarios como:

prodigio del análisis, el monstruo del mundo ideal, un exquisito y magnífico refugio del espíritu divino, casi un híbrido entre el ser y el no ser [LA 33, II, p. 109]

Euler introdujo en 1777 el símbolo i y operó con él como si i2 =, 1; el símbolo i y la denominación número complejo lograron imponerse definitivamente sólo después de su uso por Gauss. Euler había definido el número imaginario, de alguna manera indeterminado, de la siguiente manera:

Una magnitud se dice imaginaria cuando ni es mayor que cero, ni menor que cero, ni igual a cero.
Es aleo imposible, como por ejemplo √-1 ó en general a + b√-1 (cita alemana [L 11.20, p. 66]).

Euler pudo demostrar que el conjunto de los números complejos a+bi es cerrado para las cuatro operaciones básicas (es decir, operando se permanece en el conjunto de los números complejos), así como para la potenciación y la radicación y que, además, en condiciones apropiadas, las operaciones trascendentes conocidas entonces, entre ellas el logaritmo, no se salen tampoco del campo de los números complejos. En virtud de ello se atrevió a afirmar:

Podemos afirmar sin vacilar, que en general toda cantidad imaginaria, no importa cuan complicada pueda ser, siempre puede ponerse de la forma M + N√-1” (cita en alemán [L 11.20, p. 66]).

Precisamente debido al virtuosismo de Euler en el cálculo con fórmulas, el uso de los números complejos llegó a ser natural; tan sólo a finales del siglo XVIII comenzó la clarificación de las dificultades conceptuales en el trato con los complejos.

II. 3. La interpretación geométrica de los números complejos
El camino hacia una completa aceptación de los números complejos requería que se les diera una interpretación geométrica. Ya en 1685 Wallis había reflexionado sobre dicha interpretación, pero el primero en señalar una vía acertada en esa dirección fue el geodesta noruego Wessel, quien utilizó segmentos dirigidos para las operaciones aritméticas y aplicó estas consideraciones generales, según una especie de cálculo vectorial en dos y tres dimensiones, a números de la forma a + εb con ε = √-1. Sin embargo, el tratado elaborado por Wessel en 1796 sobre esta cuestión, impreso en 1799. no tuvo una repercusión efectiva. Similar suerte corrieron las reflexiones de L. N. M. Carnot en su Géométrie de position (1803) y el tratado Esssai sur une maniere de representer les quantités dans les constructions géométriques (1806) del tenedor de libros suizo Argand.

Fue precisa la autoridad de Gauss para eliminar de los números complejos (imaginarios) el último soplo de misticismo y dotarlos de la claridad deseada. En su primera demostración del teorema fundamental del álgebra, llevada a cabo en su tesis doctoral, había podido evitar todavía el uso explícito de los números complejos; pero en 1831 basó sus investigaciones sobre teoría de los restos bicuadráticos en los números complejos con palabras decididas:

El autor llama a toda cantidad a + bi, donde a y b representan números reales, e i es la abreviatura √-1, un número entero complejo, si a y b son a la vez números enteros. Las cantidades complejas no se contraponen a las reales, sino que las contienen como un caso especial para b = 0 [L 11.18, p. 171).
La trasposición de la teoría de los restos bicuadráticos al ámbito de los números complejos podría parecer quizás escandalosa e innatural a alguno que esté poco familiarizado con la naturaleza de las cantidades imaginarias y limitado a una falsa idea de ellas, e inducir a pensar que la investigación se ha de quedar por ello en el aire, que se sitúa en lugar inseguro y que se aleja completamente de la evidencia. Nada sería más infundado que una opinión así. Por el contrario, la aritmética de los números complejos es capaz de la representación más natural [...] Del mismo modo que los números enteros absolutos se representan mediante una sucesión de puntos ordenados en una línea recta con igual distancia entre cada dos de ellos, en la que el punto inicial representa el número 0, el siguiente número 1, etc., y de igual modo que para la representación de los números negativos sólo se requiere una prolongación ilimitada de dicha sucesión por el lado opuesto; para la representación de los números complejos se necesita sólo adicionalmente que aquella sucesión se contemple como situada en una hilera determinada ilimitada y que paralela a ella se tomen a ambos lados un número ilimitado de hileras similares con distancias iguales una de otra, de forma que en lugar de una sucesión de puntos, ante nosotros tenemos un sistema de puntos, que se pueden ordenar en una especie doble de sucesión de sucesiones, y que sirven para obtener una partición de todo el plano en cuadrados iguales bien nítidos [L 11.18, p. 174].

Luego siguen otros detalles que conducen a lo que hoy se denomina plano de Gauss:

Hemos creído prestar un gran servicio a los aficionados a la matemática a través de esta breve exposición de los principales elementos de una nueva teoría de las llamadas magnitudes imaginarias. Si hasta ahora este asunto se ha contemplado desde un punto de vista erróneo y se ha encontrado por ello una misteriosa oscuridad, ello se debe a atribuir en gran parte al uso de nombres poco corrientes. Si se hubiera llamado a +1, -1, √-1 unidad directa, inversa y lateral en lugar de positiva, negativa e imaginaria (o absolutamente imposible) entonces se podía haber liberado el discurso de tal oscuridad [L 11.18, pp. 177-178].

II. 4. La interpretación aritmética de los números complejos
Ya con Cauchy había tenido eco la idea de concebir los números complejos como pares de números reales; sin embargo tan sólo el brillante matemático irlandés Hamilton dio este paso explícitamente, basando en él toda una teoría de los números complejos mediante operaciones aritméticas establecidas por definiciones. Hamilton se refiere a los números complejos como pares (a1, a2), (b1, b2), ... y define la adición y multiplicación a través de las leyes:

(a1, a2) + (b1, b2) = (a1 + b1, a2 + b2)

(a1, a2)× (b1, b2) = (a1b1 - a2b2, a1b2 + a2b1)

Sobre este principio, logró demostrar, en palabras actuales, que los pares de números forman un cuerpo con respecto a las operaciones así definidas, que es isomorfo al conjunto de los números definidos geométricamente por Gauss; éste es el llamado cuerpo de los números complejos. Este resultado fue obtenido por Hamilton en el 1833 y publicado en el año 1837 con el título Theory of Conjúgate Functions, or Algébrale Couples....

Como es bien sabido, de la anterior definición de multiplicación surge un cuerpo conmutativo. Parece seguro que ya Gauss había comprendido estas cuestiones, que conducen al hecho de que el cuerpo de los números complejos sea el mayor cuerpo conmutativo que es extensión finita de los números reales. Una demostración completa de este resultado fue dada por primera vez por Frobenius en 1878.

Las investigaciones de Hamilton desembocaron, a mediados del siglo XIX, en el estudio de relaciones no conmutativas. La teoría de los cuaternios (los números hipercomplejos con cuatro unidades) desarrollada por él alcanzó, por obra suya y después en las manos de alumnos dogmáticos, la posición, más allá de toda significación real, de una especie de credo, de una especie de teoría ortodoxa del credo matemático (F. Klein): se intentó, en efecto, convertir la teoría de los cuaternios en la teoría base fundamental de toda la geometría y, si fuese posible, de toda la matemática.

La repercusión de los estudios de Hamilton, que a largo plazo resultó positiva, se manifestó sobre todo al convertirse en materia de estudio las propias relaciones (entre elementos considerados de forma absoluta); en particular las operaciones no conmutativas se situaron en el punto de mira de la investigación. Boole y Cayley en Gran Bretaña, B. Peirce y su hijo C.S. Peirce en USA y Hankel en Alemania desarrollaron un trabajo que contribuyó ciertamente a iniciar, en las postrimerías del siglo XIX, el álgebra de estructuras, a la vez que coadyuvó a la formación de la lógica matemática y del método axiomático y a la fundamentación lógica del sistema numérico.

II. 5. H. Hankel y el principio de permanencia
Hankel recalcaba, refiriéndose a Hamilton, en su Teoría del sistema numérico complejo (1867) que las leyes de composición no son propiedades de los números, sino que antes bien, al revés, las leyes de composición establecidas por definición crean el correspondiente campo numérico. Estas ideas fueron aplicadas por Hankel, en particular, a la construcción genética, paso a paso, del sistema numérico, exigiendo que en caso de una ampliación de un campo numérico las leyes de cálculo válidas en un campo dado se trasladen también al campo ampliado, por ejemplo, en el paso de los números racionales a los reales. Esto se considera en general como un principio heurístico (la teoría de los cuaternios enseña, por ejemplo, que el paso formal de las leyes de composición de ningún modo es siempre posible).

Esta es la idea básica del Principio de permanencia de las leyes finales de Hankel. En su redacción original, decía más o menos así:

Si dos formas de la arithmetica universalis, expresadas en signos generales, son iguales una a otra, entonces deben permanecer iguales aunque los signos dejen de designar magnitudes simples y las operaciones reciban por ello cualquier otro contenido [L 11.21, p. 11].

Como se ve, Hankel recorrió un importante trecho en el camino hacia la moderna concepción del concepto de número: la ley de la composición y las reglas de cálculo, derivadas de ahí entre magnitudes matemáticas son determinantes para que estas magnitudes puedan ser denominadas números. Esta concepción formalista abstracta se consolidó más tarde, a finales de siglo, por obra de Hilbert, con ayuda del método axiomático desarrollado por él y expuesto en el tratado Sobre el concepto de número (1900). Este mismo enfoque fue el adoptado por Hilbert para la fundamentación de la geometría.

II. 6. El desarrollo de una teoría de los números irracionales
Con la interpretación geométrica y aritmética de los números complejos, la ampliación del sistema numérico se redujo a la fundamentación de los números reales. Lógicamente el siguiente paso histórico habría de consistir en fundamentar los números irracionales con la ayuda de los (supuestos) números racionales.

Esto se obtuvo por dos vías diferentes. Una fue la recorrida por Dedekind y completada por él mismo. Por medio de lo que llamó cortaduras en el ámbito de los racionales se obtenían los números irracionales. Dedekind concibió sus ideas básicas en el otoño del año 1858 y las publicó en el pequeño pero fundamental libro Continuidad y números irracionales (1872), que marcó un hito en el proceso de fundamentación del análisis. Dedekind se expresaba de la siguiente manera al considerar retrospectivamente sus motivos y objetivos:

Me hallaba por entonces [1858, N. A.] [...] por primera vez en la situación de tener que exponer el cálculo diferencial y sentía ahora más claramente que nunca la ausencia de una fundamentación científica real de la aritmética [... ]Este sentimiento de insatisfacción era entonces tan poderoso en mí que decidí resueltamente reflexionar sobre ello tanto tiempo como necesitara hasta encontrar una fundamentación puramente aritmética y completamente rigurosa de los principios del análisis infinitesimal [L 11.11, pp. 3-4].
La introducción habitual hasta ahora de los números irracionales se apoya precisamente en el concepto de magnitud extensiva, que no ha sido definido rigurosamente en ninguna parte, y explica el número como el resultado de medir una de tales cantidades por medio de una segunda del mismo tipo. En lugar de esto pretendo que la aritmética se desarrolle a partir de sí misma. En general puede ser admitido que tales referencias a ideas no aritméticas han sido motivo de la ampliación del concepto de número; pero no por ello existe ninguna razón válida para aceptar en la ciencia de los números estas consideraciones extrañas a la propia aritmética. Así como los números racionales negativos y fraccionarios deben y pueden ser producidos mediante una libre creación, y las leyes de las operaciones con estos números pueden reducirse a las leyes de las operaciones con números enteros positivos, del mismo modo se tiene que aspirar a que también los números irracionales puedan ser definidos completamente y sólo a partir de los números racionales [L 11.11, pp. 9-10].

Una vía diferente a la de Dedekind fue recorrida por Cantor, el fundador de la teoría de conjuntos y, un poco antes e independientemente, por el francés Méray, en el año 1872. Sobre la base de las reflexiones que Weierstrass había desarrollado con detalle en sus lecciones, Cantor introdujo en el campo de los números racionales las series fundamentales (Cantor hablaba de series donde nosotros hoy decimos sucesiones). Definió la igualdad y las operaciones aritméticas para estas sucesiones fundamentales; con una elección adecuada de las definiciones dichas sucesiones satisfacen las leyes de cálculo como los números racionales. Por este motivo Cantor las llamó sencillamente números, aun cuando no poseyeran ningún número racional como límite: las sucesiones fundamentales con límite racional se podían identificar con los números racionales; las sucesiones fundamentales sin límite racional proporcionaban los números irracionales.

Cantor expuso sus ideas en el año 1883 como parte de sus Fundamentos de una teoría general de variedades, comparándolas con las de Dedekind:

A la definición de un número real irracional corresponde siempre un conjunto bien definido, infinito de primera potencia, de números racionales: en ello se halla la utilidad común de todas las formas de definición, mientras la diferencia entre ellas reside en el momento del proceso en el que se liga el conjunto con el número por él definido y en las condiciones que el conjunto verifica para que sea apropiado como fundamento para la definición en cuestión [L 11.8, p. 184]

La definición rigurosa de números irracionales dada por Cantor fue modificada en 1892 por el especialista en teoría de números Bachmann en sus Lecciones sobre la teoría de los números irracionales, de forma que en lugar de sucesiones fundamentales se utilizan intervalos encajados. Los números decimales se pueden concebir como intervalos encajados especiales o también como sucesiones fundamentales.

Por supuesto, las tres definiciones de los números irracionales a las que se ha hecho referencia son equivalentes.

II. 7. La teoría de los números racionales y naturales
De acuerdo con las exigencias lógicas en aquel momento, una vez reducidos los números irracionales a los racionales, se hubiera debido considerar la fundamentación de los números racionales a partir de los naturales; sin embargo, por un tiempo, el curso histórico de las cosas se apartó un poco de las necesidades intracientíficas.

En el año 1888 apareció el pequeño escrito de Dedekind titulado Was sind und was sollen die Zahlen (Qué son y qué deben ser los números), que llegaría a ser famoso con merecida justicia; en este trabajo, bajo la influencia de la teoría de conjuntos de Cantor y la incipiente lógica matemática, aunque sin saber de los esfuerzos similares de Bolzano, Dedekind llevó a cabo una construcción geométrica del concepto de número natural, que se apoyaba en la noción fundamental de sistema (esto es, conjunto) y aplicación. En el prólogo afirma:

Lo que se puede demostrar no debe ser admitido en la ciencia sin su demostración. Por muy evidente que parezca este principio, de ningún modo ha de pensarse que se cumple; esto no ocurre, por ejemplo, en la fundamentación de la más simple de las ciencias, a saber, aquellas partes de la lógica que tratan de la teoría de los números, ni siquiera en los más recientes trabajos [...] Si se observa de cerca lo que hacemos al enumerar los elementos de un conjunto o una cantidad de objetos, esto nos lleva a la capacidad de nuestra inteligencia para relacionar cosas con cosas, hacer corresponder una cosa a otra cosa o representar una cosa por medio de otra; sin esta capacidad no es posible ningún pensamiento en absoluto. Sobre este principio único, completamente imprescindible, se debe establecer, según mi punto de vista [...] toda la ciencia de los números [L 11.12, pp. 11I-IV].

Un camino distinto sería seguido por el italiano Peano. En efecto, un año después, en 1889, éste estableció en su librito Aritlnmetices principia, nova methodo exposita (Fundamentos de la aritmética, expuestos según un nuevo método) un sistema axiomático para los números naturales, que es en esencia idéntico al utilizado actualmente. Los símbolos usados por Peano eran distintos de los actuales: pero era consciente, remontándose a las concepciones formales de la escuela algebraica británica y de Grassmann, de las ventajas que se derivaban de la formalización e incluso de su necesidad histórica:

Las cuestiones de los fundamentos de la matemática han sido abordadas por muchos hasta la fecha, pero no se ha encontrado todavía ninguna solución satisfactoria. La dificultad surge principalmente de la ambigüedad del idioma. Por ello es importante medir atentamente las palabras que utilizamos. Me he propuesto realizar este examen [...] Todos los conceptos que aparecen en los fundamentos de la aritmética los he ido indicando con signos de manera que toda proposición se pueda expresar únicamente mediante estos signos [...] Mediante estas transcripciones toda proposición toma la forma y precisión propias de las ecuaciones algebraicas, y de los teoremas así descritos son deducidos otros y, además, mediante un proceso que es muy similar a la resolución de ecuaciones [L 11.30, p. 21] (cita alemana [L 11.20, pp. 130, 131])

De hecho, la definición de los números racionales como pares de números naturales no sería introducida hasta 1895 por Weber, quien en su Lehrbuch der Algebro (Lecciones de álgebra) afirma:

Los números naturales forman un conjunto ordenado; entre dos de sus elementos consecutivos no se halla ningún otro elemento. Una variedad de este tipo se llama discreta. Un conjunto ordenado con la propiedad de que entre cada dos elementos siempre se halle otro elemento se dice denso. Un conjunto denso se puede formar si se agrupan los números naturales en pares y estos pares se consideran como elementos de un nuevo conjunto. Estos pares se llaman quebrados y se designan m con m : n ó m/n dos de tales quebrados m : n y m’ : n’ son iguales si mn’ = nm’. Si se consideran todos los quebrados iguales como un elemento, entonces se obtiene una variedad que es además ordenada si se establece que m : n es mayor que m’ : n’ siempre que mn’ > nm’ |L 11.33, pp. 4-5].

Así se introducen los números racionales positivos. Mediante las cortaduras de Dedekind se obtienen los reales positivos; por último aparecen los números reales negativos mediante una especie de inversión de la relación de magnitudes.

II. 8. La caracterización abstracta del concepto de número
Con el desarrollo del pensamiento estructural en el álgebra, el concepto de número obtuvo por fin una caracterización más abstracta, definitiva y universalmente válida. Tanto Kronecker como Dedekind habían reservado ya un lugar preferente dentro del álgebra para la noción de cuerpo y Steinitz, en su Teoría algebraica de cuerpos (1910), desarrolló la teoría abstracta correspondiente. En esta obra se demuestra, entre otras cosas, que todo dominio de integridad se puede sumergir en un cuerpo; el paso de los enteros (positivos y negativos) a los números racionales es sólo un caso especial de ello.

Steinitz se había apoyado en Hilbert, el cual, por su parte, había emprendido en el año 1900, en su tratado Sobre el concepto de número, una construcción axiomática del sistema numérico. En dicha obra afirmaba:

En la teoría acerca del concepto de número el método axiomático se estructura como sigue: pensamos en sistemas de cosas; llamamos a estas cosas números y los designamos con a, b, c... Consideramos estos números en ciertas relaciones recíprocas, cuya descripción exacta y completa es descrita por los siguientes axiomas [L 11.23, p. 181].

Siguen sus conocidos seis axiomas sobre la ley de composición, los seis axiomas de cálculo, los cuatro de orden y los dos de continuidad (axioma de Arquímedes y axioma de completitud). Luego continúa Hilbert:

Algunos de los axiomas son consecuencia del resto y surge por tanto el problema de discutir la dependencia lógica de los axiomas nombrados [...] [L 11.23, p. 183]. En esta demostración [de la consistencia de los axiomas establecidos, N. A.] observo a la vez la demostración de la existencia del conjunto de los números reales [...] Las consideraciones principales que se han esgrimido contra la existencia del conjunto de todos los números reales y de los conjuntos infinitos, pierden toda justificación: como conjunto de los números reales hemos de pensar un sistema de cosas cuyas combinaciones recíprocas son dadas a través del anterior sistema finito y cerrado de axiomas, y en el que las afirmaciones nuevas tienen validez sólo en caso de que se puedan derivar de aquellos axiomas tras un número finito de pasos lógicos [L 11.23, p. 184].

No obstante, a comienzos del siglo XX se comprobó, precisamente en relación con el desarrollo de la teoría de conjuntos y las dificultades de las cuestiones de fundamentos de las matemáticas, la existencia de objeciones perfectamente fundadas contra esta construcción formalista de la noción de número. En el siglo XX, en efecto, se obtendrían nuevas respuestas, en particular con respecto a la demostración de la consistencia del sistema de axiomas antes mencionado, en conexión con complicadas cuestiones entonces suscitadas; éstas se hallaban en estrecha relación con difíciles problemas de teoría del conocimiento.

§ III
La teoría de funciones de variable compleja

Contenido:
III. 1. Los primeros ejemplos de la utilización de la variable compleja
III. 2. Los inicios de una construcción sistemática de la teoría de funciones de una variable compleja
III. 3. La contribución de A.L. Cauchy a la teoría de funciones
III. 4. La contribución de Riemann a la teoría de funciones
III. 5. La contribución de K. Weierstrass a la teoría de funciones

Ya en los siglos XVII y XVIII el despreocupado e ingenuo -por calificarlo de alguna manera- cálculo con números complejos, e incluso con funciones de argumento complejo, había gozado de amplia difusión; ésta resulta todavía más asombrosa si se tiene en cuenta que el uso de números complejos, y más aún de la variable compleja, no tenía en realidad justificación teórica alguna.

III. 1. Los primeros ejemplos de la utilización de la variable compleja
Newton había intentado calcular el número de raíces complejas de una ecuación algebraica. En algunas discusiones desarrolladas durante los años 1712-13, Leibniz y Johann Bernoulli introdujeron la función logaritmo con argumento imaginario. Pero sólo Euler sería capaz de comprender completamente una cuestión que por entonces parecía muy complicada, esto es, el que sólo para reales positivos el valor del logaritmo es real, mientras que para cualquier otro argumento, real, negativo o complejo, el valor de la función ya no es real. Sin embargo, el resultado de Euler estuvo en discusión durante mucho tiempo; D'Alembert, por ejemplo, quería demostrar que ln (-1) = 0.

El matemático inglés Cotes, a quien se debe una parte importante del contenido de la segunda edición de los Principia de Newton, encontró en 1714 una notable relación entre la función logaritmo y las funciones trigonométricas, que hoy escribimos así:

iα = ln (cosα + i senα).

En la misma dirección se movían los resultados del matemático francés de Moivre, hugonote emigrante en Inglaterra, quien en 1738 dio a conocer una forma particular del teorema que hoy lleva su nombre y que se resume en la fórmula

(cosα + i senα)n = cos nα + i sen nα

A mediados del siglo XVIII, N. Bernoulli, D'Alembert y Euler enunciaron independientemente entre sí el teorema que afirma que toda función de varias variables complejas ak+ ibk siempre se puede poner en la forma P + iQ. Estudiando el movimiento de un cuerpo a través de un medio ideal, homogéneo y sin gravedad, D'Alembert obtuvo en 1752 las ecuaciones diferenciales conocidas como ecuaciones de Cauchy-Riemann y a su vez Euler consiguió demostrar que las panes real y compleja de una función de variable compleja diferenciable satisfacen esas mismas ecuaciones diferenciales de Cauchy-Riemann. Por último, Laplace se introdujo a conciencia en el mundo de lo complejo al calcular integrales por comparación entre la parte real e imaginaria de expresiones complejas.

III. 2. Los inicios de una construcción sistemática de la teoría de funciones de una variable compleja
Hasta el siglo XIX no se pudo lograr una construcción sistemática de la teoría de funciones de variable compleja, cuyo nodo central habría de ser el concepto de función. Hubo que esperar a que el concepto de número complejo pudiera aclararse de alguna manera. En una carta del año 1811 a su amigo el astrónomo Bessel, Gauss reflexionaba sobre el alcance de las cuestiones pendientes de resolución:

Ante todo, a quien quiera introducir una nueva función en el análisis, le rogaría una explicación sobre si le interesa su aplicación puramente a magnitudes reales (valores reales del argumento de la función) y contempla los valores imaginarios del argumento sólo como un estorbo, o si adopta mi principio básico de que, en el dominio de las magnitudes, los imaginarios a + b√-1 = a + bi han de ser considerados con los mismos derechos que los reales. No se trata de una cuestión de utilidad práctica, sino de que el análisis es una ciencia independiente que perdería extraordinariamente en belleza y redondez si dejase de lado las magnitudes fingidas; además de que sería necesario, a cada instante, establecer limitaciones sumamente molestas a verdades que en otro caso son generalmente válidas [L 11.19, p. 366].

Posteriormente Gauss planteaba la cuestión de qué se debía entender por una integral ∫φ(x), cuando x es una magnitud compleja. Puesto que en el plano complejo se puede llegar por infinitos caminos del extremo inferior de la integral al superior, se plantea la cuestión, comprendida por Gauss en su sentido más profundo, de hasta qué punto el valor de la integral es independiente del camino de integración elegido:

Afirmo ahora que la integral ∫φ(x).dx recibe el mismo valor por dos caminos diferentes siempre que en el interior de la región limitada por las líneas que representan estos recorridos nunca se tenga φ(x) = ∞. Esto es un bonito teorema cuya demostración,en ningún caso difícil, daré en el momento oportuno [L 11.19, p. 367]

Gauss no llegó a dar una exposición sistemática de una teoría de funciones de argumento complejo aunque, como muestra el párrafo anterior citado, conocía ya en 1811 el teorema fundamental de la teoría de funciones, el teorema integral de Cauchy, y comprendía, como se observa en un párrafo posterior de la carta, la multivocidad de las funciones representables mediante integrales como motivada por los polos encerrados dentro de un camino de integración cerrado:

Por otra parte resulta también [...] claro cómo una función dada por ∫φ(x).dx puede tomar varios valores para cada valor de x, pues ello depende, a saber, de si en el recorrido a lo largo de la curva no da ninguna vuelta alrededor de un punto en el que φ(x) = ∞ da una vuelta, o da varias [L 11.19, p. 367]

Poisson. al igual que Gauss, se ocupó en 1815 de cuestiones de integración de funciones de variable compleja, incluyendo el caso concreto de la integral logarítmica ∫dx/x

III. 3. La contribución de A. L. Cauchy a la teoría de funciones
La historia de una teoría de funciones formulada sistemáticamente comienza con Cauchy, uno de los matemáticos más polifacéticos y productivos que jamás haya existido. Cauchy atravesó diferentes etapas en sus estudios. En relación con los trabajos de Euler, buscó soluciones a las ecuaciones diferenciales de Cauchy-Riemann y aceptó además, al comienzo, la concepción, anclada en el siglo XVIII, según la cual toda ecuación entre magnitudes complejas no es en realidad sino un modo simbólico de escritura para dos ecuaciones entre magnitudes reales. El giro se produjo en 1825 con el trabajo Mémoire sur les intégrales definies prises entre des limites imaginaires (Memoria sobre las integrales definidas tomadas entre extremos imaginarios).

Cauchy aprecia en todo su valor en esta memoria los resultados alcanzados por sus colegas franceses Laplace y Brisson y por el joven matemático ruso Ostrogradski en relación con las integrales definidas con extremos complejos. Pero también deja claro que ninguno de los tratados publicados hasta entonces sobre las diferentes ramas del cálculo integral han establecido el grado de generalidad suficiente como para admitir una integral definida con extremos imaginarios o el número de valores que puede admitir. Esta es precisamente la cuestión que constituirá el objeto de nuestras investigaciones (L 11.9. p. 4].

El modelo metodológico a seguir lo encontró Cauchy en 1825 en el cálculo de variaciones: si allí se permiten diferentes curvas (de entre las que se ha de elegir una), aquí esto se corresponde con caminos de integración diferentes. Habría que esperar hasta 1840 para que Cauchy superara todas las dificultades conceptuales y de cálculo en el trato con integrales curvilíneas y pudiera coronar sus investigaciones con el teorema fundamental que afirma que la integral

0127.png

es igual a la suma de todos los residuos de la función f(z). En este teorema está contenido en particular el resultado de que el valor de la integral es independiente del camino de integración, siempre y cuando no encierre ningún polo (u otras singularidades).

Cauchy comenzó una aproximación diferente a la teoría de funciones de variable compleja con distintas investigaciones acerca del desarrollo de funciones en serie de potencias que le condujeron, entre otras cosas, al descubrimiento, en 1831, de que el desarrollo en serie converge en un círculo; además, la singularidad más próxima determina el radio de convergencia.

Por último cabe mencionar todavía un trabajo de Cauchy que procede del año 1846. Gracias a él se hicieron evidentes desde un punto de vista superior propiedades fundamentales de las funciones inversas de integrales de funciones algebraicas, por ejemplo la periodicidad múltiple de las funciones elípticas. El hecho de que el uso de los complejos tuviera como consecuencia una comprensión más profunda de las relaciones válidas en los reales resultó ser, en el desarrollo intramatemático, un momento decisivo para la teoría de funciones.

Las investigaciones de Cauchy fueron en principio continuadas por dos de sus compatriotas, Laurent y Puiseux quienes, entre otras cosas, introdujeron en la teoría de funciones los desarrollos en serie de potencias positivas y negativas en un círculo limitado por sus singularidades.

III. 4. La contribución de Riemann a la teoría de funciones
Al igual que D'Alembert y Cauchy, los estudios de Riemann partieron de observaciones físicas, en concreto hidrodinámicas; en ellas se encontraban las ideas fundamentales de la representación conforme, esbozada ya en gran parte por Gauss en 1822.

Riemann había expresado ya durante su época de estudiante en Berlín, en 1847-49, su intención de reducir la teoría de funciones de variable compleja a las ecuaciones diferenciales en derivadas parciales. Si se representa con w(z), donde w = u + iv, la función w de la variable compleja z = x + iy, entonces si se verifican las ecuaciones diferenciales de Cauchy-Riemann

0128.png

para las partes real e imaginaria, u(x, y) y v(x, y), respectivamente de w (de las que existen sus derivadas parciales y son continuas), se demuestra que w(z) es una función diferenciable en z. Si las derivadas parciales son continuas, entonces tanto la parte real como la imaginaria satisfacen ambas la ecuación de Laplace. Estos resultados, de amplio alcance, muestran la conexión interna entre la teoría de funciones, la teoría del potencial y la teoría de las ecuaciones en derivadas parciales y abren el camino a múltiples aplicaciones a las ciencias naturales y la técnica; fueron desarrollados por Riemann en su tesis, defendida en 1851, Fundamentos para una teoría general de funciones de una magnitud compleja variable, utilizándolos incluso directamente en la definición del concepto de función f(z) de una variable compleja. Para la interpretación de la multivocidad de las funciones, que resulta por prolongación, Riemann desarrolló la utilísima idea de las superficies de Riemann, noción que demostró ser extraordinariamente adecuada para clarificar difíciles problemas de las funciones trascendentes superiores. El propio Riemann dio una contribución muy significativa en esta dirección: por ejemplo, en un trabajo póstumo publicado en 1875 con el título Teoría de las funciones abelianas.

III. 5. La contribución de K. Weierstrass a la teoría de funciones
Ya durante su época de estudiante y en sus años de profesor de instituto Weierstrass, completamente enfrascado en las cuestiones planteadas por Abel y Jacobi, llegó a la formulación de la teoría de funciones elípticas y de las integrales hiperelípticas. cuyas funciones inversas se denominan actualmente funciones de Abel. Se planteó la meta de establecer una teoría completa de las integrales abelianas y de las funciones de Abel:

Representar estas magnitudes, de una clase completamente nueva, para las cuales el análisis no tenía todavía ningún ejemplo, y profundizar más intensamente en sus propiedades, va a ser a partir de ahora una tarea fundamental de los matemáticos, en la que estoy decidido a colaborar [L 11.34, p. 224]

Aunque Weierstrass consiguió publicar en 1853 la solución general de los problemas inversos de Jacobi, en los años subsiguientes trabajaría preferentemente en una construcción rigurosa del análisis real. Las lecciones que daba en Berlín, apoyadas directamente en trabajos de investigación en desarrollo, estuvieron dedicadas desde finales de los años 60 a la teoría de funciones. Sus propios apuntes y sus numerosos alumnos -Mittag-Leffler, Kovalevskaya, Schwarz y Cantor, entre otros- contribuyeron a difundir su legado intelectual en todos los centros de matemáticas existentes en aquella época en el mundo.

Weierstrass retomó, si bien en un plano superior, el concepto central de Lagrange, el de función analítica. Una función se define mediante su desarrollo en serie de potencias convergente 𝔅(z - a), 𝔅(1/z) respectivamente; sus valores dentro del círculo de convergencia constituyen el elemento de la función. Mediante la prolongación analítica se relacionan uno con otro los elementos de la función, surgiendo así una función analítica como conjunto de todas las prolongaciones a que da lugar un elemento de la función. Así, el camino seguido por Weierstrass para la obtención de la imagen analítica de la función resulta, en gran parte, la contraparte analítica de la noción, de contenido más intuitivo-geométrico, dada por la superficie de Riemann. Si Riemann había desarrollado múltiples ideas de gran poder intuitivo, Weierstrass, por el contrario, destacó especialmente por su dominio absoluto del aspecto analítico y por un rigor matemático no alcanzado hasta ese momento. A pesar de, o precisamente debido a los diferentes principios metodológicos de Riemann y Weierstrass, ambas direcciones se complementaron en gran paste es la construcción de una teoría de funciones de variable compleja. A finales del siglo XIX, la teoría de funciones alcanzó un cierto grado de completitud interna, si bien quedaba todavía por resolver un importante número de difíciles cuestiones en el tratamiento de funciones trascendentes superiores.

Por otra parte, las cuestiones planteadas por la teoría de funciones de variable real y compleja, que condujeron a finales del siglo XIX a una renovada profundización del concepto de función, recibirían, con el desarrollo del análisis funcional, una interpretación más rica y profunda.

LECCIÓN 12
EL SIGLO XIX: APLICACIONES DE LAS MATEMÁTICAS Y ALGEBRA

033.jpg
Portada del Treatise on Electricity and Magnetism de J. Cl. Maxwell (1873)

§ I
Hacia la consolidación de la posición social de las matemáticas y de las ciencias naturales

Contenido:
I. 1. La transformación de la ciencia en una fuerza productiva
I. 2. Direcciones principales del desarrollo de las ciencias naturales
I. 3. Direcciones principales en el desarrollo de las matemáticas

Durante la segunda mitad del siglo XIX se inició un nuevo periodo en el desarrollo de las matemáticas y de las ciencias naturales en los principales centros industriales del mundo: Inglaterra, Francia, Alemania, Italia, Rusia, Estados Unidos y, más adelante, Japón y otros estados europeos. La dependencia de las ciencias naturales y de las matemáticas del imparable progreso industrial y, por tanto, de los intereses de clase de la burguesía dominante, se asentaba sobre la cada vez más evidente posibilidad de explotación de las ciencias (Marx). Los éxitos obtenidos en la aplicación de las ciencias naturales y de las matemáticas animaron a la clase dominante a proporcionar los medios directos e indirectos para su promoción, una vez que -como afirmaría más tarde el destacado físico-químico alemán Ostwald- se hizo patente que el descubrimiento se podía organizar con un extraordinario éxito comercial.

I. 1. La transformación de la ciencia en una fuerza productiva
Marx dedicó gran atención a la función social de la ciencia, especialmente de las ciencias naturales, en el desarrollo y consolidación del modo de producción capitalista, destacando su transformación en un factor independiente del proceso de producción, en una fuerza productiva social conscientemente aprovechada:

La naturaleza no construye máquinas, ni locomotoras, ni trenes, ni telégrafos eléctricos, ni molinos automáticos, etc. Estos, por el contrario, son productos de la industria humana; son materia natural transformada en exponentes de la voluntad humana sobre la naturaleza o de su acción sobre ella. Son muestra del cerebro humano y han sido creados por la mano humana; son ciencia convertida en objeto. El desarrollo del capital fijo muestra hasta qué punto el saber social general, knowledge, se ha convertido en fuerza productiva inmediata y, de ahí, que hasta las mismas condiciones del proceso de vida social han acabado bajo el control del general intellect y son conformadas según éste. Hasta qué grado las fuerzas productivas sociales se producen no sólo en forma de saber científico, sino como exponente inmediato de la praxis social, del proceso de vida real [L 12.15, p. 594].

Desde mediados del siglo XIX las ciencias naturales se convirtieron en componente imprescindible del proceso de producción capitalista. El desarrollo posterior de la relación entre las ciencias naturales y la producción discurrió por dos vías principales: por una parte, la interacción entre ambas esferas sociales se hacía cada vez más intensa, mientras por otra, extensas áreas de las ciencias naturales se separaban completamente de la producción material. Y, recíprocamente, esto último posibilitó la penetración científica y la estructuración del proceso de producción. Sólo así se puede explicar históricamente el hecho de que disciplinas matemático-científicas abstractas y altamente especializadas, unidas de nuevo al proceso de producción, pudieran -y puedan- desplegar también un efecto fundamental en y para la producción. En el periodo de la formación y establecimiento del capitalismo de mercado ciertas partes de las ciencias naturales y de las matemáticas se transformaron en un elemento que revolucionó la producción capitalista; y, a su vez, otras áreas de las ciencias naturales alcanzaron un importante nivel teórico, por delante de la producción, en parte gracias a su institucionalización en el interior de la propia esfera de producción, por ejemplo en los laboratorios industriales.

El efecto revolucionario que las ciencias naturales habían causado en el proceso de producción se extendió con el desarrollo de las fuerzas productivas, penetrando incluso en la transformación de los medios de producción y contribuyendo con ello considerablemente a la formación del imperialismo; piénsese, por ejemplo, en el desarrollo de las grandes industrias químicas y de la industria electrotécnica.

I. 2. Direcciones principales del desarrollo de las ciencias naturales
La nueva posición social de las matemáticas y las ciencias naturales -que se constataba también en los aspectos organizativos y en el estatus social de los científicos- sentó las bases para el rápido auge, tanto cuantitativo como cualitativo, experimentado por las ciencias naturales y las matemáticas entre 1860-70 y la Primera Guerra Mundial; y esto a pesar de todas las distorsiones y deformaciones causadas por la política científica del imperialismo, que dio prioridad a intereses económicos y, cada vez en mayor grado, militares, por delante de las necesidades intracientíficas y humanísticas.

El campo de las ciencias biológicas abarcaba la teoría de la evolución (darwinismo), la fisiología, la microbiología, la bioquímica, la citología, la genética y la embriología.

La química, sobre la base de la tabla periódica de elementos, avanzaba hacia una renovación de sus conceptos teóricos fundamentales: átomo, molécula, isotopía y teoría del enlace químico; se propusieron los primeros modelos de átomo. Los progresos de la química orgánica fueron asombrosos, tanto en la explicación de la estructura de las sustancias naturales y de procesos naturales del tipo de la fermentación, la respiración y la asimilación, como en la síntesis de colorantes. La síntesis a gran escala del amoniaco y del ácido nítrico, del vinagre, alcohol, caucho, así como de gases venenosos y substancias explosivas dio origen a grandes industrias con enormes beneficios y preparó el camino para el surgimiento de poderosos monopolios químicos.

La química física, moviéndose en un área intermedia entre la química y la física, realizó decisivos descubrimientos sobre catálisis, fotolisis, coloides y cinética de reacciones, que a su vez proporcionaron los fundamentos necesarios para la síntesis industrial a gran escala.

La física experimental desarrolló disciplinas como la electroquímica, se descubrieron los electrones, los iones, la radioactividad y los rayos X; se aplicaron a la práctica cotidiana los fenómenos electrodinámicos fundamentales, lo que desembocó en la aparición de la industria electrotécnica. La física de orientación matemática se extendió a la teoría cinética de los gases, la termodinámica, la formulación matemática del electromagnetismo de Maxwell y de la teoría de la luz, incluyendo las discusiones sobre la teoría del éter; con el descubrimiento de la radioactividad, el reconocimiento del campo como forma de existencia de la materia, el descubrimiento del efecto cuántico y la teoría de la relatividad de Einstein, la física completaba, en torno al cambio de siglo, una revolución científica radical de sus fundamentos que afectaba a la física clásica acuñada por Galilei y Newton, pero que a la vez la conservaba.

I. 3. Direcciones principales en el desarrollo de las matemáticas
Durante la segunda mitad del siglo XIX siguió adelante el proceso de diferenciación en el seno de unas matemáticas que se desarrollaban rápidamente. De las grandes áreas tradicionales, geometría, álgebra y análisis, se separaron direcciones de trabajo particulares, bien por el contenido, bien por el método o bien en razón de tradiciones locales. De este modo obtuvieron el carácter de disciplinas matemáticas independientes la geometría algebraica, la teoría de grupos y de cuerpos, la topología, la teoría de números, la teoría de invariantes, las teorías de ecuaciones diferenciales ordinarias y en derivadas parciales, el cálculo de variaciones, los problemas de valores propios y de contorno, la teoría del potencial, la geometría diferencial, la teoría de las funciones elípticas y transcendentes superiores.

