Max Planck: La teoría cuántica
Alberto Pérez Izquierdo
El 14 de mayo de 2009, a las 10 horas y 12 minutos, hora local, los motores del Ariane 5 se encendieron y el cohete inició su ascenso hacia el espacio desde la base de la Agencia Espacial Europea (ESA) en la Guayana Francesa. En dos minutos y medio alcanzó los 70 km de altura y, en ese momento, se separaron los dos motores auxiliares de combustible sólido. La línea que dibujaba la enorme humareda que iba dejando el cohete se quebró un poco entre las nubes. En ese instante la velocidad era de 2 km/s, casi seis veces la velocidad del sonido, y el cohete seguía propulsado por su motor principal. Este utilizaba hidrógeno y oxígeno, almacenados en los tanques en forma líquida a baja temperatura. La combustión del hidrógeno proporcionaba la energía impulsora. Casi toda la masa inicial del ingenio era combustible y cuando, finalmente, se alcanzó la altura deseada, solo quedaba en torno a un 1% de aquélla
El Ariane 5 llevaba a bordo dos artefactos espaciales, llamados Planck y Herschel. Este último es un telescopio de infrarrojos de 3,50 m de diámetro. Planck es un satélite que reúne diversos instrumentos dedicados al estudio de la radiación de fondo de microondas. Todo el universo está bañado por una radiación electromagnética que fue emitida en una época lejana, cuando aún no existían las estrellas y todo el espacio estaba lleno de una sopa de partículas y radiación, tan intensa esta que los átomos no podían formarse sin que fueran inmediatamente destruidos por ella. La radiación y la materia estaban entonces en equilibrio térmico, a una misma y definida temperatura. Al expandirse y enfriarse el universo la radiación dejó de ser lo suficientemente energética como para romper los átomos, y así empezaron a formarse los primeros elementos. La radiación empezó entonces a vagar por el universo libremente, sin interaccionar con la materia. Esa radiación la percibimos hoy en día como una señal de microondas que viene de todas partes con la misma intensidad.
El destino final del satélite Planck era el segundo punto de Lagrange del sistema Sol-Tierra, a un millón y medio de kilómetros de nuestro planeta (por comparación, recuérdese que la distancia entre la Tierra y la Luna es de 380.000 km). Cuando un cuerpo se sitúa en un punto de Lagrange la atracción gravitatoria de los dos cuerpos en torno a los que gravita es tal que las posiciones relativas de los tres cuerpos permanecen siempre igual. En el caso de Planck, alcanzado ese punto, el satélite mantiene siempre la misma posición relativa respecto del Sol y la Tierra. Desde esa situación privilegiada, Planck puede medir continuamente la radiación de fondo de microondas.
La radiación de fondo de microondas es una radiación térmica, similar a la que emiten los cuerpos calientes. Max Planck estudió las características de la radiación térmica durante gran parte de su vida, en concreto, la que conocemos como radiación de cuerpo negro. En el año 1900, varios físicos experimentales habían medido con precisión cómo cambia la intensidad de la radiación de un cuerpo caliente en función de su temperatura y de la longitud de onda. Uno de ellos, Heinrich Rubens, comunicó personalmente a Planck el 7 de octubre que las últimas medidas se desviaban de las fórmulas previamente propuestas. Probablemente ese mismo día, Planck encontró una fórmula matemática que se ajustaba perfectamente a los resultados experimentales. Esta fórmula, conocida como ley de Planck, ha resistido todas las pruebas experimentales realizadas desde entonces. La radiación de fondo de microondas se ajusta a ella con precisión.
El hallazgo de Planck fue una mezcla de disposición de los datos adecuados, sabiduría, capacidad e inspiración: dispuso de los datos antes que nadie porque los físicos más avanzados de la época trabajaban en su entorno; sabiduría, porque conocía a fondo el problema y los avances teóricos más recientes que había sobre él; capacidad, porque tenía una sólida formación matemática, e inspiración porque cuando escribió su fórmula en un papel por primera vez no lo hizo mediante una demostración rigurosa, como consecuencia inevitable de primeros principios, sino para ver si modificando un poco una ley previa podía reproducir los experimentos. Fue, por tanto, un descubrimiento empírico.
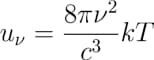
Desde el mismo momento en que Max Planck obtuvo su fórmula, se centró en la tarea de darle un sentido físico, de encontrar una deducción de ella a partir de primeros principios. Utilizó para ello la física más puntera de su tiempo: la electrodinámica de Maxwell y Hertz, por un lado, y el segundo principio de la termodinámica y el concepto de entropía, por el otro. También hizo uso de la interpretación probabilística que de esta última había propuesto unos años antes el austríaco Ludwig Boltzmann. De forma un tanto inadvertida, y ese fue a la larga el paso más trascendente, introdujo por último una hipótesis que se bautizó como hipótesis cuántica. Según esa hipótesis, la energía mecánica de un oscilador (por ejemplo, un cuerpo unido a un muelle) no puede tener un valor cualquiera, sino que está restringida a múltiplos de una cantidad elemental: el cuanto. Un cuanto de energía ε es proporcional a la frecuencia ν en la que vibra el oscilador:
ε= hν
La constante h que determina la proporcionalidad entre la energía y la frecuencia es conocida como constante de Planck. Según parece, la letra h fue escogida por Planck como símbolo de la palabra alemana hilfen, que significa «ayuda».
Las consecuencias de la hipótesis cuántica tardaron un cuarto de siglo en aflorar plenamente. Para Planck, en un principio, era una hipótesis ad hoc sin un significado especial. Sin embargo, varios físicos de principios del siglo XX pusieron de manifiesto que, en realidad, la hipótesis no era conforme a la física clásica. Albert Einstein, en un hermoso y trascendental artículo escrito en 1905, dio a la hipótesis cuántica un significado más profundo que el que había sugerido Planck: la luz se absorbe y se emite no de forma continua, sino en paquetes discretos de energía, de valor hv.
Si la forma en que Planck había introducido su hipótesis era ajena a la física clásica, la interpretación de Einstein estaba en abierta contradicción con ella. En el siglo XIX se había establecido sin lugar a dudas que la luz era una onda. La sugerencia de Einstein implicaba que, en determinados procesos, la luz tenía un comportamiento corpuscular. Los experimentos del físico americano Robert Millikan sobre el efecto fotoeléctrico culminaron en 1915 con la corroboración, punto por punto, de las predicciones que Einstein hacía en su artículo de 1905. Hay que resaltar que cuando Millikan inició sus experimentos sobre el efecto fotoeléctrico lo hizo con la intención expresa de rebatir la hipótesis corpuscular de Einstein. Tras años de duro trabajo, Millikan anunció a la comunidad científica la validez de la teoría de Einstein del efecto fotoeléctrico. Sin dejar de ser una onda, la luz también se comportaba como compuesta de partículas. En 1913, Niels Bohr aplicó la hipótesis cuántica para proponer su modelo del átomo de hidrógeno. El átomo de Bohr explicaba varios resultados experimentales relativos a la emisión y absorción de luz por la materia: los espectros atómicos. La física atómica se desarrolló a partir de ese momento sobre la base fundamental de la relación E = hv aplicada de diversas formas y en diversas circunstancias. El proceso culminó en la década de los años veinte con la construcción de un cuerpo de doctrina completo y consistente: la mecánica cuántica.
La mecánica cuántica es la teoría que se aplica a todos los fenómenos atómicos y nucleares. Es uno de los pilares de la física contemporánea. Max Planck no tomó ya parte en la elaboración de la mecánica cuántica, que fue obra de físicos más jóvenes, como Heisenberg, Schrödinger, Dirac, Born, Jordán o Pauli. Pero todos reconocieron en él a su fundador, al hombre que había encontrado la primera pista en la comprensión profunda de la naturaleza atómica de la materia; en cierto sentido, el primer revolucionario. Planck recibió en 1918 el premio Nobel de Física por su descubrimiento.
Max Planck era, a principios del siglo XX, uno de los físicos con mayor prestigio de Europa. Fueron notables sus contribuciones a la termodinámica, rama de la física que dominaba como nadie. Impulsó y contribuyó al desarrollo de la teoría de la relatividad. Y, como fruto colateral de su trabajo sobre el cuerpo negro, legó a la física dos constantes universales, además de las ya conocidas. Con ellas construyó un sistema de unidades de masa, distancia, tiempo y temperatura, hoy conocido como escalas de Planck, independiente de cualquier convención humana.
Muerto a la avanzada edad de ochenta y nueve años, fue testigo de privilegio del devenir de Alemania desde su formación hasta su casi desintegración durante la Segunda Guerra Mundial. Nacido en 1858, creció en la Alemania del Segundo Imperio y se crio en un ambiente nacionalista y conservador. Vivió el esplendor industrial, científico y tecnológico de su país y llegó a ocupar puestos de responsabilidad tanto en la universidad (fue rector de la Universidad de Berlín) como en las diversas organizaciones científicas alemanas. Durante la segunda mitad de su vida sufrió varias desgracias personales, especialmente la muerte, en circunstancias diferentes, de los dos hijos y las dos hijas que tuvo con su primera esposa.
Aunque Planck se unió inicialmente a la ola de nacionalismo que invadió su país al comienzo de la Primera Guerra Mundial, sufrió personalmente las consecuencias de la guerra con la pérdida en el campo de batalla de uno de sus hijos. Ocupó una posición muy influyente en la política científica y en la ciencia alemana de entreguerras, una época difícil por la falta de recursos y la continua inestabilidad política y social. Finalmente, tuvo una relación convulsa y compleja con el régimen de Hitler. Al final de la Segunda Guerra Mundial perdió a otro de sus hijos varones, Erwin, ejecutado por los nazis. Erwin fue acusado de participar en la conspiración organizada por un grupo de militares y civiles opositores, en julio de 1944, en la que el coronel Stauffenberg intentó matar a Hitler, la llamada Operación Valkiria. Toda la influencia que Planck podía tener fue insuficiente para salvar la vida de su hijo.
Max Planck se preocupó también por los aspectos filosóficos de la ciencia. Mantuvo una intensa polémica con uno de los más prestigiosos filósofos de su tiempo, Ernst Mach, sobre la naturaleza de la investigación científica. En sus últimos años escribió varios ensayos sobre ciencia, filosofía y religión que tuvieron gran acogida entre el público no especializado.
La física cuántica cambió nuestra concepción del mundo natural. También ha dado lugar a numerosas innovaciones tecnológicas que han conformado la civilización actual. Pero por cada descubrimiento que realizamos surgen decenas de nuevas preguntas. Max Planck sentía en su interior esa acuciante necesidad de comprensión del mundo y sus fenómenos que lleva a los hombres de ciencia a trabajar incansablemente. La búsqueda de la Verdad con mayúsculas, de lo Absoluto, fue una guía constante en su azarosa vida.
El Ariane 5 despegó impulsado por cientos de toneladas de combustible, pero también por nuestras ideas y el deseo de conocer el mundo que habitamos.
| 1858 | El 23 de abril nace Max Karl Ernest Ludwig Planck en Kiel. |
| 1889 | Tras unos primeros pasos académicos en Münich y Kiel. Planck sucede a Gustar Kirchhoff como profesor de física teórica en Berlín. Dos años más tarde sería nombrado catedrático. |
| 1895 | Planck es nombrado editor de la prestigiosa publicación científica Annalen der Physik, cuyas páginas iban a acoger artículos seminales en física relativista y cuántica a lo largo de las décadas de 1910 y 1920. |
| 1900 | El 19 de octubre. Planck presenta su ley de la distribución espectral de la radiación de cuento negro (conocida desde entonces como ley de Planck) en la reunión quincenal de la Sociedad de física de Berlín. Un par de meses más tarde, el 14 de diciembre, hace lo propio con la hipótesis cuántica en una ponencia en la misma institución. |
| 1909 | Muere Marie Planck, de soltera Merck. Un año después. Planck contraerá segundas nupcias con una sobrina de aquella. Marga von Hoesslin. |
| 1913 | Planck es nombrado rector de la Universidad de Berlín. |
| 1914 | A los cuatro meses de iniciarse la guerra, Planck firma, junto con otros 92 intelectuales alemanes, el manifiesto nacionalista «Llamamiento al mundo civilizado», más conocido como Manifiesto de los 93, en defensa del rol alemán en el conflicto. |
| 1916 | Muere en la batalla de Verdún Kart Planck, hijo mayor de Max Planck. Al año siguiente muere Grete, una de sus dos hijas. |
| 1919 | Planck es galardonado con el premio Nobel de Física por su introducción de la hipótesis cuántica. Muere su otra hija, Emma. |
| 1933 | En su rol de presidente de la Sociedad Káiser Guillermo para el Avance de la Ciencia, Planck se entrevista con el recién nombrado canciller de Alemania, Adolf Hitler, para advertirle del grave perjuicio que el antisemitismo estaba provocando en la ciencia alemana. En un encuentro posterior con su colega Werner Heisenberg, Planck le confiesa: «No hay lenguaje con el que pueda uno entenderse con semejante hombre». |
| 1945 | Erwin Planck es ejecutado por los nazis. De los cinco hijos de Max Planck, solo Hermann, el menor, sigue aún con vida. |
| 1946 | La Sociedad Kaiser Guillermo para el Avance de la Ciencia pasa a llamarse Sociedad Max Planck para el Avance de la Ciencia. |
| 1947 | El 4 octubre muere Max Planck en Gotinga. |
| 1958 | En abril se celebra en Berlín el centenario del nacimiento de Planck. En los actos participan científicos y autoridades políticas de las dos Alemanias. |
Capítulo 1
Planck y la física del siglo XIX
§. Estudios de termodinámica
§. ¿Por qué radia un cuerpo negro?
§. Los sabios que no creían en los átomos
§. Una fórmula para una lápida
Max Planck nació en 1858 en Kiel, una ciudad del norte de Alemania, en una familia de larga tradición intelectual. Su padre era profesor de jurisprudencia. Su madre, casada en segundas nupcias con su padre, vivió noventa y tres años. Quizá Planck heredó de ella la longevidad. Su abuelo y su bisabuelo por parte de padre habían sido teólogos y en la familia de su madre abundaban los pastores de almas. El ambiente de su familia y de los amigos cercanos a esta era cultivado: profesores, abogados, altos funcionarios del estado y clérigos. Max Planck disfrutó en su infancia de los medios adecuados para desarrollar sus capacidades intelectuales y también para disfrutar de los entretenimientos de la clase media-alta alemana de la época, como los veraneos en el Báltico.
Una familia así no podía ser otra cosa que conservadora, aunque de un conservadurismo educado, intelectual y relativamente tolerante. Planck fue un hombre abierto y guiado por los dictados de la razón, capaz de relacionarse con ambos extremos del espectro político, en una época en la que la política fue, a menudo, extremista. En una sociedad machista estuvo del lado de los que defendían que la mujer pudiera estudiar en la universidad: de hecho, fue mentor de Lise Meitner (1878-1968), una de las más importantes científicas del siglo XX. En una sociedad abiertamente racista, en la que el antisemitismo se fue radicalizando cada vez más, Planck se mostró siempre defensor de las virtudes y capacidades de los individuos por encima de su raza o de su origen.
En el año 1867 su familia se trasladó a Münich, en uno de cuyos Gymnasium completó la educación secundaria y en cuya universidad inició la formación académica. El joven Max era un estudiante brillante. Aunque no era de los primeros de la clase todo se le daba bien: lengua, matemáticas, música (en la que destacaba especialmente) o historia. Y era querido por compañeros y profesores por su rectitud de comportamiento.
Planck se graduó brillantemente en el Gymnasium. Guiado por la pasión que uno de sus profesores, Hermann Müller, había despertado en él, se decidió por la física y se matriculó en el año 1874 en física experimental y matemáticas en la universidad local.
Para tener una idea completa de la figura tanto científica como humana de Planck hay que acercarse al ambiente político, económico y social de la época en que se formó. Durante toda su infancia y juventud, un hombre dominó la política alemana: Otto von Bismarck (1815-1898). Canciller de Prusia, Bismarck fue el artífice de la unificación alemana. Tres guerras sucesivas dieron a Prusia el liderazgo del mundo alemán frente a los demás estados alemanes y frente al Imperio austro-húngaro. La primera de esas guerras, contra Dinamarca, propició que el niño Max Planck presenciara la entrada de las tropas prusianas en su ciudad natal. Fue el primer contacto de Planck con la guerra (casi al final de su larga vida contemplaría cómo otro ejército, esta vez el estadounidense, invadía la ciudad donde habitaba). Kiel quedó incorporada, junto con los ducados de Schleswig y Holstein, a la corona prusiana. En la segunda de las guerras, en 1866, Prusia se impuso a Austria, y en la tercera, la guerra franco-prusiana, a Francia.
La victoria sobre Francia llevó a la aceptación de todos los estados del sur del liderazgo de Prusia: el 18 de enero de 1871 Guillermo I (1797-1888) fue coronado en Versalles como emperador de la Alemania unida. El que fue conocido como Segundo Imperio unificó Alemania bajo la tutela de Prusia y Von Bismarck. Aunque existía un parlamento, en la práctica tenía muy poco poder. El poder real estaba en manos del emperador, su canciller y los altos cargos del gobierno y el ejército. El emperador o el canciller podían de hecho gobernar de espaldas al Parlamento, y así lo hicieron repetidamente. Bismarck estuvo en el poder hasta 1890, año en que Guillermo II (1859-1941), segundo hijo de Guillermo I y que tenía sus propias ideas respecto al gobierno del Estado, decidió prescindir del ya anciano canciller. Cuando Bismarck abandonó el cargo, Planck tenía treinta y cuatro años.
El último cuarto del siglo XIX fue un período de cambio económico y social radical para Alemania. La industrialización, que se había iniciado a mediados de siglo, se aceleró a un ritmo excepcional, convirtiendo a Alemania en muy poco tiempo en una gran potencia industrial, al mismo nivel que Inglaterra. La ciencia y la tecnología se desarrollaron a la par que la industrialización siendo, a la vez, causa y consecuencia de ella. Por todo el país, pero muy especialmente en Berlín, surgieron centros de investigación fuertemente ligados a la industria. Uno de ellos, el Instituto Imperial de Física y Tecnología, fundado en 1887, tendría un papel esencial en el descubrimiento del cuanto de energía.
La lenta y progresiva industrialización inglesa había llevado a la existencia de numerosas empresas familiares que competían entre sí. La burguesía inglesa creía que el Estado no debía intervenir en el libre comercio. Frente al modelo inglés, el capitalismo alemán tuvo desde el principio una fuerte influencia estatal. Las grandes empresas, los grandes bancos, el ejército y el gobierno estaban íntimamente ligados y se desarrolló un capitalismo monopolista con una creciente concentración económica. En esta situación se desarrolló con fuerza el movimiento obrero (no olvidemos que Marx y Engels eran alemanes). Dada su ascendencia familiar y su carrera como científico y profesor, Planck no era, lógicamente, simpatizante del movimiento obrero. Pero sí lo fue Albert Einstein, con quien mantuvo una estrecha y amistosa relación a pesar de sus evidentes diferencias políticas. Einstein se codeó en su juventud con militantes y simpatizantes de la socialdemocracia alemana y se definió a sí mismo como socialista en varias ocasiones. La amistad que unió a los dos grandes hombres muestra que Planck, aunque conservador, era un hombre abierto y tolerante.
Junto a la rápida industrialización, otra característica del Segundo Imperio alemán fue el nacionalismo. La unificación de 1871 había tenido lugar no sin tensiones internas latentes. El estado que había nacido era un estado federal en el que sus integrantes mantenían muchas de sus leyes e incluso sus monarquías. Era necesario promover desde arriba un nacionalismo que contribuyera a la unificación política y social. El sistema educativo sería una de las piezas clave para inculcar el sentimiento nacional entre estos «nuevos alemanes».
La situación de la economía, la industria y la ciencia alemanas a principios del siglo XX queda ilustrada por la forma en que Alemania participó en la Exposición Universal de 1900 en París. El pabellón alemán superaba en altura a todos los demás pabellones. En las exposiciones temáticas los alemanes mostraban sus productos y descubrimientos, destacando su carácter alemán por encima del nombre de la empresa productora. Los avances alemanes en licuefacción de gases, electroquímica e iluminación maravillaban a los visitantes. El prestigio de la precisión y la calidad de los aparatos fabricados en Alemania data de esa época.
«No era algo que proporcionara un gran placer a un inglés, y si además este examinaba los artículos presentados por su país a buen seguro que sentiría una gran tristeza».
De un artículo aparecido en la revista inglesa Nature sobre los INSTRUMENTOS DE PRECISIÓN ALEMANES presentados en la Exposición Universal de 1900.
La industrialización requería además de una fuerza de trabajo dotada de unos mínimos educativos; por ello, entre 1870 y 1914 las escuelas elementales proliferaron por toda Europa.
En la época de Bismarck se desarrolló y consolidó un sistema público educativo que iba desde la escuela hasta las universidades, pasando por los Gymnasium. Los profesores universitarios eran funcionarios del estado y debían jurar lealtad al emperador.
Todas estas condiciones crearon el ambiente en el que Planck se hizo adulto y explican el ferviente ardor nacionalista que tanto Planck como la mayoría de los científicos alemanes de su generación mostraron al inicio de la Primera Guerra Mundial.
Lo cierto es que métodos industriales que los científicos y técnicos alemanes desarrollaron en el último período del siglo XIX, y empresas que se fundaron o se expandieron en esa época como fruto de esas innovaciones, están asociados a nombres que han llegado hasta nuestros días, tales como Siemens, Zeiss o Bayer.


Max Planck en 1878 (arriba). El año anterior Planck había dejado la Universidad de Münich para trasladarse a la Universidad Friedrich-Wilhelms de Berlín (desde 1949, Universidad Humboldt), cuyo edificio principal aparece en esta litografía datada hacia 1880 (abajo).
Estos tres ejemplos, y podríamos poner una decena más, muestran no solo el poderío industrial de la Alemania de finales del siglo XIX, sino también la estrecha relación de este poderío industrial con la investigación científica y técnica.

Planck con su primera esposa, Mane Merck, y los cuatro hijos del matrimonio: Karl, Erwin y las gemelas Grete y Emma.
En definitiva, en el cambio de siglo, cuando Max Planck realizó uno de los mayores descubrimientos de la historia de la física, Alemania era una gran potencia mundial que dominaba en todos los terrenos de la ciencia y de la técnica. Pero además estaba bajo un régimen militarista y autoritario, que promovía un fuerte orgullo nacionalista entre sus súbditos. Estos dos aspectos, el desarrollo científico-técnico y el autoritarismo político marcaron, a la postre trágicamente, el destino de Alemania y, con ella, el de Planck.
§. Estudios de termodinámica
Era costumbre en la Alemania de la época estudiar en más de una universidad, por lo que Max Planck dejó Münich por Berlín en 1877. Allí tuvo de profesores a Hermann von Helmholtz (1821-1894) y Gustav Kirchhoff (1824-1887). Ambos se cuentan entre los grandes físicos del siglo XIX pero, a juicio del propio Planck, no debieron de ser muy buenos profesores. En su breve autobiografía científica Planck describe a Helmholtz como un pésimo enseñante que no se preparaba las clases y cometía continuos errores en los cálculos que hacía en la pizarra. Dar clases parece que le aburría y el aburrimiento se debía transmitir a sus alumnos porque, según Planck, al final del curso solo él y dos más seguían asistiendo a clase.
Hermann von Helmholtz tenía una cierta excusa para no prepararse las clases. Justo en esa época estaba sumido en profundas cuestiones electromagnéticas que tenían que ver con las predicciones de la teoría de Maxwell. Alemania no era muy «maxwelliana» por entonces y fue mérito de Helmholtz introducir la teoría electromagnética del escocés en su país. En julio de 1879 la Academia Prusiana de Ciencias de Berlín convocó un premio, a instancias de Helmholtz, para resolver si algunas de las predicciones de la teoría de Maxwell en circuitos eléctricos de alta frecuencia se cumplían o no. El físico que aceptó el reto de resolver esta cuestión era un alumno aventajado de Helmholtz, Heinrich Hertz (1857-1894), que ganó el premio. Sus investigaciones llevarían unos años más tarde, en 1888, al descubrimiento de las ondas electromagnéticas y la definitiva consagración de la teoría de Maxwell.
Aunque las clases de Helmholtz en el invierno de 1877 no fueran gran cosa, Planck tuvo la ocasión de conocer de primera mano los avances en electromagnetismo, una de las ramas de la física cuyo dominio iba a resultar esencial en sus descubrimientos. Eventualmente cuando Planck regresó a Berlín, ya como profesor, mantuvo una relación cordial con Helmholtz hasta la muerte de este, en 1894.
Tres ejemplos del poderío tecnológico alemánLa empresa Siemens, cuyo nombre es el apellido de su fundador Ernst Werner von Siemens (1816-18921 lideró la electrificación de Alemania y de gran parte de Europa. Inicialmente dedicada al telégrafo, de sus factorías salieron tanto alternadores y dinamos, para producir electricidad, como motores y lámparas, para consumirla. Siemens también construyó trenes eléctricos. El Instituto Imperial de Física y Tecnología, al que se ha hecho referencia anteriormente, recibía una sustanciosa subvención de Siemens y se ocupaba de diversas cuestiones de interés para la iluminación eléctrica. Tras sobrevivir a las dos guerras mundiales, Siemens sigue siendo una potente multinacional. Zeiss, fundada por el óptico alemán Carl Zeiss (1816-1888) en 1846, fue desde sus inicios una de las grandes empresas de material óptico de precisión.
Operarios trabajando, en 1878, en el laboratorio creado por Friedrich Bayer en Eferbeld, Alemania, en 1863, que se convertiría en la multinacional Bayer AG.De la empresa Zeiss era el microscopio con el que Ramón y Cajal descubrió la sinapsis neuronal y la estructura de la retina de los mamíferos. También la compañía Zeiss sigue existiendo hoy en día y sigue siendo líder en su campo. La tercera de estas grandes empresas, Bayer, es posiblemente la más conocida. Fundada en 1863 por Friedrich Bayer (1825-1880), la empresa comenzó a comercializar su famosa aspirina a finales del siglo XIX y todavía hoy en día la sigue fabricando. Durante la Segunda Guerra Mundial Bayer se integró en el conglomerado químico alemán IG Farben. IG Farben construyó una planta para la producción de caucho sintético cerca de Auschwitz, utilizando como mano de obra a los prisioneros del campo en régimen de esclavitud. Después de la guerra, la empresa se dividió en otras tres: Bayer, Basf y Hoechst, que siguen siendo hoy en día potentes multinacionales.
De su otro profesor en Berlín, Gustav Kirchhoff, Planck dice lo contrario que de Helmholtz: que se preparaba las clases tan minuciosamente que las recitaba de memoria, sin una coma de más o una coma de menos, con lo que también terminaba aburriendo al alumnado. Pero, de nuevo, posiblemente lo más importante de los años de formación en Berlín no fueron las clases, sino que Planck tuvo acceso a la ciencia vanguardista de la época. Y Kirchhoff lo acercó a los desarrollos punteros en la disciplina en que Planck más iba a destacar: la termodinámica. De hecho, unos años más tarde, Planck sería el encargado de publicar, a título póstumo, las Lecciones sobre la teoría del calor de Kirchhoff.
Un tercer científico influyó en Planck durante su estancia en Berlín: Rudolf Clausius (1822-1888). Planck no tuvo ocasión de conocerlo personalmente, aunque lo intentó. Planck descubrió en Berlín los escritos de Clausius sobre termodinámica y se sumergió en su estudio con una pasión que le acompañaría toda la vida.
En el momento en que Planck fue a estudiar a Berlín ya estaban bien establecidos los dos principios de la termodinámica. El primer principio es el de la conservación de la energía, una de cuyas formulaciones es la conocida: «La energía ni se crea ni se destruye, sino que simplemente se transforma». Este principio fue establecido a mediados del siglo por varios físicos de la época: James Joule (1818-1889), Julius von Mayer (1814-1878), William Thomson (después conocido como Lord Kelvin; 1824-1907) o el mismo Helmholtz. La idea es que hay una equivalencia cuantitativa entre el trabajo mecánico, las diversas formas de energía que son capaces de producir trabajo y el calor.

Con este experimento, James Joule demostró que la energía potencial gravitatoria se podía convertir en calor. Concretamente, para que una libra de agua se calentase de 50 a 51 grados Fahrenheit, hacía falta descender un pie de altura un peso de 817 libras.
En la década de los cuarenta del siglo XIX, el británico James Joule realizó una serie de experimentos que demostraban la equivalencia entre las distintas formas de energía. El más conocido de ellos y el más fácil de entender, aunque no fácil de realizar, consistía en un peso que al caer hacía girar unas palas en el interior de un recipiente lleno de agua. Una polea, una cuerda y un eje transmitían el movimiento del peso a las palas, según se muestra en la figura. El recipiente estaba térmicamente aislado y Joule observó que el agua en su interior se calentaba cuando el peso descendía. La energía potencial gravitatoria del peso se había convertido en calor. Joule concluyó que para calentar una libra de agua de 50 a 51 grados Fahrenheit, había que hacer descender un pie de altura un peso de 817 libras.
La energía tiene muchas carasEn honor a Joule, la unidad de trabajo y energía en el Sistema Internacional de unidades es el julio (J). Podemos obtener 1000 J de diversas formas, por ejemplo:
1. De la combustión de 64 mg de glucosa, produciendo agua y dióxido de carbono. La glucosa contiene lo que llamamos energía química. Esta reacción se lleva a cabo continuamente en nuestros músculos, produciendo trabajo mecánico, al movemos, y calor.
2. De la fusión de 1600 milésimas de microgramo (1,6∙10-9 g) de hidrógeno para formar helio. Este proceso de fusión se lleva a cabo en las estrellas y es la fuente de la energía que nos proporciona el Sol.
Con 1000 J podríamos:
- Comunicar a una pelota de tenis una velocidad de 360 km/h. Este es un ejemplo de energía cinética.
- Hacer girar un trompo a 1800 revoluciones por minuto. También se trata de energía cinética.
- Subir 1 kg de manzanas a 100 m de altura, aproximadamente. Las manzanas adquieren energía potencial gravitatoria.
- Calentar 1 litro de agua aumentando 0,24 ºC su temperatura. Esto es lo que Joule hizo en su experimento, convirtiendo el trabajo que hacía el peso al caer, en calor.
El primer principio de la termodinámica se expresa matemáticamente diciendo que la energía interna de un sistema físico aumenta en la misma proporción que se le da calor y disminuye en la misma proporción que realiza trabajo. Llamando ∆U al cambio de energía, W al trabajo realizado por el sistema y Q al calor que se le proporciona, tenemos:
∆U = Q - W
Una de las consecuencias más famosas del primer principio es que no existe una máquina que pueda realizar trabajo cíclicamente sin aporte externo de energía. Si la máquina realiza un ciclo completo su estado final será el mismo que el inicial, y por tanto ∆U = 0. Si queremos que la máquina realice un trabajo W durante un ciclo hay que aportar un calor Q para que Q - W = 0. Al tipo de máquina que permanece funcionando sin aporte energético, y cuya existencia niega el primer principio, se lo conoce como móvil perpetuo de primera especie. En algunos textos se enuncia el primer principio diciendo que es imposible construir una máquina de este tipo.
«Es imposible construir un motor que, trabajando según un ciclo completo, no produzca otro efecto que elevar un peso y enfriar un foco calorífico».
Planck, definición del segundo principio de la termodinámica en su TRATADO DE TERMODINÁMICA (1897).
Junto al primer principio pronto surgió el segundo. Este fue enunciado por varios de los estudiosos de la época en diversas formas, todas ellas equivalentes. El enunciado de Clausius es el más intuitivo, y nos parece conforme a la experiencia cotidiana: «No es posible un proceso cuyo único resultado sea el enfriamiento de un cuerpo frió a costa del calentamiento de otro cuerpo más caliente». Es decir, el calor pasa de los cuerpos calientes a los cuerpos fríos, y no al revés.
A veces se define a un móvil perpetuo de segunda especie como aquel que es capaz de convertir íntegramente en trabajo todo el calor que recibe. El enunciado de Planck dice que es imposible construir dicho motor. Con una simple búsqueda en Internet aparecen cientos de personas que dicen haber encontrado un diseño capaz de contravenir el segundo principio. ¡Incluso algunos lo comercializan! Aunque no lo parezca a simple vista, el enunciado de Planck es equivalente al de Clausius. Es fácil encontrar demostraciones de esta equivalencia en cualquier texto básico de termodinámica.
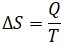
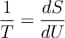
Unido al segundo principio está el concepto de entropía. Este fue introducido por Clausius, que desarrolló el término a partir de la palabra griega εντροπια, que significa «transformación». Suele denotarse con la letra S. La entropía es una propiedad de todos los sistemas físicos macroscópicos, ya se trate de un cuerpo homogéneo o de un conjunto de cuerpos en interacción. Cuando comunicamos una cantidad de calor Q a un cuerpo a una temperatura T aumentamos su entropía en una cantidad ∆S dada por:

El segundo principio de la termodinámica se puede enunciar también de la siguiente forma: «En un sistema aislado, la entropía siempre aumenta o, como mucho, permanece constante».
Este enunciado es mucho más abstracto, y aparentemente más misterioso, pero también más útil que los anteriores en el contexto de la física teórica. En esos términos Max Planck lo usó en sus trabajos sobre la radiación de cuerpo negro, y es la razón por la que se introduce aquí.

