La teoria de la relatividad
David Blanco Laserna
Einstein vivió una época de revoluciones. Por fortuna, no todas fueron cruentas. Si en el siglo XIX la publicidad había logrado auparse a hombros de la prensa, al entrar en el XX conquistó la radio y, en el corto espacio de unas décadas, también la televisión. En tres oleadas sucesivas, el ciudadano de a pie recibió por primera vez, con toda su fuerza, el impacto de los medios de comunicación de masas. Aquellas personas que entonces celebró la fama quedaron grabadas a fuego en el imaginario colectivo: Charles Chaplin, Marilyn Monroe, Elvis Presley, Albert Einstein... Luego vendrían otros actores, músicos y científicos, pero se las verían con un público menos ingenuo.Al final de su vida, Einstein adquirió la dignidad de un santo laico. Tras dos conflictos mundiales, que legitimaron la guerra química y el pánico nuclear, la admiración por el progreso científico se había teñido de espanto. Para toda una generación desencantada, la figura del sabio distraído y de pelo alborotado, que abogaba por el desarme y predicaba la humildad intelectual frente a la naturaleza, suponía una última oportunidad de recuperar la fe en una ciencia humanista. En el apogeo de su popularidad, cuando se convirtió en una imagen icónica que sacaba la lengua a los fotógrafos, Einstein había cumplido setenta y dos años. Para entonces la edad había tenido tiempo de templar la mayoría de sus pasiones, salvo su obsesión por reconciliar la mecánica cuántica con la relatividad. A partir de 1980, el acceso a su correspondencia privada inició el asalto a un Einstein más humano, desde luego más joven y también mucho más complejo. Algunos se sorprendieron de que hubiera alimentado otras inquietudes aparte de fumar en pipa, tocar el violín o evitar los calcetines.
Los puntos oscuros de su biografía se centran en la relación con su primera mujer, Mileva Marić, y dos de sus hijos, Lieserl, que nació de manera semiclandestina antes del matrimonio y fue dada en adopción, y Eduard, frente a quien mantuvo una actitud ambivalente tras conocer que padecía una enfermedad mental. Para muchos queda el retrato de un ciudadano ejemplar, un pacifista que plantó cara a la Primera Guerra Mundial, al nazismo y al macartismo, con una vida personal no tan ejemplar.
La intensidad con la que se ha examinado su figura inevitablemente la deforma, un fenómeno que recuerda los efectos cuánticos: el acto de la medida afecta hasta tal punto aquello que se pretende medir que resulta imposible librarse de la incertidumbre. La revista Time lo eligió como personaje del siglo XX y quizá nunca alcancemos a bajarlo de ese pedestal: el de un personaje que en nuestra imaginación encama un siglo, con menos derecho a las vacilaciones y defectos que quienes no representamos a nadie ni debemos responder ante expectativas universales. Para nosotros Einstein son las dos guerras mundiales, es el hongo de Hiroshima, la persecución y exterminio de los judíos, la implacable expansión del conocimiento científico, su impacto social, el sionismo, la paranoia del senador McCarthy, una colección de aforismos, E = mc2, el sueño de la paz mundial...
Einstein trató de preservar su intimidad escribiendo la autobiografía con menos datos biográficos que se haya publicado jamás. En sus primeras páginas insertó una declaración de intenciones que se ha citado hasta la saciedad:
«Lo fundamental en la existencia de un hombre de mi condición estriba en qué piensa y cómo piensa, y no en lo que haga o sufra».Sin embargo, es difícil que la curiosidad se detenga en el umbral de esa advertencia En este libro se establecerá un diálogo entre la peripecia vital de Einstein y el germen de sus maravillosas intuiciones científicas. Quizá si hubiera obtenido con facilidad un puesto académico en lugar de trabajar ocho horas diarias en la Oficina Suiza de Patentes habría alcanzado las mismas conclusiones, pero no deja de resultar sugestivo reconstruir bajo qué circunstancias, efectivamente, lo hizo.
Einstein nació arropado por la vanguardia tecnológica de su tiempo, perfectamente integrada en su entorno familiar a través de la fábrica de bombillas y material eléctrico de su padre. Llama la atención que ilustrara la teoría de la relatividad especial con ejemplos que recurren a la sincronización de relojes y a una profusión de trenes. Durante su infancia y juventud el ferrocarril se erigió en el medio de transporte moderno por antonomasia. Las velocidades que se desarrollaban entonces sobre las vías férreas se vivían como una experiencia tan inédita como estimulante. En sus años en Berna, la sincronización de relojes entre ciudades alimentaba la pasión cronométrica de los suizos. Quizá estas circunstancias excitaron la misma imaginación que alumbró una teoría donde se barajaban relojes, velocidades que desafiaban la experiencia ordinaria y cambios constantes de sistema de referencia. Más adelante, los secretos de la gravedad se manifestaron a bordo de otro invento, que en tiempos de Einstein era el colmo de la modernidad: «¡Lo que necesito saber con exactitud —exclamaba— es qué les ocurre a los pasajeros de un ascensor que cae al vacío!».
En sus primeros artículos exhibió su dominio de la física estadística y exprimió al máximo el marco clásico de la teoría cinético molecular. Su trabajo permitía comprender el movimiento de las partículas de polvo a contraluz, el color azul del cielo o el temblor de las partículas del polen en un vaso de agua También explicó fenómenos que desconcertaban a los físicos experimentales, como el efecto fotoeléctrico. Sin embargo, lo mejor estaba por venir. En su trabajo sobre la relatividad especial, de 1905, se inicia su verdadero legado, una forma de pensar nueva, que supuso una revelación y una inspiración para los físicos que le sucedieron. Él describió así la transición: «Una nueva teoría se hace necesaria, en primer lugar, cuando tropezamos con nuevos fenómenos que las teorías ya existentes no logran explicar. Pero esta motivación resulta, por decirlo de algún modo, trivial, impuesta desde fuera.
Existe otro motivo de no menor importancia. Consiste en un afán por la simplicidad y la unificación de las premisas de la teoría en su conjunto». Siguiendo los pasos de Euclides, que había abarcado toda la geometría conocida partiendo de un puñado de axiomas, Einstein extendió el campo de aplicación de sus teorías a toda la física. De hecho, su teoría de la relatividad general, publicada en 1915, sentó las bases de la cosmología moderna. A partir de hipótesis sencillas, como la constancia de la velocidad de la luz o la suposición de que todos los observadores, independientemente de cómo se muevan, aprecian las mismas leyes físicas, trastocó de modo irreversible nuestras nociones sobre el tiempo, el espacio o la gravedad. Su imaginación científica consiguió abarcar una extensión que deja sin aliento, desde la escala cuántica (10-15 m) hasta la misma envergadura del universo visible (1026 m).
Escoger bien las premisas, separar el grano de la paja, requería un don especial. Einstein nació con él. Cualquiera que se haya peleado alguna vez con los problemas de una clase de física sabe lo arduo que resulta remontar el vuelo por encima de las ecuaciones, como un jugador de fútbol capaz de ver más allá del centro- campista que se le viene encima. Si algo caracterizaba a Einstein era su extraordinaria intuición física, que le permitía leer la jugada de la naturaleza mientras otros se desorientaban en el aparente caos de los resultados experimentales. Si se veía en la necesidad, sabía desenvolverse con las herramientas matemáticas más sofisticadas, pero poseía la capacidad de dialogar con la realidad de un modo inmediato y profundo, con una suerte de clarividencia que luego articulaba lógicamente.
La semilla de sus dos grandes teorías, la relatividad especial y la general, fueron dos imágenes mentales que se materializaron en momentos de súbita inspiración. En la primera se veía en la oscuridad, persiguiendo un rayo de luz, preguntándose qué sucedería cuando lo alcanzara. La segunda visión la protagonizaba un hombre que se precipitaba al vacío, perdiendo durante su caída toda sensación de peso. Hay quien atribuye el fracaso de su proyecto más ambicioso, la construcción de una teoría final (un conjunto de premisas a partir de las cuales se podrían deducir todos los fenómenos físicos), a que en esta ocasión Einstein no halló la imagen intuitiva que le sirviera de guía.
Su modus operandi hizo de él un físico polémico: con frecuencia sus especulaciones se adelantaban décadas a su verificación experimental. Sin embargo, la propia controversia terminaba por convertirse en su mejor aliada una vez que se resolvía. La confirmación en 1919 de que la luz de las estrellas se curva en la proximidad del Sol, lo catapultó a la fama.
Fue el autor de una de las últimas obras científicas que puede presumir de una impronta personal. De acuerdo con el escritor inglés Charles P. Snow, «Dirac, poco dado a los elogios exagerados, fue quien rindió el tributo más agudo a Einstein. Dijo en primer lugar que si este no hubiera publicado la teoría especial de la relatividad en 1905, otros lo habrían hecho en un plazo muy breve de tiempo, en unos cinco años [...]. Pero la teoría general de la relatividad se trataba de un asunto completamente distinto. Es probable que sin Einstein todavía hoy siguiéramos esperándola».
Una medida de su talento se obtiene al comparar las dos grandes revoluciones de la física del siglo XX. La mecánica cuántica es la construcción de un ejército de científicos formidables: Planck, Schrödinger, Heisenberg, Born, Dirac, Bohr, Pauli, Feynman... y el propio Einstein. La formulación de la relatividad general es, en esencia, fruto de una sola persona. Hasta el punto de que uno de los atolladeros de la física actual reside en conciliar la visión geométrica que Einstein impuso en la gravitación con las modernas teorías cuánticas. Steven Weinberg, premio Nobel en 1979, reflexionaba sobre este reto endiablado:
«Se ha progresado mucho [...] en la adquisición de una visión unificada de las fuerzas que actúan sobre las partículas elementales [...], excluyendo la gravitación, pero es muy difícil dar el último paso e incluirla en el marco».Una parte sustancial del problema no estriba en la naturaleza de la gravedad, sino en la representación que de ella hemos heredado a través de Einstein, tan diferente y exótica frente al resto de la imaginería física contemporánea.
La relatividad y la mecánica cuántica desterraron para siempre las interpretaciones del mundo basadas en el sentido común y en conceptos que echaban sus raíces en la vida cotidiana, como la simultaneidad, la posición o la velocidad. La mecánica cuántica quizá resultó demasiado esotérica desde su nacimiento para conquistar el corazón del gran público. La relatividad, sin embargo, abría la puerta del cosmos, hablaba del espacio y el tiempo, de cuerpos que al moverse encogían y frenaban el ritmo de sus relojes. Pintaba un escenario lo bastante exótico para fascinar, pero a partir de elementos lo suficientemente familiares para no expulsamos del todo de él. Si Newton convirtió el mundo en un mecanismo de relojería, que se podía manipular para alumbrar una Revolución industrial, Einstein lo transformó en un espacio donde soñar lo imposible. Se le entendiera del todo o no, el eco de sus ideas resuena a lo ancho y largo de nuestra cultura.
Su obra concedió carta de naturaleza a conceptos insólitos: viajes en el tiempo, agujeros negros, lentes gravitacionales, nuevos estados de la materia, universos en expansión, bombas capaces de aniquilar un mundo... Este libro se centra en sus creaciones mayores, en relatividad y física cuántica, dejando un espacio también para las menores, en óptica y mecánica estadística, que habrían bastado para ganarle un lugar de honor en la historia de la ciencia Se ha escrito tanto sobre Einstein como para desbordar los estantes de la biblioteca de Babel, pero al menos una razón justifica que echemos más leña al fuego: su propia obra, que se mantiene viva y en plena expansión. Gran parte de los juguetes tecnológicos que nos rodean son herederos suyos, más o menos directos: como el GPS, las células solares o los reproductores de DVD. No pasa una década sin que se confirme una de sus predicciones, la industria encuentre una nueva aplicación a sus ideas o se progrese en la búsqueda de una teoría cuántica de la gravitación.
| 1879 | Nace en Ulm, Alemania, el 14 de marzo, Albert Einstein, primer hijo de Hermann Einstein y Pauline Koch. |
| 1896 | Ingresa en la Escuela Politécnica Federal de Zürich, donde conoce a su futura esposa, Mileva Maric. |
| 1901 | Einstein adopta la nacionalidad suiza. |
| 1902 | Milevada a luz a su primera hija: Lieserl. Einstein se incorpora a la Oficina de Patentes de Berna. |
| 1903 | Se casa con Mileva Mane. La pareja tendrá dos hijos más: Hans Albert y Eduard. |
| 1905 | El annus mirabilus de Einstein. Publica varios artículos seminales acerca del movimiento browniano, la naturaleza corpuscular de la luz, la equivalencia entre masa y energía —que contiene la célebre expresión E = mc2, y sobre la electrodinámica de los cuerpos en movimiento. Este último es el germen de la relatividad especial. |
| 1912 | Es nombrado profesor titular en la Politécnica de Zürich. Empieza una aventura con su prima Elsa Lowenthal. |
| 1914 | Albert y Mileva se separan. |
| 1915 | Presenta las ecuaciones definitivas de la teoría de la relatividad general en la Academia Prusiana de las Ciencias de Berlín. |
| 1919 | El astrónomo Arthur Eddington confirma la predicción de la teoría relativista acerca del efecto del campo gravitatorio sobre los rayos luminosos. De la noche a la mañana, Einstein se convierte en una celebridad mundial. |
| 1922 | Einstein recibe el premio Nobel de Física, no por la teoría de la relatividad, sino por su explicación del efecto fotoeléctrico. |
| 1933 | Desde el extranjero, Einstein es testigo de la subida al poder de Hitler y decide cortar todo contacto con las instituciones científicas alemanas. A finales de año se instala definitivamente en Estados Unidos. Trabaja en el Instituto de Estudios Avanzados de Princeton, donde coincide con otros grandes científicos, como Kurt Gödel y John von Neumann. |
| 1939 | Einstein firma una carta dirigida al presidente estadounidense Franklin D. Roosevelt en la que le previene del potencial destructivo de una eventual bomba atómica. |
| 1952 | Rechazala oferta de convertirse en el segundo presidente del nuevo Estado de Israel. |
| 1955 | Muere en Princeton, el 18 de abril, a la edad de setenta y seis años de la rotura de un aneurisma en la aorta. |
Capítulo 1
La revolución electromagnética
A finales del siglo XIX el mundo se rendía fascinado ante la electricidad y sus aplicaciones. Los científicos, sin embargo, se las veían y se las deseaban para reconciliar sus descubrimientos acerca del electromagnetismo con la física heredada de Newton. Un joven Einstein, a los dieciséis años, se planteó la pregunta que daría pie a todas las respuestas: ¿qué aspecto mostraría un rayo de luz en el momento de alcanzarlo?De acuerdo con la tradición Oral de la familia Einstein, el padre de Albert, Hermann, presentó desde niño una fuerte inclinación hacia las matemáticas, que no pudo cultivar en la universidad por falta de recursos económicos. Más o menos abocado a una carrera comercial, se convirtió en un nómada, con las maletas siempre amontonadas en la entrada de su casa, listo para levantar una nueva empresa en otra ciudad.
Por desgracia, a la hora de escribir en sus libros de cuentas, mojaba más veces la pluma en el frasco de la tinta roja que en el de la negra.
Su naturaleza contemplativa, sus dificultades para tomar decisiones, por culpa de una tendencia a analizar de modo exhaustivo cada alternativa, y su confianza en la bondad de las personas no resultaron las mejores armas para abrirse camino en la despiadada selva de los negocios.

Los padres de Albert, Hermann y Paulina Einstein.
En junio del año siguiente, Hermann y su hermano Jakob desembarcaron en Münich para montar un pequeño negocio de abastecimiento de agua y gas. En mayo de 1885 fundaban la empresa de ingeniería eléctrica Elektro-Technische Fabrik Jakob Einstein & Cie. Hermann se encargaría del departamento comercial y Jakob sería el motor innovador. Esta aventura empresarial marcó en muchos aspectos el destino del joven Albert.
§. El sobrino del inventor
No contamos con demasiada información acerca de la infancia de Einstein. Sobresale un puñado de anécdotas curiosamente centradas en su cabeza, tanto en el continente como en su contenido.

Primera fotografía que se conserva de Albert Einstein.
Para empezar, Pauline quedó espantada al contemplar al recién nacido, que le pareció deforme.

Albert Einstein en Münich a los catorce años.
Se suele poner a Einstein como ejemplo de genio que sacó muy malas notas, una leyenda con escaso fundamento.
En una carta a su hermana mayor Fanny, cuando el niño tenía siete años, Pauline veía cumplida la fantasía de cualquier madre: «Ayer le entregaron las notas a Albert: otra vez fue el primero de la clase y nos trajo un informe espléndido». En los años siguientes, durante sus estudios de secundaria en el Luitpold Gymnasium de Münich, se mantendría esa tendencia, sobre todo en las asignaturas de física y matemáticas.
Si sus profesores lo tenían con frecuencia por un mal estudiante se debía a un desencuentro absoluto entre su carácter y el sistema educativo que imperaba entonces en Alemania. El enfrentamiento con la autoridad conforma el segundo gran motivo de sus anécdotas infantiles y juveniles. Se podrían llenar páginas enteras con los comentarios despectivos de sus maestros. Uno de ellos le hizo la confidencia de que sería mucho más feliz si no volviera a asomar por sus clases. Einstein recurrió a la réplica proverbial de los niños: Pero ¡si yo no he hecho nada! A lo que el profesor respondió:
Sí, es cierto, pero te quedas ahí sentado, en la última fila, sonriendo de un modo que subvierte por completo el clima de respeto que precisa un maestro para dar clase».No quiso ganarse la estima de quienes pretendían adoctrinarlo y la aversión fue mutua:
Los maestros de mi escuela me parecían sargentos, y los profesores del instituto, tenientes».Eran las primeras escaramuzas de un antagonismo que a punto estuvo de frustrar su carrera antes de que comenzara.
A pesar de no ser muy feliz en la escuela, donde sus compañeros contemplaban con recelo su escaso interés por correr, saltar o pelearse por una pelota, Einstein se crió dentro de una burbuja cálida y protectora. El 18 de noviembre de 1881 nació su única hermana, María, conocida con el apelativo cariñoso de Maja. Aunque al principio Albert mostró poco entusiasmo hacia la recién llegada (se cuenta que preguntó: «Pero ¿no tiene ruedas?»), con el tiempo se convertiría en su cómplice y confidente más cercana. Las familias de Hermann y Jakob compartían una espléndida vivienda en las afueras de Münich, situada junto a la fábrica y rodeada de un jardín tan exuberante que los aislaba completamente de la carretera. Los niños lo conocían como su «pequeño Jardín Inglés», en referencia al gran parque de Münich del mismo nombre. Los Einstein no eran muy dados a alternar con el vecindario y preferían organizar excursiones con sus primos a los montes y lagos de los alrededores.
Dos episodios simbolizan el proceso de iniciación de Einstein en la ciencia: el regalo de una brújula, que le entregó su padre cuando tema cuatro años, y la lectura de un volumen de geometría euclídea. La aguja imanada desplegó ante sus ojos los misterios de la naturaleza; los axiomas y postulados de Euclides, el poder deductivo de la inteligencia. La vida de Einstein se convertiría en una tenaz aplicación del segundo a desentrañar los primeros. El magnetismo se puede interpretar como un efecto puramente relativista, y la propia relatividad, como una visión geométrica del universo. Así, en la brújula y en el libro de Euclides estaba cifrado su destino.
Siendo todavía un joven bastante precoz, adquirí ya viva conciencia de la futilidad de las ansias y esperanzas que atosigan sin tregua a la mayoría de los hombres a lo largo de la vida.»Otro mito que consuela a numerosos estudiantes es que a Einstein se le daban mal las matemáticas, pero ciertamente fue la más temprana de sus fascinaciones. No en vano el lema de Ulm, su ciudad natal, era; Ulmenses sunt mathematici (Los ulmenses son matemáticos). Disfrutaba anticipando los contenidos de cada curso e inventaba demostraciones distintas de las que se presentaban en los libros. Este hábito prefigura uno de los rasgos más destacados de su personalidad científica: la independencia de pensamiento. Su tío alentaba esta disposición desafiándole con problemas difíciles y tomándole el pelo, poniendo en duda su capacidad para resolverlos.
— Albert Einstein.
A pesar de que terminaría conduciendo a Hermann a una vía muerta profesional, Jakob ejerció en el niño una influencia mucho más beneficiosa. Cabe imaginar que las visitas del joven Einstein a la fábrica se producirían con frecuencia y que un inventor inquieto como su tío le mostraría el funcionamiento de los hornos y las máquinas, le invitaría a jugar con los galvanómetros y las baterías electroquímicas y le propondría infinidad de experimentos. El perfil de Einstein como teórico nos inclina a imaginarlo con la cabeza siempre en las nubes, pero lo cierto es que cultivó toda su vida la pasión hacia las máquinas. Desde niño le sedujeron los juegos de construcción, le encantaba trastear en las tripas de los mecanismos, patentó diversos inventos, diseñó un nuevo modelo de nevera y un medidor de corriente, y mantuvo una animada correspondencia con otros fanáticos del bricolaje tecnológico.
Einstein tenía diez años cuando conoció al segundo de sus espíritus tutelares: Max Talmey, un estudiante polaco de medicina que disfrutaba de la hospitalidad de Hermann y Pauline. Prácticamente se dejaba caer cada jueves por la casa familiar de la Adelreiterstrasse, para comer. En las sobremesas, que compartieron a lo largo de un lustro, se forjó una amistad desigual en la edad —doce años los separaban—, pero basada en la simpatía y los intereses comunes. Talmey quedó impresionado por la excepcional inteligencia de Einstein y se impuso la tarea de estimular sus inquietudes. Puso en sus manos Fuerza y materia de Ludwig Büchner, Cosmos de Alexander von Humboldt y la serie popular de libros de ciencias naturales de Aaron Bernstein. Einstein los devoró con la pasión con la que otros niños leían a Verne.
En el mundo encapsulado del pequeño Jardín Inglés, Einstein estuvo en contacto con la vanguardia tecnológica de la época. Las ecuaciones del campo electromagnético enunciadas por James Clerk Maxwell en 1861 cobraban vida a una manzana de su casa, en las bobinas, las resistencias y los condensadores que manipulaban los cien empleados de la fábrica Jakob Einstein & Cie. La atmósfera entera del siglo XIX estaba cargada de electricidad.
§. El siglo de la electricidad
El asombro que Einstein sintió a los cuatro años al manipular una brújula reproducía un ritual casi inmemorial: la piedra imán y los fenómenos electrostáticos se conocían desde muy antiguo, como pone de manifiesto el origen clásico de las palabras electricidad (de elektron, el nombre griego del ámbar) y magnetismo (de ascendencia más incierta, quizá de la isla de Magnesia, en el Asia Menor). No ha quedado constancia de cuándo se advirtió por primera vez que al frotar una resina fósil, el ámbar, esta erizaba el vello o atraía pequeñas virutas de madera. La invención china de la brújula data seguramente de la dinastía Dan, en torno al año 200 a.C. (aunque para descifrar su fundamento y su relación con el campo magnético terrestre hubo que esperar a las indagaciones de un médico isabelino, William Gilbert).
El interés hacia los fenómenos electromagnéticos se avivó durante la Ilustración, pero no fue hasta el siglo XIX cuando se comenzaron a desentrañar sus mecanismos básicos. En el proceso, se escribió uno de los capítulos más estimulantes de la historia de la ciencia Los descubrimientos catapultaron el tejido industrial que había puesto en marcha la reforma del sistema de patentes inglés, la racionalización de la agricultura y la invención de la máquina de vapor. Gran parte del salto tecnológico que se produjo a lo largo del siglo XX se hizo a lomos de una corriente eléctrica
En el plano teórico fue el francés Charles Augustin Coulomb (1736-1806) quien dio el pistoletazo de salida, estableciendo una primera ley que llamó «de la fuerza electrostática»: la atracción o repulsión entre cargas eléctricas era directamente proporcional al producto de las cargas e inversamente proporcional al cuadrado de la distancia que las separaba. Este enunciado desprendía un fuerte sabor newtoniano. De hecho, si se eliminaba el efecto de repulsión y se sustituían las cargas por masas, casi se obtenía un calco de la ley de gravitación universal.
En el año 1800, tratando de reproducir el mecanismo con el que algunos peces, como las rayas, generan electricidad, Alessandro Volta inventó la batería química (la pila). Con ella regaló a los investigadores una fuente estable de corriente continua, hizo posible la construcción de circuitos y abrió drásticamente el abanico de la experimentación. Por poner solo un ejemplo: sin ella, la electrólisis, un proceso de gran trascendencia industrial, que permite descomponer sustancias al paso de una corriente eléctrica, hubiera sido imposible.
Gracias a las baterías se descubrió que la electricidad y el magnetismo, que hasta ese momento habían recorrido caminos separados, escondían un secreto vínculo. En 1820, el danés Hans Christian Oersted (1777-1851) mostró, ante una clase de alumnos poco entusiastas, que el paso de una corriente desviaba la aguja de una brújula, una prerrogativa reservada hasta entonces a los imanes permanentes. A diferencia de los alumnos de Oersted, la comunidad científica reaccionó conmocionada; desde que el mundo era mundo, las fuerzas solo se habían manifestado entre masas, cuerpos cargados o imanes.
Lo que la electricidad ha unido...Puesto que el pegamento que une entre sí los átomos es de naturaleza eléctrica, el paso de una corriente a través de una sustancia puede inducir el efecto inverso y descomponerla. Durante los siglos XVIII y XIX florecieron las técnicas para disgregar la materia y tratar de identificar sus constituyentes básicos. La electrólisis se convirtió en una de las más poderosas, separando elementos que hasta entonces se habían resistido a la acción puramente química. El procedimiento consiste en sumergir los polos de una pila en una cubeta con la sustancia que se desea descomponer. Para que esta conduzca la electricidad se funde o se disuelve en agua. Tomemos, por ejemplo, un poco de sal común (NaCl), A temperatura ambiente, los iones negativos de cloro (Cl-) y los iones positivos de sodio (Na+) se entrelazan en una estructura rígida. El primer paso es calentar la sal hasta unos 800 °C para que se funda, de modo que se debiliten los enlaces entre iones. Entonces, con un voltaje suficiente, los iones de Cl- se verán atraídos por el polo positivo de la pila, que les arrancaelectrones. Así se convierten en moléculas neutras de cloro gaseoso. Los iones de Na+ se ven atraídos por el polo negativo, del que toman electrones hasta convertirse en sodio neutro, que se acumula flotando sobre la sal fundida. El químico inglés Humphry Davy (1778-1829) sometió a electrólisis el carbonato potásico, el carbonato sódico y el óxido de calcio, aislando por primera vez el sodio y el potasio (metales alcalinos) y el calcio (alcalinotérreo). Faraday logró establecer leyes precisas que relacionaban la corriente que atraviesa la cuba electrolítica y la cantidad de sustancia que se libera o concentra en cada extremo de la pila.
El resultado del experimento espoleó la curiosidad de André Marie Ampère (1775-1836), que dio un paso más para poner de manifiesto que dos corrientes eléctricas también se pueden atraer y repeler entre sí, interactuando mediante fuerzas de naturaleza magnética. Como Coulomb, dio cuenta del fenómeno a través de un enunciado matemático, que ligaba entre sí un conjunto de magnitudes observables en cualquier laboratorio.
A primera vista estas leyes no planteaban grandes desafíos conceptuales. Los físicos, en su escudriñamiento del universo, habían reunido un número reducido de principios y conceptos que parecían bastar para producir una imagen lógica y precisa de los fenómenos. Por un lado, estaban las partículas puntuales, que interactuaban mediante fuerzas centrales, es decir, aquellas que ejercen su influencia en la dirección de la recta que las une. Esta interacción tenía lugar de modo instantáneo y a distancia. Por otro lado, estaban las ondas, que se propagaban en un medio material constituido a su vez por partículas puntuales, ligadas entre sí mediante interacciones.
Como vemos, a la hora de diseccionar la realidad se recurría a abstracciones inspiradas en fenómenos cotidianos: la piedra que arrojamos en un estanque (la partícula) y las olas que levanta en su superficie (las ondas). La naturaleza parecía hecha a la medida de la mente humana Sin embargo, por familiares que pudieran resultar estas ondas y partículas idealizadas, la noción de una acción instantánea y a distancia encerraba una profunda extrañeza «Fuera de la física —resumió Einstein—, el pensamiento no sabe nada de fuerzas que actúan a distancia» Una crítica que ya había recibido la formulación newtoniana de la gravedad, que describía sus efectos con exactitud matemática, pero sin penetrar en sus causas. Es célebre la réplica altiva de Newton ante esta clase de objeciones: Hypotheses non fingo, es decir, «Yo no me invento hipótesis».
La admiración que merecía la obra de Newton no acallaba del todo una cierta incomodidad ante algunas de sus implicaciones.
De la ley de la gravitación, tal como la enunció, se deduce, por ejemplo, que podríamos enviar mensajes instantáneos al rincón más remoto del universo con solo agitar una masa: su movimiento modificaría la distancia que la separa de nosotros y, por tanto, también la fuerza que ejerce sobre cualquier cuerpo de la Tierra. Un detector con suficiente sensibilidad sería capaz de percibir, al menos en teoría, estos efectos, que se podrían organizar siguiendo un patrón, como el código Morse.
§. El mesías y el apóstol
El programa de las fuerzas centrales comenzó a resquebrajarse cuando se vio que las interacciones electromagnéticas dependían no solo de la distancia, sino también de la velocidad y de la aceleración. Mientras las cargas estuvieran quietas, el esquema clásico mantenía la compostura, pero en cuanto se ponían en movimiento se multiplicaban los términos en las ecuaciones y la dirección de la fuerza se desviaba de la línea que unía las partículas, tal como se muestra en la figura.
Los esfuerzos por encajar la dinámica de las cargas en una teoría regida por fuerzas centrales recordaban el embrollo de esferas, deferentes y epiciclos que había urdido Ptolomeo para salvar el viejo geocentrismo.