En torno al cambio de siglo las matemáticas eran una disciplina científica altamente desarrollada y estimada en todos los países desarrollados de la Tierra. El número de matemáticos aumentaba rápidamente. Un conjunto cada vez mayor de revistas especializadas publicaba un número continuamente creciente de resultados de investigación y de aplicaciones de las matemáticas. Surgían sociedades y agrupaciones de matemáticos a nivel nacional; desde 1897 comenzaron a reunirse congresos internacionales de matemáticos. A finales del siglo XIX comenzó la edición de los volúmenes de la formidable obra Encyklopadie der mathematischen Wissenschaften (Enciclopedia de las ciencias matemáticas). En ella, un colectivo internacional de autores exponía no sólo la matemática pura, sino también sus aplicaciones a la mecánica, física, astronomía, geodesia y diferentes ramas de la técnica.

Resulta casi un hecho simbólico el que Hilbert. uno de los más destacados matemáticos de la época, en su famosa conferencia sobre Problemas de las matemáticas durante el Segundo Congreso Internacional de Matemáticos celebrado en París en agosto de 1900, expresara, a la luz de los logros de la disciplina, su firme confianza en el futuro: poco sospechaba que al cabo de pocos años iba a tener lugar una profunda crisis de fundamentos. Menos aún podían sospechar Hilbert y la gran mayoría de los científicos de la época la terrible conmoción que el imperialismo y la Primera Guerra Mundial preparaban al conjunto de las naciones.

En efecto, con una confianza plena en los valores de la humanidad, Hilbert formuló en su conferencia de 1900 veintitrés problemas fundamentales de las matemáticas, con los que -como habría de quedar confirmado más tarde- había dado de lleno en el núcleo de las cuestiones centrales de las matemáticas del siglo XX.

Para una revisión de estos problemas, el día de hoy, que corresponde precisamente al cambio de siglo, me parece ciertamente apropiado; pues las grandes fechas no invitan exclusivamente a mirar retrospectivamente al pasado, sino que dirigen nuestros pensamientos a lo inmediato desconocido.
Es innegable la gran importancia que determinados problemas han tenido para el progreso de la ciencia matemática en general y el decisivo papel que desempeñan en el trabajo de cada uno de los investigadores. Cualquier rama de la ciencia podrá ser considerada vigorosa en tanto ofrezca una gran abundancia de problemas; mientras que la carencia de éstos significará su muerte o el fin de un desarrollo independiente [L 12.11, pp. 22-23].

Hilbert finalizaba su conferencia con un credo científico optimista;

Este convencimiento de la resolubilidad de todo problema matemático es para nosotros un vigoroso estímulo durante el trabajo; en nuestro interior oímos continuamente esta llamada: ahí está el problema, busca la solución. Puedes encontrarla simplemente pensando, pues en matemáticas no hay ningún ignorabimus [L 12.11, p. 34]

§ II
Matemáticas y aplicaciones

Contenido:
II. 1. Ámbitos de aplicación de las matemáticas, especialmente del análisis
II. 2. Elementos principales de la mecánica teórica en el siglo XIX
II. 3. La física matemática

La Revolución Industrial y la consolidación de los medios de producción capitalistas asignaron a las matemáticas del siglo XIX una dilatada función social. No hay que perder de vista, en lo sucesivo, que la matemática -como ciencia de los fundamentos, por decirlo de alguna manera- fue situándose en un lugar central en el proceso formativo de los ingenieros en las escuelas técnicas superiores; además, las matemáticas y las ciencias naturales abandonaron el lugar secundario que habían ocupado hasta entonces en las universidades y pasaron a constituir sólidas especialidades; se fundaron institutos científicos y matemáticos independientes; y, finalmente, también en las escuelas superiores de formación general (institutos, escuelas de formación profesional, etc), las matemáticas se convirtieron en una asignatura fundamental.

II. 1. Ámbitos de aplicación de las matemáticas, especialmente del análisis
Además del intercambio mutuo directo, existen numerosas interrelaciones indirectas entre matemáticas y progreso social. En líneas generales, se podría hablar de un papel mediador y mediado, activo y pasivo, de las matemáticas en el punto de encuentro de la producción material por una parte y las ciencias naturales y las técnicas por otra.

En conexión con los problemas centrales y el grado de madurez de las fuerzas productivas materiales, algunas ramas del análisis superior ocuparon una posición privilegiada. No se trataba sencillamente de una cuestión de aplicabilidad, es decir, del mero traslado de teoremas matemáticos conocidos a problemas prácticos. Antes bien, problemas derivados de la praxis (en el sentido más amplio) suscitaban cuestiones matemáticas profundas, que en campos matemáticos tales como la teoría de ecuaciones diferenciales ordinarias y en derivadas parciales, la teoría del potencial, el cálculo de variaciones y la teoría de series infinitas conducían a una ampliación considerable de su ámbito y profundidad. Las áreas de aplicación de la matemática, especialmente del análisis, se podrían clasificar a modo indicativo de la siguiente manera: mecánica teórica, teoría oscilatoria y de elasticidad, teoría del calor y termodinámica, electromagnetismo y electrodinámica.

II. 2. Elementos principales de la mecánica teórica en el siglo XIX
Ya en los siglos XVII y XVIII se conocían algunos principios variacionales con significado físico, como por ejemplo el principio acerca del camino más corto recorrido por un rayo de luz (Fermat) y el principio de mínima acción (Leibniz, Maupertuis, Euler, D'Alembert, Lagrange).

Hay que atribuir a Lagrange el desarrollo completo y riguroso de la mecánica puntual newtoniana. En 1788 apareció el primer volumen de la obra Mécanique analytique, en la que aparecen las ecuaciones lagrangianas del movimiento de primera y segunda especie; dichas ecuaciones en derivadas parciales engloban la totalidad de la dimímica de la mecánica puntual (considerándola sin rozamiento) entendida como efecto mutuo entre masas puntuales sujetas a la influencia de la gravitación y de otras fuerzas. Lagrange caracteriza perfectamente la situación recién creada, tanto en lo que se refiere al grado de madurez de la mecánica teórica, como respecto al alcance de los métodos matemáticos, al indicar como objetivo de la Mécanique analytique:
La teoría de la mecánica y el arte de resolver problemas relativos a ella, reduciéndolos a fórmulas generales, cuyo desarrollo simple proporciona todas las ecuaciones necesarias para la resolución de cualquier problema [L 12.13, p. 61]

Y lleno de orgullo indica en el prólogo:

Los métodos que expongo no requieren ni construcciones ni consideraciones geométricas o mecánicas, sino sólo operaciones exclusivamente algebraicas sometidas a un proceso regular y uniforme. Todo el que ame el análisis verá con placer que la mecánica se convierte en una nueva rama del mismo y sabrá agradecerme que yo haya extendido el dominio de la misma de tal manera [L 12.13, p. 6].

Es decir, ¡la mecánica como parte del análisis, como parte de las matemáticas!

Si en el periodo de la Ilustración los principios variacionales habían desempeñado una importante función filosófica, proporcionando aparentemente una prueba matemático- racional de una explicación ideológica de la naturaleza, en el siglo XIX se situaron también en el primer plano, pues a partir de ellos se abría el camino hacia un tratamiento deductivo de la mecánica teórica. Se produjeron en gran abundancia trabajos al respecto, debidos, por ejemplo, a Lagrange (principio de mínima acción), a Gauss (principio de mínima constricción) y, sobre todo, a Hamilton y Jacobi, que mostraron además el alcance de los principios variacionales en otras partes de la física, como la óptica, dotándolos a la vez de una elegante formulación. En 1834-35 Hamilton publicó su obra General Method in Dynamics, en la que la óptica y la dinámica aparecían como partes del cálculo de variaciones. En los años 1842-43 Jacobi impartía sus Lecciones de dinámica. En esta época la forma canónica de las ecuaciones diferenciales de Hamilton-Jacobi, que proporcionaba la conexión entre la teoría de las ecuaciones en derivadas parciales, el cálculo de variaciones y los fundamentos de grandes partes de la física se fue incorporando progresivamente al patrimonio común de los matemáticos. A finales del siglo XIX Routh, Rankine, J.J. Thomson y Maxwell en Gran Bretaña, Helmholtz y Hertz en Alemania, Ostrogradski y Bunyakovski en Rusia -por citar tan sólo algunos de los más destacados representantes- extendieron el campo de aplicación de la mecánica teórica a la electrodinámica y la termodinámica.

Pese a todo lo anterior, hasta bien entrado el siglo XX persistió una brecha importante entre esta matemática, llena de pretensiones y con la que estaban familiarizados sólo unos pocos especialistas, y el nivel matemático presente en la formación de los ingenieros. Tan sólo en contados casos la física matemática llegó a ser directamente eficaz en la producción y fue necesario un considerable esfuerzo para aclarar la posible aportación del análisis superior a la práctica o, mejor dicho, la necesidad de una formación matemática válida para el ingeniero. Klein, uno de los pioneros en la aplicación de las matemáticas a la producción a gran escala y fundador del laboratorio aerodinámico experimental de Gotinga, consideraba todavía en 1919 en relación con las ciencias naturales y las matemáticas que

su tarea verdadera no es explicar la naturaleza -lo que, en último termino, nunca podrá lograr- sino dominar la naturaleza. No se debe olvidar nunca que existe una técnica activa que transforma los principios de la ciencia teórica en hechos [LA 20, I, p. 199]

II. 3. La física matemática
En el área de contacto entre matemáticas y física se desarrolló durante el siglo XIX la física matemática como rama relativamente independiente. Se puede decir que esta disciplina incluía los campos que, junto a los cálculos astronómicos, constituían las principales áreas de aplicación de las matemáticas en las que se podía comprobar la potencia de la matemática superior en las diferentes ramas de la física. Además, la física en sentido amplio fue ganando una estructura casi deductiva, similar a la que en épocas anteriores había sido exclusiva de la mecánica de Newton.

Algunos episodios notables pueden servir para aclarar estos aspectos de las matemáticas del siglo XIX. Así, por ejemplo, Cauchy estuvo abiertamente interesado (alrededor de 1835) en la construcción de una teoría matemática de la dispersión, en el mismo periodo en el que Young y Fresnel resucitaban la teoría ondulatoria de la luz. En las ecuaciones diferenciales de la elasticidad formuladas por Navier y posteriormente también en el trabajo de Hamilton se hallan los puntos de partida concretos de) futuro cálculo vectorial y tensorial.

Con un pequeño escrito de S. Carnot, Réflexions sur la puissance motrice du feu... (1824), comenzó la matematización de la teoría del calor y se desarrolló una fructífera cooperación entre ciencia y técnica que permitió perfeccionar las máquinas de vapor de fábricas, locomotoras y barcos diseñados para la navegación en alta mar. Clapeyron, por ejemplo, desarrolló la representación de relaciones físicas por medio de diagramas, algo que hoy parece casi evidente. Los trabajos de Clausius, Lord Kelvin, Kirchhoff, Planck y otros a mediados y finales del siglo XIX marcaron importantes pautas en la elaboración de la termodinámica teórica, la cual, a su vez, habría de conducir -indirectamente- a la física cuántica del siglo XX.

Los matemáticos, especialmente los de la escuela francesa agrupada en torno a la École Polytechnique, estuvieron también particularmente interesados durante la primera mitad del siglo XIX en el establecimiento de la mecánica técnica como ciencia tecnológica independiente. En 1826 Poncelet preparó un Cours de mécanique appliquée aux machines-, tres años más tarde aparecía una Mecánica de las máquinas debida a Coriolis. Estos trabajos y otros similares pretendían -a diferencia de la Mecánica de Lagrange- una descripción matemática de las relaciones de fuerza y movimiento en máquinas reales, esto es, considerando el rozamiento. Dupin en Bélgica, Helmholtz en Alemania con la teoría del vórtice, Green. Stokes y W. Thomson en Gran Bretaña. Ostrogradski, Bunyakovski y Chebyshev en Rusia y otros muchos más prosiguieron estos estudios desde el punto de vista matemático; entre los ingenieros de máquinas con orientación teórica cabe destacar a los alemanes Redtenbacher, Reuleaux y Weisbach, quienes colaboraron estrechamente con los matemáticos en el ámbito de las escuelas técnicas superiores.

Se exponen a continuación los progresos alcanzados durante el siglo XIX en el ámbito de la mecánica técnica, aun cuando éstos no se harían efectivos en la praxis científico-técnica hasta bien entrado el siglo XX.

Ya Euler había avanzado, en el contexto del estudio de los movimientos de un barco, una idea fundamental que habría de conducir a lo que en el siglo XIX se denominó mecánica sistemática. Se plantean para cada sólido, máquina, etc., las ecuaciones de los centros de masas y de los momentos, eliminando las fuerzas de reacción internas al sistema. Sobre estos fundamentos teóricos, y equipados con la mecánica analítica en la forma de Lagrange, Jacobi y Hamilton, fue posible un tratamiento matemático de sistemas reales con rozamiento, proporcionando así una base teórica a tales construcciones. Un amplio abanico de problemas prácticos fue investigado matemáticamente: motores de pistón, bombas, reguladores, turbinas, sopletes, máquinas eléctricas, máquinas-herramientas, leyes del rozamiento, engranajes, ruedas motrices, transporte energético, problemas de torsión, estabilidad, fricción de soportes, impulsión por cable y por cadenas, construcción de embarcaciones, conducción sobre raíles, frenos, construcción de locomotoras, oscilaciones en barcos, amortiguación de vibraciones, instalaciones de transporte y muchos otros más.

Igualmente interesante resulta el proceso de matematización de la electrodinámica y el electromagnetismo. En Coulomb y Ampère aparecían consideraciones de tipo infinitesimal; Faraday desarrolló sus ideas sobre el efecto mutuo entre cargas en movimiento e imanes a lo largo de líneas de fuerza en un campo considerado todavía en modo muy intuitivo, sin desarrollar el correspondiente aparato matemático. Estas dificultades en la elaboración de la teoría del electromagnetismo, que tienen su origen en la teoría de las ecuaciones diferenciales en derivadas parciales y que se refieren también a la teoría de la luz. fueron afrontadas definitivamente por el escocés Maxwell en su tratado en dos volúmenes Treatise on electricity and magnetism, aparecido en 1873. Muy pronto Poincaré y Lorentz comenzarían a hacer estremecer los cimientos de la mecánica clásica -aún sin proponérselo- presentando el grupo espacial de las llamadas transformaciones de Lorentz, tras el famoso experimento de Michelson (1881) sobre la independencia de la velocidad de la luz del movimiento de la Tierra. Con la teoría especial y general de la relatividad de Einstein matemáticas y física se encontrarán de nuevo, a comienzos del siglo XX, en un nivel superior.

§ III
El desarrollo del algebra en el siglo XIX

Contenido:
III. 1. La teoría de determinantes y matrices
III. 2. El cálculo de cuaterniones. El cálculo vectorial
III. 3. La escuela algebraica británica
III. 4. La formulación de las estructuras algebraicas fundamentales

Por motivos de espacio se describirán sólo los acontecimientos y las corrientes de pensamiento más significativos del álgebra de este periodo.

III. 1. La teoría de determinantes y matrices
La resolución de sistemas de ecuaciones lineales constituye uno de los problemas matemáticos más antiguos y presenta una notable conexión con la actividad práctica. De ahí que se hallen sistemas de ecuaciones lineales en la matemática mesopotámica, por ejemplo, así como en la matemática medieval china y japonesa. En la Edad Media y en el Renacimiento europeos se intentaron algunas aproximaciones a un tratamiento de los sistemas de ecuaciones lineales, que aparecen por ejemplo en la obra de Leonardo Fibonacci y en Cardano. Pero parece que fue Leibniz quien primero se propuso obtener un método general de resolución y quien por tanto primero manejó los determinantes. En el año 1693 dio ejemplos de sistemas de ecuaciones con coeficientes generales utilizando la notación con subíndices. No obstante, las ideas de Leibniz cayeron en el olvido.

En 1750 el suizo Cramer publicó su Introduction á l'analyse des lignes courbes algébriques, obra en la que expuso, con ayuda de expresiones similares a los determinantes, un método impecable para la resolución de un sistema de n ecuaciones con n variables. Algunos de los más importantes matemáticos de los siglos XVIII y XIX prosiguieron estas investigaciones, entre ellos Bézout, Vandermonde, Laplace, Lagrange, Cauchy y Jacobi. Laplace, por ejemplo, obtuvo el desarrollo de los determinantes, Lagrange los aplicó a la geometría analítica, Cauchy halló la ley de multiplicación y utilizó la disposición en cuadro de los elementos. Gracias especialmente a los trabajos de Jacobi, presentados en 1826, los determinantes se convirtieron en patrimonio general de los matemáticos, llegando a ser utilizados extensamente, no sólo en los problemas básicos históricos del álgebra -los sistemas de ecuaciones lineales- sino también en geometría y en análisis.

Con todo, Jacobi no consiguió dar un criterio general de resolución de sistemas de n ecuaciones lineales con m variables, pues le faltaba el concepto de rango de una matriz. El primero en abordar este aspecto fue el matemático irlandés Sylvester, quien introdujo las matrices haciendo uso del rango (ciertamente sin utilizar esta palabra). Su amigo y colega Cayley creó el cálculo matricial e hizo notar además que las matrices no son más que una forma de expresión abreviada para las sustituciones lineales.

A finales del siglo XIX los estadounidenses B. Peirce y C.S. Peirce, el alemán Frobenius, el francés Hermite y otros autores consolidaron definitivamente el cálculo de matrices en lo referente a sus aplicaciones dentro de las propias matemáticas, convirtiéndolo en una amplia disciplina matemática cerrada en sí misma. El cálculo de matrices se convertiría en manos de Born y Heisenberg a finales de los años veinte del siglo XX en una herramienta matemática fundamental para la mecánica cuántica.

III. 2. El cálculo de cuaterniones. El cálculo vectorial
La geometría, junto al problema de la ampliación del campo de los números reales, fue el punto de partida de la teoría de los cuaterniones. ¿Es posible describir los giros en el espacio tridimensional con números en modo análogo a como los números complejos describen los giros en el plano?

Tras intensas reflexiones, Hamilton inventó en 1843 los cuaterniones, es decir números de cuatro términos:

a + bi + cj + dk

Hamilton expuso su teoría algebraica de cuaterniones -en la que tuvo que renunciar a la propiedad conmutativa- y sus posibilidades de aplicación a la geometría y la mecánica en dos monografías, Lectures on quaternions (1853) y Elements of quaternions (1866); sus libros se convertirían en el punto de partida para un culto a los cuaterniones completamente exagerado. En una reflexión retrospectiva que data de 1858, Hamilton se expresaba en los siguientes términos:

Mañana se cumple el quince cumpleaños de los cuaterniones. Nacieron, o vieron la luz del día, completamente adultos, el 16 de octubre de 1843, mientras caminaba un día con lady Hamilton hacia Dublín, cuando subíamos hacia el puente Brougham. Esto significa que en aquel lugar y en aquel entonces sentí que se había cerrado un circuito galvánico y las chispas que de él habían saltado eran las ecuaciones fundamentales entre I, J, K, exactamente tal y como las he utilizado desde entonces. Saqué en aquel lugar un cuaderno de apuntes, que todavía existe, e hice algunas anotaciones; ya en aquel mismo instante sentía que el esfuerzo podría significar trabajo para al menos los próximos 10 (o incluso 15) años. Pero no se debe olvidar también que era eso mismo lo que me hacía intuir que en ese momento había resuelto un problema, había satisfecho una necesidad intelectual, que había perseguido al menos durante 15 años [LA 21, p. 779 (en inglés)].

A pesar de esta subjetiva y exagerada exaltación, en la obra de Hamilton se hallan las verdaderas raíces históricas del análisis vectorial. El mismo introdujo la denominación y el símbolo nubla y participó de manera destacada en la construcción del formalismo del cálculo vectorial simbólico, caracterizado por conceptos tales como gradiente, divergencia, operador a, rotacional, etc. Estos, a su vez, desempeñaron un papel decisivo en la formulación de la teoría electromagnética de la luz, debida a Maxwell.

El alemán Grassmann, partiendo de cuestiones similares a las tratadas por Hamilton, siguió un camino diferente. En 1844 apareció por primera vez un trabajo suyo con el título Teoría de las extensiones lineales en el que, dejándose guiar por las ideas de Leibniz sobre una characteristica universalis, construye una teoría algebraico-geométrica de las magnitudes más generales que no cumplen necesariamente la propiedad conmutativa; este desarrollo corresponde prácticamente -expresado en términos actuales- a una exposición axiomática del espacio vectorial rc-dimensional. Lamentablemente, esta obra resultó poco menos que incomprensible para sus contemporáneos, porque en ella Grassmann llevó a cabo desarrollos extraordinariamente abstractos, hizo uso de abundantes símbolos y, por si fuera poco, dejó a un lado la idea -generalizada en aquel entonces- de la tridimensionalidad del espacio. A pesar de todo, hacia finales de siglo, una vez que, gracias a la mediación de Gibbs y Klein, se hubieron superado las diferencias entre los partidarios de Hamilton y los de Grassmann (o sea, entre los cuaternionistas y los bivectorianos), muchos de los elementos característicos del trabajo de Grassmann desembocaron en la construcción del cálculo vectorial y tensorial.

Los cuaterniones obtuvieron el lugar que verdaderamente les correspondía una vez que Frobenius logró demostrar que constituyen la única álgebra de división no conmutativa de rango finito sobre el cuerpo de los números reales. Por su parte, la teoría de Grassmann se integró definitivamente en la matemática moderna con las investigaciones de Poincaré y E. Cartan, que condujeron al cálculo de las formas diferenciales exteriores, en el que se apreció la analogía con el cálculo de Grassmann. El mérito de la formulación exacta del concepto de espacio vectorial de dimensión finita o infinita sobre el cuerpo de los números reales se ha venido atribuyendo desde 1888 principalmente a Peano.

El lado más formal de la ampliación del campo de los números reales a sistemas hipercomplejos fue considerado -junto a los matemáticos ya citados- por Hankel, Study, Molien, Dcdekind, Weierstrass y B. Peirce. Estos estudios desembocarían, con Wedderbum y Dickson en los países de habla inglesa y con E. Noether y Artin en Alemania, en la teoría del álgebra y, por fin, en el algebra moderna del siglo XX.

III. 3. La escuela algebraica británica
A mediados del siglo XIX la matemática en Gran Bretaña, tras cien años de ir a remolque, aventajaba de nuevo a la matemática de Europa continental en un importante campo, el álgebra. Se trataba de un álgebra extremadamente formal, en el sentido de que había pasado a primer término no tanto el carácter de los elementos sino más bien el tipo de operaciones manejadas entre magnitudes abstractas no necesariamente precisadas.

Un grupo formado por tres matemáticos puede ser considerado como precursor de la escuela algebraica inglesa: Peacock, de Morgan y D.F. Gregory, quienes en los años 30 exploraron un nuevo camino para el álgebra. La formulación más clara de las ideas a las que llegaron se debe a Peacock. En un informe del año 1834 acerca del estado y progresos de las diferentes ramas del análisis afirma que el álgebra simbólica

por su naturaleza podría convertirse en una ciencia de símbolos y de sus combinaciones, construida según sus propias reglas, capaz de ser aplicada según su interpretación, a la aritmética y a cualquier otra ciencia [L 12.17, p. 192 (en inglés)].

De entre todos los excelentes algebristas ingleses de la siguiente generación, Cayley, matemático extraordinariamente prolífico y polifacético, merece una distinción especial. Partiendo de una ingeniosa teoría sobre los invariantes y covariantes de formas -que él llamaba quantics, elaborada ya a mediados del siglo XIX, llegó a una concepción abstracta de grupo que utilizó ampliamente, presentándolo como un sistema de relaciones que pueden ser definidas entre elementos abstractos. Como caso particular, estos elementos pueden ser permutaciones; de este modo Cayley establecía el nexo de unión con la construcción sistemática de la teoría de permutaciones, realizada por Cauchy en los años 40 y en la que se pueden apreciar ya ciertos indicios de una teoría abstracta de grupos. En cuanto a la palabra grupo (en inglés group, en francés groupe), Cayley se remitió expresamente a Galois.

En 1854 Cayley ya había introducido la tabla de un grupo. Así, en su trabajo On the Theory of Groups as Depending on the Symbolic Equation θn = 1, se puede leer, entre otras cosas:

Se llamará grupo a un conjunto de símbolos
1, α, β...
en el que todos son distintos uno de otro y dispuestos de forma que el producto de dos cualesquiera de ellos (independientemente del orden de multiplicación) o el producto de uno de ellos consigo mismo pertenece al conjunto. Se sigue que si se multiplica, por la izquierda o por la derecha, todo el grupo por uno cualquiera de los símbolos se reproduce el grupo de nuevo; o lo que es lo mismo, si se multiplican los símbolos del grupo uno por otro, de manera que se obtenga una tabla de la siguiente forma.
0129.png
entonces toda fila y toda columna contienen todos los símbolos 1, α, β... Se sigue también que el producto de un número arbitrario de símbolos con o sin repetición y en cualquier orden es de nuevo un símbolo del grupo [L 12.3, p. 124 (en inglés)].

Alrededor de 1878 ya se había puesto de manifiesto la decisiva importancia del concepto de grupo, no sólo en la teoría de resolución de ecuaciones algebraicas, sino también en la geometría y en la teoría de ecuaciones diferenciales en derivadas parciales. Cayley se dedicó entonces con renovadas fuerzas a la teoría de grupos, y escribía:

Un conjunto de símbolos α, β, γ,... tales que el producto a¡i de cada dos de ellos (en el orden que sea, , αβ, βα) sea de nuevo un símbolo del conjunto se llama grupo [...] Un grupo queda pues definido por medio de una ley de composición (combinación) de sus símbolos [L 12.4, p. 402 (en inglés)].

Otros matemáticos destacados de la escuela algebraico-geométrica en lengua inglesa fueron el irlandés Salmón y el inglés Clifford. Salmón destacó especialmente por sus excelentes monografías y libros de texto, en los que reorganizó la geometría analítica de manera metódica a partir de un extenso uso de los medios algebraicos.

De este conjunto de ideas y concepciones de carácter abstracto surgió también un famoso librito, de tan sólo 84 páginas, que apareció en 1854. Tenía por título An Investigation of the Laws of Thought, ... y su autor era el inglés Boole. Enlazando con ideas del pensador medieval Raimundo Llull y otras similares de Leibniz, Boole defendía en su libro la idea de que todas las operaciones del lenguaje -en cuanto expresión del pensamiento-, pueden ser representadas mediante un sistema de signos (símbolos de conceptos, símbolos de operaciones, signo de identidad). Este intento -en su tiempo apenas apreciado- de formalización del pensamiento y de la matemática convirtió a Boole en uno de los precursores de la lógica matemática.

En el último tercio del siglo XIX comenzaron a calar en otros países las ideas desarrolladas dentro de la escuela británica. Así, en los Estados Unidos, B. Peirce desarrolló, en conexión con ciertas contribuciones a la lógica matemática de su hijo, C.S. Peirce, los principios en el campo del álgebra asociativa lineal general. En Alemania Hankel, en su Teoría del sistema de números complejos del año 1867 se refiere explícitamente a las ideas abstractas expresadas por Hamilton en sus Elements of quaternions de 1866. En general, la tendencia hacia la formación de la lógica matemática como disciplina matemática independiente, tendencia que resulta claramente visible precisamente en Alemania en los años 70 y 80. tiene mucho que agradecer a la escuela algebraica británica del siglo XIX.

III. 4. La formulación de las estructuras algebraicas fundamentales
Resulta interesante hacer notar que ya a lo largo del siglo XIX se conocían y manejaban algunas estructuras algebraicas básicas como grupo, cuerpo, ideal, y que, por tanto, la moderna matemática de estructuras imperante en la actualidad se remonta ya en sus aspectos algebraicos al siglo XIX. Ciertamente esto se producía, al menos a comienzos del siglo XIX, en gran parte en forma implícita. Así, por ejemplo, la teoría de la composición de formas cuadráticas o la teoría de la ecuación ciclotómica de Gauss, así como algunos teoremas de Abel conducen de manera implícita a una teoría de grupos abelianos. En Galois encontramos teoremas que hoy incluimos en la teoría de cuerpos finitos (cuerpos de Galois). La teoría de grupos de permutaciones, trabajada extensamente por Cauchy, se acerca bastante a una teoría de grupos abstractos. Y así podríamos añadir muchos más ejemplos.

A mediados del siglo XIX se entró en una fase, que luego se vio reforzada a lo largo de los años 60 y 70, en la que se puso de relieve el contenido conceptual de las estructuras algebraicas fundamentales. Por ejemplo, Dedekind, quizá el más avanzado en este campo, definió en un sentido completamente moderno los conceptos actuales de ideal y de grupo abstracto y utilizó ampliamente el concepto de cuerpo (Kronecker utilizaba para ello la palabra campo de racionalidad).

En una apretada sucesión temporal, el proceso que habría de conducir a la noción de grupo abstracto se desarrolló como se describe a continuación. Kronecker, en un trabajo sobre teoría de números del año 1870, refiere sus esfuerzos para lograr la sencillez y el destacar claramente lo verdaderamente esencial. Luego sigue una definición implícita, fijada axiomáticamente, del concepto de grupo abeliano finito, en la que se toma por base una ley de composición abstracta entre los elementos.

Sean
ϕ
’, ϕ’’, ϕ’’’, ...
un número finito de elementos, dispuestos de forma que de cada dos de ellos se pueda obtener un tercero mediante un procedimiento determinado previamente. En este caso, si indicamos el resultado de dicho procedimiento por /, dados dos elementos cualesquiera
ϕ’ y ϕ’’, que pueden ser iguales, debe existir un tercero ϕ’’’ que es igual a f(ϕ’, ϕ’’). Además debe cumplirse:
f(
ϕ’, ϕ’’)= f(ϕ’’, ϕ’’)
(f(
ϕ’, f(ϕ’’, ϕ’’’) = f(ϕ’, ϕ’’,f(ϕ’’)
y caso de ser f(
ϕ’’ y ϕ’’) diferentes, también f(ϕ’, ϕ’’) no es idéntico a = f(ϕ’’, ϕ’’).
Supuesto esto, la operación indicada con f(
ϕ’, ϕ’’) se puede reemplazar por la multiplicación de los elementos ϕ’, ϕ’’, sin más que introducir en lugar de la igualdad completa una simple equivalencia [L 12.12, pp. 275-276].

De esta forma queda claramente establecido, en su formulación abstracta, el carácter cerrado del sistema finito con respecto a la operación tomada como base e igualmente la propiedad conmutativa, la propiedad asociativa y la ley de reciprocidad unívoca de la operación.

Junto a la teoría de números, las raíces históricas de la formación del concepto de grupo abstracto se hallan también en la geometría y el álgebra.

Apoyándose en los puntos de vista metodológicos de Hamilton, Netto, Grassmann, Hankel y Schröder, v. Dyck completó en los años 1882-83 el paso hacia los grupos abstractos:

Se pretende [...] dar una formulación abstracta a las propiedades de un grupo estudiadas hasta la fecha. Esto plantea, como cuestión inmediata, hasta qué punto estas propiedades conservan su carácter invariante a través de todas las presentaciones del grupo, lo que conduce a la determinación exacta de su contenido teórico como grupo [L 12.7, p. 70].

Y en otro lugar añade

[...] de esta manera todos los grupos holoédricos isomorfos quedan comprendidos en un único grupo [...] la naturaleza del grupo ya no dependerá de la particular forma de presentación de sus operaciones, sino, simplemente, de la relación mutua del mismo con otro [L 12.6, p. 1].

Pocos años más tarde, en 1895-96, en el libro Tratado de álgebrade Weber, texto básico de referencia, figura ya la moderna concepción de la existencia de las estructuras algebraicas fundamentales. Se explica de este modo el éxito de este grandioso libro, que sería utilizado por una generación completa de matemáticos y marcó los contenidos relevantes del álgebra durante un importante periodo. Tan sólo el libro de van der Waerden, Algebra moderna (1930-31), abrirá una nueva etapa en el desarrollo del álgebra con igual intensidad.

En los siguientes pasajes se manifiesta claramente el punto de vista de Weber:

Era mi intención escribir un libro que pudiera introducir al lector, sin excesivos conocimientos previos, en el álgebra moderna y guiarle en las partes de mayor nivel y dificultad, aumentando, si cabe, el interés por el lema [L 12.25, p. V]
Existen esencialmente dos conceptos generales que dominan el álgebra moderna. La existencia y significado de estos conceptos no podrá ser reconocida, sin embargo, hasta que el álgebra haya alcanzado cierto grado de preparación que esté a disposición de los matemáticos. Tan sólo entonces podrá ser reconocido el principio conductor y conjuntor.
Me refiero a los conceptos de grupo y de cuerpo, cuya explicación constituye el objeto de nuestro trabajo actual. El concepto más general es el de grupo, con el que por tanto comenzamos [L 12.26, p. 180].
Un grupo pasa a ser un cuerpo siempre que en él sean posibles dos clases de composición, de las cuales la primera se llama adición y la segunda multiplicación [L 12.23, p. 526]

Desde el punto de vista histórico, el concepto de grupo abstracto constituye el primer caso de emancipación de una estructura algebraica. Poco después comenzaron a surgir las primeras monografías asentadas sobre fundamentos de carácter abstracto; como, por ejemplo, los Eléments de la théorie des groupes abstraits (1904) del francés de Séguier, limitada todavía a los grupos finitos, o la Abstraktnaja teorija grupp (1916) de O. Yu. Schmidt, fundador de la que llegaría a ser famosísima escuela ruso-soviética de teoría de grupos, además de excelente investigador del Polo.

LECCIÓN 13
EL SIGLO XIX: GEOMETRÍA SUPERIOR Y TEORÍA DE CONJUNTOS

034.jpg
Portada de la Géométrie imaginaire de N.I. Lobachevski (1837)

§ I
El desarrollo de la geometría superior en el siglo XIX

Contenido:
I. 1. El camino hacia la geometría no euclídea
I. 2. Gauss y la geometría no euclídea
I. 3. János Bolyai y la geometría no euclídea
I. 4. N. I. Lobachevski y la geometría no euclídea
I. 5. La contribución de B. Riemann a la fundamentación de la geometría
I. 6. El reconocimiento de las geometrías no euclídeas
I. 7. Sobre la historia del desarrollo de la geometría proyectiva
I. 8. El programa de Erlangen
I. 9. La repercusión del programa de Erlangen
I. 10. La axiomatización de la geometría por D. Hilbert
I. 11. La concepción moderna de la axiomatización

A finales del siglo XIX, parecía que, en el ámbito de las matemáticas, éste habría de llamarse el siglo de la geometría. Probablemente esta valoración no resistiría un análisis histórico profundo desde una perspectiva actual, pero efectivamente la geometría conoció durante el siglo XIX un desarrollo vertiginoso, tanto en cuanto a sus contenidos y extensión como en cuanto a la configuración de sus métodos y a su estructuración interna.

La alta estima de la que gozó la geometría en el siglo XIX ha de ser considerada en parte reflejo de la conciencia social de los matemáticos sobre el importante papel de la geometría descriptiva en las escuelas politécnicas y en las escuelas técnicas superiores. En efecto, la gran utilidad de la geometría descriptiva en la formación del ingeniero fue la base del desarrollo de la geometría durante el siglo XIX. El poderoso impulso que dieron a la geometría Monge y la Ecole Polytechnique parisina se plasmó con particular brillantez en Poncelet y en el desarrollo de la geometría proyectiva.

Pero simultáneamente la geometría elaboró durante la primera mitad del siglo XIX ciertas líneas que no surgían directamente del desarrollo de la geometría proyectiva, sino que eran más bien resultado de la transformación global iniciada por la geometría hacia finales del siglo XVIII. En efecto, la evolución de la geometría desde finales del siglo XVIII hasta mediados del siglo XIX no respondió a la perseverancia en una determinada dirección, sino que se desarrollaron direcciones aparentemente divergentes de tendencias particulares que comenzaban a independizarse en el seno de la geometría. Las categorías intelectuales fundamentales en y acerca de la geometría dejaron de estar perfectamente fijadas por la fuerza de la costumbre: una vez que la geometría -entendida en cuanto a su contenido, métodos y objetivos en el sentido de la milenaria tradición euclidea- se hubo puesto en movimiento, conceptos como coordenadas, longitud, paralelismo y distancia, el uso tácito del punto como elemento de partida de toda geometría y, cómo no, la concepción global de la geometría como arte de la medida podían y debían ser susceptibles de generalización y de crítica.

I. 1. El camino hacia la geometría no euclídea
Ya desde la Antigüedad el quinto postulado de Euclides, conocido como postulado de las paralelas, poseía un claro carácter de excepción y se registraron numerosos intentos de demostrar este postulado con ayuda de los demás. En el ámbito de la matemática islámica se conocen intentos similares, por ejemplo con al-TüsI en el siglo XIII. La cadena de los esfuerzos de demostración llega incluso hasta Legendre y su importante libro Eléments de géométrie (1794).

A pesar de todos los intentos frustrados, a finales del siglo XVIII se habían alcanzado dos resultados fundamentales. En cuanto a la construcción de la geometría euclídea, el postulado de las paralelas es equivalente a otras hipótesis de tipo elemental, como por ejemplo la de que para todo triángulo existe uno semejante de tamaño arbitrario (Wallis, 1693), o la que afirma que la suma de los ángulos de un triángulo es igual a dos rectos (Saccheri, Lambert, Legendre). Por otra parte, el recíproco del postulado de las paralelas es demostrable: si dos rectas que se intersecan son cortadas por una tercera, entonces la recta secante determina en uno de sus lados ángulos internos (es decir, en el interior del triángulo que se origina) cuya suma no alcanza los dos rectos.

Estas dos ideas condujeron hacia un cambio de enfoque. En lugar de tratar de probar directamente el postulado de las paralelas, se intentó la demostración de manera indirecta; es decir, suponiendo que el postulado fuera falso, habría de llegarse a una contradicción.

El italiano Saccheri, en su trabajo Euclides ah omni nuevo vindicatus (Euclides libre de toda tacha), publicado en 1733, planteó dos hipótesis, la del ángulo agudo y la del ángulo obtuso: si en un cuadrilátero ABCD se levantan en los extremos de la base AB dos perpendiculares AD y BC de igual longitud, entonces los ángulos que se forman en C y D por simetría son iguales. Según Euclides se trata de ángulos rectángulos; las hipótesis citadas afirman que son ángulos agudos, u obtusos, respectivamente (fig. 13.1).

0130.png
Fig. 13.1. Hipótesis del ángulo agudo y obtuso

Saccheri logró refutar, con la suposición tácita de que las rectas eran infinitamente largas, la hipótesis del ángulo obtuso. En efecto, esta hipótesis llevaba a Saccheri a concluir que las rectas habían de tener longitud finita, lo cual era totalmente correcto, pero Saccheri interpretó (completamente impregnado de mentalidad euclídea) este resultado como una contradicción de la hipótesis del ángulo obtuso. La argumentación de Saccheri para llegar a una contradicción en la hipótesis del ángulo agudo era defectuosa.

El científico alsaciano Lambert se ocupó asimismo de cuestiones similares a las tratadas por Saccheri en su Theorie der Parallellinien, escrita en 1766 pero publicada póstumamente en 1786. De dichas cuestiones extrajo consecuencias que condujeron a resultados de la geometría no euclídea, aunque su autor se explayaba sobre la incomodidades de esta inusual geometría, que invalidaba las tablas trigonométricas convencionales, eliminaba la proporcionalidad y la semejanza entre figuras y tenía nefastas consecuencias en astronomía.

Hacia finales del siglo XVIII existía un gran interés en torno a las cuestiones de fundamentos de la geometría, aun cuando nadie pretendiera poner en tela de juicio la veracidad absoluta de la geometría euclídea. Es conocido, por ejemplo, que el matemático de Gotinga Kästner, uno de los maestros de Gauss, coleccionó sistemáticamente escritos que se ocupaban de la teoría de las paralelas, como se decía en aquella época. Los intentos de demostración (indirecta) para el postulado de las paralelas perduraron todavía hasta bien entrado el siglo XIX; Taurinus (1825) y Schweikart (1818) aportaron ingeniosas contribuciones, aunque en última instancia fallaran en sus objetivos. Por aquel entonces Gauss había llegado hacía ya tiempo a tener una idea completa acerca de la naturaleza de la geometría no euclídea, pero sin haberse expresado públicamente sobre el tema.

I. 2. Gauss y la geometría no euclídea
Gauss comenzó a ocuparse de los fundamentos de la geometría a los quince años. En 1792 se planteó ya, al igual que Saccheri y Lambert, cómo se podría llegar a una geometría en la que el postulado de las paralelas no fuera válido. Al parecer, y a diferencia de otros que le precedieron, ya en aquella época o poco después Gauss se había percatado de que el postulado de las paralelas era indemostrable a priori. Se trataba de un audaz paso en la teoría del conocimiento, que conducía a la diferenciación, no existente hasta entonces, de geometría y espacio, a la diferenciación entre geometría como disciplina matemática y una ciencia del espacio en el sentido de una ciencia del espacio físico, que existe objetivamente.