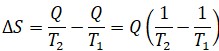
Podemos ver la equivalencia entre este enunciado y el de Clausius si imaginamos dos cuerpos a distinta temperatura T1 y T2, dos vasos de agua por ejemplo (véase la figura).Al mezclar agua fría con agua caliente se obtiene agua a una temperatura intermedia. La entropía total aumenta durante el proceso.

A continuación quitamos una cantidad de calor Q al primero para dársela al segundo. La entropía del primero disminuirá en Q/T1 mientras que la del segundo aumentará en una cantidad Q/T2. La entropía del sistema total cambiará en:
Para que la entropía aumente, la diferencia 1/T2 - 1/T1 tiene que ser positiva, con lo que T1 debe ser mayor que T2. Es decir, el cuerpo caliente es el que ha cedido el calor y el cuerpo frío el que lo ha absorbido. El proceso contrario, que conllevaría una disminución de la entropía, es por tanto imposible.
Hay muchas consecuencias del segundo principio que experimentamos diariamente. Una de ellas se refiere a la conversión entre los diversos tipos de energía.

Según el enunciado de Planck del segundo principio de la termodinámica, no se puede construir ningún motor que sea capaz de convertir íntegramente en trabajo todo el calor que recibe. En el caso de la ilustración, podemos mover la piedra hacia arriba a partir de calor, pero no podemos convertir íntegramente todo el calor que se ha dispersado en mover la piedra.
¿Qué ocurre si lanzamos una piedra contra el suelo? La piedra rebota una o dos veces y termina parándose. ¿Se ha perdido la energía que llevaba? No, la fricción contra el aire y contra el suelo la ha convertido en calor. Apenas si es perceptible el calor en este caso, pero sí lo es si tocamos los frenos de disco de una motocicleta después de una frenada apurada. Y también lo es en los cráteres que deja el impacto de grandes meteoritos sobre la Tierra. Hay unos 160 cráteres conocidos y en esos lugares las rocas o la arena del suelo se han fundido y enfriado, adquiriendo un aspecto distinto del aspecto del suelo circundante. En estos procesos la energía mecánica inicial, de la piedra, la rueda de la moto o el meteorito, se ha convertido íntegramente en calor.
¿Podemos recoger toda la energía que se ha disipado en el suelo al caer la piedra e impactar con este para volver a lanzarla en sentido inverso con la misma velocidad que traía inicialmente? La respuesta es que no, que necesitamos un poco más. Podemos mover una piedra a partir de calor, pero, como dice el enunciado de Planck, no podemos convertir íntegramente todo el calor que se ha dispersado en el suelo en mover la piedra (véase la figura). Parte del calor que usemos, inevitablemente, se perderá en el entorno.
Esto es lo que ocurre diariamente en los motores de nuestros vehículos. La energía química de la mezcla explosiva gasolina-aire se transforma en calor. Los gases comprimidos y calientes que han resultado de la explosión empujan el pistón que, a su vez, mueve el cigüeñal y que termina a través de toda la cadena de engranajes comunicando tracción a las ruedas. Parte de la energía generada en la explosión de la gasolina se utiliza así para mover el coche, pero una parte de la energía producida se va, inevitablemente, en calentar el motor y la atmósfera circundante. El segundo principio nos dice que esta «pérdida» de energía es inevitable, consustancial a las leyes de la naturaleza. (Hemos entrecomillado la palabra «pérdida» porque la energía, de acuerdo con el primer principio, no se ha perdido estrictamente hablando. Se ha transformado en calor).
Uniendo la expresión matemática del primer y el segundo principio de la termodinámica tenemos la ecuación:
T∙∆S = ∆U + W
que relaciona temperatura, entropía, energía y trabajo y que Planck iba a utilizar en sus investigaciones sobre la radiación de cuerpo negro.
Maxwell y la gran síntesis electromagnética
A mediados del siglo XIX las teorías del electromagnetismo estaban en una encrucijada. Gracias a la obra de Ampère (1775-1836, Faraday (1791-1867) y otros físicos de la época, se había acumulado una serie importante de datos y leyes experimentales que habían demostrado la íntima relación existente entre electricidad y magnetismo. Para explicar todos los fenómenos descubiertos había principalmente dos formas de ver las cosas. Estaban los que proponían la existencia de una acción a distancia y los que abogaban por una teoría de campos. Heinrich Weber (1795-1878), en Alemania, había propuesto una fórmula para explicar todas las fuerzas eléctricas y magnéticas, tanto estáticas como dinámicas, a partir de una acción a distancia entre las cargas eléctricas.
Su fórmula era similar a la de la fuerza de gravedad entre dos cuerpos, pero con más términos, que dependían de la velocidad y la aceleración de las partículas. Pero uno de los profesores de Planck, Helmholtz, demostró en tomo a 1870 que la fórmula de Weber era inconsistente con la ley de conservación de la energía. Por su parte, la teoría de campos había nacido con Michael Faraday, quien imaginaba que el espacio alrededor de un imán estaba lleno de cuerdas invisibles, «líneas de fuerza» las llamaba él, cuya tensión era la responsable de las fuerzas de atracción o repulsión entre los polos del imán. También imaginaba líneas de fuerza eléctricas que unían las cargas negativas con las positivas, provocando su atracción. James Clerk Maxwell (1831-1879) de origen escocés, dio forma matemática a las ideas de Faraday. Formuló una teoría unificada de todas las leyes de la electricidad y el magnetismo. Su teoría era inicialmente mecánica, y suponía que todos los fenómenos electromagnéticos eran consecuencia de la dinámica de un medio continuo, el éter, que llena todo el espacio.
La teoría de Maxwell no solo podía dar cuenta de los fenómenos conocidos más relevantes, sino que hacía una predicción: el éter podía transmitir ondas, de manera similar a como un sólido puede transmitir vibraciones. Maxwell calculó la velocidad que tendrían esas ondas y encontró un valor cercano al de la luz. En sus propias palabras: «No podemos dejar de concluir que la luz consiste en las ondulaciones transversales del mismo medio que es la causa de los fenómenos eléctricos y magnéticos».
§. ¿Por qué radia un cuerpo negro?
Sentado frente a una chimenea uno se queda hipnotizado por el juego continuo de las llamas. Parecen siempre las mismas, pero no, son siempre distintas. Este poder hipnótico del fuego es similar al que ejercen sobre nosotros las aguas turbulentas de un arroyo. Los remolinos que se forman detrás de una piedra o una rama están siempre en el mismo sitio y son siempre distintos. Las llamas y las aguas comparten una parte de su física: la turbulencia. La llama calienta tanto el aire de su entorno que este asciende violentamente, provocando una corriente turbulenta: remolinos similares a los del agua, pero que no vemos, tan solo adivinamos por el movimiento que inducen en el hollín.
Pero además la llama nos calienta. Lo hace de varias maneras (por conducción, por convección...), pero el que nos interesa ahora es el calor que recibimos al acercamos al fuego, es decir, el que se propaga por radiación.
En una chimenea pueden constatarse varias de las propiedades de la transmisión del calor por radiación. En primer lugar, la radiación se produce en línea recta: se nos calienta la parte del cuerpo que se enfrenta al fuego, permaneciendo fría la de atrás. Además, si nos hacemos a un lado, el calor no nos llega. A otra característica de la radiación térmica estamos tan acostumbrados que parece obvia: es más intensa cuanto más caliente esté el cuerpo que la produce. En efecto, a medida que más y más leña entra en combustión, el fuego va alcanzando más temperatura y el calor que nos llega directamente por radiación es mayor.
La última propiedad de la radiación térmica que podemos observar en una chimenea es el tema central de la obra de Planck. Tiene que ver con el color del cuerpo caliente. A medida que los troncos se van calentando y la llama se va haciendo más viva podemos observar un cambio en su color. Las zonas menos calientes no emiten luz visible aunque sí nos calientan: la radiación la emiten en la zona infrarroja del espectro, invisible para nosotros. Las que están en ascuas tienen un rojo característico y están más calientes. Las zonas amarillas están entre 1400 y 1600 ºC. Cuanto más caliente es el fuego, más evoluciona el color de la luz emitida del rojo hacia el azul. Es un hecho experimental, como vemos en el caso del fuego de una chimenea, que cuanto más caliente está un cuerpo, la luz que emite es más intensa y de una longitud de onda más pequeña.
Eso es así porque la luz es un fenómeno ondulatorio, y el color de la luz que percibimos tiene que ver con su longitud de onda, que es la distancia entre dos máximos o dos mínimos de la onda que se propaga. La longitud de onda del color rojo se sitúa en torno a 70 nanómetros (milmillonésimas de metro), la del amarillo a 580 nm y la del azul se sitúa por debajo de 500 nm. A medida que avanzamos en los colores del arcoíris la longitud de onda disminuye.
El gran astrónomo anglo-alemán William Herschel (1738-1822) hizo en 1800 un descubrimiento sorprendente. Herschel hizo pasar la luz del Sol por un prisma. La luz se descompuso en varios colores, como ya se sabía desde Newton. Herschel tenía en la mesa de su laboratorio una franja de luz con todos los colores del arcoíris, desde el rojo hasta el violeta. Entonces tomó varios termómetros de mercurio con el depósito ennegrecido, para que captasen mejor el calor, y los colocó de forma que los iluminaran luces de color diferente, según se observa en la figura siguiente:

En 1800, William Herschel realizó este experimento para comprobar que la intensidad de la radiación que provenía del Sol era diferente para cada color. Pero además descubrió la radiación infrarroja.
Encontró que los termómetros no subían por igual en cada franja. Los rayos rojos calentaban el termómetro más que los amarillos y los azules. Herschel acababa de descubrir que la intensidad de la radiación que provenía del Sol era diferente para cada color. Además, descubrió algo aún más sorprendente. Puso un termómetro más allá de la franja de color rojo, donde no había ninguna luz, solo la oscuridad de su laboratorio. Y encontró que el termómetro seguía calentándose, y lo hacía apreciablemente. De este modo descubrió la radiación infrarroja, una luz de una longitud de onda mayor que la que el ojo humano puede captar. De hecho, lo que sucede en este experimento es que el vidrio de los termómetros refleja más la radiación visible azul y amarilla que la radiación visible roja y la invisible infrarroja, las cuales son absorbidas en parte por el vidrio del termómetro que, al calentarse, calienta el mercurio. Además, la mayoría de los objetos calientes emiten gran parte de su energía en forma de radiación infrarroja, tal y como se muestra en la figura.

Intensidad de la radiación térmica a distintas temperaturas. Incluso a 3000 K la mayor parte de la radiación se produce en el infrarrojo.
Demos un salto en nuestra argumentación. Ahora trataremos de explicar por qué un objeto negro tiene necesariamente que radiar energía bajo determinadas circunstancias. Esta afirmación puede parecer sorprendente, porque un objeto negro lo es precisamente porque absorbe toda la luz que le llega, y no emite nada. Bien, imaginemos que tenemos un cuerpo incandescente frente a un objeto negro, y que los dos están totalmente aislados, de manera que no hay forma de que el calor se escape. El objeto negro irá absorbiendo todo el calor del otro cuerpo y, por tanto, se irá calentando: su temperatura se incrementará a medida que absorbe la energía que desprende el cuerpo incandescente. Llegará un momento en que la temperatura del cuerpo negro se iguale con la del cuerpo incandescente. ¿Podría seguir absorbiendo calor el cuerpo negro a partir de ese momento? La respuesta es no, ya que aumentaría su temperatura y tendríamos una situación contraria a la del segundo principio de la termodinámica: el calor pasando de un cuerpo, el incandescente, a otro más caliente, el cuerpo negro. ¿Qué ocurre entonces con la energía que no absorbe? Necesariamente, la tiene que radiar. En definitiva, nos vemos abocados a la conclusión de que el cuerpo negro también debe radiar energía. Si este razonamiento resulta demasiado abstracto al lector le proponemos un sencillo experimento. Coja un trozo de tela negro y póngalo al sol un rato. Retírelo y acerque poco a poco la tela a la mejilla: notará que la tela desprende parte del calor absorbido.
El cuerpo negro ideal no existe en la naturaleza. Los objetos negros que se ven a nuestro alrededor absorben toda la luz que les llega en el visible, pero muchos de ellos no absorben todo el infrarrojo o el ultravioleta. El cuerpo negro ideal sería aquel que absorbiera y emitiera por igual en todas las longitudes de onda. Como tal, el cuerpo negro es una idealización de los físicos, una abstracción.
Pero es una idealización muy útil. La radiación térmica de un cuerpo negro es una radiación modelo, independiente de la sustancia de la que esté hecho el cuerpo. La radiación térmica que proviene del Sol no es idéntica a la de un cuerpo negro a la misma temperatura, solo parecida. Lo mismo ocurre con la radiación proveniente de una chimenea, o de un calentador. La radiación térmica de un cuerpo negro es el modelo ideal al que se parece la radiación térmica de los demás cuerpos.
Muchas cosas tuvieron que pasar para que el descubrimiento de Herschel se convirtiera un siglo más tarde en la teoría de Planck. Pero no es un asunto menor el que uno de los problemas que tuvieron que resolver los físicos experimentales del siglo XIX fue la construcción en el laboratorio de un sistema que se comportara de la forma más parecida posible a un verdadero cuerpo negro.
§. Los sabios que no creían en los átomos
A finales del siglo XIX, la física alemana estaba muy influida por la escuela energetista, liderada, entre otros, por William John Rankine (1820-1872) y Wilhelm Ostwald (1853-1932). Los energetistas pensaban que la termodinámica y, en particular, el primer principio de la termodinámica, ofrecía el marco perfecto para el desarrollo de un modelo físico de la naturaleza. La conservación de la energía era un hecho empírico y los energetistas esperaban obtener de él, por razonamientos matemáticos abstractos, la explicación de todos los fenómenos físicos, sin tener que recurrir a modelos mecanicistas tales como el atómico. Entre otras cosas, los energetistas dudaban de la existencia real de los átomos, considerando la hipótesis atómica como una hipótesis que el tiempo demostraría innecesaria. Fue en este ambiente energetista que Planck inició su carrera científica.
La lectura de los escritos de Clausius llevó a Planck a dedicarse de lleno a la termodinámica. Su tesis, defendida en Münich en el verano de 1879, se llamó Sobre la segunda ley de la teoría mecánica del calor. En 1880 consiguió un puesto de privatdozent en la Universidad de Múnich. Esta figura docente de la Alemania de la época no conllevaba un sueldo por parte de la universidad, sino simplemente la posibilidad de dar clases a los alumnos y cobrarles por ello.
Estando en Múnich, Planck escribió un artículo para un premio convocado por la Universidad de Gotinga sobre la «naturaleza de la energía». Planck recibió el segundo premio, quedando el primero vacante. Como el mismo Planck cuenta en su autobiografía, ello fue probablemente porque en su artículo se ponía de parte de Helmholtz frente a Weber. Planck se ganó con ello el respeto científico de Helmholtz y cuando Kirchhoff murió, Planck le sucedería en la Universidad de Berlín (aunque no antes de que Boltzmann y Hertz rechazaran el puesto). En sus años en Múnich y, a partir de 1885 y ya como profesor remunerado, en Kiel, Planck trabajó a fondo sobre la aplicación del segundo principio a diversos problemas, como las reacciones químicas, la disociación de gases y las disoluciones. Su profunda comprensión de las consecuencias del segundo principio le llevó a distanciarse de los energetistas. Estos sostenían, entre otras posiciones, que el segundo principio de la termodinámica podría deducirse del primero, que era el único realmente universal. Mientras los energetistas no veían diferencia crucial entre la caída de un peso y el paso del calor de un cuerpo caliente a uno frío, Planck insistía en que se trataba de dos cosas completamente diferentes: la caída de un peso era un proceso reversible (invirtiendo la velocidad se invertía el proceso), mientras que el paso del calor de un cuerpo frío a uno caliente era algo imposible de manera espontánea.
«Si existen leyes generales referentes a la energía, entonces tales leyes deben ser aplicables a todas las ramas de la física y debe plantearse un conjunto de principios como se hace con el fenómeno físico en general».
William John Rankine, de la Escuela Energetista.
Sin embargo, había una controversia más fundamental y de mayor calado entre el energetismo y el atomismo, controversia que giraba alrededor de la configuración misma de la realidad física. Los atomistas sostenían que la materia estaba compuesta de átomos y moléculas: que las reacciones químicas eran consecuencia de la combinación y disociación de los átomos de los elementos químicos; y que los fenómenos térmicos se debían al movimiento aleatorio de átomos y moléculas. Los energetistas negaban la existencia de los átomos por no ser directamente accesibles a la experiencia sensible. Aspiraban a una explicación de los fenómenos naturales que no tuviera que hacer uso de ninguna hipótesis concreta sobre la constitución de la materia.
En esta época, hablamos de la década de los años ochenta del siglo XIX, Planck no abrazaba abiertamente el atomismo. Para él la ley del aumento de la entropía tenía validez universal, como el principio de conservación de la energía, mientras que para el físico austríaco Ludwig Boltzmann (1844-1906), uno de los líderes de dicha corriente, era una consecuencia de las leyes de la probabilidad. Ludwig Boltzmann y Planck mantuvieron puntos de vista enfrentados sobre este punto durante algún tiempo.
Uno de los fundadores de la teoría cuántica, Arnold Sommerfeld (1868-1951), fue testigo, en 1895, de una conferencia en la que Ostwald y Boltzmann mantuvieron un inolvidable enfrentamiento dialéctico. Así lo relató Sommerfeld varios años después:
El campeón de los energetistas era Helm; tras él estaba Ostwald, y tras los dos el filósofo Ernst Mach (que no estaba presente en la sesión). El oponente era Boltzmann, secundado por Félix Klein. La batalla entre Boltzmann y Ostwald se parecía mucho al duelo entre el toro y un fino torero. Sin embargo, esta vez el toro derrotó al torero a pesar de toda su agilidad. Los argumentos de Boltzmann dieron en el blanco.
Ostwald era un hombre muy amable y fue amigo de Boltzmann, a pesar de sus diferencias filosóficas. Cuando los experimentos de Jean Perrin (1870-1942) demostraron la existencia de moléculas, Ostwald reconoció su error y escribió, ya en 1909: «Ahora estoy convencido de que recientemente hemos recibido la prueba experimental de la naturaleza discreta o granular de la materia, que la hipótesis atómica ha estado buscando en vano durante siglos, si no milenios». Pero otros energetistas, como Mach, se mantuvieron en sus trece.
Esta obcecación llevó a Planck a hacer un comentario en su autobiografía que, al entender del autor, muchos han malinterpretado. A propósito de las dificultades que tanto él como Boltzmann tuvieron para hacer valer sus argumentos frente a la escuela energetista, Planck dice lo siguiente: «Una nueva verdad científica no triunfa por convencer a sus oponentes y hacerles ver la luz, sino porque los oponentes terminan muriéndose y una nueva generación crece familiarizada con ella». Algunos pensadores ponen estas palabras de Planck como prueba de que la ciencia produce las ideas que quieren los científicos y que la supuesta objetividad de las teorías científicas no es tal. No se puede negar que los científicos son hombres de su tiempo y están influenciados por la época y el lugar en el que viven, pero de ahí a afirmar que los científicos solo ven lo que quieren ver y no lo que se deduce de los hechos va un largo camino.
Las palabras de Planck, por el contrario, admiten una lectura irónica y muestran así la amargura con la que recuerda esas controversias y, tal vez, el destino trágico de Boltzmann. Pero el propio Planck es el mejor contraejemplo de esa tesis. Siendo el primer hombre que aplicó la hipótesis cuántica, no estuvo de acuerdo con muchas de las ideas que la desarrollaron. Sin embargo, no solo no boicoteó a los científicos que discutían sus puntos de vista, sino que los apoyó, los promocionó y, a la larga, reconoció sus aciertos.
Ludwig BoltzmannBoltzmann (1844-1906) nació en Viena y allí realizó sus estudios universitarios. Josef Stefan, uno de sus profesores, lo introdujo a los trabajos de Maxwell sobre la teoría molecular del calor. En 1869
obtuvo la cátedra de Física Matemática en la ciudad austríaca de Graz, donde vivió gran parte de su vida. Boltzmann desarrolló los trabajos de Maxwell sobre la distribución de las velocidades de las moléculas en un gas en equilibrio, distribución que se conoce en la actualidad como de Maxwell-Boltzmann. Esta distribución determina la probabilidad de que una molécula tenga una determinada velocidad. En 1872, Boltzmann dedujo una ecuación para la evolución en el tiempo de la distribución de velocidades de las moléculas de un gas, que se conoce como ecuación de Boltzmann y que constituye uno de los resultados más profundos de la física teórica de todos los tiempos. En 1877, Boltzmann dedujo que la probabilidad de que una molécula tuviera una energía ε era proporcional al producto
siendo T la temperatura y k una constante. Para esta deducción supuso primero que la energía ε solo podía tomar valores discretos, una asunción que tiene similitudes con la hipótesis cuántica. Este trabajo sirvió de guía a Planck unos años más tarde. Boltzmann fue rector de la Universidad de Graz, profesor de física matemática en Münich, de física teórica en Leipzig y de filosofía en Viena. Mantuvo una larga polémica con algunos científicos alemanes sobre la naturaleza atómica de la materia, que estos rechazaban. Se especula que tal rechazo podría haber sido una de las causas de su suicidio.
§. Una fórmula para una lápida
Una forma de andar por casa para saber si un fenómeno es irreversible o no es grabarlo con una cámara de vídeo y reproducirlo marcha atrás. Si al cambiar el sentido del tiempo todo nos parece normal, el fenómeno es reversible. Si la grabación vista marcha atrás resulta extraña o divertida es que se trata de un fenómeno irreversible. Imaginemos que cogemos un vaso de cristal y lo tiramos hacia arriba. El vaso asciende, llega a una altura máxima y cae, describiendo una parábola. Al estrellarse contra el suelo se rompe en mil pedazos. Si hemos grabado la secuencia, podemos reproducirla. Supongamos que primero vemos solo la parte en la que el vaso, habiendo dejado nuestra mano, asciende y cae, pero no llega a tocar el suelo. Si, entonces, le damos al vídeo marcha atrás no nos parece extraño. Toda esa trayectoria, vista hacia delante o hacia atrás, nos parece verosímil. El movimiento ascendente y descendente del vaso es un fenómeno reversible.
El movimiento del vaso desde que sale de la mano hasta justo antes de tocar el sudo sigue las leyes de la mecánica de Newton. Estas leyes no distinguen si el tiempo avanza o retrocede. Son las mismas en un sentido que en otro. Son las mismas leyes que rigen el movimiento de los planetas. Si vemos la trayectoria de un planeta alrededor del Sol no sabremos con certeza si la estamos viendo desde arriba del plano orbital con el tiempo hacia delante o desde abajo con el tiempo corriendo hacia atrás. Se trata, nuevamente, de un fenómeno reversible.
Pero reproduzcamos ahora la grabación desde el momento en que el vaso termina de caer, se estrella, y estalla en mil pedazos. Si volvemos hacia atrás la película, la recomposición del vaso nos resulta chocante. No vemos en la vida cotidiana mil pedazos de cristal dispersos que se juntan para formar un vaso. Ese proceso es del todo extraordinario. La ruptura de un vaso de cristal en mil pedazos es un proceso irreversible. En esa acción hay algo más que las leyes de Newton de la mecánica. Hay algo que nos indica de manera natural si el tiempo avanza o retrocede.
La mayoría de los sucesos de nuestra vida cotidiana son irreversibles. Solo algunos fenómenos aislados, aquellos fenómenos mecánicos en los que el rozamiento o la fricción son despreciables, o procesos en los que no hay conversión de otras formas de energía en calor, son reversibles. El problema de la irreversibilidad llamó la atención de los físicos desde el mismo momento en que se formularon los dos primeros principios de la termodinámica. El físico austríaco Ludwig Boltzmann fue uno de los que más profundamente pensó en él. Y encontró una explicación a la irreversibilidad a partir de la teoría molecular del calor.
La teoría molecular del calor explica todos los fenómenos caloríficos como resultado del movimiento microscópico de los átomos y las moléculas que componen la materia, representado en la figura.

Según la teoría molecular del calor, las moléculas que forman un cuerpo se mueven continuamente de forma desordenada. Este movimiento es el responsable de los fenómenos caloríficos.
Así, por ejemplo, la presión que un gas ejerce sobre la pared del recipiente que lo contiene es el resultado de la fuerza promedio que realizan todas las moléculas que chocan, y rebotan, contra la pared. Hay que imaginarse las moléculas como chocando continuamente entre sí y moviéndose sin parar, de forma aleatoria, de un lado para otro. La temperatura del cuerpo es una medida de esta agitación.
En la teoría molecular del calor los fenómenos termodinámicos tienen una interpretación mecánica sencilla. Por ejemplo, cuando ponemos en contacto un cuerpo caliente con otro frío las moléculas del cuerpo caliente reparten su energía cinética con las del cuerpo frío mediante los choques entre ambas. Las que se movían más rápido terminan moviéndose más lento y viceversa. Al final las temperaturas se igualan, lo que quiere decir que la velocidad promedio termina siendo la misma.
La teoría molecular del calor tenía un problema con la irreversibilidad de los procesos naturales. Si todo fenómeno calorífico es en el fondo resultado del movimiento de las moléculas, ¿cómo es posible que siendo la mecánica newtoniana reversible dé lugar a procesos irreversibles? Para los energetistas y los críticos de la teoría molecular del calor este era un argumento contra la teoría atómica. En este punto Planck se posicionó, al principio de su carrera, del lado de los energetistas y frente a Boltzmann.
Pero Boltzmann tenía una respuesta:
«Dado que en las ecuaciones diferenciales de la mecánica no hay absolutamente nada análogo a la segunda ley de la termodinámica, esta solo puede representarse mecánicamente por determinadas suposiciones respecto a las condiciones iniciales».
El movimiento de un cuerpo está determinado no solo por las fuerzas que actúan sobre él, sino también por la posición y velocidad iniciales del cuerpo. Cuando una pelota de baloncesto abandona la mano de un jugador profesional, queda sometida a las mismas fuerzas que cuando tiramos nosotros. Conseguir o no una canasta depende de ese toque de muñeca que solo poseen los grandes jugadores, y que comunica a la pelota la velocidad y la dirección iniciales justas.
En la teoría molecular del calor conceptos macroscópicos como presión o energía tienen una explicación estadística: son promedios de las propiedades mecánicas de las moléculas. La presión que un gas ejerce sobre una pared es debida a la fuerza promedio que producen las moléculas del gas al chocar contra la pared. En un gas ideal, la temperatura es proporcional a la energía cinética media de las moléculas. Boltzmann encontró una interpretación estadística al concepto de entropía. La entropía de un cuerpo S en un estado determinado es proporcional al logaritmo de la probabilidad Ω de dicho estado. En su tumba en Viena se puede leer la ecuación:
S = k ln Ω
donde la constante de proporcionalidad k se conoce como constante de Boltzmann.
Recordemos que una de las versiones del segundo principio afirma que «en un sistema aislado la entropía siempre aumenta». En la interpretación probabilística de Boltzmann, que un sistema tienda al estado de máxima entropía significa que tiende a su estado más probable. Pongamos un ejemplo sencillo para tratar de entender esto. Supongamos que tenemos 4 bolas y dos cajas. Vamos a numerar las bolas del 1 al 4 y las cajas como A y B. En la tabla siguiente se muestran todas las formas posibles de distribuir las cuatro bolas entre las dos cajas:

En la columna de la derecha se ha consignado la probabilidad Ω de cada conjunto de situaciones. Hay en total 16 posibles combinaciones y solo una de ellas corresponde a tener todas las bolas en la caja A, con una probabilidad asociada de 1/16. La situación más probable es la de encontrar la mitad de las bolas en una caja y la otra mitad en la otra, que corresponde a 6 de las 16 situaciones posibles. Si en vez de cuatro bolas consideramos un número mucho mayor de bolas la diferencia entre las probabilidades de tener todas las bolas en una caja o tenerlas repartidas por igual se hace muchísimo mayor. Se puede demostrar que cuando N tiende a infinito la probabilidad de que estén repartidas por igual tiende a 1.
Pensemos ahora en una urna dividida en dos partes y herméticamente cerrada. En una de las dos mitades hay un gas y la otra mitad está vacía. Si quitamos la pared que separa las dos mitades sabemos, por experiencia, que el gas tiende a ocupar toda la urna. Este es un proceso irreversible. Desde el punto de vista de la termodinámica la entropía es mayor cuando el gas ocupa toda la urna que cuando está confinado a su mitad. En la interpretación de Boltzmann el estado en que todas las moléculas del gas están confinadas a la mitad de la urna es mucho menos probable que cuando ocupan la urna entera. El gas tiende al estado de máxima probabilidad. La irreversibilidad de los procesos físicos es consecuencia de que el estado inicial es poco probable.
La interpretación de Boltzmann del segundo principio no estaba exenta de dificultades y fue objeto de diversas críticas y objeciones. El propio Boltzmann vio en Planck a un opositor. Como veremos en el próximo capítulo, Planck terminó alineándose con las tesis de Boltzmann como fruto de sus propias investigaciones, pero aun así le costó que aquel reconociera su trabajo.
Boltzmann empezó a sufrir depresiones en 1888, a la edad de cuarenta y cuatro años. Lo que había sido hasta entonces una vida plácida en la tranquilidad de la sociedad media-alta austro-húngara empezó a convertirse en una sucesión cíclica de episodios de euforia y postración. Además, con la edad, su vista se fue deteriorando más y más, dificultando su trabajo. A pesar de todo ello mantuvo siempre una incansable actividad, quizá a costa de su salud física y mental. En 1906, durante unas vacaciones con su esposa y una de sus hijas en Duino, una ciudad a orillas del mar Adriático, cercana a Trieste, Ludwig Boltzmann se quitó la vida. Su hija lo encontró colgado de una cuerda en la habitación del hotel donde estaban alojados.
Capítulo 2
El nacimiento del cuanto de energía
§. Los osciladores de Planck
§. Wien entra en escena
§. Rubens visita a Planck
§. Una suposición meramente firmal
§. Comienzan las desgracias
§. La Primera Guerra Mundial: del manifiesto de los 93 a la abdicación de Guillermo II
§. Karl muere en Verdún
§. Cazador de talentos
Imaginémonos paseando por un parque una templada tarde de finales de invierno. Tenemos un poco de fresco y decidimos sentamos en un banco a tomar el sol. El sol nos calienta y poco a poco vamos alcanzando una agradable sensación de bienestar. Al cabo de un rato esa sensación de bienestar permanece; hemos alcanzado un cierto estado de equilibrio en el que ya no nos seguimos calentando ni tampoco sentimos frío. En ese momento, toda la energía radiante que nos llega del Sol es radiada de nuevo por nosotros, de forma que ni absorbemos ni desprendemos energía neta.
Imaginemos ahora una cavidad cuyas paredes están a una temperatura fija, en equilibrio térmico. El interior de la cavidad estará lleno de radiación electromagnética y sobre cada porción de la superficie interna de la cavidad incide una cierta cantidad de energía radiante por unidad de tiempo. Llamemos K a la cantidad de energía que incide sobre la superficie por segundo y por metro cuadrado de superficie. De ella, la superficie absorberá una fracción, llamémosla a (en términos técnicos, a se conoce como coeficiente de absorción). Para que la pared mantenga su temperatura debe emitir energía al mismo ritmo que la absorbe. Llamando E a la energía emitida por segundo y por metro cuadrado de superficie se tiene la siguiente igualdad:
aK = E
lo cual equivale a decir que la superficie absorbe energía en la misma cantidad que la emite. Es, muy idealizado, el mismo balance de energía que cuando tomamos el sol.
La intensidad de la radiación, K, está, por definición, en equilibrio dentro de la cavidad, por lo que es independiente de la naturaleza del material de la superficie. La expresión de más arriba puede también escribirse del modo siguiente:
K = E/a
lo que nos lleva a la ley que Gustav Kirchhoff encontró en torno a 1860: el cociente entre la energía emitida por un cuerpo y su coeficiente de absorción es una cantidad independiente de la naturaleza del material y solo depende, a lo sumo, de la temperatura a la que se encuentra.
La ley de Kirchhoff viene a decir que un cuerpo es tanto mejor emisor de radiación cuanto mejor la absorbe. Un experimento sencillo, como el que se muestra en la figura, sirve para ilustrar este fenómeno.

