La termodinámica y la entropía
Eduardo Arroyo Pérez
Si hay un científico que personifica como nadie la noción de azar, ese es Ludwig Boltzmann. Su vida fue una sucesión casi aleatoria de golpes de suerte e infortunios, culminando estos últimos con su suicidio en 1906. Gozó de un amplio prestigio internacional, no solo en el ámbito científico, sino también en la sociedad de la época —que lo veneraba como el sabio que era—, pero, al mismo tiempo, fue atacado sin cuartel por un gran número de rivales intelectuales. La gran aportación de Boltzmann es su explicación de los fundamentos de la termodinámica, la ciencia del calor, en términos mecánicos.La termodinámica, como Boltzmann, nació en el mundo de la Revolución industrial, donde el progreso ocasionado por el desarrollo tecnológico había dado a los hombres de ciencia el estatus de figuras públicas. En ese contexto, no es de extrañar que a muchos de ellos les fueran concedidos títulos nobiliarios, como fue el caso de William Thomson, primer barón de Kelvin, o de Benjamín Thompson, que sería conocido como conde de Rumford. A Boltzmann le fue ofrecido un honor similar, pero lo rechazó argumentando que su apellido había valido para sus padres y valdría para sus hijos. En este gesto se puede ver el carácter de un hombre que no hacía distinciones entre rangos sociales y que nunca se sintió cómodo con la pompa de la alta sociedad.
Pero el azar no solo jugó un papel clave en la vida de Boltzmann, sino también en su obra. El investigador austríaco fue uno de los primeros en aplicar la teoría de la probabilidad al estudio de la física, lo que le reportó más de un enfrentamiento con otros miembros de la comunidad científica. En este sentido se le puede considerar un precursor de la mecánica cuántica, la teoría que surgiría poco después de su muerte y revolucionaría la ciencia y la filosofía del siglo XX, al poner la probabilidad en el centro de la explicación física. Boltzmann se habría sentido cómodo trabajando en este ámbito: de hecho, Max Planck se inspiró en su trabajo para escribir el que se considera el primer artículo de la nueva teoría.
La obra de Boltzmann tiene tanta influencia en el mundo actual que forma parte de la cultura popular. A él se debe la visión de la entropía como una medida del desorden, una explicación presente en cualquier programa de divulgación científica. La noción de entropía, ideada por Rudolf Clausius, estaba en un principio relacionada con el concepto de «trabajo útil»: se decía que la entropía de un sistema (por ejemplo, un motor) era elevada cuando la cantidad de trabajo útil que podía realizar era baja. Clausius también demostró que esa cantidad tenía que aumentar siempre para un sistema cerrado, sin intercambio de materia o energía con el exterior. Boltzmann tomó la noción de entropía y le dio la vuelta por completo, usando algo que por entonces era aún fuente de polémicas: la teoría atómica. La teoría atómica afirmaba que el mundo está hecho de átomos, pequeñas partículas indivisibles que dan a la materia sus propiedades. La noción de probabilidad está íntimamente relacionada con ella: debido al tamaño tan reducido de los átomos y a su gran número, la única forma de poder entender un agregado de estas partículas es a partir de un análisis estadístico de su comportamiento. Esto es lo que hizo Boltzmann: consideró que los gases estaban formados por átomos en movimiento y, usando las herramientas de la teoría de la probabilidad, dedujo las propiedades macroscópicas del cuerpo, como la temperatura o la entropía.
Es difícil subestimar la influencia de Boltzmann tanto en la física de su tiempo como en la actual. Toda la física estadística se basa, directa o indirectamente, en su trabajo. A pesar de que él no acuñó el término, sí fue el iniciador de la disciplina, al inventar los métodos usados en la actualidad. Y al contrario que otros genios incomprendidos, Boltzmann gozó de gran prestigio en vida; así, por ejemplo, fue invitado numerosas veces al palacio del emperador austrohúngaro Francisco José, lo que da una idea de la fama de la que gozaba. Sus clases estaban abarrotadas y jóvenes de todo el mundo viajaban a donde las impartiese para poder asistir a ellas. Su influencia era notoria en Inglaterra, donde incluso llegó a recibir un doctorado honoris causa por la Universidad de Oxford. Tuvo mucha relación con otras grandes figuras del momento, como James Clerk Maxwell o Hermann von Helmholtz. Varios de sus alumnos llegaron a obtener premios Nobel, entre los que destaca el de Química del sueco Svante Arrhenius.
Precisamente en su papel como profesor es donde puede verse hasta qué punto Boltzmann influyó en el devenir de la ciencia. Siempre estaba al corriente de los últimos desarrollos tanto en física como en matemáticas, y los transmitía a sus discípulos con pasión y rigor. Era un ferviente defensor de las geometrías no euclidianas, desarrolladas por Lobachevski, Bolyai y Riemann en la primera mitad de siglo, las cuales resultaron la pieza clave para que Albert Einstein construyera la relatividad general. También trabajó, con éxito, para introducir las ideas de Maxwell en la Europa continental.
Por otro lado, Boltzmann era un gran admirador de Charles Darwin, hasta el punto de que, en su opinión, el siglo XIX era «el siglo de Darwin». Parte de su devoción se debía al hecho de que el inglés había logrado extraer conclusiones de gran alcance a partir de hacerse preguntas muy específicas sobre campos nimios como la cría de palomas. Boltzmann siguió un patrón parecido, pasando de lo insignificante a lo mayúsculo en virtud del razonamiento lógico. A partir de la teoría atómica y de la probabilidad, logró deducir las propiedades de los gases; consiguió demostrar que esa misteriosa cantidad llamada «entropía» no era otra cosa que una medida del desorden molecular en un cuerpo y que aumentaba siempre debido a que las configuraciones desordenadas eran también las más probables. Así, algo que parecía un misterio quedaba convertido en casi una tautología.
La ley sobre el aumento de la entropía, llamada «segunda ley de la termodinámica», podía aplicarse mucho más allá de los motores para los que fue formulada en un principio. Pronto la comunidad científica se dio cuenta de que predecía un escenario terrorífico para el fin del universo, bautizado como «la muerte térmica». La entropía del cosmos, argumentaban, no puede sino crecer hasta llegar a su máximo, momento en el que será imposible realizar trabajo útil alguno. En ese instante, el universo dejaría de existir.
La explicación estadística de la entropía arrojaba un poco de luz sobre ese panorama tan desolador. Debido a que la segunda ley solo era una verdad estadística, una vez se llegase al estado de muerte térmica habría fluctuaciones que harían que la entropía aumentase. Esas fluctuaciones serían en general pequeñas, pero, dado el tiempo suficiente, llegarían a ser lo bastante grandes como para permitir el surgimiento de otro universo ordenado. Así, el conocimiento de lo más pequeño repercutía en el de lo más grande, dando un poco de esperanza al futuro del cosmos.
Otra de las áreas en las que el trabajo de Boltzmann supuso una revolución fue el estudio de la denominada «flecha del tiempo», la dirección que apunta del pasado al futuro. Las leyes conocidas en aquel momento, basadas en la mecánica de Newton, no lograban clarificar el problema, ya que hacían las mismas predicciones independientemente de que el movimiento del tiempo se considerase hacia atrás o hacia delante. La segunda ley de la termodinámica contribuyó a esclarecer el fenómeno: el futuro era aquella región donde la entropía aumentaba y lo hacía en esa única dirección porque, como se ha dicho, reflejaba la tendencia de un sistema a ocupar estados más probables.
Su definición abría, además, la posibilidad de que la flecha del tiempo fuese relativa: si la entropía aumentase de forma inversa a como lo hace, los seres que viviesen en un mundo tal bautizarían al pasado como futuro y viceversa.
La labor científica de Boltzmann lo llevó igualmente a entrar en el campo de la filosofía, al principio con reticencia y después con entusiasmo. En este caso sus contribuciones también dejaron ecos por todo el siglo XX, avanzándose en varias décadas a autores como Karl Popper o Thomas Kuhn, sin contar con la influencia evidente en el Círculo de Viena, algunos de cuyos pensadores habían acudido a sus clases. Sus críticas a la metafísica eran devastadoras, aunque concedía que las preguntas filosóficas que planteaba tal disciplina eran dignas de ocupar el tiempo de cualquiera. Sostenía que la respuesta a las grandes cuestiones llegaría a través del análisis de pequeños problemas resolubles, argumentando que miles de hombres geniales habían dedicado sus vidas a las mayores incógnitas sin demasiado progreso aparente. Boltzmann profesaba una visión darwinista de la ciencia y del conocimiento en general, llegando incluso a afirmar que la lógica matemática no era más que un producto de la evolución, adelantándose, una vez más, a los grandes avances en ese campo durante el siglo XX.
El campo en el que se vio obligado a batallar de forma más ardua, tanto en su faceta de científico como en la de filósofo de la ciencia, fue el de la defensa de la teoría atómica. A pesar de la multitud de éxitos cosechados por sus métodos, a finales del siglo XIX surgió una corriente llamada «energética» —liderada por Ernst Mach, el gran rival filosófico de Boltzmann— que afirmaba que toda la física podía ser explicada en base a intercambios de energía. Los energetistas negaban la existencia de los átomos y consideraban a los valedores de la teoría atómica como científicos anticuados que se aferraban a ideas caducas. Boltzmann sufrió como pocos sus ataques, lo que hizo mella en su personalidad depresiva y, según algunos historiadores, contribuyó notablemente a su suicidio.
Para Boltzmann, la existencia de los átomos no estaba abierta a debate. No se trataba de la fe ciega que sugerían sus rivales, sino de una adherencia estricta a las enseñanzas del método científico: la teoría con mayor poder explicativo debe ser la que se adopte. En este caso, no había duda de que la teoría atómica se llevaba la palma frente a una hipótesis energética que no era capaz de explicar siquiera el movimiento de un punto material.
La visión de Boltzmann fue vindicada a principios del siglo XX cuando una serie de experimentos demostraron, sin lugar a dudas, que la materia estaba formada por átomos. Por desgracia, la victoria llegó demasiado tarde, porque en 1906 Boltzmann se había ahorcado en su casa de veraneo de Duino, en Italia. Aunque los motivos de su suicidio pueden ser muchos y guardar poca relación con la teoría atómica el imaginario colectivo ha querido presentarlo como el acto de desesperación de un científico que veía amenazado el trabajo de toda su vida.
Si bien la existencia de Boltzmann terminó en ese año fatídico, su influencia no había hecho más que empezar y se prolongó a lo largo de todo el siglo XX. No es posible entender la ciencia de hoy sin sus contribuciones, que ayudaron a alumbrar la mecánica cuántica y la relatividad, dos teorías que son, en buena medida, parte de nuestra visión del cosmos y en las que se basa la práctica totalidad de la tecnología actual.
| Cronología | |
| 1844 | Ludwig Edward Boltzmann nace el 20 de febrero en Viena. La familia vivirá en Wels y Linz. |
| 1859 | Muere su padre. |
| 1863 | Aprueba el examen de entrada a la Universidad de Viena y su madre decide trasladarse a la capital para facilitar sus estudios de física. Muere su hermano Albert. |
| 1867 | Obtiene la plaza de profesor asistente; un año antes obtuvo el doctorado. |
| 1869 | Es nombrado catedrático de Física Matemática en la Universidad de Graz. |
| 1872 | Publica la ecuación que lleva su nombre y da una justificación matemática de la distribución de Maxwell, que pasa a llamarse de Maxwell-Boltzmann. Demuestra que la segunda ley de la termodinámica es una consecuencia de la teoría atómica y la probabilidad en lo que se conoce más tarde como teorema H. |
| 1873 | Acepta la cátedra de Matemáticas en la Universidad de Viena. |
| 1876 | Contrae matrimonio con Henriette von Aigentler y retorn a Graz; la pareja tendrá cinco hijos. |
| 1877 | Publica el artículo sobre la paradoja de la reversibilidad y un segundo texto en el que analiza la relación entre entropía y probabilidad. Deriva la fórmula S = k×logW, que acabará inscrita en su tumba. |
| 1878 | Es nombrado decano de la Universidad de Graz y, tres años después, rector. |
| 1884 | Publicación de la derivación de la ley Stefan-Boltzmann. Al año siguiente fallece su madre. |
| 1888 | Boltzmann acepta primero y rechaza más tarde la cátedra que le ofrece la Universidad de Berlín. Primeros indicios de sus problemas maníaco- depresivos. |
| 1889 | Mueren su hijo Ludwig Hugo y su hermana Hedwig. |
| 1890 | Acepta la cátedra de Física Teórica en la Universidad de Münich. |
| 1894 | Ocupa la cátedra de Josef Stefan en la Universidad de Viena. |
| 1895 | Boltzmann y Ostwald mantienen un debate público en Lübeck sobre las corrientes energética y atomista. |
| 1897 | Réplica a las objeciones publicadas un año antes por Zermelo a su tratamiento estadístico de la segunda ley de la termodinámica |
| 1900 | Imparte física teórica en la Universidad de Leipzig. Dos años más tarde regresa a Viena, y en 1903 empieza a impartir clases de filosofía |
| 1905 | Último viaje a Estados Unidos, país que ya había visitado en dos ocasiones. |
| 1906 | El 5 de septiembre se suicida mientras se halla de vacaciones en Duino, Italia |
Capítulo 1
El nacimiento de la termodinámica
La máquina de vapor cambió el mundo incluso antes de que se comprendiera bien el funcionamiento de su mecanismo. A mediados del siglo XIX la necesidad de conseguir máquinas más eficaces llevó al desarrollo de una teoría de los motores que culminó con el nacimiento de una nueva ciencia, la termodinámica. Esta pronto desbordó su meta primigenia para convertirse en la ciencia del calor y la única capaz de explicar por qué el tiempo avanzaba de pasado a futuro. Ludwig Boltzmann fue el científico que dio forma a su expresión moderna.Ludwig Eduard Boltzmann nació el 20 de febrero de 1844 en Viena, cuatro años antes de que Europa entera estallara en una oleada de revoluciones. Sin embargo, el futuro científico vivió una infancia protegida, gracias en buena parte a la fortuna que poseía la familia de su madre, Katharina Pauemfeind, cuyo apellido aún da nombre a una calle en Salzburgo, ciudad de la que el bisabuelo y el abuelo de Boltzmann habían sido alcaldes. Su padre, Ludwig Georg Boltzmann, era recaudador de impuestos y llegó a ocupar el cargo de inspector jefe de la Hacienda Imperial en la ciudad de Linz. Por su parte, el abuelo paterno era un fabricante de relojes que se había instalado en Viena procedente de Berlín. Boltzmann tuvo dos hermanos menores: Albert (1845-1863) y Hedwig (1848-1890). El primero murió siendo muy joven, víctima de una enfermedad respiratoria; la segunda pasó la mayor parte de su vida compartiendo casa con Ludwig, incluso después de que este se casara.
Como otros grandes científicos, Boltzmann fue un niño precoz. Siempre era el primero de su clase, mostrando desde muy joven un gran interés y habilidad por la física y las matemáticas, pero sin limitarse a ellas; estudió diligentemente filosofía e historia y conservó hasta su muerte una gran pasión por la botánica y la zoología, así como por la música. Solía mantener encendidos debates filosóficos con su hermano, que se mofaba de su obsesión por definir cada término con rigor. El propio Boltzmann contaba una anécdota al respecto: tras oír hablar de David Hume (1711- 1776), pidió una de sus obras en la biblioteca, pero solo había un ejemplar en inglés. «Eso no importa», le espetó su hermano: si todos los términos estaban bien definidos, no debería tener problema en entender el libro. Su padre le compró un diccionario que no solo le permitió leer a Hume, sino que fue clave en su desarrollo científico al capacitarle para entender más adelante los artículos de James Clerk Maxwell (1831-1879), su inmediato predecesor intelectual.
El pequeño Ludwig pasó su infancia entre Viena, Linz y Wels (ciudades situadas en la Alta Austria), debido al trabajo de su padre. Inicialmente, no acudió a la escuela, sino que fue educado en su propia casa por un tutor.
También recibió clases de piano a cargo del ya entonces famoso compositor Antón Bruckner (1824-1896). Estas lecciones terminaron abruptamente cuando al maestro se le ocurrió dejar una chaqueta mojada encima de la cama; la madre de Boltzmann lo despidió de modo fulminante. El futuro científico, pese a todo, jamás dejaría de tocar el piano, una afición que le reportaría numerosos placeres a lo largo de su vida. Él mismo relató su interpretación de una serenata de Schubert tras una cena a la que fue invitado en la casa del magnate William Randolph Hearst (1863-1951) en 1905, durante su último viaje a Estados Unidos.
§. Un mundo en transformación
Mientras Ludwig disfrutaba de sus clases de música, el mundo vivía una época convulsa. En 1848 apareció en Londres el Manifiesto comunista, firmado por Karl Marx (1818-1883) y Friedrich Engels (1820-1895), que sintetizaba su visión de la historia y de la lucha de la clase obrera. Pero no era solo este sector social el que se hallaba incómodo en la Europa surgida de la Restauración pactada tras las guerras napoleónicas: en todo el continente bullía un sentimiento de rechazo a los absolutismos que culminó en una ola de revoluciones populares. En Austria, tomarían un cariz nacionalista, marcado por el intento de varias provincias —polacas, italianas y húngaras, entre otras— de escindirse del Imperio. El resultado fue desastroso para los revolucionarios: el Imperio austrohúngaro aprovechó la falta de cohesión de los sublevados para enfrentarlos unos con otros y aplastó sin miramientos a los restantes. Las revueltas, no obstante, forzaron que el emperador Femando I abdicara en favor del archiduque Francisco José y también provocaron la dimisión del primer ministro, Metternich. En el plano social, ocasionaron la abolición de la servidumbre a la que estaban sometidas las clases agrarias.
Las convulsiones políticas eran el correlato de las transformaciones sociales producidas por la Revolución industrial, que avanzaba espoleada por los desarrollos científicos y técnicos. Las nuevas tecnologías transformaron radicalmente el entramado social a la sombra de las chimeneas de las fábricas: nacía una nueva mano de obra asalariada, la clase obrera, y las ciudades experimentaban un continuo crecimiento en detrimento del campo. Las fábricas devoraban carbón y producían dinero a un ritmo nunca visto.
La demanda de carbón aumentaba y, con ella, la necesidad de máquinas más eficientes. Desde las investigaciones de James Watt a finales del siglo XVIII se sabía que la mayor parte del calor generado por la combustión se desaprovechaba sin que sirviera para producir trabajo útil; estimaciones realizadas un siglo más tarde situaban la tasa de eficiencia en un mero 3%. A pesar de que hubo varios intentos de optimizar el diseño de los motores, hacía falta una nueva disciplina que diera un fundamento teórico sólido a las tentativas más o menos fructíferas de mejorar la eficiencia.
Esa nueva disciplina tomó su forma definitiva durante la década de 1860 bajo el nombre de «termodinámica». Fue uno de los tres pilares que necesitó Boltzmann para desarrollar sus tesis, que lograrían explicar el comportamiento de cuerpos macroscópicos a partir de sus elementos microscópicos (el segundo pilar fue la teoría atómica, y el tercero, la noción de azar, que jugaría un papel central a lo largo de toda su existencia).
El primer obstáculo para mejorar la eficiencia de los motores era la falta de una teoría sólida sobre el calor y su transmisión que permitiera llevar a cabo predicciones cuantitativas. Esa teoría llegó de la mano de Antoine Lavoisier (1743-1794), que en 1783 demostró que la teoría del flogisto no era capaz de dar cuenta de los resultados experimentales.
El «flogisto» era una sustancia postulada por Johann Joachim Becher (1635-1682) para explicar el fenómeno de la combustión. El científico alemán sugirió que el flogisto se encontraba en los cuerpos susceptibles de ser quemados y que era liberado al producirse la llama. Esta teoría errónea acabó dando pie, gracias a los intentos por demostrarla, al descubrimiento del oxígeno, constituyendo un ejemplo de cómo el método científico hace que incluso ideas equivocadas puedan acabar siendo fructíferas. Boltzmann era muy consciente de ello y de cómo evolucionaba la ciencia. En 1895, con motivo de la muerte de su profesor y amigo Josef Loschmidt, evocó que este le había sugerido en alguna ocasión fundar una «revista científica solo para experimentos fracasados». Y añadió:
«No se daba cuenta de lo interesante que hubiera sido tomarse en serio esta broma»,para reseñar algunas innovaciones que se habrían acelerado de haber dispuesto la comunidad científica de detalles sobre experimentos fracasados.
Lavoisier abandonó la idea del flogisto y en su lugar propuso la teoría calórica, que dominaría la química durante los siguientes setenta años. Esta trataba el calor como una sustancia sutil —con tendencia a fluir de los cuerpos calientes a los fríos— denominado «calórico».

Antoine Lavoisier y su esposa, lienzo de Jacques Louis David realizado en 1788.

Retrato de Ludwig Boltzmann realizado en 1872, cuando el físico tenía veintiocho años.
§. Orígenes de la termodinámica
Las máquinas de vapor usaban vapor de agua para mover un pistón; el vapor realizaba trabajo al expandirse tras ser calentado por la combustión del carbón. Para mejorar su diseño hacía falta comprender el comportamiento de los gases.

Grabado de 1725 que ilustra los experimentos de Robert Boyle con bombas de vacío.
El siguiente descubrimiento sobre gases llegaría de la mano de Joseph Louis Gay-Lussac (1778-1850), quien se valió de un invento entonces reciente —el termómetro— para realizar el experimento que le permitió derivar su ley. Al calentar varios gases se dio cuenta de que su volumen aumentaba: a más temperatura, más volumen. Esto le llevó a enunciar su conocida ley, una ecuación en la que el volumen es directamente proporcional a la temperatura, siendo la constante de proporcionalidad diferente para cada gas. El descubrimiento de Gay-Lussac no solo fue fundamental para la comprensión posterior de las máquinas de vapor —que se basaban precisamente en aumentar un volumen de gas al calentarlo—, sino que determinaría uno de los resultados explicables con la teoría de Boltzmann, en la que la temperatura no era más que una medida de la velocidad de los átomos en el gas.
Resulta reseñable que, al contrario que otras ramas de la ciencia, la termodinámica —como acabaría bautizándose a la disciplina— surgiera en gran medida a partir de avances tecnológicos y no a la inversa. Boltzmann era plenamente consciente de la diferencia entre la actividad teórica y la práctica. Al recordar la figura de Josef Stefan (1835-1983), uno de sus principales maestros, escribió: «La física se ha hecho popular hoy por sus muchas aplicaciones prácticas. No es difícil hacerse una idea de la actividad de una persona que mediante experimentos descubre una nueva ley de la naturaleza o confirma o amplía una conocida.
Pero ¿qué es un físico teórico?». Y él mismo decía que este «trata de buscar las causas fundamentales de los fenómenos o, como se prefiere decir hoy, debe expresar los resultados experimentales desde puntos de vista unificados, ordenarlos y describirlos de la forma más clara y sencilla posible». Que el asunto preocupaba especialmente a Boltzmann lo prueba que volviera a esta cuestión con regularidad.
«Mientras el físico experimental busca nuevos fenómenos, el teórico procura entender esos datos en toda su extensión cualitativa y cuantitativa.»Como ya hemos apuntado, la teoría calórica y los avances en la comprensión de los gases dieron a Nicolás Leonard Sadi Carnot, ingeniero militar en la Francia napoleónica, la base perfecta para atacar el problema de las máquinas de vapor. Su trabajo es considerado hoy el inicio de la termodinámica. Era hijo de Lazare Carnot, ingeniero, matemático e impulsor de la Revolución francesa, y murió de cólera a los treinta y seis años, por lo que la mayor parte de sus pertenencias fueron quemadas para prevenir la extensión de la epidemia; entre ellas se encontraba la mayoría de sus trabaos científicos, perdidos para siempre. Su gran obra, Sobre el poder motriz del fuego, era un texto casi narrativo, en el que expresaba sin reservas su fascinación por la máquina de vapor. Las primeras páginas estaban repletas de reflexiones sobre los cambios que esta había producido en la sociedad —en la productividad de Inglaterra, en la producción de hierro—, y también de predicciones sobre el futuro. Carnot se hacía dos preguntas:
Ludwig Boltzmann en una conferencia pronunciada con motivo del tricentenario de la universidad de Graz.
— ¿Es posible extraer trabajo ilimitado del combustible?Para responderlas, Carnot usó una estrategia común en física, la construcción de un modelo teórico simplificado. La «máquina de Carnot» y su ciclo de operación —«el ciclo de Carnot»— son aún parte esencial del programa de estudios en cualquier Facultad de Física.
— ¿Es posible aumentar el rendimiento de una máquina sustituyendo el vapor por algún otro fluido?
La máquina idealizada de Carnot constaba de tres partes: dos fuentes a diferentes temperaturas —una fría y una caliente— y un mecanismo productor de trabajo, que solía ser un cilindro junto con un pistón y una biela. El calor fluía de la fuente caliente a la fría —que podía ser la atmósfera misma— y, al hacerlo, calentaba el gas dentro del cilindro. El gas se expandía por efecto del calor y movía el pistón, que actuaba como una especie de tapón móvil. Este comunicaba su impulso a la biela, que transformaba la oscilación del pistón en un movimiento circular. En el modelo de Carnot, el calor solo podía fluir de la fuente caliente a la fría y no al mecanismo. En la figura adjunta puede verse un esquema de la máquina idealizada de Carnot, donde T1 y T2 son las dos fuentes térmicas, C es el mecanismo productor de trabajo, Q representa el calor transmitido de la fuente caliente (T1) a la fría (T2) y W equivale al trabajo hecho por la máquina. Para dar forma a su máquina Carnot necesitó de todos los conocimientos de su tiempo: la ley de Gay-Lussac le permitió saber que el gas se expandiría al ser calentado; la teoría calórica le indicó que este solo podía fluir de la fuente caliente a la fría y que, además, el calor no podía surgir
de la nada o perderse por el camino. Las conclusiones de Carnot tardaron décadas en ser utilizadas para mejorar los motores, pero sentaron las bases de la termodinámica. El ingeniero francés descubrió que había un límite superior al rendimiento de una máquina de vapor, que venía dado por el de su máquina: cualquier máquina real rendiría por debajo de ese valor (de este resultado se derivaría la denominada «segunda ley de la termodinámica», a la que Boltzmann daría su expresión moderna). Ello respondía a la primera pregunta de Carnot: la cantidad de trabajo que puede extraerse de una fuente es limitada y su límite superior viene dado por la máquina de Carnot correspondiente.Carnot, la segunda ley y la irreversibilidadLa segunda ley de la termodinámica sufrió numerosas transformaciones entre la formulación primigenia de Carnot y la propuesta por Boltzmann, mucho más refinada. Tal como la entendió Carnot, la ley indicaba que todo motor tiene pérdidas y que hay un límite teórico a la eficiencia, límite que, de todas formas, jamás puede alcanzarse. Esta idea dio pie a la noción deirreversibilidad: de alguna forma, al quemar carbón para accionar un motor se pierde algo que no podrá ser recuperado jamás. La noción de irreversibilidad está directamente relacionada con la dirección en la que avanza el tiempo: la distinción entre pasado y futuro viene dada por los procesos que no se pueden deshacer. Por ejemplo, un vaso que se rompe no se vuelve a recomponer a partir de sus pedazos. Boltzmann demostró que la noción de irreversibilidad es en realidad probabilística: es decir, no hay nada en las leyes del universo que impida que el vaso vuelva a recomponerse a partir de sus pedazos. Sin embargo, la probabilidad de que eso ocurra es extremadamente pequeña, razón por la cual un proceso de estas características no llega a ser observado. La confusión entre imposibilidad e improbabilidad hizo que muchos de sus contemporáneos le malinterpretaran y se resistieran con virulencia a su propuesta.
El segundo descubrimiento de Carnot fue que el rendimiento de la máquina solo dependía de dos factores: las temperaturas de las dos fuentes. A mayor diferencia, mayor rendimiento; a temperaturas iguales, el rendimiento sería nulo. Esto contestaba a su segunda pregunta- sustituir el vapor de agua por otro material no afecta al rendimiento.
§. Los descubrimientos de Joule y Thomson
El golpe de gracia al calórico tardaría aún cuarenta años en llegar y fue dado por el físico inglés James Prescott Joule (1818-1889), quien no solo demostraría la equivalencia entre calor y trabajo, sino que pondría los cimientos necesarios para enunciar la denominada «ley de la conservación de la energía». La importancia de esta ley es tal que sin ella es imposible entender la ciencia del siglo XX: ni el trabajo de Boltzmann, ni el de Einstein, ni el de prácticamente ningún científico posterior a 1870, habrían sido posibles sin el descubrimiento de Joule.

Aparato ideado por James Prescott Joule para medir la equivalencia entre calor y trabajo.
Los intereses de Joule se centraban en el concepto de trabajo, que entonces se definía como la capacidad de levantar un peso a una cierta altura. Joule estudió varias formas de producir trabajo, incluyendo rudimentarias pilas voltaicas y la combustión de diferentes sustancias. No tardó en darse cuenta de que la temperatura de un conductor aumenta al fluir una corriente por este, hecho difícil de explicar con la teoría calórica. El hecho de que la misma pila que podía usarse para calentar un hilo de cobre pudiera también emplearse para crear movimiento, a través de un motor eléctrico, hizo que llegase a la conclusión de que calor y trabajo eran dos aspectos de un mismo fenómeno. Consciente de que su propuesta sufría de un amplio rechazo en la comunidad científica, optó por dar pruebas de ello en múltiples frentes. Entre 1841 y 1850 realizó diversas medidas de la equivalencia entre trabajo y calor, utilizando métodos diferentes. Al obtener resultados prácticamente idénticos en todos ellos, su afirmación de que el calor era solo otra forma de energía se volvió muy difícil de refutar.
Joule había pasado varios años investigando fenómenos eléctricos, para lo que disponía de un arsenal de instrumentos. Entre ellos, un galvanómetro —que mide la cantidad de comente— perfeccionado por él mismo. No es de extrañar, pues, que su primera medida de la relación entre calor y trabajo la realizase usando un electroimán. Este se hallaba sumergido en agua y era forzado a rotar usando otro imán externo. Calculando la energía necesaria para mantener al electroimán en rotación, descubrió que para aumentar un grado Fahrenheit la temperatura de una libra de agua hacía falta el trabajo equivalente a levantar un peso de 838 libras a un pie de altura.
A pesar de que continuaría perfeccionando sus mediciones durante el resto de su vida —y para ello contó con la inestimable ayuda de William Thomson—, el experimento por el que es recordado es el cuarto que realizó (véase la figura). En este, un peso dejado caer desde cierta altura (z) se usaba para mover una rueda de paletas dentro de un cilindro lleno de agua. Se medía el aumento de temperatura y se comparaba con el trabajo realizado, en este caso por la gravedad misma.