Dirección de las fuerzas entre dos cargas: en una situación estática (a la izquierda) y en otra dinámica (a la derecha). En el caso estático, la fuerza sobre cada carga sigue la dirección de la recta que las une (Felect). En cuanto las cargas adquieren velocidades (v1 y v2) aparece una fuerza magnética (Fmag) perpendicular a la velocidad. La fuerza resultante (Ftotal) sobre cada carga, suma de la fuerza eléctrica y la magnética, ya no sigue la dirección de la recta que las une.
Faraday fue un hombre extraordinario en numerosos aspectos. Se crió en unas condiciones de pobreza que no permitían soñar con ninguna gloria científica Sin embargo, aprendió química y física aprovechando su trabajo de encuadernador, leyendo los libros que debía coser y encolar.
No frecuentó la política ni la filosofía, ni se molestó en fundar religiones, pero es una de las personas que más han contribuido a modelar el mundo tal y como lo conocemos. Hoy en día, de la producción mundial de electricidad más del 99% procede de centrales nucleares, térmicas, hidroeléctricas, eólicas, mareo- motrices... y todas ellas se apoyan en generadores de corriente que explotan un fenómeno observado por primera vez por Faraday: la inducción electromagnética. El 17 de octubre de 1831 anotó en su diario que al desplazar un imán en la proximidad de un cable, en este último se establecía una corriente. Su descubrimiento cerraba el círculo abierto por Oersted: en Dinamarca una corriente había desplazado una aguja imantada; ahora, en el sótano de la Royal lnstitution de Londres, donde Faraday llevaba a cabo sus experimentos, el movimiento de un imán generaba una corriente.
Faraday también forjó la llave que abriría la puerta de la física teórica moderna: el concepto de «campo». Se puede adquirir una intuición muy directa de él al observar el alineamiento de las virutas de hierro en torno a los polos de un imán o de una corriente. Se trata de una experiencia sencilla que cualquiera puede reproducir en casa y que parece extraer una radiografía fantasmal del espacio.
Su contemplación despliega una constelación de interrogantes. ¿A qué impulso obedecen las limaduras metálicas? ¿En qué se sustentan los remolinos alrededor de las cargas y los polos de un imán, las «líneas de fuerza», tal como Faraday las denominó?
Estas figuras borrosas desterraron para siempre las fuerzas centrales de Newton. Einstein trató de reconstruir así el proceso especulativo de Faraday:
[... ] debió de percibir, con instinto certera, la naturaleza artificial de todos los esfuerzos que trataban de explicar los fenómenos electromagnéticos mediante acciones a distancia de partículas eléctricas reaccionando entre sí. ¿Cómo iba a saber cada una de las limaduras de hierro, esparcidas sobre un papel, de las partículas eléctricas individuales que pululaban en un conductor vecino? El conjunto de todas estas partículas parecía crear en el espacio circundante un estado que, a su vez, producía un orden determinado en las limaduras. Estaba convencido de que si llegaba a comprenderse la estructura geométrica de estas configuraciones del espacio, que hoy llamamos campos, y sus mutuas dependencias, suministrarían la clave de las misteriosas interacciones electromagnéticas.
§. La síntesis electromagnética
Para desplegar un campo en el espacio basta con asignar atributos matemáticos a cada uno de sus puntos. Si son simples valores numéricos, el campo se llama escalar. Es el caso de la distribución de temperaturas en un sólido o de presiones en un mapa del tiempo. Si además adjudicamos una dirección a cada punto, tendremos un campo vectorial. Encontramos dos ejemplos clásicos en la distribución de velocidades en un fluido o, recurriendo de nuevo a la meteorología, de vientos en una región determinada.
En todos estos casos hay una estructura —material, mecánica— subyacente. La presión, la temperatura, el fluido o el viento son manifestaciones macroscópicas de movimientos moleculares. Se pensó que lo mismo debía acontecer en el caso del electromagnetismo. Los campos eléctricos y magnéticos son vectoriales, poseen una magnitud y una dirección. Indican qué le sucederá a una carga si la depositamos en un punto cualquiera del espacio. Con qué intensidad será desplazada y hacia dónde. Ahora bien, ¿qué estructura microscópica justificaba el dibujo de las líneas de fuerza? Debía tratarse de un medio invisible e intangible, que lo permease todo, extremadamente sutil, puesto que nadie lo había percibido ni echado en falta hasta el momento. Obligado por definición a representar el summum de lo etéreo, recibió el nombre de éter.
Las cargas quedaban atrapadas en este medio, cuya estructura elástica creaban y modificaban sin descanso con su mera presencia y movimientos. La configuración del campo en una región particular dictaba la suerte de una partícula concreta, pero, al mismo tiempo, cada una de las partículas determinaba la del campo y, por tanto, la suya propia y la de las demás. El trabajo de Maxwell vino a establecer las reglas precisas de este diálogo continuo entre campos y cargas.
El mismo año en que Faraday esbozaba sus ideas sobre las líneas de fuerza, en 1831, nacía en Edimburgo James Clerk Maxwell. Para muchos, Faraday, hijo de un herrero y una campesina, era poco más que un artesano prodigioso. Quizá con un cierto esnobismo de clase, no se tomaban demasiado en serio las especulaciones teóricas de alguien que carecía de estudios formales. Maxwell, sin embargo, satisfacía sus requisitos. Su familia entroncaba de modo leve, pero suficiente, con la nobleza y había estudiado en las universidades de Edimburgo y Cambridge, donde ingresó en la elitista, y más o menos secreta, sociedad de los Apóstoles.

Un ejemplo de campo escalar: mapa de la distribución de temperaturas en la atmósfera (izquierda). La intensidad del color en cada punto corresponde a un valor de la temperatura. Un ejemplo de campo vectorial: distribución de las direcciones del viento en el territorio de Italia (derecha).
A pesar de su pedigrí, se tomó muy en serio las ideas de Faraday. Maxwell dibujó las líneas de campo que aquel había intuido en las trazas de las limaduras de hierro, con un preciso tiralíneas matemático. Echando mano de las derivadas parciales, definió las leyes que regían la estructura y evolución de los campos ante cualquier configuración imaginable de cargas, corrientes e imanes. Dio cuenta de todos los fenómenos electromagnéticos que se manifestaban a nivel macroscópico, integrando armónicamente los resultados experimentales de Ampere, Coulomb, Faraday y Oersted. En otras palabras, compuso el manual de instrucciones matemáticas que estaban esperando los ingenieros para diseñar sus motores y magnetos, o inventar electrodomésticos, teléfonos, televisores o radios. Pero incluso para expresar un manifiesto revolucionario hay que recurrir al lenguaje heredado.
Para construir las ecuaciones que descifraban el comportamiento de los campos eléctrico y magnético, Maxwell se apoyó en un andamio de modelos mecánicos. En palabras del físico Freeman Dyson:
Los científicos de la época, incluido el propio Maxwell, trataban de imaginar los campos como estructuras mecánicas, compuestas de una multitud de ruedecitas y vórtices que se extendían a lo largo del espacio. Se suponía que estas estructuras comunicaban las tensiones mecánicas que los campos eléctricos y magnéticos transmitían entre las cargas eléctricas y las corrientes. Para hacer que los campos cumplieran las ecuaciones de Maxwell, el sistema de ruedas y vórtices tenía que ser extremadamente complejo.Maxwell no pretendía que los modelos que él proponía se tomaran al pie de la letra, en todo caso servían como evidencia de que los fenómenos que investigaba se podían explicar mediante mecanismos semejantes. Al margen de las ruedas, los vórtices y otros fárragos formales, sus ecuaciones contenían un vaticinio sorprendente. Si agitamos una carga eléctrica se genera un campo eléctrico variable, que a su vez induce un campo magnético variable, que a su vez produce un campo eléctrico variable... Los descubrimientos de Oersted y Faraday se encadenan, alimentándose mutuamente, en cascada, como la caída de una hilera de fichas de dominó. Esta «carrera de relevos» comunica la agitación de la carga al resto del campo.
Manipulando sus ecuaciones, Maxwell obtuvo que la perturbación, al propagarse, obedecía a la descripción matemática del sonido. Es decir, lo hacía como una onda, y pudo calcular con exactitud su velocidad. Correspondía al cociente entre las unidades electromagnéticas y electrostáticas de carga y arrojaba un valor cercano a 300.000.000 m/s.
¡Imaginen sus sentimientos cuando las ecuaciones diferenciales que había formulado le mostraron que los campos electromagnéticos se difunden en forma de ondas polarizadas y con la velocidad de la luz! A pocas personas en el mundo se les ha concedido una experiencia semejante.»No se trataba de un valor cualquiera. En 1849, el parisino Hippolyte Fizeau (1819-1896) había atrapado un rayo de luz en un laberinto de espejos y, armado con un delicado mecanismo, logró medir su velocidad en el aire. Obtuvo un valor de 314.858.000 m/s, que su compatriota Leon Foucault (1819-1868) afinó hasta los 298.000.000 m/s.
— Einstein sobre la sensación que debió de embargar a Maxwell, al darse cuenta del alcance de su descubrimiento.
Los grandes científicos suelen pronunciarse con cautela, pero ante una coincidencia de este calibre hasta Maxwell se atrevió a anunciar.
La velocidad se aproxima tanto a la de la luz que, según parece, existen poderosas razones pala concluir que la propia luz (incluyendo el calor radiante y, en su caso, otras radiaciones) es una perturbación electromagnética que se propaga en forma de ondas a través del campo electromagnético, de acuerdo con las leyes electromagnéticas».Esta revelación abrió una brecha en la interpretación física del mundo comparable a la que generó El origen de las especies en el terreno de las ciencias naturales. Ahora, por fin, todo adquiría sentido.
La acción a distancia cedía su sitio a los campos, en cuyo seno cualquier alteración se transmitía a una velocidad finita, en forma de ondas.
Longitudes y coloresSi entendemos la luz como una onda, no podemos modificar su velocidad de propagación en el vacío, pero sí estirarla o comprimirla. Con ello alteramos las dimensiones del patrón que se repite en ella, que se conoce con el nombre de longitud de onda, λ.
Las ecuaciones de Maxwell oficiaron una de las primeras ceremonias de unificación de la física- a la electricidad y el magnetismo, que había casado Oersted, se unía ahora la luz.Cuanto más larga sea λ, para una misma velocidad de propagación, menor es la frecuencia ν con la que se repite el patrón. Por tanto, λ y ν son magnitudes inversas, relacionadas por la ecuación c = λ × ν, donde λ se mide en unidades de distancia y ν, en inversas de tiempo. Dentro del rango de la radiación visible, la variación en la longitud de onda se traduce en un cambio de color. Si cogemos una onda violeta y la estiramos, se vuelve azul, luego verde, amarilla, naranja, roja... hasta que desaparece de la vista. También se desvanecería al comprimirla. El rango de longitudes trasciende la percepción de nuestros ojos y se extiende más allá de un doble horizonte: infrarrojo y ultravioleta.
Un matrimonio inesperado, puesto que la luz, en principio, parecía un misterio ajeno por completo a los asuntos que se trajeran entre manos las pilas, las corrientes o los imanes.
Maxwell ingresaba así en un exclusivo club de científicos, el de aquellos que compartieron el entusiasmo del físico Fritz Houtermans cuando, ante un comentario que celebraba la belleza de las estrellas, se pudo permitir la respuesta: «Sí, y en este preciso momento soy el único hombre sobre la faz de la Tierra que sabe por qué brillan».
Tras leer la obra de Maxwell, el físico alemán Heinrich Hertz salió a la caza de las escurridizas ondas electromagnéticas. No tuvo que moverse de su laboratorio para encontrarlas. Aunque hubieran pasado inadvertidas, habían estado con nosotros todo el tiempo y comprobó que, efectivamente, eran en esencia lo mismo que la luz, solo que con una longitud de onda que no excitaba los fotorreceptores del ojo humano, lo que las hacía invisibles.
Los físicos y los ingenieros se habituaron pronto al manejo de las ecuaciones de Maxwell, sin necesidad de preocuparse demasiado por el andamio mecánico de ruedas y vórtices que supuestamente las sustentaban. Finalmente, el andamio cayó y la estructura se mantuvo en pie. Einstein explicó el proceso con su concisión característica:
Durante décadas la mayoría de los físicos se aferraron a la convicción de que se hallaría una estructura mecánica subyacente para la teoría de Maxwell. Pero el fracaso de sus esfuerzos condujo a la aceptación gradual de los nuevos conceptos de campo como fundamentos irreducibles. En otras palabras, los físicos se resignaron a abandonar la idea de un fundamento mecánico.Aunque el concepto de campo satisfacía una inquietud si se quiere filosófica —¿cómo puede un cuerpo ejercer su influencia sobre otro?—, se impuso también por una cuestión de comodidad.

Reproducción del primer generador electromagnético inventado por Faraday. El disco de cobre gira entre los polos de un imán en forma de herradura. El movimiento produce un flujo de corriente en el disco, transformando la energía mecánica en eléctrica.
§. En la prosperidad y en la adversidad
La vanguardia teórica llevó a cabo un trabajo de siembra para las aplicaciones tecnológicas. Detrás de Coulomb, Oersted, Ampère, Faraday y Maxwell, vinieron Marconi, Graham Bell, Morse, Tesla y Edison, y un enjambre de empresarios dispuestos a ganar una fortuna con sus inventos. Jakob y Hermann Einstein se sumaron a los emprendedores que se acercaron al campo del electromagnetismo para participar de la cosecha.
Sus comienzos en Münich justificaban los mejores augurios. En 1885 firmaron un contrato para iluminar por primera vez con luz eléctrica el Oktoberfest, y participaron en la exposición electrotécnica internacional que se celebró en Frankfurt en 1891.
La industria de suministro eléctrico había experimentado un crecimiento vertiginoso. En la década entre 1880 y 1890, la demanda de instalaciones era tan fuerte que muchos empresarios modestos pudieron aspirar a un trozo del pastel.
Sin embargo, en Alemania las grandes compañías le fueron comiendo terreno a las empresas familiares, hasta acorralarlas y expulsarlas del mercado. En 1894 se produjo la primera quiebra de la Elektro-Technische Fabrik Jakob Einstein & Cie. El representante italiano de la firma, Lorenzo Garrone, propuso un traslado a Pavía. En lo que Hermann sopesaba los pros y los contras de una decisión de ese calado, Jakob lo aturdió con su entusiasmo y lo metió en un tren rumbo al Mediodía italiano.
Sus respectivas familias no tuvieron más remedio que sumarse al éxodo. Hermann y Paulino dejaron atrás su idílica residencia al abrigo de los árboles, a sus amigos y familiares, la música llana de su lengua materna... y a su hijo. Convencidos de que los accidentes financieros no debían afectar a la carrera de Albert, lo dejaron al cuidado de un familiar remoto.

Ilustraciones de Faraday que muestran el comportamiento de las limaduras de hierro en la proximidad de un imán o combinando varios de ellos.
Sus escuetas palabras no delataban que, privado de la válvula de escape familiar, el ambiente en el instituto se le había vuelto irrespirable. Esto, sumado a la sombría perspectiva del servicio militar, lo había situado al borde del desánimo y lo empujaba pendiente abajo.
Einstein se sentía en un campo de prisioneros y se propuso cavar el túnel que lo sacara de Alemania. Se las arregló para obtener un certificado de su médico de familia, que advertía de que si no se reuma de inmediato con sus padres, corría el riesgo de sufrir una crisis nerviosa El documento sirvió para que la dirección del Luitpold Gymnasium, que tampoco lo contaba entre sus alumnos predilectos, lo liberase de sus obligaciones académicas. Lo más difícil ya estaba hecho: el 29 de diciembre de 1894 salvó, por su cuenta y riesgo, los 350 kilómetros que separan Münich de Milán. No se trataba de una visita para pasar la Nochevieja: Einstein dejó bien claro a Pauline y Hermann que su decisión de no volver a pisar las aulas del Luitpold era irrevocable.
Esta jugada inesperada dejaba su futuro colgando de un hilo. Por un lado, si no completaba sus estudios de secundaria no podría matricularse en ninguna universidad alemana El servicio militar planteaba una situación todavía más comprometida Después de cumplir los diecisiete años cualquier ciudadano alemán que permaneciera fuera del país y no se presentara a cumplir con sus obligaciones militares se consideraba un desertor.
Durante un viaje en bicicleta con los Alpes de fondo y camino de Génova, tomó la decisión de renunciar a la ciudadanía alemana
y solicitar la suiza. Descartada su incorporación a la empresa familiar, Einstein se decantó por ingresar en la Escuela Politécnica Federal de Zürich, que ofrecía dos atractivos irresistibles: estaba situada fuera de los límites de Alemania, pero dentro de la zona germanófona de Suiza, y disfrutaba de un sólido prestigio en la enseñanza superior de física y matemáticas. Allí daban clase algunas de las grandes personalidades científicas de la época, como Heinrich Weber, Adolf Hurwitz y Hermann Minkowski.
Einstein pasó la mayor parte de 1895 en Milán y Pavía, preparando por su cuenta los exámenes de acceso a la Politécnica Mientras se dejaba llevar por el síndrome de Stendhal y se enamoraba de Italia, se acercaba de vez en cuando a la fábrica para echar una mano. Jakob se asombraba de que fuera capaz de resolver en un cuarto de hora los problemas que habían mantenido en jaque a los técnicos durante días.
La tormenta de acontecimientos terminó por desatar en la mente de Einstein una primera revelación física. Así lo recordaría cincuenta años después, en sus Notas autobiográficas:
Ese principio resultó de una paradoja con la que topé ya a los dieciséis años: si corro detrás de un rayo de luz con la velocidad c [la velocidad de la luz en el vacío], debería percibir el rayo luminoso como un campo electromagnético estacionario, aunque espacial- mente oscilante. Pero semejante cosa no parece que exista, ni sobre la base de la experiencia ni según las ecuaciones de Maxwell.La paradoja lo persiguió durante diez años, que fue el tiempo que tardó en resolverla. Sin saberlo, había plantado en su imaginación la semilla de la teoría de la relatividad especial. Durante el verano encontró tiempo para escribir su primer artículo científico: «Una investigación sobre el estado del éter en un campo magnético», que envió a uno de sus tíos, Caesar Koch.
En octubre, Pauline y Albert cruzaron en tren la frontera para dirigirse a Zürich. No sabemos si a Einstein le tembló el pulso al escribir su nombre en las hojas del examen, sabiendo que estaba en juego su futuro. Este primer asalto se saldó con un fracaso, pero se desenvolvió lo suficientemente bien en las asignaturas de ciencias y matemáticas para impresionar al profesor de física, Heinrich Weber, que lo invitó a asistir a sus clases. El director de la Politécnica le aconsejó entonces que completase sus estudios de secundaria en la escuela cantonal de Aarau, una pintoresca ciudad situada a medio camino entre Zürich y Basilea. Al año siguiente, después de graduarse, aceptaría su solicitud de ingreso.
Lejos de la atmósfera opresiva del Imperio alemán, el carácter de Einstein floreció. Tras su paso por Italia y Suiza, desaparecen los adjetivos «solitario», «introvertido» o «asocial» en las impresiones de las personas que lo trataron y emerge el retrato de un joven simpático, de trazas bohemias, al que no se le daba mal flirtear.
En Aarau, el joven estudiante se hospedó en casa de Jost Winteler, un brillante filólogo, amante de la ornitología y las ciencias naturales. Einstein encontró en los Winteler cariño y estímulo intelectual. Eran alegres y liberales, debatían incansablemente sobre libros y política, y organizaban una fiesta a la menor provocación. Einstein llamaba «papá» a Jost y «mamá» a su mujer, Pauline, que además del nombre compartía con su propia madre la pasión por el piano. A los hijos no los trató exactamente como hermanos, al menos no a Marte Winteler, de la que quedó prendado durante un tiempo.
Superada la prueba de Aarau, Einstein daba comienzo a una nueva etapa de su vida como estudiante de uno de los centros de enseñanza más prestigiosos de Suiza.
Durante uno de sus coqueteos, Marie había expresado a Albert su temor de que la física los terminara separando. Entre los once compañeros que Einstein conoció en el curso que iniciaba en la sección matemática de la Politécnica, se encontraba la encarnación de aquellos temores: Mileva Marić, una joven despierta e independiente, capaz de compartir la fascinación de Einstein por la teoría cinética de gases, un rasgo francamente inusual entre las mujeres que había conocido. Con ella, el amor del estudiante hizo su mudanza.
Como en la obertura de una ópera, a los diecisiete años Albert ya había puesto encima de la mesa los grandes temas de su vida: había escrito su primer artículo científico, había protagonizado un serio encontronazo con las autoridades, se había enamorado y desenamorado, y se había formulado una pregunta capaz de detonar una revolución científica: ¿qué sucedería si persiguiera un rayo de luz?
Capítulo 2
Todo movimiento es relativo
A lo largo de 1905, Einstein, entonces un anónimo empleado de la Oficina de Patentes de Berna, publicó cinco artículos que revolucionarían la física. Entre ellos figuraba su primer esbozo de la relatividad especial. Al fijar la constancia de la velocidad de la luz en el vacío, condenó para siempre cualquier noción familiar de espacio y tiempo.La caza del rayo de luz fue el hilo de Ariadna que guió a Einstein hasta la relatividad especial. Una teoría que, entre otras muchas cosas, proporciona una receta para conciliar los puntos de vista más diversos. Todo un logro para la física que el joven científico fue, sin embargo, incapaz de conquistar en el terreno personal. Durante sus años de formación se fraguó un desencuentro casi total con sus profesores de la Politécnica, con las instituciones académicas que podían contratarlo y con su propia familia, que hasta entonces le había servido de pararrayos frente a las tormentas del exterior. Cerrado el paréntesis de su estancia idílica en Aarau, volvía al campo de batalla. Si hubiera diseñado un emblema para su escudo de armas, en él leeríamos: Albert contra mundum. Su manera de entender la enseñanza, las relaciones sentimentales o el ejercicio de la ciencia parecía incompatible con el entorno social que le había tocado en suerte. Al detenerse frente a su primera encrucijada decisiva, el arranque de su carrera investigadora, en un plato de la balanza descansaba su ambición, su particular forma de hacer, y en el otro, el de las autoridades académicas. Einstein tardó años en encontrar el equilibrio entre ambas.
La buena impresión mutua que se habían causado Heinrich Weber y él, tras su primer intento fallido de acceso a la Politécnica, se disipó rápidamente. No parece que el desencanto respondiera a las aptitudes de Einstein, pues Weber siempre calificó su trabajo con notas excelentes. Pero el joven físico no interpretaba el papel de discípulo incondicional y sumiso con la convicción esperada. En lugar del altisonante «Herr Professor» prefería dirigirse a él con un escueto «Herr Weber». Durante los primeros semestres reaccionó con entusiasmo a sus lecciones sobre termodinámica, pero pronto sintió que le estaba escamoteando la física que ansiaba aprender, la teoría sobre la electrodinámica de Maxwell, y terminó desertando de sus clases para estudiarla por su cuenta Por suerte, como recordaría en su retiro crepuscular de Princeton, «contaba con un amigo —Marcel Grossmann— que asistía a clase con regularidad y tomaba buenos apuntes. Así, a cambio de la mala conciencia, que sobrellevaba con gusto, gocé de la libertad de elegir en qué ocupaba mi tiempo hasta un par de meses antes del examen».
Si son rosas, florecerán.»En las aulas, su asiento vacío no pasó desapercibido y tampoco se interpretó como una muestra de respeto. La versión de Weber puede resumirse en una advertencia: «¡Eres inteligente, muchacho! Pero tienes un defecto. Que no dejas que nadie te diga nada. Absolutamente nada». De tenderle una mano a su llegada a Zürich, antes de comenzar sus estudios, pasó a darle la espalda después de que los terminara. Tras los exámenes finales fue el único estudiante que, habiendo aprobado, no recibió una oferta para quedarse a trabajar en el centro. Los ecos de este portazo se propagaron al resto de instituciones académicas. Todos sus eventuales empleadores pedían referencias a su tutor y parece que Weber respondía puntualmente y con sinceridad. Sus solicitudes de un puesto de ayudante, un primer escalón indispensable para emprender una carrera como investigador, chocaron con un muro de silencio. La reacción inicial de Einstein fue de indignación. «Es realmente espantoso pensar en los obstáculos que estos viejos filisteos ponen en el camino de cualquier persona que no sea de su cuerda —escribía en diciembre de 1901—. Esta gente considera instintivamente a cualquier joven inteligente como una amenaza a su podrida dignidad.» Después se lo tomó con humor y resignación: «Dios creó al asno y le dio una piel gruesa».
— Respuesta de Michele Besso, ingeniero y amigo de Einstein, ante las dudas de este sobre sus ideas.
No era el único conflicto que se había gestado en las aulas de la Politécnica por culpa de su alergia a las convenciones. Nada más aterrizar allí, en el semestre de invierno de 1896, conoció a una estudiante serbia, tres años mayor que él, que había recalado en Suiza para continuar los estudios que las autoridades austro- húngaras consideraban impropios de una mujer.
Pauline y Hermann habían alentado la relación de su hijo mayor con Marie Winteler. Reaccionaron ante Mileva Marić con el mismo horror que si se les apareciera un espectro. Los cumplidos que le dedicó Pauline son un bumerán que la retratan como una suegra casi de comedia. Para ella, Mileva era «demasiado vieja» y «físicamente contrahecha», una mujer que no podía «aspirar a una buena familia». Con esa convicción, perseguía a su hijo convertida en un oráculo funesto: «Ella es otro libro, como tú, y tú lo que necesitas es una mujer», «cuando cumplas los treinta ella se habrá convertido en toda una bruja». Su hijo, obviamente, veía las cosas de otra manera: «Entiendo muy bien a mis padres. Consideran a la mujer como un lujo para el hombre, que este solo puede permitirse cuando disponga de una cómoda existencia. Pero tengo en muy poco semejante concepción acerca de las relaciones entre hombre y mujer, puesto que, desde ese punto de vista, la esposa y la prostituta solo se diferencian en que la primera, gracias a sus mejores condiciones de vida, puede conseguir del hombre un contrato de por vida. Semejante opinión es la consecuencia natural de que en mis padres, como en la mayoría de las personas, los sentidos ejercen el dominio directo sobre los sentimientos, mientras que en nosotros, gracias a las felices circunstancias en que vivimos, el goce de la vida es infinitamente más amplio». La mera imaginación de las consecuencias que podía acarrear ese goce robaba el sueño de Pauline.
Si en la época dorada de Münich había disfrutado acompañando a su hijo al piano para interpretar sonatas, ahora solo se encontraba de humor para entonar un réquiem. Hermann y ella lloraban a Einstein como si hubiera muerto. Después de enterarse de que Mileva había suspendido los exámenes finales, Pauline preguntó: «¿Y ahora que va a ser de esa muchacha?».

Albert y Mileva fotografiados entre 1904 y 1905. En la imagen de la derecha la pareja posa junto a su hijo, Hans Albert.
Ciertamente la postura de Pauline reflejaba un afán común entre la burguesía de la época: rematar un buen matrimonio.