La ley de Kirchhoff dice que mientras mejor absorbe un cuerpo la radiación, mejor emisor es. Para demostrarlo basta con este sencillo experimento: la parte ennegrecida desprende más calor que la plateada, pese a estar a la misma temperatura.
Llenemos un recipiente de agua caliente. Una parte de la superficie exterior lateral del recipiente la hemos ennegrecido previamente, por ejemplo usando el hollín que desprende la llama de una vela.
La superficie exterior del otro lado del recipiente la recubrimos con un material reflectante como el papel de aluminio o algo similar. Si ahora colocamos dos termómetros, uno cerca de la superficie ennegrecida y el otro cerca de la superficie plateada, observaremos que el termómetro situado cerca de la superficie negra alcanza una temperatura mayor.
La conclusión está clara: estando las dos superficies a la misma temperatura, cercana a la del agua caliente, la superficie negra desprende más calor que la superficie plateada. Pero hay algo más. Algo que los físicos llaman el principio del balance detallado: la igualdad entre la cantidad de energía absorbida y emitida se da también para cada frecuencia o longitud de onda. Es decir, un cuerpo emite y absorbe por igual en cada rango de frecuencias. Si llamamos Kv a la intensidad de la radiación existente a una frecuencia dada, Ev a la emitida por unidad de área de superficie en una unidad de tiempo a esa frecuencia y av al coeficiente de absorción correspondiente, se tiene la siguiente expresión:
av∙Kv = Ev
Como Kv es la intensidad de la radiación dentro de la cavidad, por la misma razón que hemos citado anteriormente, no puede depender de la naturaleza de las paredes. Por tanto, llegamos a la conclusión de que el cociente
Kv = Ev/av
es una cantidad que solo depende de la temperatura de la cavidad y, ahora, de la frecuencia de la radiación en cuestión.
Esta conclusión es de capital importancia en nuestra historia. La función Kv es una función que no está relacionada con la naturaleza concreta de la sustancia de la que están hechas las paredes de la cavidad, es decir, es una función universal que solo depende de la naturaleza de la radiación térmica. A este respecto, Max Planck, en su discurso de aceptación del premio Nobel en junio de 1920, dijo lo siguiente:
Gustav Kirchhoff demostró que el estado de la radiación térmica en el interior de una cavidad delimitada por una sustancia, de cualquier naturaleza, que la absorba y la emita, a una temperatura uniforme, es totalmente independiente de la naturaleza de la sustancia. Se demostró así la existencia de una función universal la cual dependía solo de la temperatura y la longitud de onda (equivalentemente de la frecuencia), pero en ningún modo de las propiedades de sustancia alguna. Y el descubrimiento de esta función extraordinaria prometía una comprensión más profunda de la relación entre la energía y la temperatura que es, de hecho, el problema más importante de la termodinámica, y por tanto, de toda la física molecular.
Pero, ¿cómo medir esa función? Si nos fijamos en la expresión anterior, la intensidad de la radiación Ev emitida por un cuerpo que cumpla av = 1 coincide con la intensidad de la radiación en equilibrio con él, Kv. Pero esta es precisamente la condición de cuerpo negro de la que estuvimos hablando en el primer capítulo: un cuerpo que absorbe toda la radiación que le llega a todas las frecuencias.

Gustav Kirchhoff propuso como modelo de cuerpo negro una cavidad cuyas paredes se mantenían a una temperatura constante. La radiación se emitía por un pequeño agujero practicado en la cavidad.
El cuerpo negro perfecto no existe en la naturaleza, pero el propio Kirchhoff sugirió que la radiación emitida por un agujero muy pequeño realizado en una cavidad, cuyas paredes se encuentren a una temperatura dada (véase la figura) sería muy similar a la que emitiría un cuerpo negro a la misma temperatura. La similitud sería tanto mejor cuanto más pequeño sea dicho agujero. Por poner un ejemplo de la vida cotidiana, podríamos decir que Kv es, más o menos, la intensidad de la luz para cada frecuencia que surge de un horno de cocer pizzas cuando abrimos la puerta para sacar una pizza ya horneada.
Herr Professor PlanckUna jornada normal de Max Planck durante gran parte de su vida consistía en la siguiente sucesión de actividades: escribir y dar clases por la mañana, tomar el almuerzo, descansar un rato, tocar el piano, dar un paseo y atender la correspondencia. Entre sus aficiones también se encontraba el montañismo; a la edad de setenta y nueve años fue capaz de subir a un pico de 3674 m, el Grossvenediger. Desde 1890 hasta 1927, cuando ya contaba setenta y dos años, estuvo dando clases en la Universidad de Berlín. Daba cuatro lecciones semanales y supervisaba una clase de problemas. Se encargaba de un ciclo completo, que duraba tres años. El ciclo constaba de mecánica, hidrodinámica, electrodinámica, óptica, termodinámica y teoría cinética: cada una de las disciplinas ocupaba un semestre, Planck dominaba todas las ramas de la física de su tiempo.
«Extraordinaria claridad»
El físico indio Satyendra Nath Bose (1894-1974), del que hablaremos más adelante, tuvo ocasión de asistir a sus clases en Berlín: «Después de atender a las lecciones de Planck supe lo que significa la física como un todo unificado, en el cual toda la materia se desarrolla desde un punto de vista unitario y con el mínimo posible de suposiciones». Lise Meitner también asistió a las clases de Planck; ella llegó a pertenecer al círculo íntimo de su profesor y tuvo ocasión de conocer su lado más amable: «Las clases de Planck, con su extraordinaria claridad, me parecieron al principio un poco impersonales, casi secas. Pero comprendí muy pronto lo poco que mi primera impresión tenía que ver con la verdadera personalidad de Planck».
La labor pedagógica de Planck no se limitaba a sus clases. Su Tratado de termodinámica sigue siendo libro de consulta en muchas facultades. Además escribía ensayos y artículos para el gran público.
Planck leyendo en su despacho en 1908, cuando impartía clases en la Universidad de Berlín.
Cuanto más grande sea el horno y más pequeña la puerta, más se parecerá la radiación percibida a la de un cuerpo negro.
§. Los osciladores de Planck
Siendo ya catedrático en Berlín, y habiendo ingresado en la prestigiosa Academia de Ciencias de Berlín, Planck inició en 1894 el estudio de la radiación de cuerpo negro. Sin duda le animó a ello el que los físicos del cercano Instituto Imperial de Física y Tecnología estaban en condiciones de medir la distribución espectral de la radiación de cuerpo negro, es decir, la forma en que la intensidad de la radiación de un cuerpo negro varía con la frecuencia. Planck, que según confiesa en su autobiografía siempre había visto la búsqueda de lo Absoluto como la tarea más bella de un investigador, abordó el estudio de este fenómeno, regido, como hemos visto, por una ley universal, con un fervor casi religioso.
Otro aspecto nada desdeñable del problema atraía a Planck. Si encendemos un horno de leña para hacer una pizza, inicialmente no hay equilibrio térmico. Las paredes están frías y es preciso ventilar bien la leña para que alcance la temperatura deseada. Al cabo de un cierto tiempo, bastante largo en los buenos hornos, se alcanza un equilibrio, en el que la temperatura interior es uniforme y no cambia en el tiempo. Es el momento de comenzar a cocinar. En ese momento la radiación térmica que llena la cavidad está en equilibrio con las paredes, que absorben tanta radiación electromagnética como emiten. El proceso que nos lleva desde la situación inicial a la de equilibrio es un proceso irreversible, como el de mezclar dos vasos a diferente temperatura. Como en este caso se trata, en parte, de un proceso electrodinámico, y la teoría de Maxwell es una teoría de campo, en la que el campo electromagnético llena de modo continuo toda la cavidad, Planck albergaba la esperanza de poder alcanzar alguna conclusión sobre los procesos irreversibles sin tener que recurrir ni a la hipótesis atómica ni a la interpretación estadística de la entropía. Aquí Planck actuaba claramente influenciado por las tesis antiatomísticas de los energetistas y esperaba demostrar que la interpretación de Boltzmann era, cuando menos, innecesaria.
Los primeros pasos de Planck se encaminaron a comprender bien el proceso de radiación y absorción de radiación por un oscilador. Podemos imaginar los osciladores de Planck como una carga positiva y otra negativa unidas elásticamente por un muelle. Estos osciladores podían tanto emitir radiación electromagnética como recibirla. La situación es similar a la de la boya o flotador que usan los pescadores para saber si un pez ha picado el anzuelo. Cuando el pez pica la boya oscila, generando pequeñas ondas en el agua. Cuando, por el contrario, llega una ondulación la boya se mueve a su ritmo, es decir: la boya es capaz tanto de generar ondas como de moverse debido a estas; puede tanto emitir ondas como absorber energía de ellas.

En la cavidad ideada por Planck como modelo de cuerpo negro las paredes están recubiertas de osciladores cargados eléctricamente. La radiación escapa por una pequeña abertura.
Como la función de Kirchhoff era independiente de la naturaleza de la sustancia con la que la radiación interaccionaba, Planck imaginó las paredes de la cavidad llenas de osciladores de todas las frecuencias posibles (véase la figura), y que eran lo suficientemente simples como para poder calcular al detalle su dinámica. Si las cosas iban bien, al final de los cálculos cualquier característica particular de los osciladores desaparecería, quedando solo su frecuencia.
La cantidad de energía radiada y absorbida por un oscilador de este tipo podía calcularse con relativa facilidad gracias a los trabajos en electromagnetismo realizados por Heinrich Hertz a finales de la década de 1880. Así, Planck constató que en el equilibrio, cuando el oscilador absorbe tanta energía como emite por unidad de tiempo, la energía promedio por unidad de volumen y por unidad de frecuencia del campo electromagnético contenido en la cavidad a una frecuencia dada v, uv, está relacionada con la energía mecánica promedio del oscilador Uv por la relación:

donde c es la velocidad de la luz. Técnicamente a la magnitud u se la denomina densidad de energía por unidad de frecuencia o densidad de energía espectral. La energía radiada por la cavidad, Kv, que es lo que se puede medir en el laboratorio, es proporcional a esta cantidad según la fórmula:
Kv = c/4∙uv
Para satisfacción de Planck, en la relación entre la energía del oscilador y la del campo electromagnético las características físicas del oscilador, como sucede también con su carga o con su masa, son irrelevantes. Los dos únicos elementos que sí aparecen en dicha relación son la frecuencia y la velocidad de la luz, que resulta ser una constante universal. A principios de 1897 Planck pensaba que la radiación de sus osciladores podía ser el paso hacia una comprensión electrodinámica de la irreversibilidad. Pero a mediados de 1897, Boltzmann presentó a la Academia Prusiana de Ciencias una breve comunicación en la que criticaba dicha línea de investigación. La clave de su crítica radicaba en que las ecuaciones de Maxwell son tan reversibles como las de Newton. Toda solución de dichas ecuaciones con el tiempo hacia delante lo es también con el tiempo hacia atrás. Si Planck quería buscar la irreversibilidad la tenía que buscar en otra parte, y Boltzmann le indica dónde debía hacerlo: «Al igual que se ha hecho en la teoría de los gases, también se podría determinar el estado más probable de la radiación».
Es decir, Boltzmann le recomendaba que siguiera sus propios métodos: los de la teoría molecular del calor y la interpretación probabilística del segundo principio.
Planck encajó deportivamente la crítica realizada por Boltzmann, que era, por otra parte, inapelable. Así que cambió de rumbo y se volvió hacia un terreno que dominaba muy bien: la entropía. La relación entre la energía de los osciladores y la de la radiación era sumamente valiosa.
El problema de partida era encontrar cómo se relacionaba la energía de la radiación con la temperatura y la frecuencia de la radiación. Pero ni Planck ni nadie sabía qué entropía había que asignar a la radiación. La relación encontrada entre la energía de los osciladores y la de la radiación permitía olvidarse de esta última y centrar la búsqueda en la entropía de los osciladores. Esa sería la próxima parada de Planck, que entre 1897 y 1900, además, estudió a fondo los trabajos de Boltzmann.
Los experimentos con ondas de HertzEl alemán Heinrich Hertz, demostrando la validez de la teoría de Maxwell, produjo en su laboratorio ondas electromagnéticas de una longitud de onda mucho más larga que la de la luz, y demostró que esas ondas tenían las mismas propiedades que la luz: se propagaban a la misma velocidad, viajaban en línea recta, se reflejaban y, como la luz, podían polarizarse. Para generar las ondas, Hertz utilizaba un circuito oscilante: dos bolas conductoras unidas por un cable cortado.
Al aplicar una gran diferencia de potencial entre las bolas, mediante una batería o una pila voltaica unida a una bobina de inducción, se provocaba un cortocircuito y saltaba una chispa entre los dos trozos del cable, lo que unía eléctricamente las dos bolas. Se producía a partir de entonces una oscilación de la carga eléctrica que iba y volvía de una bola a otra. Este oscilador generaba un tren de ondas cuyas líneas de campo eran similares a las originadas por un oscilador eléctrico, como se muestra en la figura:
Hertz desarrolló también, como solución de las ecuaciones de Maxwell, el modelo teórico que correspondía a su oscilador. Con él pudo calcular las líneas de campo que aparecen en la figura y comprobar que se ajustaban a los hechos. La expresión de la energía radiada por el oscilador de Hertz fue utilizada por Max Planck en sus estudios sobre la radiación de cuerpo negro.
§. Wien entra en escena
Wilhelm Wien (1864-1928) había nacido en Prusia Oriental y era un poco más joven que Planck. Trabajó a las órdenes de Helmholtz y después se incorporó al Instituto Imperial de Física y Tecnología, situado en las proximidades de Berlín. Allí se interesó, a finales de siglo, por el problema de la radiación de cuerpo negro. Wien hizo dos grandes contribuciones a este respecto, por las que recibió, en 1911, el premio Nobel de Física.
La primera contribución de Wien fue demostrar que la intensidad de la radiación emitida por un cuerpo negro Kv no dependía de la frecuencia y la temperatura de manera independiente, sino a través de una combinación de ambas, en la que se conoce actualmente como ley del desplazamiento de Wien. Según esta ley, a medida que aumentamos la temperatura la longitud de onda de la energía radiada se desplaza hacia longitudes de onda más cortas. Wien daba así una explicación teórica a un fenómeno que puede constatarse a simple vista: la luz que proviene de los cuerpos incandescentes se desplaza desde el rojo hacia el otro extremo del arcoíris a medida que se calientan, como en el caso de un horno de gas. En la tabla siguiente se muestra la longitud de onda que hace máxima la radiación a distintas temperaturas, del cero casi absoluto a la de la superficie de una estrella:

La ley de desplazamiento de Wien fue corroborada sistemáticamente por las medidas experimentales y sirvió de guía a Planck en su búsqueda de la distribución espectral de la radiación de cuerpo negro, ya que cualquier función que se propusiera debía cumplirla. La segunda gran contribución de Wien fue una expresión para dicha distribución espectral que se ajustaba muy bien a los datos experimentales por entonces conocidos, aunque no sipo ofrecer para ella una deducción teórica satisfactoria. Esta expresión dictaba que la intensidad de la radiación térmica decaía exponencialmente con su frecuencia, y por ello a menudo se la conoce como ley exponencial de Wien.
Justo antes del año 1900, la posición de Planck y el estatus del problema de la radiación de cuerpo negro se podían resumir en los siguientes puntos:
- Existía una función universal, cuya existencia había demostrado Kirchhoff, para la forma en que la intensidad de la radiación térmica a una temperatura dada dependía de la frecuencia de la radiación. Esta función era independiente de las propiedades particulares de la materia radiante y, en concreto, se correspondía con la intensidad radiada por un cuerpo negro perfecto.
- Planck había ideado un cuerpo negro modelo: una cavidad cuyas paredes estaban llenas de osciladores eléctricos de todas las frecuencias. Estos osciladores absorbían y emitían ondas electromagnéticas de acuerdo con las leyes de Maxwell.
- Wien había encontrado su ley de desplazamiento: la longitud de onda a la que se radia con mayor intensidad es inversamente proporcional a la temperatura del cuerpo negro.
- Wien había propuesto, además, una forma particular para la ley universal de Kirchhoff en la que la intensidad decaía exponencialmente con la frecuencia de la radiación. Esta ley exponencial expuesta por Wien se ajustaba a los experimentos, pero no existía para ella una deducción teórica satisfactoria.
- Planck se había familiarizado con los métodos estadísticos de Boltzmann a raíz de la crítica que este había realizado de las primeras ideas de Planck sobre la radiación de cuerpo negro.
Con estos elementos en mente estamos en disposición de abordar los momentos clave del descubrimiento del cuanto de energía.
Ley de desplazamiento de WienWien demostró que la distribución espectral de la radiación de un cuerpo negro (Kv) no depende de la frecuencia v y la temperatura T de cualquier manera, sino que lo hace de la siguiente forma:
donde F es una función solo de v/T. Para encontrar esta ley Wien utilizó tanto argumentos electromagnéticos como termodinámicos. De manera similar a como se suele hacer con los gases en termodinámica, Wien consideró la radiación encerrada en un cilindro por el que puede moverse un pistón:
El cilindro está lleno de radiación térmica y la pared del pistón es completamente reflectante. El volumen de la cavidad así formada tiene una densidad de energía electromagnética, uv(T), de forma que la energía electromagnética total contenida es esta función multiplicada por el volumen del cilindro. Si desplazamos el pistón a una cierta velocidad v, el efecto Doppler hará que la radiación que refleja el pistón sea de una frecuencia un poco diferente a la de la radiación que incide sobre él. El efecto Doppler consiste en el cambio en la frecuencia de una onda debido al movimiento del emisor, y cabe recordar aquí que el sonido es una onda, al igual que la radiación electromagnética. Si un tren se acerca hacia nosotros oímos su pitido más agudo porque los frentes de onda se comprimen y aumenta el número de estos por unidad de tiempo que percibimos, es decir, aumenta la frecuencia del sonido que oímos. Si el tren se aleja, oímos un pitido más grave. En el caso del pistón, si se mueve hacia adentro la frecuencia de la luz reflejada será un poco mayor que la de la luz incidente. Haciendo el balance de energía entre antes y después de un pequeño desplazamiento del pistón, y utilizando varias consideraciones termodinámicas, se obtiene la ley arriba expresada. A partir de aquí, se puede concluir que la longitud de onda a la que se produce el máximo de radiación, λmax, y la temperatura del cuerpo negro están relacionadas por la ecuación:
λmax∙T= constante = 2, 898 mm K
Este tuvo lugar, de forma muy simbólica, justo en el cambio de siglo.
§. Rubens visita a Planck
El Instituto Imperial de Física y Tecnología fue fundado en 1887 a instancias de Werner Siemens. Este fue una especie de Edison alemán: inventó y patentó varios aparatos eléctricos y fundó su propia compañía con la que ganó una fortuna. El instituto se construyó muy cerca de Berlín y su objetivo era el estudio de problemas de física que tuvieran importancia industrial. En concreto era objetivo del instituto el desarrollo de patrones de unidades, algo que era, y sigue siendo, de capital importancia para la industria.
En el instituto se creó un laboratorio de óptica que disponía del más moderno equipamiento. Y a la cabeza de este laboratorio estaba Otto Lummer (1860-1925), un físico experimental de gran ingenio que había sido alumno de Helmholtz. Lummer formaba parte del instituto desde su creación y se concentró en la creación y perfeccionamiento de aparatos de medida de la radiación tanto visible como infrarroja.
Uno de los problemas que interesaba a la industria alemana era el establecimiento de un patrón de intensidad lumínica. Se fabricaban masivamente lámparas, tanto eléctricas como de gas, y se hacía necesario establecer una unidad que fuera aceptada internacionalmente. El interés por la radiación de cuerpo negro nace de aquí: al ser la radiación de cuerpo negro independiente de la naturaleza del material con que estuviera construido y depender solo de la temperatura, como había demostrado Kirchhoff, podía ser considerada como un patrón universal.
Una de las primeras contribuciones de Lummer en el instituto fue el desarrollo, junto con su colaborador Eugen Brodhun (1860-1938), de un fotómetro. Se trata de un aparato destinado a medir la intensidad luminosa de una fuente. El aparato de Lummer-Brodhun medía esta intensidad comparando la luz de la fuente en cuestión con la de una fuente conocida. Ello se hacía dirigiendo los dos haces, el de la fuente conocida y el de la fuente a medir, hacia dos superficies diferentes. Un juego de prismas superponía, a voluntad del experimentador, las dos superficies de forma que se podía determinar cuál era más brillante. Alejando o acercando de forma controlada la fuente conocida se podía determinar la intensidad de la fuente a medir. Pero el fotómetro de Lummer-Brodhun no era suficiente para estudiar la distribución espectral de la radiación de un cuerpo negro. Como ya hemos visto, la mayor parte de la radiación térmica se emite en la región del infrarrojo y es, por lo tanto, invisible para nosotros.
El patrón de intensidad luminosaLos estudios del Instituto Imperial de Física y Tecnología sobre la radiación de cuerpo negro tenían un objetivo práctico: el establecimiento de un estándar de intensidad luminosa. A finales del siglo XIX y principios del XX había diversos patrones basados en lámparas de llama o incandescentes de un diseño o composición específicos. Por ejemplo, la candela inglesa era la intensidad luminosa que proporcionaba una vela de cera de esperma de ballena de un sexto de libra de peso y que se quemaba al ritmo de 120 granos por hora. Cada país, o grupo de países, tenía su propia definición.
La luminosidad de un cuerpo negro
Las investigaciones experimentales y los resultados teóricos de Planck dieron sus frutos y en 1948 se abandonaron los anteriores patrones en favor de una nueva definición internacional de la candela. La luminancia de la radiación de un cuerpo negro a la temperatura de solidificación del platino es de 60 candelas por centímetro cuadrado. Debido a las dificultades experimentales que supone la creación de un auténtico cuerpo negro y a los avances en óptica y radiometría, en 1979 se adoptó una nueva definición internacional de candela: «La candela es la intensidad luminosa, en una dirección dada, de una fuente que emite una radiación monocromática de frecuencia 540×1012 Hz y cuya intensidad energética en dicha dirección es de 1/683 vatios por estereorradián». Para hacemos una idea práctica, una vela tiene una intensidad luminosa cercana a una candela, mientras que una bombilla de 40 W la tiene de unas decenas de candelas.
En colaboración con Ferdinand Kurlbaum (1857-1927), también miembro del instituto y también antiguo alumno de Helmholtz, Lummer desarrolló en torno a 1892 una versión mejorada del bolómetro, un instrumento conceptualmente idéntico al fotómetro pero que en este caso mide la intensidad de la radiación electromagnética que incide sobre él con independencia de si esta es visible o no.
Por otro lado, Lummer y Wien publicaron un artículo conjunto en 1895 en el que analizaban las posibles técnicas empleadas para construir un cuerpo negro modelo. Hasta entonces los físicos experimentales habían intentado usar diversas superficies ennegrecidas, pero se hacía evidente que no radiaban conforme a un cuerpo negro, es decir, con igual eficacia a todas las frecuencias. Wien y Lummer llegaron a la conclusión de que la mejor manera de construir un cuerpo negro era usar una cavidad con un agujero. El mismo Lummer se sorprendió de que este camino no hubiera sido explorado antes experimentalmente, ya que había sido sugerido por el propio Kirchhoff casi cuarenta años antes (y por Boltzmann poco después).
Los primeros modelos de cavidades radiantes fueron esferas de porcelana, adecuadamente agujereadas y cuya superficie interior estaba cubierta de hollín. La esfera se sumergía en un líquido a temperatura controlada. Consiguieron de ese modo cubrir un rango de temperaturas que iba desde -188 hasta 1200 grados centígrados.
En 1898, Lummer y Kurlbaum diseñaron y construyeron un cuerpo negro alimentado eléctricamente. La alimentación eléctrica, de hasta 100 amperios, permitía alcanzar 1500 grados centígrados. Con esta cavidad y con su bolómetro Lummer y Pingsheim encontraron las primeras desviaciones de la ley exponencial de Wien. Las desviaciones aparecían en longitudes de onda larga, en el infrarrojo.
En el verano de 1900 Kurlbaum y Heinrich Rubens (1865-1922), profesor de física de la Universidad Técnica de Berlín, realizaron medidas aún más precisas de la distribución espectral y obtuvieron resultados claramente discordantes con la distribución predicha por Wien.

Resultados de Rubens y Kurlbaum para la intensidad de la radiación de cuerpo negro a 51,2 mieras en función de la temperatura. Estos se ajustaban a la ley de Raleigh, mientras que la de Wien no se cumplía.
El domingo 7 de octubre de 1900, Rubens y su esposa visitaron a los Planck en su casa de Berlín. Rubens contó a Planck sus progresos. Para longitudes de onda larga, la ley de Wien no se cumplía y, sin embargo, las medidas se ajustaban a la ley propuesta por Rayleigh, de la que hablaremos en el próximo capítulo. Cuando Rubens y su esposa se fueron, Planck se debió de retirar a su despacho. Probablemente fuera esa misma tarde cuando encontró la ley que le daría fama universal. Planck no la dedujo a partir de primeros principios, sino que simplemente añadió un término más, a modo de prueba, a una relación que había encontrado previamente para la entropía de su sistema de osciladores.
Al día siguiente, Planck envió a Rubens una postal con la fórmula que había deducido:

Unos días más tarde, Rubens visitó de nuevo a Planck para comunicarle que su fórmula se ajustaba perfectamente a las medidas experimentales.
§. Una suposición meramente formal: 𝜀 = hv
Planck se lanzó inmediatamente a la tarea de fundamentar teóricamente su ley. Fueron dos meses de arduo trabajo que culminaron con la presentación de una ponencia en la reunión de la Sociedad de Física de Berlín del 14 de diciembre de 1900, fecha considerada por muchos como la del nacimiento de la física cuántica. En su exposición Planck comentó que había encontrado dos formas alternativas, aunque similares, de demostrar su ley. En ambas introducía la hipótesis cuántica.
A continuación expondremos las ideas fundamentales de una de las deducciones que Planck realizó de su ley de la radiación de cuerpo negro, y que apareció publicada en los Annalen der Physik en el año 1901. El punto de partida es la relación entre la energía de un oscilador Uv y la densidad de energía del campo electromagnético uv con el que está en equilibrio:

El problema consiste ahora en encontrar la energía Uv de un oscilador como función de la frecuencia y la temperatura. Para ello Planck recurrió a la interpretación probabilística de la entropía propuesta por Boltzmann: en concreto, a la ecuación que relaciona la entropía S de un sistema con su probabilidad Ω:
S = k ln Ω
Para calcular Ω hay que saber cuántas configuraciones posibles tiene el sistema dada una energía total del conjunto de osciladores. Para contar las configuraciones Planck utilizó un artificio que consistía en suponer que la energía se dividía en elementos discretos de valor e. Para que se cumpliera la ley de desplazamiento de Wien, Planck se vio obligado a precisar que dichos elementos de energía, como los bautizó, debían ser proporcionales a la frecuencia v, según la expresión:
ε = hv
Estos elementos discretos de energía acabarían llamándose cuantos, mientras que la expresión anterior recibió el nombre de hipótesis cuántica. El signo h denota una constante de valor 6,62606957(29)∙1034 J/Hz que se conoce en la actualidad como constante de Planck.
A partir de ahí, el segundo principio de la termodinámica permite usar la entropía para calcular la relación entre la energía y la temperatura. Tras ciertas transformaciones matemáticas Planck obtuvo finalmente:

Esta es la misma fórmula que Planck había propuesto en octubre. La única diferencia es que proporciona expresiones precisas para las dos constantes, c y a, que aparecían en su ley. Los valores son c = 8𝜋h/c3 y a = h/k, que relacionan las dos constantes con otras tales como la velocidad de la luz c o la constante de Boltzmann k. Es muy notable la aparición de esta última, procedente de la definición de la entropía. En el último capítulo discutiremos algunas de las importantísimas consecuencias de estas relaciones entre las diversas constantes.
Repasemos los elementos conceptuales que conforman la demostración de Planck:
- La electrodinámica proporciona la relación entre la energía mecánica de un oscilador y el campo electromagnético con el que se encuentra en equilibrio. Esta relación se obtiene de suponer que el oscilador absorbe del campo tanta energía como radia. Como era de esperar, la relación entre ambas no depende de características físicas del oscilador tales como su carga o su masa. Solo son relevantes la frecuencia y una constante universal: la velocidad de la luz. Ello es conforme a la ley de Kirchhoff, según la cual la distribución espectral de la radiación no puede depender de las características físicas de la sustancia de la que están hechas las paredes de la cavidad.
- El segundo principio de la termodinámica permite obtener la relación entre la energía y la temperatura a partir de la expresión de la entropía.
- Y, finalmente, la interpretación probabilística de la entropía de Boltzmann permite calcular la entropía del conjunto de osciladores.
A estos factores Planck añadió una hipótesis adicional, la hipótesis cuántica, que resultaba necesaria para alcanzar la ley que se había probado correcta de forma empírica. Conviene hacer notar aquí que cada oscilador puede absorber o emitir energía de la radiación en una cantidad proporcional a v. Cuando un oscilador absorbe o emite radiación electromagnética, su energía aumenta o disminuye en una cantidad hv. Además, la energía de los osciladores está cuantizada. La energía de un oscilador de frecuencia v solo puede tener ciertos valores que son hv, 2hv, 3hv..., nhv.
De todos estos elementos, el más destacable, a ojos de Planck, no debió de ser la hipótesis cuántica, sino la necesidad de recurrir a la interpretación probabilística de Boltzmann. Hay que tener en cuenta que tanto la electrodinámica como la termodinámica estaban bien establecidas a finales de siglo, pero las ideas de Boltzmann eran muy discutidas, especialmente en Alemania. Planck fue, de hecho, el primero de los físicos, aparte del propio Boltzmann, que aplicó estos métodos. Que llegaran a buen puerto fue sin duda una agradable sorpresa para Planck. La hipótesis cuántica quedaba, en comparación, en un segundo plano. Como hemos visto, Planck se vio forzado a introducirla para alcanzar el resultado deseado, que no era otro que la ley que ya había encontrado unos meses antes y cuya validez experimental había comprobado minuciosamente su amigo Rubens. Solo la hipótesis cuántica hacía que el cálculo de probabilidades de los diferentes estados del sistema de osciladores diera el resultado esperado.
Si algunos artículos de Einstein (1879-1955) o Schrödinger (1887-1961) se podrían comparar con una composición de Mozart, llenos de inspiración pero con una aplastante lógica interna, el artículo de Planck, publicado en 1901 en los Annalen der Physik, parece una pieza de jazz y la fórmula que se encuentra en él por primera vez en la historia, ε = hv, una genial improvisación.
En una carta a R. W. Wood treinta años más tarde Planck reflexiona sobre este trabajo y califica lo que había hecho de un «acto de desesperación».
Había estado peleándome con el problema del equilibrio entre la materia y la radiación durante seis años (desde 1894) sin ningún éxito; sabía que el problema era de una importancia fundamental en física; conocía la fórmula que reproducía la distribución espectral de la energía; tenía que encontrar una interpretación teórica a cualquier precio, no importa lo alto que fuese.
Cuando se vio forzado a admitir la relación ε = hv, la contempló como una suposición puramente formal y no pensó demasiado en ella. Lo importante era que le había llevado a la expresión que buscaba. En los años que siguieron, varios físicos llamaron la atención sobre las consecuencias radicales de esa, aparentemente inocente, suposición.
Deducción matemática de la ley de PlanckPara calcular la entropía de un conjunto de osciladores de una frecuencia determinada S = k lnΩ es preciso calcular el número de configuraciones posibles Ω. Este vendrá dado por todas las formas en que podemos repartir los P elementos de energía de valor ε entre los N osciladores. Representemos los elementos de energía con círculos, y los límites de los elementos que corresponden a un oscilador con cruces. Podemos escribir una configuración cualquiera de esta forma:
Este ejemplo significa que en el primer oscilador hay tres elementos de energía, en el segundo uno, en el tercero tres, en el cuarto dos, y así sucesivamente. El número de configuraciones total posible lo da la combinatoria y resulta:
En cada cadena tenemos N + P - 1 símbolos. El factorial del numerador aparece porque da todas las posibles combinaciones de cruces y círculos. Los factoriales del denominador aparecen porque el orden en que estén los círculos o las cruces no es relevante, ya que osciladores y elementos de energía son indistinguibles. Planck recurrió entonces a una conocida aproximación, la aproximación de Stirling, según la cual ln n! = n ln (n) - n. Y como N y P son mucho mayores que 1, la entropía resulta ser entonces:
Haciendo uso de UN = P 𝜀, e introduciendo la energía media de cada oscilador, de forma que UN = NU, Planck llegó a:
Para que la expresión de la energía que se obtenga de esta expresión esté de acuerdo con la ley de desplazamiento de Wien, Planck demostró que S debe ser solo función del cociente U/v. Ello obliga a introducir la hipótesis ε = hv, donde h es una constante llamada hoy constante de Planck. Con ella se obtiene:
La segunda ley de la termodinámica proporciona la relación entre la energía y la temperatura:
Haciendo la derivada y despejando U se obtiene la energía promedio de un oscilador:
Y usando la relación entre la energía de un oscilador y la del campo electromagnético con el que está en equilibrio se llega a:
que es la distribución espectral de la energía que Planck había encontrado previamente de manera empírica.