Esquema del dispositivo experimental de Joule: el peso se deja caer una distancia z, de forma que hace girar las paletas en el agua.
El trabajo de Joule fue clave para su amigo William Thomson, más tarde conocido como lord Kelvin, que partió de sus propuestas para llegar a la definición de temperatura que lleva su nombre.
Thomson trabajaba con un instrumento común en su época, el termómetro de gas, que no le satisfacía en modo alguno. El aparato se basaba en la ley de Gay-Lussac, según la cual el volumen de un gas aumenta proporcionalmente a la temperatura. El problema de Thomson con el termómetro de gas era que este daba una definición de temperatura dependiente de las propiedades de la sustancia utilizada. A pesar de que, a efectos prácticos, esto resultaba aceptable, el hecho de no tener una definición rigurosa de temperatura, independiente de propiedades específicas, resultaba un escollo conceptual que había que resolver.
Lord KelvinWilliam Thomson (1824-1907) fue un joven precoz que mostró gran talento desde niño. A los diez años entró en la Universidad de Glasgow, aunque ello era algo relativamente habitual en esa época: las universidadesprocuraban reclutar a los jóvenes prometedores a una edad temprana. El pequeño William tenía gran habilidad para las matemáticas y la física, en buena medida gracias a la ayuda de su padre James, que era matemático. Su facilidad para los estudios no acababa ahí: con doce años ganó un premio por traducir los Diálogos de los dioses de Luciano de Samosata del latín al inglés. A los catorce años estaba realizando trabajos de nivel universitario. Poco después de graduarse obtuvo el premio Smith, que otorgaba cada año la Universidad de Cambridge al proyecto de investigación más original en física y matemáticas. En esa ocasión, Robert Leslie Ellis (1817-1859), conocido por editar la obra de Francis Bacon (1561-1626), comentó a otro de los miembros del tribunal: «Tú y yo apenas somos dignos de sacar punta a sus lápices».
En 1848 Thomson propuso su definición, basada en la cantidad de trabajo realizada por la transferencia de calor y, por lo tanto, directamente relacionada con el ciclo de Carnot. Definió la escala de temperatura como aquella en la que una unidad de calor intercambiada desde un cuerpo a temperatura T a un cuerpo a temperatura un grado inferior daría exactamente la misma cantidad de trabajo. Es decir, si dos sustancias cualesquiera están un grado Kelvin por encima de la otra e intercambian una unidad de calor, el trabajo realizado será el mismo, sea cual sea la temperatura a la que se encuentren. La temperatura en Kelvin se expresa con la letra K, de forma que 100 K significa 100 Kelvin, omitiendo la palabra «grados». Los grados Kelvin están espaciados de la misma forma que los grados centígrados, siendo la única diferencia la posición del cero. El aumento de un grado Kelvin equivale al aumento de un grado centígrado.
Una de las consecuencias de adoptar la escala Kelvin era que aparecía una temperatura mínima, a partir de la cual ya no se podía enfriar más. Esta temperatura es de -273,15 °C y corresponde a 0 K. La razón de que eso sucediera era que la nueva temperatura quedaba expresada matemáticamente como una proporción entre calor absorbido y emitido por un cuerpo entre dos fuentes: dado que la cantidad mínima de calor absorbido era cero, la temperatura mínima también terna que serlo. Hasta la fecha, la temperatura más baja jamás alcanzada es de 5×10-10 K por encima del cero absoluto.
§. El artículo de Clausius
El encargado de poner la última piedra en la nueva disciplina fue el físico y matemático Rudolf Julius Emanuel Clausius (1822- 1888). Diez años después de él, Boltzmann reinterpretaría sus resultados a la luz de la teoría atómica. Clausius nació en Köslin, entonces Prusia y hoy parte de Polonia.
Publicó en 1850 el artículo que lo llevaría a la fama, con el título «Sobre la fuerza motriz del calor y las leyes del calor que se pueden deducir de esta», en el que corregía los puntos oscuros de la teoría de Carnot, usando los avances de Joule y Thomson, hasta dar un corpus acabado a la entonces naciente ciencia de la termodinámica. La importancia del texto fue reconocida de inmediato y las instituciones docentes de prestigio no tardaron en ofrecerle una plaza
Para Clausius, los experimentos de Joule demostraban irrefutablemente que el trabajo podía ser transformado en calor. Razonaba de la siguiente manera: Carnot asumía que no podía haber pérdidas de calor en su motor, dado que el calórico no podía ser creado ni destruido. Sin embargo, los experimentos de Joule indicaban que el calor podía ser creado y, de hecho, daban una equivalencia precisa entre calor y trabajo. Si el calor podía ser creado, tenía también que poder ser destruido. Por lo tanto, la premisa de Carnot era falsa. Y se preguntaba: ¿de dónde sale la energía necesaria para que una máquina de Carnot realice trabajo? Para él la respuesta estaba clara: parte del calor intercambiado entre ambas fuentes se usa para realizar trabajo. Así, el calor podía ser destruido y creado de la nada, pero siempre tenía que ser transformado en la cantidad equivalente de trabajo. La energía total, entonces, tenía que mantenerse constante. Este razonamiento dio lugar a la que hoy se conoce como «primera ley de la termodinámica»: el calor y el trabajo son formas de transmisión de energía. De hecho, el primer principio es un enunciado de la ley de la conservación de la energía antes mencionada, en el sentido de que el calor absorbido por un sistema equivale al trabajo realizado por él, o el aumento de energía interna del sistema, o una combinación de ambos procesos.
A la luz de la interpretación de Boltzmann, la primera ley es fácil de entender. Boltzmann consideraba que la temperatura no era más que una medida del movimiento de las moléculas de un cuerpo: a más movimiento, más temperatura. Así pues, cuando se calienta una sustancia —cuando se le suministra calor— lo que en realidad se hace es comunicar movimiento a sus moléculas, lo cual es precisamente un trabajo mecánico, en el sentido de que solo necesita colisiones y fuerzas para ser explicado. El misterio de la equivalencia entre calor y trabajo queda aclarado sin dificultad en cuanto se tiene en cuenta la naturaleza atómica de la materia y la naturaleza mecánica de la temperatura.
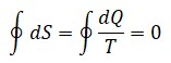
Las diferentes versiones del segundo principioLas sucesivas versiones de la segunda ley —o segundo principio— de Clausius son un ejemplo de cómo una noción algo vaga puede acabar convirtiéndose, después de la suficiente reflexión, en uno de lospilares del conocimiento humano. En su primera versión de 1850 Clausius se limitó a afirmar que el calor no fluye espontáneamente de los cuerpos calientes a los fríos. Sin embargo, no estaba satisfecho con su enunciado, y en 1854 acuñó la noción de «equivalencia- valor», la «proporción entre el calor suministrado a un cuerpo y su temperatura», aunque no fue capaz de dar una explicación intuitiva de qué representaba exactamente esa cantidad. Refinó su formulación en 1856 usando el lenguaje del cálculo diferencial, ganando exactitud pero haciendo la comprensión de su cantidad aún más difícil. En 1862 asumió la hipótesis atómica y lanzó la idea de «disgregación» como el grado en el que las moléculas se separan unas de otras. Con todo, hubo que esperar hasta 1865 para ver el enunciado final de la segunda ley. Bautizó a su misteriosa cantidad como «entropía», palabra derivada del griego τρoph (trope, que significa transformación), con la idea de que su pronunciación se pareciese lo más posible a la de la palabra «energía», ya que entendía que ambas cantidades estaban íntimamente relacionadas. La formulación del segundo principio en términos de la entropía es la siguiente: en cualquier proceso, la entropía de un sistema cerrado nunca disminuye. Un sistema es cerrado si no intercambia materia ni energía con su entorno.
Los límites de la eficiencia
Además de la de Clausius existen otras formulaciones del segundo principio. Destacan las de lord Kelvin y Max Planck, que más tarde fueron combinadas en la versión de Kelvin-Planck. La versión de Kelvin dice que es imposible extraer calor de una fuente parar realizar trabajo sin que haya a su vez cierta transmisión de calor de la fuente caliente a otra fría: es decir, solo es posible extraer trabajo de un sistema que no se halle en equilibrio. La versión de Planck dice que es imposible construir un motor que no tenga otro efecto que elevar un peso y enfriar una fuente de calor. La versión de Kelvin-Planck combina las dos anteriores y afirma que no hay ningún proceso cuyo único resultado sea la absorción de calor de una fuente y la conversión de ese calor en trabajo, lo que significa que parte del calor transferido se perderá necesariamente en otros procesos: dicho de otra forma, es imposible construir un motor perfectamente eficiente.
A continuación el artículo de Clausius procedía a enunciar lo que, con los años, acabaría convirtiéndose en el segundo principio de la termodinámica. Su primera formulación era algo tosca y, de hecho, sufriría constantes cambios hasta llegar al enunciado definitivo en 1865. Un año después, Boltzmann publicaría su segundo artículo, que versaría precisamente sobre este segundo principio. Clausius descubrió que una misteriosa cantidad, a la que llamó «entropía», parecía aumentar siempre en cualquier proceso real, en el sentido de no ser una idealización como la máquina de Carnot. El significado físico de esta cantidad no estaba claro y, de hecho, hizo falta el genio de Boltzmann para explicarlo. Para Clausius, la cantidad estaba relacionada con el calor transmitido entre dos cuerpos y la asociaba con la disgregación de las moléculas en ellos.
La explicación de la segunda ley en términos mecánicos ocuparía a Boltzmann toda su vida y aún hoy llega a provocar duras polémicas entre los físicos más prestigiosos. La contribución del científico austríaco fue asociar entropía con probabilidad. En su definición, la entropía de un sistema era proporcional a la probabilidad de su estado: a más probabilidad, más entropía. Con esa definición, la segunda ley —la entropía siempre aumenta— se transformaba casi en una tautología: el universo tiende siempre a pasar de su estado actual a uno más probable.
La termodinámica, sin embargo, aún no estaba completa: harían falta dos leyes más, la «ley cero», acuñada en su forma definitiva bien entrado el siglo XX, y la «tercera ley», que fue introducida por Walter Nernst (1864-1941) en 1906. Ambas ayudan a definir de forma más precisa la noción de temperatura y relacionarla con la de entropía.
Como se ha apuntado anteriormente, la aportación de Boltzmann se basó en tres pilares, de los que la ciencia de la termodinámica solo era el primero. El segundo fue la teoría atómica. Esta no solo resultó crucial en la obra posterior de Boltzmann, sino que el mismo Clausius fue un pionero en su uso al ser capaz de emplearla para explicar las diferentes propiedades de los gases, dando así lugar a la denominada «teoría cinética de los gases».
§. La polémica sobre el atomismo
La teoría atómica se vio refrendada durante el siglo XIX a medida que la química avanzaba a pasos de gigante. El desarrollo de la química orgánica hizo difícil mantener la posición escéptica entonces imperante, según la cual las fórmulas químicas podían interpretarse como proporciones entre átomos o sustancias, siendo la creencia o no en los átomos algo irrelevante de cara al experimento. El hecho de que varias sustancias tuvieran fórmulas exactamente iguales, pero propiedades totalmente distintas, indicaba la necesidad de diferencias en la estructura molecular, sugiriendo que la existencia de los átomos no estaba abierta a debate.
Mientras la importancia del atomismo crecía en la química, en la física los átomos seguían siendo objeto de sospecha. La mayoría de fenómenos conocidos podía ser explicada sin recurrir a la teoría atómica, la cual, pese a ser capaz de hacer algunas predicciones —en particular, sobre el comportamiento de los gases—, adolecía de no poseer una formulación única. Sería Clausius de nuevo el responsable de preparar el terreno para Boltzmann, al usar la teoría atómica para desarrollar su propio modelo de los gases. El modelo de Clausius era muy detallado e incluía varios modos de movimiento para las moléculas, incluyendo rotaciones y vibraciones. Los átomos de Clausius —y los de Maxwell y Boltzmann más tarde— no surgían de una posición metafísica, sino que eran una herramienta para solucionar un problema científico, cuya validez sería determinada por sus predicciones y los resultados de los experimentos. Así pues, Clausius no hacía aseveración alguna sobre la naturaleza última de los átomos, sino que se limitaba a considerarlos partículas de reducido tamaño que darían lugar al comportamiento observado a escala macroscópica.
Tenemos ya todas las piezas necesarias para entender el mundo en el que nació Boltzmann. Por un lado, se estaba produciendo entonces el desarrollo de la ciencia de la termodinámica, incluyendo el descubrimiento de la conservación de la energía, la equivalencia entre calor y trabajo y la segunda ley acerca de la entropía, una ley cuyo significado sería clarificado y revisado por el propio Boltzmann. Por otro, también tenían lugar los desarrollos en teoría atómica, que culminaron con los avances en química orgánica y los primeros intentos de construir una teoría de los gases, siendo el trabajo de Clausius el primer intento serio al respecto.
Hay aún un tercer pilar que marca la investigación de Boltzmann: el azar. A este, sin embargo, el físico no llegó por medio de la ciencia, sino a través de sus experiencias personales. Boltzmann tuvo la infancia típica de una familia acomodada de la época, con un tutor privado y clases de piano.
A pesar de que, a su alrededor, el mundo parecía envuelto en un torbellino de guerras y revoluciones, su vida discurría plácidamente, impermeable a la violencia imperante en el exterior. Todo eso cambió con la muerte de su padre, que falleció de tuberculosis y al que Boltzmann se encontraba muy unido. Ludwig tenía quince años y no estaba preparado para una tragedia semejante. De golpe, toda la incertidumbre del mundo real llamó con violencia a su puerta. La seguridad emocional y material de su infancia se derrumbó en un instante. El azar, como fuerza que mueve el mundo, que gobierna los destinos de las personas, había hecho acto de presencia. A la muerte de su padre siguió la de su hermano Albert, cuatro años más tarde.
Los diferentes infortunios en la adolescencia de Boltzmann se vieron agudizados por su propensión a los cambios de humor, cambios que hoy en día achacaríamos a su bipolaridad. Ya desde muy joven pasaba de la euforia a la depresión con una facilidad pasmosa, un hecho sobre el que él mismo bromeaba diciendo que se debía a haber nacido la noche entre el Martes de Carnaval y el Miércoles de Ceniza. Sea como fuere, los estados de ánimo de Boltzmann oscilaban bruscamente y de forma difícil de predecir.
Al morir su padre, la familia se mudó de Linz a Viena. Ahora que no podían contar con el salario paterno, la generosa dote de su madre fue usada para costear los estudios de Ludwig. A pesar de que eso significaba hipotecar su futuro, Katharina no dudó en apostarlo todo a la brillantez de su primogénito.
Capítulo 2
El calor de los átomos
El paso de Boltzmann por la facultad de física fue fulgurante, en un avance de lo que sería el resto de su carrera. Sus primeros artículos, publicados antes que se doctorase, ya entraban de lleno en el tema del que se ocuparía el resto de su vida: la deducción de las leyes del calor a partir de la hipótesis atómica. En 1872, ya establecido como catedrático, lograría su primer gran resultado científico al demostrar la segunda ley de la termodinámica usando solo principios mecánicos.La vida de Boltzmann puede verse como un péndulo caótico que oscila violentamente, imagen que es aplicable tanto a sus estados de ánimo cambiantes como a su suerte, que podía llevarle de un gran éxito profesional a una debacle personal en cuestión de meses. En 1859 había fallecido su padre y en 1863 Boltzmann acababa de sufrir un nuevo revés con la muerte de su hermano. La sucesión de infortunios, sin embargo, acabó de golpe aquel mismo año, iniciándose una época de felicidad que duró más de dos décadas. Durante la primera, en 1872, el científico publicó uno de los artículos más importantes de su carrera —titulado «Nuevos estudios sobre el equilibrio térmico de las moléculas de los gases»—, en el que logró demostrar por fin que la segunda ley de la termodinámica era una consecuencia inevitable de la teoría atómica. Antes ya había publicado otros trabajos menores pero relevantes: uno en 1866, bajo el título de «El significado mecánico del segundo principio de la termodinámica», y otro en 1868, «Estudios sobre el balance de energía entre puntos materiales móviles».
El año 1863 se inició con la mudanza de los Boltzmann desde Linz, donde Ludwig había asistido al instituto, a Viena. El objetivo era que el joven pudiera estudiar física en la prestigiosa universidad de la capital, donde, como descubriría más tarde, se encontraba uno de los centros dedicados a esta materia más dinámicos del mundo.
§. El instituto de física de la calle Erdberg
En aquel entonces, la Universidad de Viena impartía la disciplina que deseaba estudiar Boltzmann en el Instituto de Física, situado en la calle Erdberg. Se trataba de un pequeño local de medios modestos, por el que habían pasado gran parte de los grandes físicos austríacos de la época. El centro había sido fundado en 1849 por Christian Doppler (1803-1853), científico conocido por describir el efecto que lleva su nombre, el cual es utilizado hoy en día para averiguar la velocidad tanto de las galaxias lejanas como de los coches en la autopista. Doppler ejerció de director hasta que fue sustituido por Andreas von Ettingshausen (1796-1878), que unos años más tarde dejó su plaza a un joven Josef Stefan (1835-1893), futuro mentor de Boltzmann y una de sus grandes influencias.
El instituto de la calle Erdberg era un centro en plena ebullición. Los físicos que trabajaban en él suplían la falta de recursos con grandes dosis de entusiasmo y creatividad, espoleados por un deseo ardiente de entender el mundo. La pompa y el protocolo eran ignorados en favor del buen humor y el trato abierto; la búsqueda del conocimiento se consideraba prioritaria, y todo lo demás, irrelevante. Boltzmann se integró perfectamente en el ambiente informal y dinámico del instituto, ayudado por un Stefan que rápidamente reconoció el talento de su nuevo alumno y lo apoyó para que lo desarrollase. La etapa en Erdberg quedó grabada en la memoria de Boltzmann como una especie de edad dorada respecto a la que compararía el resto de su vida. En su elogio fúnebre a Stefan, se refirió al famoso centro de la siguiente manera:
Así, el instituto alojado entonces en la calle Erdberg era una prueba de que se pueden conseguir grandes logros en locales modestos; de hecho, toda mi vida Erdberg ha sido para mí un símbolo de actividad experimental seria e ingeniosa. Cuando conseguí infundir algo de vida en el Instituto de Física de Graz, lo llamaba «pequeño Erdberg». No especialmente pequeño, pues era el doble de grande que el de Stefan, pero el espíritu de Erdberg no lo había conseguido implantar todavía
El efecto DopplerEl efecto Doppler fue propuesto por primera vez en 1842 por Christian Doppler, que lo usó para explicar la peculiar luz emitida por los sistemas binarios de estrellas. Afirmaba que la frecuencia de una onda —ya fuera de luz o de sonido— se ve afectada por el movimiento de la fuente respecto al receptor. Un ejemplo del efecto Doppler es el de una ambulancia que se aproxima a un observador y luego se aleja: el sonido de la sirena parece volverse más grave de repente. La explicación de este fenómeno resulta muy clara al observar la figura adjunta: las ondas se comprimen delante de la fuente y se vuelven más espaciadas detrás.Ello se debe a que, al moverse el emisor hacia delante, persigue a sus propias ondas, mientras que huye de las que se propagan hacia atrás. En el caso del sonido, ondas más comprimidas equivalen a un sonido más agudo; en el caso de la luz, equivalen a un color que tiende hacia el azul. El efecto Doppler aplicado a las galaxias dio lugar al descubrimiento de la expansión del universo.
Una figura que resume como nadie el espíritu de Erdberg es la de Josef Loschmidt (1821-1895), que fue reclutado por Stefan y pronto se convirtió en gran amigo tanto del director del centro como del propio Boltzmann. Se trataba de un paradigmático sabio despistado para quien la búsqueda del conocimiento era la única meta digna de ser considerada como tal. El resto de ocupaciones mundanas, desde la política hasta la gastronomía, no eran más que distracciones que lo desviaban de la persecución de la verdad.
Boltzmann contaba en el obituario de Loschmidt que un día lo fue a ver y le mostró con orgullo un interruptor de Foucault que había logrado limpiar, quitando capas de mugre. Loschmidt lo observó con atención y concluyó que no veía ningún cambio. Boltzmann se quejó: «¡Pero si he quitado toda la porquería!», y Loschmidt respondió: «De eso trato de abstraerme», lo que resume a la perfección el tipo de persona que era.
«Tan importante como atenerse a lo esencial es prescindir de lo secundario.»Loschmidt no solo fue un gran amigo de Boltzmann, sino que jugó un papel clave en la consolidación de la teoría atómica. También fue un químico destacado, proponiendo estructuras moleculares para centenares de sustancias; algunos autores afirman que predijo la forma circular del benceno antes que August Kekulé (1829-1896). Loschmidt también fue quien formuló una de las dos paradojas con las que Boltzmann tendría que lidiar, la paradoja de la reversibilidad, que aún hoy sigue provocando encontronazos entre los científicos. La objeción de Loschmidt y la respuesta de Boltzmann se tratarán en profundidad en el capítulo siguiente.
— Josef Loschmidt.
La otra gran influencia en Boltzmann fue Josef Stefan. No solo por ser su profesor y mentor durante los años de Erdberg, sino por haberle dado a conocer los trabajos de los científicos británicos —Maxwell en particular— que luego Boltzmann amplió hasta llegar a su formulación estadística de la termodinámica. Stefan fue un gran físico teórico que se ocupó de una gran variedad de temas, abarcando desde el electromagnetismo hasta la termodinámica; también fue un experimentador muy capaz, hasta el punto de inventar un instrumento, el diatermómetro, que gozó de cierta popularidad durante su época y que se usaba para medir la capacidad de un gas para conducir el calor. Sin embargo, el descubrimiento por el que es más conocido hoy en día es el de la ley de Stefan para la radiación de cuerpo negro —la radiación que emite un cuerpo perfectamente negro—, uno de los pilares en los que se basó Max Planck (1858-1947) para dar el pistoletazo de salida a la mecánica cuántica. La ley de Stefan fue demostrada por Boltzmann usando su particular forma de atacar los problemas estadísticos.
De Stefan y Loschmidt —y de la forma de funcional' Erdberg en general— Boltzmann decía lo siguiente:
En lo que los dos eran completamente iguales era en su falta de pretensiones, sencillez y modestia. Nunca buscaban manifestar su superioridad espiritual de forma explícita. Aunque pasé con ellos muchos años, primero de estudiante y luego de ayudante, nunca oí otras palabras que las que emplean los amigos. La serenidad olímpica y el humor fino que convertían las más arduas discusiones en un juego entretenido para el estudiante me marcaron tanto que pasaron de alguna forma a mi forma de ser.En 1864 Boltzmann obtuvo una beca. Al año siguiente publicó su primer artículo, sugerido por Stefan y Loschmidt, titulado «El movimiento de la electricidad en superficies curvas». Sin embargo, su primera publicación de cierta importancia llegó en 1866 bajo el título de «El significado mecánico del segundo principio de la termodinámica».
§. El artículo de 1866
El primer artículo de Boltzmann se considera una obra menor, pero tiene cierta importancia: por una parte, establecía el tema que el físico atacó una y otra vez durante la década de 1870 y sobre el que versaron sus publicaciones de mayor calado, las que brindaban una interpretación mecánica de la segunda ley; por otra, utilizaba la teoría cinética de los gases como marco teórico, algo que fue determinante en todo su desarrollo posterior. Antes de abordar la estrategia de Boltzmann, es necesario analizar brevemente el concepto de entropía y la teoría cinética.
Recordemos que la segunda ley había llegado a su formulación definitiva un año antes, de la mano de Clausius, bajo el enunciado de que «la entropía del universo tiende a un máximo». El concepto de entropía no se entendía bien y, de hecho, hubo que esperar al artículo de Boltzmann de 1877 para conseguir una explicación meridiana del fenómeno. Hasta entonces lo que había era una sucesión de buenas intuiciones y de definiciones algo confusas. Lo único que estaba claro era la expresión matemática de la cantidad, que se denotaba como la proporción entre el calor y la temperatura Se sabía que la entropía permanecía constante durante el ciclo de Carnot, que era el proceso por el que pasaba una máquina de vapor idealizada, en la que el vapor era calentado, movía el pistón y luego volvía a enfriarse. También se sabía que, precisamente por ser ideal, la máquina de Carnot no podía ser construida y que, por lo tanto, en cualquier proceso real la entropía tenía que aumentar.
El significado físico de la entropía no estaba claro, a pesar de que su expresión matemática fuera bien conocida. La comunidad científica de entonces sabía que era una medida de la utilidad de la energía en un sistema: cuanto más alta fuera la entropía, más difícil sería extraer trabajo útil. Clausius la asoció primero al calor y luego la bautizó como «equivalencia-valor», queriendo decir con ello que era una especie de equivalente en forma de calor del trabajo. No tardó en darse cuenta de que no se trataba de tal cosa y acabó sugiriendo que estaba relacionada con la difusión de las moléculas, es decir, con el grado de separación de estas en un gas. Boltzmann retomó esta idea, algo vaga, y la convirtió en una definición precisa.
Boltzmann usó para su artículo de 1866 la teoría cinética de los gases. Esta ya tenía entonces más de cien años de historia, habiendo sido iniciada en el siglo XVIII por Daniel Bernoulli (1700- 1782), quien desarrolló sus ecuaciones partiendo de la base de que los fluidos eran agregados de moléculas en constante movimiento. Con esta tesis fue capaz de deducir que la presión no era más que el efecto de las colisiones entre tales moléculas y las paredes del recipiente donde se encontrasen; dedujo también que la temperatura era una medida de la energía de las partículas. Su teoría se adelantó a su época en casi ochenta años y no fue bien recibida, ya que muchos de los conceptos que resultaban necesarios para entenderla no fueron desarrollados adecuadamente hasta entrado el siglo XIX.
La expresión matemática de la entropíaClausius utilizó el cálculo infinitesimal para expresar la entropía. El incremento de entropía al añadir una cierta cantidad ΔQ de calor a un sistema a temperatura T se puede expresar como:donde Δ significa incremento; S, entropía; Q, calor, y T, temperatura. Es decir, el aumento de entropía es proporcional al aumento de calor e inversamente proporcional a la temperatura del sistema. Clausius descubrió que, si sumaba todos los pequeños incrementos de entropía ΔS durante un ciclo completo de Carnot, el resultado total era cero: el sistema ganaba tanta entropía al calentarse como la que perdía al enfriarse, lo cual se puede expresar como:
donde el símbolo Σindica una suma. Ahora bien, el motor de Carnot es un motor idealizado que tiene una eficiencia máxima. Un motor real tendrá pérdidas y, por lo tanto, al final de cualquier proceso tendrá que darse que el incremento de entropía sea positivo, es decir,
ΔS ≥ 0
que es el segundo principio de la termodinámica. En el lenguaje del cálculo infinitesimal, cuando el incremento de entropía ΔS se hace muy pequeño, se sustituye esa expresión por dS, donde la letra d se llama «diferencial» e indica un incremento infinitesimal. Del mismo modo, las sumas se sustituyen por integrales, que se expresan con el símbolo ∫. Cuando la integral se toma para un ciclo cerrado, el símbolo se sustituye por ∮, donde el círculo denota que se vuelve al punto de partida. En el lenguaje del cálculo diferencial, la expresión de la entropía queda como:y el hecho de que su incremento sea nulo tras un ciclo de Carnot se expresa como:
Ambas expresiones son las equivalentes de las anteriores en el cálculo infinitesimal y son, excepto una pequeña variación en dQ para ganar claridad, las que usó Clausius.
Clausius fue el primer científico de renombre en interesarse por la teoría cinética, que usó para deducir la primera ley a partir de principios mecánicos. Empleó el mismo aparato conceptual que Bernoulli: para él los gases eran una colección de moléculas moviéndose aleatoriamente y chocando unas con otras y con las paredes de su recipiente (figura 1). La energía térmica del gas se podía identificar con la energía cinética —asociada con el movimiento— de las moléculas individuales, lo cual explicaba que el calor y el trabajo fueran formas de transmisión de energía. En su artículo de 1866 Boltzmann logró el mismo resultado usando herramientas diferentes.
Clausius también introdujo la idea del recorrido libre medio, el cual representa la distancia que una molécula puede viajar por un gas, de promedio, antes de chocar con otra (figura 2).
El recorrido libre medio será menor cuantas más moléculas haya y cuanto mayor sea su tamaño. Así, si uno conoce el recorrido libre medio de un cierto gas, puede tener una idea del tamaño de las moléculas y de su número. Esto resultó de gran interés a finales del siglo XIX, ya que la existencia de los átomos aún no había sido demostrada y ser capaz de calcular algunas de sus propiedades daba buenas razones para creer en su realidad.Loschmidt fue el primer científico en usar el concepto de recorrido libre medio para calcular el número y diámetro de las moléculas en un gas, relacionando la cantidad introducida por Clausius con la proporción entre el volumen en estado gaseoso de una sustancia y el de esta misma al ser licuada. Con esta idea fue capaz de establecer que, en el caso del aire, un metro cúbico contenía aproximadamente 19 cuatrillones de moléculas, es decir, un 19 seguido de 24 ceros.
El número de AvogadroUna de las cantidades más importantes en química es el número de Avogadro que, pese al nombre, fue calculado por primera vez por Loschmidt. Su denominación conmemora que fue Amedeo Avogadro (1776-1856) el primero en sugerir que el volumen de un gas tenía que ser proporcional al número de moléculas que contuviera. Los químicos tienen por costumbre medir las sustancias en una unidad llamada mol. La idea que subyace al concepto de mol es que el número de partículas es más importante que el peso o el volumen. Así pues, un mol de una sustancia cualquiera —ya sea un elemento puro o un compuesto- tiene exactamente el mismo número de partículas que un mol de otra, donde esas partículas pueden ser átomos o moléculas. Otra cantidad importante es el peso atómico. Este se define como la razón entre la masa promedio de los átomos de un cierto elemento y un doceavo de la masa del carbono 12. Un mol de una sustancia se define como su peso atómico en gramos: por ejemplo, un mol de gas hidrógeno —peso atómico 1— cuyas moléculas están compuestas por dos átomos, pesa 2 gramos; un mol de oxígeno —peso atómico 16—, cuyas moléculas también están compuestas por dos átomos, pesa 32 gramos. Así, se mantiene la proporción entre los pesos de las diferentes sustancias. Hay que recalcar que es posible usar la noción de mol sin necesidad de conocer los detalles del núcleo de los átomos: solo hace falta conocer las proporciones entre las cantidades de sustancias que reaccionan. Si sabemos que un mol de oxígeno pesa 32 gramos, observamos que este reacciona siempre con 4 gramos de hidrógeno, y como conocemos la fórmula H2O, podemos deducir que un mol de hidrógeno pesa 2 gramos. A pesar de que Loschmidt calculó la densidad de moléculas por metro cúbico en el aire, es muy fácil usar el número que obtuvo para averiguar la cantidad de moléculas de un mol. Esta es 6,022×1023 y es conocida como el número —o la constante— de Avogadro.
El cálculo de Loschmidt se considera la primera estimación del número de Avogadro, que establece el número de moléculas en un mol de sustancia (el mol es una unidad química que se puede entender como una representación macroscópica del peso atómico de una molécula).
Ahora estamos ya en disposición de entender el contenido del artículo de Boltzmann de 1866. El texto empezaba identificando la temperatura de un gas con la energía cinética media de sus moléculas. Para ello, el físico demostraba que en un estado de equilibrio —en el que no hay transmisión de calor entre una sustancia y otra, pues ambas están a la misma temperatura— tampoco hay transmisión de energía cinética entre las moléculas de estas. Por otro lado, cuando dos sustancias se hallan en desequilibrio, la energía cinética de las moléculas tenderá a ir de la más caliente a la más fría. Es decir, el valor medio de la energía cinética se comporta exactamente igual que la temperatura, de forma que identificar ambas parece la conclusión más natural.
Boltzmann hacía uso de una hipótesis curiosa; suponía que el movimiento de las moléculas era periódico. Es decir, si se le daba suficiente tiempo, una molécula iría cambiando de energía hasta volver a la que tenía en un principio. Y añadía, de forma algo críptica, «si las órbitas no se cierran en un tiempo finito, uno puede pensar que lo harán en un tiempo infinito». Esta idea puede entenderse de forma instintiva considerando que cualquier situación acabará por repetirse si se espera lo suficiente.
Con la explicación de la temperatura en términos mecánicos, la primera ley de la termodinámica quedaba aclarada: tanto calor como trabajo son intercambiables, ya que no son más que formas de movimiento. En el primer caso, microscópico; en el segundo, macroscópico. Quedaba por justificar la segunda ley, cosa harto más difícil, dado lo poco intuitivo que se mostraba el concepto de entropía. Para hacerlo, Boltzmann usaba argumentos eminentemente matemáticos, sin la profundidad física que caracterizó sus posteriores trabajos. El científico se limitó a mostrar que el calor, entendido como energía suministrada, dividido por la temperatura obtenida con su definición, daba lugar a una cantidad que se comportaba exactamente como la entropía. Finalmente, usó argumentos termodinámicos macroscópicos —sin interesarse por el comportamiento molecular— para demostrar la segunda ley.
§. El precursor de Boltzmann: James Clerk Maxwell
Además de Clausius, el gran abanderado de la teoría cinética a finales del siglo XIX fue James Clerk Maxwell (1831-1879). Boltzmann conoció su trabajo a través de su mentor, Josef Stefan, que era un gran admirador del británico.
El polifacético James Clerk MaxwellJames Clerk Maxwell es considerado por muchos como el Newton del siglo XIX.
Realizó multitud de aportaciones, pero la mayor fue la unificación de las leyes del electromagnetismo. La relación entre electricidad y magnetismo era conocida desde el famoso experimento de Hans Christian Oersted (1777-1851), que descubrió que la aguja de una brújula cambiaba de orientación al situarla cerca de una corriente eléctrica. Michael Faraday (1791-1867) se encargó más tarde de demostrar que un campo magnético que fluctúa crea un campo eléctrico y viceversa. A mediados del siglo XIX los físicos disponían de una gran cantidad de leyes, una para cada pequeña parcela de la teoría: la ley de Coulomb para predecir la fuerza entre dos cargas eléctricas, la de Ampère para hacer lo propio con corrientes, la de Faraday para relacionar las fuerzas magnética y eléctrica. Maxwell logró resumir todo el conocimiento de la época en un conjunto de cuatro ecuaciones, que además predecían un nuevo fenómeno: las ondas electromagnéticas. El científico no tardó en descubrir que la luz misma tenía que ser una onda de ese tipo y predijo su velocidad, que sería confirmada experimental mente pocos años más tarde. Fue precisamente la medición de la velocidad de la luz la que desencadenó los problemas con la teoría de Newton, que tuvo al final que ser sustituida por la relatividad especial de Einstein cuando los móviles se desplazan a velocidades cercanas a la de la luz.
Otras contribuciones
Además de sus aportaciones al electromagnetismo y a la teoría cinética de los gases, Maxwell cuenta entre sus logros el de haber realizado la primera fotografía en color en 1861. También publicó un libro sobre teoría de control, que explicaba cómo mejorar el rendimiento de las máquinas de vapor a partir de dispositivos reguladores.
De hecho, una de las primeras cosas que hizo Stefan al conocer a Boltzmann fue darle una copia de los artículos de Maxwell. Este fue uno de los más grandes científicos del siglo XIX. Su teoría del electromagnetismo se considera el equivalente a lo que había hecho Newton con la gravitación doscientos años antes y supuso el primer gran paso hacia la relatividad especial de Einstein, que surgió al comprobarse que las ecuaciones de Maxwell no eran compatibles con las ideas del momento sobre el espacio y el tiempo.
Por lo que respecta a la teoría cinética de los gases, Maxwell puso los fundamentos que Boltzmann se encargó de convertir en una teoría acabada. La gran contribución del científico británico fue introducir la función de distribución, que más tarde Boltzmann usaría hasta la saciedad. La idea de esta función era fijarse en un conjunto enorme de moléculas y preguntarse cuántas de ellas se encontraban en un cierto rango de velocidades, lo que resultaba mucho más práctico que fijarse en partículas individuales que, por su número, eran intratables matemáticamente. La función de distribución indicaba cómo se distribuían las velocidades entre las moléculas —de ahí su nombre— y podía utilizarse para calcular la mayoría de propiedades relevantes de los gases.
Para lograr una descripción mecánica aceptable de un fluido, Maxwell tenía que superar dos dificultades: encontrar una función de distribución adecuada para un gas a una cierta temperatura y demostrar que esa función era la única posible. Tuvo éxito en lo primero, pero no en lo segundo; para eso harían falta las aportaciones de Boltzmann. Maxwell sugirió que la única función de distribución que representaba adecuadamente la distribución de velocidades era la llamada «curva gaussiana», bautizada así en honor del gran matemático Carl Friedrich Gauss (1777-1855). Esta tiene forma de campana invertida y representa la distribución de probabilidades para un gran número de variables aleatorias.
Para entender la forma de la distribución de Maxwell es necesario fijarse en el movimiento de las moléculas en un gas. Por un lado, muy pocas estarán paradas, ya que la energía disponible para el movimiento es muy elevada. Otra forma de verlo es que las colisiones son muy frecuentes, de modo que cualquier partícula en reposo dejará de estarlo al poco tiempo. También habrá pocas con una velocidad extremadamente alta, porque la energía disponible no es suficiente. Es de esperar, entonces, que la mayoría de moléculas tenga una velocidad alrededor de la media y que cada vez haya menos a medida que una se aleja de esta. Eso es lo que produce la campana invertida de la figura, en la que se muestran cuatro distribuciones para una temperatura fija.