De esta manera Gauss tomaba una postura cada vez más en contraposición con la filosofía de la naturaleza de Kant, dominante hasta entonces. Este último -aunque en su años jóvenes había examinado las geometrías multidimensionales y la relación recíproca entre espacio y percepción sensorial-, en su influyente obra Crítica de la Razón Pura (1781), había considerado el espacio euclídeo tridimensional como sencillamente necesario para el pensamiento:

La geometría es por tanto una ciencia que determina las cualidades del espacio de forma sintética y sin embargo a priori. ¿Cómo debe ser entonces la representación del espacio, para que sea posible su conocimiento de esta manera? Tiene que ser primordial mente intuición; pues de un concepto puro no se puede extraer ninguna proposición, referida al concepto, que, sin embargo, se presente en la geometría [...] Pero esta intuición tiene que ser a priori, esto es antes de que cualquier percepción de un objeto se produzca en nosotros, luego ha de ser una intuición pura, no empírica. Pues las proposiciones geométricas son en su totalidad apodícticas, es decir, unidas con la conciencia de su necesidad, por ejemplo, el espacio tiene sólo tres dimensiones; pero tales proposiciones no pueden ser empíricas o juicios experimentales, ni ser deducidas de ellas [L 13.20, pp. 53-54]

Después de largas y profundas reflexiones, a lo largo de 1815-16 Gauss llegó a la idea de que también las geometrías no euclídeas eran válidas, esto es, geometrías que se construyen con algún postulado que implica una negación del postulado de las paralelas. Sobre la estructura real del espacio tenían que decidir la experiencia y la experimentación y, por tanto, la física y la astronomía. De esta manera Gauss había tomado inequívocamente una posición de materialismo científico; expresado con sus propias palabras (1817):

Estoy cada vez más convencido de que la necesidad de nuestra geometría no se puede demostrar, al menos no por el intelecto humano ni para el intelecto humano. Tal vez lleguemos en alguna otra vida a otras ideas acerca de la naturaleza del espacio, que ahora nos son inalcanzables. Hasta entonces no se ha de colocar la geometría en el mismo rango que la aritmética, que existe simplemente a priori, sino acaso en el de la mecánica [L 13.11, VIII, p. 177].

Su alejamiento de Kant fue llevado a cabo conscientemente, aunque en adelante exclusivamente por carta:

Precisamente en la imposibilidad de decidir a priori entre L [geometría euclídea, N.A.j y S [geometría no euclídea, N.A.] se halla la más clara demostración de que Kant estaba equivocado al afirmar que el espacio es sólo una forma de nuestra intuición [L 13.11, VIII, p. 224]

Gauss no dejó ningún tratado o exposición completa sobre la geometría no euclídea. Sin embargo, de sus múltiples cartas a amigos de confianza, Bessel, Schumacher, Gerling, se deduce que tenía un profundo conocimiento del estado de la cuestión[45]. En una carta de 1831 dirigida a Schumacher escribía:

[...] la geometría no euclídea no contiene absolutamente nada contradictorio, aun cuando aquéllos [que la conocen] tengan al principio por paradójicos muchos resultados de la misma, aunque consideraba contradictoria, sería sólo un autoengaño, provocado por el hábito tempranamente adquirido de considerar la geometría euclídea como rigurosamente verdadera.
En la geometría no euclídea no existen figuras semejantes sin ser iguales, por ejemplo, los ángulos de un triángulo equilátero, no son sencillamente 2/3 de R, sino que [en diferentes triángulos] se diferencian también según las magnitudes de los lados y pueden, si los lados crecen indefinidamente, ser tan pequeños como se quiera [L 13.11, VIII, p. 216].
En la geometría euclídea no hay nada absolutamente grande, pero sí en la geometría no euclídea. Esta es precisamente su característica esencial, y aquellos que no lo admiten colocan eo ipso toda la geometría euclídea; pero, como ya he dicho, estoy convencido de que eso es simplemente autoengañarse [L 13.11, VIH, p. 217]

Gauss manifestó sus opiniones sobre la geometría no euclídea sólo confidencialmente. Ciertamente temía la polémica -los gritos de los beodos-, en la que se habría visto inevitablemente envuelto. Sin embargo, consideraba atentamente los progresos en este campo; puso a la luz, con un rigor amistoso, los errores presentes en presuntos intentos de resolución para el postulado de las paralelas realizados por su amigo de juventud, el matemático W. (Farkas) Bolyai y por su amigo el astrónomo Schumacher; y mantuvo correspondencia con Taurinus y Schweikart sobre los hallazgos de éstos últimos. Gauss siguió con especial atención el desarrollo de los acontecimientos cuando otros dos matemáticos -Lobachevski en la lejana Kazán y el hijo Johann (János) de su amigo Bolyai-, independientemente uno de otro y de él mismo, dieron el valeroso paso de publicar sus resultados sobre la geometría no euclídea.

I. 3. János Bolyai y la geometría no euclídea
Bolyai padre advirtió a su hijo varias veces, y con palabras enérgicas, de las consecuencias que le podría reportar el hecho de ocuparse con el problema de las paralelas, de los graves escollos en los que cualquiera podía sufrir un naufragio, del inquietante campo de batalla, esa fortaleza inexpugnable con la que porfiaba la ambición de todo espíritu penetrante. A pesar de ello, el hijo no se dejó disuadir de su pasión. Inicialmente se dedicó también a la hipótesis del ángulo agudo; más adelante, con una demostración indirecta del postulado de las paralelas, János Bolyai llegó a finales de los años 20 a las ideas fundamentales de la geometría no euclídea. Tras algunas discusiones con su padre, la geometría no euclídea de János apareció como Appendix a un libro de texto de geometría de su padre (Tentamen) en el año 1832. En él escribía János Bolyai, con plena conciencia, lo siguiente:

Una vez examinada a conciencia la naturaleza del XI axioma [el postulado de las paralelas, N.A.] se ha podido penetrar completamente en la intrincada materia de las paralelas, de manera que el eclipse total de sol que ésta ha supuesto, y que hasta la fecha (para los espíritus sedientos de verdad) ha dominado tan desafortunadamente, robando a tantos tiempo y energías, llegando casi a quitar la afición por la ciencia, ha desaparecido para siempre. Y vive en el autor el claro convencimiento (lo que el autor espera asimismo del inteligente lector) de que con la clarificación de esta cuestión se ha hecho una de las más importantes y brillantes aportaciones jamás realizadas para el enriquecimiento auténtico de la ciencia, para la formación del intelecto y en definitiva para elevar el destino humano (Citado en [L 13.31, p. 65]).

Sin embargo las esperanzas de János Bolyai no se vieron satisfechas. Su trabajo no logró imponerse, en parte por la dificultad del tema, en parte también por la forma de exposición demasiado condensada, a veces incluso desacertada. Y aunque Gauss alababa a János delante de su padre y de otros, llamándole genio de primera magnitud, no tomó sin embargo partido públicamente nunca por János, para amargura del joven geómetra. Sólo en un periodo posterior pudo János Bolyai conseguir un merecido reconocimiento.

I. 4. N. I. Lobachevski y la geometría no euclídea
Algo semejante ocurrió con las contribuciones a la geometría no euclídea de Lobachevski. Este fue el primero en presentar en un valiente escrito cuán notables eran los resultados nada convencionales de la geometría no euclídea. Ya en febrero de 1826 presentó un informe sobre geometría no euclídea en el Departamento de Física-Matemática de la Universidad de Kazán. No obstante, los resultados no aparecieron hasta 1829-30 en una revista de Kazán, lo que, por otra parte y como ya Gauss se había imaginado, le llevó a entrar en conflicto con los partidarios de la filosofía idealista reaccionaria. No obstante, Lobachevski, protagonista de excepción en el desarrollo de la Universidad de Kazán, no cesó en sus esfuerzos por procurar el reconocimiento de sus ideas. En el año 1835 se publicó una nueva exposición de la geometría no euclídea bajo el título de Geometría imaginaria. Este trabajo apareció en 1837, traducido al francés, en la famosa revista matemática alemana Journal de Crelle, de nuevo sin que gozara de una especial repercusión. Igual suerte corrieron trabajos parciales que aparecieron entre 1835 y 1838 en Kazán.

Tampoco con su último trabajo, Investigaciones geométricas en la teoría de las paralelas (1840), publicado igualmente en alemán, pudo Lobachevski lograr el reconocimiento esperado. El tema en sí era cada vez más controvertido después de toda la historia previa, el ocuparse de la teoría de las paralelas era considerado verdaderamente sospechoso, casi tanto como afirmar que se había resuelto la cuadratura del círculo.

Gauss pudo conocer los trabajos de Lobachevski sólo alrededor de 1837; ensalzó considerablemente ante Schumacher el trabajo de 1840. afirmando que estaba escrito de una manera magistral en un espíritu auténticamente geométrico; además. Lobachevski fue elegido en 1842, a propuesta de Gauss, miembro correspondiente de la Sociedad de Ciencias de Gotinga.

En el escrito de Lobachevski del año 1840 se afirmaba:

En la geometría he encontrado algunas imperfecciones que considero son el motivo por el que esta ciencia, en tanto no se convierta en análisis, no ha podido dar hasta la fecha ningún paso hacia adelante desde el momento en que la recibimos de Euclides. Entre estas deficiencias incluyo la oscuridad en los primeros conceptos de las magnitudes geométricas, en la manera en la que se ha representado la medición de estas magnitudes y, por último, las importantes lagunas en la teoría de las paralelas, que han hecho vanos todos los esfuerzos realizados hasta la fecha por los matemáticos hacia su clarificación [...] La primera hipótesis [en todo triángulo de lados rectilíneos la suma de sus ángulos es de 180°, N.A.] sirve como fundamento de la geometría usual y de la trigonometría plana. La segunda hipótesis [la suma de los ángulos < 180°, N.A.] puede ser igualmente admitida, sin que ello conduzca a ninguna contradicción en los resultados, y sienta las bases de una nueva teoría geométrica a la que he dado el nombre de Geometría imaginaria, y que tengo la intención de exponer aquí hasta el desarrollo de las ecuaciones entre los lados y ángulos de los triángulos esféricos y de lados rectos (Citado en [L 13.31, pp. 73-74]).

Por último, Lobachevski se planteó incluso la cuestión de hasta qué punto la geometría usual (esto es, euclídea) describe la estructura del espacio. Su respuesta se movía en la esfera de la teoría materialista del conocimiento;

Así pues, no existe ningún otro medio que no sean las observaciones astronómicas que pueda servir de ayuda para enjuiciar la exactitud que corresponde a los cálculos de la geometría usual. Esta exactitud es, como he mostrado en uno de mis tratados, ampliamente verificable. Así, por ejemplo, en triángulos cuyos lados son accesibles para nuestras mediciones, la suma de los tres ángulos no se diferencia ni en una centésima parte de segundo de dos rectos (Citado en [L 13.31, p. 74]).

I. 5. La contribución de B. Riemann a la fundamentación de la geometría
Las geometrías no euclídeas que Gauss, Lobachevski y J. Bolyai habían ya desarrollado hasta un cierto grado eran lo que hoy llamamos geometrías hiperbólicas. Con Riemann quedó libre el camino para otro tipo de geometría no euclídea, la geometría elíptica. Riemann planteó el problema del espacio en el sentido más general posible, considerando una variedad «-dimensional cualquiera; sus consideraciones -en particular, la descripción de las relaciones de medida por medio de formas diferenciales- habrían de influir más tarde en el aparato analítico de la teoría de la relatividad.

El trabajo que Riemann presentó en su oposición a cátedra, Sobre las hipótesis en que se fundamenta la geometría (1854)[46], constituye por su claridad y profunda perspectiva intelectual uno de los pilares más destacados de la historia de las matemáticas. En él afirmaba:

Como se sabe, la geometría presupone tanto el concepto de espacio como los primeros conceptos básicos para las construcciones en el espacio. Da de ellos sólo definiciones nominales, mientras que las cuestiones esenciales aparecen en forma de axiomas. La relación entre estas suposiciones permanece además oscura; no se comprende si esta relación es necesaria y hasta qué punto, ni si es posible a priori.
Esta oscuridad no ha sido suprimida desde Euclides hasta Legendre, por nombrar a los más famosos y recientes estudiosos de la geometría, ni por los matemáticos ni por los filósofos que de ella se han ocupado. El motivo de esto es que el concepto general de magnitud multidimensional, entre las que se encuentran las magnitudes espaciales, permanecía sin recibir tratamiento ninguno. Por ello me he propuesto en primer lugar obtener el concepto de magnitud múltiplemente extendida a partir de conceptos generales sobre las magnitudes. Se sigue entonces que a una magnitud múltiplemente extendida le son posibles diferentes relaciones de medida, y que el espacio es por tanto sólo un caso especial de magnitud tridimensional. De aquí se deduce como consecuencia necesaria que las proposiciones de la geometría no se pueden derivar de conceptos generales sobre las magnitudes, al contrario, aquellas propiedades por las que se diferencia el espacio de otras magnitudes posibles tridimensionales solamente pueden ser obtenidas a partir de la experiencia. Surge ahora la tarca de investigar los hechos más simples a partir de los cuales se pueden determinar las relaciones de medida del espacio -tarca que según la naturaleza de las cosas no es completamente realizable; pues es posible indicar varios sistemas de hechos simples que son suficientes para determinar las relaciones métricas del espacio; el más importante para los fines actuales es el establecido por Euclides. Estos hechos son, como todos los hechos, no necesarios, sino sólo de una certeza empírica, son hipótesis; se puede por ello investigar su probabilidad, la cual es sin embargo muy grande dentro de los límites de la observación, y juzgar después la licitud de su extensión más allá de los límites de la observación, tanto por el lado de lo inconmensurablemente grande, como por el lado de lo inconmensurablemente pequeño [L 13.33, pp. 272-273]

I. 6. El reconocimiento de las geometrías no euclídeas
El reconocimiento de la geometría no euclídea se produciría muy lentamente. Con la publicación de la correspondencia de Gauss se demostró que el princeps mathematicorum estaba convencido de que las geometrías no euclídeas eran posibles. Su eminente autoridad propició que se atendieran seriamente los resultados de Lobachevski y Bolyai y las avanzadas propuestas de Riemann. De los documentos publicados se podía incluso concluir que Gauss, Lobachevski y Bolyai estaban convencidos de la ausencia de contradicción interna de las geometrías no euclídeas; pero faltaba una demostración. Esta se obtuvo cuando se logró disponer de modelos de geometrías no euclídeas.

En el año 1868 el italiano Beltrami pudo mostrar que en superficies de curvatura negativa constante valían las leyes de la geometría no euclídea y, en 1871, Klein (apoyándose en Cayley y su métrica proyectiva) daba un modelo plano de la geometría no euclídea. Otro modelo se debe a Poincaré.

El modelo de Klein es el siguiente: se toma como plano el interior de la elipse; se dice recta a toda cuerda del interior de la elipse y punto a todo punto en el interior de la elipse (fig. 13.2).

0131.png
Fig. 13.2. El modelo plano de Klein de la geometría no euclídea, métrica proyectiva

Si se considera en la elipse una recta g con extremos A y B (no pertenecientes al modelo) y un punto P en el exterior de g, entonces por P pasan infinitas paralelas a g, a saber, todas las rectas que no atraviesan el espacio angular del ángulo APB.

En su trabajo Sobre la llamada geometría no euclídea (Comunicación preliminar) se lee:

La necesidad de hacer perceptibles las muy abstractas especulaciones que han conducido al planteamiento de las tres clases de geometría [la euclídea y las dos no euclídeas, N.A.] ha llevado a la búsqueda de ejemplos de métricas, que puedan ser pensados como modelos de las mencionadas geometrías, y que con ello hagan a la vez evidentes las consecuencias lógicas internas de cada una de ellas [...]
Los modelos propuestos consideran como objeto de la métrica el mismo plano o espacio, limitándose a utilizar una métrica diferente de la usual que, en el sentido de la geometría proyectiva, aparece como una simple generalización de la métrica usual [L 13.22, 1, pp. 246- 247]

A Klein se deben también los nombres de geometría elíptica, parabólica (es decir, euclídea) e hiperbólica. En cuanto a la existencia de paralelas se tiene lo siguiente:

geometría elíptica ninguna paralela
geometría euclídea
exactamente una paralela
geometría hiperbólica
infinitas paralelas.

Como modelo de geometría elíptica se tiene, por ejemplo, la geometría de la superficie de una esfera real, si se interpreta plano como la superficie de la esfera, recta como círculo máximo sobre la superficie y punto como un par de puntos diametralmente opuestos sobre la superficie.

Gracias al modelo de Klein de geometría no euclídea hiperbólica la geometría no euclídea -dieciséis años después de la muerte de Gauss- logró conquistar convincentemente su existencia matemática, al menos en el círculo de los matemáticos progresistas; si bien es cierto que sobre ella se mantuvieron agitadas discusiones, por ejemplo en círculos filosóficos y entre aficionados, todavía hasta bien entrado el siglo XX.

I. 7. Sobre la historia del desarrollo de la geometría proyectiva
Las primeras ideas sobre geometría proyectiva se remontan a la Antigüedad[47]. En el siglo XVII experimentaron un nuevo impulso: basta nombrar a Pascal y al arquitecto y geómetra francés Desargues. Este último formuló la proposición que afirma que los puntos de corte de los tres lados de dos triángulos situados perspectivamente en un plano se hallan en una línea recta (fig. 13.3).

0132.png
Fig. 13.3. Teorema de Desargues. Un primer ejemplo de un teorema de geometría proyectiva

Entretanto se dio el impulso decisivo para la formación de la geometría proyectiva como una disciplina independiente de la geometría descriptiva. En ésta había llegado a ser algo usual distinguir entre propiedades métricas y descriptivas; estas últimas comprendían las relativas a problemas de incidencia, que se conservaban bajo proyecciones (ortogonales).

El desarrollo posterior lo llevaron a cabo alumnos directos de Monge. Carnot subrayó en sus escritos (1801, 1803) la posibilidad de construir una geometría limitada exclusivamente a lo proyectivo. Este fue el objetivo logrado por Poncelet que, en su Traité des propriétés projectives des figures (1822), logró una exposición coherente de la geometría proyectiva.

Poncelet partía en su obra del concepto general de proyección central y señalaba la diferencia fundamental entre propiedades proyectivas y no proyectivas de las figuras, esto es, entre aquellas propiedades que se conservan siempre en una proyección central y las que en general son destruidas. Poncelet reconoció la importancia del principio de dualidad e indicó incluso la función métrica general de carácter proyectivo, de la que se sigue, por ejemplo, la invariancia proyectiva de la razón doble de cuatro puntos sobre una recta.

Además de la escuela francesa en torno a Gergonne cabe destacar, en la consolidación y posterior desarrollo de la geometría proyectiva, a cuatro matemáticos que trabajaron en Alemania partiendo, no obstante, de planteamientos diferentes: Steiner, que procedía de Suiza, von Staudt, Möbius y Plücker. Mientras los dos primeros, como seguidores de la geometría sintética, renunciaron al uso de métodos analíticos, Möbius y Plücker contribuyeron a la ampliación de la geometría analítica e introdujeron en las matemáticas, entre otras cosas, las coordenadas homogéneas y las coordenadas curvilíneas (por cierto que entre las dos escuelas de la geometría proyectiva se produjeron desavenencias que se expresaron de manera feroz).

Poncelet, Möbius y Steiner habían recurrido a consideraciones métricas para la construcción de la geometría proyectiva; la razón doble, decisiva para la definición de coordenadas proyectivas, se basaba en una definición métrica. Sólo gracias a von Staudt, con su Geometría de la posición (1847) y posteriormente con sus Beitragen (Contribuciones) se colmó esta laguna. Por último Klein, en 1871, eliminó la última inconsecuencia, al dar la definición, basada en la razón doble y libre de métrica, de las coordenadas proyectivas.

I. 8. El Programa de Erlangen
Fruto del desarrollo de la geometría eran, al iniciarse la segunda mitad del siglo, la supresión del emparejamiento hasta entonces aparentemente indestructible entre geometría y métrica, la formación de la geometría no euclídea, la ampliación del tradicional concepto de coordenadas cartesianas y un giro hacia lo abstracto con el paso a dimensiones arbitrariamente grandes (aunque finitas).

Con todo, a los geómetras de la primera mitad del siglo XIX se les ofrecía la imagen de una geometría que se desarrollaba tempestuosamente, en modo tal que la armonía interior de la geometría existente hasta entonces se derrumbaba progresivamente. Hacia mediados de siglo reinaba un cierto desconcierto sobre la coherencia interna de cada una de las geometrías y métodos geométricos.

La solución a las divergencias surgidas fue proporcionada por el llamado Programa de Erlangen, una clasificación de la geometría con métodos de la teoría de grupos cuyas ideas fundamentales proceden de Lie y de Klein y que fue elaborada definitivamente por Klein. El nombre proviene del hecho de que Klein, en 1872, con motivo de su incorporación como profesor a la Facultad de Filosofía de la Universidad de Erlangen, según la tradición del lugar debía dar una conferencia planteada a modo de programa; su título original fue Consideraciones comparativas sobre las investigaciones geométricas modernas.

Klein pretendía restablecer la unidad de la geometría y este objetivo motivó el trabajo contenido en el Programa de Erlangen;

Mi interés se había dirigido, ya desde mi época en Bonn [su época de estudiante con Plücker, 1865-68, N.A.] a comprender, en el conflicto entre las diversas escuelas matemáticas hostiles, las relaciones existentes entre las múltiples líneas de trabajo que, aun caminando una junto a la otra, se nos presentan como aparentemente diferentes, siendo, sin embargo, semejantes en su esencia, y transformar sus contradicciones mediante una interpretación global unitaria. Me parecía que dentro de la geometría había mucho que hacer a este respecto (L 13.22.1. p. 52].

Sólo después de 1872 se percataría Klein, en el curso de sus estudios históricos, de que la clasificación que él había llevado a cabo por medio de la teoría de grupos ya había sido acometida antes de él, aunque de manera implícita, por el matemático de Leipzig Möbius. Este, en un libro aparecido en 1827 titulado El cálculo baricéntrico... -que, por otra parte, desempeñaría un destacado papel en el desarrollo posterior de la geometría analítica- había investigado de manera sistemática lo que él denominaba las relaciones geométricas entre dos figuras, haciendo con ello un considerable esfuerzo hacia la unidad de la geometría. En el prólogo, Möbius enumeraba las siguientes relaciones geométricas: igualdad, semejanza, afinidad y colineación, dejando clara su relación mutua; igualdad y semejanza, afirmaba, no se diferencian esencialmente, apreciación ésta que corresponde a las propiedades del llamado grupo principal del Programa de Erlangen.

Más generales son las afinidades, que incluyen como caso particular a las semejanzas e igualdades -lo que corresponde a la relación del grupo afín con el grupo equiforme (o principal). Por último, la colineación es la transformación más general; también aquí anticipa Möbius el hecho de que la geometría afín está contenida en la geometría proyectiva. Se observa de manera asombrosa hasta qué punto Mobius se había adelantado en el camino del Programa de Erlangen mediante un estudio sistemático de las transformaciones geométricas,

una teoría que, en el sentido usado aquí, comprende en sí misma los fundamentos de toda la geometría, pero que podría ser una de las más difíciles, si se hubiera expuesto en toda su generalidad y exhaustivamente [L 13.26, I, p. 9].

La aportación de Möbius resulta tanto más sorprendente si se tiene en cuenta que, por aquel entonces -en 1827-, todavía no se había conformado en absoluto la teoría de grupos, mientras que Klein la conocía ya en 1870 y pronto percibió su utilidad para la deseada clasificación de la geometría, que llevaría a a cabo una vez que hubo estudiado en profundidad los fundamentos de la teoría de invariantes.

En el Programa de Erlangen Klein parte de una definición de grupo como sistema cerrado de transformaciones; seguidamente explica el concepto de grupo principal:

La geometría debe ocuparse [...1 en suma sólo de aquellas propiedades de la figura en el espacio que son independientes del lugar que ocupan en el espacio, así como de las magnitudes absolutas de la figura. Tampoco puede diferenciar (siempre que no se recurra a un tercer cuerpo) entre las propiedades de un cuerpo y las de su imagen reflejada. Con estas proposiciones queda caracterizado un grupo de transformaciones espaciales -que puede ser llamado grupo principal-, cuyas transformaciones dejan invariantes todas las propiedades geométricas de una figura [L 13.22, I, p. 3181.

El concepto de grupo se manifiesta como una especie de varita mágica creadora de orden en la geometría. A toda geometría se le adjunta un grupo: en palabras de Klein:

Ahora ya no queda caracterizado (...] un grupo por su importancia ante los demás; todo grupo está en igualdad de condiciones con cualquier otro. Como generalización de la geometría surge así el siguiente y extenso problema:
Sea dada una variedad y un grupo de transformaciones sobre ella; se deben estudiar las propiedades de las figuras contenidas en la variedad que permanezcan invariables por el grupo de transformaciones dado [L 13.22, I, p. 463].
Si se sustituye el grupo principal por un grupo más amplio, entonces sólo una parte de las propiedades geométricas se conservan. [...] En este teorema se basa la peculiaridad de las nuevas direcciones geométricas de las que aquí se habla y su relación con métodos elementales. Estas se han de caracterizar simplemente adoptando, en lugar del grupo principal, un grupo más amplio de transformaciones espaciales. Su relación recíproca queda determinada por un teorema similar, con tal de que se incluyan sus grupos. Lo mismo es válido para las diferentes formas, aquí consideradas, de tratamiento de variedades multidimensionales [L 13.22, I, pp. 465-466]

De esta manera queda expuesto el método de investigación que hace uso de la teoría de grupos: al pasar a un grupo más amplio se pasa, por tanto, a una geometría más pobre.

Hoy se suelen aclarar estas conexiones (para las geometrías euclídeas clásicas) por medio del siguiente esquema:

0133.png

I. 9. La repercusión del Programa de Erlangen
La clasificación por medio de la teoría de grupos realizada con el Programa de Erlangen significó -al menos desde el punto de vista histórico- una auténtica ruptura en el desarrollo de la geometría[48], pero al mismo tiempo, debido a la fuerza cohesionadora manifestada actualmente por el concepto de grupo, supuso un momento crucial en el desarrollo, a finales del siglos XIX, del pensamiento matemático estructural.

El Programa de Erlangen contribuyó a poner de manifiesto el alcance de las principios fijados axiomáticamente en la geometría. Ciertamente Klein no desempeñó ningún papel en este proceso, en el sentido de que su posición ante la matemática construida axiomáticamente y fundamentada sobre la moderna teoría de conjuntos, tal y como se empezó a practicar a principios del siglo XX, era bastante escéptica. Sin embargo, fue el iniciador de una interpretación rigurosa de la geometría, que fue encabezada en Alemania por Pasch y que posteriormente fue representada en primera línea por Hilbert.

I. 10. La axiomatización de la geometría por D. Hilbert
Se deben a Lambert y a Lobachevski las primeras observaciones sobre el hecho de que la fundamentación de la geometría hace necesaria también una nueva consideración de sus conceptos básicos. Esta exigencia corre paralela con similares reflexiones en otros ámbitos de las matemáticas, como por ejemplo en el análisis, y también paralela parcialmente con la aparición de la lógica matemática a finales del siglo XIX.

Parece ser que el matemático alemán Pasch fue el primero en emprender un intento consciente de cumplir con las exigencias de una construcción rigurosa, en sentido moderno, de la geometría. Este propósito lo realizó, para la geometría proyectiva del plano, en su libro Lecciones sobre la nueva geometría del plano (1882). El siguiente fragmento muestra cómo Pasch concibe las matemáticas, y en particular la geometría, histórico-gnoseológicamente, como surgida por medio de la abstracción de la realidad objetiva; además, precisamente en interés del progreso científico, insiste en que las matemáticas, y especialmente la geometría, deben dejar de recurrir a la intuición y a la representación en su construcción axiomática[49]:

La matemática plantea relaciones entre conceptos matemáticos, que deben concordar con los hechos de la experiencia, pero que en su mayoría no se derivan directamente de la experiencia, sino que se demuestran; los conocimientos necesarios para la demostración (aparte de las definiciones de los conceptos inferidos) constituyen en sí mismos una parte de las relaciones planteadas. Tras la eliminación de las proposiciones basadas en demostraciones, los teoremas, permanece un grupo de proposiciones de las que se puede concluir todo lo demás, los postulados fundamentales; éstos se basan en observaciones inmediatas, si bien se trata de observaciones que se han repetido desde tiempos inmemoriales ininterrumpidamente, que se comprenden más claramente que cualesquiera otras de su dase y a las que los hombres han llegado a estar durante tanto tiempo tan acostumbrados, que su origen cae en olvido y se convierte incluso en motivo de controversia.

Los postulados fundamentales deben abarcar completamente el material empírico utilizado por las matemáticas, de manera que no se necesite nunca más, tras su introducción, retroceder a la percepción sensorial [L 13.27, p. 17].

El proceso de inferencia ha de ser en todo momento, para que la geometría sea realmente deductiva, independiente del significado de los conceptos geométricos, como lo tiene que ser de las figuras; sólo pueden considerarse las relaciones entre los conceptos geométricos que surgen en los teoremas y definiciones utilizados [L 13.27, p. 98].

De este modo, Pasch se incluye en el grupo de pioneros de la moderna geometría. En él se aprecia ya de forma clara la idea fundamental que Hilbert tomaría poco después como máxima de su método.

Hilbert renunció conscientemente a una definición de los conceptos fundamentales de la geometría como punto, recta, plano; en lugar de ello, las relaciones entre elementos no definidos de forma precisa pasaron a un primer plano. Estas relaciones se fijan axiomáticamente.

En el decisivo trabajo de Hilbert Fundamentos de la geometría (1899), escrito conmemorativo, dicho sea de paso, con ocasión de la inauguración del monumento a Gauss- Weber en Gotinga, se afirma:

Aclaración. Pensemos tres diferentes sistemas de objetos: los objetos del primer sistema los llamaremos puntos y los designaremos con las letras A, B, C...; los objetos del segundo sistema los llamaremos rectas y los designaremos con las letras a, b, c...; los objetos del tercer sistema los llamaremos planos y los designaremos con las letras a, f¡, y,...; los puntos se llaman también elementos de la geometría lineal, los puntos y rectas se denominan elementos de la geometría plana y los puntos, rectas y planos se dicen elementos de la geometría espacial o del espacio. Supondremos los puntos, rectas y planos en ciertas relaciones mutuas que designaremos con las palabras «estar en», «entre», «paralelo», «congruente», «continuo», cuya exacta y completa descripción se logrará mediante los axiomas de la geometría (L 13.16, p. 2]

Aquí se manifiesta claramente la concepción formalista de Hilbert: las relaciones son determinantes, los elementos mismos permanecen indefinidos y se precisan sólo en consideración a la tradición y la costumbre, con palabras tomadas de su uso continuado en geometría. Hilbert aclaraba en broma, aunque completamente en serio con relación a su propuesta:

Si considero como puntos cualquier sistema de objetos, por ejemplo el sistema amor, ley, deshollinador [...] y supongo ahora la totalidad de mis axiomas como relaciones entre estos objetos, entonces mis teoremas, por ejemplo el de Pitágoras, siguen siendo válidos para estos objetos. O más drásticamente: Se ha de poder decir en todo momento en lugar de «puntos», «rectas», «planos», «mesas», «sillas», «jarras de cerveza» [L 13.2, p. 403]
 

A Hilbert se debe también la división de los axiomas en cinco grupos:

I. Ocho axiomas de incidencia,
II. Cuatro axiomas de orden,
III. Cinco axiomas de congruencia,
IV. El axioma de las paralelas,
V. Dos axiomas de continuidad.

El camino abierto por Hilbert demostró tener un gran alcance, tanto para la misma geometría como para el progreso de las matemáticas en cuanto a su metodología.

En lo sucesivo se propusieron otros sistemas de axiomas para la construcción de la geometría que se convirtieron en la base de las exposiciones de los libros de texto; con ello se inauguró un amplio campo de investigación en los fundamentos de la geometría: éste presenta aún hoy interesantes cuestiones pendientes, que continúan siendo importantes para el desarrollo de reflexiones metodológicas, en el ámbito, por ejemplo, de la enseñanza escolar[50].

I. 11 .La concepción moderna de la axiomatización

Hilbert aprovechó la oportunidad para trabajar también sobre los requisitos que debe reunir un sistema de axiomas en la construcción de una teoría matemática cualquiera.

En primer lugar, un sistema de axiomas no debe presentar contradicciones. Para la geometría, Hilbert resolvió este problema insistiendo en la necesidad de crear un modelo y reduciendo los axiomas de la geometría a los de la aritmética, cuya consistencia se suponía (si bien no había podido demostrarse satisfactoriamente hasta la fecha).

En segundo lugar un sistema de axiomas debe ser completo. Es decir, debe ser en cierto sentido suficientemente amplio como para que el contenido de la teoría a la que da lugar quede determinado esencialmente de forma unívoca. Esto es válido, en particular, para los axiomas de la geometría introducidos por Hilbert.

Pero además los axiomas deben ser también independientes unos de otros. Si no es así, el sistema de axiomas posee entonces una especie de imperfección estética; con todo sigue siendo aceptable si se tienen en cuenta con total exactitud las correspondientes relaciones de dependencia. Los axiomas de Hilbert garantizan la construcción de la geometría euclídea (plana). La prueba de que las geometrías no euclídeas son posibles y que existen modelos para ellas muestra que el axioma de las paralelas es independiente de los demás axiomas de la geometría euclídea.

A comienzos del siglo XX se demostró que importantes partes de la geometría euclídea, y respectivamente de la no euclídea, se podían construir también independientemente de los postulados de continuidad, cuestión de la cual ya se había percatado el propio Hilbert.

El camino de la axiomatización de la geometría, emprendido en época lejana por Euclides, llegó a su culminación con Hilbert. Los conceptos geométricos básicos se definen ahora sólo de manera implícita, esto es, a través de las relaciones existentes entre ellos. La renuncia a un intento de definición explícita, la investigación del alcance de cada axioma particular o de grupos de axiomas y la reducción de la demostración de la consistencia de la geometría a la aritmética trasladó el problema de la fundamentación de la geometría al ámbito de la fundamentación de la aritmética y conectó así la geometría con las cuestiones generales de fundamentos de las matemáticas, tal como se discutieron a comienzos del siglo XX. Al mismo tiempo las exigencias de tipo matemático-cognoscitivo para un sistema de axiomas experimentaron extensas y profundas puntualizaciones.

§ II
Nacimiento y desarrollo de la teoría de conjuntos

Contenido:
II. 1 Los orígenes de la teoría de conjuntos
II. 2. G. Cantor y la fundamentación de la teoría de conjuntos
II. 3. La batalla por el reconocimiento de la teoría de conjuntos
II. 4. La axiomatización de la teoría de conjuntos
II. 5. Escuelas filosófico-matemáticas

El término infinito aparece tempranamente en la historia de las matemáticas. Sin embargo, sólo después de superar significativas dificultades intelectuales se logró, a principios del siglo XIX, elaborar el concepto exacto de límite. En la base del infinito se hallaba la idea de un proceso que en un número arbitrario e infinito de pasos conduce por aproximación a un valor finito. El infinito existe, utilizando palabras de Aristóteles, sólo como infinito potencial. Ciertamente existe para cada número todavía uno mayor, pero el infinito no se puede alcanzar de forma efectiva. Lo mismo sirve para lo infinitamente pequeño, para un proceso de división que se continuara hasta el infinito.

Esta concepción dominó entre los matemáticos hasta mitad del siglo XIX. Gauss la había expresado con las siguientes palabras:

[...] por ello protesto [...] contra el uso del infinito como un acabado, lo cual no está nunca permitido en las matemáticas. El infinito es sólo una fagon de parler, para referirse a extremos que ciertas proporciones aproximan tanto como se quiera, mientras que a otros les está permitido crecer sin limitación alguna [L 13.11, VIII, p. 216].

Contra la autoridad de Gauss tendrían que hacerse valer los enfoques que se ocuparon del infinito actual. Sin embargo, actualmente existen justificadas dudas sobre si se ha interpretado a Gauss correctamente en este aspecto [Waterhouse, W.C. (1979) "Gauss and infiniti". Historia mathematica, 6, 430-436].

II. 1. Los orígenes de la teoría de conjuntos
En la Antigüedad, Proclo llamó la atención sobre la siguiente paradoja: la superficie del círculo es dividida en dos partes iguales por un diámetro. Al número infinito de diámetros posibles le corresponde por tanto un número el doble de infinito de semicírculos.

Similares paradojas sobre el infinito aparecen en textos medievales, en ocasiones con un revestimiento teológico, pero también en forma de ejemplos matemáticos. En el caso de círculos concéntricos se puede, por ejemplo, hacer corresponder los puntos de la periferia de manera biunívoca a través de los radios, y sin embargo el círculo mayor tiene más puntos periféricos que el círculo menor.

Un ejemplo especialmente bello de utilización del infinito actual se debe a Galilei en los Discorsi (1638); siguiendo la terminología actual establece una correspondencia unívoca entre los números naturales y sus cuadrados y deduce de ahí que el conjuntos de los números naturales es equiparable (nosotros diríamos de la misma potencia) a un subconjunto propio suyo.

Por último, antes de Cantor, Bolzano se hallaba ya en el camino hacia una verdadera teoría de conjuntos. En su escrito, publicado a título póstumo, Paradojas del infinito (1851), cuya importancia pondría de manifiesto merecidamente el mismo Cantor, Bolzano llegó a una clara comprensión del actual concepto de equipotencial al considerar conjuntos equipotentes (de igual cardinal), aunque uno de ellos fuera un subconjunto del otro:

Ya en los ejemplos del infinito considerados hasta ahora no se nos podía escapar que no todos los conjuntos infinitos se han de considerar con respecto a su multiplicidad iguales uno a otro; sino que alguno de los mismos es mayor (o menor) que otro, es decir contiene al otro como una parte (o recíprocamente él mismo está contenido en el otro como subconjunto propio). También esto es una afirmación que a muchos suena paradójica [L 13.3, p. 27].
Pasemos ahora a la consideración de una peculiaridad sumamente curiosa que puede ocurrir, de hecho ocurre siempre, en la relación entre dos conjuntos si ambos son infinitos, pero que se ha pasado por alto hasta el momento, en perjuicio del conocimiento de importantes verdades de la metafísica, así como de la física y las matemáticas, y que se encontrará incluso ahora, cuando yo la enuncie, en tal grado paradójica, que tal vez sea verdaderamente necesario que nos extendamos un poco más en su consideración. Afirmo que entre dos conjuntos que sean ambos infinitos se puede establecer una correspondencia tal que por una parte sea posible unir un objeto de un conjunto con otro del segundo para formar un par de manera que ningún objeto de ambos conjuntos deje de formar parte de algún par y tampoco forme parte de dos o más pares; y por otra parte es también posible que uno de estos conjuntos esté contenido en el otro como un subconjunto propio, de forma que las multiplicidades que éstos representan cuando consideramos todos los objetos de los mismos como iguales, es decir como unidades, tengan las más diversas relaciones unas con otras [L 13.3, pp. 28-29].

II. 2. G. Cantor y la fundamentación de la teoría de conjuntos
Conviene dejar claro desde el principio que Cantor partió de problemas matemáticos concretos. Sólo más adelante, cuando su teoría de conjuntos chocó con una incomprensión generalizada, recurrió a argumentaciones de índole filosófica -más exactamente de tipo objetivo-idealista- y ocasionalmente metafísicas e incluso teológicas en favor del infinito actual.

Cantor, desde su época de estudiante con Weierstrass en Berlín, estaba familiarizado con la interpretación rigurosa de los fundamentos del análisis. Más tarde, en Halle, su colega Heine le llamó la atención sobre algunas difíciles cuestiones abiertas en la teoría de las series trigonométricas; esto le condujo hacia la teoría de los conjuntos puntuales. Pertenece también a la etapa temprana de la actividad matemática de Cantor la fundamentación de la teoría de los números irracionales mediante sucesiones fundamentales. Desde 1873 Cantor se iba introduciendo paso a paso en los secretos del infinito actual o, como él decía, del infinito-verdadero. Cantor expresó la diferencia, decisiva para la teoría de conjuntos, entre el infinito potencial y el infinito actual en 1886 con las siguientes palabras:

Si se quiere dar plena cuenta del origen del prejuicio, ampliamente extendido en las matemáticas, contra el infinito actual, el horror infiniti, se tiene ante todo que fijar la atención en el contraste que existe entre el infinito actual y el potencial. Mientras el infinito potencial no significa otra
cosa que una magnitud indeterminada, variable, que permanece siempre finita, con valores que se hacen más pequeños o son tan pequeños, o se hacen más grandes o son tan grandes como todo límite finito, el infinito actual se refiere a una magnitud fija, constante, que es mayor que toda cantidad finita de la misma clase (citado en [L 13.24, p. 249]).