El Instituto Imperial de Física y Tecnología, situado en el barrio de Charlottenburg en Berlín. En sus laboratorios se llevaron a cabo las investigaciones experimentales sobre la radiación de cuerpo negro que llevaron a Planck a formular la hipótesis cuántica.

Heinrich Rubens, profesor del Instituto Imperial de Física y Tecnología, en su laboratorio. Midió con enorme precisión la intensidad de la radiación de cuerpo negro en el infrarrojo. Sus investigaciones influyeron decisivamente en el trabajo de Planck.
§. Comienzan las desgracias
Los primeros años del siglo XX fueron los más felices en la vida de Planck. Amaba a su mujer, Marie Merck (1861-1909), y a sus hijos, Karl, Grete, Emma y Erwin. Gozaba, además, de una excelente reputación como científico y profesor y su casa era lugar de encuentro de músicos, científicos, estudiantes e intelectuales en general. Además vivía holgadamente gracias a sus ingresos como profesor y escritor, a los que había que añadirles ayudas puntuales de su acaudalado suegro. Sin embargo, todo este maravilloso mundo empezó a tambalearse a partir de la muerte de su mujer en 1909. Aunque se casó de nuevo al poco tiempo, las desgracias personales se irían sucediendo a partir de ese momento con una trágica monotonía.
En 1917, su hija Grete murió a la semana de dar a luz. Su hermana Emma se hizo cargo del bebé. La relación de amistad que unía a Emma con su cuñado se convirtió en algo más, y ella acabó casándose con el viudo en enero de 1919. En diciembre de ese mismo año, Emma dio a luz a otra niña, pero, como le había ocurrido a su hermana dos años antes, murió a consecuencia del parto. Planck, que ya había perdido a su hijo Karl durante la guerra, quedó abrumado por tanta desgracia.
Einstein, en una carta a Max Born, cuenta el dolor que sintió cuando vio a Planck poco después de la muerte de Emma y cómo no pudo reprimir las lágrimas. Ante la muerte de su segunda hija Planck escribió en una carta dirigida a su colega Runge:
Todavía hay muchas cosas preciosas sobre la Tierra y grandes cosas por hacer, y el valor de la vida está determinado al final por la forma en que es vivida. Así que uno vuelve una y otra vez a su deber de seguir adelante y mostrar a sus seres más queridos el mismo amor que uno quisiera experimentar para sí mismo.
La segunda esposa de Planck, Marga von Hoesslin (1882-1948), fue de enorme apoyo en las duras pruebas a las que iban a ser sometidos por las dos guerras mundiales. En una carta que Marga escribió a Einstein en 1948 podemos leer: «Él [Planck] solo se mostraba completamente en todas sus cualidades humanas en familia». Con Marga Planck tuvo a su quinto hijo: Hermann. Su matrimonio, la educación de sus dos nietas, en la que se implicó personalmente, y la estrecha relación que desarrolló con su hijo Erwin ayudaron a Planck a superar las adversidades. Pero no menos determinantes fueron su fe religiosa y su sentido inquebrantable del deber.
§. La Primera Guerra Mundial: del manifiesto de los 93 a la abdicación de Guillermo II
Alemania invadió Bélgica el 4 de agosto de 1914. Max Planck, entonces ya rector de la Universidad de Berlín, acogió con entusiasmo el inicio de la guerra. Una ola de patriotismo recorría el país y la mayoría de los científicos e intelectuales alemanes no fueron ajenos a ella. Tanto es así que respondieron con un manifiesto a las acusaciones de las potencias aliadas de que los alemanes habían cometido brutalidades en la invasión de Bélgica. El manifiesto, publicado el 4 de octubre de 1914, llevaba el título de «Llamamiento al mundo civilizado», pero fue conocido como Llamamiento o Manifiesto de los 93, ya que iba firmado por 93 intelectuales alemanes. La lista incluía a la mayoría de los grandes científicos alemanes del momento. Además de Planck, firmaban el manifiesto Haber, Klein, Lenard, Nernst, Ostwald, Wien, y un largo etcétera. El manifiesto fue redactado por un escritor de teatro llamado Ludwig Fulda, y, al parecer, no fue leído previamente por Planck ni por algunos otros de los firmantes (lo que no les exime de responsabilidad).
El manifiesto era una fanática declaración de patriotismo con frases como «Guillermo II ha demostrado muchas veces que es el protector de la paz mundial», o «No es verdad que nuestras tropas hayan saqueado brutalmente Lovaina. Se han visto obligadas a tomar represalias contra los habitantes furiosos que los han asesinado traidoramente», o también «Sin el militarismo alemán, la cultura alemana habría desaparecido de la faz de la Tierra hace mucho tiempo».
Planck y sus colegas no podían, o no querían, creer que los mismos jóvenes que hacía unos meses paseaban bulliciosamente por los pasillos de sus universidades hubieran dirigido a las tropas que habían quemado la biblioteca de Lovaina. Sus discursos como rector o como académico y sus cartas del año 1914 a colegas y familiares están impregnados de sentimientos patrióticos y de retórica militarista. En una carta suya a Wien de noviembre de 1914 podemos leer:
Aparte de lo mucho que hay de horrible, hay también una inesperada grandeza y belleza: la solución sin más de las más difíciles cuestiones de política nacional gracias a la unidad de todos los partidos, la exaltación de todo lo que es bueno y noble.
Pero en 1915 Planck fue moderando su discurso y pronto comenzó a expresar en privado sus dudas sobre la pertinencia del Manifiesto de los 93. En esa moderación tuvo mucho que ver la figura de Hendrik Antoon Lorentz (1853-1928), el líder, casi indiscutible, de la física teórica europea de finales del siglo XIX y principios del XX. Lorentz, con quien Planck mantenía una muy buena relación, pertenecía a una nación neutral, los Países Bajos, y dominaba por igual los idiomas de las partes en conflicto: alemán, inglés y francés. Tenía oídos para todos y la sensibilidad suficiente para entender el alcance del sufrimiento que la guerra producía en los dos bandos.
Lorentz hizo ver a Planck, a través de sus cartas, que el ejército alemán, en efecto, se había comportado en Bélgica con brutalidad. Durante 1915 se vieron dos veces, una en Berlín y otra en Leiden, y pudieron intercambiar sus impresiones sobre la guerra. A partir de ahí Planck comenzó a trabajar públicamente en dos direcciones. Por un lado, para hacer ver a sus compatriotas que Alemania tenía también su responsabilidad en la guerra y que no todo lo que concernía a su ejército era glorioso y honorable. Por otro, en procurar que los lazos de cooperación científica internacional no se rompieran del todo. Al fin y al cabo, la guerra debía terminar algún día, y la ciencia seguiría siendo una empresa sin fronteras.
A principios de 1916 Planck envió una carta abierta a Lorentz, con la intención de que este la publicara y la hiciera llegar a destacados científicos de las potencias aliadas. Esta carta supuso para él un resarcimiento público de su error al firmar el Manifiesto de los 93. Y, aunque no sin reticencias por parte de los Aliados, le confirió una imagen de persona moderada y honorable a ambos lados del frente. En la carta Planck explicaba que el sentido del Manifiesto no era otro que la expresión, por parte de los firmantes, del apoyo al ejército alemán al inicio de una guerra que se adivinaba crucial para el futuro de la nación. Que quedaba para la historia analizar los hechos y determinar las culpas. Y que por encima de la guerra y el sufrimiento que esta provocaba había valores morales e intelectuales que superaban las diferencias nacionales.
En el verano de 1915, los alemanes usaron gas venenoso contra las tropas aliadas en la batalla de Ypres, lo que supuso un enfrentamiento abierto entre los científicos alemanes y los ingleses y franceses. Los líderes de la química alemana, con los futuros premios Nobel Fritz Haber (1868-1934) y Otto Hahn (1879-1968) a la cabeza, participaron activamente en la preparación del ataque. En represalia, los franceses expulsaron de sus academias a los nacionales de las potencias centrales. Acciones similares se debatían entre las sociedades inglesas. Planck se opuso a que la Academia Berlinesa de Física y Matemáticas tomara medidas de represalia contra las academias de los países enemigos. Consiguió que la academia aprobara una moción según la cual cualquier decisión al respecto se retrasaba hasta el final de la guerra. Igualmente, dentro de la Universidad de Berlín, Planck se esforzó durante los años de guerra en moderar el discurso de sus colegas y en evitar que se rompieran todos los lazos con el exterior.
Al final de la guerra, cuando el reinado del soberano Guillermo II se descomponía, una carta escrita a Einstein en octubre de 1918 expresa mejor que nada el espíritu, el carácter y la forma de pensar de Planck:
Y aquí hay algo más que veo claramente, y por b que estaría dispuesto a trabajar lo mejor que sé: que sería un gran golpe de fortuna para nosotros, incluso b salvación, si el portador de la corona renunciara voluntariamente a sus derechos. Pero es imposible para mí ir más allá de la palabra «voluntario» en este asunto; porque primero he de ser fiel a mi juramento, y segundo, siento algo que usted no entenderá para nada [...], a saber, piedad y una pertenencia inquebrantable al estado al que pertenezco y que está encarnado en la persona del monarca.
Guillermo II abdicó el 9 de noviembre de 1918. Tras la proclamación de la República de Weimar, Planck dio su apoyo al DVP (Partido del Pueblo Alemán), partido de derechas de marcado carácter nacionalista.
§. Karl muere en Verdún
Karl Planck tenía veinticinco años cuando su padre accedió al rectorado de la Universidad de Berlín. En ese momento Karl no tenía un trabajo fijo y sufría depresiones nerviosas. Max Planck achacaba los problemas de su hijo mayor a un problema generacional. Se trataba de una generación con dificultades para distinguir entre lo que se deseaba y lo que se podía hacer.
Cuando estalló la guerra Karl se incorporó a la Escuela de Artillería, Erwin se fue al frente y sus dos hermanas ingresaron en la Cruz Roja. En ese momento Max Planck estaba imbuido del espíritu patriótico que invadía a casi todos los alemanes. En una carta escrita a su hermana en septiembre de 1914 dice: «¡Qué tiempos gloriosos vivimos! Es un gran sentimiento poder llamarse a uno mismo alemán».
La batalla de Verdún duró casi todo el año de 1916, desde febrero hasta diciembre. Con el frente occidental estancado, el ejército alemán inició en Verdún una ofensiva cuyo objetivo no era tanto la conquista como el desgaste del ejército francés. La batalla se desarrolló de forma similar a otras ofensivas alemanas en el frente occidental. Un comienzo prometedor, la casi derrota del ejército francés, un estancamiento y una recuperación parcial de los franceses. En Verdún perdieron la vida más de doscientos mil hombres. Uno de ellos fue Karl Planck.
Karl murió el 26 de mayo de 1916 de las heridas sufridas en combate. Planck había visto como otros colegas perdían a sus hijos (Walther Nernst, premio Nobel de Química en 1920 y hombre muy cercano a Planck, había perdido uno) pero reconoció que «el sufrimiento que trae la guerra solo hiere realmente cuando uno lo siente en su propio cuerpo». A la pérdida del hijo se unía en este caso que Planck había tenido un mal concepto de Karl antes de la guerra. Su hijo lo había tenido todo para ser lo que hubiera querido y, sin embargo, había sido incapaz de seguir un camino que tuviera valor a ojos de su padre. Pero la llamada a filas y su muerte en la guerra lo cambiaron todo. En una carta Planck reconocía amargamente respecto a su hijo: «Sin la guerra nunca hubiera conocido su valor, y ahora que lo conozco, le he perdido». ¡Cuán lejos quedaban las proclamas patrióticas del inicio de la guerra!
§. Cazador de talentos
Planck apoyó siempre a los mejores científicos de su país y trató de promocionarlos. No solo se preocupó por sus alumnos en Berlín, sino que se implicó personal y activamente en traer a la ciudad a los mejores físicos de habla alemana del momento. Para ello usó entre 1905 y 1930 toda su influencia, desde los diversos cargos de responsabilidad que ocupó. Pero además hay una coincidencia entre todos los implicados en resaltar su buen carácter y amabilidad. Los encuentros en su casa, las veladas musicales, las discusiones científicas, las excursiones a la montaña... todo ello formaba parte de los atractivos que la cercanía a Max Planck ofrecía en esa época.
Tras la muerte de Boltzmann en 1906, Planck estuvo a punto de aceptar una oferta de la Universidad de Viena para sucederle en la cátedra de Física Teórica. El más brillante de los estudiantes de Boltzmann era una mujer, Lise Meitner, que, ante la decisión definitiva de Planck de permanecer en Berlín, decidió mudarse allí para trabajar con él. Cuando Lise llegó a Berlín en 1907, Planck la recibió en su casa y, aunque un poco escéptico al principio por el hecho de ser mujer, le fue dando cada vez más apoyo a medida que fue comprendiendo su extraordinaria valía.
Meitner comenzó a trabajar con Otto Hahn en el Instituto de Química de la universidad al poco de llegar a Berlín (Hahn era también un invitado habitual en casa de los Planck) y entre 1907 y 1938 trabajó intensamente en física nuclear. Hahn, químico, y Meitner, física, hicieron no pocos descubrimientos importantes en esos años. El más importante de ellos, la fisión del núcleo de uranio, llegaría al final de su colaboración, cuando Meitner ya había tenido que abandonar Alemania por su origen judío.
En 1912 Planck nombró a Meitner su asistente, lo que procuró a esta última su primer sueldo como científica. Hasta entonces su trabajo en el Instituto de Química no había tenido reconocido un salario. De hecho era la única científica del instituto y tenía habilitada una puerta en el sótano para que no tuviera que pasar por la puerta principal. Parece que los sesudos científicos no podían concebir una dama científica, y el solo avistamiento de una mujer por los pasillos les distraía de su elevada misión. Unos años después Meitner fue nombrada asociada científica del instituto y comenzó a recibir un sueldo más decente. En 1914 recibió una generosa oferta de la Universidad de Praga. Y de nuevo Planck actuó de forma decisiva, convenciendo al director del instituto, Fischer, para que doblara el sueldo de Meitner.
En 1918 Meitner y Hahn descubrieron el protactinio. En 1919 Meitner fue nombrada Professor, es decir, catedrática, siendo, probablemente, la primera mujer que alcanzó este título académico en Alemania.
Planck y Meitner siguieron estando siempre muy unidos; de hecho, Planck la persuadió para permanecer en su puesto a pesar de las leyes racistas de los nazis. Meitner aguantó hasta 1938 y entonces tuvo que exiliarse, no sin riesgo para su persona ya que, para entonces, marcharse se había convertido en una tarea muy complicada. De no haber sido por Planck, a buen seguro que Meitner se hubiera exiliado unos años antes.
Lise Meitner y la fisión del uranioCuando Lise Meitner huyó de Alemania, estaba realizando, junto con Otto Hahn y Fritz Strassmann, experimentos con uranio, concretamente bombardeándolo con neutrones.
Lise Meitner y Otto Hahn trabajando en su laboratorio.Trataban de reproducir los experimentos que había hecho Enrico Fermi y que, según este, conducían a la creación de nuevos elementos transuránicos. Una vez a salvo en Estocolmo, Meitner recibió una carta de Hahn, fechada el 19 de diciembre de 1938, en la que le hacía partícipe de los últimos resultados: entre los restos del uranio irradiado habían encontrado una sustancia que inicialmente tomaron por radio, pero que, sin duda, era bario radiactivo.
El peso atómico del uranio es 238 y el del bario 137. La conclusión de que, efectivamente, se producía una escisión del uranio era inevitable. Lise Meitner fue a visitar a su sobrino, el también físico Otto Frisch, que se encontraba de vacaciones navideñas en Suecia. Le enseñó la carta de Hahn y se fueron a dar un paseo por la nieve.
La chispa de la bomba atómica
Este paseo es un episodio mítico de la física del siglo XX. Se pararon junto a un tronco, Meitner sacó un lápiz y unos trozos de papel, y se puso a hacer cálculos. Los cálculos mostraron que la fisión no solo era posible sino que, de acuerdo con la fórmula de Einstein E = mc2, en ella se liberaba una ingente cantidad de energía. Unos días más tarde Frisch se reunió con Niels Bohr y le contó los resultados del cálculo que él y su tía habían realizado. Bohr comprendió inmediatamente la trascendencia del descubrimiento. Ese mismo mes de enero Bohr se embarcó hacia Estados Unidos y llevó consigo la noticia de la fisión nuclear. A partir de ahí se inició la carrera por controlar la energía nuclear. Años más tarde, acabada la guerra, Lise Meitner viajó a Estados Unidos invitada por diversas universidades y centros de investigación. La prensa sensacionalista se inventó la historia de que había huido de Alemania con el secreto de cómo se fabricaba la bomba atómica y que había pasado esta información a los Aliados. Incluso en Hollywood le ofrecieron hacer una película sobre el supuesto episodio, oferta que Meitner declinó muy gráficamente: antes de dar su consentimiento a que se hiciera la película, respondió, preferiría pasear desnuda por Broadway.
Otro ejemplo de las actividades de Planck para captar talentos para la ciencia alemana es el mismísimo Einstein. Nada más leer los artículos que Einstein publicó en 1905 acerca de, entre otros, el efecto fotoeléctrico y la relatividad restringida, Planck prestó suma atención al joven científico. En 1913 Walther Nernst y Max Planck fueron a Zúrich en un viaje familiar de recreo que aprovecharon para visitar a Einstein y tratar de convencerle de que se instalara en Berlín. Le ofrecieron un puesto en la Academia Prusiana de Ciencias, una cátedra en la Universidad de Berlín (pero libre de cargas docentes) y la dirección del Instituto de Física, cuya fundación Planck y Nernst estaban preparando. La condición de no dar clases era importante para Einstein, pues quería dedicarse por completo a la investigación. Einstein aceptó las condiciones, así que Planck y Nernst le escribieron una carta al ministro prusiano de Educación en la que le exponían las virtudes del joven físico. El 7 de diciembre de ese mismo año Einstein tomaba posesión de sus nuevos cargos en Berlín. En una misiva a un amigo, Einstein reconocía que uno de los atractivos del puesto era poder estar cerca de Planck. Los dos científicos mantendrían una estrecha amistad hasta la llegarla de Hitler al poder.
Planck y la músicaEn la Europa del siglo XIX y principios del XX, la música formaba parte de una buena educación. En muchas casas burguesas había un piano: según algunas crónicas, en el año 1845 había en París más de 60 000 de estos instrumentos. El siglo XIX consolidó a Alemania como centro de la música europea. No solo Beethoven, nacido en Bonn, y Brahms, nacido en Hamburgo, eran alemanes, sino que también lo fueron Mendelssohn, Schumann, Wagner o Mahler.
Es decir, la mayoría de los grandes músicos del siglo, y por tanto de la música clásica, fueron alemanes. Una buena parte de los físicos que Planck conoció tocaban, y muy bien, algún instrumento. Einstein tocaba el violín y el piano. Heisenberg era un reputado pianista. Paul Ehrenfest (1880-1933), físico neerlandés de origen austríaco que mantuvo una estrecha amistad con Albert Einstein, tocaba el piano. Él y Einstein gustaban de interpretar juntos sonatas de Brahms. Planck perteneció al coro de su universidad y compuso algunas canciones. Incluso llegó a componer una opereta titulada Liebe im Walde (El amor en el bosque). También tocaba el órgano en los servicios religiosos de la universidad. Y además tocaba el piano y el violonchelo, tenía dotes de compositor y, como hemos visto, vivía en un país en el que la música brillaba como nunca lo ha vuelto a hacer en ningún sitio. La música no dejó nunca de formar parte del mundo de Planck. A poco de llegar él a Berlín, el Instituto Imperial de Física Teórica recibió un gran armonio que había sido construido especialmente por encargo del ministerio. Sobre Planck recayó la responsabilidad de probar el armonio y evaluar sus calidades musicales, en especial su adecuación para el acompañamiento a la música vocal, una anécdota que habla bien a las claras de la profundidad de sus conocimientos musicales.
Pero de todos los talentos que estuvieron en la órbita de Planck, el más próximo, y con el que mantuvo la relación más estrecha y duradera, fue Max von Laue (1879-1960). Von Laue fue profesor asistente de Planck entre 1905 y 1909, y con él trabajó sobre los problemas asociados a la termodinámica de la radiación electromagnética. Von Laue ganó el premio Nobel de Física en 1914 por predecir la difracción de los rayos X, lo que demostraba su carácter ondulatorio.
Laue fue, además de admirador y buen amigo de Einstein, uno de los mayores expertos en relatividad de los años veinte. Él fue el único bastión antinazi de la Academia de Ciencias de Prusia, mucho más decidido que Planck en su oposición al régimen. Pero seguramente él más que nadie comprendía la dificultad que suponía vivir bajo el régimen para cualquiera, y su amistad con Planck no sufrió menoscabo durante el período nazi. Von Laue fue el encargado de dirigirse al público durante los funerales de Planck, y lo hizo en estos términos:
Y aquí hay también una corona de flores más sencilla, sin leyendas. La he puesto yo en nombre de todos sus discípulos, entre los cuales me encuentro, como muestra perecedera de nuestro afecto y gratitud sin límites.
Von Laue y la difracción de los rayos XMax Von Laue pensó que, dado que los rayos X eran ondas de muy corta longitud de onda, los átomos de una red cristalina tenían la separación adecuada
para difractarlos. En una red cristalina la distancia entre los átomos está en el entorno de una o dos décimas de nanómetros (un nanómetro, nm, es una milésima de millonésima de metro o 10-9 m). Von Laue predijo que las sustancias sólidas que forman redes cristalinas, como los metales, difractarían los rayos X (cuya longitud de onda puede ir hasta los 10 nm), de manera similar a como lo hacen las redes de difracción con la luz visible. La difracción de rayos X se convirtió desde el momento mismo de su descubrimiento en una potente técnica para desentrañar la estructura de las redes cristalinas. Incluso sirvieron para deducir la estructura espacial de macromoléculas complejas. Uno de los descubrimientos más espectaculares propiciados por la difracción de rayos X fue la estructura de doble hélice de la molécula de ADN. Esta estructura fue deducida por Watson y Crick, a partir del patrón de difracción de rayos X de la molécula.
Las repercusiones del artículo que Planck publicó en 1901 en los Annalen der Physik, en el que introdujo la hipótesis cuántica, no fueron inmediatas. En primer lugar porque poca gente estaba en condiciones de entender su trabajo. En segundo lugar porque la radiación térmica no dejaba de ser un tema colateral en una época que estaba viviendo grandes descubrimientos, como los rayos X o la radioactividad. Los físicos que en los años siguientes estudiaron a Planck lo hicieron desde dos perspectivas diferentes. Unos, como James Jeans (1877-1946), Ehrenfest o Lorentz, fueron críticos y llegaron a la conclusión de que la ley de la radiación de cuerpo negro encontrada por Planck no estaba fundamentada en las leyes conocidas. Según ellos, la hipótesis cuántica introducía un elemento ajeno a la física del momento. Otros, de entre los que destaca la figura de Einstein, iniciaron su aplicación a otros problemas de la física, con creciente éxito. Con el tiempo, la introducción de la hipótesis cuántica cambiaría la concepción completa de la física moderna.
§. Einstein va demasiado lejos
§. Un Nobel para la nueva física
§. La probabilidad de emisión
§. Contra la dictadura de lo visible: enfrentamiento filosófico con Ernst Mach
§. El átomo cuántico
§. Ciencia de posguerra
§. Planck recibe con entusiasmo la ecuación de ondas de Schrödinger
§. El principio de incertidumbre
§. Planck, Einstein y los judíos en la Alemania del nazismo
§. Hitler se enfurece
§. La ejecución de Erwin Planck
§. Bose cierra el círculo
La tarde del 25 de septiembre de 1933, Paul Ehrenfest fue a buscar a su hijo menor Vassily, aquejado de síndrome de Down, a una institución de Ámsterdam donde estaba interno. Lo llevó a un parque cercano, sacó un revólver y le pegó un tiro. Luego se suicidó. Vassily sobrevivió, aunque perdió un ojo. Albert Einstein, con quien Ehrenfest mantuvo una estrecha amistad, había alertado un año antes a las autoridades de la Universidad de Leiden de la difícil situación por la que atravesaba su amigo, aquejado de profundas depresiones. En 1933 todas las personas de su entorno íntimo estaban muy preocupadas por él.
Paul Ehrenfest fue el Pepito Grillo de la física teórica europea del primer cuarto del siglo XX. Puso su mirada crítica sobre todos los avances teóricos importantes, encontrando siempre los puntos oscuros, las hipótesis injustificadas o las paradojas más sorprendentes. Como alumno de Boltzmann, se convirtió en uno de los expertos en mecánica estadística. Su cercanía con Lorentz, a quien sucedió en la cátedra de Física Teórica en la Universidad de Leiden, le hizo experto en la teoría del electrón. Ehrenfest fue testigo de todos los grandes descubrimientos de la física de su tiempo. Conoció personalmente a sus descubridores, con los que debatió y a los que, a menudo, corrigió. Pero no le correspondió a él hacer ninguno de esos grandes descubrimientos. Esta circunstancia hizo que dudara de su propia valía como científico y se sintió cada vez más incapaz de mantenerse al ritmo de los descubrimientos en física cuántica. A raíz de su muerte, Einstein escribió:
Su sentido de insuficiencia, objetivamente injustificado, le afectaba continuamente, a menudo robándole la paz de espíritu necesaria para investigar con tranquilidad.
Su tragedia estaba precisamente en una casi mórbida falta de confianza en sí mismo.
La desgracia de Ehrenfest fue no comprender la excepcionalidad de los grandes hombres que le rodeaban. ¡Cómo puede un hombre exigirse a sí mismo estar a la altura de Einstein, Lorentz, Planck o Poincaré!
Ehrenfest fue de los primeros científicos en hacer notar que la deducción de Planck de su ley de radiación contenía elementos ajenos a la física clásica. Entre los años 1903 y 1906 estudió en profundidad los escritos de Planck y se carteó con él. En un artículo redactado en 1906 rehízo la deducción elaborada por Planck usando estrictamente los postulados de Boltzmann, sin recurrir a la cuantización. Ehrenfest obtuvo de esta manera la siguiente ley para la radiación de cuerpo negro:

Esta ley había sido previamente deducida por el británico lord Rayleigh (1842-1919) y posteriormente refinada por su compatriota James Jeans, razón por la cual se la conoce como ley de Rayleigh-Jeans. El problema es que esta ley solo puede tener una validez limitada, porque en ella la energía de la radiación crece indefinidamente con la frecuencia. Si la ley fuera cierta en todo el rango de frecuencias, todos los cuerpos calientes radiarían intensamente en el ultravioleta, contrariamente a la experiencia. Ehrenfest llamó a esta «catástrofe», que lo era solo teórica, la catástrofe ultravioleta. Aunque en algunos libros se dice que Planck formuló su ley precisamente para resolver el problema de la catástrofe ultravioleta, lo cierto es que la ley de Planck es varios años anterior al problema teórico que la ley de Rayleigh-Jeans representaba.
Deducción de la ley de Rayleigh-JeansLa deducción que Rayleigh hizo de su ley tiene dos pasos: en el primero cuenta cuántas ondas caben en una cavidad en función de la frecuencia, en el segundo aplica el conocido como principio de equiparación. Rayleigh no considera para nada los osciladores de Planck, sino que se fija directamente en la radiación. Dentro de una cavidad de paredes perfectamente reflectantes, Rayleigh encontró que en cada intervalo de frecuencia dv número de ondas que puede haber resulta ser:
Esta expresión aumenta como la frecuencia al cuadrado, lo que es lógico ya que cuanto más pequeña es la longitud de onda, más y más ondas de esa longitud pueden concurrir. Es notable que esta relación sea la misma que Planck encontró entre la energía de un oscilador y la de la radiación con la que está en equilibrio. Como vimos en el capítulo anterior, Planck la había deducido de la electrodinámica de Maxwell y le permitió olvidarse de la radiación en sí y concentrarse en calcular la entropía de un conjunto de osciladores. El segundo elemento de la deducción de Rayleigh es el principio de equipartición.
Este es un principio de la física estadística, deducido por Maxwell y Boltzmann, que dice que en un gran número de cuerpos en interacción, por ejemplo las moléculas de un gas, la energía disponible se reparte, en promedio, por igual entre todos ellos. A cada elemento del sistema le corresponde la misma cantidad de energía, que es proporcional a la temperatura T, una constante de proporcionalidad fe y un factor numérico, que depende de los detalles constitutivos del elemento en cuestión. Rayleigh aplicó el principio de equipartición a las ondas y dedujo que la densidad de energía de las ondas en la cavidad era el número de ondas de cada frecuencia multiplicado por la energía que el principio de equipartición asignaba a cada una de ellas. Con ello obtuvo la ecuación:
La primera versión de la ley de Rayleigh-Jeans fue propuesta por Rayleigh en 1900, la cual, como ya comentamos en el capítulo anterior, era conocida por Rubens y los demás experimentadores que trabajaban en el Instituto Imperial de Física y Tecnología.

La ley de radiación de cuerpo negro de Planck es la única que se ajusta a los valores experimentales en todo el rango de frecuencias, mientras que la ley de Rayleigh-Jeans lo hace en las bajas frecuencias y la de Wien en las altas.
Rubens, en la visita que realizó a Planck, y en la posterior comunicación a la Academia Prusiana de Ciencias que presentó días más tarde, mostraba que, a las bajas frecuencias a las que él y Kurlbaum hacían las medidas, la ley de Rayleigh se ajustaba mejor a los resultados experimentales que la ley exponencial de Wien. Como podemos observar en la figura, las leyes de Planck y Rayleigh-Jeans tienden a superponerse a bajas frecuencias, mientras que las de Wien y Planck lo hacen a altas frecuencias. Solo la ley de Planck está de acuerdo con las medidas experimentales en todo el rango de frecuencias.