Distintas formas de distribución de las velocidades para cuatro gases nobles a una temperatura fija. La gráfica refleja los casos del xenón, el argón, el neón y el helio.
Poco antes, en 1867, había obtenido una plaza de profesor asistente, así como su título de doctor. Boltzmann no escribió una tesis, puesto que ello no fue necesario en la Universidad de Viena hasta 1871.

Ernst Mach, físico y filósofo de la ciencia que lideró la corriente energetista.
La curva gaussianaLa curva gaussiana es un elemento central de la teoría de probabilidades. Puede demostrarse matemáticamente que, en promedio, un conjunto de variables aleatorias independientes se distribuirán siguiendo ese patrón. Su uso queda más claro con un ejemplo de la física experimental: cuando se mide una cierta cantidad, se suelen obtener varios resultados que oscilan alrededor de un valor medio, pero que no suelen ser idénticos, debido a lo que se suele llamar error aleatorio. La palabra «error» no significa que haya un fallo en el experimento, sino que, al hacer una medición, un gran número de causas no especificadas —de ahí «aleatorio»— pueden influir en la medida. Ahora bien, si se toman suficientes medidas, estas se distribuirán en forma de curva gaussiana alrededor de su valor medio. Esto proporciona una herramienta muy poderosa para el análisis estadístico de datos, ya que la distribución gaussiana es muy fácil de tratar matemáticamente, sin tener que recurrir a métodos numéricos que requieran ordenadores. En general, se suele asumir que cualquier dato experimental, ya sea en física, en química o en ciencias sociales, se comporta según la distribución gaussiana, también llamada «normal».
Da una idea de la relevancia de su debate el hecho de que siga vivo hoy, con los partidarios de la interpretación de múltiples universos de la mecánica cuántica situados del lado de Boltzmann y los de la interpretación de Copenhague más bien del de Mach: los primeros sostienen que las matemáticas de la teoría describen el mundo real, mientras que los segundos creen que se limitan a predecir el resultado de experimentos, siendo la realidad del mundo que describen algo irrelevante. Es decir, el aparato matemático de una teoría no es más que un medio para obtener predicciones experimentales, siendo la existencia de la realidad que describe una cuestión de fe que no tiene cabida dentro de la actividad científica.
§. El artículo de 1868: la antesala del teorema H
En 1868 Boltzmann obtuvo la venia docente, que le permitía dar clases en la universidad. Ese mismo año publicó un nuevo artículo sobre la teoría cinética, titulado «Estudios sobre el balance de energía entre puntos materiales móviles». En él partía de la distribución de Maxwell y la generalizaba a sistemas en los que las moléculas estuvieran sujetas a una fuerza arbitraria. El artículo de 1868 supuso un gran paso adelante en el desarrollo de una interpretación adecuada de la termodinámica basada en la teoría cinética: por un lado, dio una justificación mucho más potente del uso de la distribución gaussiana para describir un gas y mostró que esta debía darse para un conjunto extremadamente general de casos; por otro, amplió el trabajo de Maxwell para incluir gases sujetos a diferentes tipos de fuerzas.
La segunda parte del artículo resultaba prometedora por ser un avance de lo que vendría en 1872. En ella abandonaba su estrategia de 1866 y adoptaba otra totalmente diferente, pasando a interesarse por el estado global del sistema y no por las velocidades individuales de las moléculas. Su nuevo enfoque utilizaba un objeto matemático que los físicos llaman «un espacio de fases». Se trata de un ente abstracto en el que se incluye la información de las posiciones y de los momentos —que se obtienen de multiplicar masa por velocidad— de todas las partículas en un sistema. Cada posición viene dada por tres números o componentes: uno para cada uno de los ejes espaciales. Lo mismo sucede con los momentos, ya que las velocidades pueden apuntar en cualquier dirección. Así pues, si un gas consta de N partículas, un punto en su espacio de fases vendrá dado por 6N números, ya que cada molécula tendrá asociados 3 de ellos para su posición y 3 para su momento, dando un total de 6. La configuración del sistema se puede especificar entonces seleccionando un punto en el espacio de fases; su evolución puede verse como la trayectoria que describe en ese espacio al moverse de un punto al siguiente, es decir, de una configuración a la próxima.
Boltzmann usó la idea del espacio de fases para lograr aquello en lo que Maxwell había fracasado: demostrar que cualquier gas aislado alcanza tarde o temprano la distribución gaussiana de Maxwell y que, una vez ahí, no se producen más cambios. Para ello, mostró que, si la energía de un sistema se mantenía constante, la distribución de probabilidad también lo haría y que, al considerar un gran número de partículas, esta distribución resultaba ser la de Maxwell.
Con su novedoso método no solo logró reproducir el resultado de su predecesor, sino que proporcionó una justificación mucho más rigurosa y general. Además, sentó las bases para su posterior artículo de 1877, en el que adoptó hasta las últimas consecuencias el método de considerar el gas en su totalidad, iniciando el campo de la física estadística.
Pero la derivación de Boltzmann tenía un problema y era su uso de lo que se dio más tarde en llamar la «hipótesis ergódica». Se trataba del supuesto de que, si se le daba el suficiente tiempo, una molécula pasaría por todas las energías posibles, lo cual era necesario para poder aplicar la teoría de la probabilidad de forma rigurosa. Es decir, supongamos que una cierta molécula se encuentra en reposo en un cierto instante: cada vez que sufra una colisión, su energía cinética se verá modificada y tomará un nuevo valor aleatorio; si se espera suficiente tiempo, parece lógico asumir que la molécula habrá pasado por todas las energías posibles.
Sin embargo, los números reales —que incluyen a racionales e irracionales— poseen ciertas propiedades que Boltzmann desconocía y que contradicen su hipótesis: entre dos cualesquiera, hay un número infinito de otros números reales.
Números reales y números racionalesLos números reales consisten en la suma de los conjuntos de los números racionales y los Irracionales. Los primeros son aquellos expresables como un cociente entre dos números enteros; los segundos no pueden expresarse de esta manera. Ejemplos de números racionales son 2, 5/7 o 2,35; en cambio, π, e o √2son números irracionales. Una propiedad importante de los números irracionales es que son infinitamente más abundantes que los racionales. De hecho, entre dos números reales cualesquiera hay una infinidad de números irracionales. Para comprobar esta propiedad de manera algo informal basta con fijarse en su expresión decimal. Por ejemplo, tómense dos números muy próximos entre sí, como 1,00000000250 y 1,00000000251; añadiendo una serie aleatoria de ceros y unos después del 5, se obtienen infinitas combinaciones —ya que hay infinitos decimales— de números que tienen un valor entre los dos anteriores. Además, por muy pequeña que se haga la diferencia, siempre habrá un número infinito, ya que infinito —el número total de cifras decimales de un número irracional— menos un número finito sigue siendo infinito. Esto tiene como consecuencia que es imposible que, dando un tiempo finito —o tan grande como se quiera—, una molécula pase por todos los valores posibles de la energía, si esta puede tomar cualquier valor real. Lo único que puede asegurarse es que las trayectorias serán «densas», lo que matemáticamente significa que pasarán arbitrariamente cerca de cualquier número.
Así pues, aunque se disponga de un tiempo infinito, nada garantiza que un valor que cambia aleatoriamente vaya a repetirse, ya que el infinito de los números reales es de un orden mayor. Retomando el gas de Boltzmann, el número de energías posibles es infinitamente mayor que el número de cambios de velocidad, aunque se disponga de un tiempo infinito.
Boltzmann dudaba de su supuesto y trató de no utilizarlo en la mayoría de sus trabajos; en su artículo de 1872, del que se hablará más adelante, encontró una forma creativa de evitarlo que se avanzaría en treinta años a la mecánica cuántica.
§. Primera estancia en Graz
La fortuna que lo acompañaba desde su ingreso en la Universidad de Viena en 1863 siguió sonriéndole al poco de obtener la venia docente. Su fama había ido creciendo desde la publicación del artículo de 1868 y, además, contaba con el poderoso apoyo de su mentor Stefan. En 1869 quedó libre la cátedra de Física Matemática en la Universidad de Graz, que entonces gozaba de gran prestigio. La cátedra de Física Experimental la ocupaba August Toepler (1836-1912), que conocía el trabajo de Boltzmann y lo tenía en muy alta consideración. A pesar de que había otros dos candidatos para el puesto, en principio mejor situados que Boltzmann, la cátedra acabó recayendo en él gracias a la presión de Stefan y Toepler.
Ya en Graz, Boltzmann satisfizo con creces las expectativas puestas en él. Hizo muy buenas migas con Toepler, un físico experimental con un entusiasmo por la ciencia parecido al suyo. Ambos colaboraron en la construcción de un nuevo edificio para la investigación —al que Boltzmann se refirió más tarde como «pequeño Erdberg»— e incluso firmaron artículos conjuntamente. Se trató de una de las épocas más prolíficas de Ludwig, que publicó docenas de trabajos en pocos años.
La universidad estaba satisfecha con su rendimiento y lo recompensó con un aumento sustancial de sueldo y repetidos permisos para visitar otros centros de investigación. Boltzmann no los desaprovechó y en 1871 viajó a Heidelberg, donde conoció a Gustav Kirchhoff (1824-1887) y Robert Bunsen (1811-1899); más tarde viajó a Berlín, donde trabó amistad con Hermann von Helmholtz (1821-1894), a quien durante muchos años consideró la única persona capaz de entenderlo en gran número de temas.

Hermann von Helmholtz, físico por quien Boltzmann sentía una profunda admiración.
Kirchhoff, Bunsen y la espectrografíaGustav Kirchhoff fue uno de los grandes científicos de su época y, junto con su colega Bunsen, inventó la espectrografía.Esta técnica consiste en separar la luz proveniente de una sustancia e identificar las diferentes franjas de color, que son características de cada elemento. El nacimiento de la espectrografía no solo permitió identificar un gran número de elementos previamente desconocidos, sino que posibilitó el nacimiento de la astrofísica, ya que la luz de las estrellas pudo ser descompuesta para averiguar los diferentes elementos que las constituyen. Kirchhoff también es conocido por haber generalizado la ley de Ohm, que permite calcular la intensidad de corriente en un circuito si se conocen la resistencia y el voltaje. A Robert Bunsen, por su parte, se le conoce popularmente por ser el inventor del «mechero Bunsen», muy utilizado en laboratorios por dar una llama muy caliente.
Grabado de 1895 que muestra el espectroscopio que Kirchhoff desarrolló junto con Bunsen.
Königsberger habló con Boltzmann y le sugirió que fuera a ver a Kirchhoff, que ya entonces era una de las primeras figuras intelectuales de Alemania, convencido de que los dos se llevarían bien. Boltzmann no se hizo de rogar y, siguiendo la pauta desenfadada y directa que se estilaba en su Austria natal, se plantó ante Kirchhoff y le espetó nada más verlo que había encontrado un fallo en uno de sus artículos. El alemán se sulfuró de mala manera, pero se debió de dar cuenta de que Boltzmann tenía razón, porque de ahí nació una amistad que continuaría durante muchos años.
Al año siguiente visitó a Helmholtz en Berlín y pronto encontró en él a alguien que no solo era capaz de comprender sus desarrollos matemáticos, algo abstrusos para la época, sino a un investigador con quien podía discutir de tú a tú. Boltzmann, que siempre fue un amante del debate científico, se sintió enormemente satisfecho con este hallazgo. Sin embargo, Helmholtz era una persona en extremo fría y reservada con quien Boltzmann nunca se sintió del todo a gusto: echaba en falta poder comportarse ante él de una forma algo más natural y consideraba envarada la actitud de los alemanes. Algunos biógrafos atribuyen a la frialdad de Helmholtz la renuncia de Boltzmann a la cátedra de Matemáticas en la Universidad de Berlín, lo cual tuvo lugar varios años después; un episodio que acabó causándole una gran depresión de la que nunca llegó a recuperarse.
Comparando el trato alemán con el que se estilaba en Erdberg, Boltzmann comentaba:
«No intuía entonces que a mí, como aprendiz, no me correspondía usar [...] ese tono. Cuando en mis posteriores trabajos en Berlín lo empleé inocentemente el primer día, bastó una mirada de Helmholtz para dejármelo claro».
§. El gran artículo de 1872
Las escapadas a Alemania eran un estímulo más en la ya de por sí muy activa vida de Boltzmann. Participaba a menudo en tertulias y disfrutaba de la bebida y la farándula como solo un joven con todo el futuro por delante puede hacerlo. Pasó más de una noche en blanco, no trabajando en ciencia, sino bebiendo ingentes cantidades de cerveza. Boltzmann iba lanzado, consciente quizá de que su trabajo más importante estaba al caer. Lo hizo en 1872 bajo el críptico título de «Nuevos estudios sobre el equilibrio térmico de las moléculas de los gases». Boltzmann lograba por fin el objetivo que se le escapaba desde 1866, demostrar la segunda ley de la termodinámica a partir de principios mecánicos. El artículo supuso su salto a la fama científica internacional y el inicio de la física estadística. Su trabajo de 1872 contenía dos grandes innovaciones: por un lado, la hoy llamada «ecuación de Boltzmann», que rige el comportamiento de un gas en una gran variedad de situaciones; por otro, su primera demostración de que la segunda ley es una consecuencia de la teoría atómica y la probabilidad, lo cual se conoce en la actualidad como «teorema H».
El artículo empezaba con una defensa enardecida de la teoría cinética, acompañada de una exposición muy clara de en qué consistía aquella. Anteriormente se ha explicado que un gas se representa como una colección ingente de moléculas moviéndose en todas direcciones, abarcando un gran abanico de velocidades, las cuales suelen ser muy altas. La razón por la que una persona no sale disparada tras ser golpeada por las moléculas es que los impactos contra su cuerpo se cancelan entre sí, dando lugar a una Múltiple» impactos fuerza nula. Cuando la velocidad promedio no es cero, sino que aleatorios dan tiende a una dirección determinada, se dice que sopla el viento.Sin embargo, la velocidad del viento es siempre mucho menor que la de cualquiera de las moléculas individuales del gas. Boltzmann explicaba esto de la siguiente manera:
El hecho de que podamos [...] observar leyes completamente definidas en los cuerpos calientes se debe atribuir a la circunstancia de que los eventos más aleatorios, cuando suceden en la misma proporción, dan el mismo valor medio. [... ] Las moléculas de un cuerpo son tan numerosas y su movimiento es tan rápido que no podemos percibir otra cosa que sus valores medios.Boltzmann partía del modelo clásico de la teoría cinética y retomaba la idea propuesta por Maxwell de una función de distribución. Como se ha visto antes, esta daba la probabilidad de que una molécula elegida al azar se encontrase en cierto rango de velocidades. Vale la pena analizar con mayor detalle el concepto de función de distribución y las hipótesis adoptadas en su construcción, ya que no solo será útil para lograr una mejor comprensión del artículo de Boltzmann, sino que dará una idea del tipo de herramientas analíticas usadas por los físicos a la hora de atacar un problema que parece, en un principio, intratable. Boltzmann usó dos hipótesis simplificadoras, que pueden ser resumidas como:
- El gas es espacialmente uniforme.
- Las velocidades en cada dirección son igualmente probables.
Para entender la motivación de estas dos hipótesis, ayudará una explicación de los pasos que debe seguir un físico al intentar encontrar soluciones a un problema difícil como el cálculo de una función de distribución. Lo primero que debe hacer es averiguar de qué variables depende; es decir, ¿qué factores afectan a la probabilidad de que una molécula se mueva a una cierta velocidad? Una posibilidad es la posición dentro del gas. Sin embargo, si el gas es homogéneo —con la misma densidad y presión en todas partes— eso tendría poco sentido. Las moléculas de la esquina inferior derecha se moverán, en promedio, exactamente igual que las de la esquina superior izquierda. Si no lo hicieran, sería posible apreciar turbulencias en el gas y, por lo tanto, este no sería homogéneo. Esto se corresponde con la primera hipótesis: al ser el gas espacialmente uniforme, la función de distribución no depende de la posición.