Mileva con Hans Albert y Eduard, el segundo hijo que tuvo con Einstein dentro del matrimonio.
Einstein quedó deslumbrado nada más conocerla en las clases de la Politécnica. Para un hombre de su temperamento, el peor reproche de su madre se transformaba en el elogio más encendido: «ella es un libro como tú». Una mujer que aspirase a una carrera científica era una rara avis en su entorno social, un espécimen precioso por su singularidad. Se veían investigando juntos, discutiendo juntos, viviendo juntos, superando juntos cualquier oposición familiar.
Las cartas que Einstein le escribió entonces a Mileva giran como variaciones alrededor de dos temas igual de absorbentes: la física y el cariño. Venciendo no pocas dificultades, hicieron realidad su sueño. Mileva dio a luz una hija semiclandestina en Hungría, que Einstein nunca llegó a conocer, se casaron en 1903 en una boda a la que no acudió ningún familiar, tuvieron dos hijos más, sufrieron la erosión de la convivencia en una situación económica muy precaria, interpretaron una sinfonía de celos y reproches, y acabaron en una guerra soterrada y con los hijos convertidos en arma arrojadiza.
Su idilio despuntó como una comedia romántica y derivó en un drama matrimonial. Una historia que no llamaría la atención de nadie si uno de los cónyuges no hubiera sido elegido por votación popular como uno de los iconos del siglo XX.
§. ¿El autor secreto de la relatividad?
Uno de los capítulos más controvertidos dentro de la bibliografía einsteiniana versa sobre la participación de Mileva en la génesis de la relatividad. Las científicas se han visto maltratadas a lo largo y ancho de los siglos por su mera condición de mujeres, y sus contribuciones, oscurecidas de un modo sistemático, cuando no usurpadas sin el menor reparo. Las afrentas sufridas por actitudes condescendientes y paternalistas de maestros o compañeros de investigación llenarían los volúmenes de una biblioteca consagrada a la infamia. Afrentas que, por supuesto, no se detenían en el umbral del matrimonio. Al matemático británico William Young (1863-1942), por ejemplo, no parecía atormentarle la idea de mantener en la sombra a su esposa y también matemática Grace Chisholm (1868-1944): «Lo cierto es que ambos deberíamos firmar nuestros artículos, pero si así fuera ninguno de los dos se vería beneficiado. No. Para mí los laureles ahora, y el conocimiento. Para ti, solo el conocimiento. En la actualidad no puedes desarrollar una carrera pública Yo puedo y lo hago».
¿Podemos aplicar esta plantilla al matrimonio de Albert y Mileva? ¿Es la relatividad en realidad obra, siquiera parcial, de otra persona? De las discusiones y conversaciones privadas que mantuvieron Mileva y Einstein poco sabemos. Algunas de las acusaciones más contundentes se han esfumado bajo un escrutinio más detenido, como la afirmación de que existía un original de «Sobre la electrodinámica de los cuerpos en movimiento» firmado por los dos. Hay quien detecta más de una mano en la redacción de este artículo, donde se fundamenta la relatividad especial. Al final, el grueso de la imputación se remonta a una referencia de Einstein, de 1901, sacada de contexto («Qué feliz y orgulloso estaré cuando, juntos, hayamos culminado con éxito nuestro trabajo sobre el movimiento relativo») y al hecho de que se comprometiera a entregar el dinero del Nobel a Mileva después de su divorcio. Como veremos más adelante, la noción de movimiento relativo es muy común en física, y 1901 es una fecha demasiado temprana para que hiciera referencia al contenido del artículo que se publicó cuatro años después. El arreglo de la separación no tiene por qué implicar el reconocimiento de ninguna autoría. Por otro lado, ahora sabemos que Einstein gastó parte del premio en inversiones que se esfumaron con la gran depresión.
Es innegable que Mileva podía entender sus artículos y que incluso podía leerlos a la caza de errores. Einstein disfrutaba discutiendo sus ideas con otras personas, como Michele Besso, Philipp Frank o Maurice Solovine. Su pensamiento se estimulaba con el ejercicio dialéctico. Resulta difícil imaginar que no compartiera sus especulaciones con la persona más cercana y que no buscara su opinión. ¿Hasta qué punto recibió en el intercambio sugerencias valiosas? Lo más probable es que nunca alcancemos a saberlo. La mayor parte de las cartas que Mileva le escribió a Einstein se han perdido, y entre las que se conservan encontramos escasas alusiones científicas. Las de Einstein rebosan entusiasmo hacia sus lecturas y su contacto con otros científicos. Los amantes de las teorías de la conspiración siempre pueden argüir que las cartas que contenían las aportaciones de Mileva fueron arrojadas al fuego de alguna chimenea. Sí se conserva parte de la correspondencia de Mileva con su amiga Helene Kaufler, donde expresa su admiración hacia el trabajo de su marido sin atribuirse ninguna participación en él.
La única certeza es que el virtuosismo científico de Einstein sobrevivió a su vida en común con Mileva La construcción de la relatividad general, su logro más ambicioso y profundo, culminó cuando trabajaba solo en Berlín, separado ya de su mujer. Aunque cabe detectar bastantes rasgos machistas, consustanciales a la época, en el trato que Einstein deparó a Mileva, la usurpación no parece encajar en lo que conocemos de su personalidad. Antes de que las aspiraciones académicas de Mileva se truncaran, después de suspender dos veces sus exámenes finales, Einstein se mostraba encantado ante la idea de compartir su empresa científica con ella. Por lo que puede leerse en su correspondencia, siempre la animó a que no tirase la toalla. En diversas ocasiones defendió decididamente, y por propia iniciativa, a otras mujeres que luchaban contra el ostracismo académico, como en el caso de la matemática alemana Emmy Noether (1882-1935).
Aunque de puertas afuera lo sobrellevara con humor, Einstein no disfrutaba de su desencuentro con el resto del mundo. La defensa numantina de su relación con Mileva no debía plantearle demasiados remordimientos, pero la desazón que proyectaba en sus padres la incertidumbre de su futuro profesional lo atormentaba. En una carta a su hermana Maja asoma esta angustia en toda su crudeza:
No supongo más que una carga para mis parientes [...]. Seguramente lo mejor para ellos sería que yo no existiera. Solo la idea de que siempre he hecho cuanto me han permitido mis escasas fuerzas y que vivo año tras año sin concederme un placer, una diversión, salvo los proporcionados por mis estudios, me permite continuar y a veces me protege de la desesperación.
En los momentos de abatimiento contempló la posibilidad de tirar por la borda sus aspiraciones científicas y emplearse en una compañía de seguros.
Sin embargo, consiguió mantenerse sobre la cuerda floja, haciendo malabarismos de un trabajo precario a otro: dio clases particulares, sustituyó a un profesor de matemáticas en la escuela técnica superior de Winterthur, fue tutor en un internado de Schaffhausen... y en ocasiones comió muy poco. Su amigo Friedrich Adler confesó que en algún momento llegó a temer que muriese de hambre. Cuando su antiguo mentor Max Talmey, ya doctor, le hizo una visita y vio la habitación donde vivía, constató que: «su entorno revelaba una pobreza considerable». Finalmente, por mediación de su antiguo compañero de la Politécnica, Marcel Grossman, Einstein consiguió un puesto en la Oficina de Patentes de Berna. A cambio de un sueldo más bien escaso, debía evaluar la viabilidad de los inventos que aspiraban a una patente, en su mayoría con un fundamento electrotécnico.
El movimiento brownianoEn junio de 1827, el botánico escocés Robert Brown se dispuso a analizar al microscopio una muestra de granos de polen sumergidos en agua. Observó que sus partículas, amiloplastos y esferosomas, se estremecían en el líquido, como sometidas al bombardeo constante de unos proyectiles invisibles. Los impactos las hacían rotar y perderse en trayectorias zigzagueantes. Brown no podía observar con su microscopio de 300 aumentos las moléculas de agua, que chocan de modo aleatorio, millones de veces, contra los objetos diminutos que se sumergen en ella y los zarandean, comunicándoles su agitación térmica. La propia existencia de los átomos fue puesta en duda por algunas autoridades científicas hasta comienzos del siglo XX.En mayo de 1905, Einstein completó un artículo que contribuyó a zanjar la polémica: «Sobre el movimiento de las partículas suspendidas en fluidos en reposo, según exige la teoría molecular del calor», donde llevó a cabo un análisis estadístico de qué efectos perceptibles causaría la agitación térmica de las invisibles moléculas. En la introducción se mostraba cauto acerca de la relación de su estudio con las observaciones de Robert Brown:
Diagrama de Jean Perrin en el que se muestra el movimiento errático de diminutos granos, inmersos en un líquido.En este artículo se demostrará que, de acuerdo con la teoría cinético-molecular del calor, cuerpos de un tamaño visible al microscopio, suspendidos en un fluido, deben realizar, como resultado de los movimientos moleculares térmicos, movimientos de tal magnitud que puedan ser observados fácilmente con un microscopio. Es posible que los movimientos que van a discutirse aquí sean idénticos al denominado movimiento molecular browniano [...].El francés Jean Perrin verificó en el laboratorio las predicciones de Einstein tres años después. En su libro Átomos resumía así el estado de la cuestión: «Creo que de ahora en adelante será difícil sostener con argumentos racionales una actitud hostil ante las hipótesis moleculares».
En realidad, era una oportunidad para dejarse arrastrar por el flujo creativo de los inventores y regresar al universo acogedor de las bobinas, los conmutadores y las dinamos en el que había sido iniciado por el tío Jakob. Como escribió a la viuda de Grossmann, treinta y cuatro años después, se trataba de un trabajo «sin el cual no hubiera muerto, pero se habría echado a perder mi espíritu».
El puesto le ofrecía la estabilidad mental y económica que necesitaba para sentarse y poner en orden sus ideas.
En 1905, Einstein hizo uno de los debuts más memorables en la historia de la ciencia Desde una posición absolutamente marginal dentro del sistema, publicó cinco artículos donde hablaba de la naturaleza cuántica de la luz, el movimiento browniano, la relatividad especial y la equivalencia entre masa y energía Cuando la comunidad científica finalmente se dio por aludida, buscó en vano en las últimas páginas o en las notas al pie alguna referencia al trabajo de un catedrático o profesor de universidad. En su artículo fundacional de la relatividad («Sobre la electrodinámica de los cuerpos en movimiento») Einstein no menciona a más físicos que a Newton, Faraday y Maxwell. Su única frase de agradecimiento es para un compañero de la Oficina de Patentes: «Finalmente hago notar que en el trabajo sobre el problema tratado aquí mi amigo y colega M. Besso ha estado fielmente a mi lado, y que a él tengo que agradecer muchos y valiosos estímulos». Que era como decirle a los miembros de la comunidad científica que ahí quedaba eso y que no les debía nada.
§. Los precursores de la relatividad
La ciencia ha triunfado allí donde han fracasado la historia, la filosofía o el derecho, y donde fracasamos las personas día tras día en poner de acuerdo a los más diversos observadores acerca de lo que sucede en realidad, mediante relaciones matemáticas y seguras. Claro que semejante logro se ha conquistado a costa de un «pequeño» sacrificio: tirar por la borda las nociones intuitivas de tiempo y espacio.
El primer paso hacia el principio de relatividad lo dio Galileo Galilei, que en la segunda jornada de su Diálogo sobre los dos sistemas máximos del mundo proponía a sus lectores un curioso experimento:
Enciérrese con algún amigo en la estancia más grande bajo la cubierta de un barco y encierre allí también un puñado de mosquitos, moscas y otros pequeños insectos. Lleve una gran artesa con agua y llénela de peces; cuelgue una botella que gotee agua en otra de cuello estrecho colocada debajo. Entonces, estando el barco quieto, observe cómo los insectos vuelan con parecida velocidad hacia todas las partes de la estancia, cómo los peces nadan indiferentemente hacia todos los lados y cómo todas las gotas caen en la botella situada debajo. Y lanzando cualquier cosa hacia su amigo, no necesitará arrojarla con más fuerza en una dirección que en otra, siempre que las distancias sean iguales, y saltando a lo largo, llegará tan lejos en una dirección como en otra.Con uniforme, Galileo quería decir «con velocidad constante». Todas las experiencias que sugiere aquí son de naturaleza mecánica. Buscamos indicios del movimiento del barco en la trayectoria de las moscas, el goteo del agua o la deriva de los peces. Y no hallamos ninguno. Sin una impresión visual del exterior, en la bodega sin escotillas del barco, somos incapaces de responder a la pregunta de si estamos quietos o nos desplazamos con velocidad constante. Los ojos tampoco son testigos de fiar. Cuando miramos por la ventanilla de un vagón detenido en la estación y el tren situado a nuestro lado arranca, recibimos la impresión de que somos nosotros quienes nos ponemos en movimiento. Un espejismo que se deshace en cuanto desaparece el otro tren y en su lugar observamos la vía desierta. Como aprendemos de niños al montar en una montaña rusa, el mejor detector de movimiento es el que llevamos «instalado» en las tripas, y solo responde a la aceleración. Descartado el testimonio de la vista, vamos a depositar nuestra confianza en las matemáticas.
Después de observar estas particularidades, creo que nadie dudará de que mientras el barco permanezca quieto, deben ocurrir de esta manera; haced que el barco se mueva con la velocidad que se quiera siempre que el movimiento sea uniforme y no oscile en esta dirección y en otra. Usted no será capaz de distinguir la menor alteración en todos los efectos citados ni podrá colegir por uno de ellos si el barco se mueve o está quieto.
Si nos acercamos al muelle de Galileo, podemos reflejar su experimento del modo siguiente. Vamos a seleccionar dos puntos de vista, que los físicos denominan en su jerga técnica sistemas de referencia. Se trata de un concepto abstracto. Si nos resulta más cómodo podemos imaginarlo encarnado en una persona, aunque los sentidos humanos son poco fiables. Valdría también un aparato que registre una o varias magnitudes físicas. Por comodidad, los distinguiremos con letras, G y D. Si un sistema de referencia está quieto o se desplaza con velocidad constante en relación con otro, diremos que es un sistema inercial.
Instalamos uno de los sistemas en el muelle, en reposo. Vamos a medir todas las distancias desde el punto donde se encuentra Galileo (G), que llamaremos su origen de coordenadas. A su derecha y frente a él consideramos las distancias positivas; a su izquierda y a su espalda, negativas. En relación con la posición de Galileo podemos determinar por medio de dos números (coordenadas x e y) la ubicación de cualquier elemento (ya sea una mosca, una persona o una botella) que ronde por el espacio (figura l).

No es el único punto de vista admisible. Nuestro segundo sistema viajará a bordo del barco, en la bodega, y corresponde a Doménico, uno de los estudiantes de Galileo en la Universidad de Pisa, que se ha animado a llevar a cabo el experimento. Se sitúa en la esquina inferior izquierda de la bodega, según se muestra en el dibujo, donde Ajaremos su origen de coordenadas (D).
Suponemos que el barco se desliza con velocidad constante u hacia la derecha, manteniendo la borda prácticamente pegada al muelle.
Nos interesa que Galileo pueda espiar a Doménico, pero que el estudiante no reciba ninguna información visual de lo que ocurre fuera de la bodega. Para ello podemos imaginar que se mantiene de espaldas a una serie de ojos de buey, que ofrecen una vista del interior. Galileo, al fijarse en Doménico, observa que la posición del estudiante cambia a medida que el barco avanza (figura 2).Cada uno dispone de un reloj y se han sincronizado antes de separarse, así que también pueden registrar tiempos.
Si se cansa de medir distancias, Galileo puede calcular con facilidad la posición de su alumno en cada instante. Le basta con multiplicar la velocidad del barco (u) por el tiempo que va marcando su reloj (t). Si llamamos x a la distancia recorrida por Doménico, resulta:
x = u × t
Encerrado en la bodega con sus moscas, el joven no percibe que se está alejando de su maestro. Para él su posición es siempre la misma: x' = 0.Si contempla una mosca revolotear a su alrededor, dará sus coordenadas (x'm,y'm).
Galileo también observa al insecto a través de un ojo de buey y obtiene para la altura a la que revolotea un valor, ym, que coincide con el de Doménico, y'm. Sin embargo, no se ponen de acuerdo con su posición horizontal, xm y x'm. A las idas y venidas de la mosca por la bodega Galileo añade sistemáticamente el desplazamiento u constante de la embarcación.
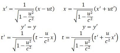
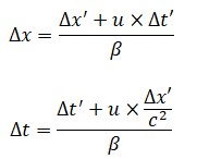
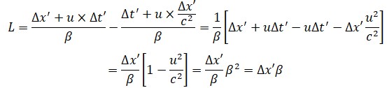
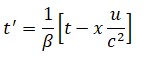
Llegados a este punto nos podemos preguntar: ¿existe algún modo de relacionar las observaciones de maestro y discípulo? La respuesta, afirmativa, se encuentra en las siguientes ecuaciones, que reciben el nombre de transformación de Galileo:

El estudiante cuenta con su propio juego de transformaciones para interpretar las impresiones de Galileo:

Podemos seguir indefinidamente saltando de sistema en sistema y enmarañando cada vez más las trayectorias.
Si para describir el recorrido de un coche, por ejemplo, nos viéramos obligados a considerar la velocidad con que se desplaza en compañía de la Tierra, el Sol y la Vía Láctea, llenaríamos las páginas de cálculos innecesarios. Podemos concluir que lo más práctico consiste en fijar un punto de vista y referir nuestro movimiento relativo respecto a él. En realidad, el debate heliocéntrico o geocéntrico no versa sobre si la Tierra gira alrededor del Sol o es el Sol quien gira alrededor de la Tierra Los dos puntos de vista son igual de válidos, la cuestión es que ninguno prevalece sobre el otro, salvo en la sencillez de las trayectorias. La Tierra describe elipses en torno al Sol. El Sol dibuja complejísimos tirabuzones en torno de nuestro planeta Las moscas, los satélites y los barcos modifican su posición cuando los observamos con el paso del tiempo. Según desde dónde lo hagamos, la «danza» que ejecuten a nuestro alrededor será distinta, pero todas las perspectivas son válidas y podemos traducir unas impresiones a otras sin que se contradigan lógicamente.
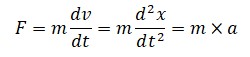
Las experiencias que propone Galileo bajo la cubierta del barco implican aceleraciones. Al hablar de gotas que caen de una botella a otra, de moscas que vuelan o de personas que saltan, transitamos los dominios de Newton, quien inventó el cálculo para expresar de modo apropiado las leyes de la dinámica.
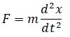
Una ley ciegaSi nos movemos en una sola dimensión, podemos escribir la segunda ley de Newton:Si m es constante
Esta receta para describir la realidad adopta la misma forma en los dos sistemas de referencia.
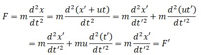
Para G:Si traducimos al sistema de la bodega, mediante la expresión de Galileo, cualquier fuerza que se mida en el muelle, como las que intervienen en un salto o en los cambios constantes de velocidad en un pez o una mosca:
Luego G y D aplicarían exactamente la misma expresión para describir la fuerza, cada una referida a sus propias coordenadas. La transformación de Galileo deja intactas las ecuaciones de la dinámica.
Sus ecuaciones registran aceleraciones, es decir, cambios en la velocidad, así que son «ciegas» a la velocidad constante del barco. ¿Se mueve Galileo o se mueve Doménico? Las ecuaciones de Newton no se pronuncian en favor del punto de vista de ninguno de los dos sistemas. Este es el principio de relatividad de Galilea Los experimentos mecánicos no sirven para determinar si nos desplazamos con velocidad constante o permanecemos en reposo. Con la dinámica clásica en la mano podemos hablar de movimientos relativos, pero no absolutos.

Aunque los observadores G y D midan distancias distintas a los puntos 1 y 2, la distancia d entre los puntos 1 y 2 es la misma para los dos.
§. La relatividad se electriza
La ciencia del siglo XIX quedó embriagada con la revolución que trajo la electricidad, pero despertó con una resaca de incomodidades teóricas. En el capítulo anterior examinamos algunas de ellas, pero nos limitamos a contar una pequeña parte de la historia. Las interacciones electromagnéticas, que dependen de la velocidad, no solo complicaban el escenario de las fuerzas centrales e instantáneas, o comprometían el principio de acción y reacción. También amenazaban el reinado de la relatividad fundado dos siglos atrás por Galileo.
Para empezar, las leyes de Maxwell no eran como las de Newton: cambiaban bajo una transformación galileana. En cualquier sistema inercial se puede expresar la fuerza como un producto de la masa por la aceleración, sin necesidad de añadir términos nuevos debidos a un cambio de coordenadas. Las ecuaciones de Maxwell, sin embargo, sufrían una metamorfosis comparable a la del doctor Jekyll en el señor Hyde. En un sistema en reposo, como el muelle, mostraban un aspecto conciso y elegante, pero al realizar la traducción dada por la fórmula [2] para trasladarnos a un sistema en movimiento, como el barco de Doménico, surgían toda clase de términos nuevos que complicaban las ecuaciones. Estos términos, además, describían fenómenos físicos que nadie había observado. Las líneas de campo en torno a un imán, por ejemplo, que en reposo dibujan lazos cerrados, quedaban cortadas en movimiento. De ser así, las ecuaciones de Maxwell no se mostrarían «ciegas» a la velocidad constante y ofrecerían un método para detectar el desplazamiento uniforme.
Lo curioso es que Maxwell había deducido sus elegantes ecuaciones a partir de fenómenos registrados sobre la superficie terrestre, que todo el mundo estaba de acuerdo en considerar un sistema de referencia en movimiento. ¿Por algún azar la Tierra gozaba de privilegios frente al resto de sistemas? La cuestión abría un abismo geocéntrico a los pies de los físicos. ¿Al final tendría razón la Biblia cuando sostenía que los astros giraban alrededor de nuestro planeta? ¿Era el sistema terrestre el único en reposo absoluto, donde las ecuaciones de Maxwell manifestaban toda su fuerza y simplicidad?
Sin necesidad de salir al espacio, si uno reproducía la experiencia de Doménico y se encerraba en la bodega del barco, sustituyendo las botellas, las moscas y los peces por imanes, bobinas con corrientes y ondas electromagnéticas, constataba que las líneas de campo no se cortaban y que, en general, los extraños fenómenos predichos por los nuevos términos no se presentaban. Puesto que las ecuaciones de Maxwell se mostraban igual de elegantes y simples en los dos sistemas de referencia, los experimentos electromagnéticos tampoco servían para establecer si un observador se desplaza con velocidad constante o se encuentra en reposo, anclado en el muelle.
Para resolver las contradicciones la única alternativa era corregir las transformaciones de Galileo, por mucho que las dictase el sentido común. En 1904, el científico neerlandés Hendrik Lorentz (1853-1928) propuso un nuevo juego de ecuaciones para traducir las coordenadas entre sistemas separados por una velocidad constante. La comunidad científica celebró el acontecimiento bautizándolas con su apellido: así nacían las transformaciones de Lorentz. De entrada, ofrecían un atractivo irresistible: si se aplicaban a las ecuaciones de Maxwell, estas conservaban su estructura admirable. Además, para velocidades mucho más bajas que la luz se reducían a las de Galileo.
Las transformaciones de LorentzSe pueden expresar del modo siguiente:
Basta con examinar la expresión que relaciona t' con t y x para verle las orejas al lobo. A un tiempo dado del sistema en reposo, t, le corresponden distintos valores de t', de hecho infinitos, según el punto del espacio donde nos situemos (es decir, para los distintos valores de x). Dos sucesos que se perciben al mismo tiempo en puntos separados del muelle dejan de ser simultáneos desde la bodega del barco. Se comprueba también que para velocidades mucho más bajas que la de la luz (donde los términos u2/c2 y u/c2 se hacen prácticamente nulos), las ecuaciones se reducen a las transformaciones de Galileo. Para hacernos una idea de la magnitud de la corrección que introducen, podemos probar a calcular el valor de u2/c2 en el caso de una persona que camina (a unos 5 km/h) y en el de una bala (pongamos que a 1000 m/s): 2,1×10-17 y 1,1×10-11, respectivamente. Las transformaciones presentan algo agradable al ojo del físico y es una cierta simetría entre las variables. Si x' depende de x y t, t' también depende de ellas. En el caso de Galileo, el tiempo t' no dependía del espacio x'. Esta estructura despertó un déjá vu en los matemáticos: les recordaba las ecuaciones de una rotación en el espacio. La analogía condujo a la construcción del espacio-tiempo, donde las transformaciones de Lorentz son rotaciones en un espacio de cuatro dimensiones.
Como las velocidades a las que nos desplazamos habitualmente son muy pequeñas si se comparan con la de la luz, no era de extrañar que nuestro sentido común no acertara a la primera con las expresiones de Lorentz y se conformara durante unos cuantos siglos con la aproximación de Galilea La corrección que introducían resultaba tan minúscula que se descubrió antes a través de especulaciones teóricas que en los laboratorios.
No habían acabado los físicos de felicitarse por las ventajas formales del invento de Lorentz cuando sus efectos secundarios les borraron de golpe la sonrisa. Las transformaciones asignaban, a un tiempo dado del sistema en reposo, una infinidad de tiempos distintos en el sistema en movimiento. De hecho, infinitos, uno para cada punto del espacio.
Así, dos sucesos que se perciben como simultáneos en pimíos separados del muelle dejaban de serlo para un observador instalado en la bodega del barco. Si uno juega un poco con las ecuaciones, se sumerge en un mundo donde los cuerpos encogen aparentemente al moverse y el tiempo parece discurrir en ellos más despacio. Los físicos necesitaban razones muy poderosas para asumir semejantes extravíos y se resistieron con uñas y dientes. Antes de rendirse, invirtieron todas sus energías en encajar el electromagnetismo en un marco más familiar.
§. Los vientos del éter
Antes del trabajo de Maxwell y Hertz, los únicos fenómenos conocidos que se propagaban en forma de onda lo hacían con el soporte de un medio, por ejemplo el sonido, a través del aire o del agua. El sentido común, siempre peligroso, invitaba a elevar esta circunstancia a principio universal.
Las ecuaciones de Maxwell interpretaban la luz como una onda, luego se imponía la existencia de un medio a través del cual pudiera propagarse: el éter.
Como no eran filósofos griegos, en lugar de matar el tiempo especulando sobre las propiedades del éter, los científicos se encerraron en los laboratorios para buscarlo. Diseñaron experimentos extremadamente sensibles y cuidadosos para detectar algún rastro del peregrinaje de esta Tierra inmersa en el éter. El resultado fue siempre negativo.
El experimento de Michelson y MorleyEn 1887 Albert Michelson y Edward Morley trataron de medir la acción del éter sobre la Tierra en movimiento, un efecto parecido al viento que siente un motorista cuando atraviesa una masa de aire que esté en calma. Podemos descomponer el experimento en cuatro pasos:Si se juntan de modo que cada valle encaje en una cumbre y viceversa, ambas se anulan (figura 2).
- Se divide un haz luminoso en dos, de modo que se separen en direcciones perpendiculares. Para este fin se utiliza una placa de cristal cubierta con una película de plata, del grosor necesario para desviar la mitad de la luz y dejar pasar la otra mitad. A partir de este punto los dos haces recorrerán dos distancias de la misma longitud.
- Al final de cada recorrido se sitúa un espejo, para que los haces reboten.
- La dirección de uno de los haces coincidirá con el desplazamiento de la Tierra. Si existe un éter que nuestro planeta surque en su periplo orbital, su presencia romperá la simetría en el recorrido de los dos haces.
- Cuando dos ondas, A y B, coinciden, se produce un fenómeno llamado interferencia. Si se sincronizan a la perfección, los valles y las cumbres de una y otra se refuerzan mutuamente, dando como resultado la onda C (figura 1).
Lo más común es un resultado intermedio, de manera que no coincidan ni se anulen exactamente (figura 3). Al estudiar el patrón de interferencia de las ondas luminosas que se reúnen tras su viaje de ida y vuelta a los espejos, cabe esperar el tercer resultado. Uno de los haces, el que viaja en la dirección del desplazamiento de la Tierra, debería sufrir el arrastre del éter y llegar más tarde al punto de encuentro, perdiendo la sincronía con el otro haz. Sin embargo, lo que se halló fue un perfecto acuerdo entre ambos. La luz parecía ignorar por completo el movimiento de la Tierra. Curiosamente, Einstein, que desconocía el artículo de Michelson y Morley, propuso a Weber un experimento muy similar como trabajo para obtener su licenciatura. Su tutor lo rechazó.
El éter se comportaba igual que el asesino de una novela negra: cometía el crimen de transportar la luz, pero luego no dejaba rastro. Bien estaba que fuera sutil, pero empezaba a resultar demasiado etéreo incluso para ser éter. Algunos, en su desesperación, llegaron a denunciar una conspiración de la naturaleza, que se divertía jugando al escondite con los científicos.
En esta atmósfera de sospechas se ensayaron toda clase de explicaciones. Algunas rozaron el centro de la diana o lograron arrancar fragmentos de la verdad. Muchas de las respuestas se hallaban implícitas en las propias ecuaciones de Maxwell, si uno sabía leerlas bajo la luz adecuada. En realidad, cuando Einstein se presentó en el lugar de los hechos, Lorentz y Poincaré habían reunido todas las piezas del rompecabezas. Lorentz había introducido la transformación que permitía saltar de un sistema de referencia a otro sin desarmar las ecuaciones de Maxwell y deducido algunas de sus implicaciones físicas más notables, como la contracción espacial. Poincaré había seguido muy de cerca el trabajo del holandés, con quien mantenía correspondencia científica Entre 1898 y 1905 había establecido por su cuenta el principio de relatividad, planteado la constancia de la velocidad de la luz y cuestionado el concepto de simultaneidad. Pero a los dos les cegaba la bruma del éter, el peso de una cierta tradición, como si después de acotar todas las pistas en la escena del crimen se resistieran a reconocer que el asesino podía ser un aristócrata.
Einstein interpretó el papel del detective privado, libre de prejuicios o compromisos institucionales que le impidieran señalar al verdadero culpable. Poincaré supo reconocerle esta ventaja
Lo que admiro particularmente en él es la facilidad con la que se adapta a los nuevos conceptos. No permanece apegado a los principios clásicos».Por su parte, Einstein admitió que
sin duda, si consideramos retrospectivamente el desarrollo de la teoría especial de la relatividad, en 1905 ya estaba madura para su descubrimiento».Con su profundo sentido estético no podía aceptar que la elegante constitución de las ecuaciones de Maxwell se descompusiera con un simple cambio de sistema de referencia. Su convicción de que en el electromagnetismo lo Único que importaba eran los movimientos relativos procedía del fenómeno de la inducción descubierto por Faraday. El artículo donde funda la relatividad, «Sobre la electrodinámica de los cuerpos en movimiento», arranca con las siguientes palabras:
Es bien sabido que cuando se aplica a cuerpos en movimiento, la electrodinámica de Maxwell, tal como se entiende normalmente hoy día, conduce a asimetrías que no parecen inherentes a los fenómenos. Tomemos, por ejemplo, la interacción electrodinámica entre un imán y un conductor. Aquí, los fenómenos observables dependen solo del movimiento relativo entre el conductor y el imán, mientras que la visión habitual traza una nítida distinción entre los dos casos, donde o bien un cuerpo o bien el otro está en movimiento.Pero aunque su convicción emanara de un profundo y casi instintivo conocimiento de los fenómenos electromagnéticos, que había alimentado desde niño en la fábrica familiar, se dio cuenta de que las implicaciones de la transformación de Lorentz trascendían su relación con la electrodinámica. Einstein no estaba obsesionado con «desenmascarar» la «conspiración de la naturaleza» que frustraba la caza del éter. Se mostraba más ambicioso: buscaba un marco conceptual general que, como las leyes de la termodinámica, se aplicara a toda la física. Inspirado quizá en la estructura de los Elementos de Euclides, quería fijar una serie de postulados, para luego enfrentarse a sus consecuencias lógicas, que iría desgranando una a una, paso a paso, a través de un proceso deductivo e inevitable. Así, las audaces observaciones contenidas en las treinta y una páginas de letra apretada de «Sobre la electrodinámica de los cuerpos en movimiento» se cimentaban en solo dos puntos:
- Las leyes físicas adoptan la misma forma en todo sistema de referencia que se considere en movimiento uniforme.
- La velocidad de la luz en el vacío es la misma para cualquier sistema de referencia inercial.
El segundo postulado contradice el adagio popular que resume la teoría afirmando que «todo es relativo». Como hizo notar Max Planck:
La teoría de la relatividad atribuye sentido absoluto a una magnitud que en la teoría clásica solo posee carácter relativo: la velocidad de la luz».La constancia de su valor se desprende directamente de las ecuaciones de Maxwell.
El propio Einstein hacía notar que el primer postulado «también se satisface en la mecánica de Galileo y Newton». Era la constancia de la velocidad de la luz la que, combinada con el principio de relatividad, lo cambiaba todo. Como colofón, las transformaciones de Lorentz se podían deducir directamente de este segundo postulado sin una referencia directa a las ecuaciones de Maxwell, y así lo hizo Einstein en su artículo de 1905.
Para comprobar la distorsión que introduce la constancia de la velocidad de la luz, vamos a regresar al muelle de Galileo. Llevaremos a cabo una batería de experimentos que montaremos primero de acuerdo con las leyes de Newton (será la versión mecánica) y a continuación con las de Maxwell (la versión electromagnética). Los resultados nos embarcarán en un viaje conceptual que nos devolverá una imagen de la realidad mucho más exacta que la que proporciona el sentido común. Y por ello mismo, mucho más intrigante y extraordinaria.
§. El fin de la simultaneidad
Ya hemos visto cómo las transformaciones de Lorentz imponen unas nuevas reglas de juego, que impiden a los observadores coincidir en su descripción de lo que ocurre, si se mueven. Analicemos cómo afecta la constancia de la velocidad de la luz a la simultaneidad de dos sucesos.
Experimento mecánico
Empezaremos con dos sistemas, G (con coordenadas x e y) y D (x' e y'). Habitan un universo donde el tiempo fluye igual en todos sus puntos, así que los observadores de uno y otro sistema pueden comparar sus relojes y comprobar que marchan al mismo ritmo.
Dos personas, que llamaremos A' y B', se sitúan en las esquinas de la bodega, mirando en el sentido positivo del eje y'. En el centro se encuentra un mecanismo que dispara dos pelotas a la vez, una hacia la derecha y otra hacia la izquierda, las dos con la misma velocidad v.

Despreciamos la acción de la gravedad curvando su trayectoria hacia el suelo y también el rozamiento del aire. Una tercera persona C" se coloca entre A' y B’ frente al mecanismo. A', B' y C' han sincronizado sus relojes y cada uno recibe la misión de registrar un suceso distinto. El primero, el golpe de la pelota en la pared de la izquierda, el segundo, el golpe de la pelota en la pared derecha, y C', el momento en el que el mecanismo las dispara (figura 3).Cuando el mecanismo lanza las pelotas, C’ marca el tiempo, t'0, en su reloj (figura 4). Cuando A' y B' contemplan el golpe de cada pelota contra la pared que les corresponde, marcan t'1 y t'2 (figura 5).
Las dos pelotas recorren la misma distancia (L’/2) con la misma velocidad. Si los tres observadores ponen en común los registros de sus relojes y comparan los valores t'2 - t'0, t'1 - t'0 obtienen el mismo resultado y concluyen que las pelotas llegaron a la pared al mismo tiempo. Son dos sucesos simultáneos.
Versión desde el muelle
Para reproducir el procedimiento seguido en la bodega, introducimos un elemento un poco artificial, que adquirirá pleno sentido al abordar la versión relativista del experimento.