El número de ondas que se pueden excitar en una cavidad crece indefinidamente al disminuir la longitud de onda.
Al igual que Planck, Rayleigh consideró una cavidad en cuyo interior hay radiación electromagnética en equilibrio termodinámico a una temperatura dada. Sin embargo, Rayleigh prescinde de los osciladores de Planck para analizar directamente las propiedades de las ondas dentro de la cavidad. La catástrofe ultravioleta tiene una sencilla interpretación en la teoría de Rayleigh. En la cavidad caben muchas más ondas de longitud de onda corta que de longitud de onda larga; de hecho, caben en ella todas las ondas de longitud L/n, siendo n un número entero, y el valor de n puede crecer sin límite, por lo cual su número es infinito (véase la figura). Si a cada onda le asignamos una cantidad fija de energía, al ser el número de ondas posible infinito, la cantidad de energía contenida en la cavidad será también infinita.
La teoría de Rayleigh-Jeans era la ley que cabía esperar a partir de los principios de la física clásica, pero nunca tuvo un verdadero valor predictivo. Solo en el límite de bajas frecuencias, o longitudes de onda larga, se aproximaba al valor experimental. Durante la primera década del siglo XX los físicos más importantes del momento, lo que incluye a Lorentz, Einstein, Jeans, Wien, Planck, Ehrenfest o Poincaré, se devanaron los sesos intentando comprender por qué. Hacia el final de la década todos aceptaban que la hipótesis cuántica era esencial para llegar a la expresión de Planck, que seguía resistiendo todas las comparaciones con los resultados experimentales.
La radiación de cuerpo negro y la luz solarLas estrellas son enormes bolas de material incandescente y, por ello, emiten radiación térmica. El espectro luminoso de una estrella es similar al de la radiación de un cuerpo negro cuya temperatura fuera la de la superficie estelar.
El color predominante en la luz de la estrella es un indicio cualitativo de su temperatura: cuanto más azulada es la luz de la estrella más caliente está, de acuerdo con la ley de desplazamiento de Wien.
En la figura podemos comparar la radiación solar medida fuera de la atmósfera terrestre (en gris claro) con la que predice la ley de Planck para un cuerpo negro a la temperatura de 5250 ºC. Las pequeñas diferencias entre la radiación emitida por el Sol y la ley de Planck son debidas a que el Sol no está en equilibrio térmico perfecto. En la misma figura también podemos observar (en gris oscuro) la radiación que nos llega a nivel del mar. En este caso se nota un brusco descenso de la intensidad en determinadas bandas de longitud de onda. Ello es debido a que los diferentes gases atmosféricos (CO2, oxígeno o vapor de agua) absorben la luz de esas longitudes de onda.
§. Einstein va demasiado lejos
El año 1905 fue aquel en el que Einstein irrumpió en escena para marcar el ritmo de la física teórica de la primera mitad del siglo XX. Einstein ya había publicado algunos artículos, pero en 1905 publicó siete, cuatro de ellos trascendentales. Más adelante se hablará de la relatividad y del papel que Planck desempeñó en su desarrollo y divulgación, pero lo que ahora nos interesa es el rumbo decisivo que uno de los artículos de Einstein imprimió a la hipótesis cuántica. Llevaba el extraño título de «Sobre un punto de vista heurístico concerniente a la producción y transformación de la luz». Es normal referirse a él por la teoría del efecto fotoeléctrico, aunque este es solo uno de los fenómenos que se tratan. Al contrario de lo que se pueda pensar, los artículos de Einstein suelen ser bastante claros y sus introducciones, antes de entrar en los detalles técnicos y matemáticos, bastante comprensibles. En la introducción a este artículo podemos leer:
La teoría de la luz, que opera con funciones espaciales continuas [funciones que tienen un valor en cada punto del espacio y varían suavemente de punto a punto, sin fronteras abruptas], se ha mostrado soberbia para describir fenómenos puramente ópticos y probablemente nunca será reemplazada por otra teoría. Deberíamos tener en cuenta, sin embargo, que las observaciones ópticas se refieren a promedios temporales antes que a valores instantáneos; y es perfectamente concebible, pese a la completa confirmación experimental de la teoría de la difracción, reflexión, refracción, dispersión, etcétera, que la teoría de la luz, que opera con funciones espaciales continuas, lleve a contradicciones cuando se aplique a los fenómenos de emisión y transformación de la luz.
De hecho, creo que las observaciones de la radiación de cuerpo negro, fotoluminiscencia, producción de rayos catódicos por luz ultravioleta y otros fenómenos asociados con la emisión y transformación de la luz parecen entenderse más fácilmente si se supone que la energía de la luz está distribuida por el espacio de forma discontinua.
¡Qué más podríamos añadir!
La primera parte del artículo está dedicada a discutir algunas consecuencias de la ley de Planck que habían escapado al propio creador. Entre ellas, una bastante sorprendente: que la entropía de la radiación a una densidad suficientemente baja tiene una expresión análoga a la de un gas ideal. Este hecho refuerza la idea de que la luz consiste en partículas independientes. Einstein, de paso, proporcionó otra demostración más de que la ley de Rayleigh-Jeans, y no la de Planck, es la que se obtiene de los principios de la física estadística clásica.
En la segunda parte se ocupó del efecto fotoeléctrico, es decir, de la producción de rayos catódicos por luz ultravioleta. Este fenómeno fue descubierto por Hertz durante los estudios que le llevaron al hallazgo de las ondas electromagnéticas. Hertz usaba como detector de ondas dos puntas metálicas muy cercanas. Al pasar una onda electromagnética se producía una chispa entre las puntas. Hertz observó que la chispa era más intensa si las puntas estaban a la vista de la descarga principal que usaba de generador de ondas y que la chispa era más débil si tapaba el detector. Hertz dedicó un par de meses a analizar el fenómeno y concluyó que era debido a que los rayos ultravioleta facilitaban la electrificación del metal.
Para cuando Einstein abordó el problema estaba ya claro que el efecto consistía en que la luz ultravioleta arrancaba electrones de la superficie metálica. La energía de los electrones no dependía de la intensidad de la luz, sino de su frecuencia. Einstein aplicó la hipótesis cuántica razonando de la siguiente manera: si la energía de un cuanto de luz se transfiere íntegramente a un electrón, y suponemos que para abandonar el metal se requiere una energía constante W, el electrón abandonará la superficie del metal con una energía E igual a la diferencia entre la energía recibida y la necesaria para escapar:
E = hv - W
Esta relación tenía la ventaja de que podía ser contrastada mediante experimentos. Además, de ella se podía determinar el valor numérico de la constante de Planck, h, y comprobar si conducía al valor ya conocido.
El artículo de Einstein suscitó bastante atención, pero fue duramente criticado por, entre otros, el propio Planck. En el prefacio a la segunda edición de su libro La teoría de la radiación calorífica, escrito en 1912, se puede leer:
Mientras muchos físicos, debido a su conservadurismo, rechazan las ideas que he desarrollado, o, en cualquier caso, mantienen una actitud expectante, algunos autores las han atacado por la razón opuesta, esto es, como que son inadecuadas, y se han visto competidos a suplementarias con hipótesis de naturaleza aún más radical, como por ejemplo, con la hipótesis de que cualquier energía radiante, incluso la que se transmite libremente en el vacío, consiste en cuantos indivisibles o celdas. Como no hay nada peor para el éxito de una hipótesis que sobrepasar sus límites, siempre me he mantenido firme en hacer una conexión lo más cercana posible entre la hipótesis cuántica y la dinámica clásica.
Evidentemente Planck está haciendo referencia, sin nombrarlo directamente, a Einstein. Más amables y, a la vista del devenir de los acontecimientos, divertidas, resultan sus palabras en el discurso de bienvenida a Einstein a la Academia Prusiana de Ciencias en 1913:
Que alguna vez errara en el blanco de sus especulaciones, como por ejemplo en su hipótesis de los quanta de luz, no puede esgrimirse realmente demasiado en su contra, porque no es posible introducir ideas de verdad nuevas, ni aun en las ciencias más exactas, sin correr a veces algún riesgo.
Pero también resulta sorprendente la forma en que se inclinó finalmente la balanza a favor de Einstein. Entre 1914 y 1915 el físico estadounidense Robert Millikan (1868-1953) presentó ante la Asociación Americana de Física sus resultados sobre el estudio experimental minucioso del efecto fotoeléctrico. El propio Millikan había manifestado en público que uno de los objetivos de su estudio era desterrar la hipótesis cuántica en los términos en que la formulaba Einstein. De hecho, en el artículo de 1916 de la revista The Physical Review, en el que presenta el informe completo de sus medidas, podemos leer:
Fue en 1905 cuando Einstein estableció la primera relación entre el efecto fotoeléctrico y la teoría cuántica introduciendo la atrevida, por no decir imprudente [la palabra inglesa que emplea Millikan es reckless], hipótesis de un corpúsculo de luz de energía hv, cuya energía es transferida por absorción al electrón. La hipótesis se puede calificar [...] de imprudente [...] porque una perturbación electromagnética que permanece localizada en el espacio parece violar la concepción misma de perturbación electromagnética.
Sin embargo el artículo del físico estadounidense termina con una frase que no deja lugar a dudas:
La ecuación de Einstein del efecto fotoeléctrico ha sido sometida a testes muy exigentes y parece en todos los casos predecir exactamente los resultados observados.
Robert Millikan y la honradez del científicoEn un famoso experimento, Millikan analizó el movimiento de pequeñas gotitas de aceite cargadas eléctricamente
y concluyó que la carga eléctrica de las gotas era siempre múltiplo de una cantidad elemental, que coincidía con la carga del electrón. Al parecer Millikan usó en sus cálculos solo un cierto número de gotas y descartó otras que no consideraba relevantes, por parecerle claramente atribuibles a errores experimentales. Este hecho se ha usado por algunos críticos en dos sentidos: por un lado, para poner en duda la honradez de Millikan como científico: por otro, como prueba que corrobora cierta tesis sobre la historia de la ciencia según la cual los científicos manipulan los experimentos para que estén de acuerdo con las ideas teóricas preconcebidas de su tiempo. Pero ninguno de estos críticos menciona el caso del efecto fotoeléctrico. Con estos experimentos el científico estadounidense buscaba explícitamente rebatir la teoría de Einstein. El mismo Millikan dijo al respecto: «He pasado diez años de mi vida comprobando las predicciones que Einstein hizo en 1905 y, contrariamente a todas mis expectativas, me vi obligado a afirmar en 1915 su verificación sin ambigüedad, a pesar de toda su irracionalidad» (Millikan se refiere a la irracionalidad de la hipótesis de los cuantos). El caso del efecto fotoeléctrico deja clara la valía científica de Millikan y su disposición a aceptar las implicaciones de los hechos experimentales, incluso cuando van en contra de sus ideas preconcebidas.
§. Un Nobel para la nueva física
Planck fue propuesto para el premio Nobel de Física en 1907 y 1908. Ninguno de esos dos años lo obtuvo. En 1908 estuvo muy cerca de obtenerlo, gracias al apoyo de Svante Arrhenius (1859-1927), el gran físico y químico sueco. Arrhenius estaba decidido a que el premio Nobel reconociera los avances de la teoría atómica de la materia y Planck estaba en el centro de esos avances. Pero dos circunstancias laterales lo alejaron del premio. Una, la discusión dentro del propio comité de si Wien debía compartir el premio, puesto que la ley de Wien había sido decisiva en el trabajo del propio Planck. La segunda circunstancia es que la ley de Planck, aunque experimentalmente confirmada, no tenía todavía un fundamento teórico firme. En abril de 1908 Lorentz sostenía que la física establecida no conducía a la fórmula de Planck. Lorentz era por entonces el líder de la física teórica mundial y su autoridad hizo dudar al comité.
Una década más tarde, el crédito de la hipótesis cuántica era mucho mayor, y Planck obtuvo en 1919 el premio Nobel de Física correspondiente al año 1918, año en que la guerra había impedido que se concedieran los premios. El comité de los Nobel reconocía que Planck había recibido más nominaciones que ningún otro candidato. Los físicos teóricos más importantes de esos años, Lorentz, Einstein, Born, Wien y Sommerfeld apoyaron su candidatura. Planck, como parece lógico, fue el primero de los fundadores de la teoría cuántica en recibir el premio. Después lo recibirían Einstein y Bohr, y más tarde el resto de los teóricos de la física cuántica. Quizá en la lista, que incluye a Heisenberg, Schrödinger, Dirac, Pauli o Born, se eche en fala el nombre de Arnold Sommerfeld (1868-1951).
El premio Nobel de 1919 fue para Johannes Stark (1874-1957). Stark simpatizaba con la derecha política más radical, y más tarde colaboraría abiertamente con el régimen nazi, cuyos ideales racistas compartía. Al final de la Segunda Guerra Mundial fue condenado a cuatro años de internamiento en un campo de trabajo.
Planck y Stark viajaron juntos a Estocolmo en compañía de otro gran personaje de la época, el químico Fritz Haber (1868-1934), que había obtenido el premio Nobel de Química un año antes. Haber había descubierto en 1909 un proceso para la síntesis del amoníaco a partir de nitrógeno e hidrógeno. Este proceso permitió a Alemania la producción de nitratos para los fertilizantes y después, durante la guerra, para la fabricación de explosivos. Haber también desempeñó un papel destacado en el desarrollo de tecnología militar durante la Primera Guerra Mundial, ya que trabajó con decisión en la producción de gases venenosos.
Estos tres hombres, el moderado Planck, el ultraderechista y racista Stark y el judío liberal Haber, viajaron juntos a Estocolmo en el verano de 1920 para recibir el premio Nobel. La ciencia, la guerra y la política marcaron sus vidas. Ellos ejemplifican tanto la grandeza como la miseria de la ciencia alemana de la primera mitad del siglo XX. En sus vidas podemos ver reflejadas todas las contradicciones de la sociedad alemana de su época. Tras su servicio a Alemania, sin ningún tipo de escrúpulos morales a la hora de usar su ciencia como arma de guerra, Haber se exiliaría y no viviría para ver cómo los nazis usaban los gases que su laboratorio había desarrollado para exterminar a los de su raza. De talante abierto, pero alejado de posturas realmente democráticas, Max Planck sí vivió lo suficiente para ver cómo todo el edificio de la ciencia alemana, que él había contribuido notablemente a levantar, se derrumbaba ante sus ojos por culpa de la política racista y sectaria de Hitler. Casi todos sus intentos por apuntalar el edificio fracasaron. Por último, Stark representa lo peor de la Alemania de su época: su sectarismo, su racismo y su fanatismo fueron creciendo a la par que el poder nazi, hasta alcanzar niveles de auténtica locura.
El primer arma de destrucción masivaUna de las imágenes más terroríficas que tenemos de la Primera Guerra Mundial es la del uso de los gases venenosos en el frente. La guerra química, que libraron especialmente Francia y Alemania, puso a prueba los conocimientos y el «ingenio» de sus mejores químicos. Buen ejemplo de este refinamiento es el uso de la cloropicrina, o tricloronitrometano, un gas muy inerte capaz de penetrar en las máscaras antigás. No provoca la muerte, pero sí vómitos, lo que obligaba a los soldados a quitarse las máscaras. Los alemanes lo usaron mezclado con gases letales, que producían la muerte por inhalación una vez los soldados se habían quitado las máscaras. El Gobierno alemán encargó a Fritz Haber la organización de una unidad especial para la guerra química. Aunque ello violaba un acuerdo de La Haya de 1899, los alemanes lanzaron un ataque con cloro en la batalla de Ypres el 22 de agosto de 1915. Fue el inicio de una escalada por parte de los dos bandos que duró hasta el final de la guerra. La excusa de Haber es una que se ha repetido muchas veces: cuanto antes se acabe la guerra, menos gente morirá. Estas razones no convencieron a su esposa, que se suicidó un día en que Haber partió para supervisar un ataque en el frente oriental. Haber era de origen judío y se comportó durante la Primera Guerra Mundial como su Gobierno esperaba que se comportara un patriota alemán. Todo ello no le evitó los problemas con el Tercer Reich.
El káiser Guillermo II y Adolf von Harnack, seguidos de Emil Fischer y Fritz Haber, durante la inauguración del Instituto Káiser Guillermo de Física, Química y Electroquímica en Dahlem-Berlín (octubre de 1912).
§. La probabilidad de emisión
Planck no fue ajeno a las críticas que su primera deducción de la ley de radiación cosechó. Reflexionó en profundidad sobre ello y entre 1911 y 1912 propuso una nueva teoría para explicar su ley. Esta segunda teoría no ha sobrevivido más que como una curiosidad histórica, pero en su construcción Planck introdujo varios elementos que iban a terminar formando parte del cuerpo de doctrina de la teoría cuántica. Uno de estos elementos es el concepto de probabilidad de emisión.
Una de las críticas de Ehrenfest y otros científicos a la teoría de Planck era que, de acuerdo a la mecánica clásica, los osciladores podían tener un valor de energía cualquiera. Sin embargo, la hipótesis cuántica restringía los valores posibles a un conjunto discreto. Podemos entender esta objeción tomando un columpio por ejemplo. Un columpio es, en física, totalmente equivalente a un muelle o, en lenguaje técnico, a un oscilador armónico. Es un objeto que tiene una posición de equilibrio (cuando el columpio está en reposo en su punto más bajo) y que, una vez desplazado de su posición de equilibrio, ejecuta oscilaciones periódicas a un lado y a otro de dicha posición. Nuestra experiencia cotidiana nos dice que podemos columpiar a un niño tan fuerte como queramos. No hay restricciones a la amplitud con que se mueve el columpio (siempre que no le demos la vuelta, se entiende).

La energía de un columpio clásico (arriba) puede tener un valor cualquiera. La energía de un columpio cuántico (abajo) solo puede tener determinados valores, separados por una diferencia de energía hv.
La hipótesis de Planck restringe, sin embargo, los valores posibles a aquellos cuya energía es múltiplo de la cantidad hv. Si un columpio normal siguiera la ley de Planck veríamos al niño llegar solamente a determinadas alturas y no a una altura cualquiera.
Planck se quitó de encima esta objeción suponiendo que los osciladores podían absorber energía de manera continua, pero que solo podían emitirla cuando la cantidad de energía del oscilador alcanzaba un múltiplo de hv. Y aquí introdujo uno de los conceptos que haría fortuna: la probabilidad de emisión. El oscilador que alcanzaba una energía múltiplo de hv no emitía forzosamente, sino que podía o no emitir toda la energía almacenada de acuerdo a una probabilidad que Planck podía calcular.
El concepto de probabilidad de emisión fue usado con posterioridad por Einstein en un famoso artículo de 1916. En este artículo, Einstein introdujo el concepto de emisión estimulada, que es la base teórica de la radiación láser. Las formas posteriores de la teoría cuántica retendrían el concepto de probabilidad de emisión. Puede afirmarse que, en su forma final, la teoría cuántica calcula solo eso: probabilidades. Ni Planck, ni Einstein, ni Schrödinger aceptaron totalmente esta interpretación probabilística de la mecánica cuántica. Soñaban con algún desarrollo posterior que eliminara esa incertidumbre. Así que nos encontramos de nuevo a Max Planck intentando controlar las riendas de un caballo que él mismo había desbocado.
§. Contra la dictadura de lo visible: enfrentamiento filosófico con Ernst Mach
Cuando Max Planck inició su carrera científica, los nombres de Wilhelm Ostwald (1853-1932) y Ernst Mach (1838-1916) tenían una gran influencia en el pensamiento científico alemán. Estos dos hombres eran contrarios al atomismo y Ernst Mach era una de las figuras más relevantes, en el mundo germano, de la escuela filosófica conocida como positivismo. El positivismo limita el conocimiento al dato sensible, a lo que vemos, oímos o tocamos, y era una filosofía que depositaba una fe ilimitada en la evolución y el progreso.
Las ideas filosóficas de Mach influyeron significativamente en Einstein, según este mismo reconoció, tanto en la elaboración de la teoría especial de la relatividad como a la hora de abordar la relatividad general. A través de Einstein, Mach también influyó, como veremos un poco más adelante, en la formulación que hizo Heisenberg de la mecánica cuántica.
Mach suscribía las tesis energetistas respecto a la teoría cinética del calor. La hipótesis atómica era, según ellos, un recurso innecesario. No tenía sentido hablar de átomos, ya que no eran accesibles a la experiencia directa.
Ya en tomo a 1890, Planck criticó a Mach su falta de comprensión de los problemas relacionados con el segundo principio de la termodinámica. En 1896, antes de su descubrimiento de la ley de la distribución de la radiación de cuerpo negro, se unió a Boltzmann en los ataques frente a los energetistas, cuyo programa científico no veía sensato:
Considero mi obligación advertir con el mayor énfasis posible contra futuros desarrollos de la energética en la dirección que ha tomado recientemente, la cual significa un serio paso hacia atrás respecto a los resultados más recientes del trabajo teórico y solo puede tener como consecuencia animar a los jóvenes científicos a la especulación diletante, en lugar de adquirir una base sólida en el estudio de obras maestras ya establecidas.
En cierto modo Planck podía pensar que el largo camino de sus investigaciones sobre el cuerpo negro, hasta que tomó la senda de Boltzmann, no habría sido tan largo de no seguir inicialmente las consignas antiatomistas.
Planck se deshizo con relativa facilidad de su antiatomismo. Como demostró muchas veces a lo largo de su vida, no era dogmático. Pero su relación con Boltzmann se resintió de esta posición inicial. Por ello, ya después de la muerte de Boltzmann, y quizá guiado internamente por algún remordimiento, Planck llevó a cabo una batalla intelectual particular contra el positivismo y, muy en concreto, contra Ernst Mach, al que atacó sin piedad en varios ensayos filosóficos.
La consideración que a Planck merecía el positivismo se puede resumir en una frase: no es posible rebatirlo desde una postura puramente lógica, ya que la doctrina es internamente consistente, pero hay que juzgarla por sus frutos. Y Planck proclamaba que Mach y el positivismo no habían arrojado, tras largos años de predominio, ningún fruto constatadle.
Frente al positivismo, Planck propone lo que podíamos denominar realismo: existe un mundo exterior, independiente de nosotros, regido por leyes naturales de validez universal. El objetivo de la ciencia es descubrir esas leyes y construir con ellas un sistema completo y coherente, válido para todos los científicos en todas partes y en todo momento. A lo largo de su vida científica Planck buscó siempre lo absoluto. De ahí su interés en la radiación de cuerpo negro, independiente de la sustancia concreta que radiara; en las constantes universales, que proporcionaban escalas de tiempo y longitud independientes del hombre; o, incluso, en la teoría de la relatividad. Parece paradójico que la teoría de la relatividad fuera vista por Planck como algo que acercaba la ciencia a valores absolutos. Pero hay que recordar que los pilares de la teoría, como la constancia de la velocidad de la luz, son leyes de validez universal. La relatividad construye un espacio-tiempo cuyas características son independientes del hombre, de sus escalas e intuiciones, y, por tanto, se alga del antropocentrismo positivista.
«Aquellos que usan las muletas de los conceptos mecánicos para llegar al reconocimiento de la equivalencia del calor y el trabajo no entienden sino a medias el progreso realizado por este principio».
Ernst Mach sobre los seguidores de la hipótesis atómica.
Aunque con matices, podemos decir que Planck ganó la batalla y los líderes de la ciencia alemana de la década de 1910 se alinearon con él frente a las tesis positivistas. Seguramente, las irrefutables pruebas de la existencia de los átomos y los avances realizados en relatividad y física cuántica, gracias a los nuevos métodos de la física teórica, tuvieron más que ver en ello que los argumentos filosóficos de unos y otros. En cualquier caso, el debate de ideas entre Planck y Mach hizo que el primero fuera considerado, a partir de entonces, como un filósofo de importancia. De hecho, su nombre aparece entre las entradas de un diccionario histórico de la filosofía editado en Alemania a mediados del siglo pasado.
Planck y Mach bajo el prisma de...LeninEl enfrentamiento intelectual entre Planck y Mach (imagen) tuvo, varías décadas más tarde, una consecuencia sorprendente, ya que influyó en la forma en que el régimen comunista de la República Democrática Alemana
consideró la figura de Planck. Ello es debido a que algunos de los argumentos de Planck contra el positivismo de Mach coinciden con los vertidos por Lenin en algunas de sus obras teóricas. Lenin y Planck coinciden en Ernst Mach admitir la existencia de un mundo real objetivo independiente de nuestra existencia Pero las similitudes entre las filosofías de Lenin y Planck no van más allá del reconocimiento de la objetividad del mundo exterior. Este reconocimiento era en Lenin consecuencia inmediata de la concepción materialista del mundo. Sin embargo, no se puede decir de Planck que fuera un genuino materialista, en el sentido filosófico del término, ya que Planck era religioso y, por tanto, Dios era para él la razón última de todo. Según Planck, la investigación científica es otra forma de conocer a Dios, conociendo su obra. Planck está, en el fondo, más cerca de la doctrina del filósofo cordobés del siglo XIII Averroes que de Lenin. Sea como fuere, las autoridades de la Alemania comunista vieron en esa coincidencia parcial entre las obras filosóficas de Lenin y Planck un motivo para ensalzar a este como patriota y pensador.
§. El átomo cuántico
A partir de 1910, los estudios de Einstein y otros científicos habían ensanchado el campo de acción de la hipótesis cuántica. Sin embargo, la gran campanada se produjo en 1913 con un artículo de un joven danés llamado Niels Bohr (1885-1962). El artículo se titulaba «Sobre la constitución de los átomos y las moléculas» y apareció en la revista Philosophical Magazine. En él Bohr presentó al mundo lo que hoy conocemos como modelo atómico de Bohr. Bohr se encontraba entonces en Manchester, trabajando en el laboratorio de Ernest Rutherford, quien había demostrado experimentalmente que los átomos están compuestos por un núcleo cargado positivamente que concentra casi toda la masa del átomo, y por electrones, que forman una capa de electricidad negativa a su alrededor. Inspirado por Rutherford, Bohr ideó un modelo planetario del átomo de hidrógeno, el más simple de todos los átomos. El átomo de hidrógeno está compuesto de una sola carga positiva en el núcleo y un solo electrón orbitando a su alrededor. En el modelo de Bohr el electrón da vueltas alrededor del núcleo en una órbita circular, de manera similar a como lo hace un planeta alrededor del Sol, o la Luna alrededor de la Tierra.
Pero entre la Luna y un electrón hay una diferencia cualitativa importante: el electrón es una partícula cargada y la teoría de Maxwell predecía que un electrón en una órbita circular tenía que radiar ondas electromagnéticas y perder, por tanto, energía. Así, mientras nada impide, en principio, que la Luna orbite indefinidamente alrededor de la Tierra, el electrón, al perder energía, describiría rápidamente una órbita espiral que lo haría caer hacia el núcleo. Bohr, al igual que había hecho Planck con sus osciladores trece años antes, recurrió a la hipótesis cuántica para salir del atolladero. Supuso que solo ciertas órbitas eran posibles. En esas órbitas el electrón no radiaba, y al pasar de una órbita a otra emitía un cuanto de luz de frecuencia v igual a la diferencia de energía mecánica entra las órbitas ∆E dividida por la constante de Planck (véase la figura). Es decir, aplicaba la fórmula de Planck E = hv, usando ∆E en lugar de E, al proceso de emisión de la luz por los átomos.
El modelo atómico de Bohr suponía una ruptura con la física clásica en tres aspectos fundamentales.

Modelo atómico de Bohr del átomo de hidrógeno. Solo ciertas órbitas, marcadas con los números n = 1, 2, 3,… son posibles. El electrón radia un cuanto de luz al pasar de una órbita a otra.
En primer lugar, las órbitas estaban cuantizadas en niveles discretos de energía; en segundo lugar, los electrones en las órbitas accesibles no radiaban energía electromagnética y, por último, la luz se emitía de forma discontinua, en forma de cuantos. Pero para entonces los físicos teóricos estaban curados de espanto y, lo más importante de todo, el modelo de Bohr explicaba multitud de fenómenos observables.
A partir del modelo confeccionado por Bohr la estructura del átomo se convirtió en el problema central de la teoría cuántica. Otras figuras de renombre, como fueron Heisenberg o Schrödinger, iban a tomar el relevo de Planck, que ya andaba por los cincuenta y cinco años de edad, en su resolución.
§. Ciencia de posguerra
Tras la Primera Guerra Mundial la situación económica alemana empeoró enormemente.

En la época en que se desarrolló la física cuántica, los científicos intercambiaban impresiones a menudo, y muchas veces se reunían entre ellos. Los Congresos Solvay se crearon con esa filosofía. Max Planck asistió al primero (en la línea del fondo, el segundo por la izquierda), que tuvo lugar en 1911, y al quinto, en 1927.
El Estado alemán había financiado la guerra recurriendo al crédito bancario, lo que creó una gran deuda financiera. El pago de la deuda y las costosas reparaciones de guerra, impuestas por el Tratado de Versalles, llevaron al país a una situación económica insostenible.

La gran inflación que trajo consigo el final de la Primera Guerra Mundial afectó de lleno a la ciencia alemana, que se vio desprovista de recursos. En la fotografía, niños jugando con paquetes de billetes de banco carentes de valor.
Como consecuencia de la inestabilidad financiera, en el período entre 1919 y 1923 se produjo una gran inflación. Durante la guerra el marco alemán se había estado cambiando a unos 9 marcos por dólar. Al final de 1919 el cambio era de unos 40 marcos por dólar. En el verano de 1922 la cotización del marco se hundió hasta los 400 marcos por dólar. Pero eso era solo el principio. En enero de 1923 alcanzó los 7000 marcos por dólar, 160 000 en julio, un millón en agosto y 4,2 billones en noviembre.
Walther Elsasser (1904-1991), físico alemán que emigró a Estados Unidos y que propuso la teoría de la dinamo como origen del campo magnético terrestre, vivió en Berlín en el año 1923. Su padre había tomado la precaución de abrir una cuenta a su nombre en dólares americanos en un banco de Basilea. Elsasser cuenta que una vez a la semana iba al centro de la ciudad a sacar, en marcos, la cantidad asignada para esa semana. Tan pronto como volvía a la casa donde tenía alquilada una habitación, compraba provisiones para toda la semana, porque si no lo hacía inmediatamente corría el riesgo de quedarse sin dinero a los dos o tres días.
El mismo Planck se vio en la circunstancia de que el dinero asignado para un viaje, con motivo de alguna gestión de la academia, se devaluó con tanta rapidez que, al llegar a su destino, no le alcanzaba para pagar el hotel y tuvo que dormir en la sala de espera de la estación.
Impresiona pensar que en esas circunstancias Werner Heisenberg obtuviera su doctorado (1923), o, más increíble quizá, porque era un trabajo que requería mayores recursos económicos, que Stern y Gerlach realizaran durante 1921 y 1922 el experimento que llevaría al descubrimiento del espín del electrón. (El espín es una propiedad cuántica de las partículas, que no tiene un exacto análogo en la física clásica, pero que es en cierta forma similar a suponer que la partícula gira sobre sí misma).
Todas las instituciones científicas alemanas pasaron por apuros durante el período de la posguerra. Planck, como uno de sus dirigentes, se esforzó por limitar los estragos que la crisis podía causar en la ciencia alemana. Desde su posición en la Academia de Ciencias, junto a Haber, Nernst y otros, supervisó el Centro Nacional de Documentación Científica, cuya misión era disponer de al menos una copia de cualquier documento científico extranjero que pudiera ser relevante. También desde la Academia Planck trabajó para obtener fondos externos para la investigación. Las donaciones vinieron desde sitios tan dispares como la Fundación Rockefeller, que llegó a donar un total de medio millón de dólares, el empresario japonés Hajime Hoshi o la compañía americana General Electric.
Es de admirar que en la numerosa correspondencia entre los distintos científicos (Planck, Einstein, Born, Sommerfeld y otros) que existe de la época se encuentren referencias a los graves impedimentos que la crisis económica conllevaba para la investigación científica, pero sea difícil encontrar referencias a sus dificultades personales, que sin duda fueron muchas.
§. Planck recibe con entusiasmo la ecuación de ondas de Schrödinger
Entre 1925 y 1926 la física teórica vivió un período trepidante. El alemán Werner Heisenberg y el austríaco Erwin Schrödinger propusieron las dos formulaciones fundamentales de la mecánica cuántica: la mecánica de matrices y la ecuación de ondas.
En junio de 1925 Werner Heisenberg, con veintitrés años, ideó un conjunto de reglas para calcular los espectros atómicos. Max Born, con quien Heisenberg trabajaba en Gotinga, identificó estas reglas con el álgebra de matrices, de ahí el nombre de mecánica de matrices con el que se conoció a la teoría desde entonces. Las ideas de Heisenberg tienen un origen conceptual bastante filosófico. Dentro de la tradición empirista, en la que Heisenberg incluía a Einstein, solo tiene sentido aquello que es accesible directamente a los sentidos, es decir, aquello que se puede medir. Heisenberg decidió, por tanto, olvidarse de las órbitas de los electrones alrededor del núcleo y buscar las reglas que proporcionaran directamente lo observable: los espectros.
Heisenberg formuló su mecánica de matrices partiendo de la idea de que solo las cantidades medibles debían formar parte de la mecánica de los sistemas atómicos. Y lo que medían los espectroscopistas eran las longitudes de onda de las líneas espectrales y su intensidad. Así que ideó unas reglas para calcular las frecuencias de esas líneas y sus intensidades. Cuando Heisenberg le comentó a Einstein que la idea de manejar solo cantidades observables la había tomado del propio Einstein, este, que ya era menos positivista que de joven, se sorprendió. Con sus reglas de cálculo Heisenberg fue capaz de obtener los niveles de energía del oscilador armónico (aquel sistema que, dejado en libertad, vuelve al equilibrio describiendo oscilaciones sinusoidales, como en el caso del peso colgado de un resorte de la figura).

El oscilador armónico es un sistema que cuando es dejado en libertad vuelve al equilibrio describiendo oscilaciones sinusoidales. Heisenberg ideó un sistema con el que pudo calcular los niveles de energía del oscilador armónico cuántico.
Wolfgang Pauli (1900-1958), otro de los grandes teóricos alemanes de la época, mostró que la teoría de Heisenberg también permitía calcular los niveles de energía del átomo de hidrógeno. La mecánica cuántica había encontrado, por fin, un marco teórico consistente, unos principios generales con los que abordar cualquier problema de física atómica.
La formulación de Schrödinger proviene de otro camino completamente distinto. Schrödinger era mayor que Heisenberg y en 1926 rondaba los cuarenta años. Su punto de partida era el concepto de dualidad entre onda y partícula planteado por el francés Louis de Broglie (1892-1987) dos años antes, y que a su vez hundía sus raíces en las reflexiones de Einstein sobre la radiación de cuerpo negro. Dicha radiación había dejado claro que la luz combinaba características comunes a las ondas y a las partículas. Einstein había mostrado que la ley de Planck era consistente con un comportamiento ondulatorio a bajas frecuencias y con otro corpuscular a altas frecuencias. La hipótesis cuántica, E = hv, establecía el puente entre una propiedad ondulatoria, la frecuencia, y otra corpuscular, la energía que había que asignar al cuanto o partícula de luz. De Broglie propuso que esta correspondencia se podía establecer en sentido contrario: debería ser posible asociar a cada partícula una onda de materia. De Broglie encontró que entre la longitud de onda λ y la cantidad de movimiento p = mv de la partícula había una relación:
λ = h/p
En el ámbito de la física macroscópica, es decir, la que se interesa por planetas, rocas o granos de arena, este comportamiento no es observable porque el valor de h es extremadamente pequeño; tanto es así que la longitud de onda asociada a un objeto macroscópico es completamente despreciable. Por ejemplo, para una bola de tenis lanzada a 200 km/h, la longitud de onda de De Broglie es del orden de 10-34 m, infinitamente más pequeña que el tamaño de un núcleo atómico. Sin embargo, para un electrón en un átomo de hidrógeno la longitud de onda es del orden del tamaño del átomo, así que es de esperar que los efectos ondulatorios no influyan en el transcurso de un partido de tenis, pero sí sean notorios en la dinámica atómica.