Las velocidades son aleatorias antes del choque, pero están relacionadas después de éste. Las matemáticas han sido simplificadas como si se tratase de un choque en una dimensión para ganar claridad.
Había un tercer supuesto al que la literatura científica se suele referir como Stofízahlansatz, también conocida como «caos molecular», el cual resultó clave en la posterior polémica con Loschmidt acerca de la paradoja de la reversibilidad. Aquí se encierra un prejuicio sobre la flecha del tiempo —la dirección de pasado a futuro— que, como se verá más adelante, fue el responsable de que Boltzmann obtuviera como resultado la segunda ley.
En el modelo de Boltzmann, los átomos o moléculas se movían por el gas, chocando entre sí; por simplicidad, solo consideraba colisiones entre dos átomos e ignoraba —por poco frecuentes— aquellas entre tres o más. La suposición de Boltzmann era que, antes de chocar, las velocidades de los átomos no estaban relacionadas entre sí; es decir, eran completamente aleatorias. Eso no pasaba después del choque, ya que la dirección en la que se movería una de las moléculas dependería de aquella con la que hubiera chocado. Este supuesto provocaba una asimetría temporal en el análisis matemático, ya que con este se podía distinguir perfectamente entre pasado —donde no había correlación— y futuro, lo que a su vez causaba el resultado temporalmente asimétrico que es la segunda ley. El hecho de que en algo tan trivial se encierre el secreto de la irreversibilidad termodinámica ilustra la sutileza y la complejidad de las ideas que se manejan en la física teórica.
Discutidas todas las hipótesis, se puede comentar ya el primer gran resultado del artículo, lo que fue más tarde conocido como «la ecuación de Boltzmann». Esta daba una descripción de la evolución de la función de distribución, a partir de los diferentes factores que podían afectarla.
La ecuación de BoltzmannLa ecuación de Boltzmann en su forma más simple se puede escribir como:En este caso, f representa la función de distribución. El término de la izquierda es su derivada respecto al tiempo e indica el cambio de f con el paso de aquel; el de la derecha indica el cambio de f provocado por las fuerzas, la difusión y las colisiones. La ecuación de Boltzmann afirma que todo cambio en f tiene que ser debido, como mínimo, a una de esas tres causas. La ecuación que figura en el artículo de 1872 es bastante más complicada, ya que Boltzmann no se contentó con presentarla sin desarrollar, sino que calculó la aportación de cada término para llegar a una ecuación integro-diferencial que, en principio, fuera posible resolver. Consideró el cambio en la función de distribución provocado por el choque de dos moléculas, que empezaban con una cierta energía y acababan con otra distinta. Su uso de variables es poco común hoy en día y merece clarificación: para las energías iniciales de las dos moléculas usó las letras x e x’: para las energías después del choque, la letra ξ y la expresión x + x’ = ξ ya que la energía final de la segunda partícula será la diferencia entre la energía total del par antes del choque y la energía con la que sale su compañera. La ecuación final quedó de esta forma:
Se puede interpretar de la forma siguiente: la variación temporal en la función de distribución (lado izquierdo) viene dada por el resultado de fuerzas, difusión y choques (lado derecho), sumando para todas las posibles energías de todas las partículas en el gas.
Puesto en palabras y dicho de forma bastante poco rigurosa, demostró que el cambio en la función de distribución era debido solo a las fuerzas externas, las colisiones entre moléculas y la difusión: con este último término Boltzmann se refería a la tendencia estadística de las partículas localizadas en una cierta región a expandirse hasta ocupar todo el espacio permitido.
Usando su hipótesis del caos molecular, Boltzmann pudo transformar su ecuación desde una forma general —y, por ello, menos útil— a otra más explícita, donde, en principio, tenía que ser posible calcular una solución. La ecuación que obtuvo resultó de una gran potencia y aún hoy se emplea para calcular fenómenos en gases fuera del equilibrio. Su ámbito de aplicabilidad no acaba ahí, ya que puede ser usada en disciplinas tan dispares como la gravitación o la electrónica. Entre las aplicaciones de su época, destaca la de Helmholtz en climatografía.
Boltzmann no logró o no quiso resolver su ecuación. Sin embargo, la pudo usar para demostrar una serie de resultados que pondrían su nombre en los libros de historia de la ciencia. Primero, mostró que la distribución de Maxwell era una solución de su ecuación. Eso no equivalía a dar una solución general, sino a limitarse a constatar que, al insertar la distribución de Maxwell en el lugar de f la ecuación se cumplía. Luego demostró que, una vez que un sistema podía ser descrito por la distribución de Maxwell, ya no era posible cambio alguno. En sus propias palabras: «Una vez se ha llegado a esta distribución, no será afectada por colisiones»; es decir, si un gas cualquiera llega, de un modo cualquiera, a la distribución de Maxwell, los choques internos entre moléculas no lograrán alterar su estado.
Su siguiente resultado fue, si cabe, más importante: usando su ecuación demostró que, si la distribución de un gas no tenía la forma de Maxwell, se aproximaría cada vez más a ella a medida que pasase el tiempo. Dicho de otra manera: cualquier gas, en cualquier estado, tenderá a acercarse a la distribución de Maxwell, y una vez llegue a esta, se quedará ahí. Así pues, Boltzmann había logrado lo que Maxwell había sido incapaz de hacer: dar una justificación rigurosa a su distribución y demostrar que cualquier gas tenía que venir descrito por ella. Eso hacía que cualquier resultado obtenido a partir de suponer que un gas se comportaba según la ecuación de Maxwell quedase automáticamente validado.
La forma de la distribución de Maxwell usada por Boltzmann era más general que la de su colega y, además, había sido deducida de manera más rigurosa Por eso hoy en día se la conoce como «distribución de Boltzmann», aunque a veces se incluye el nombre de Maxwell para recalcar su papel en el descubrimiento. A pesar de la gran importancia de su resultado, aún más asombroso fue el método que usó para demostrarlo, que le llevó a dar la prueba definitiva de que la segunda ley se deriva de principios mecánicos. A su resultado se lo conoce hoy en día como teorema H.
Boltzmann partía de su recién propuesta ecuación y se fijaba en una cantidad relacionada con el valor medio de la función de distribución. En realidad, tomaba el valor medio de su logaritmo, que es la operación inversa a una exponencial. Bautizó a ese valor medio como «H» —en el artículo original lo llamó «E» por motivos desconocidos— y demostró que, si su ecuación era válida, H tenía que permanecer igual o disminuir para cualquier proceso físico. Recordemos que la entropía se comporta de la forma contraria; tiende a permanecer igual o a aumentar. Así pues, Boltzmann solo tenía que invertir el signo de su función H para encontrar un equivalente mecánico de la entropía, con las mismas propiedades que su contrapartida termodinámica. En su artículo, Boltzmann afirmaba:
Como E está íntimamente relacionada con la entropía termodinámica en el estado final de equilibrio, nuestro resultado es equivalente a una demostración de que la entropía tiene que crecer siempre o permanecer constante, y por lo tanto proporciona una interpretación microscópica de la segunda ley de la termodinámica.Pero el mérito de Boltzmann no acaba aquí. La definición de la entropía de Clausius solo valía para sistemas en equilibrio y no era capaz de dar un valor coherente para sistemas que no se encontraran en él; dado que Boltzmann no asumía nada a ese respecto, su definición era válida para cualquier situación. Es decir, Boltzmann no solo consiguió deducir la fórmula de la entropía de principios más básicos, sino que la expandió fuera de su reino de aplicabilidad. Hoy en día la comunidad física dispone de definiciones de entropía que son válidas en sistemas cuánticos y relativistas, gracias a la versatilidad de su formulación.
La gran diferencia entre el artículo de 1872 y los de la década de 1860 fue su uso explícito de la probabilidad. Ya en su inicio, Boltzmann afirmaba que «los problemas de la teoría mecánica del calor son en realidad problemas de cálculo de probabilidades». Para justificar esta afirmación, señalaba que, dado el ingente número de partículas en un gas, los únicos datos a los que es posible tener acceso de forma experimental son los valores medios. Así pues, si uno desea comprender el comportamiento macroscópico de un gas, se debe centrar en el tratamiento estadístico de las moléculas que lo forman.
Curiosamente, el hecho de usar el cálculo de probabilidades no parecía ocasionar a Boltzmann ninguna duda sobre la validez de sus hipótesis. A pesar de que, en su época, la teoría de la probabilidad se consideraba algo inexacto y poco fiable —prejuicio que sigue aún vivo en algunos ambientes científicos—, Boltzmann afirmaba que los resultados obtenidos con esta serían igual de exactos que los logrados en cualquier otra rama de la física.
La radiación de cuerpo negroUn «cuerpo negro» es un objeto que no refleja ningún tipo de radiación, de forma que toda la que emite es debida exclusivamente a su temperatura. Fueron estudiados primero por Balfour Stewart (1828-1887) y luego por Gustav Kirchhoff. A pesar de que no existen los cuerpos negros perfectos, a finales del siglo XIX varios físicos habían logrado construir dispositivos cuyo comportamiento se parecía bastante a estos. Kirchhoff descubrió que la radiación emitida por un cuerpo negro solo dependía de su temperatura; se dio cuenta también de que los cuerpos corrientes emitían una radiación que seguía un patrón idéntico.Esto se podía utilizar para determinar la temperatura de un objeto sin usar un termómetro; es así como se puede obtener la del sol o, más recientemente, la de la radiación de microondas que impregna el universo y cuyo descubrimiento dio un gran impulso a la teoría del Big Bang. Boltzmann jugó un papel importante en la historia de la radiación de cuerpo negro al dar una justificación teórica a la fórmula descubierta por su mentor, Josef Stefan. Conocida hoy como la ley de Stefan-Boltzmann, tiene la siguiente expresión: j = σT4, donde j es la potencia radiada por unidad de área, T es la temperatura absoluta (en Kelvin) y σ es una constante. A finales del siglo XIX se descubrió que la teoría electromagnética no podía dar cuenta de todos los resultados experimentales que mostraban que la radiación tenía un pico a una cierta longitud de onda y decrecía a partir de ahí, tanto para longitudes de onda mayores como menores, como puede verse en la figura. El electromagnetismo de Maxwell, sin embargo, predecía resultados distintos, en los que la radiación tendría que aumentar a medida que su longitud de onda disminuyese. Este problema fue resuelto por Planck en 1900. Usando la estadística de Boltzmann y asumiendo que la energía de la radiación en la cavidad solo podía tomar valores discretos —truco que también copió de Boltzmann, que lo había usado en sus artículos de 1872 y 1877—, logró dar con una ley que reproducía exactamente los resultados experimentales, a saber:
El espectro de la radiación de cuerpo negro. La línea discontinua muestra las predicciones de la teoría de Maxwell, mientras que las líneas continuas corresponden a los resultados medidos experimentalmente.donde f indicaba la potencia radiada por unidad de área y λ la longitud de onda. En esta fórmula aparecía por primera vez h, la constante de Planck, que definiría la era de la mecánica cuántica, así como la constante de Boltzmann k.
Así pues, es difícil pensar que Boltzmann fuera consciente entonces de que su segunda ley podía contener excepciones, como de hecho sucede. Es muy probable que su insistencia en la infalibilidad de la ley que había demostrado fuera la causa de algunos de sus problemas en el futuro, cuando sus críticos demostraron que, en algunas situaciones especiales, la entropía tenía que disminuir. Boltzmann acabó dándose cuenta de su error y modificó implícitamente su posición en su otro gran artículo, publicado en 1877, que será analizado en el siguiente capítulo.
Pero todavía hay una última joya oculta en el artículo de Boltzmann de 1872. Se trata del artificio matemático que utilizó para demostrar su resultado de una forma diferente, con la intención de darle aún más credibilidad. Su artificio resultó denotar una intuición excepcional sobre la naturaleza de los átomos y, treinta años más tarde, daría a Planck la herramienta necesaria para analizar la radiación de cuerpo negro y dar el pistoletazo de salida a la mecánica cuántica.
Se ha mencionado antes el uso de la hipótesis ergódica —el supuesto de que una molécula pasa por todas las energías posibles— y los problemas que esta ocasionaba. En su artículo de 1872 Boltzmann la evitó usando un artilugio matemático muy novedoso para la época: asumir que solo había un número finito de energías posibles, lo que hoy en día se conoce como «discretización». El físico impuso que la energía de las moléculas en el gas solo pudiera tomar ciertos valores —múltiplos de un cierto número—, para luego dar a un valor arbitrariamente pequeño, lo que volvería el resultado más general. Así pues, para demostrar su ley usando la energía en lugar de la velocidad, Boltzmann discretizó la energía de sus moléculas de forma que la energía total pudiera ser calculada como una suma. La discretización tenía dos funciones: por un lado, simplificaba los cálculos; por el otro, al transformar las energías posibles en un número finito, quedaba claro que, dado el suficiente tiempo, las moléculas acabarían pasando por todas ellas.
La distribución de Boltzmann aplicada al cuerpo negro daba cuenta exacta de los resultados de Planck, que quedó instantáneamente convertido al atomismo. Poco después, Einstein explicaría el efecto fotoeléctrico, la creación de una corriente eléctrica a partir de incidir luz sobre un metal, usando una hipótesis parecida: asumió que la luz estaba compuesta de partículas cuya energía no podía tomar cualquier valor, sino que también estaba discretizada. La mecánica cuántica había nacido a la sombra del padre de la física estadística.
El teorema H era un resultado de gran importancia y, como tal, fue mirado con lupa por el resto de la comunidad científica. Esto reportó a Boltzmann una reputación que no hizo sino aumentar a lo largo de su vida pero, a la vez, un gran número de críticas a su tratamiento probabilístico de la segunda ley. Una de las más potentes fue la de su amigo Loschmidt, exponiendo la paradoja de la reversibilidad, que le obligó a reflexionar sobre su demostración y sobre la naturaleza del tiempo. Fruto de esa reflexión nació su último gran artículo, el de 1877, que contendría la fórmula que está grabada en su tumba.
Capítulo 3
Probabilidad, desorden y entropía
Si 1905 es considerado el annus mirabilis de Einstein, ya que fue entonces cuando publicó sus artículos sobre el efecto fotoeléctrico y la relatividad especial, los años 1876-1877 constituyen el período más extraordinario en la biografía de Boltzmann: por un lado, contrajo matrimonio con el amor de su vida, la excepcional Henriette von Aigentler, con quien tuvo cinco hijos; por otro, publicó el artículo en el que sentó las bases de la física estadística.Poco después de entregar su artículo de 1872, Boltzmann conoció a Henriette von Aigentler, una mujer de ojos azules y pelo rubio, diez años más joven que él. Henriette estudiaba en la Escuela de Magisterio para mujeres de Graz; dice la leyenda que también era la primera y única estudiante femenina de la universidad, a la que asistía con la esperanza de convertirse en la profesora de ciencias. Otras fuentes aseguran que decidió acudir a la facultad a raíz de conocer a Ludwig.
En todo caso, Henriette se matriculó en la universidad y estudió matemáticas durante un semestre. Al siguiente, llegó a Graz una avalancha de alumnas rusas procedentes de Zúrich, de donde habían sido expulsadas bajo sospecha de actividades anarquistas, y el rector de la universidad se sacó el problema de encima por el expeditivo método de prohibir la asistencia de mujeres al centro. Boltzmann acudió en ayuda de Henriette y, gracias a su mediación, esta consiguió una autorización especial para ir a clase durante un semestre más, aunque finalmente la matrícula le fue denegada al pasarse unos días del plazo de inscripción. No volvería a intentarlo.
Los estudios de la que sería su esposa no eran vistos por Ludwig como una frivolidad, sino todo lo contrario. El propio Boltzmann escribió en una de sus cartas: «Aunque la frugalidad rigurosa y el cuidado de su familia son esenciales para un marido cuyo único capital es su propio trabajo, me parece que no puede haber un amor permanente si la mujer no tiene comprensión y entusiasmo por su esfuerzo y es solo su criada y no la compañera que lucha a su lado».
Algunos biógrafos cuentan que su primer contacto se produjo durante un paseo que Henriette estaba dando con sus compañeras de la Escuela de Magisterio; otros afirman que Boltzmann ya se había fijado en ella anteriormente y que su coincidencia fue poco casual. Sea como fuere, de ahí nació una simpatía mutua que se tradujo al poco tiempo en un intercambio epistolar.
Su relación tuvo que ser por carta, porque ese mismo año Boltzmann obtuvo la cátedra de Matemáticas en la Universidad de Viena. Al igual que en muchas otras ocasiones durante la década de 1870, el científico tuvo suerte: en un principio, eran tres los candidatos a ocupar el puesto y dos estaban mejor situados que él, pero la presión de Stefan logró que Boltzmann pasara al segundo lugar y que, finalmente, acabase obteniendo la cátedra cuando el matemático A. Winkler, que era la primera opción, decidió renunciar.
§. Acerca del Boltzmann profesor
Puede sorprender que Boltzmann aceptara una plaza como catedrático de Matemáticas, dado que su especialidad era la física. En realidad, Boltzmann caminó toda su vida por la fina línea divisoria entre la física y las matemáticas, lo que hoy se conoce como física teórica y que, entonces, no era una especialidad tan bien delimitada. De hecho, Boltzmann fue uno de los pensadores que contribuyeron a crear la figura del físico teórico y a darle la importancia que tiene hoy en día. En su época, los teóricos eran a menudo infravalorados y se supeditaban a los físicos experimentales, que se consideraban a sí mismos los verdaderos físicos. Hoy en día podría decirse que la situación es la inversa, probablemente porque la figura de Einstein es la del físico teórico paradigmático.
Además, había otra razón por la que Boltzmann se vio capacitado para aceptar una cátedra de Matemáticas: su enorme versatilidad como profesor. A lo largo de su vida enseñó una variedad tal de asignaturas que resulta asombroso que fuera capaz de dominarlas todas, y ni siquiera usaba apuntes para sus clases, lo que da una noción de su capacidad intelectual. Así, entre 1868 y 1870, en su etapa como profesor asistente en Viena, enseñó teoría mecánica del calor, teoría de la elasticidad, teoría matemática de la acústica y teoría matemática de la capilaridad; en Graz, cálculo, teoría mecánica del calor, cálculo diferencial e integral, teoría de números, temas de análisis avanzado, geometría analítica y teoría de funciones; en Viena, matemáticas y, más adelante, mecánica analítica, electromagnetismo y termodinámica.
«Era un buen profesor, sus clases eran las más hermosas y estimulantes que he oído jamás. Él mismo estaba tan entusiasmado por lo que enseñaba que salíamos de cada clase con la sensación de que un nuevo mundo se abría ante nosotros.»Boltzmann tenía una gran reputación como profesor. Sus clases resultaban meridianamente claras, además de excitantes. Quizá por su bipolaridad se mostraba siempre apasionado, incapaz de impartir una materia de forma distante: al contrario, trataba de transmitir su entusiasmo por lo que explicaba, consiguiéndolo en la mayor parte de las ocasiones. Para él, la física no era solo un trabajo, sino casi una misión sagrada donde el conocimiento era visto como el santo grial. La prestigiosa física Lisa Meitner (1878-1968) fue su alumna entre 1902 y 1905, y siempre guardó los mejores recuerdos sobre sus clases.
— Lise Meitner.
Boltzmann fue un docente organizado en extremo. Ejemplo de ello era la forma en la que estructuraba sus pizarras, que dividía en tres partes: en un extremo incluía un resumen de lo tratado en la clase anterior, de forma que incluso los alumnos que hubieran faltado pudieran seguir la nueva explicación; en el otro, insertaba las anotaciones y cálculos secundarios, y en el centro, escribía el desarrollo de la lección del día. Además, sus clases eran muy populares, y no solo para los físicos.
Lise MeitnerLise Meitner fue una de las primeras mujeres científicas y la segunda en obtener un doctorado en la Universidad de Viena, Boltzmann fue quien la animó a seguir con su carrera, por lo que Meitner se marchó a Berlín y logró que Max Planck la dejase asistir excepcionalmente como oyente a sus clases. Después se convirtió en la asistente de Planck y, más tarde, empezó a trabajar con el químico Otto Hahn (1878-1968), junto al que descubrió numerosos isótopos. Hahn ganó el premio Nobel de Química en 1944 por esos descubrimientos, pero la academia sueca ignoró a Meitner en un ejemplo flagrante de sexismo. Quizá como compensación, el elemento químico número 109 fue bautizado como meitnerio en su honor.
El conocido empresario metalúrgico de la época, Franz Skaupy, alumno de Boltzmann entre 1902 y 1904, afirmaba al respecto: «La sala siempre estaba llena, ya que no solo físicos sino químicos como yo asistíamos a sus clases». También comentaba que solía aderezar sus lecciones con anécdotas y destellos humorísticos, haciendo un uso constante de la ironía y el sarcasmo, que a veces podía llegar a ser muy contundente. Así, no tenía reparos en atacar a sus colegas de profesión, como en el caso de Mach, cosa que tenía algo confundido a más de un estudiante. Respecto a sí mismo, solía corregirse sin reparos, con interjecciones como «¡ah, eso ha sido una estupidez!».
La relación con sus discípulos era cálida. Boltzmann no dudaba en traspasar la línea entre profesor y alumnos e invitarlos a su casa, donde discutían con él sobre física o simplemente disfrutaban de oír a su maestro tocar el piano. A menudo dejaba la ciencia de lado y les hablaba de sus sentimientos, en una muestra de candor que da una idea de la ingenuidad y la fragilidad del personaje. Se interesaba por cada alumno: hacia el final de su carrera, le costaba mucho suspender a alguien. Un ejemplo de su relación amistosa con sus discípulos es el hecho de que siguiera escribiéndose frecuentemente con muchos de ellos, como puede verse por la correspondencia que se conserva de él. Destacan entre sus cartas las que intercambió con el sueco Svante Arrhenius (1859- 1927), que ganó el premio Nobel de Química en 1903.
§. El matrimonio con Henriette
En Viena Boltzmann cumplió con las expectativas puestas en él, al igual que ya había hecho en Graz, Dio sus clases, realizó numerosos trabajos experimentales y publicó una docena de artículos de temas varios, tanto teóricos como experimentales. A su vez, seguía escribiéndose regularmente con Henriette, a quien finalmente propuso matrimonio en 1875.
Henriette era huérfana y de origen noble, y tenía como tutor nada menos que al alcalde de Graz, padre del compositor Wilhelm Kienzl (1857-1941). Fue en Graz precisamente donde quedó libre la cátedra de Física Experimental y General, hasta entonces ocupada por August Toepler (1836-1912), quien se había dedicado a dotar al Instituto de Física de los recursos necesarios para poder llevar a cabo investigaciones de primera línea. Sin embargo, no estaba satisfecho y decidió mudarse a Dresde. Boltzmann vio rápidamente las ventajas que ese puesto comportaba. Por un lado, podría centrarse en la enseñanza de la física, que siempre había sido su vocación. Por otro, heredaría el laboratorio de Toepler y estaría en disposición de realizar trabajos de envergadura. Por último y quizá lo más importante, Henriette vivía en Graz.
Así pues, Boltzmann corrió a presentar su candidatura, pero se encontró con que tenía una seria competencia Ernst Mach, quien, después de lograr fotografiar las ondas de choque producidas al superar la barrera del sonido, se había labrado una buena reputación como físico experimental. Los motivos de Mach para aspirar a la cátedra eran parecidos a los de Ludwig, hasta tal punto que resultaban casi inverosímiles: la pareja de Mach no solo era de Graz, como Henriette, sino que también era huérfana.
Las coincidencias no acababan ahí. Mach tenía acceso a los círculos de poder de la ciudad a través de Wilhelm Kienzl, el hijo del alcalde, con quien había estudiado acústica en Praga. Gracias a su amistad, podía informarse de los tejemanejes en la universidad y conspirar para obtener la plaza. Por otro lado, Boltzmann contaba con otro espía en la misma casa: la propia Henriette, que tras quedar huérfana había sido adoptada por la familia. La situación dio pie a una sucesión de intrigas, con la información pasando de la universidad a la familia de los Kienzl y luego a Boltzmann y a Mach, que a su vez maniobraban para utilizar a su favor el conocimiento obtenido. Henriette llegó incluso a hacer campaña por su futuro marido entre el profesorado —afirmando que Mach podía ser un buen físico, pero que Ludwig era un genio— y a enviar una carta al ministerio afirmando que el clima de Graz sería mejor para la salud de su prometido.
El conflicto se resolvió tras la renuncia de Mach, quien afirmó que, si él mismo tuviera que decidir, escogería a Boltzmann. Esto puede parecer sorprendente, ya que Mach y Boltzmann suelen ser retratados como enemigos. En realidad, tenían una relación cordial, a pesar de sus desavenencias filosóficas.
Henriette y Ludwig se casaron en 1876 y Boltzmann se mudó a Graz. Pasaron catorce años en la ciudad, una larga época de felicidad que acabaría en 1888 para no volver jamás.
§. La objeción de Loschmidt
En 1872 Boltzmann había publicado su teorema H, un logro de extrema importancia, lo que fue reconocido de inmediato por sus contemporáneos, aunque también causó cierta polémica, ya que muchas de sus hipótesis, entre las que destaca el uso de la teoría atómica o de la probabilidad, no se correspondían con la visión imperante en la época. Sin embargo, la gran mayoría de los físicos del momento veía el artículo de Boltzmann con buenos ojos, como demuestra el hecho de que se le ofreciesen cátedras en las universidades más prestigiosas, con sueldos astronómicos para un catedrático de ciencias.
La primera objeción de calado a su teorema llegó de su amigo Loschmidt, que la publicó en un artículo sobre el equilibrio térmico de cuerpos sujetos a la fuerza gravitatoria. La objeción de Loschmidt, que se conoce hoy en día como «la paradoja de la reversibilidad», afirmaba que es imposible deducir consecuencias irreversibles —como el segundo principio— de leyes reversibles como las de Newton.
La reversibilidad está íntimamente relacionada con la inversión temporal. Esta se puede imaginar como el efecto de mirar una serie de sucesos de futuro a pasado, como en una película rebobinada. Si, vistos de esa forma, los sucesos parecen seguir cumpliendo las leyes de la física, se dice que esas leyes son reversibles. Si, al contrario, su comportamiento parece incompatible con aquellas, se está ante unas leyes irreversibles.
En este punto interesa saber si las leyes de Newton son reversibles o no. Sirva para ello un ejemplo cotidiano en el que tales leyes se aplican con facilidad: la filmación de una partida de billar. Supongamos que golpeamos la bola blanca y que choca con la amarilla (véase la figura 1, en la página siguiente). Las leyes de Newton nos dicen exactamente qué pasará una vez conocida la velocidad y las posiciones iniciales de ambas esferas.

El choque de dos bolas de billar en las dos direcciones temporales. En la figura 1 la bola blanca (más clara) choca con la amarilla, que se encontraba en reposo. En la figura dos, ambas bolas se acercan hasta chocar, después de lo cual la amarilla se detiene y la blanca se aleja a mayor velocidad.
En este caso, resulta que sí lo es. Si uno toma como iniciales las posiciones y velocidades finales de las partículas e invierte su dirección, las leyes de Newton predicen una secuencia que es justo la misma que se obtendría al rebobinar la película anterior.
Es decir, si uno ve una grabación de un choque entre dos partículas, no tiene forma de saber si se trata de una cadena de hechos sucediendo hacia delante o hacia atrás en el tiempo.
La mecánica cuántica, en cambio, no tiene la propiedad de ser reversible temporalmente. Al rebobinar una secuencia, se obtiene una serie de hechos que no es compatible con las leyes conocidas del universo. Sin embargo, esto puede ser subsanado invirtiendo el signo de las cargas y de los ejes espaciales; en este caso, la secuencia que se obtiene sí parece seguir las leyes de la mecánica cuántica. Esta simetría temporal extendida se llama CPT, donde las siglas denotan «carga», «paridad» —la inversión de los ejes espaciales— y «tiempo». La simetría CPT hace que el resultado de Loschmidt siga siendo válido en la física actual.
La paradoja de Loschmidt se basaba, pues, en la reversibilidad de las leyes de Newton. Afirmaba que era imposible deducir un resultado irreversible, como la segunda ley, de un conjunto de leyes reversibles, como son las de Newton. Razonaba como sigue: supongamos que un cierto gas se encuentra en una configuración de baja entropía. Boltzmann asegura que esta tiene que aumentar necesariamente; es decir, las moléculas del gas se moverán de forma que, un segundo más tarde, la entropía total será mayor. Esto tiene que suceder para cualquier gas, en cualquier instante.
Sin embargo, hay un claro contraejemplo. Tómese el gas inicial en la configuración donde su entropía ha aumentado e inviértase la velocidad de cada una de las moléculas. Esto llevará al gas al estado anterior en el que, como se ha dicho, la entropía era menor. Para cada evolución del gas en la que aumente la entropía existirá su inversa, obtenida de invertir la velocidad de cada molécula; por lo tanto, la entropía no siempre aumentará, sino que a veces disminuirá. Como él mismo afirmaba en su artículo: «La secuencia entera de eventos sucederá a la inversa si, en un instante dado, las velocidades de todas sus partes son invertidas».
Nótese que el ataque de Loschmidt no se dirigía al tratamiento mecánico de la entropía, sino al segundo principio en sí: lo que Loschmidt cuestionaba no era que los gases estuvieran formados por moléculas en movimiento —al fin y al cabo, él mismo calculó el número de estas en el aire—, sino el hecho de que la entropía tuviese que aumentar siempre. Eso se debía a que la segunda ley daba lugar a una predicción que no gustaba nada a Loschmidt, por motivos en parte científicos y en parte personales: la muerte térmica del universo.
La idea de la muerte térmica fue propuesta por lord Kelvin en 1851, basándose en la versión de la segunda ley de la termodinámica que existía entonces. Kelvin se limitaba a tomar el conocimiento establecido sobre la transmisión de calor y llevarlo a sus últimas consecuencias: si la energía del universo se mantenía constante y el calor tendía siempre a pasar de los cuerpos calientes a los fríos, por fuerza habría un momento en el que todo el universo se encontraría a la misma temperatura. Cuando eso sucediese, no habría ya más intercambio de calor y, por lo tanto, ningún motivo para la evolución. El universo se convertiría entonces en una sopa estática que permanecería de ese modo durante el resto de la eternidad.
Tanto Hermann von Helmholtz como William Rankine (1820- 1872), ambos físicos, entendieron rápidamente el razonamiento de lord Kelvin y acuñaron el concepto de «muerte térmica», que pronto fue aceptado por la mayor parte de sus contemporáneos y que aún hoy es considerado como el fin más probable para nuestro universo.
Para Loschmidt, sin embargo, la idea de la muerte térmica era inaceptable desde un punto de vista tanto filosófico como emocional. De esta forma, se puso a trabajar para, en sus propias palabras:
Destruir el nimbo terrorista de la segunda ley, que ha hecho aparecer [el concepto de muerte térmica] como un principio aniquilador para todos los seres vivos del universo y, al mismo tiempo, dar paso a la noción reconfortante de que la humanidad no depende del carbón mineral o el Sol para transformar calor en trabajo, sino que puede disponer para siempre de un suministro inagotable de calor susceptible de ser transformado.Loschmidt tenía claro que el argumento de Boltzmann no podía estar basado solamente en las leyes de Newton, sino que tenía que contener algún supuesto adicional que diera cuenta de la irreversibilidad. Es decir, el resultado de Boltzmann no podía reducirse a la dinámica de las moléculas, ya que esta es reversible; por lo tanto, tenía que surgir de alguna otra fuente oculta en su escrito, algo tan sutil o que pareciese tan obvio que nadie había sabido verlo hasta el momento. Ese algo resultó ser la hipótesis del caos molecular: al asumir que las moléculas interaccionaban sin que sus velocidades estuviesen correlacionadas, Boltzmann estaba incluyendo una condición temporalmente asimétrica, es decir, que distinguía entre pasado y futuro. Ese supuesto era el responsable de que su resultado también fuera temporalmente asimétrico. Hasta la fecha, ningún científico ha logrado rebatir el argumento de Loschmidt sin incluir alguna premisa con un problema similar.
§. La respuesta de Boltzmann
La crítica de Loschmidt debió de dejar huella en Boltzmann, porque motivó dos artículos, ambos en 1877. En el primero se limitaba a dar una respuesta a su colega en forma discursiva, sin apenas ecuaciones, y planteaba una multitud de cuestiones que tendría a los físicos ocupados hasta el siglo XXI. El segundo artículo era mucho más técnico y en él se daba una nueva derivación del segundo principio, usando un método totalmente diferente y dando un salto conceptual que marcó el nacimiento de la física estadística.
El primer artículo empezaba con una explicación, más clara si cabe que la del propio Loschmidt, de la objeción de este último. Rezaba así:
Ya que la entropía decrecería al pasar el sistema por esta secuencia a la inversa, vemos que el hecho de que la entropía aumente en todos los procesos físicos de nuestro mundo no puede ser deducido solamente de la naturaleza de la fuerza actuando entre las partículas, sino que debe ser una consecuencia de las condiciones iniciales.El hecho de que Boltzmann fuera capaz de exponer la objeción de forma tan sucinta muestra que tenía una comprensión meridiana de los argumentos de su amigo. La continuación no debió de hacer muy feliz a Loschmidt, ya que se afirmaba: «Uno ve que esta conclusión es muy seductora y debería llamarla un sofisma interesante». El uso de la palabra «sofisma» era insultante y muestra que Boltzmann no estaba nada contento con el ataque de quien había sido su maestro. Su respuesta haría que la relación con Loschmidt se viera dañada y no fue recuperada tímidamente hasta que Boltzmann mismo intentó reconstruir puentes en la década de 1890, poco antes de la muerte de su mentor.
La crítica de Loschmidt obligó a Boltzmann a plantearse varios aspectos de su artículo de 1872. El desarrollo más destacable fue su admisión, por primera vez, de que la segunda ley de la termodinámica no tenía por qué cumplirse siempre, sino solo en una inmensa mayoría de los casos. Así, afirmaba: «Uno puede solo demostrar que, después de un cierto intervalo, un número infinitamente mayor de estados iniciales conducirá a uno uniforme antes que a uno no-uniforme». Es decir, la segunda ley predecía que era mucho más probable que un sistema evolucionase a un estado uniforme —léase, mayor entropía— que a otro menos uniforme, pero no exigía que esa evolución se diera siempre.
Boltzmann iba más allá y daba una pista sobre su posterior artículo de ese mismo año, afirmando que «uno puede incluso calcular, a partir de las cantidades relativas de las diferentes distribuciones de estados, sus probabilidades». Esta frase sería desarrollada más tarde en lo que supondría el inicio de la física estadística, donde los conjuntos de moléculas eran tomados en su totalidad y se comparaban no con el mismo gas en otros instantes, sino con otras posibles configuraciones del mismo.
Una vez introducido el problema y dadas las líneas maestras de su respuesta, Boltzmann pasaba a la ofensiva. Para ello, consideraba un gas ideal —un gas formado por esferas perfectas y absolutamente elásticas— en una situación no-uniforme: por ejemplo, en la que la densidad fuera mayor en la parte derecha que en la izquierda. Afirmaba que, al dejar que el gas evolucionase sin interferencias externas, las moléculas se distribuirían uniformemente por todo el recipiente y la diferencia de densidad desaparecería. Tal y como muestra la figura siguiente, un gas con todas sus moléculas en una esquina pasará a ocupar todo el recipiente; lo contrario no puede ocurrir.

Esto es de hecho una consecuencia de la teoría de la probabilidad, ya que cualquier distribución no-uniforme de estados, por muy improbable que sea, no es absolutamente imposible. [... ] De hecho, está claro que cualquier distribución uniforme individual, que puede surgir después de un determinado intervalo a partir de algún estado inicial particular, es tan improbable como cualquier distribución no- uniforme individual: de la misma forma que, en el juego de la lotería, cualquier conjunto individual de cinco números es igual de improbable que el conjunto 1,2,3,4,5. La distribución de estados acabará siendo uniforme al cabo de un tiempo solo porque hay muchas más distribuciones uniformes que no-uniformes.Este último texto parece difícil de comprender y quizá requiera una aclaración. Al principio, Boltzmann afirmaba que cualquier distribución uniforme era igual de improbable que una no uniforme, lo que puede resultar confuso; entonces, ¿por qué tienden los gases a una distribución uniforme? La clave está en la palabra «individual». Si uno considera todas las posibles energías de cada molécula en un gas, la probabilidad de que el gas se encuentre precisamente en la configuración presente es muy baja, ya que requeriría que todas y cada una de las moléculas tuvieran exactamente la misma velocidad que en el momento actual. Sin embargo, al observar el sistema desde un punto de vista macroscópico, un observador no es consciente de la velocidad de las moléculas individuales, sino solo de las propiedades a gran escala del gas. Cualquier distribución que dé lugar al mismo comportamiento a gran escala será indistinguible. Boltzmann afirmaba que había un número mucho mayor de combinaciones correspondientes a gases macroscópicamente uniformes que a gases no uniformes. Tal y como muestra la figura, diferentes distribuciones individuales dan lugar a las mismas propiedades macroscópicas:

Dado que hay infinitamente más distribuciones de estados uniformes que no-uniformes, estos últimos son extraordinariamente improbables y pueden ser considerados imposibles en la práctica; de la misma forma que puede ser considerado imposible que, si uno empieza con oxígeno y nitrógeno mezclados en un contenedor, después de un mes uno encuentre oxígeno químicamente puro en la mitad inferior y nitrógeno en la mitad superior, aunque según la teoría de la probabilidad esto es meramente improbable pero no imposible. [... ] Si tal vez esta reducción de la segunda ley al reino de la probabilidad hace parecer dudosa su aplicación al universo entero, téngase en cuenta que las leyes de la teoría de la probabilidad son confirmadas por todos los experimentos llevados a cabo en el laboratorio.Al final del artículo Boltzmann acababa reconociendo el mérito de la objeción de Loschmidt, aunque de una forma que posiblemente no gustó a su amigo: «Sea como sea, el teorema de Loschmidt me parece de la máxima importancia, ya que muestra lo íntimamente conectadas que están la segunda ley y la teoría de la probabilidad, mientras que la primera ley es independiente de esta».
La respuesta a Loschmidt contenía un último comentario que dio lugar a numerosos debates a lo largo del siglo XX, debates que continúan hoy en día. En un inciso a medio artículo, Boltzmann comentaba:
Mencionaré aquí una consecuencia peculiar del teorema de Loschmidt: el hecho de que al proyectar el estado del mundo al pasado infinitamente distante, estaríamos en lo correcto al asumir que es muy probable que nos encontrásemos un estado en el que todas las diferencias de temperatura hubieran desaparecido, tal y como pasaría si proyectásemos el estado del universo al futuro distante.Este comentario marginal de Boltzmann presentó, y presenta, numerosas dificultades a la comunidad física por lo que respecta a la flecha del tiempo, es decir, la dirección que apunta de pasado a futuro. A pesar de que se comentará extensivamente más adelante, vale la pena hacer un pequeño resumen: Boltzmann señalaba que la segunda ley tenía que ser aplicable tanto al pasado como al futuro, ya que se limitaba a afirmar que los cuerpos tienden a ocupar el estado más probable. Si uno mira al pasado distante y se pregunta cuál es el estado más probable en el que este se puede encontrar, la respuesta obvia es «un estado de entropía alta», lo que significa un universo altamente uniforme, en muerte térmica. De hecho, el problema es mucho mayor de lo que parece: el cálculo de probabilidades señala que es mucho más probable que el pasado que damos por sentado sea una ilusión y que, de hecho, el sujeto (es decir, la persona que está teniendo la experiencia) no sea más que una fluctuación estadística en un universo en muerte térmica. A día de hoy se han propuesto varias soluciones a esta paradoja, ninguna de ellas plenamente aceptada por la comunidad científica.
§. El gran artículo de 1877: el nacimiento de la mecánica estadística
La crítica de Loschmidt y sus propias intuiciones plasmadas en el artículo anterior llevaron a Boltzmann a desarrollar un nuevo trabajo: «Sobre la relación entre el segundo teorema principal de la teoría mecánica del calor y el cálculo de la probabilidad con respecto a los resultados del equilibrio térmico». Es posible que, a pesar de no decirlo explícitamente en su escrito de respuesta, las objeciones presentadas le obligaran a replantearse su visión de la segunda ley y a aceptar que la influencia de la teoría de la probabilidad en esta era mucho mayor de lo que había pensado en un principio. No es de extrañar, entonces, que su segunda publicación de 1877 fuera un verdadero tratado de probabilidad, donde las consideraciones físicas pasaban a un plano secundario.
La estrategia que siguió en este caso fue muy diferente a las anteriores y mostró una nueva manera de tratar los problemas estadísticos. Boltzmann no se fijó en la distribución de velocidades de un gas dado, sino que reflexionó sobre la probabilidad de que este se encontrase en un cierto estado, si uno conocía todos los estados posibles. Eso requería hacer un inventario minucioso de todas las configuraciones del sistema a estudiar, para luego comparar su número, con la intención de obtener sus probabilidades: el estado de máxima probabilidad se correspondería con el observado a escala macroscópica.
Un obstáculo considerable a la hora de contar estados era el hecho de que la energía pudiese tomar cualquier valor en un cierto rango. Eso convertía el número de configuraciones en infinito, lo que imposibilitaba cálculo alguno. Para superar esta dificultad, Boltzmann utilizó un truco del que ya se había valido en 1872: la discretización de la energía o de la «fuerza viva», como la llamaría en el escrito. Pero, así como en su anterior artículo se trataba solo de una forma alternativa de demostrar un resultado que ya había obtenido por otros medios, en este caso se trataba de una parte esencial sin la cual el resto de sus cálculos no se habría podido llevar a cabo.
Boltzmann volvía a fijarse en la función de distribución, aunque esta vez ignoraba las velocidades en favor de la energía. Además, no la usó para calcular la evolución del gas, sino que comparó las probabilidades de diferentes distribuciones. La explicación de Boltzmann sobre qué es una función de distribución es especialmente clara: «Si sabemos cuántas de esas moléculas poseen la fuerza viva igual a cero, cuántas la poseen igual a uno, etc., entonces decimos que la distribución de la fuerza viva nos viene dada». Lo didáctico de su prosa da una idea de lo accesibles que debían de ser sus clases. De hecho, todo el artículo está repleto de explicaciones para cada paso matemático, cosa que facilita en gran modo su comprensión.
Sobre la distribución, seguía diciendo: «Las leyes según las cuales esta modificación sucede ya han sido a menudo el sujeto de mi investigación». Sin embargo, Boltzmann tenía en mente una meta diferente: «Esta no es mi intención ahora, sino que quiero, independientemente de cómo se desarrolla una distribución de estado, establecer sus probabilidades».
Para ello, necesitaba considerar cómo se puede distribuir la energía —o fuerza viva— en un conjunto de partículas.