El barco se desliza a lo largo del muelle con velocidad u. Llamaremos C al observador situado delante del mecanismo justo en el momento en el que este dispara las dos pelotas. Registrará el tiempo t0 en su reloj. A y B son los observadores que presencian los choques contra cada una de las paredes. Apuntaran los tiempos t1 y t2 (figura 7).
Él movimiento del barco rompe la simetría entre el recorrido de la pelota que viaja hacia la izquierda, i, y la que corre hacia la derecha, d. Antes del disparo, los observadores ven que el lanzador se mueve con velocidad u hacia la derecha. El aparato comunica esa velocidad a i y d, ya que antes del lanzamiento las dos viajan en su interior. En un momento dado, el mecanismo dispara las pelotas en sentidos opuestos con velocidad v. En el muelle observan que i se dirige hacia la izquierda con velocidad v - u y que d lo hace hacia la derecha, con v + u. Desde su punto de vista, i es más lenta, y d, más rápida. Para A' y B' eran igual de veloces. ¿Esta diferencia de velocidades hará que golpeen las paredes en momentos distintos? No, porque i advierte cómo la pared de la izquierda sale a su encuentro a velocidad v, mientras que d comprueba cómo su pared se aleja de ella a la misma velocidad (figura 8).
Ambos efectos se compensan: la pelota más lenta recorre menos distancia, y la más rápida hace frente a un recorrido más largo. Al final alcanzan las paredes al mismo tiempo. Si A, B y C se reúnen y comparan sus relojes, comprobaran que t'2 - t'0, t'1 - t'0 valen lo mismo. Los sucesos siguen siendo simultáneos.
Experimento electromagnético
Sustituimos el mecanismo lanzador y las pelotas por una linterna con una doble lámpara. Al encenderse proyecta dos haces luminosos (radiación electromagnética): uno de ellos se dirige hacia la derecha y el otro, hacia la izquierda
En esencia, el experimento es muy similar al anterior, como lo es el resultado. De nuevo: t'2 - t'0 = t'1 - t'0. Los sucesos son simultáneos.
Versión desde el muelle
Si recordamos la asimetría que introducía el desplazamiento del barco, la constancia de la velocidad de la luz impedirá que se compense en este caso.

§. De la contracción del espacio
Vamos a seguir explorando las consecuencias de la constancia de la velocidad de la luz dentro del marco del principio de relatividad. Plantearemos una situación donde los dos observadores, G y D, asistirán al mismo conjunto de fenómenos, desde perspectivas diferentes, y les pediremos que extraigan de ellos el valor de una distancia. Como en el experimento anterior, contaremos la historia desde cada punto de vista y al final compararemos sus resultados.
Experimento mecánico
Dos personas A y B se sitúan en las esquinas de la bodega, mirando en el sentido positivo del eje y'. En la pared izquierda instalamos un lanzador automático que, cuando se active, arrojará una pelota con una velocidad definida v. El fenómeno físico que estudiaremos (en este caso mecánico) consiste en el lanzamiento y la parada de la bola y nos vamos a servir de él para medir la longitud de la bodega. Esa distancia será el espacio que recorra la pelota desde que sale del disparador hasta que choca contra la pared de la derecha.Versión desde el interior de la bodega
A' y B' consideran que se encuentran en reposo. A' registra el momento del lanzamiento en su cronómetro (t’0) (figura 11).
Cuando la pelota choca contra la pared, B' marca el instante en su reloj (t’2) (figura 12). Con el valor de v y los tiempos registrados, en D se puede deducir la distancia recorrida multiplicando la velocidad por el tiempo transcurrido. En este caso:
L’ = v (t’2 – t’1)
Versión desde el muelleOrganizamos de nuevo una fila de observadores a lo largo del muelle, cada uno armado con un reloj. Llamamos A al individuo que se encuentra frente al lanzador cuando este se dispara. A registra en su cronómetro el momento en que ve asomar la pelota (t1) (figura 13). Entre todos los testigos de la travesía del barco, B es aquel que observa cómo la pelota rebota contra la pared. En ese momento marca el tiempo t2 (figura 14).


(u + v) × (t2 - t1)
Las dos cantidades tienen que ser iguales:L + u × (t2 - t1) = (v + u) × (t2 - t1)
De donde obtenemos la misma relación que antes para la longitud de la bodegaL = v(t2 – t1)
Podemos concluir que, vista desde el muelle, la pelota tiene que recorrer más distancia, porque la pared se aleja de ella, pero al mismo tiempo va más deprisa, porque incorpora la velocidad del barco. Ambos efectos se compensan. Los dos sistemas miden la misma longitud para la bodega.Experimento electromagnético
Sustituimos el lanzador por una linterna, y la pelota, por un haz luminoso (de nuevo, radiación electromagnética). El único elemento común para los sistemas G y D será el valor de la velocidad de la luz. Todos los relojes que participan en la experiencia han salido de la misma cadena de montaje, pero solo podremos asumir que dos mecanismos marcan la misma hora si coinciden en el mismo sistema de referencia. Para traducir coordenadas de un sistema a otro, ya sean espaciales o temporales, tendremos que recurrir a la transformación de Lorentz.
Versión desde el interior de la bodega
Como en la versión mecánica del experimento. A' registra el momento en que la onda escapa de la linterna, y B’ cuando alcanza la pared opuesta (figura 15).

L’ = c × (t’2 – t’1)
Versión desde el muelleDesde el muelle los observadores ven que la pared derecha se aleja, pero que la onda luminosa corre con la misma velocidad c (figura 16). Advierten que, antes de tocar la pared, la luz tuvo que recorrer la longitud de la bodega más la distancia que recorrió el barco entre t1 y t2 (figura 17):
L + u × (t2 - t1)
Por otro lado, si nos olvidamos del barco, en un intervalo de tiempo (t2 - t1), la luz recorrió un espacio:c × (t2 - t1) = x2 – x1
Igualando una y otra expresión, como antes:L + u × (t2 - t1) = c × (t2 - t1) = x2 – x1
y aplicando las transformaciones de Lorentz, se obtiene el sorprendente resultado:L = β ×L'
Donde
Las matemáticas de la contracción de LorentzA continuación se muestra cómo se aplican las transformaciones de Lorentz para llegar a la contracción de la longitud. Se habían obtenido dos expresiones para el recorrido de la luz:L + u × (t2 – t1)
c × (t2 – t1) = x2 – x1
Al igualarlas:L + u × (t2 – t1) = c × (t2 – t1) = x2 – x1
L = x2 – x1- u × (t2 – t1)
Los cálculos se simplifican con un ligero cambio de notación:Δx = x2 – x1 Δt = t2 – t1
La igualdad que habíamos encontrado para L se reduce a:L = Δx - u × Δt.
Como ahora asumimos que el tictac de los relojes se puede marcar con ritmos distintos, en función del sistema, para traducir las coordenadas de G a D tendremos que recurrir a las transformaciones de Lorentz:Al igualarlas:
Si introducimos estos valores en la expresión para L:Si tenemos en cuenta que Δx' = x’2-x’1 = L’
L = β×L’
Podemos plantear otra situación donde los observadores asistan al mismo conjunto de fenómenos desde sistemas inerciales distintos, para pedirles ahora que extraigan de ellos el valor de un intervalo de tiempo. En «Sobre la electrodinámica de los cuerpos en movimiento», Einstein se sirvió de un razonamiento más directo. Partiendo de dos sistemas G y D, donde D se desplaza con respecto a G con una velocidad u uniforme, situó un reloj justo en el origen de coordenadas de D y se preguntó: «¿Cuál es el ritmo de este reloj cuando se considera desde el sistema en reposo?».
La respuesta que obtuvo, después de aplicar una transformación de Lorentz, fue:
t’ = t - (1 - β) × t
A la vista de la ecuación, concluía: «[...] se sigue que la lectura del reloj, considerado desde el sistema en reposo, se retrasa cada segundo en 1 - β segundos». De ahí la percepción, para quien está en reposo, de que el tiempo transcurre más lentamente en el sistema en movimiento.§. Newton a ojos de la relatividad
Gracias a la transformación de Lorentz, las ecuaciones de Maxwell mantienen su forma en cualquier sistema inercial, pero ¿qué ocurre con las viejas ecuaciones de la dinámica newtoniana? Si las sometemos al nuevo cambio de coordenadas, sufren la misma metamorfosis que padecían las de Maxwell ante la transformación de Galleo: aparecen términos sin sentido físico. ¿Hemos desnudado a un santo para vestir otro? La respuesta es que debemos corregir ligeramente las ecuaciones de Newton para ponerlas al día. Una vez que nos decidimos a aceptar los postulados relativistas, tenemos que aplicarlos a todas las leyes de la física, y la dinámica no constituye una excepción.
Ahora la masa se convierte en otra magnitud, como la longitud, que depende de la velocidad relativa del sistema desde donde se mide: aumenta con la aceleración. Si se introduce este valor variable en la expresión de la fuerza, se sienta la base para la dinámica relativista, cuyas ecuaciones no cambian su forma bajo una transformación de Lorentz. A bajas velocidades se recuperan las ecuaciones que formuló Newton, como era de esperar.
Con un poco más de detalleLa situación que planteó Einstein para deducir el retardo de los relojes en movimiento era la siguiente:Recurrió a la ecuación de Lorentz que relaciona los tiempos:
Para G la posición del reloj (x), es decir, el origen de coordenadas de D, se desplaza hacia la derecha con velocidad constante, luego: x = u × t’. Sustituyendo en t
Que se puede expresar también
t’ = t × β + t – t = t – (1 - β) × t
Llegados a este punto, cabe plantearnos si la contracción de Lorentz y la dilatación temporal son reales. Seguramente antes de contestar, Einstein nos preguntaría con una media sonrisa que entendemos por real. Podemos afirmar que de un mismo fenómeno, examinado desde diversos puntos de vista, los observadores extraerán conclusiones diferentes acerca de las distancias, la simultaneidad y los intervalos de tiempo. Por tanto, estas nociones no son absolutas. Tampoco son arbitrarias, porque podemos relacionar con precisión unos puntos de vista con otros y predecir las conclusiones a las que llegarán los observadores de otros sistemas a partir de las nuestras. La contracción y la dilatación son reales en el sentido de que si la luz viajara a 100 km/h, por ejemplo, veríamos a los ocupantes de un vehículo que corriera a 90 km/h aplastarse como si los hubieran pintado sobre la superficie de un acordeón que se cierra. Pero no lo son si esperamos que los átomos que componen el coche y sus ocupantes se compriman en un sentido físico literal. Los pasajeros no experimentan ningún aplastamiento a bordo del coche. Para ellos los efectos relativistas se invierten: quienes se aplastan son las fachadas de la calle y los transeúntes, que caminan a cámara lenta.
Nuestras nociones de espacio y tiempo están vinculadas a nuestro estado de movimiento y no podemos extrapolarlas alegremente al resto del universo. Cuando se detiene el vehículo, se desvanece la magia. Los ocupantes y los transeúntes perciben las mismas longitudes y sus relojes marchan al mismo ritmo.
Esta última afirmación no es del todo exacta, porque tanto para adquirir una velocidad como para detenernos precisamos el concurso de una aceleración, una invitada que nadie espera en la relatividad especial. Y cuando la aceleración se presenta, hay que ampliar el terreno de juego hasta el marco de la relatividad general, donde nos aguardan nuevos efectos inesperados, entre ellos que la dilatación temporal deja su huella incluso después de habernos parado. Si viajamos al espacio a bordo de una nave que alcance velocidades muy próximas a la luz, al regresar seremos más jóvenes que nuestro hermano gemelo, que se quedó agitando el pañuelo en la base de lanzamiento. La aceleración rompe la simetría entre sistemas de referencia inerciales.
Las transformaciones de Lorentz y la ruptura de la simultaneidad resultan extrañas a nuestra intuición. A medida que la ciencia inspecciona regiones a una escala muy alejada de la nuestra, con distancias tan pequeñas que no podemos concebirlas (caso de la mecánica cuántica o de las teorías de cuerdas) o tan grandes que abarcan el universo (como la relatividad general), debemos renunciar a la guía del sentido común, formado en nuestra esfera cotidiana, bajo una variedad de fenómenos reducida. Podemos adoptar una postura pragmática, comprobar si las teorías presentan contradicciones lógicas y se corresponden con la experiencia. Si sus conclusiones resultan simplemente sorprendentes, la culpa no es de la física, sino de nuestro limitado rango de experiencias.
En el mundo de Newton y Galileo cada suceso repercute en todo el espacio de modo instantáneo, así que la simultaneidad adquiere sentido. En el mundo relativista no podemos ponernos de acuerdo con tanta celeridad. La información corre a lomos de viajeros que, como máximo, se desplazan a la velocidad de la luz. Solo podemos responder de nuestras mediciones y comunicarnos con el resto del universo lanzando sondas, en forma de rayos luminosos, por ejemplo. A partir de los datos que nos devuelvan construiremos nuestra imagen de lo que allí sucede. No existe una atalaya privilegiada desde la que contemplar los fenómenos y constatar qué ha sucedido realmente.
§. Un rayo inalcanzable
Al completar «Sobre la electrodinámica de los cuerpos en movimiento», Einstein pudo contestar por fin la pregunta que le había asaltado en Italia a los dieciséis años: ¿qué sucedería al tratar de alcanzar un rayo luminoso? Doy en día la respuesta forma parte del acervo popular: nada puede ir más deprisa que la luz ni tampoco alcanzarla. ¿Por qué?
Los pájaros dibujan mil trayectorias en el cielo antes de posarse, los niños echan a correr, el viento barre la calle. A nuestro alrededor el cambio se manifiesta constantemente a través de variaciones de velocidad, lo que nos invita a preguntarnos cuál es la razón de que se levante la barrera de la luz. Si un piloto de fórmula 1 puede apretar el acelerador y pasar de 0 a 100 km/h en menos de 2 segundos, ¿qué ocurre al llegar al régimen de altas velocidades? ¿Por qué una nave espacial no puede ganar impulso indefinidamente? ¿De dónde emerge esta limitación de velocidad que ningún cuerpo del universo se ve capaz de quebrantar?
Una de las cosas que nos dice la ecuación F = m × a es que si aplicamos una fuerza a un cuerpo este se acelerará más cuanto menor sea su masa, y viceversa. La experiencia dicta la misma lección sin echar mano de las matemáticas. El empujón que tumba una lámpara deja indiferente a un camión. Podemos interpretar la masa, entonces, como una medida de la resistencia que ofrecen los cuerpos a cambiar su estado de movimiento. Pues bien, la masa aumenta con la velocidad. Es un efecto imperceptible a velocidades bajas. Una persona que camina gana 0,00000000000000001 veces su masa.
A medida que se incrementa la velocidad, crece la oposición a un nuevo incremento. En el límite en que estemos a punto de alcanzar a la luz, la masa se habrá vuelto casi infinita, igual que la resistencia frente a ulteriores aceleraciones. Este freno implacable llevaba a Einstein a concluir: «Aquellas velocidades que superan la de la luz no son posibles».
En realidad, el marco teórico de la relatividad es más flexible. Aunque ningún cuerpo más lento que la luz puede, mediante una aceleración, terminar alcanzándola, es posible aventurar que haya partículas más rápidas, siempre y cuando no se frenen hasta el punto de terminar corriendo más despacio que ella.
Donde el todo no es la suma de las partesSi las escalas de espacios y tiempos se distorsionan en el universo relativista, cualquier magnitud que fabriquemos con ellas reflejará la perturbación. Sin ir más lejos, la velocidad. Pongamos que desde un sistema O, que se desplaza con velocidad u, se observa una mosca que vuela siguiendo una línea recta, paralela a la horizontal. Para conocer su velocidad se parte de su coordenada x' y del tiempo que se mide en D, t’v’ = dx/dt’
En G la velocidad de la mosca se construye, sin embargo, con otro juego de coordenadas y tiempos: x y t.Las transformaciones de Lorentz permiten relacionar los dos ritmos a los que crece el espacio recorrido a medida que pasa el tiempo:
Después de leer la letra pequeña de la ecuación, descubrimos que implica que no podemos alcanzar un rayo de luz. El sentido común parece rebelarse y proponer que si un barco se mueve a la mitad de la velocidad de la luz (c/2) y sobre su cubierta alguien dispara un proyectil, también a la mitad de la velocidad de la luz (c/2), desde el muelle, al menos teóricamente, tendremos que ver la bala cortando el viento con velocidad c. El análisis de Einstein conduce a un desenlace muy distinto:
En la aritmética relativista, la suma de 1/2 más 1/2 arroja como resultado 4/5.
Es la barrera de c la que no se puede cruzar en un sentido u otro, desde velocidades inferiores o superiores. Igual que el tiempo transcurre más despacio cuanto más nos acercamos a la velocidad de la luz, al superarla deberíamos viajar directo hacia el pasado. La existencia de partículas supralumínicas resulta teóricamente estimulante, aunque a cambio acarrean bastantes quebraderos de cabeza, presumibles violaciones de la causalidad y la posibilidad de enviar mensajes hacia atrás en el tiempo.
§. La ecuación más famosa de todos los tiempos: E = mc2
En septiembre de 1905, tres meses después de enviar «Sobre la electrodinámica de los cuerpos en movimiento» a los Annalen, Einstein remitió un apéndice a la misma revista El nuevo artículo se ocupaba de contestar el interrogante que anunciaba en su título: «¿Depende la inercia de un cuerpo de su energía?». La pregunta era retórica y la respuesta se convirtió en la ecuación que los físicos corrieron a estampar en sus camisetas: E = mc2.
Para deducir esta expresión, Einstein planteó una situación muy particular, un cuerpo que emitía radiación electromagnética, contemplado desde dos pimíos de vista un sistema donde el cuerpo estaba en reposo y otro que se movía con velocidad constante con respecto a él. Obtuvo que la pérdida energética debida a la emisión se traducía también en una pérdida de masa del orden de m = E/c2. Haciendo gala de su acostumbrada amplitud de miras elevó sus conclusiones al rango de enunciado universal:
Si un cuerpo cede la energía E en forma de radiación, disminuye entonces su masa como E/c2. Aquí es claramente indiferente que la energía perdida por el cuerpo se convierta en energía de radiación, y así nos vemos conducidos a la conclusión general; la masa de un cuerpo es una medida de su contenido de energía Si cambia su energía en E, cambia entonces su masa en el mismo sentido en E/9×1020, cuando medimos la energía en ergios y la masa en gramos. No se excluye que, mediante los cuerpos cuyo contenido de energía es altamente cambiante (por ejemplo, las sales de radio), pueda obtenerse una confirmación de la teoría. Si la teoría se muestra de acuerdo con los hechos, la radiación transmite inercia entre los cuerpos emisores y absorbentes.La ecuación impresiona, pero los fenómenos que describe pueden pasar fácilmente desapercibidos. Una bombilla de 11 W, por ejemplo, pierde 0,00000000000000012 kg cada segundo por culpa de la luz que emite.
El factor de cambio entre masa y energía resulta exorbitado: c2. Para ponerle más números a la ecuación E = mc2, podemos partir del consumo total de energía en un país desarrollado de unos 40 millones de habitantes, que ronda los 140 millones de toneladas equivalentes de petróleo (tep).
l tep = 4,2 ×1010 J
c = 3 ×108 m/s.
Luego si E = mc2
§. El precio del héroe
A partir de la publicación de sus artículos de 1905, las andanzas un tanto dickensianas de Einstein tocan a su fin y comienza el relato del triunfador universalmente reconocido. Es cierto que al principio se desesperó al comprobar que su trabajo no obtenía la menor repercusión, como si lo hubieran impreso con tinta invisible. Él anticipaba una «oposición tajante y las críticas más severas», que buscó en vano en los siguientes números de los Annalen. En 1906 recibió una carta con franqueo de Berlín, donde Max Planck exponía las dudas que le habían surgido durante la lectura de su trabajo sobre relatividad. Después de atraer la atención del físico más importante de Alemania, su suerte cambió para siempre.
Todo es movimientoEn cierta ocasión, Einstein le escribió a su hijo Eduard: «La vida es como montar en bicicleta. Si quieres mantener el equilibrio, no puedes parar». Algo parecido le sucede a la materia. Cuando un cuerpo emite radiación se vuelve más ligero. Sucede lo contrario cuando la absorbe. La energía cinética, vinculada al movimiento, también genera su propia masa. La luz, por ejemplo, solo presenta masa en virtud de su movimiento y carece de masa en reposo. Nuestro cuerpo está compuesto de moléculas. Las moléculas, de átomos. Dentro de un átomo la masa se concentra sobre todo en el núcleo, donde los neutrones y protones están formados por quarks. El propio nombre de la fuerza que los mantiene unidos, la interacción fuerte, y de la partícula responsable de esa unión, el gluon (del inglés glue, «pegamento»), sugieren el motivo: resulta extremadamente difícil separarlos. La interacción fuerte es la más poderosa de la naturaleza, y en lugar de debilitarse se crece cuando intentamos distanciar los quarks. No podemos verla como una atracción instantánea a la manera de Newton, sino como un intercambio constante de gluones, que se crean y se destruyen sin cesar, transportando la fuerza. Todo ese movimiento de mensajeros de la fuerza que van y vienen entre quarks, creándose y aniquilándose, se traduce en masa. Se puede afirmar que más del 90% de nuestra masa no es otra cosa que el movimiento de las partículas que nos componen.
De acuerdo con el arquetipo clásico, el héroe debe pagar un precio exorbitado por su victoria. Albert Einstein iba a convertirse en el científico más renombrado de su tiempo, digno heredero de la estirpe de Newton y Galileo. A ojos de su padre, sin embargo, sería siempre el joven de talento al que el mundo había dado la espalda y que había comprometido su futuro en un matrimonio desafortunado. Durante el otoño de 1902 el corazón de Hermann Einstein cedió finalmente al asedio de las preocupaciones. Los Últimos años de su vida podían resumirse con una palabra: bancarrota. Después de otra de las quiebras que venían jalonando su accidentada aventura empresarial, Jakob abandonó y aceptó un puesto de ingeniero en una firma italiana. Con su formación. Hermano no podía permitirse una salida tan fácil y siguió perdido en el laberinto de sus negocios. En contra de los ruegos y las advertencias de Einstein, montó una nueva fábrica en Milán.
En aquellos años Hermann y Albert estaban librando una lucha desigual con el mundo. Uno de los testimonios más conmovedores del cariño y la preocupación que Hermann sentía hacia su hijo se encuentra en la carta que envió por propia iniciativa al químico Wilhelm Ostwald. Dedicaba las primeras líneas a disculparse por el atrevimiento. Después de repasar los estudios de Einstein y ensalzar sus capacidades, pasaba a describir su situación:
[...] ha estado intentando, sin éxito, obtener una plaza de ayudante, que le permita continuar su educación en física teórica y experimental. [...] Mi hijo es, por tanto, profundamente infeliz al no contar en la actualidad con un puesto y su idea de que se halla fuera de órbita hace que se sienta cada día más arrinconado. Además, le oprime el pensamiento de que supone una carga para nosotros, gente de medios modestos.Hermann pedía a Ostwald que leyera el primer artículo de Einstein, «Conclusiones extraídas de los fenómenos de capilaridad», publicado en 1901 en los Annalen: «[...] y que le escriba, si es posible, unas pocas palabras de ánimo, de forma que pueda recuperar su alegría de vivir y trabajar». Hasta donde sabemos, Ostwald dio la callada por respuesta. Pocos meses después de estrenar su puesto en la Oficina de Patentes, en la primera semana de octubre, Einstein cruzó el túnel más largo de Europa, en San Gotardo, para regresar a Italia y despedirse de su padre. Antes de morir, Hermann hizo lo único que estaba en su mano para aliviar las tribulaciones de su hijo y dio su consentimiento para que se casara con Mileva.
Capítulo 3
Los pliegues del espacio-tiempo
Aunque casi a regañadientes, el mundo académico acabó rindiéndose al genio de Einstein. Desde su puesto de profesor en Zürich se planteó el reto de introducir la gravedad en el escenario relativista. En 1915 estaba muy cerca de alcanzar su objetivo cuando descubrió que el matemático David Hilbert se había propuesto completar la teoría antes que él. Estalló así uno de los períodos de mayor tensión mental de su vida.Lejos de provocar un terremoto, los artículos que Einstein publicó en 1905 recibieron una acogida bastante tibia por parte de la comunidad científica. Al principio, solo Planck se dio por enterado. La última en reaccionar, por descontado, fue la administración universitaria. Einstein sostuvo con ella un obstinado tira y afloja, que discurrió a base de concesiones mutuas a regañadientes. En el mundo académico alemán el rango más bajo del escalafón correspondía al puesto de privatdozent, sin sueldo, que permitía dar clases a cambio de un modesto estipendio a
cuenta de los alumnos. Einstein pensó que era una posición para la que había reunido méritos suficientes y presentó su solicitud en 1907, pero no contaba con la puntillosidad de los funcionarios de la Universidad de Berna. En la lista de requisitos figuraba la presentación de un artículo científico inédito. Él entregó diecisiete. Dos, como mínimo, merecen un puesto de honor entre los grandes clásicos de la literatura científica. Sin embargo, ninguna consideración pesó más que el hecho de que ya los hubiera publicado. El claustro pudo dispensarle de esta formalidad si hubiera estimado que Einstein se había hecho acreedor a algún logro destacado.

Retrato de Albert Einstein en 1911 y de su prima Elsa, que se convertirla en su segunda esposa.
Es difícil que nadie que de verdad la entienda sea capaz de escapar al encanto de esta teoría.»Tardó un año en tragarse su orgullo y volver a «probar suerte, después de todo, [... ] en la Universidad de Berna». A comienzos de 1908 sometió Consecuencias para la constitución de la radiación de la ley de la distribución de energía de los cuerpos negros, un artículo que no revolucionaría la física, pero que a cambio presentaba la virtud de ser inédito. Además esquivaba el espinoso terreno de la relatividad. En febrero, la universidad aceptó su solicitud. En el semestre de verano de 1908 Einstein pisó por primera vez un aula universitaria dejando atrás los bancos de los estudiantes, para encaramarse a la tarima del profesor. Solo tres personas se animaron a madrugar los martes y los sábados para escuchar, a las siete de la mañana, cómo disertaba sobre un tema acorde con la estación: la teoría molecular del calor. Entre ellos no faltaban incondicionales como Michele Besso. A veces su hermana Maja, que preparaba una tesis en lenguas romances en Berna, también se dejaba caer para prestarle su apoyo moral.
— Albert Einstein acerca de la relatividad general.
Con semejante éxito de público no le quedó más remedio que mantener el empleo en la Oficina de Patentes. En mayo del siguiente año fue nombrado profesor asociado de la Universidad de Zürich, después de un duro regateo. La plaza se ofreció en primer lugar a un antiguo compañero de la Politécnica, Friedrich Adler, que supo quitarse de en medio con elegancia: «Si a nuestra universidad se le presenta la oportunidad de conseguir a un hombre como Einstein, sería absurdo que me nombraran a mí». Tras superar este obstáculo, se cuestionó la aptitud pedagógica de Einstein. Ante la crítica de que daba monólogos, se limitó a responder con ironía; «Ya hay bastantes profesores sin mí». No obstante, pasado un tiempo prudencial, para templar una vez más su indignación, sometió su competencia didáctica a un examen ante la Sociedad de Física de Zürich en febrero de 1909. Recibió un aprobado raspado. Quedaba salvar una pequeña irregularidad de su partida de nacimiento, que el comité de contratación de la universidad no pasó por alto: «Herr doctor Einstein es un israelita». El informe del comité ahondaba en las consecuencias que esto podía acarrear a la institución: «Precisamente a los israelitas, entre los académicos, se les atribuyen (en numerosos casos no del todo sin fundamento) toda clase de desagradables peculiaridades de carácter, como la indiscreción, la insolencia y una mentalidad de tenderos en la percepción de su puesto académico». Después de arduas deliberaciones no estimaron «compatible con su dignidad adoptar el antisemitismo como política».
Sí consideraron digno regatear un poco y ofrecer un sueldo más bajo que el que cobraba Einstein en la Oficina de Patentes. Por este motivo rechazó las condiciones. Aumentaron la oferta hasta igualar los 4500 francos anuales que ganaba en Berna. Einstein aceptó. Cuando por fin se consolidó la plaza de Zürich, un colega lo felicitó: «Ya era hora de que salieras de la Oficina de Patentes». A lo que él contestó: «Ahora yo también soy un miembro oficial del gremio de putas».