Basándose en el concepto de dualidad del francés Louis De Broglie, que establecía que cada partícula debía tener asociada una onda de materia, las órbitas que Bohr estableció para el átomo se pueden interpretar como aquellas cuya longitud es un número entero de veces la longitud de onda de De Broglie y permiten formar ondas estacionarias.
De hecho, las órbitas permitidas del átomo de Bohr tienen una sencilla interpretación en la visión ondulatoria: son aquellas órbitas cuya longitud es un número entero de veces la longitud de onda de De Broglie y permiten formar, como vemos en la figura, ondas estacionarias.
Usando métodos físico-matemáticos avanzados del siglo XIX, Schrödinger propuso una ecuación que debían cumplir las ondas de materia.
En una serie de artículos publicados en 1926, Schrödinger demostró que su ecuación de ondas y su solución, la función de onda, proporcionaba también los niveles de energía del oscilador armónico y del átomo de hidrógeno. A su vez, también consiguió demostrar que su formulación y la de Heisenberg eran matemáticamente equivalentes.
Einstein y Planck acogieron con entusiasmo la ecuación de Schrödinger. Los métodos de Schrödinger eran mucho más cercanos a la tradición físico-matemática en la que Einstein y Planck habían crecido que los abstractos métodos de Heisenberg y Born. En una carta Planck escribió a Schrödinger: «Leo su artículo como un niño impaciente escucha la solución de una adivinanza que le ha fastidiado durante mucho tiempo».
Cuando Planck se jubiló como profesor de la Universidad de Berlín en 1927 propuso como sucesor a Schrödinger, que entonces era profesor en Zúrich. Este aceptó. Zúrich difícilmente podía competir ni económica (el sueldo ofrecido era el doble) ni científicamente (en Berlín eran por aquel entonces catedráticos Einstein y Max von Laue, el instituto de Hahn y Meitner estaba a la vanguardia de la física nuclear, Nernst dirigía el Instituto de Física Experimental, y no estaban muy lejos Born, en Gotinga, o Heisenberg, en Leipzig). Sin embargo, la razón que más pesó en la decisión de Schrödinger la reconoció este último en un poema que dedicó a Planck a su llegada a Berlín, y que no fue otra que oírle decir, a propósito de su posible nombramiento: «A mí, por ejemplo, me alegraría». Erwin Schrödinger y su esposa Anny hicieron amistad con el matrimonio Planck y esta amistad perduraría a pesar de los avatares de la guerra y de la distancia: Marga Planck y Anny Schrödinger se cartearon habitualmente hasta la muerte de la primera.
§. El principio de incertidumbre
Tras la formulación de la mecánica de matrices y la mecánica ondulatoria, se disponía de dos herramientas equivalentes para abordar cualquier problema cuántico. Tanto la mecánica de matrices de Heisenberg como la ecuación de ondas de Schrödinger permitían plantear y resolver, en principio, cualquier problema de física atómica o molecular. Aunque había un acuerdo general en que la mecánica cuántica disponía por fin de primeros principios de los que partir, principios que eran relativamente independientes de la física clásica, durante varios años hubo un intenso debate sobre su interpretación. En ese debate participaron todos los que habían tenido algo que ver en la construcción del nuevo edificio cuántico: Planck, Einstein, Bohr, Sommerfeld, Heisenberg, Schrödinger, Born, Pauli o Dirac. Max Born, profesor de física en Gotinga y estrecho colaborador de Heisenberg, ofreció la interpretación siguiente: el cuadrado de la función de onda proporciona la probabilidad de encontrar al electrón en un punto dado del espacio. En torno a esta interpretación de Born, y bajo el liderazgo de Niels Bohr, se gestó el punto de vista aceptado desde entonces por la mayoría de la comunidad científica, que representaba, desde el punto de vista filosófico, la más radical de las rupturas con la herencia clásica, puesto que significaba poner el azar en el centro mismo de la concepción física de la naturaleza, abandonando el determinismo y el estricto cumplimiento del principio de causalidad. En el otro bando, que cabría calificar de conservador, se situaron Einstein, Schrödinger y Planck, a quienes la interpretación probabilística y el abandono completo del determinismo clásico no satisficieron nunca del todo.
«La precisión ∆x con que se puede medir la posición x de una partícula y la precisión ∆p con la que se puede medir su cantidad de movimiento no son independientes».
Heisenberg, principio de incertidumbre.
Un elemento clave de este debate fue el principio de incertidumbre, o de indeterminación, formulado por Heisenberg en 1927. Heisenberg se encontraba entonces en Copenhague trabajando con Bohr, con quien mantuvo una estrecha y amistosa relación. El artículo en que presentaba las relaciones de incertidumbre se titulaba «Sobre el contenido perceptual de la cinemática y la mecánica cuántica teórica» y en él deducía su principio a partir de una de las relaciones fundamentales de su mecánica de matrices. En el mismo artículo proponía varios experimentos imaginarios para explicar intuitivamente el origen del principio.
La consecuencia del principio de incertidumbre es que no podemos determinar a la vez la posición y la cantidad de movimiento de una partícula con absoluta precisión. Si conocemos muy bien su posición nada sabremos de su cantidad de movimiento, y viceversa. Como la cantidad de movimiento de una partícula es función de su velocidad, lo que decimos de la primera se aplica también a la segunda: no podemos conocer simultáneamente con toda precisión la posición y la velocidad de una partícula. Con ello, la mecánica cuántica despoja de sentido el concepto de trayectoria de un cuerpo, ya que, si medimos la posición de una partícula en un instante dado, al no saber cuál es su velocidad, será imposible determinar dónde se encontrará en el instante siguiente.
El principio de incertidumbre se sigue del mero hecho de que observar la partícula la perturba, introduciendo una indeterminación en la medida. Esto es así porque el acto de medición implica una interacción entre el observador y la partícula observada, como por ejemplo la que se da entre la partícula y los fotones de luz con que nos servimos para iluminarla y observarla. Aunque en la física clásica es también cierto que toda observación perturba el sistema observado, es teóricamente posible idear un sistema en que la perturbación sea cada vez más pequeña. Así, por ejemplo, es lícito imaginar una iluminación cada vez más tenue que haga la perturbación tan pequeña como se quiera. La hipótesis cuántica, sin embargo, impide este ejercicio, dado que lo mínimo que podemos enviar es un cuanto, que es siempre una cantidad discreta.
Experimentos mentales para las relaciones de incertidumbreEl principio de Heisenberg se enuncia así: la precisión Δx con que se puede medir la posición x de una partícula y la precisión Δp con la que se puede medir su cantidad de movimiento p no son independientes, sino que deben cumplir la siguiente desigualdad:
Δp∙Δx ≥ h/2π
En su artículo de 1927, Werner Heisenberg propone varios experimentos mentales de los que se deducen las relaciones de incertidumbre.
El más conocido de todos ellos es el siguiente. Si queremos medir la posición de una partícula microscópica debemos iluminarla y observarla, por ejemplo, con un microscopio. La resolución con la que podemos determinar la posición de la partícula no puede ser inferior a la longitud de onda de la luz utilizada para observarla, es decir:
∆x ~ λ
Como la luz interacciona como si estuviera compuesta de corpúsculos, transporta una cantidad de movimiento que viene dada por
p = hv/c = h/λ
Una fracción desconocida de esta cantidad de movimiento se transferirá a la partícula en la colisión, de donde:
De ello se sigue que el mero hecho de observar la partícula la perturba, introduciendo una indeterminación en la medida.
§. Planck, Einstein y los judíos en la Alemania del nazismo
El antisemitismo estaba muy extendido por Europa desde el comienzo del siglo XX. El mismo Einstein ya había sido objeto de consideraciones racistas en Suiza durante los años en que vivía en Berna. Así, en un informe interno de la Universidad de Zúrich que ponderaba los méritos de Einstein para un puesto de profesor podemos leer:
Herr Dr. Einstein es un israelita y precisamente se les adscribe a los israelitas (en numerosos casos no enteramente sin razón) todo tipo de peculiaridades de carácter desagradables, tales como intromisión, insolencia, y mentalidad de tendero con respecto a su posición académica. Hay que decir, sin embargo, que entre los israelitas existen hombres que no exhiben ni una pizca de estas desagradables características.
Afortunadamente, el informe aclara que no encuentra digno de la institución adoptar el antisemitismo como política general y que los méritos de Einstein son más que suficientes para contratarlo, y así, el 15 de octubre de 1909 Einstein se convirtió en profesor de la Universidad de Zúrich.
No es necesario insistir aquí en el grado máximo de terror y locura colectiva que alcanzó el antisemitismo en la Alemania nazi. Ya antes de la llegada de los nazis al poder en 1933, la presión sobre los judíos alemanes se había incrementado notablemente en la última década. En el campo de la física, los abanderados del antisemitismo fueron Johannes Stark y Philip Lenard. Ambos habían sido muy buenos físicos experimentales y habían obtenido sendos premios Nobel de Física por sus trabajos (Lenard en 1905 y Stark en 1919). En la década de 1920, emprendieron una deriva radical que tenía tanto de ideológico como de posicionamiento en las luchas internas de poder en el seno de la ciencia alemana. Planck, que como secretario permanente de la Academia Prusiana de Ciencias, miembro destacado de la Sociedad Káiser Guillermo, que llegó a presidir, antiguo rector de la Universidad de Berlín e integrante de innumerables comités y sociedades científicas, fue una de las piezas fundamentales del sistema científico alemán durante las décadas de 1920 y 1930, no fue ajeno a esas luchas.
«Son un nido de ratas de corrupción científica».
Los intelectuales alemanes del régimen nazi, en referencia a los que apoyaban y enseñaban las teorías de Einstein.
En todas sus acciones e intervenciones Planck abogaba por la ciencia básica como garante del progreso y, en particular, por la física teórica. Lógicamente, apoyaba a varios de los físicos teóricos más importantes de la época: Heisenberg, Laue, Schrödinger y, por supuesto, Einstein. Stark y Lenard conspiraron durante dos décadas por restar influencia a Planck y sus «teóricos».

Planck tuvo relación con los nitores científicos de la época, entre ellos Albert Einstein, con quien aparece aquí el 28 de junio de 1929, día de la entrega de las dos primeras medallas Max Planck, con las que ambos fueron galardonados.
Así, los ataques a Einstein por su origen judío formaban parte de la retórica nazi, pero también tenían una intención política: la de debilitar la posición de Planck y su entorno. A principios de los años veinte ciertos sectores de la intelectualidad alemana, respaldados por Stark y Lenard, empezaron a hablar de la teoría de la relatividad en términos de «ciencia judía», para ellos Einstein era un farsante.

Niels Bohr junto a Planck en Copenhague en 1930.
En 1922 Planck, como presidente de la Sociedad Alemana de Científicos y Médicos, invitó a Einstein a pronunciar una conferencia sobre relatividad en la reunión anual de la sociedad. El objetivo era respaldar públicamente a Einstein y sus teorías en el ámbito de una reunión científica de primer nivel. Pero Einstein no pudo dar aquella conferencia. El 24 de jimio fue asesinado Walther Rathenau, ministro de Asuntos Exteriores de la república y amigo personal de Einstein. Rathenau era de origen judío y fue asesinado por un grupo de militares ultranacionalistas. (Hitler mandó erigir un monumento en su honor cuando llegó al poder). Planck encargó a Max von Laue la conferencia, que se celebró en medio de una fuerte presencia de propaganda nazi. Según cuenta Heisenberg, entonces estudiante de Sommerfeld y que asistió a la conferencia, en la entrada a la sala de conferencias un grupo de activistas repartía panfletos firmados por Lenard en los que se decía que la teoría de la relatividad no era más que especulaciones aireadas por la prensa judía y ajenas al espíritu alemán.
Cuando los nazis llegaron al poder la batalla no pudo más que recrudecerse. Einstein estaba en Estados Unidos en el momento en que Hitler tomó el poder, y decidió no volver a Alemania. Los ataques contra él se sucedieron y el ministro de Educación y Cultura nazi instó a la Academia de Ciencias a que expulsara al que era, sin duda, su más ilustre miembro. Planck inició aquí una difícil convivencia con el régimen nazi. Él había sido siempre un hombre conservador, como ya se ha dicho anteriormente, era alemán de pura cepa y, en su juventud, había sido un ferviente nacionalista y adepto a la monarquía. Por todo ello no cabía esperar de él una oposición abierta al régimen. Pero también era consciente de lo injusto del trato que los nazis daban a los judíos y, sobre todo, de los peligros para la ciencia alemana que la política racista y sectaria podía conllevar. No solo Einstein, sino Lise Meitner o Max Born eran también de origen judío. Además, si Stark o Lenard dirigían la física alemana, su racismo y su sectarismo tendrían consecuencias irreparables.
Por consiguiente, Planck adoptó una postura de oposición moderada al régimen. En lugar de grandes manifiestos, seguramente permanecía fresco en su memoria el Manifiesto de los 93, se movió entre bambalinas una y otra vez para tratar de minimizar los daños de la política nazi. En los años treinta los alemanes no excluidos por el régimen nazi mantuvieron, en general, una postura ambigua respecto al régimen, mezcla de apoyo y coacción, de aprobación y disconformidad, de queja y sometimiento. Todo indica que Planck, aun siendo un opositor, compartió estos sentimientos con gran parte de la sociedad alemana. Aunque consiguió ciertas victorias, es indudable que hubiera podido hacer más.
«Pero ahora, la guerra de aniquilación contra mis indefensos hermanos judíos me ha obligado a poner toda la influencia que pueda tener en el mundo en su lado de la balanza».
Einstein, en una carta a Planck, a propósito de su salida de la Academia Prusiana de Ciencias.
En el caso de Einstein, Planck optó por la moderación y le solicitó que dimitiera de su puesto en la Academia. Su objetivo era evitar que se iniciara un proceso de expulsión que tuviera consecuencias indeseables para otros miembros de la institución. El ministro montó en cólera cuando se enteró de que Einstein había dimitido y, de ese modo, privado al régimen del efecto propagandístico de un proceso abierto y público de expulsión. En cierto modo, esta reacción daba la razón a Planck, pero, sea como fuere, para Einstein y otros judíos, aquel no hizo lo suficiente por defenderlos. Einstein sabía que Planck no tenía nada contra él, y así se lo hizo saber, pero el régimen nazi dividió su mundo en dos por una línea nítida. Si Einstein había pertenecido a una familia judía asimilada, y en su infancia y juventud no tuvo nunca un compromiso especial con la causa judía, la persecución nazi le hizo tomar partido.
Otro episodio sonado de la batalla sobre la política científica entre Planck y los nazis ocurrió a la muerte de Fritz Haber. En 1933 los nazis promulgaron una ley que expulsaba de sus puestos de trabajo a todos los funcionarios que no fueran de origen ario. La ley admitía una excepción: aquellos no arios que hubieran combatido en la Primera Guerra Mundial o cuyos familiares directos hubieran caído en combate. Haber era judío, pero obviamente se podía atener a la excepción, ya que había tenido un papel destacado en la Gran Guerra. Haber, sin embargo, renunció a su derecho, alegando que siempre había escogido a sus colaboradores de entre las personas más capaces, sin distinción de raza o procedencia, y que, a su edad, no iba a cambiar. Luego se marchó de Alemania y toda la maquinaria de propaganda nazi cayó sobre su persona.
Haber murió en Suiza poco tiempo después y Planck, a instancias de Von Laue, decidió organizar una sesión en su memoria en la Sociedad Káiser Guillermo. El ministro nazi de Educación prohibió a los funcionarios asistir a la ceremonia, pero la sala se llenó de dignatarios extranjeros, las esposas de los funcionarios y empleados no gubernamentales de la sociedad. El acto fue, sin lugar a dudas, un digno y valiente homenaje al desaparecido químico.
La guerra abierta entre Planck y Von Laue, por un lado, y Stark y Lenard, por otro, duró más o menos hasta el final de los años treinta, cuando el propio régimen nazi decidió retirar a Stark de alguno de sus cargos, dada su incompetencia. Pero los ataques contra Planck, Von Laue y su entorno fueron permanentes hasta el final de la guerra.
En pleno poder nazi la relatividad estuvo casi prohibida, a pesar de lo cual Planck y Von Laue disertaron varias veces sobre ella, a costa, eso sí, de no nombrar a su creador. En 1942, por ejemplo, Planck aconsejó a Von Laue por carta no nombrar a Einstein en su libro sobre relatividad. Esta actitud le valió no pocos reproches en el extranjero.
Pero junto a esta actitud, aparentemente cobarde, Planck tuvo muchos momentos de valentía similares al del caso Haber, como cuando en una charla en plena guerra en un club de oficiales nazis nombró a Einstein como un líder mundial en el campo del pensamiento. Como consecuencia de aquella charla, el régimen desaconsejó que, a partir de ese momento, se permitiera a Planck dar conferencias.
El resultado de la política ambigua que Planck practicó fue que terminó sufriendo descalificaciones de todos los bandos. Los nazis propagaron durante años el rumor de que tenía ascendientes judíos, llegando incluso a cuantificar su ascendiente judío en un dieciseisavo. Y el mismísimo Göbbels consideraba que Planck era demasiado tibio en su adhesión al régimen. En el otro lado encontramos el ejemplo de Lotte Warburg, hija del físico judío Emil Warburg y hermana del premio Nobel de Fisiología Otto Warburg. Tras oír que Planck, en un discurso, hacía un obligado agradecimiento a Hitler por su apoyo a la ciencia alemana, Lotte Warburg escribió en su diario:
¡Una mentira tan monstruosa! [...] A pesar de todo, cualquiera que pronuncie el nombre de Planck dirá: Planck, un carácter honorable. Hasta el final de su vida llevará consigo la máscara de honorable, desinteresado, científico puro, fiel a sus convicciones, y nadie sabrá la verdad, la monumental cobardía y debilidad de carácter que llenaron sus últimos años. Nadie.
Paradójicamente, el propio Warburg es quizá uno de los pocos casos en que la política de paños calientes de Planck dio resultado. De padre judío, Warburg mantuvo su puesto de director del Instituto Káiser Guillermo de Bioquímica, acogido a la excepción de la ley del 33, hasta el final de la guerra.
Quizá quiera el lector, llegado este punto, tener más elementos de juicio para hacer su propia valoración. ¿Era Planck un cobarde? ¿Era realmente un hombre de honor? Nos resulta fácil ahora, sabiendo cómo fue el régimen, cuál fue su final y teniendo datos claros y fidedignos de sus atrocidades, exigir a los hombres un comportamiento que no tuvieron. Pero es difícil hacemos una idea de lo que tuvieron que ser trece años de convivencia con un régimen implacable, siempre acosado, siempre acusado y muchas veces en el filo de la navaja. Acabada la guerra, en una conferencia pronunciada en Gotinga el 17 de junio de 1946, Planck dijo:
Así, el estándar moral de la sinceridad aparece a menudo relajado y debilitado de forma reprochable [...]. Bajo ninguna circunstancia puede en este terreno [el de la sinceridad] haber el más mínimo compromiso moral, la menor justificación de la más pequeña desviación. Aquel que viola este mandato, quizá con el objetivo de ganar cierta ventaja material momentánea, cerrando los ojos deliberadamente y con conocimiento de causa a la evaluación apropiada de la situación, como un derrochador que sin pensarlo despilfarra su fortuna, sufrirá inevitablemente, antes o después, las graves consecuencias de su temeridad.
El hombre que habla así de la obligación moral de ser sincero, o realmente piensa que lo fue o es un cínico. Y es muy difícil pensar que Planck fuera lo segundo.
§. Hitler se enfurece
El 16 mayo de 1933 Planck se entrevistó con Hitler. La intención del científico era convencer a Hitler de las desastrosas consecuencias que la política contra los judíos tendría en la ciencia alemana. Según el mismo Planck contó a un colaborador, Hitler le contestó que él no tenía nada en contra de los judíos, al contrario, que los protegía, que estaba en contra de los comunistas, pero que todos los judíos se habían vuelto comunistas, y le dio un ataque de ira. Según la versión de Einstein, Hitler amenazó a Planck con internarlo en un campo de concentración.
Por entonces Heisenberg era catedrático en Leipzig y el mismo año de 1933 se iniciaron las expulsiones de profesores judíos. La expulsión de Levy (profesor de matemáticas) provocó la indignación de varios de los profesores de la universidad. Heisenberg y algunos de sus colegas se plantearon la posibilidad de dimitir en bloque, pero antes fue a visitar a Planck en su casa de Berlín a finales de mayo de 1933. Heisenberg encontró a Planck, que tenía entonces setenta y cinco años, muy envejecido y cansado. Planck le contó entonces su entrevista con Hitler. Según Heisenberg estas son algunas de las cosas que Planck le dijo aquel día en Berlín:
Me temo no poder darle ya ningún consejo. No tengo ya esperanza alguna de que pueda detenerse la catástrofe de Alemania, y con ella la de las universidades alemanas. Antes de que usted me refiera las ruinas de Leipzig, que seguramente son iguales a las de Berlín, deseo informarle primero sobre una conversación que mantuve hace unos días con Hitler. Había confiado en que podría ponerle en claro los enormes daños que a las universidades alemanas, y en particular a la investigación científica en nuestro país, podría causarle la expulsión de los colegas judíos, que tal manera de proceder no tendría sentido y sería profundamente inmoral, ya que b mayor parte de ellos son ciertamente hombres que se sienten totalmente alemanes y que en la última guerra expusieron, como todos, su vida por Alemania. Pero no he encontrado comprensión alguna por parte de Hitler, o, lo que es peor, no hay lenguaje con el que pueda uno entenderse con semejante hombre.
Hitler ha perdido, a mi parecer, todo contacto real con el mundo exterior. Lo que otro le dice, lo recibe, en el mejor de los casos, como un estorbo molesto, que inmediatamente domina con su voz, declamando machaconamente las mismas frases sobre la decadencia de los últimos catorce años, sobre la necesidad de poner dique a este desmoronamiento en el último minuto, etcétera.
Con esto se tiene la impresión fatal de que está convencido personalmente de semejante locura, y se le procura a su alrededor la posibilidad de esta fe mediante la exclusión violenta de todas las influencias externas; al estar poseído por un cuadro de ideas fijas, se hace inasequible a toda propuesta razonable y llevará a Alemania a una espantosa catástrofe.
Usted sabe que no es posible influir en el curso del alud cuando este se ha puesto en movimiento. Los destrozos que causará, las vidas humanas que aniquilará, son hechos que están determinados y decididos por bs leyes de la naturaleza, aunque no las conozcamos de antemano.
En realidad, tampoco Hitler puede decidir el curso de los acontecimientos, porque él es, en gran medida, más un ser arrastrado por su locura que un impulsor. No puede saber si las fuerzas que ha desencadenado lo engrandecerán definitivamente o lo aniquilarán miserablemente.
En aquella conversación Planck desaconsejó a Heisenberg la dimisión colectiva porque tendría muy poca repercusión y, además, la prensa callaría o difamaría a los miembros del grupo dimisionario. Al final se verían forzados a emigrar con la esperanza, tal vez, de volver al final de la guerra. El consejo que Planck da a Heisenberg, y que forma parte de la postura que él tomó durante todo el régimen nazi, es que aquellos que signifiquen algo y no estén obligados a marcharse, deben quedarse para preparar el futuro.
Heisenberg siguió el consejo de Planck y su vida posterior tuvo una deriva sorprendente. Fue, primero, duramente perseguido. Su candidatura a la cátedra que su profesor y amigo Max Born había dejado en Gotinga, como consecuencia de verse obligado al exilio debido a su origen judío, fue desaprobada por el ministro de Educación. Después, Sommerfeld lo propuso como su sucesor en Münich, y cuando casi todo estaba preparado para la toma de posesión de la cátedra de Münich apareció un artículo de Stark en una revista de las SS que se titulaba «Judíos blancos en las ciencias». En él se acusaba a Heisenberg de ser amigo de los judíos y de deber toda su fama, incluido el premio Nobel, recibido en 1933, a su colaboración con los judíos extranjeros y sus amigos. Estas acusaciones muestran la personalidad paranoica de Stark y su deriva intelectual. Pero tampoco hay que perder de vista que había una cátedra en juego, que podría ser para uno de sus partidarios, aumentando así su influencia. La mezquindad se añade aquí a la locura para formar esa amalgama destructiva que tanto prolifera en las dictaduras.

La relación de muchos científicos alemanes con el régimen nazi fue, como para el resto de la población, bastante complicada. Como presidente de la Sociedad Káiser Guillermo, por ejemplo, Planck tenía que asistir a actos públicos, como el ilustrado en la imagen, en 1935, junto a miembros del Partido Nazi.
Heisenberg no pudo acceder a la cátedra de Münich y las SS iniciaron una investigación contra él que duraría un año. Lo interrogaron varias veces, colocaron micrófonos secretos en su casa y lugar de trabajo e hicieron todo tipo de insinuaciones sobre él. Heisenberg consiguió salir indemne gracias a que su abuelo materno conocía al padre de Himmler. Rogó a su madre que enviara una carta suya a Himmler a través de la madre de este. Himmler en persona escribió a Heisenberg diciendo que no estaba de acuerdo con los ataques que había recibido y que no volvería a ser molestado.

Otros científicos adoptaron también esa postura ambigua, como es el caso de Heisenberg, Von Laue y Otto Hahn, que aparecen en la imagen, tomada en Gotinga en 1946, poco después de ser liberados de la casa de campo Farm Hall. Allí fueron espiados, junto con otros científicos alemanes, por el ejército Aliado.
Poco más de un año después, el 25 de septiembre de 1939, Heisenberg fue movilizado para trabajar en el proyecto de la bomba atómica alemana, del que sería director. Pasó así de ser perseguido por los nazis a colaborar directamente con ellos. Esta actuación de Heisenberg ha dado, y sigue dando, mucho que hablar. Pero esa es otra historia.
La ejecución de Erwin Planck
Erwin Planck nació el 12 de marzo de 1893. Era el más pequeño de los hijos que Max Planck tuvo con su primera esposa, Marie. Erwin estuvo muy unido a su padre y contó siempre con su favor. Participó como oficial del ejército en la Primera Guerra Mundial, y fue hecho prisionero en Francia, donde estuvo hasta casi el final de la guerra.
Al regresar de Francia, aún de servicio en el ejército, trabó amistad con el entonces mayor Von Schleicher. A partir de 1926 el ya general Von Schleicher ejerció de jefe virtual del ejército alemán y fue una pieza clave en los detalles de la llegada de Hitler al poder. A principios de los años treinta la República de Weimar estaba en una profunda crisis. La crisis mundial que había seguido al crack bursátil de Nueva York de octubre de 1929 tuvo en Alemania una devastadora repercusión. Entre 1929 y 1932 el producto interior bruto cayó cerca de un 40%. La cifra oficial de parados a finales de 1932 era de seis millones y los expertos estiman que estaban en paro uno de cada tres trabajadores.
El presidente Hindenburg (héroe de la Primera Guerra Mundial), las élites económicas, el ejército y los partidos de derecha veían en la democracia un impedimento para sortear la crisis defendiendo sus intereses. Deseaban terminar con la frágil democracia alemana e instaurar un régimen dictatorial. Entre los años 1930 y 1933 el ascenso del Partido Nazi se unió a esta situación para terminar de socavar los débiles cimientos de la república. Von Schleicher ya era un hombre influyente en el Gobierno en torno a 1930, puesto que era consejero del ministro de Defensa.
El 1 de junio de 1932, y gracias, entre otras circunstancias, a las maniobras en su favor de Von Schleicher, Von Papen fue nombrado canciller. El mismo Schleicher fue nombrado ministro de Defensa. Erwin Planck era uno de los hombres de confianza de Schleicher y, como tal, fue nombrado secretario de Estado dentro del Ministerio de Defensa, puesto equivalente al de viceministro. Schleicher, como Von Papen y como Hindenburg, buscaba un gobierno autoritario. En su ideario era el ejército el que debía ejercer el poder, y solo un gobierno fuerte, dirigido por un hombre fuerte, podía salvar a Alemania. Durante el gobierno de Von Papen se levantó la prohibición que existía sobre las fuerzas paramilitares nazis, las SS, porque, según criterio de Schleicher, el ejército no bastaba para controlar la situación.
«El mal primordial consiste, en mi opinión, en la llegada del imperio de las masas. Verdaderamente, creo que el derecho de sufragio universal es un error fundamental».
Max Planck en una carta que le escribió a Von Laue.
Schleicher negoció con Hitler para tratar de incorporar al Partido Nazi al Gobierno. En la mente de Schleicher, y de buena parte de la clase dirigente alemana, se había instalado la idea de que Hitler podía ser un instrumento útil para contener a los comunistas, a los sindicatos y a los socialdemócratas. Pero Hitler rechazó en agosto de 1932 una vicecancillería: quería el control total. En el otoño de 1932 una gran crisis social estaba a punto de estallar: con un creciente desempleo, la violencia política se había instalado en las calles. El mismo Schleicher intentó controlar la situación y fue nombrado canciller en diciembre de 1932. Erwin Planck, siguió siendo secretario de Estado, y pasó a ocupar un puesto destacado en el Gobierno de Schleicher, puesto que seguía siendo uno de sus colaboradores más cercanos. Pero el breve Gobierno de Schleicher fue un fracaso y, tras menos de dos meses de canciller, dimitió de todos sus cargos. El 30 de enero de 1933, Hindenburg cedió a los diversos grupos de presión y accedió a nombrar canciller a Hitler, a quien despreciaba profundamente.
El régimen nazi se caracterizó desde el principio por la violencia y la represión. En junio de 1934 Hitler llevó a cabo una purga dentro de su propio partido y entre sus antiguos adversarios con el fin de consolidar su poder. Entre otros muchos dirigentes y militares, Von Schleicher fue asesinado el 30 de junio de 1934.
Erwin Planck abandonó el Gobierno a la vez que su amigo y protector, y estuvo alejado de la política por un tiempo. A partir de 1936 se dedicó a los negocios, pero cuando la guerra empezó a ser una amenaza real multiplicó sus contactos con los grupos opositores al régimen dentro del ejército y del aparato del Estado. En 1940 elaboró, junto con otros opositores a Hitler, un documento a modo de constitución provisional para ser tomado en consideración ante la inminente caída de Hitler. No parece que Erwin participara directamente en el complot del 20 de julio de 1944, en el que el coronel Stauffenberg intentó asesinar a Hitler, pero sí es evidente que conocía a la mayoría de los conspiradores y que simpatizaba con ellos.
El intento de golpe de estado de julio de 1944 desató una ola de represión como nunca antes se había visto en Alemania. Además de matar a los directamente implicados en el complot, se detuvo, encarceló, torturó y, en muchos casos, ejecutó, a miles de personas más. Durante el invierno de ese año, escuchar radios extranjeras o hacer bromas políticas podía costar la vida. En estas circunstancias no es de extrañar que Erwin Planck fuera detenido. Su padre recurrió a todas sus influencias para intentar salvarle la vida, y parece ser que Himmler intervino en su favor. El 18 de enero de 1945 Planck recibió una comunicación de que su hijo iba a ser perdonado pero, inesperadamente, Erwin fue ejecutado cinco días después. Su muerte sumió a Planck en la más absoluta desesperación.
La figura de Erwin nos ayuda a comprender un poco más la mentalidad y la ideología de Max Planck. No cabe duda de que conocía las actividades políticas de su hijo. No solo estaban muy unidos, sino que ambos eran miembros de un club de aficionados a la ciencia en donde se solían reunir algunos de los conspiradores. Las ideas políticas de Max Planck se pueden inducir a partir de las de su hijo, y hay que decir que este nunca fue realmente un demócrata. Ya hemos visto que Erwin participó en los gobiernos de Von Papen y Schleicher, cuyo objetivo no era ni mucho menos afianzar la democracia en Alemania. Tampoco el complot de julio de 1944 pretendía instaurar un régimen democrático, sino acabar con la locura hitleriana y buscar un final digno a la guerra. Max Planck atribuía en cierto modo a la democracia la llegada de Hitler al poder.
§. Bose cierra el círculo
A principios de la década de 1920, el concepto de cuanto de luz, que desde 1926 pasó a conocerse como fotón, quedó bien establecido. Varios hechos experimentales habían corroborado que, a altas energías, la luz interaccionaba con la materia como si estuviera compuesta por un conjunto de partículas con energía E = hv y cantidad de movimiento p = hv/c. Este concepto, ya maduro, iba a permitir reformular sobre unas bases puramente cuánticas la ley de radiación de Planck.
En junio de 1924, Albert Einstein recibió en su casa de Berlín una carta fechada el día 4 del mismo mes y escrita por un joven hindú llamado Satyendra Nath Bose. En ella rogaba a Einstein que considerara si un artículo adjunto, obra del propio Bose merecía publicarse en la revista alemana Zeitschrift für Physik, y en caso de ser así, que dispusiera la forma de traducirlo del inglés al alemán, labor para la que Bose no se sentía capacitado.
El artículo de Bose, que el mismo Einstein tradujo y envió a la revista, presentaba una nueva derivación de la ley de Planck de la distribución espectral de la radiación de cuerpo negro. El artículo apareció con una nota al final escrita por el propio Einstein en la que se puede leer: «La derivación de Bose de la ley de Planck me parece un importante paso hacia delante. El método aquí empleado proporciona también la teoría cuántica del gas ideal, como mostraré en otro lugar».
Para entender el significado de la derivación de Bose debemos recordar los pasos esenciales de la demostración que Planck había hecho de su ley. En primer lugar, Planck imaginó que las paredes de su cavidad radiante contenían osciladores cargados eléctricamente que absorbían y emitían radiación electromagnética. En el equilibrio térmico los osciladores emitían tanta energía como la que absorbían, lo que permitió a Planck establecer la relación entre la energía media de un oscilador uv y la del campo electromagnético uv que ya hemos visto anteriormente:

El segundo paso de la derivación de Planck consistía en encontrar cuánta energía correspondía a cada oscilador en función de su frecuencia y de la temperatura de la cavidad. Para ello Planck recurrió a la relación entre entropía y probabilidad dada por Boltzmann y a la hipótesis cuántica. Tanto Rayleigh como Jeans habían deducido el mismo factor

de la ecuación anterior a partir de un razonamiento totalmente distinto. Bose hace notar en la introducción de su artículo que tanto Planck como Rayleigh usaban argumentos clásicos para deducir este factor. Él veía una contradicción en considerar, por un lado, la electrodinámica clásica para deducir una parte de la ley y recurrir, después, a la hipótesis cuántica para calcular la entropía y completar el cálculo termodinámico. Por ello, Bose propone una forma totalmente cuántica de llegar al factor

Recordemos que ya Einstein, en su artículo de 1905, había demostrado que la entropía de la radiación de cuerpo negro para bajas densidades se parecía a la de un gas de partículas. Bose retoma esta idea y considera que la radiación dentro de la cavidad se comporta como un gas: un gas de fotones. Se olvida así tanto de las ondas de Rayleigh como de los osciladores de Planck. Considerando cuantos estados mecánicos hay accesibles para partículas que cumplan la hipótesis cuántica y la relación de De Broglie, Bose encuentra el factor buscado.
Sin ser plenamente consciente de ello, Bose trató los cuantos de luz como partículas indistinguibles la una de la otra. Esta es una característica plenamente cuántica, consecuencia física del principio de incertidumbre.