Retrato de Ludwig Boltzmann tomado a finales del siglo XIX. Para entonces Boltzmann ya se había convertido en una figura internacional y había ocupado cátedras en algunas de las universidades más prestigiosas de Europa.
El siguiente paso era considerar cuántas moléculas se encontrarían en cada nivel de energía, dada la restricción a la energía total. Para poner un ejemplo muy simplificado, si la energía total fuera 3 y hubiera 3 moléculas, podrían darse las siguientes situaciones: o bien las tres moléculas tendrían la misma energía 1, o bien una de ellas tendría energía 3 y las otras 0, o bien una tendría energía 1, otra 2 y otra 0. El estado del sistema vendría dado por el número de moléculas con cada energía, ya que desde el punto de vista macroscópico no importa qué moléculas individuales tienen una cierta energía, sino solo el número de ellas.
En otras palabras, primero había que averiguar cuántas posibles configuraciones existían para una energía total dada; una vez estas fueran conocidas, era necesario descubrir cuáles darían lugar a las mismas propiedades macroscópicas. Esto se daría siempre que el sistema tuviese el mismo número de moléculas en cada nivel energético.
Boltzmann bautizó cada estado individual posible como «complexión», lo que hoy se conoce como «microestado», por ser un estado microscópico no observable. A las distribuciones de energía donde todo lo que importa es el número de moléculas por nivel de energía se las conoce como «macroestado», por ser observables macroscópicamente.
Una vez definido el término «complexión», Boltzmann pasaba a definir el número que acabaría dando lugar a la nueva expresión para la entropía: «Nos preguntamos ahora por el número B de complexiones en el que w0 moléculas poseen la fuerza viva cero, wt poseen la fuerza viva 1, etc.». B era, pues, el número de complexiones que dieran lugar a la misma distribución de energía.
La siguiente pregunta era: ¿cuál de las distribuciones de energía es más probable? Para ello, hacía falta calcular el número B para todas ellas y comparar. La proporción entre B y el número total de complexiones sería la probabilidad de que el sistema se encontrase en un estado con la distribución de energías dada por B. A partir de ese punto, el artículo se transformaba en un tratado de probabilidad e ignoraba por completo los detalles físicos.
Siguiendo su estilo didáctico, empezaba con un ejemplo con solo siete moléculas, que resultaba de gran ayuda para entender el desarrollo posterior, cuando el número de partículas tendía a infinito. Las siete moléculas se imaginaban limitadas a una energía total de 7ε, donde e era de nuevo un valor arbitrario. Primero hacía falta encontrar cuántas distribuciones eran posibles con las restricciones dadas; por el simple método de ensayo y error, se puede llegar a la conclusión de que el número es 15. Por ejemplo, un posible estado era tener seis moléculas sin energía y una con el máximo posible; otro era tener cinco moléculas sin energía, otra con lε y una última con 6ε.
Una vez obtenidas todas las distribuciones, el siguiente paso era encontrar cuántas complexiones tendría cada estado posible, lo que Boltzmann daba en llamar «permutabilidad», una palabra derivada de «permutación» y que el físico denotaba como B. Las permutaciones son las combinaciones entre elementos que dan lugar a una misma configuración. Tras efectuar los cálculos pertinentes, observaba que la permutabilidad era sustancialmente mayor en las distribuciones intermedias; es decir, en aquellas en que la energía estaba repartida de forma más o menos homogénea —de hecho, siguiendo una forma muy parecida a la distribución de Boltzmann— entre las diferentes moléculas. El resultado es mostrado en la siguiente tabla:

Concluido el cálculo, Boltzmann comprobaba que la expresión para el grado de permutabilidad era igual a la cantidad H de su anterior artículo, con el signo invertido; esto era relevante porque la cantidad H era igual a la entropía con signo negativo.
Probabilidad y permutacionesEl cálculo de probabilidades en la teoría de Boltzmann, al menos para un número pequeño de combinaciones, se puede comprender con matemáticas elementales. Se basa fundamentalmente en la llamada «función factorial», que se denota por un signo de exclamación y se define de la siguiente manera:n! = n×(n-1)×(n-2)×(n-3)×(...)
donde n es un número cualquiera, Es decir, 3! es 3×2×1 = 6, y 5! es 5×4×3×2×1 = 120. Supongamos que tenemos un conjunto de n bolas de colores. Queremos saber cuál es el número de combinaciones posibles sin que se repita ninguna de ellas. Empezaremos por un número reducido de bolas y luego complicaremos la situación añadiendo más. Con tres bolas, de color rojo (R), azul (A) y negro (N), las diferentes combinaciones posibles, obtenidas por ensayo y error, son:RAN, RNA, ARN, ANR, NRA, NAR.
Las seis combinaciones se pueden obtener de otra manera más elegante. Si uno considera la primera posición, se puede escoger entre tres bolas, mientras que en la segunda solo quedan dos opciones y, en la tercera, una. Así pues, la cantidad de opciones es 3×2×1 = 6. En el caso de n bolas de distintos colores, este método es fácilmente ampliable. Para la primera tenemos n opciones, para la segunda solo quedan (n-1) y así sucesivamente. La expresión final es:n×(n-1)×(n-2)×(n-3)×(...)×1 = n!
que es la función factorial definida antes. Sin embargo, esta expresión no es válida si varias bolas son del mismo color. En este caso, muchas combinaciones serán equivalentes, ya que no habrá forma de distinguir entre las bolas que sean iguales. Para dar cuenta de ello, hay que dividir por todas las posibles combinaciones entre las bolas del mismo color; es decir, se consideran primero todas las combinaciones posibles si las bolas fueran distinguibles y luego se eliminan aquellas en las que esa hipótesis no es aplicable. Si existen n1 bolas del color 1, n2 del color 2, y así hasta el color p, el número total de combinaciones queda como:Esta fórmula es la misma que se usa para un conjunto de moléculas donde el número de partículas es n y las diferentes energías posibles van de 1 hasta p. El razonamiento que se aplica es exactamente el mismo y es el que usó Boltzmann en su artículo de 1877 para calcular el número de complexiones compatibles con una cierta distribución.
Así pues, el grado de permutabilidad podía ser usado como una medida de la entropía de un sistema. Boltzmann se debió de dar cuenta de la importancia de su resultado, porque en sus conclusiones apuntaba;
Es bien conocido que, cuando un sistema de cuerpos sufre una transformación puramente reversible, la entropía total permanece constante. Si, por el contrario, entre las transformaciones que sufre el sistema alguna es irreversible, la entropía no puede sino aumentar [...]. Debido a la relación anterior, lo mismo es cierto respecto a (...) la medida de la permutabilidad para el conjunto de cuerpos. Esta medida de la permutabilidad es por lo tanto una cantidad que, en un estado de equilibrio termodinámico, coincide con la entropía (...) pero que además tiene significado incluso durante procesos irreversibles, donde aumenta continuamente.Boltzmann no solo identificaba el grado de permutabilidad con la entropía, sino que señalaba que su versión de esta podía ser extendida a cualquier sustancia, ya fuera monoatómica o poliatómica, líquida o sólida. En efecto, el físico concluía;
Consideremos cualquier sistema que sufra una transformación arbitraria, sin que los estados finales e iniciales sean necesariamente estados de equilibrio; en esas condiciones, la medida de la permutabilidad del conjunto de los cuerpos del sistema aumentará constantemente durante el proceso y, como mucho, seguirá constante en los procesos reversibles que se encuentren infinitamente cerca del equilibrio termodinámico.§. El concepto moderno de entropía
A pesar de que la nomenclatura usada en el artículo de 1877 está hoy algo desfasada, en este texto ya se encuentra el concepto de entropía tal y como es entendido en la actualidad.
En el escrito de Boltzmann esta se define como dos tercios de la medida de la permutabilidad; en la nomenclatura moderna, ese factor de dos tercios se incorpora en la que se ha dado en llamar la «constante de Boltzmann», aunque este nunca la usó.
Dado que la permutabilidad y el número de estados microscópicos compatibles con una distribución son directamente proporcionales, hoy se usa este último valor en lugar de la permutabilidad. Así pues, la fórmula de la entropía afirma que esta es proporcional al logaritmo del número de estados microscópicos compatibles con el estado macroscópico observado.
La nomenclatura moderna de la física estadística fue desarrollada por Josiah Willard Gibbs (1839-1903).
Así, las distribuciones de energía de Boltzmann se llaman ahora macroestados, en el sentido de que son estados observables desde el punto de vista macroscópico, y las complexiones han sido rebautizadas como microestados, ya que no son observables directamente.
Josiah Willard GibbsJosiah Willard Gibbs fue un físico estadounidense que realizó importantes contribuciones tanto a la química como a la física, y acuñó el término «física estadística». Fue un genio discreto con tendencias de ermitaño: vivió la mayor parte de su vida en casa de su hermana, ejerciendo de profesor sin sueldo en la Universidad Yale tras haber heredado de su padre una fortuna considerable.
Gibbs pasó un breve período en Europa, durante el que aprovechó para asistir a las clases de Kirchhoff y Helmholtz, entre otros. Posteriormente, y a pesar de que apenas salió de su ciudad natal, mantuvo una correspondencia frecuente con otros físicos del momento, especialmente con Maxwell, que se mostró entusiasmado con su trabajo. Einstein llegó a decir de Gibbs que era «la mente más brillante de la historia de América».
En general, cada macroestado tiene un cierto número de microestados asociados a este, en el sentido de que dan lugar a las mismas propiedades observables, y su probabilidad aumenta directamente con el número de estos.
El Principio de BoltzmannEinstein acuñó la expresión «principio de Boltzmann» para referirse a la fórmula que acabaría grabada en la tumba del austríaco:S= k log W
A pesar de que Boltzmann no la escribió explícitamente en su artículo de 1877, la fórmula es fácil de derivar por el simple método de agrupar diferentes constantes. En ella, S representa la entropía; k, la constante de Boltzmann, que vale 1,38 ×10-23 J/K y que Boltzmann nunca usó, y W. el número de microestados, configuraciones microscópicas, compatibles con el macroestado, configuración macroscópica, observado. W también se interpreta a veces como la probabilidad del macroestado, ya que esta es directamente proporcional al número de microestados. A partir de la ecuación se puede ver cómo la entropía S aumenta a medida que W lo hace también. A más microestados, más desorden; a más desorden, más entropía. Además, para un solo microestado posible la entropía es matemáticamente igual a cero.
La fórmula de Boltzmann, S = k×logW, en lenguaje moderno, se expresa de la siguiente manera; la entropía es directamente proporcional al logaritmo del número de microestados compatibles con el macroestado. El logaritmo se emplea porque, por un lado, simplifica los cálculos de probabilidad —ya que la mayoría de permutaciones se calculan a base de productos— y, por otro, reproduce el aspecto de la entropía de ser aditiva, en el sentido de que la entropía de dos sistemas se suma en lugar de multiplicarse, como haría la permutabilidad. Es esta fórmula la que está grabada en la tumba de Boltzmann y no la que él mismo acuñó en 1877.
En el lenguaje ordinario se suele decir que la entropía es una medida del desorden de un sistema. Esta noción no tenía cabida en la formulación de Clausius y tampoco parecía muy aplicable en la primera definición de Boltzmann. El enfoque de 1877 hace posible explicar la relación entre entropía y desorden de forma muy natural.
Lo primero que hay que señalar es que el desorden es un concepto algo arbitrario. En el ejemplo paradigmático de una baraja de cartas, se dice que estas están ordenadas si se sitúan de forma que cada una tenga delante a otra de un valor inmediatamente menor y detrás a otra con un valor inmediatamente mayor. En el caso de un gas, se considera que se encuentra en un estado ordenado si las moléculas tienen una distribución de energías o posiciones que se desvía de la esperable si fuese aleatoria, lo que en este caso significa la distribución de Boltzmann.
En el caso de las cartas, es fácil ver que la mayoría de órdenes corresponden a un estado desordenado: si uno parte de una baraja ordenada e intercambia la posición de diez cartas, obtiene una baraja alejada del orden anterior. Si repite la operación escogiendo en cada momento diez naipes aleatorios, la baraja se alejará cada vez más de la situación ordenada, a no ser que se tenga muchísima suerte. Eso se debe a que existe un número mucho mayor de configuraciones desordenadas que de ordenadas. Para verlo usaremos un modelo simple de cinco cartas, numeradas de la 1 a la 5.
En este caso, podemos definir el estado ordenado como el (1, 2, 3, 4, 5) donde usamos un paréntesis y números separados por comas para indicar el orden. Veamos ahora cuántas combinaciones posibles hay. Dado que en este caso el método de ensayo y error tomaría demasiado tiempo, se usa un razonamiento lógico- matemático. La primera carta puede tomar cinco valores: del 1 al 5. Una vez escogida esta, la segunda ya solo podrá tomar cuatro, ya que una de las cartas se encontrará en la primera posición. Para la tercera, solo tendremos tres elecciones; para la cuarta, dos, y, para la última, solo quedará una carta. El número de combinaciones será, entonces, la multiplicación del número de elecciones que existen para cada carta. En este caso, 5×4×3×2×1, que es igual a 120. Así pues, de las 120 combinaciones que existen, solo una corresponde a un estado ordenado.
En el caso de una baraja entera, hay un total de 48 cartas (52 dependiendo del tipo de baraja). Siguiendo un razonamiento parecido, el número total de combinaciones será 48×47×46×..., hasta llegar a 1. El número resultante es 1,24×1061, es decir, un 1 seguido de 61 ceros.
La entropía de ShannonLa definición de entropía de Boltzmann era tan general que fue usada con muy buenos resultados en matemáticas y computación. La aplicación másconocida es probablemente la llamada «entropía de Shannon», así denominada en honor del matemático y teórico de la comunicación Claude E. Shannon (1916-2001), que mide la cantidad de información contenida en un mensaje.
Supongamos un mensaje consistente en unos y ceros. Si la frecuencia de unos y ceros no fuera aleatoria, sino que hubiese ciertas tendencias hacia más ceros o más unos, un observador que leyese la cadena en orden podría predecir, hasta cierto punto, el siguiente valor. La cadena 1111111111111... es bastante predecible: es muy probable que el siguiente carácter sea un 1. En este caso, leer ese dato nos proporciona muy poca información, porque uno ya sabe todo lo que necesita antes de ver el mensaje: su entropía de Shannon es mínima. Por el contrario, la entropía de Shannon es máxima cuando la cadena es una serie aleatoria de ceros y unos. En este caso, la única forma de saber cuál es el siguiente carácter es verlo. En la práctica, la mayoría de mensajes —por ejemplo, los escritos en inglés o en español— tienen una entropía de Shannon relativamente baja, debido a la preponderancia estadística de ciertas letras. Eso hace que contengan poca información, lo que los convierte en fáciles de comprimir. Esta es la idea en la que se basan los programas de compresión de archivos. La relación entre la entropía de Shannon y la de Boltzmann estuvo poco clara hasta mediados de la década de 1950. Se ha sugerido que la entropía de Boltzmann puede interpretarse como un caso particular de la de Shannon, en el sentido de que, cuando es máxima, el cuerpo que describe se encuentra en el estado mas aleatorio posible, es decir, con una entropía de Shannon muy alta. Así pues, la entropía de Boltzmann se puede calcular como la información necesaria para especificar el estado de cada una de las moléculas del cuerpo, si se conocen los detalles macroscópicos. La entropía de Shannon no es la única hija intelectual de la de Boltzmann: en Linux —el sistema operativo de código libre que ha dado lugar a Android— se utiliza el término «entropía» para especificar los datos aleatorios que recoge el sistema a partir de movimientos del ratón o del teclado y que se usan para ejecutar instrucciones especiales.
Para hacerse una idea, si uno probase una configuración diferente cada segundo, barajando, llegaría a obtener una baraja ordenada después de 4×1047 millones de años, lo que representa unas 1043 veces la edad del universo. Como se puede ver comparando el ejemplo de las cinco cartas con el de 48, el número de combinaciones aumenta rápidamente con la cantidad de estas. Si uno piensa ahora que el número de moléculas en un gas es inmensamente mayor que el de cartas en una baraja, se puede hacer una idea de la extrema improbabilidad de que la entropía disminuya en cualquier situación.
La relación entre entropía y desorden, de este modo, queda clara: los estados más desordenados son más probables y, por lo tanto, tienden a una entropía mayor. De ahí puede decirse que el desorden en el universo tiende a aumentar.