Escritorio de Einstein en la Oficina de Patentes de Berna, trabajo que compaginaba con las clases que impartía en la universidad de la capital suiza.
Cada traslado traía aparejado un ascenso social y una mayor estabilidad financiera para el matrimonio Einstein. Sin embargo, la pareja, que había sabido mantenerse unida en los momentos más difíciles, no sobrevivió a su prosperidad. Parece como si Zürich hubiera sido el espacio natural para la relación y en las tres estancias largas que disfrutaron allí se puede resumir su evolución, como en los tres actos de un drama, con su principio, su nudo y su desenlace. Ahí se conocieron y se enamoraron, ahí su matrimonio se recuperó de un primer bache en 1909, en el que fue concebido su segundo hijo, Eduard, y allí perdieron su última baza. Cuando Einstein aceptó la oferta de Berlín, se certificó el hundimiento.
Mileva, dueña de un carácter impulsivo y complejo, propenso a la depresión, no debía de ofrecer un trato fácil. Su etapa de estudiante era una luz que alumbraba su vida, y esta se fue oscureciendo a medida que los años dorados quedaban atrás. En su día, Albert y ella soñaron con hacer de la ciencia una aventura compartida. Fue un período cargado de promesas, que frustró su embarazo prematuro. En los tiempos más duros de Berna se enrocaron juntos frente a un mundo hostil. Ella lo expresó con un juego de palabras: «Los dos formamos una piedra (en alemán ein stein)». Él sí vio cumplida su ambición y no supo compartirlo. «Me hubiera gustado estar allí, haber podido escuchar un poco y haber visto a todas aquellas magníficas personas», le escribía Mileva desde Praga mientras él participaba en un encuentro científico en Karlsruhe y ella se quedaba en casa. Uno de los biógrafos de Einstein, que estuvo casado con una hija de su segunda mujer, relata cómo Mileva a menudo quería participar en las tertulias científicas de su marido, «pero él la dejaba en casa con los niños». Después de una década de vida en común, en torno a 1912, ambos se manifestaban abiertamente a disgusto con su matrimonio. Mileva se sentía cada vez más aislada y desatendida, y Einstein rehuía su compañía. Los reproches por sus ausencias eran frecuentes: «Hace tanto que no nos vemos que me pregunto si me reconocerás». En las cartas a su amiga Helene Savić, Mileva mostraba más abiertamente su desaliento: «Trabaja sin cesar en sus problemas; se puede decir que solo vive para ellos. Debo confesarte con un poco de vergüenza que no le importamos y que ocupamos un segundo lugar para él».
Ciertamente a Einstein le gustaba cultivar una cierta retórica del desapego. Así lo hacía en su ensayo El mundo como yo lo veo, escrito desde la atalaya de sus cincuenta años:
Mi apasionado sentido de la justicia social y de la responsabilidad civil siempre contrastó de modo singular con una pronunciada ausencia de necesidad del contacto directo con otras personas y comunidades humanas. En verdad soy un viajero solitario y nunca he entregado del todo mi corazón a mi país, a mi hogar, a mis amigos o incluso a mi círculo familiar más íntimoPero lo cierto es que aunque la ciencia le robara la mayor parte del tiempo, tampoco descuidaba su vida sentimental. Sencillamente había desplazado el objeto de su atención.
En las vacaciones de Pascua de 1912 viajó solo a Berlín para visitar a su familia. Después de enviudar, Pauline había ido a pasar unos días con su hermana Fanny. El marido de esta, Rudolph, pertenecía a otra rama del poblado árbol genealógico de los Einstein.
Su padre era hermano del padre de Hermann y era uno de los primos que había perdido grandes sumas de dinero al invertir en sus negocios de electrotecnia Encima del piso de Rudolph y Fanny se había instalado su hija Elsa, que acababa de divorciarse.
Elsa y Einstein se habían conocido en Münich y a ella le gustaba contar que de pequeña se había enamorado de su primo escuchándole interpretar a Mozart al violín. No sabemos si quedó deslumbrada después de una nueva exhibición musical, pero el sentimiento infantil renació.
Aunque ignoramos los detalles del reencuentro, lo cierto es que a la vuelta de Einstein a Praga habían comenzado un flirteo epistolar a escondidas. Después de todo, no era un viajero tan solitario: «Necesito a alguien a quien amar —admitía—, de otro modo la vida es triste. Y ese alguien es usted». Se puede describir a Elsa de muchas maneras, pero quizá la más inmediata sea retratarla como el negativo fotográfico de la callada, introvertida y atormentada Mileva coqueta, divertida, un animal social sin ningún interés en la ciencia... Si Einstein se asfixiaba en su relación con su mujer, en Elsa no podía encontrar nada que se la recordara. Con todo, todavía sentía la suficiente responsabilidad para alarmarse ante el giro de los acontecimientos y dio un paso atrás: «Si cediéramos a nuestra atracción mutua solo provocaríamos confusión y desgracia». A finales de mayo decidió cortar por lo sano. O no tanto. En la misma carta donde anunciaba a Elsa: «[...] le escribo por última vez y me someto de nuevo a lo inevitable [...]», la informaba de su cambio de dirección. Se abrió un paréntesis de un año.
En marzo de 1913, con motivo del trigésimo cuarto cumpleaños de Einstein, Elsa rompió la tregua con una felicitación. Él respondió y la correspondencia recobró pronto el impulso perdido.
La convivencia con Mileva no había corregido su deterioro. Habían pasado a dormir en habitaciones separadas y Einstein perfeccionaba el arte de las ausencias, amparándose tras una barricada de obligaciones profesionales. Después de que la familia se trasladara a Berlín, en marzo de 1914, la proximidad de Mileva no fue obstáculo para que Einstein, según escribía a su amigo Besso, disfrutara de «una relación extremadamente agradable y hermosa» con su prima, «cuya naturaleza permanente» quedaba garantizada «por la renuncia al matrimonio». Da la impresión de que no pretendía separarse de Mileva «Podemos muy bien ser felices juntos», le había explicado a Elsa, «sin necesidad de hacerle daño a ella». Quizá creyó que, mediante alguna suerte de malabarismo, podría tenerlo todo. Mantener la relación con su mujer, para no herirla ni sentirse culpable, ni separarse de sus hijos, y recuperar con Elsa un universo sentimental que se había marchitado. Pero si pensaba que su prima se iba a conformar con ocupar uno de los vértices del triángulo, se equivocaba. Siempre dejó claro que el divorcio era aplazable, pero no sine díe.
Finalmente se desató la crisis y, a finales de julio, Mileva madrugó para tomar el tren que la llevaría de regreso a Zürich, en compañía de Hans Albert y Eduard. Al principio la medida no parecía irreversible. Los amigos de la pareja pusieron en marcha una delicada ronda de mediaciones. A lo mejor en otras circunstancias hubiera habido margen para la reconciliación. Justo el mismo día que Mileva tomaba el tren, Austria-Hungría invadía Serbia y estallaba la Primera Guerra Mundial. La frontera entre Alemania y Suiza se cerró. Einstein y Elsa cayeron de un lado, en Berlín. Mileva y los niños, del otro, en Zürich.
Aunque contaba con un nuevo amor para consolarse de la ruptura, Einstein vivió con desgarro la separación de sus hijos.
Dos años después, hacía el siguiente balance de lo sucedido en una carta a una amiga de su mujer:
Para mí la separación de Mitsa (Mileva) era una cuestión de vida o muerte. Nuestra vida en común se había vuelto imposible, incluso deprimente, pero no podría decir por qué. Así que me he separado de mis hijos, a los que quiero tanto. En los dos años que llevamos separados los he visto dos veces. En la primavera pasada emprendí un pequeño viaje con Albert. Con profunda tristeza, he comprobado que mis hijos no comprenden mis actos, que alimentan una callada furia contra mí y he llegado a la conclusión de que, a pesar de que me duela, es mejor para ellos que su padre no vuelva a verlosEn los años en los que Einstein llevaba a cabo su trabajosa mudanza sentimental pensaba intensamente en la gravedad y en la mecánica cuántica. Hacía honor a su credo: «En la medida en que pueda trabajar no debo quejarme ni lo haré, ya que el trabajo es lo único que da sustancia a la vida». Uno de sus períodos de mayor tensión mental estalló en 1915. Para entonces se habían abierto tres grandes frentes en torno a él: la Primera Guerra Mundial, el divorcio de Mileva y, por último, su pulso con los matemáticos de Gotinga por ver quién completaba antes una teoría geométrica de la gravitación.
§. Equivalencia entre gravedad y aceleración
La estrella polar que guió a Einstein a lo largo de su ardua travesía hacia la relatividad general —que duró casi ocho años marcados por la incertidumbre— se encendió en el mes de noviembre de 1907. Más tarde la calificaría como la idea más feliz de su vida- Una anécdota sitúa su origen en la caída de un pintor desde lo alto de un andamio. Al interesarse Einstein por su estado, el hombre le contó que en un momento de su descenso, durante un brevísimo instante, había sentido que flotaba en el aire. «Una persona en caída libre —recordaría años más tarde— no sentirá su propio peso. Me quedé sobrecogido. Esa idea tan simple me dejó una profunda huella y me impulsó hacia una teoría de la gravitación.»
La historia por desentrañar la gravedad escribía así un nuevo capítulo de su particular mitología, protagonizada por tres físicos legendarios. Primero Galileo había dejado caer una bola de madera y otra de plomo desde lo alto de la torre inclinada de Pisa.

En esta carta dirigida al astrónomo estadounidense George Ellery Hale, en octubre de 1913, Einstein exponía la posibilidad de que «los rayos de luz sufrieran una desviación en un campo gravitatorio» y sugería que, en el caso de la masa solar y muy cerca de la estrella, dicha desviación ascendería a 0,84" y decrecería como 1/ff, siendo ff la distancia más corta entre el rayo y el centro del Sol. Esta idea constituye el germen del experimento que en 1919 acabaría validando la relatividad general.
Una persona prisionera en un cubículo sin escotillas ni ventanas no podría decidir si flota en el vacío, dentro de una cápsula espacial, o si cae dentro de la bodega de un avión. Si saca su cartera del bolsillo y la coloca a la altura de los ojos, verá que se queda alh flotando.
Tampoco hace falta recurrir a los artificios del pozo o del prisionero. Al dar un salto, justo después de alcanzar el punto más alto, experimentamos una fugaz caída Ubre. Los niños se embriagan con la sensación de ingravidez que disfrutan intermitentemente al caer y rebotar en una cama elástica. El mismo fenómeno se aprovecha para el entrenamiento de los astronautas, en aviones que remontan el vuelo y se dejan caer a través de la atmósfera, para proporcionar unos segundos de ingravidez a sus ocupantes. Y también algunos efectos secundarios: el turborreactor KC-135 de la NASA fue bautizado con el nombre oficial de «maravilla ingrávida», pero sus agitados pasajeros preferían referirse a él con el apelativo familiar de vomit comet, lo que confirma que el mejor detector de aceleraciones lo llevamos instalado en el estómago.
Einstein descubrió la ilusión que anida en algo tan sólido, en apariencia, como nuestra sensación de gravidez. La ambigüedad entre aceleración y gravedad se extiende a cualquier valor del peso. En un ascensor, sus cambios de velocidad nos hacen sentir más ligeros o más pesados. Una incertidumbre que cabe llevar al extremo. Recuperando el espíritu de los experimentos de Galileo, podemos encerrar a Doménico en una reproducción perfecta de la bodega del barco, sin escotillas, e introducirla en un gran ascensor espacial, lejos de cualquier masa. Si el ascensor sube con una aceleración tal que produzca en Doménico la sensación exacta de su peso, este será incapaz de decidir si se encuentra en la Tierra o en el espacio, sea cual sea el experimento que se le ocurra montar dentro de la bodega.
La idea feliz de Einstein evoca una ilusión de prestidigitador cualquier efecto gravitatorio se puede imitar mediante una aceleración y viceversa. Llamó a esta relación tan peculiar principio de equivalencia. A partir de 1905 el gran desafío que se le presentaba consistía en ampliar el marco de la relatividad especial. Esta contemplaba solo cuerpos que se mueven con velocidad constante. Sin embargo, una teoría física completa debía tener en cuenta forzosamente las aceleraciones. Al mismo tiempo, Einstein quería incorporar la gravedad. La ley de gravitación universal funcionaba con un mecanismo matemático que se había quedado anticuado tras la revolución relativista. La famosa ecuación de Newton presentaba dos problemas:
F = G × MT × m/r2
Si nos fíjanos en ella, vemos, por un lado, que en el denominador aparece r, la distancia que separa las masas. Pero Einstein sabía que, debido a la contracción de Lorentz, dos observadores, uno en movimiento y otro en reposo, no tienen por qué medir las mismas distancias. ¿Cuál de ellas se debía introducir en la ecuación? Por otro lado, y quizá más importante, en la expresión no figura el tiempo. Esto implica que la acción de la fuerza es instantánea. Si m se aleja de m', las fuerzas cambian de modo inmediato. Esto violaba los preceptos relativistas, que establecían que nada podía viajar más rápido que la luz.Las fuerzas de mareaAl examinar la cuestión más a fondo, Einstein se dio cuenta de que, después de todo, un hombre encerrado en un cubículo sí tenía un modo de averiguar si flota en el vacio (aparte de dejar pasar el tiempo suficiente, hasta chocar contra algo). Pongamos que el prisionero del cubículo se vacía los bolsillos: saca una cartera, un pañuelo, unas llaves y un móvil. Mientras flota, dispone los cuatro objetos a su alrededor. Deja la cartera levitando encima de su cabeza, el pañuelo, a su derecha, las llaves, a su izquierda, y el móvil, a los pies. Partiendo de esta premisa, vamos a explorar dos desenlaces, cambiando el escenario de fondo: durante una caída libre hacia la Tierra y flotando en el vacío del espacio.
1) Durante una caída libre
De entrada haremos caso a Newton: la intensidad con que la Tierra atrae a otras masas es inversamente proporcional al cuadrado de la distancia que la separa de ellas:F = G × MT × m/r2
donde G es la constante universal de la gravitación (6,67×10-11 m3×kg-1×s-2), MT la masa de la Tierra, m, otra masa cualquiera, y r, la distancia. La cartera queda un poco más lejos de la superficie terrestre que el prisionero, así que se verá atraída más débilmente.Por su parte, el móvil se encuentra más cerca y experimentará una atracción mayor. Esta diferencia las irá separando.
¿Y qué ocurre con el pañuelo y las llaves? Como la dirección de atracción apunta hacia el núcleo de las masas, las líneas que los unen con el centro de la Tierra no son paralelas. Por tanto, a medida que pasan los segundos, la cartera se alejará de la cabeza del prisionero, igual que el móvil, a sus pies. El pañuelo y las llaves se aproximarán a sus costados (figura 1). A veces se describe esta deriva diciendo que sobre los objetos actúan fuerzas de marea, porque el mismo efecto da cuenta de las mareas terrestres.
2) En el espacio
Sin Tierra a la vista, no se pondrá de manifiesto ninguna de las desviaciones anteriores. Puesto en marcha el experimento, si el prisionero asiste a la deriva de los objetos, ya puede irse preparando para un doloroso aterrizaje (figura 2).
Al descubrir la equivalencia entre gravedad y aceleración, Einstein advirtió que podía atacar a la vez los dos problemas: si lograba introducir la aceleración en la relatividad, la gravedad encajaría en ella de modo automático.
Si nos conceden muy poco tiempo y nos privan de alguno de nuestros sentidos, no sabremos determinar si nos precipitamos en una caída libre o flotamos en ausencia de gravedad. Esta in- certidumbre germinaría incluso al dar un salto. Si congelamos nuestro movimiento en el fotograma donde alcanzamos el punto más alto, justo antes de iniciar el descenso, y nos borran la memoria, durante una fracción de segundo seremos incapaces de distinguir nuestra caída de la ingravidez. En esta ambigüedad descansa el principio de equivalencia. Sin embargo, si dejamos pasar el tiempo suficiente, tarde o temprano observaremos una desviación de la ingravidez. Existe un símil geométrico: recorriendo una distancia corta no podemos discernir si la Tierra es plana o redonda. En un viaje largo acabaremos por detectar alguna desviación de la línea recta, es decir, la curvatura del planeta. Esta analogía esconde la clave para acomodar la gravedad en el seno de una teoría relativista.
Cuando un escarabajo ciego se arrastra sobre la superficie de una rama doblada, no se da cuenta de que el camino que recorre en realidad es una curva. Tuve la suerte de caer en la cuenta de lo que el escarabajo ignoraba.»En el verano de 1912, nada más regresar a Zürich desde Praga, Einstein dirigió una petición de auxilio a su viejo amigo
— Respuesta de Einstein al preguntarle su hijo Eduard la razón de su fama.
Marcel Grossmann: «Debes ayudarme o si no me volveré loco». Siendo estudiantes, Grossmann le había prestado sus apuntes cuando se saltaba las clases y más adelante lo había rescatado de la precariedad, con el trabajo de la Oficina de Patentes. Ahora se había convertido en una autoridad en geometría no euclídea. Una vez más, se avino de buen grado a colaborar. Juntos, Einstein y Grossmann emprendieron una excursión por el mundo de las superficies muy parecida a la que nos disponemos a iniciar.§. Anatomía de una superficie
En una superficie plana, dos individuos que tracen perpendiculares a una misma línea recta dibujarán dos paralelas, que no se encontrarán mientras les dure la paciencia, aunque esta sea infinita. Si se mudan al ecuador de una esfera, la situación cambia En función del tamaño del globo, tarde o temprano acabarán cruzándose (figura l).
En una esfera gigantesca, puede que nunca se percaten de que el terreno que habitan no es plano. La humanidad tardó miles de años en convencerse de la curvatura de la Tierra, lo que no tiene nada de particular si no puedes echar un vistazo desde el espacio o emprender la vuelta alrededor del mundo. Probablemente la primera intuición de su convexidad la tuvieron los marineros que emprendían largos recorridos guiados por las estrellas. El experimento de las paralelas proporciona a los nativos de una superficie una herramienta deductiva para averiguar si viven en una tierra plana o redonda. Basta con que partan perpendicularmente del ecuador y dejen pasar el tiempo suficiente. En cuanto se den cuenta de que se acercan, estarán detectando la curvatura. ¿Qué sucede si reducimos drásticamente el tiempo de su investigación?
Alcanzarán a dibujar dos segmentos extremadamente cortos, casi puntos, paralelos. Después de analizarlos no podrán resolver si habitan un plano o una esfera imaginemos ahora una hoja de papel y dibujemos dos puntos en ella (figura 2). Si nos piden que los unamos mediante el trazo continuo más corto, escogeremos la línea recta (figura 3). En el caso de una esfera, la respuesta se convierte en un arco de circunferencia (figura 4).La condición extrema que hemos impuesto a estos trazados los distingue del resto de posibles trayectorias, haciendo que merezcan un nombre propio: geodésicas. No importa cuánto compliquemos la geografía de la superficie; seguiremos encontrando geodésicas aunque tengan que serpentear superando toda clase de irregularidades (figura 5).
Por enrevesada que sea la superficie, también podremos aproximar los alrededores de cualquiera de sus puntos mediante un plano: su plano tangente (figura 6).
Al repetir la operación alrededor de muchos puntos terminaremos achatando la superficie. En un terreno razonablemente liso, encargaremos baldosines grandes. Si trabajamos con un relieve muy accidentado, acabaremos con un mosaico de trozos planos de azulejos muy pequeños.
Partamos de una superficie, con dos puntos y una geodésica que los enlace, y procedamos a alicatarla (figuras 7 y 8). Se observa que, igual que la superficie se descompone en un puñado de azulejos planos, la geodésica se rompe en una serie de líneas rectas (figura 9). Para un habitante de la superficie que solo pueda operar dentro del estrecho margen de un azulejo, el mundo será plano, y las geodésicas, rectas. Prisionero de una región limitada, no podrá determinar si vive en un espacio liso o irregular. A medida que ampliamos sus dominios, las líneas rectas comenzarán a torcerse y a deformarse en geodésicas más complejas. La situación recuerda la indecisión de la caída libre y su resolución al dejar pasar el tiempo suficiente. Einstein propuso que eran lo mismo.
En el verano de 1912 se dio cuenta de que la teoría de superficies creada por el matemático Cari Friedrich Gauss «contenía la llave que abría el misterio» para encajar la interacción gravitatoria en su teoría de la relatividad.
La vida privada de las superficiesCari Friedrich Gauss (1777-1855) nació en el seno de una familia humilde, pero con una mente privilegiada, a la que solo podían hacer sombra Newton o Arquímedes. Dejó que alguno de sus descubrimientos más notables, como la geometría no euclídea o el álgebra de los números complejos, cogieran polvo en un cajón,para ahorrarse polémicas científicas. Se lo podía permitir: la parte de su obra que no le dio pereza publicar bastó para marcar un antes y un después en la historia de las matemáticas. Riemann generalizó sus ideas sobre geometría diferencial en una conferencia que pronunció en 1854 y que cerró con una nota de suspense: «Esto nos conduce a los dominios de otra ciencia, al ámbito de la física, donde nuestro propósito de hoy no nos permite adentrarnos». Sin saberlo, sus palabras se dirigían a alguien que no estaba presente en la sala y que no nacería hasta un cuarto de siglo después. Sería Albert Einstein quien se atrevería a cruzar por fin el umbral donde se había detenido Riemann, aplicando las herramientas matemáticas que había forjado a radiografiar la estructura secreta del universo.
Este descubrimiento lo abocaría a un curso acelerado de sofisticación matemática, de la mano de Grossmann, para dominar las herramientas capaces de traducir su intuición física al lenguaje formal de la geometría diferencial.
Hasta comienzos del siglo XIX, con la publicación de las Investigaciones generales sobre superficies curvas de Gauss, los espacios en dos dimensiones se venían estudiando desde una perspectiva tridimensional. Vale lo mismo decir que se observaban desde el exterior. Lo que hizo Gauss fue zambullirse en la propia superficie, tropezando uno tras otro con sus accidentes a medida que la iba recorriendo. Este viaje de la imaginación inauguró el estudio de la geometría intrínseca de superficies, que recibiría su impulso definitivo con la obra de uno de los estudiantes de Gauss, Bernhard Riemann (1826-1866).
En un plano resulta razonable extrapolar las propiedades de una pequeña región a sus inmediaciones. Su monotonía vuelve cualquier palmo del terreno
idéntico a los demás. Sin embargo, un medio abrupto nos ofrece en cada accidente un punto de referencia Distinguimos una cumbre de una hondonada y no podemos imponer la singularidad de una parte del territorio al resto. Por tanto, para expresar la estructura intrínseca de una superficie tenemos que cartografiar toda su extensión.Para hacerlo, Gauss se fijó en lo que sucede en un punto cualquiera de la superficie cuando nos situamos en él y decidimos avanzar una distancia muy corta en una dirección al azar. Si estamos en un suelo llano, como el de un piso, nos resulta indiferente la dirección que escojamos: el mismo paso nos llevará igual de lejos. Sin embargo, si estamos en una superficie ondulada, la situación se complica Al dirigirnos hacia la derecha, a lo mejor caminamos cuesta abajo, o si nos inclinamos por la izquierda, cuesta arriba por una pendiente pronunciada.
Por poner un ejemplo extremo, estudiemos la situación de las dos personas del dibujo de la página contigua. Las dos caminan desde A hasta B, una junto a la otra La persona 1 camina en línea recta, sobre un terreno llano; la 2, por la hondonada que se abre justo a su lado. Para ir desde A hasta B, 2 tiene que dar más pasos que 1, debido a la geometría curva de su terreno (figura 10). Si preguntamos a los dos cuál es la distancia entre A y B darán respuestas distintas.
Gauss construyó una función matemática (la métrica, que se representa mediante la letra g) que
mostrase la información, para cada punto de una superficie, de cuánta distancia se recorre al dar un pequeño paso, según en qué dirección nos desplacemos. Esta información cambia con la orientación y de punto a punto en una superficie accidentada, pero no en una plana.La métrica se puede considerar como el manual de instrucciones para armar una superficie, puesto que encierra todos los datos que queramos extraer de ella. Al contemplar un espacio desde una dimensión superior, sus irregularidades saltan a la vista. La métrica nos permite apreciarlas «a tientas», desde las entrañas de la superficie misma.
Las propiedades geométricas de un espacio deben ser independientes del sistema de coordenadas que escojamos para describirlo. Podemos recurrir a la analogía de una noticia que relata un suceso en un idioma determinado: aunque el texto se traduzca a infinidad de lenguas, en todas ellas contará lo mismo. La distancia entre dos puntos, por ejemplo, es una información que no se ve afectada por una traducción, es decir, por una transformación de coordenadas. Los puntos l y 2 están a distancias diferentes según las midamos desde A o desde B, pero la distancia entre ellos no cambia.
La puesta en pie de la métricaPara montar la métrica, Gauss partió de la distancia entre dos puntos muy próximos cualesquiera de una superficie, cuyas coordenadas difieran únicamente en cantidades infinitesimales. La noción más elemental de distancia (s), la euclídea, se extrae del teorema de Pitágoras (figura 1). Para indicar que hacemos encoger la distancia entre los puntos (x1,y1) y (x2,y2) tanto como queramos, cambiamos la notación de Δx (una magnitud medible) a dx (una magnitud diferencial) (figura 2).Esta expresión deja de ser válida si las coordenadas no se refieren ya a dos ejes perpendiculares x e y, o, en general, si nos situamos en una superficie curva, como una esfera, por ejemplo (figura 3). Para ampliar el marco de la teoría, Gauss trabajó con coordenadas más generales, u y v, y escribió que el cuadrado de la distancia entre dos puntos separados por una distancia infinitesimal (u,v) y (u+du, v+dv) viene dado por:
Ds2=E(u,v) du2+2F(u,v) du dv+G(u,v)dv2,
donde E, F y G son funciones de las coordenadas. Para recuperar una longitud medible basta con sumar, a lo largo de una curva, todas las distancias infinitesimales ds2 comprendidas entre sus extremos. El alemán Bernhard Riemann no se conformó con el estudio de las superficies en dos dimensiones y extendió los planteamientos de Gauss a un número arbitrario de ellas. En su caso:donde n puede asumir cualquier valor natural. Las cantidades gij son, una vez más, funciones de las coordenadas. Es decir, el cuadrado de la distancia entre dos puntos extremadamente próximos, ds2, se va estirando y comprimiendo a medida que nos desplazamos por la superficie y registramos sus accidentes. Si traducimos la expresión gaussiana a los términos, más amplios, propuestos por Riemann, tendremos que:
La colección de funciones g (la métrica) reflejan juntas las irregularidades del relieve. Se pueden representar mediante una matriz cuadrada de n2 elementos.
En lenguaje algebraico se dice que la distancia es un invariante (figura 11). A partir de la métrica se puede calcular cualquier distancia entre dos puntos de una superficie. También permite construir otros invariantes, como la curvatura, una magnitud que refleja cuánto se desvía una superficie del «recto comportamiento» euclídeo (figura 12).
Los invariantes reflejan las propiedades objetivas del espacio y son independientes del punto de vista que uno escoja para describir una superficie. Esta propiedad planteaba una segunda analogía de lo más sugestiva para Einstein, que se preguntaba: «¿Resulta concebible que el principio de relatividad siga siendo válido para sistemas que están acelerados uno respecto a otro?». Es decir, si el principio se cumplía en sistemas separados por una velocidad constante, ¿se mantendría para sistemas separados por una velocidad variable? Recordemos que uno de los dos postulados de la relatividad especial era: «Las leyes de la física adoptan la misma forma en cualquier sistema de referencia que consideremos en movimiento uniforme». Una sentencia que parece calcada del siguiente enunciado geométrico: «Los invariantes como la distancia y la curvatura adoptan la misma forma desde cualquier sistema de coordenadas». Este paralelismo, sumado a la analogía del principio de equivalencia, lo situaba a un paso de ensamblar por fin física y geometría.
§. De la relatividad especial a la general
El matemático lituano Hermann Minkowski (1864-1909) fue quien despejó el camino para que las ideas de Einstein se pudieran expresar en el lenguaje de Gauss. Tomó el tiempo y el espacio de la relatividad especial y forjó a partir de ellos una única realidad tetradimensional, el «espacio-tiempo». Con un tono algo teatral, proclamó: «De ahora en adelante el espacio y el tiempo, separados, están condenados a desvanecerse como meros espectros, y solo una especie de unión de ambos gozará de una existencia independiente». Minkowski dio el mismo tratamiento matemático a las tres coordenadas espaciales (anchura, profundidad y altura) que al tiempo.
Si imaginamos una mosca desplazándose a lo largo de una línea recta, cabe visualizar su avance en una dimensión, tomando instantáneas a intervalos regulares de tiempo. También podemos verlo como un punto que se desliza a lo largo de una diagonal, sobre un plano en dos dimensiones, donde t y x son variables semejantes:

Para un matemático, una geodésica es una línea estática, un trazo sobre el papel, pero entre las cuatro dimensiones de la relatividad de Minkowski figura el tiempo: las geodésicas del espacio-tiempo resultan dinámicas, son trayectorias. La coordenada temporal traduce un vulgar punto en un acontecimiento, las transformaciones de coordenadas en cambios de sistemas de referencia.
También puede aplicarse la mirada inversa y considerar la física como una geometría. Contemplemos una imagen bidimensional de la Luna orbitando alrededor de la Tierra (figura 13).
Si ahora pedimos una representación de la posición de la Luna en función del tiempo, la respuesta más intuitiva sería imaginar que el satélite dibuja un círculo alrededor de la Tierra Sin embargo, al despojar al tiempo de sus privilegios y tratarlo como otra coordenada espacial, como hizo Minkowski, obtenemos una representación geométrica tridimensional (figura 14).
En la jerga relativista, la distancia se conoce como tiempo propio y se representa mediante la letra griega tau: x. Es una magnitud que no corresponde a la separación entre dos posiciones, sino entre dos sucesos. Cada conjunto de coordenadas se compone de tres valores espaciales y uno temporal, cifran un dónde y un cuándo. Al desplazarnos de un punto a otro, dejamos una estela tetradimensional: una «línea de universo».
Nuestra vida se puede contemplar como una trayectoria en el espacio de Minkowski, una sucesión de lugares y momentos, ligados entre sí. Así lo entendió el físico George Gamow cuando tituló sus memorias: Mi línea de universo: una biografía informal.
En el capítulo anterior descubrimos hasta qué punto resultan maleables nuestras percepciones.