Ya en 1873 conocía Cantor que entre el conjunto de los números naturales y el conjunto de los números racionales positivos se puede establecer una correspondencia biunívoca y que el conjunto de los números reales no es numerable. Existían así diferentes órdenes de magnitud en el transfinito; se podría tomar este descubrimiento, que dio a conocer en 1874 en el trabajo Sobre la propiedad del conjunto de todos los números algebraicos reales, como acta de nacimiento de la teoría de conjuntos.

En 1877, mientras extendía estas reflexiones a la geometría y en correspondencia con Dedekind, Cantor descubrió algo que le resultaba casi increíble, que el conjunto de los puntos del cuadrado unidad se puede aplicar biunívocamente sobre el conjunto de los puntos del intervalo unidad. De esta manera se echaba por tierra la idea sólidamente establecida desde antiguo de dimensión, más aún teniendo en cuenta que el resultado de Cantor se podía extender a figuras de dimensiones cualesquiera.

Poco después Cantor procedió a la exposición coherente de sus resultados. Desde 1879 hasta 1884 aparecieron seis trabajos bajo el título común Sobre variedades lineales e infinitas de puntos. Allí aparecen, entre otras, las definiciones de conjuntos cerrados, densos, densos en sí, perfectos y conexos, así como los fundamentos de la teoría de los números transfinitos, que expondría con más detalle en la obra Contribuciones a la teoría de los conjuntos transfinitos, publicada en 1895-97.

Si hasta entonces Cantor había utilizado los términos Inbegriff (complejo) o Mannigfaltigkeit (variedad), ahora procedió a utilizar el término Menge (conjunto). La famosa definición de Cantor dice:

Por conjunto entendemos toda colección M de objetos bien definidos en nuestra percepción o en nuestro pensamiento (que llamamos «elementos» de M) [L 13.6, p. 282]

Por otra parte, en el trabajo de 1895 presenta también la siguiente definición:

Llamamos potencia o cardinalidad de M al concepto general que, con ayuda de nuestra intelecto, se deriva del conjunto M abstrayendo la naturaleza de sus diferentes elementos y el orden en el que son dados [L 13.6, p. 282].

Conviene tener cierta precaución, puesto que la definición de potencia concebida originalmente por Cantor difiere de la actual.

En el sexto trabajo, de 1884, Cantor formuló el problema del continuo, al que se estaba dedicando desde hacía tiempo y que no le era posible resolver, pese a sus denodados y, en ocasiones, desesperantes esfuerzos. Planteaba la pregunta -formulada en lenguaje actual- de si existe algún cardinal entre la potencia del conjunto de los números naturales y la potencia del conjunto de los números reales. Esta cuestión habría de esperar hasta 1963 para poder ser resuelta.

Gran parte de la teoría de conjuntos en la forma dada por Cantor aparece condicionada por la época, todavía necesariamente demasiado imprecisa y quizá incluso algo ingenua. Posteriores desarrollos aportaron las necesarias correcciones. No obstante, Cantor influyó como pocos antes de él en la evolución de las matemáticas y parece incluso justificado considerar la transformación conjuntista de los fundamentos de la matemática y la definitiva implantación del enfoque de la teoría de conjuntos como una auténtica revolución de las matemáticas a comienzos del siglo XX. Con razón Hilbert describió la teoría de conjuntos como el fruto más admirable del espíritu matemático y, sobre todo, una de las más elevadas aportaciones del entendimiento humano.

II. 3. La batalla por el reconocimiento de la teoría de conjuntos
Cantor ya preveía la polémica que se avecinaba sobre la teoría de conjuntos; así, en 1883 escribía:

No se me oculta de ninguna manera que con esta empresa [construcción de una teoría de conjuntos general, N.A.) me coloco en una posición contraria, en cierta medida, a puntos de vista ampliamente extendidos sobre el infinito matemático y a opiniones comunes sobre la naturaleza de las magnitudes numéricas [L 13.6, p. 165].

Concretamente, Cantor encontró en Kronecker un enconado adversario, quien aun sin poder aportar un argumento concluyente, acusó a Cantor repetidamente de obtener conclusiones falsas. Kronecker se dejaba llevar -según palabras de Hilbert- por una postura dogmática, que se basaba en el convencimiento de que el infinito actual no existe. Ya el uso de las series infinitas le parecía sospechoso, pues consideraba inadmisibles los razonamientos con transfinitos.

Y creo también que algún día será posible «aritmetizar» el contenido total de estas disciplinas matemáticas [álgebra, análisis, teoría de números, N.A.] es decir, basarlas única y exclusivamente en el concepto de número en su sentido más estricto y abandonar de nuevo las modificaciones y extensiones de este concepto (a saber, la aceptación de las magnitudes irracionales y continuas), que las más de las veces han sido originadas por las aplicaciones a la geometría y a la mecánica [L 13.23, 3/1, p. 253].

No es totalmente erróneo pensar que el profundo hundimiento psíquico de Cantor del año 1884 se deba, en parte, a las injuriosas manifestaciones de Kronecker, quien llegó incluso a tildar públicamente a Cantor de corruptor de la juventud.

En lo referente al hecho mismo del rechazo de la teoría de conjuntos, Cantor se enfrentó al principio a un enérgico, pero ciertamente imparcial, escepticismo por parte de la mayoría de matemáticos, que no podían desprenderse de la concepción tradicional del infinito. El prestigioso matemático Poincaré expresaba una extendida opinión al declarar en 1909 que no existe ningún infinito actual y que con el infinito se designa sólo la posibilidad de crear permanentemente nuevos objetos, como numerosos son también los objetos ya creados.

Por contra, Cantor encontró en Dedekind, en el inglés Young y en el matemático sueco Mittag-Leffler un caluroso recibimiento a sus ideas. En el Congreso Internacional de Matemáticos celebrado en Zürich en 1897 el matemático alemán Hurwitz, uno de los maestros de Hilbert, logró demostrar de manera convincente la importancia del pensamiento teórico-conjuntista en la teoría de funciones. A finales del siglo XIX las reservas contra la teoría de conjuntos ya se habían extinguido en gran parte. No obstante, el descubrimiento de las paradojas dio paso a una situación completamente nueva. El propio Cantor había ya advertido que el trato sin restricciones con los conceptos de la teoría de conjuntos conduce a ciertas dificultades lógicas y, en su correspondencia con Hilbert y otros, había expresado claramente su diferenciación entre multiplicidades (conjuntos) consistentes e inconsistentes o absolutamente infinitas. En 1897 Burali-Forti publicaba la paradoja del conjunto de todos los conjuntos; en 1902, Russell descubrió la del conjunto de todos los conjuntos que no son elemento de sí mismos. La discusión sobre la teoría de conjuntos cobró nueva vida tras la demostración publicada en 1904 por Zermelo del teorema de la buena ordenación, basado en el axioma de elección y que ya Cantor conocía, y después de que el matemático intuicionista holandés Brouwer declarara, en 1908, inadmisible la aplicación del teorema fundamental del tercio excluso.

El descubrimiento de las dificultades -innegables- en los fundamentos se extendió, bajo el efecto de la dura crisis social e ideológica de algunos estados imperialistas, a una crisis existencial de la totalidad de las matemáticas. En esta delicada situación, Hilbert se alzó contra toda forma de dramatización y así, en 1926. declaraba:

Nuestro deber es buscar con esmero, cuidar, apoyar y hacer utilizables los conceptos fructíferos y las conclusiones obtenidas dondequiera que se nos presente la más mínima posibilidad. Del paraíso que Cantor nos creó, nadie debería poder echarnos |L 13.18, p. 170]

II. 4. La axiomatización de la teoría de conjuntos
La superación de las dificultades que podían surgir en el manejo con los conceptos de la teoría de conjuntos fue acometida desde diversas perspectivas.

La axiomatización se reveló como la manera más eficaz de salvaguardar la teoría de conjuntos. Existen actualmente diferentes sistemas axiomáticos de la teoría de conjuntos, que, en parte, se diferencian no sólo en detalles más o menos formales o en la presencia u omisión de determinados axiomas, sino también y principalmente en los contenidos que se derivan de ellos. Común a todos estos sistemas es que la idea de Cantor de que a toda propiedad formulable H(x) de un objeto x, le corresponde un conjunto {x | H(x)}, sea reemplazada por una construcción de los conjuntos mucho más cuidadosa, regulada por axiomas, con lo cual se evitan todas las paradojas conocidas; por otra parte los axiomas admitidos en la formación de conjuntos permiten llevar a cabo posteriormente todas las construcciones de conjuntos que se necesitan en matemáticas.

Un primer sistema de axiomas de este tipo lo planteó Zermelo en 1908. En los años 20 fue completado por Fraenkel y Skolem. Un segundo sistema, que fue propuesto a partir de 1925 por von Neumann y posteriormente desarrollado por Gödel y Bernays, difería del anterior sobre todo en el hecho de tomar en consideración los así llamados Unmengen (clases propias), totalidades cuya admisión como elementos de otras totalidades conduciría a paradojas. Todos los sistemas axiomáticos conocidos de la teoría de conjuntos conllevan ciertos axiomas discutibles, que no detallan, del mismo modo que el resto de los axiomas, ideas generalmente reconocidas sobre la noción de conjunto pero que, sin embargo, son imprescindibles para la demostración de ciertos teoremas matemáticos en el marco de la teoría de conjuntos. Entre estos discutibles axiomas se encuentran, en particular, el axioma de elección, la hipótesis del continuo junto con su generalización a potencias superiores, el axioma de regularidad y ciertas afirmaciones sobre la existencia de conjuntos muy grandes o de cardinales inalcanzables. Estos axiomas que, como hoy sabemos, desempeñan en la teoría de conjuntos un papel similar al del axioma de las paralelas en la geometría, provocaron intensas investigaciones sobre los fundamentos de la teoría cuyos resultados se cuentan entre las aportaciones más destacables de las matemáticas del siglo XX. Fraenkel fue el primero en mostrar, ya en 1922, la independencia del axioma de elección de un sistema fundamental de axiomas para la teoría de conjuntos. Gódel demostró en 1938 que tanto el axioma de elección como la hipótesis del continuo generalizada se pueden añadir a un sistema fundamental de axiomas sin que esto produzca ninguna contradicción, siempre que este sistema fundamental de axiomas sea en sí mismo consistente. Sierpiñski demostró a comienzos de los años 40 que de la hipótesis generalizada del continuo se sigue el axioma de elección[51].

Una larga serie de resultados similares, por ejemplo sobre el axioma de regularidad y la independencia de diferentes definiciones teórico-conjuntistas del concepto de conjunto finito, fue coronada en 1963 con la aportación del americano Cohen que, con un método completamente nuevo, demostró la independencia de la hipótesis del continuo de todos los axiomas previos, incluido el axioma de elección. Cohen resolvió con ello un problema que ya Hilbert, en su famosa disertación de 1900, había declarado como fundamental para el desarrollo de las matemáticas en el siglo XX. Otro problema que tiene que ver con los mencionados resultados de la metateoría de conjuntos consiste en que, hasta la fecha, estos resultados se refieren a diferentes conjuntos de axiomas y, en general, no se pueden trasladar sin más a otros sistemas axiomáticos de la teoría de conjuntos. Por ello, el problema del continuo, desde el punto de vista de los sistemas de axiomas que conducen a la formación de conjuntos más restringidos (como el sistema de la sencilla teoría de tipos), se puede considerar como un problema no resuelto todavía.

Mientras los resultados de la investigación de los fundamentos de la teoría de conjutos ponían en evidencia la falta de solidez de las ideas neoplatónicas de Cantor sobre la existencia objetiva de los conjuntos y la definibilidad a priori de todas sus propiedades, la teoría axiomática de conjuntos emprendió su desfile triunfal como fundamento unitario y marco metódico de todas las matemáticas. Un papel especialmente meritorio en los comienzos de este proceso de penetración de las ideas de la teoría de conjuntos en las matemáticas se debe a Hausdorff, quien destacó además por ser el fundador de la teoría de los conjuntos puntuales y cofundador de la topología abstracta teórico-conjuntista. Su libro Fundamentos de la teoría de conjuntos, aparecido por primera vez en 1914, fue objeto de profundas discusiones, así como de numerosas ediciones y traducciones.

II. 5. Escuelas filosófico-matemáticas
Resulta ahora indicado comentar algunas corrientes filosófico-matemáticas en la fundamentación de las matemáticas que comenzaron a desarrollarse parcialmente con el cambio del siglo y que han incidido con mayor o menor intensidad hasta la actualidad. Aunque estas corrientes se desarrollaron de manera relativamente rápida bajo el impacto de una teoría de conjuntos que, sacudida por las paradojas, luchaba por su existencia, no se puede contemplar a las paradojas de la teoría de conjuntos como única causa de su aparición; en efecto, por una parte ya antes del descubrimiento de las paradojas, incluso mucho antes del descubrimiento explícito de la teoría de conjuntos, se aprecian los primeros indicios de estas escuelas y, por otra parte, cada una de estas posturas básicas refleja un aspecto objetivamente existente de las matemáticas que, independientemente de los problemas de fundamentos de la teoría de conjuntos, tenía que penetrar más tarde o más temprano en la

conciencia de los matemáticos. Si bien el error de principio de todos los partidarios de alguna de estas corrientes consistió (el fin último obedecía a influencias filosófico- burguesas) en la respectiva absolutización de uno de estos aspectos, también es cierto que, en conjunto, han enriquecido la investigación de los fundamentos de las matemáticas con valiosos puntos de vista sobre métodos y contenidos y con numerosos resultados, a la vez que han conducido a nuevas teorías matemáticas extraordinariamente fértiles.

Es usual hoy en día designar estas tres orientaciones con los nombres de logicismo, formalismo e intuicionismo e incluir en esta clasificación a todos los matemáticos de aquella época que participaron en estas controversias sobre fundamentos. Si también aquí, por motivos de claridad, se ha seguido esta división, no por ello se debe olvidar dejar bien claro que muchos de los matemáticos de primera fila comprometidos en la investigación de los fundamentos de las matemáticas rechazarían tal etiqueta y que, en general, la inmensa mayoría de los matemáticos permanecieron al margen de tales polémicas.

La corriente que menos se alejó de las posiciones de Cantor fue el logicismo. Los logicistas -como precursores de esta línea de pensamiento cabe destacar, ante todo, a Frege, Peano y Dedekind- insistían en el punto de vista de que la teoría de conjuntos, y con ella toda la matemática imbuida o representada en ella, es una parte de la lógica; que el mundo de los conjuntos, y más en general el de las relaciones, posee una especie de realidad objetiva, independiente de la conciencia humana; y que las paradojas que aparecen son ocasionadas sencillamente por una comprensión todavía insuficiente y como reflejo de dicho mundo. Russell y Whilehead, principales representantes del logicismo, emprendieron, con su obra en tres volúmenes aparecida entre 1910 y 1913, una nueva construcción de la teoría de conjuntos y de amplias partes de las matemáticas basada en la misma. En ella todas las paradojas conocidas hasta entonces se evitan por medio de una estratificación jerárquica de las relaciones (los conjuntos particulares se consideran como relaciones simples): el tipo de una relación es siempre superior a todos los tipos de los objetos que aparecen en dicha relación, y en la definición de una relación pueden concurrir solamente objetos de un tipo inferior. Mientras este sistema, visto desde fuera, no es otra cosa que una axiomatización de la teoría de conjuntos, que aun hoy en día sirve a este fin (especialmente, en una forma más simplificada que la simple teoría de tipos), el logicismo filosófico es diferente de la concepción formalista de la teoría de conjuntos, de la que se tratará a continuación, en la interpretación objetivamente idealista de los conjuntos y relaciones, y de ahí que actualmente se halle prácticamente extinguido, debido al efecto de los resultados arriba mencionados sobre la ramificación de la teoría de conjuntos en determinados axiomas.

Con la formalización de las expresiones y técnicas de demostración matemáticas, utilizada también por los logicistas, toda teoría matemática se puede interpretar, tras la elección de un lenguaje apropiado y de un sistema de axiomas formulado en dicho lenguaje, como un sistema de cadenas de signos que se generan sucesivamente a partir de los axiomas mediante reglas formales de inferencia lógica. Alrededor de 1900 Hilbert formuló el programa que llevaría su nombre dirigido a lograr, al menos para teorías tales como la teoría de conjuntos y la aritmética de los números naturales y reales, a cuya consistencia segura podía reducirse la consistencia de otras muchas teorías matemáticas mediante la construcción de modelos, una cierta prueba de la no contradicción por medio de la investigación estructural de las cadenas de símbolos y de las reglas formales de demostración. Los esfuerzos encaminados a realizar este programa hilbertiano condujeron a la teoría de la demostración como una rama de la lógica matemática, cuyo mérito principal consistió en la elaboración de los aspectos sintácticos de las matemáticas. Tras ciertos éxitos iniciales (debidos principalmente a Gentzen, Ackermann y von Neumann) Gödel proporcionó en 1930 la principal prueba de la imposibilidad de realizar el programa de Hilbert. Aunque la investigación de los fundamentos se orientó tras este resultado hacia nuevas direcciones, la teoría de la demostración continuaría desarrollándose, dando lugar en las pasadas décadas a importantes resultados. Frente a estas tendencias, fructíferas en contenido y métodos, se halla el formalismo filosófico, que se caracteriza por la absolutización de los aspectos sintácticos y de los métodos axiomáticos y al que, ciertamente, la mayoría de los teóricos de la demostración se adhieren más o menos claramente. El propio Hilbert alimentaba esta postura que, en última instancia, pretende degradar las matemáticas a un juego formal falto de contenido, al abusar de una formalización excesiva. En su disertación, varias veces mencionada, de 1900 afirmaba:

En el presente caso, en que se trata de los axiomas de los números reales de la aritmética, la prueba de la no contradicción de los axiomas es al mismo tiempo la prueba de la existencia matemática del conjunto de los números reales o del continuo [...] Ciertamente el conjunto de los números reales, esto es el continuo, no es, en esta concepción apenas caracterizada, la totalidad de todos los desarrollos decimales posibles o la totalidad de todas las maneras posibles por las cuales pueden continuarse los elementos de una sucesión fundamental, sino que se trata más bien de un sistema de objetos, cuyas relaciones recíprocas son reguladas por medio de los axiomas establecidos y para los que son verdaderos todos y únicamente aquellos hechos que se pueden deducir de los axiomas en un número finito de pasos. Sólo en este sentido se puede, en mi opinión, concebir lógicamente el concepto de continuo de forma rigurosa (L 13.17, pp. 38-39]

La crítica de los intuicionistas a la matemática clásica partía en la primera fase, representada ante todo por Kronecker, del rechazo del infinito actual y de todas las construcciones mentales genético-teórico-conjuntistas basadas en ella; en una segunda fase, abierta por Brouwer, arremetía contra la lógica clásica, en especial contra el principio del tercio excluso y, tras una caracterización más precisa de la lógica intuicionista efectuada por Heyting en 1930 y la interpretación dada poco después por Kolmogórov de esta lógica como una lógica de la demostración constructiva, desembocaba en una completa gama de técnicas de matemática constructiva. El rasgo más positivo del intuicionismo y de la matemática derivada de él consiste en la recuperación de los aspectos del hacer de las matemáticas, que en conjunto había degenerado desde la Antigüedad, cada vez más. hacia una ciencia de bellas demostraciones.

Puesto que la matemática constructiva se halla en estrecha relación con los fundamentos de las técnicas numéricas e informáticas, se ha revelado como la más vigorosa de las tres corrientes tratadas. Por otra parte, el tratamiento de todas las matemáticas según los principios del constructivismo complicaría ésta considerablemente y la empobrecería en sus contenidos. La práctica nos muestra que tampoco el aspecto constructivo de las matemáticas es capaz de reflejar adecuadamente la multiplicidad de los conceptos matemáticos, métodos y contenidos.

En la teoría axiomática de conjuntos se halla actualmente un seguro fundamento de todas las matemáticas, tanto más si se tiene en cuenta que las matemáticas y sus métodos representan formas específicas de reflejar la realidad objetiva. No obstante, ligados a la teoría de conjuntos y a los problemas de fundamentos de las matemáticas se hallan todavía hoy difíciles cuestiones filosofico-epistemológicas cuya solución se dará sobre la base del materialismo dialéctico.

LECCIÓN 14
EL SIGLO XX: LÓGICA MATEMÁTICA Y ALGEBRA MODERNA

035.jpg
Primera página de la disertación Problemas matemáticos de D. Hilbert (Conferencia pronunciada en el Congreso Internacional de Matemáticos de París, 1900)

§ I
La función social de las matemáticas y las ciencias naturales

Contenido:
I. 1. Principales tendencias en el desarrollo de las ciencias naturales
I. 2. La revolución científico-técnica
I. 3. Algunos aspectos generales de las matemáticas del siglo XX

La gran Revolución Socialista de Octubre de 1917 supuso el inicio de un giro histórico y mundial. En un proceso único y heroico se establecieron en los años 20-30 las bases de una sociedad socialista en la Unión Soviética. La Segunda Guerra Mundial interrumpió esta grandiosa obra de construcción y supuso para la Unión Soviética importantes sacrificios personales y materiales. Tras la victoria sobre los agresores en Europa y Asia y el nacimiento de otros estados socialistas, los Estados Unidos y sus aliados iniciaron la política de la Guerra Fría, de represión política, económica y militar contra la Unión Soviética y los estados socialistas. La enérgica política de paz emprendida por la Unión Soviética, en alianza con todas las fuerzas progresistas del mundo, abrió la posibilidad real de evitar un catastrófico conflicto militar a nivel mundial. La superación definitiva del imperialismo, que amenaza a toda la humanidad, requiere además un continuado esfuerzo de todas las fuerzas pacificadoras. Actualmente, el papel principal para la obtención de la paz, así como los principales esfuerzos económicos, corresponden a los estados socialistas. Todo ello acrecienta el papel social y la responsabilidad de la ciencia, tanto de las matemáticas y las ciencias naturales como de las ciencias sociales.

I. 1. Principales tendencias en el desarrollo de las ciencias naturales
A finales del siglo XIX y comienzos del XX se llevó a cabo en la física una revolución científica. La teoría electromagnética de campos, el descubrimiento de los electrones y la radioactividad, los cuantos y la teoría de la relatividad destruyeron los principios fundamentales de la física clásica newtoniana y abrieron el camino a la física moderna del siglo XX con todas sus consecuencias. Este importante cambio -del mismo modo que en el caso de la revolución científica provocada en la matemática por la teoría de conjuntos- estuvo acompañado de abundantes discusiones filosóficas, de cierto deslizamiento hacia posiciones idealistas en la mayor parte de los físicos y de un extendido sentimiento de crisis en la física. Lenin lo enjuiciaba así:

La naturaleza de la crisis de la física moderna consiste en el hundimiento de las viejas leyes y principios fundamentales, es la renuncia a la realidad objetiva existente fuera de la conciencia; esto es, en la sustitución del materialismo por el idealismo y el agnosticismo [L 14.13, p. 257].

A pesar de todas las controversias entre concepciones materialistas e idealistas, que incluso han llegado hasta nuestros días, la Saca, llevada por una fascinante dinámica intracientífica y por el planteamiento de problemas prácticos, logró, entre las dos guerras mundiales y después de ellas, importantes resultados- Palabras clave como modelo atómico, teoría de cuantos, principio de incertidumbre, transformación nuclear, fisión y energía nuclear, partículas elementales, transistor, física de altas energías, física del cuerpo sólido, etc. aluden a este desarrollo. Las dos bombas atómicas arrojadas por los americanos sobre Japón en 1945 muestran, como contraste, es oso abusivo de los resultados de la física por parte de las fuerzas imperialistas.

También las otras disciplinas científicas. química orgánica e inorgánica, bioquímica, biología, astronomía, geología, obtuvieron en el periodo (que se inicia con la Revolución de Octubre) de transición del capitalismo al socialismo numerosos resultados, alcanzando un ritmo de desarrollo impensable hasta ese momento. Se calcula que la cantidad de conocimientos en temas acerca de la naturaleza se duplica cada ocho o diez años.

I. 2. La revolución científico-técnica
Las matemáticas y las ciencias naturales alcanzaron en el periodo ahora considerado de transición del capitalismo al socialismo niveles de desarrollo cualitativamente nuevos, no sólo en cuanto a contenidos y extensión, sino también en cuanto a las formas de interrelación con el desarrollo de las fuerzas productivas materiales. En algunas áreas -piénsese, por ejemplo, en la síntesis química a gran escala del caucho, plásticos y fármacos, en la industria eléctrica y electrónica, en los sistemas de comunicación altamente sofisticados, en los vuelos espaciales, etc.- esta relación recíproca entre ciencia y producción ha ido mucho más allá de la mera producción gestionada sobre fundamentos científicos para dirigirse, incluso hoy en día, hacia una fusión entre ciencia y producción. En ocasiones se habla también de producción por medio de la ciencia o de integración de la ciencia en la producción.

La joven potencia soviética se percató desde su inicio de las posibilidades de la ciencia para la construcción del nuevo orden social y tomó las correspondientes medidas de organización de la actividad científica. Todavía en medio de unas condiciones extraordinariamente difíciles, de una economía arruinada por la guerra y la contrarrevolución, en medio de un mundo hostil, el 8 de febrero de 1918 y por orden directa de Lenin fueron establecidas las tesis para un proyecto de movilización de la ciencia hacia las necesidades de la construcción del estado.

En pocas décadas la Unión Soviética se convirtió en una gran potencia en el campo científico. Actualmente, más de una tercera parte de los científicos de la Tierra trabajan en la Unión Soviética.

Después de la Segunda Guerra Mundial la ciencia y la técnica experimentaron un renovado e impetuoso auge. Este proceso mundial, extendido tanto a los países socialistas y capitalistas como a algunos países en vías de desarrollo, se conoce generalmente como revolución científico-técnica y se mantiene todavía en la actualidad y, seguramente, lo hará

en un futuro inmediato bajo diferentes medios de producción. En una valoración de la revolución científico-técnica realizada en 1986 se dice:

La revolución científico-técnica comenzó aproximadamente hace tres décadas. Desde los años setenta ha alcanzado internacionalmente un nuevo nivel que se caracteriza, no sólo por la progresiva aceleración de su ritmo, sino, ante todo, porque en el transfondo aparece toda una serie de tecnologías clave cuya aplicación conduce a una transformación revolucionaria de las fuerzas productivas en casi todos los ámbitos de la economía popular [L 14.19, p. 371].

También en la RDA se han planteado los desafíos científicos, técnicos y sociales que resultan de la revolución científico-técnica. En la fase actual el desarrollo del progreso científico-técnico y la revolución científico técnica se hallan vinculados, también en la RDA, a las prerrogativas de un sistema social humanísticamente orientado.

I. 3. Algunos aspectos generales de las matemáticas del siglo XX
Paralelamente al desarrollo de las fuerzas productivas, durante el siglo XX las matemáticas experimentaron también un rápido auge, si bien esta expansión fue interrumpida sensiblemente por profundas crisis económicas en el mundo capitalista y por dos guerras mundiales imperialistas.

El número de matemáticos y de científicos dedicados a las matemáticas se ha duplicado desde comienzos de siglo aproximadamente cada 10 ó 15 años. En el Congreso Internacional de Matemáticos de Moscú de 1966, uno de los acontecimientos científicos más brillantes de los últimos años, hubo más de 4000 participantes activos.

Aproximadamente cada 10 años se dobla el número de publicaciones matemáticas. En el año 1962 publicaron en matemáticas más de 4100 autores diferentes; actualmente se presentan al año en todo el mundo sobre unos 25000 trabajos de investigación matemática. Y aún es mayor el número de resultados, pues una importante parte de los trabajos se mantiene en secreto. A ello hay que añadir las exposiciones del material conocido en manuales, boletines, libros de texto y en las revistas especializadas para científicos de todas clases, para maestros, ingenieros y economistas.

Las profundas transformaciones sociales del siglo XX provocaron también claros desplazamientos en la distribución de los principales centros de matemáticas sobre el planeta. Durante la primera década y media de nuestro siglo, esto es, hasta la Primera Guerra Mundial, los más importantes centros matemáticos se hallaban en Europa y, en particular, en Alemania y Francia. Los investigadores de los EE.UU. se orientaban todavía en gran parte hacia sus maestros europeos; los países asiáticos, africanos y latinoamericanos se hallaban en dependencia colonial y no podían aportar ninguna contribución significativa al desarrollo de la ciencia. Como consecuencia de la primera guerra imperialista, que también en la esfera de los matemáticos -especialmente en Alemania- trajo consigo una ola de nacionalismo, la organización internacional de las ciencias matemáticas se resquebrajó, perdiéndose la situación de preeminencia de las matemáticas en Francia y Alemania.

Entre las dos guerras mundiales se fue creando en los EE.UU. un foco matemático de nivel mundial. Al amparo de consolidadas tradiciones y ampliamente alentados, los matemáticos ruso-soviéticos, piénsese en Luzin, Kolmogórov, Keldys, P.S. Alexandroff, Pontryagin, Schmidt, Gelfond, con gran pundonor, fueron capaces de fundar escuelas matemáticas de éxito, no sólo en Moscú, Leningrado y Kiev, sino también en centros científicos tales como Tbilissi y Taschkent, surgidos con la naciente potencia soviética. En el periodo entre guerras comenzaron a formarse también en otros países grupos matemáticos de importancia, como por ejemplo, en la India, Japón y Canadá.

Durante la época del fascismo países como Alemania, Italia, Hungría y otros sufrieron considerables pérdidas debido a la emigración de los perseguidos por motivos políticos o raciales, que, de esta manera, contribuyeron de manera esencial a engrosar el potencial matemático-científico de los EE.UU. Este fue el caso de Einstein, Noether, Artin, Weyl, von Neumann, von Mises, Courant, Neugebauer, Tarski, Gödel, Bernays, Born, Bohr y otros muchos más. Durante la Segunda Guerra Mundial resultaron también muy dañadas las escuelas matemáticas de los países ocupados por tropas fascistas, especialmente en la Unión Soviética, Polonia, Checoslovaquia y Yugoslavia, donde los fascistas llegaron incluso a la política del exterminio físico de los científicos.

A diferencia de lo ocurrido tras la Primera Guerra Mundial, poco después de finalizar la Segunda las relaciones internacionales en el ámbito de la matemática se restablecieron completamente.

En la actualidad existen en la Tierra dos centros matemáticos que detentan ostensiblemente el liderazgo, la Unión Soviética y los Estados Unidos. En los años 60 surgieron productivas escuelas matemáticas en India, China, África, Canadá, Japón, Australia y Sudamérica. La matemática francesa recuperó su posición preeminente. En los países socialistas de Europa, entre ellos la RDA, aparecieron grupos de matemáticos de nivel internacional.

En la época posterior a la Segunda Guerra Mundial, junto a los matemáticos de las universidades y academias se ha conformado un nuevo tipo de matemático, el matemático industrial. Existen además numerosos grupos de matemáticos trabajando en asuntos de investigación estatales o industriales. Sus proyectos de investigación están adaptados a cuestiones especiales de la física, química y biología, de la técnica y la economía y resultan de los objetivos del sistema de producción socialista. En los países capitalistas desarrollados existen centros científicos y matemáticos, asociados muchas veces a instituciones del ejército, cuyas líneas de trabajo dependen directamente, cada vez más, de intereses monopolistas del estado. Junto a ellos hay también numerosos institutos de investigación matemática no estatales que son financiados por grandes empresas capitalistas y que sirven a sus propios intereses.

Desde la Segunda Guerra Mundial las principales líneas de trabajo de los matemáticos, en lo que a contenidos se refiere, se han desplazado claramente, por una parte hacia las aplicaciones, debido a la influencia del correspondiente orden social dominante y con el apoyo del impetuoso avance de las técnicas de cálculo numérico por ordenador y, por otra parte, hacia la investigación de los fundamentos. Consecuencia de ello es la existencia de áreas de investigación, que ya se delineaban en el siglo XIX, pero que han tenido su expresión definitiva en el siglo XX. A su lado se hallan disciplinas matemáticas que han surgido en tiempos recientes y para las que rápidamente se han encontrado sorprendentes aplicaciones o bien que se han originado como consecuencia directa de las exigencias prácticas.

Dentro del primer grupo mencionado anteriormente se incluyen la matemática de estructuras, el álgebra general, el cálculo de probabilidades y la introducción de los puntos de vista estocásticos en muchas áreas de las matemáticas, la omnipresencia de la teoría de conjuntos en toda la matemática, el análisis funcional, la lógica matemática, la topología,

la transformación de los métodos numéricos debido a las crecientes posibilidades de los modernos dispositivos de cálculo, así como una relación cada vez más estrecha entre las matemáticas y la física en numerosas áreas de la física teórica.

Al grupo de nuevas disciplinas matemáticas pertenecen la teoría de juegos y la investigación operativa, cuyas principales motivaciones surgen de problemas económicos y militares. De la colaboración entre ingenieros, físicos y matemáticos procede la teoría de la información. Las principales características de estas nuevas ramas, que a menudo se incluyen también dentro de la cibernética como una disciplina científica en crecimiento, son, por una parte, su parentesco con el cálculo de probabilidades y por otra, su dependencia, en cuanto a las posibilidades reales de aplicación en la ciencia, la técnica y la economía, de la capacidad operativa de los dispositivos de cálculo disponibles.

No obstante, al considerar las nuevas ramas de las matemáticas no se puede ignorar el hecho de que también las disciplinas tradicionales, clásicas por así decirlo, de las matemáticas continuaron desarrollándose en el siglo XX, experimentando un increíble enriquecimiento de sus contenidos. Una característica propia de los tiempos actuales es precisamente la circunstancia de que los límites entre cada una de las disciplinas matemáticas se han hecho muy lábiles y en las zonas de contacto surgen nuevos e interesantes tipos de problemas y áreas de investigación.

Actualmente la matemática es una ciencia sumamente extensa, extraordinariamente ramificada, asentada con éxito en lodo el mundo y en estrecha relación con todas las esferas de la vida social. En un volumen de recopilación, editado en la Unión Soviética, dedicado a las matemáticas (1967) se intentó describir en pocas palabras el proceso, múltiplemente estratificado, de desarrollo de la matemática en la actualidad:

Ante nuestros ojos transcurre el proceso de un cambio cuantitativo de las matemáticas; se descubren estrechas relaciones entre ramas de las matemáticas que antaño parecían estar bien distantes una de otra; surgen nuevas disciplinas matemáticas. La creación de técnicas electrónicas de cálculo ha modificado radicalmente la visión que se tenía de la efectividad de los diferentes procedimientos matemáticos. Estas han ampliado además el ámbito de aplicación de las matemáticas en una medida hasta hoy no conocida. Las relaciones entre las matemáticas y el resto de las ciencias se desarrollan constantemente. Si antes éstas se limitaban esencialmente a la mecánica, astronomía y física, ahora los métodos matemáticos se introducen cada vez más profundamente en la química, geología, biología, medicina, economía y lingüística. De todos es conocido el papel de las matemáticas en el desarrollo de nuevas especialidades técnicas, como la radioelectrónica, la energía nuclear, los vuelos espaciales. La antigua afirmación de que las matemáticas es la reina de las ciencias, adquiere así un contenido aún más profundo (Citado en [LA 32, p. 241]).

§ II
Historia de la lógica matemática

Contenido:
II. 1. Orígenes de la lógica matemática
II. 2. La lógica matemática como disciplina independiente
II. 3. Historia de la lógica matemática reciente

Dentro de las disciplinitas científicas en cuya denominación aparece la palabra lógica, la lógica matemática se caracteriza, sobre todo, por dos aspectos. En primer lugar, porque forma parte de las matemáticas, esto es, sus métodos en la definición de conceptos y en la obtención de resultados son típicamente matemáticos. En segundo lugar, porque sus objetivos atañen preferentemente a las cuestiones propias de los fundamentos de las matemáticas, aunque su campo de aplicación, como en general el de las matemáticas, sea naturalmente más amplio y alcance desde las ciencias naturales y las disciplinas técnicas, pasando por la filosofía, hasta la lingüística y el derecho. Por ello se comprende que la lógica matemática comenzara a desarrollarse tan tarde, a comienzos del siglo XX.

II. 1. Orígenes de la lógica matemática
La lógica matemática, todavía joven en el sentido anterior, tuvo sin embargo abundantes precursores. Resulta habitual incluir, en las exposiciones sobre el desarrollo histórico de la lógica matemática la lógica formal antigua y medieval, así como los pioneros -pero infructuosos- esfuerzos de Leibniz por obtener un cálculo lógico universal: aunque, evidentemente, todos estos precursores sólo han tenido una influencia muy pequeña en el desarrollo de la lógica moderna: sus conceptos y resultados -frecuentemente sólo conjeturas- han sido adaptados a conceptos actuales por algunos lógicos interesados en los aspectos históricos sólo recientemente y no sin pocas dificultades.

En la lógica tradicional se puede apreciar una distinción entre lógica proposicional y lógica formal que en la lógica moderna no representa apenas ningún papel. Objeto de la lógica formal era el establecimiento y justificación de las reglas de demostración o inferencia de tipo sintáctico admisibles o fundadas; objeto de la lógica proposicional el descubrimiento de tautologías, es decir, de proposiciones que fueran siempre verdaderas a partir de su estructura gramatical.

La lógica formal fue fundada por Aristóteles, quien clasificó todos los modos de inferencia válidos, por medio de los cuales, en el caso de proposiciones de alguna de las cuatro formas todos los A son B, algunos A son B, algunos A no son B, ningún A es B, se puede concluir a partir de dos proposiciones previas una afirmación; por ejemplo, a partir de todo A es B y todo B es C se sigue que todo A es C. Los filósofos de la antigua escuela de Megara y algunos estoicos fundaron, aproximadamente por la misma época, la lógica de proposiciones. Partiendo de una correcta interpretación de la implicación como función de dos valores en el conjunto de valores de verdad, verdadero, falso, encontraron numerosas tautologías formulables sólo por medio de la implicación, como por ejemplo (expresado con el lenguaje formal actual) p p, p (q p), (p q) ((q r) (p r)). etc. Estos primeros pasos de una lógica formal y proposicional entraron a formar parte importante en la formación filosófica de la Edad Media. Durante varios siglos se entremezclaron con especulaciones místico-religiosas en modo hoy apenas imaginable, sin que avanzaran ciertamente mucho en cuanto a su contenido efectivo.

Leibniz, entre 1679 y 1690, formuló en varios trabajos el proyecto de una lógica mathematica con tres componentes básicas:

Programas de esta índole se conocían ya en el siglo XIII con el teólogo español Raimundo Llull y resurgirían de nuevo tras Leibniz hasta el siglo XIX, en diferentes filósofos, Wolff, Lambert y Maimónides entre otros; sin embargo, los verdaderos fundadores de la lógica moderna desconocían estas ideas, que pasaron en gran parte inadvertidas. Así, los escritos mencionados de Leibniz, descubiertos por el matemático francés Couturat, no se publicaron hasta 1901.

Una singular posición intermedia entre precursores y fundadores de la lógica moderna le corresponde a Bolzano. Por una parte, las condiciones objetivas para el nacimiento de una metamatemática no habían madurado lo suficiente durante su periodo creativo, en la primera mitad del siglo XIX. Esto se puede apreciar claramente en la reproducción casi simultánea por otros matemáticos de varias de sus contribuciones a los fundamentos de las matemáticas. Por otra parte, sus trabajos, debido a unas circunstancias no muy favorables, apenas fueron conocidos por sus coetáneos, no ejerciendo por ello ninguna influencia inmediata en el desarrollo de la lógica. Los escritos matemáticos de Bolzano y sus fundamentos lógico-metodológicos contienen, junto a numerosas contribuciones al refinamiento del análisis y a importantes reflexiones sobre la teoría de conjuntos, significativas aportaciones a la lógica matemática. Bolzano fue el primero en reconocer claramente la estructura lógico-predicativa y relaciona! del lenguaje utilizado en matemáticas y la posibilidad de diversas interpretaciones de los conceptos básicos que en él aparecen. En este contexto, definió conceptos tan importantes como el de consistencia de un sistema de proposiciones.