Nótese además que el nuevo concepto de entropía es aplicable no solo a gases, sino a sistemas tan diferentes de estos como una baraja de cartas. De hecho, la fórmula de Boltzmann puede expandirse a multitud de sistemas y ha dado lugar a «entropías» alternativas presentes en diferentes áreas del conocimiento. Entre ellas destaca la entropía de Shannon, que describe el contenido de información en un mensaje.
§. La vida en Graz
De la estancia de Boltzmann en Graz han quedado numerosas anécdotas que ayudan a pintar un retrato del hombre, además del científico. En 1878 nació su primer hijo, Ludwig Hugo (1878-1889), al que le seguirían Henriette (1880-1945), Arthur (1881-1952), Ida (1884-1910) y, ya nacida en Viena, Elsa (1891-1966). Boltzmann los adoraba. Cuando su hija menor le expresó el deseo de comprar un mono como mascota, Henriette se opuso con vehemencia, ya que se negaba a tener animales en casa; Boltzmann decidió comprarle una camada de conejitos y los instaló en su propia biblioteca.
A pesar de que disponía de un apartamento en la misma universidad con calefacción y electricidad pagadas, Boltzmann se compró una granja cerca de Oberkrosibach, en la que vivía con su familia, de forma que sus hijos pudieran disfrutar del ambiente rural. En la casa tenía un herbario y una colección de mariposas, lo que da idea de su gran amor por la naturaleza; a menudo iba con su familia de paseo y les hablaba de botánica. Tenía también un perro, al que llevaba consigo cuando iba a desayunar a un establecimiento cercano, y una vaca, a la que paseaba por el pueblo y sobre la que preguntó a sus compañeros de zoología por la mejor forma de ordeñar.
Durante su etapa de Graz obtuvo varios honores, entre los que destaca haber sido nombrado decano de la facultad. Fue invitado al palacio del emperador en varias ocasiones, pero no lo disfrutó tanto como le hubiera gustado: Boltzmann tenía graves problemas de vista, que se agudizaron con la edad, y eso hacía que le costara ver lo que estaba comiendo. En las ocasiones en las que visitó la corte, el emperador Francisco José apenas tocaba la comida, tras lo cual retiraban los platos de todos los comensales; Boltzmann, apenas había tenido ocasión de probarlos.
Entre las otras aficiones de Boltzmann se cuentan algunas sanas y otras no tan saludables. Le gustaba patinar sobre hielo y nadar, deportes que practicaba a menudo para suplir el escaso ejercicio que hizo en su juventud, a lo que achacaba gran parte de sus problemas de salud. También le gustaba organizar fiestas que duraban hasta altas horas de la noche. Se sentía a gusto ejerciendo de anfitrión y entreteniendo a sus huéspedes con su fina ironía y su conversación, que podía versar sobre una gran variedad de temas además de la ciencia; le encantaban la música y la literatura alemana, hasta el punto que dedicó sus Escritos populares, una colección de piezas divulgativas, al poeta Friedrich Schiller (1759-1805).
Sus catorce años en Graz fueron sin duda los más felices de su vida: llevaba una existencia relajada y disfrutaba de su familia. Su puesto de decano no le ocupaba demasiado tiempo, ya que dejaba la mayoría de labores administrativas en manos del vicedecano. Él mismo confesó a Toepler que el matrimonio invitaba a la pereza mucho más de lo que esperaba. Años más tarde su sucesor en la cátedra, Leopold Pfaundler (1839-1920), comentaría que había heredado una leonera, lo que sugiere que Boltzmann no trabajó tan arduamente como en años anteriores.
A pesar de eso publicó otros artículos importantes, entre los que destaca su demostración en 1884 de la ley de Stefan sobre la radiación de cuerpo negro. De ella dijo Hendrik Antoon Lorentz (1853-1928), premio Nobel de Física en 1902, que era «la perla de la física teórica».
Esta época feliz acabó en 1888, un año después de que Boltzmann fuera nombrado rector de la universidad. Lo que empezó como una pequeña confusión respecto a su nombramiento como catedrático en Berlín derivó en una situación en extremo incómoda para Boltzmann, cuyos nervios acabarían destrozados. Esto se juntó con la muerte de su hijo Ludwig en 1889. Boltzmann entró en una depresión de la que saldría intermitentemente con sus proverbiales ataques de euforia, pero de la que nunca ya volvería a recuperarse y que terminó por causar su suicidio en 1906.
Capítulo 4
Boltzmann, polemista
Durante la década de 1890 un Boltzmann instalado en el olimpo científico participó en numerosas polémicas con amigos y enemigos: discutió con Mach sobre la existencia de los átomos y con Zermelo sobre la segunda ley de la termodinámica. En el primer caso, el tiempo le dio la razón; en el segundo, el debate sigue abierto. Las constantes discusiones, sin embargo, acabaron por hacer mella en Boltzmann, agudizando la depresión en la que se encontraba tras la muerte de su hijo en 1889.En 1887 Boltzmann venía de una época feliz, marcada por sus grandes éxitos científicos de 1872 y 1877 y aderezada con varios honores, entre los que se encontraban haber sido nombrado decano o las diversas invitaciones a palacio por parte del emperador Francisco José. Pero el primer golpe a su idílica situación había llegado dos años antes con la muerte de su madre, con quien había mantenido estrechos lazos tras el fallecimiento de su padre. Katharina había vivido con Ludwig desde su matrimonio con Henriette y, a pesar de algunos roces con su nuera, tenía muy buena relación con su hijo, que siempre le agradeció el apoyo recibido cuando inició sus estudios.
El segundo golpe vino de algo que, en principio, podía parecer más bien un honor. Boltzmann fue nombrado rector de la Universidad de Graz en 1887. Se trataba de un puesto de responsabilidad, en el que las cargas administrativas eran considerablemente mayores que en el decanato y en el que uno podía verse inmerso en conflictos de intereses que requiriesen cierta mano izquierda. La diplomacia no era entonces, ni fue jamás, el fuerte de Boltzmann, prácticamente un niño-hombre, incapaz de levantar entre él y los demás las barreras que construyen la mayoría de los adultos socialmente adaptados. Mach lo describió así:
«Boltzmann no es malicioso, pero es increíblemente ingenuo e informal... simplemente no sabe dónde trazar la línea. Eso se aplica también a otras cosas que son importantes para él».Pronto el puesto de rector se reveló como el regalo envenenado que era: el mismo año de su nombramiento, un grupo de estudiantes pro-alemanes se dedicó a pronunciar discursos contra el emperador. Su beligerancia llegó al punto de retirar un busto de Francisco José de uno de los salones de la universidad. Boltzmann se vio obligado a actuar contra ellos, presionado por altas instancias del Gobierno, en un incidente que duró cuatro meses y que contribuyó a destrozar sus nervios.
§. La tentación berlinesa
El episodio que marcó el inicio definitivo de su depresión sucedió un año más tarde. En 1887 murió Gustav Kirchhoff, amigo y colega de Boltzmann. La cátedra que ocupaba en la Universidad de Berlín quedó vacante y el claustro decidió que Boltzmann era la persona ideal para ocuparla. No tardaron en hacerle llegar la oferta, que incluía un muy buen sueldo y el control sobre uno de los mejores laboratorios de Europa. Entre las ventajas del puesto se encontraba que trabajaría al lado de su admirado Helmholtz, que había abandonado Heidelberg por Berlín hacía unos años.
Boltzmann no tardó en ir a visitar la universidad, donde inspeccionó el laboratorio e incluso eligió despacho. Al volver a Austria, no obstante, las dudas arreciaron. En una época en la que los conflictos europeos estaban a la orden del día, especialmente entre Alemania y Austria, aceptar un trabajo en otro país no estaba bien considerado, al menos no sin pedir permiso previamente a las autoridades. Boltzmann empezó a plantearse si había obrado mal y, guiado por su proverbial falta de diplomacia, no se atrevió a informar a su universidad de lo que había hecho.
Sus colegas, por supuesto, no tardaron en enterarse, por lo que su intención de marcharse se convirtió en un secreto a voces y no tardaron en llegarle contraofertas para intentar que se quedase en Graz. Esto hizo que Boltzmann se replantease su decisión y escribiera a Berlín renunciando al puesto, con la excusa de su mala visión, la cual, ya por entonces, se había deteriorado hasta niveles preocupantes. En Berlín, sin embargo, no entendieron o no quisieron entender sus razones y le contestaron diciéndole que no se preocupase, que tendrían en cuenta su estado y obrarían de forma acorde; que en ningún caso querrían dejar pasar la oportunidad de contar con él por algo así.
Boltzmann se sentía contra las cuerdas, con dos universidades a las que había dado su palabra luchando por quedárselo. Para una persona sin dobleces como él, la situación resultó una experiencia traumática que le provocó una crisis nerviosa. Finalmente escribió una última carta de renuncia a Berlín, en la que alegaba:
Si empezase mi actividad en Berlín, entraría en un nuevo campo, la física matemática. (...) Hasta la fecha, he ignorado completamente muchos capítulos amplios y significativos de la física matemática. Cuando me encontraba en Berlín me pareció, con mi entusiasmo inicial, mucho más fácil poner remedio a esta falta de adecuación. (...) Por otro lado, mi conciencia no me permitiría empezar un nuevo trabajo, en una posición de alta responsabilidad, sin una experiencia completa en la totalidad del área que se me ha asignado.Se ha especulado mucho sobre sus razones para no aceptar la cátedra de Berlín. Algunos historiadores afirman que se debió a lo poco que encajaba con la personalidad de Boltzmann el talante demasiado formal de los alemanes, un hecho que resumiría en una frase la esposa de Helmholtz: «Estimado profesor, me temo que no se sentirá cómodo aquí en Berlín».
También se ha sugerido que fue la inseguridad de Boltzmann el factor principal para su renuncia. En sus etapas depresivas podía llegar a dudar de todo, incluso de su capacidad como científico. Antes de sus clases solía tener ataques de miedo escénico, a pesar de que gozaba de una reputación impecable como profesor. La hipótesis de la inseguridad explica que, poco después de rechazar el puesto en Berlín, escribiese a Helmholtz para decirle que había cambiado de opinión y se sentía en condiciones de ocupar la cátedra. La reacción del alemán fue, sin embargo, tan fría como su trato: Boltzmann atribuiría más tarde a su falta de entusiasmo el hecho de que el puesto finalmente no le fuese concedido. En uno de sus Escritos populares se lamentaba así al respecto:
También afirmaba ese colega que muchas cosas habrían ido mejor si yo no hubiera declinado el ofrecimiento de Berlín. Lo que menos hubiera podido influir en la situación habrían sido mis clases; pero una sola persona [...] puede ejercer un peso muy significativo en la creación de nuevos puestos y la cobertura de los vacantes. Alguno que no se pudo conseguir se habría conseguido si se hubiera querido de verdad.En 1889 su hijo Ludwig Hugo murió de apendicitis. Esa tragedia contribuyó sin duda a ahondar su depresión, especialmente porque él mismo se culpaba por no haberse dado cuenta de la gravedad de la enfermedad. Ese mismo año falleció su hermana Hedwig, que vivía con ellos; en solo cinco años, Boltzmann había perdido a tres miembros de su familia.
Sus maniobras de 1888 hicieron que perdiese importantes apoyos en la universidad, donde muchos de los docentes veían sus acciones como una especie de traición. Esto creó un ambiente enrarecido que impulsó a Boltzmann a buscar un cambio de aires. Hizo saber a sus colegas en otras facultades que deseaba abandonar Graz y, finalmente, dejó la ciudad austríaca por Münich, ocupando la cátedra con la que siempre había soñado, la de física teórica. En la ceremonia que se celebró en su honor, Boltzmann se despidió de Graz con un discurso sobre el significado que para él tenía la teoría.
§. De Münich a Viena
En Múnich Boltzmann pasó cuatro años de relativa tranquilidad. Disfrutó de veladas de cerveza y tertulia con el futuro premio Nobel de Química Adolf von Baeyer (1835-1917) y otros colegas, como el experto en criogénica Carl von Linde (1842-1934) o el astrónomo Hugo von Seeliger (1849-1924). Sus clases de física teórica resultaron un gran éxito, hasta el punto de que numerosos estudiantes se trasladaron a Múnich solo para tenerlo como profesor. Su experiencia enseñando física experimental hizo que diera sus asignaturas de forma única, usando modelos mecánicos para ilustrar conceptos abstractos como la teoría electromagnética.
A pesar de todo, Münich suponía ciertos problemas. El Gobierno bávaro no daba pensión alguna a los profesores universitarios, cosa que había provocado finales harto indignos como el de Georg Simón Ohm (1789-1854), el descubridor de la ley sobre circuitos eléctricos que lleva su nombre, que murió ciego y en la miseria. A Boltzmann le preocupaba su salud: tenía graves ataques de asma y su visión se deterioraba día a día, hasta el punto de que Henriette tenía que leerle los artículos de otros científicos. Además, empezaba a añorar su patria, como le confesó a Loschmidt en una carta que le envió poco antes de la muerte de este. En la misiva también intentaba reparar la relación entre ambos, que se había visto amenazada por la polémica que habían mantenido quince años antes, a propósito de la objeción de la reversibilidad.
En 1893 murió Josef Stefan, el maestro de Boltzmann, al que este tenía en altísima estima. Inmediatamente la Universidad de Viena se puso en contacto con Ludwig con la intención de lograr que volviese a Austria. A su vez, la Universidad de Múnich le hizo una contraoferta que incluía un sueldo mejor y un asistente; la balanza cayó al fin del lado de Alemania, aunque Boltzmann solo se comprometió a quedarse allí un año más.
En 1894 recibió un doctorado honoris causa de la Universidad de Oxford. Dado el prestigio del que gozaba en Inglaterra, no es de extrañar que se le concediese tal honor: su fama en tierras anglosajonas contrastaba con su poca presencia entre los científicos franceses. Ese mismo año la Universidad de Viena se decidió a hacer un considerable esfuerzo económico para convencer a Boltzmann de que aceptara el puesto, llegando al extremo de cancelar una cátedra de química y usar el dinero para aumentarle el sueldo. El retomo de Boltzmann a Austria fue, pues, estelar, y da una idea de la reputación de la que ya gozaba el físico por aquel entonces.
Viena, a pesar de todo, no resultó el lugar idílico que Boltzmann esperaba. Su insatisfacción estaba motivada por diversas causas. Una de ellas era que encontraba que el alumnado se había vuelto pasivo, carente de iniciativa y, sobre todo, falto de entusiasmo por la ciencia. En una de sus cartas se quejaba a su amigo Wilhelm Ostwald (1853-1932), con el que luego mantendría una encendida disputa, de que a veces le parecía ser un profesor de secundaria dada la actitud de los estudiantes hacia la ciencia.
§. El debate sobre la energética
En Viena, sin embargo, su mayor reto fue hacer frente a la oposición de Ernst Mach. Este había obtenido la cátedra de Filosofía e Historia en 1895 y, desde el primer momento, se mostró muy crítico con las ideas de Boltzmann. Para entender la naturaleza de sus desencuentros es necesario detenerse brevemente en la filosofía de Mach, uno de los pensadores más influyentes del siglo XIX y quizá del XX: el mismo Einstein se inspiró en algunas de sus ideas para elaborar las teorías de la relatividad. La posición filosófica de Mach era muy próxima al solipsismo —la creencia en que no hay más realidad que las propias sensaciones—, aunque su actitud era bastante más constructiva y, de hecho, coincide con la de gran parte de la comunidad científica actual.
Para Mach, había que limitar al máximo el número de suposiciones no demostrables, de forma que el conocimiento fuera lo más contrastado posible. Esto, muy a pesar de Boltzmann, incluía la existencia de la realidad externa. La física, argumentaba, debería limitarse a hablar de percepciones que, al fin y al cabo, son la única información a la que los humanos tienen acceso directo. Toda referencia a un mundo subyacente es indemostrable y «poco económica» en términos ockhamianos (el principio de economía de Ockham establece que en igualdad de condiciones, la explicación más sencilla suele ser la correcta).
Newton, Mach y EinsteinEn la física newtoniana, el espacio era considerado absoluto. Eso significa que los cuerpos eran imaginados moviéndose por un marco —el espacio—que se hallaba en reposo y respecto al cual se medía todo movimiento. Newton introdujo la noción de «espacio absoluto» para salvar la ley de la inercia, según la cual un cuerpo se desplaza en línea recta y a velocidad constante en ausencia de fuerzas. Si el espacio fuera relativo, sería imposible definir el movimiento rectilíneo, ya que dos observadores tendrían nociones distintas al respecto. Por ejemplo, un tren parecerá moverse en línea recta a un observador que esté en el suelo, pero no a otro montado en un tiovivo. La única forma de eliminar el problema es asumir que el observador del tiovivo se equivoca y que, por lo tanto, existe un observador privilegiado respecto al que se miden el resto de movimientos. En el caso de Newton, aquel se identifica con las estrellas fijas. Mach planteó objeciones a esta perspectiva, y lo hizo mucho antes que Einstein. Mach afirmaba que la inercia era un efecto de la distribución de materia en el espacio. Una forma de entender lo que planteaba es imaginarse qué pasaría si de golpe todas las galaxias sufriesen una aceleración hacia la izquierda. Un observador flotando por el espacio, ¿vería a las galaxias moverse respecto a él? ¿O no notaría nada porque sería acelerado junto con el resto de materia? En opinión de Mach, la respuesta correcta era la segunda. A pesar de que la relatividad especial de Einstein no cumplía con los preceptos machianos, debido a que no incluía el movimiento acelerado, se puede ver la relatividad general como un gran paso en esa dirección: las aceleraciones y los campos gravitatorios se consideraban equivalentes de forma que cualquier observador, sin importar su tipo de movimiento, observaría las mismas leyes del universo. Ese nuevo marco eliminaba la necesidad de un espacio absoluto, en concordancia con las ideas de Mach.
Así, no es difícil ver por qué Mach tenía un problema con la existencia de los átomos y, por extensión, con todo el trabajo de Boltzmann, que los daba por supuestos. La teoría atómica no solo afirmaba la existencia de un mundo externo, cosa que repelía a la razón de Mach, sino que además asumía la realidad de otra clase de entes aún más etéreos, los átomos, que estaban absolutamente divorciados de la experiencia sensible. A la sombra de Mach nació una nueva rama de la física que intentaba poner en práctica los principios de su filosofía, propuesta entre otros por un gran amigo de Boltzmann, Wilhelm Ostwald (1853-1932). La nueva rama tomó el nombre de «energética» y fue tremendamente popular a finales del siglo XIX, para luego ser abandonada por completo cuando la existencia de los átomos se volvió incuestionable.
La energética afirmaba que todos los procesos del universo tenían que poder ser descritos en forma de intercambios energéticos. La conservación de la energía se conocía ya desde que Helmholtz la enunciase a mediados del siglo XIX y fue utilizada como plataforma por Ostwald y Georg Ferdinand Helm (1851-1923) para crear su nueva teoría. Los energetistas sostenían que la masa y la energía eran cantidades que se conservaban a lo largo del tiempo y sugerían que esa dicotomía también acabaría superándose, de forma que todo lo que quedase fuese energía. La superación de la distinción entre masa y energía llevaría, argumentaban, a la superación de la distinción entre espíritu y materia, ya que ambos podían ser entendidos en base a la misma sustancia. Todo lo que había que hacer era reformular la mecánica entera de forma que solo se hiciese referencia a relaciones entre energía
Esa obsesión por la energía puede parecer un poco extraña para alguien que, como Mach, se mostraba escéptico con la propia existencia del mundo.
¿No era la energía un concepto mucho más vaporoso que el de átomo?
Wilhelm OstwaldWilhelm Ostwald está considerado como uno de los padres de la química física.Realizó importantes contribuciones al estudio de la catálisis —la aceleración de una reacción química mediante un compuesto adicional—, el equilibrio químico y la velocidad de reacción, por los que recibió el premio Nobel de Química en 1909. Además de su trabajo científico, Ostwald era un pintor aficionado que creaba sus propios tintes; también apoyaba los movimientos para una lengua internacional, lo que le llevó a aprender esperanto. Era partidario del darwinismo social y apoyaba tanto la eugenesia como la eutanasia.
Sin embargo, los energetistas argumentaban que todo lo que percibe el ser humano son, de hecho, intercambios energéticos: al observar una imagen nuestros ojos intercambian energía con el entorno; al decir que algo está caliente, son nuestras manos las que reciben información sobre la temperatura, también en forma de intercambio de energía.
La posición de Mach puede relacionarse con una actitud epistemológica idéntica en destacados miembros de la comunidad científica actual, que afirman que la ciencia debe limitarse a hacer predicciones sobre los resultados de experimentos y que la existencia o no de una realidad subyacente no es una pregunta relevante. Así, cuando uno se sorprende por la peculiaridad de la mecánica cuántica y sus aparentes paradojas, es costumbre que se le responda que la imagen que subyace a la teoría es lo de menos: todo lo que esta hace es predecir que, dado un cierto experimento, se obtendrá un resultado determinado. Los objetos de la teoría —electrones, campos, fotones— no son más que artilugios matemáticos para llegar a la respuesta correcta y su existencia o no es una cuestión de fe.
La visión de Boltzmann, de hecho, no difería mucho de la de Mach en este aspecto. A pesar de que suele ser considerado un realista, no ponía reparos en aceptar que sus átomos no eran más que un recurso matemático, siempre que su contrincante admitiese que se trataba del recurso matemático adecuado para obtener una respuesta correcta. Es posible, de todos modos, que esta concesión coincidiese más con un intento desesperado de ganarse a los partidarios de Mach que con su propia visión de los átomos.
El problema de Boltzmann con los energetistas estribaba en que estos no hacían, a su entender, buena ciencia: con sus supuestos no eran capaces de conseguir explicaciones más profundas y más carentes de suposiciones que las que se obtenían haciendo uso de la hipótesis atómica. Tal y como él mismo afirmaba, los energetistas no habían sido ni siquiera capaces de describir la dinámica de un punto material, por no hablar de la gran cantidad de resultados —en electromagnetismo o termodinámica— que se les escapaban totalmente. Sin embargo, no se sentían descorazonados por esos fracasos en modo alguno y, más bien al contrario, no dudaban en etiquetar al resto de la actividad científica —incluyendo la de Boltzmann— como anticuada. Mach, de hecho, solía referirse a Boltzmann como «el último pilar del atomismo».
A finales de la década de 1890 la situación se estaba volviendo insostenible para Boltzmann, que sentía que estaba librando una batalla en la que tenía todas las de perder. Temía que lo que él mismo llamaba la «barbarie del energetismo» deshiciera la efectividad del trabajo de su vida y suprimiese todo el pensamiento atómico durante mucho tiempo. De este modo, en 1895 Boltzmann intentó poner fin a la energética participando en un debate en Lübeck que él mismo había ayudado a organizar. Ostwald presentó sus ideas sobre el tema en un artículo titulado «La superación del materialismo», para encontrarse con un ataque salvaje por parte de su amigo y colega. De ahí siguió un violento debate entre Ostwald y Helm, por un lado, y Boltzmann y Félix Klein (1849-1925), por el otro. A propósito de la discusión diría después el físico alemán Arnold Sommerfeld (1868-1951):
El defensor de la energética era Helm; detrás de él estaba Ostwald y, detrás de ambos, la filosofía de Ernst Mach (que no se hallaba presente). El oponente era Boltzmann, secundado por Félix Klein. La batalla entre Boltzmann y Ostwald fue como el duelo entre un toro y un diestro torero. Sin embargo, esta vez el toro venció al torero, a pesar de toda su agilidad. Los argumentos de Boltzmann dieron en el clavo. Todos los jóvenes matemáticos estábamos del lado de Boltzmann; para nosotros estaba claro que era imposible que, de una sola ecuación para la energía, se pudiesen deducir las ecuaciones del movimiento ni siquiera para un punto material, por no hablar de un sistema con un número arbitrario de grados de libertad. En descargo de Ostwald, de todos modos, debo mencionar el comentario en su libro Grosse Manner (Leipzig, 1909, p. 405), donde llama a Boltzmann «el hombre cuya ciencia nos superó en perspicacia y claridad».Hay que recalcar que Boltzmann, a pesar de todas sus agrias discusiones con los energetistas, siguió manteniendo buenas relaciones con muchos de ellos. Era amigo personal de Ostwald, que lo invitó a ocupar una cátedra en Leipzig, y tenía una relación cordial con Mach. De hecho, este le envió una copia de su último libro en 1905, a lo que Boltzmann contestó con una carta de agradecimiento. Por lo que respecta a los estudiantes de la Universidad de Viena, fuentes de la época aseguran que no se encontraban divididos entre sus dos maestros, sino que los veneraban a ambos por igual, considerándose a la vez «machianos» y «boltzmannianos».
§. El debate con Zermelo
A pesar de que el problema de la energética siguió ocupando buena parte de su tiempo, en 1896 a Boltzmann le surgió una objeción mucho más seria desde el punto de vista científico, tanto que incluso hoy en día sigue sin estar claro quién ganó el debate, aunque en la práctica diaria de la ciencia no hay duda de que fue Boltzmann.
Ernst ZermeloErnst Zermelo fue un matemático alemán cuya más importante contribución es la axiomatización de la teoría de conjuntos.La teoría de conjuntos es la rama de las matemáticas que trata los conjuntos de elementos y, en sus primeras versiones, contenía paradojas. Por ejemplo, daba respuestas contradictorias a la pregunta: «el conjunto de todos los conjuntos ¿se contiene a sí mismo?». Una axiomatización consiste en formular una serie de afirmaciones, llamadas axiomas, que no necesitan demostración. A partir de estas puede deducirse el resto del cuerpo teórico. Zermelo creó un sistema axiomático para la teoría de conjuntos que estaba libre de contradicciones. Su sistema, modificado unos años más tarde por Abraham Fraenkel (1891-1965), dio lugar al sistema de Zermelo-Fraenkel, que se utiliza aún hoy en día.
Su nuevo rival era Ernst Zermelo (1871-1953), conocido posteriormente por su papel en el desarrollo de la teoría de conjuntos y que, en aquel momento, trabajaba como asistente de Planck.
La objeción que planteó Zermelo y que hoy en día se conoce como la «paradoja de la recurrencia» se basaba, en realidad, en un teorema enunciado por Henri Poincaré (1854-1912) seis años antes.
No obstante, el crédito por el descubrimiento de la idea debe darse a Friedrich Nietzsche (1844-1900), quien en la década anterior llegó a la misma conclusión por otros medios. El filósofo alemán creía en lo que dio en llamar el «eterno retomo», una idea según la cual el universo vuelve a pasar por el mismo estado una y otra vez, de forma que toda la historia de la existencia se vuelve a repetir exactamente un número infinito de veces.
Al contrario de lo que pueda parecer, la afirmación de Nietzsche no era de naturaleza mística ni basada en argumentos vaporosos; en realidad, pasó años estudiando física para lograr demostrar su principio. A pesar de que su demostración no tiene el rigor matemático de la posterior de Poincaré, es correcta en sus rasgos esenciales. Algunos autores afirman que, de hecho, es tan válida como la de Poincaré, pero que no disponía de las herramientas matemáticas necesarias para demostrar su hipótesis, aunque eso sea quizá ir demasiado lejos. Nietzsche veía el eterno retomo del siguiente modo:
Si el universo puede ser concebido como una cantidad definida de energía, como un número definido de centros de energía, [...] se puede deducir de esto que el universo tiene que pasar por un número calculable de combinaciones [...]. En la infinidad, tarde o temprano, todas las posibles combinaciones tienen que haberse dado; no solo eso, sino que tienen que haberse dado un número infinito de veces.El uso de la palabra «energía» tal vez haga la formulación de Nietzsche algo difícil de comprender por su anacronismo, pero su argumento es relativamente simple: si hay una cantidad limitada de materia —o energía— en el universo y si este es finito en el espacio, entonces por fuerza el número de posibles combinaciones de la materia es finito. Si el tiempo, por el contrario, es infinito, las combinaciones están condenadas a repetirse un número infinito de veces. Una explicación similar, pero en términos matemáticos, fue dada por Poincaré diez años después. La figura adjunta muestra este mismo planteamiento: un sistema discreto como un conjunto de nueve cuadrados con uno coloreado tiene un número finito de estados y, por lo tanto, volverá a su estado inicial, como máximo tras pasar por todas sus posibles configuraciones:

Boltzmann, probablemente ya desquiciado por la oposición de los energetistas y su delicada salud, por no hablar de su tendencia a la depresión, contestó con cierta virulencia. Empezaba su respuesta diciendo:
«el teorema de Poincaré, en el que se basan los comentarios de Zermelo, es claramente correcto, pero su aplicación, como hace Zermelo, a la teoría del calor no lo es».Para justificar su afirmación, proseguía:
La naturaleza de la curva H (entropía respecto al tiempo) que se puede deducir de la teoría cinética es tal que, si un estado inicial se desvía considerablemente de la distribución de Maxwell, tenderá hacia esa distribución con probabilidad muy alta y, durante un tiempo extremadamente largo, se desviará solo en cantidades increíblemente pequeñas. Por supuesto, si uno espera lo suficiente, el estado inicial tarde o temprano volverá a suceder, pero el tiempo de recurrencia es tan largo que no hay ninguna posibilidad de observarlo jamás.Boltzmann concluía, no sin cierta amargura, que «el artículo de Zermelo muestra que mis escritos se han entendido mal; de todas formas me place, porque parece ser la primera indicación de que alguien les ha prestado alguna atención en Alemania». Su respuesta estaba clara: Zermelo tenía razón en que la configuración inicial se repetiría, pero se equivocaba en pensar que eso invalidaba la teoría por él desarrollada. De hecho, la teoría de Boltzmann predecía esas repeticiones, pero también que se producirían en intervalos tan largos que no serían observados jamás, de forma que, a efectos prácticos, uno no vería nunca una disminución de la entropía.
Aquí aparece una diferencia básica entre físicos y matemáticos. La demostración de Boltzmann, de naturaleza probabilística, no podía ser considerada como tal por un matemático: los teoremas que se siguen de un cierto número de axiomas no pueden valer solo a veces, sino que tienen que ser válidos para cualquier caso. Esta es la razón por la que, a pesar de que nunca se ha encontrado un número par que no pueda ser expresado como la suma de dos primos —la famosa conjetura de Goldbach— los matemáticos aún no dan por demostrado que eso tenga que ser así. De forma que la demostración de Boltzmann, perfectamente válida para un físico, no podía ser bien considerada por un matemático.

Fotografía tomada en 1887 en la que Boltzmann (en el centro, sentado tras la mesa) aparece rodeado de otros científicos, entre ellos Svante Arrhenius (de pie, a la izquierda de Boltzmann).
Boltzmann afirmaba que el teorema de Poincaré no era aplicable por la sencilla razón de que, al contar con un número infinito de moléculas, el número de sus combinaciones pasaba a ser infinito. Su objeción, sin embargo, tenía el problema de que como hoy en día se sabe —y entonces se sospechaba con casi certeza— el número de moléculas no era infinito. Boltzmann pasaba entonces a concluir que, a pesar de que Zermelo estaba en lo correcto al afirmar que el movimiento era periódico en sentido matemático, se equivocaba al afirmar que eso contradecía su teorema. Y añadía: «la conclusión de que hay que cambiar el punto de vista mecánico es incorrecta. Esta conclusión solo se justificaría si el punto de vista mecánico llevase a alguna consecuencia que estuviera en contradicción con la experiencia».
Casi al final del artículo, Boltzmann dejaba caer de forma aparentemente casual una cuestión de gran importancia y que sigue sin tener respuesta:
Una respuesta a la cuestión —¿por qué en el presente los cuerpos que nos rodean están en un estado tan improbable?— no se puede dar, en la misma medida que uno no puede esperar que la ciencia le diga por qué existen fenómenos que suceden siguiendo ciertas leyes.Boltzmann cerraba su artículo con un apéndice en el que calculaba el tiempo de recurrencia para un gas en un contenedor, en el que obtenía un resultado superior a la edad del universo y al que se refería como «reconfortantemente alto».
Cálculo del tiempo de recurrenciaEl tiempo en el que un cierto volumen de gas volverá a su configuración inicial es relativamente simple de calcular. El teorema de Poincaré afirmaba que un sistema volvería a su estado inicial tras, como mucho, haber pasado por todos sus estados posibles. Para calcular el tiempo de recurrencia se necesitaba, entonces, determinar la cantidad de estados posibles y el tiempo que el sistema pasaba en cada uno; multiplicando ambas cantidades se obtendría el tiempo de recurrencia. Pero Boltzmann relajaba algo los requerimientos de Poincaré: en lugar de exigir que el sistema volviese exactamente al estado inicial, se conformaba con que lo hiciese a uno que se le pareciese lo suficiente. Y consideraba suficiente que cada molécula se encontrase dentro de un cubo de 10-6 cm de lado alrededor de su posición inicial y tuviera una velocidad 1 m/s alrededor de la que tenía en un comienzo. Para determinar el tiempo entre diferentes configuraciones, Boltzmann estimaba el número de colisiones por segundo: cada vez que dos moléculas chocasen, el sistema llegaría a un nuevo estado. Sabiendo el número de moléculas, su velocidad y el espacio disponible, llegó a la conclusión de que chocaban 4×109 veces cada segundo por molécula, obteniendo 2×1027 colisiones para todo el gas. El tiempo transcurrido entre estados sería, pues:Finalmente, obtenía el número total de configuraciones sumando todas las posibles combinaciones de velocidades para todas las partículas del gas y suponiendo una velocidad media de 500 m/s, que es bastante parecida a la que tienen las moléculas del aire en un día normal. Tras multiplicar el tiempo entre configuraciones por el total de estados posibles, obtenía un número enorme con trillones de dígitos. Boltzmann daba una idea de su magnitud con la siguiente comparación: «Supongamos que cada estrella visible con el mejor telescopio tiene tantos planetas como tiene el Sol y que en cada uno de ellos viven tantas personas como en la Tierra, y que cada una de esas personas vive un trillón de años; entonces el número total de segundos que vivirán todos tendrá menos de 50 dígitos».
La polémica, sin embargo, no acabó ahí. En un siguiente artículo, Zermelo volvió a la carga argumentando que, según Boltzmann, la probabilidad de que la entropía disminuyese dado el estado inicial era muy alta, lo que llevaba a la afirmación de que la curva H —donde se representaba H respecto al tiempo— estaba hecha solo de máximos, lo cual, según Zermelo, no tenía sentido.
La respuesta de Boltzmann partía del comentario que había dejado caer en su artículo anterior, en el que asumía que el aumento de la entropía solo podía explicarse a partir de unas condiciones iniciales donde la entropía fuera muy baja, y daba una imagen del universo radicalmente distinta a la que se había planteado hasta entonces (los problemas derivados de esa idea serán discutidos a fondo en el capítulo siguiente).

Tras un tiempo suficientemente largo, se producirán descensos aleatorios de la entropía.
Boltzmann admitía por fin que había una hipótesis extra en su demostración de la segunda ley. Así como en sus primeros artículos defendía que esta era deducible de principios mecánicos mezclados con la teoría de la probabilidad, esta vez añadía a sus dos supuestos otro, muy relevante: que el universo tenía que encontrarse en un estado improbable. Esto equivalía a escoger unas condiciones iniciales con sesgo temporal y, por lo tanto, en lugar de resolver el problema de la flecha del tiempo —¿por qué el tiempo avanza de pasado a futuro?—, lo desplazaba a otro ámbito. Si la cuestión antes era ¿por qué la entropía siempre aumenta? Ahora pasaba a ser ¿por qué el estado del universo es tan improbable?
A esto Boltzmann intentaba dar respuesta en el texto siguiente, donde proponía una imagen cuando menos curiosa del cosmos: «Uno puede especular con que el universo como un todo está en equilibrio térmico y, por lo tanto, muerto, pero que habrá desviaciones locales del equilibrio que se pueden dar durante el tiempo relativamente corto de unos cuantos eones. Para el universo como un todo, no hay distinción entre las direcciones “adelante” y “atrás” del tiempo, pero para los mundos donde existan seres vivos, y que por lo tanto se encontrarán en estados relativamente improbables, la dirección del tiempo estará determinada por la entropía creciente, procediendo de estados menos probables a más probables».
Este párrafo contiene dos ideas de especial interés: por un lado, la del universo como un ente gigantesco en muerte térmica, donde nuestro «universo» —solo una fracción del primero— no sería más que una fluctuación estadística; dado el conocimiento actual sobre la extensión del cosmos, esa afirmación suena casi visionaria, para una época en la que la cosmología estaba aún en su infancia Por otro lado, Boltzmann señalaba una diferencia entre el tiempo psicológico y el tiempo real, y sugería que el primero viene dado por el aumento de la entropía en la región, mientras que las leyes de la física realmente no distinguen entre las direcciones temporales. Esa idea reaparecería más tarde en numerosos autores, asociada tanto a la conciencia como a otros fenómenos, por ejemplo, la causalidad.
En conexión con su modelo de universo, Boltzmann afirmaba, avanzándose a posibles críticas:
La objeción de que no es económico [es decir, la objeción de que no es lo más simple posible] y, por lo tanto, no tiene sentido imaginar una parte tan grande del universo como muerta para explicar por qué una pequeña parte está viva, es inválida. Recuerdo muy bien a una persona que se negaba absolutamente a creer que el Sol se encontraba a 20 millones de millas de la tierra, basándose en el hecho de que era inconcebible que hubiera tanto espacio lleno de éter y tan poco con vidaAparte de esta sección, algo especulativa y ciertamente estimulante, Boltzmann dedicaba el resto de su artículo a responder a Zermelo, aunque lo hacía de manera un tanto despectiva, llegando incluso a afirmar «Me resulta totalmente incomprensible cómo alguien puede ver una refutación de la aplicabilidad de la teoría de la probabilidad en el hecho de que otro argumento muestra que deben ocurrir excepciones de cuando en cuando a lo largo de períodos de eones, ya que la teoría de la probabilidad enseña precisamente eso».
Su defensa se basaba en una apología de la teoría de la probabilidad, además de una clarificación sobre lo que esta es y no es capaz de hacer. Boltzmann ponía como ejemplo los incendios: si se sabe que, de 100000 objetos de un cierto tipo, 100 son destruidos por el fuego cada año, no es posible asegurar que eso pase al año siguiente. De hecho, es posible que en los siguientes 10 000 millones de años todos los objetos se quemen el mismo día y que, durante siglos, ninguno resulte dañado. Pero recalcaba, para expresar lo improbable de esa situación: «Pese a todo, todas las compañías aseguradoras confían en la teoría de la probabilidad».
§. Boltzmann como filósofo
Además de las polémicas con Zermelo, Loschmidt y los energetistas, Boltzmann se vio también envuelto en varias discusiones filosóficas. El trabajo que realizó en tal área le valió en 1903 la cátedra de Filosofía en la Universidad de Viena, sustituyendo al mismísimo Mach.
Sobre la relación de Boltzmann con la filosofía puede decirse que era cuando menos ambigua: en uno de sus discursos, admitía que al principio la veía con «recelo» e, incluso, «odio», aunque apuntaba: «Por cierto, mi disgusto por la filosofía era compartido por casi todos los científicos naturales de la época». Tenía una aversión casi irracional a la metafísica, con la que identificaba al principio a toda la filosofía a otras empresas filosóficas, en las que no tenía reparos en participar, se refería como «método». Hoy se las llamaría «filosofía de la ciencia».
Su poca estima por la filosofía le venía de sus primeras experiencias con la materia, que le resultaron harto insatisfactorias. En uno de sus discursos sobre el tema, explicaba: «Para explorar las simas más profundas primero leí a Hegel; pero ¡qué torrente confuso e irreflexivo de palabras me encontré! Mi estrella del infortunio me llevó de Hegel a Schopenhauer». De este último, Boltzmann llegaría a decir que se trataba de un «filosofastro cabeza hueca, ignorante, esparcidor de tonterías» y que «degenera cabezas vendiendo palabrería». Sobre Kant afirmaba: «Sí, incluso con Kant tuve tantas dificultades para entender tal cantidad de conceptos que, debido a su aguda inteligencia, sospechaba que se estaba burlando del lector e incluso divirtiéndose». Parte de sus problemas con Ostwald derivaban, precisamente, de que creía que este último abandonaba la ciencia por la filosofía.
La posición de Boltzmann respecto a la metafísica queda perfectamente clara en este fragmento de sus Escritos populares:
Las importantes cuestiones, ¿de dónde venimos? ¿adónde iremos?, han sido ya discutidas por los más grandes genios desde hace siglos, volviendo a ellas una y otra vez de las maneras más ingeniosas posibles, no sé si con algún éxito, pero en todo caso sin un progreso esencial e innegable. Un progreso de tales características se logró en nuestro siglo a través de estudios muy cuidadosos y por medio de investigaciones experimentales comparativas sobre la cría de palomas y otros animales domésticos [...]. Ciertamente, parece que todos estos campos de investigación son de segunda importancia, pero a través de ellos se pudieron conseguir auténticos éxitos y fueron, con toda seguridad, una base de operaciones para una incursión en los terrenos de la metafísica, dando lugar en este ámbito a progresos únicos en la historia de la ciencia.A pesar de su aversión a la filosofía, en especial a la metafísica, las contribuciones de Boltzmann en este ámbito son dignas de consideración. La primera de ellas y quizá la más relevante es su visión de la ciencia como un proceso darwiniano, en dos vertientes: por un lado, consideraba que las leyes que él llamaba «del pensamiento» —que hoy se llamarían «lógica matemática»-— habían surgido por selección natural y que, al contrario de lo que mucha gente del momento creía, no eran características inmutables del universo. En esto se avanzó en más de setenta años a una gran cantidad de lógicas alternativas que surgieron a lo largo del siglo XX. Es decir, para Boltzmann la creencia en que si «A implica B» y «B implica C», entonces «A implica C», era un requerimiento evolutivo, en el sentido de que esa forma de razonar- resultó ventajosa para la especie que la poseía, pero que no tenía por qué corresponderse con la realidad.
«En mi opinión, toda la salvación de la filosofía se puede esperar que provenga de la teoría de Darwin.»La lógica darwiniana se puede encontrar también en otra de sus obsesiones al final de su vida, la cual abriría la puerta a la teoría de la relatividad de Einstein, en sus dos versiones, especial y general. Se trata de su apoyo a las geometrías no euclídeas, que fueron desarrolladas a principios del siglo XVIII y que demostraban que podían construirse sistemas geométricos en los que, por ejemplo, los ángulos de un triángulo no sumasen 180° y en los que las paralelas se cruzasen.
— Ludwig Boltzmann.