Dos representaciones «planas» del sistema formado por la Tierra y la Luna, donde el espacio se describe solo con dos dimensiones. En la segunda (figura 14), se añade el tiempo.
La métrica de MinkowskiSi el cuadrado de la distancia euclídea entre dos puntos muy próximos (ds) se definía como ds2 = dx2 + dy2 + dz2, en la geometría de Minkowski viene dada por: ds2 = dx2 + dy2 + dz2 - c2dt2.
El producto de la velocidad de la luz c (medida, por ejemplo, en el sistema internacional de unidades en m/s) por t (en s) hace que la cuarta variable tenga las mismas dimensiones de longitud que las tres espaciales. La magnitud ds2 es un invariante. Al medirla desde dos sistemas de coordenadas diferentes (x,y,z,t) y (x',y',z',t) se obtiene el mismo resultado:Al buscar qué transformación de coordenadas liga los dos sistemas, de modo que se cumpla la igualdad ds2=ds'2, se obtienen las ecuaciones de Lorentz. Extrayendo la métrica de la expresión de ds2:
Aquí los componentes de g, con valores constantes, dibujan un plano sin accidentes ni curvatura. Sus geodésicas son líneas rectas, pero el cambio de signo en el término temporal introduce una peculiaridad: no corresponden ya a la distancia más corta entre dos puntos del espacio-tiempo, sino a la más larga.
Para verlo mejor, recurramos a otra parábola tridimensional. Coloquemos una baqueta en posición vertical, cerca de una pared, iluminada por dos focos, uno situado encima y el otro a su lado. El foco vertical proyectará un punto en el suelo, mientras que el lateral reflejará en la pared la baqueta entera (figura 15).
Si ahora la vamos inclinando (en el plano que definen las dos lámparas), el foco vertical ira creando una sombra que crece en el suelo, mientras que la silueta de la pared menguara al mismo ritmo (figura 16).
Al dejarla en posición horizontal, habremos invertido la situación original. El punto aparecerá en la pared, mientras que el suelo reflejará toda la longitud de la baqueta (figura 17).
Podemos decir que la pared y el suelo son observadores bidimensionales, que contemplan cómo la baqueta encoge (en el espacio) o se alarga (en el tiempo). Estamos otorgando una interpretación geométrica a la contracción de Lorentz y la dilatación temporal. Los habitantes de estas superficies podrían sentir inquietud al descubrir que la longitud de la baqueta cambia caprichosamente cuando se mueve, pero también podrían idear un modelo matemático en tres dimensiones y llegar a la conclusión de que las mutaciones son una ilusión. El movimiento solo modifica la medida de las sombras: la longitud de la baqueta permanece inalterable en un espacio con una dimensión superior.
Los ejemplos que hemos propuesto recurren a superficies en dos dimensiones o espacios de tres, pero el universo de Minkowski precisa una más: la curvatura del espacio-tiempo se pone de manifiesto en cuatro dimensiones. Para aumentar la dificultad del juego, cuando queremos relacionar las historias de dos observadores que se desenvuelven en un dominio relativista, parte de lo que para uno es espacio, para el otro es tiempo, y viceversa. Una circunstancia fácil de plasmar en ecuaciones matemáticas o de reflejar con un símil, pero casi imposible de asumir intuitivamente.El espacio-tiempo de Minkowski ofrece una cierta austeridad porque es plano, como corresponde a un escenario donde los cuerpos se desplazan con velocidad constante. Desde la perspectiva de las cuatro dimensiones, los objetos sin aceleración se pueden representar mediante puntos o líneas rectas. Al introducir la gravedad y la aceleración, las rectas se tuercen. La gravedad acerca los cuerpos igual que la curvatura de la esfera aproxima a los dibujantes de paralelas. Del mismo modo que la línea recta de un mundo plano se transforma en un arco al recorrer una esfera, las trayectorias rectas de la relatividad especial se convierten en geodésicas curvas al «acelerarse» en el universo de la relatividad general.
Igual que en una superficie curva podemos aproximar el espacio alrededor de un punto mediante su plano tangente, físicamente podemos aproximar la trayectoria de un cuerpo acelerado mediante una caída libre, aunque sea durante muy poco tiempo. La aproximación resultará más o menos precisa según lo pronunciada que sea la curvatura del espacio. Es decir, en función de la aceleración a la que esté sometido el cuerpo.
La relatividad general toma el espacio plano de Minkowski al asalto y lo retuerce. ¿Quién es el responsable de la distorsión? La presencia de masa. Cuanta más materia (o energía) «inyectemos» en su interior, más se separará el espacio de la planitud. En palabras del físico estadounidense John Wheeler: «La gravedad no es una fuerza ajena y física que actúa en el espacio, sino una manifestación de la geometría del espacio justo allí donde se encuentra la masa».
Llegados a este punto, podemos sintetizar el núcleo de la relatividad general en dos enunciados:
- La trayectoria de un cuerpo en un campo gravitatorio adopta la forma de una geodésica del espacio tetradimensional.
- La relación entre la presencia de masa y la forma del espacio tetradimensional viene dada por la ecuación:

El segundo término, que técnicamente se denomina tensor de energía-momento, Tμv, encarna a la materia.
La ecuación de Einstein viene a decirnos que, en una porción determinada del espacio, su curvatura resulta proporcional a un numero (la constante G) y a la cantidad de materia (o energía) que encierre. Podemos imaginar un universo con baja densidad y velocidades constantes como un folio liso, cruzado de trayectorias rectas, que comienza a amigarse en cuanto la densidad aumenta y la aceleración hace acto de presencia, hasta quebrar las líneas. La métrica refleja esa transición haciendo que sus componentes constantes comiencen a variar de un punto a otro.
La presencia de masa nos permite construir la arquitectura exacta del espacio tetradimensional a través del segundo enunciado. Una vez montado este escenario, el primero dicta las evoluciones de cualquier cuerpo que transite por él.
El movimiento de los cuerpos en un campo gravitatorioPongamos que varias personas sostienen una sábana extendida. A continuación, sitúan en su centro una esfera pesada, como la bola que se utiliza en el juego de los bolos. Al agitar con suavidad la sábana, desatarán sobre la tela un oleaje de surcos y pliegues, que pondrá la bola en movimiento. La inercia la impulsará a dibujar toda clase de trayectorias, a medida que evita pequeños montículos, rueda cuesta abajo en las pendientes o se frena al trepar por un declive. La forma que adopta la superficie de la tela, su «geometría», que las personas pueden alterar a su antojo, dicta el recorrido de la bola. Sin embargo, la esfera no se limita a interpretar un papel pasivo, puesto que su peso y su movimiento también modelan la forma de la sábana. Su presencia perturbaría, por ejemplo, la trayectoria de una canica que se lanzara en línea recta sobre la tela, tanto como la agitación de las personas que la sujetan. ¿Qué ocurriría en una sábana en calma, que además se volviera transparente? Un espectador newtoniano vería cómo una fuerza misteriosa, cuyo origen situaría en el centro de la bola, atrae a la canica, con una acción que, en apariencia, se ejerce de manera inmediata y a distancia. Seguramente no se le ocurriría achacar la curva que dibuja la bolita de cristal a una deformación de una sábana invisible, que transmite con un cierto retardo cualquier cambio en su geometría, provocada por la presencia y el movimiento de todos los cuerpos que se apoyen en ella.Esta analogía se puede extender a los campos gravitatorios, donde la presencia de masa (también, de energía) deforma el tejido del espacio-tiempo, y así frena y acelera, desvía de su trayectoria o atrapa a los cuerpos en una coreografía dinámica, en cuya creación colectiva participan todas las masas.
La ecuación de Einstein conserva una propiedad geométrica decisiva. Está construida con invariantes y, por tanto, mantiene su forma para cualquier observador. Si la distancia y la curvatura no dependen del sistema de coordenadas, los fenómenos físicos tampoco pueden depender del punto de vista que elija un observador para describirlos. Es una generalización de uno de los dos postulados de la relatividad especial: «Las leyes de la física adoptan la misma forma en cualquier sistema de referencia que consideremos en movimiento uniforme». Ahora podemos ir más lejos y afirmar: «Las leyes de la física adoptan la misma forma en cualquier sistema de referencia que consideremos en movimiento acelerado».
§. Físicos contra matemáticos
Hermann Minkowski fue el culpable de que el virus de la relatividad se adueñara de la Universidad de Gotinga. Dentro de su círculo íntimo figuraba uno de los matemáticos más prolíficos e influyentes del siglo XX: David Hilbert. A pesar de su amistad, Minkowski tardó años en inocularle su debilidad por la física Incluso llegó a esgrimirla como pretexto para no visitarlo durante unas vacaciones de Navidad: «Dadas las circunstancias, no sé si necesitas que te consuele. Creo que me habrías encontrado infectado hasta la médula por la física. Puede que incluso deba someterme a una cuarentena antes de que Hurwitz y tú me queráis admitir de nuevo en vuestros paseos, matemáticamente puro y abstracto».
Minkowski inauguró su primera conferencia sobre relatividad, en 1907, con una pobre semblanza de los físicos: «Parece que la teoría electromagnética de la luz está dando lugar a una completa transformación de nuestras representaciones del espacio y el tiempo, que debería suscitar un interés extraordinario entre los matemáticos. El matemático se halla en una situación privilegiada para asumir los nuevos puntos de vista, ya que le suponen una mera aclimatación a esquemas conceptuales ya familiares. El físico, por el contrario, se ve obligado a redescubrir estos conceptos y abrirse camino a través de un bosque primigenio de oscuridades. A su lado, el viejo camino, dispuesto con primor por el matemático, permite progresar con toda comodidad». En vista de esta clara desventaja, la clarividencia de uno de sus antiguos alumnos en la Politécnica de Zürich casi le incomodaba: «Oh, ese Einstein, siempre saltándose clases. ¡La verdad es que nunca le hubiera creído capaz de esto!».
Una apendicitis impuso un brusco final a la vida de Minkowski, dejando su labor inconclusa. Supuso un duro golpe para Hilbert, cuya actitud hacia la física acusó un notable cambio. A partir de entonces, sus palabras adoptaron el tono de un médium a través del cual Minkowski siguiera pregonando sus inquietudes: «En su exposición escrita, el físico pasa por alto con ligereza pasos lógicos importantes [...], mientras que a menudo el matemático se queda la llave para entender los procesos físicos». En un ambiente informal se lo tomaba con más humor «La física se está volviendo demasiado complicada para dejársela a los físicos».
De manera consciente o no, se propuso ejecutar el programa de su viejo amigo. Uno de los principales logros de Hilbert había sido la axiomatización de la geometría. Ahora daría el mismo tratamiento a la física, reconstruyéndola desde los cimientos con un rigor desconocido y aplicando las técnicas más modernas. Resumía su programa en una consigna: «Demos reformado las matemáticas, a continuación debemos reformar la física y después le llegará el turno a la química». En esas estaba cuando Einstein se cruzó en su camino, con una teoría general de la relatividad a medio hacer y formulada en un lenguaje geométrico que no terminaba de dominar.
En vísperas de cumplir su primer año, la Primera Guerra Mundial, lejos de apuntar a un desenlace, se recrudecía. En abril de 1915 los alemanes habían estrenado la guerra química, sumiendo las trincheras de Ypres en una neblina verdosa y amarillenta de gas mostaza En la historia de la relatividad se avecinaba una batalla menos sangrienta, pero no exenta de sobresaltos. A finales de junio, Einstein aceptó una invitación de Hilbert y viajó hasta Gotinga para impartir un ciclo de seis conferencias, donde dio a conocer el estado en el que se encontraba su teoría general de la relatividad. Durante su estancia se alojó en casa del matemático.
con quien tuvo ocasión de conversar animadamente, sin sospechar que avivaba en exceso su curiosidad.
Cada uno se llevó una excelente impresión del otro. «Para mi gran alegría, he tenido un éxito completo a la hora de convencer a Hilbert y a Klein», se felicitaba Einstein. Hilbert tampoco ocultaba su satisfacción: «Durante el verano contamos con los siguientes invitados: Sommerfeld, Born y Einstein. En particular, las conferencias de este Último sobre teoría de la gravitación fueron todo un acontecimiento».
Sin duda, Einstein había logrado seducir a los matemáticos de Gotinga con su geometrización de la gravedad. Lo que no podía adivinar era que también lo habían visto perdido en una encrucijada- el punto donde la física se volvía demasiado complicada para dejársela a los físicos. El gran patriarca de la escuela de Gotinga, Félix Klein, se lamentaba «En la obra de Einstein, hay imperfecciones que no llegan a dañar sus grandes ideas, pero que las ocultan de la vista». Hilbert se permitía alguna broma al respecto: «Cualquier chico en las calles de Gotinga entiende más de geometría tetradimensional que Einstein».
Las cartas se pusieron sobre la mesa en el mes de noviembre. Einstein comenzó reconociendo que había «perdido del todo la fe en las ecuaciones de campo» que había venido defendiendo a lo largo de los Últimos tres años. Decidió retomar una línea de ataque que había abandonado en 1912, con demasiada precipitación, al asumir una restricción que se reveló sin fundamento. La noticia de que Hilbert había detectado sus imperfecciones y había iniciado
por su cuenta el asalto a las ecuaciones de campo le cayó como un jarro de agua helada Hilbert disponía de la ventaja de una superioridad matemática innegable, en un problema donde parecía un factor decisivo; en su favor, Einstein contaba con su inigualable instinto físico.
Espoleado por la rivalidad, se sumió en un vértigo de ecuaciones, que llenaba de tachones, tanteos y enmiendas, hasta agotar cada alternativa Prácticamente descartó cualquier actividad que amenazara su tensa concentración. No distinguía las horas del día de la noche y a veces hasta se olvidaba de comer. Esta tenacidad extenuante terminó por dar frutos. La niebla se disipaba en
torno a las matemáticas de la teoría... cuando el 14 de noviembre asomó en su buzón una carta con el matasellos de Gotinga. En ella Hilbert se ufanaba de sus progresos, que consideraba casi definitivos: «Lo cierto es que me gustaría pensar primero en alguna aplicación muy tangible para los físicos, como alguna relación fiable entre constantes físicas, antes de ofrecer la solución axiomática a tu gran problema».
David HilbertHilbert nació en la ciudad prusiana de Königsberg, en 1862. Desarrolló una carrera fulgurante y desde sus inicios fue reconocido corno la figura carismática que lideraría a los matemáticos de su generación.Mano a mano con Félix Klein, transformó la Universidad de Gotinga en uno de los centros de investigación matemática más productivos de todos los tiempos. En el Congreso Internacional de Matemáticos de 1900, celebrado en París, pasó revista a una serie de veintitrés problemas cuya solución marcaría, a su juicio, el desarrollo futuro de la disciplina. A pesar de su rivalidad científica con Einstein, tenían muchos puntos en común y se cayeron bien nada más conocerse. Ambos se negaron a firmar una declaración de apoyo a la intervención alemana en la Primera Guerra Mundial. Como Einstein, también tuvo un hijo con esquizofrenia, con quien mantuvo una compleja relación. Tampoco le iba a la zaga en materia de aforismos. Como muestra, un botón: «Se puede medir la importancia de una obra científica por el número de publicaciones anteriores a ella que hace superfluas». Llegó a cumplir ochenta y un años, una longevidad que vivió como una desgracia, ya que tuvo tiempo de ver cómo los nazis destruían la escuela matemática que había puesto en pie tras décadas de esfuerzo.
Cuando en un banquete celebrado en 1934 el ministro de Cultura le preguntó si eran ciertos los rumores de que la matemática alemana se había resentido algo después de las purgas nacionalsocialistas, Hilbert respondió: «¿Resentido? Las matemáticas no se han resentido en absoluto, señor ministro.
Sencillamente ya no existen».
La correspondencia entre ambos se convirtió en un fuego cruzado de sugerencias y también de cautelas. El 18 de noviembre Einstein vio por fin la luz. Su última versión de la teoría predecía una irregularidad en la órbita de Mercurio, descrita por el matemático francés Urbain Le Verrier en 1859, que desafiaba las previsiones newtonianas. También corregía la estimación clásica de la curvatura de la luz bajo efectos gravitatorios. Por último, sus ecuaciones se reducían a las de Newton en campos gravitatorios de baja intensidad. La revelación le reportó una taquicardia y un rapto de euforia que lo dominó durante días.
El 25 de noviembre de 1915, un Einstein al límite de sus fuerzas presentaba su versión de las ecuaciones de campo ante la Academia de Berlín: «Por fin la teoría general de la relatividad muestra una estructura lógica cerrada». Cinco días antes, Hilbert resumía las conclusiones de su programa axiomático ante la Academia de Ciencias de Gotinga. ¿Quién había ganado la carrera? De entrada se puede afirmar que, a pesar de las apariencias, habían participado en competiciones distintas.
Aunque Hilbert se anticipara a la hora de hacer públicos sus resultados, en las pruebas originales del artículo que recoge su conferencia de Gotinga no aparecen las ecuaciones de campo correctas, aunque sí figuran en la versión que terminó publicando en marzo de 1916. Por tanto, la prioridad corresponde a Einstein. Si medimos el resultado atendiendo al objetivo que se había fijado cada uno, este acertó de lleno en la diana, mientras que Hilbert erró el tiro por un amplio margen.
El matemático ignoró casi por completo el paisaje experimental. La lectura relativista de la gravitación era solo un aspecto de su vasta ambición axiomática, que pretendía conquistar no solo la gravedad, sino también el electromagnetismo y su interacción con la materia. Las ecuaciones fundamentales de la física debían surgir a partir de una función, que llamó «función de universo», cuyas propiedades había definido en un par de axiomas. Hilbert tituló su conferencia «Los fundamentos de la física», una disciplina de la que, a partir de entonces, «surgiría una ciencia como la geometría».
Supo desplegar una artillería formalmente superior a la de Einstein, y resolver algunos de sus problemas técnicos de un modo más directo, pero sus pretensiones de haber unificado la relatividad y el electromagnetismo, dando cuenta, de paso, de los fenómenos que tenían lugar dentro del átomo, resultaron infundadas. Einstein opinaba que el propósito de Hilbert escondía «bajo un camuflaje de técnicas» la pretensión «de un superhombre».
Quizá Hermann Weyl, un alumno de Hilbert que hizo importantes contribuciones a la física teórica, supo captar mejor que nadie la atmósfera del desenlace: «Los hombres como Einstein y Niels Bohr se abren camino a tientas, en la oscuridad, hasta alcanzar sus concepciones de la relatividad general o de la estructura atómica mediante una clase de experiencia e imaginación distinta de la que sirve al matemático, aunque sin duda las matemáticas constituyen un ingrediente esencial».
Einstein juzgó el trabajo de Hilbert como una intromisión, algo que se refleja de modo velado en alguna de sus cartas. No obstante, sus suspicacias pronto se disiparon, sobre todo después de que Hilbert no hiciera el menor movimiento por disputar su prioridad. El 20 de diciembre Einstein le escribía una carta conciliadora:
Se ha producido una cierta hostilidad entre nosotros, cuya causa no pretendo analizar. He luchado contra el sentimiento de amargura que ha despertado en mí y lo he vencido por completo. Vuelvo a pensar en ti con un afecto sobre el que no pesa sombra alguna y te mego que hagas lo mismo conmigoIronías del destino, después de que Minkowski contagiara a Hilbert su fascinación por la física, Hilbert, a su vez, transmitió sus aspiraciones de superhombre a Einstein. Este consagró las últimas décadas de su vida a construir una teoría donde se fusionaran los campos electromagnético y gravitatorio. Una búsqueda que también estaba condenada al fracaso.
Capítulo 4
Las escalas del mundo
Una vez levantado el andamio de las ecuaciones relativistas, Einstein se aplicó a pintar su imagen personal del universo. La cosmología, una ciencia dominada hasta entonces por la especulación, dio con él un paso de gigante. La confirmación experimental, en 1919, de la desviación de la luz bajo la acción de la gravedad convirtió a Einstein en una celebridad de la noche a la mañana.Al final de cada tormenta creativa, Einstein caía enfermo. La crudeza de la resaca era proporcional al esfuerzo invertido. Si después de los meses de hiperactividad que alumbraron los artículos de 1905, pasó dos semanas en cama, tras su largo y sostenido pulso con la relatividad general la convalecencia se alargó, con intermitencias, varios años. El racionamiento de la guerra no hizo sino agravar su condición. A partir de 1917 su organismo cedió ante una sucesión de pequeños colapsos, cálculos biliares, hepatopatías, ictericia. Úlcera de estómago, que lo postraron en cama durante meses, haciéndole temer que nunca se recuperaría del todo. En un intervalo de dos meses llegó a perder hasta veinticinco kilos.
Con la entrada del verano, Elsa le alquiló un piso en el mismo bloque de apartamentos donde ella vivía y, con discreción, escalera arriba, escalera abajo, se multiplicó en los papeles de enfermera, cocinera, vecina y amante. A cambio de su entrega incondicional, aumentó la presión sobre el divorcio. Al año siguiente Einstein resucitó la cuestión espinosa frente a Mileva, en un despliegue de tacto que adornó con una espectacular oferta económica, que incluía el dinero de un eventual premio Nobel. Al principio ella reaccionó con su antigua furia, pero a las pocas semanas recogió velas. La persistencia de su separación y la determinación de Einstein evidenciaban que el matrimonio se había deshecho sin remedio, a pesar de los hijos. Se sentía acosada por la mala salud, igual que su hermana y su hijo pequeño. Puesto que el pasado era un territorio que ya no se podía reconquistar, quizá había llegado el momento de afrontar lo inevitable en las mejores condiciones. Vencidos los reparos de Mileva, quedaba por superar un adversario quizá más temible: la administración. «Tengo curiosidad por ver qué durará más —le confiaba Einstein a su mujer— la guerra mundial o nuestros trámites de divorcio.» Duró más el divorcio.
Mileva fue probablemente el gran amor de su vida. En su primer matrimonio lo había buscado todo, en cuerpo y espíritu. En su correspondencia con Elsa, Einstein recupera el lenguaje de un enamorado, pero la temperatura es más baja y se multiplican los reparos: «¡No es por falta de verdadero afecto por lo que el matrimonio no deja de asustarme!». Con una nota de cinismo, podría decirse que Mileva encarnaba el amor ideal para un joven de veinte años, mientras que Elsa lo representaba para un hombre de cuarenta. Su prima le proporcionó grandes dosis de paz, a cambio de una afinidad menos profunda. Quizá no discutiera mucho de física con Elsa ni los uniera un amor pasional, pero se ofrecieron apoyo y compañía y compartían un gran sentido del humor. En ella encontró un modo de conjugar la necesidad de afecto con la comodidad.
Me alegro de que mi esposa no sepa nada de ciencia, a diferencia de mi primera mujer.»La sustitución de Mileva por Elsa ponía de manifiesto una transición más soterrada. Tras la coronación de la teoría de la relatividad general, Einstein empezó a mudar las ropas de iconoclasta. Él mismo se lamentaba: «Para castigar mi desprecio hacia la autoridad, el destino ha decretado que yo mismo me convierta en autoridad».
Einstein a su alumna Esther Salaman.
Durante el proceso de divorcio, Einstein le hizo una promesa a Mileva: «Jamás renunciaré a vivir solo, un estado que se ha revelado como una indescriptible bendición». Tardó menos de cuatro meses en desdecirse. Obtuvo el divorcio de Mileva el 14 de febrero de 1919 y lo encontramos casado de nuevo, con Elsa, el 2 junio del mismo año.
Pauline celebró la separación de Mileva como quien gana un premio en la lotería: «¡Si tu pobre papá hubiera vivido para verlo!». Apenas pudo disfrutar de la nueva situación. Un año después moría de un cáncer de estómago. Un golpe que vino a contradecir, una vez más, el desapego de Einstein: «Uno siente en sus propios huesos lo que significan los vínculos de la sangre».
§. El eclipse
En 1804, un astrónomo bávaro, Johann Georg von Soldner (1776- 1833), se basó en la teoría corpuscular de Newton —que consideraba la luz compuesta por masas puntuales, sensibles a la gravedad— para formular una curiosa predicción: «Si [... ] un rayo luminoso pasa junto a un cuerpo celeste, en lugar de continuar en línea recta, la atracción de este lo obligará a describir una hipérbola cuya concavidad se dirige contra el cuerpo que lo atrae». En el caso del Sol, Von Soldner estimó en 0,84 segundos de arco el ángulo de la desviación. Tan sugestivo fenómeno ¿se podría apreciar desde la Tierra? «En el caso de que fuera posible observar las estrellas fijas muy próximas al Sol, habría que tomar en consideración este efecto. Sin embargo, como es bien sabido que no sucede así, tendremos que desechar la perturbación del Sol.» A lo largo del siglo XIX, la teoría corpuscular de la luz fue perdiendo fuelle en favor de la hipótesis ondulatoria, de modo que la conjetura de Von Soldner, imposible de verificar con los medios de la época, pronto fue relegada al olvido.
En junio de 1911, partiendo de unos presupuestos teóricos bien distintos y sin conocer la obra de Von Soldner, Einstein resucitó su idea en un artículo, «Sobre la influencia de la gravitación en la propagación de la luz», donde alcanzó un valor prácticamente idéntico: 0,83 segundos de arco.

Descripción de las observaciones de Crommelin en Sobral aparecidas en el Illustrated London News el 22 de noviembre de 1919.
Puesto que durante los eclipses totales de Sol las estrellas fijas se hacen visibles en las regiones del cielo próximas al Sol, esta consecuencia de la teoría se puede contrastar mediante una prueba experimental [...]. Sería deseable que los astrónomos prestasen atención a la cuestión que aquí se plantea, a pesar de que pueda parecer que las reflexiones apuntadas más arriba carecen de suficiente fundamento o, incluso, que son extravagantes.Tres años después de que Einstein hiciera publicó su desafío en los Annalen der Physik, los almanaques astronómicos de 1914, un año que se cargaría de efemérides, fijaron para el 21 de agosto un eclipse que cumplía con todos los requisitos para efectuar la comprobación.
Erwin Freundlich (1885-1964), un joven astrónomo de Wiesbaden, se apresuró a recoger el guante relativista, pero la Primera Guerra Mundial desbarató su expedición a Crimea Alemania declaró la guerra a Rusia el 1 de agosto y, en justa correspondencia, los soldados del zar capturaron al equipo de astrónomos alemanes, cuyas aspiraciones científicas interpretaron como una burda tapadera para el espionaje. «Mi buen amigo el astrónomo Freundlich —se lamentaba Einstein en una carta a Ehrenfest—, en lugar de experimentar un eclipse de Sol en Rusia, va a tener que experimentar la cautividad en dicho país.» A pesar del antimilitarismo del científico, las tropas zaristas le estaban haciendo un favor. Su teoría todavía no estaba en condiciones de superar el examen de los cielos. En lugar de confirmar la relatividad, las observaciones de Freundlich la hubieran refutado.
En su famosa conferencia del 25 de noviembre de 1915, Einstein había deducido, a partir de la ecuación de campo correcta, una segunda estimación, que se apartaba metidamente de la de Von Soldner 1,7 segundos de arco. Ahora la disparidad proporcionaba
una excelente base para contrastar la visión relativista de la gravedad con la clásica newtoniana. Arthur Eddington (1882-1944), director del observatorio de Cambridge, se adelantó en esta ocasión a Freundlich, que había regresado a Alemania en un intercambio de prisioneros. El inglés estaba convencido de que el 29 de mayo de 1919 tema una cita con el destino:
El efecto de la curvatura afecta a las estrellas que se ven cerca del Sol y, por tanto, la única oportunidad de efectuar esta observación es durante un eclipse total, cuando la Luna interrumpe su luz deslumbrante. Incluso entonces una gran cantidad de luz desborda la corona solar y se extiende lejos del disco. Por tanto, es preciso contar con estrellas que brillen lo suficiente cerca del Sol, que no se desvanezcan en el resplandor de la corona [... ] Un astrónomo que consultara hoy las estrellas anunciaría que la fecha más favorable del año para pesar la luz es el 29 de mayo. El motivo es que el Sol, en su recorrido anual alrededor de la eclíptica, atraviesa campos estelares de diversa riqueza, pero el 29 de mayo se sitúa en mitad de una porción absolutamente excepcional de estrellas brillantes, una sección de las Híades, con diferencia el mejor campo de estrellas disponibleLa expedición científica organizada por la Universidad de Cambridge y la Real Sociedad Astronómica para cubrir el eclipse se dividió en dos partidas en torno al círculo del ecuador. Una, al sur, se dirigió a la ciudad brasileña de Sobral, y la otra, al norte, a la isla de Príncipe, frente a la costa de Guinea
Como tantas excursiones, esta estuvo a punto de frustrarse por el mal tiempo. La mañana del eclipse, en lugar del Sol, Eddington tuvo que vérselas con un zafarrancho de nubes y un diluvio. A la una y media del mediodía el Sol asomó tímidamente, pero las nubes se comportaban como un telón que se bajaba y alzaba, ocultando y descubriendo el escenario donde sería juzgada la teoría de la relatividad. En cuanto la Luna comenzó a cubrir al Sol, Eddington se entregó a la frenética impresión de una placa fotográfica tras otra. Solo disponía de cinco minutos. Cuando miraba al cielo, a veces se encontraba con el eclipse y otras con las nubes. Entre las dieciséis imágenes que tomó del cúmulo estelar de las Híades solo dos parecían aprovechables. Corrió a revelarlas en el acto, presa de la inquietud: ¿qué habría pasado en Sobral? Según el relato de Andrew Crommelin, responsable de la expedición brasileña, el clima resultó enervante, pero «un claro en las nubes se abrió en la proximidad del Sol justo a tiempo y, durante cuatro de los cinco minutos de ocultación, el cielo alrededor del Sol permaneció completamente despejado».
Eddington jugó un poco a favor de la relatividad al manipular los datos y comparar las fotografías con otras del mismo campo de estrellas, tomadas una noche de invierno, en Inglaterra, cuando el Sol no desviaba la luz de las Híades.

La masa del Sol curva de modo apreciable la luz que pasa en sus proximidades, haciendo que algunas estrellas parezcan ocupar posiciones distintas de las reales, según se muestra en la figura 1. Esta fenómeno se aprecia claramente en la superposición de dos imágenes del mismo campo estelar, con y sin eclipse, tomadas en 1922 y que se ha representado en la figura 2. Cada flecha conecta la posición real da una estrella (al punto) con la posición aparente (la punta).
Algunos ingleses juzgaron el experimento como una continuación de la guerra por otros medios, un duelo entre su gran genio nacional, Isaac Newton, y un alemán, por poco alemán que Einstein pudiera considerarse (y por menos alemán todavía que lo considerasen los propios alemanes). El 6 de noviembre de 1919 una reunión conjunta de la Real Sociedad Astronómica y la Royal Society concluyó en Londres que el análisis de las fotografías acreditaba la predicción de la relatividad general.
Si la primera expedición de Freundlich se planteó con mala oportunidad, tanto histórica como científica, la segunda acertó en el centro de las dos dianas. Por sorpresa, una noticia científica se encaramaba a la portada de los principales periódicos. Desde allí desató un terremoto sin precedentes en la opinión pública. Dando un repaso a los titulares de la época, leemos: «La teoría de Einstein triunfa» (The New York Times), «Revolución en la ciencia», «Derrocadas las ideas newtonianas» (The Times), «Una nueva gran figura en la historia mundial: Albert Einstein» (Berliner Illustrirte). Las masas no tardaron en ratificar la canonización del físico en los altares de la ciencia.
La validación de la teoría elevó no solo la mirada de los periodistas y de sus lectores hacia el firmamento, también la de los científicos. Es cierto que la ecuación de campo podía aplicarse a cualquier juego de masas, pero el cosmos parecía el entorno natural de la relatividad. Sus efectos pasaban desapercibidos en la danza atómica de los núcleos y los electrones, pero se manifestaban en todo su esplendor entre estrellas y galaxias. Allí se abriría el primer acto de la mecánica posnewtoniana.
§. La luz, prisionera de la oscuridad
En su duelo con Hilbert, Einstein había estrenado su ecuación con tres casos particulares, a la caza de una rápida confirmación experimental: el cálculo de una anomalía en la órbita de Mercurio, junto con la desviación de un rayo de luz y el desplazamiento hacia el rojo (un efecto que explicaremos más adelante), ambos por causas gravitatorias. Fue un ejercicio a contrarreloj, donde Einstein se limitó a extraer soluciones aproximadas.
Su teoría pronto atrajo la atención de los extraños y dejó de ser el juguete de un solo físico. El primero en proporcionar una solución exacta fue un astrónomo, Kart Schwarzschild (1873-1916), que distrajo así los horrores del frente ruso adonde lo había conducido su fervor patriótico. Schwarzschild llevaba la astronomía en la sangre: publicó su primer artículo, sobre la órbita de las estrellas dobles, con dieciséis años, siendo todavía un estudiante de secundaria. Tres días antes de celebrar la Navidad de 1915, escribía a Einstein para mostrarle sus propios cálculos sobre las anomalías en la órbita de Mercurio: «Ya ve, a pesar del fuego cerrado de los cañones, la guerra me trata con suficiente clemencia para permitir que me evada de todo esto y deambule por la tierra de sus ideas».
Schwarzschild trató de plasmar en detalle la versión relativista de una estrella. Por simplicidad, la consideró esférica y estática Primero calculó la curvatura espaciotemporal en la vecindad del cuerpo celeste, y después se lanzó a escudriñar matemáticamente su interior. Logró delimitar la distorsión que introducía la masa estelar en el tejido del espacio-tiempo. Advirtió que el tiempo fluye más despacio a medida que uno se aproxima a ella, es decir, a medida que aumenta la intensidad de su campo gravitatorio, una tendencia que se mantiene después de atravesar la superficie y dirigirnos al centro. Una manifestación observable de este fenómeno es que la luz que emite la estrella sufre lo que se conoce como un desplazamiento hacia el rojo.
Al estudiar la materia, se encuentra que la actividad de sus electrones genera radiación electromagnética en forma de ondas de diversas longitudes. Igual que la luz del Sol se rompe en los colores del arcoíris, es posible analizar una radiación cualquiera y desplegar sus componentes. Con un aparato se puede imprimir la huella luminosa de la materia y su registro es lo que se conoce como espectro. Gracias a los espectros atómicos podemos determinar la composición de una estrella analizando la luz que nos llega de ella.