II .2. La lógica matemática como disciplina independiente

En los inicios del desarrollo de la lógica como teoría matemática se hallan, sin embargo, sencillos problemas del tipo de los abordados por Bolzano. Boole desarrolló en varios trabajos aparecidos entre 1847 y 1854 la noción aún hoy actual de álgebra booleana como una estructura con adición, substracción, multiplicación y dos elementos 0 y 1. Los axiomas del álgebra booleana se muestran como expresiones de validez general lógicamente enunciadas, si se traduce 0 y 1 como los valores de verdad falso y verdadero, respectivamente, la adición x + y como ó x ó y, la substracción x - y como x y no y y la multiplicación xy como xe y. Boole investigó la analogía que, en gran medida, existe entre el álgebra booleana y las leyes válidas en la aritmética corriente. Su teoría tuvo como aspecto más relevante la consecución de formas normales canónicas equivalentes a una fórmula dada. A la par que Boole, pero independientemente de él, comenzaba de Morgan a publicar sobre álgebra de la lógica. Morgan se esforzó, sobre todo, en la clarificación de la naturaleza lógica de los predicados de los silogismos aristotélicos y trató de generalizarlos. Jevons reemplazó la adición booleana por la alternativa y la substracción por la negación dando así a la teoría de las formas normales booleanas básicamente su forma actual. C. S. Peirce y Schröder introdujeron la cuantificación en la construcción algebraica de la lógica, diseñada por Boole y Morgan, interpretando la generalización como un producto infinito y la particularización como una alternativa infinita. Schröder se ocupó por primera vez de forma sistemática de la noción general de relación y estudió propiedades básicas de las relaciones como reflexividad, simetría, transitividad, posibilidades de la composición de relaciones, etc. Su obra principal, Lecciones de álgebra de la lógica, apareció en tres volúmenes entre 1890 y 1905. Entre los pioneros de la lógica se halla también Frege, quien en su trabajo Escritura de conceptos, uno de los lenguajes formales del pensamiento puro construido según la aritmética (1879) desarrolló un lenguaje formalizado según la lógica de predicados. Frege aplicó este lenguaje también a cuestiones matemáticas concretas, por ejemplo, en su obra Fundamentos de la aritmética (1893-1903). El formalismo de Frege, con todo, no prosperó debido a su caprichoso y poco práctico simbolismo.

Peano, por su parte, se encargó de dotar de una mayor precisión y formalización, en el sentido de la lógica matemática, a toda la matemática de la época. Desde 1895 hasta 1908 publicó la revista Formulaire de Mathématiques, cuyos únicos contenidos eran proposiciones y teorías matemáticas completas escritas en lenguaje formalizado junto con demostraciones matemáticas resueltas en cadenas de pasos lógicos. Esta tendencia logicista encontró su máxima realización en la fundamentación de la matemática emprendida por Russell y Whitehead, representantes de la llamada escuela logicista, dirección por la cual se encaminó Russell tras un encuentro personal con Peano en el año 1900.

II. 3. Historia de la lógica matemática reciente
La lógica matemática, cuyo nacimiento tiene su origen, principalmente, en la necesidad existente en matemáticas de expresar correctamente conceptos y relaciones cada vez más complicados, repercutió al comienzo de nuestro siglo de manera notable incluso en aquellos matemáticos que no comulgaban con las tendencias logicistas de una formalización completa de las matemáticas. De esta manera, contribuyó significativamente a una correcta comprensión del método axiomático y de la concepción teórico-estructural de las matemáticas[52].

En los años 20 se formaron importantes escuelas de lógica matemática, sobre todo en universidades austríacas y polacas, destacando especialmente Tarski y Gödel, entre otros importantes lógicos y matemáticos. Tarski, con su obra El concepto de verdad en los lenguajes formales (1935) logró, en cierta medida, ultimar los trabajos emprendidos por Bolzano hacia una concepción de la lógica como metodología de las ciencias deductivas. Como continuación de esta línea semántica se ha desarrollado, en las últimas décadas, la teoría de modelos, disciplina que se mueve en el límite de la lógica matemática y el álgebra general. Gödel, en sus trabajos La completitud de los axiomas del cálculo lógico de funciones (1930) y Sobre proposiciones formalmente indecidibles de los Principia Mathematica y sistemas análogos (1931) mostró las posibilidades, pero también las limitaciones, del método axiomático formal. El fascismo interrumpió el desarrollo continuado de las escuelas mencionadas. Muchos matemáticos que se hallaban en la vanguardia de las investigaciones sobre los fundamentos de las matemáticas fueron asesinados debido a su origen judío o a su nacionalidad polaca; otros pudieron emigrar.

Tras la Segunda Guerra Mundial los centros punteros de investigación en lógica matemática y en fundamentos de las matemáticas se desplazaron a los Estados Unidos y a la Unión Soviética. Debido a los resultados de Gödel, pero también influidos por la crítica de los intuicionistas a las matemáticas clásicas, la mayoría de los matemáticos de estos campos se aplicaron a cuestiones de decidibilidad y cálculo efectivo. La lógica matemática se encaminó cada vez más hacia la metalógica: en lugar de construir lenguajes formales concretos y cálculos lógicos determinados surgieron preguntas como ¿qué es un lenguaje formal? ¿qué aspecto tiene un concepto general apropiado para lenguajes formales de cualquier clase (es decir, lenguajes enunciativos e imperativos o discursivos)? ¿qué se entiende por definición correcta? ¿qué es, en general, un cálculo lógico, y cómo tiene que ser creado, para que en él sean válidas determinadas proposiciones (por ejemplo, el análogo del teorema de completitud gödeliano)?

Además de todo lo anterior, se modificaron hipótesis básicas de la lógica matemática clásica como extensionalidad y determinabilidad de los conceptos, bivalencia, etc. Las lógicas así modificadas, cuya investigación había atraído en principio solamente a los lógicos con orientación filosófica y de la teoría de lenguaje, pero que los matemáticos habían dejado al margen por considerarlas demasiado complicadas y escasamente importantes para los problemas de fundamentos existentes en aquel momento, se abordaron ahora con métodos matemáticos más refinados. La aplicación de la lógica matemática a la computación, realizada durante las últimas décadas, ha provocado una considerable afluencia de energías investigadoras y medios de financiación a esta rama de las matemáticas, un rápido crecimiento del interés por la lógica en círculos ampliamente volcados en las aplicaciones técnicas y, por consiguiente, una marea de libros de texto, más o menos introductorios, sobre diferentes aspectos de la lógica, adaptados a las particulares necesidades aplicativas y al nivel de conocimientos previos.

§ III

El desarrollo del algebra desde el cambio de siglo

Contenido:
III. 1. La formación del álgebra moderna
III. 2. El desarrollo de algunas ramas especiales del álgebra moderna

El álgebra clásica había alcanzado su culminación con los trabajos de Weber y Hilbert. Por otra parte, muchos puntos de partida e ideas para futuros desarrollos eran ya reconocibles hacia el cambio de siglo. Los rasgos fundamentales del proceso subsiguiente fueron la orientación hacia lo abstracto, la utilización extensiva del método axiomático y la consolidación de la teoría de conjuntos en todas las matemáticas y, en especial, en el álgebra.

III. 1. La formación del álgebra moderna
Un primer paso significativo en este sentido se dio alrededor de 1904 con los trabajos de los matemáticos Huntington, Moore y Dickson, quienes consideraron de manera abstracta estructuras algebraicas particulares como grupo, cuerpo o álgebra, pitra las que dieron una definición axiomática. Estos estudios formaban parte de una amplia investigación sobre el método axiomático. Las cuestiones centrales eran la consistencia, la independencia de los axiomas, etc. Muy pronto, el punto de vista algebraico retrocedió, sobre esta base, a un segundo plano. En 1907-1908 Dickson y, sobre todo, Wedderburn fundamentaron la moderna teoría de álgebras abstractas con sus teoremas fundamentales sobre estructuras. Poco después Steinitz escribía programáticamente en su Teoría algebraica de cuerpos (1910):

Obtener un compendio de todos los tipos de cuerpos posibles para comprobar las relaciones entre ellos en sus rasgos básicos puede valer como programa de este trabajo [L 14.22, p. 5]

Para él, y a diferencia de Weber, el propio concepto de cuerpo se hallaba en el núcleo central de su investigación. Sistematizando la diversidad de cuerpos comprendida en los axiomas de cuerpo pudo lograr su fin completamente. Steinitz definió, en relación con ello, numerosos e importantes conceptos de la teoría de cuerpos, por ejemplo, extensión de cuerpos, adjunción de un conjunto, cuerpo primo, extensión equivalente, extensión simple, etc. Característica es también la unión del álgebra y la teoría de conjuntos. En resumidas cuentas, la obra de Steinitz representa la primera publicación que se acoge, en gran parte, al estilo del álgebra moderna. El concepto general de anillo lo introdujo Fraenkel en 1914, es decir, mucho después de que se hubiera afianzado el concepto de cuerpo y se conocieran ya numerosos ejemplos de anillos. Pero también la publicación de Fraenkel se dedica sólo a una clase muy especial de anillos.

En esta línea fue mérito indiscutible de Emmy Noether, Artin y los algebristas de su escuela, como Hasse, Krull, Schreier, van der Waerden imponer definitivamente, en los años 20, la concepción del álgebra moderna como teoría de las estructuras algebraicas. Esencialmente, su interés se centró en el descubrimiento de conceptos abstractos que fueran comunes a cada una de las teorías algebraicas particulares. El punto de vista de estos algebristas queda claramente reflejado, por ejemplo, en las palabras de van der Waerden, con las que caracteriza las máximas de E. Noether:

Toda relación entre números, funciones y operaciones se hace diáfana, generalizable y realmente fructífera sólo cuando se desliga de su objeto concreto y se introduce en un contexto general [L 14.26, p. 469].

En sus investigaciones se remiten, sobre todo, a los trabajos de Dedekind y Steinitz. Estos dos matemáticos habían establecido en la teoría de cuerpos una tendencia de linealización, la cual se convertiría en una característica significativa del álgebra desarrollada por E. Noether, Artin y sus discípulos. Por ejemplo, E. Noether consideró la teoría de ideales como una aplicación de la teoría de módulos. La elección del concepto abstracto de módulo corno punto de partida en las investigaciones sobre ideales condujo de manera natural a que fueran utilizadas construcciones del álgebra lineal como cocientes y productos. En este contexto, y gracias a los trabajos de E. Noether y Krull, se retomó el estudio de los ideales de un álgebra, a izquierda y a derecha, definidos por Poincaré en 1903 y por Wedderbum en 1907, instaurándose éstos definitivamente en el sistema conceptual del álgebra. Con la distinción entre operaciones con módulos a un lado y por ambos lados aparecieron las estructuras no conmutativas como objetos de investigación propia, incluyendo a las conmutativas como caso especial. El álgebra homológica reforzó aún más la citada tendencia a la linealización. H. Cartan formuló en 1948 otros conceptos básicos de esta teoría al investigar ciertos módulos especiales.

De este modo a finales de los años 20 se habían desarrollado en su forma abstracta y axiomática tres pilares del álgebra moderna: la teoría de grupos, la teoría de cuerpos y la teoría de álgebras (teoría de sistemas hipercomplejos). Con esta desmembración en sus estructuras básicas el álgebra se había convertido en una rama de alcance muy general de las matemáticas. No obstante, los conceptos y métodos algebraicos frecuentemente se consideraban como de segundo rango frente a los del análisis. Esta situación cambiaría parcialmente con el libro de van der Waerden Moderne Algebra (1930-31). El objetivo de este libro, exponente del estado en que se encontraba el álgebra por entonces y que recogía los más recientes resultados de E. Noether, Artin y de su escuela algebraica, fue caracterizado por el autor en los siguientes términos:

Esta línea abstracta, formal o axiomática, a la que el álgebra debe, en estos momentos, su renovado auge, ha conducido, sobre todo en la teoría de cuerpos, la teoría de ideales, la teoría de grupos y la teoría de números hipercomplejos, a toda una serie de nuevos conceptos considerados en diferentes contextos y a resultados de amplio alcance. Introducir al lector en este universo de ideas ha de ser el objetivo principal de este libro [L 14.25, p. 1].

Este formidable libro, cuyas ediciones posteriores todavía se cuentan entre los mejores libros de álgebra, causó entre los matemáticos una fuerte impresión. De pronto los problemas algebraicos ocuparon aparentemente un lugar central de las investigaciones matemáticas.

Los años siguientes se caracterizarían por un florecimiento del álgebra abstracta. Birkhoff, von Neumann y otros enlazaron con los trabajos fundamentales de Dedekind sobre teoría de retículos y ampliaron la teoría para aplicarla en concreto a la resolución de cuestiones algebraicas. La axiomatización de otras disciplinas matemáticas estaba tan avanzada en aquel tiempo que pronto fue posible aplicar los métodos algebraicos de forma eficiente a muchas de estas ramas. La hipótesis fundamental de trabajo era aquí la construcción del substrato algebraico de la correspondiente teoría para comprender con claridad sus estructuras algebraicas subyacentes y las interrelaciones que aparecieran eventualmente.

Los matemáticos de grupo Bourbaki pusieron aún mayor énfasis en el pensamiento estructural abstracto. En los Eléments de Mathématique, que aparecerían a partir de 1939, intentaron reconstruir toda la matemática a partir de sucesivas axiomatizaciones y formalizaciones. A partir de los conceptos de conjunto y de función desarrollaron la matemática corno teoría de las estructuras y de las aplicaciones entre ellas. En la búsqueda, ligada con lo anterior, de las estructuras matemáticas lógicamente más simples, destacaron las algebraicas de entre todas las estructuras básicas. El análisis de las estructuras algebraicas, impulsado desde la publicación del Moderno Algebra, condujo a una mayor utilización de los métodos de demostración puramente lógicos y a un mayor número de problemas, favoreciendo un desarrollo impetuoso. Al mismo tiempo retrocedieron el cálculo formal y los procesos algorítmicos explícitos, lo que se manifestó también en un abandono parcial de las demostraciones constructivas por puras demostraciones de existencia. La tendencia hacia una mayor abstracción se prolongó hasta los años 60: valga como muestra el Algebra de Birkhoff y MacLane, aparecida en 1960. En este libro, los autores utilizan en particular el lenguaje de la teoría de categorías, cuya aplicación a las diferentes ramas de las matemáticas permitiría una mayor uniformización de ésta.

Con la construcción y la utilización creciente de dispositivos electrónicos para la manipulación de datos surgieron nuevas aspiraciones en el álgebra orientadas hacia las exigencias de índole práctica. Diferentes estructuras algebraicas, como grupoides, semigrupos, retículos, que habían llevado hasta entonces una existencia sombría, alcanzaron entonces una mayor relevancia. Al mismo tiempo se pugnaba, con éxito, por la aplicación de las teorías abstractas modernas (por ejemplo, al algebra universal) a la resolución de problemas prácticos. En la búsqueda de algoritmos cada vez más efectivos y exactos se chocaba frecuentemente con problemas que pertenecían al álgebra clásica-, surgió así la nueva álgebra numérica. El álgebra actual se caracteriza, pues, por sus múltiples complicaciones entre teoría y aplicaciones, en las que ideas modernas y clásicas se entremezclan y reforman permanentemente.

III. 2. El desarrollo de algunas ramas especiales del álgebra moderna
La idea central de la teoría de los números p-ádicos, que Hensel hizo pública por primera vez en 1899, se basa en la aplicación del método de series de potencias a los cuerpos numéricos. A pesar de su deficiente fundamentación inicial, las ideas de Hensel tuvieron un efecto muy estimulante sobre posteriores investigaciones. Por una parte, constituyen el punto de partida de las indagaciones que llevaron a Steinitz y Fraenkel al concepto abstracto de cuerpo y de anillo, respectivamente. Por otra parte proporcionan un ejemplo de un cuerpo valorado, que definiría en su forma general Kürschak en 1913.

En los años siguientes el concepto de valoración alcanzaría una gran importancia en la teoría de números, la aritmética y el álgebra, como expuso Ostrowski en un extenso trabajo de 1932. Para las aplicaciones teórico-numéricas son particularmente útiles los completados de un cuerpo algebraico de números. Partiendo de una idea de Hensel, Chevalley utilizó en 1936 la inmersión de un cuerpo algebraico de números en el producto de sus completados y la posibilidad, ligada con lo anterior, de poder aplicar fructíferamente la teoría de los grupos localmente compactos en la teoría de números, introduciendo una topología adecuada. Hacia 1918 Ostrowski había determinado ya todas las valoraciones del cuerpo de los números racionales mientras que, por otra parte, Hasse, F.K. Schmidt, Teichmüller y Witt clasificaron hasta mediados de los 30 todas las valoraciones de un cuerpo arbitrario. Una posterior generalización de las valoraciones procede de Krull, quien en 1932, en lugar de los números reales, tomó un grupo ordenado como dominio de valores de la valoración. Más tarde la teoría de la valoración fue introducida con éxito por van der Waerden, Zariski y sus discípulos en la geometría algebraica.

En 1927, los trabajos de Artin y Schreier supusieron significativos progresos en la teoría de los cuerpos reales. Uno de los resultados más destacados consistió en demostrar la existencia de una relación de orden en un cuerpo como propiedad puramente algebraica de este cuerpo.

La teoría de Galois, que utiliza conjuntamente aspectos de la teoría de grupos y de la teoría de cuerpos, recibió una formulación completamente nueva a partir de los conceptos del álgebra abstracta. Dedekind aludía, ya por primera vez en 1857, a los elementos del grupo de Galois no como substituciones, sino como automorfismos de cuerpos. Esta concepción fue defendida también por Hilbert, E. Noether, Artin y sus discípulos.

Por otra parte, Steinitz había proporcionado con sus trabajos los fundamentos de teoría de cuerpos necesarios para una teoría de Galois que no se limitara a cuerpos numéricos o de funciones. En sus Lecciones (1926) Artin enseñaba la teoría de Galois como teoría estructurada de los cuerpos de extensión normales, es decir, totalmente en la línea de las ideas de Hilbert y Noether. Sin embargo, sólo con su libro Galois Theory (1938) pudo eliminar la mancha, la utilización de elementos primitivos en la demostración del teorema fundamental de la teoría de Galois.

La teoría de Galois había estimulado también a Lie, ya en el siglo XIX, en la creación de su teoría de los grupos continuos. Lie pensaba que tenía que haber también para las ecuaciones diferenciales una teoría de Galois. El concepto de grupo de Lie se extendió luego al de grupo lopológico. Hilbert y Brouwer aportarían importantes ideas en este proceso. El fundador de la teoría de los grupos topológicos fue Schreier (1925). Aquí se tiene un ejemplo de algebrización de las matemáticas, en particular del efecto recíproco entre la floreciente álgebra abstracta y otras ramas de las matemáticas (análisis, topología). Todo ello constituye un motivo fundamental para comprender el enorme progreso que han experimentado los grupos topológicos, incluidos los grupos de Lie en las últimas décadas. El desarrollo de esta teoría requirió profundas investigaciones en diferentes disciplinas, si bien es cierto que los logros obtenidos, junto con la mejora e incluso renovación del aparato algebraico, dieron ocasión más tarde a valiosas aplicaciones en dichas disciplinas. Esta influencia mutua se pone claramente de manifiesto en la teoría de variedades. Weyl se aprovechó de una idea de Hurwitz para la integración sistemática sobre grupos y completó en 1927 las investigaciones, comenzadas en el periodo en tomo al cambio de siglo por E. Cartan sobre la estructura de los grupos de Lie simples y de sus representaciones irreducibles. A comienzos de los años 30 Haar, von Neumann y Pontryagin contribuyeron con sus trabajos a la integración sobre grupos localmente compactos con una medida invariante, lo que aplicaron posteriormente al estudio de la estructura de los grupos topológicos. Otros avances en este campo están ligados a los nombres de Gleason, Montgomery y Zippin, quienes resolvieron en 1952 el quinto problema de Hilbert.

Otro ejemplo claro de la fructífera relación entre el álgebra y la topología es la topología algebraica, cuyo inicio se sitúa a finales del siglo pasado con la introducción de los grupos fundamentales de un espacio topológico y de los grupos de Betti. Cabe mencionar también el interesante problema de la investigación de la estructura de grupos y álgebras. Para ello se tomó de nuevo como punto de arranque la teoría de módulos, que permitió a E. Noether caracterizar la teoría de representaciones de álgebras por delante de la representación de grupos, reestableciendo así la relación entre ambas clases de problemas. La teoría de representaciones encontró ya en los años 20 importantes aplicaciones en la física cuántica, revelándose también muy útil como consecuencia de lo anterior en el análisis funcional y en la teoría de las funciones cuasiperiódicas.

La historia del álgebra moderna se asienta sobre unos cuantos destacados matemáticos; como representantes de todos ellos cabe considerar todavía hoy a A. Weil, Macaulay. H. Cartan, Grothendieck y Serre.

LECCIÓN 15
EL SIGLO XX: ANÁLISIS FUNCIONAL, CÁLCULO DE PROBABILIDADES, OPTIMIZACIÓN LINEAL Y COMPUTACIÓN

036.jpg
Sistema procesador electrónico de datos EC 1040

§ I
Origen y desarrollo del análisis funcional

Contenido:
I. 1. Los comienzos del análisis funcional
I. 2. La formación de un análisis funcional independiente
I. 3. El desarrollos posterior del análisis funcional

El análisis funcional moderno tiene su predecesor en aquel Cálculo funcional (Calcul fonctionnel), que, en el periodo en tomo al cambio de siglo, tenía por objeto el análisis de las aplicaciones de conjuntos de funciones en conjuntos de números. Esta línea de trabajo se desarrolló preferentemente en Francia. Hadamard, el creador del principio de la dualidad topológica, acuñó la expresión fonctionnelle y expuso las primeras ideas sobre un análisis generalizado en el Primer Congreso Internacional de Matemáticos, celebrado en Zürich en 1897. Tras un periodo lleno de importantes descubrimientos, el húngaro Riesz introdujo en 1910, con ayuda de su teorema de representación para funcionales, los llamados operadores adjuntos en los espacios de funciones sumables-Lebesgue hasta la potencia p-ésima (espacios IP). Se iniciaba así la teoría de operadores abstractos, punto esencial del análisis funcional.

Por análisis funcional se entiende actualmente un análisis general, orientado a la generalización de todos los conceptos fundamentales del análisis clásico, como límite, convergencia, continuidad, diferenciabilidad, etc., a aplicaciones de un conjunto en otro con suposiciones cada vez más generales sobre dichos conjuntos. De esta manera, el análisis funcional consigue una visión más compacta de los diferentes problemas matemáticos, al librarse de las condiciones especiales innecesarias para los problemas y utilizar procedimientos de resolución generales. El análisis funcional se compenetra en muchos casos con otras disciplinas matemáticas como la topología, el álgebra y la geometría y utiliza parcialmente sus métodos.

I. 1. Los comienzos del análisis funcional
Los comienzos del análisis funcional se hallan en Italia. Ascoli intentó, en 1884, extender el teorema del punto de acumulación de Bolzano-Weierstrass a conjuntos de funciones, obteniendo así un teorema sobre la compacidad de un conjunto de funciones equicontinuas y uniformemente acotadas. Arzelá extendió posteriormente este teorema a conjuntos de curvas. Por otra parte, Volterra, inspirado sobre todo por cuestiones físicas, introdujo en 1889 sus funciones de líneas (funzioni di linee); una de ellas es, por ejemplo, la energía de una corriente dependiendo de la forma del alambre, que se desplaza o se curva en un campo magnético.

La apertura hacia una total generalidad la consiguieron los matemáticos franceses en tomo a Hadamard y a su alumno Fréchet. Su punto de partida fue el cálculo de variaciones: cuando se pretende hallar, por ejemplo, entre todas las funciones admisibles aquélla para la h cual la integral 0135.pngtoma un valor extremo, en realidad se están investigando los extremos de un funcional con dominio de definición en un cierto conjunto de funciones y(x).

A finales del siglo pasado y principios de éste la teoría de conjuntos había recibido ya un reconocimiento internacional, en Francia incluso algo antes que en Alemania. Esta teoría favoreció decisivamente el desarrollo del análisis funcional, sobre todo desde el punto de vista metodológico. Los trabajos de Borel. Baire y Lebesgue de dicho periodo mostraron la importancia fundamental de la teoría de conjuntos para un estudio más profundo de las funciones reales, por ejemplo, con ayuda de la teoría de la medida.

Este era un punto de acuerdo de todos los analistas. En su famosa Tesis de París de 1906, disertación que supone uno de los acontecimientos más destacables en la historia del análisis funcional, Fréchet procuró una generalización todavía mayor del concepto de función continua. Apoyándose en la teoría de conjuntos puntuales de Cantor como pilar fundamental, escribe Fréchet:

La primera generalización que aparecía de forma natural es la del concepto de función continua. Pero si se pretende extenderla a operaciones cuyas variables son de naturaleza arbitraria, entonces ha de saberse en primer lugar que se entiende por elementos próximos o por límite de una sucesión de elementos [L 15.11, p. 2 (en francés)].

Y añade:

[...] diremos que un funcional U está definido en un conjunto E de elementos de naturaleza arbitraria (números, curvas, puntos, etc.) si a cada elemento A de E le es asignado por U un determinado valor numérico U(A) [L 15.11, p. 1 (en francés)].

En total coherencia con lo anterior, Fréchet procedió posteriormente al establecimiento de axiomas para espacios abstractos, esto es para espacios, cuyos elementos eran abstractos; hasta entonces se tenía siempre presente objetos concretos, como números, funciones, vectores, etc.

I. 2. La formación de un análisis funcional independiente
Las ideas de Fréchet, que conducían a un nivel de abstracción cualitativamente superior, resultaban en aquella época completamente nuevas y desacostumbradas. Sin embargo, no faltaron matemáticos que. próximos a la teoría de conjuntos, las recogieron y desarrollaron, como por ejemplo, Hausdorff en Alemania y Riesz.

Aproximadamente por esta época, a comienzos de siglo, la teoría de ecuaciones integrales lineales se convertía en la segunda raíz histórica del análisis funcional moderno. En el semestre de invierno de 1900-1901 un estudiante de Uppsala daba una conferencia en Gotinga sobre la teoría de las ecuaciones integrales desarrollada por el sueco Fredholm; las ideas de Fredholm supusieron un paso más hacia la concepción actual de los espacios funcionales.

Fredholm trató con ecuaciones funcionales del tipo

0136.png

donde (φ(x) es la función incógnita y K(x,t) un núcleo dado. Fredholm abordó este problema, al igual que hiciera Volterra, por analogía con los sistemas de ecuaciones lineales

0137.png

llevó a cabo el paso al límite n → ∞aplicando una generalización del método de Cramer de resolución por determinantes y, por último, demostró que las funciones así obtenidas resolvían la ecuación de partida.

Hilbert recogió la propuesta de estudio aquí contenida y, con sus seis famosos trabajos sobre ecuaciones integrales (entre 1904 y 1910), fundó una escuela alemana de análisis funcional. Hilbert comprendió el enorme esfuerzo llevado a cabo por Fredholm al pasar a un análisis con un número infinito de variables y, sin dejar de reseñar el mérito de Fredholm, C. Neumann, Volterra y Poincaré, amplió este trabajo sistemáticamente, tanto con respecto al problema básico del tratamiento de las ecuaciones integrales lineales, como con respecto a una teoría general de los funcionales lineales en el espacio de sucesiones de Hilbert. que también incluye la teoría de las ecuaciones integrales:

El método, que aplico [...] consiste en partir de un problema algebraico, a saber el problema de las transformaciones ortogonales de una forma cuadrática de n variables en una suma de cuadrados y luego, tras llevar a cabo con todo rigor el paso al límite para n → ∞ llego a la solución del problema trascendente. Los mismos teoremas sobre ecuaciones integrales con núcleo simétrico [...] los desarrollaré por otro camino por medio del método de las infinitas variables [L 15.17. p. 3]

Precisamente esta nueva configuración del análisis y el álgebra, que aspiraba conscientemente a la unidad metodológica, este intento de establecer, en un primer plano, un punto de vista sintético en una matemática concebida como un organismo uniforme, hicieron que Hilbert ejerciera una gran influencia en el desarrollo subsiguiente. Sus alumnos en este campo, especialmente Riesz y E. Schmidt, extendieron la validez de los teoremas y métodos a clases de funciones todavía más generales. Riesz demostró en 1907, en su trabajo Sobre sistemas de funciones ortogonales, con ayuda del teorema conocido como de Fischer-Riesz, que el espacio de sucesiones de Hilbert es isomorfo al espacio de funciones integrables Lebesgue cuadráticamente, de modo que, en adelante, ambos espacios ya no debían considerarse diferentes. E. Schmidt introdujo, por su parte, el método geométrico en las investigaciones sobre el espacio de Hilbert; de él proceden conceptos como ortogonalidad, norma y proyección.

Con el teorema de Fischer-Riesz (1907) se hizo más evidente también el mérito de las ideas de Lebesgue; a partir de entonces, la teoría de integración quedaba estrechamente vinculada con el análisis funcional. Los trabajos de Radon (1913), Fréchet (1915) y Daniell (1917) demostraron la importancia de la investigación de funcionales lineales positivos para obtener una teoría de la integración en espacios abstractos, con lo que se había creado el acceso analítico-funcional a la teoría de la integración.

Estas opiniones, ideas y métodos, a pesar de su alto grado de abstracción, no dejaron de ser discutidas. Así el inglés Young, quien tempranamente se adhirió a la teoría de conjuntos, informaba de un prominente (pero que ha permanecido anónimo) matemático francés que, todavía en 1900, se resistía a creer que funciones f(x,y) que son continuas en x e y puedan poseer discontinuidades.

El camino hacia el reconocimiento del modo de pensar abstracto fue arduo. El mismo Fréchet había hecho notar que una teoría general no es útil sólo porque sea general. Así, sólo un continuado trato con los conceptos y métodos del análisis funcional condujo a su reconocimiento, tras probar la potencia de sus teoremas y métodos en una gran variedad de casos.

I. 3. El desarrollo posterior del análisis funcional
Los últimos estudios antes mencionados supusieron el inicio de una tercera etapa en la historia del análisis funcional. En esta dirección se presentaron también las primeras aplicaciones del análisis funcional. El desarrollo de la mecánica cuántica, por ejemplo, mostró en 1923 que las magnitudes observables de un sistema atómico se pueden representar por medio de operadores lineales simétricos en el espacio de Hilbert. Los valores propios, definidos por Hilbert quince años antes, de un operador, que aquí representa la energía, podían significar, por ejemplo, los niveles de energía de los electrones de un átomo.

Con los Fundamentos de la teoría de conjuntos (1914) de Hausdorff, obra en la que introdujo el concepto de espacio topológico, comenzaba la moderna topología conjuntista; ésta resulta fundamental, por ejemplo, para la teoría de los espacios topológicos lineales, que más tarde alcanzarían significativa importancia en conexión con las funciones generalizadas de Sobolev y Schwartz. Cabe destacar particularmente el trabajo publicado en 1922 por el matemático polaco Banach Sur les opérations dans les ensembles abstraits.... En él, Banach desarrolló un método unificado para el análisis funcional (lineal), con el cual, igual que anteriormente lo hiciera Fréchet, renunciaba completamente a toda representación concreta sobre la naturaleza de los elementos del espacio. Banach axiomatizó los espacios normados lineales completos de elementos abstractos, que hoy llevan su nombre. Las principales direcciones del análisis funcional como, por ejemplo, la teoría abstracta del espacio de Hilbert, establecida por v. Neumann en 1929 y la teoría de operadores en dicho espacio, representan una continua ampliación de los primeros desarrollos llevados a cabo por Fréchet, Hausdorff y Banach, dotando a los conjuntos de elementos abstractos de una cierta estructura adicional.

El trabajo arriba mencionado de Banach, con el que se graduó, representa un hito en la historia del análisis funcional. En efecto, en él se sentaron las bases para un rápido desarrollo del análisis funcional en los años 20 y 30, en el que participaron de manera destacada su alumno Schauder, Steinhaus, así como Luzin, Kolmogórov, P. S. Alexandroff, Birkhoff, Kellogg, von Neumann, Slone y otros. Durante la Segunda Guerra Mundial surgieron nuevas ramas del análisis funcional que, junto a las tradicionales ya consideradas, se convirtieron en el foco de atención. Mencionemos sólo la teoría de álgebras normadas (Gel'fand, 1940) y la teoría de espacios semiordenados, fundada alrededor de 1935 por el matemático soviético Kantorovich.

En los años 20 -coincidiendo con la creación del espacio de Banach y la aplicación del análisis funcional a la mecánica cuántica- muchos matemáticos creían ver en el análisis funcional una especie de paso previo hacia una matemática del futuro, que con métodos generales podría resolver la mayoría de los problemas matemáticos particulares. Esta suposición o esperanza no se ha confirmado. Antes bien, tras un primer momento de éxitos disminuyeron las posibilidades aplicativas a los grandes problemas clásicos del análisis que, al parecer, sólo pueden resolverse con métodos especiales y refinados.

A pesar de ello, el análisis funcional tiene hoy, precisamente debido a su validez general y al gran alcance de sus métodos, un lugar consolidado, tanto en la matemática pura como aplicada. En concreto, la influencia del análisis funcional en la mecánica crece constantemente.

§ II
Desarrollo del moderno calculo de probabilidades

Contenido:
II. 1. La escuda rusa de teoría de la probabilidad
II. 2. En el camino de la axiomatización
II. 3. La axiomatización del cálculo de probabilidades de Kolmogórov

A comienzos del siglo XIX el cálculo de probabilidades había entrado en una fase de estancamiento. Algunas concepciones poco fructíferas se mantuvieron, especialmente en Europa occidental, todavía durante bastante tiempo, a pesar de los importantes éxitos del cálculo de probabilidades en la teoría cinética de gases, en el cálculo de errores y en balística.

II. 1. La escuela rusa de teoría de la probabilidad
Únicamente Rusia fue una excepción. Cierto que también en ella se pueden percibir ciertas influencias negativas, por ejemplo, en Bunyakovskiy, pero las ideas de Chebyshev tuvieron tanta fuerza que en Petersburgo (Leningrado) conseguiría formarse y consolidarse una escuela rusa de cálculo de probabilidades. Bunyakovskiy escribió el primer libro ruso sobre cálculo de probabilidades, realizando de esta manera una gran labor de difusión de las teorías de Laplace y Poisson, aunque con él propagó también las aplicaciones infundadas a los fallos de los tribunales y otros problemas de la vida social. Con Chebyshev el cálculo de probabilidades se convirtió en una disciplina matemática rigurosa. Esta exigencia de rigor matemático la consiguió rechazando formulaciones poco claras y aplicaciones subjetivas y buscando estimaciones exactas de las desviaciones de las regularidades en el límite, con lo cual estas inecuaciones habían de ser válidas para un número arbitrario de ensayos. También hemos de agradecer a Chebyshev el teorema del límite para sumas de variables aleatorias independientes, el método de los momentos, una generalización de la ley de los grandes números, así como el hecho de haber asignado a los conceptos de variable aleatoria y esperanza un lugar central en el sistema conceptual del cálculo de probabilidades. Chebyshev

era también un excelente profesor y atrajo muy buenos alumnos a su alrededor. En el campo del cálculo de probabilidades destacan especialmente Markov y Liapunov. Liapunov fue el primero en aplicar las funciones características a la teoría de los teoremas del límite. El teorema del límite de Liapunov sería generalizado posteriormente por Bernstein, Chincin, Feller, Lévy y Linnik. A Markov se deben, entre otras cosas, las cadenas de Markov. Estas forman, junto con las ideas e investigaciones de Poincaré y Bachelier, el punto de partida para la teoría de los procesos estocásticos, en cuya creación intervinieron destacadamente Kolmogórov y Chincin. La teoría de los procesos estocásticos condujo, gracias a sus numerosos resultados matemáticos y a las grandes posibilidades de aplicación en las ciencias naturales, a un enorme desarrollo del cálculo de probabilidades. Sería, sin embargo, erróneo pensar que este progreso se deba tan sólo a la teoría de los procesos estocásticos. Pues en la base de esta teoría se hallan también ideas de la teoría de conjuntos y de la teoría de funciones, que influyeron extraordinariamente en el perfil posterior del cálculo de probabilidades. Los nuevos métodos de la teoría de funciones reales los encontramos primeramente en los trabajos de los matemáticos franceses Borel, Lévy y Fréchet. La utilización de recursos y métodos analíticos permitió ampliar el tratamiento de los múltiples y diversos problemas surgidos en la física, la técnica y la economía y dar por terminada la investigación de una serie de problemas clásicos. También en esta época, la escuela rusa de cálculo de probabilidades tuvo un papel líder. En Inglaterra y EE.UU. habían aparecido, en tomo a Pearson, Fisher y Wald centros de reconocida capacidad dedicados a la estadística matemática; sin embargo, el cálculo de probabilidades desempeñaba en estos países un papel comparativamente insignificante.

Después de la Revolución de Octubre se creó, a partir de la escuela moscovita de teoría de funciones y bajo la dirección de Luzin, un nuevo centro de teoría de la probabilidad. En la cima se hallaban Chincin, Kolmogorov y Sluckiy, mientras Bernstein trabajaba en Leningrado. A diferencia de los años anteriores a la guerra, la estadística matemática se fomentó considerablemente.

II. 2. En el camino de la axiomatización
Si grandes eran los éxitos del cálculo de probabilidades a comienzos del siglo XX, sus fundamentos lógicos permanecían todavía insuficientemente desarrollados y aclarados, ofreciendo así la posibilidad de numerosas malinterpretaciones e incorrectas aplicaciones, por ejemplo, las paradojas de Bertrand. Cada vez estaba más claro que la definición de probabilidad dada por Laplace era insuficiente. Por ello, Hilbert exigió, para resolver esta situación, que se precisaran los fundamentos del cálculo de probabilidades por medio del método axiomático.

El cálculo de probabilidades se incluyó relativamente tarde en el proceso de axiomatización. Los primeros pasos los emprendieron Poincaré y Borel. De Borel procede la indicación acerca de la conexión entre el cálculo de probabilidades y la teoría de la medida, que se mostraría muy fructífera en futuros desarrollos. En 1917 Bernstein publicó la primera construcción sistemática de la axiomática del cálculo de probabilidades, que él mismo ampliaría más tarde con una presentación más detallada. Su sistema de axiomas se basa en la comparación cualitativa de sucesos aleatorios según su mayor o menor probabilidad. Estas ideas, basadas en las álgebras booleanas normadas y completas fueron reelaboradas por Koopman y Glivenko, pudiendo este último probar, en 1939, que aquéllas concordaban

perfectamente con la axiomática de Kolmogorov. Un nuevo intento de obtener una caracterización axiomática lo llevó a cabo von Mises. Sus ideas despertaron el interés de muchos matemáticos y científicos y provocaron violentas aunque a la vez muy fructíferas discusiones. Von Mises, que consideraba el cálculo de probabilidades como ciencia natural exacta y no como disciplina de las matemáticas, se vinculó a los trabajos sobre la teoría de medidas colectivas y desarrolló su propia teoría partiendo del concepto de. frecuencia relativa. La idea fundamental reside en el colectivo:

Primero ha de haber un colectivo, y luego se podrá hablar de probabilidad [L 15.30. p. 14|.
Un colectivo es una sucesión infinita de observaciones, finalizando cada una con la identificación de un atributo. La frecuencia relativa con la que un atributo aparece posee un valor límite (Existencia del límite, N.A.] y éste no cambia si se considera una subsucesión (Irregularidad, N.A.] (L 15.30, p. 75]

El colectivo representa por tanto un modelo para la aparición de sucesos aleatorios y ha de satisfacer ciertas condiciones. Con este concepto, incluyendo las condiciones requeridas, y con la introducción de cuatro operaciones logró von Mises una construcción del cálculo de probabilidades que contenía los teoremas clásicos pero era bastante complicada. En el marco de esta teoría introdujo en 1919 las funciones de distribución multidimensionales. Dado que los fundamentos teóricos, así como su realización práctica, dieron ocasión a numerosas críticas, se entiende que acabara por imponerse la teoría de Kolmogorov, dejando en el olvido la teoría de von Mises. Sólo en los años 60 y debido a determinados progresos en la teoría de algoritmos y complejidad se emprendieron nuevos estudios acerca de la convergencia de frecuencias relativas y sobre la definición de sucesión aleatoria. Gracias a los trabajos de Fine, Kolmogorov y Schnorr se pudo probar que el modelo de von Mises, ligeramente modificado, servía igualmente como fundamento del cálculo de probabilidades. En concreto, Schnorr demostró que el axioma de Kolmogorov se puede derivar del modelo de frecuencias modificado.

II. 3. La axiomatización del cálculo de probabilidades de Kolmogorov
Lomnicki asumió inmediatamente las ideas de Borel y publicó en 1923 una axiomática sobre los fundamentos de la concepción conjuntista. Sin embargo, en todos los intentos que se efectuaron de una construcción axiomática del cálculo de probabilidades permanecían sin resolver problemas básicos, sin que se formularan siquiera en modo exacto matemáticamente. Esto hacía referencia sobre todo a la fundamentación axiomática de las operaciones con sucesos y sus probabilidades y a la definición de conceptos fundamentales como variable aleatoria, esperanza matemática y probabilidad condicionada. En 1933 Kolmogorov establecía, en la monografía Nociones básicas del cálculo de probabilidades, el conjunto de axiomas aún hoy usual. En el prólogo Kolmogorov aludía a la fundamentación axiomática del cálculo de probabilidades:

Antes de que surgiera la teoría de la integración y de la medida de Lebesgue, esta tarea hubiera sido bastante desesperanzadora. Después de los trabajos de Lebesgue, la analogía entre la medida de un conjunto y la probabilidad de un suceso, así como entre la integral de una función y la esperanza matemática de una variable aleatoria era fácilmente perceptible [...1 Para fundamentar el cálculo de probabilidades partiendo de esta analogía, la teoría de la integración y de la medida tenían que liberarse de sus elementos geométricos, que todavía aparecen en Lebesgue. Esta liberación la llevó a cabo Fréchet [L 15.21. p. III].