Representación de un espacio curvo: los ángulos se deforman y las líneas paralelas se comban.
Esa visión darwinista se puede encontrar también en su tratamiento del progreso de la ciencia en sí, adelantándose a los filósofos Karl Popper (1902-1994) y Thomas S. Kuhn (1922-1996) en varias décadas. El primero trataba a la ciencia como un proceso en el que varias teorías en competición eran descartadas a partir de experimentos, siendo un concepto clave la falsabilidad, es decir, la posibilidad de demostrar que una teoría es falsa. Esa forma de ver el progreso científico encajaba con la visión de Boltzmann, para quien el valor último de una teoría era su éxito práctico, una actitud que aplicaba incluso al hablar de ética, cuando afirmaba: «Si una ética provocase el declive de la tribu que se adhiriese a ella, eso por sí mismo la refutaría».
Las revoluciones científicasEl pensador estadounidense Thomas Kuhn publicó dos textos que modificaron la visión tradicional de la historia de la ciencia: La revolución copernicana (1957) y La estructura de las revoluciones científicas (1962). El segundo nació originariamente como un artículo para la Enciclopedia de la ciencia unificada, vinculada al Circulo de Viena, movimiento posterior a Boltzmann pero muy influido por su visión del conocimiento. La idea central de Kuhn era que la ciencia no progresa solo por acumulación de descubrimientos sino que, más bien, se produce por rupturas o, para usar su propia expresión, por «cambios de paradigma». Se llama «paradigma» a la teoría científica dominante, en la que cualquier científico tiene que formarse e investigar. El campo principal de las investigaciones lo forman los hechos que la teoría no acaba de explicar. Cuando el número de hechos no explicados es muy abundante, los científicos inician la elaboración de una teoría alternativa que acaba por imponerse cuando tiene mayor potencia explicativa que la anterior, es decir, cuando deja menos hechos por explicar que el paradigma precedente. Un ejemplo de ello es el abandono del paradigma aristotélico-geocéntrico por las tesis heliocéntricas defendidas por Copérnico. Al final de su vida, sin embargo, Kuhn se distanció de sus propias tesis.
Por su parte, Thomas S. Kuhn es conocido por su explicación del progreso científico como una serie de revoluciones ocasionadas por la inadecuación de las teorías vigentes para explicar una nueva serie de hechos. Esa misma idea se puede encontrar literalmente en Boltzmann, que hablaba así durante el obituario de Stefan:
El lego se imagina que a las concepciones y causas fundamentales descubiertas se van añadiendo siempre otras nuevas y así se va conociendo más y más la naturaleza en una evolución continua. Pero esta concepción es errónea, ya que el desarrollo de la física teórica se ha producido más bien a saltos. Con frecuencia se ha venido desarrollando una teoría durante decenios e incluso siglos, de forma que ofrecía una imagen bastante completa de una cierta clase de fenómenos. A veces aparecen nuevos hechos experimentales que contradicen la teoría y se trata en vano de acomodarlos. Entonces surge una lucha entre los partidarios de la antigua teoría y los que proponen una nueva, hasta que esta última se impone.
§. Salida de Viena
Los continuos debates, tanto físicos como filosóficos —sobre todo con Mach— acabaron por hacer mella en un Boltzmann debilitado por la enfermedad y con depresiones muy frecuentes. En 1900 su amigo Ostwald le ofreció una cátedra de Física Teórica en Leipzig y Ludwig no dudó en aceptarla, agobiado por el ambiente vienés. La huida hacia delante no dio los frutos esperados y Boltzmann intentó suicidarse por primera vez poco después.
Antes de eso había pasado un tiempo en un hospital psiquiátrico, tratando de recuperarse de la tensión que le había provocado la mudanza. Las razones de su deterioro anímico pueden ser varias y es probable que se vieran magnificadas por la enfermedad bipolar de Boltzmann. Las constantes polémicas sin duda hicieron mella en él, ya que siguieron en Leipzig con Ostwald y se volvieron tan violentas que Mach tuvo que intervenir para calmar el debate; por otro lado, su vista era cada vez peor y tema frecuentes dolores de cabeza y ataques de asma.
Su estado de ánimo no era ningún secreto. El matemático Klein comentaba al respecto en una carta- «Boltzmann está enfermo, lo que significa que se encuentra en un estado mental profundamente deprimido». Su esposa Henriette se quejaba por carta a su hija Ida, confesándole: «Papá está cada día peor».
La mudanza a Leipzig resultó ser la penúltima de su vida. También contribuyó a deteriorar su imagen pública, especialmente a ojos del emperador Francisco José, a quien no sentó nada bien la deserción a Alemania de uno de sus mejores científicos. Su vuelta a Viena se daría con condiciones y significaría una presión que Boltzmann ya no sería capaz de soportar.
Capítulo 5
El legado de Boltzmann
El suicidio de Boltzmann fue la nota final de la sinfonía de desencuentros y dolor que constituyó la última etapa de su vida. Sus ideas, vilipendiadas mientras vivía, fueron finalmente reivindicadas en las primeras décadas del siglo XX. Su legado comprende hoy un gran abanico de áreas que abarcan desde la física estadística hasta la cosmología, ámbito en el que varios de los problemas que dejó abiertos siguen discutiéndose con ahínco en el siglo XXI.El 5 de septiembre de 1906 Boltzmann apareció colgado en su casa de veraneo. El cadáver lo descubrió su hija menor, Elsa, que entonces contaba quince años. Se encontraba nadando con su madre en el momento en el que su padre se ahorcó. Los Boltzmann habían decidido pasar las vacaciones en Duino, un pequeño pueblo cerca de Trieste conocido por sus castillos situados sobre los acantilados y por haber inspirado al poeta alemán Rainer María Rilke (1875-1926) sus Elegías de Duino.
La idea de pasar las vacaciones en Duino había sido de Henriette. Hacía tiempo que quería visitar la localidad y probablemente pensó que un cambio de aires sería bueno para la deteriorada salud de su marido. Boltzmann se encontraba en un estado de ánimo cada vez peor, motivado por varios fracasos personales y profesionales y, sobre todo, por la enfermedad nerviosa que sufría, que había sido diagnosticada como neurastenia y que convertía cualquier pequeño contratiempo en un revés de grandes proporciones.
Los años anteriores no habían sido fáciles para Ludwig. El ambiente en Leipzig resultó ser tanto o más sofocante que el de Viena, de forma que acabó por pedir la baja médica, a la vez que tanteaba la posibilidad de volver a su ciudad natal. Mach se había jubilado en 1901 después de sufrir un infarto, de forma que el mayor escollo para el retomo de Boltzmann había desaparecido. Su vuelta, sin embargo, no fue fácil. Los rumores sobre su estado mental se habían disparado y muchos de sus colegas creían que no se hallaba capacitado para dar clases. El mismo emperador vio con reticencia el regreso de su científico más famoso y le forzó a prometer por escrito que, una vez en Viena, no volvería a abandonar Austria. Además, el Ministerio de Educación se vio obligado a proporcionar varios informes psiquiátricos para acreditar que Boltzmann estaba en posesión de sus facultades mentales y en condición de dar clases.
La vuelta a Viena se consumó en 1902, año en el que reanudó sus clases de física teórica; al siguiente empezó a impartir el curso de filosofía que anteriormente había tenido como titular a Mach. Sus lecciones de filosofía resultaron muy populares, logrando una asistencia tan masiva que los estudiantes no cabían en el aula. El mismo emperador Francisco José se interesó por ellas y llegó a invitarlo a palacio, un honor con el que Boltzmann ya estaba familiarizado después de su etapa en Graz.
A pesar de todo, no era feliz. Las clases de filosofía, exitosas al principio, empezaron a perder fuelle y, con ello, asistentes. Por otro lado, la oposición a la teoría atómica arreciaba, hasta el punto de que se consideraba a Boltzmann como su último valedor. Su sensación de aislamiento e incomprensión aumentaba Además, sus adversarios se cebaron en su estado psicológico para desacreditarle, como hizo su otrora amigo Ostwald en 1904, quien se refería a él como «un ser incapaz de tomar la mínima decisión, uno de los más desgraciados que existen», en un ataque virulento en el que trataba de vincular- el rechazo de Boltzmann a la energética con su neurastenia.
La vista lo había abandonado definitivamente. Hacia el final de su vida tuvo que contratar a una mujer para que le leyese los artículos científicos, mientras que era Henriette quien escribía los suyos. Sus ataques de asma arreciaban y sufría de angina de pecho. Esto se combinó con unos pólipos nasales que le resultaban especialmente dolorosos, incluso después de operarse, y con un insomnio crónico, que contribuía a su fatiga cotidiana Su antiguo alumno Alois Höfler (1853-1922) lo visitó en 1906 y contaba que el propio Boltzmann le confesó: «Nunca habría creído que un final así fuera posible».
Hubo, sin embargo, momentos felices. Boltzmann realizó tres viajes a América, sobre el último de los cuales escribió una breve crónica titulada «El viaje de un catedrático alemán a Eldorado».
Se trata de un relato distendido en el que comentaba un gran número de anécdotas, algunas de ellas relacionadas con la ciencia, aunque la mayoría ponían de manifiesto las diferencias culturales entre Europa y Estados Unidos. En el escrito, Boltzmann aparecía como una persona afable, aficionada a la comida y a la bebida —sobre todo a esta última—, y con una gran sensibilidad. Incluía numerosas referencias a la prohibición del alcohol en algunos de los Estados, prohibición que le llevó a experimentar situaciones un tanto rocambolescas que, en su opinión, retrataban la hipocresía imperante en el nuevo continente. Una hipocresía que Boltzmann despreciaba y que jamás fue capaz de practicar, lo que con toda probabilidad constituyó uno de los motivos principales de sus dificultades sociales.
«Colón se ha convertido en el prototipo de los descubridores. Su “siempre, siempre hacia el Oeste” representa su perseverancia, su “¡tierra, tierra!” la alegría del éxito, y su entera aventura, la convicción de que la vida no es la posesión mayor.»Respecto a la comida, Boltzmann también hablaba y mucho: no parecía gustarle demasiado la cocina americana, como se evidencia en su descripción de un banquete en casa de los Hearst, una de las familias más poderosas del país. Boltzmann tendía a la obesidad, hecho sobre el que sus alumnos solían bromear diciendo que el espacio se curvaba al entrar él. Se trata de un comentario que da una idea de lo familiarizados que estaban sus pupilos con las geometrías no euclídeas, lo que facilitaría en gran medida la comprensión de la relatividad general diez años más tarde. De hecho, la asociación entre masa —la de Boltzmann— y curvatura del espacio, una década antes de que Einstein formulase su teoría, resultó casi profética.
— Ludwig Boltzmann, «El viaje de un catedrático alemán a Eldorado».
Boltzmann en las Américas«El viaje de un catedrático alemán a Eldorado» es un pequeño escrito de tono afable y humorístico en el que Boltzmann narró sus experiencias en California durante 1905. Se trata de una de sus últimaspublicaciones y retrata a un Boltzmann muy lejano del que se quitaría la vida en Duino al año siguiente. Las Intenciones jocosas del autor quedan claras desde la primera página, en la que se puede leer: «En el restaurante de la estación noroeste consumí una agradable comida de cerdo asado, col y patatas y bebí algunos vasos de cerveza. Mi memoria para las cifras, que en otros ámbitos es tolerablemente precisa, siempre me falla cuando cuento vasos de cerveza». La personalidad sentimental de Boltzmann se veía retratada en su narración del viaje en barco hasta Nueva York: «Una vez me reí al leer que un artista había buscado un color en particular durante muchos días y noches; ahora ya no me río. Sollocé al contemplar ese color en el océano; ¿cómo puede un simple color provocar lágrimas?». De su estancia en Berkeley contaba numerosas anécdotas que ayudan a describir a la persona, pero también su visión de los Estados Unidos de la época. Destaca así su descripción de la señora Hearst: «No es fácil explicar [quién es] a un europeo. Lo más próximo a la verdad sería que es la Universidad de Berkeley. En Europa el alma mater es una figura clásica idealizada, en América es una persona real y, lo que es más importante, tiene millones de dólares reales, algunos de los cuales dona cada año para la expansión de la universidad». Sobre los fundadores de la Universidad de Stanford, Boltzmann no dudaba en explicar con pormenores cómo habían labrado su fortuna a base de fraudes y prebendas políticas, que acababa pagando el contribuyente.
Sus clases en Berkeley tuvieron un éxito relativo, aunque muchos de los estudiantes se quejaron de su poco dominio del inglés, afirmando que era «algo deficiente, por decirlo de forma suave». Su forma entusiasta de expresarse tampoco cosechó grandes elogios. Un estudiante anónimo comentaba: «La gente de Berkeley está aún hoy algo descontenta con el comportamiento de Boltzmann en Berkeley, que fue visto como una mezcla entre éxtasis maníaco y la más bien pretenciosa afectación de un famoso catedrático alemán».
Durante esos años Boltzmann también se ocupó de escribir un artículo para la Enciclopedia matemática de su amigo Félix Klein, que le había apoyado durante el debate de 1895 contra los energetistas. A principios del siglo XX el matemático alemán estaba llevando a cabo su proyecto de crear una enciclopedia que condensase todo el saber matemático de la época de forma que fuera comprensible para cualquier especialista. Se trataba de una tarea ardua, como el propio Boltzmann comentaba en «El viaje de un catedrático alemán a Eldorado»:
Extraer todo lo realmente útil de escritos oscuros, desechar lo insignificante, cubrir todo lo publicado y, al mismo tiempo, organizar toda la información de forma clara y simple para que sea comprensible para los lectores parece una tarea casi terrorífica para cualquiera que haya estudiado escritos matemáticos.Boltzmann se negó en un principio a escribir el texto, con buenas razones, pues su condición física prácticamente lo inhabilitaba para la lectura y la escritura. Klein le convenció diciéndole: «Si no lo haces tú, se lo daré a Zermelo». Esa amenaza le dio el impulso necesario: finalmente, contrató a un ayudante a quien dictar su artículo sobre la teoría cinética.
En 1906 la salud física y mental de Boltzmann había llegado al límite. Además de todo lo mencionado, sufría de insuficiencia renal y sinusitis. Sus constantes depresiones, que degeneraban en un terrible miedo escénico antes de empezar una clase, lo incapacitaron al fin para la actividad docente, de la que fue excusado ese mismo año. Mach escribió al respecto:
Boltzmann había anunciado clases para el semestre de verano, pero tuvo que cancelarlas, probablemente por su enfermedad nerviosa. En círculos informados se sabía que Boltzmann muy probablemente jamás sería capaz de dar clases de nuevo. Se hablaba de que era necesario mantenerlo en constante vigilancia médica, ya que había intentado suicidarse con anterioridad.Así pues, su retiro a Duino puede verse como un último intento desesperado para recuperar tanto la salud como la estabilidad, un esfuerzo que fracasó de forma estrepitosa y llevó al trágico desenlace final. Es probable que Boltzmann no se viera capacitado para volver a ejercer de profesor y, al acercarse la fecha de su retomo, prefiriese la muerte a la humillación de reconocer su debilidad. Sea como fuere, el constante sufrimiento físico hacía su vida diaria muy difícil y no contribuía en nada a paliar su malestar psicológico. El suicidio se puede achacar, pues, a numerosas causas, entre las que el acoso a la teoría atómica sería solo una más. Su salud y sus tendencias depresivas fueron el principal desencadenante.
La muerte de Boltzmann supuso una gran decepción para muchos alumnos que aspiraban a tenerlo de profesor, entre los que se encontraba Erwin Schrödinger (1887-1961), uno de los padres de la mecánica cuántica. Este se referiría a las ideas de Boltzmann como su «primer amor» en una conferencia pronunciada en 1929, y añadía: «Nadie más ha logrado cautivarme hasta ese punto».
Otro candidato decepcionado fue Ludwig Wittgenstein (1889- 1951), quien revolucionaría la filosofía del lenguaje con su Tractatus logico-philosophicus para luego rectificarse a sí mismo en sus Investigaciones filosóficas.
Felix KleinFélix Klein fue un gran matemático al que se recuerda sobre todo por inventar !a denominada «botella de Klein», una versión en tres dimensionesde la cinta de Möbius: la botella se caracteriza por no tener interior ni exterior y carecer de bordes, Además de su famosa botella, Klein realizó importantes contribuciones a la teoría de grupos, en la que se basa la mayor parte de la física actual, y estableció conexiones entre esta y la geometría. La Enciclopedia matemática que Klein impulsó se convirtió en una referencia imprescindible durante las primeras décadas del siglo XX.
Al finalizar el instituto expresó su deseo de asistir a las clases de Boltzmann, pero acabó estudiando ingeniería en Berlín al ver truncados sus planes por la muerte del maestro. Wittgenstein se debió de sentir atraído por la filosofía de Boltzmann, ya que sus conocimientos matemáticos no le permitían en aquel momento entender las contribuciones más científicas de este.
Boltzmann fue enterrado en Viena en una ceremonia sencilla; en su tumba se grabó la fórmula que definió el trabajo de su vida, S = k×logW. Siguiendo la ley de la que fue descubridor, su cuerpo se disgregaría con el tiempo, dando lugar a otro pequeño aumento en la entropía del universo.
§. Los debates boltzmannianos del siglo XXI
Boltzmann dejó un amplio legado que tardó décadas en ser comprendido del todo. Un aspecto de su obra que ha dado lugar a un sinfín de malas interpretaciones y confusiones es su tratamiento de la flecha del tiempo. En física, uno se refiere a la flecha del tiempo como la dirección en la que este avanza; es decir, de pasado a futuro. Las leyes de Newton, como ya apuntó, son simétricas respecto a inversiones temporales: hacen las mismas predicciones tanto para el pasado como para el presente. Lo mismo se da, salvo algunas sutilezas, con el «modelo estándar», que es la teoría paradigmática hoy en día y que aún no ha sido reemplazada por otra mejor.
El reto que se plantea es explicar la asimetría temporal de unas leyes que son simétricas respecto al tiempo. Es decir, si nuestras leyes de la naturaleza no distinguen entre pasado y futuro, ¿por qué hay una diferencia tan grande entre ambos?
Tres generaciones de materia (fermiones)El modelo estándar es la teoría que contiene el grueso del conocimiento actual sobre física de partículas e incluye todas las fuerzas conocidas menos la gravedad. La entidad fundamental del modelo estándar es el campo, un objeto matemático que se extiendepor el espacio y que está asociado a las diferentes fuerzas y partículas. Las excitaciones de los diferentes campos son las partículas elementales.
En la actualidad, el modelo estándar incluye tres fuerzas: la nuclear fuerte, la nuclear débil y el electromagnetismo. Cada fuerza es transmitida por una o más partículas, llamadas bosones; en el caso de la nuclear fuerte, su partícula es el gluón; en el de la nuclear débil, las partículas W y Z; y en el del electromagnetismo, el fotón. Las fuerzas nuclear débil y electromagnética pueden ser vistas como una sola entidad, llamada fuerza electrodébil. Además de los bosones existen otras partículas llamadas fermiones, que presentan una gran variedad: por un lado, están los quarks, que combinados dan lugar a los protones y neutrones que configuran el núcleo atómico; por otro, los electrones, muones y tauones, partículas con propiedades similares pero masas distintas; y finalmente, existen los neutrinos, de los que hay tres tipos (el neutrino del electrón, el neutrino del muón y el neutrino del tau). Otra partícula necesaria es el bosón de Higgs, que es el responsable de que las partículas W y Z de la interacción débil tengan masa. El bosón de Higgs fue detectado en 2012 en el LHC (Large Hadron Collider, o Gran Colisionador de Hadrones), el acelerador de partículas europeo.
Para tratar de responder a esta cuestión son necesarias las intuiciones de Boltzmann y también conceptos modernos sobre física de partículas, gravedad y cosmología.
Después del trabajo de Boltzmann e incluso antes, con el de Clausius, parecía claro que la dirección temporal hacia el futuro era aquella en la que aumentaba la entropía, mientras que si se tomaban los hechos en el orden inverso se veía una disminución de esta. Dada esta coincidencia entre futuro y entropía mayor, y entre pasado y entropía menor, uno puede llegar a la conclusión de que pasado y futuro pueden de hecho ser definidos como aquellas regiones temporales donde la entropía disminuye y aumenta, respectivamente. Así pues, no tiene sentido preguntarse por qué la entropía disminuye en el pasado ya que el pasado es, por definición, aquella región del tiempo donde la entropía disminuye. En la secuencia que muestra la figura siguiente, puede apreciarse cómo la medida subjetiva del tiempo está relacionada íntimamente con el aumento del desorden:

Pero esta aparente solución presenta varios problemas. El primero es que, como Boltzmann demostró, la entropía no es una cantidad fundamental. Es decir, la segunda ley de la termodinámica, que afirma que la entropía siempre aumenta, no es un principio válido como tal, sino una consecuencia secundaria del hecho de que la materia esté formada por átomos. Lo que el tratamiento estadístico de Boltzmann demuestra es que, dado un cierto estado, este tenderá a evolucionar hacia más entropía, lo que equivale a decir que tenderá a encontrarse en una configuración más probable. Pero este argumento se puede aplicar tanto al pasado como al futuro.

Caricatura de Boltzmann realizada por su amigo el físico Karl Przibram.
En su artículo de 1877 Boltzmann concluía que la entropía tiene que aumentar siempre, ya que una entropía mayor significa un estado más probable. Que el universo tiende siempre a encontrarse en un estado más probable es una tautología, lo que deja claro por qué la entropía es mayor en el futuro. El problema con la descripción de Boltzmann es que no explica en absoluto por qué la entropía es menor en el pasado. Todo su razonamiento puede aplicarse en ambas direcciones del tiempo, dada la naturaleza reversible de las leyes de Newton: es la famosa objeción de Loschmidt, que vuelve al ataque. Así pues, la teoría cinética predice no solo que la entropía tiene que aumentar en el futuro, sino también en el pasado. Con lo cual, la explicación de la flecha del tiempo en términos entrópicos cae por su propio peso.
Sin embargo, las observaciones parecen demostrar que la entropía era menor en el pasado: los huevos tienden a romperse cuando caen y no a saltar del suelo y recomponerse. Pero eso es un dato experimental que, de hecho, parece en conflicto con la teoría de Boltzmann. La única forma de superar esa dificultad es trasladar el problema, como él hacía en su artículo de 1877: asumir que la entropía, por alguna razón, era muy baja en el pasado. Pero eso deja aún dos cuestiones sin resolver:
—¿Por qué era la entropía tan baja en el pasado?
—¿Por qué existe una asimetría temporal tan grande?

Retrato de Ludwig Boltzmann en 1902.

La tumba de Boltzmann en el cementerio de Viena. La fórmula grabada en ella es su teorema H, que da una expresión para la entropía en términos de la configuración microscópica del sistema observado.
Por ejemplo, las fuerzas entre partículas elementales parecen tener justo la intensidad necesaria para la formación de átomos. Si el electromagnetismo hubiese sido un poco más fuerte, estos no serían estables, de forma que los elementos no se habrían formado y no habría personas en el cosmos maravillándose por ello. Una forma de explicar tal coincidencia es asumir que las leyes han sido programadas para que surja la vida; otra, asumir que hay una razón desconocida que será revelada cuando se obtenga más información. Una tercera posibilidad es que existan múltiples universos, cada uno con sus leyes de la física. El principio antrópico predice que debemos encontramos en aquellos cuyas condiciones sean compatibles con la vida, por la simple razón de que no hay seres inteligentes en el resto. Así, un aparente misterio queda explicado como consecuencia de la propia existencia de los seres que se hacen la pregunta. El principio antrópico ha sido usado —y, según algunos, hasta el abuso— para explicar una gran cantidad de fenómenos que de otra forma resultarían misteriosos. También se encuentra en la raíz de muchas tentativas de clarificar el origen de la flecha del tiempo.
Volviendo al artículo de Boltzmann, puede verse cómo este no caía en el problema del doble rasero de Price, porque su razonamiento se aplicaba tanto al pasado como al futuro. En un universo homogéneo, habrá fluctuaciones de menor entropía que volverán luego a ganar entropía hasta llegar al máximo. Estas fluctuaciones no tienen por qué darse solo de pasado a futuro, sino que pueden suceder en cualquier dirección temporal. Boltzmann afirmaba que cualquier observador que se encuentre en una de ellas identificará su pasado como la región donde la entropía es menor y su futuro como aquella donde es mayor. Así pues, tenemos una definición local de tiempo, donde la percepción de este dependerá de la región del espacio donde uno se encuentre y de la dirección en el cambio de entropía. En promedio, sin embargo, se tendrá una gran extensión de entropía constante, salpicada por fluctuaciones estadísticas, un escenario que es simétrico respecto al pasado y presente.
§. La paradoja de los cerebros de Boltzmann
El intento de Boltzmann, a pesar de ir en la buena dirección, resultó un fracaso. La razón es que en este caso la teoría de la probabilidad, que tantos éxitos le había proporcionado, se volvió en su contra. En el escenario de Boltzmann se tenía un universo en muerte térmica —es decir, a una temperatura homogénea que no cambiaba—, en el que aparecían fluctuaciones que podían identificarse con el universo observado. La probabilidad de que se diesen estas era extremadamente baja, pero eso no era un problema ya que, tarde o temprano, tendrían que suceder. Puesto que los humanos solo podían existir en una de ellas, no era de extrañar que la humanidad se encontrase en una región del universo cuya probabilidad era mucho menor que la del resto. Así pues, el cosmos podía verse como una gran extensión muerta con pequeñas —en comparación— regiones en las que surgiría un orden organizado.
El problema de ese planteamiento se hacía evidente cuando empezaban a compararse probabilidades. Por ejemplo, uno podía preguntarse cuál era la probabilidad de que, en lugar de un universo como el observado, surgiera solamente la Vía Láctea. A pesar de ser muy baja, esta era órdenes de magnitud mayor que la de un universo entero. Para ver por qué esto es así, bastará una analogía con la escritura.
Imaginemos que se hace un experimento con monos, a los que se sienta delante de una máquina de escribir. Estos se dedicarán a pulsar teclas de forma aleatoria, produciendo kilómetros de cadenas irreconocibles de caracteres. Sin embargo, de cuando en cuando surgirá alguna palabra reconocible. Si asumimos que los monos presionan las teclas de forma totalmente aleatoria y consideramos que hay 26 letras disponibles, podemos calcular la probabilidad de que escriban una palabra determinada. Por ejemplo, para que surja «agua» se necesita que la primera letra sea «a», lo que tiene una posibilidad entre 26 de suceder; lo mismo se dará para la siguiente letra, de forma que «ag» tendrá una posibilidad entre 26 al cuadrado de darse. Cada nueva letra dividirá la probabilidad de que se dé esa palabra en particular por 26.
Si se les da un tiempo infinito, los monos acabarán tarde o temprano por escribir la Enciclopedia Británica. Sin embargo, la probabilidad de que eso suceda es igual a 26 elevado a la cantidad de caracteres que esa obra contenga. Es decir, extremadamente remota. La probabilidad de obtener la palabra «agua», en comparación y aunque muy baja, es inimaginablemente mayor. Dado que la Enciclopedia Británica tiene millones de caracteres, la proporción entre la probabilidad de que surja «agua» y la obra citada será una cifra con millones de dígitos.
La proporción entre la probabilidad de que surja una galaxia o un universo entero es parecida a la que se da entre la palabra «agua» y la Enciclopedia Británica: la primera es inimaginablemente más probable que la segunda. Así pues, si un ser vivo se tuviese que encontrar en una fluctuación estadística dentro de un universo en muerte térmica, lo más probable es que lo hiciese en una galaxia aislada, no en un universo como el que se observa.
Sin embargo, se puede ir más allá. La probabilidad de que surja solo el sistema solar y no la Vía Láctea es aún mayor que la del universo entero; de hecho, incomparablemente mayor. Siguiendo esta línea de razonamiento, se puede llegar a la mínima entidad compatible con la vida, a la que se ha dado en llamar «cerebro de Boltzmann», aunque la expresión fue acuñada mucho después de la muerte de este, siendo propuesta por el astrofísico inglés Arthur Eddington (1882-1944) en la década de 1930.
Un «cerebro de Boltzmann» es un ser consciente que surge por una fluctuación estadística en un universo en muerte térmica. Dado que un cuerpo entero tiene muchos más átomos que solo un cerebro, el segundo es mucho más probable que el primero y ambos son muchísimo más probables que un universo como el observado. Así pues, según el modelo propuesto por Boltzmann, lo más probable es que uno no sea más que un cerebro surgido por una fluctuación estadística dentro de un universo en muerte térmica y que todos sus recuerdos y percepciones sean falsos. Lo contrario es casi imposible.
Por supuesto, nadie en la comunidad científica cree que ese sea el caso, así que el hecho de que una cierta teoría prediga un gran número de cerebros de Boltzmann se ve como un argumento
en contra de esta. El problema es que algunos de los modelos cosmológicos propuestos en la actualidad dan como resultado una sobreabundancia de cerebros de Boltzmann, lo que obligaría a abandonarlos si no se encuentra alguna solución al respecto.
Además de la objeción presentada en las líneas anteriores, había otra de la que el universo de Boltzmann tampoco salía airoso y que tenía que ver también con el cálculo de probabilidades. Consistía en preguntarse cuántos pasados diferentes darían lugar al universo que observamos hoy en día. Cuando uno ve un vaso roto, asume que ha caído al suelo y que al principio estaba entero. De la misma manera, al ver la luz de las estrellas y las galaxias lo normal es pensar que esta viene, en efecto, de astros que se encuentran lejos de la Tierra. El cerebro humano está configurado de tal forma que asume que sus recuerdos han sido causados por un pasado que se corresponde con ellos y no que han cobrado forma espontáneamente. Sin embargo, eso no tiene por qué ser así. La creencia en que la explicación más plausible de la configuración presente del universo es que ha evolucionado a partir de un estado de entropía menor —más ordenado— forma parte de nuestro equipo instintivo, pero no tiene por qué corresponderse con la realidad.
Así pues, si uno se pregunta cuántas configuraciones posibles dan lugar al universo que observamos, se encuentra con que la respuesta es un número enorme. Entre estas, la gran mayoría son configuraciones desordenadas, de entropía alta: eso se da porque las configuraciones más entrópicas son también las más probables. Una forma directa de obtener el presente es tomar un estado futuro e invertir todas las velocidades de las moléculas, de forma que se vuelve al estado actual. Eso coincide con la propuesta de Loschmidt, que Boltzmann entendió de inmediato.
Lo que se deduce de todo este razonamiento es que, a no ser que se postule la asimetría temporal desde el principio, la teoría de Boltzmann predice que nuestro universo ha evolucionado a partir de un estado de alta entropía. Es decir que, a pesar de que vemos la luz de estrellas y de galaxias lejanas, esto no es más que una enorme coincidencia: las fluctuaciones estadísticas del espacio alrededor de la Tierra han originado un escenario en el que parece que el universo haya empezado en un big bang —una gran explosión—y haya evolucionado durante 15000 millones de años hasta llegar al estado actual, pero en realidad lo que se observa es el producto de una anomalía procedente de un universo con entropía extremadamente alta que, por una casualidad, ha dado lugar al escenario que se observa. De la misma forma, los recuerdos de cada individuo no serían reales, sino producto de la casualidad: una organización espontánea del cerebro que causaría la creencia en un pasado que jamás existió.
Estas conclusiones pueden resultar mareantes. El cerebro humano está tan condicionado para razonar de forma temporal-asimétrica que vuelve, casi por defecto, a ese modo de pensamiento. Las paradojas que conlleva la visión «desde ningún momento», como la llama Price, son difíciles de entender y más difíciles aún de interiorizar, debido a esa configuración sesgada. Por eso, no es de extrañar que los científicos uno tras otro —incluido Boltzmann en varias ocasiones— hayan caído en el sesgo temporal, sin ser conscientes de sus supuestos asimétricos a los que, razonablemente, veían como obvios.
Un ejemplo perfecto es la condición de caos molecular que emplearon tanto Boltzmann como Maxwell en varios artículos sobre teoría cinética- la suposición de que las velocidades de dos moléculas no están relacionadas antes del choque y, sin embargo, lo están después de este, implica un prejuicio temporal del que resulta la asimetría de la segunda ley. Si hubiesen asumido la hipótesis contraria —las velocidades están relacionadas en el pasado, pero no en el futuro— habrían obtenido una segunda ley de la termodinámica invertida, donde la entropía aumentaría hacia el pasado y no hacia el futuro.
§. El problema de la asimetría temporal en el presente
En la actualidad, el problema de la asimetría temporal persiste, aunque se han llevado a cabo varios intentos, algo especulativos, de resolverlo. La teoría de cuerdas, la mejor candidata hoy en día para sustituir al obsoleto modelo estándar, parece empeorar la situación en lugar de mejorarla.
Poco después de la muerte de Boltzmann fue propuesta la teoría del Big Bang, que afirmaba que el universo había surgido de una etapa de gran densidad y temperatura y que se había expandido rápidamente a partir de ahí hasta llegar a su tamaño actual.
La teoría de cuerdasLa teoría de cuerdas surgió al intentar reconciliar las teorías de la mecánica cuántica y la relatividad general; la mecánica cuántica y la relatividad especial ya habían sido unificadas en el modelo estándar de la física de partículas. En la teoría de cuerdas, las partículas dejan de considerarse puntos para describirse como pequeñas cuerdas —de ahí el nombre— de longitud muy pequeña.
Estas pueden ser cerradas, como en un bucle, o abiertas. El uso de cuerdas en lugar de puntos, como en la teoría cuántica estándar, soluciona varios problemas matemáticos que dan lugar a infinitos al intentar hacer cualquier cálculo. La teoría de cuerdas se considera un candidato viable para la unificación entre la mecánica cuántica y la relatividad general, ya que predice la existencia de una partícula, el gravitón, que tiene las características necesarias para dar lugar a la interacción gravitatoria.En el modelo estándar, dos partículas interaccionan en un punto como en la imagen de la izquierda. En la teoría de cuerdas, las partículas puntuales se sustituyen por bucles de cuerdas, como se muestra en la imagen de la derecha. El hecho de que la interacción pase de producirse en un vértice a hacerlo en un área extendida soluciona muchos problemas matemáticos.
La idea del universo en muerte térmica de Boltzmann fue abandonada para llegar a la cosmología actual, donde el cosmos es visto como un ente dinámico que ha pasado por numerosas fases y que se dirige, según los últimos resultados experimentales, también hacia una muerte térmica debido a su expansión acelerada.
El Big Bang, sin embargo, no solucionaba el problema de la entropía. Dada la simetría de las leyes subyacentes, seguía existiendo la necesidad de explicar por qué en un extremo temporal el universo se encontraba en un estado de probabilidad extremadamente baja —el Big Bang—, mientras que en el otro se hallaba en uno de probabilidad muy alta. Como respuesta a ese problema Thomas Gold (1920-2004) propuso un modelo en el que el universo se expandía desde un Big Bang inicial hasta llegar a un tamaño máximo, después del cual empezaba a contraerse hasta llegar a un big crunch —una gran implosión—, en el que toda la materia volvía a comprimirse en un punto.