Comparación de las escalas de tiempo en la superficie de la estrella y en la superficie terrestre. La disparidad responde a que la intensidad del campo gravitatorio es mayor cerca de la estrella que cerca de nuestro planeta.
Esta diferencia afecta a nuestra percepción de la radiación estelar. Aunque para cada sistema de referencia (la vecindad de la estrella y la Tierra), átomos iguales generan, a la misma temperatura, espectros idénticos, para los astrónomos terrestres las ondas emitidas cerca de la estrella se registran con períodos (T) más largos (figura 2).
El período es, precisamente, la inversa de la frecuencia (T= 1/ν). A medida que crece T, disminuye v, lo que quiere decir que las ondas que componen la huella del elemento se reciben con una frecuencia más corta. Dentro del espectro visible, la luz de menor frecuencia es la roja. Por extensión, se dice que la distorsión gravitatoria de la masa estelar desplaza la radiación hada el rojo.
Este efecto se acentúa con la intensidad del campo gravitatorio. Cuanto más compacta y masiva sea la estrella, más pronunciado será el desplazamiento hacia el rojo, una señal de que el tiempo transcurre más despacio en su proximidad. Llevando la situación al extremo encontramos que, para una densidad crítica, el tiempo acaba por detenerse y el desplazamiento al rojo se dispara exponencialmente, hasta anular el espectro. Schwarzschild juzgaba este límite como una ilusión matemática sin correspondencia con la realidad. Sin saberlo, estaba describiendo por primera vez una singularidad astronómica que cautivaría la imaginación de los físicos (y de los aficionados a la ciencia ficción): un agujero negro. El termino lo acuñaría John Wheeler medio siglo después, durante una conferencia en el Instituto Goddard de Estudios Espaciales de la NASA, en el otoño de 1967.
Einstein se mostró entusiasmado ante el trabajo de Schwarzschild, pero la deslumbrante incursión del astrónomo en la relatividad general fue una estrella fugaz que consumió la guerra. Una enfermedad autoinmune de la piel arrancó a Schwarzschild de las trincheras y lo devolvió a Potsdam, para acabar con su vida cerca del observatorio que había dirigido antes de alistarse como voluntario en el ejército.
Después de sopesar la cuestión, Einstein concluyó que «las singularidades de Schwarzschild no existen en la realidad física». Sus objeciones, sin embargo, contenían lagunas. En la conferencia donde bautizó los agujeros negros, Wheeler no solo aceptaba su viabilidad, sino que también hizo una descripción vivida y plausible de su traumático nacimiento. Cuando el combustible nuclear de una estrella se agota, se enfrenta a una encrucijada. Su suerte depende entonces de una serie de variables, entre ellas su masa inicial. Puede ocurrir que su menguada energía radiante no baste ya para sostener su propia masa y esta se le venga encima, provocando una drástica contracción.
[...] a causa de su implosión cada vez más rápida, [la superficie de la estrella que colapsa] se aleja del observador más y más deprisa La luz se desplaza hacia el rojo. Se vuelve más débil milisegundo a milisegundo y, en menos de un segundo, demasiado oscura para que podamos percibirla... [La estrella], como el gato de Cheshire, desaparece de la vista Uno deja detrás solo su sonrisa la otra, su atracción gravitatoriaEn el capítulo anterior vimos cómo el grado de curvatura en una región del espacio-tiempo refleja su contenido de materia La densidad de un agujero negro equivale a apretar la masa del Sol dentro de un espacio la mitad de grande que la isla de Manhattan. Semejante concentración fuerza el tejido espaciotemporal hasta límites que Schwarzschild y Einstein solo se atrevían a considerar dentro del margen de sus cuadernos de ecuaciones. Sin embargo, el universo ha resultado ser un lugar bastante más extremo que lo que se permitían soñar los patriarcas de la relatividad. En la proximidad de un agujero negro se multiplica el frenazo temporal que ya se apreciaba cerca de la superficie de una estrella. En otras palabras, si uno se aproxima a su horizonte con cautela entra en una película a cámara lenta y, al alejarse, puede verse proyectado miles de años en el futuro.
Los agujeros negros no dejan la huella de ningún espectro y, por eso, pal a localizarlos hay que aplicar la misma estrategia que para cazar al hombre invisible: bajar la mirada para descubrir sus pisadas en la nieve.
Lentes gravitacionalesEn 1936, Rudi Mandl, un ingeniero y científico aficionado de origen húngaro, razonó que si las grandes masas desvían los rayos luminosos, también podrían actuar a modo de lente, concentrando la luz en un foco. En el caso de dos estrellas convenientemente alineadas con la Tierra, siendo la central muy masiva, esta última se comportaría igual que una lupa, materializando ante los observadores terrestres una imagen de la más alejada. Einstein había considerado la misma noción en 1912, pero la había descartado, al entender quizá que el efecto resultaría indetectable. Espoleado por el entusiasmo de Mandl, repitió los cálculos veinte años después y publicó una pequeña nota en la revista Science.En el último párrafo adoptaba el tono escéptico de Von Soldner, convencido de que no existían «muchas oportunidades de apreciar este fenómeno». Un pesimismo razonable en los años treinta, pero no en 1979, cuando Dennis Walsh, Robert Carswell y Ray Weymann identificaron, en el observatorio de Kitt Peak, en el desierto de Arizona, las primeras imágenes generadas por una lente gravitacional. En general, las lentes gravitacionales crean imágenes múltiples y otras distorsiones ópticas, como arcos, halos y cruces. El dibujo muestra una galaxia que se comporta como una lente gravitacional: a pesar de que se interpone en su línea de visión, produce dos imágenes desplazadas de un quásar muy lejano.
Aunque no se cuenta con ninguna evidencia directa de su existencia, los telescopios detectan perturbaciones gravitatorias en la danza de las estrellas y galaxias que responden admirablemente a su teórica influencia. Resulta irónica la suspicacia de Einstein ante los agujeros negros, ya que, como apuntaba Freeman Dyson: «Son los únicos lugares del universo donde la teoría de la relatividad se manifiesta en toda su potencia y esplendor».
El desplazamiento del perihelio de Mercurio o los agujeros negros exponían ángulos sugerentes del cosmos relativista, pero no dejaban de fijar la atención en detalles. Como las ecuaciones de campo se podían aplicar a cualquier juego de masas, resultaba tentador embutir en el término T toda la materia y energía del universo y ver qué pasaba. De nuevo, Einstein fue el primero en cometer el atrevimiento, cortando la cinta que inauguró la cosmología moderna. Se enfrentaba a un escenario tan desmesurado que tuvo que abordar la tarea partiendo de aproximaciones. De entrada, a la hora de contemplar la masa del universo, entornó los ojos y supuso una distribución continua de materia. Asumió, además, que cualquier punto o dirección del universo era básicamente equivalente a los demás (condiciones de homogeneidad e isotropía).
En 1917, cuando construyó su modelo, la imagen que se tema del cosmos se reducía a una instantánea estática de la Vía Láctea. Una colosal isla de estrellas varada en el vacío. Al introducirla en la ecuación de campo, sin embargo, la foto salía movida. Las masas no tardaban en abandonar sus posiciones fijas, impulsadas por sus mutuas atracciones gravitatorias, que las acercaban unas a otras. Para remediar el colapso que se desencadenaba, Einstein calzó un nuevo término en la ecuación de campo: la constante cosmológica, que interpretaba el papel de una fuerza repulsiva a escala cósmica.
El sentido físico de este apaño matemático se antojaba oscuro, ya que su único propósito era garantizar ad hoc un universo estático. Por lo demás, el modelo exhibía la factura revolucionaria de Einstein. Cogió el universo liso de Newton, lo retorció y lo cerró sobre sí mismo, transformándolo en la superficie de una hiperesfera (una esfera en cuatro dimensiones). El ejemplo clásico para visualizar la operación es la goma de un globo inflado. Los hipotéticos habitantes planos de su superficie se hallarían inmersos en un espacio finito pero sin límites, puesto que podrían caminar sin descanso en cualquier dirección, regresando una y otra vez al punto de partida, sin tropezar jamás con una frontera. En el caso de nuestro universo, el espacio tridimensional equivale a la goma y se cierra sobre sí mismo de forma semejante al globo. Una nave espacial que mantuviese su rumbo terminaría circunnavegando el universo y regresando al punto de partida.
En 1930 Eddington demostró que la constante cosmológica ni siquiera servía para desbaratar la expansión. Desde un punto de vista matemático, el universo de Einstein se hallaba en un equilibrio precario, como el bastón en la punta de la nariz de un equilibrista. La más mínima perturbación lo empujaba hacia la expansión o la contracción.
Durante las décadas siguientes, a medida que se refinaban las técnicas de observación, el escenario astronómico se acrecentó a pasos agigantados. Más allá de las fronteras de nuestra galaxia, el universo continuaba. En 1929, Hubble advirtió que, cuanto más lejos se encuentra una galaxia de nosotros, más rápidamente se aleja. Su velocidad no hay que interpretarla como un desplazamiento a través del espacio, sino como una dilatación del espacio mismo. Recuperando el símil del globo, si lo inflamos, un punto sobre la goma se alejará de sus vecinos, aunque él mismo no se esté desplazando por su superficie. En el mismo sentido, lo que observamos en el firmamento es una composición del movimiento propio de los cuerpos celestes sumado a la expansión del espacio. Fruto de esta combinación podemos encontrar que algunas galaxias se acercan a la Vía Láctea, como en el caso de Andrómeda.
El cuadro de galaxias en fuga que pintó Hubble casaba mal con la imagen estática de Einstein. Por fortuna para él, en 1922, el físico soviético Alexander Friedmann (1888-1925) había demostrado que para un universo homogéneo e isótropo las ecuaciones de campo, dejadas a su aire, lo mismo admitían una expansión que una contracción. Ya no hacía falta asignar propiedades esotéricas al espacio para evitar su colapso: la atracción gravitatoria se limitaba a frenar la expansión. «Mientras discutía problemas de cosmología con Einstein —contaba George Gamow en su autobiografía— me comentó que la introducción del término cosmológico había supuesto el mayor error de su vida.» Sin embargo, como en una película de terror, la constante cosmológica sorprendió a los astrónomos con un regreso vindicativo. A finales de la década de los noventa se constató que en realidad la expansión del universo se está acelerando, planteando un órdago a los físicos teóricos todavía sin resolver.
§. El lado oscuro de la luz
Durante los felices años veinte, al tiempo que se convertía en un asiduo practicante de su nueva teoría de la gravitación, Einstein se implicó a fondo en el debate abierto en torno a la mecánica cuántica. A diferencia de la relatividad, esta teoría fue fruto del esfuerzo colectivo de decenas de físicos, así que no apreciamos en su fundación la misma coherencia Su propia naturaleza parecía desafiar cualquier imaginación formada en la física clásica, hasta el punto de que una manera de interpretarla resultaba tan valiosa, o más, que un resultado experimental.
Muchos de sus artífices acuñaron alguna sentencia ingeniosa con la que desahogar su desconcierto. Para Niels Bohr «Aquellos que no queden conmocionados al conocer por primera vez la mecánica cuántica es imposible que la hayan entendido». Por su parte, Schrödinger parecía avergonzarse de su contribución: «No me gusta y lamento haber tenido algo que ver con ella». Einstein, particularmente dotado para los aforismos, le dedicó suficientes para componer un libro. La mayoría no muy halagüeños: «Cuantos más éxitos obtiene la teoría cuántica, más ridícula parece».
Si logró imponerse a los detractores, a cuyas filas se sumaban incluso alguno de sus pioneros, fue haciendo gala de una eficacia implacable, por su capacidad de organizar lógicamente los nuevos descubrimientos y de realizar predicciones experimentales con un grado de precisión inusitado. Pocas teorías podían presumir de dar cuenta, según Paul Dirac, «de gran parte de la física y toda la química».
Si hubiera que señalar una fijación en Einstein, un fetiche científico, se podría apostar por la luz. Fue la que alimentó su primer fogonazo de inspiración, la persecución de un rayo luminoso. La confirmación de su deriva ante la masa del Sol le granjeó su estatus de mito viviente. Lejos de dar el tema por agotado, Einstein también se aventuró en el lado más oscuro, cuántico, de la luz. Podemos decir que esta alumbró, a través de él, las dos grandes construcciones de la física del siglo XX: la relatividad y la mecánica cuántica
Debo de parecer una especie de avestruz, que entierra siempre la cabeza en la arena relativista para no enfrentarme a los malvados cuantos.»Todo comenzó cuando Max Planck postuló que la materia emitía y absorbía la radiación electromagnética en forma de paquetes discretos (cuantos) de energía. El intercambio energético no funcionaba como el reparto de una tarta que se podía cortar en porciones arbitrariamente finas. La naturaleza imponía un límite, a partir del cual no era posible transferir cantidades más pequeñas. Einstein llevó un paso más lejos esta hipótesis y propuso que era la propia radiación la que, incluso cuando se propagaba Ubre- mente a través del espacio, lejos de los cuerpos, lo hacía en forma de «un número finito de cuantos de energía».
Einstein, en una carta al físico Louis de Broglie.
Einstein se sentía incómodo ante la continuidad del campo electromagnético de Maxwell y la naturaleza discreta, puntual, de los componentes de la materia, ya fueran átomos o moléculas. Lo uniforme y suave frente a lo abrupto y entrecortado; eran piezas que no encajaban. Propuso que al aplicar una lupa cuántica a las ondas electromagnéticas, se fragmentarían en infinidad de pequeñas unidades, como una fotografía se rompe en un millar de píxeles cuando el ojo se aproxima a la pantalla del ordenador.
Durante mucho tiempo, el establishment de la ciencia ignoró con tacto esta hipótesis. En la carta que dirigieron en 1913 Nernst y Planck a la Academia Prusiana de Ciencias para respaldar la candidatura de Einstein, agotaron los elogios, disculpando, sin embargo, que a veces pudiera haber «ido demasiado lejos en sus especulaciones, como, por ejemplo, en su hipótesis del cuanto de luz». El problema aquí, como con la relatividad, es que muchas de sus conjeturas se anticipaban considerablemente a las evidencias experimentales.
Frente al escepticismo general, Einstein, como solía, se mantuvo en sus trece. En 1916 plasmó una idea que venía rondándole la cabeza casi una década: que la parcelación de la energía se manifestaba en forma de partículas, que poseían momento (una magnitud física vectorial, que corresponde a multiplicar la masa de un cuerpo por su velocidad). Es decir, los cuantos de luz se comportaban como proyectiles de energía, los fotones, que podían chocar contra los electrones, por ejemplo, y desviarlos de su trayectoria- Siete años después, su hipótesis fue confirmada en el laboratorio por Arthur Compton (1892-1962).
El idilio con la mecánica cuántica resultó efímero, pues la bola de nieve impulsada por Bohr, Heisenberg y Born ya rodaba ladera abajo. Sin apenas transición, Einstein pasó de favorecer una postura demasiado atrevida a otra demasiado conservadora.
Al hablar de los agujeros negros, vimos cómo la radiación electromagnética servía para identificar a los átomos que la emiten. Los espectros atómicos ofrecían una herramienta de análisis inestimable a los físicos, a costa de plantearles toda suerte de preguntas embarazosas. Para empezar, ¿a qué se debía cada patrón? ¿Qué estructura subyacente los generaba? A fuerza de ensayo y error, el matemático suizo Johann Balmer compuso una fórmula que proporcionaba las frecuencias de la luz que emitía el hidrógeno, pero no se amparaba en ningún modelo teórico.
En marzo de 1912, un joven físico danés llamado Niels Bohr recaló en la Universidad de Manchester, rebotado de Cambridge, para solicitar asilo en el Schuster Laboratory. Su director, Ernest Rutherford (1871-1937), no tardó en apreciar su mente adicta a las paradojas, que funcionaba como el rodillo de una apisonadora: pesada, lenta, pero demoledora. Apuntándose a la moda cuantizadora de Planck y Einstein, Bohr recortó las órbitas de los electrones, decretando que solo girasen a determinadas distancias del núcleo. A cada órbita le correspondía un valor o nivel de energía. Lo que sí podían hacer los electrones era brincar de un círculo a otro, emitiendo o absorbiendo en el proceso paquetes de energía Estos paquetes eran los cuantos de radiación electromagnética los fotones de Einstein. La diferencia de energía entre dos niveles implicados en un salto se correspondía con la carga energética de cada paquete.
Podemos imaginar que la estructura interna de cada elemento levanta su propio anfiteatro de energías, con escalones a diferentes alturas, mientras sus electrones saltan de uno a otro, absorbiendo y emitiendo los fotones que caracterizan su espectro. De este modo, los patrones que se apreciaban en la radiación encajaban con la arquitectura de los átomos (figuras 3 y 4).

Salto de un electrón de un nivel de energía (E1) a otro más alto (E2), al absorber un fotón (figura 3). Salto de un electrón de un nivel de energía (E2) a otro más bajo (E1) con emisión de un fotón (figura 4).
Llama poderosamente la atención que Bohr describa a los electrones «pasando» de una órbita a otra, a pesar de que no pueda aportar ninguna imagen física de lo que significa este verbo. Su interpretación sugiere que el electrón no puede ocupar el espacio entre órbitas de ningún modo conocido. De lo contrario, radiaría energía continuamente. De algún modo, el electrón puede empezar en un nivel de energía, que corresponde a una órbita, y de pronto reaparecer en otra órbita con otro nivel de energía. Acabo de emplear el término «reaparecer». Bohr utiliza la palabra «pasar». Algunos científicos usan «saltar». Pero, en realidad, carecemos del vocabulario apropiado para describir un fenómeno semejante, puesto que todo nuestro vocabulario procede de la experiencia humana del mundo.
El modelo de Bohr se ajustaba como un guante al átomo más sencillo, el hidrógeno. A medida que incorporaba más electrones, sin embargo, y a pesar de que seguía arrojando luz sobre la estabilidad y el comportamiento químico de los elementos, se hacía patente que no era el final del camino, sino una estación de paso. Bohr había puesto encima de la mesa una imagen clara del átomo, pero dejaba demasiadas preguntas sin responder. Por ejemplo, los fotones se emitían con una dirección y en un momento preciso. ¿Qué determinaba ambos? ¿Por qué al circular por las órbitas permitidas el electrón no radiaba energía y sí lo hacía cuando saltaba? El modelo era un híbrido de física nueva y tradicional. Werner Heisenberg (1901-1976) llegó a la conclusión de que lo que tenía de bueno era lo que tenía de extraño, y que su único lastre era lo que todavía tenía de clásico. Para progresar debía volverse más extraño aún.
La subversiva visión de Heisenberg se fraguó como culminación de un proceso febril. En pleno verano de 1925 se había refugiado en la isla de Heligoland, en el mar del Norte, víctima de un severo ataque de alergia A falta de antihistamínicos, que entonces no se habían inventado, combatía la rinitis reflexionando sobre la construcción de la relatividad especial.