Tras la colisión cuántica quedan de nuevo dos partículas, pero no podremos decir una interpretación intuitiva cuál es cuál.
Si, como hemos visto, las partículas cuánticas no tienen una trayectoria definida, cuando dos partículas idénticas entran en interacción, por ejemplo, en una colisión, no podemos seguirlas ni distinguirlas. La dualidad onda-corpúsculo da, de esta propiedad: si las dos partículas están tan alejadas que sus ondas asociadas no se solapan, podemos considerarlas como entes separados. Cuando entran en interacción las ondas interfieren y se superponen, por lo que no cabe decir con certeza dónde está una partícula y dónde está la otra. Al terminar la interacción podemos hablar de nuevo de dos partículas, pero ya no sabemos cuál es cuál. En la figura puede apreciarse la diferencia entre la visión clásica de una colisión entre partículas, después de la cual ambas son distinguibles, de la noción cuántica de interferencia, que impide dicha distinción.
En un artículo escrito ese mismo año, Einstein generalizó la estadística de Bose al caso de un gas de partículas materiales (en lugar de fotones), derivando de ello las leyes del gas cuántico. El artículo de Bose puso fin a la búsqueda de una fundamentación consistente a partir de principios generales de la ley de Planck. Einstein, Ehrenfest y, sobre todo, Paul Dirac pulieron algunos detalles e hicieron explícitas las hipótesis que Bose había realizado implícitamente. La deducción de Bose de la ley de Planck es la que solemos encontrar en los libros de texto de física estadística hoy en día; una deducción, al fin, plenamente cuántica.
Reparto cuánticoBose y Planck usaron una forma de contar estados diferente de la que originalmente había utilizado Boltzmann. En uno de sus artículos sobre la interpretación estadística de la entropía, Boltzmann se pregunta de cuántas formas posibles se pueden distribuir N moléculas entre estados de diferente energía. Para Boltzmann las moléculas eran distinguibles y, por ello, no era lo mismo tener la molécula 1 con una energía E1 y la molécula 2 con una energía E2 que al revés. Planck, sin embargo, repartió niveles de energía indistinguibles, todos de valor Uv, entre N osciladores distinguibles. Bose, por su parte, reparte fotones indistinguibles de momento Uv/c entre estados mecánicos posibles. Las cuentas del joven científico indio y las de Planck son casi idénticas, aunque con distinta interpretación, y conducen al mismo resultado. Podemos entender la diferencia entre las formas de contar entre uno y otros si imaginamos cuatro jugadores a los que repartimos cuatro cartas, una a cada uno de los jugadores. Para Boltzmann las cuatro cartas serían distintas, por ejemplo los cuatro ases, y habría (puedo elegir entre cuatro cartas para el primero, tres para el segundo, dos para el tercero y una para el último) 4∙3∙2∙1 = 24 formas diferentes de repartir, esto es 24 partidas posibles. Para Planck y Bose las cuatro cartas serían blancas y
habría una sola partida posible en total. Planck y Bose, sin ser plenamente conscientes de ello, estaban jugando a un juego distinto del de Boltzmann. Einstein, tras estudiar el artículo de Bose, se apuntó al juego. Eran las reglas cuánticas. Gracias a estas reglas, Einstein descubrió las leyes del gas cuántico y predijo el fenómeno de la condensación de Bose-Einstein, un nuevo estado de la materia que se produce a bajísimas temperaturas y que, tras ser constatado experimentalmente en 1995, constituye en la actualidad un importante ámbito de investigación.
Capítulo 4
Constantes universales contra la incertidumbre
§. Relativista entusiasta
§. El maestro de la termodinámica
§. Las unidades de medida del universo
§. Determinismo y causalidad: ¿somos libes?
§. Huyendo hacia el bosque
§. Batallas después de muerto
El nombre de Max Planck se encuentra entre los grandes de la historia de la física por haber introducido el concepto de cuanto de energía y la constante que lleva asociada. Pero el problema de la radiación de cuerpo negro, que le llevó a los cuantos, fue solo uno de los muchos a los que se enfrentó durante su larga carrera científica. Innumerables fueron sus contribuciones a la termodinámica, de la que quizá quepa considerarlo como uno de los fundadores; acaso el último. Además, mostró un gran interés por la teoría especial de la relatividad, y contribuyó a desarrollarla y consolidarla entre sus contemporáneos. Consecuencia de su trabajo sobre la radiación de cuerpo negro fue también la invención de un sistema natural de unidades, las escalas de Planck, que tienen hoy una relevancia y una actualidad que ni su propio autor hubiera soñado. Estas otras contribuciones, por sí solas, le habrían valido a Planck un rincón en la galería de los físicos ilustres.
§. Relativista entusiasta
Max Planck compartía con Paul Drude la responsabilidad de la edición de los Annalen der Physik cuando, en 1905, aparecieron en la revista dos artículos fundacionales de la teoría de la relatividad. El primero de ellos apareció en junio y llevaba por título «Sobre la electrodinámica de cuerpos en movimiento». El segundo artículo era un opúsculo de no más de dos páginas titulado «¿Depende la inercia de un cuerpo de su contenido de energía?» y en él se deducía la famosa ecuación E = mc2. Ambos iban firmados por Albert Einstein.
Según el relato de la hermana de Einstein, Maja, este estaba muy impaciente por conocer las reacciones a su artículo, pero en los números inmediatamente siguientes al de su publicación no apareció ni un solo comentario, ni siquiera crítico. Un poco más tarde Einstein recibió una carta de Berlín. La remitía Max Planck, y en ella le pedía la clarificación de algunos puntos de su artículo. La carta llenó de júbilo a Einstein. No solo era un indicio de que su artículo no había pasado inadvertido, sino que venía firmada por uno de los más grandes físicos del momento.
El encuentro de ambos en el otoño de 1905 en el coloquio de física de la Universidad de Berlín marcó el inicio de una larga amistad. En Berlín tuvieron ocasión de discutir en profundidad el trabajo de Einstein y sus implicaciones. Como uno de los postulados de la nueva teoría era el principio de relatividad, que sostiene que las leyes de la física son las mismas para dos observadores en movimiento relativo, Planck empezó a usar el término Relativtheorie (teoría relativa) para referirse a ella. En el turno de preguntas de una conferencia pronunciada por Planck surgió el nombre Relativitatstheorie (teoría de la relatividad). Paul Ehrenfest utilizó este nombre en un artículo en 1907 y Einstein lo adoptó esporádicamente a partir de ahí. El término terminaría consolidándose. Es muy revelador constatar que Planck estuvo en el origen de los dos términos más importantes de la física del siglo XX: la relatividad y el cuanto.
El interés de Planck por la relatividad lo ubicó él mismo en su proyecto científico y personal de «la búsqueda de lo absoluto». Así, en su autobiografía científica podemos leer:
En el primer párrafo de esta breve autobiografía, recalqué que siempre he contemplado la búsqueda de lo absoluto como la más noble y valiosa tarea de la ciencia. El lector quizá considere esto contradictorio con mi abierto interés por la teoría de la relatividad. Pero sería fundamentalmente erróneo verlo así. Porque todo lo relativo presupone la existencia de algo absoluto, y tiene sentido solo cuando se yuxtapone a algo absoluto. La frase oída a menudo de «Todo es relativo» es a la vez engañosa e irreflexiva. La teoría de la relatividad también está basada en algo absoluto, a saber, la determinación de la matriz del continuo espacio-tiempo.
Con estas palabras, Planck quería hacer hincapié en que en el centro mismo de la teoría expuesta por Einstein se encuentra una constante, un invariante universal, un absoluto: la velocidad de la luz, que es la misma para todos los observadores independientemente de su movimiento relativo.
Las aportaciones de Planck a la relatividadUn texto de 1906 hizo de Planck el primer físico en escribir un artículo sobre la teoría de la relatividad después de que lo hiciera el propio Einstein. En dicho escrito y en otros que le siguieron, Planck dedujo la expresión relativista para la cantidad de movimiento p de una partícula, conocida su masa en reposo m y su velocidad v:
Cuanto mayor es la diferencia entre la velocidad del objeto v y la velocidad de la luz, c, la expresión se acerca a su análoga en la mecánica clásica, p =mv. Es decir, que para objetos a velocidades modestas la mecánica clásica constituye una excelente aproximación a la realidad física. Planck también dedujo cómo cambian la cantidad de movimiento y la energía de una partícula al cambiar de sistema de referencia, y formuló el principio de mínima acción en versión relativista. Este es un principio de la mecánica clásica según el cual, de todas las trayectorias que una partícula puede describir para moverse entre dos puntos, la real es la que hace mínima una cierta función llamada acción. Planck demostró que este principio también es aplicable a la mecánica relativista.
Los seminarios de Planck sobre la teoría de la relatividad dieron a conocer la nueva teoría a quien por aquel entonces era su asistente, Max von Laue. Von Laue se puso a trabajar en diversos problemas relativistas y se convirtió en uno de los mayores expertos de su tiempo. De hecho, fue el autor del primer libro de texto dedicado íntegramente a la teoría especial de la relatividad. En la primavera de 1909, Planck viajó a Estados Unidos y dio una serie de conferencias científicas en la Universidad de Columbia, en Nueva York, recogidas en el libro Ocho lecciones de física teórica. En una de estas conferencias presentó los elementos fundamentales de la teoría de la relatividad, convirtiéndose así en el primer científico en propagar la teoría entre la cada vez más pujante comunidad de físicos estadounidenses.
Durante esa visita, Planck quedó asombrado del antialcoholismo imperante en la sociedad estadounidense de la época, hecho en el que también había reparado Boltzmann con motivo de una visita a la universidad californiana de Berkeley en 1906. En el texto «El viaje de un profesor alemán a Eldorado» hace un ágil y divertido relato de su estancia en dicho país, mostrando sus muy notables aptitudes para la literatura. Tras describir sus problemas de vientre, causados, según él, por tener que beber agua en las comidas, Boltzmann compara el efecto que produjo en un colega estadounidense su pregunta sobre dónde podía encontrar vino, comparándolo con el que hubiera producido preguntarle por la dirección de una casa de citas. Y añade:
Miró alrededor con preocupación por si alguien nos estaba escuchando, me estudió con la mirada para convencerse de que estaba hablando en serio y, finalmente, me dio el nombre de una excelente tienda en Oakland que vendía vino californiano.Boltzmann consiguió su vino, pero se lo tuvo que beber a escondidas después de las comidas. Por lo visto su vientre lo agradeció. Planck escribió al respecto:
«Durante toda mi estancia no bebí ni una gota de vino o de cerveza, ni estuve siquiera cerca de ningún licor, en consecuencia me sentía excepcionalmente bien».
§. El maestro de la termodinámica
En sus primeros años como investigador en activo, Planck se dedicó en profundidad a la termodinámica, aplicando el segundo principio a las disoluciones, las mezclas gaseosas y los cambios de fase. Obtuvo una serie notable de resultados pero desconocía que, a miles de kilómetros de Alemania, el gran físico estadounidense Josiah Willard Gibbs había obtenido previamente los mismos resultados y de forma más general. Gibbs se anticipó no solo a Planck, sino también a Einstein, cuyos primeros artículos, en 1903, versaban sobre los fundamentos estadísticos de la termodinámica. Planck siguió trabajando en termodinámica toda su vida y a él se le debe uno de los enunciados del segundo principio que solemos encontrar en los libros de texto, y que ya se comentó en el primer capítulo.
En 1900, poco después de deducir su ley de la distribución espectral de la radiación de cuerpo negro, Planck le confió a su hijo Erwin, por aquel entonces un niño de siete años, que había hecho un descubrimiento «de la importancia del de Copérnico». Planck no podía estar refiriéndose a la hipótesis cuántica, de cuya trascendencia aún no era consciente. Y aunque Erwin le dijo a un amigo, años más tarde, que ese descubrimiento asombroso era el de una nueva constante natural, tampoco se refería a la que hoy llamamos constante de Planck. El descubrimiento al que Planck aludía era, casi con toda seguridad, el de una constante que, curiosamente, ha pasado a la posteridad no con su nombre, sino con el de otro ilustre contemporáneo, Boltzmann. La importancia del hallazgo radica en que esta constante, que bautizó como k y a la que hemos hecho breve referencia en el capítulo segundo, aparece tanto en la ley de Planck como en las leyes de los gases ideales. Se trata sin duda del más importante de sus descubrimientos en el ámbito de la termodinámica. La ley que relaciona la presión, el volumen y la temperatura en los gases ideales era conocida desde principios del siglo XIX gracias a los trabajos de Boyle, Mariotte, Gay Lussac, Charles y Clapeyron. Ludwig Boltzmann, en uno de sus artículos sobre la interpretación estadística de la entropía, había deducido la ley de los gases de su ecuación:
S = k ln Ω
Sin embargo, Boltzmann no había escrito explícitamente la constante de proporcionalidad k, ni se había preocupado de su valor numérico.
Las medidas de la radiación de cuerpo negro proporcionaban los valores de las dos constantes universales que aparecen en la ley de Planck: h y k. El conocimiento independiente de la constante de los gases ideales y la nueva constante k permitió a Planck dar un valor numérico para el número de Avogadro, el número de moléculas en un mol de sustancia. De las leyes de la electrólisis (la descomposición química de ciertas sustancias por medio de la electricidad) y el número de Avogadro se podía calcular la carga del electrón. De esta forma, la ecuación de Boltzmann para la entropía, con una constante de proporcionalidad igual para todos los sistemas físicos, relacionaba fenómenos tan diversos como la presión de los gases ideales, la radiación de cuerpo negro o la electrólisis.
Había aquí una profunda unidad en la naturaleza. La misma constante que relaciona la energía y la temperatura en la radiación electromagnética lo hace en las moléculas y los átomos. Ese es el «descubrimiento copernicano»: haber encontrado una relación tan estrecha entre la electrodinámica y la teoría atómica; una prueba más, en definitiva, de la unidad del mundo físico. La ley de Boltzmann se presenta en los libros de texto hoy en día como algo general, aplicable a cualquier sistema físico, con validez universal. Y ya no nos asombra porque así se enseña de buen principio. Pero si el lector empieza ahora a adentrarse en los misterios de la física, es recomendable detenerse y admirar en toda su maravilla la conexión que encontró Planck entre la termodinámica, la electrodinámica y la hipótesis atómica.
Planck descubre la constante... De BoltzmannLlamando P a la presión a la que está sometido un gas, V el volumen que ocupa, n el número de moles de sustancia que contiene, T la temperatura absoluta y R la constante de los gases, la ley de los gases ideales se escribe como:
PV=nRT
Boltzmann había deducido esta ley de su relación entre la entropía S de un sistema con la probabilidad:
S = k ln Ω
En lenguaje moderno se dice que Ω representa el número de microestados accesibles al sistema. Al deducir la ley de los gases a partir de la expresión de la entropía, usando para ello el segundo principio de la termodinámica, se obtiene la siguiente relación entre las constantes R y k:
R = Na k,
donde NA representa el número de Avogadro, esto es, el número de moléculas contenidas en un mol de sustancia. La constante k se puede entender como la constante de la ley de los gases si, en lugar de referirla a moles, la referimos a moléculas. Es decir, llamando N al número de moléculas del gas podemos escribir la ley de los gases como:
PV = NkT
Boltzmann no usó la constante k en su artículo sobre la teoría cinética del gas ideal y Planck se dio cuenta de que si la expresión de la entropía tenía validez general, debía haber una constante de proporcionalidad que fuera la misma para todos los sistemas. La constante no podía ser distinta según los sistemas, ya que la entropía de, por ejemplo, un gas en presencia de radiación, debía ser la suma de la entropía del gas y la de la radiación. Cuando Planck consiguió deducir su ley de distribución a partir de la entropía de un conjunto de osciladores aparecía en ella la constante k:
Del ajuste de la fórmula a las medidas experimentales se podían obtener los valores de h y k. Planck pudo calcular el número de Avogadro a partir del valor de R y la relación R = NA k. El número que obtuvo concordaba muy bien con el valor conocido. Además, a partir de las leyes de la electrólisis se conocía la cantidad de electricidad asociada a un mol de un ion monovalente, lo que permitió a Planck dar un valor para la carga del electrón. En resumen: la ley de la radiación de cuerpo negro proporcionaba valores numéricos para el número de Avogadro y la carga del electrón, constantes relacionadas con fenómenos muy diferentes.
De entre sus otros trabajos en termodinámica destacan sus reflexiones sobre el significado del llamado teorema de Nernst, que lo llevaron a la introducción del tercer principio. A principios de siglo, Walther Nernst había llevado una serie de medidas sobre la absorción y generación de calor de diversas reacciones químicas a muy baja temperatura. Como consecuencia de estas investigaciones llegó a enunciar la siguiente ley, que se conoce como teorema de Nernst: «En los alrededores del cero absoluto todos los procesos se realizan sin modificación de la entropía». Entre otras consecuencias, el teorema de Nernst implica que es imposible alcanzar la temperatura cero en la escala Kelvin de temperaturas, o cero absoluto.
Planck se sirvió de la hipótesis cuántica para deducir del principio de Nernst una medida de la entropía y propuso para aquel el enunciado siguiente, conocido en la actualidad como tercer principio de la termodinámica: «En el cero absoluto de temperatura la entropía de todo cuerpo químicamente homogéneo tiene un valor cero».
La carga del electrónEl valor de la carga del electrón calculado por Planck a partir de las diversas relaciones entre las constantes de la radiación de cuerpo negro, la constante de los gases y las leyes de la electrólisis era muy cercano al hoy en día admitido. Los vericuetos del desarrollo de la ciencia dan a este descubrimiento de Planck, en cierto
modo colateral, una importancia mayor de la que pudiera parecer en un principio. Ernest Rutherford (imagen) leyó atentamente el artículo en que Planck daba su estimación de la carga del electrón a partir del ajuste experimental de su ley del cuerpo negro.
Este valor concordaba muy bien con las medidas directas de la carga del electrón que había realizado el propio Rutherford, y que estaban un tanto alejadas del primer valor dado por J. J. Thomson. Años más tarde, Niels Bohr se encontraba trabajando en Manches- ter bajo la dirección de Rutherford y fue este la primera persona que leyó el artículo, aún sin enviar a prensa, en que Bohr exponía sus ideas sobre la estructura del átomo. Rutherford animó a Bohr a publicar el artículo y a continuar con su trabajo, aunque no estaba exento de contradicciones y rompía con toda la física clásica. Este apoyo de Rutherford se debía, como él mismo reconoció, a que la estimación de la carga del electrón le había convencido desde el principio de la importancia del trabajo de Planck. Rutherford intuía que, de una u otra forma, la constante h era la llave que abriría la caja que guardaba las leyes del mundo atómico y subatómico.
§. Las unidades de medida del universo
La radiación de cuerpo negro es una radiación que no depende de la naturaleza concreta de la cavidad radiante de que se trate, solo depende, como hemos visto varias veces, de la temperatura de la cavidad. Eso confiere un carácter universal no solo a k, sino también a h. Planck se dio cuenta de que estas nuevas constantes universales, junto con las ya conocidas de la gravitación (G) y la velocidad de la luz (c), permitían construir un sistema de unidades que no dependía de convenciones humanas.
Recordemos brevemente en qué consiste nuestro sistema de unidades actual. Para expresar cualquier magnitud física necesitamos una unidad de referencia. En el caso de las distancias, en el Sistema Internacional de unidades (SI) la unidad de longitud es el metro y de esta manera decimos que Shaquille O’Neal mide 2,15 metros o que la distancia entre Londres y París es de 340,55 kilómetros.
El uso del metro como unidad de longitud es puramente convencional, resultado del acuerdo firmado por varios países en mayo de 1875 en el marco de la Convención del Metro. Como resultado de ese acuerdo se fabricaron un metro patrón y un kilogramo patrón, que unidos a una medida del tiempo, el segundo, formaron lo que se dio en llamar el sistema MKS de unidades (de metro, kilo y segundo). No todos los países usan este sistema. La excepción más notable la constituyen los países anglosajones, que siguen usando la milla, la yarda, el pie o la pulgada como unidades de longitud, y la libra o las onzas como unidades de peso (en Inglaterra ya se usa el kilo y sus submúltiplos como unidad oficial). El caso de Estados Unidos es realmente curioso, porque sigue usando las millas y las yardas cuando fue uno de los primeros países en adherirse a la Convención del Metro.
La Convención del Metro creó los organismos internacionales que se encargan de actualizar y revisar el Sistema Internacional de unidades. Así, las definiciones de metro y segundo actualmente en vigor no son las originales. La definición de segundo hace uso de la extraordinaria regularidad de los fenómenos atómicos y se define como «La duración de 9.192.631.770 períodos de la radiación correspondiente a la transición entre los dos niveles hiperfinos del estado fundamental del átomo de cesio 133». Esta definición está relacionada con la tecnología de los relojes más precisos existentes: los relojes atómicos. La definición del metro, por otro lado, se sirve del hecho de que la velocidad de la luz es una constante universal y que el segundo está definido, como hemos visto, con extraordinaria precisión. Así, según un acuerdo de 1983 de la Conferencia General de Pesas y Medidas: «El metro es la longitud del trayecto recorrido en el vacío por la luz durante un tiempo de 1/299.792.458 de segundo».
La imposibilidad de alcanzar el cero absolutoTanto el teorema de Nernst como el tercer principio de la termodinámica, en la forma enunciada por Planck, implican la imposibilidad de alcanzar el cero absoluto. Los tres principios de la termodinámica expresan, por tanto, otras tantas imposibilidades. Por el primer principio es imposible construir un móvil perpetuo de primera especie (aquel que produce más trabajo que energía consume). El segundo principio equivale a decir que no es posible construir un móvil perpetuo de segunda especie (el que transforma en trabajo todo el calor proporcionado). El tercer principio, como decimos, implica la imposibilidad de alcanzar el cero absoluto. Aun así, una de las carreras científicas más apasionantes del siglo XX ha sido la de conseguir temperaturas cada vez más bajas, siendo un permanente desafió acercarse más y más al cero absoluto. El pionero de los estudios a muy bajas temperaturas fue el físico neerlandés Heike Kamerlingh Onnes (1853-1926), que consiguió llegar a los tres grados por encima del cero absoluto. Con sus técnicas criogénicas, Kamerlingh Onnes consiguió licuar el helio y descubrió la superconductividad. En la actualidad se consiguen temperaturas por debajo de la millonésima de Kelvin.
Regresemos a Planck. La constante de Boltzmann, k, tiene unidades de kg m2/(s2 K), la constante de Planck, h, de kg m2/s, la constante de gravitación universal G, descubierta por Newton, de m3/kg s2 y la velocidad de la luz, c, de m/s. En 1899 Planck presentó una comunicación en la Academia de Berlín en la que combinaba estas constantes para obtener unas escalas de distancia, masa, tiempo y temperatura:

Planck hizo notar que las escalas así obtenidas no son fruto de ninguna convención humana, puesto que se sirven exclusivamente de constantes universales. Es decir, en tanto y en cuanto dichas constantes sean en verdad universales, o sea, no cambien ni en el tiempo ni en el espacio, cualquier otra civilización que llegara a desentrañar los misterios de la física obtendría estos mismos valores. Dice Planck:
Estas magnitudes conservarán su significado natural siempre que la ley de gravitación, la de la propagación de la luz en el vacío y los dos principios de la termodinámica mantengan su validez; por tanto, debe encontrarse siempre el mismo valor para ellas, aunque sean medidas por las inteligencias más diversas y con los métodos más diversos.
Se quedaría sorprendido Max Planck al observar cómo más de un siglo después sus escalas naturales son objeto de interés y debate por parte de los físicos teóricos. Y es que las escalas de Planck están directamente relacionadas con uno de los problemas mayores de la física en el nuevo milenio: encontrar una teoría cuántica de la gravitación. En particular, la longitud de Planck aparece como una longitud por debajo de la cual la noción misma de espacio deja de tener sentido.
Hagamos un experimento mental de los que tanto gustaban a Einstein, Bohr o Heisenberg. Supongamos que queremos localizar un objeto enviando contra él un rayo de luz y midiendo cuánto tarda en volvemos rebotado, como suele hacer un radar para localizar un avión. La naturaleza ondulatoria de la luz establece un requisito para ello: la distancia no puede ser menor que la longitud de onda de la luz utilizada λ. En un principio bastaría disminuir λ tanto como quisiéramos, pero según la teoría cuántica ello conllevaría que los fotones asociados serían cada vez más energéticos, ya que E = hv = hc/λ
La equivalencia entre masa y energía expresada en la célebre igualdad E = mc2 implica que la luz también contribuye al campo gravitatorio. Cuanto más energético el fotón, mayor es el campo gravitatorio que crea, por lo que, si disminuimos mucho la longitud de onda, el campo asociado a los fotones será cada vez más intenso y los fotones distorsionarán el espacio a su alrededor arruinando la medida que queríamos hacer. Por lo tanto, reducir la longitud de onda para ganar precisión tiene como contrapartida el aumento de la distorsión de la medida por causa del efecto gravitatorio.
La teoría general de la relatividad permite establecer una relación precisa entre ambos efectos, de modo que se llega a un valor de longitud de onda para la cual se obtiene un mínimo de distorsión, en concreto λ = lp, donde lp resulta ser precisamente la longitud de Planck. La longitud de Planck se presenta de esta manera como la distancia mínima con la que podemos determinar la distancia entre objetos y es, por tanto, la distancia mínima de la que tiene sentido hablar físicamente.
La longitud de Planck es la distancia mínima físicamente medibleSegún la teoría general de la relatividad, la distorsión ocasionada por una masa en el espacio que la rodea es de orden φ/c2 donde φ es el potencial gravitatorio. Si usamos la fórmula de Newton para estimar el potencial gravitatorio creado por el fotón tendremos:
La distorsión gravitatoria es del orden:
La indeterminación total en la medida de la distancia es, aproximadamente, la suma de las dos contribuciones, la de la naturaleza ondulatoria de la luz y la de la distorsión gravitatoria que produce:
Esta expresión indica que tanto aumentar mucho la longitud de onda, para reducir el efecto gravitatorio, como disminuirla mucho, para reducir el efecto ondulatorio, llevan a aumentar la indeterminación. La longitud de onda a la que se produce la distorsión mínima es la longitud de Planck lp.
Este hecho es una consecuencia tanto de la teoría general de la relatividad enunciada por Einstein como de la mecánica cuántica, y es precisamente por ello por lo que las escalas de Planck desempeñan un papel fundamental en la teoría cuántica de la gravitación.
§. Determinismo y causalidad: ¿somos libres?
A pesar de los cambios científicos vertiginosos de los que Planck fue testigo, nunca dudó de la validez futura de las constantes universales halladas hasta ese momento, «los ladrillos inmutables del edificio de la física teórica», como en una ocasión las describió. Aunque la ciencia siga avanzando, escribió, es de esperar que el valor y papel de estas constantes no cambie, sino que cada vez se determinen con más precisión. No solo ha sido así, sino que durante la segunda mitad del siglo pasado, la física nuclear y de partículas aportó nuevas constantes universales al elenco de las ya existentes.
Para los positivistas contemporáneos de Planck, estas constantes no tienen una validez universal, sino que son meras creaciones del hombre. Nada hay de extraordinario en que se cumplan, ya que somos nosotros los que las prescribimos, y adaptamos las cosas y los conceptos para que se verifiquen. Planck, por el contrario, sostenía que la ciencia se basa en una premisa fundamental: existe un mundo real independiente de nosotros.
Apoyándose en esta premisa, Planck dedicó una serie de charlas y escritos de los años treinta y cuarenta a analizar más en profundidad los fundamentos filosóficos de la ciencia de su tiempo. Por aquellos años, la mecánica cuántica y, más en concreto, el principio de incertidumbre de Heisenberg y la interpretación probabilística de la realidad que de él se desprendía, habían puesto en cuestión el determinismo consagrado por la física clásica de Newton. Planck se alineó en cambio con aquellos que, como Einstein, creían que esa interpretación era errónea. En su opinión, una forma más avanzada de la teoría cuántica, aún por venir, iba a recuperar el determinismo.
La defensa del determinismo acaba enfrentando a quien la sostiene al problema del libre albedrío, es decir, a la libertad del hombre para decidir su comportamiento. Se trata de un problema con hondas repercusiones morales que Planck, como hombre religioso que era, no podía dejar de tratar.
«Creo firmemente, junto a la mayoría de los físicos, que la hipótesis cuántica encontrará finalmente su expresión exacta en ciertas ecuaciones que serán una formulación más exacta de la ley de causalidad».
Max Planck en Hacia dónde va la ciencia
Ciencia y religión: dos formas de conocer a DiosPlanck fue un hombre religioso toda su vida y cabría decir que, en los últimos años, profundamente religioso. Sus ideas sobre la religión quedaron resumidas en un opúsculo, versión impresa de una conferencia que pronunció en mayo de 1937, Ciencia y religión, que gozó de un considerable éxito de público. Para Planck la ciencia y la religión no son incompatibles, sino complementarias. La ciencia acerca al hombre a la obra de Dios a través de la razón y la experimentación científica, que van desgranando poco a poco las leyes que rigen la naturaleza. La fe cándida del hombre ignorante que cree en los milagros y en todo tipo de supersticiones no tiene sentido hoy en día, sostuvo Planck, cuando la ciencia ha desentrañado los mecanismos de la naturaleza.
¿Una moral sin religión?
El ateísmo, empero, es aún más peligroso. Aquí Planck asocia claramente religión con moral; para él, no hay moral posible fuera de la religión. Y escribe; «La victoria del ateísmo no solo destruiría los tesoros más valiosos de nuestra civilización, sino, lo que es aún peor, aniquilaría la esperanza en un futuro mejor». La diversidad de religiones no significa diversidad de dioses, sino que la forma externa que adopta la relación del hombre con Dios es tan diversa como diversas son las razas y las culturas. En este sentido las religiones sí son una creación humana, ya que las tradiciones y los rituales se han ido construyendo y depurando a lo largo de la historia hasta su forma actual. Pero usar esta evolución de los símbolos para despreciarlos es un error, ya que los símbolos hay que entenderlos como un indicio, imperfecto e incompleto, de algo superior. La cuestión fundamental: ¿existe Dios solo en la mente humana y toda esa trascendencia se agota en la muerte? Solo puede responderse con la fe.
El lugar de la ciencia
Finalmente, Planck se pregunta: ¿es compatible la fe con la ciencia? Su respuesta es: «sí». Si la ciencia representa un conocimiento de Dios siempre incompleto y en constante avance, la religión muestra Dios al hombre desde el principio, en plenitud. La conclusión es que la religión y la ciencia tratan de lo mismo: del conocimiento del ser supremo. Y Planck termina su disquisición diciendo: «Religión y ciencia mantienen una batalla conjunta e incesante, una cruzada que nunca se relaja, contra el escepticismo y contra el dogmatismo, contra la incredulidad y contra la superstición».
El principio de causalidad establece que todo lo que ocurre tiene una causa que lo produce. Frente a los que creen en la veracidad de este principio están los indeterministas, que piensan que la causalidad auténtica no existe en la naturaleza. El hecho de observar que dos cosas ocurren siempre en estricta sucesión (por ejemplo, tocar una tecla del piano y oír su sonido) no permite sacar la conclusión de que una es causa de la otra, sino solo atestiguar que se suceden. El indeterminista admite que se diga solamente que los dos sucesos se han sucedido el uno al otro tantas veces como los ha observado. Esta crítica a la causación, que tiene su más acabada expresión en los trabajos del empirista inglés David Hume, evita hablar de causas y prefiere, en cambio, hablar de probabilidades. Suena extraño, pero lo cierto es que las teorías empiristas, llevadas a sus últimas consecuencias, son difícilmente rebatibles. La defensa que realiza Planck del principio de causalidad se apoya, en cambio, en que sin él no se puede avanzar en el estudio científico. Es por la variedad e importancia de sus frutos por lo que Planck ve en el principio de causalidad la base de la investigación.
Para explicar las implicaciones prácticas del determinismo Planck distinguió el mundo sensible, el mundo externo al que accedemos a través de los sentidos, de su imagen física. La imagen física del mundo la forman las teorías y los conceptos matemáticos que lo describen. Para hacer una predicción sobre un suceso futuro, por ejemplo, el día y la hora de un eclipse, hay que trasladar las medidas del mundo sensible a la imagen física, hacer los cálculos en la imagen física, y pasar de nuevo al mundo sensible. En el ejemplo del eclipse debemos medir primero las posiciones de la Luna y el Sol en un instante dado, calcular sus trayectorias a partir de ese momento y predecir cuándo coinciden sus posiciones aparentes en el cielo. La incertidumbre aparece al pasar del mundo sensible a la imagen física y viceversa, porque son operaciones que no se pueden hacer con absoluta precisión. Por ejemplo, la posición de la Luna la determinamos con la precisión que nos permita el instrumento con que hagamos la observación. Lo mismo cabría decir, y son los ejemplos que usa Planck, de la altura de una torre, el período de un péndulo o el brillo de una bombilla.
Cuando tiramos un dado de seis caras decimos que hay una probabilidad de un sexto de obtener cualquiera de los seis valores. A efectos prácticos, consideramos el resultado de la tirada como un suceso aleatorio. Ahora bien, si fuéramos capaces de determinar con precisión la posición y la velocidad inicial del dado, su orientación en el momento de la tirada y las características materiales del dado y de la mesa, podríamos predecir con certeza el resultado, ya que el dado sigue en su caída las leyes deterministas de la mecánica clásica.
Planck escogió la teoría cinética del calor para ejemplificar su idea profunda del determinismo. Esta teoría se apoya en un concepto como el de entropía, una magnitud macroscópica estrechamente relacionada con la probabilidad de los distintos estados mecánicos de un sistema específico. Los sistemas tienden a estados de mayor entropía, o equilibrio, porque estos resultan ser los más probables. El mundo visto así parece indeterminado o aleatorio. Pero si descendemos al mundo microscópico lo que observamos es que las moléculas colisionan unas con otras siguiendo las leyes de la mecánica, que son perfectamente deterministas. Así, para estudiar los cambios de entropía en un sistema dado, se hace un promedio estadístico a partir de la asunción de que cada colisión particular sigue las reglas deterministas de la mecánica. Planck concluye que, aunque las magnitudes macroscópicas sean promedios estadísticos, e incluso puedan sufrir fluctuaciones aleatorias, visto el asunto al detalle, en el plano microscópico, ese comportamiento es resultado de leyes deterministas.
Y ¿qué ocurre con la mecánica cuántica? Cuando Planck escribió en 1933 sobre la causalidad en la colección de ensayos Hacia dónde va la ciencia, la mecánica cuántica estaba completamente establecida. En concreto, el principio de incertidumbre de Heisenberg y la interpretación probabilística de la función de onda de Schrödinger formaban ya parte de la doctrina aceptada. Según estos dos principios no podemos determinar con precisión dónde se encuentra un electrón; solo podemos calcular la probabilidad de que esté en un sitio en un momento dado. Planck aceptaba este estado de cosas como un gran avance de la doctrina cuántica, pero creía, al igual que Einstein o Schrödinger, que no era la última palabra.
En definitiva, Planck creía firmemente en la ley de causalidad, y el determinismo que de ella se desprende, en cuanto a las leyes físicas se refiere. Pero ¿qué decir del hombre? Planck pensaba que el principio de causalidad era compatible con la noción del libre albedrío. Para comprender esta aparente contradicción hay que distinguir entre la persona como objeto y la persona como sujeto; entre «el otro» y «uno mismo». Cuando un psicólogo estudia a las personas admite que su comportamiento está regido por la ley de la causalidad, que sus actos siguen una cadena causal, y que cada acción que una persona realiza tiene una causa. En un principio, un conocimiento profundo de la persona en estudio podría habilitamos para predecir su comportamiento. De hecho, Planck observaba que si el comportamiento de los demás fuera impredecible, el mundo sería un caos, poique nunca sabríamos a qué atenemos.
Sin embargo, las cosas cambian cuando nos observamos a nosotros mismos. Porque el objeto no puede ser a la vez el sujeto, el ojo no puede verse a sí mismo. Podemos llegar a estudiar las cadenas causales que nos llevaron a tomar decisiones pasadas, pero no podemos predecimos a nosotros mismos en el instante de tomar decisiones, porque formamos parte de las mismas condiciones que van a determinar nuestro futuro. Predecirnos a nosotros mismos es un imposible lógico comparable, nos dice Planck, a pensar en un círculo cuadrado. Así, nuestro comportamiento es libre, decidido por nosotros mismos en cada instante. La ciencia debe en consecuencia dejar paso a la moral.
¿Qué podemos decir sobre estas cuestiones desde la perspectiva que nos dan los años? Con respecto a la mecánica cuántica, hay que señalar que la probabilidad sigue firme en su rol fundamental y la teoría determinista con que soñaban Einstein, Schrödinger o Planck no ha visto la luz. El instante en que un núcleo radiactivo se desintegra es totalmente fortuito. Podemos calcular la probabilidad de que lo haga en un instante dado; podemos calcular con absoluta precisión el promedio de átomos que se desintegran por segundo de una muestra dada; podemos, por supuesto, determinar qué isótopos de un elemento son inestables y se van a desintegrar tarde o temprano y cuáles no. Pero no podemos predecir con precisión en qué instante va a ocurrir el hecho elemental de la desintegración. Las cosas no son como en el ejemplo del dado; la aleatoriedad es aquí esencial y forma parte de la naturaleza de las cosas. Todos los avances técnicos de estas décadas no han hecho sino corroborar esta idea. A efectos prácticos, la situación es similar a la de la teoría del calor. En general, nunca observamos el comportamiento de un solo átomo, sino el de trillones de ellos, con lo que los promedios empleados poseen una enorme precisión. Precisamente porque se miden promedios sobre muestras con muchísimos átomos, las predicciones de la mecánica cuántica, paradójicamente, se encuentran entre las más precisas de toda la ciencia.
Otra revolución ha venido a abundar en el indeterminismo de las leyes físicas. A finales de la década de 1960, el meteorólogo estadounidense Edward Lorenz constató que pequeñas variaciones de las condiciones iniciales de un modelo muy simplificado de la convección atmosférica del aire podían dar lugar a comportamientos radicalmente distintos, lo que denominó efecto mariposa. El término técnico para referirse al «efecto mariposa» es caos determinista. Se trata de un término que a menudo se malinterpreta: los tomados, al fin y al cabo, se producen en determinadas zonas del planeta, y no en otras, y bajo unas condiciones atmosféricas concretas, y no otras. No hay monzones en Alaska, ni huracanes en Madrid. Lo que quiso expresar Lorenz con su frase es que el comportamiento concreto de la atmósfera un día y en un lugar concretos, es muy sensible a las condiciones iniciales, y una pequeña variación de estas condiciones hace que el tomado se produzca otro día y no hoy, o que se desvanezcan las perturbaciones y no aparezca el tornado.
«El aleteo de una mariposa en Brasil puede producir un tornado en Texas».
Edward Lorenz para explicar el «efecto mariposa».
En un principio podría pensarse que el caos determinista no es muy distinto del ejemplo de tirar el dado. Al fin y al cabo, el movimiento de un dado es muy sensible a las condiciones iniciales y el resultado es distinto si lo tiramos un poco más fuerte o un poco más alto. Pero en el dado hay muchas variables que no controlamos: las rugosidades de cada cara, las pequeñas diferencias de los vértices, la mesa, etcétera. Lo que Lorenz descubrió es que un sistema con tan solo tres variables mostraba un comportamiento impredecible. Hoy día se conocen muchos ejemplos similares al de Lorenz, y su estudio ha dado lugar a estructuras matemáticas muy llamativas, como los fractales y los atractores extraños. Lo que nos interesa aquí es que, como resultado de ello, la impredecibilidad se ha colado incluso en el terreno de la mecánica clásica, es decir, en parte de nuestro mundo cotidiano. En este caso particular, la física ha ido en sentido contrario al que esperaba Planck. Pero no hay que sacar conclusiones demasiado radicales de ello. Una vez asumida la indeterminación y gracias a esta comprensión más profunda de la dinámica de los sistemas físicos, a los avances informáticos y, por supuesto, a una mejor red de observación, las predicciones meteorológicas son hoy más precisas que nunca.
En cuanto a las ciencias sociales y de la vida, el camino ha sido el inverso al de la física. En aquellas, el principio de causalidad sigue siendo una guía fundamental para los científicos. Cuando una anomalía estadística es reiterativa, o muy notable, se busca una causa. Ello ha permitido desarrollar nuevos fármacos o determinar factores de riesgo de enfermedades para el caso de poblaciones enteras. Cada vez son más los estudios que relacionan las diversas facetas del comportamiento humano con la herencia genética, las condiciones sociales y económicas, o el entorno familiar. Todo ello es muy complejo, pero parecería que la ambición última es encontrar las causas de todo cuanto nos acontece. Las preguntas que se hacía Planck en torno a la naturaleza del libre albedrío siguen teniendo sentido: ¿Somos en última instancia «autómatas inanimados en las manos de una ley de hierro de la causalidad»? «Entre toda la secuencia causal de los fenómenos naturales, ¿hay lugar para el acto libre y responsable de voluntad del individuo?».
Cuando Planck escribía sobre él, el problema del libre albedrío era una cuestión más bien filosófica y sobre la que solo cabía especular. Aunque en un estadio todavía preliminar, esta cuestión es hoy en día objeto de estudio científico. Cuando decimos «objeto de estudio científico» nos referimos a que se formulan hipótesis que se ponen a prueba en experimentos controlados en el laboratorio. Algunos estudios en neurofisiología parecen indicar que el libre albedrío no existe o, en cualquier caso, no es más que una ilusión. Esta opinión es compartida por varios prestigiosos científicos. Este punto de vista sostiene que somos una clase muy compleja de autómatas, pero autómatas al fin y al cabo. Ahora bien, dado que hay varios elementos que introducen fluctuaciones caóticas en la física y la química de la actividad neuronal y que, además, la misma dinámica determinista puede ser caótica, nuestro comportamiento y nuestras decisiones difícilmente pueden estar predeterminadas. Ni somos libres ni todo está escrito.
No es probable que esta conclusión fuera del agrado de Planck. El camino recorrido por la física desde el determinismo clásico hacia el indeterminismo moderno tiene su contrapartida en el progresivo determinismo biológico y psicológico. Probablemente en el futuro aguarda una síntesis de estas dos tendencias. Sin duda, los próximos años depararán importantes hallazgos en este campo.
Experimentos sobre la voluntadEn un célebre experimento, el neurofisiólogo Benjamín Libet (1916-2007), de la Universidad de California en San Francisco, registró el encefalograma de un voluntario mientras se le solicitaba realizar un acto sencillo, como apretar un botón cuando él quisiera. Libet y su equipo encontraron que la señal neuronal de la corteza motora que daba la orden de mover la mano era anterior a la consciencia del voluntario de haber tomado la decisión. En otras palabras, la decisión de mover la mano se tomaba inconscientemente, y solo después aparecía la consciencia de haberla tomado. Variaciones del experimento de Libet se han realizado con distintas técnicas y las conclusiones iniciales se han corroborado, al menos dentro de actos como mover una mano, elegir entre dos objetos similares o buscar con la mirada un objeto en una pantalla. La conclusión, que no puede más que ser provisional, es que el libre albedrío es una «ilusión», un autoengaño que nos hace pensar que elegimos conscientemente lo que ya han determinado mecanismos inconscientes.
§. Huyendo hacia el bosque
Los últimos meses de la Segunda Guerra Mundial fueron extraordinariamente duros para Planck y su familia. A la muerte de su hijo Erwin hay que unir la destrucción total de su casa de Berlín tras un bombardeo aliado el 15 de febrero de 1944. Se perdieron todos sus archivos: las cartas, los libros y multitud de manuscritos. Por suerte, desde la primavera de 1943 Planck se había trasladado, en previsión de bombardeos, a una vivienda en Rogatz, una pequeña ciudad al oeste de Berlín. Sin embargo, el avance aliado convirtió esa región en zona de guerra y Planck y su esposa Marga tuvieron que refugiarse en el bosque y dormir en una choza. Para colmo de males, comenzó a sufrir agudos dolores de espalda que le resultaban casi insoportables. Cuando las tropas aliadas ocuparon finalmente la zona, Robert Pohl (1884-1976), profesor de física experimental en Gotinga, alertó a los Planck, que fueron llevados a dicha localidad, a casa de una sobrina.

Max Planck con su esposa Marga, en una fotografía tomada en 1946, un año antes de morir en Gotinga de un derrame cerebral. Terminada la guerra. Planck aún tuvo fuerzas para intentar reorganizar la ciencia alemana.
Sus esfuerzos culminaron en la conversión de la antigua sociedad Káiser Guillermo en la hoy prestigiosa Sociedad Max Planck para el Avance de la Ciencia.
En julio de 1946 Planck viajó a Londres, invitado por la Royal Society con motivo de la celebración del tercer centenario de la muerte de Newton, y fue ampliamente agasajado por todos los asistentes. En ese encuentro se fraguó la salida a un problema al que se enfrentaban las potencias ocupantes respecto a la ciencia en Alemania: ¿qué hacer con la Sociedad Káiser Guillermo?
Establecida en 1911, la sociedad tenía como objetivo agrupar bajo protección gubernamental una serie de instituciones científicas anteriormente en manos privadas. Su primer presidente fue Adolf von Harnack, seguido por Planck, quien a su vez cedió el testigo a Carl Bösch. Albert Vögler, que ostentó el cargo durante la guerra, se suicidó en abril de 1945 para evitar ser capturado por los estadounidenses. Gran parte del personal de la sociedad estaba disperso, y varios de sus institutos, destruidos. Aunque los franceses y los ingleses permitieron la continuidad de las actividades de la sociedad en sus zonas respectivas, los americanos desconfiaban, porque la veían como un foco de influencia nazi. En mayo de 1945, ya con ochenta y siete años de edad, Planck accedió a presidirla de nuevo. Puso las bases para reconstruir la sociedad y en abril de 1946 dejó paso a Otto Hahn, uno de los descubridores de la fisión del uranio. Su último servicio a la ciencia de su país fue negociar con las autoridades de las tres potencias occidentales para que permitieran la existencia de una sociedad científica unificada en sus respectivas zonas de ocupación.
Uno de los cambios que trajo consigo la ocupación fue la necesidad de buscar un nombre para la sociedad que no tuviera las reminiscencias militaristas asociadas al del káiser. El nombre de Planck resultó aceptable para todas las partes: aunque había permanecido en Alemania, no había colaborado activamente con el régimen, había sufrido el acoso de los nazis en muchas ocasiones y, como hemos visto, perdió a uno de sus hijos tras el intento de golpe de estado de julio de 1944. El 11 de septiembre de 1946 nacía la Sociedad Max Planck para el avance de la ciencia. En un principio limitada a la zona inglesa, en julio de 1949 las tres potencias occidentales acordaron extender su radio de acción a sus respectivas zonas de ocupación. La Sociedad Max Planck estaba presidida por Otto Hahn. Max von Laue era su secretario general y Werner Heisenberg dirigía el Instituto Max Planck de Física. Planck veía así doblemente recompensado su infatigable esfuerzo por salvaguardar la física alemana de los avatares del período nazi. El 4 de octubre de 1947, tras casi un año de retiro definitivo, Max Planck moría en el hospital de Gotinga de un derrame cerebral.
§. Batallas después de muerto
A finales del siglo XI el caballero castellano Rodrigo Díaz de Vivar, conocido como el Cid Campeador, conquistó a los árabes la ciudad de Valencia y reinó en ella hasta su muerte. Los almorávides hostigaban continuamente la ciudad y la reconquistaron poco después de la muerte del Cid. Cuenta la leyenda que sus hombres montaron al Cid, ya muerto, en su caballo para defender la ciudad, y que sus enemigos, al ver la silueta del que tantas veces les había derrotado, huyeron despavoridos.
Algo parecido sucedió con Max Planck durante la Guerra Fría, según nos cuenta el historiador alemán Dieter Hoffmann, experto en la vida y obra del gran científico. A los diez años de su muerte tuvo ocasión de librar una última batalla por algo por lo que él había luchado toda su vida: la ciencia alemana. En abril de 1958 se cumplían cien años de su nacimiento. Alemania estaba dividida en dos estados: la República Federal de Alemania, la Alemania Occidental, aliada de Occidente y con numerosas bases militares estadounidenses desperdigadas por su territorio; y la República Democrática Alemana, la Alemania Oriental, gobernada por un régimen comunista y bajo dominio de la Unión Soviética. Todavía no se había construido el muro de Berlín, pero el Partido Socialista Unificado de Alemania regía los destinos de los alemanes del Este, y aspiraba a controlar todo cuanto ocurría en su suelo.
La ciencia alemana estaba dividida en dos y en cada uno de los dos países vivían algunos de los grandes físicos alemanes de la primera mitad del siglo. En Alemania Occidental destacaban Heisenberg, Von Laue y Hahn. En Alemania Oriental había quedado Gustav Hertz. Los cuatro habían ganado el premio Nobel y habían tenido una estrecha relación con Planck, especialmente Von Laue.
En torno a la primavera de 1957, Von Laue inició los contactos con Alemania Oriental para promover una celebración conjunta del centenario. Su intención era estrechar la relación entre los físicos de las dos Alemanias y buscar un espacio común de entendimiento. Para ello, era imperativo que la política quedara fuera del programa de los actos de conmemoración.
El interlocutor de Von Laue, en tanto que representante de la Sociedad de Física en Alemania Occidental, era el físico Robert Rompe (1905-1993). Rompe era miembro del Comité Central del Partido Socialista Unificado de Alemania, y tenía buenos contactos en el partido y en el Gobierno. Inicialmente, Rompe y Von Laue acordaron una agenda meramente científica. Se celebraría un acto en Berlín Oriental, en el que hablaría Von Laue, y un acto en Berlín Occidental, al día siguiente, en el que Hertz tendría ocasión de hacer su discurso. A los dos actos asistirían físicos de los dos países y otras personalidades, como Lise Meitner, que desde que huyó de los nazis vivía en Estocolmo. Los políticos quedaban al margen en este programa inicial.
Pero el tiempo transcurría y el Gobierno de Alemania Oriental no daba luz verde. Cuando, finalmente, el partido se implicó, y aprobó la celebración, lo hizo con la intención de politizarla y usarla con objetivos propagandísticos. En las actas de un encuentro entre representantes de las sociedades científicas y miembros del Comité Central del partido se puede leer:
La celebración del centenario de Planck es para nosotros, tanto como para el enemigo, un acontecimiento que tiene un carácter político muy considerable, por encima de cuestiones científicas [...]. Puede demostrarse que Planck es nuestro, y no de los fascistas de Alemania Occidental
Amedida que se acercaba el acontecimiento la maquinaria del partido se implicó más y más. Hasta el mismo Politburó redactó un comunicado que fue publicado el día del aniversario de Planck, el 23 de abril, en uno de los periódicos del partido. En el comunicado se ensalzaba a Planck como uno de los grandes científicos del siglo, pero por encima de todo se alababan su «materialismo» y su «antipositivismo», dos filosofías muy afines al marxismo-leninismo. El final del comunicado no tiene desperdicio:
Solo la clase trabajadora, que ha construido el socialismo y defiende la paz mundial, tiene el derecho de conmemorar al gran físico Max Planck. La burguesía ha perdido su derecho a los pioneros de la ciencia. Lo que Max Planck ha creado, y con él una generación de jóvenes científicos, el capitalismo no puede asimilado.
¡Planck!, que a lo largo de toda su vida había sido monárquico, religioso y, sobre todo, simpatizante de un partido de derechas, y que había vivido como un burgués toda su vida, ¡reivindicado para la clase trabajadora!
Finalmente el 24 de abril tuvo lugar un solemne acto en el edificio de la Ópera en Berlín Oriental. A él asistieron todos los grandes físicos alemanes de la primera mitad del siglo que aún vivían: Von Laue, Heisenberg, Hahn, Born, Hertz, Franck... También asistió Lise Meitner, gran amiga de Planck, así como el secretario general del partido y hombre fuerte del régimen, Walther Ulbricht, y el embajador de la Unión Soviética. La sesión fue inaugurada por el entonces presidente de la Academia Alemana de Ciencias, Max Volmer, que, saltándose todas las consignas del partido hizo un llamamiento a la cooperación científica internacional. En el mismo acto habló Max von Laue, que glosó la carrera científica de Planck.
Al día siguiente, se celebró una sesión conjunta en el Salón de Congresos en Berlín Occidental, en la que hablaron Heisenberg y a continuación Hertz, y en la que los políticos brillaron por su ausencia. Por la tarde, el presidente de la República Federal, Heuss, y el entonces alcalde de Berlín Oeste, Willy Brandt, ofrecieron una recepción a una delegación de científicos de ambos países.
El protagonista casi exclusivo del evento celebrado en Berlín Occidental fue la ciencia, y si hubo un trasfondo fue precisamente la convicción de la capacidad de aquella de trascender las ideologías que separaban en bandos a la antaño unificada Alemania. En ese sentido, la victoria póstuma de Planck fue total. Y se alcanzó con el estilo propio del gran científico: lidiando con diplomacia con el poder político, sin oponérsele frontalmente, pero defendiendo la ciencia por encima de todo.
Cuando estudiamos la vida de una figura histórica tendemos a reducir lo que sude ser una personalidad compleja a una imagen única claramente definida. Y así quizá tengamos a Mozart por un genio despreocupado, a Einstein como la medida suprema de inteligencia o a Nerón como un loco peligroso. Estas etiquetas nos ayudan a no perdemos en el bosque de los nombres que han hecho historia, pero suelen ser una burda simplificación. Y esta forma de actuar es un error aún mayor cuando se trata de personas que, como Max Planck, vivieron muchísimos años y, además, en una época marcada por sucesos trágicos.
¿Era Planck valiente o cobarde? Seguramente fue las dos cosas. En los larguísimos años que vivió bajo el nazismo seguro que sintió miedo en más de una ocasión por su vida y la de los que le rodeaban. El peligro era tan real como para causar la muerte de un hijo, y probablemente hubo días en que se atino a saludar brazo en alto. Pero también fue capaz de destacar los méritos de Einstein, ni más ni menos que en una reunión de oficiales nazis. O de organizar un homenaje a Fritz Haber con la oposición explícita del régimen. Y tuvo coraje para mantener un enfrentamiento más o menos soterrado con científicos nazis de indudable influencia. Planck fue un hombre conservador, nacionalista, monárquico y religioso, pero no un dogmático. Era lo suficientemente inteligente como para apreciar la necesidad de cambiar de ideas cuando lo hacían las circunstancias. Lo demostró con su cambio de postura frente al atomismo, en el campo de la ciencia, o con su arrepentimiento por haber firmado el manifiesto de apoyo al ejército alemán al comienzo de la Primera Guerra Mundial, en el de la política. En todo momento tuvo como guía un alto sentido del deber. Así, mantuvo su compromiso con la enseñanza durante treinta y siete años y, terminada esa labor, desplegó una intensa actividad en favor de la ciencia, dando conferencias por doquier. Por lo demás, era un hombre de carácter afable y muy querido por quienes lo rodeaban.
De entre todos los momentos memorables que depara una trayectoria científica tan excepcional como la de Planck, invitamos al lector a rememorar esa tarde de domingo, en octubre del año 1900, en la que recibió la visita de su amigo Heinrich Rubens. Tras la marcha de Rubens, Planck se queda, pensativo, sentado en el sillón, aún sorprendido por lo que Rubens le ha comentado sobre las medidas de la radiación de cuerpo negro en el infrarrojo. Si la ley de Wien no se cumple en ese rango, su deducción de la ley, se dice a sí mismo, es falsa o incompleta. Entonces decide levantarse e ir a su mesa de trabajo. Le dice a Marie que va al estudio un rato, que le lleve una taza cuando haga café. Se sienta ante su mesa, probablemente con una tabla de logaritmos al lado, y empieza a hacer cálculos en una hoja. Prueba con un término más en el desarrollo de la derivada segunda de la entropía respecto a la energía, echa cuentas y encuentra una expresión que le parece prometedora. Comprueba que los límites de altas y bajas frecuencias corresponden con los de Wien y de Rayleigh, y se echa para atrás entre satisfecho e intrigado. Entra Marie con la taza de café y Planck le sonríe cariñosamente, diciéndole: «He encontrado una nueva fórmula que tal vez le guste a Heinrich».
- Cornwell, J., Los científicos de Hitler, Barcelona, Paidós, 2005.
- Feynman, R. P., Seis piezas fáciles, Barcelona, Ed. Crítica, 2006.
- Gamow, G., Biografía de la física, Madrid, Alianza Editorial, 2010.
- Gell-Mann, M., El quark y el jaguar, Madrid, Metatemas, 1994.
- Heilbron, J. L., The Dilemmas of an Upright Man, Harvard, 1996.
- Kuhn, T. S., La teoría del cuerpo negro y la discontinuidad cuántica: 1894-1912 Madrid, Alianza Universidad, 1987.
- Olalla Linares, C., La fuerza del deber, Planck, Madrid, Nivola, 2006.
- Pérez Izquierdo, A., Principios para principiantes: una iniciación a la física, Moscú, Ed. URSS, 2002.
- Planck, M. et al., ¿A dónde va la ciencia?, Buenos Aires, Losada, 1947. .Autobiografía científica y últimos escritos, Madrid, Nivola, 2000.
- Sánchez Ron, J. M., Historia de la física cuántica, Barcelona, Ed. Crítica, 2001.

A mediados del siglo XIX las teorías del electromagnetismo estaban en una encrucijada. Gracias a la obra de Ampère (1775-1836, Faraday (1791-1867) y otros físicos de la época, se había acumulado una serie importante de datos y leyes experimentales que habían demostrado la íntima relación existente entre electricidad y magnetismo. Para explicar todos los fenómenos descubiertos había principalmente dos formas de ver las cosas. Estaban los que proponían la existencia de una acción a distancia y los que abogaban por una teoría de campos. Heinrich Weber (1795-1878), en Alemania, había propuesto una fórmula para explicar todas las fuerzas eléctricas y magnéticas, tanto estáticas como dinámicas, a partir de una acción a distancia entre las cargas eléctricas.
obtuvo la cátedra de Física Matemática en la ciudad austríaca de Graz, donde vivió gran parte de su vida. Boltzmann desarrolló los trabajos de Maxwell sobre la distribución de las velocidades de las moléculas en un gas en equilibrio, distribución que se conoce en la actualidad como de Maxwell-Boltzmann. Esta distribución determina la probabilidad de que una molécula tenga una determinada velocidad. En 1872, Boltzmann dedujo una ecuación para la evolución en el tiempo de la distribución de velocidades de las moléculas de un gas, que se conoce como ecuación de Boltzmann y que constituye uno de los resultados más profundos de la física teórica de todos los tiempos. En 1877, Boltzmann dedujo que la probabilidad de que una molécula tuviera una energía ε era proporcional al producto 














para difractarlos. En una red cristalina la distancia entre los átomos está en el entorno de una o dos décimas de nanómetros (un nanómetro, nm, es una milésima de millonésima de metro o 10-9 m). Von Laue predijo que las sustancias sólidas que forman redes cristalinas, como los metales, difractarían los rayos X (cuya longitud de onda puede ir hasta los 10 nm), de manera similar a como lo hacen las redes de difracción con la luz visible. La difracción de rayos X se convirtió desde el momento mismo de su descubrimiento en una potente técnica para desentrañar la estructura de las redes cristalinas. Incluso sirvieron para deducir la estructura espacial de macromoléculas complejas. Uno de los descubrimientos más espectaculares propiciados por la difracción de rayos X fue la estructura de doble hélice de la molécula de ADN. Esta estructura fue deducida por Watson y Crick, a partir del patrón de difracción de rayos X de la molécula.


y concluyó que la carga eléctrica de las gotas era siempre múltiplo de una cantidad elemental, que coincidía con la carga del electrón. Al parecer Millikan usó en sus cálculos solo un cierto número de gotas y descartó otras que no consideraba relevantes, por parecerle claramente atribuibles a errores experimentales. Este hecho se ha usado por algunos críticos en dos sentidos: por un lado, para poner en duda la honradez de Millikan como científico: por otro, como prueba que corrobora cierta tesis sobre la historia de la ciencia según la cual los científicos manipulan los experimentos para que estén de acuerdo con las ideas teóricas preconcebidas de su tiempo. Pero ninguno de estos críticos menciona el caso del efecto fotoeléctrico. Con estos experimentos el científico estadounidense buscaba explícitamente rebatir la teoría de Einstein. El mismo Millikan dijo al respecto: «He pasado diez años de mi vida comprobando las predicciones que Einstein hizo en 1905 y, contrariamente a todas mis expectativas, me vi obligado a afirmar en 1915 su verificación sin ambigüedad, a pesar de toda su irracionalidad» (Millikan se refiere a la irracionalidad de la hipótesis de los cuantos). El caso del efecto fotoeléctrico deja clara la valía científica de Millikan y su disposición a aceptar las implicaciones de los hechos experimentales, incluso cuando van en contra de sus ideas preconcebidas.
consideró la figura de Planck. Ello es debido a que algunos de los argumentos de Planck contra el positivismo de Mach coinciden con los vertidos por Lenin en algunas de sus obras teóricas. Lenin y Planck coinciden en Ernst Mach admitir la existencia de un mundo real objetivo independiente de nuestra existencia Pero las similitudes entre las filosofías de Lenin y Planck no van más allá del reconocimiento de la objetividad del mundo exterior. Este reconocimiento era en Lenin consecuencia inmediata de la concepción materialista del mundo. Sin embargo, no se puede decir de Planck que fuera un genuino materialista, en el sentido filosófico del término, ya que Planck era religioso y, por tanto, Dios era para él la razón última de todo. Según Planck, la investigación científica es otra forma de conocer a Dios, conociendo su obra. Planck está, en el fondo, más cerca de la doctrina del filósofo cordobés del siglo XIII Averroes que de Lenin. Sea como fuere, las autoridades de la Alemania comunista vieron en esa coincidencia parcial entre las obras filosóficas de Lenin y Planck un motivo para ensalzar a este como patriota y pensador.
En su artículo de 1927, Werner Heisenberg propone varios experimentos mentales de los que se deducen las relaciones de incertidumbre.
habría una sola partida posible en total. Planck y Bose, sin ser plenamente conscientes de ello, estaban jugando a un juego distinto del de Boltzmann. Einstein, tras estudiar el artículo de Bose, se apuntó al juego. Eran las reglas cuánticas. Gracias a estas reglas, Einstein descubrió las leyes del gas cuántico y predijo el fenómeno de la condensación de Bose-Einstein, un nuevo estado de la materia que se produce a bajísimas temperaturas y que, tras ser constatado experimentalmente en 1995, constituye en la actualidad un importante ámbito de investigación.
modo colateral, una importancia mayor de la que pudiera parecer en un principio. Ernest Rutherford (imagen) leyó atentamente el artículo en que Planck daba su estimación de la carga del electrón a partir del ajuste experimental de su ley del cuerpo negro.