La axiomática de Kolmogorov no es la única posible. Sin embargo, él no sólo dio una fundamentación lógicamente intachable del cálculo de probabilidades, sino que con ella era posible también comprender los nuevos conceptos y problemas en un sistema único y simple. En esto fue importante el poder abordar problemas interesantes para las aplicaciones considerando probabilidades en espacios infinito-dimensionales. Gracias a su teorema fundamental fue posible insertar la teoría fenomenológica de los procesos estocásticos en el marco de la construcción axiomática. El cálculo de probabilidades quedaba así sólidamente integrado como disciplina matemática en el edificio de las matemáticas y podía ser ahora utilizado con absoluta confianza en las aplicaciones.

Tras la clarificación de sus fundamentos, el cálculo de probabilidades experimentó un impetuoso desarrollo tanto en lo relativo a la teoría como a las aplicaciones de dicha teoría. De la diversidad de los problemas individuales de las ciencias naturales, la técnica y la economía se extrajeron los puntos de vista fundamentales para resolver, con la ayuda de los métodos generales del cálculo de probabilidades, numerosos problemas concretos. Entre los numerosos centros que se ocuparon de cuestiones de la teoría de la probabilidad, la Unión Soviética ocuparía en adelante un lugar preeminente.

§ III
Origen y desarrollo de la optimización lineal

Contenido:
III. 1. Antecedentes de la optimización lineal
III. 2. El comienzo del proceso de constitución de la optimización lineal como disciplina matemática independiente en la URSS
III. 3 . La culminación del proceso de constitución en los EE.UU.

El origen y desarrollo de la teoría matemática de la optimización lineal está estrechamente conectado con el desarrollo de los procesos de producción industriales, tanto en el capitalismo como en el socialismo. Decisivos para la formación de la optimización lineal como una disciplina independiente fueron los problemas económico-técnicos que aparecieron en diferentes ámbitos de la industria y de la agricultura y cuya solución contribuyó al aumento de la efectividad en la producción y a su ulterior racionalización. El proceso de consolidación de la optimización lineal como disciplina matemática independiente se realizó desde finales de los años treinta hasta finales de los cuarenta de este siglo. Comenzó en la Unión Soviética con trabajos de matemáticos y economistas de Leningrado y concluyó con los de matemáticos, economistas y militares americanos.

III. 1. Antecedentes de ¡a optimización lineal
Quesnay fue el fundador de la escuela fisiocrática de la economía política burguesa, que alcanzaría gran importancia durante el siglo XVIII. Los fisiócratas se cuestionaban el origen del producto nacional y su reparto entre las clases y trataban de descubrir condiciones que hicieran posible una economía estable. Su aportación más significativa fue el Tableau Economique de Quesnay. La idea más destacada en él presentada fue la representación del proceso de producción; la circulación fue valorada sólo como una forma de este proceso de reproducción.

El Tableau Economique es de gran trascendencia para la historia de la optimización lineal, pues representa el primer modelo lineal para la descripción de relaciones económicas.

Si bien no se trata de ningún modelo de optimización, pues carece de una función objetivo lineal y las restricciones se dan en forma de ecuaciones, ya se hallan en él, sin embargo, ciertas ideas de optimalidad en el sentido de que se buscan las condiciones que han de satisfacerse al menos para poder hablar de una economía estable'.

En el marco de la economía política el desarrollo tuvo varias etapas que, en mayor o menor medida -como partes integrantes de métodos y modelos económico-matemáticos-, han de incluirse en la historia de la optimización lineal. A la primera dirección de desarrollo pertenecen el criterio de optimización de Pareto y la discusión de economistas daneses, austríacos y alemanes en los años 30 del siglo XX sobre los modelos de equilibrio de la escuela de Lausana de teoría de la utilidad marginal. En este periodo apareció también el modelo de von Neumann de una economía en expansión. Este trabajo es de especial importancia para la historia de la optimización lineal por hacer constar expresamente la dualidad entre los dos problemas formulados por von Neumann y las variables respectivamente utilizadas. Von Neumann fue seguramente el primero que, a finales de los años 40, descubrió la relación entre la optimización lineal y la teoría de juegos.

Una segunda línea en el desarrollo de la optimización lineal va pareja con el nacimiento de la ciencia económica en el siglo XX, en particular con la creación de modelos económicos empíricos para el tratamiento de problemas económico-técnicos y de cuestiones de planificación y balance. Estados Unidos y la Unión Soviética emprendieron simultáneamente importantes pasos en esta dirección. Con respecto a esto, en el conocimiento de la balanza de pagos de la Unión Soviética de los años 1924-25 se basa el método input-ouput creado por Leontief en 1939 al servicio de la economía americana. El modelo de Leontief constituyó, por otra parte, el fundamento para los modelos de optimización lineal creados por Dantzig en 1947-48 de acuerdo con las fuerzas aéreas estadounidenses (USAF).

Entre los modelos de Leontief y Dantzig todavía hubo lugar para el desarrollo de un modelo de optimización del transporte debido a Koopman, que lo creó en la Segunda Guerra Mundial, de acuerdo con la Jefatura conjunta de marina de los EE.UU y Gran Bretaña para minimizar las pérdidas en la navegación comercial durante la guerra fascista de submarinos. Si bien Koopman comprendió perfectamente el problema matemático que se hallaba en la base del modelo y algunas de sus características, lo cierto es que sólo le fue posible convertir estas ideas en algoritmos matemáticamente formales después de tener conocimiento de las ideas de Dantzig.

En la Unión Soviética se emprendieron en los años 20 y 30 intensos esfuerzos para reconstruir la industria y con ella también las comunicaciones. Ello condujo a plantearse cómo se podrían desarrollar planes racionales de transporte y qué se debía entender por tal. Tolstoi creó con este fin, desde el punto de vista de un economista, tres métodos matemáticos que trataban el problema del transporte en forma de red de comunicaciones. Desde el punto de vista matemático, sin embargo, estos métodos estaban formulados de forma deficiente, las condiciones para su aplicabilidad no aparecían suficientemente claras y la demostración matemática de su tesis principal fallaba completamente. Estos pasos los completarían ya a comienzos de los años 40 Kantorovich y Gavurin.

Una tercera línea en la evolución de la optimización lineal procede de la elaboración de las correspondientes técnicas matemáticas. Esta incluía básicamente los fundamentos, la teoría de sistemas lineales de inecuaciones y la teoría de conjuntos convexos, en particular de poliedros convexos. El estudio de sistemas de inecuaciones lineales llevó a Fourier a la formulación y resolución de un problema de optimización lineal tridimensional. El parece haber sido el primero en formular el problema general de la optimización lineal y en resolver el caso de tres variables. En la solución siguió un camino geométrico, que constituía una versión geométrica del método del simplex de Dantzig. Fourier afirmó también su validez para el caso «-dimensional. Su forma de proceder permite adivinar su profunda comprensión de la estructura y la naturaleza de los problemas de optimización lineal, demostrando ser un adelantado para su tiempo. Sin embargo, se le escapó la importancia de esta clase especial de problemas de inecuaciones lineales. Además, los pasos para la resolución los indicó solamente de forma verbal y no demostró las afirmaciones que planteó.

En estrecha relación con los trabajos de Fourier, Farkas se planteó, a finales del siglo XIX, la tarea de desarrollar una teoría de los sistemas de inecuaciones lineales. Su resultado más significativo desde el punto de vista de la historia de la optimización lineal fue un teorema, hoy conocido como lema de Farkas (o teorema débil de Farkas-Minkowski-Weyl), que ocupa una posición clave en la teoría de optimización. La segunda denominación de este teorema se debe a dos matemáticos cuyas aportaciones principales se dieron tanto en el campo de la teoría de sistemas de inecuaciones lineales como en el de los conjuntos convexos. Minkowski comprendió la importancia de los conjuntos convexos cuando, en 1896, estudiaba un conocido problema de la teoría de números. En este contexto aportó también algunos conceptos fundamentales, así como dos teoremas para la teoría de las inecuaciones lineales. A él se deben, por ejemplo, una primera definición de conjunto convexo, de plano de apoyo, de vértice, de cuerpo polar, etc. En el año 1935, Weyl publicó un trabajo en el que intentaba desarrollar una teoría de conos convexos finitos. El resultado más destacado consistió en la formulación y demostración de las dos posibilidades de representación equivalentes de un cono poliédrico convexo como espacio de solución de un sistema finito de inecuaciones lineales y como intersección finita de semiespacios lineales; los trabajos previos sobre esta cuestión proceden de Minkowski.

Además de las aportaciones de estos cuatro matemáticos, a lo largo del siglo XX se produjeron otras muchas contribuciones importantes, tanto a la teoría de conjuntos convexos como a la teoría de sistemas de inecuaciones lineales. Pero en la formulación del problema de optimización lineal nadie hizo grandes progresos. El paso de relacionar estas investigaciones en áreas teóricas de las matemáticas con cuestiones aplicadas constituye la fase de formación de la optimización lineal como disciplina matemática independiente. En los antecedentes de la optimización lineal se han de incluir también algunos trabajos que no son clasificables en ninguna de las tendencias de desarrollo tratadas hasta ahora y que aparecen en situaciones singulares. Por ejemplo, el tratamiento de un problema continuo de transporte debido a Monge (1776) en la construcción de fortificaciones, así como la formulación del problema clásico de transpone en forma matricial hecha por Hitchcock en 1940.

III. 2. El comienzo del proceso de constitución de la optimización lineal como disciplina matemática independiente en la URSS
En el verano de 1939 apareció en la universidad estatal de Leningrado un folleto de 65 páginas de un joven matemático de 27 años, aunque ya conocido por sus numerosas publicaciones científicas, titulado Matematicheskie metody organizacii i planirovanija proizvodstva. En la introducción, el autor. Kantorovich. señalaba como causas de su preocupación por la organización y planificación de la producción con métodos matemáticos las necesidades originadas por el desarrollo de la economía popular socialista en la conformación del proceso de producción. Aludía a que la progresiva construcción de la economía popular socialista requiere el completo aprovechamiento de todas las reservas existentes en la producción, así como resultados de máxima producción. Para llevar a cabo esta tarea, escribía el autor, hay dos caminos: un camino consiste en el perfeccionamiento permanente de la técnica, el otro en la mejora de la organización y planificación de la producción. Kantorovich se inclinó por la segunda posibilidad y observó que muchos problemas concretos se podían modelar matemáticamente y que todos los modelos concretos están caracterizados por una estructura matemática general; se trata de minimalizar (maximalizar) una determinada función lineal sujeta a determinadas condiciones lineales.

El trabajo de Kantorovich es el primero de índole matemática en el que se elabora esta estructura matemática general, se indica un método general de resolución -aunque no del todo completo- y se investiga la importancia de este tipo de problemas matemáticos. Como consecuencia de lo dicho, puede ser considerado como la partida de nacimiento de la optimización lineal.

De todas maneras, el proceso de nacimiento de esta nueva disciplina no habría de ser sencillo. Una vez que la optimización lineal hubo dado sus primeros pasos bajo la dirección de Kantorovich -los fundamentos matemáticos fueron estudiados con exactitud en conexión con las investigaciones en el campo del análisis funcional-, se desarrolló un algoritmo completo para el problema de la optimización clásica del transporte, el problema discreto del transporte se completó con su formulación continua, los conocimientos obtenidos se aplicaron inmediatamente en el proceso de producción, etc. las tropas fascistas invadieron la URSS. Esto tuvo como consecuencia que la mayoría de los jóvenes científicos, que de alguna u otra forma estaban trabajando en la optimización lineal, hubieran de ir al frente para defender su patria. Otros como, por ejemplo, Kantorovich, fueron instalados en lugar seguro donde trabajar en tareas de interés para la guerra. A causa de ello la continuación de la investigación en la optimización lineal se hizo durante algunos años casi imposible.

Hay que añadir todavía dos nuevos factores que impidieron un desarrollo continuado y extenso de la teoría de la optimización lineal. En la comprobación de la efectividad de los procedimientos de solución creados y en el aprovechamiento práctico efectivo de la optimización lineal el ordenador demostró ser una herramienta esencial. Sin embargo, las universidades soviéticas e institutos de la Academia de Ciencias dispusieron de ordenadores sólo después de la segunda mitad de los años 50, es decir, cuando en los EE.UU. hacía ya cinco años que la optimización lineal se había consolidado como disciplina matemática independiente. Si se añade, además, que en el periodo del culto a la personalidad los métodos matemáticos en economía se consideraron ideológicamente sospechosos, siendo por ello tachados de idealistas o de no marxistas y condenados al estancamiento, se comprenderá que el proceso de constitución de la teoría de optimización lineal, que en la URSS había alcanzado altas cotas de desarrollo, no se completara en dicho país, sino en los EE.UU.

III. 3. La culminación del proceso de constitución en los EE.UU.
En los EE.UU. dos motivos fundamentales motivaron el nacimiento de la optimización lineal.

Durante la Segunda Güeña Mundial los científicos americanos tuvieron una parte activa importante encaminada a mejorar la fuerza de combate del ejército. Tras la Segunda Guerra Mundial, en plena Guerra Fría, la dirección de las fuerzas aéreas norteamericanas (USAF) veía con gran interés la continuación de la investigación científica para la aviación. Se formaron departamentos de investigación y planificación dentro del Alto Mando de la USAF y en 1948 se creó un importante centro de investigación.

La USAF trabajó especialmente en el problema de la planificación de los recursos económicos, de la movilización para una guerra y de la planificación del curso de la guerra. Con ello se constató que estos trabajos de planificación resultaban muy costosos, pues a menudo los datos requeridos no estaban siempre disponibles y los planes ya elaborados no se podían utilizar en el futuro, ya que en el proceso de su elaboración se habrían modificado sustancialmente las circunstancias. Cuando en 1946 Wood, un colaborador del departamento de planificación de la USAF, propuso mecanizar el trabajo de planificación, esta propuesta fue acogida muy favorablemente entre los responsables del Alto Mando.

Para la realización de estas ideas se recurrió a un matemático, Dantzig, que ya disponía de experiencia en la planificación para la Fuerzas Aéreas y que contó con el apoyo de todo el Alto Mando. De esta manera, por medio del National Bureau of Standards (NBS) y gracias al proyecto de investigación dirigido por Dantzig, SCOOP (Cálculos científicos de programas optimales), se desarrollaron ordenadores para la USAF. Para ello, las USAF contaron, sólo en 1947, con 400.000 dólares del NBS. La idea fundamental de Dantzig consistió en el intento de modelizar matemáticamente los problemas de planificación, buscar una estructura matemática general y desarrollar luego procedimientos matemáticos de resolución apropiados. Los contactos con otros científicos americanos (por ejemplo von Neumann, Leontief, Koopmans, Hurwicz. etc.) confirmaron la validez de su forma de proceder. Especialmente fructíferas para Dantzig fueron las conversaciones con von Neumann, Koopmans y Hurwicz, quienes le condujeron a importantes hallazgos, por ejemplo, al conocimiento del problema del transporte estudiado por Koopmans, a una posterior interpretación geométrica, que parecía más efectiva, de un procedimiento que Dantzig bautizó como método del simplex y al conocimiento de la conexión entre juegos matriciales y los problemas investigados por Dantzig.

En los años 1947-48 Dantzig concluyó por fin la construcción de su modelo matemático. Este generalizaba el modelo de equilibrio creado por Leontief; además era dinámico y permitía la elección de una variante optimal. En diciembre de 1947 y enero de 1948 Dantzig resolvió el problema de la dicta, planteado por Stigler, con ayuda del método del simplex en las computadoras del National Bureau of Standards.

Esta prueba influiría persistentemente en el futuro desarrollo de la optimización lineal en los EE.UU. Con la demostración de la efectividad del método del simplex toda la investigación posterior se concentró en este modelo desarrollado por Dantzig y en métodos similares al método del simplex. Se emprendieron también investigaciones para la construcción de modelos físicos. En el verano de 1948 la fundación para la investigación creada por la USAF, RAND Corporation, celebró un curso de verano dedicado a cuestiones de planificación. En el curso de este seminario Dantzig presentó por primera vez sus ideas y propuestas sobre optimización lineal ante un amplio círculo de científicos. En una conversación con Koopmans surgió el nombre para la nueva disciplina: programación lineal. En el año 1949 aparecieron las primeras publicaciones de Dantzig y Wood, y en septiembre se celebró en Chicago el primer congreso, que trató preferentemente problemas de optimización lineal; éste constituyó el broche final del proceso de constitución de la optimización lineal como disciplina matemática independiente.

§ IV
El desarrollo histórico de las técnicas de computación

Contenido:
IV. 1. Los primeros pasos de la programación
IV. 2. Los primeros ordenadores
IV. 3. Desarrollo de la informática en las últimas décadas
IV. 4. Perspectivas

IV. 1. Los primeros pasos de la programación
El inventor inglés Charles Babbage propuso en 182) a los miembros de la Royal Astronomical Society la idea de una máquina que se basaba en el cómputo de las diferencias entre números, de allí que se llamara Máquina de diferencias (Difference Engine). Esta habría de servir como modelo para el cálculo de primas de las compañías de seguros (1859). Babbage era consciente ya en la fase de realización del proyecto de las limitaciones de su Difference Engine. Comenzó entonces a construir una máquina de cálculo para todo fin que, en su opinión, habría de servir para liberar de carga al intelecto humano. Esta analytical engine se componía de cinco partes que, en lo esencial, se encuentran todavía en las máquinas electrónicas de cálculo construidas hoy día:

  1. Dispositivo de entrada de datos (números) en la máquina. Babbage utilizó tarjetas perforadas, que Jacquard había desarrollado en 1801 para el control automático de telares;
  2. Almacén, a modo de memoria, para el cálculo de los números necesarios y almacenamiento de las instrucciones de los programas. Babbage previo para ello tarjetas perforadas y engranajes;
  3. Unidad aritmética (mili o molino) para llevar a cabo operaciones aritméticas;
  4. Dispositivo de control, que con ayuda de un programa habría de dirigir los diferentes pasos de cálculo. La unidad aritmética y la de control forman parte, actualmente, de lo que se llama unidad central de proceso (CPU);
  5. Dispositivo de salida de datos, para lo que Babbage previo tarjetas perforadas y un surtido automático de diferentes tipos para una salida impresa.

El estado insatisfactorio de la mecánica de precisión no permitió, para desgracia de Babbage, construir una máquina segura, eficiente y económica.

De Babbage se podría decir, con todo derecho, que fue el padre espiritual de la informática moderna. En el legado de su colaboradora durante muchos años, Augusta Ada, condesa de Lovelace, hija de Lord Byron, se encontró un informe sobre la analytical engine en el que ésta muestra los primeros errores de programación de Babbage en un programa para el cálculo de los números de Bernoulli (1843). Augusta Ada pasa así por ser la primera programadora de la analytical engine, que desarrolló a su manera un patrón algebraico exactamente igual que el de hojas y flores de Jacquard.

Un segundo hito en la historia de la informática lo constituye la máquina estadística de Hollerith, que fue utilizada en 1890 para el undécimo censo americano. Hollerith utilizó la corriente eléctrica para sus máquinas de fichas perforadas, que se podían utilizar como máquinas contadoras, clasificadoras, tabuladoras y mezcladoras. La máquina de Hollerith reunía en sí algunas funciones de los modernos ordenadores, pero fue concebida solamente para determinadas operaciones. Por otra parte, de la Sociedad Hollerith surgiría el consorcio de ordenadores IBM, que hoy ocupa en el mercado capitalista una posición dominante.

IV. 2. Los primeros ordenadores
Sólo a partir de los años 30 de nuestro siglo los grandes avances en la técnica permitieron pensar seriamente en la realización de las ideas de Babbage. En los EE.UU.. Alemania, Gran Bretaña y Francia se procedió independientemente a la construcción de ordenadores. El secreto militar, desde el comienzo de la Segunda Guerra Mundial, supuso un aislamiento cada vez mayor de los grupos de investigación e impidió el intercambió de ideas científicas. Los franceses Valtat y Couffignal (1933-38) propusieron la codificación binaria de los dispositivos de cálculo. Shannon, con su trabajo de 1938 sobre conmutaciones lógicas, sentó las bases para posteriores desarrollos. Las ideas teóricas de Turing (máquina de Tu ring) y Church (1936), según las cuales todos los problemas formalizables matemáticamente pueden ser abordados por un ordenador, sirvieron de orientación para el futuro desarrollo de la computación.

En Alemania el ingeniero de la construcción Zuse, en estrecha colaboración con el ingeniero informático Helmut Schreyer, comenzó en 1936 (primera patente del 11 de abril de 1936) a construir un ordenador de relés para automatizar los cálculos en la construcción. En 1941 estaba listo para funcionar el primer ordenador de relés electromagnéticos del mundo, desarrollado por Zuse, el Z 3; cintas perforadas servían para la entrada de datos. Esta calculadora ejecutaba una serie de programas, por ejemplo, la solución de sistemas de ecuaciones lineales y ecuaciones cuadráticas, algunos programas especiales de la aerotécnica, etc. El computador Z 3 fue destruido en 1944 en un bombardeo; uno mejorado, el Z 4, fue construido en 1945. Zuse caracterizó a este último como de tipo babbage-booleano, porque en su construcción aplicó el principio inventado por Babbage de la programación con variables booleanas.

Los ordenadores Zuse se distinguieron por sus innovaciones. Zuse utilizó la representación dual de números y operaciones en las operaciones binarias, introdujo la coma flotante y fue el primero en utilizar las operaciones lógicas básicas Y, O y NEGACIÓN. En 1945 desarrolló un lenguaje algorítmico general, el Plankalkiil para un ordenador digital. Al mismo tiempo que Zuse, en EE.UU. e Inglaterra diferentes grupos de investigación trabajaban en similares dispositivos de cálculo. Bajo riguroso secreto, científicos ingleses dirigidos por Newman construyeron en 1943 la primera computadora electrónica del mundo, el Colossus /, que fue programado por Turing para resolver un problema de criptografía. Con ayuda del Colossus 1 se descifraron automáticamente las informaciones que codificaba la máquina alemana Enigma.

En los EE.UU. se construyeron, en 1944, aparatos de cálculo electromecánico con unos rendimientos similares a los ideados por Zuse, gracias a los trabajos, entre otros, de Aikcn en la Universidad de Harvard (Harvard Mark I) y de Stibitz en la Bell Corporation. En la Universidad de Pensilvania, Eckert y Mauchly fabricaron el supercomputador ENIAC (Electronic Numerical Interpretor and Calculator), equipado con 18000 válvulas electrónicas que, gracias a su alta velocidad de conmutación, permitieron un espectacular aumento en la rapidez de cálculo. Su peso era de 30 toneladas y sólo con un gran esfuerzo podía ser reprogramado. En junio de 1945, el matemático John von Neumann entró a formar paite de un grupo para la construcción de un nuevo ordenador, el Electronic Discreta Variable Automatic Computer (EDVAC). Los informes que elaboró para este proyecto representan un punto de inflexión en el desarrollo de la informática, aun cuando el ordenador EDVAC no se construyó hasta comienzos de los cincuenta. Von Neumann tuvo la revolucionaria idea de establecer una programación interna en lugar de la rígida programación anterior. A partir de ahora, el programa se codificaba primero, como se hacía con los datos, y se almacenaba en la máquina. Formado por una secuencia de órdenes o sentencias, incluía entre éstas sentencias condicionales que permitían su ramificación hacia adelante o hacia atrás. Cada sentencia del programa podía ser modificada por la propia máquina, como cualquier otro operando. De esta manera, se crearon las condiciones para una programación secuencial, moderna y flexible, que se conoce en la historia de la informática como Arquitectura von Neumann. Esta idea de programación a través de un programa previamente almacenado se llevó a cabo por primera vez el ordemador digital electrónico del tipo Manchester Mark I (1948).

IV. 3. Desarrollo de. la informática en las últimas décadas
El desarrollo de la informática en las cuatro últimas décadas puede ser dividido en varias etapas sucesivas.

Alrededor de 1945 se había acabado la fase de ensayo; la idea de un ordenador programado se había demostrado realizable. La fabricación de ordenadores de la primera generación comenzó con el ENIAC. Esta primera generación, cuya época se extendería desde 1946 hasta 1955-58, se caracterizaba por la construcción de conmutadores con válvulas electrónicas y suponía tiempos de operación del orden de milisegundos con un conmutador por cm3. Se utilizaban en aplicaciones cientifico-técnicas, aunque preferentemente militares. Su construcción resultaba extraordinariamente cara. En la RDA se construyeron el ZR 1 y el OPREMA. y en la Unión Soviética el BESEM1 y el URAL.

En 1949 Wilkes, de la Universidad de Cambridge (Reino Unido), construyó el ordenador EDSAC, con el que aportaba una idea clave para el futuro desarrollo de la informática: la invención del software. Este consistía en la introducción de conceptos de programación, como programas residentes y medios auxiliares que se utilizaban para encontrar los errores de programación (sistema operativo).

En 1948 Brittain, Shockley y Bardeen, de los Bell Telephone Laboratories, patentaron el transistor. A finales de los años cincuenta se sustituyó la tecnología de válvulas por la de transistores, dando lugar a los ordenadores de la segunda generación. Se emprendió así el primer paso hacia la miniaturización. Esta segunda generación de ordenadores (1955/58 - 65), a la que pertenecen el IBM 1401, IBM 7090, NCR 304, el Siemens, la familia de los UNIVAC, etc., fue desarrollada con fines prioritariamente comerciales. En la RDA, con cierto retraso respecto a la situación internacional, se pudo contar con un ordenador de fabricación propia, el R 300, para su aplicación en la industria y la economía. Los tiempos de operación de estos ordenadores se hallaban en promedio sobre los 100 microsegundos con 10 conmutadores por cm3. El PDP 8, construido por la Digital Equipment Corporation en 1960, fue el primer miniordenador fabricado en serie. A partir de 1955, con el ALGOL. COBOL y FORTRAN, se introdujeron en el ámbito del software los lenguajes de programación.

Un ordenador de la tercera generación (1965 hasta 1975, aproximadamente) tiene circuitos integrados. Los tiempos de operación son del orden de los microsegundos con cerca de 1000 conmutadores por cm3. Surgieron los llamados sistemas compatibles de EDVA, que permiten diversas ampliaciones de hardware y poseen una alta compatibilidad en sus programas. IBM S/360 y 370, ICL 1900 constituyen sistemas informáticos de gran rendimiento que se caracterizan por un sistema operativo altamente desarrollado, como son el IBM OS o el ICL George 3. El intercambio de datos y la conexión en redes de amplio alcance son dos características destacadas de los grandes ordenadores actuales. Los países socialistas han creado un Sistema Uniforme de Técnicas de Cálculo Electrónico (ESER) de tipo compatible y modular. El ordenador EC 1057 (R ESER-Serie III) es actualmente el representante más avanzado de la familia ESER.

Con el desarrollo del primer microprocesador, una tableta de silicio de 6 mm de perímetro poseía el equivalente de 2250 transistores, llevado a cabo por Intel en 1971, se inauguraba una nueva dimensión en la producción de tecnología hardware para ordenador. En 1972 la firma Unimation se especializó en la producción exclusiva de robots industriales. En 1975 comenzaba la cuarta generación de ordenadores. Los circuitos integrados y superintegrados (LSI y VLSI) permitieron una nueva generación de superordenadores, como los de la CRAY-Organisation, la familia de los CDC Cyber 205, los E1AP-1 (Hitachi), etc. Algunos superordenadores, equipados con 16 procesadores y trabajando en paralelo, alcanzan casi los mil millones de operaciones en coma flotante por segundo. El IBM 3033/3081 o el Fujitsu-M-380 contienen un gran número de innovaciones de software y en su arquitectura, pero en lo esencial se basan en el modelo creado por von Neumann.

Dentro de los ordenadores de la cuarta generación destaca, particularmente, el ordenador personal (PC) como herramienta de trabajo individualizada. Equipado con una memoria central barata y con discos floppy o un pequeño disco duro, el PC es un producto de masas fácil de utilizar y con un precio accesible, apropiado para casi todas las aplicaciones imaginables.

Los Home Computer (pequeño ordenador) se han extendido ampliamente. Aunque estos ordenadores se utilizan en un 80% para distracción (juegos, música, diseño gráfico), no se debe subestimar su importancia, pues acercan a niños y jóvenes hacia estas nuevas tecnologías y formas de pensamiento casi jugando. Estos jóvenes, que probablemente en su edad productiva habrán de vivir en la sociedad de la información, superan casi sin problemas las dificultades que los adultos experimentan frecuentemente en el uso de ordenadores. Los Atari, Commodore, Schneider, Sinclair, etc. han conquistado, gracias a su facilidad de uso, un amplio porcentaje del mercado internacional de este tipo de ordenadores. En la RDA se han utilizado los modelos KC 85 y KC 87 en la enseñanza y la educación (a nivel escolar). Los ordenadores personales, o de oficina, como herramienta de trabajo individualizada, hallan sus principales aplicaciones en el ámbito comercial, posibilitando un diálogo agradable entre hombre y máquina. En la RDA se han fabricado los ordenadores de oficina BC 5120, 5130 y los ordenadores personales PC 1715 y AC 7100, este último de 16 bits, mientras está en desarrollo un ordenador de 32 bits.

Lenguajes de programación de fácil aprendizaje (BASIC) y nuevas prestaciones gráficas facilitan el manejo de este tipo de ordenadores.

IV. 4. Perspectivas
En el año 1979 se expusieron en Japón las líneas maestras para el desarrollo de la quinta generación de ordenadores, que deberían empezar a realizarse a comienzos de los noventa. El concepto japonés se podría describir como una ideología de la computación, puesto que pone en discusión, junto a los aspectos científico-técnicos, también las repercusiones sociales de la relación hombre-máquina. Se debe desarrollar un ordenador que sea útil y agradable al mismo tiempo. La idea central para el desarrollo de un ordenador de la quinta generación consiste en reunir todos los conocimientos, hasta ahora dispersos, procedentes tanto de la informática y ciencias de la computación como de otros ámbitos científicos limítrofes (lingüística, biónica, etc.) para crear un cuerpo de saber integrado altamente complejo. En el futuro se desarrollarán ordenadores inteligentes como sistemas autorganizativos con inteligencia artificial. Para ello se han de concebir primeramente sistemas expertos, bancos de datos y procesadores de inferencias (sistemas de decisión), así como máquinas capaces de resolver problemas por sí mismas.

En los ordenadores de la quinta generación se hace especial hincapié en la arquitectura del flujo de datos, con el fin de distanciarse de la tradicional configuración de von Neumann. La crisis de software de los últimos años (la ofena de software era cada vez más inabarcable) puso de manifiesto la necesidad de elaborar nuevos símbolos y de cambios en la programación lógica (PROLOG, LISP). Nuevos procedimientos para la entrada y salida de datos, más fáciles de utilizar, con capacidad para el reconocimiento automático de diferentes formas y modelos lingüísticos y el tratamiento del lenguaje natural deben configurar el diálogo hombre-máquina.

Un amplio abanico de disciplinas científicas y tecnológicas, electrónica, biología (genética), psicología (procesos cognitivos), métodos de transmisión de conocimientos, lógica de conjuntos borrosos, nuevos métodos formalizados de inferencia, matemáticas, lingüística, robótica, técnica de sensores, etc., han de combinarse para poder crear el ordenador del futuro, sin que se perciban, de momento, límites cuantitativos ni cualitativos en este desarrollo. El ordenador, con el apoyo de la microelectrónica, supone uno de los mayores retos sociales y tecnológico-científicos de nuestro siglo, siendo ya un distintivo esencial de la actual etapa de desarrollo de la revolución científico-técnica.

Apéndices
Cronología de la introducción de los actuales símbolos matemáticos
[viii]

1228Leonardo de PisaLínea de quebrado para las fracciones ordinarias
1464RegiomontanoPunto de la multiplicación
1489WidmannLos signos + y - de imprenta
1524RiesSigno de la raíz en cursiva
1525RudolffSigno de imprenta de la raíz
1557RecordéSigno de igualdad =
1571ReinholdSigno de grado °
1585StevinSigno de la raíz con el exponente colocado al lado, √3 (esto es ∛)
Modo de escritura de los decimales
1593VietaUso frecuente de paréntesis angulosos y curvos
1617NeperComa decimal
1624Keplerlog. para el logaritmo
1629GirardSigno de la raíz con el exponente encima 2√, ∛
1631HarriotSignos de desigualdad >, <
1637DescartesModo de escritura de las potencias a3, b4
1655WallisEl signo ∞
1675Leibniz∫ y dx
1679LeibnizBarra sobre letras
1684LeibnizLetras con índices
1693LeibnizExpresiones similares a determinantes, punto de la multiplicación. modo de escritura de las proporciones a : b = c: d
1694J. BernoulliSímbolo de función
1734EulerSigno de función f(x)
1736Eulerπ
1739Eulere para el valor límite 0138.png
1750CramerEsquema de los determinantes
1753EulerSímbolos sen, cos
1755EulerSigno de sumatorio Σ, signo de diferencias Δ
1777EulerSímbolo i (para √-1)
1816CrelleUso uniforme de α, β, γ para los ángulos de un triángulo

Bibliografía

Bibliografía General
[L A 1]BECKER, O. (1954) Grundlagen der Mathematik in geschichtlicher Entwicklung. Friburgo/Munich.
[L A 2]BERNAL, J. D. (1967) Historia social de la ciencia. Barcelona (trad. del inglés).
[L A 3]WUSSING, H. & ARNOLD, W'. (Eds.) (1989) Biografí'as de grandes matemáticos. Zaragoza, Prensas Universitarias de Zaragoza (trad. del alemán).
[L A 4]SCHREIER, W. (Ed.) (1984) Biographien hedeutender Physiker. Berlín.
[L A 5]BOURBAKI, N. (1976) Elementos de historia de las matemátícas. 2a ed. corregida y aumentada, Madrid (trad. del francés).
[L A 6]CAJORI, F. (1928-29) A History of Mathematical Notations. Chicago, 2 vo)s.
[L A 7]CANTOR. M., Uorlesungen über Geschíchte der Mathematik, Leipzig, vol. 1 (1907) 3a ed.; vol. 2 (1899-1900) 2a ed.; vol. 3 (1900-1901) 2a ed.; vol. 4 (1908).
[L A 8]DAUBEN, J.W. (1985) The Hístory of Mathematícs from Antiquity to the Present. A Selective Bibliography. Nueva York/Londres.
[L A 9]GILLISPIE, Ch.C. (Ed.) (1970-80) Dictionary of Scientific Biography. Nueva York, 16 vols.
[L A 10]DIEUDONNE, J. (1978) Ahregé d'Histoire des Mathématiqües, 1700-1900. París, 2 vols.
[L A 11]YOUSCHKEVITCH. A.P. (Dir.) (1970-72) Historia de las matemáticas. Moscú, 2 vols. (en ruso).
[L A 12]WUSSING, H. (Ed.) (1983) Geschichte der Naturwissenschaftem Leipzig.
[L A 13]BRENTJES, B.; RICHTER, R. & SONNEMAN, R. (Eds.) (1978) Geschichte der Technik. Leipzig.
[L A 14]DAUMAS, M. (1957) Histoire de la scíence. París.
[L A 15]TATON, R. (Dir.) Histoire genérale des Sciences. París, torno I (1957); torno II (1958); torno III, vol. I (1961); torno III, vol. II (1964).
[L A 16]HOFMANN, J.E., Geschichte der Mathematik. Berlín, vol. 1 (1963) 2a ed.; vols. 2 y 3 (1957).
[L A 17]YOUSCHKEVITCH, A.P. (1964) Geschichte der Mathematik im Mittelalter. Leipzig (trad. del ruso).
[L A 18]YOUSCHKEVITCH, A.P. (1968) Historia de las matemáticas en Rusia desde 1917. Moscú (en ruso).
[L A 19]KEDROVSKIJ, O.J. (1984) Wechselbeziehungen von Philosophie ünd Matematik im geschichtlichen Entwicklungsprozess. Leipzig (trad. del ruso).
[L A 20]KLEIN, F. (1979) Uorlesungen líber die Entwicklung der Mathematik im ¡9. Jalirhundert. Berlín, vol. 1 (1926); vol. 2 (1927). Reimpresión (en un volumen) Berlín/Heidelberg/Nucva York.
[L A 21]KLINE, M. (1972) Mathematical Thoughtfrom Ancient to Modern Times. Nueva York.
[L A 22]OTTE, M. (Ed.) (1974) Mathematiker líber die Mathematik. Berlín/Heidelberg/ NuevaYork.
[L A 23]NAAS, J. & SCHMID. H.L. (Eds.) (1961) Mathematisches Wdrterbuch. Berlín/Leipzig, 2 vols.
[L A 24]MAY, K.O. (1973) Bibliogropky and Research Manual of the History of Mathematics. Toronto.
[L A 25]MENNINGER, K. (1958) Zahlwon und Ziffer. Eine Kulturgeschichte der Zalil. 2a ed., Gotinga.
[L A 26]MESCHKOWSKI, H. (1979-81) ProbUrngeschichte der Mathematik. Mannheim/Viena/ Zurich, 2 vols.
[L A 27]MOLODSCHI, W.N. (1977) Siudien z« philosophischen Prohlemen der Mathematik. Berlín (trad. del ruso).
[L A 28]LANGE, E. & ALEXANDER, D. (Eds.) (1982) Philosophenlexikom Berlín.
[L A 29]RYBNIKOV, K.A. (1960) Historia de ¡as matemáticas. Moscú (en ruso).
[L A 30]SMITH. D.E. (1958) History of Mathematics. Nueva York (reimpresión de la ed. de 1925).
[L A 31]STRUIK, DJ. (Ed.) (1969) A Source Book m Mathematics, 1200-1800. Cambridge (Mass.).
[L A 32]STRUIK, DJ. (1967) A Concise History of Mathematics. 3a ed., Nueva York.
[L A 33]TROPFKE. J., Geschichte der Elementarmathernatik. Berlín, vols. 1-4 (1930-40) 3a ed.; vols. 5-7 (1921-24) 2* ed.
[L A 34]Weltgeschichíe in Daten. 2a ed., Berlín, 1973.
[L A 35]Weltgeschichte in 10 vols. Ed. Academia de las Ciencias de la URSS. Berlín, 1965- 1968 (trad. del ruso).
[L A 36]WUSSING. H. (1965) Mathematik in der Antike. 2a ed., Leipzig.

Referencias bibliograficas

Lección 1
[L 1.1]Beitrdge zur Wissenschaftgeschichte. Ed. G. Wendel por encargo del Wissenschaftliches Beirat für Wissenschaftsgeschichte (MHF): Die Zeit der Industriellen Revolution, Berlín, 1982; Wissenschaft im kapitalistischen Europa 1871-1917. Berlín, 1983; Wissenschaft und Gesellschaft 1917-1945, Berlín, 1984; Wissenschaftsentwicklung van 1945 bis zür Gegenwart, Berlín, 1985; Wissenschaft in der Antike, Berlín, 1986.
[L 1.2]BÓHME, H.J. (1987) ''Zur Erbe- und Traditionspflcgc an den Universitatcn und Hochschulcn in der Deutschen Demokratischen Rcpublik. Vortrag des Ministers für Hoch- und Fachschulwesen, Prof. Dr. h. c. Hans-Joachim Bohmc, auf der Festveranstaltung zur Otto-von-Guericke-Ehrung der DDR am 21. Mai 1986 in Magdeburg". NTM, 24(1 f 1-11.
[L 1.3]BÓHME, H.J. (1977) "Zur weiteren Realisierung der sozialistischen Hoch- und Fachschulpolitik der DDR im Studienjahr 1977-78". Das Hochschulwesen, 25, 218- 236.
[L 1.4]KASTNER, A.G. (1976-1800) Geschichte der Mathematik. Gotinga, 4 vols.
[L 1.5] Klassenkampf Trad ilion, Sozialismus. Ed. Zentral instituí für Geschichte der AdW der DDR. Berlín, 1974.
[L 1.6]KRÖBER, G. (1977) "Wissenschaftswissenschaft und Wissenschaftsgeschichte". Spektrum, 5, 5-9.
[L 1.7]LENIN, V.I. (1964) Werke. Vol. 38. Berlín.
[L 1.8]MARX, K. (1968) "Ókonomisch-philosophische Manuskripte (1844)". In: K. Marx & F. Engels, Werke, Suplemento, Ia parte. Berlín.
[L 1.9]MONTUCLA, J.E. (1799-1802) Histoire des mathémaPiques. París, 4 vols.
[L 1.10]SARTON, G. (1936) The Study of the History of Science. Cambridge (Mass.).
[L 1.11]HARIG, G. (Ed.) (1962) Uon Adaní Bies bis Max Planck. Leipzig.
[L 1.12]Wissenschaft. Studien zü ihrer Geschichte, Theorie und Organisation (Eme Auswa/íl sowjetisher Arbeiten). Berlín, 1972. Versión alemana de G. Króber & H. Steiner.
[L 1.13]WUSSING. H. (1976) "Historiographie der Mathematik: Zielc. Mcthodcn, Aufgabcn". Mitteil, Matli, Ges, DDR, 3-4, 120-132.
[L 1.14]WUSSING, H. (1975) "Vcrsuch cincr Klassifikation des historischen Wechselverhaltnisses zwischen Naturwissenschaften und materieller Produktion". ATM, i, 98-104.