Diagrama de la evolución del universo desde el Big Bang. La asimetría temporal es muy clara. La imagen, realizada por la NASA, se construyó para ilustrar el conocimiento del universo obtenido gracias al satélite WMAP, que midió la radiación residual de la gran explosión con una precisión sin precedentes.
El universo de GoldEl universo de Gold es un modelo cosmológico propuesto por Thomas Gold en el que la entropía empezaba a disminuir una vez alcanzado el tamaño máximo del universo.Este modelo tenía la ventaja de ser simétrico temporalmente, eliminando así la necesidad de explicar la baja entropía en el pasado. No quedaba claro, sin embargo, qué mecanismo sería capaz de obligar a la materia a volver a un estado de entropía más baja y, por eso, el universo de Gold no forma parte de la cosmología aceptada hoy en día. Tal y como muestra la figura, en el universo de Gold se da una simetría temporal perfecta.
En su planteamiento, hacia el final de la vida del cosmos la materia está tan diluida que su distribución se puede considerar homogénea; es decir, igual en todas las posiciones y direcciones del espacio. La homogeneidad hace posible un cambio de escala, lo que significa una reasignación de los tamaños, de forma que una distancia enorme sea exactamente equivalente a una diminuta. Así pues, un universo en muerte térmica con un tamaño y entropía máximos se correspondería exactamente con un Big Bang donde tanto tamaño. Como entropía son mínimos. El cosmos seguiría de esta forma un conjunto de ciclos en los que una expansión daría lugar a la siguiente, sin principio ni final.
El modelo de Penrose daba lugar a un conjunto de predicciones que no han sido confirmadas sobre la radiación de microondas, una radiación electromagnética que impregna todo el universo. De momento, su propuesta es considerada una buena tentativa, pero no parece que vaya a desbancar a la teoría dominante.
Otra sugerencia para eliminar el problema de la asimetría temporal fue propuesta por Sean Carroll (n. 1966) en 2004, junto con su entonces estudiante de doctorado Jennifer Chen. Carroll sugería que el Big Bang no es más que el resultado de una fluctuación estadística en un universo en muerte térmica. Sin embargo, en lugar de considerar la creación espontánea de un universo entero, como en el modelo de Boltzmann, se centraba en la aparición de una singularidad capaz de dar lugar al cosmos. Debido a que el tamaño de la singularidad es mucho menor que el de un cerebro de Boltzmann, aquella es mucho más probable que este último, de modo que el problema de los cerebros de Boltzmann no aparecía. El misterio sobre por qué la entropía es tan baja en el pasado también quedaba directamente resuelto: a pesar de que el universo del que surgía tenía una entropía altísima, la entropía de la región que originaría el siguiente Big Bang sería muy pequeña debido a su tamaño.
Roger PenroseSir Roger Penrose es uno de los físicos teóricos más influyentes del siglo XX. Su trabajo, junto con el de Stephen Hawking (n. 1942), ayudó aasentar las bases de la relatividad general de Einstein, en especial el conocimiento sobre agujeros negros y la idea de que el universo tuvo que empezar en una singularidad, un estado donde la densidad de materia se hace infinita y las leyes de la física dejan de tener validez. Penrose desarrolló además numerosas herramientas, como la teoría de twistores, una forma alternativa de representar el espacio-tiempo relativista que simplifica muchos los cálculos. Inventó también formas geométricas imposibles, como el triángulo de Penrose, que inspiró al dibujante Maurits Cornelis Escher (1898-1972) en la realización de sus famosos dibujos. Además de la física y las matemáticas, Penrose ha hecho notables incursiones en el terreno de la filosofía de la mente. Argumenta, usando teoremas de la lógica matemática, que la mente humana no puede ser simulada por un ordenador.
Así pues, la entropía total seguiría aumentando —teniendo en cuenta la del universo «madre» y la del universo «hijo»— y, a pesar de todo, a los habitantes del universo hijo les parecería que su estado inicial tendría una entropía muy baja (véase la figura 1).

El modelo de Carroll es considerado altamente especulativo incluso por él mismo, y habrá que esperar a nuevos avances en cosmología y física de partículas para saber si su propuesta es correcta. Todos esos intentos indican, sin embargo, que la caja de los truenos que abrió Boltzmann sigue aún abierta, a la espera de que alguien dé con la explicación definitiva a la asimetría temporal. De momento, los físicos siguen usando el aparato conceptual de Boltzmann en su día a día y este sigue dando respuestas adecuadas a todos los desafíos experimentales a los que se le somete.
§. La batalla entre Boltzmann y Mach en el siglo XX
Así como el atomismo parecía una teoría moribunda a finales del siglo XIX, mientras que la energética triunfaba en los círculos académicos, el inicio del siglo XX cambió por completo las tornas. Gran parte de la responsabilidad en este giro fue de Albert Einstein, quien, en uno de sus conocidos artículos de 1905, explicaba el «movimiento browniano» a partir de la hipótesis atómica.

El movimiento browniano fue descubierto por el biólogo Robert Brown (1773-1858) cuando observaba con un microscopio el movimiento de granos de polen en un líquido. Brown se dio cuenta de que estos parecían seguir una trayectoria aleatoria, sin que hubiese ninguna señal de qué podría estarlos impulsando. La figura 2 muestra el movimiento browniano de una partícula generado por ordenador.
Para Einstein, la explicación del fenómeno estaba clara. Si uno asumía que el líquido estaba compuesto de moléculas moviéndose a gran velocidad en direcciones aleatorias, parecía obvio que el grano de polen recibiría impactos impredecibles que lo lanzarían en diferentes direcciones. El tipo de trayectoria tendría que depender, entonces, de la frecuencia de los impactos y de la masa y velocidad medias de las partículas de líquido. Las predicciones de Einstein fueron confirmadas en 1913 por el físico experimental Jean-Baptiste Perrin (1870-1942), descubrimiento por el que ganaría el premio Nobel de Física en 1926.
El desarrollo posterior de la mecánica cuántica dio la puntilla a la energética y cimentó de forma permanente las ideas atomistas de Boltzmann. A lo largo del siglo XX se descubrió que los átomos no solo existían fuera de toda duda, sino que además estaban compuestos de otras partículas aún más elementales. Esos nuevos descubrimientos contradecían el atomismo primigenio de Demócrito, pero no el de Boltzmann y Maxwell, científicos que se limitaban a afirmar que la materia estaba compuesta de átomos, pero no se pronunciaban sobre su indivisibilidad.
La mecánica cuántica sirvió, además, para dar unos fundamentos más sólidos a la teoría probabilística de Boltzmann. Como se vio en el capítulo anterior, este se avanzó a su tiempo usando la discretización de la energía en su cálculo del número de estados microscópicos posibles para un cierto estado macroscópico. Ese truco le sirvió para poder contar estados sin tener que lidiar con cantidades infinitas y, además, para evitar la hipótesis ergódica según la cual una partícula tenía que pasar, al cabo de suficiente tiempo, por todas las energías posibles.
La mecánica cuántica dejó claro que el truco de Boltzmann no era tal, sino que se trataba de una propiedad esencial de la naturaleza. La energía en los átomos está discretizada y no puede tomar cualquier valor, lo mismo se da para la radiación electromagnética en un cuerpo negro, como descubrió Planck, o para las vibraciones en un sólido. A esta discretización se la llamó «cuantización», palabra de la que viene el nombre de la teoría más importante del siglo XX, con permiso de la relatividad de Einstein.
Otro aspecto en el que los métodos de Boltzmann quedaron reivindicados fue el uso de la probabilidad. Esta había sido vista por Boltzmann como una forma de tratar conjuntos enormes de partículas, imposibles de representar matemáticamente de ninguna otra forma. Con la llegada de la mecánica cuántica la probabilidad tomó un papel protagonista, pasando del reino de las grandes colecciones de átomos al de las partículas individuales. Se descubrió que el comportamiento de la materia a pequeña escala es impredecible o, dicho de forma más precisa, que solo se puede predecir de forma estadística. Además, esa aleatoriedad no está relacionada con la falta de información o con las carencias del equipo que se utiliza, sino que es una propiedad intrínseca de la materia.
La física estadística de Boltzmann quedó perfectamente definida a la luz de la nueva teoría; para un conjunto de moléculas en un recipiente existe un número finito de combinaciones para sus energías y posiciones, dado por las limitaciones que impone la mecánica cuántica. Además, el resultado de los choques es realmente aleatorio, de forma que el uso de la probabilidad está plenamente justificado. De hecho, la introducción de la mecánica cuántica también resolvía otros problemas, como el de la hipótesis ergódica: al haber un número finito de energías posibles, quedaba claro que, tarde o temprano, una molécula pasaría por todas ellas.
Este escenario puede parecer como una victoria total de Boltzmann sobre Mach, pero la segunda mitad del siglo XX depararía algunas sorpresas que decantarían la balanza, al menos ligeramente, en favor de este último.
El cambio llegó a raíz de intentar reconciliar la mecánica cuántica y la relatividad especial de Einstein. En esta, el espacio y el tiempo eran vistos como parte de un mismo entramado llamado espacio-tiempo, en el que se enmarcaban los sucesos del universo.
El experimento de la doble rendijaLa relación entre mecánica cuántica y probabilidad queda ilustrada de forma perfecta por el experimento de la doble rendija.Este consiste en una fuente de partículas, que suelen ser electrones, una primera pantalla con dos pequeñas rendijas y una segunda pantalla en la que impactan los electrones tras pasar por una de las rendijas, tal y como se indica en la figura, Se observa que, al disparar electrones de uno en uno, es Imposible predecir dónde impactarían; en cambio, al acumular miles de impactos, el patrón observado es el mismo que producen dos ondas que interfieren entre sí. Sin embargo, los electrones no pueden en principio interactuar unos con otros ya que se lanzan de uno en uno. Pero entonces, ¿de dónde viene el patrón de interferencia? La mecánica cuántica responde que lo que interfiere es la función de onda del electrón, que contiene toda la información sobre la probabilidad de la partícula de encontrarse en un estado u otro. Solo al hacer una observación, cuando el electrón impacta contra la pantalla, esa función de onda se «colapsa» y da lugar a una medida determinada. De ese modo, en la mecánica cuántica las interacciones entre partículas vienen descritas por su función de onda, que no es más que una expresión de la probabilidad de que se encuentren en un estado u otro; para ser más exactos, es su raíz cuadrada. La probabilidad queda, entonces, como la entidad fundamental de la teoría, siendo esta la que interacciona e interfiere.
Una de las predicciones más llamativas de la teoría de Einstein era que un mismo hecho podía aparecer de forma diferente a dos observadores que se moviesen a velocidades distintas. Por ejemplo, una persona que viajase en un tren mediría la longitud de su vagón y obtendría como resultado cien metros, mientras que una persona que viajase a una velocidad cercana a la de la luz obtendría un resultado menor. Esta aparente contradicción lógica ha resultado no ser tal y ha sido comprobada experimentalmente en numerosas ocasiones; de hecho, el funcionamiento de los satélites GPS depende en gran medida de ella.
La relatividad de Einstein también daba lugar a una conocida fórmula, E=mc2, según la cual masa y energía eran equivalentes y podían transformarse la una en la otra. Esto estaba en plena concordancia con las ideas de Mach al respecto y parecía contradecir la concepción boltzmanniana. El hecho de que dos observadores pudiesen obtener distintas medidas según su velocidad suponía un desafío para la recién nacida mecánica cuántica. Eso se debía a que la energía misma de una partícula dependía también de la velocidad a la que el observador se moviese respecto a ella.
La relatividad especialLa relatividad especial de Einstein puede resumirse en dos postulados: primero, dos observadores que se muevan el uno respecto al otro a velocidad constante y uniforme observarán idénticas leyes de la física, y segundo, la velocidad de la luz es constante e igual a c para cualquier observador. El requerimiento de una velocidad de la luz constante obliga a replantearse por completo la visión tradicional del espacio y el tiempo. Una forma sencilla de verlo es con un experimento mental consistente en dos espejos paralelos y un fotón —una partícula de luz— que viaja entre ambos, como se muestra en la figura 1. Para un observador que esté quieto respecto a los dos espejos, si estos se encuentran separados una distancia d, el tiempo t que el fotón tardará en ir de lado a lado será t = d/c, es decir, la distancia dividida por la velocidad de la luz. Sin embargo, supongamos ahora que el observador se mueve respecto a los espejos a una cierta velocidad v hacia la izquierda. Entonces observará que los espejos se mueven hacia la derecha respecto a él, tal y como se muestra en la figura 2. La distancia recorrida por el espejo en el tiempo t' medido por el observador en movimiento será vt'. Pero ahora el fotón no estará recorriendo una distancia d, sino que recorrerá la hipotenusa de un triángulo de lados vt' y d. La distancia será:Usando que d' = ct' y elevando ambos lados al cuadrado se obtiene:
Reorganizando la ecuación y aislando t’ se obtiene finalmente la fórmula de la dilatación temporal:
Así pues, vemos que el tiempo observado por el segundo observador es mayor que el observado por el primero, a pesar de que se trata exactamente del mismo suceso.
Razonamientos parecidos llevan a concluir que las longitudes tampoco se mantienen constantes, sino que son modificadas según la velocidad del observador. Los efectos relativistas empiezan a ser considerables para velocidades cercanas a la de la luz, mientras que son prácticamente Inexistentes en el ámbito cotidiano.
A causa de la equivalencia entre masa y energía, la misma masa de la partícula parecería cambiar al ser observada a diferentes velocidades; de hecho, si uno se desplazase con suficiente rapidez respecto a ella, su energía bastaría para crear una o más partículas de igual masa. Es decir, ahí donde un observador veía solo una partícula, otro puede ver miles, dependiendo de sus velocidades relativas.
Esa condición era muy difícil de aplicar a la mecánica cuántica, que se basaba en la llamada ecuación de Schrödinger, propuesta por él mismo para describir el comportamiento de los electrones en los átomos y que se refería a una sola partícula. La solución llegó con la introducción del concepto de «campo». Un campo es una entidad abstracta que se extiende por el espacio y que, en un principio, se asociaba a algún tipo de fuerza. La idea de campo se desarrolló para superar el concepto newtoniano de acción a distancia, que causaba cierto malestar filosófico entre los científicos desde su concepción. En su lugar, se proponía que un cuerpo —por ejemplo, la Tierra— creaba a su alrededor algo llamado «campo gravitatorio», un ente invisible que solo era observable por el efecto que producía en otros cuerpos inmersos en él. Cualquier objeto dentro del campo gravitatorio de la Tierra experimentaría una fuerza de atracción hacia el planeta que dependería de su distancia al centro de este.
Otro campo clásico —en el sentido de existir antes del desarrollo de la mecánica cuántica— es el campo electromagnético. Un imán crea un campo magnético a su alrededor, cuyo efecto es modificar la orientación de otros imanes que se encuentren en él; del mismo modo, los electrones en un átomo orbitan alrededor del núcleo debido al efecto del campo eléctrico que crean los protones de este.
La mecánica cuántica tomó el concepto clásico de campo y lo adaptó a la nueva realidad, donde la energía era discreta y el comportamiento de la materia probabilístico. En ese nuevo marco, las partículas pasaron a considerarse como pequeñas excitaciones del campo, con unas ciertas características —como la masa o la carga— definidas por la propia naturaleza cuántica de este. El campo electromagnético, por ejemplo, da origen a los fotones, partículas que de algún modo transmiten la fuerza eléctrica y que no deben verse como entes fundamentales, sino como una expresión del campo electromagnético subyacente, que se manifiesta en pequeñas excitaciones que se comportan como partículas.
Una vez dado el salto conceptual, otras entidades se englobaron en el concepto de campo. Los propios electrones fueron descritos como excitaciones de otro campo, bautizado como «campo de Dirac», por haber sido descubierto por el físico inglés Paul Dirac (1902-1984). Su teoría predecía además la existencia de otra partícula, a la que llamó «positrón» por ser una copia del electrón con la carga contraria. Nadie se lo tomó en serio hasta que fue descubierta por Carl Anderson (1905-1991) en 1932, dando la campanada de salida a la mecánica cuántica de campos, hoy convertida en un gran monstruo teórico llamado «modelo estándar» y que es la teoría física más exitosa que ha existido jamás, siendo su victoria más reciente el descubrimiento del «bosón de Higgs» en 2012, una partícula necesaria para el buen funcionamiento de la teoría pero que no había podido ser observada hasta la fecha.
El panorama actual deja el debate Boltzmann-Mach en un empate: por un lado, Mach tenía razón en afirmar que toda la materia es energía y, hasta cierto punto, en rechazar la existencia de los átomos, al menos como constructos fundamentales; por el otro, Boltzmann acertó al imaginar la materia como algo cuantizado, no continuo sino discreto, y en considerar la teoría de la probabilidad como su punto de partida. Se podría decir que, en realidad, el debate ha sido superado por los hechos y que la naturaleza ha resultado mucho más sutil de lo que cualquier científico del siglo XIX hubiese podido esperar.
Lo que sí está claro es que toda la física del siglo XX e incluso la del XXI lleva la impronta de Boltzmann: sobreviven sus métodos y sus ideas sobre la termodinámica; sobreviven los debates a los que dedicó su vida y sus agudas intuiciones sobre la naturaleza del tiempo. Sobreviven también los logros de la generación de grandes físicos y químicos que él mismo entrenó y cuyos nombres han ido apareciendo a lo largo de este libro. Boltzmann no consiguió superar su neurastenia y sucumbió justo antes de poder disfrutar de su legado; podría decirse que no logró sobrevivirse a sí mismo. Dejó tras de sí una familia, un legado científico y más dolor del que se vio capaz de soportar. Así, de ese hombre rechoncho que amaba la vida sobrevive mucho más que una lápida con una fórmula inscrita en ella: queda una obra científica capaz de incitar a la reflexión y, por qué no, también a la sonrisa.
- Atkins, P., Las cuatro leyes del universo, Barcelona, Espasa, 2008.
- Boltzmann, L., Escritos de mecánica y termodinámica, Madrid, Alianza Editorial, 1986.
- Carnot, S., Reflexiones sobre el poder motriz del fuego, Madrid, Alianza Editorial ,1987.
- Carroll, S., From etemity to here: the quest for the ultimate theory of time, Nueva York, Dutton, 2009.
- Gamow, G., Biografía de la física, Madrid, Alianza Editorial, 2007.
- Gribbin, J., Historia de la ciencia, 1543-2001, Barcelona, Crítica, 2003.
- Kuhn, T.S., La estructura de las revoluciones científicas, Madrid, Fondo de cultura económica, 1981.
- Penrose, R., Ciclos del tiempo: una extraordinaria nueva visión del universo, Barcelona, Debolsillo, 2011.
- Sánchez Guillén, J., L.E. Boltzmann, el científico que se adelantó a su tiempo, el hombre que lo vivió intensamente, Zaragoza, Prensas Universitarias de Zaragoza, 2009.
- Schneider, E.D. y Sagan, D., La termodinámica de la vida: física, cosmología, ecología y evolución, Barcelona, Tusquets, 2008.
F I N
irreversibilidad: de alguna forma, al quemar carbón para accionar un motor se pierde algo que no podrá ser recuperado jamás. La noción de irreversibilidad está directamente relacionada con la dirección en la que avanza el tiempo: la distinción entre pasado y futuro viene dada por los procesos que no se pueden deshacer. Por ejemplo, un vaso que se rompe no se vuelve a recomponer a partir de sus pedazos. Boltzmann demostró que la noción de irreversibilidad es en realidad probabilística: es decir, no hay nada en las leyes del universo que impida que el vaso vuelva a recomponerse a partir de sus pedazos. Sin embargo, la probabilidad de que eso ocurra es extremadamente pequeña, razón por la cual un proceso de estas características no llega a ser observado. La confusión entre imposibilidad e improbabilidad hizo que muchos de sus contemporáneos le malinterpretaran y se resistieran con virulencia a su propuesta.
procuraban reclutar a los jóvenes prometedores a una edad temprana. El pequeño William tenía gran habilidad para las matemáticas y la física, en buena medida gracias a la ayuda de su padre James, que era matemático. Su facilidad para los estudios no acababa ahí: con doce años ganó un premio por traducir los Diálogos de los dioses de Luciano de Samosata del latín al inglés. A los catorce años estaba realizando trabajos de nivel universitario. Poco después de graduarse obtuvo el premio Smith, que otorgaba cada año la Universidad de Cambridge al proyecto de investigación más original en física y matemáticas. En esa ocasión, Robert Leslie Ellis (1817-1859), conocido por editar la obra de Francis Bacon (1561-1626), comentó a otro de los miembros del tribunal: «Tú y yo apenas somos dignos de sacar punta a sus lápices».
pilares del conocimiento humano. En su primera versión de 1850 Clausius se limitó a afirmar que el calor no fluye espontáneamente de los cuerpos calientes a los fríos. Sin embargo, no estaba satisfecho con su enunciado, y en 1854 acuñó la noción de «equivalencia- valor», la «proporción entre el calor suministrado a un cuerpo y su temperatura», aunque no fue capaz de dar una explicación intuitiva de qué representaba exactamente esa cantidad. Refinó su formulación en 1856 usando el lenguaje del cálculo diferencial, ganando exactitud pero haciendo la comprensión de su cantidad aún más difícil. En 1862 asumió la hipótesis atómica y lanzó la idea de «disgregación» como el grado en el que las moléculas se separan unas de otras. Con todo, hubo que esperar hasta 1865 para ver el enunciado final de la segunda ley. Bautizó a su misteriosa cantidad como «entropía», palabra derivada del griego τρoph (trope, que significa transformación), con la idea de que su pronunciación se pareciese lo más posible a la de la palabra «energía», ya que entendía que ambas cantidades estaban íntimamente relacionadas. La formulación del segundo principio en términos de la entropía es la siguiente: en cualquier proceso, la entropía de un sistema cerrado nunca disminuye. Un sistema es cerrado si no intercambia materia ni energía con su entorno.









Lise Meitner fue una de las primeras mujeres científicas y la segunda en obtener un doctorado en la Universidad de Viena, Boltzmann fue quien la animó a seguir con su carrera, por lo que Meitner se marchó a Berlín y logró que Max Planck la dejase asistir excepcionalmente como oyente a sus clases. Después se convirtió en la asistente de Planck y, más tarde, empezó a trabajar con el químico Otto Hahn (1878-1968), junto al que descubrió numerosos isótopos. Hahn ganó el premio Nobel de Química en 1944 por esos descubrimientos, pero la academia sueca ignoró a Meitner en un ejemplo flagrante de sexismo. Quizá como compensación, el elemento químico número 109 fue bautizado como meitnerio en su honor.
Josiah Willard Gibbs fue un físico estadounidense que realizó importantes contribuciones tanto a la química como a la física, y acuñó el término «física estadística». Fue un genio discreto con tendencias de ermitaño: vivió la mayor parte de su vida en casa de su hermana, ejerciendo de profesor sin sueldo en la Universidad Yale tras haber heredado de su padre una fortuna considerable.
conocida es probablemente la llamada «entropía de Shannon», así denominada en honor del matemático y teórico de la comunicación Claude E. Shannon (1916-2001), que mide la cantidad de información contenida en un mensaje.
que se hallaba en reposo y respecto al cual se medía todo movimiento. Newton introdujo la noción de «espacio absoluto» para salvar la ley de la inercia, según la cual un cuerpo se desplaza en línea recta y a velocidad constante en ausencia de fuerzas. Si el espacio fuera relativo, sería imposible definir el movimiento rectilíneo, ya que dos observadores tendrían nociones distintas al respecto. Por ejemplo, un tren parecerá moverse en línea recta a un observador que esté en el suelo, pero no a otro montado en un tiovivo. La única forma de eliminar el problema es asumir que el observador del tiovivo se equivoca y que, por lo tanto, existe un observador privilegiado respecto al que se miden el resto de movimientos. En el caso de Newton, aquel se identifica con las estrellas fijas. Mach planteó objeciones a esta perspectiva, y lo hizo mucho antes que Einstein. Mach afirmaba que la inercia era un efecto de la distribución de materia en el espacio. Una forma de entender lo que planteaba es imaginarse qué pasaría si de golpe todas las galaxias sufriesen una aceleración hacia la izquierda. Un observador flotando por el espacio, ¿vería a las galaxias moverse respecto a él? ¿O no notaría nada porque sería acelerado junto con el resto de materia? En opinión de Mach, la respuesta correcta era la segunda. A pesar de que la relatividad especial de Einstein no cumplía con los preceptos machianos, debido a que no incluía el movimiento acelerado, se puede ver la relatividad general como un gran paso en esa dirección: las aceleraciones y los campos gravitatorios se consideraban equivalentes de forma que cualquier observador, sin importar su tipo de movimiento, observaría las mismas leyes del universo. Ese nuevo marco eliminaba la necesidad de un espacio absoluto, en concordancia con las ideas de Mach.
Realizó importantes contribuciones al estudio de la catálisis —la aceleración de una reacción química mediante un compuesto adicional—, el equilibrio químico y la velocidad de reacción, por los que recibió el premio Nobel de Química en 1909. Además de su trabajo científico, Ostwald era un pintor aficionado que creaba sus propios tintes; también apoyaba los movimientos para una lengua internacional, lo que le llevó a aprender esperanto. Era partidario del darwinismo social y apoyaba tanto la eugenesia como la eutanasia.
La teoría de conjuntos es la rama de las matemáticas que trata los conjuntos de elementos y, en sus primeras versiones, contenía paradojas. Por ejemplo, daba respuestas contradictorias a la pregunta: «el conjunto de todos los conjuntos ¿se contiene a sí mismo?». Una axiomatización consiste en formular una serie de afirmaciones, llamadas axiomas, que no necesitan demostración. A partir de estas puede deducirse el resto del cuerpo teórico. Zermelo creó un sistema axiomático para la teoría de conjuntos que estaba libre de contradicciones. Su sistema, modificado unos años más tarde por Abraham Fraenkel (1891-1965), dio lugar al sistema de Zermelo-Fraenkel, que se utiliza aún hoy en día.
publicaciones y retrata a un Boltzmann muy lejano del que se quitaría la vida en Duino al año siguiente. Las Intenciones jocosas del autor quedan claras desde la primera página, en la que se puede leer: «En el restaurante de la estación noroeste consumí una agradable comida de cerdo asado, col y patatas y bebí algunos vasos de cerveza. Mi memoria para las cifras, que en otros ámbitos es tolerablemente precisa, siempre me falla cuando cuento vasos de cerveza». La personalidad sentimental de Boltzmann se veía retratada en su narración del viaje en barco hasta Nueva York: «Una vez me reí al leer que un artista había buscado un color en particular durante muchos días y noches; ahora ya no me río. Sollocé al contemplar ese color en el océano; ¿cómo puede un simple color provocar lágrimas?». De su estancia en Berkeley contaba numerosas anécdotas que ayudan a describir a la persona, pero también su visión de los Estados Unidos de la época. Destaca así su descripción de la señora Hearst: «No es fácil explicar [quién es] a un europeo. Lo más próximo a la verdad sería que es la Universidad de Berkeley. En Europa el alma mater es una figura clásica idealizada, en América es una persona real y, lo que es más importante, tiene millones de dólares reales, algunos de los cuales dona cada año para la expansión de la universidad». Sobre los fundadores de la Universidad de Stanford, Boltzmann no dudaba en explicar con pormenores cómo habían labrado su fortuna a base de fraudes y prebendas políticas, que acababa pagando el contribuyente.
de la cinta de Möbius: la botella se caracteriza por no tener interior ni exterior y carecer de bordes, Además de su famosa botella, Klein realizó importantes contribuciones a la teoría de grupos, en la que se basa la mayor parte de la física actual, y estableció conexiones entre esta y la geometría. La Enciclopedia matemática que Klein impulsó se convirtió en una referencia imprescindible durante las primeras décadas del siglo XX.
por el espacio y que está asociado a las diferentes fuerzas y partículas. Las excitaciones de los diferentes campos son las partículas elementales.

asentar las bases de la relatividad general de Einstein, en especial el conocimiento sobre agujeros negros y la idea de que el universo tuvo que empezar en una singularidad, un estado donde la densidad de materia se hace infinita y las leyes de la física dejan de tener validez. Penrose desarrolló además numerosas herramientas, como la teoría de twistores, una forma alternativa de representar el espacio-tiempo relativista que simplifica muchos los cálculos. Inventó también formas geométricas imposibles, como el triángulo de Penrose, que inspiró al dibujante Maurits Cornelis Escher (1898-1972) en la realización de sus famosos dibujos. Además de la física y las matemáticas, Penrose ha hecho notables incursiones en el terreno de la filosofía de la mente. Argumenta, usando teoremas de la lógica matemática, que la mente humana no puede ser simulada por un ordenador.