Max Planck hace entrega a Einstein de la medalla que lleva su nombre en esta imagen del 28 de junio de 1929. Fueron los dos primeros en recibir el galardón, creado para premiar logros sobresalientes en física teórica.
Pala analizar la materia no queda más remedio que interactuar con ella. La pregunta que nos plantea el mundo cuántico es hasta qué punto esta intervención afecta al fenómeno que pretendíamos observar, si el mismo acto de la medida no lo modifica, desvirtuando la información que habíamos creído extraer. Planteando un símil, para formarnos una idea del relieve de una estatua podemos disparar balas de goma, que reboten perfectamente contra distintos puntos de su superficie, para después analizar en qué direcciones se desvían. De entrada, los proyectiles que no lo hagan proporcionan una buena estimación del volumen de la estatua. Si utilizamos balones de playa, solo seremos capaces de inferir una representación muy erada Decidiremos, a lo sumo, si la figura estaba de pie o sentada, o si tenía un brazo extendido. A medida que vayamos reduciendo el tamaño de los proyectiles, ganaremos en detalle. Aquí resulta crítica la relación entre la curvatura de las pelotitas que lanzamos y la de los detalles que deseamos aprehender.
Los fotones de la luz visible son mucho más pequeños que los objetos que percibimos, y son blandos, apenas alteran la disposición global de la materia mientras interactúan con ella. No conviene tomar el símil al pie de la letra, porque la luz no rebota Los fotones que inciden sobre un objeto no son los mismos que nos llegan de él, pero dejaremos a un lado esta clase de disquisiciones, puesto que solo pretendemos hacernos una idea intuitiva del proceso.
Einstein en no menorLas obras menores de Einstein lo son solo por comparación, a la sombra de la relatividad. Cualquier físico hubiera firmado los siguientes trabajos, donde, una vez más, la luz era la gran protagonista:
- Al dirigir un haz luminoso contra una lámina metálica se liberan electrones. En 1902, Philipp Lenard (1862-1947) halló que la velocidad de las partículas emitidas se incrementaba con la frecuencia de la luz incidente, pero no con su intensidad. Einstein explicó el misterio, denominado «efecto fotoeléctrico», al suponer que la luz se componía de cuantos. La carga energética que transporta cada fotón depende de la frecuencia, pero un aumento de la intensidad del haz se traduce simplemente en un mayor número de fotones, que alcanzan con la misma energía a más electrones.
- Los electrones interactúan con los fotones subiendo y bajando la escalera energética de modo espontáneo. En 1917 Einstein contempló la posibilidad de forzar la emisión. Señaló dos requisitos: un átomo con un electrón excitado (en situación de bajar a un escalón más bajo) y un fotón cuya carga energética coincidiera con la altura del escalón. Al disparar el fotón contra el átomo, este respondería emitiendo dos fotones con la misma dirección y energía. Así sentó la base para la emisión estimulada de luz, en Inglés, stimulated emission of radiation (SER). Solo faltaba reforzar el efecto y amplificar la luz, light amplification (LA), para inventar el LÁSER.
En 1924 Einstein recibió un artículo de un físico de Calcuta, Satyendra Nath Bose (1894-1974), donde desarrollaba un modo original de describir estadísticamente la luz (en la imagen, el científico en 1925). Hacía hincapié en que los fotones, al contrario que los electrones, podían llegar a perder su identidad individual. Einstein planteó la posibilidad de que un gas exhibiera el mismo comportamiento. Al bajar su temperatura hasta el cero absoluto, los átomos se despojarían del único rasgo capaz de distinguirlos, la energía, dando lugar a un nuevo estado de la materia: los condensados de Bose- Einstein, que se desenvuelven al unísono como un superátomo. En 1995 tomaron cuerpo en el laboratorio.
A escala atómica, los proyectiles que antes nos parecían diminutos adquieren la misma envergadura y constitución que aquello que pretendíamos estudiar con ellos. Si probamos a lanzar fotones de baja energía y longitud de onda larga para localizar un electrón, por ejemplo, estaremos arrojando balones de playa del tamaño de la estatua Para ganar precisión, no queda más remedio que aumentar la energía del fotón, lo que supone endurecer los proyectiles. Justo cuando comenzamos a perfilar los primeros detalles, las pelotas adquieren la dureza suficiente para romper la estatua Su desviación ya no es fruto de un rebote elástico, que proporciona datos sobre el relieve, sino del proceso de fragmentación de la figura. Nuestro empeño en observar altera por completo el fenómeno.
El límite en la nitidez resulta inherente al procedimiento, porque utilizamos ondas y partículas como sondas para estudiar ondas y partículas, y unas repercuten en otras. Para empeorar la situación, ni siquiera está clara la frontera que las separa, puesto que una partícula puede comportarse como una onda y viceversa Sea cual sea la naturaleza de las entidades cuánticas, no se pueden despachar con la sencilla etiqueta de «onda» o «partícula», puesto que adoptan una u otra encarnación según las circunstancias.
Con las leyes clásicas en la mano, si tenemos un electrón y conocemos en un instante dado su posición y su velocidad (un vector que señala hacia dónde se desplazará a continuación), podemos dibujar su trayectoria. Heisenberg defendía que había que abandonar esta pretensión en el ámbito atómico:
La respuesta más evidente a la cuestión de cómo se puede observar la órbita de un electrón en su recorrido dentro del átomo quizá sea emplear un microscopio con un extremado poder de resolución. Pero como la muestra en este microscopio se tendría que iluminar con luz de una longitud de onda extremadamente corta, el primer cuanto de luz de la fuente luminosa que alcanzara al electrón y que penetrara en el ojo del observador arrojaría al electrón completamente fuera de su órbita [...]. Por tanto, solo un punto de la trayectoria se podría observar experimentalmente cada vez.Y si no se pueden trazar trayectorias mediante un experimento, no se pueden introducir con rigor en la teoría. La continuidad del movimiento que nos dicta el sentido común es un espejismo, la observación desde una gran distancia de un escenario impreciso por naturaleza. De cerca, cada línea se emborrona y se desdibuja.
El gran mérito de Heisenberg no fue invocar la incertidumbre, sino acotarla matemáticamente. Reveló cómo las principales magnitudes observables estaban secretamente ligadas: la posición y el momento, el tiempo y la energía. Cuanta más precisión se gane al medir una de ellas, más se pierde en la otra. En el límite, podía determinarse la posición exacta de un electrón, a cambio de renunciar a saber nada sobre su velocidad. El átomo se volvía borroso, y en esa difuminación iba a residir el corazón de la nueva ciencia.
Aunque muchos físicos que abanderaron la revolución cuántica lo hicieron enarbolando el estilo de pensamiento que habían aprendido de Einstein, sus éxitos pillaron con el pie cambiado a quien les había servido de inspiración. Las trayectorias, las grandes protagonistas de la nueva teoría de la gravitación, a través de las geodésicas, quedaban proscritas. Este hecho convertía el principio de incertidumbre en un enemigo acérrimo de la relatividad general.
Los físicos que siguieron los pasos de Heisenberg, como Born, sometieron la incertidumbre a un riguroso tratamiento estadístico. Es cierto que antes de medir no se puede afirmar dónde se encuentra un electrón o cuándo un átomo excitado va a emitir un fotón, pero las respuestas a estas preguntas tampoco son arbitrarias. Las reglas de la mecánica cuántica facilitan la probabilidad asociada a cada una de las posibilidades y dictan cómo evolucionan con el paso del tiempo.
Einstein expresó en privado y en público su incomodidad ante la nueva doctrina Se enzarzó con Bohr en la polémica más enconada y cordial que se recuerda en la historia de la física Se caían bien, se respetaban, pero no podían discrepar más en su interpretación de la mecánica cuántica Cuando Einstein llegaba a un punto muerto se enrocaba en un aforismo («Dios no juega a los dados»), lo que a veces arrancaba a Bohr de su afable mutismo («¡No estés diciendo todo el rato a Dios lo que tiene que hacer!»).
Una cuestión sustancial consistía en decidir hasta qué punto la condición estadística del mundo cuántico era fruto de la falta de información o formaba parte de su naturaleza. El punto de vista determinista de Newton señalaba que si conociéramos la posición y velocidad de todas las partículas del universo, este se comportaría como un mecanismo de relojería cuyo destino sabríamos establecer con precisión absoluta. Sin embargo, en la práctica resulta imposible manejar un volumen de información de ese calibre. Algo parecido ocurre al estudiar sistemas extremadamente complejos, como el clima, donde recurrimos a una descripción estadística Aquí la incertidumbre no brota del corazón de los fenómenos, sino de nuestra incapacidad para procesarlos a un nivel determinista
Para Einstein, la descripción cuántica resultaba incompleta en ese sentido. Según el criterio de Bohr, no existía un nivel más profundo de realidad donde recuperar el determinismo. Solo el acto de medir, la elección de una magnitud observable —una decisión que condiciona el diseño del experimento— deshace la incertidumbre y concreta un aspecto: la posición, pero no el momento; el tiempo, pero no la energía En gran medida, el desconcierto ante el mundo cuántico surge al tratar de rellenar los intersticios que deja la experimentación en escalas atómicas con el sentido común que importamos del mundo macroscópico. Con Bohr, Heisenberg y Born, la descripción de la realidad podía resultar desconcertante, pero por fin se había vuelto lógicamente coherente.
§. El exilio de dos mundos
En vista de que las paradojas cuánticas tomaban la física al asalto, era inevitable que Einstein recibiera el premio Nobel no por la teoría de la relatividad, sino por su explicación del efecto fotoeléctrico. Su candidatura se rechazó hasta en ocho ocasiones.
De entrada, pocos encargados de evaluar su trabajo estaban en condiciones de hacerlo. También intervino la inquina personal de algún asesor del comité, como el Nobel de Física de 1905, Philipp Lenard, que consideraba la teoría de la relatividad como «un fraude judío», aunque en sus informes disfrazara los prejuicios raciales bajo argumentos menos burdos. Por último, gran parte de los físicos que orientaban entonces a la Real Academia de Ciencias de Suecia, o se contaban entre sus miembros, eran científicos experimentales, poco aficionados a la sofisticación especulativa. Einstein no fue el único teórico al que la Academia mantuvo años en cuarentena antes de asegurarse de que no metía la pata. Procedió con cautela parecida en los casos de Planck y de Born.
Una fe insensata en la autoridad es el peor enemigo de la verdad.»Después de la apoteosis del eclipse de 1919, más quedaba en entredicho el prestigio del Nobel que el de Einstein. Al final, los suecos hicieron gala de su proverbial diplomacia y cedieron en el premio, pero no ante la relatividad. Einstein sería reconocido por descubrir una ley, la del efecto fotoeléctrico, no por pergeñar teorías. El secretario de la Real Academia casi redactó una cláusula de exención de responsabilidades, precisando que entre sus méritos no se había contemplado la posibilidad de que la relatividad se confirmase.
Einstein, en una carta a Jost Winteler.
Cuando le anunciaron la concesión del premio, Einstein ya tenía comprometido un viaje a Japón y no se molestó en cancelarlo. No pisó Estocolmo hasta julio del año siguiente.
Mientras Planck, Born o Heisenberg fundaban la mecánica cuántica, muchos de sus compatriotas se afanaban en otro experimento, en este caso político y a gran escala Podríamos consagrar un capítulo al hostigamiento que sufrió Einstein en la atmósfera nazi que fue enrareciendo progresivamente la República de Weimar hasta asfixiarla. Teniendo en cuenta que era judío, detestaba el nacionalismo alemán, había renunciado a su nacionalidad para evitar el servicio militar (aunque se la habían impuesto de nuevo antes de ingresar en la Academia Prusiana de Ciencias), era un pacifista declarado, un opositor publico a la Primera Guerra Mundial y un activo defensor del internacionalismo, la realidad deja escaso margen a la imaginación.
La popularidad había convertido a Einstein, además, en un blanco fácil. La campaña de desprestigio adoptó todos los formatos disponibles: artículos de prensa, libros, panfletos, discursos, conferencias... Hasta se constituyó una sociedad para canalizar institucionalmente la animadversión que despertaba, el Arbeitsgemeinschaft deutscher Naturforscher zur Erhaltung reiner Wissenschaft (Colectivo de científicos alemanes para la conservación de la ciencia pura).
Dietrich Eckhart, uno de los padres espirituales del nacionalsocialismo, había abogado abiertamente por el asesinato de Einstein. Este trató de evaluar la situación con calma. «Todo el problema se reduce a que los periódicos mencionan mi nombre constantemente, agitando así a la chusma en mi contra —escribió a Max Planck—. No me queda otro remedio que tener paciencia y marcharme al extranjero. Solo le pido una cosa: tómese este pequeño incidente como yo, con humor.»
La tormenta amainó, pero la amenaza permaneció latente. «Bajo las cenizas», advertía Max Born, sobrevivía «el rescoldo de la animosidad contra él, hasta que prendió abiertamente de nuevo en 1933». En las maletas de Einstein se acumularon etiquetas de todos los rincones del planeta: Marsella, Colombo, Singapur, Hong Kong, Shanghái, Robe, Tokio, Palestina, Barcelona, Buenos Aires, Río de Janeiro, Montevideo, La Habana, Estados Unidos... Sus viajes recuerdan la estrategia de las parejas
que deciden combatir el deterioro de su relación con ausencias cada vez más prolongadas. También expresaban su compromiso con la república y su disposición a interpretar el papel de embajador de la reconciliación ante los vencedores, ya que era uno de los escasos alemanes que no se habían manchado con el ardor bélico de 1914. En parte, quizá, se trataba de un entrenamiento reflejo para el exilio.
Einstein había venido barajando sin descanso los motivos para quedarse en Alemania o marcharse, debatiéndose en una dualidad tan esquizofrénica como la que confundía las ondas y las partículas. En el verano de 1932 cobró conciencia de que el país se hallaba a las puertas de una «inminente revolución nacionalsocialista», y los sucesos del otoño y del invierno, que terminaron aupando a Hitler a la cancillería, no hicieron sino confirmar sus temores. Al abandonar su residencia campestre de Caputh, a las afueras de Berlín, le recomendó a Elsa que se despidiera de ella con un último vistazo: «Nunca la veras de nuevo».
Para entonces su prestigio y su vida nómada lo habían convertido en ciudadano del mundo. El 10 de diciembre de 1932, el vapor Oakland soltó amarras en Bremerhaven y partió rumbo a Estados Unidos, llevándolo lejos de Prusia y del nacionalismo alemán. Al mes siguiente, el Reichstag estallaba en llamas. Era un anticipo de las hogueras que vendrían para alumbrar el delirio nacionalsocialista.
Al mismo ritmo que se apagaba su estrella creativa, se acrecentó la dimensión pública de Einstein. Se convirtió en una figura patriarcal, crítica y respetada, pero de quien se emancipaban las nuevas generaciones de físicos. Inmune al desaliento, se lanzó en solitario a la conquista de una teoría no cuántica capaz de reconciliar electromagnetismo y gravitación.Quizá en su juventud, al fantasear acerca de su futuro, Einstein soñara con la gloria científica, pero resulta improbable que se viera convertido en una referencia moral, cuyas opiniones sobre la paz. Dios o la libertad acabarían engrosando las colecciones de frases célebres. Para ello habría tenido que leer en una bola de cristal el drama del siglo XX. Mientras él se afanaba en promocionar al físico, las dos guerras mundiales y el nazismo le impusieron al pacifista, al sionista y al refugiado. Abrió su estancia en Estados Unidos como un científico admirable y la cerró siendo venerado por las masas. La simpatía y el cariño que despertaba por doquier respondían en parte a su modestia y a su estampa de sabio distraído, pero sobre todo a que supo aprovechar su fama para abogar por causas que una mayoría consideraba tan justas como perdidas. No faltó quien pensara que podía muy bien ahorrarse su conciencia cívica. Su amigo Max von Laue se lo echaba en cara: «¡Pero por qué tenías que destacar también políticamente! Estoy muy lejos de reprocharte tus ideas. Solo me parece que el erudito debe mantenerse al margen. La lucha política exige otros métodos y naturalezas que la investigación científica».
Ante la guerra y las tormentas ideológicas que azotaban Europa, Einstein debió de pensar que confiar en los métodos y naturalezas de los políticos equivalía a un suicidio colectivo. Su proyección pública le atrajo en Alemania el odio de muchos compatriotas y su llamamiento a no colaborar en la caza de brujas, instigada por el senador Joseph McCarthy en los años cincuenta, levantó más de una ampolla en Estados Unidos. Si no destacó como un buen alemán ni como un norteamericano ejemplar, al menos trató de pronunciarse con sinceridad y responsabilidad, aunque corriese el riesgo de no contentar a nadie.
El 16 de octubre de 1933 arribó con Elsa al puerto de Nueva York, de vuelta de una breve estancia en Europa. Después de superar la cuarentena, tuvo que someterse por última vez al proceso de aclimatación a un nuevo centro académico, el Instituto de Estudios Avanzados de Princeton, al que permanecería ligado el resto de su vida. Elsa quedó maravillada ante sus méritos arquitectónicos: «El lugar resulta encantador, de una inspiración enteramente inglesa, estilo Oxford elevado a la máxima potencia». Algunos científicos lo veían, sin embargo, como un cementerio intelectual, una torre de marfil donde la falta de contacto con los científicos experimentales y la dispensa de obligaciones docentes terminaba por sofocar más que estimular la creatividad.
Al tiempo que su dimensión pública se agigantaba, los físicos iban perdiendo el interés por su obra. Abraham Pais recuerda cómo al verlo entrar en una conferencia sobre física de partículas se sintió descolocado, como le habría pasado al mismo Einstein si en una de sus clases de Berna hubiera descubierto a Newton entre el público, buscando un asiento libre.
En su esfuerzo sostenido durante décadas por lograr la unificación entre la gravedad y el electromagnetismo, Einstein logró dar una interpretación geométrica a las ecuaciones de Maxwell, pero dejando de lado las interacciones fuerte y débil, que rigen los destinos del núcleo atómico. Su encaje de bolillos teórico tampoco arrojaba luz alguna sobre el excéntrico comportamiento cuántico: la incertidumbre de Heisenberg no se manifestaba en sus ecuaciones de campo.
Algunas piezas importantes para el puzle que pretendía ensamblar todavía no se habían descubierto, pero en gran medida hay que buscar la razón de su fracaso en su desinterés hacia la física nuclear. Una materia que terminó por reclamar su atención de un modo tan trágico como inesperado.
Tengo poca influencia, me consideran una especie de fósil al que los años han vuelto sordo y ciego.»A mediados de julio de 1939, dos físicos húngaros, Leo Szilárd (1898-1964) y Eugene Wigner (1902-1995), se acercaron a visitar a Einstein, que veraneaba en Nassau Point, a un tiro de piedra de la bahía de Peconic.
Einstein en una carta a Max Born.
Szilárd era un antiguo colaborador suyo, con el que había trabajado durante años intentando desarrollar un modelo comercial de nevera. La conversación, sin embargo, discurrió por otros derroteros. Giró en torno a las consecuencias de bombardear uno de los isótopos menos abundantes del uranio (235U) con neutrones. Una fisión típica origina un par de elementos más ligeros, como el kriptón y el bario, y una pedrea de dos o tres neutrones, que se pueden aprovechar para proseguir el bombardeo. De hacerlo, los proyectiles atómicos se multiplican al alcanzar cada diana, arrasando los núcleos de uranio y desatando una reacción en cadena, capaz de liberar cantidades asombrosas de energía. Esta se podía destinar a fines muy diversos, pero Szilárd y Wigner sospechaban que Hitler solo sabría sacar partido de los peores. Como científicos, mostraban escasa fe en las casualidades: uno de los principales yacimientos de uranio radicaba en Checoslovaquia, que había sido invadida en marzo por el expansionista Tercer Reich.
Muchos consideran la expresión E = mc2 como la semilla que hizo germinar la bomba atómica. Sin embargo, al escuchar las explicaciones de Szilárd, Einstein exclamó: «¡En eso no había pensado en absoluto!». Una cosa era descubrir en la materia una reserva extremadamente concentrada de energía, y otra, muy distinta, el mecanismo para liberarla. La conversión entre masa y energía se da sin cesar en la naturaleza y, a pesar del papel que juega en la fisión nuclear, esta no constituye su consecuencia más inmediata. No es de extrañar que cuando Einstein estableció su ecuación en 1905 lo primero que se le vino a la mente no fuese una reacción en cadena. Todavía faltaban veintisiete años para que James Chadwick conjeturase la existencia de los neutrones.
Desde luego Szilárd, al rastrear las fuentes que le inspiraron la idea, se remontaba hasta una novela de D.G. Wells: El mundo liberado, donde el químico Holsten concebía una bomba atómica que explotaba de modo continuo.
El resultado de la reunión de Nassau Point fue una carta dirigida al presidente Roosevelt, fechada el 2 de agosto, donde Einstein aconsejaba que los norteamericanos se abastecieran de uranio y apostaran decididamente por investigar las aplicaciones de la fisión nuclear.
Extracto de la carta de Einstein a RooseveltSeñor:
Investigaciones recientes, obra de E. Fermi y L. Szilárd, que se me han comunicado en forma de manuscrito, me hacen suponer que el elemento uranio se pueda convertir en una nueva e importante fuente de energía en un futuro inmediato [...]. Podría resultar viable provocar una reacción nuclear en cadena en una gran masa de uranio, mediante la cual se generarían enormes cantidades de energía y grandes cantidades de nuevos elementos similares al radio [...].
Este nuevo fenómeno conduciría también a la fabricación de bombas y cabe concebir —aunque aquí la certeza sea menor— que de este modo se pueda crear un nuevo tipo de bombas, extremadamente potentes. Una sola bomba de esta clase, transportada en barco y detonada en un puerto, muy bien podría destruir el puerto entero y parte del territorio circundante [...].
En vista de la situación, quizá considere usted conveniente que se establezcan contactos permanentes entre la Administración y el grupo de físicos que trabaja en Estados Unidos en el campo de las reacciones en cadena [...].
Tengo entendido que, de hecho, Alemania ha interrumpido la venta del uranio de las minas de Checoslovaquia, que se ha apropiado. El que haya adoptado esta decisión tan apresurada puede entenderse a la luz de que el hijo del subsecretario de Estado alemán, Von Weizsäcker, se halla adscrito al Instituto del Káiser Guillermo, en Berlín, donde ahora se está reproduciendo una parte de las investigaciones norteamericanas sobre el uranio [...].
Después de dos años de vacilaciones, Roosevelt puso en marcha el Proyecto Manhattan, en diciembre de 1941, un día antes de que los aviones japoneses bombardearan Pearl Harbour.
Después de atender una consulta puntual sobre un método para cribar los isótopos del uranio, Einstein abandonó la escena del programa nuclear. Su naturaleza inconformista y su aireada querencia por el socialismo daban mala espina a los políticos y ponían más en guardia todavía a los militares. Considerado como un riesgo para la seguridad, se le mantuvo apartado del proyecto Manhattan. Su relación con la bomba no se reanudó hasta después de Hiroshima.
Ignoro con qué clase de armas se combatirá en la Tercera Guerra Mundial, pero en la Cuarta serán palos y piedras.»Entonces vio sus recomendaciones a Roosevelt bajo una luz distinta; «Si hubiera sabido que los alemanes no lograrían fabricar la bomba atómica, no habría levantado ni el dedo meñique». A Szilárd le comentó escaldado: «Resulta imposible adivinar todas las consecuencias de nuestros actos, por eso el sabio se limita de modo riguroso a la contemplación». Pero ahora que el mal estaba hecho, tampoco buscó refugio en la vida contemplativa. Desde niño el nacionalismo le había provocado un rechazo visceral. El arsenal atómico, al servicio del patriotismo miope e interesado de cada estado, garantizaba, a su juicio, una guerra tan devastadora que su Única ventaja sería que no podría repetirse. Aprovechó cualquier tribuna a su alcance para promover el desarme, el pacifismo y la creación de una política supranacional que administrara y custodiara la energía nuclear. Su afán de unificación se trasladaba de la física a la política internacional. Si las fuerzas fundamentales de la naturaleza podían confraternizar, quizá las naciones fueran capaces de ceder su soberanía a un organismo que supiera integrarlas a todas.
De una entrevista concedida en 1949.
§. Final
Igual que su visión de la física pertenecía cada vez más al pasado, los retazos de su mundo se iban desvaneciendo poco a poco. Elsa no llegó a celebrar la Navidad de 1936, después de sufrir un ataque al corazón. Mileva murió en el verano de 1948 de un derrame cerebral. Su hermana Maja falleció de una pulmonía, el 25 de junio de 1951. Michele Besso, el 15 de marzo de 1955, de una trombosis.
Aunque a Einstein le gustaba cultivar una cierta retórica del desapego, mil gestos la desmienten. Sin contar su perseverancia en el auxilio que prestó a los refugiados del nazismo, basta señalar su desconsuelo al ver cómo su círculo más íntimo se desintegraba. Poco dado al sentimentalismo, trató de acorazarse con el trabajo. Cuando le fallaba su capacidad para concentrarse, se sumía en un humor tenso y sombrío. En cierta ocasión, su gran amigo Paul Ehrenfest le había reprochado que no necesitaba a nadie; Einstein se revolvió indignado: «Necesito tu amistad tanto o quizá más que tu la mía».
Consciente de su pérdida de facultades, trabajó en la «geometrización» de la física hasta el final. La ciencia, su pasión primera y también la más pertinaz, mantenía intacto su poder de fascinación. Cada mañana entraba en su despacho de Princeton con un puñado de ecuaciones en el bolsillo que había urdido la noche anterior.
En la tarde del 13 de abril de 1955 se sintió indispuesto. Recién levantado de la siesta, sufrió un colapso en el baño. Un aneurisma en la aorta, a la altura del abdomen, que pendía como una espada de Damocles sobre su salud desde hacía siete años, se había desgarrado, precipitando una hemorragia interna. A pesar de sufrir fuertes dolores se opuso a una operación: «Me quiero ir cuando yo quiera. Me parece de mal gusto prolongar la vida de modo artificial. Yo ya he cumplido. Ha llegado la hora de que me vaya y lo haré con elegancia». El viernes consiguieron convencerlo de que ingresara en el hospital de Princeton. Con las intermitencias de las sedaciones se fue apagando.
Su hijo mayor, que daba clases de hidráulica en Berkeley, cruzó el país para reunirse con él. La relación había atravesado momentos mejores y peores, pero tras la llegada de Hans Albert a Estados Unidos había alcanzado un punto de equilibrio razonable. La herida abierta durante el divorcio de Mileva se había cerrado, aunque quedara para siempre la cicatriz. De su hijo pequeño, Eduard, Einstein no llegó a despedirse. Lo había dado por perdido en el laberinto de la esquizofrenia desde que se le diagnosticara la enfermedad a los veinte años. No dejó de preocuparse por su situación, a través de la familia o de los amigos de Suiza, donde vivía internado en un sanatorio, pero durante los últimos años se sintió incapaz de retomar el contacto.
Para alguien que ha sido vencido por la edad, la muerte vendrá como una liberación. Es algo que siento con intensidad, ahora que yo mismo he envejecido y he terminado por considerar la muerte como una vieja deuda, que al final hay que pagar.»Alérgico a cualquier solemnidad o pompa, y más si era fúnebre, Einstein no quiso protagonizar ningún funeral. Pidió que se incinerase su cuerpo y que las cenizas se dispersaran al viento, en un lugar desconocido. Justo antes de morir consiguió burlarse una vez más de los gestos altisonantes que tanto aborrecía. Sus últimas palabras las susurró en alemán, al oído de una desconcertada enfermera del turno de noche, que no entendió una sílaba y no pudo rescatarlas para la posteridad.
Einstein a Gerhard Fankhauser, profesor de Biología en Princeton.
Albert Einstein murió en la madrugada del 18 de abril de 1955. A su lado descansaban, incompletas, las ecuaciones que había garabateado a lápiz antes de dejarse vencer por el sueño.
§. La ciencia de Einstein después de Einstein
Los postulados de la relatividad especial se han integrado con naturalidad en todos los estratos de la física. Hasta hizo buenas migas con la mecánica cuántica, con quien forjó una alianza que condujo a la predicción de nuevos fenómenos, como la existencia de positrones (gemelos de los electrones en todo salvo en la carga, que es positiva), que no tardaron en detectarse en la radiación cósmica. Como hemos visto, la física nuclear explotó desde el principio la relación E = mc2. Una temprana verificación, indirecta, de la equivalencia entre masa y energía se llevó a cabo en 1932, al estudiar la desintegración de núcleos de litio, bombardeados por protones. Sin embargo, la menor desviación acarrearía implicaciones físicas sustanciales. En 2005 la ecuación fue sometida a un riguroso escrutinio. En una de las pruebas se dispararon neutrones contra el isótopo más común del azufre (32S).

Einstein en su setenta cumpleaños, rodeado de un grupo de niños exiliados, procedentes de un centro de acogida.
Las dilataciones temporales, los incrementos de masa y las contracciones espaciales forman parte de la vida cotidiana de los aceleradores de partículas. En su afán por rozar la velocidad de la luz consumen suficiente electricidad para alimentar una ciudad. Sus colisiones liberan enormes cantidades de energía que se transforman en partículas masivas, tan inestables que apenas sobreviven la millonésima parte de un segundo.

Portada de Time en su número de diciembre de 1999. La revista calificó a Einstein como «el mayor pensador del siglo XX

Un periódico anuncia la muerte de Einstein.
En la ondaEn 1918, para abstraerse de los tormentos estomacales que lo mantenían postrado en la cama, Einstein se entretuvo con una idea que ya habían tanteado Lorentz y Poincaré: la existencia de ondas gravitatorias. Una perturbación en un punto de un campo electromagnético se comunica al resto en forma de ondas electromagnéticas. ¿Sucedería lo mismo con la deformación geométrica de una región del espacio-tiempo (un cambio en su distribución de masas)? Las ondas gravitacionales, de existir, apenas interactuarían con la materia. A diferencia de la luz, que establece su diálogo con las cargas eléctricas, estas afectarían a las masas. En palabras del físico suizo Daniel Sigg, sus efectos observables no son pequeños «porque la energía que se radia sea pequeña —al contrario, es enorme— sino más bien porque el espacio-tiempo es un medio rígido». La radiación electromagnética se propaga a través del espacio, pero en el caso de las ondas gravita- dónales sería el propio tejido del espacio-tiempo quien vibrase. Se piensa que la disminución progresiva del período de rotación de dos estrellas de neutrones, que giran una en torno a la otra en la constelación del Águila, podría constituir una evidencia indirecta de su existencia. Si la torsión que imponen al tejido espaciotemporal se propaga en forma de ondas gravitacionales, todavía no podemos medirlas. Sin embargo, su emisión acarrearía una pérdida de energía que las iría acercando, precipitándolas en una espiral, La evolución del sistema que predice la teoría, basándose en la hipótesis ondulatoria, concuerda bastante bien con las observaciones de los astrónomos.
En el Gran Colisionador de Hadrones del CDRN, en Ginebra, el mayor acelerador de partículas del mundo, se ponen en juego energías de hasta 7 TeV. Quizá en la escala de Planck el espacio-tiempo pierda su continuidad, se rompa y su naturaleza cuántica contemple violaciones de los preceptos relativistas. Al asomarnos a ese estrechísimo margen de distancias, las partículas podrían exhibir su estructura interna de cuerdas
y la gravedad mirarse por fin en el espejo del resto de interacciones. Doy en día se presenta como un territorio vedado a nuestra competencia tecnológica y, presumiblemente, lo seguirá siendo durante décadas. Lejos de resignarse a la espera, los físicos rastrean el espacio conocido a la caza de sombras o vestigios de la arquitectura de los niveles más profundos.
En el rango de energías accesible, la relatividad ha superado todos los exámenes a los que se ha visto sometida. Uno de los principales problemas para contrastar las hipótesis de Einstein es el grado de sutileza con el que corrigen las newtonianas. A su vez, perfeccionar la relatividad supone un desafío que coloca a los científicos en el límite mismo de su agudeza experimental. Durante mucho tiempo se consideró la relatividad general como un paraíso para los físicos teóricos, pero un purgatorio para los experimentales. La situación ha conocido un vuelco durante las últimas décadas.
En 1962, Irwin Shapiro concibió la que pasó a denominarse «la cuarta prueba de la relatividad general», que vino a sumarse a las tres clásicas ideadas por Einstein. Explota la circunstancia de que una onda electromagnética no solo sufre una desviación en la proximidad de un cuerpo muy masivo, como una estrella Su trayectoria se ve perturbada en un espacio de cuatro dimensiones, que también acusa la coordenada temporal, y la onda acumula un retraso a lo largo de su recorrido. Este retraso no obedece a que la trayectoria curva sea más larga que la recta, se trata de un efecto puramente relativista. Para detectarlo, Shapiro diseñó un experimento que precisaba el concurso de una conjunción superior de Venus o Mercurio: los planetas, vistos desde la Tierra, debían alinearse con el Sol, colocándose detrás de la estrella. Justo antes de entrar o salir de la conjunción se enviarían ondas de radio que se reflejasen en el planeta. Este viaje de ida y vuelta les tomaría más tiempo que al repetir la experiencia cuando el Sol no se interpusiera A pesar de los deseos de Shapiro («Habría estado bien demostrar que Einstein estaba equivocado»), el efecto se puso de manifiesto para confirmar las expectativas relativistas.
El 20 de abril de 2004, la NASA puso en órbita el satélite Gravity Probe B. Su propósito era medir las distorsiones introducidas en el espacio-tiempo por la presencia de la masa terrestre y el efecto de arrastre que añade su rotación. En el espacio de Newton, una esfera que diera vueltas suspendida a 600 km sobre la superficie terrestre mantendría su eje de giro apuntando siempre en la misma dirección.

El satélite Gravity Proba B. lanzado en 2004, tenía como misión demostrar la distorsión que tanto la masa como la rotación de nuestro planeta ejercen sobre el espacio-tiempo. El satélite estaba equipado con cuatro giroscopios apuntando a la estrella IM Pegasi como punto de referencia. Los cambios en la dirección de giro que éstos experimentaron demostraron tal distorsión.
Al principio del experimento se alinearon con la dirección definida por un telescopio que apuntaba a una estrella de la constelación Pegaso. Los instrumentos de la sonda eran capaces de detectar desplazamientos en el ángulo de giro equivalentes al grosor de un cabello visto a una distancia de 32 km. El análisis definitivo de los datos se publicó en mayo de 2011, cuando el director del proyecto, Francis Everitt, de la Universidad de Stanford, anunció: «Hemos concluido este experimento trascendental que pone a prueba el universo de Einstein. Y Einstein sobrevive».
Un siglo después de su alumbramiento, las sutilezas de la relatividad han penetrado en nuestro día a día. Los dispositivos con GPS determinan su ubicación conjugando los datos que reciben de un puñado de satélites. Para que la información sea precisa, los relojes en órbita y los relojes terrestres deben hallarse en sincronía. Si se quiere afinar la posición por debajo de los 30 m, se deben tener en cuenta dos correcciones relativistas. Hay que achacar un retraso a la relatividad especial (de 7 μs), causado por la velocidad del satélite, y un adelanto a la general (de 45 μs), debido a que el tiempo transcurre más deprisa a medida que disminuye la intensidad de un campo gravitatorio (efecto inverso al retraso que origina el desplazamiento hacia el rojo). La gravedad es más débil a 20 000 km de altura, donde residen los satélites, que en la superficie. Estos desfases se cancelan en nuevos sistemas de posicionamiento, que incorporan a la red estaciones terrestres.
El mayor sobresalto para la relatividad, hasta la fecha, sobrevino con el anuncio en septiembre de 2011 de una supuesta infracción del límite superior de velocidad de la luz. Los neutrinos generados en un acelerador del CDRN, cerca de Ginebra, cruzaron la corteza terrestre hasta los detectores enterrados bajo el pico más alto de los Apeninos, el Gran Sasso, a unos 100 km de Roma. Tras completar sus cálculos, los responsables del experimento llegaron a la conclusión de que se habían presentado 60 μs antes de lo previsto. La noticia fue anunciada con mucha cautela y recibida con mayor escepticismo, sobre todo después de que se localizara una mala conexión en el mecanismo de sincronización entre los relojes del CDRN y el Gran Sasso. En junio de 2012 se confirmó que la anticipación de las partículas había sido un espejismo.
Aun en el supuesto de que los neutrinos hubieran abierto una brecha por la que atisbar la nueva física, los efectos relativistas no se habrían desvanecido. Otros experimentos del CDRN han confirmado el entramado fundamental de la teoría con un grado de precisión que distinguiría milímetros si se aplicara a medir la distancia entre la Tierra y la Luna La imaginería de la relatividad se ha instalado en el corazón de la ciencia y se puede afirmar que sus rasgos permanecerán ahí para siempre, igual que la física seguirá siendo newtoniana en un rango de velocidades bajas comparadas con la de la luz y en presencia de campos gravitatorios poco intensos, la física de Einstein ha conquistado su propio dominio, aunque termine por no abarcar todo el territorio.
La ciencia funciona como una máquina de pulir que cada vez arroja descripciones más precisas de la naturaleza. De lejos, la física se reconoce en las ideas de Newton; más de cerca se perfilan los rasgos cuánticos y relativistas, que las incorporan, revelando a su vez detalles inesperados.
Quién sabe qué rostro acabará mostrando en el futuro. Sin duda, Einstein distinguiría en él sus viejas obsesiones sobre el tiempo, el espacio y la gravedad, bajo la nueva luz de los descubrimientos.
- Bernstein, J., Einstein: el hombre y su obra, Madrid, McGraw-Hill, 1992.
- Born, M. y Born, D., Ciencia y conciencia en la era atómica, Madrid, Alianza, 1971.
- Einstein, A., La gran ilusión: las grandes obras de Albert Einstein, Hawking, Stephen (ed.), Barcelona, Crítica, 2010.
- Isaacson, W., Einstein. Su vida y su universo, Barcelona, Debate, 2008.
- Kaku, M., El universo de Einstein, Barcelona, Antoni Bosch, 2005.
- Landau, L. y Rumer, Y., ¿Qué es la teoría de la relatividad?, Madrid, Akal, 1995.
- País, A., El señor es sutil: la ciencia y la vida de Albert Einstein, Barcelona, Ariel, 1984.
- Penrose, R., et AL., Fórmulas elegantes. Grandes ecuaciones de la ciencia, Dármelo, Graham (ed.), Barcelona, Tusquets, 2004.
- Pyenson, L., El joven Einstein: el advenimiento de la relatividad, Madrid, Alianza, 1990.
- Ruiz de Elvira, A., Cien años de relatividad. Los artículos clave de Albert Einstein de 1905 y 1906, Tres Cantos, Nivola, 2003.
- Sánchez Ron, J.M., El origen y desarollo de la relatividad, Madrid, Alianza Universidad, 1983.
- Thorne, K.S., Agujeros negros y tiempo curvo: el escandaloso legado de Einstein, Barcelona, Crítica, 1995.
electrones. Así se convierten en moléculas neutras de cloro gaseoso. Los iones de Na+ se ven atraídos por el polo negativo, del que toman electrones hasta convertirse en sodio neutro, que se acumula flotando sobre la sal fundida. El químico inglés Humphry Davy (1778-1829) sometió a electrólisis el carbonato potásico, el carbonato sódico y el óxido de calcio, aislando por primera vez el sodio y el potasio (metales alcalinos) y el calcio (alcalinotérreo). Faraday logró establecer leyes precisas que relacionaban la corriente que atraviesa la cuba electrolítica y la cantidad de sustancia que se libera o concentra en cada extremo de la pila.







Basta con examinar la expresión que relaciona t' con t y x para verle las orejas al lobo. A un tiempo dado del sistema en reposo, t, le corresponden distintos valores de t', de hecho infinitos, según el punto del espacio donde nos situemos (es decir, para los distintos valores de x). Dos sucesos que se perciben al mismo tiempo en puntos separados del muelle dejan de ser simultáneos desde la bodega del barco. Se comprueba también que para velocidades mucho más bajas que la de la luz (donde los términos u2/c2 y u/c2 se hacen prácticamente nulos), las ecuaciones se reducen a las transformaciones de Galileo. Para hacernos una idea de la magnitud de la corrección que introducen, podemos probar a calcular el valor de u2/c2 en el caso de una persona que camina (a unos 5 km/h) y en el de una bala (pongamos que a 1000 m/s): 2,1×10-17 y 1,1×10-11, respectivamente. Las transformaciones presentan algo agradable al ojo del físico y es una cierta simetría entre las variables. Si x' depende de x y t, t' también depende de ellas. En el caso de Galileo, el tiempo t' no dependía del espacio x'. Esta estructura despertó un déjá vu en los matemáticos: les recordaba las ecuaciones de una rotación en el espacio. La analogía condujo a la construcción del espacio-tiempo, donde las transformaciones de Lorentz son rotaciones en un espacio de cuatro dimensiones.









para ahorrarse polémicas científicas. Se lo podía permitir: la parte de su obra que no le dio pereza publicar bastó para marcar un antes y un después en la historia de las matemáticas. Riemann generalizó sus ideas sobre geometría diferencial en una conferencia que pronunció en 1854 y que cerró con una nota de suspense: «Esto nos conduce a los dominios de otra ciencia, al ámbito de la física, donde nuestro propósito de hoy no nos permite adentrarnos». Sin saberlo, sus palabras se dirigían a alguien que no estaba presente en la sala y que no nacería hasta un cuarto de siglo después. Sería Albert Einstein quien se atrevería a cruzar por fin el umbral donde se había detenido Riemann, aplicando las herramientas matemáticas que había forjado a radiografiar la estructura secreta del universo.






Mano a mano con Félix Klein, transformó la Universidad de Gotinga en uno de los centros de investigación matemática más productivos de todos los tiempos. En el Congreso Internacional de Matemáticos de 1900, celebrado en París, pasó revista a una serie de veintitrés problemas cuya solución marcaría, a su juicio, el desarrollo futuro de la disciplina. A pesar de su rivalidad científica con Einstein, tenían muchos puntos en común y se cayeron bien nada más conocerse. Ambos se negaron a firmar una declaración de apoyo a la intervención alemana en la Primera Guerra Mundial. Como Einstein, también tuvo un hijo con esquizofrenia, con quien mantuvo una compleja relación. Tampoco le iba a la zaga en materia de aforismos. Como muestra, un botón: «Se puede medir la importancia de una obra científica por el número de publicaciones anteriores a ella que hace superfluas». Llegó a cumplir ochenta y un años, una longevidad que vivió como una desgracia, ya que tuvo tiempo de ver cómo los nazis destruían la escuela matemática que había puesto en pie tras décadas de esfuerzo.
En 1924 Einstein recibió un artículo de un físico de Calcuta, Satyendra Nath Bose (1894-1974), donde desarrollaba un modo original de describir estadísticamente la luz (en la imagen, el científico en 1925). Hacía hincapié en que los fotones, al contrario que los electrones, podían llegar a perder su identidad individual. Einstein planteó la posibilidad de que un gas exhibiera el mismo comportamiento. Al bajar su temperatura hasta el cero absoluto, los átomos se despojarían del único rasgo capaz de distinguirlos, la energía, dando lugar a un nuevo estado de la materia: los condensados de Bose- Einstein, que se desenvuelven al unísono como un superátomo. En 1995 tomaron cuerpo en el laboratorio.