Lección 2

[L 2.1]GERICKE, H. (1984) Mathematik in Antike und Orient, Berlín/Heidelberg/Nueva York/Tokio.
[L 2.2]JÜRSS, F. (Ed.) (1982) Geschichte des wissenschaft liciten Denkens im Altertum, Berlín.
[L 2.3]HOYRUP, J. (1984) Babylornan Algebra from the Uiewpoint of Geométrical Heuristics. Roskilde.
[L 2.4]Kleine Enzyklopddie Natur. 20a ed., Leipzig, 1979.
[L 2.5]HERRMANN, J.; QIJITTA, H.; KLENGEL. H.; 1RMSCHER. J. & SELLNOW, I. (Eds.) (1984) Lexikon friiher Kulturen. Leipzig.
[L 2.6]STRUVE, W.W. (Ed.) (1930) "Mathematischer Papyrus des staatlichen Museum der schónen Kiinste in Moskau". Basado en una transcripción de jeroglíficos de B.A. Turajeff. In: (fuellen und Studien zur Geschichte der Mathematik, Astronomie und Physik, A 1. Berlín.
[L 2.7]NÉUGEBAUER, O. (1935 y 1937) "Mathcmatische Keilschrift-Texten. In: Queden und Studien zür Geschichte der Mathematik, Astronomie und Physik, A 3, 1/3, Berlín. Parte I, Texto; Parte II, Indice, Glosario, Suplemento, Tablas; Parte III, Volumen de complementos.
[L 2.8]NEUGEBAUER, O. (1957) The Exact Sciences in Antiquity, Providence (R.I.).
[L 2.9]NEUGF.BAUER, O. (1969) Uorlesungen líber Geschichte der antiken rnathematischen Wissenschaften, Vol. 1, Uorgriechische Mathematik. 2a ed., Berlín/Heidelberg/Nueva York.
[L 2.10]NEUGEBAUER, O. & SACHS, O. (1945) Mathematical Cuneiform Texis. New Haven.
[L 2.11]PTOLEMAIOS VON ALEXANDRIA (1912-13) Almagest. Des Claudias Ptoleíndas Handhiich der Astronomie. Leipzig, 2 vols. Trad. del griego y notas aclaratorias de K. Manitius.
[L 2.12]The Rhind Mathematical Papyrus. Liverpool/Londres, 1923. Introducción, transcripción, traducción y comentarios de T. Eric Peet.
[L 2.13]VOGEL, K. (1958-59) Uorgriechische Mathematik. Hannover/Padcrborn, 2 vols.

Lección 3

[L 3.1]ANDERHUB, H.J. (1941) Joco-Sena. Aüs den Papieren cines reisenden Katifinaniies. Wiesbaden.
[L 3.2]ARCHIMEDES (1922) Kügel and Zylinder. Leipzig. Trad. y notas del Dr. A. Czwalina.
[L 3.3]BRENTJES, S. (1986) "Die Entwicklung der antiken griechischen Mathematik im Lichte einiger Tendenzen in der gegenwártigen Forschung". In: Beitrage zur Wissenschaftsgeschichte. Wissenschaft in der Antike. Berlín, pp. 81-102.
[L 3.4]EUKLID VON ALEXANDRIA, Die Elemente. Ed. Clemens Thaer según el texto griego de Heiberg. Leipzig, Parte I (Libros I-III) 1933; Parte II (Libros IV-VI) 1933; Parte III (Libros VII-IX) 1935; Pane IV (Libro X) 1936; Parte V (Libros XI-XI11) 1937.
[L 3.5]DIELS, H. (Ed.) (1906) Die Fragmente der Uorsokratiker. Berlín.
[L 3.6]GERICKE, H. (1984) Mathematik in Antike und Orient. Berlín/Heidelberg/Nueva York/Tokio.
[L 3.7]HELLER, S. (1958) "Die Enldeckung der stetigen Teilung durch die Phythagoreer". Abh. Dtsche Akad. Wiss. Berlín, Klasse f. Mathematik, Physik and Technik, 6, 1-28.
[L 3.8]JÜRSS, F. (1977) Von Thales zü Demokrit. Friihe griechische Denker. Leipzig/Jena/ Berlín.
[L 3.9]IRMSCHER, J. et al. (Eds.) (1971) Lexikon der Antike. Leipzig.
[L 3.10]PLATON (1910) Theaitetos. Jena. Trad. al alemán por Karl Preisendanz.
[L 3.11]PLATON, Staat. "Langenscheidtsche Bibliothek samtlicher griechischen und romischen Klassiker", 40. Berlín/Stuttgart, 1855-1914.
[L 3.12]SARTON, G. (1952) A History of Science. Ancient Science throügh the Golden Age of Greece. Cambridge (Mass.).
[L 3.13]SZABO, A. (1969) Anfánge der griechischen Mathematik. Munich/Viena.
[L 3.14]VAN DER WAERDEN, B.L. (1947-49) "Die Arithmetik der Pythagoreer". Matli. Annalen, 120, 127-153.
[L 3.15]VAN DER WAERDEN, B.L. (1966) Erwachende Wissenschaft. 2a ed., Basilca/Stuttgart.
[L 3.16]WUSSING. H. (1974) "Zur Grudlagenkrisis der griechischen Mathematik". In: E. Ch. Welskopf (Ed.), Hellenische Poleis. Berlín, vol. 4, pp. 1872-1895.
[L 3.17]ZEUTHEN, H.G. (1895) Geschichte der Mathematik im Altertiím iind im Mittelcilter. Copenhage.
[L 3.18]ZEUTHEN, H.G. (1886) Die Lehre von den Kegelschnitten im Altertüm. Copenhage.
[L 3.19]BECKF.R, O. (Ed.) (1965) Zür Geschichte der griechischen Mathematik. Darmstadt.

Lección 4

[L 4.1]ARCHIMEDES (1922) Kiigel iind Zylinder. Leipzig. Trad. y notas del Dr. A. Czwalina.
[L 4.2]ARCHIMEDES (1923) Die Qüadratítr der Parabel iind líber das Gleichgewicht ebener Flaclien oder líber den Schwerpünkt ebener Fláchen. Leipzig. Trad. y notas del Dr. A. Czwalina
[L 4.3]Die Arithmetik des Diophantos aüs Alexandria. Gotinga, 1952. Trad. del griego con observaciones de A. Czwalina.
[L 4.4]Die Arithmetik iind die Schrift líber Polygonalzahlen des Diophantus von Alexandria. Leipzig, 1890. Trad. y notas de G. Wertheim.
[L 4.5]EUKLID VON ALEXANDRIA, Die Elemente. Ed. Clemens Thaer según el texto griego de Heiberg. Leipzig, Parte I (Libros l-III) 1933; Parte II (Libros IV-VI) 1933; Parte III (Libros VII-IX) ¡1935; Parte IV (Libro X) 1936; Parte V (Libros XI-XIII) 1937.
[L 4.6]IIERON VON ALEXANDRIA. Heronis Alexandrini opera quae supersunt omnia. Ed. griega y alemana de W. Schmidt, L. Nix, H. Schüne, J.L. Heiberg. 5 vols. Leipzig. 1899-1914.
[L 4.7]PROKLUS DIADOCHUS, Kommentar zum ersten Buch von Euklids ''Elementen". Halle/Saale,1945. Ed. (alemana) de Max Steck.
[L 4.8]PTOLEMAIOS VON ALEXANDRIA (1912-13) Almagest. Des Claudias Ptolemaus Handbuch der Astronomie. Leipzig, 2 vols. Trad. del griego con notas aclaratorias por K. Manitius.
[L 4.9]RASHED. R. (1974-75) ''Les travaux perdus de Diophante1'. Revue d'histoire des Sciences, 17. 97-122; 18, 3-30.
[L 4.10]SCIINEIDER, I. (1979) Archime des. Darmstadt.
[L 4.11]SESIANO, J. (1982) Books IU to Ull of Diophaíítus' Arithmetica in the Arabic Translation Attribüted to Qiista\ ibn Lu\qa\. Nueva York/Heidelberg/Berlín.
[L 4.12]STECK, M. (1981) Bibliographia Etíclideana. Hildesheim. Publicado a la muerte del autor por Menso Folkerts.
[L 4.13]VAN DER WAERDEN, B.L. (1947-49) "Die Arithmetik der Pythagoreer”. Maíli. Amalen, 120, 127-153.
[L 4.14]VAN DER WAERDEN, B.L. (1966) Erwachende Wissenschaft. 2a ed.. Basilea/Stutlgart.
[L 4.15]WUSSING, H. (1974) "Zur Grundlagenkrisis der griechischen Mathematik”. In: E. Ch. Welskopf (Ed.) Hellenische Poleis. Berlín, vol. 4, pp. 1872-1895.
[L 4.16]ZEUTHEN, H.G. (1895) Geschichte der Mathematik im Altertiim und Mittelalter. Copenhage.
[L 4.17]ZEUTHEN, H.G. (1886) Die L.ehre von den Kegelschnitten im Altertum. Copenhage.
[L 4.18]ZINNER, E. (1951) Astronomie. Geschichte ihrer Próbleme. Friburgo/Munich.

Lección 5

[L 5.1]BAG, A.K. (1979) Mathematics in Ancient and Medieval India.Naranasi/Dehli.
[L 5.2]BERGGREN, J.L. (1986) Episodes in the Mathematics of Medieval Islam. Nueva York/ Berlín/Heidelberg/Londres/París/Tokio.
[L 5.3]BOSE, D.M.; SEN, S.N. & SUBBARAYAPPA, B.V. (1971) A Concise History of Science in India. Calcuta.
[L 5.4]CHIU CHANG SUAN-SHU (1968) Neun Bíicher arithmetischer Technik. Braunschweig. Ed. anotada de K. Vogel.
[L 5.5]DATTA, B. & S1NGH, A.N. (1935-38) History ofllinda Mathematic. Lahore, 2 vols.
[L 5.6]ELFERING, K. (1975) Die Mathematik des a\ryabhat>a. Vol. I. Munich.
[L 5.7]YOUSCHKEVITCH, A.P. & ROZENFEL'D, B.A. (1962) Die Mathematik der Lunchir cíes Osteíis in Mittelalter. Sowjetische Beitráge zur Geschichte der Naturwissenschaften. Berlín. Ed. G. Harig (trad. del ruso).
[L 5.8]KOGELSCHATZ, H. (1981) Bibliographische Daten züm frühen mathematischen Schrifttüm Chinas im Umfeld der "Zelin mathematischen Klassiker" (la. C.-UIl d. C.). Munich, Forschunginstitut Deutsches Museum München.
[L 5.9]LIBBRECHT. U. (1973) Chútese Mathematics in the Thirteenth Centüry. The Shu-shu ehiu-chang of Clí'in Chiu-shao. Cambridge (Mass,)/Londres.
[L 5.10]MATV1EVSKAJA, G.P. (1962) K istorii matematiki Srednej Azi i 1X-X1 vekov. Taschkent.
[L 5.11]MENNINGER. K. (1958) Zahlwort und Ziffer. Eine Kulturges¡chiehte der Zahl. Gotinga.
[L 5.12]MIKAMI, Y. (1913) The Development of Mathematics in China and Jcipan. Leipzig (reimpresión Nueva York, 1962).
[L 5.13]MUHAMMAD IBN MUSA AL-CHOREZMI, Matem. traktaty. Taschkent, 1983 (en ruso).
[L 5.14]NEEDHAM, J. (1959) Science and Civilisation in China. Vol. 3. Cambridge.
[L 5.15]RATHMANN, L. (1975) Geschichte der Araber. Vol. 1, 2a ed., Berlín.
[L 5.16]SMITH, D.E. & KARP1NSKI. L.Ch. (1911) The Hindu-Arabic Numeráis. Boston.
[L 5.17]SUTER, H. (1900-02) Die Mathematiker und Astrononien der Araber und ihre Werke. Leipzig [Con comptesaeaios de H.P.I. Reinaud., Isis, l8 (1932), 166-183
[L 5.18]VOLODARSKLf. A.L (1977) Ocherki istorii srednevekovoj indijskoj ínatematiki. Moscú.

Lección 6

[L 6.1 ]RIDER, R.E. (Ed.) (1982) .4 Bibliography of Early Modera Algebra, 1500-1800. Berkeley.
[L 6.2]BOAS, M. (1965) Die Renaissance der Natürwissenschaften, 1450-1630. Gütersloh (trad. del inglés).
[L 6.3]BRAUNMÜHL. A.v. (1900-03) Uorlesungen líber Geschichte der Trigonometrie. Leipzig, 2 vols.
[L 6.4]CAJORI. F. (1928-29) A History of Mathematical Notations. Chicago, 2 vols.
[L 6.5]DEUBNER, F. (1959) ...nach Adam Ries. Leben und Wirken des grossen Rechenrneisters. Leipzig/Jena.
[L 6.6]FIERZ, M. (1983) Girolarno Cardano. 1501-1576. Boston/Basilea/Stuttgart.
[L 6.7]GOLDSTINE, H.H. (1977) A History of Nümerical Analysisfrom the 16th throügh the 19th Centiiry. Nueva York/Heidelberg/Berlín.
[L 6.8]HARIG, G. (1962) Die Tal des Koperniküs. Leipzig/Jcna/Bcrlín.
[L 6.9]HARIG, G. (1958) "líber die Entstehung der klassischen Naturwissenschaften in Europa". Dtsch. Z. Philos., 6, 419-450.
[L 6.10]HOPPE, J. (1975) Johannes Kepler. Leipzig.
[L 6.11]KAUNZNER, W. (1979) "Zur Entwicklung der Mathematik im 15. Jahrhundert". Ósterr. Akad. d. Wiss., Math.-nat. Klasse, 116, 135-142.
[L 6.12]KEPLER, J., Gesammelte Werke. Munich, desde 1937. Ed. M. Gaspar, F. Hammer ct al.
[L 6.13]MARX, K. & ENGELS, F. (1962) Werke. Vol. 20. Berlín.
[L 6.14]MATVIEVSKAJA, G.P. (1987) Albrecht Djürer - Utschenyi. Moscú (en ruso).
[L 6.15]MENNINGER. K. (1958) Zahlwort und Ziffer. Eine Kulturgeschichte der Zahl Gotinga.
[L 6.16]SCHMEIDLER, F. (Ed.) (1972) Regiomontani opera coUectanea. Osnabrük
[L 6.17]STEVIN, S. (1965) De Thiende. Frankfurt/M. Trad. y anotado por H. Gericke y K. Vogel.
[L 6.18]V1ETE, F. (1973) Einfiihrüng in die nene Algebra. Munich. Trad. y anotado por K. Rcich y H. Gericke.
[L 6.19]WOLLGAST, S. & MARX, S. (1976) Johannes Kepler. Leipzig/Jena/Bcrlín.
[L 6.20]WUSSING, H. (1973) Nicolaüs Copernieus. Leipzig/Jena/Bcrlín.
[L 6.21]WUSSING, H. (1961) "Zum Charakter der europaischen Mathematik in der Periode der Herausbildung frühkapitalistischer Vcrháltnissen. Math., Phis., Astr. in der Schule, 8. 519-532, 585-593.

Lección 7

[L 7.1]BEAUCLAIR, W. de (1968) Reclinen mit Maschinen. Eine Bildgeschichte der Rechentechnik. Braunschwcig.
[L 7.2]BASHMAKOVA, I.G. (1966) "Diofant i Ferma". lst. Mal. Issl., 17, 185-207.
[L 7.3]BOYER, C.B. (1956) History ofAíialytic Geometry. Nueva York.
[L 7.4]COHEN, I. Bernhard (1983) The New tornan Revolution with illüs trations of the transformation of scientific ideas. Cambridge/Londres/Nueva York/New Rochelle/ Mclbourne/Sidney.
[L 7.5]CURTZE, M. (1870) Die mathematischen Schriften des Nicole Oresme. Berlín.
[L 7.6]DESCARTES. R. (1980) Ausgewahlte Schriften. Leipzig. Ed. G. Irrlitz.
[L 7.7]DESCARTES, R. (1894) Die Geometrie. Berlín. Ed. alemana L. Schlesinger.
[L 7.8]FERMAT, P. de (1923) Einfiihrung in die ebenen iind korperlichen Órter. Leipzig.
[L 7.9]GLADE, H.K. & MANTEUFFEL, K. (1973) Am Anfang stand der Abacüs. Aüs der Kiiltürgeschichte der Rechengerdte. Leipzig/Jena/Berlín.
[L 7.10]HALL. A.R. (1965) Die Gebürt der naturwissenschaftlichen Methode, 1630-1720. Gülersloh (trad. del inglés).
[L 7.11]ITARD. J. (1950) Pierre Fermat. Basilca.
[L 7.12]MARX, K. (1962) Das Kapital, vol. I. In: K. Marx & F. Engels, Werke. Vol. 23. Berlín.
[L 7.13]CLAGETT. M. (Ed.) (1968) Nicole Oresme and the Medieval Geometry ofQüalities and Motions. Madison.
[L 7.14]ORNSTEIN, M. (1928) The Role of Scientific Societies in the Seventeenth Century. Chicago.
[L 7.15]SCOTT, J.F. (1952) The Scientific Work of Rene Descartes. London.
[L 7.I6]BAYERTZ, K. (Ed.) (1981) Wissenschachaftgeschichte und wissenschaftliche Revolution. Pahl-Rugenstein Verlag.

Lección 8

[L 8.1]CAVALIER1, B. (1653) Geometría indivisibiliüs continuorum nova quadam ratione promota. Bolonia.
[L 8.2]COSTABEL, I. (1969) Leibniz et la dynamiqüe. París.
[L 8.3]DJIKSTERHUIS, E.J. (1956) Die Mechanisierung des Weltbildes. Berlín/Gotinga/Heidelberg.
[L 8.4]FERMAT, P. de (1934) Abhandluiigen líber Máxima und Mínima (1629). Leipzig. Ed. M. Miller.
[L 8.5]GALILEI, G. (1890-1909) Le Opere di Galilea Galilei. Florencia, 2 vols.
[L 8.6]HOFMANN, J.E. (1949) Die Entwácklungsgeschichte der Leibnizelten Mathematik wdhrend des Aufenthaltes in Paris (1672-1676). Munich.
[L 8.7]HUMBERT. P. (1947) L'ceuvre scientifique de Pascal. París.
[L 8.8]YOUSCHKEVITCH, A.P. (1969) "Gottfried Wilhelm Leibniz und die Grundlagen der Infinitesimalrechnung". In: Akten des Internationalen Leibniz-Kongresses, Hanover 1966. Wcisbadcn. pp. 1-19.
[L 8.9]KEPLER, J. (1908) Neue Stereometrie der Fasser. besonders der in der Form am i neis ten geeigneten dsterreichischen. Erganzung zur Stereometrie des Archimedes. Leipzig (reimpresión 1987).
[L 8.10]KNOBLOCH, E. (1962) Der Beginn der Determinantentheorie. Leibnizens nachgelassene Studien zum Determinantenkalkul. Hildesheim.
[L 8.11]KROPP, G. (1969) Uorlesungen iiber Geschichte der Mathematik. Manheim/Zurich.
[L 8.12]LEIBNIZ, G.W. (1849-83) Mathematische Schriften. Berlín/Halle. 7 vols. Ed. C.I. Gerhardt (reimpresión Hildesheim, 1962).
[L 8.13]LEIBNIZ, G.W. (1976) Samtliche Schriften und Briefe. 3a serie, vol. 1. Berlín.
[L 8.14]LEIBNIZ, G.W. (1908) Über die Analysis des Unendlichen. Leipzig. Ed. G. Kowalewski.
[L 8.15]MAHNKE, D. (1926) "Neue Einblicke in die Entdeckungsgeschichte der hoheren Analvsis". Abh. Preuss. Acad. d. VV'í.w. Jg. 1925. Math. Nat. Klasse 1. Berlín. .
[L 8.16]MARX, K. & ENGELS. F. (1962) Werke. Vol. 20. Berlín.
[L 8.17]MORE, L.T. (1934) Isaac Newton. A Biography. Nueva York.
[L 8.18]NEWTON, I. (1736) Method of Fluxions. Londres.
[L 8.19]KOWALEWSKI, G. (Ed.) (1908) Newtcms Abhcíndlungen líber die Quadratur der Küryen. Leipzig, 1908.
[L 8.20]OSMOND, H. (1944) Isaac Barrow. His Life and Times. Londres.
[L 8.21]POGREBYSSKIJ. I. B. (1971) Gottfried Wilhelm Leibniz. Moscú (en ruso).
[L 8.22]SCHMUTZER, E. & SCHÜTZ, W. (1983) Galilea Galilei. 5a ed., Leipzig.
[L 8.23]SCRIBA, C.J. (1957) "James Gregorys frühe Schriften zur Infinitesimalrcchnung”. Mitteil. Math. Sem. Giessen, 55.
[L 8.24]SCRIBA, C.J. (1966) Studien zur Mathematik des John Wall is. Wcisbadcn.
[L 8.25]SCOTT, J.F. (1938) The Mathematical Work of John Wallis. Londres.
[L 8.26]SEIDEL, W. (1975) Gottfried Wilhelm Leibniz. Leipzig/Jena/Berlín.
[L 8.27]WOLFERS, J. Ph. (Ed.) (1872) Sir Isaac Newton's Mathematische Prinzipien der Naturlehre. Berlín.
[L 8.28]WAWILÜW, S.I. (1951) Isaac Newton. Berlín (trad. del ruso).
[L 8.29]WUSSING, H. (1975) "Gottfried Wilhelm Leibniz und die Mathematik". Spektriim, 9, 45-47.
[L 8.30]WUSSING. H. (1984) Isaac Newton. 3a ed.. Leipzig.

Lección 9

[L 9.1]D'ALEMBERT. J.L. (1751) Discours préliminaire de l’Eíicydopedie. París.
[L 9.2]ARAGO, F. (1855) Sammtliche Werke. Vol. 3. Leipzig.
[L 9.3]NAUMANN. M. (Ed.) (1984) Artikel aiis der von Diderot iind d'Almbert herciiísgegeben Enzyklopadie. Leipzig.
[L 9.4]BERNOULLI, Joh. (1924) Differentialrechnüng. Leipzig. Ed. en alemán de P. Schafheitlein.
[L 9.5]BERNOULLI, Joh. (1742) Opera ornnia. Lausana/Ginebra, 4 vols.
[L 9.6]DICKSTE1N, S. (1899) "Zur Geschichte der Prinzipien der Infinitesimalrechnung. Die Kritiker der «Theorie der analytischen Funktionen» von Lagrange". Ablt. z. Gesch. d. Math. Wiss., IX. 66-79. Leipzig.
[L 9.7]EULER, L. (1983) Briefe an eine deutsch Prinzessm. 3a cd., Leipzig. Ed. G. Krobcr.
[L 9.8]EULER, L. (1790) Uollstandige Anleitüng zur Differenzial-Rechíuíng. Berlín/Libau. Trad. del latín con observaciones y notas complementarias por J.A.Chr. Michelsen. Primera parte.
[L 9.9]FLECKENSTEIN. J.O. (1949) Johann wid Jacob Bernoülli. Basilea.
[L 9.10]FUETER, R. (1948) Leonhard Eider. Basilea.
[L 9.11]GOLDSTINE, H.H. (1980) 4 History of the Calcultís of Uariations from the 17th throügh the I9th Centiiry. Nueva York/Heidelberg/Bcrlín.
[L 9.12]GRATTAN-GU1NNESS, 1. (1970) The Development of the Foündations of Mathematical Analysis from Eüler to Riemann. Cambridge (Mass.).
[L 9.13]YOUSCHKEVITCH, A.P. (1974) "El concepto de función en Condorcet". Ist. matern. issled.. 19, 158-166 (en ruso).
[L 9.14]KROPP. G. (1969) Uorlesungen líber Geschichte der Mathematik. Mannheiru/Zurich.
[L 9.15]LAGRANGE, J.L. (1887) Analytische Mechanik. Berlín. Ed. H. Scrvus.
[L9.16]LAPLACE, P.S. de (1932) Philosophischer Uersuch líber die Wahrscheinlichkeit. Leipzig. Ed. R. v. Mises.
[L 9.17]Leonhard Eider 1707-1783. Beitrdge zu Leben und Werk. Volumen conmemorativo del cantón de Basilea. Basilea/Boston/Stuttgart, 1983.
[L 9.18]Leonardi Euleri Opera omnia. Ser. I, vol. VIII. Lipsiae & Berolini, 1922. Ed. A. Krazcr y F. Rudio.
[L 9.19]MARX, K. (1968) Mathematische Handschriften. Moscú (en ruso y alemán).
[L 9.20]MARX, K. & ENGELS, F. (1962) Werke. Vol. 20. Berlín.
[L 9.21 ]MEDVEDEV, F.A. (1975) Breve historia de la teoría de funciones de una variable real. Moscú (en ruso).
[L 9.22]PAPLAUSKAS, A. (1968) Series trigonométricas. Moscú (en ruso).
[L 9.23]REIFF. R. (1889) Geschichte der unendlichen Reihen. Tubinga.
[L 9.24]Sammelhand züm 250. Gebürtstag von L. Eider, Berlín, 1959/Moscú, 1958.
[L 9.25]SIMON, M. (1898) "Zur Geschichte und Philosophie der Differentialrechnung". Abh. z. Cescli. á. Math. Wiss., Ulll. Leipzig.
[L 9.26]SPIESS, O. (1948) Die Mathematiker Bernoülli. Basilea.
[L 9.27]STEPANOW. W.W. (1982) Lehrhüch der Differentialgleichungen, 5a ed., Berlín (trad. del ruso).
[L 9.28]STÓRIG, H.J. (1954) Kleine Weltgeschichte der Wissenschaft. Stuttgart.
[L 9.29]SZABO, I. (1987) Geschichte der mechanischen Prinzipien und ihrer wichtigsten Anwendüngen. Basilea/Boston/Slutlgart.
[L 9.30]TODHUNTER, I. (1861) A History of the Calciilus of Uariations during the Nineteenth Century. Londres (reimpresión Nueva York. 1961).
[L 9.31]YOUSCHKEVITCH, A.P. (1976) "The Concept ol'Function up to the Middle of the 19th Century". Archive History Exact Sciences, 16, 37-85.

Lección 10

[L 10.1]ABEL, N.H. (1881) Oeuvres completes. Publiéc aux frais de l'état norregien par MM. L. Sylow et S. Lie. Christiana, 2 vols.
[L 10.2]ABEL, N.H. & GALOIS, E. (1889) Abhandlungen iiber die Algebraische Aüflosung von Gleichungem Berlín. Ed. alemana de H. Maser.
[L 10.3]BERNOULLI, J. (1899) Wahrscheinlichkeitsrechnüng (Ars conjectandi). Leipzig.
[L 10.4]BIERMANN, K.-R. (1973) Die Mathematik und ihre Dozenten an der Berliner ¡Jniversitát, 1810-1920. Berlín.
[L 10.5]EDWARDS, H.M. (1984) Galois Theory. Nueva York/Berlín/Heidelberg/Tokio.
[L 10.6]GALOIS, E. (1962) Ecrits et memoires mathematiques d'Evariste Galois, París.
[L 10.7]GAUSS, C.F. (1889) Untersuchungen iiber hohere Arithmetik. Berlín. Ed. alemana de H. Maser.
[L 10.8]GAUSS, C.F. (1876) Werke. Vol. 3. Gotinga.
[L 10.9]GNEDENKO, B.W. (1970) Lehrbuch der Wahrscheinlichkei tsrechnüng. 6a ed., Berlín (trad. del ruso).
[L 10.10]INFELD, L. (1954) Wen die Gotter liebrn. Viena.
[L 10.11]KIERNAN, B.M. (1971) "The Development of Galois Theory from Langrange to Artin". Archive History Exact Sciences, 8, 40-154.
[L 10.12]KOLLROS. L. (1949) Evariste Galois. Basilea.
[L 10.13]KUCZYNSKI, J. (1976) Die vier Revolütionen der Produktivkrafte. Berlín.
[L 10.14]KUCZYNSKI, J. (1972) Wissenschaft und Gesellschaft. Studien und Essciys iiber sechs Jahrtausende. Berlín.
[L 10.15]LAPLACE, P.S. (1932) Philosophischer Uersuch iiber die WahrscheinlichkeiIt. Leipzig.
[L 10.16]MAIBAUM, G. (1980) Wahrscheinlichkeitstheorie und mathematische Statistik. Berlín.
[L 10.17]MAJSTROV, L.E. (1967) Cálculo de probabilidades. Compendio histórico. Vloscú (en ruso).
[L 10.18]MARX. K. & ENGELS. F. (1959) Werke. Vol. 4. Berlín.
[L 10.19] MARX, K. & ENGELS, F. (1962) Werke. Vol. 23. Berlín.
[L 10.20]MOIVRE, A. de (1738) The Doctrine of Chances. 2a ed., Londres.
[L 10.21]MONGE, G. (1900) Darstellende Geometrie. Leipzig.
[L 10.22]OBENRAUCII, F.J. (1897) Geschichte der darstellenden iind projektiven Geometrie. Brünn.
[L 10.23]ORE, O. (1950) Neils Henrik Abel. Basilea.
[L 10.24]RENYI, A. (1969) Briefe iiber die Wahrscheinlichkeit. Berlín.
[L 10.25]SCHRÓDER. E. (1979) Darstellende Geometrie. Berlín.
[L 10.26]SCHUBRING, G. (1983) Die Entstehung des Mathematiklehrerberufes im 19. Jahrhiíndert. Weinheim/Basilea.
[L 10.27]MEHRTENS, H.; BOS. H. & SC.HNEIDER, 1. (1981) Social History of Nmeteenth Century Mathematics. Boston/Basilea/Stuttgart.
[L 10.28]TATOÑ, R. (1950) Gaspard Monge. Basilea.
[L 10.29]TATON, R. (1947) "Les rélations d'Évariste Galois avec les mathématiciens de son temps”. Revue d'histoire des Sciences et de leurs applicatwns, 1, 114-130.
[L 10.30]TATON, R. (1951) L'ceüvre scientifique de Monge. París.
[L 10.31]Wissenschaft ais Produktivkraft. Der Prozess der Umwandlung der Wissenschaft in eme unmittelbare Produktivkraft. Berlín, 1974.
[L 10.32]WUSSING, H. (1958) "Die Ecole Polytechniquc - cine Errungenschaft der Franzdsischen Revolution". Püdagogik, 13. 646-662.
[L 10.33]WUSSING, H. (1969) Génesis des abstrakten Griippenbegriffes. Berlín.

Lección 11

[L 11.1]BACHMANN, P. (1892) Uorlesungen über die Theorie der Irrationalzahlen. Leipzig.
[L 11.2]BOLZANO, B. (1810) Beytrdge zü einer begriindeteren Darstellüng der Mathematik. Praga (reimpresión con introducción de H. Wussing, Dannstadt, 1974).
[L 11.3]BOLZANO, B. (1816) Der binomische Lehrsatz, und ais Eolgerung aus ihm der polynomische, und die Re i lien, die zur Bereclínung der Logarithmen iind der Exponentialgrossen dignen, genaiier ais hisher erwiesem Praga.
[L 11.4]BOLZANO, B. (1930) Functionenlehre. Ed. anotada de Karel Rychlik. In: Bernard Bóllanos Schriften. Praga, Kóniglichen Bóhmischen Gcsellschaft der Wisscnschaften, vol. 1.
[L 11.5]BOLZANO, B. (1905) Rein analytischer Beweis des Lelirsatz.es, dass zwischen je z.wcy Werthen, die ein entgegengesetztes Resultat gewdhren, wenigstens eine reelle Wurzel der Gleichnung liege. Leipzig.
[L 11.6]BOTTAZINI, U. (1986) The Higher Calculas: A History of Real and Coínplex Analysis from Euler to Weierstrass. Nueva York/Berlín/Hcidelbcrg/Londres/París/Tokio.
[L 11.7]BRILL, A. & NOETHER, M. (1894) "Die Entwicklung der Theorie der algebraischen Functionen in alterer und neuerer Zeit". Jahresber. DMU, 3, 107-566 + XXIII.
[L 11.8]CANTOR. G. (1932) Gesammelte Abhaiidlüngen. Berlín. Ed. E. Zermelo.
[L 11.9]CAUCHY, A.L. (1900) Abhandlungen iiber bestimmte Intégrale zwischen imaginaren Grenzem Leipzig.
[L 11.10]CAUCHY, A.L. (1821) Cours d'Analyse. le Partie. Analyse Algebriqüe. París.
[L 11.11]DEDEKIND, R. (1872) Stetigkeit iind irrationale Zahlen. Braunschweig (9a ed.. Braunschweig/Berlín, 1969. junto con [L 11.12]
IL 11.12]DEDEKIND', R. (1969) Was sind und was sallen die Zahlen? 12a ed.. Braunschweig/Berlín (junto con [L 11.11]
[L 11.13]DESCARTES, R. (1894) Die Geometrie, Berlín. Ed. alemana de L. Schlesinger.
[L 11.14]DICKSON, L.E. (1919-23) History of the Theory of Nümbers, Washington, 3 vols.
[L 11.15]DIRICHLET, P.G. Lejcune (1889) Gesaínmelte Werke. Vol. 1. Berlín.
[L 11.16] ENNEPER, A. (1890) Elliptische Fünktionen. Theorie iind Geschichte. 2a cd.. Ilalle/Saalc.
[L 11.17]EULER, L. (1790) Uollstandige Anleitung zur Differenzial-Rechnung. Berlín/Libau, Ia parte. Ed. alemana de J.A.Chr. Michelsen.
[L 11.18]GAUSS. C.F. (1876) Werke. Vol. 2. Gotinga.
[L 11.19]GAUSS, C.F. (1917) Werke. Vol. 10(1). Gotinga.
[L 11.20]GERICKE, H. (1975) Geschichte des Zahlhegríffs. Mannheim/Viena/Zurich.
[L 11.21]HANKEL, H. (1867) Theorie der complexen Zcíhlensysterne. Leipzig.
[L 11.22]HANKEL, H. (1905) Untersuchiíngen iiber die ünendlich oft oszillierenden ünd unstetigen Fünktionen. Leipzig.
[L 11.23]HILBERT, D. (1900) "Über den Zahlbegriff. Jahresber. DMU, 8, 180-184.
[L 11.24]KUCZYNSKI, J. (1975) Die vier Revolutioiten der Prodüktivkrcifte. Berlín.
[L 11.25]KUCZYNSKI, J. (1974) Wissenschaft und Gesellschaft. 2a ed., Berlín.
[L 11.26]LAGRANGE, J.L. (1788) Mécanique analytiqüe. París.
[L 11.27] MARKUSCHEWITSCH, A.L. (1955) Skizzen zur Geschichte der analytischen Fünktionen. Berlín (trad. del ruso).
[L 11.28] MEDVEDEV, F.A. (1975) Breve historia de la teoría de funciones de uncí variable real. Moscú (en ruso).
[L 11.29]ORE, O. (1948) Numher. Theory and its History. Nueva York/Londres/Toronto.
[L 11.30].PEANO, G. (1958) Opere scelte. Roma
[L 11.31]RYCHLIK, K. (1962) Theorie der reellen Zahlen im Bolzano's handschriftlichen Naclilasse. Praga.
[L 11.32]STIFEL, M. (1544) Arithrnetica integra. Nuremberg.
[L 11.33]WEBER, H. (1898) Lehrhuch der Algebra. Vol. 1. 2a ed., Braunschweig.
[L 11.34]WEIERSTRASS, K. (1894) Werke. Vol. 1. Berlín.
[L 11.35]WUSSING. H., "Bemard Bolzano und dic Grundlegung der Infinitesimalrechnung". ATM, l(3f 57-73.
[L 11.36]WUSSING, H. (1979) "Zur Geschichte der Zahlzeichen und des Zahlbcgriffcs". In: J. Wisliceny, Gründbegriffe der Mathematik. 3a ed., Berlín, vol. 2, pp. 146-164.

[L 11.37]

YOUSCHKEVITSCH, A.P. (1976) "The Concept of Function up to the Middle of the 19th Century'1. Arch, Hist. Exact Sci., 16, 37-85.

Lección 12

[L 12.1]BERNKOPF, M. (1968) "A History- of Infinite Matrices”. Arch. Hist. Exact Sci., 4, 308-358.
[L 12.2]BIRKHOFF, G. (1973) "Current Trends in Algebra". Amer, Math. Monthly, 80, 760- 782.
[L 12.3]CAYLEY, A. (1889) The Collected Mathematical Papers. Vol. 2. Cambridge.
[L 12.4]CAYLEY, A. (1896) The Collected Mathematical Papers. Vol. 10. Cambridge.
[L 12.5]CROWE, M.H. (1967) A History of Vector Analysis. University of Notrc Dame Press
[L 12.6]DYCK, W.v. (1882) "Gruppenthcorctische Studien1'. Math. Anncíleíi, 20, 1-44.
[L 12.7]DYCK, W.v. (1883) ''Gruppentheorctischc Studien II". Math. Amalen, 22, 70-108.
[L 12.8]GAUSS, C.F. (1889) Untersuchüngen iiber háhere Arithmetik. Berlín. Ed. alemana de H. Maser.
[L 12.9]Die gegenwwtige wissenschaftlich-technische Revolution. Berlín, 1972.
[L 12.10]HANKEL, H. (1867) Theorie der complexen Zahlensysteme. Leipzig.
[L 12.11]HILBERT, D. (1969) Los problemas de Hilbert. Moscú. Redacción de P.S. Alexandrov (en ruso). Ed. alemana de H. Wussing, Leipzig, 1971.
[L 12.12]KRONECKER, L. (1895) Werke. Vol. 1. Leipzig.
[L 12.13]LAGRANGE, J.L. (1887) Analytische Mechanik. Berlín. Ed. alemana de H. Servus.
[L 12.14]LANGE, H. (1954-61) Geschichte der Grundlagen der Physik. Friburgo/Munich, 2 vols.
IL 12.15]MARX, K. (1953) Grundrisse der Kritik der politischen Ókonomie. Berlín.
[L 12.16]MISES, R. von (1904-35) "Dynamische Probleme der Maschinenlehre1'. In: Encyklopádie der matliem. Wissenschaften. Leipzig, vol. 4/2, pp. 159-335.
[L 12.17]NOVY, L. (1973) Origins of Modeni Algebra. Praga.
[L 12.18]PEACOCK, G. (1834) "Repon on the Recent Progress and Present State of Ccrtain Branches of Analysis". In: British Association for Advancement of Science. Repon for 1833. Londres.
[L 12.19] PURKERT, W. (1972) Die Entwicklung des abstrakten Korperbegriffes. Leipzig, Tesis Doctoral.
[L 12.20]PURKERT, W. (1976) Ein Manüskript Dedekinds iiber Galoistheorie. NTM, 13(2), 1- 16.
(L 12.21]SCHARLAU, W. (Ed.) (1981) Richard Dedekind, 1831-1981. Brunswick/Wiesbaden.
[L 12.22]STEINITZ, E. (19)0) ''Algebraische Theorie der Korpcr". J. reine ü. angew. Math., 137, 167-309 (nueva edición de H. Hasse & R. Baer, Berlín, 1930. Reimpresión 1959).
[L 12.23]WEBER, H. (1893) "Die allgemeinen Grundlagen der Galoisschcn Gleichungstheorie". Math. Annalen, 43, 521-549.
[L 12.24]WEBER, H. (1895) Lelirbuch der Algebra. Vol. 1. Brunswick.
[L 12.25]WEBER, H. (1898) Lelirbuch der Algebra. Vol 1. 2a ed., Brunswick (reimpresión Brunswick, 1912).
[L 12.26]WEBER, H. (1912) Lehrbtich der Algebra. Kleine Ausgabe in einem Batid. Brunswick.
[L 12.27]WUSSING, H. (1969) Génesis des abstrakten Grüppenbegriffes. Berlín.

Lección 13

[L 13.1]AS SER, G. (1974) "100 Jahre Mengenlehre". Mitteil. Math. Ges. DDR, 3, 17-42.
[L 13.2]BLUMENTHAL, O. (1935) "Lcbcnsgeschichtc (über D. Hilbert)". In: David Hilbert, Gesainínelte Abhandlungen. Berlín, vol. 3. pp. 388-429.
[L 13.3]BOLZANO, B. (1889) Paradoxien des Unendlichen. 2a ed.. Berlín.
[L 13.4]PETERS, C.A.F. (Ed.) (1860-65) Briefwechsel zwischen C.F, Gauss und H.C, Schümacher, Altona, 6 vols.
[L 13.5]SCHMIDT, F. & STACKEL, P. (Eds.) (1899) Briefwechsel zwischen C.F. Gauss und W. Bolyai. Leipzig.
[L 13.6]CANTOR, G. (1932) Gesammelte Abhandlungen. Berlín. Ed. E. Zcrmelo.
[L 13.7]CANTOR, G. (1984) Über unendliche, lineare Punktmannigfaltigkeiten. Arbeiten zur Mengelehre aiis den Jabren 1872-1884. Leipzig. Ed. y comentarios de G. Asser.
[L 13.8]ENGEL, Fr. & STÁCKEL, P. (1895) Die Theorie der Parallellinien von Etíklid bis cíiíf Gauss. Leipzig, 2 vols.
[L 13.9]FRAENKEL, A. & BAR-HILLEL, Y. (1958) Foundcítions ofSet-Theory. Amsterdam.
[L 13.10]GAUSS, C.F. (1957) Gedenkband aus Anlass seines 100. Todestages am 23. Februar 1955. Leipzig. Ed. H. Reichardt.
[L 13.11]GAUSS, C.F. (1863-1933) Werke. Ges. Wiss. Gotinga. 12 vols.
[L 13.12]GAUSS; C.F.: RIEMANN. B. & MINKOWSKI. H. (1984) Gausssche Flachentheorie, Riemaírnsche Raiime iind Minkowski-Welt. Leipzig. Ed. y apéndice de J. Bóhm, & H. Reichardt.
[L 13.13]HALAMEISÁR, A. & SEIBT, H. (1978) NI. Lobatschewski. Leipzig.
[L 13.14]HF.ITZSCH, W. (1976) Mathematik und Weltanschaüíing. Berlín.
[L 13.15]HILBERT, D. (1932-35) Gesammelte Abhandlungen. Berlín, 3 vols.
[L 13.16]HILBERT, D. (1909) Grundlagen der Geometrie. 3a ed., Leipzig/Berlín.
[L 13.17]HILBERT, D. (1969) Los problemas de Hilbert. Moscú. Redacción de P. S. Alexandrov (en ruso). Ed. alemana de H. Wussing, Leipzig, 1971.
[L 13.18]HILBERT, D. (1926) "Über das Unendlichc". Math. Annalen, 95, 161-190.
[L 13.19]HILBERT, D.; FREGE, H. & G. (1944) "Briefwechsel". Sitzüngsber. Heidelberger A luid. Wiss., Math. -nat. Klasse, 2.
[L 13.20]KANT, I. (1787) Kritik der reinen Uernünft. T ed. Berlín.
[L 13.21]KLEIN, F. (1974) Das Erlcinger Programm. Leipzig. Introducción y notas de H. Wussing.
[L 13.22]KLEIN, F. (1921) Gesammelte mathematische Abhandlungen. Vol. 1. Berlín. Ed. R. Fricke & A. Ostrowski.
[L 13.23]KRONECKER, L. (1895-1930) Werke. Leipzig/Berlín, 5 vols.
[L 13.24]MF.SCHKOWSKI, H. (1967) Próbleme des Unendlichen. Werk und Leben Georg Cantors. Brunswick.
[L 13.25]MESCHKOWSKI. H. (1960) Wandliingen des mathematischen Denkens. 2a ed.. Brunswick.
[L 13.26]MOBIUS, A.F. (1885-87) Gesammelte Werke. Leipzig, 4 vols.
[L 13.27]PASCH, M. (1882) Uorlesungen iiber neuere Geometrie. Leipzig.
[L 13.28]PURKERT, W. & ILGAUDS, H.J. (1985) Georg Cantor. Leipzig.
[L 13.29]PURKERT, W. & ILGAUDS, H.J. (1987) Georg Cantor. Basilea/Boston/Stuttgart.
[L 13.30]REICHARDT, H. (1985) Gauss and die Anfange der niehteuklidischen Geometrie. Leipzig. Con los trabajos originales de J. Bolyai, N. Lobatschewski &. F. Klein.
[L 13.31]REICHARDT, H. (1976) Gauss und die nicht-eüklidische Geometrie. Leipzig.
[L 13.32]REID, C. (1970) Hilbert. Berlín/Heidelberg/Nueva York.
[L 13.33]RIEMANN, B. (1892) Gesammelte Mathematische Werke iind wissenschaftlicher Nachlass. 2a ed., Leipzig. Ed. R. Dedekind & H. Weber.
[L 13.34]SCHREIBER, P. (1984) Grundlagen der Mathematik. 2a ed., Berlín.
[L 13.35]WUSSING, H. (1982) C.F. Gauss. 4a ed., Leipzig.
[L 13.36]WUSSING, H. (1968) "Zur Entstehungsgeschichte des Erlanger Programms". MitteiL Math. Ges. DDR.l, 23-40.

Lección 14

[L 14.1]BERKA, K. & KREISER, L. (1971) Logik-Texte. Berlín. Selección comentada sobre la historia de la lógica moderna.
[L 14.2]BIRKHOFF, G. (1973) "Current Trends in Algebra". Arner. Math. Monthly, 80. 760- 782.
[L 14.3]CHANDLER, B. & MAGNUS, W. (1982) The History of Combinatorial Group Theory: A Case Sludy in the History of Ideas. Nueva York/Heidelberg/Berlín.
[L 14.4]DICK, A. (1970) Emrny Noether. Basilea.
[L 14.5]DJEUDONNÉ. J. (1975) "Introductory Remarks on Algebra. Topology and Analysis". Historia mathematica, 2, 537-548.
[L 14.6]Die gegenwártige wissenschaftlich-technisclte Revolution. Eine historische Untersuchung. Berlín, 1972 (trad. del ruso).
[L 14.7]GRZEGOROZYK, A. (1974) An Outline of Mathematical Logic. Varsovia.
[L 14.8]HASSE, H. (1950) "Kurt Hensel zum Gedáchtnis". J. reine u. angew. Math., 187, 1- 13.
[L 14.9]HILBERT, D. (1969) Los problemas de Hilbert. Moscú. Redacción de P. S. Alexandrov (en ruso). Ed. alemana de H. Wussing, Leipzig, 1971.
[L 14.10]HOPF. H. (1966) "Ein Abschnitt aus der Entwicklune der Topologie". Jahresber. DMU, 68, 182-192.
[L 14.11]KENNEDY, H.C. (1974) Giuseppe Peano. Basilea.
[L 14.12]KNOBI.OCH, E. (1976) Die mathematischen Studien von G.W. Leibniz zur Kombinatotik. Wiesbaden.
[L 14.13]LENIN, V.I. (1970) Werke. Vol. 14. Berlín.
[L 14.14]Matem. sbornik, 74(1967)116, 323-325.
[L 14.15]MEHRTENS, H. (1979) Die Entstehung der Uerbandstheorie. Hildesheim.
[L 14.16]MOSTOWSKI, A. et al. (1954) "Der gegcnwartige Stand der Grundlagenforschung in der Mathematik". In: Die Hcíiíptreferate des 8. Polnischen Mathematiker-Kongresses. Berlín, pp. 11-44.
[L 14.17]POGREBYSSKI, I. (1976) "Die Mathematik des 20. Jahrhunderts". Apéndice a D.J. Struik, Abriss der Geschichte der Mathematik. 6“ ed.. Berlín
[L 14.18]PURKERT, W. (1972) Die Entwicklung des abstrakten Kcirperhegriffes. Leipzig, Tesis Doctoral.
[L 14.19]REINHOLD. O. (1986) "Sozialistische und wissenschaftstechnische Revolution'1. Einheit, 4/5, 371-376.
[L 14.20]SCHRÓTER, K. (1972) "Mathematik im System der Wissenschaften". Sitzungsher. Alead. Wiss. DDR, 11, 5-23.
[L 14.21]KRÓBER, G. & LANGE. B. (Ed.) (1975) Sowfetmacht iínd Wissenschaft. Dokwnente Zür Rolle Lenins bel der Entwicklung der Akctdeínie der Wissenschaften. Berlín.
[L 14.22]STEINITZ, E. (1910) "Algebraische Theorie der Kórpcr". J. reine ti. cingew. Math., 137. 167-309 (nueva ed. de H. Hasse und R. Baer, Berlín, 1930. Reimpresión 1950).
[L 14.23]STJAZKIN. N.I. (1964) El origen de las ideas de la lógica matemática. Moscú (en ruso).
[L 14.24]SURMA. St.J. (Ed.) (1973) 5Judies in the History of Mathematical Logic. Varsovia.
[L 14.25]VAN DER WAERDEN. B.L. (1930-31) Moderne Algebra. Berlín.
[L 14.26]VAN DER WAERDEN, B.L. (1935) "Nachruf auf Emmy Noether". Math. Annalen . 111, 469-476.
[L 14.27]VAN DER WAERDEN, B.L. (1972-73) "Die Galoistheorie von Heinrich Weber bis Emil Artin". Arch. Hist. Exact Sci., 9, 240-248.
[L 14.28]VAN DER WAERDEN. B.L. (1966) "Die Algebra seit Galois”. Jahresber. DMU. 68. 155-165.
[L 14.29]WENDEL, G. (1975) Die Kaiser-Willielm-Gesellselwft 1911-1914. Zur Anatomie einer imperialistischen Forschungsgesellselíaft. Berlín.
[L 14.30]WESSEL, K.-F. (1974) "Weltanschaulich-philosophische Bilding und Erziehung im naturwissenschaftlichen Unterricht". Einheit, 11, 1280-1288.
[L 14.31]KRÓBER, G. & STEINER, H. (Ed.) (1972) Wissenschaft. Studien zu ihrer Geschichte. Theorie und Organisation. Berlín.
[L 14.32]Wissenschaftlich-technische Revolution und Gesellschaft. Leipzig, 1976 (trad. del ruso).

Lección 15

[L 15.1]BANACH, S. (1922) "Sur les opérations dans les ensembles abstraites et leurs applications aux équations intégrales". Fundamenta Math., 3, 133-181.
[L 15.2]BEAUCLA1R, W. de (1968) Rechííen mit Maschinen. Brunswick.
[L 15.3]BORGWADT, H. (1975) "Die historischc Entwicklung der Funktionalanalysis zu einer selbstándigen mathematischen Disziplin". NTM.l, 1-11.
[L 15.4]BRENTJES, S. (1977) Untersuchungen zur Geschichte der linearen Optimierung (LO) von ihren Anfangen bis zur Konstitüierung ais selbstándige mathematische Theorie. Eine Studie zum Problem der Entstehung mathematischer Disziplinen im 20. Jahrhundert. Dresdcn, Tesis Doctoral.
[L 15.5]DANTZIG, S.B. (1949) "Programming of Interdependent Activities, II. Mathematical Model". Econometrica, 17, 200-211.
[L 15.6]DIEUDONNÉ, J. (1981) History ofFunctional Analysis. Amsterdam.
[L 15.7]DOETSCH, G. (1927) "Überlick über Gcgcnstand und Methodc der Funktionalanalysis". Jahresber. DMU, 36, 1-30.
[L 15.8]SACHS, H. (Ed.) (1974) Entwicklung der Mathematik in der DDR. Berlín.
[L 15.9] FARKAS, J. (1895) "Anwendung des mechanischen Principes von Fourier". Math. ü. naturwiss. Berichte, 12, 263-281.
[L 15.10]FOURIER, J.B.J. (1931) Analyse des Eqüations Determinéis. París.
[L 15.11]FRÉCHET, M. (1906) "Sur quelqucs points du calcul fonctionel". Rendíconti Gire. Mal. Palernío, 22, 1-74.
[L 15.12]GLADE, H. & MANTEUFFEL, K. (1973) Am Anfctng stand der Abacias. Leipzig/J ena/B erlín.
[L 15.13]GNEDENKO. B.W. (1957) Lelirbuch der Wahrscheinlichkeitsrechnüng. 6" ed., Berlín (trad. del ruso).
[L 15.14]GOLDSTINE, H.H. (1972) The Computer from Pascal to von Neumann. Princeton.
[L 15.15]HALACY, D.St. (1970) Charles Babbage, Father of the Computer. Nueva York.
[L 15.16]HAWKINS, Th. (1970) Lebesgue's Theory of Jntegration. Its Origin and Development. Madison/Milwaukee/Londres.
[L 15.17]HILBERT, D. (1912) Gruiidzuge einer allgemeinen Theorie der linearen Integralgleichungen. Leipzig/Berlín.
[L 15.18]HILBERT, D. (1969) Los problemas de Hilbert. Moscú. Redacción de P.S. Alexandrov (en ruso). Ed. alemana de H. Wussing, Leipzig, 1971.
[L 15.19]HOFMANN, U. & KEMPE, V. (1986) "Die 5. Rechnergeneration". Sitzííngsberichte d. Akad. d. Wiss. DDR. 1985, n° 15/N. Berlín.
[L 15.20]KANTOROVIC, L.V. (1939) Matematitscheskie metody organizacii planirovanija proizvodstva. Leningrado.
[L 15.21]KOLMOGOROFF, A.N. (1933) Grundbegriffe der Wahrscheinlichkeitsrechnüng. Berlín.
[L 15.22]KOOPMANS, LC. (1951) Activity Analysis of Production and Allocation. Nueva York.
[L 15.23]KRÓTENHEERDT. J. (1985) "Aspcktc der Entwicklung der Rcchentechnik sowie der lnformationsverarbeitung". In: G. Wendel (Ed.) Beitrcige zür Wissenschaftsgeschichte. Berlín, pp. 111-123.
[L 15.24]LEONTIEF, W. (1966) The Strüctiire of the American Economy, 1919-1939. Nueva York, 2a ed. ampliada.
[L 15.25]MAIBAUM, G. (1980) Wahrscheinlichkeitsrechnüng und mathematische Statistik. 2a ed., Berlín.
[L 15.26]MAJSTROV, L.E. (1967) Teorija verojatnostej. lstoricheskij ocherk. Moscú.
[L 15.27]MAJSTROV, L.E. & PETRENKO, O.L. (1981) Pribory i instrumenty istoricheskogo znachenija, vychislitel'nye mashiny. Moscú.
[L 15.28]MERKEL, G. (1976) Entwicklung und Anwendung der elektrischen Rechentechnik in der DDR. Berlín, Ed. VEB Robotron, Zentrun für Forschung und Technik Dresdcn.
[L 15.29]MINKOWSKI, H. (1896) Geometrie derZcíhlrn. Leipzig.
[L 15.30]MISES, R. von (1951) Wahrscheiítlichkeit, Statistik und Wahrheit. Viena.
[L 15.31] NEUMANN, J. von (1935-36) "Über ein ókonomisches Gleichungssystem und eine Verallgemeinerund des Brouwerschen Fixpunktsatzes". Ergebnisse cines mathematischen Kolloquiums, 8, 73-83.
[L 15.32]PARETO, V. (1925) Manuel d'économie politique. 2“ ed., París.
[L 15.33]RANDELL, B. (Ed.) (1973) The Origrns of Digital Computers. Selected Papers. Berlín/ Heidelberg/Nueva York.
[L 15.34]RÉNYI, A. (1969) Briefe líber die Wahrscheinlichkeiit. Berlín.
[L 15.35]RIESZ, F. (1960) "Sur les ensembles de fonctions". In: Gesammelte Arbeiten. Budapest, vol. 1, pp. 375-377.
[L 15.36]SIEGMUND-SCHULTZE, R. (1982) "Die Anfánge der Funktionalanalysis und ihr Platz im Umwalzungsprozess der Mathematik um 1900". Arch. Hist. Exact Sci., 26, 13-71.
[L 15.37]SIEGMUND-SCHULTZE, R. (1981) "Der Strukturwandel in der Mathematik um die Wende vom 19. zum 20. Jahrhundert, untersucht am Beispiel der Entstehung der ersten Begriffsbildungen der Funktionalanalysis". NTM, 78(7), 4-20.
[L 15.38]SIMONS, G.L. (1986) Die. Filnfte Computergeneration. Konzepte und Wege-Eine Einfühmng. Munich/Viena.
[L 15.39].TOLSTOJ. A.N. (1931) Teorija i praktika planirovamja perevozok gruzov v prostranstve. Moscú
[L 15.40] VORNDRAN, E.P. (1982) Entwicklungsgeschichte des Computers. Berlín (Oeste).
[L 15.41]WEYL. H. (1935) "Elementare Theorie der] konvexen Polyeder". Comm. Math. He.lv., 7, 290-
[L 15.42]ZUSE, K. (1984) Der Computer - Mein LebenswerL Berlín/Nueva York/Tokio.

Indice de ilustraciones[ix]

COPÉRNICO, N. (1957)Complete Works. Vol. 1. Londres/Varsovia/Cracovia. Fig. 6.2.
DESCARTES, R. (1637)Discours de la méthode. Leiden. Fig. Lección 7.
EUCLIDES (1509)Elementos. Venecia. Fig. 4.1.
EULER, L. (1748)Introductio in analysin infinitorum. Lausana. Fig. Lección 9.
FREY, J.Visierbüchlein, Nuremberg, siglo XV. Fig. 8.2.
GAUSS, C.F., (1801)Disquisitiones arithmeticae. Lipsiae. Fig. Lección 11.
HILBERT, D. (1900)"Mathematische Problemc" (Conferencia dada en el Congreso Internacional de Matemáticos de París) . In: Nachr. Kgl. Ges. Wiss. Gotinga, Math.-Phys. Klasse, Cuaderno 3, pp. 253-297. Fig. Lección 14.
HOGBEN, L. (1963)Die Entdeckung der Mathematik. Stuttgart. Fig. 5.4; Fig. Lección 6.
KÖBEL, J. (1514)Aiti New geordnet Rechenbiechlin auf den linien mil Rechenpfennigen ... Oppenheim. Fig. 6.1.
LEUPOLD, J. (1724)Theatrum manchinarum generala: Schauplatz des Grundes mechanischer Wissenschaften. Leipzig. Fig. 7.1.
LOBACHEVSKI, N.I. (1837)Geométrie imaginarie. J. reine u. angew. Math., 17, 295-320. Fig. Lección 13.
MAXWELL, J.Cl. (1873)Treatise on Electricity and Magnetism. Oxford. Fig. Lección 12.
MENNINGER, K. (1958)Zahlwort und Ziffer. 2a ed.. Gotinga. Fig. Lección 3; Fig. 6.5.
MONGE, G. (1974-75)Géometrie descriptive. París. Fig. Lección 10.
MONTUCLA, J.E. (1799)Histoire des mathématiques. Vol. 1. París. Fig. Lección 1.
NEEDHAM, J. (1959)Science and civilisation in China. Vol. 3. Mathemalics and the Sciences of the Heavens and the Earth. Cambridge. Fig. 5.1.
NEUGEBAUER, O. (1935)Mathematische Keilschrift-Texte. Parte II. Berlín. Fig. Lección 2; Fig. 2.6.
NEWTON, 1. (1736)Method of Fluxions. Londres. Fig. Lección 8. Propylaen-Weltgeschichte. Vol. 1. Berlín, 1931. Fig. 2.1.
RICHTER, J.P. (1883)The literary works of Leonardo da Vinci. Vol. 1. Londres. Fig. 6.4. Robotron Export-lmport. Leipzig. Fig. Lección 15.
RYFF, W.H. (1547)Geometrische Büxenmeisterey. Nuremberg. Fig. 6.3.
SCHÖNE. H. (1903)Herons von Alexandria Vermessungslehre und Dioptra. Leipzig. Fig. 4.6.
SMITH. D.E. (1923)Hisiory of Mathematics. Vol. 1. Nueva York. Fig. Lección 5; Fig. 5.2; Fig. 5.3.
STRUVE, W.W. (1930)Mathematischer Papyrus des staatlichen Museums der schonen Kiinste in Moskau. Berlín. Fig. 2.5.
WUSSING, H. (1965)Mathematik in der Antike. 2a ed., Leipzig. Fig. 2.3; Fig. 3.1. Zentralbild. Berlín. Fig. lección 4

Apéndice Biográfico

En este apéndice biográfico se citan algunas personalidades destacadas que se mencionan en el texto y otras que no se citan. Una fecha única entre paréntesis corresponde a la fecha de nacimiento de autores contemporáneos.


Notas al pie de pagina
[1] En la RDA existe, como en muchos países del mundo, un Nationalkomitee für Geschichte und Philosophie der Wissenschaften (Comité Nacional de Historia y Filosofía de las Ciencias), la revista Schriftenreihe fiir Geschichte der Natunvissenchaften, Technik uncí Medizin (ATM) (Colección de Historia de las Ciencias Naturales, la Técnica y la Medicina) e instituciones superiores dedicadas a la Historia de las Ciencias en Leipzig, Berlín, Dresden, Jena, Rostock. Dentro de la Sociedad Matemática de la RDA existe una sección especializada en historia, filosofía y fundamentos de las matemáticas que organiza conferencias periódicamente. Por último, en el Ministerio de Educación Superior y Especializada de la RDA, trabaja un consejo científico para la Historia de las Ciencias.
[2] . De entre los numerosos representantes de esta corriente historiográfica, que han realizado importantes trabajos, cabe destacar los siguientes: O. Becker, F. Cajori, M. Cantor, S. Günther, H. Hankcl, G. Loria, O. Ncugcbauer, G. Sarton, H. Suter, P. Tannery, J. Tropfke, H. Wieleitner, H. Zeuthen. Después de la Segunda Guerra Mundial cabe mencionar a M. Daumas, J.E. Hofmann, J. Itard, M. Kline, K.O. May, D.J. Struik. R. Taton, B.L. van der Waerden. La Historia de las Matemáticas en la RDA debe muchísimo, objetiva y personalmente, a la historia de las Matemáticas en la Unión Soviética, en especial a A.P. Youschkevitch.
[3] La expresión Historia de las Matemáticas es ambigua. Debe diferenciarse claramente entre Historia de las Matemáticas, como proceso histórico objetivo que transcurre en el tiempo, e Historiografía de las Matemáticas, esto es, la ciencia que estudia el proceso de desarrollo de las matemáticas.
[4] La investigación de las relaciones históricas entre el desarrollo de las matemáticas y el de las fuerzas productivas constituye un área de la historiografía de las matemáticas que ha aportado resultados especialmente fructíferos c interesantes; pero, hasta la fecha, ha sido bastante descuidada, e incluso ignorada, por la historiografía burguesa. Se puede decir, sin exagerar, que la historiografía marxista, que dedica especial atención a la naturaleza del desarrollo de las fuerzas productivas, ha abierto el camino, también en la historiografía de las matemáticas, hacia un nivel de desarrollo cualitativamente nuevo.
[5] Neugebauer, un destacado conocedor de la matemática del Antiguo Egipto, ha afirmado al respecto: "Desde el punto de vista histórico, es un error separar los textos «matemáticos», como una clase especial de textos, del resto de los papiros. Pues, en realidad, forman parte de las ocupaciones comunes del escriba, que desempeñaron un papel tan señalado en la administración del Antiguo Egipto" [L 2.9, p. 120].
[6] Ver con más detalle en [L 2.9, pp. 137-166].
[7] Teniendo en cuenta los continuos cambios de la historia política del país entre dos ríos, parece justificado hablar de matemática mesopotámica, en lugar de utilizar la tradicional expresión de matemática babilónica.
[8] Fuera del ámbito propiamente científico, en la Antigüedad se calculaba con el ábaco, desde el período jónico con el sistema numérico ático (o herodiano) y en el período helenístico preferentemente siguiendo el reciente sistema numérico milésico. Los signos numéricos romanos por su parte resultaban inapropiados para estos cálculos. Véase también [LA 36].
[9] Existen diferentes posibilidades para una división en periodos de la matemática antigua. Una visión de conjunto sobre este problema se encuentra en [L 3.3].
[10] Con relación a Demócrito y, en general, a la filosofía natural jónica, véase la Historia de la filosofía publicada por la Academia de Ciencias de la URSS, vol. 1, Berlín, 1959 (traducción del ruso). Véase además [L 3.8].
[11] Esta denominación deriva del hecho de que los pitagóricos diferenciaban cuatro mathémata, o disciplinas teóricas ordenadas sistemáticamente, cuyo conjunto hacía referencia a la representación de un universo ordenado según el número y la medida: teoría de números (arithmetika), geometría (geometría), teoría de la música (harmonika) y astronomía (astrologia). De esta manera se explica también el nombre matemáticas.
[12] Al comienzo del libro X de los Elementos, Euclides da la siguiente definición: "Se llaman magnitudes conmensurables las que se pueden medir con la misma medida, e inconmensurables aquellas para las que no existe ninguna medida común" [L 3.4, IV, p. 1].
[13] El cambio de camino desempeñó un papel central en la matemática griega en sus aspectos metodológicos; con este procedimiento se pudo determinar, por ejemplo, la mayor medida común (máximo común divisor) de dos números. El método de cambio de camino consiste en lo siguiente: dadas dos magnitudes diferentes a, b, con a < b, se quita, a la mayor, la menor; de entre la nueva magnitud obtenida b-a y a, se vuelve a quitar, a la mayor, la menor, y así sucesivamente. Este procedimiento no descompone a ab, si las magnitudes son inconmensurables. Este teorema fue demostrado por Euclides en el libro X, donde lo formula de la siguiente manera: "Si dadas dos magnitudes distintas, al quitar alternativamente la más pequeña a la mayor, el resto nunca coincide con la magnitud precedente, entonces dichas magnitudes han de ser inconmensurables" [L 3.4, IV, p. 2].
[14] Esta opinión la expuso de manera convincente K. von Fritz en su artículo "The discovery of inconmensurability by Hippasus of Metapontum", Annals Math 46 (1945), 242, 264; traducido del inglés por Karl Nicolai en [L 3.19, pp. 271-307] y S. Heller [L 3.7], reimpreso en [L 3.19, pp. 319-354].
[15] El historiador de las matemáticas francés Tannery acuñó en 1887 el término escándalo lógico para designar esta contradicción interna de los fundamentos de la matemática griega. Actualmente se habla también de una crisis de los fundamentos; otros autores discuten terminológicamente la existencia de una auténtica crisis en aquella época similar a la crisis de fundamentos de principios del siglo XX. En cualquier caso, lo cierto es que surgieron problemas que no podían resolverse con los recursos matemáticos existentes entonces. La salida a esta crisis debía ser buscada acaso en el desarrollo ulterior de las matemáticas en los aspectos metodológicos.
[16] En recientes trabajos, algunos autores relativizan el concepto y el alcance histórico del álgebra geométrica. Véase al respecto [L 3.3] y [L 3.13].
[17] La versión dada aquí es discutible. Véase al respecto [L 3.13].
[18]Matemática elemental significaba también originalmente la matemática en el sentido de los Elementos de Euclides; más tarde, al ampliarse enormemente los contenidos de las matemáticas, adquirió un significado nuevo: matemática elemental pasó a ser la matemática básica.
[19] Durante la Antigüedad se llevaron a cabo también intentos (aunque no fueron desarrollados) de dar una representación heliocéntrica del mundo, como el de Aristarco de Samos durante el periodo helenístico.
[20] De los 13 libros de la Aritmética a los que se refiere el propio Diofanto, seis se han conservado en griego. Recientemente han sido encontradas algunas partes que faltaban en versión árabe; éstas se han clasificado como los libros IV a VII. Véase además [L 4.9] y [L 4.11].
[21] Para una historia más detallada de la actividad de Diofanto véase el trabajo de I. G. Basmakova, Diophant und diophantische Gleichungen, Berlín/Basilea/Stuttgart, 1974 (traducción del ruso).
[22] Debe su nombre al matemático inglés Horner, quien dio a conocer este método en 1819, probablemente al mismo tiempo que Ruffini en Italia.
[23] Resulta interesante estudiar la procedencia de la palabra sinus: la línea de senos se llamaba originariamente ardhajiva, es decir media (ardha) cuerda de arco (jiva). Posteriormente se decía simplemente jiva, lo que en la literatura árabe derivó en giba, palabra extranjera para los árabes, que decidieron usar en su lugar la palabra gaib, auténticamente árabe, y que significa seno o pecho. Finalmente, la traducción latina del árabe dio lugar en el siglo XII al término actual seno [LA 17, pp. 163-164].
[24] Véase, para más detalles [LA 17, pp. 167-174].
[25] La expresión se remonta a G. Harig [L. 6.9].
[26] Para más detalles cabe citar, entre otros, los siguientes trabajos: GROSSE, H. (1901) Historische Rechenbiicher des Jó. und 17. Jahrhunderts, Leipzig; y complementos a lo anterior de I.G. Spasskij en Ist.-matem. issled, 5 (1952), 269-420; VOGEL, K. (1973) Der Donauraum, die Wiege mathematischer Studien in Deutschland, Munich; y [LA 16, I, pp. 142, 145].
[27] Se puede encontrar una exposición más detallada sobre la historia de la escritura de las cifras, las dificultades para la implantación del cero y el desarrollo de los nombres de los números en [L 6.15] y [LA 33, 1].
[28] La palabra cifra tiene también una historia muy movida, en la que ha sufrido numerosos cambios. La palabra hindú para el vacío, sunya, pasó al árabe como as-sifr. Se latinizó como zephirum o cifra y significaba figura nihil (figura de la nada). En francés dio lugar a la palabra chiffre. En el latín técnico de la modernidad se convirtió en cifra. Debido al carácter difícil, casi misterioso, de la cifra cero, la palabra chiffre adquirió también el significado conservado en la actualidad, de signo cifrado o criptográfico. Puesto que la cifra cero se halla en la base de la escritura numérica actual, la palabra Ziffer (cifra) pronto pasó, en alemán, a representar las diez cifras. Por el contrario, en inglés, las cifras se llamaron, y así se hace actualmente, figures. La palabra latina nulla, derivada de nullus (ninguno, nadie, nada) se utiliza desde el siglo XV como palabra técnica en aritmética, concretamente en conexión con nulla figura, ninguna figura, es decir ningún signo numérico. De la sustantivación del adjetivo deriva la palabra alemana Nuil (cero).
[29] La historia de la cosa constituye un área muy interesante y valiosa de investigación. El origen de determinados símbolos matemáticos, por ejemplo de la raíz, no ha sido totalmente aclarado. Para más detalles sobre el desarrollo de los símbolos matemáticos en el marco de la cosa, véase [LA 33, 2] y [L 6.4].
[30] Para más detalles sobre el surgimiento de la palabra álgebra y de la terminología algebraica, véase [LA 33, 2, pp. 48-54].
[31] Una exposición más detallada sobre la historia de las primeras sociedades científicas se encuentra en [L 7.14].
[32] A partir de esta idea se acuñó, a finales del siglo XVII, sobre todo en conexión con Leibniz, la palabra abscissae [del latín abscindere, derivado de scindere, [escindir, cortar, N. del T.] como palabra técnica en matemáticas.
[33] Descartes lo enuncia así: Pueden existir tantas raíces verdaderas (esto es, positivas) como el número de cambios de los signos “+” y “-“ y tantas falsas (esto es, negativas) como veces se hallen consecutivamente dos signos + o dos signos -. Véase [LA 33, 1, 4a ed., pp. 491-494).
[34] Véase [L 8.3, pp. 366 ss].
[35] En concreto, este límite aparece al considerar la suma superior de Riemann en la integral definida de la parábola y = x2, 01 x2dx, pasando al límite.
[36] Sobre el teorema fundamental de I. Barrow, véase [L 8.11, pp. 151-154).
[37] En relación con la disputa de prioridad, véase [L 8.6] y G.W. Leibniz, Schriften und Briefe, 3a serie, vol. 1, Berlín, 1976.
[38] Las expresiones utilizadas en alemán están justificadas en GERHARDT, C.J. (1855) Die Entdeckung der hoheren Analysis, Halle, pp. 125-126 y en [LA 7, 3, pp. 159-1601.
[39] Sobre la complicada historia del concepto de función, véase el fundamental análisis de A.P. Youschkevitch [L 9.31]. La cita original dice así: “...ex aliis linearum in figura data functioncs facientium generibus assumtis” (Citado según |L 9.31, p. 561). Sobre esta cuestión escribía D. Mahnkc en 1926: “En el presente manuscrito (Methodus tangentium inversa, seu de functionibus, agosto de 1673), Leibniz no utiliza todavía la palabra función para la relación que se establece entre las ordenadas de una curva y sus abscisas, pero como demuestra al comienzo del manuscrito, ha formado ya el concepto de función en un sentido amplio y lo denomina con la palabra relatio. En este mismo lugar, en la formulación general de los problemas semejantes al problema recíproco de las tangentes, la palabra función tampoco se usa completamente en su sentido matemático actual, sino más bien en el que nosotros le asociamos en el lenguaje de la vida diaria. Significa así «algo ejecutado» realizado por un miembro de un organismo o una parte de una máquina para cumplir su cometido, destino o funcionamiento. In figura functionem facet e significa, por ejemplo, construir la subtangente o la subnormal, etc, sobre la vertical de la curva, con lo cual naturalmente hay que tener siempre en cuenta un segmento limitado de la línea que «funciona» así o asá, por ejemplo el segmento de tangente entre el punto de contacto y el eje X [MAHNKE, D. (1926) “Ncue Einblicke in dic Entdeckungsgeschichte der hoheren Analysis”. In: Abh. Preuss. Akad. Wiss., Phys. Math. KL, p. 47].
[40] El texto original es el siguiente: “Functio quantitatis variabilis est expressio analytica quomodocunque composita ex illa quantitate variabili el numeris seu quantitatibus constantibus” [L 9.18, p. 18].
[41] El manuscrito de Johann Bernoulli sobre el cálculo diferencial, escrito en 1691-92, se ha conservado, del mismo modo que su cálculo integral.
[42] Véase BURKHARDT, II. (1911) “Über den Gebrauch divergenter Reihen in der Zeit von 1750-1860”. Math. Annalen, 70, 169-206.
[43] De los ejemplos dados por Bolzano de funciones que él llamaba unstetig, es decir, no continuas, se deduce que para él las funciones continuas eran, según la terminología actual, funciones continuas y de valores reales. Bolzano escribía fx en lugar de f(x).
[44] Véase [L 11.10, pp. 124-126].
[45] Un análisis detallado de las contribuciones de Gauss, Lobachevski, J. Bolyai, etc. a la geometría no-euclídea se puede encontrar en [L.13.31]
[46] Helmholtz presentó a la Sociedad de Ciencias de Gotinga su tratado Lieber die Thatsachen, welche der Geometrie zugrunde liegen (Sobre los hechos que sirven de fundamento a la geometría) en analogía consciente con la conferencia de Riemann. A Helmholtz se debe también, por ejemplo, el experimento mental -todavía hoy mencionado a menudo en este contexto- de un mundo imaginario para un ser ideal, dos-dimensional, que se mueve en una esfera: las singulares condiciones del entorno de este ser imaginario proceden de los axiomas geométricos utilizados.
[47] El teorema de Desargues se encuentra ya, según el testimonio de Pappus, en los Porismas perdidos de Euclides y el teorema de Pascal, en lo que se refiere a su contenido fundamental, en las Cónicas de Apolonio.
[48] El desarrollo subsiguiente al Programa de Erlangen ha demostrado que existen geometrías que no se pueden clasificar en dicho marco. Hay que diferenciar, pues, -según investigaciones de Cartan, Schouten y Veblen en el siglo XX- entre espacios kleinianos y otros espacios; los primeros son aquellos que se componen de un conjunto de puntos con un grupo de transformaciones dado: la teoría de los invariantes de tales espacios constituye una geometría kleiniana.
[49] Compárese la opinión de Pasch con la de Lenin. En el Legado filosófico se dice sobre los axiomas: "La actividad práctica habría de orientar la conciencia del hombre a la repetición, miles de veces, de las diferentes figuras lógicas, para que estas figuras pudieran recibir el significado de axiomas” [L 1.7, p. 181].
[50] F. Schur propuso en 1909 una vía particular para la construcción axiomática de la geometría: reemplazar los axiomas de congruencia de Hilbert por el axioma del movimiento.
[51] Debido a la Segunda Guerra Mundial este resultado no se publicaría hasta 1947.
[52] En el año 1974 apareció un volumen de recopilación [LA 22] en el que destacados matemáticos de todo el mundo expresan su opinión sobre los contenidos, métodos y objetivos de las matemáticas y su relación con otras ciencias. El espectro de opiniones que se manifiestan en el texto es extraordinariamente amplio, pero todos los autores coinciden en señalar que la relevancia social de las matemáticas ha aumentado considerablemente en los últimos tiempos y que todavía aumentará más. También es objeto de múltiples reflexiones la relación entre las áreas más clásicas de las matemáticas y las más recientes, fruto de una época en la que las fuerzas productivas se desarrollan impetuosamente. Por ejemplo, L. Budach escribe: "El moderno proceso de producción e, igualmente, las ciencias modernas, plantean a las matemáticas, como ya se veía, un sinfín de nuevas exigencias. Pero el número de matemáticos es limitado. Acaba uno, entonces, por preguntarse si se deben y se pueden mantener áreas tradicionales de las matemáticas, como, por ejemplo, la teoría de números, el álgebra o la geometría. Para responder a esta cuestión se debe investigar el complicado proceso social del trabajo por el que se producen nuevos resultados matemáticos. Al margen de las manifestaciones de numerosos matemáticos, no se sabe, en estos momentos, nada sobre este tema. Algo parece, no obstante, seguro: de la confrontación de las matemáticas con la realidad (o con otras ciencias) resultan nuevos problemas de índole matemática, que conducen a nuevas teorías matemáticas, que -al menos por un cierto tiempo- se desarrollan independientemente sin necesitar ningún otro estímulo directo de la realidad. En dicho periodo, sin embargo, las nuevas teorías se inspiran en teorías limítrofes (que, por su parte, han surgido de problemas de la realidad). No están orientadas hacia un producto final, como ocurre en la investigación industrial; criterios intramatemáticos -y no, por ejemplo, puntos de vista estéticos o accidentales- deciden qué desarrollos se han de continuar y qué incentivos se han de admitir para que, de esta manera, pueda la matemática pura crear modelos para las necesidades futuras de la sociedad" [LA 22, p. 341 ].

Notas al fin del libro
[i] Para contar de 1 a 12 con los dedos de una mano basta con apoyar el pulgar, sucesivamente, sobre cada una de las tres falanges (o articulaciones) de los cuatro dedos opuestos de la misma mano (N. del T.).
[ii] Es decir, los números naturales y sus razones no pueden dar cuenta de la comparación entre ambos segmentos, por muy pequeña que sea la unidad de medida (N. del T.).
[iii] Colocar o restaurar resulta más apropiado para yabr (N. del T.).
[iv] También en España hubo muchos maestros de cálculo durante el Renacimiento, como prueban la gran cantidad de aritméticas impresas publicadas en los siglos XVI y XVII. Los famosos libros de cuentas de los que se hiciera eco Echegaray (N. del T.).
[v] Presta atención: nueve son las figurassin ninguna dificultad, pronunciables son.En tales tenme en cuenta tambiénque hay un cero impronunciableredondo y formado exactamente como una oserá luego lo mismo entendido asíuna vez uno sea añadidotrac diez veces tanto como pronto.Con él puedes enumerar a la derechapronunciar y realizar todo número”.
[vi] Flamenco: Stevin nació en Brujas (N. del T.)
[vii] En el original alemán todavía se señala: hasta ahora no demostrado [N. del T.]
[viii] Según TLA 33, II, pp. 115-118
[ix] Hemos de expresar nuestro agradecimiento a las siguientes personas, organismos e instituciones por facilitamos la obtención y preparación de las ilustraciones:Instituto Bibliográfico VEB de Leipzig, Biblioteca de la Sección de Matemáticas de la Universidad Humboldt de Berlín, Biblioteca del Instituto Karl Sudhoff de Historia de la Medicina y de las Ciencias Naturales en la Universidad Karl Marx de Leipzig, señora Karin Dóring de Berlín, Hochschulbildstelle de la Universidad Karl Marx de Leipzig, Robotron Export-lmport y la editorial BSB B. Teubner de Leipzig.